WO2012133717A1 - エチレン系重合体、ポリエチレン系樹脂組成物とその用途、オレフィン重合用触媒成分、該成分を含むオレフィン重合用触媒および該触媒を用いたエチレン系重合体の製造方法 - Google Patents
エチレン系重合体、ポリエチレン系樹脂組成物とその用途、オレフィン重合用触媒成分、該成分を含むオレフィン重合用触媒および該触媒を用いたエチレン系重合体の製造方法 Download PDFInfo
- Publication number
- WO2012133717A1 WO2012133717A1 PCT/JP2012/058491 JP2012058491W WO2012133717A1 WO 2012133717 A1 WO2012133717 A1 WO 2012133717A1 JP 2012058491 W JP2012058491 W JP 2012058491W WO 2012133717 A1 WO2012133717 A1 WO 2012133717A1
- Authority
- WO
- WIPO (PCT)
- Prior art keywords
- group
- carbon atoms
- atom
- hydrocarbon group
- ethylene
- Prior art date
- Legal status (The legal status is an assumption and is not a legal conclusion. Google has not performed a legal analysis and makes no representation as to the accuracy of the status listed.)
- Ceased
Links
- 0 C1C2C1CCC*2 Chemical compound C1C2C1CCC*2 0.000 description 2
Images
Classifications
-
- C—CHEMISTRY; METALLURGY
- C08—ORGANIC MACROMOLECULAR COMPOUNDS; THEIR PREPARATION OR CHEMICAL WORKING-UP; COMPOSITIONS BASED THEREON
- C08F—MACROMOLECULAR COMPOUNDS OBTAINED BY REACTIONS ONLY INVOLVING CARBON-TO-CARBON UNSATURATED BONDS
- C08F210/00—Copolymers of unsaturated aliphatic hydrocarbons having only one carbon-to-carbon double bond
- C08F210/16—Copolymers of ethene with alpha-alkenes, e.g. EP rubbers
-
- C—CHEMISTRY; METALLURGY
- C08—ORGANIC MACROMOLECULAR COMPOUNDS; THEIR PREPARATION OR CHEMICAL WORKING-UP; COMPOSITIONS BASED THEREON
- C08F—MACROMOLECULAR COMPOUNDS OBTAINED BY REACTIONS ONLY INVOLVING CARBON-TO-CARBON UNSATURATED BONDS
- C08F10/00—Homopolymers and copolymers of unsaturated aliphatic hydrocarbons having only one carbon-to-carbon double bond
- C08F10/02—Ethene
-
- C—CHEMISTRY; METALLURGY
- C08—ORGANIC MACROMOLECULAR COMPOUNDS; THEIR PREPARATION OR CHEMICAL WORKING-UP; COMPOSITIONS BASED THEREON
- C08F—MACROMOLECULAR COMPOUNDS OBTAINED BY REACTIONS ONLY INVOLVING CARBON-TO-CARBON UNSATURATED BONDS
- C08F4/00—Polymerisation catalysts
- C08F4/42—Metals; Metal hydrides; Metallo-organic compounds; Use thereof as catalyst precursors
- C08F4/44—Metals; Metal hydrides; Metallo-organic compounds; Use thereof as catalyst precursors selected from light metals, zinc, cadmium, mercury, copper, silver, gold, boron, gallium, indium, thallium, rare earths or actinides
- C08F4/60—Metals; Metal hydrides; Metallo-organic compounds; Use thereof as catalyst precursors selected from light metals, zinc, cadmium, mercury, copper, silver, gold, boron, gallium, indium, thallium, rare earths or actinides together with refractory metals, iron group metals, platinum group metals, manganese, rhenium technetium or compounds thereof
- C08F4/62—Refractory metals or compounds thereof
- C08F4/64—Titanium, zirconium, hafnium or compounds thereof
- C08F4/659—Component covered by group C08F4/64 containing a transition metal-carbon bond
- C08F4/6592—Component covered by group C08F4/64 containing a transition metal-carbon bond containing at least one cyclopentadienyl ring, condensed or not, e.g. an indenyl or a fluorenyl ring
- C08F4/65922—Component covered by group C08F4/64 containing a transition metal-carbon bond containing at least one cyclopentadienyl ring, condensed or not, e.g. an indenyl or a fluorenyl ring containing at least two cyclopentadienyl rings, fused or not
- C08F4/65927—Component covered by group C08F4/64 containing a transition metal-carbon bond containing at least one cyclopentadienyl ring, condensed or not, e.g. an indenyl or a fluorenyl ring containing at least two cyclopentadienyl rings, fused or not two cyclopentadienyl rings being mutually bridged
-
- C—CHEMISTRY; METALLURGY
- C08—ORGANIC MACROMOLECULAR COMPOUNDS; THEIR PREPARATION OR CHEMICAL WORKING-UP; COMPOSITIONS BASED THEREON
- C08J—WORKING-UP; GENERAL PROCESSES OF COMPOUNDING; AFTER-TREATMENT NOT COVERED BY SUBCLASSES C08B, C08C, C08F, C08G or C08H
- C08J5/00—Manufacture of articles or shaped materials containing macromolecular substances
- C08J5/18—Manufacture of films or sheets
-
- C—CHEMISTRY; METALLURGY
- C08—ORGANIC MACROMOLECULAR COMPOUNDS; THEIR PREPARATION OR CHEMICAL WORKING-UP; COMPOSITIONS BASED THEREON
- C08L—COMPOSITIONS OF MACROMOLECULAR COMPOUNDS
- C08L23/00—Compositions of homopolymers or copolymers of unsaturated aliphatic hydrocarbons having only one carbon-to-carbon double bond; Compositions of derivatives of such polymers
- C08L23/02—Compositions of homopolymers or copolymers of unsaturated aliphatic hydrocarbons having only one carbon-to-carbon double bond; Compositions of derivatives of such polymers not modified by chemical after-treatment
- C08L23/04—Homopolymers or copolymers of ethene
- C08L23/08—Copolymers of ethene
- C08L23/0807—Copolymers of ethene with unsaturated hydrocarbons only containing four or more carbon atoms
- C08L23/0815—Copolymers of ethene with unsaturated hydrocarbons only containing four or more carbon atoms with aliphatic 1-olefins containing one carbon-to-carbon double bond
-
- C—CHEMISTRY; METALLURGY
- C08—ORGANIC MACROMOLECULAR COMPOUNDS; THEIR PREPARATION OR CHEMICAL WORKING-UP; COMPOSITIONS BASED THEREON
- C08F—MACROMOLECULAR COMPOUNDS OBTAINED BY REACTIONS ONLY INVOLVING CARBON-TO-CARBON UNSATURATED BONDS
- C08F4/00—Polymerisation catalysts
- C08F4/42—Metals; Metal hydrides; Metallo-organic compounds; Use thereof as catalyst precursors
- C08F4/44—Metals; Metal hydrides; Metallo-organic compounds; Use thereof as catalyst precursors selected from light metals, zinc, cadmium, mercury, copper, silver, gold, boron, gallium, indium, thallium, rare earths or actinides
- C08F4/60—Metals; Metal hydrides; Metallo-organic compounds; Use thereof as catalyst precursors selected from light metals, zinc, cadmium, mercury, copper, silver, gold, boron, gallium, indium, thallium, rare earths or actinides together with refractory metals, iron group metals, platinum group metals, manganese, rhenium technetium or compounds thereof
- C08F4/62—Refractory metals or compounds thereof
- C08F4/64—Titanium, zirconium, hafnium or compounds thereof
- C08F4/659—Component covered by group C08F4/64 containing a transition metal-carbon bond
- C08F4/65908—Component covered by group C08F4/64 containing a transition metal-carbon bond in combination with an ionising compound other than alumoxane, e.g. (C6F5)4B-X+
-
- C—CHEMISTRY; METALLURGY
- C08—ORGANIC MACROMOLECULAR COMPOUNDS; THEIR PREPARATION OR CHEMICAL WORKING-UP; COMPOSITIONS BASED THEREON
- C08F—MACROMOLECULAR COMPOUNDS OBTAINED BY REACTIONS ONLY INVOLVING CARBON-TO-CARBON UNSATURATED BONDS
- C08F4/00—Polymerisation catalysts
- C08F4/42—Metals; Metal hydrides; Metallo-organic compounds; Use thereof as catalyst precursors
- C08F4/44—Metals; Metal hydrides; Metallo-organic compounds; Use thereof as catalyst precursors selected from light metals, zinc, cadmium, mercury, copper, silver, gold, boron, gallium, indium, thallium, rare earths or actinides
- C08F4/60—Metals; Metal hydrides; Metallo-organic compounds; Use thereof as catalyst precursors selected from light metals, zinc, cadmium, mercury, copper, silver, gold, boron, gallium, indium, thallium, rare earths or actinides together with refractory metals, iron group metals, platinum group metals, manganese, rhenium technetium or compounds thereof
- C08F4/62—Refractory metals or compounds thereof
- C08F4/64—Titanium, zirconium, hafnium or compounds thereof
- C08F4/659—Component covered by group C08F4/64 containing a transition metal-carbon bond
- C08F4/65912—Component covered by group C08F4/64 containing a transition metal-carbon bond in combination with an organoaluminium compound
-
- C—CHEMISTRY; METALLURGY
- C08—ORGANIC MACROMOLECULAR COMPOUNDS; THEIR PREPARATION OR CHEMICAL WORKING-UP; COMPOSITIONS BASED THEREON
- C08F—MACROMOLECULAR COMPOUNDS OBTAINED BY REACTIONS ONLY INVOLVING CARBON-TO-CARBON UNSATURATED BONDS
- C08F4/00—Polymerisation catalysts
- C08F4/42—Metals; Metal hydrides; Metallo-organic compounds; Use thereof as catalyst precursors
- C08F4/44—Metals; Metal hydrides; Metallo-organic compounds; Use thereof as catalyst precursors selected from light metals, zinc, cadmium, mercury, copper, silver, gold, boron, gallium, indium, thallium, rare earths or actinides
- C08F4/60—Metals; Metal hydrides; Metallo-organic compounds; Use thereof as catalyst precursors selected from light metals, zinc, cadmium, mercury, copper, silver, gold, boron, gallium, indium, thallium, rare earths or actinides together with refractory metals, iron group metals, platinum group metals, manganese, rhenium technetium or compounds thereof
- C08F4/62—Refractory metals or compounds thereof
- C08F4/64—Titanium, zirconium, hafnium or compounds thereof
- C08F4/659—Component covered by group C08F4/64 containing a transition metal-carbon bond
- C08F4/65916—Component covered by group C08F4/64 containing a transition metal-carbon bond supported on a carrier, e.g. silica, MgCl2, polymer
-
- C—CHEMISTRY; METALLURGY
- C08—ORGANIC MACROMOLECULAR COMPOUNDS; THEIR PREPARATION OR CHEMICAL WORKING-UP; COMPOSITIONS BASED THEREON
- C08J—WORKING-UP; GENERAL PROCESSES OF COMPOUNDING; AFTER-TREATMENT NOT COVERED BY SUBCLASSES C08B, C08C, C08F, C08G or C08H
- C08J2323/00—Characterised by the use of homopolymers or copolymers of unsaturated aliphatic hydrocarbons having only one carbon-to-carbon double bond; Derivatives of such polymers
- C08J2323/02—Characterised by the use of homopolymers or copolymers of unsaturated aliphatic hydrocarbons having only one carbon-to-carbon double bond; Derivatives of such polymers not modified by chemical after treatment
- C08J2323/04—Homopolymers or copolymers of ethene
- C08J2323/08—Copolymers of ethene
-
- C—CHEMISTRY; METALLURGY
- C08—ORGANIC MACROMOLECULAR COMPOUNDS; THEIR PREPARATION OR CHEMICAL WORKING-UP; COMPOSITIONS BASED THEREON
- C08L—COMPOSITIONS OF MACROMOLECULAR COMPOUNDS
- C08L2203/00—Applications
- C08L2203/16—Applications used for films
-
- C—CHEMISTRY; METALLURGY
- C08—ORGANIC MACROMOLECULAR COMPOUNDS; THEIR PREPARATION OR CHEMICAL WORKING-UP; COMPOSITIONS BASED THEREON
- C08L—COMPOSITIONS OF MACROMOLECULAR COMPOUNDS
- C08L2205/00—Polymer mixtures characterised by other features
- C08L2205/02—Polymer mixtures characterised by other features containing two or more polymers of the same C08L -group
- C08L2205/025—Polymer mixtures characterised by other features containing two or more polymers of the same C08L -group containing two or more polymers of the same hierarchy C08L, and differing only in parameters such as density, comonomer content, molecular weight, structure
-
- C—CHEMISTRY; METALLURGY
- C08—ORGANIC MACROMOLECULAR COMPOUNDS; THEIR PREPARATION OR CHEMICAL WORKING-UP; COMPOSITIONS BASED THEREON
- C08L—COMPOSITIONS OF MACROMOLECULAR COMPOUNDS
- C08L2314/00—Polymer mixtures characterised by way of preparation
- C08L2314/02—Ziegler natta catalyst
-
- C—CHEMISTRY; METALLURGY
- C08—ORGANIC MACROMOLECULAR COMPOUNDS; THEIR PREPARATION OR CHEMICAL WORKING-UP; COMPOSITIONS BASED THEREON
- C08L—COMPOSITIONS OF MACROMOLECULAR COMPOUNDS
- C08L2314/00—Polymer mixtures characterised by way of preparation
- C08L2314/06—Metallocene or single site catalysts
Definitions
- the present invention relates to an ethylene polymer having a developed long-chain branched structure and excellent in moldability. Further, as another aspect of the present invention, the present invention relates to a novel polyethylene resin composition and its use. More specifically, the present invention is excellent in molding processability and excellent in impact strength and rigidity balance and transparency.
- the present invention relates to a polyethylene resin composition capable of producing a body, and a molded body and film obtained by injection molding, compression injection molding, rotational molding, extrusion molding, hollow molding or blow molding of the polyethylene resin composition.
- the present invention further relates to an olefin polymerization catalyst component containing a specific metallocene compound, an olefin polymerization catalyst containing the component, and a method for producing an olefin polymer using the catalyst.
- polyethylene resins ethylene polymers
- ethylene polymers are widely used because they are inexpensive and lightweight, and have excellent processability, rigidity, impact strength, transparency, chemical resistance, and recyclability.
- the molding process of a polyethylene resin is performed in a molten state.
- melt characteristics are insufficient in terms of fluidity or insufficient in extensional viscosity, for example, and sufficient molding processability can be secured. It is often difficult or lacks solid physical properties such as transparency and rigidity.
- the demand for reducing the thickness of molded products is increasing from the viewpoint of the need to reduce the amount of raw material resin used in the recent implementation of the Container Recycling Law and the trend toward resource saving. It is necessary to improve (elastic modulus).
- a method of improving the impact strength a method of reducing the density of the ethylene-based polymer is well known, but it is not preferable because the rigidity also decreases (softens) together, and for the purpose of thinning.
- a three-component blend composition in which a specific HPLD is added to a combination of two types of specific ethylene / ⁇ -olefin copolymers having different densities and further to improve molding processability and transparency.
- Patent Document 4 Attempts to use have been made (for example, see Patent Document 4). According to this method, a polyethylene resin composition having an excellent balance between impact strength and rigidity and excellent transparency can be obtained, but a decrease in impact strength due to HPLD blending is still unavoidable. This blend of ethylene polymers is considered to be economically disadvantageous compared to the prior art in order to stably supply a product of constant quality at an industrial level.
- Polyolefins produced with metallocene catalysts for olefin polymerization have high polymer molecular structure such as molecular weight distribution and copolymer composition distribution, and are excellent in various mechanical properties such as impact strength and long life. The amount is increasing.
- metallocene-based polyolefins are excellent in mechanical properties, but because of their narrow molecular weight distribution, they are inferior in polyolefin molding important properties such as melt tension and melt fluidity, and have sufficient performance on the molding surface. It did not meet.
- a method for introducing a long chain branch by a metallocene complex other than the above a method for producing polyethylene containing a long chain branch using a bridged metallocene catalyst having a specific structure (for example, see Patent Document 15) is known.
- a method for producing polyethylene containing a long chain branch using a bridged metallocene catalyst having a specific structure for example, see Patent Document 15.
- two types of metallocene complexes of dimethylsilylbis (pentadienyl) zirconium dichloride complex and diphenylmethylene (cyclopentadienyl) (fluorenyl) zirconium dichloride complex are used simultaneously is introduced.
- a catalyst in which the above two types of complexes are co-supported on the same carrier for example, see Patent Documents 16 to 18
- a catalyst in which the type of complex to be combined is improved for example, Patent Document 19, 20
- one type of complex generates a polymer containing a polymerizable double bond at the terminal (so-called macromer), and the other complex is a complex having excellent copolymerizability, and the macromer is copolymerized.
- macromer polymer containing a polymerizable double bond at the terminal
- Patent Document 21 discloses that branched polyethylene can be produced by homopolymerization of ethylene by solution polymerization using asymmetric metallocene and methylaluminoxane in which a cyclopentadienyl group and an indenyl group are carbon-bridged.
- the length of the branch is described as having 1 to 20 carbon atoms, and the length of the branch is too short to exhibit the effect of improving the molding processability as a long-chain branch. Does not show cure.
- Patent Document 22 reports the polymerization of propylene by a polymerization catalyst in combination with an asymmetric metallocene compound in which a cyclopentadienyl group and an indenyl group each having a specific substituent are cross-linked and methylaluminoxane. There is no description that long chain branching is generated when applied to the polymerization, and no improvement in molding processability is expected.
- Patent Document 23 discloses a macromonomer using a metallocene having a methyl group at positions 2, 4, and 7 of an indenyl group and a modified clay compound among asymmetric metallocenes in which a cyclopentadienyl group and an indenyl group are silicon-bridged.
- Patent Document 24 among asymmetric metallocenes obtained by crosslinking a cyclopentadienyl group and an indenyl group with a bridging group, there is no substituent other than the bridging group on the cyclopentadienyl group.
- a method for producing an ethylene polymer having improved molding processability with a supported catalyst for olefin polymerization having a specific asymmetric metallocene as an essential component and having a hydrogen atom or a specific substituent at the 3-position of the indenyl group has been reported. According to the present invention, an ethylene polymer having a high strain hardening degree of extensional viscosity can be obtained.
- a polyethylene-based resin that eliminates the problems of conventional ethylene-based resin compositions, is capable of producing molded products with excellent molding processability and excellent balance between impact strength and rigidity and transparency. Development of a resin composition has been desired. Furthermore, in order to eliminate the problems of long-chain branch-containing polyethylene in the prior art and to improve the molding processability of metallocene-based polyethylene, an ethylene polymer having a sufficient number and appropriate length of long-chain branch introduced, Development of an olefin polymerization catalyst excellent in chain branching introduction and a method for producing an olefin polymer has been desired.
- An object of the present invention is to provide an ethylene polymer having improved molding processability in view of the above-mentioned problems of the prior art.
- Another object of the present invention is a polyethylene resin composition that is excellent in molding process characteristics, at the same time, excellent in balance between impact strength and rigidity, and also excellent in transparency, in view of the above-mentioned problems of the prior art. Furthermore, the balance of impact strength and rigidity and transparency obtained by injection molding, compression injection molding, rotational molding, extrusion molding, hollow molding, blow molding or inflation molding of the polyethylene-based resin composition It is in providing the molded object excellent in property, and the use of this molded object.
- Another object of the present invention is to improve metallocene polyolefins, particularly metallocene polyethylenes, in order to improve metallocene polyolefins and metallocene polyolefins or metallocene polyethylenes having a sufficient number and appropriate lengths of long-chain branches.
- An object of the present invention is to provide a catalyst component for olefin polymerization that can be produced, a catalyst for olefin polymerization containing the component, and a method for producing an olefin polymer using the catalyst.
- polyethylene refers to a generic name of an ethylene homopolymer and a copolymer of ethylene and an olefin described later, and can also be referred to as an ethylene polymer.
- the present inventors have found that a specific ethylene polymer having a small long-chain branched structure characterized by an elongational viscosity behavior and a characteristic characterized by an elongational viscosity behavior.
- a specific ethylene polymer having a long-chain branched structure and blended so that both have a specific MFR and density When combined with a specific ethylene polymer having a long-chain branched structure and blended so that both have a specific MFR and density, the resulting polyethylene-based resin composition is good enough to solve the above-mentioned problems Based on these findings, the present invention has been completed.
- an ethylene polymer that satisfies the following conditions (B-1 ′) to (B-6) is provided.
- Density B 0.880 to 0.970 g / cm 3 (B-3)
- [Mw / Mn] B 2.0 to 10.0
- B-4 ′ Logarithmic plot of elongational viscosity ⁇ (t) (unit: Pa ⁇ second) and elongation time t (unit: second) measured at a temperature of 170 ° C.
- an ethylene polymer according to the first invention which further satisfies at least one of the following conditions (B-7) and (B-8):
- the (B-7) The branching index (g C ′) at a molecular weight of 1,000,000 measured by a GPC measurement device combining a differential refractometer, a viscosity detector, and a light scattering detector is 0.30 to 0.70. .
- the content (W C ) of a component having a molecular weight of 1 million or more measured by a GPC measuring device combining a differential refractometer, a viscosity detector, and a light scattering detector is 0.01 to 30%. is there.
- a polyethylene-based resin composition is provided.
- the maximum elongation viscosity after strain hardening is ⁇ A; Max (t 1 ), the extension viscosity before curing.
- the approximate straight line is ⁇ A; Linear (t), the strain hardening degree [ ⁇ max (2.0)] A defined by ⁇ A; Max (t 1 ) / ⁇ A; Linear (t 1 ) A is 1 0.0 to 2.0.
- (B-5) [ ⁇ max (2.0)] B defined in the same manner as the condition (A-4) described in the third aspect of the present invention, and an elongation strain rate of 0.1 (unit: 1 / second) when measured in the same manner as [ ⁇ max (0.1)] the ratio of B [ ⁇ max (2.0)] B /[ ⁇ max(0.1)] B is 1.2 to 10.0.
- (B-6) A polymer produced by a polymerization reaction of ethylene using a catalyst containing a transition metal.
- a polyethylene resin composition according to the third aspect, wherein the ethylene polymer (B) further satisfies the following condition (B-2 ′). . (B-2 ′) 1.070> density A / density B > 0.990
- the ethylene polymer (A) is a homopolymerization of ethylene by a Ziegler-Natta catalyst produced using a magnesium compound and a titanium compound.
- a polyethylene resin composition which is an ethylene polymer or an ethylene / ⁇ -olefin copolymer produced by copolymerization with an ⁇ -olefin.
- a molded product obtained by injection molding, compression injection molding, rotational molding, extrusion molding, hollow molding or blow molding of the polyethylene resin composition according to the third invention. Provided.
- the eighth invention of the present invention there is provided a film obtained by extrusion molding, hollow molding, blow molding or inflation molding of the polyethylene resin composition according to the third invention.
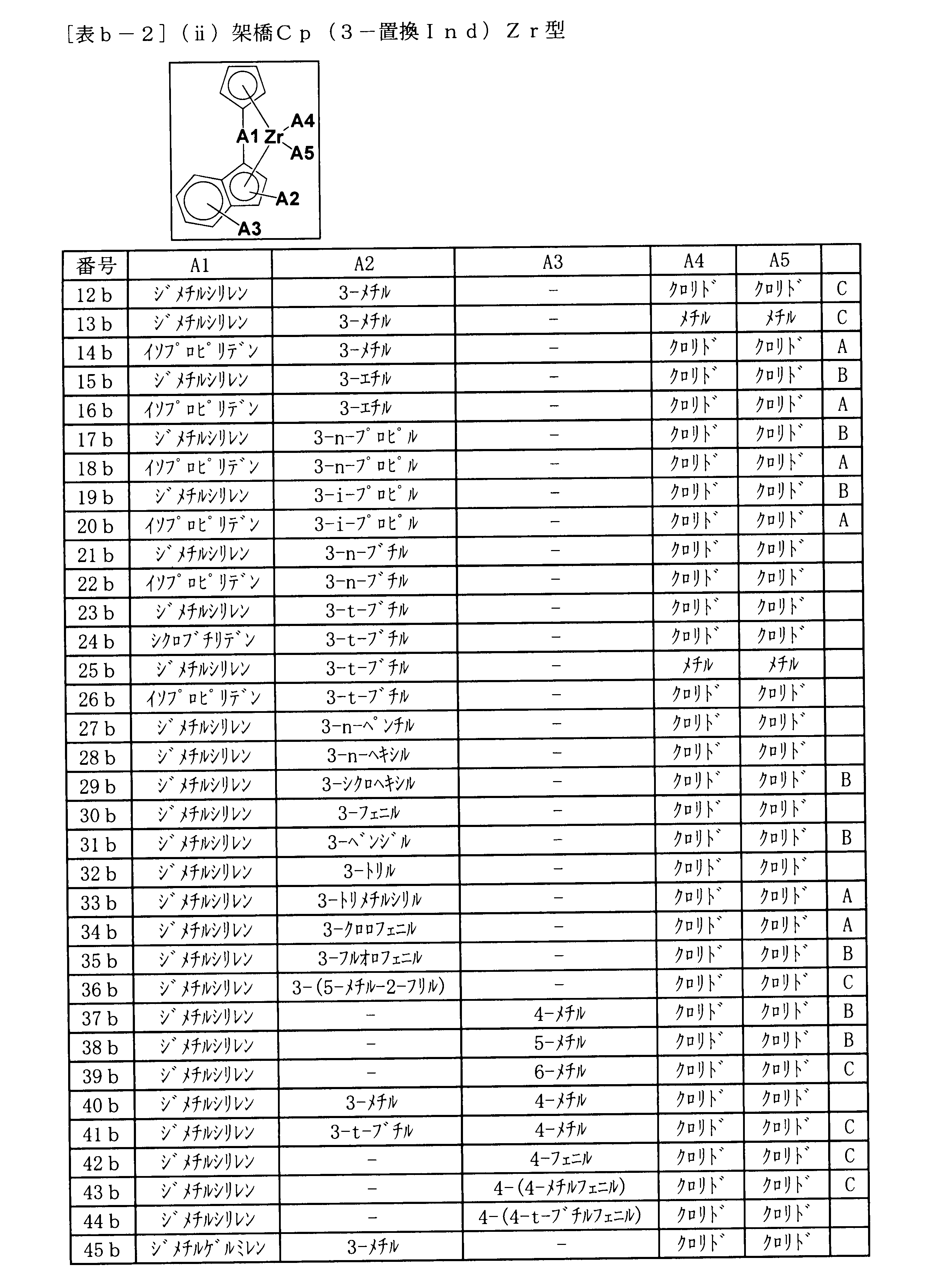
- an olefin polymerization catalyst component comprising the following component (A-1b) and component (A-2b).
- M 1b represents a transition metal of Ti, Zr, or Hf.
- X 1b and X 2b each independently represent a hydrogen atom, a halogen atom, a hydrocarbon group having 1 to 20 carbon atoms, a hydrocarbon group having 1 to 20 carbon atoms including an oxygen atom or a nitrogen atom, or 1 to 20 carbon atoms.
- Q 1b and Q 2b each independently represent a carbon atom, a silicon atom, or a germanium atom.
- R 1b each independently represents a hydrogen atom or a hydrocarbon group having 1 to 10 carbon atoms, and at least two of four R 1b are bonded to form a ring together with Q 1b and Q 2b. May be.
- mb is 0 or 1, and when mb is 0, Q 1b is directly bonded to a conjugated 5-membered ring including R 2b and R 3b .
- R 2b , R 3b and R 4b are each independently a hydrogen atom, a halogen atom, a hydrocarbon group having 1 to 20 carbon atoms, a silicon-containing hydrocarbon group having 1 to 18 carbon atoms including 1 to 6 silicon atoms, A halogen-containing hydrocarbon group having 1 to 20 carbon atoms, a hydrocarbon group having 1 to 40 carbon atoms containing an oxygen atom or a sulfur atom, or a hydrocarbon group-substituted silyl group having 1 to 40 carbon atoms is shown.
- adjacent R 3b or only one set of adjacent R 2b and R 3b may form a ring together with the carbon atoms to which they are bonded.
- Component (A-2b) Metallocene compound represented by the following general formula (2b)
- M 2b represents a transition metal of Ti, Zr or Hf.
- X 11b and X 12b each independently represent a hydrogen atom, a halogen atom, a hydrocarbon group having 1 to 20 carbon atoms, a hydrocarbon group having 1 to 20 carbon atoms including an oxygen atom or a nitrogen atom, or 1 to 20 carbon atoms.
- Q 11b represents a carbon atom, a silicon atom or a germanium atom.
- R 11b independently represents a hydrogen atom or a hydrocarbon group having 1 to 10 carbon atoms, and two R 11b may be bonded to each other to form a ring together with Q 11b .
- R 12b , R 14b and R 15b are each independently a hydrogen atom, a halogen atom, a hydrocarbon group having 1 to 20 carbon atoms, a silicon-containing hydrocarbon group having 1 to 18 carbon atoms containing 1 to 6 silicon atoms, An atom or group selected from a halogen-containing hydrocarbon group having 1 to 20 carbon atoms, a hydrocarbon group having 1 to 40 carbon atoms including an oxygen atom or a sulfur atom, or a substituted silyl group having 1 to 40 carbon atoms However, at least one of them is not a hydrogen atom.
- R 13b is each independently a hydrocarbon group having 1 to 20 carbon atoms, a silicon-containing hydrocarbon group having 1 to 18 carbon atoms including 1 to 6 silicon atoms, a halogen-containing hydrocarbon group having 1 to 20 carbon atoms, A hydrocarbon group having 1 to 40 carbon atoms or a hydrocarbon group-substituted silyl group having 1 to 40 carbon atoms containing an oxygen atom or a sulfur atom is shown.
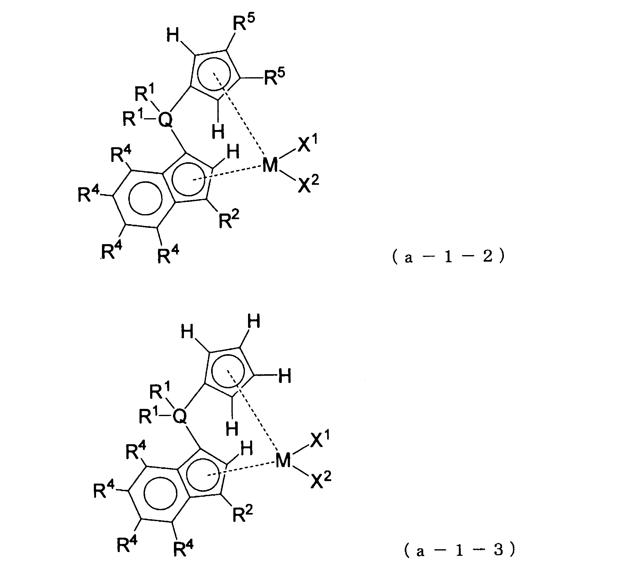
- an olefin polymerization catalyst component comprising a metallocene compound represented by the following general formula (1c).
- M 1c represents a transition metal of Ti, Zr, or Hf.
- X 1c and X 2c each independently represent a hydrogen atom, a halogen atom, a hydrocarbon group having 1 to 20 carbon atoms, a hydrocarbon group having 1 to 20 carbon atoms including an oxygen atom or a nitrogen atom, or 1 to 20 carbon atoms.
- Q 1c and Q 2c each independently represent a carbon atom, a silicon atom, or a germanium atom.
- R 1c each independently represents a hydrogen atom or a hydrocarbon group having 1 to 10 carbon atoms, and at least two of the four R 1cs are bonded to form a ring together with Q 1c and Q 2c. Also good. mc is 0 or 1, and when mc is 0, Q 1c is directly bonded to a conjugated 5-membered ring containing R 2c .
- R 2c and R 4c each independently represents a hydrogen atom, a halogen atom, a hydrocarbon group having 1 to 20 carbon atoms, a silicon-containing hydrocarbon group having 1 to 18 carbon atoms including 1 to 6 silicon atoms, or 1 carbon atom.
- R 3c represents a substituted aryl group represented by the following general formula (1-ac).
- Y 1c represents an atom of Group 14, 15 or 16 of the periodic table.
- R 5c , R 6c , R 7c , R 8c and R 9c are each independently a hydrogen atom, a fluorine atom, a chlorine atom, a bromine atom, a hydrocarbon group having 1 to 20 carbon atoms, a carbon number containing oxygen or nitrogen A hydrocarbon group having 1 to 20 carbon atoms, a substituted amino group having 1 to 20 carbon atoms, an alkoxy group having 1 to 20 carbon atoms, a silicon-containing hydrocarbon group having 1 to 18 carbon atoms including 1 to 6 silicon atoms, carbon A halogen-containing hydrocarbon group having 1 to 20 carbon atoms, or a hydrocarbon group-substituted silyl group having 1 to 20 carbon atoms, wherein R 5c , R 6c , R 7c , R 8c, and R 9c are bonded together in adjacent groups; And may form a ring together with
- n c is 0 or 1 if n c is 0, there is no substituent R 5c to Y 1c.
- pc is 0 or 1
- when pc is 0, the carbon atom to which R 7c is bonded and the carbon atom to which R 9c are bonded are directly bonded.
- Y 1c is a carbon atom
- at least one of R 5c , R 6c , R 7c , R 8c , and R 9c is not a hydrogen atom.
- an olefin polymerization catalyst comprising the olefin polymerization catalyst component of the ninth or tenth aspect.
- At least a condition (B) among the conditions defined in the first aspect of the invention is obtained using an olefin polymerization catalyst containing the following components (A) and (B).
- -4 ′) is provided, and a method for producing an ethylene polymer is provided.
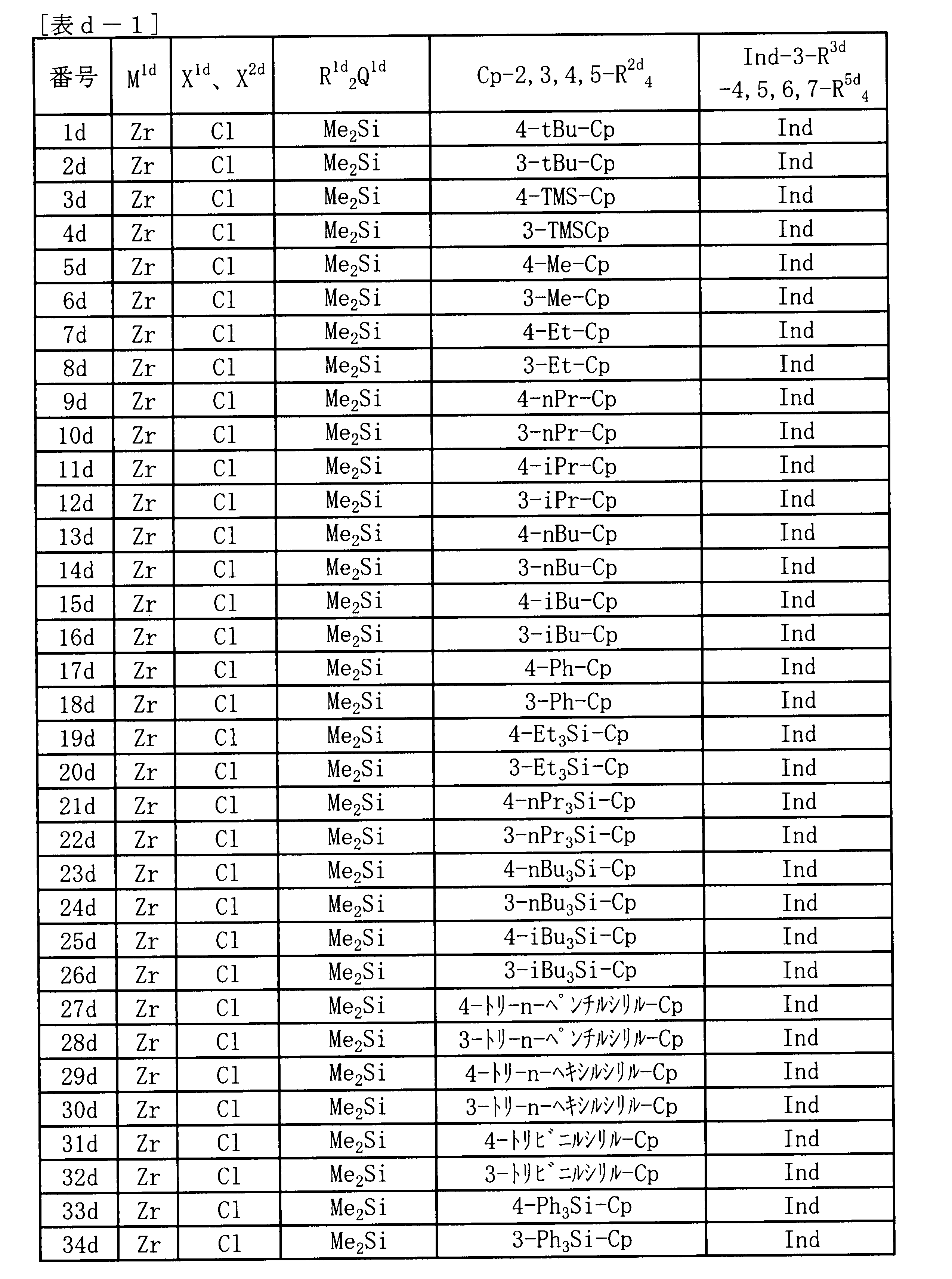
- M 1d represents a transition metal of Ti, Zr, or Hf.
- X 1d and X 2d each independently represent a hydrogen atom, a halogen atom, a hydrocarbon group having 1 to 20 carbon atoms, a hydrocarbon group having 1 to 20 carbon atoms including an oxygen atom or a nitrogen atom, or 1 to 20 carbon atoms.
- Q 1d and Q 2d each independently represent a carbon atom, a silicon atom, or a germanium atom.
- R 1d independently represents a hydrogen atom or a hydrocarbon group having 1 to 10 carbon atoms, and at least two of the four R 1d are bonded to form a ring together with Q 1d and Q 2d. Also good. md is 0 or 1, and when md is 0, Q 1d is directly bonded to a conjugated 5-membered ring containing R 2d and R 3d .
- R 2d and R 3d are each a hydrogen atom, a halogen atom, a hydrocarbon group having 1 to 20 carbon atoms, a silicon-containing hydrocarbon group having 1 to 18 carbon atoms including 1 to 6 silicon atoms, or a halogen containing 1 to 20 carbon atoms
- R 4d represents a saturated or unsaturated divalent hydrocarbon group having 4 or 5 carbon atoms that forms a condensed ring with respect to the 5-membered ring to be bonded.
- R 5d is an atom or group bonded to the carbon atom of R 4d , and each independently represents a hydrogen atom, a halogen atom, a hydrocarbon group having 1 to 20 carbon atoms, or a carbon atom having 1 to 6 carbon atoms including 1 to 6 silicon atoms.
- 18 represents a silicon-containing hydrocarbon group, a halogen-containing hydrocarbon group having 1 to 20 carbon atoms, a hydrocarbon group having 1 to 20 carbon atoms including an oxygen atom, or a hydrocarbon group-substituted silyl group having 1 to 20 carbon atoms.
- n d represents an integer of 0 to 10, and when n d is 2 or more, at least two of R 5d may form a ring together with the carbon atoms to which R d is bonded.
- Component (B) A compound that reacts with the metallocene compound of component (A) to form a cationic metallocene compound.
- the olefin polymerization catalyst may contain a fine particle carrier (component (C)).
- the ethylene polymer according to the first aspect of the present invention produced by the method for producing an ethylene polymer according to the twelfth aspect of the present invention.
- the fourteenth aspect of the present invention there is provided the polyethylene resin composition according to the third aspect, wherein the ethylene polymer according to the thirteenth aspect is used as an ethylene polymer.
- the ethylene-type polymer excellent in the moldability which has the developed long-chain branch structure.
- the polyethylene resin composition of the present invention is excellent in molding process characteristics, and at the same time, has an effect of excellent balance between impact strength and rigidity, and further excellent in transparency, and the polyethylene resin composition.
- the molded product obtained by injection molding, compression injection molding, rotational molding, extrusion molding, hollow molding, blow molding or inflation molding is also excellent in impact strength and rigidity balance and transparency, so it is thinned It is possible to provide the product economically advantageously.
- a metallocene system having a sufficient number and an appropriate length of a long chain branch is prepared by preparing a catalyst component for olefin polymerization containing a specific metallocene compound and using it as a catalyst for olefin polymerization. It is possible to provide a method for producing polyolefin or metallocene polyethylene. And it is possible to provide the method of improving the moldability of metallocene polyethylene.
- FIG. 1 is a graph showing the baseline and interval of a chromatogram used in the gel permeation chromatography (GPC) method.
- FIG. 2 is a plot of the extensional viscosity when an inflection point of the extensional viscosity is observed (a typical example of the ethylene polymer (B) of the example).
- FIG. 3 is a plot of elongational viscosity when no inflection point of elongational viscosity is observed (a typical example of the ethylene-based polymer (A) in the examples).
- FIG. 4A is a molecular weight distribution curve calculated from GPC-VIS measurement (branch structure analysis)
- FIG. 4B is a graph showing the relationship between the branching index (g ′) and the molecular weight (M).
- the present invention relates to a specific ethylene polymer (A) having a small long-chain branch structure characterized by elongation viscosity behavior and a specific ethylene polymer having a specific long-chain branch structure also characterized by elongation viscosity behavior (B) is a polyethylene-based resin composition obtained by blending to have a specific MFR and density, a molded body obtained by molding the polyethylene-based resin composition, and a use of the molded body. is there.
- A specific ethylene polymer having a small long-chain branch structure characterized by elongation viscosity behavior
- B is a polyethylene-based resin composition obtained by blending to have a specific MFR and density
- a molded body obtained by molding the polyethylene-based resin composition and a use of the molded body. is there.
- the polyethylene resin composition of the present invention comprises an ethylene polymer (A) satisfying specific conditions (A-1) to (A-4) (hereinafter simply referred to as ( (Also referred to as component A)) 41 to 99% by weight of ethylene polymer (B) satisfying specific conditions (B-1) to (B-6) (hereinafter also referred to simply as component (B)) 1 to 59% by weight, the MFR of the whole composition is 0.05 to 50 g / 10 min, and the density is 0.910 to 0.960 g / cm 3 .
- each component which comprises the polyethylene-type resin composition of this invention, its characteristic, etc. are demonstrated.
- Ethylene polymer (A) The component (A), which is one of the components constituting the polyethylene resin composition of the present invention, satisfies all the conditions (A-1) to (A-4) described below.
- melt flow rate (MFR A ) of the component ( A ) is 0.3 to 100 g / 10 minutes, preferably 0.9 to 20 g / 10 minutes, more preferably 1.4 to 10 g / 10 minutes. . If the MFR A is less than 0.3 g / 10 min, the polyethylene resin composition is inferior in molding processability, particularly melt flowability and spreadability. If the MFR A is greater than 100 g / 10 min, the polyethylene resin composition and the molded product The mechanical strength such as the impact strength, tear strength, and tensile strength is lowered, which is not preferable.
- the MFR of the ethylene-based polymer and the polyethylene-based resin composition conforms to “Testing method for melt mass flow rate (MFR) and melt volume flow rate (MVR) of plastics—thermoplastic plastic” of JIS K7210. The value when measured under the condition of 190 ° C. and 21.18 N (2.16 kg) load.
- the density A of the ethylene polymer (A) in the present invention is 0.915 to 0.970 g / cm 3 , preferably 0.917 to 0.950 g / cm 3 , more preferably 0.925 to 0.940 g / cm 3 . cm 3 .
- the density A is within this range, the balance between impact strength and rigidity and transparency of the polyethylene resin composition and the molded article are excellent.
- the density A is less than 0.915 g / cm 3 , the rigidity decreases, and if the product is a thin molded product such as a film or sheet, not only various inconveniences in using the product, but also the product winding process, surface This is not desirable because it causes inconveniences in post-processing steps such as printing and pasting. If the product is a thick molded product such as a pipe or various containers, the product is too soft and deforms. This is not preferable. On the other hand, if the density A is larger than 0.970 g / cm 3 , impact strength and transparency are impaired, which is not preferable.
- the density of the ethylene polymer and the polyethylene resin composition is a value measured by the following method.
- the pellets are hot-pressed to make a 2 mm thick press sheet, the sheet is placed in a 1000 ml beaker, filled with distilled water, covered with a watch glass and heated with a mantle heater. After boiling boiling water for 60 minutes, place the beaker on a wooden table and let it cool. At this time, the boiling distilled water after boiling for 60 minutes is adjusted to 500 ml so that the time until it reaches room temperature is not less than 60 minutes. Further, the test sheet is immersed in a substantially central portion in water so as not to contact the beaker and the water surface. After annealing the sheet at a temperature of 23 ° C.
- the sheet is punched out to 2 mm in length and width, and tested at 23 ° C., JIS K7112 “Plastic-non-foamed plastic density And the specific gravity measurement method ”.
- the ratio ([Mw / Mn] A ) of the weight average molecular weight (Mw) and the number average molecular weight (Mn) of the component (A) in the present invention is 2.0 to 10.0, preferably 2.5 to 10.0. More preferably, it is 2.9 to 5.0.
- [Mw / Mn] If A is less than 2.0, it is necessary to avoid molding processability of the polyethylene-based resin composition, in particular, melt flowability, or it may be difficult to mix with other polymer components.
- Mw and Mn of an ethylene polymer and a polyethylene resin composition are those measured by a gel permeation chromatography (GPC) method.
- a calibration curve is generated by injecting 0.2 mL of a solution dissolved in ODCB (containing 0.5 mg / mL BHT) so that each is 0.5 mg / mL.
- the measurement conditions for GPC are as follows. Apparatus: Waters GPC (ALC / GPC 150C) Detector: MIRAN 1A IR detector manufactured by FOXBORO (measurement wavelength: 3.42 ⁇ m) Column: AD806M / S (3 pieces) manufactured by Showa Denko KK Mobile phase solvent: o-dichlorobenzene Measurement temperature: 140 ° C Flow rate: 1.0 ml / min Injection volume: 0.2 ml Sample preparation: Prepare a 1 mg / mL solution using ODCB (containing 0.5 mg / mL BHT) and dissolve it at 140 ° C. for about 1 hour. The baseline and section of the obtained chromatogram are performed as illustrated in FIG.
- the component (A) in the present invention has an elongation viscosity ⁇ (t) (unit: Pa ⁇ second) and an elongation time t (unit: second) measured at a temperature of 170 ° C. and an elongation strain rate of 2 (unit: 1 / second).
- the approximate straight line of the extension viscosity before curing is a tangent having the smallest inclination among the tangents of the curve of the logarithmic graph within the range of t corresponding to the strain amount of 0.2 to 1.0 ( However, the slope is 0 or a positive value).
- A is less than 1.0, the ethylene polymer, the polyethylene resin composition and the molded body may not be uniformly melted or may have a thermally unstable structure. Is not preferable.
- [ ⁇ max (2.0)] When A is larger than 2.0, although the melt tension and fluidity at the time of molding are excellent, the impact strength of the polyethylene resin composition and the molded body is reduced, and the transparency is low. It is not preferable because it deteriorates.
- polyethylene is processed into an industrial product by a molding method that passes through a molten state such as film molding, blow molding, foam molding, etc., but at this time, elongation flow characteristics represented by the above-mentioned elongation viscosity and strain hardening degree are used.
- elongation flow characteristics represented by the above-mentioned elongation viscosity and strain hardening degree are used.
- strain Hardening strain-hardened
- Polyethylene resin having such elongation flow characteristics for example, the effect of preventing uneven thickness and blow-through of products in film molding and blow molding, enabling high-speed molding, and increasing the closed cell ratio during foam molding
- advantages such as improved strength of the molded product, improved design, lighter weight, improved molding cycle, improved heat insulation, etc., but on the other hand, if the elongational flow characteristics are too strong, The strength anisotropy presumed to be caused by molecular orientation causes a drop in the impact strength of the green body, or the transparency of the green body deteriorates due to a decrease in the surface smoothness of the green body that is presumed to be caused by the property of too high melt elasticity. Inconvenience occurs.
- the long-chain branching structure which is the main governing factor of the elongational viscosity property, is devised to improve the molding process surface and the disadvantages of the mechanical property surface of the molded product brought about by the elongational flow property of polyethylene.
- the ethylene polymer (A) having a small long-chain branched structure is converted into a high MFR main component, that is, a low molecular weight side of the resin composition.
- a main component When used as a main component, it has been found that it contributes to the improvement of mechanical properties, particularly rigidity, and also is excellent in preventing deterioration of transparency.
- the same value can be obtained in principle by any method as long as the uniaxial elongation viscosity can be measured. Details are described.
- examples of preferable measuring methods and measuring instruments include the following.
- Measuring method ⁇ Device: Ales manufactured by Rheometrics -Jig: EXTENSIONAL VISUALITY FIXTURE, manufactured by TA Instruments ⁇ Measurement temperature: 170 °C -Strain rate: 2 / sec-Preparation of test piece: Press-molded to produce a sheet of 18 mm x 10 mm and a thickness of 0.7 mm.
- a value calculated as ⁇ Max (t 1 ) / ⁇ Linear (t 1 ) is defined as a strain hardening degree ( ⁇ max), where ⁇ Linear (t) is an approximate straight line of elongational viscosity.
- the presence / absence of strain hardening is determined by whether or not there is an inflection point at which the extensional viscosity changes from an upward convex curve to a downward convex curve over time.
- 2 and 3 are typical plots of elongational viscosity.
- FIG. 2 shows a case where an inflection point of the extensional viscosity is observed, and ⁇ Max (t 1 ) and ⁇ Linear (t) are shown in the figure.
- FIG. 3 shows a case where an inflection point of elongational viscosity is not observed.
- Composition of ethylene polymer (A) is a homopolymer of ethylene or a copolymer of ethylene and an ⁇ -olefin having 3 to 20 carbon atoms.
- ⁇ -olefin that is a copolymerization component used here include propylene, butene-1, 3-methylbutene-1, 3-methylpentene-1, 4-methylpentene-1, pentene-1, hexene-1, and heptene.
- ⁇ -olefins may be used alone or in combination of two or more.
- more preferable ⁇ -olefins are those having 3 to 10 carbon atoms, specifically, propylene, butene-1, 3-methylbutene-1, 4-methylpentene-1, pentene-1, and hexene-1. , Heptene-1, octene-1, decene-1, and the like.
- More preferred ⁇ -olefins are those having 4 to 8 carbon atoms, such as butene-1, 3-methylbutene-1, 4-methylpentene-1, pentene-1, hexene-1, heptene-1, octene. -1 and the like.
- ⁇ -olefins are butene-1, hexene-1 and octene-1.
- ⁇ -olefins such as 1-butene and 1-hexene by the ethylene oligomerization reaction are by-produced in the polymerization system, or “Chain”.
- a “-walking reaction” a reaction in which a short chain branch such as a methyl group or an ethyl group occurs in an olefin polymer main chain from an isomerization reaction of an active center metal-terminal carbon bond at an olefin polymerization growth terminal.
- the short chain branched structure in the ethylene homopolymer resulting from this reaction is indistinguishable from the short chain branched structure formed by copolymerization of ⁇ -olefin. Therefore, the ethylene homopolymer referred to in the present invention means a polymer produced as a result of polymerization carried out without supplying an ⁇ -olefin as a comonomer from the outside, and the ethylene / ⁇ -olefin copolymer is an external polymer.
- ethylene-based polymer refers to an ethylene homopolymer and an ethylene / ⁇ -olefin copolymer (other than the ⁇ -olefin described below, comonomer). Is also used generically).
- the proportion of ethylene and ⁇ -olefin in the ethylene polymer is about 80 to 100% by weight of ethylene and about 0 to 20% by weight of ⁇ -olefin, preferably about 85 to 99.9% by weight of ethylene, ⁇ -olefin.
- the ⁇ -olefin is about 1 to 10% by weight.
- the copolymerization may be any of alternating copolymerization, random copolymerization, and block copolymerization.
- a small amount of a comonomer other than ethylene or ⁇ -olefin can be used.
- styrenes such as styrene, 4-methylstyrene, 4-dimethylaminostyrene, 1,4-butadiene, 1,5- Has a polymerizable double bond such as dienes such as hexadiene, 1,4-hexadiene and 1,7-octadiene, cyclic compounds such as norbornene and cyclopentene, oxygen-containing compounds such as hexenol, hexenoic acid and methyl octenoate A compound can be mentioned.
- dienes when used, they must be used within the range where the long-chain branched structure does not develop, that is, within the range satisfying the above condition (A-4).
- the component (A) in the present invention is used by producing an ethylene polymer having the above composition that satisfies all the above conditions (A-1) to (A-4).
- the production is carried out by a method of homopolymerizing ethylene or copolymerizing with the above-mentioned ⁇ -olefin using an olefin polymerization catalyst.
- olefin polymerization catalyst Various types of catalysts for olefin polymerization are known today, and the ethylene polymer (A) can be prepared within the scope of the composition of the catalyst components and the contrivance of polymerization conditions and post-treatment conditions.
- transition metals described in the following (i) to (iv) are used.
- the example of the specific catalyst for olefin polymerization to include can be given.
- Ziegler catalyst As an example of an olefin polymerization catalyst suitable for the production of the ethylene polymer (A), a Ziegler-Natta catalyst as an olefin coordination polymerization catalyst comprising a combination of a transition metal compound and a typical metal alkyl compound, etc. Is mentioned.
- a so-called Mg-Ti Ziegler catalyst in which a solid catalyst component in which a titanium compound is supported on a magnesium compound and an organoaluminum compound are combined is suitable because it is inexpensive, highly active and excellent in polymerization process suitability.
- TiCl 4 and triethyl catalyst obtained by introducing a mixture of methylhydrodiene polysiloxane Aluminum presence, ethylene prepolymerized prepolymerized catalyst thus obtained, and the like.
- a catalyst component containing a low-valent titanium atom obtained by reacting a magnesium-aluminum composite and a tetravalent titanium compound as described in Japanese Patent Application Laid-Open No.
- An olefin polymerization catalyst in combination with an organoaluminum compound, ethylaluminum in a homogeneous mixture of magnesium ethoxide, tri-n-butoxymonochlorotitanium, and n-butanol as described in JP-A-56-61406 A solid catalyst obtained by dropping sesquichloride or the like, a solid catalyst for olefin polymerization containing magnesium, a halogen atom, titanium and an electron donor as described in Japanese Patent Application Laid-Open No. 2001-139635, etc. Can be mentioned.
- Metallocene catalyst As an example of a polymerization catalyst suitable for the production of the ethylene polymer (A), a metallocene catalyst which is an olefin polymerization catalyst comprising a metallocene transition metal compound and a promoter component (for example, “next generation by metallocene catalyst Polymer industrialization technology (first and second volume; see 1994 issued by Inter Research Co., Ltd.)) is relatively inexpensive, highly active and excellent in polymerization process, and has a narrow molecular weight distribution and copolymer composition distribution. It is used because an ethylene polymer is obtained.
- a catalyst system for olefin polymerization comprising a so-called metallocene complex and alumoxane as described in Japanese Patent Application Laid-Open No. 60-35007, Japanese Patent Application Laid-Open No. 8-34809, Japan
- a catalyst system using a promoter component other than alumoxane as described in JP-A-8-127613, JP-A-11-193306, JP-T 2002-515522, etc. is preferred. used.
- the metallocene complex those having Ti, Zr, or Hf whose central metal is group 4B of the periodic table are preferably used because they exhibit high activity for ethylene polymerization.
- the ethylene polymer (A) of the present invention preferably has no long-chain branched structure or contains only a small amount.
- a conjugated five member The ring structure ligand is preferably a so-called non-cross-linked complex that is not cross-linked with another ligand by a cross-linking group.
- Japanese Unexamined Patent Publication No. Japanese Unexamined Patent Publication No.
- the compound represented by the general formula [1] or the general formula [3] is preferable, represented by the general formula [1]. More preferred are compounds. However, it is said that the higher the concentration of ethylene or ⁇ -olefin in the polymerization field and the shorter the polymerization reaction time is, the more disadvantageous for the generation of the long chain branched structure. It is needless to say that these are limited to relative ones assuming that they are implemented under the same conditions. Further, metallocene complexes described in Japanese Patent Application Laid-Open No. 5-132518, Japanese Patent Application Laid-Open No.
- a metallocene complex having a monocyclic or polycyclic heteroaromatic group containing a hetero atom described in JP-T-2002-535339 as a substituent on a conjugated five-membered ring structure ligand is also preferably used.
- a 1 to A 4 are ligands having a conjugated five-membered ring structure (A 1 to A 4 may be the same or different in the same compound), and Q 1 is two conjugated five-membered members.
- Z 1 and Z 2 each independently include a nitrogen atom, an oxygen atom, a silicon atom, a phosphorus atom, or a sulfur atom bonded to M, which is a bonding group that bridges the ring ligand at an arbitrary position.
- Q 2 is a bonding group that bridges Z 2 and an arbitrary position of the conjugated five-membered ring ligand
- M is selected from Group 4 of the periodic table
- X and Y each independently represent a hydrogen atom, halogen atom, hydrocarbon group, alkoxy group, amino group, phosphorus-containing hydrocarbon group or silicon-containing hydrocarbon group bonded to M.
- the Phillips catalyst comprises a chromium compound supported on an inorganic oxide carrier such as silica, silica-alumina, silica-titania, etc., and activated in a non-reducing atmosphere, thereby at least a part of the supported chromium element.
- an inorganic oxide carrier such as silica, silica-alumina, silica-titania, etc.
- MP McDaniel Advances in Catalysis, Volume 33, 47, 1985, Academic Press Inc .
- MP McDaniel Handbook of Heterogene Catalysis, 2400, 1997, VCH
- MB Welch et al. Handbook of Polyolefins: Synthesis and Properties, 21, 1993, See arcel Dekker, etc..
- the Philips catalyst is preferably used because it exhibits high activity for ethylene polymerization.
- the ethylene polymer produced by the Philips catalyst has a long-chain branched structure or tends to have a wide molecular weight distribution, the above-mentioned conditions (when using as the ethylene polymer (A) of the present invention ( Particular attention should be paid to satisfy A-3) and (A-4).
- a polymerization catalyst suitable for the production of the ethylene polymer (A) is an olefin polymerization catalyst using a homogeneous metal complex (nonmetallocene complex) other than the metallocene transition metal compound described above.
- Post-metallocene catalysts for example, “Polyethylene Technology Reader; Published by 2001 Industrial Research Council Co., Ltd.”, “Living Polymerization with Homogeneous Transition Metal Catalysts; Published by 1999 IPC Co., Ltd.”, “Catalyst Dictionary”; (See “Issued by the Industrial Research Committee”, etc.)
- ethylene polymer having a narrow molecular weight distribution and a narrow copolymer composition distribution is obtained.
- the ligand having at least two N atoms is periodic through the two N atoms.
- 6-1362048 At least as disclosed in Four to four containing the transition metal formed by bonding a ligand having two O atoms or S atoms with a transition metal of Groups 3 to 11 of the periodic table through the two O atoms or S atoms.
- Bishydrocarbyloxy compounds and bishydrocarbylthio compounds of transition metals having an eight-membered ring chelate structure Japanese Patent Publication No. 2000-514132, Japanese Special Publication No. 2003-535107, Japanese Patent Publication No.
- the ligand having at least N atom and phenoxy group is group 3 to 11 in the periodic table through the N atom and O atom of phenoxy group.
- a phenoxyimine compound and a phenoxyamine compound of a transition metal having a 4- to 8-membered chelate structure containing the transition metal formed by bonding to the transition metal are preferably used.
- these nonmetallocene complex catalysts those having Ti, Zr, Hf, V, Cr, Fe, Co, Ni, Pd whose central metal is group 4B of the periodic table are more preferably used because of high activity, Those having a central metal of Ti, Zr, Hf, Fe, Ni, and Pd are more preferably used.
- these post metallocene catalysts tend to have a long-chain branched structure in the produced ethylene polymer, a short-chain branched structure centered on methyl branches, or a broad molecular weight distribution. Therefore, it is necessary to pay particular attention to satisfying the above conditions (A-2) to (A-4) when used as the ethylene polymer (A) of the present invention.
- the ethylene polymer (A) is preferably produced by contacting the olefin polymerization catalyst (i) to (iv), more preferably (i) a Ziegler catalyst or (ii) a metallocene catalyst with ethylene. It is carried out by polymerizing or copolymerizing ethylene.
- a plurality of olefin polymerization catalysts can be used from among (i) to (iv).
- any method such as slurry polymerization, solution polymerization, bulk polymerization in liquid monomer, liquid phase polymerization method such as suspension polymerization, or gas phase polymerization method may be employed. it can.
- both a slurry polymerization method using a pipe loop reactor and a slurry polymerization method using an autoclave reactor can be used.
- the industrial polymerization process is described in detail in Kazuo Matsuura and Naotaka Mikami, “Polyethylene Technology Reader”, p. 148, 2001, Industrial Research Committee.
- a slurry polymerization method or a gas phase polymerization method is preferable, and a gas phase polymerization method is more preferable.
- the ethylene used in the present invention may be ethylene produced from crude oil derived from ordinary fossil raw materials, or may be ethylene derived from plants. Further, the polyethylene produced in the present invention may be any ethylene polymer produced using plant-derived ethylene. Examples of the plant-derived ethylene and polyethylene include ethylene and polymers thereof described in JP-T 2010-511634. Plant-derived ethylene and its polymers have the property of carbon neutral (does not use fossil raw materials and does not lead to an increase in carbon dioxide in the atmosphere), and can provide environmentally friendly products.
- the liquid phase polymerization method is usually carried out in a hydrocarbon solvent.
- a hydrocarbon solvent inert hydrocarbons such as propane, n-butane, isobutane, n-pentane, isopentane, hexane, heptane, octane, decane, cyclohexane, benzene, toluene, xylene, or a liquid monomer are used. It is done.
- gas phase polymerization method a commonly known polymerization method such as a fluidized bed or a stirring bed can be employed in the presence of an inert gas, and a so-called condensing mode in which a medium for removing heat of polymerization coexists may be employed.
- the polymerization temperature is generally 0 to 300 ° C., practically 50 to 270 ° C., more preferably 60 to 110 ° C. in slurry polymerization or suspension polymerization, although it varies depending on the polymerization process employed. Yes, it is 100 to 250 ° C. for solution polymerization or bulk polymerization in liquid ethylene, and 60 to 100 ° C. for gas phase polymerization.
- the catalyst concentration and olefin concentration in the reactor may be any concentration sufficient to allow the polymerization to proceed.
- the ethylene concentration can be in the range of about 1% to about 10% based on the weight of the reactor contents in the case of slurry polymerization, suspension polymerization, and solution polymerization. The range may be 0.1 to 10 MPa.
- Hydrogen is a general means for adjusting the MFR of the ethylene polymer (A).
- Hydrogen generally functions as a so-called chain transfer agent for adjusting the molecular weight.
- the MFR can be adjusted to some extent by changing the polymerization conditions such as the polymerization temperature and the molar ratio of the catalyst.
- the ethylene concentration and the hydrogen concentration are high.
- a polymerization method not only single-stage polymerization in which an olefin polymer is produced using one reactor, but also at least two in order to improve the production amount or more precisely control the molecular weight distribution and comonomer composition distribution. It is also possible to carry out multistage polymerization by connecting two or more reactors in series or / and in parallel.
- serial multistage polymerization is preferred in which a plurality of reactors are connected and the reaction mixture obtained by polymerization in the first stage reactor is continuously supplied to the second and subsequent reactors.
- the polymerization reaction mixture in the preceding reactor is transferred to the subsequent reactors by continuous discharge through a connecting pipe.
- organoaluminum compounds such as trimethylaluminum, triethylaluminum and triisobutylaluminum, the aforementioned organoaluminum oxy compounds, organozinc compounds and organomagnesium compounds are used, but organoaluminum compounds are most common.
- Ethylene polymer (B) The component (B) which is one of the components constituting the polyethylene resin composition of the present invention satisfies all the conditions (B-1) to (B-6) described below.
- melt flow rate (MFR B ) of the component ( B ) is 0.01 to 1.5 g / 10 minutes, preferably 0.05 to 1.0 g / 10 minutes, more preferably 0.1 to 0.00. 8 g / 10 min. If the MFR B is less than 0.01 g / 10 min, the molding processability of the polyethylene resin composition, particularly the melt flowability and the spreadability is inferior, and furthermore, it is difficult to mix with the ethylene polymer (A) uniformly. , Gels, butts, fish eyes, and the like are poor, and impact strength and transparency are lowered.
- MFR B is greater than 1.5 g / 10 min, the effect of improving the mechanical strength and transparency such as impact strength, tear strength, and tensile strength of the polyethylene resin composition and the molded article is not preferable.
- MFR B further satisfies 100> MFR A / MFR B > 1.0 in relation to MFR A , such as the impact strength, tear strength, and tensile strength of the polyethylene resin composition of the present invention and the molded product.
- Necessary for improving mechanical strength and transparency preferably 20> MFR A / MFR B > 1.1, more preferably 15> MFR A / MFR B > 1.2, more preferably 10> MFR A It is necessary to satisfy / MFR B > 2.0.
- MFR B is a value measured under the same condition as the condition (A-1) described above.
- the density B of the component (B) in the present invention is 0.880 to 0.940 g / cm 3 , preferably 0.891 to 0.940 g / cm 3 , more preferably 0.895 to 0.925 g / cm 3 , more preferably 0.900 ⁇ 0.915g / cm 3, particularly preferably 0.900 ⁇ 0.910g / cm 3.
- the density B is within this range, the balance between impact strength and rigidity and transparency of the polyethylene resin composition and the molded article are excellent.
- the density B is less than 0.880 g / cm 3
- the rigidity is lowered, and when the product is a thin molded body such as a film or sheet, not only various inconveniences in the use of the product, but also the product winding process, surface This is not desirable because it causes inconveniences in post-processing steps such as printing and pasting. If the product is a thick molded product such as a pipe or various containers, the product is too soft and deforms. This is not preferable.
- the stickiness is bad even at room temperature, making it difficult to handle, and causing the product stickiness of the polyethylene resin composition.
- the density B further satisfies 1.070> density A / density B > 0.990 in relation to the density A, and the impact strength, tear strength and tensile strength of the polyethylene-based resin composition of the present invention and the molded article. It is preferable to improve mechanical strength and transparency such as 1.059> density A / density B > 1.000, more preferably 1.050> density A / density B > 1.005, particularly preferable. Needs to satisfy 1.035> density A / density B > 1.010.
- the density B is a value measured under the same condition as the above condition (A-2).
- the ratio ([Mw / Mn] B ) between the weight average molecular weight (Mw) and the number average molecular weight (Mn) of the component ( B ) is 2.0 to 10.0, preferably 2.0 to 6.0. More preferably, it is 2.5 to 5.6, more preferably 2.9 to 4.5, and particularly preferably 3.2 to 4.0.
- [Mw / Mn] If B is less than 2.0, it may be difficult to mix with the ethylene-based polymer (A) and should be avoided.
- [Mw / Mn] If B is greater than 10.0, the effect of improving the impact strength of the polyethylene resin composition or the molded article becomes insufficient, the transparency is deteriorated, and stickiness tends to occur.
- [Mw / Mn] B is a value measured under the same condition as the above condition (A-3).
- Component (B) in the present invention has a strain hardening degree [ ⁇ max (2.0)] B of 1.2 to 20.0, preferably 1.2 to 10.0, more preferably 1.7 to 8.0. More preferably, it is 2.4 to 6.0, and particularly preferably 3.0 to 5.0.
- ⁇ max (2.0) When B is less than 1.2, the flowability and melt tension of the ethylene polymer, the polyethylene resin composition, and the molded body become insufficient, and the molding process characteristics deteriorate.
- B is greater than 20.0, the fluidity and melt tension are excellent, but the impact strength of the polyethylene resin composition and the molded article is reduced, and the transparency is deteriorated. This is not preferable.
- [ ⁇ max (2.0)] B is a value measured under the same conditions as the above-mentioned condition (A-4). Furthermore, the relationship between [ ⁇ max (2.0)] B and [ ⁇ max (2.0)] B is such that the ratio is 20> [ ⁇ max (2.0)] B /[ ⁇ max(2.0)] B When satisfying> 1.0, the balance between molding processability and mechanical properties of the polyethylene resin composition of the present invention is particularly improved, which is preferable. When the ratio is 20 or more, the molding processability of the resin composition is improved, but the mechanical strength is reduced, the transparency is deteriorated, the ethylene polymer (A) and the ethylene polymer (B ) Is not preferable because it may be difficult to uniformly mix and may deteriorate the appearance.
- the ratio is 1.0 or less, the improvement in molding processability of the resin composition is not sufficiently exhibited, which is not preferable.
- the ratio is preferably 10> [ ⁇ max (2.0)] B /[ ⁇ max(2.0)] B > 1.1, more preferably 5.0> [ ⁇ max (2.0)] B / [ ⁇ max. (2.0)] B > 1.5, more preferably 4.0> [ ⁇ max (2.0)] B / [ ⁇ max (2.0)] B > 1.8.
- the ethylene polymer (A) having a long chain branched structure is used as a high MFR main component, that is, a low molecular weight side main component of the resin composition.
- conditions defined extended strain hardening degree (B-4) [ ⁇ max ( 2.0)] lower MFR main more ethylene polymers having long chain branching structure is representative of (B) of the resin composition B
- B-4 extended strain hardening degree [ ⁇ max ( 2.0)] lower MFR main more ethylene polymers having long chain branching structure
- Condition (B-5) The component (B) in the present invention was measured in the same manner with [ ⁇ max (2.0)] B defined in the above condition (B-4) and an elongation strain rate of 0.1 (unit: 1 / second).
- [ ⁇ max (0.1)] Ratio to B [ ⁇ max (2.0)] B / [ ⁇ max (0.1)] B is 1.2 to 10.0, preferably 1.3 to 5.0, More preferably, it is 1.4 to 4.0, and still more preferably 1.5 to 3.0.
- the component (B) in the present invention is a polymer produced by a polymerization reaction of ethylene using a catalyst containing a transition metal, and preferably 2-10.
- various radical polymerization initiators are well known as ethylene polymerization catalysts that do not contain transition metals.
- peroxides such as dialkyl peroxide compounds, alkyl hydroperoxide compounds, benzoyl peroxide, and hydrogen peroxide are used.
- products azo compounds such as azobisisobutyronitrile, azobiscyclohexanecarbonitrile, etc., but ethylene polymers produced by radical polymerization reactions using these radical polymerization initiators have long-chain branched structures. It contains a lot, and when used with a component of a polyethylene resin composition, although it has an effect on improving molding process characteristics and transparency, the long chain branching structure increases so that the strength of the composition and the molded body is reduced.
- the MFR of the ethylene polymer (B) is sufficiently lowered, the density is sufficiently reduced, Since copolymerization of Shii ⁇ - olefin or a unfeasible, because it is impossible to sufficiently improve the strength of the composition and molded article, which is not preferable.
- the catalyst contains a transition metal, if the polymerization reaction proceeds substantially by radical polymerization like a so-called redox system such as hydrogen peroxide / ferrous chloride or cerium salt / alcohol, It is not regarded as a catalyst containing a transition metal in the present invention.
- Condition (B-7) The component (B) in the present invention is measured by a GPC measurement apparatus that combines a differential refractometer, a viscosity detector, and a light scattering detector in addition to the above conditions (B-1) to (B-6).
- the branching index (g C ′) at a molecular weight of 1,000,000 is preferably 0.30 to 0.70.
- the g C ′ value is more preferably 0.30 to 0.59, still more preferably 0.35 to 0.55, and particularly preferably 0.35 to 0.50. If the g C 'value is larger than 0.70, the polyethylene resin composition is not preferable because the molding processability is insufficient, or the transparency of the resin composition or the molded article is insufficient.
- g C ′ value is less than 0.30, the moldability of the polyethylene resin composition is improved, but the impact strength of the molded article is lowered or the transparency is deteriorated, which is not preferable.
- the component (B) in the present invention is measured by a GPC measurement apparatus that combines a differential refractometer, a viscosity detector, and a light scattering detector in addition to the above conditions (B-1) to (B-7).
- the content (W C ) of the component having a molecular weight of 1 million or more is preferably 0.01 to 30.0%.
- W C value is more preferably 0.01 to 10.0%, more preferably from 0.02 to 8.0%, particularly preferably 0.05 to 6.0% and most preferably 0.09 to 4.0%.
- W C value undesirable or insufficient moldability 0.01% smaller than the polyethylene-based resin composition, the transparency of the resin composition and molded product is or insufficient.
- W and C value is greater than 30.0%, of the molding processability of the polyethylene resin composition, the melt tension is improved, too low melt flowability, manufacturing and molding of the resin composition This is not preferable since the impact strength of the molded body is lowered and the transparency is deteriorated.
- MALLS Tosoh Corporation GMHHR-H
- RV radius of inertia
- [ ⁇ ] intrinsic viscosity
- the branching index (g ′) is calculated as the ratio ( ⁇ branch / ⁇ lin) between the intrinsic viscosity ( ⁇ branch) obtained by measuring the sample with the above Viscometer and the intrinsic viscosity ( ⁇ lin) obtained by separately measuring a linear polymer. To do. When long chain branching is introduced into a polymer molecule, the radius of inertia is reduced compared to a linear polymer molecule of the same molecular weight.
- the absolute molecular weight obtained from MALLS is the content ratio (%) of the component having a molecular weight of 1 million or more to the total component amount measured by RI, and the content of the component having a molecular weight of 1 million or more (W C ).
- the absolute molecular weight obtained from MALLS the above g ′ at a molecular weight of 1,000,000 is calculated as g C ′.
- FIG. 4 (a) and FIG. 4 (b) show an example of the analysis result by the GPC-VIS.
- FIG. 4A shows the molecular weight distribution curve measured based on the molecular weight (M) obtained from MALLS and the concentration obtained from RI
- FIG. 4B shows the branching index (g ′) at the molecular weight (M).
- linear polyethylene Standard Reference Material 1475a National Institute of Standards & Technology
- composition of Ethylene-Based Polymer (B) The explanation of the composition of the component (B) in the present invention is the above described 1-5. Since the explanation regarding the composition of the ethylene-based polymer (A) can be referred to as it is, the description of the same portion is omitted.
- the ethylene polymer (B) of the present invention is preferably ethylene and the above 1-5. And the copolymers with hexene-1 and octene-1 are most preferred.
- the ratio of ethylene to the ⁇ -olefin in the ethylene polymer (B) of the present invention is about 75 to 99.5% by weight of ethylene and about 0.5 to 25% by weight of ⁇ -olefin, preferably about ethylene.
- ⁇ -olefin of about 3 to 22% by weight, more preferably ethylene of about 80 to 96% by weight, ⁇ -olefin of about 4 to 20% by weight, still more preferably ethylene of about 82 to 95% by weight. %, About 5 to 18% by weight of ⁇ -olefin.
- the polyethylene resin composition and the molded article have a good balance between rigidity and impact strength, and excellent transparency.
- the long-chain branched structure must be used within the range satisfying the above conditions (B-4) and (B-5).
- the olefin polymerization catalyst suitable for the production of the ethylene-based polymer (B) in the present invention and containing a transition metal that satisfies the economical efficiency at the industrial level is the same as that described above for the ethylene-based polymer (A) ( It is appropriately selected from i) Ziegler catalyst, (ii) metallocene catalyst, (iii) Phillips catalyst, or (iv) post metallocene catalyst.
- the above-mentioned catalyst suitable for the production of the ethylene-based polymer (B) in the present invention is (i) a Ziegler catalyst, (ii) a metallocene catalyst, (iv) a post-metallocene catalyst, more preferably (i) a Ziegler catalyst, (Ii) a metallocene catalyst.
- the metallocene catalyst produces an ethylene polymer having a narrow molecular weight distribution and copolymer composition distribution as compared with other catalysts, so that the mechanical properties and transparency of the polyethylene resin composition and the molded article are transparent. It is particularly suitable from the viewpoint of improving the properties, anti-stickiness performance, heat sealing performance and the like.
- the post metallocene catalyst is preferably used when a catalyst that exhibits the same performance as the metallocene catalyst is selected.
- the above-mentioned conditions (B-4) and (B-5), preferably the conditions (B-4) and (B- 5) and the characteristics represented by the condition (B-7) are interpreted as containing a considerable amount of short branched structures sufficiently developed so that they can be entangled with each other at the level at which the elongation strain hardening behavior is observed. It is thought to be derived from the characteristic long-chain branched structure.
- an ethylene polymer having a long chain branch is an ethylene polymer having a long branch structure (long chain branch) in a polyethylene molecule, and an ethylene homopolymer having a normal short chain branch or ethylene / ⁇ - Contrast with olefin copolymer (also called linear polyethylene).
- Various attempts have been made to produce an ethylene polymer having such a long chain branch, and a method of directly copolymerizing ethylene and an ⁇ -olefin using a recent Ziegler catalyst or a metallocene catalyst. Or a method of introducing a long-chain branch by copolymerizing ethylene with a macromonomer prepared in advance.
- an ethylene-based polymer made of a catalyst having a hexavalent chromium element as a central metal called a Phillips catalyst contains a small amount of a long-chain branched structure.
- Specific examples of the production of an ethylene polymer having a long-chain branched structure include, for example, those using a Ziegler catalyst in recent years, such as Japanese Patent Application Laid-Open No. 60-090203 and Japanese No. 10-298234 is cited.
- the long chain branching structure of the ethylene polymer is controlled by appropriately selecting the type and amount of the organoaluminum compound, the type of catalyst, and the polymerization conditions to control the quality and amount of the long chain branching. It is possible to adjust.
- examples of using a complex having a bridged biscyclopentadienyl ligand include Japanese Patent Application Laid-Open No. 2002-544296, Japanese Patent Application Laid-Open No. 2005-507961, etc.
- Examples of using a complex having a bridged bisindenyl ligand include Japanese Patent Application Laid-Open No. 2-276807, Japanese Patent Application Laid-Open No. 2002-308933, Japanese Patent Application Laid-Open No. 2004-292772, JP-A-8-311121, JP-A-8-31260, JP-A-8-48711, and the like.
- a catalyst having a non-MAO modified particle combined with a complex having a bridged bisindenyl ligand As an example of use as the above, Japanese Patent Application Laid-Open No. 2004-292772 can be cited, and a constrained geometric complex catalyst is used. As an example of using a complex having a benzoindenyl ligand in combination with another low molecular weight polyethylene-forming complex, JP-A-2006-2098 can be mentioned. Etc.
- Japanese Patent Application Laid-Open No. 10-512600 discloses a method of introducing long chain branching into a polyethylene chain by copolymerizing a diene with ethylene as a comonomer, Japanese Patent Special Publication 2008-505222, and the like. Also disclosed is a method for introducing a long chain branch into a polyethylene chain using a chain transfer reagent called a T-reagent. In these methods, it is possible to control the quality and amount of long chain branching by controlling the type and amount of dienes and chain transfer agents, or by appropriately selecting the type and polymerization conditions of the catalyst. .
- Japanese Patent Application Laid-Open No. 7-252231 Japanese Patent Application Laid-Open No. 8-502303, International Publication No. 95-11931, Japanese Special Table 2001-511215, Japanese Patent Application Laid-Open No. 2006-321991, etc.
- the quality and amount of long-chain branching can be controlled by appropriately selecting the type of complex, catalyst preparation conditions, polymerization conditions, the amount and molecular weight of macromonomer.
- melt flow rate ratio see, for example, Japanese Patent No. 2571280
- melt tension MT: eg, , Japanese Patent No. 3425719, etc.
- strain hardening elongational viscosity
- activation energy See, for example, (See Japanese Patent No. 062031) and the like, and is expressed by various measurement methods.
- ethylene polymers having a long-chain branched structure produced by these methods are suitable for the ethylene polymer (B) as a component of the polyethylene resin composition of the present invention.
- a specific ethylene polymer (B) the inventors have resulted in a result that the processing characteristics, mechanical strength, and transparency of the polyethylene composition and the molded body of the composition differ greatly.
- the ethylene polymer having a long-chain branched structure that can be generated by the prior art includes those using a Ziegler catalyst, those using a complex having a bridged biscyclopentadienyl ligand, Using a complex having a bisindenyl ligand, using a complex having a bridged bisindenyl ligand and a non-MAO modified particle as a catalyst, using a constrained geometric complex catalyst, a benzoindenyl ligand Uses in combination with other low-molecular-weight polyethylene-forming complexes with diene, copolymerized ethylene with ethylene as a comonomer to introduce long-chain branches into the polyethylene chain, and uses a chain transfer reagent called T-reagent In this way, a macromonomer is produced in advance using a specific metallocene catalyst with long chain branching introduced into the polyethylene chain.
- the macromonomer and ethylene are copolymerized include those obtained by introducing long chain branch branch
- the molecular weight distribution or copolymer composition distribution is broadened, and the polyethylene resin composition or the It cannot be said that the molded article has insufficient impact strength or transparency, or has a low crystallinity component, resulting in severe stickiness.
- the catalyst produces only a small amount of long long-chain branched structures, impact strength and transparency are not sufficiently improved, and a complex having a crosslinked biscyclopentadienyl ligand or a complex having a crosslinked bisindenyl ligand can be obtained.
- the impact strength and transparency of the polyethylene-based resin composition and the molded product are insufficient due to the tendency to broaden the molecular weight distribution, or long-chain branching.
- Ethylene chain produced by using a non-MAO modified particle as a catalyst in combination with a complex having a crosslinked bisindenyl ligand, and the impact strength and transparency are not sufficiently improved.
- the impact strength and transparency of the polyethylene-based resin composition and the molded product are insufficient because the molecular weight distribution tends to further spread than when the MAO promoter is used.
- the excelene GMH which is said to be a commercial product actually produced by using the catalyst, has a wide molecular weight distribution, long long chain branching, and insufficient branching number.
- an ethylene-based copolymer produced using a constrained geometric complex catalyst is used because the effect is insufficient or impact strength and transparency are not sufficiently improved, for example, the catalyst is actually produced using the catalyst.
- the above-mentioned AFFINITY for example, FM1570
- FM1570 which is said to be a commercially available product, has a long chain-branching chain length and an insufficient number of branches.
- the impact strength and transparency are not sufficiently improved, and none of the above methods can be said to be preferable as the method for producing the ethylene polymer (B) in the present invention.
- the length required for the ethylene polymer (B) in the present invention is limited to polymerization conditions at a low hydrogen concentration, and catalyst synthesis conditions such as the complex usage ratio so that the molecular weight distribution does not widen Further examination of the polymerization conditions is necessary, and examination on the setting of MFR and density of the ethylene polymer (B) and the combined ethylene polymer (A) is necessary.
- a long-chain branched structure suitable as the ethylene polymer (B) in the present invention by a method of copolymerizing dienes or a method using a chain transfer reagent, dienes to be used, We have to wait for further examination of chain transfer agent, type of polymerization catalyst and polymerization conditions. Furthermore, it is considered necessary to solve problems such as contamination (odor, coloring, deterioration) of the polymer due to residual diene and residual chain transfer agent.
- a macromonomer is produced and copolymerized with ethylene to introduce a long-chain branch into a polyethylene chain.
- the ethylene polymer (B) has a tendency that the length of the long-chain branched chain tends to be long and the impact strength and transparency are not sufficiently improved, and the contamination of the polymer (odor, coloring, It is considered necessary to solve problems such as deterioration.
- an example of an olefin polymerization catalyst that produces a long-chain branched structure suitable as the ethylene polymer (B) of the present invention is an example.
- a method of using a complex having a bridged (cyclopentadienyl) (indenyl) ligand or the like as recently discovered as an essential catalyst component Japanese Unexamined Patent Publication No. 2011-137146 or [V And the like, and as another example, a method using a complex having a benzoindenyl ligand or the like as a catalyst component (Japanese Patent Laid-Open No.
- a bridged bis (indenyl) ligand As another example, as a metallocene complex, a bridged bis (indenyl) ligand, a bridged bis (azurenyl) ligand, or a bridged bis (cyclopentadiene) is used.
- Complexed with Le) ligand is had led to a method of using a catalyst with a mixture of borane compounds or borate compound is a compound to produce an organoaluminum-oxy compound and a cationic metallocene compound.
- the olefin polymerization catalyst comprising, as an essential component, a complex having a bridged (cyclopentadienyl) (indenyl) ligand or the like that generates a long-chain branched structure suitable as the ethylene polymer (B) of the present invention is as follows.
- Component (a-1) Metallocene compound represented by formula (a-1-1)
- Component (b) Compound that reacts with the metallocene compound of component (a-1) to form a cationic metallocene compound
- Component (a-1) is a metallocene compound represented by the following general formula (a-1-1).
- M represents a transition metal of Ti, Zr or Hf.
- X 1 and X 2 each independently represent a hydrogen atom, a halogen atom, a hydrocarbon group having 1 to 20 carbon atoms, a hydrocarbon group having 1 to 20 carbon atoms including an oxygen atom or a nitrogen atom, or 1 to 20 carbon atoms.
- Q 1 and Q 2 each independently represent a carbon atom, a silicon atom or a germanium atom.
- R 1 each independently represents a hydrogen atom or a hydrocarbon group having 1 to 10 carbon atoms, and at least two of the four R 1 are bonded to form a ring together with Q 1 and Q 2. Also good. m is 0 or 1, and when m is 0, Q 1 is directly bonded to a conjugated 5-membered ring containing R 2 and R 3 . Each R 2 independently represents a hydrogen atom, a halogen atom, a hydrocarbon group having 1 to 20 carbon atoms, a silicon-containing hydrocarbon group having 1 to 18 carbon atoms including 1 to 6 silicon atoms, or 1 to 20 carbon atoms.
- R 2 may be a hydrocarbon group or the like It does not form a ring with the bonded carbon atoms as in R 4 .
- R 3 represents a saturated or unsaturated divalent hydrocarbon group having 4 or 5 carbon atoms that forms a condensed ring with respect to the 5-membered ring to be bonded.
- R 4 is an atom or group bonded to the carbon atom of R 3 , and each independently represents a hydrogen atom, a halogen atom, a hydrocarbon group having 1 to 20 carbon atoms, or 1 to 18 represents a silicon-containing hydrocarbon group, a halogen-containing hydrocarbon group having 1 to 20 carbon atoms, or a hydrocarbon group-substituted silyl group having 1 to 20 carbon atoms.
- n represents an integer of 0 to 10, and when n is 2 or more, at least two of R 4 may form a ring together with the carbon atoms to which they are bonded.
- R 5 each independently represents a hydrogen atom, a halogen atom, a hydrocarbon group having 1 to 20 carbon atoms, a silicon-containing hydrocarbon group having 1 to 18 carbon atoms including 1 to 6 silicon atoms, or 1 to 20 carbon atoms.
- a halogen atom-containing hydrocarbon group, a hydrocarbon group having 1 to 20 carbon atoms containing an oxygen atom, or a hydrocarbon group-substituted silyl group having 1 to 20 carbon atoms, and a plurality of R 5 may be a hydrocarbon group or the like; It does not form a ring with the bonded carbon atoms as in R 4 . ]
- M of the metallocene compound represents Ti, Zr or Hf.
- the M is preferably Zr or Hf, and more preferably M from the viewpoint of high polymerization activity.
- the order of suitability of the central metal species will be described hereinafter. Applies.
- X 1 and X 2 are each independently a hydrogen atom, a chlorine atom, a bromine atom, an iodine atom, or a methyl group, ethyl group, n-propyl group, i-propyl group, n-butyl group, i -Butyl, t-butyl, n-pentyl, neopentyl, cyclopentyl, n-hexyl, cyclohexyl, phenyl, benzyl, methoxymethyl, ethoxymethyl, n-propoxymethyl, i- Propoxymethyl group, n-butoxymethyl group, i-butoxymethyl group, t-butoxymethyl group, methoxyethyl group, ethoxyethyl group, acetyl group, 1-oxopropyl group, 1-oxo-n-butyl group, 2- Methyl-1-oxopropyl group, 2,2-
- X 1 and X 2 include chlorine atom, bromine atom, methyl group, n-butyl group, i-butyl group, methoxy group, ethoxy group, i-propoxy group, n-butoxy group, phenoxy group, Examples thereof include a dimethylamino group and a di-propylamino group. Among these specific examples, a chlorine atom, a methyl group, and a dimethylamino group are particularly preferable.
- Q 1 and Q 2 each independently represent a carbon atom, a silicon atom or a germanium atom. Preferably they are a carbon atom or a silicon atom.
- each R 1 is independently a hydrogen atom, methyl group, ethyl group, n-propyl group, i-propyl group, n-butyl group, i-butyl group, t-butyl group, or n-pentyl group. , Neopentyl group, cyclopentyl group, n-hexyl group, cyclohexyl group, phenyl group and the like.
- R 1 forms a ring together with Q 1 and Q 2 , a cyclobutylidene group, a cyclopentylidene group, a cyclohexylidene group, a silacyclobutyl group, a silacyclopentyl group, a silacyclohexyl group, etc. Is mentioned.
- preferable R 1 include a hydrogen atom, a methyl group, an ethyl group, a phenyl group, and a cyclobutylidene group when Q 1 or / and Q 2 are carbon atoms, and Q 1 or / and Q 2 When is a silicon atom, a methyl group, an ethyl group, a phenyl group, and a silacyclobutyl group are exemplified.
- R 2 is independently hydrogen atom, chlorine atom, bromine atom, iodine atom, methyl group, ethyl group, n-propyl group, i-propyl group, n-butyl group, i-butyl group, t -Butyl group, n-pentyl group, neopentyl group, cyclopentyl group, n-hexyl group, cyclohexyl group, phenyl group, benzyl group, 2-methylphenyl group, 3-methylphenyl group, 4-methylphenyl group, 3,5 -Dimethylphenyl group, 4-t-butylphenyl group, 3,5-di-t-butylphenyl group, bis (trimethylsilyl) methyl group, bis (t-butyldimethylsilyl) methyl group, bromomethyl group, chloromethyl group, 2-chloroethyl group, 2-bromoethyl group, 2-bro
- At least one of the two R 2 is a hydrocarbon group having 1 to 20 carbon atoms, a silicon-containing hydrocarbon group having 1 to 18 carbon atoms including 1 to 6 silicon atoms, or a halogen having 1 to 20 carbon atoms.
- a hydrocarbon group containing, an oxygen atom-containing hydrocarbon group having 1 to 20 carbon atoms, or a hydrocarbon group-substituted silyl group having 1 to 20 carbon atoms is particularly preferable because the polymerization activity is increased.
- R 2 at the 2-position is a hydrogen atom because the characteristics of the long-chain branched structure are improved, and the moldability is excellent.
- R 2 are each independently a hydrogen atom, methyl group, ethyl group, n-propyl group, i-propyl group, n-butyl group, t-butyl group, n-pentyl group, n- Examples include a hexyl group, a cyclohexyl group, a phenyl group, a 2-methylfuryl group, and a trimethylsilyl group.
- a hydrogen atom, a methyl group, an n-butyl group, a t-butyl group, a phenyl group, and a trimethylsilyl group are more preferable, and a hydrogen atom, a methyl group, and a phenyl group are particularly preferable.
- condensed cyclopentadienyl structure formed from the cyclopentadienyl moiety to which R 3 is bonded and R 3 include the following partial structures (I) to (VI). Among these specific examples, (I), (III), and (VI) are preferable. Further, R 4 may be substituted on these partial structures (I) to (VI).
- R 4 in the substituent is a hydrogen atom, chlorine atom, bromine atom, iodine atom, methyl group, ethyl group, n-propyl group, i-propyl group, n-butyl group, i-butyl group, t-butyl.
- R 4 is 2 or more and form a ring together with the carbon atoms to which R 4 is bonded
- benzo [e] indenyl group benzo [f] indenyl group
- 6,7-dihydroinda Senyl group 5,5,7,7-tetramethyl-6,7-dihydroindacenyl group
- 5,6,7,8-tetrahydro-benzo [f] indenyl group 5,6,7,8- And tetrahydro-5,5,8,8-tetramethyl-benzo [f] indenyl group.
- R 4 examples include methyl group, ethyl group, n-propyl group, i-propyl group, n-butyl group, t-butyl group, n-pentyl group, n-hexyl group, cyclohexyl group, phenyl group. , A naphthyl group, and a trimethylsilyl group.
- R 5 is independently hydrogen atom, chlorine atom, bromine atom, iodine atom, methyl group, ethyl group, n-propyl group, i-propyl group, n-butyl group, i-butyl group, t -Butyl group, n-pentyl group, neopentyl group, cyclopentyl group, n-hexyl group, cyclohexyl group, phenyl group, benzyl group, 2-methylphenyl group, 3-methylphenyl group, 4-methylphenyl group, 3,5 -Dimethylphenyl group, 4-t-butylphenyl group, 3,5-di-t-butylphenyl group, bis (trimethylsilyl) methyl group, bis (t-butyldimethylsilyl) methyl group, bromomethyl group, chloromethyl group, 2-chloroethyl group, 2-bromoethyl group, 2-bro
- At least one of the four R 5 groups is a hydrocarbon group having 1 to 20 carbon atoms, a silicon-containing hydrocarbon group having 1 to 18 carbon atoms including 1 to 6 silicon atoms, or a halogen having 1 to 20 carbon atoms.
- a hydrocarbon group containing, an oxygen atom-containing hydrocarbon group having 1 to 20 carbon atoms, or a hydrocarbon group-substituted silyl group having 1 to 20 carbon atoms is particularly preferable because the polymerization activity is increased.
- R 5 at the 2nd and 5th positions is a hydrogen atom, since the characteristics of the long-chain branched structure are particularly improved and the moldability is excellent.
- preferable R 5 include a hydrogen atom, a methyl group, an ethyl group, an n-propyl group, an i-propyl group, an n-butyl group, a t-butyl group, an n-pentyl group, an n-hexyl group, and a cyclohexyl group. , Phenyl group, 2-methylfuryl group, and trimethylsilyl group.
- a hydrogen atom, a methyl group, an n-butyl group, a t-butyl group, a phenyl group, and a trimethylsilyl group are more preferable, and a hydrogen atom, a methyl group, a t-butyl group, and a phenyl group are particularly preferable.
- n represents an integer of 0 to 10, and when n is 2 or more, at least two of R 4 may form a ring together with the carbon atoms to which they are bonded.
- the metallocene compound of component (a-1) is preferably one represented by the following general formula (a-1-2), more preferably one represented by the following general formula (a-1-3).
- X 1 , X 2 , Q, R 1 , R 2 , R 4 and R 5 are the same as those described above.
- a structure similar to the atom and group shown in the description of the metallocene compound represented by the general formula (a-1-1) can be selected.
- nC5 represents a normal pentyl group
- nC6 represents a normal hexyl group
- Bz represents a benzyl group
- Azu represents azulenyl.
- component (a-1) the compound which replaced the zirconium of the said compound with titanium or hafnium, etc. are mentioned. Further, when these metallocene compounds are used as component (a-1), two or more kinds can be used.
- metallocene compound as component (a-1) are shown below. That is, dimethylsilylene (cyclopentadienyl) (indenyl) zirconium dichloride, dimethylsilylene (cyclopentadienyl) (indenyl) zirconium dimethyl, isopropylidene (cyclopentadienyl) (indenyl) zirconium dichloride, dimethylsilylene (cyclopentadiene) Enyl) (3-methylindenyl) zirconium dichloride, dimethylsilylene (cyclopentadienyl) (3-methylindenyl) zirconium dimethyl, isopropylidene (cyclopentadienyl) (3-methylindenyl) zirconium dichloride, dimethylsilylene (Cyclopentadienyl) (3-n-butylindenyl) zirconium dichloride, dimethylsilylene (Cyclopentadienyl
- Component (b) Illustrated as an olefin polymerization catalyst comprising, as an essential component, a complex having a bridged (cyclopentadienyl) (indenyl) ligand or the like that generates a long-chain branched structure suitable as the ethylene polymer (B) of the present invention.
- the olefin polymerization catalyst reacts with the metallocene compound of component (a-1) (component (a-1), hereinafter may be simply referred to as “a”) to be cationic. It includes compounds that form metallocene compounds (component (b), hereinafter may be simply referred to as b).
- One of the compounds (b) that react with the metallocene compound (a) to form a cationic metallocene compound is an organoaluminum oxy compound.
- the organoaluminum oxy compound has Al—O—Al bonds in the molecule, and the number of bonds is usually in the range of 1 to 100, preferably 1 to 50.
- Such an organoaluminum oxy compound is usually a product obtained by reacting an organoaluminum compound with water.
- aluminoxanes particularly methylaluminoxane (including those substantially consisting of methylaluminoxane (MAO)). Is suitable as an organoaluminum oxy compound.
- the borane compound is triphenylborane, tri (o-tolyl) borane, tri (p-tolyl) borane, tri (m-tolyl) borane, tri (o-fluorophenyl) borane, tris ( p-fluorophenyl) borane, tris (m-fluorophenyl) borane, tris (2,5-difluorophenyl) borane, tris (3,5-difluorophenyl) borane, tris (4-trifluoromethylphenyl) borane, tris (3,5-ditrifluoromethylphenyl) borane, tris (2,6-ditrifluoromethylphenyl) borane, tris (pentafluorophenyl)
- the first example is a compound represented by the following general formula (b-1). [L 1 -H] + [BR 6 R 7 X 4 X 5] - ⁇ formula (b-1)
- L 1 is a neutral Lewis base
- H is a hydrogen atom
- [L 1 -H] is a Bronsted acid such as ammonium, anilinium, or phosphonium.
- ammonium examples include trialkyl-substituted ammonium such as trimethylammonium, triethylammonium, tripropylammonium, tributylammonium, and tri (n-butyl) ammonium, and dialkylammonium such as di (n-propyl) ammonium and dicyclohexylammonium.
- anilinium examples include N, N-dialkylanilinium such as N, N-dimethylanilinium, N, N-diethylanilinium, N, N-2,4,6-pentamethylanilinium.
- examples of the phosphonium include triarylphosphonium such as triphenylphosphonium, tributylphosphonium, tri (methylphenyl) phosphonium, tri (dimethylphenyl) phosphonium, and trialkylphosphonium.
- R 6 and R 7 are each independently the same or different aromatic or substituted aromatic hydrocarbon group containing 6 to 20, preferably 6 to 16 carbon atoms. And may be linked to each other by a bridging group.
- substituent of the substituted aromatic hydrocarbon group include an alkyl group typified by a methyl group, an ethyl group, a propyl group, an isopropyl group, fluorine, chlorine, bromine, A halogen atom such as iodine is preferred.
- X 4 and X 5 are each independently a hydride group, a halide group, a hydrocarbon group containing 1 to 20 carbon atoms, 1 to 20 carbon atoms in which one or more hydrogen atoms are substituted by halogen atoms.
- Specific examples of the compound represented by the general formula (b-1) include tributylammonium tetra (pentafluorophenyl) borate, tributylammonium tetra (2,6-ditrifluoromethylphenyl) borate, tributylammonium tetra (3,3).
- tributylammonium tetra (pentafluorophenyl) borate tributylammonium tetra (2,6-ditrifluoromethylphenyl) borate, tributylammonium tetra (3,5-ditrifluoromethylphenyl) borate, tributylammonium tetra (perfluoro) Naphthyl) borate, dimethylanilinium tetra (pentafluorophenyl) borate, dimethylaniliniumtetra (2,6-ditrifluoromethylphenyl) borate, dimethylaniliniumtetra (3,5-ditrifluoromethylphenyl) borate, dimethylanilinium Tetra (perfluoronaphthyl) borate is preferred.
- a second example of the borate compound is represented by the following general formula (b-2).
- L 2 represents a carbocation, a methyl cation, an ethyl cation, a propyl cation, an isopropyl cation, a butyl cation, an isobutyl cation, a tert-butyl cation, a pentyl cation, a tropinium cation, a benzyl cation, or a trityl cation.
- R 6 , R 7 , X 4 and X 5 are the same as defined in the general formula (b-1).
- the compound include trityltetraphenylborate, trityltetra (o-tolyl) borate, trityltetra (p-tolyl) borate, trityltetra (m-tolyl) borate, trityltetra (o-fluorophenyl) borate, Trityltetra (p-fluorophenyl) borate, trityltetra (m-fluorophenyl) borate, trityltetra (3,5-difluorophenyl) borate, trityltetra (pentafluorophenyl) borate, trityltetra (2,6-ditrifluoro) Methylphenyl) borate, trityltetra (3,5-ditrifluoromethylphenyl) borate, trityltetra (perfluoronaphthy
- trityltetra (pentafluorophenyl) borate trityltetra (2,6-ditrifluoromethylphenyl) borate, trityltetra (3,5-ditrifluoromethylphenyl) borate, trityltetra (perfluoronaphthyl) borate, Tropinium tetra (pentafluorophenyl) borate, tropinium tetra (2,6-ditrifluoromethylphenyl) borate, tropinium tetra (3,5-ditrifluoromethylphenyl) borate, tropinium tetra (perfluoronaphthyl) borate, NaB (C 6 F 5 ) 4 , NaB (2,6- (CF 3 ) 2 -Ph) 4 , NaB (3,5- (CF 3 ) 2 -Ph) 4 , NaB (C 10 F 7 )
- trityltetra (pentafluorophenyl) borate trityltetra (2,6-ditrifluoromethylphenyl) borate, tropiniumtetra (pentafluorophenyl) borate, tropiniumtetra (2,6-ditri) trifluoromethylphenyl) borate, NaB (C 6 F 5) 4, NaB (2,6- (CF 3) 2 -Ph) 4, H + B (C 6 F 5) 4 - ⁇ 2 diethyl ether, H + B (2,6- (CF 3) 2 -Ph ) 4 ⁇ 2 diethyl ether, H + B (3,5- (CF 3) 2 -Ph) 4 ⁇ 2 diethyl ether, H + B (C 10 H 7) And 4.2 diethyl ether.
- a borane compound or a borate compound is used as the catalyst component (b), the polymerization activity and copolymerizability are increased, so that the productivity of an ethylene polymer having a long chain branch is improved.
- the compound (b) that reacts with the metallocene compound (a) to form a cationic metallocene compound include clay minerals, layered silicate compounds, and chemically treated solid oxides.
- the component (b) a mixture of the above organoaluminum oxy compound and the above borane compound or borate compound can be used, or a long chain branched structure desired for the ethylene polymer (B) in the present invention.
- two or more of the above borane compounds and borate compounds can be used in combination.
- Component (c) Illustrated as an olefin polymerization catalyst comprising, as an essential component, a complex having a bridged (cyclopentadienyl) (indenyl) ligand that generates a long-chain branched structure suitable as the ethylene-based polymer (B) of the present invention.
- the olefin polymerization catalyst preferably contains a particulate carrier (component (c), hereinafter may be simply referred to as c).
- the fine particle carrier as the component (c) examples include an inorganic carrier, a particulate polymer carrier, and a mixture thereof.
- an inorganic carrier a metal, a metal oxide, a metal chloride, a metal carbonate, a carbonaceous material, or a mixture thereof can be used.
- Suitable metals that can be used for the inorganic carrier include, for example, iron, aluminum, nickel and the like.
- Examples of the metal oxide include single oxides or complex oxides of elements of Groups 1 to 14 of the periodic table. For example, SiO 2 , Al 2 O 3 , MgO, CaO, B 2 O 3 , TiO 2 , ZrO 2, Fe 2 O 3, Al 2 O 3 ⁇ MgO, Al 2 O 3 ⁇ CaO, Al 2 O 3 ⁇ SiO 2, Al 2 O 3 ⁇ MgO ⁇ CaO, Al 2 O 3 ⁇ MgO ⁇ SiO 2, Al Examples include various natural or synthetic single oxides or composite oxides such as 2 O 3 .CuO, Al 2 O 3 .Fe 2 O 3 , Al 2 O 3 .NiO, and SiO 2 .MgO.
- the above formula represents not the molecular formula but only the composition, and the structure and component ratio of the composite oxide used in the present invention are not particularly limited.
- the metal oxide used in the present invention may absorb a small amount of moisture or may contain a small amount of impurities.
- the metal chloride for example, chlorides of alkali metals and alkaline earth metals are preferable, and specifically, MgCl 2 , CaCl 2 and the like are particularly preferable.
- the metal carbonate is preferably an alkali metal or alkaline earth metal carbonate, and specific examples include magnesium carbonate, calcium carbonate, and barium carbonate.
- Examples of the carbonaceous material include carbon black and activated carbon. Any of the above inorganic carriers can be suitably used in the present invention, but the use of metal oxides, silica, alumina and the like is particularly preferable.
- An example of an olefin polymerization catalyst comprising a complex having a benzoindenyl ligand or the like that generates a long-chain branched structure suitable as the ethylene polymer (B) of the present invention as an essential component includes the following components (a- Specific examples of the olefin polymerization catalyst comprising 2) and the above-mentioned component (b) and the preferred component (c) are illustrated.
- Component (a-2) is a metallocene compound having one or more, preferably two or more, more preferably three benzoindenyl ligands represented by the following general formula (a-2-1).
- the substituents R 8 to R 13 are each independently a hydrocarbon group having 1 to 30 carbon atoms, a trialkyl silicon group having a hydrocarbon substituent having 1 to 30 carbon atoms, or a hydrogen atom.
- the hydrocarbon group include an alkyl group such as a methyl group, an ethyl group, a propyl group, a butyl group, a pentyl group, a hexyl group, and a cyclohexyl group; an alkenyl group such as a vinyl group and an allyl group; a phenyl group and a dimethylphenyl group Aryl groups such as diethylphenyl group, dipropylphenyl group, dibutylphenyl group, trimethylphenyl group, triethylphenyl group, tripropylphenyl group, tributylphenyl group, biphenyl group, naphthyl group, anthryl group; trity
- substituents R 8 to R 13 may be branched.
- substituents R 8 to R 13 two adjacent substituents may form a ring together with the carbon atoms to which they are bonded.
- the component (a-2) has a ligand having three cyclopentadienyl skeletons including the benzoindenyl ligand, two or more of them are a hydrocarbon group, a silylene group.
- Metallocene complexes are also effective.
- the group other than the central transition metal and the ligand having a cyclopentadienyl skeleton bonded to the central transition metal (auxiliary ligand) is a hydrocarbon group, an alkoxyl group, a halogen atom, a hydrogen atom, etc.
- auxiliary ligand is a hydrocarbon group, an alkoxyl group, a halogen atom, a hydrogen atom, etc.
- component (a-2) are as shown in Tables a-5 and a-6 below when the central transition metal is Zr.
- Cp represents a cyclopentadienyl group
- Ind represents an indenyl group
- Bzind represents a benzoindenyl group
- Dbi represents a dibenzoindenyl group
- Me represents a methyl group
- Bu represents a butyl group. Represent.
- component (a-2) are Bzind 3 ZrH, Dbi 3 ZrH, Bzind 2 CpZrH, Bzind 2 (1,3-Me 2 Cp) ZrH, Bzind 2 (1-Bu-3-MeCp) ZrH, Bzind 2 IndZrH, BzindInd 2 ZrH, Dbi 2 CpZrH, DbiCp 2 ZrH, Dbi 2 IndZrH, DbiInd 2 ZrH, Bzind 2 DbiZrH, BzindDbi 2 ZrH, BzindDbiCpZrH, BzindDbiIndZrH, Et (Ind) 2 BzindZrH, Et (Ind) 2 DbiZrH, Et (Ind) 2 DbiZrH, Et (Ind) 2 DbiZrH, Me 2 SiCp 2 BzindZrH, Me 2 SiCp 2 DbiZrH, Me 2
- the organoaluminum oxy compound and the like are used as the component (b) together with the component (a-2).
- the borane compound or borate compound is used in combination with the organoaluminum oxy compound. It is preferable to further improve the long-chain branched structure characteristics desired for the ethylene-based polymer (B) in the present invention.
- the component (c) It is also preferable to contain.
- An example of an olefin polymerization catalyst comprising a mixture of a complex having an organic aluminum oxy compound and a borane compound or a borate compound, which is a compound that forms a cationic metallocene compound, as an essential component
- Specific examples of the olefin polymerization catalyst include the mixture of the organoaluminum oxy compound and the borane compound or borate compound described in the above component (b) and the above-described preferable component (c).
- a complex having a bridged bis (indenyl) ligand, a bridged bis (azurenyl) ligand or a bridged bis (cyclopentadienyl) ligand (respectively components (a-3-1), (a-3 -2) and (a-3-3)) as represented by the general formula [2] in the classification of the metallocene compounds described in the section 1-6 (ii) Metallocene catalyst above.
- two or cyclopentadienyl ring or two indenyl rings may be the same or different is referred to complex having a basic skeleton crosslinked with a crosslinking group Q 1.
- the substituents that the cyclopentadienyl ring, indenyl ring, azulenyl ring, and bridging group Q 1 may have have a high degree of freedom as long as the basic skeleton structure is not inhibited.
- a metallocene complex having a monocyclic or polycyclic heteroaromatic group containing a heteroatom described in JP-A-535339 as a substituent on a conjugated five-membered ring structure ligand is also preferably used.
- a 3 and A 4 represent a ligand having a conjugated five-membered ring structure (A 3 and A 4 may be the same or different in the same compound), and Q 1 represents two conjugated five-membered members.
- a bonding group that bridges the ring ligand at an arbitrary position M is a metal atom selected from Group 4 of the periodic table; and
- X and Y are each independently a hydrogen atom or halogen atom bonded to M , Hydrocarbon group, alkoxy group, amino group, phosphorus-containing hydrocarbon group or silicon-containing hydrocarbon group, respectively.
- Examples of compounds in which Q 1 is a silylene group include the compounds described in Table a-8 below.
- Ind represents an indenyl group
- BenInd represents a benzoindenyl group
- PhInd represents a phenylindenyl group
- TMSPh represents a trimethylsilylphenyl group.
- Examples of the hydrocarbon group containing germanium, phosphorus, nitrogen, boron or aluminum as Q 1 include compounds described in Table a-9 below.
- Ind represents an indenyl group
- PhInd represents a phenylindenyl group
- TMSPh represents a trimethylsilylphenyl group.
- Q 1 is an alkylene group
- examples of those in which Q 1 is an alkylene group include the compounds described in Table a-10 below.
- tBuPh represents a tributylphenyl group
- TMSPh represents a trimethylsilylphenyl group
- NaPh represents a naphthyl group
- BiPh represents a biphenyl group
- Azu represents an azulenyl group
- ClPh represents a chlorophenyl group.
- Q 1 is a hydrocarbon group containing germanium, phosphorus, nitrogen, boron or aluminum
- Q 1 is a hydrocarbon group containing germanium, phosphorus, nitrogen, boron or aluminum
- a catalyst system containing a complex having a benzoindenyl ligand as an essential component, a bridged bis (indenyl) ligand or a bridged bis (cyclopentadienyl) ligand as a metallocene complex Three catalyst systems using a mixture of a complex having an organic aluminum oxy compound and a borane compound or a borate compound which is a compound for forming a cationic metallocene compound have been described.
- a catalyst system having a complex having a bridged (cyclopentadienyl) (indenyl) ligand or the like as an essential component and a bridged bis (indenyl) ligand or bridged bis (cyclopentadienyl) as a metallocene complex.
- a catalyst system having a complex having an (indenyl) ligand or the like as an essential component is more preferable.
- the ethylene polymer (B) is preferably produced by the above-mentioned olefin polymerization catalysts (i) to (iv), more preferably (i), (ii), (iv), more preferably (i ), (Ii), particularly preferably (ii) by contacting the metallocene catalyst with ethylene and polymerizing or copolymerizing ethylene.
- a plurality of olefin polymerization catalysts can be used from among (i) to (iv).
- scavengers such as the polymerization method, the ethylene raw material, the polymerization medium, the polymerization temperature, the polymerization process, etc.
- a low molecular weight hydrocarbon solvent is selected, a gas phase polymerization that does not use a solvent, or a solution polymerization that handles the polymer in a dissolved state. Also, if you want to give remarkable long-chain branching characteristics, low monomer concentration conditions, high polymer concentration conditions, low scavenger concentration conditions, high temperature polymerization conditions, and long-time polymerization so that chain transfer reactions other than hydrogen are promoted. It is preferable to positively select conditions and the like.
- the polyethylene-based resin composition in the present invention contains the following substances as optional components as long as the purpose of the present invention is not impaired, in addition to the essential ethylene-based polymer (A) and ethylene-based polymer (B). be able to.
- ethylene polymers In addition to ethylene polymer (A) and ethylene polymer (B), high density polyethylene, low density polyethylene, high pressure polyethylene, polar monomer graft modified polyethylene, ethylene wax, ultra high molecular weight polyethylene Various ethylene polymers such as ethylene elastomer and modified products thereof can be used. Addition of high density polyethylene is preferable for improving rigidity, heat resistance, impact strength and the like. Addition of low density polyethylene is preferable for improving flexibility, impact strength, easy adhesion, transparency, low temperature strength and the like. Addition of high-pressure polyethylene is preferable for improving flexibility, easy adhesion, transparency, low-temperature strength, moldability, and the like.
- Addition of polar monomer graft-modified polyethylene such as maleic acid-modified polyethylene, ethylene / acrylic acid derivative copolymer, ethylene / vinyl acetate copolymer, flexibility, easy adhesion, colorability, compatibility with various materials, gas barrier properties, etc. It is preferable to improve.
- Addition of an ethylene-based wax is preferable for improving colorability, compatibility with various materials, moldability, and the like.
- Addition of ultrahigh molecular weight polyethylene is preferable for improving mechanical strength, wear resistance, and the like.
- Addition of an ethylene-based elastomer is preferable for improving flexibility, mechanical strength, impact strength, and the like.
- olefin polymers As olefin polymers other than ethylene polymers, for example, polypropylene resins, polybutene, polyisobutene, polyhexene and other higher olefin resins, olefin rubber, butadiene, isoprene, chloroprene and other polybutadiene resins, Polystyrene resins such as polystyrene and poly ⁇ -methylstyrene, various cyclic olefin resins, and modified products thereof can be used.
- additives can be used in combination as appropriate. Specifically, antioxidants (phenolic, phosphorus, sulfur, etc.), UV absorbers / UV inhibitors, light stabilizers / weathering agents, lubricants, antistatic agents, antifogging agents, antiblocking agents, Processing aids such as dispersants, colored pigments (organic or inorganic pigments), pearl pigments, polarizing pearl pigments, crosslinking agents, foaming agents, neutralizing agents, thermal stabilizers, crystal nucleating agents, inorganic or organic fillers / fillers [Calcium carbonate, talc, metal powder (aluminum, copper, iron, lead, etc.), silica, diatomaceous earth, alumina, gypsum, mica, clay, asbestos, graphite, carbon black, titanium oxide, etc.], flame retardants, etc. Is possible.
- the polyethylene resin composition in the present invention comprises an ethylene polymer (A) and an ethylene polymer (B), which are essential components, and an optional component. It is produced by mixing the component substance (C).
- the blending ratio of each component is 41 to 99% by weight for the ethylene polymer (A) and 1 to 59% by weight for the ethylene polymer (B), and preferably 61% for the ethylene polymer (A).
- ethylene polymer (A) is 75 to 89% by weight, and the ethylene polymer (B) is 11 to 25% by weight. If the ethylene polymer (A) is too much, the impact resistance and transparency of the polyethylene resin composition and the molded product thereof are lowered, and the melt tension is reduced in the molding processability. However, the melt extrudability deteriorates among the moldability.
- the ratio of the substance (C), which is an optional component, is appropriately set within a range that does not impair the object of the present invention, and is usually 0 to 49% by weight, and particularly each additive described in the above item 3-4
- all existing examples relating to known polyethylene resins, polyethylene resin compositions and their application to molded articles are referred to.
- the polyethylene resin composition in the present invention by mixing the ethylene polymer (A) as an essential component, the ethylene polymer (B), and a substance (C) as an optional component,
- a Henschel mixer, super mixer, tumbler type mixer, etc. followed by mixing extrusion such as a single or twin screw extruder, kneader, plunger extruder, etc.
- the heat-kneading can be performed in the presence or absence of a liquid, a solvent, and a gas.
- the order of mixing the above components is not particularly limited, and examples thereof include the following methods (D-1) to (D-4).
- D-1) The ethylene-based polymer (A), the ethylene-based polymer (B), and the optional substance (C) are all contacted and mixed in advance in a solid state, preferably in a powder, particle or pellet state. A method of making it more uniform by heating and kneading.
- D-2) One or more of the ethylene polymer (A), the ethylene polymer (B), and the arbitrary substance (C) are made into a molten state, a dissolved state or a liquid state, and then other components and A method of bringing into a more uniform state by contact mixing and further heat kneading.
- (D-3) Any two of the ethylene polymer (A), the ethylene polymer (B), and the arbitrary substance (C) are obtained by, for example, the method (D-1) or (D-2) above.
- D-4) Any one of the ethylene polymer (A), the ethylene polymer (B), and the arbitrary substance (C) is obtained by, for example, the method (D-1) or (D-2) above.
- a method in which the remaining two are separately heated and kneaded separately in advance, and the mixture obtained by the heating and kneading is further brought into a more uniform state by heating and kneading.
- the polyethylene resin composition of the present invention is composed of the ethylene polymer (A) and the ethylene polymer (B) which are essential components, and a substance ( C) is produced by mixing by the mixing methods (D-1) to (D-4) described above, etc., but the physical properties must satisfy the MFR and density ranges described below for the entire composition. There is.
- the melt flow rate (MFR) of the polyethylene-based resin composition of the present invention is 0.05 to 50 g / 10 minutes, preferably 0.1 to 20 g / 10 minutes, more preferably 0.3 to 10 g / 10 minutes, and further It is preferably 0.4 to 5.0 g / 10 min, particularly preferably 0.5 to 3.0 g / 10 min. If the MFR is less than 0.05 g / 10 min, the flowability of the polyethylene resin composition is poor, the motor load of the extruder becomes too high, and the spreadability is inferior.
- MFR refers to a value measured under the same conditions as the above condition (A-1).
- the density of the polyethylene resin composition of the present invention is 0.910 to 0.960 g / cm 3 , preferably 0.910 to 0.950 g / cm 3 , more preferably 0.916 to 0.940 g / cm 3 , It is more preferably 0.919 to 0.938 g / cm 3 , particularly preferably 0.920 to 0.936 g / cm 3 , and most preferably 0.921 to 0.934 g / cm 3 . If the density of the polyethylene resin composition is lower than 0.910 g / cm 3 , the rigidity of the polyethylene-based resin composition or the molded article becomes low or sticky, and the product has a thin thickness such as a film or sheet.
- the density of the polyethylene resin composition is higher than 0.960 g / cm 3, reduces the impact strength of the polyethylene resin composition and the molded article, even worse transparency.
- the density refers to a value measured under the same condition as the above condition (A-2).
- the molded product of the polyethylene resin composition of the present invention is obtained by molding the polyethylene resin composition of the present invention described in [I] above.
- Manufactured and the molding method is the same as the conventional molding methods of polyolefin resins and polyolefin resin compositions such as injection molding, compression injection molding, rotational molding, extrusion molding, hollow molding, blow molding, etc. Either can be referred to.
- the molded product in the present invention refers to a processed product or a molded product of a polyethylene-based resin composition that has been processed or molded into an appropriate form according to the purpose of use.
- a film, a bag, a sheet Coatings, fibers, threads, containers, tubes, pipes, coverings, lids, caps, boxes, miscellaneous goods, toys, medical instrument parts, beads, particulates, foamed products, etc. It may be a multilayer structure or a composite product with other members.
- a standard bag with a dimensional standard such as an inner bag or a garbage bag of a paper bag, a heavy bag, a wrap film, a sugar bag, Laminates with various base materials such as food packaging film, agricultural film, etc. for nylon, polyester, metal foil, saponified ethylene-vinyl acetate copolymer, etc.
- the molding method of the molded body of the present invention is not particularly limited as long as it is a method that can effectively utilize the excellent molding processing characteristics, mechanical characteristics, and transparency of the polyethylene resin composition of the present invention.
- preferred molding methods, molding conditions, and uses thereof are described in, for example, Japanese Patent Application Laid-Open No. 2007-197722.
- Various inflation molding methods and T-die film molding as described in detail in JP-A No. 2007-177168, JP-A No. 2007-177187, JP-A No. 2010-31270, etc.
- a gas other than air or a liquid can be used as a refrigerant, and can also be used for special inflation molding such as stretch (inflation simultaneous biaxial stretching) molding or multistage blow.
- the thickness of the film (or sheet) of the product thus obtained is not particularly limited, and a suitable thickness varies depending on the molding method and conditions.
- a suitable thickness varies depending on the molding method and conditions.
- inflation molding it is about 5 to 300 ⁇ m
- T-die molding it can be a film (or sheet) of about 5 ⁇ m to 5 mm.
- hollow containers which are an example of the intended intended use of the polyethylene resin composition of the present invention, as preferred molding methods, molding conditions, and uses, for example, Japanese Patent Application Laid-Open No. 2004-18812 Specifically, various hollow molding methods, blow molding methods, etc. and various uses as described in detail in Japanese Patent Application Laid-Open No. 2009-143079, Japanese Patent Application Laid-Open No.
- polyethylene resin composition of the present invention an appropriate amount is blended with other polyethylene resins, polyethylene resin compositions, and polyolefin resins such as polypropylene resins to improve molding processability and mechanical strength. It can be used as a modifier for improving, imparting low temperature resistance, imparting low temperature adhesion, and the like.
- Ethylene-based polymer of the present invention relates to an ethylene-based polymer having a developed long-chain branched structure and excellent molding processability.
- the ethylene polymer of the present invention satisfies all the conditions (B-1 ′) to (B-8) described below.
- the MFR B of the ethylene polymer in the present invention is 0.001 to 200 g / 10 min, preferably 0.01 to 100 g / 10 min, more preferably 0.05 to 50 g / 10 min, particularly preferably 0.1. It is ⁇ 50 g / 10 min, most preferably 0.1 to 10 g / 10 min.
- the MFR B is less than 0.001 g / 10 min, the molding processability of the ethylene polymer, particularly the melt flowability and the spreadability is inferior, and it becomes difficult to mix uniformly with other resins. This is not preferable because poor appearance such as an eye occurs and impact strength and transparency are lowered.
- MFR B is larger than 200 g / 10 min, the mechanical strength such as impact strength, tear strength, and tensile strength of the ethylene polymer or a composition obtained by mixing the polymer with another resin is not preferable.
- MFR refers to a value measured under the same conditions as the above condition (A-1).
- the density B of the ethylene polymer in the present invention is 0.880 to 0.970 g / cm 3 , preferably 0.891 to 0.960 g / cm 3 , more preferably 0.895 to 0.950 g / cm 3 , Particularly preferred is 0.900 to 0.934 g / cm 3 , and most preferred is 0.900 to 0.925 g / cm 3 .
- the density B is in this range, the balance between impact strength and rigidity and transparency of the ethylene polymer and the molded article are excellent.
- the density B is less than 0.880 g / cm 3
- the rigidity is lowered, and when the product is a thin molded body such as a film or sheet, not only various inconveniences in the use of the product, but also the product winding process, surface This is not desirable because it causes inconveniences in post-processing steps such as printing and pasting. If the product is a thick molded product such as a pipe or various containers, the product is too soft and deforms. This is not preferable.
- the density B is greater than 0.970 g / cm 3 , impact strength and transparency are impaired, which is not preferable.
- the density of the ethylene polymer in the present invention is preferably in the range of 0.900 to 0.910 g / cm 3 .
- the density refers to a value measured under the same condition as the above condition (A-2).
- B of the ethylene polymer in the present invention is 2.0 to 10.0, preferably 2.0 to 6.0, more preferably 2.5 to 5.6, still more preferably 2. It is 9 to 4.5, particularly preferably 3.2 to 4.0.
- [Mw / Mn] If B is less than 2.0, molding process characteristics may be deteriorated or it may be difficult to mix with other resins.
- [Mw / Mn] When B is greater than 10.0, the impact strength of the mixed resin composition or molded product with the ethylene polymer or other resin becomes insufficient, the transparency is deteriorated, or stickiness is likely to occur. Therefore, it is not preferable.
- Mw / Mn is a value measured under the same conditions as the above-mentioned condition (A-3).
- B of the ethylene-based polymer in the present invention is 1.2 to 30.0, preferably 1.5 to 20.0, more preferably 2.0 to 10.0, and still more preferably. It is 2.4 to 6.0, particularly preferably 3.0 to 5.0. [ ⁇ max (2.0)] If B is less than 1.2, the flowability and melt tension of the ethylene-based polymer, the mixed resin composition with other resins, and the molded body become insufficient, and the molding process characteristics deteriorate. . [ ⁇ max (2.0)] When B is larger than 30.0, although fluidity and melt tension are excellent, impact strength of the ethylene-based polymer or the like is decreased, or transparency is deteriorated. Absent.
- ⁇ max (2.0) is a value measured under the same condition as the above condition (A-4).
- the influence of the elongation flow characteristics of polyethylene on the moldability and the mechanical properties of the molded body is as already described in the above-mentioned conditions (A-4) and (B-4).
- Condition (B-5) In the ethylene polymer of the present invention, [ ⁇ max (2.0)] B / [ ⁇ max (0.1)] B defined by the condition (B-5) in 2.5 above is 1.2 to It is 10.0, preferably 1.3 to 5.0, more preferably 1.4 to 4.0, and still more preferably 1.5 to 3.0. [ ⁇ max (2.0)] B / [ ⁇ max (0.1)] If B is less than 1.2, the molten state of the ethylene polymer, a mixed resin composition with other resins, or a molded product may not be uniform.
- the ethylene-based polymer of the present invention is a polymer produced by a polymerization reaction of ethylene using a catalyst containing a transition metal, and the matters described in the above-mentioned item (2.6) of the condition (B-6) in 2.6. All apply.
- the above-mentioned g C ′ is 0.30 to 0.70, and all the matters described in the above-mentioned item (2.7) of the condition (B-7) in 2.7 are applicable.
- the g C ′ value is preferably 0.30 to 0.59, more preferably 0.35 to 0.55, still more preferably 0.35 to 0.50, and particularly preferably 0.35. ⁇ 0.45. If the g C 'value is greater than 0.70, the mixed resin composition with the ethylene polymer or other resin and the molding processability of the molded product are insufficient, or the transparency is insufficient, which is not preferable.
- W C value is more preferably 0.02 to 10.0%, more preferably from 0.05 to 8.0%, particularly preferably 0.10 to 6.0%, most preferably It is 0.11 to 4.0%.
- W C value is lower than 0.01% and the ethylene polymer, is insufficient or moldability of the mixed resin composition with another resin, the transparency of such the ethylene-based polymer or insufficient It is not preferable.
- W and C value is greater than 30.0%, of the moldability such as the ethylene-based polymer, is improved in melt tension, too low melt flowability, Ya Manufacture of the ethylene-based polymer It is not preferable because it hinders the molding process. Further, it is not preferable because the impact strength of the molded body is lowered or the transparency is deteriorated.
- condition (B-9) In addition to the conditions (B-1 ′) to (B-8) defined in the above sections III-1 to III-8, the ethylene-based polymer in the present invention further includes the following condition (B-9): It is preferable to satisfy.
- the condition (B-9) is that the content (W ⁇ 15 ; unit wt%) of the component eluted at ⁇ 15 ° C. is 2.0 wt% or less in TREF measurement using an orthodichlorobenzene solvent.
- the W- 15 value is preferably 0.9 wt% or less, more preferably 0.6 wt% or less, still more preferably 0.5 wt%, particularly preferably 0.4 wt%, and most preferably 0.3 wt%.
- the lower limit of the W ⁇ 15 value is that it is not detected, and is preferably 0.0 wt%. If the W- 15 value is larger than 2.0 wt%, the impact strength of the ethylene polymer, the mixed resin composition with other resin, and the molded product is lowered, transparency is deteriorated, and stickiness is preferable. Absent. In addition, the compatibility with other resins is deteriorated, which causes deterioration in impact strength and transparency.
- the W- 15 value is measured by the following method. A sample is dissolved in orthodichlorobenzene (containing 0.5 mg / mL BHT) at 140 ° C. to obtain a solution. This is introduced into a 140 ° C.
- TREF column cooled to 100 ° C. at a rate of 8 ° C./min, subsequently cooled to ⁇ 15 ° C. at a rate of 4 ° C./min, and held for 60 minutes. Thereafter, orthodichlorobenzene (containing 0.5 mg / mL BHT) as a solvent is caused to flow through the column at a flow rate of 1 mL / min, and components dissolved in orthodichlorobenzene at ⁇ 15 ° C. are eluted in the TREF column for 10 minutes. Next, the column is linearly heated to 140 ° C. at a temperature increase rate of 100 ° C./hour to obtain an elution curve.
- orthodichlorobenzene containing 0.5 mg / mL BHT
- Heating method Aluminum heat block Cooling method: Peltier element (Peltier element is cooled by water) Temperature distribution: ⁇ 0.5 ° C Temperature controller: Chino Corporation Digital Program Controller KP1000 (Valve oven) Heating method: Air bath oven Measurement temperature: 140 ° C Temperature distribution: ⁇ 1 ° C Valve: 6-way valve, 4-way valve (sample injection part) Injection method: Loop injection method Injection amount: Loop size 0.1ml Inlet heating method: Aluminum heat block Measurement temperature: 140 ° C (Detection unit) Detector: Fixed wavelength infrared detector FOXBORO MIRAN 1A Detection wavelength: 3.42 ⁇ m High temperature flow cell: LC-IR micro flow cell, optical path length 1.5mm, window shape 2 ⁇ ⁇ 4mm oval, synthetic sapphire window Measurement temperature: 140 ° C (Pump part) Liquid feed
- the third aspect of the present invention is a specific that is useful for producing a metallocene-based polyolefin or metallocene-based polyethylene having a long chain branch having a sufficient number and an appropriate length.
- the present invention relates to an olefin polymerization catalyst component containing a metallocene compound having the following structure and an olefin polymerization catalyst containing the component.
- the third aspect of the present invention will be described for each item.
- the olefin polymerization catalyst component of the present invention is an olefin polymerization catalyst component containing the following components (A-1b) and (A-2b), or an olefin polymerization catalyst containing the following component (Ac) It is an ingredient.
- a first aspect of the catalyst component for olefin polymerization of the present invention is the following component (A-1b) and Ingredient (A-2b) is included as an essential ingredient.
- M 1b represents a transition metal of Ti, Zr, or Hf.
- X 1b and X 2b each independently represent a hydrogen atom, a halogen atom, a hydrocarbon group having 1 to 20 carbon atoms, a hydrocarbon group having 1 to 20 carbon atoms including an oxygen atom or a nitrogen atom, or 1 to 20 carbon atoms.
- Q 1b and Q 2b each independently represent a carbon atom, a silicon atom, or a germanium atom.
- R 1b each independently represents a hydrogen atom or a hydrocarbon group having 1 to 10 carbon atoms, and at least two of four R 1b are bonded to form a ring together with Q 1b and Q 2b. May be.
- mb is 0 or 1, and when mb is 0, Q 1b is directly bonded to a conjugated 5-membered ring including R 2b and R 3b .
- R 2b , R 3b and R 4b are each independently a hydrogen atom, a halogen atom, a hydrocarbon group having 1 to 20 carbon atoms, a silicon-containing hydrocarbon group having 1 to 18 carbon atoms including 1 to 6 silicon atoms, A halogen-containing hydrocarbon group having 1 to 20 carbon atoms, a hydrocarbon group having 1 to 40 carbon atoms containing an oxygen atom or a sulfur atom, or a hydrocarbon group-substituted silyl group having 1 to 40 carbon atoms is shown.
- adjacent R 3b or only one set of adjacent R 2b and R 3b may form a ring together with the carbon atoms to which they are bonded. ]
- Component (A-2b) metallocene compound represented by the following general formula (2b)
- M 2b represents a transition metal of Ti, Zr or Hf.
- X 11b and X 12b each independently represent a hydrogen atom, a halogen atom, a hydrocarbon group having 1 to 20 carbon atoms, a hydrocarbon group having 1 to 20 carbon atoms including an oxygen atom or a nitrogen atom, or 1 to 20 carbon atoms.
- Q 11b represents a carbon atom, a silicon atom or a germanium atom.
- R 11b independently represents a hydrogen atom or a hydrocarbon group having 1 to 10 carbon atoms, and two R 11b may be bonded to each other to form a ring together with Q 11b .
- R 12b , R 14b and R 15b are each independently a hydrogen atom, a halogen atom, a hydrocarbon group having 1 to 20 carbon atoms, a silicon-containing hydrocarbon group having 1 to 18 carbon atoms containing 1 to 6 silicon atoms, An atom or group selected from a halogen-containing hydrocarbon group having 1 to 20 carbon atoms, a hydrocarbon group having 1 to 40 carbon atoms including an oxygen atom or a sulfur atom, or a substituted silyl group having 1 to 40 carbon atoms However, at least one of them is not a hydrogen atom.
- R 13b is each independently a hydrocarbon group having 1 to 20 carbon atoms, a silicon-containing hydrocarbon group having 1 to 18 carbon atoms including 1 to 6 silicon atoms, a halogen-containing hydrocarbon group having 1 to 20 carbon atoms, A hydrocarbon group having 1 to 40 carbon atoms or a hydrocarbon group-substituted silyl group having 1 to 40 carbon atoms containing an oxygen atom or a sulfur atom is shown.
- component (Ab) or simply Ab) will be specifically described.
- the catalyst component for olefin polymerization of the present invention is characterized by containing a metallocene compound represented by the above general formula (1b) as the component (A-1b).
- M 1b of the metallocene compound represents Ti, Zr or Hf, preferably represents Zr or Hf, and more preferably represents Zr.
- X 1b and X 2b are specifically hydrogen atom, chlorine atom, bromine atom, iodine atom, methyl group, ethyl group, n-propyl group, i-propyl group, n-butyl group, i -Butyl, t-butyl, n-pentyl, neopentyl, cyclopentyl, n-hexyl, cyclohexyl, phenyl, benzyl, methoxymethyl, ethoxymethyl, n-propoxymethyl, i- Propoxymethyl group, n-butoxymethyl group, i-butoxymethyl group, t-butoxymethyl group, methoxyethyl group, ethoxyethyl group, acetyl group, 1-oxopropyl group, 1-oxo-n-butyl group, 2- Methyl-1-oxopropyl group, 2,2-dimethyl-1-oxo-
- preferable X 1b and X 2b include chlorine atom, bromine atom, methyl group, n-butyl group, i-butyl group, methoxy group, ethoxy group, i-propoxy group, n-butoxy group, phenoxy group, Examples thereof include a dimethylamino group and a di i-propylamino group.
- a chlorine atom, a methyl group, and a dimethylamino group are particularly preferable.
- Q 1b and Q 2b each independently represent a carbon atom, a silicon atom or a germanium atom, preferably a carbon atom or a silicon atom.
- each R 1b is independently a hydrogen atom, methyl group, ethyl group, n-propyl group, i-propyl group, n-butyl group, i-butyl group, t-butyl group, or n-pentyl group. , Neopentyl group, cyclopentyl group, n-hexyl group, cyclohexyl group, phenyl group and the like.
- R 1b when at least two of R 1b are bonded to form a ring together with Q 1b and Q 2b , a cyclobutylidene group, a cyclopentylidene group, a cyclohexylidene group, a silacyclobutyl group, a silayl A cyclopentyl group, a silacyclohexyl group, etc. are mentioned.
- R 1b examples include a hydrogen atom, a methyl group, an ethyl group, a phenyl group, and a cyclobutylidene group when Q 1b and / or Q 2b is a carbon atom, and Q 1b or / and Q 2b
- Q 1b or / and Q 2b When is a silicon atom, a methyl group, an ethyl group, a phenyl group, and a silacyclobutyl group are exemplified.
- R 2b , R 3b and R 4b are specifically a hydrogen atom, chlorine atom, bromine atom, iodine atom, methyl group, ethyl group, n-propyl group, i-propyl group, n-butyl group, i-butyl, t-butyl, n-pentyl, neopentyl, cyclopentyl, n-hexyl, cyclohexyl, phenyl, benzyl, 2-methylphenyl, 3-methylphenyl, 4-methyl Phenyl group, 3,5-dimethylphenyl group, 4-t-butylphenyl group, 3,5-di-t-butylphenyl group, bis (trimethylsilyl) methyl group, bis (t-butyldimethylsilyl) methyl group, bromomethyl Group, chloromethyl group, 2-chloroethyl group, 2-bromoethyl group, 2-bro
- any one or more of R 2b , R 3b and R 4b is a hydrocarbon group having 1 to 20 carbon atoms, a silicon-containing hydrocarbon group having 1 to 18 carbon atoms including 1 to 6 silicon atoms, carbon A halogen-containing hydrocarbon group having 1 to 20 carbon atoms, a hydrocarbon group having 1 to 20 carbon atoms including an oxygen atom, or a hydrocarbon group-substituted silyl group having 1 to 20 carbon atoms is particularly preferable because the polymerization activity becomes high. .
- R 2b , R 3b and R 4b include a hydrogen atom, methyl group, ethyl group, n-propyl group, i-propyl group, n-butyl group, t-butyl group, n-pentyl group, n -Hexyl group, cyclohexyl group, phenyl group, 2-methylfuryl group, trimethylsilyl group.
- a hydrogen atom, a methyl group, an n-butyl group, a t-butyl group, a phenyl group, and a trimethylsilyl group are more preferable, and a hydrogen atom, a methyl group, a t-butyl group, and a phenyl group are particularly preferable.
- Specific examples of the condensed cyclopentadienyl structure formed from the cyclopentadienyl moiety to which two adjacent R 3b bonds and both R 3b include the following partial structures (I) to (VI). The same applies to the specific examples of the cyclopentadienyl moiety to which adjacent R 3b and R 2b are bonded and the condensed cyclopentadienyl structure formed from the R 3b and R 2b . Among these specific examples, (I), (III), and (VI) are preferable. In addition, R 4b may be substituted on these partial structures (I) to (VI).
- mb is 0 or 1
- Q 1b is directly bonded to a conjugated 5-membered ring containing R 2b and R 3b .
- the metallocene compound (A-1b) is preferably represented by the following general formula (3b).
- M 1b represents a transition metal of Ti, Zr, or Hf.
- X 1b and X 2b each independently represent a hydrogen atom, a halogen atom, a hydrocarbon group having 1 to 20 carbon atoms, a hydrocarbon group having 1 to 20 carbon atoms including an oxygen atom or a nitrogen atom, or 1 to 20 carbon atoms.
- Q 1b and Q 2b each independently represent a carbon atom, a silicon atom, or a germanium atom.
- R 1b each independently represents a hydrogen atom or a hydrocarbon group having 1 to 10 carbon atoms, and at least two of four R 1b are bonded to form a ring together with Q 1b and Q 2b. May be.
- mb is 0 or 1, and when mb is 0, Q 1b is directly bonded to a conjugated 5-membered ring including R 2b and R 3b .
- R 2b , R 3b and R 4b are each independently a hydrogen atom, a halogen atom, a hydrocarbon group having 1 to 20 carbon atoms, a silicon-containing hydrocarbon group having 1 to 18 carbon atoms including 1 to 6 silicon atoms, A halogen-containing hydrocarbon group having 1 to 20 carbon atoms, a hydrocarbon group having 1 to 40 carbon atoms containing an oxygen atom or a sulfur atom, or a hydrocarbon group-substituted silyl group having 1 to 40 carbon atoms is shown.
- adjacent R 3b or only one set of adjacent R 2b and R 3b may form a ring together with the carbon atoms to which they are bonded. ]
- R 2b is preferably a hydrogen atom or a hydrocarbon group having 1 to 6 carbon atoms
- one of the two R 4b is a hydrogen atom.
- the other one is a hydrogen atom, a hydrocarbon group having 1 to 20 carbon atoms, a silicon-containing hydrocarbon group having 1 to 18 carbon atoms including 1 to 6 silicon atoms, and a halogen-containing hydrocarbon group having 1 to 20 carbon atoms
- the other R 4b is a hydrogen atom.
- R 2b is more preferably a hydrogen atom, and one of the two R 4 groups is a hydrogen atom. More preferably, the remaining one is a hydrogen atom, a hydrocarbon group having 1 to 20 carbon atoms, or a silicon-containing hydrocarbon group having 1 to 18 carbon atoms including 1 to 6 silicon atoms.
- R 4b are hydrogen atoms, methyl group, ethyl group, n- propyl group, i- propyl, n- butyl group, i- butyl, t- Tyl group, n-pentyl group, neopentyl group, cyclopentyl group, n-hexyl group, cyclohexyl group, phenyl group, benzyl group, 2-methylphenyl group, 3-methylphenyl group, 4-methylphenyl group, 3,5- Dimethylphenyl group, 4-t-butylphenyl group, 3,5-di-t-butylphenyl group, bis (trimethylsilyl) methyl group, bis (t-butyldimethylsilyl) methyl group, trimethylsilyl group, tri-t-butylsilyl group , Di-t-butylmethylsilyl group, t-butyldimethylsilyl group, triphenylsilyl
- the other R 4b is Specifically, hydrogen atom, methyl group, ethyl group, n-propyl group, i-propyl group, n-butyl , I- butyl, t- butyl group, a phenyl group, a trimethylsilyl group, a triphenylsilyl group, particularly preferably, in the remaining one of R 4b Specifically, a hydrogen atom, n- butyl group, i- A butyl group, a t-butyl group, a phenyl group, a trimethylsilyl group, and a triphenylsilyl group.
- the metallocene compound (A-1b) is more preferably one represented by the following general formula (4b).
- M 1b represents a transition metal of Ti, Zr or Hf.
- X 1b and X 2b each independently represent a hydrogen atom, a halogen atom, a hydrocarbon group having 1 to 20 carbon atoms, a hydrocarbon group having 1 to 20 carbon atoms including an oxygen atom or a nitrogen atom, or 1 to 20 carbon atoms.
- Q 1b and Q 2b each independently represent a carbon atom, a silicon atom, or a germanium atom.
- R 1b each independently represents a hydrogen atom or a hydrocarbon group having 1 to 10 carbon atoms, and at least two of four R 1b are bonded to form a ring together with Q 1b and Q 2b. May be.
- mb is 0 or 1
- Q 1b is directly bonded to a conjugated 5-membered ring including R 2b , R 5b and R 6b .
- R 2b and R 4b each independently represent a hydrogen atom, a halogen atom, a hydrocarbon group having 1 to 20 carbon atoms, a silicon-containing hydrocarbon group having 1 to 18 carbon atoms including 1 to 6 silicon atoms, or 1 carbon atom.
- R 5b represents a saturated or unsaturated divalent hydrocarbon group having 4 or 5 carbon atoms that forms a condensed ring with respect to the 5-membered ring to be bonded.
- R 6b is an atom or group bonded to the carbon atom of R 5b , and each independently represents a hydrogen atom, a halogen atom, a hydrocarbon group having 1 to 20 carbon atoms, or a 1 to 6 carbon atom containing 1 to 6 silicon atoms. 18 silicon-containing hydrocarbon groups, halogen-containing hydrocarbon groups having 1 to 20 carbon atoms, hydrocarbon groups having 1 to 20 carbon atoms containing oxygen atoms or sulfur atoms, or hydrocarbon-substituted silyl groups having 1 to 20 carbon atoms. Show. n b represents an integer of 0 to 10, and when n b is 2 or more, at least two of R 6b may form a ring together with the carbon atoms to which R b is bonded. ]
- the substituent R 6b is a hydrogen atom, chlorine atom, bromine atom, iodine atom, methyl group, ethyl group, n-propyl group, i-propyl group, n-butyl group, i-butyl group, t-butyl.
- R 6b may form a ring together with the carbon atoms to which R 6b is bonded.
- R 2b is a hydrogen atom
- two R 4b and R 6b are all hydrogen atoms, or at least one of the two R 4b and R 6b is carbon.
- a hydrocarbon group having 1 to 20 carbon atoms, a silicon-containing hydrocarbon group having 1 to 18 carbon atoms including 1 to 6 silicon atoms, a halogen-containing hydrocarbon group having 1 to 20 carbon atoms, 1 carbon atom containing an oxygen atom or a sulfur atom Is preferably a hydrocarbon group having 1 to 40 carbon atoms or a hydrocarbon group-substituted silyl group having 1 to 40 carbon atoms, specifically a methyl group, an ethyl group, an n-propyl group, an i-propyl group, an n-butyl group, i-butyl, t-butyl, n-pentyl, neopentyl, cyclopentyl, n-hexyl, cyclohexyl, phenyl, benzyl, 2-methylphenyl, 3-methylphenyl 4-methylphenyl group, 3,5-dimethylphenyl group, 4-t-butyl
- R 2b in the general formula (4b) is a hydrogen atom
- one of the two R 4b is a hydrogen atom and the other is a hydrocarbon having 1 to 20 carbon atoms.
- the other R 4b is a methyl group, an ethyl group, an n-propyl group, an i-propyl group, an n-butyl group.
- the remaining R 4b is specifically a methyl group, ethyl group, n-propyl group, i-propyl group, n-butyl group, i -Butyl group, t-butyl group, phenyl group, trimethylsilyl group, triphenylsilyl group, particularly preferably one of the remaining R Specifically, 4b is an n-butyl group, i-butyl group, t-butyl group, phenyl group, trimethylsilyl group, or triphenylsilyl group.
- R 4b is a hydrogen atom
- R 2b and R 6b are each a hydrogen atom, a hydrocarbon group having 1 to 20 carbon atoms, or a carbon number 1 to 18 containing 1 to 6 silicon atoms.
- R 2b and R 6b are a hydrogen atom, methyl group, ethyl group, n-propyl group, i-propyl group, n-butyl group, i-butyl group, t-butyl.
- R 2b and R 6b are each a hydrogen atom, a methyl group, an ethyl group, an n-propyl group, an i-propyl group, an n-butyl group, an i-butyl group, a t-butyl group.
- R 2b and R 6b are specifically hydrogen atom, methyl group, ethyl group, n-propyl group, i-propyl group, n-butyl group, i-butyl group, t-butyl group, A phenyl group, a trimethylsilyl group, and a triphenylsilyl group, and particularly preferably R 2b and R 6b are hydrogen atoms; And n-butyl group, i-butyl group, t-butyl group, phenyl group, trimethylsilyl group and triphenylsilyl group.
- the metallocene compound (A-1b) is more preferably one represented by the following general formula (5b).
- M 1b represents any of transition metals of Ti, Zr, and Hf.
- X 1b and X 2b each independently represent a hydrogen atom, a halogen atom, a hydrocarbon group having 1 to 20 carbon atoms, a hydrocarbon group having 1 to 20 carbon atoms including an oxygen atom or a nitrogen atom, or 1 to 20 carbon atoms.
- Q 1b represents a carbon atom, a silicon atom or a germanium atom.
- R 1b independently represents a hydrogen atom or a hydrocarbon group having 1 to 10 carbon atoms, and two R 1b may be bonded to each other to form a ring together with Q 1b .
- R 2b , R 4b and R 6b are each independently a hydrogen atom, a halogen atom, a hydrocarbon group having 1 to 20 carbon atoms, a silicon-containing hydrocarbon group having 1 to 18 carbon atoms including 1 to 6 silicon atoms, A halogen-containing hydrocarbon group having 1 to 20 carbon atoms, a hydrocarbon group having 1 to 40 carbon atoms containing an oxygen atom or a sulfur atom, or a hydrocarbon group-substituted silyl group having 1 to 40 carbon atoms is shown.
- R 4b does not form a ring with the carbon atom to which it is attached.
- R 6b may form a ring together with the carbon atoms to which R 6b is bonded.
- R 6b is preferably a hydrogen atom, a methyl group, an ethyl group, an n-propyl group, an i-propyl group, an n-butyl group, an i-butyl group, a t-butyl group, or an n-pentyl group.
- a methyl group, a t-butyl group, and a phenyl group are particularly preferable.
- two adjacent R 6b must form a six-membered ring structure with the bonded carbon atom. It is more preferable that both R 6b at the 4-position and 5-position are bonded to form a 6-membered ring structure, and it is further preferable to form a benzoindenyl ring structure as a whole together with the bonded indenyl ring.
- the metallocene compound of component (A-1b) of the olefin polymerization catalyst component in the catalyst component for olefin polymerization of the present invention are shown below, but are not limited thereto.
- the numbers indicating the positions of substituents on the cyclopentadienyl ring, the indenyl ring and the azulenyl ring of the metallocene compound shown in the specific examples of the component (A-1b) and the later-described (A-2b) are as follows: It is.
- Examples of those classified into the bridged Cp (Ind) Zr type include metallocene compounds shown in Table b-1 below.
- Examples of those classified into the bridged Cp (3-substituted Ind) Zr type include the metallocene compounds shown in Tables b-2 and b-3 below.
- Examples of those classified into the bridged (3-substituted Cp) (Ind) Zr type include metallocene compounds shown in Table b-4 below.
- Examples of (iv) bridged (4-substituted Cp) (3-substituted Ind) Zr type include metallocene compounds shown in Table b-5 below.
- Examples of those classified into the bridged Cp (3-substituted Cp) Zr type include metallocene compounds shown in Table b-7 below.
- Examples of those classified into the bridged bis (3-substituted Cp) Zr type include metallocene compounds shown in Table b-8 below.
- the compound which replaced the zirconium of the said compound with titanium or hafnium, etc. are mentioned. Further, when these metallocene compounds are used as the component (A-1b), two or more kinds can be used.
- the metallocene compound as component (A-1b) is preferable in terms of both excellent polymerization activity and moldability, and “B” is more preferable.
- “, And” C is added to more preferable ones.
- a ligand can be obtained by lithiation of an indene compound, followed by reaction with a dichlorosilane compound and subsequent reaction with cyclopentadienyl lithium.
- examples thereof include a method in which the obtained ligand is reacted with tetrakis (alkylamido) zirconium and subsequently trimethylsilyl chloride, or a method in which the obtained ligand is lithiated and subsequently reacted with zirconium tetrachloride.
- the catalyst component for olefin polymerization of the present invention is characterized in that the component (A-2b) contains a metallocene compound represented by the above general formula (2b).
- M 2b of the metallocene compound represents Ti, Zr or Hf, preferably represents Zr or Hf, and more preferably represents Zr.
- X 11b and X 12b are specifically a hydrogen atom, a chlorine atom, a bromine atom, an iodine atom, or a methyl group, ethyl group, n-propyl group, i-propyl group, n-butyl group, i -Butyl, t-butyl, n-pentyl, neopentyl, cyclopentyl, n-hexyl, cyclohexyl, phenyl, benzyl, methoxymethyl, ethoxymethyl, n-propoxymethyl, i- Propoxymethyl group, n-butoxymethyl group, i-butoxymethyl group, t-butoxymethyl group, methoxyethyl group, ethoxyethyl group, acetyl group, 1-oxopropyl group, 1-oxo-n-butyl group, 2- Methyl-1-oxopropyl group, 2,
- preferred X 11b and X 12b are each independently a chlorine atom, bromine atom, methyl group, n-butyl group, i-butyl group, methoxy group, ethoxy group, i-propoxy group, n-butoxy group.
- a chlorine atom, a methyl group, and a dimethylamino group are particularly preferable.
- Q 11b represents a carbon atom, a silicon atom or a germanium atom, preferably a carbon atom or a silicon atom.
- R 11b is independently a hydrogen atom, methyl group, ethyl group, n-propyl group, i-propyl group, n-butyl group, i-butyl group, t-butyl group, or n-pentyl group. , Neopentyl group, cyclopentyl group, n-hexyl group, cyclohexyl group, phenyl group and the like.
- R 11b forms a ring together with Q 11b
- examples of the case where R 11b forms a ring together with Q 11b include a cyclobutylidene group, a cyclopentylidene group, a cyclohexylidene group, a silacyclobutyl group, a silacyclopentyl group, and a silacyclohexyl group.
- Specific examples of preferable R 11b include a hydrogen atom, a methyl group, an ethyl group, a phenyl group, and a cyclobutylidene group when Q 11b is a carbon atom, and a methyl group, an ethyl group when Q 11b is a silicon atom.
- R 12b , R 14b and R 15b are each specifically a hydrogen atom, chlorine atom, bromine atom, iodine atom, methyl group, ethyl group, n-propyl group, i-propyl group, n-butyl group, i-butyl, t-butyl, n-pentyl, neopentyl, cyclopentyl, n-hexyl, cyclohexyl, phenyl, benzyl, 2-methylphenyl, 3-methylphenyl, 4-methyl Phenyl group, 3,5-dimethylphenyl group, 4-t-butylphenyl group, 3,5-di-t-butylphenyl group, bis (trimethylsilyl) methyl group, bis (t-butyldimethylsilyl) methyl group, bromomethyl Group, chloromethyl group, 2-chloroethyl group, 2-bromoethyl group, 2-
- each R 13b independently represents a methyl group, an ethyl group, an n-propyl group, an i-propyl group, an n-butyl group, an i-butyl group, a t-butyl group, an n-pentyl group, Neopentyl group, cyclopentyl group, n-hexyl group, cyclohexyl group, phenyl group, benzyl group, 2-methylphenyl group, 3-methylphenyl group, 4-methylphenyl group, 3,5-dimethylphenyl group, 4-t- Butylphenyl group, 3,5-di-t-butylphenyl group, bis (trimethylsilyl) methyl group, bis (t-butyldimethylsilyl) methyl group, bromomethyl group, chloromethyl group, 2-chloroethyl group, 2-bromoethyl group 2-bromopropyl group, 3-bromopropyl
- the adjacent R 12b together with the carbon atom on the cyclopentadienyl ring to which the adjacent R 12b is bonded are represented by the partial structures (I) to (VI) shown in the description of the component (A-1b). ), Preferably a condensed cyclopentadienyl structure of (I), (III), or (VI), but at this time, adjacent R 13b and adjacent The ring structure is not formed between R 12b and R 13b . Similarly, adjacent R 13b forms a condensed cyclopentadienyl structure of (I) to (VI), preferably a condensed cyclopentadienyl structure of (I), (III), (VI).
- a condensed cyclopentadienyl structure of the same (I) to (VI) between adjacent R 12b and R 13b preferably a condensed cyclopentadienyl of (I), (III), (VI)
- An aryl structure may be formed, but at this time, the ring structure is not formed between adjacent R 12b and adjacent R 13b .
- adjacent R 14b is a condensed cyclopentadienyl structure of the same (I) to (VI), preferably a condensed ring of (I), (III), (VI)
- a cyclopentadienyl structure may be formed, but at this time, the ring structure is not formed between adjacent R 15b and between adjacent R 14b and R 15b .
- adjacent R 15b forms a condensed cyclopentadienyl structure of (I) to (VI), preferably a condensed cyclopentadienyl structure of (I), (III), (VI).
- a condensed cyclopentadienyl structure of the same (I) to (VI) between adjacent R 14b and R 15b , preferably (I), (III), (VI) An aryl structure may be formed, but at this time, the ring structure is not formed between adjacent R 14b and adjacent R 15b .
- the metallocene compound (A-2b) is preferably one represented by the following general formula (6b).
- M 2b represents a transition metal of Ti, Zr or Hf.
- X 11b and X 12b each independently represent a hydrogen atom, a halogen atom, a hydrocarbon group having 1 to 20 carbon atoms, a hydrocarbon group having 1 to 20 carbon atoms including an oxygen atom or a nitrogen atom, or 1 to 20 carbon atoms.
- Q 11b represents a carbon atom, a silicon atom or a germanium atom.
- R 11b independently represents a hydrogen atom or a hydrocarbon group having 1 to 10 carbon atoms, and two R 11b may be bonded to each other to form a ring together with Q 11b .
- R 12b and R 14b each independently represent a hydrogen atom, a halogen atom, a hydrocarbon group having 1 to 20 carbon atoms, a silicon-containing hydrocarbon group having 1 to 18 carbon atoms including 1 to 6 silicon atoms, or 1 carbon atom.
- R 16b and R 17b each independently represent a saturated or unsaturated divalent hydrocarbon group having 4 or 5 carbon atoms that forms a condensed ring with respect to the 5-membered ring to which R 16b and R 17b are bonded.
- R 18b and R 19b are each an atom or group bonded to a carbon atom of R 16b or R 17b , and each independently represents a hydrogen atom, a halogen atom, a hydrocarbon group having 1 to 20 carbon atoms, a silicon number of 1 to A silicon-containing hydrocarbon group having 1 to 18 carbon atoms including 6, a halogen-containing hydrocarbon group having 1 to 20 carbon atoms, a hydrocarbon group having 1 to 40 carbon atoms including an oxygen atom or a sulfur atom, or 1 to 40 carbon atoms A hydrocarbon group-substituted silyl group is shown.
- p b and q b each independently represent an integer of 0 to 10, and when p b and q b are 2 or more, at least two of each of R 18b and R 19b are bonded carbon atoms And may form a ring together.
- R 12b and R 14b are specifically hydrogen atom, chlorine atom, bromine atom, iodine atom, methyl group, ethyl group, n-propyl group, i-propyl group, respectively.
- R 12b positioned at the 2-position and R 14b positioned at the 2-position on the cyclopentadienyl ring is a methyl group, an ethyl group, an n-propyl group, an i-propyl group, an n-butyl group.
- condensed cyclopentadienyl structure formed from the cyclopentadienyl moiety to which R 16b is bonded and R 16b include the partial structures (I) to (VI) described above. Among these specific examples, (I), (III), and (VI) are preferable. In addition, R 18b may be substituted on these partial structures (I) to (VI).
- the substituent R 18b is a hydrogen atom, chlorine atom, bromine atom, iodine atom, methyl group, ethyl group, n-propyl group, i-propyl group, n-butyl group, i-butyl group, t-butyl.
- R 17b and R 19b are also independently defined in the same manner as R 16b and R 18b .
- the metallocene compound of component (A-2b) is also preferably represented by the following general formula (7b).
- M 2b represents a transition metal of Ti, Zr, or Hf.
- X 11b and X 12b each independently represent a hydrogen atom, a halogen atom, a hydrocarbon group having 1 to 20 carbon atoms, a hydrocarbon group having 1 to 20 carbon atoms including an oxygen atom or a nitrogen atom, or 1 to 20 carbon atoms.
- Q 11b represents a carbon atom, a silicon atom or a germanium atom.
- R 11b independently represents a hydrogen atom or a hydrocarbon group having 1 to 10 carbon atoms, and two R 11b may be bonded to each other to form a ring together with Q 11b .
- R 12b , R 14b and R 15b are each independently a hydrogen atom, a halogen atom, a hydrocarbon group having 1 to 20 carbon atoms, a silicon-containing hydrocarbon group having 1 to 18 carbon atoms containing 1 to 6 silicon atoms, An atom or group selected from a halogen-containing hydrocarbon group having 1 to 20 carbon atoms, a hydrocarbon group having 1 to 40 carbon atoms including an oxygen atom or a sulfur atom, or a substituted silyl group having 1 to 40 carbon atoms Of them are located in the 2 and 5 positions on both cyclopentadienyl rings.
- At least one of R 12b , R 14b and R 15b is not a hydrogen atom.
- R 12b , R 14b and R 15b do not form a ring together with the carbon atoms to which R 12b , R 14b and R 15b are bonded.
- R 16b represents a saturated or unsaturated divalent hydrocarbon group having 4 or 5 carbon atoms that forms a condensed ring with respect to the 5-membered ring to be bonded.
- R 18b is an atom or group bonded to a carbon atom of R 16b , and each independently represents a hydrogen atom, a halogen atom, a hydrocarbon group having 1 to 20 carbon atoms, or a 1 to 6 carbon atom containing 1 to 6 silicon atoms.
- p b represents an integer of 0 to 10, and when p b is 2 or more, at least two of R 18b may form a ring together with the carbon atoms to which R b is bonded.
- R 12b , R 14b and R 15b are each specifically a hydrogen atom, a chlorine atom, a bromine atom, an iodine atom, a methyl group, an ethyl group, an n-propyl group, i-propyl group, n-butyl group, i-butyl group, t-butyl group, n-pentyl group, neopentyl group, cyclopentyl group, n-hexyl group, cyclohexyl group, phenyl group, benzyl group, 2-methylphenyl group 3-methylphenyl group, 4-methylphenyl group, 3,5-dimethylphenyl group, 4-t-butylphenyl group, 3,5-di-t-butylphenyl group, bis (trimethylsilyl) methyl group, bis ( t-butyldimethylsilyl) methyl group, bromomethyl group, chlor
- the 2-position on both cyclopentadienyl rings and R 12b located at the 5-position, R 14b, of R 15b that at least one hydrogen atom, preferably, each specifically hydrogen atom, methyl group, ethyl group, n- propyl group, i -Propyl group, n-butyl group, i-butyl group, t-butyl group, n-pentyl group, n-hexyl group, cyclohexyl group, phenyl group, trimethylsilyl group, furyl group, 2-methylfuryl group, 2- ( And an element or group selected from trimethyl) silylfuryl groups, of which at least one of R 12b , R 14b , and R 15b located at the 2- and 5-positions on both cyclopentadienyl rings.
- each is specifically a hydrogen atom, methyl group, n-butyl group, t-butyl group, phenyl group, trimethylsilyl group, 2- Chirufuriru group, 2- (trimethyl) Shirirufuriru although element or group chosen from groups include, among them, R 12b is located at the 2-position and 5-position on both cyclopentadienyl ring, R 14b, R 15b Of these, at least one is not a hydrogen atom.
- R 12b located at the 2-position on the cyclopentadienyl ring is a hydrocarbon group having 1 to 20 carbon atoms, and a silicon-containing carbon atom having 1 to 18 carbon atoms including 1 to 6 silicon atoms.
- R 12b , R 14b and R 15b do not form a ring together with the carbon atoms to which they are bonded.
- the metallocene compound of component (A-2b) is more preferably one represented by the following general formula (8b).
- M 2b represents a transition metal of Ti, Zr or Hf.
- X 11b and X 12b each independently represent a hydrogen atom, a halogen atom, a hydrocarbon group having 1 to 20 carbon atoms, a hydrocarbon group having 1 to 20 carbon atoms including an oxygen atom or a nitrogen atom, or 1 to 20 carbon atoms.
- Q 11b represents a carbon atom, a silicon atom or a germanium atom.
- R 11b independently represents a hydrogen atom or a hydrocarbon group having 1 to 10 carbon atoms, and two R 11b may be bonded to each other to form a ring together with Q 11b .
- R 12b , R 14b , R 18b and R 19b are each independently a hydrogen atom, a halogen atom, a hydrocarbon group having 1 to 20 carbon atoms, or a silicon-containing carbon atom having 1 to 18 carbon atoms including 1 to 6 silicon atoms.
- R 12b and R 14b do not form a ring with the carbon atoms to which they are attached.
- R 18b and R 19b may form a ring together with the carbon atoms to which R 18b and R 19b are bonded.
- the metallocene compound of component (A-2b) is more preferably one represented by the following general formula (9b).
- M 2b represents a transition metal of Ti, Zr or Hf.
- X 11b and X 12b each independently represent a hydrogen atom, a halogen atom, a hydrocarbon group having 1 to 20 carbon atoms, a hydrocarbon group having 1 to 20 carbon atoms including an oxygen atom or a nitrogen atom, or 1 to 20 carbon atoms.
- Q 11b represents a carbon atom, a silicon atom or a germanium atom.
- R 11b independently represents a hydrogen atom or a hydrocarbon group having 1 to 10 carbon atoms, and two R 11b may be bonded to each other to form a ring together with Q 11b .
- R 12b , R 14b and R 15b are each independently a hydrogen atom, a halogen atom, a hydrocarbon group having 1 to 20 carbon atoms, a silicon-containing hydrocarbon group having 1 to 18 carbon atoms containing 1 to 6 silicon atoms, An atom or group selected from a halogen-containing hydrocarbon group having 1 to 20 carbon atoms, a hydrocarbon group having 1 to 40 carbon atoms including an oxygen atom or a sulfur atom, or a substituted silyl group having 1 to 40 carbon atoms However, among them, at least one of R 12b located at the 2-position on the indenyl ring and R 14b and R 15b located at the 2-position and the 5-position on the cyclopentadienyl ring is not a hydrogen atom.
- the metallocene compound of component (A-2b) is a conjugated 5 of the compounds represented by any one of the above general formulas (2b) and (6b) to (9b).
- R 12b as a substituent at the 2-position on the member ring is a halogen atom, an alkyl group having 1 to 6 carbon atoms, an alkoxy group having 1 to 6 carbon atoms, a phenoxy group having 6 to 12 carbon atoms, or 2 to 8 carbon atoms.
- a silyl group having an alkyl group having 1 to 3 carbon atoms, a hydrocarbon group having 1 to 6 carbon atoms, an oxygen-containing heterocyclic group, or a sulfur-containing heterocyclic group is preferable.
- Such a preferred 2-position substituent R 12b include a chlorine atom, bromine atom, iodine atom, methyl group, ethyl group, n-propyl group, i-propyl group, n-butyl group, i -Butyl group, t-butyl group, n-pentyl group, neopentyl group, cyclopentyl group, n-hexyl group, cyclohexyl group, phenyl group, benzyl group, 2-methylphenyl group, 3-methylphenyl group, 4-methylphenyl Group, 3,5-dimethylphenyl group, 4-t-butylphenyl group, 3,5-di-t-butylphenyl group, bis (trimethylsilyl) methyl group, bis (t-butyldimethylsilyl) methyl group, bromomethyl group Chloromethyl group, 2-chloroethyl group, 2-bromoe
- a methyl group, an ethyl group, an n-propyl group, an i-propyl group, an n-butyl group, an i-butyl group, t- Examples include butyl, n-pentyl, n-hexyl, cyclohexyl, phenyl, and trimethylsilyl groups. Is, more preferably, specifically, methyl group, n- butyl group, t- butyl group, a phenyl group and a trimethylsilyl group.
- Examples of another specific chemical structure of the preferred 2-position substituent R 12b include an oxygen-containing heterocyclic group and a sulfur-containing heterocyclic group having a structure represented by the following general formula (10b).
- R 21b and R 22b may be the same or different from each other, and are a hydrogen atom, a halogen atom, an alkyl group having 1 to 6 carbon atoms, an alkoxy group having 1 to 6 carbon atoms, An alkenyl group having 2 to 8 carbon atoms, a halogen-containing alkyl group having 1 to 6 carbon atoms, an aryl group having 6 to 18 carbon atoms, a halogen-containing aryl group having 6 to 18 carbon atoms, and a trialkylsilyl group having 1 to 3 carbon atoms
- a C1-C3 alkyl group having a group or a silyl group having a C1-C6 hydrocarbon group, and both R 21b and R 22b may form a 6- to 7-membered ring, The 6 to 7 membered ring may contain an unsaturated bond.
- alkyl group having 1 to 6 carbon atoms include methyl group, ethyl group, n-propyl group, i-propyl group, n-butyl group, i-butyl group, s-butyl group, t- Examples thereof include a butyl group, an n-pentyl group, an n-hexyl group, a cyclopropyl group, a cyclopentyl group, and a cyclohexyl group.
- alkoxy group having 1 to 6 carbon atoms include methoxy group, ethoxy group, n-propoxy group, i-propoxy group, n-butoxy group, i-butoxy group, t-butoxy group, phenoxy group and the like.
- halogen atom include a chlorine atom, a bromine atom, an iodine atom, and a fluorine atom.
- alkenyl group having 2 to 8 carbon atoms include a vinyl group, a propenyl group, an allyl group, and a butenyl group. Group, cyclohexenyl group and the like.
- examples of the halogen atom of the halogen-containing alkyl group having 1 to 6 carbon atoms include a fluorine atom, a chlorine atom, a bromine atom, and an iodine atom, and the halogen-containing alkyl group having 1 to 6 carbon atoms has 1 to 6 carbon atoms.
- a hydrogen atom on the skeleton of the alkyl group is substituted with a halogen atom.
- Specific examples thereof include fluoromethyl, difluoromethyl, trifluoromethyl, chloromethyl, dichloromethyl, trichloromethyl, bromomethyl, dibromomethyl, trimethyl Bromomethyl, iodomethyl, 2,2,2-trifluoroethyl, 2,2,1,1-tetrafluoroethyl, pentafluoroethyl, pentachloroethyl, pentafluoropropyl, nonafluorobutyl, 5-chloropentyl, 5, 5,5-trichloropentyl, 5-fluoropentyl, 5,5,5-tri Ruoropenchiru, 6-chloro-hexyl, 6,6,6-trichloro-hexyl, 6-fluoro-hexyl, the 6,6,6-trifluoro-hexyl.
- aryl group having 6 to 18 carbon atoms may be substituted with a hydrocarbon group having 1 to 6 carbon atoms.
- halogen-containing aryl group having 6 to 18 carbon atoms are those in which a hydrogen atom of the aryl group having 6 to 18 carbon atoms is substituted with a halogen atom, specifically, 2-, 3 -, 4-substituted fluorophenyls, 2-, 3-, 4-substituted chlorophenyls, 2-, 3-, 4-substituted bromophenyls, 2,4-, 2,5-, 2,6 -, 3,5-substituted difluorophenyl, 2,4-, 2,5-, 2,6-, 3,5-substituted dichlorophenyl, 2,4,6-, 2,3,4-, 2,4,5-, 3,4,5-substituted trifluorophenyl, 2,4,6-, 2,3,4-, 2,4,5-, 3,4,5-substituted Trichlorophenyl, pentafluorophenyl, pentachlorophenyl, 3,5-dimethyl-4-ch
- alkyl group having 1 to 3 carbon atoms and the alkyl group having 1 to 3 carbon atoms which may be different from the alkyl group having 1 to 3 carbon atoms may be different from the alkyl group having 1 to 3 carbon atoms.
- Examples are substituted with hydrogen atoms on 1 to 3 alkyl groups, and specific examples include trimethylsilylmethyl and trimethylsilylethyl.
- the silyl group having a hydrocarbon group having 1 to 6 carbon atoms is a substituent in which three different hydrocarbon groups having 1 to 6 carbon atoms, which may be different from each other, are substituted on silicon.
- To 6 hydrocarbons are the above alkyl groups having 1 to 6 carbon atoms, alkoxy groups having 1 to 6 carbon atoms, alkenyl groups having 2 to 8 carbon atoms, halogen-containing alkyl groups having 1 to 6 carbon atoms, and phenyl groups And may have a substituent on the phenyl group, specifically, trimethylsilyl, triethylsilyl, tri-n-butylsilyl, t-butyldimethylsilyl, trivinylsilyl, triallylsilyl, triphenylsilyl Can be mentioned.
- R 21b and R 22b are preferably each independently a silyl having a hydrogen atom, a halogen atom, an alkyl group having 1 to 6 carbon atoms, an aryl group having 6 to 18 carbon atoms or a hydrocarbon group having 1 to 6 carbon atoms. It is a group.
- R 21b is a hydrogen atom, the synthesis yield is low, and R 21b is preferably a substituent other than a hydrogen atom.
- R 21b is more preferably a silyl group having an alkyl group having 1 to 6 carbon atoms, an aryl group having 6 to 18 carbon atoms, or a hydrocarbon group having 1 to 6 carbon atoms.
- R 22b is more preferably a hydrogen atom or an alkyl group having 1 to 6 carbon atoms.
- R 21b is a methyl group, an ethyl group, a t-butyl group, a cyclohexyl group, a phenyl group, a trimethylsilyl group or a triphenylsilyl group
- R 22b is a hydrogen atom, a methyl group or an ethyl group. It is.
- R 21b and R 22b may both constitute a 6 to 7 membered ring, and the 6 to 7 membered ring may contain an unsaturated bond.
- Specific examples of the substituent include a benzofuryl group and a benzothienyl group as the substituent at the 2-position of the indene ring.
- metallocene compound of component (A-2b) of the olefin polymerization catalyst component in the olefin polymerization catalyst component of the present invention are shown below, but are not limited thereto.
- zirconium compounds having a cyclopentadienyl ring substituted with a hydrogen group, a hydrocarbon group-substituted silyl group, etc. they belong to the above general formula (2b).
- Bridged bis (alkyl substituted cyclopentadienyl) zirconium compounds that, and the like. Table b-9 and Table b-10 show the metallocene compounds classified into the bridged Cp 2 Zr type.
- Substituted azulenyl) zirconium compounds, bridged (substituted or unsubstituted indenyl) (substituted or unsubstituted azulenyl) zirconium compounds Japanese National Publication No. 2002-535339, Japanese Unexamined Patent Publication No. 2004-352707, etc.
- oxygen-containing hydrocarbons belonging to the above general formula (6b) and general formula (8b) Sulfur-containing hydrocarbon group, a zirconium compound having a hydrocarbon group-substituted silyl group the indenyl ring or azulenyl ring substituted with etc., and the like.
- Tables b-11 and b-12 show the metallocene compounds classified into the bridged Ind 2 Zr type.
- A is given to the metallocene compound which is component (A-2b) which is preferable in terms of high polymerization activity.
- high polymerization activity for example, 1-indenyl-2-indenyl-dimethylsilylzirconium dichloride and the like, Japanese Patent Application Laid-Open No. 2-76887, Japanese Patent Application Laid-Open No. 3-12406, Japanese Laid-Open Patent Publication No. 3-12407, Japanese Laid-Open Patent Publication No. 3-12407, Japanese Laid-Open Patent Publication No. 11-315089, Japanese Laid-Open Patent Publication No. 2009-143901, Japanese Special Publication No.
- the silicon-bridged bis (alkyl-substituted cyclopentadienyl) zirconium compound belonging to the above general formula (2b), and the sum of the alkyl substituents of the two cyclopentadienyl rings is Oxygenated coals described in JP-T 2002-535339, etc.
- zirconium compounds having a cyclopentadienyl ring substituted with a hydrogen group, a sulfur-containing hydrocarbon group, a hydrocarbon group-substituted silyl group, etc. it has a silicon-bridged bis (substituted cyclopentadienyl) structure, and A total of two or more substituents on the cyclopentadienyl ring including the oxygen-containing hydrocarbon group, etc.
- Japanese Patent Application Laid-Open No. 8-59724, Japanese Patent Application Laid-Open No. 10-231314 Among those described in the published literature such as Japanese Unexamined Patent Publication No.
- a zirconium compound belonging to the above general formula (7b) and general formula (9b), which has a cyclopentadienyl ring and a secondary ring bonded by a bridging group examples include those having a total of two or more substituents which may be the oxygen-containing hydrocarbon group or the like on the cyclopentadienyl ring.
- “B” is given to those preferable as the metallocene compound as the component (A-2b) in terms of excellent moldability.
- “B” is given to those preferable as the metallocene compound as the component (A-2b) in terms of excellent moldability.
- preferable in terms of excellent moldability for example, 1-indenyl-2-indenyl-dimethylsilylzirconium dichloride and the like, Japanese Patent Application Laid-Open No. 2-76887, Japanese Patent Application Laid-Open No. 3-12406, Japanese Laid-Open Patent Publication No. 3-12407, Japanese Laid-Open Patent Publication No. 3-12407, Japanese Laid-Open Patent Publication No. 11-315089, Japanese Laid-Open Patent Publication No. 2009-143901, Japanese Special Publication No.
- the 2-position of at least one cyclopentadienyl ring contains the above-mentioned A bridged bis (substituted cyclohexane) substituted with an oxygen hydrocarbon group or the like or an alkyl group and at least any position of the other cyclopentadienyl ring is substituted with the oxygen-containing hydrocarbon group or the like or an alkyl group.
- a zirconium compound having a pentadienyl) structure Japanese Patent Laid-Open No.
- Japanese Patent Laid-Open No. 10- Of those described in the above literature, such as Japanese Patent No. 31314, Japanese Patent Laid-Open No. 2003-105029, Japanese Patent Laid-Open No. 2004-352707, etc., silicon belonging to the above general formula (6b) and general formula (8b) Bridged or carbon bridged bis (substituted or unsubstituted indenyl) zirconium compound, silicon bridged or carbon bridged bis (substituted or unsubstituted azenyl) zirconium compound, silicon bridged or carbon bridged crosslinked (substituted or unsubstituted indenyl) (substituted or unsubstituted azulenyl) ) Among the compounds described in the published literature such as zirconium compounds, Japanese National Patent Publication No.
- each of the above oxygen-containing hydrocarbon groups may be present on a cyclopentadienyl ring and a cyclopentadienyl ring having a secondary ring bonded by a bridging group.
- Those having at least one substituent, or at least the 2-position of the cyclopentadienyl ring having the secondary ring is the above oxygen-containing hydrocarbon group, etc. Such as those substituted with an alkyl group.
- C is given to those more preferable in terms of excellent moldability, and as other examples, for example, Japanese Laid-Open Patent Publication No. 2-76887, Japanese Laid-Open Patent Publication No. 3 No.-12406, Japanese Unexamined Patent Publication No. 3-12407, Japanese Unexamined Patent Publication No. 3-12407, Japanese Unexamined Patent Publication No. 11-315089, Japanese Unexamined Patent Publication No. 2009-143901, Japanese Special Table 2005.
- the 2-position of at least one cyclopentadienyl ring contains the above-mentioned A bridged bis (substituted with an oxygen hydrocarbon group or the like or an alkyl group, and at least the 2-position or 5-position of the other cyclopentadienyl ring is substituted with the oxygen-containing hydrocarbon group or the like or an alkyl group)
- Zirconium compounds having a substituted cyclopentadienyl) structure Japanese Patent Application Laid-Open No.
- zirconium compounds belonging to the above general formula (7b) and general formula (9b) Examples thereof include those in which at least the 2-position of the cyclopentadienyl ring having the secondary ring is substituted with the above oxygen-containing hydrocarbon group or the like or an alkyl group.
- “D” is given to those more preferable in terms of excellent moldability, and as other examples, for example, Japanese Patent Application Laid-Open No. 6-87922, Japanese Patent Application Laid-Open No. Among those described in the literature, such as JP-92308, JP-A-9-87314, JP-A-7-224079, JP-2005-336092, the above general formula ( 7b), zirconium compounds belonging to the general formula (9b), wherein at least the 2-position of the cyclopentadienyl ring having the secondary ring is substituted with the oxygen-containing hydrocarbon group or the like or an alkyl group, etc. It is done.
- E is given to those particularly preferable in terms of excellent moldability, and as other examples, for example, Japanese Patent Application Laid-Open No. 6-87922, Japanese Patent Application Laid-Open No. Among those described in the published documents such as Japanese Patent Application Laid-Open No. 8-92308, Japanese Patent Application Laid-Open No. 9-87314, Japanese Patent Application Laid-Open No. 7-224079, Japanese Patent Application Laid-Open No. 2005-336092, etc. (7b) Zirconium compounds belonging to general formula (9b), in which at least the 2-position of the cyclopentadienyl ring having the secondary ring is substituted with the oxygen-containing hydrocarbon group, etc.
- a ligand can be obtained by lithiation of an indene compound, followed by reaction with a dichlorosilane compound and subsequent reaction with cyclopentadienyl lithium.
- examples thereof include a method in which the obtained ligand is reacted with tetrakis (alkylamido) zirconium and subsequently trimethylsilyl chloride, or a method in which the obtained ligand is lithiated and subsequently reacted with zirconium tetrachloride.
- the second aspect of the olefin polymerization catalyst component of the present invention includes the component (Ac) defined below as an essential component.
- M 1c represents a transition metal of Ti, Zr, or Hf.
- X 1c and X 2c each independently represent a hydrogen atom, a halogen atom, a hydrocarbon group having 1 to 20 carbon atoms, a hydrocarbon group having 1 to 20 carbon atoms including an oxygen atom or a nitrogen atom, or 1 to 20 carbon atoms.
- Q 1c and Q 2c each independently represent a carbon atom, a silicon atom, or a germanium atom.
- R 1c each independently represents a hydrogen atom or a hydrocarbon group having 1 to 10 carbon atoms, and at least two of the four R 1cs are bonded to form a ring together with Q 1c and Q 2c. Also good. mc is 0 or 1, and when mc is 0, Q 1c is directly bonded to a conjugated 5-membered ring containing R 2c .
- R 2c and R 4c each independently represents a hydrogen atom, a halogen atom, a hydrocarbon group having 1 to 20 carbon atoms, a silicon-containing hydrocarbon group having 1 to 18 carbon atoms including 1 to 6 silicon atoms, or 1 carbon atom.
- R 3c represents a substituted aryl group represented by the following general formula (1-ac).
- Y 1c represents an atom of Group 14, 15 or 16 of the periodic table.
- R 5c , R 6c , R 7c , R 8c and R 9c each independently represent a hydrogen atom, a chlorine atom, a bromine atom, a hydrocarbon group having 1 to 20 carbon atoms, a carbon number of 1 to 20 containing oxygen or nitrogen A hydrocarbon group having 1 to 20 carbon atoms, a substituted amino group having 1 to 20 carbon atoms, an alkoxy group having 1 to 20 carbon atoms, a silicon-containing hydrocarbon group having 1 to 18 carbon atoms including 1 to 6 silicon atoms, 20 halogen-containing hydrocarbon group or a hydrocarbon group-substituted silyl group having 1 to 20 carbon atoms, wherein R 5c , R 6c , R 7c , R 8c and R 9c are bonded to each other with adjacent groups, A ring may be formed together with the bonded atoms.
- n c is 0 or 1 if n c is 0, there is no substituent R 5c to Y 1c.
- pc is 0 or 1
- when pc is 0, the carbon atom to which R 7c is bonded and the carbon atom to which R 9c are bonded are directly bonded.
- Y 1c is a carbon atom
- at least one of R 5c , R 6c , R 7c , R 8c , and R 9c is not a hydrogen atom.
- M 1c of the metallocene compound represents Ti, Zr or Hf
- M 1c of the metallocene compound preferably represents Zr or Hf
- X 1c and X 2c are each independently a hydrogen atom, a chlorine atom, a bromine atom, an iodine atom, or a methyl group, ethyl group, n-propyl group, i-propyl group, n-butyl group, i -Butyl, t-butyl, n-pentyl, neopentyl, cyclopentyl, n-hexyl, cyclohexyl, phenyl, benzyl, methoxymethyl, ethoxymethyl, n-propoxymethyl, i- Propoxymethyl group, n-butoxymethyl group, i-butoxymethyl group, t-butoxymethyl group, methoxyethyl group, ethoxyethyl group, acetyl group, 1-oxopropyl group, 1-oxo-n-butyl group, 2- Methyl-1-oxopropyl group,
- preferred X 1c and X 2c include chlorine atom, bromine atom, methyl group, n-butyl group, i-butyl group, methoxy group, ethoxy group, i-propoxy group, n-butoxy group, phenoxy group, Examples thereof include a dimethylamino group and a di i-propylamino group.
- a chlorine atom, a methyl group, and a dimethylamino group are particularly preferable.
- Q 1c and Q 2c each independently represent a carbon atom, a silicon atom, or a germanium atom. Preferably they are a carbon atom or a silicon atom. More preferably, it is a silicon atom.
- each R 1c independently represents a hydrogen atom, a methyl group, an ethyl group, an n-propyl group, an i-propyl group, an n-butyl group, an i-butyl group, a t-butyl group, or an n-pentyl group. , Neopentyl group, cyclopentyl group, n-hexyl group, cyclohexyl group, phenyl group and the like.
- R 1c forms a ring together with Q 1c and Q 2c , a cyclobutylidene group, a cyclopentylidene group, a cyclohexylidene group, a silacyclobutyl group, a silacyclopentyl group, a silacyclohexyl group, etc. Is mentioned.
- R 1c examples include a hydrogen atom, a methyl group, an ethyl group, a phenyl group, and a cyclobutylidene group when Q 1c and / or Q 2c is a carbon atom, and Q 1c or / and Q 2c When is a silicon atom, a methyl group, an ethyl group, a phenyl group, and a silacyclobutyl group are exemplified.
- R 2c and R 4c are hydrogen atom, chlorine atom, bromine atom, iodine atom, methyl group, ethyl group, n-propyl group, i-propyl group, n-butyl group, i-butyl group, t-butyl.
- R 2c and R 4c are each a hydrocarbon group having 1 to 20 carbon atoms, a silicon-containing hydrocarbon group having 1 to 18 carbon atoms including 1 to 6 silicon atoms, a halogen-containing hydrocarbon group having 1 to 20 carbon atoms, A hydrocarbon group containing 1 to 20 carbon atoms or a hydrocarbon group-substituted silyl group containing 1 to 20 carbon atoms is preferred because the polymerization activity is particularly high.
- R 2c and R 4c include hydrogen atom, methyl group, ethyl group, n-propyl group, i-propyl group, n-butyl group, t-butyl group, n-pentyl group and n-hexyl group. Cyclohexyl group, phenyl group, 2-methylfuryl group, and trimethylsilyl group.
- a hydrogen atom, methyl group, n-butyl group, t-butyl group, phenyl group, and trimethylsilyl group are more preferable, and a hydrogen atom, methyl group, t-butyl group, phenyl group, and trimethylsilyl group are particularly preferable. preferable.
- the substituent R 3c represents a substituted aryl group having a structure represented by the above general formula (1-ac), preferably a Ph group having a specific substituent, a furyl group, or a thienyl group.
- mc is 0 or 1
- Q 1c is directly bonded to a conjugated 5-membered ring containing R 2c .
- the metallocene compound of the present invention is preferably one represented by the following general formula (2c).
- M 1c , X 1c , X 2c , Q 1c , R 1c , R 2c and R 4c are the descriptions of the metallocene compound represented by the above general formula (1c).
- the structure similar to the atom and group shown by can be selected.
- R 10c can be selected from the same structure as the atoms and groups of R 5c , R 6c , R 7c , R 8c and R 9c shown in the description of the metallocene compound represented by the general formula (1c). .
- metallocene compound of the present invention those represented by the following general formula (3c) are also preferable as in the general formula (2c).
- M 1c , X 1c , X 2c , Q 1c , R 1c , R 2c and R 4c are the descriptions of the metallocene compound represented by the above general formula (1c).
- the structure similar to the atom and group shown by can be selected.
- R 12c , R 13c, and R 14c are the same as the atoms and groups of R 5c , R 6c , R 7c , R 8c, and R 9c shown in the description of the metallocene compound represented by the general formula (1c).
- a structure can be selected.
- Z1c represents an oxygen atom or a sulfur atom.
- Preferred examples include compounds in which zirconium of the above compound is replaced with titanium or hafnium.
- metallocene compound as the essential component (Ac) examples thereof include 1c to 10c, 12c to 65c, 67c to 80c, 95c to 143c, etc. in Tables c-1 to c-5. Moreover, the compound which replaced the zirconium of the said compound with titanium or hafnium, etc. are mentioned as a preferable thing.
- metallocene compound which is an essential component (Ac) are shown below.
- the compound which replaced the zirconium of the said compound with titanium or hafnium, etc. are mentioned as a preferable thing.
- the metallocene compound which is an essential component (Ac) is particularly preferable from the viewpoint of high polymerization activity.
- examples thereof include 1c to 8c, 12c to 38c, 44c to 47c, 52c to 63c, 67c to 80c, 116c to 123c, 127c to 136c, 142c, 143c, and the like in Tables c-1 to c-5.
- the compound which replaced the zirconium of the said compound with titanium or hafnium, etc. are mentioned as a preferable thing.
- the metallocene compound which is an essential component (Ac) is particularly preferable in terms of excellent moldability.
- examples thereof include 1c to 4c, 7c to 10c, 12c to 59c, 62c to 65c, 67c to 80c, 95c to 143c, etc. in Tables c-1 to c-5.
- the compound which replaced the zirconium of the said compound with titanium or hafnium, etc. are mentioned as a preferable thing.
- metallocene compounds are used as the component (Ac), two or more kinds can be used.
- the metallocene compound of the present invention can be synthesized by any method depending on the substituent or the mode of bonding. An example of a typical synthesis route is shown below.
- compound 2 is obtained by conducting a coupling reaction between compound 1 and 4-trimethylsilylphenylboronic acid in the presence of a palladium catalyst.
- Compound 2 is anionized with 1 equivalent of n-butyllithium and the like, then reacted with an excess amount of dimethyldichlorosilane, and unreacted dimethyldichlorosilane is distilled off to obtain Compound 3.
- compound 4 is obtained.
- metallocene compound 5 is obtained by reaction with zirconium tetrachloride.
- the synthesis of the metallocene compound into which a substituent is introduced can be synthesized by using a corresponding substitution raw material.
- a corresponding boronic acid such as 4-chlorophenylboronic acid, 4-
- methoxyphenylboronic acid, 5-methylfuryl-2-boronic acid, 4,5-dimethylfuryl-2-boronic acid, 2-thienylboronic acid, etc. the substituents corresponding to the 4-position of the indenyl ring can be changed. Can be introduced.
- the Olefin Polymerization Catalyst of the Present Invention Containing the Olefin Polymerization Catalyst Components (A-1b) and (A-2b) of the Present Invention, or the Olefin Polymerization Catalyst of the Present Invention Containing the Olefin Polymerization Catalyst Component (Ac) of the Present Invention
- the olefin polymerization catalyst of the present invention includes the following components (A) and (B), and further includes a component (C) as desired.
- Component (A) Catalyst component for olefin polymerization of the present invention as defined above
- Component (B) Compound that reacts with component (A) to form a cationic metallocene compound
- Component (C) Fine particle carrier
- the present invention The olefin polymerization catalyst is described for each item (hereinafter, the olefin polymerization catalyst component of the present invention may be referred to as component (A) or simply A).
- ingredient (B) The catalyst for olefin polymerization of the present invention may be referred to as a component (hereinafter referred to as component (B) or simply B) which reacts with the metallocene compound of component (A) to form a cationic metallocene compound as component (B). And preferably contains component (B) and a particulate carrier (preferred component (C), hereinafter may be simply referred to as C).
- component (B) or simply B) which reacts with the metallocene compound of component (A) to form a cationic metallocene compound as component (B).
- component (C) a particulate carrier
- One of the compounds (B) that react with the metallocene compound (A) to form a cationic metallocene compound is an organoaluminum oxy compound.
- the organoaluminum oxy compound has Al—O—Al bonds in the molecule, and the number of bonds is usually in the range of 1 to 100, preferably 1 to 50.
- Such an organoaluminum oxy compound is usually a product obtained by reacting an organoaluminum compound with water. The reaction between organoaluminum and water is usually carried out in an inert hydrocarbon (solvent).
- inert hydrocarbon aliphatic hydrocarbons such as pentane, hexane, heptane, cyclohexane, methylcyclohexane, benzene, toluene and xylene, alicyclic hydrocarbons and aromatic hydrocarbons can be used. Preference is given to using aromatic hydrocarbons.
- any of the compounds represented by the following general formula (11b) can be used, but trialkylaluminum is preferably used.
- R 23b t AlX 21b 3-t Formula (11b) (Wherein R 23b represents a hydrocarbon group such as an alkyl group, alkenyl group, aryl group or aralkyl group having 1 to 18 carbon atoms, preferably 1 to 12 carbon atoms, and X 21b represents a hydrogen atom or a halogen atom.
- T represents an integer of 1 ⁇ t ⁇ 3.
- the alkyl group of the trialkylaluminum may be any of methyl group, ethyl group, propyl group, isopropyl group, butyl group, isobutyl group, pentyl group, hexyl group, octyl group, decyl group, dodecyl group, etc. It is particularly preferred that Two or more of the above organoaluminum compounds can be mixed and used.
- the reaction ratio between water and the organoaluminum compound is preferably 0.25 / 1 to 1.2 / 1, particularly preferably 0.5 / 1 to 1/1, and the reaction temperature is Usually, it is in the range of ⁇ 70 to 100 ° C., preferably ⁇ 20 to 20 ° C.
- the reaction time is usually selected in the range of 5 minutes to 24 hours, preferably 10 minutes to 5 hours.
- water required for the reaction not only mere water but also crystal water contained in copper sulfate hydrate, aluminum sulfate hydrate and the like and components capable of generating water in the reaction system can be used.
- organoaluminum oxy compounds described above those obtained by reacting alkylaluminum with water are usually called aluminoxanes, particularly methylaluminoxane (including those substantially consisting of methylaluminoxane (MAO)).
- aluminoxanes particularly methylaluminoxane (including those substantially consisting of methylaluminoxane (MAO)
- MAO methylaluminoxane
- organoaluminum oxy compound two or more of the aforementioned organoaluminum oxy compounds can be used in combination, and a solution obtained by dispersing or dispersing the organoaluminum oxy compound in the aforementioned inert hydrocarbon solvent. You may use.
- the degree of strain hardening ( ⁇ max) of the resulting ethylene polymer is increased, which is a measure of the content of the high molecular weight component.
- Mz / Mw (where Mz is the Z average molecular weight measured by GPC, and Mw is the same weight average molecular weight) is increased, which is preferable because the moldability is further improved.
- a borane compound and a borate compound are mentioned as another specific example of the compound (B) which reacts with a metallocene compound (A) and forms a cationic metallocene compound.
- the borane compound is triphenylborane, tri (o-tolyl) borane, tri (p-tolyl) borane, tri (m-tolyl) borane, tri (o-fluorophenyl) borane, tris ( p-fluorophenyl) borane, tris (m-fluorophenyl) borane, tris (2,5-difluorophenyl) borane, tris (3,5-difluorophenyl) borane, tris (4-trifluoromethylphenyl) borane, tris (3,5-ditrifluoromethylphenyl) borane, tris (2,6-ditrifluoromethylphenyl) borane, tris (
- the first example is a compound represented by the following general formula (12b). [L 1b -H] + [BR 24b R 25b X 31b X 32b] - ⁇ formula (12b)
- L 1b is a neutral Lewis base
- H is a hydrogen atom
- [L 1b -H] is a Bronsted acid such as ammonium, anilinium, phosphonium or the like.
- ammonium examples include trialkyl-substituted ammonium such as trimethylammonium, triethylammonium, tripropylammonium, tributylammonium, and tri (n-butyl) ammonium, and dialkylammonium such as di (n-propyl) ammonium and dicyclohexylammonium.
- anilinium examples include N, N-dialkylanilinium such as N, N-dimethylanilinium, N, N-diethylanilinium, N, N-2,4,6-pentamethylanilinium.
- examples of the phosphonium include triarylphosphonium such as triphenylphosphonium, tributylphosphonium, tri (methylphenyl) phosphonium, tri (dimethylphenyl) phosphonium, and trialkylphosphonium.
- R 24b and R 25b are each independently the same or different aromatic or substituted aromatic hydrocarbon group containing 6 to 20, preferably 6 to 16 carbon atoms
- the substituents of the substituted aromatic hydrocarbon group which may be linked to each other by a bridging group include alkyl groups represented by methyl group, ethyl group, propyl group, isopropyl group, etc., fluorine, chlorine, bromine, iodine, etc. Are preferred.
- X 31b and X 32b are each independently a hydride group, a halide group, a hydrocarbon group containing 1 to 20 carbon atoms, or 1 to 20 carbon atoms in which one or more hydrogen atoms are substituted by halogen atoms. A substituted hydrocarbon group containing an atom.
- Specific examples of the compound represented by the general formula (12b) include tributylammonium tetra (pentafluorophenyl) borate, tributylammonium tetra (2,6-ditrifluoromethylphenyl) borate, tributylammonium tetra (3,5- Ditrifluoromethylphenyl) borate, tributylammonium tetra (2,6-difluorophenyl) borate, tributylammonium tetra (perfluoronaphthyl) borate, dimethylanilinium tetra (pentafluorophenyl) borate, dimethylanilinium tetra (2,6- Ditrifluoromethylphenyl) borate, dimethylanilinium tetra (3,5-ditrifluoromethylphenyl) borate, dimethylanilinium tetra (2,6-difluoro) Enyl) bo
- tributylammonium tetra (pentafluorophenyl) borate tributylammonium tetra (2,6-ditrifluoromethylphenyl) borate, tributylammonium tetra (3,5-ditrifluoromethylphenyl) borate, tributylammonium tetra (perfluoro) Naphthyl) borate, dimethylanilinium tetra (pentafluorophenyl) borate, dimethylaniliniumtetra (2,6-ditrifluoromethylphenyl) borate, dimethylaniliniumtetra (3,5-ditrifluoromethylphenyl) borate, dimethylanilinium Tetra (perfluoronaphthyl) borate is preferred.
- the 2nd example of a borate compound is represented by the following general formula (13b).
- Formula (13b) L 2b is carbocation, methyl cation, ethyl cation, propyl cation, isopropyl cation, butyl cation, isobutyl cation, tert-butyl cation, pentyl cation, tropinium cation, benzyl cation, trityl cation, sodium A cation, a proton, etc. are mentioned.
- R 26b , R 27b , X 41b and X 42b are the same as defined in the general formula (12b).
- the compound include trityltetraphenylborate, trityltetra (o-tolyl) borate, trityltetra (p-tolyl) borate, trityltetra (m-tolyl) borate, trityltetra (o-fluorophenyl) borate, Trityltetra (p-fluorophenyl) borate, trityltetra (m-fluorophenyl) borate, trityltetra (3,5-difluorophenyl) borate, trityltetra (pentafluorophenyl) borate, trityltetra (2,6-ditrifluoro) Methylphenyl) borate, trityltetra (3,5-ditrifluoromethylphenyl) borate, trityltetra (perfluoronaphthy
- trityltetra (pentafluorophenyl) borate trityltetra (2,6-ditrifluoromethylphenyl) borate, trityltetra (3,5-ditrifluoromethylphenyl) borate, trityltetra (perfluoronaphthyl) borate, Tropinium tetra (pentafluorophenyl) borate, tropinium tetra (2,6-ditrifluoromethylphenyl) borate, tropinium tetra (3,5-ditrifluoromethylphenyl) borate, tropinium tetra (perfluoronaphthyl) borate, NaB (C 6 F 5 ) 4 , NaB (2,6- (CF 3 ) 2 -Ph) 4 , NaB (3,5- (CF 3 ) 2 -Ph) 4 , NaB (C 10 F 7 )
- trityltetra (pentafluorophenyl) borate trityltetra (2,6-ditrifluoromethylphenyl) borate, tropiniumtetra (pentafluorophenyl) borate, tropiniumtetra (2,6-ditrifluoro) methylphenyl) borate, NaB (C 6 F 5) 4, NaB (2,6- (CF 3) 2 -Ph) 4, H + B (C 6 F 5) 4 - ⁇ 2 diethyl ether, H + B ( 2,6- (CF 3) 2 -Ph) 4 ⁇ 2 diethyl ether, H + B (3,5- (CF 3) 2 -Ph) 4 ⁇ 2 diethyl ether, H + B (C 10 H 7) 4 -2 diethyl ether is mentioned.
- the catalyst component (B) When a borane compound or a borate compound is used as the catalyst component (B), the polymerization activity and copolymerizability are increased, so that the productivity of an ethylene polymer having a long chain branch is improved.
- a mixture of the organoaluminum oxy compound and the borane compound or borate compound can be used as the component (B) of the olefin polymerization catalyst.
- two or more of the above borane compounds and borate compounds can be used in combination.
- Other specific examples of the compound (B) that reacts with the metallocene compound (A) to form a cationic metallocene compound include, for example, clays, clay minerals, and the like described in JP-A-8-127613. Ion exchange layered compounds, inorganic silicates, solid oxide compounds described in Japanese Patent Publication No. 2002-515522, etc. A compound having the above can also be used in the same manner.
- the fine particle carrier which is a preferred component (C) of the olefin polymerization catalyst of the present invention includes an inorganic carrier, a particulate polymer carrier, or a mixture thereof.
- an inorganic carrier a metal, a metal oxide, a metal chloride, a metal carbonate, a carbonaceous material, or a mixture thereof can be used.
- Suitable metals that can be used for the inorganic carrier include, for example, iron, aluminum, nickel and the like.
- Examples of the metal oxide include single oxides or complex oxides of elements of Groups 1 to 14 of the periodic table. For example, SiO 2 , Al 2 O 3 , MgO, CaO, B 2 O 3 , TiO 2 , ZrO 2, Fe 2 O 3, Al 2 O 3 ⁇ MgO, Al 2 O 3 ⁇ CaO, Al 2 O 3 ⁇ SiO 2, Al 2 O 3 ⁇ MgO ⁇ CaO, Al 2 O 3 ⁇ MgO ⁇ SiO 2, Al Examples include various natural or synthetic single oxides or composite oxides such as 2 O 3 .CuO, Al 2 O 3 .Fe 2 O 3 , Al 2 O 3 .NiO, and SiO 2 .MgO.
- the above formula represents not the molecular formula but only the composition, and the structure and component ratio of the composite oxide used in the present invention are not particularly limited.
- the metal oxide used in the present invention may absorb a small amount of moisture or may contain a small amount of impurities.
- the metal chloride for example, chlorides of alkali metals and alkaline earth metals are preferable, and specifically, MgCl 2 , CaCl 2 and the like are particularly preferable.
- the metal carbonate is preferably an alkali metal or alkaline earth metal carbonate, and specific examples include magnesium carbonate, calcium carbonate, and barium carbonate.
- Examples of the carbonaceous material include carbon black and activated carbon. Any of the above inorganic carriers can be suitably used in the present invention, but the use of metal oxides, silica, alumina and the like is particularly preferable.
- These inorganic carriers are usually calcined in air or an inert gas such as nitrogen or argon at 200 to 800 ° C., preferably 400 to 600 ° C., and the amount of surface hydroxyl group is 0.8 to 1.5 mmol / g. It is preferable to adjust to use.
- the properties of these inorganic carriers are not particularly limited, but usually the average particle diameter is 5 to 200 ⁇ m, preferably 10 to 150 ⁇ m, the average pore diameter is 20 to 1000 mm, preferably 50 to 500 mm, and the specific surface area is 150 to 1000 m.
- an inorganic carrier having a density of .50 g / cm 3 , preferably 0.25 to 0.45 g / cm 3 .
- the above-mentioned inorganic carriers can be used as they are, but as a pretreatment, these carriers are trimethylaluminum, triethylaluminum, triisobutylaluminum, trihexylaluminum, tripropylaluminum, tributylaluminum, trioctylaluminum, tridecylaluminum, It can be used after contacting with an organoaluminum compound such as diisobutylaluminum hydride or an organoaluminum oxy compound containing an Al—O—Al bond. Moreover, it is also possible to use the powder of a component (A) or a component (B) as a microparticle carrier.
- the contacting method of each component when obtaining the olefin polymerization catalyst using the olefin polymerization catalyst component containing the compound (B) to be produced and the fine particle carrier (C) which is a preferred component is not particularly limited. The following methods can be arbitrarily adopted.
- the fine particle carrier (C) After contacting the metallocene compound (A) with the compound (B) that reacts with the metallocene compound (A) to form a cationic metallocene compound, the fine particle carrier (C) is contacted.
- the compound (B) that reacts with the metallocene compound (A) to form a cationic metallocene compound is contacted.
- the compound (B) that reacts with the metallocene compound (A) to form a cationic metallocene compound and the fine particle carrier (C) are contacted, and then the metallocene compound (A) is contacted.
- the methods (I) and (III) are preferable, and the method (I) is most preferable.
- the essential component (A-1b) and the essential component (A-2b), which are metallocene compounds (A) may be handled as a mixture or may be handled separately.
- the component (A- 1b) can be used in the method of the above specific example (I)
- component (A-2b) can be used in the method of (III).
- any contact method usually in an inert atmosphere such as nitrogen or argon, aromatic hydrocarbons such as benzene, toluene, xylene and ethylbenzene (usually having 6 to 12 carbon atoms), heptane, hexane, decane and dodecane are used.
- aromatic hydrocarbons such as benzene, toluene, xylene and ethylbenzene (usually having 6 to 12 carbon atoms), heptane, hexane, decane and dodecane are used.
- a liquid inert hydrocarbon such as an aliphatic or alicyclic hydrocarbon (usually having 5 to 12 carbon atoms) such as cyclohexane
- This contact is usually at a temperature of ⁇ 100 ° C. to 200 ° C., preferably ⁇ 50 ° C. to 100 ° C., more preferably 0 ° C. to 50 ° C., for 5 minutes to 50
- certain components are soluble when contacting the metallocene compound (A), the compound (B) that reacts with the metallocene compound (A) to form a cationic metallocene compound and the fine particle carrier (C).
- the metallocene compound (A) the compound (B) that reacts with the metallocene compound (A) to form a cationic metallocene compound and the fine particle carrier (C).
- Either an aromatic hydrocarbon solvent that is hardly soluble or an aliphatic or alicyclic hydrocarbon solvent in which a certain component is insoluble or hardly soluble can be used.
- the contact reaction between components is carried out step by step, this may be used as the solvent for the subsequent contact reaction without removing the solvent used in the previous step.
- liquid inert hydrocarbons in which certain components are insoluble or sparingly soluble for example, aliphatics such as pentane, hexane, decane, dodecane, cyclohexane, benzene, toluene, xylene, etc.
- Hydrocarbons, alicyclic hydrocarbons or aromatic hydrocarbons and the desired product is recovered as a solid or once or part of the soluble solvent is removed by means such as drying.
- the subsequent catalytic reaction of the desired product can also be carried out using any of the inert hydrocarbon solvents described above. In this invention, it does not prevent performing contact reaction of each component in multiple times.
- the use ratio of the metallocene compound (A), the compound (B) that reacts with the metallocene compound (A) to form a cationic metallocene compound, and the fine particle carrier (C) is not particularly limited.
- a range is preferred.
- the molar ratio of the component (A-1b) that is the metallocene compound (A) to the component (A-2b) is set within an arbitrary range depending on the material properties required for the olefin polymer that is the final product. Usually, when the sum of the two is 100, it is 1:99 to 99.9: 0.1, preferably 5:95 to 99.5: 0.5, more preferably 10:90 to 99.5: 0.
- component (A-1b) is less than 1, the amount of macromer is insufficient and long chain branching is not sufficiently formed, so that the olefin polymer as a product does not show improvement in molding processability or has a higher molecular weight. Since the component (A-2b) that forms the polymer is the main active species, polymerization is required under conditions where there is a large amount of hydrogen as the molecular weight regulator, that is, disadvantageous for long-chain branching.
- the polymer produced from a small amount of component (A-1b) has a lower molecular weight and the product tends to be sticky.
- the component (A-1b) is more than 99.9, it is difficult to sufficiently increase the molecular weight of the produced polymer, or long chain branching does not develop to a sufficiently high molecular weight, and improvement in molding processability is observed. It is not preferable because it is not possible.
- the selection of the molar ratio of the component (A-1b) and the component (A-2b) differs depending on whether the olefin polymerization activity of the two is greatly different from the case of the same level. Needless to say, the material properties of the olefin polymer should be optimized.
- the aluminum of the organoaluminum oxy compound relative to the transition metal (M) in the metallocene compound (A) is used.
- the atomic ratio (Al / M) is usually in the range of 1 to 100,000, preferably 5 to 1000, more preferably 50 to 200.
- the transition in the metallocene compound is usually selected within the range of 0.01 to 100, preferably 0.1 to 50, and more preferably 0.2 to 10.
- the transition metal (M) it is desirable to select at the same usage ratio as above.
- the amount of the fine particle carrier (C) used is 0.0001 to 5 mmol, preferably 0.001 to 0.5 mmol, more preferably 0.01 to 0.1 mmol, based on the transition metal in the metallocene compound (A). Per gram.
- the metallocene compound (A), the compound (B) that reacts with the metallocene compound (A) to form a cationic metallocene compound, and the fine particle carrier (C) are any of the contact methods (I) to (III).
- the catalyst for olefin polymerization can be obtained as a solid catalyst by bringing them into contact with each other and then removing the solvent. The removal of the solvent is desirably carried out under normal pressure or reduced pressure at 0 to 200 ° C., preferably 20 to 150 ° C. for 1 minute to 50 hours, preferably 10 minutes to 10 hours.
- the olefin polymerization catalyst can also be obtained by the following method.
- IV The metallocene compound (A) and the fine particle carrier (C) are contacted to remove the solvent, which is used as a solid catalyst component, and an organoaluminum oxy compound, borane compound, borate compound or a mixture thereof under polymerization conditions Make contact.
- V The organoaluminum oxy compound, borane compound, borate compound or a mixture thereof and the fine particle carrier (C) are contacted to remove the solvent, using this as a solid catalyst component, and the metallocene compound (A) under polymerization conditions Make contact.
- the same conditions as described above can be used for the component ratio, contact conditions and solvent removal conditions.
- the olefin polymerization catalyst thus obtained may be used after the prepolymerization of the monomer if necessary.
- the catalyst component for olefin polymerization or the catalyst for olefin polymerization of the present invention preferably further contains component (D): an organoaluminum compound.
- organoaluminum compounds examples include trimethylaluminum, triethylaluminum, triisobutylaluminum, diethylaluminum chloride, ethylaluminum dichloride, organoaluminum compounds described in the general formula (11b), diethylaluminum ethoxide, ethyl Contains an organoaluminum compound having an oxygen-containing hydrocarbon group such as aluminum diethoxide, dimethylaluminum ethoxide, etc., an alkoxide having 1 to 18 carbon atoms, preferably 1 to 12 carbon atoms, alkenyloxy, etc. Modified organoaluminum compounds are used.
- trimethylaluminum, triethylaluminum, triisobutylaluminum, diethylaluminum chloride, ethylaluminum dichloride and diethylaluminum ethoxide are preferable, triethylaluminum, triisobutylaluminum and diethylaluminum chloride are more preferable, and triethylaluminum and triisobutylaluminum. Is more preferable, and triethylaluminum is particularly preferable.
- the olefin includes those having 2 to 30 carbon atoms, preferably 2 to 8 carbon atoms, preferably ethylene or ⁇ -olefin, specifically, ethylene, propylene, 1-butene, 1-hexene, 1-octene, 4-methyl-1-pentene and the like are exemplified, more preferably ethylene homopolymerization or copolymerization of ethylene and the above ⁇ -olefin, still more preferably ethylene homopolymerization, ethylene / propylene Copolymerization, ethylene / 1-butene copolymerization, ethylene / 1-hexene copolymerization, and ethylene / 1-octene copolymerization.
- Olefin can be copolymerized with three or more olefins. Copolymerization may be any of alternating copolymerization, random copolymerization, and block copolymerization.
- the amount of the other ⁇ -olefin can be arbitrarily selected within a range of 90 mol% or less of the total monomers, but generally 40 mol% In the following, it is preferably selected in the range of 30 mol% or less, more preferably 10 mol% or less. Of course, a small amount of a comonomer other than ethylene or ⁇ -olefin can be used.
- styrenes such as styrene, 4-methylstyrene, 4-dimethylaminostyrene, 1,4-butadiene, 1,5- Has a polymerizable double bond such as dienes such as hexadiene, 1,4-hexadiene and 1,7-octadiene, cyclic compounds such as norbornene and cyclopentene, oxygen-containing compounds such as hexenol, hexenoic acid and methyl octenoate A compound can be mentioned.
- the polymerization reaction can be carried out in the presence of the above-mentioned catalyst, preferably a supported catalyst, preferably by slurry polymerization or gas phase polymerization.
- a supported catalyst preferably by slurry polymerization or gas phase polymerization.
- aliphatic hydrocarbons such as isobutane, hexane and heptane, aromatic hydrocarbons such as benzene, toluene and xylene, and alicyclic rings such as cyclohexane and methylcyclohexane Ethylene or the like is polymerized in the presence or absence of an inert hydrocarbon solvent selected from group hydrocarbons and the like.
- liquid monomers such as liquid ethylene and liquid propylene can also be used as the solvent.
- gas phase polymerization ethylene or the like is polymerized in a reactor in which a gas flow of ethylene or comonomer is introduced, distributed, or circulated.
- more preferred polymerization is gas phase polymerization.
- the polymerization conditions are such that the temperature is 0 to 250 ° C., preferably 20 to 110 ° C., more preferably 60 to 100 ° C., and the pressure is normal pressure to 10 MPa, preferably normal pressure to 4 MPa, more preferably 0.5 to 2 MPa.
- the polymerization time is usually 5 minutes to 10 hours, preferably 5 minutes to 5 hours.
- the molecular weight of the produced polymer can be adjusted to some extent by changing the polymerization conditions such as the polymerization temperature and the molar ratio of the catalyst, but the molecular weight can be adjusted more effectively by adding hydrogen to the polymerization reaction system. Can do. Moreover, even if a component for removing water, a so-called scavenger, is added to the polymerization system, it can be carried out without any trouble.
- a component for removing water a so-called scavenger
- a scavenger trimethylaluminum, triethylaluminum, triisobutylaluminum and the like, the organoaluminum compound described in the general formula (11b), the organoaluminum oxy compound, a modified organoaluminum compound containing a branched alkyl, Organic zinc compounds such as diethyl zinc and dibutyl zinc, organic magnesium compounds such as diethyl magnesium, dibutyl magnesium, and ethyl butyl magnesium, and grinier compounds such as ethyl magnesium chloride and butyl magnesium chloride are used.
- triethylaluminum, triisobutylaluminum, and ethylbutylmagnesium are preferable, and triethylaluminum is particularly preferable.
- the present invention can also be applied to a multistage polymerization system having two or more stages having different polymerization conditions such as hydrogen concentration, monomer amount, polymerization pressure, and polymerization temperature without any trouble.
- the fourth aspect of the present invention is a metallocene polyolefin having a sufficient number and an appropriate length of a long chain branch, preferably a sufficient number and an appropriate length. It is to provide a method for producing a metallocene polyethylene having a long-chain branch.
- the fourth aspect of the present invention will be described for each item.
- a method for producing an olefin polymer of the present invention comprises the following components (A) and (B), and optionally comprises an olefin polymerization comprising component (C). It is carried out with a catalyst for use.
- Component (A) At least one of the following catalyst components (Ai) Olefin polymerization catalyst component including components (A-1b) and (A-2b) described in the above section IV-1 (A- ii) Olefin polymerization catalyst component containing the component (Ac) described in the above section IV-2 (A-iii) An olefin polymerization catalyst component containing a metallocene compound represented by the following general formula (1d).
- M 1d represents a transition metal of Ti, Zr, or Hf.
- X 1d and X 2d each independently represent a hydrogen atom, a halogen atom, a hydrocarbon group having 1 to 20 carbon atoms, a hydrocarbon group having 1 to 20 carbon atoms including an oxygen atom or a nitrogen atom, or 1 to 20 carbon atoms.
- Q 1d and Q 2d each independently represent a carbon atom, a silicon atom, or a germanium atom.
- R 1d independently represents a hydrogen atom or a hydrocarbon group having 1 to 10 carbon atoms, and at least two of the four R 1d are bonded to form a ring together with Q 1d and Q 2d. Also good. md is 0 or 1, and when md is 0, Q 1d is directly bonded to a conjugated 5-membered ring containing R 2d and R 3d .
- R 2d and R 3d are each a hydrogen atom, a halogen atom, a hydrocarbon group having 1 to 20 carbon atoms, a silicon-containing hydrocarbon group having 1 to 18 carbon atoms including 1 to 6 silicon atoms, or a halogen containing 1 to 20 carbon atoms
- R 4d represents a saturated or unsaturated divalent hydrocarbon group having 4 or 5 carbon atoms that forms a condensed ring with respect to the 5-membered ring to be bonded.
- R 5d is an atom or group bonded to the carbon atom of R 4d , and each independently represents a hydrogen atom, a halogen atom, a hydrocarbon group having 1 to 20 carbon atoms, or a carbon atom having 1 to 6 carbon atoms including 1 to 6 silicon atoms.
- 18 represents a silicon-containing hydrocarbon group, a halogen-containing hydrocarbon group having 1 to 20 carbon atoms, a hydrocarbon group having 1 to 20 carbon atoms including an oxygen atom, or a hydrocarbon group-substituted silyl group having 1 to 20 carbon atoms.
- n d represents an integer of 0 to 10, and when n d is 2 or more, at least two of R 5d may form a ring together with the carbon atoms to which R d is bonded.
- the olefin polymerization catalyst used in the method for producing an ethylene polymer of the present invention described as (A-iii) above contains the metallocene compound (Ad) represented by the general formula (1d) as an essential component.
- M 1d of the metallocene compound represents Ti, Zr or Hf
- M 1d of the metallocene compound preferably represents Zr or Hf
- M 1d of the metallocene compound more more preferably represents Zr.
- X 1d and X 2d are each independently a hydrogen atom, a chlorine atom, a bromine atom, an iodine atom, or a methyl group, ethyl group, n-propyl group, i-propyl group, n-butyl group, i -Butyl, t-butyl, n-pentyl, neopentyl, cyclopentyl, n-hexyl, cyclohexyl, phenyl, benzyl, methoxymethyl, ethoxymethyl, n-propoxymethyl, i- Propoxymethyl group, n-butoxymethyl group, i-butoxymethyl group, t-butoxymethyl group, methoxyethyl group, ethoxyethyl group, acetyl group, 1-oxopropyl group, 1-oxo-n-butyl group, 2- Methyl-1-oxopropyl group,
- preferred X 1d and X 2d include chlorine atom, bromine atom, methyl group, n-butyl group, i-butyl group, methoxy group, ethoxy group, i-propoxy group, n-butoxy group, phenoxy group, Examples thereof include a dimethylamino group and a di i-propylamino group.
- a chlorine atom, a methyl group, and a dimethylamino group are particularly preferable.
- Q 1d and Q 2d each independently represent a carbon atom, a silicon atom, or a germanium atom. Preferably they are a carbon atom or a silicon atom. More preferably, it is a silicon atom.
- R 1d is independently a hydrogen atom, methyl group, ethyl group, n-propyl group, i-propyl group, n-butyl group, i-butyl group, t-butyl group, or n-pentyl group. , Neopentyl group, cyclopentyl group, n-hexyl group, cyclohexyl group, phenyl group and the like.
- R 1d forms a ring together with Q 1d and Q 2d , a cyclobutylidene group, a cyclopentylidene group, a cyclohexylidene group, a silacyclobutyl group, a silacyclopentyl group, a silacyclohexyl group, etc. Is mentioned.
- preferable R 1d include a hydrogen atom, a methyl group, an ethyl group, a phenyl group, and a cyclobutylidene group when Q 1d and / or Q 2d is a carbon atom, and Q 1d or / and Q 2d When is a silicon atom, a methyl group, an ethyl group, a phenyl group, and a silacyclobutyl group are exemplified.
- R 2d and R 3d are hydrogen atom, chlorine atom, bromine atom, iodine atom, methyl group, ethyl group, n-propyl group, i-propyl group, n-butyl group, i-butyl group, t-butyl.
- R 2d and R 3d are each a hydrocarbon group having 1 to 20 carbon atoms, a silicon-containing hydrocarbon group having 1 to 18 carbon atoms including 1 to 6 silicon atoms, a halogen-containing hydrocarbon group having 1 to 20 carbon atoms, A hydrocarbon group containing 1 to 20 carbon atoms or a hydrocarbon group-substituted silyl group containing 1 to 20 carbon atoms is preferred because the polymerization activity is particularly high.
- R 2d is preferably a hydrocarbon group having 1 to 20 carbon atoms, particularly in terms of excellent moldability of polyethylene.
- R 2d and R 3d include a hydrogen atom, a methyl group, an ethyl group, an n-propyl group, an i-propyl group, an n-butyl group, a t-butyl group, an n-pentyl group, and an n-hexyl group. Cyclohexyl group, phenyl group, 2-methylfuryl group, and trimethylsilyl group.
- a hydrogen atom, methyl group, n-butyl group, t-butyl group, phenyl group, and trimethylsilyl group are more preferable, and a hydrogen atom, methyl group, t-butyl group, phenyl group, and trimethylsilyl group are particularly preferable. preferable.
- condensed cyclopentadienyl structure formed from the cyclopentadienyl moiety to which R 4d is bonded and R 4d include the following partial structures (I) to (VI). Among these specific examples, (I), (III), and (VI) are preferable. In addition, R 5d may be substituted on these partial structures (I) to (VI).
- the substituent R 5d is a hydrogen atom, chlorine atom, bromine atom, iodine atom, methyl group, ethyl group, n-propyl group, i-propyl group, n-butyl group, i-butyl group, t-butyl group.
- R 5d is 2 or more and form a ring together with bonded carbon atoms
- benzo [e] indenyl group benzo [f] indenyl group, 6,7-dihydroinda Senyl group, 5,5,7,7-tetramethyl-6,7-dihydroindacenyl group, 5,6,7,8-tetrahydro-benzo [f] indenyl group, 5,6,7,8- And tetrahydro-5,5,8,8-tetramethyl-benzo [f] indenyl group.
- preferable R 5d include a methyl group, an ethyl group, an n-propyl group, an i-propyl group, an n-butyl group, a t-butyl group, an n-pentyl group, an n-hexyl group, a cyclohexyl group, and a phenyl group. , A naphthyl group, and a trimethylsilyl group.
- md is 0 or 1
- Q 1d is directly bonded to a conjugated 5-membered ring containing R 3d
- N d represents an integer of 0 to 10
- n d is 2 or more, at least two of R 5d may form a ring together with the carbon atoms to which R d is bonded.
- the essential component (Ad) metallocene compound is preferably represented by the following general formula (2d).
- M 1d , X 1d , X 2d , Q 1d , R 1d , R 2d , R 3d , R 4d and R 5d are the same as those in the general formula (1d). Structures similar to the atoms and groups shown in the description of the metallocene compounds shown can be selected.
- the metallocene compound as the essential component (Ad) is more preferably one represented by the following general formula (3d).
- M 1d , X 1d , X 2d , Q 1d , R 1d, and R 2d are the same as those in the description of the metallocene compound represented by the general formula (1d). Structures similar to atoms and groups can be selected.
- the compound which replaced the zirconium of the said compound with titanium or hafnium, etc. are mentioned. Furthermore, when using these metallocene compounds as the essential component (Ad), two or more kinds can be used.
- metallocene compound as the essential component (Ad) examples thereof include 1d to 51d, 72d to 77d, 84d to 89d, 96d to 101d, 114d to 129d, 134d to 149d, etc. in Tables d-1 to d-4.
- the compound which replaced the zirconium of the said compound with titanium or hafnium, etc. are mentioned as a preferable thing.
- metallocene compound which is an essential component (Ad) are shown below.
- Tables d-1 to d-4 1d to 6d, 17d, 18d, 46d to 49d, 115d, 117d, 118d, 121d, 123d, 125d, 127d, 129d, 135d, 137d, 139d, 141d, 143d, 145d, 147d, 149d, and the like.
- the compound which replaced the zirconium of the said compound with titanium or hafnium, etc. are mentioned as a preferable thing.
- the metallocene compounds which are essential components (Ad) are particularly preferred in terms of high polymerization activity. Examples thereof include 1d to 51, 114d to 129d, 134d to 149d, etc. in Tables d-1 to d-4.
- the metallocene compound which is an essential component (Ad) is particularly preferable in terms of excellent moldability.
- Tables d-1 to d-4 1d to 6d, 17d, 18d, 46d to 49d, 72d to 77d, 84d to 89d, 96d to 101d, 115d, 117d, 119d, 121d, 123d, 125d, 127d, 129d, 135d, 137d, 139d, 141d, 143d, 145d, 147d, 149d, and the like.
- a ligand can be obtained by lithiation of an indene compound, reaction with a dichlorosilane compound, and subsequent reaction with a lithium salt of cyclopentadiene having a substituent.
- examples thereof include a method in which the obtained ligand is reacted with tetrakis (alkylamido) zirconium and subsequently trimethylsilyl chloride, or a method in which the obtained ligand is lithiated and subsequently reacted with zirconium tetrachloride.
- V-2 Properties (characteristics) of olefin polymers and ethylene polymers
- an olefin polymer or ethylene polymer as described below is obtained.
- the ethylene polymer will be mainly described.
- the ethylene polymer means an ethylene homopolymer or an ethylene / ⁇ -olefin copolymer produced by the above-mentioned copolymerization.
- the ethylene polymer produced by the method for producing an ethylene polymer of the present invention satisfies at least the condition (B-4 ′) among the conditions defined in the column of the ethylene polymer in the above [III].
- the ⁇ max (2.0) of the ethylene polymer is 1.2 to 30.0, preferably 1.5 to 20.0, more preferably 2.0 to 10.0, and still more preferably 2.4.
- ⁇ max (2.0) that the ethylene polymer should satisfy has already been described in the above-mentioned conditions (A-4) and (B-4), and is omitted here. To do.
- the ethylene polymer produced in the present invention is characterized by improved melt properties and excellent moldability compared to ordinary ethylene polymers.
- polyethylene is processed into an industrial product by a casting method that goes through a molten state such as film molding, blow molding, foam molding, etc., but at this time, the elongational flow characteristics have a great influence on the ease of moldability. Giving is well known.
- polyethylene having a narrow molecular weight distribution and no long chain branching has poor moldability due to its low melt strength
- polyethylene having an ultrahigh molecular weight component or a long chain branching component is strain-hardened (strain Hardening), that is, polyethylene having a characteristic that the elongational viscosity rapidly increases on the high strain side, and polyethylene which exhibits this characteristic remarkably is said to be excellent in moldability.
- this extensional viscosity characteristic As a method for quantitatively expressing this extensional viscosity characteristic, there is a method for calculating the ratio of the extensional viscosity before strain hardening and the extensional viscosity after strain hardening as the strain hardening degree ( ⁇ max), which is an index representing the nonlinearity of the extensional viscosity. Useful as.
- ⁇ max the strain hardening degree
- this ⁇ max value is large, for example, there is an effect of preventing uneven thickness and blow-through of the product in film molding and blow molding, enabling high-speed molding, and increasing the closed cell ratio during foam molding.
- Advantages such as improved product strength, improved design, lighter weight, improved molding cycle, and improved heat insulation can be obtained.
- the ethylene polymer produced in the present invention has extremely characteristic elongational viscosity characteristics, molecular weight distribution, and intrinsic viscosity characteristics based on its characteristic long chain branched structure.
- the ethylene polymer of the present invention In addition to the condition (B-4 ′), the ethylene polymer produced by the production method includes the above-mentioned conditions (B-1 ′), (B-2 ′′), (B-3), (B-5) ), (B-7), (B-8) and (B-9), preferably at least one or more, more preferably 2 or more, still more preferably 3 or more, particularly preferably 5
- the ethylene polymer produced by the present invention has a particularly improved melt property and excellent moldability as compared with a normal ethylene polymer, and has rigidity and impact strength. Excellent mechanical properties such as transparency .
- the present invention will be described in more detail with reference to examples and comparative examples, and the superiority of the present invention and the superiority in the structure of the present invention will be demonstrated, but the present invention is limited by these examples. It is not a thing.
- the measuring method used in the Example and the comparative example is as follows. The following catalyst synthesis step and polymerization step were all performed under a purified nitrogen atmosphere, and the solvent used was dehydrated and purified with molecular sieve 4A.
- strain hardening degree ( ⁇ max) of the extensional viscosity was measured by the method described in the present specification using a rheometer. Prior to the preparation of the test piece, the polymer was dissolved and reprecipitated by the following procedure. 300 ml of xylene was introduced into a 500 ml two-necked flask equipped with a condenser, and nitrogen bubbling was performed at room temperature for 30 minutes. 6.0 grams of polymer and 1.0 gram of 2,6-di-t-butylhydroxytoluene (BTH) were introduced. The mixture was stirred at 125 ° C.
- BTH 2,6-di-t-butylhydroxytoluene
- a sample is dissolved in orthodichlorobenzene (containing 0.5 mg / mL BHT) at 140 ° C. to obtain a solution. This is introduced into a 140 ° C. TREF column, cooled to 100 ° C. at a rate of 8 ° C./min, subsequently cooled to ⁇ 15 ° C. at a rate of 4 ° C./min, and held for 60 minutes. Thereafter, orthodichlorobenzene (containing 0.5 mg / mL BHT) as a solvent is caused to flow through the column at a flow rate of 1 mL / min, and components dissolved in orthodichlorobenzene at ⁇ 15 ° C. are eluted in the TREF column for 10 minutes. Next, the column is linearly heated to 140 ° C. at a temperature increase rate of 100 ° C./hour to obtain an elution curve.
- Heating method Aluminum heat block Cooling method: Peltier element (Peltier element is cooled by water) Temperature distribution: ⁇ 0.5 ° C Temperature controller: Chino Corporation Digital Program Controller KP1000 (Valve oven) Heating method: Air bath oven Measurement temperature: 140 ° C Temperature distribution: ⁇ 1 ° C Valve: 6-way valve, 4-way valve (sample injection part) Injection method: Loop injection method Injection amount: Loop size 0.1ml Inlet heating method: Aluminum heat block Measurement temperature: 140 ° C (Detection unit) Detector: Fixed wavelength infrared detector FOXBORO MIRAN 1A Detection wavelength: 3.42 ⁇ m High temperature flow cell: LC-IR micro flow cell, optical path length 1.5mm, window shape 2 ⁇ ⁇ 4mm oval, synthetic sapphire window Measurement temperature: 140 ° C (Pump part) Liquid feed
- the test machine used the thing based on JISP8134 and having the 90-degree arc-shaped arm which can attach a penetration part to the front-end
- (3) Transparency (haze) The measurement was performed according to JIS K7105-1981. It shows that it is excellent in transparency, so that this value is small.
- (4) Tear strength (Elmendorf tear method) Based on JIS K7128-1991, the tear strength (N / mm) in the film processing direction (MD direction) and the film width direction (TD direction) was measured.
- an inflation film was molded and evaluated under the following molding conditions using an inflation film film forming machine (molding apparatus) having the following 50 mm ⁇ extruder.
- Film thickness 50 ⁇ m
- Cooling ring Two-stage air cooling ring
- Example 1a (1) Production of ethylene polymer (A-1) [Preparation of metallocene catalyst A-1] To a catalyst preparation apparatus equipped with an electromagnetic induction stirrer, 1000 ml of toluene purified under nitrogen, 22 g of tetraethoxyzirconium (Zr (OEt) 4 ), 75 g of indene and 88 g of methylbutylcyclopentadiene were added and tripropyl was maintained at 90 ° C. 100 g of aluminum was added dropwise over 100 minutes, and then reacted at the same temperature for 2 hours.
- Zr (OEt) 4 tetraethoxyzirconium
- a triethylaluminum hexane solution (0.03 mmol / ml) was fed at 7 ml / h to a gas phase continuous polymerization apparatus (internal volume 100 L, fluidized bed diameter 10 cm, fluidized bed seed polymer (dispersant) 1.5 kg), While maintaining the gas composition and temperature constant, the solid catalyst A-1 was intermittently supplied to carry out the polymerization so that the production amount per hour was about 320 g.
- the activity was 420 g / (g catalyst ⁇ MPa ⁇ h), and the physical properties of the obtained ethylene polymer (A-1) were measured.
- the MFR was 2.0 g / 10 min and the density was 0.918 g / cm 3. It was.
- Ethylene / 1-hexene gas phase continuous copolymerization was carried out using the solid catalyst B-1. That is, a gas phase continuous polymerization apparatus (internal volume) prepared at a temperature of 75 ° C., a hexene / ethylene molar ratio of 0.012, a hydrogen / ethylene molar ratio of 1.5 ⁇ 10 ⁇ 3, a nitrogen concentration of 24 mol%, and a total pressure of 0.8 MPa.
- polyethylene resin composition 1a A polyethylene resin having a mixing ratio of 95% by weight of the ethylene polymer (A-1) and 5% by weight of the ethylene polymer (B-1) was mixed with a mixer. And homogenized. Next, the obtained mixture was melt-kneaded with a twin screw extruder, and the extrudate was solidified and granulated. About the granular polyethylene resin composition 1a finally obtained, film moldability and film physical properties were evaluated by a method of molding the above-mentioned 50 ⁇ m film. The results are shown in Tables 1a-1 and 1a-2.
- Example 1a (b) Example 1a (a) except that the mixing ratio of the ethylene polymer was 90% by weight for the ethylene polymer (A-1) and 10% by weight for the ethylene polymer (B-1). In the same manner as in (1) to (3), the production of the polyethylene-based resin composition 1b and film formation were carried out. The results are shown in Tables 1a-1 and 1a-2.
- Example 1a (c) Example 1a (a) except that the mixing ratio of the ethylene polymer was 80% by weight for the ethylene polymer (A-1) and 20% by weight for the ethylene polymer (B-1). In the same manner as in (1) to (3), the production of the polyethylene resin composition 1c and film formation were carried out. The results are shown in Tables 1a-1 and 1a-2.
- LF 240 high-pressure radical process low-density polyethylene
- Example 1a (a) the ethylene-based polymer (B-1) was not used, and the ethylene-based polymer (A-1) alone was used in the same manner as in Example 1a (a) (3). Production of resin composition C1c and film molding were carried out. The results are shown in Tables 1a-1 and 1a-2.
- Example 2a In Example 2a, without using the ethylene polymer (B-1), the polyethylene resin composition C2 was produced and film-formed with the ethylene polymer (A-2) alone. The results are shown in Tables 1a-1 and 1a-2.
- Example 3a (a) (1) Production of ethylene polymer (B-3) [Preparation of metallocene catalyst B-3] Instead of 51.8 milligrams of dimethylsilylene (cyclopentadienyl) (3-methylindenyl) zirconium dichloride as the metallocene complex, 46.6 milligrams of dimethylsilylene (cyclopentadienyl) (3-methylindenyl) zirconium dichloride And rac-dimethylsilylenebis (indenyl) zirconium dichloride (manufactured by Wako Pure Chemical Industries, Ltd.) was used in the same manner as (2) of Example 1a (a) except that 5.6 mg was used to obtain a solid catalyst B-3 It was.
- polyethylene resin composition 3a 90% by weight of the ethylene polymer (A-1) produced in Example 1a (a) (1) and the ethylene polymer obtained in (1) above ( B-3) A polyethylene resin consisting of 10% by weight was mixed and homogenized with a mixer. Next, the obtained mixture was melt-kneaded with a twin screw extruder, and the extrudate was solidified and granulated. About the granular polyethylene resin composition 3a finally obtained, film moldability and film physical properties were evaluated by the method of molding the 30 ⁇ m film described above. The results are shown in Table 2a-1 and Table 2a-2.
- Example 4a (a)] (1) Production of ethylene polymer (B-4)
- metallocene catalyst B-4 As metallocene complex, instead of 51.8 mg of dimethylsilylene (cyclopentadienyl) (3-methylindenyl) zirconium dichloride, 52.5 mg of rac-ethylenebisindenylzirconium dichloride (manufactured by Strem Chemicals, Inc.) was used. The reaction was carried out in the same manner as in Example 1a (a) (2) with a toluene solvent for 30 minutes and then 10 ml of 201 mg of separately prepared N, N-dimethylanilinium tetrakispentafluorophenylborate. A solid catalyst B-4 was obtained in the same manner as in Example 1a (a) (2) except that a dehydrated toluene solution was added and reacted for another 30 minutes and then supported on silica.
- ethylene polymer (B-4) was 205 g, and its MFR and density were 0.3 g / 10 min and 0.923 g / cm 3 , respectively.
- Example 5a (1) Production of ethylene polymer (B-5) [Preparation of metallocene catalyst B-5] Under a nitrogen atmosphere, 10 g of silica baked at 600 ° C. for 5 hours was placed in a 200 ml two-necked flask and dried under reduced pressure with a vacuum pump for 1 hour while heating in a 150 ° C. oil bath.
- Example C4a An ethylene polymer (B-C4) was prepared in the same manner as in Example 4a (a) except that N, N-dimethylanilinium tetrakispentafluorophenylborate was not used in Example 4a (a) (1).
- the production of polyethylene resin composition C4a and the evaluation of film moldability and film properties were performed. The results are shown in Table 2a-1 and Table 2a-2.
- Example 3a [Comparative Example C5a]
- the ethylene polymer (B-3) was not used, but the ethylene polymer (A-1) alone was used in the same manner as in Example 3a (a) (2).
- Production of the resin composition C5 and evaluation of film moldability and film properties were performed. The results are shown in Table 2a-1 and Table 2a-2.
- Example 5a (a), the ethylene polymer (A-1) was not used, but the ethylene polymer (B-5) alone was used in the same manner as in Example 3a (a) (2). Production of the resin composition C6 and evaluation of film moldability and film properties were performed. The results are shown in Table 2a-1 and Table 2a-2.
- Example 3a (b) Example 3a (2) except that the mixing ratio of the ethylene polymer (A-1) and the ethylene polymer (B-3) was 80% by weight: 20% by weight. In the same manner as (2) of a), the production of the polyethylene-based resin composition 3b and the evaluation of film moldability and film physical properties were performed. The results are shown in Table 2a-1 and Table 2a-2.
- Example 4a (b) Example 4a (2) except that the mixing ratio of the ethylene polymer (A-1) and the ethylene polymer (B-4) was 80% by weight: 20% by weight. In the same manner as (2) of a), the production of the polyethylene-based resin composition 4b and the evaluation of film moldability and film physical properties were performed. The results are shown in Table 2a-1 and Table 2a-2.
- Example 5a (b) Example 5a (a) In Example 5a (2), except that the mixing ratio of the ethylene polymer (A-1) and the ethylene polymer (B-5) was 80% by weight: 20% by weight. In the same manner as (2) of a), the production of the polyethylene-based resin composition 5b and evaluation of film formability and film physical properties were performed. The results are shown in Table 2a-1 and Table 2a-2.
- Comparative Example C3a (b) In the same manner as in Comparative Example C3a (a), except that the mixing ratio of the ethylene polymer (A-1) and the high pressure radical process low density polyethylene was changed to 80% by weight: 20% by weight, a polyethylene resin composition C3b was produced. And film moldability and film physical properties were evaluated. The results are shown in Table 2a-1 and Table 2a-2.
- Example 5a (c) Example 5a (a) Except that the mixing ratio of the ethylene polymer (A-1) and the ethylene polymer (B-5) in Example (2) of Example 5a (a) was changed to 70% by weight to 30% by weight. In the same manner as (2), the production of the polyethylene-based resin composition 5c and the evaluation of film moldability and film physical properties were performed. The results are shown in Table 2a-1 and Table 2a-2.
- ethylene / 1-hexene copolymer An ethylene / 1-hexene copolymer was produced using the solid catalyst B-C8. Specifically, 800 mL of isobutane, 30 mL of 1-hexene and 2 mmol of triethylaluminum were added to a 2 L autoclave equipped with an induction stirrer, the temperature was raised to 75 ° C., 95 mL of H2 was added, and ethylene was further introduced to bring the ethylene partial pressure to 1.4 MPa. Kept.
- polyethylene resin composition C8 The ethylene polymer (A-4) was used in place of the ethylene polymer (A-1), and the ethylene polymer (B-5) was replaced with the above.
- a polyethylene resin composition C8 was produced in the same manner as in Example 5a (c) except that the ethylene polymer (B-C8) was used, and the film moldability and film properties were evaluated. The results are shown in Table 2a-1 and Table 2a-2.
- Example C9a (1) Production of ethylene polymer (A-4) Ethylene / 1-hexene gas phase continuous copolymerization was carried out in the same manner as in Example 1a (a) (2) using the solid catalyst B-5. It was. That is, a gas phase continuous polymerization apparatus (internal volume) prepared at a temperature of 85 ° C., a hexene / ethylene molar ratio of 0.016, a hydrogen / ethylene molar ratio of 6.2 ⁇ 10 ⁇ 4 , a nitrogen concentration of 30 mol%, and a total pressure of 0.8 MPa.
- Example 6a (1) Production of ethylene polymer (A-6)
- Example 1a except that the molar ratio of 1-hexene / ethylene was 0.011 and the molar ratio of hydrogen / ethylene ratio was 2.7 ⁇ 10 ⁇ 4
- An ethylene polymer (A-6) was produced in the same manner as in (1) of a).
- Example 1a (a) except that the molar ratio of 1-hexene / ethylene was 0.013 and the molar ratio of hydrogen / ethylene ratio was 2.3 ⁇ 10 ⁇ 4 instead of the ethylene polymer (A-1).
- the ethylene polymer (A-7) produced in the same manner as in (1) was used, and production of a polyethylene resin composition C10 and evaluation of film moldability and film properties were carried out in the same manner as in Comparative Example C5a. Went. The results are shown in Tables 3a-1 and 3a-2.
- polyethylene resin composition 7 instead of the ethylene polymer (A-1) and the ethylene polymer (B-3), the ethylene polymer (A-7) and the ethylene polymer, respectively.
- a polyethylene resin composition 7 was produced in the same manner as in Example 3a (a) except that (B-6) was used, and film moldability and film physical properties were evaluated. The results are shown in Tables 3a-1 and 3a-2.
- Example 7a (a) the same high-pressure radical method low-density polyethylene as in Comparative Example C1a (a) was used instead of the ethylene-based polymer (B-6), and the ethylene-based polymer (A-7) and the Production of a polyethylene-based resin composition C11 and film moldability and film physical properties in the same manner as in Example 7a (a) (2) except that the mixing ratio of the high-pressure radical method low-density polyethylene was 80% by weight and 20% by weight. was evaluated. The results are shown in Tables 3a-1 and 3a-2.
- Comparative Example C13a (a) In Comparative Example C11a (a), the ethylene polymer (A-2) of Example 2a was used instead of the ethylene polymer (A-7), and the ethylene polymer (A-2) and the high pressure polymer were used.
- a polyethylene resin composition C13 was produced in the same manner as in Example 7a (a) (2) except that the mixing ratio of the radical method low density polyethylene was 90 wt% and 10 wt%, and film moldability and film physical properties were produced. Was evaluated. The results are shown in Tables 3a-1 and 3a-2.
- Example 8a (1) Production of ethylene polymer (B-8) [Preparation of metallocene catalyst B-8] Instead of 51.8 milligrams of dimethylsilylene (cyclopentadienyl) (3-methylindenyl) zirconium dichloride as the metallocene complex, dimethylsilylene (cyclopentadienyl) [4- (4-trimethylsilylphenyl) indenyl] zirconium dichloride A solid catalyst B-8 was obtained in the same manner as in Example 1a (a) (2) except that 68.7 mg was used.
- Example 9a In the same manner as in Example 8a (2), production of a polyethylene resin composition and film forming evaluation were performed. However, 90% by weight of the commercially available ethylene polymer (A-2) and 10% by weight of the ethylene polymer (B-8) were used.
- LF240 high-pressure radical method low-density polyethylene
- CU5001 manufactured by Sumitomo Chemical Co., Ltd .
- MFR 0.3 g / 10 min
- density 0.922 g / Production of a polyethylene-based resin composition C15a and film formation were carried out in the same manner as in Example 8a except that cm 3 ) was used.
- the results are shown in Table 4a-1 and Table 4a-2.
- Example 1a (a) to Comparative Example C1a (c) an example in which an ethylene / 1-hexene copolymer produced with a general metallocene catalyst is used as a film is shown. That is, as a technique that is usually performed at a commercial level, a comparative example C1a (a), which is an example in which about 20% of high-pressure radical polymerization polyethylene is blended to improve various properties of the copolymer for a film, In Example 1a (c), in which the ethylene polymer (B) in the invention was similarly blended by 20%, a decrease in the resin pressure was observed, and the melt fluidity was excellent.
- the transparency was not as excellent as that obtained in the present invention.
- the amount of blends of the ethylene polymer (B) in the present invention is smaller than that in the above examples, the examples 1a (a) and 1a (b) were used.
- the ethylene polymer (B) was blended. Transparency was greatly improved from about 18% to less than 8% without deteriorating the performance of the resin pressure, film modulus, and impact strength obtained in Comparative Example C1a (c). It was clear that the effect was obtained.
- Example 2a in which the technique of the present invention is applied when an ethylene / 1-butene copolymer produced with a general Ziegler catalyst is used as a film application.
- Example 2a in which 20% ethylene polymer (B) in the present invention was blended with the ethylene / 1-butene copolymer produced with a Ziegler catalyst in the same manner as the above-mentioned metallocene catalyst, While improving the resin pressure and the impact strength of the film obtained in Comparative Example 2a in which the blend (B) was not blended, the effect of significantly improving the transparency from about 15% to 6% was obtained. Exhibited excellent effects.
- Example 3a (a) to Comparative Example C7a As in the experimental examples shown in Table 1a-1 and Table 1a-2, an ethylene / 1-hexene copolymer produced with a general metallocene catalyst was used as a film.
- the ethylene polymer in the present invention to be used (B) is an example to which a product produced by a different metallocene catalyst is applied.
- Example 3a (a), Example 4a (a), and Example 5a (a) the ethylene-based polymer (B) of the present invention produced by using different metallocene catalysts was used as the ethylene-based polymer of the present invention.
- the film performance of the polyethylene-based resin composition obtained by blending 10% with (A) is 20% in Example 3a (b), Example 4a (b) and Example 5a (b).
- the film performance obtained by blending is illustrated in comparison with the case where the same amount of high-pressure polyethylene is blended.
- the resin pressure was at the same level or decreased, and the melt fluidity was excellent.
- the transparency is slightly lower than that of the high-pressure polyethylene blend under the conditions that the tensile modulus is about the same, that is, the film has the same level of elasticity. It was clear that the film was improved to a tolerable level, and the impact strength was improved from a little less than 10% to a little over 80%, and a film having excellent impact strength was obtained. Further, it is a known long-chain branched ethylene copolymer produced by a silica-supported methylalumoxane catalyst of a widely known crosslinked bisindenylzirconocene complex, and is not the ethylene polymer (B) in the present invention.
- Comparative Example C4a (a) which is an example of blending ethylene-based copolymers in the same manner, has obtained some improvement in impact strength, but has a haze of as low as 10%, which hinders practical use from the viewpoint of film transparency. There was a fear of coming.
- Example 5a (c) to Comparative Example C9a compared with Example 5a (c), which is an example in which the ethylene polymer (A) in the present invention and the ethylene polymer (B) in the present invention are combined.
- Comparative Example C8a which is an example of combining the ethylene polymer (A) in the present invention with an ethylene polymer that is not the present invention in that it does not have long chain branches, and the present invention in that it has long chain branches.
- Comparative Example C9a which is an example of combining an ethylene polymer which is not an ethylene polymer (A) of the invention and an ethylene polymer which is not an ethylene polymer (B) of the present invention in that it does not have long chain branching
- Example 5a (c) which is the present invention, it can be seen that the comparative example is not preferable because the resin pressure is increased or the film transparency is not improved at all.
- the density of the ethylene-based polymer (B) is set lower than in the above examples, and the polyethylene-based resin composition is designed so that the density A / density B is increased.
- Example 6a (a) aimed at improving an ethylene / 1-hexene copolymer produced with a general metallocene catalyst is an ethylene / 1-hexene having substantially the same MFR, density and film impact strength.
- Comparative Example C10a (a) which is an example of a hexene copolymer alone the resin pressure can be reduced by about 25%, and further improvement in transparency can be realized.
- the superiority of the polyethylene resin composition is clear.
- Example 7a (a) intended for an ethylene / 1-butene copolymer produced with a general Ziegler catalyst has a high pressure when blended with the low density ethylene polymer (B) in the present invention.
- Comparative Example C11a (a) which is an example of a polyethylene resin composition having the same MFR and density obtained by blending method polyethylene, there is a slight improvement in the resin pressure and the tensile modulus of the film.
- the transparency is slightly lower than that of the high pressure polyethylene blend, but it has been improved to a level that can withstand practical use, and the impact strength has been improved by more than 40%, resulting in excellent impact strength.
- Comparative Example C12 which is an example of a ternary blend composition developed for the same purpose. It was those exceeding the impact strength of (a). From the above, the rationality and significance of the requirements of the configuration in the present invention and the superiority of the present invention over the prior art are clear.
- Synthesis Example 3 Synthesis of dimethylsilylene (cyclopentadienyl) (indenyl) zirconium dichloride (metallocene compound 13) Synthesis was performed according to the procedure described in Macromolecules 1995, 28, 3771-3778.
- Synthesis Example 4 Synthesis of dimethylsilylene (cyclopentadienyl) (3-t-butylindenyl) zirconium dichloride (metallocene compound 14) Reference is made to the procedure described in Macromolecules 1995, 28, 3771-3778. In the synthesis, 1-tert-butylindene was used instead of indene.
- Synthesis Example 8 Synthesis of dimethylsilylene (cyclopentadienyl) (2- (5-methyl-2-furyl) indenyl) zirconium dichloride (metallocene compound 21)
- Example 4 of Japanese Patent Application Laid-Open No. 2012-025664 Synthesized according to the described procedure.
- Synthesis Example 9 Synthesis of dimethylsilylene (cyclopentadienyl) (2- (5-methyl-2-furyl) -4- (4-tert-butylphenyl) indenyl) zirconium dichloride (metallocene compound 22) The compound was synthesized according to the procedure described in Example 3 of JP2012-025664.
- Example 1b (1) Preparation of Solid Catalyst Under a nitrogen atmosphere, 5 grams of silica baked at 600 ° C. for 5 hours was placed in a 200 ml two-necked flask and dried under reduced pressure with a vacuum pump for 1 hour while heating in a 150 ° C. oil bath. In a separately prepared 100 ml two-necked flask, 22.7 milligrams of metallocene compound 11 and 23.9 milligrams of metallocene compound 21 were placed in a nitrogen atmosphere and dissolved in 13.4 ml of dehydrated toluene.
- Example 2b Production of ethylene polymer Except that 30.5 mg of metallocene compound 22 was used in place of metallocene compound 21, using the solid catalyst obtained in the same manner as in (1) of Example 1b, the conditions of Table 1b were used. In the same manner as in Example 1b (2), an ethylene polymer was produced. The ethylene polymer thus obtained was 43.3 grams. The results are shown in Table 1b.
- Example 3b (1) Preparation of solid catalyst A solid catalyst was prepared in the same manner as in (1) of Example 1b except that 22.4 mg of metallocene compound 27 was used instead of metallocene compound 21.
- Example 4b Production of Ethylene Polymer Using the solid catalyst obtained in the same manner as (1) of Example 3b, except that 9.1 mg of metallocene compound 11 and 35.9 mg of metallocene compound 27 were used, An ethylene polymer was produced in the same manner as in Example 3 (2) under the condition 1b. The ethylene polymer thus obtained was 28.5 grams. The results are shown in Table 1b.
- Example 5b Production of ethylene polymer Except that 50.3 mg of metallocene compound 28 was used in place of metallocene compound 27, the solid catalyst obtained in the same manner as in Example 4b (1) was used, under the conditions of Table 1b. In the same manner as in Example 4b (2), an ethylene polymer was produced. Before the start of polymerization, 250 mL of H 2 and 1.5 ml of 1-hexene were added, and additional H 2 and 1-hexene were further supplied at a supply rate proportional to the ethylene consumption rate during the polymerization reaction. The ethylene polymer thus obtained was 42.0 grams. The results are shown in Table 1b.
- the ethylene polymer obtained only with the metallocene compound 11 of component (A-1b) can sufficiently lower the MFR despite the low hydrogen polymerization conditions as in Comparative Example 1b. or difficult, W C value is small and the component (a-2b) metallocene compound 27 only resulting ethylene-based polymer of the comparative example 2b, the g C 'value as in Comparative example 3b Only those having a large value of about 0.6 or more or a small ⁇ max (2.0) or ⁇ max (2.0) / ⁇ max (0.1) can be obtained, and improvement in molding processability cannot be expected.
- the ethylene polymer obtained by the same gas phase polymerization method using both the metallocene compound 11 and the metallocene compound 27 is, as shown in Example 3b, ⁇ max (2.0), ⁇ max (2 .0) / ⁇ max (0.1) , g C ' value, the W C value is greater both, has a ethylene polymer long chain branched structure is well developed, moldability is improved I understand that.
- the ethylene polymer of Example 4b obtained by reducing the metallocene compound 11 and increasing the metallocene compound 27 was ⁇ max (2.0), ⁇ max (2.0) / ⁇ Although max (0.1), g C ′ value, and W C value are small and the development of the long-chain branched structure is somewhat small, it is excellent in molding processability than the ethylene polymer obtained by each metallocene alone. I understand that. Further, the ethylene-based polymer of Example 5b using the metallocene compound 28 as a different component (A-2b) has the same ⁇ max (2.0) / ⁇ max (0.1) and g as in Example 4b. while maintaining the C 'value, W C value is greatly improved.
- the ethylene-based polymers of Example 1b and Example 2b using the metallocene compound 21 and the metallocene compound 22 as different components (A-2b) and carrying out the slurry polymerization method are also ⁇ max (2.0), Since ⁇ max (2.0) / ⁇ max (0.1), the W C value is sufficiently large and the g C ′ value is sufficiently small, a long-chain branched structure useful for improving the molding process characteristics is obtained. It was found to contain.
- Example 6b Production of ethylene polymer Solid obtained in the same manner as (3) of Example 3b except that 37.1 mg of metallocene compound 12 was used instead of metallocene compound 11 and 4.5 mg of metallocene compound 27 was used. Using the catalyst, an ethylene polymer was produced in the same manner as in Example 3b (2) under the conditions shown in Table 2b. The ethylene polymer thus obtained was 38.5 grams. The results are shown in Table 2b.
- Example 7b Production of Ethylene-Based Polymer Using the solid catalyst obtained in the same manner as in Example 6b except that 4.3 mg of metallocene compound 29 was used instead of metallocene compound 27, the ethylene-based polymer was subjected to the conditions shown in Table 2b. Manufactured. The ethylene polymer thus obtained was 31.0 grams. The results are shown in Table 2b.
- Example 8b Production of ethylene polymer The same procedure as in Example 1b (1) except that 39.1 mg of metallocene compound 13 was used instead of metallocene compound 11 and 1.5 mg of metallocene compound 25 was used instead of metallocene compound 21. Using the solid catalyst thus obtained, an ethylene polymer was produced by the same method as in Example 1b (2) under the conditions shown in Table 2b. In addition, 100 mL of H 2 and 40 ml of 1-hexene were added before the start of polymerization, and H 2 and 1-hexene were additionally supplied at a supply rate proportional to the ethylene consumption rate during the polymerization reaction. The ethylene polymer thus obtained was 48.5 grams. The results are shown in Table 2b.
- Example 9b Production of ethylene polymer An ethylene polymer was produced in the same manner as in Example 8b under the conditions shown in Table 2b. The ethylene polymer thus obtained was 48.5 grams. The results are shown in Table 2b.
- Example 10b Production of ethylene polymer An ethylene polymer was produced in the same manner as in Example 3b (2) using the solid catalyst obtained in Example 8b under the conditions shown in Table 2b. Before the polymerization was started, 370 mL of H 2 and 1.5 ml of 1-hexene were added, and further H 2 and 1-hexene were supplied at a supply rate proportional to the ethylene consumption rate during the polymerization reaction. The ethylene polymer thus obtained was 8.5 grams. The results are shown in Table 2b.
- Example 11b Production of Ethylene-Based Polymer Using the solid catalyst obtained in the same manner as in Example 6b except that 40.9 mg of metallocene compound 14 was used instead of metallocene compound 12, an ethylene-based polymer was prepared under the conditions shown in Table 2b. Manufactured. Before the start of polymerization, 60 mL of H 2 and 1.5 mL of 1-hexene were added, and H 2 and 1-hexene were additionally supplied during the polymerization reaction at a supply rate proportional to the ethylene consumption rate. The ethylene polymer thus obtained was 59.0 grams. The results are shown in Table 2b.
- Example 12b Production of Ethylene Polymer Using a solid catalyst obtained in the same manner as in Example 11b except that 35.9 mg of metallocene compound 15 was used instead of metallocene compound 14 and 9.0 mg of metallocene compound 27 was used.
- the ethylene polymer was produced under the conditions shown in Table 2b.
- the ethylene polymer thus obtained was 30.5 grams. The results are shown in Table 2b.
- Table 2b shows a combination of metallocene compounds 12 to 15, which are metallocenes different from component (A-1b) used in Table 1b, with metallocene compound 27 etc. used as component (A-2b) in Table 1b.
- the result of the catalyst for olefin polymerization of invention is shown.
- These resulting ethylene-based polymer ⁇ max (2.0), ⁇ max (2.0) / ⁇ max (0.1), g C ' value, W C value, the component (A-1b) alone It was found by comparing with Comparative Example 4b and Comparative Example 6b that it is superior to the above.
- Example 13b Production of Ethylene Polymer Obtained in the same manner as in Example 1b except that 36.4 mg of metallocene compound 16 was used instead of metallocene compound 11 and 6.1 mg of metallocene compound 22 was used instead of metallocene compound 21. Using the solid catalyst, an ethylene polymer was produced under the conditions shown in Table 3b. The ethylene polymer thus obtained was 11.0 grams. The results are shown in Table 3b.
- Example 14b Production of Ethylene-Based Polymer Using the solid catalyst obtained in the same manner as in Example 13b except that 6.8 mg of metallocene compound 23 was used instead of metallocene compound 22, ethylene-based polymer was prepared under the conditions shown in Table 3b. Manufactured. The ethylene polymer thus obtained was 30.0 grams. The results are shown in Table 3b.
- Example 15b Production of Ethylene-Based Polymer Using the solid catalyst obtained in the same manner as in Example 13b except that 8.5 mg of metallocene compound 24 was used instead of metallocene compound 22, ethylene-based polymer was prepared under the conditions shown in Table 3b. Manufactured. The ethylene polymer thus obtained was 20.0 grams. The results are shown in Table 3b.
- Example 16b Production of ethylene polymer An ethylene polymer was produced in the same manner as in Example 15b under the conditions shown in Table 3b. The ethylene polymer thus obtained was 16.5 grams. The results are shown in Table 3b.
- Example 17b Production of Ethylene-Based Polymer Using the solid catalyst obtained in the same manner as in Example 3b except that 20.2 mg of metallocene compound 16 was used instead of metallocene compound 11, an ethylene-based polymer was prepared under the conditions shown in Table 3b. Manufactured. The ethylene polymer thus obtained was 46.5 grams. The results are shown in Table 3b.
- Table 3b shows a metallocene compound 16, which is a metallocene compound 16 that is different from the component (A-1b) used in Table 1b or Table 2b, as the component (A-2b) in Table 1b, etc.
- the results of the olefin polymerization catalyst of the present invention in combination with are shown. These resulting ethylene-based polymer ⁇ max (2.0), ⁇ max (2.0) / ⁇ max (0.1), g C ' value, W C value, a component (A-1b) It was found by comparing with Comparative Example 7b that the metallocene compound 16 was superior to that obtained when used alone.
- Example 18b Production of Ethylene Polymer Obtained in the same manner as in Example 1b except that 33.1 mg of metallocene compound 17 was used instead of metallocene compound 11 and 3.1 mg of metallocene compound 22 was used instead of metallocene compound 21. Using the solid catalyst, an ethylene polymer was produced under the conditions shown in Table 4b. The ethylene polymer thus obtained was 85.8 grams. The results are shown in Table 4b.
- Example 19b Production of Ethylene Polymer Using a solid catalyst obtained in the same manner as in Example 18b, except that 34.5 mg of metallocene compound 17 was used and 0.8 mg of metallocene compound 25 was used instead of metallocene compound 22.
- the ethylene polymer was produced under the conditions shown in Table 4b.
- the ethylene polymer thus obtained was 49.5 grams. The results are shown in Table 4b.
- Example 20b Production of Ethylene Polymer An ethylene polymer was produced in the same manner as in Example 3b (2) using the solid catalyst obtained in Example 19b under the conditions shown in Table 4b. The ethylene polymer thus obtained was 25.5 grams. The results are shown in Table 4b.
- Example 21b Production of ethylene polymer An ethylene polymer was produced in the same manner as in Example 20b under the conditions shown in Table 4b. The ethylene polymer thus obtained was 23.5 grams. The results are shown in Table 4b.
- Example 22b Production of Ethylene Polymer Using a solid catalyst obtained in the same manner as in Example 20b, except that 32.4 mg of metallocene compound 17 was used and 3.5 mg of metallocene compound 26 was used instead of metallocene compound 25.
- the ethylene polymer was produced under the conditions shown in Table 4b. The thus obtained ethylene polymer was 22.9 grams. The results are shown in Table 4b.
- Example 23b Production of Ethylene Polymer Using a solid catalyst obtained in the same manner as in Example 18b except that 32.4 mg of metallocene compound 17 was used and 3.1 mg of metallocene compound 27 was used instead of metallocene compound 22.
- the ethylene polymer was produced under the conditions shown in Table 4b.
- the ethylene polymer thus obtained was 72.0 grams. The results are shown in Table 4b.
- Example 24b Production of ethylene polymer An ethylene polymer was produced in the same manner as in Example 23b under the conditions shown in Table 4b. The ethylene polymer thus obtained was 47.1 grams. The results are shown in Table 4b.
- Example 25b Production of ethylene polymer An ethylene polymer was produced in the same manner as in Example 23b under the conditions shown in Table 4b. The ethylene polymer thus obtained was 100.2 grams. The results are shown in Table 4b.
- Example 26b Production of Ethylene Polymer Using the solid catalyst obtained in the same manner as in Example 24b, except that 33.5 mg of metallocene compound 17 and 1.8 mg of metallocene compound 27 were used, the conditions of Table 4b were satisfied. Thus, an ethylene polymer was produced. The ethylene polymer thus obtained was 29.0 grams. The results are shown in Table 4b.
- Example 27b Production of Ethylene Polymer Using a solid catalyst obtained in the same manner as in Example 20b, except that 33.8 mg of metallocene compound 17 was used and 1.9 mg of metallocene compound 28 was used instead of metallocene compound 25.
- the ethylene polymer was produced under the conditions shown in Table 4b.
- the ethylene polymer thus obtained was 40.0 grams. The results are shown in Table 4b.
- Table 4b shows a metallocene compound 17, which is a metallocene compound 17 different from the component (A-1b) used in Tables 1b to 3b, as the component (A-2b) in Table 1b,
- the result of the catalyst for olefin polymerization of this invention combined with the metallocene compound 27, the metallocene compound 28, etc. is shown.
- These resulting ethylene-based polymer ⁇ max (2.0), ⁇ max (2.0) / ⁇ max (0.1), g C ' value, W C value, a component (A-1b) It was found by comparison with Comparative Examples 8b to 12b that the metallocene compound 17 and the metallocene compound 27 which is the component (A-2b) were superior to those used alone.
- the ethylene-based polymer obtained in the present invention is more preferable than the ethylene-based polymer obtained by using ethylenebisindenylzirconium dichloride (metallocene compound 30), which is known to give an excellent long-chain branched structure. It is clear by comparison with Comparative Example 13 that the coalescence has more preferable values of ⁇ max (2.0) / ⁇ max (0.1), g C ′ value, and W C value. I was told.
- Example 28b Production of Ethylene Polymer An ethylene polymer was produced under the conditions shown in Table 5b using the solid catalyst synthesized in Example 6b. That is, the molar ratio of 1-hexene / ethylene is 0.007, the hydrogen / ethylene molar ratio is 2.5 ⁇ 10 ⁇ 3 , the nitrogen concentration is 30 mol%, the total pressure is 0.8 MPa, and the temperature is 75 ° C. A gas phase continuous polymerization apparatus (internal volume 100 L, fluidized bed diameter 10 cm, fluidized bed seed polymer (dispersant) 1.5 kg) was fed with hexane solution (0.03 mmol / ml) of triethylaluminum at 7 ml / h.
- Example 29b Production of Ethylene Polymer An ethylene polymer was produced under the conditions shown in Table 5 in the same manner as in Example 28b. The results are shown in Table 5b.
- Example 30b Production of ethylene polymer An ethylene polymer was produced under the conditions shown in Table 5b in the same manner as in Example 28b, except that the polymerization temperature was 65 ° C. The results are shown in Table 5b.
- Example 31b Production of ethylene polymer An ethylene polymer was produced under the conditions shown in Table 5b in the same manner as in Example 30b except that 6.3 mg of metallocene compound 28 was used instead of metallocene compound 27. The results are shown in Table 5b.
- Metallocene Compound A Dimethylsilylene (4- (4-trimethylsilyl-phenyl) -indenyl) (cyclopentadienyl) zirconium dichloride synthesis (1-1) Synthesis of 4- (4-trimethylsilyl-phenyl) -indene In a 500 ml flask Then, 10.0 g (51.5 mmol) of 4-trimethylsilylphenylboronic acid and 200 ml of dimethoethane were added to prepare a solution, and then 27.3 g (128 mmol) of potassium phosphate, 100 ml of water, 8.37 g (43.0 mmol) of 4-bromoindene , 0.22 g (0.86 mmol) of triphenylphosphine and 0.300 g (0.430 mmol) of PdCl 2 (PPh 3 ) 2 were sequentially added, and the mixture was stirred and refluxed
- Metallocene compound B Synthesis of dimethylsilylene (4- (4-chloro-phenyl) -indenyl) (cyclopentadienyl) zirconium dichloride (2-1) Synthesis of 4- (4-chloro-phenyl) -indene 4- ( In the synthesis of 4-trimethylsilyl-phenyl) -indene, 4-chlorophenylboronic acid was used instead of 4-trimethylsilylphenylboronic acid, and the synthesis was performed in the same procedure as for metallocene compound A (1-1). A white solid of chloro-phenyl) -indene was obtained in 69% yield.
- Metallocene compound C Synthesis of dimethylsilylene (4- (2- (5-methyl) -furyl) -indenyl) (cyclopentadienyl) zirconium dichloride (3-1) 4- (2- (5-methyl) -furyl ) -Indene Synthesis To a 500 ml flask, 2.52 g (30.7 mmol) of 2-methylfuran and 30 ml of THF were added to form a solution, which was then cooled to ⁇ 78 ° C. to obtain an n-butyllithium / hexane solution (2.5 M) 14 0.7 ml (36.9 mmol) was added, and the mixture was returned to room temperature and stirred for 4 hours.
- Metallocene Compound D Dimethylsilylene (4- (4-methoxy-phenyl) -indenyl) (cyclopentadienyl) zirconium dichloride (4-1) Synthesis of 4- (4-methoxy-phenyl) -indene 4- ( In the synthesis of 4-trimethylsilyl-phenyl) -indene, 4-methoxyphenylboronic acid was used instead of 4-trimethylsilylphenylboronic acid, and the synthesis was performed in the same procedure as for metallocene compound A (1-1). A yellow liquid of -methoxy-phenyl) -indene was obtained in 89% yield.
- Metallocene compound E Synthesis of dimethylsilylene (4-phenylindenyl) (cyclopentadienyl) zirconium dichloride (4-phenylindene) instead of (4- (4-trimethylsilylphenyl) indenyl) (cyclopentadienyl) dimethylsilane Nyl) (cyclopentadienyl) dimethylsilane was synthesized in the same manner as metallocene compound A (1-3), and dimethylsilylene (4-phenylindenyl) (cyclopentadienyl) zirconium dichloride was obtained as yellow crystals. Got as.
- Metallocene compound F Synthesis of dimethylsilylene (3-methylindenyl) (cyclopentadienyl) zirconium dichloride (4- (4-trimethylsilylphenyl) indenyl) (cyclopentadienyl) dimethylsilane instead of (3-methylindene Nyl) (cyclopentadienyl) dimethylsilane was synthesized in the same procedure as metallocene compound A (1-3), and dimethylsilylene (3-methylindenyl) (cyclopentadienyl) zirconium dichloride was obtained as yellow crystals. Got as.
- Metallocene compound G Synthesis of dimethylsilylene (cyclopentadienyl) (indenyl) zirconium dichloride The synthesis of dimethylsilylene (cyclopentadienyl) (indenyl) zirconium dichloride is carried out according to the procedure described in Macromolecules 1995, 28, 3771-3778. It was.
- Example 1-1 (1) Preparation of solid catalyst Under a nitrogen atmosphere, 5 g of silica calcined at 600 ° C. for 5 hours was placed in a 200 ml two-necked flask and dried under reduced pressure with a vacuum pump for 1 hour while heating in an oil bath at 150 ° C. In a separately prepared 100 ml two-necked flask, 68 mg of metallocene compound A was placed under a nitrogen atmosphere, and dissolved in 13.4 ml of dehydrated toluene.
- Example 1-2 Similar to Example 1-1, except that 202 mg of the solid catalyst obtained in Example 1-1 was used, 1-hexene was 40 ml, hydrogen was 150 ml, and the amount of additionally supplied 1-hexene was 9.0 mL. An ethylene / 1-hexene copolymer was produced. As a result, 55.0 g of ethylene / 1-hexene copolymer was produced. The polymerization results are shown in Table 5a-1 and Table 5a-2.
- Example 1-3 An ethylene / 1-hexene copolymer was prepared in the same manner as in Example 1-1, except that 206 mg of the solid catalyst obtained in Example 1-1 was used and the amount of 1-hexene supplied additionally was 9.0 mL. Manufactured. As a result, 82.0 g of ethylene / 1-hexene copolymer was produced. The polymerization results are shown in Table 5a-1 and Table 5a-2.
- Example 1-4 Ethylene / 1-hexene was used in the same manner as in Example 1-1, except that 217 mg of the solid catalyst obtained in Example 1-1 was used, the amount of hydrogen was 500 ml, and the amount of additionally supplied 1-hexene was 6.0 mL. A copolymer was produced. As a result, 54.8 g of ethylene / 1-hexene copolymer was produced. The polymerization results are shown in Table 5a-1 and Table 5a-2.
- Example 1-5 Ethylene 1-hexene was used in the same manner as in Example 1-1, except that 204 mg of the solid catalyst obtained in Example 1-1 was used, hydrogen was made 640 ml, and the amount of 1-hexene additionally supplied was 5.0 mL. A copolymer was produced. As a result, 45.5 g of ethylene / 1-hexene copolymer was produced. The polymerization results are shown in Table 5a-1 and Table 5a-2.
- Comparative Example 1-2 As in Comparative Example 1-1, except that 218 mg of the solid catalyst obtained in Comparative Example 1-1 was used, 70 ml of 1-hexene and 20 ml of hydrogen were added, and the amount of 1-hexene supplied additionally was 1.5 mL, An ethylene / 1-hexene copolymer was produced. As a result, 24.0 g of ethylene / 1-hexene copolymer was produced. The polymerization results are shown in Table 5a-1 and Table 5a-2.
- Example 1-6 (1) Preparation of solid catalyst A solid catalyst was prepared in the same manner as in Example 1-1 except that 64 mg of metallocene compound B was used instead of 68 mg of metallocene compound A. (2) Production of ethylene / 1-hexene copolymer Instead of 123 mg of the solid catalyst obtained in Example 1-1, 233 mg of the solid catalyst obtained in the preparation of the solid catalyst of the above (1) was used. An ethylene / 1-hexene copolymer was produced in the same manner as in Example 1-1, except that 40 ml of hexene and 100 ml of hydrogen were used, and the amount of 1-hexene supplied additionally was 2.0 ml. As a result, 29.2 g of ethylene / 1-hexene copolymer was produced. The polymerization results are shown in Table 5a-1 and Table 5a-2.
- Example 1--7 As in Example 1-6, except that 270 mg of the solid catalyst obtained in Example 1-6 was used, 70 ml of 1-hexene and 20 ml of hydrogen were added, and the amount of 1-hexene supplied additionally was 2.5 mL, An ethylene / 1-hexene copolymer was produced. As a result, 28.0 g of ethylene / 1-hexene copolymer was produced. The polymerization results are shown in Table 5a-1 and Table 5a-2.
- Example 1-8 (1) Preparation of solid catalyst A solid catalyst was prepared in the same manner as in Example 1-1 except that 63 mg of metallocene compound D was used instead of 68 mg of metallocene compound A. (2) Production of ethylene / 1-hexene copolymer Instead of 123 mg of the solid catalyst obtained in Example 1-1, 180 mg of the solid catalyst obtained in the preparation of the solid catalyst of (1) above was used. An ethylene / 1-hexene copolymer was produced in the same manner as in Example 1-1 except that 40 ml of hexene and 100 ml of hydrogen were used, and the amount of 1-hexene additionally supplied was 9.0 ml. As a result, 41.0 g of ethylene / 1-hexene copolymer was produced. The polymerization results are shown in Table 5a-1 and Table 5a-2.
- Example 1-9 An ethylene / 1-butene copolymer was produced using the solid catalyst obtained in (1-1) Preparation of solid catalyst in Example 1-1. That is, 80 g of polyethylene pellets sufficiently dehydrated and deoxygenated and 33 mg of triethylaluminum were introduced into a 1 liter stainless steel autoclave having a stirring and temperature control device, and the temperature was raised to 90 ° C. while stirring. Ethylene containing 10% by weight of 1-butene was introduced until the partial pressure reached 2.0 MPa, and then 53 mg of the above solid catalyst was injected with argon gas to polymerize for 60 minutes while maintaining the ethylene partial pressure at 2.0 MPa and the temperature at 90 ° C. Continued.
- Example 1-10 An ethylene / 1-butene copolymer was produced in the same manner as in Example 1-9, except that 54 mg of the solid catalyst obtained in Example 1-1 was used and 102 ml of hydrogen was added before the start of polymerization. As a result, 10.8 g of ethylene / 1-butene copolymer was produced. The obtained copolymer had an FR of 13.3, a density of 0.930 g / cm 3 and a terminal double bond of 0.40 / 1000 carbons. The polymerization results are shown in Table 6a-1 and Table 6a-2.
- Example 1-11 Using 104 mg of the solid catalyst obtained in Example 1-1, 272 ml of hydrogen was added before the start of polymerization, and ethylene containing 1 wt. 1-butene was introduced instead of ethylene containing 10 wt. An ethylene / 1-butene copolymer was produced in the same manner as in Example 1-9 except that the polymerization was conducted for 56 minutes. As a result, 25.8 g of ethylene / 1-butene copolymer was produced. The obtained copolymer had an FR of 9.6. The polymerization results are shown in Table 6a-1 and Table 6a-2.
- Example 1-12 An ethylene / 1-butene copolymer was produced in the same manner as in Example 1-9, except that 58 mg of the solid catalyst obtained in Example 1-1 was used and 51 ml of hydrogen was added before the start of polymerization. As a result, 11.1 g of ethylene / 1-butene copolymer was produced. The obtained copolymer had an FR of 25.7. The polymerization results are shown in Table 6a-1 and Table 6a-2.
- Example 1-13 An ethylene / 1-butene copolymer was produced in the same manner as in Example 1-9, except that 55 mg of the solid catalyst obtained in Example 1-1 was used and 153 ml of hydrogen was added before the start of polymerization. As a result, 10.4 g of ethylene / 1-butene copolymer was produced. The polymerization results are shown in Table 6a-1 and Table 6a-2.
- Example 1-14 The same procedure as in Example 1-9 except that 205 mg of the solid catalyst obtained in Example 1-6 was used instead of 53 mg of the solid catalyst obtained in Example 1-1, and 34 ml of hydrogen was added before the start of polymerization. An ethylene / 1-butene copolymer was produced. As a result, 29.1 g of ethylene / 1-butene copolymer was produced. The density of the obtained copolymer was 0.936 g / cm 3 , and the number of terminal double bonds was 0.40 / 1000 carbons. The polymerization results are shown in Table 6a-1 and Table 6a-2.
- Example 1-15 The same procedure as in Example 1-9 except that 208 mg of the solid catalyst obtained in Example 1-6 was used instead of 53 mg of the solid catalyst obtained in Example 1-1, and 17 ml of hydrogen was added before the start of polymerization. An ethylene / 1-butene copolymer was produced. As a result, 25.8 g of ethylene / 1-butene copolymer was produced. The density of the obtained copolymer was 0.936 g / cm 3 , and the number of terminal double bonds was 0.40 / 1000 carbons. The polymerization results are shown in Table 6a-1 and Table 6a-2.
- Example 16 (1) Preparation of solid catalyst A solid catalyst was prepared in the same manner as in Example 1-1 except that 60 mg of metallocene compound C was used instead of 68 mg of metallocene compound A. (2) Production of ethylene / 1-butene copolymer Polymerization for 47 minutes was carried out using 203 mg of the solid catalyst obtained in the preparation of the above (1) solid catalyst instead of 53 mg of the solid catalyst obtained in Example 1-1. Except that, an ethylene / 1-butene copolymer was produced in the same manner as in Example 1-9. As a result, 29.5 g of ethylene / 1-butene copolymer was produced. The obtained copolymer had an FR of 9.4. The polymerization results are shown in Table 6a-1 and Table 6a-2.
- Example 1-1 As described above, from the results shown in Table 5a-1 and Table 5a-2, when Example 1-1 was compared with Comparative Example 1-1, a comparison was obtained with a catalyst that did not satisfy the requirements of the metallocene compound of the present invention.
- the density of the ethylene polymer did not decrease despite the large amount of 1-hexene used as a comonomer, so that the catalyst containing the metallocene compound of the present invention as a catalyst component was active. It is clear that it is excellent and has good copolymerizability.
- Example 1-1 is not inferior to Comparative Example 1-1, and the soluble amount (W ⁇ 15 ) is small at ⁇ 15 ° C. Therefore, the olefin polymerization catalyst containing the metallocene compound of the present invention as a catalyst component is more preferable than the ethylene polymer obtained in Comparative Example 1-1 using the metallocene compound E known in Patent Document 4. It is clear that the moldability and mechanical properties are excellent.
- the catalyst containing the metallocene compound of the present invention as a catalyst component has remarkable advantages in polymerization characteristics such as activity, long-chain branching characteristics of ethylene-based polymers and low-temperature elution component amounts. It is clear from looking at 5a-1 and Table 5a-2.
- Examples 1-6 to 1-8 of Table 5a-1 and Table 5a-2 polymerization examples of metallocene compound B and metallocene compound D as metallocene compounds of the present invention different from Example 1-1 are shown. Described. Although these metallocene compounds of the present invention are less effective than the metallocene compound A of Example 1, etc., they exhibit high polymerization activity, and also have a large ⁇ max (2) value and ⁇ max (2) / ⁇ max (0.1), Excellent long-chain branching characteristics typified by a small g C 'value and a large W C value are exhibited. Further, since W -15 is small, excellent product characteristics are expected. .
- Table 6a-1 and Table 6a-2 show the usefulness of the catalyst containing the metallocene compound of the present invention as a catalyst component in gas phase polymerization, which is a polymerization process different from Table 5a-1 and Table 5a-2. is there. That is, when Examples 1-9 to 1-13 are compared with Comparative Example 1-5, in Comparative Example 1-5 obtained with a catalyst that does not satisfy the requirements of the metallocene compound of the present invention, comonomer 1-butene is used. The density of the ethylene polymer is high despite the same amount of use, so that the catalyst containing the metallocene compound of the present invention as a catalyst component is excellent in activity and copolymerizability. Is clear.
- Examples 1-14 to 1-16 in Table 6a-1 and Table 6a-2 include metallocene compounds B and C, which are different from Examples 1-9 to 1-13 as the metallocene compounds of the present invention.
- the polymerization examples of were described.
- These metallocene compounds of the present invention also show high polymerization activity comparable to that of metallocene compound A such as Example 1-10, and also have a large ⁇ max (2) value, ⁇ max (2) / ⁇ max (0.1), small g C 'values, a large W C value indicates either, since the excellent product properties in formability is expected, it was confirmed that the meaningful.
- metallocene compound A (hereinafter sometimes simply referred to as “metallocene compound A”) The synthesis of dimethylsilylene (4-t-butylcyclopentadienyl) (indenyl) zirconium dichloride was carried out according to the procedure described in Example 1 of Japanese Patent Application Laid-Open No. 09-87314.
- metallocene compound E (hereinafter sometimes simply referred to as “metallocene compound E”) Synthesis of dimethylsilylene (3-tert-butylcyclopentadienyl) (cyclopentadienyl) zirconium dichloride is described in J. Am. AM. CHEM. SOC. 2004, 126, 2089-2104.
- metallocene compound F Metallocene compound F
- Metallocene Compound Synthesis Example 4 (hereinafter sometimes simply referred to as “metallocene compound B”) Dimethylsilylene (4-t-butylcyclopentadienyl) (indenyl) hafnium dichloride was synthesized in the same manner as in [Synthesis Example 1] using hafnium tetrachloride.
- Metallocene Compound Synthesis Example 5 (hereinafter sometimes simply referred to as “metallocene compound C”) Synthesis of dimethylsilylene (3-trimethylsilylcyclopentadienyl) (indenyl) zirconium dichloride was performed using (3-trimethylsilylcyclopentadienyl) (indenyl) dimethylsilane in the same manner as in [Synthesis Example 1]. Metallocene was obtained as a mixture of isomers.
- metallocene compound D (hereinafter sometimes simply referred to as “metallocene compound D”)
- the synthesis of isopropylidene (4-t-butylcyclopentadienyl) (indenyl) zirconium dichloride was carried out in the same manner as in [Synthesis Example 1] using (4-t-butylcyclopentadienyl) (indenyl) dimethylmethane.
- the target metallocene was obtained as a mixture of isomers.
- Example 2-1 Preparation of Solid Catalyst Under a nitrogen atmosphere, 5 grams of silica baked at 600 ° C. for 5 hours was placed in a 200 ml two-necked flask and dried under reduced pressure with a vacuum pump for 1 hour while heating in a 150 ° C. oil bath. In a separately prepared 100 ml two-necked flask, 57 mg of the metallocene compound A was placed under a nitrogen atmosphere, and dissolved in 13.4 ml of dehydrated toluene.
- Example 2-2 (2) Production of ethylene / 1-hexene copolymer An ethylene / 1-hexene copolymer was produced using the solid catalyst obtained in Example 2-1. That is, 50 grams of 0.20 mmol of triethylaluminum pellets that had been sufficiently dehydrated and deoxygenated were introduced into a 2 liter stainless steel autoclave having a stirring and temperature control device, and the temperature was raised to 75 ° C. while stirring. . After introducing 1.5 ml of 1-hexene and ethylene until the partial pressure became 1.4 MPa, 64 mg of the solid catalyst was injected with nitrogen gas and polymerization was carried out for 90 minutes.
- Example 2-2 Ethylene as in Example 2-2, except that 62 mg of the solid catalyst obtained in the preparation of the solid catalyst of Comparative Example 2-1 was used instead of 64 mg of the solid catalyst obtained in Example 2-1.
- a 1-hexene copolymer was produced. However, the amount of 1-hexene supplied additionally was 7.5 mL.
- the H 2 / C 2 (hydrogen / ethylene) molar ratio of the autoclave gas phase portion 10 minutes after the start of polymerization and immediately before the termination of the polymerization was 0.122% and 0.137%, respectively.
- 42.0 grams of ethylene / 1-hexene copolymer was produced.
- the polymerization results are shown in Table 7a-1 and Table 7a-2.
- the H 2 / C 2 (hydrogen / ethylene) molar ratio in the gas phase part of the autoclave immediately before the termination of the polymerization was 0.088%.
- the ethylene polymer thus obtained was 60.0 g.
- the polymerization results are shown in Table 7a-1 and Table 7a-2.
- Example 2-3 (2) Production of ethylene / 1-butene copolymer Example 2-1 except that 55 mg of the solid catalyst obtained in Example 2-1 was used, the polymerization temperature was set to 70 ° C., and the polymerization was carried out for 31 minutes. In the same manner, an ethylene / 1-butene copolymer was produced. As a result, 25.6 grams of ethylene / 1-butene copolymer was produced. The polymerization results are shown in Table 7a-1 and Table 7a-2.
- ethylene / 1-hexene copolymer was produced using the triethylaluminum-treated montmorillonite of (1) above. That is, 500 ml of fully dehydrated heptane, 55 mg of triethylaluminum, and 10 ml of 1-hexene were introduced into a 1 liter stainless steel autoclave having a stirring and temperature control device and heated to 80 ° C. while stirring. Warm up.
- Example 2-4 (1) Preparation of solid catalyst A solid catalyst was prepared in the same manner as in Example 2-1, except that 68 mg of the metallocene compound B obtained in Synthesis Example 2-4 was used instead of 57 mg of the metallocene compound A. (2) Production of ethylene / 1-butene copolymer Instead of 50 milligrams of the solid catalyst obtained in Example 2-1, 210 milligrams of the solid catalyst obtained in the preparation of the solid catalyst was used, and 34 milliliters of hydrogen was added. An ethylene / 1-butene copolymer was produced in the same manner as in Example 2-1, except for the addition. As a result, 10.0 grams of ethylene / 1-butene copolymer was produced. The polymerization results are shown in Table 7a-1 and Table 7a-2.
- Example 2-5 (1) Preparation of solid catalyst A solid catalyst was prepared in the same manner as in Example 2-1, except that 59 mg of the metallocene compound C obtained in Synthesis Example 5 was used instead of 57 mg of the metallocene compound A. (2) Production of ethylene / 1-butene copolymer The same procedure was carried out except that 50 mg of the solid catalyst obtained in the preparation of the above solid catalyst was used instead of 50 mg of the solid catalyst obtained in Example 2-1. An ethylene / 1-butene copolymer was produced in the same manner as in Example 2-1. As a result, 16.5 grams of ethylene / 1-butene copolymer was produced. The polymerization results are shown in Table 7a-1 and Table 7a-2.
- Example 2-6 (1) Preparation of solid catalyst A solid catalyst was prepared in the same manner as in Example 2-1, except that 55 mg of the metallocene compound D obtained in Synthesis Example 6 was used instead of 57 mg of the metallocene compound A. (2) Production of ethylene / 1-hexene copolymer An ethylene / 1-hexene copolymer was produced using the solid catalyst obtained in the preparation of the solid catalyst described in (1) above.
- the ethylene-based polymer produced in the examples according to the present invention is excellent in moldability. Further, compared to the polymerization activities of Example 2-1 and Example 2-2 in Table 7a-1 and Table 7a-2, the requirements for the metallocene compound of the present invention as in Comparative Examples 2-3 to 2-5 are shown. Since the polymerization activity of ethylene polymerization with a catalyst that does not satisfy the above conditions is very low, it is apparent that there is a problem in economical efficiency as a method for producing an ethylene polymer. Further, it is clear that the ethylene polymer obtained in Comparative Example 2-3 has only [ ⁇ max (2.0)] B , so that only an ethylene polymer having inferior strength can be obtained.
- the ethylene polymer obtained in Comparative Example 2-4 and Comparative Example 2-5 has [ ⁇ max (2.0)] B /[ ⁇ max(0.1) of requirement (B-4′-ii). )] B is inferior. From these facts, it is clear that the ethylene-based polymer produced in the examples according to the present invention is excellent in moldability and also in economic efficiency.
- Examples 2-4 to 2-6 in Table 7a-1 and Table 7a-2 are catalysts satisfying the requirements of the metallocene compounds of the present invention used in Examples 2-1 to 2-3.
- the metallocene compound of Example 2-4 differs from the metallocene compound of Example 2-1 only in the central metal species from Hf and Zr, and the ligand has the same structure.
- W C of the requirements of the present invention (B-4'-iv) have a relatively large value, the ethylene polymer is expected to be excellent moderately moldability.
- the metallocene compound of Example 2-5 has the same structure as the metallocene compound of Example 2-1 except that the substituent on the cyclopentadienyl ring is different from the trimethylsilyl group and the t-butyl group. It has the same high activity as that of Example 2-1, and fully satisfies the requirements (B-4′-i), (B-4′-ii) and (B-4′-iv) of the present invention. Therefore, the ethylene polymer is excellent in moldability.
- the metallocene compound of Example 2-6 has the same structure except that the metallocene compound of Example 2-1 and the bridging group connecting the cyclopentadienyl ring and the indenyl ring are different from the i-propyl group and the dimethylsilylene group. Therefore, the ethylene-based polymer is excellent in moldability because it has the same high activity as that of Example 2-1 and satisfies the requirement (B-4′-iv) of the present invention. From the above, it has been shown that all of the ethylene polymers produced with the catalyst using the metallocene compound belonging to the present invention exhibit sufficiently improved moldability.
- the polyethylene-based resin composition of the present invention is excellent in molding process characteristics, and at the same time, has an effect of excellent balance of impact strength and rigidity, and further excellent in transparency. Molded products obtained by injection molding, compression injection molding, rotational molding, extrusion molding, hollow molding or blow molding of polyethylene resin compositions are also thinned because of their excellent balance of impact strength and rigidity and transparency. It is possible to provide an economically advantageous molded product. Therefore, the industrial value of the polyethylene resin composition of the present invention, which can economically advantageously provide a molded product having such desirable characteristics, is extremely large.
- an olefin polymerization catalyst capable of introducing a sufficient number and length of long chain branches into the olefin polymer can be obtained, and the high pressure process having excellent molding processability can be obtained.
- An olefin polymer useful for substitution of high density polyethylene, substitution of high density polyethylene obtained by a chromium catalyst, improvement of moldability of metallocene polymer, and the like can be obtained.
Landscapes
- Chemical & Material Sciences (AREA)
- Health & Medical Sciences (AREA)
- Chemical Kinetics & Catalysis (AREA)
- Medicinal Chemistry (AREA)
- Polymers & Plastics (AREA)
- Organic Chemistry (AREA)
- Engineering & Computer Science (AREA)
- Manufacturing & Machinery (AREA)
- Materials Engineering (AREA)
- Crystallography & Structural Chemistry (AREA)
- Transition And Organic Metals Composition Catalysts For Addition Polymerization (AREA)
Abstract
本発明は、成形加工性に優れ、かつ衝撃強度と剛性のバランスおよび透明性に優れた成形体を製造できるポリエチレン系樹脂組成物、並びに該ポリエチレン系樹脂組成物を成形して得られる成形体およびフィルムを提供することを目的とする。本発明のポリエチレン系樹脂組成物は、特定の条件を満足するエチレン系重合体(A)41~99重量%と、特定の条件を満足するエチレン系重合体(B)1~59重量%とを含み、かつ、組成物全体のMFRが0.05~50g/10分、密度が0.910~0.960g/cm3である。
Description
本発明は、発達した長鎖分岐構造を有する成形加工性に優れたエチレン系重合体に関する。また、本発明の別の態様として、本発明は、新規なポリエチレン系樹脂組成物およびその用途に関し、さらに詳しくは、成形加工性に優れ、かつ衝撃強度と剛性のバランスおよび透明性に優れた成形体を製造できるポリエチレン系樹脂組成物、並びに該ポリエチレン系樹脂組成物を射出成形、圧縮射出成形、回転成形、押出成形、中空成形又はブロー成形して得られる成形体およびフィルムに関する。更に本発明は、特定のメタロセン化合物を含むオレフィン重合用触媒成分、該成分を含むオレフィン重合用触媒および該触媒を用いたオレフィン系重合体の製造方法に関する。
近年、各種産業分野において、プラスチック製のフィルム、シート、射出成形体、パイプ、押出成形体、中空成形体等が盛んに用いられるようになった。特に安価・軽量であり、成形加工性、剛性、衝撃強度、透明性、耐薬品性、リサイクル性に優れる等の理由からポリエチレン系樹脂(エチレン系重合体)が広範に用いられている。一般に、ポリエチレン系樹脂の成形加工は、溶融状態において実施される。しかし、単独のエチレン系重合体の場合、その溶融特性は、例えば、流動性の面で不十分であったり、伸長粘度が不十分であったりして、成形加工性を十分に確保することが困難であったり、透明性や剛性等の固体物性が不足したりする場合が多い。
これらを補うための対策としては、成形性に優れる高圧法ポリエチレン(HPLD)をブレンドしたり、分子量や密度の異なるエチレン系重合体をブレンドしたりして、溶融特性や固体物性の改良が行なわれてきた(例えば、特許文献1~3参照)。
しかしながら、これらのブレンド物(エチレン系樹脂組成物)では、成形加工性は得られるものの、HPLDのブレンドによる衝撃強度の低下を招いたり、分子量分布や共重合組成分布が広くなることによって透明性が悪化したりする問題があった。
しかしながら、これらのブレンド物(エチレン系樹脂組成物)では、成形加工性は得られるものの、HPLDのブレンドによる衝撃強度の低下を招いたり、分子量分布や共重合組成分布が広くなることによって透明性が悪化したりする問題があった。
また、最近の容器リサイクル法施行や省資源化の流れにおいて原料樹脂使用量を削減する必要性の観点から、成形体の薄肉化の需要が高まっているが、このためには、衝撃強度とともに剛性(弾性率)の向上が必要となる。
衝撃強度を向上する方法としては、エチレン系重合体の密度を低下させる方法がよく知られているが、剛性も一緒に低下してしまう(柔らかくなる)ので好ましくなく、薄肉化の目的のためには、例えば、密度の異なる二種類の特定のエチレン・α-オレフィン共重合体の組み合わせへ、更に、成形加工性や透明性を向上させるために特定のHPLDを加えた三成分系ブレンド組成物を使用する試みがなされている(例えば、特許文献4参照)。
この方法によれば、従来より衝撃強度と剛性のバランスに優れ、透明性にも優れたポリエチレン樹脂組成物が得られるものの、やはりHPLDブレンドに伴う衝撃強度の低下は避けられず、更に、三種類のエチレン系重合体のブレンドは、一定品質の製品を工業レベルで安定供給する上では従来よりも経済的に不利と考えられる。
衝撃強度を向上する方法としては、エチレン系重合体の密度を低下させる方法がよく知られているが、剛性も一緒に低下してしまう(柔らかくなる)ので好ましくなく、薄肉化の目的のためには、例えば、密度の異なる二種類の特定のエチレン・α-オレフィン共重合体の組み合わせへ、更に、成形加工性や透明性を向上させるために特定のHPLDを加えた三成分系ブレンド組成物を使用する試みがなされている(例えば、特許文献4参照)。
この方法によれば、従来より衝撃強度と剛性のバランスに優れ、透明性にも優れたポリエチレン樹脂組成物が得られるものの、やはりHPLDブレンドに伴う衝撃強度の低下は避けられず、更に、三種類のエチレン系重合体のブレンドは、一定品質の製品を工業レベルで安定供給する上では従来よりも経済的に不利と考えられる。
一方、成形加工性を改良する方法としては、溶融粘度を増加させる長鎖分岐構造をエチレン系重合体に導入する試みが行なわれてきているが、長鎖分岐構造の最適化設計が不十分なため、やはり強度や透明性の低下は避けられず、その改良レベルは未だ不十分であった(例えば、特許文献5~8参照)。
オレフィン重合用メタロセン触媒で製造されるポリオレフィンは、分子量分布や共重合組成分布といったポリマー分子構造の均一性が高く、衝撃強度や長期寿命等、様々な機械的物性に優れることから、近年、その使用量が増加してきている。しかし、メタロセン系ポリオレフィンは、機械的諸物性には優れているものの、狭い分子量分布故に、溶融張力や溶融流動性といったポリオレフィンの成形加工上重要な特性において劣り、成型加工面においては十分な性能を満たすものではなかった。
不十分なメタロセン系ポリオレフィンの成型加工性を改善する方法として、特定のメタロセン錯体を用いた重合反応でポリエチレンに長鎖分岐を導入して溶融粘度を増加させることによって流動性や溶融張力を向上する方法がよく知られている(例えば、特許文献9参照。)。長鎖分岐を導入する特定のメタロセン錯体としては、架橋ビスインデニル錯体(例えば、特許文献10~13参照。)や幾何拘束ハーフメタロセン錯体(例えば、特許文献14参照。)を用いる方法がよく知られているが、これらの方法によって得られる長鎖分岐は、HPLDの構造ほどは発達しておらず、重合体の溶融粘度の改良は十分ではない。
不十分なメタロセン系ポリオレフィンの成型加工性を改善する方法として、特定のメタロセン錯体を用いた重合反応でポリエチレンに長鎖分岐を導入して溶融粘度を増加させることによって流動性や溶融張力を向上する方法がよく知られている(例えば、特許文献9参照。)。長鎖分岐を導入する特定のメタロセン錯体としては、架橋ビスインデニル錯体(例えば、特許文献10~13参照。)や幾何拘束ハーフメタロセン錯体(例えば、特許文献14参照。)を用いる方法がよく知られているが、これらの方法によって得られる長鎖分岐は、HPLDの構造ほどは発達しておらず、重合体の溶融粘度の改良は十分ではない。
また、上記以外のメタロセン錯体による長鎖分岐導入の方法として、特定の構造を有するブリッジドメタロセン触媒を用いた長鎖分岐を含有するポリエチレンを製造する方法(例えば、特許文献15参照。)が知られており、具体的には、ジメチルシリルビス(ペンタジエニル)ジルコニウムジクロリド錯体とジフェニルメチレン(シクロペンタジエニル)(フルオレニル)ジルコニウムジクロリド錯体という2種類のメタロセン錯体を同時に使用する例が紹介されており、その改良技術として、更に、上記2種類の錯体を同一担体に共担持させた触媒(例えば、特許文献16~18参照。)や組み合わせる錯体の種類に改良を加えた触媒(例えば、特許文献19、20参照。)が知られている。これらの方法は、1種類の錯体が末端に重合性二重結合を含有するポリマー(いわゆるマクロマー)を生成し、他方の錯体が共重合性に優れる錯体であって、該マクロマーを共重合することにより長鎖分岐構造を形成するものであると言われている。
しかしながらこれらの方法によっても、従来のメタロセン錯体による長鎖分岐構造よりは幾分発達した分岐構造が導入されるもののそのレベルは未だ不十分であったり、上記2種類のメタロセン錯体のコモノマー共重合性が大きく異なるので、生成ポリマーの共重合組成分布が広くなり、低融点ポリマーの生成に伴う機械的物性の悪化が生じたりする問題があった。
しかしながらこれらの方法によっても、従来のメタロセン錯体による長鎖分岐構造よりは幾分発達した分岐構造が導入されるもののそのレベルは未だ不十分であったり、上記2種類のメタロセン錯体のコモノマー共重合性が大きく異なるので、生成ポリマーの共重合組成分布が広くなり、低融点ポリマーの生成に伴う機械的物性の悪化が生じたりする問題があった。
また、特許文献21には、シクロペンタジエニル基とインデニル基を炭素架橋した非対称型メタロセンとメチルアルミノキサンを用いて、溶液重合でエチレンのホモ重合を行なうと、分岐を持つポリエチレンが製造可能なことが報告されているが、分岐の長さが炭素数1~20と記載されており、長鎖分岐として成型加工性の改善効果を発現するには分岐の長さが短すぎ、伸長粘度の歪硬化を示さない。
また、特許文献22には、各々特定の置換基を有するシクロペンタジエニル基とインデニル基を架橋した非対称型メタロセン化合物およびメチルアルミノキサンと組み合わせた重合触媒によるプロピレンの重合が報告されているが、エチレンの重合に適用した場合に長鎖分岐が生成するとの記載はなく、成型加工性の改善効果は期待されない。
さらに、特許文献23には、シクロペンタジエニル基とインデニル基をケイ素架橋した非対称型メタロセンのうちインデニル基の2、4、7位にメチル基を有するメタロセンと変性粘土化合物を用いて、マクロモノマーとして有用なエチレン重合体およびエチレン/ブテン共重合体を製造する触媒系が報告されているが、重合体の末端二重結合が少なく、この触媒単独で長鎖分岐が生成するとの記載はない。
最近、本発明者等は、特許文献24で、シクロペンタジエニル基とインデニル基を架橋基で架橋した非対称型メタロセンのうち、シクロペンタジエニル基上に該架橋基以外の置換基が無く、かつインデニル基3位に水素原子あるいは特定の置換基を有する、特定の非対称型メタロセンを必須成分としたオレフィン重合用担持触媒による成型加工性が改善されたエチレン系重合体の製造方法を報告した。この発明によれば、伸長粘度の歪硬化度が大きなエチレン系重合体が得られるので、従来の長鎖分岐型ポリエチレンに比べて成型加工性の改良が見られるものの、長鎖分岐の分岐指数が未だ高圧法低密度ポリエチレンには及ばないため、更なる長鎖分岐構造の改良が求められていた。
こうした状況下に、従来のエチレン系樹脂組成物のもつ問題点を解消し、成形加工性に優れ、かつ衝撃強度と剛性のバランスおよび透明性に優れた成形体を製造することが可能なポリエチレン系樹脂組成物の開発が望まれていた。更に、従来技術における長鎖分岐含有ポリエチレンの問題点を解消し、メタロセン系ポリエチレンの成型加工性を改善するため、十分な数と適切な長さの長鎖分岐を導入したエチレン系重合体、長鎖分岐導入に優れたオレフィン重合用触媒、オレフィン系重合体の製造方法の開発が望まれていた。
本発明の課題は、上記した従来技術の問題点に鑑み、成型加工性が改善されたエチレン系重合体を提供することにある。また、本発明のもう1つの課題は、上記した従来技術の問題点に鑑み、成形加工特性に優れ、同時に、衝撃強度と剛性のバランスにも優れ、更には透明性にも優れるポリエチレン系樹脂組成物を提供すること、更には、該ポリエチレン系樹脂組成物を射出成形、圧縮射出成形、回転成形、押出成形、中空成形、ブロー成形又はインフレーション成形して得られる、衝撃強度と剛性のバランスおよび透明性に優れた成形体および該成形体の用途を提供することにある。更に、本発明の別の課題は、メタロセン系ポリオレフィン、特にメタロセン系ポリエチレンの成型加工性を改善するため、十分な数と適切な長さの長鎖分岐を導入したメタロセン系ポリオレフィンやメタロセン系ポリエチレンを製造することのできるオレフィン重合用触媒成分、該成分を含むオレフィン重合用触媒、該触媒を用いたオレフィン系重合体の製造方法を提供することにある。
なお、本発明において、ポリエチレンとは、エチレン単独重合体およびエチレンと後述のオレフィンとの共重合体の総称をいい、エチレン系重合体とも言い換えられる。
なお、本発明において、ポリエチレンとは、エチレン単独重合体およびエチレンと後述のオレフィンとの共重合体の総称をいい、エチレン系重合体とも言い換えられる。
本発明者らは、上記課題を達成するために鋭意検討を重ねた結果、伸長粘度挙動で特徴付けられる長鎖分岐構造の少ない特定のエチレン系重合体と、同じく伸長粘度挙動で特徴付けられる特定の長鎖分岐構造を有する特定のエチレン系重合体とを組み合わせ、両者を特定のMFRおよび密度となるようにブレンドしたところ、得られたポリエチレン系樹脂組成物が、上述の課題を解決可能な良好な特性を示すことを見出し、これらの知見に基づいて本発明を完成するに至った。
すなわち、本発明の第1の発明によれば、下記条件(B-1’)~条件(B-6)を満足するエチレン系重合体が提供される。
(B-1’)MFRB=0.001~200g/10分
(B-2”)密度B=0.880~0.970g/cm3
(B-3)[Mw/Mn]B=2.0~10.0
(B-4’)温度170℃、伸長歪速度2(単位1/秒)で測定される伸長粘度η(t)(単位:Pa・秒)と伸長時間t(単位:秒)の両対数プロットにおいて、歪硬化に起因する伸長粘度の変曲点が観測されないか、あるいは同変曲点が観測された場合、歪硬化後の最大伸長粘度をηB;Max(t1)、硬化前の伸長粘度の近似直線をηB;Linear(t)としたとき、ηB;Max(t1)/ηB;Linear(t1)で定義される歪硬化度[λmax(2.0)]Bが1.2~30.0である。
(B-5)上記条件(B-4’)と同様にして定義された[λmax(2.0)]Bと、伸長歪速度を0.1(単位1/秒)として同様に測定した場合の[λmax(0.1)]Bの比[λmax(2.0)]B/[λmax(0.1)]Bが1.2~10.0である。
(B-6)遷移金属を含む触媒を用いたエチレンの重合反応により製造された重合体である。
(B-1’)MFRB=0.001~200g/10分
(B-2”)密度B=0.880~0.970g/cm3
(B-3)[Mw/Mn]B=2.0~10.0
(B-4’)温度170℃、伸長歪速度2(単位1/秒)で測定される伸長粘度η(t)(単位:Pa・秒)と伸長時間t(単位:秒)の両対数プロットにおいて、歪硬化に起因する伸長粘度の変曲点が観測されないか、あるいは同変曲点が観測された場合、歪硬化後の最大伸長粘度をηB;Max(t1)、硬化前の伸長粘度の近似直線をηB;Linear(t)としたとき、ηB;Max(t1)/ηB;Linear(t1)で定義される歪硬化度[λmax(2.0)]Bが1.2~30.0である。
(B-5)上記条件(B-4’)と同様にして定義された[λmax(2.0)]Bと、伸長歪速度を0.1(単位1/秒)として同様に測定した場合の[λmax(0.1)]Bの比[λmax(2.0)]B/[λmax(0.1)]Bが1.2~10.0である。
(B-6)遷移金属を含む触媒を用いたエチレンの重合反応により製造された重合体である。
また、本発明の第2の発明によれば、第1の発明において、下記の条件(B-7)および条件(B-8)のうちの少なくとも1つを更に満たすエチレン系重合体が提供される。
(B-7)示差屈折計、粘度検出器、および、光散乱検出器を組み合わせたGPC測定装置により測定される分子量100万における分岐指数(gC’)が0.30~0.70である。
(B-8)示差屈折計、粘度検出器、および、光散乱検出器を組み合わせたGPC測定装置により測定される分子量100万以上の成分の含有量(WC)が0.01~30%である。
(B-7)示差屈折計、粘度検出器、および、光散乱検出器を組み合わせたGPC測定装置により測定される分子量100万における分岐指数(gC’)が0.30~0.70である。
(B-8)示差屈折計、粘度検出器、および、光散乱検出器を組み合わせたGPC測定装置により測定される分子量100万以上の成分の含有量(WC)が0.01~30%である。
また、本発明の第3の発明によれば、(A)下記の条件(A-1)~条件(A-4)を満足するエチレン系重合体41~99重量%と、(B)前記第1または第2の発明に係るエチレン系重合体1~59重量%とを含み、かつ、組成物全体のMFRが0.05~50g/10分、密度が0.910~0.960g/cm3であるポリエチレン系樹脂組成物が提供される。
エチレン系重合体(A)の条件;
(A-1)MFRA=0.3~100g/10分
(A-2)密度A=0.915~0.970g/cm3
(A-3)[Mw/Mn]A=2.0~10.0
(A-4)温度170℃、伸長歪速度2(単位1/秒)で測定される伸長粘度η(t)(単位:Pa・秒)と伸長時間t(単位:秒)の両対数プロットにおいて、歪硬化に起因する伸長粘度の変曲点が観測されないか、あるいは同変曲点が観測された場合、歪硬化後の最大伸長粘度をηA;Max(t1)、硬化前の伸長粘度の近似直線をηA;Linear(t)としたとき、ηA;Max(t1)/ηA;Linear(t1)で定義される歪硬化度[λmax(2.0)]Aが1.0~2.0である。
エチレン系重合体(A)の条件;
(A-1)MFRA=0.3~100g/10分
(A-2)密度A=0.915~0.970g/cm3
(A-3)[Mw/Mn]A=2.0~10.0
(A-4)温度170℃、伸長歪速度2(単位1/秒)で測定される伸長粘度η(t)(単位:Pa・秒)と伸長時間t(単位:秒)の両対数プロットにおいて、歪硬化に起因する伸長粘度の変曲点が観測されないか、あるいは同変曲点が観測された場合、歪硬化後の最大伸長粘度をηA;Max(t1)、硬化前の伸長粘度の近似直線をηA;Linear(t)としたとき、ηA;Max(t1)/ηA;Linear(t1)で定義される歪硬化度[λmax(2.0)]Aが1.0~2.0である。
また、本発明の第4の発明によれば、第3の発明において、前記エチレン系重合体(B)が、下記の条件(B-1)~条件(B-6)を満足するポリエチレン系樹脂組成物が提供される。
エチレン系重合体(B)の条件;
(B-1)MFRB=0.01~1.5g/10分、かつ、100>MFRA/MFRB>1.0
(B-2)密度B=0.880~0.940g/cm3
(B-3)[Mw/Mn]B=2.0~10.0
(B-4)上記第3の発明に記載の条件(A-4)と同様にして定義された[λmax(2.0)]Bが1.2~20.0であり、かつ、20>[λmax(2.0)]B/[λmax(2.0)]A>1.0である。
(B-5)上記第3の発明に記載の条件(A-4)と同様にして定義された[λmax(2.0)]Bと、伸長歪速度を0.1(単位1/秒)として同様に測定した場合の[λmax(0.1)]Bの比[λmax(2.0)]B/[λmax(0.1)]Bが1.2~10.0である。
(B-6)遷移金属を含む触媒を用いたエチレンの重合反応により製造された重合体である。
エチレン系重合体(B)の条件;
(B-1)MFRB=0.01~1.5g/10分、かつ、100>MFRA/MFRB>1.0
(B-2)密度B=0.880~0.940g/cm3
(B-3)[Mw/Mn]B=2.0~10.0
(B-4)上記第3の発明に記載の条件(A-4)と同様にして定義された[λmax(2.0)]Bが1.2~20.0であり、かつ、20>[λmax(2.0)]B/[λmax(2.0)]A>1.0である。
(B-5)上記第3の発明に記載の条件(A-4)と同様にして定義された[λmax(2.0)]Bと、伸長歪速度を0.1(単位1/秒)として同様に測定した場合の[λmax(0.1)]Bの比[λmax(2.0)]B/[λmax(0.1)]Bが1.2~10.0である。
(B-6)遷移金属を含む触媒を用いたエチレンの重合反応により製造された重合体である。
また、本発明の第5の発明によれば、第3の発明において、前記エチレン系重合体(B)が、更に下記の条件(B-2’)を満たすポリエチレン系樹脂組成物が提供される。
(B-2’)1.070>密度A/密度B>0.990
(B-2’)1.070>密度A/密度B>0.990
また、本発明の第6の発明によれば、第3の発明において、前記エチレン系重合体(A)が、マグネシウム化合物およびチタニウム化合物を用いて製造されたチーグラー・ナッタ触媒によるエチレンの単独重合またはα-オレフィンとの共重合によって製造されたエチレン重合体またはエチレン・α-オレフィン共重合体であるポリエチレン系樹脂組成物が提供される。
また、本発明の第7の発明によれば、第3の発明に係るポリエチレン系樹脂組成物を射出成形、圧縮射出成形、回転成形、押出成形、中空成形又はブロー成形して得られる成形体が提供される。
また、本発明の第8の発明によれば、第3の発明に係るポリエチレン系樹脂組成物を押出成形、中空成形、ブロー成形又はインフレーション成形して得られるフィルムが提供される。
また、本発明の第9の発明によれば、次の成分(A-1b)および成分(A-2b)を含むオレフィン重合用触媒成分が提供される。
成分(A-1b):下記一般式(1b)で示されるメタロセン化合物
成分(A-1b):下記一般式(1b)で示されるメタロセン化合物
[式(1b)中、M1bは、Ti、ZrまたはHfのいずれかの遷移金属を示す。X1bおよびX2bは、それぞれ独立して、水素原子、ハロゲン原子、炭素数1~20の炭化水素基、酸素原子若しくは窒素原子を含む炭素数1~20の炭化水素基、炭素数1~20の炭化水素基置換アミノ基または炭素数1~20のアルコキシ基を示す。Q1bとQ2bは、各々独立して、炭素原子、ケイ素原子またはゲルマニウム原子を示す。R1bは、それぞれ独立して、水素原子または炭素数1~10の炭化水素基を示し、4つのR1bのうち少なくとも2つが結合して、Q1bおよびQ2bと一緒に環を形成していてもよい。mbは、0または1であり、mbが0の場合、Q1bは、R2bおよびR3bを含む共役5員環と直接結合している。R2b、R3bおよびR4bは、それぞれ独立して、水素原子、ハロゲン原子、炭素数1~20の炭化水素基、ケイ素数1~6を含む炭素数1~18のケイ素含有炭化水素基、炭素数1~20のハロゲン含有炭化水素基、酸素原子または硫黄原子を含む炭素数1~40の炭化水素基または炭素数1~40の炭化水素基置換シリル基を示す。R2b、R3bおよびR4bのうち、隣接するR3b同士または隣接するR2bとR3bのいずれか1組のみは結合している炭素原子と一緒に環を形成していてもよい。]
成分(A-2b):下記一般式(2b)で示されるメタロセン化合物
成分(A-2b):下記一般式(2b)で示されるメタロセン化合物
[式(2b)中、M2bは、Ti、ZrまたはHfのいずれかの遷移金属を示す。X11bおよびX12bは、それぞれ独立して、水素原子、ハロゲン原子、炭素数1~20の炭化水素基、酸素原子若しくは窒素原子を含む炭素数1~20の炭化水素基、炭素数1~20の炭化水素基置換アミノ基または炭素数1~20のアルコキシ基を示す。Q11bは、炭素原子、ケイ素原子またはゲルマニウム原子を示す。R11bは、それぞれ独立して、水素原子または炭素数1~10の炭化水素基を示し、2つのR11bは互いに結合してQ11bと一緒に環を形成していてもよい。R12b、R14bおよびR15bは、各々独立して、水素原子、ハロゲン原子、炭素数1~20の炭化水素基、ケイ素数1~6を含む炭素数1~18のケイ素含有炭化水素基、炭素数1~20のハロゲン含有炭化水素基、酸素原子または硫黄原子を含む炭素数1~40の炭化水素基または炭素数1~40の炭化水素基置換シリル基から選択される原子または基を示すが、それらのうち、少なくとも1つは水素原子ではない。R13bは、それぞれ独立して、炭素数1~20の炭化水素基、ケイ素数1~6を含む炭素数1~18のケイ素含有炭化水素基、炭素数1~20のハロゲン含有炭化水素基、酸素原子または硫黄原子を含む炭素数1~40の炭化水素基または炭素数1~40の炭化水素基置換シリル基を示す。R12b、R13b、R14bおよびR15bのうち、隣接するR12b同士、隣接するR13b同士または隣接するR12bとR13bのいずれか1組のみと、隣接するR14b同士、隣接するR15b同士または隣接するR14bとR15bのいずれか1組のみは、結合している炭素原子と一緒に環を形成していてもよい。]
また、本発明の第10の発明によれば、下記一般式(1c)で示されるメタロセン化合物を含むオレフィン重合用触媒成分が提供される。
[式(1c)中、M1cは、Ti、ZrまたはHfのいずれかの遷移金属を示す。X1cおよびX2cは、それぞれ独立して、水素原子、ハロゲン原子、炭素数1~20の炭化水素基、酸素原子若しくは窒素原子を含む炭素数1~20の炭化水素基、炭素数1~20の炭化水素基置換アミノ基または炭素数1~20のアルコキシ基を示す。Q1cとQ2cは、各々独立して、炭素原子、ケイ素原子またはゲルマニウム原子を示す。R1cは、それぞれ独立して、水素原子または炭素数1~10の炭化水素基を示し、4つのR1cのうち少なくとも2つが結合してQ1cおよびQ2cと一緒に環を形成していてもよい。mcは、0または1であり、mcが0の場合、Q1cは、R2cを含む共役5員環と直接結合している。R2cおよびR4cは、それぞれ独立して、水素原子、ハロゲン原子、炭素数1~20の炭化水素基、ケイ素数1~6を含む炭素数1~18のケイ素含有炭化水素基、炭素数1~20のハロゲン含有炭化水素基、酸素原子を含む炭素数1~20の炭化水素基または炭素数1~20の炭化水素基置換シリル基を示す。R3cは、下記一般式(1-ac)で示される置換アリール基を示す。]
また、本発明の第11の発明によれば、上記第9または第10の発明のオレフィン重合用触媒成分を含むオレフィン重合用触媒が提供される。
また、本発明の第12の発明によれば、次の成分(A)および(B)を含むオレフィン重合用触媒を用いて、上記第1の発明で定義された条件のうち、少なくとも条件(B-4’)を満足するエチレン系重合体を製造するエチレン系重合体の製造方法が提供される。
成分(A):下記触媒成分(A-i)~(A-iii)のうち少なくともいずれか1つ
(A-i)上記第9の発明のオレフィン重合用触媒成分
(A-ii)上記第10の発明のオレフィン重合用触媒成分
(A-iii)下記一般式(1d)で示されるメタロセン化合物を含むオレフィン重合用触媒成分
成分(A):下記触媒成分(A-i)~(A-iii)のうち少なくともいずれか1つ
(A-i)上記第9の発明のオレフィン重合用触媒成分
(A-ii)上記第10の発明のオレフィン重合用触媒成分
(A-iii)下記一般式(1d)で示されるメタロセン化合物を含むオレフィン重合用触媒成分
[式(1d)中、M1dは、Ti、ZrまたはHfのいずれかの遷移金属を示す。X1dおよびX2dは、それぞれ独立して、水素原子、ハロゲン原子、炭素数1~20の炭化水素基、酸素原子若しくは窒素原子を含む炭素数1~20の炭化水素基、炭素数1~20の炭化水素基置換アミノ基または炭素数1~20のアルコキシ基を示す。Q1dとQ2dは、各々独立して、炭素原子、ケイ素原子またはゲルマニウム原子を示す。R1dは、それぞれ独立して、水素原子または炭素数1~10の炭化水素基を示し、4つのR1dのうち少なくとも2つが結合してQ1dおよびQ2dと一緒に環を形成していてもよい。mdは、0または1であり、mdが0の場合、Q1dは、R2dおよびR3dを含む共役5員環と直接結合している。R2dおよびR3dは、水素原子、ハロゲン原子、炭素数1~20の炭化水素基、ケイ素数1~6を含む炭素数1~18のケイ素含有炭化水素基、炭素数1~20のハロゲン含有炭化水素基、酸素原子を含む炭素数1~20の炭化水素基または炭素数1~20の炭化水素基置換シリル基を示し、R2dのうち少なくとも1つは水素原子ではない。R4dは、結合する5員環に対して縮合環を形成する炭素数4または5の飽和または不飽和の2価の炭化水素基を示す。R5dは、R4dの炭素原子と結合する原子または基であり、それぞれ独立して、水素原子、ハロゲン原子、炭素数1~20の炭化水素基、ケイ素数1~6を含む炭素数1~18のケイ素含有炭化水素基、炭素数1~20のハロゲン含有炭化水素基、酸素原子を含む炭素数1~20の炭化水素基または炭素数1~20の炭化水素基置換シリル基を示す。ndは、0~10の整数を示し、ndが2以上の場合、R5dの少なくとも2つは、結合している炭素原子と一緒に環を形成していてもよい。]
成分(B):成分(A)のメタロセン化合物と反応してカチオン性メタロセン化合物を生成させる化合物。
尚、本発明の第12の発明において、オレフィン重合用触媒が微粒子担体(成分(C))を含有してもよい。
成分(B):成分(A)のメタロセン化合物と反応してカチオン性メタロセン化合物を生成させる化合物。
尚、本発明の第12の発明において、オレフィン重合用触媒が微粒子担体(成分(C))を含有してもよい。
また、本発明の第13の発明によれば、上記第12の発明のエチレン系重合体の製造方法によって製造される上記第1の発明のエチレン系重合体が提供される。
また、本発明の第14の発明によれば、上記第13の発明のエチレン系重合体をエチレン系重合体として使用した上記第3の発明のポリエチレン系樹脂組成物が提供される。
本発明によれば、発達した長鎖分岐構造を有する成形加工性に優れたエチレン系重合体を提供することが可能である。
また、本発明のポリエチレン系樹脂組成物は、成形加工特性に優れ、同時に、衝撃強度と剛性のバランスにも優れ、更には透明性にも優れる効果を有し、また、該ポリエチレン系樹脂組成物を射出成形、圧縮射出成形、回転成形、押出成形、中空成形、ブロー成形又はインフレーション成形して得られる成形体も、衝撃強度と剛性のバランスおよび透明性に優れているので、薄肉化された成形製品を経済的に有利に提供することが可能である。
また、本発明によれば、特定のメタロセン化合物を含むオレフィン重合用触媒成分を調製し、それをオレフィン重合用触媒に用いることにより、十分な数と適切な長さの長鎖分岐を有するメタロセン系ポリオレフィンやメタロセン系ポリエチレンの製造方法を提供することが可能である。そして、メタロセン系ポリエチレンの成型加工性を改善する方法を提供することが可能である。
また、本発明のポリエチレン系樹脂組成物は、成形加工特性に優れ、同時に、衝撃強度と剛性のバランスにも優れ、更には透明性にも優れる効果を有し、また、該ポリエチレン系樹脂組成物を射出成形、圧縮射出成形、回転成形、押出成形、中空成形、ブロー成形又はインフレーション成形して得られる成形体も、衝撃強度と剛性のバランスおよび透明性に優れているので、薄肉化された成形製品を経済的に有利に提供することが可能である。
また、本発明によれば、特定のメタロセン化合物を含むオレフィン重合用触媒成分を調製し、それをオレフィン重合用触媒に用いることにより、十分な数と適切な長さの長鎖分岐を有するメタロセン系ポリオレフィンやメタロセン系ポリエチレンの製造方法を提供することが可能である。そして、メタロセン系ポリエチレンの成型加工性を改善する方法を提供することが可能である。
本発明は、伸長粘度挙動で特徴付けられる長鎖分岐構造の少ない特定のエチレン系重合体(A)と、同じく伸長粘度挙動で特徴付けられる特定の長鎖分岐構造を有する特定のエチレン系重合体(B)とを、特定のMFRおよび密度となるようにブレンドしてなるポリエチレン系樹脂組成物、ならびに該ポリエチレン系樹脂組成物を成形して得られる成形体および該成形体の用途に係るものである。以下、本発明を各項目ごとに説明する。
[I]本発明のポリエチレン系樹脂組成物
本発明のポリエチレン系樹脂組成物は、特定の条件(A-1)~(A-4)を満足するエチレン系重合体(A)(以下、単に(A)成分ともいう。)41~99重量%と、特定の条件(B-1)~(B-6)を満足するエチレン系重合体(B)(以下、単に(B)成分ともいう。)1~59重量%とを含み、かつ、組成物全体のMFRが0.05~50g/10分、密度が0.910~0.960g/cm3であることを特徴とする。以下に、本発明のポリエチレン系樹脂組成物を構成する各成分、その特性等について説明する。
本発明のポリエチレン系樹脂組成物は、特定の条件(A-1)~(A-4)を満足するエチレン系重合体(A)(以下、単に(A)成分ともいう。)41~99重量%と、特定の条件(B-1)~(B-6)を満足するエチレン系重合体(B)(以下、単に(B)成分ともいう。)1~59重量%とを含み、かつ、組成物全体のMFRが0.05~50g/10分、密度が0.910~0.960g/cm3であることを特徴とする。以下に、本発明のポリエチレン系樹脂組成物を構成する各成分、その特性等について説明する。
(1)エチレン系重合体(A)
本発明のポリエチレン系樹脂組成物を構成する成分の1つである(A)成分は、下記に説明する条件(A-1)~(A-4)を全て満たす。
本発明のポリエチレン系樹脂組成物を構成する成分の1つである(A)成分は、下記に説明する条件(A-1)~(A-4)を全て満たす。
1-1.条件(A-1)
本発明における(A)成分のメルトフローレート(MFRA)は、0.3~100g/10分、好ましくは0.9~20g/10分、更に好ましくは1.4~10g/10分である。
MFRAが0.3g/10分未満ではポリエチレン系樹脂組成物の成形加工性、特に溶融流動性や延展性に劣り、MFRAが100g/10分より大きいとポリエチレン系樹脂組成物や該成形体の衝撃強度、引裂強度や引張強度等の機械的強度が低下するので好ましくない。なお、本発明で、エチレン系重合体、ポリエチレン系樹脂組成物のMFRは、JIS K7210の「プラスチック―熱可塑性プラスチックのメルトマスフローレイト(MFR)及びメルトボリュームフローレイト(MVR)の試験方法」に準拠して、190℃、21.18N(2.16kg)荷重の条件で測定したときの値をいう。
本発明における(A)成分のメルトフローレート(MFRA)は、0.3~100g/10分、好ましくは0.9~20g/10分、更に好ましくは1.4~10g/10分である。
MFRAが0.3g/10分未満ではポリエチレン系樹脂組成物の成形加工性、特に溶融流動性や延展性に劣り、MFRAが100g/10分より大きいとポリエチレン系樹脂組成物や該成形体の衝撃強度、引裂強度や引張強度等の機械的強度が低下するので好ましくない。なお、本発明で、エチレン系重合体、ポリエチレン系樹脂組成物のMFRは、JIS K7210の「プラスチック―熱可塑性プラスチックのメルトマスフローレイト(MFR)及びメルトボリュームフローレイト(MVR)の試験方法」に準拠して、190℃、21.18N(2.16kg)荷重の条件で測定したときの値をいう。
1-2.条件(A-2)
本発明におけるエチレン系重合体(A)の密度Aは、0.915~0.970g/cm3、好ましくは0.917~0.950g/cm3、更に好ましくは0.925~0.940g/cm3である。
密度Aがこの範囲にあると、ポリエチレン系樹脂組成物や該成形体の衝撃強度と剛性のバランスおよび透明性が優れる。一方、密度Aが0.915g/cm3未満では剛性が低下し、製品がフィルムやシート等の厚さの薄い成形体の場合、製品使用における各種不都合はもちろんのこと、製品巻取工程、表面印刷・貼合等の後加工工程において不都合が生じるので好ましくなく、製品がパイプや各種容器等の肉厚成形体の場合、製品が柔らか過ぎて変形するため、必要以上に肉厚な設計を迫られるので好ましくない。また、密度Aが0.970g/cm3より大きいと衝撃強度や透明性が損なわれるので好ましくない。なお、本発明で、エチレン系重合体、ポリエチレン系樹脂組成物の密度は、以下の方法で測定したときの値をいう。
本発明におけるエチレン系重合体(A)の密度Aは、0.915~0.970g/cm3、好ましくは0.917~0.950g/cm3、更に好ましくは0.925~0.940g/cm3である。
密度Aがこの範囲にあると、ポリエチレン系樹脂組成物や該成形体の衝撃強度と剛性のバランスおよび透明性が優れる。一方、密度Aが0.915g/cm3未満では剛性が低下し、製品がフィルムやシート等の厚さの薄い成形体の場合、製品使用における各種不都合はもちろんのこと、製品巻取工程、表面印刷・貼合等の後加工工程において不都合が生じるので好ましくなく、製品がパイプや各種容器等の肉厚成形体の場合、製品が柔らか過ぎて変形するため、必要以上に肉厚な設計を迫られるので好ましくない。また、密度Aが0.970g/cm3より大きいと衝撃強度や透明性が損なわれるので好ましくない。なお、本発明で、エチレン系重合体、ポリエチレン系樹脂組成物の密度は、以下の方法で測定したときの値をいう。
ペレットを熱プレスして2mm厚のプレスシートを作成し、該シートを1000ml容量のビーカーに入れ蒸留水を満たし、時計皿で蓋をしてマントルヒーターで加熱する。蒸留水が沸騰してから60分間煮沸後、ビーカーを木製台の上に置き放冷する。この時60分煮沸後の沸騰蒸留水は500mlとし室温になるまでの時間は60分以下にならないように調整する。また、試験シートは、ビーカー及び水面に接しないように水中のほぼ中央部に浸漬する。シートを23℃、湿度50%の条件で、16時間以上24時間以内でアニーリングを行った後、縦横2mmになるように打ち抜き、試験温度23℃で、JIS K7112の「プラスチック-非発泡プラスチックの密度及び比重の測定方法」に準拠して、測定する。
1-3.条件(A-3)
本発明における(A)成分の重量平均分子量(Mw)と数平均分子量(Mn)の比([Mw/Mn]A)は、2.0~10.0、好ましくは2.5~10.0、更に好ましくは2.9~5.0である。[Mw/Mn]Aが2.0未満ではポリエチレン系樹脂組成物の成形加工性、特に溶融流動性が劣ったり、他の重合体成分と混ざり難かったりする可能性があるので避けるべきである。
[Mw/Mn]Aが10.0より大きいとポリエチレン系樹脂組成物や該成形体の剛性改良の効果が不十分となったり、透明性が悪化したりするので好ましくない。なお、本発明で、エチレン系重合体、ポリエチレン系樹脂組成物のMwやMnは、ゲル・パーミエーションクロマトグラフィー(GPC)法で測定したものをいう。
本発明における(A)成分の重量平均分子量(Mw)と数平均分子量(Mn)の比([Mw/Mn]A)は、2.0~10.0、好ましくは2.5~10.0、更に好ましくは2.9~5.0である。[Mw/Mn]Aが2.0未満ではポリエチレン系樹脂組成物の成形加工性、特に溶融流動性が劣ったり、他の重合体成分と混ざり難かったりする可能性があるので避けるべきである。
[Mw/Mn]Aが10.0より大きいとポリエチレン系樹脂組成物や該成形体の剛性改良の効果が不十分となったり、透明性が悪化したりするので好ましくない。なお、本発明で、エチレン系重合体、ポリエチレン系樹脂組成物のMwやMnは、ゲル・パーミエーションクロマトグラフィー(GPC)法で測定したものをいう。
保持容量から分子量への換算は、予め作成しておいた標準ポリスチレンによる検量線を用いて行う。使用する標準ポリスチレンは、何れも東ソー(株)製の以下の銘柄である。F380、F288、F128、F80、F40、F20、F10、F4、F1、A5000、A2500、A1000。
各々が0.5mg/mLとなるように、ODCB(0.5mg/mLのBHTを含む)に溶解した溶液を0.2mL注入して較正曲線を作成する。較正曲線は、最小二乗法で近似して得られる三次式を用いる。分子量への換算に使用する粘度式[η]=K×Mαは、以下の数値を用いる。
PS:K=1.38×10-4、α=0.7
PE:K=3.92×10-4、α=0.733
PP:K=1.03×10-4、α=0.78
各々が0.5mg/mLとなるように、ODCB(0.5mg/mLのBHTを含む)に溶解した溶液を0.2mL注入して較正曲線を作成する。較正曲線は、最小二乗法で近似して得られる三次式を用いる。分子量への換算に使用する粘度式[η]=K×Mαは、以下の数値を用いる。
PS:K=1.38×10-4、α=0.7
PE:K=3.92×10-4、α=0.733
PP:K=1.03×10-4、α=0.78
なお、GPCの測定条件は、以下の通りである。
装置:Waters社製GPC(ALC/GPC 150C)
検出器:FOXBORO社製MIRAN 1A IR検出器(測定波長:3.42μm)
カラム:昭和電工社製AD806M/S(3本)
移動相溶媒:o-ジクロロベンゼン
測定温度:140℃
流速:1.0ml/分
注入量:0.2ml
試料の調製:試料は、ODCB(0.5mg/mLのBHTを含む)を用いて、1mg/mLの溶液を調製し、140℃で約1時間を要して溶解させる。
なお、得られたクロマトグラムのベースラインと区間は、図1に例示されるように行う。
装置:Waters社製GPC(ALC/GPC 150C)
検出器:FOXBORO社製MIRAN 1A IR検出器(測定波長:3.42μm)
カラム:昭和電工社製AD806M/S(3本)
移動相溶媒:o-ジクロロベンゼン
測定温度:140℃
流速:1.0ml/分
注入量:0.2ml
試料の調製:試料は、ODCB(0.5mg/mLのBHTを含む)を用いて、1mg/mLの溶液を調製し、140℃で約1時間を要して溶解させる。
なお、得られたクロマトグラムのベースラインと区間は、図1に例示されるように行う。
1-4.条件(A-4)
本発明における(A)成分は、温度170℃、伸長歪速度2(単位1/秒)で測定される伸長粘度η(t)(単位:Pa・秒)と伸長時間t(単位:秒)の両対数プロットにおいて、歪硬化に起因する伸長粘度の変曲点が観測されないか、あるいは同変曲点が観測された場合、歪硬化後の最大伸長粘度をηMax(t1)、硬化前の伸長粘度の近似直線をηLinear(t)としたとき、ηMax(t1)/ηLinear(t1)で定義される歪硬化度[λmax(2.0)]Aが1.0~2.0、好ましくは1.0~1.5、更に好ましくは1.0~1.2であり、最も好ましくは、該変曲点が観測されない場合か、[λmax(2.0)]Aが1.0~1.1の場合である。ここで硬化前の伸長粘度の近似直線とは、歪量0.2から1.0に対応するtの範囲内で両対数グラフの曲線の接線のうち、最も傾きが小さい接線のことである(ただし該傾きは0または正の値である)。
[λmax(2.0)]Aが1.0未満では該エチレン系重合体、ポリエチレン系樹脂組成物や該成形体の溶融状態が均一でなかったり、熱的に不安定な構造である可能性があり、好ましくない。[λmax(2.0)]Aが2.0より大きいと、成形時の溶融張力と流動性には優れるものの、ポリエチレン系樹脂組成物や該成形体の衝撃強度が低下したり、透明性が悪化したりするので好ましくない。
本発明における(A)成分は、温度170℃、伸長歪速度2(単位1/秒)で測定される伸長粘度η(t)(単位:Pa・秒)と伸長時間t(単位:秒)の両対数プロットにおいて、歪硬化に起因する伸長粘度の変曲点が観測されないか、あるいは同変曲点が観測された場合、歪硬化後の最大伸長粘度をηMax(t1)、硬化前の伸長粘度の近似直線をηLinear(t)としたとき、ηMax(t1)/ηLinear(t1)で定義される歪硬化度[λmax(2.0)]Aが1.0~2.0、好ましくは1.0~1.5、更に好ましくは1.0~1.2であり、最も好ましくは、該変曲点が観測されない場合か、[λmax(2.0)]Aが1.0~1.1の場合である。ここで硬化前の伸長粘度の近似直線とは、歪量0.2から1.0に対応するtの範囲内で両対数グラフの曲線の接線のうち、最も傾きが小さい接線のことである(ただし該傾きは0または正の値である)。
[λmax(2.0)]Aが1.0未満では該エチレン系重合体、ポリエチレン系樹脂組成物や該成形体の溶融状態が均一でなかったり、熱的に不安定な構造である可能性があり、好ましくない。[λmax(2.0)]Aが2.0より大きいと、成形時の溶融張力と流動性には優れるものの、ポリエチレン系樹脂組成物や該成形体の衝撃強度が低下したり、透明性が悪化したりするので好ましくない。
一般に、ポリエチレンは、フィルム成形、ブロー成形、発泡成形等の溶融状態を経由する附型方法により工業製品へと加工されるが、この際、上記伸長粘度や歪硬化度に代表される伸長流動特性が成形性のし易さに大きな影響を与える。
すなわち、分子量分布が狭く、長鎖分岐を持たないポリエチレンは、溶融強度が低いので成形性が悪く、一方、超高分子量成分や長鎖分岐成分を有するポリエチレンは、溶融伸長時に歪硬化(ストレイン・ハードニング)、すなわち、高歪み側で伸長粘度が急激に上昇する特性を有し、この特性を顕著に示すポリエチレンは、成形性に優れる。このような伸長流動特性を有するポリエチレン樹脂、例えば、フィルム成形やブロー成形における製品の偏肉や吹き破れを防止したり、高速成形が可能となったり、発泡成形時の独立気泡率を高くできる効果があり、成形品の強度向上、意匠性向上、軽量化、成形サイクルの向上、断熱性向上等のメリットが得られる訳であるが、一方で、該伸長流動特性が強過ぎると、成形時の分子配向が原因と推定される強度異方性によって成形体の衝撃強度の低下が生じたり、溶融弾性が強過ぎる特性が原因と推定される成形体表面平滑性の低下によって透明性が悪化する等の不都合が発生する。
このように、ポリエチレンの伸長流動特性がもたらす成形加工面での向上および成形体の機械的特性面での不都合の克服を、該伸長粘度特性の主な支配因子である長鎖分岐構造を工夫することで解決すべくポリエチレン系樹脂組成物について鋭意検討を行なった結果、上述のように、長鎖分岐構造の少ないエチレン系重合体(A)を該樹脂組成物の高MFR主成分すなわち低分子量側主成分として使用すると、機械的特性、特に剛性の向上への寄与に優れ、更には透明性悪化防止にも優れることがわかった。
すなわち、分子量分布が狭く、長鎖分岐を持たないポリエチレンは、溶融強度が低いので成形性が悪く、一方、超高分子量成分や長鎖分岐成分を有するポリエチレンは、溶融伸長時に歪硬化(ストレイン・ハードニング)、すなわち、高歪み側で伸長粘度が急激に上昇する特性を有し、この特性を顕著に示すポリエチレンは、成形性に優れる。このような伸長流動特性を有するポリエチレン樹脂、例えば、フィルム成形やブロー成形における製品の偏肉や吹き破れを防止したり、高速成形が可能となったり、発泡成形時の独立気泡率を高くできる効果があり、成形品の強度向上、意匠性向上、軽量化、成形サイクルの向上、断熱性向上等のメリットが得られる訳であるが、一方で、該伸長流動特性が強過ぎると、成形時の分子配向が原因と推定される強度異方性によって成形体の衝撃強度の低下が生じたり、溶融弾性が強過ぎる特性が原因と推定される成形体表面平滑性の低下によって透明性が悪化する等の不都合が発生する。
このように、ポリエチレンの伸長流動特性がもたらす成形加工面での向上および成形体の機械的特性面での不都合の克服を、該伸長粘度特性の主な支配因子である長鎖分岐構造を工夫することで解決すべくポリエチレン系樹脂組成物について鋭意検討を行なった結果、上述のように、長鎖分岐構造の少ないエチレン系重合体(A)を該樹脂組成物の高MFR主成分すなわち低分子量側主成分として使用すると、機械的特性、特に剛性の向上への寄与に優れ、更には透明性悪化防止にも優れることがわかった。
上記歪硬化度の測定方法に関しては、一軸伸長粘度を測定できれば、どのような方法でも原理的に同一の値が得られ、例えば、公知文献:Polymer 42(2001)8663に測定方法及び測定機器の詳細が記載されている。
本発明に係るエチレン系重合体の測定に当り、好ましい測定方法及び測定機器として、以下を挙げることができる。
本発明に係るエチレン系重合体の測定に当り、好ましい測定方法及び測定機器として、以下を挙げることができる。
測定方法:
・装置:Rheometorics社製 Ares
・冶具:ティーエーインスツルメント社製 Extentional Viscosity Fixture
・測定温度:170℃
・歪み速度:2/秒
・試験片の作成:プレス成形して18mm×10mm、厚さ0.7mm、のシートを作成する。
・装置:Rheometorics社製 Ares
・冶具:ティーエーインスツルメント社製 Extentional Viscosity Fixture
・測定温度:170℃
・歪み速度:2/秒
・試験片の作成:プレス成形して18mm×10mm、厚さ0.7mm、のシートを作成する。
算出方法:
170℃、歪み速度2/秒における伸長粘度を、横軸に時間t(秒)、縦軸に伸長粘度η(Pa・秒)を両対数グラフでプロットする。その両対数グラフ上で、歪硬化後、歪量が4.0となるまでの最大伸長粘度をηMax(t1)(t1は最大伸長粘度を示す時の時間)とし、歪硬化前の伸長粘度の近似直線をηLinear(t)としたとき、ηMax(t1)/ηLinear(t1)として算出される値を歪硬化度(λmax)と定義する。なお、歪硬化の有無は、時間の経過と共に伸長粘度が上に凸の曲線から下に凸の曲線へと変わる変曲点を有するか、否かによって、判断される。
図2および図3は典型的な伸長粘度のプロット図である。図2は伸長粘度の変曲点が観測される場合であり、図中にηMax(t1)、ηLinear(t)を示した。図3は伸長粘度の変曲点が観測されない場合である。
170℃、歪み速度2/秒における伸長粘度を、横軸に時間t(秒)、縦軸に伸長粘度η(Pa・秒)を両対数グラフでプロットする。その両対数グラフ上で、歪硬化後、歪量が4.0となるまでの最大伸長粘度をηMax(t1)(t1は最大伸長粘度を示す時の時間)とし、歪硬化前の伸長粘度の近似直線をηLinear(t)としたとき、ηMax(t1)/ηLinear(t1)として算出される値を歪硬化度(λmax)と定義する。なお、歪硬化の有無は、時間の経過と共に伸長粘度が上に凸の曲線から下に凸の曲線へと変わる変曲点を有するか、否かによって、判断される。
図2および図3は典型的な伸長粘度のプロット図である。図2は伸長粘度の変曲点が観測される場合であり、図中にηMax(t1)、ηLinear(t)を示した。図3は伸長粘度の変曲点が観測されない場合である。
1-5.エチレン系重合体(A)の組成
本発明における(A)成分は、エチレンの単独重合体またはエチレンと炭素数3~20のα-オレフィンとの共重合体である。ここで用いられる共重合成分であるα-オレフィンとしては、プロピレン、ブテン-1、3-メチルブテン-1、3-メチルペンテン-1、4-メチルペンテン-1、ペンテン-1、ヘキセン-1、ヘプテン-1、オクテン-1、デセン-1、テトラデセン-1、ヘキサデセン-1、オクタデセン-1、エイコセン-1等が挙げられる。また、これらα-オレフィンは1種のみでもよく、また2種以上が併用されていてもよい。これらのうち、より好ましいα-オレフィンは炭素数3~10のものであり、具体的にはプロピレン、ブテン-1、3-メチルブテン-1、4-メチルペンテン-1、ペンテン-1、ヘキセン-1、ヘプテン-1、オクテン-1、デセン-1等が挙げられる。更に好ましいα-オレフィンは炭素数4~8のものであり、具体的にはブテン-1、3-メチルブテン-1、4-メチルペンテン-1、ペンテン-1、ヘキセン-1、ヘプテン-1、オクテン-1等が挙げられる。特に好ましいα-オレフィンは、ブテン-1、ヘキセン-1、オクテン-1である。なお、後述するオレフィン重合用触媒の中には、エチレン単独重合時においても、エチレンオリゴメリゼーション反応による1-ブテンや1-ヘキセン等のα-オレフィンを重合系内で副生したり、「Chain-walking反応」と呼ばれる、オレフィン重合生長末端において活性中心金属-末端炭素間結合の異性化反応からオレフィン重合体主鎖にメチル基やエチル基といった短鎖分岐が生じる反応が知られており、これらの反応から生じるエチレン単独重合体中の短鎖分岐構造は、α-オレフィンの共重合によって生じる短鎖分岐構造と区別がつかない場合がある。
よって、本発明でいうエチレン単独重合体とは、外部からコモノマーとしてのα-オレフィンを供給することなく実施される重合の結果生じる重合体をいい、エチレン・α-オレフィン共重合体とは、外部から該α-オレフィンを供給して実施される重合の結果生じる重合体をいい、エチレン系重合体という語をエチレン単独重合体およびエチレン・α-オレフィン共重合体(後述のα-オレフィン以外をコモノマーとして使用する場合も含む。)を総称して使用する。
本発明における(A)成分は、エチレンの単独重合体またはエチレンと炭素数3~20のα-オレフィンとの共重合体である。ここで用いられる共重合成分であるα-オレフィンとしては、プロピレン、ブテン-1、3-メチルブテン-1、3-メチルペンテン-1、4-メチルペンテン-1、ペンテン-1、ヘキセン-1、ヘプテン-1、オクテン-1、デセン-1、テトラデセン-1、ヘキサデセン-1、オクタデセン-1、エイコセン-1等が挙げられる。また、これらα-オレフィンは1種のみでもよく、また2種以上が併用されていてもよい。これらのうち、より好ましいα-オレフィンは炭素数3~10のものであり、具体的にはプロピレン、ブテン-1、3-メチルブテン-1、4-メチルペンテン-1、ペンテン-1、ヘキセン-1、ヘプテン-1、オクテン-1、デセン-1等が挙げられる。更に好ましいα-オレフィンは炭素数4~8のものであり、具体的にはブテン-1、3-メチルブテン-1、4-メチルペンテン-1、ペンテン-1、ヘキセン-1、ヘプテン-1、オクテン-1等が挙げられる。特に好ましいα-オレフィンは、ブテン-1、ヘキセン-1、オクテン-1である。なお、後述するオレフィン重合用触媒の中には、エチレン単独重合時においても、エチレンオリゴメリゼーション反応による1-ブテンや1-ヘキセン等のα-オレフィンを重合系内で副生したり、「Chain-walking反応」と呼ばれる、オレフィン重合生長末端において活性中心金属-末端炭素間結合の異性化反応からオレフィン重合体主鎖にメチル基やエチル基といった短鎖分岐が生じる反応が知られており、これらの反応から生じるエチレン単独重合体中の短鎖分岐構造は、α-オレフィンの共重合によって生じる短鎖分岐構造と区別がつかない場合がある。
よって、本発明でいうエチレン単独重合体とは、外部からコモノマーとしてのα-オレフィンを供給することなく実施される重合の結果生じる重合体をいい、エチレン・α-オレフィン共重合体とは、外部から該α-オレフィンを供給して実施される重合の結果生じる重合体をいい、エチレン系重合体という語をエチレン単独重合体およびエチレン・α-オレフィン共重合体(後述のα-オレフィン以外をコモノマーとして使用する場合も含む。)を総称して使用する。
前記エチレン系重合体中におけるエチレンとα-オレフィンの割合は、エチレン約80~100重量%、α-オレフィン約0~20重量%であり、好ましくはエチレン約85~99.9重量%、α-オレフィン約0.1~15重量%であり、より好ましくはエチレン約90~99.5重量%、α-オレフィン約0.5~10重量%であり、更に好ましくはエチレン約90~99重量%、α-オレフィン約1~10重量%である。エチレン含量がこの範囲内であれば、ポリエチレン系樹脂組成物や該成形体の剛性と衝撃強度のバランスがよい。
共重合は、交互共重合、ランダム共重合、ブロック共重合のいずれであっても差し支えない。もちろん、エチレンやα-オレフィン以外のコモノマーを少量使用することも可能であり、この場合、スチレン、4-メチルスチレン、4-ジメチルアミノスチレン等のスチレン類、1,4-ブタジエン、1,5-ヘキサジエン、1,4-ヘキサジエン、1,7-オクタジエン等のジエン類、ノルボルネン、シクロペンテン等の環状化合物、ヘキセノール、ヘキセン酸、オクテン酸メチル等の含酸素化合物類、等の重合性二重結合を有する化合物を挙げることができる。ただしジエン類を使用する場合は長鎖分岐構造が発達しない範囲内において、すなわち上記条件(A-4)を満たす範囲内において使用しなくてはいけないことは言うまでもない。
1-6.エチレン系重合体(A)の製法
本発明における(A)成分は、上記条件(A-1)~(A-4)を全て満たすような上記組成のエチレン系重合体を製造して使用する。その製造は、オレフィン重合用触媒を用いてエチレンを単独重合または上述のα-オレフィンと共重合する方法によって実施される。
オレフィン重合用触媒としては、今日様々な種類のものが知られており、該触媒成分の構成および重合条件や後処理条件の工夫の範囲内において上記エチレン系重合体(A)が準備可能であれば何ら制限されるものではないが、エチレン系重合体(A)の製造に好適な、工業レベルにおける経済性を満足する技術例として、以下の(i)~(iv)で説明する遷移金属を含む具体的なオレフィン重合用触媒の例を挙げることができる。
本発明における(A)成分は、上記条件(A-1)~(A-4)を全て満たすような上記組成のエチレン系重合体を製造して使用する。その製造は、オレフィン重合用触媒を用いてエチレンを単独重合または上述のα-オレフィンと共重合する方法によって実施される。
オレフィン重合用触媒としては、今日様々な種類のものが知られており、該触媒成分の構成および重合条件や後処理条件の工夫の範囲内において上記エチレン系重合体(A)が準備可能であれば何ら制限されるものではないが、エチレン系重合体(A)の製造に好適な、工業レベルにおける経済性を満足する技術例として、以下の(i)~(iv)で説明する遷移金属を含む具体的なオレフィン重合用触媒の例を挙げることができる。
(i)チーグラー触媒
エチレン系重合体(A)の製造に好適なオレフィン重合用触媒の例として、遷移金属化合物と典型金属のアルキル化合物等の組み合わせからなるオレフィン配位重合触媒としてのチーグラー・ナッタ触媒が挙げられる。とりわけマグネシウム化合物にチタニウム化合物を担持させた固体触媒成分と有機アルミニウム化合物を組み合わせたいわゆるMg-Ti系チーグラー触媒(例えば、「触媒活用大辞典;2004年工業調査会発行」、「出願系統図―オレフィン重合触媒の変遷―;1995年発明協会発行」等を参照されたい。)は安価で高活性かつ重合プロセス適性に優れることから好適である。
中でも、日本国特開昭54-142192号公報、日本国特開昭54-148093号公報に記載されているような不活性担体物質担持Mg/Ti触媒、すなわち、例えば、無水MgCl2のテトラヒドロフラン溶液とTiCl3あるいはTiCl4の均一混合液を、あらかじめトリエチルアルミニウムで処理した多孔質シリカに含浸して乾燥乾固して得られる触媒や、日本国特開昭63-117019号公報に記載されているような、有機アルミニウムの存在下でMg/Ti触媒にオレフィン予備重合を施して得られた触媒、例えば、MgCl2とTi(OnBu)4とメチルハイドロジエンポリシロキサンの反応で得られた固体成分にTiCl4とメチルハイドロジエンポリシロキサンの混合液を導入して得られた触媒をトリエチルアルミニウム存在下、エチレン予備重合して得られた予備重合触媒、等が挙げられる。また、日本国特開昭60-195108号公報に記載されているようなマグネシウム・アルミニウム複合体と4価のチタン化合物とを反応させて得られた低原子価のチタン原子を含有する触媒成分と有機アルミニウム化合物とを組み合わせたオレフィン重合用触媒、日本国特開昭56-61406号公報等に記載されているようなマグネシウムエトキシド、トリn-ブトキシモノクロルチタン、n-ブタノールの均一混合物にエチルアルミニウムセスキクロライド等を滴下して得られる固体状触媒、日本国特開2001-139635号公報等に記載されているようなマグネシウム、ハロゲン原子、チタン及び電子供与体を含むオレフィン重合用固体触媒、等が挙げられる。
エチレン系重合体(A)の製造に好適なオレフィン重合用触媒の例として、遷移金属化合物と典型金属のアルキル化合物等の組み合わせからなるオレフィン配位重合触媒としてのチーグラー・ナッタ触媒が挙げられる。とりわけマグネシウム化合物にチタニウム化合物を担持させた固体触媒成分と有機アルミニウム化合物を組み合わせたいわゆるMg-Ti系チーグラー触媒(例えば、「触媒活用大辞典;2004年工業調査会発行」、「出願系統図―オレフィン重合触媒の変遷―;1995年発明協会発行」等を参照されたい。)は安価で高活性かつ重合プロセス適性に優れることから好適である。
中でも、日本国特開昭54-142192号公報、日本国特開昭54-148093号公報に記載されているような不活性担体物質担持Mg/Ti触媒、すなわち、例えば、無水MgCl2のテトラヒドロフラン溶液とTiCl3あるいはTiCl4の均一混合液を、あらかじめトリエチルアルミニウムで処理した多孔質シリカに含浸して乾燥乾固して得られる触媒や、日本国特開昭63-117019号公報に記載されているような、有機アルミニウムの存在下でMg/Ti触媒にオレフィン予備重合を施して得られた触媒、例えば、MgCl2とTi(OnBu)4とメチルハイドロジエンポリシロキサンの反応で得られた固体成分にTiCl4とメチルハイドロジエンポリシロキサンの混合液を導入して得られた触媒をトリエチルアルミニウム存在下、エチレン予備重合して得られた予備重合触媒、等が挙げられる。また、日本国特開昭60-195108号公報に記載されているようなマグネシウム・アルミニウム複合体と4価のチタン化合物とを反応させて得られた低原子価のチタン原子を含有する触媒成分と有機アルミニウム化合物とを組み合わせたオレフィン重合用触媒、日本国特開昭56-61406号公報等に記載されているようなマグネシウムエトキシド、トリn-ブトキシモノクロルチタン、n-ブタノールの均一混合物にエチルアルミニウムセスキクロライド等を滴下して得られる固体状触媒、日本国特開2001-139635号公報等に記載されているようなマグネシウム、ハロゲン原子、チタン及び電子供与体を含むオレフィン重合用固体触媒、等が挙げられる。
(ii)メタロセン触媒
エチレン系重合体(A)の製造に好適な重合触媒の例として、メタロセン系遷移金属化合物と助触媒成分からなるオレフィン重合触媒であるメタロセン触媒(例えば、「メタロセン触媒による次世代ポリマー工業化技術(上・下巻);1994年インターリサーチ(株)発行」等を参照されたい)は、比較的安価で高活性かつ重合プロセス適性に優れ、更には分子量分布および共重合組成分布が狭いエチレン系重合体が得られることから使用される。
中でも、日本国特開昭60-35007号公報等に記載されているようないわゆるメタロセン錯体とアルモキサンとを含んでなるオレフィン重合用の触媒系や、日本国特開平8-34809号公報、日本国特開平8-127613号公報、日本国特開平11-193306号公報、日本国特表2002-515522号公報、等に記載されているようなアルモキサン以外の助触媒成分を使用する触媒系が好適に使用される。メタロセン錯体としては中心金属が周期律表4B族であるTi、Zr、Hfのものがエチレン重合に対して高活性を示すので好適に使用される。これら中心金属の配位子の構造としては現在様々な構造のものが知られており、生成ポリエチレンの分子量、α-オレフィン共重合性等の重合性能が調べられている。本発明のエチレン系重合体(A)は前述したように長鎖分岐構造が無いか少量しか含まないものが好適であるが、このような特性のエチレン系重合体の製造には、共役五員環構造配位子が他の配位子と架橋基によって架橋されていないいわゆる非架橋錯体であることが好ましく、例えば、日本国特開平11-310612号公報にあるような、下記の一般式[1]、[2]、[3]もしくは[4]によるメタロセン化合物の構造分類によれば、一般式[1]や一般式[3]で示される化合物が好ましく、一般式[1]で示される化合物がより好ましい。ただし、長鎖分岐構造の生成にはエチレンやα-オレフィンの重合場における濃度が高い程、重合反応時間が短い程不利であると言われているので、メタロセン化合物の好適さの大小はあくまでも重合が同一条件において実施される場合を仮定した相対的なものに限定されることは言うまでもない。また、日本国特開平5-132518号公報、日本国特開2000-154196号公報、日本国特開2004-161760号公報等に記載されているメタロセン錯体も好適に用いられ、また、例えば日本国特表2002-535339号公報記載のヘテロ原子を含有する単環式または多環式のヘテロ芳香族基を共役五員環構造配位子上の置換基として有するメタロセン錯体も好適に用いられる。
エチレン系重合体(A)の製造に好適な重合触媒の例として、メタロセン系遷移金属化合物と助触媒成分からなるオレフィン重合触媒であるメタロセン触媒(例えば、「メタロセン触媒による次世代ポリマー工業化技術(上・下巻);1994年インターリサーチ(株)発行」等を参照されたい)は、比較的安価で高活性かつ重合プロセス適性に優れ、更には分子量分布および共重合組成分布が狭いエチレン系重合体が得られることから使用される。
中でも、日本国特開昭60-35007号公報等に記載されているようないわゆるメタロセン錯体とアルモキサンとを含んでなるオレフィン重合用の触媒系や、日本国特開平8-34809号公報、日本国特開平8-127613号公報、日本国特開平11-193306号公報、日本国特表2002-515522号公報、等に記載されているようなアルモキサン以外の助触媒成分を使用する触媒系が好適に使用される。メタロセン錯体としては中心金属が周期律表4B族であるTi、Zr、Hfのものがエチレン重合に対して高活性を示すので好適に使用される。これら中心金属の配位子の構造としては現在様々な構造のものが知られており、生成ポリエチレンの分子量、α-オレフィン共重合性等の重合性能が調べられている。本発明のエチレン系重合体(A)は前述したように長鎖分岐構造が無いか少量しか含まないものが好適であるが、このような特性のエチレン系重合体の製造には、共役五員環構造配位子が他の配位子と架橋基によって架橋されていないいわゆる非架橋錯体であることが好ましく、例えば、日本国特開平11-310612号公報にあるような、下記の一般式[1]、[2]、[3]もしくは[4]によるメタロセン化合物の構造分類によれば、一般式[1]や一般式[3]で示される化合物が好ましく、一般式[1]で示される化合物がより好ましい。ただし、長鎖分岐構造の生成にはエチレンやα-オレフィンの重合場における濃度が高い程、重合反応時間が短い程不利であると言われているので、メタロセン化合物の好適さの大小はあくまでも重合が同一条件において実施される場合を仮定した相対的なものに限定されることは言うまでもない。また、日本国特開平5-132518号公報、日本国特開2000-154196号公報、日本国特開2004-161760号公報等に記載されているメタロセン錯体も好適に用いられ、また、例えば日本国特表2002-535339号公報記載のヘテロ原子を含有する単環式または多環式のヘテロ芳香族基を共役五員環構造配位子上の置換基として有するメタロセン錯体も好適に用いられる。
[ここで、A1~A4は、共役五員環構造を有する配位子(同一化合物内においてA1~A4は同一でも異なっていてもよい)を、Q1は2つの共役五員環配位子を任意の位置で架橋する結合性基を、Z1およびZ2は、各々独立して、Mと結合している窒素原子、酸素原子、ケイ素原子、リン原子またはイオウ原子を含む配位子、水素原子、ハロゲン原子または炭化水素基を、Q2は共役五員環配位子の任意の位置とZ2を架橋する結合性基を、Mは周期律表4族から選ばれる金属原子を、そしてXおよびYは、各々独立して、Mと結合した水素原子、ハロゲン原子、炭化水素基、アルコキシ基、アミノ基、リン含有炭化水素基またはケイ素含有炭化水素基を、それぞれ示す。以上の詳細定義は該公報に従うものとする。]
(iii)フィリップス触媒
フィリップス触媒は、クロム化合物をシリカ、シリカ-アルミナ、シリカ-チタニア等の無機酸化物担体に担持させ、非還元性雰囲気で賦活することにより、担持されたクロム元素の少なくとも一部のクロム元素を6価としたクロム触媒である(例えば、M.P.McDaniel著,Advances in Catalysis,Volime 33,47頁,1985年,Academic Press Inc.; M.P.McDaniel著,Handbook of Heterogeneous Catalysis,2400頁,1997年,VCH; M.B.Welchら著,Handbook of Polyolefins:Synthesis and Properties,21頁,1993年,Marcel Dekker等を参照されたい。)。フィリップス触媒はエチレン重合に対して高活性を示すので好適に使用される。ただし、フィリップス触媒で製造されるエチレン系重合体には長鎖分岐構造が含まれたり、分子量分布が広い傾向があるので、本発明のエチレン系重合体(A)として使用する際は上記条件(A-3)や(A-4)を満たすことに特に注意が必要である。
フィリップス触媒は、クロム化合物をシリカ、シリカ-アルミナ、シリカ-チタニア等の無機酸化物担体に担持させ、非還元性雰囲気で賦活することにより、担持されたクロム元素の少なくとも一部のクロム元素を6価としたクロム触媒である(例えば、M.P.McDaniel著,Advances in Catalysis,Volime 33,47頁,1985年,Academic Press Inc.; M.P.McDaniel著,Handbook of Heterogeneous Catalysis,2400頁,1997年,VCH; M.B.Welchら著,Handbook of Polyolefins:Synthesis and Properties,21頁,1993年,Marcel Dekker等を参照されたい。)。フィリップス触媒はエチレン重合に対して高活性を示すので好適に使用される。ただし、フィリップス触媒で製造されるエチレン系重合体には長鎖分岐構造が含まれたり、分子量分布が広い傾向があるので、本発明のエチレン系重合体(A)として使用する際は上記条件(A-3)や(A-4)を満たすことに特に注意が必要である。
(iv)ポストメタロセン触媒
エチレン系重合体(A)の製造に好適な重合触媒の例として、先述のメタロセン系遷移金属化合物以外の均一系金属錯体(非メタロセン錯体)を使用するオレフィン重合触媒であるポストメタロセン触媒(例えば、「ポリエチレン技術読本;2001年工業調査会(株)発行」、「均一系遷移金属触媒によるリビング重合;1999年アイピーシー(株)発行」、「触媒活用大辞典;2004年工業調査会発行」等を参照されたい。)が、比較的安価で活性に優れ、更には分子量分布および共重合組成分布が狭いエチレン系重合体が得られることから使用される。
中でも、日本国特表平10-513489号公報、日本国特表2002-521538号公報、日本国特表2000-516295号公報、日本国特表2000-514132号公報、Macromolecules,1996,p5241、JACS,1997,119,p3830、JACS,1999,121,p5798、Organometallics,1998,p3155等に開示されている少なくとも2個のN原子を有する配位子が該2個のN原子を通じて周期律表第3~11族の遷移金属と結合することにより形成される該遷移金属を含む四~八員環キレート構造を有する遷移金属のビスイミド化合物、イミノアミド化合物およびビスアミド化合物や、日本国特開平6-136048号公報等に開示されている少なくとも2個のO原子またはS原子を有する配位子が該2個のO原子またはS原子を通じて周期律表第3~11族の遷移金属と結合することにより形成される該遷移金属を含む四~八員環キレート構造を有する遷移金属のビスヒドロカルビルオキシ化合物およびビスヒドロカルビルチオ化合物や、日本国特表2000-514132号公報、日本国特表2003-535107号公報、日本国特開2007-77395号公報等に開示されている少なくとも1個のN原子、S原子あるいはP原子とカルボキシル基(COO)を有する配位子が該N原子、S原子あるいはP原子とカルボキシル基を通じて周期律表第3~11族の遷移金属と結合することにより形成される該遷移金属を含む四~八員環キレート構造を有する遷移金属のイミノカルボキシレート化合物、チオカルボキシレート化合物およびホスフィンカルボキシレート化合物や、日本国特表2004-517933号公報等に開示されている少なくとも1個のP原子あるいはN原子とカルボニル基(CO)を有する配位子が該P原子あるいはN原子とカルボニル基を通じて周期律表第3~11族の遷移金属と結合することにより形成される該遷移金属を含む四~八員環キレート構造を有する遷移金属のβ-ケト-ホスフィン化合物、β-ケト-イミド化合物およびβ-ケト-アミド化合物や、日本国特開昭64-14217号公報、日本国特表2004-517933号公報等に開示されている少なくとも1個のP原子あるいはN原子とO原子を有する配位子が該P原子あるいはN原子とO原子を通じて周期律表第3~11族の遷移金属と結合することにより形成される該遷移金属を含む四~八員環キレート構造を有する遷移金属のγ-オキシ-ホスフィン化合物、γ-オキシ-イミド化合物およびγ-オキシ-アミド化合物や、日本国特開平6-184214号公報、日本国特開平10-195090号公報、日本国特表2002-521534号公報、日本国特開2007-46032号公報、日本国特開2007-77395号公報等に開示されている少なくとも1個のP原子とスルホン酸残基(SO3)を有する配位子が該P原子とスルホン酸残基を通じて周期律表第3~11族の遷移金属と結合することにより形成される該遷移金属を含む四~八員環キレート構造を有する遷移金属のγ-スルホナト-ホスフィン化合物や、日本国特開平11-315109号公報、Chemical Communications(2003),(18),2272-2273等に開示されている少なくともN原子とフェノキシ基を有する配位子が該N原子とフェノキシ基のO原子を通じて周期律表第3~11族の遷移金属と結合することにより形成される該遷移金属を含む四~八員環キレート構造を有する遷移金属のフェノキシイミン化合物およびフェノキシアミン化合物が好適に使用される。
これらの非メタロセン錯体触媒としては、中心金属が周期律表4B族であるTi、Zr、HfやV、Cr、Fe、Co、Ni、Pdのものが高活性を示すのでより好適に使用され、中心金属がTi、Zr、Hf、Fe、Ni、Pdのものが更に好適に使用される。ただし、これらのポストメタロセン触媒の中には、生成エチレン系重合体中に長鎖分岐構造が含まれたり、メチル分岐を中心とする短鎖分岐構造が含まれたり、分子量分布が広がったりする傾向を有する場合があるので、本発明のエチレン系重合体(A)として使用する際は上記条件(A-2)~(A-4)を満たすことに特に注意が必要である。
エチレン系重合体(A)の製造に好適な重合触媒の例として、先述のメタロセン系遷移金属化合物以外の均一系金属錯体(非メタロセン錯体)を使用するオレフィン重合触媒であるポストメタロセン触媒(例えば、「ポリエチレン技術読本;2001年工業調査会(株)発行」、「均一系遷移金属触媒によるリビング重合;1999年アイピーシー(株)発行」、「触媒活用大辞典;2004年工業調査会発行」等を参照されたい。)が、比較的安価で活性に優れ、更には分子量分布および共重合組成分布が狭いエチレン系重合体が得られることから使用される。
中でも、日本国特表平10-513489号公報、日本国特表2002-521538号公報、日本国特表2000-516295号公報、日本国特表2000-514132号公報、Macromolecules,1996,p5241、JACS,1997,119,p3830、JACS,1999,121,p5798、Organometallics,1998,p3155等に開示されている少なくとも2個のN原子を有する配位子が該2個のN原子を通じて周期律表第3~11族の遷移金属と結合することにより形成される該遷移金属を含む四~八員環キレート構造を有する遷移金属のビスイミド化合物、イミノアミド化合物およびビスアミド化合物や、日本国特開平6-136048号公報等に開示されている少なくとも2個のO原子またはS原子を有する配位子が該2個のO原子またはS原子を通じて周期律表第3~11族の遷移金属と結合することにより形成される該遷移金属を含む四~八員環キレート構造を有する遷移金属のビスヒドロカルビルオキシ化合物およびビスヒドロカルビルチオ化合物や、日本国特表2000-514132号公報、日本国特表2003-535107号公報、日本国特開2007-77395号公報等に開示されている少なくとも1個のN原子、S原子あるいはP原子とカルボキシル基(COO)を有する配位子が該N原子、S原子あるいはP原子とカルボキシル基を通じて周期律表第3~11族の遷移金属と結合することにより形成される該遷移金属を含む四~八員環キレート構造を有する遷移金属のイミノカルボキシレート化合物、チオカルボキシレート化合物およびホスフィンカルボキシレート化合物や、日本国特表2004-517933号公報等に開示されている少なくとも1個のP原子あるいはN原子とカルボニル基(CO)を有する配位子が該P原子あるいはN原子とカルボニル基を通じて周期律表第3~11族の遷移金属と結合することにより形成される該遷移金属を含む四~八員環キレート構造を有する遷移金属のβ-ケト-ホスフィン化合物、β-ケト-イミド化合物およびβ-ケト-アミド化合物や、日本国特開昭64-14217号公報、日本国特表2004-517933号公報等に開示されている少なくとも1個のP原子あるいはN原子とO原子を有する配位子が該P原子あるいはN原子とO原子を通じて周期律表第3~11族の遷移金属と結合することにより形成される該遷移金属を含む四~八員環キレート構造を有する遷移金属のγ-オキシ-ホスフィン化合物、γ-オキシ-イミド化合物およびγ-オキシ-アミド化合物や、日本国特開平6-184214号公報、日本国特開平10-195090号公報、日本国特表2002-521534号公報、日本国特開2007-46032号公報、日本国特開2007-77395号公報等に開示されている少なくとも1個のP原子とスルホン酸残基(SO3)を有する配位子が該P原子とスルホン酸残基を通じて周期律表第3~11族の遷移金属と結合することにより形成される該遷移金属を含む四~八員環キレート構造を有する遷移金属のγ-スルホナト-ホスフィン化合物や、日本国特開平11-315109号公報、Chemical Communications(2003),(18),2272-2273等に開示されている少なくともN原子とフェノキシ基を有する配位子が該N原子とフェノキシ基のO原子を通じて周期律表第3~11族の遷移金属と結合することにより形成される該遷移金属を含む四~八員環キレート構造を有する遷移金属のフェノキシイミン化合物およびフェノキシアミン化合物が好適に使用される。
これらの非メタロセン錯体触媒としては、中心金属が周期律表4B族であるTi、Zr、HfやV、Cr、Fe、Co、Ni、Pdのものが高活性を示すのでより好適に使用され、中心金属がTi、Zr、Hf、Fe、Ni、Pdのものが更に好適に使用される。ただし、これらのポストメタロセン触媒の中には、生成エチレン系重合体中に長鎖分岐構造が含まれたり、メチル分岐を中心とする短鎖分岐構造が含まれたり、分子量分布が広がったりする傾向を有する場合があるので、本発明のエチレン系重合体(A)として使用する際は上記条件(A-2)~(A-4)を満たすことに特に注意が必要である。
本発明において、エチレン系重合体(A)の製造は、好ましくは上述のオレフィン重合触媒(i)~(iv)、より好ましくは(i)チーグラー触媒または(ii)メタロセン触媒をエチレンと接触して、エチレンを重合または共重合することによって実施される。オレフィン重合触媒は(i)~(iv)の中から複数種を使用することもできる。エチレンの重合または共重合を行うに際しては、スラリー重合、溶液重合、液状モノマー中でのバルク重合、懸濁重合のような液相重合法あるいは気相重合法など、いずれの方法も採用することができる。スラリー重合法の場合、パイプループ型反応器を用いるスラリー重合法、オートクレーブ型反応器を用いるスラリー重合法、いずれも用いることができる。工業的な重合プロセスに関しては、松浦一雄・三上尚孝編著、「ポリエチレン技術読本」、148頁、2001年、工業調査会に詳細に記載されている。重合方法としてはスラリー重合法または気相重合法が好ましく、気相重合法が更に好ましい。
本発明において使用されるエチレンは、通常の化石原料由来の原油から製造されるエチレンであってもよいし、植物由来のエチレンであってもよい。また、本発明において製造されるポリエチレンは、植物由来のエチレンを使用して製造されたエチレン系重合体であっても何ら差し支えない。植物由来のエチレン及びポリエチレンとしては、例えば、日本国特表2010-511634号公報に記載のエチレンやそのポリマーが挙げられる。植物由来のエチレンやそのポリマーは、カーボンニュートラル(化石原料を使わず大気中の二酸化炭素の増加につながらない)の性質を持ち、環境に配慮した製品の提供が可能である。
液相重合法は、通常炭化水素溶媒中で行う。炭化水素溶媒としては、プロパン、n-ブタン、イソブタン、n-ペンタン、イソペンタン、ヘキサン、ヘプタン、オクタン、デカン、シクロヘキサン、ベンゼン、トルエン、キシレンなどの不活性炭化水素の単独または混合物あるいは液状モノマーが用いられる。気相重合法は、不活性ガス共存下にて、流動床、攪拌床等の通常知られる重合法を採用でき、場合により重合熱除去の媒体を共存させる、いわゆるコンデンシングモードを採用することもできる。
重合温度は、一般的には0~300℃であり、実用的には50~270℃であり、更に好ましくは、採用する重合プロセスによって異なるが、スラリー重合や懸濁重合では60~110℃であり、溶液重合や液状エチレン中でのバルク重合では100~250℃であり、気相重合法では60~100℃である。反応器中の触媒濃度およびオレフィン濃度は重合を進行させるのに十分な任意の濃度でよい。エチレン濃度は、スラリー重合、懸濁重合、溶液重合の場合、反応器内容物の重量を基準にして約1%~約10%の範囲とすることができ、気相重合の場合、全圧として0.1~10MPaの範囲とすることができる。また、水素を共存させて重合を行うことも可能であり、エチレン系重合体(A)のMFRを調整する手段として一般的である。水素は、一般的には分子量を調節するためのいわゆる連鎖移動剤としての働きを有する。MFRは、重合温度、触媒のモル比等の重合条件を変えることによってもある程度調節可能である。エチレン系重合体(A)の長鎖分岐量を少なくするためには、エチレン濃度や水素濃度は高い方が好ましい。
重合方法としては、反応器を一つ用いてオレフィン系重合体を製造する単段重合だけでなく、生産量を向上させるため、または分子量分布やコモノマー組成分布をより精密に制御するために少なくとも二つ以上の反応器を直列あるいは/および並列に連結させて多段重合を行うこともできる。多段重合の場合、複数の反応器を連結させ、第一段の反応器で重合して得られた反応混合物を続いて第二段以降の反応器に連続して供給する直列多段重合が好ましい。直列多段重合法では、前段の反応器での重合反応混合物が後段以降の反応器に連結管を通して連続的排出により移送される。また、重合系中に、水分除去を目的とした成分、いわゆるスカベンジャーを加えても何ら支障なく実施することができる。かかるスカベンジャーとしては、トリメチルアルミニウム、トリエチルアルミニウム、トリイソブチルアルミニウム等の有機アルミニウム化合物、前記有機アルミニウムオキシ化合物、有機亜鉛化合物、有機マグネシウム化合物が使用されるが、有機アルミニウム化合物が最も一般的である。
(2)エチレン系重合体(B)
本発明のポリエチレン系樹脂組成物を構成する成分の1つである(B)成分は、下記に説明する条件(B-1)~(B-6)を全て満たす。
本発明のポリエチレン系樹脂組成物を構成する成分の1つである(B)成分は、下記に説明する条件(B-1)~(B-6)を全て満たす。
2-1.条件(B-1)
本発明における(B)成分のメルトフローレート(MFRB)は、0.01~1.5g/10分、好ましくは0.05~1.0g/10分、更に好ましくは0.1~0.8g/10分である。
MFRBが0.01g/10分未満ではポリエチレン系樹脂組成物の成形加工性、特に溶融流動性や延展性に劣り、更にはエチレン系重合体(A)と均一に混ぜることが困難となるため、ゲル、ブツ、フィッシュアイといった概観不良が生じたり、衝撃強度や透明性が低下するので好ましくない。MFRBが1.5g/10分より大きいとポリエチレン系樹脂組成物や該成形体の衝撃強度、引裂強度や引張強度等の機械的強度や透明性の向上効果が十分発現しないので好ましくない。MFRBは更に、MFRAとの関係において、100>MFRA/MFRB>1.0を満たすことが本発明のポリエチレン系樹脂組成物や該成形体の衝撃強度、引裂強度や引張強度等の機械的強度、透明性の向上には必要であり、好ましくは20>MFRA/MFRB>1.1、より好ましくは15>MFRA/MFRB>1.2、更に好ましくは10>MFRA/MFRB>2.0を満たすことが必要である。なお、MFRBは、上述の条件(A-1)と同様の条件で測定したときの値をいう。
本発明における(B)成分のメルトフローレート(MFRB)は、0.01~1.5g/10分、好ましくは0.05~1.0g/10分、更に好ましくは0.1~0.8g/10分である。
MFRBが0.01g/10分未満ではポリエチレン系樹脂組成物の成形加工性、特に溶融流動性や延展性に劣り、更にはエチレン系重合体(A)と均一に混ぜることが困難となるため、ゲル、ブツ、フィッシュアイといった概観不良が生じたり、衝撃強度や透明性が低下するので好ましくない。MFRBが1.5g/10分より大きいとポリエチレン系樹脂組成物や該成形体の衝撃強度、引裂強度や引張強度等の機械的強度や透明性の向上効果が十分発現しないので好ましくない。MFRBは更に、MFRAとの関係において、100>MFRA/MFRB>1.0を満たすことが本発明のポリエチレン系樹脂組成物や該成形体の衝撃強度、引裂強度や引張強度等の機械的強度、透明性の向上には必要であり、好ましくは20>MFRA/MFRB>1.1、より好ましくは15>MFRA/MFRB>1.2、更に好ましくは10>MFRA/MFRB>2.0を満たすことが必要である。なお、MFRBは、上述の条件(A-1)と同様の条件で測定したときの値をいう。
2-2.条件(B-2)
本発明における(B)成分の密度Bは、0.880~0.940g/cm3、好ましくは0.891~0.940g/cm3、より好ましくは0.895~0.925g/cm3、更に好ましくは0.900~0.915g/cm3、特に好ましくは0.900~0.910g/cm3である。
密度Bがこの範囲にあると、ポリエチレン系樹脂組成物や該成形体の衝撃強度と剛性のバランスおよび透明性が優れる。一方、密度Bが0.880g/cm3未満では剛性が低下し、製品がフィルムやシート等の厚さの薄い成形体の場合、製品使用における各種不都合はもちろんのこと、製品巻取工程、表面印刷・貼合等の後加工工程において不都合が生じるので好ましくなく、製品がパイプや各種容器等の肉厚成形体の場合、製品が柔らか過ぎて変形するため、必要以上に肉厚な設計を迫られるので好ましくない。また、エチレン系重合体(A)とのブレンド処理工程に供する際に室温においてさえベトツキがひどくて取り扱いが困難となったり、ポリエチレン系樹脂組成物の製品ベトツキの原因となって好ましくなく、更には、エチレン系重合体(A)との相容性が低下し、相分離による衝撃強度や透明性が悪化する可能性がある。また、密度Bが0.940g/cm3より大きいと衝撃強度や透明性が損なわれるので好ましくない。
本発明における(B)成分の密度Bは、0.880~0.940g/cm3、好ましくは0.891~0.940g/cm3、より好ましくは0.895~0.925g/cm3、更に好ましくは0.900~0.915g/cm3、特に好ましくは0.900~0.910g/cm3である。
密度Bがこの範囲にあると、ポリエチレン系樹脂組成物や該成形体の衝撃強度と剛性のバランスおよび透明性が優れる。一方、密度Bが0.880g/cm3未満では剛性が低下し、製品がフィルムやシート等の厚さの薄い成形体の場合、製品使用における各種不都合はもちろんのこと、製品巻取工程、表面印刷・貼合等の後加工工程において不都合が生じるので好ましくなく、製品がパイプや各種容器等の肉厚成形体の場合、製品が柔らか過ぎて変形するため、必要以上に肉厚な設計を迫られるので好ましくない。また、エチレン系重合体(A)とのブレンド処理工程に供する際に室温においてさえベトツキがひどくて取り扱いが困難となったり、ポリエチレン系樹脂組成物の製品ベトツキの原因となって好ましくなく、更には、エチレン系重合体(A)との相容性が低下し、相分離による衝撃強度や透明性が悪化する可能性がある。また、密度Bが0.940g/cm3より大きいと衝撃強度や透明性が損なわれるので好ましくない。
密度Bは更に、密度Aとの関係において、1.070>密度A/密度B>0.990を満たすことが本発明のポリエチレン系樹脂組成物や該成形体の衝撃強度、引裂強度や引張強度等の機械的強度、透明性の向上には好ましく、より好ましくは1.059>密度A/密度B>1.000、更に好ましくは1.050>密度A/密度B>1.005、特に好ましくは1.035>密度A/密度B>1.010を満たすことが必要である。なお、密度Bは、上述の条件(A-2)と同様の条件で測定したときの値をいう。
2-3.条件(B-3)
本発明における(B)成分の重量平均分子量(Mw)と数平均分子量(Mn)の比([Mw/Mn]B)は、2.0~10.0、好ましくは2.0~6.0、より好ましくは2.5~5.6、更に好ましくは2.9~4.5、特に好ましくは3.2~4.0である。
[Mw/Mn]Bが2.0未満ではエチレン系重合体(A)と混ざり難かったりする可能性があるので避けるべきである。[Mw/Mn]Bが10.0より大きいとポリエチレン系樹脂組成物や該成形体の衝撃強度改良の効果が不十分となったり、透明性が悪化したり、ベトツキしやすくなるので好ましくない。なお、[Mw/Mn]Bは上述の条件(A-3)と同様の条件で測定したときの値をいう。
本発明における(B)成分の重量平均分子量(Mw)と数平均分子量(Mn)の比([Mw/Mn]B)は、2.0~10.0、好ましくは2.0~6.0、より好ましくは2.5~5.6、更に好ましくは2.9~4.5、特に好ましくは3.2~4.0である。
[Mw/Mn]Bが2.0未満ではエチレン系重合体(A)と混ざり難かったりする可能性があるので避けるべきである。[Mw/Mn]Bが10.0より大きいとポリエチレン系樹脂組成物や該成形体の衝撃強度改良の効果が不十分となったり、透明性が悪化したり、ベトツキしやすくなるので好ましくない。なお、[Mw/Mn]Bは上述の条件(A-3)と同様の条件で測定したときの値をいう。
2-4.条件(B-4)
本発明における(B)成分は、歪硬化度[λmax(2.0)]Bが1.2~20.0、好ましくは1.2~10.0、より好ましくは1.7~8.0、更に好ましくは2.4~6.0であり、特に好ましくは3.0~5.0である。
[λmax(2.0)]Bが1.2未満では該エチレン系重合体、ポリエチレン系樹脂組成物や該成形体の流動性や溶融張力が不十分となり、成形加工特性が悪くなる。[λmax(2.0)]Bが20.0より大きいと、流動性や溶融張力には優れるものの、ポリエチレン系樹脂組成物や該成形体の衝撃強度が低下したり、透明性が悪化したりするので好ましくない。なお、[λmax(2.0)]Bは上述の条件(A-4)と同様の条件で測定したときの値をいう。更に、[λmax(2.0)]Bと[λmax(2.0)]Bの関係は、その比が、20>[λmax(2.0)]B/[λmax(2.0)]B>1.0を満たす場合、本発明のポリエチレン系樹脂組成物の成形加工性と機械的特性のバランスが特に向上するので好ましい。該比が20以上の場合、該樹脂組成物の成形加工性は向上するが、機械的強度が低下したり、透明性が悪化したり、エチレン系重合体(A)とエチレン系重合体(B)の均一な混合が困難となって外観を悪化させる場合があるので、好ましくない。また該比が1.0以下の場合、該樹脂組成物の成形加工性の改良が十分発揮しないので、好ましくない。該比は好ましくは10>[λmax(2.0)]B/[λmax(2.0)]B>1.1、より好ましくは5.0>[λmax(2.0)]B/[λmax(2.0)]B>1.5、更に好ましくは4.0>[λmax(2.0)]B/[λmax(2.0)]B>1.8である。
ポリエチレンの伸長流動特性がその成形加工性や成形体の機械的特性面に与える影響に関しては、既に上述の条件(A-4)の項で一般論として述べた通りである。このようにポリエチレンの伸長流動特性がもたらす成形加工面での向上および成形体の機械的特性面での不都合の克服を、該伸長粘度特性の主な支配因子である長鎖分岐構造を工夫することで解決すべくポリエチレン系樹脂組成物について鋭意検討を行なった結果、長鎖分岐構造の少ないエチレン系重合体(A)を該樹脂組成物の高MFR主成分すなわち低分子量側主成分として使用するとともに、条件(B-4)で定義された伸長歪硬化度[λmax(2.0)]Bで代表される長鎖分岐構造の多いエチレン系重合体(B)を該樹脂組成物の低MFR主成分すなわち高分子量側主成分として使用すると、成形加工特性の向上はもちろんのこと、機械的特性、特に剛性や衝撃強度に優れ、更には透明性にも優れることがわかった。更に、該エチレン系重合体(B)の長鎖分岐構造が、伸長歪硬化度の歪速度依存性が従来使用されていたものとは異なる下記条件(B-5)で表わされる特性を有する時、上記ポリエチレン系樹脂組成物の成形加工特性、機械的特性、透明性のいずれにおいても向上効果に極めて優れることがわかった。
本発明における(B)成分は、歪硬化度[λmax(2.0)]Bが1.2~20.0、好ましくは1.2~10.0、より好ましくは1.7~8.0、更に好ましくは2.4~6.0であり、特に好ましくは3.0~5.0である。
[λmax(2.0)]Bが1.2未満では該エチレン系重合体、ポリエチレン系樹脂組成物や該成形体の流動性や溶融張力が不十分となり、成形加工特性が悪くなる。[λmax(2.0)]Bが20.0より大きいと、流動性や溶融張力には優れるものの、ポリエチレン系樹脂組成物や該成形体の衝撃強度が低下したり、透明性が悪化したりするので好ましくない。なお、[λmax(2.0)]Bは上述の条件(A-4)と同様の条件で測定したときの値をいう。更に、[λmax(2.0)]Bと[λmax(2.0)]Bの関係は、その比が、20>[λmax(2.0)]B/[λmax(2.0)]B>1.0を満たす場合、本発明のポリエチレン系樹脂組成物の成形加工性と機械的特性のバランスが特に向上するので好ましい。該比が20以上の場合、該樹脂組成物の成形加工性は向上するが、機械的強度が低下したり、透明性が悪化したり、エチレン系重合体(A)とエチレン系重合体(B)の均一な混合が困難となって外観を悪化させる場合があるので、好ましくない。また該比が1.0以下の場合、該樹脂組成物の成形加工性の改良が十分発揮しないので、好ましくない。該比は好ましくは10>[λmax(2.0)]B/[λmax(2.0)]B>1.1、より好ましくは5.0>[λmax(2.0)]B/[λmax(2.0)]B>1.5、更に好ましくは4.0>[λmax(2.0)]B/[λmax(2.0)]B>1.8である。
ポリエチレンの伸長流動特性がその成形加工性や成形体の機械的特性面に与える影響に関しては、既に上述の条件(A-4)の項で一般論として述べた通りである。このようにポリエチレンの伸長流動特性がもたらす成形加工面での向上および成形体の機械的特性面での不都合の克服を、該伸長粘度特性の主な支配因子である長鎖分岐構造を工夫することで解決すべくポリエチレン系樹脂組成物について鋭意検討を行なった結果、長鎖分岐構造の少ないエチレン系重合体(A)を該樹脂組成物の高MFR主成分すなわち低分子量側主成分として使用するとともに、条件(B-4)で定義された伸長歪硬化度[λmax(2.0)]Bで代表される長鎖分岐構造の多いエチレン系重合体(B)を該樹脂組成物の低MFR主成分すなわち高分子量側主成分として使用すると、成形加工特性の向上はもちろんのこと、機械的特性、特に剛性や衝撃強度に優れ、更には透明性にも優れることがわかった。更に、該エチレン系重合体(B)の長鎖分岐構造が、伸長歪硬化度の歪速度依存性が従来使用されていたものとは異なる下記条件(B-5)で表わされる特性を有する時、上記ポリエチレン系樹脂組成物の成形加工特性、機械的特性、透明性のいずれにおいても向上効果に極めて優れることがわかった。
2-5.条件(B-5)
本発明における(B)成分は、上記条件(B-4)で定義された[λmax(2.0)]Bと、伸長歪速度を0.1(単位1/秒)として同様に測定された[λmax(0.1)]Bとの比[λmax(2.0)]B/[λmax(0.1)]Bが1.2~10.0、好ましくは1.3~5.0、より好ましくは1.4~4.0であり、更に好ましくは1.5~3.0である。
[λmax(2.0)]B/[λmax(0.1)]Bが1.2未満では該エチレン系重合体、ポリエチレン系樹脂組成物や該成形体の溶融状態が均一でなかったり、熱的に不安定な構造である可能性があったり、非常に長い長鎖分岐構造の存在に起因する成形体の強度異方性による衝撃強度の低下や透明性の悪化が生じたりして、好ましくない。[λmax(2.0)]B/[λmax(0.1)]Bが10.0より大きいと、成形時の溶融張力と流動性には優れるものの、ポリエチレン系樹脂組成物や該成形体の衝撃強度が低下したり、透明性が悪化したりするので好ましくない。
本発明における(B)成分は、上記条件(B-4)で定義された[λmax(2.0)]Bと、伸長歪速度を0.1(単位1/秒)として同様に測定された[λmax(0.1)]Bとの比[λmax(2.0)]B/[λmax(0.1)]Bが1.2~10.0、好ましくは1.3~5.0、より好ましくは1.4~4.0であり、更に好ましくは1.5~3.0である。
[λmax(2.0)]B/[λmax(0.1)]Bが1.2未満では該エチレン系重合体、ポリエチレン系樹脂組成物や該成形体の溶融状態が均一でなかったり、熱的に不安定な構造である可能性があったり、非常に長い長鎖分岐構造の存在に起因する成形体の強度異方性による衝撃強度の低下や透明性の悪化が生じたりして、好ましくない。[λmax(2.0)]B/[λmax(0.1)]Bが10.0より大きいと、成形時の溶融張力と流動性には優れるものの、ポリエチレン系樹脂組成物や該成形体の衝撃強度が低下したり、透明性が悪化したりするので好ましくない。
2-6.条件(B-6)
本発明における(B)成分は、遷移金属を含む触媒を用いたエチレンの重合反応により製造された重合体であり、好ましくは、後述の2-10.エチレン系重合体(B)の製法の項あるいは[V]本発明のエチレン系重合体の製造方法の項で詳細に説明された遷移金属を含む触媒を用いたエチレンの重合反応により製造された重合体であり、より好ましくは、遷移金属を含む触媒を用いたエチレンの配位アニオン重合反応により製造された重合体である。
今日、遷移金属を含まないエチレン重合用触媒としては、各種ラジカル重合開始剤がよく知られており、具体的にはジアルキルペルオキシド化合物、アルキルヒドロペルオキシド化合物、過酸化ベンゾイル、過酸化水素等の過酸化物、アゾビスイソブチロニトリル、アゾビスシクロヘキサンカルボニトリル等のアゾ化合物、等が挙げられるが、これらラジカル重合開始剤を使用したラジカル重合反応で生成するエチレン系重合体は、長鎖分岐構造を多く含み、ポリエチレン系樹脂組成物の成分と使用した場合、成形加工特性や透明性の向上に効果を有するものの、長鎖分岐構造が多くなり過ぎて該組成物や成形体の強度を低下させるので好ましくなく、また、エチレン系重合体(B)のMFRを十分低くしたり、密度を十分低下させたり、好ましいα-オレフィンとの共重合が実現不可能であったりするので、該組成物や成形体の強度を十分向上させることが出来ないので、好ましくない。なお、例え、遷移金属を含む触媒であっても、過酸化水素/塩化第一鉄やセリウム塩/アルコールのようないわゆるレドックス系のように重合反応が実質的にラジカル重合で進行する場合は、本発明でいう遷移金属を含む触媒とは見なさない。
本発明における(B)成分は、遷移金属を含む触媒を用いたエチレンの重合反応により製造された重合体であり、好ましくは、後述の2-10.エチレン系重合体(B)の製法の項あるいは[V]本発明のエチレン系重合体の製造方法の項で詳細に説明された遷移金属を含む触媒を用いたエチレンの重合反応により製造された重合体であり、より好ましくは、遷移金属を含む触媒を用いたエチレンの配位アニオン重合反応により製造された重合体である。
今日、遷移金属を含まないエチレン重合用触媒としては、各種ラジカル重合開始剤がよく知られており、具体的にはジアルキルペルオキシド化合物、アルキルヒドロペルオキシド化合物、過酸化ベンゾイル、過酸化水素等の過酸化物、アゾビスイソブチロニトリル、アゾビスシクロヘキサンカルボニトリル等のアゾ化合物、等が挙げられるが、これらラジカル重合開始剤を使用したラジカル重合反応で生成するエチレン系重合体は、長鎖分岐構造を多く含み、ポリエチレン系樹脂組成物の成分と使用した場合、成形加工特性や透明性の向上に効果を有するものの、長鎖分岐構造が多くなり過ぎて該組成物や成形体の強度を低下させるので好ましくなく、また、エチレン系重合体(B)のMFRを十分低くしたり、密度を十分低下させたり、好ましいα-オレフィンとの共重合が実現不可能であったりするので、該組成物や成形体の強度を十分向上させることが出来ないので、好ましくない。なお、例え、遷移金属を含む触媒であっても、過酸化水素/塩化第一鉄やセリウム塩/アルコールのようないわゆるレドックス系のように重合反応が実質的にラジカル重合で進行する場合は、本発明でいう遷移金属を含む触媒とは見なさない。
2-7.条件(B-7)
本発明における(B)成分は、上記条件(B-1)~(B-6)に加えて更に、示差屈折計、粘度検出器、および、光散乱検出器を組み合わせたGPC測定装置により測定される分子量100万における分岐指数(gC’)が0.30~0.70であることが好ましい。gC’値は、より好ましくは0.30~0.59であり、更に好ましくは0.35~0.55であり、特に好ましくは0.35~0.50である。gC’値が0.70より大きいと該ポリエチレン系樹脂組成物の成形加工性が不十分であったり、該樹脂組成物や該成形体の透明性が不足したりして好ましくない。gC’値が0.30より小さいと、該ポリエチレン系樹脂組成物の成形加工性は向上するが、成形体の衝撃強度が低下したり、透明性が悪化したりするので好ましくない。なお、本発明で、エチレン系重合体のgC’値や次項のWC値は、下記のGPC-VIS測定から算出する分子量分布曲線や分岐指数(g’)を用いた長鎖分岐量の評価手法である。
本発明における(B)成分は、上記条件(B-1)~(B-6)に加えて更に、示差屈折計、粘度検出器、および、光散乱検出器を組み合わせたGPC測定装置により測定される分子量100万における分岐指数(gC’)が0.30~0.70であることが好ましい。gC’値は、より好ましくは0.30~0.59であり、更に好ましくは0.35~0.55であり、特に好ましくは0.35~0.50である。gC’値が0.70より大きいと該ポリエチレン系樹脂組成物の成形加工性が不十分であったり、該樹脂組成物や該成形体の透明性が不足したりして好ましくない。gC’値が0.30より小さいと、該ポリエチレン系樹脂組成物の成形加工性は向上するが、成形体の衝撃強度が低下したり、透明性が悪化したりするので好ましくない。なお、本発明で、エチレン系重合体のgC’値や次項のWC値は、下記のGPC-VIS測定から算出する分子量分布曲線や分岐指数(g’)を用いた長鎖分岐量の評価手法である。
2-8.条件(B-8)
本発明における(B)成分は、上記条件(B-1)~(B-7)に加えて更に、示差屈折計、粘度検出器、および、光散乱検出器を組み合わせたGPC測定装置により測定される分子量100万以上の成分の含有量(WC)が0.01~30.0%であることが好ましい。WC値は、より好ましくは0.01~10.0%であり、更に好ましくは0.02~8.0%であり、特に好ましくは0.05~6.0%であり、最も好ましくは0.09~4.0%である。
WC値が0.01%より小さいと該ポリエチレン系樹脂組成物の成形加工性が不十分であったり、該樹脂組成物や該成形体の透明性が不足したりして好ましくない。WC値が30.0%より大きいと、該ポリエチレン系樹脂組成物の成形加工性のうち、溶融張力は向上するが、溶融流動性が低くなり過ぎて、該樹脂組成物の製造や成形加工に支障を来たすので好ましくなく、更には成形体の衝撃強度が低下したり、透明性が悪化したりするので好ましくない。
本発明における(B)成分は、上記条件(B-1)~(B-7)に加えて更に、示差屈折計、粘度検出器、および、光散乱検出器を組み合わせたGPC測定装置により測定される分子量100万以上の成分の含有量(WC)が0.01~30.0%であることが好ましい。WC値は、より好ましくは0.01~10.0%であり、更に好ましくは0.02~8.0%であり、特に好ましくは0.05~6.0%であり、最も好ましくは0.09~4.0%である。
WC値が0.01%より小さいと該ポリエチレン系樹脂組成物の成形加工性が不十分であったり、該樹脂組成物や該成形体の透明性が不足したりして好ましくない。WC値が30.0%より大きいと、該ポリエチレン系樹脂組成物の成形加工性のうち、溶融張力は向上するが、溶融流動性が低くなり過ぎて、該樹脂組成物の製造や成形加工に支障を来たすので好ましくなく、更には成形体の衝撃強度が低下したり、透明性が悪化したりするので好ましくない。
[GPC-VISによる分岐構造解析]
示差屈折計(RI)および粘度検出器(Viscometer)を装備したGPC装置として、Waters社のAlliance GPCV2000を用いた。また、光散乱検出器として、多角度レーザー光散乱検出器(MALLS)Wyatt Technology社のDAWN-Eを用いた。検出器は、MALLS、RI、Viscometerの順で接続した。移動相溶媒は、1,2,4-trichlorobenzene(酸化防止剤Irganox1076を0.5mg/mLの濃度で添加)である。流量は1mL/分である。カラムは、東ソー社 GMHHR-H(S) HTを2本連結して用いた。カラム、試料注入部および各検出器の温度は、140℃である。試料濃度は1mg/mLとした。注入量(サンプルループ容量)は0.2175mLである。MALLSから得られる絶対分子量(M)、慣性二乗半径(Rg)およびViscometerから得られる極限粘度([η])を求めるにあたっては、MALLS付属のデータ処理ソフトASTRA(version4.73.04)を利用し、以下の文献を参考にして計算を行った。
示差屈折計(RI)および粘度検出器(Viscometer)を装備したGPC装置として、Waters社のAlliance GPCV2000を用いた。また、光散乱検出器として、多角度レーザー光散乱検出器(MALLS)Wyatt Technology社のDAWN-Eを用いた。検出器は、MALLS、RI、Viscometerの順で接続した。移動相溶媒は、1,2,4-trichlorobenzene(酸化防止剤Irganox1076を0.5mg/mLの濃度で添加)である。流量は1mL/分である。カラムは、東ソー社 GMHHR-H(S) HTを2本連結して用いた。カラム、試料注入部および各検出器の温度は、140℃である。試料濃度は1mg/mLとした。注入量(サンプルループ容量)は0.2175mLである。MALLSから得られる絶対分子量(M)、慣性二乗半径(Rg)およびViscometerから得られる極限粘度([η])を求めるにあたっては、MALLS付属のデータ処理ソフトASTRA(version4.73.04)を利用し、以下の文献を参考にして計算を行った。
参考文献:
1.Developments in polymer characterization, vol.4. Essex: Applied Science; 1984. Chapter1.
2.Polymer, 45, 6495-6505(2004)
3.Macromolecules, 33, 2424-2436(2000)
4.Macromolecules, 33, 6945-6952(2000)
1.Developments in polymer characterization, vol.4. Essex: Applied Science; 1984. Chapter1.
2.Polymer, 45, 6495-6505(2004)
3.Macromolecules, 33, 2424-2436(2000)
4.Macromolecules, 33, 6945-6952(2000)
[分岐指数(gC’)等の算出]
分岐指数(g’)は、サンプルを上記Viscometerで測定して得られる極限粘度(ηbranch)と、別途、線形ポリマーを測定して得られる極限粘度(ηlin)との比(ηbranch/ηlin)として算出する。
ポリマー分子に長鎖分岐が導入されると、同じ分子量の線形のポリマー分子と比較して慣性半径が小さくなる。慣性半径が小さくなると極限粘度が小さくなることから、長鎖分岐が導入されるに従い同じ分子量の線形ポリマーの極限粘度(ηlin)に対する分岐ポリマーの極限粘度(ηbranch)の比(ηbranch/ηlin)は小さくなっていく。したがって分岐指数(g’=ηbranch/ηlin)が1より小さい値になる場合には分岐が導入されていることを意味し、その値が小さくなるに従い導入されている長鎖分岐が増大していくことを意味する。特に本発明では、MALLSから得られる絶対分子量として、分子量100万以上の成分の、RIで測定される全成分量に対する含有比率(%)を、分子量100万以上の成分の含有量(WC)として算出し、MALLSから得られる絶対分子量として、分子量100万における上記g’を、gC’として算出する。
図4(a)および図4(b)に上記GPC-VISによる解析結果の一例を示した。図4(a)は、MALLSから得られる分子量(M)とRIから得られる濃度を元に測定された分子量分布曲線を、図4(b)は、分子量(M)における分岐指数(g’)を表す。ここで、線形ポリマーとしては、直鎖ポリエチレンStandard Reference Material 1475a(National Institute of Standards & Technology)を用いた。
分岐指数(g’)は、サンプルを上記Viscometerで測定して得られる極限粘度(ηbranch)と、別途、線形ポリマーを測定して得られる極限粘度(ηlin)との比(ηbranch/ηlin)として算出する。
ポリマー分子に長鎖分岐が導入されると、同じ分子量の線形のポリマー分子と比較して慣性半径が小さくなる。慣性半径が小さくなると極限粘度が小さくなることから、長鎖分岐が導入されるに従い同じ分子量の線形ポリマーの極限粘度(ηlin)に対する分岐ポリマーの極限粘度(ηbranch)の比(ηbranch/ηlin)は小さくなっていく。したがって分岐指数(g’=ηbranch/ηlin)が1より小さい値になる場合には分岐が導入されていることを意味し、その値が小さくなるに従い導入されている長鎖分岐が増大していくことを意味する。特に本発明では、MALLSから得られる絶対分子量として、分子量100万以上の成分の、RIで測定される全成分量に対する含有比率(%)を、分子量100万以上の成分の含有量(WC)として算出し、MALLSから得られる絶対分子量として、分子量100万における上記g’を、gC’として算出する。
図4(a)および図4(b)に上記GPC-VISによる解析結果の一例を示した。図4(a)は、MALLSから得られる分子量(M)とRIから得られる濃度を元に測定された分子量分布曲線を、図4(b)は、分子量(M)における分岐指数(g’)を表す。ここで、線形ポリマーとしては、直鎖ポリエチレンStandard Reference Material 1475a(National Institute of Standards & Technology)を用いた。
2-9.エチレン系重合体(B)の組成
本発明における(B)成分の組成に関する説明は、エチレンとα-オレフィンの割合を除いて、上述の1-5.エチレン系重合体(A)の組成に関する説明をそのまま参照することが出来るので、同一部分に関してはその記述を省略する。
本発明のエチレン系重合体(B)は、好ましくは、エチレンと上述の1-5.に記載したα-オレフィンとの共重合体であり、最も好ましくは、ヘキセン-1、オクテン-1との共重合体である。本発明のエチレン系重合体(B)中におけるエチレンと該α-オレフィンの割合は、エチレン約75~99.5重量%、α-オレフィン約0.5~25重量%であり、好ましくはエチレン約78~97重量%、α-オレフィン約3~22重量%であり、より好ましくはエチレン約80~96重量%、α-オレフィン約4~20重量%であり、更に好ましくはエチレン約82~95重量%、α-オレフィン約5~18重量%である。エチレン含量がこの範囲内であれば、ポリエチレン系樹脂組成物や該成形体の剛性と衝撃強度のバランスがよく、透明性にも優れる。上述ジエン類を使用する場合は長鎖分岐構造が上記条件(B-4)および(B-5)を満たす範囲内において使用しなくてはいけないことは言うまでもない。
本発明における(B)成分の組成に関する説明は、エチレンとα-オレフィンの割合を除いて、上述の1-5.エチレン系重合体(A)の組成に関する説明をそのまま参照することが出来るので、同一部分に関してはその記述を省略する。
本発明のエチレン系重合体(B)は、好ましくは、エチレンと上述の1-5.に記載したα-オレフィンとの共重合体であり、最も好ましくは、ヘキセン-1、オクテン-1との共重合体である。本発明のエチレン系重合体(B)中におけるエチレンと該α-オレフィンの割合は、エチレン約75~99.5重量%、α-オレフィン約0.5~25重量%であり、好ましくはエチレン約78~97重量%、α-オレフィン約3~22重量%であり、より好ましくはエチレン約80~96重量%、α-オレフィン約4~20重量%であり、更に好ましくはエチレン約82~95重量%、α-オレフィン約5~18重量%である。エチレン含量がこの範囲内であれば、ポリエチレン系樹脂組成物や該成形体の剛性と衝撃強度のバランスがよく、透明性にも優れる。上述ジエン類を使用する場合は長鎖分岐構造が上記条件(B-4)および(B-5)を満たす範囲内において使用しなくてはいけないことは言うまでもない。
2-10.エチレン系重合体(B)の製法
本発明におけるエチレン系重合体(B)の製法に関する説明は、上記条件(B-4)および(B-5)に対応する長鎖分岐構造を該エチレン系重合体(B)に付与するのに適切なオレフィン重合用触媒の選択に留意する必要がある点を除いて、上述の1-6.エチレン系重合体(A)の製法に関する説明をそのまま参照することが出来るので、同一部分に関してはその記述を省略する。
本発明におけるエチレン系重合体(B)の製造に好適な、工業レベルにおける経済性を満足する遷移金属を含むオレフィン重合用触媒は、エチレン系重合体(A)の場合と同様に、前述した(i)チーグラー触媒、(ii)メタロセン触媒、(iii)フィリップス触媒、あるいは(iv)ポストメタロセン触媒の中から適宜選択して使用される。
本発明におけるエチレン系重合体(B)の製造により好適な上記触媒は、(i)チーグラー触媒、(ii)メタロセン触媒、(iv)ポストメタロセン触媒であり、更に好適には(i)チーグラー触媒、(ii)メタロセン触媒である。なかでも(ii)メタロセン触媒は、他の触媒に比べて、分子量分布や共重合組成分布が狭いエチレン系重合体を生成するので、該ポリエチレン系樹脂組成物や該成形体の機械的特性、透明性、ベトツキ防止性能、ヒートシール性能等の向上の観点で、特に好適である。もちろん、(iv)ポストメタロセン触媒においても、該メタロセン触媒と該観点において同等の性能を発揮する触媒を選択する場合においてはその使用が好ましいことは言うまでもない。
本発明におけるエチレン系重合体(B)の製法に関する説明は、上記条件(B-4)および(B-5)に対応する長鎖分岐構造を該エチレン系重合体(B)に付与するのに適切なオレフィン重合用触媒の選択に留意する必要がある点を除いて、上述の1-6.エチレン系重合体(A)の製法に関する説明をそのまま参照することが出来るので、同一部分に関してはその記述を省略する。
本発明におけるエチレン系重合体(B)の製造に好適な、工業レベルにおける経済性を満足する遷移金属を含むオレフィン重合用触媒は、エチレン系重合体(A)の場合と同様に、前述した(i)チーグラー触媒、(ii)メタロセン触媒、(iii)フィリップス触媒、あるいは(iv)ポストメタロセン触媒の中から適宜選択して使用される。
本発明におけるエチレン系重合体(B)の製造により好適な上記触媒は、(i)チーグラー触媒、(ii)メタロセン触媒、(iv)ポストメタロセン触媒であり、更に好適には(i)チーグラー触媒、(ii)メタロセン触媒である。なかでも(ii)メタロセン触媒は、他の触媒に比べて、分子量分布や共重合組成分布が狭いエチレン系重合体を生成するので、該ポリエチレン系樹脂組成物や該成形体の機械的特性、透明性、ベトツキ防止性能、ヒートシール性能等の向上の観点で、特に好適である。もちろん、(iv)ポストメタロセン触媒においても、該メタロセン触媒と該観点において同等の性能を発揮する触媒を選択する場合においてはその使用が好ましいことは言うまでもない。
本発明におけるエチレン系重合体(B)の満足すべき特性のうち、特に重要となる上記条件(B-4)および条件(B-5)、好ましくは条件(B-4)、条件(B-5)、および条件(B-7)で表わされる特性は、伸長歪硬化挙動が観測されるレベルで互いに絡み合うことが可能な程度、十分に発達した短か目の分岐構造を相当量含有すると解釈される特徴的な長鎖分岐構造に由来すると考えられる。
一般に長鎖分岐を有するエチレン系重合体とは、ポリエチレン分子に長い枝分かれ構造(長鎖分岐)を有するエチレン系重合体であって、通例の短鎖分岐を有するエチレン単独重合体やエチレン・α-オレフィン共重合体(直鎖状ポリエチレンとも称される)と対比されている。このような長鎖分岐を有するエチレン系重合体の製造は、これまでにも種々試みられており、昨今のチーグラー系触媒やメタロセン系触媒を使用して直接エチレンとαーオレフィンとを共重合させる方法、あるいはエチレンと予め製造されたマクロモノマーと共重合体させて長鎖分岐を導入させる方法等が挙げられる。また、フィリップス触媒と称される六価のクロム元素を中心金属とする触媒によるエチレン系重合体には少量の長鎖分岐構造が含まれると言われている。具体的に長鎖分岐構造を有するエチレン系重合体の製造を述べた例としては、例えば、昨今では、チーグラー系触媒を用いたものとしては日本国特開昭60-090203号公報や日本国特開平10-298234号公報等が挙げられる。これらの方法においては、有機アルミニウム化合物の種類と量や、触媒の種類や重合条件を適切に選択して長鎖分岐の質と量を制御することにより、エチレン系重合体の長鎖分岐構造を調整することが可能である。また、メタロセン系触媒を用いたものとしては、架橋ビスシクロペンタジエニル配位子を有する錯体を使用する例として、日本国特開2002-544296号公報、日本国特開2005-507961号公報等が挙げられ、架橋ビスインデニル配位子を有する錯体を使用する例として、日本国特開平2-276807号公報、日本国特開2002-308933号公報、日本国特開2004-292772号公報、日本国特開平8-311121号公報、日本国特開平8-311260号公報、日本国特開平8-48711号公報等が挙げられ、架橋ビスインデニル配位子を有する錯体に非MAO改質粒子を組み合わせて触媒として使用する例として、日本国特開2004-292772号公報等が挙げられ、拘束幾何錯体触媒を使用する例として、日本国特開平6-306121号公報等が挙げられ、ベンゾインデニル配位子を有する錯体を他の低分子量ポリエチレン生成錯体と組み合わせて使用する例として、日本国特開2006-2098号公報等が挙げられる。
これらの方法においては、錯体の種類や触媒調製条件、重合条件を適切に選択して長鎖分岐の質と量を制御することが可能である。また、日本国特開平10-512600号公報等には、ジエン類をコモノマーとしてエチレンと共重合させてポリエチレン鎖に長鎖分岐を導入する方法や、日本国特表2008-505222号公報等には、T-試薬なる連鎖移動反応剤を利用してポリエチレン鎖に長鎖分岐を導入する方法も開示されている。これらの方法においては、ジエン類や連鎖移動剤の種類や量を制御したり、触媒の種類や重合条件を適切に選択したりして長鎖分岐の質と量を制御することが可能である。更に、日本国特開平7-252311号公報、日本国特開平8-502303号公報、国際公開第95-11931号、日本国特表2001-511215号公報、日本国特開2006-321991号公報等には、特定のメタロセン系触媒を用いて予めマクロモノマーを製造し、さらにこのマクロモノマーとエチレンを共重合させてポリエチレン鎖に長鎖分岐を導入する方法が開示されている。これらの方法においては、錯体の種類や触媒調製条件、重合条件、マクロモノマーの量や分子量を適切に選択して長鎖分岐の質と量を制御することが可能である。また、このような長鎖分岐を有するエチレン系重合体を表す指標としては、一般には、メルトフローレート比(MFR比:例えば、日本国特許第2571280号公報等参照)、メルトテンション(MT:例えば、日本国特許第3425719号公報等参照)、伸長粘度の立ち上がり(ひずみ硬化)の存在の有無(例えば、日本国特許第4190638号公報等参照)、活性化エネルギー(例えば、日本国特開平7-062031号公報等参照)等にみられるように種々の測定手法等で表現されている。また、実際に市販されている樹脂としては、商品名:AFFINITY(登録商標) FM1570 (ダウ・ケミカル社製)、商品名:エクセレンGMH(登録商標)(住友化学工業株式会社製)等が挙げられる。
しかしながら、これらの方法で生成する長鎖分岐構造を有するエチレン系重合体が、全て、本発明のポリエチレン系樹脂組成物の構成成分としてのエチレン系重合体(B)に適するわけではない。特定のエチレン系重合体(B)を選択することによって、該ポリエチレン系組成物や該組成物による成形体の成形加工特性や機械的強度、透明性が大きく異なる結果に帰結することを発明者らは発見し、本発明に好適な長鎖分岐構造の選択に加えて、更に、先に述べたように、MFR、密度、分子量分布条件が好適に設計されたエチレン系重合体(B)を該ポリエチレン系組成物の構成成分として用いることによって、初めて本発明が完成に至る。
従来技術で生成可能な長鎖分岐構造を有するエチレン系重合体には、上述のように、チーグラー系触媒を使用したもの、架橋ビスシクロペンタジエニル配位子を有する錯体を使用したもの、架橋ビスインデニル配位子を有する錯体を使用したもの、架橋ビスインデニル配位子を有する錯体に非MAO改質粒子を組み合わせて触媒として使用したもの、拘束幾何錯体触媒を使用したもの、ベンゾインデニル配位子を有する錯体を他の低分子量ポリエチレン生成錯体と組み合わせて使用したもの、ジエン類をコモノマーとしてエチレンと共重合させてポリエチレン鎖に長鎖分岐を導入したもの、T-試薬なる連鎖移動反応剤を利用してポリエチレン鎖に長鎖分岐を導入したもの、特定のメタロセン系触媒を用いて予めマクロモノマーを製造し、更にこのマクロモノマーとエチレンを共重合させてポリエチレン鎖に長鎖分岐を導入したものが挙げられる。
従来技術で生成可能な長鎖分岐構造を有するエチレン系重合体には、上述のように、チーグラー系触媒を使用したもの、架橋ビスシクロペンタジエニル配位子を有する錯体を使用したもの、架橋ビスインデニル配位子を有する錯体を使用したもの、架橋ビスインデニル配位子を有する錯体に非MAO改質粒子を組み合わせて触媒として使用したもの、拘束幾何錯体触媒を使用したもの、ベンゾインデニル配位子を有する錯体を他の低分子量ポリエチレン生成錯体と組み合わせて使用したもの、ジエン類をコモノマーとしてエチレンと共重合させてポリエチレン鎖に長鎖分岐を導入したもの、T-試薬なる連鎖移動反応剤を利用してポリエチレン鎖に長鎖分岐を導入したもの、特定のメタロセン系触媒を用いて予めマクロモノマーを製造し、更にこのマクロモノマーとエチレンを共重合させてポリエチレン鎖に長鎖分岐を導入したものが挙げられる。
しかしながら、本発明におけるエチレン系重合体(B)として、上記チーグラー系触媒で製造したエチレン系共重合体を使用した場合、分子量分布や共重合組成分布が広がって、該ポリエチレン系樹脂組成物や該成形体の衝撃強度や透明性が不十分であったり、低結晶性成分が多いためにベトツキが酷くなったりして好ましいとは言えない。更には該触媒では長い長鎖分岐構造は少量しか生成しないため、衝撃強度や透明性が十分向上せず、架橋ビスシクロペンタジエニル配位子を有する錯体や架橋ビスインデニル配位子を有する錯体を使用して製造したエチレン系共重合体を使用した場合、分子量分布が広がる傾向があるために該ポリエチレン系樹脂組成物や該成形体の衝撃強度や透明性が不十分であったり、長鎖分岐の鎖の長さが長めになる傾向にあって衝撃強度や透明性が十分向上せず、架橋ビスインデニル配位子を有する錯体に非MAO改質粒子を組み合わせて触媒として使用して製造したエチレン系共重合体を使用した場合、分子量分布がMAO助触媒の時よりも更に広がる傾向があるために該ポリエチレン系樹脂組成物や該成形体の衝撃強度や透明性が不十分であり、例えば、該触媒を実際に使用して製造された市販品と言われている上記エクセレンGMHでは、分子量分布が広く、長鎖分岐が長く、分岐数が不十分であるため、成形加工性の改良効果が不十分であったり、衝撃強度や透明性が十分向上せず、拘束幾何錯体触媒を使用して製造したエチレン系共重合体を使用した場合、例えば、該触媒を実際に使用して製造された市販品と言われている上記AFFINITY(例えばFM1570)では、長鎖分岐の鎖の長さが長く、かつ、分岐数が不十分であるため、成形加工性の改良効果が不十分であったり、衝撃強度や透明性が十分向上せず、現状のままでは上記いずれの方法も、本発明におけるエチレン系重合体(B)の製造方法として好ましいとは言えない。
また、ベンゾインデニル配位子を有する錯体を他の低分子量ポリエチレン生成錯体と組み合わせて使用して製造したエチレン系共重合体の場合、本発明におけるエチレン系重合体(B)に要求される長鎖分岐構造を実現する可能性はある程度有すると思われるものの、長鎖分岐構造生成には低水素濃度での重合条件に限定されたり、分子量分布が広がらないように錯体使用比率等の触媒合成条件や重合条件の更なる検討が必要となったり、エチレン系重合体(B)や組み合わせるエチレン系重合体(A)のMFRや密度の設定に関する検討が必要となる。また、ジエン類を共重合する方法や、連鎖移動反応剤を利用する方法によって、本発明におけるエチレン系重合体(B)として適切な長鎖分岐構造を実現するためには、使用するジエン類、連鎖移動剤、重合触媒の種類や重合条件の更なる検討を待たねばならない。更には、残存ジエンや残存連鎖移動剤による該重合体の汚染(臭気、着色、劣化)等の問題も解決する必要があると考えられる。また、マクロモノマーを製造してエチレンと共重合させてポリエチレン鎖に長鎖分岐を導入する方法によって本発明におけるエチレン系重合体(B)として適切な長鎖分岐構造を実現するためには、使用する重合触媒の種類や重合条件、生成マクロマーの分子量、密度、共重合率の制御等の更なる検討を待たねばならず、更には、残存マクロマーが低分子量ポリマー成分として該重合体中や該重合体を一成分とするポリエチレン系樹脂組成物中に残存するため、分子量分布や共重合組成分布が広がる傾向があるために該ポリエチレン系樹脂組成物や該成形体の衝撃強度や透明性が不十分となる可能性が大きいので十分好ましいとは言えない。こうした理由から、エチレン系重合体(B)としては、長鎖分岐の鎖の長さが長めになる傾向にあって衝撃強度や透明性が十分向上せず、重合体の汚染(臭気、着色、劣化)等の問題も解決する必要があると考えられる。
すなわち、発明者らが本発明の目的を達成するために鋭意検討を行なった結果、本発明のエチレン系重合体(B)として好適な長鎖分岐構造を生成するオレフィン重合用触媒としては、一例として、最近発見されたような架橋(シクロペンタジエニル)(インデニル)配位子等を有する錯体を必須触媒成分として使用する方法(日本国特開2011-137146号公報や本明細書の[V]本発明のエチレン系重合体の製造方法等)に至り、また、別の一例として、ベンゾインデニル配位子等を有する錯体を触媒成分として使用する方法(日本国特開2006-2098号公報等)に至り、更に別の一例として、メタロセン錯体として架橋ビス(インデニル)配位子または架橋ビス(アズレニル)配位子または架橋ビス(シクロペンタジエニル)配位子を有する錯体と、有機アルミニウムオキシ化合物とカチオン性メタロセン化合物を生成させる化合物であるボラン化合物あるいはボレート化合物との混合物を用いた触媒を用いる方法に至ったのである。
上記本発明のエチレン系重合体(B)として好適な長鎖分岐構造を生成する架橋(シクロペンタジエニル)(インデニル)配位子等を有する錯体を必須成分とするオレフィン重合用触媒は、次の成分(a-1)および成分(b)を含み、所望により成分(c)を更に含む。
成分(a-1):一般式(a-1-1)で示されるメタロセン化合物
成分(b):成分(a-1)のメタロセン化合物と反応してカチオン性メタロセン化合物を生成させる化合物
成分(c):微粒子担体
成分(a-1):一般式(a-1-1)で示されるメタロセン化合物
成分(b):成分(a-1)のメタロセン化合物と反応してカチオン性メタロセン化合物を生成させる化合物
成分(c):微粒子担体
i)成分(a-1)
成分(a-1)は、下記一般式(a-1-1)で示されるメタロセン化合物である。
成分(a-1)は、下記一般式(a-1-1)で示されるメタロセン化合物である。
[式(a-1-1)中、Mは、Ti、ZrまたはHfのいずれかの遷移金属を示す。X1およびX2は、それぞれ独立して、水素原子、ハロゲン原子、炭素数1~20の炭化水素基、酸素原子若しくは窒素原子を含む炭素数1~20の炭化水素基、炭素数1~20の炭化水素基置換アミノ基または炭素数1~20のアルコキシ基を示す。Q1とQ2は、各々独立して、炭素原子、ケイ素原子またはゲルマニウム原子を示す。R1は、それぞれ独立して、水素原子または炭素数1~10の炭化水素基を示し、4つのR1のうち少なくとも2つが結合してQ1およびQ2と一緒に環を形成していてもよい。mは、0または1であり、mが0の場合、Q1は、R2およびR3を含む共役5員環と直接結合している。R2は、各々独立して、水素原子、ハロゲン原子、炭素数1~20の炭化水素基、ケイ素数1~6を含む炭素数1~18のケイ素含有炭化水素基、炭素数1~20のハロゲン含有炭化水素基、酸素原子を含む炭素数1~20の炭化水素基または炭素数1~20の炭化水素基置換シリル基を示すが、複数のR2が炭化水素基等であっても下記R4のように結合している炭素原子と一緒に環を形成することはない。R3は、結合する5員環に対して縮合環を形成する炭素数4または5の飽和または不飽和の2価の炭化水素基を示す。R4は、R3の炭素原子と結合する原子または基であり、それぞれ独立して、水素原子、ハロゲン原子、炭素数1~20の炭化水素基、ケイ素数1~6を含む炭素数1~18のケイ素含有炭化水素基、炭素数1~20のハロゲン含有炭化水素基または炭素数1~20の炭化水素基置換シリル基を示す。nは、0~10の整数を示し、nが2以上の場合、R4の少なくとも2つは、結合している炭素原子と一緒に環を形成していてもよい。R5は、各々独立して、水素原子、ハロゲン原子、炭素数1~20の炭化水素基、ケイ素数1~6を含む炭素数1~18のケイ素含有炭化水素基、炭素数1~20のハロゲン原子含有炭化水素基、酸素原子を含む炭素数1~20の炭化水素基または炭素数1~20の炭化水素基置換シリル基を示すが、複数のR5が炭化水素基等であってもR4のように結合している炭素原子と一緒に環を形成することはない。]
上記一般式(a-1-1)中、メタロセン化合物のMは、Ti、ZrまたはHfを表す。該Mは好ましくはZrまたはHfであり、重合活性が高いという観点では更に好ましくはMはZrであり、本発明内において、以降全てのメタロセン錯体の説明について、この中心金属種の好適さの順位が適用される。
また、X1およびX2は、それぞれ独立して、水素原子、または塩素原子、臭素原子、ヨウ素原子、またはメチル基、エチル基、n-プロピル基、i-プロピル基、n-ブチル基、i-ブチル基、t-ブチル基、n-ペンチル基、ネオペンチル基、シクロペンチル基、n-ヘキシル基、シクロヘキシル基、フェニル基、ベンジル基、メトキシメチル基、エトキシメチル基、n-プロポキシメチル基、i-プロポキシメチル基、n-ブトキシメチル基、i-ブトキシメチル基、t-ブトキシメチル基、メトキシエチル基、エトキシエチル基、アセチル基、1-オキソプロピル基、1-オキソ-n-ブチル基、2-メチル-1-オキソプロピル基、2,2-ジメチル-1-オキソ-プロピル基、フェニルアセチル基、ジフェニルアセチル基、ベンゾイル基、2-メトキシフェニル基、3-メトキシフェニル基、4-メトキシフェニル基、2-フリル基、2-テトラヒドロフリル基、ジメチルアミノメチル基、ジエチルアミノメチル基、ジi-プロピルアミノメチル基、ビス(ジメチルアミノ)メチル基、ビス(ジi-プロピルアミノ)メチル基、(ジメチルアミノ)(フェニル)メチル基、メチルイミノ基、エチルイミノ基、1-(メチルイミノ)エチル基、1-(フェニルイミノ)エチル基、1-[(フェニルメチル)イミノ]エチル基、エトキシ基、n-プロポキシ基、i-プロポキシ基、n-ブトキシ基、i-ブトキシ基、t-ブトキシ基、フェノキシ基、ジメチルアミノ基、ジエチルアミノ基、ジn-プロピルアミノ基、ジi-プロピルアミノ基、ジn-ブチルアミノ基、ジi-ブチルアミノ基、ジt-ブチルアミノ基、ジフェニルアミノ基などが挙げられる。
好ましいX1およびX2の具体例としては、塩素原子、臭素原子、メチル基、n-ブチル基、i-ブチル基、メトキシ基、エトキシ基、i-プロポキシ基、n-ブトキシ基、フェノキシ基、ジメチルアミノ基、ジi-プロピルアミノ基が挙げられる。これらの具体例の中でも、塩素原子、メチル基、ジメチルアミノ基が特に好ましい。
また、Q1とQ2は、各々独立して、炭素原子、ケイ素原子またはゲルマニウム原子を示す。好ましくは炭素原子またはケイ素原子である。
好ましいX1およびX2の具体例としては、塩素原子、臭素原子、メチル基、n-ブチル基、i-ブチル基、メトキシ基、エトキシ基、i-プロポキシ基、n-ブトキシ基、フェノキシ基、ジメチルアミノ基、ジi-プロピルアミノ基が挙げられる。これらの具体例の中でも、塩素原子、メチル基、ジメチルアミノ基が特に好ましい。
また、Q1とQ2は、各々独立して、炭素原子、ケイ素原子またはゲルマニウム原子を示す。好ましくは炭素原子またはケイ素原子である。
さらに、R1としては、それぞれ独立して、水素原子、メチル基、エチル基、n-プロピル基、i-プロピル基、n-ブチル基、i-ブチル基、t-ブチル基、n-ペンチル基、ネオペンチル基、シクロペンチル基、n-ヘキシル基、シクロヘキシル基、フェニル基などが挙げられる。また、R1がQ1およびQ2と一緒に環を形成している場合として、シクロブチリデン基、シクロペンチリデン基、シクロへキシリデン基、シラシクロブチル基、シラシクロペンチル基、シラシクロヘキシル基などが挙げられる。
好ましいR1の具体例として、Q1または/およびQ2が炭素原子の場合、水素原子、メチル基、エチル基、フェニル基、シクロブチリデン基が挙げられ、また、Q1または/およびQ2がケイ素原子の場合、メチル基、エチル基、フェニル基、シラシクロブチル基が挙げられる。
好ましいR1の具体例として、Q1または/およびQ2が炭素原子の場合、水素原子、メチル基、エチル基、フェニル基、シクロブチリデン基が挙げられ、また、Q1または/およびQ2がケイ素原子の場合、メチル基、エチル基、フェニル基、シラシクロブチル基が挙げられる。
また、R2は、それぞれ独立して、水素原子、塩素原子、臭素原子、ヨウ素原子、メチル基、エチル基、n-プロピル基、i-プロピル基、n-ブチル基、i-ブチル基、t-ブチル基、n-ペンチル基、ネオペンチル基、シクロペンチル基、n-ヘキシル基、シクロヘキシル基、フェニル基、ベンジル基、2-メチルフェニル基、3-メチルフェニル基、4-メチルフェニル基、3,5-ジメチルフェニル基、4-t-ブチルフェニル基、3,5-ジ-t-ブチルフェニル基、ビス(トリメチルシリル)メチル基、ビス(t-ブチルジメチルシリル)メチル基、ブロモメチル基、クロロメチル基、2-クロロエチル基、2-ブロモエチル基、2-ブロモプロピル基、3-ブロモプロピル基、2-ブロモシクロペンチル基、2,3-ジブロモシクロペンチル基、2-ブロモ-3-ヨードシクロペンチル基、2,3-ジブロモシクロヘキシル基、2-クロロ-3-ヨードシクロヘキシル基、2-クロロフェニル基、4-クロロフェニル基、2,3,4,5,6-ペンタフルオロフェニル基、4-トリフルオロメチルフェニル基、フリル基、テトラヒドロフリル基、2-メチルフリル基、トリメチルシリル基、トリt-ブチルシリル基、ジt-ブチルメチルシリル基、t-ブチルジメチルシリル基、トリフェニルシリル基、ジフェニルメチルシリル基、フェニルジメチルシリル基などが挙げられる。
また、2個のR2のうち、少なくとも1つが、炭素数1~20の炭化水素基、ケイ素数1~6を含む炭素数1~18のケイ素含有炭化水素基、炭素数1~20のハロゲン含有炭化水素基、酸素原子を含む炭素数1~20の炭化水素基または炭素数1~20の炭化水素基置換シリル基であると、特に重合活性が高くなるので、好ましい。また、2位のR2が水素原子であると、特に長鎖分岐構造の特性が改善されるので成形性に優れる点で好ましい。
R2として好ましい具体例としては、それぞれ独立して、水素原子、メチル基、エチル基、n-プロピル基、i-プロピル基、n-ブチル基、t-ブチル基、n-ペンチル基、n-ヘキシル基、シクロヘキシル基、フェニル基、2-メチルフリル基、トリメチルシリル基が挙げられる。
これらの具体例の中でも、水素原子、メチル基、n-ブチル基、t-ブチル基、フェニル基、トリメチルシリル基がさらに好ましく、水素原子、メチル基、フェニル基が特に好ましい。
R2として好ましい具体例としては、それぞれ独立して、水素原子、メチル基、エチル基、n-プロピル基、i-プロピル基、n-ブチル基、t-ブチル基、n-ペンチル基、n-ヘキシル基、シクロヘキシル基、フェニル基、2-メチルフリル基、トリメチルシリル基が挙げられる。
これらの具体例の中でも、水素原子、メチル基、n-ブチル基、t-ブチル基、フェニル基、トリメチルシリル基がさらに好ましく、水素原子、メチル基、フェニル基が特に好ましい。
また、R3が結合するシクロペンタジエニル部分とR3から形成される縮環シクロペン
タジエニル構造の具体例としては、以下の部分構造(I)~(VI)が挙げられる。
これらの具体例の中でも、(I)、(III)、(VI)が好ましい。また、これらの部分構造(I)~(VI)上には、R4が置換していてもよい。
タジエニル構造の具体例としては、以下の部分構造(I)~(VI)が挙げられる。
これらの具体例の中でも、(I)、(III)、(VI)が好ましい。また、これらの部分構造(I)~(VI)上には、R4が置換していてもよい。
置換基のR4は、水素原子以外に、塩素原子、臭素原子、ヨウ素原子、メチル基、エチル基、n-プロピル基、i-プロピル基、n-ブチル基、i-ブチル基、t-ブチル基、n-ペンチル基、ネオペンチル基、シクロペンチル基、n-ヘキシル基、シクロヘキシル基、フェニル基、ベンジル基、2-メチルフェニル基、3-メチルフェニル基、4-メチルフェニル基、4-t-ブチルフェニル基、3,5-ジメチルフェニル基、3,5-ジ-t-ブチルフェニル基、ナフチル基、アントラセニル基、ビス(トリメチルシリル)メチル基、ビス(t-ブチルジメチルシリル)メチル基、ブロモメチル基、クロロメチル基、2-クロロエチル基、2-ブロモエチル基、2-ブロモプロピル基、3-ブロモプロピル基、2-ブロモシクロペンチル基、2,3-ジブロモシクロペンチル基、2-ブロモ-3-ヨードシクロペンチル基、2,3-ジブロモシクロヘキシル基、2-クロロ-3-ヨードシクロヘキシル基、2-クロロフェニル基、4-クロロフェニル基、2,3,4,5,6-ペンタフルオロフェニル基、2,6-ジクロロ-4-トリメチルシリルフェニル基、トリメチルシリル基、トリt-ブチルシリル基、ジt-ブチルメチルシリル基、t-ブチルジメチルシリル基、トリフェニルシリル基、ジフェニルメチルシリル基、フェニルジメチルシリル基などが挙げられる。
また、R4が2つ以上で、結合している炭素原子と一緒に環を形成している場合の例として、ベンゾ[e]インデニル基、ベンゾ[f]インデニル基、6,7-ジヒドロインダセニル基、5,5,7,7-テトラメチル-6,7-ジヒドロインダセニル基、5,6,7,8-テトラヒドロ-ベンゾ[f]インデニル基、5,6,7,8-テトラヒドロ-5,5,8,8-テトラメチル-ベンゾ[f]インデニル基などが挙げられる。
好ましいR4の具体例としては、メチル基、エチル基、n-プロピル基、i-プロピル基、n-ブチル基、t-ブチル基、n-ペンチル基、n-ヘキシル基、シクロヘキシル基、フェニル基、ナフチル基、トリメチルシリル基が挙げられる。
また、R4が2つ以上で、結合している炭素原子と一緒に環を形成している場合の例として、ベンゾ[e]インデニル基、ベンゾ[f]インデニル基、6,7-ジヒドロインダセニル基、5,5,7,7-テトラメチル-6,7-ジヒドロインダセニル基、5,6,7,8-テトラヒドロ-ベンゾ[f]インデニル基、5,6,7,8-テトラヒドロ-5,5,8,8-テトラメチル-ベンゾ[f]インデニル基などが挙げられる。
好ましいR4の具体例としては、メチル基、エチル基、n-プロピル基、i-プロピル基、n-ブチル基、t-ブチル基、n-ペンチル基、n-ヘキシル基、シクロヘキシル基、フェニル基、ナフチル基、トリメチルシリル基が挙げられる。
また、R5は、それぞれ独立して、水素原子、塩素原子、臭素原子、ヨウ素原子、メチル基、エチル基、n-プロピル基、i-プロピル基、n-ブチル基、i-ブチル基、t-ブチル基、n-ペンチル基、ネオペンチル基、シクロペンチル基、n-ヘキシル基、シクロヘキシル基、フェニル基、ベンジル基、2-メチルフェニル基、3-メチルフェニル基、4-メチルフェニル基、3,5-ジメチルフェニル基、4-t-ブチルフェニル基、3,5-ジ-t-ブチルフェニル基、ビス(トリメチルシリル)メチル基、ビス(t-ブチルジメチルシリル)メチル基、ブロモメチル基、クロロメチル基、2-クロロエチル基、2-ブロモエチル基、2-ブロモプロピル基、3-ブロモプロピル基、2-ブロモシクロペンチル基、2,3-ジブロモシクロペンチル基、2-ブロモ-3-ヨードシクロペンチル基、2,3-ジブロモシクロヘキシル基、2-クロロ-3-ヨードシクロヘキシル基、2-クロロフェニル基、4-クロロフェニル基、2,3,4,5,6-ペンタフルオロフェニル基、4-トリフルオロメチルフェニル基、フリル基、テトラヒドロフリル基、2-メチルフリル基、トリメチルシリル基、トリt-ブチルシリル基、ジt-ブチルメチルシリル基、t-ブチルジメチルシリル基、トリフェニルシリル基、ジフェニルメチルシリル基、フェニルジメチルシリル基などが挙げられる。
また、4個のR5のうち、少なくとも1つが、炭素数1~20の炭化水素基、ケイ素数1~6を含む炭素数1~18のケイ素含有炭化水素基、炭素数1~20のハロゲン含有炭化水素基、酸素原子を含む炭素数1~20の炭化水素基または炭素数1~20の炭化水素基置換シリル基であると、特に重合活性が高くなるので、好ましい。また、2位および5位のR5が水素原子であると、特に長鎖分岐構造の特性が改善されるので成形性に優れる点で好ましい。
R5として好ましい具体例としては、水素原子、メチル基、エチル基、n-プロピル基、i-プロピル基、n-ブチル基、t-ブチル基、n-ペンチル基、n-ヘキシル基、シクロヘキシル基、フェニル基、2-メチルフリル基、トリメチルシリル基が挙げられる。
これらの具体例の中でも、水素原子、メチル基、n-ブチル基、t-ブチル基、フェニル基、トリメチルシリル基がさらに好ましく、水素原子、メチル基、t-ブチル基、フェニル基が特に好ましい。
また、4個のR5のうち、少なくとも1つが、炭素数1~20の炭化水素基、ケイ素数1~6を含む炭素数1~18のケイ素含有炭化水素基、炭素数1~20のハロゲン含有炭化水素基、酸素原子を含む炭素数1~20の炭化水素基または炭素数1~20の炭化水素基置換シリル基であると、特に重合活性が高くなるので、好ましい。また、2位および5位のR5が水素原子であると、特に長鎖分岐構造の特性が改善されるので成形性に優れる点で好ましい。
R5として好ましい具体例としては、水素原子、メチル基、エチル基、n-プロピル基、i-プロピル基、n-ブチル基、t-ブチル基、n-ペンチル基、n-ヘキシル基、シクロヘキシル基、フェニル基、2-メチルフリル基、トリメチルシリル基が挙げられる。
これらの具体例の中でも、水素原子、メチル基、n-ブチル基、t-ブチル基、フェニル基、トリメチルシリル基がさらに好ましく、水素原子、メチル基、t-ブチル基、フェニル基が特に好ましい。
また、一般式(a-1-1)中、mは、0または1であり、mが0の場合、Q1は、R2およびR3を含む共役5員環と直接結合している。さらに、nは、0~10の整数を示し、nが2以上の場合、R4の少なくとも2つは、結合している炭素原子と一緒に環を形成していてもよい。
成分(a-1)のメタロセン化合物は、下記一般式(a-1-2)で示されるものが好ましく、下記一般式(a-1-3)で示されるものがより好ましい。
上記の一般式(a-1-2)、および(a-1-3)で示されるメタロセン化合物において、X1、X2、Q、R1、R2、R4およびR5は、前述の一般式(a-1-1)で示されるメタロセン化合物の説明で示した原子および基と同様な構造を、選択することができる。
該成分(a-1)のメタロセン化合物の具体例を、下記表a-1~表a-4に示すが、これらに限定するものではない。表a-1~表a-4中、Cpはシクロペンタジエニル基、Indはインデニル基、Meはメチル基、Phはフェニル基、Etはエチル基、nPrはn-プロピル基、nBuはn-ブチル基、nC5はノルマルペンチル基、nC6はノルマルヘキシル基、Bzはベンジル基、Azuはアズレニルを表わす。
また、上記化合物のジルコニウムを、チタニウムまたはハフニウムに代えた化合物、等が挙げられる。
さらに、これらのメタロセン化合物を成分(a-1)として用いるに際しては、2種以上を用いることも可能である。
さらに、これらのメタロセン化合物を成分(a-1)として用いるに際しては、2種以上を用いることも可能である。
上記に例示した具体的化合物の中にあって、成分(a-1)であるメタロセン化合物として好ましいものを以下に示す。
すなわち、ジメチルシリレン(シクロペンタジエニル)(インデニル)ジルコニウムジクロリド、ジメチルシリレン(シクロペンタジエニル)(インデニル)ジルコニウムジメチル、イソプロピリデン(シクロペンタジエニル)(インデニル)ジルコニウムジクロリド、ジメチルシリレン(シクロペンタジエニル)(3-メチルインデニル)ジルコニウムジクロリド、ジメチルシリレン(シクロペンタジエニル)(3-メチルインデニル)ジルコニウムジメチル、イソプロピリデン(シクロペンタジエニル)(3-メチルインデニル)ジルコニウムジクロリド、ジメチルシリレン(シクロペンタジエニル)(3-n-ブチルインデニル)ジルコニウムジクロリド、ジメチルシリレン(シクロペンタジエニル)(3-フェニルインデニル)ジルコニウムジクロリド、イソプロピリデン(シクロペンタジエニル)(3-n-ブチルインデニル)ジルコニウムジクロリド、ジメチルシリレン(シクロペンタジエニル)(3-t-ブチルインデニル)ジルコニウムジクロリド、ジメチルシリレン(シクロペンタジエニル)(3-t-ブチルインデニル)ジルコニウムジメチル、ジメチルシリレン(シクロペンタジエニル)(4-フェニルインデニル)ジルコニウムジクロリド、ジメチルシリレン(シクロペンタジエニル)(ベンゾ[e]インデニル)ジルコニウムジクロリド、イソプロピリデン(シクロペンタジエニル)(3-t-ブチルインデニル)ジルコニウムジクロリド、シクロブチリデンシクロペンタジエニル)(3-t-ブチルインデニル)ジルコニウムジクロリド、ジメチルゲルミレン(シクロペンタジエニル)(インデニル)ジルコニウムジクロリド、ジフェニルシリレン(シクロペンタジエニル)(インデニル)ジルコニウムジクロリド、ジフェニルメチレン(シクロペンタジエニル)(インデニル)ジルコニウムジクロリド、ジメチルシリレン(シクロペンタジエニル)(アズレニル)ジルコニウムジクロリド、ジメチルシリレン(4-t-ブチルシクロペンタジエニル)(3-メチルインデニル)ジルコニウムジクロリド、ジメチルシリレン(4-t-ブチルシクロペンタジエニル)(3-t-ブチルインデニル)ジルコニウムジクロリド、ジメチルシリレン(4-t-ブチルシクロペンタジエニル)(3-t-ブチルインデニル)ジルコニウムジメチル、ジメチルシリレン(4-t-ブチルシクロペンタジエニル)(4-フェニルインデニル)ジルコニウムジクロリド、ジメチルシリレン(4-t-ブチルシクロペンタジエニル)(インデニル)ジルコニウムジクロリド、ジメチルシリレン(4-t-ブチルシクロペンタジエニル)(インデニル)ジルコニウムジクロリド、ジメチルシリレン(4-t-ブチルシクロペンタジエニル)(インデニル)ジルコニウムジメチル、ジメチルシリレン(4-t-ブチルシクロペンタジエニル)(4,5,6,7-テトラヒドロインデニル)ジルコニウムジクロリド、ジメチルシリレン(4-t-ブチルシクロペンタジエニル)(アズレニル)ジルコニウムジクロリドおよび上記化合物のジルコニウムを、チタニウムまたはハフニウムに代えた化合物、等が好ましいものとして、挙げられる。
すなわち、ジメチルシリレン(シクロペンタジエニル)(インデニル)ジルコニウムジクロリド、ジメチルシリレン(シクロペンタジエニル)(インデニル)ジルコニウムジメチル、イソプロピリデン(シクロペンタジエニル)(インデニル)ジルコニウムジクロリド、ジメチルシリレン(シクロペンタジエニル)(3-メチルインデニル)ジルコニウムジクロリド、ジメチルシリレン(シクロペンタジエニル)(3-メチルインデニル)ジルコニウムジメチル、イソプロピリデン(シクロペンタジエニル)(3-メチルインデニル)ジルコニウムジクロリド、ジメチルシリレン(シクロペンタジエニル)(3-n-ブチルインデニル)ジルコニウムジクロリド、ジメチルシリレン(シクロペンタジエニル)(3-フェニルインデニル)ジルコニウムジクロリド、イソプロピリデン(シクロペンタジエニル)(3-n-ブチルインデニル)ジルコニウムジクロリド、ジメチルシリレン(シクロペンタジエニル)(3-t-ブチルインデニル)ジルコニウムジクロリド、ジメチルシリレン(シクロペンタジエニル)(3-t-ブチルインデニル)ジルコニウムジメチル、ジメチルシリレン(シクロペンタジエニル)(4-フェニルインデニル)ジルコニウムジクロリド、ジメチルシリレン(シクロペンタジエニル)(ベンゾ[e]インデニル)ジルコニウムジクロリド、イソプロピリデン(シクロペンタジエニル)(3-t-ブチルインデニル)ジルコニウムジクロリド、シクロブチリデンシクロペンタジエニル)(3-t-ブチルインデニル)ジルコニウムジクロリド、ジメチルゲルミレン(シクロペンタジエニル)(インデニル)ジルコニウムジクロリド、ジフェニルシリレン(シクロペンタジエニル)(インデニル)ジルコニウムジクロリド、ジフェニルメチレン(シクロペンタジエニル)(インデニル)ジルコニウムジクロリド、ジメチルシリレン(シクロペンタジエニル)(アズレニル)ジルコニウムジクロリド、ジメチルシリレン(4-t-ブチルシクロペンタジエニル)(3-メチルインデニル)ジルコニウムジクロリド、ジメチルシリレン(4-t-ブチルシクロペンタジエニル)(3-t-ブチルインデニル)ジルコニウムジクロリド、ジメチルシリレン(4-t-ブチルシクロペンタジエニル)(3-t-ブチルインデニル)ジルコニウムジメチル、ジメチルシリレン(4-t-ブチルシクロペンタジエニル)(4-フェニルインデニル)ジルコニウムジクロリド、ジメチルシリレン(4-t-ブチルシクロペンタジエニル)(インデニル)ジルコニウムジクロリド、ジメチルシリレン(4-t-ブチルシクロペンタジエニル)(インデニル)ジルコニウムジクロリド、ジメチルシリレン(4-t-ブチルシクロペンタジエニル)(インデニル)ジルコニウムジメチル、ジメチルシリレン(4-t-ブチルシクロペンタジエニル)(4,5,6,7-テトラヒドロインデニル)ジルコニウムジクロリド、ジメチルシリレン(4-t-ブチルシクロペンタジエニル)(アズレニル)ジルコニウムジクロリドおよび上記化合物のジルコニウムを、チタニウムまたはハフニウムに代えた化合物、等が好ましいものとして、挙げられる。
また、上記に例示した具体的化合物の中にあって、成分(a-1)であるメタロセン化合物として、特に好ましいものを以下に示す。
ジメチルシリレン(シクロペンタジエニル)(インデニル)ジルコニウムジクロリド、イソプロピリデン(シクロペンタジエニル)(インデニル)ジルコニウムジクロリド、ジメチルシリレン(シクロペンタジエニル)(3-メチルインデニル)ジルコニウムジクロリド、ジメチルシリレン(シクロペンタジエニル)(3-フェニルインデニル)ジルコニウムジクロリド、ジメチルシリレン(シクロペンタジエニル)(4-フェニルインデニル)ジルコニウムジクロリド、ジメチルシリレン(シクロペンタジエニル)(ベンゾ[e]インデニル)ジルコニウムジクロリド、イソプロピリデン(シクロペンタジエニル)(3-メチルインデニル)ジルコニウムジクロリド、ジメチルシリレン(シクロペンタジエニル)(3-t-ブチルインデニル)ジルコニウムジクロリド、イソプロピリデン(シクロペンタジエニル)(3-t-ブチルインデニル)ジルコニウムジクロリド、ジメチルゲルミレン(シクロペンタジエニル)(インデニル)ジルコニウムジクロリド、シクロブチリデン(シクロペンタジエニル)(3-t-ブチルインデニル)ジルコニウムジクロリド、ジメチルシリレン(シクロペンタジエニル)(インデニル)ハフニウムジクロリド、ジメチルシリレン(シクロペンタジエニル)(3-メチルインデニル)ハフニウムジクロリド、ジメチルシリレン(シクロペンタジエニル)(3-t-ブチルインデニル)ハフニウムジクロリド、ジメチルシリレン(4-t-ブチルシクロペンタジエニル)(インデニル)ジルコニウムジクロリド、ジメチルシリレン(4-t-ブチルシクロペンタジエニル)(インデニル)ジルコニウムジクロリド、ジメチルシリレン(4-t-ブチルシクロペンタジエニル)(インデニル)ジルコニウムジメチル等が挙げられる。
ジメチルシリレン(シクロペンタジエニル)(インデニル)ジルコニウムジクロリド、イソプロピリデン(シクロペンタジエニル)(インデニル)ジルコニウムジクロリド、ジメチルシリレン(シクロペンタジエニル)(3-メチルインデニル)ジルコニウムジクロリド、ジメチルシリレン(シクロペンタジエニル)(3-フェニルインデニル)ジルコニウムジクロリド、ジメチルシリレン(シクロペンタジエニル)(4-フェニルインデニル)ジルコニウムジクロリド、ジメチルシリレン(シクロペンタジエニル)(ベンゾ[e]インデニル)ジルコニウムジクロリド、イソプロピリデン(シクロペンタジエニル)(3-メチルインデニル)ジルコニウムジクロリド、ジメチルシリレン(シクロペンタジエニル)(3-t-ブチルインデニル)ジルコニウムジクロリド、イソプロピリデン(シクロペンタジエニル)(3-t-ブチルインデニル)ジルコニウムジクロリド、ジメチルゲルミレン(シクロペンタジエニル)(インデニル)ジルコニウムジクロリド、シクロブチリデン(シクロペンタジエニル)(3-t-ブチルインデニル)ジルコニウムジクロリド、ジメチルシリレン(シクロペンタジエニル)(インデニル)ハフニウムジクロリド、ジメチルシリレン(シクロペンタジエニル)(3-メチルインデニル)ハフニウムジクロリド、ジメチルシリレン(シクロペンタジエニル)(3-t-ブチルインデニル)ハフニウムジクロリド、ジメチルシリレン(4-t-ブチルシクロペンタジエニル)(インデニル)ジルコニウムジクロリド、ジメチルシリレン(4-t-ブチルシクロペンタジエニル)(インデニル)ジルコニウムジクロリド、ジメチルシリレン(4-t-ブチルシクロペンタジエニル)(インデニル)ジルコニウムジメチル等が挙げられる。
ii)成分(b)
上記本発明のエチレン系重合体(B)として好適な長鎖分岐構造を生成する架橋(シクロペンタジエニル)(インデニル)配位子等を有する錯体を必須成分とするオレフィン重合用触媒として例示したオレフィン重合用触媒は、上記成分(a-1)以外に、成分(a-1)のメタロセン化合物(成分(a-1)、以下、単にaと記すこともある。)と反応してカチオン性メタロセン化合物を形成する化合物(成分(b)、以下、単にbと記すこともある。)を含む。
上記本発明のエチレン系重合体(B)として好適な長鎖分岐構造を生成する架橋(シクロペンタジエニル)(インデニル)配位子等を有する錯体を必須成分とするオレフィン重合用触媒として例示したオレフィン重合用触媒は、上記成分(a-1)以外に、成分(a-1)のメタロセン化合物(成分(a-1)、以下、単にaと記すこともある。)と反応してカチオン性メタロセン化合物を形成する化合物(成分(b)、以下、単にbと記すこともある。)を含む。
メタロセン化合物(a)と反応してカチオン性メタロセン化合物を形成する化合物(b)の一つとして、有機アルミニウムオキシ化合物が挙げられる。
上記有機アルミニウムオキシ化合物は、分子中に、Al-O-Al結合を有し、その結合数は通常1~100、好ましくは1~50個の範囲にある。このような有機アルミニウムオキシ化合物は、通常、有機アルミニウム化合物と水とを反応させて得られる生成物である。
なお、上記した有機アルミニウムオキシ化合物のうち、アルキルアルミニウムと水とを反応させて得られるものは、通常、アルミノキサンと呼ばれ、特にメチルアルミノキサン(実質的にメチルアルミノキサン(MAO)からなるものを含む)は、有機アルミニウムオキシ化合物として、好適である。
上記有機アルミニウムオキシ化合物は、分子中に、Al-O-Al結合を有し、その結合数は通常1~100、好ましくは1~50個の範囲にある。このような有機アルミニウムオキシ化合物は、通常、有機アルミニウム化合物と水とを反応させて得られる生成物である。
なお、上記した有機アルミニウムオキシ化合物のうち、アルキルアルミニウムと水とを反応させて得られるものは、通常、アルミノキサンと呼ばれ、特にメチルアルミノキサン(実質的にメチルアルミノキサン(MAO)からなるものを含む)は、有機アルミニウムオキシ化合物として、好適である。
また、メタロセン化合物(a)と反応してカチオン性メタロセン化合物を形成する化合物(b)の他の具体例として、ボラン化合物やボレート化合物が挙げられる。
上記ボラン化合物をより具体的に表すと、トリフェニルボラン、トリ(o-トリル)ボラン、トリ(p-トリル)ボラン、トリ(m-トリル)ボラン、トリ(o-フルオロフェニル)ボラン、トリス(p-フルオロフェニル)ボラン、トリス(m-フルオロフェニル)ボラン、トリス(2,5-ジフルオロフェニル)ボラン、トリス(3,5-ジフルオロフェニル)ボラン、トリス(4-トリフルオロメチルフェニル)ボラン、トリス(3,5―ジトリフルオロメチルフェニル)ボラン、トリス(2,6-ジトリフルオロメチルフェニル)ボラン、トリス(ペンタフルオロフェニル)ボラン、トリス(パーフルオロナフチル)ボラン、トリス(パーフルオロビフェニル)、トリス(パーフルオロアントリル)ボラン、トリス(パーフルオロビナフチル)ボランなどが挙げられる。
上記ボラン化合物をより具体的に表すと、トリフェニルボラン、トリ(o-トリル)ボラン、トリ(p-トリル)ボラン、トリ(m-トリル)ボラン、トリ(o-フルオロフェニル)ボラン、トリス(p-フルオロフェニル)ボラン、トリス(m-フルオロフェニル)ボラン、トリス(2,5-ジフルオロフェニル)ボラン、トリス(3,5-ジフルオロフェニル)ボラン、トリス(4-トリフルオロメチルフェニル)ボラン、トリス(3,5―ジトリフルオロメチルフェニル)ボラン、トリス(2,6-ジトリフルオロメチルフェニル)ボラン、トリス(ペンタフルオロフェニル)ボラン、トリス(パーフルオロナフチル)ボラン、トリス(パーフルオロビフェニル)、トリス(パーフルオロアントリル)ボラン、トリス(パーフルオロビナフチル)ボランなどが挙げられる。
また、ボレート化合物を具体的に表すと、第1の例は、次の一般式(b-1)で示される化合物である。
[L1-H]+[BR6R7X4X5]-・・・式(b-1)
式(b-1)中、L1は、中性ルイス塩基であり、Hは、水素原子であり、[L1-H]は、アンモニウム、アニリニウム、ホスフォニウム等のブレンステッド酸である。
アンモニウムとしては、トリメチルアンモニウム、トリエチルアンモニウム、トリプロピルアンモニウム、トリブチルアンモニウム、トリ(n-ブチル)アンモニウムなどのトリアルキル置換アンモニウム、ジ(n-プロピル)アンモニウム、ジシクロヘキシルアンモニウムなどのジアルキルアンモニウムを例示できる。
また、アニリニウムとしては、N,N-ジメチルアニリニウム、N,N-ジエチルアニリニウム、N,N-2,4,6-ペンタメチルアニリニウムなどのN,N-ジアルキルアニリニウムが例示できる。
さらに、ホスフォニウムとしては、トリフェニルホスフォニウム、トリブチルホスホニウム、トリ(メチルフェニル)ホスフォニウム、トリ(ジメチルフェニル)ホスフォニウムなどのトリアリールホスフォニウム、トリアルキルホスフォニウムが挙げられる。
[L1-H]+[BR6R7X4X5]-・・・式(b-1)
式(b-1)中、L1は、中性ルイス塩基であり、Hは、水素原子であり、[L1-H]は、アンモニウム、アニリニウム、ホスフォニウム等のブレンステッド酸である。
アンモニウムとしては、トリメチルアンモニウム、トリエチルアンモニウム、トリプロピルアンモニウム、トリブチルアンモニウム、トリ(n-ブチル)アンモニウムなどのトリアルキル置換アンモニウム、ジ(n-プロピル)アンモニウム、ジシクロヘキシルアンモニウムなどのジアルキルアンモニウムを例示できる。
また、アニリニウムとしては、N,N-ジメチルアニリニウム、N,N-ジエチルアニリニウム、N,N-2,4,6-ペンタメチルアニリニウムなどのN,N-ジアルキルアニリニウムが例示できる。
さらに、ホスフォニウムとしては、トリフェニルホスフォニウム、トリブチルホスホニウム、トリ(メチルフェニル)ホスフォニウム、トリ(ジメチルフェニル)ホスフォニウムなどのトリアリールホスフォニウム、トリアルキルホスフォニウムが挙げられる。
また、式(b-1)中、R6およびR7は、各々独立して、6~20、好ましくは6~16の炭素原子を含む、同じか又は異なる芳香族又は置換芳香族炭化水素基で、架橋基によって互いに連結されていてもよく、置換芳香族炭化水素基の置換基としては、メチル基、エチル基、プロピル基、イソプロピル基等に代表されるアルキル基やフッ素、塩素、臭素、ヨウ素等のハロゲン原子が好ましい。
さらに、X4及びX5は、各々独立して、ハイドライド基、ハライド基、1~20の炭素原子を含む炭化水素基、1個以上の水素原子がハロゲン原子によって置換された1~20の炭素原子を含む置換炭化水素基である。
さらに、X4及びX5は、各々独立して、ハイドライド基、ハライド基、1~20の炭素原子を含む炭化水素基、1個以上の水素原子がハロゲン原子によって置換された1~20の炭素原子を含む置換炭化水素基である。
上記一般式(b-1)で表される化合物の具体例としては、トリブチルアンモニウムテトラ(ペンタフルオロフェニル)ボレート、トリブチルアンモニウムテトラ(2,6-ジトリフルオロメチルフェニル)ボレート、トリブチルアンモニウムテトラ(3,5-ジトリフルオロメチルフェニル)ボレート、トリブチルアンモニウムテトラ(2,6-ジフルオロフェニル)ボレート、トリブチルアンモニウムテトラ(パーフルオロナフチル)ボレート、ジメチルアニリニウムテトラ(ペンタフルオロフェニル)ボレート、ジメチルアニリニウムテトラ(2,6-ジトリフルオロメチルフェニル)ボレート、ジメチルアニリニウムテトラ(3,5-ジトリフルオロメチルフェニル)ボレート、ジメチルアニリニウムテトラ(2,6-ジフルオロフェニル)ボレート、ジメチルアニリニウムテトラ(パーフルオロナフチル)ボレート、トリフェニルホスホニウムテトラ(ペンタフルオロフェニル)ボレート、トリフェニルホスホニウムテトラ(2,6-ジトリフルオロメチルフェニル)ボレート、トリフェニルホスホニウムテトラ(3,5-ジトリフルオロメチルフェニル)ボレート、トリフェニルホスホニウムテトラ(2,6-ジフルオロフェニル)ボレート、トリフェニルホスホニウムテトラ(パーフルオロナフチル)ボレート、トリメチルアンモニウムテトラ(2,6-ジトリフルオロメチルフェニル)ボレート、トリエチルアンモニウムテトラ(ペンタフルオロフェニル)ボレート、トリエチルアンモニウムテトラ(2,6-ジトリフルオロメチルフェニル)ボレート、トリエチルアンモニウムテトラ(パーフルオロナフチル)ボレート、トリプロピルアンモニウムテトラ(ペンタフルオロフェニル)ボレート、トリプロピルアンモニウムテトラ(2,6-ジトリフルオロメチルフェニル)ボレート、トリプロピルアンモニウムテトラ(パーフルオロナフチル)ボレート、ジ(1-プロピル)アンモニウムテトラ(ペンタフルオロフェニル)ボレート、ジシクロヘキシルアンモニウムテトラフェニルボレートなどを例示することができる。
これらの中でも、トリブチルアンモニウムテトラ(ペンタフルオロフェニル)ボレート、トリブチルアンモニウムテトラ(2,6-ジトリフルオロメチルフェニル)ボレート、トリブチルアンモニウムテトラ(3,5-ジトリフルオロメチルフェニル)ボレート、トリブチルアンモニウムテトラ(パーフルオロナフチル)ボレート、ジメチルアニリニウムテトラ(ペンタフルオロフェニル)ボレート、ジメチルアニリニウムテトラ(2,6-ジトリフルオロメチルフェニル)ボレート、ジメチルアニリニウムテトラ(3,5-ジトリフルオロメチルフェニル)ボレート、ジメチルアニリニウムテトラ(パーフルオロナフチル)ボレートが好ましい。
また、ボレート化合物の第2の例は、次の一般式(b-2)で表される。
[L2]+[BR6R7X4X5]-・・・式(b-2)
式(b-2)中、L2は、カルボカチオン、メチルカチオン、エチルカチオン、プロピルカチオン、イソプロピルカチオン、ブチルカチオン、イソブチルカチオン、tert-ブチルカチオン、ペンチルカチオン、トロピニウムカチオン、ベンジルカチオン、トリチルカチオン、ナトリウムカチオン、プロトン等が挙げられる。
また、R6、R7、X4及びX5は、それぞれ前記一般式(b-1)における定義と同じである。
[L2]+[BR6R7X4X5]-・・・式(b-2)
式(b-2)中、L2は、カルボカチオン、メチルカチオン、エチルカチオン、プロピルカチオン、イソプロピルカチオン、ブチルカチオン、イソブチルカチオン、tert-ブチルカチオン、ペンチルカチオン、トロピニウムカチオン、ベンジルカチオン、トリチルカチオン、ナトリウムカチオン、プロトン等が挙げられる。
また、R6、R7、X4及びX5は、それぞれ前記一般式(b-1)における定義と同じである。
上記化合物の具体例としては、トリチルテトラフェニルボレート、トリチルテトラ(o-トリル)ボレート、トリチルテトラ(p-トリル)ボレート、トリチルテトラ(m-トリル)ボレート、トリチルテトラ(o-フルオロフェニル)ボレート、トリチルテトラ(p-フルオロフェニル)ボレート、トリチルテトラ(m-フルオロフェニル)ボレート、トリチルテトラ(3,5-ジフルオロフェニル)ボレート、トリチルテトラ(ペンタフルオロフェニル)ボレート、トリチルテトラ(2,6-ジトリフルオロメチルフェニル)ボレート、トリチルテトラ(3,5-ジトリフルオロメチルフェニル)ボレート、トリチルテトラ(パーフルオロナフチル)ボレート、トロピニウムテトラフェニルボレート、トロピニウムテトラ(o-トリル)ボレート、トロピニウムテトラ(p-トリル)ボレート、トロピニウムテトラ(m-トリル)ボレート、トロピニウムテトラ(o-フルオロフェニル)ボレート、トロピニウムテトラ(p-フルオロフェニル)ボレート、トロピニウムテトラ(m-フルオロフェニル)ボレート、トロピニウムテトラ(3,5-ジフルオロフェニル)ボレート、トロピニウムテトラ(ペンタフルオロフェニル)ボレート、トロピニウムテトラ(2,6-ジトリフルオロメチルフェニル)ボレート、トロピニウムテトラ(3,5-ジトリフルオロメチルフェニル)ボレート、トロピニウムテトラ(パーフルオロナフチル)ボレート、NaBPh4、NaB(o-CH3-Ph)4、NaB(p-CH3-Ph)4、NaB(m-CH3-Ph)4、NaB(o-F-Ph)4、NaB(p-F-Ph)4、NaB(m-F-Ph)4、NaB(3,5-F2-Ph)4、NaB(C6F5)4、NaB(2,6-(CF3)2-Ph)4、NaB(3,5-(CF3)2-Ph)4、NaB(C10F7)4、H+BPh4・2ジエチルエーテル、H+B(3,5-F2-Ph)4・2ジエチルエーテル、H+B(C6F5)4
-・2ジエチルエーテル、H+B(2,6-(CF3)2-Ph)4・2ジエチルエーテル、H+B(3,5-(CF3)2-Ph)4・2ジエチルエーテル、H+B(C10H7)4・2ジエチルエーテルを例示することができる。
これらの中でも、トリチルテトラ(ペンタフルオロフェニル)ボレート、トリチルテトラ(2,6-ジトリフルオロメチルフェニル)ボレート、トリチルテトラ(3,5-ジトリフルオロメチルフェニル)ボレート、トリチルテトラ(パーフルオロナフチル)ボレート、トロピニウムテトラ(ペンタフルオロフェニル)ボレート、トロピニウムテトラ(2,6-ジトリフルオロメチルフェニル)ボレート、トロピニウムテトラ(3,5-ジトリフルオロメチルフェニル)ボレート、トロピニウムテトラ(パーフルオロナフチル)ボレート、NaB(C6F5)4、NaB(2,6-(CF3)2-Ph)4、NaB(3,5-(CF3)2-Ph)4、NaB(C10F7)4、H+B(C6F5)4
-・2ジエチルエーテル、H+B(2,6-(CF3)2-Ph)4・2ジエチルエーテル、H+B(3,5-(CF3)2-Ph)4・2ジエチルエーテル、H+B(C10H7)4・2ジエチルエーテルが好ましい。
さらに好ましくは、これらの中でも、トリチルテトラ(ペンタフルオロフェニル)ボレート、トリチルテトラ(2,6-ジトリフルオロメチルフェニル)ボレート、トロピニウムテトラ(ペンタフルオロフェニル)ボレート、トロピニウムテトラ(2,6-ジトリフルオロメチルフェニル)ボレート、NaB(C6F5)4、NaB(2,6-(CF3)2-Ph)4、H+B(C6F5)4
-・2ジエチルエーテル、H+B(2,6-(CF3)2-Ph)4・2ジエチルエーテル、H+B(3,5-(CF3)2-Ph)4・2ジエチルエーテル、H+B(C10H7)4・2ジエチルエーテルが挙げられる。
触媒成分(b)として、ボラン化合物やボレート化合物を用いると、重合活性や共重合性が高くなるので、長鎖分岐を有するエチレン系重合体の生産性が向上する。
また、メタロセン化合物(a)と反応してカチオン性メタロセン化合物を形成する化合物(b)の他の具体例として、粘土鉱物、層状ケイ酸塩化合物、化学処理された固体酸化物が挙げられる。
また、成分(b)として、前記の有機アルミニウムオキシ化合物と、上記ボラン化合物やボレート化合物との混合物を用いることもできるし、本発明におけるエチレン系重合体(B)に望まれる長鎖分岐構造の特性をより高めるには、該ボラン化合物やボレート化合物を有機アルミニウムオキシ化合物と併用することが好ましい。さらに、上記ボラン化合物やボレート化合物は、2種以上混合して使用することもできる。
また、メタロセン化合物(a)と反応してカチオン性メタロセン化合物を形成する化合物(b)の他の具体例として、粘土鉱物、層状ケイ酸塩化合物、化学処理された固体酸化物が挙げられる。
また、成分(b)として、前記の有機アルミニウムオキシ化合物と、上記ボラン化合物やボレート化合物との混合物を用いることもできるし、本発明におけるエチレン系重合体(B)に望まれる長鎖分岐構造の特性をより高めるには、該ボラン化合物やボレート化合物を有機アルミニウムオキシ化合物と併用することが好ましい。さらに、上記ボラン化合物やボレート化合物は、2種以上混合して使用することもできる。
iii)成分(c)
上記本発明のエチレン系重合体(B)として好適な長鎖分岐構造を生成する架橋(シクロペンタジエニル)(インデニル)配位子等を有する錯体を必須成分とするオレフィン重合用触媒として例示したオレフィン重合用触媒は、微粒子担体(成分(c)、以下、単にcと記すこともある。)を含むことが好ましい。
上記本発明のエチレン系重合体(B)として好適な長鎖分岐構造を生成する架橋(シクロペンタジエニル)(インデニル)配位子等を有する錯体を必須成分とするオレフィン重合用触媒として例示したオレフィン重合用触媒は、微粒子担体(成分(c)、以下、単にcと記すこともある。)を含むことが好ましい。
成分(c)である微粒子担体としては、無機物担体、粒子状ポリマー担体またはこれらの混合物が挙げられる。無機物担体は、金属、金属酸化物、金属塩化物、金属炭酸塩、炭素質物、またはこれらの混合物が使用可能である。
無機物担体に用いることができる好適な金属としては、例えば、鉄、アルミニウム、ニッケルなどが挙げられる。
無機物担体に用いることができる好適な金属としては、例えば、鉄、アルミニウム、ニッケルなどが挙げられる。
また、金属酸化物としては、周期表1~14族の元素の単独酸化物または複合酸化物が挙げられ、例えば、SiO2、Al2O3、MgO、CaO、B2O3、TiO2、ZrO2、Fe2O3、Al2O3・MgO、Al2O3・CaO、Al2O3・SiO2、Al2O3・MgO・CaO、Al2O3・MgO・SiO2、Al2O3・CuO、Al2O3・Fe2O3、Al2O3・NiO、SiO2・MgOなどの天然または合成の各種単独酸化物または複合酸化物を例示することができる。
ここで、上記の式は、分子式ではなく、組成のみを表すものであって、本発明において用いられる複合酸化物の構造および成分比率は特に限定されるものではない。
また、本発明において用いる金属酸化物は、少量の水分を吸収していても差し支えなく、少量の不純物を含有していても差し支えない。
ここで、上記の式は、分子式ではなく、組成のみを表すものであって、本発明において用いられる複合酸化物の構造および成分比率は特に限定されるものではない。
また、本発明において用いる金属酸化物は、少量の水分を吸収していても差し支えなく、少量の不純物を含有していても差し支えない。
金属塩化物としては、例えば、アルカリ金属、アルカリ土類金属の塩化物が好ましく、具体的にはMgCl2、CaCl2などが特に好適である。
金属炭酸塩としては、アルカリ金属、アルカリ土類金属の炭酸塩が好ましく、具体的には、炭酸マグネシウム、炭酸カルシウム、炭酸バリウムなどが挙げられる。
炭素質物としては、例えば、カーボンブラック、活性炭などが挙げられる。
以上の無機物担体は、いずれも本発明に好適に用いることができるが、特に金属酸化物、シリカ、アルミナなどの使用が好ましい。
金属炭酸塩としては、アルカリ金属、アルカリ土類金属の炭酸塩が好ましく、具体的には、炭酸マグネシウム、炭酸カルシウム、炭酸バリウムなどが挙げられる。
炭素質物としては、例えば、カーボンブラック、活性炭などが挙げられる。
以上の無機物担体は、いずれも本発明に好適に用いることができるが、特に金属酸化物、シリカ、アルミナなどの使用が好ましい。
上記本発明のエチレン系重合体(B)として好適な長鎖分岐構造を生成するベンゾインデニル配位子等を有する錯体を必須成分とするオレフィン重合用触媒の一例は、次の成分(a-2)と、上述の成分(b)および好ましい成分(c)からなるオレフィン重合用触媒として具体的に例示される。
iv)成分(a-2)
成分(a-2)は、下記一般式(a-2-1)で示されるベンゾインデニル配位子を1個以上、好ましくは2個以上、より好ましくは3個有するメタロセン化合物である。
成分(a-2)は、下記一般式(a-2-1)で示されるベンゾインデニル配位子を1個以上、好ましくは2個以上、より好ましくは3個有するメタロセン化合物である。
ここで、置換基R8~R13は、各々独立して、炭素数1~30の炭化水素基、炭素数1~30の炭化水素置換基を有するトリアルキル珪素基又は水素原子である。炭化水素基の具体例としては、メチル基、エチル基、プロピル基、ブチル基、ペンチル基、ヘキシル基、シクロヘキシル基などのアルキル基;ビニル基、アリル基などのアルケニル基;フェニル基、ジメチルフェニル基、ジエチルフェニル基、ジプロピルフェニル基、ジブチルフェニル基、トリメチルフェニル基、トリエチルフェニル基、トリプロピルフェニル基、トリブチルフェニル基、ビフェニル基、ナフチル基、アントリル基などのアリール基;トリチル基、フェネチル基、ベンズヒドリル基、フェニルプロピル基、フェニルブチル基、ネオフィル基などのアリールアルキル基、スチリル基などのアリールアルケニル基が挙げられる。これらは分岐があってもよい。また、置換基R8~R13のうち、近接する2つの置換基は結合している炭素原子と一緒に環を形成していてもよい。さらに、成分(a-2)が、該ベンゾインデニル配位子を含めて3個のシクロペンタジエニル骨格を有する配位子を有する場合、そのうちの2個以上が、炭化水素基、シリレン基、置換シリレン基等、上述の一般式(a-1-1)で定義したQ1、Q2、R1で構成される架橋基と同様の、エチレン架橋基やジメチルシリレン架橋基等で架橋されたメタロセン錯体も有効である。なお、中心遷移金属および中心遷移金属に結合したシクロペンタジエニル骨格を有する配位子以外の基(補助配位子)は炭化水素基、アルコキシル基、ハロゲン原子、水素原子等、該一般式(a-1-1)で定義したM、X1、X2と同じものが当てはまる。
成分(a-2)の具体例を、中心遷移金属がZrの場合として例示すると、下記表a-5および表a-6の通りである。表a-5および表a-6中、Cpはシクロぺンタジエニル基を、Indはインデニル基を、Bzindはベンゾインデニル基を、Dbiはジベンゾインデニル基、Meはメチル基、Buはブチル基を表わす。
成分(a-2)の好ましい具体例は、Bzind3ZrH、Dbi3ZrH、Bzind2CpZrH、Bzind2(1,3-Me2Cp)ZrH、Bzind2(1-Bu-3-MeCp)ZrH、Bzind2IndZrH、BzindInd2ZrH、Dbi2CpZrH、DbiCp2ZrH、Dbi2IndZrH、DbiInd2ZrH、Bzind2DbiZrH、BzindDbi2ZrH、BzindDbiCpZrH、BzindDbiIndZrH、Et(Ind)2BzindZrH、Et(Ind)2DbiZrH、Me2SiCp2BzindZrH、Me2SiCp2DbiZrH、Me2Si(Cp)(Ind)DbiZrH、Et(Bzind)2CpZrH、Et(Bzind)2IndZrHであり、より好ましい具体例は、Bzind3ZrH、Dbi3ZrH、Bzind2CpZrH、Bzind2(1,3-Me2Cp)ZrH、Bzind2(1-Bu-3-MeCp)ZrH、Bzind2IndZrH、BzindInd2ZrH、Dbi2CpZrH、DbiCp2ZrH、Dbi2IndZrH、DbiInd2ZrH、Bzind2DbiZrH、BzindDbi2ZrH、BzindDbiCpZrH、BzindDbiIndZrHである。
前述の通り、上記成分(a-2)とともに上記成分(b)として、前記の有機アルミニウムオキシ化合物等が使用されるが、本ケースにおいても該ボラン化合物やボレート化合物を有機アルミニウムオキシ化合物と併用することが、本発明におけるエチレン系重合体(B)に望まれる長鎖分岐構造の特性をより高めるには好ましく、同様に、成分(a-2)と成分(b)以外に、成分(c)を含むこともまた好ましい。
本発明のエチレン系重合体(B)として好適な長鎖分岐構造を生成する架橋ビス(インデニル)配位子または架橋ビス(アズレニル)配位子または架橋ビス(シクロペンタジエニル)配位子を有する錯体と、有機アルミニウムオキシ化合物とカチオン性メタロセン化合物を生成させる化合物であるボラン化合物あるいはボレート化合物との混合物を必須成分とするオレフィン重合用触媒の一例は、次の成分(a-3)と、上述の成分(b)で説明した有機アルミニウムオキシ化合物とボラン化合物あるいはボレート化合物との混合物および上述の好ましい成分(c)からなるオレフィン重合用触媒として具体的に例示される。
ここで、架橋ビス(インデニル)配位子または架橋ビス(アズレニル)配位子または架橋ビス(シクロペンタジエニル)配位子を有する錯体(各々成分(a-3-1)、(a-3-2)、(a-3-3)とする。)とは、上述の1-6の(ii)メタロセン触媒の項で述べたメタロセン化合物の分類において、一般式[2]で代表されるような、同じでも異なってもよい2個のシクロペンタジエニル環あるいは同じでも異なってもよい2個のインデニル環が架橋基Q1により架橋された基本骨格を有する錯体をいう。該シクロペンタジエニル環、インデニル環、アズレニル環、架橋基Q1の有しうる置換基は、該基本骨格構造を阻害しない限りにおいて高い自由度を有しており、例えば、日本国特表2002-535339号公報記載のヘテロ原子を含有する単環式または多環式のヘテロ芳香族基を共役五員環構造配位子上の置換基として有するメタロセン錯体等も好適に用いられる。
ここで、架橋ビス(インデニル)配位子または架橋ビス(アズレニル)配位子または架橋ビス(シクロペンタジエニル)配位子を有する錯体(各々成分(a-3-1)、(a-3-2)、(a-3-3)とする。)とは、上述の1-6の(ii)メタロセン触媒の項で述べたメタロセン化合物の分類において、一般式[2]で代表されるような、同じでも異なってもよい2個のシクロペンタジエニル環あるいは同じでも異なってもよい2個のインデニル環が架橋基Q1により架橋された基本骨格を有する錯体をいう。該シクロペンタジエニル環、インデニル環、アズレニル環、架橋基Q1の有しうる置換基は、該基本骨格構造を阻害しない限りにおいて高い自由度を有しており、例えば、日本国特表2002-535339号公報記載のヘテロ原子を含有する単環式または多環式のヘテロ芳香族基を共役五員環構造配位子上の置換基として有するメタロセン錯体等も好適に用いられる。
[ここで、A3およびA4は、共役五員環構造を有する配位子(同一化合物内においてA3およびA4は同一でも異なっていてもよい)を、Q1は2つの共役五員環配位子を任意の位置で架橋する結合性基を、Mは周期律表4族から選ばれる金属原子を、そしてXおよびYは、各々独立して、Mと結合した水素原子、ハロゲン原子、炭化水素基、アルコキシ基、アミノ基、リン含有炭化水素基またはケイ素含有炭化水素基を、それぞれ示す。]
成分(a-3-1)の架橋ビス(インデニル)配位子を有する錯体の具体例を、中心遷移金属がZrの場合として例示すると、
(I)上記一般式[2]で表される化合物のうち、結合性基Q1が例えば以下に示す構造の化合物を下記表a-7~表a-9に示す。表a-7~表a-9中、Indはインデニル基、TMSはトリメチルシリルを表わす。
(I)上記一般式[2]で表される化合物のうち、結合性基Q1が例えば以下に示す構造の化合物を下記表a-7~表a-9に示す。表a-7~表a-9中、Indはインデニル基、TMSはトリメチルシリルを表わす。
(I-1)Q1がアルキレン基のものとして、下記表a-7に記載の化合物等が挙げられる。
(I-2)Q1がシリレン基のものとして、下記表a-8に記載の化合物等が挙げられる。表a-8中、Indはインデニル基、BenIndはベンゾインデニル基、PhIndはフェニルインデニル基、TMSPhはトリメチルシリルフェニル基を表わす。
(I-3)Q1がゲルマニウム、リン、窒素、ホウ素あるいはアルミニウムを含む炭化水素基のものとして、下記表a-9に記載の化合物等が挙げられる。表a-9中、Indはインデニル基、PhIndはフェニルインデニル基、TMSPhはトリメチルシリルフェニル基を表わす。
成分(a-3-2)の架橋ビス(アズレニル)配位子を有する錯体の具体例を、中心遷移金属がZrの場合として例示すると、
(II)上記一般式[2]で表される化合物のうち、結合性基Q1が例えば以下に示す構造の化合物を下記表a-10~表a-12に示す。
(II)上記一般式[2]で表される化合物のうち、結合性基Q1が例えば以下に示す構造の化合物を下記表a-10~表a-12に示す。
(II-1)Q1がアルキレン基のものとして、下記表a-10に記載の化合物等が挙げられる。表a-10~表a-12中、tBuPhはトリブチルフェニル基、TMSPhはトリメチルシリルフェニル基、NaPhはナフチル基、BiPhはビフェニル基、Azuはアズレニル基、ClPhはクロロフェニル基を表わす。
(II-2)Q1がシリレン基のものとして、下記表a-11に記載の化合物等が挙げられる。
(II-3)Q1がゲルマニウム、リン、窒素、ホウ素あるいはアルミニウムを含む炭化水素基のものとして、下記表a-12に記載の化合物等が挙げられる。
成分(a-3-3)の架橋ビス(シクロペンタジエニル)配位子を有する錯体の具体例を、中心遷移金属がZrの場合として例示すると、
(III)上記一般式[2]で表される化合物のうち、結合性基Q1が例えば以下に示す構造の化合物を下記表a-13~表a-16に示す。表a-13~表a-16中、Cpはシクロペンタジエニル基、TMSはトリメチルシリル、Fluはフルオレニルを表わす。
(III)上記一般式[2]で表される化合物のうち、結合性基Q1が例えば以下に示す構造の化合物を下記表a-13~表a-16に示す。表a-13~表a-16中、Cpはシクロペンタジエニル基、TMSはトリメチルシリル、Fluはフルオレニルを表わす。
(III-1)Q1がアルキレン基のものとして、下記表a-13に記載の化合物等が挙げられる。
(III-2)Q1がシリレン基のものとして、下記表a-14および表a-15に記載の化合物等が挙げられる。
(III-3)Q1がゲルマニウム、リン、窒素、ホウ素あるいはアルミニウムを含む炭化水素基のものとして、下記表a-16に記載の化合物等が挙げられる。
これらに定義される架橋ビス(インデニル)配位子または架橋ビス(アズレニル)配位子または架橋ビス(シクロペンタジエニル)配位子メタロセン錯体に、有機アルミニウムオキシ化合物とボラン化合物等との混合物を組み合わせた触媒により、本発明のエチレン系重合体(B)として好適な長鎖分岐構造がエチレン系重合体(B)に付与される。
以上、本発明のエチレン系重合体(B)として好適な長鎖分岐構造を生成するオレフィン重合用触媒の好適な具体例として、架橋(シクロペンタジエニル)(インデニル)配位子等を有する錯体を必須成分とする触媒系、ベンゾインデニル配位子等を有する錯体を必須成分とする触媒系、メタロセン錯体として架橋ビス(インデニル)配位子または架橋ビス(シクロペンタジエニル)配位子を有する錯体と、有機アルミニウムオキシ化合物とカチオン性メタロセン化合物を生成させる化合物であるボラン化合物あるいはボレート化合物との混合物を用いた触媒系の3つ述べた。これらの中では、架橋(シクロペンタジエニル)(インデニル)配位子等を有する錯体を必須成分とする触媒系と、メタロセン錯体として架橋ビス(インデニル)配位子または架橋ビス(シクロペンタジエニル)配位子を有する錯体と、有機アルミニウムオキシ化合物とカチオン性メタロセン化合物を生成させる化合物であるボラン化合物あるいはボレート化合物との混合物を用いた触媒系がより好適であり、架橋(シクロペンタジエニル)(インデニル)配位子等を有する錯体を必須成分とする触媒系が更に好適である。
本発明において、エチレン系重合体(B)の製造は、好ましくは上述のオレフィン重合触媒(i)~(iv)、より好ましくは(i)、(ii)、(iv)、更に好ましくは(i)、(ii)、特に好ましくは(ii)メタロセン触媒をエチレンと接触して、エチレンを重合または共重合することによって実施される。オレフィン重合触媒は(i)~(iv)の中から複数種を使用することもできる。エチレンの重合または共重合を行うに際しては、先述のエチレン系重合体(A)の製法の項の重合方法、エチレン原料、重合媒体、重合温度等、重合プロセス等、スカベンジャーに関する説明が全て参照される。ただし、エチレン系重合体(B)に望むべく諸特性および使用するオレフィン重合用触媒特性を考慮して、これら諸条件設定を最適とする必要があることは言うまでもない。例えば、より低MFR、低密度のエチレン系重合体(B)を所望する際には、連鎖移動剤濃度を低めに設定したり、α-オレフィン濃度を高めに設定したり、製造工程における重合体の固着・閉塞等のトラブルを防止すべく、各種運転温度を該重合体の融解温度等に見合った低温側に設定したり、スラリー重合においては該重合体の溶解が生じにくいプロパン、ブタン等の低分子量炭化水素溶媒を選択したり、溶媒を使用しない気相重合を選択したり、重合体を溶解状態で取り扱う溶液重合を選択する。また、顕著な長鎖分岐特性を付与せしめたい場合は、水素以外の連鎖移動反応が促進されるように、低モノマー濃度条件、高ポリマー濃度条件、低スカベンジャー濃度条件、高温重合条件、長時間重合条件等を積極的に選択することが好ましい。
(3)その他の成分(C)
本発明におけるポリエチレン系樹脂組成物は、必須成分であるエチレン系重合体(A)およびエチレン系重合体(B)以外に、本発明の目的を損なわない範囲で、下記物質を任意成分として配合することができる。
本発明におけるポリエチレン系樹脂組成物は、必須成分であるエチレン系重合体(A)およびエチレン系重合体(B)以外に、本発明の目的を損なわない範囲で、下記物質を任意成分として配合することができる。
3-1.他のエチレン系重合体
エチレン系重合体(A)とエチレン系重合体(B)以外に、高密度ポリエチレン、低密度ポリエチレン、高圧法ポリエチレン、極性モノマーグラフト変性ポリエチレン、エチレン系ワックス、超高分子量ポリエチレン、エチレン系エラストマー等の各種エチレン系重合体およびその変性体を使用できる。高密度ポリエチレンの添加は、剛性、耐熱性、衝撃強度等を向上するのに好ましい。低密度ポリエチレンの添加は、柔軟性、衝撃強度、易接着性、透明性、低温強度等を向上するのに好ましい。高圧法ポリエチレンの添加は、柔軟性、易接着性、透明性、低温強度、成形加工性等を向上するのに好ましい。マレイン酸変性ポリエチレンやエチレン・アクリル酸誘導体共重合体、エチレン・酢酸ビニル共重合体等の極性モノマーグラフト変性ポリエチレンの添加は、柔軟性、易接着性、着色性、各種材料親和性、ガスバリア性等を向上するのに好ましい。エチレン系ワックスの添加は、着色性、各種材料親和性、成形加工性等を向上するのに好ましい。超高分子量ポリエチレンの添加は、機械的強度、耐摩耗性等を向上するのに好ましい。エチレン系エラストマーの添加は、柔軟性、機械的強度、衝撃強度等を向上するのに好ましい。
エチレン系重合体(A)とエチレン系重合体(B)以外に、高密度ポリエチレン、低密度ポリエチレン、高圧法ポリエチレン、極性モノマーグラフト変性ポリエチレン、エチレン系ワックス、超高分子量ポリエチレン、エチレン系エラストマー等の各種エチレン系重合体およびその変性体を使用できる。高密度ポリエチレンの添加は、剛性、耐熱性、衝撃強度等を向上するのに好ましい。低密度ポリエチレンの添加は、柔軟性、衝撃強度、易接着性、透明性、低温強度等を向上するのに好ましい。高圧法ポリエチレンの添加は、柔軟性、易接着性、透明性、低温強度、成形加工性等を向上するのに好ましい。マレイン酸変性ポリエチレンやエチレン・アクリル酸誘導体共重合体、エチレン・酢酸ビニル共重合体等の極性モノマーグラフト変性ポリエチレンの添加は、柔軟性、易接着性、着色性、各種材料親和性、ガスバリア性等を向上するのに好ましい。エチレン系ワックスの添加は、着色性、各種材料親和性、成形加工性等を向上するのに好ましい。超高分子量ポリエチレンの添加は、機械的強度、耐摩耗性等を向上するのに好ましい。エチレン系エラストマーの添加は、柔軟性、機械的強度、衝撃強度等を向上するのに好ましい。
3-2.他のオレフィン系重合体
エチレン系重合体以外のオレフィン系重合体として、例えばポリプロピレン系樹脂、ポリブテン、ポリイソブテン、ポリヘキセン等の高級オレフィン系樹脂、オレフィン系ゴム、ブタジエン、イソプレン、クロロプレン等のポリブタジエン系樹脂、ポリスチレン、ポリα-メチルスチレン等のポリスチレン系樹脂、各種環状オレフィン系樹脂、およびそれらの変性体を使用できる。
エチレン系重合体以外のオレフィン系重合体として、例えばポリプロピレン系樹脂、ポリブテン、ポリイソブテン、ポリヘキセン等の高級オレフィン系樹脂、オレフィン系ゴム、ブタジエン、イソプレン、クロロプレン等のポリブタジエン系樹脂、ポリスチレン、ポリα-メチルスチレン等のポリスチレン系樹脂、各種環状オレフィン系樹脂、およびそれらの変性体を使用できる。
3-3.他の樹脂
上記エチレン系重合体や他のオレフィン系重合体以外の重合体を主成分とする各種樹脂を使用できる。具体的には、各種ナイロン樹脂、各種ポリアミド、ポリエチレンテレフタレート(PET)、ポリブチレンテレフタレート(PBT)、各種ポリエステル、ポリカーボネート樹脂、EVOH、EVA、PMMA、PMA、各種エンジニアリングプラスチック、ポリ乳酸等、セルロース類、天然ゴム類、ポリウレタン、塩化ビニル、テフロン(登録商標)等のフッ素系樹脂、シリコン樹脂等の無機系重合体、等である。
上記エチレン系重合体や他のオレフィン系重合体以外の重合体を主成分とする各種樹脂を使用できる。具体的には、各種ナイロン樹脂、各種ポリアミド、ポリエチレンテレフタレート(PET)、ポリブチレンテレフタレート(PBT)、各種ポリエステル、ポリカーボネート樹脂、EVOH、EVA、PMMA、PMA、各種エンジニアリングプラスチック、ポリ乳酸等、セルロース類、天然ゴム類、ポリウレタン、塩化ビニル、テフロン(登録商標)等のフッ素系樹脂、シリコン樹脂等の無機系重合体、等である。
3-4.添加剤
あらゆる添加剤を1種又は2種以上適宜併用することができる。具体的には、酸化防止剤(フェノール系、リン系、イオウ系、等)、紫外線吸収剤・紫外線防止剤、光安定剤・耐候剤、滑剤、帯電防止剤、防曇剤、ブロッキング防止剤、分散剤等の加工助剤、着色顔料(有機あるいは無機系顔料)、パール顔料、偏光パール顔料、架橋剤、発泡剤、中和剤、熱安定剤、結晶核剤、無機又は有機充填剤・フィラー[炭酸カルシウム、タルク、金属粉(アルミニウム、銅、鉄、鉛など)、珪石、珪藻土、アルミナ、石膏、マイカ、クレー、アスベスト、グラファイト、カーボンブラック、酸化チタン、等]、難燃剤、等が使用可能である。
あらゆる添加剤を1種又は2種以上適宜併用することができる。具体的には、酸化防止剤(フェノール系、リン系、イオウ系、等)、紫外線吸収剤・紫外線防止剤、光安定剤・耐候剤、滑剤、帯電防止剤、防曇剤、ブロッキング防止剤、分散剤等の加工助剤、着色顔料(有機あるいは無機系顔料)、パール顔料、偏光パール顔料、架橋剤、発泡剤、中和剤、熱安定剤、結晶核剤、無機又は有機充填剤・フィラー[炭酸カルシウム、タルク、金属粉(アルミニウム、銅、鉄、鉛など)、珪石、珪藻土、アルミナ、石膏、マイカ、クレー、アスベスト、グラファイト、カーボンブラック、酸化チタン、等]、難燃剤、等が使用可能である。
(4)本発明のポリエチレン系樹脂組成物を構成する各成分の混合
本発明におけるポリエチレン系樹脂組成物は、必須成分であるエチレン系重合体(A)およびエチレン系重合体(B)と、任意成分である物質(C)を混合することにより製造される。
各成分の配合割合は、エチレン系重合体(A)が41~99重量%と、エチレン系重合体(B)が1~59重量%であり、好ましくは、エチレン系重合体(A)が61~96重量%と、エチレン系重合体(B)が4~39重量%であり、より好ましくは、エチレン系重合体(A)が69~96重量%と、エチレン系重合体(B)が4~31重量%であり、更に好ましくは、エチレン系重合体(A)が69~91重量%と、エチレン系重合体(B)が9~31重量%であり、特に好ましくは、エチレン系重合体(A)が75~89重量%と、エチレン系重合体(B)が11~25重量%である。エチレン系重合体(A)が多すぎると、該ポリエチレン系樹脂組成物やその成形体の耐衝撃性や透明性が低下し、成形加工性のうち、溶融張力が低下し、少ないと剛性が悪化し、成形加工性のうち、溶融押出性が悪化する。また、エチレン系重合体(B)が多すぎると、該ポリエチレン系樹脂組成物やその成形体の剛性や透明性が低下し、成形加工性のうち、溶融押出性が悪化し、少ないと引裂き強度、衝撃強度、透明性が改善されず、成形加工性のうち、溶融張力が低下する。なお、任意成分である物質(C)の割合は本発明の目的を損なわない範囲で適宜設定されるが、通常、0~49重量%であり、特に上記3-4項に記載の各添加剤の使用に当たっては、公知のポリエチレン系樹脂、ポリエチレン系樹脂組成物、それらの成形体への適用に関する全ての既存例が参照される。
本発明におけるポリエチレン系樹脂組成物は、必須成分であるエチレン系重合体(A)およびエチレン系重合体(B)と、任意成分である物質(C)を混合することにより製造される。
各成分の配合割合は、エチレン系重合体(A)が41~99重量%と、エチレン系重合体(B)が1~59重量%であり、好ましくは、エチレン系重合体(A)が61~96重量%と、エチレン系重合体(B)が4~39重量%であり、より好ましくは、エチレン系重合体(A)が69~96重量%と、エチレン系重合体(B)が4~31重量%であり、更に好ましくは、エチレン系重合体(A)が69~91重量%と、エチレン系重合体(B)が9~31重量%であり、特に好ましくは、エチレン系重合体(A)が75~89重量%と、エチレン系重合体(B)が11~25重量%である。エチレン系重合体(A)が多すぎると、該ポリエチレン系樹脂組成物やその成形体の耐衝撃性や透明性が低下し、成形加工性のうち、溶融張力が低下し、少ないと剛性が悪化し、成形加工性のうち、溶融押出性が悪化する。また、エチレン系重合体(B)が多すぎると、該ポリエチレン系樹脂組成物やその成形体の剛性や透明性が低下し、成形加工性のうち、溶融押出性が悪化し、少ないと引裂き強度、衝撃強度、透明性が改善されず、成形加工性のうち、溶融張力が低下する。なお、任意成分である物質(C)の割合は本発明の目的を損なわない範囲で適宜設定されるが、通常、0~49重量%であり、特に上記3-4項に記載の各添加剤の使用に当たっては、公知のポリエチレン系樹脂、ポリエチレン系樹脂組成物、それらの成形体への適用に関する全ての既存例が参照される。
本発明におけるポリエチレン系樹脂組成物を、必須成分である上記のエチレン系重合体(A)とエチレン系重合体(B)、および任意成分である物質(C)とを混合して製造するにあたり、その混合方法や使用する装置に特に制限はないが、通常、ヘンシェルミキサー、スーパーミキサー、タンブラー型ミキサー等を用いて混合した後、一軸あるいは二軸押出機、ニーダー、プランジャー押出機等の混合押出機、バンバリーミキサー等で加熱混練し、ペレット化する。加熱混練に際しては、液体、溶媒、気体の存在下、不在下で実施することが出来る。上記成分の混合順序にも特に制約はなく、例えば、下記(D-1)~(D-4)の方法を例示することができる。
(D-1)エチレン系重合体(A)、エチレン系重合体(B)、任意の物質(C)を全て固体状態で、好ましくは全て粉体か粒子かペレット状態で、あらかじめ接触混合しておき、加熱混練によってより均一な状態にする方法。
(D-2)エチレン系重合体(A)、エチレン系重合体(B)、任意の物質(C)のいずれか1つ以上を溶融状態か溶解状態か液体状態にしてから、他の成分と接触混合して、更に加熱混練によってより均一な状態にする方法。
(D-3)エチレン系重合体(A)、エチレン系重合体(B)、任意の物質(C)のいずれか2つを例えば上記(D-1)か(D-2)の方法等によりあらかじめ加熱混練し、更に該加熱混練で得られた混合物を残りの1成分と、加熱混練によってより均一な状態にする方法。
(D-4)エチレン系重合体(A)、エチレン系重合体(B)、任意の物質(C)のいずれか1つを例えば上記(D-1)か(D-2)の方法等により残りの2つ両方に各々別個にあらかじめ加熱混練し、更に該加熱混練で得られた混合物同士を、加熱混練によってより均一な状態にする方法。
(D-1)エチレン系重合体(A)、エチレン系重合体(B)、任意の物質(C)を全て固体状態で、好ましくは全て粉体か粒子かペレット状態で、あらかじめ接触混合しておき、加熱混練によってより均一な状態にする方法。
(D-2)エチレン系重合体(A)、エチレン系重合体(B)、任意の物質(C)のいずれか1つ以上を溶融状態か溶解状態か液体状態にしてから、他の成分と接触混合して、更に加熱混練によってより均一な状態にする方法。
(D-3)エチレン系重合体(A)、エチレン系重合体(B)、任意の物質(C)のいずれか2つを例えば上記(D-1)か(D-2)の方法等によりあらかじめ加熱混練し、更に該加熱混練で得られた混合物を残りの1成分と、加熱混練によってより均一な状態にする方法。
(D-4)エチレン系重合体(A)、エチレン系重合体(B)、任意の物質(C)のいずれか1つを例えば上記(D-1)か(D-2)の方法等により残りの2つ両方に各々別個にあらかじめ加熱混練し、更に該加熱混練で得られた混合物同士を、加熱混練によってより均一な状態にする方法。
(5)本発明のポリエチレン系樹脂組成物の物性
本発明のポリエチレン系樹脂組成物は、必須成分であるエチレン系重合体(A)およびエチレン系重合体(B)と、任意成分である物質(C)を、上記(D-1)~(D-4)の混合方法等で混合することにより製造されるが、物性としては、組成物全体で下記に説明するMFR、密度の範囲を満たす必要がある。
本発明のポリエチレン系樹脂組成物は、必須成分であるエチレン系重合体(A)およびエチレン系重合体(B)と、任意成分である物質(C)を、上記(D-1)~(D-4)の混合方法等で混合することにより製造されるが、物性としては、組成物全体で下記に説明するMFR、密度の範囲を満たす必要がある。
5-1.MFR
本発明のポリエチレン系樹脂組成物のメルトフローレート(MFR)は、0.05~50g/10分、好ましくは0.1~20g/10分、より好ましくは0.3~10g/10分、更に好ましくは0.4~5.0g/10分、特に好ましくは0.5~3.0g/10分である。MFRが0.05g/10分未満ではポリエチレン系樹脂組成物の流動性が悪く、押出機のモーター負荷が高くなりすぎたり、延展性に劣るので好ましくない。MFRが50g/10分より大きいとポリエチレン系樹脂組成物や該成形体の衝撃強度、引裂強度や引張強度等の機械的強度や成形加工性が悪くなるので好ましくない。なお、MFRは、上述の条件(A-1)と同様の条件で測定したときの値をいう。
本発明のポリエチレン系樹脂組成物のメルトフローレート(MFR)は、0.05~50g/10分、好ましくは0.1~20g/10分、より好ましくは0.3~10g/10分、更に好ましくは0.4~5.0g/10分、特に好ましくは0.5~3.0g/10分である。MFRが0.05g/10分未満ではポリエチレン系樹脂組成物の流動性が悪く、押出機のモーター負荷が高くなりすぎたり、延展性に劣るので好ましくない。MFRが50g/10分より大きいとポリエチレン系樹脂組成物や該成形体の衝撃強度、引裂強度や引張強度等の機械的強度や成形加工性が悪くなるので好ましくない。なお、MFRは、上述の条件(A-1)と同様の条件で測定したときの値をいう。
5-2.密度
本発明のポリエチレン樹脂組成物の密度は、0.910~0.960g/cm3、好ましくは0.910~0.950g/cm3、より好ましくは0.916~0.940g/cm3、更に好ましくは0.919~0.938g/cm3、特に好ましくは0.920~0.936g/cm3、最も好ましくは0.921~0.934g/cm3である。
ポリエチレン樹脂組成物の密度が0.910g/cm3より低いと、ポリエチレン系樹脂組成物や該成形体の剛性が低くなったり、ベトツキやすくなったり、製品がフィルムやシート等の厚さの薄い成形体の場合、製品使用における各種不都合はもちろんのこと、製品巻取工程、表面印刷・貼合等の後加工工程において不都合が生じるので自動製袋機適性に劣ったりして好ましくなく、製品がパイプや各種容器等の肉厚成形体の場合、製品が柔らか過ぎて変形するため、必要以上に肉厚な設計を迫られるので好ましくない。また、ポリエチレン樹脂組成物の密度が0.960g/cm3より高いと、ポリエチレン系樹脂組成物や該成形体の衝撃強度が低下し、透明性も悪化する。なお、密度は、上述の条件(A-2)と同様の条件で測定したときの値をいう。
本発明のポリエチレン樹脂組成物の密度は、0.910~0.960g/cm3、好ましくは0.910~0.950g/cm3、より好ましくは0.916~0.940g/cm3、更に好ましくは0.919~0.938g/cm3、特に好ましくは0.920~0.936g/cm3、最も好ましくは0.921~0.934g/cm3である。
ポリエチレン樹脂組成物の密度が0.910g/cm3より低いと、ポリエチレン系樹脂組成物や該成形体の剛性が低くなったり、ベトツキやすくなったり、製品がフィルムやシート等の厚さの薄い成形体の場合、製品使用における各種不都合はもちろんのこと、製品巻取工程、表面印刷・貼合等の後加工工程において不都合が生じるので自動製袋機適性に劣ったりして好ましくなく、製品がパイプや各種容器等の肉厚成形体の場合、製品が柔らか過ぎて変形するため、必要以上に肉厚な設計を迫られるので好ましくない。また、ポリエチレン樹脂組成物の密度が0.960g/cm3より高いと、ポリエチレン系樹脂組成物や該成形体の衝撃強度が低下し、透明性も悪化する。なお、密度は、上述の条件(A-2)と同様の条件で測定したときの値をいう。
[II]本発明のポリエチレン系樹脂組成物の成形体および用途
本発明のポリエチレン系樹脂組成物の成形体は、上記[I]に記載された本発明のポリエチレン系樹脂組成物を成形することによって製造され、その成形の方法は、従来知られている射出成形、圧縮射出成形、回転成形、押出成形、中空成形、ブロー成形、等といったポリオレフィン系樹脂、ポリオレフィン系樹脂組成物の全ての成形方法のいずれをも参照することが可能である。
本発明における成形体とは、使用目的に応じて適切な形態に加工あるいは附型されたポリエチレン系樹脂組成物の加工品あるいは附型品のことをいい、具体的には、フィルム、袋、シート、コーティング、繊維、糸、容器、チューブ、パイプ、被覆材、蓋、キャップ、箱、雑貨品類、玩具類、医療器具部品、ビーズ、微粒子、発泡製品、等を例示することができ、これらは、多層構造であったり、他の部材との複合品であったりしてもよい。これら本発明のポリエチレン系樹脂組成物の成形体の用途としては、具体的に例を記すると、紙袋の内袋やゴミ袋など寸法規格の定まった規格袋、重袋、ラップフィルム、砂糖袋、米袋、油物包装袋、漬物などの水物包装袋における食品包装用フィルム、農業用フィルム等、ナイロン、ポリエステル、金属箔、エチレン-酢酸ビニル共重合体鹸化物などの各種基材との積層体、発泡体やその成形体として使用されたり、バッグインボックス、洗剤用容器、食用油容器、レトルト容器、医療容器、薬品用容器、溶剤用容器、農薬用容器、各種プラスチックボトル等の製品、灯油缶、ドラム、燃料タンクなどの中空容器、輸液バッグ、各種チューブ、水道管、ガス管等のパイプ、タッパー容器用蓋、ボトル用キャップ、コンテナ等、公知のポリエチレン系樹脂、ポリエチレン系樹脂組成物の成形体の用途を参照することが出来る。
本発明のポリエチレン系樹脂組成物の成形体は、上記[I]に記載された本発明のポリエチレン系樹脂組成物を成形することによって製造され、その成形の方法は、従来知られている射出成形、圧縮射出成形、回転成形、押出成形、中空成形、ブロー成形、等といったポリオレフィン系樹脂、ポリオレフィン系樹脂組成物の全ての成形方法のいずれをも参照することが可能である。
本発明における成形体とは、使用目的に応じて適切な形態に加工あるいは附型されたポリエチレン系樹脂組成物の加工品あるいは附型品のことをいい、具体的には、フィルム、袋、シート、コーティング、繊維、糸、容器、チューブ、パイプ、被覆材、蓋、キャップ、箱、雑貨品類、玩具類、医療器具部品、ビーズ、微粒子、発泡製品、等を例示することができ、これらは、多層構造であったり、他の部材との複合品であったりしてもよい。これら本発明のポリエチレン系樹脂組成物の成形体の用途としては、具体的に例を記すると、紙袋の内袋やゴミ袋など寸法規格の定まった規格袋、重袋、ラップフィルム、砂糖袋、米袋、油物包装袋、漬物などの水物包装袋における食品包装用フィルム、農業用フィルム等、ナイロン、ポリエステル、金属箔、エチレン-酢酸ビニル共重合体鹸化物などの各種基材との積層体、発泡体やその成形体として使用されたり、バッグインボックス、洗剤用容器、食用油容器、レトルト容器、医療容器、薬品用容器、溶剤用容器、農薬用容器、各種プラスチックボトル等の製品、灯油缶、ドラム、燃料タンクなどの中空容器、輸液バッグ、各種チューブ、水道管、ガス管等のパイプ、タッパー容器用蓋、ボトル用キャップ、コンテナ等、公知のポリエチレン系樹脂、ポリエチレン系樹脂組成物の成形体の用途を参照することが出来る。
本発明の成形体の成形方法については、本発明のポリエチレン系樹脂組成物の優れた成形加工特性や機械的諸特性、透明性を有効に活用できる方法であれば特に制限されるものではないが、本発明のポリエチレン系樹脂組成物の主に意図したる用途の一例であるフィルム、袋、シートの場合、その好ましい成形方法、成形条件、用途として、例えば、日本国特開2007-197722号公報、日本国特開2007-177168号公報、日本国特開2007-177187号公報、日本国特開2010-31270号公報等に詳細に記載されているような各種のインフレーション成形法、Tダイフィルム成形法、カレンダー成形法、多層共押出成形機やラミネート処理による多層フィルム成形法等および各種用途を具体的に挙げることができる。勿論、インフレーション成形において空気以外の気体や、液体を冷媒として用いることができ、ストレッチ(インフレ同時二軸延伸)成形や多段ブロー等の特殊なインフレーション成形にも用いることができる。
このようにして得られる製品のフィルム(又はシート)の厚みは特に制限されず、成形方法・条件により好適な厚みは異なる。たとえば、インフレーション成形の場合、5~300μm程度であり、Tダイ成形の場合、5μm~5mm程度のフィルム(又はシート)とすることができる。同様に、本発明のポリエチレン系樹脂組成物の主に意図したる用途の一例である中空容器類の場合、その好ましい成形方法、成形条件、用途として、例えば、日本国特開2004-18812号公報、日本国特開2009-143079号公報、日本国特開2009-173889号公報、等に詳細に記載されているような各種の中空成形法、ブロー成形法等および各種用途を具体的に挙げることができる。同様に、本発明のポリエチレン系樹脂組成物の用途の一例であるパイプ、被覆材、蓋、キャップ類、箱、雑貨類の場合、その好ましい成形方法、成形条件、用途として、例えば、日本国特開2007-2235号公報、日本国特開2007-177183号公報、日本国特開2002-60559号公報等に詳細に記載されているような各種の成形法および各種用途を具体的に挙げることができる。更に、本発明のポリエチレン系樹脂組成物の用途として、他のポリエチレン系樹脂、ポリエチレン系樹脂組成物や、ポリプロピレン系樹脂等のポリオレフィン系樹脂に適量ブレンドして、成形加工性向上や、機械的強度向上、低温耐性付与、低温接着性付与、等の改質材として使用できる。
[III]本発明のエチレン系重合体
本発明の第2の態様は、発達した長鎖分岐構造を有する成形加工性に優れたエチレン系重合体に係るものである。以下、本発明の第2の態様について各項目ごとに説明する。
本発明のエチレン系重合体は下記に説明する条件(B-1’)~(B-8)を全て満たす。
本発明の第2の態様は、発達した長鎖分岐構造を有する成形加工性に優れたエチレン系重合体に係るものである。以下、本発明の第2の態様について各項目ごとに説明する。
本発明のエチレン系重合体は下記に説明する条件(B-1’)~(B-8)を全て満たす。
III-1.条件(B-1’)
本発明におけるエチレン系重合体のMFRBは、0.001~200g/10分、好ましくは0.01~100g/10分、更に好ましくは0.05~50g/10分、特に好ましくは0.1~50g/10分、最も好ましくは0.1~10g/10分である。MFRBが0.001g/10分未満ではエチレン系重合体の成形加工性、特に溶融流動性や延展性に劣ったり、他の樹脂と均一に混ぜることが困難となるため、ゲル、ブツ、フィッシュアイといった概観不良が生じたり、衝撃強度や透明性が低下するので好ましくない。MFRBが200g/10分より大きいとエチレン系重合体や該重合体を他の樹脂と混合した組成物の衝撃強度、引裂強度や引張強度等の機械的強度が低下するので好ましくない。なお、MFRは、上述の条件(A-1)と同様の条件で測定したときの値をいう。
本発明におけるエチレン系重合体のMFRBは、0.001~200g/10分、好ましくは0.01~100g/10分、更に好ましくは0.05~50g/10分、特に好ましくは0.1~50g/10分、最も好ましくは0.1~10g/10分である。MFRBが0.001g/10分未満ではエチレン系重合体の成形加工性、特に溶融流動性や延展性に劣ったり、他の樹脂と均一に混ぜることが困難となるため、ゲル、ブツ、フィッシュアイといった概観不良が生じたり、衝撃強度や透明性が低下するので好ましくない。MFRBが200g/10分より大きいとエチレン系重合体や該重合体を他の樹脂と混合した組成物の衝撃強度、引裂強度や引張強度等の機械的強度が低下するので好ましくない。なお、MFRは、上述の条件(A-1)と同様の条件で測定したときの値をいう。
III-2.条件(B-2”)
本発明におけるエチレン系重合体の密度Bは、0.880~0.970g/cm3、好ましくは0.891~0.960g/cm3、更に好ましくは0.895~0.950g/cm3、特に好ましくは0.900~0.934g/cm3、最も好ましくは0.900~0.925g/cm3である。密度Bがこの範囲にあると、エチレン系重合体や該成形体の衝撃強度と剛性のバランスおよび透明性が優れる。一方、密度Bが0.880g/cm3未満では剛性が低下し、製品がフィルムやシート等の厚さの薄い成形体の場合、製品使用における各種不都合はもちろんのこと、製品巻取工程、表面印刷・貼合等の後加工工程において不都合が生じるので好ましくなく、製品がパイプや各種容器等の肉厚成形体の場合、製品が柔らか過ぎて変形するため、必要以上に肉厚な設計を迫られるので好ましくない。また、他樹脂とのブレンド処理工程に供する際に室温においてさえベトツキがひどくて取り扱いが困難となったり、該樹脂組成物の製品ベトツキの原因となって好ましくなく、更には、該他樹脂との相容性が低下し、相分離による衝撃強度や透明性が悪化する可能性がある。また、密度Bが0.970g/cm3より大きいと衝撃強度や透明性が損なわれるので好ましくない。他樹脂の強度向上用改質材として使用する場合、本発明におけるエチレン系重合体の密度は0.900~0.910g/cm3の範囲にあることが望ましい。なお、密度は、上述の条件(A-2)と同様の条件で測定したときの値をいう。
本発明におけるエチレン系重合体の密度Bは、0.880~0.970g/cm3、好ましくは0.891~0.960g/cm3、更に好ましくは0.895~0.950g/cm3、特に好ましくは0.900~0.934g/cm3、最も好ましくは0.900~0.925g/cm3である。密度Bがこの範囲にあると、エチレン系重合体や該成形体の衝撃強度と剛性のバランスおよび透明性が優れる。一方、密度Bが0.880g/cm3未満では剛性が低下し、製品がフィルムやシート等の厚さの薄い成形体の場合、製品使用における各種不都合はもちろんのこと、製品巻取工程、表面印刷・貼合等の後加工工程において不都合が生じるので好ましくなく、製品がパイプや各種容器等の肉厚成形体の場合、製品が柔らか過ぎて変形するため、必要以上に肉厚な設計を迫られるので好ましくない。また、他樹脂とのブレンド処理工程に供する際に室温においてさえベトツキがひどくて取り扱いが困難となったり、該樹脂組成物の製品ベトツキの原因となって好ましくなく、更には、該他樹脂との相容性が低下し、相分離による衝撃強度や透明性が悪化する可能性がある。また、密度Bが0.970g/cm3より大きいと衝撃強度や透明性が損なわれるので好ましくない。他樹脂の強度向上用改質材として使用する場合、本発明におけるエチレン系重合体の密度は0.900~0.910g/cm3の範囲にあることが望ましい。なお、密度は、上述の条件(A-2)と同様の条件で測定したときの値をいう。
III-3.条件(B-3)
本発明におけるエチレン系重合体の[Mw/Mn]Bは、2.0~10.0、好ましくは2.0~6.0、より好ましくは2.5~5.6、更に好ましくは2.9~4.5、特に好ましくは3.2~4.0である。[Mw/Mn]Bが2.0未満では成形加工特性が低下したり、他樹脂と混ざり難かったりする可能性があるので避けるべきである。[Mw/Mn]Bが10.0より大きいとエチレン系重合体や他樹脂との混合樹脂組成物や成形体の衝撃強度が不十分となったり、透明性が悪化したり、ベトツキしやすくなるので好ましくない。なお、Mw/Mnは上述の条件(A-3)と同様の条件で測定したときの値をいう。
本発明におけるエチレン系重合体の[Mw/Mn]Bは、2.0~10.0、好ましくは2.0~6.0、より好ましくは2.5~5.6、更に好ましくは2.9~4.5、特に好ましくは3.2~4.0である。[Mw/Mn]Bが2.0未満では成形加工特性が低下したり、他樹脂と混ざり難かったりする可能性があるので避けるべきである。[Mw/Mn]Bが10.0より大きいとエチレン系重合体や他樹脂との混合樹脂組成物や成形体の衝撃強度が不十分となったり、透明性が悪化したり、ベトツキしやすくなるので好ましくない。なお、Mw/Mnは上述の条件(A-3)と同様の条件で測定したときの値をいう。
III-4.条件(B-4’)
本発明におけるエチレン系重合体の[λmax(2.0)]Bが1.2~30.0、好ましくは1.5~20.0、より好ましくは2.0~10.0、更に好ましくは2.4~6.0であり、特に好ましくは3.0~5.0である。[λmax(2.0)]Bが1.2未満では該エチレン系重合体、他樹脂との混合系樹脂組成物や成形体の流動性や溶融張力が不十分となり、成形加工特性が悪くなる。[λmax(2.0)]Bが30.0より大きいと、流動性や溶融張力には優れるものの、該エチレン系重合体等の衝撃強度が低下したり、透明性が悪化したりするので好ましくない。なお、λmax(2.0)は上述の条件(A-4)と同様の条件で測定したときの値をいう。ポリエチレンの伸長流動特性がその成形加工性や成形体の機械的特性面に与える影響に関しては、既に上述の条件(A-4)や条件(B-4)の項で述べた通りである。
本発明におけるエチレン系重合体の[λmax(2.0)]Bが1.2~30.0、好ましくは1.5~20.0、より好ましくは2.0~10.0、更に好ましくは2.4~6.0であり、特に好ましくは3.0~5.0である。[λmax(2.0)]Bが1.2未満では該エチレン系重合体、他樹脂との混合系樹脂組成物や成形体の流動性や溶融張力が不十分となり、成形加工特性が悪くなる。[λmax(2.0)]Bが30.0より大きいと、流動性や溶融張力には優れるものの、該エチレン系重合体等の衝撃強度が低下したり、透明性が悪化したりするので好ましくない。なお、λmax(2.0)は上述の条件(A-4)と同様の条件で測定したときの値をいう。ポリエチレンの伸長流動特性がその成形加工性や成形体の機械的特性面に与える影響に関しては、既に上述の条件(A-4)や条件(B-4)の項で述べた通りである。
III-5.条件(B-5)
本発明におけるエチレン系重合体は、上述の2.5項の条件(B-5)で定義された[λmax(2.0)]B/[λmax(0.1)]Bが1.2~10.0、好ましくは1.3~5.0、より好ましくは1.4~4.0であり、更に好ましくは1.5~3.0である。[λmax(2.0)]B/[λmax(0.1)]Bが1.2未満では該エチレン系重合体、他樹脂との混合樹脂組成物や成形体の溶融状態が均一でなかったり、熱的に不安定な構造である可能性があったり、非常に長い長鎖分岐構造の存在に起因する成形体の強度異方性による衝撃強度の低下や透明性の悪化が生じたりして、好ましくない。[λmax(2.0)]B/[λmax(0.1)]Bが10.0より大きいと、成形時の溶融張力と流動性には優れるものの、エチレン系重合体、他樹脂との混合樹脂組成物や成形体の衝撃強度が低下したり、透明性が悪化したりするので好ましくない。
本発明におけるエチレン系重合体は、上述の2.5項の条件(B-5)で定義された[λmax(2.0)]B/[λmax(0.1)]Bが1.2~10.0、好ましくは1.3~5.0、より好ましくは1.4~4.0であり、更に好ましくは1.5~3.0である。[λmax(2.0)]B/[λmax(0.1)]Bが1.2未満では該エチレン系重合体、他樹脂との混合樹脂組成物や成形体の溶融状態が均一でなかったり、熱的に不安定な構造である可能性があったり、非常に長い長鎖分岐構造の存在に起因する成形体の強度異方性による衝撃強度の低下や透明性の悪化が生じたりして、好ましくない。[λmax(2.0)]B/[λmax(0.1)]Bが10.0より大きいと、成形時の溶融張力と流動性には優れるものの、エチレン系重合体、他樹脂との混合樹脂組成物や成形体の衝撃強度が低下したり、透明性が悪化したりするので好ましくない。
III-6.条件(B-6)
本発明のエチレン系重合体は、遷移金属を含む触媒を用いたエチレンの重合反応により製造された重合体であり、上述の2.6項の条件(B-6)の項で述べた事項が全て適用される。
本発明のエチレン系重合体は、遷移金属を含む触媒を用いたエチレンの重合反応により製造された重合体であり、上述の2.6項の条件(B-6)の項で述べた事項が全て適用される。
III-7.条件(B-7)
本発明におけるエチレン系重合体は、上述のgC’が0.30~0.70であり、上述の2.7項の条件(B-7)の項で述べた事項が全て適用される。gC’値は、好ましくは0.30~0.59であり、より好ましくは0.35~0.55であり、更に好ましくは0.35~0.50であり、特に好ましくは0.35~0.45である。gC’値が0.70より大きいと該エチレン系重合体や他樹脂との混合樹脂組成物、成形体の成形加工性が不十分であったり、透明性が不足したりして好ましくない。gC’値が0.30より小さいと、該エチレン系重合体等の成形加工性は向上するが、成形体の衝撃強度が低下したり、透明性が悪化したりするので好ましくない。なお、gC’値や次項のWC値は、上述の2.7項の条件(B-7)、および2.8項の条件(B-8)と同様の条件で測定したときの値をいう。
本発明におけるエチレン系重合体は、上述のgC’が0.30~0.70であり、上述の2.7項の条件(B-7)の項で述べた事項が全て適用される。gC’値は、好ましくは0.30~0.59であり、より好ましくは0.35~0.55であり、更に好ましくは0.35~0.50であり、特に好ましくは0.35~0.45である。gC’値が0.70より大きいと該エチレン系重合体や他樹脂との混合樹脂組成物、成形体の成形加工性が不十分であったり、透明性が不足したりして好ましくない。gC’値が0.30より小さいと、該エチレン系重合体等の成形加工性は向上するが、成形体の衝撃強度が低下したり、透明性が悪化したりするので好ましくない。なお、gC’値や次項のWC値は、上述の2.7項の条件(B-7)、および2.8項の条件(B-8)と同様の条件で測定したときの値をいう。
III-8.条件(B-8)
本発明におけるエチレン系重合体は、上述のWCが0.01~30.0%であり、上述の2.8項の条件(B-8)の項で述べた事項が全て適用される。WC値は、より好ましくは0.02~10.0%であり、更に好ましくは0.05~8.0%であり、特に好ましくは0.10~6.0%であり、最も好ましくは0.11~4.0%である。WC値が0.01%より小さいと該エチレン系重合体、他樹脂との混合樹脂組成物の成形加工性が不十分であったり、該エチレン系重合体等の透明性が不足したりして好ましくない。WC値が30.0%より大きいと、該エチレン系重合体等の成形加工性のうち、溶融張力は向上するが、溶融流動性が低くなり過ぎて、該エチレン系重合体等の製造や成形加工に支障を来たすので好ましくなく、更には成形体の衝撃強度が低下したり、透明性が悪化したりするので好ましくない。
本発明におけるエチレン系重合体は、上述のWCが0.01~30.0%であり、上述の2.8項の条件(B-8)の項で述べた事項が全て適用される。WC値は、より好ましくは0.02~10.0%であり、更に好ましくは0.05~8.0%であり、特に好ましくは0.10~6.0%であり、最も好ましくは0.11~4.0%である。WC値が0.01%より小さいと該エチレン系重合体、他樹脂との混合樹脂組成物の成形加工性が不十分であったり、該エチレン系重合体等の透明性が不足したりして好ましくない。WC値が30.0%より大きいと、該エチレン系重合体等の成形加工性のうち、溶融張力は向上するが、溶融流動性が低くなり過ぎて、該エチレン系重合体等の製造や成形加工に支障を来たすので好ましくなく、更には成形体の衝撃強度が低下したり、透明性が悪化したりするので好ましくない。
III-9.条件(B-9)
本発明におけるエチレン系重合体は、上述のIII-1からIII-8の項で定義した条件(B-1’)から条件(B-8)に加えて、更に下記条件(B-9)を満たすことが好ましい。
条件(B-9)は、オルトジクロロベンゼン溶媒を用いたTREF測定において、-15℃で溶出する成分の含有量(W-15;単位wt%)が、2.0wt%以下である。
W-15値は、好ましくは0.9wt%以下であり、より好ましくは0.6wt%以下であり、更に好ましくは0.5wt%であり、特に好ましくは0.4wt%であり、最も好ましくは0.3wt%である。W-15値の下限は検出されないことであり、好ましくは0.0wt%である。W-15値が2.0wt%より大きいとエチレン系重合体、他樹脂との混合樹脂組成物、成形体の衝撃強度が低下したり、透明性が悪化したり、ベトツキやすくなったりするので好ましくない。また、他樹脂との相容性が悪化して衝撃強度や透明性の悪化要因となるので好ましくない。本発明においてW-15値は次のような方法で測定される。
試料を140℃でオルトジクロロベンゼン(0.5mg/mLBHT入り)に溶解し溶液とする。これを140℃のTREFカラムに導入した後8℃/分の降温速度で100℃まで冷却し、引き続き4℃/分の降温速度で-15℃まで冷却し、60分間保持する。その後、溶媒であるオルトジクロロベンゼン(0.5mg/mLBHT入り)を1mL/分の流速でカラムに流し、TREFカラム中で-15℃のオルトジクロロベンゼンに溶解している成分を10分間溶出させ、次に昇温速度100℃/時間にてカラムを140℃までリニアに昇温し、溶出曲線を得る。
本発明におけるエチレン系重合体は、上述のIII-1からIII-8の項で定義した条件(B-1’)から条件(B-8)に加えて、更に下記条件(B-9)を満たすことが好ましい。
条件(B-9)は、オルトジクロロベンゼン溶媒を用いたTREF測定において、-15℃で溶出する成分の含有量(W-15;単位wt%)が、2.0wt%以下である。
W-15値は、好ましくは0.9wt%以下であり、より好ましくは0.6wt%以下であり、更に好ましくは0.5wt%であり、特に好ましくは0.4wt%であり、最も好ましくは0.3wt%である。W-15値の下限は検出されないことであり、好ましくは0.0wt%である。W-15値が2.0wt%より大きいとエチレン系重合体、他樹脂との混合樹脂組成物、成形体の衝撃強度が低下したり、透明性が悪化したり、ベトツキやすくなったりするので好ましくない。また、他樹脂との相容性が悪化して衝撃強度や透明性の悪化要因となるので好ましくない。本発明においてW-15値は次のような方法で測定される。
試料を140℃でオルトジクロロベンゼン(0.5mg/mLBHT入り)に溶解し溶液とする。これを140℃のTREFカラムに導入した後8℃/分の降温速度で100℃まで冷却し、引き続き4℃/分の降温速度で-15℃まで冷却し、60分間保持する。その後、溶媒であるオルトジクロロベンゼン(0.5mg/mLBHT入り)を1mL/分の流速でカラムに流し、TREFカラム中で-15℃のオルトジクロロベンゼンに溶解している成分を10分間溶出させ、次に昇温速度100℃/時間にてカラムを140℃までリニアに昇温し、溶出曲線を得る。
装置;
(TREF部)
TREFカラム:4.3mmφ×150mmステンレスカラム
カラム充填材:100μm表面不活性処理ガラスビーズ
加熱方式:アルミヒートブロック
冷却方式:ペルチェ素子(ペルチェ素子の冷却は水冷)
温度分布:±0.5℃
温調器:(株)チノー デジタルプログラム調節計KP1000
(バルブオーブン)
加熱方式:空気浴式オーブン
測定時温度:140℃
温度分布:±1℃
バルブ:6方バルブ、4方バルブ
(試料注入部)
注入方式:ループ注入方式
注入量:ループサイズ 0.1ml
注入口加熱方式:アルミヒートブロック
測定時温度:140℃
(検出部)
検出器:波長固定型赤外検出器 FOXBORO社製 MIRAN 1A
検出波長:3.42μm
高温フローセル:LC-IR用ミクロフローセル、光路長1.5mm、窓形状2φ×4mm長丸、合成サファイア窓板
測定時温度:140℃
(ポンプ部)
送液ポンプ:センシュウ科学社製 SSC-3461ポンプ
測定条件;
溶媒:オルトジクロロベンゼン(0.5mg/mLBHT入り)
試料濃度:5mg/mL
試料注入量:0.1mL
溶媒流速:1mL/分
(TREF部)
TREFカラム:4.3mmφ×150mmステンレスカラム
カラム充填材:100μm表面不活性処理ガラスビーズ
加熱方式:アルミヒートブロック
冷却方式:ペルチェ素子(ペルチェ素子の冷却は水冷)
温度分布:±0.5℃
温調器:(株)チノー デジタルプログラム調節計KP1000
(バルブオーブン)
加熱方式:空気浴式オーブン
測定時温度:140℃
温度分布:±1℃
バルブ:6方バルブ、4方バルブ
(試料注入部)
注入方式:ループ注入方式
注入量:ループサイズ 0.1ml
注入口加熱方式:アルミヒートブロック
測定時温度:140℃
(検出部)
検出器:波長固定型赤外検出器 FOXBORO社製 MIRAN 1A
検出波長:3.42μm
高温フローセル:LC-IR用ミクロフローセル、光路長1.5mm、窓形状2φ×4mm長丸、合成サファイア窓板
測定時温度:140℃
(ポンプ部)
送液ポンプ:センシュウ科学社製 SSC-3461ポンプ
測定条件;
溶媒:オルトジクロロベンゼン(0.5mg/mLBHT入り)
試料濃度:5mg/mL
試料注入量:0.1mL
溶媒流速:1mL/分
[IV]本発明のオレフィン重合用触媒成分
本発明の第3の態様は、十分な数と適切な長さの長鎖分岐を有するメタロセン系ポリオレフィンやメタロセン系ポリエチレンを製造するのに有用な、特定の構造を有するメタロセン化合物を含むオレフィン重合用触媒成分および該成分を含むオレフィン重合用触媒に係るものである。以下、本発明の第3の態様について各項目ごとに説明する。
本発明のオレフィン重合用触媒成分は、次の成分(A-1b)と成分(A-2b)を含むオレフィン重合用触媒成分であるか、または、次の成分(Ac)を含むオレフィン重合用触媒成分である。
本発明の第3の態様は、十分な数と適切な長さの長鎖分岐を有するメタロセン系ポリオレフィンやメタロセン系ポリエチレンを製造するのに有用な、特定の構造を有するメタロセン化合物を含むオレフィン重合用触媒成分および該成分を含むオレフィン重合用触媒に係るものである。以下、本発明の第3の態様について各項目ごとに説明する。
本発明のオレフィン重合用触媒成分は、次の成分(A-1b)と成分(A-2b)を含むオレフィン重合用触媒成分であるか、または、次の成分(Ac)を含むオレフィン重合用触媒成分である。
IV-1.本発明の成分(A-1b)および成分(A-2b)を含むオレフィン重合用触媒成分
本発明のオレフィン重合用触媒成分の第1の態様は、次に定義される成分(A-1b)および成分(A-2b)を必須成分として含む。
成分(A-1b):下記一般式(1b)で示されるメタロセン化合物
本発明のオレフィン重合用触媒成分の第1の態様は、次に定義される成分(A-1b)および成分(A-2b)を必須成分として含む。
成分(A-1b):下記一般式(1b)で示されるメタロセン化合物
[式(1b)中、M1bは、Ti、ZrまたはHfのいずれかの遷移金属を示す。X1bおよびX2bは、それぞれ独立して、水素原子、ハロゲン原子、炭素数1~20の炭化水素基、酸素原子若しくは窒素原子を含む炭素数1~20の炭化水素基、炭素数1~20の炭化水素基置換アミノ基または炭素数1~20のアルコキシ基を示す。Q1bとQ2bは、各々独立して、炭素原子、ケイ素原子またはゲルマニウム原子を示す。R1bは、それぞれ独立して、水素原子または炭素数1~10の炭化水素基を示し、4つのR1bのうち少なくとも2つが結合して、Q1bおよびQ2bと一緒に環を形成していてもよい。mbは、0または1であり、mbが0の場合、Q1bは、R2bおよびR3bを含む共役5員環と直接結合している。R2b、R3bおよびR4bは、それぞれ独立して、水素原子、ハロゲン原子、炭素数1~20の炭化水素基、ケイ素数1~6を含む炭素数1~18のケイ素含有炭化水素基、炭素数1~20のハロゲン含有炭化水素基、酸素原子または硫黄原子を含む炭素数1~40の炭化水素基または炭素数1~40の炭化水素基置換シリル基を示す。R2b、R3bおよびR4bのうち、隣接するR3b同士または隣接するR2bとR3bのいずれか1組のみは結合している炭素原子と一緒に環を形成していてもよい。]
成分(A-2b):下記一般式(2b)で示されるメタロセン化合物
[式(2b)中、M2bは、Ti、ZrまたはHfのいずれかの遷移金属を示す。X11bおよびX12bは、それぞれ独立して、水素原子、ハロゲン原子、炭素数1~20の炭化水素基、酸素原子若しくは窒素原子を含む炭素数1~20の炭化水素基、炭素数1~20の炭化水素基置換アミノ基または炭素数1~20のアルコキシ基を示す。Q11bは、炭素原子、ケイ素原子またはゲルマニウム原子を示す。R11bは、それぞれ独立して、水素原子または炭素数1~10の炭化水素基を示し、2つのR11bは互いに結合してQ11bと一緒に環を形成していてもよい。R12b、R14bおよびR15bは、各々独立して、水素原子、ハロゲン原子、炭素数1~20の炭化水素基、ケイ素数1~6を含む炭素数1~18のケイ素含有炭化水素基、炭素数1~20のハロゲン含有炭化水素基、酸素原子または硫黄原子を含む炭素数1~40の炭化水素基または炭素数1~40の炭化水素基置換シリル基から選択される原子または基を示すが、それらのうち、少なくとも1つは水素原子ではない。R13bは、それぞれ独立して、炭素数1~20の炭化水素基、ケイ素数1~6を含む炭素数1~18のケイ素含有炭化水素基、炭素数1~20のハロゲン含有炭化水素基、酸素原子または硫黄原子を含む炭素数1~40の炭化水素基または炭素数1~40の炭化水素基置換シリル基を示す。R12b、R13b、R14bおよびR15bのうち、隣接するR12b同士、隣接するR13b同士または隣接するR12bとR13bのいずれか1組のみと、隣接するR14b同士、隣接するR15b同士または隣接するR14bとR15bのいずれか1組のみは、結合している炭素原子と一緒に環を形成していてもよい。]
以下、上記の成分(A-1b)および(A-2b)(以下、両者を総称して、成分(Ab)または単にAbと記すこともある。)について具体的に説明する。
IV―1(1).成分(A-1b)
本発明のオレフィン重合用触媒成分では、成分(A-1b)として上記一般式(1b)で示されるメタロセン化合物を含むことに特徴がある。
上記一般式(1b)中、メタロセン化合物のM1bは、Ti、ZrまたはHfを表し、好ましくはZrまたはHfを表し、より好ましくはZrを表す。
また、X1bおよびX2bは、具体的には、水素原子、または塩素原子、臭素原子、ヨウ素原子、またはメチル基、エチル基、n-プロピル基、i-プロピル基、n-ブチル基、i-ブチル基、t-ブチル基、n-ペンチル基、ネオペンチル基、シクロペンチル基、n-ヘキシル基、シクロヘキシル基、フェニル基、ベンジル基、メトキシメチル基、エトキシメチル基、n-プロポキシメチル基、i-プロポキシメチル基、n-ブトキシメチル基、i-ブトキシメチル基、t-ブトキシメチル基、メトキシエチル基、エトキシエチル基、アセチル基、1-オキソプロピル基、1-オキソ-n-ブチル基、2-メチル-1-オキソプロピル基、2,2-ジメチル-1-オキソ-プロピル基、フェニルアセチル基、ジフェニルアセチル基、ベンゾイル基、2-メトキシフェニル基、3-メトキシフェニル基、4-メトキシフェニル基、2-フリル基、2-テトラヒドロフリル基、ジメチルアミノメチル基、ジエチルアミノメチル基、ジi-プロピルアミノメチル基、ビス(ジメチルアミノ)メチル基、ビス(ジi-プロピルアミノ)メチル基、(ジメチルアミノ)(フェニル)メチル基、メチルイミノ基、エチルイミノ基、1-(メチルイミノ)エチル基、1-(フェニルイミノ)エチル基、1-[(フェニルメチル)イミノ]エチル基、エトキシ基、n-プロポキシ基、i-プロポキシ基、n-ブトキシ基、i-ブトキシ基、t-ブトキシ基、フェノキシ基、ジメチルアミノ基、ジエチルアミノ基、ジn-プロピルアミノ基、ジi-プロピルアミノ基、ジn-ブチルアミノ基、ジi-ブチルアミノ基、ジt-ブチルアミノ基、ジフェニルアミノ基などが挙げられる。
好ましいX1bおよびX2bの具体例としては、塩素原子、臭素原子、メチル基、n-ブチル基、i-ブチル基、メトキシ基、エトキシ基、i-プロポキシ基、n-ブトキシ基、フェノキシ基、ジメチルアミノ基、ジi-プロピルアミノ基が挙げられる。これらの具体例の中でも、塩素原子、メチル基、ジメチルアミノ基が特に好ましい。
本発明のオレフィン重合用触媒成分では、成分(A-1b)として上記一般式(1b)で示されるメタロセン化合物を含むことに特徴がある。
上記一般式(1b)中、メタロセン化合物のM1bは、Ti、ZrまたはHfを表し、好ましくはZrまたはHfを表し、より好ましくはZrを表す。
また、X1bおよびX2bは、具体的には、水素原子、または塩素原子、臭素原子、ヨウ素原子、またはメチル基、エチル基、n-プロピル基、i-プロピル基、n-ブチル基、i-ブチル基、t-ブチル基、n-ペンチル基、ネオペンチル基、シクロペンチル基、n-ヘキシル基、シクロヘキシル基、フェニル基、ベンジル基、メトキシメチル基、エトキシメチル基、n-プロポキシメチル基、i-プロポキシメチル基、n-ブトキシメチル基、i-ブトキシメチル基、t-ブトキシメチル基、メトキシエチル基、エトキシエチル基、アセチル基、1-オキソプロピル基、1-オキソ-n-ブチル基、2-メチル-1-オキソプロピル基、2,2-ジメチル-1-オキソ-プロピル基、フェニルアセチル基、ジフェニルアセチル基、ベンゾイル基、2-メトキシフェニル基、3-メトキシフェニル基、4-メトキシフェニル基、2-フリル基、2-テトラヒドロフリル基、ジメチルアミノメチル基、ジエチルアミノメチル基、ジi-プロピルアミノメチル基、ビス(ジメチルアミノ)メチル基、ビス(ジi-プロピルアミノ)メチル基、(ジメチルアミノ)(フェニル)メチル基、メチルイミノ基、エチルイミノ基、1-(メチルイミノ)エチル基、1-(フェニルイミノ)エチル基、1-[(フェニルメチル)イミノ]エチル基、エトキシ基、n-プロポキシ基、i-プロポキシ基、n-ブトキシ基、i-ブトキシ基、t-ブトキシ基、フェノキシ基、ジメチルアミノ基、ジエチルアミノ基、ジn-プロピルアミノ基、ジi-プロピルアミノ基、ジn-ブチルアミノ基、ジi-ブチルアミノ基、ジt-ブチルアミノ基、ジフェニルアミノ基などが挙げられる。
好ましいX1bおよびX2bの具体例としては、塩素原子、臭素原子、メチル基、n-ブチル基、i-ブチル基、メトキシ基、エトキシ基、i-プロポキシ基、n-ブトキシ基、フェノキシ基、ジメチルアミノ基、ジi-プロピルアミノ基が挙げられる。これらの具体例の中でも、塩素原子、メチル基、ジメチルアミノ基が特に好ましい。
また、Q1bとQ2bは、各々独立して、炭素原子、ケイ素原子またはゲルマニウム原子を示し、好ましくは炭素原子またはケイ素原子である。
さらに、R1bとしては、それぞれ独立して、水素原子、メチル基、エチル基、n-プロピル基、i-プロピル基、n-ブチル基、i-ブチル基、t-ブチル基、n-ペンチル基、ネオペンチル基、シクロペンチル基、n-ヘキシル基、シクロヘキシル基、フェニル基などが挙げられる。また、R1bのうち少なくとも2つが結合してQ1bおよびQ2bと一緒に環を形成している場合として、シクロブチリデン基、シクロペンチリデン基、シクロへキシリデン基、シラシクロブチル基、シラシクロペンチル基、シラシクロヘキシル基などが挙げられる。
好ましいR1bの具体例として、Q1bまたは/およびQ2bが炭素原子の場合、水素原子、メチル基、エチル基、フェニル基、シクロブチリデン基が挙げられ、また、Q1bまたは/およびQ2bがケイ素原子の場合、メチル基、エチル基、フェニル基、シラシクロブチル基が挙げられる。
さらに、R1bとしては、それぞれ独立して、水素原子、メチル基、エチル基、n-プロピル基、i-プロピル基、n-ブチル基、i-ブチル基、t-ブチル基、n-ペンチル基、ネオペンチル基、シクロペンチル基、n-ヘキシル基、シクロヘキシル基、フェニル基などが挙げられる。また、R1bのうち少なくとも2つが結合してQ1bおよびQ2bと一緒に環を形成している場合として、シクロブチリデン基、シクロペンチリデン基、シクロへキシリデン基、シラシクロブチル基、シラシクロペンチル基、シラシクロヘキシル基などが挙げられる。
好ましいR1bの具体例として、Q1bまたは/およびQ2bが炭素原子の場合、水素原子、メチル基、エチル基、フェニル基、シクロブチリデン基が挙げられ、また、Q1bまたは/およびQ2bがケイ素原子の場合、メチル基、エチル基、フェニル基、シラシクロブチル基が挙げられる。
また、R2b、R3bおよびR4bは、具体的には、水素原子、塩素原子、臭素原子、ヨウ素原子、メチル基、エチル基、n-プロピル基、i-プロピル基、n-ブチル基、i-ブチル基、t-ブチル基、n-ペンチル基、ネオペンチル基、シクロペンチル基、n-ヘキシル基、シクロヘキシル基、フェニル基、ベンジル基、2-メチルフェニル基、3-メチルフェニル基、4-メチルフェニル基、3,5-ジメチルフェニル基、4-t-ブチルフェニル基、3,5-ジ-t-ブチルフェニル基、ビス(トリメチルシリル)メチル基、ビス(t-ブチルジメチルシリル)メチル基、ブロモメチル基、クロロメチル基、2-クロロエチル基、2-ブロモエチル基、2-ブロモプロピル基、3-ブロモプロピル基、2-ブロモシクロペンチル基、2,3-ジブロモシクロペンチル基、2-ブロモ-3-ヨードシクロペンチル基、2,3-ジブロモシクロヘキシル基、2-クロロ-3-ヨードシクロヘキシル基、2-クロロフェニル基、4-クロロフェニル基、2,3,4,5,6-ペンタフルオロフェニル基、4-トリフルオロメチルフェニル基、フリル基、テトラヒドロフリル基、2-メチルフリル基、トリメチルシリル基、トリt-ブチルシリル基、ジt-ブチルメチルシリル基、t-ブチルジメチルシリル基、トリフェニルシリル基、ジフェニルメチルシリル基、フェニルジメチルシリル基、フリル基、テトラヒドロフリル基、2-メチルフリル基、2-(トリメチル)シリルフリル基などが挙げられる。
また、R2b、R3bおよびR4bのうち、いずれか1つ以上が、炭素数1~20の炭化水素基、ケイ素数1~6を含む炭素数1~18のケイ素含有炭化水素基、炭素数1~20のハロゲン含有炭化水素基、酸素原子を含む炭素数1~20の炭化水素基または炭素数1~20の炭化水素基置換シリル基であると、特に重合活性が高くなるので、好ましい。
R2b、R3bおよびR4bとして好ましい具体例としては、水素原子、メチル基、エチル基、n-プロピル基、i-プロピル基、n-ブチル基、t-ブチル基、n-ペンチル基、n-ヘキシル基、シクロヘキシル基、フェニル基、2-メチルフリル基、トリメチルシリル基が挙げられる。これらの具体例の中でも、水素原子、メチル基、n-ブチル基、t-ブチル基、フェニル基、トリメチルシリル基がさらに好ましく、水素原子、メチル基、t-ブチル基、フェニル基が特に好ましい。
また、R2b、R3bおよびR4bのうち、いずれか1つ以上が、炭素数1~20の炭化水素基、ケイ素数1~6を含む炭素数1~18のケイ素含有炭化水素基、炭素数1~20のハロゲン含有炭化水素基、酸素原子を含む炭素数1~20の炭化水素基または炭素数1~20の炭化水素基置換シリル基であると、特に重合活性が高くなるので、好ましい。
R2b、R3bおよびR4bとして好ましい具体例としては、水素原子、メチル基、エチル基、n-プロピル基、i-プロピル基、n-ブチル基、t-ブチル基、n-ペンチル基、n-ヘキシル基、シクロヘキシル基、フェニル基、2-メチルフリル基、トリメチルシリル基が挙げられる。これらの具体例の中でも、水素原子、メチル基、n-ブチル基、t-ブチル基、フェニル基、トリメチルシリル基がさらに好ましく、水素原子、メチル基、t-ブチル基、フェニル基が特に好ましい。
また、隣接する2つのR3bが結合するシクロペンタジエニル部分と両R3bから形成される縮環シクロペンタジエニル構造の具体例としては、以下の部分構造(I)~(VI)が挙げられ、隣接するR3bとR2bが結合するシクロペンタジエニル部分と該R3bと該R2bから形成される縮環シクロペンタジエニル構造の具体例も同様である。
これらの具体例の中でも、(I)、(III)、(VI)が好ましい。また、これらの部分構造(I)~(VI)上には、R4bが置換していてもよい。
これらの具体例の中でも、(I)、(III)、(VI)が好ましい。また、これらの部分構造(I)~(VI)上には、R4bが置換していてもよい。
また、一般式(1b)中、mbは、0または1であり、mbが0の場合、Q1bは、R2bおよびR3bを含む共役5員環と直接結合している。
本発明に係るオレフィン重合用触媒成分として、成分(A-1b)のメタロセン化合物は、下記一般式(3b)で示されるものが好ましい。
[式(3b)中、M1bは、Ti、ZrまたはHfのいずれかの遷移金属を示す。X1bおよびX2bは、それぞれ独立して、水素原子、ハロゲン原子、炭素数1~20の炭化水素基、酸素原子若しくは窒素原子を含む炭素数1~20の炭化水素基、炭素数1~20の炭化水素基置換アミノ基または炭素数1~20のアルコキシ基を示す。Q1bとQ2bは、各々独立して、炭素原子、ケイ素原子またはゲルマニウム原子を示す。R1bは、それぞれ独立して、水素原子または炭素数1~10の炭化水素基を示し、4つのR1bのうち少なくとも2つが結合して、Q1bおよびQ2bと一緒に環を形成していてもよい。mbは、0または1であり、mbが0の場合、Q1bは、R2bおよびR3bを含む共役5員環と直接結合している。R2b、R3bおよびR4bは、それぞれ独立して、水素原子、ハロゲン原子、炭素数1~20の炭化水素基、ケイ素数1~6を含む炭素数1~18のケイ素含有炭化水素基、炭素数1~20のハロゲン含有炭化水素基、酸素原子または硫黄原子を含む炭素数1~40の炭化水素基または炭素数1~40の炭化水素基置換シリル基を示す。R2b、R3bおよびR4bのうち、隣接するR3b同士または隣接するR2bとR3bのいずれか1組のみは結合している炭素原子と一緒に環を形成していてもよい。]
上記一般式(3b)中、M1b、X1b、X2b、Q1b、Q2b、R1b、R2b、R3b、R4bの詳細な定義は、先の一般式(1b)の説明の定義に従うものである。
また、上記一般式(3b)において、特にR3bが水素原子の場合、R2bは水素原子か炭素数1~6の炭化水素基であることが好ましく、2つのR4bのうち一方は水素原子であり、残りの一方が水素原子、炭素数1~20の炭化水素基、ケイ素数1~6を含む炭素数1~18のケイ素含有炭化水素基、炭素数1~20のハロゲン含有炭化水素基、酸素原子または硫黄原子を含む炭素数1~40の炭化水素基または炭素数1~40の炭化水素基置換シリル基であることが好ましく、具体的には、残りの一方のR4bは水素原子、メチル基、エチル基、n-プロピル基、i-プロピル基、n-ブチル基、i-ブチル基、t-ブチル基、n-ペンチル基、ネオペンチル基、シクロペンチル基、n-ヘキシル基、シクロヘキシル基、フェニル基、ベンジル基、2-メチルフェニル基、3-メチルフェニル基、4-メチルフェニル基、3,5-ジメチルフェニル基、4-t-ブチルフェニル基、3,5-ジ-t-ブチルフェニル基、ビス(トリメチルシリル)メチル基、ビス(t-ブチルジメチルシリル)メチル基、ブロモメチル基、クロロメチル基、2-クロロエチル基、2-ブロモエチル基、2-ブロモプロピル基、3-ブロモプロピル基、2-ブロモシクロペンチル基、2,3-ジブロモシクロペンチル基、2-ブロモ-3-ヨードシクロペンチル基、2,3-ジブロモシクロヘキシル基、2-クロロ-3-ヨードシクロヘキシル基、2-クロロフェニル基、4-クロロフェニル基、2,3,4,5,6-ペンタフルオロフェニル基、4-トリフルオロメチルフェニル基、フリル基、テトラヒドロフリル基、2-メチルフリル基、トリメチルシリル基、トリt-ブチルシリル基、ジt-ブチルメチルシリル基、t-ブチルジメチルシリル基、トリフェニルシリル基、ジフェニルメチルシリル基、フェニルジメチルシリル基、フリル基、テトラヒドロフリル基、2-メチルフリル基、2-(トリメチル)シリルフリル基などが好適に挙げられ、R2bは水素原子であることがより好ましく、2つのR4のうち一方は水素原子であり、残りの一方が水素原子、炭素数1~20の炭化水素基、ケイ素数1~6を含む炭素数1~18のケイ素含有炭化水素基であることがより好ましく、具体的には、残りの一方のR4bは水素原子、メチル基、エチル基、n-プロピル基、i-プロピル基、n-ブチル基、i-ブチル基、t-ブチル基、n-ペンチル基、ネオペンチル基、シクロペンチル基、n-ヘキシル基、シクロヘキシル基、フェニル基、ベンジル基、2-メチルフェニル基、3-メチルフェニル基、4-メチルフェニル基、3,5-ジメチルフェニル基、4-t-ブチルフェニル基、3,5-ジ-t-ブチルフェニル基、ビス(トリメチルシリル)メチル基、ビス(t-ブチルジメチルシリル)メチル基、トリメチルシリル基、トリt-ブチルシリル基、ジt-ブチルメチルシリル基、t-ブチルジメチルシリル基、トリフェニルシリル基、ジフェニルメチルシリル基、フェニルジメチルシリル基などがより好適に挙げられ、更に好ましくは、残りの一方のR4bは具体的には、水素原子、メチル基、エチル基、n-プロピル基、i-プロピル基、n-ブチル基、i-ブチル基、t-ブチル基、フェニル基、トリメチルシリル基、トリフェニルシリル基であり、特に好ましくは、残りの一方のR4bは具体的には、水素原子、n-ブチル基、i-ブチル基、t-ブチル基、フェニル基、トリメチルシリル基、トリフェニルシリル基である。
本発明に係るオレフィン重合用触媒成分として、成分(A-1b)のメタロセン化合物は、下記一般式(4b)で示されるものがより好ましい。
[式(4b)中、M1bは、Ti、ZrまたはHfのいずれかの遷移金属を示す。X1bおよびX2bは、それぞれ独立して、水素原子、ハロゲン原子、炭素数1~20の炭化水素基、酸素原子若しくは窒素原子を含む炭素数1~20の炭化水素基、炭素数1~20の炭化水素基置換アミノ基または炭素数1~20のアルコキシ基を示す。Q1bとQ2bは、各々独立して、炭素原子、ケイ素原子またはゲルマニウム原子を示す。R1bは、それぞれ独立して、水素原子または炭素数1~10の炭化水素基を示し、4つのR1bのうち少なくとも2つが結合して、Q1bおよびQ2bと一緒に環を形成していてもよい。mbは、0または1であり、mbが0の場合、Q1bは、R2b、R5bおよびR6bを含む共役5員環と直接結合している。R2bおよびR4bは、それぞれ独立して、水素原子、ハロゲン原子、炭素数1~20の炭化水素基、ケイ素数1~6を含む炭素数1~18のケイ素含有炭化水素基、炭素数1~20のハロゲン含有炭化水素基、酸素原子または硫黄原子を含む炭素数1~40の炭化水素基または炭素数1~40の炭化水素基置換シリル基を示す。R4bは、結合している炭素原子と一緒に環を形成することはない。R5bは、結合する5員環に対して縮合環を形成する炭素数4または5の飽和または不飽和の2価の炭化水素基を示す。R6bは、R5bの炭素原子と結合する原子または基であり、それぞれ独立して、水素原子、ハロゲン原子、炭素数1~20の炭化水素基、ケイ素数1~6を含む炭素数1~18のケイ素含有炭化水素基、炭素数1~20のハロゲン含有炭化水素基、酸素原子または硫黄原子を含む炭素数1~20の炭化水素基または炭素数1~20の炭化水素基置換シリル基を示す。nbは、0~10の整数を示し、nbが2以上の場合、R6bの少なくとも2つは、結合している炭素原子と一緒に環を形成していてもよい。]
上記一般式(4b)中、M1b、X1b、X2b、Q1b、Q2b、R1b、R2b、R4bの詳細な定義は、先の一般式(1b)の説明の定義に従うものである。また、R5bが結合するシクロペンタジエニル部分とR5bから形成される縮環シクロペンタジエニル構造の具体例としては、上述の部分構造(I)~(VI)が挙げられる。これらの具体例の中でも、(I)、(III)、(VI)が好ましい。また、これらの部分構造(I)~(VI)上には、R6bが置換していてもよい。
置換基のR6bは、水素原子以外に、塩素原子、臭素原子、ヨウ素原子、メチル基、エチル基、n-プロピル基、i-プロピル基、n-ブチル基、i-ブチル基、t-ブチル基、n-ペンチル基、ネオペンチル基、シクロペンチル基、n-ヘキシル基、シクロヘキシル基、フェニル基、ベンジル基、2-メチルフェニル基、3-メチルフェニル基、4-メチルフェニル基、4-t-ブチルフェニル基、3,5-ジメチルフェニル基、3,5-ジ-t-ブチルフェニル基、ナフチル基、アントラセニル基、ビス(トリメチルシリル)メチル基、ビス(t-ブチルジメチルシリル)メチル基、ブロモメチル基、クロロメチル基、2-クロロエチル基、2-ブロモエチル基、2-ブロモプロピル基、3-ブロモプロピル基、2-ブロモシクロペンチル基、2,3-ジブロモシクロペンチル基、2-ブロモ-3-ヨードシクロペンチル基、2,3-ジブロモシクロヘキシル基、2-クロロ-3-ヨードシクロヘキシル基、2-クロロフェニル基、4-クロロフェニル基、2,3,4,5,6-ペンタフルオロフェニル基、2,6-ジクロロ-4-トリメチルシリルフェニル基、トリメチルシリル基、トリt-ブチルシリル基、ジt-ブチルメチルシリル基、t-ブチルジメチルシリル基、トリフェニルシリル基、ジフェニルメチルシリル基、フェニルジメチルシリル基、フリル基、テトラヒドロフリル基、2-メチルフリル基、2-(トリメチル)シリルフリル基などが挙げられる。R6bは、結合している炭素原子と一緒に環を形成していてもよい。また、上記一般式(4b)において、特にR2bが水素原子の場合、2つのR4bとR6bが全て水素原子であるか、あるいは2つのR4bとR6bのうちいずれか少なくとも1つが炭素数1~20の炭化水素基、ケイ素数1~6を含む炭素数1~18のケイ素含有炭化水素基、炭素数1~20のハロゲン含有炭化水素基、酸素原子または硫黄原子を含む炭素数1~40の炭化水素基または炭素数1~40の炭化水素基置換シリル基であることが好ましく、具体的にはメチル基、エチル基、n-プロピル基、i-プロピル基、n-ブチル基、i-ブチル基、t-ブチル基、n-ペンチル基、ネオペンチル基、シクロペンチル基、n-ヘキシル基、シクロヘキシル基、フェニル基、ベンジル基、2-メチルフェニル基、3-メチルフェニル基、4-メチルフェニル基、3,5-ジメチルフェニル基、4-t-ブチルフェニル基、3,5-ジ-t-ブチルフェニル基、ビス(トリメチルシリル)メチル基、ビス(t-ブチルジメチルシリル)メチル基、ブロモメチル基、クロロメチル基、2-クロロエチル基、2-ブロモエチル基、2-ブロモプロピル基、3-ブロモプロピル基、2-ブロモシクロペンチル基、2,3-ジブロモシクロペンチル基、2-ブロモ-3-ヨードシクロペンチル基、2,3-ジブロモシクロヘキシル基、2-クロロ-3-ヨードシクロヘキシル基、2-クロロフェニル基、4-クロロフェニル基、2,3,4,5,6-ペンタフルオロフェニル基、4-トリフルオロメチルフェニル基、フリル基、テトラヒドロフリル基、2-メチルフリル基、トリメチルシリル基、トリt-ブチルシリル基、ジt-ブチルメチルシリル基、t-ブチルジメチルシリル基、トリフェニルシリル基、ジフェニルメチルシリル基、フェニルジメチルシリル基、フリル基、テトラヒドロフリル基、2-メチルフリル基、2-(トリメチル)シリルフリル基等が好適に挙げられる。更に、上記一般式(4b)におけるR2bが水素原子の場合の別の好ましい態様として、2つのR4bのうちいずれか一方は水素原子であり、残りの一方が炭素数1~20の炭化水素基、ケイ素数1~6を含む炭素数1~18のケイ素含有炭化水素基、炭素数1~20のハロゲン含有炭化水素基、酸素原子または硫黄原子を含む炭素数1~40の炭化水素基または炭素数1~40の炭化水素基置換シリル基であることが好ましく、具体的には、残りの一方のR4bはメチル基、エチル基、n-プロピル基、i-プロピル基、n-ブチル基、i-ブチル基、t-ブチル基、n-ペンチル基、ネオペンチル基、シクロペンチル基、n-ヘキシル基、シクロヘキシル基、フェニル基、ベンジル基、2-メチルフェニル基、3-メチルフェニル基、4-メチルフェニル基、3,5-ジメチルフェニル基、4-t-ブチルフェニル基、3,5-ジ-t-ブチルフェニル基、ビス(トリメチルシリル)メチル基、ビス(t-ブチルジメチルシリル)メチル基、ブロモメチル基、クロロメチル基、2-クロロエチル基、2-ブロモエチル基、2-ブロモプロピル基、3-ブロモプロピル基、2-ブロモシクロペンチル基、2,3-ジブロモシクロペンチル基、2-ブロモ-3-ヨードシクロペンチル基、2,3-ジブロモシクロヘキシル基、2-クロロ-3-ヨードシクロヘキシル基、2-クロロフェニル基、4-クロロフェニル基、2,3,4,5,6-ペンタフルオロフェニル基、4-トリフルオロメチルフェニル基、フリル基、テトラヒドロフリル基、2-メチルフリル基、トリメチルシリル基、トリt-ブチルシリル基、ジt-ブチルメチルシリル基、t-ブチルジメチルシリル基、トリフェニルシリル基、ジフェニルメチルシリル基、フェニルジメチルシリル基、フリル基、テトラヒドロフリル基、2-メチルフリル基、2-(トリメチル)シリルフリル基などが好適に挙げられ、2つのR4bのうちいずれか一方は水素原子であり、残りの一方が炭素数1~20の炭化水素基、ケイ素数1~6を含む炭素数1~18のケイ素含有炭化水素基であることがより好ましく、具体的には、残りの一方のR4bはメチル基、エチル基、n-プロピル基、i-プロピル基、n-ブチル基、i-ブチル基、t-ブチル基、n-ペンチル基、ネオペンチル基、シクロペンチル基、n-ヘキシル基、シクロヘキシル基、フェニル基、ベンジル基、2-メチルフェニル基、3-メチルフェニル基、4-メチルフェニル基、3,5-ジメチルフェニル基、4-t-ブチルフェニル基、3,5-ジ-t-ブチルフェニル基、ビス(トリメチルシリル)メチル基、ビス(t-ブチルジメチルシリル)メチル基、トリメチルシリル基、トリt-ブチルシリル基、ジt-ブチルメチルシリル基、t-ブチルジメチルシリル基、トリフェニルシリル基、ジフェニルメチルシリル基、フェニルジメチルシリル基などがより好適に挙げられ、更に好ましくは、残りの一方のR4bは具体的には、メチル基、エチル基、n-プロピル基、i-プロピル基、n-ブチル基、i-ブチル基、t-ブチル基、フェニル基、トリメチルシリル基、トリフェニルシリル基であり、特に好ましくは、残りの一方のR4bは具体的には、n-ブチル基、i-ブチル基、t-ブチル基、フェニル基、トリメチルシリル基、トリフェニルシリル基である。また、上記一般式(4b)において、特にR4bが水素原子の場合、R2bおよびR6bは水素原子、炭素数1~20の炭化水素基、ケイ素数1~6を含む炭素数1~18のケイ素含有炭化水素基、炭素数1~20のハロゲン含有炭化水素基、酸素原子または硫黄原子を含む炭素数1~40の炭化水素基または炭素数1~40の炭化水素基置換シリル基のいずれかであることが好ましく、具体的には、R2bおよびR6bは水素原子、メチル基、エチル基、n-プロピル基、i-プロピル基、n-ブチル基、i-ブチル基、t-ブチル基、n-ペンチル基、ネオペンチル基、シクロペンチル基、n-ヘキシル基、シクロヘキシル基、フェニル基、ベンジル基、2-メチルフェニル基、3-メチルフェニル基、4-メチルフェニル基、3,5-ジメチルフェニル基、4-t-ブチルフェニル基、3,5-ジ-t-ブチルフェニル基、ビス(トリメチルシリル)メチル基、ビス(t-ブチルジメチルシリル)メチル基、ブロモメチル基、クロロメチル基、2-クロロエチル基、2-ブロモエチル基、2-ブロモプロピル基、3-ブロモプロピル基、2-ブロモシクロペンチル基、2,3-ジブロモシクロペンチル基、2-ブロモ-3-ヨードシクロペンチル基、2,3-ジブロモシクロヘキシル基、2-クロロ-3-ヨードシクロヘキシル基、2-クロロフェニル基、4-クロロフェニル基、2,3,4,5,6-ペンタフルオロフェニル基、4-トリフルオロメチルフェニル基、フリル基、テトラヒドロフリル基、2-メチルフリル基、トリメチルシリル基、トリt-ブチルシリル基、ジt-ブチルメチルシリル基、t-ブチルジメチルシリル基、トリフェニルシリル基、ジフェニルメチルシリル基、フェニルジメチルシリル基、フリル基、テトラヒドロフリル基、2-メチルフリル基、2-(トリメチル)シリルフリル基などのいずれかが好適に挙げられ、R2bおよびR6bは水素原子、炭素数1~20の炭化水素基、ケイ素数1~6を含む炭素数1~18のケイ素含有炭化水素基であることがより好ましく、具体的には、R2bおよびR6bは水素原子、メチル基、エチル基、n-プロピル基、i-プロピル基、n-ブチル基、i-ブチル基、t-ブチル基、n-ペンチル基、ネオペンチル基、シクロペンチル基、n-ヘキシル基、シクロヘキシル基、フェニル基、ベンジル基、2-メチルフェニル基、3-メチルフェニル基、4-メチルフェニル基、3,5-ジメチルフェニル基、4-t-ブチルフェニル基、3,5-ジ-t-ブチルフェニル基、ビス(トリメチルシリル)メチル基、ビス(t-ブチルジメチルシリル)メチル基、トリメチルシリル基、トリt-ブチルシリル基、ジt-ブチルメチルシリル基、t-ブチルジメチルシリル基、トリフェニルシリル基、ジフェニルメチルシリル基、フェニルジメチルシリル基などがより好適に挙げられ、更に好ましくは、R2bおよびR6bは具体的には、水素原子、メチル基、エチル基、n-プロピル基、i-プロピル基、n-ブチル基、i-ブチル基、t-ブチル基、フェニル基、トリメチルシリル基、トリフェニルシリル基であり、特に好ましくは、R2bおよびR6bは具体的には、水素原子、n-ブチル基、i-ブチル基、t-ブチル基、フェニル基、トリメチルシリル基、トリフェニルシリル基である。
本発明に係るオレフィン重合用触媒成分として、成分(A-1b)のメタロセン化合物は、下記一般式(5b)で示されるものが更に好ましい。
[式(5b)中、M1bは、Ti、ZrまたはHfのいずれかの遷移金属を示す。X1bおよびX2bは、それぞれ独立して、水素原子、ハロゲン原子、炭素数1~20の炭化水素基、酸素原子若しくは窒素原子を含む炭素数1~20の炭化水素基、炭素数1~20の炭化水素基置換アミノ基または炭素数1~20のアルコキシ基を示す。Q1bは、炭素原子、ケイ素原子またはゲルマニウム原子を示す。R1bは、それぞれ独立して、水素原子または炭素数1~10の炭化水素基を示し、2つのR1bは互いに結合してQ1bと一緒に環を形成していてもよい。R2b、R4bおよびR6bは、それぞれ独立して、水素原子、ハロゲン原子、炭素数1~20の炭化水素基、ケイ素数1~6を含む炭素数1~18のケイ素含有炭化水素基、炭素数1~20のハロゲン含有炭化水素基、酸素原子または硫黄原子を含む炭素数1~40の炭化水素基または炭素数1~40の炭化水素基置換シリル基を示す。R4bは、結合している炭素原子と一緒に環を形成することはない。R6bは、結合している炭素原子と一緒に環を形成していてもよい。]
上記一般式(5b)中、M1b、X1b、X2b、Q1b、R1b、R2b、R4b、R6bの詳細な定義は、先の一般式(4b)の説明の定義に従うものである。また、置換基のR6bは、好ましくは、水素原子、メチル基、エチル基、n-プロピル基、i-プロピル基、n-ブチル基、i-ブチル基、t-ブチル基、n-ペンチル基、ネオペンチル基、シクロペンチル基、n-ヘキシル基、シクロヘキシル基、フェニル基、ベンジル基、2-メチルフェニル基、3-メチルフェニル基、4-メチルフェニル基、4-t-ブチルフェニル基、3,5-ジメチルフェニル基、3,5-ジ-t-ブチルフェニル基、ビス(トリメチルシリル)メチル基、ビス(t-ブチルジメチルシリル)メチル基、トリメチルシリル基、トリt-ブチルシリル基、ジt-ブチルメチルシリル基、t-ブチルジメチルシリル基、トリフェニルシリル基、ジフェニルメチルシリル基、フェニルジメチルシリル基、フリル基、テトラヒドロフリル基、2-メチルフリル基、2-(トリメチル)シリルフリル基であり、より好ましくは、水素原子、メチル基、エチル基、n-プロピル基、i-プロピル基、n-ブチル基、t-ブチル基、n-ペンチル基、n-ヘキシル基、シクロヘキシル基、フェニル基であり、更に好ましくは、水素原子、メチル基、n-ブチル基、t-ブチル基、フェニル基、トリメチルシリル基であり、水素原子、メチル基、t-ブチル基、フェニル基が特に好ましい。また、上記置換基R6bが結合している炭素原子と一緒に環を形成する場合においては、隣接する2つのR6bが、結合している炭素原子と一緒に六員環構造を形成することが好ましく、4位と5位の両R6bが結合して六員環構造を形成することがより好ましく、結合するインデニル環と併せて全体としてベンゾインデニル環構造を形成することが更に好ましい。
本発明のオレフィン重合用触媒成分において、オレフィン重合用触媒成分の成分(A-1b)のメタロセン化合物の具体例を以下に示すが、これらに限定するものではない。なお、成分(A-1b)および後述の(A-2b)の具体例に示すメタロセン化合物のシクロペンタジエニル環、インデニル環およびアズレニル環上の置換基の位置を示す番号は、次式の通りである。
(i)架橋Cp(Ind)Zr型に分類されるものとして、下記表b-1に示すメタロセン化合物等が挙げられる。
(ii)架橋Cp(3-置換Ind)Zr型に分類されるものとして、下記表b-2および表b-3に示すメタロセン化合物等が挙げられる。
(iii)架橋(3-置換Cp)(Ind)Zr型に分類されるものとして、下記表b-4に示すメタロセン化合物等が挙げられる。
(iv)架橋(4-置換Cp)(3-置換Ind)Zr型に分類されるものとしては、下記表b-5に示すメタロセン化合物等が挙げられる。
(v)架橋ビスCpZr型に分類されるものとしては、下記表b-6に示すメタロセン化合物等が挙げられる。
(vi)架橋Cp(3-置換Cp)Zr型に分類されるものとしては、下記表b-7に示すメタロセン化合物等が挙げられる。
(vii)架橋ビス(3-置換Cp)Zr型に分類されるものとして、下記表b-8に示すメタロセン化合物等が挙げられる。
また、上記化合物のジルコニウムを、チタニウムまたはハフニウムに代えた化合物、等が挙げられる。
さらに、これらのメタロセン化合物を成分(A-1b)として用いるに際しては、2種以上を用いることも可能である。
さらに、これらのメタロセン化合物を成分(A-1b)として用いるに際しては、2種以上を用いることも可能である。
上記に例示した具体的化合物の中にあって、成分(A-1b)であるメタロセン化合物として、重合活性および成形性の両方に優れる点で好ましいものに「A」を、より好ましいものに「B」を、更に好ましいものに「C」を付した。
本発明に係わる成分(A-1b)であるメタロセン化合物の合成例を以下に示すが、これらの合成方法に、特に限定されない。
例えば、インデン化合物をリチオ化した後、ジクロロシラン化合物と反応させ、続いてシクロペンタジエニルリチウムと反応させることで配位子が得られる。得られた配位子をテトラキス(アルキルアミド)ジルコニウム、続いてトリメチルシリルクロリドと反応させる方法、または、得られた配位子をリチオ化し、続いて四塩化ジルコニウムと反応させる方法などが挙げられる。
例えば、インデン化合物をリチオ化した後、ジクロロシラン化合物と反応させ、続いてシクロペンタジエニルリチウムと反応させることで配位子が得られる。得られた配位子をテトラキス(アルキルアミド)ジルコニウム、続いてトリメチルシリルクロリドと反応させる方法、または、得られた配位子をリチオ化し、続いて四塩化ジルコニウムと反応させる方法などが挙げられる。
IV―1(2).成分(A-2b)
本発明のオレフィン重合用触媒成分では、成分(A-2b)として上記一般式(2b)で示されるメタロセン化合物を含むことに特徴がある。
上記一般式(2b)中、メタロセン化合物のM2bは、Ti、ZrまたはHfを表し、好ましくはZrまたはHfを表し、より好ましくはZrを表す。
また、X11bおよびX12bは、具体的には、水素原子、または塩素原子、臭素原子、ヨウ素原子、またはメチル基、エチル基、n-プロピル基、i-プロピル基、n-ブチル基、i-ブチル基、t-ブチル基、n-ペンチル基、ネオペンチル基、シクロペンチル基、n-ヘキシル基、シクロヘキシル基、フェニル基、ベンジル基、メトキシメチル基、エトキシメチル基、n-プロポキシメチル基、i-プロポキシメチル基、n-ブトキシメチル基、i-ブトキシメチル基、t-ブトキシメチル基、メトキシエチル基、エトキシエチル基、アセチル基、1-オキソプロピル基、1-オキソ-n-ブチル基、2-メチル-1-オキソプロピル基、2,2-ジメチル-1-オキソ-プロピル基、フェニルアセチル基、ジフェニルアセチル基、ベンゾイル基、2-メトキシフェニル基、3-メトキシフェニル基、4-メトキシフェニル基、2-フリル基、2-テトラヒドロフリル基、ジメチルアミノメチル基、ジエチルアミノメチル基、ジi-プロピルアミノメチル基、ビス(ジメチルアミノ)メチル基、ビス(ジi-プロピルアミノ)メチル基、(ジメチルアミノ)(フェニル)メチル基、メチルイミノ基、エチルイミノ基、1-(メチルイミノ)エチル基、1-(フェニルイミノ)エチル基、1-[(フェニルメチル)イミノ]エチル基、エトキシ基、n-プロポキシ基、i-プロポキシ基、n-ブトキシ基、i-ブトキシ基、t-ブトキシ基、フェノキシ基、ジメチルアミノ基、ジエチルアミノ基、ジn-プロピルアミノ基、ジi-プロピルアミノ基、ジn-ブチルアミノ基、ジi-ブチルアミノ基、ジt-ブチルアミノ基、ジフェニルアミノ基などが挙げられる。
好ましいX11bおよびX12bの具体例としては、各々独立して、塩素原子、臭素原子、メチル基、n-ブチル基、i-ブチル基、メトキシ基、エトキシ基、i-プロポキシ基、n-ブトキシ基、フェノキシ基、ジメチルアミノ基、ジi-プロピルアミノ基が挙げられる。これらの具体例の中でも、塩素原子、メチル基、ジメチルアミノ基が特に好ましい。
本発明のオレフィン重合用触媒成分では、成分(A-2b)として上記一般式(2b)で示されるメタロセン化合物を含むことに特徴がある。
上記一般式(2b)中、メタロセン化合物のM2bは、Ti、ZrまたはHfを表し、好ましくはZrまたはHfを表し、より好ましくはZrを表す。
また、X11bおよびX12bは、具体的には、水素原子、または塩素原子、臭素原子、ヨウ素原子、またはメチル基、エチル基、n-プロピル基、i-プロピル基、n-ブチル基、i-ブチル基、t-ブチル基、n-ペンチル基、ネオペンチル基、シクロペンチル基、n-ヘキシル基、シクロヘキシル基、フェニル基、ベンジル基、メトキシメチル基、エトキシメチル基、n-プロポキシメチル基、i-プロポキシメチル基、n-ブトキシメチル基、i-ブトキシメチル基、t-ブトキシメチル基、メトキシエチル基、エトキシエチル基、アセチル基、1-オキソプロピル基、1-オキソ-n-ブチル基、2-メチル-1-オキソプロピル基、2,2-ジメチル-1-オキソ-プロピル基、フェニルアセチル基、ジフェニルアセチル基、ベンゾイル基、2-メトキシフェニル基、3-メトキシフェニル基、4-メトキシフェニル基、2-フリル基、2-テトラヒドロフリル基、ジメチルアミノメチル基、ジエチルアミノメチル基、ジi-プロピルアミノメチル基、ビス(ジメチルアミノ)メチル基、ビス(ジi-プロピルアミノ)メチル基、(ジメチルアミノ)(フェニル)メチル基、メチルイミノ基、エチルイミノ基、1-(メチルイミノ)エチル基、1-(フェニルイミノ)エチル基、1-[(フェニルメチル)イミノ]エチル基、エトキシ基、n-プロポキシ基、i-プロポキシ基、n-ブトキシ基、i-ブトキシ基、t-ブトキシ基、フェノキシ基、ジメチルアミノ基、ジエチルアミノ基、ジn-プロピルアミノ基、ジi-プロピルアミノ基、ジn-ブチルアミノ基、ジi-ブチルアミノ基、ジt-ブチルアミノ基、ジフェニルアミノ基などが挙げられる。
好ましいX11bおよびX12bの具体例としては、各々独立して、塩素原子、臭素原子、メチル基、n-ブチル基、i-ブチル基、メトキシ基、エトキシ基、i-プロポキシ基、n-ブトキシ基、フェノキシ基、ジメチルアミノ基、ジi-プロピルアミノ基が挙げられる。これらの具体例の中でも、塩素原子、メチル基、ジメチルアミノ基が特に好ましい。
また、Q11bは、炭素原子、ケイ素原子またはゲルマニウム原子を示し、好ましくは炭素原子またはケイ素原子である。
さらに、R11bとしては、それぞれ独立して、水素原子、メチル基、エチル基、n-プロピル基、i-プロピル基、n-ブチル基、i-ブチル基、t-ブチル基、n-ペンチル基、ネオペンチル基、シクロペンチル基、n-ヘキシル基、シクロヘキシル基、フェニル基などが挙げられる。また、R11bがQ11bと一緒に環を形成している場合として、シクロブチリデン基、シクロペンチリデン基、シクロへキシリデン基、シラシクロブチル基、シラシクロペンチル基、シラシクロヘキシル基などが挙げられる。
好ましいR11bの具体例として、Q11bが炭素原子の場合、水素原子、メチル基、エチル基、フェニル基、シクロブチリデン基が挙げられ、また、Q11bがケイ素原子の場合、メチル基、エチル基、フェニル基、シラシクロブチル基が挙げられる。
さらに、R11bとしては、それぞれ独立して、水素原子、メチル基、エチル基、n-プロピル基、i-プロピル基、n-ブチル基、i-ブチル基、t-ブチル基、n-ペンチル基、ネオペンチル基、シクロペンチル基、n-ヘキシル基、シクロヘキシル基、フェニル基などが挙げられる。また、R11bがQ11bと一緒に環を形成している場合として、シクロブチリデン基、シクロペンチリデン基、シクロへキシリデン基、シラシクロブチル基、シラシクロペンチル基、シラシクロヘキシル基などが挙げられる。
好ましいR11bの具体例として、Q11bが炭素原子の場合、水素原子、メチル基、エチル基、フェニル基、シクロブチリデン基が挙げられ、また、Q11bがケイ素原子の場合、メチル基、エチル基、フェニル基、シラシクロブチル基が挙げられる。
R12b、R14bおよびR15bは、各々、具体的には、水素原子、塩素原子、臭素原子、ヨウ素原子、メチル基、エチル基、n-プロピル基、i-プロピル基、n-ブチル基、i-ブチル基、t-ブチル基、n-ペンチル基、ネオペンチル基、シクロペンチル基、n-ヘキシル基、シクロヘキシル基、フェニル基、ベンジル基、2-メチルフェニル基、3-メチルフェニル基、4-メチルフェニル基、3,5-ジメチルフェニル基、4-t-ブチルフェニル基、3,5-ジ-t-ブチルフェニル基、ビス(トリメチルシリル)メチル基、ビス(t-ブチルジメチルシリル)メチル基、ブロモメチル基、クロロメチル基、2-クロロエチル基、2-ブロモエチル基、2-ブロモプロピル基、3-ブロモプロピル基、2-ブロモシクロペンチル基、2,3-ジブロモシクロペンチル基、2-ブロモ-3-ヨードシクロペンチル基、2,3-ジブロモシクロヘキシル基、2-クロロ-3-ヨードシクロヘキシル基、2-クロロフェニル基、4-クロロフェニル基、2,3,4,5,6-ペンタフルオロフェニル基、4-トリフルオロメチルフェニル基、トリメチルシリル基、トリt-ブチルシリル基、ジt-ブチルメチルシリル基、t-ブチルジメチルシリル基、トリフェニルシリル基、ジフェニルメチルシリル基、フェニルジメチルシリル基、フリル基、テトラヒドロフリル基、2-メチルフリル基、2-(トリメチル)シリルフリル基等から選択される元素または基が挙げられるが、それらのうち、少なくとも1つは水素原子ではなく、好ましくは、各々、具体的には、水素原子、メチル基、エチル基、n-プロピル基、i-プロピル基、n-ブチル基、i-ブチル基、t-ブチル基、n-ペンチル基、n-ヘキシル基、シクロヘキシル基、フェニル基、トリメチルシリル基、フリル基、2-メチルフリル基、2-(トリメチル)シリルフリル基から選択される元素または基が挙げられるが、それらのうち、少なくとも1つは水素原子ではなく、より好ましくは、各々、具体的には、水素原子、メチル基、n-ブチル基、t-ブチル基、フェニル基、トリメチルシリル基、2-メチルフリル基、2-(トリメチル)シリルフリル基から選択される元素または基が挙げられるが、それらのうち、少なくとも1つは水素原子ではなく、水素原子でないことが好ましいのは、シクロペンタジエニル環上の2位に位置するR12bと同2位に位置するR14bと2つのR15bのうちの少なくとも1つであり、水素原子でないことがより好ましいのは、シクロペンタジエニル環上の2位に位置するR12bと2つのR15bのうちの少なくとも1つであり、水素原子でないことが更に好ましいのは、シクロペンタジエニル環上の2位に位置するR12bと同2位に位置するR15bのうちの少なくとも1つである。
R13bは、具体的には、それぞれ独立して、メチル基、エチル基、n-プロピル基、i-プロピル基、n-ブチル基、i-ブチル基、t-ブチル基、n-ペンチル基、ネオペンチル基、シクロペンチル基、n-ヘキシル基、シクロヘキシル基、フェニル基、ベンジル基、2-メチルフェニル基、3-メチルフェニル基、4-メチルフェニル基、3,5-ジメチルフェニル基、4-t-ブチルフェニル基、3,5-ジ-t-ブチルフェニル基、ビス(トリメチルシリル)メチル基、ビス(t-ブチルジメチルシリル)メチル基、ブロモメチル基、クロロメチル基、2-クロロエチル基、2-ブロモエチル基、2-ブロモプロピル基、3-ブロモプロピル基、2-ブロモシクロペンチル基、2,3-ジブロモシクロペンチル基、2-ブロモ-3-ヨードシクロペンチル基、2,3-ジブロモシクロヘキシル基、2-クロロ-3-ヨードシクロヘキシル基、2-クロロフェニル基、4-クロロフェニル基、2,3,4,5,6-ペンタフルオロフェニル基、4-トリフルオロメチルフェニル基、トリメチルシリル基、トリt-ブチルシリル基、ジt-ブチルメチルシリル基、t-ブチルジメチルシリル基、トリフェニルシリル基、ジフェニルメチルシリル基、フェニルジメチルシリル基、フリル基、テトラヒドロフリル基、2-メチルフリル基、2-(トリメチル)シリルフリル基等が挙げられ、好ましくは、それぞれ独立して、メチル基、エチル基、n-プロピル基、i-プロピル基、n-ブチル基、i-ブチル基、t-ブチル基、n-ペンチル基、n-ヘキシル基、シクロヘキシル基、フェニル基、トリメチルシリル基、フリル基、2-メチルフリル基、2-(トリメチル)シリルフリル基が挙げられ、より好ましくは、それぞれ独立して、メチル基、n-ブチル基、t-ブチル基、フェニル基、トリメチルシリル基、2-メチルフリル基、2-(トリメチル)シリルフリル基から選択される元素または基が挙げられる。
上記一般式(2b)において、隣接するR12b同士が、結合しているシクロペンタジエニル環上の炭素原子と一緒に成分(A-1b)の説明で示した部分構造(I)~(VI)の縮環シクロペンタジエニル構造、好ましくは(I)、(III)、(VI)の縮環シクロペンタジエニル構造を形成していてもよいが、この時、隣接するR13b同士および隣接するR12bとR13bの間では、上記環構造は形成されない。同様に、隣接するR13b同士が、同(I)~(VI)の縮環シクロペンタジエニル構造、好ましくは(I)、(III)、(VI)の縮環シクロペンタジエニル構造を形成していてもよいが、この時、隣接するR12b同士および隣接するR12bとR13bの間では、上記環構造は形成されない。更に同様に、隣接するR12bとR13bの間で同(I)~(VI)の縮環シクロペンタジエニル構造、好ましくは(I)、(III)、(VI)の縮環シクロペンタジエニル構造を形成していてもよいが、この時、隣接するR12b同士および隣接するR13b同士では、上記環構造は形成されない。
また、上記一般式(2b)において、隣接するR14b同士が、同(I)~(VI)の縮環シクロペンタジエニル構造、好ましくは(I)、(III)、(VI)の縮環シクロペンタジエニル構造を形成していてもよいが、この時、隣接するR15b同士および隣接するR14bとR15bの間では、上記環構造は形成されない。同様に、隣接するR15b同士が、同(I)~(VI)の縮環シクロペンタジエニル構造、好ましくは(I)、(III)、(VI)の縮環シクロペンタジエニル構造を形成していてもよいが、この時、隣接するR14b同士および隣接するR14bとR15bの間では、上記環構造は形成されない。更に同様に、隣接するR14bとR15bの間で同(I)~(VI)の縮環シクロペンタジエニル構造、好ましくは(I)、(III)、(VI)の縮環シクロペンタジエニル構造を形成していてもよいが、この時、隣接するR14b同士および隣接するR15b同士では、上記環構造は形成されない。
本発明に係るオレフィン重合用触媒成分として、成分(A-2b)のメタロセン化合物は、下記一般式(6b)で示されるものが好ましい。
[式(6b)中、M2bは、Ti、ZrまたはHfのいずれかの遷移金属を示す。X11bおよびX12bは、それぞれ独立して、水素原子、ハロゲン原子、炭素数1~20の炭化水素基、酸素原子若しくは窒素原子を含む炭素数1~20の炭化水素基、炭素数1~20の炭化水素基置換アミノ基または炭素数1~20のアルコキシ基を示す。Q11bは、炭素原子、ケイ素原子またはゲルマニウム原子を示す。R11bは、それぞれ独立して、水素原子または炭素数1~10の炭化水素基を示し、2つのR11bは互いに結合してQ11bと一緒に環を形成していてもよい。R12bおよびR14bは、それぞれ独立して、水素原子、ハロゲン原子、炭素数1~20の炭化水素基、ケイ素数1~6を含む炭素数1~18のケイ素含有炭化水素基、炭素数1~20のハロゲン含有炭化水素基、酸素原子または硫黄原子を含む炭素数1~40の炭化水素基または炭素数1~40の炭化水素基置換シリル基を示す。R12bおよびR14bは、結合している炭素原子と一緒に環を形成することはない。R16bおよびR17bは、それぞれ独立して、結合する5員環に対して縮合環を形成する炭素数4または5の飽和または不飽和の2価の炭化水素基を示す。R18bおよびR19bは、各々R16bまたはR17bの炭素原子と結合する原子または基であり、それぞれ独立して、水素原子、ハロゲン原子、炭素数1~20の炭化水素基、ケイ素数1~6を含む炭素数1~18のケイ素含有炭化水素基、炭素数1~20のハロゲン含有炭化水素基、酸素原子または硫黄原子を含む炭素数1~40の炭化水素基または炭素数1~40の炭化水素基置換シリル基を示す。pbおよびqbは、それぞれ独立して、0~10の整数を示し、pbおよびqbが2以上の場合、R18bおよびR19bのそれぞれの少なくとも2つは、結合している炭素原子と一緒に環を形成していてもよい。]
上記一般式(6b)中、M2b、X11b、X12b、Q11bおよびR11bの詳細な定義は、先の一般式(2b)の説明の定義に従うものである。
また、上記一般式(6b)において、R12bおよびR14bは、各々、具体的には、水素原子、塩素原子、臭素原子、ヨウ素原子、メチル基、エチル基、n-プロピル基、i-プロピル基、n-ブチル基、i-ブチル基、t-ブチル基、n-ペンチル基、ネオペンチル基、シクロペンチル基、n-ヘキシル基、シクロヘキシル基、フェニル基、ベンジル基、2-メチルフェニル基、3-メチルフェニル基、4-メチルフェニル基、3,5-ジメチルフェニル基、4-t-ブチルフェニル基、3,5-ジ-t-ブチルフェニル基、ビス(トリメチルシリル)メチル基、ビス(t-ブチルジメチルシリル)メチル基、ブロモメチル基、クロロメチル基、2-クロロエチル基、2-ブロモエチル基、2-ブロモプロピル基、3-ブロモプロピル基、2-ブロモシクロペンチル基、2,3-ジブロモシクロペンチル基、2-ブロモ-3-ヨードシクロペンチル基、2,3-ジブロモシクロヘキシル基、2-クロロ-3-ヨードシクロヘキシル基、2-クロロフェニル基、4-クロロフェニル基、2,3,4,5,6-ペンタフルオロフェニル基、4-トリフルオロメチルフェニル基、トリメチルシリル基、トリt-ブチルシリル基、ジt-ブチルメチルシリル基、t-ブチルジメチルシリル基、トリフェニルシリル基、ジフェニルメチルシリル基、フェニルジメチルシリル基、フリル基、テトラヒドロフリル基、2-メチルフリル基、2-(トリメチル)シリルフリル基等から選択される元素または基が挙げられ、好ましくは、各々、具体的には、水素原子、メチル基、エチル基、n-プロピル基、i-プロピル基、n-ブチル基、i-ブチル基、t-ブチル基、n-ペンチル基、n-ヘキシル基、シクロヘキシル基、フェニル基、トリメチルシリル基、フリル基、2-メチルフリル基、2-(トリメチル)シリルフリル基から選択される元素または基が挙げられ、より好ましくは、各々、具体的には、水素原子、メチル基、n-ブチル基、t-ブチル基、フェニル基、トリメチルシリル基、2-メチルフリル基、2-(トリメチル)シリルフリル基から選択される元素または基が挙げられる。また、シクロペンタジエニル環上の2位に位置するR12bと同2位に位置するR14bのうち少なくとも1つが、メチル基、エチル基、n-プロピル基、i-プロピル基、n-ブチル基、i-ブチル基、t-ブチル基、n-ペンチル基、n-ヘキシル基、シクロヘキシル基、フェニル基、トリメチルシリル基、フリル基、2-メチルフリル基、2-(トリメチル)シリルフリル基から選択される基であると更に好ましく、メチル基、n-ブチル基、t-ブチル基、フェニル基、トリメチルシリル基、2-メチルフリル基、2-(トリメチル)シリルフリル基から選択される基であると特に好ましい。
また、R16bが結合するシクロペンタジエニル部分とR16bから形成される縮環シクロペンタジエニル構造の具体例としては、上述の部分構造(I)~(VI)が挙げられる。これらの具体例の中でも、(I)、(III)、(VI)が好ましい。また、これらの部分構造(I)~(VI)上には、R18bが置換していてもよい。
また、R16bが結合するシクロペンタジエニル部分とR16bから形成される縮環シクロペンタジエニル構造の具体例としては、上述の部分構造(I)~(VI)が挙げられる。これらの具体例の中でも、(I)、(III)、(VI)が好ましい。また、これらの部分構造(I)~(VI)上には、R18bが置換していてもよい。
置換基のR18bは、水素原子以外に、塩素原子、臭素原子、ヨウ素原子、メチル基、エチル基、n-プロピル基、i-プロピル基、n-ブチル基、i-ブチル基、t-ブチル基、n-ペンチル基、ネオペンチル基、シクロペンチル基、n-ヘキシル基、シクロヘキシル基、フェニル基、ベンジル基、2-メチルフェニル基、3-メチルフェニル基、4-メチルフェニル基、4-t-ブチルフェニル基、3,5-ジメチルフェニル基、3,5-ジ-t-ブチルフェニル基、ナフチル基、アントラセニル基、ビス(トリメチルシリル)メチル基、ビス(t-ブチルジメチルシリル)メチル基、ブロモメチル基、クロロメチル基、2-クロロエチル基、2-ブロモエチル基、2-ブロモプロピル基、3-ブロモプロピル基、2-ブロモシクロペンチル基、2,3-ジブロモシクロペンチル基、2-ブロモ-3-ヨードシクロペンチル基、2,3-ジブロモシクロヘキシル基、2-クロロ-3-ヨードシクロヘキシル基、2-クロロフェニル基、4-クロロフェニル基、2,3,4,5,6-ペンタフルオロフェニル基、2,6-ジクロロ-4-トリメチルシリルフェニル基、トリメチルシリル基、トリt-ブチルシリル基、ジt-ブチルメチルシリル基、t-ブチルジメチルシリル基、トリフェニルシリル基、ジフェニルメチルシリル基、フェニルジメチルシリル基、フリル基、テトラヒドロフリル基、2-メチルフリル基、2-(トリメチル)シリルフリル基などが挙げられる。R18bは、結合している炭素原子と一緒に環を形成していてもよい。
上記一般式(6b)において、R17bおよびR19bも、それぞれ独立してR16bおよびR18bと同様にして定義される。
本発明に係るオレフィン重合用触媒成分として、成分(A-2b)のメタロセン化合物は、下記一般式(7b)で示されるものも好ましい。
[式(7b)中、M2bは、Ti、ZrまたはHfのいずれかの遷移金属を示す。X11bおよびX12bは、それぞれ独立して、水素原子、ハロゲン原子、炭素数1~20の炭化水素基、酸素原子若しくは窒素原子を含む炭素数1~20の炭化水素基、炭素数1~20の炭化水素基置換アミノ基または炭素数1~20のアルコキシ基を示す。Q11bは、炭素原子、ケイ素原子またはゲルマニウム原子を示す。R11bは、それぞれ独立して、水素原子または炭素数1~10の炭化水素基を示し、2つのR11bは互いに結合してQ11bと一緒に環を形成していてもよい。R12b、R14bおよびR15bは、各々独立して、水素原子、ハロゲン原子、炭素数1~20の炭化水素基、ケイ素数1~6を含む炭素数1~18のケイ素含有炭化水素基、炭素数1~20のハロゲン含有炭化水素基、酸素原子または硫黄原子を含む炭素数1~40の炭化水素基または炭素数1~40の炭化水素基置換シリル基から選択される原子または基を示すが、それらのうち、両シクロペンタジエニル環上の2位および5位に位置する。R12b、R14bおよびR15bのうち、少なくとも1つは水素原子ではない。R12b、R14b、R15bは、結合している炭素原子と一緒に環を形成することはない。R16bは、結合する5員環に対して縮合環を形成する炭素数4または5の飽和または不飽和の2価の炭化水素基を示す。R18bは、R16bの炭素原子と結合する原子または基であり、それぞれ独立して、水素原子、ハロゲン原子、炭素数1~20の炭化水素基、ケイ素数1~6を含む炭素数1~18のケイ素含有炭化水素基、炭素数1~20のハロゲン含有炭化水素基、酸素原子または硫黄原子を含む炭素数1~40の炭化水素基または炭素数1~40の炭化水素基置換シリル基を示す。pbは0~10の整数を示し、pbが2以上の場合、R18bの少なくとも2つは、結合している炭素原子と一緒に環を形成していてもよい。]
上記一般式(7b)中、M2b、X11b、X12b、Q11b、R11b、R16bおよびR18bの詳細な定義は、先の一般式(6b)の説明の定義に従うものである。
また、上記一般式(7b)において、R12b、R14bおよびR15bは、各々、具体的には、水素原子、塩素原子、臭素原子、ヨウ素原子、メチル基、エチル基、n-プロピル基、i-プロピル基、n-ブチル基、i-ブチル基、t-ブチル基、n-ペンチル基、ネオペンチル基、シクロペンチル基、n-ヘキシル基、シクロヘキシル基、フェニル基、ベンジル基、2-メチルフェニル基、3-メチルフェニル基、4-メチルフェニル基、3,5-ジメチルフェニル基、4-t-ブチルフェニル基、3,5-ジ-t-ブチルフェニル基、ビス(トリメチルシリル)メチル基、ビス(t-ブチルジメチルシリル)メチル基、ブロモメチル基、クロロメチル基、2-クロロエチル基、2-ブロモエチル基、2-ブロモプロピル基、3-ブロモプロピル基、2-ブロモシクロペンチル基、2,3-ジブロモシクロペンチル基、2-ブロモ-3-ヨードシクロペンチル基、2,3-ジブロモシクロヘキシル基、2-クロロ-3-ヨードシクロヘキシル基、2-クロロフェニル基、4-クロロフェニル基、2,3,4,5,6-ペンタフルオロフェニル基、4-トリフルオロメチルフェニル基、トリメチルシリル基、トリt-ブチルシリル基、ジt-ブチルメチルシリル基、t-ブチルジメチルシリル基、トリフェニルシリル基、ジフェニルメチルシリル基、フェニルジメチルシリル基、フリル基、テトラヒドロフリル基、2-メチルフリル基、2-(トリメチル)シリルフリル基等から選択される元素または基が挙げられるが、それらのうち、両シクロペンタジエニル環上の2位および5位に位置するR12b、R14b、R15bのうち、少なくとも1つは水素原子ではなく、好ましくは、各々、具体的には、水素原子、メチル基、エチル基、n-プロピル基、i-プロピル基、n-ブチル基、i-ブチル基、t-ブチル基、n-ペンチル基、n-ヘキシル基、シクロヘキシル基、フェニル基、トリメチルシリル基、フリル基、2-メチルフリル基、2-(トリメチル)シリルフリル基から選択される元素または基が挙げられるが、それらのうち、両シクロペンタジエニル環上の2位および5位に位置するR12b、R14b、R15bのうち、少なくとも1つは水素原子ではなく、より好ましくは、各々、具体的には、水素原子、メチル基、n-ブチル基、t-ブチル基、フェニル基、トリメチルシリル基、2-メチルフリル基、2-(トリメチル)シリルフリル基から選択される元素または基が挙げられるが、それらのうち、両シクロペンタジエニル環上の2位および5位に位置するR12b、R14b、R15bのうち、少なくとも1つは水素原子ではない。上記一般式(7b)において、シクロペンタジエニル環上の2位に位置するR12bが、炭素数1~20の炭化水素基、ケイ素数1~6を含む炭素数1~18のケイ素含有炭化水素基、炭素数1~20のハロゲン含有炭化水素基、酸素原子または硫黄原子を含む炭素数1~40の炭化水素基または炭素数1~40の炭化水素基置換シリル基から選択される原子または基であると更に好ましく、メチル基、エチル基、n-プロピル基、i-プロピル基、n-ブチル基、i-ブチル基、t-ブチル基、n-ペンチル基、n-ヘキシル基、シクロヘキシル基、フェニル基、トリメチルシリル基、フリル基、2-メチルフリル基、2-(トリメチル)シリルフリル基から選択される基であると特に好ましく、メチル基、n-ブチル基、t-ブチル基、フェニル基、トリメチルシリル基、2-メチルフリル基、2-(トリメチル)シリルフリル基から選択される基であると最も好ましい。上記一般式(7b)において、R12b、R14b、R15bは、結合している炭素原子と一緒に環を形成することはない。
本発明に係るオレフィン重合用触媒成分として、成分(A-2b)のメタロセン化合物は、下記一般式(8b)で示されるものがより好ましい。
[式(8b)中、M2bは、Ti、ZrまたはHfのいずれかの遷移金属を示す。X11bおよびX12bは、それぞれ独立して、水素原子、ハロゲン原子、炭素数1~20の炭化水素基、酸素原子若しくは窒素原子を含む炭素数1~20の炭化水素基、炭素数1~20の炭化水素基置換アミノ基または炭素数1~20のアルコキシ基を示す。Q11bは、炭素原子、ケイ素原子またはゲルマニウム原子を示す。R11bは、それぞれ独立して、水素原子または炭素数1~10の炭化水素基を示し、2つのR11bは互いに結合してQ11bと一緒に環を形成していてもよい。R12b、R14b、R18bおよびR19bは、それぞれ独立して、水素原子、ハロゲン原子、炭素数1~20の炭化水素基、ケイ素数1~6を含む炭素数1~18のケイ素含有炭化水素基、炭素数1~20のハロゲン含有炭化水素基、酸素原子または硫黄原子を含む炭素数1~40の炭化水素基または炭素数1~40の炭化水素基置換シリル基を示す。R12bおよびR14bは、結合している炭素原子と一緒に環を形成することはない。R18bおよびR19bは、結合している炭素原子と一緒に環を形成していてもよい。]
上記一般式(8b)中、M2b、X11b、X12b、Q11b、R11b、R12b、R14b、R18bおよびR19bの詳細な定義は、先の一般式(6b)の説明の定義に従うものである。
本発明に係るオレフィン重合用触媒成分として、成分(A-2b)のメタロセン化合物は、下記一般式(9b)で示されるものもより好ましい。
[式(9b)中、M2bは、Ti、ZrまたはHfのいずれかの遷移金属を示す。X11bおよびX12bは、それぞれ独立して、水素原子、ハロゲン原子、炭素数1~20の炭化水素基、酸素原子若しくは窒素原子を含む炭素数1~20の炭化水素基、炭素数1~20の炭化水素基置換アミノ基または炭素数1~20のアルコキシ基を示す。Q11bは、炭素原子、ケイ素原子またはゲルマニウム原子を示す。R11bは、それぞれ独立して、水素原子または炭素数1~10の炭化水素基を示し、2つのR11bは互いに結合してQ11bと一緒に環を形成していてもよい。R12b、R14bおよびR15bは、各々独立して、水素原子、ハロゲン原子、炭素数1~20の炭化水素基、ケイ素数1~6を含む炭素数1~18のケイ素含有炭化水素基、炭素数1~20のハロゲン含有炭化水素基、酸素原子または硫黄原子を含む炭素数1~40の炭化水素基または炭素数1~40の炭化水素基置換シリル基から選択される原子または基を示すが、それらのうち、インデニル環上の2位に位置するR12bおよびシクロペンタジエニル環上の2位および5位に位置するR14bおよびR15bのうち、少なくとも1つは水素原子ではない。R12b、R14bおよびR15bは、結合している炭素原子と一緒に環を形成することはない。R18bは、結合している炭素原子と一緒に環を形成していてもよい。]
上記一般式(9b)中、M2b、X11b、X12b、Q11b、R11b、R12b、R14b、R15bおよびR18bの詳細な定義は、先の一般式(6b)の説明の定義に従うものである。
本発明に係るオレフィン重合用触媒成分として、成分(A-2b)のメタロセン化合物は、上記一般式(2b)、一般式(6b)~(9b)のいずれかで示されるもののうち、その共役5員環上の2位の置換基であるR12bが、ハロゲン原子、炭素数1~6のアルキル基、炭素数1~6のアルコキシ基、炭素数6~12のフェノキシ基、炭素数2~8のアルケニル基、炭素数1~6のハロゲン含有アルキル基、炭素数6~18のアリール基、炭素数6~18のハロゲン含有アリール基、アルキル基が炭素数1~3のトリアルキルシリル基を有する炭素数1~3のアルキル基、炭素数1~6の炭化水素基を有するシリル基、または酸素含有複素環基、硫黄含有複素環基であるものが好ましい。このような好ましい2位の置換基R12bとしては、具体的には、塩素原子、臭素原子、ヨウ素原子、メチル基、エチル基、n-プロピル基、i-プロピル基、n-ブチル基、i-ブチル基、t-ブチル基、n-ペンチル基、ネオペンチル基、シクロペンチル基、n-ヘキシル基、シクロヘキシル基、フェニル基、ベンジル基、2-メチルフェニル基、3-メチルフェニル基、4-メチルフェニル基、3,5-ジメチルフェニル基、4-t-ブチルフェニル基、3,5-ジ-t-ブチルフェニル基、ビス(トリメチルシリル)メチル基、ビス(t-ブチルジメチルシリル)メチル基、ブロモメチル基、クロロメチル基、2-クロロエチル基、2-ブロモエチル基、2-ブロモプロピル基、3-ブロモプロピル基、2-ブロモシクロペンチル基、2,3-ジブロモシクロペンチル基、2-ブロモ-3-ヨードシクロペンチル基、2,3-ジブロモシクロヘキシル基、2-クロロ-3-ヨードシクロヘキシル基、2-クロロフェニル基、4-クロロフェニル基、2,3,4,5,6-ペンタフルオロフェニル基、4-トリフルオロメチルフェニル基、トリメチルシリル基、トリt-ブチルシリル基、ジt-ブチルメチルシリル基、t-ブチルジメチルシリル基、トリフェニルシリル基、ジフェニルメチルシリル基、フェニルジメチルシリル基等が挙げられ、より好ましくは、具体的には、メチル基、エチル基、n-プロピル基、i-プロピル基、n-ブチル基、i-ブチル基、t-ブチル基、n-ペンチル基、n-ヘキシル基、シクロヘキシル基、フェニル基、トリメチルシリル基が挙げられ、更に好ましくは、具体的には、メチル基、n-ブチル基、t-ブチル基、フェニル基、トリメチルシリル基が挙げられる。
また、好ましい2位の置換基R12bの別の具体的化学構造の例として、下記一般式(10b)で示される構造の酸素含有複素環基、硫黄含有複素環基を挙げることができる。
上記一般式(10b)中、R21bおよびR22bは、互いに同じでも異なっていてもよく、水素原子、ハロゲン原子、炭素数1~6のアルキル基、炭素数1~6のアルコキシ基、炭素数2~8のアルケニル基、炭素数1~6のハロゲン含有アルキル基、炭素数6~18のアリール基、炭素数6~18のハロゲン含有アリール基、アルキル基が炭素数1~3のトリアルキルシリル基を有する炭素数1~3のアルキル基、又は炭素数1~6の炭化水素基を有するシリル基であり、また、R21b及びR22b双方で6~7員環を構成してもよく、6~7員環が不飽和結合を含んでいてもよい。
ここで、炭素数1~6のアルキル基の具体例としては、メチル基、エチル基、n-プロピル基、i-プロピル基、n-ブチル基、i-ブチル基、s-ブチル基、t-ブチル基、n-ペンチル基、n-ヘキシル基、シクロプロピル基、シクロペンチル基、シクロヘキシル基などを挙げることができる。
また、炭素数1~6のアルコキシ基の具体例としては、メトキシ基、エトキシ基、n-プロポキシ基、i-プロポキシ基、n-ブトキシ基、i-ブトキシ基、t-ブトキシ基、フェノキシ基などを挙げることができる。また、ハロゲン原子としては、塩素原子、臭素原子、ヨウ素原子、フッ素原子を挙げることができ、また、炭素数2~8のアルケニル基の具体例としては、ビニル基、プロペニル基、アリル基、ブテニル基、シクロヘキセニル基などを挙げることができる。更に、炭素数1~6のハロゲン含有アルキル基のハロゲン原子としては、フッ素原子、塩素原子、臭素原子、ヨウ素原子が挙げられ、炭素数1~6のハロゲン含有アルキル基は、炭素数1~6のアルキル基の骨格上の水素原子にハロゲン原子が置換されたものであり、具体例としては、フルオロメチル、ジフルオロメチル、トリフルオロメチル、クロロメチル、ジクロロメチル、トリクロロメチル、ブロモメチル、ジブロモメチル、トリブロモメチル、ヨードメチル、2,2,2-トリフルオロエチル、2,2,1,1-テトラフルオロエチル、ペンタフルオロエチル、ペンタクロロエチル、ペンタフルオロプロピル、ノナフルオロブチル、5-クロロペンチル、5,5,5-トリクロロペンチル、5-フルオロペンチル、5,5,5-トリフルオロペンチル、6-クロロヘキシル、6,6,6-トリクロロヘキシル、6-フルオロヘキシル、6,6,6-トリフルオロヘキシルを挙げることができる。また、炭素数6~18のアリール基には、炭素数1~6の炭化水素基が置換されていてもよく、具体例としては、フェニル、トリル、ジメチルフェニル、エチルフェニル、トリメチルフェニル、t-ブチルフェニル、ビフェニル、1-ナフチル、2-ナフチル、アセナフチル、フェナントリル、アントリルなどを挙げることができる。また、炭素数6~18のハロゲン含有アリール基の具体例とは、前記炭素数6~18のアリール基の水素原子をハロゲン原子に置換させたものであり、具体的には、2-,3-,4-置換の各フルオロフェニル、2-,3-,4-置換の各クロロフェニル、2-,3-,4-置換の各ブロモフェニル、2,4-、2,5-、2,6-、3,5-置換の各ジフルオロフェニル、2,4-、2,5-、2,6-、3,5-置換の各ジクロロフェニル、2,4,6-、2,3,4-、2,4,5-、3,4,5-置換の各トリフルオロフェニル、2,4,6-、2,3,4-、2,4,5-、3,4,5-置換の各トリクロロフェニル、ペンタフルオロフェニル、ペンタクロロフェニル、3,5-ジメチル-4-クロロフェニル、3,5-ジクロロ-4-ビフェニルなどが挙げられる。また、アルキル基が炭素数1~3のトリアルキルシリル基を有する炭素数1~3のアルキル基とは、異なっていてもよい炭素数1~3のアルキル基を有するトリアルキルシリル基が炭素数1~3のアルキル基上の水素原子に置換されているものであり、具体例としては、トリメチルシリルメチル、トリメチルシリルエチルを挙げることができる。また、炭素数1~6の炭化水素基を有するシリル基とは、異なっていてもよい炭素数1~6の炭化水素基3個が珪素上に置換されている置換基であり、炭素数1~6の炭化水素とは、上記の炭素数1~6のアルキル基、炭素数1~6のアルコキシ基、炭素数2~8のアルケニル基、炭素数1~6のハロゲン含有アルキル基及びフェニル基を含み、フェニル基上に置換基を有していてもよく、具体的には、トリメチルシリル、トリエチルシリル、トリ-n-ブチルシリル、t-ブチルジメチルシリル、トリビニルシリル、トリアリルシリル、トリフェニルシリルを挙げることができる。
また、炭素数1~6のアルコキシ基の具体例としては、メトキシ基、エトキシ基、n-プロポキシ基、i-プロポキシ基、n-ブトキシ基、i-ブトキシ基、t-ブトキシ基、フェノキシ基などを挙げることができる。また、ハロゲン原子としては、塩素原子、臭素原子、ヨウ素原子、フッ素原子を挙げることができ、また、炭素数2~8のアルケニル基の具体例としては、ビニル基、プロペニル基、アリル基、ブテニル基、シクロヘキセニル基などを挙げることができる。更に、炭素数1~6のハロゲン含有アルキル基のハロゲン原子としては、フッ素原子、塩素原子、臭素原子、ヨウ素原子が挙げられ、炭素数1~6のハロゲン含有アルキル基は、炭素数1~6のアルキル基の骨格上の水素原子にハロゲン原子が置換されたものであり、具体例としては、フルオロメチル、ジフルオロメチル、トリフルオロメチル、クロロメチル、ジクロロメチル、トリクロロメチル、ブロモメチル、ジブロモメチル、トリブロモメチル、ヨードメチル、2,2,2-トリフルオロエチル、2,2,1,1-テトラフルオロエチル、ペンタフルオロエチル、ペンタクロロエチル、ペンタフルオロプロピル、ノナフルオロブチル、5-クロロペンチル、5,5,5-トリクロロペンチル、5-フルオロペンチル、5,5,5-トリフルオロペンチル、6-クロロヘキシル、6,6,6-トリクロロヘキシル、6-フルオロヘキシル、6,6,6-トリフルオロヘキシルを挙げることができる。また、炭素数6~18のアリール基には、炭素数1~6の炭化水素基が置換されていてもよく、具体例としては、フェニル、トリル、ジメチルフェニル、エチルフェニル、トリメチルフェニル、t-ブチルフェニル、ビフェニル、1-ナフチル、2-ナフチル、アセナフチル、フェナントリル、アントリルなどを挙げることができる。また、炭素数6~18のハロゲン含有アリール基の具体例とは、前記炭素数6~18のアリール基の水素原子をハロゲン原子に置換させたものであり、具体的には、2-,3-,4-置換の各フルオロフェニル、2-,3-,4-置換の各クロロフェニル、2-,3-,4-置換の各ブロモフェニル、2,4-、2,5-、2,6-、3,5-置換の各ジフルオロフェニル、2,4-、2,5-、2,6-、3,5-置換の各ジクロロフェニル、2,4,6-、2,3,4-、2,4,5-、3,4,5-置換の各トリフルオロフェニル、2,4,6-、2,3,4-、2,4,5-、3,4,5-置換の各トリクロロフェニル、ペンタフルオロフェニル、ペンタクロロフェニル、3,5-ジメチル-4-クロロフェニル、3,5-ジクロロ-4-ビフェニルなどが挙げられる。また、アルキル基が炭素数1~3のトリアルキルシリル基を有する炭素数1~3のアルキル基とは、異なっていてもよい炭素数1~3のアルキル基を有するトリアルキルシリル基が炭素数1~3のアルキル基上の水素原子に置換されているものであり、具体例としては、トリメチルシリルメチル、トリメチルシリルエチルを挙げることができる。また、炭素数1~6の炭化水素基を有するシリル基とは、異なっていてもよい炭素数1~6の炭化水素基3個が珪素上に置換されている置換基であり、炭素数1~6の炭化水素とは、上記の炭素数1~6のアルキル基、炭素数1~6のアルコキシ基、炭素数2~8のアルケニル基、炭素数1~6のハロゲン含有アルキル基及びフェニル基を含み、フェニル基上に置換基を有していてもよく、具体的には、トリメチルシリル、トリエチルシリル、トリ-n-ブチルシリル、t-ブチルジメチルシリル、トリビニルシリル、トリアリルシリル、トリフェニルシリルを挙げることができる。
R21b及びR22bとして、各々独立して、好ましくは水素原子、ハロゲン原子、炭素数1~6のアルキル基、炭素数6~18のアリール基又は炭素数1~6の炭化水素基を有するシリル基である。R21bが水素原子の場合は、合成収率が低く、R21bは、水素原子以外の置換基が好ましい。R21bは炭素数1~6のアルキル基、炭素数6~18のアリール基又は炭素数1~6の炭化水素基を有するシリル基がより好ましい。R22bは水素原子又は炭素数1~6のアルキル基がより好ましい。具体的に好ましい置換基としては、R21bはメチル基、エチル基、t-ブチル基、シクロヘキシル基、フェニル基、トリメチルシリル基、トリフェニルシリル基であり、R22bは水素原子、メチル基、エチル基である。
R21b及びR22bは、双方で6~7員環を構成してもよく、6~7員環が不飽和結合を含んでいてもよい。具体的な置換としては、インデン環の2位の置換基として、ベンゾフリル基、ベンゾチエニル基を挙げることができる。
R21b及びR22bは、双方で6~7員環を構成してもよく、6~7員環が不飽和結合を含んでいてもよい。具体的な置換としては、インデン環の2位の置換基として、ベンゾフリル基、ベンゾチエニル基を挙げることができる。
本発明のオレフィン重合用触媒成分において、オレフィン重合用触媒成分の成分(A-2b)のメタロセン化合物の具体例を以下に示すが、これらに限定するものではない。
(i)架橋Cp2Zr型に分類されるメタロセン化合物等や、日本国特開平2-76887号公報、日本国特開平3-12406号公報、日本国特開平3-12407号公報、日本国特開平3-12407号公報、日本国特開平11-315089号公報、日本国特開2009-143901号公報、日本国特表2005-507961号公報、等、既出文献に記載のあるもののうち、上記一般式(2b)に属する架橋ビス(アルキル置換シクロペンタジエニル)ジルコニウム化合物、上記一般式(2b)に属する日本国特表2002-535339号公報等に記載された含酸素炭化水素基、含硫黄炭化水素基、炭化水素基置換シリル基等で置換されたシクロペンタジエニル環を有するジルコニウム化合物のうち、上記一般式(2b)に属する架橋ビス(アルキル置換シクロペンタジエニル)ジルコニウム化合物、等が挙げられる。
架橋Cp2Zr型に分類されるメタロセン化合物を表b-9および表b-10に示す。
(i)架橋Cp2Zr型に分類されるメタロセン化合物等や、日本国特開平2-76887号公報、日本国特開平3-12406号公報、日本国特開平3-12407号公報、日本国特開平3-12407号公報、日本国特開平11-315089号公報、日本国特開2009-143901号公報、日本国特表2005-507961号公報、等、既出文献に記載のあるもののうち、上記一般式(2b)に属する架橋ビス(アルキル置換シクロペンタジエニル)ジルコニウム化合物、上記一般式(2b)に属する日本国特表2002-535339号公報等に記載された含酸素炭化水素基、含硫黄炭化水素基、炭化水素基置換シリル基等で置換されたシクロペンタジエニル環を有するジルコニウム化合物のうち、上記一般式(2b)に属する架橋ビス(アルキル置換シクロペンタジエニル)ジルコニウム化合物、等が挙げられる。
架橋Cp2Zr型に分類されるメタロセン化合物を表b-9および表b-10に示す。
(ii)架橋Ind2Zr型に分類されるメタロセン化合物等や、日本国特開平8-59724号公報、日本国特開平10-231314号公報、日本国特開2003-105029号公報、日本国特開2004-352707号公報、等、既出文献に記載のあるもののうち、上記一般式(6b)、一般式(8b)に属する架橋ビス(置換または無置換インデニル)ジルコニウム化合物、架橋ビス(置換または無置換アズレニル)ジルコニウム化合物、架橋(置換または無置換インデニル)(置換または無置換アズレニル)ジルコニウム化合物や、日本国特表2002-535339号公報、日本国特開2004-352707号公報、等、既出文献に記載のあるもののうち、上記一般式(6b)、一般式(8b)に属する含酸素炭化水素基、含硫黄炭化水素基、炭化水素基置換シリル基等で置換されたインデニル環やアズレニル環を有するジルコニウム化合物、等が挙げられる。
架橋Ind2Zr型に分類されるメタロセン化合物を表b-11および表b-12に示す。
架橋Ind2Zr型に分類されるメタロセン化合物を表b-11および表b-12に示す。
(iii)架橋CpIndZr型に分類されるメタロセン化合物等や、日本国特開平6-87922号公報、日本国特開平8-92308号公報、日本国特開平9-87314号公報、日本国特開平7-224079号公報、日本国特開2005-336092号公報、等、既出文献に記載のあるもののうち、上記一般式(7b)、一般式(9b)に属するジルコニウム化合物等が挙げられる。
架橋CpIndZr型に分類されるメタロセン化合物を表b-13~表b-20に示す。
架橋CpIndZr型に分類されるメタロセン化合物を表b-13~表b-20に示す。
また、上記化合物のジルコニウムを、チタニウムまたはハフニウムに代えた化合物、等が挙げられる。さらに、これらのメタロセン化合物を成分(A-2b)として用いるに際しては、2種以上を用いることも可能である。
上記に例示した具体的化合物の中にあって、成分(A-2b)であるメタロセン化合物として、重合活性が高い点で好ましいものに「A」を付した。また、重合活性が高い点で好ましいものとして、例えば、二塩化1-インデニル-2-インデニル-ジメチルシリルジルコニウム等や、日本国特開平2-76887号公報、日本国特開平3-12406号公報、日本国特開平3-12407号公報、日本国特開平3-12407号公報、日本国特開平11-315089号公報、日本国特開2009-143901号公報、日本国特表2005-507961号公報、等、既出文献に記載のあるもののうち、上記一般式(2b)に属するケイ素架橋ビス(アルキル置換シクロペンタジエニル)ジルコニウム化合物で、該二個のシクロペンタジエニル環のアルキル置換基の合計が4個以上のもの、上記一般式(2b)に属する日本国特表2002-535339号公報等に記載された含酸素炭化水素基、含硫黄炭化水素基、炭化水素基置換シリル基等で置換されたシクロペンタジエニル環を有するジルコニウム化合物のうち、ケイ素架橋ビス(置換シクロペンタジエニル)構造を有し、かつ、該二個のシクロペンタジエニル環の置換基の合計が該含酸素炭化水素基等も含めて4個以上のもの、日本国特開平8-59724号公報、日本国特開平10-231314号公報、日本国特開2003-105029号公報、日本国特開2004-352707号公報、等、既出文献に記載のあるもののうち、上記一般式(6b)、一般式(8b)に属するケイ素架橋ビス(置換または無置換インデニル)ジルコニウム化合物、ケイ素架橋ビス(置換または無置換アズレニル)ジルコニウム化合物、ケイ素架橋(置換または無置換インデニル)(置換または無置換アズレニル)ジルコニウム化合物や、日本国特表2002-535339号公報、日本国特開2004-352707号公報、等、既出文献に記載のあるもののうち、上記一般式(6b)、一般式(8b)に属する含酸素炭化水素基、含硫黄炭化水素基、炭化水素基置換シリル基等で置換されたインデニル環やアズレニル環を有する、ケイ素架橋ビス(置換または無置換インデニル)、ケイ素架橋ビス(置換または無置換アズレニル)、ケイ素架橋(置換または無置換インデニル)(置換または無置換アズレニル)のジルコニウム化合物や、日本国特開平6-87922号公報、日本国特開平8-92308号公報、日本国特開平9-87314号公報、日本国特開平7-224079号公報、日本国特開2005-336092号公報、等、既出文献に記載のあるもののうち、上記一般式(7b)、一般式(9b)に属するジルコニウム化合物であって、架橋基で結合されたシクロペンタジエニル環および副環を有するシクロペンタジエニル環上の、上記含酸素炭化水素基等であってもよい置換基の合計が2個以上のもの、等が挙げられる。
同様に、上記に例示した具体的化合物において、成分(A-2b)であるメタロセン化合物として、成形性に優れる点で好ましいものに「B」を付した。また、成形性に優れる点で好ましいものとして、例えば、二塩化1-インデニル-2-インデニル-ジメチルシリルジルコニウム等や、日本国特開平2-76887号公報、日本国特開平3-12406号公報、日本国特開平3-12407号公報、日本国特開平3-12407号公報、日本国特開平11-315089号公報、日本国特開2009-143901号公報、日本国特表2005-507961号公報、等、既出文献に記載のあるもののうち、上記一般式(2b)に属し、かつ、少なくとも一方のシクロペンタジエニル環の2位がアルキル基で置換されており、かつ、少なくとももう一方のシクロペンタジエニル環の任意の位置がアルキル基で置換されている架橋ビス(アルキル置換シクロペンタジエニル)構造を有するジルコニウム化合物、ジメチルシリレンビス(2-(2-フリル)-3,5-ジメチルシクロペンタジエニル)ジルコニウムジクロリド等の上記一般式(2b)に属する日本国特表2002-535339号公報等に記載された含酸素炭化水素基、含硫黄炭化水素基、炭化水素基置換シリル基等で置換されたシクロペンタジエニル環を有するジルコニウム化合物のうち、少なくとも一方のシクロペンタジエニル環の2位が上記含酸素炭化水素基等またはアルキル基で置換されており、かつ、少なくとももう一方のシクロペンタジエニル環の任意の位置が上記含酸素炭化水素基等またはアルキル基で置換されている架橋ビス(置換シクロペンタジエニル)構造を有するジルコニウム化合物、日本国特開平8-59724号公報、日本国特開平10-231314号公報、日本国特開2003-105029号公報、日本国特開2004-352707号公報、等、既出文献に記載のあるもののうち、上記一般式(6b)、一般式(8b)に属するケイ素架橋または炭素架橋ビス(置換または無置換インデニル)ジルコニウム化合物、ケイ素架橋または炭素架橋ビス(置換または無置換アズレニル)ジルコニウム化合物、ケイ素架橋または炭素架橋架橋(置換または無置換インデニル)(置換または無置換アズレニル)ジルコニウム化合物や、日本国特表2002-535339号公報、日本国特開2004-352707号公報、等、既出文献に記載のあるもののうち、上記一般式(6b)、一般式(8b)に属する含酸素炭化水素基、含硫黄炭化水素基、炭化水素基置換シリル基等で置換されたインデニル環やアズレニル環を有し、かつそれらの環がケイ素架橋基または炭素架橋基によって架橋されているジルコニウム化合物や、日本国特開平6-87922号公報、日本国特開平8-92308号公報、日本国特開平9-87314号公報、日本国特開平7-224079号公報、日本国特開2005-336092号公報、等、既出文献に記載のあるもののうち、上記一般式(7b)、一般式(9b)に属するジルコニウム化合物であって、架橋基で結合されたシクロペンタジエニル環および副環を有するシクロペンタジエニル環上に、各々上記含酸素炭化水素基等であってもよい置換基を少なくとも1個以上有するもの、あるいは、少なくとも該副環を有するシクロペンタジエニル環の2位が上記含酸素炭化水素基等またはアルキル基で置換されているもの等が挙げられる。
また、上記に例示した具体的化合物において、成形性に優れる点でより好ましいものに「C」を付し、その他の例として、例えば、日本国特開平2-76887号公報、日本国特開平3-12406号公報、日本国特開平3-12407号公報、日本国特開平3-12407号公報、日本国特開平11-315089号公報、日本国特開2009-143901号公報、日本国特表2005-507961号公報、等、既出文献に記載のあるもののうち、上記一般式(2b)に属し、かつ、少なくとも一方のシクロペンタジエニル環の2位がアルキル基で置換されており、かつ、少なくとももう一方のシクロペンタジエニル環の2位または5位のアルキル基で置換されている架橋ビス(アルキル置換シクロペンタジエニル)構造を有するジルコニウム化合物、ジメチルシリレンビス(2-(2-フリル)-3,5-ジメチルシクロペンタジエニル)ジルコニウムジクロリド等の上記一般式(2b)に属する日本国特表2002-535339号公報等に記載された含酸素炭化水素基、含硫黄炭化水素基、炭化水素基置換シリル基等で置換されたシクロペンタジエニル環を有するジルコニウム化合物のうち、少なくとも一方のシクロペンタジエニル環の2位が上記含酸素炭化水素基等またはアルキル基で置換されており、かつ、少なくとももう一方のシクロペンタジエニル環の2位または5位が上記含酸素炭化水素基等またはアルキル基で置換されている架橋ビス(置換シクロペンタジエニル)構造を有するジルコニウム化合物、日本国特開平8-59724号公報、日本国特開平10-231314号公報、日本国特開2003-105029号公報、日本国特開2004-352707号公報、等、既出文献に記載のあるもののうち、上記一般式(6b)、一般式(8b)に属するケイ素架橋または炭素架橋ビス(置換または無置換インデニル)ジルコニウム化合物、ケイ素架橋または炭素架橋ビス(置換または無置換アズレニル)ジルコニウム化合物、ケイ素架橋または炭素架橋架橋(置換または無置換インデニル)(置換または無置換アズレニル)ジルコニウム化合物であり、かつ、少なくとも一方のインデニル環またはアズレニル環の2位がアルキル基で置換されているものや、日本国特表2002-535339号公報、日本国特開2004-352707号公報、等、既出文献に記載のあるもののうち、上記一般式(6b)、一般式(8b)に属する含酸素炭化水素基、含硫黄炭化水素基、炭化水素基置換シリル基等で2位の位置を置換されたインデニル環またはアズレニル環を有し、かつ、それらの環がケイ素架橋基または炭素架橋基によって架橋されているジルコニウム化合物や、日本国特開平6-87922号公報、日本国特開平8-92308号公報、日本国特開平9-87314号公報、日本国特開平7-224079号公報、日本国特開2005-336092号公報、等、既出文献に記載のあるもののうち、上記一般式(7b)、一般式(9b)に属するジルコニウム化合物であって、少なくとも該副環を有するシクロペンタジエニル環の2位が上記含酸素炭化水素基等またはアルキル基で置換されているもの等が挙げられる。
さらに、上記に例示した具体的化合物において、成形性に優れる点で更に好ましいものに「D」を付し、その他の例として、例えば、日本国特開平6-87922号公報、日本国特開平8-92308号公報、日本国特開平9-87314号公報、日本国特開平7-224079号公報、日本国特開2005-336092号公報、等、既出文献に記載のあるもののうち、上記一般式(7b)、一般式(9b)に属するジルコニウム化合物であって、少なくとも該副環を有するシクロペンタジエニル環の2位が上記含酸素炭化水素基等またはアルキル基で置換されているもの等が挙げられる。
さらにまた、上記に例示した具体的化合物において、成形性に優れる点で特に好ましいものに「E」を付し、その他の例として、例えば、日本国特開平6-87922号公報、日本国特開平8-92308号公報、日本国特開平9-87314号公報、日本国特開平7-224079号公報、日本国特開2005-336092号公報、等、既出文献に記載のあるもののうち、上記一般式(7b)、一般式(9b)に属するジルコニウム化合物であって、少なくとも該副環を有するシクロペンタジエニル環の2位が上記含酸素炭化水素基等で置換されているもの等が挙げられる。
本発明に係わる成分(A-2b)であるメタロセン化合物の合成例を以下に示すが、これらの合成方法に、特に限定されない。
例えば、インデン化合物をリチオ化した後、ジクロロシラン化合物と反応させ、続いてシクロペンタジエニルリチウムと反応させることで配位子が得られる。得られた配位子をテトラキス(アルキルアミド)ジルコニウム、続いてトリメチルシリルクロリドと反応させる方法、または、得られた配位子をリチオ化し、続いて四塩化ジルコニウムと反応させる方法などが挙げられる。
例えば、インデン化合物をリチオ化した後、ジクロロシラン化合物と反応させ、続いてシクロペンタジエニルリチウムと反応させることで配位子が得られる。得られた配位子をテトラキス(アルキルアミド)ジルコニウム、続いてトリメチルシリルクロリドと反応させる方法、または、得られた配位子をリチオ化し、続いて四塩化ジルコニウムと反応させる方法などが挙げられる。
IV-2.本発明の成分(Ac)を含むオレフィン重合用触媒成分
本発明のオレフィン重合用触媒成分の第2の態様は、次に定義される成分(Ac)を必須成分として含む。
成分(Ac):下記一般式(1c)で表されるシクロペンタジエニル環とインデニル環を架橋し、さらにインデニル環の4位の特定の置換基を有するメタロセン化合物
本発明のオレフィン重合用触媒成分の第2の態様は、次に定義される成分(Ac)を必須成分として含む。
成分(Ac):下記一般式(1c)で表されるシクロペンタジエニル環とインデニル環を架橋し、さらにインデニル環の4位の特定の置換基を有するメタロセン化合物
[式(1c)中、M1cは、Ti、ZrまたはHfのいずれかの遷移金属を示す。X1cおよびX2cは、それぞれ独立して、水素原子、ハロゲン原子、炭素数1~20の炭化水素基、酸素原子若しくは窒素原子を含む炭素数1~20の炭化水素基、炭素数1~20の炭化水素基置換アミノ基または炭素数1~20のアルコキシ基を示す。Q1cとQ2cは、各々独立して、炭素原子、ケイ素原子またはゲルマニウム原子を示す。R1cは、それぞれ独立して、水素原子または炭素数1~10の炭化水素基を示し、4つのR1cのうち少なくとも2つが結合してQ1cおよびQ2cと一緒に環を形成していてもよい。mcは、0または1であり、mcが0の場合、Q1cは、R2cを含む共役5員環と直接結合している。R2cおよびR4cは、それぞれ独立して、水素原子、ハロゲン原子、炭素数1~20の炭化水素基、ケイ素数1~6を含む炭素数1~18のケイ素含有炭化水素基、炭素数1~20のハロゲン含有炭化水素基、酸素原子を含む炭素数1~20の炭化水素基または炭素数1~20の炭化水素基置換シリル基を示す。R3cは、下記一般式(1-ac)で示される置換アリール基を示す。]
[式(1-ac)中、Y1cは、周期表14族、15族または16族の原子を示す。R5c、R6c、R7c、R8cおよびR9cは、それぞれ独立して、水素原子、塩素原子、臭素原子、炭素数1~20の炭化水素基、酸素若しくは窒素を含む炭素数1~20の炭化水素基、炭素数1~20の炭化水素基置換アミノ基、炭素数1~20のアルコキシ基、ケイ素数1~6を含む炭素数1~18のケイ素含有炭化水素基、炭素数1~20のハロゲン含有炭化水素基、または炭素数1~20の炭化水素基置換シリル基を示し、R5c、R6c、R7c、R8cおよびR9cは隣接する基同士で結合して、それらに結合している原子と一緒に環を形成していてもよい。ncは、0または1であり、ncが0の場合、Y1cに置換基R5cが存在しない。pcは、0または1であり、pcが0の場合、R7cが結合する炭素原子とR9cが結合する炭素原子は直接結合している。Y1cが炭素原子の場合、R5c、R6c、R7c、R8c、R9cのうち少なくとも1つは水素原子ではない。]
上記一般式(1c)中、メタロセン化合物のM1cは、Ti、ZrまたはHfを表し、メタロセン化合物のM1cは、好ましくはZrまたはHfを表し、メタロセン化合物のM1cは、更に好ましくはZrを表す。
また、X1cおよびX2cは、それぞれ独立して、水素原子、または塩素原子、臭素原子、ヨウ素原子、またはメチル基、エチル基、n-プロピル基、i-プロピル基、n-ブチル基、i-ブチル基、t-ブチル基、n-ペンチル基、ネオペンチル基、シクロペンチル基、n-ヘキシル基、シクロヘキシル基、フェニル基、ベンジル基、メトキシメチル基、エトキシメチル基、n-プロポキシメチル基、i-プロポキシメチル基、n-ブトキシメチル基、i-ブトキシメチル基、t-ブトキシメチル基、メトキシエチル基、エトキシエチル基、アセチル基、1-オキソプロピル基、1-オキソ-n-ブチル基、2-メチル-1-オキソプロピル基、2,2-ジメチル-1-オキソ-プロピル基、フェニルアセチル基、ジフェニルアセチル基、ベンゾイル基、2-メトキシフェニル基、3-メトキシフェニル基、4-メトキシフェニル基、2-フリル基、2-テトラヒドロフリル基、ジメチルアミノメチル基、ジエチルアミノメチル基、ジi-プロピルアミノメチル基、ビス(ジメチルアミノ)メチル基、ビス(ジi-プロピルアミノ)メチル基、(ジメチルアミノ)(フェニル)メチル基、メチルイミノ基、エチルイミノ基、1-(メチルイミノ)エチル基、1-(フェニルイミノ)エチル基、1-[(フェニルメチル)イミノ]エチル基、エトキシ基、n-プロポキシ基、i-プロポキシ基、n-ブトキシ基、i-ブトキシ基、t-ブトキシ基、フェノキシ基、ジメチルアミノ基、ジエチルアミノ基、ジn-プロピルアミノ基、ジi-プロピルアミノ基、ジn-ブチルアミノ基、ジi-ブチルアミノ基、ジt-ブチルアミノ基、ジフェニルアミノ基などが挙げられる。
好ましいX1cおよびX2cの具体例としては、塩素原子、臭素原子、メチル基、n-ブチル基、i-ブチル基、メトキシ基、エトキシ基、i-プロポキシ基、n-ブトキシ基、フェノキシ基、ジメチルアミノ基、ジi-プロピルアミノ基が挙げられる。これらの具体例の中でも、塩素原子、メチル基、ジメチルアミノ基が特に好ましい。
また、X1cおよびX2cは、それぞれ独立して、水素原子、または塩素原子、臭素原子、ヨウ素原子、またはメチル基、エチル基、n-プロピル基、i-プロピル基、n-ブチル基、i-ブチル基、t-ブチル基、n-ペンチル基、ネオペンチル基、シクロペンチル基、n-ヘキシル基、シクロヘキシル基、フェニル基、ベンジル基、メトキシメチル基、エトキシメチル基、n-プロポキシメチル基、i-プロポキシメチル基、n-ブトキシメチル基、i-ブトキシメチル基、t-ブトキシメチル基、メトキシエチル基、エトキシエチル基、アセチル基、1-オキソプロピル基、1-オキソ-n-ブチル基、2-メチル-1-オキソプロピル基、2,2-ジメチル-1-オキソ-プロピル基、フェニルアセチル基、ジフェニルアセチル基、ベンゾイル基、2-メトキシフェニル基、3-メトキシフェニル基、4-メトキシフェニル基、2-フリル基、2-テトラヒドロフリル基、ジメチルアミノメチル基、ジエチルアミノメチル基、ジi-プロピルアミノメチル基、ビス(ジメチルアミノ)メチル基、ビス(ジi-プロピルアミノ)メチル基、(ジメチルアミノ)(フェニル)メチル基、メチルイミノ基、エチルイミノ基、1-(メチルイミノ)エチル基、1-(フェニルイミノ)エチル基、1-[(フェニルメチル)イミノ]エチル基、エトキシ基、n-プロポキシ基、i-プロポキシ基、n-ブトキシ基、i-ブトキシ基、t-ブトキシ基、フェノキシ基、ジメチルアミノ基、ジエチルアミノ基、ジn-プロピルアミノ基、ジi-プロピルアミノ基、ジn-ブチルアミノ基、ジi-ブチルアミノ基、ジt-ブチルアミノ基、ジフェニルアミノ基などが挙げられる。
好ましいX1cおよびX2cの具体例としては、塩素原子、臭素原子、メチル基、n-ブチル基、i-ブチル基、メトキシ基、エトキシ基、i-プロポキシ基、n-ブトキシ基、フェノキシ基、ジメチルアミノ基、ジi-プロピルアミノ基が挙げられる。これらの具体例の中でも、塩素原子、メチル基、ジメチルアミノ基が特に好ましい。
また、Q1cとQ2cは、各々独立して、炭素原子、ケイ素原子またはゲルマニウム原子を示す。好ましくは炭素原子またはケイ素原子である。より好ましくはケイ素原子である。
さらに、R1cとしては、それぞれ独立して、水素原子、メチル基、エチル基、n-プロピル基、i-プロピル基、n-ブチル基、i-ブチル基、t-ブチル基、n-ペンチル基、ネオペンチル基、シクロペンチル基、n-ヘキシル基、シクロヘキシル基、フェニル基などが挙げられる。また、R1cがQ1cおよびQ2cと一緒に環を形成している場合として、シクロブチリデン基、シクロペンチリデン基、シクロへキシリデン基、シラシクロブチル基、シラシクロペンチル基、シラシクロヘキシル基などが挙げられる。
好ましいR1cの具体例として、Q1cまたは/およびQ2cが炭素原子の場合、水素原子、メチル基、エチル基、フェニル基、シクロブチリデン基が挙げられ、また、Q1cまたは/およびQ2cがケイ素原子の場合、メチル基、エチル基、フェニル基、シラシクロブチル基が挙げられる。
さらに、R1cとしては、それぞれ独立して、水素原子、メチル基、エチル基、n-プロピル基、i-プロピル基、n-ブチル基、i-ブチル基、t-ブチル基、n-ペンチル基、ネオペンチル基、シクロペンチル基、n-ヘキシル基、シクロヘキシル基、フェニル基などが挙げられる。また、R1cがQ1cおよびQ2cと一緒に環を形成している場合として、シクロブチリデン基、シクロペンチリデン基、シクロへキシリデン基、シラシクロブチル基、シラシクロペンチル基、シラシクロヘキシル基などが挙げられる。
好ましいR1cの具体例として、Q1cまたは/およびQ2cが炭素原子の場合、水素原子、メチル基、エチル基、フェニル基、シクロブチリデン基が挙げられ、また、Q1cまたは/およびQ2cがケイ素原子の場合、メチル基、エチル基、フェニル基、シラシクロブチル基が挙げられる。
また、R2cとR4cは、水素原子、塩素原子、臭素原子、ヨウ素原子、メチル基、エチル基、n-プロピル基、i-プロピル基、n-ブチル基、i-ブチル基、t-ブチル基、n-ペンチル基、ネオペンチル基、シクロペンチル基、n-ヘキシル基、シクロヘキシル基、フェニル基、ベンジル基、2-メチルフェニル基、3-メチルフェニル基、4-メチルフェニル基、3,5-ジメチルフェニル基、4-t-ブチルフェニル基、3,5-ジ-t-ブチルフェニル基、ビス(トリメチルシリル)メチル基、ビス(t-ブチルジメチルシリル)メチル基、ブロモメチル基、クロロメチル基、2-クロロエチル基、2-ブロモエチル基、2-ブロモプロピル基、3-ブロモプロピル基、2-ブロモシクロペンチル基、2,3-ジブロモシクロペンチル基、2-ブロモ-3-ヨードシクロペンチル基、2,3-ジブロモシクロヘキシル基、2-クロロ-3-ヨードシクロヘキシル基、2-クロロフェニル基、4-クロロフェニル基、2,3,4,5,6-ペンタフルオロフェニル基、4-トリフルオロメチルフェニル基、フリル基、テトラヒドロフリル基、2-メチルフリル基、トリメチルシリル基、トリt-ブチルシリル基、ジt-ブチルメチルシリル基、t-ブチルジメチルシリル基、トリフェニルシリル基、ジフェニルメチルシリル基、フェニルジメチルシリル基などが挙げられる。
また、R2cとR4cは、炭素数1~20の炭化水素基、ケイ素数1~6を含む炭素数1~18のケイ素含有炭化水素基、炭素数1~20のハロゲン含有炭化水素基、酸素原子を含む炭素数1~20の炭化水素基または炭素数1~20の炭化水素基置換シリル基であると、特に重合活性が高くなるので、好ましい。
R2cとR4cの好ましい具体例としては、水素原子、メチル基、エチル基、n-プロピル基、i-プロピル基、n-ブチル基、t-ブチル基、n-ペンチル基、n-ヘキシル基、シクロヘキシル基、フェニル基、2-メチルフリル基、トリメチルシリル基が挙げられる。これらの具体例の中でも、水素原子、メチル基、n-ブチル基、t-ブチル基、フェニル基、トリメチルシリル基がさらに好ましく、水素原子、メチル基、t-ブチル基、フェニル基、トリメチルシリル基が特に好ましい。
また、R2cとR4cは、炭素数1~20の炭化水素基、ケイ素数1~6を含む炭素数1~18のケイ素含有炭化水素基、炭素数1~20のハロゲン含有炭化水素基、酸素原子を含む炭素数1~20の炭化水素基または炭素数1~20の炭化水素基置換シリル基であると、特に重合活性が高くなるので、好ましい。
R2cとR4cの好ましい具体例としては、水素原子、メチル基、エチル基、n-プロピル基、i-プロピル基、n-ブチル基、t-ブチル基、n-ペンチル基、n-ヘキシル基、シクロヘキシル基、フェニル基、2-メチルフリル基、トリメチルシリル基が挙げられる。これらの具体例の中でも、水素原子、メチル基、n-ブチル基、t-ブチル基、フェニル基、トリメチルシリル基がさらに好ましく、水素原子、メチル基、t-ブチル基、フェニル基、トリメチルシリル基が特に好ましい。
置換基のR3cは、上記一般式(1-ac)で示される構造を有する置換アリール基、好ましくは、特定の置換基を有するPh基、またはフリル基類、チエニル基類を示す。具体的には、4-トリメチルシリルフェニル基、4-(t-ブチルジメチルシリル)フェニル基、4-(3,5-ビストリメチルシリル)フェニル基、4-クロロフェニル基、4-ブロモフェニル基、3,5-ジクロロフェニル基、2,4,6-トリクロロフェニル基、4-メトキシフェニル基、4-エトキシフェニル基、4-イソプロポキシフェニル基、4-n-ブトキシフェニル基、2-フリル基、2-(5-メチル)フリル基、2-(5-t-ブチル)フリル基、2-(5-トリメチルシリル)フリル基、2-(2,3-ジメチル)フリル基、2-ベンゾフリル基、2-チエニル基、2-(5-メチル)チエニル基、2-(5-t-ブチル)チエニル基、2-(5-トリメチルシリル)チエニル基、2-(2,3-ジメチル)チエニル基、などが挙げられる。
また、一般式(1)中、mcは、0または1であり、mcが0の場合、Q1cは、R2cを含む共役5員環と直接結合している。
本発明のメタロセン化合物は、下記一般式(2c)で示されるものが好ましい。
上記の一般式(2c)で示されるメタロセン化合物において、M1c、X1c、X2c、Q1c、R1c、R2cおよびR4cは、前述の一般式(1c)で示されるメタロセン化合物の説明で示した原子および基と同様な構造を選択することができる。また、R10cは前述の一般式(1c)で示されるメタロセン化合物の説明で示したR5c、R6c、R7c、R8cおよびR9cの原子および基と同様な構造を選択することができる。
また、本発明のメタロセン化合物は、下記一般式(3c)で示されるものも一般式(2c)と同様に好ましい。
上記の一般式(3c)で示されるメタロセン化合物において、M1c、X1c、X2c、Q1c、R1c、R2cおよびR4cは、前述の一般式(1c)で示されるメタロセン化合物の説明で示した原子および基と同様な構造を選択することができる。また、R12c、R13cおよびR14cは、前述の一般式(1c)で示されるメタロセン化合物の説明で示したR5c、R6c、R7c、R8cおよびR9cの原子および基と同様な構造を選択することができる。そしてZ1cは、酸素原子または硫黄原子を示す。
一般式(3c)で示されるメタロセン化合物の具体例を一般式(4c)と表c-1~表c-5で示すが、これらに限定するものではない。
上記化合物のジルコニウムを、チタニウムまたはハフニウムに代えた化合物、等が好ましいものとして挙げられる。
また、上記に例示した具体的化合物の中にあって、必須成分(Ac)であるメタロセン化合物として好ましいものを以下に示す。例えば、表c-1~表c-5中の、1c~10c、12c~65c、67c~80c、95c~143c、等が挙げられる。
また、上記化合物のジルコニウムを、チタニウムまたはハフニウムに代えた化合物、等が好ましいものとして挙げられる。
また、上記化合物のジルコニウムを、チタニウムまたはハフニウムに代えた化合物、等が好ましいものとして挙げられる。
また、上記に例示した具体的化合物の中にあって、必須成分(Ac)であるメタロセン化合物として、特に好ましいものを以下に示す。例えば、表c-1~表c-5中の、1c~4c、7c、8c、12c~38c、44c~47c、52c~59c、62c、63c、67c~80c、116c~123c、127c~136c、142c、143c、等が挙げられる。
また、上記化合物のジルコニウムを、チタニウムまたはハフニウムに代えた化合物、等が好ましいものとして挙げられる。
また、上記化合物のジルコニウムを、チタニウムまたはハフニウムに代えた化合物、等が好ましいものとして挙げられる。
さらに、上記に例示した具体的化合物の中にあって、必須成分(Ac)であるメタロセン化合物として、特に重合活性が高い点で好ましいものを以下に示す。例えば、表c-1~表c-5中の、1c~8c、12c~38c、44c~47c、52c~63c、67c~80c、116c~123c、127c~136c、142c、143c、等が挙げられる。
また、上記化合物のジルコニウムを、チタニウムまたはハフニウムに代えた化合物、等が好ましいものとして挙げられる。
また、上記化合物のジルコニウムを、チタニウムまたはハフニウムに代えた化合物、等が好ましいものとして挙げられる。
さらに、上記に例示した具体的化合物の中にあって、必須成分(Ac)であるメタロセン化合物として、特に成形性に優れる点で好ましいものを以下に示す。例えば、表c-1~表c-5中の、1c~4c、7c~10c、12c~59c、62c~65c、67c~80c、95c~143c、等が挙げられる。
また、上記化合物のジルコニウムを、チタニウムまたはハフニウムに代えた化合物、等が好ましいものとして挙げられる。
また、上記化合物のジルコニウムを、チタニウムまたはハフニウムに代えた化合物、等が好ましいものとして挙げられる。
さらに、これらのメタロセン化合物を成分(Ac)として用いるに際しては、2種以上を用いることも可能である。
メタロセン化合物の合成法:
本発明のメタロセン化合物は、置換基ないし結合の様式によって、任意の方法によって合成することができる。代表的な合成経路の一例を下記に示す。
本発明のメタロセン化合物は、置換基ないし結合の様式によって、任意の方法によって合成することができる。代表的な合成経路の一例を下記に示す。
上記合成経路において、化合物1と4-トリメチルシリルフェニルボロン酸を、パラジウム触媒の存在下でカップリング反応を行うことにより、化合物2が得られる。化合物2を1当量のn-ブチルリチウムなどでアニオン化した後、過剰量のジメチルジクロロシランと反応させ、未反応のジメチルジクロロシランを留去することで、化合物3が得られる。得られた化合物3とソジウムシクロペンタジエニリドと反応させると化合物4が得られる。化合物4を2当量のn-ブチルリチウムなどでジアニオン化した後、四塩化ジルコニウムとの反応でメタロセン化合物5が得られる。置換基を導入したメタロセン化合物の合成は、対応した置換原料を使用することにより合成することができ、4-トリメチルシリルフェニルボロン酸のかわりに、対応するボロン酸、たとえば4-クロロフェニルボロン酸、4-メトキシフェニルボロン酸、5-メチルフリル-2-ボロン酸、4,5-ジメチルフリル-2-ボロン酸、2-チエニルボロン酸などを用いることにより、インデニル環の4位にそれぞれ対応する置換基を導入することができる。
IV-3.本発明のオレフィン重合用触媒成分(A-1b)および(A-2b)を含む本発明のオレフィン重合用触媒、または本発明のオレフィン重合用触媒成分(Ac)を含む本発明のオレフィン重合用触媒
本発明のオレフィン重合用触媒は、次の成分(A)および成分(B)を含み、所望により、成分(C)を更に含んで構成される。
成分(A):上記で規定された本発明のオレフィン重合用触媒成分
成分(B):成分(A)と反応してカチオン性メタロセン化合物を生成させる化合物
成分(C):微粒子担体
以下、本発明のオレフィン重合用触媒について項目毎に説明する(以下、本発明のオレフィン重合用触媒成分のことを成分(A)または単にAと記すこともある。)。
本発明のオレフィン重合用触媒は、次の成分(A)および成分(B)を含み、所望により、成分(C)を更に含んで構成される。
成分(A):上記で規定された本発明のオレフィン重合用触媒成分
成分(B):成分(A)と反応してカチオン性メタロセン化合物を生成させる化合物
成分(C):微粒子担体
以下、本発明のオレフィン重合用触媒について項目毎に説明する(以下、本発明のオレフィン重合用触媒成分のことを成分(A)または単にAと記すこともある。)。
IV-3(1).成分(B)
本発明のオレフィン重合用触媒は、成分(B)として、成分(A)のメタロセン化合物と反応してカチオン性メタロセン化合物を生成させる化合物(以下、成分(B)または単にBと記すこともある。)を含み、好ましくは、成分(B)および微粒子担体(好ましい成分(C)、以下、単にCと記すこともある。)を含む。
本発明のオレフィン重合用触媒は、成分(B)として、成分(A)のメタロセン化合物と反応してカチオン性メタロセン化合物を生成させる化合物(以下、成分(B)または単にBと記すこともある。)を含み、好ましくは、成分(B)および微粒子担体(好ましい成分(C)、以下、単にCと記すこともある。)を含む。
メタロセン化合物(A)と反応してカチオン性メタロセン化合物を形成する化合物(B)の一つとして、有機アルミニウムオキシ化合物が挙げられる。
上記有機アルミニウムオキシ化合物は、分子中に、Al-O-Al結合を有し、その結合数は通常1~100、好ましくは1~50個の範囲にある。このような有機アルミニウムオキシ化合物は、通常、有機アルミニウム化合物と水とを反応させて得られる生成物である。
有機アルミニウムと水との反応は、通常、不活性炭化水素(溶媒)中で行われる。不活性炭化水素としては、ペンタン、ヘキサン、ヘプタン、シクロヘキサン、メチルシクロヘキサン、ベンゼン、トルエン、キシレン等の脂肪族炭化水素、脂環族炭化水素及び芳香族炭化水素が使用できるが、脂肪族炭化水素又は芳香族炭化水素を使用することが好ましい。
上記有機アルミニウムオキシ化合物は、分子中に、Al-O-Al結合を有し、その結合数は通常1~100、好ましくは1~50個の範囲にある。このような有機アルミニウムオキシ化合物は、通常、有機アルミニウム化合物と水とを反応させて得られる生成物である。
有機アルミニウムと水との反応は、通常、不活性炭化水素(溶媒)中で行われる。不活性炭化水素としては、ペンタン、ヘキサン、ヘプタン、シクロヘキサン、メチルシクロヘキサン、ベンゼン、トルエン、キシレン等の脂肪族炭化水素、脂環族炭化水素及び芳香族炭化水素が使用できるが、脂肪族炭化水素又は芳香族炭化水素を使用することが好ましい。
有機アルミニウムオキシ化合物の調製に用いる有機アルミニウム化合物は、下記一般式(11b)で表される化合物がいずれも使用可能であるが、好ましくはトリアルキルアルミニウムが使用される。
R23b tAlX21b 3-t・・・式(11b)
(式中、R23bは、炭素数1~18、好ましくは1~12のアルキル基、アルケニル基、アリール基、アラルキル基等の炭化水素基を示し、X21bは、水素原子又はハロゲン原子を示し、tは、1≦t≦3の整数を示す。)
R23b tAlX21b 3-t・・・式(11b)
(式中、R23bは、炭素数1~18、好ましくは1~12のアルキル基、アルケニル基、アリール基、アラルキル基等の炭化水素基を示し、X21bは、水素原子又はハロゲン原子を示し、tは、1≦t≦3の整数を示す。)
トリアルキルアルミニウムのアルキル基は、メチル基、エチル基、プロピル基、イソプロピル基、ブチル基、イソブチル基、ペンチル基、ヘキシル基、オクチル基、デシル基、ドデシル基等のいずれでも差し支えないが、メチル基であることが特に好ましい。
上記有機アルミニウム化合物は、2種以上混合して使用することもできる。
上記有機アルミニウム化合物は、2種以上混合して使用することもできる。
水と有機アルミニウム化合物との反応比(水/Alモル比)は、0.25/1~1.2/1、特に、0.5/1~1/1であることが好ましく、反応温度は、通常-70~100℃、好ましくは-20~20℃の範囲にある。反応時間は、通常5分~24時間、好ましくは10分~5時間の範囲で選ばれる。反応に要する水として、単なる水のみならず、硫酸銅水和物、硫酸アルミニウム水和物等に含まれる結晶水や反応系中に水が生成しうる成分も利用することもできる。
なお、上記した有機アルミニウムオキシ化合物のうち、アルキルアルミニウムと水とを反応させて得られるものは、通常、アルミノキサンと呼ばれ、特にメチルアルミノキサン(実質的にメチルアルミノキサン(MAO)からなるものを含む)は、有機アルミニウムオキシ化合物として、好適である。
もちろん、有機アルミニウムオキシ化合物として、上記した各有機アルミニウムオキシ化合物の2種以上を組み合わせて使用することもでき、また、前記有機アルミニウムオキシ化合物を前述の不活性炭化水素溶媒に溶液または分散させた溶液としたものを用いても良い。
なお、上記した有機アルミニウムオキシ化合物のうち、アルキルアルミニウムと水とを反応させて得られるものは、通常、アルミノキサンと呼ばれ、特にメチルアルミノキサン(実質的にメチルアルミノキサン(MAO)からなるものを含む)は、有機アルミニウムオキシ化合物として、好適である。
もちろん、有機アルミニウムオキシ化合物として、上記した各有機アルミニウムオキシ化合物の2種以上を組み合わせて使用することもでき、また、前記有機アルミニウムオキシ化合物を前述の不活性炭化水素溶媒に溶液または分散させた溶液としたものを用いても良い。
本発明のオレフィン重合用触媒成分の成分(B)として、有機アルミニウムオキシ化合物を用いると、得られるエチレン系重合体の歪硬化度(λmax)が大きくなったり、高分子量成分含有量の尺度であるMz/Mw(ここで、MzはGPCで測定されるZ平均分子量、Mwは同重量平均分子量を示す。)が大きくなって、成形性がより改善されるので好ましい。
また、メタロセン化合物(A)と反応してカチオン性メタロセン化合物を形成する化合物(B)の他の具体例として、ボラン化合物やボレート化合物が挙げられる。
上記ボラン化合物をより具体的に表すと、トリフェニルボラン、トリ(o-トリル)ボラン、トリ(p-トリル)ボラン、トリ(m-トリル)ボラン、トリ(o-フルオロフェニル)ボラン、トリス(p-フルオロフェニル)ボラン、トリス(m-フルオロフェニル)ボラン、トリス(2,5-ジフルオロフェニル)ボラン、トリス(3,5-ジフルオロフェニル)ボラン、トリス(4-トリフルオロメチルフェニル)ボラン、トリス(3,5―ジトリフルオロメチルフェニル)ボラン、トリス(2,6-ジトリフルオロメチルフェニル)ボラン、トリス(ペンタフルオロフェニル)ボラン、トリス(パーフルオロナフチル)ボラン、トリス(パーフルオロビフェニル)、トリス(パーフルオロアントリル)ボラン、トリス(パーフルオロビナフチル)ボランなどが挙げられる。
上記ボラン化合物をより具体的に表すと、トリフェニルボラン、トリ(o-トリル)ボラン、トリ(p-トリル)ボラン、トリ(m-トリル)ボラン、トリ(o-フルオロフェニル)ボラン、トリス(p-フルオロフェニル)ボラン、トリス(m-フルオロフェニル)ボラン、トリス(2,5-ジフルオロフェニル)ボラン、トリス(3,5-ジフルオロフェニル)ボラン、トリス(4-トリフルオロメチルフェニル)ボラン、トリス(3,5―ジトリフルオロメチルフェニル)ボラン、トリス(2,6-ジトリフルオロメチルフェニル)ボラン、トリス(ペンタフルオロフェニル)ボラン、トリス(パーフルオロナフチル)ボラン、トリス(パーフルオロビフェニル)、トリス(パーフルオロアントリル)ボラン、トリス(パーフルオロビナフチル)ボランなどが挙げられる。
これらの中でも、トリス(3,5―ジトリフルオロメチルフェニル)ボラン、トリス(2,6-ジトリフルオロメチルフェニル)ボラン、トリス(ペンタフルオロフェニル)ボラン、トリス(パーフルオロナフチル)ボラン、トリス(パーフルオロビフェニル)ボラン、トリス(パーフルオロアントリル)ボラン、トリス(パーフルオロビナフチル)ボランがより好ましく、さらに好ましくはトリス(2,6-ジトリフルオロメチルフェニル)ボラン、トリス(ペンタフルオロフェニル)ボラン、トリス(パーフルオロナフチル)ボラン、トリス(パーフルオロビフェニル)ボランが好ましい化合物として例示される。
また、ボレート化合物を具体的に表すと、第1の例は、次の一般式(12b)で示される化合物である。
[L1b-H]+[BR24bR25bX31bX32b]-・・・式(12b)
式(12b)中、L1bは、中性ルイス塩基であり、Hは、水素原子であり、[L1b-H]は、アンモニウム、アニリニウム、ホスフォニウム等のブレンステッド酸である。
アンモニウムとしては、トリメチルアンモニウム、トリエチルアンモニウム、トリプロピルアンモニウム、トリブチルアンモニウム、トリ(n-ブチル)アンモニウムなどのトリアルキル置換アンモニウム、ジ(n-プロピル)アンモニウム、ジシクロヘキシルアンモニウムなどのジアルキルアンモニウムを例示できる。
[L1b-H]+[BR24bR25bX31bX32b]-・・・式(12b)
式(12b)中、L1bは、中性ルイス塩基であり、Hは、水素原子であり、[L1b-H]は、アンモニウム、アニリニウム、ホスフォニウム等のブレンステッド酸である。
アンモニウムとしては、トリメチルアンモニウム、トリエチルアンモニウム、トリプロピルアンモニウム、トリブチルアンモニウム、トリ(n-ブチル)アンモニウムなどのトリアルキル置換アンモニウム、ジ(n-プロピル)アンモニウム、ジシクロヘキシルアンモニウムなどのジアルキルアンモニウムを例示できる。
また、アニリニウムとしては、N,N-ジメチルアニリニウム、N,N-ジエチルアニリニウム、N,N-2,4,6-ペンタメチルアニリニウムなどのN,N-ジアルキルアニリニウムが例示できる。
さらに、ホスフォニウムとしては、トリフェニルホスフォニウム、トリブチルホスホニウム、トリ(メチルフェニル)ホスフォニウム、トリ(ジメチルフェニル)ホスフォニウムなどのトリアリールホスフォニウム、トリアルキルホスフォニウムが挙げられる。
さらに、ホスフォニウムとしては、トリフェニルホスフォニウム、トリブチルホスホニウム、トリ(メチルフェニル)ホスフォニウム、トリ(ジメチルフェニル)ホスフォニウムなどのトリアリールホスフォニウム、トリアルキルホスフォニウムが挙げられる。
また、式(12b)中、R24bおよびR25bは、各々独立して、6~20、好ましくは6~16の炭素原子を含む、同じか又は異なる芳香族又は置換芳香族炭化水素基で、架橋基によって互いに連結されていてもよく、置換芳香族炭化水素基の置換基としては、メチル基、エチル基、プロピル基、イソプロピル基等に代表されるアルキル基やフッ素、塩素、臭素、ヨウ素等のハロゲン原子が好ましい。
さらに、X31b及びX32bは、各々独立して、ハイドライド基、ハライド基、1~20の炭素原子を含む炭化水素基、1個以上の水素原子がハロゲン原子によって置換された1~20の炭素原子を含む置換炭化水素基である。
さらに、X31b及びX32bは、各々独立して、ハイドライド基、ハライド基、1~20の炭素原子を含む炭化水素基、1個以上の水素原子がハロゲン原子によって置換された1~20の炭素原子を含む置換炭化水素基である。
上記一般式(12b)で表される化合物の具体例としては、トリブチルアンモニウムテトラ(ペンタフルオロフェニル)ボレート、トリブチルアンモニウムテトラ(2,6-ジトリフルオロメチルフェニル)ボレート、トリブチルアンモニウムテトラ(3,5-ジトリフルオロメチルフェニル)ボレート、トリブチルアンモニウムテトラ(2,6-ジフルオロフェニル)ボレート、トリブチルアンモニウムテトラ(パーフルオロナフチル)ボレート、ジメチルアニリニウムテトラ(ペンタフルオロフェニル)ボレート、ジメチルアニリニウムテトラ(2,6-ジトリフルオロメチルフェニル)ボレート、ジメチルアニリニウムテトラ(3,5-ジトリフルオロメチルフェニル)ボレート、ジメチルアニリニウムテトラ(2,6-ジフルオロフェニル)ボレート、ジメチルアニリニウムテトラ(パーフルオロナフチル)ボレート、トリフェニルホスホニウムテトラ(ペンタフルオロフェニル)ボレート、トリフェニルホスホニウムテトラ(2,6-ジトリフルオロメチルフェニル)ボレート、トリフェニルホスホニウムテトラ(3,5-ジトリフルオロメチルフェニル)ボレート、トリフェニルホスホニウムテトラ(2,6-ジフルオロフェニル)ボレート、トリフェニルホスホニウムテトラ(パーフルオロナフチル)ボレート、トリメチルアンモニウムテトラ(2,6-ジトリフルオロメチルフェニル)ボレート、トリエチルアンモニウムテトラ(ペンタフルオロフェニル)ボレート、トリエチルアンモニウムテトラ(2,6-ジトリフルオロメチルフェニル)ボレート、トリエチルアンモニウムテトラ(パーフルオロナフチル)ボレート、トリプロピルアンモニウムテトラ(ペンタフルオロフェニル)ボレート、トリプロピルアンモニウムテトラ(2,6-ジトリフルオロメチルフェニル)ボレート、トリプロピルアンモニウムテトラ(パーフルオロナフチル)ボレート、ジ(1-プロピル)アンモニウムテトラ(ペンタフルオロフェニル)ボレート、ジシクロヘキシルアンモニウムテトラフェニルボレートなどを例示することができる。
これらの中でも、トリブチルアンモニウムテトラ(ペンタフルオロフェニル)ボレート、トリブチルアンモニウムテトラ(2,6-ジトリフルオロメチルフェニル)ボレート、トリブチルアンモニウムテトラ(3,5-ジトリフルオロメチルフェニル)ボレート、トリブチルアンモニウムテトラ(パーフルオロナフチル)ボレート、ジメチルアニリニウムテトラ(ペンタフルオロフェニル)ボレート、ジメチルアニリニウムテトラ(2,6-ジトリフルオロメチルフェニル)ボレート、ジメチルアニリニウムテトラ(3,5-ジトリフルオロメチルフェニル)ボレート、ジメチルアニリニウムテトラ(パーフルオロナフチル)ボレートが好ましい。
また、ボレート化合物の第2の例は、次の一般式(13b)で表される。
[L2b]+[BR26bR27bX41bX42b]-・・・式(13b)
式(13b)中、L2bは、カルボカチオン、メチルカチオン、エチルカチオン、プロピルカチオン、イソプロピルカチオン、ブチルカチオン、イソブチルカチオン、tert-ブチルカチオン、ペンチルカチオン、トロピニウムカチオン、ベンジルカチオン、トリチルカチオン、ナトリウムカチオン、プロトン等が挙げられる。また、R26b、R27b、X41b及びX42bは、前記一般式(12b)における定義と同じである。
[L2b]+[BR26bR27bX41bX42b]-・・・式(13b)
式(13b)中、L2bは、カルボカチオン、メチルカチオン、エチルカチオン、プロピルカチオン、イソプロピルカチオン、ブチルカチオン、イソブチルカチオン、tert-ブチルカチオン、ペンチルカチオン、トロピニウムカチオン、ベンジルカチオン、トリチルカチオン、ナトリウムカチオン、プロトン等が挙げられる。また、R26b、R27b、X41b及びX42bは、前記一般式(12b)における定義と同じである。
上記化合物の具体例としては、トリチルテトラフェニルボレート、トリチルテトラ(o-トリル)ボレート、トリチルテトラ(p-トリル)ボレート、トリチルテトラ(m-トリル)ボレート、トリチルテトラ(o-フルオロフェニル)ボレート、トリチルテトラ(p-フルオロフェニル)ボレート、トリチルテトラ(m-フルオロフェニル)ボレート、トリチルテトラ(3,5-ジフルオロフェニル)ボレート、トリチルテトラ(ペンタフルオロフェニル)ボレート、トリチルテトラ(2,6-ジトリフルオロメチルフェニル)ボレート、トリチルテトラ(3,5-ジトリフルオロメチルフェニル)ボレート、トリチルテトラ(パーフルオロナフチル)ボレート、トロピニウムテトラフェニルボレート、トロピニウムテトラ(o-トリル)ボレート、トロピニウムテトラ(p-トリル)ボレート、トロピニウムテトラ(m-トリル)ボレート、トロピニウムテトラ(o-フルオロフェニル)ボレート、トロピニウムテトラ(p-フルオロフェニル)ボレート、トロピニウムテトラ(m-フルオロフェニル)ボレート、トロピニウムテトラ(3,5-ジフルオロフェニル)ボレート、トロピニウムテトラ(ペンタフルオロフェニル)ボレート、トロピニウムテトラ(2,6-ジトリフルオロメチルフェニル)ボレート、トロピニウムテトラ(3,5-ジトリフルオロメチルフェニル)ボレート、トロピニウムテトラ(パーフルオロナフチル)ボレート、NaBPh4、NaB(o-CH3-Ph)4、NaB(p-CH3-Ph)4、NaB(m-CH3-Ph)4、NaB(o-F-Ph)4、NaB(p-F-Ph)4、NaB(m-F-Ph)4、NaB(3,5-F2-Ph)4、NaB(C6F5)4、NaB(2,6-(CF3)2-Ph)4、NaB(3,5-(CF3)2-Ph)4、NaB(C10F7)4、H+BPh4・2ジエチルエーテル、H+B(3,5-F2-Ph)4・2ジエチルエーテル、H+B(C6F5)4
-・2ジエチルエーテル、H+B(2,6-(CF3)2-Ph)4・2ジエチルエーテル、H+B(3,5-(CF3)2-Ph)4・2ジエチルエーテル、H+B(C10H7)4・2ジエチルエーテルを例示することができる。
これらの中でも、トリチルテトラ(ペンタフルオロフェニル)ボレート、トリチルテトラ(2,6-ジトリフルオロメチルフェニル)ボレート、トリチルテトラ(3,5-ジトリフルオロメチルフェニル)ボレート、トリチルテトラ(パーフルオロナフチル)ボレート、トロピニウムテトラ(ペンタフルオロフェニル)ボレート、トロピニウムテトラ(2,6-ジトリフルオロメチルフェニル)ボレート、トロピニウムテトラ(3,5-ジトリフルオロメチルフェニル)ボレート、トロピニウムテトラ(パーフルオロナフチル)ボレート、NaB(C6F5)4、NaB(2,6-(CF3)2-Ph)4、NaB(3,5-(CF3)2-Ph)4、NaB(C10F7)4、H+B(C6F5)4
-・2ジエチルエーテル、H+B(2,6-(CF3)2-Ph)4・2ジエチルエーテル、H+B(3,5-(CF3)2-Ph)4・2ジエチルエーテル、H+B(C10H7)4・2ジエチルエーテルが好ましい。
さらに好ましくは、これらの中でもトリチルテトラ(ペンタフルオロフェニル)ボレート、トリチルテトラ(2,6-ジトリフルオロメチルフェニル)ボレート、トロピニウムテトラ(ペンタフルオロフェニル)ボレート、トロピニウムテトラ(2,6-ジトリフルオロメチルフェニル)ボレート、NaB(C6F5)4、NaB(2,6-(CF3)2-Ph)4、H+B(C6F5)4
-・2ジエチルエーテル、H+B(2,6-(CF3)2-Ph)4・2ジエチルエーテル、H+B(3,5-(CF3)2-Ph)4・2ジエチルエーテル、H+B(C10H7)4・2ジエチルエーテルが挙げられる。
触媒成分(B)として、ボラン化合物やボレート化合物を用いると、重合活性や共重合性が高くなるので、長鎖分岐を有するエチレン系重合体の生産性が向上する。
また、オレフィン重合用触媒の成分(B)として、前記の有機アルミニウムオキシ化合物と、上記ボラン化合物やボレート化合物との混合物を用いることもできる。さらに、上記ボラン化合物やボレート化合物は、2種以上混合して使用することもできる。
また、メタロセン化合物(A)と反応してカチオン性メタロセン化合物を形成する化合物(B)の他の具体例として、例えば、日本国特開平8-127613号公報等に記載された粘土、粘土鉱物、イオン交換性層状化合物、無機ケイ酸塩や、日本国特表2002-515522号公報等に記載された固体酸化物化合物等、前記の有機アルミニウムオキシ化合物や、上記ボラン化合物やボレート化合物と同様の作用を有する化合物もこれらと同様に使用することが出来る。
また、オレフィン重合用触媒の成分(B)として、前記の有機アルミニウムオキシ化合物と、上記ボラン化合物やボレート化合物との混合物を用いることもできる。さらに、上記ボラン化合物やボレート化合物は、2種以上混合して使用することもできる。
また、メタロセン化合物(A)と反応してカチオン性メタロセン化合物を形成する化合物(B)の他の具体例として、例えば、日本国特開平8-127613号公報等に記載された粘土、粘土鉱物、イオン交換性層状化合物、無機ケイ酸塩や、日本国特表2002-515522号公報等に記載された固体酸化物化合物等、前記の有機アルミニウムオキシ化合物や、上記ボラン化合物やボレート化合物と同様の作用を有する化合物もこれらと同様に使用することが出来る。
IV-3(2).好ましい成分(C)
本発明のオレフィン重合用触媒の好ましい成分(C)である微粒子担体としては、無機物担体、粒子状ポリマー担体またはこれらの混合物が挙げられる。無機物担体は、金属、金属酸化物、金属塩化物、金属炭酸塩、炭素質物、またはこれらの混合物が使用可能である。
無機物担体に用いることができる好適な金属としては、例えば、鉄、アルミニウム、ニッケルなどが挙げられる。
本発明のオレフィン重合用触媒の好ましい成分(C)である微粒子担体としては、無機物担体、粒子状ポリマー担体またはこれらの混合物が挙げられる。無機物担体は、金属、金属酸化物、金属塩化物、金属炭酸塩、炭素質物、またはこれらの混合物が使用可能である。
無機物担体に用いることができる好適な金属としては、例えば、鉄、アルミニウム、ニッケルなどが挙げられる。
また、金属酸化物としては、周期表1~14族の元素の単独酸化物または複合酸化物が挙げられ、例えば、SiO2、Al2O3、MgO、CaO、B2O3、TiO2、ZrO2、Fe2O3、Al2O3・MgO、Al2O3・CaO、Al2O3・SiO2、Al2O3・MgO・CaO、Al2O3・MgO・SiO2、Al2O3・CuO、Al2O3・Fe2O3、Al2O3・NiO、SiO2・MgOなどの天然または合成の各種単独酸化物または複合酸化物を例示することができる。ここで、上記の式は、分子式ではなく、組成のみを表すものであって、本発明において用いられる複合酸化物の構造および成分比率は特に限定されるものではない。
また、本発明において用いる金属酸化物は、少量の水分を吸収していても差し支えなく、少量の不純物を含有していても差し支えない。
また、本発明において用いる金属酸化物は、少量の水分を吸収していても差し支えなく、少量の不純物を含有していても差し支えない。
金属塩化物としては、例えば、アルカリ金属、アルカリ土類金属の塩化物が好ましく、具体的にはMgCl2、CaCl2などが特に好適である。
金属炭酸塩としては、アルカリ金属、アルカリ土類金属の炭酸塩が好ましく、具体的には、炭酸マグネシウム、炭酸カルシウム、炭酸バリウムなどが挙げられる。
炭素質物としては、例えば、カーボンブラック、活性炭などが挙げられる。
以上の無機物担体は、いずれも本発明に好適に用いることができるが、特に金属酸化物、シリカ、アルミナなどの使用が好ましい。
金属炭酸塩としては、アルカリ金属、アルカリ土類金属の炭酸塩が好ましく、具体的には、炭酸マグネシウム、炭酸カルシウム、炭酸バリウムなどが挙げられる。
炭素質物としては、例えば、カーボンブラック、活性炭などが挙げられる。
以上の無機物担体は、いずれも本発明に好適に用いることができるが、特に金属酸化物、シリカ、アルミナなどの使用が好ましい。
これら無機物担体は、通常、200~800℃、好ましくは400~600℃で空気中または窒素、アルゴン等の不活性ガス中で焼成して、表面水酸基の量を0.8~1.5mmol/gに調節して用いるのが好ましい。
これら無機物担体の性状としては、特に制限はないが、通常、平均粒径は5~200μm、好ましくは10~150μm、平均細孔径は20~1000Å、好ましくは50~500Å、比表面積は150~1000m2/g、好ましくは200~700m2/g、細孔容積は0.3~2.5cm3/g、好ましくは0.5~2.0cm3/g、見掛比重は0.20~0.50g/cm3、好ましくは0.25~0.45g/cm3を有する無機物担体を用いるのが好ましい。
これら無機物担体の性状としては、特に制限はないが、通常、平均粒径は5~200μm、好ましくは10~150μm、平均細孔径は20~1000Å、好ましくは50~500Å、比表面積は150~1000m2/g、好ましくは200~700m2/g、細孔容積は0.3~2.5cm3/g、好ましくは0.5~2.0cm3/g、見掛比重は0.20~0.50g/cm3、好ましくは0.25~0.45g/cm3を有する無機物担体を用いるのが好ましい。
上記した無機物担体は、もちろんそのまま用いることもできるが、予備処理としてこれらの担体をトリメチルアルミニウム、トリエチルアルミニウム、トリイソブチルアルミニウム、トリヘキシルアルミニウム、トリプロピルアルミニウム、トリブチルアルミニウム、トリオクチルアルミニウム、トリデシルアルミニウム、ジイソブチルアルミニウムハイドライドなどの有機アルミニウム化合物やAl-O-Al結合を含む有機アルミニウムオキシ化合物に接触させた後、用いることができる。
また、成分(A)や成分(B)の粉末を、微粒子担体として使用することも可能である。
また、成分(A)や成分(B)の粉末を、微粒子担体として使用することも可能である。
IV-3(3).本発明によるオレフィン重合用触媒の調製方法
本発明のオレフィン重合用触媒成分の必須成分であるメタロセン化合物(A)と、同じく必須成分であるメタロセン化合物(A)と反応してカチオン性メタロセン化合物を生成させる化合物(B)、および、好ましい成分である微粒子担体(C)を含むオレフィン重合用触媒成分を使用してオレフィン重合用触媒を得る際の各成分の接触方法は、特に限定されず、例えば、以下の方法が任意に採用可能である。
本発明のオレフィン重合用触媒成分の必須成分であるメタロセン化合物(A)と、同じく必須成分であるメタロセン化合物(A)と反応してカチオン性メタロセン化合物を生成させる化合物(B)、および、好ましい成分である微粒子担体(C)を含むオレフィン重合用触媒成分を使用してオレフィン重合用触媒を得る際の各成分の接触方法は、特に限定されず、例えば、以下の方法が任意に採用可能である。
(I)メタロセン化合物(A)と、メタロセン化合物(A)と反応してカチオン性メタロセン化合物を生成させる化合物(B)とを接触させた後、微粒子担体(C)を接触させる。
(II)メタロセン化合物(A)と、微粒子担体(C)とを接触させた後、メタロセン化合物(A)と反応してカチオン性メタロセン化合物を生成させる化合物(B)を接触させる。
(III)メタロセン化合物(A)と反応してカチオン性メタロセン化合物を生成させる化合物(B)と、微粒子担体(C)とを接触させた後、メタロセン化合物(A)を接触させる。
(II)メタロセン化合物(A)と、微粒子担体(C)とを接触させた後、メタロセン化合物(A)と反応してカチオン性メタロセン化合物を生成させる化合物(B)を接触させる。
(III)メタロセン化合物(A)と反応してカチオン性メタロセン化合物を生成させる化合物(B)と、微粒子担体(C)とを接触させた後、メタロセン化合物(A)を接触させる。
これらの接触方法の中で(I)と(III)の方法が好ましく、さらに(I)の方法が最も好ましい。上記の接触方法において、メタロセン化合物(A)である必須成分(A-1b)と必須成分(A-2b)は、混合して取り扱ってもよく、別々に取り扱ってもよく、例えば成分(A-1b)は上記具体例(I)の方法で、成分(A-2b)は同(III)の方法で使用するといった方法も可能である。
いずれの接触方法においても、通常は窒素またはアルゴンなどの不活性雰囲気中、一般にベンゼン、トルエン、キシレン、エチルベンゼンなどの芳香族炭化水素(通常炭素数は6~12)、ヘプタン、ヘキサン、デカン、ドデカン、シクロヘキサンなどの脂肪族あるいは脂環族炭化水素(通常炭素数5~12)等の液状不活性炭化水素の存在下、撹拌下または非撹拌下に各成分を接触させる方法が採用される。
この接触は、通常-100℃~200℃、好ましくは-50℃~100℃、さらに好ましくは0℃~50℃の温度にて、5分~50時間、好ましくは30分~24時間、さらに好ましくは30分~12時間で行うことが望ましい。
いずれの接触方法においても、通常は窒素またはアルゴンなどの不活性雰囲気中、一般にベンゼン、トルエン、キシレン、エチルベンゼンなどの芳香族炭化水素(通常炭素数は6~12)、ヘプタン、ヘキサン、デカン、ドデカン、シクロヘキサンなどの脂肪族あるいは脂環族炭化水素(通常炭素数5~12)等の液状不活性炭化水素の存在下、撹拌下または非撹拌下に各成分を接触させる方法が採用される。
この接触は、通常-100℃~200℃、好ましくは-50℃~100℃、さらに好ましくは0℃~50℃の温度にて、5分~50時間、好ましくは30分~24時間、さらに好ましくは30分~12時間で行うことが望ましい。
また、メタロセン化合物(A)、メタロセン化合物(A)と反応してカチオン性メタロセン化合物を生成させる化合物(B)と微粒子担体(C)の接触に際しては、上記した通り、ある種の成分が可溶ないしは難溶な芳香族炭化水素溶媒と、ある種の成分が不溶ないしは難溶な脂肪族または脂環族炭化水素溶媒とがいずれも使用可能である。
各成分同士の接触反応を段階的に行う場合にあっては、前段で用いた溶媒などを除去することなく、これをそのまま後段の接触反応の溶媒に用いてもよい。また、可溶性溶媒を使用した前段の接触反応後、ある種の成分が不溶もしくは難溶な液状不活性炭化水素(例えば、ペンタン、ヘキサン、デカン、ドデカン、シクロヘキサン、ベンゼン、トルエン、キシレンなどの脂肪族炭化水素、脂環族炭化水素あるいは芳香族炭化水素)を添加して、所望生成物を固形物として回収した後に、あるいは一旦可溶性溶媒の一部または全部を、乾燥等の手段により除去して所望生成物を固形物として取り出した後に、この所望生成物の後段の接触反応を、上記した不活性炭化水素溶媒のいずれかを使用して実施することもできる。本発明では、各成分の接触反応を複数回行うことを妨げない。
本発明において、メタロセン化合物(A)と、メタロセン化合物(A)と反応してカチオン性メタロセン化合物を生成させる化合物(B)と、微粒子担体(C)の使用割合は、特に限定されないが、以下の範囲が好ましい。
メタロセン化合物(A)である成分(A-1b)と成分(A-2b)のモル比は、最終製品であるオレフィン系重合体に求められる材料特性に応じて、任意の範囲で設定されるが、通常、両者の合計を100とすると、1:99~99.9:0.1、好ましくは5:95~99.5:0.5、より好ましくは10:90~99.5:0.5、更に好ましくは20:80~99.5:0.5、特に好ましくは40:60~99.2:0.8である。成分(A-1b)が1より少ない場合、マクロマー生成量が不足して長鎖分岐が十分形成されないため、製品であるオレフィン系重合体に成形加工性の向上が見られなかったり、より高分子量ポリマーを生成する成分(A-2b)が主活性種となるため、分子量調節剤である水素が多い条件下、すなわち長鎖分岐生成に不利な条件下での重合が必要となるので、やはり成形加工性の向上が見られなかったり、少量の成分(A-1b)から生成するポリマーがより低分子量となって製品がベトツキ易くなるので好ましくない。また、成分(A-1b)が99.9より多い場合、生成ポリマーの分子量を十分大きくすることが困難となったり、長鎖分岐が十分高分子量まで発達せず、成形加工性の向上が見られなかったりして、好ましくない。もっとも、成分(A-1b)と成分(A-2b)のモル比は、両者のオレフィン重合活性が大きく異なる場合と同レベルの場合とでは、その選択は変わるので、該モル比は、あくまでも目的とするオレフィン系重合体の材料特性を以ってして最適化されるべきであることはいうまでもない。
メタロセン化合物(A)である成分(A-1b)と成分(A-2b)のモル比は、最終製品であるオレフィン系重合体に求められる材料特性に応じて、任意の範囲で設定されるが、通常、両者の合計を100とすると、1:99~99.9:0.1、好ましくは5:95~99.5:0.5、より好ましくは10:90~99.5:0.5、更に好ましくは20:80~99.5:0.5、特に好ましくは40:60~99.2:0.8である。成分(A-1b)が1より少ない場合、マクロマー生成量が不足して長鎖分岐が十分形成されないため、製品であるオレフィン系重合体に成形加工性の向上が見られなかったり、より高分子量ポリマーを生成する成分(A-2b)が主活性種となるため、分子量調節剤である水素が多い条件下、すなわち長鎖分岐生成に不利な条件下での重合が必要となるので、やはり成形加工性の向上が見られなかったり、少量の成分(A-1b)から生成するポリマーがより低分子量となって製品がベトツキ易くなるので好ましくない。また、成分(A-1b)が99.9より多い場合、生成ポリマーの分子量を十分大きくすることが困難となったり、長鎖分岐が十分高分子量まで発達せず、成形加工性の向上が見られなかったりして、好ましくない。もっとも、成分(A-1b)と成分(A-2b)のモル比は、両者のオレフィン重合活性が大きく異なる場合と同レベルの場合とでは、その選択は変わるので、該モル比は、あくまでも目的とするオレフィン系重合体の材料特性を以ってして最適化されるべきであることはいうまでもない。
メタロセン化合物(A)と反応してカチオン性メタロセン化合物を生成させる化合物(B)として、有機アルミニウムオキシ化合物を用いる場合、メタロセン化合物(A)中の遷移金属(M)に対する有機アルミニウムオキシ化合物のアルミニウムの原子比(Al/M)は、通常、1~100,000、好ましくは5~1000、さらに好ましくは50~200の範囲が望ましく、また、ボラン化合物やボレート化合物を用いる場合、メタロセン化合物中の遷移金属(M)に対する、ホウ素の原子比(B/M)は、通常、0.01~100、好ましくは0.1~50、さらに好ましくは0.2~10の範囲で選択することが望ましい。
さらに、カチオン性メタロセン化合物を生成させる化合物(B)として、有機アルミニウムオキシ化合物と、ボラン化合物、ボレート化合物との混合物を用いる場合にあっては、混合物における各化合物について、遷移金属(M)に対して上記と同様な使用割合で選択することが望ましい。
さらに、カチオン性メタロセン化合物を生成させる化合物(B)として、有機アルミニウムオキシ化合物と、ボラン化合物、ボレート化合物との混合物を用いる場合にあっては、混合物における各化合物について、遷移金属(M)に対して上記と同様な使用割合で選択することが望ましい。
微粒子担体(C)の使用量は、メタロセン化合物(A)中の遷移金属0.0001~5ミリモル当たり、好ましくは0.001~0.5ミリモル当たり、さらに好ましくは0.01~0.1ミリモル当たり1gである。
メタロセン化合物(A)と、メタロセン化合物(A)と反応してカチオン性メタロセン化合物を生成させる化合物(B)と、微粒子担体(C)とを前記接触方法(I)~(III)のいずれかで相互に接触させ、しかる後、溶媒を除去することで、オレフィン重合用触媒を固体触媒として得ることができる。溶媒の除去は、常圧下または減圧下、0~200℃、好ましくは20~150℃で1分~50時間、好ましくは10分~10時間で行うことが望ましい。
なお、オレフィン重合用触媒は、以下の方法によっても得ることができる。
(IV)メタロセン化合物(A)と微粒子担体(C)とを接触させて溶媒を除去し、これを固体触媒成分とし、重合条件下で有機アルミニウムオキシ化合物、ボラン化合物、ボレート化合物またはこれらの混合物と接触させる。
(V)有機アルミニウムオキシ化合物、ボラン化合物、ボレート化合物またはこれらの混合物と微粒子担体(C)とを接触させて溶媒を除去し、これを固体触媒成分とし、重合条件下でメタロセン化合物(A)と接触させる。
上記(IV)、(V)の接触方法の場合も、成分比、接触条件および溶媒除去条件は、前記と同様の条件が使用できる。
(IV)メタロセン化合物(A)と微粒子担体(C)とを接触させて溶媒を除去し、これを固体触媒成分とし、重合条件下で有機アルミニウムオキシ化合物、ボラン化合物、ボレート化合物またはこれらの混合物と接触させる。
(V)有機アルミニウムオキシ化合物、ボラン化合物、ボレート化合物またはこれらの混合物と微粒子担体(C)とを接触させて溶媒を除去し、これを固体触媒成分とし、重合条件下でメタロセン化合物(A)と接触させる。
上記(IV)、(V)の接触方法の場合も、成分比、接触条件および溶媒除去条件は、前記と同様の条件が使用できる。
こうして得られるオレフィン重合用触媒は、必要に応じてモノマーの予備重合を行った後に使用しても差し支えない。
また、本発明のオレフィン重合用触媒成分またはオレフィン重合用触媒は、更に、成分(D):有機アルミニウム化合物を含むことも好ましい。なお、かかる有機アルミニウム化合物としては、トリメチルアルミニウム、トリエチルアルミニウム、トリイソブチルアルミニウム、ジエチルアルミニウムクロリド、エチルアルミニウムジクロリドなどの上記一般式(11b)にも記載されている有機アルミニウム化合物、ジエチルアルミニウムエトキシド、エチルアルミニウムジエトキシド、ジメチルアルミニウムエトキシド等、炭素数1~18、好ましくは1~12のアルコキシド、アルケニロキシ等の含酸素炭化水素基を有する有機アルミニウム化合物や前記有機アルミニウムオキシ化合物、分岐アルキルを含有する変性有機アルミニウム化合物などが使用される。これらのなかでは、トリメチルアルミニウム、トリエチルアルミニウム、トリイソブチルアルミニウム、ジエチルアルミニウムクロリド、エチルアルミニウムジクロリド、ジエチルアルミニウムエトキシドが好ましく、トリエチルアルミニウム、トリイソブチルアルミニウム、ジエチルアルミニウムクロリドがより好ましく、トリエチルアルミニウム、トリイソブチルアルミニウムがより好ましく、トリエチルアルミニウムが特に好ましい。
また、本発明のオレフィン重合用触媒成分またはオレフィン重合用触媒は、更に、成分(D):有機アルミニウム化合物を含むことも好ましい。なお、かかる有機アルミニウム化合物としては、トリメチルアルミニウム、トリエチルアルミニウム、トリイソブチルアルミニウム、ジエチルアルミニウムクロリド、エチルアルミニウムジクロリドなどの上記一般式(11b)にも記載されている有機アルミニウム化合物、ジエチルアルミニウムエトキシド、エチルアルミニウムジエトキシド、ジメチルアルミニウムエトキシド等、炭素数1~18、好ましくは1~12のアルコキシド、アルケニロキシ等の含酸素炭化水素基を有する有機アルミニウム化合物や前記有機アルミニウムオキシ化合物、分岐アルキルを含有する変性有機アルミニウム化合物などが使用される。これらのなかでは、トリメチルアルミニウム、トリエチルアルミニウム、トリイソブチルアルミニウム、ジエチルアルミニウムクロリド、エチルアルミニウムジクロリド、ジエチルアルミニウムエトキシドが好ましく、トリエチルアルミニウム、トリイソブチルアルミニウム、ジエチルアルミニウムクロリドがより好ましく、トリエチルアルミニウム、トリイソブチルアルミニウムがより好ましく、トリエチルアルミニウムが特に好ましい。
IV-4.本発明のオレフィン重合用触媒の用途
上記した本発明によるオレフィン重合用触媒は、オレフィンの単独重合またはオレフィンと他のオレフィンとの共重合に、使用可能である。
上記した本発明によるオレフィン重合用触媒は、オレフィンの単独重合またはオレフィンと他のオレフィンとの共重合に、使用可能である。
ここでオレフィンには、炭素数2~30、好ましくは2~8のものが包含され、好ましくはエチレンまたはα-オレフィンであり、具体的には、エチレン、プロピレン、1-ブテン、1-ヘキセン、1-オクテン、4-メチル-1-ペンテン等が例示され、より好ましくは、エチレン単独重合、または、エチレンと上記α-オレフィンとの共重合であり、更に好ましくは、エチレン単独重合、エチレン・プロピレン共重合、エチレン・1-ブテン共重合、エチレン・1-ヘキセン共重合、エチレン・1-オクテン共重合である。
オレフィンは、3種類以上のオレフィンを共重合させることも可能である。
共重合は、交互共重合、ランダム共重合、ブロック共重合のいずれであっても差し支えない。エチレンと他のα-オレフィンとを共重合させる場合、当該他のα-オレフィンの量は、全モノマーの90モル%以下の範囲で任意に選ぶことができるが、一般的には、40モル%以下、好ましくは30モル%以下、さらに好ましくは10モル%以下の範囲で選ばれる。もちろん、エチレンやα-オレフィン以外のコモノマーを少量使用することも可能であり、この場合、スチレン、4-メチルスチレン、4-ジメチルアミノスチレン等のスチレン類、1,4-ブタジエン、1,5-ヘキサジエン、1,4-ヘキサジエン、1,7-オクタジエン等のジエン類、ノルボルネン、シクロペンテン等の環状化合物、ヘキセノール、ヘキセン酸、オクテン酸メチル等の含酸素化合物類、等の重合性二重結合を有する化合物を挙げることができる。
オレフィンは、3種類以上のオレフィンを共重合させることも可能である。
共重合は、交互共重合、ランダム共重合、ブロック共重合のいずれであっても差し支えない。エチレンと他のα-オレフィンとを共重合させる場合、当該他のα-オレフィンの量は、全モノマーの90モル%以下の範囲で任意に選ぶことができるが、一般的には、40モル%以下、好ましくは30モル%以下、さらに好ましくは10モル%以下の範囲で選ばれる。もちろん、エチレンやα-オレフィン以外のコモノマーを少量使用することも可能であり、この場合、スチレン、4-メチルスチレン、4-ジメチルアミノスチレン等のスチレン類、1,4-ブタジエン、1,5-ヘキサジエン、1,4-ヘキサジエン、1,7-オクタジエン等のジエン類、ノルボルネン、シクロペンテン等の環状化合物、ヘキセノール、ヘキセン酸、オクテン酸メチル等の含酸素化合物類、等の重合性二重結合を有する化合物を挙げることができる。
本発明において、重合反応は、前記した触媒、好ましくは担持触媒の存在下、好ましくはスラリー重合、又は気相重合にて、行うことができる。
スラリー重合の場合、実質的に酸素、水等を断った状態で、イソブタン、ヘキサン、ヘプタン等の脂肪族炭化水素、ベンゼン、トルエン、キシレン等の芳香族炭化水素、シクロヘキサン、メチルシクロヘキサン等の脂環族炭化水素等から選ばれる不活性炭化水素溶媒の存在下または不存在下で、エチレン等を重合させる。また、液状エチレンや液状プロピレン等の液体モノマーも溶媒として使用できることは言うまでもない。
また、気相重合の場合、エチレンやコモノマーのガス流を導入、流通、または循環した反応器内においてエチレン等を重合させる。
本発明において、更に好ましい重合は、気相重合である。重合条件は、温度が0~250℃、好ましくは20~110℃、更に好ましくは60~100℃であり、圧力が常圧~10MPa、好ましくは常圧~4MPa、更に好ましくは0.5~2MPaの範囲にあり、重合時間としては5分~10時間、好ましくは5分~5時間が採用されるのが普通である。
スラリー重合の場合、実質的に酸素、水等を断った状態で、イソブタン、ヘキサン、ヘプタン等の脂肪族炭化水素、ベンゼン、トルエン、キシレン等の芳香族炭化水素、シクロヘキサン、メチルシクロヘキサン等の脂環族炭化水素等から選ばれる不活性炭化水素溶媒の存在下または不存在下で、エチレン等を重合させる。また、液状エチレンや液状プロピレン等の液体モノマーも溶媒として使用できることは言うまでもない。
また、気相重合の場合、エチレンやコモノマーのガス流を導入、流通、または循環した反応器内においてエチレン等を重合させる。
本発明において、更に好ましい重合は、気相重合である。重合条件は、温度が0~250℃、好ましくは20~110℃、更に好ましくは60~100℃であり、圧力が常圧~10MPa、好ましくは常圧~4MPa、更に好ましくは0.5~2MPaの範囲にあり、重合時間としては5分~10時間、好ましくは5分~5時間が採用されるのが普通である。
生成重合体の分子量は、重合温度、触媒のモル比等の重合条件を変えることによってもある程度調節可能であるが、重合反応系に水素を添加することで、より効果的に分子量調節を行うことができる。
また、重合系中に、水分除去を目的とした成分、いわゆるスカベンジャーを加えても何ら支障なく実施することができる。
なお、かかるスカベンジャーとしては、トリメチルアルミニウム、トリエチルアルミニウム、トリイソブチルアルミニウムなどの上記一般式(11b)にも記載されている有機アルミニウム化合物、前記有機アルミニウムオキシ化合物、分岐アルキルを含有する変性有機アルミニウム化合物、ジエチル亜鉛、ジブチル亜鉛などの有機亜鉛化合物、ジエチルマグネシウム、ジブチルマグネシウム、エチルブチルマグネシウムなどの有機マグネシウム化合物、エチルマグネシウムクロリド、ブチルマグネシウムクロリドなどのグリニヤ化合物などが使用される。これらのなかでは、トリエチルアルミニウム、トリイソブチルアルミニウム、エチルブチルマグネシウムが好ましく、トリエチルアルミニウムが特に好ましい。
水素濃度、モノマー量、重合圧力、重合温度等の重合条件が互いに異なる2段階以上の多段階重合方式にも、支障なく適用することができる。
また、重合系中に、水分除去を目的とした成分、いわゆるスカベンジャーを加えても何ら支障なく実施することができる。
なお、かかるスカベンジャーとしては、トリメチルアルミニウム、トリエチルアルミニウム、トリイソブチルアルミニウムなどの上記一般式(11b)にも記載されている有機アルミニウム化合物、前記有機アルミニウムオキシ化合物、分岐アルキルを含有する変性有機アルミニウム化合物、ジエチル亜鉛、ジブチル亜鉛などの有機亜鉛化合物、ジエチルマグネシウム、ジブチルマグネシウム、エチルブチルマグネシウムなどの有機マグネシウム化合物、エチルマグネシウムクロリド、ブチルマグネシウムクロリドなどのグリニヤ化合物などが使用される。これらのなかでは、トリエチルアルミニウム、トリイソブチルアルミニウム、エチルブチルマグネシウムが好ましく、トリエチルアルミニウムが特に好ましい。
水素濃度、モノマー量、重合圧力、重合温度等の重合条件が互いに異なる2段階以上の多段階重合方式にも、支障なく適用することができる。
[V]本発明のエチレン系重合体の製造方法
本発明の第4の態様は、十分な数と適切な長さの長鎖分岐を有するメタロセン系ポリオレフィン、好ましくは十分な数と適切な長さの長鎖分岐を有するメタロセン系ポリエチレンを製造する方法を提供することである。以下、本発明の第4の態様について項目ごとに説明する。
本発明の第4の態様は、十分な数と適切な長さの長鎖分岐を有するメタロセン系ポリオレフィン、好ましくは十分な数と適切な長さの長鎖分岐を有するメタロセン系ポリエチレンを製造する方法を提供することである。以下、本発明の第4の態様について項目ごとに説明する。
V-1.オレフィン重合用触媒
本発明のオレフィン系重合体の製造方法、好ましくはエチレン系重合体の製造方法は、次の成分(A)および(B)を含み、所望により、成分(C)を含むオレフィン重合用触媒を用いて実施される。
成分(A):下記触媒成分のうち少なくともいずれか1つ
(A-i)上記IV-1項で記載した成分(A-1b)および(A-2b)を含むオレフィン重合用触媒成分
(A-ii)上記IV-2項で記載した成分(Ac)を含むオレフィン重合用触媒成分
(A-iii)下記一般式(1d)で示されるメタロセン化合物を含むオレフィン重合用触媒成分。
本発明のオレフィン系重合体の製造方法、好ましくはエチレン系重合体の製造方法は、次の成分(A)および(B)を含み、所望により、成分(C)を含むオレフィン重合用触媒を用いて実施される。
成分(A):下記触媒成分のうち少なくともいずれか1つ
(A-i)上記IV-1項で記載した成分(A-1b)および(A-2b)を含むオレフィン重合用触媒成分
(A-ii)上記IV-2項で記載した成分(Ac)を含むオレフィン重合用触媒成分
(A-iii)下記一般式(1d)で示されるメタロセン化合物を含むオレフィン重合用触媒成分。
[式(1d)中、M1dは、Ti、ZrまたはHfのいずれかの遷移金属を示す。X1dおよびX2dは、それぞれ独立して、水素原子、ハロゲン原子、炭素数1~20の炭化水素基、酸素原子若しくは窒素原子を含む炭素数1~20の炭化水素基、炭素数1~20の炭化水素基置換アミノ基または炭素数1~20のアルコキシ基を示す。Q1dとQ2dは、各々独立して、炭素原子、ケイ素原子またはゲルマニウム原子を示す。R1dは、それぞれ独立して、水素原子または炭素数1~10の炭化水素基を示し、4つのR1dのうち少なくとも2つが結合してQ1dおよびQ2dと一緒に環を形成していてもよい。mdは、0または1であり、mdが0の場合、Q1dは、R2dおよびR3dを含む共役5員環と直接結合している。R2dおよびR3dは、水素原子、ハロゲン原子、炭素数1~20の炭化水素基、ケイ素数1~6を含む炭素数1~18のケイ素含有炭化水素基、炭素数1~20のハロゲン含有炭化水素基、酸素原子を含む炭素数1~20の炭化水素基または炭素数1~20の炭化水素基置換シリル基を示し、R2dのうち少なくとも1つは水素原子ではない。R4dは、結合する5員環に対して縮合環を形成する炭素数4または5の飽和または不飽和の2価の炭化水素基を示す。R5dは、R4dの炭素原子と結合する原子または基であり、それぞれ独立して、水素原子、ハロゲン原子、炭素数1~20の炭化水素基、ケイ素数1~6を含む炭素数1~18のケイ素含有炭化水素基、炭素数1~20のハロゲン含有炭化水素基、酸素原子を含む炭素数1~20の炭化水素基または炭素数1~20の炭化水素基置換シリル基を示す。ndは、0~10の整数を示し、ndが2以上の場合、R5dの少なくとも2つは、結合している炭素原子と一緒に環を形成していてもよい。]
成分(B):成分(A)のメタロセン化合物と反応してカチオン性メタロセン化合物を生成させる化合物
成分(C):微粒子担体
成分(B):成分(A)のメタロセン化合物と反応してカチオン性メタロセン化合物を生成させる化合物
成分(C):微粒子担体
上記(A-iii)として述べられた本発明のエチレン系重合体の製造方法で使用されるオレフィン重合用触媒は、上記一般式(1d)で示されるメタロセン化合物(Ad)を必須成分として含むことに特徴がある。
上記一般式(1d)中、メタロセン化合物のM1dは、Ti、ZrまたはHfを表し、メタロセン化合物のM1dは、好ましくはZrまたはHfを表し、メタロセン化合物のM1dは、更に好ましくはZrを表す。
また、X1dおよびX2dは、それぞれ独立して、水素原子、または塩素原子、臭素原子、ヨウ素原子、またはメチル基、エチル基、n-プロピル基、i-プロピル基、n-ブチル基、i-ブチル基、t-ブチル基、n-ペンチル基、ネオペンチル基、シクロペンチル基、n-ヘキシル基、シクロヘキシル基、フェニル基、ベンジル基、メトキシメチル基、エトキシメチル基、n-プロポキシメチル基、i-プロポキシメチル基、n-ブトキシメチル基、i-ブトキシメチル基、t-ブトキシメチル基、メトキシエチル基、エトキシエチル基、アセチル基、1-オキソプロピル基、1-オキソ-n-ブチル基、2-メチル-1-オキソプロピル基、2,2-ジメチル-1-オキソ-プロピル基、フェニルアセチル基、ジフェニルアセチル基、ベンゾイル基、2-メトキシフェニル基、3-メトキシフェニル基、4-メトキシフェニル基、2-フリル基、2-テトラヒドロフリル基、ジメチルアミノメチル基、ジエチルアミノメチル基、ジi-プロピルアミノメチル基、ビス(ジメチルアミノ)メチル基、ビス(ジi-プロピルアミノ)メチル基、(ジメチルアミノ)(フェニル)メチル基、メチルイミノ基、エチルイミノ基、1-(メチルイミノ)エチル基、1-(フェニルイミノ)エチル基、1-[(フェニルメチル)イミノ]エチル基、エトキシ基、n-プロポキシ基、i-プロポキシ基、n-ブトキシ基、i-ブトキシ基、t-ブトキシ基、フェノキシ基、ジメチルアミノ基、ジエチルアミノ基、ジn-プロピルアミノ基、ジi-プロピルアミノ基、ジn-ブチルアミノ基、ジi-ブチルアミノ基、ジt-ブチルアミノ基、ジフェニルアミノ基などが挙げられる。
好ましいX1dおよびX2dの具体例としては、塩素原子、臭素原子、メチル基、n-ブチル基、i-ブチル基、メトキシ基、エトキシ基、i-プロポキシ基、n-ブトキシ基、フェノキシ基、ジメチルアミノ基、ジi-プロピルアミノ基が挙げられる。これらの具体例の中でも、塩素原子、メチル基、ジメチルアミノ基が特に好ましい。
上記一般式(1d)中、メタロセン化合物のM1dは、Ti、ZrまたはHfを表し、メタロセン化合物のM1dは、好ましくはZrまたはHfを表し、メタロセン化合物のM1dは、更に好ましくはZrを表す。
また、X1dおよびX2dは、それぞれ独立して、水素原子、または塩素原子、臭素原子、ヨウ素原子、またはメチル基、エチル基、n-プロピル基、i-プロピル基、n-ブチル基、i-ブチル基、t-ブチル基、n-ペンチル基、ネオペンチル基、シクロペンチル基、n-ヘキシル基、シクロヘキシル基、フェニル基、ベンジル基、メトキシメチル基、エトキシメチル基、n-プロポキシメチル基、i-プロポキシメチル基、n-ブトキシメチル基、i-ブトキシメチル基、t-ブトキシメチル基、メトキシエチル基、エトキシエチル基、アセチル基、1-オキソプロピル基、1-オキソ-n-ブチル基、2-メチル-1-オキソプロピル基、2,2-ジメチル-1-オキソ-プロピル基、フェニルアセチル基、ジフェニルアセチル基、ベンゾイル基、2-メトキシフェニル基、3-メトキシフェニル基、4-メトキシフェニル基、2-フリル基、2-テトラヒドロフリル基、ジメチルアミノメチル基、ジエチルアミノメチル基、ジi-プロピルアミノメチル基、ビス(ジメチルアミノ)メチル基、ビス(ジi-プロピルアミノ)メチル基、(ジメチルアミノ)(フェニル)メチル基、メチルイミノ基、エチルイミノ基、1-(メチルイミノ)エチル基、1-(フェニルイミノ)エチル基、1-[(フェニルメチル)イミノ]エチル基、エトキシ基、n-プロポキシ基、i-プロポキシ基、n-ブトキシ基、i-ブトキシ基、t-ブトキシ基、フェノキシ基、ジメチルアミノ基、ジエチルアミノ基、ジn-プロピルアミノ基、ジi-プロピルアミノ基、ジn-ブチルアミノ基、ジi-ブチルアミノ基、ジt-ブチルアミノ基、ジフェニルアミノ基などが挙げられる。
好ましいX1dおよびX2dの具体例としては、塩素原子、臭素原子、メチル基、n-ブチル基、i-ブチル基、メトキシ基、エトキシ基、i-プロポキシ基、n-ブトキシ基、フェノキシ基、ジメチルアミノ基、ジi-プロピルアミノ基が挙げられる。これらの具体例の中でも、塩素原子、メチル基、ジメチルアミノ基が特に好ましい。
また、Q1dとQ2dは、各々独立して、炭素原子、ケイ素原子またはゲルマニウム原子を示す。好ましくは炭素原子またはケイ素原子である。更に好ましくはケイ素原子である。
さらに、R1dとしては、それぞれ独立して、水素原子、メチル基、エチル基、n-プロピル基、i-プロピル基、n-ブチル基、i-ブチル基、t-ブチル基、n-ペンチル基、ネオペンチル基、シクロペンチル基、n-ヘキシル基、シクロヘキシル基、フェニル基などが挙げられる。また、R1dがQ1dおよびQ2dと一緒に環を形成している場合として、シクロブチリデン基、シクロペンチリデン基、シクロへキシリデン基、シラシクロブチル基、シラシクロペンチル基、シラシクロヘキシル基などが挙げられる。
好ましいR1dの具体例として、Q1dまたは/およびQ2dが炭素原子の場合、水素原子、メチル基、エチル基、フェニル基、シクロブチリデン基が挙げられ、また、Q1dまたは/およびQ2dがケイ素原子の場合、メチル基、エチル基、フェニル基、シラシクロブチル基が挙げられる。
さらに、R1dとしては、それぞれ独立して、水素原子、メチル基、エチル基、n-プロピル基、i-プロピル基、n-ブチル基、i-ブチル基、t-ブチル基、n-ペンチル基、ネオペンチル基、シクロペンチル基、n-ヘキシル基、シクロヘキシル基、フェニル基などが挙げられる。また、R1dがQ1dおよびQ2dと一緒に環を形成している場合として、シクロブチリデン基、シクロペンチリデン基、シクロへキシリデン基、シラシクロブチル基、シラシクロペンチル基、シラシクロヘキシル基などが挙げられる。
好ましいR1dの具体例として、Q1dまたは/およびQ2dが炭素原子の場合、水素原子、メチル基、エチル基、フェニル基、シクロブチリデン基が挙げられ、また、Q1dまたは/およびQ2dがケイ素原子の場合、メチル基、エチル基、フェニル基、シラシクロブチル基が挙げられる。
また、R2dとR3dは、水素原子、塩素原子、臭素原子、ヨウ素原子、メチル基、エチル基、n-プロピル基、i-プロピル基、n-ブチル基、i-ブチル基、t-ブチル基、n-ペンチル基、ネオペンチル基、シクロペンチル基、n-ヘキシル基、シクロヘキシル基、フェニル基、ベンジル基、2-メチルフェニル基、3-メチルフェニル基、4-メチルフェニル基、3,5-ジメチルフェニル基、4-t-ブチルフェニル基、3,5-ジ-t-ブチルフェニル基、ビス(トリメチルシリル)メチル基、ビス(t-ブチルジメチルシリル)メチル基、ブロモメチル基、クロロメチル基、2-クロロエチル基、2-ブロモエチル基、2-ブロモプロピル基、3-ブロモプロピル基、2-ブロモシクロペンチル基、2,3-ジブロモシクロペンチル基、2-ブロモ-3-ヨードシクロペンチル基、2,3-ジブロモシクロヘキシル基、2-クロロ-3-ヨードシクロヘキシル基、2-クロロフェニル基、4-クロロフェニル基、2,3,4,5,6-ペンタフルオロフェニル基、4-トリフルオロメチルフェニル基、フリル基、テトラヒドロフリル基、2-メチルフリル基、トリメチルシリル基、トリt-ブチルシリル基、ジt-ブチルメチルシリル基、t-ブチルジメチルシリル基、トリフェニルシリル基、ジフェニルメチルシリル基、フェニルジメチルシリル基などが挙げられる。
また、R2dとR3dは、炭素数1~20の炭化水素基、ケイ素数1~6を含む炭素数1~18のケイ素含有炭化水素基、炭素数1~20のハロゲン含有炭化水素基、酸素原子を含む炭素数1~20の炭化水素基または炭素数1~20の炭化水素基置換シリル基であると、特に重合活性が高くなるので、好ましい。更に、R2dは、炭素数1~20の炭化水素基であると、特にポリエチレンの成形性に優れる点で、好ましい。
R2dとR3dの好ましい具体例としては、水素原子、メチル基、エチル基、n-プロピル基、i-プロピル基、n-ブチル基、t-ブチル基、n-ペンチル基、n-ヘキシル基、シクロヘキシル基、フェニル基、2-メチルフリル基、トリメチルシリル基が挙げられる。これらの具体例の中でも、水素原子、メチル基、n-ブチル基、t-ブチル基、フェニル基、トリメチルシリル基がさらに好ましく、水素原子、メチル基、t-ブチル基、フェニル基、トリメチルシリル基が特に好ましい。
また、R2dとR3dは、炭素数1~20の炭化水素基、ケイ素数1~6を含む炭素数1~18のケイ素含有炭化水素基、炭素数1~20のハロゲン含有炭化水素基、酸素原子を含む炭素数1~20の炭化水素基または炭素数1~20の炭化水素基置換シリル基であると、特に重合活性が高くなるので、好ましい。更に、R2dは、炭素数1~20の炭化水素基であると、特にポリエチレンの成形性に優れる点で、好ましい。
R2dとR3dの好ましい具体例としては、水素原子、メチル基、エチル基、n-プロピル基、i-プロピル基、n-ブチル基、t-ブチル基、n-ペンチル基、n-ヘキシル基、シクロヘキシル基、フェニル基、2-メチルフリル基、トリメチルシリル基が挙げられる。これらの具体例の中でも、水素原子、メチル基、n-ブチル基、t-ブチル基、フェニル基、トリメチルシリル基がさらに好ましく、水素原子、メチル基、t-ブチル基、フェニル基、トリメチルシリル基が特に好ましい。
また、R4dが結合するシクロペンタジエニル部分とR4dから形成される縮環シクロペンタジエニル構造の具体例としては、以下の部分構造(I)~(VI)が挙げられる。
これらの具体例の中でも、(I)、(III)、(VI)が好ましい。また、これらの部分構造(I)~(VI)上には、R5dが置換していてもよい。
これらの具体例の中でも、(I)、(III)、(VI)が好ましい。また、これらの部分構造(I)~(VI)上には、R5dが置換していてもよい。
置換基のR5dは、水素原子以外に、塩素原子、臭素原子、ヨウ素原子、メチル基、エチル基、n-プロピル基、i-プロピル基、n-ブチル基、i-ブチル基、t-ブチル基、n-ペンチル基、ネオペンチル基、シクロペンチル基、n-ヘキシル基、シクロヘキシル基、フェニル基、ベンジル基、2-メチルフェニル基、3-メチルフェニル基、4-メチルフェニル基、4-t-ブチルフェニル基、3,5-ジメチルフェニル基、3,5-ジ-t-ブチルフェニル基、ナフチル基、アントラセニル基、ビス(トリメチルシリル)メチル基、ビス(t-ブチルジメチルシリル)メチル基、ブロモメチル基、クロロメチル基、2-クロロエチル基、2-ブロモエチル基、2-ブロモプロピル基、3-ブロモプロピル基、2-ブロモシクロペンチル基、2,3-ジブロモシクロペンチル基、2-ブロモ-3-ヨードシクロペンチル基、2,3-ジブロモシクロヘキシル基、2-クロロ-3-ヨードシクロヘキシル基、2-クロロフェニル基、4-クロロフェニル基、2,3,4,5,6-ペンタフルオロフェニル基、2,6-ジクロロ-4-トリメチルシリルフェニル基、トリメチルシリル基、トリt-ブチルシリル基、ジt-ブチルメチルシリル基、t-ブチルジメチルシリル基、トリフェニルシリル基、ジフェニルメチルシリル基、フェニルジメチルシリル基などが挙げられる。
また、R5dが2つ以上で、結合している炭素原子と一緒に環を形成している場合の例として、ベンゾ[e]インデニル基、ベンゾ[f]インデニル基、6,7-ジヒドロインダセニル基、5,5,7,7-テトラメチル-6,7-ジヒドロインダセニル基、5,6,7,8-テトラヒドロ-ベンゾ[f]インデニル基、5,6,7,8-テトラヒドロ-5,5,8,8-テトラメチル-ベンゾ[f]インデニル基などが挙げられる。
好ましいR5dの具体例としては、メチル基、エチル基、n-プロピル基、i-プロピル基、n-ブチル基、t-ブチル基、n-ペンチル基、n-ヘキシル基、シクロヘキシル基、フェニル基、ナフチル基、トリメチルシリル基が挙げられる。
また、R5dが2つ以上で、結合している炭素原子と一緒に環を形成している場合の例として、ベンゾ[e]インデニル基、ベンゾ[f]インデニル基、6,7-ジヒドロインダセニル基、5,5,7,7-テトラメチル-6,7-ジヒドロインダセニル基、5,6,7,8-テトラヒドロ-ベンゾ[f]インデニル基、5,6,7,8-テトラヒドロ-5,5,8,8-テトラメチル-ベンゾ[f]インデニル基などが挙げられる。
好ましいR5dの具体例としては、メチル基、エチル基、n-プロピル基、i-プロピル基、n-ブチル基、t-ブチル基、n-ペンチル基、n-ヘキシル基、シクロヘキシル基、フェニル基、ナフチル基、トリメチルシリル基が挙げられる。
また、一般式(1d)中、mdは、0または1であり、mdが0の場合、Q1dは、R3dを含む共役5員環と直接結合している。さらに、ndは、0~10の整数を示し、ndが2以上の場合、R5dの少なくとも2つは、結合している炭素原子と一緒に環を形成していてもよい。
本発明に係るオレフィン重合用触媒として、必須成分(Ad)のメタロセン化合物は、下記一般式(2d)で示されるものが好ましい。
上記の一般式(2d)で示されるメタロセン化合物において、M1d、X1d、X2d、Q1d、R1d、R2d、R3d、R4dおよびR5dは、前述の一般式(1d)で示されるメタロセン化合物の説明で示した原子および基と同様な構造を、選択することができる。
本発明に係るオレフィン重合用触媒として、必須成分(Ad)のメタロセン化合物は、下記一般式(3d)で示されるものがさらに好ましい。
上記の一般式(3d)で示されるメタロセン化合物において、M1d、X1d、X2d、Q1d、R1dおよびR2dは、前述の一般式(1d)で示されるメタロセン化合物の説明で示した原子および基と同様な構造を、選択することができる。
本発明のエチレン系重合体の製造方法において、オレフィン重合用触媒の必須成分(Ad)のメタロセン化合物の具体例を一般式(4d)と下記表d-1~表d-4で示すが、これらに限定するものではない。なお、表d-1~表d-4中、TMSはトリメチルシリル、Indはインデニル基、Cpはシクロペンタジエニル基を表わす。
なお、これら具体例に示すメタロセン化合物のシクロペンタジエニル環、インデニル環上の置換基の位置を示す番号は、次式(5d)の通りである。
また、上記化合物のジルコニウムを、チタニウムまたはハフニウムに代えた化合物、等が挙げられる。
さらに、これらのメタロセン化合物を必須成分(Ad)として用いるに際しては、2種以上を用いることも可能である。
さらに、これらのメタロセン化合物を必須成分(Ad)として用いるに際しては、2種以上を用いることも可能である。
上記に例示した具体的化合物の中にあって、必須成分(Ad)であるメタロセン化合物として好ましいものを以下に示す。例えば、表d-1~表d-4中の、1d~51d、72d~77d、84d~89d、96d~101d、114d~129d、134d~149d、等が挙げられる。
また、上記化合物のジルコニウムを、チタニウムまたはハフニウムに代えた化合物、等が好ましいものとして、挙げられる。
また、上記化合物のジルコニウムを、チタニウムまたはハフニウムに代えた化合物、等が好ましいものとして、挙げられる。
また、上記に例示した具体的化合物の中にあって、必須成分(Ad)であるメタロセン化合物として、特に好ましいものを以下に示す。例えば、表d-1~表d-4中の、1d~6d、17d、18d、46d~49d、115d、117d、118d、121d、123d、125d、127d、129d、135d、137d、139d、141d、143d、145d、147d、149d、等が挙げられる。
また、上記化合物のジルコニウムを、チタニウムまたはハフニウムに代えた化合物、等が好ましいものとして、挙げられる。
また、上記化合物のジルコニウムを、チタニウムまたはハフニウムに代えた化合物、等が好ましいものとして、挙げられる。
さらに、上記に例示した具体的化合物の中にあって、必須成分(Ad)であるメタロセン化合物として、特に重合活性が高い点で好ましいものを以下に示す。例えば、表d-1~表d-4中の、1d~51、114d~129d、134d~149d、等が挙げられる。
さらに、上記に例示した具体的化合物の中にあって、必須成分(Ad)であるメタロセン化合物として、特に成形性に優れる点で好ましいものを以下に示す。例えば、表d-1~表d-4中の、1d~6d、17d、18d、46d~49d、72d~77d、84d~89d、96d~101d、115d、117d、119d、121d、123d、125d、127d、129d、135d、137d、139d、141d、143d、145d、147d、149d、等が挙げられる。
本発明に係わる必須成分(Ad)であるメタロセン化合物の合成例を以下に示すが、これらの合成方法に、特に限定されない。
例えば、インデン化合物をリチオ化した後、ジクロロシラン化合物と反応させ、続いて置換基を有するシクロペンタジエンのリチウム塩と反応させることで配位子が得られる。得られた配位子をテトラキス(アルキルアミド)ジルコニウム、続いてトリメチルシリルクロリドと反応させる方法、または、得られた配位子をリチオ化し、続いて四塩化ジルコニウムと反応させる方法などが挙げられる。
例えば、インデン化合物をリチオ化した後、ジクロロシラン化合物と反応させ、続いて置換基を有するシクロペンタジエンのリチウム塩と反応させることで配位子が得られる。得られた配位子をテトラキス(アルキルアミド)ジルコニウム、続いてトリメチルシリルクロリドと反応させる方法、または、得られた配位子をリチオ化し、続いて四塩化ジルコニウムと反応させる方法などが挙げられる。
V-2.オレフィン系重合体、エチレン系重合体の物性(特徴)
本発明の重合方法により、以下に説明するようなオレフィン系重合体またはエチレン系重合体が得られる。ここでは、エチレン系重合体を場合を中心に説明する。本発明で、エチレン系重合体とは、エチレン単独重合体もしくは上述の共重合によって製造されるエチレン・α-オレフィン共重合体のことをいう。
本発明の重合方法により、以下に説明するようなオレフィン系重合体またはエチレン系重合体が得られる。ここでは、エチレン系重合体を場合を中心に説明する。本発明で、エチレン系重合体とは、エチレン単独重合体もしくは上述の共重合によって製造されるエチレン・α-オレフィン共重合体のことをいう。
本発明のエチレン系重合体の製造方法により製造されるエチレン系重合体は、上記[III]項のエチレン系重合体の欄で定義された条件のうち、少なくとも条件(B-4’)を満足する。すなわち、該エチレン系重合体のλmax(2.0)が1.2~30.0、好ましくは1.5~20.0、より好ましくは2.0~10.0、更に好ましくは2.4~6.0であり、特に好ましくは3.0~5.0である。なお、該エチレン系重合体が満足すべきλmax(2.0)についての記載は、既に上述の条件(A-4)や条件(B-4)の項で述べた通りであるのでここでは省略する。
本発明で製造されるエチレン系重合体は、通常のエチレン系重合体に対し、溶融物性が改良されており、優れた成形性を有することが大きな特徴である。
一般に、ポリエチレンは、フィルム成形、ブロー成形、発泡成形等の溶融状態を経由する附型方法により工業製品へと加工されるが、この際、伸長流動特性が成形性のし易さに大きな影響を与えることはよく知られている。
すなわち、分子量分布が狭く、長鎖分岐を持たないポリエチレンは、溶融強度が低いので成形性が悪く、一方、超高分子量成分や長鎖分岐成分を有するポリエチレンは、溶融伸長時に歪硬化(ストレイン・ハードニング)、すなわち、高歪み側で伸長粘度が急激に上昇する特性を有し、この特性を顕著に示すポリエチレンは、成形性に優れると言われている。
一般に、ポリエチレンは、フィルム成形、ブロー成形、発泡成形等の溶融状態を経由する附型方法により工業製品へと加工されるが、この際、伸長流動特性が成形性のし易さに大きな影響を与えることはよく知られている。
すなわち、分子量分布が狭く、長鎖分岐を持たないポリエチレンは、溶融強度が低いので成形性が悪く、一方、超高分子量成分や長鎖分岐成分を有するポリエチレンは、溶融伸長時に歪硬化(ストレイン・ハードニング)、すなわち、高歪み側で伸長粘度が急激に上昇する特性を有し、この特性を顕著に示すポリエチレンは、成形性に優れると言われている。
この伸長粘度特性を定量的に表現する方法として、歪硬化前の伸長粘度と歪硬化後の伸長粘度の比を歪硬化度(λmax)として算出する方法があり、伸長粘度の非線形性を表す指標として有用である。このλmax値が大きいと、例えば、フィルム成形やブロー成形における製品の偏肉や吹き破れを防止したり、高速成形が可能となったり、発泡成形時の独立気泡率を高くできる効果があり、成形品の強度向上、意匠性向上、軽量化、成形サイクルの向上、断熱性向上等のメリットが得られる。
本発明で製造されるエチレン系重合体は、その特徴的な長鎖分岐構造に基づく極めて特徴的な伸長粘度特性や分子量分布および極限粘度特性を有し、更に、本発明のエチレン系重合体の製造方法により製造されるエチレン系重合体は、条件(B-4’)に加えて、上述の条件(B-1’)、(B-2”)、(B-3)、(B-5)、(B-7)、(B-8)および(B-9)のうち、好ましくは少なくともいずれか1つ以上、より好ましくは2つ以上、更に好ましくは3つ以上、特に好ましくは5つ以上、最も好ましくは全てを満足すると、本発明で製造されるエチレン系重合体は、通常のエチレン系重合体に対し、溶融物性が特に改良され、優れた成形性を有すると共に、剛性、衝撃強度、透明性といった機械的物性にも優れることとなる。
以下においては、実施例及び比較例を挙げて本発明をさらに詳細に説明し、本発明の卓越性と本発明の構成における優位性を実証するが、本発明はこれらの実施例によって限定されるものではない。
なお、実施例及び比較例において使用した測定方法は、以下の通りである。また、以下の触媒合成工程および重合工程は、すべて精製窒素雰囲気下で行い、かつ、使用した溶媒は、モレキュラーシーブ4Aで脱水精製したものを用いた。
なお、実施例及び比較例において使用した測定方法は、以下の通りである。また、以下の触媒合成工程および重合工程は、すべて精製窒素雰囲気下で行い、かつ、使用した溶媒は、モレキュラーシーブ4Aで脱水精製したものを用いた。
[エチレン系重合体の歪硬化度測定方法]
伸長粘度の歪硬化度(λmax)は、レオメータを用いて、上記本明細書記載の方法で測定した。なお、試験片の作成に先立ち、以下の手順で重合体の溶解・再沈殿処理を実施した。
冷却管を付けた500mlの二口フラスコにキシレン300mlを導入し、室温で窒素バブリングを30分間行った。重合体6.0グラムと2,6-ジ-t-ブチルヒドロキシトルエン(BTH)1.0グラムを導入した。窒素雰囲気下、125℃で30分間撹拌し、重合体をキシレンに完全に溶解させた。重合体が溶解したキシレン溶液をエタノール2.5Lに注ぎ、重合体を析出させた。ろ過により回収した重合体を80℃の真空乾燥機で乾燥した。
伸長粘度の歪硬化度(λmax)は、レオメータを用いて、上記本明細書記載の方法で測定した。なお、試験片の作成に先立ち、以下の手順で重合体の溶解・再沈殿処理を実施した。
冷却管を付けた500mlの二口フラスコにキシレン300mlを導入し、室温で窒素バブリングを30分間行った。重合体6.0グラムと2,6-ジ-t-ブチルヒドロキシトルエン(BTH)1.0グラムを導入した。窒素雰囲気下、125℃で30分間撹拌し、重合体をキシレンに完全に溶解させた。重合体が溶解したキシレン溶液をエタノール2.5Lに注ぎ、重合体を析出させた。ろ過により回収した重合体を80℃の真空乾燥機で乾燥した。
[末端二重結合数の測定]
末端二重結合の定量は、プレスフィルムを作製し、赤外吸収スペクトル(IR)を島津製作所製FTIR-8300の装置を用いて、一置換アルケンの面外変角振動の吸収である910cm-1のピークの吸光度より次式から算出される。
末端二重結合の数(個/1000炭素当り)=1.14×ΔA/d/t
ここで、ΔAは910cm-1のピークの吸光度、dはフィルム密度(g/cm3)、tはフィルム厚(mm)である。
末端二重結合の定量は、プレスフィルムを作製し、赤外吸収スペクトル(IR)を島津製作所製FTIR-8300の装置を用いて、一置換アルケンの面外変角振動の吸収である910cm-1のピークの吸光度より次式から算出される。
末端二重結合の数(個/1000炭素当り)=1.14×ΔA/d/t
ここで、ΔAは910cm-1のピークの吸光度、dはフィルム密度(g/cm3)、tはフィルム厚(mm)である。
[可溶分量の測定]
試料を140℃でオルトジクロロベンゼン(0.5mg/mLBHT入り)に溶解し溶液とする。これを140℃のTREFカラムに導入した後8℃/分の降温速度で100℃まで冷却し、引き続き4℃/分の降温速度で-15℃まで冷却し、60分間保持する。その後、溶媒であるオルトジクロロベンゼン(0.5mg/mLBHT入り)を1mL/分の流速でカラムに流し、TREFカラム中で-15℃のオルトジクロロベンゼンに溶解している成分を10分間溶出させ、次に昇温速度100℃/時間にてカラムを140℃までリニアに昇温し、溶出曲線を得る。
試料を140℃でオルトジクロロベンゼン(0.5mg/mLBHT入り)に溶解し溶液とする。これを140℃のTREFカラムに導入した後8℃/分の降温速度で100℃まで冷却し、引き続き4℃/分の降温速度で-15℃まで冷却し、60分間保持する。その後、溶媒であるオルトジクロロベンゼン(0.5mg/mLBHT入り)を1mL/分の流速でカラムに流し、TREFカラム中で-15℃のオルトジクロロベンゼンに溶解している成分を10分間溶出させ、次に昇温速度100℃/時間にてカラムを140℃までリニアに昇温し、溶出曲線を得る。
装置;
(TREF部)
TREFカラム:4.3mmφ×150mmステンレスカラム
カラム充填材:100μm表面不活性処理ガラスビーズ
加熱方式:アルミヒートブロック
冷却方式:ペルチェ素子(ペルチェ素子の冷却は水冷)
温度分布:±0.5℃
温調器:(株)チノー デジタルプログラム調節計KP1000
(バルブオーブン)
加熱方式:空気浴式オーブン
測定時温度:140℃
温度分布:±1℃
バルブ:6方バルブ、4方バルブ
(試料注入部)
注入方式:ループ注入方式
注入量:ループサイズ 0.1ml
注入口加熱方式:アルミヒートブロック
測定時温度:140℃
(検出部)
検出器:波長固定型赤外検出器 FOXBORO社製 MIRAN 1A
検出波長:3.42μm
高温フローセル:LC-IR用ミクロフローセル、光路長1.5mm、窓形状2φ×4mm長丸、合成サファイア窓板
測定時温度:140℃
(ポンプ部)
送液ポンプ:センシュウ科学社製 SSC-3461ポンプ
測定条件;
溶媒:オルトジクロロベンゼン(0.5mg/mLBHT入り)
試料濃度:5mg/mL
試料注入量:0.1mL
溶媒流速:1mL/分
(TREF部)
TREFカラム:4.3mmφ×150mmステンレスカラム
カラム充填材:100μm表面不活性処理ガラスビーズ
加熱方式:アルミヒートブロック
冷却方式:ペルチェ素子(ペルチェ素子の冷却は水冷)
温度分布:±0.5℃
温調器:(株)チノー デジタルプログラム調節計KP1000
(バルブオーブン)
加熱方式:空気浴式オーブン
測定時温度:140℃
温度分布:±1℃
バルブ:6方バルブ、4方バルブ
(試料注入部)
注入方式:ループ注入方式
注入量:ループサイズ 0.1ml
注入口加熱方式:アルミヒートブロック
測定時温度:140℃
(検出部)
検出器:波長固定型赤外検出器 FOXBORO社製 MIRAN 1A
検出波長:3.42μm
高温フローセル:LC-IR用ミクロフローセル、光路長1.5mm、窓形状2φ×4mm長丸、合成サファイア窓板
測定時温度:140℃
(ポンプ部)
送液ポンプ:センシュウ科学社製 SSC-3461ポンプ
測定条件;
溶媒:オルトジクロロベンゼン(0.5mg/mLBHT入り)
試料濃度:5mg/mL
試料注入量:0.1mL
溶媒流速:1mL/分
[フィルムの評価方法]
(1)引張弾性率
JIS K7127-1999に準拠して、フィルムの加工方向(MD方向)とフィルムの幅方向(TD方向)の1%変形したときの引張弾性率を測定した。
(2)フィルムインパクト
フィルム状試験片を直径50mmのホルダーに固定し、規定先端径(25.4mmφの半球型)の貫通部で打撃させ、貫通破壊に要したエネルギー(J/mm)を測定した。この値が大きくなるほど衝撃強度に優れていることを示す。
試験機はJIS P8134に準じ、かつ先端に貫通部を取り付けることのできる90度弧状の腕をそなえているものを使用した。
(3)透明性(ヘイズ)
JIS K7105-1981に準拠して、測定した。この値が小さいほど、透明性に優れていることを示す。
(4)引裂強度(エルメンドルフ引裂法)
JIS K7128-1991に準拠して、フィルムの加工方向(MD方向)とフィルムの幅方向(TD方向)の引裂強度(N/mm)を測定した。
(1)引張弾性率
JIS K7127-1999に準拠して、フィルムの加工方向(MD方向)とフィルムの幅方向(TD方向)の1%変形したときの引張弾性率を測定した。
(2)フィルムインパクト
フィルム状試験片を直径50mmのホルダーに固定し、規定先端径(25.4mmφの半球型)の貫通部で打撃させ、貫通破壊に要したエネルギー(J/mm)を測定した。この値が大きくなるほど衝撃強度に優れていることを示す。
試験機はJIS P8134に準じ、かつ先端に貫通部を取り付けることのできる90度弧状の腕をそなえているものを使用した。
(3)透明性(ヘイズ)
JIS K7105-1981に準拠して、測定した。この値が小さいほど、透明性に優れていることを示す。
(4)引裂強度(エルメンドルフ引裂法)
JIS K7128-1991に準拠して、フィルムの加工方向(MD方向)とフィルムの幅方向(TD方向)の引裂強度(N/mm)を測定した。
[インフレーションフィルムの成形条件および成形性評価法]
30μmのフィルムを成形する際には、以下の30mmφ押出機を有するインフレーションフィルム製膜機(成形装置)を用いて、下記の成形条件で、インフレーションフィルムを成形し、評価した。
装置:インフレーション成形装置
押出機スクリュー径:30mmφ
ダイ径:25mmφ
押出量:10kg/hr
ダイリップギャップ:2.0mm
引取速度:6.0m/分
ブローアップ比:2.0
成形樹脂温度:170-190℃(実施例に記載)
フィルム厚み:30μm
冷却リング:シングルスリットエアリング
30μmのフィルムを成形する際には、以下の30mmφ押出機を有するインフレーションフィルム製膜機(成形装置)を用いて、下記の成形条件で、インフレーションフィルムを成形し、評価した。
装置:インフレーション成形装置
押出機スクリュー径:30mmφ
ダイ径:25mmφ
押出量:10kg/hr
ダイリップギャップ:2.0mm
引取速度:6.0m/分
ブローアップ比:2.0
成形樹脂温度:170-190℃(実施例に記載)
フィルム厚み:30μm
冷却リング:シングルスリットエアリング
50μmのフィルムを成形する際には、以下の50mmφ押出機を有するインフレーションフィルム製膜機(成形装置)を用いて、下記の成形条件で、インフレーションフィルムを成形し、評価した。
装置:インフレーション成形装置
押出機スクリュー径:50mmφ
ダイ径:75mmφ
押出量:20kg/hr
ダイリップギャップ:3.0mm
引取速度:15m/分
ブローアップ比:2.0
成形樹脂温度:170-190℃
フィルム厚み:50μm
冷却リング:2段式風冷リング
装置:インフレーション成形装置
押出機スクリュー径:50mmφ
ダイ径:75mmφ
押出量:20kg/hr
ダイリップギャップ:3.0mm
引取速度:15m/分
ブローアップ比:2.0
成形樹脂温度:170-190℃
フィルム厚み:50μm
冷却リング:2段式風冷リング
〔実施例1a(a)〕
(1)エチレン系重合体(A-1)の製造
[メタロセン触媒A-1の調製]
電磁誘導攪拌機を備えた触媒調製装置に、窒素下で精製したトルエン1000ml、テトラエトキシジルコニウム(Zr(OEt)4)22g及びインデン75g及びメチルブチルシクロペンタジエン88gを加え、90℃に保持しながらトリプロピルアルミニウム100gを100分かけて滴下し、その後、同温度で2時間反応させた。40℃に冷却した後、メチルアルモキサンのトルエン溶液(濃度2.5mmol/ml)を3200ml添加し2時間攪拌した。次にあらかじめ450℃で5時間焼成処理したシリカ(グレース社製、#952、表面積300m2/g)2000gを加え、室温で1時間攪拌の後、40℃で窒素ブロー及び減圧乾燥を行い、流動性の良い固体触媒A-1を得た。
(1)エチレン系重合体(A-1)の製造
[メタロセン触媒A-1の調製]
電磁誘導攪拌機を備えた触媒調製装置に、窒素下で精製したトルエン1000ml、テトラエトキシジルコニウム(Zr(OEt)4)22g及びインデン75g及びメチルブチルシクロペンタジエン88gを加え、90℃に保持しながらトリプロピルアルミニウム100gを100分かけて滴下し、その後、同温度で2時間反応させた。40℃に冷却した後、メチルアルモキサンのトルエン溶液(濃度2.5mmol/ml)を3200ml添加し2時間攪拌した。次にあらかじめ450℃で5時間焼成処理したシリカ(グレース社製、#952、表面積300m2/g)2000gを加え、室温で1時間攪拌の後、40℃で窒素ブロー及び減圧乾燥を行い、流動性の良い固体触媒A-1を得た。
[エチレン・1-ヘキセン共重合体の製造]
1-ヘキセン/エチレンのモル比を0.018、水素/エチレンのモル比を2.9×10-4、窒素濃度を30mol%とし、全圧を0.8MPa、温度を80℃に準備された、気相連続重合装置(内容積100L、流動床直径10cm、流動床種ポリマ-(分散剤)1.5kg)にトリエチルアルミニウムのヘキサン溶液(0.03mmol/ml)を7ml/hで供給し、ガス組成と温度を一定に保ちながら、1時間当たりの生産量が約320gとなるように上記固体触媒A-1を間欠的に供給して重合を行った。活性は420g/(g触媒・MPa・h)であり、得られたエチレン系重合体(A-1)の物性を測定したところ、MFR2.0g/10分、密度0.918g/cm3であった。
1-ヘキセン/エチレンのモル比を0.018、水素/エチレンのモル比を2.9×10-4、窒素濃度を30mol%とし、全圧を0.8MPa、温度を80℃に準備された、気相連続重合装置(内容積100L、流動床直径10cm、流動床種ポリマ-(分散剤)1.5kg)にトリエチルアルミニウムのヘキサン溶液(0.03mmol/ml)を7ml/hで供給し、ガス組成と温度を一定に保ちながら、1時間当たりの生産量が約320gとなるように上記固体触媒A-1を間欠的に供給して重合を行った。活性は420g/(g触媒・MPa・h)であり、得られたエチレン系重合体(A-1)の物性を測定したところ、MFR2.0g/10分、密度0.918g/cm3であった。
(2)エチレン系重合体(B-1)の製造
[メタロセン触媒B-1の調製]
ジメチルシリレン(シクロペンタジエニル)(3-メチルインデニル)ジルコニウムジクロリドはシクロペンタジエニル-(3-メチルインデニル)ジメチルシランを用いて、Macromolecules 1995,28,3771-3778に記載の手順に従って合成した。
窒素雰囲気下、200ml二口フラスコに600℃で5時間焼成したシリカ5グラムを入れ、150℃のオイルバスで加熱しながら真空ポンプで1時間減圧乾燥した。別途用意した100ml二口フラスコに窒素雰囲気下で、上記で合成したジメチルシリレン(シクロペンタジエニル)(3-メチルインデニル)ジルコニウムジクロリド51.8ミリグラムを入れ、脱水トルエン13.4mlで溶解した後、更に室温でアルベマール社製の20%メチルアルミノキサン/トルエン溶液8.6mlを加え30分間撹拌した。真空乾燥済みシリカの入った200ml二口フラスコを40℃のオイルバスで加熱および撹拌しながら、上記錯体とメチルアルミノキサンの反応物のトルエン溶液を全量加えた。40℃で1時間撹拌した後、40℃に加熱したままトルエン溶媒を減圧留去することで固体触媒B-1を得た。
[メタロセン触媒B-1の調製]
ジメチルシリレン(シクロペンタジエニル)(3-メチルインデニル)ジルコニウムジクロリドはシクロペンタジエニル-(3-メチルインデニル)ジメチルシランを用いて、Macromolecules 1995,28,3771-3778に記載の手順に従って合成した。
窒素雰囲気下、200ml二口フラスコに600℃で5時間焼成したシリカ5グラムを入れ、150℃のオイルバスで加熱しながら真空ポンプで1時間減圧乾燥した。別途用意した100ml二口フラスコに窒素雰囲気下で、上記で合成したジメチルシリレン(シクロペンタジエニル)(3-メチルインデニル)ジルコニウムジクロリド51.8ミリグラムを入れ、脱水トルエン13.4mlで溶解した後、更に室温でアルベマール社製の20%メチルアルミノキサン/トルエン溶液8.6mlを加え30分間撹拌した。真空乾燥済みシリカの入った200ml二口フラスコを40℃のオイルバスで加熱および撹拌しながら、上記錯体とメチルアルミノキサンの反応物のトルエン溶液を全量加えた。40℃で1時間撹拌した後、40℃に加熱したままトルエン溶媒を減圧留去することで固体触媒B-1を得た。
[エチレン・1-ヘキセン共重合体の製造]
上記固体触媒B-1を使用してエチレン・1-ヘキセン気相連続共重合を行った。すなわち、温度75℃、ヘキセン/エチレンモル比0.012、水素/エチレンモル比1.5×10-3、窒素濃度を24mol%、全圧を0.8MPaに準備された気相連続重合装置(内容積100L、流動床直径10cm、流動床種ポリマ-(分散剤)1.8kg)に該固体触媒を0.38g/時間の速さで間欠的に供給しながらガス組成と温度を一定にして重合を行った。また、系内の清浄性を保つためトリエチルアルミニウム(TEA)のヘキサン稀釈溶液0.03mol/Lを7ml/hrでガス循環ラインに供給した。その結果、生成ポリエチレンの平均生成速度は420g/時間となった。累積5kg以上のポリエチレンを生成した後に得られたエチレン系重合体(B-1)のMFRと密度は各々0.8g/10分、0.914g/cm3であった。
上記固体触媒B-1を使用してエチレン・1-ヘキセン気相連続共重合を行った。すなわち、温度75℃、ヘキセン/エチレンモル比0.012、水素/エチレンモル比1.5×10-3、窒素濃度を24mol%、全圧を0.8MPaに準備された気相連続重合装置(内容積100L、流動床直径10cm、流動床種ポリマ-(分散剤)1.8kg)に該固体触媒を0.38g/時間の速さで間欠的に供給しながらガス組成と温度を一定にして重合を行った。また、系内の清浄性を保つためトリエチルアルミニウム(TEA)のヘキサン稀釈溶液0.03mol/Lを7ml/hrでガス循環ラインに供給した。その結果、生成ポリエチレンの平均生成速度は420g/時間となった。累積5kg以上のポリエチレンを生成した後に得られたエチレン系重合体(B-1)のMFRと密度は各々0.8g/10分、0.914g/cm3であった。
(3)ポリエチレン系樹脂組成物1aの製造
混合比が、エチレン系重合体(A-1)が95重量%、エチレン系重合体(B-1)が5重量%とからなるポリエチレン樹脂を、ミキサーにて混合均質化した。
次に、得られた混合物を二軸押出機にて溶融混練し、押出し物を固化、造粒した。最終的に得られた粒状のポリエチレン樹脂組成物1aについて、前記した50μのフィルムを成形する方法でフィルム成形性及びフィルム物性の評価を行った。その結果を表1a-1および表1a-2に示した。
混合比が、エチレン系重合体(A-1)が95重量%、エチレン系重合体(B-1)が5重量%とからなるポリエチレン樹脂を、ミキサーにて混合均質化した。
次に、得られた混合物を二軸押出機にて溶融混練し、押出し物を固化、造粒した。最終的に得られた粒状のポリエチレン樹脂組成物1aについて、前記した50μのフィルムを成形する方法でフィルム成形性及びフィルム物性の評価を行った。その結果を表1a-1および表1a-2に示した。
〔実施例1a(b)〕
エチレン系重合体の混合比を、エチレン系重合体(A-1)が90重量%、エチレン系重合体(B-1)が10重量%となるようにした以外は、実施例1a(a)の(1)~(3)と同様にして、ポリエチレン系樹脂組成物1bの製造およびフィルム成形を実施した。その結果を表1a-1および表1a-2に示した。
エチレン系重合体の混合比を、エチレン系重合体(A-1)が90重量%、エチレン系重合体(B-1)が10重量%となるようにした以外は、実施例1a(a)の(1)~(3)と同様にして、ポリエチレン系樹脂組成物1bの製造およびフィルム成形を実施した。その結果を表1a-1および表1a-2に示した。
〔実施例1a(c)〕
エチレン系重合体の混合比を、エチレン系重合体(A-1)が80重量%、エチレン系重合体(B-1)が20重量%となるようにした以外は、実施例1a(a)の(1)~(3)と同様にして、ポリエチレン系樹脂組成物1cの製造およびフィルム成形を実施した。その結果を表1a-1および表1a-2に示した。
エチレン系重合体の混合比を、エチレン系重合体(A-1)が80重量%、エチレン系重合体(B-1)が20重量%となるようにした以外は、実施例1a(a)の(1)~(3)と同様にして、ポリエチレン系樹脂組成物1cの製造およびフィルム成形を実施した。その結果を表1a-1および表1a-2に示した。
〔比較例C1a(a)〕
実施例1a(c)において、エチレン系重合体(B-1)の代わりに、高圧ラジカル法低密度ポリエチレン(日本ポリエチレン社製LF240;MFR=0.7g/10分、密度0.924g/cm3)を使用した以外は実施例1a(c)と同様にしてポリエチレン系樹脂組成物C1aの製造およびフィルム成形を実施した。その結果を表1a-1および表1a-2に示した。
実施例1a(c)において、エチレン系重合体(B-1)の代わりに、高圧ラジカル法低密度ポリエチレン(日本ポリエチレン社製LF240;MFR=0.7g/10分、密度0.924g/cm3)を使用した以外は実施例1a(c)と同様にしてポリエチレン系樹脂組成物C1aの製造およびフィルム成形を実施した。その結果を表1a-1および表1a-2に示した。
〔比較例C1a(b)〕
実施例1a(c)において、エチレン系重合体(B-1)の代わりに、長鎖分岐を有する市販のエチレン系重合体(住友化学社製CB2001;MFR=1.8g/10分、密度0.918g/cm3)を使用した以外は実施例1a(c)と同様にしてポリエチレン系樹脂組成物C1bの製造およびフィルム成形を実施した。その結果を表1a-1および表1a-2に示した。
実施例1a(c)において、エチレン系重合体(B-1)の代わりに、長鎖分岐を有する市販のエチレン系重合体(住友化学社製CB2001;MFR=1.8g/10分、密度0.918g/cm3)を使用した以外は実施例1a(c)と同様にしてポリエチレン系樹脂組成物C1bの製造およびフィルム成形を実施した。その結果を表1a-1および表1a-2に示した。
〔比較例C1a(c)〕
実施例1a(a)において、エチレン系重合体(B-1)を使用せず、エチレン系重合体(A-1)単独にて実施例1a(a)の(3)と同様にしてポリエチレン系樹脂組成物C1cの製造およびフィルム成形を実施した。その結果を表1a-1および表1a-2に示した。
実施例1a(a)において、エチレン系重合体(B-1)を使用せず、エチレン系重合体(A-1)単独にて実施例1a(a)の(3)と同様にしてポリエチレン系樹脂組成物C1cの製造およびフィルム成形を実施した。その結果を表1a-1および表1a-2に示した。
〔実施例2a〕
実施例1a(c)において、メタロセン触媒で製造したエチレン系重合体(A-1)の代わりに、マグネシウム・チタニウム複合型チーグラー触媒(A-2)で製造された市販のエチレン系重合体(A-2)(日本ポリエチレン社製UF230;MFR=1.0g/10分、密度0.921g/cm3のエチレン・1-ブテン共重合体)を使用した以外は実施例1a(c)と同様にしてポリエチレン系樹脂組成物2の製造およびフィルム成形を実施した。その結果を表1a-1および表1a-2に示した。
実施例1a(c)において、メタロセン触媒で製造したエチレン系重合体(A-1)の代わりに、マグネシウム・チタニウム複合型チーグラー触媒(A-2)で製造された市販のエチレン系重合体(A-2)(日本ポリエチレン社製UF230;MFR=1.0g/10分、密度0.921g/cm3のエチレン・1-ブテン共重合体)を使用した以外は実施例1a(c)と同様にしてポリエチレン系樹脂組成物2の製造およびフィルム成形を実施した。その結果を表1a-1および表1a-2に示した。
〔比較例2a〕
実施例2aにおいて、エチレン系重合体(B-1)を使用せず、エチレン系重合体(A-2)単独にてポリエチレン系樹脂組成物C2の製造およびフィルム成形を実施した。その結果を表1a-1および表1a-2に示した。
実施例2aにおいて、エチレン系重合体(B-1)を使用せず、エチレン系重合体(A-2)単独にてポリエチレン系樹脂組成物C2の製造およびフィルム成形を実施した。その結果を表1a-1および表1a-2に示した。
〔実施例3a(a)〕
(1)エチレン系重合体(B-3)の製造
[メタロセン触媒B-3の調製]
メタロセン錯体として、ジメチルシリレン(シクロペンタジエニル)(3-メチルインデニル)ジルコニウムジクロリド51.8ミリグラムの代わりに、ジメチルシリレン(シクロペンタジエニル)(3-メチルインデニル)ジルコニウムジクロリド46.6ミリグラムとrac-ジメチルシリレンビス(インデニル)ジルコニウムジクロリド(和光純薬工業株式会社製)5.6ミリグラムを使用した以外は実施例1a(a)の(2)と同様にして固体触媒B-3を得た。
(1)エチレン系重合体(B-3)の製造
[メタロセン触媒B-3の調製]
メタロセン錯体として、ジメチルシリレン(シクロペンタジエニル)(3-メチルインデニル)ジルコニウムジクロリド51.8ミリグラムの代わりに、ジメチルシリレン(シクロペンタジエニル)(3-メチルインデニル)ジルコニウムジクロリド46.6ミリグラムとrac-ジメチルシリレンビス(インデニル)ジルコニウムジクロリド(和光純薬工業株式会社製)5.6ミリグラムを使用した以外は実施例1a(a)の(2)と同様にして固体触媒B-3を得た。
[エチレン・1-ヘキセン共重合体の製造]
上記固体触媒B-3を使用して実施例1a(a)の(2)と同様のエチレン・1-ヘキセン気相連続共重合を行った。すなわち、温度75℃、ヘキセン/エチレンモル比0.007、水素/エチレンモル比2.5×10-3、窒素濃度を20mol%、全圧を0.8MPaに準備された気相連続重合装置(内容積100L、流動床直径10cm、流動床種ポリマ-(分散剤)1.8kg)に該固体触媒を0.18g/時間の速さで間欠的に供給しながらガス組成と温度を一定にして重合を行った。また、系内の清浄性を保つためトリエチルアルミニウム(TEA)のヘキサン稀釈溶液0.03mol/Lを7ml/hrでガス循環ラインに供給した。その結果、生成ポリエチレンの平均生成速度は300g/時間となった。累積5kg以上のポリエチレンを生成した後に得られたエチレン系重合体(B-3)のMFRと密度は各々0.3g/10分、0.921g/cm3であった。
上記固体触媒B-3を使用して実施例1a(a)の(2)と同様のエチレン・1-ヘキセン気相連続共重合を行った。すなわち、温度75℃、ヘキセン/エチレンモル比0.007、水素/エチレンモル比2.5×10-3、窒素濃度を20mol%、全圧を0.8MPaに準備された気相連続重合装置(内容積100L、流動床直径10cm、流動床種ポリマ-(分散剤)1.8kg)に該固体触媒を0.18g/時間の速さで間欠的に供給しながらガス組成と温度を一定にして重合を行った。また、系内の清浄性を保つためトリエチルアルミニウム(TEA)のヘキサン稀釈溶液0.03mol/Lを7ml/hrでガス循環ラインに供給した。その結果、生成ポリエチレンの平均生成速度は300g/時間となった。累積5kg以上のポリエチレンを生成した後に得られたエチレン系重合体(B-3)のMFRと密度は各々0.3g/10分、0.921g/cm3であった。
(2)ポリエチレン系樹脂組成物3aの製造
実施例1a(a)の(1)で製造したエチレン系重合体(A-1)90重量%と上記(1)で得られたエチレン系重合体(B-3)10重量%とからなるポリエチレン樹脂を、ミキサーにて混合均質化した。
次に、得られた混合物を二軸押出機にて溶融混練し、押出し物を固化、造粒した。最終的に得られた粒状のポリエチレン樹脂組成物3aについて、前記した30μのフィルムを成形する方法でフィルム成形性及びフィルム物性の評価を行った。その結果を表2a-1および表2a-2に示した。
実施例1a(a)の(1)で製造したエチレン系重合体(A-1)90重量%と上記(1)で得られたエチレン系重合体(B-3)10重量%とからなるポリエチレン樹脂を、ミキサーにて混合均質化した。
次に、得られた混合物を二軸押出機にて溶融混練し、押出し物を固化、造粒した。最終的に得られた粒状のポリエチレン樹脂組成物3aについて、前記した30μのフィルムを成形する方法でフィルム成形性及びフィルム物性の評価を行った。その結果を表2a-1および表2a-2に示した。
〔実施例4a(a)〕
(1)エチレン系重合体(B-4)の製造
[メタロセン触媒B-4の調製]
メタロセン錯体として、ジメチルシリレン(シクロペンタジエニル)(3-メチルインデニル)ジルコニウムジクロリド51.8ミリグラムの代わりに、rac-エチレンビスインデニルジルコニウムジクロリド(Strem Chemicals, Inc.製)52.5ミリグラムを使用して、実施例1a(a)の(2)と同様にしてトルエン溶媒でメチルアルミノキサンと30分反応させた後、別途用意したN,N-ジメチルアニリニウムテトラキスペンタフルオロフェニルボレート201ミリグラムの10ml脱水トルエン溶解液を追加して更に30分反応させてからシリカに担持した以外は実施例1a(a)の(2)と同様にして固体触媒B-4を得た。
(1)エチレン系重合体(B-4)の製造
[メタロセン触媒B-4の調製]
メタロセン錯体として、ジメチルシリレン(シクロペンタジエニル)(3-メチルインデニル)ジルコニウムジクロリド51.8ミリグラムの代わりに、rac-エチレンビスインデニルジルコニウムジクロリド(Strem Chemicals, Inc.製)52.5ミリグラムを使用して、実施例1a(a)の(2)と同様にしてトルエン溶媒でメチルアルミノキサンと30分反応させた後、別途用意したN,N-ジメチルアニリニウムテトラキスペンタフルオロフェニルボレート201ミリグラムの10ml脱水トルエン溶解液を追加して更に30分反応させてからシリカに担持した以外は実施例1a(a)の(2)と同様にして固体触媒B-4を得た。
[エチレン・1-ヘキセン共重合体の製造]
上記固体触媒B-4を使用してエチレン・1-ヘキセン共重合体を製造した。すなわち、誘導撹拌装置付き2Lオートクレーブにイソブタン800mL、1-ヘキセン22mL、トリエチルアルミニウム0.20mmolを加え、75℃に昇温し、H2を130mL添加し、更にエチレンを導入してエチレン分圧を1.4MPaに保った。次いで、上記固体触媒B-4の54mgを窒素で圧入し、エチレン分圧1.4MPa、温度75℃を保って120分間重合を継続した後、エタノールを加えて重合を停止させた。なお、重合反応中、エチレン消費速度に比例した供給速度にてH2および1-ヘキセンの追加供給を実施した。その結果、重合開始10分後と重合終了時のオートクレーブ気相部のH2/C2(水素/エチレン)モル比はそれぞれ0.21%、0.35%であり、追加供給した1-ヘキセン量は28mLであった。こうして得られたエチレン重合体(B-4)は205gであり、そのMFRと密度は各々0.3g/10分、0.923g/cm3であった。
上記固体触媒B-4を使用してエチレン・1-ヘキセン共重合体を製造した。すなわち、誘導撹拌装置付き2Lオートクレーブにイソブタン800mL、1-ヘキセン22mL、トリエチルアルミニウム0.20mmolを加え、75℃に昇温し、H2を130mL添加し、更にエチレンを導入してエチレン分圧を1.4MPaに保った。次いで、上記固体触媒B-4の54mgを窒素で圧入し、エチレン分圧1.4MPa、温度75℃を保って120分間重合を継続した後、エタノールを加えて重合を停止させた。なお、重合反応中、エチレン消費速度に比例した供給速度にてH2および1-ヘキセンの追加供給を実施した。その結果、重合開始10分後と重合終了時のオートクレーブ気相部のH2/C2(水素/エチレン)モル比はそれぞれ0.21%、0.35%であり、追加供給した1-ヘキセン量は28mLであった。こうして得られたエチレン重合体(B-4)は205gであり、そのMFRと密度は各々0.3g/10分、0.923g/cm3であった。
(2)ポリエチレン系樹脂組成物4aの製造
エチレン系重合体(B-3)の代わりに上記エチレン系重合体(B-4)を使用した以外は実施例3a(a)の(2)と同様にしてポリエチレン系樹脂組成物4aを製造してフィルム成形性及びフィルム物性の評価を行った。その結果を表2a-1および表2a-2に示した。
エチレン系重合体(B-3)の代わりに上記エチレン系重合体(B-4)を使用した以外は実施例3a(a)の(2)と同様にしてポリエチレン系樹脂組成物4aを製造してフィルム成形性及びフィルム物性の評価を行った。その結果を表2a-1および表2a-2に示した。
〔実施例5a(a)〕
(1)エチレン系重合体(B-5)の製造
[メタロセン触媒B-5の調製]
窒素雰囲気下、200ml二口フラスコに600℃で5時間焼成したシリカ10グラムを入れ、150℃のオイルバスで加熱しながら真空ポンプで1時間減圧乾燥した。別途用意した100ml二口フラスコに窒素雰囲気下で、トリスインデニルジルコニウムハイドライドの46mg(0.1mmol)とトリスベンゾインデニルジルコニウムハイドライドの118mg(0.2mmol)を入れ、脱水トルエン20mlで溶解した後、更に室温でアルベマール社製の20%メチルアルミノキサン/トルエン溶液14.0mlを加え30分間撹拌した。真空乾燥済みシリカの入った200ml二口フラスコを40℃のオイルバスで加熱および撹拌しながら、上記の2種の錯体とメチルアルミノキサンの反応物のトルエン溶液を全量加えた。40℃で1時間撹拌した後、40℃に加熱したままトルエン溶媒を減圧留去することで固体触媒B-5を得た。
(1)エチレン系重合体(B-5)の製造
[メタロセン触媒B-5の調製]
窒素雰囲気下、200ml二口フラスコに600℃で5時間焼成したシリカ10グラムを入れ、150℃のオイルバスで加熱しながら真空ポンプで1時間減圧乾燥した。別途用意した100ml二口フラスコに窒素雰囲気下で、トリスインデニルジルコニウムハイドライドの46mg(0.1mmol)とトリスベンゾインデニルジルコニウムハイドライドの118mg(0.2mmol)を入れ、脱水トルエン20mlで溶解した後、更に室温でアルベマール社製の20%メチルアルミノキサン/トルエン溶液14.0mlを加え30分間撹拌した。真空乾燥済みシリカの入った200ml二口フラスコを40℃のオイルバスで加熱および撹拌しながら、上記の2種の錯体とメチルアルミノキサンの反応物のトルエン溶液を全量加えた。40℃で1時間撹拌した後、40℃に加熱したままトルエン溶媒を減圧留去することで固体触媒B-5を得た。
[エチレン・1-ヘキセン共重合体の製造]
上記固体触媒B-5を使用して実施例1a(a)の(2)と同様のエチレン・1-ヘキセン気相連続共重合を行った。すなわち、温度80℃、ヘキセン/エチレンモル比0.020、水素/エチレンモル比4.7×10-4、窒素濃度を26mol%、全圧を0.8MPaに準備された気相連続重合装置(内容積100L、流動床直径10cm、流動床種ポリマ-(分散剤)1.8kg)に該固体触媒を0.19g/時間の速さで間欠的に供給しながらガス組成と温度を一定にして重合を行った。また、系内の清浄性を保つためトリエチルアルミニウム(TEA)のヘキサン稀釈溶液0.03mol/Lを7ml/hrでガス循環ラインに供給した。その結果、生成ポリエチレンの平均生成速度は260g/時間となった。累積5kg以上のポリエチレンを生成した後に得られたエチレン系重合体(B-5)のMFRと密度は各々0.3g/10分、0.922g/cm3であった。
上記固体触媒B-5を使用して実施例1a(a)の(2)と同様のエチレン・1-ヘキセン気相連続共重合を行った。すなわち、温度80℃、ヘキセン/エチレンモル比0.020、水素/エチレンモル比4.7×10-4、窒素濃度を26mol%、全圧を0.8MPaに準備された気相連続重合装置(内容積100L、流動床直径10cm、流動床種ポリマ-(分散剤)1.8kg)に該固体触媒を0.19g/時間の速さで間欠的に供給しながらガス組成と温度を一定にして重合を行った。また、系内の清浄性を保つためトリエチルアルミニウム(TEA)のヘキサン稀釈溶液0.03mol/Lを7ml/hrでガス循環ラインに供給した。その結果、生成ポリエチレンの平均生成速度は260g/時間となった。累積5kg以上のポリエチレンを生成した後に得られたエチレン系重合体(B-5)のMFRと密度は各々0.3g/10分、0.922g/cm3であった。
(2)ポリエチレン系樹脂組成物5aの製造
エチレン系重合体(B-3)の代わりに上記エチレン系重合体(B-5)を使用した以外は実施例3a(a)の(2)と同様にしてポリエチレン系樹脂組成物5aを製造してフィルム成形性及びフィルム物性の評価を行った。その結果を表2a-1および表2a-2に示した。
エチレン系重合体(B-3)の代わりに上記エチレン系重合体(B-5)を使用した以外は実施例3a(a)の(2)と同様にしてポリエチレン系樹脂組成物5aを製造してフィルム成形性及びフィルム物性の評価を行った。その結果を表2a-1および表2a-2に示した。
〔比較例C3a(a)〕
エチレン系重合体(B-3)の代わりに、高圧ラジカル法低密度ポリエチレン(日本ポリエチレン社製LF240)を使用した以外は実施例3a(2)と同様にしてポリエチレン系樹脂組成物C3aの製造およびフィルム成形性及びフィルム物性の評価を行った。その結果を表2a-1および表2a-2に示した。
エチレン系重合体(B-3)の代わりに、高圧ラジカル法低密度ポリエチレン(日本ポリエチレン社製LF240)を使用した以外は実施例3a(2)と同様にしてポリエチレン系樹脂組成物C3aの製造およびフィルム成形性及びフィルム物性の評価を行った。その結果を表2a-1および表2a-2に示した。
〔比較例C4a(a)〕
実施例4a(a)の(1)で、N,N-ジメチルアニリニウムテトラキスペンタフルオロフェニルボレートを使用しなかった以外は実施例4a(a)と同様にしてエチレン系重合体(B-C4)、ポリエチレン系樹脂組成物C4aの製造およびフィルム成形性及びフィルム物性の評価を行った。その結果を表2a-1および表2a-2に示した。
実施例4a(a)の(1)で、N,N-ジメチルアニリニウムテトラキスペンタフルオロフェニルボレートを使用しなかった以外は実施例4a(a)と同様にしてエチレン系重合体(B-C4)、ポリエチレン系樹脂組成物C4aの製造およびフィルム成形性及びフィルム物性の評価を行った。その結果を表2a-1および表2a-2に示した。
〔比較例C5a〕
実施例3a(a)において、エチレン系重合体(B-3)を使用せず、エチレン系重合体(A-1)単独にて実施例3a(a)の(2)と同様にしてポリエチレン系樹脂組成物C5の製造およびフィルム成形性及びフィルム物性の評価を行った。その結果を表2a-1および表2a-2に示した。
実施例3a(a)において、エチレン系重合体(B-3)を使用せず、エチレン系重合体(A-1)単独にて実施例3a(a)の(2)と同様にしてポリエチレン系樹脂組成物C5の製造およびフィルム成形性及びフィルム物性の評価を行った。その結果を表2a-1および表2a-2に示した。
〔比較例C6a〕
実施例5a(a)において、エチレン系重合体(A-1)を使用せず、エチレン系重合体(B-5)単独にて実施例3a(a)の(2)と同様にしてポリエチレン系樹脂組成物C6の製造およびフィルム成形性及びフィルム物性の評価を行った。その結果を表2a-1および表2a-2に示した。
実施例5a(a)において、エチレン系重合体(A-1)を使用せず、エチレン系重合体(B-5)単独にて実施例3a(a)の(2)と同様にしてポリエチレン系樹脂組成物C6の製造およびフィルム成形性及びフィルム物性の評価を行った。その結果を表2a-1および表2a-2に示した。
〔実施例3a(b)〕
実施例3a(a)の(2)において、エチレン系重合体(A-1)とエチレン系重合体(B-3)の混合比率を80重量%:20重量%とした以外は実施例3a(a)の(2)と同様にしてポリエチレン系樹脂組成物3bの製造およびフィルム成形性及びフィルム物性の評価を行った。その結果を表2a-1および表2a-2に示した。
実施例3a(a)の(2)において、エチレン系重合体(A-1)とエチレン系重合体(B-3)の混合比率を80重量%:20重量%とした以外は実施例3a(a)の(2)と同様にしてポリエチレン系樹脂組成物3bの製造およびフィルム成形性及びフィルム物性の評価を行った。その結果を表2a-1および表2a-2に示した。
〔実施例4a(b)〕
実施例4a(a)の(2)において、エチレン系重合体(A-1)とエチレン系重合体(B-4)の混合比率を80重量%:20重量%とした以外は実施例4a(a)の(2)と同様にしてポリエチレン系樹脂組成物4bの製造およびフィルム成形性及びフィルム物性の評価を行った。その結果を表2a-1および表2a-2に示した。
実施例4a(a)の(2)において、エチレン系重合体(A-1)とエチレン系重合体(B-4)の混合比率を80重量%:20重量%とした以外は実施例4a(a)の(2)と同様にしてポリエチレン系樹脂組成物4bの製造およびフィルム成形性及びフィルム物性の評価を行った。その結果を表2a-1および表2a-2に示した。
〔実施例5a(b)〕
実施例5a(a)の(2)において、エチレン系重合体(A-1)とエチレン系重合体(B-5)の混合比率を80重量%:20重量%とした以外は実施例5a(a)の(2)と同様にしてポリエチレン系樹脂組成物5bの製造およびフィルム成形性及びフィルム物性の評価を行った。その結果を表2a-1および表2a-2に示した。
実施例5a(a)の(2)において、エチレン系重合体(A-1)とエチレン系重合体(B-5)の混合比率を80重量%:20重量%とした以外は実施例5a(a)の(2)と同様にしてポリエチレン系樹脂組成物5bの製造およびフィルム成形性及びフィルム物性の評価を行った。その結果を表2a-1および表2a-2に示した。
〔比較例C3a(b)〕
比較例C3a(a)において、エチレン系重合体(A-1)と高圧ラジカル法低密度ポリエチレンの混合比率を80重量%:20重量%とした以外は同様にしてポリエチレン系樹脂組成物C3bの製造およびフィルム成形性及びフィルム物性の評価を行った。その結果を表2a-1および表2a-2に示した。
比較例C3a(a)において、エチレン系重合体(A-1)と高圧ラジカル法低密度ポリエチレンの混合比率を80重量%:20重量%とした以外は同様にしてポリエチレン系樹脂組成物C3bの製造およびフィルム成形性及びフィルム物性の評価を行った。その結果を表2a-1および表2a-2に示した。
〔比較例C7a〕
エチレン系重合体(A-1)の代わりに、ヘキセン/エチレンのモル比を0.017、水素/エチレン比のモル比を2.1×10-4とした以外は実施例1a(a)の(1)と同様にして製造したエチレン系重合体(A-3)を使用した以外は、比較例C5aと同様にしてポリエチレン系樹脂組成物C7の製造およびフィルム成形性及びフィルム物性の評価を行った。その結果を表2a-1および表2a-2に示した。
エチレン系重合体(A-1)の代わりに、ヘキセン/エチレンのモル比を0.017、水素/エチレン比のモル比を2.1×10-4とした以外は実施例1a(a)の(1)と同様にして製造したエチレン系重合体(A-3)を使用した以外は、比較例C5aと同様にしてポリエチレン系樹脂組成物C7の製造およびフィルム成形性及びフィルム物性の評価を行った。その結果を表2a-1および表2a-2に示した。
〔実施例5a(c)〕
実施例5a(a)の(2)においてエチレン系重合体(A-1)とエチレン系重合体(B-5)の混合比率を70重量%:30重量%とした以外は実施例5a(a)の(2)と同様にしてポリエチレン系樹脂組成物5cの製造およびフィルム成形性及びフィルム物性の評価を行った。その結果を表2a-1および表2a-2に示した。
実施例5a(a)の(2)においてエチレン系重合体(A-1)とエチレン系重合体(B-5)の混合比率を70重量%:30重量%とした以外は実施例5a(a)の(2)と同様にしてポリエチレン系樹脂組成物5cの製造およびフィルム成形性及びフィルム物性の評価を行った。その結果を表2a-1および表2a-2に示した。
〔比較例C8a〕
(1)エチレン系重合体(A-4)の製造
ヘキセン/エチレンのモル比を0.011、水素/エチレン比のモル比を3.4×10-4とした以外は実施例1a(a)の(1)と同様にしてエチレン系重合体(A-4)を製造した。
(1)エチレン系重合体(A-4)の製造
ヘキセン/エチレンのモル比を0.011、水素/エチレン比のモル比を3.4×10-4とした以外は実施例1a(a)の(1)と同様にしてエチレン系重合体(A-4)を製造した。
(2)エチレン系重合体(B-C8)の製造
[メタロセン触媒B-C8の調製]
ジメチルシリレン(シクロペンタジエニル)(3-メチルインデニル)ジルコニウムジクロリドの代わりにジメチルシリレンビス[4-フェニル-2-(2-フリル)-インデニル]ジルコニウムジクロリド95.6ミリグラムを使用した以外は実施例1a(a)の(2)のメタロセン触媒B-1の調製と同様にして、固体触媒B-C8を調製した。なお、ジメチルシリレンビス[4-フェニル-2-(2-フリル)-インデニル]ジルコニウムジクロリドは日本国特表2002-535339号公報に記載の手順に従って合成した。
[メタロセン触媒B-C8の調製]
ジメチルシリレン(シクロペンタジエニル)(3-メチルインデニル)ジルコニウムジクロリドの代わりにジメチルシリレンビス[4-フェニル-2-(2-フリル)-インデニル]ジルコニウムジクロリド95.6ミリグラムを使用した以外は実施例1a(a)の(2)のメタロセン触媒B-1の調製と同様にして、固体触媒B-C8を調製した。なお、ジメチルシリレンビス[4-フェニル-2-(2-フリル)-インデニル]ジルコニウムジクロリドは日本国特表2002-535339号公報に記載の手順に従って合成した。
[エチレン・1-ヘキセン共重合体の製造]
上記固体触媒B-C8を使用してエチレン・1-ヘキセン共重合体を製造した。すなわち、誘導撹拌装置付き2Lオートクレーブにイソブタン800mL、1-ヘキセン30mL、トリエチルアルミニウム2mmolを加え、75℃に昇温し、H2を95mL添加し、更にエチレンを導入してエチレン分圧を1.4MPaに保った。次いで、上記固体触媒B-4の27mgを窒素で圧入し、エチレン分圧1.4MPa、温度75℃を保って90分間重合を継続した後、エタノールを加えて重合を停止させた。なお、重合反応中、エチレン消費速度に比例した供給速度にてH2および1-ヘキセンの追加供給を実施した。その結果、重合開始10分後と重合終了時のオートクレーブ気相部のH2/C2(水素/エチレン)モル比はそれぞれ0.15%、0.14%であり、追加供給した1-ヘキセン量は19mLであった。こうして得られたエチレン重合体(B-C8)は113gであり、そのMFRと密度は各々0.05g/10分、0.894g/cm3であった。
上記固体触媒B-C8を使用してエチレン・1-ヘキセン共重合体を製造した。すなわち、誘導撹拌装置付き2Lオートクレーブにイソブタン800mL、1-ヘキセン30mL、トリエチルアルミニウム2mmolを加え、75℃に昇温し、H2を95mL添加し、更にエチレンを導入してエチレン分圧を1.4MPaに保った。次いで、上記固体触媒B-4の27mgを窒素で圧入し、エチレン分圧1.4MPa、温度75℃を保って90分間重合を継続した後、エタノールを加えて重合を停止させた。なお、重合反応中、エチレン消費速度に比例した供給速度にてH2および1-ヘキセンの追加供給を実施した。その結果、重合開始10分後と重合終了時のオートクレーブ気相部のH2/C2(水素/エチレン)モル比はそれぞれ0.15%、0.14%であり、追加供給した1-ヘキセン量は19mLであった。こうして得られたエチレン重合体(B-C8)は113gであり、そのMFRと密度は各々0.05g/10分、0.894g/cm3であった。
(3)ポリエチレン系樹脂組成物C8の製造
エチレン系重合体(A-1)の代わりに上記エチレン系重合体(A-4)を使用し、エチレン系重合体(B-5)の代わりに上記エチレン系重合体(B-C8)を使用した以外は実施例5a(c)と同様にしてポリエチレン系樹脂組成物C8を製造し、フィルム成形性及びフィルム物性の評価を行った。その結果を表2a-1および表2a-2に示した。
エチレン系重合体(A-1)の代わりに上記エチレン系重合体(A-4)を使用し、エチレン系重合体(B-5)の代わりに上記エチレン系重合体(B-C8)を使用した以外は実施例5a(c)と同様にしてポリエチレン系樹脂組成物C8を製造し、フィルム成形性及びフィルム物性の評価を行った。その結果を表2a-1および表2a-2に示した。
〔比較例C9a〕
(1)エチレン系重合体(A-4)の製造
上記固体触媒B-5を使用して実施例1a(a)の(2)と同様にしてエチレン・1-ヘキセン気相連続共重合を行った。すなわち、温度85℃、ヘキセン/エチレンモル比0.016、水素/エチレンモル比6.2×10-4、窒素濃度を30mol%、全圧を0.8MPaに準備された気相連続重合装置(内容積100L、流動床直径10cm、流動床種ポリマ-(分散剤)1.8kg)に該固体触媒を0.36g/時間の速さで間欠的に供給しながらガス組成と温度を一定にして重合を行った。また、系内の清浄性を保つためトリエチルアルミニウム(TEA)のヘキサン稀釈溶液0.03mol/Lを7ml/hrでガス循環ラインに供給した。その結果、生成ポリエチレンの平均生成速度は400g/時間となった。累積5kg以上のポリエチレンを生成した後に得られたエチレン系重合体(B-5)のMFRと密度は各々5.9g/10分、0.927g/cm3であった。
(1)エチレン系重合体(A-4)の製造
上記固体触媒B-5を使用して実施例1a(a)の(2)と同様にしてエチレン・1-ヘキセン気相連続共重合を行った。すなわち、温度85℃、ヘキセン/エチレンモル比0.016、水素/エチレンモル比6.2×10-4、窒素濃度を30mol%、全圧を0.8MPaに準備された気相連続重合装置(内容積100L、流動床直径10cm、流動床種ポリマ-(分散剤)1.8kg)に該固体触媒を0.36g/時間の速さで間欠的に供給しながらガス組成と温度を一定にして重合を行った。また、系内の清浄性を保つためトリエチルアルミニウム(TEA)のヘキサン稀釈溶液0.03mol/Lを7ml/hrでガス循環ラインに供給した。その結果、生成ポリエチレンの平均生成速度は400g/時間となった。累積5kg以上のポリエチレンを生成した後に得られたエチレン系重合体(B-5)のMFRと密度は各々5.9g/10分、0.927g/cm3であった。
(2)ポリエチレン系樹脂組成物C9の製造
エチレン系重合体(A-1)の代わりに上記エチレン系重合体(A-5)を使用し、エチレン系重合体(B-5)の代わりに比較例C8aの(2)で製造したエチレン系重合体(B-C8)を使用した以外は実施例5a(c)と同様にしてポリエチレン系樹脂組成物C9を製造し、フィルム成形性及びフィルム物性の評価を行った。その結果を表2a-1および表2a-2に示した。
エチレン系重合体(A-1)の代わりに上記エチレン系重合体(A-5)を使用し、エチレン系重合体(B-5)の代わりに比較例C8aの(2)で製造したエチレン系重合体(B-C8)を使用した以外は実施例5a(c)と同様にしてポリエチレン系樹脂組成物C9を製造し、フィルム成形性及びフィルム物性の評価を行った。その結果を表2a-1および表2a-2に示した。
〔実施例6a(a)〕
(1)エチレン系重合体(A-6)の製造
1-ヘキセン/エチレンのモル比を0.011、水素/エチレン比のモル比を2.7×10-4とした以外は実施例1a(a)の(1)と同様にしてエチレン系重合体(A-6)を製造した。
(1)エチレン系重合体(A-6)の製造
1-ヘキセン/エチレンのモル比を0.011、水素/エチレン比のモル比を2.7×10-4とした以外は実施例1a(a)の(1)と同様にしてエチレン系重合体(A-6)を製造した。
(2)エチレン系重合体(B-6)の製造
上記実施例5a(a)の(1)と同様にしてエチレン・1-ヘキセン気相連続共重合を行った。ただし、温度65℃、ヘキセン/エチレンモル比0.025、水素/エチレンモル比9.3×10-4、窒素濃度24mol%、全圧0.8MPaであった。その結果、生成ポリエチレンの平均生成速度は290g/時間となった。累積5kg以上のポリエチレンを生成した後に得られたエチレン系重合体(B-6)のMFRと密度は各々0.3g/10分、0.906g/cm3であった。
上記実施例5a(a)の(1)と同様にしてエチレン・1-ヘキセン気相連続共重合を行った。ただし、温度65℃、ヘキセン/エチレンモル比0.025、水素/エチレンモル比9.3×10-4、窒素濃度24mol%、全圧0.8MPaであった。その結果、生成ポリエチレンの平均生成速度は290g/時間となった。累積5kg以上のポリエチレンを生成した後に得られたエチレン系重合体(B-6)のMFRと密度は各々0.3g/10分、0.906g/cm3であった。
(3)ポリエチレン系樹脂組成物6の製造
エチレン系重合体(A-1)とエチレン系重合体(B-5)の代わりに、各々上記エチレン系重合体(A-6)とエチレン系重合体(B-6)を使用した以外は実施例5a(c)と同様にしてポリエチレン系樹脂組成物6の製造を実施し、フィルム成形性及びフィルム物性の評価を行った。その結果を表3a-1および表3a-2に示した。
エチレン系重合体(A-1)とエチレン系重合体(B-5)の代わりに、各々上記エチレン系重合体(A-6)とエチレン系重合体(B-6)を使用した以外は実施例5a(c)と同様にしてポリエチレン系樹脂組成物6の製造を実施し、フィルム成形性及びフィルム物性の評価を行った。その結果を表3a-1および表3a-2に示した。
〔比較例C10a(a)〕
エチレン系重合体(A-1)の代わりに、1-ヘキセン/エチレンのモル比を0.013、水素/エチレン比のモル比を2.3×10-4とした以外は実施例1a(a)の(1)と同様にして製造したエチレン系重合体(A-7)を使用した以外は、比較例C5aと同様にしてポリエチレン系樹脂組成物C10の製造およびフィルム成形性及びフィルム物性の評価を行った。その結果を表3a-1および表3a-2に示した。
エチレン系重合体(A-1)の代わりに、1-ヘキセン/エチレンのモル比を0.013、水素/エチレン比のモル比を2.3×10-4とした以外は実施例1a(a)の(1)と同様にして製造したエチレン系重合体(A-7)を使用した以外は、比較例C5aと同様にしてポリエチレン系樹脂組成物C10の製造およびフィルム成形性及びフィルム物性の評価を行った。その結果を表3a-1および表3a-2に示した。
〔実施例7a(a)〕
(1)エチレン系重合体(A-7)の製造
マグネシウム・チタニウム複合型チーグラー触媒(A-2)を用いた連続気相重合によって製造されたエチレン系重合体(A-7)(MFR=1.5g/10分、密度0.936g/cm3のエチレン・1-ブテン共重合体)を使用した。
(1)エチレン系重合体(A-7)の製造
マグネシウム・チタニウム複合型チーグラー触媒(A-2)を用いた連続気相重合によって製造されたエチレン系重合体(A-7)(MFR=1.5g/10分、密度0.936g/cm3のエチレン・1-ブテン共重合体)を使用した。
(2)ポリエチレン系樹脂組成物7の製造
エチレン系重合体(A-1)とエチレン系重合体(B-3)の代わりに、各々上記エチレン系重合体(A-7)とエチレン系重合体(B-6)を使用した以外は実施例3a(a)と同様にしてポリエチレン系樹脂組成物7の製造し、フィルム成形性及びフィルム物性の評価を行った。その結果を表3a-1および表3a-2に示した。
エチレン系重合体(A-1)とエチレン系重合体(B-3)の代わりに、各々上記エチレン系重合体(A-7)とエチレン系重合体(B-6)を使用した以外は実施例3a(a)と同様にしてポリエチレン系樹脂組成物7の製造し、フィルム成形性及びフィルム物性の評価を行った。その結果を表3a-1および表3a-2に示した。
〔比較例C11a(a)〕
実施例7a(a)において、エチレン系重合体(B-6)の代わりに、比較例C1a(a)と同じ高圧ラジカル法低密度ポリエチレンを使用し、エチレン系重合体(A-7)と該高圧ラジカル法低密度ポリエチレンの混合比率を80重量%と20重量%とした以外は実施例7a(a)の(2)と同様にしてポリエチレン系樹脂組成物C11の製造およびフィルム成形性及びフィルム物性の評価を行った。その結果を表3a-1および表3a-2に示した。
実施例7a(a)において、エチレン系重合体(B-6)の代わりに、比較例C1a(a)と同じ高圧ラジカル法低密度ポリエチレンを使用し、エチレン系重合体(A-7)と該高圧ラジカル法低密度ポリエチレンの混合比率を80重量%と20重量%とした以外は実施例7a(a)の(2)と同様にしてポリエチレン系樹脂組成物C11の製造およびフィルム成形性及びフィルム物性の評価を行った。その結果を表3a-1および表3a-2に示した。
〔比較例C12a(a)〕
(1)エチレン系重合体(B-C9)の製造
上記実施例1a(a)の(1)と同様にしてエチレン・1-ヘキセン気相連続共重合を行った。ただし、温度65℃、ヘキセン/エチレンモル比0.025、水素/エチレンモル比を2.6×10-4であった。その結果、生成ポリエチレンの平均生成速度は320g/時間となった。累積5kg以上のポリエチレンを生成した後に得られたエチレン系重合体のMFRと密度は各々1.0g/10分、0.906g/cm3であった。
(1)エチレン系重合体(B-C9)の製造
上記実施例1a(a)の(1)と同様にしてエチレン・1-ヘキセン気相連続共重合を行った。ただし、温度65℃、ヘキセン/エチレンモル比0.025、水素/エチレンモル比を2.6×10-4であった。その結果、生成ポリエチレンの平均生成速度は320g/時間となった。累積5kg以上のポリエチレンを生成した後に得られたエチレン系重合体のMFRと密度は各々1.0g/10分、0.906g/cm3であった。
(2)ポリエチレン系樹脂組成物C12の製造
比較例C11a(a)で、エチレン系重合体(B-7)の代わりに上記エチレン系重合体(B-C9)と高圧ラジカル法低密度ポリエチレン(日本ポリエチレン社製;MFR=0.8g/10分、密度0.924g/cm3)の混合物(混合比率66重量%:34重量%)を使用し、エチレン系重合体(A-7)と該混合物の混合比率を62重量%と38重量%とした以外は実施例7a(a)の(2)と同様にしてポリエチレン系樹脂組成物C12の製造を実施した。
すなわち、上記エチレン系重合体(A-7)、上記エチレン系重合体(B-C9)、上記高圧ラジカル法低密度ポリエチレンの三成分を、ミキサーにて混合均質化後、得られた混合物を二軸押出機にて溶融混練し、押出し物を固化、造粒し、最終的に得られた粒状のポリエチレン樹脂組成物C12について、前記した30μのフィルムを成形する方法でフィルム成形性及びフィルム物性の評価を行った。その結果を表3a-1および表3a-2に示した。
比較例C11a(a)で、エチレン系重合体(B-7)の代わりに上記エチレン系重合体(B-C9)と高圧ラジカル法低密度ポリエチレン(日本ポリエチレン社製;MFR=0.8g/10分、密度0.924g/cm3)の混合物(混合比率66重量%:34重量%)を使用し、エチレン系重合体(A-7)と該混合物の混合比率を62重量%と38重量%とした以外は実施例7a(a)の(2)と同様にしてポリエチレン系樹脂組成物C12の製造を実施した。
すなわち、上記エチレン系重合体(A-7)、上記エチレン系重合体(B-C9)、上記高圧ラジカル法低密度ポリエチレンの三成分を、ミキサーにて混合均質化後、得られた混合物を二軸押出機にて溶融混練し、押出し物を固化、造粒し、最終的に得られた粒状のポリエチレン樹脂組成物C12について、前記した30μのフィルムを成形する方法でフィルム成形性及びフィルム物性の評価を行った。その結果を表3a-1および表3a-2に示した。
〔比較例C13a(a)〕
比較例C11a(a)において、エチレン系重合体(A-7)の代わりに上記実施例2aのエチレン系重合体(A-2)を使用し、エチレン系重合体(A-2)と該高圧ラジカル法低密度ポリエチレンの混合比率を90重量%と10重量%とした以外は実施例7a(a)の(2)と同様にしてポリエチレン系樹脂組成物C13を製造し、フィルム成形性及びフィルム物性の評価を行った。その結果を表3a-1および表3a-2に示した。
比較例C11a(a)において、エチレン系重合体(A-7)の代わりに上記実施例2aのエチレン系重合体(A-2)を使用し、エチレン系重合体(A-2)と該高圧ラジカル法低密度ポリエチレンの混合比率を90重量%と10重量%とした以外は実施例7a(a)の(2)と同様にしてポリエチレン系樹脂組成物C13を製造し、フィルム成形性及びフィルム物性の評価を行った。その結果を表3a-1および表3a-2に示した。
〔実施例8a〕
(1)エチレン系重合体(B-8)の製造
[メタロセン触媒B-8の調製]
メタロセン錯体として、ジメチルシリレン(シクロペンタジエニル)(3-メチルインデニル)ジルコニウムジクロリド51.8ミリグラムの代わりに、ジメチルシリレン(シクロペンタジエニル)[4-(4-トリメチルシリルフェニル)インデニル]ジルコニウムジクロリド68.7ミリグラムを使用した以外は実施例1a(a)の(2)と同様にして固体触媒B-8を得た。
(1)エチレン系重合体(B-8)の製造
[メタロセン触媒B-8の調製]
メタロセン錯体として、ジメチルシリレン(シクロペンタジエニル)(3-メチルインデニル)ジルコニウムジクロリド51.8ミリグラムの代わりに、ジメチルシリレン(シクロペンタジエニル)[4-(4-トリメチルシリルフェニル)インデニル]ジルコニウムジクロリド68.7ミリグラムを使用した以外は実施例1a(a)の(2)と同様にして固体触媒B-8を得た。
[エチレン・1-ヘキセン共重合体の製造]
上記固体触媒B-8を使用して実施例1a(a)の(2)と同様のエチレン・1-ヘキセン気相連続共重合を行った。すなわち、温度75℃、ヘキセン/エチレンモル比0.004、水素/エチレンモル比5.5×10-3、窒素濃度を20mol%、全圧を0.8MPaに準備された気相連続重合装置(内容積100L、流動床直径10cm、流動床種ポリマ-(分散剤)1.8kg)に該固体触媒を0.57g/時間の速さで間欠的に供給しながらガス組成と温度を一定にして重合を行った。また、系内の清浄性を保つためトリエチルアルミニウム(TEA)のヘキサン稀釈溶液0.03mol/Lを12ml/hrでガス循環ラインに供給した。その結果、生成ポリエチレンの平均生成速度は288g/時間となった。累積5kg以上のポリエチレンを生成した後に得られたエチレン系重合体(B-8)のMFRと密度は各々0.2g/10分、0.920g/cm3であった。
上記固体触媒B-8を使用して実施例1a(a)の(2)と同様のエチレン・1-ヘキセン気相連続共重合を行った。すなわち、温度75℃、ヘキセン/エチレンモル比0.004、水素/エチレンモル比5.5×10-3、窒素濃度を20mol%、全圧を0.8MPaに準備された気相連続重合装置(内容積100L、流動床直径10cm、流動床種ポリマ-(分散剤)1.8kg)に該固体触媒を0.57g/時間の速さで間欠的に供給しながらガス組成と温度を一定にして重合を行った。また、系内の清浄性を保つためトリエチルアルミニウム(TEA)のヘキサン稀釈溶液0.03mol/Lを12ml/hrでガス循環ラインに供給した。その結果、生成ポリエチレンの平均生成速度は288g/時間となった。累積5kg以上のポリエチレンを生成した後に得られたエチレン系重合体(B-8)のMFRと密度は各々0.2g/10分、0.920g/cm3であった。
(2)ポリエチレン系樹脂組成物8aの製造
マグネシウム・チタニウム複合型チーグラー触媒(A-2)で製造された市販のエチレン系重合体(A-2)(日本ポリエチレン社製UF230;MFR=1.0g/10分、密度0.921g/cm3のエチレン・1-ブテン共重合体)80重量%と上記(1)で得られたエチレン系重合体(B-8)20重量%とからなるポリエチレン樹脂を、ミキサーにて混合均質化した。
次に、得られた混合物を二軸押出機にて溶融混練し、押出し物を固化、造粒した。最終的に得られた粒状のポリエチレン樹脂組成物8aについて、前記した50μのフィルムを成形する方法でフィルム成形性及びフィルム物性の評価を行った。その結果を表4a-1および表4a-2に示した。
マグネシウム・チタニウム複合型チーグラー触媒(A-2)で製造された市販のエチレン系重合体(A-2)(日本ポリエチレン社製UF230;MFR=1.0g/10分、密度0.921g/cm3のエチレン・1-ブテン共重合体)80重量%と上記(1)で得られたエチレン系重合体(B-8)20重量%とからなるポリエチレン樹脂を、ミキサーにて混合均質化した。
次に、得られた混合物を二軸押出機にて溶融混練し、押出し物を固化、造粒した。最終的に得られた粒状のポリエチレン樹脂組成物8aについて、前記した50μのフィルムを成形する方法でフィルム成形性及びフィルム物性の評価を行った。その結果を表4a-1および表4a-2に示した。
〔実施例9a〕
実施例8a(2)と同様にして、ポリエチレン樹脂組成物の製造およびフィルム成形評価を行なった。ただし、同市販のエチレン系重合体(A-2)を90重量%と同エチレン系重合体(B-8)10重量%とを使用した。
実施例8a(2)と同様にして、ポリエチレン樹脂組成物の製造およびフィルム成形評価を行なった。ただし、同市販のエチレン系重合体(A-2)を90重量%と同エチレン系重合体(B-8)10重量%とを使用した。
〔比較例C14a〕
実施例9aで、エチレン系重合体(B-8)の代わりに、高圧ラジカル法低密度ポリエチレン(日本ポリエチレン社製LF240;MFR=0.7g/10分、密度0.924g/cm3)を使用した以外は実施例8aと同様にしてポリエチレン系樹脂組成物C14aの製造およびフィルム成形を実施した。その結果を表4a-1および表4a-2に示した。
実施例9aで、エチレン系重合体(B-8)の代わりに、高圧ラジカル法低密度ポリエチレン(日本ポリエチレン社製LF240;MFR=0.7g/10分、密度0.924g/cm3)を使用した以外は実施例8aと同様にしてポリエチレン系樹脂組成物C14aの製造およびフィルム成形を実施した。その結果を表4a-1および表4a-2に示した。
〔比較例C15a〕
実施例9aで、エチレン系重合体(B-8)の代わりに、長鎖分岐を有する市販のエチレン系重合体(住友化学社製CU5001;MFR=0.3g/10分、密度0.922g/cm3)を使用した以外は実施例8aと同様にしてポリエチレン系樹脂組成物C15aの製造およびフィルム成形を実施した。その結果を表4a-1および表4a-2に示した。
実施例9aで、エチレン系重合体(B-8)の代わりに、長鎖分岐を有する市販のエチレン系重合体(住友化学社製CU5001;MFR=0.3g/10分、密度0.922g/cm3)を使用した以外は実施例8aと同様にしてポリエチレン系樹脂組成物C15aの製造およびフィルム成形を実施した。その結果を表4a-1および表4a-2に示した。
(表1a-1および表1a-2の結果による考察)
実施例1a(a)~比較例C1a(c)では、一般的なメタロセン触媒で製造されたエチレン・1-ヘキセン共重合体をフィルム用途として使用する場合の例を示した。
すなわち、現在商業レベルで通常よく行なわれる手法として高圧ラジカル重合法ポリエチレンを20%程度ブレンドして該共重合体のフィルム向け諸物性を改良した例示である比較例C1a(a)に対して、本発明におけるエチレン系重合体(B)を同様に20%ブレンドした実施例1a(c)は、樹脂圧力の低下が見られており、溶融流動性に優れていた。また、フィルム物性として、引張弾性率とヘイズが同程度、すわなち、フィルムの腰と透明性が同程度でありながらも、インパクト強度が40%弱大きいという、衝撃強度に優れたフィルムが得られることが明らかである。また、現在市販されている遷移金属触媒により製造された長鎖分岐含有エチレン系共重合体であって本発明におけるエチレン系重合体(B)ではないエチレン系共重合体を同様に20%程度ブレンドした例示である比較例C1a(b)は、樹脂圧力低下の効果は同様に得られるものの、インパクト強度が非常に小さく、本発明によるポリエチレン系樹脂組成物によるフィルムに対して衝撃強度がはるかに劣っており、透明性も本発明において得られるほど優れたものではなかった。
また、本発明におけるエチレン系重合体(B)のブレンド量が上記例よりも少ない例示を実施例1a(a)や実施例1a(b)で行なったが、エチレン系重合体(B)をブレンドしなかった比較例C1a(c)で得られる樹脂圧力やフィルムの弾性率やインパクト強度の諸性能を劣化させることなく、ヘイズ値を約18%から8%弱へと格段に透明性を改善する効果が得られることが明確であった。
実施例1a(a)~比較例C1a(c)では、一般的なメタロセン触媒で製造されたエチレン・1-ヘキセン共重合体をフィルム用途として使用する場合の例を示した。
すなわち、現在商業レベルで通常よく行なわれる手法として高圧ラジカル重合法ポリエチレンを20%程度ブレンドして該共重合体のフィルム向け諸物性を改良した例示である比較例C1a(a)に対して、本発明におけるエチレン系重合体(B)を同様に20%ブレンドした実施例1a(c)は、樹脂圧力の低下が見られており、溶融流動性に優れていた。また、フィルム物性として、引張弾性率とヘイズが同程度、すわなち、フィルムの腰と透明性が同程度でありながらも、インパクト強度が40%弱大きいという、衝撃強度に優れたフィルムが得られることが明らかである。また、現在市販されている遷移金属触媒により製造された長鎖分岐含有エチレン系共重合体であって本発明におけるエチレン系重合体(B)ではないエチレン系共重合体を同様に20%程度ブレンドした例示である比較例C1a(b)は、樹脂圧力低下の効果は同様に得られるものの、インパクト強度が非常に小さく、本発明によるポリエチレン系樹脂組成物によるフィルムに対して衝撃強度がはるかに劣っており、透明性も本発明において得られるほど優れたものではなかった。
また、本発明におけるエチレン系重合体(B)のブレンド量が上記例よりも少ない例示を実施例1a(a)や実施例1a(b)で行なったが、エチレン系重合体(B)をブレンドしなかった比較例C1a(c)で得られる樹脂圧力やフィルムの弾性率やインパクト強度の諸性能を劣化させることなく、ヘイズ値を約18%から8%弱へと格段に透明性を改善する効果が得られることが明確であった。
また、実施例2aと比較例2aの比較により、一般的なチーグラー触媒で製造されたエチレン・1-ブテン共重合体をフィルム用途として使用する場合に、本発明の技術を適用した場合の例を示した。
すなわち、チーグラー触媒で製造されたエチレン・1-ブテン共重合体に、上述のメタロセン触媒の例と同様に本発明におけるエチレン系重合体(B)を20%ブレンドした実施例2aは、エチレン系重合体(B)をブレンドしなかった比較例2aで得られる樹脂圧力やフィルムのインパクト強度を改善しながら、かつ、ヘイズ値が約15%から6%へと格段に透明性を改善する効果が得られる優れた効果を発揮した。
すなわち、チーグラー触媒で製造されたエチレン・1-ブテン共重合体に、上述のメタロセン触媒の例と同様に本発明におけるエチレン系重合体(B)を20%ブレンドした実施例2aは、エチレン系重合体(B)をブレンドしなかった比較例2aで得られる樹脂圧力やフィルムのインパクト強度を改善しながら、かつ、ヘイズ値が約15%から6%へと格段に透明性を改善する効果が得られる優れた効果を発揮した。
(表2a-1および表2a-2の結果による考察)
実施例3a(a)~比較例C7aでは、表1a-1および表1a-2で示した実験例と同様、一般的なメタロセン触媒で製造されたエチレン・1-ヘキセン共重合体をフィルム用途として使用するに際して、本発明のポリエチレン系樹脂組成物の設計技術を適用して好適な性能が得られることを明確にするために計画された実験例であるが、使用する本発明におけるエチレン系重合体(B)として、異なるメタロセン触媒により製造されたものを適用した例示である。
すなわち、実施例3a(a)、実施例4a(a)、実施例5a(a)では、各々異なるメタロセン触媒により製造された本発明におけるエチレン系重合体(B)を本発明におけるエチレン系重合体(A)に10%ブレンドして得られたポリエチレン系樹脂組成物によるフィルムの性能を、また、実施例3a(b)、実施例4a(b)、実施例5a(b)では、同20%ブレンドして得られた同フィルム性能を、各々高圧法ポリエチレンを同量ブレンドした場合と比較して例示している。本発明におけるポリエチレン系樹脂組成物の実施例では、樹脂圧力が同じレベルか低下傾向が見られており、溶融流動性に優れていた。また、フィルム物性として、引張弾性率が同程度、すわなち、フィルムの腰が同程度という条件において、透明性は若干高圧法ポリエチレンのブレンドによるものよりも後退してはいるものの、十分実用に耐えられるレベルに改善されており、かつ、インパクト強度が10%弱~80%強まで向上しており、衝撃強度に優れたフィルムが得られることが明らかであった。また、広く知られている架橋ビスインデニルジルコノセン錯体のシリカ担持メチルアルモキサン触媒により製造された公知の長鎖分岐含有エチレン系共重合体であって本発明におけるエチレン系重合体(B)ではないエチレン系共重合体を同様にブレンドした例示である比較例C4a(a)は、多少のインパクト強度の向上は得られているものの、ヘイズが10%と悪く、フィルム透明性の観点で実用に支障を来たす恐れがあった。
実施例3a(a)~比較例C7aでは、表1a-1および表1a-2で示した実験例と同様、一般的なメタロセン触媒で製造されたエチレン・1-ヘキセン共重合体をフィルム用途として使用するに際して、本発明のポリエチレン系樹脂組成物の設計技術を適用して好適な性能が得られることを明確にするために計画された実験例であるが、使用する本発明におけるエチレン系重合体(B)として、異なるメタロセン触媒により製造されたものを適用した例示である。
すなわち、実施例3a(a)、実施例4a(a)、実施例5a(a)では、各々異なるメタロセン触媒により製造された本発明におけるエチレン系重合体(B)を本発明におけるエチレン系重合体(A)に10%ブレンドして得られたポリエチレン系樹脂組成物によるフィルムの性能を、また、実施例3a(b)、実施例4a(b)、実施例5a(b)では、同20%ブレンドして得られた同フィルム性能を、各々高圧法ポリエチレンを同量ブレンドした場合と比較して例示している。本発明におけるポリエチレン系樹脂組成物の実施例では、樹脂圧力が同じレベルか低下傾向が見られており、溶融流動性に優れていた。また、フィルム物性として、引張弾性率が同程度、すわなち、フィルムの腰が同程度という条件において、透明性は若干高圧法ポリエチレンのブレンドによるものよりも後退してはいるものの、十分実用に耐えられるレベルに改善されており、かつ、インパクト強度が10%弱~80%強まで向上しており、衝撃強度に優れたフィルムが得られることが明らかであった。また、広く知られている架橋ビスインデニルジルコノセン錯体のシリカ担持メチルアルモキサン触媒により製造された公知の長鎖分岐含有エチレン系共重合体であって本発明におけるエチレン系重合体(B)ではないエチレン系共重合体を同様にブレンドした例示である比較例C4a(a)は、多少のインパクト強度の向上は得られているものの、ヘイズが10%と悪く、フィルム透明性の観点で実用に支障を来たす恐れがあった。
また、実施例5a(c)~比較例C9aでは、本発明におけるエチレン系重合体(A)と本発明におけるエチレン系重合体(B)を組合せた例である実施例5a(c)と、比較例として、本発明におけるエチレン系重合体(A)と長鎖分岐を有さない点で本発明ではないエチレン系重合体を組合せた例である比較例C8aと、長鎖分岐を有する点で本発明のエチレン系重合体(A)ではないエチレン系重合体と長鎖分岐を有さない点で本発明のエチレン系重合体(B)ではないエチレン系重合体を組合せた例である比較例C9aを、各々対比させる目的で計画された実験例である。本発明である実施例5a(c)に比べ、該比較例では、樹脂圧力が逆に大きくなってしまったり、フィルム透明性の改善が全く見られなかったりして、好ましくないことが分かる。
(表3a-1および表3a-2の結果による考察)
実施例6a(a)~比較例C13a(a)では、表1a-1および表1a-2で示した実験例と同様、一般的なメタロセン触媒で製造されたエチレン・1-ヘキセン共重合体や一般的なチーグラー触媒で製造されたエチレン・1-ブテン共重合体をフィルム用途として使用するに際して、本発明のポリエチレン系樹脂組成物の設計技術を適用して好適な性能が得られることを明確にするために計画された実験例である。エチレン系重合体(B)の密度を上述の実施例におけるよりも低くして、密度A/密度Bが大きくなるようにポリエチレン系樹脂組成物を設計したものであり、その結果として、極めて衝撃強度に優れた成形体が得られることを立証すべく計画された例示である。
すなわち、一般的なメタロセン触媒で製造されたエチレン・1-ヘキセン共重合体の改良を対象とした実施例6a(a)は、ほぼ同程度のMFR、密度およびフィルムインパクト強度を有するエチレン・1-ヘキセン共重合体単独の例である比較例C10a(a)に対し、樹脂圧力が25%程度も低減可能であって、更に透明性の改善が実現可能であることを示しており、本発明のポリエチレン系樹脂組成物の優位性が明らかである。
また、一般的なチーグラー触媒で製造されたエチレン・1-ブテン共重合体を対象とした実施例7a(a)は、本発明における低密度のエチレン系重合体(B)をブレンドした場合、高圧法ポリエチレンをブレンドして得られた同程度のMFRと密度を有するポリエチレン系樹脂組成物の例である比較例C11a(a)と比較して、樹脂圧力やフィルムの引張弾性率にはやや改善が見られ、透明性は若干高圧法ポリエチレンのブレンドによるものよりも後退するものの、十分実用に耐えられるレベルに改善されており、かつ、インパクト強度が40%以上も向上しており、衝撃強度に優れたフィルムが得られることが明らかであり、この高い衝撃強度の改善効果は、同じ目的を狙って開発された三元ブレンド組成物の例示である比較例C12a(a)の衝撃強度を上回るものであった。
以上から、本発明における構成の要件の合理性と有意性、及び本発明の従来技術に対する優越性が明らかである。
実施例6a(a)~比較例C13a(a)では、表1a-1および表1a-2で示した実験例と同様、一般的なメタロセン触媒で製造されたエチレン・1-ヘキセン共重合体や一般的なチーグラー触媒で製造されたエチレン・1-ブテン共重合体をフィルム用途として使用するに際して、本発明のポリエチレン系樹脂組成物の設計技術を適用して好適な性能が得られることを明確にするために計画された実験例である。エチレン系重合体(B)の密度を上述の実施例におけるよりも低くして、密度A/密度Bが大きくなるようにポリエチレン系樹脂組成物を設計したものであり、その結果として、極めて衝撃強度に優れた成形体が得られることを立証すべく計画された例示である。
すなわち、一般的なメタロセン触媒で製造されたエチレン・1-ヘキセン共重合体の改良を対象とした実施例6a(a)は、ほぼ同程度のMFR、密度およびフィルムインパクト強度を有するエチレン・1-ヘキセン共重合体単独の例である比較例C10a(a)に対し、樹脂圧力が25%程度も低減可能であって、更に透明性の改善が実現可能であることを示しており、本発明のポリエチレン系樹脂組成物の優位性が明らかである。
また、一般的なチーグラー触媒で製造されたエチレン・1-ブテン共重合体を対象とした実施例7a(a)は、本発明における低密度のエチレン系重合体(B)をブレンドした場合、高圧法ポリエチレンをブレンドして得られた同程度のMFRと密度を有するポリエチレン系樹脂組成物の例である比較例C11a(a)と比較して、樹脂圧力やフィルムの引張弾性率にはやや改善が見られ、透明性は若干高圧法ポリエチレンのブレンドによるものよりも後退するものの、十分実用に耐えられるレベルに改善されており、かつ、インパクト強度が40%以上も向上しており、衝撃強度に優れたフィルムが得られることが明らかであり、この高い衝撃強度の改善効果は、同じ目的を狙って開発された三元ブレンド組成物の例示である比較例C12a(a)の衝撃強度を上回るものであった。
以上から、本発明における構成の要件の合理性と有意性、及び本発明の従来技術に対する優越性が明らかである。
メタロセン化合物の合成
[合成例1]ジメチルシリレン(4-t-ブチルシクロペンタジエニル)(インデニル)ジルコニウムジクロリド(メタロセン化合物11)の合成
日本国特開平09-87314号公報の実施例1に記載の手順に従って合成した。
[合成例2]ジメチルシリレン(シクロペンタジエニル)(3-メチルインデニル)ジルコニウムジクロリド(メタロセン化合物12)の合成
Macromolecules 1995,28,3771-3778に記載の手順を参考に、配位子合成においてインデンの代わりに1-メチルインデンを用いて合成した。
[合成例3]ジメチルシリレン(シクロペンタジエニル)(インデニル)ジルコニウムジクロリド(メタロセン化合物13)の合成
Macromolecules 1995,28,3771-3778に記載の手順に従って合成した。
[合成例4]ジメチルシリレン(シクロペンタジエニル)(3-t-ブチルインデニル)ジルコニウムジクロリド(メタロセン化合物14)の合成
Macromolecules 1995,28,3771-3778に記載の手順を参考に、配位子合成においてインデンの代わりに1-t-ブチルインデンを用いて合成した。
[合成例5]ジメチルシリレン(シクロペンタジエニル)(ベンゾ[e]インデニル)ジルコニウムジクロリド(メタロセン化合物15)の合成
Macromolecules 1995,28,3771-3778に記載の手順を参考に、配位子合成においてインデンの代わりにベンゾ[e]インデンを用いて合成した。
[合成例1]ジメチルシリレン(4-t-ブチルシクロペンタジエニル)(インデニル)ジルコニウムジクロリド(メタロセン化合物11)の合成
日本国特開平09-87314号公報の実施例1に記載の手順に従って合成した。
[合成例2]ジメチルシリレン(シクロペンタジエニル)(3-メチルインデニル)ジルコニウムジクロリド(メタロセン化合物12)の合成
Macromolecules 1995,28,3771-3778に記載の手順を参考に、配位子合成においてインデンの代わりに1-メチルインデンを用いて合成した。
[合成例3]ジメチルシリレン(シクロペンタジエニル)(インデニル)ジルコニウムジクロリド(メタロセン化合物13)の合成
Macromolecules 1995,28,3771-3778に記載の手順に従って合成した。
[合成例4]ジメチルシリレン(シクロペンタジエニル)(3-t-ブチルインデニル)ジルコニウムジクロリド(メタロセン化合物14)の合成
Macromolecules 1995,28,3771-3778に記載の手順を参考に、配位子合成においてインデンの代わりに1-t-ブチルインデンを用いて合成した。
[合成例5]ジメチルシリレン(シクロペンタジエニル)(ベンゾ[e]インデニル)ジルコニウムジクロリド(メタロセン化合物15)の合成
Macromolecules 1995,28,3771-3778に記載の手順を参考に、配位子合成においてインデンの代わりにベンゾ[e]インデンを用いて合成した。
[合成例6]ジメチルシリレン(シクロペンタジエニル)(3-t-ブチルシクロペンタジエニル)ジルコニウムジクロリド(メタロセン化合物16)の合成
Macromolecules 1995,28,3771-3778に記載の手順を参考に、配位子合成においてインデンの代わりにt-ブチルシクロペンタジエンを用いて合成した。
[合成例7]ジメチルシリレンビス(シクロペンタジエニル)ジルコニウムジクロリド(メタロセン化合物17)の合成
市販品を和光純薬工業株式会社から購入した。
[合成例8]ジメチルシリレン(シクロペンタジエニル)(2-(5-メチル-2-フリル)インデニル)ジルコニウムジクロリド(メタロセン化合物21)の合成
日本国特開2012-025664号公報の実施例4に記載の手順に従って合成した。
[合成例9]ジメチルシリレン(シクロペンタジエニル)(2-(5-メチル-2-フリル)-4-(4-t-ブチルフェニル)インデニル)ジルコニウムジクロリド(メタロセン化合物22)の合成
日本国特開2012-025664号公報の実施例3に記載の手順に従って合成した。
[合成例10]ラセミ-ジメチルシリレンビス(2-(5-トリメチルシリル-2-フリル)-4,5-ジメチルシクロペンタジエニル)ジルコニウムジクロリド(メタロセン化合物23)の合成
日本国特表2002-535339号公報の実施例10に記載の手順に従って合成した。
Macromolecules 1995,28,3771-3778に記載の手順を参考に、配位子合成においてインデンの代わりにt-ブチルシクロペンタジエンを用いて合成した。
[合成例7]ジメチルシリレンビス(シクロペンタジエニル)ジルコニウムジクロリド(メタロセン化合物17)の合成
市販品を和光純薬工業株式会社から購入した。
[合成例8]ジメチルシリレン(シクロペンタジエニル)(2-(5-メチル-2-フリル)インデニル)ジルコニウムジクロリド(メタロセン化合物21)の合成
日本国特開2012-025664号公報の実施例4に記載の手順に従って合成した。
[合成例9]ジメチルシリレン(シクロペンタジエニル)(2-(5-メチル-2-フリル)-4-(4-t-ブチルフェニル)インデニル)ジルコニウムジクロリド(メタロセン化合物22)の合成
日本国特開2012-025664号公報の実施例3に記載の手順に従って合成した。
[合成例10]ラセミ-ジメチルシリレンビス(2-(5-トリメチルシリル-2-フリル)-4,5-ジメチルシクロペンタジエニル)ジルコニウムジクロリド(メタロセン化合物23)の合成
日本国特表2002-535339号公報の実施例10に記載の手順に従って合成した。
[合成例11]ラセミ-ジメチルシリレンビス(2-(5-メチル-2-フリル)-4-(4-i-プロピルフェニル)インデニル)ジルコニウムジクロリド(メタロセン化合物24)の合成
日本国特願2011-008562号の合成例1に記載の手順に従って配位子を合成し、四塩化ハフニウムの代わりに四塩化ジルコニウムを用いて合成した。
[合成例12]ラセミ-ジメチルシリレンビス(2-(5-メチル-2-フリル)-4-(フェニル)インデニル)ジルコニウムジクロリド(メタロセン化合物25)の合成
日本国特開2002-47313号公報の実施例1に記載の手順に従って合成した。
[合成例13]イソプロピリデン(4-t-ブチルシクロペンタジエニル)(3-t-ブチルインデニル)ジルコニウムジクロリド(メタロセン化合物26)の合成
日本国特開平05-148284号公報の実施例1に記載の手順に従って合成した。
[合成例14]ラセミ-ジメチルシリレンビス(インデニル)ジルコニウムジクロリド(メタロセン化合物27)の合成
市販品を和光純薬工業株式会社から購入した。
[合成例15]ラセミ-ジメチルシリレンビス(2-メチル-4-フェニルインデニル)ジルコニウムジクロリド(メタロセン化合物28)の合成
Organometallics 1994,13,954-963に記載の手順に従って合成した。
[合成例16]ラセミ-イソプロピリデンビス(インデニル)ジルコニウムジクロリド(メタロセン化合物29)の合成
日本国特開平09-20694号公報の実施例1および実施例3に記載の手順に従って合成した。
[合成例17]ラセミ-エチレンビス(インデニル)ジルコニウムジクロリド(メタロセン化合物30)の合成
市販品を和光純薬工業株式会社から購入した。
日本国特願2011-008562号の合成例1に記載の手順に従って配位子を合成し、四塩化ハフニウムの代わりに四塩化ジルコニウムを用いて合成した。
[合成例12]ラセミ-ジメチルシリレンビス(2-(5-メチル-2-フリル)-4-(フェニル)インデニル)ジルコニウムジクロリド(メタロセン化合物25)の合成
日本国特開2002-47313号公報の実施例1に記載の手順に従って合成した。
[合成例13]イソプロピリデン(4-t-ブチルシクロペンタジエニル)(3-t-ブチルインデニル)ジルコニウムジクロリド(メタロセン化合物26)の合成
日本国特開平05-148284号公報の実施例1に記載の手順に従って合成した。
[合成例14]ラセミ-ジメチルシリレンビス(インデニル)ジルコニウムジクロリド(メタロセン化合物27)の合成
市販品を和光純薬工業株式会社から購入した。
[合成例15]ラセミ-ジメチルシリレンビス(2-メチル-4-フェニルインデニル)ジルコニウムジクロリド(メタロセン化合物28)の合成
Organometallics 1994,13,954-963に記載の手順に従って合成した。
[合成例16]ラセミ-イソプロピリデンビス(インデニル)ジルコニウムジクロリド(メタロセン化合物29)の合成
日本国特開平09-20694号公報の実施例1および実施例3に記載の手順に従って合成した。
[合成例17]ラセミ-エチレンビス(インデニル)ジルコニウムジクロリド(メタロセン化合物30)の合成
市販品を和光純薬工業株式会社から購入した。
[実施例1b]
(1)固体触媒の調製
窒素雰囲気下、200ml二口フラスコに600℃で5時間焼成したシリカ5グラムを入れ、150℃のオイルバスで加熱しながら真空ポンプで1時間減圧乾燥した。別途用意した100ml二口フラスコに窒素雰囲気下でメタロセン化合物11を22.7ミリグラムとメタロセン化合物21を23.9ミリグラムとを入れ、脱水トルエン13.4mlで溶解した。室温で上記メタロセン化合物のトルエン溶液にアルベマール社製の20%メチルアルミノキサン/トルエン溶液8.6mlを加え30分間撹拌した。真空乾燥済みシリカの入った200ml二口フラスコを40℃のオイルバスで加熱および撹拌しながら、上記メタロセン化合物とメチルアルミノキサンの反応物のトルエン溶液を全量加えた。40℃で1時間撹拌した後、40℃に加熱したままトルエン溶媒を減圧留去することで固体触媒を得た。
(1)固体触媒の調製
窒素雰囲気下、200ml二口フラスコに600℃で5時間焼成したシリカ5グラムを入れ、150℃のオイルバスで加熱しながら真空ポンプで1時間減圧乾燥した。別途用意した100ml二口フラスコに窒素雰囲気下でメタロセン化合物11を22.7ミリグラムとメタロセン化合物21を23.9ミリグラムとを入れ、脱水トルエン13.4mlで溶解した。室温で上記メタロセン化合物のトルエン溶液にアルベマール社製の20%メチルアルミノキサン/トルエン溶液8.6mlを加え30分間撹拌した。真空乾燥済みシリカの入った200ml二口フラスコを40℃のオイルバスで加熱および撹拌しながら、上記メタロセン化合物とメチルアルミノキサンの反応物のトルエン溶液を全量加えた。40℃で1時間撹拌した後、40℃に加熱したままトルエン溶媒を減圧留去することで固体触媒を得た。
(2)エチレン・1-ヘキセン共重合体の製造
上記(1)の固体触媒の調製で得た固体触媒を用いてエチレン・1-ヘキセン共重合体を製造した。
すなわち、誘導撹拌装置付き2Lオートクレーブにイソブタン800mL、1-ヘキセン50mL、トリエチルアルミニウム0.20mmolを加え、75℃に昇温し、エチレンを導入してエチレン分圧を1.4MPaに保った。
次いで、上記(1)で得られた固体触媒57mgを窒素で圧入し、エチレン分圧1.4MPa、温度75℃を保って60分間重合を継続した後、エタノールを加えて重合を停止させた。
なお、重合反応中、エチレン消費速度に比例した供給速度にて1-ヘキセンの追加供給を実施した。
その結果、重合開始10分後と重合停止直前時のオートクレーブ気相部のH2/C2(水素/エチレン)モル比はそれぞれ0.125%、0.087%であり、追加供給した1-ヘキセン量は2.0mLであった。こうして得られたエチレン系重合体は20.3gであった。重合結果と得られた重合体の分析結果を表1bに示す。
上記(1)の固体触媒の調製で得た固体触媒を用いてエチレン・1-ヘキセン共重合体を製造した。
すなわち、誘導撹拌装置付き2Lオートクレーブにイソブタン800mL、1-ヘキセン50mL、トリエチルアルミニウム0.20mmolを加え、75℃に昇温し、エチレンを導入してエチレン分圧を1.4MPaに保った。
次いで、上記(1)で得られた固体触媒57mgを窒素で圧入し、エチレン分圧1.4MPa、温度75℃を保って60分間重合を継続した後、エタノールを加えて重合を停止させた。
なお、重合反応中、エチレン消費速度に比例した供給速度にて1-ヘキセンの追加供給を実施した。
その結果、重合開始10分後と重合停止直前時のオートクレーブ気相部のH2/C2(水素/エチレン)モル比はそれぞれ0.125%、0.087%であり、追加供給した1-ヘキセン量は2.0mLであった。こうして得られたエチレン系重合体は20.3gであった。重合結果と得られた重合体の分析結果を表1bに示す。
[実施例2b]
エチレン系重合体の製造
メタロセン化合物21の代わりにメタロセン化合物22を30.5mgを使用した以外は実施例1bの(1)と同様にして得られた固体触媒を用いて、表1bの条件にて、実施例1bの(2)と同様の方法により、エチレン系重合体を製造した。
こうして得られたエチレン系重合体は、43.3グラムであった。結果を表1bに示す。
エチレン系重合体の製造
メタロセン化合物21の代わりにメタロセン化合物22を30.5mgを使用した以外は実施例1bの(1)と同様にして得られた固体触媒を用いて、表1bの条件にて、実施例1bの(2)と同様の方法により、エチレン系重合体を製造した。
こうして得られたエチレン系重合体は、43.3グラムであった。結果を表1bに示す。
[実施例3b]
(1)固体触媒の調製
メタロセン化合物21の代わりにメタロセン化合物27を22.4mgを使用した以外は実施例1bの(1)と同様にして固体触媒の調製を行った。
(1)固体触媒の調製
メタロセン化合物21の代わりにメタロセン化合物27を22.4mgを使用した以外は実施例1bの(1)と同様にして固体触媒の調製を行った。
(2)エチレン・1-ヘキセン共重合体の製造
上記(1)で得た固体触媒を用いてエチレン・1-ヘキセン共重合体を製造した。
すなわち、攪拌および温度制御装置を有する内容積2リットルのステンレス鋼製オートクレーブに、充分脱水および脱酸素したポリエチレン製のペレットを50グラム、トリエチルアルミニウムを0.20mmol導入し撹拌しながら75℃へ昇温した。1-ヘキセン1.5mlとエチレンを分圧が1.4MPaになるまで導入した後、上記固体触媒80ミリグラムを窒素ガスで圧入して90分間重合を行った。
なお、重合反応中、エチレン消費速度に比例した供給速度にて1-ヘキセンの追加供給を実施した。その結果、重合開始10分後と重合停止直前時のオートクレーブ気相部のH2/C2(水素/エチレン)モル比はそれぞれ0.065%、0.076%であり、追加供給した1-ヘキセン量は5.5mLであった。
その結果、35.0グラムのポリエチレンが生成した。重合結果を表1bにまとめた。
上記(1)で得た固体触媒を用いてエチレン・1-ヘキセン共重合体を製造した。
すなわち、攪拌および温度制御装置を有する内容積2リットルのステンレス鋼製オートクレーブに、充分脱水および脱酸素したポリエチレン製のペレットを50グラム、トリエチルアルミニウムを0.20mmol導入し撹拌しながら75℃へ昇温した。1-ヘキセン1.5mlとエチレンを分圧が1.4MPaになるまで導入した後、上記固体触媒80ミリグラムを窒素ガスで圧入して90分間重合を行った。
なお、重合反応中、エチレン消費速度に比例した供給速度にて1-ヘキセンの追加供給を実施した。その結果、重合開始10分後と重合停止直前時のオートクレーブ気相部のH2/C2(水素/エチレン)モル比はそれぞれ0.065%、0.076%であり、追加供給した1-ヘキセン量は5.5mLであった。
その結果、35.0グラムのポリエチレンが生成した。重合結果を表1bにまとめた。
[実施例4b]
エチレン系重合体の製造
メタロセン化合物11を9.1mgを使用し、メタロセン化合物27を35.9mgを使用した以外は実施例3bの(1)と同様にして得られた固体触媒を用いて、表1bの条件にて、実施例3の(2)と同様の方法により、エチレン系重合体を製造した。
こうして得られたエチレン系重合体は、28.5グラムであった。結果を表1bに示す。
エチレン系重合体の製造
メタロセン化合物11を9.1mgを使用し、メタロセン化合物27を35.9mgを使用した以外は実施例3bの(1)と同様にして得られた固体触媒を用いて、表1bの条件にて、実施例3の(2)と同様の方法により、エチレン系重合体を製造した。
こうして得られたエチレン系重合体は、28.5グラムであった。結果を表1bに示す。
[実施例5b]
エチレン系重合体の製造
メタロセン化合物27の代わりにメタロセン化合物28を50.3mgを使用した以外は実施例4bの(1)と同様にして得られた固体触媒を用いて、表1bの条件にて、実施例4bの(2)と同様の方法により、エチレン系重合体を製造した。
なお、重合開始前にH2を250mLと1-ヘキセンを1.5ml添加し、更に重合反応中、エチレン消費速度に比例した供給速度にてH2および1-ヘキセンの追加供給を実施した。
こうして得られたエチレン系重合体は、42.0グラムであった。結果を表1bに示す。
エチレン系重合体の製造
メタロセン化合物27の代わりにメタロセン化合物28を50.3mgを使用した以外は実施例4bの(1)と同様にして得られた固体触媒を用いて、表1bの条件にて、実施例4bの(2)と同様の方法により、エチレン系重合体を製造した。
なお、重合開始前にH2を250mLと1-ヘキセンを1.5ml添加し、更に重合反応中、エチレン消費速度に比例した供給速度にてH2および1-ヘキセンの追加供給を実施した。
こうして得られたエチレン系重合体は、42.0グラムであった。結果を表1bに示す。
[比較例1b]
エチレン系重合体の製造
メタロセン化合物11を45.5mgを使用し、メタロセン化合物27を使用しなかった以外は実施例3bの(1)と同様にして得られた固体触媒を用いて、表1bの条件にて、実施例3bの(2)と同様の方法により、エチレン系重合体を製造した。
こうして得られたエチレン系重合体は、49.5グラムであった。結果を表1bに示す。
エチレン系重合体の製造
メタロセン化合物11を45.5mgを使用し、メタロセン化合物27を使用しなかった以外は実施例3bの(1)と同様にして得られた固体触媒を用いて、表1bの条件にて、実施例3bの(2)と同様の方法により、エチレン系重合体を製造した。
こうして得られたエチレン系重合体は、49.5グラムであった。結果を表1bに示す。
[比較例2b]
エチレン系重合体の製造
メタロセン化合物11を使用せず、メタロセン化合物27を44.9mgを使用した以外は実施例3bの(1)と同様にして得られた固体触媒を用いて、表1bの条件にて、実施例3bの(2)と同様の方法により、エチレン系重合体を製造した。
こうして得られたエチレン系重合体は、22.5グラムであった。結果を表1bに示す。
エチレン系重合体の製造
メタロセン化合物11を使用せず、メタロセン化合物27を44.9mgを使用した以外は実施例3bの(1)と同様にして得られた固体触媒を用いて、表1bの条件にて、実施例3bの(2)と同様の方法により、エチレン系重合体を製造した。
こうして得られたエチレン系重合体は、22.5グラムであった。結果を表1bに示す。
[比較例3b]
エチレン系重合体の製造
表1bの条件にて、比較例2bと同様の方法により、エチレン系重合体を製造した。
こうして得られたエチレン系重合体は、44.5グラムであった。結果を表1bに示す。
エチレン系重合体の製造
表1bの条件にて、比較例2bと同様の方法により、エチレン系重合体を製造した。
こうして得られたエチレン系重合体は、44.5グラムであった。結果を表1bに示す。
表1bに示すように、成分(A-1b)のメタロセン化合物11のみで得られたエチレン系重合体は、比較例1bにあるように低水素重合条件にもかかわらず、MFRを十分下げることが困難であったり、WC値が小さく、また、成分(A-2b)のメタロセン化合物27のみで得られたエチレン系重合体は、比較例2b、比較例3bにあるようにgC’値がおよそ0.6以上と大きかったり、λmax(2.0)やλmax(2.0)/λmax(0.1)が小さいものしか得られず、成形加工性の向上は期待できない。一方、メタロセン化合物11とメタロセン化合物27の両方を使用して同じ気相重合法により得られたエチレン系重合体は、実施例3bにあるように、λmax(2.0)、λmax(2.0)/λmax(0.1)、gC’値、WC値がいずれも大きいので、長鎖分岐構造がよく発達したエチレン系重合体となっており、成形加工性が改良されていることがわかる。また、メタロセン化合物11を減らしてメタロセン化合物27を増やして得られた実施例4bのエチレン系重合体は、実施例3bよりも、λmax(2.0)、λmax(2.0)/λmax(0.1)、gC’値、WC値が小さく、長鎖分岐構造の発達がやや小さいはなるものの、各々のメタロセン単独で得られたエチレン系重合体よりは成形加工性に優れることがわかる。更に、異なる成分(A-2b)としてメタロセン化合物28を使用した実施例5bのエチレン系重合体は、実施例4bと同程度のλmax(2.0)/λmax(0.1)とgC’値を維持しつつ、WC値が大きく改良されている。同様に、異なる成分(A-2b)としてメタロセン化合物21やメタロセン化合物22を使用し、スラリー重合法を実施した実施例1b、実施例2bのエチレン系重合体も、λmax(2.0)、λmax(2.0)/λmax(0.1)、WC値が十分大きく、gC’値が十分小さい値を示しているので、成形加工特性の向上に有用な長鎖分岐構造を含有することがわかった。
[実施例6b]
エチレン系重合体の製造
メタロセン化合物11の代わりにメタロセン化合物12を37.1mgを使用し、メタロセン化合物27を4.5mgを使用した以外は実施例3bの(1)と同様にして得られた固体触媒を用いて、表2bの条件にて、実施例3bの(2)と同様の方法により、エチレン系重合体を製造した。
こうして得られたエチレン系重合体は、38.5グラムであった。結果を表2bに示す。
エチレン系重合体の製造
メタロセン化合物11の代わりにメタロセン化合物12を37.1mgを使用し、メタロセン化合物27を4.5mgを使用した以外は実施例3bの(1)と同様にして得られた固体触媒を用いて、表2bの条件にて、実施例3bの(2)と同様の方法により、エチレン系重合体を製造した。
こうして得られたエチレン系重合体は、38.5グラムであった。結果を表2bに示す。
[実施例7b]
エチレン系重合体の製造
メタロセン化合物27の代わりにメタロセン化合物29を4.3mgを使用した以外は実施例6bと同様にして得られた固体触媒を用いて、表2bの条件にてエチレン系重合体を製造した。
こうして得られたエチレン系重合体は、31.0グラムであった。結果を表2bに示す。
エチレン系重合体の製造
メタロセン化合物27の代わりにメタロセン化合物29を4.3mgを使用した以外は実施例6bと同様にして得られた固体触媒を用いて、表2bの条件にてエチレン系重合体を製造した。
こうして得られたエチレン系重合体は、31.0グラムであった。結果を表2bに示す。
[比較例4b]
エチレン系重合体の製造
メタロセン化合物12を41.3mgを使用し、メタロセン化合物27を使用しなかった以外は実施例6bと同様にして得られた固体触媒を用いて、表2bの条件にてエチレン系重合体を製造した。
こうして得られたエチレン系重合体は、31.0グラムであった。結果を表2bに示す。
エチレン系重合体の製造
メタロセン化合物12を41.3mgを使用し、メタロセン化合物27を使用しなかった以外は実施例6bと同様にして得られた固体触媒を用いて、表2bの条件にてエチレン系重合体を製造した。
こうして得られたエチレン系重合体は、31.0グラムであった。結果を表2bに示す。
[比較例5b]
エチレン系重合体の製造
表2bの条件にて、比較例4bと同様の方法により、エチレン系重合体を製造した。
こうして得られたエチレン系重合体は、42.5グラムであった。結果を表2bに示す。
エチレン系重合体の製造
表2bの条件にて、比較例4bと同様の方法により、エチレン系重合体を製造した。
こうして得られたエチレン系重合体は、42.5グラムであった。結果を表2bに示す。
[実施例8b]
エチレン系重合体の製造
メタロセン化合物11の代わりにメタロセン化合物13を39.1mgを使用し、メタロセン化合物21の代わりにメタロセン化合物25を1.5mgを使用した以外は実施例1b(1)と同様にして得られた固体触媒を用いて、表2bの条件にて、実施例1b(2)と同様の方法により、エチレン系重合体を製造した。
なお、重合開始前にH2を100mLと1-ヘキセンを40ml添加し、更に重合反応中、エチレン消費速度に比例した供給速度にてH2および1-ヘキセンの追加供給を実施した。
こうして得られたエチレン系重合体は、48.5グラムであった。結果を表2bに示す。
エチレン系重合体の製造
メタロセン化合物11の代わりにメタロセン化合物13を39.1mgを使用し、メタロセン化合物21の代わりにメタロセン化合物25を1.5mgを使用した以外は実施例1b(1)と同様にして得られた固体触媒を用いて、表2bの条件にて、実施例1b(2)と同様の方法により、エチレン系重合体を製造した。
なお、重合開始前にH2を100mLと1-ヘキセンを40ml添加し、更に重合反応中、エチレン消費速度に比例した供給速度にてH2および1-ヘキセンの追加供給を実施した。
こうして得られたエチレン系重合体は、48.5グラムであった。結果を表2bに示す。
[実施例9b]
エチレン系重合体の製造
表2bの条件にて、実施例8bと同様の方法により、エチレン系重合体を製造した。
こうして得られたエチレン系重合体は、48.5グラムであった。結果を表2bに示す。
エチレン系重合体の製造
表2bの条件にて、実施例8bと同様の方法により、エチレン系重合体を製造した。
こうして得られたエチレン系重合体は、48.5グラムであった。結果を表2bに示す。
[実施例10b]
エチレン系重合体の製造
実施例8bで得られた固体触媒を用いて、表2bの条件にて、実施例3b(2)と同様の方法により、エチレン系重合体を製造した。
なお、重合開始前にH2を370mLと1-ヘキセンを1.5ml添加し、更に重合反応中、エチレン消費速度に比例した供給速度にてH2および1-ヘキセンの追加供給を実施した。
こうして得られたエチレン系重合体は、8.5グラムであった。結果を表2bに示す。
エチレン系重合体の製造
実施例8bで得られた固体触媒を用いて、表2bの条件にて、実施例3b(2)と同様の方法により、エチレン系重合体を製造した。
なお、重合開始前にH2を370mLと1-ヘキセンを1.5ml添加し、更に重合反応中、エチレン消費速度に比例した供給速度にてH2および1-ヘキセンの追加供給を実施した。
こうして得られたエチレン系重合体は、8.5グラムであった。結果を表2bに示す。
[比較例6b]
エチレン系重合体の製造
メタロセン化合物13を39.9mgを使用し、メタロセン化合物25を使用しなかった以外は実施例8bと同様にして得られた固体触媒を用いて、表2bの条件にてエチレン系重合体を製造した。
こうして得られたエチレン系重合体は、31.4グラムであった。結果を表2bに示す。
エチレン系重合体の製造
メタロセン化合物13を39.9mgを使用し、メタロセン化合物25を使用しなかった以外は実施例8bと同様にして得られた固体触媒を用いて、表2bの条件にてエチレン系重合体を製造した。
こうして得られたエチレン系重合体は、31.4グラムであった。結果を表2bに示す。
[実施例11b]
エチレン系重合体の製造
メタロセン化合物12の代わりにメタロセン化合物14を40.9mgを使用した以外は実施例6bと同様にして得られた固体触媒を用いて、表2bの条件にてエチレン系重合体を製造した。
なお、重合開始前にH2を60mLと1-ヘキセンを1.5ml添加し、更に重合反応中、エチレン消費速度に比例した供給速度にてH2および1-ヘキセンの追加供給を実施した。
こうして得られたエチレン系重合体は、59.0グラムであった。結果を表2bに示す。
エチレン系重合体の製造
メタロセン化合物12の代わりにメタロセン化合物14を40.9mgを使用した以外は実施例6bと同様にして得られた固体触媒を用いて、表2bの条件にてエチレン系重合体を製造した。
なお、重合開始前にH2を60mLと1-ヘキセンを1.5ml添加し、更に重合反応中、エチレン消費速度に比例した供給速度にてH2および1-ヘキセンの追加供給を実施した。
こうして得られたエチレン系重合体は、59.0グラムであった。結果を表2bに示す。
[実施例12b]
エチレン系重合体の製造
メタロセン化合物14の代わりにメタロセン化合物15を35.9mgを使用し、メタロセン化合物27を9.0mgを使用した以外は実施例11bと同様にして得られた固体触媒を用いて、表2bの条件にてエチレン系重合体を製造した。
こうして得られたエチレン系重合体は、30.5グラムであった。結果を表2bに示す。
エチレン系重合体の製造
メタロセン化合物14の代わりにメタロセン化合物15を35.9mgを使用し、メタロセン化合物27を9.0mgを使用した以外は実施例11bと同様にして得られた固体触媒を用いて、表2bの条件にてエチレン系重合体を製造した。
こうして得られたエチレン系重合体は、30.5グラムであった。結果を表2bに示す。
表2bには、表1bで使用した成分(A-1b)とは別のメタロセンであるメタロセン化合物12~15を、表1bの成分(A-2b)として使用したメタロセン化合物27等と組み合わせた本発明のオレフィン重合用触媒の結果を示している。これら得られたエチレン系重合体のλmax(2.0)、λmax(2.0)/λmax(0.1)、gC’値、WC値が、成分(A-1b)単独の時よりも優れていることが、比較例4b、比較例6bと対比することによってわかった。
[実施例13b]
エチレン系重合体の製造
メタロセン化合物11の代わりにメタロセン化合物16を36.4mgを使用し、メタロセン化合物21の代わりにメタロセン化合物22を6.1mgを使用した以外は実施例1bと同様にして得られた固体触媒を用いて、表3bの条件にてエチレン系重合体を製造した。
こうして得られたエチレン系重合体は、11.0グラムであった。結果を表3bに示す。
エチレン系重合体の製造
メタロセン化合物11の代わりにメタロセン化合物16を36.4mgを使用し、メタロセン化合物21の代わりにメタロセン化合物22を6.1mgを使用した以外は実施例1bと同様にして得られた固体触媒を用いて、表3bの条件にてエチレン系重合体を製造した。
こうして得られたエチレン系重合体は、11.0グラムであった。結果を表3bに示す。
[実施例14b]
エチレン系重合体の製造
メタロセン化合物22の代わりにメタロセン化合物23を6.8mgを使用した以外は実施例13bと同様にして得られた固体触媒を用いて、表3bの条件にてエチレン系重合体を製造した。
こうして得られたエチレン系重合体は、30.0グラムであった。結果を表3bに示す。
エチレン系重合体の製造
メタロセン化合物22の代わりにメタロセン化合物23を6.8mgを使用した以外は実施例13bと同様にして得られた固体触媒を用いて、表3bの条件にてエチレン系重合体を製造した。
こうして得られたエチレン系重合体は、30.0グラムであった。結果を表3bに示す。
[実施例15b]
エチレン系重合体の製造
メタロセン化合物22の代わりにメタロセン化合物24を8.5mgを使用した以外は実施例13bと同様にして得られた固体触媒を用いて、表3bの条件にてエチレン系重合体を製造した。
こうして得られたエチレン系重合体は、20.0グラムであった。結果を表3bに示す。
エチレン系重合体の製造
メタロセン化合物22の代わりにメタロセン化合物24を8.5mgを使用した以外は実施例13bと同様にして得られた固体触媒を用いて、表3bの条件にてエチレン系重合体を製造した。
こうして得られたエチレン系重合体は、20.0グラムであった。結果を表3bに示す。
[実施例16b]
エチレン系重合体の製造
表3bの条件にて実施例15bと同様にしてエチレン系重合体を製造した。
こうして得られたエチレン系重合体は、16.5グラムであった。結果を表3bに示す。
エチレン系重合体の製造
表3bの条件にて実施例15bと同様にしてエチレン系重合体を製造した。
こうして得られたエチレン系重合体は、16.5グラムであった。結果を表3bに示す。
[実施例17b]
エチレン系重合体の製造
メタロセン化合物11の代わりにメタロセン化合物16を20.2mgを使用した以外は実施例3bと同様にして得られた固体触媒を用いて、表3bの条件にてエチレン系重合体を製造した。
こうして得られたエチレン系重合体は、46.5グラムであった。結果を表3bに示す。
エチレン系重合体の製造
メタロセン化合物11の代わりにメタロセン化合物16を20.2mgを使用した以外は実施例3bと同様にして得られた固体触媒を用いて、表3bの条件にてエチレン系重合体を製造した。
こうして得られたエチレン系重合体は、46.5グラムであった。結果を表3bに示す。
[比較例7b-1]
エチレン系重合体の製造
メタロセン化合物16を40.5mgを使用し、メタロセン化合物27を使用しなかった以外は実施例17bと同様にして得られた固体触媒を用いて、表3bの条件にてエチレン系重合体を製造した。
こうして得られたエチレン系重合体は、42.0グラムであった。結果を表3bに示す。
エチレン系重合体の製造
メタロセン化合物16を40.5mgを使用し、メタロセン化合物27を使用しなかった以外は実施例17bと同様にして得られた固体触媒を用いて、表3bの条件にてエチレン系重合体を製造した。
こうして得られたエチレン系重合体は、42.0グラムであった。結果を表3bに示す。
[比較例7b-2]
エチレン系重合体の製造
メタロセン化合物16を12.1mgを使用し、メタロセン化合物22の代わりにメタロセン化合物31を39.0mgを使用した以外は実施例13bと同様にして得られた固体触媒を用いて、表3bの条件にてエチレン系重合体を製造した。
こうして得られたエチレン系重合体は、13.5グラムであった。結果を表3bに示す。
エチレン系重合体の製造
メタロセン化合物16を12.1mgを使用し、メタロセン化合物22の代わりにメタロセン化合物31を39.0mgを使用した以外は実施例13bと同様にして得られた固体触媒を用いて、表3bの条件にてエチレン系重合体を製造した。
こうして得られたエチレン系重合体は、13.5グラムであった。結果を表3bに示す。
表3bには、表1bや表2bで使用した成分(A-1b)とは異なるメタロセンであるメタロセン化合物16を、表1bの成分(A-2b)として使用したメタロセン化合物22、メタロセン化合物27等と組み合わせた本発明のオレフィン重合用触媒の結果を示している。これら得られたエチレン系重合体のλmax(2.0)、λmax(2.0)/λmax(0.1)、gC’値、WC値が、成分(A-1b)であるメタロセン化合物16を単独で使用した時よりも優れていることが、比較例7bと対比することによってわかった。
[実施例18b]
エチレン系重合体の製造
メタロセン化合物11の代わりにメタロセン化合物17を33.1mgを使用し、メタロセン化合物21の代わりにメタロセン化合物22を3.1mgを使用した以外は実施例1bと同様にして得られた固体触媒を用いて、表4bの条件にてエチレン系重合体を製造した。
こうして得られたエチレン系重合体は、85.8グラムであった。結果を表4bに示す。
エチレン系重合体の製造
メタロセン化合物11の代わりにメタロセン化合物17を33.1mgを使用し、メタロセン化合物21の代わりにメタロセン化合物22を3.1mgを使用した以外は実施例1bと同様にして得られた固体触媒を用いて、表4bの条件にてエチレン系重合体を製造した。
こうして得られたエチレン系重合体は、85.8グラムであった。結果を表4bに示す。
[実施例19b]
エチレン系重合体の製造
メタロセン化合物17を34.5mgを使用し、メタロセン化合物22の代わりにメタロセン化合物25を0.8mgを使用した以外は実施例18bと同様にして得られた固体触媒を用いて、表4bの条件にてエチレン系重合体を製造した。
こうして得られたエチレン系重合体は、49.5グラムであった。結果を表4bに示す。
エチレン系重合体の製造
メタロセン化合物17を34.5mgを使用し、メタロセン化合物22の代わりにメタロセン化合物25を0.8mgを使用した以外は実施例18bと同様にして得られた固体触媒を用いて、表4bの条件にてエチレン系重合体を製造した。
こうして得られたエチレン系重合体は、49.5グラムであった。結果を表4bに示す。
[実施例20b]
エチレン系重合体の製造
実施例19bで得られた固体触媒を用いて、表4bの条件にて、実施例3bの(2)と同様の方法により、エチレン系重合体を製造した。
こうして得られたエチレン系重合体は、25.5グラムであった。結果を表4bに示す。
エチレン系重合体の製造
実施例19bで得られた固体触媒を用いて、表4bの条件にて、実施例3bの(2)と同様の方法により、エチレン系重合体を製造した。
こうして得られたエチレン系重合体は、25.5グラムであった。結果を表4bに示す。
[実施例21b]
エチレン系重合体の製造
表4bの条件にて、実施例20bと同様の方法により、エチレン系重合体を製造した。
こうして得られたエチレン系重合体は、23.5グラムであった。結果を表4bに示す。
エチレン系重合体の製造
表4bの条件にて、実施例20bと同様の方法により、エチレン系重合体を製造した。
こうして得られたエチレン系重合体は、23.5グラムであった。結果を表4bに示す。
[実施例22b]
エチレン系重合体の製造
メタロセン化合物17を32.4mgを使用し、メタロセン化合物25の代わりにメタロセン化合物26を3.5mgを使用した以外は実施例20bと同様にして得られた固体触媒を用いて、表4bの条件にてエチレン系重合体を製造した。
こうして得られたエチレン系重合体は、22.9グラムであった。結果を表4bに示す。
エチレン系重合体の製造
メタロセン化合物17を32.4mgを使用し、メタロセン化合物25の代わりにメタロセン化合物26を3.5mgを使用した以外は実施例20bと同様にして得られた固体触媒を用いて、表4bの条件にてエチレン系重合体を製造した。
こうして得られたエチレン系重合体は、22.9グラムであった。結果を表4bに示す。
[実施例23b]
エチレン系重合体の製造
メタロセン化合物17を32.4mgを使用し、メタロセン化合物22の代わりにメタロセン化合物27を3.1mgを使用した以外は実施例18bと同様にして得られた固体触媒を用いて、表4bの条件にてエチレン系重合体を製造した。
こうして得られたエチレン系重合体は、72.0グラムであった。結果を表4bに示す。
エチレン系重合体の製造
メタロセン化合物17を32.4mgを使用し、メタロセン化合物22の代わりにメタロセン化合物27を3.1mgを使用した以外は実施例18bと同様にして得られた固体触媒を用いて、表4bの条件にてエチレン系重合体を製造した。
こうして得られたエチレン系重合体は、72.0グラムであった。結果を表4bに示す。
[実施例24b]
エチレン系重合体の製造
表4bの条件にて、実施例23bと同様の方法により、エチレン系重合体を製造した。
こうして得られたエチレン系重合体は、47.1グラムであった。結果を表4bに示す。
エチレン系重合体の製造
表4bの条件にて、実施例23bと同様の方法により、エチレン系重合体を製造した。
こうして得られたエチレン系重合体は、47.1グラムであった。結果を表4bに示す。
[実施例25b]
エチレン系重合体の製造
表4bの条件にて、実施例23bと同様の方法により、エチレン系重合体を製造した。
こうして得られたエチレン系重合体は、100.2グラムであった。結果を表4bに示す。
エチレン系重合体の製造
表4bの条件にて、実施例23bと同様の方法により、エチレン系重合体を製造した。
こうして得られたエチレン系重合体は、100.2グラムであった。結果を表4bに示す。
[実施例26b]
エチレン系重合体の製造
メタロセン化合物17を33.5mgを使用し、メタロセン化合物27を1.8mgを使用した以外は実施例24bと同様にして得られた固体触媒を用いて、表4bの条件にてエチレン系重合体を製造した。
こうして得られたエチレン系重合体は、29.0グラムであった。結果を表4bに示す。
エチレン系重合体の製造
メタロセン化合物17を33.5mgを使用し、メタロセン化合物27を1.8mgを使用した以外は実施例24bと同様にして得られた固体触媒を用いて、表4bの条件にてエチレン系重合体を製造した。
こうして得られたエチレン系重合体は、29.0グラムであった。結果を表4bに示す。
[実施例27b]
エチレン系重合体の製造
メタロセン化合物17を33.8mgを使用し、メタロセン化合物25の代わりにメタロセン化合物28を1.9mgを使用した以外は実施例20bと同様にして得られた固体触媒を用いて、表4bの条件にてエチレン系重合体を製造した。
こうして得られたエチレン系重合体は、40.0グラムであった。結果を表4bに示す。
エチレン系重合体の製造
メタロセン化合物17を33.8mgを使用し、メタロセン化合物25の代わりにメタロセン化合物28を1.9mgを使用した以外は実施例20bと同様にして得られた固体触媒を用いて、表4bの条件にてエチレン系重合体を製造した。
こうして得られたエチレン系重合体は、40.0グラムであった。結果を表4bに示す。
[比較例8b]
エチレン系重合体の製造
メタロセン化合物17を34.8mgを使用し、メタロセン化合物25を使用しなかった以外は実施例20bと同様にして得られた固体触媒を用いて、表4bの条件にてエチレン系重合体を製造した。
こうして得られたエチレン系重合体は、56.8グラムであった。結果を表4bに示す。
エチレン系重合体の製造
メタロセン化合物17を34.8mgを使用し、メタロセン化合物25を使用しなかった以外は実施例20bと同様にして得られた固体触媒を用いて、表4bの条件にてエチレン系重合体を製造した。
こうして得られたエチレン系重合体は、56.8グラムであった。結果を表4bに示す。
[比較例9b]
エチレン系重合体の製造
メタロセン化合物17を34.8mgを使用し、メタロセン化合物22を使用しなかった以外は実施例18bと同様にして得られた固体触媒を用いて、表4の条件にてエチレン系重合体を製造した。
こうして得られたエチレン系重合体は、14.5グラムであった。結果を表4bに示す。
エチレン系重合体の製造
メタロセン化合物17を34.8mgを使用し、メタロセン化合物22を使用しなかった以外は実施例18bと同様にして得られた固体触媒を用いて、表4の条件にてエチレン系重合体を製造した。
こうして得られたエチレン系重合体は、14.5グラムであった。結果を表4bに示す。
[比較例10b]
エチレン系重合体の製造
表4bの条件にて、比較例9bと同様にして、エチレン系重合体を製造した。
こうして得られたエチレン系重合体は、79.4グラムであった。結果を表4bに示す。
エチレン系重合体の製造
表4bの条件にて、比較例9bと同様にして、エチレン系重合体を製造した。
こうして得られたエチレン系重合体は、79.4グラムであった。結果を表4bに示す。
[比較例11b]
エチレン系重合体の製造
メタロセン化合物27を44.9mgを使用し、メタロセン化合物17を使用しなかった以外は実施例23bと同様にして得られた固体触媒を用いて、表4bの条件にてエチレン系重合体を製造した。
こうして得られたエチレン系重合体は、54.9グラムであった。結果を表4bに示す。
エチレン系重合体の製造
メタロセン化合物27を44.9mgを使用し、メタロセン化合物17を使用しなかった以外は実施例23bと同様にして得られた固体触媒を用いて、表4bの条件にてエチレン系重合体を製造した。
こうして得られたエチレン系重合体は、54.9グラムであった。結果を表4bに示す。
[比較例12b]
エチレン系重合体の製造
表4bの条件にて、比較例11bと同様にして、エチレン系重合体を製造した。
こうして得られたエチレン系重合体は、37.2グラムであった。結果を表4bに示す。
エチレン系重合体の製造
表4bの条件にて、比較例11bと同様にして、エチレン系重合体を製造した。
こうして得られたエチレン系重合体は、37.2グラムであった。結果を表4bに示す。
[比較例13b]
エチレン系重合体の製造
メタロセン化合物27の代わりにメタロセン化合物30を41.8mgを使用した以外は比較例11bと同様にして、表4bの条件にてエチレン系重合体を製造した。
こうして得られたエチレン系重合体は、129.6グラムであった。結果を表4bに示す。
エチレン系重合体の製造
メタロセン化合物27の代わりにメタロセン化合物30を41.8mgを使用した以外は比較例11bと同様にして、表4bの条件にてエチレン系重合体を製造した。
こうして得られたエチレン系重合体は、129.6グラムであった。結果を表4bに示す。
表4bには、表1b~表3bで使用した成分(A-1b)とは異なるメタロセンであるメタロセン化合物17を、表1bの成分(A-2b)として使用したメタロセン化合物22、メタロセン化合物25、メタロセン化合物27、メタロセン化合物28等と組み合わせた本発明のオレフィン重合用触媒の結果を示している。これら得られたエチレン系重合体のλmax(2.0)、λmax(2.0)/λmax(0.1)、gC’値、WC値が、成分(A-1b)であるメタロセン化合物17や成分(A-2b)であるメタロセン化合物27を単独で使用した時よりも優れていることが、比較例8b~比較例12bと対比することによってわかった。更には、優れた長鎖分岐構造を付与することで知られているエチレンビスインデニルジルコニウムジクロリド(メタロセン化合物30)を使用して得られるエチレン系重合体よりも、本発明で得られるエチレン系重合体の方がλmax(2.0)/λmax(0.1)、gC’値、WC値がより好ましい値を有していることが、比較例13との対比により明らかであることがわたった。
[実施例28b]
エチレン系重合体の製造
実施例6bで合成した固体触媒を用いて、表5bの条件にてエチレン系重合体を製造した。すなわち、1-ヘキセン/エチレンのモル比を0.007、水素/エチレンのモル比を2.5×10-3、窒素濃度を30mol%とし、全圧を0.8MPa、温度を75℃に準備された、気相連続重合装置(内容積100L、流動床直径10cm、流動床種ポリマ-(分散剤)1.5kg)にトリエチルアルミニウムのヘキサン溶液(0.03mmol/ml)を7ml/hで供給し、ガス組成と温度を一定に保ちながら、1時間当たりの生産量が約300gとなるように上記固体触媒を間欠的に供給して重合を行った。活性は336g/(g触媒・h)であった。結果を表5bに示す。
エチレン系重合体の製造
実施例6bで合成した固体触媒を用いて、表5bの条件にてエチレン系重合体を製造した。すなわち、1-ヘキセン/エチレンのモル比を0.007、水素/エチレンのモル比を2.5×10-3、窒素濃度を30mol%とし、全圧を0.8MPa、温度を75℃に準備された、気相連続重合装置(内容積100L、流動床直径10cm、流動床種ポリマ-(分散剤)1.5kg)にトリエチルアルミニウムのヘキサン溶液(0.03mmol/ml)を7ml/hで供給し、ガス組成と温度を一定に保ちながら、1時間当たりの生産量が約300gとなるように上記固体触媒を間欠的に供給して重合を行った。活性は336g/(g触媒・h)であった。結果を表5bに示す。
[実施例29b]
エチレン系重合体の製造
実施例28bと同様にして、表5の条件にてエチレン系重合体を製造した。結果を表5bに示す。
エチレン系重合体の製造
実施例28bと同様にして、表5の条件にてエチレン系重合体を製造した。結果を表5bに示す。
[実施例30b]
エチレン系重合体の製造
重合温度を65℃とする以外は実施例28bと同様にして、表5bの条件にてエチレン系重合体を製造した。結果を表5bに示す。
エチレン系重合体の製造
重合温度を65℃とする以外は実施例28bと同様にして、表5bの条件にてエチレン系重合体を製造した。結果を表5bに示す。
[実施例31b]
エチレン系重合体の製造
メタロセン化合物27の代わりにメタロセン化合物28を6.3mg使用する以外は実施例30bと同様にして、表5bの条件にてエチレン系重合体を製造した。結果を表5bに示す。
エチレン系重合体の製造
メタロセン化合物27の代わりにメタロセン化合物28を6.3mg使用する以外は実施例30bと同様にして、表5bの条件にてエチレン系重合体を製造した。結果を表5bに示す。
[比較例14b]
エチレン系重合体の製造
実施例1a(a)の(2)のエチレン系重合体(B-1)の製造と同様にしてMFR0.8g/10分、密度0.914g/cm3のエチレン系重合体を得た。結果を表5bに示す。連続運転を継続しながら更に低密度のエチレン系重合体を製造するために、ヘキセン/エチレンモル比0.012から増加したところ、分子量調節剤である水素を新たに追加しなかったにもかかわらず、MFRが0.8g/10分から時間とともに増加し始め、上記実施例29b~実施例31bにあるような低MFRかつ低密度のエチレン系重合体を製造することは困難であった。
エチレン系重合体の製造
実施例1a(a)の(2)のエチレン系重合体(B-1)の製造と同様にしてMFR0.8g/10分、密度0.914g/cm3のエチレン系重合体を得た。結果を表5bに示す。連続運転を継続しながら更に低密度のエチレン系重合体を製造するために、ヘキセン/エチレンモル比0.012から増加したところ、分子量調節剤である水素を新たに追加しなかったにもかかわらず、MFRが0.8g/10分から時間とともに増加し始め、上記実施例29b~実施例31bにあるような低MFRかつ低密度のエチレン系重合体を製造することは困難であった。
(I)[メタロセン化合物の合成]
メタロセン化合物A:ジメチルシリレン(4-(4-トリメチルシリル-フェニル)-インデニル)(シクロペンタジエニル)ジルコニウムジクロリドの合成
(1-1)4-(4-トリメチルシリル-フェニル)-インデンの合成
500mlフラスコに、4-トリメチルシリルフェニルボロン酸10.0g(51.5mmol)とジメトエタン200mlを加え溶液とした後、リン酸カリウム27.3g(128mmol)、水100ml、4-ブロモインデン8.37g(43.0mmol)、トリフェニルホスフィン0.22g(0.86mmol)、PdCl2(PPh3)2 0.300g(0.430mmol)を順に加え、12時間攪拌還流した。室温まで冷却し水100mlを加えた。有機相を分離した後、水相を酢酸エチル100mlで2回抽出し、得られた有機相を混合して食塩水で洗浄し、硫酸ナトリウムを加え有機相を乾燥させた。硫酸ナトリウムを濾過し、溶媒を減圧留去して、シリカゲルカラムで精製し、4-(4-トリメチルシリル-フェニル)-インデンの黄色液体9.0g(収率79%)を得た。
メタロセン化合物A:ジメチルシリレン(4-(4-トリメチルシリル-フェニル)-インデニル)(シクロペンタジエニル)ジルコニウムジクロリドの合成
(1-1)4-(4-トリメチルシリル-フェニル)-インデンの合成
500mlフラスコに、4-トリメチルシリルフェニルボロン酸10.0g(51.5mmol)とジメトエタン200mlを加え溶液とした後、リン酸カリウム27.3g(128mmol)、水100ml、4-ブロモインデン8.37g(43.0mmol)、トリフェニルホスフィン0.22g(0.86mmol)、PdCl2(PPh3)2 0.300g(0.430mmol)を順に加え、12時間攪拌還流した。室温まで冷却し水100mlを加えた。有機相を分離した後、水相を酢酸エチル100mlで2回抽出し、得られた有機相を混合して食塩水で洗浄し、硫酸ナトリウムを加え有機相を乾燥させた。硫酸ナトリウムを濾過し、溶媒を減圧留去して、シリカゲルカラムで精製し、4-(4-トリメチルシリル-フェニル)-インデンの黄色液体9.0g(収率79%)を得た。
(1-2)(4-(4-トリメチルシリル-フェニル)-インデニル)(シクロペンタジエニル)ジメチルシランの合成
200mlフラスコに、4-(4-トリメチルシリル-フェニル)-インデン16.2g(61.2mmol)とTHF100mlを加え溶液とした後、-78℃に冷却してn-ブチルリチウム/ヘキサン溶液(2.5M)29.4ml(173.5mmol)を加え、室温に戻して4時間攪拌した。別途用意した300mlフラスコにジメチルジクロロシラン14.8ml(122mmol)とTHF20mlを加え溶液とし、-78℃に冷却して先の反応溶液を加えた。室温に戻して12時間攪拌した。揮発物を減圧留去で除くことで黄色溶液21.8gが得られた。この黄色溶液にTHF80mlを加えて溶液とし、-30℃でCpNa/THF溶液(2M)36.7ml(73.5mmol)を加えた。室温に戻して1時間攪拌し、氷水100mlを加えた。酢酸エチル100mlで2回抽出し、得られた有機相を混合して食塩水で洗浄し、硫酸ナトリウムを加え有機相を乾燥させた。硫酸ナトリウムを濾過し、溶媒を減圧留去して、シリカゲルカラムで精製し、(4-(4-トリメチルシリル-フェニル)-インデニル)(シクロペンタジエニル)ジメチルシランの黄色液体12.0g(収率51%)を得た。
200mlフラスコに、4-(4-トリメチルシリル-フェニル)-インデン16.2g(61.2mmol)とTHF100mlを加え溶液とした後、-78℃に冷却してn-ブチルリチウム/ヘキサン溶液(2.5M)29.4ml(173.5mmol)を加え、室温に戻して4時間攪拌した。別途用意した300mlフラスコにジメチルジクロロシラン14.8ml(122mmol)とTHF20mlを加え溶液とし、-78℃に冷却して先の反応溶液を加えた。室温に戻して12時間攪拌した。揮発物を減圧留去で除くことで黄色溶液21.8gが得られた。この黄色溶液にTHF80mlを加えて溶液とし、-30℃でCpNa/THF溶液(2M)36.7ml(73.5mmol)を加えた。室温に戻して1時間攪拌し、氷水100mlを加えた。酢酸エチル100mlで2回抽出し、得られた有機相を混合して食塩水で洗浄し、硫酸ナトリウムを加え有機相を乾燥させた。硫酸ナトリウムを濾過し、溶媒を減圧留去して、シリカゲルカラムで精製し、(4-(4-トリメチルシリル-フェニル)-インデニル)(シクロペンタジエニル)ジメチルシランの黄色液体12.0g(収率51%)を得た。
(1-3)ジメチルシリレン(4-(4-トリメチルシリル-フェニル)-インデニル)(シクロペンタジエニル)ジルコニウムジクロリドの合成
300mlフラスコに、(4-(4-トリメチルシリルフェニル)インデニル)(シクロペンタジエニル)ジメチルシラン1.20g(3.00mmol)、ジエチルエーテル20mlを加え、-70℃まで冷却した。ここに2.5mol/Lのn-ブチルリチウム-n-ヘキサン溶液2.60ml(6.60mmol)を滴下した。滴下後、室温に戻し2時間撹拌した。反応液の溶媒を減圧で留去し、ジクロロメタン30mlを加え、ドライアイス-メタノール浴で-70℃まで冷却した。そこに、四塩化ジルコニウム0.770g(3.30mmol)を加えた。その後、徐々に室温に戻しながら一夜撹拌した。反応液をろ過して得られたろ液から溶媒を減圧で留去することで、黄色粉末がえら得た。この粉末をトルエン10mlで再結晶し、ジメチルシリレン(4-(4-トリメチルシリルフェニル)インデニル)(シクロペンタジエニル)ジルコニウムジクロリドを黄色結晶として0.500g(収率31%)得た。
1H-NMR値(CDCl3):δ0.21(s,3H),δ0.23(s,9H),δ0.43(s,3H),δ5.48(m,1H),δ5.51(m,1H),δ5.81(d,1H),δ6.60(m,1H),δ6.66(m,1H),δ6.95(dd,1H),δ7.13(s,1H),δ7.39(dd,2H),δ7.57(d,2H),δ7.95(d,2H)。
300mlフラスコに、(4-(4-トリメチルシリルフェニル)インデニル)(シクロペンタジエニル)ジメチルシラン1.20g(3.00mmol)、ジエチルエーテル20mlを加え、-70℃まで冷却した。ここに2.5mol/Lのn-ブチルリチウム-n-ヘキサン溶液2.60ml(6.60mmol)を滴下した。滴下後、室温に戻し2時間撹拌した。反応液の溶媒を減圧で留去し、ジクロロメタン30mlを加え、ドライアイス-メタノール浴で-70℃まで冷却した。そこに、四塩化ジルコニウム0.770g(3.30mmol)を加えた。その後、徐々に室温に戻しながら一夜撹拌した。反応液をろ過して得られたろ液から溶媒を減圧で留去することで、黄色粉末がえら得た。この粉末をトルエン10mlで再結晶し、ジメチルシリレン(4-(4-トリメチルシリルフェニル)インデニル)(シクロペンタジエニル)ジルコニウムジクロリドを黄色結晶として0.500g(収率31%)得た。
1H-NMR値(CDCl3):δ0.21(s,3H),δ0.23(s,9H),δ0.43(s,3H),δ5.48(m,1H),δ5.51(m,1H),δ5.81(d,1H),δ6.60(m,1H),δ6.66(m,1H),δ6.95(dd,1H),δ7.13(s,1H),δ7.39(dd,2H),δ7.57(d,2H),δ7.95(d,2H)。
メタロセン化合物B:ジメチルシリレン(4-(4-クロロ-フェニル)-インデニル)(シクロペンタジエニル)ジルコニウムジクロリドの合成
(2-1)4-(4-クロロ-フェニル)-インデンの合成
4-(4-トリメチルシリル-フェニル)-インデンの合成で4-トリメチルシリルフェニルボロン酸の代わりに4-クロロフェニルボロン酸を用い、メタロセン化合物A(1-1)と同様の手順で合成を行ない、4-(4-クロロ-フェニル)-インデンの白色固体を収率69%で得た。
(2-1)4-(4-クロロ-フェニル)-インデンの合成
4-(4-トリメチルシリル-フェニル)-インデンの合成で4-トリメチルシリルフェニルボロン酸の代わりに4-クロロフェニルボロン酸を用い、メタロセン化合物A(1-1)と同様の手順で合成を行ない、4-(4-クロロ-フェニル)-インデンの白色固体を収率69%で得た。
(2-2)(4-(4-クロロ-フェニル)-インデニル)(シクロペンタジエニル)ジメチルシランの合成
4-(4-トリメチルシリル-フェニル)-インデンの代わりに4-(4-クロロ-フェニル)-インデンを用い、メタロセン化合物A(1-2)と同様の手順で合成を行ない、(4-(4-クロロ-フェニル)-インデニル)(シクロペンタジエニル)ジメチルシランの淡黄色固体を収率52%で得た。
4-(4-トリメチルシリル-フェニル)-インデンの代わりに4-(4-クロロ-フェニル)-インデンを用い、メタロセン化合物A(1-2)と同様の手順で合成を行ない、(4-(4-クロロ-フェニル)-インデニル)(シクロペンタジエニル)ジメチルシランの淡黄色固体を収率52%で得た。
(2-3)ジメチルシリレン(4-(4-クロロ-フェニル)-インデニル)(シクロペンタジエニル)ジルコニウムジクロリドの合成
(4-(4-トリメチルシリルフェニル)インデニル)(シクロペンタジエニル)ジメチルシランの代わりに(4-(4-クロロフェニル)インデニル)(シクロペンタジエニル)ジメチルシランを用い、メタロセン化合物A(1-3)と同様の手順で合成を行ない、ジメチルシリレン(4-(4-クロロ-フェニル)-インデニル)(シクロペンタジエニル)ジルコニウムジクロリドを黄色結晶として得た。
1H-NMR値(CDCl3):δ0.87(s,3H),δ1.08(s,3H),δ5.89(m,1H),δ5.94(m,1H),δ6.24(d,1H),δ6.78(m,1H),δ6.84(m,1H),δ7.12(d,1H),δ7.19(dd,1H),δ7.39(d,1H),δ7.44(m,3H),δ7.61(d,2H)。
(4-(4-トリメチルシリルフェニル)インデニル)(シクロペンタジエニル)ジメチルシランの代わりに(4-(4-クロロフェニル)インデニル)(シクロペンタジエニル)ジメチルシランを用い、メタロセン化合物A(1-3)と同様の手順で合成を行ない、ジメチルシリレン(4-(4-クロロ-フェニル)-インデニル)(シクロペンタジエニル)ジルコニウムジクロリドを黄色結晶として得た。
1H-NMR値(CDCl3):δ0.87(s,3H),δ1.08(s,3H),δ5.89(m,1H),δ5.94(m,1H),δ6.24(d,1H),δ6.78(m,1H),δ6.84(m,1H),δ7.12(d,1H),δ7.19(dd,1H),δ7.39(d,1H),δ7.44(m,3H),δ7.61(d,2H)。
メタロセン化合物C:ジメチルシリレン(4-(2-(5-メチル)-フリル)-インデニル)(シクロペンタジエニル)ジルコニウムジクロリドの合成
(3-1)4-(2-(5-メチル)-フリル)-インデンの合成
500mlフラスコに、2-メチルフラン2.52g(30.7mmol)とTHF30mlを加え溶液とした後、-78℃に冷却してn-ブチルリチウム/ヘキサン溶液(2.5M)14.7ml(36.9mmol)を加え、室温に戻して4時間攪拌した。別途用意した300mlフラスコに塩化亜鉛4.18g(30.7mmol)とTHF10mlを加え懸濁液とし、0℃に冷却して先の反応溶液を加えた。室温に戻して1時間攪拌した。さらに別途用意したmlフラスコにヨウ化銅(I)0.35g(1.84mmol)、Pd(dppf)Cl2 0.690g(0.932mmol)、4-ブロモインデン3.00g(15.3mmol)とDMA5mlを加え懸濁液とし、先の反応溶液を加えて15時間攪拌還流した。室温まで冷却し水50mlを加えた。有機相を分離した後、水相を酢酸エチル50mlで2回抽出し、得られた有機相を混合して水50mlで2回洗浄、食塩水50mlで1回洗浄し、硫酸ナトリウムを加え有機相を乾燥させた。硫酸ナトリウムを濾過し、溶媒を減圧留去して、シリカゲルカラムで精製し、4-(2-(5-メチル)-フリル)-インデンの黄色液2.10g(収率70%)を得た。
(3-1)4-(2-(5-メチル)-フリル)-インデンの合成
500mlフラスコに、2-メチルフラン2.52g(30.7mmol)とTHF30mlを加え溶液とした後、-78℃に冷却してn-ブチルリチウム/ヘキサン溶液(2.5M)14.7ml(36.9mmol)を加え、室温に戻して4時間攪拌した。別途用意した300mlフラスコに塩化亜鉛4.18g(30.7mmol)とTHF10mlを加え懸濁液とし、0℃に冷却して先の反応溶液を加えた。室温に戻して1時間攪拌した。さらに別途用意したmlフラスコにヨウ化銅(I)0.35g(1.84mmol)、Pd(dppf)Cl2 0.690g(0.932mmol)、4-ブロモインデン3.00g(15.3mmol)とDMA5mlを加え懸濁液とし、先の反応溶液を加えて15時間攪拌還流した。室温まで冷却し水50mlを加えた。有機相を分離した後、水相を酢酸エチル50mlで2回抽出し、得られた有機相を混合して水50mlで2回洗浄、食塩水50mlで1回洗浄し、硫酸ナトリウムを加え有機相を乾燥させた。硫酸ナトリウムを濾過し、溶媒を減圧留去して、シリカゲルカラムで精製し、4-(2-(5-メチル)-フリル)-インデンの黄色液2.10g(収率70%)を得た。
(3-2)(4-(2-(5-メチル)-フリル)-インデニル)(シクロペンタジエニル)ジメチルシランの合成
4-(4-トリメチルシリル-フェニル)-インデンの代わりに4-(2-(5-メチル)-フリル)-インデンを用い、メタロセン化合物A(1-2)と同様の手順で合成を行ない、(4-(2-(5-メチル)-フリル)-インデニル)(シクロペンタジエニル)ジメチルシランの淡黄色固体を収率38%で得た。
4-(4-トリメチルシリル-フェニル)-インデンの代わりに4-(2-(5-メチル)-フリル)-インデンを用い、メタロセン化合物A(1-2)と同様の手順で合成を行ない、(4-(2-(5-メチル)-フリル)-インデニル)(シクロペンタジエニル)ジメチルシランの淡黄色固体を収率38%で得た。
(3-3)ジメチルシリレン(4-(2-(5-メチル)-フリル)-インデニル)(シクロペンタジエニル)ジルコニウムジクロリドの合成
(4-(4-トリメチルシリルフェニル)インデニル)(シクロペンタジエニル)ジメチルシランの代わりに(4-(2-(5-メチル)-フリル)-インデニル)(シクロペンタジエニル)ジメチルシランを用い、メタロセン化合物A(1-3)と同様の手順で合成を行ない、ジメチルシリレン(4-(2-(5-メチル)-フリル)-インデニル)(シクロペンタジエニル)ジルコニウムジクロリドを黄色結晶(収率25%)として得た。
1H-NMR値(CDCl3):δ0.00(s,3H),δ0.18(s,3H),δ1.79(s,3H),δ5.22(m,1H),δ5.32(m,1H),δ5.64(m,1H),δ5.72(d,1H),δ6.33(m,1H),δ6.35(m,1H),δ6.70(m,2H),δ6.82(d,1H),δ7.43(d,1H),δ7.60(d,1H)。
(4-(4-トリメチルシリルフェニル)インデニル)(シクロペンタジエニル)ジメチルシランの代わりに(4-(2-(5-メチル)-フリル)-インデニル)(シクロペンタジエニル)ジメチルシランを用い、メタロセン化合物A(1-3)と同様の手順で合成を行ない、ジメチルシリレン(4-(2-(5-メチル)-フリル)-インデニル)(シクロペンタジエニル)ジルコニウムジクロリドを黄色結晶(収率25%)として得た。
1H-NMR値(CDCl3):δ0.00(s,3H),δ0.18(s,3H),δ1.79(s,3H),δ5.22(m,1H),δ5.32(m,1H),δ5.64(m,1H),δ5.72(d,1H),δ6.33(m,1H),δ6.35(m,1H),δ6.70(m,2H),δ6.82(d,1H),δ7.43(d,1H),δ7.60(d,1H)。
メタロセン化合物D:ジメチルシリレン(4-(4-メトキシ-フェニル)-インデニル)(シクロペンタジエニル)ジルコニウムジクロリドの合成
(4-1)4-(4-メトキシ-フェニル)-インデンの合成
4-(4-トリメチルシリル-フェニル)-インデンの合成で4-トリメチルシリルフェニルボロン酸の代わりに4-メトキシフェニルボロン酸を用い、メタロセン化合物A(1-1)と同様の手順で合成を行ない、4-(4-メトキシ-フェニル)-インデンの黄色液体を収率89%で得た。
(4-1)4-(4-メトキシ-フェニル)-インデンの合成
4-(4-トリメチルシリル-フェニル)-インデンの合成で4-トリメチルシリルフェニルボロン酸の代わりに4-メトキシフェニルボロン酸を用い、メタロセン化合物A(1-1)と同様の手順で合成を行ない、4-(4-メトキシ-フェニル)-インデンの黄色液体を収率89%で得た。
(4-2)(4-(4-メトキシ-フェニル)-インデニル)(シクロペンタジエニル)ジメチルシランの合成
4-(4-トリメチルシリル-フェニル)-インデンの代わりに4-(4-メトキシ-フェニル)-インデンを用い、メタロセン化合物A(1-2)と同様の手順で合成を行ない、(4-(4-メトキシ-フェニル)-インデニル)(シクロペンタジエニル)ジメチルシランの黄色液体を収率35%で得た。
4-(4-トリメチルシリル-フェニル)-インデンの代わりに4-(4-メトキシ-フェニル)-インデンを用い、メタロセン化合物A(1-2)と同様の手順で合成を行ない、(4-(4-メトキシ-フェニル)-インデニル)(シクロペンタジエニル)ジメチルシランの黄色液体を収率35%で得た。
(2-3)ジメチルシリレン(4-(4-メトキシ-フェニル)-インデニル)(シクロペンタジエニル)ジルコニウムジクロリドの合成
(4-(4-トリメチルシリルフェニル)インデニル)(シクロペンタジエニル)ジメチルシランの代わりに(4-(4-メトキシフェニル)インデニル)(シクロペンタジエニル)ジメチルシランを用い、メタロセン化合物A(1-3)と同様の手順で合成を行ない、ジメチルシリレン(4-(4-メトキシ-フェニル)-インデニル)(シクロペンタジエニル)ジルコニウムジクロリドを黄色結晶(収率54%)として得た。
1H-NMR値(CDCl3):δ0.86(s,3H),δ1.07(s,3H),δ3.86(s,3H),δ5.88(m,1H),δ5.92(m,1H),δ6.22(d,1H),δ6.77(m,1H),δ6.84(m,1H),δ7.00(d,2H),δ7.18(m,2H),δ7.40(t,2H),δ7.61(d,2H)。
(4-(4-トリメチルシリルフェニル)インデニル)(シクロペンタジエニル)ジメチルシランの代わりに(4-(4-メトキシフェニル)インデニル)(シクロペンタジエニル)ジメチルシランを用い、メタロセン化合物A(1-3)と同様の手順で合成を行ない、ジメチルシリレン(4-(4-メトキシ-フェニル)-インデニル)(シクロペンタジエニル)ジルコニウムジクロリドを黄色結晶(収率54%)として得た。
1H-NMR値(CDCl3):δ0.86(s,3H),δ1.07(s,3H),δ3.86(s,3H),δ5.88(m,1H),δ5.92(m,1H),δ6.22(d,1H),δ6.77(m,1H),δ6.84(m,1H),δ7.00(d,2H),δ7.18(m,2H),δ7.40(t,2H),δ7.61(d,2H)。
メタロセン化合物E:ジメチルシリレン(4-フェニルインデニル)(シクロペンタジエニル)ジルコニウムジクロリドの合成
(4-(4-トリメチルシリルフェニル)インデニル)(シクロペンタジエニル)ジメチルシランの代わりに(4-フェニルインデニル)(シクロペンタジエニル)ジメチルシランを用い、メタロセン化合物A(1-3)と同様の手順で合成を行ない、ジメチルシリレン(4-フェニルインデニル)(シクロペンタジエニル)ジルコニウムジクロリドを黄色結晶として得た。
(4-(4-トリメチルシリルフェニル)インデニル)(シクロペンタジエニル)ジメチルシランの代わりに(4-フェニルインデニル)(シクロペンタジエニル)ジメチルシランを用い、メタロセン化合物A(1-3)と同様の手順で合成を行ない、ジメチルシリレン(4-フェニルインデニル)(シクロペンタジエニル)ジルコニウムジクロリドを黄色結晶として得た。
メタロセン化合物F:ジメチルシリレン(3-メチルインデニル)(シクロペンタジエニル)ジルコニウムジクロリドの合成
(4-(4-トリメチルシリルフェニル)インデニル)(シクロペンタジエニル)ジメチルシランの代わりに(3-メチルインデニル)(シクロペンタジエニル)ジメチルシランを用い、メタロセン化合物A(1-3)と同様の手順で合成を行ない、ジメチルシリレン(3-メチルインデニル)(シクロペンタジエニル)ジルコニウムジクロリドを黄色結晶として得た。
(4-(4-トリメチルシリルフェニル)インデニル)(シクロペンタジエニル)ジメチルシランの代わりに(3-メチルインデニル)(シクロペンタジエニル)ジメチルシランを用い、メタロセン化合物A(1-3)と同様の手順で合成を行ない、ジメチルシリレン(3-メチルインデニル)(シクロペンタジエニル)ジルコニウムジクロリドを黄色結晶として得た。
メタロセン化合物G:ジメチルシリレン(シクロペンタジエニル)(インデニル)ジルコニウムジクロリドの合成
ジメチルシリレン(シクロペンタジエニル)(インデニル)ジルコニウムジクロリドの合成は、Macromolecules 1995,28,3771-3778に記載の手順に従って行なった。
ジメチルシリレン(シクロペンタジエニル)(インデニル)ジルコニウムジクロリドの合成は、Macromolecules 1995,28,3771-3778に記載の手順に従って行なった。
(実施例1-1)
(1)固体触媒の調製
窒素雰囲気下、200ml二口フラスコに600℃で5時間焼成したシリカ5gを入れ、150℃のオイルバスで加熱しながら真空ポンプで1時間減圧乾燥した。別途用意した100ml二口フラスコに窒素雰囲気下でメタロセン化合物A68mgを入れ、脱水トルエン13.4mlで溶解した。室温でメタロセン化合物Aのトルエン溶液にアルベマール社製の20%メチルアルミノキサン/トルエン溶液8.6mlを加え30分間撹拌した。真空乾燥済みシリカの入った200ml二口フラスコを40℃のオイルバスで加熱および撹拌しながら、メタロセン化合物Aとメチルアルミノキサンの反応物のトルエン溶液を全量加えた。40℃で1時間撹拌した後、40℃に加熱したままトルエン溶媒を減圧留去することで固体触媒を得た。
(1)固体触媒の調製
窒素雰囲気下、200ml二口フラスコに600℃で5時間焼成したシリカ5gを入れ、150℃のオイルバスで加熱しながら真空ポンプで1時間減圧乾燥した。別途用意した100ml二口フラスコに窒素雰囲気下でメタロセン化合物A68mgを入れ、脱水トルエン13.4mlで溶解した。室温でメタロセン化合物Aのトルエン溶液にアルベマール社製の20%メチルアルミノキサン/トルエン溶液8.6mlを加え30分間撹拌した。真空乾燥済みシリカの入った200ml二口フラスコを40℃のオイルバスで加熱および撹拌しながら、メタロセン化合物Aとメチルアルミノキサンの反応物のトルエン溶液を全量加えた。40℃で1時間撹拌した後、40℃に加熱したままトルエン溶媒を減圧留去することで固体触媒を得た。
(2)エチレン・1-ヘキセン共重合体の製造
上記(1)固体触媒の調製で得られた固体触媒を用いてエチレン・1-ヘキセン共重合体を製造した。
すなわち、誘導撹拌装置付き2Lオートクレーブに1-ヘキセン30ml、トリエチルアルミニウム0.20mmol、水素200ml、イソブタン800mLを加え、75℃に昇温し、エチレンを導入してエチレン分圧を1.4MPaに保った。次いで、上記(1)の固体触媒の調製で得られた固体触媒123mgを窒素で圧入し、エチレン分圧1.4MPa、温度75℃を保って60分間重合を継続した。なお、重合反応中、エチレン消費速度に比例した供給速度にて1-ヘキセンの追加供給を実施した。追加供給した1-ヘキセン量は16.5mLであった。重合はエタノールを加えて停止させた。こうして得られたエチレン・1-ヘキセン共重合体は130.3gであった。重合結果を表5a-1および表5a-2に示す。
上記(1)固体触媒の調製で得られた固体触媒を用いてエチレン・1-ヘキセン共重合体を製造した。
すなわち、誘導撹拌装置付き2Lオートクレーブに1-ヘキセン30ml、トリエチルアルミニウム0.20mmol、水素200ml、イソブタン800mLを加え、75℃に昇温し、エチレンを導入してエチレン分圧を1.4MPaに保った。次いで、上記(1)の固体触媒の調製で得られた固体触媒123mgを窒素で圧入し、エチレン分圧1.4MPa、温度75℃を保って60分間重合を継続した。なお、重合反応中、エチレン消費速度に比例した供給速度にて1-ヘキセンの追加供給を実施した。追加供給した1-ヘキセン量は16.5mLであった。重合はエタノールを加えて停止させた。こうして得られたエチレン・1-ヘキセン共重合体は130.3gであった。重合結果を表5a-1および表5a-2に示す。
(実施例1-2)
実施例1-1で得られた固体触媒202mgを用い、1-ヘキセン40ml、水素150mlとし、追加供給した1-ヘキセン量が9.0mLであった以外は、実施例1-1と同様に、エチレン・1-ヘキセン共重合体を製造した。その結果、55.0gのエチレン・1-ヘキセン共重合体が生成した。重合結果を表5a-1および表5a-2に示す。
実施例1-1で得られた固体触媒202mgを用い、1-ヘキセン40ml、水素150mlとし、追加供給した1-ヘキセン量が9.0mLであった以外は、実施例1-1と同様に、エチレン・1-ヘキセン共重合体を製造した。その結果、55.0gのエチレン・1-ヘキセン共重合体が生成した。重合結果を表5a-1および表5a-2に示す。
(実施例1-3)
実施例1-1で得られた固体触媒206mgを用い、追加供給した1-ヘキセン量が9.0mLであった以外は、実施例1-1と同様に、エチレン・1-ヘキセン共重合体を製造した。その結果、82.0gのエチレン・1-ヘキセン共重合体が生成した。重合結果を表5a-1および表5a-2に示す。
実施例1-1で得られた固体触媒206mgを用い、追加供給した1-ヘキセン量が9.0mLであった以外は、実施例1-1と同様に、エチレン・1-ヘキセン共重合体を製造した。その結果、82.0gのエチレン・1-ヘキセン共重合体が生成した。重合結果を表5a-1および表5a-2に示す。
(実施例1-4)
実施例1-1で得られた固体触媒217mgを用い、水素500mlとし、追加供給した1-ヘキセン量が6.0mLであった以外は、実施例1-1と同様に、エチレン・1-ヘキセン共重合体を製造した。その結果、54.8gのエチレン・1-ヘキセン共重合体が生成した。重合結果を表5a-1および表5a-2に示す。
実施例1-1で得られた固体触媒217mgを用い、水素500mlとし、追加供給した1-ヘキセン量が6.0mLであった以外は、実施例1-1と同様に、エチレン・1-ヘキセン共重合体を製造した。その結果、54.8gのエチレン・1-ヘキセン共重合体が生成した。重合結果を表5a-1および表5a-2に示す。
(実施例1-5)
実施例1-1で得られた固体触媒204mgを用い、水素640mlとし、追加供給した1-ヘキセン量が5.0mLであった以外は、実施例1-1と同様に、エチレン・1-ヘキセン共重合体を製造した。その結果、45.5gのエチレン・1-ヘキセン共重合体が生成した。重合結果を表5a-1および表5a-2に示す。
実施例1-1で得られた固体触媒204mgを用い、水素640mlとし、追加供給した1-ヘキセン量が5.0mLであった以外は、実施例1-1と同様に、エチレン・1-ヘキセン共重合体を製造した。その結果、45.5gのエチレン・1-ヘキセン共重合体が生成した。重合結果を表5a-1および表5a-2に示す。
(比較例1-1)
(1)固体触媒の調製
メタロセン化合物A68mgの代わりに、メタロセン化合物E59mgを用いた以外は、実施例1-1と同様に、固体触媒を調製した。
(2)エチレン・1-ヘキセン共重合体の製造
実施例1-1で得られた固体触媒123mgの代わりに、上記(1)の固体触媒の調製で得られた固体触媒222mgを用い、1-ヘキセン40mlとし、追加供給した1-ヘキセン量が13.5mLであった以外は、実施例1-1と同様に、エチレン・1-ヘキセン共重合体を製造した。その結果、111.8gのエチレン・1-ヘキセン共重合体が生成した。重合結果を表5a-1および表5a-2に示す。
(1)固体触媒の調製
メタロセン化合物A68mgの代わりに、メタロセン化合物E59mgを用いた以外は、実施例1-1と同様に、固体触媒を調製した。
(2)エチレン・1-ヘキセン共重合体の製造
実施例1-1で得られた固体触媒123mgの代わりに、上記(1)の固体触媒の調製で得られた固体触媒222mgを用い、1-ヘキセン40mlとし、追加供給した1-ヘキセン量が13.5mLであった以外は、実施例1-1と同様に、エチレン・1-ヘキセン共重合体を製造した。その結果、111.8gのエチレン・1-ヘキセン共重合体が生成した。重合結果を表5a-1および表5a-2に示す。
(比較例1-2)
比較例1-1で得られた固体触媒218mgを用い、1-ヘキセン70ml、水素20mlとし、追加供給した1-ヘキセン量が1.5mLであった以外は、比較例1-1と同様に、エチレン・1-ヘキセン共重合体を製造した。その結果、24.0gのエチレン・1-ヘキセン共重合体が生成した。重合結果を表5a-1および表5a-2に示す。
比較例1-1で得られた固体触媒218mgを用い、1-ヘキセン70ml、水素20mlとし、追加供給した1-ヘキセン量が1.5mLであった以外は、比較例1-1と同様に、エチレン・1-ヘキセン共重合体を製造した。その結果、24.0gのエチレン・1-ヘキセン共重合体が生成した。重合結果を表5a-1および表5a-2に示す。
(比較例1-3)
(1)固体触媒の調製
メタロセン化合物A68mgの代わりに、メタロセン化合物F52mgを用いた以外は、実施例1-1と同様に、固体触媒を調製した。
(2)エチレン・1-ヘキセン共重合体の製造
実施例1-1で得られた固体触媒123mgの代わりに、上記(1)の固体触媒の調製で得られた固体触媒236mgを用い、1-ヘキセン70ml、水素20mlとし、追加供給した1-ヘキセン量が18.0mLであった以外は、実施例1-1と同様に、エチレン・1-ヘキセン共重合体を製造した。その結果、146.0gのエチレン・1-ヘキセン共重合体が生成した。重合結果を表5a-1および表5a-2に示す。
(1)固体触媒の調製
メタロセン化合物A68mgの代わりに、メタロセン化合物F52mgを用いた以外は、実施例1-1と同様に、固体触媒を調製した。
(2)エチレン・1-ヘキセン共重合体の製造
実施例1-1で得られた固体触媒123mgの代わりに、上記(1)の固体触媒の調製で得られた固体触媒236mgを用い、1-ヘキセン70ml、水素20mlとし、追加供給した1-ヘキセン量が18.0mLであった以外は、実施例1-1と同様に、エチレン・1-ヘキセン共重合体を製造した。その結果、146.0gのエチレン・1-ヘキセン共重合体が生成した。重合結果を表5a-1および表5a-2に示す。
(比較例1-4)
(1)固体触媒の調製
メタロセン化合物A68mgの代わりに、メタロセン化合物G50mgを用いた以外は、実施例1-1と同様に、固体触媒を調製した。
(2)エチレン・1-ヘキセン共重合体の製造
実施例1-1で得られた固体触媒123mgの代わりに、上記(1)の固体触媒の調製で得られた固体触媒160mgを用い、1-ヘキセン40ml、水素100mlとし、追加供給した1-ヘキセン量が7.2mLであった以外は、実施例1-1と同様に、エチレン・1-ヘキセン共重合体を製造した。その結果、31.4gのエチレン・1-ヘキセン共重合体が生成した。重合結果を表5a-1および表5a-2に示す。
(1)固体触媒の調製
メタロセン化合物A68mgの代わりに、メタロセン化合物G50mgを用いた以外は、実施例1-1と同様に、固体触媒を調製した。
(2)エチレン・1-ヘキセン共重合体の製造
実施例1-1で得られた固体触媒123mgの代わりに、上記(1)の固体触媒の調製で得られた固体触媒160mgを用い、1-ヘキセン40ml、水素100mlとし、追加供給した1-ヘキセン量が7.2mLであった以外は、実施例1-1と同様に、エチレン・1-ヘキセン共重合体を製造した。その結果、31.4gのエチレン・1-ヘキセン共重合体が生成した。重合結果を表5a-1および表5a-2に示す。
(実施例1-6)
(1)固体触媒の調製
メタロセン化合物A68mgの代わりに、メタロセン化合物B64mgを用いた以外は、実施例1-1と同様に、固体触媒を調製した。
(2)エチレン・1-ヘキセン共重合体の製造
実施例1-1で得られた固体触媒123mgの代わりに、上記(1)の固体触媒の調製で得られた固体触媒233mgを用い、1-ヘキセン40ml、水素100mlとし、追加供給した1-ヘキセン量が2.0mLであった以外は、実施例1-1と同様に、エチレン・1-ヘキセン共重合体を製造した。その結果、29.2gのエチレン・1-ヘキセン共重合体が生成した。重合結果を表5a-1および表5a-2に示す。
(1)固体触媒の調製
メタロセン化合物A68mgの代わりに、メタロセン化合物B64mgを用いた以外は、実施例1-1と同様に、固体触媒を調製した。
(2)エチレン・1-ヘキセン共重合体の製造
実施例1-1で得られた固体触媒123mgの代わりに、上記(1)の固体触媒の調製で得られた固体触媒233mgを用い、1-ヘキセン40ml、水素100mlとし、追加供給した1-ヘキセン量が2.0mLであった以外は、実施例1-1と同様に、エチレン・1-ヘキセン共重合体を製造した。その結果、29.2gのエチレン・1-ヘキセン共重合体が生成した。重合結果を表5a-1および表5a-2に示す。
(実施例1-7)
実施例1-6で得られた固体触媒270mgを用い、1-ヘキセン70ml、水素20mlとし、追加供給した1-ヘキセン量が2.5mLであった以外は、実施例1-6と同様に、エチレン・1-ヘキセン共重合体を製造した。その結果、28.0gのエチレン・1-ヘキセン共重合体が生成した。重合結果を表5a-1および表5a-2に示す。
実施例1-6で得られた固体触媒270mgを用い、1-ヘキセン70ml、水素20mlとし、追加供給した1-ヘキセン量が2.5mLであった以外は、実施例1-6と同様に、エチレン・1-ヘキセン共重合体を製造した。その結果、28.0gのエチレン・1-ヘキセン共重合体が生成した。重合結果を表5a-1および表5a-2に示す。
(実施例1-8)
(1)固体触媒の調製
メタロセン化合物A68mgの代わりに、メタロセン化合物D63mgを用いた以外は、実施例1-1と同様に、固体触媒を調製した。
(2)エチレン・1-ヘキセン共重合体の製造
実施例1-1で得られた固体触媒123mgの代わりに、上記(1)の固体触媒の調製で得られた固体触媒180mgを用い、1-ヘキセン40ml、水素100mlとし、追加供給した1-ヘキセン量が9.0mLであった以外は、実施例1-1と同様に、エチレン・1-ヘキセン共重合体を製造した。その結果、41.0gのエチレン・1-ヘキセン共重合体が生成した。重合結果を表5a-1および表5a-2に示す。
(1)固体触媒の調製
メタロセン化合物A68mgの代わりに、メタロセン化合物D63mgを用いた以外は、実施例1-1と同様に、固体触媒を調製した。
(2)エチレン・1-ヘキセン共重合体の製造
実施例1-1で得られた固体触媒123mgの代わりに、上記(1)の固体触媒の調製で得られた固体触媒180mgを用い、1-ヘキセン40ml、水素100mlとし、追加供給した1-ヘキセン量が9.0mLであった以外は、実施例1-1と同様に、エチレン・1-ヘキセン共重合体を製造した。その結果、41.0gのエチレン・1-ヘキセン共重合体が生成した。重合結果を表5a-1および表5a-2に示す。
(実施例1-9)
上記実施例1-1の(1)固体触媒の調製で得た固体触媒を用いてエチレン・1-ブテン共重合体を製造した。
すなわち、攪拌および温度制御装置を有する内容積1リットルのステンレス鋼製オートクレーブに、充分脱水および脱酸素したポリエチレン製のペレットを80g、トリエチルアルミニウムを33mg導入し撹拌しながら90℃へ昇温した。1-ブテン10重量%を含むエチレンを分圧が2.0MPaになるまで導入した後、上記固体触媒53mgをアルゴンガスで圧入し、エチレン分圧2.0MPa、温度90℃を保って60分間重合を継続した。
その結果、14.6gのエチレン・1-ブテン共重合体が生成した。得られた共重合体のFRは26.2、密度は0.918g/cm3であった。重合結果を表6a-1および表6a-2に示す。
上記実施例1-1の(1)固体触媒の調製で得た固体触媒を用いてエチレン・1-ブテン共重合体を製造した。
すなわち、攪拌および温度制御装置を有する内容積1リットルのステンレス鋼製オートクレーブに、充分脱水および脱酸素したポリエチレン製のペレットを80g、トリエチルアルミニウムを33mg導入し撹拌しながら90℃へ昇温した。1-ブテン10重量%を含むエチレンを分圧が2.0MPaになるまで導入した後、上記固体触媒53mgをアルゴンガスで圧入し、エチレン分圧2.0MPa、温度90℃を保って60分間重合を継続した。
その結果、14.6gのエチレン・1-ブテン共重合体が生成した。得られた共重合体のFRは26.2、密度は0.918g/cm3であった。重合結果を表6a-1および表6a-2に示す。
(実施例1-10)
実施例1-1で得られた固体触媒54mgを用い、重合開始前に水素102mlを添加した以外は、実施例1-9と同様に、エチレン・1-ブテン共重合体を製造した。
その結果、10.8gのエチレン・1-ブテン共重合体が生成した。得られた共重合体のFRは13.3、密度は0.930g/cm3で、末端二重結合は0.40個/1000炭素であった。重合結果を表6a-1および表6a-2に示す。
実施例1-1で得られた固体触媒54mgを用い、重合開始前に水素102mlを添加した以外は、実施例1-9と同様に、エチレン・1-ブテン共重合体を製造した。
その結果、10.8gのエチレン・1-ブテン共重合体が生成した。得られた共重合体のFRは13.3、密度は0.930g/cm3で、末端二重結合は0.40個/1000炭素であった。重合結果を表6a-1および表6a-2に示す。
(実施例1-11)
実施例1-1で得られた固体触媒104mgを用い、重合開始前に水素272mlを添加し、1-ブテン10重量%を含むエチレンの代わりに1-ブテン5重量%を含むエチレンを導入し、56分間重合した以外は、実施例1-9と同様に、エチレン・1-ブテン共重合体を製造した。
その結果、25.8gのエチレン・1-ブテン共重合体が生成した。得られた共重合体のFRは9.6であった。重合結果を表6a-1および表6a-2に示す。
実施例1-1で得られた固体触媒104mgを用い、重合開始前に水素272mlを添加し、1-ブテン10重量%を含むエチレンの代わりに1-ブテン5重量%を含むエチレンを導入し、56分間重合した以外は、実施例1-9と同様に、エチレン・1-ブテン共重合体を製造した。
その結果、25.8gのエチレン・1-ブテン共重合体が生成した。得られた共重合体のFRは9.6であった。重合結果を表6a-1および表6a-2に示す。
(実施例1-12)
実施例1-1で得られた固体触媒58mgを用い、重合開始前に水素51mlを添加した以外は、実施例1-9と同様に、エチレン・1-ブテン共重合体を製造した。
その結果、11.1gのエチレン・1-ブテン共重合体が生成した。得られた共重合体のFRは25.7であった。重合結果を表6a-1および表6a-2に示す。
実施例1-1で得られた固体触媒58mgを用い、重合開始前に水素51mlを添加した以外は、実施例1-9と同様に、エチレン・1-ブテン共重合体を製造した。
その結果、11.1gのエチレン・1-ブテン共重合体が生成した。得られた共重合体のFRは25.7であった。重合結果を表6a-1および表6a-2に示す。
(実施例1-13)
実施例1-1で得られた固体触媒55mgを用い、重合開始前に水素153mlを添加した以外は、実施例1-9と同様に、エチレン・1-ブテン共重合体を製造した。
その結果、10.4gのエチレン・1-ブテン共重合体が生成した。重合結果を表6a-1および表6a-2に示す。
実施例1-1で得られた固体触媒55mgを用い、重合開始前に水素153mlを添加した以外は、実施例1-9と同様に、エチレン・1-ブテン共重合体を製造した。
その結果、10.4gのエチレン・1-ブテン共重合体が生成した。重合結果を表6a-1および表6a-2に示す。
(比較例1-5)
実施例1-1で得られた固体触媒53mgの代わりに、比較例1-1の(1)固体触媒の調製で得られた固体触媒60mgを用いた以外は、実施例1-9と同様に、エチレン・1-ブテン共重合体を製造した。
その結果、13.2gのエチレン・1-ブテン共重合体が生成した。得られた共重合体の密度は0.935g/cm3で、末端二重結合は0.30個/1000炭素であった。重合結果を表6a-1および表6a-2に示す。
実施例1-1で得られた固体触媒53mgの代わりに、比較例1-1の(1)固体触媒の調製で得られた固体触媒60mgを用いた以外は、実施例1-9と同様に、エチレン・1-ブテン共重合体を製造した。
その結果、13.2gのエチレン・1-ブテン共重合体が生成した。得られた共重合体の密度は0.935g/cm3で、末端二重結合は0.30個/1000炭素であった。重合結果を表6a-1および表6a-2に示す。
(実施例1-14)
実施例1-1で得られた固体触媒53mgの代わりに実施例1-6で得られた固体触媒205mgを用い、重合開始前に水素34mlを添加した以外は、実施例1-9と同様に、エチレン・1-ブテン共重合体を製造した。
その結果、29.1gのエチレン・1-ブテン共重合体が生成した。得られた共重合体の密度は0.936g/cm3で、末端二重結合は0.40個/1000炭素であった。重合結果を表6a-1および表6a-2に示す。
実施例1-1で得られた固体触媒53mgの代わりに実施例1-6で得られた固体触媒205mgを用い、重合開始前に水素34mlを添加した以外は、実施例1-9と同様に、エチレン・1-ブテン共重合体を製造した。
その結果、29.1gのエチレン・1-ブテン共重合体が生成した。得られた共重合体の密度は0.936g/cm3で、末端二重結合は0.40個/1000炭素であった。重合結果を表6a-1および表6a-2に示す。
(実施例1-15)
実施例1-1で得られた固体触媒53mgの代わりに実施例1-6で得られた固体触媒208mgを用い、重合開始前に水素17mlを添加した以外は、実施例1-9と同様に、エチレン・1-ブテン共重合体を製造した。
その結果、25.8gのエチレン・1-ブテン共重合体が生成した。得られた共重合体の密度は0.936g/cm3で、末端二重結合は0.40個/1000炭素であった。重合結果を表6a-1および表6a-2に示す。
実施例1-1で得られた固体触媒53mgの代わりに実施例1-6で得られた固体触媒208mgを用い、重合開始前に水素17mlを添加した以外は、実施例1-9と同様に、エチレン・1-ブテン共重合体を製造した。
その結果、25.8gのエチレン・1-ブテン共重合体が生成した。得られた共重合体の密度は0.936g/cm3で、末端二重結合は0.40個/1000炭素であった。重合結果を表6a-1および表6a-2に示す。
(実施例16)
(1)固体触媒の調製
メタロセン化合物A68mgの代わりに、メタロセン化合物C60mgを用いた以外は、実施例1-1と同様に、固体触媒を調製した。
(2)エチレン・1-ブテン共重合体の製造
実施例1-1で得られた固体触媒53mgの代わりに、上記(1)固体触媒の調製で得られた固体触媒203mgを用い、47分間重合した以外は、実施例1-9と同様に、エチレン・1-ブテン共重合体を製造した。
その結果、29.5gのエチレン・1-ブテン共重合体が生成した。得られた共重合体のFRは9.4であった。重合結果を表6a-1および表6a-2に示す。
(1)固体触媒の調製
メタロセン化合物A68mgの代わりに、メタロセン化合物C60mgを用いた以外は、実施例1-1と同様に、固体触媒を調製した。
(2)エチレン・1-ブテン共重合体の製造
実施例1-1で得られた固体触媒53mgの代わりに、上記(1)固体触媒の調製で得られた固体触媒203mgを用い、47分間重合した以外は、実施例1-9と同様に、エチレン・1-ブテン共重合体を製造した。
その結果、29.5gのエチレン・1-ブテン共重合体が生成した。得られた共重合体のFRは9.4であった。重合結果を表6a-1および表6a-2に示す。
<評価>
以上のとおり、表5a-1および表5a-2に示す結果から、実施例1-1と比較例1-1とを対比すると、本発明のメタロセン化合物の要件を満たさない触媒で得られた比較例1-1では、コモノマーである1-ヘキセンの使用量が多いにもかかわらず、エチレン系重合体の密度は低下していないことから、本発明のメタロセン化合物を触媒成分として含む触媒は活性に優れ、かつ、共重合性に優れていることが明らかである。更に、同じく比較例1-1では、重合の連鎖移動剤である水素の使用量が少ないにも関わらず、エチレン系重合体のMFRは低下しておらず、分子量は向上していないことから、本発明のメタロセン化合物を触媒成分として含む触媒は低MFR(高分子量)のエチレン系重合体を生成する能力に優れていることも明らかである。更に、生成するエチレン系重合体の成形性を向上させる長鎖分岐の特性を示す特性値である[λmax(2.0)]B、[λmax(2.0)]B/[λmax(0.1)]B、gC’、WCのいずれもが、実施例1-1は比較例1-1に劣ることが無いのに加えて、-15℃可溶分量(W-15)が小さいことから、本発明のメタロセン化合物を触媒成分として含むオレフィン重合用触媒は、特許文献4で知られていたメタロセン化合物Eを使用して比較例1-1で得られたエチレン系重合体よりも、成形性と機械的特性等に優れることが明らかである。
以上のとおり、表5a-1および表5a-2に示す結果から、実施例1-1と比較例1-1とを対比すると、本発明のメタロセン化合物の要件を満たさない触媒で得られた比較例1-1では、コモノマーである1-ヘキセンの使用量が多いにもかかわらず、エチレン系重合体の密度は低下していないことから、本発明のメタロセン化合物を触媒成分として含む触媒は活性に優れ、かつ、共重合性に優れていることが明らかである。更に、同じく比較例1-1では、重合の連鎖移動剤である水素の使用量が少ないにも関わらず、エチレン系重合体のMFRは低下しておらず、分子量は向上していないことから、本発明のメタロセン化合物を触媒成分として含む触媒は低MFR(高分子量)のエチレン系重合体を生成する能力に優れていることも明らかである。更に、生成するエチレン系重合体の成形性を向上させる長鎖分岐の特性を示す特性値である[λmax(2.0)]B、[λmax(2.0)]B/[λmax(0.1)]B、gC’、WCのいずれもが、実施例1-1は比較例1-1に劣ることが無いのに加えて、-15℃可溶分量(W-15)が小さいことから、本発明のメタロセン化合物を触媒成分として含むオレフィン重合用触媒は、特許文献4で知られていたメタロセン化合物Eを使用して比較例1-1で得られたエチレン系重合体よりも、成形性と機械的特性等に優れることが明らかである。
また、実施例1-1よりも更に密度を低下したエチレン系重合体を製造するための実験を行なった場合、本発明のメタロセン化合物の優位性はより明白になることを示すのが、実施例1-2および比較例1-2の結果である。すなわち、本発明のメタロセン化合物の要件を満たさない触媒による比較例1-2では、コモノマーである1-ヘキセンの増加による活性の低下、gC’の増加(すなわち長鎖分岐度の減少)、低温可溶分量の増加が顕著であるのに対して、同様の実験を行なった実施例1-2では活性低下は認められるものの低下幅は比較例1-2よりも大きく抑えられており、かつ、長鎖分岐特性値はいずれも劣化しておらず、低温溶出量の増加も観察されていない。すわなち、本発明のメタロセン化合物を触媒成分として含む触媒が、活性等の重合特性、エチレン系重合体の長鎖分岐特性や低温溶出成分量における優位性が顕著なものであったことは表5a-1および表5a-2を見れば明らかである。
同様に特許文献5で知られていたメタロセン化合物F、Gを使用した比較例1-3、比較例1-4の結果と実施例1-1~1-5の比べても、重合活性、共重合性、高分子量化性能、長鎖分岐特性、低温溶出成分量の全てを鑑みた総合性能において、本発明のメタロセン化合物がオレフィン重合用触媒成分として優れることは明らかである。
また、表5a-1および表5a-2の実施例1-6~1-8には、実施例1-1とは異なる本発明のメタロセン化合物として、メタロセン化合物B、メタロセン化合物Dの重合例を記載した。これら本発明のメタロセン化合物は実施例1等のメタロセン化合物Aよりはその効果は小さいものの、高い重合活性を示し、更に、大きなλmax(2)値とλmax(2)/λmax(0.1)、小さなgC’値、大きなWC値に代表される優れた長鎖分岐特性を示し、更にW-15が小さいことから優れた製品特性が期待されることから、有意義であることが確認された。
表5a-1および表5a-2と異なる重合プロセスである気相重合においても本発明のメタロセン化合物を触媒成分として含む触媒の有用性を示したのが、表6a-1および表6a-2である。すなわち、実施例1-9~1-13と比較例1-5とを対比すると、本発明のメタロセン化合物の要件を満たさない触媒で得られた比較例1-5では、コモノマーである1-ブテンの使用量が同じにもかかわらず、エチレン系重合体の密度は高くなっていることから、本発明のメタロセン化合物を触媒成分として含む触媒は活性に優れ、かつ、共重合性に優れていることが明らかである。更に、同じく比較例1-5では、重合の連鎖移動剤である水素の使用量が同等にも関わらず、実施例1-10に対してエチレン系重合体のMFRは低下しておらず、分子量は向上していないことから、本発明のメタロセン化合物を触媒成分として含む触媒は低MFR(高分子量)のエチレン系重合体を生成する能力に優れていることも明らかである。更に、生成するエチレン系重合体の成形性を向上させる長鎖分岐特性値である[λmax(2.0)]B、[λmax(2.0)]B/[λmax(0.1)]B、gC’、WCのいずれもが、実施例1-9~1-13は比較例1-5に劣ることが無かった。
また、表6a-1および表6a-2の実施例1-14~1-16には、実施例1-9~1-13とは異なる本発明のメタロセン化合物として、メタロセン化合物B、メタロセン化合物Cの重合例を記載した。これら本発明のメタロセン化合物も、実施例1-10等のメタロセン化合物Aに匹敵する高い重合活性を示し、更に、大きなλmax(2)値、λmax(2)/λmax(0.1)、小さなgC’値、大きなWC値のいずれかを示し、成形性に優れた製品特性が期待されることから、有意義であることが確認された。
(II)メタロセン化合物の合成
以下のメタロセン化合物を合成した後、触媒成分として用いた。
[メタロセン化合物合成例1](以下、単に「メタロセン化合物A」と略称することもある)
ジメチルシリレン(4-t-ブチルシクロペンタジエニル)(インデニル)ジルコニウムジクロリドの合成は、日本国特開平09-87314号公報の実施例1に記載の手順に従って行なった。
以下のメタロセン化合物を合成した後、触媒成分として用いた。
[メタロセン化合物合成例1](以下、単に「メタロセン化合物A」と略称することもある)
ジメチルシリレン(4-t-ブチルシクロペンタジエニル)(インデニル)ジルコニウムジクロリドの合成は、日本国特開平09-87314号公報の実施例1に記載の手順に従って行なった。
[メタロセン化合物合成例2](以下、単に「メタロセン化合物E」と略称することもある)
ジメチルシリレン(3-t-ブチルシクロペンタジエニル)(シクロペンタジエニル)ジルコニウムジクロリドの合成は、J.AM.CHEM.SOC.2004,126,2089-2104に記載の手順に従って行なった。
ジメチルシリレン(3-t-ブチルシクロペンタジエニル)(シクロペンタジエニル)ジルコニウムジクロリドの合成は、J.AM.CHEM.SOC.2004,126,2089-2104に記載の手順に従って行なった。
[メタロセン化合物合成例3](以下、単に「メタロセン化合物F」と略称することもある)
ジメチルシリレン(シクロペンタジエニル)(インデニル)ジルコニウムジクロリドの合成は、Macromolecules 1995,28,3771-3778に記載の手順に従って行なった。
ジメチルシリレン(シクロペンタジエニル)(インデニル)ジルコニウムジクロリドの合成は、Macromolecules 1995,28,3771-3778に記載の手順に従って行なった。
[メタロセン化合物合成例4](以下、単に「メタロセン化合物B」と略称することもある)
ジメチルシリレン(4-t-ブチルシクロペンタジエニル)(インデニル)ハフニウムジクロリドの合成は、四塩化ハフニウムを用い[合成例1]と同様な手法により行なった。
ジメチルシリレン(4-t-ブチルシクロペンタジエニル)(インデニル)ハフニウムジクロリドの合成は、四塩化ハフニウムを用い[合成例1]と同様な手法により行なった。
[メタロセン化合物合成例5](以下、単に「メタロセン化合物C」と略称することもある)
ジメチルシリレン(3-トリメチルシリルシクロペンタジエニル)(インデニル)ジルコニウムジクロリドの合成は、(3-トリメチルシリルシクロペンタジエニル)(インデニル)ジメチルシランを用い[合成例1]と同様な手法により、目的物のメタロセンを異性体混合物として得た。
ジメチルシリレン(3-トリメチルシリルシクロペンタジエニル)(インデニル)ジルコニウムジクロリドの合成は、(3-トリメチルシリルシクロペンタジエニル)(インデニル)ジメチルシランを用い[合成例1]と同様な手法により、目的物のメタロセンを異性体混合物として得た。
[メタロセン化合物合成例6](以下、単に「メタロセン化合物D」と略称することもある)
イソプロピリデン(4-t-ブチルシクロペンタジエニル)(インデニル)ジルコニウムジクロリドの合成は、(4-t-ブチルシクロペンタジエニル)(インデニル)ジメチルメタンを用い[合成例1]と同様な手法により、目的物のメタロセンを異性体混合物として得た。
イソプロピリデン(4-t-ブチルシクロペンタジエニル)(インデニル)ジルコニウムジクロリドの合成は、(4-t-ブチルシクロペンタジエニル)(インデニル)ジメチルメタンを用い[合成例1]と同様な手法により、目的物のメタロセンを異性体混合物として得た。
(実施例2-1)
(1)固体触媒の調製
窒素雰囲気下、200ml二口フラスコに600℃で5時間焼成したシリカ5グラムを入れ、150℃のオイルバスで加熱しながら真空ポンプで1時間減圧乾燥した。別途用意した100ml二口フラスコに窒素雰囲気下でメタロセン化合物A57ミリグラムを入れ、脱水トルエン13.4mlで溶解した。室温でメタロセン化合物Aのトルエン溶液にアルベマール社製の20%メチルアルミノキサン/トルエン溶液8.6mlを加え30分間撹拌した。真空乾燥済みシリカの入った200ml二口フラスコを40℃のオイルバスで加熱および撹拌しながら、メタロセン化合物Aとメチルアルミノキサンの反応物のトルエン溶液を全量加えた。40℃で1時間撹拌した後、40℃に加熱したままトルエン溶媒を減圧留去することで固体触媒を得た。
(1)固体触媒の調製
窒素雰囲気下、200ml二口フラスコに600℃で5時間焼成したシリカ5グラムを入れ、150℃のオイルバスで加熱しながら真空ポンプで1時間減圧乾燥した。別途用意した100ml二口フラスコに窒素雰囲気下でメタロセン化合物A57ミリグラムを入れ、脱水トルエン13.4mlで溶解した。室温でメタロセン化合物Aのトルエン溶液にアルベマール社製の20%メチルアルミノキサン/トルエン溶液8.6mlを加え30分間撹拌した。真空乾燥済みシリカの入った200ml二口フラスコを40℃のオイルバスで加熱および撹拌しながら、メタロセン化合物Aとメチルアルミノキサンの反応物のトルエン溶液を全量加えた。40℃で1時間撹拌した後、40℃に加熱したままトルエン溶媒を減圧留去することで固体触媒を得た。
(2)エチレン・1-ブテン共重合体の製造
上記(1)の固体触媒の調製で得た固体触媒を用いてエチレン・1-ブテン共重合体を製造した。
すなわち、攪拌および温度制御装置を有する内容積1リットルのステンレス鋼製オートクレーブに、充分脱水および脱酸素したポリエチレン製のペレットを80グラム、トリエチルアルミニウムを33ミリグラム導入し撹拌しながら90℃へ昇温した。1-ブテン10重量%を含むエチレンを分圧が2.0MPaになるまで導入した後、上記固体触媒50ミリグラムをアルゴンガスで圧入して60分間重合を行った。
その結果、20.3グラムのエチレン・1-ブテン共重合体が生成した。重合結果を表7a-1および表7a-2に示す。
上記(1)の固体触媒の調製で得た固体触媒を用いてエチレン・1-ブテン共重合体を製造した。
すなわち、攪拌および温度制御装置を有する内容積1リットルのステンレス鋼製オートクレーブに、充分脱水および脱酸素したポリエチレン製のペレットを80グラム、トリエチルアルミニウムを33ミリグラム導入し撹拌しながら90℃へ昇温した。1-ブテン10重量%を含むエチレンを分圧が2.0MPaになるまで導入した後、上記固体触媒50ミリグラムをアルゴンガスで圧入して60分間重合を行った。
その結果、20.3グラムのエチレン・1-ブテン共重合体が生成した。重合結果を表7a-1および表7a-2に示す。
(比較例2-1)
(1)固体触媒の調製
メタロセン化合物A57ミリグラムの代わりに、合成例2で得られたメタロセン化合物E51ミリグラムを用いた以外は、実施例2-1と同様に、固体触媒を調製した。
(2)エチレン・1-ブテン共重合体の製造
実施例2-1で得られた固体触媒50ミリグラムの代わりに、上記固体触媒の調製で得られた固体触媒56ミリグラムを用い、重合温度を80℃にし、51分間重合を行なった以外は、実施例2-1と同様に、エチレン・1-ブテン共重合体を製造した。
その結果、25.8グラムのエチレン・1-ブテン共重合体が生成した。重合結果を表7a-1および表7a-2に示す。
(1)固体触媒の調製
メタロセン化合物A57ミリグラムの代わりに、合成例2で得られたメタロセン化合物E51ミリグラムを用いた以外は、実施例2-1と同様に、固体触媒を調製した。
(2)エチレン・1-ブテン共重合体の製造
実施例2-1で得られた固体触媒50ミリグラムの代わりに、上記固体触媒の調製で得られた固体触媒56ミリグラムを用い、重合温度を80℃にし、51分間重合を行なった以外は、実施例2-1と同様に、エチレン・1-ブテン共重合体を製造した。
その結果、25.8グラムのエチレン・1-ブテン共重合体が生成した。重合結果を表7a-1および表7a-2に示す。
(実施例2-2)
(2)エチレン・1-ヘキセン共重合体の製造
実施例2-1で得られた固体触媒を用いてエチレン・1-ヘキセン共重合体を製造した。
すなわち、攪拌および温度制御装置を有する内容積2リットルのステンレス鋼製オートクレーブに、充分脱水および脱酸素したポリエチレン製のペレットを50グラム、トリエチルアルミニウム0.20mmol導入し撹拌しながら75℃へ昇温した。1-ヘキセン1.5ミリリットルとエチレンを分圧が1.4MPaになるまで導入した後、上記固体触媒64ミリグラムを窒素ガスで圧入して90分間重合を行った。なお、重合反応中、エチレン消費速度に比例した供給速度にて1-ヘキセンの追加供給を実施した。その結果、重合開始10分後と重合停止直前時のオートクレーブ気相部のH2/C2(水素/エチレン)モル比はそれぞれ0.093%、0.104%であり、追加供給した1-ヘキセン量は9.5mLであった。その結果、49.5グラムのエチレン・1-ヘキセン共重合体が生成した。重合結果を表7a-1および表7a-2に示す。
(2)エチレン・1-ヘキセン共重合体の製造
実施例2-1で得られた固体触媒を用いてエチレン・1-ヘキセン共重合体を製造した。
すなわち、攪拌および温度制御装置を有する内容積2リットルのステンレス鋼製オートクレーブに、充分脱水および脱酸素したポリエチレン製のペレットを50グラム、トリエチルアルミニウム0.20mmol導入し撹拌しながら75℃へ昇温した。1-ヘキセン1.5ミリリットルとエチレンを分圧が1.4MPaになるまで導入した後、上記固体触媒64ミリグラムを窒素ガスで圧入して90分間重合を行った。なお、重合反応中、エチレン消費速度に比例した供給速度にて1-ヘキセンの追加供給を実施した。その結果、重合開始10分後と重合停止直前時のオートクレーブ気相部のH2/C2(水素/エチレン)モル比はそれぞれ0.093%、0.104%であり、追加供給した1-ヘキセン量は9.5mLであった。その結果、49.5グラムのエチレン・1-ヘキセン共重合体が生成した。重合結果を表7a-1および表7a-2に示す。
(比較例2-2)
実施例2-1で得られた固体触媒64ミリグラムの代わりに、比較例2-1の固体触媒調製で得られた固体触媒62ミリグラムを用いた以外は、実施例2-2と同様に、エチレン・1-ヘキセン共重合体を製造した。ただし、追加供給した1-ヘキセン量は7.5mLであった。重合開始10分後と重合停止直前時のオートクレーブ気相部のH2/C2(水素/エチレン)モル比はそれぞれ0.122%、0.137%であった。その結果、42.0グラムのエチレン・1-ヘキセン共重合体が生成した。重合結果を表7a-1および表7a-2に示す。
実施例2-1で得られた固体触媒64ミリグラムの代わりに、比較例2-1の固体触媒調製で得られた固体触媒62ミリグラムを用いた以外は、実施例2-2と同様に、エチレン・1-ヘキセン共重合体を製造した。ただし、追加供給した1-ヘキセン量は7.5mLであった。重合開始10分後と重合停止直前時のオートクレーブ気相部のH2/C2(水素/エチレン)モル比はそれぞれ0.122%、0.137%であった。その結果、42.0グラムのエチレン・1-ヘキセン共重合体が生成した。重合結果を表7a-1および表7a-2に示す。
(比較例2-3)
(1)固体触媒の調製
メタロセン化合物A57ミリグラムの代わりに、合成例3で得られたメタロセン化合物F50ミリグラムを用いた以外は、実施例2-1と同様に、固体触媒を調製した。
(2)エチレン・1-ヘキセン共重合体の製造
上記(1)の固体触媒の調製で得られた固体触媒194ミリグラムを用い、1-ブテン10重量%を含むエチレンの代わりに1-ヘキセン10重量%を含むエチレンを用い、重合温度を70℃とした以外は、実施例2-1と同様に、エチレン・1-ヘキセン共重合体を製造した。
その結果、13.7グラムのエチレン・1-ヘキセン共重合体が生成した。重合結果を表7a-1および表7a-2に示す。
(1)固体触媒の調製
メタロセン化合物A57ミリグラムの代わりに、合成例3で得られたメタロセン化合物F50ミリグラムを用いた以外は、実施例2-1と同様に、固体触媒を調製した。
(2)エチレン・1-ヘキセン共重合体の製造
上記(1)の固体触媒の調製で得られた固体触媒194ミリグラムを用い、1-ブテン10重量%を含むエチレンの代わりに1-ヘキセン10重量%を含むエチレンを用い、重合温度を70℃とした以外は、実施例2-1と同様に、エチレン・1-ヘキセン共重合体を製造した。
その結果、13.7グラムのエチレン・1-ヘキセン共重合体が生成した。重合結果を表7a-1および表7a-2に示す。
(参考例2-1)
(2)エチレン・1-ヘキセン共重合体の製造
実施例2-1で得られた固体触媒52ミリグラムを用い、1-ブテン10重量%を含むエチレンの代わりに1-ヘキセン10重量%を含むエチレンを用いた以外は、実施例2-1と同様に、エチレン・1-ヘキセン共重合体を製造した。
その結果、17.5グラムのエチレン・1-ヘキセン共重合体が生成した。重合結果を表7a-1および表7a-2に示す。
(2)エチレン・1-ヘキセン共重合体の製造
実施例2-1で得られた固体触媒52ミリグラムを用い、1-ブテン10重量%を含むエチレンの代わりに1-ヘキセン10重量%を含むエチレンを用いた以外は、実施例2-1と同様に、エチレン・1-ヘキセン共重合体を製造した。
その結果、17.5グラムのエチレン・1-ヘキセン共重合体が生成した。重合結果を表7a-1および表7a-2に示す。
(比較例2-4)
(1)固体触媒の調製
メタロセン化合物A57ミリグラムの代わりに、和光純薬工業製のメタロセン化合物G44ミリグラムを用いた以外は、実施例2-1と同様に、固体触媒を調製した。
(2)エチレン・1-ヘキセン共重合体の製造
上記固体触媒の調製で得られた固体触媒49ミリグラムを用い、1-ブテン10重量%を含むエチレンの代わりに1-ヘキセン5重量%を含むエチレンを用いた以外は、実施例2-1と同様に、エチレン・1-ヘキセン共重合体を製造した。
その結果、4.5グラムのエチレン・1-ヘキセン共重合体が生成した。重合結果を表7a-1および表7a-2に示す。
(1)固体触媒の調製
メタロセン化合物A57ミリグラムの代わりに、和光純薬工業製のメタロセン化合物G44ミリグラムを用いた以外は、実施例2-1と同様に、固体触媒を調製した。
(2)エチレン・1-ヘキセン共重合体の製造
上記固体触媒の調製で得られた固体触媒49ミリグラムを用い、1-ブテン10重量%を含むエチレンの代わりに1-ヘキセン5重量%を含むエチレンを用いた以外は、実施例2-1と同様に、エチレン・1-ヘキセン共重合体を製造した。
その結果、4.5グラムのエチレン・1-ヘキセン共重合体が生成した。重合結果を表7a-1および表7a-2に示す。
(比較例2-5)
(1)エチレン重合体の製造
比較例2-4の固体触媒の調製で得られた固体触媒を用いてエチレン重合体を製造した。
すなわち、誘導撹拌装置付き2Lオートクレーブにイソブタン800mL、トリエチルアルミニウム0.20mmolを加え、75℃に昇温し、エチレンを導入してエチレン分圧を1.4MPaに保った。次いで、比較例2-4の固体触媒525mgを窒素で圧入し、エチレン分圧1.4MPa、温度75℃を保って60分間重合を継続した後、エタノールを加えて重合を停止させた。重合停止直前時のオートクレーブ気相部のH2/C2(水素/エチレン)モル比は0.088%であった。こうして得られたエチレン重合体は60.0gであった。重合結果を表7a-1および表7a-2に示す。
(1)エチレン重合体の製造
比較例2-4の固体触媒の調製で得られた固体触媒を用いてエチレン重合体を製造した。
すなわち、誘導撹拌装置付き2Lオートクレーブにイソブタン800mL、トリエチルアルミニウム0.20mmolを加え、75℃に昇温し、エチレンを導入してエチレン分圧を1.4MPaに保った。次いで、比較例2-4の固体触媒525mgを窒素で圧入し、エチレン分圧1.4MPa、温度75℃を保って60分間重合を継続した後、エタノールを加えて重合を停止させた。重合停止直前時のオートクレーブ気相部のH2/C2(水素/エチレン)モル比は0.088%であった。こうして得られたエチレン重合体は60.0gであった。重合結果を表7a-1および表7a-2に示す。
(実施例2-3)
(2)エチレン・1-ブテン共重合体の製造
実施例2-1で得られた固体触媒55ミリグラムを用い、重合温度を70℃にし、31分間重合を行なった以外は、実施例2-1と同様に、エチレン・1-ブテン共重合体を製造した。
その結果、25.6グラムのエチレン・1-ブテン共重合体が生成した。重合結果を表7a-1および表7a-2に示す。
(2)エチレン・1-ブテン共重合体の製造
実施例2-1で得られた固体触媒55ミリグラムを用い、重合温度を70℃にし、31分間重合を行なった以外は、実施例2-1と同様に、エチレン・1-ブテン共重合体を製造した。
その結果、25.6グラムのエチレン・1-ブテン共重合体が生成した。重合結果を表7a-1および表7a-2に示す。
(参考例2-2)
(1)トリエチルアルミニウム処理モンモリロナイトの調製
窒素雰囲気下、200ml二口フラスコに市販のモンモリロナイト3.0グラムを入れ、200℃のオイルバスで加熱しながら真空ポンプで1時間減圧乾燥した。室温まで冷却した後、ヘプタン75ミリリットルを加えスラリーとし、攪拌しながらトリエチルアルミニウム(濃度70グラム/リットルのヘプタン溶液)14.4ミリリットルを加えた。室温で1時間攪拌した後、デカンテーションで希釈率100分の1まで固体を洗浄した。最後に液量が150ミリリットルになるまでヘプタンを加え、トリエチルアルミニウム処理モンモリロナイトのスラリーとした。
(2)エチレン・1-ヘキセン共重合体の製造
上記(1)のトリエチルアルミニウム処理モンモリロナイトを用いてエチレン・1-ヘキセン共重合体を製造した。
すなわち、攪拌および温度制御装置を有する内容積1リットルのステンレス鋼製オートクレーブに、充分脱水処理したヘプタンを500ミリリットル、トリエチルアルミニウムを55ミリグラム、1-ヘキセン10ミリリットルを導入し撹拌しながら80℃へ昇温した。エチレンを分圧が1.5MPaになるまで導入した後、上記トリエチルアルミニウム処理モンモリロナイト50ミリグラム(ヘプタンスラリー2.5ミリリットル)とメタロセン化合物A2.5マイクロモルをアルゴンガスで圧入して60分間重合を行った。重合反応中は系内のエチレン消費分に応じて1-ヘキセン10重量%を含むエチレンを導入し、圧力を1.5MPaに保った。
その結果、3.0グラムのエチレン・1-ヘキセン共重合体が生成した。重合結果を表7a-1および表7a-2に示す。
(1)トリエチルアルミニウム処理モンモリロナイトの調製
窒素雰囲気下、200ml二口フラスコに市販のモンモリロナイト3.0グラムを入れ、200℃のオイルバスで加熱しながら真空ポンプで1時間減圧乾燥した。室温まで冷却した後、ヘプタン75ミリリットルを加えスラリーとし、攪拌しながらトリエチルアルミニウム(濃度70グラム/リットルのヘプタン溶液)14.4ミリリットルを加えた。室温で1時間攪拌した後、デカンテーションで希釈率100分の1まで固体を洗浄した。最後に液量が150ミリリットルになるまでヘプタンを加え、トリエチルアルミニウム処理モンモリロナイトのスラリーとした。
(2)エチレン・1-ヘキセン共重合体の製造
上記(1)のトリエチルアルミニウム処理モンモリロナイトを用いてエチレン・1-ヘキセン共重合体を製造した。
すなわち、攪拌および温度制御装置を有する内容積1リットルのステンレス鋼製オートクレーブに、充分脱水処理したヘプタンを500ミリリットル、トリエチルアルミニウムを55ミリグラム、1-ヘキセン10ミリリットルを導入し撹拌しながら80℃へ昇温した。エチレンを分圧が1.5MPaになるまで導入した後、上記トリエチルアルミニウム処理モンモリロナイト50ミリグラム(ヘプタンスラリー2.5ミリリットル)とメタロセン化合物A2.5マイクロモルをアルゴンガスで圧入して60分間重合を行った。重合反応中は系内のエチレン消費分に応じて1-ヘキセン10重量%を含むエチレンを導入し、圧力を1.5MPaに保った。
その結果、3.0グラムのエチレン・1-ヘキセン共重合体が生成した。重合結果を表7a-1および表7a-2に示す。
(実施例2-4)
(1)固体触媒の調製
メタロセン化合物A57ミリグラムの代わりに、合成例2-4で得られたメタロセン化合物B68ミリグラムを用いた以外は、実施例2-1と同様に、固体触媒を調製した。
(2)エチレン・1-ブテン共重合体の製造
実施例2-1で得られた固体触媒50ミリグラムの代わりに、上記固体触媒の調製で得られた固体触媒210ミリグラムを用い、水素34ミリリットルを加えた以外は、実施例2-1と同様に、エチレン・1-ブテン共重合体を製造した。
その結果、10.0グラムのエチレン・1-ブテン共重合体が生成した。重合結果を表7a-1および表7a-2に示す。
(1)固体触媒の調製
メタロセン化合物A57ミリグラムの代わりに、合成例2-4で得られたメタロセン化合物B68ミリグラムを用いた以外は、実施例2-1と同様に、固体触媒を調製した。
(2)エチレン・1-ブテン共重合体の製造
実施例2-1で得られた固体触媒50ミリグラムの代わりに、上記固体触媒の調製で得られた固体触媒210ミリグラムを用い、水素34ミリリットルを加えた以外は、実施例2-1と同様に、エチレン・1-ブテン共重合体を製造した。
その結果、10.0グラムのエチレン・1-ブテン共重合体が生成した。重合結果を表7a-1および表7a-2に示す。
(実施例2-5)
(1)固体触媒の調製
メタロセン化合物A57ミリグラムの代わりに、合成例5で得られたメタロセン化合物C 59ミリグラムを用いた以外は、実施例2-1と同様に、固体触媒を調製した。
(2)エチレン・1-ブテン共重合体の製造
実施例2-1で得られた固体触媒50ミリグラムの代わりに、上記固体触媒の調製で得られた固体触媒54ミリグラムを用いた以外は、実施例2-1と同様に、エチレン・1-ブテン共重合体を製造した。
その結果、16.5グラムのエチレン・1-ブテン共重合体が生成した。重合結果を表7a-1および表7a-2に示す。
(1)固体触媒の調製
メタロセン化合物A57ミリグラムの代わりに、合成例5で得られたメタロセン化合物C 59ミリグラムを用いた以外は、実施例2-1と同様に、固体触媒を調製した。
(2)エチレン・1-ブテン共重合体の製造
実施例2-1で得られた固体触媒50ミリグラムの代わりに、上記固体触媒の調製で得られた固体触媒54ミリグラムを用いた以外は、実施例2-1と同様に、エチレン・1-ブテン共重合体を製造した。
その結果、16.5グラムのエチレン・1-ブテン共重合体が生成した。重合結果を表7a-1および表7a-2に示す。
(実施例2-6)
(1)固体触媒の調製
メタロセン化合物A57ミリグラムの代わりに、合成例6で得られたメタロセン化合物D 55ミリグラムを用いた以外は、実施例2-1と同様に、固体触媒を調製した。
(2)エチレン・1-ヘキセン共重合体の製造
上記(1)の固体触媒の調製で得た固体触媒を用いてエチレン・1-ヘキセン共重合体を製造した。
すなわち、誘導撹拌装置付き2Lオートクレーブにイソブタン800mL、1-ヘキセン40mL、トリエチルアルミニウム0.20mmolを加え、75℃に昇温し、エチレンを導入してエチレン分圧を1.4MPaに保った。
次いで、上記(1)で得られた固体触媒180mgを窒素で圧入し、エチレン分圧1.4MPa、温度75℃を保って60分間重合を継続した後、エタノールを加えて重合を停止させた。なお、重合反応中、エチレン消費速度に比例した供給速度にて1-ヘキセンの追加供給を実施した。その結果、重合開始10分後と重合停止直前時のオートクレーブ気相部のH2/C2(水素/エチレン)モル比の平均値は0.098%であり、追加供給した1-ヘキセン量は12mLであった。こうして得られたエチレン系重合体は48.5gであった。重合結果を表7a-1および表7a-2に示す。
(1)固体触媒の調製
メタロセン化合物A57ミリグラムの代わりに、合成例6で得られたメタロセン化合物D 55ミリグラムを用いた以外は、実施例2-1と同様に、固体触媒を調製した。
(2)エチレン・1-ヘキセン共重合体の製造
上記(1)の固体触媒の調製で得た固体触媒を用いてエチレン・1-ヘキセン共重合体を製造した。
すなわち、誘導撹拌装置付き2Lオートクレーブにイソブタン800mL、1-ヘキセン40mL、トリエチルアルミニウム0.20mmolを加え、75℃に昇温し、エチレンを導入してエチレン分圧を1.4MPaに保った。
次いで、上記(1)で得られた固体触媒180mgを窒素で圧入し、エチレン分圧1.4MPa、温度75℃を保って60分間重合を継続した後、エタノールを加えて重合を停止させた。なお、重合反応中、エチレン消費速度に比例した供給速度にて1-ヘキセンの追加供給を実施した。その結果、重合開始10分後と重合停止直前時のオートクレーブ気相部のH2/C2(水素/エチレン)モル比の平均値は0.098%であり、追加供給した1-ヘキセン量は12mLであった。こうして得られたエチレン系重合体は48.5gであった。重合結果を表7a-1および表7a-2に示す。
以上のとおり、表7a-1および表7a-2に示す結果から、実施例2-1と比較例2-1とを、また、実施例2-2と比較例2-2とを対比すると、本発明のメタロセン化合物の要件を満たさない触媒で得られた比較例2-1、比較例2-2に示すエチレン系重合体は、要件(B-4’-i)の[λmax(2.0)]Bや要件(B-4’-ii)の[λmax(2.0)]B/[λmax(0.1)]Bが劣っていたり、要件(B-4’-iii)のgC’が十分小さくなっていなかったり、要件(B-4’-iv)のWCが劣っていたりする。これらのことから、本発明による実施例で製造されたエチレン系重合体が成形性に優れていることが明らかである。
また、表7a-1および表7a-2の実施例2-1、実施例2-2の重合活性に比べ、比較例2-3~比較例2-5のように本発明のメタロセン化合物の要件を満たさない触媒によるエチレン重合の重合活性は、大変低いため、エチレン系重合体の製造方法としては経済性に問題があることが明らかである。更に、この比較例2-3で得られたエチレン系重合体は、[λmax(2.0)]Bが大きすぎるため、強度に劣るエチレン系重合体しか得られないことが明らかである。更に、この比較例2-4や比較例2-5で得られたエチレン系重合体は、要件(B-4’-ii)の[λmax(2.0)]B/[λmax(0.1)]Bが劣っている。これらのことから、本発明による実施例で製造されたエチレン系重合体が成形性に優れ、更には経済性にも優れていることが明らかである。
また、表7a-1および表7a-2の実施例2-1、実施例2-2の重合活性に比べ、比較例2-3~比較例2-5のように本発明のメタロセン化合物の要件を満たさない触媒によるエチレン重合の重合活性は、大変低いため、エチレン系重合体の製造方法としては経済性に問題があることが明らかである。更に、この比較例2-3で得られたエチレン系重合体は、[λmax(2.0)]Bが大きすぎるため、強度に劣るエチレン系重合体しか得られないことが明らかである。更に、この比較例2-4や比較例2-5で得られたエチレン系重合体は、要件(B-4’-ii)の[λmax(2.0)]B/[λmax(0.1)]Bが劣っている。これらのことから、本発明による実施例で製造されたエチレン系重合体が成形性に優れ、更には経済性にも優れていることが明らかである。
また、表7a-1および表7a-2の実施例2-4~実施例2-6は、実施例2-1~実施例2-3で使用された本発明のメタロセン化合物の要件を満たす触媒とは異なる構造のメタロセン化合物を用いた例である。
実施例2-4のメタロセン化合物は、実施例2-1のメタロセン化合物と中心金属種がHfとZrと異なるのみで、配位子は同じ構造を有しており、実施例2-1には活性に劣るものの、本発明の要件(B-4’-iv)のWCが比較的大きな値を示しており、そのエチレン系重合体は適度に成形性が優れることが予想される。
実施例2-5のメタロセン化合物は、実施例2-1のメタロセン化合物とシクロペンタジエニル環上の置換基がトリメチルシリル基とt-ブチル基と異なるのみで、その他は同じ構造を有しており、実施例2-1同様の高活性を有し、本発明の要件(B-4’-i)、(B-4’-ii)(B-4’-iv)を十分満足していることから、そのエチレン系重合体は成形性が優れる。
実施例2-6のメタロセン化合物は、実施例2-1のメタロセン化合物とシクロペンタジエニル環とインデニル環を結ぶ架橋基がi-プロピル基とジメチルシリレン基と異なるのみで、その他は同じ構造を有しており、実施例2-1同様の高活性を有し、本発明の要件(B-4’-iv)を満足していることから、そのエチレン系重合体は成形性が優れる。
以上のことから、本発明に属するメタロセン化合物を使用した触媒で製造されるエチレン系重合体がいずれも十分改良された成形性を発現していることが示された。
実施例2-4のメタロセン化合物は、実施例2-1のメタロセン化合物と中心金属種がHfとZrと異なるのみで、配位子は同じ構造を有しており、実施例2-1には活性に劣るものの、本発明の要件(B-4’-iv)のWCが比較的大きな値を示しており、そのエチレン系重合体は適度に成形性が優れることが予想される。
実施例2-5のメタロセン化合物は、実施例2-1のメタロセン化合物とシクロペンタジエニル環上の置換基がトリメチルシリル基とt-ブチル基と異なるのみで、その他は同じ構造を有しており、実施例2-1同様の高活性を有し、本発明の要件(B-4’-i)、(B-4’-ii)(B-4’-iv)を十分満足していることから、そのエチレン系重合体は成形性が優れる。
実施例2-6のメタロセン化合物は、実施例2-1のメタロセン化合物とシクロペンタジエニル環とインデニル環を結ぶ架橋基がi-プロピル基とジメチルシリレン基と異なるのみで、その他は同じ構造を有しており、実施例2-1同様の高活性を有し、本発明の要件(B-4’-iv)を満足していることから、そのエチレン系重合体は成形性が優れる。
以上のことから、本発明に属するメタロセン化合物を使用した触媒で製造されるエチレン系重合体がいずれも十分改良された成形性を発現していることが示された。
本発明を詳細にまた特定の実施形態を参照して説明したが、本発明の精神と範囲を逸脱することなく様々な変更や修正を加えることができることは当業者にとって明らかである。本出願は、2011年3月30日出願の日本特許出願(特願2011-073937)、および2011年3月30日出願の日本特許出願(特願2011-073945)に基づくものであり、その内容はここに参照として取り込まれる。
以上から明らかなように、本発明のポリエチレン系樹脂組成物は、成形加工特性に優れ、同時に、衝撃強度と剛性のバランスにも優れ、更には透明性にも優れる効果を有し、また、該ポリエチレン系樹脂組成物を射出成形、圧縮射出成形、回転成形、押出成形、中空成形又はブロー成形して得られる成形体も、衝撃強度と剛性のバランスおよび透明性に優れているので、薄肉化された成形製品を経済的に有利に提供することが可能である。
したがって、このような望ましい特性を有する成形製品を経済的に有利に提供することのできる本発明のポリエチレン系樹脂組成物の工業的価値は極めて大きい。
また、本発明のオレフィン重合用触媒成分を用いることにより、オレフィン系重合体に、十分な数と長さの長鎖分岐を導入できるオレフィン重合用触媒が得られ、成形加工性に優れる高圧法低密度ポリエチレンの代替、クロム系触媒により得られる高密度ポリエチレンの代替、メタロセンポリマーの成形加工性改善などに有用なオレフィン系重合体が得られる。以上の理由から、本発明のオレフィン重合用触媒の存在意義は高く、その産業上の利用可能性は極めて大きい。
したがって、このような望ましい特性を有する成形製品を経済的に有利に提供することのできる本発明のポリエチレン系樹脂組成物の工業的価値は極めて大きい。
また、本発明のオレフィン重合用触媒成分を用いることにより、オレフィン系重合体に、十分な数と長さの長鎖分岐を導入できるオレフィン重合用触媒が得られ、成形加工性に優れる高圧法低密度ポリエチレンの代替、クロム系触媒により得られる高密度ポリエチレンの代替、メタロセンポリマーの成形加工性改善などに有用なオレフィン系重合体が得られる。以上の理由から、本発明のオレフィン重合用触媒の存在意義は高く、その産業上の利用可能性は極めて大きい。
Claims (14)
- 下記の条件(B-1’)~条件(B-6)を満足するエチレン系重合体。
(B-1’)MFRB=0.001~200g/10分
(B-2”)密度B=0.880~0.970g/cm3
(B-3)[Mw/Mn]B=2.0~10.0
(B-4’)温度170℃、伸長歪速度2(単位1/秒)で測定される伸長粘度η(t)(単位:Pa・秒)と伸長時間t(単位:秒)の両対数プロットにおいて、歪硬化に起因する伸長粘度の変曲点が観測されないか、あるいは同変曲点が観測された場合、歪硬化後の最大伸長粘度をηB;Max(t1)、硬化前の伸長粘度の近似直線をηB;Linear(t)としたとき、ηB;Max(t1)/ηB;Linear(t1)で定義される歪硬化度[λmax(2.0)]Bが1.2~30.0である。
(B-5)上記条件(B-4’)と同様にして定義された[λmax(2.0)]Bと、伸長歪速度を0.1(単位1/秒)として同様に測定した場合の[λmax(0.1)]Bの比[λmax(2.0)]B/[λmax(0.1)]Bが1.2~10.0である。
(B-6)遷移金属を含む触媒を用いたエチレンの重合反応により製造された重合体である。 - 下記の条件(B-7)および条件(B-8)のうちの少なくとも1つを更に満たす請求項1に記載のエチレン系重合体。
(B-7)示差屈折計、粘度検出器、および、光散乱検出器を組み合わせたGPC測定装置により測定される分子量100万における分岐指数(gC’)が0.30~0.70である。
(B-8)示差屈折計、粘度検出器、および、光散乱検出器を組み合わせたGPC測定装置により測定される分子量100万以上の成分の含有量(WC)が0.01~30%である。 - (A)下記の条件(A-1)~条件(A-4)を満足するエチレン系重合体41~99重量%と、(B)請求項1または請求項2に記載のエチレン系重合体1~59重量%とを含み、かつ、組成物全体のMFRが0.05~50g/10分、密度が0.910~0.960g/cm3であるポリエチレン系樹脂組成物。
エチレン系重合体(A)の条件;
(A-1)MFRA=0.3~100g/10分
(A-2)密度A=0.915~0.970g/cm3
(A-3)[Mw/Mn]A=2.0~10.0
(A-4)温度170℃、伸長歪速度2(単位1/秒)で測定される伸長粘度η(t)(単位:Pa・秒)と伸長時間t(単位:秒)の両対数プロットにおいて、歪硬化に起因する伸長粘度の変曲点が観測されないか、あるいは同変曲点が観測された場合、歪硬化後の最大伸長粘度をηA;Max(t1)、硬化前の伸長粘度の近似直線をηA;Linear(t)としたとき、ηA;Max(t1)/ηA;Linear(t1)で定義される歪硬化度[λmax(2.0)]Aが1.0~2.0である。 - 前記エチレン系重合体(B)が、下記の条件(B-1)~条件(B-6)を満足する請求項3に記載のポリエチレン系樹脂組成物。
エチレン系重合体(B)の条件;
(B-1)MFRB=0.01~1.5g/10分、かつ、100>MFRA/MFRB>1.0
(B-2)密度B=0.880~0.940g/cm3
(B-3)[Mw/Mn]B=2.0~10.0
(B-4)請求項3に記載の条件(A-4)と同様にして定義された[λmax(2.0)]Bが1.2~20.0であり、かつ、20>[λmax(2.0)]B/[λmax(2.0)]A>1.0である。
(B-5)請求項3に記載の条件(A-4)と同様にして定義された[λmax(2.0)]Bと、伸長歪速度を0.1(単位1/秒)として同様に測定した場合の[λmax(0.1)]Bの比[λmax(2.0)]B/[λmax(0.1)]Bが1.2~10.0である。
(B-6)遷移金属を含む触媒を用いたエチレンの重合反応により製造された重合体である。 - 前記エチレン系重合体(B)が、更に下記の条件(B-2’)を満たす請求項3に記載のポリエチレン系樹脂組成物。
(B-2’)1.070>密度A/密度B>0.990 - 前記エチレン系重合体(A)が、マグネシウム化合物およびチタニウム化合物を用いて製造されたチーグラー・ナッタ触媒によるエチレンの単独重合またはα-オレフィンとの共重合によって製造されたエチレン重合体またはエチレン・α-オレフィン共重合体である請求項3に記載のポリエチレン系樹脂組成物。
- 請求項3に記載のポリエチレン系樹脂組成物を射出成形、圧縮射出成形、回転成形、押出成形、中空成形又はブロー成形して得られる成形体。
- 請求項3に記載のポリエチレン系樹脂組成物を押出成形、中空成形、ブロー成形、又はインフレーション成形して得られるフィルム。
- 次の成分(A-1b)および成分(A-2b)を含むオレフィン重合用触媒成分。
成分(A-1b):下記一般式(1b)で示されるメタロセン化合物
[式(1b)中、M1bは、Ti、ZrまたはHfのいずれかの遷移金属を示す。X1bおよびX2bは、それぞれ独立して、水素原子、ハロゲン原子、炭素数1~20の炭化水素基、酸素原子若しくは窒素原子を含む炭素数1~20の炭化水素基、炭素数1~20の炭化水素基置換アミノ基または炭素数1~20のアルコキシ基を示す。Q1bとQ2bは、各々独立して、炭素原子、ケイ素原子またはゲルマニウム原子を示す。R1bは、それぞれ独立して、水素原子または炭素数1~10の炭化水素基を示し、4つのR1bのうち少なくとも2つが結合して、Q1bおよびQ2bと一緒に環を形成していてもよい。mbは、0または1であり、mbが0の場合、Q1bは、R2bおよびR3bを含む共役5員環と直接結合している。R2b、R3bおよびR4bは、それぞれ独立して、水素原子、ハロゲン原子、炭素数1~20の炭化水素基、ケイ素数1~6を含む炭素数1~18のケイ素含有炭化水素基、炭素数1~20のハロゲン含有炭化水素基、酸素原子または硫黄原子を含む炭素数1~40の炭化水素基または炭素数1~40の炭化水素基置換シリル基を示す。R2b、R3bおよびR4bのうち、隣接するR3b同士または隣接するR2bとR3bのいずれか1組のみは結合している炭素原子と一緒に環を形成していてもよい。]
成分(A-2b):下記一般式(2b)で示されるメタロセン化合物
[式(2b)中、M2bは、Ti、ZrまたはHfのいずれかの遷移金属を示す。X11bおよびX12bは、それぞれ独立して、水素原子、ハロゲン原子、炭素数1~20の炭化水素基、酸素原子若しくは窒素原子を含む炭素数1~20の炭化水素基、炭素数1~20の炭化水素基置換アミノ基または炭素数1~20のアルコキシ基を示す。Q11bは、炭素原子、ケイ素原子またはゲルマニウム原子を示す。R11bは、それぞれ独立して、水素原子または炭素数1~10の炭化水素基を示し、2つのR11bは互いに結合してQ11bと一緒に環を形成していてもよい。R12b、R14bおよびR15bは、各々独立して、水素原子、ハロゲン原子、炭素数1~20の炭化水素基、ケイ素数1~6を含む炭素数1~18のケイ素含有炭化水素基、炭素数1~20のハロゲン含有炭化水素基、酸素原子または硫黄原子を含む炭素数1~40の炭化水素基または炭素数1~40の炭化水素基置換シリル基から選択される原子または基を示すが、それらのうち、少なくとも1つは水素原子ではない。R13bは、それぞれ独立して、炭素数1~20の炭化水素基、ケイ素数1~6を含む炭素数1~18のケイ素含有炭化水素基、炭素数1~20のハロゲン含有炭化水素基、酸素原子または硫黄原子を含む炭素数1~40の炭化水素基または炭素数1~40の炭化水素基置換シリル基を示す。R12b、R13b、R14bおよびR15bのうち、隣接するR12b同士、隣接するR13b同士または隣接するR12bとR13bのいずれか1組のみと、隣接するR14b同士、隣接するR15b同士または隣接するR14bとR15bのいずれか1組のみは、結合している炭素原子と一緒に環を形成していてもよい。] - 下記一般式(1c)で示されるメタロセン化合物を含むオレフィン重合用触媒成分。
[式(1c)中、M1cは、Ti、ZrまたはHfのいずれかの遷移金属を示す。X1cおよびX2cは、それぞれ独立して、水素原子、ハロゲン原子、炭素数1~20の炭化水素基、酸素原子若しくは窒素原子を含む炭素数1~20の炭化水素基、炭素数1~20の炭化水素基置換アミノ基または炭素数1~20のアルコキシ基を示す。Q1cとQ2cは、各々独立して、炭素原子、ケイ素原子またはゲルマニウム原子を示す。R1cは、それぞれ独立して、水素原子または炭素数1~10の炭化水素基を示し、4つのR1cのうち少なくとも2つが結合してQ1cおよびQ2cと一緒に環を形成していてもよい。mcは、0または1であり、mcが0の場合、Q1cは、R2cを含む共役5員環と直接結合している。R2cおよびR4cは、それぞれ独立して、水素原子、ハロゲン原子、炭素数1~20の炭化水素基、ケイ素数1~6を含む炭素数1~18のケイ素含有炭化水素基、炭素数1~20のハロゲン含有炭化水素基、酸素原子を含む炭素数1~20の炭化水素基または炭素数1~20の炭化水素基置換シリル基を示す。R3cは、下記一般式(1-ac)で示される置換アリール基を示す。]
[式(1-ac)中、Y1cは、周期表14族、15族または16族の原子を示す。R5c、R6c、R7c、R8cおよびR9cは、それぞれ独立して、水素原子、フッ素原子、塩素原子、臭素原子、炭素数1~20の炭化水素基、酸素若しくは窒素を含む炭素数1~20の炭化水素基、炭素数1~20の炭化水素基置換アミノ基、炭素数1~20のアルコキシ基、ケイ素数1~6を含む炭素数1~18のケイ素含有炭化水素基、炭素数1~20のハロゲン含有炭化水素基、または炭素数1~20の炭化水素基置換シリル基を示し、R5c、R6c、R7c、R8cおよびR9cは隣接する基同士で結合して、それらに結合している原子と一緒に環を形成していてもよい。ncは、0または1であり、ncが0の場合、Y1cに置換基R5cが存在しない。pcは、0または1であり、pcが0の場合、R7cが結合する炭素原子とR9cが結合する炭素原子は直接結合している。Y1cが炭素原子の場合、R5c、R6c、R7c、R8c、R9cのうち少なくとも1つは水素原子ではない。] - 請求項9または請求項10に記載のオレフィン重合用触媒成分を含むオレフィン重合用触媒。
- 次の成分(A)および(B)を含むオレフィン重合用触媒を用いて、請求項1に記載の条件のうち、少なくとも条件(B-4’)を満足するエチレン系重合体を製造するエチレン系重合体の製造方法。
成分(A):下記触媒成分(A-i)~(A-iii)のうち少なくともいずれか1つ
(A-i)請求項9に記載のオレフィン重合用触媒成分
(A-ii)請求項10に記載のオレフィン重合用触媒成分
(A-iii)下記一般式(1d)で示されるメタロセン化合物を含むオレフィン重合用触媒成分
[式(1d)中、M1dは、Ti、ZrまたはHfのいずれかの遷移金属を示す。X1dおよびX2dは、それぞれ独立して、水素原子、ハロゲン原子、炭素数1~20の炭化水素基、酸素原子若しくは窒素原子を含む炭素数1~20の炭化水素基、炭素数1~20の炭化水素基置換アミノ基または炭素数1~20のアルコキシ基を示す。Q1dとQ2dは、各々独立して、炭素原子、ケイ素原子またはゲルマニウム原子を示す。R1dは、それぞれ独立して、水素原子または炭素数1~10の炭化水素基を示し、4つのR1dのうち少なくとも2つが結合してQ1dおよびQ2dと一緒に環を形成していてもよい。mdは、0または1であり、mdが0の場合、Q1dは、R2dおよびR3dを含む共役5員環と直接結合している。R2dおよびR3dは、水素原子、ハロゲン原子、炭素数1~20の炭化水素基、ケイ素数1~6を含む炭素数1~18のケイ素含有炭化水素基、炭素数1~20のハロゲン含有炭化水素基、酸素原子を含む炭素数1~20の炭化水素基または炭素数1~20の炭化水素基置換シリル基を示し、R2dのうち少なくとも1つは水素原子ではない。R4dは、結合する5員環に対して縮合環を形成する炭素数4または5の飽和または不飽和の2価の炭化水素基を示す。R5dは、R4dの炭素原子と結合する原子または基であり、それぞれ独立して、水素原子、ハロゲン原子、炭素数1~20の炭化水素基、ケイ素数1~6を含む炭素数1~18のケイ素含有炭化水素基、炭素数1~20のハロゲン含有炭化水素基、酸素原子を含む炭素数1~20の炭化水素基または炭素数1~20の炭化水素基置換シリル基を示す。ndは、0~10の整数を示し、ndが2以上の場合、R5dの少なくとも2つは、結合している炭素原子と一緒に環を形成していてもよい。]
成分(B):成分(A)のメタロセン化合物と反応してカチオン性メタロセン化合物を生成させる化合物 - 上記請求項12に記載のエチレン系重合体の製造方法によって製造される請求項1に記載のエチレン系重合体。
- 前記エチレン系重合体が、請求項13に記載のエチレン系重合体である請求項3に記載のポリエチレン系樹脂組成物。
Priority Applications (5)
| Application Number | Priority Date | Filing Date | Title |
|---|---|---|---|
| US14/008,965 US9309340B2 (en) | 2011-03-30 | 2012-03-29 | Ethylene-based polymer, polyethylene-based resin composition and use thereof, catalyst component for olefin polymerization, olefin polymerization catalyst containing the component, and method for producing ethylene-based polymer by using the catalyst |
| CN201280026761.3A CN103582669B (zh) | 2011-03-30 | 2012-03-29 | 乙烯类聚合物、聚乙烯类树脂组合物及其用途、烯烃聚合用催化剂成分、包含所述成分的烯烃聚合用催化剂以及使用所述催化剂生产乙烯类聚合物的方法 |
| US15/041,044 US9975972B2 (en) | 2011-03-30 | 2016-02-11 | Ethylene-based polymer, polyethylene-based resin composition and use thereof, catalyst component for olefin polymerization, olefin polymerization catalyst containing the component, and method for producing ethylene-based polymer by using the catalyst |
| US15/937,910 US10633471B2 (en) | 2011-03-30 | 2018-03-28 | Ethylene-based polymer, polyethylene-based resin composition and use thereof, catalyst component for olefin polymerization, olefin polymerization catalyst containing the component, and method for producing ethylene-based polymer by using the catalyst |
| US16/594,829 US11643485B2 (en) | 2011-03-30 | 2019-10-07 | Ethylene-based polymer, polyethylene-based resin composition and use thereof, catalyst component for olefin polymerization, olefin polymerization catalyst containing the component, and method for producing ethylene-based polymer by using the catalyst |
Applications Claiming Priority (4)
| Application Number | Priority Date | Filing Date | Title |
|---|---|---|---|
| JP2011-073937 | 2011-03-30 | ||
| JP2011-073945 | 2011-03-30 | ||
| JP2011073937 | 2011-03-30 | ||
| JP2011073945 | 2011-03-30 |
Related Child Applications (2)
| Application Number | Title | Priority Date | Filing Date |
|---|---|---|---|
| US14/008,965 A-371-Of-International US9309340B2 (en) | 2011-03-30 | 2012-03-29 | Ethylene-based polymer, polyethylene-based resin composition and use thereof, catalyst component for olefin polymerization, olefin polymerization catalyst containing the component, and method for producing ethylene-based polymer by using the catalyst |
| US15/041,044 Division US9975972B2 (en) | 2011-03-30 | 2016-02-11 | Ethylene-based polymer, polyethylene-based resin composition and use thereof, catalyst component for olefin polymerization, olefin polymerization catalyst containing the component, and method for producing ethylene-based polymer by using the catalyst |
Publications (1)
| Publication Number | Publication Date |
|---|---|
| WO2012133717A1 true WO2012133717A1 (ja) | 2012-10-04 |
Family
ID=46931419
Family Applications (1)
| Application Number | Title | Priority Date | Filing Date |
|---|---|---|---|
| PCT/JP2012/058491 Ceased WO2012133717A1 (ja) | 2011-03-30 | 2012-03-29 | エチレン系重合体、ポリエチレン系樹脂組成物とその用途、オレフィン重合用触媒成分、該成分を含むオレフィン重合用触媒および該触媒を用いたエチレン系重合体の製造方法 |
Country Status (3)
| Country | Link |
|---|---|
| US (4) | US9309340B2 (ja) |
| CN (2) | CN106279485B (ja) |
| WO (1) | WO2012133717A1 (ja) |
Cited By (18)
| Publication number | Priority date | Publication date | Assignee | Title |
|---|---|---|---|---|
| WO2014099307A1 (en) | 2012-12-21 | 2014-06-26 | Exxonmobil Chemical Patents Inc. | Branched polyethylene with improved processing and high tear films made therefrom |
| US9068033B2 (en) | 2012-12-21 | 2015-06-30 | Exxonmobil Chemical Patents Inc. | Branched polyethylene with improved processing and high tear films made therefrom |
| US9096700B2 (en) | 2012-12-10 | 2015-08-04 | Exxonmobil Chemical Patents Inc. | Polymerization process for production of polymer |
| WO2015152267A1 (ja) * | 2014-03-31 | 2015-10-08 | 日本ポリエチレン株式会社 | エチレン・α-オレフィン共重合体及びオレフィン系樹脂組成物 |
| WO2015152268A1 (ja) * | 2014-03-31 | 2015-10-08 | 日本ポリエチレン株式会社 | エチレン・α-オレフィン共重合体及びオレフィン系樹脂組成物 |
| WO2015152266A1 (ja) * | 2014-03-31 | 2015-10-08 | 日本ポリエチレン株式会社 | エチレン・α-オレフィン共重合体及びオレフィン系樹脂組成物 |
| JP2016172714A (ja) * | 2015-03-17 | 2016-09-29 | 日本ポリエチレン株式会社 | メタロセン化合物、それを含むオレフィン重合用触媒成分およびオレフィン重合用触媒、並びにそのオレフィン重合用触媒を用いたオレフィン重合体の製造方法 |
| US9505893B2 (en) | 2014-10-21 | 2016-11-29 | Nova Chemicals (International) S.A. | Caps and closures |
| US9512283B2 (en) | 2014-10-21 | 2016-12-06 | NOVA Chemicals (International S.A. | Rotomolded articles |
| JP2017020019A (ja) * | 2015-07-12 | 2017-01-26 | 日本ポリエチレン株式会社 | エチレン系重合体及びその製造方法 |
| US10329412B2 (en) | 2017-02-16 | 2019-06-25 | Nova Chemicals (International) S.A. | Caps and closures |
| WO2020060690A1 (en) | 2018-09-17 | 2020-03-26 | Exxonmobil Chemical Patents Inc. | Metallocene dimer selective catalysts and processes to produce poly alpha-olefin dimers |
| WO2021086926A1 (en) | 2019-10-28 | 2021-05-06 | Exxonmobil Chemical Patents Inc. | Dimer selective metallocene catalysts, non-aromatic hydrocarbon soluble activators, and processes to produce poly alpha-olefin oligmers therewith |
| US11084894B2 (en) | 2018-02-12 | 2021-08-10 | Exxonmobil Chemical Patents Inc. | Catalyst systems and processes for poly alpha-olefin having high vinylidene content |
| WO2021173361A1 (en) | 2020-02-24 | 2021-09-02 | Exxonmobil Chemical Patents Inc. | Ansa-bis(inden-2-yl) catalysts for producing vinylidene-terminated polyalphaolefins |
| WO2021222420A1 (en) | 2020-04-29 | 2021-11-04 | Exxonmobil Chemical Patents Inc. | Poly alpha-olefin compositions and processes to produce poly alpha-olefins |
| US12344696B2 (en) | 2019-08-09 | 2025-07-01 | Exxonmobil Chemical Patents Inc. | Process to produce low viscosity polyalphaolefins using non-aromatic-hydrocarbon soluble activators |
| US12522677B2 (en) | 2020-06-24 | 2026-01-13 | Exxonmobil Chemical Patents Inc. | Processes to produce poly alpha-olefins |
Families Citing this family (44)
| Publication number | Priority date | Publication date | Assignee | Title |
|---|---|---|---|---|
| CN106279485B (zh) * | 2011-03-30 | 2018-10-02 | 日本聚乙烯株式会社 | 乙烯类聚合物、烯烃聚合用催化剂成分、包含所述成分的烯烃聚合用催化剂以及使用所述催化剂生产乙烯类聚合物的方法 |
| EP2716692A1 (de) * | 2012-10-08 | 2014-04-09 | WKP Products SA | Verbundwerkstoffe zur Nutzung in Spritzguss-Verfahren |
| US10155831B2 (en) * | 2013-09-05 | 2018-12-18 | Univation Technologies, Llc | Process control for long chain branching control in polyethylene production |
| US9266910B2 (en) * | 2013-10-29 | 2016-02-23 | Exxonmobil Chemical Patents Inc. | Asymmetric polypropylene catalysts |
| CA2982601C (en) | 2015-04-17 | 2023-08-29 | Univation Technologies, Llc | Catalysts for control of long chain branching |
| WO2017026605A1 (ko) * | 2015-08-11 | 2017-02-16 | 주식회사 에스피씨아이 | 전이금속 화합물, 이를 포함한 올레핀 중합용 전이금속 촉매 조성물 및 이를 이용한 올레핀계 중합체의 제조방법 |
| RU2599574C1 (ru) * | 2015-09-17 | 2016-10-10 | Публичное Акционерное Общество "Нижнекамскнефтехим" | Полиэтиленовая композиция для наружного слоя покрытий стальных труб |
| KR101950462B1 (ko) | 2016-02-24 | 2019-02-20 | 주식회사 엘지화학 | 올레핀 중합체 및 이의 제조 방법 |
| JP6651938B2 (ja) * | 2016-03-28 | 2020-02-19 | 日本ポリエチレン株式会社 | ポリエチレン及びその成形体 |
| KR101810317B1 (ko) | 2016-04-06 | 2017-12-19 | 롯데케미칼 주식회사 | 용융 장력이 우수한 폴리프로필렌 수지 |
| WO2018088209A1 (ja) * | 2016-11-08 | 2018-05-17 | 旭化成株式会社 | エチレン重合体、延伸成形体及び微多孔膜 |
| CN109983040B (zh) * | 2016-11-23 | 2022-12-23 | 乐天化学株式会社 | 聚烯烃催化剂和使用其制备聚烯烃的方法 |
| KR102140260B1 (ko) | 2016-12-22 | 2020-07-31 | 주식회사 엘지화학 | 올레핀 중합체 및 이의 제조 방법 |
| KR102065719B1 (ko) * | 2017-01-25 | 2020-01-13 | 주식회사 엘지화학 | 혼성 담지 촉매 |
| WO2018139874A1 (ko) * | 2017-01-25 | 2018-08-02 | 주식회사 엘지화학 | 혼성 담지 촉매 |
| US10968290B2 (en) | 2017-03-28 | 2021-04-06 | Exxonmobil Chemical Patents Inc. | Metallocene-catalyzed polyalpha-olefins |
| KR102100134B1 (ko) * | 2017-08-21 | 2020-04-13 | 사빅 에스케이 넥슬렌 컴퍼니 피티이 엘티디 | 신규한 전이금속 화합물, 이를 포함하는 촉매 조성물, 및 이를 이용한 에틸렌 단독중합체 또는 에틸렌과 α-올레핀의 공중합체의 제조방법 |
| CN109593148B (zh) * | 2017-09-30 | 2020-10-27 | 中国科学院化学研究所 | 一种链转移法制备高熔融指数乙烯聚合物的方法 |
| WO2019108407A1 (en) * | 2017-11-29 | 2019-06-06 | Exxonmobil Chemical Patents Inc. | Asymmetric ansa-metallocene catalyst compounds for producing polyolefins having a broad molecular weight distribution |
| EP3744502B1 (en) * | 2018-01-24 | 2022-11-09 | Denka Company Limited | A manufacturing method for a resin sheet having hairlike bodies |
| US11021553B2 (en) | 2018-02-12 | 2021-06-01 | Exxonmobil Chemical Patents Inc. | Metallocene dimer selective catalysts and processes to produce poly alpha-olefin dimers |
| US11078308B2 (en) | 2018-02-12 | 2021-08-03 | Exxonmobil Chemical Patents Inc. | Processes to produce poly alpha-olefin trimers |
| EP4017887A4 (en) | 2019-08-22 | 2023-01-18 | ExxonMobil Chemical Patents Inc. | ISOTACTIC PROPYLENE HOMOPOLYMERS AND COPOLYMERS MADE WITH C1-SYMMETRIC METALLOCENE CATALYSTS |
| CN110698578B (zh) * | 2019-09-30 | 2021-11-23 | 宁波大学 | 超高分子量聚烯烃和低分子量聚烯烃共混物的制备方法 |
| CN115485359A (zh) * | 2020-05-08 | 2022-12-16 | 旭化成株式会社 | 成型机用清洗剂 |
| KR20230043173A (ko) * | 2020-07-23 | 2023-03-30 | 보레알리스 아게 | 다봉-분포 폴리에틸렌의 제조 방법 |
| US11578156B2 (en) | 2020-10-20 | 2023-02-14 | Chevron Phillips Chemical Company Lp | Dual metallocene polyethylene with improved processability for lightweight blow molded products |
| CN116670146A (zh) | 2020-11-23 | 2023-08-29 | 埃克森美孚化学专利公司 | 使用不含芳族溶剂的载体制备的茂金属聚丙烯 |
| EP4317215A4 (en) * | 2021-03-31 | 2025-04-09 | Mitsui Chemicals, Inc. | ETHYLENE RESIN COMPOSITION AND MOLDED BODIES |
| US11802170B2 (en) | 2021-04-29 | 2023-10-31 | Exxonmobil Chemical Patents Inc. | Polyolefins prepared with binuclear metallocene catalysts |
| EP4359453A2 (en) * | 2021-06-24 | 2024-05-01 | Borealis AG | Process for polymerising olefins having narrow particle size distribution |
| ES2982101T3 (es) | 2021-06-24 | 2024-10-14 | Borealis Ag | Copolímero de polietileno con un rendimiento de sellado mejorado |
| EP4108436B1 (en) * | 2021-06-24 | 2024-04-17 | Borealis AG | Polyethylene copolymer for a film layer |
| ES2983547T3 (es) * | 2021-06-24 | 2024-10-23 | Borealis Ag | Composición de polietileno con procesabilidad mejorada |
| EP4359452A1 (en) * | 2021-06-24 | 2024-05-01 | Borealis AG | Process for producing polyethylene polymers |
| EP4108434B1 (en) | 2021-06-24 | 2024-04-17 | Borealis AG | Polyethylene copolymer for a film layer |
| US11859041B2 (en) * | 2021-08-16 | 2024-01-02 | Chevron Phillips Chemical Company Lp | Modulating co-monomer selectivity using non-covalent dispersion interactions in group 4 olefin polymerization catalysts |
| WO2023034889A1 (en) | 2021-09-02 | 2023-03-09 | Exxonmobil Chemical Patents Inc. | C1 symmetric metallocene catalysts tailored for production of vinyl-terminated polypropylene oligomers and macromonomers |
| WO2024242936A1 (en) | 2023-05-23 | 2024-11-28 | ExxonMobil Technology and Engineering Company | Catalysts and polymerizations for improved polyolefins |
| WO2024242949A1 (en) | 2023-05-23 | 2024-11-28 | ExxonMobil Technology and Engineering Company | Polyethylenes having improved processability and films thereof |
| WO2024242931A1 (en) | 2023-05-23 | 2024-11-28 | ExxonMobil Technology and Engineering Company | Catalysts, polyethylenes, polymerizations thereof, and films thereof |
| WO2024242933A1 (en) | 2023-05-23 | 2024-11-28 | ExxonMobil Technology and Engineering Company | Catalysts and polymerizations for improved polyolefins |
| WO2024242932A1 (en) | 2023-05-23 | 2024-11-28 | ExxonMobil Technology and Engineering Company | Polethylenes, catalysts for their polymerization, and films thereof |
| WO2024242929A1 (en) | 2023-05-23 | 2024-11-28 | ExxonMobil Technology and Engineering Company | Low density polethylenes, films thereof, and methods and catalysts for production thereof |
Citations (14)
| Publication number | Priority date | Publication date | Assignee | Title |
|---|---|---|---|---|
| JPH07309981A (ja) * | 1994-05-18 | 1995-11-28 | Mitsui Petrochem Ind Ltd | エチレン系共重合体組成物 |
| JP2000212342A (ja) * | 1999-01-25 | 2000-08-02 | Nippon Polyolefin Kk | ポリエチレン組成物 |
| JP2001163924A (ja) * | 1999-12-03 | 2001-06-19 | Japan Polychem Corp | 分岐を有するプロピレン重合体及びその製造方法 |
| JP2006233206A (ja) * | 2005-01-31 | 2006-09-07 | Mitsui Chemicals Inc | エチレン系重合体およびこれから得られる成形体 |
| JP2007177168A (ja) * | 2005-12-28 | 2007-07-12 | Nippon Polyethylene Kk | ポリエチレン系フィルム及びその積層フィルム並びにそれらから形成される包装用袋体 |
| JP2007177183A (ja) * | 2005-12-28 | 2007-07-12 | Nippon Polyethylene Kk | 電線・ケーブル被覆用樹脂材料及びそれを用いた被覆電線・ケーブル |
| JP2007204613A (ja) * | 2006-02-02 | 2007-08-16 | Japan Polypropylene Corp | α−オレフィン重合用触媒およびα−オレフィン重合体の製造法 |
| JP2009173889A (ja) * | 2007-12-28 | 2009-08-06 | Japan Polyethylene Corp | ポリエチレン系樹脂、それを用いた中空プラスチック成形品およびその用途 |
| JP2009197226A (ja) * | 2008-01-25 | 2009-09-03 | Mitsui Chemicals Inc | エチレン共重合体、該エチレン共重合体を含む熱可塑性樹脂組成物およびこれらから得られる成形体 |
| JP2010202791A (ja) * | 2009-03-04 | 2010-09-16 | Tosoh Corp | オレフィン重合用触媒およびオレフィン重合体の製造方法 |
| JP2011001545A (ja) * | 2009-05-18 | 2011-01-06 | Mitsui Chemicals Inc | 発泡成形用エチレン系重合体、発泡成形用樹脂組成物およびそれらから得られる発泡体 |
| JP2011006589A (ja) * | 2009-06-26 | 2011-01-13 | Japan Polyethylene Corp | エチレン重合用触媒 |
| JP2011137146A (ja) * | 2009-12-02 | 2011-07-14 | Japan Polyethylene Corp | エチレン系重合体の製造方法 |
| JP2011144356A (ja) * | 2009-12-17 | 2011-07-28 | Japan Polypropylene Corp | 長鎖分岐を有するプロピレン系重合体の製造方法 |
Family Cites Families (43)
| Publication number | Priority date | Publication date | Assignee | Title |
|---|---|---|---|---|
| CA1218181A (en) | 1983-04-21 | 1987-02-17 | Asahi Kasei Kogyo Kabushiki Kaisha | Polyethylene composition |
| JPS6036547A (ja) | 1983-08-09 | 1985-02-25 | Asahi Chem Ind Co Ltd | ポリエチレン系の組成物 |
| JP2571280B2 (ja) | 1989-01-24 | 1997-01-16 | 三井石油化学工業株式会社 | エチレン系共重合体およびその製造方法 |
| JPH0543619A (ja) | 1991-08-16 | 1993-02-23 | Showa Denko Kk | 分岐を持つポリエチレンの製造方法及び触媒成分 |
| JPH06306121A (ja) | 1993-04-21 | 1994-11-01 | Dow Chem Co:The | 弾性で実質的に線状であるオレフィンポリマー |
| JP3338535B2 (ja) | 1993-12-01 | 2002-10-28 | 新日本石油化学株式会社 | 高速インフレーションフィルム用ポリエチレン樹脂組成物 |
| ATE169936T1 (de) | 1993-12-21 | 1998-09-15 | Union Carbide Chem Plastic | Herstellung von polyolefinen mit lankettiger verzweigung nach einem gasphaseverfahren |
| DE4344688A1 (de) | 1993-12-27 | 1995-06-29 | Hoechst Ag | Metallocenverbindung |
| PT1134238E (pt) | 1994-04-07 | 2005-11-30 | Innovene Europ Ltd | Co-polimeros |
| UA47394C2 (uk) | 1995-05-16 | 2002-07-15 | Юнівейшн Текнолоджіз, Ллс | Етиленовий полімер, який має підвищену придатність до обробки та вирiб, що містить етиленовий полімер |
| WO1997004026A1 (en) | 1995-07-24 | 1997-02-06 | Mitsui Petrochemical Industries, Ltd. | Ethylenic polymer composition |
| JP3625242B2 (ja) | 1995-07-24 | 2005-03-02 | 三井化学株式会社 | エチレン系重合体組成物 |
| JP3886551B2 (ja) | 1995-07-25 | 2007-02-28 | 三井化学株式会社 | フィルム用樹脂組成物 |
| EP0791626B1 (en) * | 1995-09-11 | 2004-06-09 | Mitsui Chemicals, Inc. | Resin compositions and use thereof |
| JP3989066B2 (ja) | 1997-11-05 | 2007-10-10 | 旭化成ケミカルズ株式会社 | ブロー成形体 |
| JP3929149B2 (ja) | 1997-11-05 | 2007-06-13 | 旭化成ケミカルズ株式会社 | 機械的強度に優れたブロー成形体 |
| DE19809159A1 (de) * | 1998-03-04 | 1999-09-09 | Bayer Ag | Metallorganische Verbindungen |
| JP2006312753A (ja) | 1998-03-10 | 2006-11-16 | Mitsui Chemicals Inc | エチレン共重合体組成物およびその用途 |
| JPH11292912A (ja) | 1998-04-08 | 1999-10-26 | Idemitsu Petrochem Co Ltd | オレフィン重合用触媒及びポリオレフィンの製造方法 |
| US6207606B1 (en) | 1998-05-15 | 2001-03-27 | Univation Technologies, Llc | Mixed catalysts and their use in a polymerization process |
| US7041617B2 (en) * | 2004-01-09 | 2006-05-09 | Chevron Phillips Chemical Company, L.P. | Catalyst compositions and polyolefins for extrusion coating applications |
| JP2004149760A (ja) | 2002-03-28 | 2004-05-27 | Sumitomo Chem Co Ltd | 加工性に優れたエチレン重合体 |
| JP4558312B2 (ja) | 2002-12-27 | 2010-10-06 | 三井化学株式会社 | エチレン重合体およびこれから得られる成形体 |
| JP4797486B2 (ja) | 2004-07-28 | 2011-10-19 | 住友化学株式会社 | ポリエチレン系樹脂組成物、フィルムおよび袋 |
| JP2006124567A (ja) | 2004-10-29 | 2006-05-18 | Tosoh Corp | ポリエチレン樹脂組成物およびそれよりなるフィルム |
| US20060115403A1 (en) | 2004-11-29 | 2006-06-01 | Chevron U.S.A. Inc. | Reduction of oxides of nitrogen in a gas stream using high-silics molecular sieve CHA |
| JP4694975B2 (ja) | 2005-01-31 | 2011-06-08 | 三井化学株式会社 | オレフィンの重合方法 |
| KR100932149B1 (ko) | 2005-01-31 | 2009-12-16 | 미쓰이 가가쿠 가부시키가이샤 | 에틸렌계 수지 및 이것으로부터 얻어지는 성형체 |
| JP5158304B2 (ja) | 2005-04-21 | 2013-03-06 | 東ソー株式会社 | ポリエチレンの製造方法 |
| JP5414971B2 (ja) | 2005-12-28 | 2014-02-12 | 日本ポリエチレン株式会社 | エチレン系樹脂組成物によるフィルム |
| JP2008050578A (ja) * | 2006-07-28 | 2008-03-06 | Teijin Ltd | 樹脂組成物およびその成形品 |
| JP5205726B2 (ja) | 2006-08-22 | 2013-06-05 | 東ソー株式会社 | 遷移金属化合物、オレフィン重合用触媒、およびポリオレフィンの製造方法 |
| WO2008106519A1 (en) | 2007-02-27 | 2008-09-04 | Basf Catalysts Llc | Copper cha zeolite catalysts |
| US7998423B2 (en) | 2007-02-27 | 2011-08-16 | Basf Corporation | SCR on low thermal mass filter substrates |
| US10384162B2 (en) | 2007-03-26 | 2019-08-20 | Pq Corporation | High silica chabazite for selective catalytic reduction, methods of making and using same |
| RU2445166C2 (ru) | 2007-03-26 | 2012-03-20 | ПиКью КОРПОРЕЙШН | Новый микропористый кристаллический материал, включающий молекулярные сита или цеолит, имеющий восьмикольцевую структуру открытых пор, и способы его получения и применения |
| JP5103289B2 (ja) * | 2007-06-11 | 2012-12-19 | 日本ポリエチレン株式会社 | 射出成形容器蓋用ポリエチレン樹脂組成物 |
| JP5405806B2 (ja) | 2007-11-19 | 2014-02-05 | 三井化学株式会社 | オレフィン重合用触媒およびそれを用いたエチレン系重合体の製造方法 |
| EP2218725B1 (en) * | 2007-11-19 | 2013-10-23 | Mitsui Chemicals, Inc. | Bridged metallocene olefin polymerization catalyst and ethylene polymer obtained by using the catalyst |
| JP4553966B2 (ja) * | 2008-04-15 | 2010-09-29 | 日本ポリプロ株式会社 | プロピレン系重合体 |
| JP5205340B2 (ja) | 2008-07-02 | 2013-06-05 | 日本ポリエチレン株式会社 | ポリエチレン樹脂組成物およびそれよりなるインフレーションフィルム |
| GB2464478A (en) | 2008-10-15 | 2010-04-21 | Johnson Matthey Plc | Aluminosilicate zeolite catalyst and use thereof in exhaust gas after-treatment |
| CN106279485B (zh) * | 2011-03-30 | 2018-10-02 | 日本聚乙烯株式会社 | 乙烯类聚合物、烯烃聚合用催化剂成分、包含所述成分的烯烃聚合用催化剂以及使用所述催化剂生产乙烯类聚合物的方法 |
-
2012
- 2012-03-29 CN CN201610630121.3A patent/CN106279485B/zh active Active
- 2012-03-29 WO PCT/JP2012/058491 patent/WO2012133717A1/ja not_active Ceased
- 2012-03-29 US US14/008,965 patent/US9309340B2/en active Active
- 2012-03-29 CN CN201280026761.3A patent/CN103582669B/zh active Active
-
2016
- 2016-02-11 US US15/041,044 patent/US9975972B2/en active Active
-
2018
- 2018-03-28 US US15/937,910 patent/US10633471B2/en active Active
-
2019
- 2019-10-07 US US16/594,829 patent/US11643485B2/en active Active
Patent Citations (14)
| Publication number | Priority date | Publication date | Assignee | Title |
|---|---|---|---|---|
| JPH07309981A (ja) * | 1994-05-18 | 1995-11-28 | Mitsui Petrochem Ind Ltd | エチレン系共重合体組成物 |
| JP2000212342A (ja) * | 1999-01-25 | 2000-08-02 | Nippon Polyolefin Kk | ポリエチレン組成物 |
| JP2001163924A (ja) * | 1999-12-03 | 2001-06-19 | Japan Polychem Corp | 分岐を有するプロピレン重合体及びその製造方法 |
| JP2006233206A (ja) * | 2005-01-31 | 2006-09-07 | Mitsui Chemicals Inc | エチレン系重合体およびこれから得られる成形体 |
| JP2007177168A (ja) * | 2005-12-28 | 2007-07-12 | Nippon Polyethylene Kk | ポリエチレン系フィルム及びその積層フィルム並びにそれらから形成される包装用袋体 |
| JP2007177183A (ja) * | 2005-12-28 | 2007-07-12 | Nippon Polyethylene Kk | 電線・ケーブル被覆用樹脂材料及びそれを用いた被覆電線・ケーブル |
| JP2007204613A (ja) * | 2006-02-02 | 2007-08-16 | Japan Polypropylene Corp | α−オレフィン重合用触媒およびα−オレフィン重合体の製造法 |
| JP2009173889A (ja) * | 2007-12-28 | 2009-08-06 | Japan Polyethylene Corp | ポリエチレン系樹脂、それを用いた中空プラスチック成形品およびその用途 |
| JP2009197226A (ja) * | 2008-01-25 | 2009-09-03 | Mitsui Chemicals Inc | エチレン共重合体、該エチレン共重合体を含む熱可塑性樹脂組成物およびこれらから得られる成形体 |
| JP2010202791A (ja) * | 2009-03-04 | 2010-09-16 | Tosoh Corp | オレフィン重合用触媒およびオレフィン重合体の製造方法 |
| JP2011001545A (ja) * | 2009-05-18 | 2011-01-06 | Mitsui Chemicals Inc | 発泡成形用エチレン系重合体、発泡成形用樹脂組成物およびそれらから得られる発泡体 |
| JP2011006589A (ja) * | 2009-06-26 | 2011-01-13 | Japan Polyethylene Corp | エチレン重合用触媒 |
| JP2011137146A (ja) * | 2009-12-02 | 2011-07-14 | Japan Polyethylene Corp | エチレン系重合体の製造方法 |
| JP2011144356A (ja) * | 2009-12-17 | 2011-07-28 | Japan Polypropylene Corp | 長鎖分岐を有するプロピレン系重合体の製造方法 |
Cited By (43)
| Publication number | Priority date | Publication date | Assignee | Title |
|---|---|---|---|---|
| US9096700B2 (en) | 2012-12-10 | 2015-08-04 | Exxonmobil Chemical Patents Inc. | Polymerization process for production of polymer |
| WO2014099307A1 (en) | 2012-12-21 | 2014-06-26 | Exxonmobil Chemical Patents Inc. | Branched polyethylene with improved processing and high tear films made therefrom |
| US9068033B2 (en) | 2012-12-21 | 2015-06-30 | Exxonmobil Chemical Patents Inc. | Branched polyethylene with improved processing and high tear films made therefrom |
| EP2935367A4 (en) * | 2012-12-21 | 2016-08-03 | Exxonmobil Chem Patents Inc | BRANCHED POLYETHYLENE WITH IMPROVED PROCESSABILITY AND HIGH-RICH RESILIENCE FILMS THEREOF |
| WO2015152267A1 (ja) * | 2014-03-31 | 2015-10-08 | 日本ポリエチレン株式会社 | エチレン・α-オレフィン共重合体及びオレフィン系樹脂組成物 |
| WO2015152268A1 (ja) * | 2014-03-31 | 2015-10-08 | 日本ポリエチレン株式会社 | エチレン・α-オレフィン共重合体及びオレフィン系樹脂組成物 |
| WO2015152266A1 (ja) * | 2014-03-31 | 2015-10-08 | 日本ポリエチレン株式会社 | エチレン・α-オレフィン共重合体及びオレフィン系樹脂組成物 |
| US10066036B2 (en) | 2014-03-31 | 2018-09-04 | Japan Polyethylene Corporation | Ethylene-α-olefin copolymer and olefin resin composition |
| US10066037B2 (en) | 2014-03-31 | 2018-09-04 | Japan Polyethylene Corporation | Ethylene-α-olefin copolymer and olefin resin composition |
| JPWO2015152266A1 (ja) * | 2014-03-31 | 2017-04-13 | 日本ポリエチレン株式会社 | エチレン・α−オレフィン共重合体及びオレフィン系樹脂組成物 |
| US9963525B2 (en) | 2014-03-31 | 2018-05-08 | Japan Polyethylene Corporation | Ethylene-α-olefin copolymer and olefin resin composition |
| JPWO2015152268A1 (ja) * | 2014-03-31 | 2017-04-13 | 日本ポリエチレン株式会社 | エチレン・α−オレフィン共重合体及びオレフィン系樹脂組成物 |
| JPWO2015152267A1 (ja) * | 2014-03-31 | 2017-04-13 | 日本ポリエチレン株式会社 | エチレン・α−オレフィン共重合体及びオレフィン系樹脂組成物 |
| US10023729B2 (en) | 2014-10-21 | 2018-07-17 | Nova Chemicals (International) S.A. | Films produced from ethylene interpolymer products |
| US10023730B2 (en) | 2014-10-21 | 2018-07-17 | Nova Chemicals (International) S.A. | HDPE articles |
| US9518159B2 (en) | 2014-10-21 | 2016-12-13 | Nova Chemicals (International) S.A. | Ethylene interpolymer films |
| US9512283B2 (en) | 2014-10-21 | 2016-12-06 | NOVA Chemicals (International S.A. | Rotomolded articles |
| US9695309B2 (en) | 2014-10-21 | 2017-07-04 | Nova Chemicals (International) S.A. | Rotomolded articles |
| US9512282B2 (en) | 2014-10-21 | 2016-12-06 | Nova Chemicals (International) S.A. | Dilution index |
| US10000630B2 (en) | 2014-10-21 | 2018-06-19 | Nova Chemicals (International) S.A. | Ethylene interpolymers having improved color |
| US9505892B2 (en) | 2014-10-21 | 2016-11-29 | Nova Chemicals (International) S.A. | HDPE articles |
| US10023706B2 (en) | 2014-10-21 | 2018-07-17 | Nova Chemicals (International) S.A. | Rotomolded articles |
| US10577491B2 (en) | 2014-10-21 | 2020-03-03 | Nova Chemicals (International) S.A. | Dilution index |
| US10035906B2 (en) | 2014-10-21 | 2018-07-31 | Nova Chemicals (International) S.A. | Dilution index |
| US10040928B2 (en) | 2014-10-21 | 2018-08-07 | Nova Chemicals (International) S.A. | Rotomolded articles |
| US10053564B2 (en) | 2014-10-21 | 2018-08-21 | Nova Chemicals (International) S.A. | Caps and closures |
| US10053565B2 (en) | 2014-10-21 | 2018-08-21 | Nova Chemicals (International) S.A. | Ethylene interpolymer films |
| US9505893B2 (en) | 2014-10-21 | 2016-11-29 | Nova Chemicals (International) S.A. | Caps and closures |
| US11078351B2 (en) | 2014-10-21 | 2021-08-03 | Nova Chemicals (International) S.A. | Ethylene interpolymers having improved color |
| US10954365B2 (en) | 2014-10-21 | 2021-03-23 | Nova Chemicals (International) S.A. | Dilution index |
| JP2016172714A (ja) * | 2015-03-17 | 2016-09-29 | 日本ポリエチレン株式会社 | メタロセン化合物、それを含むオレフィン重合用触媒成分およびオレフィン重合用触媒、並びにそのオレフィン重合用触媒を用いたオレフィン重合体の製造方法 |
| JP2017020019A (ja) * | 2015-07-12 | 2017-01-26 | 日本ポリエチレン株式会社 | エチレン系重合体及びその製造方法 |
| US10329412B2 (en) | 2017-02-16 | 2019-06-25 | Nova Chemicals (International) S.A. | Caps and closures |
| US11084894B2 (en) | 2018-02-12 | 2021-08-10 | Exxonmobil Chemical Patents Inc. | Catalyst systems and processes for poly alpha-olefin having high vinylidene content |
| US12162968B2 (en) | 2018-02-12 | 2024-12-10 | Exxonmobil Chemical Patents Inc. | Catalyst systems and processes for poly alpha-olefin having high vinylidene content |
| WO2020060690A1 (en) | 2018-09-17 | 2020-03-26 | Exxonmobil Chemical Patents Inc. | Metallocene dimer selective catalysts and processes to produce poly alpha-olefin dimers |
| WO2020060692A2 (en) | 2018-09-17 | 2020-03-26 | Exxonmobil Chemical Patents Inc. | Processes to produce poly alpha-olefin trimer and apparatus therefor |
| WO2020060691A1 (en) | 2018-09-17 | 2020-03-26 | Exxonmobil Chemical Patents Inc. | Processes to produce poly alpha-olefin trimers |
| US12344696B2 (en) | 2019-08-09 | 2025-07-01 | Exxonmobil Chemical Patents Inc. | Process to produce low viscosity polyalphaolefins using non-aromatic-hydrocarbon soluble activators |
| WO2021086926A1 (en) | 2019-10-28 | 2021-05-06 | Exxonmobil Chemical Patents Inc. | Dimer selective metallocene catalysts, non-aromatic hydrocarbon soluble activators, and processes to produce poly alpha-olefin oligmers therewith |
| WO2021173361A1 (en) | 2020-02-24 | 2021-09-02 | Exxonmobil Chemical Patents Inc. | Ansa-bis(inden-2-yl) catalysts for producing vinylidene-terminated polyalphaolefins |
| WO2021222420A1 (en) | 2020-04-29 | 2021-11-04 | Exxonmobil Chemical Patents Inc. | Poly alpha-olefin compositions and processes to produce poly alpha-olefins |
| US12522677B2 (en) | 2020-06-24 | 2026-01-13 | Exxonmobil Chemical Patents Inc. | Processes to produce poly alpha-olefins |
Also Published As
| Publication number | Publication date |
|---|---|
| CN103582669A (zh) | 2014-02-12 |
| US9309340B2 (en) | 2016-04-12 |
| US20140194277A1 (en) | 2014-07-10 |
| CN106279485B (zh) | 2018-10-02 |
| US11643485B2 (en) | 2023-05-09 |
| CN103582669B (zh) | 2016-08-31 |
| US10633471B2 (en) | 2020-04-28 |
| US20180237565A1 (en) | 2018-08-23 |
| US9975972B2 (en) | 2018-05-22 |
| US20160244544A1 (en) | 2016-08-25 |
| CN106279485A (zh) | 2017-01-04 |
| US20200031965A1 (en) | 2020-01-30 |
Similar Documents
| Publication | Publication Date | Title |
|---|---|---|
| WO2012133717A1 (ja) | エチレン系重合体、ポリエチレン系樹脂組成物とその用途、オレフィン重合用触媒成分、該成分を含むオレフィン重合用触媒および該触媒を用いたエチレン系重合体の製造方法 | |
| JP5891902B2 (ja) | ポリエチレン系樹脂組成物およびその用途 | |
| JP6804559B2 (ja) | 混成担持メタロセン触媒及びこれを利用した加工性に優れたポリオレフィン樹脂 | |
| JP7238116B2 (ja) | オレフィン重合用触媒 | |
| JP6569669B2 (ja) | エチレン・α−オレフィン共重合体及びオレフィン系樹脂組成物 | |
| JP2013227271A (ja) | メタロセン化合物、それを含むオレフィン重合用触媒成分およびオレフィン重合用触媒、並びにそのオレフィン重合用触媒を用いたオレフィン重合体の製造方法 | |
| JP6569667B2 (ja) | エチレン・α−オレフィン共重合体及びオレフィン系樹脂組成物 | |
| CN104822697A (zh) | 桥联的金属茂化合物、催化剂体系和使用它们的聚合方法 | |
| CN1964998A (zh) | 过渡金属化合物、配体体系、催化剂体系以及制备聚烯烃的方法 | |
| US20190136021A1 (en) | Polyethylene and molded body thereof | |
| JP6787188B2 (ja) | メタロセン化合物、それを含むオレフィン重合用触媒成分およびオレフィン重合用触媒、並びにそのオレフィン重合用触媒を用いたオレフィン重合体の製造方法 | |
| EP4400541A1 (en) | Polyethylene composition and biaxially stretched film comprising same | |
| JP6569668B2 (ja) | エチレン・α−オレフィン共重合体及びオレフィン系樹脂組成物 | |
| JP2013204028A (ja) | ポリエチレン系樹脂組成物およびその成形体 | |
| EP4592343A1 (en) | Polyethylene composition and biaxially stretched film comprising same | |
| JP2007177187A (ja) | ポリエチレン系フィルム及びその用途 | |
| EP4467604A1 (en) | Polyethylene composition, and biaxially-stretchable film comprising same | |
| EP4592344A1 (en) | Polyethylene composition and biaxially stretched film comprising same | |
| KR20240057689A (ko) | 폴리에틸렌 조성물 및 이를 포함하는 이축 연신 필름 | |
| CN114867758A (zh) | 茂金属和其方法 | |
| JP2020033574A (ja) | ポリエチレン及びその成形体 | |
| JP2023098694A (ja) | エチレン系重合体の製造方法 | |
| KR20250118802A (ko) | 폴리에틸렌 조성물 및 이를 포함하는 이축 연신 필름 | |
| KR20240062822A (ko) | 폴리에틸렌 조성물 및 이를 포함하는 이축 연신 필름 | |
| JP2008501659A (ja) | 遷移金属化合物、リガンド、触媒組成物及びポリオレフィンを製造する方法 |
Legal Events
| Date | Code | Title | Description |
|---|---|---|---|
| 121 | Ep: the epo has been informed by wipo that ep was designated in this application |
Ref document number: 12762920 Country of ref document: EP Kind code of ref document: A1 |
|
| NENP | Non-entry into the national phase |
Ref country code: DE |
|
| WWE | Wipo information: entry into national phase |
Ref document number: 14008965 Country of ref document: US |
|
| 122 | Ep: pct application non-entry in european phase |
Ref document number: 12762920 Country of ref document: EP Kind code of ref document: A1 |







































































































