DE69736146T2 - Entwickler für photographisches, lichtempfindliches Silberhalogenidmaterial - Google Patents

Entwickler für photographisches, lichtempfindliches Silberhalogenidmaterial Download PDF

Info

Publication number
DE69736146T2
DE69736146T2 DE69736146T DE69736146T DE69736146T2 DE 69736146 T2 DE69736146 T2 DE 69736146T2 DE 69736146 T DE69736146 T DE 69736146T DE 69736146 T DE69736146 T DE 69736146T DE 69736146 T2 DE69736146 T2 DE 69736146T2
Authority
DE
Germany
Prior art keywords
group
developer
silver halide
mol
compound
Prior art date
Legal status (The legal status is an assumption and is not a legal conclusion. Google has not performed a legal analysis and makes no representation as to the accuracy of the status listed.)
Expired - Lifetime
Application number
DE69736146T
Other languages
English (en)
Other versions
DE69736146D1 (de
Inventor
c/o Fuji Photo Film Co. Hirotomo Minami Ashigara-shi Sasaki
c/o Fuji Photo Film Co. Harumi Minami Ashigara-shi Watanabe
c/o Fuji Photo Film Co. Kohzaburoh Minami Ashigara-shi Yamada
Current Assignee (The listed assignees may be inaccurate. Google has not performed a legal analysis and makes no representation or warranty as to the accuracy of the list.)
Fujifilm Corp
Original Assignee
Fuji Photo Film Co Ltd
Priority date (The priority date is an assumption and is not a legal conclusion. Google has not performed a legal analysis and makes no representation as to the accuracy of the date listed.)
Filing date
Publication date
Priority claimed from JP4402396A external-priority patent/JPH09211806A/ja
Priority claimed from JP4404096A external-priority patent/JPH09211810A/ja
Priority claimed from JP25457296A external-priority patent/JP3504084B2/ja
Application filed by Fuji Photo Film Co Ltd filed Critical Fuji Photo Film Co Ltd
Application granted granted Critical
Publication of DE69736146D1 publication Critical patent/DE69736146D1/de
Publication of DE69736146T2 publication Critical patent/DE69736146T2/de
Anticipated expiration legal-status Critical
Expired - Lifetime legal-status Critical Current

Links

Classifications

    • GPHYSICS
    • G03PHOTOGRAPHY; CINEMATOGRAPHY; ANALOGOUS TECHNIQUES USING WAVES OTHER THAN OPTICAL WAVES; ELECTROGRAPHY; HOLOGRAPHY
    • G03CPHOTOSENSITIVE MATERIALS FOR PHOTOGRAPHIC PURPOSES; PHOTOGRAPHIC PROCESSES, e.g. CINE, X-RAY, COLOUR, STEREO-PHOTOGRAPHIC PROCESSES; AUXILIARY PROCESSES IN PHOTOGRAPHY
    • G03C5/00Photographic processes or agents therefor; Regeneration of such processing agents
    • G03C5/26Processes using silver-salt-containing photosensitive materials or agents therefor
    • G03C5/29Development processes or agents therefor
    • G03C5/305Additives other than developers
    • GPHYSICS
    • G03PHOTOGRAPHY; CINEMATOGRAPHY; ANALOGOUS TECHNIQUES USING WAVES OTHER THAN OPTICAL WAVES; ELECTROGRAPHY; HOLOGRAPHY
    • G03CPHOTOSENSITIVE MATERIALS FOR PHOTOGRAPHIC PURPOSES; PHOTOGRAPHIC PROCESSES, e.g. CINE, X-RAY, COLOUR, STEREO-PHOTOGRAPHIC PROCESSES; AUXILIARY PROCESSES IN PHOTOGRAPHY
    • G03C1/00Photosensitive materials
    • G03C1/005Silver halide emulsions; Preparation thereof; Physical treatment thereof; Incorporation of additives therein
    • G03C1/06Silver halide emulsions; Preparation thereof; Physical treatment thereof; Incorporation of additives therein with non-macromolecular additives
    • G03C1/061Hydrazine compounds

Landscapes

  • Physics & Mathematics (AREA)
  • General Physics & Mathematics (AREA)
  • Silver Salt Photography Or Processing Solution Therefor (AREA)

Description

  • Die vorliegende Erfindung betrifft Entwickler für ein lichtempfindliches Silberhalogenid-Fotomaterial und Entwicklungs-Bearbeitungsverfahren zur Verwendung bei der Bearbeitung bzw. Entwicklung eines lichtempfindlichen Halogenid-Fotomaterials (hier im Folgenden manchmal als „lichtempfindliches Material" bezeichnet). Spezifischer ausgedrückt, betrifft die vorliegende Erfindung ein Verfahren für die Entwicklungs-Bearbeitung eines lichtempfindlichen Materials zur Schwarz-Weiß-Fotographie zur allgemeinen Anwendung, ein lichtempfindliches Material zur Schwarz-Weiß-Fotographie zum Drucken oder ein lichtempfindliches Material zur Röntgenfotographie für die medizinische oder industrielle Anwendung, das Reduzieren von Silberflecken (auch Silber-Schlamm genannt), die in dem Entwicklungstank anhaften oder darin präzipitieren, Entwicklungsgestelle oder Roller in einer automatischen Entwicklungsmaschine, um dadurch die tägliche Pflege der Instrumente und Maschinen zu erleichtern.
  • Allgemein ausgedrückt, ist es bei der Entwicklungs-Bearbeitung eines lichtempfindlichen Silberhalogenid-Fotomaterials so, dass die Verwendung einer automatischen Entwicklungsmaschine (hier im Folgenden als „automatische Anlage" bezeichnet) mit einer Steigerung hinsichtlich der Schnelligkeit, Einfachheit und Handhabbarkeit verbunden ist. Wenn die Bearbeitung unter Verwendung einer automatischen Anlage erfolgt, so werden für gewöhnlich die Schritte Entwicklung – Fixieren – Wasserwaschen – und Trocknen bereitgestellt. In den letzten Jahren hat die Nachfrage nach einer Beschleunigung der Entwicklungs-Bearbeitung mehr und mehr zugenommen. Die Aktivität des Entwicklers zu verstärken, ist ein Mittel zum Erreichen einer schnellen Bearbeitung. Bei der schnellen Bearbeitung eines lichtempfindlichen Schwarz-Weiß-Materials kann die Aktivität gesteigert werden, indem man die Konzentration des Entwicklungsmittels erhöht oder den pH des Entwicklers anhebt, jedoch verschlechtert sich der Entwickler deutlich aufgrund von Luftoxidation, und es ist schwer, die Aktivität aufrecht zu erhalten. Weiterhin wird für das lichtempfindliche Material der Ansatz einer schnellen Bearbeitung aggressiv untersucht. Eine Verringerung der Schichtdicke (z.B. der Schutzschicht) des lichtempfindlichen Materials ist wirksam dabei, eine schnelle Bearbeitung zu erreichen.
  • Es ist seit langem bekannt, ein Sulfit zum Verhindern einer Verschlechterung des Entwicklers zu verwenden, jedoch, da eine Verbindung mit einer Wirkung des Auflösens von Silberhalogenid, wie etwa Sulfit, zu dem Entwickler hinzugegeben wird, wird Silber als Silbersulfitkomplex aus dem lichtempfindlichen Material herausgelöst in den Entwickler. Der Silberkomplex wird in dem Entwickler reduziert, und es kommt zu einer allmählichen Anhaftung und Akkumulation von Silber im Entwicklungstank oder dem Entwicklungsroller. Dieses wird als Silber-Befleckung oder Silber-Schlamm bezeichnet. Der Silber-Fleck oder Silber-Schlamm haftet sich an das zu bearbeitende lichtempfindliche Material an, um das Bild zu verschmutzen, und daher müssen die Instrumente regelmäßig gewaschen und gepflegt werden. Wenn die Zugabemenge von Sulfit gesteigert wird, erhöht sich die Menge des Sulfitkomplexes, die herausgelöst wird, und als Ergebnis wird das Maß an Silber-Befleckung größer, und Vorteile der schnellen Bearbeitung können nicht erfolgreich genutzt werden.
  • Auf der anderen Seite, als Verfahren zum Reduzieren der Silber-Befleckung, ist ein Verfahren zum Zugeben einer Verbindung bekannt, die befähigt ist zum Verringern der sich in den Entwickler heraus lösenden Silberionen und/oder zum Hemmen des Reduzierens der Silberionen zu Silber, wie beschrieben in der JP-A-56-24347 (der Begriff „JP-A", wie hier verwendet, bedeutet eine „ungeprüfte veröffentlichte japanische Patentanmeldung"). Jedoch wird gemäß diesem Verfahren die Entwicklung selbst unvermeidlich gehemmt, und das Verfahren ist insofern unvorteilhaft, als eine Verringerung der Empfindlichkeit beteiligt ist. Für das lichtempfindliche Material/Entwicklungsbearbeitungssystem, das gedacht ist, um eine so hohe Empfindlichkeit wie möglich zu erreichen, ist die oben beschriebene Verringerung der Empfindlichkeit ein wichtiges Problem. Weiterhin ist das Verringern der Schichtdicke (z.B. der Schutzschicht) des lichtempfindlichen Materials sehr wirksam dabei, eine schnelle Bearbeitung durchzuführen, jedoch, wenn ein solches lichtempfindliches Material einem Durchlaufverfahren in einer automatischen Anlage unterzogen wird, so nehmen die Silberionen, die sich in den Entwickler hinein herauslösen, zu, und die Silberbefleckung nimmt zu.
  • Die Verbindung, die die Silberflecken reduziert, beinhaltet verschiedene bisher offenbarte Verbindungen. Mercaptotriazine sind ein Beispiel hierfür.
  • Die JP-A-49-5334 war erfolgreich dabei, die Beschattung auf einem lichtempfindlichen Photomaterial von hohem Kontrast zu entfernen, indem eine heterocyclische Mercaptoverbindung zu einem Lith-Typ-Entwickler hinzu gegeben wird, und offenbart 2,4,6-Trimercapto-1,3,5-triazin als spezifisches Beispiel. Die JP-A-59-204037 verwendet eine heterozyklische Mercaptoverbindung in Kombination, um so Silber-Schlamm (Silber-Flecken) bei einem Schwarz-Weiß-Entwickler mit einem pH von 11,5 oder mehr zu verhindern, und offenbart 2,4-Dimercapto-6-hydroxy-1,3,5-triazin als spezifisches Beispiel. Die JP-A-3-53244 verwendet Mercapto-1,3,5-triazin, um so Silber-Schlamm bei einem Entwickler zu verhindern. Weiterhin offenbaren die JP-A-3-282457, JP-A-4-11249, JP-A-4-31852, JP-A-4-299337, JP-A-4-299338, JP-A-4-322248, JP-A-4-175178, JP-A-5-61159 und JP-A-5-303179, dass Mercapto-1,3,5-triazin wirksam ist.
  • Jedoch beeinträchtigen diese Verbindungen die fotographischen Eigenschaften in einem hohen Maße nachteilig, wie etwa durch eine Verringerung der Empfindlichkeit.
  • Die JP-A-6-230525 offenbart auch eine Mercaptotriazinverbindung und postuliert, dass beim Durchführen der Bearbeitung mit einem Entwickler, der kein Alkanolamin enthält, ein Effekt der Verhinderung von schwarzen Sprenkeln erhalten wird, ohne Aufweichung zu bewirken. Jedoch gibt sie keine Offenbarung der exzellenten Wirkung, die durch die Mercaptotriazinverbindung erhalten wird, die eine spezifische funktionelle Gruppe wie bei der vorliegenden Erfindung enthält, und dieser Effekt kann nicht erwartet werden.
  • Mercapto-1,2,4-Triazine sind ein Beispiel für die Verbindungen, die Silber-Flecken reduzieren.
  • Die JP-A-5-303179, JP-A-5-61159 und JP-A-6-324435 offenbaren, dass eine Mercapto-1,2,4-triazinverbindung mit einer Hydroxygruppe nützlich ist, um Silber-Flecken zu vermeiden. Die vorliegenden Erfinder haben diese Verbindung tatsächlich bewertet und verifiziert, dass die Verbindung eine vor Silber-Befleckung schützende Wirkung besitzt, jedoch ist der Effekt noch unzureichend, und eine weitere Verbesserung ist erforderlich.
  • Weiterhin sind Mercaptopyrimidine ein Beispiel für die Verbindungen, die Silber-Flecken reduzieren.
  • Die JP-A-59-204037 beschreibt die Verwendung einer heterozyklischen Mercaptoverbindung in Kombination mit einem Schwarz-Weiß-Entwickler mit einem pH von 11,5 oder mehr für den Zweck einer Inhibition von Silberschlamm und offenbart 2-Mercapto-4-hydroxypyrimidin als spezifisches Beispiel hiervon. Die JP-A-4-362942 offenbart eine verbesserte Hydroxypyrimidinverbindung. Jedoch besitzen diese Patentveröffentlichungen keine spezifische Offenbarung der Dimercaptopyrimidinverbindung wie bei der vorliegenden Erfindung. Weiterhin, bei der Bewertung der oben beschriebenen Verbindungen, wird ein verhindernder Effekt für den Silberschlamm verifiziert, jedoch ist dieser nicht notwendigerweise zufriedenstellend und bedarf weiterer Verbesserung.
  • Die JP-A-49-11333 offenbart, dass eine Dimercaptopyrimidinverbindung eine Wirkung bereitstellt, um den Farbton eines Silberbildes in einem viskosen Silbersalz-Diffusionstransfer-Entwickler zu verbessern. Die JP-B-46-11630 (der Begriff „JP-B", wie hier verwendet, bedeutet eine „geprüfte japanische Patentveröffentlichung") verwendet eine 2,4-Dimercaptopyrimidinverbindung als Inhibitor des Schlamms in einer alkalischen Bearbeitungslösung in einem Aktivatorsystem-Diffusionstransfer-Verfahren. Jedoch, bei der Bewertung dieser Verbindungen, zeigten diese keinen notwendigerweise zufrieden stellenden Präventionseffekt gegen Silberschlamm.
  • Die JP-A-53-141623 offenbart, dass nach der Entwicklungsbearbeitung ein Dimer einer Stickstoff-enthaltenden heterozyklischen Verbindung mit einer Mercaptogruppe einen Bleichungs-beschleunigenden Effekt bereitstellt. Jedoch bezieht sich diese Patentveröffentlichung in keinster Weise auf den Effekt der Dimercaptopyrimidinverbindung in dem Entwickler wie bei der vorliegenden Erfindung.
  • Das Dokument EP-A-0556845 offenbart ein Verfahren zum Bearbeiten eines Silberhalogenid-Photomaterials, umfassend einen Träger in wenigstens einer hydrophilen kolloidalen Schicht mit wenigstens einer lichtempfindlichen Silberhalogenid-Emulsionsschicht, wobei das Silberhalogenid-Photomaterial belichtet wird und mit einem Entwickler bearbeitet wird, der ein 2-Mercapto-4-hydroxy-Pyrimidinderivat enthält.
  • Das Dokument US 5,356,761 beschreibt ein Verfahren zum Entwickeln eines lichtempfindlichen Silberhalogenid-Materials nach der Belichtung, umfassend den Schritt, das Material mit einem Entwickler zu behandeln, der eine 6-gliedrige heterozyklische Verbindung enthält.
  • Das Dokument JP-A-4011249 beschreibt einen Entwickler für ein Silberhalogenid-Photomaterial, umfassend eine Mercapto-enthaltende Triazinverbindung für die Schlamm-Hemmung.
  • Das Dokument CH-A-516818 beschreibt ein Verfahren zur Herstellung fotographischer Kopien gemäß dem Silbersalz-Diffusionsverfahren.
  • Es ist die Aufgabe der vorliegenden Erfindung, die Silber-Flecken zu reduzieren, die im Entwicklungstank und/oder dem Entwicklungsgestell und -Roller beim Bearbeiten eines lichtempfindlichen Silberhalogenid-Materials erzeugt werden, das zur schnellen Bearbeitung befähigt ist. Es ist weiterhin die Zielsetzung der vorliegenden Erfindung, die Pflege der automatischen Anlage und des Entwicklungsinstruments zu erleichtern. Es ist außerdem die Aufgabe der vorliegenden Erfindung, die Silber-Flecken vollständig zu reduzieren, ohne die fotographischen Eigenschaften zu beeinflussen. Weiterhin ist es die Zielsetzung der vorliegenden Erfindung, die Silber-Flecken zu reduzieren, ohne die Stabilität des Entwicklers zu beeinträchtigen.
  • Die Zielsetzung der vorliegenden Erfindung wird durch die folgenden Entwickler für lichtempfindliches Silberhalogenid-Photomaterial erreicht.
    • (1) Entwickler für ein lichtempfindliches Silberhalogenidmaterial zur Schwarz-Weiß-Fotographie, umfassend wenigstens eine Verbindung, die durch die folgende Formel (1-II) dargestellt ist:
      Figure 00050001
      worin L3 eine verbindende Gruppe darstellt, M ein Wasserstoffatom oder Kation darstellt und X1 und X2 je eine Gruppe darstellen, die an dem Triazinring substituiert sein kann.
    • (2) Entwickler für ein lichtempfindliches Silberhalogenidmaterial zur Fotographie, umfassend wenigstens eine Verbindung, die durch die folgende Formel (2-I) dargestellt ist:
      Figure 00060001
      worin R21, R22 und R23 je ein Wasserstoffatom, eine aliphatische Kohlenwasserstoffgruppe, eine aromatische Kohlenwasserstoffgruppe, eine heterozyklische Gruppe, ein Halogenatom, eine Cyanogruppe, eine Nitrogruppe, eine Carboxygruppe, eine Sulfogruppe, eine Sulfinogruppe, eine Phosphonogruppe, eine Aminogruppe, eine Ammoniogruppe, eine Phosphoniogruppe, eine Mercaptogruppe, eine Alkoxygruppe, eine Aryloxygruppe, eine Oxygruppe, die aus der Bindung eines Sauerstoffatoms an einen heterozyklischen Ring resultiert, eine Allyloxygruppe, eine Benzyloxygruppe, eine Thiogruppe, eine Acylgruppe, eine Carbamoylgruppe, eine Acylaminogruppe, eine Sulfamoylgruppe, eine Sulfonamidogruppe, eine Sulfonylgruppe, eine Sulfinylgruppe, eine Oxycarbonylgruppe, eine Urethangruppe oder eine Ureidogruppe darstellen, mit der Maßgabe, dass wenigstens eines aus R21, R22 und R23 eine Mercaptogruppe darstellt.
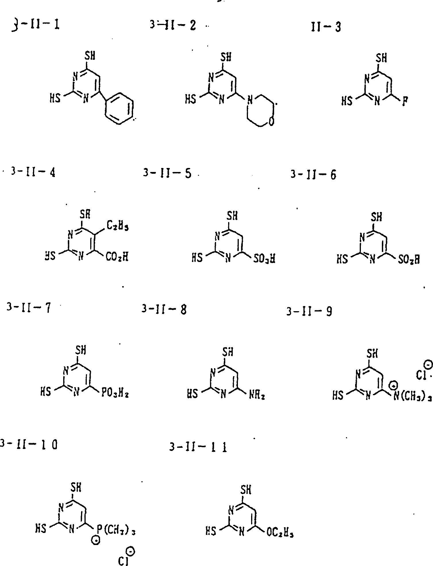
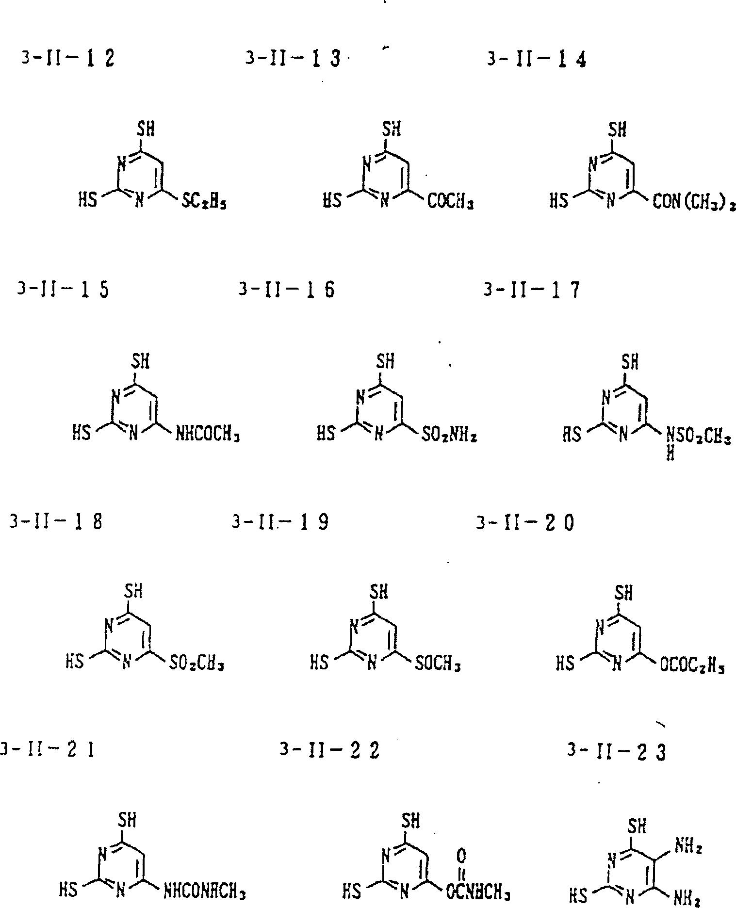
    • (3) Entwickler für ein lichtempfindliches Silberhalogenidmaterial zur Fotographie, umfassend wenigstens eine Verbindung, die durch die folgende Formel (3-I) und/oder (3-II) dargestellt ist:
      Figure 00060002
      worin R311 und R312 je eine Mercaptogruppe oder eine Gruppe darstellen, die den Pyrimidinring substituieren kann;
      Figure 00070001
      worin R321 eine aromatische Kohlenwasserstoffgruppe, eine heterocyclische Gruppe, ein Halogenatom, eine Cyanogruppe, eine Nitrogruppe, eine Sulfogruppe, eine Sulfinogruppe, eine Carboxygruppe, eine Phosphonogruppe, eine Aminogruppe, eine Ammoniogruppe, eine Phosphoniogruppe, eine Mercaptogruppe, eine Alkoxygruppe, eine Aryloxygruppe, eine Thiogruppe, eine Acylgruppe, eine Carbamoylgruppe, eine Acylaminogruppe, eine Sulfamoylgruppe, eine Sulfonamidogruppe, eine Sulfonylgruppe, eine Sulfinylgruppe, eine Oxycarbonylgruppe, eine Urethangruppe oder eine Ureidogruppe darstellen, und R322 eine Gruppe darstellt, die den Pyrimidinring substituieren kann.
    • (4) Entwickler für ein lichtempfindliches Silberhalogenidmaterial zur Fotographie, umfassend wenigstens eine Verbindung, die durch die folgende Formel (4) dargestellt ist:
      Figure 00070002
      worin R41 ein Wasserstoffatom oder eine aliphatische Gruppe darstellt, R42 ein Wasserstoffatom oder einen Substituenten darstellt, mit der Maßgabe, dass, wenn R42 ein Wasserstoffatom darstellt, R41 eine aliphatische Gruppe darstellt, die mit wenigstens einer wasserlöslichen Gruppe substituiert ist, wobei die wasserlösliche Gruppe hier eine Sulfonsäure oder deren Salz, eine Carbonsäure oder deren Salz, ein Salz, umfassend eine Ammoniogruppe oder eine Gruppe enthaltend eine abtrennbare Gruppe, die teilweise oder vollständig durch einen alkalischen Entwickler abgetrennt werden kann, eine Hydroxygruppe, eine Mercaptogruppe, eine Aminogruppe, eine Sulfonamidogruppe, eine Acylsulfamoylgruppe, eine Sulfonylsulfamoylgruppe, eine aktive Methingruppe oder einen Substituenten umfasst, der wenigstens eine dieser Gruppen enthält, wobei die aktive Methingruppe hier eine Methylgruppe ist, die durch zwei elektronenziehende Gruppen substituiert ist.
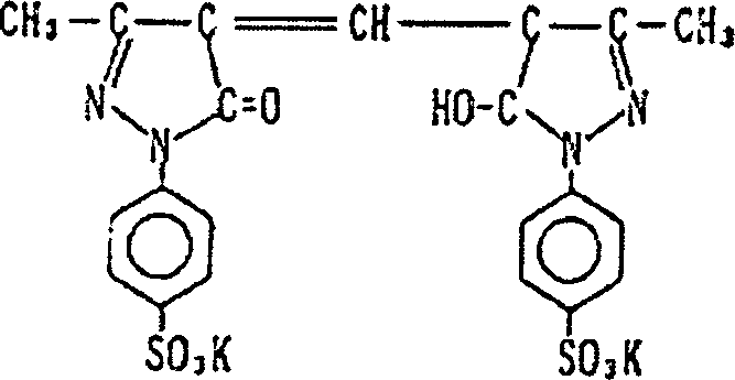
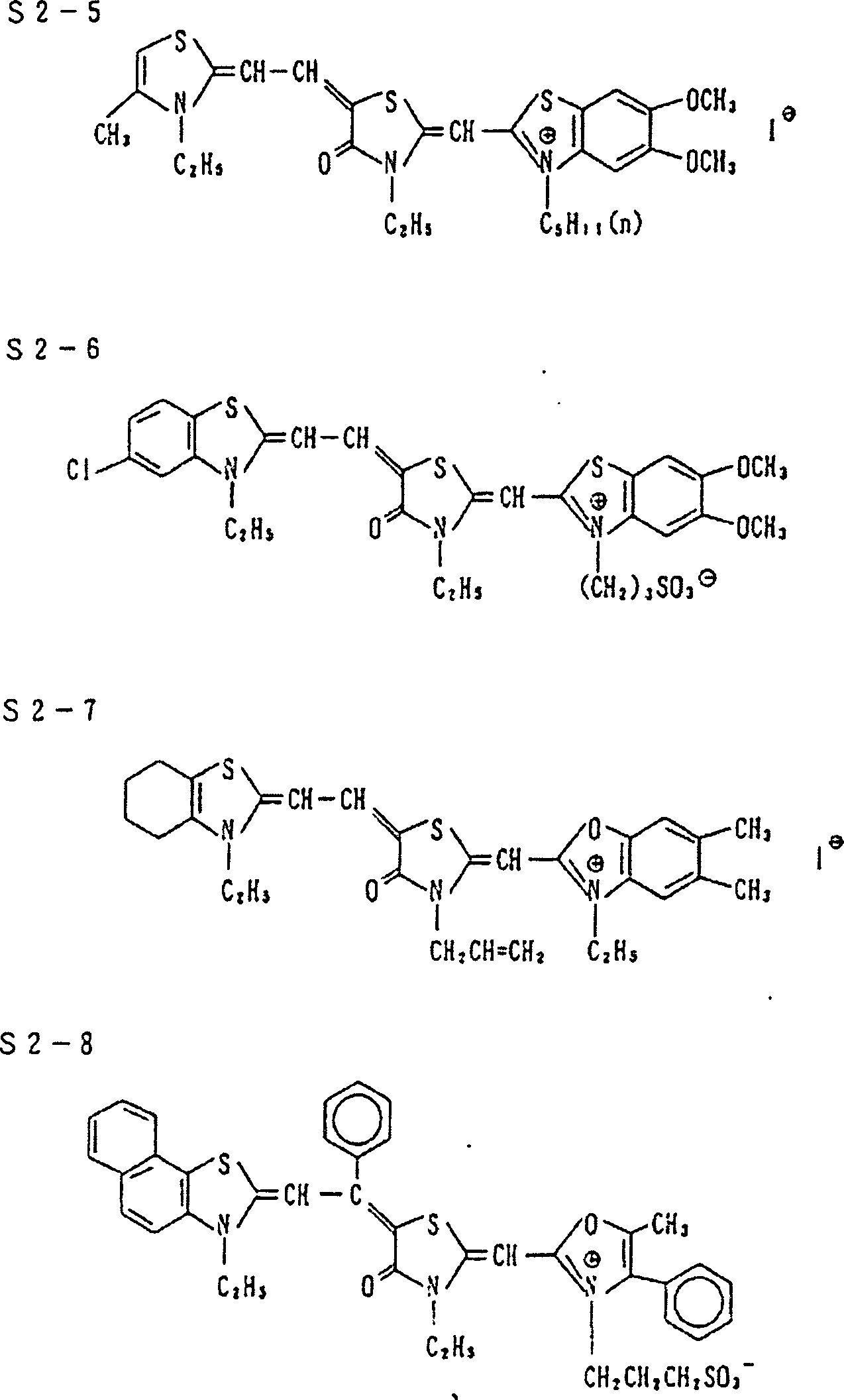
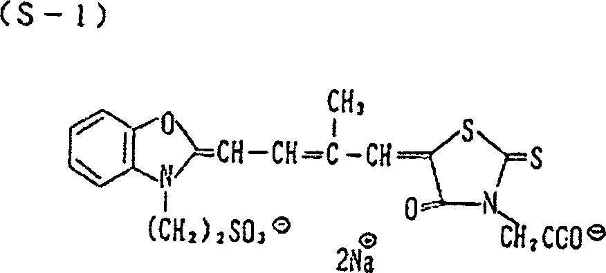
    • (5) Entwickler für lichtempfindliches Silberhalogenidmaterial zur Fotographie, umfassend wenigstens eine Verbindung, die ausgewählt ist aus der Gruppe bestehend aus:
      Figure 00080001
  • Die vorliegende Erfindung stellt weiterhin ein Verfahren zum Entwickeln eines lichtempfindlichen Silberhalogenidmaterials zur Schwarz-Weiß-Fotographie bereit, umfassend das bildweise Belichten eines lichtempfindlichen Silberhalogenidmaterials zur Schwarz-Weiß-Fotographie und das anschließende Entwickeln desselben mit einem Entwickler, wie oben beschrieben.
  • Die vorliegende Erfindung stellt weiterhin ein Verfahren zum Entwickeln eines lichtempfindlichen Silberhalogenidmaterials zur Schwarz-Weiß-Fotographie bereit, umfassend das bildweise Belichten eines lichtempfindlichen Silberhalogenidmaterials zur Schwarz-Weiß-Fotographie, dieses enthaltend ein Hydrazinderivat, und das anschließende Entwickeln desselben mit einem Entwickler, wie oben beschrieben, weiterhin enthaltend als ein Konservierungsmittel 0,3 Mol/l bis 1,2 Mol/l Sulfit.
  • Aus Gründen der Bezugnahme wird der folgende Entwickler für ein lichtempfindliches Silberhalogenidmaterial zur Schwarz-Weiß-Fotographie beschrieben, der wenigstens eine Verbindung umfasst, die durch die folgende Formel (1-I) dargestellt ist:
    Figure 00090001
    wobei L1 eine Alkylengruppe mit 1 bis 10 Kohlenstoffatomen, N(R110)L2- (wobei R110 ein Wasserstoffatom oder eine aliphatische Kohlenwasserstoffgruppe mit 1 bis 6 Kohlenstoffatomen darstellt), -O-L2-, -S-L2-, -C(O)-L2-, -SO2-L2-, -C(O)O-L2-, eine Methylendioxygruppe, eine Ureylengruppe oder eine zusammengesetzte Gruppe hieraus darstellt;
    L2 eine zweiwertige Gruppe ist;
    R11 eine Aminogruppe, eine Ammoniogruppe, eine Alkoxygruppe darstellt und M ein Wasserstoffatom oder ein Kation darstellt.
  • Die Formel (1-I) wird unten im Detail beschrieben.
  • Beispiele für die Aminogruppe, die durch R11 in Formel (1-I) dargestellt ist, beinhalten eine unsubstituierte Aminogruppe, eine Methylaminogruppe, eine Ethylaminogruppe, eine Dimethylaminogruppe, eine Diethylaminogruppe, eine Anilinogruppe, eine o-Toluidinogruppe und eine 2,4-Xylidinogruppe.
  • Beispiele für die durch R11 in Formel (1-I) dargestellte Ammoniogruppe beinhalten eine Trimethylammoniogruppe, eine Triethylammoniogruppe, eine Diethylmethylammoniogruppe und eine tri-n-Butylammoniogruppe, und das Gegenion zum Neutralisieren der positiven elektrischen Ladung der Ammoniogruppe ist ein anorganisches Anion (z.B. ein Halogenion (z.B. Chloridion, Bromidion)) oder ein organisches Anion (z.B. Acetation, CH3OSO3 -Ion).
  • Beispiele für die durch R11 in Formel (1-I) dargestellte Alkoxygruppe beinhalten eine Methoxygruppe, eine Ethoxygruppe, eine Isopropylgruppe, eine n-Butoxygruppe, eine Cyclohexyloxygruppe und eine Methoxyethoxygruppe.
  • Beispiele für das durch M in Formel (1-I) dargestellte Kation beinhalten Alkalimetallionen, wie etwa das Lithiumion, Natriumion, Kaliumion und Caesiumion und Ammonioionen, wie etwa das Ammonioion und das Tetramethylammonioion.
  • Beispiele für die durch L1 in Formel (1-I) dargestellte zweiwertige Gruppe beinhalten eine Alkylengruppe mit 1 bis 10 Kohlenstoffatomen (bevorzugt 1 bis 6 Kohlenstoffatomen) (z.B. Methylen, Ethylen, Propylen), -N(R110)L2- (wobei R110 ein Wasserstoffatom oder eine aliphatische Kohlenwasserstoffgruppe mit 1 bis 6 Kohlenstoffatomen darstellt), -O-L2-, -S-L2-, -C(O)-L2-, -SO2-L2-, -C(O)O-L2-, eine Methylendioxygruppe, eine Ureylengruppe und eine zusammengesetzte Gruppe hiervon.
  • L2 ist eine zweiwertige Gruppe, und Beispiele hiervon beinhalten eine Alkylengruppe mit 1 bis 10 Kohlenstoffatomen (bevorzugt mit 1 bis 6 Kohlenstoffatomen) (z.B. Methylen, Ethylen, Propylen).
  • Die Gruppen, die durch R11 und L1 in Formel (1-I) dargestellt sind, können jeweils substituiert sein. Beispiele für den Substituenten beinhalten die Folgenden:
    ein Halogenatom (z.B. Fluor, Chlor, Brom), eine Alkylgruppe (z.B. Methyl, Ethyl, n-Propyl, Isopropyl, t-Butyl, n-Octyl, Cyclopentyl, Cyclohexyl), eine Alkenylgruppe (z.B. Allyl, 2-Butenyl, 3-Pentenyl), eine Alkinylgruppe (z.B. Propargyl, 3-Pentinyl), eine Aralkylgruppe (z.B. Benzyl, Phenethyl), eine Arylgruppe (z.B. Phenyl, Naphthyl, 4-Methylphenyl), eine heterocyclische Gruppe (z.B. Pyridyl, Furyl, Imidazolyl, Piperidyl, Morpholino), eine Alkoxygruppe (z.B. Methoxy, Ethoxy, Butoxy), eine Aryloxygruppe (z.B. Phenoxy, 2-Naphthyloxy), eine Aminogruppe (z.B. unsubstituiertes Amino, Dimethylamino, Ethylamino, Anilino), eine Ureidogruppe (z.B. unsubstituiertes Ureido, N-Methylureido, N-Phenylureido), eine Urethangruppe (z.B. Methoxycarbonylamino, Phenoxycarbonylamino), eine Sulfonylgruppe (z.B. Mesyl, Tosyl), eine Sulfinylgruppe (z.B. Methylsulfinyl, Phenylsulfinyl), eine Alkyloxycarbonylgruppe (z.B. Methoxycarbonyl, Ethoxycarbonyl), eine Aryloxycarbonylgruppe (z.B. Phenoxycarbonyl), eine Acylgruppe (z.B. Acetyl, Benzoyl, Formyl, Pivaloyl), eine Acyloxygruppe (z.B. Acetoxy, Benzoyloxy), eine Phosphoramidgruppe (z.B. N,N-Diethylphosphoramid), eine Alkylthiogruppe (z.B. Methylthio, Ethylthio), eine Arylthiogruppe (z.B. Phenylthio), eine Cyanogruppe, eine Mercaptogruppe, eine Phosphonogruppe, eine Nitrogruppe, eine Sulfinogruppe, eine Ammoniogruppe (z.B. Trimethylammonio), eine Phosphoniogruppe und eine Silylgruppe (z.B. Trimethylsilyl, Triethylsilyl, t-Butyldimethylsilyl, t-Butyldiphenylsilyl).
  • Diese Gruppen können jeweils weiter substituiert sein. Wenn zwei oder mehr Substituenten vorhanden sind, können diese gleich oder verschieden sein.
  • Die Formel (1-II) wird unten detailliert beschrieben.
  • Beispiele der verbindenden Gruppe, die durch L3 in Formel (1-II) dargestellt ist, beinhalten eine Alkylengruppe (z.B. Methylen, Ethylen, Propylen), eine Arylengruppe (z.B. o-Phenylen, p-Phenylen), eine bloße Bindung, -N(R111)- (wobei R111 ein Wasserstoffatom, eine aliphatische Kohlenwasserstoffgruppe, eine aromatische Kohlenwasserstoffgruppe oder eine heterozyklische Gruppe darstellt), -O-, -S-, -SS-, -C(O)-, -SO-, -SO2-, -OC(O)O-, -SC(O)S-, eine Methylendioxygruppe, eine Ureylengruppe und eine zusammengesetzte Gruppe hiervon.
  • Beispiele für die Gruppe, die den Triazinring substituieren kann, dargestellt durch X, oder X2 in Formel (1-II), beinhalten Substituenten von R11 und L1 in Formel (I) und zusätzlich eine Acylaminogruppe (z.B. Acetylamino, Benzoylamino), eine Sulfonylaminogruppe (z.B. Methylsulfonylamino, Phenylsulfonylamino), eine Sulfamoylgruppe (z.B. unsubstituiertes Sulfamoyl, N,N-Dimethylsulfamoyl, eine N-Phenylsulfamoylgruppe), eine Carbamoylgruppe (z.B. unsubstituiertes Carbamoyl, N,N-Diethylcarbamoyl, N-Phenylcarbamoyl), eine Sulfogruppe, eine Carboxygruppe und eine Hydroxygruppe.
  • Das Kation, das durch M in Formel (1-II) dargestellt ist, besitzt dieselbe Bedeutung wie das Kation, das durch M in Formel (1-I) dargestellt ist.
  • Bei einer bevorzugten Ausführungsform der Formel (1-I) ist die durch L1 dargestellte zweiwertige Gruppe eine Alkylengruppe, -N(R110)-L2-, -O-L2- oder -C(O)-L2-, R11 ist eine Aminogruppe oder eine Ammoniogruppe, und M ist ein Wasserstoffatom oder ein Kation.
  • Bei einer bevorzugteren Ausführungsform der Formel (1-I) ist die durch L1 dargestellte zweiwertige Gruppe eine Alkylengruppe oder -N(R110)-L2-, R11 ist eine Aminogruppe oder eine Ammoniogruppe, und M ist ein Wasserstoffatom oder ein Kation.
  • Bei einer bevorzugtesten Ausführungsform der Formel (1-I) ist die durch L1 dargestellte zweiwertige Gruppe eine Alkylengruppe oder -N(R110)-L2-, R11 ist eine Aminogruppe, und M ist ein Wasserstoffatom oder ein Kation.
  • Bei einer bevorzugten Ausführungsform der Formel (1-II) ist L3 eine Alkylengruppe, -N(R111)-, -O- oder -S-, und M ist ein Wasserstoffatom oder ein Kation.
  • Bei einer bevorzugteren Ausführungsform der Formel (1-II) ist L3 -N(R111)- (wobei R111 ein Wasserstoffatom oder eine aliphatische Kohlenwasserstoffgruppe darstellt) oder -O-, und M ist ein Wasserstoffatom oder ein Kation.
  • Spezifische Beispiele für Verbindungen, die durch die Formel (1-II) dargestellt sind, und für die Referenzverbindungen, die durch die Formel (1-I) dargestellt sind, sind unten dargestellt.
  • Figure 00120001
  • Figure 00130001
  • Figure 00140001
  • Die Verbindungen, die durch die Formel (1-I) und (1-II) dargestellt sind, können gemäß dem Verfahren synthetisiert werden, das in E.M. Smolin und L. Lapoport, s-Triazine and Derivatives (The Chemistry of Heterocyclic Compounds Series), Interscience Publishers beschrieben ist.
  • Die Formel (2-I) ist unten im Detail beschrieben.
  • Die durch R21, R22 oder R23 in Formel (I) dargestellte aliphatische Kohlenwasserstoffgruppe ist bevorzugt eine aliphatische Kohlenwasserstoffgruppe mit 1 bis 15 Kohlenstoffatomen, bevorzugter eine lineare, verzweigte oder zyklische Alkyl-, Alkenyl-, Alkinyl- oder Aralkylgruppe mit 1 bis 8 Kohlenstoffatomen. Von diesen Gruppen können verzweigte Gruppen jeweils zyklisiert werden, um einen gesättigten heterozyklischen Ring auszubilden, der ein oder mehr Heteroatome enthält. Beispiele für die Alkylgruppe beinhalten eine Methylgruppe, eine Ethylgruppe, eine Isopropylgruppe, eine t-Butylgruppe, eine n-Octylgruppe, eine Cyclopropylgruppe, eine Cyclopentylgruppe und eine Cyclohexylgruppe. Beispiele für die Alkenylgruppe beinhalten eine Allylgruppe, eine 2-Butenylgruppe und eine 3-Pentenylgruppe. Beispiele für die Alkinylgruppe bein halten eine Propargylgruppe und eine 3-Pentinylgruppe. Beispiele für die Aralkylgruppe beinhalten eine Benzylgruppe.
  • Die aromatische Kohlenwasserstoffgruppe, die durch R21, R22 oder R23 in Formel (2-I) dargestellt ist, ist vorzugsweise eine aromatische Kohlenwasserstoffgruppe mit 5 bis 15 Kohlenstoffatomen, bevorzugter eine monozyklische oder kondensierte Ringarylgruppe mit 6 bis 10 Kohlenstoffatomen, und Beispiele hierfür beinhalten eine Phenylgruppe und eine Naphthylgruppe.
  • Die durch R21, R22 oder R23 in Formel (2-I) dargestellte heterozyklische Gruppe ist eine 3-, 4-, 5-, 6-, 7-, 8-, 9- oder 10-gliedrige gesättigte oder ungesättigte heterozyklische Gruppe, enthaltend wenigstens eines von einem Stickstoffatom, einem Sauerstoffatom und einem Schwefelatom. Die heterozyklische Gruppe kann monozyklisch sein oder kann einen kondensierten Ring mit anderen aromatischen Ring(en) ausbilden. Die heterozyklische Gruppe ist vorzugsweise eine 5- oder 6-gliedrige aromatische heterozyklische Gruppe, und Beispiele hiervon beinhalten eine Pyridylgruppe, eine Imidazolylgruppe, eine Chinolylgruppe, eine Benzimidazolylgruppe, eine Pyrimidylgruppe, eine Pyrazolylgruppe, eine Isochinolinylgruppe, eine Thiazolylgruppe, eine Thienylgruppe, eine Furylgruppe und eine Benzothiazolylgruppe.
  • Beispiele des Halogenatoms, das durch R21, R22 oder R23 in Formel (2-I) dargestellt ist, beinhalten ein Fluoratom, ein Chloratom, ein Bromatom und ein Iodatom.
  • Beispiele für die Aminogruppe, die durch R21, R22 oder R23 in Formel (2-I) dargestellt ist, beinhalten eine unsubstituierte Aminogruppe, eine Methylaminogruppe, eine Ethylaminogruppe, eine Dimethylaminogruppe, eine Diethylaminogruppe, eine Anilinogruppe, eine o-Toluidinogruppe und eine 2,4-Xylidinogruppe. Beispiele für die Ammoniogruppe beinhalten eine Trimethylammoniogruppe, eine Triethylammoniogruppe und eine unsubstituierte Ammoniogruppe. Beispiele für die Phosphoniogruppe beinhalten eine Trimethylphosphoniogruppe und eine Triethylphosphoniogruppe.
  • R21, R22 oder R23 in der Formel (2-I) können z.B. eine Alkoxygruppe (z.B. Methoxy, Ethoxy, Isopropoxy, n-Butoxy, Cyclohexyloxy), eine Aryloxygruppe (z.B. Phenoxy, p-Methylphenoxy), eine Oxygruppe, resultierend aus der Bindung eines Sauerstoffatoms an einen heterocyclischen Ring (z.B. 2-Pyridyloxy, 2-Imidazolyloxy), eine Allyloxygruppe und eine Benzyloxygruppe sein.
  • Beispiele für die Thiogruppe, dargestellt durch R21, R22 oder R23 in der Formel (2-I), beinhalten eine Alkylthiogruppe (z.B. Methylthio, Ethylthio, Isopropylthio, n-Butylthio, Cyclohexylthio), eine Arylthiogruppe (z.B. Phenylthio, p-Methylphenylthio), eine Thiogruppe, resultierend aus der Bindung eines Schwefelatoms an einen heterocyclischen Ring (z.B. 2-Pyridylthio, 2-Imidazolylthio), eine Allylthiogruppe und eine Benzylthiogruppe.
  • Beispiele für die Acylgruppe, dargestellt durch R21, R22 oder R23 in der Formel (2-I), beinhalten eine Formylgruppe, eine Acetylgruppe, eine Propionylgruppe, eine Isobutyrylgruppe, eine Valerylgruppe, eine Pivaloylgruppe, eine Octanoylgruppe, eine Acryloylgruppe, eine Pyruvoylgruppe, eine Benzoylgruppe, eine 1-Naphthoylgruppe, eine m-Toluoylgruppe und eine Cynnamoylgruppe. Beispiele für die Carbamoylgruppe beinhalten eine unsubstituierte Carbamoylgruppe, eine N-Methylcarbamoylgruppe, eine N-Ethylcarbamoylgruppe, eine N,N-Dimethylcarbamoylgruppe, eine N,N-Diethylcarbamoylgruppe und eine N-Phenylcarbamoylgruppe. Beispiele für die Acylaminogruppe beinhalten eine Acetylaminogruppe, eine Benzamidogruppe, eine Propionylaminogruppe und eine Pivaloylaminogruppe. Beispiele für die Sulfamoylgruppe beinhalten eine unsubstituierte Sulfamoylgruppe, eine Methylsulfamoylgruppe, eine Ethylsulfamoylgruppe, eine Dimethylsulfamoylgruppe, eine Diethylsulfamoylgruppe und eine Phenylsulfamoylgruppe. Beispiele für die Sulfonamidogruppe beinhalten eine Benzolsulfonamidogruppe und eine Methylsulfonylaminogruppe. Beispiele für die Sulfonylgruppe beinhalten eine Mesylgruppe, eine Tosylgruppe und eine Taurylgruppe. Beispiele für die Sulfinylgruppe beinhalten eine Methylsulfinylgruppe und eine Phenylsulfinylgruppe.
  • Beispiele für die Oxycarbonylgruppe, dargestellt durch R21, R22 oder R23 in der Formel (2-I) beinhalten eine Alkoxycarbonylgruppe (z.B. Methoxycarbonyl, Ethoxycarbonyl, Isopropoxycarbonyl) und eine Aryloxycarbonylgruppe (z.B. Phenoxycarbonyl, Naphthy loxycarbonyl).
  • Beispiele für die Ureidogruppe, dargestellt durch R21, R22 oder R23 in der Formel (2-I), beinhalten eine N'-Methylureidogruppe, eine N',N'-Dimethylureidogruppe, eine N,N',N'-Trimethylureidogruppe, eine N'-Ethylureidogruppe und eine N'-Phenylureidogruppe. Beispiele für die Urethangruppe beinhalten eine Methoxycarbonylaminogruppe und eine Phenoxycarbonylaminogruppe.
  • Die Gruppen, dargestellt durch R21, R22 oder R23 in der Formel (2-I) können jeweils substituiert sein. Beispiele für den Substituenten beinhalten die Folgenden:
    Ein Halogenatom (z.B. Fluor, Chlor, Brom), eine Alkylgruppe (z.B. Methyl, Ethyl, n-Propyl, Isopropyl, t-Butyl, n-Octyl, Cyclopentyl, Cyclohexyl), eine Alkenylgruppe (z.B. Allyl, 2-Butenyl, 3-Pentenyl), eine Alkinylgruppe (z.B. Propargyl, 3-Pentinyl), eine Aralkylgruppe (z.B. Benzyl, Phenethyl), eine Arylgruppe (z.B. Phenyl, Naphthyl, 4-Methylphenyl), eine heterocyclische Gruppe (z.B. Pyridyl, Furyl, Imidazolyl, Piperidyl, Morpholino), eine Alkoxygruppe (z.B. Methoxy, Ethoxy, Butoxy), eine Aryloxygruppe (z.B. Phenoxy, 2-Naphthyloxy), eine Aminogruppe (z.B. unsubstituiertes Amino, Dimethylamino, Ethylamino, Anilino), eine Ureidogruppe (z.B. unsubstituiertes Ureido, N-Methylureido, N-Phenylureido), eine Urethangruppe (z.B. Methoxycarbonylamino, Phenoxycarbonylamino), eine Sulfonylgruppe (z.B. Mesyl, Tosyl), eine Sulfinylgruppe (z.B. Methylsulfinyl, Phenylsulfinyl), eine Alkyloxycarbonylgruppe (z.B. Methoxycarbonyl, Ethoxycarbonyl), eine Aryloxycarbonylgruppe (z.B. Phenoxycarbonyl), eine Acylgruppe (z.B. Acetyl, Benzoyl, Formyl, Pivaloyl), eine Acyloxygruppe (z.B. Acetoxy, Benzoyloxy), eine Phosphoramidgruppe (z.B. N,N-Diethylphosphoramid), eine Alkylthiogruppe (z.B. Methylthio, Ethylthio), eine Arylthiogruppe (z.B. Phenylthio), eine Cyanogruppe, eine Mercaptogruppe, eine Carboxygruppe, eine Sulfogruppe, eine Phosphonogruppe, eine Nitrogruppe, eine Sulfinogruppe, eine Ammoniogruppe (z.B. Trimethylammonio), eine Phosphoniogruppe und eine Silylgruppe (z.B. Trimethylsilyl, Triethylsilyl, t-Butyldimethylsilyl, t-Butyldiphenylsilyl). Diese Gruppen können jeweils weiter substituiert sein. Wenn zwei oder mehr Substituenten vorhanden sind, so können diese gleich oder verschieden sein.
  • R21, R22 und R23 in der Formel (2-I) sind jeweils bevorzugt ein Wasserstoffatom, eine aliphatische Kohlenwasserstoffgruppe, eine aromatische Kohlenwasserstoffgruppe, eine heterocyclische Gruppe, eine Carboxygruppe, eine Sulfogruppe, eine Aminogruppe, eine Mercaptogruppe, eine Oxygruppe, eine Thiogruppe, eine Acylaminogruppe oder eine Sulfonamidogruppe, unter der Maßgabe, dass wenigstens eines von R21, R22 und R23 eine Mercaptogruppe ist.
  • R21, R22 und R23 in der Formel (2-I) sind jeweils bevorzugter ein Wasserstoffatom, eine aliphatische Kohlenwasserstoffgruppe, eine heterocyclische Gruppe, eine Carboxygruppe, eine Sulfogruppe, eine Aminogruppe, eine Mercaptogruppe, eine Oxygruppe oder eine Acylaminogruppe, unter Maßgabe, dass wenigstens einer von R21, R22 und R23 eine Mercaptogruppe ist.
  • R21, R22 und R23 in der Formel (2-I) sind am bevorzugtesten alle eine Mercaptogruppe.
  • Spezifische Beispiele für die Verbindungen, dargestellt durch Formel (2-I), sind unten angegeben, jedoch sind die Verbindungen der vorliegenden Erfindung in keiner Weise hierauf beschränkt.
  • Figure 00190001
  • Figure 00200001
  • Die Verbindungen, die durch die Formel (2-I) dargestellt sind, können gemäß dem Verfahren synthetisiert werden, das beschrieben ist in J. G. Erickson, P. F. Wiley, und V. P. Wystrack, The 1,2,3- and 1,2,4-Triazines, Tetrazines and Pentazines (The Chemistry of Heterocyclic Compounds Series), Interscience Publishers.
  • Die Formel (3-I) ist unten detailliert beschrieben.
  • Beispiele für die Gruppe, die den Pyrimidinring substituieren kann, dargestellt durch R311 oder R31 2 in Formel (3-I), beinhalten ein Wasserstoffatom, eine aliphatische Kohlenwasserstoffgruppe, eine aromatische Kohlenwasserstoffgruppe, eine heterocyclische Gruppe, ein Halogenatom, eine Cyanogruppe, eine Nitrogruppe, eine Sulfogruppe, eine Sulfinogruppe, eine Carboxygruppe, eine Phosphonogruppe, eine Aminogruppe, eine Ammoniogruppe, eine Phosphoniogruppe, eine Mercaptogruppe, eine Oxygruppe, eine Thiogruppe, eine Acylgruppe, eine Carbamoylgruppe, eine Acylaminogruppe, eine Sulfamoylgruppe, eine Sulfonamidogruppe, eine Sulfonylgruppe, eine Sulfinylgruppe, eine Oxycarbonylgruppe, eine Acyloxygruppe, eine Urethangruppe und eine Ureidogruppe.
  • Die aliphatische Kohlenwasserstoffgruppe, dargestellt durch R311 oder R31 2 in der Formel (3-I), ist bevorzugt ein aliphatischer Kohlenwasserstoff mit 1 bis 15 Kohlenstoffatomen, bevorzugter eine lineare, verzweigte oder cyclische Alkyl-, Alkenyl-, Alkinyl- oder Aralkylgruppe mit 1 bis 8 Kohlenstoffatomen. Unter diesen kann die verzweigte Gruppe zyklisiert werden, um einen gesättigten heterozyklischen Ring auszubilden, der ein oder mehrere Heteroatome darin enthält. Beispiele für die Alkylgruppe beinhalten eine Methylgruppe, eine Ethylgruppe, eine Isopropylgruppe, eine t-Butylgruppe, eine n-Octylgruppe, eine Cyclopropylgruppe, eine Cyclopentylgruppe und eine Cyclohexylgruppe. Beispiele für die Alkenylgruppe beinhalten eine Allylgruppe, eine 2-Butenylgruppe und eine 3-Pentenylgruppe. Beispiele für die Alkinylgruppe beinhalten eine Propargylgruppe und eine 3-Pentinylgruppe. Beispiele für die Aralkylgruppe beinhalten eine Benzylgruppe.
  • Die aromatische Kohlenwasserstoffgruppe, dargestellt durch R311 oder R31 2 in der Formel (3-I), ist bevorzugt eine aromatische Kohlenwasserstoffgruppe mit 5 bis 15 Kohlenstoffatomen, bevorzugter eine monocyclische oder kondensierte Ringarylgruppe mit 6 bis 10 Kohlenstoffatomen, und Beispiele hiervon beinhalten eine Phenylgruppe und eine Naphthylgruppe.
  • Die heterocyclische Gruppe, dargestellt durch R311 oder R31 2 in der Formel (3-I), ist eine 3-, 4-, 5-, 6-, 7-, 8-, 9- oder 10-gliedrige gesättigte oder ungesättigte heterocyclische Gruppe, enthaltend wenigstens eines von einem Stickstoffatom, einem Sauerstoffatom und einem Schwefelatom. Die Gruppe kann monocyclisch sein oder kann einen kondensierten Ring mit einem anderen aromatischen Ring ausbilden. Die heterocyclische Gruppe ist bevorzugt eine 5- oder 6-gliedrige aromatische heterocyclische Gruppe und Beispiele hierfür beinhalten eine Pyridylgruppe, eine Imidazolylgruppe, eine Chinolylgruppe, eine Benzimidazolylgruppe, eine Pyrimidylgruppe, eine Pyrazolylgruppe, eine Isochinolylgruppe, eine Thiazolylgruppe, eine Thienylgruppe, eine Furylgruppe und eine Benzothiazolylgruppe.
  • Beispiele für das Halogenatom, das durch R311 oder R31 2 in der Formel (3-I) dargestellt ist, beinhalten ein Fluoratom, ein Chloratom, ein Bromatom und ein Iodatom.
  • Beispiele für die Aminogruppe, die dargestellt ist durch R311 oder R3 12 in der Formel (3-I), beinhalten eine unsubstituierte Aminogruppe, eine Methylaminogruppe, eine Ethylaminogruppe, eine Dimethylaminogruppe, eine Diethylaminogruppe, eine Anilinogruppe, eine o-Toluidinogruppe und eine 2,4-Xylidinogruppe. Beispiele für die Ammoniogruppe beinhalten eine Trimethylammoniogruppe, eine Triethylammoniogruppe und eine unsubstituierte Ammoniogruppe. Beispiele für die Phosphoniogruppe beinhalten eine Trimethylphosphoniogruppe und eine Triethylphosphoniogruppe.
  • Beispiele für die Oxygruppe, die dargestellt ist durch R311 oder R3 12 in der Formel (3-I), beinhalten eine Alkoxygruppe (z.B. Methoxy, Ethoxy, Isopropoxy, n-Butoxy, Cyclohexyloxy), eine Aryloxygruppe (z.B. Phenoxy, p-Methylphenoxy), eine Oxygruppe, resultierend aus der Bindung eines Sauerstoffatoms an einen heterocyclischen Ring (z.B. 2-Pyridyloxy, 2-Imidazolyloxy), eine Allyloxygruppe und eine Benzyloxygruppe.
  • Beispiele für die Thiogruppe, die dargestellt ist durch R311 oder R3 12 in der Formel (3-I), beinhalten eine Alkylthiogruppe (z.B. Methylthio, Ethylthio, Isopropylthio, n-Butylthio, Cyclohexylthio), eine Arylthiogruppe (z.B. Phenylthio, p-Methylphenylthio), eine Thi ogruppe, resultierend aus der Bindung eines Schwefelatoms an einen heterocyclischen Ring (z.B. 2-Pyridylthio, 2-Imidazolylthio), eine Allylthiogruppe und eine Benzylthiogruppe.
  • Beispiele für die Acylgruppe, die dargestellt ist durch R311 oder R31 2 in der Formel (3-I), beinhalten eine Formylgruppe, eine Acetylgruppe, eine Propionylgruppe, eine Isobutyrylgruppe, eine Valerylgruppe, eine Pivaloylgruppe, eine Octanoylgruppe, eine Acryloylgruppe, eine Pyruvoylgruppe, eine Benzoylgruppe, eine 1-Naphthoylgruppe, eine m-Toluoylgruppe und eine Cynnamoylgruppe. Beispiele für die Carbamoylgruppe beinhalten eine unsubstituierte Carbamoylgruppe, eine N-Methylcarbamoylgruppe, eine N-Ethylcarbamoylgruppe, eine N,N-Dimethylcarbamoylgruppe, eine N,N-Diethylcarbamoylgruppe und eine N-Phenylcarbamoylgruppe. Beispiele für die Acylaminogruppe beinhalten eine Acetylaminogruppe, eine Benzamidogruppe, eine Propionylaminogruppe und eine Pivaloylaminogruppe. Beispiele für die Sulfamoylgruppe beinhalten eine unsubstituierte Sulfamoylgruppe, eine Methylsulfamoylgruppe, eine Ethylsulfamoylgruppe, eine N,N-Dimethylsulfamoylgruppe, eine Diethylsulfamoylgruppe und eine Phenylsulfamoylgruppe. Beispiele für die Sulfonamidogruppe beinhalten eine Benzolsulfonamidogruppe und eine Methylsulfonylaminogruppe. Beispiele für die Sulfonylgruppe beinhalten eine Mesylgruppe, eine Tosylgruppe und eine Taurylgruppe. Beispiele für die Sulfinylgruppe beinhalten eine Methylsulfinylgruppe und eine Phenylsulfinylgruppe.
  • Beispiele für die Oxycarbonylgruppe, die dargestellt ist durch R311 oder R3 12 in der Formel (3-I), beinhalten eine Alkoxycarbonylgruppe (z.B. Methoxycarbonyl, Ethoxycarbonyl, Isopropoxycarbonyl) und eine Aryloxycarbonylgruppe (z.B. Phenoxycarbonyl, Naphthyloxycarbonyl).
  • Beispiele für die Ureidogruppe, die dargestellt ist durch R311 oder R3 12 in der Formel (3-I), beinhalten eine N'-Methylureidogruppe, eine N',N'-Dimethylureidogruppe, eine N,N',N'-Trimethylureidogruppe, eine N'-Ethylureidogruppe und eine N'-Phenylureidogruppe. Beispiele für die Urethangruppe beinhalten eine Methoxycarbonylaminogruppe und eine Phenoxycarbonylaminogruppe.
  • Die Gruppen, die dargestellt sind durch R311 oder R3 12 in der Formel (3-I), können je weils substituiert sein. Beispiele für die Substituenten beinhalten die Folgenden:
    Ein Halogenatom (z.B. Fluor, Chlor, Brom), eine Alkylgruppe (z.B. Methyl, Ethyl, n-Propyl, Isopropyl, t-Butyl, n-Octyl, Cyclopentyl, Cyclohexyl), eine Alkenylgruppe (z.B. Allyl, 2-Butenyl, 3-Pentenyl), eine Alkinylgruppe (z.B. Propargyl, 3-Pentinyl), eine Aralkylgruppe (z.B. Benzyl, Phenethyl), eine Arylgruppe (z.B. Phenyl, Naphthyl, 4-Methylphenyl), eine heterocyclische Gruppe (z.B. Pyridyl, Furyl, Imidazolyl, Piperidyl, Morpholino), eine Alkoxygruppe (z.B. Methoxy, Ethoxy, Butoxy), eine Aryloxygruppe (z.B. Phenoxy, 2-Naphthyloxy), eine Aminogruppe (z.B. unsubstituiertes Amino, Dimethylamino, Ethylamino, Anilino), eine Ureidogruppe (z.B. unsubstituiertes Ureido, N-Methylureido, N-Phenylureido), eine Urethangruppe (z.B. Methoxycarbonylamino, Phenoxycarbonylamino), eine Sulfonylgruppe (z.B. Mesyl, Tosyl), eine Sulfinylgruppe (z.B. Methylsulfinyl, Phenylsulfinyl), eine Alkyloxycarbonylgruppe (z.B. Methoxycarbonyl, Ethoxycarbonyl), eine Aryloxycarbonylgruppe (z.B. Phenoxycarbonyl), eine Acylgruppe (z.B. Acetyl, Benzoyl, Formyl, Pivaloyl), eine Acyloxygruppe (z.B. Acetoxy, Benzoyloxy), eine Phosphoramidogruppe (z.B. N,N-Diethylphosphoramido), eine Alkylthiogruppe (z.B. Methylthio, Ethylthio), eine Arylthiogruppe (z.B. Phenylthio), eine Cyanogruppe, eine Mercaptogruppe, eine Carboxygruppe, eine Phosphonogruppe, eine Nitrogruppe, eine Sulfinogruppe, eine Ammoniogruppe (z.B. Trimethylammonio), eine Phosphoniogruppe und eine Silylgruppe (z.B. Trimethylsilyl, Triethylsilyl, t-Butyldimethylsilyl, t-Butyldiphenylsilyl). Diese Gruppen können jeweils weiter substituiert sein. Wenn zwei oder mehr Substituenten vorhanden sind, können diese gleich oder verschieden sein.
  • R311 und R3 12 in der Formel (3-I) sind jeweils bevorzugt ein Wasserstoffatom, eine aliphatische Kohlenwasserstoffgruppe, eine aromatische Kohlenwasserstoffgruppe, eine heterocyclische Gruppe, eine Sulfogruppe, eine Carboxygruppe, eine Aminogruppe, eine Mercaptogruppe, eine Oxygruppe, eine Thiogruppe, eine Acylaminogruppe oder eine Sulfonamidogruppe.
  • R311 und R3 12 in der Formel (3-I) sind jeweils bevorzugter eine aliphatische Kohlenwasserstoffgruppe, eine Sulfogruppe, eine Carboxygruppe, eine Aminogruppe, eine Mercaptogruppe, eine Oxygruppe oder eine Thiogruppe.
  • R311 und R312 in der Formel (3-I) sind jeweils am bevorzugtesten eine aliphatische Koh lenwasserstoffgruppe, eine Sulfogruppe, eine Carboxygruppe, eine Aminogruppe oder eine Mercaptogruppe.
  • Die Formel (3-II) ist unten im Detail beschrieben.
  • Die aromatische Kohlenwasserstoffgruppe, die heterocyclische Gruppe, das Halogenatom, die Aminogruppe, die Ammoniogruppe, die Phosphoniogruppe, die Oxygruppe, die Thiogruppe, die Acylgruppe, die Carbamoylgruppe, die Acylaminogruppe, die Sulfamoylgruppe, die Sulfonamidogruppe, die Sulfonylgruppe, die Sulfinylgruppe, die Oxycarbonylgruppe, die Acyloxygruppe, die Urethangruppe und die Ureidogruppe, die dargestellt sind durch R321 in der Formel (3-II), besitzen dieselben Bedeutungen wie die aromatische Kohlenwasserstoffgruppe, die heterocyclische Gruppe, das Halogenatom, die Aminogruppe, die Ammoniogruppe, die Phosphoniogruppe, die Oxygruppe, die Thiogruppe, die Acylgruppe, die Carbamoylgruppe, die Acylaminogruppe, die Sulfamoylgruppe, die Sulfonamidogruppe, die Sulfonylgruppe, die Sulfinylgruppe, die Oxycarbonylgruppe, die Acyloxygruppe, die Urethangruppe und die Ureidogruppe, dargestellt durch R311 bzw. R3 12 in der Formel (3-I).
  • Die Gruppe, die den Pyrimidinring substituieren kann, dargestellt durch R322 in der Formel (3-II), besitzt dieselbe Bedeutung wie die Gruppe, die den Pyrimidinring substituieren kann und die dargestellt ist durch R311 bzw. R3 12 in der Formel (3-I).
  • In der Formel (3-II) ist R321 bevorzugt eine aromatische Kohlenwasserstoffgruppe, eine heterocyclische Gruppe, eine Sulfogruppe, eine Carboxygruppe, eine Aminogruppe, eine Mercaptogruppe, eine Alkoxygruppe, eine Aryloxygruppe, eine Thiogruppe, eine Acylaminogruppe oder eine Sulfonamidogruppe, und R322 ist bevorzugt ein Wasserstoffatom, eine aliphatische Kohlenwasserstoffgruppe, eine aromatische Kohlenwasserstoffgruppe, eine heterocyclische Gruppe, eine Sulfogruppe, eine Carboxygruppe, eine Aminogruppe, eine Mercaptogruppe, eine Oxygruppe, eine Thiogruppe, eine Acylaminogruppe oder eine Sulfonamidogruppe.
  • In der Formel (3-II) ist R321 bevorzugter eine heterocyclische Gruppe, eine Sulfogruppe, eine Carboxygruppe, eine Aminogruppe, eine Mercaptogruppe, eine Alkoxygruppe, eine Aryloxygruppe, eine Thiogruppe, eine Acylaminogruppe, eine Sulfonamidogruppe, und R322 ist bevorzugter ein Wasserstoffatom, eine aliphatische Kohlenwasserstoffgruppe, eine Sulfogruppe, eine Carboxygruppe, eine Aminogruppe, eine Mercaptogruppe, eine Oxygruppe oder eine Thiogruppe.
  • In der Formel (3-II) ist R321 am bevorzugtesten eine Sulfogruppe, eine Carboxygruppe, eine Aminogruppe, eine Mercaptogruppe oder eine Alkoxygruppe oder eine Aryloxygruppe, und R322 ist am bevorzugtesten eine aliphatische Kohlenwasserstoffgruppe, eine Sulfogruppe, eine Carboxygruppe oder eine Aminogruppe.
  • Besonders bevorzugte Verbindungen unter den Verbindungen, die dargestellt sind durch die Formel (3-I) oder (3-II), sind unten beschrieben.
  • Unter den Verbindungen, die dargestellt sind durch die Formel (3-I), sind solche Verbindungen besonders bevorzugt, bei denen R311 eine Gruppe darstellt, die mit einer wasserlöslichen Gruppe substituiert ist. Beispiele für die Gruppe, die mit einer wasserlöslichen Gruppe substituiert ist, beinhalten eine Alkylgruppe, eine Arylgruppe, eine Alkylthiogruppe, eine Arylthiogruppe, eine Alkoxygruppe, eine Alkylaminogruppe oder eine Arylaminogruppe. Die wasserlösliche Gruppe hierin stellt eine Carboxygruppe (oder ein Salz davon), eine Hydroxygruppe, eine Aminogruppe, eine Ammoniogruppe, eine Sulfogruppe (oder ein Salz davon) dar, oder eine Gruppe, die wenigstens eine dieser Gruppen enthält.
  • R311 in der Formel (3-I) ist bevorzugter eine Alkylgruppe, eine Arylgruppe, eine Alkylthiogruppe, eine Alkoxygruppe, eine Alkylaminogruppe oder eine Arylaminogruppe, jeweils substituiert mit einer wasserlöslichen Gruppe. Am bevorzugtesten sind eine Alkylgruppe, eine Alkylaminogruppe oder eine Arylaminogruppe, jeweils substituiert mit einer wasserlöslichen Gruppe. Als eine wasserlösliche Gruppe, sind bevorzugter eine Carboxygruppe (oder ein Salz davon), eine Hydroxygruppe oder eine Sulfogruppe (ein Salz davon). R312 in der Formel (3-I) ist besonders bevorzugt ein Wasserstoffatom.
  • Eine der besonders bevorzugten Verbindungen unter den Verbindungen, die durch die Formel (3-II) dargestellt sind, ist eine Verbindung bei der R321 eine Alkylthiogruppe, eine Arylthiogruppe, eine Alkoxygruppe, eine Aryloxygruppe, eine Alkylaminogruppe oder eine Arylaminogruppe darstellt, jeweils substituiert mit einer wasserlöslichen Gruppe. Die wasserlösliche Gruppe hierin stellt eine Carboxygruppe (oder ein Salz davon), eine Hydroxygruppe, eine Aminogruppe, eine Ammoniogruppe, eine Sulfogruppe (oder ein Salz davon) dar, oder eine Gruppe, die wenigstens eine dieser Gruppen enthält.
  • R321 in der Formel (3-II) ist bevorzugter eine Alkylthiogruppe, eine Alkoxygruppe, eine Alkylaminogruppe oder eine Arylaminogruppe, jeweils substituiert mit einer wasserlöslichen Gruppe. Am bevorzugtesten sind eine Alkylaminogruppe oder eine Arylaminogruppe, jeweils substituiert mit einer wasserlösliche Gruppe. Als eine wasserlösliche Gruppe sind bevorzugter eine Carboxygruppe (oder ein Salz davon), eine Hydroxygruppe oder eine Sulfogruppe (ein Salz davon). R322 in der Formel (3-II) ist besonders bevorzugt ein Wasserstoffatom.
  • Die andere der besonders bevorzugten Verbindungen unter den Verbindungen, die dargestellt sind durch die Formel (3-II), ist eine Verbindung, bei der R321 eine Mercaptogruppe darstellt und R322 eine Alkylgruppe, eine Alkylthiogruppe, eine Arylthiogruppe, eine Alkoxygruppe, eine Aryloxygruppe, eine Alkylaminogruppe oder eine Arylaminogruppe darstellt, jeweils substituiert mit einer wasserlöslichen Gruppe. Die wasserlösliche Gruppe hierin stellt eine Carboxygruppe (oder ein Salz davon), eine Hydroxygruppe, eine Aminogruppe, eine Ammoniogruppe oder eine Sulfogruppe (oder ein Salz davon) dar, oder eine Gruppe, die wenigstens eine dieser Gruppen enthält.
  • R322 in der Formel (3-II) ist bevorzugter eine Alkylgruppe, eine Alkylthiogruppe, eine Alkoxygruppe, eine Alkylaminogruppe oder eine Arylaminogruppe, jeweils substituiert mit einer wasserlöslichen Gruppe. Eine Alkylgruppe, die mit einer wasserlöslichen Gruppe substituiert ist, ist am bevorzugtesten. Als eine wasserlösliche Gruppe sind bevorzugter eine Carboxygruppe (oder ein Salz davon), eine Hydroxygruppe oder eine Sulfogruppe (ein Salz davon). R322 In der Formel (3-II) ist besonders bevorzugt ein Wasserstoffatom.
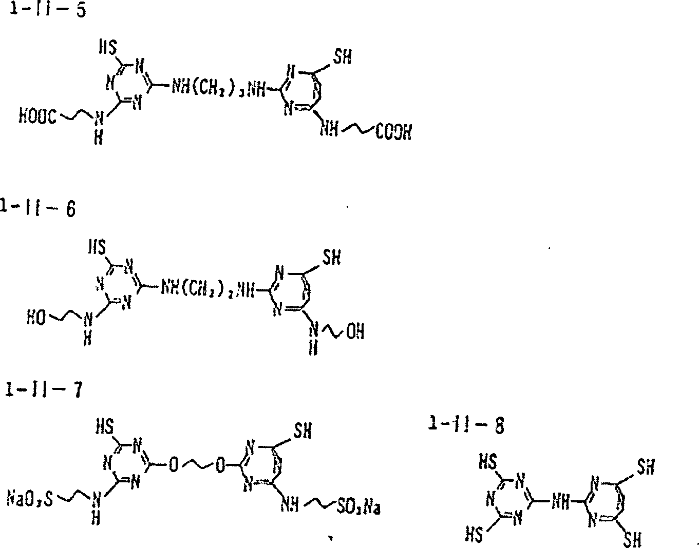
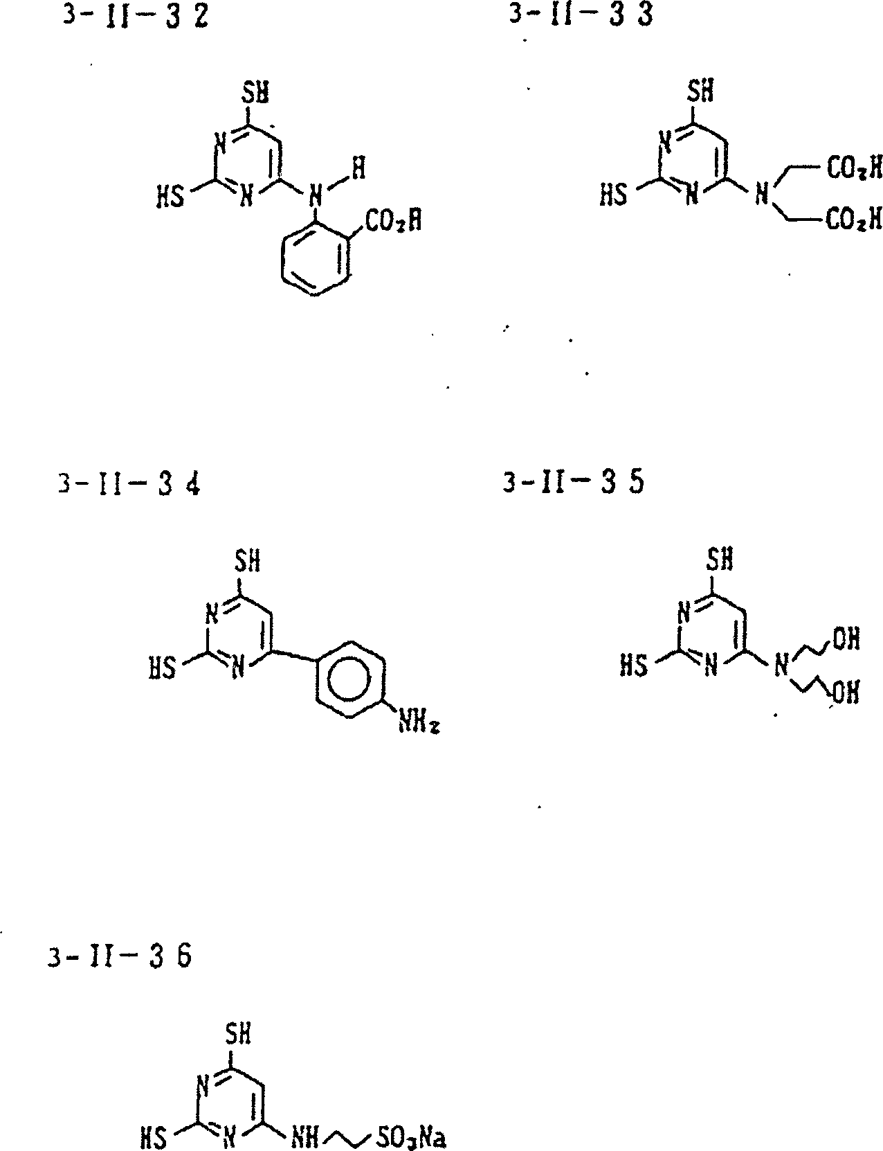
  • Spezifische Beispiele für die Verbindungen, die durch die Formel (3-I) oder (3-II) dargestellt sind, sind unten angegeben, jedoch sind die Verbindungen der vorliegenden Erfindung in keiner Weise hierauf beschränkt.
  • Figure 00280001
  • Figure 00290001
  • Figure 00300001
  • Figure 00310001
  • Figure 00320001
  • Figure 00330001
  • Figure 00340001
  • Figure 00350001
  • Figure 00360001
  • Die durch die Formeln (3-I) und (3-II) dargestellten Verbindungen können gemäß den Verfahren synthetisiert werden, die in der Literatur beschrieben sind, z.B. in D.J. Brown, The Pyrimidines (The Chemistry of Heterocyclic Compounds Series), Interscience Publishers.
  • Pyrimidinderivate, die der Formel (4) entsprechen, sind unten beschrieben.
  • R41 in der Formel (4) stellt ein Wasserstoffatom oder eine aliphatische Gruppe dar.
  • Die aliphatische Gruppe hierin stellt eine lineare, verzweigte oder cyclische Alkylgruppe, Alkenylgruppe oder Alkinylgruppe dar, die substituiert oder unsubstituiert sein kann.
  • Wenn die aliphatische Gruppe einen Substituenten besitzt, so beinhalten Beispiele des Substituenten ein Halogenatom (z.B. Fluor, Chlor, Brom oder Iod), eine Alkylgruppe (einschließlich einer Aralkylgruppe, einer Cycloalkylgruppe und einer aktiven Methingruppe), eine Alkenylgruppe, eine Alkinylgruppe, eine Arylgruppe, eine heterocyclische Gruppe, einen quaternisierten, Stickstoff-enthaltenden heterocyclischen Ring (z.B. eine Pyridiniogruppe), eine Acylgruppe, eine Alkoxycarbonylgruppe, eine Aryloxycarbonylgruppe, eine Carbamoylgruppe, eine Carboxygruppe oder ein Salz davon, eine Sulfonylcarbamoylgruppe, eine Acylcarbamoylgruppe, eine Sulfamoylcarbamoylgruppe, eine Carbazoylgruppe, eine Oxalylgruppe, eine Oxamoylgruppe, eine Cyanogruppe, eine Thiocarbamoylgruppe, eine Hydroxygruppe, eine Alkoxygruppe (einschließlich Gruppen mit einer Ethylenoxygruppe oder einer Propylenoxygruppe als einer Wiederholungseinheit), eine Aryloxygruppe, eine heterocyclische Oxygruppe, eine Acyloxygruppe, eine Alkoxyoxycarbonyloxygruppe, eine Aryloxycarbonyloxygruppe, eine Carbamoyloxygruppe, eine Sulfonyloxygruppe, eine Aminogruppe, eine Alkylaminogruppe, eine Arylaminogruppe, eine heterocyclische Aminogruppe, eine Hydroxyaminogruppe, eine gesättigte oder ungesättigte N-substituierte Stickstoff-enthaltende heterocyclische Gruppe, eine Acylaminogruppe, eine Sulfonamidgruppe, eine Ureidogruppe, eine Thioureidogruppe, eine Imidogruppe, eine Alkoxycarbonylaminogruppe, eine Aryloxycarbonylaminogruppe, eine Sulfamoylaminogruppe, eine Semicarbazidgruppe, eine Thiosemicarbazidgruppe, eine Hydrazinogruppe, eine quaternäre Ammoniogruppe, eine Oxamoylaminogruppe, eine Alkylsulfonylureidogruppe, eine Arylsulfonylureidogruppe, eine Acylureidogruppe, eine Acylsulfamoylaminogruppe, eine Nitro gruppe, eine Mercaptogruppe, eine Alkylthiogruppe, eine Arylthiogruppe, eine heterocyclische Thiogruppe, eine Alkylsulfonylgruppe, eine Arylsulfonylgruppe, eine Alkylsulfinylgruppe, eine Arylsulfinylgruppe, eine Sulfogruppe oder Salz davon, eine Sulfamoylgruppe, eine Acylsulfamoylgruppe, eine Sulfonylsulfamoylgruppe oder Salz davon. eine Gruppe, enthaltend ein Phosphoramido oder eine Phosphorester-Struktur.
  • Diese Gruppen können jeweils mit wenigstens einer von diesen Gruppen weiter substituiert sein.
  • Die Alkylgruppe, dargestellt durch R41 in der Formel (4) ist eine Alkylgruppe mit 1 bis 10 Kohlenstoffatomen, wie etwa Methyl, Ethyl, Propyl, Cyclopropyl, 2-Hydroxyethyl, Cyanocarboxymethyl, Phenylcarboxymethyl, Tri(hydroxymethyl)methyl, Methylthiomethyl und Phenoxymethylgruppe. Die Alkylgruppe, dargestellt durch R41, kann eine aktive Methingruppe sein. Die Alkenylgruppe, dargestellt durch R41, ist eine Alkenylgruppe mit 1 bis 10 Kohlenstoffatomen, wie etwa Vinyl, 2-propenyl und die Styrylgruppe. Die Alkinylgruppe, dargestellt durch R41, ist eine Alkinylgruppe mit 1 bis 10 Kohlenstoffatomen, wie etwa Ethinyl, 2-Propinyl und die 2-Ethoxycarbonylethinylgruppe.
  • Wenn R42 in der Formel (4) ein Wasserstoffatom darstellt, so stellt R41 eine aliphatische Gruppe dar, die mit wenigstens einer wasserlöslichen Gruppe substituiert ist. Die wasserlösliche Gruppe hierin entspricht einer Sulfonsäure oder einem Salz davon, einer Carbonsäure oder einem Salz davon, einem Salz, umfassend eine Ammoniogruppe oder eine Gruppe enthaltend eine dissoziierbare Gruppe, die teilweise oder vollständig durch einen alkalischen Entwickler dissoziieren kann. Spezifische Beispiele der wasserlöslichen Gruppe beinhalten eine Sulfogruppe (oder ein Salz davon), eine Carboxygruppe (oder ein Salz davon), eine Hydroxygruppe, eine Mercaptogruppe, eine Aminogruppe, eine Ammoniogruppe, eine Sulfonamidogruppe, eine Acylsulfamoylgruppe, eine Sulfonylsulfamoylgruppe, eine aktive Methingruppe oder einen Substituenten, der wenigstens eine dieser Gruppen enthält. Die aktive Methingruppe hierin bedeutet eine Methylgruppe, substituiert mit zwei elektronenabziehenden Gruppen, wie etwa eine Dicyanomethylgruppe, eine α-Cyano-α-ethoxycarbonylmethylgruppe und eine α-Acetyl-α-ethoxycarbonylmethylgruppe.
  • R41 in der Formel (4) ist bevorzugt ein Wasserstoffatom oder eine Alkylgruppe. Die Al kylgruppe, dargestellt durch R41 in der Formel (4), ist bevorzugt eine unsubstituierte Alkylgruppe mit insgesamt 1 bis 4 Kohlenstoffatomen, eine aktive Methingruppe mit insgesamt 3 bis 8 Kohlenstoffatomen oder eine substituierte Alkylgruppe mit insgesamt 1 bis 8 Kohlenstoffatomen. Der Substituent der substituierten Alkylgruppe ist bevorzugt eine wasserlösliche Gruppe oder ein Substituent, der eine wasserlösliche Gruppe enthält. Die wasserlösliche Gruppe für die Alkylgruppe, die durch R41 dargestellt ist, ist bevorzugt eine Sulfogruppe (oder ein Salz davon), eine Carboxygruppe (oder ein Salz davon), eine Hydroxygruppe, eine Mercaptogruppe oder eine Aminogruppe, besonders bevorzugt eine Sulfogruppe (oder ein Salz davon), eine Carboxygruppe (oder ein Salz davon) oder eine Hydroxygruppe.
  • R42 in der Formel (4) ist bevorzugt ein Wasserstoffatom oder ein Substituent. Spezifische Beispiele des Substituenten, der durch R42 dargestellt ist, beinhalten die gleichen wie die Substituenten, die oben für die aliphatische Gruppe beschrieben sind, die durch R41 dargestellt ist.
  • Der Substituent, der dargestellt ist durch R42, ist bevorzugt ein Substituent mit insgesamt 0 bis 15 Kohlenstoffatomen, wie etwa ein Halogenatom (insbesondere ein Chloratom), eine Alkylgruppe, eine Arylgruppe, eine heterocyclische Gruppe, eine Carboxygruppe oder ein Salz davon, eine Cyanogruppe, eine Hydroxygruppe, eine Alkoxygruppe, eine Aryloxygruppe, eine heterocyclische Oxygruppe, eine Acyloxygruppe, eine Aminogruppe, eine Alkylaminogruppe, eine Arylaminogruppe, eine heterocyclische Aminogruppe, eine Hydroxyaminogruppe, eine gesättigte oder ungesättigte N-substituierte Stickstoff-enthaltende heterocyclische Gruppe, eine Acylaminogruppe, eine Sulfonamidogruppe, eine Ureidogruppe, eine Thioureidogruppe, eine Imidogruppe, eine Sulfamoylaminogruppe, eine quaternäre Ammoniogruppe, eine Nitrogruppe, eine Mercaptogruppe, eine Alkylthiogruppe, eine Arylthiogruppe, eine heterocyclische Thiogruppe, eine Alkylsulfonylgruppe, eine Arylsulfonylgruppe, eine Sulfogruppe oder ein Salz davon, oder eine Sulfamoylgruppe, bevorzugter ein Chloratom, eine Alkylgruppe (insbesondere eine Methylgruppe, substituiert mit einer Aminogruppe), eine Arylgruppe, eine Aryloxygruppe, eine Aminogruppe, eine Mercaptogruppe, eine Alkylthiogruppe, eine Arylthiogruppe oder eine heterocyclische Thiogruppe.
  • R42 in der Formel (4) ist bevorzugt ein Wasserstoffatom oder ein Substituent, der sub stituiert ist mit einer wasserlöslichen Gruppe und insgesamt 1 bis 15 Kohlenstoffatome besitzt, wie etwa eine Alkylgruppe (insbesondere eine Methylgruppe, die mit einer Aminogruppe substituiert ist), eine Arylgruppe, eine Aryloxygruppe oder eine Alkylthiogruppe. Die wasserlösliche Gruppe hierin besitzt die gleiche Bedeutung wie bei der wasserlöslichen Gruppe der durch R41 dargestellten aliphatischen Gruppe, wenn R42 in der Formel (4) ein Wasserstoffatom darstellt. Die wasserlösliche Gruppe, die der durch R42 dargestellte Substituent haben kann, ist bevorzugt eine Sulfogruppe (oder ein Salz davon), eine Carboxygruppe (oder ein Salz davon), eine Hydroxygruppe, eine Mercaptogruppe, eine Aminogruppe, eine Ammoniogruppe oder eine Sulfonamidogruppe.
  • Unter den Pyrimidinderivaten, die durch Formel (4) dargestellt sind, sind am bevorzugtesten Pyrimidinderivate, die durch die folgende Formel (4-2) dargestellt sind:
    Figure 00400001
  • In der obigen Formel besitzt R411 die gleiche Bedeutung wie R41 in Formel (4). Bevorzugte Beispiele der durch R411 dargestellten Gruppe besitzen ebenfalls die gleiche Bedeutung.
  • R401 und R402 können gleich oder verschieden sein, und jeweils ein Wasserstoffatom, eine Alkylgruppe, eine Arylgruppe oder eine heterocyclische Gruppe darstellen, mit der Maßgabe, dass wenigstens einer der Substituenten, der durch R401 und R402 dargestellt ist, wenigstens eine wasserlösliche Gruppe enthält. Die wasserlösliche Gruppe hierin besitzt die gleiche Bedeutung wie die wasserlöslichen Gruppe, die die aliphatische Gruppe, dargestellt durch R41, haben kann, wenn R42 in der Formel (4) ein Wasserstoffatom darstellt. Die wasserlösliche Gruppe ist bevorzugt eine Sulfogruppe (oder ein Salz davon), eine Carboxygruppe (oder ein Salz davon), eine Hydroxygruppe oder eine Aminogruppe.
  • R401 und R402 sind bevorzugt eine Alkylgruppe oder eine Arylgruppe. Wenn R401 und R402 jeweils eine Alkylgruppe darstellen, so ist die Alkylgruppe bevorzugt eine substituierte oder unsubstituierte Alkylgruppe mit insgesamt 1 bis 4 Kohlenstoffatomen. Der Substituent der substituierten Alkylgruppe ist bevorzugt eine wasserlösliche Gruppe, besonders bevorzugt eine Sulfogruppe (oder ein Salz davon), eine Carboxygruppe (oder ein Salz davon), eine Hydroxygruppe oder eine Aminogruppe. Wenn R401 und R402 jeweils eine Arylgruppe darstellen, so ist die Arylgruppe bevorzugt eine substituierte oder unsubstituierte Phenylgruppe mit insgesamt 6 bis 8 Kohlenstoffatomen. Der Substituent der substituierten Phenylgruppe ist bevorzugt eine wasserlösliche Gruppe, besonders bevorzugt eine Sulfogruppe (oder ein Salz davon), eine Carboxygruppe (oder ein Salz davon), eine Hydroxygruppe oder eine Aminogruppe.
  • Wenn R401 und R402 jeweils eine Alkylgruppe oder eine Arylgruppe darstellen, so können die Substituenten, die durch R401 und R402 dargestellt sind, aneinander binden, um eine Ringstruktur auszubilden.
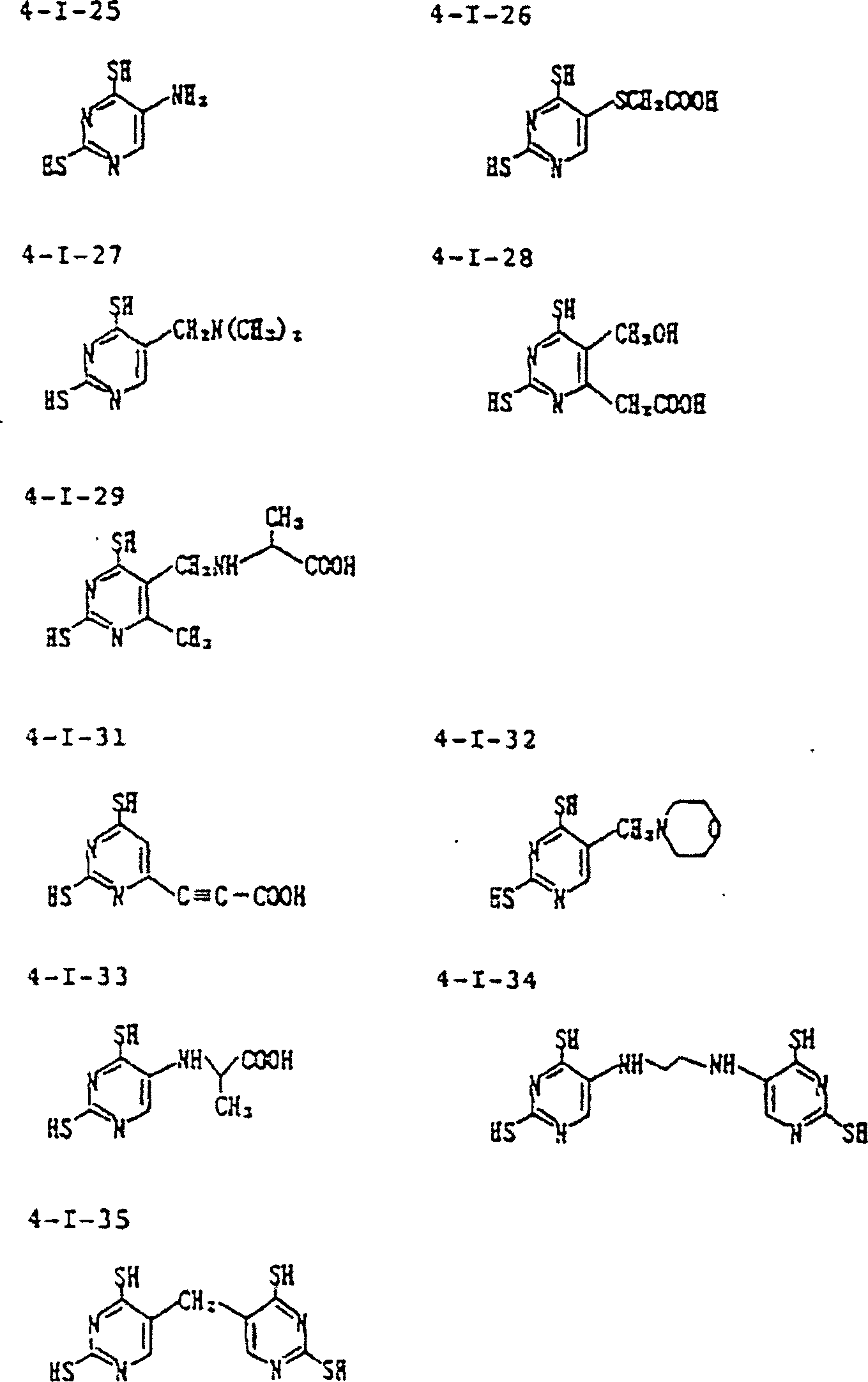
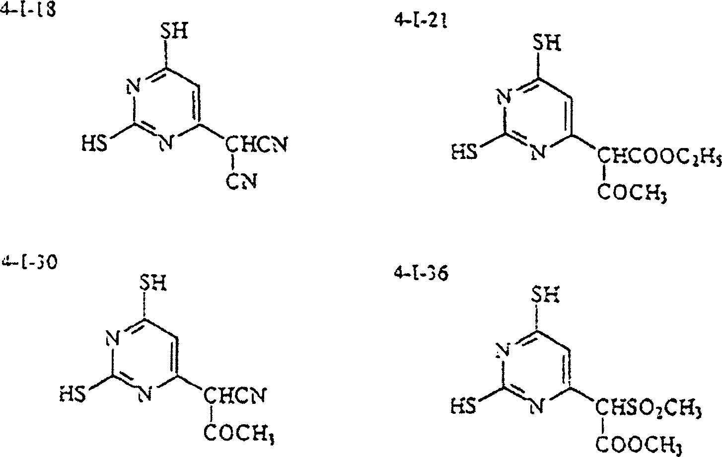
  • Spezifische Beispiele für Verbindungen, die durch Formel (4) dargestellt sind, werden unten vorgestellt.
  • Figure 00420001
  • Figure 00430001
  • Figure 00440001
  • Figure 00450001
  • Die durch Formel (4) dargestellten Verbindungen können problemlos gemäß bekannter Verfahren synthetisiert werden, die in der Literatur beschrieben sind. Synthesebeispiele für die durch Formel (4) dargestellten Verbindungen sind unten beschrieben.
  • 1. Synthese von Verbindung 4-I-1
  • Ein Gemisch, enthaltend 28,8 g (0,2 Mol) an 2,4-Dimercaptopyrimidin, 17,9 g an 37% wässriger Formalinlösung, 18,2 ml (0,22 Mol) an Pyrrolidin und 300 ml an Ethanol, wurde für 3 Stunden erhitzt und unter Rückfluss gekocht, um ein Präzipitat zu ergeben. Das Präzipitat wurde abgefiltert, mit 100 ml Methanol gewaschen und an der Luft getrocknet, um 40 g an Rohkristallen zu erhalten. Die Rohkristalle wurden in 200 ml 1 N NaOH gelöst und mit 3 N HCl angesäuert, um 28 g der Verbindung 4-I-1 zu erhalten (Ausbeute: 62%).
  • 2. Synthese der Verbindung 4-I-2
  • Die Verbindung 4-I-2 wurde in der gleichen Weise synthetisiert wie bei der Synthese von Verbindung 4-I-1, mit der Ausnahme, dass N-Methylglycin anstelle von Pyrrolidin verwendet wird.
  • 3. Synthese von Verbindung 4-I-3
  • Die Verbindung 4-I-3 wurde in der gleichen Weise synthetisiert wie bei der Synthese von Verbindung 4-I-1, mit der Ausnahme, dass N-Phenylglycin anstelle von Pyrrolidin verwendet wird.
  • 4. Synthese von Verbindung 4-I-12
  • Die Verbindung 4-I-12 wurde in der gleichen Weise synthetisiert wie bei der Synthese von Verbindung 4-I-3, mit der Ausnahme, dass 2,4-Dimercapto-6-methylpyrimidin anstelle von 2,4-Dimercaptopyrimidin verwendet wird.
  • Die Verbindung, die durch die Formel (1-I), (1-II), (2-I), (3-I), (3-II) oder (4) der vorliegenden Erfindung dargestellt ist, wird bevorzugt in einer Menge von 0,01 bis 10 mmol, bevorzugter von 0,1 bis 5 mmol pro Liter des Entwicklers zu dem Entwickler hinzugegeben.
  • Die Entwicklungsmittel, wie etwa Entwickler und Fixierlösung, und das Entwicklungsverfahren zur Verwendung bei der vorliegenden Erfindung sind unten beschrieben, jedoch ist die vorliegende Erfindung in keiner Weise auf die folgende Beschreibung und die spezifischen Beispiele beschränkt.
  • Bei dem Entwicklungsverfahren der vorliegenden Erfindung kann jedes bekannte Verfahren verwendet werden, und es können bekannte Lösungen zur Entwicklungsbearbeitung verwendet werden.
  • Das in dem Entwickler verwendete Entwicklungsmittel (die Entwicklungsstarterlösung und das Entwicklerauffüllmittel werden hier im Folgenden kollektiv als Entwickler bezeichnet) zur Verwendung bei der vorliegenden Erfindung ist nicht speziell eingeschränkt, jedoch enthält es bevorzugt ein Dihydroxybenzol, ein Ascorbinsäurederivat oder ein Hydrochinonmonosulfonat, und diese können einzeln oder in Kombination verwendet werden. Weiterhin, in Anbetracht der Entwicklungskapazität, sind eine Kombination eines Dihydroxybenzols oder eines Ascorbinsäurederivats mit einem 1-Phenyl-3-pyrazolidon und eine Kombination eines Dihydroxybenzols oder einer Ascorbinsäure mit p-Aminophenol bevorzugt.
  • Beispiele für das Dihydroxybenzol-Entwicklungsmittel zur Verwendung bei der vorliegenden Erfindung beinhalten Hydrochinon, Chlorhydrochinon, Isopropylhydrochinon und Methylhydrochinon, wobei Hydrochinon besonders bevorzugt ist. Beispiele für das Ascorbinsäurederivat-Entwicklungsmittel beinhalten eine Ascorbinsäure, eine Isoascorbinsäure und ein Salz hiervon, dabei ist Natrium-Erythorbat hinsichtlich der Materialkosten besonders bevorzugt.
  • Ein Hilfsentwicklungsmittel wird bei der vorliegenden Erfindung bevorzugt verwendet.
  • Beispiele für das 1-Phenyl-3-Pyrazolidon oder ein Derivat hiervon als Hilfsentwicklungsmittel zur Verwendung bei der vorliegenden Erfindung beinhalten 1-Phenyl-3-pyrazolidon, 1-Phenyl-4,4-dimethyl-3-pyrazolidon und 1-Phenyl-4-methyl-4-hydroxymethyl-3-pyrazolidon.
  • Beispiele für das auf p-Aminophenol basierende Hilfsentwicklungsmittel zur Verwendung bei der vorliegenden Erfindung beinhalten N-Methyl-p-aminophenol, p- Aminophenol, N-(β-Hydroxyphenyl)-p-aminophenol und N-(4-Hydroxyphenyl)glycin, wobei N-Methyl-p-aminophenol besonders bevorzugt ist.
  • Das auf Dihydroxybenzol basierende Entwicklungsmittel wird für gewöhnlich in einer Menge von 0,05 bis 0,8 mol/l verwendet. In dem Fall, in dem ein Dihydroxybenzol und ein 1-Phenyl-3-pyrazolidon oder ein p-Aminophenol in Kombination verwendet werden, wird ersteres bevorzugt in einer Menge von 0,05 bis 0,6 Mol/l, bevorzugter in einer Menge von 0,23 bis 0,5 Mol/l verwendet, und letzteres wird bevorzugt in einer Menge von 0,06 Mol/l oder weniger, bevorzugter von 0,03 bis 0,003 Mol/l verwendet.
  • Das Ascorbinsäurederivat-Entwicklungsmittel wird für gewöhnlich bevorzugt in einer Menge von 0,01 bis 0,5 Mol/l, bevorzugter von 0,05 bis 0,3 Mol/l verwendet. In dem Fall, in dem ein Ascorbinsäurederivat und ein 1-Phenyl-3-pyrazolidon oder ein p-Aminophenol in Kombination verwendet werden, wird die Ascorbinsäure bevorzugt in einer Menge von 0,01 bis 0,5 Mol/l verwendet, und das 1-Phenyl-3-pyrazolidon oder p-Aminophenol wird bevorzugt in einer Menge von 0,005 bis 0,2 mol/l verwendet.
  • Der Entwickler der vorliegenden Erfindung zur Verwendung bei der Bearbeitung des lichtempfindlichen Materials kann Additive (z.B. Entwicklungsmittel, Alkalimittel, pH-Puffer, Konservierungsmittel, Chelatbildner) enthalten, die üblicherweise verwendet werden. Spezifische Beispiele hierfür sind unten beschrieben, jedoch ist die vorliegende Erfindung in keiner Weise hierauf beschränkt.
  • Beispiele des Puffers zur Verwendung in dem Entwickler der vorliegenden Erfindung, der zum Bearbeiten des lichtempfindlichen Materials verwendet wird, beinhalten ein Carbonat und eine Borsäure, wie in der JP-A-62-186259 beschrieben, Saccharide (z.B. Saccharose), wie beschrieben in der JP-A-60-93433, Oxime (z.B. Acetoxim), Phenole (z.B. 5-Sulfosalicylsäure) und ein tertiäres Phosphat (z.B. ein Natriumsalz, Kaliumsalz), wobei ein Carbonat und eine Borsäure bevorzugt verwendet werden. Der Puffer, insbesondere Carbonat, wird vorzugsweise in einer Menge von 0,5 Mol/l oder mehr, bevorzugter von 0,5 bis 1,5 Mol/l verwendet.
  • Beispiele des Konservierungsstoffs zur Verwendung bei der vorliegenden Erfindung beinhalten Natriumsulfit, Kaliumsulfit, Lithiumsulfit, Ammoniumsulfit, Natriumbisulfit, Kaliummetabisulfit und Natrium-Formaldehyd-Bisulfit. Das Sulfit wird einer Menge von 0,2 Mol/l oder mehr, bevorzugt von 0,3 Mol/l oder mehr verwendet, wenn es jedoch im Überschuss zugegeben wird, so werden Silber-Flecken in dem Entwickler erzeugt, und daher beträgt die Obergrenze bevorzugt 1,2 Mol/l. Das Sulfit wird bevorzugter in einer Menge von 0,35 bis 0,7 Mol/l verwendet.
  • Als Konservierungsmittel für den auf Dihydroxybenzol basierenden Entwickler kann eine kleine Menge an Ascorbinsäure-Derivat in Kombination mit dem Sulfit verwendet werden. Insbesondere ist Natrium-Erythorbat im Hinblick auf die Materialkosten bevorzugt. Die Zugabemenge hiervon, in Begriffen eines Molverhältnisses zu dem Dihydroxybenzol-basierten Entwickler, beträgt bevorzugt 0,03 bis 0,12, bevorzugter 0,05 bis 0,10. In dem Fall, in dem ein Ascorbinsäurederivat als Konservierungsmittel verwendet wird, enthält der Entwickler bevorzugt keine Borverbindung.
  • Beispiele für andere Additive als die oben beschriebenen beinhalten einen Entwickler-Hemmstoff, wie etwa Natriumbromid und Kaliumbromid; ein organisches Lösungsmittel, wie etwa Ethylenglykol, Diethylenglykol, Triethylenglykol und Dimethylformamid; einen Entwicklungsbeschleuniger, wie etwa Alkanolamin (z.B. Diethanolamin, Triethanolamin), Imidazol und ein Derivat hiervon, und einen Inhibitor physikalischer Entwicklungsunebenheiten, wie etwa eine heterocyclische Mercaptoverbindung (z.B. Natrium-3-(5-mercaptotetrazol-1-yl)benzolsulfonat, 1-Phenyl-5-mercaptotetrazol) und die Verbindungen, die in der JP-A-62-212651 beschrieben sind.
  • Weiterhin kann der Entwickler einen Schaumhemmer oder einen Inhibitor gegen schwarze Sprenkel beinhalten, wie etwa eine Mercapto-basierte Verbindung, eine Indazol-basierte Verbindung, eine Benzotriazol-basierte Verbindung und eine Benzimidazol-basierte Verbindung. Spezifische Beispiele hiervon beinhalten 5-Nitroindazol, 5-p-Nitrobenzoylaminoindazol, 1-Methyl-5-nitroindazol, 6-Nitroindazol, 3-Methyl-5-nitroindazol, 5-Nitrobenzimidazol, 2-Isopropyl-5-nitrobenzimidazol, 5-Nitrobenzotriazol, Natrium-4-((2-mercapto-1,3,4-thiadiazol-2-yl)thio)butansulfonat, 5-Amino-1,3,4-thiadiazol-2-thiol, Methylbenzotriazol, 5-Methylbenzotriazol und 2-Mercaptobenzotriazol. Diese Additive werden für gewöhnlich in einer Menge von 0,01 bis 10 mmol, bevorzugt von 0,1 bis 2 mmol pro Liter des Entwicklers verwendet.
  • Der Entwickler der vorliegenden Erfindung kann weiterhin verschiedene organische oder anorganische Chelatbildner einzeln oder in Kombination enthalten.
  • Beispiele für den anorganischen Chelatbildner beinhalten Natrium-Tetrapolyphosphat und Natrium-Hexametaphosphat.
  • Beispiele für den organischen Chelatbildner, der vorwiegend verwendet wird, beinhalten eine organische Carbonsäure, eine Aminopolycarbonsäure, eine organische Phosphonsäure, eine Aminophosphonsäure und eine organische Phosphonocarbonsäure.
  • Beispiele für die organische Carbonsäure beinhalten eine Acrylsäure, eine Oxalsäure, eine Malonsäure, eine Bernsteinsäure, eine Glutarsäure, eine Gluconsäure, eine Adipinsäure, eine Pimelinsäure, eine Azelainsäure, eine Sebacinsäure, eine Nonandicarbonsäure, eine Decandicarbonsäure, eine Undecandicarbonsäure, eine Maleinsäure, eine Itaconsäure, eine Apfelsäure, eine Zitronensäure und eine Weinsäure.
  • Beispiele für die Aminopolycarbonsäure beinhalten Di(carboxymethyl)asparaginsäure, Iminodiessigsäure, Nitrilotriessigsäure, Nitrilotripropionsäure, Ethylendiaminmonohydroxyethyltriessigsäure, Ethylendiamintetraessigsäure, Glycolethertetraessigsäure, 1,2-Diaminopropantetraessigsäure, Diethylentriaminpentaessigsäure, Triethylentetraminhexaessigsäure, 1,3-Diamino-2-propanoltetraessigsäure, Glycoletherdiamintetraessigsäure, und die Verbindungen, die beschrieben sind in der JP-A-52-25632, JP-A-55-67747, JP-A-57-102624 und JP-B-53-40900.
  • Beispiele für die organische Phosphonsäure beinhalten Hydroxyalkylidendiphosphonsäure, wie beschrieben in den U.S.-Patenten 3,214,454 und 3,794,591 und der deutschen Patentanmeldung (OLS) Nr. 2,227,396, und die Verbindungen, die beschrieben sind in Research Disclosure, Band. 181, Nr. 18170 (Mai 1979).
  • Beispiele für die Aminophosphonsäure beinhalten Aminotris(methylenphosphonsäure), Ethylendiamintetramethylenphosphonsäure, Aminotrimethylenphosphonsäure, und die Verbindungen, die beschrieben sind in Research Disclosure (supra), Nr. 18170, und in der JP-A-57-208554, JP-A-54-61125, JP-A-55-29883 und JP-A-56-97347.
  • Beispiele für die organische Phosphonocarbonsäure beinhalten die Verbindungen, die beschrieben sind in der JP-A-52-102726, JP-A-53-42730, JP-A-54-121127, JP-A-55-4024, JP-A-55-4025, JP-A-55-126241, JP-A-55-65955, JP-A-55-65956 und in Research Disclosure (supra), Nr. 18170.
  • Der organische und/oder anorganische Chelatbildner ist jeweils nicht begrenzt auf die oben Beschriebenen. Weiterhin können sie in Form eines Alkalimetallsalzes oder eines Ammoniumsalzes verwendet werden. Der Chelatbildner wird bevorzugt in einer Menge von 1 × 10–4 bis 1 × 10–1 Mol, bevorzugter von 1 × 10–3 bis 1 × 10–2 Mol pro Liter des Entwicklers hinzugegeben.
  • Die Verbindungen der vorliegenden Erfindung als ein Inhibitor der Silberfleckenbildung können einzeln oder in Kombination mit einer Verbindung verwendet werden, die beschrieben ist in der JP-B-56-24347, JP-B-56-46585, JP-B-62-2849 und JP-A-4-362942 oder mit einem Polyoxyalkylphosphat, das beschrieben ist in U.S.-Patent 5,457,011. Der Inhibitor der Silberfleckenbildung wird in einer Menge von vorzugsweise 0,05 bis 10 mmol, bevorzugter von 0,1 bis 5 mmol pro Liter des Entwicklers hinzugegeben.
  • Weiterhin kann der Entwickler die in der JP-A-62-212651 beschriebene Verbindung als Inhibitor ungleichmäßiger Entwicklung und die in der JP-A-61-267759 beschriebene Verbindung als Lösungsvermittler verwenden.
  • Der Entwickler kann auch einen Farbtoner, ein oberflächenaktives Mittel, ein Entschäumungsmittel und ein Härtungsmittel enthalten, wenn gewünscht.
  • Der Entwickler besitzt bevorzugt einen pH von 9,0 bis 12,0, bevorzugter von 9,5 bis 11,0, besonders bevorzugt von 9,5 bis 10,7. Der pH des Entwicklerauffüllmittels und der pH des Entwicklers in einem Entwicklertank bei der kontinuierlichen Bearbeitung liegen auch im selben Bereich wie oben beschrieben. Das Alkalimittel, das verwendet wird, um den pH einzustellen, kann ein gewöhnliches wasserlösliches anorganisches Alkalimetallsalz (z.B. Natriumhydroxid, Kaliumhydroxid, Natriumcarbonat, Kaliumcarbonat) sein.
  • Die Wiederauffüllmenge des Entwicklers beträgt 390 ml oder weniger, bevorzugt 30 bis 325 ml, am bevorzugtesten 120 bis 180 ml pro 1 m2 des lichtempfindlichen Materials. Das Entwicklerwiederauffüllmittel kann die gleiche Zusammensetzung und/oder Konzentration besitzen wie die Entwicklersstarterlösung, oder es kann eine Zusammensetzung und/oder Konzentration besitzen, die verschieden ist von der Starterlösung.
  • Beispiele für den Fixierer in dem Fixierungsbearbeitungsmittel zur Verwendung bei der vorliegenden Erfindung beinhalten Ammoniumthiosulfat, Natriumthiosulfat und Ammonium-Natrium-Thiosulfat. Die verwendete Menge des Fixierungsmittels kann angemessen variiert werden, jedoch liegt sie im allgemeinen bei etwa 0,7 bis etwa 3,0 mol/l.
  • Die Fixierlösung zur Verwendung bei der vorliegenden Erfindung kann ein wasserlösliches Aluminiumsalz oder ein wasserlösliches Chromsalz enthalten, das als Härtungsmittel wirkt, wobei von diesen ein wasserlösliches Aluminiumsalz bevorzugt ist. Beispiele hierfür beinhalten Aluminiumchlorid, Aluminiumsulfat, Kaliumalaun, Ammonium-Aluminium-Sulfat, Aluminiumnitrat und Aluminiumlactat. Diese sind im Hinblick auf die Aluminiumionenkonzentration in der verwendeten Lösung jeweils bevorzugt in einer Menge von 0,01 bis 0,15 Mol/l enthalten.
  • Wenn die Fixierlösung als konzentrierte Lösung oder als festes Mittel gelagert wird, so kann diese durch eine Mehrzahl an Teilen zur Herstellung eines Härtungsmittels oder dergleichen als jeweils separater Teil aufgebaut sein, oder sie kann als einteiliges Mittel aufgebaut sein, das alle Komponenten enthält.
  • Das Mittel zur Fixierungsbearbeitung kann, wenn gewünscht, einen Konservierungsstoff (z.B. Sulfit, Bisulfit, Metabisulfit, in einer Menge von 0,015 Mol/l oder mehr, bevorzugt von 0,02 bis 0,3 Mol/l), einen pH-Puffer (z.B. Essigsäure, Natriumacetat, Natriumcarbonat, Natriumhydrogencarbonat, Phosphorsäure, Bernsteinsäure, Adipinsäure, in einer Menge von 0,1 bis 1 Mol/l, bevorzugt von 0,2 bis 0,7 Mol/l) oder eine Verbindung mit der Befähigung zur Aluminiumstabilisierung oder zum Weichmachen von hartem Wasser (z.B. Gluconsäure, Iminodiessigsäure, 5-Sulfosalicylsäure, Glucoheptansäure, Apfelsäure, Weinsäure, Zitronensäure, Oxalsäure, Maleinsäure, Glykolsäure, Benzoesäure, Salicylsäure, Tylon, Ascorbinsäure, Glutarsäure, Asparaginsäure, Glycin, Cystein, Ethylendiamintetraessigsäure, Nitrilotriessigsäure, ein Derivat und ein Salz hiervon, Saccharide, Borsäure, in einer Menge von 0,001 bis 0,5 Mol/l, bevorzugt von 0,005 bis 0,3 Mol/l) enthalten.
  • Zusätzlich kann der Entwickler eine Verbindung, die in der JP-A-62-78551 beschrieben ist, ein Mittel zur pH-Einstellung (z.B. Natriumhydroxid, Ammoniak, Schwefelsäure), ein oberflächenaktives Mittel, ein Befeuchtungsmittel oder einen Fixationsbeschleuniger enthalten. Beispiele des oberflächenaktiven Mittels beinhalten anionische oberflächenaktive Mittel, wie etwa ein sulfatiertes oder sulfoniertes Produkt, auf Polyethylen basierende oberflächenaktive Mittel, und amphotere oberflächenaktive Mittel, wie beschrieben in der JP-A-57-6840. Ein bekanntes Entschäumungsmittel kann ebenfalls verwendet werden. Beispiele für das Befeuchtungsmittel beinhalten Alkanolamin und Alkylenglykol. Beispiele für den Fixationsbeschleuniger beinhalten Alkyl- oder Arylsubstituierte Thiosulfonsäuren und Salze hiervon, wie beschrieben in der JP-A-6-308681, Thioharnstoff-Derivate, wie beschrieben in der JP-B-45-35754, JP-B-58-122535 und JP-B-58-122536, Alkohole mit einer Dreifachbindung im Molekül, Thioetherverbindungen, wie beschrieben im US-Patent 4,126,459, Mercaptoverbindungen, wie beschrieben in der JP-A-1-4739, JP-A-1-159645 und JP-A-3-101728, mesoionische Verbindungen, wie beschrieben in der JP-A-4-170539, und Thiocyanate.
  • Die Fixierlösung zur Verwendung bei der vorliegenden Erfindung besitzt einen pH von 4,0 oder mehr, bevorzugt von 4,5 bis 6,0, und bevorzugter von 4,7 bis 5,0.
  • Die Auffüllmenge der Fixierlösung beträgt 500 ml oder weniger, bevorzugt 390 ml oder weniger, bevorzugter 80 bis 320 ml pro 1 m2 des lichtempfindlichen Materials. Das Auffüllmittel kann dieselbe Zusammensetzung und/oder Konzentration besitzen wie die Starterlösung, oder es kann eine Zusammensetzung und/oder Konzentration besitzen, die von der Starterlösung abweicht.
  • Die Fixierlösung kann wieder verwendet werden, etwa unter Verwendung eines bekannten Regenerationsverfahrens für Fixierlösungen, wie etwa elektrolytischer Silberwiedergewinnung. Beispiele für den Wiedergewinnungsapparat beinhalten Reclaim R-60, hergestellt von Fuji Hunt Electronics Technology Co., Ltd.
  • Wenn der Entwickler oder die Fixierungs-Bearbeitungslösung zur Verwendung bei der vorliegenden Erfindung in flüssiger Form gelagert wird, so wird er/sie bevorzugt in einem Verpackungsmaterial gelagert, das eine niedrige Sauerstoffdurchlässigkeit besitzt, wie beschrieben z.B. in der JP-A-61-73147. Und, wenn diese Lösung jeweils als konzentrierte Lösung bereitgestellt wird, wird sie mit Wasser verdünnt, um bei der Verwendung eine vorab festgelegte Konzentration zu haben, wobei das Wasser zur Verdünnung in einer Menge von 0,2 bis 3 Anteilen pro 1 Anteil der konzentrierten Lösung verwendet wird.
  • Wenn das Entwicklungsbearbeitungsmittel oder das Fixierungsbearbeitungsmittel zur Verwendung bei der vorliegenden Erfindung als Feststoff verwendet wird, können die gleichen Effekte erhalten werden, wie sie durch das flüssige Mittel bereitgestellt werden. Das feste Bearbeitungsmittel ist unten beschrieben.
  • Das feste Bearbeitungsmittel zur Verwendung bei der vorliegenden Erfindung kann in einer bekannten Form verwendet werden (z.B. als Pulver, Körner, Granulat, Brocken, Tablette, Pressling, Brikett, Platte, gebrochenes Produkt, Stift, Paste). Das feste Mittel kann hergestellt werden, indem man entsprechende Bestandteile mit einem wasserlöslichen Beschichtungsmittel überzieht, oder indem man einen Film aufschichtet, um so Bestandteile voneinander zu trennen, die bei Kontakt miteinander reagieren, oder es kann eine mehrschichtige Struktur besitzen, um so Bestandteile zu trennen, die miteinander reagieren. Diese Techniken können auch in Kombination verwendet werden.
  • Die Beschichtung kann unter Verwendung einer bekannten Verbindung, Polyvinylpyrrolidon, Polyethylenglykol und sulfoniertem Polystyrol durchgeführt werden, wobei eine Vinyl-basierte Verbindung bevorzugt ist. Zusätzlich können Gelatine, Pektin, Polyacrylsäure, Polyvinylalkohol, Vinylacetat-Copolymer, Polyethylenoxid, Natrium-Carboxymethylcellulose, Hydroxypropylcellulose, Methylcellulose, Ethylcellulose, Alginsäure, Xanthangummi, Gummi arabicum, Tragacanth-Gummi, Carrageenan, Methylvinylether, Maleinsäureanhydrid-Copolymer, ein Polyoxyethylenalkylether, wie etwa Polyoxyethylen-Stearylether und Polyoxyethylenethylether, ein Polyoxyethylenalkylphenolether, wie etwa Polyoxyethylenoctylphenolether und Polyoxyethylennonylphenolether, oder ein wasserlösliches Bindemittel, beschrieben in der EP 469,877A , einzeln oder in Kombination von zwei oder mehr hiervon verwendet werden. Diese können jeweils auch als Granulations-Hilfsmittel verwendet werden.
  • Im Fall einer mehrlagigen Struktur kann eine Komponente, die bei Kontakt nicht reagiert, zwischen Komponenten angeordnet werden, die miteinander reagieren, und die Schichtstruktur kann zu einer Tablette oder zu einem Brikett weiterverarbeitet werden. Alternativ können Komponenten in einer bekannten Form auch in derselben Schichtstruktur angeordnet und dann verpackt werden. Diese Verfahren sind z.B. beschrieben in der JP-A-61-259921, JP-A-4-15641, JP-A-4-16841, JP-A-4-32837, JP-A-4-78848 und JP-A-5-93991.
  • Das feste Bearbeitungsmittel hat eine Schüttdichte von bevorzugt 0,5 bis 6,0 g/cm3, speziell im Fall einer Tablette beträgt diese bevorzugt 1,0 bis 5,0 g/cm3, und im Fall eines Granulats von 0,5 bis 1,5 g/cm3.
  • Das feste Bearbeitungsmittel zur Verwendung bei der vorliegenden Erfindung kann mittels jedes bekannten Verfahrens hergestellt werden. Beispielsweise ist das Packverfahren beschrieben in der JP-A-61-259921, JP-A-4-16841 und JP-A-4-78848, und das Pressverfahren ist beschrieben in der JP-A-4-85533, JP-A-4-85534, JP-A-4-85535, JP-A-5-134362, JP-A-5-197070, JP-A-5-204098, JP-A-5-224361, JP-A-6-138604 und JP-A-6-138605.
  • Spezifischer können ein Rollgranulationsverfahren, ein Extrusions-Granulationsvertahren, ein Press-Granulationsverfahren, ein Bruch-Granulationsvertahren, ein Rühr-Granulationsverfahren, ein Sprühtrocknungsverfahren, ein Lösungs-Koagulationsverfahren, ein Brikettierverfahren oder ein Roller-Verdichtungsverfahren verwendet werden. Die Korngröße und die Form des granulierten Produkts, das für die vorliegende Erfindung geeignet ist, variiert in Abhängigkeit von den gewünschten Eigenschaften, jedoch ist es im Allgemeinen so, dass bei Berücksichtigung der Löslichkeit des gewünschten photografischen Bearbeitungsmittels und der verbleibenden Pulvermenge in der Abfallverpackung nach Herstellen der Lösung oder der Bruchfestigkeit des granulierten Produkts aufgrund der Vibration beim Transport im Falle des Granulats die Korngröße bei der Kugel-Umwandlung etwa 0,5 bis 50 mm, bevorzugt etwa 1 bis 15 mm beträgt, wobei die Form zylindrisch, kugelig, würfelförmig, oder rechteckig-parallelogrammartig ist, wobei eine kugelige oder zylindrische Form bevorzugt ist.
  • Das feste Bearbeitungsmittel, das durch ein Rollerverdichtungsverfahren hergestellt wird, kann gebrochen und dann gesiebt werden, um eine Größe von etwa 2 mm bis 1 cm zu haben.
  • Im Falle eines Briketts oder einer Tablette variieren die Korngröße und die Form in ähnlicher Weise in Abhängigkeit von den gewünschten Eigenschaften, jedoch liegt die Größe vorzugsweise im Größenbereich von 2 mm bis 5 cm, und die Form ist bevorzugt eine zylindrische, kugelige, würfelförmige oder rechteckig-parallelogrammartige Form, bevorzugter eine kugelige oder zylindrische Form. Wenn eine Verbesserung der Löslichkeit erwünscht ist, kann eine abgeflachte Form, die in ihrer Dicke reduziert ist oder im zentralen Bereich in ihrer Dicke weiter reduziert ist, oder eine hohle Krapfenform nützlich sein. Im Gegensatz dazu kann die Größe oder Dicke weiter gesteigert werden, um so die Auflösung graduell durchzuführen. Somit können die Größe und Form nach Bedarf ausgewählt werden. Um die Löslichkeit zu kontrollieren, kann der Oberflächenzustand (z.B. glatt, porös) verändert werden. Es ist auch möglich, einer Mehrzahl granulierter Produkte verschiedene Löslichkeiten zu verleihen oder eine Vielzahl von Formen zu haben, um so die Löslichkeit von Materialien, die sich in ihrer Löslichkeit unterscheiden, anzugleichen. Weiterhin kann ein granuliertes Produkt mit einer Vielzahl von Schichten, die sich in ihrer Zusammensetzung zwischen der Oberfläche und der Innenseite unterscheiden, verwendet werden.
  • Das Verpackungsmaterial für das feste Bearbeitungsmittel ist vorzugsweise ein Material mit einer geringen Durchlässigkeit für Sauerstoff und Wasser. Die Form des Verpackungsmaterials kann eine bekannte Form, wie etwa ein Sack, ein Zylinder oder eine Box sein. Ferner ist außerdem eine Form bevorzugt, die zur Faltung befähigt ist, wie offenbart in der JP-A-6-242585 bis JP-A-6-242588, JP-A-6-247432, JP-A-6-247448, JP-A-7-5664, JP-A-7-5666 bis JP-A-7-5669, um so den Platz für die Lagerung von Abfallverpackungsmaterialien zu sparen. Das Verpackungsmaterial kann an der Entnahmeöffnung für das Bearbeitungsmittel mit einer Schraubkappe, mit einem Aufreißdeckel oder mit einer Aluminiumversiegelung verschlossen sein, oder es kann hitzeversiegelt sein, und es kann weiterhin ein bekanntes Mittel verwendet werden, wobei die vorliegende Erfindung hierbei jedoch in keiner Weise darauf beschränkt ist. Im Hinblick auf den Umweltschutz wird das Abfall-Verpackungsmaterial bevorzugt recycelt oder wieder verwendet.
  • Das Verfahren zum Lösen oder Wiederauffüllen des festen Bearbeitungsmittels, das bei der vorliegenden Erfindung verwendet wird, ist nicht spezifisch eingeschränkt, und es können bekannte Verfahren verwendet werden. Beispiele des Verfahrens beinhalten ein Verfahren zum Auflösen einer konstanten Menge an festem Bearbeitungsmittel in einem Lösungsapparat mit einer Rühr- bzw. Schüttelfunktion und dessen Wiederauffüllen, ein Verfahren zum Lösen eines festen Bearbeitungsmittels in einem Auflösungsapparat mit einem Auflöseabschnitt und einem Abschnitt zum Lagern der fertigen Lösung und dem Wiederauffüllen der Lösung aus dem Stammansatz, wie beschrieben in der japanischen Patentanmeldung Nr. Hei. 7-235499, ein Verfahren zum Einbringen eines Bearbeitungsmittels in ein Kreislaufsystem einer automatischen Entwicklermaschine und zum Lösen und Wiederauffüllen desselben in dem System, wie beschrieben in der JP-A-5-119454, JP-A-6-19102 und JP-A-7-261357, und ein Verfahren zum Einbringen und Lösen eines Bearbeitungsmittels gemäß der Bearbeitung eines lichtempfindlichen Materials in einer automatischen Entwicklermaschine, die einen Lösungstank enthält. Außerhalb dieser genannten kann jedes bekannte Verfahren verwendet werden. Das Einbringen des Bearbeitungsmittels kann durchgeführt werden, indem man die Packung manuell öffnet und das Bearbeitungsmittel eingibt, oder mittels automatischen Öffnens und automatischer Eingabe in einen Lösungsapparat oder eine automatische Entwicklermaschine mit einem Öffnungsmechanismus, wie beschrieben in der japanischen Patentanmeldung Nr. Hei. 7-235498. Im Hinblick auf die Arbeitsumgebung ist letztgenannte bevorzugt. Spezifische Beispiele des Verfahrens beinhalten ein Verfahren zum Aufreißen, Abziehen, Abschneiden oder Wegdrücken der Entnahmeöffnung und die Verfahren, die beschrieben sind in der JP-A-6-19102 und JP-A-6-95331.
  • Das lichtempfindliche Material, das durch die Entwicklung und Fixierung bearbeitet wurde, wird dann dem Waschen mit Wasser oder der Stabilisation unterzogen (hier im Folgenden, wenn nicht anders spezifiziert, beinhaltet das Wasserwaschen Stabilisation, und die Lösung zur Verwendung hierbei wird als Wasser oder Waschwasser bezeichnet). Das Wasser zur Verwendung beim Wasserwaschen kann Leitungswasser, Ionenaustauschwasser, destilliertes Wasser oder eine Stabilisierungslösung sein. Die Nachfüllmenge des Waschwassers liegt gewöhnlich bei etwa 8 l bis etwa 17 l pro m2 des lichtempfindlichen Materials, jedoch kann eine Nachfüllmenge von weniger als dem oben beschriebenen Bereich ebenfalls verwendet werden. Insbesondere dann, wenn die Nachfüllmenge 3 l oder weniger beträgt (einschließlich 0, nämlich bei stehender Wasserwaschung), kann nicht nur eine Bearbeitung mit Wasserersparnis durchgeführt werden, sondern die Bearbeitung kann auch auf die Rohrleitungen für die Installation einer automatischen Entwicklermaschine verzichten. Wenn das Wasserwaschen mit einer kleinen Nachfüllmenge an Wasser durchgeführt wird, so wird bevorzugt ein Spültank bereitgestellt, wie etwa bei dem Quetschroller oder Überfahrroller (Cross-over Roller), wie er in der JP-A-63-18350 und JP-A-62-287252 beschrieben ist. Oder die Zugabe verschiedener Oxidationsmittel (z.B. Ozon, Wasserstoffperoxid, Natriumhypochlorit, aktives Halogen, Chlordioxid, Natriumcarbonat-Wasserstoffperoxid-Salz) oder eine Filterfiltration können kombiniert werden, um so die Verschmutzungsbelastung zu reduzieren, die ein Problem ist, dem man beim Wasserwaschen mit einer kleinen Menge an Wasser zum Verhindern von Wasserablagerungen begegnet.
  • Als Verfahren zum Reduzieren der Nachfüllmenge an Waschwasser ist seit langem ein mehrstufiges Gegenstromsystem (z.B. zwei Stufen oder drei Stufen) bekannt, und die Wiederauffüllmenge an Waschwasser beträgt bevorzugt 50 bis 200 ml pro m2 des lichtempfindlichen Materials. Dieser Effekt kann in ähnlicher Weise auch im Falle eines unabhängigen Mehrstufensystems erhalten werden (ein Verfahren, das kein Gegenstromsystem verwendet, sondern eine neue Lösung einzeln den Mehrstufen-Wasserwaschtanks zuführt).
  • Bei dem Verfahren der vorliegenden Erfindung kann ein Mittel zum Verhindern von Wasserablagerungen in dem Wasserwaschschritt bereitgestellt werden. Das Wasserablagerungen verhindernde Mittel ist nicht speziell eingeschränkt, und es können bekannte Mittel verwendet werden. Beispiele hierfür beinhalten ein Verfahren zum Zugeben eines Fungizids (so genannter Inhibitor von Wasserablagerungen), ein Verfahren zum Applizieren von Elektrizität, ein Verfahren zum Bestrahlen mit ultravioletten Strahlen, Infrarotstrahlen oder Strahlen im fernen Infrarot, ein Verfahren zum Applizieren eines magnetischen Feldes, ein Verfahren zum Durchführen einer Ultraschallwellenbehandlung, ein Verfahren zum Applizieren von Hitze und ein Verfahren zum Evakuieren des Tanks beim Stehen. Das Wasserablagerungen verhindernde Mittel kann gemäß der Bearbeitung des lichtempfindlichen Materials angewandt werden, es kann ungeachtet des Verwendungszustands in einem vorab festgelegten Intervall angewandt werden, oder es kann nur in der Zeitspanne der Nicht-Bearbeitungszeit, wie etwa nachts, angewandt werden. Alternativ kann das Waschwasser zuvor mit einem Wasserablagerungen verhindernden Mittel behandelt und dann wiederaufgefüllt werden. Außerdem ist es im Hinblick auf die Verhinderung der Erzeugung resistenter Mikroben bevorzugt, verschiedene Wasserablagerungen verhindernde Mittel jeweils bei vorab festgelegter Zeitspanne anzuwenden.
  • Das Fungizid ist nicht speziell eingeschränkt, und es kann ein bekanntes Fungizid verwendet werden. Beispiele hierfür beinhalten, zusätzlich zu den oben beschriebenen Oxidationsmitteln, Glutaraldehyd, einen Chelatbildner, wie etwa Aminopolycarbonsäure, ein kationisches oberflächenaktives Mittel und Mercaptopyridinoxid (z.B. 2-Mercaptopyridin-N-Oxid); hierbei kann ein Fungizid alleine verwendet werden, oder es kann eine Vielzahl von Fungiziden in Kombination verwendet werden.
  • Die Elektrizität kann gemäß dem Verfahren appliziert werden, das in der JP-A-3-224685, JP-A-3-224687, JP-A-4-16280 oder der JP-A-4-18980 beschrieben ist.
  • Ein bekanntes wasserlösliches, oberflächenaktives Mittel oder ein Entschäumungsmittel kann hinzugegeben werden, um so eine ungleichmäßige Bearbeitung aufgrund von Blasen- bzw. Schaumbildung zu verhindern oder um die Übertragung von Flecken zu verhindern. Weiterhin kann ein Farbstoffadsorptionsmittel, wie beschrieben in der JP-A-63-163456, in dem Wasserwaschsystem bereitgestellt werden, um so Flecken aufgrund eines aus dem lichtempfindlichen Material herausgelösten Farbstoffs zu verhindern.
  • Die Überschusslösung aus dem Wasserwaschschritt kann teilweise oder vollständig verwendet werden, indem man diese mit der Bearbeitungslösung mischt, die Fixierfähigkeit besitzt, wie beschrieben in der JP-A-60-235133. Im Hinblick auf den Schutz der natürlichen Umwelt ist es außerdem bevorzugt, den biochemischen Sauerstoffbedarf (BOD), den chemischen Sauerstoffbedarf (COD) oder den Iodverbrauch vor dem Abfluss zu reduzieren, indem man die Lösung einer Mikroorganismenbehandlung (einer Behandlung mit einem Filter, der einen porösen Träger umfasst, wie etwa aus aktivier tem Kohlenstoff oder Keramik, der darauf befindlich Schwefeloxidations-Bakterien, einen Aktivschlammprozess oder Mikroorganismen trägt) oder einer Oxidationsbehandlung durch elektrische Entladung oder mit einem Oxidationsmittel unterzieht, oder die Silberkonzentration in dem Abfallwasser zu reduzieren, indem man die Lösung unter Verwendung eines Polymers mit Affinität für Silber durch einen Filter leitet, oder eine Verbindung hinzugibt, die einen schwer löslichen Silberkomplex ausbildet, wie etwa Trimercaptotriazin, um Silber zu präzipitieren, und die Lösung dann durch einen Filter zu leiten.
  • In einigen Fällen, kann die Stabilisierung nach dem Wasserwaschen durchgeführt werden, und als ein Beispiel kann ein Bad, das die in der JP-A-2-201357, JP-A-2-132435, JP-A-1-102553 und JP-A-46-44446 beschriebene Verbindung enthält, als abschließendes Bad für das lichtempfindliche Material verwendet werden. Dieses Stabilisierungsbad kann auch, wenn gewünscht, eine Ammoniumverbindung, eine Metall-Verbindung, wie etwa Bi oder Al, ein fluoreszierendes Aufhellungsmittel, verschiedene Chelatbildner, ein den Schicht-pH einstellendes Mittel, ein Schicht-Härtungsmittel, ein Bakterizid, ein Fungizid, ein Alkanolamin oder ein oberflächenaktives Mittel enthalten.
  • Die Additive und die Stabilisatoren, wie etwa ein Fungizid, die zu der Wasserwaschung oder dem Stabilisierungsbad hinzugegeben werden, können, ähnlich wie bei den oben beschriebenen Entwicklern und Fixiermitteln, in Form eines festen Mittels ausgebildet werden.
  • Die Abfalllösung des Entwicklers, der Fixierlösung, das Waschwasser oder die Stabilisierungslösung zur Verwendung bei der vorliegenden Erfindung werden vorzugsweise zur Entsorgung verbrannt. Die Abfalllösung kann auch zu einer konzentrierten Lösung oder einem Feststoff gemacht werden, und zwar mittels eines Konzentrationsapparates, wie er z.B. in der JP-B-7-83867 und dem US-Patent 5,439,560 beschrieben ist, und dann entsorgt werden.
  • In dem Fall, dass die Nachfüllmenge des Bearbeitungsmittels reduziert wird, ist es bevorzugt, Verdunstung oder Luftoxidation der Lösung zu vermeiden, indem man die Kontaktfläche des Bearbeitungstanks mit der Luft reduziert. Eine automatische Entwicklungsmaschine des Roller-Transporttyps ist in den US-Patenten 3,025,779 und 3,545,971 beschrieben, und in der vorliegenden Erfindung wird diese einfach als automatische Anlage des Roller-Transporttyps bezeichnet. Diese automatische Anlage umfasst die vier Schritte der Entwicklung, Fixierung, des Wasserwaschens und Trocknens, und es ist am bevorzugtesten, dieser Vier-Schritt-Bearbeitung auch bei der vorliegenden Erfindung zu folgen, obwohl weitere Schritte (z.B. Abstopp-Schritte) nicht ausgeschlossen sind. Weiterhin kann ein Spülbad zwischen der Entwicklung und Fixierung und/oder zwischen dem Fixieren und Wasserwaschen bereitgestellt werden.
  • Bei dem Entwicklungsverfahren der vorliegenden Erfindung beträgt die Trocken-nach-Trocken-Zeitspanne bevorzugt 25 bis 160 Sekunden, die Entwicklungszeit und die Fixierzeit betragen jeweils 40 Sekunden oder weniger, bevorzugt 6 bis 35 Sekunden, und die Temperatur jeder Lösung beträgt bevorzugt 25 bis 50°C, bevorzugter 30 bis 40°C. Die Temperatur und Dauer des Wasserwaschens betragen bevorzugt 0 bis 50°C bzw. 40 Sekunden oder weniger. Gemäß dem Verfahren der vorliegenden Erfindung kann das lichtempfindliche Material nach dem Entwickeln, Fixieren und Wasserwaschen durch Quetschroller geleitet werden, um Waschwasser herauszupressen, wonach die Trocknung erfolgt. Das Trocknen erfolgt bei einer Temperatur von etwa 40°C bis etwa 100°C. Die Trocknungszeit kann in Abhängigkeit von der Außenbedingung angemessen variiert werden. Das Trocknungsverfahren ist nicht speziell eingeschränkt, und es kann jedes bekannte Verfahren verwendet werden, jedoch können Heißlufttrocknung, Trocknung durch Heizroller, wie offenbart in der JP-A-4-15534, JP-A-5-2256 und JP-A-5-289294, und Trocknung durch Strahlen im fernen Infrarot verwendet werden, und eine Vielzahl von Trocknungsverfahren kann in Kombination verwendet werden.
  • In der Silberhalogenid-Emulsion zur Verwendung in dem lichtempfindlichen Material, das bei der vorliegenden Erfindung verwendet wird, kann das Silberhalogenid jedes in der Silberhalogenid-Emulsion gebräuchlich verwendete Silberhalogenid sein, wie etwa Silberbromid, Silberiodidbromid, Silberchlorid, Silberchloridbromid und Silberchloridiodidbromid, und es ist bevorzugt für die negative Silberhalogenid-Emulsion, dass diese Silberchloridbromid mit einem Silberchloridgehalt von 60 Mol-% oder mehr besitzt, und für die positive Silberhalogenid-Emulsion, dass diese Silberchloridbromid, Silberbromid oder Silberiodidbromid, jeweils mit einem Silberbromidgehalt von 60 Mol-% oder mehr, aufweist. Das Silberhalogenidkorn kann durch ein beliebiges aus einem Säureverfahren, einem neutralen Verfahren und einem Ammoniakverfahren erhalten werden. Das Silberhalogenidkorn kann entweder ein Korn mit einer gleichförmigen Verteilung der Silberhalogenid-Zusammensetzung im Korn sein, oder es kann im Bezug auf Kern/Schale verschiedenartig hinsichtlich der Silberhalogenid-Zusammensetzung zwischen der Innenseite und der Oberflächenschicht des Korns sein. Weiterhin kann das Silberhalogenidkorn entweder ein Korn sein, bei dem ein latentes Bild hauptsächlich auf der Oberfläche ausgebildet wird, oder ein Korn, bei dem das latente Bild hauptsächlich im Inneren des Korns ausgebildet wird. Die Oberfläche des Korns kann zuvor einer Schleierbildung unterzogen werden. Das Silberhalogenid-Korn zur Verwendung bei der vorliegenden Erfindung kann jede beliebige Form haben. Ein bevorzugtes Beispiel ist eine würfelförmige Form mit einer Kristalloberfläche der Oberfläche {100}. Weiterhin kann ein Korn mit einer octaedrischen, tetradecaedrischen oder dodecaedrischen Form gemäß den Verfahren hergestellt werden, die beschrieben sind in den US-Patenten 4,183,756 und 4,225,666, in der JP-A-55-26589, JP-B-55-42737, in J. Photogr. Sci., 21-39 (1973), und verwendet werden.
  • Darüber hinaus kann ein Korn mit einer Doppelfläche verwendet werden. Die Silberhalogenidkörner zur Verwendung bei der vorliegenden Erfindung können eine einheitliche Form besitzen, oder es kann ein Gemisch von Körnern mit verschiedenen Formen verwendet werden. Bei der vorliegenden Erfindung ist eine monodisperse Emulsion bevorzugt. Bei den monodispersen Silberhalogenidkörnern in der monodispersen Emulsion macht das Gewicht der Silberhalogenidkörner mit einer Korngröße von einer Durchschnittskorngröße γ ± 10% bevorzugt 60% oder mehr des Gewichts aller Silberhalogenidkörner aus.
  • Die Silberhalogenid-Emulsion zur Verwendung bei der vorliegenden Erfindung ist im Hinblick auf die Halogenzusammensetzung nicht speziell eingeschränkt, jedoch sind, um die Ziele der vorliegenden Erfindung effektiver zu erreichen, Silberchlorid, Silberchloridbromid und Silberchloridiodidbromid, jeweils mit einem Silberchloridgehalt von 50 Mol-% oder mehr, bevorzugt. Der Silberiodidgehalt beträgt bevorzugt weniger als 5 Mol-%, bevorzugter weniger als 2 Mol-%.
  • Bei der vorliegenden Erfindung kann ein lichtempfindliches Material, das für die Belichtung bei hoher Beleuchtungsstärke geeignet ist, wie etwa bei einer Scannerbelichtung oder ein lichtempfindliches Material für die „Line Work"-Photographie, eine Rhodiumverbindung enthalten, um einen hohen Kontrast und geringe Trübung zu erreichen.
  • Eine wasserlösliche Rhodiumverbindung kann als Rhodiumverbindung zur Verwendung bei der vorliegenden Erfindung verwendet werden. Beispiele hierfür beinhalten Rhodium(III)halogenidverbindungen und Rhodiumkomplexsalze mit einem Halogen, einem Amin oder einem Oxalat als Liganden, wie etwa ein Hexachlorrhodium(III)komplexsalz, Hexabromrhodium(III)komplexsalz, Hexaminrhodium(III)komplexsalz und ein Trioxalatrhodium(III)komplexsalz. Die Rhodiumverbindung wird vor der Verwendung in Wasser oder einem geeigneten Lösungsmittel gelöst, jedoch kann ein Verfahren verwendet werden, das gebräuchlicher Weise für die Stabilisierung der Lösung der Rhodiumverbindung verwendet wird, d.h. ein Verfahren des Zugebens einer wässrigen Lösung des Halogenwasserstoffs (z.B. Salzsäure, Bromsäure, Fluorsäure) oder von Alkalihalogenid (z.B. KCl, NaCl, KBr, NaBr).
  • Anstelle der Verwendung von wasserlöslichem Rhodium, können separate Silberhalogenidkörner, die zuvor mit Rhodium dotiert wurden, hinzugegeben und zum Zeitpunkt der Herstellung des Silberhalogenids gelöst werden.
  • Die Menge der zugegebenen Rhodiumverbindung liegt bei 1 × 10–8 bis 5 × 10–6 Mol, bevorzugt bei 5 × 10–8 bis 1 × 10–6 Mol pro Mol an Silber in der Silberhalogenid-Emulsion.
  • Die Rhodiumverbindung kann geeigneter Weise zum Zeitpunkt der Herstellung der Silberhalogenid-Emulsionskörner oder an entsprechenden Stadien vor der Aufschichtung der Emulsion zugegeben werden, sie wird jedoch bevorzugt zur Zeit der Ausbildung der Emulsion zugegeben und in das Silberhalogenidkorn integriert.
  • Die photographische Emulsion zur Verwendung bei der vorliegenden Erfindung kann gemäß den Verfahren hergestellt werden, die beschrieben sind in P. Glafkides, Chimie et Physique Photographique, Paul Montel (1967), G.F. Duffin, Photographic Emulsion Chemistry, The Focal Press (1966), und V.L. Zelikman et al., Making and Coating Photographic Emulsion, The Focal Press (1964).
  • Ein lösliches Silbersalz und ein lösliches Halogensalz können durch ein beliebiges von einem Einzelstrahlverfahren, einem Doppelstrahlverfahren und einer Kombination hiervon umgesetzt werden.
  • Ein Verfahren zum Ausbilden von Körnern in Gegenwart von im Überschuss vorliegenden Silberionen (das sogenannte umgekehrte Mischverfahren) kann ebenfalls verwendet werden. Weiterhin kann ein Verfahren verwendet werden, bei dem man pAg in der Flüssigphase, in der das Silberhalogenid gebildet wird, konstant hält, ein so genanntes kontrolliertes Doppelstrahlverfahren als eine Form des Doppelstrahlverfahrens. Die Körner werden bevorzugt unter Verwendung eines so genannten Silberhalogenidlösungsmittels, wie etwa Ammoniak, Thioether oder tetra-substituiertem Thioharnstoff ausgebildet. Die tetra-substituierte Thioharnstoffverbindung ist bevorzugter und diese ist beschrieben in der JP-A-53-82408 und JP-A-55-77737. Bevorzugte Beispiele der Thioharnstoffverbindung beinhalten Tetramethylthioharnstoff und 1,3-Dimethyl-2-imidazolidinthion.
  • Bei dem kontrollierten Doppelstrahlverfahren und dem Kornausbildungsverfahren unter Verwendung eines Silberhalogenid-Lösungsmittels, kann eine Silberhalogenid-Emulsion mit einer regelmäßigen Kristallform und einer engen Korngrößenverteilung leicht hergestellt werden, und diese ist ein nützliches Mittel zum Herstellen einer Silberhalogenid-Emulsion für die Verwendung bei der vorliegenden Erfindung.
  • Das Silberhalogenid zur Verwendung bei der vorliegenden Erfindung ist hinsichtlich der Form des Korns nicht speziell eingeschränkt, und es kann ein beliebiges von einem würfelförmigen, oktaedrischen und kugeligen Silberhalogenidkorn verwendet werden, sowie zusätzlich blättrige Silberhalogenidkörner von hohem Schlankheitsverhältnis, wie beschrieben in Research Disclosure, 22534 (Januar 1983).
  • Um eine gleichmäßige Korngröße zu erreichen, ist es bevorzugt, Körner in dem Bereich, bei dem der kritische Sättigungsgrad nicht überschritten wird, rasch zu züchten, wobei ein Verfahren verwendet wird, um die Zugaberate von Silbernitrat oder Alkalihalogenid gemäß der Kornwachstumsgeschwindigkeit zu verändern, wie beschrieben im britischen Patent 1,535,016, in der JP-B-48-36890 und JP-B52-16364, oder ein Verfah ren zum Verändern der Konzentration der wässrigen Lösung, wie beschrieben im britischen Patent 4,242,445 und in der JP-A-55-158124.
  • Die Emulsion zur Verwendung bei der vorliegenden Erfindung ist bevorzugt eine monodisperse Emulsion mit einem Variationskoeffizienten von 20% oder weniger, bevorzugter von 15% oder weniger.
  • Die Körner in der monodispersen Silberhalogenid-Emulsion besitzen eine mittlere Korngröße von 0,5 μm oder weniger, bevorzugter von 0,1 bis 0,4 μm.
  • Die Silberhalogenid-Emulsion der vorliegenden Erfindung wird bevorzugt einer chemischen Sensibilisierung unterzogen. Die chemische Sensibilisierung kann unter Verwendung eines bekannten Verfahrens, wie etwa Schwefelsensibilisierung, Selen-Sensibilisierung, Tellur-Sensibilisierung oder Edelmetall-Sensibilisierung durchgeführt werden, und diese Sensibilisierungsverfahren können einzeln oder in Kombination verwendet werden. Wenn diese Sensibilisierungsverfahren in Kombination verwendet werden, sind eine Kombination von Schwefel-Sensibilisierung und Gold-Sensibilisierung, eine Kombination von Schwefel-Sensibilisierung, Selen-Sensibilisierung und Gold-Sensibilisierung, und eine Kombination von Schwefel-Sensibilisierung, Tellur-Sensibilisierung und Gold-Sensibilisierung bevorzugt.
  • Die Schwefel-Sensibilisierung zur Verwendung bei der vorliegenden Erfindung wird für gewöhnlich durchgeführt durch Zugeben eines Schwefel-Sensibilisators und Rühren der Emulsion bei einer hohen Temperatur von 40°C oder mehr für eine vorab festgelegte Zeitspanne. Der Schwefel-Sensibilisator kann eine bekannte Verbindung sein, und Beispiele hiervon beinhalten, zusätzlich zu der in Gelatine enthaltenen Schwefelverbindung, verschiedene Schwefelverbindungen, wie etwa Thiosulfate, Thioharnstoffe, Thiazole und Rhodanine. Bevorzugte Schwefelverbindungen sind eine Thiosulfat- und eine Thioharnstoff-Verbindung. Die Zugabemenge des Schwefel-Sensibilisators variiert in Abhängigkeit von verschiedenen Bedingungen, wie etwa dem pH und der Temperatur zum Zeitpunkt der chemischen Reifung und der Größe der Silberhalogenid-Körner, jedoch liegt sie allgemein bei 10–7 bis 10–2 Mol, bevorzugt bei 10–5 bis 10–3 Mol pro Mol an Silberhalogenid.
  • Beispiele für den Schwefel-Sensibilisator beinhalten, zusätzlich zu der in Gelatine enthaltenen Schwefelverbindung, verschiedene Schwefelverbindungen, wie etwa Thiosulfate, Thioharnstoffe, Thiazole und Rhodanine. Spezifische Beispiele hiervon beinhalten diejenigen, die beschrieben sind in den US-Patenten 1,574,944, 2,278,947, 2,410,689, 2,728,668, 3,501,313 und 3,656,955. Bevorzugte Schwefelverbindungen sind eine Thiosulfat- und eine Thioharnstoff-Verbindung. Der pAg bei der chemischen Sensibilisierung beträgt bevorzugt 8,3 oder weniger, bevorzugter 7,3 bis 8,0.
  • Weiterhin können gute Resultate auch erhalten werden durch ein Verfahren der Verwendung von Polyvinylpyrrolidon und einem Thiosulfat in Kombination, wie berichtet in Moisar, Klein Gelationc. Proc. Symp. 2nd, 301-309 (1970).
  • Der Selen-Sensibilisator zur Verwendung bei der vorliegenden Erfindung kann eine bekannte Selenverbindung sein. Die Selen-Sensibilisierung wird für gewöhnlich durchgeführt durch Zugeben einer labilen und/oder nicht-labilen Selenverbindung und Rühren der Emulsion bei einer hohen Temperatur von 40°C oder mehr für eine vorab festgelegte Zeitspanne. Beispiele für die labile Selenverbindung beinhalten die Verbindungen, die beschrieben sind in der JP-B-44-15748, JP-B-43-13489, JP-A-4-109240 und JP-A-4-324855, und unter diesen besonders bevorzugt sind die Verbindungen, die durch die Formeln (VIII) und (IX) der JP-A-4-324855 dargestellt sind.
  • Der Tellur-Sensibilisator zur Verwendung bei der vorliegenden Erfindung ist eine Verbindung zur Ausbildung von Silber-Tellurid, von dem angenommen wird, dass es einen Sensibilisierungspunkt darstellt, auf der Oberfläche oder im Inneren eines Silberhalogenidkorns. Die Ausbildungsgeschwindigkeit von Silber-Tellurid in einer Silberhalogenid-Emulsion kann durch ein Verfahren überprüft werden, das in der JP-A-5-313284 beschrieben ist.
  • Spezifische Beispiele für den Tellur-Sensibilisator beinhalten die Verbindungen, die beschrieben sind in den US-Patenten 1,623,499, 3,320,069 und 3,772,031, den britischen Patenten 235,211, 1,121,496, 1,295,462 und 1,396,696, dem kanadischen Patent 800,958, der JP-A-4-204640, JP-A-4-271341, JP-A-4-333043, JP-A-5-303157, in J. Chem. Soc. Chem. Commun., 635 (1980), ibid., 1102 (1979), ibid., 645 (1979), J. Chem. Soc. Perkin. Trans., 1, 2191 (1980), S. Patai (Compiler), The Chemistry of Organic Selenium and Tellurium Compounds, Band 1 (1986), und ibid., Band. 2 (987).
  • Die Verbindungen, die durch die Formeln (II), (III) und (IV) von JP-A-5-313284 dargestellt sind, sind besonders bevorzugt.
  • Die Verwendungsmenge des Selen-Sensibilisators oder des Tellur-Sensibilisators zur Verwendung bei der vorliegenden Erfindung variiert in Abhängigkeit von den verwendeten Silberhalogenidkörnern oder den Bedingungen der chemischen Reifung, sie liegt jedoch allgemein im Größenbereich von 10–8 bis 10–2 Mol, bevorzugt von 10–7 bis 10–3 Mol pro Mol an Silberhalogenid. Die Bedingungen für die chemische Sensibilisierung bei der vorliegenden Erfindung sind nicht speziell eingeschränkt, jedoch liegt der pH bei 5 bis 8, der pAg bei 6 bis 11, bevorzugt bei 7 bis 10, und die Temperatur beträgt 40 bis 95°C, bevorzugt 45 bis 85°C.
  • Beispiele für die Edelmetall-Sensibilisatoren zur Verwendung bei der vorliegenden Erfindung beinhalten Gold, Platin, Palladium und Iridium, wobei Gold-Sensibilisierung besonders bevorzugt ist. Spezifische Beispiele des Gold-Sensibilisators zur Verwendung bei der vorliegenden Erfindung beinhalten Chlorgoldsäure, Kaliumchlorat, Kalium-Aurithiocyanat und Goldsulfid, und der Gold-Sensibilisator wird in einer Menge von etwa 10–7 bis 10–2 Mol pro Mol an Silberhalogenid verwendet.
  • In der Silberhalogenid-Emulsion zur Verwendung bei der vorliegenden Erfindung können ein Cadmiumsalz, ein Sulfit, ein Bleisalz oder ein Thalliumsalz zusammen vorhanden sein, während die Bildung oder physikalische Reifung von Silberhalogenidkörnern erfolgt.
  • Bei der vorliegenden Erfindung kann eine Reduktions-Sensibilisierung verwendet werden. Beispiele für den Reduktions-Sensibilisator, die verwendet werden können, beinhalten Zinnsalze, Amine, Formamidinsulfinsäure und Silanverbindungen.
  • Zu der Silberhalogenid-Emulsion zur Verwendung bei der vorliegenden Erfindung kann eine Thiosulfonsäureverbindung gemäß einem Verfahren hinzugegeben werden, das beschrieben ist in der europäischen ungeprüften Patentveröffentlichung (EP) 293917.
  • In dem lichtempfindlichen Material zur Verwendung bei der vorliegenden Erfindung kann eine Art von Silberhalogenid-Emulsion verwendet werden, oder es können zwei oder mehr Arten von Silberhalogenid-Emulsionen (z.B. verschieden in der durchschnittlichen Korngröße, verschieden in der Halogenzusammensetzung, verschieden in der Kristallbeschaffenheit oder verschieden in den chemischen Sensibilisierungs-Bedingungen) in Kombination verwendet werden.
  • Bei der vorliegenden Erfindung enthält die Silberhalogenid-Emulsion, die besonders geeignet ist für eine registerhaltige Arbeit an lichtempfindlichem Material, Silberhalogenid mit einem Silberchloridgehalt von 90 Mol-% oder mehr, bevorzugt von 95 Mol-% oder mehr, spezifischer Silberchloridbromid oder Silberchloridiodidbromid mit 0 bis 10 Mol-% an Silberbromid. Wenn der Gehalt an Silberbromid oder Silberiodid ansteigt, so kann die Sicherheitslicht-Zuverlässigkeit in einem hellen Raum verschlechtert werden, oder der γ-Wert kann in nachteiliger Weise herabgesetzt werden.
  • Die Silberhalogenid-Emulsion zur Verwendung bei der registerhaltigen Arbeit an dem lichtempfindlichen Material der vorliegenden Erfindung enthält bevorzugt einen Übergangsmetall-Komplex, und Beispiele des Übergangsmetalls beinhalten Rh, Ru, Re, Os, Ir und Cr.
  • Beispiele für den Liganden beinhalten einen Nitrosyl-quervernetzten Liganden, einen Thionitrosyl-quervernetzten Liganden, einen Halogenid-Liganden (z.B. Fluorid, Chlorid, Bromid, Iodid), einen Cyanid-Liganden, einen Cyanat-Liganden, einen Thiocyanat-Liganden, einen Selenocyanat-Liganden, einen Tellurocyanat-Liganden, einen Säure-Liganden und einen Wasser-Liganden. Wenn ein Wasser-Ligand vorhanden ist, besetzt dieser bevorzugt einen oder mehrere der Liganden.
  • Spezifischer kann das Rhodiumatom eingebaut werden, indem es zu einem Metallsalz beliebiger Form ausgebildet wird, wie etwa einem Einzelsalz oder einem Komplexsalz, und das Salz zum Zeitpunkt der Herstellung der Körner hinzugegeben wird.
  • Beispiele für das Rhodiumsalz beinhalten Rhodiummonochlorid, Rhodiumdichlorid, Rhodiumtrichlorid und Ammoniumhexachloro-Rhodat, und bevorzugt ist eine Halogenkomplex-Verbindung aus wasserlöslichem dreiwertigem Rhodium, wie etwa Hexachloro-Rhodium(III)-Säure und ein Salz hiervon (z.B. Ammoniumsalz, Natriumsalz, Kaliumsalz).
  • Die Zugabemenge des wasserlöslichen Rhodats beträgt 1,0 × 10–6 bis 1,0 × 10–3, bevorzugt 1,0 × 10–5 bis 1,0 × 10–3, bevorzugter 5,0 × 10–5 bis 5,0 × 10–4 Mol pro Mol an Silberhalogenid.
  • Die folgenden Übergangsmetallkomplexe sind ebenfalls bevorzugt.
    • 1. [Ru(NO)Cl5]–2
    • 2. [Ru(NO)2Cl4]–1
    • 3. [Ru(NO)(H2O)Cl4]–1
    • 4. [Rh(NO)CN5]–2
    • 5. [Re(NO)CN5]–2
    • 6. [Re(NO)ClCN4]–2
    • 7. [Rh(NO)2Cl4]–1
    • 8. [Rh(NO)(H2O)Cl4]–1
    • 9. [Ru(NO)CN5]–2
    • 10. [Ru(NO)Br5]–2
    • 11. [Rh(NS)Cl5]–2
    • 12. [Os(NO)Cl5]–2
    • 13. [Cr(NO)Cl5]–3
    • 14. [Re(NO)Cl5]–1
    • 15. [Os(NS)Cl4(TeCN)]–2
    • 16. [Ru(NS)I5)–2
    • 17. [Re(NS)Cl4(SeCN)]–2
    • 18. [Os(NS)Cl(SCN)4]–2
    • 19. [Ir(NO)Cl5]–2
  • Der spektral sensibilisierende Farbstoff zur Verwendung bei der vorliegenden Erfindung ist nicht speziell eingeschränkt.
  • Die Zugabemenge des sensibilisierenden Farbstoffs zur Verwendung bei der vorliegenden Erfindung variiert in Abhängigkeit von der Form oder Größe der Silberhalogenidkörner, jedoch beträgt sie allgemein 4 × 10–6 bis 8 × 10–3 Mol pro Mol an Silberhalogenid. Wenn beispielsweise die Silberhalogenid-Korngröße 0,2 bis 1,3 μm beträgt, so beträgt die Zugabemenge bevorzugt 2 × 10–7 bis 3,5 × 10–6 Mol, bevorzugter 6,5 × 10–7 bis 2,0 × 10–6 Mol pro 1 m2 der Oberfläche der Silberhalogenidkörner.
  • Die lichtempfindliche Silberhalogenid-Emulsion zur Verwendung bei der vorliegenden Erfindung kann spektral sensibilisiert werden durch einen Sensibilisierungsfarbstoff gegenüber blauem Licht, grünem Licht, rotem Licht oder Infrarot-Licht, mit jeweils einer relativ langen Wellenlänge. Beispiele für den Sensibilisierungsfarbstoff, der verwendet werden kann, beinhalten einen Cyaninfarbstoff, einen Merocyaninfarbstoff, einen komplexen Cyaninfarbstoff, einen komplexen Merocyaninfarbstoff, einen holopolaren Cyaninfarbstoff, einen Styrylfarbstoff, einen Hemicyaninfarbstoff, einen Oxonol-Farbstoff und einen Hemioxonol-Farbstoff.
  • Nützliche Sensibilisierungsfarbstoffe zur Verwendung bei der vorliegenden Erfindung sind z.B. beschrieben in Research Disclosure, Nr. 17643, IV-A, Seite 23 (Dezember 1978), ibid., Nr. 18341-X, Seite 437 (August 1979), in den US-Patenten 4,425,425 und 4,425,426 und in den darin zitierten Veröffentlichungen.
  • Insbesondere können Sensibilisierungsfarbstoffe vorteilhafterweise ausgewählt werden, die eine spektrale Empfindlichkeit besitzen, die für die Spektraleigenschaften verschiedener Scanner-Lichtquellen geeignet ist.
  • Vorteilhafterweise ausgewählt werden können beispielsweise A) für eine Argon-Laser-Lichtquelle einfache Merocyanine, die beschrieben sind in der JP-A-60-162247, JP-A-2-48653, im US-Patent 2,161,331, im westdeutschen Patent 936,071 und in der JP-A-5-11389, B) für eine Helium-Neon-Laserlichtquelle, dreikernige Cyaninfarbstoffe, die beschrieben sind in der JP-A-50-62425, JP-A-54-18726 und JP-A-59-102229, C) für eine LED-Lichtquelle und einen roten Halbleiterlaser Thiacarbocyanine, die beschrieben sind in der JP-B-48-42172, JP-B-51-9609, JP-B-55-39818, JP-A-62-284343 und JP-A-2-105135, und D) für eine Infrarot-Halbleiter-Laserlichtquelle Tricarbocyanine, die beschrieben sind in der JP-A-59-191032 und JP-A-60-80841, und Dicarbocyanine mit einem 4-Chinolin-Kern, die beschrieben sind in der JP-A-59-192242 und JP-A-3-67242, Formeln (IIIa) und (IIIb).
  • Diese sensibilisierenden Farbstoffe können einzeln oder in Kombination verwendet werden, und die Kombination der sensibilisierenden Farbstoffe wird oft zum Zweck der Supersensibilisierung verwendet. In Kombination mit einem sensibilisierenden Farbstoff kann ein Farbstoff in die Emulsion eingebaut werden, der selbst keinen spektralen Sensibilisierungseffekt besitzt, oder ein Material, das im wesentlichen kein sichtbares Licht absorbiert, oder ein Material, das im wesentlichen kein sichtbares Licht absorbiert, jedoch Supersensibilisierung zeigt.
  • Nützliche Sensibilisierungsfarbstoffe, Kombinationen von Farbstoffen, die Supersensibilisierung zeigen, und Materialien, die Supersensibilisierung zeigen, sind beschrieben in Research Disclosure, Band 176, 17643, Seite 23, Nr. IV-J (Dezember 1978). Spezifische Beispiele hierfür sind unten beschrieben.
  • Figure 00720001
  • Figure 00730001
  • Für die Helium-Neon-Lichtquelle sind die sensibilisierenden Farbstoffe, die durch die Formel (I) der JP-A-6-75322 dargestellt sind, besonders bevorzugt, ebenso wie die oben beschriebenen Verbindungen. Spezifische Beispiele hierfür sind unten beschrieben.
  • Figure 00740001
  • Figure 00750001
  • Für die LED-Lichtquelle und den Infrarot-Halbleiter-Laser sind die unten beschriebenen Farbstoffe besonders bevorzugt.
  • Figure 00760001
  • Figure 00770001
  • Für die Infrarot-Halbleiter-Laserlichtquelle sind die unten beschriebenen Farbstoffe besonders bevorzugt.
  • Figure 00780001
  • Figure 00790001
  • Figure 00800001
  • Für die Weißlichtquelle bei der Kamera-Arbeit werden die sensibilisierenden Farbstoffe, die durch die Formel (IV) der JP-A-7-36139 dargestellt sind, bevorzugt verwendet. Spezifische Beispiele hierfür sind unten beschrieben.
  • Figure 00810001
  • Figure 00820001
  • Figure 00830001
  • Figure 00840001
  • Im Fall eines Röntgenstrahlungs-lichtempfindlichen Materials wird bevorzugt eine blättrige Silberhalogenid-Emulsion verwendet. In diesem Fall sind Silberbromid oder Silberiodidbromid bevorzugt, und der Silberiodidgehalt beträgt bevorzugt 10 Mol-% oder weniger, bevorzugter 0 bis 5 Mol-%. Diese Emulsion kann eine hohe Empfindlichkeit erreichen und ist für eine schnelle Bearbeitung bzw. Entwicklung geeignet.
  • Bei der bevorzugten Kornform der blättrigen Silberhalogenid-Emulsion beträgt das Schlankheitsverhältnis 4 bis weniger als 20, bevorzugter 5 bis weniger als 10. Die Korndicke beträgt bevorzugt 0,3 μm oder weniger, bevorzugter 0,2 μm oder weniger. Das Schlankheitsverhältnis der blättrigen Silberhalogenid-Emulsion ist das Verhältnis eines Durchschnittswertes des Durchmessers von Kreisen mit jeweils einer Fläche entsprechend der Fläche einzelner blättriger Körner zu einem Durchschnittswert der Dicke einzelner blättriger Körner.
  • Die blättrigen Körner sind bevorzugt mit einem Anteil von 80 Gew.-%, bevorzugter von 90 Gew.-% oder mehr aller Körner in der blättrigen Silberhalogenid-Emulsion vorhanden.
  • Durch die Verwendung der blättrigen Silberhalogenid-Emulsion kann die Stabilität der photographischen Eigenschaften bei der laufenden Bearbeitung gemäß der vorliegenden Erfindung weiter erhöht werden. Weiterhin kann die aufgeschichtete Silbermenge reduziert und dementsprechend die Last bei dem Fixierschritt und dem Trocknungsschritt erleichtert werden, wodurch eine schnelle Bearbeitung erreicht werden kann.
  • Die blättrige Silberhalogenid-Emulsion ist beschrieben in Cugnac und Chateau, Evolution of the Morphology of Silver Bromide Crystals during Physical Ripening, Band 33, Nr. 2, S. 121-125, Science et Industrie Photography (1962), Duffin, Photographic Emulsion Chemistry, The Focal Press, New York, S. 66-72 (1966), A.P.H. Tribvlli und W.F. Smith, Photographic Journal, Band 80, Seite 285 (1940), und kann leicht hergestellt werden unter Bezugnahme auf die Verfahren, die in der JP-A-58-127921, JP-A-58-113927 und JP-A-58-113928 beschrieben sind.
  • Die blättrige Silberhalogenid-Emulsion kann auch erhalten werden durch Ausbilden von Impfkristallen, wo blättrige Kristalle in einem Mengenverhältnis von 40 Gew.-% oder mehr vorhanden sind, in einer Umgebung mit relativ niedrigem pBr-Wert von 1,3 oder weniger, und durch Heranzüchten der Impfkristalle durch gleichzeitiges Zugeben von Silber und einer Halogenlösung, während der pBr-Wert in der Größenordnung desselben Wertes gehalten wird.
  • Im Verfahren der Kornausbildung werden Silber und eine Halogenlösung bevorzugt so zugegeben, dass keine neuen Kristallkerne erzeugt werden.
  • Die Größe der blättrigen Silberhalogenidkörner kann eingestellt werden, indem man die Temperatur kontrolliert, die Art und Menge an Lösungsmittel auswählt, oder die Zugabegeschwindigkeit von Silbersalz und Halogenid kontrolliert, die jeweils beim Heranwachsen der Körner verwendet werden.
  • Bei der vorliegenden Erfindung können eine Tetrazoliumverbindung, eine Hydrazinverbindung oder ein Kristallisationskernbildungsbeschleuniger hinzugegeben werden.
  • Als Hydrazinderivat zur Verwendung bei der vorliegenden Erfindung ist die Verbindung, die durch die Formel (I) in der JP-A-7-287335 (entsprechend der EP 670516A ) dargestellt ist, bevorzugt, und spezifisch können die Verbindungen I-1 bis I-53 verwendet werden.
  • Zusätzlich können die folgenden Hydrazinderivate bevorzugt verwendet werden.
  • Die Verbindung, dargestellt durch (Chem. 1) in der JP-B-6-77138, spezifisch, die Verbindungen, die beschrieben sind auf den Seiten 3 und 4; die Verbindung, dargestellt durch Formel (I) in der JP-B-6-93082, spezifisch, die Verbindungen 1 bis 38, die beschrieben sind auf den Seiten 8 bis 18; die Verbindungen, dargestellt durch die Formeln (4), (5) und (6) der JP-A-6-230497, spezifisch, die Verbindungen 4-1 bis 4-10, die beschrieben sind auf den Seiten 25 und 26, die Verbindungen 5-1 bis 5-42, die beschrieben sind auf den Seiten 28 bis 36 und die Verbindungen 6-1 bis 6-7, die beschrieben sind auf den Seiten 39 und 40; die Verbindungen, dargestellt durch die Formeln (1) und (2) der JP-A-6-289520, spezifisch, die Verbindungen 1-1) bis 1-17) und 2-1), die beschrieben sind auf den Seiten 5 bis 7; die Verbindungen, dargestellt durch (Chem. 2) und (Chem. 3) der JP-A-6-313936, spezifisch, die Verbindungen, die be schrieben sind auf den Seiten 6 bis 19; die Verbindung, dargestellt durch (Chem. 1) in der JP-A-6-313951, spezifisch, die Verbindungen, die beschrieben sind auf den Seiten 3 bis 5; die Verbindung, dargestellt durch Formel (I) in der JP-A-7-5610, spezifisch, die Verbindungen I-1 bis I-38, die beschrieben sind auf den Seiten 5 bis 10; die Verbindung, dargestellt durch Formel (II) in der JP-A-7-77783, spezifisch, die Verbindungen II-1 bis II-102, die beschrieben sind auf den Seiten 10 bis 27; und die Verbindungen, die dargestellt sind durch die Formeln (H) und (Ha) der JP-A-7-104426, spezifisch, die Verbindungen H-1 bis H-44, die beschrieben sind auf den Seiten 8 bis 15.
  • Im Hinblick auf das Zugabeverfahren und die Zugabemenge des Hydrazinderivats und die Schicht, bei der das Hydrazinderivat zugegeben wird, kann auf die JP-A-7-287335 (entsprechend der EP 670516A ) (supra) verwiesen werden.
  • Die photographische Emulsion zur Verwendung bei der vorliegenden Erfindung kann diverse Bestandteile enthalten, um so die Verringerung der Empfindlichkeit oder die Erzeugung von Trübung während der Herstellung, Lagerung oder Bearbeitung/Entwicklung des lichtempfindlichen Silberhalogenid-Photomaterials zu verhindern. Spezifischer ausgedrückt kann eine Verbindung, die als Antischleiermittel oder als Stabilisator bekannt ist, hinzugegeben werden, und Beispiele hiervon beinhalten eine große Anzahl von Verbindungen, wie etwa Azole (z.B. Benzothiazoliumsalz), Nitroindazole, Chlorbenzimidazole, Brombenzimidazole, Mercaptotetrazole, Mercaptothiazole, Mercaptobenzothiazole, Mercaptothiadiazole, Aminotriazole, Benzothiazole und Nitrobenzotriazole; Mercaptotriazine; Thioketo-Verbindungen (z.B. Oxazolinthion); Azaindene (z.B. Triazaindene, Tetrazaindene (insbesondere 4-Hydroxy-substituierte (1,3,3a,7)-Tetrazaindene) und Pentazaindene); Benzolthiosulfonsäuren; Benzolsulfinsäuren; und Benzolsulfonsäureamide. Unter diesen bevorzugt sind Benzotriazole (z.B. 5-Methylbenzotriazol) und Nitroindazole (z.B. 5-Nitroindazol). Diese Verbindung kann auch in eine Bearbeitungslösung eingebaut werden. Weiterhin kann die photographische Emulsion eine Verbindung enthalten, die einen Inhibitor in den Entwickler freisetzt, wie beschrieben in der JP-A-62-30243, als einen Stabilisator oder zum Zweck der Verhinderung schwarzer Sprenkel.
  • Eine Technik zum Einbauen eines polymeren Latex in die Silberhalogenid-Emulsion oder die Unterlagenschicht zur Verbesserung der Dimensionsstabilität kann ebenfalls verwendet werden. Diese Technik ist beschrieben z.B. in der JP-B-39-4272, JP-B-39-17702 und der JP-B-43-13482. Zum Zweck des Erreichens von Dimensionsstabilität kann die photographische Emulsion zusätzlich eine wasserunlösliche oder schwer lösliche synthetische Polymer-Dispersion enthalten. Beispielsweise können Polymere verwendet werden, die als Monomerbestandteil Alkyl(meth)acrylat, Alkoxyacryl(meth)acrylat, Glycidyl(meth)acrylat, einzeln oder in Kombination enthalten, oder ein Gemisch hiervon mit einer Acrylsäure oder einer Methacrylsäure.
  • Das lichtempfindliche Photomaterial zur Verwendung bei der vorliegenden Erfindung kann in der Emulsionsschicht ein Polymer oder ein emulgiertes Produkt enthalten, wie etwa Alkylacrylat-Latex oder einen Weichmacher, wie etwa Polyole (z.B. Trimethylpropan), um so die Druck(kraft)-Eigenschaft zu verbessern.
  • Das lichtempfindliche Material, das gemäß der vorliegenden Erfindung hergestellt wird, kann in der photographischen Emulsionsschicht oder in anderen hydrophilen Kolloid-Schichten verschiedene oberflächenaktive Mittel als Beschichtungshilfe oder für die Zwecke einer Elektrifizierungs-Hemmung, für die Verbesserung der Glätte, der Emulsionsdispersion, der Verhinderung von Adhäsion oder zur Verbesserung der photographischen Eigenschaften (z.B. Entwicklungsbeschleunigung, Kontrastreichtum, Sensibilisierung) enthalten.
  • Beispiele hierfür beinhalten nicht-ionische oberflächenaktive Mittel, wie etwa Saponin (Steroid-basiert), Alkylenoxid-Derivate (z.B. Polyethylenglykol, Polyethylenglykol/Polypropylenglykol-Kondensat, Polyethylenglykol-Alkylether, Polyethylenglykol-Alkylarylether, Polyethylenglykolester, Polyethylenglykol-Sorbitanester, Polyalkylenglykol-Alkylamine, Polyatkylenglykol-Alkylamide, Polyethylenoxid-Addukte von Silikon), Glycidolderivate (z.B. Alkenylbernsteinsäure-Polyglycerid, Alkylphenol-Polyglycerid), Fettsäureester von mehrwertigen Alkoholen und Alkylester von Sacchariden; anionische oberflächenaktive Mittel, enthaltend eine Säuregruppe, wie etwa eine Carboxygruppe, eine Sulfogruppe, eine Phosphogruppe, eine Schwefel säure)-Estergruppe oder eine Phosphor(säure)-Estergruppe, wie etwa Alkylcarboxylat, Alkylsulfonat, Alkylbenzolsulfonat, Alkylnaphthalensulfonat, Alkylschwefelsäure-Ester, Alkylphosphorsäure-Ester, N-Acyl-N-alkyltaurine, Sulfobernsteinsäure-Ester, Sulfoalkylpolyoxyethylen-Alkylphenylether und Polyoxyethylen-Alkylphosphorsäureester; amphotere oberflä chenaktive Mittel, wie etwa Aminosäuren, Aminoalkylsulfonsäuren, Aminoalkylschwefelsäureester, Aminoalkylphosphorsäureester, Alkylbetaine und Aminoxide; und kationische oberflächenaktive Mittel, wie etwa Alkylaminsalze, aliphatische und aromatische quaternäre Ammoniumsalze, heterocyclische quaternäre Ammoniumsalze, wie etwa Pyridinium und Imidazolium, aliphatische oder heterocyclische Ring(e) enthaltende Phosphoniumsalze, und aliphatische oder heterocyclische Ring(e) enthaltende Sulfoniumsalze.
  • Das lichtempfindliche Silberhalogenid-Photomaterial zur Verwendung bei der vorliegenden Erfindung umfasst eine Unterlage, die darauf befindlich wenigstens eine Silberhalogenid-Emulsionsschicht aufweist, jedoch wird im Falle eines lichtempfindlichen Materials für die direkte medizinische Röntgenbestrahlung, wie beschrieben in der JP-A-58-127921, JP-A-59-90841, JP-A-58-111934 und JP-A-61-201235, wenigstens eine Silberhalogenid-Emulsionsschicht bevorzugt an beiden Oberflächen der Unterlage bereitgestellt.
  • Zusätzlich kann das Photomaterial zur Verwendung bei der vorliegenden Erfindung, wenn gewünscht, eine Zwischenschicht, eine Filterschicht, eine Lichthofschutzschicht, und dergleichen beinhalten.
  • Die Silbermenge des lichtempfindlichen Materials zur Verwendung bei der vorliegenden Erfindung beträgt bevorzugt 0,5 bis 5 g/m2 (pro einer Oberfläche), bevorzugter 1 bis 4 g/m2 (pro einer Oberfläche).
  • Im Hinblick auf die Eignung für die schnelle Bearbeitung überschreitet die Silbermenge vorzugsweise nicht 5 g/m2, und um konstante Bilddichte und Kontrast zu erhalten, beträgt die Silbermenge bevorzugt 0,5 g/m2 oder mehr.
  • Gelatine wird als Bindemittel in dem lichtempfindlichen Material zur Verwendung bei der vorliegenden Erfindung verwendet, jedoch kann ein hydrophiles Kolloid, wie etwa ein Gelatinederivat, ein Cellulosederivat, ein Graft-Polymer von Gelatine an einem anderen Polymer, ein anderes Protein als diese, ein Saccharid-Derivat und ein synthetisches hydrophiles Polymermaterial, wie etwa ein Homopolymer oder ein Copolymer in Kombination verwendet werden.
  • Als Binder oder schützendes Kolloid der photographischen Emulsion wird vorteilhafter Weise Gelatine verwendet, jedoch können andere hydrophile Kolloide verwendet werden, und Beispiele hierfür beinhalten Gelatinederivate, Graft-Polymere von Gelatine an anderen Polymeren, Proteine, wie etwa Albumin und Casein, Cellulosederivate, wie etwa Hydroxyethylcellulose, Carboxymethylcellulose und Cellulose-Schwefelsäureester, Saccharid-Derivate, wie etwa Natriumalginat und Stärkederivate, und verschiedene synthetische hydrophile Polymermaterialien, wie etwa Homopolymere und Copolymere von Polyvinylalkohol, Polyvinylalkohol-Teilacetal, poly-N-Vinylpyrrolidon, Polyacrylsäure, Polymethacrylsäure, Polyacrylamid, Polyvinylimidazol oder Polyvinylpyrazol.
  • Die Gelatine kann eine mit Kalk behandelte Gelatine oder eine mit Säure behandelte Gelatine sein, und ein Hydrolysat oder ein Enzymlysat von Gelatine können ebenfalls verwendet werden. Das röntgenstrahlen-lichtempfindliche Material enthält bevorzugt in der Emulsionsschicht oder einer anderen hydrophilen Kolloidschicht eine organische Substanz, die sich während der Entwicklungsbearbeitung heraus löst. Wenn die Substanz, die sich herauslöst, Gelatine ist, so ist die Gelatine bevorzugt ein solcher Typ, dass sie nicht an der Vernetzungsreaktion von Gelatine durch ein Härtungsmittel teilnimmt, und Beispiele hierfür beinhalten acetylierte Gelatine und phthalatierte Gelatine. Diese Gelatine besitzt bevorzugt ein kleines Molekulargewicht. Wirksame Beispiele für das Polymermaterial, das keine Gelatine ist, beinhalten hydrophile Polymere, wie etwa Polyacrylamid, beschrieben im US-Patent 3,271,158; Polyvinylalkohol und Polyvinylpyrrolidon, und Saccharide, wie etwa Dextran, Saccharose, Pulluran sind ebenfalls wirksam. Unter diesen sind Polyacrylamid und Dextran bevorzugt, und Polyacrylamid ist bevorzugter. Dieses Polymermaterial besitzt ein mittleres Molekulargewicht von bevorzugt 20.000 oder weniger, bevorzugter von 10.000 oder weniger. Der tatsächliche Abfluss bei der Bearbeitung beträgt 10 bis 50 %, bevorzugt 15 bis 30% des Gesamtgewichts an aufgeschichteten organischen Materialien, die keine Silberhalogenidkörner sind.
  • Das beim Bearbeiten herauszulösende organische Material kann entweder zu einer Emulsionsschicht oder zu einer Oberflächenschutzschicht zugegeben werden, jedoch, wenn die gesamte aufgeschichtete Menge des oben beschriebenen organischen Materials dieselbe ist, wird es bevorzugter sowohl in eine Oberflächenschutzschicht als auch in eine Emulsionsschicht eingebaut, als nur in eine Emulsionsschicht, bevorzugter wird es nur in eine Oberflächenschutzschicht eingebaut. Im Fall eines lichtempfindlichen Materials mit mehrschichtigen Struktur-Emulsionsschichten, wenn die aufgeschichtete Gesamtmenge des oben beschriebenen organischen Materials dasselbe ist, so wird diese bevorzugt in einer größeren Menge zu der Emulsionsschicht hinzugegeben, die näher an der Oberflächenschutzschicht liegt.
  • Als Mattierungsmittel können feine Partikel einer organischen Verbindung, wie etwa aus einem Polymethylmethacrylat-Homopolymer, einem Methylmethacrylat/Methacrylsäure-Copolymer oder Stärke, wie beschrieben in den US-Patenten 2,992,101, 2,701, 245, 4,142,894 und 4,396,706, oder aus einer anorganischen Verbindung, wie etwa Siliziumdioxid, Titandioxid, Barium-Strontium-Sulfat, verwendet werden. Die Partikelgröße beträgt bevorzugt 1,0 bis 10 μm, bevorzugter 2 bis 5 μm.
  • In dem lichtempfindlichen Silberhalogenid-Photomaterial der vorliegenden Erfindung kann eine photographische Schicht oder eine andere Schicht durch einen Farbstoff gefärbt werden, um Licht in einem spezifischen Wellenlängenbereich zu absorbieren, mit anderen Worten zur Verhinderung von Lichthofbildung oder Abstrahlung, oder um eine Filterschicht zum Kontrollieren der spektralen Zusammensetzung des Lichts, das in die photographische Emulsionsschicht eintritt, bereitzustellen. Im Falle eines doppelten Emulsionsfilms, wie etwa bei einem direkten medizinischen Röntgenfilm, kann eine Schicht zum Zweck der Übertrittshemmung unter einer Emulsionsschicht bereitgestellt werden. Beispiele für den für diesen Zweck verwendeten Farbstoff beinhalten einen Oxonol-Farbstoff mit einem Pyrazolon-Kern oder einem Barbitursäure-Kern, einen Hemioxonol-Farbstoff, einen Azofarbstoff, einen Azomethin-Farbstoff, einen Anthrachinon-Farbstoff, einen Aryliden-Farbstoff, einen Styryl-Farbstoff, einen Triarylmethan-Farbstoff, einen Merocyanin-Farbstoff und einen Cyanin-Farbstoff.
  • Unter diesen sind ein Oxonol-Farbstoff, ein Hemioxonol-Farbstoff und ein Merocyanin-Farbstoff nützlich. Spezifische Beispiele hierfür sind beschrieben im westdeutschen Patent 616,007, in den britischen Patenten 584,609 und 1,117,429, in der JP-B-26-7777, JP-B-39-22069, JP-B-54-38129, JP-A-48-85130, JP-A-49-99620, JP-A-49-114420, JP-A-49-129537, in PB Report 74175 und Photo. Abst. 128 ('21). Diese Farbstoffe werden geeigneter Weise insbesondere verwendet in dem lichtempfindlichen Material für registerhaltige Arbeit in einem hellen Raum. Weiterhin kann eine feine Festpartikeldispersion von Farbstoffen, wie beschrieben in der JP-A-7-168311 verwendet werden. Bei dem lichtempfindlichen Silberhalogenid-Photomaterial gemäß der vorliegenden Erfindung, kann dieses, wenn ein Farbstoff oder ein Ultraviolett-Absorbens in eine hydrophile Kolloidschicht eingebaut wird, durch ein kationisches Polymer oder dergleichen gebeizt werden.
  • Bei der Verwendung des oben beschriebenen Farbstoffs ist es eine effiziente Technik, das Beizen eines anionischen Farbstoffs auf einer spezifischen Schicht des lichtempfindlichen Materials unter Verwendung eines Polymers mit einer kationischen Stelle durchzuführen. In diesem Fall ist es bevorzugt, einen Farbstoff zu verwenden, der bei dem Entwicklungs-Fixierungs-Wasserwasch-Prozess irreversibel entfärbt wird. Die durch einen Farbstoff unter Verwendung eines Polymers mit einer kationischen Stelle zu beizende Schicht kann in einer Emulsionsschicht oder an der Oberfläche einer Oberflächenschutzschicht, die der Emulsionsschicht durch eine Unterlage entgegengesetzt ist, vorliegen, jedoch liegt sie bevorzugt zwischen einer Emulsionsschicht und einer Unterlage. Für den Zweck einer Übertrittshemmung bei einem medizinischen Röntgen-Doppelemulsionsfilm ist der Farbstoff idealerweise auf eine Untergrund- bzw. Grundierungsschicht gebeizt.
  • Als Beschichtungshilfe für die Grundierungsschicht wird ein Polyethylenoxid-basiertes nichtionisches oberflächenaktives Mittel bevorzugt in Kombination mit dem Polymer mit einer kationischen Stelle verwendet.
  • Das Polymer, das eine kationische Stelle bietet, ist vorzugsweise ein anionisches Konversionspolymer.
  • Beispiele für das anionische Konversionspolymer beinhalten verschiedene bekannte quaternäre Ammoniumsalz- (oder Phosphoniumsalz-)Polymere. Die quaternären Ammoniumsalz- (oder Phosphoniumsalz-)Polymere sind weithin bekannt als ein beizendes Polymer oder als ein Polymer mit einem antistatischen Mittel.
  • Beispiele hierfür beinhalten Wasserdispersions-Latexe, wie beschrieben in der JP-A-59-166940, im US-Patent 3,958,995, in der JP-A-55-142339, JP-A-54-126027, JP-A-54-155835, JP-A-53-30328 und JP-A-54-92274; Polyvinyl-Pyridinium-Salze, wie be schrieben in den US-Patenten 2,548,564, 3,148,061 und 3,756,814; wasserlösliche quaternäre Ammoniumsalz-Polymere, wie beschrieben im US-Patent 3,709,690; und wasserunlösliche quaternäre Ammoniumsalz-Polymere, wie beschrieben im US-Patent 3,898,088.
  • Weiterhin, um die Übertragung des Farbstoffs aus einer gewünschten Schicht auf eine andere Schicht oder in die Bearbeitungslösung und damit eine nachteilige Beeinflussung der photographischen Eigenschaften zu verhindern, wird bevorzugt ein vernetzter wässriger Polymer-Latex verwendet, der durch Copolymerisieren eines Monomers mit wenigstens zwei oder mehr (bevorzugt 2 bis 4) ethylenisch ungesättigten Gruppen erhalten wird.
  • Um den Farbstoff zu immobilisieren, ist auch ein festes Dispersionsverfahren, beschrieben in der JP-A-55-155350 oder der WO 88/04794, wirkungsvoll.
  • Das lichtempfindliche Photomaterial der vorliegenden Erfindung kann einen Entwickler, wie etwa ein Hydrochinon-Derivat oder ein Phenidon-Derivat für verschiedene Zwecke, z.B. als Stabilisator oder als Beschleuniger, enthalten.
  • Das bei der vorliegenden Erfindung verwendete lichtempfindliche Photomaterial kann in der photographischen Emulsionsschicht oder einer anderen hydrophilen Kolloidschicht ein anorganisches oder organisches Härtungsmittel enthalten. Beispiele hiervon beinhalten Chromsalze (z.B. Chromalaun, Chromacetat), Aldehyde (z.B. Formaldehyd, Glutaraldehyd), N-Methylolverbindungen (z.B. Dimethylolharnstoff), Dioxanderivate, aktive Vinylverbindungen (z.B. 1,3,5-Triacryloyl-hexahydro-s-triazin, 1,3-Vinylsulfonyl-2-propanol), aktive Halogenverbindungen (z.B. 2,4-Dichlor-6-hydroxy-s-triazin) und Mucohalogensäuren (z.B. Mucochlorsäure), und diese können entweder einzeln oder in Kombination verwendet werden.
  • Das bei der vorliegenden Erfindung verwendete lichtempfindliche Photomaterial kann in einer photographischen Emulsionsschicht oder einer anderen hydrophilen Kolloidschicht ein Hydrochinonderivat enthalten, das in Übereinstimmung mit der Dichte eines Bildes zum Zeitpunkt der Entwicklung einen Entwicklungshemmer freisetzt (ein so genanntes DIR-Hydrochinon).
  • Spezifische Beispiele hierfür beinhalten die Verbindungen, die beschrieben sind in den US-Patenten 3,379,529, 3,620,746, 4,377,634 und 4,332,878, in der JP-A-49-129536, JP-A-54-67419, JP-A-56-153336, JP-A-56-153342, JP-A-59-278853, JP-A-59-90435, JP-A-59-90436 und JP-A-59-138808.
  • Das bei der vorliegenden Erfindung verwendete lichtempfindliche Photomaterial enthält vorzugsweise in einer Silberhalogenid-Emulsionsschicht oder in einer anderen Schicht eine Verbindung mit einem Säurerest. Beispiele der Verbindung mit einem Säurerest beinhalten organische Säuren, wie etwa Salicylsäure, Essigsäure und Ascorbinsäure, sowie Homopolymere und Copolymere mit einer Wiederholungseinheit eines Säuremonomers, wie etwa Acrylsäure, Maleinsäure oder Phthalsäure. Diese Verbindungen sind beschrieben in der JP-A-61-223834, JP-A-61-228437, JP-A-62-25745 und JP-A-62-55642. Unter diesen Verbindungen als niedermolekulare Verbindungen stärker bevorzugt sind eine Ascorbinsäure, und als hochmolekulare Verbindung ein in Wasser dispergierender Latex aus einem Copolymer mit einem Säuremonomer, wie etwa Acrylsäure, und einem vernetzenden Monomer mit zwei oder mehr ungesättigten Gruppen, wie etwa Divinylbenzol.
  • Die so hergestellte Silberhalogenid-Emulsion wird auf einen Träger, wie etwa einen Celluloseacetatfilm oder einen Polyethylenterephthalatfilm, durch ein Tauchbeschichtungsverfahren, durch ein Luftschaberstreichmaschinen-Beschichtungsverfahren, ein Bead-Beschichtungsverfahren, ein Extrusionsabstreichmesser-Beschichtungsverfahren oder ein doppelseitiges Beschichtungsverfahren aufgeschichtet und dann getrocknet.
  • Die vorliegende Erfindung kann auch bei einem lichtempfindlichen Farbmaterial angewendet werden. In diesem Fall können verschiedene Farbkoppler verwendet werden. Der Begriff „Farbkoppler", wie hier verwendet, bezeichnet eine Verbindung, die befähigt ist, bei einer Kopplungsreaktion mit einem Oxidationsprodukt eines aromatischen primären Amin-Entwicklers einen Farbstoff auszubilden. Typische Beispiele nützlicher Farbkoppler beinhalten Naphthol- und Phenol-basierte Verbindungen, Pyrazolon- und Pyrazoloazol-basierte Verbindungen, und offenkettige oder heterozyklische Ketomethylenverbindungen. Spezifische Beispiele des Cyan-, Magenta- oder Gelb-Kopplers, die bei der vorliegenden Erfindung verwendet werden können, sind beschrieben in den Patenten, die in Research Disclosure (RD), 17643, Nr. VII-D (Dezember 1978) und ibid., 18717 (November 1979) zitiert sind.
  • Die verschiedenen Additive zur Verwendung bei dem lichtempfindlichen Material der vorliegenden Erfindung sind nicht speziell eingeschränkt, und es können z.B. diejenigen bevorzugt verwendet werden, die unten beschrieben sind:
    Figure 00950001
    Figure 00960001
    Figure 00970001
  • BEISPIELE
  • Die lichtempfindlichen Materialien (1-1) bis (1-4), die in den Beispielen verwendet werden, wurden wie folgt hergestellt.
  • Herstellung des lichtempfindlichen Materials (1-1):
  • Emulsion A wurde wie folgt hergestellt:
    Zu Lösung 1, dargestellt in Tabelle 1, gehalten auf 38°C und mit einem pH von 4,5, wurden die Lösungen 2 und 3 gleichzeitig unter Rühren über 24 Minuten hinzugegeben, um Körner mit einer Größe von 0,18 μm auszubilden. Nachfolgend wurden die Lösungen 4 und 5, die in Tabelle 1 gezeigt sind, über 8 Minuten hinzugegeben, und es wurden dann 0,15 g an Kaliumiodid hinzugegeben, um die Kornbildung zu vervollständigen.
  • Danach wurden die Körner mit Wasser durch Ausflocken in einer üblichen Weise gewaschen, es wurde Gelatine hinzugegeben, der pH und der pAg wurden auf 5,2 bzw. 7,5 eingestellt, und hierzu wurden 4 mg an Natriumthiosulfat, 2 mg an N,N-Dimethylselenoharnstoff, 10 mg an Chlorgoldsäure, 4 mg an Natrium-Benzolthiosulfonat und 1 mg an Natrium-Benzolthiosulfinat hinzugegeben, um die chemische Sensibilisierung durchzuführen, um so eine optimale Empfindlichkeit bei 55°C zu erreichen.
  • Des weiteren wurden 50 mg an 2-Methyl-4-hydroxy-1,3,3a,7-tetraazainden als Stabilisator und Phenoxyethanol als Antiseptikum in einer Menge hinzugegeben, dass sich ein Gehalt von 100 ppm ergab. Die schließlich erhaltenen Körner waren würfelförmige Silberiodidchloridbromid-Körner mit einem Silberchloridgehalt von 80 Mol-% und einer mittleren Korngröße von 0,20 μm (Variationskoeffizient: 9%). Lösung 1:
    Wasser 1,0 l
    Gelatine 20 g
    Natriumchlorid 2 g
    1,3-Dimethylimidazolidin-2-thion 20 mg
    Natrium-Benzolthiosulfonat 3 mg
    Lösung 2:
    Wasser 600 ml
    Silbernitrat 150 g
    Lösung 3:
    Wasser 600 ml
    Natriumchlorid 45 g
    Kaliumbromid 21 g
    Kaliumhexachloroiridat(III) 15 ml
    (0,001 % wässrige Lösung)
    Ammoniumhexabromorhodat(III) 1,5 ml
    (0,001 % wässrige Lösung)
    Lösung 4:
    Wasser 200 ml
    Silbernitrat 50 g
    Lösung 5:
    Wasser 200 ml
    Natriumchlorid 15 g
    Kaliumbromid 7 g
    K4Fe(CN)6 30 mg
  • Herstellung eines lichtempfindlichen Silberhalogenid-Photomaterials
  • Auf einem Polyethylenterephthalatfilm mit einer Feuchtigkeitsbeständigkeit verleihenden Grundierungsschicht, die Vinylidenchlorid enthält, wurden – in dieser Reihenfolge und ausgehend von der Trägerseite – die UL-, EM-, PC- und OC-Schichten aufgeschichtet, um eine Probe herzustellen, die eine Schichtstruktur aus UL, EM, PC und OC besitzt.
  • Das Herstellungsverfahren und die Beschichtungsmenge jeder Schicht sind unten beschrieben.
  • UL-Schicht:
  • Zu einer wässrigen Gelatinelösung wurden 30 Gew.-%, bezogen auf die Gelatine, an Polyethylacrylatdispersion hinzugegeben, und die resultierende Lösung wurde aufgeschichtet, um einen Gelatinebelag von 0,5 g/m2 zu erhalten.
  • EM-Schicht:
  • Zur oben hergestellten Emulsion A wurden 2,5 × 10–4 Mol/Mol-Ag an Verbindung (S-1), unten gezeigt als ein Sensibilisierungsfarbstoff, hinzugegeben; und weiterhin zugegeben wurden 3 × 10–4 Mol/Mol-Ag einer Mercaptoverbindung, wie unten dargestellt als Verbindung (a), 3,0 × 10–3 Mol/Mol-Ag an KBr, 7,0 × 10–4 Mol/Mol-Ag an 4-Hydroxy-6-methyl-1,3,3a,7-tetrazainden, 4 × 10–4 Mol/Mol-Ag einer Mercaptoverbindung, unten dargestellt als Verbindung (b), 4 × 10–4 Mol einer Triazinverbindung, unten dargestellt als Verbindung (c), 2 × 10–3 Mol/Mol-Ag an 5-Chlor-8-hydroxychinolin, 7,0 × 10–5 Mol/Mol-Ag an Kristallisationskernbildungsmittel (HZ-1) (Hydrazinderivat), 4,2 × 10–4 Mol/Mol-Ag an Kristallisationskernbildungsbeschleuniger (AC-1), 9 × 10–3 Mol/Mol-Ag an Natrium-p-Dodecylbenzolsulfonat und 3 × 10–2 Mol/Mol-Ag an Hydrochinon. Des weiteren wurden 200 mg/m2 einer Polyethylacrylatdispersion, 200 mg/m2 eines Latexcopolymers aus Methylacrylat, Natrium-2-acrylamid-2-methylpropansulfonat und 2-Acetoacetoxyethylmethacrylat (Gewichtsverhältnis: 88:5:7), 200 mg/m2 an kolloidalem Siliciumdioxid mit einer mittleren Partikelgröße von 0,02 μm und 200 mg/m2 an Verbindung (d) als Härtungsmittel hinzugegeben. Die resultierende gemischte Lösung wurde aufgeschichtet, um eine aufgeschichtete Silbermenge von 3,5 g/m2 zu erhalten. Die fertige Lösung besaß einen pH von 5,7.
  • PC-Schicht:
  • Zu einer wässrigen Gelatinelösung wurden 50 Gew.-%, bezogen auf die Gelatine, einer Ethylacrylatdispersion, ein oberflächenaktives Mittel (e), wie unten gezeigt, in einer Menge hinzugegeben, dass sich eine Abdeckung von 5 mg/m2 ergibt, sowie 1,5-Dihydroxy-2-benzaldoxim in einer Menge, dass sich eine Abdeckung von 10 mg/m2 ergibt, und die resultierende Lösung wurde so aufgeschichtet, dass sich ein Gelatinebelag von 0,5 g/m2 ergibt.
  • OC-Schicht:
  • Gelatine (0,5 g/m2), 40 mg/m2 eines amorphen SiO2-Mattierungsmittels mit einer durchschnittlichen Partikelgröße von etwa 3,5 μm, 0,1 g/m2 an Methanol-Siliciumdioxid, 100 mg/m2 an Polyacrylamid, 20 mg/m2 an Silikonöl, und als Beschichtungshilfsmittel, 5 mg/m2 eines oberflächenaktiven Fluor-Mittels, unten dargestellt durch die Strukturformel (f), 10 mg/m2 an Natrium-Dodecylbenzolsulfonat und 20 mg/m2 einer Verbindung, die unten durch die Strukturformel (g) dargestellt ist, wurden aufgeschichtet.
  • Figure 01010001
  • Figure 01020001
  • Die so erhaltene beschichtete Probe besaß eine Unterlagenschicht und eine Unterlagenschutzschicht der folgenden Zusammensetzungen. Formulierung der Unterlagenschicht:
    Gelatine 3 g/m2
    Latex: Polyethylacrylat 2 g/m2
    Oberflächenaktives Mittel: 40 mg/m2
    Natrium-p-Dodecylbenzolsulfonat
    Härtungsmittel: Verbindung (d), unten dargestellt 200 mg/m2
    SnO2/Sb (Gewichtsverhältnis: 90/10, 200 mg/m2
    mittlere Partikelgröße: 0,20 μm)
    Farbstoff: Gemisch von Farbstoff [a],
    Farbstoff [b] und Farbstoff [c]
    Farbstoff [a]: 70 mg/m2
    Figure 01030001
    Farbstoff [b]: 70 mg/m2
    Figure 01030002
    Farbstoff [c]: 90 mg/m2
    Figure 01040001
    Unterlagenschutzschicht:
    Gelatine 0,8 g/m2
    Polymethylmethacrylat-Feinpartikel 30 mg/m2
    (mittlere Partikelgröße: 4,5 μm)
    Natrium-Dihexyl-α-sulfosuccinat 15 mg/m2
    Natrium-p-dodecylbenzolsulfonat 15 mg/m2
    Natriumacetat 40 mg/m2
  • Das Quellverhältnis (gequollene Schichtdicke/trockene Schichtdicke) × 100) auf der Seite mit einer Emulsionsschicht betrug 100.
  • Herstellung des lichtempfindlichen Materials (1-2):
  • Emulsion B:
  • Die Emulsion B wurde in der gleichen Weise hergestellt wie die Emulsion A, mit der Ausnahme, dass die zugegebene Menge an Natriumthiosulfat auf 2 mg pro Mol Silber geändert wurde und kein Selen-Sensibilisator verwendet wurde.
  • Eine Probe wurde in der gleichen Weise hergestellt wie bei dem lichtempfindlichen Material (1-1), mit dem Unterschied, dass die Sensibilisierungsfarbstoffe des lichtempfindlichen Materials (1-1) durch die folgenden Sensibilisierungsfarbstoffe S-2 (5 × 10–4 Mol/Mol-Ag) und S-3 (5 × 10–4 Mol/Mol-Ag) ersetzt und die Emulsion B als die Emulsion in der EM-Schicht verwendet wurde.
  • Figure 01050001
  • Das Quellverhältnis auf der Seite mit einer Emulsionsschicht war das gleiche wie bei dem lichtempfindlichen Material (1-1).
  • Herstellung des lichtempfindlichen Materials (1-3):
  • Emulsion C:
  • Eine wässrige, 1,5% Gelatinelösung, gehalten auf 40°C, enthaltend Natriumchlorid, 3 × 10–5 Mol/Mol-Ag an Natriumbenzolsulfonat und 5 × 10–3 Mol/Mol-Ag an 4-Hydroxy-6-Methyl-1,3,3a,7-Tetraazainden mit einem pH von 2,0 und eine wässrige Natriumchloridlösung, enthaltend 2,0 × 10–6 Mol/Mol-Ag an K2Ru(NO)Cl5, wurden gleichzeitig durch ein Doppelstrahlverfahren bei einem Potential von 95 mV über 3 Minuten und 30 Sekunden zugegeben, um eine Hälfte der Silbermenge der fertigen Körner zu verbrauchen, wodurch Kernkörner mit einer Größe von 0,12 μm hergestellt werden. Danach wurden eine wässrige Silbernitratlösung und eine wässrige Natriumchloridlösung mit 6,0 × 10–6 Mol/Mol-Ag an K2Ru(NO)Cl5 in der gleichen Weise wie oben über 7 Minuten hinzugegeben, um würfelförmige Silberchloridkörner mit einer durchschnittlichen Korngröße von 0,15 μm (Variationskoeffizient: 12%) herzustellen.
  • Die Körner wurden durch ein in der Technik wohlbekanntes Ausflockungsverfahren mit Wasser gewaschen, um lösliche Salze zu entfernen, dann wurde Gelatine hinzugege ben, 60 mg/Mol-Ag an Verbindung A und 60 mg/Mol-Ag an Phenoxyethanol als Antiseptika wurden hinzugegeben, der pH und der pAg wurden auf 5,7 bzw. 7,5 eingestellt, es wurden 4 × 10–5 Mol/Mol-Ag an Chlorgoldsäure und 4 × 10–5 Mol/Mol-Ag an Verbindung Z hinzugegeben, und dann wurden 1 × 10–5 Mol/Mol-Ag an Natriumthiosulfat und 1 × 10–5 Mol/Mol-Ag an Kalium-Selenocyanid hinzugegeben, um eine chemische Sensibilisierung unter Erhitzen bei 60°C für 60 Minuten durchzuführen. Danach wurde 1 × 10–3 Mol/Mol-Ag an 4-Hydroxy-6-methyl-1,3,3a,7-tetraazainden als Stabilisator hinzugegeben. (Die schließlich erhaltenen Körner besaßen einen pH von 5,7, einen pAg von 7,5 und einen Ru-Gehalt von 4,0 × 10–6 Mol/Mol-Ag.)
  • Auf dem unten beschriebenen Träger wurden EM, PC und OC in dieser Reihenfolge aufgeschichtet.
  • EM:
  • Die folgenden Verbindungen wurden zu der oben hergestellten Emulsion C hinzugegeben, und eine Silberhalogenid-Emulsionsschicht wurde aufgeschichtet, um eine aufgeschichtete Gelatinemenge von 0,9 g/m2 und eine aufgeschichtete Silbermenge von 2,7 g/m2 zu erhalten.
    1-Phenyl-5-mercaptotetrazol 1 mg/m2
    Kristallisationskernbildungsbeschleuniger (AC-2) 3,6 × 10–3 Mol/Mol-Ag
    N-Oleyl-N-methyltaurin-Natriumsalz 10 mg/m2
    Verbindung B 10 mg/m2
    Verbindung C 10 mg/m2
    Verbindung D 10 mg/m2
    n-Butylacrylat/2-Acetoacetoxyethyl-methacrylat/Acrylsäure-Copolymer 760 mg/m2
    (89/8/3)
    Verbindung E (Härtungsmittel) 105 mg/m2
    Natrium-Polystyrolsulfonat 57 mg/m2
    Kristallisationskernbildungsmittel (HZ-3) 1,2 × 10–3 Mol/Mol-Ag
  • PC:
  • Die folgenden Verbindungen wurden zu einer wässrigen Gelatinelösung hinzugegeben, und die resultierende Lösung wurde aufgeschichtet, um eine aufgeschichtete Gelatinemenge von 0,6 g/m2 zu ergeben.
    Gelatine (C2+-Gehalt: 2.700 ppm) 0,6 g/m2
    Natrium-p-dodecylbenzolsulfonat 10 mg/m2
    Natrium-Polystyrolsulfonat 6 mg/m2
    Verbindung A 1 mg/m2
    Verbindung F 14 mg/m2
    n-Butylacrylat/2-Acetoacetoxyethylmethacrylat/Acrylsäure-Copolymer 250 mg/m2
    (89/8/3)
  • OC:
  • Die folgenden Verbindungen wurden zu einer wässrigen Gelatinelösung hinzugegeben, und die resultierende Lösung wurde aufgeschichtet, um eine aufgeschichtete Gelatinemenge von 0,45 g/m2 zu ergeben.
    Gelatine (C2+-Gehalt: 2.700 ppm) 0,45 g/m2
    Amorphes Siliciumdioxid-Mattierungsmittel 40 mg/m2
    (mittlere Partikelgröße: 3,5 μm, Porendurchmesser:
    25 Å, Oberfläche: 700 m2/g)
    Amorphes Siliciumdioxid-Mattierungsmittel 10 mg/m2
    (mittlere Partikelgröße: 2,5 μm, Porendurchmesser:
    170 Å, Oberfläche: 300 m2/g)
    Kalium-N-Perfluoroctansulfonyl-N-propylglycin 5 mg/m2
    Natrium-p-dodecylbenzolsulfonat 30 mg/m2
    Verbindung A 1 mg/m2
    Flüssiges Paraffin 40 mg/m2
    Fester, disperser Farbstoff G1 30 mg/m2
    Fester, disperser Farbstoff G2 150 mg/m2
    Natrium-Polystyrolsulfonat 4 mg/m2
  • Dann, auf der gegenüberliegenden Oberfläche des Trägers, wurden die folgende elektrisch leitfähige Schicht und die Unterlagenschicht gleichzeitig aufgeschichtet.
  • Herstellung einer Beschichtungslösung für die elektrisch leitfähige Schicht und Beschichtung:
  • Die folgenden Verbindungen wurden zu einer wässrigen Gelatinelösung hinzugegeben, und die resultierende Lösung wurde aufgeschichtet, um eine aufgeschichtete Gelatinemenge von 0,06 g/m2 zu ergeben.
    SnO2/Sb (9/1 Gewichtsverhältnis, mittlere 186 mg/m2
    Partikelgröße: 0,25 μm)
    Gelatine (Ca2+-Gehalt: 3.000 ppm) 60 mg/m2
    Natrium-p-Dodecylbenzolsulfonat 13 mg/m2
    Natrium-Dihexyl-α-sulfosuccinat 12 mg/m2
    Natrium-Polystyrolsulfonat 10 mg/m2
    Verbindung A 1 mg/m2
  • Herstellung einer Beschichtungslösung für die Unterlagenschicht und Beschichtung:
  • Die folgenden Verbindungen wurden zu einer wässrigen Gelatinelösung hinzugegeben, und die resultierende Lösung wurde aufgeschichtet, um eine aufgeschichtete Gelatinemenge von 1,94 g/m2 zu ergeben.
    Gelatine (Ca2+-Gehalt: 30 ppm) 1,94 g/m2
    Polymethylmethacrylat-Feinpartikel 15 mg/m2
    (mittlere Partikelgröße: 3,4 μm)
    Verbindung H 140 mg/m2
    Verbindung I 140 mg/m2
    Verbindung J 30 mg/m2
    Verbindung K 40 mg/m2
    Natrium-p-Dodecylbenzolsulfonat 7 mg/m2
    Natrium-Dihexyl-α-sulfosuccinat 29 mg/m2
    Verbindung L 5 mg/m2
    Kalium-N-Perfluoroctansulfonyl-N-propylglycin 5 mg/m2
    Natriumsulfat 150 mg/m2
    Natriumacetat 40 mg/m2
    Verbindung E (Härtungsmittel) 105 mg/m2
  • Träger- und Grundierungsschicht:
  • Eine erste und zweite Grundierungsschicht, jeweils mit der folgenden Zusammensetzung, wurden auf beiden Oberflächen eines biaxial gestreckten Polyethylenterephthalat-Trägers aufgeschichtet (Dicke: 100 μm). Erste Grundierungsschicht:
    Kern-Schalen-Typ Vinylidenchlorid-Copolymer (1) 15 g
    2,4-Dichlor-6-hydroxy-s-triazin 0,25 g
    Polystyrol-Feinpartikel 0,05 g
    (mittlere Partikelgröße: 3 μm)
    Verbindung M 0,20 g
    Kolloidales Siliciumdioxid (Snowtex ZL, hergestellt 0,12 g
    von der Nissan Chemical KK, Partikelgröße:
    70 bis 100 μm)
    Wasser bis auf 100 g
  • Die resultierende Beschichtungslösung wurde auf einen pH von 6 eingestellt, indem man 10 Gew.-% an KOH zugab und man beschichtete bei einer Trocknungstemperatur von 180°C in 2 Minuten, um eine Trockendicke von 0,9 μm zu erhalten. Zweite Grundierungsschicht:
    Gelatine 1 g
    Methylcellulose 0,05 g
    Verbindung N 0,02 g
    C12H25O(CH2CH2O)10H 0,03 g
    Verbindung A 3,5 × 10–3 g
    Essigsäure 0,2 g
    Wasser bis auf 100 g
  • Die resultierende Beschichtungslösung wurde bei einer Trocknungstemperatur von 170°C innerhalb von 2 Minuten aufgeschichtet, um eine Trockendicke von 0,1 μm zu ergeben, wodurch eine Probe hergestellt wurde.
  • Das Quellverhältnis auf der Seite mit einer Emulsionsschicht betrug 100.
  • Figure 01110001
  • Figure 01120001
  • Figure 01130001
  • Herstellung des lichtempfindlichen Materials (1-4):
  • Emulsion D:
  • Eine wässrige Silbernitratlösung (250 ml) mit darin gelösten 64 g an Silbernitrat und 250 ml einer wässrigen Halogensalzlösung, enthaltend K2Rh(H2O)Cl5, entsprechend 1 × 10–7 Mol pro Mol Silber in der gesamten Emulsion, K3IrCl6, entsprechend 2 × 10–7 Mol pro Mol Silber in der gesamten Emulsion, 20 g an Kaliumbromid und 14 g an Natriumchlorid, wurden zu einer 2%igen wässrigen Gelatinelösung hinzugegeben, die Natriumchlorid (0,3%), 1,3-Dimethyl-2-imidazolithion (0,002%) und eine Zitronensäure (0,05%) enthält, wobei bei 38°C mittels eines Doppelstrahlverfahrens über 12 Minuten gerührt wird, um Silberchloridbromidkörner mit einer mittleren Korngröße von 0,16 μm und einem Silberchloridgehalt von 55 Mol-% zu erhalten und dadurch die Kristallisationskernbildung durchzuführen. Nachfolgend wurden 300 ml einer wässrigen Silbernitratlösung mit darin gelösten 106 g an Silbernitrat und 300 ml einer wässrigen Halogensalzlösung mit darin gelösten 28 g an Kaliumbromid und 26 g an Natriumchlorid durch ein Doppelstrahlverfahren über 20 Minuten hinzugegeben, um die Kornbildung durchzuführen.
  • Danach wurden 1 × 10–3 Mol/Mol-Ag einer KI-Lösung hinzugegeben, um eine Umsetzung durchzuführen, und die Körner wurden mit Wasser durch Ausflocken in einer üblichen Weise gewaschen. Hierzu wurden 40 g/Mol-Ag an Gelatine hinzugegeben, der pH und der pAg wurden auf 5,9 bzw. 7,5 eingestellt, und es wurden dann 3 mg/Mol-Ag an Natrium-Benzolthiosulfonat, 1 mg/Mol-Ag an Natriumbenzolsulfinat, 2 mg an Natriumthiosulfat, 2 mg einer Verbindung, die unten durch die Strukturformel (h) gezeigt ist, und 8 mg an Chlorgoldsäure hinzugegeben, um die chemische Sensibilisierung unter Erhitzen bei 60°C für 70 Minuten durchzuführen. Dann wurden 150 mg an 4-Hydroxy-6-methyl-1,3,3a,7-tetraazainden als Stabilisator und 100 mg an Proxel als Antiseptikum hinzugegeben. Danach wurden 400 mg eines Farbstoffs, der unten durch die Strukturformel (i) gezeigt ist, hinzugegeben, und nach 10 Minuten wurde die Temperatur herabgesetzt. Die erhaltenen Körner waren würfelförmige Silberiodidchloridbromid-Körner mit einer mittleren Korngröße von 0,22 μm und einem Silberchloridgehalt von 60 Mol-% (Variationskoeffizient: 10%).
  • Herstellung einer Beschichtungslösung für die Emulsionsschicht:
  • Zu der so erhaltenen Emulsion wurden 2 × 10–4 Mol/Mol-Ag eines kurzwelligen Cyaninfarbstoffs, der unten durch die Strukturformel (j) dargestellt ist, 5 × 10–3 Mol/Mol-Ag an Kaliumbromid, 2 × 10–4 Mol/Mol-Ag an 1-Phenyl-5-mercaptotetrazol, 2 × 10–4 Mol/Mol-Ag der Mercaptoverbindung, die unten durch die Strukturformel (k) dargestellt ist, 3 × 10–4 Mol/Mol-Ag einer Triazinverbindung, die unten durch die Strukturformel (l) dargestellt ist, 6 × 10–4 Mol/Mol-Ag an Kristallisationskernbildungsbeschleuniger (AC-1) und 2 × 10–4 Mol/Mol-Ag an Kristallisationskernbildungsmittel (HZ-2) hinzugegeben, und des weiteren wurden Hydrochinon, Natrium-p-Dodecylbenzolsulfonat, kolloidales Siliciumdioxid (Snowtex C, hergestellt von der Nissan Chemical KK), eine Polyethylacrylatdispersion und 1,2-bis-(Vinylsulfonylacetamido)ethan hinzugegeben, um eine aufgeschichtete Menge von 100 mg/m2, 10 mg/m2, 150 mg/m2, 500 mg/m2 bzw. 80 mg/m2 zu ergeben, um eine Beschichtungslösung für die Emulsionsschicht herzustellen. Die Beschichtungslösung wurde auf einen pH von 5,6 eingestellt.
  • Figure 01150001
  • Herstellung von Beschichtungslösungen für PC und OC:
  • Zu einer wässrigen Gelatinelösung, die Proxel als Antiseptikum enthält, wurden die Verbindung (n), die Verbindung (o) und eine Polyethylacrylatdispersion hinzugegeben, um eine aufgeschichtete Menge von 10 mg/m2, 100 mg/m2 bzw. 300 mg/m2 zu ergeben, wodurch eine PC-Lösung hergestellt wurde.
  • Weiterhin wurde zu einer Gelatinelösung, die Proxel als Antiseptikum enthält, ein amorphes SiO2-Mattierungsmittel mit einer mittleren Partikelgröße von etwa 3,5 μm, kolloidales Siliziumdioxid (Snowtex C, hergestellt von der Nissan Chemical KK), flüssiges Paraffin, und als Beschichtungshilfsmittel ein oberflächenaktives Fluormittel, das unten durch die Strukturformel (p) dargestellt ist, und Natrium-p-Dodecylbenzolsulfonat hinzugegeben, um eine aufgeschichtete Menge von 50 mg/m2, 100 mg/m2, 30 mg/m2, 5 mg/m2, 5 mg/m2 bzw. 30 mg/m2 zu ergeben, wodurch eine OC-Lösung hergestellt wird.
  • Figure 01160001
  • Diese Beschichtungslösungen wurden auf einen Polyethylenterephthalatfilm aufgeschichtet, der auf seinen beiden Oberflächen eine Feuchtigkeitsbeständigkeit verleihende Grundierung mit Vinylidenchlorid besitzt, um eine Schichtstruktur aus einer Emulsionsschicht (Silbermenge: 3,0 g/m2, Gelatine: 1,5 g/m2) als einer untersten Schicht, PC (Gelatine: 0,5 g/m2) und OC (Gelatine: 0,4 g/m2) zu erhalten. Die erhaltene Probe besaß einen Schichtoberflächen-pH an der Emulsionsoberfläche von 5,8.
  • Es wurde eine Unterlagenschicht der folgenden Formulierung aufgeschichtet. Unterlagenschicht:
    Gelatine 1,5 g/m2
    Oberflächenaktives Mittel:
    Natrium-p-Dodecylbenzolsulfonat 30 mg/m2
    Gelatine-Härtungsmittel:
    1,2-Bis(Vinylsulfonylacetamido)ethan 100 mg/m2
    Farbstoff: Gemisch der folgenden Farbstoffe (q),
    (r), (s) und (t)
    Farbstoff (q) 50 mg/m2
    Farbstoff (r) 100 mg/m2
    Farbstoff (s) 30 mg/m2
    Farbstoff (t) 50 mg/m2
    Proxel 1 mg/m2
  • Figure 01180001
  • Das Quellverhältnis auf der Seite mit einer Emulsionsschicht betrug 150.
  • BEISPIEL 1
  • Der Entwickler (1-1) besaß die folgende Zusammensetzung pro 1 l der Anwendungslösung:
    Kaliumhydroxid (100%) 35,0 g
    Diethylentriaminpentaessigsäure 2,0 g
    Kaliumcarbonat 40,0 g
    Natriummetabisulfit 40,0 g
    Kaliumbromid 3,0 g
    Diethylenglykol 20,0 g
    Hydrochinon 25,0 g
    5-Methylbenzotriazol 0,08 g
    4-Hydroxymethyl-4-methyl-1-phenyl-3-pyrazolidon 0,45 g
    2,3,5,6,7,8-Hexahydro-2-thioxo-4-(1H)-chinazolin 0,04 g
    Natrium-2-Mercaptobenzimidazol-5-sulfonat 0,15 g
    Natrium-Erythorbat 3,0 g
    Verbindung, die in Tabelle 1-1 gezeigt ist gezeigt in Tabelle 1-1
    pH 10, 5
  • Der Entwickler (1-2) besaß die folgende Zusammensetzung:
    Natriumhydroxid (100%) 40,0 g
    Diethylentriaminpentaessigsäure 2,0 g
    Kaliumcarbonat 60,0 g
    Natriummetabisulfit 70,0 g
    Kaliumbromid 7,0 g
    Diethylenglykol 5,0 g
    Hydrochinon 40,0 g
    5-Methylbenzotriazol 0,35 g
    4-Hydroxymethyl-4-methyl-1-phenyl-3-pyrazolidon 1,50 g
    Natrium-2-Mercaptobenzimidazol-5-sulfonat 0,30 g
    Natrium-3-(5-Mercaptotetrazol-1-yl)-benzolsulfonat 0,10 g
    Natrium-Erythorbat 6,0 g
    Verbindung, die in Tabelle 1-2 gezeigt ist gezeigt in Tabelle 1-2
    pH 10,5
  • Die Fixierlösung (1-1) besaß die folgende Formulierung pro 1 l der Anwendungslösung:
    Ammoniumthiosulfat 119,7 g
    Dinatrium-Ethylendiamintetraacetat-Dihydrat 0,03 g
    Natriumthiosulfat-Pentahydrat 10,9 g
    Natrium-Metasulfit 25,0 g
    Natriumhydroxid (100%) 12,4 g
    Eisessig 29,1 g
    Weinsäure 2,9 g
    Natrium-Gluconat 1,7 g
    Aluminiumsulfat 8,4 g
    pH 4,8
  • Beispiel 1-1
  • Nach Eintauchen von 16 Blättern des Kontakffilms RU-100 (3,6 cm × 12 cm), hergestellt von der Fuji Photo Film Co., Ltd. in 250 ml eines Entwicklers bei 38°C für 20 Sekunden unter Bewegung durch Einsprudeln von Stickstoff wurde die Silberkonzentration in dem Entwickler gemessen.
  • Die Ergebnisse im Entwickler (1-1) sind in Tabelle 1-1 gezeigt, und die Ergebnisse im Entwickler (1-2) sind in Tabelle 1-2 gezeigt. Die Verbindungen der vorliegenden Erfindung zeigten eine exzellente Befähigung, das Herauslösen von Silber zu hemmen.
  • Beispiel 1-2
  • In einer automatischen Entwicklungsmaschine, FG-460A (hergestellt von der Fuji Photo Film Co., Ltd.), gefüllt mit einem Entwickler und einer Fixierlösung, wurden die lichtempfindlichen Materialien (1-1) bis (1-4), das lichtempfindliche Ausdruckmaterial LS-5500, das von derselben Firma hergestellt wird, und das lichtempfindliche DUP- Papiermaterial DU-150WP jeweils der Sensitometrie unterzogen. Die Bedingungen der Belichtung und Bearbeitung/Entwicklung waren wie folgt:
  • Lichtempfindliches Material (1-1):
    • Exposition gegenüber Xenon-Blitzlicht durch einen Interferenzfilter von 633 nm und bei einem Stufenkeil für eine Emissionszeit von 10–6 Sekunden.
  • Lichtempfindliches Material (1-2):
    • Exposition gegenüber Xenon-Blitzlicht durch einen Interferenzfilter mit einem Peak bei 488 nm und bei einem Stufenkeil für eine Emissionszeit von 10–5 Sekunden.
  • Lichtempfindliches Material (1-3):
    • Belichtung durch einen P-627FM Drucker, hergestellt von der Dainippon Screen Mfg. Co., Ltd. über einen Stufenkeil
  • Lichtempfindliches Material (1-4):
    • Exposition gegenüber Wolframlicht von 3200°K über einen Stufenkeil
  • LS-5500:
    • Exposition gegenüber Xenon-Blitzlicht durch einen Interferenzfilter mit einem Peak bei 488 nm und bei einem Stufenkeil für eine Emissionszeit von 10–4 Sekunden.
  • DU-150WP:
    • Belichtung durch einen P-627FM-Drucker, hergestellt von der Dainippon Screen Mfg. Co., Ltd. über einen Stufenkeil
  • Bearbeitungsbedingungen:
  • Die lichtempfindlichen Materialien (1-1), (1-2) und (1-4) wurden bei einer Entwicklungstemperatur von 35°C und einer Fixiertemperatur von 34°C für eine Entwicklungszeit von 30 Sekunden bearbeitet;
    das übrige lichtempfindliche Material wurde bei einer Entwicklungstemperatur von 38°C und bei einer Fixiertemperatur von 37°C für eine Entwicklungszeit von 20 Sekunden bearbeitet.
  • In den Tabellen 1-1 und 1-2 sind die Differenz der minimalen Dichte (Dmin) gegenüber dem Blindwert und die Differenz der Empfindlichkeit bei einer Dichte von 3,0 (S3.0) gegenüber dem Blindwert gezeigt. Je kleiner die Differenz, umso geringer ist der Einfluss auf die photographischen Eigenschaften, was entsprechend umso bevorzugter ist. Es ist zu sehen, dass die bei der vorliegenden Erfindung verwendeten Verbindungen die photographischen Eigenschaften wenig beeinflussen. Insbesondere, selbst wenn die Zugabemenge groß ist, wird das exzellente Ergebnis erhalten, dass die Dmin des lichtempfindlichen DUP-Materials nicht beeinflusst wird. Der Spielraum in der Praxis beträgt 0,03 oder weniger für die Dmin-Differenz und innerhalb von ± 0,02 für die S3.0-Differenz.
  • Beispiel 1-3
  • Nachdem der nicht belichtete Kontaktfilm RU-100 von derselben Firma bei einer Rate von 100 m2 pro Tag für 5 Tage in Beispiel 1-2 bearbeitet worden war, wurde das nicht belichtete lichtempfindliche Kontaktpapier-Material KU-150WP (10 × 12 Inch), hergestellt von derselben Firma, entwickelt, und Flecken wurden beobachtet. Der Entwickler (1-1) wurde mit einer Menge von 320 ml/m2 nachgefüllt, der Entwickler (1-2) wurde in einer Menge von 160 ml/m2 nachgefüllt, und die Fixierlösung wurde jeweils in einer Menge von 260 ml/m2 nachgefüllt. Die erhaltenen Ergebnisse sind in den Tabellen 1-1 und 1-2 dargestellt. Proben auf dem Niveau von 4 oder höher haben kein Problem in der Praxis.
  • Durch die Verwendung der bei der vorliegenden Erfindung benutzten Verbindungen kann eine hervorragende Wirkung beim Verhindern von Silberflecken erreicht werden, ohne die photographischen Eigenschaften im Geringsten zu beeinflussen.
  • Figure 01230001
  • Figure 01240001
  • Figure 01250001
  • Figure 01260001
  • Die Vergleichsverbindungen 1-C-1, 1-C-2, 1-C-3 und 1-C-4 in den Tabellen 1-1 und 1-2 besitzen die folgenden Strukturformeln:
  • Vergleichsverbindung 1-C-1:
    • Verbindung ist beschrieben in der JP-A-3-53244
      Figure 01270001
  • Vergleichsverbindung 1-C-2:
    • Verbindung ist beschrieben in der JP-A-3-53244
      Figure 01270002
  • Vergleichsverbindung 1-C-3:
    • Verbindung ist beschrieben in der JP-A-6-230525
      Figure 01270003
  • Vergleichsverbindung 1-C-4:
    • Verbindung ist beschrieben in der JP-A-5624347, etc.
  • Figure 01270004
  • BEISPIEL 2
  • Der Entwickler (2-1) besaß die folgende Zusammensetzung pro 1 l der Anwendungslösung.
    Kaliumhydroxid 35,0 g
    Diethylentriaminpentaessigsäure 2,0 g
    Kaliumcarbonat 40,0 g
    Natriummetabisulfit 40,0 g
    Kaliumbromid 3,0 g
    Hydrochinon 25,0 g
    5-Methylbenzotriazol 0,08 g
    4-Hydroxymethyl-4-methyl-1-phenyl-3-pyrazolidon 0,45 g
    Verbindung, die in Tabelle 2-1 gezeigt ist in Tabelle 2-1 gezeigt
    Natrium-Erythorbat 3,0 g
    Diethylenglykol 20,0 g
    pH 10,5 g
  • Der Entwickler (2) besaß die folgende Zusammensetzung.
    Natriumhydroxid (Kugeln, 99,5%) 11,5 g
    Kaliumsulfit (Rohpulver) 63,0 g
    Natriumsulfit (Rohpulver) 46,0 g
    Kaliumcarbonat 62,0 g
    Hydrochinon (Brikett) 40,0 g
  • Die folgenden Komponenten wurden gemeinsam brikettiert.
    Diethylentriaminpentaessigsäure 2,0 g
    5-Methylbenzotriazol 0,35 g
    4-Hydroxymethyl-4-methyl-1-phenyl-3-pyrazolidon 1,5 g
    Verbindung, die in Tabelle 2-2 gezeigt ist in Tabelle 2-2 gezeigt
    Natrium-3-(5-mercaptotetrazol-1-yl)-benzolsulfonat 0,1 g
    Natrium-Erythorbat 6,0 g
    Kaliumbromid 6,6 g
    Gelöst in Wasser, um auf 1 l zu kommen
    pH 10,65
  • Im Hinblick auf die Form der Rohmaterialien war das Rohpulver ein allgemeines Industrieprodukt, das verwendet wurde, wie es war, und die Kügelchen des Alkalimetallsalzes waren ein kommerziell erhältliches Produkt.
  • Die Rohmaterialien in Form eines Briketts wurden jeweils unter Druck unter Verwendung einer Brikettierpresse komprimiert, um eine nicht definierte Rugbyball-Form mit einer Länge von etwa 4 bis 6 mm zu erhalten, und das Brikett wurde bei der Verwendung zerkleinert. Im Hinblick auf die Komponenten in einer kleinen Menge wurden die entsprechenden Komponenten gemischt und dann brikettiert.
  • Die so erhaltenen Bearbeitungsmittel (10 l-Portionen) wurden jeweils in einen faltbaren, aus hochdichtem Polyethylen hergestellten Behälter eingepackt, und die Entnahmeöffnung wurde mit einem Aluminiumsiegel verschlossen. Beim Auflösen und Nachfüllen des Bearbeitungsmittels wurde ein Auflöse/Nachfüll-Apparat mit einem automatischen Entsiegelungsmechanismus verwendet.
  • Die Fixierlösung (2-1) besaß die folgende Formulierung pro 1 l der Anwendungslösung.
    Ammoniumthiosulfat 120 g
    Dinatrium-Ethylendiamintetraacetat-Dihydrat 0,03 g
    Natriumthiosulfat-Pentahydrat 11,0 g
    Natrium-Metasulfit 19,0 g
    Natriumhydroxid 12,4 g
    Essigsäure (100%) 30,0 g
    Weinsäure 2,9 g
    Natriumgluconat 1,7 g
    Aluminiumsulfat 8,4 g
    pH 4,8
  • Der Fixierer (2-2) besaß die folgende Zusammensetzung.
    Mittel A (fest)
    Ammoniumthiosulfat (kompakt) 125,0 g
    Natriumthiosulfat-Anhydrid (Rohpulver) 19,0 g
    Natrium-Metabisulfit (Rohpulver) 18,0 g
    Natriumacetat-Anhydrid (Rohpulver) 42,0 g
    Mittel B (flüssig)
    Dinatrium-Ethylendiamintetraacetat-Dihydrat 0,03 g
    Zitronensäureanhydrid 3,7 g
    Natriumgluconat 1,7 g
    Aluminiumsulfat 8,4 g
    Schwefelsäure 2,1 g
    Gelöst in Wasser, um 50 ml zu ergeben.
    Mittel A und Mittel B wurden in Wasser gelöst,
    um 1 l zu ergeben.
    pH 4,8
  • Das venwendete Ammoniumthiosulfat (kompakt) wurde erhalten durch Komprimieren von Flocken, gewonnen durch ein Sprühtrocknungsverfahren, unter Druck in einem Rollerverdichter zu Chips nicht definierter Form mit einer Größe von etwa 4 bis 6 mm und Mischen mit Natriumthiosulfat-Anhydrid. Andere verwendete Rohpulver waren allgemeine Industrieprodukte.
  • Mittel A und Mittel B, jeweils in einer 10l-Portion, wurden separat in einem aus Polyethylen hoher Dichte bestehenden faltbaren Behälter verpackt. Die Entnahmeöffnung von Mittel A wurde mit einem Aluminiumsiegel verschlossen, und die Öffnung des Behälters von Mittel B wurde mit einer Schraubkappe verschlossen. Beim Lösen und Nachfüllen des Bearbeitungsmittels wurde ein Auflöse/Nachfüll-Apparat mit einem automatischen Entsiegelungsmechanismus verwendet.
  • Beispiel 2-1
  • Nach Eintauchen von 16 Blättern des Kontaktfilms RU-100 (3,6 cm × 12 cm), hergestellt von der Fuji Photo Film Co., Ltd. in 250 ml eines Entwicklers bei 38°C für 20 Se kunden unter Bewegen durch Stickstoffeinsprudeln, wurde die Silberkonzentration in dem Entwickler gemessen.
  • Die Ergebnisse in Entwickler (2-1) sind in Tabelle 2-1 gezeigt, und die Ergebnisse in Entwickler (2-2) sind in Tabelle 2-2 gezeigt. Die bei der vorliegenden Erfindung verwendeten Verbindungen zeigten eine exzellente Befähigung, das Herauslösen von Silber zu inhibieren.
  • Beispiel 2
  • In einer automatischen Entwicklungsmaschine, FG-460A (hergestellt von der Fuji Photo Film Co., Ltd.), gefüllt mit einem Entwickler und einer Fixierlösung, wurden die lichtempfindlichen Materialien (1-1) bis (1-4), das lichtempfindliche Ausdruckmaterial LS-5500, das von derselben Firma hergestellt wird und das lichtempfindliche DUP-Papiermaterial DU-150WP jeweils der Sensitometrie unterzogen. Der Entwickler (2-1) wurde in Kombination mit der Fixierlösung (2-1) verwendet, und der Entwickler (2-2) wurde in Kombination mit der Fixierlösung (2-2) verwendet. Die Belichtungs- und Bearbeitungsbedingungen waren die gleichen wie in Beispiel 1-2.
  • In den Tabellen 2-1 und 2-2 sind die Differenz der minimalen Dichte (Dmin) gegenüber dem Blindwert und die Differenz der Empfindlichkeit bei einer Dichte von 3,0 (S3.0) gegenüber dem Blindwert gezeigt. Je kleiner die Differenz, umso geringer ist der Einfluss auf die photographischen Eigenschaften, was entsprechend umso bevorzugter ist. Es ist zu sehen, dass die bei der vorliegenden Erfindung verwendeten Verbindungen die photographischen Eigenschaften wenig beeinflussen. Insbesondere, selbst wenn die Zugabemenge groß ist, wird das exzellente Ergebnis erhalten, dass die Dmin des lichtempfindlichen DUP-Materials nicht beeinflusst wird. Der Spielraum in der Praxis beträgt 0,03 oder weniger für die Dmin-Differenz und innerhalb von ± 0,02 für die S3.0-Differenz.
  • Beispiel 2-3
  • Nachdem der nicht belichtete Kontaktfilm RU-100 von derselben Firma bei einer Rate von 100 m2 pro Tag für 5 Tage in Beispiel 2-2 bearbeitet worden war, wurde das nicht belichtete lichtempfindliche Kontaktpapier-Material KU-150WP (10 × 12 Inch), hergestellt von derselben Firma, entwickelt, und Flecken wurden beobachtet. Der Entwickler (2-1) wurde mit einer Menge von 320 ml/m2 nachgefüllt, der Entwickler (2-2) wurde in einer Menge von 160 ml/m2 nachgefüllt, und die Fixierlösung wurde jeweils in einer Menge von 260 ml/m2 nachgefüllt. Die erhaltenen Ergebnisse sind in den Tabellen 2-1 und 2-2 dargestellt. Proben auf dem Niveau von 4 oder höher haben kein Problem in der Praxis.
  • Durch die Verwendung der bei der vorliegenden Erfindung benutzten Verbindungen kann eine hervorragende Wirkung beim Verhindern von Silberflecken erreicht werden, ohne die photographischen Eigenschaften im Geringsten zu beeinflussen.
  • Figure 01330001
  • Figure 01340001
  • Die Vergleichsverbindungen 2-C-1, 2-C-2 und 2-C-3 in den Tabellen 2-1 und 2-2 besaßen die folgenden Strukturformeln:
  • Vergleichsverbindung 2-C-1:
    • Verbindung ist beschrieben in der JP-A-4-362942
      Figure 01350001
  • Vergleichsverbindung 2-C-2:
    • Verbindung ist beschrieben in der JP-A-5-303179, JP-A-5-61159 und JP-A-6-324435
      Figure 01350002
  • Vergleichsverbindung 2-C-3:
    • Verbindung ist beschrieben in der JP-A-56-24347
      Figure 01350003
  • BEISPIEL 3
  • Die Entwickler (3-1) und (3-2) wurden in der gleichen Weise hergestellt wie die Entwickler (2-1) bzw. (2-2), mit dem Unterschied, dass die in den Tabellen 3-1 und 3-2 dargestellten Verbindungen anstelle der in Tabelle 2-1 bzw. 2-2 dargestellten Verbindungen verwendet wurden.
  • Beispiel 3-1
  • Nach Eintauchen von 16 Blättern des Kontaktfilms RU-100 (3,6 cm × 12 cm), hergestellt von der Fuji Photo Film Co., Ltd. in 250 ml eines Entwicklers bei 38°C für 20 Sekunden unter Bewegen durch Stickstoffeinsprudeln, wurde die Silberkonzentration in dem Entwickler gemessen.
  • Die Ergebnisse in Entwickler (3-1) sind in Tabelle 3-1 gezeigt, und die Ergebnisse in Entwickler (3-2) sind in Tabelle 3-2 gezeigt. Die bei der vorliegenden Erfindung verwendeten Verbindungen zeigten eine exzellente Befähigung, das Herauslösen von Silber zu inhibieren.
  • Beispiel 3-2
  • In einer automatischen Entwicklungsmaschine, FG-460A (hergestellt von der Fuji Photo Film Co., Ltd.), gefüllt mit einem Entwickler und einer Fixierlösung, wurden die lichtempfindlichen Materialien (1-1) bis (1-4), das lichtempfindliche Ausdruckmaterial LS-5500, das von derselben Firma hergestellt wird, und das lichtempfindliche DUP-Papiermaterial DU-150WP jeweils der Sensitometrie unterzogen. Der Entwickler (3-1) wurde in Kombination mit der Fixierlösung (2-1) verwendet, und der Entwickler (3-2) wurde in Kombination mit der Fixierlösung (2-2) verwendet. Die Belichtungs- und Bearbeitungsbedingungen waren die gleichen wie in Beispiel 1-2.
  • In den Tabellen 3-1 und 3-2 sind die Differenz der minimalen Dichte (Dmin) gegenüber dem Blindwert und die Differenz der Empfindlichkeit bei einer Dichte von 3,0 (S3.0) gegenüber dem Blindwert gezeigt. Je kleiner die Differenz, umso geringer ist der Einfluss auf die photographischen Eigenschaften, was entsprechend umso bevorzugter ist. Es ist zu sehen, dass die bei der vorliegenden Erfindung verwendeten Verbindungen die photographischen Eigenschaften wenig beeinflussen. Insbesondere, selbst wenn die Zugabemenge groß ist, wird das exzellente Ergebnis erhalten, dass die Dmin des lichtempfindlichen DUP-Materials nicht beeinflusst wird. Der Spielraum in der Praxis beträgt 0,03 oder weniger für die Dmin-Differenz und innerhalb von ± 0,02 für die S3.0-Differenz.
  • Beispiel 3-3
  • Nachdem der nicht belichtete Kontaktfilm RU-100 von derselben Firma bei einer Rate von 100 m2 pro Tag für 5 Tage in Beispiel 3-2 bearbeitet worden war, wurde das nicht belichtete lichtempfindliche Kontaktpapier-Material KU-150WP (10 × 12 Inch), hergestellt von derselben Firma, entwickelt, und Flecken wurden beobachtet. Der Entwickler (3-1) wurde mit einer Menge von 320 ml/m2 nachgefüllt, der Entwickler (3-2) wurde in einer Menge von 160 ml/m2 nachgefüllt, und die Fixierlösung wurde jeweils in einer Menge von 260 ml/m2 nachgefüllt. Die erhaltenen Ergebnisse sind in den Tabellen 3-1 und 3-2 dargestellt. Proben auf dem Niveau von 4 oder höher haben kein Problem in der Praxis.
  • Durch die Verwendung der bei der vorliegenden Erfindung benutzten Verbindungen kann eine hervorragende Wirkung beim Verhindern von Silberflecken erreicht werden, ohne die photographischen Eigenschaften im Geringsten zu beeinflussen.
  • Figure 01380001
  • Figure 01390001
  • Figure 01400001
  • Figure 01410001
  • Die Vergleichsverbindungen 3-C-1, 3-C-2 und 3-C-3 in den Tabellen 3-1 und 3-2 besaßen die folgenden Strukturformeln:
  • Vergleichsverbindung 3-C-1:
    • Verbindung ist beschrieben in der JP-A-4-362942.
  • Figure 01420001
  • Vergleichsverbindung 3-C-2:
    • Verbindung ist beschrieben in der JP-B-46-11630 und JP-A-49-11333.
  • Figure 01420002
  • Vergleichsverbindung 3-C-3:
    • Verbindung ist beschrieben in der JP-A-56-24347, etc.
  • Figure 01420003
  • BEISPIEL 4
  • Der Entwickler (4-1) besaß die folgende Zusammensetzung pro 1 l der Anwendungslösung.
    Kaliumhydroxid 105,0 g
    Diethylentriaminpentaessigsäure 6,0 g
    Kaliumcarbonat 120,0 g
    Natriummetabisulfit 120,0 g
    Kaliumbromid 9,0 g
    Hydrochinon 75,0 g
    5-Methylbenzotriazol 0,25 g
    4-Hydroxymethyl-4-methyl-1-phenyl-3-pyrazolidon 1,35 g
    Verbindung, die durch Formel (4) dargestellt ist in Tabelle 4-1 dargestellt
    Natrium-Erythorbat 9,0 g
    Diethylenglykol 60,0 g
    pH 10,7
  • Bei Gebrauch wurde 1 Teil der oben beschriebenen konzentrierten Lösung mit 2 Teilen Wasser verdünnt. Der pH der verdünnten Lösung war 10,5.
  • Der Entwickler 4-2 besaß die folgende Zusammensetzung.
    Natriumhydroxid (Kugeln, 99,5%) 11,5 g
    Kaliumsulfit (Rohpulver) 63,0 g
    Natriumsulfit (Rohpulver) 46,0 g
    Kaliumcarbonat 62,0 g
    Hydrochinon (Brikett) 40,0 g
  • Die folgenden Komponenten wurden gemeinsam brikettiert.
    Diethylentriaminpentaessigsäure 2,0 g
    5-Methylbenzotriazol 0,35 g
    4-Hydroxymethyl-4-methyl-1-phenyl-3-pyrazolidon 1,5 g
    Verbindung, die durch Formel (4) dargestellt ist in Tabelle 4-1 gezeigt
    Natrium-3-(5-mercaptotetrazol-1-yl)-benzolsulfonat 0,1 g
    Natrium-Erythorbat 6,0 g
    Kaliumbromid 6,6 g
    Gelöst in Wasser, um auf 1 l zu kommen pH 10, 65
  • Im Hinblick auf die Form der Rohmaterialien war das Rohpulver ein allgemeines Industrieprodukt, das verwendet wurde, wie es war, und die Kügelchen des Alkalimetallsalzes waren ein kommerziell erhältliches Produkt.
  • Die Rohmaterialien in Form eines Briketts wurden jeweils unter Druck unter Verwendung einer Brikettierpresse komprimiert, um eine Plattenform zu erhalten, und das Brikett wurde bei der Verwendung zerkleinert. Im Hinblick auf die Komponenten in einer kleinen Menge wurden die entsprechenden Komponenten gemischt und dann brikettiert.
  • Die so erhaltenen Bearbeitungsmittel (10 l-Portionen) wurden jeweils in einen faltbaren, aus hochdichtem Polyethylen hergestellten Behälter eingepackt, und die Entnahmeöffnung wurde mit einem Aluminiumsiegel verschlossen. Beim Auflösen und Nachfüllen des Bearbeitungsmittels wurde ein Auflöse/Nachfüll-Apparat mit einem automatischen Entsiegelungsmechanismus verwendet.
  • Die Fixierlösung (4-1) besaß die folgende Formulierung pro 1 l der Anwendungslösung:
    Ammoniumthiosulfat 360 g
    Dinatrium-Ethylendiamintetraacetat-Dihydrat 0,09 g
    Natriumthiosulfat-Pentahydrat 33,0 g
    Natrium-Metasulfit 57,0 g
    Natriumhydroxid 37,2 g
    Essigsäure (100%) 90,0 g
    Weinsäure 8,7 g
    Natrium-Gluconat 5,1 g
    Aluminiumsulfat 25,2 g
    pH 4,85
  • Bei der Verwendung wurde 1 Teil der oben beschriebenen konzentrierten Lösung mit 2 Teilen Wasser verdünnt. Der pH der verdünnten Lösung betrug 4,8.
  • Der Fixierer (4-2) besaß die folgende Zusammensetzung.
    Mittel A (fest)
    Ammoniumthiosulfat (kompakt) 125,0 g
    Natriumthiosulfat-Anhydrid (Rohpulver) 19,0 g
    Natrium-Metabisulfit (Rohpulver) 18,0 g
    Natriumacetat-Anhydrid (Rohpulver) 42,0 g
    Mittel B (flüssig)
    Dinatrium-Ethylendiamintetraacetat-Dihydrat 0,03 g
    Zitronensäureanhydrid 3,7 g
    Natriumgluconat 1,7 g
    Aluminiumsulfat 8,4 g
    Schwefelsäure 2,1 g
    Gelöst in Wasser, um 50 ml zu ergeben.
    Mittel A und Mittel B wurden in Wasser gelöst,
    um 1 l zu ergeben.
    pH 4,8
  • Das verwendete Ammoniumthiosulfat (kompakt) wurde erhalten durch Komprimieren von Flocken, gewonnen durch ein Sprühtrocknungsverfahren, unter Druck in einem Rollerverdichter zu Chips nicht definierter Form mit einer Größe von etwa 4 bis 6 mm und Mischen mit Natriumthiosulfat-Anhydrid. Andere verwendete Rohpulver waren allgemeine Industrieprodukte.
  • Mittel A und Mittel B, jeweils in einer 10l-Portion, wurden separat in einem aus Polyethylen hoher Dichte bestehenden, faltbaren Behälter verpackt. Die Entnahmeöffnung von Mittel A wurde mit einem Aluminiumsiegel verschlossen, und die Öffnung des Behälters von Mittel B wurde mit einer Schraubkappe verschlossen. Beim Lösen und Nachfüllen des Bearbeitungsmittels wurde ein Auflöse/Nachfüll-Apparat mit einem automatischen Entsiegelungsmechanismus verwendet.
  • Beispiel 4-1
  • In einer automatischen Entwicklungsmaschine, FG-680AG (hergestellt von der Fuji Photo Film Co., Ltd.), gefüllt mit einem Entwickler und einer Fixierlösung, wurden die lichtempfindlichen Materialien (1-1) bis (1-4), das lichtempfindliche Ausdruckmaterial LS-5500, das von derselben Firma hergestellt wird und das lichtempfindliche DUP-Papiermaterial DU-150WP, das bildweise bei einer Schwärzungsrate von jeweils 30% belichtet wird, nach einer 10-tägigen Bearbeitung des lichtempfindlichen Materials bei einer Rate von 100 m2 pro Tag der Sensitometrie unterzogen. Die lichtempfindlichen Materialien (1-1), (1-2) und (1-4) wurden bei einer Entwicklungstemperatur von 35°C und einer Fixiertemperatur von 34°C für eine Entwicklungszeit von 30 Sekunden bearbeitet. Das übrige lichtempfindliche Material wurde bei einer Entwicklungstemperatur von 38°C und bei einer Fixiertemperatur von 37°C für eine Entwicklungszeit von 20 Sekunden bearbeitet. Die Nachfüllmengen der Entwickler sind in den Tabellen 4-1 und 4-2 angegeben. Die Fixierlösung wurde jeweils in einer Menge von 160 ml/m2 nachgefüllt. Die Belichtungsbedingungen für jedes lichtempfindliche Material waren die gleichen wie in Beispiel 1-2.
  • In den Tabellen 4-1 ist die Differenz der minimalen Dichte (Dmin) gegenüber dem Blindwert und die Differenz der Empfindlichkeit bei einer Dichte von 1,5 (S1.5) gegenüber dem Blindwert gezeigt. Der Spielraum in der Praxis beträgt 0,03 oder weniger für die Dmin-Differenz und innerhalb von ± 0,03 für die S1.5-Differenz.
  • Figure 01470001
  • Die Vergleichsverbindungen 4-C-1 und 4-C-2 in der Tabelle 4-1 besaßen die folgenden Strukturformeln:
  • Vergleichsverbindung 4-C-1:
    Figure 01480001
  • Vergleichsverbindung 4-C-2:
    Figure 01480002
  • Beispiel 4-2
  • Nachdem das unbelichtete lichtempfindliche Material (3) mit einer Rate von 100 m2 pro Tag für 10 Tage unter den gleichen Bedingungen wie in Beispiel 4-1 bearbeitet worden war, wurde die Erzeugung von Schlamm in dem Entwicklungstank visuell beobachtet. Dann wurde das unbelichtete, lichtempfindliche Kontaktpapier-Material KU-150WP (10 × 12 Inch), hergestellt von der Fuji Photo Film Co., Ltd., entwickelt, und es wurde die Fleckigkeit bewertet. Die erhaltenen Ergebnisse sind in der Tabelle 4-2 dargestellt. Proben auf dem Niveau von 4 oder höher haben in der Praxis keine Probleme.
  • Figure 01490001
  • Beispiel 4-4
  • Die gleichen Versuche wie in den Beispielen 4-1 und 4-2 wurden unter Verwendung eines festen Entwicklers (Entwickler (42)) und eines festen Fixierers (Fixierer (4-2)) durchgeführt. Als Ergebnis wurden die gleichen Resultate wie in den Beispielen 4-1 und 4-2 erhalten.
  • Beispiel 4-5
  • Es wurden die gleichen Bearbeitungsvorgänge wie in den Beispielen 4-1 und 4-2 durchgeführt, mit dem Unterschied, dass die automatische Entwicklermaschine durch eine automatische Entwicklermaschine FG-680AS, hergestellt durch die Fuji Photo Film Co., Ltd., ersetzt und die Entwicklungszeit auf 11 Sekunden verändert wurde. Als Ergebnis wurden die gleichen Resultate wie in den Beispielen 4-1 und 4-2 erhalten.

Claims (8)

  1. Ein Entwickler für ein lichtempfindliches Silberhalogenidmaterial zur Schwarz-Weiß-Fotografie, umfassend wenigstens eine Verbindung, die durch die folgende Formel (1-II) dargestellt ist:
    Figure 01510001
    worin L3 eine verbindende Gruppe darstellt, M ein Wasserstoffatom oder Kation darstellt, und X1 und X2 je eine Gruppe darstellen, die an dem Triazinring substituiert sein kann.
  2. Ein Entwickler für ein lichtempfindliches Silberhalogenidmaterial zur Schwarz-Weiß-Fotografie, umfassend wenigstens eine Verbindung, die durch die folgende Formel (2-I) dargestellt ist:
    Figure 01510002
    worin R21, R22 und R23 je ein Wasserstoffatom, eine aliphatische Kohlenwasserstoffgruppe, eine aromatische Kohlenwasserstoffgruppe, eine heterocyclische Gruppe, ein Halogenatom, eine Cyanogruppe, eine Nitrogruppe, eine Carboxygruppe, eine Sulfogruppe, eine Sulfinogruppe, eine Phosphonogruppe, eine Aminogruppe, eine Ammoniogruppe, eine Phosphoniogruppe, eine Merkaptogruppe, eine Alkoxygruppe, eine Aryloxygruppe, eine Oxygruppe, die aus der Bindung eines Sauerstoffatoms an einen heterocyclischen Ring resultiert, eine Allyloxygruppe, eine Benzyloxygruppe, eine Thiogruppe, eine Acylgruppe, eine Carbamoylgruppe, eine Acylaminogruppe, eine Sulfamoylgruppe, eine Sulfonamidogruppe, eine Sulfonylgruppe, eine Sulfinylgruppe, eine Oxycarbonylgruppe, eine Urethangruppe oder eine Ureidogruppe darstellen, mit der Maßgabe, dass wenigstens eines aus R21, R22 und R23 eine Merkaptogruppe darstellt.
  3. Ein Entwickler für ein lichtempfindliches Silberhalogenidmaterial zur Schwarz-Weiß-Fotografie, umfassend wenigstens eine Verbindung, die durch die folgende Formel (3-I) dargestellt ist:
    Figure 01520001
    worin R311 und R312 je eine Merkaptogruppe oder eine Gruppe darstellen, die den Pyrimidinring substituieren kann.
  4. Ein Entwickler für ein lichtempfindliches Silberhalogenidmaterial zur Schwarz-Weiß-Fotografie, umfassend wenigstens eine Verbindung, die durch die folgende Formel (3-II) dargestellt ist:
    Figure 01520002
    worin R321 eine aromatische Kohlenwasserstoffgruppe, eine heterocyclische Gruppe, ein Halogenatom, eine Cyanogruppe, eine Nitrogruppe, eine Sulfogruppe, eine Sulfinogruppe, eine Carboxygruppe, eine Phosphonogruppe, eine Aminogruppe, eine Ammoniogruppe, eine Phosphoniogruppe, eine Merkaptogruppe, eine Alkoxygruppe, eine Aryloxygruppe, eine Thiogruppe, eine Acylgruppe, eine Carbamoylgruppe, eine Acylaminogruppe, eine Sulfamoylgruppe, eine Sulfonamidogruppe, eine Sulfonylgruppe, eine Sulfinylgruppe, eine Oxycarbonylgruppe, ei ne Urethangruppe oder eine Ureidogruppe darstellen, und R322 eine Gruppe darstellt, die den Pyrimidinring substituieren kann.
  5. Ein Entwickler für ein lichtempfindliches Silberhalogenidmaterial zur Schwarz-Weiß-Fotografie, umfassend wenigstens eine Verbindung, die durch die folgende Formel (4) dargestellt ist:
    Figure 01530001
    worin R41 ein Wasserstoffatom oder eine aliphatische Gruppe darstellt, R42 ein Wasserstoffatom oder einen Substituenten darstellt, mit der Maßgabe, dass wenn R42 ein Wasserstoffatom darstellt, R41 eine aliphatische Gruppe darstellt, die mit wenigstens einer wasserlöslichen Gruppe substituiert ist, wobei die wasserlösliche Gruppe hier eine Sulfonsäure oder deren Salz, eine Carboxylsäure oder deren Salz, ein Salz, umfassend eine Ammoniogruppe oder eine Gruppe enthaltend eine abtrennbare Gruppe, die teilweise oder vollständig durch einen alkalischen Entwickler abgetrennt werden kann, eine Hydroxygruppe, eine Mercaptogruppe, eine Aminogruppe, eine Sulfonamidogruppe, eine Acylsulfamoylgruppe, eine Sulfonylsulfamoylgruppe, eine aktive Methingruppe oder einen Substituenten umfasst, der wenigstens eine dieser Gruppen enthält, worin die aktive Methingruppe hier eine Methylgruppe ist, die durch zwei elektronenziehende Gruppen substituiert ist.
  6. Ein Entwickler für lichtempfindliches Silberhalogenidmaterial zur Schwarz-Weiß-Fotografie, umfassend wenigstens eine Verbindung, die ausgewählt ist aus der Gruppe bestehend aus:
    Figure 01540001
  7. Ein Verfahren zum Entwickeln eines lichtempfindlichen Silberhalogendmaterials zur Schwarz-Weiß-Fotografie, das das bildweise Belichten eines lichtempfindlichen Silberhalogenidmaterials zur Schwarz-Weiß-Fotografie und das anschließende Entwickeln desselben mit einem Entwickler, wie in irgendeinem der Ansprüche 1 bis 6 beschrieben, umfasst.
  8. Ein Verfahren zum Entwickeln eines lichtempfindlichen Silberhalogendmaterials zur Schwarz-Weiß-Fotografie, das das bildweise Belichten eines lichtempfindlichen Silberhalogendmaterials zur Schwarz-Weiß-Fotografie, enthaltend ein Hydrazinderivat, und das anschließende Entwickeln desselben mit einem Entwickler, wie in irgendeinem der Ansprüche 1 bis 6 beschrieben, weiterhin enthaltend als ein Konservierungsmittel 0,3 mol/l bis 1,2 mol/l Sulfit, umfasst.
DE69736146T 1996-02-07 1997-02-07 Entwickler für photographisches, lichtempfindliches Silberhalogenidmaterial Expired - Lifetime DE69736146T2 (de)

Applications Claiming Priority (8)

Application Number Priority Date Filing Date Title
JP4406096 1996-02-07
JP4402396A JPH09211806A (ja) 1996-02-07 1996-02-07 現像液およびそれを用いたハロゲン化銀写真感光材料の現像方法
JP4402396 1996-02-07
JP4406096 1996-02-07
JP4404096A JPH09211810A (ja) 1996-02-07 1996-02-07 ハロゲン化銀写真感光材料用現像液
JP4404096 1996-02-07
JP25457296A JP3504084B2 (ja) 1996-02-07 1996-09-26 ハロゲン化銀写真感光材料用現像液
JP25457296 1996-09-26

Publications (2)

Publication Number Publication Date
DE69736146D1 DE69736146D1 (de) 2006-08-03
DE69736146T2 true DE69736146T2 (de) 2007-05-03

Family

ID=27461465

Family Applications (1)

Application Number Title Priority Date Filing Date
DE69736146T Expired - Lifetime DE69736146T2 (de) 1996-02-07 1997-02-07 Entwickler für photographisches, lichtempfindliches Silberhalogenidmaterial

Country Status (3)

Country Link
US (1) US5840472A (de)
EP (1) EP0789272B1 (de)
DE (1) DE69736146T2 (de)

Families Citing this family (5)

* Cited by examiner, † Cited by third party
Publication number Priority date Publication date Assignee Title
JP3720931B2 (ja) * 1996-11-26 2005-11-30 富士写真フイルム株式会社 ハロゲン化銀写真感光材料の処理方法
JP3568081B2 (ja) * 1996-12-27 2004-09-22 富士写真フイルム株式会社 ハロゲン化銀写真感光材料の処理方法
US6432625B1 (en) 1999-11-26 2002-08-13 Agfa-Gevaert Processing method providing cold blue-black image tone for black-and-white materials having silver halide grain emulsions
EP1104893B1 (de) * 1999-11-26 2002-09-04 Agfa-Gevaert Verarbeitungsverfahren, das einen kalten blauschwarzen Bildton in Schwarzweisssilberhalogenidmaterialien liefert
US20010031418A1 (en) * 2000-03-08 2001-10-18 Masaaki Taguchi Radiographic imaging system and silver halide photographic material

Family Cites Families (48)

* Cited by examiner, † Cited by third party
Publication number Priority date Publication date Assignee Title
US2227396A (en) 1938-01-10 1940-12-31 Auto Specialties Mfg Co Automobile jack
NL242785A (de) 1958-09-06 1900-01-01
DE1522369A1 (de) * 1966-04-19 1969-08-14 Agfa Gevaert Ag Verfahren zur Herstellung photographischer Bilder nach dem Silbersalzdiffusionsverfahren
BE795156A (fr) 1972-02-08 1973-08-08 Eastman Kodak Co Procede pour complexer des ions metalliques dans les solutions aqueuses et application a la photographie
JPS495334A (de) 1972-04-28 1974-01-18
JPS4911333A (de) 1972-05-31 1974-01-31
JPS5225633A (en) 1975-08-22 1977-02-25 Oriental Shashin Kogyo Kk Processing agent for silver halide color photographic light sensitive material
JPS5225632A (en) 1975-08-22 1977-02-25 Oriental Shashin Kogyo Kk Processing agent for silver halide color photographic light sensitive material
JPS52102726A (en) 1976-02-24 1977-08-29 Fuji Photo Film Co Ltd Treatment for color photography
JPS5342730A (en) 1976-09-29 1978-04-18 Fuji Photo Film Co Ltd Color photographic processing method
JPS5950976B2 (ja) * 1977-02-01 1984-12-11 コニカ株式会社 高コントラスト銀画像の形成方法
JPS6026210B2 (ja) 1977-05-16 1985-06-22 コニカ株式会社 ハロゲン化銀カラ−写真材料の処理方法
DE2745083C2 (de) 1977-10-07 1985-05-02 Henkel KGaA, 4000 Düsseldorf Hydroxydiphosphonsäuren und Verfahren zu deren Herstellung
JPS54121127A (en) 1978-03-13 1979-09-20 Konishiroku Photo Ind Co Ltd Photographic processing composition
JPS554025A (en) 1978-06-23 1980-01-12 Konishiroku Photo Ind Co Ltd Developing solution for silver halide color photographic material
JPS554024A (en) 1978-06-23 1980-01-12 Konishiroku Photo Ind Co Ltd Developing solution for silver halide color photographic material
JPS5529883A (en) 1978-08-24 1980-03-03 Konishiroku Photo Ind Co Ltd Developing solution for silver halide color photographic material
JPS5565956A (en) 1978-11-14 1980-05-17 Konishiroku Photo Ind Co Ltd Developing solution for silver halide color photographic material
JPS5567747A (en) 1978-11-15 1980-05-22 Konishiroku Photo Ind Co Ltd Developing solution for silver halide color photographic material
JPS5569955A (en) 1978-11-20 1980-05-27 Seiko Instr & Electronics Ltd Enclosed type alkali cell
JPS55126241A (en) 1979-03-20 1980-09-29 Konishiroku Photo Ind Co Ltd Developing solution for silver halide color photographic material
JPS5624347A (en) 1979-08-03 1981-03-07 Fuji Photo Film Co Ltd Photographic developing method
JPS5697347A (en) 1980-01-07 1981-08-06 Fuji Photo Film Co Ltd Color photographic processing method
US4269929A (en) * 1980-01-14 1981-05-26 Eastman Kodak Company High contrast development of photographic elements
JPS57102624A (en) 1980-12-18 1982-06-25 Mitsubishi Paper Mills Ltd Treatment of photographic photosensitive material
JPS57208554A (en) 1981-06-18 1982-12-21 Oriental Shashin Kogyo Kk Color developer composition for use in silver halide color photographic sensitive material
JPS59204037A (ja) * 1983-05-06 1984-11-19 Konishiroku Photo Ind Co Ltd 写真現像組成物
JPS6093433A (ja) 1983-10-27 1985-05-25 Fuji Photo Film Co Ltd 現像方法
AU588374B2 (en) * 1985-09-25 1989-09-14 Konishiroku Photo Industry Co., Ltd. Method for processing silver halide color photographic light -sensitive material
JPS62186259A (ja) 1986-02-12 1987-08-14 Fuji Photo Film Co Ltd 現像方法
JPS62212651A (ja) 1986-03-14 1987-09-18 Fuji Photo Film Co Ltd 高コントラストネガ画像形成方法
JPH03282457A (ja) 1990-03-30 1991-12-12 Mitsubishi Paper Mills Ltd ハロゲン化銀写真感光材料用現像液
JPH0623830B2 (ja) * 1989-07-21 1994-03-30 三菱製紙株式会社 ハロゲン化銀写真感光材料用現像液
US5300410A (en) * 1989-07-21 1994-04-05 Mitsubishi Paper Mills Limited Developer for silver halide photographic light-sensitive material
JPH0411249A (ja) * 1990-04-28 1992-01-16 Mitsubishi Paper Mills Ltd ハロゲン化銀写真感光材料用現像液
JPH0431852A (ja) 1990-05-28 1992-02-04 Mitsubishi Paper Mills Ltd ハロゲン化銀写真感光材料用現像液
JPH04175178A (ja) 1990-11-09 1992-06-23 Seiko Instr Inc 感熱記録装置
JPH07113750B2 (ja) 1991-03-28 1995-12-06 三菱製紙株式会社 ハロゲン化銀写真感光材料用現像液
JPH04299338A (ja) 1991-03-28 1992-10-22 Mitsubishi Paper Mills Ltd ハロゲン化銀写真感光材料用現像液
DE69203505T2 (de) * 1991-04-02 1995-12-14 Fuji Photo Film Co Ltd Entwicklung eines lichtempfindlichen Silberhalogenidmaterials und Entwickler.
JP2964019B2 (ja) 1991-04-02 1999-10-18 富士写真フイルム株式会社 ハロゲン化銀写真感光材料の現像処理方法および現像液
JP2864055B2 (ja) 1991-04-18 1999-03-03 富士写真フイルム株式会社 ハロゲン化銀写真感光材料の現像処理方法
JPH04322248A (ja) 1991-04-22 1992-11-12 Mitsubishi Paper Mills Ltd 写真現像処理方法
JPH0561159A (ja) 1991-09-02 1993-03-12 Fuji Photo Film Co Ltd ハロゲン化銀写真感光材料の現像方法
EP0556845B1 (de) * 1992-02-21 1996-06-05 Fuji Photo Film Co., Ltd. Verfahren zum Verarbeiten eines photographischen Silberhalogenidmaterials
JPH06230525A (ja) * 1993-02-01 1994-08-19 Konica Corp 黒白ハロゲン化銀写真感光材料の現像処理方法
JPH06324435A (ja) 1993-05-10 1994-11-25 Fuji Photo Film Co Ltd ハロゲン化銀写真感光材料の処理方法
JPH07311430A (ja) * 1994-05-18 1995-11-28 Konica Corp ハロゲン化銀写真感光材料及びその処理方法

Also Published As

Publication number Publication date
US5840472A (en) 1998-11-24
DE69736146D1 (de) 2006-08-03
EP0789272A1 (de) 1997-08-13
EP0789272B1 (de) 2006-06-21

Similar Documents

Publication Publication Date Title
US5266442A (en) Method for increasing the contrast of photographic silver images
DE69736146T2 (de) Entwickler für photographisches, lichtempfindliches Silberhalogenidmaterial
DE69702725T2 (de) Verarbeitungszusammensetzung für lichtempfindliches photographisches Silberhalogenidmaterial, Entwickler und Verarbeitungsverfahren unter dessen Verwendung
DE69020371T2 (de) Entwicklungsverfahren für Silberhalogenidmaterialien.
DE69402524T2 (de) Verfahren zum Verarbeiten von photographischen lichtempfindlichen Silberhalogenidmaterialien
DE69611213T2 (de) Feste Zusammensetzung zum Auffrischen eines Entwichklers zur Behandlung von photographischen lichtempfindlichenSilberhalogenidmaterialien
DE69229089T2 (de) Entwicklungslösung für photographisches Silberhalogenidmaterial und Methode zur Verarbeitung von photographischem Silberhalogenidmaterial unter Verwendung derselben
DE69302923T2 (de) Verfahren zum Verarbeiten eines photographischen Silberhalogenidmaterials
DE69020677T2 (de) Verfahren zur Verarbeitung photographischer Silberhalogenidmaterialien und dabei verwendeter Entwickler und photographisches Silberhalogenidmaterial.
DE69523012T2 (de) Entwicklungsverfahren für photographisches Silberhalogenidmaterial
JPH09274290A (ja) ハロゲン化銀写真感光材料用の現像液および処理方法
JP3504084B2 (ja) ハロゲン化銀写真感光材料用現像液
DE69032701T2 (de) Verfahren zur behandlung fotografischen silberhalogenidmaterials
JPH09211806A (ja) 現像液およびそれを用いたハロゲン化銀写真感光材料の現像方法
DE60129919T2 (de) Lichtempfindliches photographisches Silberhalogenidmaterial und Verfahren zu dessen Behandlung
JP2684257B2 (ja) ハロゲン化銀写真感光材料の現像処理方法
DE69702634T2 (de) Photographisches Silberhalogenidmaterial und Verfahren zu dessen Verarbeitung
JP3406114B2 (ja) ハロゲン化銀写真感光材料
JP2748059B2 (ja) ハロゲン化銀写真感光材料用現像液
DE60017683T2 (de) Photographisches Silberhalogenidmaterial und Methode zur Verarbeitung dieses Materials
JPH0566525A (ja) ハロゲン化銀写真感光材料の現像処理方法
EP0647880A1 (de) Verfahren zur Behandlung von lichtempfindlichem, photographischem Silberhalogenidmaterial
JPH04369643A (ja) ハロゲン化銀写真感光材料の現像処理方法
JPH09211805A (ja) ハロゲン化銀写真感光材料用の現像液および処理方法
JPH09211810A (ja) ハロゲン化銀写真感光材料用現像液

Legal Events

Date Code Title Description
8364 No opposition during term of opposition
8327 Change in the person/name/address of the patent owner

Owner name: FUJIFILM CORP., TOKIO/TOKYO, JP