DE69918074T2 - Makrolid-formulierung mit verzögerter wirkstoffabgabe - Google Patents

Makrolid-formulierung mit verzögerter wirkstoffabgabe Download PDF

Info

Publication number
DE69918074T2
DE69918074T2 DE69918074T DE69918074T DE69918074T2 DE 69918074 T2 DE69918074 T2 DE 69918074T2 DE 69918074 T DE69918074 T DE 69918074T DE 69918074 T DE69918074 T DE 69918074T DE 69918074 T2 DE69918074 T2 DE 69918074T2
Authority
DE
Germany
Prior art keywords
group
sustained
release formulation
formulation according
solid dispersion
Prior art date
Legal status (The legal status is an assumption and is not a legal conclusion. Google has not performed a legal analysis and makes no representation as to the accuracy of the status listed.)
Expired - Lifetime
Application number
DE69918074T
Other languages
English (en)
Other versions
DE69918074D1 (de
Inventor
Kazunari Muko-shi YAMASHITA
Eiji Hashimoto-shi HASHIMOTO
Yukihiro Osaka-shi NOMURA
Fumio Kawanishi-shi SHIMOJO
Shigeki Osaka-shi TAMURA
Takeo Kyoto-shi HIROSE
Satoshi Kawanishi-shi UEDA
Takashi Osaka-shi SAITOH
Rinta Kyogo-shi IBUKI
Toshio Takatsuki-shi IDENO
Current Assignee (The listed assignees may be inaccurate. Google has not performed a legal analysis and makes no representation or warranty as to the accuracy of the list.)
Astellas Pharma Inc
Original Assignee
Fujisawa Pharmaceutical Co Ltd
Priority date (The priority date is an assumption and is not a legal conclusion. Google has not performed a legal analysis and makes no representation as to the accuracy of the date listed.)
Filing date
Publication date
Family has litigation
First worldwide family litigation filed litigation Critical https://patents.darts-ip.com/?family=26420115&utm_source=google_patent&utm_medium=platform_link&utm_campaign=public_patent_search&patent=DE69918074(T2) "Global patent litigation dataset” by Darts-ip is licensed under a Creative Commons Attribution 4.0 International License.
Application filed by Fujisawa Pharmaceutical Co Ltd filed Critical Fujisawa Pharmaceutical Co Ltd
Publication of DE69918074D1 publication Critical patent/DE69918074D1/de
Application granted granted Critical
Publication of DE69918074T2 publication Critical patent/DE69918074T2/de
Anticipated expiration legal-status Critical
Expired - Lifetime legal-status Critical Current

Links

Classifications

    • AHUMAN NECESSITIES
    • A61MEDICAL OR VETERINARY SCIENCE; HYGIENE
    • A61KPREPARATIONS FOR MEDICAL, DENTAL OR TOILETRY PURPOSES
    • A61K31/00Medicinal preparations containing organic active ingredients
    • A61K31/33Heterocyclic compounds
    • A61K31/395Heterocyclic compounds having nitrogen as a ring hetero atom, e.g. guanethidine or rifamycins
    • A61K31/435Heterocyclic compounds having nitrogen as a ring hetero atom, e.g. guanethidine or rifamycins having six-membered rings with one nitrogen as the only ring hetero atom
    • A61K31/44Non condensed pyridines; Hydrogenated derivatives thereof
    • A61K31/445Non condensed piperidines, e.g. piperocaine
    • A61K31/4523Non condensed piperidines, e.g. piperocaine containing further heterocyclic ring systems
    • A61K31/453Non condensed piperidines, e.g. piperocaine containing further heterocyclic ring systems containing a six-membered ring with oxygen as a ring hetero atom
    • AHUMAN NECESSITIES
    • A61MEDICAL OR VETERINARY SCIENCE; HYGIENE
    • A61KPREPARATIONS FOR MEDICAL, DENTAL OR TOILETRY PURPOSES
    • A61K31/00Medicinal preparations containing organic active ingredients
    • A61K31/33Heterocyclic compounds
    • A61K31/395Heterocyclic compounds having nitrogen as a ring hetero atom, e.g. guanethidine or rifamycins
    • A61K31/40Heterocyclic compounds having nitrogen as a ring hetero atom, e.g. guanethidine or rifamycins having five-membered rings with one nitrogen as the only ring hetero atom, e.g. sulpiride, succinimide, tolmetin, buflomedil
    • AHUMAN NECESSITIES
    • A61MEDICAL OR VETERINARY SCIENCE; HYGIENE
    • A61KPREPARATIONS FOR MEDICAL, DENTAL OR TOILETRY PURPOSES
    • A61K31/00Medicinal preparations containing organic active ingredients
    • A61K31/33Heterocyclic compounds
    • A61K31/395Heterocyclic compounds having nitrogen as a ring hetero atom, e.g. guanethidine or rifamycins
    • A61K31/40Heterocyclic compounds having nitrogen as a ring hetero atom, e.g. guanethidine or rifamycins having five-membered rings with one nitrogen as the only ring hetero atom, e.g. sulpiride, succinimide, tolmetin, buflomedil
    • A61K31/407Heterocyclic compounds having nitrogen as a ring hetero atom, e.g. guanethidine or rifamycins having five-membered rings with one nitrogen as the only ring hetero atom, e.g. sulpiride, succinimide, tolmetin, buflomedil condensed with other heterocyclic ring systems, e.g. ketorolac, physostigmine
    • AHUMAN NECESSITIES
    • A61MEDICAL OR VETERINARY SCIENCE; HYGIENE
    • A61KPREPARATIONS FOR MEDICAL, DENTAL OR TOILETRY PURPOSES
    • A61K31/00Medicinal preparations containing organic active ingredients
    • A61K31/33Heterocyclic compounds
    • A61K31/395Heterocyclic compounds having nitrogen as a ring hetero atom, e.g. guanethidine or rifamycins
    • A61K31/435Heterocyclic compounds having nitrogen as a ring hetero atom, e.g. guanethidine or rifamycins having six-membered rings with one nitrogen as the only ring hetero atom
    • A61K31/4353Heterocyclic compounds having nitrogen as a ring hetero atom, e.g. guanethidine or rifamycins having six-membered rings with one nitrogen as the only ring hetero atom ortho- or peri-condensed with heterocyclic ring systems
    • A61K31/436Heterocyclic compounds having nitrogen as a ring hetero atom, e.g. guanethidine or rifamycins having six-membered rings with one nitrogen as the only ring hetero atom ortho- or peri-condensed with heterocyclic ring systems the heterocyclic ring system containing a six-membered ring having oxygen as a ring hetero atom, e.g. rapamycin
    • AHUMAN NECESSITIES
    • A61MEDICAL OR VETERINARY SCIENCE; HYGIENE
    • A61KPREPARATIONS FOR MEDICAL, DENTAL OR TOILETRY PURPOSES
    • A61K9/00Medicinal preparations characterised by special physical form
    • A61K9/14Particulate form, e.g. powders, Processes for size reducing of pure drugs or the resulting products, Pure drug nanoparticles
    • A61K9/141Intimate drug-carrier mixtures characterised by the carrier, e.g. ordered mixtures, adsorbates, solid solutions, eutectica, co-dried, co-solubilised, co-kneaded, co-milled, co-ground products, co-precipitates, co-evaporates, co-extrudates, co-melts; Drug nanoparticles with adsorbed surface modifiers
    • AHUMAN NECESSITIES
    • A61MEDICAL OR VETERINARY SCIENCE; HYGIENE
    • A61KPREPARATIONS FOR MEDICAL, DENTAL OR TOILETRY PURPOSES
    • A61K9/00Medicinal preparations characterised by special physical form
    • A61K9/14Particulate form, e.g. powders, Processes for size reducing of pure drugs or the resulting products, Pure drug nanoparticles
    • A61K9/141Intimate drug-carrier mixtures characterised by the carrier, e.g. ordered mixtures, adsorbates, solid solutions, eutectica, co-dried, co-solubilised, co-kneaded, co-milled, co-ground products, co-precipitates, co-evaporates, co-extrudates, co-melts; Drug nanoparticles with adsorbed surface modifiers
    • A61K9/143Intimate drug-carrier mixtures characterised by the carrier, e.g. ordered mixtures, adsorbates, solid solutions, eutectica, co-dried, co-solubilised, co-kneaded, co-milled, co-ground products, co-precipitates, co-evaporates, co-extrudates, co-melts; Drug nanoparticles with adsorbed surface modifiers with inorganic compounds
    • AHUMAN NECESSITIES
    • A61MEDICAL OR VETERINARY SCIENCE; HYGIENE
    • A61KPREPARATIONS FOR MEDICAL, DENTAL OR TOILETRY PURPOSES
    • A61K9/00Medicinal preparations characterised by special physical form
    • A61K9/14Particulate form, e.g. powders, Processes for size reducing of pure drugs or the resulting products, Pure drug nanoparticles
    • A61K9/141Intimate drug-carrier mixtures characterised by the carrier, e.g. ordered mixtures, adsorbates, solid solutions, eutectica, co-dried, co-solubilised, co-kneaded, co-milled, co-ground products, co-precipitates, co-evaporates, co-extrudates, co-melts; Drug nanoparticles with adsorbed surface modifiers
    • A61K9/145Intimate drug-carrier mixtures characterised by the carrier, e.g. ordered mixtures, adsorbates, solid solutions, eutectica, co-dried, co-solubilised, co-kneaded, co-milled, co-ground products, co-precipitates, co-evaporates, co-extrudates, co-melts; Drug nanoparticles with adsorbed surface modifiers with organic compounds
    • AHUMAN NECESSITIES
    • A61MEDICAL OR VETERINARY SCIENCE; HYGIENE
    • A61KPREPARATIONS FOR MEDICAL, DENTAL OR TOILETRY PURPOSES
    • A61K9/00Medicinal preparations characterised by special physical form
    • A61K9/14Particulate form, e.g. powders, Processes for size reducing of pure drugs or the resulting products, Pure drug nanoparticles
    • A61K9/141Intimate drug-carrier mixtures characterised by the carrier, e.g. ordered mixtures, adsorbates, solid solutions, eutectica, co-dried, co-solubilised, co-kneaded, co-milled, co-ground products, co-precipitates, co-evaporates, co-extrudates, co-melts; Drug nanoparticles with adsorbed surface modifiers
    • A61K9/146Intimate drug-carrier mixtures characterised by the carrier, e.g. ordered mixtures, adsorbates, solid solutions, eutectica, co-dried, co-solubilised, co-kneaded, co-milled, co-ground products, co-precipitates, co-evaporates, co-extrudates, co-melts; Drug nanoparticles with adsorbed surface modifiers with organic macromolecular compounds
    • AHUMAN NECESSITIES
    • A61MEDICAL OR VETERINARY SCIENCE; HYGIENE
    • A61KPREPARATIONS FOR MEDICAL, DENTAL OR TOILETRY PURPOSES
    • A61K9/00Medicinal preparations characterised by special physical form
    • A61K9/14Particulate form, e.g. powders, Processes for size reducing of pure drugs or the resulting products, Pure drug nanoparticles
    • A61K9/16Agglomerates; Granulates; Microbeadlets ; Microspheres; Pellets; Solid products obtained by spray drying, spray freeze drying, spray congealing,(multiple) emulsion solvent evaporation or extraction
    • A61K9/1605Excipients; Inactive ingredients
    • A61K9/1617Organic compounds, e.g. phospholipids, fats
    • AHUMAN NECESSITIES
    • A61MEDICAL OR VETERINARY SCIENCE; HYGIENE
    • A61KPREPARATIONS FOR MEDICAL, DENTAL OR TOILETRY PURPOSES
    • A61K9/00Medicinal preparations characterised by special physical form
    • A61K9/14Particulate form, e.g. powders, Processes for size reducing of pure drugs or the resulting products, Pure drug nanoparticles
    • A61K9/16Agglomerates; Granulates; Microbeadlets ; Microspheres; Pellets; Solid products obtained by spray drying, spray freeze drying, spray congealing,(multiple) emulsion solvent evaporation or extraction
    • A61K9/1605Excipients; Inactive ingredients
    • A61K9/1617Organic compounds, e.g. phospholipids, fats
    • A61K9/1623Sugars or sugar alcohols, e.g. lactose; Derivatives thereof; Homeopathic globules
    • AHUMAN NECESSITIES
    • A61MEDICAL OR VETERINARY SCIENCE; HYGIENE
    • A61KPREPARATIONS FOR MEDICAL, DENTAL OR TOILETRY PURPOSES
    • A61K9/00Medicinal preparations characterised by special physical form
    • A61K9/14Particulate form, e.g. powders, Processes for size reducing of pure drugs or the resulting products, Pure drug nanoparticles
    • A61K9/16Agglomerates; Granulates; Microbeadlets ; Microspheres; Pellets; Solid products obtained by spray drying, spray freeze drying, spray congealing,(multiple) emulsion solvent evaporation or extraction
    • A61K9/1605Excipients; Inactive ingredients
    • A61K9/1629Organic macromolecular compounds
    • A61K9/1635Organic macromolecular compounds obtained by reactions only involving carbon-to-carbon unsaturated bonds, e.g. polyvinyl pyrrolidone, poly(meth)acrylates
    • AHUMAN NECESSITIES
    • A61MEDICAL OR VETERINARY SCIENCE; HYGIENE
    • A61KPREPARATIONS FOR MEDICAL, DENTAL OR TOILETRY PURPOSES
    • A61K9/00Medicinal preparations characterised by special physical form
    • A61K9/14Particulate form, e.g. powders, Processes for size reducing of pure drugs or the resulting products, Pure drug nanoparticles
    • A61K9/16Agglomerates; Granulates; Microbeadlets ; Microspheres; Pellets; Solid products obtained by spray drying, spray freeze drying, spray congealing,(multiple) emulsion solvent evaporation or extraction
    • A61K9/1605Excipients; Inactive ingredients
    • A61K9/1629Organic macromolecular compounds
    • A61K9/1641Organic macromolecular compounds obtained otherwise than by reactions only involving carbon-to-carbon unsaturated bonds, e.g. polyethylene glycol, poloxamers
    • AHUMAN NECESSITIES
    • A61MEDICAL OR VETERINARY SCIENCE; HYGIENE
    • A61KPREPARATIONS FOR MEDICAL, DENTAL OR TOILETRY PURPOSES
    • A61K9/00Medicinal preparations characterised by special physical form
    • A61K9/14Particulate form, e.g. powders, Processes for size reducing of pure drugs or the resulting products, Pure drug nanoparticles
    • A61K9/16Agglomerates; Granulates; Microbeadlets ; Microspheres; Pellets; Solid products obtained by spray drying, spray freeze drying, spray congealing,(multiple) emulsion solvent evaporation or extraction
    • A61K9/1605Excipients; Inactive ingredients
    • A61K9/1629Organic macromolecular compounds
    • A61K9/1641Organic macromolecular compounds obtained otherwise than by reactions only involving carbon-to-carbon unsaturated bonds, e.g. polyethylene glycol, poloxamers
    • A61K9/1647Polyesters, e.g. poly(lactide-co-glycolide)
    • AHUMAN NECESSITIES
    • A61MEDICAL OR VETERINARY SCIENCE; HYGIENE
    • A61KPREPARATIONS FOR MEDICAL, DENTAL OR TOILETRY PURPOSES
    • A61K9/00Medicinal preparations characterised by special physical form
    • A61K9/14Particulate form, e.g. powders, Processes for size reducing of pure drugs or the resulting products, Pure drug nanoparticles
    • A61K9/16Agglomerates; Granulates; Microbeadlets ; Microspheres; Pellets; Solid products obtained by spray drying, spray freeze drying, spray congealing,(multiple) emulsion solvent evaporation or extraction
    • A61K9/1605Excipients; Inactive ingredients
    • A61K9/1629Organic macromolecular compounds
    • A61K9/1652Polysaccharides, e.g. alginate, cellulose derivatives; Cyclodextrin
    • AHUMAN NECESSITIES
    • A61MEDICAL OR VETERINARY SCIENCE; HYGIENE
    • A61KPREPARATIONS FOR MEDICAL, DENTAL OR TOILETRY PURPOSES
    • A61K9/00Medicinal preparations characterised by special physical form
    • A61K9/48Preparations in capsules, e.g. of gelatin, of chocolate
    • A61K9/4841Filling excipients; Inactive ingredients
    • A61K9/4858Organic compounds
    • AHUMAN NECESSITIES
    • A61MEDICAL OR VETERINARY SCIENCE; HYGIENE
    • A61PSPECIFIC THERAPEUTIC ACTIVITY OF CHEMICAL COMPOUNDS OR MEDICINAL PREPARATIONS
    • A61P31/00Antiinfectives, i.e. antibiotics, antiseptics, chemotherapeutics
    • AHUMAN NECESSITIES
    • A61MEDICAL OR VETERINARY SCIENCE; HYGIENE
    • A61PSPECIFIC THERAPEUTIC ACTIVITY OF CHEMICAL COMPOUNDS OR MEDICINAL PREPARATIONS
    • A61P31/00Antiinfectives, i.e. antibiotics, antiseptics, chemotherapeutics
    • A61P31/04Antibacterial agents
    • AHUMAN NECESSITIES
    • A61MEDICAL OR VETERINARY SCIENCE; HYGIENE
    • A61PSPECIFIC THERAPEUTIC ACTIVITY OF CHEMICAL COMPOUNDS OR MEDICINAL PREPARATIONS
    • A61P37/00Drugs for immunological or allergic disorders
    • AHUMAN NECESSITIES
    • A61MEDICAL OR VETERINARY SCIENCE; HYGIENE
    • A61PSPECIFIC THERAPEUTIC ACTIVITY OF CHEMICAL COMPOUNDS OR MEDICINAL PREPARATIONS
    • A61P37/00Drugs for immunological or allergic disorders
    • A61P37/02Immunomodulators
    • A61P37/06Immunosuppressants, e.g. drugs for graft rejection

Landscapes

  • Health & Medical Sciences (AREA)
  • Engineering & Computer Science (AREA)
  • Bioinformatics & Cheminformatics (AREA)
  • Life Sciences & Earth Sciences (AREA)
  • Chemical & Material Sciences (AREA)
  • Public Health (AREA)
  • Animal Behavior & Ethology (AREA)
  • Medicinal Chemistry (AREA)
  • Veterinary Medicine (AREA)
  • Pharmacology & Pharmacy (AREA)
  • General Health & Medical Sciences (AREA)
  • Epidemiology (AREA)
  • Molecular Biology (AREA)
  • Nuclear Medicine, Radiotherapy & Molecular Imaging (AREA)
  • Immunology (AREA)
  • Organic Chemistry (AREA)
  • Chemical Kinetics & Catalysis (AREA)
  • General Chemical & Material Sciences (AREA)
  • Biophysics (AREA)
  • Inorganic Chemistry (AREA)
  • Oncology (AREA)
  • Communicable Diseases (AREA)
  • Transplantation (AREA)
  • Pharmaceuticals Containing Other Organic And Inorganic Compounds (AREA)
  • Medicinal Preparation (AREA)
  • Saccharide Compounds (AREA)
  • Nitrogen And Oxygen Or Sulfur-Condensed Heterocyclic Ring Systems (AREA)
  • Pyrane Compounds (AREA)

Description

  • Die vorliegende Erfindung bezieht sich auf eine Formulierung zur Verwendung auf einem medizinischen Gebiet, die eine Makrolidverbindung enthält und die mit der Eigenschaft einer außerordentlich guten, verzögerten Freisetzung ausgestattet ist.
  • Eine orale Formulierung von einer der Makrolidverbindungen, nämlich Tacrolimus mit einer nützlichen immunosuppressiven Aktivität, wurde als eine Feststoffdispersions-zusammensetzung hergestellt, die eine schnelle Freisetzungseigenschaft unter Verwendung von Polymeren, wie Hydroxypropylmethylcellulose, und einem Lösungsvermittler (siehe zum Beispiel EP 0 240 773 ) besitzt. Aufgrund der Gegenwart des Lösungsvermittlers ist diese Formulierung eine Formulierung mit schneller Freisetzung. Aufgrund der hohen Absorbierbarkeit wird sie auf dem klinischen Gebiet hoch eingeschätzt. Alternativ wurde in der klinischen Praxis das Auftreten einer oralen Tacrolimus-Formulierung mit einer ausreichenden langen Wirkung und einer ausgezeichneten oralen Absorbierbarkeit erwartet. Für einen Fachmann ist jedoch der Stand der Technik, dass die Absorbierbarkeit eines pharmazeutisch aktiven Wirkstoffes, der oral in der Form einer Formulierung mit verzögerter Freisetzung gegeben wird, allgemein reduziert ist, und/oder dass eine nicht vernachlässigbare Veränderung der Absorbierbarkeit beobachtet wird. Die Erfinder der vorliegenden Erfindung haben eine Reihe von Untersuchungen durchgeführt. Die Erfinder haben Formulierungen mit verzögerter Freisetzung von Makrolidverbindungen erfunden, wobei ein Vertreter davon Tacrolimus ist. Die Formulierungen sind dadurch gekennzeichnet, dass die Makrolidverbindung ausgezeichnet oral absorbiert wird und/oder dass die Variation ihrer Absorbierbarkeit unterdrückt ist.
  • Die vorliegende Erfindung bezieht sich auf eine Makrolid-Formulierung mit verzögerter Freisetzung, wobei das Lösen der Makrolidverbindung unter verzögerter Freisetzung erfolgt.
  • Es ist eine Aufgabe der Erfindung eine Makrolid-Formulierung mit verzögerter Freisetzung bereitzustellen, worin die Zeit (T 63,2%), die für das Lösen von 63,2% der maximalen Menge der Makrolidverbindung notwendig ist, 0,7 bis 15 Stunden beträgt, wie gemessen gemäß der japanischen Pharmacopoeia, 13. Ausgabe, Lösungstest, Nr. 2 (Paddle-Verfahren, 50 Umdrehungen pro Minute) unter Verwendung einer Testlösung, die eine wässrige 0,005% Hydroxypropylcelluloselösung ist, welche auf einen pH von 4,5 eingestellt wurde.
  • Es ist eine weitere Aufgabe der Erfindung eine Feststoffdispersionszusammensetzung einer Makrolidverbindung bereitzustellen, die für die oben erwähnte Formulierung mit verzögerter Freisetzung verwendbar ist, worin die Makrolidverbindung in einem amorphen Zustand auf Feststoffbasis vorliegt.
  • Der T 63,2%-Wert, der gemäß der Erfindung mit dem Lösungstest bestimmt wird, kann aus der Freisetzungskurve bestimmt werden, die durch das Auftragen von Testdaten auf Koordinatenpapier erstellt wird. Das Freisetzungsprofil eines Arzneimittels kann jedoch im Allgemeinen durch Anpassung der Daten des Lösungstests auf ein Freisetzungsmodell analysiert werden und solch ein Verfahren kann auch bei der Berechnung des T 63,2%-Wertes benutzt werden. Das Modell für die Anpassung, welches verwendet werden kann, umfasst das Modell erster Ordnung oder ein lineares Modell, ein Modell nullter Ordnung, ein Kubikwurzelmodell, etc., wie dies beschrieben ist in Yamaoka, K. & Yagahara, Y.; Introduction to Pharmacokinetics wich a Microcomputer, Nankodo, S. 138. Als ein Modell, mit dem alle Arten von Freisetzungsmustern mit der höchsten Gültigkeit gezeigt werden können, ist die Weibull-Funktion bekannt, die in dem obigen Buch beschrieben ist sowie in L. J. Leeson & J. T. Carstensen (Hrsg.): Release of Pharmaceutical Products (American Pharmaceutical Society) (Chizin Shokan), S. 192–195.
  • Die Weibull-Funktion ist eine Funktion, mit der die Auflösungsrate (%) mit der Zeit (T) durch die folgende Gleichung ausgedrückt werden kann; Auflösungsrate (%) = Dmax × (1 – exp[–((T – Ti)n)/m]),worin Dmax die maximale Auflösungsrate bei unendlicher Zeit darstellt, m ein Skalenparameter ist, der die Auflösungsgeschwindigkeit darstellt, n ein Formparameter ist, der die Form der Auflösungskurve darstellt, Ti ein Positionsparameter ist, der die Verzögerungsphase bis zum Start der Auflösung darstellt. Die Auflösungscharakteristik eines pharmazeutischen Produktes kann unter Verwendung dieser Parameter in Kombination ausgedrückt werden.
  • Um die Daten des Lösungstests auf die Weibull-Funktion anzupassen und die entsprechenden Parameter zu berechnen, wird die nicht-lineare Methode der kleinsten Quadrate verwendet, die beschrieben ist in Yamaoka, K. & Yagahara, Y.; Introduction to Pharmacokinetics with a Microcomputer, Nankodo, S. 40, wie oben erwähnt. Die Parameter werden zu einem Zeitpunkt bestimmt, wo die Summe der Quadrate der Differenzen zwischen den Werten, welche durch die obige Gleichung berechnet werden, und den gemessenen Werten zu jedem Zeitpunkt minimal ist. Die Auflösungskurve, welche unter Verwendung dieser Parameter mit der obigen Gleichung berechnet wird, ist die Kurve, welche am genauesten die gemessenen Werte repräsentiert.
  • Die Bedeutung von jedem Parameter der Weibull-Funktion wird nun erläutert.
  • Dmax (maximale Auflösungsrate) ist die maximale Auflösungsrate bei unendlicher Zeit, wie oben erwähnt, wobei im Allgemeinen der Wert von Dmax vorzugsweise so nah wie möglich an 100 (%) liegt.
  • m (Skalenparameter) ist ein Parameter, der die Auflösungsgeschwindigkeit eines pharmazeutischen Produktes darstellt. Je kleiner der Wert von m ist, desto größer ist die Auflösungsgeschwindigkeit und in ähnlicher Weise, je größer der Wert von m ist, desto niedriger ist die Auflösungsgeschwindigkeit.
  • n (Formparameter) ist ein Parameter, der die Form einer Auflösungskurve darstellt. Wenn der Wert von n 1 ist, kann die Weibull-Funktion als Auflösungsrate (%) = Dmax × (1 – exp[–(T – Ti)/m]) geschrieben werden. Da dies äquivalent zu einer Kinetik erster Ordnung ist, ist die Auflösungskurve linear. Wenn der Wert von n kleiner als 1 ist, bildet die Auflösungskurve ein Plateau. Wenn der Wert von n größer als 1 ist, herrscht eine sigmoide Auflösungskurve vor.
  • Ti (Positionsparameter) ist ein Parameter, der die Verzögerungsphase bis zum Start der Auflösung darstellt.
  • Die Makrolid-Formulierung mit verzögerter Freisetzung gemäß der vorliegenden Erfindung kann auch mittels dieser Weibull-Funktion charakterisiert werden. Die aufgabengemäße Formulierung mit verzögerter Freisetzung kann somit realisiert werden, indem Dmax (maximale Auflösungsrate) auf 80% oder mehr gesetzt wird, vorzugsweise auf 90% oder mehr, wobei 95% oder mehr noch stärker bevorzugt sind, m (Skalenparameter) auf 0,7–20 gesetzt wird, vorzugsweise 1–12, wobei 1,5–8 mehr bevorzugt ist, n (Formparameter) auf 0,2–5 gesetzt wird, vorzugsweise auf 0,3–3, wobei 0,5–1,5 mehr bevorzugt ist, und Ti (Positionsparameter) auf 0–12 gesetzt wird, vorzugsweise auf 0–8, wobei 0–4 mehr bevorzugt ist.
  • Der Wert, der durch die Substitution der Parameterwerte von m und n von der obigen Weibull-Funktion in dem Ausdruck m1/n gefunden wird, stellt die Zeit dar, in der 63,2% der maximalen Auflösungsmenge des Wirkstoffes von der Formulierung (T 63,2%) freigesetzt wird. Dies bedeutet T 63,2% (Stunde) = m1/n. Die Freisetzungscharakteristik der Formulierung mit verzögerter Freisetzung gemäß der Erfindung kann mit dem Lösungstest, Verfahren 2 (Paddle-Verfahren, 50 Umdrehungen pro Minute) von JP XIII ausgewertet werden, wobei eine Testlösung verwendet wird, die eine wässrige, 0,005% Lösung von Hydroxypropylcellulose ist, die auf einen pH von 4,5 eingestellt ist. Bei der Makrolid-Formulierung mit verzögerter Freisetzung gemäß der vorliegenden Erfindung beträgt die Zeit (T 63,2%), in der 63,2% der maximalen Menge der zu lösenden Makrolidverbindung von der Formulierung freigesetzt wird, 0,7–15 Stunden. In der Vergangenheit wurde eine schnell freisetzende Formulierung mit einer Makrolidverbindung bereits hergestellt, wobei aber bisher noch keine Formulierungen mit verzögerter Freisetzung hergestellt wurden, worin T 63,2% 0,7–15 Stunden beträgt und die für die klinische Praxis nützlich wären. Die vorliegende Erfindung schafft dies zum ersten Mal. Wenn der T 63,2%-Wert kürzer als 0,7 Stunden ist, wird die Wirksamkeit der Makrolidverbindung nach oraler Verabreichung nicht ausreichend verzögert werden. Wenn die Formulierung einen T 63,2%-Wert von mehr als 15 Stunden hat, wird die Freisetzung des Wirkstoffes so verzögert werden, dass der Wirkstoff aus dem Körper eliminiert wird, bevor eine effektive Blutkonzentration erreicht ist. Dies wäre für eine Formulierung gemäß der Erfindung nicht geeignet. Wenn T 63,2% 1,0–12 Stunden beträgt, kann eine günstigere verzögerte Freisetzung erzielt werden. Mehr bevorzugt ist ein T 63,2%-Wert von 1,3–8,2 Stunden, wobei am meisten bevorzugt eine Formulierung mit verzögerter Freisetzung ist, wo der T 63,2%-Wert 2–5 Stunden beträgt.
  • Der Ausdruck „Makrolidverbindung" zur Verwendung gemäß der Erfindung ist ein generischer Name von Verbindungen mit 12 Mitgliedern oder mehr, die zu den Lactonen mit einem großen Ring gehören. Zahlreiche Makrolidverbindungen, die von Mikroorganismen der Art Streptomyces, wie Rapamycin, Tacrolimus (FK506) und Ascomycin, sowie die Analoga und die Derivate davon sind von dem Ausdruck Makrolidverbindung umfasst.
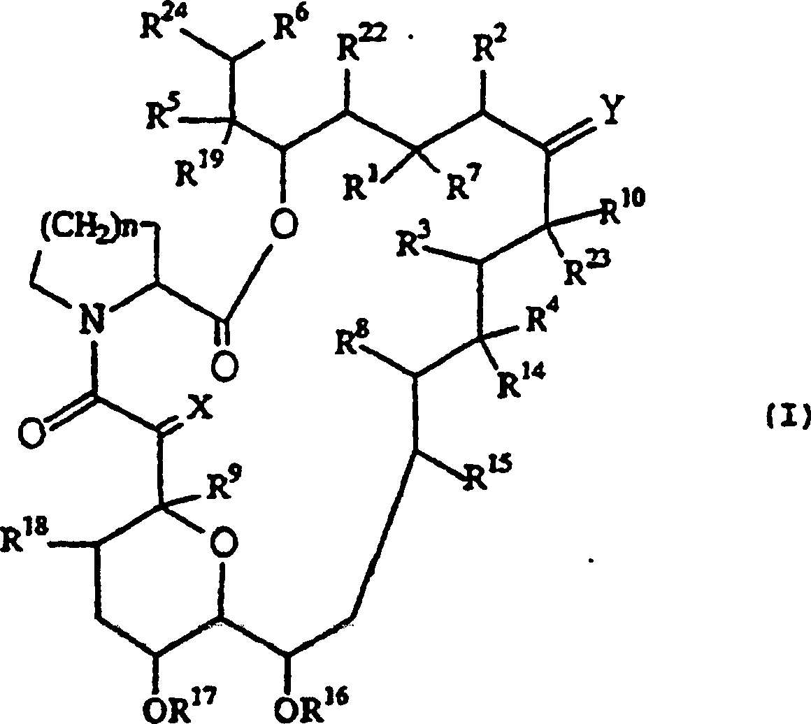
  • Die Makrolidverbindung nach der Erfindung ist eine tricyclische Verbindung mit der folgenden Formel (I).
    Figure 00060001
    worin die benachbarten Paare von R1 und R2, R3 und R4 und R5 und
    R6 jeweils unabhängig voneinander
    • (a) zwei benachbarte Wasserstoffatome sind, wobei aber R2 auch eine Alkylgruppe sein kann, oder
    • (b) eine andere Bindung bilden können, die zwischen den Kohlenstoffatomen, mit denen sie verbunden sind, ausgebildet ist;
    R7 ist ein Wasserstoffatom, eine Hydroxygruppe, eine geschützte Hydroxygruppe oder eine Alkoxygruppe oder eine Oxogruppe zusammen mit R1;
    R8 und R9 sind unabhängig voneinander ein Wasserstoffatom oder eine Hydroxygruppe;
    R10 ist ein Wasserstoffatom, eine Alkylgruppe, eine Alkylgruppe, die mit einer oder mehreren Hydroxygruppen substituiert ist, eine Alkenylgruppe, eine Alkenylgruppe, die mit einer oder mehreren Hydroxygruppen substituiert ist, oder eine Alkylgruppe, die mit einer Oxogruppe substituiert ist;
    X ist eine Oxogruppe, (ein Wasserstoffatom und eine Hydroxygruppe), (ein Wasserstoffatom und ein Wasserstoffatom) oder eine Gruppe, die dargestellt ist durch die Formel -CH2O -;
    Y ist eine Oxogruppe, (ein Wasserstoffatom und eine Hydroxygruppe), (ein Wasserstoffatom und ein Wasserstoffatom) oder eine Gruppe, die dargestellt ist durch die Formeln N-NR11R12 oder N-OR13;
    R11 und R12 sind unabhängig voneinander ein Wasserstoffatom, eine Alkylgruppe, eine Arylgruppe oder eine Tosylgruppe;
    R13, R14, R15, R16, R17, R18, R19, R22 und R23 sind unabhängig voneinander ein Wasserstoffatom oder eine Alkylgruppe;
    R24 ist ein optional substituiertes Ringsystem, das ein oder mehrere Heteroatome enthalten kann;
    n ist eine ganze Zahl von 1 oder 2; und zusätzlich zu den obigen Definitionen können Y, R10 und R23, zusammen mit dem Kohlenstoffatomen, mit denen sie verbunden sind, einen gesättigten oder ungesättigten, 5- oder 6-gliedrigen, Stickstoff, Schwefel und/oder Sauerstoff enthaltenden, heterocyclischen Ring darstellen, der optional substituiert ist mit einer oder mehreren Gruppen, die aus der Gruppe ausgewählt werden, die besteht aus einem Alkyl, einem Hydroxy, einem Alkoxy, einem Benzyl, einer Gruppe der Formel -CH2Se(C6H5) und einem Alkyl, das mit einer oder mehreren Hydroxygruppen substituiert ist.
  • R24 kann eine Cyclo(C5-7) alkylgruppe sein, die durch die folgenden Gruppen dargestellt ist,
    • (a) eine 3,4-Dioxocyclohexylgruppe;
    • (b) eine 3-R20-4-R21-Cyclohexylgruppe, bei der R20 Hydroxy, eine Alkoxygruppe, eine Oxogruppe oder eine -OCH2OCH2CH2OCH3-Gruppe ist, und R21 ist Hydroxy, -OCN, eine Alkoxygruppe, ein Heteroaryloxy, das mit geeigneten Substituenten substituiert sein kann, eine -OCH2OCH2CH2OCH3-Gruppe, eine geschützte Hydroxygruppe, Chlor, Brom, Iod, Aminooxalyloxy, eine Azidogruppe, p-Tolyloxythiocarbonyloxy oder R25R26CHCOO-, wobei R25 ein optional geschütztes Hydroxy oder geschütztes Amino ist und R26 ist Wasserstoff oder Methyl, oder R20 und R21 bilden zusammen ein Sauerstoffatom in einem Epoxidring; oder
    • (c) eine Cyclopentylgruppe, die substituiert ist mit Methoxymethyl, optional geschütztes Hydroxymethyl, Acyloxymethyl (worin die Acylgruppe optional eine Dimethylaminogruppe, die quarternisiert sein kann, oder eine Carboxygruppe enthält, die verestert sein kann), eine oder mehrere Amino- und/oder Hydroxygruppen, die geschützt sein können, oder Aminooxalyloxymethyl. Ein bevorzugtes Beispiel ist eine 2-Formylcyclopentylgruppe.
  • Die in der obigen, allgemeinen Formel (I) benutzten Definitionen sowie die spezifischen und bevorzugten Beispiele dafür werden nun erläutert und im Detail festgelegt werden.
  • Der Ausdruck „nieder" bedeutet, soweit nichts anderes angezeigt ist, eine Gruppe mit 1 bis 6 Kohlenstoffatomen.
  • Bevorzugte Beispiele für die „Alkylgruppen" und eine Alkylkomponente der „Alkoxygruppe" umfassen einen geraden oder verzweigten, aliphatischen Kohlenwasserstoffrest, zum Beispiel eine niedere Alkylgruppe, wie Methyl, Ethyl, Propyl, Isopropyl, Butyl, Isobutyl, Pentyl, Neopentyl und Hexyl.
  • Bevorzugte Beispiele für die „Alkenylgruppen" umfassen einen geraden oder verzweigten, aliphatischen Kohlenwasserstoffrest mit einer Doppelbindung, zum Beispiel eine niedere Alkenylgruppe, wie Vinyl, Propenyl (z. B. Allylgruppe), Butenyl, Methylpropenyl, Pentenyl und Hexenyl.
  • Bevorzugte Beispiele für die „Arylgruppen" umfassen Phenyl, Tolyl, Xylyl, Cumenyl, Mesityl und Naphthyl.
  • Bevorzugte Schutzgruppen in den „geschützten Hydroxygruppen" und in dem geschützten Amino sind 1-(niederes Alkylthio)-(niedere) alkylgruppe, wie eine niedere Alkylthiomethylgruppe (z. B. Methylthiomethyl, Ethylthiomethyl, Propylthiomethyl, Isopropylthiomethyl, Butylthiomethyl, Isobutylthiomethyl, Hexylthiomethyl, etc.), wobei eine C1-C4 Alkylthiomethylgruppe mehr bevorzugt ist und eine Methylthiomethylgruppe am bevorzugtesten ist; eine trisubstituierte Silylgruppe, wie ein Tri (niederes) alkylsilyl (z. B. Trimethylsilyl, Triethylsilyl, Tributylsilyl, tert-Butyldimethylsilyl, tri-tert-Butylsilyl, etc.) oder niederes Alkyldiarylsilyl (z. B. Methyldiphenylsilyl, Ethyldiphenylsilyl, Propyldiphenylsilyl, tert-Butyldiphenylsilyl, etc.), wobei eine Tri (C1-C4) alkylsilylgruppe und eine C1-C4 Alkyldiphenylsilylgruppe mehr bevorzugt sind, wobei eine tert-Butyldimethylsilylgruppe und eine tert-Butyldiphenylsilylgruppe am meisten bevorzugt sind, und eine Acylgruppe, wie eine aliphatische, aromatische Acylgruppe oder eine aliphatische Acylgruppe, die mit einer aromatischen Gruppe substituiert ist, die von einer Carbonsäure, Sulfonsäure oder Carbamidsäure abstammen.
  • Beispiele für die aliphatischen Acylgruppen umfassen eine niedere Alkanoylgruppe, die optional einen oder mehrere, geeignete Substituenten hat, wie Carboxy, z. B. Formyl, Acetyl, Propionyl, Butyryl, Isobutyryl, Valeryl, Isovaleryl, Pivaloyl, Hexanoyl, Carboxyacetyl, Carboxypropionyl, Carboxybutyryl, Carboxyhexanoyl, etc.; eine Cyclo (niedere) alkoxy (niedere) Alkanoylgruppe, die optional einen oder mehrere, geeignete Substituenten hat, wie niederes Alkyl, z. B. Cyclopropyloxyacetyl, Cyclobutyloxypropionyl, Cycloheptyloxybutyryl, Menthyloxyacetyl, Menthyloxypropionyl, Menthyloxybutyryl, Menthyloxypentanoyl, Menthyloxyhexanoyl, etc.; eine Camphorsulfonylgruppe oder eine niedere Alkylcarbamoylgruppe, die einen oder mehrere, geeignete Substituenten hat, wie Carboxy oder geschütztes Carboxy, z. B. Carboxy (niederes) alkylcarbamoylgruppe (z. B. Carboxymethylcarbamoyl, Carboxyethylcarbamoyl, Carboxypropylcarbamoyl, Carboxybutylcarbamoyl, Carboxypentylcarbamoyl, Carboxyhexylcarbamoyl, etc.), Tri (niederes) alkylsilyl (niederes) alkoxycarbonyl (niedere) alkylcarbamoylgruppe (z. B. Trimethylsilylmethoxycarbonylethylcarbamoyl, Trimethylsilylethoxycarbonylpropyl-carbamoyl, Triethylsilylethoxycarbonylpropylcarbamoyl, tert-Butyldimethylsilylethoxycarbonylpropylcarbamoyl, Trimethylsilylpropoxycarbonylbutylcarbamoyl, etc.) und so weiter.
  • Beispiele für die aromatischen Acylgruppen umfassen eine Aroylgruppe, die optional einen oder mehrere, geeignete Substituenten hat, wie Nitro, z. B. Benzoyl, Toluoyl, Xyloyl, Naphthoyl, Nitrobenzoyl, Dinitrobenzoyl, Nitronaphthoyl, etc.; und eine Arensulfonylgruppe, die optional einen oder mehrere, geeignete Substituenten hat, z. B. Benzensulfonyl, Toluolsulfonyl, Xylensulfonyl, Naphthalinsulfonyl, Fluorbenzensulfonyl, Chlorbenzensulfonyl, Brombenzensulfonyl, Iodbenzensulfonyl, etc.
  • Beispiele für die aliphatischen Acylgruppen, die mit einer aromatischen Gruppe substituiert sind, umfassen eine Ar (niedere) Alkanoylgruppe, die optional einen oder mehrere geeignete Substituenten hat, wie niederes Alkoxy oder Trihalo(niederes)alkyl, z. B. Phenylacetyl, Phenylpropionyl, Phenylbutyryl, 2-Trifluormethyl-2-methoxy-2-phenylacetyl, 2-Ethyl-2-trifluormethyl-2-phenylacetyl, 2-Trifluormethyl-2-propoxy-2-phenylacetyl, etc.
  • Mehr bevorzugte Acylgruppen unter den oben genannten Acylgruppen sind eine C1-C4 Alkanoylgruppe, die optional Carboxy hat, Cyclo (C5-C6) alkoxy (C1-C4) Alkanoylgruppe mit zwei (C1-C4) Alkylen an der Cycloalkylkomponente, Camphorsulfonylgruppe, Carboxy (C1-C4) alkylcarbamoylgruppe, Tri (C1-C4) alkylsilyl (C1-C4) alkoxycarbonyl (C1-C4) Alkylcarbamoylgruppe, Benzoylgruppe, die optional eine oder zwei Nitrogruppen hat, Benzensulfonylgruppe mit Halogen, oder eine Phenyl(C1-C4)alkonoylgruppe mit C1-C4 Alkoxy und Trihalo(C1-C4)alkylgruppe. Unter diesen sind am meisten bevorzugt Acetyl, Carboxypropionyl, Menthyloxyacetyl, Camphorsulfonyl, Benzoyl, Nitrobenzoyl, Dinitrobenzoyl, Iodbenzensulfonyl und 2-Trifluormethyl-2-methoxy-2-phenylacetyl.
  • Bevorzugte Beispiele für den "5- oder 6-gliedrigen, Stickstoff-, Schwefel- und/oder Sauerstoff- haltigen, heterocyclischen Ring" umfassen eine Pyrrolylgruppe und eine Tetrahydrofurylgruppe.
  • "Ein Heteroaryl, das mit geeigneten Substituenten substituiert sein kann" -Komponente von „Heteroaryloxy, das mit geeigneten Substituenten substituiert sein kann" kann eine Komponente sein, die dargestellt ist für R1 der Verbindung der Formel von EP-A-532,088, wobei der Vorzug 1-Hydroxyethylindol-5-yl gegeben wird. Diese Veröffentlichung ist hiermit durch Verweis eingeführt.
  • Die tricyclischen Verbindungen (I) und die pharmazeutisch akzeptablen Salze davon zur Verwendung gemäß der Erfindung sind hinsichtlich ihrer guten immunosuppressiven Aktivität, ihrer antimikrobiellen Aktivität und anderen pharmakologischen Aktivitäten gut bekannt und als solche von Wert für die Behandlung oder die Verhinderung von Abstoßungsreaktionen bei der Transplantation von Organen oder Geweben, Graft-versus-host-Krankheit, Autoimmunerkrankungen und Infektionserkrankungen [EP-A-0184162, EP-A-0323042, EP-A-423714, EP-A-427680, EP-A-465426, EP-A-480623, EP-A-532088, EP-A-532089, EP-A-569337, EP-A-626385, WO 89/05303, WO 93/05058, WO 96/31514, WO 91/13889, WO 91/19495, WO 93/5059, etc.].
  • Insbesondere sind die Verbindungen, die bezeichnet sind als FR900506 (= FK506), FR900520 (ascomycin), FR900523 und FR900525, Produkte, die von Mikroorganismen der Art Streptomyces hergestellt werden, wie Streptomyces tsukubaensis Nr. 9993 [hinterlegt bei National Institute of Bioscience and Human Technology Agency of Industrial Science and Technology (zuvor Fementation Research Institute Agency of Industrial Science and Technology), 1–3, Higashi 1-chome, Tsukubashi, Ibaraki, Japan, Datum der Hinterlegung 5. Oktober 1984, Zugangsnummer FERM BP-927] oder Streptomyces hygroscopicus subsp. Yakushimaensis Nr. 7238 [hinterlegt bei National Institute of Bioscience and Human Technology Agency of Industrial Science and Technology (zuvor Fermentation Research Institute Agency of Industrial Science and Technology), 1–3, Higashi 1-chome, Tsukubashi, Ibaraki, Japan, Datum der Hinterlegung 12. Januar 1985, Zugangsnummer FERM BP-928] [EP-A-0184162]. FK506 (allgemeiner Name: Tacrolimus) mit der folgenden chemischen Struktur ist insbesondere eine repräsentative Verbindung.
  • Figure 00120001
  • Chemischer Name: 17-Allyl-1,14-dihydroxy-12-[2-(4-hydroxy-3-methoxycyclohexyl)-1-methylvinyl]-23,25-dimethoxy-13,19,21,27-tetramethyl-11,28-dioxa-4-azatricyclo[22.3.1.04,9]octacos-18-en-2,3,10,16-tetraon.
  • Die bevorzugten Beispiele für die tricyclischen Verbindungen (I) sind solche, worin jedes der benachbarten Paare von R3 und R4 oder von R5 und R6 unabhängig voneinander eine andere Bindung bilden, die zwischen den Kohlenstoffatomen, mit denen sie verbunden sind, ausgebildet ist;
    R8 und R23 unabhängig voneinander ein Wasserstoffatom sind;
    R9 eine Hydroxygruppe ist;
    R10 eine Methylgruppe, eine Ethylgruppe, eine Propylgruppe oder eine Allylgruppe ist;
    X (ein Wasserstoffatom und ein Wasserstoffatom) oder eine Oxogruppe ist;
    Y eine Oxogruppe ist;
    jedes von R14, R15, R16, R17, R18, R19 und R22 eine Methylgruppe ist;
    R24 eine 3-R20-4-R21-Cyclohexylgruppe ist, worin R20 ein Hydroxy, eine Alkoxygruppe, eine Oxogruppe oder eine -OCH2OCH2CH2OCH3-Gruppe ist, und R23 ein Hydroxy, -OCN, eine Alkoxygruppe, ein Heteroaryloxy, das mit geeigneten Substituenten substituiert sein kann, eine -OCH2OCH2CH2OCH3-Gruppe, eine geschützte Hydroxygruppe, Chlor, Brom, Iod, Aminooxalyloxy, eine Azidogruppe, p-Tolyloxythiocarbonyloxy oder R25R26CHCOO- ist, worin R25 ein optional geschütztes Hydroxy oder ein geschütztes Amino ist, und R26 Wasserstoff oder Methyl ist, oder R20 und R21 zusammen ein Sauerstoffatom in einem Epoxidring bilden; und
    n ist eine ganze Zahl von 1 oder 2.
  • Die am meisten bevorzugtesten, tricyclischen Verbindungen (I) sind zusätzlich zu FK506, Ascomycinderivate, wie ein halogeniertes Ascomycin (z. B. 33-epi-Chlor-33-desoxyascomycin), das in EP 427,680 , Beispiel 66a, offenbart ist.
  • Die tricyclischen Verbindungen (I) haben eine ähnliche Grundstruktur, das heißt, die tricyclische Makrolid-Struktur, und besitzen wenigstens eine ähnliche biologische Eigenschaft (z. B. die immunosuppressive Aktivität).
  • Die tricyclischen Verbindungen (I) können in Salzform vorliegen, was bekannte, nicht-toxische und pharmazeutisch akzeptable Salze umfasst, wie ein Salz mit anorganischen oder organischen Basen, insbesondere ein Alkalimetallsalz, wie ein Natriumsalz und Kaliumsalz, ein Erdalkalimetallsalz, wie ein Calciumsalz und ein Magnesiumsalz, ein Ammoniumsalz und ein Aminsalz, wie ein Triethylaminsalz und ein N-Benzyl-N-methylaminsalz.
  • Hinsichtlich der gemäß der vorliegenden Erfindung verwendeten Makrolidverbindung sei angemerkt, dass diese als Konformationsisomere und ein oder mehrere Stereoisomere, wie optische und geometrische Isomere, aufgrund des oder der asymmetrischen Kohlenstoffatome und Doppelbindungen vorliegen kann. Solche Konformationsisomere und Isomere sind auch vom Umfang der Makrolidverbindung gemäß der vorliegenden Erfindung umfasst. Die Makrolidverbindungen können auch als Solvate vorliegen, die ebenfalls vom Umfang der vorliegenden Erfindung umfasst sind. Bevorzugte Solvate sein ein Hydrat und ein Ethanolat.
  • Die Formulierung mit verzögerter Freisetzung gemäß der vorliegenden Erfindung ist eine Formulierung, die eine Feststoffdispersionszusammensetzung umfasst, worin die Makrolidverbindung in einem amorphen Zustand auf Feststoffbasis vorliegt, die einen T 63,2%-Wert von 0,7 bis 15 Stunden zeigt. Die Gegenwart oder die Abwesenheit eines Beugungspeaks, der mit Röntgenkristallographie, thermischer Analyse usw. nachgewiesen wird, zeigt an, ob oder ob nicht eine Makrolidverbindung in dem amorphen Zustand auf einer Feststoffbasis in der Feststoffdispersionszusammensetzung vorhanden ist.
  • Die Feststoffbasis nach der Erfindung ist eine wasserunlösliche, pharmazeutisch akzeptable Grundlage, die zur Zurückhaltung der Makrolidverbindung in einem amorphen Zustand in der Lage ist und die bei Umgebungstemperatur in einem festen Zustand vorliegt. Diese Grundlage wird ausgewählt aus Wachs und wasserunlöslichen Polymeren.
  • Spezifische Beispiele für das Wachs umfassen Glycerinmonostearat und Saccharose-Fettsäureester (zum Beispiel Mono-, Di- oder Triester der Saccharose mit mittleren bis hohen Fettsäuren mit 8 bis 20 Kohlenstoffatomen, z. B. Caprylsäure, Caprinsäure, Laurinsäure, Myristinsäure, Palmitinsäure, Stearinsäure, Arachinsäure, Behensäure, Ölsäure, Linolsäure, etc.). Zusätzliche Beispiele für das Wachs umfassen Polyglycerin-Fettsäureester. Jeder Polyglycerin-Fettsäureester, einschließlich Monoester, Diester oder Polyester von Polyglycerin mit Fettsäuren, ist zufriedenstellend. Spezifische Beispiele für die Polyglycerin- Fettsäureester umfassen Tetraglycerinhexabehenat, Decaglycerinmonocaprylat, Triglycerindicaprylat, Triglycerindidecanoat, Tetraglycerinmonolaurat, Hexaglycerinmonolaurat, Decaglycerinmonolaurat, Tetraglycerinmonooleat, Hexaglycerinmonooleat, Decaglycerinmonooleat, Triglycerindioleat, Tetraglycerindioleat, Decaglycerinsesquioleat, Tetraglycerinpentaoleat, Hexaglycerinpentaoleat, Decaglycerindecaoleat, Heptaglycerinmonolinoleat, Triglycerindilinoleat, Tetraglycerindilinoleat, Hexaglycerindilinoleat, Diglycerinmonostearat, Tetraglycerinmonostearat, Hexaglycerinmonostearat, Decaglycerinmonostearat, Tetraglycerintristearat, Hexaglycerintristearat, Hexaglycerinsesquistearat, Tetraglycerinpentastearat, Hexaglycerinpentastearat, Decaglycerindecastearat, Tetraglycerinmonopalmitat, Hexaglycerinmonopalmitat, Decaglycerinmonopalmitat, Tetraglycerintripalmitat, Hexaglycerintripalmitat, Hexaglycerinsesquipalmitat, Tetraglycerinpentapalmitat, Hexaglycerinpentapalmitat und Decaglycerindecapalmitat. Bevorzugte Polyglycerin-Festtsäureester sind zum Beispiel Tetraglycerinhexabehenat (z. B. Poem J-46B unter einem Handelsnamen, hergestellt von RikenVitamin Co., Ltd.), Tetraglycerinpentastearat (z. B. PS-310 unter einem Handelsnamen, hergestellt von Sakamoto Yakuhin Kogyo Co., Ltd.), Tetraglycerinmonostearat (z. B. MS-310 unter einem Handelsnamen, hergestellt von Sakamoto Yakuhin Kogyo Co., Ltd.), Hexaglycerinpentastearat (PS-500 unter einem Handelsnamen, hergestellt von Sakamoto Yakuhin Kogyo Co., Ltd.), Hexaglycerinsesquistearat (SS-500 unter einem Handelsnamen, hergestellt von Sakamoto Yakuhin Kogyo Co., Ltd.), Decaglycerinmonostearat und eine Mischung davon. Mehr bevorzugte Wachse sind Glycerinmonostearat und Nieder-HLB Saccharose-Festtsäureester (z. B. F-50, F-20- F-10, etc., hergestellt von Daiichi Kogyo Seiyaku, Co., Ltd.).
  • Das Gewichtsverhältnis von der Makrolidverbindung und Wachs beträgt vorzugsweise 1 : 10 bis 1 : 100, mehr bevorzugt sind 1 : 40 bis 1 : 60, wenn das Wachs zum Beispiel Glycerinmonostearat ist. Das Gewichtsverhältnis ist vorzugsweise 1 : 0,2 bis 1 : 20, mehr bevorzugt sind 1 : 0,5 bis 1 : 5, wenn das Wachs zum Beispiel ein Saccharose-Fettsäureester ist, Das Gewichtsverhältnis beträgt vorzugsweise 1 : 0,1 bis 1 : 100, wobei 1 : 0,5 bis 1 : 50 mehr bevorzugt ist, wenn das Wachs ein Polyglycerin-Fettsäureester ist.
  • Bevorzugte wasserunlösliche Polymere umfassen zum Beispiel Ethylcellulose, Methacrylat-Copolymere (z. B. Eudragits, wie Eudragit E, R, S, RS, LD, etc.). Falls das wasserunlösliche Polymer Ethylcellulose ist, kann eine pharmazeutisch akzeptable Ethylcellulose gemäß der vorliegenden Erfindung verwendet werden. Jedoch beträgt die bevorzugte Viskosität 3 bis 110 cps, mehr bevorzugt sind 6 bis 49 cps, wobei 9 bis 11 cps am meisten bevorzugt ist, wenn die Viskosität einer 5% Ethylcellulose-Toluol/Ethanol (80/20)-Lösung mit einem Viskositätstest gemessen wird, der in USP 23, NF18, beschrieben ist. Bevorzugt ist zum Beispiel ETHOCELL (Viskosität: 10) (Marke, Dow Chemical (USA)).
  • Das Gewichtsverhältnis der Makrolidverbindung und des wasserunlöslichen Polymers beträgt vorzugsweise 1 : 0,01 bis 1 : 10, mehr bevorzugt ist 1 : 0,1 bis 1 : 5, wobei 1 : 0,1 bis 1 : 1 am meisten bevorzugt ist, wenn das wasserunlösliche Polymer Ethylcellulose ist. Ein Gewichtsverhältnis von 1 : 0,5 bis 1 : 5 ist am bevorzugtesten, wenn das wasserunlösliche Polymer ein Methacrylat-Copolymer ist.
  • Die Formulierung mit verzögerter Freisetzung gemäß der Erfindung kann ferner eine wasserlösliche Basis enthalten und diese zugesetzte Basis ist vorzugsweise eines der folgenden wasserlöslichen Polymere:
  • Polyvinylpyrrolidon (PVP), Cellulosepolymer (Hydroxypropylmethylcellulose (HPMC), Hydroxypropylmethylcellulose-Phthalat, Methylcellulose (MC), Carboxymethylcellulose-Natrium (CMC-Na), Hydroxyethylcellulose, Hydroxypropylcellulose (HPC), etc.), Pektin, Cyclodextrine, Galactomannan, Polyethylenglycol (PEG) mit einem durchschnittlichen Molekulargewicht von 4.000 oder mehr, Gelatine, etc.
  • Für die Verwendung werden die wasserlöslichen Polymere individuell oder in einer Mischung von zwei oder mehr zugesetzt. Eine mehr bevorzugte, wasserlösliche Basis ist Cellulosepolymer oder PVP. Die am meisten bevorzugteste, wasserlösliche Basis ist HPMC, PVP oder eine Kombination davon. Insbesondere kann HPMC mit einer geringen Viskosität einen Effekt mit der wünschenswerten verzögerten Freisetzung ausüben. Eine wässrige 2% Lösung von diesem Typ von HPMC hat eine Viskosität von 1 bis 4.000 cps, vorzugsweise 1 bis 50 cps, mehr bevorzugt von 1 bis 15 cps, gemäß Messung bei 20°C mit einem Viskometer des Brookfield-Typs, wobei insbesondere HPMC 2910 mit einer Viskosität von 3 cps bevorzugt ist (TC-5E, EW, Shin-estu Chemical Co., Ltd.).
  • Das Gewichtsverhältnis der Makrolidverbindung zu dieser wasserlöslichen Basis beträgt vorzugsweise 1 : 0,05 bis 1 : 2, mehr bevorzugt 1 : 0,1 bis 1 : 1, wobei 1 : 0,2 bis 1 : 0,4 am meisten bevorzugt ist.
  • Bei der Herstellung der Feststoffdispersionszusammensetzung gemäß der vorliegenden Erfindung kann die obige, wasserunlösliche Basis allein oder in Kombination mit der wasserlöslichen Basis verwendet werden. Da die wasserunlösliche Basis als die essentielle Feststoffbasis nach der Erfindung festgelegt ist, kann ein geeignetes Lösungsprofil der Feststoffdispersionszusammensetzung erreicht werden, indem eine geeignete Menge der wasserlöslichen Basis zugemischt wird, wie ein wasserlösliches Polymer (z. B. HPMC). Falls gewünscht, können auch andere Komponenten als die oben beschriebene Feststoffbasis zugesetzt werden, um eine Feststoffdispersionszusammensetzung herzustellen, wie geeignete Trägerstoffe, (Lactose, etc.), Bindemittel, Färbemittel, Süßstoffe, Aromen, Verdünnungsmittel, Antioxidationsmittel (Vitamin E, etc.) und Gleitmittel (z. B. synthetisches Aluminiumsilicat, Magnesiumstearat, Calciumhydrogenphosphat, Calciumstearat, Talk, etc.).
  • In Abhängigkeit von dem Typ der Feststoffbasis ist die Auflösungsrate der Makrolidverbindung aus der Feststoffdispersionszusammensetzung manchmal etwas langsam oder die anfängliche Auflösungsrate davon muss manchmal etwas angehoben werden. In diesem Fall kann die Auflösungsrate der Makrolidverbindung aus der Feststoffdispersionszusammensetzung eingestellt werden, indem der Feststoffdispersionszusammensetzung geeignete Lösungsvermittler (z. B. Cross-Carmelose-Natrium (CC-Na), Carboxymethylcellulose-Calcium (CM-Ca), gering substituierte Hydroxypropylcellulose (L-HPC), Stärke-Natriumglycolat, mikrofeine Kristallcellulose, Cross-Povidon, etc.) oder geeignete oberflächenaktive Mittel (z. B. gehärtetes Polyoxyethylen-Castoröl, Polyoxylstearat 40, Polysorbat 80, Natriumlaurylsulfat, Saccharose-Fettsäureester (HLB ist mehr als 10), etc.) zugesetzt werden.
  • Die Partikelgröße der Feststoffdispersionszusammensetzung, worin die Makrolidverbindung in einem amorphen Zustand in einer Feststoffbasis vorliegt, ist gleich oder kleiner als 500 μm. Die Zusammensetzung hat insbesondere eine Partikelgröße, welche durch ein 350 μm, mehr bevorzugt sind 250 μm, Sieb hindurchtreten kann.
  • Die Feststoffdispersionszusammensetzung der Makrolidverbindung, die in der Formulierung mit verzögerter Freisetzung gemäß der vorliegenden Erfindung vorliegt, kann durch die Verfahren hergestellt werden, die beschrieben sind in EP 0 240 773 und WO 91/19495 und ähnliches. Die Verfahren werden im folgenden beschrieben.
  • Die Makrolidverbindung wird in einem organischen Lösungsmittel (z. B. Ethanol, Dichlormethan oder einer wässrigen Mischung davon, etc.) gelöst und anschließend wird eine geeignete Menge einer Feststoffbasis zugesetzt. Die erzielte Mischung wird ausreichend gelöst oder suspendiert oder sie wird quellen gelassen. Dann wird die Mischung ausreichend zusammengeknetet. Nach Entfernung des organischen Lösungsmittels von der Mischung wird der Rest getrocknet und zermahlen und wird dann einer Größenreduktion unterworfen, wodurch eine Feststoffdispersionszusammensetzung hergestellt werden kann, worin die Makrolidverbindung in einem amorphen Zustand in der Feststoffbasis vorliegt. Während des Knetverfahrens können, falls notwendig, Gleitmittel, wie Calciumhydrogenphosphat, Trägerstoffe, wie Lactose, und ähnliches der Mischung zugesetzt werden.
  • Die Formulierung mit verzögerter Freisetzung, die eine Makrolidverbindung gemäß der Erfindung umfasst, kann hergestellt werden unter Verwendung eines fein aufgeteilten Pulvers der Makrolidverbindung. Die Kontrolle der Partikelgröße der Makrolidverbindung kann mittels einer Mühlenvorrichtung durchgeführt werden, was ein Routineverfahren in der pharmazeutischen Industrie ist, wie eine Stiftmühle, Hammermühle, Strahlmühle und eine trockene oder nasse Kugelmühle, um einige Beispiele zu nennen. Das feine Pulver der Makrolidverbindung sollte eine Verteilung des Partikeldurchmessers innerhalb des Bereiches von 0,1–50 μm haben, vorzugsweise von 0,2–20 μm, wobei 0,5–10 μm mehr bevorzugt sind, und/oder einen durchschnittlichen Partikeldurchmesser von 0,2–20 μm, vorzugsweise 0,5–10 μm, wobei 1–5 μm mehr bevorzugt sind.
  • Die Feststoffdispersionszusammensetzung der Makrolidverbindung, welche durch die obigen Verfahren hergestellt wird, kann als solche als eine Formulierung mit verzögerter Freisetzung verwendet werden. Unter Berücksichtigung der Handhabbarkeit als Formulierung, der Dispergierbarkeit in Wasser und der Dispergierbarkeit nach oraler Dosierung wird die Zusammensetzung jedoch mehr bevorzugt als eine Formulierung mit verzögerter Freisetzung hergestellt in Form eines Pulvers, feinen Pulvers, Granulats, Tablette oder Kapsel, wobei Routineformulierungsverfahren angewandt werden (z. B. Formpressen).
  • Falls gewünscht, kann die Formulierung mit verzögerter Freisetzung durch Mischen der Feststoffdispersionszusammensetzung der Makrolidverbindungen mit zum Beispiel Verdünnungsmittel oder Gleitmittel (wie Saccharose, Lactose, Stärke, kristalline Cellulose, synthetisches Aluminiumsilicat, Magnesiumstearat, Calciumstearat, Calciumhydrogen-phosphat und Talk) und/oder mit Färbemittel, Süßungsmittel, Geschmackstoffen und Lösungsvermittler für Routineanwendungen hergestellt werden. Die erzielte Mischung wird dann gründlich miteinander vermischt, um eine Formulierung mit verzögerter Freisetzung zu erzielen. Die Formulierung mit verzögerter Freisetzung oder die Feststoffdispersions-zusammensetzung der Makrolidverbindung nach der vorliegenden Erfindung kann vorläufig in Wasser oder Saft dispergiert werden, um sie als eine Flüssigformulierung oral aufzunehmen.
  • Die effektive Dosis der Makrolidverbindung variiert in Abhängigkeit von dem Typ der Verbindung, dem Alter des Patienten, seiner Krankheit, der Heftigkeit der Erkrankung sowie von anderen Faktoren. Im Allgemeinen wird der Wirkstoff mit einer Dosis von etwa 0,001 bis 1.000 mg verwendet, vorzugsweise mit 0,01 bis 500 mg, wobei 0,1 bis 100 mg pro Tag der therapeutischen Behandlung einer Krankheit am meisten bevorzugt ist. Im Allgemeinen beträgt die durchschnittliche Einzeldosis etwa 0,01 mg, 0,1 mg, 0,5 mg, 1 mg, 5 mg, 10 mg, 50 mg, 100 mg, 250 mg und 500 mg.
  • Nach oraler Verabreichung setzt die Makrolidformulierung mit verzögerter Freisetzung gemäß der vorliegenden Erfindung in charakteristischer Weise die Makrolidverbindung verzögert frei, so dass die pharmazeutische Aktivität über einen langen Zeitraum erhalten bleibt. Gemäß der Erfindung kann die Frequenz der Verabreichung der pharmakologisch aktiven Makrolidverbindung reduziert werden. Insbesondere ist es möglich, eine ein Makrolid enthaltende, pharmazeutische Formulierung bereitzustellen, die nur einmal am Tag verabreicht werden kann. Es ist ferner nun möglich, eine pharmazeutische Zusammensetzung bereitzustellen, die frei ist von dem Risiko von unerwünschten Nebenwirkungen, die durch vorrübergehend sehr hohe Konzentrationen hervorgerufen werden. Dies stellt die Expression der pharmakologischen Wirksamkeit in ausreichender Weise über einen verlängerten Zeitraum sicher.
  • Die Formulierung mit verzögerter Freisetzung gemäß der vorliegenden Erfindung ist nützlich für die Behandlung und/oder Vorbeugung der folgenden Krankheiten und gesundheitlichen Zustände aufgrund der pharmakologischen Aktivitäten, welche diese tricyclischen Makrolidverbindungen (I) besitzen.
  • Abstoßungsreaktionen durch Transplantation von Organen oder Geweben, wie Herz, Niere, Leber, Knochenmark, Haut, Hornhaut, Lunge, Pankreas, Dünndarm, Extremität, Muskel, Nerven, Zwischenwirbelscheibe, Trachea, Myoblast, Knorpel, etc.; Graft-versus-Host-Reaktionen nach Knochenmarkstransplantation;
    Autoimmunerkrankungen, wie rheumatische Arthritis, systemische Lupus erythematosus, Hashimoto's Thyroiditis, multiple Sklerose, Myasthenia gravis, Diabetes Typ I, etc.; und Infektionen, die durch pathogene Mikroorganismen hervorgerufen werden (z. B. Aspergillus fumigatus, Fusarium oxysporum, Trichophyton asteroides, etc.);
    entzündliche oder hyperproliferierende Hauterkrankungen oder Hautmanifestationen von immunologisch-vermittelten Krankheiten (z. B. Psoriasis, atopische Dermatitis, Kontaktdermatitis, Ekzematoidreaktion, Dermatitits seborrhoeica, Lichen planus, Pemphigus, Blasen-Pemphigoid, Epidermolysis bullosa, Urtikaria, allergisches Gesichtsödem, Vasculitis, Erythem, dermale Eosinophilie, Lupus erythematosus, Akne und Alopecia areata);
    Autoimmunkrankheiten des Auge (z. B. Keratoconjunktivitis, vernale Konjunktivitis, Uveitis, assoziiert mit der Behcet-Krankheit, Keratitis, Herpeskeratitis, konische Keratitis, konische Epitheldystrophie, Keratoleukom, okulare Premphigus, Mooren's Ulcus, Skleritis, Graves' Ophthalmopathie, Vogt-Koyanagi-Harada-Syndrom, Keratoconjunktivitis sicca (trockenes Auge), Phlyktäne, Iridozyclitis, Sarkoidose, endokrine Ophthalmopathie, etc.);
    reversible, obstruktive Luftwegeerkrankungen [Asthma (z. B. Bronchialasthma, allergisches Asthma, Intrinsic-Asthma, Extrinsic-Asthma und Staubasthma), insbesondere chronisches oder hartnäckiges Asthma (z. B. spätes Asthma und Luftweg-Hyperresponsivität) Bronchitis, etc.];
    Schleimhaut- oder Gefäßentzündungen (z. B. Magengeschwüre, ischämische oder thrombotische Gefäßverletzung, ischämische Darmkrankheiten, Enteritis, nekrotisierende Enterokolitis, Darmschädigungen, verbunden mit Hitzeverbrennungen, Leukotrien B4-vermittelte Krankheiten);
    Darmentzündungen/Allergien (z. B. zöliakable Krankheiten, Proktitis, eosinophile Gastroenteritis, Mastocytose, Crohn's Krankheit und Colitis ulcerosa);
    Nahrungsmittel bedingte, allergische Krankheiten mit symptomatischen Manifestationen entfernt vom Gastrointestinaltrakt (z. B. Migräne, Rhinitis und Ekzem);
    Nierenerkrankungen (z. B. Intestitialnephritis, Goodpasture-Syndrom, hämolytisches Urämiesyndrom und diabetische Nephropathie);
    Nervenkrankheiten (z. B. multiple Myositis, Guillain-Barre-Syndrom, Morbus Meniere, multiple Neuritis, Solitärneuritis, Hirnschlag, Alzheimer-Krankheit, Parkinson-Krankheit, amyotrophe laterale Sclerosis (ALS) und Radikulopathie);
    cerebrale ischämische Krankheit (z. B. Kopfverletzung, Blutung im Gehirn (z. B. Subarachnoidblutung, intracerebrale Blutung, cerebrale Thrombose, cerebrale Embolie, Herzstillstand, Schlaganfall, transienter ischämischer Anfall (TIA), hypertensive Encephalopathie, cerebraler Infarkt);
    endokrine Erkrankungen (z. B. Hyperthyroidism und Basedow's Krankheit);
    Blutkrankheiten (z. B. reine rot Blutzelloplasie, aplastische Anämie, hypoplastische Anämie, idiopathische thrombozytopenische Purpura, hämolythische Autoimmunanämie, Agranulocytose, perniziöse Anämie, megaloblastische Anämie und Anerythroplasie);
    Knochenkrankheiten (z. B. Osteoporose);
    Atemwegserkrankungen (z. B. Sarkoidose, Lungenfibrose und idiopathische interstitiale Pneumonie);
    Hautkrankheiten (z. B. Dermatomyositis, Leukoderma vulgaris, Ichthyosis vulgaris, Lichtempfindlichkeit und T-Zell-Hautlymphom);
    Kreislauferkrankungen (z. B. Arteriosklerose, Atherosklerose, Aortitis-Syndrom, Polyarteritis nodosa und Myocardose);
    Kollagenkrankheiten (z. B. Sclerodermie, Wegener's Granuloma und Sjorgren's Syndrom);
    Adipositas;
    eosinophile Fasziitis;
    Paradontose (z. B. Schädigungen des Zahnfleisches, des Periodontiums, des Alveolarknochens oder Substantia Ossea Dentis);
    nephrotisches Syndrom (z. B. Glomerulonephritis);
    männliches Alopezie, Alopezie senile;
    muskuläre Dystrophie;
    Pyoderma und Sezary-Syndrom;
    mit Chromosomenanomalien verbundene Krankheiten (z. B. Down's Syndrom);
    Addisonsche Krankheit;
    durch Aktivsauerstoff vermittelte Erkrankungen [z. B. Organverletzung (z. B. ischämische Kreislaufstörungen der Organe (z. B. Herz, Leber, Niere, Verdauungstrakt, etc.), verbunden mit Aufbewahrung, Transplantation oder ischämische Krankheiten (z. B. Thrombose, Herzinfarkt, etc.));
    Darmerkrankungen (z. B. Endotoxinschock, pseudomembranöse Colitis und Colitis, die durch Arzneimittel oder Strahlung induziert wird);
    Nierenkrankheiten (z. B. ischämische, akute renale Insuffizienz, chronisches Nierenversagen);
    Lungenkrankheiten (z. B. Toxikose, hervorgerufen durch Lungensauerstoff oder Arzneimittel (z. B. Paracort, Bleomycin, etc.), Lungenkrebs und Lungenemphysum);
    Augenkrankheiten (z. B. Katarakt, Eisenspeicherkrankheit (Siderosis bulbi), Retinitis pigmentosa, senile Plaques, Glaskörpervernarbung, Augenverätzung durch Laugen);
    Dermatitis (z. B. Erythema multiforme, lineare Immunoglobulin A-Blasendermatose, Zementdermatitis);
    und andere Krankheiten (z. B. Gingivitis, Periodontitis, Sepsis, Pancreatitis und Krankheiten, die durch Umweltverschmutzung hervorgerufen werden (z. B. Luftverschmutzung), Alterung, Carcinogen, Metastasen von Karcinomen und Hypobaropathie);
    Krankheiten, die durch Histaminfreisetzung oder Leukotrien C4-Freisetzung hervorgerufen werden;
    Restenose der Herzarterien nach Angioplastik und Behinderung von postoperativen Verwachsungen;
    Autoimmunkrankheiten und entzündliche Zustände (z. B. primäres Mukosaödem, autoimmune atrophische Autoimmungastritis, vorzeitige Menopause, männliche Sterilität, juveniler Diabetes mellitus, Pemphigus vulgaris, Pemphigoid, Ophthalmia sympathica, Linsen induzierte Uveitis, idiopathische Leukopenie, aktive chronische Hepatitis, idiopathische Zirrhose, Lupus erythematodes discoides, Autoimmunorchitis, Arthritis (z. B. Arthritis deformans) oder Polychondritis);
    HIV-Virusinfektion, Aids;
    allergische Conjunctivitis;
    hypertrophe Cicatrix und Keloid aufgrund von Trauma, Verbrennung oder Operation.
  • Zusätzlich haben die tricyclischen Makrolide eine Leber stimulierende Aktivität und/oder Aktivitäten zur Stimulierung der Hypertrophie und Hyperplasie von Hepatozyten. Somit ist die pharmazeutische Zusammensetzung gemäß der vorliegenden Erfindung nützlich für die Zunahme der Wirkung einer Therapie und/oder Prophylaxe von Leberkrankheiten [z. B. immunogenen Erkrankungen (z. B. chronische Autoimmunleberkrankheiten, wie Autoimmunleberkrankheiten, primäre biliäre Zirrhose oder sklerosierende Cholangitis), partielle Leberresektion, akute Lebernekrose (z. B. Nekrose, die hervorgerufen wird durch Toxine, virale Hepatitis, Schock oder Anoxie), Hepatitis B, Hepatitis des Nicht-A und Nicht-B Typs, Leberzirrhose und Leberversagen (z. B. plötzliche Hepatitis, spät einsetzende Hepatitis und akuter Schub eines Leberversagens (akutes Leberversagen bei chronischen Lebererkrankungen))].
  • Die vorliegende Zusammensetzung ist ferner nützlich für die Zunahme der Wirkung für die Verhinderung und/oder Behandlung von verschiedenen Krankheiten aufgrund der nützlichen pharmakologischen Aktivität dieser tricyclischen Makrolide, wie Verstärkungsaktivität einer chemotherapeutischen Wirkung, Aktivität einer Cytomegalovirusinfektion, antiinflammatorische Aktivität, Hemmaktivität gegen Peptidyl-Prolyl-Isomerase oder Rotamase, Antimalariaaktivität, Antitumoraktivität usw.
  • Die Erfindung stellt ferner ein Verfahren für einen Auflösungstest für eine Festformulierung bereit, die eine Makrolidverbindung umfasst, wobei der Test eine Testlösung verwendet, die eine geeignete Menge eines Cellulosepolymers enthält. Im Allgemeinen wird der Auflösungstest zum testen der Freisetzungseigenschaft eines medizinisch aktiven Stoffes, der in einer Feststoffformulierung gelöst vorliegt, gemäß „Dissolution Test", Verfahren 2 (Paddle-Verfahren, 50 Upm), JP XIII oder „Dissolution Test" gemäß USP 23, NF18 oder der europäischen Pharmacopoeia (3. Ausgabe) durchgeführt. Bei der Durchführung eines Auflösungstests für eine Formulierung, die nur eine geringe Menge einer Makrolidverbindung enthält, kann die Freisetzung der Makrolidverbindung, basierend auf deren intrinsischem Gehalt, selbst nach mehreren Stunden 100% nicht erreichen. Wenn die Menge der Makrolidverbindung klein ist, liegt dies daran, dass die Adsorption der Makrolidverbindung an den Oberflächen des Testgefäßes, Filter, etc. eine zunehmende Bedeutung haben wird. Nach solchen Untersuchungen haben die Erfinder gefunden, dass durch die Zugabe einer geeigneten Menge eines Cellulosepolymers (wie HPMC, Hydroxypropylcellulose-Phthalat, MC, CMC-Na, Hydroxyethylcellulose, Hydroxypropyl-cellulose (HPC) und so weiter) zu der Testlösung und, falls notwendig, durch Zugabe von Phosphorsäure oder ähnlichem zu der Testlösung, um diese auf einen pH von nicht größer als 7 zu bringen, um einen nachteiligen Effekt eines zunehmenden Anstiegs des pH-Wertes auf die Stabilität der Makrolidverbindung zu vermeiden, der Einfluss der Adsorption der Makrolidverbindung auf die Oberflächen des Testgerätes gehemmt werden kann, um eine Wiedergewinnungsrate von nahezu 100 zu erzielen. Ein bevorzugtes Cellulosepolymer ist Hyderoxypropylcellulose oder ein Äquivalent davon. Die bevorzugte Viskosität davon ist so, dass die Lösung eine Viskosität von 75–150 cps zeigt, wenn 5,0 g in 95 ml Wasser gelöst wird und der Schaum, falls notwendig, nach der Zentrifugation entfernt wird, wobei die Viskosität der Lösung mit einem Drehviscometer bei 25 ± 0,1°C gemessen wird. Eine entsprechende Hydroxypropylcellulose mit einem durchschnittlichen Molekulargewicht von etwa 100.000 ist zum Beispiel die Hydroxypropylcellulose, die von Aldrich verfügbar ist.
  • Die „geeignete Menge" des Cellulosepolymers, welches der Testlösung hinzuzufügen ist, beträgt 0,001–0,1%, vorzugsweise 0,002–0,01%, wobei 0,005% am meisten bevorzugt ist, wobei dies auf der Gesamtmenge der Testlösung basiert.
  • „Dissolution Test", Verfahren 2 (Paddle-Verfahren), JP XIII und „Dissolution Test", gemäß USP 23, NF 18 oder in der europäischen Pharmacopoeia (3. Ausgabe) sind gut bekannte Verfahren zur Testung der Freisetzungskinetik von Wirkstoffen aus einem pharmazeutischen Festprodukt. Dies sind Auflösungstests unter Verwendung eines spezifischen Gefäßes, Paddles und anderer Hardware, wobei die Quantität der Testlösung, die Temperatur der Testlösung, die Drehgeschwindigkeit und andere Bedingungen kontrolliert werden. Falls notwendig, wird der Test mit einer Testlösung durchgeführt, die auf einen geeigneten pH eingestellt ist. Gemäß der vorliegenden Erfindung beträgt der pH vorzugsweise nicht mehr als 7. Bei der vorliegenden Erfindung bedeutet "Lösungstest, Verfahren 2 (Paddle-Verfahren, 50 Upm), JP XIII" einen Lösungstest, Verfahren 2 (Paddle-Verfahren) JP XIII", der mit 50 Umdrehungen pro Minute gerührt wird. Die entsprechenden Beschreibungen in JP XIII, USP 23 (NF 18) und in der europäischen Pharmacopoeia (3. Ausgabe) sind durch Verweis auf diese Publikationen hiermit eingeführt.
  • Die Erfindung wird im folgenden anhand von Beispielen weiter beschrieben. Bei den folgenden Beispielen wird FK506 als Monohydrat beigemischt, wenn die Zusammensetzungen FK506 enthalten, obwohl die Menge von FK506 als Gewicht von FK506 und nicht als das Monohydrat-Gewicht ausgedrückt ist. Beispiel 1 (Referenz)
    FK506 1,0 mg
    HPMC 2910 1,0 mg
    gesamt 2,0 mg
  • FK506 wurde in Ethanol gelöst und HPMC 2910 wurde der erzielten Lösung zugesetzt, um FK506 in einem ausreichenden Maße quellen zu lassen. Dann wurde die Mischung zusammengeknetet. Die erzielte, geknetete Mischung wurde zu einer rostfreien Schale überführt, im Vakuum getrocknet und mit einer Kaffeemühle zermahlen. Anschließend wurde das erzielte Pulver einer Größenreduktion unterworfen, wobei die folgenden Verfahren angewandt wurden, um eine Feststoffdispersionszusammensetzung herzustellen (im folgenden bezeichnet als SDC) 1-1) bis 1-6).
    • (1) Das gemahlene Pulver wurde durch ein 250 μm Sieb gegeben und die auf dem Sieb verbliebene Fraktion wurde als SDC 1-1)(> 250 μm) bezeichnet.
    • (2) Die durch das Sieb nach Verfahren (1) hindurchgetretene Fraktion wurde durch ein 1 80 μm Sieb passiert und die auf dem Sieb verbliebene Fraktion wurde als SDC 1-2) (180–250 μm) bezeichnet.
    • (3) Die durch das Sieb bei dem Verfahren (2) hindurchgetretene Fraktion wurde durch ein 150 μm Sieb passiert und die auf dem Sieb verbliebene Fraktion wurde als SDC 1-3)(150–180 μm) bezeichnet.
    • (4) Die durch das Sieb bei dem Verfahren (3) hindurchgetretene Fraktion wurde durch ein 106 μm Sieb passiert und die auf dem Sieb verbliebene Fraktion wurde als SDC 1-4)(106–150 μm) bezeichnet.
    • (5) Die durch das Sieb nach dem Verfahren (4) hindurchgetretene Fraktion wurde durch ein 75 μm Sieb passiert und die auf dem Sieb verbliebene Fraktion wurde als SDC 1-5)(75–106 μm) bezeichnet.
    • (6) Die durch das Sieb bei dem Verfahren (5) hindurchgetretene Fraktion wurde als SDC 1-6)(< 75 μm) bezeichnet.
  • Beispiel 2 (Referenz)
  • SDC 1-2), die im Beispiel 1 erzielt wurde, wurde ausreichend mit Lactose (58,0 mg) gemischt und die erzielte Mischung wurde eingekapselt, um eine Kapsel herzustellen.
  • Beispiel 3 (Referenz)
  • In einer ähnlichen Weise wie beim Beispiel 1 wurde ein gemahlenes Pulver der folgenden SDC mit Partikelgröße von 180 bis 250 μm hergestellt.
  • Figure 00290001
  • Ferner wurde SDC 3-1) ausreichend mit Lactose (58,7 mg) gemischt und die erzielte Mischung wurde eingekapselt, um eine Kapsel 3-1) herzustellen. SDC 3-2) wurde ausreichend mit Lactose (58,9 mg) gemischt und die erzielte Mischung wurde eingekapselt, um die Kapsel 3-2) herzustellen.
  • Beispiel 4 (Referenz)
  • In einer ähnlichen Weise wie für SDC 1-2) nach Beispiel 1 wurden die folgenden SDCs hergestellt.
  • Figure 00290002
  • In einer ähnlichen Weise wie bei Beispiel 2 wurden Lactose (mit einer geeigneten Menge) und Magnesiumstearat (0,6 mg) den entsprechenden SDCs zugesetzt, um Kapseln herzustellen von jeweils 60,0 mg.
  • Beispiel 5 (Referenz)
  • In einer ähnlichen Weise wie bei der SDC 1-2) von Beispiel 1 wurde eine SDC unter Verwendung von FK506 (1,0 mg) und HPMC 291 0 (1,0 mg) hergestellt. In einer ähnlichen Weise wie nach Beispiel 2 wurden dann die folgenden Additive der SDC zugesetzt, um die Kapseln 5-1) bis 5-4) von jeweils 60,0 mg herzustellen.
    Figure 00300001
    Beispiel 6 (Referenz)
    FK506 1,0 g
    HPMC 2910 0,3 g
    gesamt 1,3 g
  • FK506 wurde in Ethanol gelöst und der erzielten Mischung wurde HPMC 2910 zugesetzt, um eine ausreichende Quellung zu erzielen. Dann wurde die Mischung zusammengeknetet. Die erzielte, geknetete Substanz wurde auf eine rostfreie Schale überführt, im Vakuum getrocknet und mit einer Kaffeemühle zermahlen. Das erzielte Pulver wurde einer Größenreduktion unterworfen, um die SDCs 6-1) bis 6-6) herzustellen, wobei die folgenden Verfahren angewandt wurden.
    • (1) Das gemahlene Pulver wurde durch ein 250 μm Sieb passiert und die auf dem Sieb verbliebene Fraktion wurde als SDC 6-1)(> 250 μm) bezeichnet.
    • (2) Die durch das Sieb nach Verfahren (1) hindurchgetretene Fraktion wurde durch ein 180 μm Sieb passiert und die auf dem Sieb verbliebene Fraktion wurde bezeichnet als SDC 6-2)(180–250 μm).
    • (3) Die auf dem Sieb nach Verfahren (2) hindurchgetretene Fraktion wurde durch ein 150 μm Sieb passiert und die auf dem Sieb verbliebene Fraktion wurde bezeichnet als SDC 6-3)(150–180 μm).
    • (4) Die durch das Sieb nach Verfahren (3) hindurchgetretene Fraktion wurde durch ein 106 μm Sieb passiert und die auf dem Sieb verbliebene Fraktion wurde bezeichnet als SDC 6-4)(106–150 μm).
    • (5) Die durch das Sieb nach dem Verfahren (4) hindurchgetretene Fraktion wurde durch ein 75 μm Sieb passiert und die auf dem Sieb verbliebene Fraktion wurde bezeichnet als SDC 6-5)(75–106 μm).
    • (6) Die durch das Sieb nach Verfahren (5) hindurchgetretene Fraktion wurde bezeichnet als SDC 6-6).
  • Beispiel 7 (Referenz)
  • SDC 6-4)(1,3 mg), die im Beispiel 6 erzielt wurde, wurde gründlich mit Lactose (58,1 mg) und Magnesiumstearat (0,6 mg) gemischt und die erzielte Mischung wurde in Kapseln gefüllt, die als Kapsel 7 definiert wurden.
  • Beispiel 8 (Referenz)
  • In einer ähnlichen Weise wie nach Beispiel 1 wurden die folgenden SDCs mit Partikelgrößen von 180–250 μm hergestellt.
  • Figure 00310001
  • In einer ähnlichen Weise wie nach Beispiel 7 wurde jede Kapsel hergestellt, indem Lactose (58,1 mg) und Magnesiumstearat (0,6 mg) zugesetzt wurden. Beispiel 9 (Referenz) SDC 9
    FK506 10 g
    HPMC 2910 3 g
    Calciumhydrogenphosphat 3 g
    gesamt 16 g
    Formulierung 9
    SDC 9 16 g
    Lactose qs
    Magnesiumstearat 7 g
    gesamt 700 g
  • FK506 wurde in Ethanol gelöst, HPMC 2910 wurde zugesetzt und mit der erzielten Lösung gründlich gemischt und anschließend wurde Calciumhydrogenphosphat hinzugefügt. Nach Trocknung im Vakuum über Nacht wurde die erzielte Mischung einer Größenreduktion unterworfen, wobei eine Geschwindigkeitsmühle und ein Walzengranulator verwendet wurden. Das erzielte Pulver wurde mit einem Sieb von 212 μm gesiebt und die das Sieb passierende Fraktion wurde bezeichnet als SDC 9. SDC 9 wurde mit Lactose und Magnesiumstearat gemischt, um die Formulierung 9 herzustellen. Die Formulierung 9 wurde zu 350 mg in die Nr. 1 Kapsel und mit 70 mg in die Nr. 5 Gelatinekapsel gefüllt, die als die Formulierungen A beziehungsweise B definiert wurden. Beispiel 10 (Referenz) SDC 10
    FK506 10 g
    HPMC 2910 3 g
    Lactose 3 g
    gesamt 16 g
    Formulierung 10
    SDC 10 16 g
    Lactose qs
    Magnesiumstearat 7 g
    gesamt 700 g
  • In einer ähnlichen Weise wie nach Beispiel 9 wurde die SDC 10 und die Formulierung 10 hergestellt. Beispiel 11 (Referenz) SDC 11
    FK506 10 g
    HPMC 2910 3 g
    Calciumhydrogenphosghat 3 g
    gesamt 16 g
    Formulierung 11
    SDC 11 16 g
    Lactose qs
    Magnesiumstearat 7 g
    gesamt 700 g
  • FK506 wurde in Ethanol gelöst, HPMC 2910 wurde zugesetzt und ausreichend mit der erzielten Lösung gemischt, wobei anschließend Calciumhydrogenphosphat hinzugefügt wurde. Nachdem die erzielte Mischung über Nacht im Vakuum getrocknet wurde, wurde die Mischung einer Größenreduktion unterworfen, wobei eine Geschwindigkeitsmühle und ein Walzengranulator verwendet wurden. Das erzielte Pulver wurde mit einem Sieb von 250 μm und einem Sieb von 180 μm gesiebt. Die Fraktion von 180–250 μm wurde als SDC 11 bezeichnet. SDC 11, Lactose und Magnesiumstearat wurden miteinander gemischt, um die Formulierung 11 herzustellen. Die Formulierung 11 wurde zu 350 mg in die Nr. 1 Kapsel und zu 70 mg in die Nr. 5 Gelatinekapsel eingefüllt, die als die Formulierungen C und D bezeichnet wurden. Beispiel 12 SDC 12
    FK506 2 g
    Glycerinmonostearat 98 g
    HPMC 2910 20 g
    gesamt 120 g
    Formulierung 12
    SDC 12 120 g
    Magnesiumstearat 1,2 g
    gesamt 121,2 g
  • Glycerinmonostearat wurde erhitzt, bei 80°C geschmolzen und unter Rühren wurde FK506 zugesetzt, um das FK506 zu lösen. Zu der erzielten Mischung wurde HPMC 2910 unter ausreichender Vermischung zugesetzt und die erzielte Mischung wurde dann auf eine Schale überführt und wurde für eine spontane Abkühlung stehen gelassen. Die durch das Abkühlen erzielte Festsubstanz wurde mit einer Kaffeemühle zermahlen und dann mit einem Sieb von 500 μm gesiebt. Die durch das Sieb hindurchtretende Fraktion wurde als SDC 12 bezeichnet. SDC 12 wurde mit Magnesiumstearat gemischt, um die Formulierung herzustellen, die dann mit 60,6 mg in die Nr. 5 Kapsel eingefüllt wurde. Die erzielte Kapsel wurde als Formulierung E bezeichnet. Beispiel 13 SDC 13
    FK506 2 g
    Aminoalkyl-Methacrylat-Copolymer 6 g
    Calciumhydrogenphosphat 2 g
    gesamt 10 g
    Formulierung 13
    SDC 13 10 g
    Lactose 130 g
    gesamt 140 g
  • FK506 und Aminoalkyl-Methacrylat-Copolymer wurden in Ethanol gelöst und anschließend wurde Calciumhydrogenphosphat zugesetzt und die erzielte Mischung wurde ausreichend miteinander vermischt. Die Mischung wurde im Vakuum über Nacht getrocknet, in einem Mörser zermahlen und mit Sieben von 150 μm und 106 μm gesiebt, um eine Fraktion von 106–150 μm als SDC 13 zu erzielen. SDC 13 wurde mit Lactose gemischt und als Formulierung 13 hergestellt. Diese wurde dann mit 70 mg in die Nr. 5 Gelatinekapsel abgefüllt, um die Formulierung F herzustellen. Beispiel 14 SDC 14
    FK506 2 g
    Aminoalkyl-Methacrylat-Copolymer (Eudragit RL) 4,6 g
    Aminoalkyl-Methacrylat-Copolymer (Eudragit RS) 1,4 g
    Calciumhydrogenphosphat 2 q
    gesamt 10 g
    Formulierung 14
    SDC 14 10 g
    Lactose 130 g
    gesamt 140 g
  • In einer ähnlichen Weise wie nach Beispiel 13 wurde die SDC 14 mit Partikelgrößen von 106–150 μm und die Formulierung 14 hergestellt.
  • Dann wurde die Formulierung 14 mit 70 mg in die Nr. 5 Gelatinekapsel abgefüllt, um die Formulierung G herzustellen. Beispiel 15 SDC 15
    FK506 2 g
    Aminoalkyl-Methacrylat-Copolymer (Eudragit RL) 3 g
    Aminoalkyl-Methacrylat-Copolymer (Eudragit RS) 3 g
    Calciumhvdrogenphosphat 2 g
    gesamt 10 g
    Formulierung 15
    SDC 15 10 g
    Lactose 130 g
    gesamt 140 g
  • In einer ähnlichen Weise wie nach Beispiel 1 3 wurde SDC 1 5 mit Partikelgrößen von 106–150 μm und die Formulierung 15 hergestellt. Die Formulierung 15 wurde mit 70 mg in die Nr. 5 Gelatinekapsel abgefüllt, um die Formulierung H herzustellen. Beispiel 16 SDC 16
    FK506 2 g
    Ethylcellulose 0,4 g
    Lactose 6 g
    gesamt 8,4 g
    Formulierung 16
    SDC 16 8,4 g
    Lactose 131,6 g
    gesamt 140 g
  • FK506 und Ethylcellulose wurden in Ethanol gelöst und anschließend wurde Lactose zugesetzt. Die erzielte Mischung wurde in einem ausreichenden Maße gemischt. Die Mischung wurde im Vakuum über Nacht getrocknet, in einem Mörser zermahlen und mit Sieben von 150 μm und 106 μm gesiebt, um eine Fraktion von 106–150 μm als SDC 16 herzustellen. SDC 16 wurde mit Lactose gemischt und als Formulierung 16 hergestellt und dann wurden 70 mg in die Nr. 5 Gelatinekapsel abgefüllt, um die Formulierung I herzustellen. Beispiel 17 SDC 17
    FK506 2 g
    Ethylcellulose 1 g
    Lactose 6 g
    gesamt 9 g
    Formulierung 17
    SDC 17 9 g
    Lactose 131 g
    gesamt 140 g
  • In einer ähnlichen Weise wie nach Beispiel 16 wurde die SDC 17 mit Partikelgrößen von 106–150 μm und die Formulierung 17 hergestellt. Die Formulierung 17 wurde mit 70 mg in die Nr. 5 Gelatinekapsel abgefüllt, um die Formulierung J herzustellen. Beispiel 18 SDC 18
    FK506 2 g
    Ethylcellulose 0,4 g
    Hydroxypropylmethylcellulose 0,6 g
    Lactose 6 g
    gesamt 9 g
    Formulierung 18
    SDC 18 9 g
    Lactose 131 g
    gesamt 140 g
  • In einer ähnlichen Weise wie nach Beispiel 16 wurde SDC 18 mit Partikelgrößen von 106–150 μm und die Formulierung 18 hergestellt. Die Formulierung 18 wurde mit 70 mg in die Nr. 5 Gelatinekapsel abgefüllt, um die Formulierung K herzustellen. Beispiel 19 SDC 19
    FK506 2 g
    Ethylcellulose 0,6 g
    HPMC 2910 0,6 g
    Lactose 6 g
    gesamt 9,2 g
    Formulierung 19
    SDC 19 9,2 g
    Lactose 130,8 g
    gesamt 140 g
  • In einer ähnlichen Weise wie nach Beispiel 16 wurde SDC 19 mit Partikelgrößen von 106–150 μm und die Formulierung 19 hergestellt. Die Formulierung 19 wurde mit 70 mg in die Nr. 5 Gelatinekapsel abgefüllt, um die Formulierung L herzustellen Beispiel 20 SDC 20
    FK506 10 g
    Ethylcellulose 3 g
    HPMC 2910 3 g
    Lactose 50 g
    gesamt 66 g
    Formulierung 20
    SDC 20 66 g
    Lactose qs
    Magnesiumstearat 7 g
    gesamt 700 g
  • FK506 wurde in Ethanol gelöst und Ethylcellulose wurde hinzugesetzt und gelöst. HPMC 2910 und Lactose wurden der erzielten Lösung zugesetzt und ausreichend gemischt. Nachdem die Mischung über Nacht im Vakuum getrocknet wurde, wurde die erzielte Mischung einer Größenreduktion unter Verwendung einer Geschwindigkeitsmühle und einem Walzengranulator unterworfen. Das erzielte Pulver wurde mit einem Sieb von 250 μm gesiebt. Die Fraktion, welche das Sieb passierte, wurde als SDC 20 bezeichnet. SDC 20, Lactose und Magnesiumstearat wurden miteinander gemischt, um die Formulierung 20 herzustellen. Die Formulierung 20 wurde zu 350 mg in die Nr. 1 Kapsel abgefüllt und zu 70 mg in die Nr. 5 Gelatinekapsel, die als Formulierungen M beziehungsweise N bezeichnet wurden. Beispiel 21 SDC 21
    FK506 10 g
    Ethylcellulose 3 g
    HPMC 2910 3 g
    Lactose 20 g
    gesamt 36 g
    Formulierung 21
    SDC 21 36 g
    Lactose qs
    Magnesiumstearat 7 g
    gesamt 700 g
  • In einer ähnlichen Weise wie nach Bespiel 20 wurde eine Fraktion, welche das Sieb 212 μm passierte, als SDC 21 bezeichnet und die Formulierung 21 wurde hergestellt. Die Formulierung 21 wurde dann zu 350 mg in die Nr. 1 Gelatinekapsel und zu 70 mg in die Nr. 5 Gelatinekapsel abgefüllt, um die Formulierungen O beziehungsweise P zu erzielen. Beispiel 22 SDC 22
    F K506 1 g
    Saccharose-Fettsäureester (HLB = 6) (DK Ester F-50) 1 g
    gesamt 2 g
    Formulierung 22
    SDC 22 2 g
    Lactose 68 g
    gesamt 70 g
  • FK506 wurde in Ethanol/Aceton (1/1) gelöst. Nach Erhitzung der Lösung auf 75°C wurde ein Saccharose-Fettsäureester zugesetzt, gelöst und dann auf Raumtemperatur abgekühlt. Die Mischung wurde über Nacht im Vakuum getrocknet, in einem Mörser zermahlen und mit Sieben von 150 μm und 106 μm gesiebt, um eine Fraktion von 106–150 μm als SDC 22 herzustellen. SDC 22 wurde mit Lactose gemischt und als Formulierung 22 hergestellt, die dann mit 70 mg in die Nr. 5 Gelatinekapsel abgefüllt wurde, um die Formulierung Q herzustellen. Beispiel 23 SDC 23
    FK506 1 g
    Saccharose-Fettsäureester (HLB = 6) (DK Ester F-50) 0,75 g
    Saccharose-Fettsäureester (HLB = 2) (DK Ester F-20W) 0,25 g
    gesamt 2 g
    Formulierung 23
    SDC 23 2 g
    Lactose 68 g
    gesamt 70 g
  • In einer ähnlichen Weise wie nach Beispiel 22 wurde SDC 23 mit Partikelgrößen von 106–150 μm sowie die Formulierung 23 hergestellt. Die Formulierung 23 wurde dann mit 70 mg in die Nr. 5 Gelatinekapsel abgefüllt, um die Formulierung R herzustellen. Beispiel 24 SDC 24
    FK506 1 g
    Saccharose-Fettsäureester (HLB = 1) (DK Ester F-10) 1 g
    Lactose 1 g
    gesamt 3 g
    Formulierung 24
    SDC 24 3 g
    Lactose 67 g
    gesamt 70 g
  • In einer ähnlichen Weise wie nach Beispiel 22 wurde SDC 24 mit Partikelgrößen von 106–150 μm sowie die Formulierung 24 hergestellt. Die Formulierung 24 wurde dann zu 70 mg in die Nr. 5 Gelatinekapsel abgefüllt, um die Formulierung S herzustellen. Beispiel 25 SDC 25
    FK506 1 g
    Saccharose-Fettsäureester (HLB = 1) (DK Ester F-10) 1 g
    Lactose 3 g
    gesamt 5 g
    Formulierung 25
    SDC 25 5 g
    Lactose 65 g
    gesamt 70 g
  • In einer ähnlichen Weise wie nach Beispiel 22 wurde SDC 25 mit Partikelgrößen von 106–150 μm und die Formulierung 25 hergestellt, Die Formulierung 25 wurde zu 70 mg in die Nr. 5 Gelatinekapsel abgefüllt, um die Formulierung T herzustellen. Beispiel 26 SDC 26
    FK506 1 g
    Saccharose-Fettsäureester (HLB = 1) (DK Ester F-10) 1 g
    Lactose 5 g
    gesamt 7 g
    Formulierung 26
    SDC 26 7 g
    Lactose 63 g
    gesamt 70 g
  • In einer ähnlichen Weise wie nach Beispiel 22 wurde SDC 26 mit Partikelgrößen von 106–150 μm und die Formulierung 26 hergestellt. Die Formulierung 26 wurde dann zu 70 mg in die Nr. 5 Gelatinekapsel abgefüllt, um die Formulierung U herzustellen. Beispiel 27 SDC 27
    FK506 1 g
    Tetraglycerin-Trifettsäureester 30 g
    Lactose 15 g
    gesamt 46 g
    Formulierung 27
    SDC 27 46 g
    Lactose 24 g
    gesamt 70 g
  • Ein Tetraglycerin-Trifettsäureester, der durch Erhitzen bei 80°C geschmolzen war, wurde mit zugesetztem FK506 gelöst. Lactose wurde zugesetzt, gemischt und dann auf einer Schale abkühlen gelassen. Die erzielte Festsubstanz wurde mit einer Kaffeemühle zermahlen und mit Sieben von 150 μm und 1 06 μm gesiebt, um eine Fraktion von 106–150 μm als SDC 27 herzustellen. SDC 27 wurde mit Lactose gemischt und als Formulierung 27 hergestellt. Die Formulierung 27 wurde dann zu 70 mg in die Nr. 5 Gelatinekapsel abgefüllt, um die Formulierung V herzustellen. Beispiel 28 SDC 28
    FK506 1 g
    Tetraglycerin-Trifettsäureester 30 g
    Polysolbat 0,3 g
    gesamt 31,3 g
    Formulierung 28
    SDC 28 31,3 g
    Lactose 38,7 g
    gesamt 70 g
  • In einer ähnlichen Weise wie nach Beispiel 27 wurde SDC 28 mit Partikelgrößen von 106–150 μm hergestellt. Ferner wurde die Formulierung 28 hergestellt, die dann zu 70 mg in die Nr. 5 Gelatinekapsel abgefüllt wurde, um die Formulierung W herzustellen. Beispiel 29 SDC 29
    FK506 1 g
    Tetraglycerin-Trifettsäureester 1 g
    Lactose 3 g
    gesamt 5 g
    Formulierung 29
    SDC 29 5 g
    Lactose 65 g
    gesamt 70 g
  • Ethanol wurde einem Tetraglycerin-Trifettsäureester zugesetzt. Die erzielte Mischung wurde durch Erhitzen auf 40°C geschmolzen und FK506 wurde zugesetzt und geschmolzen unter Rühren. Lactose wurde zugesetzt, gemischt und dann in einer Schale abkühlen gelassen. Die erzielte, feste Substanz wurde mit einer Kaffeemühle gemahlen, im Vakuum über Nacht getrocknet und mit Sieben von 150 μm und 106 μm gesiebt, um eine Fraktion von 106–150 μm als SDC 29 herzustellen. SDC 29 wurde mit Lactose gemischt und als Formulierung 29 hergestellt. Dann wurde die Formulierung 29 zu 70 mg in Nr. 5 Gelatinekapsel abgefüllt, um die Formulierung X herzustellen. Beispiel 30 (Referenz) Formulierung 30
    FK506 feines Pulver 0,5 g
    Lactose 29,2 g
    Magnesiumstearat 0,3 g
    gesamt 30 g
  • Kristalle von FK506 wurden mit einer Strahlenmühle zermahlen und dann mit Lactose und Magnesiumstearat gemischt, um die Formulierung 30 herzustellen. Dann wurde die Formulierung 30 mit 60 mg in Nr. 5 Gelatinekapseln abgefüllt, um die Formulierung Z herzustellen. Der Bereich der Partikelgröße des feinen Pulvers von FK506, das mit der Strahlenmühle zermahlen worden war, betrug 1–10 μm und die durchschnittliche Partikelgröße war etwa 3 μm.
  • Beispiel 31 (Referenz)
  • Lösungstest
  • Testprobe
    • (1) Die Formulierungen A und C wurden gemäß den oben erwähnten Beispielen hergestellt.
    • (2) Kontrollformulierung (Formulierung mit schneller Freisetzung), die eine 1 mg Kapselformulierung war, welche die folgenden Bestandteile umfasste. Sie wurde in einer ähnlichen Weise wie die Beispiele 1 und 2 von WO 91/19495 hergestellt, indem die Bestandteile (e) und (f) mit der Feststoffdispersionszusammensetzung gemischt wurden, welche die folgenden Bestandteile (a) bis (d) enthielt. Die Formulierung wurde dann verkapselt.
  • Figure 00450001
  • Testverfahren
  • Gemäß der japanischen Pharmacopoeia, 13. Ausgabe, Lösungstest, Nr. 2 (Paddle-Verfahren, 50 Upm) wurde ein Test durchgeführt unter Verwendung einer 0,005% wässrigen Hydroxypropylcellulose-Lösung, die auf einen pH von 4,5 eingestellt worden war. Die erzielten Daten sind im folgenden dargestellt.
    Figure 00450002
    Zeit (Std.) Kontrolle (%)
    0 0,0
    0,17 30,1
    0,5 68,4
    1 92,8
    2 100,1
  • Beispiel 32
  • In einer ähnlichen Weise wie nach Beispiel 31 wurde der Lösungstest durchgeführt. Die verschiedenen Parameter in der Weibull-Funktion und die Werte von T 63,2% wurden durch Berechnung erzielt.
  • Ergebnis
    Figure 00460001
  • Figure 00470001
  • Beispiel 33 (Referenz)
  • Orale Absorbierfähigkeit
  • Testprobe
    • (1) Die Formulierungen B und D wurden wie in den oben erwähnten Beispielen hergestellt.
    • (2) Kontrollformulierung (die gleiche Kontrollformulierung wie im Beispiel 31).
  • Testverfahren
  • Die Testproben wurden oral 6 cynomologen Affen (1 mg/Affe als FK506-Dosis) gegeben, um die FK506 Blutkonzentration nach der Verabreichung zu bestimmen. 17 Stunden vor der Verabreichung wurde das Futter von dem Futtertisch für die cynomologen Affen, die ein Körpergewicht von etwa 6 kg hatten, entfernt. Dann hungerten die Tiere bis 12 Stunden nach der Verabreichung. Wasser wurde ad libitum vor Beginn des Tests durch die Verabreichung der Testproben und anschließend zugeführt. Bei der Dosierung wurde Wasser (20 ml) simultan den Tieren gegeben. Zu vorbestimmten Zeitpunkten nach der Dosierung wurde 1 ml Blut aus der Vorderarmvene unter Verwendung einer sterilen Spritze entnommen und in ein Plastikgefäß gegeben, das Heparin enthielt. Die Probe wurde bei –80°C bis zum Beginn der Bestimmung der Arzneimittelkonzentration aufbewahrt. Die Gesamtblutkonzentration von FK506 wurde mit einem FK506-spezifischen Enzymimmunoassay (EIA) bestimmt, der bekannt ist aus JP-A-1-92659. Die Veröffentlichung davon wird hiermit zitiert und ist Teil der vorliegenden Beschreibung.
  • Durchschnittswert
  • Figure 00480001
  • Die maximale Blutkonzentration (Cmax) wurde definiert als die maximale Menge des Arzneimittels im Gesamtblut. Tmax ist die Zeit, die für das Erreichen der maximalen Blutkonzentration notwendig ist. MRT wird als die durchschnittliche Retentionszeit definiert. Der Bereich unter der Blutkonzentration-Zeitkurve (AUC) wurde mit dem Trapezoidverfahren berechnet. Als Indikator für die Variation der oralen Absorbierfähigkeit wurde ferner CV (Standardabweichung/Durchschnitt in %) berechnet.
  • Testergebnisse
    Figure 00480002
  • Beispiel 34
  • In ähnlicher Weise wie nach Beispiel 33 wurde die orale Absorbierfähigkeit der verschiedenen Formulierungen gemäß der vorliegenden Erfindung bestimmt.
  • Ergebnisse
  • Figure 00490001
  • Die obigen Ergebnisse zeigen, dass die für die obigen Experimente angewandten Formulierungen nach einer oralen Verabreichung eine kleinere Cmax und ausreichend verlängerte Tmax und MRT besitzen als die Formulierung mit schneller Freisetzung (Kontrolle). Im Vergleich mit der Formulierung mit einer schnellen Freisetzung waren die AUC der obigen Formulierungen fast die gleichen oder größer. Die obigen Formulierungen mit verzögerter Freisetzung zeigten bei den einzelnen Testtieren geringere Variationen von Cmax und/oder AUC im Vergleich mit der Formulierung mit schneller Freisetzung.
  • Gemäß der Erfindung der vorliegenden Anmeldung kann eine geringe Variation in den Testtieren hinsichtlich der maximalen Blutkonzentration oder des Bereiches unter der Blutkonzentration-Zeitkurve der Makrolidverbindung nach oraler Dosierung bestimmt werden im Vergleich zu einer Formulierung mit schneller Freisetzung. Dafür wird ein Indikator für die Variation der Blutabsorbierfähigkeit der Makrolidverbindung verwendet, nämlich die Standardabweichung/Durchschnitt (CV in %) der maximalen Blutkonzentration oder des Bereiches unter der Blutkonzentration-Zeitkurve. Der Ausdruck „geringe Variation" bedeutet einen kleinen CV-Wert davon und dieser Ausdruck bedeutet insbesondere, dass der CV-Wert kleiner ist als der Wert der oben beschriebenen Formulierung mit schneller Freisetzung.
  • Die Veröffentlichungen der Patente, Patentanmeldungen und der Referenzen, die hier in der Anmeldung erwähnt sind, ist von der hier vorliegenden Beschreibung mit umfasst.

Claims (29)

  1. Makrolid-Formulierung mit verzögerter Freisetzung, wobei die Zeit (T 63,2%), die für das Lösen von 63,2% der maximalen Menge der zu lösenden Makrolidverbindung erforderlich ist, 0,7 bis 15 Stunden beträgt gemäß Messung nach der japanischen Pharmacopoeia, 13. Ausgabe, Lösungstest, Nr. 2 (Paddle-Verfahren, 50 Upm) unter Verwendung einer Testlösung, die eine auf einen pH von 4,5 eingestellte, wässrige, 0,005 Hydroxypropylcellulose-Lösung ist, und wobei die Makrolidverbindung eine tricyclische Verbindung, die durch die allgemeine Formel (I) dargestellt ist, und ein pharmazeutisch akzeptables Salz davon ist,
    Figure 00510001
    wobei jedes der benachbarten Paare von R1 und R2, R3 und R4 sowie R5 und R6 unabhängig voneinander (a) zwei benachbarte Wasserstoffatome sind, wobei aber R2 auch eine Alkylgruppe sein kann, oder (b) eine andere Bindung bilden können, die zwischen den Kohlenstoffatomen ausgebildet ist, mit denen sie verbunden sind; R7 ein Wasserstoffatom, eine Hydroxygruppe, eine geschützte Hydroxygruppe, eine Alkoxygruppe oder eine Oxogruppe zusammen mit R1 ist; R8 und R9 unabhängig voneinander ein Wasserstoffatom oder eine Hydroxygruppe sind; R10 ein Wasserstoffatom, eine Alkylgruppe, eine Alkylgruppe, die mit einer oder mehreren Hydroxygruppen substituiert ist, eine Alkenylgruppe, eine Alkenylgruppe, die mit einer oder mehreren Hydroxygruppen substituiert ist, oder eine Alkylgruppe ist, die mit einer Oxogruppe substituiert ist; X eine Oxogruppe, (ein Wasserstoffatom und eine Hydroxygruppe), (ein Wasserstoffatom und ein Wasserstoffatom), oder eine Gruppe ist, die durch die Formel -CH2O- dargestellt ist; Y eine Oxogruppe, (ein Wasserstoffatom und eine Hydroxygruppe), (ein Wasserstoffatom und ein Wasserstoffatom), oder eine Gruppe ist, die durch die Formeln N-NR11R12 oder N-OR13 dargestellt ist; R11 und R12 unabhängig voneinander ein Wasserstoffatom, eine Alkylgruppe, eine Arylgruppe oder eine Tosylgruppe sind; R13, R14, R15, R16, R17, R18, R19, R22 und R23 unabhängig voneinander ein Wasserstoffatom oder eine Alkylgruppe sind; R24 ein optional substituiertes Ringsystem ist, das ein oder mehrere Heteroatome enthalten kann; n eine ganze Zahl von 1 oder 2 ist; und zusätzlich zu den obigen Definitionen können Y, R10 und R23 zusammen mit dem Kohlenstoffatom, mit dem sie verbunden sind, einen gesättigten oder ungesättigten, 5- oder 6-gliedrigen, Stickstoff-, Schwefel- und/oder Sauerstoff-enthaltenden, heterocyclischen Ring darstellen, der optional mit einer oder mehreren Gruppen substituiert ist, die aus der Gruppe ausgewählt sind, die besteht aus einem Alkyl, einem Hydroxy, einem Alkoxy, einem Benzyl, einer Gruppe der Formel -CH2Se(C6H5) und einem Alkyl, das mit einer oder mehreren Hydroxygruppen substituiert ist; wobei die Formulierung eine Feststoffdispersionszusammensetzung umfasst, worin die Makrolidverbindung (I) in einem amorphen Zustand in einer wasserunlöslichen Basis vorliegt, wobei die wasserunlösliche Basis, welche in der Feststoffdispersionszusammensetzung enthalten ist, aus einem wasserunlöslichen Polymer oder Wachs ausgewählt ist.
  2. Formulierung mit verzögerter Freisetzung nach Anspruch 1, worin die wasserunlösliche Basis ein wasserunlösliches Polymer ist.
  3. Formulierung mit verzögerter Freisetzung nach Anspruch 1, worin die Feststoffdispersionszusammensetzung dadurch gekennzeichnet ist, dass (1) Lactose oder Calciumhydrogenphosphat als Bindemittel und/oder Gleitmittel enthalten ist, (2) ein Lösungsvermittler nicht enthalten ist, und (3) die Partikelgröße der Feststoffdispersionszusammensetzung gleich oder kleiner als 350 μm ist.
  4. Formulierung mit verzögerter Freisetzung nach Anspruch 2, worin die Feststoffdispersionszusammensetzung dadurch gekennzeichnet ist, dass das wasserunlösliche Polymer in einer Gewichtsmenge von 0,1–5 zu der Verbindung (I)(1,0) vorliegt.
  5. Formulierung mit verzögerter Freisetzung nach Anspruch 2, worin das wasserunlösliche Polymer Ethylcellulose oder ein Methacrylat-Copolymer ist.
  6. Formulierung mit verzögerter Freisetzung nach Anspruch 5, worin das wasserunlösliche Polymer Ethylcellulose ist.
  7. Formulierung mit verzögerter Freisetzung nach Anspruch 2, worin ein wasserlösliches Polymer mit dem wasserunlöslichen Polymer gemischt ist.
  8. Formulierung mit verzögerter Freisetzung nach Anspruch 7, worin das wasserlösliche Polymer Hydroxypropylmethylcellulose ist.
  9. Formulierung mit verzögerter Freisetzung nach Anspruch 8, worin die Feststoffdispersionszusammensetzung dadurch gekennzeichnet ist, dass (1) die Makrolidverbindung (I) in einem amorphen Zustand in einer Mischung von Ethylcellulose und Hydroxypropylmethylcellulose vorliegt, (2) Lactose als Bindemittel enthalten ist, (3) die Partikelgröße der Feststoffdispersionszusammensetzung gleich oder kleiner als 250 μm ist.
  10. Formulierung mit verzögerter Freisetzung nach Anspruch 9, worin der Gewichtsanteil der Verbindung (I) zu Hydroxypropylmethylcellulose 1 bis 0,2–0,4 ist.
  11. Formulierung mit verzögerter Freisetzung nach Anspruch 1, worin die wasserunlösliche Basis Wachs ist.
  12. Formulierung mit verzögerter Freisetzung nach Anspruch 11, worin das Wachs Glycerinmonostearat, ein Polyglycerin-Fettsäureester oder ein Saccharose-Fettsäureester ist.
  13. Formulierung mit verzögerter Freisetzung nach Anspruch 11 oder 12, worin die Feststoffdispersionszusammensetzung dadurch gekennzeichnet ist, dass (1) Lactose oder Calciumhydrogenphosphat als ein Bindemittel enthalten ist, (2) Lösungsvermittler nicht enthalten sind, und (3) die Partikelgröße der Feststoffdispersionszusammensetzung gleich oder kleiner als 350 μm ist.
  14. Formulierung mit verzögerter Freisetzung nach Anspruch 12, die eine Feststoffdispersionszusammensetzung umfasst, welche durch die Verbindung (I) gekennzeichnet ist, die in einem amorphen Zustand in dem Saccharose-Fettsäureester vorliegt, der mit einem Gewichtsanteil von 0,2–20 zu der Verbindung (I)(1,0) vorhanden ist.
  15. Formulierung mit verzögerter Freisetzung nach Anspruch 12, die eine Feststoffdispersionszusammensetzung umfasst, welche durch die Verbindung (I) gekennzeichnet ist, die in einem amorphen Zustand in dem Glycerinmonostearat vorliegt, das mit einem Gewichtsanteil von 10–100 zu der Verbindung (I)(1,0) vorhanden ist.
  16. Formulierung mit verzögerter Freisetzung nach Anspruch 12, die eine Feststoffdispersionszusammensetzung umfasst, welche durch die Verbindung (I) gekennzeichnet ist, die in einem amorphen Zustand in dem Polyglycerin-Fettsäureester vorliegt, der mit einem Gewichtsanteil von 0,1–100 zu der Verbindung (I)(1,0) vorhanden ist.
  17. Formulierung mit verzögerter Freisetzung nach Anspruch 1, worin die Verbindungen (I) die sind, worin jedes der benachbarten Paare von R3 und R4 oder R5 und R6 unabhängig voneinander eine andere Bindung bilden, die zwischen den Kohlenstoffatomen ausgebildet sind, mit denen sie verbunden sind; R8 und R32 unabhängig voneinander ein Wasserstoffatom sind; R9 eine Hydroxygruppe ist; R10 eine Methylgruppe, eine Ethylgruppe, eine Propylgruppe oder eine Allylgruppe ist; X ein (Wasserstoffatom und ein Wasserstoffatom) oder eine Oxogruppe ist; Y eine Oxogruppe ist; jedes von R14, R15, R16, R17, R18, R19 und R22 eine Methylgruppe ist; R24 eine 3-R20-4-R21-Cyclohexylgruppe ist, worin R20 ein Hydroxy, eine Alkoxygruppe, eine Oxogruppe oder eine -OCH2OCH2CH2OCH3-Gruppe ist, und R21 Hydroxy, -OCN, eine Alkoxygruppe, ein Heteroaryloxy, das mit geeigneten Substituenten substituiert sein kann, eine -OCH2OCH2CH2OCH3-Gruppe, eine geschützte Hydroxygruppe, Chlor, Brom, Iod, Aminooxalyloxy, eine Azidogruppe, p-Tolyloxythiocarbonyloxy oder R25R26CHCOO- ist, worin R25 ein optional geschütztes Hydroxy oder ein geschütztes Amino ist, und R26 Wasserstoff oder Methyl ist, oder R20 und R21 in einem Epoxidring zusammen ein Sauerstoffatom bilden; und n eine ganze Zahl von 1 oder 2 ist.
  18. Formulierung mit verzögerter Freisetzung nach einem der Ansprüche 1 bis 17, worin die Verbindung (I) Tacrolimus oder das Hydrat davon ist.
  19. Formulierung mit verzögerter Freisetzung nach einem der Ansprüche 1 bis 18, die in Form eines Pulvers, feinen Pulvers, Granulats, Tablette oder einer Kapsel vorliegt.
  20. Formulierung mit verzögerter Freisetzung nach Anspruch 1, worin die Zeit (T 63,2%) 1,0 bis 12 Stunden beträgt.
  21. Formulierung mit verzögerter Freisetzung nach Anspruch 1, worin die Zeit (T 63,2%) 1,3 bis 8,2 Stunden beträgt.
  22. Formulierung mit verzögerter Freisetzung nach Anspruch 1, worin die Zeit (T 63,2%) 2 bis 5 Stunden beträgt.
  23. Formulierung mit verzögerter Freisetzung, die eine Feststoffdispersionszusammensetzung umfasst, welche dadurch gekennzeichnet ist, dass (1) Tacrolimus oder das Hydrat davon in einem amorphen Zustand in einer Mischung von Ethylcellulose und Hydroxypropylmethylcellulose vorhanden ist, wobei der Gewichtsanteil der Ethylcellulose und der Hydroxypropylmethylcellulose 0,1 bis 5 beziehungsweise 0,2 bis 0,4 zu Tacrolimus oder dem Hydrat davon (1,0) beträgt, (2) Lactose als ein Bindemittel enthalten ist, (3) die Partikelgröße der Feststoffdispersionszusammensetzung gleich oder kleiner als 250 μm ist.
  24. Formulierung mit verzögerter Freisetzung nach Anspruch 23, worin der Gewichtsanteil der Ethylcellulose 0,1–1 zu Tacrolimus (1,0) beträgt.
  25. Formulierung mit verzögerter Freisetzung nach Anspruch 23, worin der Gewichtsanteil der Lactose 2, 3 oder 5 zu Tacrolimus (1,0) beträgt.
  26. Formulierung mit verzögerter Freisetzung nach Anspruch 23, worin in der Feststoffdispersionszusammensetzung keine Lösungsvermittler enthalten sind.
  27. Formulierung mit verzögerter Freisetzung nach Anspruch 23, worin die Partikelgröße der Feststoffdispersionszusammensetzung gleich oder kleiner als 212 μm ist.
  28. Formulierung mit verzögerter Freisetzung, die eine Feststoffdispersionszusammensetzung umfasst, welche dadurch gekennzeichnet ist, dass (1) Tacrolimus oder das Hydrat davon in einem amorphen Zustand in einer Mischung von Ethylcellulose und Hydroxypropylmethylcellulose vorhanden ist, wobei der Gewichtsanteil der Ethylcellulose und der Hydroxypropylmethylcellulose jeweils 0,3 zu Tacrolimus oder einem Hydrat davon (1,0) beträgt, (2) Lactose als ein Bindemittel enthalten ist, (3) die Partikelgröße der Feststoffdispersionszusammensetzung gleich oder kleiner als 212 μm ist.
  29. Formulierung mit verzögerter Freisetzung nach einem der Ansprüche 23 bis 28, die in Form eines Pulvers, feinen Pulvers, Granulats, Tablette oder einer Kapsel vorliegt.
DE69918074T 1998-03-26 1999-03-25 Makrolid-formulierung mit verzögerter wirkstoffabgabe Expired - Lifetime DE69918074T2 (de)

Applications Claiming Priority (5)

Application Number Priority Date Filing Date Title
JP7903998 1998-03-26
JP7903998 1998-03-26
JP18296398 1998-06-29
JP18296398 1998-06-29
PCT/JP1999/001499 WO1999049863A1 (en) 1998-03-26 1999-03-25 Sustained release preparations

Publications (2)

Publication Number Publication Date
DE69918074D1 DE69918074D1 (de) 2004-07-22
DE69918074T2 true DE69918074T2 (de) 2004-11-04

Family

ID=26420115

Family Applications (2)

Application Number Title Priority Date Filing Date
DE69918074T Expired - Lifetime DE69918074T2 (de) 1998-03-26 1999-03-25 Makrolid-formulierung mit verzögerter wirkstoffabgabe
DE69942286T Expired - Lifetime DE69942286D1 (de) 1998-03-26 1999-03-25 Retardpräparat mit Makroliden wie Tacrolimus

Family Applications After (1)

Application Number Title Priority Date Filing Date
DE69942286T Expired - Lifetime DE69942286D1 (de) 1998-03-26 1999-03-25 Retardpräparat mit Makroliden wie Tacrolimus

Country Status (31)

Country Link
US (5) US6440458B1 (de)
EP (3) EP1421939B9 (de)
JP (4) JP3714970B2 (de)
KR (3) KR100505464B1 (de)
CN (1) CN1229111C (de)
AR (1) AR023299A1 (de)
AT (3) ATE514419T1 (de)
AU (1) AU749623B2 (de)
BR (1) BRPI9909201B8 (de)
CA (1) CA2322516C (de)
CZ (1) CZ300548B6 (de)
DE (2) DE69918074T2 (de)
DK (3) DK1064942T3 (de)
ES (3) ES2219000T3 (de)
HR (1) HRP20000707B1 (de)
HU (1) HU230889B1 (de)
ID (1) ID27825A (de)
IL (1) IL138466A (de)
ME (2) MEP30008A (de)
NO (1) NO330578B1 (de)
NZ (1) NZ507211A (de)
PL (1) PL193244B1 (de)
PT (3) PT2198858E (de)
RS (1) RS50164B (de)
RU (1) RU2214244C9 (de)
SI (1) SI1064942T1 (de)
SK (1) SK286887B6 (de)
TR (1) TR200002771T2 (de)
TW (2) TW570814B (de)
WO (1) WO1999049863A1 (de)
ZA (1) ZA200004963B (de)

Families Citing this family (106)

* Cited by examiner, † Cited by third party
Publication number Priority date Publication date Assignee Title
US6890546B2 (en) 1998-09-24 2005-05-10 Abbott Laboratories Medical devices containing rapamycin analogs
US7399480B2 (en) * 1997-09-26 2008-07-15 Abbott Laboratories Methods of administering tetrazole-containing rapamycin analogs with other therapeutic substances using medical devices
US20030129215A1 (en) * 1998-09-24 2003-07-10 T-Ram, Inc. Medical devices containing rapamycin analogs
NZ507211A (en) * 1998-03-26 2003-07-25 Fujisawa Pharmaceutical Co Sustained release preparations
US7455853B2 (en) * 1998-09-24 2008-11-25 Abbott Cardiovascular Systems Inc. Medical devices containing rapamycin analogs
US6855172B2 (en) 1998-10-13 2005-02-15 Dry, Inc. Dry-cleaning article, composition and methods
US7807211B2 (en) 1999-09-03 2010-10-05 Advanced Cardiovascular Systems, Inc. Thermal treatment of an implantable medical device
US20070032853A1 (en) 2002-03-27 2007-02-08 Hossainy Syed F 40-O-(2-hydroxy)ethyl-rapamycin coated stent
US6790228B2 (en) 1999-12-23 2004-09-14 Advanced Cardiovascular Systems, Inc. Coating for implantable devices and a method of forming the same
ATE334659T1 (de) * 2000-03-08 2006-08-15 Awd Pharma Gmbh & Co Kg Pharmazeutische formulierungen enthaltend saccharosefettsäureester zur steuerung der wirkstofffreisetzung
ATE378039T1 (de) 2000-06-27 2007-11-15 Vectura Ltd Herstellungsverfahren für partikel zur verwendung in einer arzneizusammensetzung
AU2001269261B2 (en) * 2000-06-27 2005-11-17 Vectura Limited Method of making particles for use in a pharmaceutical composition
US20040018228A1 (en) * 2000-11-06 2004-01-29 Afmedica, Inc. Compositions and methods for reducing scar tissue formation
LT3143995T (lt) 2001-02-19 2019-01-25 Novartis Ag Rapamicino darinys, skirtas plaučių vėžio gydymui
US6645946B1 (en) 2001-03-27 2003-11-11 Pro-Pharmaceuticals, Inc. Delivery of a therapeutic agent in a formulation for reduced toxicity
ES2376739T3 (es) 2001-03-27 2012-03-16 Galectin Therapeutics Inc. Administración conjunta de un polisacárido con un agente quimioterapéutico para el tratamiento del cáncer
GB0108498D0 (en) * 2001-04-04 2001-05-23 Novartis Ag Organic Compounds
WO2002089796A2 (en) * 2001-05-09 2002-11-14 Novartis Ag Methods for selective immunomodulation using pimecrolimus
AUPR529701A0 (en) * 2001-05-28 2001-06-21 Fujisawa Pharmaceutical Co., Ltd. Pharmaceutical composition
US20080145402A1 (en) * 2001-09-10 2008-06-19 Abbott Cardiovascular Systems Inc. Medical Devices Containing Rapamycin Analogs
GB0123400D0 (en) 2001-09-28 2001-11-21 Novartis Ag Organic compounds
CA2465405A1 (en) * 2001-11-02 2003-05-08 Wockhardt Limited Controlled release compositions for macrolide antimicrobial agents
JP2003327536A (ja) 2002-03-07 2003-11-19 Kitasato Inst:The ヒト免疫不全症候群ウイルスの感染、増殖抑制剤
EP2263709A1 (de) * 2002-09-06 2010-12-22 Abbott Laboratories Medizinische Vorrichtungen mit Rapamycin-Analoga
US7601695B2 (en) 2003-03-10 2009-10-13 Optimer Pharmaceuticals, Inc. Antibacterial agents
US20040185009A1 (en) * 2003-03-19 2004-09-23 Dexcel Pharma Technologies Ltd. Composition and device for treating periodontal diseases
GB0307867D0 (en) * 2003-04-04 2003-05-14 Novartis Ag Pharmaceutical composition
GB0307866D0 (en) * 2003-04-04 2003-05-14 Novartis Ag Pharmaceutical composition
EP1638529B1 (de) * 2003-06-16 2016-08-10 ANDRX Pharmaceuticals, LLC. Orale zusammensetzung mit verlängerter freisetzung
US20050118344A1 (en) 2003-12-01 2005-06-02 Pacetti Stephen D. Temperature controlled crimping
BRPI0412329A (pt) * 2003-07-09 2006-09-05 Chong Kun Dang Pharm Corp dispersão sólida de tacrolimus e método de processar a mesma
EP1643969A2 (de) * 2003-07-11 2006-04-12 Pro-Pharmaceuticals, Inc. Zusammensetzungen und verfahren für die hydrophobe arzneimittelabgabe
JP4903568B2 (ja) * 2003-08-29 2012-03-28 ベロクシス ファーマシューティカルズ エー/エス タクロリムスを含む固体分散体
EP1663217B1 (de) 2003-08-29 2010-07-07 LifeCycle Pharma A/S Tacrolimus enthaltende feste dispersionen
US20050053664A1 (en) * 2003-09-08 2005-03-10 Eliezer Zomer Co-administration of a polysaccharide with a chemotherapeutic agent for the treatment of cancer
US20070122482A1 (en) * 2003-10-03 2007-05-31 Per Holm Method for preparing modified release pharmaceutical compositions
US7285544B2 (en) * 2003-11-18 2007-10-23 Bernstein Eric F Use of nitroxides in treating skin disease
CA2552305A1 (en) * 2003-12-30 2005-07-14 Astellas Pharma Inc. Use of macrolides for treating or preventing airflow obstruction
KR100485877B1 (ko) * 2003-12-30 2005-04-28 종근당바이오 주식회사 타크롤리무스를 생산하는 미생물 및 이를 이용한타크롤리무스의 대량 생산방법
EP1718146A2 (de) * 2004-02-13 2006-11-08 Pro-Pharmaceuticals, Inc. Zusammensetzungen und verfahren zur behandlung von akne und candida
US20080286251A1 (en) * 2004-08-02 2008-11-20 Propharmaceuticals, Inc. Compositions and Methods for the Enhancement of Chemotherapy with Microbial Cytotoxins
WO2006021443A2 (en) * 2004-08-26 2006-03-02 Novartis Ag Composition comprising an at1 receptor blocker and a macrolide t-cell immunomodulator
JP2008514706A (ja) * 2004-09-29 2008-05-08 コーディス・コーポレイション 安定非晶質ラパマイシン様化合物の薬学的投与形態
JP2007523069A (ja) * 2004-12-01 2007-08-16 テバ ジョジセルジャール ザ−トケルエン ムケド レ−スベニュタ−ルシャシャ−グ 非吸湿性及び粉末性非晶質ピメクロリマス
EP1833835A1 (de) * 2005-01-05 2007-09-19 Teva Gyogyszergyar Zartkoruen Müködö R Szv Nytarsa Amorpher tacrolimus und herstellung
KR100678824B1 (ko) * 2005-02-04 2007-02-05 한미약품 주식회사 용해성이 증가된 무정형 타크로리무스 고체분산체 및 이를포함하는 약제학적 조성물
CN101175481A (zh) * 2005-03-17 2008-05-07 伊兰制药国际有限公司 纳米颗粒免疫抑制化合物的可注射的组合物
CA2639921C (en) * 2006-01-23 2014-01-21 Yissum Research Development Company Of The Hebrew University Of Jerusalem Microspheres comprising nanocapsules containing a lipophilic drug
HUP0600097A3 (en) * 2006-02-08 2008-07-28 Richter Gedeon Nyrt Pharmaceutical compositions comprising tacrolimus and process for their preparation
JP2007308479A (ja) 2006-04-20 2007-11-29 Shin Etsu Chem Co Ltd 固体分散体製剤
EP2067475A4 (de) * 2006-09-26 2010-12-15 Astellas Pharma Inc Tacrolimus-zubereitung mit verzögerter freisetzung
EP1938804A1 (de) * 2006-12-22 2008-07-02 Novartis AG Pharmazeutische Zubereitung enthaltend Neurokinin Antagonist
EP2127677A4 (de) * 2006-12-27 2012-05-02 Astellas Pharma Inc Aminoalkylmethacrylat-copolymer zur aufrechterhaltung der löslichkeit eines schwer wasserlöslichen arzneimittels
JPWO2008084698A1 (ja) * 2006-12-28 2010-04-30 アステラス製薬株式会社 タクロリムス徐放性医薬組成物
US7521523B2 (en) 2006-12-28 2009-04-21 Eastman Chemical Company Oxygen-scavenging polyester compositions useful in packaging
BRPI0722054A2 (pt) * 2006-12-28 2014-04-01 Limerick Biopharma Inc Composição, kit, e métodos para diminuir um efeito colateral de tratamento com um inibidor da calcineurina, para aumentar um efeito terapêutico de um inibidor da calcineurina e para mudar a concentração de tacrolimus ou um análogo de tacrolimus em um compartimento fisiológico.
ES2435197T3 (es) * 2007-01-10 2013-12-16 Board Of Regents, The University Of Texas System Administración mejorada de composiciones de fármacos inmunosupresores para la administración por vía pulmonar
EA200970897A1 (ru) * 2007-03-29 2010-04-30 Панацея Биотек Лимитед Модифицированные лекарственные формы такролимуса
ITMI20070720A1 (it) * 2007-04-06 2008-10-07 Monteresearch Srl Composizioni orali contenenti tacrolimus in forma amorfa
US8703204B2 (en) 2007-05-03 2014-04-22 Bend Research, Inc. Nanoparticles comprising a cholesteryl ester transfer protein inhibitor and anon-ionizable polymer
WO2008135828A2 (en) 2007-05-03 2008-11-13 Pfizer Products Inc. Nanoparticles comprising a drug, ethylcellulose, and a bile salt
ES2634153T3 (es) 2007-05-30 2017-09-26 Veloxis Pharmaceuticals A/S Forma de dosificación oral de una vez al día que comprende tacrolimus
US12083103B2 (en) 2007-05-30 2024-09-10 Veloxis Pharmaceuticals, Inc. Tacrolimus for improved treatment of transplant patients
WO2008149230A2 (en) 2007-06-04 2008-12-11 Pfizer Products Inc. Nanoparticles comprising drug, a non-ionizable cellulosic polymer and tocopheryl polyethylene glycol succinate
EP2162120B1 (de) 2007-06-04 2016-05-04 Bend Research, Inc Nanopartikel mit nicht ionisierbarem zellulosepolymer und amphipilem nicht ionisierbarem blockcopolymer
AU2008282261A1 (en) * 2007-07-31 2009-02-05 Limerick Biopharma, Inc. Phosphorylated pyrone analogs and methods
AU2008303129B2 (en) 2007-09-25 2013-08-01 Formulex Pharma Innovations Ltd. Compositions comprising lipophilic active compounds and method for their preparation
EP2214484A4 (de) 2007-10-25 2013-01-02 Cempra Pharmaceuticals Inc Verfahren zur herstellung von antibakteriellen makrolid-wirkstoffen
TW200932240A (en) 2007-10-25 2009-08-01 Astellas Pharma Inc Pharmaceutical composition containing lipophilic substance which inhibits IL-2 production
KR20090044269A (ko) * 2007-10-31 2009-05-07 (주)아모레퍼시픽 서방성 나노입자 및 이를 함유하는 화장료 조성물
US9724362B2 (en) 2007-12-06 2017-08-08 Bend Research, Inc. Pharmaceutical compositions comprising nanoparticles and a resuspending material
WO2009073216A1 (en) 2007-12-06 2009-06-11 Bend Research, Inc. Nanoparticles comprising a non-ionizable polymer and an amine-functionalized methacrylate copolymer
CL2008000374A1 (es) * 2008-02-05 2008-04-04 Igloo Zone Chile S A Composicion farmaceutica que comprende un polvo para suspension oral de tacrolimus o una de sus sales, hidratos o solvatos y excipientes farmaceuticamente aceptables; procedimiento de preparacion de dicha composicion farmaceutica; y uso para la preve
US8222272B2 (en) * 2008-04-11 2012-07-17 Roxane Laboratories, Inc. Pharmaceutical formulation and process comprising a solid dispersion of macrolide (tacrolimus)
US12403095B2 (en) 2008-05-30 2025-09-02 Veloxis Pharmaceuticals, Inc. Stabilized tacrolimus composition
WO2010004304A1 (en) * 2008-06-17 2010-01-14 Biotica Technology Limited Novel compounds and methods for their production
CN102245195B (zh) 2008-10-24 2016-01-13 森普拉制药公司 使用含三唑的大环内酯的生物防御
EP2448406B1 (de) 2009-02-26 2016-04-20 Relmada Therapeutics, Inc. Oral einnehmbare pharmazeutische zusammensetzungen aus 3-hydroxy-n-methylmorphinan mit verzögerter freisetzung und verwendungsverfahren dafür
US9937194B1 (en) 2009-06-12 2018-04-10 Cempra Pharmaceuticals, Inc. Compounds and methods for treating inflammatory diseases
JP5914335B2 (ja) 2009-09-10 2016-05-11 センプラ ファーマシューティカルズ,インコーポレイテッド マラリア、結核、及びmac病の治療方法
TWI510238B (zh) 2010-02-17 2015-12-01 Lifecycle Pharma As 穩定化他克莫司(tacrolimus)組合物
WO2011105070A1 (ja) 2010-02-25 2011-09-01 パナソニック株式会社 需給制御装置、需給制御方法、およびプログラム
WO2012008159A1 (en) 2010-07-14 2012-01-19 Senju Pharmaceutical Co., Ltd. Solid dispersion of alfa-ketoamide derivatives
MA34586B1 (fr) * 2010-08-25 2013-10-02 Medis Lab Particules cristallines de tacrolimus micronise a surface modifiee et compositions pharmaceutiques associees
WO2012034058A1 (en) 2010-09-10 2012-03-15 Cempra Pharmaceuticals, Inc. Hydrogen bond forming fluoro ketolides for treating diseases
AU2012295397A1 (en) * 2011-08-16 2014-02-20 Merck Sharp & Dohme Corp. Use of inorganic matrix and organic polymer combinations for preparing stable amorphous dispersions
JP6368242B2 (ja) * 2011-10-06 2018-08-01 ノバルティス アーゲー 40−o−(2−ヒドロキシ)エチル−ラパマイシンを含む医薬組成物
CA2868262A1 (en) 2012-03-27 2013-10-03 Cempra Pharmaceuticals, Inc. Parenteral formulations for administering macrolide antibiotics
TWI614255B (zh) * 2012-07-06 2018-02-11 Godo Shusei Co Ltd 環狀巨環內酯系化合物之分離方法
HK1217665A1 (zh) 2013-03-14 2017-01-20 森普拉制药公司 用於治療呼吸道疾病的方法及其製劑
HK1218864A1 (zh) 2013-03-15 2017-03-17 森普拉制药公司 用於制备大环内酯抗菌剂的收敛方法
US9168246B2 (en) 2013-06-27 2015-10-27 Veloxis Pharmaceutical A/S Regimen for suppressing organ rejection
CN103432099A (zh) * 2013-08-13 2013-12-11 江苏正大清江制药有限公司 一种他克莫司缓释胶囊及其制备方法
CN105828827A (zh) 2014-11-21 2016-08-03 杭州领业医药科技有限公司 一种含他克莫司的药物组合物及其制备方法
CN104473907A (zh) * 2014-12-25 2015-04-01 北京华禧联合科技发展有限公司 一种他克莫司的口服缓释制剂
US10576076B2 (en) 2015-05-20 2020-03-03 Novartis Ag Pharmaceutical combination of everolimus with dactolisib
CN104840446B (zh) * 2015-05-27 2017-08-11 福建科瑞药业有限公司 一种他克莫司药物组合物及其制备方法
CN109563164A (zh) 2016-04-15 2019-04-02 生物蛋白有限公司 抗axl抗体、抗体片段和它们的免疫缀合物以及其用途
US9956158B2 (en) * 2016-09-08 2018-05-01 Synergistic Therapeutics, Llc Topical hair growth formulation
AU2017363970A1 (en) 2016-11-23 2019-06-20 Novartis Ag Methods of enhancing immune response with everolimus, dactolisib or both
WO2019157516A1 (en) 2018-02-12 2019-08-15 resTORbio, Inc. Combination therapies
KR102081176B1 (ko) * 2018-06-22 2020-02-25 주식회사 종근당 타크로리무스를 포함하는 서방형 약제학적 제제
WO2020131792A1 (en) * 2018-12-18 2020-06-25 Ddp Specialty Electronics Materials Us, Inc. A sustained release composition comprising an ethylcellulose
EP3934677A4 (de) 2019-03-13 2022-11-16 University of Virginia Patent Foundation Zusammensetzungen und verfahren zur förderung der insellebensfähigkeit und zur steigerung der insulinsekretion
GR1009790B (el) 2019-03-20 2020-08-03 Φαρματεν Α.Β.Ε.Ε. Σκευασμα παρατεταμενης αποδεσμευσης που περιλαμβανει τακρολιμους
JP7681303B2 (ja) * 2021-09-03 2025-05-22 国立研究開発法人農業・食品産業技術総合研究機構 養分供給量推定方法、養分供給体の利用方法、プログラム、および推定システム

Family Cites Families (44)

* Cited by examiner, † Cited by third party
Publication number Priority date Publication date Assignee Title
GB1278817A (en) 1968-09-03 1972-06-21 Gilbert Stephen Banker Improvements in and relating to controlled release pharmaceutical compositions
US4127647A (en) * 1975-04-08 1978-11-28 Meiji Seika Kaisha, Ltd. Process for preparation of stable amorphous macrolide antibiotic solids
US4389393A (en) 1982-03-26 1983-06-21 Forest Laboratories, Inc. Sustained release therapeutic compositions based on high molecular weight hydroxypropylmethylcellulose
US4894366A (en) 1984-12-03 1990-01-16 Fujisawa Pharmaceutical Company, Ltd. Tricyclo compounds, a process for their production and a pharmaceutical composition containing the same
JPS62208103A (ja) 1986-03-07 1987-09-12 Yokogawa Hewlett Packard Ltd ロボツト運動制御システム
GB8608080D0 (en) * 1986-04-02 1986-05-08 Fujisawa Pharmaceutical Co Solid dispersion composition
JPS63150220A (ja) * 1986-12-15 1988-06-22 Dainippon Pharmaceut Co Ltd 経口用固形製剤の製造方法
US4968508A (en) * 1987-02-27 1990-11-06 Eli Lilly And Company Sustained release matrix
JP2822389B2 (ja) 1987-06-05 1998-11-11 藤沢薬品工業株式会社 抗fr−900506物質抗体、および高感度酵素免疫測定法
DE3853477T2 (de) 1987-12-09 1995-11-09 Fisons Plc Makrozyklische verbindungen.
DE3742525C2 (de) 1987-12-11 1998-02-19 Hertz Inst Heinrich Verfahren zur Herstellung von Metallalkylverbindungen und deren Verwendung
FR2624732B1 (fr) * 1987-12-21 1991-02-15 Synthelabo Formulation pharmaceutique a liberation prolongee
JPH02232814A (ja) 1989-03-07 1990-09-14 Fuji Photo Film Co Ltd 磁気記録媒体
ZA905202B (en) 1989-07-05 1991-04-24 Fujisawa Pharmaceutical Co Aqueous liquid composition for external use
KR0159766B1 (ko) 1989-10-16 1998-12-01 후지사와 토모키치로 양모제 조성물
ATE126803T1 (de) 1989-11-09 1995-09-15 Sandoz Ag Heteroatome enthaltende tricyclische verbindungen.
JPH03232814A (ja) 1990-02-08 1991-10-16 Shin Etsu Chem Co Ltd 徐放性錠剤の製造方法
EP0594600A1 (de) 1990-03-13 1994-05-04 FISONS plc Immunosuppressive makrozyklische verbindungen
WO1991019495A1 (en) 1990-06-11 1991-12-26 Fujisawa Pharmaceutical Co., Ltd. Use of a macrolide compound such as fk 506 for manufacturing a medicament for treating idiopathic thrombocytopenic purpura and basedow's disease
US5643901A (en) 1990-06-11 1997-07-01 Fujisawa Pharmaceutical Co., Ltd. Medicament for treating idiopathic thrombocytopenic purpura
MY110418A (en) 1990-07-02 1998-05-30 Novartis Ag Heteroatoms-containing tricyclic compounds.
EP0480623A1 (de) 1990-10-11 1992-04-15 Merck & Co. Inc. Halomakrolide und Derivate mit immunosuppressiver Wirkung
US5252732A (en) 1991-09-09 1993-10-12 Merck & Co., Inc. D-heteroaryl, O-alkylheteroaryl, O-alkenylheteroaryl and O-alkynylheteroarylmacrolides having immunosuppressive activity
US5208241A (en) 1991-09-09 1993-05-04 Merck & Co., Inc. N-heteroaryl, n-alkylheteroaryl, n-alkenylheteroaryl and n-alkynylheteroarylmacrolides having immunosuppressive activity
US5247076A (en) 1991-09-09 1993-09-21 Merck & Co., Inc. Imidazolidyl macrolides having immunosuppressive activity
JP3128320B2 (ja) 1992-03-28 2001-01-29 株式会社常盤電機 不燃性シート及びその製造方法
GB9208492D0 (en) * 1992-04-16 1992-06-03 Glaxo Spa Heterocyclic compounds
GB9209882D0 (en) * 1992-05-07 1992-06-24 Glaxo Lab Sa Compositions
HUT66531A (en) 1992-05-07 1994-12-28 Sandoz Ag Heteroatoms-containing tricyclic compounds, pharmaceutical prepns contg. them and process for producing them
JP2707023B2 (ja) * 1992-07-01 1998-01-28 株式会社大塚製薬工場 経口吸収用製剤
GB9221220D0 (en) * 1992-10-09 1992-11-25 Sandoz Ag Organic componds
AU686115B2 (en) 1992-11-02 1998-02-05 Fujisawa Pharmaceutical Co., Ltd. Imidazo (I,2-a) pyridine derivatives as bradykinin antagonists, pharmaceuticals and processes for their preparation
ATE183083T1 (de) * 1992-11-18 1999-08-15 Fujisawa Pharmaceutical Co Pharmazeutische zubereitung mit verlängerter wirkung
MY110603A (en) 1993-05-27 1998-08-29 Novartis Ag Tetrahydropyran derivatives
DE4329503A1 (de) 1993-09-01 1995-03-02 Galenik Labor Freiburg Gmbh Pharmazeutische Präparate zur gezielten Behandlung von Morbus Crohn und Colitis Ulcerosa
US6204243B1 (en) * 1993-09-01 2001-03-20 Novatis Ag Pharmaceutical preparations for the targeted treatment of crohn's disease and ulcerative colitis
JP3232814B2 (ja) 1993-09-22 2001-11-26 ジェイエスアール株式会社 感熱記録媒体用インキ組成物
NZ283160A (en) * 1994-05-06 1998-07-28 Pfizer Azithromycin in a controlled release dosage form for treating microbiol infections
AR004480A1 (es) 1995-04-06 1998-12-16 Amico Derin C D Compuestos de ascomicina que poseen actividad antiinflamatoria, pro cedimiento para prepararlos, uso de dichos compuestos para preparar agentesfarmaceuticos y composiciones farmaceuticas que los incluyen
BE1009856A5 (fr) * 1995-07-14 1997-10-07 Sandoz Sa Composition pharmaceutique sous la forme d'une dispersion solide comprenant un macrolide et un vehicule.
CA2229718A1 (en) * 1995-08-24 1997-03-06 David J. Mathre Process for the preparation of imidazolyl macrolide immunosuppressants
US5705190A (en) * 1995-12-19 1998-01-06 Abbott Laboratories Controlled release formulation for poorly soluble basic drugs
ZA9710927B (en) 1996-12-06 1998-06-15 Fujisawa Pharmaceutical Co Pharmaceutical composition.
NZ507211A (en) * 1998-03-26 2003-07-25 Fujisawa Pharmaceutical Co Sustained release preparations

Also Published As

Publication number Publication date
JP2004352727A (ja) 2004-12-16
RS50164B (sr) 2009-05-06
CA2322516A1 (en) 1999-10-07
US6440458B1 (en) 2002-08-27
JP4992845B2 (ja) 2012-08-08
HRP20000707B1 (en) 2005-06-30
ATE514419T1 (de) 2011-07-15
AU749623B2 (en) 2002-06-27
HUP0101237A3 (en) 2002-06-28
WO1999049863A1 (en) 1999-10-07
RU2214244C2 (ru) 2003-10-20
DK1064942T3 (da) 2004-11-01
JP2009007369A (ja) 2009-01-15
ES2219000T3 (es) 2004-11-16
US20030235614A1 (en) 2003-12-25
ME00189B (me) 2011-02-10
CN1229111C (zh) 2005-11-30
KR100440553B1 (ko) 2004-07-15
ATE464900T1 (de) 2010-05-15
EP1064942A4 (de) 2002-09-04
PT1421939E (pt) 2010-07-12
PL193244B1 (pl) 2007-01-31
CZ300548B6 (cs) 2009-06-10
PL343096A1 (en) 2001-07-30
ATE269075T1 (de) 2004-07-15
US20090074858A1 (en) 2009-03-19
YU58000A (sh) 2003-08-29
MEP30008A (en) 2010-10-10
EP1421939B1 (de) 2010-04-21
TWI235068B (en) 2005-07-01
US8551522B2 (en) 2013-10-08
RU2000126836A (ru) 2002-09-10
DK1421939T5 (da) 2011-07-18
BRPI9909201B1 (pt) 2019-04-02
SK14392000A3 (sk) 2001-03-12
US6576259B2 (en) 2003-06-10
HRP20000707A2 (en) 2001-12-31
US6884433B2 (en) 2005-04-26
HUP0101237A1 (hu) 2001-09-28
DE69918074D1 (de) 2004-07-22
JP3992031B2 (ja) 2007-10-17
ZA200004963B (en) 2002-03-27
NO20004773L (no) 2000-11-23
US20020044967A1 (en) 2002-04-18
NO330578B1 (no) 2011-05-16
EP2198858A1 (de) 2010-06-23
TR200002771T2 (tr) 2001-02-21
HK1038185A1 (en) 2002-03-08
NO20004773D0 (no) 2000-09-25
KR100498765B1 (ko) 2005-07-01
IL138466A (en) 2005-11-20
CN1301157A (zh) 2001-06-27
BR9909201A (pt) 2000-11-14
ID27825A (id) 2001-04-26
KR20030040556A (ko) 2003-05-22
KR20040007751A (ko) 2004-01-24
AU2856399A (en) 1999-10-18
JP2004354394A (ja) 2004-12-16
HU230889B1 (hu) 2018-12-28
KR20010042083A (ko) 2001-05-25
EP1064942B9 (de) 2011-03-02
JP3714970B2 (ja) 2005-11-09
EP1421939A1 (de) 2004-05-26
EP2198858B1 (de) 2011-06-29
DE69942286D1 (de) 2010-06-02
TW200306867A (en) 2003-12-01
ES2367294T3 (es) 2011-11-02
DK1421939T3 (da) 2010-08-09
NZ507211A (en) 2003-07-25
US20050169993A1 (en) 2005-08-04
KR100505464B1 (ko) 2005-08-04
JP4622382B2 (ja) 2011-02-02
TW570814B (en) 2004-01-11
ES2343248T3 (es) 2010-07-27
EP1064942B1 (de) 2004-06-16
ES2343248T9 (es) 2011-08-23
EP1064942A1 (de) 2001-01-03
PT1064942E (pt) 2004-10-29
PT2198858E (pt) 2011-09-01
RU2214244C9 (ru) 2020-07-29
SI1064942T1 (en) 2004-12-31
SK286887B6 (sk) 2009-07-06
BRPI9909201B8 (pt) 2021-05-25
DK2198858T3 (da) 2011-10-03
EP1421939B9 (de) 2011-03-02
IL138466A0 (en) 2001-10-31
CA2322516C (en) 2010-10-05
CZ20003549A3 (cs) 2001-04-11
AR023299A1 (es) 2002-09-04

Similar Documents

Publication Publication Date Title
DE69918074T2 (de) Makrolid-formulierung mit verzögerter wirkstoffabgabe
CA2274485C (en) Medicinal composition
RS58000B1 (sr) Derivati naftiridina kao antagonisti alfa v beta 6 integrina za lečenje npr. fibrotičnih bolesti
JPWO1998024418A1 (ja) 医薬組成物
JPWO1999049863A1 (ja) 徐放性製剤
MXPA00009227A (en) Sustained release preparations

Legal Events

Date Code Title Description
8364 No opposition during term of opposition
8327 Change in the person/name/address of the patent owner

Owner name: ASTELLAS PHARMA INC., TOKIO/TOKYO, JP