JP6952182B2 - 撮像装置、表示装置、電子機器 - Google Patents
撮像装置、表示装置、電子機器 Download PDFInfo
- Publication number
- JP6952182B2 JP6952182B2 JP2020214987A JP2020214987A JP6952182B2 JP 6952182 B2 JP6952182 B2 JP 6952182B2 JP 2020214987 A JP2020214987 A JP 2020214987A JP 2020214987 A JP2020214987 A JP 2020214987A JP 6952182 B2 JP6952182 B2 JP 6952182B2
- Authority
- JP
- Japan
- Prior art keywords
- transistor
- potential
- time
- signal line
- optical sensor
- Prior art date
- Legal status (The legal status is an assumption and is not a legal conclusion. Google has not performed a legal analysis and makes no representation as to the accuracy of the status listed.)
- Active
Links
Images
Classifications
-
- G—PHYSICS
- G01—MEASURING; TESTING
- G01S—RADIO DIRECTION-FINDING; RADIO NAVIGATION; DETERMINING DISTANCE OR VELOCITY BY USE OF RADIO WAVES; LOCATING OR PRESENCE-DETECTING BY USE OF THE REFLECTION OR RERADIATION OF RADIO WAVES; ANALOGOUS ARRANGEMENTS USING OTHER WAVES
- G01S17/00—Systems using the reflection or reradiation of electromagnetic waves other than radio waves, e.g. lidar systems
- G01S17/88—Lidar systems specially adapted for specific applications
- G01S17/89—Lidar systems specially adapted for specific applications for mapping or imaging
-
- G—PHYSICS
- G01—MEASURING; TESTING
- G01S—RADIO DIRECTION-FINDING; RADIO NAVIGATION; DETERMINING DISTANCE OR VELOCITY BY USE OF RADIO WAVES; LOCATING OR PRESENCE-DETECTING BY USE OF THE REFLECTION OR RERADIATION OF RADIO WAVES; ANALOGOUS ARRANGEMENTS USING OTHER WAVES
- G01S17/00—Systems using the reflection or reradiation of electromagnetic waves other than radio waves, e.g. lidar systems
- G01S17/88—Lidar systems specially adapted for specific applications
- G01S17/89—Lidar systems specially adapted for specific applications for mapping or imaging
- G01S17/894—Three-dimensional [3D] imaging with simultaneous measurement of time-of-flight at a two-dimensional [2D] array of receiver pixels, e.g. time-of-flight cameras or flash lidar
-
- G—PHYSICS
- G01—MEASURING; TESTING
- G01S—RADIO DIRECTION-FINDING; RADIO NAVIGATION; DETERMINING DISTANCE OR VELOCITY BY USE OF RADIO WAVES; LOCATING OR PRESENCE-DETECTING BY USE OF THE REFLECTION OR RERADIATION OF RADIO WAVES; ANALOGOUS ARRANGEMENTS USING OTHER WAVES
- G01S7/00—Details of systems according to groups G01S13/00, G01S15/00, G01S17/00
- G01S7/48—Details of systems according to groups G01S13/00, G01S15/00, G01S17/00 of systems according to group G01S17/00
- G01S7/483—Details of pulse systems
- G01S7/486—Receivers
- G01S7/4865—Time delay measurement, e.g. time-of-flight measurement, time of arrival measurement or determining the exact position of a peak
-
- H—ELECTRICITY
- H10—SEMICONDUCTOR DEVICES; ELECTRIC SOLID-STATE DEVICES NOT OTHERWISE PROVIDED FOR
- H10F—INORGANIC SEMICONDUCTOR DEVICES SENSITIVE TO INFRARED RADIATION, LIGHT, ELECTROMAGNETIC RADIATION OF SHORTER WAVELENGTH OR CORPUSCULAR RADIATION
- H10F39/00—Integrated devices, or assemblies of multiple devices, comprising at least one element covered by group H10F30/00, e.g. radiation detectors comprising photodiode arrays
- H10F39/011—Manufacture or treatment of image sensors covered by group H10F39/12
- H10F39/016—Manufacture or treatment of image sensors covered by group H10F39/12 of thin-film-based image sensors
-
- H—ELECTRICITY
- H10—SEMICONDUCTOR DEVICES; ELECTRIC SOLID-STATE DEVICES NOT OTHERWISE PROVIDED FOR
- H10F—INORGANIC SEMICONDUCTOR DEVICES SENSITIVE TO INFRARED RADIATION, LIGHT, ELECTROMAGNETIC RADIATION OF SHORTER WAVELENGTH OR CORPUSCULAR RADIATION
- H10F39/00—Integrated devices, or assemblies of multiple devices, comprising at least one element covered by group H10F30/00, e.g. radiation detectors comprising photodiode arrays
- H10F39/10—Integrated devices
- H10F39/12—Image sensors
- H10F39/18—Complementary metal-oxide-semiconductor [CMOS] image sensors; Photodiode array image sensors
-
- H—ELECTRICITY
- H10—SEMICONDUCTOR DEVICES; ELECTRIC SOLID-STATE DEVICES NOT OTHERWISE PROVIDED FOR
- H10F—INORGANIC SEMICONDUCTOR DEVICES SENSITIVE TO INFRARED RADIATION, LIGHT, ELECTROMAGNETIC RADIATION OF SHORTER WAVELENGTH OR CORPUSCULAR RADIATION
- H10F39/00—Integrated devices, or assemblies of multiple devices, comprising at least one element covered by group H10F30/00, e.g. radiation detectors comprising photodiode arrays
- H10F39/10—Integrated devices
- H10F39/12—Image sensors
- H10F39/18—Complementary metal-oxide-semiconductor [CMOS] image sensors; Photodiode array image sensors
- H10F39/184—Infrared image sensors
-
- H—ELECTRICITY
- H10—SEMICONDUCTOR DEVICES; ELECTRIC SOLID-STATE DEVICES NOT OTHERWISE PROVIDED FOR
- H10F—INORGANIC SEMICONDUCTOR DEVICES SENSITIVE TO INFRARED RADIATION, LIGHT, ELECTROMAGNETIC RADIATION OF SHORTER WAVELENGTH OR CORPUSCULAR RADIATION
- H10F39/00—Integrated devices, or assemblies of multiple devices, comprising at least one element covered by group H10F30/00, e.g. radiation detectors comprising photodiode arrays
- H10F39/80—Constructional details of image sensors
- H10F39/802—Geometry or disposition of elements in pixels, e.g. address-lines or gate electrodes
-
- H—ELECTRICITY
- H10—SEMICONDUCTOR DEVICES; ELECTRIC SOLID-STATE DEVICES NOT OTHERWISE PROVIDED FOR
- H10F—INORGANIC SEMICONDUCTOR DEVICES SENSITIVE TO INFRARED RADIATION, LIGHT, ELECTROMAGNETIC RADIATION OF SHORTER WAVELENGTH OR CORPUSCULAR RADIATION
- H10F39/00—Integrated devices, or assemblies of multiple devices, comprising at least one element covered by group H10F30/00, e.g. radiation detectors comprising photodiode arrays
- H10F39/80—Constructional details of image sensors
- H10F39/803—Pixels having integrated switching, control, storage or amplification elements
Landscapes
- Engineering & Computer Science (AREA)
- Physics & Mathematics (AREA)
- Remote Sensing (AREA)
- Computer Networks & Wireless Communication (AREA)
- General Physics & Mathematics (AREA)
- Radar, Positioning & Navigation (AREA)
- Electromagnetism (AREA)
- Transforming Light Signals Into Electric Signals (AREA)
- Optical Radar Systems And Details Thereof (AREA)
- Solid State Image Pick-Up Elements (AREA)
- Measurement Of Optical Distance (AREA)
- Electroluminescent Light Sources (AREA)
- Thin Film Transistor (AREA)
Description
全般を指し、電気光学装置、半導体回路および電子機器は全て半導体装置である。
の分野で利用されている。該手法は、主に能動型計測手法と受動型計測手法の2手法に分
けられる。能動型計測手法は、光、電波、音波などを被検出物に対して照射し、得られた
情報を利用する。受動型計測手法は、計測の補助となる特定の光や電波等を、被検出物に
対して照射しない。
Time Of Flight:TOF)法、光切断法等が挙げられる。ステレオマッチ
ング法は、複数の光センサを用いて異なる画像を撮像し、三角測量の原理から、距離情報
を取得する。特許文献1では、異なる画像に共通に含まれる領域よりも狭い領域に対して
、ステレオマッチングを行う事で、計測時間を短縮し、計測精度を向上させている。
とらえる。光の照射を開始した時刻と、反射光が光センサに到達した時刻との時間差を利
用して、照射期間、検出信号、光速から距離情報を算出する。非特許文献1では、2回の
赤外光照射により、2個の検出信号を取得している。TOF法のメリットとして、半導体
装置を小型化し易い事が挙げられる。
画素を用いて、2次元情報(被検出物からの反射光の強さ・色彩等)及び3次元情報(光
源から被検出物までの距離)を取得している。
を上げなければならない。マッチング処理量の増加は、計測時間を膨大にする。更に、複
数の光センサを離れた位置に配置するため、半導体装置の小型化を行うことが難しい。
得する場合、検出信号の精度が低下するという問題がある。
時間差が生じる。被検出物が移動する場合、該時間差により検出信号が僅かにずれるため
距離情報の精度を維持する事が難しい。
ればならない。従って、2次元撮像による情報の取得と、3次元撮像による情報の取得と
の間に時間差が生じ、両情報を一度に取得する事が、困難であるという問題が生じる。
つとする。また、被検出物が移動しても、短時間で、高精度な距離情報を取得できる半導
体装置を提供することを課題の一つとする。また、短時間で、高精度な距離情報及び画像
情報を同時に取得できる半導体装置を提供することを課題の一つとする。
各回の照射期間を同一且つ極めて短期間とすることで、距離情報の精度向上を図る。
量に基づき信号電荷をFDノードに蓄積させる第1のトランジスタを含む画素と、出力線
から出力された検出信号に基づき演算処理を行う信号処理回路と、を有する半導体装置の
駆動方法であって、光電変換素子の一方の電極に、FDノードを第1の高電位とする電位
を供給し、光源から被検出物に対して、赤外光を期間Tで照射し、被検出物に到達して反
射された光が光電変換素子への入射を開始する時刻から、光源が赤外光の照射を停止する
時刻までの第1の期間は、少なくとも第1のトランジスタのゲート電極の電位を第2の高
電位とすることをn(nは2以上の自然数)回繰り返し、n回目の第1の期間後のFDノ
ードの電位と低電位との第1の電位差に基づく第1の検出信号を、出力線から取得し、第
1の検出信号を取得した後、光電変換素子の一方の電極に、FDノードを第1の高電位と
する電位を供給し、光源から被検出物に対して、赤外光を期間Tで照射し、光源が赤外光
の照射を停止する時刻から、被検出物に到達して反射された光が光電変換素子への入射を
終了する時刻までの第2の期間は、少なくとも第1のトランジスタのゲート電極の電位を
第2の高電位とすることをn回繰り返し、n回目の第2の期間後のFDノードの電位と低
電位との第2の電位差に基づく第2の検出信号を、出力線から取得し、第2の検出信号を
取得した後、光速をc、第1の検出信号をS1、第2の検出信号をS2としたときに信号
処理回路で、次式
の演算処理を行って、光電変換素子と被検出物との距離を算出することを特徴とする半導
体装置の駆動方法である。
量に基づき信号電荷をFDノードに蓄積させる第1のトランジスタ、信号電荷の蓄積量に
基づき変換された信号電位を増幅する第2のトランジスタ、及び増幅された信号電位に基
づき検出信号を出力線から出力する第3のトランジスタ、を含む画素と、出力線から出力
された検出信号に基づき演算処理を行う信号処理回路と、を有する半導体装置の駆動方法
であって、光電変換素子の一方の電極に、FDノードを第1の高電位とする電位を供給し
、光源から被検出物に対して、赤外光を期間Tで照射し、被検出物に到達して反射された
光が光電変換素子への入射を開始する時刻から、光源が赤外光の照射を停止する時刻まで
の第1の期間は、少なくとも第1のトランジスタのゲート電極の電位を第2の高電位とす
ることをn(nは2以上の自然数)回繰り返し、n回繰り返した後、n回目の第1の期間
後のFDノードの電位を第2のトランジスタによって増幅し、第3のトランジスタのゲー
ト電極を第3の高電位とする電位を供給し、第2のトランジスタと第3のトランジスタと
を導通させることで出力線の電位を変化させた後、第3のトランジスタのゲート電極を低
電位とする電位を供給し、低電位供給後の出力線の電位と、低電位との第1の電位差を、
出力線から出力し、出力した後、第1の電位差に基づいて第1の検出信号を取得し、第1
の検出信号を取得した後、光電変換素子の一方の電極に、FDノードを第1の高電位とす
る電位を供給し、光源から被検出物に対して、赤外光を期間Tで照射し、光源が赤外光の
照射を停止する時刻から、被検出物に到達して反射された光が光電変換素子への入射を終
了する時刻までの第2の期間は、少なくとも第1のトランジスタのゲート電極の電位を第
2の高電位とすることをn回繰り返し、n回繰り返した後、n回目の第2の期間後のFD
ノードの電位を第2のトランジスタによって増幅し、第3のトランジスタのゲート電極を
第3の高電位とする電位を供給し、第2のトランジスタと第3のトランジスタとを導通さ
せることで出力線の電位を変化させた後、第3のトランジスタのゲート電極を低電位とす
る電位を供給し、低電位供給後の出力線の電位と、低電位との第2の電位差を、出力線か
ら出力し、出力した後、第2の電位差に基づいて第2の検出信号を取得し、第2の検出信
号を取得した後、光速をc、第1の検出信号をS1、第2の検出信号をS2としたときに
信号処理回路で、次式
の演算処理を行って、光電変換素子と被検出物との距離を算出することを特徴とする半導
体装置の駆動方法である。
、各回の被検出物からの反射光を、隣接するフォトダイオードにより、時間差を置かずに
検出し、更に各回の照射期間を同一且つ極めて短期間とすることで、距離情報の精度向上
を図る。
量に基づき信号電荷をFDノードに蓄積させる蓄積トランジスタを含む複数の画素と、出
力線から出力された検出信号に基づき演算処理を行う信号処理回路と、を有する半導体装
置の駆動方法であって、光源から被検出物に対して、赤外光を期間Tで照射し、被検出物
に到達して反射された光が第1の光電変換素子及び第1の光電変換素子と隣接する第2の
光電変換素子への入射を開始する第1の時刻より前に、第1の光電変換素子の一方の電極
に、第1のFDノードを高電位とする電位を供給し、第1の時刻から、光源が赤外光の照
射を停止する第2の時刻までの期間は、少なくとも第1の蓄積トランジスタのゲート電極
の電位を高電位とし、第2の時刻より前に、第2の光電変換素子の一方の電極に、第2の
FDノードを高電位とする電位を供給し、第2の時刻から、被検出物に到達して反射され
た光が第1の光電変換素子及び第2の光電変換素子への入射を終了する第3の時刻までの
期間は、少なくとも第2の蓄積トランジスタのゲート電極の電位を高電位とすることをn
(nは2以上の自然数)回繰り返し、n回繰り返した後、n回目の第3の時刻後の第1の
FDノードの電位と低電位との第1の電位差に基づく第1の検出信号を、第1の出力線か
ら取得し、n回目の第3の時刻後の第2のFDノードの電位と低電位との第2の電位差に
基づく第2の検出信号を、第2の出力線から取得し、第1の検出信号及び第2の検出信号
を取得した後、光速をc、第1の検出信号をS1、第2の検出信号をS2としたときに信
号処理回路で、次式
の演算処理を行って、光電変換素子と被検出物との距離を算出することを特徴とする半導
体装置の駆動方法である。
量に基づき信号電荷をFDノードに蓄積させる蓄積トランジスタ、信号電荷の蓄積量に基
づき変換された信号電位を増幅する増幅トランジスタ、及び増幅された信号電位に基づき
検出信号を出力線から出力する出力トランジスタを含む複数の画素と、出力線から出力さ
れた検出信号に基づき演算処理を行う信号処理回路と、を有する半導体装置の駆動方法で
あって、光源から被検出物に対して、赤外光を期間Tで照射し、被検出物に到達して反射
された光が第1の光電変換素子及び第1の光電変換素子と隣接する第2の光電変換素子へ
の入射を開始する第1の時刻より前に、第1の光電変換素子の一方の電極に、第1のFD
ノードを高電位とする電位を供給し、第1の時刻から、光源が赤外光の照射を停止する第
2の時刻までの期間は、少なくとも第1の蓄積トランジスタのゲート電極の電位を高電位
とし、第2の時刻より前に、第2の光電変換素子の一方の電極に、第2のFDノードを高
電位とする電位を供給し、第2の時刻から、被検出物に到達して反射された光が第1の光
電変換素子及び第2の光電変換素子への入射を終了する第3の時刻までの期間は、少なく
とも第2の蓄積トランジスタのゲート電極の電位を高電位とすることをn(nは2以上の
自然数)回繰り返し、n回繰り返した後、n回目の第3の時刻後の第1のFDノードの電
位を第1の増幅トランジスタによって増幅し、第1の出力トランジスタのゲート電極を高
電位とする電位を供給し、第1の増幅トランジスタと第1の出力トランジスタとを導通さ
せることで第1の出力線の電位を変化させた後、第1の出力トランジスタのゲート電極を
第1の低電位とする電位を供給し、第1の低電位供給後の、第1の出力線の電位と第1の
低電位との第1の電位差を、第1の出力線から出力し、n回目の第3の時刻後の第2のF
Dノードの電位を第2の増幅トランジスタによって増幅し、第2の出力トランジスタのゲ
ート電極を高電位とする電位を供給し、第2の増幅トランジスタと第2の出力トランジス
タとを導通させることで第2の出力線の電位を変化させた後、第2の出力トランジスタの
ゲート電極を第2の低電位とする電位を供給し、第2の低電位供給後の、第2の出力線の
電位と第2の低電位との第2の電位差を、第2の出力線から出力し、第1の出力線から第
1の電位差を、第2の出力線から第2の電位差を出力した後、第1の電位差に基づいて第
1の検出信号を取得し、第2の電位差に基づいて第2の検出信号を取得し、第1の検出信
号及び第2の検出信号を取得した後、光速をc、第1の検出信号をS1、第2の検出信号
をS2としたときに信号処理回路で、次式
の演算処理を行って、光電変換素子と被検出物との距離を算出することを特徴とする半導
体装置の駆動方法である。
の距離を算出することが好ましい。
、更に各回の照射期間を同一且つ極めて短期間とすることで、距離情報の精度向上を図る
。また、可視光を吸収し、赤外光を透過する第1の光センサ、及び赤外光を吸収する第2
の光センサを重畳し、第1の光センサで、先に可視光を吸収し、第2の光センサで、主に
赤外光を吸収することで、半導体装置の画素の微細化を達成しつつ2次元撮像及び3次元
撮像の同時撮像を可能にする。
の光電変換素子に照射される可視光の光量に基づき信号電荷を第1のFDノードに蓄積さ
せる第1の蓄積トランジスタ、及び第2の光電変換素子に照射される赤外光の光量に基づ
き信号電荷を第2のFDノードに蓄積させる第2の蓄積トランジスタ、を含む複数の画素
と、第1の出力線及び第2の出力線から出力された検出信号に基づき演算処理を行う信号
処理回路と、を有する半導体装置の駆動方法であって、第1の光電変換素子と重畳する第
2の光電変換素子の一方の電極に、第2のFDノードを第1の高電位とする電位を供給し
、光源から被検出物に対して、赤外光を期間Tで照射し、被検出物に到達して反射された
赤外光が第2の光電変換素子への入射を開始する時刻から、光源が赤外光の照射を停止す
る時刻までの第1の期間は、少なくとも第2の蓄積トランジスタのゲート電極の電位を第
2の高電位とすることをn(nは2以上の自然数)回繰り返し、n回目の第1の期間後の
第2のFDノードの電位と低電位との第1の電位差に基づく第1の検出信号を、第2の出
力線から取得し、第1の検出信号を取得した後、第2の光電変換素子の一方の電極に、第
2のFDノードを第1の高電位とする電位を供給し、光源から被検出物に対して、赤外光
を期間Tで照射し、光源が赤外光の照射を停止する時刻から、被検出物に到達して反射さ
れた赤外光が第2の光電変換素子への入射を終了する時刻までの第2の期間は、少なくと
も第2の蓄積トランジスタのゲート電極の電位を第2の高電位とすることをn回繰り返し
、n回目の第2の期間後の第2のFDノードの電位と低電位との第2の電位差に基づく第
2の検出信号を、第2の出力線から取得し、第1の光電変換素子の一方の電極に、第1の
FDノードを第3の高電位とする電位を供給し、最初の照射による赤外光が、被検出物に
到達して反射され、第1の光電変換素子及び第2の光電変換素子への入射を開始する時刻
から、最後の照射による赤外光が、被検出物に到達して反射され、第1の光電変換素子及
び第2の光電変換素子への入射を終了する時刻までの第3の期間は、少なくとも第1の蓄
積トランジスタのゲート電極の電位を第4の高電位とし、第3の期間後の第1のFDノー
ドの電位と低電位との第3の電位差に基づく第3の検出信号を、第1の出力線から取得し
、第2の検出信号を取得した後、光速をc、第1の検出信号をS1、第2の検出信号をS
2としたときに信号処理回路で、次式
の演算処理を行って、第2の光電変換素子と被検出物との距離を算出し、第3の検出信号
を取得した後、各画素における第3の検出信号に基づき被検出物の画像を得ることを特徴
とする半導体装置の駆動方法である。
、第1の光電変換素子に照射される可視光の光量に基づき第1の信号電荷を第1のFDノ
ードに蓄積させる第1の蓄積トランジスタ、第1の信号電荷の蓄積量に基づき変換された
第1の信号電位を増幅する第1の増幅トランジスタ、増幅された第1の信号電位に基づき
検出信号を第1の出力線から出力する第1の出力トランジスタ、第2の光電変換素子に照
射される赤外光の光量に基づき第2の信号電荷を第2のFDノードに蓄積させる第2の蓄
積トランジスタ、第2の信号電荷の蓄積量に基づき変換された第2の信号電位を増幅する
第2の増幅トランジスタ、及び増幅された第2の信号電位に基づき検出信号を第2の出力
線から出力する第2の出力トランジスタを含む複数の画素と、第1の出力線及び第2の出
力線から出力された検出信号に基づき演算処理を行う信号処理回路と、を有する半導体装
置の駆動方法であって、第1の光電変換素子と重畳する第2の光電変換素子の一方の電極
に、第2のFDノードを第1の高電位とする電位を供給し、光源から被検出物に対して、
赤外光を期間Tで照射し、被検出物に到達して反射された赤外光が第2の光電変換素子へ
の入射を開始する時刻から、光源が赤外光の照射を停止する時刻までの第1の期間は、少
なくとも第2の蓄積トランジスタのゲート電極の電位を第2の高電位とすることをn(n
は2以上の自然数)回繰り返し、n回繰り返した後、n回目の第1の期間後の第2のFD
ノードの電位を第2の増幅トランジスタによって増幅し、第2の出力トランジスタのゲー
ト電極を第3の高電位とする電位を供給し、第2の増幅トランジスタと第2の出力トラン
ジスタとを導通させることで第2の出力線の電位を変化させた後、第2の出力トランジス
タのゲート電極を第1の低電位とする電位を供給し、第1の低電位供給後の第2の出力線
の電位と第1の低電位との第1の電位差を、第2の出力線から出力し、出力した後、第1
の電位差に基づいて第1の検出信号を取得し、第1の検出信号を取得した後、第2の光電
変換素子の一方の電極に、第2のFDノードを第1の高電位とする電位を供給し、光源か
ら被検出物に対して、赤外光を期間Tで照射し、光源が赤外光の照射を停止する時刻から
、被検出物に到達して反射された赤外光が第2の光電変換素子への入射を終了する時刻ま
での第2の期間は、少なくとも第2の蓄積トランジスタのゲート電極の電位を第2の高電
位とすることをn回繰り返し、n回繰り返した後、n回目の第2の期間後の第2のFDノ
ードの電位を第2の増幅トランジスタによって増幅し、第2の出力トランジスタのゲート
電極を第3の高電位とする電位を供給し、第2の増幅トランジスタと第2の出力トランジ
スタとを導通させることで第2の出力線の電位を変化させた後、第2の出力トランジスタ
のゲート電極を第1の低電位とする電位を供給し、第1の低電位供給後の第2の出力線の
電位と第1の低電位との第2の電位差を、第2の出力線から出力し、出力した後、第2の
電位差に基づいて第2の検出信号を取得し、第1の光電変換素子の一方の電極に、第1の
FDノードを第4の高電位とする電位を供給し、最初の照射による赤外光が、被検出物に
到達して反射され、第1の光電変換素子及び第2の光電変換素子への入射を開始する時刻
から、最後の照射による赤外光が、被検出物に到達して反射され、第1の光電変換素子及
び第2の光電変換素子への入射を終了する時刻までの第3の期間は、少なくとも第1の蓄
積トランジスタのゲート電極の電位を第5の高電位とし、第3の期間後の第1のFDノー
ドの電位を第1の増幅トランジスタによって増幅し、第1の出力トランジスタのゲート電
極を第6の高電位とする電位を供給し、第1の増幅トランジスタと第1の出力トランジス
タとを導通させることで第1の出力線の電位を変化させた後、第1の出力トランジスタの
ゲート電極を第2の低電位とする電位を供給し、第2の低電位供給後の第1の出力線の電
位と第2の低電位との第3の電位差を、第1の出力線から出力し、出力した後、第3の電
位差に基づいて第3の検出信号を取得し、第2の検出信号を取得した後、光速をc、第1
の検出信号をS1、第2の検出信号をS2としたときに信号処理回路で、次式
の演算処理を行って、第2の光電変換素子と被検出物との距離を算出し、第3の検出信号
を取得した後、各画素における第3の検出信号に基づき被検出物の画像を得ることを特徴
とする半導体装置の駆動方法である。
出物との距離を算出することが好ましい。
ていても良い。
装置は、赤外光の照射の開始から停止までの期間や、赤外光照射の回数を設定し、設定値
に基づき、光源に同期したパルス状の信号を出力することが可能である。
開始した時刻と、被検出物から反射された光の光センサへの入射が開始した時刻との時間
差を指すものとする。
離情報を取得することができる。また、隣接するフォトダイオードで同一点からの反射光
を連続的に検出することで、被検出物の高速移動に対しても距離情報の精度を維持できる
。また、距離情報を取得する期間の可視光を検出する事で、距離情報と同時に画像情報を
取得することができる。
れず、本発明の趣旨及びその範囲から逸脱することなくその形態及び詳細を様々に変更し
得ることは当業者であれば容易に理解される。従って、本発明は以下に示す実施の形態の
記載内容に限定して解釈されるものではない。なお、以下に説明する発明の構成において
、同一部分又は同様な機能を有する部分には同一の符号を異なる図面間で共通して用い、
その繰り返しの説明は省略する。
本明細書で開示する発明の一態様における半導体装置500の構成について、図1を参照
して説明する。半導体装置500は、後述する各光センサ100から出力された検出信号
に基づき算出した、各光センサ100と被検出物のある点との距離を用いて、被検出物全
体の距離情報を取得する装置である。
図1(A)に示すように半導体装置500は、少なくともマトリクス状に配置された複数
の画素501を含む受光部502と信号処理回路503とを有する。各画素501は、1
個の光センサ100を含む。
、外部に設置されていても良い。
光)が照射され、被検出物506に到達して反射された光(反射光508)が、半導体装
置500に含まれる各光センサ100へと入射する。
号を、信号処理回路503に出力する。
02まで到達する時間(遅延期間ΔT)を算出し、遅延期間ΔTを利用して各光センサ1
00と被検出物のある点との距離xを演算する。信号処理回路503の演算結果は、例え
ば表示装置等に出力される(図示せず)。
る。なお、赤外光の照射は複数回行われ、更に各回の照射期間は同一且つ極めて短期間と
することが好ましい。
次に本明細書で開示する発明の一態様における半導体装置が有する光センサ100の構成
の一例について、図2を参照して説明する。図2は光センサ100の回路図である。なお
、光センサ100は該構成に限定されず、少なくとも1個のフォトダイオードと1個のト
ランジスタとを含んでいれば良い。
トランジスタ104、トランジスタ105を有する。
れる。光センサ100の素子数を低減させることで、画素の微細化を図り、半導体装置を
小型化することが容易になる。
X)、信号線13は選択信号線(SE)、ノード14は、フローティングディフュージョ
ン(FD)ノード、信号線15は、光センサ基準信号線、信号線16は、光センサ出力信
号線である。
る。
変換素子として機能する。入射する光量に基づき発生する電荷量が決まる。
ード102に照射される光量に基づき、ノード14に蓄積させる電荷量を制御するトラン
ジスタとして機能する。
号線11と電気的に接続され、フォトダイオード102の他方の電極は、トランジスタ1
03のソース電極又はドレイン電極の一方と電気的に接続されている。トランジスタ10
3のソース電極又はドレイン電極の他方と、トランジスタ104のゲート電極と、ノード
14とは、電気的に接続されている。トランジスタ104のソース電極又はドレイン電極
の一方と信号線15とは、電気的に接続されている。トランジスタ105のソース電極又
はドレイン電極の一方と信号線16とは、電気的に接続されている。トランジスタ104
のソース電極又はドレイン電極の他方と、トランジスタ105のソース電極又はドレイン
電極の他方とは、電気的に接続されている。トランジスタ103のゲート電極と信号線1
2とは電気的に接続され、トランジスタ105のゲート電極と信号線13とは電気的に接
続されている。
トダイオード102の陰極がトランジスタ103のソース電極又はドレイン電極の一方と
電気的に接続されている構成を示したがこれに限定されない。フォトダイオード102の
陰極が信号線11と電気的に接続され、フォトダイオード102の陽極がトランジスタ1
03のソース電極又はドレイン電極の一方と電気的に接続されていても良い。
また、本明細書で開示する発明の一態様における半導体装置では、光センサ100が縦m
個(行)×横n個(列)(m、nは2以上の自然数)でマトリクス状に配置されていても
よい。図3では、一例として、列方向に隣接する光センサを光センサ100(k−1)(
kは2以上n以下の自然数)及び光センサ100(k)のように示している。
(k−1)、トランジスタ104(k−1)、トランジスタ105(k−1)を有し、光
センサ100(k)は、フォトダイオード102(k)、トランジスタ103(k)、ト
ランジスタ104(k)、トランジスタ105(k)を有する。
また、明細書で開示する発明の一態様における半導体装置では、光センサが、光センサ1
00A及び光センサ100Bをそれぞれ1個ずつ含む。このような光センサを各画素に備
えた半導体装置500では、各光センサ100Aから出力された検出信号に基づき、被検
出物全体の画像情報を取得し、画像情報の取得と同時に、各光センサ100Bから出力さ
れた検出信号に基づき算出した、各光センサ100Bと被検出物のある点との距離を用い
て被検出物全体の距離情報を取得することができる。
視光517が照射され、被検出物506に到達して反射された光(反射光)が、半導体装
置500に含まれる各光センサ100A及び各光センサ100Bへと入射する。なお、光
センサ100Aは反射光のうち可視光518を吸収し、光センサ100Bは赤外光である
反射光508(赤外反射光とも記す)を吸収する。
視光を吸収し、特定の波長領域以外の光、一例として赤外光を透過するものとする。また
、フォトダイオード102Bは、特定の波長領域の光、一例として可視光を吸収し、特定
の波長領域以外の光、一例として赤外光も吸収するものとする。
光が光源504から受光部502まで到達する時間(遅延期間ΔT)を算出し、遅延期間
ΔTを利用して各光センサ100Bと被検出物のある点との距離xを演算する。信号処理
回路503の演算結果は、例えば表示装置等に出力される(図示せず)。
506から反射された可視光518を、先に光センサ100Aでほぼ吸収する。
について、図4を参照して説明する。図4は、光センサ群110の回路図である。光セン
サ100A及び光センサ100Bをそれぞれ1個ずつ含む光センサ群110は、該構成に
限定されず、少なくとも赤外光を透過し可視光を吸収するフォトダイオードと、赤外光を
吸収するフォトダイオードと、可視光の光量に基づき信号電荷をFDノードに蓄積させる
トランジスタと、赤外光の光量に基づき信号電荷をFDノードに蓄積させるトランジスタ
と、を含んでいれば良い。
を有する。なお、本明細書において、特に可視光を吸収し、赤外光を透過する光センサを
指す場合は、光センサ100A、フォトダイオード102A、トランジスタ103A、ト
ランジスタ104A、トランジスタ105Aのように、特に赤外光を吸収する光センサを
指す場合は、光センサ100B、フォトダイオード102B、トランジスタ103B、ト
ランジスタ104B、トランジスタ105Bのように表すものとする。
個のフォトダイオードから構成される。光センサ100A、及び光センサ100Bの素子
数を一般的な光センサが有する素子数と比べて低減させることで、画素の微細化を図り、
半導体装置を小型化することが容易になる。
は電荷蓄積信号線(TX)、信号線13A、13Bは選択信号線(SE)、ノード14A
、14Bは、フローティングディフュージョン(FD)ノード、信号線15は、光センサ
基準信号線、信号線16A、16Bは、光センサ出力信号線である。なお、図4では、2
次元撮像に用いられる信号線を、_2で、3次元撮像に用いられる信号線を、_3で表し
ている。
生させる光電変換素子として機能する。照射される光量に応じて発生する電荷量が決まる
。
フォトダイオード102A、102Bに照射される光量に基づき、ノード14A、ノード
14Bに蓄積させる電荷量を制御するトランジスタとして機能する。
2Bの陽極は信号線11A、11Bのそれぞれと電気的に接続され、フォトダイオード1
02A、102Bの陰極は、トランジスタ103A、103Bのソース電極又はドレイン
電極の一方のそれぞれと電気的に接続されている。トランジスタ103A、103Bのソ
ース電極又はドレイン電極の他方と、トランジスタ104A、104Bのゲート電極のそ
れぞれと、ノード14A、14Bのそれぞれとは、電気的に接続されている。トランジス
タ104A、104Bのソース電極又はドレイン電極の一方と信号線15は、電気的に接
続されている。トランジスタ105A、105Bのソース電極又はドレイン電極の一方と
信号線16A、16Bのそれぞれとは、電気的に接続されている。トランジスタ104A
、104Bのソース電極又はドレイン電極の他方のそれぞれと、トランジスタ105A、
105Bのソース電極又はドレイン電極の他方のそれぞれとは、電気的に接続されている
。トランジスタ103A、103Bのゲート電極と信号線12A、12Bのそれぞれとは
電気的に接続され、トランジスタ105A、105Bのゲート電極と信号線13A、13
Bのそれぞれとは電気的に接続されている。
ここで、撮像の仕組みについて説明する。以下では、光センサ100を例に挙げて説明す
るが、光センサ100A及び光センサ100Bについても同様の仕組みが適用される。フ
ォトダイオード102の陽極の電位を”L”から”H”とし、トランジスタ103のゲー
ト電極の電位を”L”から”H”とすると、ノード14に正の電荷が蓄積されていく。こ
の状態で、信号線11の電位を、”H”から”L”とすると、フォトダイオード102に
照射される光量に基づき、ノード14に負の電荷が蓄積されていく(撮像開始)。次いで
、トランジスタ103のゲート電極の電位を”H”から”L”とするとノード14での電
荷の蓄積は停止する(撮像終了)。トランジスタ103のゲート電極の電位を、切り換え
ることで、ノード14に蓄積させる電荷量を制御することができる。
、又は酸化物半導体を用いることが好ましい。半導体層として酸化物半導体を用いたトラ
ンジスタはオフ電流が極めて低いため、フォトダイオード102に光が照射されることに
より生成された電荷を、長時間保持することが可能になる。従って、撮像データを長時間
保持することが可能であるため正確な撮像データを取得し易い。
から、フォトダイオード102に漏れる電荷の流れを抑えることが可能になる。特に、ノ
ード14に長時間、電荷が蓄積される場合には、漏れ電荷の影響が大きくなるため、酸化
物半導体を用いることが特に好ましい。半導体層に酸化物半導体を用いて、遅延期間をよ
り高精度に検出し、信頼性の高い検出信号を取得することで、光センサ100全体の性能
を高めることも可能になる。
するトランジスタとして機能する。トランジスタ104の増幅度を高めれば、光センサ1
00の感度を高めることができる。
どの材料を用いることが好ましい。半導体層にこれらの材料を用いる事で、ノード14の
電荷に対する増幅度を高めることができるため、より感度の良い増幅トランジスタを構成
することが可能になる。
即ち、トランジスタ104により増幅された電位を、ゲート電極の電位を切り換えること
で、信号線16の電位として出力する事ができる。
どの材料を用いることが好ましい。これらの材料を用いることで、トランジスタ105の
オン電流を高くすることができる。従って、検出信号の出力期間を短縮し、光センサ10
0の出力を高速で制御することができる。また、半導体層にこれらの材料を用いる事で、
信号線16のスイッチングの速度をより広範囲で制御することが可能になる。電位変化の
速度の自由度を高めて速度差を明確に抽出することで、より正確な検出信号の取得が可能
になる。
子で構成される。光センサを少ない素子数で構成することが可能であるため、光センサを
高密度で集積し、画素の微細化を達成することが容易になる。また、トランジスタ104
及びトランジスタ105の半導体層として、多結晶シリコン、単結晶シリコンなどの材料
を、トランジスタ103の半導体層として、アモルファスシリコン、微結晶シリコン、又
は酸化物半導体材料を用いて、積層構造を構成することで、より画素を微細化することも
できる。
に短時間で蓄積させることを重視する場合、即ち、被検出物が高速で移動する場合等であ
れば、トランジスタ103に用いられる半導体層としてアモルファスシリコンや多結晶シ
リコン、単結晶シリコンなどの材料を用いることもできる。これらの材料を用いても、ノ
ード14に電荷が蓄積されている時間は僅かであるため、漏れ電荷によって生じる悪影響
を抑えることができる。
全てのトランジスタ(トランジスタ103、トランジスタ104、トランジスタ105)
を多結晶シリコン、単結晶シリコンなどの材料で構成することもできる。
ランジスタ(トランジスタ103、トランジスタ104、トランジスタ105)を酸化物
半導体材料で構成することもできる。
(トランジスタ103、トランジスタ104、トランジスタ105)をアモルファスシリ
コンや微結晶シリコンで構成することもできる。
以下に、図2で示した光センサ100を有する半導体装置の駆動方法の一例について説明
する。該駆動方法を用いることで、異なる2個の検出信号を取得し、半導体装置と被検出
物との距離を算出することができる。
得した異なる検出信号に基づき適切な演算処理を行うことが可能である。従って、1個の
光センサと、被検出物のある一点との距離は、光源から被検出物に対して、赤外光の照射
と停止を複数回繰り返す事で算出することが可能である。
導体装置は、被検出物と光センサとの距離を精度良く取得することができる。
1、被検出物に到達して反射された光がフォトダイオードへ入射するタイミングを示すパ
ルス302、信号線11のパルス(PR)、信号線12のパルス(TX)、信号線13の
パルス(SE)、ノード14のパルス(FD)、信号線16のパルス、を示している。
外光照射が行われていない期間を”L”で表している。
は、時刻T2から時刻T4、第2回目の赤外光照射は、時刻T6から時刻T8、第3回目
の赤外光照射は、時刻T12から時刻T15、第4回目の赤外光照射は、時刻T18から
時刻T20であり、期間Tは極めて短い。
検出物で反射され、光センサ100に入射している期間を、”H”で表し、入射していな
い期間を”L”で表している。
電位の期間を”H”で、低電位の期間を”L”で表している。なお、後述する図7におけ
る信号線11_(k−1)(PR_(k−1))、信号線11_(k)(PR_(k))
、図8における信号線11A(PR_2)、信号線11B(PR_3)も同様である。
供給される電位が高電位の期間を”H”で、低電位の期間を”L”で表している。なお、
後述する図7における信号線12_(k−1)(TX_(k−1))、信号線12_(k
)(TX_(k))、図8における信号線12A(TX_2)、信号線12B(TX_3
)も同様である。
供給される電位が高電位の期間を”H”で、低電位の期間を”L”で表している。なお、
後述する図7における信号線13_(k−1)(SE_(k−1))、信号線13_(k
)(SE_(k))、図8における信号線13A(SE_2)、信号線13B(SE_3
)も同様である。
”L”で、時刻T9での低電位”L”とノード14との間の電位差を”V1”で、時刻T
21での低電位”L”とノード14との間の電位差を”V2”で、表している。
、時刻T11での、低電位”L”と信号線16との間の電位差を”VS1”で、時刻T2
4での、低電位”L”と信号線16との間の電位差を”VS2”で、表している。
1”が第1の検出信号S1に相当し、時刻T24での、低電位”L”と信号線16との間
の電位差”VS2”が第2の検出信号S2に相当する。
時刻T12から時刻T13、時刻T18から時刻T19に相当する。
のとする。従って、遅延期間ΔTは4回の赤外光照射で等しいと仮定できる。
照射をそれぞれ2回行っているが、3回以上行うことも有効であり、回数は特に限定され
ない。ただし、第1の検出信号を取得するための赤外光照射の回数と、第2の検出信号を
取得するための赤外光照射の回数とは、等しくする。
方法について説明する。図5のタイミングチャートに合わせて赤外光照射を2回行った場
合を考える。半導体装置から被検出物までの距離をx、検出信号強度が正味の露光時間(
撮像期間における反射光の入射時間)に比例するとして、その比例定数をα(ただしαは
一定)、第1の検出信号をS1(2)、第2の検出信号をS2(2)、光速をc(3×1
08m/s)とすると、第1の検出信号S1(2)、第2の検出信号S2(2)、遅延期
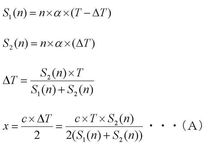
間ΔT、距離xは、それぞれ以下のように表せる。
の様に容易に定式化できる。すなわち、半導体装置から被検出物までの距離をx、検出信
号強度が正味の露光時間(撮像期間における反射光の入射時間)に比例するとして、その
比例定数をα、第1の検出信号をS1(n)、第2の検出信号をS2(n)、光速をc(
3×108m/s)とすると、第1の検出信号S1(n)、第2の検出信号S2(n)、
遅延期間ΔT、距離xは、それぞれ以下のように表せる。
射期間、検出信号、光速から算出可能であることがわかる。
を大きくする程、精度が高くなる。赤外光照射の回数が多い程、FDノードの電位の変化
、及び出力信号線における電位の変化が大きくなり、検出信号の強度変化が大きくなるの
で、S/N比を向上させることができるためである。従って、赤外光照射の回数を多くす
るほど、より高精度な距離xを算出できる。
が好ましい。期間Tが短い程、期間Tに占める遅延期間ΔTの割合を大きくすることがで
きる。距離xに対する第1の検出信号S1及び第2の検出信号S2の変化を大きくするこ
とで、距離xに対する感度を上げ易く、精度を向上させることができる。
とは、長期間で1回の赤外光照射を行うことと比較して、高精度に半導体装置と被検出物
との距離を算出でき、且つ計測時間全体を大幅に低減できることになる。
て説明する。
。更に、信号線12の電位を”L”から”H”とする。この時、フォトダイオード102
及びトランジスタ103が導通し、ノード14の電位が”H”となる。
301では、”L”から”H”で示している。また、信号線11の電位を”H”から”L
”とする。信号線12の電位は、”H”を維持する。
第1回目の赤外光照射による被検出物からの反射光がフォトダイオード102に入射し始
める。なお、当該反射光は、赤外光である。パルス302では、”L”から”H”で示し
ている。ノード14の電位は”H”から低下し始める。信号線12は”H”を維持する。
を期間Tとする。)
ら”L”とする。第1回目の赤外光照射に対する撮像が終了する。また、時刻T4におい
て、ノード14の電位の低下が止まり、一定となる。
光照射中)にフォトダイオード102に照射される光量に基づいて決定される。光量が多
いほど、電位変化は大きくなる。即ち、同一照射期間であれば光強度が大きい程、同一強
度であれば、照射期間が長い程、電位変化は大きくなる。
より、ノード14の電位変化が生じる。電位変化が大きい場合、フォトダイオード102
で生成した光電流を精密に取得できないことになる。従って、寄生容量の影響を低減する
ために、トランジスタ103のゲート電極−ソース電極間容量、又はトランジスタ103
のゲート電極−ドレイン電極間容量を低減する、ノード14に保持容量を接続する、など
の対策が有効である。本実施の形態の光センサでは、これらの対策を施し、寄生容量に起
因するノードの電位変化は無視できるものとしている。
する。パルス302では、”H”から”L”で示している。
301では、”L”から”H”で示している。また、信号線12の電位を”L”から”H
”とする。ノード14の電位は、時刻T4における電位を維持する。
第2回目の赤外光照射による被検出物からの反射光がフォトダイオード102に入射し始
める。パルス302では、”L”から”H”で示している。ノード14の電位は、時刻T
4における電位から低下し始める。信号線12は”H”を維持する。
を期間Tとする。)
ら”L”とする。第2回目の赤外光照射に対する撮像が終了する。また、時刻T8におい
て、ノード14の電位の低下が止まり、一定となる。時刻T8におけるノード14の電位
を、”V1”とする。
ダイオード102に照射される光量と時刻T7から時刻T8までの間(第2回目の赤外光
照射中)にフォトダイオード102に照射される光量との合計に基づいて決定される。
する。パルス302では、”H”から”L”で示している。
)。ゲート電極に電位”H”が供給され、トランジスタ105が導通する。また、信号線
15及び信号線16が、トランジスタ104、トランジスタ105を介して、導通する。
電位を”H”としておく。
)。トランジスタ105が遮断され、信号線16の電位の低下が止まり、一定となる。時
刻T11における信号線16の電位を、”VS1”とする。
射中にフォトダイオード102に照射される光量と、第2回目の赤外光照射中にフォトダ
イオード102に照射される光量との合計を検出することができる。
電位変化は大きくなるため、ノード14の電位は低くなる。また、トランジスタ104の
チャネル抵抗が高くなるので、信号線16の電位の低下速度は遅くなる。従って、ノード
14の電位変化と、信号線16の電位変化は反転する。
号線16の電位”VS1”は、照射期間に比例するものとする。
ス301では、”L”から”H”で示している。
ード102に入射し始める。パルス302では、”L”から”H”で示している。
)。更に、信号線12の電位を”L”から”H”とする。この時、フォトダイオード10
2及びトランジスタ103が導通し、ノード14の電位が”H”となる。
て、第3回目の赤外光照射を停止する。(時刻T12から時刻T15までの間を期間Tと
する。)パルス301では、”H”から”L”で示している。また、信号線11の電位を
”H”から”L”とする。ノード14の電位は”H”から低下し始める。信号線12は”
H”を維持する。
了する。パルス302では、”H”から”L”で示している。信号線12は電位”H”を
維持する。
の電位の低下が止まり、一定となる。
の赤外光照射後)にフォトダイオード102に照射される光量に基づいて決定される。
れない。
ス301では、”L”から”H”で示している。
ード102に入射し始める。パルス302では、”L”から”H”で示している。
て、第4回目の赤外光照射を停止する。(時刻T18から時刻T20までの間を期間Tと
する。)パルス301では、”H”から”L”で示している。また、信号線12の電位を
”L”から”H”とする。時刻T20において、ノード14の電位は、時刻T16におけ
る電位から低下し始める。
了する。パルス302では、”H”から”L”で示している。信号線12は電位”H”を
維持する。
において、ノード14の電位の低下が止まり、一定となる。時刻T21におけるノード1
4の電位を、”V2”とする。
フォトダイオード102に照射される光量と時刻T20から時刻T21までの間にフォト
ダイオード102に照射される光量との合計に基づいて決定される。
)。ゲート電極に電位”H”が供給され、トランジスタ105が導通する。また、信号線
15及び信号線16が、トランジスタ104、トランジスタ105を介して、導通する。
電位を”H”としておく。
すように、読み出し回路101は、1個のPchトランジスタ106で構成することも可
能である。信号線17は、プリチャージ信号線である。ノード18は、高電位供給線であ
る。トランジスタ106のゲート電極は、信号線17と電気的に接続され、トランジスタ
106のソース電極又はドレイン電極の一方は、信号線16と電気的に接続され、トラン
ジスタ106のソース電極又はドレイン電極の他方は、ノード18と電気的に接続されて
いる。
)。トランジスタ105が遮断され、信号線16の電位の低下が止まり、一定となる。時
刻T24における信号線16の電位を、”VS2”とする。
射後にフォトダイオード102に照射される光量と、第4回目の赤外光照射後にフォトダ
イオード102に照射される光量との合計を検出することができる。
号線16の電位”VS2”は、照射期間に比例するものとする。
時刻T3から時刻T4及び時刻T7から時刻T8)に比べて、第3回目及び第4回目の赤
外光照射に対する撮像期間(時刻T15から時刻T16及び時刻T20から時刻T21)
は短い例を示している。そのため、時刻T24における信号線16の電位(VS2)は、
時刻T11における信号線16の電位(VS1)に比べて小さい。
取得できる。
光センサと被検出物との距離を、より正確に算出する事ができる。
図3で示した光センサを有する半導体装置の駆動方法の一例について図7を用いて説明す
る。
は、時刻T2から時刻T5、第2回目の赤外光照射は、時刻T8から時刻T10であり、
期間Tは極めて短い。
を”L”で、時刻T10での低電位”L”とノード14_(k−1)との間の電位差を”
V1”で、時刻T11での低電位”L”とノード14_(k)との間の電位差を”V2”
で、表している。
で、時刻T14での低電位”L”と信号線16_(k−1)との間の電位差を”VS1”
で、時刻T15での低電位”L”と信号線16_(k)との間の電位差を”VS2”で、
表している。
位差”VS1”が第1の検出信号S1に相当し、時刻T15での低電位”L”と信号線1
6_(k)との間の電位差”VS2”が第2の検出信号S2に相当する。
相当する。
ΔTは2回の赤外光照射で概ね等しいと仮定できる。
照射を2回行っているが、3回以上行うことも有効であり、回数は特に限定されない。
方法について説明する。図7のタイミングチャートに合わせて赤外光照射を2回行った場
合を考える。光源から被検出物までの距離をx、検出信号強度が正味の露光時間(撮像期
間における反射光の入射時間)に比例するとして、その比例定数をα(ただしαは一定)
、第1の検出信号をS1(2)、第2の検出信号をS2(2)、光速をc(3×108m
/s)とすると、第1の検出信号S1(2)、第2の検出信号S2(2)、遅延期間ΔT
、距離xは、それぞれ以下のように表せる。
易に定式化できる。詳細は、半導体装置の駆動方法1にて前述した通りであるため、省略
する。
て説明する。
動作)。更に、信号線12_(k−1)の電位を”L”から”H”とする。この時、フォ
トダイオード102_(k−1)及びトランジスタ103_(k−1)が導通し、ノード
14_(k−1)の電位が”H”となる。
301では、”L”から”H”で示している。また、信号線11_(k−1)の電位を”
H”から”L”とする。信号線12_(k−1)の電位は、”H”を維持する。
いて、第1回目の赤外光照射による被検出物からの反射光がフォトダイオード102_(
k−1)に入射し始める。なお、当該反射光は、赤外光である。パルス302では、”L
”から”H”で示している。ノード14_(k−1)の電位は”H”から低下し始める。
信号線12_(k−1)は”H”を維持する。
)。更に、信号線12_(k)の電位を”L”から”H”とする。この時、フォトダイオ
ード102_(k)及びトランジスタ103_(k)が導通し、ノード14_(k)の電
位が”H”となる。
を期間Tとする。)パルス301では、”H”から”L”で示している。また、信号線1
2_(k−1)の電位を”H”から”L”とする。第1回目の赤外光照射に対する第1の
撮像が終了する。また、時刻T5において、ノード14_(k−1)の電位の低下が止ま
り、一定となる。
5において、第1回目の赤外光照射による被検出物からの反射光がフォトダイオード10
2_(k)に入射し始める。信号線11_(k)の電位を”H”から”L”とする。信号
線12_(k)の電位は、”H”を維持する。ノード14_(k)の電位は”H”から低
下し始める。
1回目の赤外光照射中)にフォトダイオード102_(k−1)に照射される光量に基づ
いて決定される。光量が多いほど、電位変化は大きくなる。即ち、同一照射期間であれば
光強度が大きい程、同一強度であれば、照射期間が長い程、電位変化は大きくなる。
の入射が終了する。第1回目の赤外光照射に対する第2の撮像が終了する。パルス302
では、”H”から”L”で示している。また、信号線12_(k)の電位は、”H”を維
持する。また、ノード14_(k)の電位の低下が止まり、一定となる。
301では、”L”から”H”で示している。また、信号線12_(k−1)の電位を”
L”から”H”とする。ノード14_(k−1)の電位は、時刻T5における電位を維持
する。
いて、第2回目の赤外光照射による被検出物からの反射光がフォトダイオード102_(
k−1)に入射し始める。パルス302では、”L”から”H”で示している。ノード1
4_(k−1)の電位は、時刻T5における電位から低下し始める。信号線12_(k−
1)は”H”を維持する。
の間を期間Tとする。)
位を”H”から”L”とする。第2回目の赤外光照射に対する第1の撮像が終了する。ま
た、時刻T10において、ノード14_(k−1)の電位の低下が止まり、一定となる。
時刻T10におけるノード14_(k−1)の電位を、”V1”とする。
での間にフォトダイオード102_(k−1)に照射される光量と時刻T9から時刻T1
0までの間にフォトダイオード102_(k−1)に照射される光量との合計に基づいて
決定される。
線12_(k)の電位を”L”から”H”とする。時刻T10において、第2回目の赤外
光照射による被検出物からの反射光がフォトダイオード102_(k)に入射し始める。
ノード14_(k)の電位は、時刻T6における電位から低下し始める。
入射が終了する。第2回目の赤外光照射に対する第2の撮像が終了する。パルス302で
は、”H”から”L”で示している。また、信号線12_(k)の電位は、”H”を維持
する。また、ノード14_(k)の電位の低下が止まり、一定となる。時刻T11におけ
るノード14_(k)の電位を、”V2”とする。
間にフォトダイオード102_(k)に照射される光量と時刻T10から時刻T11まで
の間にフォトダイオード102_(k)に照射される光量との合計に基づいて決定される
。
読み出し開始)。ゲート電極に電位”H”が供給され、トランジスタ105_(k−1)
が導通する。また、信号線15_(k−1)及び信号線16_(k−1)が、トランジス
タ104_(k−1)、トランジスタ105_(k−1)を介して、導通する。
信号線16_(k−1)の電位を”H”としておく。
い。例えば図6に示す読み出し回路101が挙げられる。
読み出し終了)。トランジスタ105_(k−1)が遮断され、信号線16_(k−1)
の電位の低下が止まり、一定となる。時刻T14における信号線16_(k−1)の電位
を、”VS1”とする。
赤外光照射中にフォトダイオード102_(k−1)に照射される光量の合計を検出する
ことができる。
読み出し開始)。ゲート電極に電位”H”が供給され、トランジスタ105_(k)が導
通する。また、信号線15_(k)及び信号線16_(k)が、トランジスタ104_(
k)、トランジスタ105_(k)を介して、導通する。
線16_(k)の電位を”H”としておく。
出し終了)。トランジスタ105_(k)が遮断され、信号線16_(k)の電位の低下
が止まり、一定となる。時刻T15における信号線16_(k)の電位を、”VS2”と
する。
光照射後にフォトダイオード102_(k)に照射される光量の合計を検出することがで
きる。
刻T14での、低電位”L”と信号線16_(k−1)との間の電位差”VS1”及び時
刻T15での、低電位”L”と信号線16_(k)との間の電位差”VS2”は、照射期
間に比例するものとする。
まで)の撮像期間は、時刻T3から時刻T5まで(時刻T9から時刻T10まで)の撮像
期間に比べて短い例を示している。そのため、”VS2”は、”VS1”に比べて小さい
。
きる。上述の駆動方法では、第1の検出信号S1及び第2の検出信号S2を取得するため
に赤外光の照射を複数回行い、各回の被検出物からの反射光を、隣接するフォトダイオー
ドにより、時間差を置かずに検出することが可能である。
移動体であっても、それぞれの光センサと被検出物との距離を、より正確に算出する事が
できる。
図4で示した光センサ群110を有する半導体装置の駆動方法の一例について図8を用い
て説明する。該駆動方法を用いることで、異なる2個の検出信号を取得し、半導体装置と
被検出物との距離を算出することができる。また、フォトダイオード102Aとフォトダ
イオード102Bとを重畳して形成する事で、距離情報と画像情報とを同時に取得するこ
とができる。
得した異なる検出信号に基づき適切な演算処理を行うことが可能である。従って、1個の
赤外光を吸収する光センサと、被検出物のある一点との距離は、光源から被検出物に対し
て、赤外光の照射と停止を複数回繰り返す事で算出することが可能である。
導体装置は、被検出物と赤外光を吸収する光センサとの距離を精度良く取得することがで
きる。
は、時刻T2から時刻T4、第2回目の赤外光照射は、時刻T6から時刻T8、第3回目
の赤外光照射は、時刻T12から時刻T15、第4回目の赤外光照射は、時刻T18から
時刻T20であり、期間Tは極めて短い。
で、時刻T25での、低電位”L”とノード14Aとの間の電位差を”V3”で表してい
る。
で、時刻T9での、低電位”L”とノード14Bとの間の電位差を”V1”で、時刻T2
1での、低電位”L”とノード14Bとの間の電位差を”V2”で、表している。
7での、低電位”L”と信号線16Aとの間の電位差を”VS3”で表している。
1での、低電位”L”と信号線16Bとの間の電位差を”VS1”で、時刻T24での、
低電位”L”と信号線16Bとの間の電位差を”VS2”で、表している。
検出信号S1に相当し、時刻T24での、低電位”L”と信号線16Bとの間の電位差”
VS2”が第2の検出信号S2に相当し、時刻T27での、低電位”L”と信号線16A
との間の電位差”VS3”が第3の検出信号S3に相当する。
時刻T12から時刻T13、時刻T18から時刻T19に相当する。
る。従って、遅延期間ΔTは4回の赤外光照射で等しいと仮定できる。
照射をそれぞれ2回行っているが、3回以上行うことも有効であり、回数は特に限定され
ない。ただし、第1の検出信号を取得するための赤外光照射の回数と、第2の検出信号を
取得するための赤外光照射の回数とは、等しくする。
の距離を算出する方法については、半導体装置の駆動方法1と同様であるため、説明を省
略する。
て説明する。
と、赤外光を吸収するフォトダイオード102Bとを重畳して設けているため、3次元撮
像及び2次元撮像を同時に行う事ができる。
は、時刻T1〜T27において、第1の検出信号S1及び第2の検出信号S2を取得する
。これは、半導体装置の駆動方法1にて説明した光センサ100の駆動方法を参照できる
ため、詳細な説明は省略する。このような駆動方法を、半導体装置が有する複数の画素に
適用することで、それぞれの赤外光を吸収する光センサと被検出物との距離を、より正確
に算出する事ができる。
に、信号線12Aの電位を”L”から”H”とする。この時、フォトダイオード102A
及びトランジスタ103Aが導通し、ノード14Aの電位が”H”となる。
は、”H”を維持する。ノード14Aの電位は”H”から低下し始める。
ノード14Aの電位は”H”から低下し続ける。
位の低下が止まり、一定となる。
イオード102Aに照射される光量に基づいて決定される。光量が多いほど、電位変化は
大きくなる。
ゲート電極に電位”H”が供給され、トランジスタ105Aが導通する。また、信号線1
5A及び信号線16Aが、トランジスタ104A、トランジスタ105Aを介して、導通
する。
Aの電位を”H”としておく。
トランジスタ105Aが遮断され、信号線16Aの電位の低下が止まり、一定となる。時
刻T27における信号線16Aの電位を、”VS3”とする。
102Aに照射される光量を検出することができる。
。
及び第3の検出信号S3を取得できる。
赤外光を吸収する光センサと被検出物との距離を算出しながら、可視光を吸収する光セン
サによって被検出物の画像情報を得る事ができる。
。
本実施の形態では、赤外光照射の期間Tを最初から固定せず、半導体装置から被検出物ま
での距離を考慮しつつ、期間Tを調整し、検出信号の精度を向上させ、距離xを算出する
方法について図9を用いて説明する。
照射の期間Tに占める遅延期間ΔTの割合にも依存する。
期間で設定される事が好ましい。即ち図9に示すように、赤外光照射の期間は、期間Tb
で設定される場合に比べて、より短い期間Taで設定される事が好ましい。期間Tが短い
程、期間Tに占める遅延期間ΔTの割合を大きくすることができるため、遅延期間ΔTの
検出精度を向上させることができる。距離xに対する検出信号の変化を大きくすることで
、結果的に距離xの精度を向上させることができる。
が一定であることを仮定している。しかし、より一般的には、比例係数αが一定ではない
場合も有りうる。これは、比例係数αが、正味の露光時間以外にも、光センサの増幅率、
出力回路の増幅率などにも依存する場合があるためである。
1と第2の検出信号S2とが等しくなるように、期間Tを調整することが有効である。こ
こで、第1の検出信号S1と第2の検出信号S2とが等しいことは、第1の検出信号S1
を取得する際と、第2の検出信号S2を取得する際に、ノードFDに蓄積される電荷が等
しいことを意味し、すなわち、フォトダイオードに照射される光量が等しいことを意味す
る。ここで、反射光の強度が、被検出物に入射する期間は一定であるとすると、上記条件
は、ΔT=T/2が成立している場合に限られる。
ように調整した場合には、数式(A)に従って求めた被検出物までの距離は、光センサの
増幅率、出力回路の増幅率などに依存せずに特定することができる。
2とを順次取得し、期間Tを1nsecとした時に、第1の検出信号S1mと、第2の検
出信号S2mが等しくなったとする。数式(A)にしたがって、期間T、及び光速cから
距離xを算出すると、約7.5cmとなる。この距離は、光センサの増幅率、出力回路の
増幅率などに依存しない。
がら、各点における第1の検出信号S1と第2の検出信号S2とを順次取得し、第1の検
出信号S1と第2の検出信号S2とが等しくなった時の、第1の検出信号S1m、第2の
検出信号S2m、及び期間Tを用いて、数式(A)にしたがって距離を決定する。すなわ
ち、各点において、検出精度が最も高くなるように期間Tを設定しながら距離を算出する
ことが可能である。
。
本実施の形態では、実施の形態1で示した光センサ100の構成について、より詳細に説
明する。m行n列のマトリクス状に配置された光センサ100を有する半導体装置の構成
の一例について図10(A)を用いて、図10(A)とは別の構成の一例について図10
(B)を用いて説明する。
各行の光センサ100は、複数の信号線11(PR)(11(PR)_1〜11(PR)
_mと表記する)のいずれか1つと、複数の信号線12(TX)(12(TX)_1〜1
2(TX)_mと表記する)のいずれか1つと、複数の信号線13(SE)(13(SE
)_1〜13(SE)_mと表記する)のいずれか1つと電気的に接続されている。各列
の光センサ100は、複数の光センサ出力信号線(16_1〜16_nと表記する)のい
ずれか1つと、複数の光センサ基準信号線(15_1〜15_nと表記する)のいずれか
1つと電気的に接続されている。
サにおいて信号線11(PR)を共有し、各行の光センサにおいて信号線13(SE)を
共有し、各列の光センサにおいて光センサ出力信号線を共有し、各列の光センサにおいて
光センサ基準信号線を共有している。しかしながら、本発明はこれに限定されない。各行
に複数本の信号線12(TX)を設けて互いに異なる光センサ100と電気的に接続して
もよい。各行に複数本の信号線11(PR)を設けて互いに異なる光センサ100と電気
的に接続してもよい。各行に複数本の信号線13(SE)を設けて互いに異なる光センサ
100と電気的に接続してもよい。各列に複数本の光センサ出力信号線を設けて互いに異
なる光センサ100と電気的に接続してもよい。各列に複数本の光センサ基準信号線を設
けて互いに異なる光センサ100と電気的に接続してもよい。
示したがこれに限定されない。光センサ基準信号線は各行の光センサにおいて共有しても
良い。
動作を同時に行う光センサ100において、信号線12(TX)を共有することもできる
。m行n列のマトリクス状に配置された光センサ100のうち、リセット動作、蓄積動作
を同時に行う光センサにおいて、信号線11(PR)を共有することもできる。
置された光センサ100を駆動する駆動回路を簡略化することができる。
置の図10(A)とは別の構成の一例について図10(B)を用いて説明する。
各行の光センサ100は、複数の信号線13(SE)(13(SE)_1〜13(SE)
_mと表記する)のいずれか1つと電気的に接続されている。各列の光センサ100は、
複数の信号線11(PR)(11(PR)_1〜11(PR)_nと表記する)のいずれ
か1つと、複数の信号線12(TX)(12(TX)_1〜12(TX)_nと表記する
)のいずれか1つと、複数の光センサ出力信号線(16_1〜16_nと表記する)のい
ずれか1つと、複数の光センサ基準信号線(15_1〜15_nと表記する)のいずれか
1つと電気的に接続されている。
サにおいて信号線11(PR)を共有し、各列の光センサにおいて信号線12(TX)を
共有し、各列の光センサにおいて光センサ出力信号線を共有し、各列の光センサにおいて
光センサ基準信号線を共有している。しかしながら、本発明はこれに限定されない。
がこれに限定されない。光センサ基準信号線は各行の光センサにおいて共有しても良い。
動作を同時に行う光センサにおいて、信号線12(TX)を共有することもできる。m行
n列のマトリクス状に配置された光センサ100のうち、リセット動作、蓄積動作を同時
に行う光センサにおいて、信号線11(PR)を共有することもできる。
置された光センサ100を駆動する駆動回路を簡略化することができる。
A1―A2における断面図を示す。
X)として機能する導電膜211と、信号線13(SE)として機能する導電膜212と
、信号線15(光センサ基準信号線)として機能する導電膜213と、信号線16(光セ
ンサ出力信号線)として機能する導電膜214とを有している。
5と、i型の半導体膜216と、n型の半導体膜217とを有している。導電膜210は
、フォトダイオード102の陽極として機能するp型の半導体膜215に電気的に接続さ
れている。
ており、さらに、導電膜211に電気的に接続されている。光センサ100の有する導電
膜219は、トランジスタ103のソース電極又はドレイン電極の一方として機能する。
光センサ100の有する導電膜220は、トランジスタ103のソース電極又はドレイン
電極の他方として機能する。光センサ100の有する導電膜221は、n型の半導体膜2
17と、導電膜219とに電気的に接続されている。光センサ100の有する導電膜22
2は、トランジスタ104のゲート電極として機能しており、さらに、導電膜220に電
気的に接続されている。
電極の一方として機能する。光センサ100の有する導電膜224は、トランジスタ10
4のソース電極又はドレイン電極の他方、及びトランジスタ105のソース電極又はドレ
イン電極の一方として機能する。また、導電膜214は、トランジスタ105のソース電
極又はドレイン電極の他方として機能する。導電膜212は、トランジスタ105のゲー
ト電極としても機能する。光センサ100の有する導電膜225は、導電膜223及び導
電膜213に電気的に接続されている。
機能する導電膜210に電気的に接続されている。また、光センサ100の有する導電膜
227は、信号線12(TX)として機能する導電膜211に電気的に接続されている。
7は、絶縁表面上に形成された一の導電膜を所望の形状に加工することで形成することが
できる。導電膜212、導電膜218、導電膜222、導電膜225、導電膜226、導
電膜227上にはゲート絶縁膜228が形成されている。さらに、導電膜210、導電膜
211、導電膜213、導電膜214、導電膜219、導電膜220、導電膜223、導
電膜224は、ゲート絶縁膜228上に形成された一の導電膜を所望の形状に加工するこ
とで形成することができる。
膜220、導電膜223、導電膜224の上には、絶縁膜281及び絶縁膜282が形成
されている。絶縁膜281及び絶縁膜282の上に、導電膜221が形成される。
51側から光が照射されることにより生成された電荷を、長時間保持するためには、フォ
トダイオード102と電気的に接続されるトランジスタ103を、オフ電流が極めて低い
トランジスタで構成する必要がある。そのため、活性層250として酸化物半導体材料を
用いることで光センサ100の性能を高めることができる。
ート電極として機能する導電膜218に活性層250が完全に重なる構成を用いることが
望ましい。上記構成を採用することで、基板251側から入射した光により活性層250
中の酸化物半導体が劣化するのを防ぎ、よって、トランジスタ103の閾値電圧がシフト
するなどの特性の劣化が引き起こされるのを防ぐことができる。なお、トランジスタ10
4と、トランジスタ105についても、上記構成を採用することで、同様の効果が得られ
る。
どの材料を用いることが好ましい。
どの材料を用いることが好ましい。
成の場合、同じく行方向に延びて配置され、信号線12(TX)と平行な信号線13(S
E)が存在する。信号線13(SE)はトランジスタ105のゲート電極と電気的に接続
されるため、信号線13(SE)の一部をトランジスタ105のゲート電極として用いる
と、信号線13(SE)と平行な信号線12(TX)もトランジスタ105のゲート電極
と同じ層に当該ゲート電極と同じ材料によって形成するのが一般的である。しかしながら
、トランジスタのゲート電極に用いられる材料はソース電極やドレイン電極に用いられる
材料と比べて、一般的に抵抗が高い材料である。そのため、信号線12(TX)の抵抗は
高くなる傾向がある。
置される構成である。そのため、行方向に延びて配置される信号線13(SE)とは別の
層に形成された導電膜を用いて、信号線12(TX)を形成することができる。例えば、
図11に示したように、光センサ100を構成するトランジスタ(トランジスタ103、
トランジスタ104、トランジスタ105等)のゲート電極を構成する導電膜(導電膜2
12、導電膜218、導電膜222)とは異なる層に形成された導電膜211によって信
号線12(TX)を形成することができる。導電膜211は、導電膜214、導電膜21
9、導電膜220、導電膜224等、光センサ100を構成するトランジスタ(トランジ
スタ103、トランジスタ104、トランジスタ105等)のソース電極やドレイン電極
と同じ層に当該ソース電極や当該ドレイン電極と同じ材料によって形成することができる
。そのため、図10(A)で示した構成に比べて信号線12(TX)の抵抗を小さくする
ことができる。
。
本実施の形態では、上述した実施の形態1乃至実施の形態3で示した光センサを有する有
機EL表示装置の構成の一例について図12を用いて説明する。有機EL表示装置は単結
晶半導体基板(例えば、単結晶シリコン基板)上に、3個のnチャネル型トランジスタと
フォトダイオードとを積層させた構成を有する。
、nウエル412、413、414、415が自己整合的に形成されている。隣接するト
ランジスタはフィールド酸化膜416で分離されている。フィールド酸化膜416の形成
に当たっては、ボロン(B)を選択的にイオン注入法により基板に導入し、チャネルスト
ッパーを形成しても良い。
の厚さで形成された多結晶シリコン層420a、421a、422aと、その上に50〜
300nmの厚さで積層させたシリサイド層420b、421b、422bにより形成さ
れている。多結晶シリコン層は低抵抗化するために予め1021/cm3程度の濃度でリ
ン(P)をドープしておいても良いし、多結晶シリコン膜を形成した後で濃いn型不純物
を拡散させても良い。シリサイド層の材料はモリブデンシリサイド(MoSix)、タン
グステンシリサイド(WSix)、タンタルシリサイド(TaSix)、チタンシリサイ
ド(TiSix)などを適用することが可能であり、公知の方法に従い形成すれば良い。
n型の導電型を付与する不純物元素としてリン(P)または砒素(As)がドーズ量1×
1013〜1×1014/cm2で添加されている。これらのLDD領域はゲートをマス
クとしてイオン注入法またはイオンドープ法で自己整合的に形成されている。
ンジスタ405を、nチャネル型トランジスタとしているが、この構成に限定されない。
トランジスタ403、トランジスタ404、トランジスタ405は、pチャネル型トラン
ジスタでも良いし、nチャネル型とpチャネル型が混在していても良い。
ン(LDD)領域にはp型の導電型を付与する不純物元素としてボロン(B)をドーズ量
1×1013〜1×1014/cm2で添加すれば良い。
て絶縁膜が形成される。絶縁膜の全面にわたって、均一に異方性エッチングが行われ、ゲ
ートの側壁に絶縁膜を残存させることにより、サイドウオール426、427、428は
、形成されている。各トランジスタのソース領域およびドレイン領域はこのサイドウオー
ルをマスクに用いて形成されている。
cm2のドーズ量でイオン注入し、ソース領域430、431、432とドレイン領域4
33、434、435が形成されている。
6/cm2のドーズ量でイオン注入したソース領域及びドレイン領域を形成すれば良い。
シリコン膜や酸化窒化シリコン膜等を用いて100〜2000nmの厚さで形成されてい
る。
G)、もしくはリンボロンガラス(PBSG)等を用いて第2の層間絶縁膜437が形成
されている。第2の層間絶縁膜437はスピンコート法や常圧CVD法で作製されるもの
で、形成後実施される700〜900℃の熱処理を兼ねた熱活性化の処理により第2の層
間絶縁膜437がリフローされ表面が平坦化される。
層間絶縁膜436、及び平坦化された第2の層間絶縁膜437にコンタクトホールが形成
された後、それぞれのnチャネル型トランジスタのソース領域及びドレイン領域に接する
ように形成されている。ソース配線及びドレイン配線には、低抵抗材料として通常よく用
いられるアルミニウムを用いる事が好ましい。また、高融点金属膜と低抵抗金属膜(アル
ミニウム合金または純アルミニウムなど)の積層構造としても良い。
膜、あるいは窒化酸化シリコン膜等を用いて形成されている。
の層間絶縁膜448の表面はリフローされ平坦化される。
が形成され、電極446と接する電極449、ソース配線440と接する電極450、及
びドレイン配線445と接する電極451が形成されている。
453、電極451と接する電極454が形成されている。電極452、電極453、及
び電極454は、低抵抗材料として通常よく用いられるアルミニウムを用いる事が好まし
い。また、チタン、アルミニウム、チタンの積層構造としても良い。
部に形成されているトランジスタ403とを電気的に接続することができる。
極の間に挟まれた光電変換層と、を有する。光電変換層460は、p型半導体層460p
、n型半導体層460n、及びp型半導体層460pとn型半導体層460nとの間に挟
まれた真性(i型)半導体層460iを有する。
半導体層の積層構造であれば良い。
ファスシリコン膜がプラズマCVD法により形成されても良いし、セミアモルファスシリ
コン膜が形成された後、13族の不純物元素が導入されてもよい。
を付与する不純物を含まない半導体層(真性半導体層又はi型半導体層と呼ぶ)460i
が形成されている。i型半導体層460iとしては、例えばセミアモルファスシリコン膜
がプラズマCVD法で形成されても良い。
れている。n型半導体層460nとしては、15族の不純物元素、例えばリン(P)を含
むセミアモルファスシリコン膜が形成されてもよいし、セミアモルファスシリコン膜が形
成された後、15族の不純物元素が導入されてもよい。
有する光電変換層460が形成される。
与する不純物濃度が1×1020cm−3以下であり、酸素及び窒素が5×1019cm
−3以下である半導体層を指す。なお、光伝導度は暗伝導度に対して1000倍以上であ
ることが好ましい。またi型半導体層には、ホウ素(B)が10〜1000ppm添加さ
れていてもよい。
n、として、セミアモルファス半導体膜だけではなく、アモルファス半導体膜を用いても
よい。
料で1μm〜2μmの厚さで形成されている。第4の層間絶縁膜455は、基板に塗布し
た後で熱重合するタイプのポリイミド等を用いて、クリーンオーブンで300℃に加熱し
焼成して形成されても良い。
CB)などを用いることができる。有機樹脂材料を用いることの利点として、膜の形成方
法が簡単である点や、比誘電率が低いので寄生容量を低減できる点、平坦化するのに適し
ている点などが挙げられる。勿論、上述した以外の有機樹脂材料を用いても良い。
極451、電極454を介してトランジスタ405のドレイン配線445と、電気的に接
続されている。電極451、電極454によって、画素電極456と、トランジスタ40
5とを電気的に接続することができる。
の成膜としては公知の成膜法、例えば真空蒸着法やスパッタ法等を用いることができる。
またコントラストを良くするために、画素電極456の表面を凹凸化して拡散反射面とし
ても良い。
ォトリソグラフィ法に従い、部分的にエッチング処理が行われ、透明導電膜457、45
8が形成されている。
として機能する。発光素子は、第1の電極(陽極)、第2の電極(陰極)と、これら2つ
の電極の間に挟まれた有機EL層と、を有する。
して、n型半導体層460n、及び電極452と接するように形成されている。
n Oxide)などを用いることが可能である。
成されている電極446とを電気的に接続することができる。
1が形成されている。隔壁461の断面は、逆テーパ形状を有し、上面は、額縁形状を有
する。なお、額縁形状とは、角部が頂点を有さない曲線形状でも良く、少なくとも2個の
閉ループが接することなく、中央部に空洞が存在していれば良い。逆テーパ状の隔壁46
1はフォトリソグラフィ法に従い、未露光部分をパターンとするポジ型感光性樹脂を用い
、パターンの下部がより多くエッチングされるように露光量または現像時間を調節するこ
とによって形成される。
9が形成されている。有機EL層459は公知の材料や構成を用いることができる。
も良いし、必要に応じて電子注入層、電子輸送層、正孔輸送層、電子阻止層、正孔阻止層
もしくは正孔注入層を積層しても良い。有機EL層459の材料としては、高分子系有機
EL材料を用いることができる。
2−(4’−tert−ブチルフェニル)−5−(4’’−ビフェニル)−1,3,4−
オキサジアゾール)、クマリン6、DCM1(4−ジシアノメチレン−2−メチル−6−
p−ジメチルアミノスチリル−4H−ピラン)、TPB(テトラフェニルブタジエン)、
ナイルレッドを1,2−ジクロロメタンまたはクロロホルムに溶解させ、スピンコート法
により塗布され、形成されても良い。
成され、フォトリソグラフィ法に従い、部分的にエッチング処理が行われ、透明導電膜4
62、463が形成されている。透明導電膜462、463としてはITOなどを用いる
ことが可能である。
極として機能する。
あり、他方が陰極であればどちらであっても良い。
ため、複数の領域に分離された透明導電膜462、透明導電膜463が形成される。なお
、複数に分離された領域は、それぞれ電気的に独立している。なお、隔壁461上に形成
された透明導電膜の電位は、フローティングである。
は全て透光性の高い材料を用いることが望ましい。
着剤で貼り合わせて封止し、発光素子が密閉された空間に配置されるようにしても良い。
これにより、発光素子の劣化を防止することができる。なお、密閉された空間には、充填
材や、乾燥した不活性ガスを充填しても良い。さらに、水分などによる発光素子の劣化を
防ぐために基板と封止材との間に乾燥剤などを封入してもよい。乾燥剤によって微量な水
分が除去され、十分乾燥される。乾燥剤としては、酸化カルシウムや酸化バリウムなどの
ようなアルカリ土類金属の酸化物のような化学吸着によって水分を吸着する物質を用いる
ことが可能である。その他の乾燥剤として、ゼオライトやシリカゲル等の物理吸着によっ
て水分を吸着する物質を用いてもよい。
半導体膜や、SOI基板のシリコン膜にチャネル形成領域が形成されるトランジスタであ
ってもよい。トランジスタの構成については、その他、公知の構成を用いることが可能で
ある。
04、405が形成された層との間に、1つの配線層が設けられた構成を示したがこれに
限定されない。2つ以上の配線層が設けられた構成としても良い。
層させることで、光センサの面積を削減し、小型化を図ることができる。
本実施の形態では、実施の形態1で示した隣接する光センサ100_(k−1)及び光セ
ンサ100_(k)(以下では合わせて光センサ群120とも記す)の構成について、よ
り詳細に説明する。m行n列のマトリクス状に配置された光センサ群120を有する半導
体装置の構成の一例について図13を用いて説明する。
において、被写体の同一点からの反射光を検出する例を示している(sは1以上(2n−
1)以下の奇数)。図13(B)では、光センサ100_(i)、及び光センサ100_
(i+1)が隣接行において、被写体の同一点からの反射光を検出する例を示している(
iは1以上(2m−1)以下の奇数)。なお、どちらの構成においても、同様の効果を得
ることができるため、該構成は限定されない。
。例えば、1行目の隣接する光センサ100_(s)、及び光センサ100_(s+1)
において、被写体の同一点からの反射光を検出する。同様に、m行目の隣接する光センサ
100_(s)、及び光センサ100_(s+1)において、被写体の同一点からの反射
光を検出する。
光センサ基準信号線15_(1)は、1行1列目の光センサ群120_(1)〜1行n列
目の光センサ群120_(n)と電気的に接続され、m行目の光センサ基準信号線15_
(m)もまた、m行1列目の光センサ群120_(1)〜m行n列目の光センサ群120
_(n)と電気的に接続されている。
行目の光センサ出力信号線16_(1)は、1行1列目の光センサ群120_(1)〜1
行n列目の光センサ群120_(n)と電気的に接続され、m行目の光センサ出力信号線
16_(m)もまた、m行1列目の光センサ群120_(1)〜m行n列目の光センサ群
120_(n)と電気的に接続されている。
出力信号線16を共有している。
線15を設けて互いに異なる光センサと電気的に接続してもよい。また、各列に複数本の
光センサ出力信号線16を設けて互いに異なる光センサと電気的に接続してもよい。
光センサにおいて共有する構成を示したがこれに限定されない。光センサ基準信号線15
及び光センサ出力信号線16は各列の光センサにおいて共有しても良い。
置された光センサ群を駆動する駆動回路を簡略化することができる。
13(A)とは別の構成の一例について図13(B)を用いて説明する。図13(B)で
は、複数の光センサ群120がm行n列のマトリクス状に配置されている。例えば、1列
目の隣接する光センサ100_(i)、及び光センサ100_(i+1)において、被写
体の同一点からの反射光を検出する。同様に、n列目の隣接する光センサ100_(i)
、及び光センサ100_(i+1)において、被写体の同一点からの反射光を検出する。
は、1行1列目の光センサ群120_(1)〜1行n列目の光センサ群120_(n)と
電気的に接続され、m行目の信号線13もまた、m行1列目の光センサ群120_(1)
〜m行n列目の光センサ群120_(n)と電気的に接続されている。
(B)に示すように、n列目の光センサ群において光センサ基準信号線15を共有してい
る。
線15を設けて互いに異なる光センサと電気的に接続してもよい。
また、各行の光センサにおいて信号線13を共有する構成を示したがこれに限定されない
。光センサ基準信号線15を各行の光センサにおいて共有しても良いし、信号線13を各
列の光センサにおいて共有しても良い。
置された光センサ群を駆動する駆動回路を簡略化することができる。
次に、図4で示した光センサ群110の上面図及び断面図の一例を示す。図14に光セン
サ群110の上面図の一例を示す。図14の一点鎖線A1―A2、A3−A4に対応する
断面図を、図15(A)に、図14の一点鎖線B1−B2に対応する断面図を、図15(
B)に示す。
に、遮光層231と、下地膜232とが設けられる。
するp型半導体領域203及びi型半導体領域204が設けられ、トランジスタ104B
の半導体層を構成するn型半導体領域205及びi型半導体領域206が設けられ、トラ
ンジスタ105Bの半導体層を構成するn型半導体領域207及びi型半導体領域208
が設けられ、トランジスタ103Aの半導体層を構成するn型半導体領域209が設けら
れる。
半導体領域206、n型半導体領域207及びi型半導体領域208、n型半導体領域2
09は、同層に形成される。
105Bの半導体層、及びトランジスタ103Aの半導体層上には、絶縁層240が設け
られる。
型半導体領域206上には、トランジスタ104Bのゲート電極241が設けられる。ま
た、絶縁層240を介して、i型半導体領域208上には、トランジスタ105Bのゲー
ト電極242が設けられる。導電層108、ゲート電極241、及びゲート電極242は
、同層に形成される。
243が設けられる。
一方の上に接して、導電層255が設けられ、トランジスタ104Bのn型半導体領域2
05の一方の上に接して、導電層245が設けられ、トランジスタ105Bのn型半導体
領域207の他方、及びトランジスタ104Bのn型半導体領域205の他方の上に接し
て、導電層244が設けられる。導電層255、導電層245、及び導電層244は、同
層に形成される。
Bのソース電極又はドレイン電極の一方と電気的に接続され、導電層245は、信号線1
5、及びトランジスタ104Bのソース電極又はドレイン電極の一方と電気的に接続され
、導電層244は、トランジスタ104Bのソース電極又はドレイン電極の他方、及びト
ランジスタ105Bのソース電極又はドレイン電極の他方と電気的に接続されている。
209上に接して、導電層247が設けられ、フォトダイオード102Bのp型半導体領
域203上に接して、導電層246が設けられる。導電層247及び導電層246は、同
層に形成される。
47は、トランジスタ103Aのソース電極又はドレイン電極の一方と電気的に接続され
ている。
体領域248、i型半導体領域249及びn型半導体領域230が設けられる。なおフォ
トダイオード102Aにおけるp型半導体領域248は、端部が、導電層246に乗り上
げられるようにして形成される。
電層247、導電層255及び絶縁層243上に、絶縁層233が設けられる。
が設けられる。
00上に、遮光層231と、下地膜232とが設けられる。
の半導体層を構成するp型半導体領域203、i型半導体領域204及びn型半導体領域
253が設けられる。
れる。
3上に接して、導電層246が設けられ、フォトダイオード102Bのn型半導体領域2
53上に接して、導電層254が設けられる。導電層246及び導電層254は、同層に
形成される。
54は、トランジスタ103Bのソース電極又はドレイン電極の一方、及びフォトダイオ
ード102Bの陰極と電気的に接続されている。
に、絶縁層233が設けられる。
ことが好ましい。例えば可視光及び赤外光に対して透光性を有するプラスチック基板、ガ
ラス基板等を用いることができる。
ができれば特に限定されない。例えば、赤外光を発光する発光ダイオード及び可視光を発
光する発光ダイオードを並べて配置しても良い。
102Bで検出することができれば、透光性基板200側に設けられても良いし、対向基
板側に設けられてもよい。
金属材料を用いることができる。
視光がフォトダイオード102A及びフォトダイオード102Bに入射するのを防止する
ことができる。
スタ103、トランジスタ104、トランジスタ105の各半導体層と重畳する領域にも
設けることが好ましい。遮光層を、各トランジスタの半導体層と重畳する領域に設けるこ
とで、光源からの赤外光及び可視光により、閾値電圧がシフトするなど、特性劣化が生じ
るのを防止することができる。
コン等の透光性及び絶縁性を有する材料を用いることが好ましい。下地膜232は、単層
構造でも良いし積層構造でも良い。
ルカリ土類金属がフォトダイオード102Bに拡散し、トランジスタ、及びフォトダイオ
ードの電気特性に悪影響を及ぼすのを防ぐことができる。
32を用いることで、フォトダイオード102Bの半導体層を形成する際の形成不良を防
止することができる。
透過する特性を有する材料を用いることが好ましい。例えば、非晶質シリコン等を用いる
ことができる。
いることが好ましい。例えば、単結晶シリコン、多結晶シリコン等の結晶性シリコンを用
いることができる。
TX)、信号線13Aは選択信号線(SE)、ノード14は、フローティングディフュー
ジョン(FD)ノード、信号線15は、光センサ基準信号線、信号線16は、光センサ出
力信号線である。
体材料としては、半導体装置の使用目的、用途に合わせて適宜選択することが好ましい。
や、有機樹脂膜等の透光性及び絶縁性を有する材料を用いることができる。絶縁層240
は単層構造でも良いし積層構造でも良い。
トダイオード102B中に拡散し、特性に悪影響を及ぼすのを防ぐことが可能である。
材料を用いることができる。モリブデン、チタン、クロム、タンタル、タングステン、ア
ルミニウム、銅、ネオジム、スカンジウム等の金属材料、またはこれらを主成分とする合
金材料を用いることが好ましい。なお、ゲート電極241、ゲート電極242、及び導電
層108は単層構造でも良いし積層構造でも良い。
や、有機樹脂膜等の透光性及び絶縁性を有する材料を用いることができる。なお、絶縁層
243は単層構造でも良いし積層構造でも良い。
255としては、モリブデン、チタン、クロム、タンタル、タングステン、アルミニウム
、銅、イットリウムなどの金属、これらを主成分とする合金材料、または酸化インジウム
等の導電性を有する金属酸化物等の材料を用いることができる。なお、これらの導電層は
単層構造でも良いし積層構造でも良い。
や、有機樹脂膜等の透光性及び絶縁性を有する材料を用いて、単層構造または積層構造で
形成することができる。なお絶縁層233は、表面平坦性を有することが好ましい。
シリコンを含むインジウム錫酸化物(ITSO)、インジウム亜鉛酸化物などの材料を用
いて形成することができる。
。
12 信号線
13 信号線
14 ノード
15 信号線
16 信号線
17 信号線
18 ノード
100 光センサ
101 回路
102 フォトダイオード
103 トランジスタ
104 トランジスタ
105 トランジスタ
106 トランジスタ
108 導電層
110 光センサ群
120 光センサ群
200 透光性基板
203 p型半導体領域
204 i型半導体領域
205 n型半導体領域
206 i型半導体領域
207 n型半導体領域
208 i型半導体領域
209 n型半導体領域
210 導電膜
211 導電膜
212 導電膜
213 導電膜
214 導電膜
215 半導体膜
216 半導体膜
217 半導体膜
218 導電膜
219 導電膜
220 導電膜
221 導電膜
222 導電膜
223 導電膜
224 導電膜
225 導電膜
226 導電膜
227 導電膜
228 ゲート絶縁膜
230 n型半導体領域
231 遮光層
232 下地膜
233 絶縁層
240 絶縁層
241 ゲート電極
242 ゲート電極
243 絶縁層
244 導電層
245 導電層
246 導電層
247 導電層
248 p型半導体領域
249 i型半導体領域
250 活性層
251 基板
252 導電層
253 n型半導体領域
254 導電層
255 導電層
281 絶縁膜
282 絶縁膜
301 パルス
302 パルス
402 フォトダイオード
403 トランジスタ
404 トランジスタ
405 トランジスタ
411 基板
412 nウエル
413 nウエル
414 nウエル
415 nウエル
416 フィールド酸化膜
417 ゲート絶縁膜
418 ゲート絶縁膜
419 ゲート絶縁膜
420 ゲート
420a 多結晶シリコン層
420b シリサイド層
423 低濃度ドレイン領域
424 低濃度ドレイン領域
425 低濃度ドレイン領域
426 サイドウオール
427 サイドウオール
428 サイドウオール
430 ソース領域
431 ソース領域
432 ソース領域
433 ドレイン領域
434 ドレイン領域
435 ドレイン領域
436 層間絶縁膜
437 層間絶縁膜
440 ソース配線
441 ソース配線
442 ソース配線
443 ドレイン配線
444 ドレイン配線
445 ドレイン配線
446 電極
447 パッシベーション膜
448 層間絶縁膜
449 電極
450 電極
451 電極
452 電極
453 電極
454 電極
455 層間絶縁膜
456 画素電極
457 透明導電膜
458 透明導電膜
459 有機EL層
460 光電変換層
460i i型半導体層
460n n型半導体層
460p p型半導体層
461 隔壁
462 透明導電膜
463 透明導電膜
500 半導体装置
501 画素
502 受光部
503 信号処理回路
504 光源
505 照射制御装置
506 被検出物
507 赤外光
508 反射光
517 可視光
518 可視光
Claims (3)
- 同一列に、第1のフォトダイオードと、第2のフォトダイオードと、第1の蓄積トランジスタと、第2の蓄積トランジスタと、第1の増幅トランジスタと、第2の増幅トランジスタと、第1の出力トランジスタと、第2の出力トランジスタと、基準線と、第1の配線と、第1の信号線と、第2の信号線と、第1の選択線と、第2の選択線と、第1の出力線と、第2の出力線と、第1の導電層と、第2の導電層と、第3の導電層と、第4の導電層と、第5の導電層と、第6の導電層と、第7の導電層と、を有し、
前記第1のフォトダイオードのアノードは、前記第1の導電層を介して前記第1の配線と電気的に接続され、
前記第1のフォトダイオードのカソードは、前記第1の蓄積トランジスタのソースまたはドレインの一方と電気的に接続され、
前記第1の蓄積トランジスタのゲートは、前記第2の導電層を介して前記第1の信号線と電気的に接続され、
前記第1の蓄積トランジスタのソースまたはドレインの他方は、前記第3の導電層を介して前記第1の増幅トランジスタのゲートと電気的に接続され、
前記第1の増幅トランジスタのソースまたはドレインの一方は、前記基準線と電気的に接続され、
前記第1の増幅トランジスタのソースまたはドレインの他方は、前記第1の出力トランジスタのソースまたはドレインの一方と電気的に接続され、
前記第1の出力トランジスタのゲートは、前記第4の導電層を介して前記第1の選択線と電気的に接続され、
前記第1の出力トランジスタのソースまたはドレインの他方は、前記第1の出力線と電気的に接続され、
前記第2のフォトダイオードのアノードは、前記第1の導電層を介して前記第1の配線と電気的に接続され、
前記第2のフォトダイオードのカソードは、前記第2の蓄積トランジスタのソースまたはドレインの一方と電気的に接続され、
前記第2の蓄積トランジスタのゲートは、前記第5の導電層を介して前記第2の信号線と電気的に接続され、
前記第2の蓄積トランジスタのソースまたはドレインの他方は、前記第6の導電層を介して前記第2の増幅トランジスタのゲートと電気的に接続され、
前記第2の増幅トランジスタのソースまたはドレインの一方は、前記基準線と電気的に接続され、
前記第2の増幅トランジスタのソースまたはドレインの他方は、前記第2の出力トランジスタのソースまたはドレインの一方と電気的に接続され、
前記第2の出力トランジスタのゲートは、前記第7の導電層を介して前記第2の選択線と電気的に接続され、
前記第2の出力トランジスタのソースまたはドレインの他方は、前記第2の出力線と電気的に接続され、
前記第1の導電層、前記第2の導電層、前記第3の導電層、前記第4の導電層、前記第5の導電層、前記第6の導電層および前記第7の導電層は同層に設けられ、
前記第1の信号線、前記第2の信号線、前記基準線、前記第1の選択線および前記第2の選択線は同層に設けられ、
前記第1の配線、前記第1の出力線および前記第2の出力線は同層に設けられ、
平面視において、前記第1の蓄積トランジスタのチャネル長方向は第1の方向に配置され、
平面視において、前記第1の増幅トランジスタのチャネル長方向は前記第1の方向と異なる第2の方向に配置され、
平面視において、前記第1の出力トランジスタのチャネル長方向は前記第2の方向に配置され、
平面視において、前記第2の蓄積トランジスタのチャネル長方向は前記第1の方向に配置され、
平面視において、前記第2の増幅トランジスタのチャネル長方向は前記第2の方向に配置され、
平面視において、前記第2の出力トランジスタのチャネル長方向は前記第2の方向に配置され、
平面視において、前記第1の出力線と前記第2の出力線と前記第1の配線は、列の方向に延伸され、
平面視において、前記第1の信号線、前記第2の信号線、前記基準線、前記第1の選択線および前記第2の選択線は行の方向に延伸され、
平面視において、前記第1の信号線、前記第2の信号線、前記基準線、前記第1の選択線および前記第2の選択線は、前記第1の配線、前記第1の出力線および前記第2の出力線と交差するように配置され、
前記第1の信号線、前記第2の信号線、前記基準線、前記第1の選択線および前記第2の選択線は、第1の絶縁層に接し、かつ前記第1の絶縁層よりも受光面側に配置され、
前記第1の導電層、前記第2の導電層、前記第3の導電層、前記第4の導電層、前記第5の導電層、前記第6の導電層および前記第7の導電層は、第2の絶縁層に接し、かつ前記第1の絶縁層よりも受光面側に配置され、
前記第2の絶縁層は前記第1の絶縁層よりも受光面側に配置され、
前記第1のフォトダイオードの側面は第3の絶縁層と接する領域を有する、撮像装置。 - 請求項1に記載の撮像装置を有する表示装置。
- 請求項1に記載の撮像装置、または、請求項2に記載の表示装置を有する電子機器。
Applications Claiming Priority (7)
| Application Number | Priority Date | Filing Date | Title |
|---|---|---|---|
| JP2012053041 | 2012-03-09 | ||
| JP2012053041 | 2012-03-09 | ||
| JP2012054947 | 2012-03-12 | ||
| JP2012054947 | 2012-03-12 | ||
| JP2012056150 | 2012-03-13 | ||
| JP2012056150 | 2012-03-13 | ||
| JP2018203679A JP2019023658A (ja) | 2012-03-09 | 2018-10-30 | 半導体装置 |
Related Parent Applications (1)
| Application Number | Title | Priority Date | Filing Date |
|---|---|---|---|
| JP2018203679A Division JP2019023658A (ja) | 2012-03-09 | 2018-10-30 | 半導体装置 |
Publications (3)
| Publication Number | Publication Date |
|---|---|
| JP2021063822A JP2021063822A (ja) | 2021-04-22 |
| JP2021063822A5 JP2021063822A5 (ja) | 2021-10-07 |
| JP6952182B2 true JP6952182B2 (ja) | 2021-10-20 |
Family
ID=49113228
Family Applications (11)
| Application Number | Title | Priority Date | Filing Date |
|---|---|---|---|
| JP2013042875A Expired - Fee Related JP6131069B2 (ja) | 2012-03-09 | 2013-03-05 | 半導体装置の駆動方法 |
| JP2017081077A Expired - Fee Related JP6429932B2 (ja) | 2012-03-09 | 2017-04-17 | 半導体装置の駆動方法 |
| JP2018203679A Withdrawn JP2019023658A (ja) | 2012-03-09 | 2018-10-30 | 半導体装置 |
| JP2019223503A Active JP6803449B2 (ja) | 2012-03-09 | 2019-12-11 | 半導体装置 |
| JP2020215056A Withdrawn JP2021063823A (ja) | 2012-03-09 | 2020-12-24 | 半導体装置 |
| JP2020214943A Withdrawn JP2021076609A (ja) | 2012-03-09 | 2020-12-24 | 半導体装置 |
| JP2020214987A Active JP6952182B2 (ja) | 2012-03-09 | 2020-12-24 | 撮像装置、表示装置、電子機器 |
| JP2021073502A Withdrawn JP2021132380A (ja) | 2012-03-09 | 2021-04-23 | 撮像装置 |
| JP2022077433A Withdrawn JP2022119799A (ja) | 2012-03-09 | 2022-05-10 | 半導体装置 |
| JP2024024737A Active JP7608653B2 (ja) | 2012-03-09 | 2024-02-21 | 撮像装置、表示装置及び電子機器 |
| JP2024221396A Pending JP2025028267A (ja) | 2012-03-09 | 2024-12-18 | 撮像装置、表示装置 |
Family Applications Before (6)
| Application Number | Title | Priority Date | Filing Date |
|---|---|---|---|
| JP2013042875A Expired - Fee Related JP6131069B2 (ja) | 2012-03-09 | 2013-03-05 | 半導体装置の駆動方法 |
| JP2017081077A Expired - Fee Related JP6429932B2 (ja) | 2012-03-09 | 2017-04-17 | 半導体装置の駆動方法 |
| JP2018203679A Withdrawn JP2019023658A (ja) | 2012-03-09 | 2018-10-30 | 半導体装置 |
| JP2019223503A Active JP6803449B2 (ja) | 2012-03-09 | 2019-12-11 | 半導体装置 |
| JP2020215056A Withdrawn JP2021063823A (ja) | 2012-03-09 | 2020-12-24 | 半導体装置 |
| JP2020214943A Withdrawn JP2021076609A (ja) | 2012-03-09 | 2020-12-24 | 半導体装置 |
Family Applications After (4)
| Application Number | Title | Priority Date | Filing Date |
|---|---|---|---|
| JP2021073502A Withdrawn JP2021132380A (ja) | 2012-03-09 | 2021-04-23 | 撮像装置 |
| JP2022077433A Withdrawn JP2022119799A (ja) | 2012-03-09 | 2022-05-10 | 半導体装置 |
| JP2024024737A Active JP7608653B2 (ja) | 2012-03-09 | 2024-02-21 | 撮像装置、表示装置及び電子機器 |
| JP2024221396A Pending JP2025028267A (ja) | 2012-03-09 | 2024-12-18 | 撮像装置、表示装置 |
Country Status (5)
| Country | Link |
|---|---|
| US (1) | US9082676B2 (ja) |
| JP (11) | JP6131069B2 (ja) |
| CN (2) | CN104160295B (ja) |
| TW (1) | TWI555401B (ja) |
| WO (1) | WO2013133143A1 (ja) |
Cited By (1)
| Publication number | Priority date | Publication date | Assignee | Title |
|---|---|---|---|---|
| JP2022000665A (ja) * | 2012-03-21 | 2022-01-04 | 株式会社半導体エネルギー研究所 | 装置 |
Families Citing this family (27)
| Publication number | Priority date | Publication date | Assignee | Title |
|---|---|---|---|---|
| TWI575494B (zh) * | 2011-08-19 | 2017-03-21 | 半導體能源研究所股份有限公司 | 半導體裝置的驅動方法 |
| CN104160295B (zh) * | 2012-03-09 | 2017-09-15 | 株式会社半导体能源研究所 | 半导体装置的驱动方法 |
| JP6300471B2 (ja) * | 2013-08-28 | 2018-03-28 | キヤノン株式会社 | 撮像装置の駆動方法、撮像システムの駆動方法 |
| JP6242211B2 (ja) * | 2013-12-26 | 2017-12-06 | キヤノン株式会社 | 撮像装置および撮像システム |
| TWI656631B (zh) * | 2014-03-28 | 2019-04-11 | 日商半導體能源研究所股份有限公司 | 攝像裝置 |
| WO2015189732A1 (ja) | 2014-06-09 | 2015-12-17 | 株式会社半導体エネルギー研究所 | 撮像装置 |
| US9881954B2 (en) * | 2014-06-11 | 2018-01-30 | Semiconductor Energy Laboratory Co., Ltd. | Imaging device |
| TWI757788B (zh) | 2014-06-27 | 2022-03-11 | 日商半導體能源研究所股份有限公司 | 攝像裝置及電子裝置 |
| US9729809B2 (en) | 2014-07-11 | 2017-08-08 | Semiconductor Energy Laboratory Co., Ltd. | Semiconductor device and driving method of semiconductor device or electronic device |
| JP6555956B2 (ja) * | 2014-07-31 | 2019-08-07 | 株式会社半導体エネルギー研究所 | 撮像装置、監視装置、及び電子機器 |
| US10942261B2 (en) | 2015-10-21 | 2021-03-09 | Samsung Electronics Co., Ltd | Apparatus for and method of range sensor based on direct time-of-flight and triangulation |
| JP6659448B2 (ja) | 2016-05-02 | 2020-03-04 | 浜松ホトニクス株式会社 | 距離センサ及び距離センサの駆動方法 |
| US10527728B2 (en) | 2017-01-27 | 2020-01-07 | Samsung Electronics Co., Ltd | Apparatus and method for range measurement |
| KR20200028446A (ko) | 2017-08-31 | 2020-03-16 | 에스지 디제이아이 테크놀러지 코., 엘티디 | 고체 상태 광 검출 및 레인징(lidar) 시스템, 그리고 고체 상태 광 검출 및 레이징(lidar) 분해능을 향상시키는 시스템 및 방법 |
| CN108513619A (zh) * | 2017-08-31 | 2018-09-07 | 深圳市大疆创新科技有限公司 | 信号处理芯片、图像处理系统和距离测量系统 |
| US10545224B2 (en) | 2017-12-06 | 2020-01-28 | Samsung Electronics Co., Ltd. | Time-resolving sensor using SPAD + PPD or capacitors in pixel for range measurement |
| CN108566524B (zh) * | 2018-01-31 | 2023-10-27 | 光微信息科技(合肥)有限公司 | 像素单元、图像传感器芯片、成像系统、像素单元的形成方法以及深度信息测算方法 |
| JP7314135B2 (ja) | 2018-07-20 | 2023-07-25 | 株式会社半導体エネルギー研究所 | 撮像装置 |
| JP7278046B2 (ja) * | 2018-09-26 | 2023-05-19 | 株式会社半導体エネルギー研究所 | 半導体装置の作製方法 |
| US12219857B2 (en) * | 2019-07-05 | 2025-02-04 | Semiconductor Energy Laboratory Co., Ltd. | Display apparatus, display module, and electronic device |
| US11443447B2 (en) | 2020-04-17 | 2022-09-13 | Samsung Electronics Co., Ltd. | Three-dimensional camera system |
| CN112436037B (zh) * | 2020-11-23 | 2024-02-27 | 京东方科技集团股份有限公司 | 显示装置、显示面板及其制造方法 |
| US20240023354A1 (en) * | 2020-12-16 | 2024-01-18 | Sony Semiconductor Solutions Corporation | Photoelectric conversion element, photodetector, photodetection system, electronic apparatus, and mobile body |
| CN116686097A (zh) * | 2020-12-16 | 2023-09-01 | 索尼半导体解决方案公司 | 光电转换元件、光检测装置、光检测系统、电子设备和移动体 |
| JP7770773B2 (ja) * | 2021-02-09 | 2025-11-17 | キヤノン株式会社 | 放射線撮像装置、該装置を備える放射線撮像システム及び構造物検査装置 |
| WO2025057909A1 (ja) * | 2023-09-11 | 2025-03-20 | Scivax株式会社 | 光学系装置 |
| JP2026014756A (ja) * | 2024-07-19 | 2026-01-29 | 京セラ株式会社 | 情報処理装置、情報処理システム、情報処理方法、及び情報処理プログラム |
Family Cites Families (180)
| Publication number | Priority date | Publication date | Assignee | Title |
|---|---|---|---|---|
| US4438455A (en) | 1981-12-15 | 1984-03-20 | Fuji Photo Film Co., Ltd. | Solid-state color imager with three layer four story structure |
| JPS60198861A (ja) | 1984-03-23 | 1985-10-08 | Fujitsu Ltd | 薄膜トランジスタ |
| JPH0244256B2 (ja) | 1987-01-28 | 1990-10-03 | Kagaku Gijutsucho Mukizaishitsu Kenkyushocho | Ingazn2o5deshimesarerurotsuhoshokeinosojokozoojusurukagobutsuoyobisonoseizoho |
| JPH0244260B2 (ja) | 1987-02-24 | 1990-10-03 | Kagaku Gijutsucho Mukizaishitsu Kenkyushocho | Ingazn5o8deshimesarerurotsuhoshokeinosojokozoojusurukagobutsuoyobisonoseizoho |
| JPH0244258B2 (ja) | 1987-02-24 | 1990-10-03 | Kagaku Gijutsucho Mukizaishitsu Kenkyushocho | Ingazn3o6deshimesarerurotsuhoshokeinosojokozoojusurukagobutsuoyobisonoseizoho |
| JPS63210023A (ja) | 1987-02-24 | 1988-08-31 | Natl Inst For Res In Inorg Mater | InGaZn↓4O↓7で示される六方晶系の層状構造を有する化合物およびその製造法 |
| JPH0244262B2 (ja) | 1987-02-27 | 1990-10-03 | Kagaku Gijutsucho Mukizaishitsu Kenkyushocho | Ingazn6o9deshimesarerurotsuhoshokeinosojokozoojusurukagobutsuoyobisonoseizoho |
| JPH0244263B2 (ja) | 1987-04-22 | 1990-10-03 | Kagaku Gijutsucho Mukizaishitsu Kenkyushocho | Ingazn7o10deshimesarerurotsuhoshokeinosojokozoojusurukagobutsuoyobisonoseizoho |
| JPH0463473A (ja) * | 1990-07-03 | 1992-02-28 | Toshiba Corp | 固体撮像装置 |
| JPH05251705A (ja) | 1992-03-04 | 1993-09-28 | Fuji Xerox Co Ltd | 薄膜トランジスタ |
| JPH0650889A (ja) * | 1992-07-31 | 1994-02-25 | Shimadzu Corp | 近赤外分析装置 |
| JPH06204445A (ja) * | 1993-01-01 | 1994-07-22 | Canon Inc | 光センサ及びそれを有する画像情報処理装置 |
| JP3278243B2 (ja) * | 1993-06-18 | 2002-04-30 | キヤノン株式会社 | 光電変換装置 |
| JP3479375B2 (ja) | 1995-03-27 | 2003-12-15 | 科学技術振興事業団 | 亜酸化銅等の金属酸化物半導体による薄膜トランジスタとpn接合を形成した金属酸化物半導体装置およびそれらの製造方法 |
| DE69635107D1 (de) | 1995-08-03 | 2005-09-29 | Koninkl Philips Electronics Nv | Halbleiteranordnung mit einem transparenten schaltungselement |
| JP3625598B2 (ja) | 1995-12-30 | 2005-03-02 | 三星電子株式会社 | 液晶表示装置の製造方法 |
| US5965875A (en) | 1998-04-24 | 1999-10-12 | Foveon, Inc. | Color separation in an active pixel cell imaging array using a triple-well structure |
| JP4170454B2 (ja) | 1998-07-24 | 2008-10-22 | Hoya株式会社 | 透明導電性酸化物薄膜を有する物品及びその製造方法 |
| JP2000150861A (ja) | 1998-11-16 | 2000-05-30 | Tdk Corp | 酸化物薄膜 |
| JP3276930B2 (ja) | 1998-11-17 | 2002-04-22 | 科学技術振興事業団 | トランジスタ及び半導体装置 |
| TW460731B (en) | 1999-09-03 | 2001-10-21 | Ind Tech Res Inst | Electrode structure and production method of wide viewing angle LCD |
| JP4391643B2 (ja) * | 1999-11-24 | 2009-12-24 | Hoya株式会社 | 3次元画像入力装置 |
| US6747638B2 (en) | 2000-01-31 | 2004-06-08 | Semiconductor Energy Laboratory Co., Ltd. | Adhesion type area sensor and display device having adhesion type area sensor |
| JP4089858B2 (ja) | 2000-09-01 | 2008-05-28 | 国立大学法人東北大学 | 半導体デバイス |
| US6906793B2 (en) * | 2000-12-11 | 2005-06-14 | Canesta, Inc. | Methods and devices for charge management for three-dimensional sensing |
| KR20020038482A (ko) | 2000-11-15 | 2002-05-23 | 모리시타 요이찌 | 박막 트랜지스터 어레이, 그 제조방법 및 그것을 이용한표시패널 |
| US6724012B2 (en) * | 2000-12-14 | 2004-04-20 | Semiconductor Energy Laboratory Co., Ltd. | Display matrix with pixels having sensor and light emitting portions |
| JP3997731B2 (ja) | 2001-03-19 | 2007-10-24 | 富士ゼロックス株式会社 | 基材上に結晶性半導体薄膜を形成する方法 |
| JP2002289859A (ja) | 2001-03-23 | 2002-10-04 | Minolta Co Ltd | 薄膜トランジスタ |
| JP3925839B2 (ja) | 2001-09-10 | 2007-06-06 | シャープ株式会社 | 半導体記憶装置およびその試験方法 |
| JP4090716B2 (ja) | 2001-09-10 | 2008-05-28 | 雅司 川崎 | 薄膜トランジスタおよびマトリクス表示装置 |
| WO2003040441A1 (fr) | 2001-11-05 | 2003-05-15 | Japan Science And Technology Agency | Film mince monocristallin homologue a super-reseau naturel, procede de preparation et dispositif dans lequel est utilise ledit film mince monocristallin |
| JP4164562B2 (ja) | 2002-09-11 | 2008-10-15 | 独立行政法人科学技術振興機構 | ホモロガス薄膜を活性層として用いる透明薄膜電界効果型トランジスタ |
| JP4083486B2 (ja) | 2002-02-21 | 2008-04-30 | 独立行政法人科学技術振興機構 | LnCuO(S,Se,Te)単結晶薄膜の製造方法 |
| US7049190B2 (en) | 2002-03-15 | 2006-05-23 | Sanyo Electric Co., Ltd. | Method for forming ZnO film, method for forming ZnO semiconductor layer, method for fabricating semiconductor device, and semiconductor device |
| JP3722367B2 (ja) * | 2002-03-19 | 2005-11-30 | ソニー株式会社 | 固体撮像素子の製造方法 |
| JP3933591B2 (ja) | 2002-03-26 | 2007-06-20 | 淳二 城戸 | 有機エレクトロルミネッセント素子 |
| JP3854887B2 (ja) * | 2002-04-05 | 2006-12-06 | キヤノン株式会社 | 光電変換装置 |
| JP2003298038A (ja) * | 2002-04-05 | 2003-10-17 | Canon Inc | 光電変換素子及びそれを用いた固体撮像装置 |
| US7129466B2 (en) | 2002-05-08 | 2006-10-31 | Canon Kabushiki Kaisha | Color image pickup device and color light-receiving device |
| US7339187B2 (en) | 2002-05-21 | 2008-03-04 | State Of Oregon Acting By And Through The Oregon State Board Of Higher Education On Behalf Of Oregon State University | Transistor structures |
| JP2004022625A (ja) | 2002-06-13 | 2004-01-22 | Murata Mfg Co Ltd | 半導体デバイス及び該半導体デバイスの製造方法 |
| US7105868B2 (en) | 2002-06-24 | 2006-09-12 | Cermet, Inc. | High-electron mobility transistor with zinc oxide |
| JP4364553B2 (ja) * | 2002-08-30 | 2009-11-18 | シャープ株式会社 | 光電変換装置及びその製造方法 |
| JP4403687B2 (ja) | 2002-09-18 | 2010-01-27 | ソニー株式会社 | 固体撮像装置およびその駆動制御方法 |
| US7067843B2 (en) | 2002-10-11 | 2006-06-27 | E. I. Du Pont De Nemours And Company | Transparent oxide semiconductor thin film transistors |
| JP4298276B2 (ja) * | 2002-12-03 | 2009-07-15 | キヤノン株式会社 | 光電変換装置 |
| JP4166105B2 (ja) | 2003-03-06 | 2008-10-15 | シャープ株式会社 | 半導体装置およびその製造方法 |
| JP2004273732A (ja) | 2003-03-07 | 2004-09-30 | Sharp Corp | アクティブマトリクス基板およびその製造方法 |
| JP2004309701A (ja) * | 2003-04-04 | 2004-11-04 | Olympus Corp | 測距測光用センサ及びカメラ |
| JP4108633B2 (ja) | 2003-06-20 | 2008-06-25 | シャープ株式会社 | 薄膜トランジスタおよびその製造方法ならびに電子デバイス |
| US7262463B2 (en) | 2003-07-25 | 2007-08-28 | Hewlett-Packard Development Company, L.P. | Transistor including a deposited channel region having a doped portion |
| JP2005150521A (ja) * | 2003-11-18 | 2005-06-09 | Canon Inc | 撮像装置およびその製造方法 |
| US20050128327A1 (en) * | 2003-12-10 | 2005-06-16 | Bencuya Selim S. | Device and method for image sensing |
| JP4161910B2 (ja) * | 2004-01-28 | 2008-10-08 | 株式会社デンソー | 距離画像データ生成装置及び生成方法,プログラム |
| EP1737044B1 (en) | 2004-03-12 | 2014-12-10 | Japan Science and Technology Agency | Amorphous oxide and thin film transistor |
| US7297977B2 (en) | 2004-03-12 | 2007-11-20 | Hewlett-Packard Development Company, L.P. | Semiconductor device |
| US7145174B2 (en) | 2004-03-12 | 2006-12-05 | Hewlett-Packard Development Company, Lp. | Semiconductor device |
| US7282782B2 (en) | 2004-03-12 | 2007-10-16 | Hewlett-Packard Development Company, L.P. | Combined binary oxide semiconductor device |
| JP4474962B2 (ja) * | 2004-03-19 | 2010-06-09 | ソニー株式会社 | 裏面照射型固体撮像素子、電子機器モジュール及びカメラモジュール |
| JP2005268609A (ja) | 2004-03-19 | 2005-09-29 | Fuji Photo Film Co Ltd | 多層積層型多画素撮像素子及びテレビカメラ |
| US7211825B2 (en) | 2004-06-14 | 2007-05-01 | Yi-Chi Shih | Indium oxide-based thin film transistors and circuits |
| JP4916101B2 (ja) * | 2004-09-01 | 2012-04-11 | キヤノン株式会社 | 光電変換装置、固体撮像装置及び固体撮像システム |
| JP2006100760A (ja) | 2004-09-02 | 2006-04-13 | Casio Comput Co Ltd | 薄膜トランジスタおよびその製造方法 |
| US7285501B2 (en) | 2004-09-17 | 2007-10-23 | Hewlett-Packard Development Company, L.P. | Method of forming a solution processed device |
| US7298084B2 (en) | 2004-11-02 | 2007-11-20 | 3M Innovative Properties Company | Methods and displays utilizing integrated zinc oxide row and column drivers in conjunction with organic light emitting diodes |
| CN102945857B (zh) | 2004-11-10 | 2015-06-03 | 佳能株式会社 | 无定形氧化物和场效应晶体管 |
| WO2006051995A1 (en) | 2004-11-10 | 2006-05-18 | Canon Kabushiki Kaisha | Field effect transistor employing an amorphous oxide |
| RU2358354C2 (ru) | 2004-11-10 | 2009-06-10 | Кэнон Кабусики Кайся | Светоизлучающее устройство |
| US7829444B2 (en) | 2004-11-10 | 2010-11-09 | Canon Kabushiki Kaisha | Field effect transistor manufacturing method |
| US7863611B2 (en) | 2004-11-10 | 2011-01-04 | Canon Kabushiki Kaisha | Integrated circuits utilizing amorphous oxides |
| US7453065B2 (en) | 2004-11-10 | 2008-11-18 | Canon Kabushiki Kaisha | Sensor and image pickup device |
| US7791072B2 (en) | 2004-11-10 | 2010-09-07 | Canon Kabushiki Kaisha | Display |
| JP4325557B2 (ja) | 2005-01-04 | 2009-09-02 | ソニー株式会社 | 撮像装置および撮像方法 |
| US7579224B2 (en) | 2005-01-21 | 2009-08-25 | Semiconductor Energy Laboratory Co., Ltd. | Method for manufacturing a thin film semiconductor device |
| TWI569441B (zh) | 2005-01-28 | 2017-02-01 | 半導體能源研究所股份有限公司 | 半導體裝置,電子裝置,和半導體裝置的製造方法 |
| TWI505473B (zh) | 2005-01-28 | 2015-10-21 | 半導體能源研究所股份有限公司 | 半導體裝置,電子裝置,和半導體裝置的製造方法 |
| US7858451B2 (en) | 2005-02-03 | 2010-12-28 | Semiconductor Energy Laboratory Co., Ltd. | Electronic device, semiconductor device and manufacturing method thereof |
| US7948171B2 (en) | 2005-02-18 | 2011-05-24 | Semiconductor Energy Laboratory Co., Ltd. | Light emitting device |
| US20060197092A1 (en) | 2005-03-03 | 2006-09-07 | Randy Hoffman | System and method for forming conductive material on a substrate |
| US8681077B2 (en) | 2005-03-18 | 2014-03-25 | Semiconductor Energy Laboratory Co., Ltd. | Semiconductor device, and display device, driving method and electronic apparatus thereof |
| US7544967B2 (en) | 2005-03-28 | 2009-06-09 | Massachusetts Institute Of Technology | Low voltage flexible organic/transparent transistor for selective gas sensing, photodetecting and CMOS device applications |
| US7645478B2 (en) | 2005-03-31 | 2010-01-12 | 3M Innovative Properties Company | Methods of making displays |
| US8300031B2 (en) | 2005-04-20 | 2012-10-30 | Semiconductor Energy Laboratory Co., Ltd. | Semiconductor device comprising transistor having gate and drain connected through a current-voltage conversion element |
| JP2006344849A (ja) | 2005-06-10 | 2006-12-21 | Casio Comput Co Ltd | 薄膜トランジスタ |
| US7402506B2 (en) | 2005-06-16 | 2008-07-22 | Eastman Kodak Company | Methods of making thin film transistors comprising zinc-oxide-based semiconductor materials and transistors made thereby |
| US7691666B2 (en) | 2005-06-16 | 2010-04-06 | Eastman Kodak Company | Methods of making thin film transistors comprising zinc-oxide-based semiconductor materials and transistors made thereby |
| US7507618B2 (en) | 2005-06-27 | 2009-03-24 | 3M Innovative Properties Company | Method for making electronic devices using metal oxide nanoparticles |
| FR2888989B1 (fr) | 2005-07-21 | 2008-06-06 | St Microelectronics Sa | Capteur d'images |
| KR100711890B1 (ko) | 2005-07-28 | 2007-04-25 | 삼성에스디아이 주식회사 | 유기 발광표시장치 및 그의 제조방법 |
| JP2007059128A (ja) | 2005-08-23 | 2007-03-08 | Canon Inc | 有機el表示装置およびその製造方法 |
| JP5116225B2 (ja) | 2005-09-06 | 2013-01-09 | キヤノン株式会社 | 酸化物半導体デバイスの製造方法 |
| JP4280736B2 (ja) | 2005-09-06 | 2009-06-17 | キヤノン株式会社 | 半導体素子 |
| JP2007073705A (ja) | 2005-09-06 | 2007-03-22 | Canon Inc | 酸化物半導体チャネル薄膜トランジスタおよびその製造方法 |
| JP4850457B2 (ja) | 2005-09-06 | 2012-01-11 | キヤノン株式会社 | 薄膜トランジスタ及び薄膜ダイオード |
| EP1995787A3 (en) | 2005-09-29 | 2012-01-18 | Semiconductor Energy Laboratory Co, Ltd. | Semiconductor device having oxide semiconductor layer and manufacturing method therof |
| JP5037808B2 (ja) | 2005-10-20 | 2012-10-03 | キヤノン株式会社 | アモルファス酸化物を用いた電界効果型トランジスタ、及び該トランジスタを用いた表示装置 |
| JP4752447B2 (ja) * | 2005-10-21 | 2011-08-17 | ソニー株式会社 | 固体撮像装置およびカメラ |
| KR101050767B1 (ko) | 2005-11-15 | 2011-07-20 | 가부시키가이샤 한도오따이 에네루기 켄큐쇼 | 반도체장치 제조방법 |
| TWI292281B (en) | 2005-12-29 | 2008-01-01 | Ind Tech Res Inst | Pixel structure of active organic light emitting diode and method of fabricating the same |
| US7867636B2 (en) | 2006-01-11 | 2011-01-11 | Murata Manufacturing Co., Ltd. | Transparent conductive film and method for manufacturing the same |
| JP4977478B2 (ja) | 2006-01-21 | 2012-07-18 | 三星電子株式会社 | ZnOフィルム及びこれを用いたTFTの製造方法 |
| JP4631723B2 (ja) * | 2006-01-27 | 2011-02-16 | ソニー株式会社 | 固体撮像装置 |
| US7576394B2 (en) | 2006-02-02 | 2009-08-18 | Kochi Industrial Promotion Center | Thin film transistor including low resistance conductive thin films and manufacturing method thereof |
| US7977169B2 (en) | 2006-02-15 | 2011-07-12 | Kochi Industrial Promotion Center | Semiconductor device including active layer made of zinc oxide with controlled orientations and manufacturing method thereof |
| KR20070101595A (ko) | 2006-04-11 | 2007-10-17 | 삼성전자주식회사 | ZnO TFT |
| US20070252928A1 (en) | 2006-04-28 | 2007-11-01 | Toppan Printing Co., Ltd. | Structure, transmission type liquid crystal display, reflection type display and manufacturing method thereof |
| JP5028033B2 (ja) | 2006-06-13 | 2012-09-19 | キヤノン株式会社 | 酸化物半導体膜のドライエッチング方法 |
| JP4395150B2 (ja) * | 2006-06-28 | 2010-01-06 | 富士フイルム株式会社 | 距離画像センサ |
| JP4609797B2 (ja) | 2006-08-09 | 2011-01-12 | Nec液晶テクノロジー株式会社 | 薄膜デバイス及びその製造方法 |
| JP4999400B2 (ja) | 2006-08-09 | 2012-08-15 | キヤノン株式会社 | 酸化物半導体膜のドライエッチング方法 |
| JP4481280B2 (ja) | 2006-08-30 | 2010-06-16 | 富士フイルム株式会社 | 画像処理装置、及び画像処理方法 |
| US7663165B2 (en) | 2006-08-31 | 2010-02-16 | Aptina Imaging Corporation | Transparent-channel thin-film transistor-based pixels for high-performance image sensors |
| JP2008060481A (ja) * | 2006-09-01 | 2008-03-13 | Matsushita Electric Ind Co Ltd | 固体撮像装置 |
| JP2008060476A (ja) * | 2006-09-01 | 2008-03-13 | Sharp Corp | 固体撮像装置および電子情報機器 |
| JP4332545B2 (ja) | 2006-09-15 | 2009-09-16 | キヤノン株式会社 | 電界効果型トランジスタ及びその製造方法 |
| JP4274219B2 (ja) | 2006-09-27 | 2009-06-03 | セイコーエプソン株式会社 | 電子デバイス、有機エレクトロルミネッセンス装置、有機薄膜半導体装置 |
| JP5164357B2 (ja) | 2006-09-27 | 2013-03-21 | キヤノン株式会社 | 半導体装置及び半導体装置の製造方法 |
| US7622371B2 (en) | 2006-10-10 | 2009-11-24 | Hewlett-Packard Development Company, L.P. | Fused nanocrystal thin film semiconductor and method |
| JP4757779B2 (ja) * | 2006-11-15 | 2011-08-24 | 浜松ホトニクス株式会社 | 距離画像センサ |
| US7772021B2 (en) | 2006-11-29 | 2010-08-10 | Samsung Electronics Co., Ltd. | Flat panel displays comprising a thin-film transistor having a semiconductive oxide in its channel and methods of fabricating the same for use in flat panel displays |
| JP2008140684A (ja) | 2006-12-04 | 2008-06-19 | Toppan Printing Co Ltd | カラーelディスプレイおよびその製造方法 |
| JP4525671B2 (ja) * | 2006-12-08 | 2010-08-18 | ソニー株式会社 | 固体撮像装置 |
| KR101303578B1 (ko) | 2007-01-05 | 2013-09-09 | 삼성전자주식회사 | 박막 식각 방법 |
| US8207063B2 (en) | 2007-01-26 | 2012-06-26 | Eastman Kodak Company | Process for atomic layer deposition |
| JP5108339B2 (ja) * | 2007-03-12 | 2012-12-26 | 富士フイルム株式会社 | 固体撮像素子 |
| KR100851215B1 (ko) | 2007-03-14 | 2008-08-07 | 삼성에스디아이 주식회사 | 박막 트랜지스터 및 이를 이용한 유기 전계 발광표시장치 |
| US7795613B2 (en) | 2007-04-17 | 2010-09-14 | Toppan Printing Co., Ltd. | Structure with transistor |
| KR101325053B1 (ko) | 2007-04-18 | 2013-11-05 | 삼성디스플레이 주식회사 | 박막 트랜지스터 기판 및 이의 제조 방법 |
| KR20080094300A (ko) | 2007-04-19 | 2008-10-23 | 삼성전자주식회사 | 박막 트랜지스터 및 그 제조 방법과 박막 트랜지스터를포함하는 평판 디스플레이 |
| KR101334181B1 (ko) | 2007-04-20 | 2013-11-28 | 삼성전자주식회사 | 선택적으로 결정화된 채널층을 갖는 박막 트랜지스터 및 그제조 방법 |
| US8274078B2 (en) | 2007-04-25 | 2012-09-25 | Canon Kabushiki Kaisha | Metal oxynitride semiconductor containing zinc |
| KR101345376B1 (ko) | 2007-05-29 | 2013-12-24 | 삼성전자주식회사 | ZnO 계 박막 트랜지스터 및 그 제조방법 |
| US8354674B2 (en) * | 2007-06-29 | 2013-01-15 | Semiconductor Energy Laboratory Co., Ltd. | Semiconductor device wherein a property of a first semiconductor layer is different from a property of a second semiconductor layer |
| JP5075512B2 (ja) * | 2007-07-23 | 2012-11-21 | 富士フイルム株式会社 | 固体撮像素子及び固体撮像素子の製造方法 |
| JP2009085705A (ja) * | 2007-09-28 | 2009-04-23 | Fujifilm Corp | 測距装置および測距方法並びにプログラム |
| JP2009099867A (ja) * | 2007-10-18 | 2009-05-07 | Fujifilm Corp | 光電変換素子及び撮像素子 |
| KR20090040158A (ko) | 2007-10-19 | 2009-04-23 | 삼성전자주식회사 | 투명한 트랜지스터를 구비한 시모스 이미지 센서 |
| JP5301240B2 (ja) * | 2007-12-05 | 2013-09-25 | 株式会社ジャパンディスプレイウェスト | 表示装置 |
| JP5215158B2 (ja) | 2007-12-17 | 2013-06-19 | 富士フイルム株式会社 | 無機結晶性配向膜及びその製造方法、半導体デバイス |
| JP5175562B2 (ja) * | 2008-01-28 | 2013-04-03 | シャープ株式会社 | 人物位置検出装置および空気調和機 |
| JP2009206356A (ja) * | 2008-02-28 | 2009-09-10 | Toshiba Corp | 固体撮像装置およびその製造方法 |
| US8009938B2 (en) * | 2008-02-29 | 2011-08-30 | Applied Materials, Inc. | Advanced process sensing and control using near infrared spectral reflectometry |
| SG157268A1 (en) * | 2008-05-30 | 2009-12-29 | Sony Corp | Ferroelectric polymer |
| KR101467509B1 (ko) * | 2008-07-25 | 2014-12-01 | 삼성전자주식회사 | 이미지 센서 및 이미지 센서 동작 방법 |
| JP2010056396A (ja) * | 2008-08-29 | 2010-03-11 | Fujifilm Corp | X線検出素子 |
| JP4623179B2 (ja) | 2008-09-18 | 2011-02-02 | ソニー株式会社 | 薄膜トランジスタおよびその製造方法 |
| JP5451280B2 (ja) | 2008-10-09 | 2014-03-26 | キヤノン株式会社 | ウルツ鉱型結晶成長用基板およびその製造方法ならびに半導体装置 |
| JP5012782B2 (ja) * | 2008-12-12 | 2012-08-29 | ソニー株式会社 | 撮像装置 |
| US8941617B2 (en) | 2008-11-07 | 2015-01-27 | Semiconductor Energy Laboratory Co., Ltd. | Image input-output device with color layer between photodetector and display elements to improve the accuracy of reading images in color |
| JP5029624B2 (ja) * | 2009-01-15 | 2012-09-19 | ソニー株式会社 | 固体撮像装置及び電子機器 |
| JP5100670B2 (ja) | 2009-01-21 | 2012-12-19 | 株式会社半導体エネルギー研究所 | タッチパネル、電子機器 |
| US20120001880A1 (en) * | 2009-02-10 | 2012-01-05 | Christopher Brown | Display device |
| JP2010190675A (ja) * | 2009-02-17 | 2010-09-02 | Toyota Motor Corp | 距離画像センサシステムおよび距離画像生成方法 |
| US8531651B2 (en) * | 2009-03-05 | 2013-09-10 | Panasonic Corporation | Distance measuring device, distance measuring method, program, and integrated circuit |
| JP2010212288A (ja) * | 2009-03-06 | 2010-09-24 | Renesas Electronics Corp | 撮像装置 |
| JP2010273095A (ja) * | 2009-05-21 | 2010-12-02 | Renesas Electronics Corp | 撮像装置 |
| KR101668869B1 (ko) * | 2009-05-29 | 2016-10-28 | 삼성전자주식회사 | 거리 센서, 3차원 이미지 센서 및 그 거리 산출 방법 |
| JP5625284B2 (ja) * | 2009-08-10 | 2014-11-19 | ソニー株式会社 | 固体撮像装置、固体撮像装置の駆動方法および電子機器 |
| JP2009296016A (ja) * | 2009-09-18 | 2009-12-17 | Renesas Technology Corp | 固体撮像素子 |
| WO2011055638A1 (en) | 2009-11-06 | 2011-05-12 | Semiconductor Energy Laboratory Co., Ltd. | Display device |
| EP2497011A4 (en) | 2009-11-06 | 2013-10-02 | Semiconductor Energy Lab | TOUCH PANEL AND METHOD FOR CONTROLLING TOUCH PANEL |
| JP5438476B2 (ja) * | 2009-11-24 | 2014-03-12 | 浜松ホトニクス株式会社 | 距離画像センサ |
| JP5455599B2 (ja) * | 2009-12-15 | 2014-03-26 | キヤノン株式会社 | 撮像素子 |
| JP2011128024A (ja) * | 2009-12-17 | 2011-06-30 | Sharp Corp | 3次元撮像装置 |
| JP5754778B2 (ja) * | 2010-01-26 | 2015-07-29 | 日本電気株式会社 | 記憶装置共用システム、管理装置、処理装置、記憶装置共用方法、管理方法、アクセス方法およびプログラム |
| JP2011166477A (ja) * | 2010-02-10 | 2011-08-25 | Konica Minolta Opto Inc | 固体撮像素子及び画像入力装置 |
| CN105336744B (zh) * | 2010-02-12 | 2018-12-21 | 株式会社半导体能源研究所 | 半导体装置及其驱动方法 |
| US8928644B2 (en) * | 2010-02-19 | 2015-01-06 | Semiconductor Energy Laboratory Co., Ltd. | Display device and method for driving display device |
| WO2011111549A1 (en) | 2010-03-08 | 2011-09-15 | Semiconductor Energy Laboratory Co., Ltd. | Semiconductor device and manufacturing method thereof |
| KR101898297B1 (ko) * | 2010-03-08 | 2018-09-12 | 가부시키가이샤 한도오따이 에네루기 켄큐쇼 | 반도체 장치 및 그 구동 방법 |
| JP2011243862A (ja) * | 2010-05-20 | 2011-12-01 | Sony Corp | 撮像デバイス及び撮像装置 |
| JP5771079B2 (ja) | 2010-07-01 | 2015-08-26 | 株式会社半導体エネルギー研究所 | 撮像装置 |
| JP5521854B2 (ja) * | 2010-07-26 | 2014-06-18 | コニカミノルタ株式会社 | 撮像装置及び画像入力装置 |
| US8803164B2 (en) | 2010-08-06 | 2014-08-12 | Semiconductor Energy Laboratory Co., Ltd. | Solid-state image sensing device and semiconductor display device |
| JP2012256819A (ja) * | 2010-09-08 | 2012-12-27 | Semiconductor Energy Lab Co Ltd | 半導体装置 |
| JP6081694B2 (ja) * | 2010-10-07 | 2017-02-15 | 株式会社半導体エネルギー研究所 | 光検出装置 |
| TWI575494B (zh) * | 2011-08-19 | 2017-03-21 | 半導體能源研究所股份有限公司 | 半導體裝置的驅動方法 |
| WO2013099537A1 (en) | 2011-12-26 | 2013-07-04 | Semiconductor Energy Laboratory Co., Ltd. | Motion recognition device |
| CN104160295B (zh) * | 2012-03-09 | 2017-09-15 | 株式会社半导体能源研究所 | 半导体装置的驱动方法 |
-
2013
- 2013-02-22 CN CN201380013079.5A patent/CN104160295B/zh not_active Expired - Fee Related
- 2013-02-22 CN CN201710704129.4A patent/CN107340509B/zh not_active Expired - Fee Related
- 2013-02-22 WO PCT/JP2013/055614 patent/WO2013133143A1/en not_active Ceased
- 2013-02-25 TW TW102106557A patent/TWI555401B/zh active
- 2013-02-28 US US13/780,385 patent/US9082676B2/en active Active
- 2013-03-05 JP JP2013042875A patent/JP6131069B2/ja not_active Expired - Fee Related
-
2017
- 2017-04-17 JP JP2017081077A patent/JP6429932B2/ja not_active Expired - Fee Related
-
2018
- 2018-10-30 JP JP2018203679A patent/JP2019023658A/ja not_active Withdrawn
-
2019
- 2019-12-11 JP JP2019223503A patent/JP6803449B2/ja active Active
-
2020
- 2020-12-24 JP JP2020215056A patent/JP2021063823A/ja not_active Withdrawn
- 2020-12-24 JP JP2020214943A patent/JP2021076609A/ja not_active Withdrawn
- 2020-12-24 JP JP2020214987A patent/JP6952182B2/ja active Active
-
2021
- 2021-04-23 JP JP2021073502A patent/JP2021132380A/ja not_active Withdrawn
-
2022
- 2022-05-10 JP JP2022077433A patent/JP2022119799A/ja not_active Withdrawn
-
2024
- 2024-02-21 JP JP2024024737A patent/JP7608653B2/ja active Active
- 2024-12-18 JP JP2024221396A patent/JP2025028267A/ja active Pending
Cited By (2)
| Publication number | Priority date | Publication date | Assignee | Title |
|---|---|---|---|---|
| JP2022000665A (ja) * | 2012-03-21 | 2022-01-04 | 株式会社半導体エネルギー研究所 | 装置 |
| JP6999062B2 (ja) | 2012-03-21 | 2022-01-18 | 株式会社半導体エネルギー研究所 | 装置 |
Also Published As
| Publication number | Publication date |
|---|---|
| JP2021063823A (ja) | 2021-04-22 |
| JP2024050997A (ja) | 2024-04-10 |
| JP2019023658A (ja) | 2019-02-14 |
| JP6131069B2 (ja) | 2017-05-17 |
| JP6803449B2 (ja) | 2020-12-23 |
| JP2020060575A (ja) | 2020-04-16 |
| JP2021132380A (ja) | 2021-09-09 |
| TWI555401B (zh) | 2016-10-21 |
| JP2021063822A (ja) | 2021-04-22 |
| CN104160295B (zh) | 2017-09-15 |
| CN107340509A (zh) | 2017-11-10 |
| JP2025028267A (ja) | 2025-02-28 |
| CN107340509B (zh) | 2020-04-14 |
| US9082676B2 (en) | 2015-07-14 |
| JP2013217911A (ja) | 2013-10-24 |
| JP6429932B2 (ja) | 2018-11-28 |
| JP7608653B2 (ja) | 2025-01-06 |
| CN104160295A (zh) | 2014-11-19 |
| JP2022119799A (ja) | 2022-08-17 |
| JP2017138331A (ja) | 2017-08-10 |
| US20130234027A1 (en) | 2013-09-12 |
| JP2021076609A (ja) | 2021-05-20 |
| TW201345249A (zh) | 2013-11-01 |
| WO2013133143A1 (en) | 2013-09-12 |
Similar Documents
| Publication | Publication Date | Title |
|---|---|---|
| JP6952182B2 (ja) | 撮像装置、表示装置、電子機器 | |
| US11171173B2 (en) | Image sensors | |
| TWI714075B (zh) | 用於飛行時間量測之具有增強光電二極體之影像感測器 | |
| US20040041097A1 (en) | Image sensing apparatus and method using radiation | |
| KR20140067559A (ko) | 디지털 엑스레이 검출기용 박막트랜지스터 어레이 기판 | |
| US20190187300A1 (en) | X-Ray Detector | |
| US11289531B2 (en) | Detection panel, manufacturing method thereof and photo detection device | |
| KR20090118795A (ko) | 이중 트랜스퍼 게이트를 구비한 거리측정 센서 및 그를구비한 입체 컬러 이미지 센서 | |
| US20120305777A1 (en) | Radiation image pickup device and radiation image pickup display system including the same | |
| KR102499097B1 (ko) | 전자기 방사선 검출 장치 | |
| JP2012079820A (ja) | 検出装置及び放射線検出システム | |
| KR102823324B1 (ko) | 이미지 센싱 장치 | |
| TW202118034A (zh) | 光電轉換元件、攝像元件及攝像系統 | |
| WO2016031599A1 (ja) | 放射線検出器、撮像装置、および撮像システム | |
| KR102572403B1 (ko) | 디지털 엑스레이 검출장치 및 그 제조방법 | |
| JP6282363B2 (ja) | 検出装置及び検出システム | |
| TWI852671B (zh) | 不可見光感測裝置 | |
| JP7178597B2 (ja) | 固体撮像素子 | |
| KR20190075423A (ko) | 엑스레이 영상감지소자 | |
| CN117007617A (zh) | 一种平板探测器、其驱动方法及x射线探测装置 | |
| JP2020010161A (ja) | 放射線検出器 |
Legal Events
| Date | Code | Title | Description |
|---|---|---|---|
| A621 | Written request for application examination |
Free format text: JAPANESE INTERMEDIATE CODE: A621 Effective date: 20210112 |
|
| A521 | Request for written amendment filed |
Free format text: JAPANESE INTERMEDIATE CODE: A523 Effective date: 20210824 |
|
| A871 | Explanation of circumstances concerning accelerated examination |
Free format text: JAPANESE INTERMEDIATE CODE: A871 Effective date: 20210824 |
|
| TRDD | Decision of grant or rejection written | ||
| A01 | Written decision to grant a patent or to grant a registration (utility model) |
Free format text: JAPANESE INTERMEDIATE CODE: A01 Effective date: 20210914 |
|
| A61 | First payment of annual fees (during grant procedure) |
Free format text: JAPANESE INTERMEDIATE CODE: A61 Effective date: 20210927 |
|
| R150 | Certificate of patent or registration of utility model |
Ref document number: 6952182 Country of ref document: JP Free format text: JAPANESE INTERMEDIATE CODE: R150 |
|
| R250 | Receipt of annual fees |
Free format text: JAPANESE INTERMEDIATE CODE: R250 |
|
| R250 | Receipt of annual fees |
Free format text: JAPANESE INTERMEDIATE CODE: R250 |
