DE69617543T3 - Metallocenverbindungen, verfahren zu ihrer herstellung und ihre verwendung in katalysatoren für die olefinpolymerisierung - Google Patents

Metallocenverbindungen, verfahren zu ihrer herstellung und ihre verwendung in katalysatoren für die olefinpolymerisierung Download PDF

Info

Publication number
DE69617543T3
DE69617543T3 DE69617543T DE69617543T DE69617543T3 DE 69617543 T3 DE69617543 T3 DE 69617543T3 DE 69617543 T DE69617543 T DE 69617543T DE 69617543 T DE69617543 T DE 69617543T DE 69617543 T3 DE69617543 T3 DE 69617543T3
Authority
DE
Germany
Prior art keywords
substituents
atoms
metallocene compound
bis
polymerization
Prior art date
Legal status (The legal status is an assumption and is not a legal conclusion. Google has not performed a legal analysis and makes no representation as to the accuracy of the status listed.)
Expired - Lifetime
Application number
DE69617543T
Other languages
English (en)
Other versions
DE69617543D1 (de
DE69617543T2 (de
Inventor
Luigi Resconi
Fabrizio Piemontesi
Ilya E. Nifant'ev
Pavel V. Ivchenko
Current Assignee (The listed assignees may be inaccurate. Google has not performed a legal analysis and makes no representation or warranty as to the accuracy of the list.)
Basell Polyolefine GmbH
Original Assignee
Basell Polyolefine GmbH
Priority date (The priority date is an assumption and is not a legal conclusion. Google has not performed a legal analysis and makes no representation as to the accuracy of the date listed.)
Filing date
Publication date
Family has litigation
First worldwide family litigation filed litigation Critical https://patents.darts-ip.com/?family=11370281&utm_source=google_patent&utm_medium=platform_link&utm_campaign=public_patent_search&patent=DE69617543(T3) "Global patent litigation dataset” by Darts-ip is licensed under a Creative Commons Attribution 4.0 International License.
Application filed by Basell Polyolefine GmbH filed Critical Basell Polyolefine GmbH
Publication of DE69617543D1 publication Critical patent/DE69617543D1/de
Application granted granted Critical
Publication of DE69617543T2 publication Critical patent/DE69617543T2/de
Publication of DE69617543T3 publication Critical patent/DE69617543T3/de
Anticipated expiration legal-status Critical
Expired - Lifetime legal-status Critical Current

Links

Classifications

    • CCHEMISTRY; METALLURGY
    • C08ORGANIC MACROMOLECULAR COMPOUNDS; THEIR PREPARATION OR CHEMICAL WORKING-UP; COMPOSITIONS BASED THEREON
    • C08FMACROMOLECULAR COMPOUNDS OBTAINED BY REACTIONS ONLY INVOLVING CARBON-TO-CARBON UNSATURATED BONDS
    • C08F10/00Homopolymers and copolymers of unsaturated aliphatic hydrocarbons having only one carbon-to-carbon double bond
    • C08F10/04Monomers containing three or four carbon atoms
    • C08F10/06Propene
    • CCHEMISTRY; METALLURGY
    • C07ORGANIC CHEMISTRY
    • C07FACYCLIC, CARBOCYCLIC OR HETEROCYCLIC COMPOUNDS CONTAINING ELEMENTS OTHER THAN CARBON, HYDROGEN, HALOGEN, OXYGEN, NITROGEN, SULFUR, SELENIUM OR TELLURIUM
    • C07F17/00Metallocenes
    • CCHEMISTRY; METALLURGY
    • C08ORGANIC MACROMOLECULAR COMPOUNDS; THEIR PREPARATION OR CHEMICAL WORKING-UP; COMPOSITIONS BASED THEREON
    • C08FMACROMOLECULAR COMPOUNDS OBTAINED BY REACTIONS ONLY INVOLVING CARBON-TO-CARBON UNSATURATED BONDS
    • C08F10/00Homopolymers and copolymers of unsaturated aliphatic hydrocarbons having only one carbon-to-carbon double bond
    • CCHEMISTRY; METALLURGY
    • C08ORGANIC MACROMOLECULAR COMPOUNDS; THEIR PREPARATION OR CHEMICAL WORKING-UP; COMPOSITIONS BASED THEREON
    • C08FMACROMOLECULAR COMPOUNDS OBTAINED BY REACTIONS ONLY INVOLVING CARBON-TO-CARBON UNSATURATED BONDS
    • C08F110/00Homopolymers of unsaturated aliphatic hydrocarbons having only one carbon-to-carbon double bond
    • C08F110/04Monomers containing three or four carbon atoms
    • C08F110/06Propene
    • CCHEMISTRY; METALLURGY
    • C08ORGANIC MACROMOLECULAR COMPOUNDS; THEIR PREPARATION OR CHEMICAL WORKING-UP; COMPOSITIONS BASED THEREON
    • C08FMACROMOLECULAR COMPOUNDS OBTAINED BY REACTIONS ONLY INVOLVING CARBON-TO-CARBON UNSATURATED BONDS
    • C08F210/00Copolymers of unsaturated aliphatic hydrocarbons having only one carbon-to-carbon double bond
    • C08F210/04Monomers containing three or four carbon atoms
    • C08F210/06Propene
    • CCHEMISTRY; METALLURGY
    • C08ORGANIC MACROMOLECULAR COMPOUNDS; THEIR PREPARATION OR CHEMICAL WORKING-UP; COMPOSITIONS BASED THEREON
    • C08FMACROMOLECULAR COMPOUNDS OBTAINED BY REACTIONS ONLY INVOLVING CARBON-TO-CARBON UNSATURATED BONDS
    • C08F4/00Polymerisation catalysts
    • C08F4/42Metals; Metal hydrides; Metallo-organic compounds; Use thereof as catalyst precursors
    • C08F4/44Metals; Metal hydrides; Metallo-organic compounds; Use thereof as catalyst precursors selected from light metals, zinc, cadmium, mercury, copper, silver, gold, boron, gallium, indium, thallium, rare earths or actinides
    • C08F4/60Metals; Metal hydrides; Metallo-organic compounds; Use thereof as catalyst precursors selected from light metals, zinc, cadmium, mercury, copper, silver, gold, boron, gallium, indium, thallium, rare earths or actinides together with refractory metals, iron group metals, platinum group metals, manganese, rhenium technetium or compounds thereof
    • C08F4/62Refractory metals or compounds thereof
    • C08F4/64Titanium, zirconium, hafnium or compounds thereof
    • C08F4/659Component covered by group C08F4/64 containing a transition metal-carbon bond
    • C08F4/65912Component covered by group C08F4/64 containing a transition metal-carbon bond in combination with an organoaluminium compound
    • CCHEMISTRY; METALLURGY
    • C08ORGANIC MACROMOLECULAR COMPOUNDS; THEIR PREPARATION OR CHEMICAL WORKING-UP; COMPOSITIONS BASED THEREON
    • C08FMACROMOLECULAR COMPOUNDS OBTAINED BY REACTIONS ONLY INVOLVING CARBON-TO-CARBON UNSATURATED BONDS
    • C08F4/00Polymerisation catalysts
    • C08F4/42Metals; Metal hydrides; Metallo-organic compounds; Use thereof as catalyst precursors
    • C08F4/44Metals; Metal hydrides; Metallo-organic compounds; Use thereof as catalyst precursors selected from light metals, zinc, cadmium, mercury, copper, silver, gold, boron, gallium, indium, thallium, rare earths or actinides
    • C08F4/60Metals; Metal hydrides; Metallo-organic compounds; Use thereof as catalyst precursors selected from light metals, zinc, cadmium, mercury, copper, silver, gold, boron, gallium, indium, thallium, rare earths or actinides together with refractory metals, iron group metals, platinum group metals, manganese, rhenium technetium or compounds thereof
    • C08F4/62Refractory metals or compounds thereof
    • C08F4/64Titanium, zirconium, hafnium or compounds thereof
    • C08F4/659Component covered by group C08F4/64 containing a transition metal-carbon bond
    • C08F4/6592Component covered by group C08F4/64 containing a transition metal-carbon bond containing at least one cyclopentadienyl ring, condensed or not, e.g. an indenyl or a fluorenyl ring
    • C08F4/65922Component covered by group C08F4/64 containing a transition metal-carbon bond containing at least one cyclopentadienyl ring, condensed or not, e.g. an indenyl or a fluorenyl ring containing at least two cyclopentadienyl rings, fused or not
    • C08F4/65927Component covered by group C08F4/64 containing a transition metal-carbon bond containing at least one cyclopentadienyl ring, condensed or not, e.g. an indenyl or a fluorenyl ring containing at least two cyclopentadienyl rings, fused or not two cyclopentadienyl rings being mutually bridged
    • YGENERAL TAGGING OF NEW TECHNOLOGICAL DEVELOPMENTS; GENERAL TAGGING OF CROSS-SECTIONAL TECHNOLOGIES SPANNING OVER SEVERAL SECTIONS OF THE IPC; TECHNICAL SUBJECTS COVERED BY FORMER USPC CROSS-REFERENCE ART COLLECTIONS [XRACs] AND DIGESTS
    • Y10TECHNICAL SUBJECTS COVERED BY FORMER USPC
    • Y10STECHNICAL SUBJECTS COVERED BY FORMER USPC CROSS-REFERENCE ART COLLECTIONS [XRACs] AND DIGESTS
    • Y10S526/00Synthetic resins or natural rubbers -- part of the class 520 series
    • Y10S526/943Polymerization with metallocene catalysts

Landscapes

  • Chemical & Material Sciences (AREA)
  • Organic Chemistry (AREA)
  • Health & Medical Sciences (AREA)
  • Chemical Kinetics & Catalysis (AREA)
  • Medicinal Chemistry (AREA)
  • Polymers & Plastics (AREA)
  • Transition And Organic Metals Composition Catalysts For Addition Polymerization (AREA)
  • Addition Polymer Or Copolymer, Post-Treatments, Or Chemical Modifications (AREA)

Description

  • Die vorliegende Erfindung betrifft eine Klasse von mit einer Brücke versehenen Metallocenverbindungen, Verfahren zu ihrer Herstellung und die Verwendung dieser Metallocene als Katalysatorkomponenten für die Polymerisation von Olefinen.
  • Metallocenverbindungen mit zwei, mit einer Brücke versehenen Cyclopentadienylgruppen sind als Katalysatorkomponenten für die Polymerisation von Olefinen bekannt.
  • Beispielsweise beschreibt EP-A-129 368 ein Katalysatorsystem für die Polymerisation von Olefinen, das einen Biscyclopentadienyl-Koordinationskomplex mit einem Übergangsmetall umfasst, wobei die beiden Cyclopentadienylgruppen mit einer Brückengruppe verbunden sein können.
  • Bei diesem Typ von Metallocenverbindungen sind die zwei Cyclopentadienylgruppen im allgemeinen durch zweiwertige Reste mit zwei oder mehr Kohlenstoffatomen, wie eine Ethylidengruppe, oder mit von Kohlenstoff abweichenden Atomen, wie eine Dimethylsilandiylgruppe, als Brückengruppe verbunden.
  • Es sind Metallocenverbindungen bekannt, bei denen zwei Cyclopentadienylgruppen mit einem einzigen Kohlenstoffatom als Brückengruppe verbunden sind. Insbesondere sind Metallocenverbindungen dieses Typs mit zwei unterschiedlichen Cyclopentadienylgruppen bekannt.
  • Beispielsweise beschreibt EP-A-351 392 einen Katalysator, der für die Herstellung von syndiotaktischen Polyolefinen verwendet werden kann und eine Metallocenverbindung mit zwei Cyclopentadienylgruppen enthält, die durch eine zwischenliegende Brücke verbunden sind, wobei eine der beiden Cyclopentadienylgruppen anders substituiert ist als die andere Gruppe. Als bevorzugte Verbindung wird Isopropyliden-(fluorenyl)-(cyclopentadienyl)-hafniumdichlorid angegeben.
  • Was Metallocenverbindungen mit zwei gleichartig substituierten Cyclopentadienylgruppen, die mit einem einzigen Kohlenstoffatom als Brücke verbunden sind, betrifft, wird in EP-A-416 566 die Polymerisation von Propylen beschrieben, die in einem flüssigen Monomeren in Gegenwart eines Katalysators durchgeführt wird, wobei der Katalysator aus (A) einem Alumoxan und (B) einer Metallocenverbindung besteht, bei der Cyclopentadienylringe, die gleich oder verschieden sein können, über eine Brücke der Formel -R5CR6- verbunden sind, wobei R5 und R6 unterschiedliche Bedeutungen haben können. Die einzige Verbindung, die als Beispiel angegeben wird, ist Isopropyliden-bis-(indenyl)-zirconiumdichlorid. Jedoch weisen die auf diese Weise erhältlichen Propylen-Polymeren ein sehr niedriges Molekulargewicht auf.
  • I. F. Urazowski et al. stellte bei der am 5. bis 10. September 1993 in Agia Pelagia, Kreta, Griechenland, gehaltenen X. Fechem Conference on Organometallic Chemistry Metallocen-Komplexe von Ti und Zr vor, die aus zwei Dicyclopentadienyl-dimethyl-methanen erhalten wurden, nämlich Produkte mit einem Isopropyl- oder tert.-Butylsubstituenten in der 3-Stellung der einzelnen Cyclopentadienylringe. Jedoch wurden dabei lediglich Mechanismen über die Bildung dieser Komplexe und ihre strukturellen Merkmale auf der Basis einer Röntgenanalyse erörtert.
  • Bei einer weiteren, für die vorliegende Anmeldung einschlägigen Druckschrift handelt es sich um EP-516 018.
  • Es wurde nunmehr eine neue Klasse von Metallocenverbindungen aufgefunden, die zwei identische Cyclopentadienyl-Liganden aufweisen, die über eine Alkylidenbrücke miteinander verbunden sind und die in vorteilhafter Weise als Katalysatorkomponenten für die Polymerisation von Olefinen eingesetzt werden können.
  • Ein Gegenstand der vorliegenden Erfindung ist somit eine Metallocenverbindung der Formel (I):
    Figure 00020001
    worin R1, R2, R3 und R4, die gleich oder verschieden sein können, Wasserstoffatome oder C1-C20-Alkyl-, C3-C20-Cycloalkyl-, C2-C20-Alkenyl-, C6-C20-Aryl-, C7-C20-Alkylaryl- oder C7-C20-Arylalkylreste bedeuten, die Silicium- oder Germaniumatome enthalten können, wobei sich R3 von R2 und von einem Wasserstoffatom unterscheidet und wobei R1 und R2 am gleichen Cyclopentadienylring einen Ring mit 5 bis 8 Kohlenstoffatomen bilden können;
    R5 ein Wasserstoffatom oder einen -CHR7R8-Rest bedeutet;
    R6 einen C6-C20-Arylrest oder einen -CHR9R10-Rest bedeutet;
    R5 und R6 einen Ring mit 3 bis 8 Kohlenstoffatomen, der Heteroatome enthalten kann, bilden können;
    R7, R8, R9 und R10, die gleich oder verschieden sein können, Wasserstoffatome oder C1-C20-Alkyl-, C3-C20-Cycloalkyl-, C2-C20-Alkenyl-, C6-C20-Aryl-, C7-C20-Alkylaryl- oder C7-C20-Arylalkylreste bedeuten, die Heteroatome, wie Stickstoff, Phosphor, Sauerstoff oder Schwefel, enthalten können, und zwei der Substituenten R7, R8, R9 und R10 einen Ring mit 3 bis 8 Kohlenstoffatomen, der Heteroatome enthalten kann, bilden können;
    M ein Übergangsmetallatom, das aus den Gruppen 3, 4, 5 und 6 des Periodensystems der Elemente (neue IUPAC-Version) ausgewählt ist, bedeutet;
    die Substituenten X, die gleich oder verschieden sein können, Wasserstoffatome, Halogenatome oder R-, OR-, SR-, NR2- oder PR2-Reste bedeuten, wobei es sich bei den Substituenten R um C1-C20-Alkyl-, C3-C20-Cycloalkyl-, C2-C20-Alkenyl-, C6-C20-Aryl-, C7-C20-Alkylaryl- oder C7-C20-Arylalkylreste handelt, die Siliciumatome oder Germaniumatome enthalten können;
    mit der Maßgabe, dass dann, wenn die Substituenten R1, R2 und R4 Wasserstoffatome bedeuten und die Substituenten R5 und R6 Methylgruppen bedeuten, die R3-Substituenten keinen Isopropyl- oder tert.-Butylrest bedeuten.
  • Das Übergangsmetall M wird vorzugsweise unter Titan, Zirconium und Hafnium ausgewählt. Insbesondere handelt es sich um Zirconium.
  • Die Substituenten X bedeuten vorzugsweise Chloratome oder Methylreste.
  • Eine besonders interessante Klasse von erfindungsgemäßen Metallocenen besteht in Verbindungen der Formel (I), in der die Substituenten R2 Wasserstoffatome bedeuten. Die Substituenten R1 unterscheiden sich vorzugsweise von Wasserstoffatomen. Die Substituenten R3 bedeuten vorzugsweise Kohlenstoff-, Silicium- oder Germaniumatome, die mit 3 Alkyl-, Cycloalkyl-, Aryl-, Alklyaryl- oder Arylalkylgruppen mit 1 bis 10 Kohlenstoffatomen substituiert sind. Bei den Substituenten R4 handelt es sich vorzugsweise um Wasserstoffatome. Nachstehend sind nicht beschränkende Beispiele für Metallocenverbindungen dieser Klasse aufgeführt:
    Isopropyliden-bis-(3-methylcyclopentadienyl)-zirconiumdichlorid
    Isopropyliden-bis-(3-isopropylcyclopentadienyl)-zirconiumdichlorid
    Isopropyliden-bis-(3-tert.-butylcyclopentadienyl)-zirconiumdichlorid
    Isopropyliden-bis-(2,4-dimethylcyclopentadienyl)-zirconiumdichlorid
    Isopropyliden-bis-(2-methyl-4-tert.-butylcyclopentadienyl)-irconiumdichlorid und
    Isopropyliden-bis-(2-methyl-4-phenyl-cyclopentadienyl)-zirconiumdichlorid.
  • Eine weitere besonders interessante Klasse von erfindungsgemäßen Metallocenen sind Verbindungen der Formel (II):
    Figure 00040001
    und die entsprechenden Bis-4,5,6,7-tetrahydroindenylverbindungen, wobei R3, R4, R5, R6, M und X, die vorstehend definierten Bedeutungen haben und die 6 Kohlenstoffatome aufweisenden Ringe der Indenylliganden gegebenenfalls substituiert sind.
  • Die Substituenten R3 bedeuten vorzugsweise Kohlenstoff-, Silicium- oder Germaniumatome, die mit 3 Alkyl-, Cycloalkyl-, Aryl-, Alklyaryl- oder Arylalkylgruppen mit 1 bis 10 Kohlenstoffatomen substituiert sind. Die Substituenten R4 bedeuten vorzugsweise Wasserstoffatome. Nichtbeschränkende Beispiele für Metallocenverbindungen dieser Klasse sind nachstehend aufgeführt:
    Isopropyliden-bis-(3-methylindenyl)-zirconiumdichlorid
    Isopropyliden-bis-(3-ethylindenyl)-zirconiumdichlorid
    Isopropyliden-bis-(3-isopropylindenyl)-zirconiumdichlorid
    Isopropyliden-bis-(3-tert.-butylindenyl)-zirconiumdichlorid
    Isopropyliden-bis-(3-trimethylsilylindenyl)-zirconiumdichlorid
    Isopropyliden-bis-(3-trimethylgermylindenyl)-zirconiumdichlorid und
    Isopropyliden-bis-(3-tert.-butyl-4,5,6,7-tetrahydroindenyl)-zirconiumdichlorid.
  • Die Metallocenverbindungen der Formel (I) lassen sich nach einem Verfahren herstellen, das einen weiteren Gegenstand der vorliegenden Erfindung darstellt und das die Umsetzung der entsprechenden Bis-Cyclopentadienylliganden der Formel (III) umfasst:
    Figure 00050001
    worin R1, R2, R3, R4, R5 und R6 die vorstehend definierten Bedeutungen haben und A eine geeignete austretende Gruppe bedeutet, mit einer Verbindung der Formel MX4, worin M und X die vorstehend definierten Bedeutungen haben.
  • Die Doppelbindungen der Cyclopentadienylringe in den Liganden der Formel (III) können in beliebigen erlaubten Stellungen vorliegen. Die Liganden der Formel (III) lassen sich beispielsweise gemäß dem Verfahren der gleichzeitig anhängigen italienischen Patentanmeldung MI/95A/100 der gleichen Anmelderin herstellen.
  • Für den Fall, das es sich bei mindestens einem Substituenten X in der herzustellenden Metallocenverbindung der Formel (I) nicht um ein Halogenatom handelt, ist es erforderlich, mindestens einen Substituenten X im erhaltenen Metallocen durch mindestens einen von Halogen abweichenden Substituenten X zu ersetzen.
  • Die Umsetzung von X-Substituenten durch von Halogen abweichenden Substituenten X lässt sich unter Heranziehung allgemein angewendeter Verfahren durchführen. Wenn es sich beispielsweise bei den gewünschten Substituenten X um Alkylgruppen handelt, lassen sich die Metallocene durch Umsetzung mit Alkylmagnesiumhalogeniden (Grignard-Reagenzien) oder mit Alkyllithiumverbindungen herstellen.
  • Die erfindungsgemäßen Metallocenverbindungen lassen sich zweckmäßigerweise als Katalysatorkomponenten für die Polymerisation von Olefinen verwenden.
  • Ein weiterer Gegenstand der Erfindung besteht somit in einem Katalysator für die Polymerisation von Olefinen, der aus dem Reaktionsprodukt aus
    • (a) einer erfindungsgemäßen Metallocenverbindung und
    • (b) einem Alumoxan oder einer Verbindung, die zur Bildung eines Alkylmetallocenkations befähigt ist, besteht.
  • Im Katalysator, der im erfindungsgemäßen Verfahren eingesetzt wird, können sowohl die Metallocenverbindung der Formel (I) als auch das Alumoxan in Form eines Reaktionsprodukts mit einer organometallischen Aluminiumverbindung der Formel AlR11 3 oder Al2R11 6 vorliegen, wobei die Substituenten R11, die gleich oder verschieden sein können, den Definitionen für die Substituenten R entsprechen oder Halogenatome sind.
  • Bei dem im erfindungsgemäßen Katalysator verwendeten Alumoxan handelt es sich um eine lineare, verzweigte, oder cyclische Verbindung, die mindestens eine Gruppe des Typs
    Figure 00060001
    enthält, wobei die Substituenten R12, die gleich oder verschieden sein können, der Definition für den Substituenten R entsprechen oder eine Gruppe der Formel -O-Al(R12)2 bedeuten und gegebenenfalls einige Reste R12 Halogenatome sein können.
  • Insbesondere können Alumoxane der Formel
    Figure 00060002
    im Fall von linearen Verbindungen verwendet werden, wobei n 0 oder eine ganze Zahl von 1 bis 40 bedeutet und die Substituenten R12 der Definition für die Substituenten R entsprechen, oder es können Alumoxane der Formel
    Figure 00070001
    im Fall von cyclischen Verbindungen verwendet werden, wobei n eine ganze Zahl von 2 bis 40 bedeutet und die Substituenten R12 der Definition für die Substituenten R entsprechen.
  • Bei den Substituenten R12 handelt es sich vorzugsweise um Methyl, Ethyl, Isobutyl oder 2,4,4-Trimethylpentyl.
  • Beispiele für erfindungsgemäß geeignete Alumoxane sind Methylalumoxan (MAO), Isobutylalumoxan (TIBAO) und 2,4,4-Trimethylpentylalumoxan (TIOAO). Nicht-beschränkende Beispiele für Aluminiumverbindungen der Formeln AlR11 3 oder Al2R11 6 sind:
    Al(Me)3, Al(Et)3, AlH(Et)2, Al(iBu)3, AlH(iBu)2, Al(iHex)3, Al(iOct)3, Al(C6H5)3, Al(CH2C6H5)3, Al(CH2CMe3)3, Al(CH2SiMe3)3, Al(Me)2iBu, Al(Me)2Et, AlMe(Et)2, AlMe(iBu)2, Al(Me)2iBu, Al(Me)2Cl, Al(Et)2Cl, und Al(Et)3Cl3, wobei Me = Methyl, Et = Ethyl, iBu = Isobutyl, iHex = Isohexyl und iOct = 2,4,4-Trimethylpentyl.
  • Unter den vorstehenden Aluminiumverbindungen werden Trimethylaluminium (TMA) und Triisobutylaluminium (TIBAL) bevorzugt.
  • Nicht-beschränkende Beispiele für Verbindungen, die zur Bildung eines Alkylmetallocenkations geeignet sind, sind Verbindungen der Formel Y+Z-, worin Y+ eine Brönsted-Säure bedeutet, die zum Spenden eines Protons und zur irreversiblen Umsetzung mit einem Substituenten X der Verbindung der Formel (I) befähigt ist und Z- ein verträgliches Anion bedeutet, das keine Koordination eingeht und das zur Stabilisierung der aktiven katalytischen Spezies, die sich aus der Umsetzung der beiden Verbindungen ergibt, befähigt ist und die ausreichend labil ist, dass sie durch ein Olefinsubstrat verdrängbar ist. Vorzugsweise besteht das Anion Z- aus einem oder mehreren Boratomen. Insbesondere bedeutet das Anion Z ein Anion der Formel Br4(-), wobei die Substituenten Ar, die gleich oder verschieden sein können, Arylreste, wie Phenyl, Pentafluorphenyl oder Bis-(trifluormethyl)-phenyl bedeuten. Tetrakis-pentafluorphenylborat wird besonders bevorzugt. Außerdem können zweckmäßigerweise Verbindungen der Formel Br3 eingesetzt werden.
  • Die erfindungsgemäßen Katalysatoren können auch auf inerten Trägern verwendet werden. Dies wird erreicht in dem man die Metallocenverbindungen (A) oder deren Reaktionsprodukt mit der Komponente (B) oder die Komponente (B) und anschließend die Metallocenverbindung (A) auf inerten Trägern, wie Siliciumdioxid, Aluminiumoxid, Styrol/Divinylbenzol-copolymeren oder Polyethylen, abscheidet.
  • Die auf diese Weise erhaltene feste Verbindung wird gegebenenfalls unter weiterer Zugabe der Alkylaluminiumverbindung entweder als solcher oder nach vorheriger Umsetzung mit Wasser in zweckmäßiger Weise bei der Gasphasenpolymerisation eingesetzt.
  • Ein weiterer Gegenstand der Erfindung ist ein Verfahren zur Polymerisation von Olefinen, das die Polymerisationsreaktion von einem oder mehreren Olefin-Monomeren in Gegenwart eines vorstehend beschriebenen Katalysators umfasst.
  • Bevorzugte Olefin-Monomere sind Ethylen, die α-Olefine und die Cycloolefine. Die erfindungsgemäßen Katalysatoren können zweckmäßigerweise z.B. bei Homopolymerisationsreaktionen von Ethylen oder von α-Olefinen, wie Propylen und 1-Buten, bei Copolymerisationsreaktionen von Ethylen mit α-Olefinen, wie Propylen und 1-Buten, und auch bei Copolymerisationsreaktionen von Propylen mit C4-C10-α-Olefinen, wie 1-Buten, verwendet werden. Besonders interessante Ergebnisse werden erzielt, wenn die erfindungsgemäßen Katalysatoren für die Polymerisation von Propylen verwendet werden.
  • Somit wird gemäß einer Ausführungsform des erfindungsgemäßen Verfahrens zur Polymerisation von Olefinen Propylen in Gegenwart einer Metallocenverbindung der Formel (II) polymerisiert, wobei es sich bei den Substituenten R3 um Kohlenstoff-, Silicium- oder Germaniumatome handelt, die mit 3 Alkyl-, Cycloalkyl-, Aryl-, Alkylaryl- oder Arylalkylgruppen mit 1 bis 10 Kohlenstoffatomen substituiert sind und wobei R4, R5, R6, M und X die vorstehend definierten Bedeutungen haben. Bei den Substituenten R4 handelt es sich vorzugsweise um Wasserstoffatome. Nachstehend sind Beispiele für derartige Metallocenverbindungen aufgeführt:
    Isopropyliden-bis-(3-tert.-butylindenyl)-zirconiumdichlorid,
    Isopropyliden-bis-(3-trimethylsilylindenyl)-zirconiumdichlorid und
    Isopropyliden-bis-(3-trimethylgermylindenyl)-zirconiumdichlorid.
  • Die auf diese Weise erhältlichen Propylen-Polymeren weisen enge Molekulargewichtsverteilungen in Verbindung mit hohen isotaktischen Indices und sehr hohen Graden der Regioregularität auf. Tatsächlich zeigen an diesen Polymeren durchgeführte 13C-NMR-Analysen keine Struktureinheiten aufgrund von regioirregulären Einschüben. Diesbezüglich wird Bezug genommen auf Macromolecules, Bd. 28 (1995), S. 6667–6676.
  • Wenn die Polymerisation von Propylen in Gegenwart einer Bis-4,5,6,7-tetrahydroindenylmetallocenverbindung, die den vorstehenden Verbindungen der Formel (II) entspricht, durchgeführt wird, wird ein sehr niedermolekulares Polypropylenwachs erhalten. Trotz des niedrigen Molekulargewichts weisen diese Wachse recht hohe isotaktische Indices auf, wie das Vorliegen eines Schmelzpunktes und die Werte von isotaktischen (m) Diaden, bestimmt durch 13C-NMR-Analyse, zeigt, die im allgemeinen über 90 % liegen.
  • Gemäß einer weiteren Ausführungsform des erfindungsgemäßen Verfahrens zur Polymerisation von Olefinen wird Propylen in Gegenwart einer Metallocenverbindung der Formel (I) polymerisiert, wobei es sich bei den Substituenten R2 um Wasserstoffatome handelt und die R3-Substituenten Kohlenstoff-, Silicium- oder Germaniumatome bedeuten, die mit 3 Alkyl-, Cycloalkyl-, Aryl-, Alklyaryl- oder Arylalkylgruppen mit 1 bis 10 Kohlenstoffatomen substituiert sind. Bei den Substituenten R4 handelt es sich vorzugsweise um Wasserstoffatome. Nachstehend sind Beispiele für derartige Metallocenverbindungen aufgeführt:
    Isopropyliden-bis-(3-tert.-butylcyclopentadienyl)-zirconiumdichlorid und
    Isopropyliden-bis-(2-methyl-4-tert.-butylcyclopentadienyl)-zirconiumdichlorid.
  • Die auf diese Weise erhältlichen Propylen-Polymeren zeigen neben ihrer engen Molekulargewichtsverteilung sehr hohe isotaktische Indices, wie sich aus ihren hohen Schmelzpunkten ergibt, die üblicherweise über 155°C und sogar über 160°C liegen.
  • Die Werte der isotaktischen (mmmm) Pentaden für diese Polymeren können sogar 99 % und darüber betragen.
  • Diese Polymeren zeigen einen sehr hohen Grad der Regioregularität. Die mit einem 300 MHz-Instrument an diesen Polymeren durchgeführte 13C-NMR-Analyse zeigt im allgemeinen das Vorliegen einer geringen Menge an Struktureinheiten, die auf regioirreguläre Einschübe, wie 1,3-Einschübe, zurückzuführen sind.
  • Besonders interessante Ergebnisse werden erzielt, wenn sich in den vorstehenden speziellen Metallocenverbindungen der Formel (I) die Substituenten von R1 von Wasserstoffatomen unterscheiden, z.B. bei Isopropyliden-bis-(2-methyl-4-tert.-butylcyclopentadienyl)-zirconiumdichlorid. Somit ist es möglich, Propylen-Polymere mit sehr hohen isotaktischen Indices zu erhalten, wie sich aus deren Schmelzpunkten ergibt, die auch bei Polymerisationstemperaturen von industriellem Interesse, z.B. 50°C und darüber, höher als 160°C liegen können.
  • Die durch das erfindungsgemäße Verfahren erhältlichen Propylen-Polymeren weisen geringe, in Xylol lösliche Fraktionen auf, im allgemeinen unter 5 Gew.-%, vorzugsweise unter 3 Gew.-% und insbesondere unter 1 Gew.-%.
  • Die erfindungsgemäße Polymerisationsreaktion von Propylen kann in Gegenwart eines C4-C10-α-Olefin-Comonomeren, wie 1-Buten, durchgeführt werden. Dabei ist es möglich, Propylen-Copolymere mit 0,1–10 Mol-% eines C4-C10-α-Olefin-Comonomeren zu erhalten, deren Eigenschaften ähnlich den Eigenschaften des entsprechenden Homopolymeren sind, die aber einen niedrigeren Schmelzpunkt aufweisen. Trotz des Vorliegens eines Comonomeren weisen diese Copolymeren immer noch äußerst geringe, in Xylol lösliche Fraktionen auf, im allgemeinen unter 3 Gew.-%, vorzugsweise unter 2 Gew.-% und insbesondere unter 1 Gew.-%.
  • Das erfindungsgemäße Verfahren zur Polymerisation von Olefinen kann in flüssiger Phase in Gegenwart oder Abwesenheit eines inerten Kohlenwasserstofflösungsmittels oder in der Gasphase durchgeführt werden. Das Kohlenwasserstofflösungsmittel kann entweder aromatisch sein, wie Toluol, oder aliphatisch, wie Propan, Hexan, Heptan, Isobutan oder Cyclohexan.
  • Die Polymerisationstemperatur liegt im allgemeinen zwischen –100°C und +80°C und insbesondere zwischen –50°C und +50°C. Je niedriger die Polymerisationstemperatur ist, desto höhere Molekulargewichte der Polymeren werden erzielt.
  • Das Molekulargewicht der Polymeren kann auch variiert werden, indem man den Typ oder die Konzentration der Katalysatorkomponenten variiert oder indem man Molekulargewichtsregler, wie Wasserstoff, einsetzt.
  • Die Molekulargewichtsverteilung kann. variiert werden, indem man Gemische von unterschiedlichen Metallocenverbindungen verwendet, oder indem man die Polymerisation in mehreren Stufen bei verschiedenen Polymerisationstemperaturen und/oder verschiedenen Konzentrationen der Molekulargewichtsregler durchführt.
  • Die Polymerisationsausbeuten hängen von der Reinheit der Metallocenverbindung des Katalysators ab. Die nach dem erfindungsgemäßen Verfahren erhaltenen Metallocenverbindungen können somit direkt als solche verwendet werden oder sie können Reinigungsbehandlungen unterworfen werden.
  • Die Komponenten des Katalysators können vor der Polymerisation miteinander in Kontakt gebracht werden. Die Kontaktzeit beträgt im allgemeinen 1 bis 60 Minuten und vorzugsweise 5 bis 20 Minuten. Die Konzentrationen vor der Kontaktherstellung betragen 10-2 bis 10-8 mol/l für die Metallocenkomponente (A), während sie für die Komponente (B) zwischen 10 und 10-3 mol/l liegt. Der vorherige Kontakt wird im allgemeinen in Gegenwart eines Kohlenwasserstofflösungsmittels und gegebenenfalls in Gegenwart von geringen Mengen an Monomerem vorgenommen.
  • Die folgenden Beispiele dienen Erläuterungszwecken, ohne die Erfindung zu beschränken.
  • Charakterisierung
  • Die 1H-NMR-Analysen wurden an einem Bruker-200 MHz-Instrument mit einer Pulsamplitude von 40° und einem Abstand von 1 Sekunde zwischen den Pulsen durchgeführt. 128 bis 512 Datenpunkte wurden je nach der Löslichkeit der verschiedenen Verbindungen für jede Probe gesammelt. Die 13C-NMR-Analysen wurden an einem Varian UNITY-300-Instrument bei 75,4 MHz durchgeführt. Die Proben wurden in einer 15 prozentigen Lösung in Deuteroethantetrachlorid bei 130°C analysiert. Für jede Probe wurden 6000 Datenpunkte mit einem Abstand von 12 Sekunden zwischen den einzelnen Pulsen gesammelt.
  • Die innere Viskosität (n) wurde in Tetralin bei 135°C gemessen.
  • Die Differentialscanning-Kalorimetrie-Messungen (DSC) wurden mit einem DSC 7-Instrument der Firma Perkin Elmer Co. Ltd. nach folgendem Verfahren durchgeführt. Etwa 10 mg einer Probe, die bei der Polymerisation erhalten worden war, wurden auf –25°C gekühlt und anschließend mit einer Abtastgeschwindigkeit von 10°C pro Minute auf 200°C erwärmt. Die Probe wurde 5 Minuten bei 200°C belassen und sodann mit einer Abtastgeschwindigkeit von 10°C pro Minute abgekühlt. Sodann wurde ein zweiter Abtastvorgang unter den gleichen Modalitäten wie beim ersten Vorgang durchgeführt. Die aufgeführten Werte sind die beim ersten Abtastvorgang ermittelten Werte.
  • Die Molekulargewichtsverteilung wurde durch Gelpermeationschromatographie an einem WATERS 150-Instrument in Orthodichlorbenzol bei 135°C durchgeführt.
  • Die Löslichkeit der Propylen-Polymeren in Xylol wurde bestimmt, indem man 2 g Polymeres in 250 ml Xylol bei 135°C löste und das System rührte. Nach 20 Minuten wurde die Lösung auf 25°C abgekühlt. Nach 30 Minuten wurde das ausgefällte Material abfiltriert. Die Lösung wurde unter einem Stickstoffstrom eingedampft. Der Rückstand wurde bei 80°C getrocknet. Auf diese Weise wurden der prozentuale Anteil des in Xylol bei Raumtemperatur löslichen Polymeren (XSRT) sowie der prozentuale Anteil an unlöslichem Polymeren berechnet.
  • Herstellung der Metallocene
  • Sämtliche Vorgänge wurden in einer Atmosphäre von trockenem Stickstoff unter Anwendung herkömmlicher Techniken für die Handhabung von Verbindungen, die gegenüber Luft empfindlich sind, durchgeführt.
    THF = Tetrahydrofuran
    Et2O = Ethylether
    DME = Dimethoxyethan
  • Beispiel 1
  • rac-Isopropyliden-bis-(3-trimethylsilylindenyl)-zirconiumdichlorid
  • a) Herstellung von 2,2-Bis-(indenyl)-propan
  • 23,5 ml (200 mmol) Indol wurden innerhalb von 0,5 h zu einer Suspension von 15 g gemahlenem KOH in 150 ml DME gegeben. Das Gemisch wurde unter Rückfluss erwärmt. Sodann wurden innerhalb von 0,5 h 7,5 ml (100 mmol) Aceton zugetropft. Das Gemisch wurde weitere 2 h unter Rückfluss erwärmt. Das erhaltene Gemisch wurde abgekühlt, bis zur Neutralisation mit 200 ml verdünnter Phosphorsäure und sodann mit 100 ml Diethylether behandelt. Die organische Phase wurde abgetrennt, mit Wasser gewaschen und über Na2SO4 getrocknet. Sodann wurde das Lösungsmittel unter Vakuum entfernt. Der Rückstand wurde bei 130–160°C und 1,333 Pa (0,01 Torr) destilliert. Die breite Fraktion wurde gewonnen und aus einem Ether/Hexan-Gemisch (1:1) umkristallisiert. Man erhielt 20,4 g Produkt (Ausbeute 72 %). 1H-NMR (Aceton-d8, 30°C) δ: 7,37 (d, 2H); 7,32 (d, 2H); 6,98 (m, 4H); 6,60 (t, 2H) {=CH-}; 3,38 (d, 4H, -CH2-); 1,74 (s, 6H, -CH3).
  • b) Herstellung von 2,2-Bis-(3-trimethylsilylindenyl)-propan
  • 5,45 g (20 mmol) 2,2-Bis-(indenyl)-propan wurden in 100 ml Ether gelöst. Die erhaltene Lösung wurde auf –20°C gebracht und mit 22 ml einer 2,0 M Lösung von n-Butyllithium in Pentan versetzt. Man erhielt eine Suspension von Dilithium-2,2-bis-(indenyl)-propan. 8,77 g (30,85 mmol) Dilithium-2,2-bis-(indenyl)-propan wurden in 100 ml Ether gelöst und bei einer Temperatur von –40°C mit 10 ml Me3SiCl (Überschuss) versetzt. Sodann ließ man das erhaltene Gemisch auf Raumtemperatur erwärmen. Die organische Phase wurde abgetrennt, das Lösungsmittel entfernt und das Produkt unter Vakuum getrocknet.
  • c) Herstellung von rac-Isopropyliden-bis-(3-trimethylsilylindenyl)-zirconiumdichlorid
  • 8,34 g (20 mmol) 2,2-Bis-(3-trimethylsilylindenyl)-propan wurden in 100 ml Ether gelöst. Die erhaltene Lösung wurde auf –20°C gebracht und mit 22 ml einer 2,0 M Lösung von n-Butyllithium in Pentan versetzt. Man erhielt eine Suspension von Dilithium-2,2-bis-(3-trimethylsilylindenyl)-propan. Diese Suspension wurde zunächst auf Raumtemperatur erwärmt und sodann auf –40°C abgekühlt und mit 12,06 g (50 mmol) Triethylstannylchlorid versetzt. Die organische Phase wurde abgetrennt, eingedampft und mit 50 ml Toluol versetzt. Sodann wurden 4,66 g (20 mmol) ZrCl4 zugegeben. Das erhaltene Gemisch wurde auf 80°C gebracht und weitere 6 h gerührt. Sodann wurde das Toluol entfernt. Das Produkt wurde mit DME (5 × 50 ml) gewaschen und aus DME umkristallisiert. Man erhielt 3,69 g reines rac-Isopropyliden-bis-(3-trimethylsilylindenyl)-zirconiumdichlorid (Ausbeute 32 %). 1H-NMR (CD2Cl2, 30°C) δ: 7,80 (d, 2H); 7,55 (d, 2H); 7,30 (t, 2H); 7,06 (t, 2H); 6,06 (s, 2H); 2,38 (s, 6H); 0,23 (s, 18H).
  • Beispiel 2
  • rac-Isopropyliden-bis-(3-methylindenyl)-zirconiumdichlorid
  • a) Herstellung von 2,2-Bis-(3-methylindenyl)-propan
  • Das Verfahren von Abschnitt (a) von Beispiel 1 wurde wiederholt, mit der Ausnahme, das anstelle von Inden 200 mmol 3-Methylinden verwendet wurden und nach der Zugabe von Aceton 3 h unter Rückfluss gerührt wurde. Die Destillationstemperatur betrug 135–165°C. Das Produkt wurde als Dilithiumsalz isoliert (Ausbeute 65 %) 1H-NMR (THF-d8, 30°C) δ: 7,42 ("d", 2H); 7,10 ("d", 2H); 6,26 ("t", 2H); 6,18 ("t", 2H) {ABCD, J=9Hz}; 6,47 (s, 2H); 2,33 (s, 6H, Ind-CH3); 1,90 (s, 6H,>CMe2).
  • b) Herstellung von rac-Isopropyliden-bis-(3-methylindenyl)-zirconiumdichlorid
  • Das Verfahren von Abschnitt (c) von Beispiel 1 wurde wiederholt, mit der Ausnahme, das anstelle von 2,2-Bis-(3-trimethylsilylindenyl)-propan 20 mmol des Dilithiumsalzes von 2,2-Bis-(3-methylindenyl)-propan verwendet wurden und dass das Produkt aus Toluol umkristallisiert wurde. Man erhielt reines rac-Isopropyliden-bis-(3-methylindenyl)-zirconiumdichlorid. 1H-NMR (CD2Cl2, 30°C) δ: 7,64 (d, 2H); 7,42 (d, 2H); 7, 22 (m, 2H); 6,96 (m, 2H); 5,83 (s, 2H); 2,30 (s, 6H); 2,28 (s, 6H).
  • Beispiel 3
  • rac-Isopropyliden-bis-(3-isopropylindenyl)-zirconiumdichlorid
  • a) Herstellung von 2,2-Bis-(3-isopropylindenyl)-propan
  • Das Verfahren von Abschnitt (a) von Beispiel 1 wurde wiederholt, mit der Ausnahme, das anstelle von Inden 200 mmol 3-Isopropylinden verwendet wurden und dass nach der Zugabe von Aceton das Gemisch 4 h unter Rückfluss erwärmt wurde. Die Destillationstemperatur betrug 140–175°C. Das Produkt wurde als Dilithiumsalz isoliert (Ausbeute 63 %). 1H-NMR (THF-d8, 30°C) δ: 7,45 ("d", 2H); 7,27 ("d", 2H); 6,30 ("t", 2H); 6,23 ("t", 2H) {ABCD, J=8,0Hz}; 6,63 (s, 2H); 3,30 (sept, J=7,0Hz, 2H, -CH(CH3)2); 1,98 (s, 6H, >CMe2) 1,35 (d, J=7,0Hz, 12H, -CH(CH3)2).
  • b) Herstellung von rac-Isopropyliden-bis-(3-isopropylindenyl)-zirconiumdichlorid
  • Das Verfahren von Abschnitt (c) von Beispiel 1 wurde wiederholt, mit der Ausnahme, das anstelle von 2,2-Bis-(3-trimethylsilylindenyl)-propan 20 mmol des Dilithiumsalzes von 2,2-Bis-(3-isopropylindenyl)-propan verwendet wurden und dass das Produkt aus DME umkristallisiert wurde. Man erhielt reines rac-Isopropyliden-bis-(3-isopropylindenyl)-zirconiumdichlorid. 1H-NMR (Toluol-d8, 30°C) δ: 7,34 (m, 4H); 6,98 (m, 2H); 6,69 (m, 2H); 5,78 (s, 2H); 3,14 (sept, 2H); 1,81 (s, 6H); 1,20 (d, 12H).
  • Beispiel 4
  • rac-Isopropyliden-bis-(3-tert.-butylindenyl)-zirconiumdichlorid
  • a) Herstellung von 2,2-Bis-(3-tert.-butylindenyl)-propan
  • Das Verfahren von Abschnitt (a) von Beispiel 1 wurde wiederholt, mit der Ausnahme, das anstelle von Inden 200 mmol 3-tert.-Butylinden verwendet wurden und dass nach der Zugabe von Aceton das Gemisch 4 h unter Rückfluss gerührt wurde. Die Destillationstemperatur betrug 145–185°C. Das Produkt wurde als Dilithiumsalz isoliert (Ausbeute 48 %). 1H-NMR (THF-d8, 30°C) δ: 8,17 ("t", 4H); 6,95 (mm, 4K) {ABCD}; 7,36 (s, 2H); 2,70 (s, 6H, >CMe2); 2,19 (s, 18H, -CMe3).
  • b) Herstellung von rac-Isopropyliden-bis-(3-tert.-butylindenyl)-zirconiumdichlorid
  • Das Verfahren von Abschnitt (c) von Beispiel 1 wurde wiederholt, mit der Ausnahme, das anstelle von 2,2-Bis-(3-trimethylsilylindenyl)-propan 20 mmol des Dilithiumsalzes von 2,2-Bis-(3-tert.-butylindenyl)-propan verwendet wurden und dass das Produkt aus DME umkristallisiert wurde. Man erhielt reines rac-Isopropyliden-bis-(3-tert.-butylindenyl)-zirconiumdichlorid. 1H-NMR (CD2Cl2, 30°C) δ: 7,75 (m, 4H); 7,25 (dd, 2H); 6,97 (dd, 2H); 5,97 (s, 2H); 2,33 (s, 6H); 1,37 (s, 18H).
  • Beispiel 5
  • rac-Isopropyliden-bis-(3-tert.-butyl-4,5,6,7-tetrahydroindenyl)-zirconiumdichlorid
  • In einen 100 ml fassenden Glasautoklaven wurden 0,66 g rac-Isopropyliden-bis-(3-tert.-butylindenyl)-zirconiumdichlorid, 40 mg PtO2 und 50 ml CH2Cl2 gegeben. Das Gemisch wurde mit H2 auf einen Druck von 5 at gebracht und 4 h bei Raumtemperatur gerührt. Sodann wurde das Gemisch filtriert. Das Filtrat wurde zur Trockne eingedampft. 0,56 g eines gelben Feststoffes wurden isoliert, der durch Waschen mit Hexan und Et2O weiter gereinigt wurde. Auf diese Weise erhielt man 0,22 g eines gelben Pulvers. 1H-NMR (CDCl3): 5,3 (s), 2,6–2,9 (m), 2,2–2,4 (m), 1,85 (s), 1,4–1,8 (m), 1,3 (s).
  • Beispiel 6
  • rac-Isopropyliden-bis-(3-tert.-butylcyclopentadienyl)-zirconiumdichlorid
  • a) Herstellung von 2,2-bis-(3-tert.-butylcyclopentadienyl)-propan
  • 10 g KOH, 150 mmol tert.-Butylcyclopentadien und 4,35 g Aceton wurden in 100 ml DME suspendiert. Das erhaltene Gemisch wurde unter Rückfluss erwärmt und 2 h gerührt. Sodann wurde das Gemisch abgekühlt und mit 200 ml Wasser und 100 ml Diethylether behandelt. Die organische Phase wurde abgetrennt, mit Wasser gewaschen und über CaCl2 getrocknet. Anschließend wurde das Lösungsmittel unter Vakuum abgedampft. Der Rückstand wurde bei einer Temperatur von 145–165°C destilliert. Die breite Fraktion wurde gewonnen und umkristallisiert (Ausbeute 81 %). 1H-NMR (CDCl3) δ: 6,3–5,7 (m, 4H), 3,0–2,8 (m, 4H), 1,5–1,4 (m, 6H), 1,3–1,2 (m, 18H).
  • b) Herstellung von rac-Isopropyliden-bis-(3-tert.-butylcyclopentadienyl)-zirconiumdichlorid
  • Das Verfahren von Abschnitt (c) von Beispiel 1 wurde wiederholt, mit der Ausnahme, das anstelle von 2,2-Bis-(3-trimethylsilylindenyl)-propan 6,01 g (20 mmol) 2,2-Bis-(3-tert.-butylcyclopentadienyl)-propan verwendet wurden und dass das Produkt mit 50 ml Pentan gewaschen und anschließend aus Ether umkristallisiert wurde. Man erhielt 1,97 g reines rac-Isopropyliden-bis-(3-tert.-butylcyclopentadienyl)-zirconiumdichlorid (Ausbeute 22 %). 1H-NMR (THF-d8, 30°C) δ: 5,65 (t, 2H); 5,53 (t, 2H); 1,60 (s, 6H); 1,23 (s, 8H).
  • Beispiel 7
  • Isopropyliden-bis-(2-methyl-4-tert.-butylcyclopentadienyl)-zirconiumdichlorid
  • a) Herstellung von 2,2-Bis-(2-methyl-4-tert.-butylcyclopentadienyl)-propan
  • 17,8 g (131 mmol) 2-Methyl-4-tert.-butylcyclopentadien wurden innerhalb von 0,5 h unter heftigem Rühren zu einer Suspension von 10 g KOH-Pulver in 100 ml DME gegeben. Das erhaltene Gemisch wurde unter Rückfluss erwärmt. Sodann wurden innerhalb von 0,5 h tropfenweise 4,8 ml (66 mmol) Aceton zugegeben. Das Gemisch wurde weitere 6 h unter Rückfluss erwärmt. Sodann wurde das erhaltene Gemisch abgekühlt und zur Neutralisation mit 200 ml verdünnter Phosphorsäure und anschließend mit 100 ml Diethylether behandelt. Die organische Phase wurde abgetrennt, mit Wasser gewaschen und über Na2SO4 getrocknet. Sodann wurde das Lösungsmittel unter Vakuum entfernt. Der Rückstand wurde bei 1,333 Pa (0,01 Torr) destilliert. Die breite Fraktion von 130–160°C wurde gesammelt, mit 30 ml Et2O verdünnt und mit 60 ml einer 2,0 M Lösung von n-Butyllithium in Hexan behandelt. Das Produkt wurde in Form eines weißen kristallinen Niederschlags isoliert, zweimal mit 20 ml Et2O gewaschen und unter Vakuum getrocknet (Ausbeute 60 %). 1H-NMR (THF-d8, 30°C) δ: 5,52 ("d", 2H); 5,22 ("d", 2H); 3,58 (s, 6H); 1,58 (s, 6H); 1,18 (s, 18H).
  • b) Herstellung von Isopropyliden-bis-(2-methyl-4-tert.-butylcyclopentadienyl)-zirconiumdichlorid
  • 3,24 g (10 mmol) des in Stufe (a) erhaltenen Produkts wurden mit 3,98 g (20 mmol) Trimethylstannylchlorid, das in 50 ml Et2O verdünnt war, behandelt. Die Lösung wurde vom LiCl-Niederschlag dekantiert. Das Lösungsmittel wurde entfernt und der Rückstand mit 40 ml Toluol verdünnt. Die erhaltene Lösung wurde mit 2,33 g (10 mmol) ZrCl4 behandelt. Das Gemisch wurde gerührt, bis das ZrCl4 gelöst war. Sodann wurde das Lösungsmittel entfernt und der verbleibende Feststoff aus Heptan umkristallisiert. Man erhielt ein rac/meso-Gemisch (1:1) von Isopropyliden-bis-(2-methyl-4-tert.-butylcyclopentadienyl)-zirkoniumdichlorid (Ausbeute 87 %). Die Umkristallisation aus DME ergab ein rac/meso-Gemisch (2:1). 1H-NMR (CD2Cl2; 30°C) rac-Form δ: 6,29 (d, J=3,0Hz, 2H); 5,51 (d, J=3,0Hz, 2H) [Cyclopentadienylring]; 2,16 (s, 6H, >C(-CH3)2); 1,28 (s, 18 H -C(CH3)3). meso-Form δ: 6,08 (d, J=3,0Hz, 2H); 5,65 (d, 2H) [Cyclopentadienylring]; 2,29 (s, 6H, -CH3 im Ring); 2,01, 1,88 (s, 2×3H, >C(-CH3)2); 1,23 (s, 18H, -C(CH3)3). 13C-NMR (-"-) δ: 145,5; 118,2 [quat. C im Ring]; 120,7; 106,2; 100,2 [tert. C im Ring]; 37,0; 33,0; [>C<]; 30,1 [C(CH3)3]; 24,2 [>C(CH3)2].
  • Beispiel 8
  • pseudorac-Benzyliden-bis-(indenyl)-zirconiumdichlorid
  • a) Herstellung von Bis-(indenyl)-phenylmethan
  • Das Verfahren von Abschnitt (a) von Beispiel 1 wurde wiederholt, mit der Ausnahme, das anstelle von Aceton 100 mmol Benzaldehyd verwendet wurden und dass nach Zugabe des Benzaldehyds das Gemisch 5 h gerührt wurde. Die Destillationstemperatur betrug 140–170 °C. Die gewonnene Fraktion wurde aus Heptan umkristallisiert (Ausbeute 60 %) 1H-NMR (Aceton-d6, 30°C) δ: 7,52–7,18 (mm, 13H,) 6,05 (q, 2H, =CH-); 5,39 (m, 1H, >CH-); 3,40 (br s, 4H, -CH2-). 13C-NMR (CD2Cl2, 30°C) δ: 145,6; 145,1; 141,5 (=C<); 131,8; 129,3; 128,7; 127,0; 126,2; 124,1; 120,2 (=CH-); 44,5 (>CH-); 38,1 (-CH2-).
  • b) Herstellung von pseudorac-Benzyliden-bis-(indenyl)-zirconiumdichlorid
  • Das Verfahren von Abschnitt (c) von Beispiel 1 wurde wiederholt, mit der Ausnahme, das anstelle von 2,2-Bis-(3-trimethylsilylindenyl)-propan 20 mmol des Dilithiumsalzes von Bis-(indenyl)-phenylmethan verwendet wurden und dass das Produkt aus DME umkristallisiert wurde. Man erhielt pseudorac-Benzyliden-bis-(indenyl)-zirconiumdichlorid (aufgrund der unsymmetrischen Brücke kann das anti-Isomere nicht das genaue rac-Isomere darstellen). 1H-NMR (CD2Cl2, 30°C) δ: 7,84–7,12 (Gruppen von Multipletts, 12 H); 6,76 (t, 1H); 6,70 (d, 1H); 6,60 (d,1H); 6,11 (zwei Dubletts, 1H+1H); 6,51 (br s, 1H).
  • Polymerisation von Propylen
  • Modifiziertes Methylalumoxan (M-MAO)
  • Ein handelsübliches Produkt (ALBEMARLE) wurde direkt in einer Isopar C-Lösung verwendet (62 g Al/Liter).
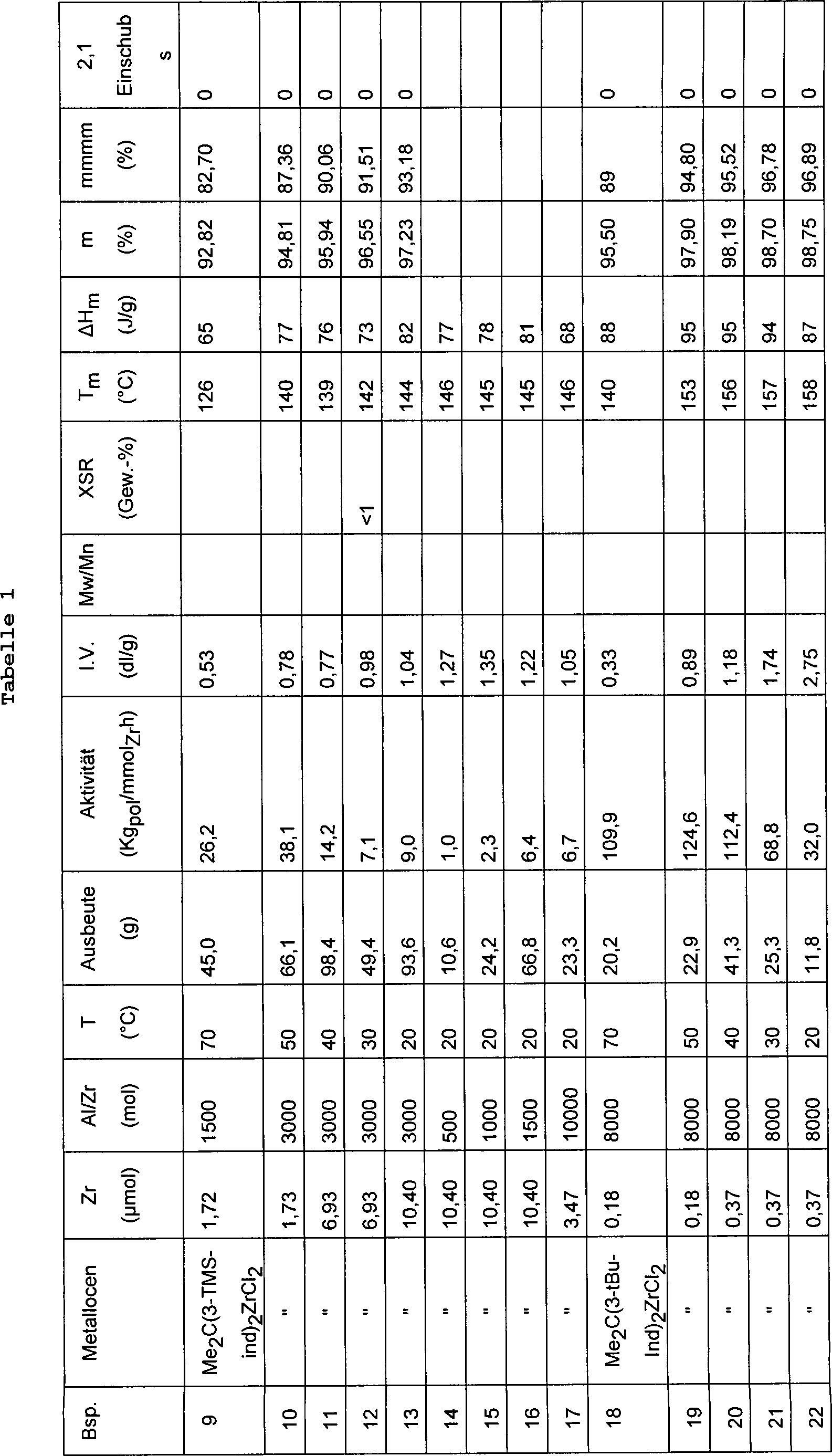
  • Beispiele 9–10
  • Ein 1 Liter fassender Stahlautoklav, der mit einem Mantel, einem Rührsystem und einer Widerstandsheizvorrichtung, die zur Temperatursteuerung mit einem Thermostaten verbunden war, ausgerüstet war und vorher mit einer Lösung von AliBu3 in Hexan gereinigt und anschließend bei 60°C unter einem Stickstoffstrom getrocknet worden war, wurde mit 0,4 Liter Propylen beschickt. Anschließend wurde der Autoklav auf die gewünschte Temperatur gebracht und mit 2,25 ml einer Lösung von M-MAO in Isopar C und 0,5 ml Toluol mit einem Gehalt an 1 mg des Metallocens von Beispiel 1, die 10 Minuten gealtert worden war, versetzt. Die Polymerisation wurde 1 h durchgeführt. Die Polymerisationsbedingungen und die Daten bezüglich der Charakterisierung der erhaltenen Polymeren sind in Tabelle 1 aufgeführt.
  • Beispiele 11–17
  • Das Verfahren der Beispiele 9–10 wurde unter Verwendung eines 2,3 Liter fassenden Stahlautoklaven, der mit einem Mantel, einem Rührer und einer Widerstandsheizung ausgerüstet und zur Temperatursteuerung mit einem Thermostaten verbunden war, wiederholt. Die Polymerisationsbedingungen und die Daten bezüglich der Charakterisierung der erhaltenen Polymeren sind in Tabelle 1 aufgeführt.
  • Beispiele 18–22
  • Das Verfahren der Beispiele 9–10 wurde wiederholt, mit der Ausnahme, dass das Metallocen von Beispiel 4 verwendet wurde. Die Polymerisationsbedingungen und die Daten bezüglich der Charakterisierung der erhaltenen Polymeren sind in Tabelle 1 aufgeführt.
  • Beispiele 23–25
  • Das in den Beispielen 18–22 beschriebene Verfahren wurde wiederholt, mit der Ausnahme, dass das Metallocen von Beispiel 4 in Form eines rac/meso-Gemisches (7:3), das vor der Umkristallisation erhalten worden war, verwendet wurde. Die Polymerisationsbedingungen und die Daten bezüglich der Charakterisierung der erhaltenen Polymeren sind in Tabelle 1 aufgeführt.
  • Beispiele 26–27
  • Das in den Beispielen 9–10 beschriebene Verfahren wurde wiederholt, mit der Ausnahme, dass das Metallocen von Beispiel 5 verwendet wurde. Die Polymerisationsbedingungen und die Daten bezüglich der Charakterisierung der erhaltenen Polymeren sind in Tabelle 1 aufgeführt.
  • Beispiel 28
  • Das in den Beispielen 9–10 beschriebene Verfahren wurde unter Verwendung von 1 mg des Metallocens von Beispiel 6 wiederholt. Die Polymerisationsbedingungen und die Daten bezüglich der Charakterisierung der erhaltenen Polymeren sind in Tabelle 1 aufgeführt.
  • Beispiel 29
  • Das in den Beispielen 11–17 beschriebene Verfahren wurde unter Verwendung von 1 mg des Metallocens von Beispiel 6 wiederholt. Die Polymerisationsbedingungen und die Daten bezüglich der Charakterisierung der erhaltenen Polymeren sind in Tabelle 1 aufgeführt.
  • Beispiele 30–34
  • Das in den Beispielen 9–10 beschriebene Verfahren wurde wiederholt, mit der Ausnahme, dass das Metallocen von Beispiel 7 verwendet wurde. Die Polymerisationsbedingungen und die Daten bezüglich der Charakterisierung der erhaltenen Polymeren sind in Tabelle 1 aufgeführt.
  • Beispiele 35–36
  • Das in den Beispielen 30–34 beschriebene Verfahren wurde wiederholt, mit der Ausnahme, dass ein 100 Liter fassender Autoklav verwendet wurde. Die Polymerisationsbedingungen und die Daten bezüglich der Charakterisierung der erhaltenen Polymeren sind in Tabelle 1 aufgeführt.
  • Beispiele 37–38
  • Das in den Beispielen 9–10 beschriebene Verfahren wurde wiederholt, mit der Ausnahme, dass 235 g (0,45 Liter) Propylen und 28 g 1-Buten in den Autoklaven gegeben wurden.
  • Das verwendete Metallocen, die Polymerisationsbedingungen und die Daten bezüglich der Charakterisierung der erhaltenen Copolymeren sind in Tabelle 2 aufgeführt.
  • Figure 00200001
  • Figure 00210001
  • Figure 00220001

Claims (20)

  1. Metallocenverbindung der Formel (1)
    Figure 00230001
    worin R1, R2, R3 und R4, die gleich oder verschieden sein können, Wasserstoffatome oder C1-C20-Alkyl-, C3-C20-Cycloalkyl-, C2-C20-Alkenyl-, C6-C20-Aryl-, C7-C20-Alkylaryl- oder C7-C20-Arylalkylreste bedeuten, die Silicium- oder Germaniumatome enthalten können, wobei sich R3 von R2 und von einem Wasserstoffatom unterscheidet und wobei R1 und R2 am gleichen Cyclopentadienylring einen Ring mit 5 bis 8 Kohlenstoffatomen bilden können; R5 ein Wasserstoffatom oder einen -CHR7R8-Rest bedeutet; R6 einen C6-C20-Arylrest oder einen -CHR9R10-Rest bedeutet; R5 und R6 einen Ring mit 3 bis 8 Kohlenstoffatomen, der Heteroatome enthalten kann, bilden können; R7, R8, R9 und R10, die gleich oder verschieden sein können, Wasserstoffatome oder C1-C20-Alkyl-, C3-C20-Cycloalkyl-, C2-C20-Alkenyl-, C6-C20-Aryl-, C7-C20-Alkylaryl- oder C7-C20-Arylalkylreste bedeuten, die Heteroatome, wie Stickstoff, Phosphor, Sauerstoff oder Schwefel, enthalten können, und zwei der Substituenten R7, R8, R9 und R10 einen Ring mit 3 bis 8 Kohlenstoffatomen, der Heteroatome enthalten kann, bilden können; M ein Übergangsmetallatom, das aus den Gruppen 3, 4, 5 und 6 des Periodensystems der Elemente (neue IUPAC-Version) ausgewählt ist, bedeutet; die Substituenten X, die gleich oder verschieden sein können, Wasserstoffatome, Halogenatome oder R-, OR-, SR-, NR2- oder PR2-Reste bedeuten, wobei es sich bei den Substituenten R um C1-C20-Alkyl-, C3-C20-Cycloalkyl-, C2-C20-Alkenyl-, C6-C20-Aryl-, C7-C20-Alkylaryl- oder C7-C20-Arylalkylreste handelt, die Siliciumatome oder Germaniumatome enthalten können; mit der Maßgabe, dass dann, wenn die Substituenten R1, R2 und R4 Wasserstoffatome bedeuten und die Substituenten R5 und R6 Methylgruppen bedeuten, die R3-Substituenten keinen Isopropyl- oder tert.-Butylrest bedeuten.
  2. Metallocenverbindung nach Anspruch 1, wobei das Übergangsmetall M unter Titan, Zirconium und Hafnium ausgewählt ist.
  3. Metallocenverbindung nach Anspruch 1 oder 2, wobei die X-Substituenten Chloratome oder Methylreste bedeuten.
  4. Metallocenverbindung nach einem der Ansprüche 1 bis 3, wobei es sich bei den R2-Sustituenten um Wasserstoffatome handelt.
  5. Metallocenverbindung nach Anspruch 4, wobei die R1-Substituenten keine Wasserstoffatome bedeuten.
  6. Metallocenverbindung nach Anspruch 4 oder 5, wobei es sich bei den R3-Substituenten um Kohlenstoff-, Silicium- oder Germaniumatome handelt, die mit 3 Alkyl-, Cycloalkyl-, Aryl-, Alkylaryl- oder Arylalkylresten mit 1 oder 10 Kohlenstoffatomen substituiert sind.
  7. Metallocenverbindung nach einem der Ansprüche 4 bis 6, wobei es sich bei den R4-Substituenten um Wasserstoffatome handelt.
  8. Metallocenverbindung der Formel (II)
    Figure 00240001
    und die entsprechenden Bis-4,5,6,7-tetrahydroindenylverbindungen, wobei R3, R4, R5, R6, M und X, die vorstehend definierten Bedeutungen haben und die 6 Kohlenstoffatome aufweisenden Ringe der Indenylliganden gegebenenfalls substituiert sind.
  9. Metallocenverbindung nach Anspruch 8, wobei es sich bei den R3-Substituenten um Kohlenstoff-, Silicium- oder Germaniumatome handelt, die mit 3 Alkyl-, Cycloalkyl-, Aryl-, Alkylaryl- oder Arylalkylresten mit 1 bis 10 Kohlenstoffatomen substituiert sind.
  10. Metallocenverbindung nach Anspruch 8 oder 9, wobei es sich bei den R4-Substituenten um Wasserstoffatome handelt.
  11. Verfahren zur Herstellung einer Metallocenverbindung nach einem der Ansprüche 1 bis 10, umfassend die Umsetzung der entsprechenden Biscyclopentadienylliganden der Formel (III)
    Figure 00250001
    worin R1, R2, R3, R4, R5 und R6 die vorstehend definierten Bedeutungen haben und A eine geeignete austretende Gruppe bedeutet, mit einer Verbindung der Formel MX4, worin M und X die vorstehend definierten Bedeutungen haben.
  12. Katalysator für die Polymerisation von Olefinen, bestehend aus dem Reaktionsprodukt aus (a) einer Metallocenverbindung gemäß einem der Ansprüche 1 bis 10 und (b) einem Alumoxan oder einer Verbindung, die zur Bildung eines Alkylmetallocenkations befähigt ist.
  13. Verfahren zur Polymerisation von Olefinen, wobei das Verfahren die Polymerisationsreaktion eines Olefinmonomeren in Gegenwart eines Katalysators gemäß Anspruch 12 umfaßt.
  14. Verfahren zur Polymerisation von Olefinen nach Anspruch 13, wobei es sich beim Olefinmonomeren um Propylen handelt.
  15. Verfahren zur Polymerisation von Propylen nach Anspruch 14, wobei Propylen in Gegenwart einer Metallocenverbindung der Formel (II) polymerisiert wird, wobei es sich bei den R3-Substituenten um Kohlenstoff-, Silicium- oder Germaniumatome handelt, die mit 3 Alkyl-, Cycloalkyl-, Aryl-, Alkylaryl- oder Arylalkylresten mit 1 bis 10 Kohlenstoffatomen substituiert sind und wobei R4, R5, R6, M und X die vorstehend definierten Bedeutungen haben, wobei es sich bei den R4-Substituenten vorzugsweise um Wasserstoffatome handelt.
  16. Verfahren zur Polymerisation von Propylen nach Anspruch 15, wobei die Metallocenverbindung der Formel (II) ausgewählt wird unter Isopropyliden-bis-(3-tert.-butylindenyl)-zirconiumdichlorid, Isopropyliden-bis-(3-trimethylsilylindenyl)-zirconiumdichlorid und Isopropyliden-bis-(3-trimethylgermylindenyl)-zirconiumdichlorid.
  17. Verfahren zur Polymerisation von Propylen nach Anspruch 14, wobei Propylen in Gegenwart einer Metallocenverbindung der Formel (I) polymerisiert wird, wobei es sich bei den R2-Substituenten um Wasserstoffatome handelt und es sich bei den R3-Substituenten um Kohlenstoff-, Silicium- oder Germaniumatome handelt, die mit 3 Alkyl-, Cycloalkyl-, Aryl-, Alkylaryl- oder Arylalkylresten mit 1 bis 10 Kohlenstoffatomen substituiert sind, wobei es sich bei den R4-Substituenten vorzugsweise um Wasserstoffatome handelt.
  18. Verfahren zur Polymerisation von Propylen nach Anspruch 17, wobei in der Metallocenverbindung der Formel (I) die R1-Substituenten keine Wasserstoffatome bedeuten.
  19. Verfahren zur Polymerisation von Propylen nach Anspruch 18, das bei einer Temperatur von mindestens 50°C durchgeführt wird.
  20. Verfahren zur Polymerisation von Propylen nach Anspruch 17, wobei die Metallocenverbindung der Formel (I) ausgewählt wird unter Isopropyliden-bis-(3-tert.-butylcyclopentadienyl)-zirconiumdichlorid und Isopropyliden-bis-(2-methyl-4-tert.-butylcyclopentadienyl)-zirconiumdichlorid.
DE69617543T 1995-01-23 1996-01-17 Metallocenverbindungen, verfahren zu ihrer herstellung und ihre verwendung in katalysatoren für die olefinpolymerisierung Expired - Lifetime DE69617543T3 (de)

Applications Claiming Priority (3)

Application Number Priority Date Filing Date Title
ITMI950099A IT1272923B (it) 1995-01-23 1995-01-23 Composti metallocenici,procedimento per la loro preparazione,e loro utilizzo in catalizzatori per la polimerizzazione delle olefine
ITMI950099 1995-01-23
PCT/EP1996/000171 WO1996022995A1 (en) 1995-01-23 1996-01-17 Metallocene compounds, process for their prepration, and their use in catalysts for the polymerization of olefins

Publications (3)

Publication Number Publication Date
DE69617543D1 DE69617543D1 (de) 2002-01-17
DE69617543T2 DE69617543T2 (de) 2002-08-01
DE69617543T3 true DE69617543T3 (de) 2007-01-18

Family

ID=11370281

Family Applications (1)

Application Number Title Priority Date Filing Date
DE69617543T Expired - Lifetime DE69617543T3 (de) 1995-01-23 1996-01-17 Metallocenverbindungen, verfahren zu ihrer herstellung und ihre verwendung in katalysatoren für die olefinpolymerisierung

Country Status (24)

Country Link
US (3) US6051728A (de)
EP (1) EP0751946B2 (de)
JP (1) JP3838662B2 (de)
KR (2) KR100418106B1 (de)
CN (2) CN1075076C (de)
AR (1) AR000776A1 (de)
AU (1) AU700256B2 (de)
BG (1) BG100904A (de)
BR (1) BR9606373A (de)
CA (1) CA2186232A1 (de)
CZ (1) CZ309596A3 (de)
DE (1) DE69617543T3 (de)
ES (1) ES2167539T5 (de)
FI (1) FI963759L (de)
HU (1) HUP9602907A3 (de)
IL (1) IL116853A (de)
IT (1) IT1272923B (de)
MX (1) MX9604229A (de)
PL (1) PL185055B1 (de)
RU (1) RU2177948C2 (de)
TR (1) TR199600720T1 (de)
TW (1) TW319777B (de)
WO (1) WO1996022995A1 (de)
ZA (1) ZA96485B (de)

Families Citing this family (61)

* Cited by examiner, † Cited by third party
Publication number Priority date Publication date Assignee Title
DE19533337A1 (de) * 1995-09-11 1997-03-13 Basf Ag Propen/But-1-en-Copolymere
DE19533336A1 (de) * 1995-09-11 1997-03-13 Basf Ag Verfahren zur Herstellung von Propen/But-1-en-Copolymeren
JP3566819B2 (ja) * 1996-10-04 2004-09-15 関東化学株式会社 新規な有機遷移金属化合物
DE19644039A1 (de) * 1996-10-31 1998-05-07 Hoechst Ag Metallocene
DE69735068T2 (de) * 1996-11-15 2006-08-24 Basell Polyolefine Gmbh Heterocyclische Metallocne und Polymerisationskatalysatoren
US5900497A (en) * 1996-12-20 1999-05-04 Union Carbide Chemicals & Plsatics Technology Corporation Process for preparing metallocene procatalysts
EP0914323B1 (de) * 1997-03-29 2003-08-06 Basell Polyolefine GmbH Metallocene und katalysatoren zur polymerisation von olefinen
AT405834B (de) 1997-10-09 1999-11-25 Borealis Ag Metallocene mit ferrocenyl-substituierten brücken und deren einsatz für die olefinpolymerisation
DE19748388A1 (de) * 1997-11-03 1999-05-06 Borealis Polymere Holding Gmbh Metallocene mit ferrocenyl-substituierten Brücken und deren Einsatz für die Olefinpolymerisation
KR20010014072A (ko) * 1998-04-21 2001-02-26 간디 지오프레이 에이치. 에틸렌과 알파-올레핀의 공중합체의 제조 방법
SG85238A1 (en) * 1998-07-02 2001-12-19 Montell Technology Company Bv Compositions containing substantially amorphous alpha-olefin polymers
DE19922020A1 (de) * 1999-05-12 2000-11-16 Targor Gmbh Übergangsmetallverbindung, Katalysatorsystem, Verfahren zu seiner Herstellung und seine Verwendung zur Polymerisation von Olefinen
ATE268779T1 (de) 2000-02-24 2004-06-15 Basell Polyolefine Gmbh Organometallische verbindung die als cokatalysator bei der polymerisation von olefinen verwendbar ist
CA2374007A1 (en) 2000-03-22 2001-09-27 Luigi Resconi Thermoplastic compositions of isotactic propylene polymers and flexible propylene polymers having reduced isotacticity and a process for the preparation thereof
EP1222216B1 (de) 2000-05-24 2004-12-29 Basell Polyolefine GmbH Propylenpolymere und verfahren zur ihrer herstellung
US6673869B2 (en) 2000-07-27 2004-01-06 Basell Poliolefine Italia S.P.A. Transparent elastomeric thermoplastic polyolefin compositions
JP2004516363A (ja) 2000-12-22 2004-06-03 バセル ポリオレフィン ジーエムビーエイチ オレフィンの重合用触媒成分
US7183332B2 (en) 2000-12-22 2007-02-27 Basell Poliolefine Italia S.P.A. Process for the preparation of porous polymers and polymers obtainable thereof
JP4173803B2 (ja) 2001-05-21 2008-10-29 バーゼル・ポリオレフィン・ゲーエムベーハー オレフィンの重合用触媒系
US6936675B2 (en) * 2001-07-19 2005-08-30 Univation Technologies, Llc High tear films from hafnocene catalyzed polyethylenes
US7060765B2 (en) 2001-07-19 2006-06-13 Univation Technologies, Llc Low comonomer incorporating metallocene catalyst compounds
BR0211286B1 (pt) 2001-07-19 2012-10-02 filmes com propriedades fìsicas aperfeiçoadas.
WO2003008468A2 (en) * 2001-07-19 2003-01-30 Univation Technologies, Llc Mixed metallocene catalyst systems containing a poor comonomer incorporator and a good comonomer incorporator
US7022793B2 (en) 2001-11-27 2006-04-04 Basell Polyolefine Gmbh Process for the treatment of polymer compositions
RU2214415C1 (ru) * 2002-05-13 2003-10-20 Общество с ограниченной ответственностью "Научно-исследовательская лаборатория "Синор" Способ получения галогенидов металлоценов (варианты)
PL372196A1 (en) * 2002-06-26 2005-07-11 Basell Poliolefine Italia S.P.A. Impact-resistant polyolefin compositions
JP4516424B2 (ja) 2002-06-26 2010-08-04 バーゼル・ポリオレフィン・イタリア・ソチエタ・ア・レスポンサビリタ・リミタータ 耐衝撃性ポリオレフィン組成物
US7449246B2 (en) * 2004-06-30 2008-11-11 General Electric Company Barrier coatings
WO2004033510A2 (de) * 2002-10-10 2004-04-22 Basell Polyolefine Gmbh Process for the copolymerization of ethylene
US7550528B2 (en) 2002-10-15 2009-06-23 Exxonmobil Chemical Patents Inc. Functionalized olefin polymers
US7700707B2 (en) 2002-10-15 2010-04-20 Exxonmobil Chemical Patents Inc. Polyolefin adhesive compositions and articles made therefrom
US7541402B2 (en) 2002-10-15 2009-06-02 Exxonmobil Chemical Patents Inc. Blend functionalized polyolefin adhesive
BR0315341B1 (pt) * 2002-10-15 2014-02-18 Adesivos compreendendo poliolefina.
WO2004092228A1 (en) 2003-04-17 2004-10-28 Basell Poliolefine Italia S.R.L. Gas-phase olefin polymerization process
EP1648946B1 (de) 2003-07-04 2015-07-15 Basell Polyolefine GmbH Olefin-polymerisationsverfahren
EP1564226A1 (de) 2004-02-16 2005-08-17 Stichting Dutch Polymer Institute Katalysatorsystem auf Basis von Titanocene
ATE482983T1 (de) 2004-03-12 2010-10-15 Basell Polyolefine Gmbh Verfahren zur polymerisation von 1-hexen oder höheren alpha-olefinen
EP1723184A1 (de) 2004-03-12 2006-11-22 Basell Polyolefine GmbH Verfahren zur polymerisation von 1-hexen oder höheren alpha-olefinen
BRPI0508155A (pt) 2004-03-12 2007-08-07 Basell Polyolefine Gmbh sistema catalìtico para a polimerização de olefinas
EP1655314A1 (de) 2004-11-09 2006-05-10 Basell Polyolefine GmbH Polymerisationsverfahren von 1-buten mit propen
US7300994B2 (en) * 2004-11-22 2007-11-27 Cornell Research Foundation, Inc. Isotactic polypropylene containing polymers
KR20070093058A (ko) 2004-11-22 2007-09-17 바젤 폴리올레핀 게엠베하 프로필렌 기재 삼중합체
WO2006063905A1 (en) * 2004-12-13 2006-06-22 Basell Poliolefine Italia S.R.L. Polyolefin composition, fibres and nonwoven fabrics
EP1834015B1 (de) * 2004-12-23 2008-11-19 Basell Poliolefine Italia S.r.l. Fasern mit elastischen eigenschaften
US7026494B1 (en) 2005-01-10 2006-04-11 Chevron Phillips Chemical Company, Lp Polymerization catalysts for producing high melt index polymers without the use of hydrogen
WO2009077185A1 (en) 2007-12-18 2009-06-25 Basell Polyolefine Gmbh Gas-phase process for the polymerization of alpha-olefins
CN101910225B (zh) * 2008-01-11 2014-06-04 三井化学株式会社 改性丙烯树脂
US8378028B2 (en) * 2008-02-29 2013-02-19 Basell Poliolefine Italia, s.r.l. Polyolefin compositions
US8637625B2 (en) 2008-11-18 2014-01-28 Borealis Ag Propylene-butene random copolymer produced in the presence of a metallocene catalyst
EP2341086A1 (de) 2009-12-30 2011-07-06 Borealis AG BOPP-Folie
WO2015009471A1 (en) 2013-07-17 2015-01-22 Exxonmobil Chemical Patents Inc. Metallocenes and catalyst compositions derived therefrom
EP3301119B1 (de) 2013-07-17 2021-03-17 ExxonMobil Chemical Patents Inc. Isotaktische propylenpolymere
ES2703344T3 (es) 2013-07-17 2019-03-08 Exxonmobil Chemical Patents Inc Metalocenos y composiciones catalíticas derivadas de ellos
SG10201802959WA (en) 2013-07-17 2018-05-30 Exxonmobil Chemical Patents Inc Cyclopropyl substituted metallocene catalysts
SG11201510461SA (en) 2013-07-17 2016-01-28 Exxonmobil Chem Patents Inc Substituted metallocene catalysts
US9938364B2 (en) 2013-07-17 2018-04-10 Exxonmobil Chemical Patents Inc. Substituted metallocene catalysts
CN105555813B (zh) * 2013-09-30 2018-01-05 株式会社Lg化学 丙烯‑1‑丁烯共聚物的制备方法以及由此获得的丙烯‑1‑丁烯共聚物
US10450390B2 (en) 2014-12-15 2019-10-22 Lg Chem, Ltd. Metallocene compound, metallocene-supported catalyst, and method of preparing polyolefin using the same
KR101826253B1 (ko) * 2015-07-15 2018-02-06 한화케미칼 주식회사 메탈로센 화합물 및 이의 제조방법
MY191910A (en) * 2016-12-05 2022-07-18 Exxonmobil Chemical Patents Inc Broad orthogonal distribution metallocene polyethylenes for films
WO2019072695A1 (en) 2017-10-11 2019-04-18 Basell Polyolefine Gmbh CATALYST SUPPORTED SYSTEM

Family Cites Families (27)

* Cited by examiner, † Cited by third party
Publication number Priority date Publication date Assignee Title
ZA844157B (en) * 1983-06-06 1986-01-29 Exxon Research Engineering Co Process and catalyst for polyolefin density and molecular weight control
DE3443087A1 (de) * 1984-11-27 1986-05-28 Hoechst Ag, 6230 Frankfurt Verfahren zur herstellung von polyolefinen
US4668773A (en) * 1985-03-25 1987-05-26 Northwestern University Organolanthanide catalysts
EP0284708B1 (de) * 1987-04-03 1996-01-31 Fina Technology, Inc. Metallocen-katalysatorsysteme für die Polymersation von Olefinen, mit einer Silizium-Hydrocarbyl-Brücke.
US4892851A (en) * 1988-07-15 1990-01-09 Fina Technology, Inc. Process and catalyst for producing syndiotactic polyolefins
DE68929006T2 (de) * 1988-12-26 1999-10-07 Mitsui Chemicals, Inc. Olefincopolymere und Verfahren zur Herstellung davon
DE3929693A1 (de) * 1989-09-07 1991-03-14 Hoechst Ag Verfahren zur herstellung eines polyolefinwachses
US5026798A (en) * 1989-09-13 1991-06-25 Exxon Chemical Patents Inc. Process for producing crystalline poly-α-olefins with a monocyclopentadienyl transition metal catalyst system
IT1249008B (it) * 1990-06-27 1995-02-11 Himont Inc Copolimeri cristallini sindiotattici del propilene
EP0485823B1 (de) * 1990-11-12 1995-03-08 Hoechst Aktiengesellschaft 2-Substituierte Bisindenylmetallocene, Verfahren zu ihrer Herstellung und ihre Verwendung als Katalysatoren bei der Olefinpolymerisation
EP0485821B1 (de) * 1990-11-12 1996-06-12 Hoechst Aktiengesellschaft Metallocene mit Liganden aus 2-substituierten Indenylderivaten, Verfahren zu ihrer Herstellung und ihre Verwendung als Katalysatoren
AU9159191A (en) * 1990-12-28 1992-08-17 Exxon Chemical Patents Inc. Syndiotactic polypropylene
ES2087339T3 (es) * 1991-05-27 1996-07-16 Hoechst Ag Procedimiento para la preparacion de poliolefinas con amplia distribucion de masas moleculares.
JPH04351638A (ja) * 1991-05-29 1992-12-07 Toray Dow Corning Silicone Co Ltd ヘキセニル基含有シリコーンレジンおよびその製造方法
TW300901B (de) * 1991-08-26 1997-03-21 Hoechst Ag
US5330948A (en) * 1992-03-31 1994-07-19 Northwestern University Homogeneous catalysts for stereoregular olefin polymerization
FI112233B (fi) * 1992-04-01 2003-11-14 Basell Polyolefine Gmbh Katalyytti olefiinipolymerointia varten, menetelmä sen valmistamiseksi ja sen käyttö
ES2128371T3 (es) * 1992-08-15 1999-05-16 Targor Gmbh Procedimiento para la obtencion de poliolefinas.
TW272985B (de) * 1992-09-11 1996-03-21 Hoechst Ag
EP0588208A3 (en) * 1992-09-12 1994-07-06 Hoechst Ag Polyolefin moulding composition with broad melt range, process and use therefore
JP3307704B2 (ja) * 1993-02-19 2002-07-24 三菱化学株式会社 α‐オレフィン重合体の製造法
DE69431222T2 (de) * 1993-06-07 2003-04-17 Mitsui Chemicals, Inc. Übergangsmetallverbindung, und diese enthaltender Polymerisationkatalysator
CA2125247C (en) * 1993-06-07 2001-02-20 Daisuke Fukuoka Transition metal compound, olefin polymerization catalyst component comprising said compound, olefin polymerization catalyst containing said catalyst component, process for olefinpolymerization using said catalyst , propylene homopolymer, propylene copolymer and propylene elastomer
US5459117A (en) * 1993-08-27 1995-10-17 Ewen; John A. Doubly-conformationally locked, stereorigid catalysts for the preparation of tactiospecific polymers
DE4333128A1 (de) * 1993-09-29 1995-03-30 Hoechst Ag Verfahren zur Herstellung von Polyolefinen
DE4344689A1 (de) * 1993-12-27 1995-06-29 Hoechst Ag Metallocenverbindung
US5504223A (en) * 1994-01-25 1996-04-02 The Dow Chemical Company Synthesis of cyclopentadienyl metal coordination complexes from metal hydrocarbyloxides

Also Published As

Publication number Publication date
HUP9602907A3 (en) 1997-12-29
FI963759A0 (fi) 1996-09-20
US6518386B1 (en) 2003-02-11
CN1196721C (zh) 2005-04-13
WO1996022995A1 (en) 1996-08-01
IT1272923B (it) 1997-07-01
ITMI950099A0 (it) 1995-01-23
PL185055B1 (pl) 2003-02-28
ZA96485B (en) 1996-08-13
IL116853A0 (en) 1996-07-23
FI963759A7 (fi) 1996-09-20
FI963759L (fi) 1996-09-20
PL316387A1 (en) 1997-01-06
CA2186232A1 (en) 1996-08-01
DE69617543D1 (de) 2002-01-17
KR100418106B1 (ko) 2004-04-30
ITMI950099A1 (it) 1996-07-23
TR199600720T1 (tr) 1997-03-21
AU700256B2 (en) 1998-12-24
JP3838662B2 (ja) 2006-10-25
ES2167539T5 (es) 2007-04-01
AU4536696A (en) 1996-08-14
CN1075076C (zh) 2001-11-21
HUP9602907A2 (en) 1997-05-28
DE69617543T2 (de) 2002-08-01
CN1150430A (zh) 1997-05-21
KR970701723A (ko) 1997-04-12
US20030120015A1 (en) 2003-06-26
TW319777B (de) 1997-11-11
KR100414759B1 (ko) 2004-01-13
RU2177948C2 (ru) 2002-01-10
IL116853A (en) 2000-09-28
JPH09510994A (ja) 1997-11-04
BR9606373A (pt) 2004-06-29
CZ309596A3 (en) 1997-04-16
MX9604229A (es) 1997-12-31
ES2167539T3 (es) 2002-05-16
EP0751946B1 (de) 2001-12-05
US6051728A (en) 2000-04-18
CN1355256A (zh) 2002-06-26
EP0751946B2 (de) 2006-08-09
BG100904A (bg) 1997-07-31
EP0751946A1 (de) 1997-01-08
AR000776A1 (es) 1997-08-06

Similar Documents

Publication Publication Date Title
DE69617543T3 (de) Metallocenverbindungen, verfahren zu ihrer herstellung und ihre verwendung in katalysatoren für die olefinpolymerisierung
DE69518830T2 (de) Polypropylenreaktionsmischung und verfahren zu ihrer herstellung
DE69416721T2 (de) Silylverbrückte Metallocene, und ihre Verwendung
DE69033435T2 (de) Katalysator zur Herstellung von hemi-isotaktischem Polypropylen
DE69816936T2 (de) Metallocene und katalysatoren zur polymerisation von olefinen
DE69631902T2 (de) Metallocene mit offen-pentodienyl, deren vorläufer und diese enthaltende polymerisationskatalysatoren
DE69612331T2 (de) Metallocenkatalysator für die Homo- oder Copolymerisation von Alpha-Olefinen
DE69629227T2 (de) Verfahren zur Herstellung ataktischer Copolymeren aus Propylene mit Ethylen
DE69409690T2 (de) Katalysatorbestandteil für Alpha-olefinpolymerisation und Verfahren zur Herstellung von Alpha-olefinpolymere unter Anwendung derselben
DE69810894T2 (de) Metallocene und katalysatoren zur olefinpolymerisation
DE69333114T2 (de) Indenylverbindungen und katalysatorbestandteile fur olefinpolymerisation
EP0776913B1 (de) Hochmolekulare Copolymere
DE69019535T2 (de) Ionische metallocenkatalysatoren auf träger für olefinpolymerisation.
DE69420975T2 (de) Amido-siladiylverbrückte katalysatorkomponente, verfahren zur herstellung und verwendung
DE69033719T2 (de) Verfahren zur Herstellung von syndiotaktischen Polymeren
DE69330780T2 (de) Verfahren zur Polymerisierung von Alpha-Olefinen mittels Metalloceneverbindungen mit Liganden des Typs Fluorenyl
DE69232608T2 (de) Verwendung von Fluorenylorganometallverbindungen.
DE60102156T2 (de) Verbrückte Bisindenyl Substituierte Metallogen-Verbindungen
DE69522393T2 (de) Verfahren zur Herstellung von amorphen Propylenpolymeren
DE69210276T2 (de) Herstellung von Alpha-Olefinpolymeren
DE69704356T2 (de) Syndiotaktische/isotaktische blockpolyolefinen, katalysatore und verfahren zu ihrer herstellung
DE69623833T2 (de) Verbrückte Bis-fluorenylmetallocene, Verfahren zu deren Herstellung, und deren Verwendung in Katalysatoren zur Polymerisation von Olefinen
DE10158656A1 (de) Organoübergangsmetallverbindung, Biscyclopentadienylligandsystem, Katalysatorsystem und Verfahren zur Herstellung von Polyolefinen
DE10358082A1 (de) Organübergangsmetallverbindung, Bscyclopentadienyligandsystem, Katalysatorsystem und Hertellung von Polyolefinen
DE69905011T2 (de) Bis(tetrahydro-indenyl) metallocene, und diesen enthaltende olefinpolymerisationskatalysatoren

Legal Events

Date Code Title Description
8363 Opposition against the patent
8366 Restricted maintained after opposition proceedings
8328 Change in the person/name/address of the agent

Representative=s name: PFENNING MEINIG & PARTNER GBR, 80339 MUENCHEN

8327 Change in the person/name/address of the patent owner

Owner name: BASELL POLYOLEFINE GMBH, 50389 WESSELING, DE