WO2017170600A1 - 感光性樹脂組成物、硬化レリーフパターンの製造方法及び半導体装置 - Google Patents
感光性樹脂組成物、硬化レリーフパターンの製造方法及び半導体装置 Download PDFInfo
- Publication number
- WO2017170600A1 WO2017170600A1 PCT/JP2017/012743 JP2017012743W WO2017170600A1 WO 2017170600 A1 WO2017170600 A1 WO 2017170600A1 JP 2017012743 W JP2017012743 W JP 2017012743W WO 2017170600 A1 WO2017170600 A1 WO 2017170600A1
- Authority
- WO
- WIPO (PCT)
- Prior art keywords
- group
- general formula
- photosensitive resin
- resin composition
- independently
- Prior art date
- Legal status (The legal status is an assumption and is not a legal conclusion. Google has not performed a legal analysis and makes no representation as to the accuracy of the status listed.)
- Ceased
Links
- 0 Cc1ccc(*c(cc2)ccc2C(C(*)=NOC(*)=O)=O)cc1 Chemical compound Cc1ccc(*c(cc2)ccc2C(C(*)=NOC(*)=O)=O)cc1 0.000 description 9
- QBDSZLJBMIMQRS-UHFFFAOYSA-N CC(C)(c1ccccc1)c(cc1)ccc1O Chemical compound CC(C)(c1ccccc1)c(cc1)ccc1O QBDSZLJBMIMQRS-UHFFFAOYSA-N 0.000 description 1
- DBPBVATYWAEPRC-LNVKXUELSA-N CC(O/N=C(/CC1CCCC1)\C(c(cc1)ccc1Sc1ccccc1)=O)=O Chemical compound CC(O/N=C(/CC1CCCC1)\C(c(cc1)ccc1Sc1ccccc1)=O)=O DBPBVATYWAEPRC-LNVKXUELSA-N 0.000 description 1
- JFFITNSRFJWGJL-UHFFFAOYSA-N CC(c1ccc(C(C=[IH])(c(cc2)ccc2O)[ClH](C)=C)cc1)(c(cc1)ccc1N=O)c(cc1)ccc1O Chemical compound CC(c1ccc(C(C=[IH])(c(cc2)ccc2O)[ClH](C)=C)cc1)(c(cc1)ccc1N=O)c(cc1)ccc1O JFFITNSRFJWGJL-UHFFFAOYSA-N 0.000 description 1
- LOCXTTRLSIDGPS-FVDSYPCUSA-N CCCCCC/C(/C(c(cc1)ccc1Sc1ccccc1)=O)=N/OC(c1ccccc1)=O Chemical compound CCCCCC/C(/C(c(cc1)ccc1Sc1ccccc1)=O)=N/OC(c1ccccc1)=O LOCXTTRLSIDGPS-FVDSYPCUSA-N 0.000 description 1
- JWDJHUVFLFYUTQ-ZRBLUKEISA-N CCCCCCC/C(/c1cc([N+]([O-])=O)c2[n](CC)c(c([N+]([O-])=O)cc(/C(/CCCCCCC)=N/OC(C)=O)c3)c3c2c1)=N\OC(C)=O Chemical compound CCCCCCC/C(/c1cc([N+]([O-])=O)c2[n](CC)c(c([N+]([O-])=O)cc(/C(/CCCCCCC)=N/OC(C)=O)c3)c3c2c1)=N\OC(C)=O JWDJHUVFLFYUTQ-ZRBLUKEISA-N 0.000 description 1
- OXGGBIDIGKLMPS-UHFFFAOYSA-N CS(C(c(cccc1)c1C1=O)=CC1=N)(=O)=O Chemical compound CS(C(c(cccc1)c1C1=O)=CC1=N)(=O)=O OXGGBIDIGKLMPS-UHFFFAOYSA-N 0.000 description 1
- OFUWNULILNEATR-FVDSYPCUSA-N O=C(/C(/CC1CCCC1)=N\OC(c1ccccc1)=O)c(cc1)ccc1Sc1ccccc1 Chemical compound O=C(/C(/CC1CCCC1)=N\OC(c1ccccc1)=O)c(cc1)ccc1Sc1ccccc1 OFUWNULILNEATR-FVDSYPCUSA-N 0.000 description 1
Images
Classifications
-
- G—PHYSICS
- G03—PHOTOGRAPHY; CINEMATOGRAPHY; ANALOGOUS TECHNIQUES USING WAVES OTHER THAN OPTICAL WAVES; ELECTROGRAPHY; HOLOGRAPHY
- G03F—PHOTOMECHANICAL PRODUCTION OF TEXTURED OR PATTERNED SURFACES, e.g. FOR PRINTING, FOR PROCESSING OF SEMICONDUCTOR DEVICES; MATERIALS THEREFOR; ORIGINALS THEREFOR; APPARATUS SPECIALLY ADAPTED THEREFOR
- G03F7/00—Photomechanical, e.g. photolithographic, production of textured or patterned surfaces, e.g. printing surfaces; Materials therefor, e.g. comprising photoresists; Apparatus specially adapted therefor
- G03F7/004—Photosensitive materials
- G03F7/038—Macromolecular compounds which are rendered insoluble or differentially wettable
- G03F7/0382—Macromolecular compounds which are rendered insoluble or differentially wettable the macromolecular compound being present in a chemically amplified negative photoresist composition
-
- G—PHYSICS
- G03—PHOTOGRAPHY; CINEMATOGRAPHY; ANALOGOUS TECHNIQUES USING WAVES OTHER THAN OPTICAL WAVES; ELECTROGRAPHY; HOLOGRAPHY
- G03F—PHOTOMECHANICAL PRODUCTION OF TEXTURED OR PATTERNED SURFACES, e.g. FOR PRINTING, FOR PROCESSING OF SEMICONDUCTOR DEVICES; MATERIALS THEREFOR; ORIGINALS THEREFOR; APPARATUS SPECIALLY ADAPTED THEREFOR
- G03F7/00—Photomechanical, e.g. photolithographic, production of textured or patterned surfaces, e.g. printing surfaces; Materials therefor, e.g. comprising photoresists; Apparatus specially adapted therefor
- G03F7/004—Photosensitive materials
- G03F7/0048—Photosensitive materials characterised by the solvents or agents facilitating spreading, e.g. tensio-active agents
-
- G—PHYSICS
- G03—PHOTOGRAPHY; CINEMATOGRAPHY; ANALOGOUS TECHNIQUES USING WAVES OTHER THAN OPTICAL WAVES; ELECTROGRAPHY; HOLOGRAPHY
- G03F—PHOTOMECHANICAL PRODUCTION OF TEXTURED OR PATTERNED SURFACES, e.g. FOR PRINTING, FOR PROCESSING OF SEMICONDUCTOR DEVICES; MATERIALS THEREFOR; ORIGINALS THEREFOR; APPARATUS SPECIALLY ADAPTED THEREFOR
- G03F7/00—Photomechanical, e.g. photolithographic, production of textured or patterned surfaces, e.g. printing surfaces; Materials therefor, e.g. comprising photoresists; Apparatus specially adapted therefor
- G03F7/004—Photosensitive materials
- G03F7/022—Quinonediazides
- G03F7/0226—Quinonediazides characterised by the non-macromolecular additives
-
- C—CHEMISTRY; METALLURGY
- C08—ORGANIC MACROMOLECULAR COMPOUNDS; THEIR PREPARATION OR CHEMICAL WORKING-UP; COMPOSITIONS BASED THEREON
- C08K—Use of inorganic or non-macromolecular organic substances as compounding ingredients
- C08K5/00—Use of organic ingredients
- C08K5/16—Nitrogen-containing compounds
- C08K5/32—Compounds containing nitrogen bound to oxygen
- C08K5/33—Oximes
-
- C—CHEMISTRY; METALLURGY
- C08—ORGANIC MACROMOLECULAR COMPOUNDS; THEIR PREPARATION OR CHEMICAL WORKING-UP; COMPOSITIONS BASED THEREON
- C08K—Use of inorganic or non-macromolecular organic substances as compounding ingredients
- C08K5/00—Use of organic ingredients
- C08K5/36—Sulfur-, selenium-, or tellurium-containing compounds
- C08K5/37—Thiols
- C08K5/375—Thiols containing six-membered aromatic rings
-
- C—CHEMISTRY; METALLURGY
- C08—ORGANIC MACROMOLECULAR COMPOUNDS; THEIR PREPARATION OR CHEMICAL WORKING-UP; COMPOSITIONS BASED THEREON
- C08L—COMPOSITIONS OF MACROMOLECULAR COMPOUNDS
- C08L77/00—Compositions of polyamides obtained by reactions forming a carboxylic amide link in the main chain; Compositions of derivatives of such polymers
-
- C—CHEMISTRY; METALLURGY
- C09—DYES; PAINTS; POLISHES; NATURAL RESINS; ADHESIVES; COMPOSITIONS NOT OTHERWISE PROVIDED FOR; APPLICATIONS OF MATERIALS NOT OTHERWISE PROVIDED FOR
- C09D—COATING COMPOSITIONS, e.g. PAINTS, VARNISHES OR LACQUERS; FILLING PASTES; CHEMICAL PAINT OR INK REMOVERS; INKS; CORRECTING FLUIDS; WOODSTAINS; PASTES OR SOLIDS FOR COLOURING OR PRINTING; USE OF MATERIALS THEREFOR
- C09D179/00—Coating compositions based on macromolecular compounds obtained by reactions forming in the main chain of the macromolecule a linkage containing nitrogen, with or without oxygen, or carbon only, not provided for in groups C09D161/00 - C09D177/00
- C09D179/04—Polycondensates having nitrogen-containing heterocyclic rings in the main chain; Polyhydrazides; Polyamide acids or similar polyimide precursors
- C09D179/08—Polyimides; Polyester-imides; Polyamide-imides; Polyamide acids or similar polyimide precursors
-
- G—PHYSICS
- G03—PHOTOGRAPHY; CINEMATOGRAPHY; ANALOGOUS TECHNIQUES USING WAVES OTHER THAN OPTICAL WAVES; ELECTROGRAPHY; HOLOGRAPHY
- G03F—PHOTOMECHANICAL PRODUCTION OF TEXTURED OR PATTERNED SURFACES, e.g. FOR PRINTING, FOR PROCESSING OF SEMICONDUCTOR DEVICES; MATERIALS THEREFOR; ORIGINALS THEREFOR; APPARATUS SPECIALLY ADAPTED THEREFOR
- G03F7/00—Photomechanical, e.g. photolithographic, production of textured or patterned surfaces, e.g. printing surfaces; Materials therefor, e.g. comprising photoresists; Apparatus specially adapted therefor
- G03F7/004—Photosensitive materials
- G03F7/022—Quinonediazides
- G03F7/023—Macromolecular quinonediazides; Macromolecular additives, e.g. binders
- G03F7/0233—Macromolecular quinonediazides; Macromolecular additives, e.g. binders characterised by the polymeric binders or the macromolecular additives other than the macromolecular quinonediazides
-
- G—PHYSICS
- G03—PHOTOGRAPHY; CINEMATOGRAPHY; ANALOGOUS TECHNIQUES USING WAVES OTHER THAN OPTICAL WAVES; ELECTROGRAPHY; HOLOGRAPHY
- G03F—PHOTOMECHANICAL PRODUCTION OF TEXTURED OR PATTERNED SURFACES, e.g. FOR PRINTING, FOR PROCESSING OF SEMICONDUCTOR DEVICES; MATERIALS THEREFOR; ORIGINALS THEREFOR; APPARATUS SPECIALLY ADAPTED THEREFOR
- G03F7/00—Photomechanical, e.g. photolithographic, production of textured or patterned surfaces, e.g. printing surfaces; Materials therefor, e.g. comprising photoresists; Apparatus specially adapted therefor
- G03F7/004—Photosensitive materials
- G03F7/027—Non-macromolecular photopolymerisable compounds having carbon-to-carbon double bonds, e.g. ethylenic compounds
-
- G—PHYSICS
- G03—PHOTOGRAPHY; CINEMATOGRAPHY; ANALOGOUS TECHNIQUES USING WAVES OTHER THAN OPTICAL WAVES; ELECTROGRAPHY; HOLOGRAPHY
- G03F—PHOTOMECHANICAL PRODUCTION OF TEXTURED OR PATTERNED SURFACES, e.g. FOR PRINTING, FOR PROCESSING OF SEMICONDUCTOR DEVICES; MATERIALS THEREFOR; ORIGINALS THEREFOR; APPARATUS SPECIALLY ADAPTED THEREFOR
- G03F7/00—Photomechanical, e.g. photolithographic, production of textured or patterned surfaces, e.g. printing surfaces; Materials therefor, e.g. comprising photoresists; Apparatus specially adapted therefor
- G03F7/004—Photosensitive materials
- G03F7/027—Non-macromolecular photopolymerisable compounds having carbon-to-carbon double bonds, e.g. ethylenic compounds
- G03F7/028—Non-macromolecular photopolymerisable compounds having carbon-to-carbon double bonds, e.g. ethylenic compounds with photosensitivity-increasing substances, e.g. photoinitiators
- G03F7/031—Organic compounds not covered by group G03F7/029
-
- G—PHYSICS
- G03—PHOTOGRAPHY; CINEMATOGRAPHY; ANALOGOUS TECHNIQUES USING WAVES OTHER THAN OPTICAL WAVES; ELECTROGRAPHY; HOLOGRAPHY
- G03F—PHOTOMECHANICAL PRODUCTION OF TEXTURED OR PATTERNED SURFACES, e.g. FOR PRINTING, FOR PROCESSING OF SEMICONDUCTOR DEVICES; MATERIALS THEREFOR; ORIGINALS THEREFOR; APPARATUS SPECIALLY ADAPTED THEREFOR
- G03F7/00—Photomechanical, e.g. photolithographic, production of textured or patterned surfaces, e.g. printing surfaces; Materials therefor, e.g. comprising photoresists; Apparatus specially adapted therefor
- G03F7/004—Photosensitive materials
- G03F7/027—Non-macromolecular photopolymerisable compounds having carbon-to-carbon double bonds, e.g. ethylenic compounds
- G03F7/032—Non-macromolecular photopolymerisable compounds having carbon-to-carbon double bonds, e.g. ethylenic compounds with binders
- G03F7/037—Non-macromolecular photopolymerisable compounds having carbon-to-carbon double bonds, e.g. ethylenic compounds with binders the binders being polyamides or polyimides
-
- G—PHYSICS
- G03—PHOTOGRAPHY; CINEMATOGRAPHY; ANALOGOUS TECHNIQUES USING WAVES OTHER THAN OPTICAL WAVES; ELECTROGRAPHY; HOLOGRAPHY
- G03F—PHOTOMECHANICAL PRODUCTION OF TEXTURED OR PATTERNED SURFACES, e.g. FOR PRINTING, FOR PROCESSING OF SEMICONDUCTOR DEVICES; MATERIALS THEREFOR; ORIGINALS THEREFOR; APPARATUS SPECIALLY ADAPTED THEREFOR
- G03F7/00—Photomechanical, e.g. photolithographic, production of textured or patterned surfaces, e.g. printing surfaces; Materials therefor, e.g. comprising photoresists; Apparatus specially adapted therefor
- G03F7/004—Photosensitive materials
- G03F7/038—Macromolecular compounds which are rendered insoluble or differentially wettable
- G03F7/0387—Polyamides or polyimides
-
- G—PHYSICS
- G03—PHOTOGRAPHY; CINEMATOGRAPHY; ANALOGOUS TECHNIQUES USING WAVES OTHER THAN OPTICAL WAVES; ELECTROGRAPHY; HOLOGRAPHY
- G03F—PHOTOMECHANICAL PRODUCTION OF TEXTURED OR PATTERNED SURFACES, e.g. FOR PRINTING, FOR PROCESSING OF SEMICONDUCTOR DEVICES; MATERIALS THEREFOR; ORIGINALS THEREFOR; APPARATUS SPECIALLY ADAPTED THEREFOR
- G03F7/00—Photomechanical, e.g. photolithographic, production of textured or patterned surfaces, e.g. printing surfaces; Materials therefor, e.g. comprising photoresists; Apparatus specially adapted therefor
- G03F7/004—Photosensitive materials
- G03F7/038—Macromolecular compounds which are rendered insoluble or differentially wettable
- G03F7/0388—Macromolecular compounds which are rendered insoluble or differentially wettable with ethylenic or acetylenic bands in the side chains of the photopolymer
-
- G—PHYSICS
- G03—PHOTOGRAPHY; CINEMATOGRAPHY; ANALOGOUS TECHNIQUES USING WAVES OTHER THAN OPTICAL WAVES; ELECTROGRAPHY; HOLOGRAPHY
- G03F—PHOTOMECHANICAL PRODUCTION OF TEXTURED OR PATTERNED SURFACES, e.g. FOR PRINTING, FOR PROCESSING OF SEMICONDUCTOR DEVICES; MATERIALS THEREFOR; ORIGINALS THEREFOR; APPARATUS SPECIALLY ADAPTED THEREFOR
- G03F7/00—Photomechanical, e.g. photolithographic, production of textured or patterned surfaces, e.g. printing surfaces; Materials therefor, e.g. comprising photoresists; Apparatus specially adapted therefor
- G03F7/16—Coating processes; Apparatus therefor
- G03F7/162—Coating on a rotating support, e.g. using a whirler or a spinner
-
- G—PHYSICS
- G03—PHOTOGRAPHY; CINEMATOGRAPHY; ANALOGOUS TECHNIQUES USING WAVES OTHER THAN OPTICAL WAVES; ELECTROGRAPHY; HOLOGRAPHY
- G03F—PHOTOMECHANICAL PRODUCTION OF TEXTURED OR PATTERNED SURFACES, e.g. FOR PRINTING, FOR PROCESSING OF SEMICONDUCTOR DEVICES; MATERIALS THEREFOR; ORIGINALS THEREFOR; APPARATUS SPECIALLY ADAPTED THEREFOR
- G03F7/00—Photomechanical, e.g. photolithographic, production of textured or patterned surfaces, e.g. printing surfaces; Materials therefor, e.g. comprising photoresists; Apparatus specially adapted therefor
- G03F7/20—Exposure; Apparatus therefor
-
- G—PHYSICS
- G03—PHOTOGRAPHY; CINEMATOGRAPHY; ANALOGOUS TECHNIQUES USING WAVES OTHER THAN OPTICAL WAVES; ELECTROGRAPHY; HOLOGRAPHY
- G03F—PHOTOMECHANICAL PRODUCTION OF TEXTURED OR PATTERNED SURFACES, e.g. FOR PRINTING, FOR PROCESSING OF SEMICONDUCTOR DEVICES; MATERIALS THEREFOR; ORIGINALS THEREFOR; APPARATUS SPECIALLY ADAPTED THEREFOR
- G03F7/00—Photomechanical, e.g. photolithographic, production of textured or patterned surfaces, e.g. printing surfaces; Materials therefor, e.g. comprising photoresists; Apparatus specially adapted therefor
- G03F7/26—Processing photosensitive materials; Apparatus therefor
-
- C—CHEMISTRY; METALLURGY
- C08—ORGANIC MACROMOLECULAR COMPOUNDS; THEIR PREPARATION OR CHEMICAL WORKING-UP; COMPOSITIONS BASED THEREON
- C08L—COMPOSITIONS OF MACROMOLECULAR COMPOUNDS
- C08L2203/00—Applications
- C08L2203/20—Applications use in electrical or conductive gadgets
-
- H—ELECTRICITY
- H05—ELECTRIC TECHNIQUES NOT OTHERWISE PROVIDED FOR
- H05K—PRINTED CIRCUITS; CASINGS OR CONSTRUCTIONAL DETAILS OF ELECTRIC APPARATUS; MANUFACTURE OF ASSEMBLAGES OF ELECTRICAL COMPONENTS
- H05K2201/00—Indexing scheme relating to printed circuits covered by H05K1/00
- H05K2201/01—Dielectrics
- H05K2201/0137—Materials
- H05K2201/0154—Polyimide
-
- H—ELECTRICITY
- H05—ELECTRIC TECHNIQUES NOT OTHERWISE PROVIDED FOR
- H05K—PRINTED CIRCUITS; CASINGS OR CONSTRUCTIONAL DETAILS OF ELECTRIC APPARATUS; MANUFACTURE OF ASSEMBLAGES OF ELECTRICAL COMPONENTS
- H05K3/00—Apparatus or processes for manufacturing printed circuits
- H05K3/02—Apparatus or processes for manufacturing printed circuits in which the conductive material is applied to the surface of the insulating support and is thereafter removed from such areas of the surface which are not intended for current conducting or shielding
- H05K3/022—Processes for manufacturing precursors of printed circuits, i.e. copper-clad substrates
-
- H—ELECTRICITY
- H05—ELECTRIC TECHNIQUES NOT OTHERWISE PROVIDED FOR
- H05K—PRINTED CIRCUITS; CASINGS OR CONSTRUCTIONAL DETAILS OF ELECTRIC APPARATUS; MANUFACTURE OF ASSEMBLAGES OF ELECTRICAL COMPONENTS
- H05K3/00—Apparatus or processes for manufacturing printed circuits
- H05K3/22—Secondary treatment of printed circuits
- H05K3/28—Applying non-metallic protective coatings
- H05K3/285—Permanent coating compositions
- H05K3/287—Photosensitive compositions
Definitions
- the present invention relates to, for example, an insulating material for an electronic component, a photosensitive resin composition used for forming a relief pattern such as a passivation film, a buffer coat film, and an interlayer insulating film in a semiconductor device, and production of a cured relief pattern using the same.
- the present invention relates to a method and a semiconductor device.
- polyimide resins having excellent heat resistance, electrical characteristics, and mechanical characteristics have been used for insulating materials for electronic components, passivation films for semiconductor devices, surface protective films, interlayer insulating films, and the like.
- these polyimide resins those provided in the form of a photosensitive polyimide precursor easily form a heat-resistant relief pattern film by thermal imidization treatment by applying the precursor, exposing, developing, and curing. be able to.
- a photosensitive polyimide precursor has a feature that enables significant process shortening compared to a conventional non-photosensitive polyimide.
- the mounting method of a semiconductor device on a printed wiring board has also changed from the viewpoint of improving the degree of integration and function and reducing the chip size.
- the polyimide coating directly contacts the solder bumps, such as BGA (ball gripped array) and CSP (chip size packaging), which can be mounted at higher density.
- the structure to be used has come to be used. When such a bump structure is formed, the film is required to have high heat resistance and chemical resistance.
- a method for improving the heat resistance of a polyimide coating or a polybenzoxazole coating by adding a thermal crosslinking agent to a composition containing a polyimide precursor or a polybenzoxazole precursor is disclosed (see Patent Document 1).
- Patent Document 2 There is a method (for example, Patent Document 2) in which an additive component is added to the resin composition in order to improve the adhesion with copper and a copper alloy in response to the requirement described above, but this method is sufficient. Adhesion could not be obtained.
- the present invention provides a negative photosensitive resin composition that provides a cured film excellent in adhesion to copper wiring, and pattern formation / production that forms a polyimide pattern using the photosensitive resin composition It is an object to provide a method and a semiconductor device.
- the present inventors have found that by using a resin and a compound having a specific structure, a photosensitive resin composition that gives a cured film excellent in adhesion to copper wiring can be obtained, and the present invention has been completed. . That is, the present invention is as follows.
- a negative photosensitive resin composition comprising The resin composition, wherein the component (A) is a blend of at least one of the following resins (A1) to (A3) and the following resin (A4): (A1) X in the general formula (1) is the following general formula (4): ⁇ Wherein, a1 is an integer of 0 to 2, and R 9 represents a hydrogen atom, a fluorine atom or a monovalent organic group having 1 to 10 carbon atoms, and when a plurality of R 9 are present, R 9 They may be the same or different.
- n2 is an integer of 0 ⁇ 5
- X n1 is a single bond or a divalent organic group
- X m1 is a single bond or a divalent organic group
- at least one of X m1 and X n1 is a single bond, an oxycarbonyl group, an oxycarbonylmethylene group, a carbonylamino group, a carbonyl group, and a sulfonyl group.
- An organic group selected from the group consisting of: a6 and a8 are each independently an integer of 0 to 3, a7 is an integer of 0 to 4, and R 14 , R 15 and R 16 are each independently A hydrogen atom, a fluorine atom or a monovalent organic group having 1 to 10 carbon atoms is represented, and when there are a plurality of R 14 , R 15 and R 16 , they may be the same or different.
- ⁇ And Y in the general formula (1) is the following general formula (7): ⁇ Wherein n3 is an integer of 1 to 5 and Y n2 may contain a fluorine atom having 1 to 10 carbon atoms, but any of an organic group, an oxygen atom or a sulfur atom which does not contain a hetero atom other than fluorine.
- Y n2 there are a plurality they may be the identical or different, a9 and a10 are each independently an integer of 0 to 4, hydrogen R 17 and R 18 are each independently An atom, a fluorine atom, or a monovalent organic group having 1 to 10 carbon atoms, and when a plurality of R 17 and R 18 are present, may be the same as or different from each other.
- X in the general formula (1) is the following general formula (8): ⁇ Wherein n4 is an integer of 0 to 5, and Xm2 and Xn3 may each independently contain a fluorine atom having 1 to 10 carbon atoms, but an organic group containing no heteroatom other than fluorine, oxygen When a plurality of X n3 are present, they may be the same or different, a11 and a13 are each independently an integer of 0 to 3, and a12 is 0 R 19, R 20 and R 21 each independently represents a hydrogen atom, a fluorine atom or a monovalent organic group having 1 to 10 carbon atoms, and R 19, R 20 and R 21 are When there are a plurality, they may be the same or different.
- ⁇ And Y in the general formula (1) is the following general formula (9): ⁇ Wherein n5 is an integer of 0 to 5, Y n4 is a single bond or a divalent organic group, and when a plurality of Y n4 are present, they may be the same or different, When n4 is 2 or more, at least one of Yn4 is an organic group selected from the group consisting of a single bond, an oxycarbonyl group, an oxycarbonylmethylene group, a carbonylamino group, a carbonyl group, and a sulfonyl group.
- a14 and a15 are each independently an integer of 0 to 4
- R 22 and R 23 each independently represent a hydrogen atom, a fluorine atom or a monovalent organic group having 1 to 10 carbon atoms
- R 22 When a plurality of R 23 are present, they may be the same or different.
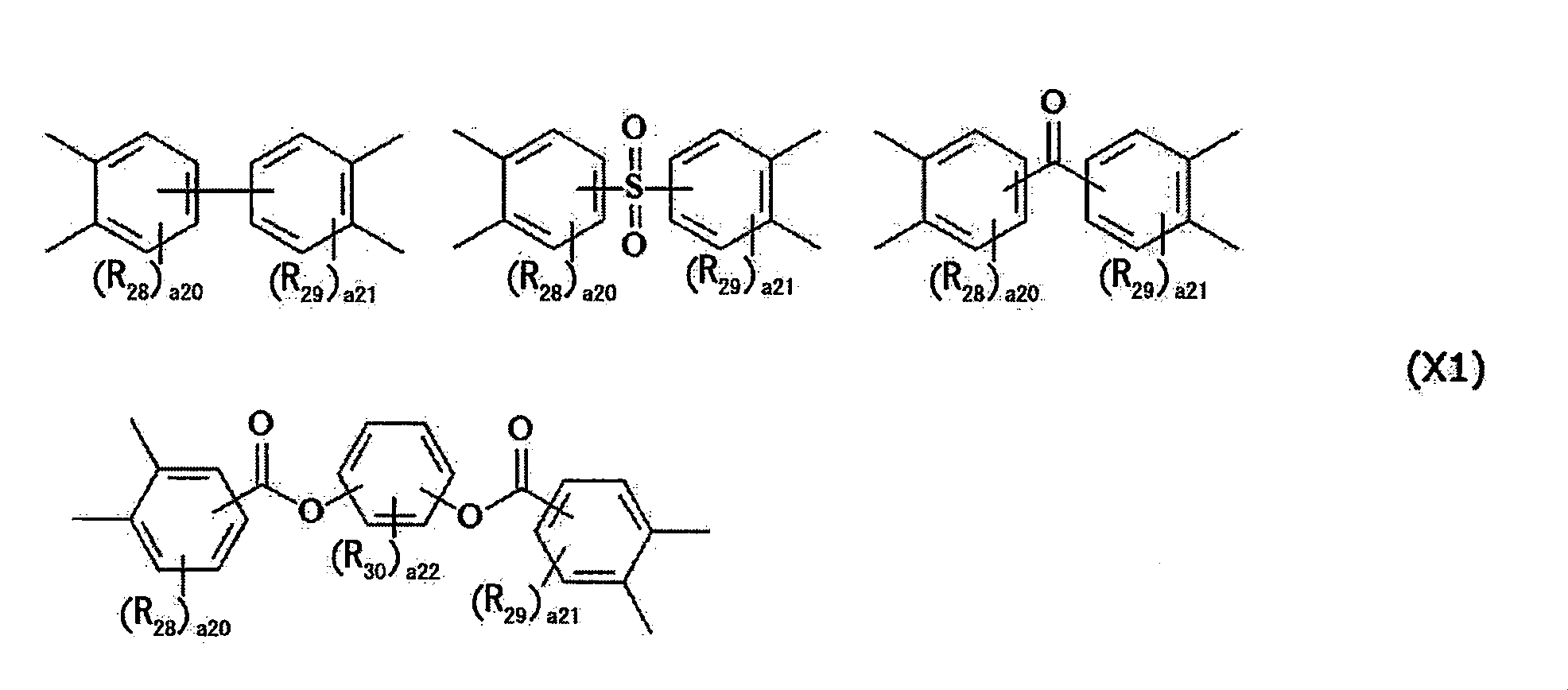
- the group represented by the general formula (6) is represented by the following general formula (X1): ⁇ Wherein a20 and a21 are each independently an integer of 0 to 3, a22 is an integer of 0 to 4, and R 28 to R 30 are each independently a hydrogen atom, a fluorine atom or a carbon number of 1 to 10 represents a monovalent organic group, and when there are a plurality of R 28 to R 30 , they may be the same as or different from each other.
- the structure represented by the general formula (7) is at least one selected from the group consisting of groups represented by the following general formula (Y1): ⁇ Wherein, a23 ⁇ a26 are each independently an integer of 0 to 4, R 31 ⁇ R 34 each independently represent a hydrogen atom, a fluorine atom or a monovalent organic group having 1 to 10 carbon atoms, When a plurality of R 31 to R 34 are present, they may be the same as or different from each other.
- ⁇ At least one group selected from the group consisting of groups represented by:
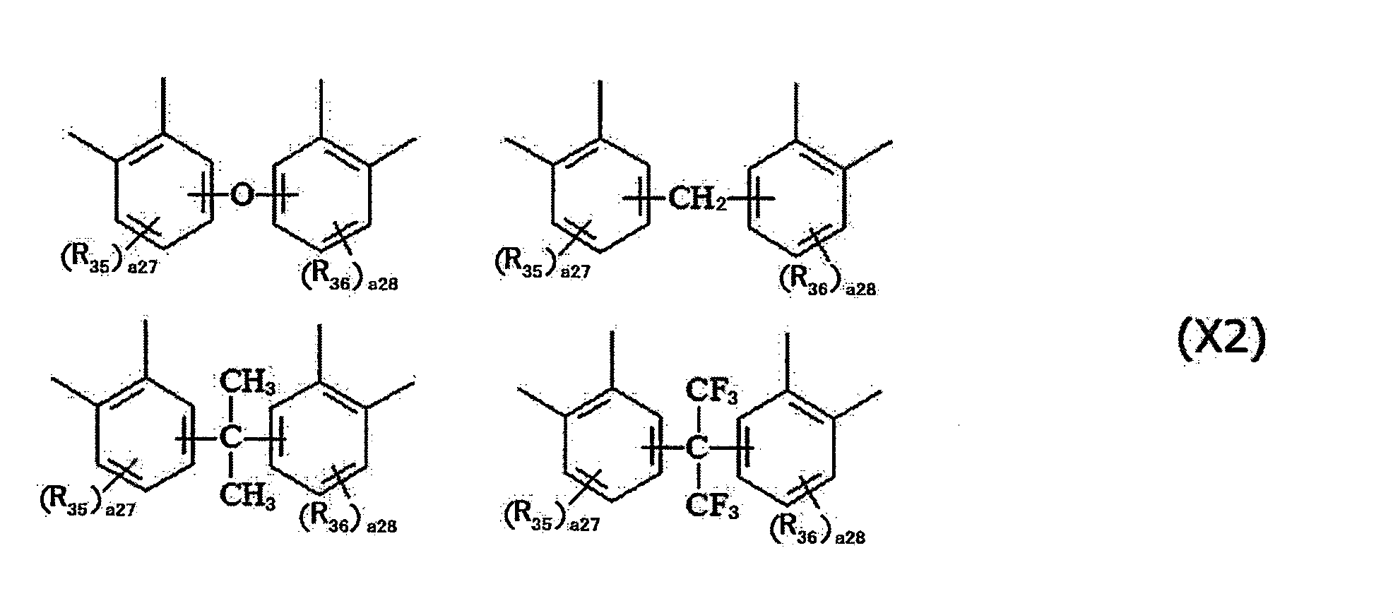
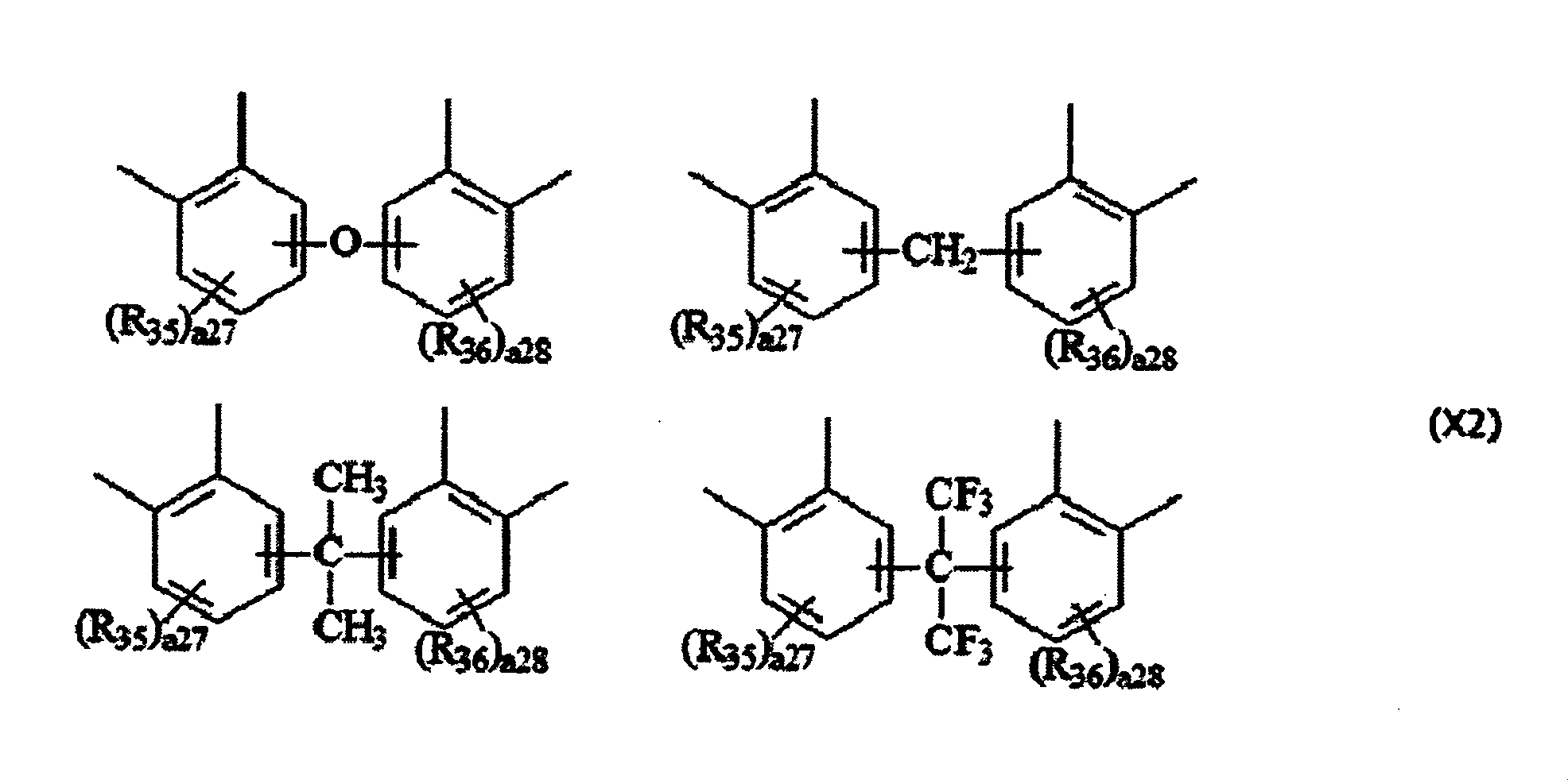
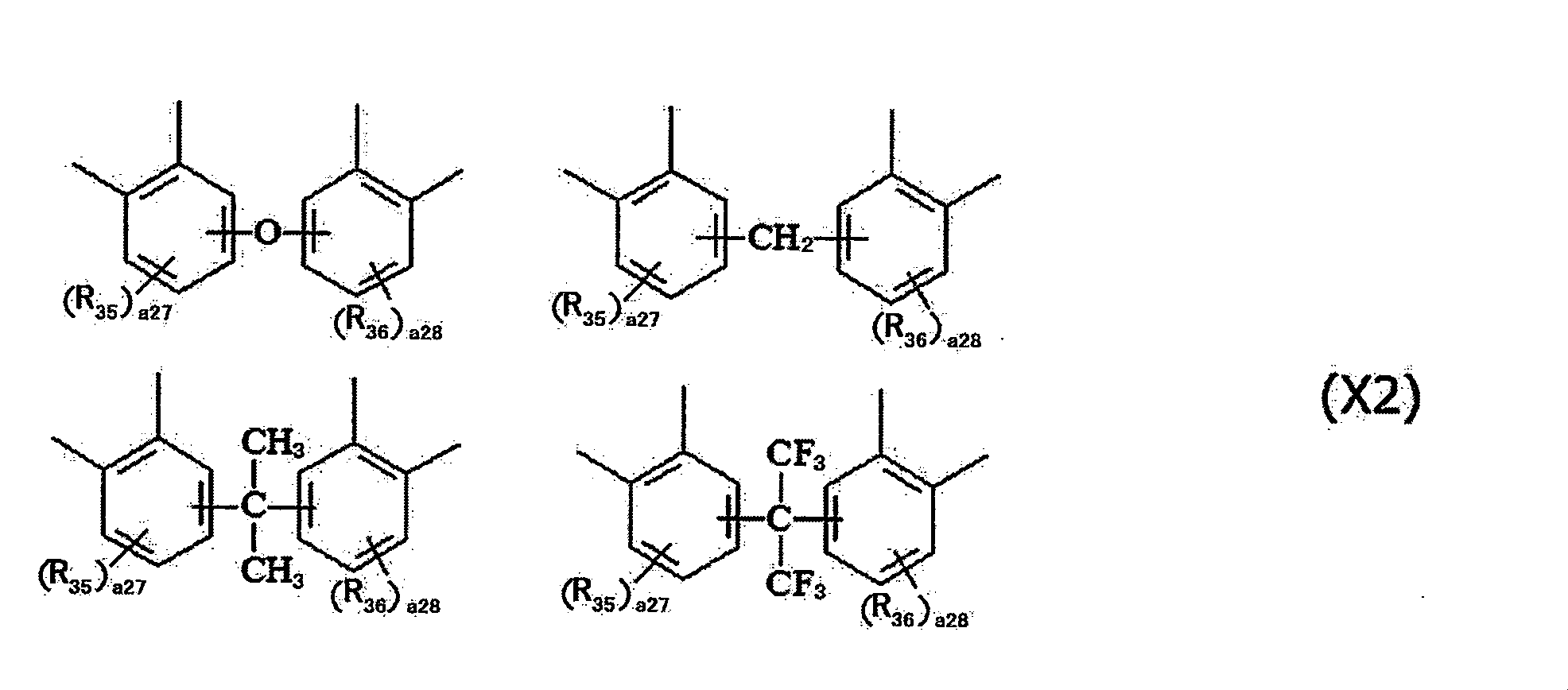
- the structure represented by the general formula (8) has the following general formula (X2): ⁇ Wherein, a27 and a28 are each independently an integer of 0 to 3, R 35 and R 36 each independently represent a hydrogen atom, a fluorine atom or a monovalent organic group having 1 to 10 carbon atoms, When a plurality of R 35 and R 36 are present, they may be the same as or different from each other.
- the structure represented by the general formula (9) is at least one group selected from the group consisting of groups represented by the following general formula (Y2): ⁇ Wherein, a29 ⁇ a32 are each independently an integer of 0 to 4, R 37 ⁇ R 40 each independently represent a hydrogen atom, a fluorine atom or a monovalent organic group having 1 to 10 carbon atoms, When a plurality of R 37 to R 40 are present, they may be the same as or different from each other.
- [4] 50 mol% or more of X in the general formula (1) of the (A2) is a group represented by the general formula (8), and 50 mol% or more of the Y is the general formula (9) or ( The negative photosensitive resin composition according to any one of [1] to [3], which is a group represented by 10).
- [5] 50 mol% or more of X in the general formula (1) of (A3) is a group represented by the general formula (4), (5) or (6), and 50 mol% or more of Y is The negative photosensitive resin composition according to any one of [1] to [4], which is a group represented by the general formula (9) or (10).
- [6] 50 mol% or more of the X in the general formula (1) of (A4) is a group represented by the general formula (8), and 50 mol% or more of Y in the general formula (1).
- the content rate of (A4) is 10% by mass or more and 90% by mass or less based on the sum of the masses of (A1) to (A4), according to any one of [1] to [6].
- Negative photosensitive resin composition. [8] The negative photosensitive resin composition according to any one of [1] to [7], wherein the sum of the masses of (A1) to (A4) is 50% or more of the total mass of component (A). .
- the negative photosensitive resin composition according to [11] or [12], comprising at least two selected from the group consisting of 2-imidazolidinone.
- the solvent (C) is ⁇ -butyrolactone, dimethyl sulfoxide, tetrahydrofurfuryl alcohol, ethyl acetoacetate, dimethyl succinate, dimethyl malonate, N, N-dimethylacetoacetamide, ⁇ -caprolactone, and 1,3-dimethyl-
- the negative photosensitive resin composition according to [17] comprising at least two selected from 2-imidazolidinone.
- the negative photosensitive resin composition according to [18] wherein the solvent (C1) is ⁇ -butyrolactone and the solvent (C2) is dimethyl sulfoxide.
- the mass of the solvent (C2) is 5% or more and 50% or less with respect to the sum of the mass of the solvent (C1) and the solvent (C2), according to any one of [17] to [19].
- Negative photosensitive resin composition [21]
- n2 is an integer of 0 ⁇ 5
- X n1 is a single bond or a divalent organic group, if X n1 there are multiple, or the X n1 are identical to each other, or be different well
- X m1 is a single bond or a divalent organic group, at least one single bond of Xm 1 or X n1, oxycarbonyl group, oxycarbonyl methylene group, a carbonyl group, a carbonyl group and a sulfonyl group
- An organic group selected from the group consisting of: a6 and a8 are each independently an integer of 0 to 3, a7 is an integer of 0 to 4, and R 14 , R 15 and R 16 are each independently When a hydrogen atom, a fluorine atom or a monovalent organic group having 1 to 10 carbon atoms is present and a plurality of R 14 , R 15 and R 16 are present, they may
- n4 is an integer of 0 to 5
- Xm 2 and X n3 may each independently contain a fluorine atom having 1 to 10 carbon atoms, but an organic group containing no hetero atom other than fluorine
- a11 and a13 are each independently an integer of 0 to 3
- a12 is 0 ⁇ a 4 integer
- R 19, R 20 and R 21 each independently represent a hydrogen atom, a fluorine atom or a monovalent organic group having 1 to 10 carbon atoms, R 19, R 20 and R 21 When there are multiple, they may be the same or different.
- Y n2 when there are a plurality of Y n2 , they may be the same or different, a9 and a10 are each independently an integer of 0 to 4, R 17 and R 18 are each independently a hydrogen atom, A fluorine atom or a monovalent organic group having 1 to 10 carbon atoms is represented, and when a plurality of R 17 and R 18 are present, they may be the same as or different from each other.
- n5 is an integer of 0 to 5
- Y n4 is a single bond or a divalent organic group, and when a plurality of Y n4 are present, they may be the same or different, when n4 is 2 or more, at least one of Y n4 is an organic group selected from the group consisting of a single bond, an oxycarbonyl group, an oxycarbonylmethylene group, a carbonylamino group, a carbonyl group, and a sulfonyl group; a14 and a15 are each independently an integer of 0 to 4, R 22 and R 23 each independently represent a hydrogen atom, a fluorine atom or a monovalent organic group having 1 to 10 carbon atoms, R 22 and R When there are a plurality of 23 , they may be the same or different.
- R 24 ⁇ R 27 each independently represent a hydrogen atom, a fluorine atom or a monovalent organic group having 1 to 10 carbon atoms, When a plurality of R 24 to R 27 are present, R 24 to R 27 may be the same as or different from each other.
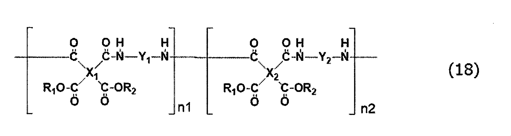
- X1 and X2 in the general formula (18) are at least one selected from the group consisting of the general formulas (4), (5), (6), and (8), and the general formula ( 18)
- the solvent (C) is N-methyl-2-pyrrolidone, ⁇ -butyrolactone, dimethyl sulfoxide, tetrahydrofurfuryl alcohol, ethyl acetoacetate, dimethyl succinate, dimethyl malonate, N, N-dimethylacetoacetamide, ⁇ -caprolactone
- the negative photosensitive resin composition according to any one of [21] to [26], comprising at least one solvent selected from the group consisting of 1,3-dimethyl-2-imidazolidinone .
- the solvent (C) is N-methyl-2-pyrrolidone, ⁇ -butyrolactone, dimethyl sulfoxide, tetrahydrofurfuryl alcohol, ethyl acetoacetate, dimethyl succinate, dimethyl malonate, N, N-dimethylacetoacetamide, ⁇ -caprolactone
- the negative photosensitive resin composition according to [27] comprising at least two solvents selected from the group consisting of 1,3-dimethyl-2-imidazolidinone.
- the negative photosensitive resin composition according to [28] wherein the (C) solvent contains ⁇ -butyrolactone and dimethyl sulfoxide.
- the negative photosensitive resin composition according to any one of [1] to [29], wherein the (B) photosensitive agent is a photo radical initiator.
- the (B) photosensitizer is The following general formula (13): ⁇ Wherein Z is a sulfur or oxygen atom, R 41 represents a methyl group, a phenyl group or a divalent organic group, and R 42 to R 44 are each independently a hydrogen atom or a monovalent organic group. Represents.
- the components represented by the general formula (13) are represented by the following formulas (14) to (17):
- the negative photosensitive resin composition according to [31], which is at least one selected from the group consisting of compounds represented by: [33] The following steps: (1) A step of forming a negative photosensitive resin layer on the substrate by applying the negative photosensitive resin composition according to any one of [1] to [32] on the substrate; (2) exposing the negative photosensitive resin layer; (3) a step of developing the photosensitive resin layer after the exposure to form a relief pattern; and (4) a step of forming a cured relief pattern by heat-treating the relief pattern; The manufacturing method of the said hardening relief pattern containing this.
- steps (1) to (5) (1) A step of spin coating the resin composition on a sputtered Cu wafer substrate; (2) A step of heating the spin-coated wafer substrate on a hot plate at 110 ° C. for 270 seconds to obtain a 13 ⁇ m-thick spin coat film; (3) A step of exposing a rounded concave pattern having a mask size of 8 ⁇ m by changing the focus by 2 ⁇ m from the film surface to the film bottom on the basis of the spin coat film surface; (4) developing the exposed wafer to form a relief pattern; (5) A step of heat-treating the developed wafer at 230 ° C.
- the photosensitive resin composition containing the photosensitive polyimide precursor whose focus margin of the round recessed concave relief pattern obtained by passing through these is 8 micrometers or more.
- the photosensitive resin composition according to [34], wherein the focus margin is 12 ⁇ m or more.
- the photosensitive polyimide precursor has the following general formula (21): ⁇ Wherein, X1a is a tetravalent organic group, a Y1a2 monovalent organic group, n1a is an integer of 2 to 150, and R 1a and R 2a are independently a hydrogen atom or the following general Formula (22): (In the general formula (22), R 3a , R 4a and R 5a are each independently a hydrogen atom or an organic group having 1 to 3 carbon atoms, and m1a is an integer selected from 2 to 10. ) Or a saturated aliphatic group having 1 to 4 carbon atoms. However, both R 1a and R 2a are not simultaneously hydrogen atoms.
- X1 represents the following formulas (23) to (25): And at least one tetravalent organic group selected from the group consisting of Y1 and the following general formula (26): ⁇ Wherein R 6a to R 9a are a hydrogen atom or a monovalent aliphatic group having 1 to 4 carbon atoms, which may be different or the same. ⁇ , The following formula (27): Or the following formula (28): ⁇ Wherein R 10a to R 11a each independently represents a fluorine atom, a trifluoromethyl group, or a methyl group.
- the photopolymerization initiator is represented by the following general formula (29): ⁇ In the formula (29), Z represents a sulfur atom or an oxygen atom, and R 12a represents a methyl group, a phenyl group or a divalent organic group, and R 13a to R 15a each independently represent a hydrogen atom or a monovalent group] Represents an organic group.
- the photosensitive resin composition which gives the cured film excellent in the adhesiveness to copper wiring can be obtained by mix
- the first aspect of the present invention is the following photosensitive resin composition.
- the photosensitive resin composition contains a polyimide precursor (A) having a specific structure and a photosensitive component (B) as essential components. Therefore, the polyimide precursor (A) having a specific structure, the photosensitive component (B), and other components will be described in detail.
- the resin (A) of the present invention has the following general formula (1): ⁇ Wherein X is a tetravalent organic group, Y is a divalent organic group, n1 is an integer of 2 to 150, and R 1 and R 2 are each independently a hydrogen atom, carbon A saturated aliphatic group or aromatic group having a number of 1 to 30, the following general formula (2): (Wherein R 3 , R 4 and R 5 are each independently a hydrogen atom or an organic group having 1 to 3 carbon atoms, and m 1 is an integer of 2 to 10).
- a monovalent organic group Or the following general formula (3): (Wherein R 6 , R 7 and R 8 are each independently a hydrogen atom or an organic group having 1 to 3 carbon atoms, and m 2 is an integer of 2 to 10).
- a monovalent ammonium ion ⁇ which is a polyamic acid, a polyamic acid ester, or a polyamic acid, which is a precursor of a polyimide.
- the resin suitably used in the present invention is at least one of the following (A1) resin to (A3) resin and the following (A4) resin: It is characterized by being used in combination.
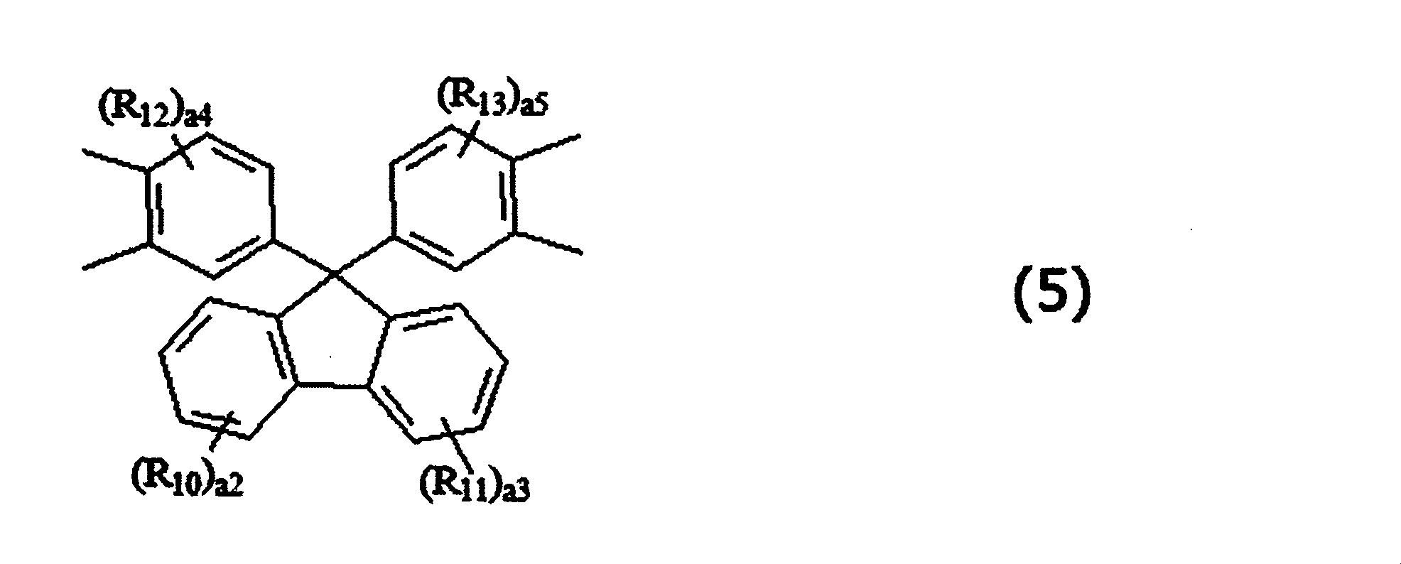
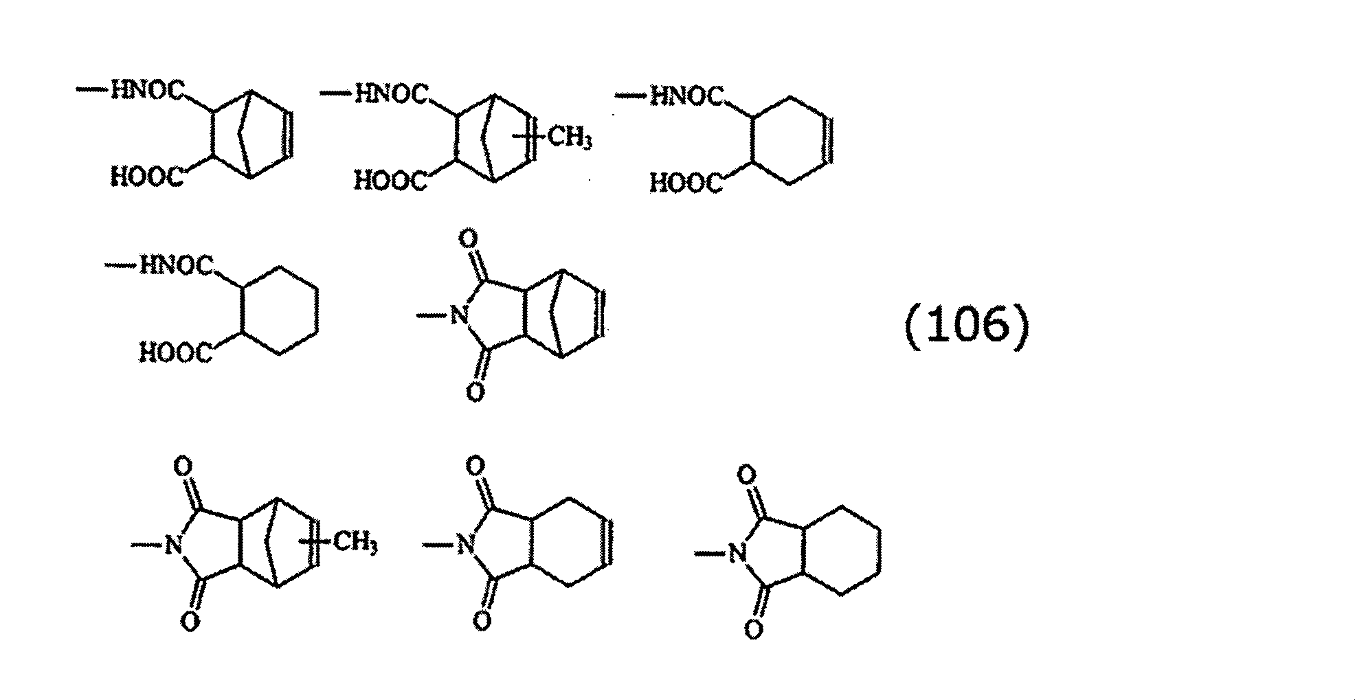
- (A1) X in the general formula (1) includes a structure represented by the following general formula (4), (5) or (6), and Y in the general formula (1) is represented by the following general formula (7 ).
- the general formula (4) is In the formula, a1 is an integer of 0 to 2, and R 9 represents a hydrogen atom, a fluorine atom, or a monovalent organic group having 1 to 10 carbon atoms. When a plurality of R 9 are present, R 9 may be the same as or different from each other.
- R 10 to R 13 each independently represents a hydrogen atom, a fluorine atom or a monovalent organic group having 1 to 10 carbon atoms. When a plurality of R 10 to R 13 are present, R 10 to R 13 may be the same as or different from each other.
- n2 is an integer of 0 ⁇ 5
- Xn 1 is a single bond or a divalent organic group, if Xn 1 there are a plurality, Xn 1 is taken together identical or different May be.
- X 1 is a single bond or a divalent organic group, and at least one of X m1 and Xn 1 is selected from a single bond, an oxycarbonyl group, an oxycarbonylmethylene group, a carbonylamino group, a carbonyl group, and a sulfonyl group.
- Organic group. a6 and a8 are each independently an integer of 0 to 3, and a7 is an integer of 0 to 4.
- R 14 , R 15 and R 16 each independently represent a hydrogen atom, a fluorine atom or a monovalent organic group having 1 to 10 carbon atoms, and when a plurality of a7 or R 15 are present, they are the same. Or may be different.
- Yn 2 may contain a fluorine atom having 1 to 10 carbon atoms, and is any one of an organic group containing no hetero atom other than fluorine, an oxygen atom, or a sulfur atom. It is. When a plurality of Yn 2 are present, they may be the same or different. a9 and a10 are each independently an integer of 0 to 4. R 17 and R 18 each independently represents a hydrogen atom, a fluorine atom or a monovalent organic group having 1 to 10 carbon atoms. When there are a plurality of a10, R 17 and R 18 , they may be the same or different from each other. ⁇ It is resin containing the structure represented by.
- X in the general formula (1) includes a structure represented by the following general formula (8)
- Y in the general formula (1) is represented by the following general formula (9) or (10) is a resin having a structure represented by the general formula (8)
- n4 is an integer of 0 to 5
- X m2 and Xn 3 may each independently contain a fluorine atom having 1 to 10 carbon atoms, an organic group containing no hetero atom other than fluorine, an oxygen atom, One of the sulfur atoms.
- a11 and a13 are each independently an integer of 0 to 3
- a12 is an integer of 0 to 4.
- R 19, R 20 and R 21 each independently represent a hydrogen atom, a fluorine atom or a monovalent organic group having 1 to 10 carbon atoms, and when a plurality of a12 and R 20 are present, they are the same. Or may be different.
- ⁇ Has a structure represented by As a resin represented by the general formula (9), ⁇ Wherein n5 is an integer of 0 to 5, Yn 4 is a single bond or a divalent organic group, and when there are a plurality of Yn 4 , they may be the same or different. .
- n4 is 1 or more, at least one single bond of Yn 4, oxycarbonyl group, oxycarbonyl methylene group, a carbonyl group, a carbonyl group, an organic group selected from a sulfonyl group.
- a14 and a15 are each independently an integer of 0 to 4,
- R 22, R 23 each independently represent a hydrogen atom, a fluorine atom or a monovalent organic group having 1 to 10 carbon atoms, a15, R 23 When a plurality of are present, they may be the same or different.
- a16 ⁇ a19 are each independently an integer of 0 to 4
- R 24 ⁇ R 27 each independently represent a hydrogen atom, a fluorine atom or a monovalent organic group having 1 to 10 carbon atoms. When a plurality of R 24 to R 27 are present, R 24 to R 27 may be the same as or different from each other.
- X in the general formula (1) includes a structure represented by the general formula (4), (5) or (6)
- Y in the general formula (1) is A resin containing a structure represented by the following general formula (9) or (10).
- X in the general formula (1) includes a structure represented by the general formula (8)
- Y in the general formula (1) is represented by the general formula (7). It is a resin containing the structure represented.
- the combination of resins includes at least one of (A1), (A2) or (A3)), and further includes (A4).
- R 28 to R 30 each independently represents a hydrogen atom, a fluorine atom, or a monovalent organic group having 1 to 10 carbon atoms, and when a plurality of R 28 to R 30 are present, are they identical to each other? Or different. ⁇ Is preferable.
- R 31 ⁇ R 34 each independently represent a hydrogen atom, a fluorine atom or a monovalent organic group having 1 to 10 carbon atoms.
- R 31 to R 34 may be the same as or different from each other.
- R 35, R 36 each independently represent a hydrogen atom, a fluorine atom or a monovalent organic group having 1 to 10 carbon atoms.
- R 35 and R 36 may be the same as or different from each other.
- ⁇ Is preferably selected.
- Y2 ⁇
- R 37 to R 40 each independently represents a hydrogen atom, a fluorine atom or a monovalent organic group having 1 to 10 carbon atoms.
- ⁇ Is preferably selected from structures represented by:
- (A1) X in the general formula (1) of the resin is not particularly limited except that it includes the structure represented by the general formula (4), (5) or (6)).
- the structure represented by the general formula (4), (5) or (6) preferably occupies 50 mol%, more preferably 80 mol% or more.
- (A1) Y in the general formula (1) of the resin is not particularly limited except that it includes the structure represented by the general formula (7), but from the viewpoint of adhesiveness, Y is represented by the general formula (7). It is preferable that the structure to occupy 50 mol%, and more preferably 80 mol% or more.
- (A2) X in the general formula (1) of the resin is not particularly limited except that it includes the structure represented by the general formula (8), but from the viewpoint of adhesiveness, X is represented by the general formula (8). It is preferable that the structure to occupy 50 mol%, and more preferably 80 mol% or more.
- (A2) Y in the general formula (1) of the resin is not particularly limited except that it includes the structure represented by the general formula (9) or (10), but from the viewpoint of adhesion, the general formula (9 ) Or (10) preferably occupies 50 mol%, more preferably 80 mol% or more.
- (A3) X in the general formula (1) of the resin is not particularly limited except that it includes the structure represented by the general formula (4), (5) or (6).
- the structure represented by the general formula (4), (5) or (6) preferably occupies 50 mol%, more preferably 80 mol% or more.
- (A3) Y in the general formula (1) of the resin is not particularly limited except that it includes the structure represented by the general formula (9) or (10), but from the viewpoint of adhesion, the general formula (9 ) Or (10) preferably occupies 50 mol%, more preferably 80 mol% or more.
- (A4) X in the general formula (1) of the resin is not particularly limited except that it contains the structure represented by the general formula (7), but from the viewpoint of adhesiveness, X is represented by the general formula (7).
- the structure preferably occupies 50 mol%, and more preferably occupies 80 mol% or more.
- (A4) Y in the general formula (1) of the resin is not particularly limited except that it includes the structure represented by the general formula (8), but from the viewpoint of adhesiveness, Y is represented by the general formula (8).
- the structure preferably occupies 50 mol%, and more preferably occupies 80 mol% or more.
- the ratio of the (A1) resin to (A4) resin in the component (A) is not particularly limited, but the total mass of these masses is 50% of the total mass of the component (A) from the viewpoint of adhesiveness. % Is preferable, and 80% or more is more preferable.
- the mass part of the resin is preferably 10% or more and 90% or less with respect to the sum of the masses of (A1) to (A4) from the viewpoint of adhesiveness.
- (A1) Resin to (A3) have many structures that promote intermolecular interactions such as biphenyl and polar groups in the polymer, while (A4) has few groups that can have intermolecular interactions. Therefore, (A1) to (A3) are aggregated by interacting with each other in the resin film, and a part having a slightly higher glass transition temperature and a part having a lower glass transition temperature are formed in the resin film. At the time of thermosetting, it is considered that the adhesive property is improved because of the relationship between the tackifier and hot elastomer of the hot melt adhesive in the adhesive field.
- Examples of methods for imparting photosensitivity to a resin composition using a polyimide precursor include an ester bond type and an ion bond type.
- the former is a method of introducing a photopolymerizable group, that is, a compound having an olefinic double bond, into the side chain of the polyimide precursor by an ester bond, and the latter has a carboxyl group and an amino group of the polyimide precursor ( In this method, a photopolymerizable group is imparted by bonding an amino group of a (meth) acrylic compound via an ionic bond.
- the ester bond-type polyimide precursor includes a tetracarboxylic dianhydride containing a tetravalent organic group X in the general formula (1), an alcohol having a photopolymerizable unsaturated double bond, and an arbitrary one. Is reacted with a saturated aliphatic alcohol having 1 to 4 carbon atoms to prepare a partially esterified tetracarboxylic acid (hereinafter also referred to as an acid / ester form). It is obtained by amide polycondensation with a diamine containing a divalent organic group Y therein.
- the tetracarboxylic dianhydride containing a tetravalent organic group X which is preferably used for preparing an ester bond type polyimide precursor, has, for example, a structure represented by the general formula (4). Pyromellitic anhydride etc. are mentioned as what is formed. Examples of those that form the structure represented by the general formula (5) include 9,9-bis (3,4-dicarboxyphenyl) fluorene dianhydride.
- Benzophenone-3,3 ′, 4,4′-tetracarboxylic dianhydride, biphenyl-3,3 ′, 4,4′-tetracarboxylic dianhydride are used to form the structure represented by the general formula (6)
- Diphenyl ether-3,3 ′, 4,4′-tetracarboxylic dianhydride, diphenyl ether-2,2 ′, 33′-tetracarboxylic dianhydride are used to form the structure represented by the general formula (8).
- Diphenylmethane-3,3 ', 4,4'-tetracarboxylic dianhydride 2,2-bis (3,4-phthalic anhydride) propane, 2,2-bis (3,4-phthalic anhydride)- Examples thereof include, but are not limited to, 1,1,1,3,3,3-hexafluoropropane. These may be used alone or in combination of two or more.
- phenyl ether-3,3 ′, 4,4′-tetracarboxylic dianhydride is particularly preferable from the viewpoint of adhesiveness.
- the acid anhydrides represented by the X structure in the general formula (1) of (A4) 50 mol% or more is 4,4′-oxydiphthalic dianhydride, and in the general formula (1), More preferably, 50 mol% or more of the diamine represented as the Y structure is 4,4′-diaminodiphenyl ether.
- the acid anhydrides represented by the X structure in the general formula (1) of (A4) 80 mol% or more is 4,4′-oxydiphthalic dianhydride, and the general formula (1) Of the diamines represented by the Y structure in the middle, 80 mol% or more is more preferably 4,4′-diaminodiphenyl ether.
- Examples of alcohols having a photopolymerizable unsaturated double bond that are preferably used for preparing an ester bond type polyimide precursor in the present invention include 2-acryloyloxyethyl alcohol and 1-acryloyloxy. -3-propyl alcohol, 2-acrylamidoethyl alcohol, methylol vinyl ketone, 2-hydroxyethyl vinyl ketone, 2-hydroxy-3-methoxypropyl acrylate, 2-hydroxy-3-butoxypropyl acrylate, 2-hydroxy-3-phenoxy Propyl acrylate, 2-hydroxy-3-butoxypropyl acrylate, 2-hydroxy-3-t-butoxypropyl acrylate, 2-hydroxy-3-cyclohexyloxypropyl acrylate, 2-methacryloyloxye Alcohol, 1-methacryloyloxy-3-propyl alcohol, 2-methacrylamidoethyl alcohol, methylol vinyl ketone, 2-hydroxyethyl vinyl ketone, 2-hydroxy-3-methoxypropyl me
- methanol, ethanol, n-propanol, isopropanol, n-butanol, tert-butanol, etc. may be partially mixed and used as the saturated aliphatic alcohol having 1 to 4 carbon atoms.
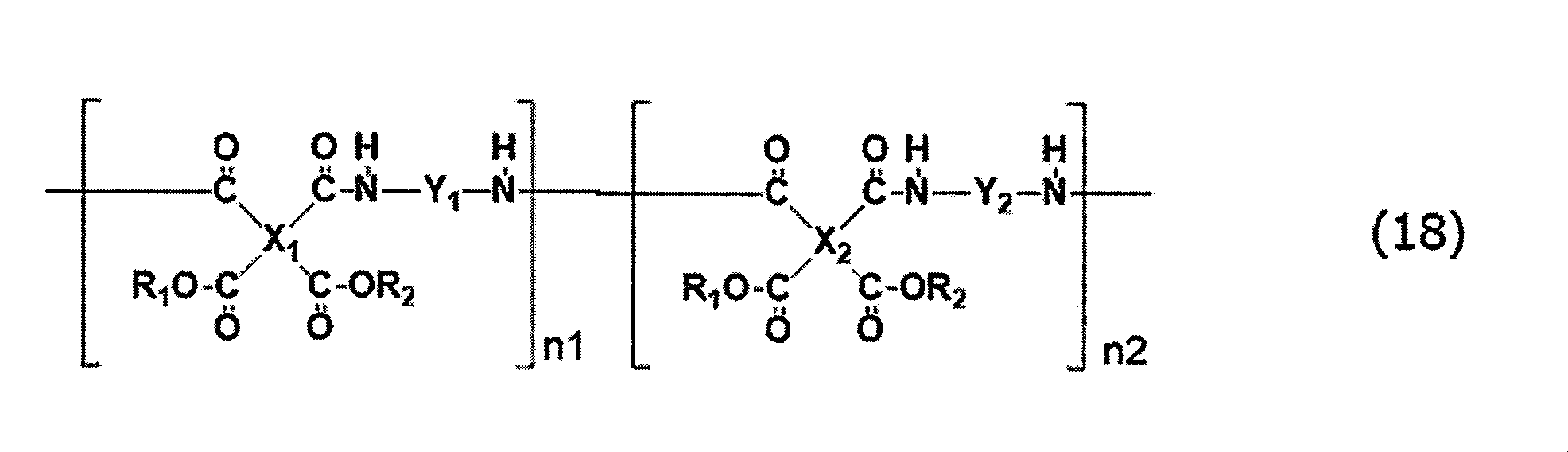
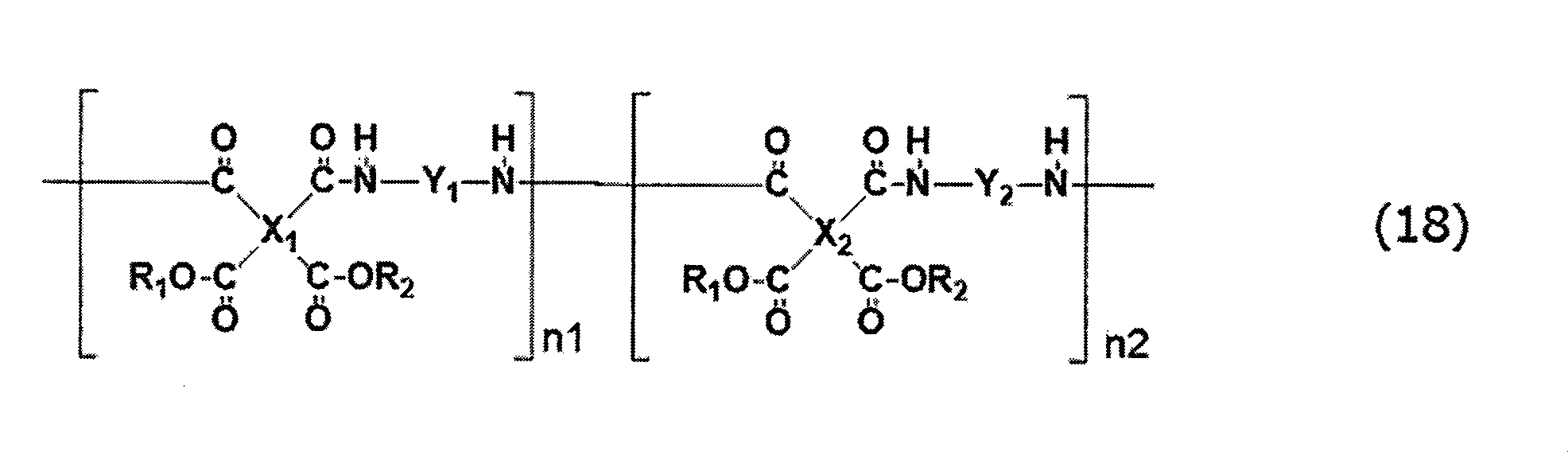
- the copolymer represented by following General formula (18) can also be used as (A) polyimide precursor.
- X1 and X2 are each independently a tetravalent organic group
- Y1 and Y2 are each independently a divalent organic group
- n1 and n2 are integers of 2 to 150
- R 1 and R 2 is each independently a hydrogen atom, a saturated aliphatic group having 1 to 30 carbon atoms, an aromatic group, a monovalent organic group represented by the above general formula (2), or the above general formula (3).
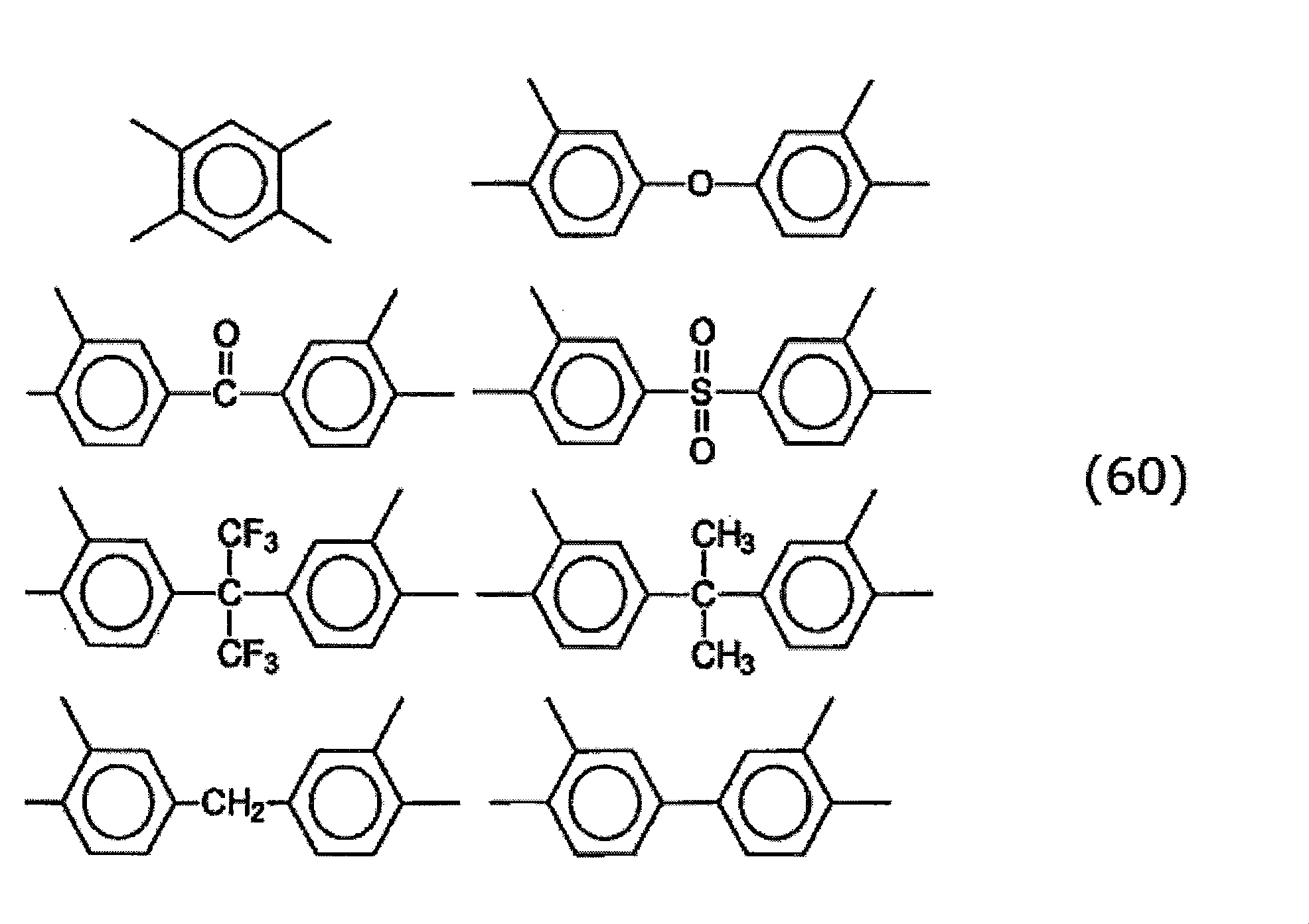
- X1 and X2 according to the present embodiment are not limited as long as they are tetravalent organic groups, but are each independently selected from the group consisting of the above general formulas (4), (5), (6) and (8).
- a seed is preferable from the viewpoint of copper adhesion and chemical resistance.
- Y1 and Y2 according to the present embodiment are not limited as long as they are tetravalent organic groups, but are each independently one selected from the group consisting of the general formulas (7), (9), and (10). Is preferable from the viewpoint of copper adhesion and chemical resistance.
- the group X1 is preferably the general formula (8) and the group Y1 is the general formula (7) from the viewpoint of copper adhesiveness and chemical resistance
- the group X1 is the general formula (8)
- group X2 is more preferably one selected from the group consisting of the above general formulas (4), (5) and (6) from the viewpoint of copper adhesion and chemical resistance
- the group Y1 is the above general formula (7).
- the group Y2 is more preferably one selected from the above general formula (9) or (10) from the viewpoints of copper adhesion and chemical resistance.
- the tetracarboxylic dianhydride suitable for the present invention and the above alcohols are dissolved by stirring in a suitable reaction solvent at a temperature of 20 to 50 ° C. for 4 to 10 hours in the presence of a basic catalyst such as pyridine.
- a basic catalyst such as pyridine.
- the reaction solvent is preferably a solvent that completely dissolves an acid / ester and a polyimide precursor that is an amide polycondensation product of this with a diamine component.
- a solvent that completely dissolves an acid / ester and a polyimide precursor that is an amide polycondensation product of this with a diamine component for example, N-methyl-2-pyrrolidone, N, N -Dimethylacetamide, N, N-dimethylformamide, dimethyl sulfoxide, tetramethylurea, gamma butyrolactone and the like.
- reaction solvents include ketones, esters, lactones, ethers, halogenated hydrocarbons, and hydrocarbons include, for example, acetone, methyl ethyl ketone, methyl isobutyl ketone, cyclohexanone, methyl acetate, Ethyl acetate, butyl acetate, diethyl oxalate, ethylene glycol dimethyl ether, diethylene glycol dimethyl ether, tetrahydrofuran, dichloromethane, 1,2-dichloroethane, 1,4-dichlorobutane, chlorobenzene, o-dichlorobenzene, hexane, heptane, benzene, toluene, xylene Etc. These may be used alone or in admixture of two or more as required.
- An appropriate dehydration condensing agent such as dicyclocarbodiimide, 1-ethoxycarbonyl-2-ethoxy-1,2-dihydroquinoline is added to the acid / ester (typically a solution in the reaction solvent) under ice-cooling.
- 1,1-carbonyldioxy-di-1,2,3-benzotriazole, N, N′-disuccinimidyl carbonate, etc. are added and mixed to form an acid / ester product as a polyanhydride.
- a diamine containing a divalent organic group Y suitably used in the present invention is separately added by dissolving or dispersing it in a solvent and subjected to amide polycondensation to obtain a target polyimide precursor. it can.
- diamines containing a divalent organic group Y that are preferably used in the present invention include 4,4-diaminodiphenyl ether and 3,4'-diaminodiphenyl ether, which form the structure represented by the general formula (7).
- P-Phenylenediamine, m-phenylenediamine, 4,4′-diaminodiphenylsulfone, 3,4′-diaminodiphenylsulfone, 3,3′-diaminodiphenylsulfone can be used to form the structure represented by the general formula (9).
- 50 mol% or more is more preferably 4,4′-diaminodiphenyl ether.
- acid dianhydrides represented by the X structure in the general formula (1) of (A2) 50 mol% or more is 4,4′-oxydiphthalic dianhydride, and the general formula (1) It is more preferable that 50 mol% or more of the compounds represented by the Y structure in () is a structure represented by the general formula (9) or (10).
- 1,3- Diaminosiloxanes such as bis (3-aminopropyl) tetramethyldisiloxane and 1,3-bis (3-aminopropyl) tetraphenyldisiloxane can also be copolymerized.
- the water-absorbing by-product of the dehydrating condensing agent coexisting in the reaction solution is filtered off if necessary, and then a poor solvent such as water, an aliphatic lower alcohol, or a mixture thereof.
- a poor solvent such as water, an aliphatic lower alcohol, or a mixture thereof.
- the polymer component is added to precipitate the polymer component, and the polymer is purified by repeating redissolution and reprecipitation operations, followed by vacuum drying to obtain a single target polyimide precursor. Release.
- the polymer solution may be passed through a column packed with an anion and / or cation exchange resin swollen with a suitable organic solvent to remove ionic impurities.
- the ion-bonded polyimide precursor is typically obtained by reacting tetracarboxylic dianhydride with diamine.
- at least one of R 1 and R 2 in the general formula (1) is a hydrogen atom.
- the tetracarboxylic dianhydride is preferably a tetracarboxylic anhydride containing the structure of the above group (X1) for (A1) and (A3), and the above group for (A2) and (A4). Tetracarboxylic acid anhydrides containing the structure (X2) are preferred.
- the diamine is preferably a tetracarboxylic anhydride containing the structure of the above group (Y1) for (A1) and (A4), and the structure of the above group (Y2) for (A2) and (A3). Diamine containing is preferred.
- the amino group of the (meth) acrylic compound having a carboxyl group and an amino group of the polyamic acid forms a salt by ionic bonding.
- a polyamic acid salt to which a photopolymerizable group is added.
- Examples of (meth) acrylic compounds having an amino group include dimethylaminoethyl acrylate, dimethylaminoethyl methacrylate, diethylaminoethyl acrylate, diethylaminoethyl methacrylate, dimethylaminopropyl acrylate, dimethylaminopropyl methacrylate, diethylaminopropyl acrylate, diethylaminopropyl methacrylate, dimethylamino Dialkylaminoalkyl acrylates or methacrylates such as butyl acrylate, dimethylaminobutyl methacrylate, diethylaminobutyl acrylate, diethylaminobutyl methacrylate, etc. are preferred. From the viewpoint of photosensitive properties, alkyl groups on the amino group have 1 to 10 carbon atoms and alkyl chains. Dialkylaminoal having 1 to 10 carbon atoms Le acrylate or methacrylate is preferred.
- the compounding amount of the (meth) acrylic compound having an amino group is 1 to 20 parts by mass with respect to 100 parts by mass of the resin (A), and preferably 2 to 15 parts by mass from the viewpoint of photosensitivity characteristics.
- an (meth) acrylic compound having an amino group is blended in an amount of 1 part by mass or more with respect to 100 parts by mass of the resin (A). Excellent in properties.
- the molecular weight of the ester bond type and the ion bond type polyimide precursor is preferably 8,000 to 150,000, as measured by gel permeation chromatography in terms of polystyrene-reduced weight average molecular weight, and 9,000. More preferred is 50,000.
- the weight average molecular weight is 8,000 or more, the mechanical properties are good, and when it is 150,000 or less, the dispersibility in the developer is good and the resolution performance of the relief pattern is good. Tetrahydrofuran and N-methyl-2-pyrrolidone are recommended as developing solvents for gel permeation chromatography.
- the weight average molecular weight is determined from a calibration curve prepared using standard monodisperse polystyrene. As the standard monodisperse polystyrene, it is recommended to select from standard organic solvent standard sample STANDARD SM-105 manufactured by Showa Denko.
- the photosensitive component (B) As the photosensitive component (B), a photopolymerization initiator and / or a photoacid generator that generates radicals by absorbing and decomposing a specific wavelength is preferably used.
- the blending amount of the photosensitive component (B) in the photosensitive resin composition is 1 to 50 parts by mass with respect to 100 parts by mass of the resin (A). When the amount is 1 part by mass or more, photosensitivity or patterning property is exhibited, and when it is 50 parts by mass or less, the physical properties of the cured photosensitive resin layer are improved.
- the generated radical is generated by a chain transfer reaction with the main chain skeleton of the resin (A) or by a radical polymerization reaction with the (meth) acrylate group introduced into the resin (A). Is cured.
- the photopolymerization initiator as a photosensitizer is preferably a photoradical polymerization initiator, such as benzophenone, methyl o-benzoylbenzoate, 4-benzoyl-4′-methyldiphenylketone, dibenzylketone, fluorenone, etc.
- Benzophenone derivatives, acetophenone derivatives such as 2,2′-diethoxyacetophenone, 2-hydroxy-2-methylpropiophenone, 1-hydroxycyclohexyl phenyl ketone, thioxanthone, 2-methylthioxanthone, 2-isopropylthioxanthone, diethylthioxanthone, etc.
- Thioxanthone derivatives such as benzyl, benzyldimethyl ketal and benzyl- ⁇ -methoxyethyl acetal, benzoin derivatives such as benzoin and benzoin methyl ether, 1-phenyl-1 2-butanedione-2- (o-methoxycarbonyl) oxime, 1-phenyl-1,2-propanedione-2- (o-methoxycarbonyl) oxime, 1-phenyl-1,2-propanedione-2- (o -Ethoxycarbonyl) oxime, 1-phenyl-1,2-propanedione-2- (o-benzoyl) oxime, 1,3-diphenylpropanetrione-2- (o-ethoxycarbonyl) oxime, 1-phenyl-3- Oximes such as ethoxypropanetrione-2- (o-benzoyl) oxime, N-arylglycines such as ethoxyprop
- oximes photopolymerization initiators those having a structure represented by the following general formula (13) are more preferable from the viewpoint of adhesion, and structures represented by any of the following formulas (14) to (17) are preferred.
- Z is a sulfur or oxygen atom
- R 41 represents a methyl group, a phenyl group or a divalent organic group
- R 42 to R 44 each independently represents a hydrogen atom or a monovalent organic group Represents.
- the negative photosensitive resin composition exhibits acidity upon irradiation with an actinic ray such as ultraviolet rays, and by its action, a crosslinking which is a component (D) described later. It has the effect
- this photoacid generator examples include diarylsulfonium salts, triarylsulfonium salts, dialkylphenacylsulfonium salts, diaryliodonium salts, aryldiazonium salts, aromatic tetracarboxylic acid esters, aromatic sulfonic acid esters, nitrobenzyl esters, Oxime sulfonic acid esters, aromatic N-oxyimide sulfonates, aromatic sulfamides, haloalkyl group-containing hydrocarbon compounds, haloalkyl group-containing heterocyclic compounds, naphthoquinone diazide-4-sulfonic acid esters, and the like are used.
- Such compounds can be used in combination of two or more as required, or in combination with other sensitizers.
- aromatic oxime sulfonates and aromatic N-oxyimide sulfonates are more preferred, particularly in terms of photosensitivity.
- the photosensitive resin composition of the present invention contains (C) a solvent because each component of the photosensitive resin composition is dissolved in a solvent to form a varnish and is used as a solution of the photosensitive resin composition. You may do it.
- the solvent it is preferable to use a polar organic solvent from the viewpoint of solubility in the resin (A).
- reaction solvent which is N, N-dimethylformamide, N-methyl-2-pyrrolidone, N-ethyl-2-pyrrolidone, N, N-dimethylacetamide, dimethyl Sulfoxide, diethylene glycol dimethyl ether, cyclopentanone, ⁇ -butyrolactone, ⁇ -acetyl- ⁇ -butyrolactone, tetramethylurea, 1,3-dimethyl-2-imidazolinone, N-cyclohexyl-2-pyrrolidone, tetrahydrofurfuryl alcohol, aceto Examples include ethyl acetate, dimethyl succinate, dimethyl malonate, N, N-dimethylacetoacetamide, ⁇ -caprolactone, 1,3-dimethyl-2-imidazolidinone, and these are used alone or in combination of two or more.
- the solvent is, for example, in the range of 30 to 1500 parts by weight, preferably in the range of 100 to 1000 parts by weight with respect to 100 parts by weight of the resin (A), depending on the desired coating thickness and viscosity of the photosensitive resin composition. Can be used.
- Alcohols that can be used are typically alcohols having an alcoholic hydroxyl group in the molecule and no olefinic double bonds. Specific examples include methyl alcohol, ethyl alcohol, and n-propyl alcohol.
- Alkyl alcohols such as isopropyl alcohol, n-butyl alcohol, isobutyl alcohol, tert-butyl alcohol, lactic acid esters such as ethyl lactate, propylene glycol-1-methyl ether, propylene glycol-2-methyl ether, propylene glycol-1 -Propylene glycol monoalkyl ethers such as ethyl ether, propylene glycol-2-ethyl ether, propylene glycol-1- (n-propyl) ether, propylene glycol-2- (n-propyl) ether Ethylene glycol methyl ether, ethylene glycol ethyl ether, mono-alcohols such as ethylene glycol -n- propyl ether, 2-hydroxyisobutyric acid esters, ethylene glycol, and can be given dialcohols such as propylene glycol.
- lactic acid esters propylene glycol monoalkyl ethers, 2-hydroxyisobutyric acid esters, and ethyl alcohol are preferable, and ethyl lactate, propylene glycol-1-methyl ether, propylene glycol-1-ethyl ether, And propylene glycol-1- (n-propyl) ether is more preferred.
- the content of the alcohol having no olefinic double bond in the total solvent is preferably 5 to 50% by mass, The content is preferably 10 to 30% by mass.
- the content of the alcohol having no olefinic double bond is 5% by mass or more, the storage stability of the photosensitive resin composition is improved.
- the content is 50% by mass or less, the solubility of the resin (A) is high. Become good.
- a solvent (C1) having a boiling point of 200 ° C. or higher and 250 ° C. or lower and (C2) of 160 ° C. or higher and 190 ° C. or lower are mixed. More preferably, it is used.
- the solvent (C1) having a boiling point of 200 ° C. or higher and 250 ° C. or lower include N-methyl-2-pyrrolidone, N-ethyl-2-pyrrolidone, ⁇ -butyrolactone, 1,3-dimethyl-2-imidazo Linon etc. can be mentioned. Of these, N-methylpyrrolidone and ⁇ -butyrolactone are more preferable, and ⁇ -butyrolactone is most preferable from the viewpoint of adhesiveness.
- the solvent (C2) having a boiling point of 160 ° C. or higher and 190 ° C. or lower include N, N-dimethylacetamide, dimethyl sulfoxide, diethylene glycol dimethyl ether, tetramethyl urea, propylene glycol and the like. Of these, dimethyl sulfoxide is most preferable from the viewpoint of adhesiveness.
- the combination of (C1) and (C2) is most preferably a combination of ⁇ -butyrolactone and dimethyl sulfoxide from the viewpoint of adhesiveness.
- (C1) and (C2) are mixed and used, their ratio is not particularly limited, but from the viewpoint of the solubility of component (A), the total mass of (C1) and (C2)
- the mass of (C2) is preferably 50% or less, more preferably 5% or more and 30% or less, and most preferably 5% or more and 20% or less from the viewpoint of adhesiveness.
- the reason why the adhesiveness is improved by using a combination of (C1) and (C2) as the solvent is not clear, but the inventors consider as follows.
- the solvent (C2) having a relatively low boiling point is gradually volatilized by using a solvent having a different boiling point. This promotes the orientation of the resins (A1) to (A3) having groups capable of intermolecular interaction as described above and the subsequent aggregation, but the solvent (C1) having a high boiling point does not volatilize so much.
- the photosensitive resin composition of the present invention may contain (D) a crosslinking agent.
- the crosslinking agent (A) can crosslink the resin, or the crosslinking agent itself can form a crosslinked network. Can be.
- the crosslinking agent can further enhance the heat resistance and chemical resistance of the cured film formed from the photosensitive resin composition.
- cross-linking agent examples include ML-26X, ML-24X, ML-236TMP, 4-methylol 3M6C, ML-MC, ML-TBC (the above are trade names, Honshu Chemical Industry Co., Ltd.) having one heat crosslinkable group.
- DM-BI25X-F, 46DMOC, 46DMOIPP, 46DMOEP (above, trade name, Asahi Yu), which has two such as Pa-type benzoxazine (trade name, manufactured by Shikoku Kasei Kogyo Co., Ltd.) Equipment Industry Co., Ltd.), DML-MBPC, DML-MBOC, DML-OCHP, DML-PC, DML-PCHP, DML-PTBP, DML-34X, DML-EP, DML-POP, DML-OC, dimethylol- Bis-C, dimethylol-BisOC-P, DML-BisOC-Z, DML-BisOCHP-Z, DML-PF , DML-PSBP, DML-MB25, DML-MTrisPC, DML-Bis25X-34XL, DML-Bis25X-PCHP (trade name, manufactured by Honshu Chemical Industry Co., Ltd.), Nicalak MX-290 (trade name, Co.,
- Nicalac MX-290, Nicalac MX-280, Nicalac MX-270 (above, trade name, manufactured by Sanwa Chemical Co., Ltd.), Ba type benzoxazine, Bm type benzoxazine (above) Trade name, manufactured by Shikoku Kasei Kogyo Co., Ltd.), Nicarak MW-390, Nicarak MW-100LM (above, trade name, manufactured by Sanwa Chemical Co., Ltd.), and the like.
- the blending amount when the photosensitive resin composition contains a crosslinking agent is 0.5 to 20 parts by mass with respect to 100 parts by mass of the resin (A).
- the amount is preferably 2 to 10 parts by mass.
- (E) Organic titanium compound You may make the photosensitive resin composition of this invention contain the (E) organic titanium compound. (E) By containing an organic titanium compound, a photosensitive resin layer having excellent chemical resistance can be formed even when cured at a low temperature of about 250 ° C.
- Examples of the organic titanium compound that can be used as the organic titanium compound include those in which an organic chemical substance is bonded to a titanium atom through a covalent bond or an ionic bond.
- (E) organic titanium compounds are shown in the following I) to VII):
- I) Titanium chelate compound Among them, a titanium chelate having two or more alkoxy groups is more preferable because it provides storage stability and a good pattern of the negative photosensitive resin composition, and a specific example is titanium bis (Triethanolamine) diisopropoxide, titanium di (n-butoxide) bis (2,4-pentanedionate, titanium diisopropoxide bis (2,4-pentanedionate), titanium diisopropoxide bis ( Tetramethylheptanedionate), titanium diisopropoxide bis (ethylacetoacetate) and the like.
- Tetraalkoxytitanium compounds for example, titanium tetra (n-butoxide), titanium tetraethoxide, titanium tetra (2-ethylhexoxide), titanium tetraisobutoxide, titanium tetraisopropoxide, titanium tetramethoxide , Titanium tetramethoxypropoxide, titanium tetramethylphenoxide, titanium tetra (n-nonyloxide), titanium tetra (n-propoxide), titanium tetrastearyloxide, titanium tetrakis [bis ⁇ 2,2- (allyloxymethyl) Butoxide ⁇ ] and the like.
- Titanocene compounds for example, pentamethylcyclopentadienyltitanium trimethoxide, bis ( ⁇ 5 -2,4-cyclopentadien-1-yl) bis (2,6-difluorophenyl) titanium, bis ( ⁇ 5 ⁇ 2,4-cyclopentadien-1-yl) bis (2,6-difluoro-3- (1H-pyrrol-1-yl) phenyl) titanium and the like.
- Monoalkoxytitanium compound For example, titanium tris (dioctyl phosphate) isopropoxide, titanium tris (dodecylbenzenesulfonate) isopropoxide, and the like.
- Titanium oxide compound for example, titanium oxide bis (pentanedionate), titanium oxide bis (tetramethylheptanedionate), phthalocyanine titanium oxide, and the like.
- Titanium tetraacetylacetonate compound For example, titanium tetraacetylacetonate.
- Titanate coupling agent For example, isopropyltridodecylbenzenesulfonyl titanate.
- the organotitanium compound is at least one compound selected from the group consisting of the above I) titanium chelate compound, II) tetraalkoxytitanium compound, and III) titanocene compound. It is preferable from the viewpoint of exhibiting sex.
- titanium diisopropoxide bis (ethyl acetoacetate), titanium tetra (n-butoxide), and bis ( ⁇ 5 -2,4-cyclopentadien-1-yl) bis (2,6-difluoro-3- ( 1H-pyrrol-1-yl) phenyl) titanium is preferred.
- the blending amount is preferably 0.05 to 10 parts by weight, more preferably 0.1 to 2 parts by weight with respect to 100 parts by weight of the resin (A). .
- the blending amount is 0.05 parts by mass or more, good heat resistance and chemical resistance are exhibited, and when it is 10 parts by mass or less, the storage stability is excellent.
- the photosensitive resin composition of the present invention may further contain components other than the components (A) to (E).
- an azole compound can be arbitrarily blended to suppress discoloration on copper. .
- azole compound 1H-triazole, 5-methyl-1H-triazole, 5-ethyl-1H-triazole, 4,5-dimethyl-1H-triazole, 5-phenyl-1H-triazole, 4-t-butyl-5 -Phenyl-1H-triazole, 5-hydroxyphenyl-1H-triazole, phenyltriazole, p-ethoxyphenyltriazole, 5-phenyl-1- (2-dimethylaminoethyl) triazole, 5-benzyl-1H-triazole, hydroxyphenyl Triazole, 1,5-dimethyltriazole, 4,5-diethyl-1H-triazole, 1H-benzotriazole, 2- (5-methyl-2-hydroxyphenyl) benzotriazole, 2- [2-hydroxy-3,5- Bis ( ⁇ , ⁇ -Dimethylbe Benzyl) phenyl] -benzotriazole, 2- (3,5-di-tert-butyl
- tolyltriazole Particularly preferred are tolyltriazole, 5-methyl-1H-benzotriazole, and 4-methyl-1H-benzotriazole. These azole compounds may be used alone or in a mixture of two or more.
- the blending amount is preferably 0.1 to 20 parts by mass with respect to 100 parts by mass of the resin (A). More preferable is 5 parts by mass.
- the compounding amount of the azole compound with respect to 100 parts by mass of the resin (A) is 0.1 parts by mass or more, when the photosensitive resin composition of the present invention is formed on copper or a copper alloy, the surface of the copper or copper alloy On the other hand, when it is 20 parts by mass or less, the photosensitivity is excellent.
- a hindered phenol compound can be arbitrarily blended to suppress discoloration on the copper surface.
- hindered phenol compounds include 2,6-di-t-butyl-4-methylphenol, 2,5-di-t-butyl-hydroquinone, and octadecyl-3- (3,5-di-t-butyl-4.
- Pentaerythrityl-tetrakis [3- (3,5-di-tert-butyl-4-hydroxyphenyl) propionate], tris- (3,5-di-tert-butyl-4-hydroxybenzyl) -isocyanurate, 1,3,5-trimethyl-2,4,6-tris (3,5-di-tert-butyl-4-hydroxybenzyl) benzene, 1,3,5-tris (3-hydroxy-2,6-dimethyl) -4-Isopropylbenzyl) -1,3,5-triazine-2,4,6- (1H, 3H, 5H) -trione, 1,3,5-tris (4-tert-butyl-3-hydroxy-2 , 6-Dimethylbenzyl) -1,3,5-triazine-2,4,6- (1H, 3H, 5H) -trione, 1,3,5-tris (4-s-butyl-3-hydroxy-2) , 6-Dimethylbenzyl)
- 1,3,5-tris (4-tert-butyl-3-hydroxy-2,6-dimethylbenzyl) -1,3,5-triazine-2,4,6- (1H, 3H, 5H ) -Trione and the like are particularly preferred.
- the amount of the hindered phenol compound is preferably 0.1 to 20 parts by mass with respect to 100 parts by mass of the resin (A), and more preferably 0.5 to 10 parts by mass from the viewpoint of photosensitivity characteristics. preferable.
- the compounding quantity with respect to 100 mass parts of (A) resin of a hindered phenol compound is 0.1 mass part or more, for example, when forming the photosensitive resin composition of this invention on copper or a copper alloy, copper or Discoloration / corrosion of the copper alloy is prevented, and on the other hand, when it is 20 parts by mass or less, the light sensitivity is excellent.
- Sensitizer can be optionally blended in order to improve photosensitivity.
- Examples of the sensitizer include Michler's ketone, 4,4′-bis (diethylamino) benzophenone, 2,5-bis (4′-diethylaminobenzal) cyclopentane, and 2,6-bis (4′-diethylaminobenzal).
- the blending amount is preferably 0.1 to 25 parts by mass with respect to 100 parts by mass of (A) resin.
- a monomer having a photopolymerizable unsaturated bond can be arbitrarily blended.
- a monomer is preferably a (meth) acryl compound that undergoes a radical polymerization reaction with a photopolymerization initiator, and is not particularly limited to the following, but includes ethylene glycol or polyethylene such as diethylene glycol dimethacrylate and tetraethylene glycol dimethacrylate.
- the blending amount of the monomer having a photopolymerizable unsaturated bond is ( A) The amount is preferably 1 to 50 parts by mass with respect to 100 parts by mass of the resin.
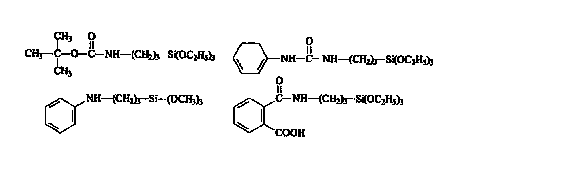
- Adhesion aids include ⁇ -aminopropyldimethoxysilane, N- ( ⁇ -aminoethyl) - ⁇ -aminopropylmethyldimethoxysilane, ⁇ -glycidoxypropylmethyldimethoxysilane, ⁇ -mercaptopropylmethyldimethoxysilane, 3- Methacryloxypropyldimethoxymethylsilane, 3-methacryloxypropyltrimethoxysilane, dimethoxymethyl-3-piperidinopropylsilane, diethoxy-3-glycidoxypropylmethylsilane, N- (3-diethoxymethylsilylpropyl) succinimide N- [3- (triethoxysilyl) propyl] phthalamic acid, benzophenone-3,3′-bis (N- [3-[3- (triethoxysilyl) propyl] phthalamic acid, benzophenone-3,3′-bis (N-
- the amount of the adhesion assistant is preferably in the range of 0.5 to 25 parts by mass with respect to 100 parts by mass of the resin (A).
- thermal polymerization inhibitors include hydroquinone, N-nitrosodiphenylamine, p-tert-butylcatechol, phenothiazine, N-phenylnaphthylamine, ethylenediaminetetraacetic acid, 1,2-cyclohexanediaminetetraacetic acid, glycol etherdiaminetetraacetic acid, 2,6 -Di-tert-butyl-p-methylphenol, 5-nitroso-8-hydroxyquinoline, 1-nitroso-2-naphthol, 2-nitroso-1-naphthol, 2-nitroso-5- (N-ethyl-N- Sulfopropylamino) phenol, N-nitroso-N-phenylhydroxylamine ammonium salt, N-nitro
- the blending amount of the thermal polymerization inhibitor when blended in the photosensitive resin composition is preferably in the range of 0.005 to 12 parts by mass with respect to 100 parts by mass of the resin (A).
- the present invention also includes (1) a step of forming a resin layer on the substrate by applying the above-described photosensitive resin composition of the present invention onto the substrate, and (2) a step of exposing the resin layer. , (3) producing a relief pattern by developing the exposed resin layer, and (4) producing a cured relief pattern by heating the relief pattern to form a cured relief pattern. Provide a method.
- a step of forming a resin layer on the substrate by applying the above-described photosensitive resin composition of the present invention onto the substrate
- a step of exposing the resin layer e.g., a step of exposing the resin layer.
- (3) producing a relief pattern by developing the exposed resin layer e.g., (4) producing a cured relief pattern by heating the relief pattern to form a cured relief pattern.
- substrate the photosensitive resin composition of this invention is apply
- a coating method a method conventionally used for coating a photosensitive resin composition, for example, a method of coating with a spin coater, bar coater, blade coater, curtain coater, screen printing machine, etc., spray coating with a spray coater A method or the like can be used.
- the coating film made of the photosensitive resin composition can be dried.
- a drying method methods such as air drying, heat drying using an oven or a hot plate, vacuum drying, and the like are used. Specifically, when air drying or heat drying is performed, the drying can be performed at 20 ° C. to 140 ° C. for 1 minute to 1 hour. As described above, the resin layer can be formed on the substrate.
- Step of exposing the resin layer the resin layer formed above is exposed directly or directly through a photomask or reticle having a pattern using an exposure apparatus such as a contact aligner, mirror projection, or stepper. Exposure is performed with an ultraviolet light source or the like.
- post-exposure baking PEB
- pre-development baking with any combination of temperature and time may be performed as necessary for the purpose of improving photosensitivity.
- the range of the baking conditions is that the temperature is 40 to 120 ° C. and the time is preferably 10 seconds to 240 seconds, but this range is not used unless it inhibits various characteristics of the photosensitive resin composition of the present invention. Not limited to.
- the developer used for development is preferably a good solvent for the photosensitive resin composition or a combination of the good solvent and the poor solvent.
- good solvents include N-methylpyrrolidone, N-cyclohexyl-2-pyrrolidone, N, N-dimethylacetamide, cyclopentanone, cyclohexanone, ⁇ -butyrolactone, ⁇ -Acetyl- ⁇ -butyrolactone and the like are preferable, and as the poor solvent, toluene, xylene, methanol, ethanol, isopropyl alcohol, ethyl lactate, propylene glycol methyl ether acetate, water and the like are preferable.
- the ratio of the poor solvent to the good solvent depending on the solubility of the polymer in the photosensitive resin composition.
- two or more of each solvent for example, several types may be used in combination.
- Step of forming a cured relief pattern by heat-treating the relief pattern the relief pattern obtained by the development is heated to be converted into a cured relief pattern.
- various methods such as a method using a hot plate, a method using an oven, a method using a temperature rising type oven capable of setting a temperature program can be selected. Heating can be performed, for example, at 180 ° C. to 400 ° C. for 30 minutes to 5 hours. Air may be used as the atmospheric gas during heat curing, and an inert gas such as nitrogen or argon may be used.
- the present invention also provides a semiconductor device including a cured relief pattern obtained by the above-described method for producing a cured relief pattern of the present invention.
- the present invention also provides a semiconductor device including a base material that is a semiconductor element and a cured relief pattern of a resin formed on the base material by the above-described cured relief pattern manufacturing method.
- the present invention can also be applied to a method for manufacturing a semiconductor device that uses a semiconductor element as a substrate and includes the above-described method for manufacturing a cured relief pattern as part of the process.
- the semiconductor device of the present invention is a semiconductor device having a surface relief film, an interlayer insulation film, a rewiring insulation film, a flip chip device protection film, or a bump structure as a cured relief pattern formed by the above-described cured relief pattern production method. And can be manufactured by combining with a known method for manufacturing a semiconductor device.
- the photosensitive resin composition according to the first aspect of the present invention is applied to the semiconductor device as described above, as well as interlayer insulation of multilayer circuits, a cover coat of a flexible copper-clad plate, a solder resist film, and a liquid crystal alignment film It is also useful for such applications.
- a semiconductor device (hereinafter also referred to as an “element”) is mounted on a printed circuit board by various methods depending on purposes.
- Conventional devices are generally manufactured by a wire bonding method in which a thin wire is connected from an external terminal (pad) of the device to a lead frame.
- the difference in the wiring length of each terminal in mounting has come to affect the operation of the device. For this reason, when mounting elements for high-end applications, it is necessary to accurately control the length of the mounting wiring, and it has become difficult to satisfy the requirements with wire bonding.
- flip chip mounting has been proposed in which a rewiring layer is formed on the surface of a semiconductor chip, bumps (electrodes) are formed thereon, and then the chip is flipped over and mounted directly on a printed circuit board.
- the wiring distance can be controlled accurately, it is adopted as a high-end element that handles high-speed signals or a mobile phone because of its small mounting size, and the demand is rapidly expanding.
- individual chips are manufactured by dicing a wafer that has been subjected to a pre-process, and the individual chips are reconstructed on a support, sealed with mold resin, and a rewiring layer is formed after the support is peeled off.
- a semiconductor chip mounting technique called a fan-out wafer level package has been proposed (for example, Japanese Patent Laying-Open No. 2005-167191).
- the fan-out wafer level package has an advantage that the height of the package can be reduced, and high-speed transmission and cost can be reduced.
- the second aspect of the present invention is capable of manufacturing a semiconductor device with low signal delay and good electrical characteristics, and prevents a drop in yield due to disconnection when forming the semiconductor device.
- An object of the present invention is to provide a photosensitive resin composition that can be used.
- the present inventors can manufacture a semiconductor device with low signal delay and good electrical characteristics.
- the inventors have found that it is possible to prevent the yield from being lowered due to disconnection in the process, and the second aspect of the present invention has been completed. That is, the second aspect of the present invention is as follows. [1] The following steps (1) to (5): (1) A step of spin coating the resin composition on a sputtered Cu wafer substrate; (2) A step of heating the spin-coated wafer substrate on a hot plate at 110 ° C.
- the photosensitive polyimide precursor has the following general formula (21): ⁇ Wherein, X1a is a tetravalent organic group, a Y1a2 monovalent organic group, n1a is an integer of 2 to 150, and R 1a and R 2a are independently a hydrogen atom or the following general Formula (22): (In the general formula (22), R 3a , R 4a and R 5a are each independently a hydrogen atom or an organic group having 1 to 3 carbon atoms, and m1a is an integer selected from 2 to 10. ) Or a saturated aliphatic group having 1 to 4 carbon atoms. However, both R 1a and R 2a are not simultaneously hydrogen atoms.
- X1 represents the following formulas (23) to (25): And at least one tetravalent organic group selected from the group consisting of Y1 and the following general formula (26): ⁇ Wherein R 6a to R 9a are a hydrogen atom or a monovalent aliphatic group having 1 to 4 carbon atoms, which may be different or the same. ⁇ , The following formula (27): Or the following formula (28): ⁇ Wherein R 10a to R 11a each independently represents a fluorine atom, a trifluoromethyl group, or a methyl group.
- the photopolymerization initiator is represented by the following general formula (29): ⁇ In the formula (29), Z represents a sulfur atom or an oxygen atom, and R 12a represents a methyl group, a phenyl group or a divalent organic group, and R 13a to R 15a each independently represent a hydrogen atom or a monovalent group] Represents an organic group.
- a photosensitive polyimide precursor having a focus margin of a certain value or more it is possible to prevent the yield from being lowered due to disconnection when forming a semiconductor device.
- a semiconductor device can be provided.
- the second aspect of the present invention is the following photosensitive resin composition: [Photosensitive resin composition]
- the photosensitive resin composition in the present embodiment has the following steps (1) to (5): (1) A step of spin coating the resin composition on a sputtered Cu wafer substrate; (2) A step of heating the spin-coated wafer substrate on a hot plate at 110 ° C.
- the focus margin of the rounded concave relief pattern obtained through the steps is 8 ⁇ m or more.
- the semiconductor is warped and distorted, or even when the multilayer rewiring layer has poor surface flatness of the lower layer and the focus depth at the time of exposure deviates from the desired position. It is possible to prevent the yield from decreasing due to disconnection when forming the device. Furthermore, a semiconductor device with little signal delay and good electrical characteristics can be manufactured.
- the resin component of the photosensitive resin composition of the present invention is a polyamide having a structural unit represented by the following general formula (21).
- the polyimide precursor is converted into polyimide by subjecting it to a cyclization treatment by heating (for example, 200 ° C. or higher).
- the following general formula (21) ⁇ Wherein X1a is a tetravalent organic group, Y1a is a divalent organic group, n1a is an integer of 2 to 150, and R 1a and R 2a are each independently a hydrogen atom or
- the tetravalent organic group represented by X1a is preferably an organic group having 6 to 40 carbon atoms, more preferably a —COOR 1 group, a —COOR 2 group, and —CONH.
- the group is an aromatic group or an alicyclic aliphatic group in the ortho position relative to each other. More preferably, the following formula (60): Although the structure represented by these is mentioned, it is not limited to these. These may be used alone or in combination of two or more.
- X is preferably a structural formula represented by the following structural formulas (23) to (25).
- the divalent organic group represented by Y1a is preferably an aromatic group having 6 to 40 carbon atoms, such as a group represented by the structure of the following formula (61), Or The following general formula (62): The structure represented by these is preferable.
- a particularly preferable group as Y1a is the following general formula (26): ⁇ Wherein R 6a to R 9a are a hydrogen atom or a monovalent aliphatic group having 1 to 4 carbon atoms, which may be different or the same. ⁇ Group represented by Following formula (27): And a group represented by the following formula (28): ⁇ Wherein R 10a to R 11a each independently represents a fluorine atom, a trifluoromethyl group, or a methyl group. ⁇ At least one divalent organic group selected from the group consisting of groups represented by These may be used alone or in combination of two or more.
- the polyimide precursor represented by the above chemical formula (21) of the present invention is, first, a tetracarboxylic dianhydride containing a tetravalent organic group X1a, an alcohol having a photopolymerizable unsaturated double bond, and A partially esterified tetracarboxylic acid (hereinafter referred to as an acid / ester) is prepared by reacting a saturated aliphatic alcohol having 1 to 4 carbon atoms, and then a diamine containing the divalent organic group Y1a. It is obtained by amide polycondensation between
- tetracarboxylic dianhydride containing a tetravalent organic group X1a examples include pyromellitic anhydride and diphenyl ether-3,3 ′, 4,4′-tetracarboxylic dianhydride.
- alcohols having a photopolymerizable unsaturated double bond examples include 2-acryloyloxyethyl alcohol, 1-acryloyloxy-3-propyl alcohol, 2-acrylamidoethyl alcohol, and methylol.
- a saturated aliphatic alcohol having 1 to 4 carbon atoms such as methanol, ethanol, n-propanol, isopropanol, n-butanol, tert-butanol and the like in the above alcohols.
- the tetracarboxylic dianhydride and alcohols suitable for the present invention are stirred and dissolved in an appropriate solvent at a temperature of 20 to 50 ° C. for 4 to 10 hours in the presence of a basic catalyst such as pyridine, and mixed.
- a basic catalyst such as pyridine
- the reaction solvent is preferably a solvent that completely dissolves the acid / ester and a polyimide precursor that is an amide polycondensation product of this with a diamine component.
- a solvent that completely dissolves the acid / ester and a polyimide precursor that is an amide polycondensation product of this with a diamine component for example, N-methyl-2-pyrrolidone, N, N— Examples include dimethylacetamide, N, N-dimethylformamide, dimethyl sulfoxide, tetramethylurea, and ⁇ -butyrolactone.
- reaction solvents include ketones, esters, lactones, ethers, halogenated hydrocarbons, hydrocarbons such as acetone, methyl ethyl ketone, methyl isobutyl ketone, cyclohexanone, methyl acetate, ethyl acetate, butyl acetate.
- Diethyl oxalate ethylene glycol dimethyl ether, diethylene glycol dimethyl ether, tetrahydrofuran, dichloromethane, 1,2-dichloroethane, 1,4-dichlorobutane, chlorobenzene, o-dichlorobenzene, hexane, heptane, benzene, toluene, xylene and the like. These may be used alone or in combination as required.
- a suitable dehydration condensation agent such as dicyclohexylcarbodiimide, 1-ethoxycarbonyl-2-ethoxy-1,2-dihydroquinoline, 1,1-carbonyldioxy-di-1 is added to the above acid / ester solution under ice-cooling.
- a diamine containing a divalent organic group Y suitably used in the present invention which is separately dissolved or dispersed in a solvent, is dropped and subjected to amide polycondensation to obtain the target polyimide precursor. be able to.
- diamines containing a divalent organic group Y1a that are preferably used in the present invention include p (phenylenediamine, m-phenylenediamine, 4,4 -diaminodiphenyl ether, 3,4'-diaminodiphenyl ether, 3,3 '-Diaminodiphenyl ether, 2,2'-dimethylbiphenyl-4,4'-diamine, 2,2'-bis (trifluoromethyl) benzidine, 4,4'-diaminodiphenyl sulfide, 3,4'-diaminodiphenyl sulfide 3,3′-diaminodiphenyl sulfide, 4,4′-diaminodiphenyl sulfone, 3,4′-diaminodiphenyl sulfone, 3,3′-diaminodiphenyl sulfone, 4,4′-diaminobipheny
- diaminosiloxanes such as 1,3-bis (3-aminopropyl) tetramethyldisiloxane and 1,3-bis (3-aminopropyl) tetraphenyldisiloxane for the purpose of improving adhesion to various substrates Can also be copolymerized.
- the water-absorbing by-product of the dehydrating condensing agent coexisting in the reaction solution was filtered off if necessary, and a poor solvent such as water, an aliphatic lower alcohol, or a mixture thereof was obtained.
- the polymer component is charged to precipitate the polymer component. Further, the polymer is purified by repeating re-dissolution and re-precipitation operations, and vacuum drying is performed to isolate the target polyimide precursor.
- the polymer solution may be passed through a column packed with an anion-cation exchange resin swollen with a suitable organic solvent to remove ionic impurities.
- the molecular weight of the polyimide precursor is preferably 8,000 to 150,000, more preferably 9,000 to 50,000, as measured by polystyrene-reduced weight average molecular weight by gel permeation chromatography. .
- weight average molecular weight is 8,000 or more, the mechanical properties are improved, and when it is 150,000 or less, the dispersibility in the developer is improved, and the resolution performance of the relief pattern is improved.
- Tetrahydrofuran and N-methyl-2-pyrrolidone are recommended as developing solvents for gel permeation chromatography.
- the molecular weight is determined from a calibration curve prepared using standard monodisperse polystyrene.
- the standard monodisperse polystyrene is recommended to be selected from STANDARD SM-105, an organic solvent standard sample manufactured by Showa Denko.
- the photosensitive resin composition according to the present invention may further contain a photopolymerization initiator.
- the photopolymerization initiator include benzophenone, methyl o-benzoylbenzoate, 4-benzoyl-4′-methyldiphenylketone, dibenzylketone, fluorenone and other benzophenone derivatives, 2,2′-diethoxyacetophenone, 2- Acetophenone derivatives such as hydroxy-2-methylpropiophenone and 1-hydroxycyclohexyl phenyl ketone, thioxanthone derivatives such as thioxanthone, 2-methylthioxanthone, 2-isopropylthioxanthone, diethylthioxanthone, benzyl, benzyldimethyl ketal, benzyl- ⁇ -methoxy Benzyl derivatives such as ethyl acetal, benzoin derivatives such as benzoin and benzoin
- the following general formula (29) ⁇ In the formula (29), Z represents a sulfur or oxygen atom, and R 12a represents a methyl group, a phenyl group or a divalent organic group, and R 13a to R 15a each independently represent a hydrogen atom or a monovalent group Represents an organic group.
- An oxime compound represented by the formula is more preferably used. Among them, particularly preferable is the following formula (63): Formula (64): Formula (65): Or formula (66): Or a mixture thereof.
- Formula (63) is TR-PBG-305 manufactured by Changzhou Powerful New Electronic Materials Co., Ltd.
- Formula (64) is TR-PBG-3057 manufactured by Changzhou Powerful New Electronic Materials Co., Ltd.
- Formula (65) is Irgacure OXE- manufactured by BASF Corporation. It is commercially available as 01.
- the addition amount of the photopolymerization initiator is 0.1 to 20 parts by mass with respect to 100 parts by mass of the polyimide precursor, and is preferably 1 to 15 parts by mass from the viewpoint of photosensitivity characteristics.
- the photosensitivity is excellent, and the focus margin is improved, so that the electrical characteristics are excellent.
- the thick film curability is excellent, and since the focus margin is improved, the electrical characteristics are excellent.
- thermal polymerization inhibitors include hydroquinone, N-nitrosodiphenylamine, p-tert-butylcatechol, phenothiazine, N-phenylnaphthylamine, ethylenediaminetetraacetic acid, 1,2-cyclohexanediaminetetraacetic acid, glycol etherdiaminetetraacetic acid, 2,6 -Di-tert-butyl-p-methylphenol, 5-nitroso-8-hydroxyquinoline, 1-nitroso-2-naphthol, 2-nitroso-1-naphthol, 2-nitroso-5- (N-ethyl-N- Sulfopropylamino) phenol, N-nitroso-N-phenylhydroxylamine ammonium salt, N-nitroso-N (1-naphthyl) hydroxylamine ammonium salt and the like are used
- the amount of the thermal polymerization inhibitor added to the photosensitive resin composition is preferably in the range of 0.005 to 1.5 parts by mass with respect to 100 parts by mass of the polyimide precursor. If the amount of the thermal polymerization inhibitor is within this range, the photo-crosslinking reaction is likely to proceed during exposure, swelling during exposure is suppressed, focus merge is widened, and electrical characteristics are improved. It is preferable because it has good stability and stability of light sensitivity.
- the initiator and the inhibitor according to the present embodiment are not limited as long as the focus margin is 8 ⁇ m or more, but the combination of the oxime initiator and the hindered phenol inhibitor, the oxime initiator and the nitroso inhibitor is a combination.
- the focus margin tends to be 8 ⁇ m or more, which is preferable.
- the combination of an oxime initiator and a hindered phenol inhibitor, or an oxime initiator and a nitroso inhibitor is preferable from the viewpoints of copper adhesion, cross-sectional angle after curing, and film properties.
- a sensitizer in the photosensitive resin composition according to the present invention, a sensitizer can be optionally added to improve the focus margin.
- the sensitizer include Michler's ketone, 4,4′-bis (diethylamino) benzophenone, 2,5-bis (4′-diethylaminobenzal) cyclopentane, and 2,6-bis (4′-diethylaminobenzal).
- the sensitizer for improving the photosensitivity is preferably used in an amount of 0.1 to 15 parts by mass, and more preferably 1 to 12 parts by mass with respect to 100 parts by mass of the polyimide precursor.
- the amount of the sensitizer is in the range of 0.1 to 15 parts by mass, the sensitizer does not swell at the time of exposure and the focus margin is widened and the electric characteristics are improved. It is preferable because the effect is good and the photocrosslinking reaction proceeds sufficiently.
- a monomer having a photopolymerizable unsaturated bond can be optionally added in order to improve the resolution of the relief pattern.
- a monomer is preferably a (meth) acryl compound that undergoes a radical polymerization reaction with a photopolymerization initiator, and is not particularly limited to the following, but includes ethylene glycol such as diethylene glycol dimethacrylate and tetraethylene glycol dimethacrylate.
- the monomer having a photopolymerizable unsaturated bond for improving the resolution of the relief pattern is preferably used in an amount of 1 to 50 parts by mass with respect to 100 parts by mass of the polyimide precursor.
- solvent Since the photosensitive resin composition concerning this invention melt
- a polar organic solvent is preferably used from the viewpoint of solubility in the polyimide precursor.
- N, N-dimethylformamide, N-methyl-2-pyrrolidone, N-ethyl-2-pyrrolidone, N, N-dimethylacetamide, dimethyl sulfoxide, diethylene glycol dimethyl ether, cyclopentanone, ⁇ -butyrolactone, ⁇ -Acetyl- ⁇ -butyrolactone, tetramethylurea, 1,3-dimethyl-2-imidazolinone, N-cyclohexyl-2-pyrrolidone and the like can be mentioned, and these can be used alone or in combination of two or more.
- N-methyl-2-pyrrolidone or a combination of dimethyl sulfoxide and ⁇ -butyrolactone is preferable. It is preferable that it is 5 mass% or more and 20 mass% or less.
- the solvent can be used in the range of, for example, 30 to 1500 parts by mass with respect to 100 parts by mass of the polyimide precursor, depending on the desired coating thickness and viscosity of the photosensitive resin composition. Furthermore, in order to improve the storage stability of the photosensitive resin composition, a solvent containing alcohols is preferable.
- Alcohols that can be used are typically alcohols having an alcoholic hydroxyl group in the molecule and no olefinic double bonds. Specific examples include methyl alcohol, ethyl alcohol, and n-propyl. Alcohols such as alcohol, isopropyl alcohol, n-butyl alcohol, isobutyl alcohol, tert-butyl alcohol, lactic esters such as ethyl lactate, propylene glycol-1-methyl ether, propylene glycol-2-methyl ether, propylene glycol- Propylene glycol monoalkyl ethers such as 1-ethyl ether, propylene glycol-2-ethyl ether, propylene glycol-1- (n-propyl) ether, propylene glycol-2- (n-propyl) ether , Ethylene glycol methyl ether, ethylene glycol ethyl ether, mono-alcohols such as ethylene glycol -n- propyl ether, 2-hydroxyisobut
- lactic acid esters propylene glycol monoalkyl ethers, 2-hydroxyisobutyric acid esters, and ethyl alcohol are preferable.
- ethyl lactate propylene glycol-1-methyl ether, propylene glycol-1-ethyl ether, propylene Glycol-1- (n-propyl) ether is more preferred.
- the content of the alcohol having no olefinic double bond in the total solvent is preferably 5 to 50% by mass, more preferably 10 to 30% by mass.
- the content of alcohol having no olefinic double bond is 5% by mass or more, the storage stability of the photosensitive resin composition is good, and when it is 50% by mass or less, the solubility of the polyimide precursor is good. become.
- the photosensitive resin composition of the present invention may contain the following (A) to (D) as components other than the above components.
- the photosensitive resin composition of the present invention may contain an azole compound represented by the following general formula (67), and the following general formula (68) and the following general formula (69).
- An azole compound has the effect
- R24a and R25a are each independently a hydrogen atom, a linear or branched alkyl group having 1 to 40 carbon atoms, or a carbon number of 1 to 40 substituted with a carboxyl group, a hydroxy group, an amino group or a nitro group.
- R26a is a C1-C40 alkyl group or aromatic group substituted with a hydrogen atom, a phenyl group, or an amino group or a silyl group.
- R27a is substituted with a hydrogen atom, a carboxyl group, a hydroxy group, an amino group, a nitro group, a linear or branched alkyl group having 1 to 40 carbon atoms, or a carboxyl group, a hydroxy group, an amino group, or a nitro group.
- R28a is a hydrogen atom, a phenyl group, or an alkyl group or aromatic group having 1 to 40 carbon atoms substituted with an amino group or a silyl group.
- R29a represents a hydrogen atom, a linear or branched alkyl group having 1 to 40 carbon atoms, or an alkyl group having 1 to 40 carbon atoms substituted with a carboxyl group, a hydroxy group, an amino group or a nitro group, or an aromatic group.
- R30a is a hydrogen atom, a phenyl group, an alkyl group having 1 to 40 carbon atoms or an aromatic group substituted with an amino group or a silyl group.
- the azole compound is represented by the general formula (67) as 1H-triazole, 5-methyl-1H-triazole, 5-ethyl-1H-triazole, 4,5-dimethyl-1H-triazole, 5-phenyl-1H-triazole.
- tolyltriazole 5-methyl-1H-benzotriazole, 4-methyl-1H-benzotriazole and the like are particularly preferable from the viewpoint of suppressing discoloration of copper or a copper alloy.
- These azole compounds may be used alone or in a mixture of two or more.
- the amount of the azole compound added is 0.1 to 20 parts by mass with respect to 100 parts by mass of the polyimide precursor, and preferably 0.5 to 5 parts by mass from the viewpoint of photosensitivity characteristics. If the addition amount of the azole compound relative to 100 parts by mass of the polyimide precursor is 0.1 parts by mass or more, when the photosensitive resin composition of the present invention is formed on copper or a copper alloy, the surface of the copper or copper alloy On the other hand, when the photosensitive resin composition of the present invention is formed on copper or a copper alloy as long as it is 20 parts by mass or less, a good relief pattern can be obtained.
- the photosensitive resin composition of the present invention is, for example, a compound having an action of preventing discoloration of copper or a copper alloy when formed on copper or a copper alloy.
- a phenol compound may be contained.
- the hindered phenol compound has a structure represented by the following general formula (70), general formula (71), general formula (75), general formula (76) or general formula (77) in the molecule.
- a compound is represented by the following general formula (70), general formula (71), general formula (75), general formula (76) or general formula (77) in the molecule.
- R31a is a t-butyl group
- R32a and R34a are each independently a hydrogen atom or an alkyl group
- R33a is a hydrogen atom, an alkyl group, an alkoxy group, a hydroxyalkyl group, a dialkylaminoalkyl group.
- R35a is a hydrogen atom or an alkyl group.
- R36a is a t-butyl group
- R37a, R38a and R39a are each independently a hydrogen atom or an alkyl group
- R40a is an alkylene group, a divalent sulfur atom, a dimethylenethioether group.
- R42a is a t-butyl group, a cyclohexyl group, or a methylcyclohexyl group
- R43a, R44a, and R45a are each independently a hydrogen atom or an alkyl group
- R46a is an alkylene group, Sulfur atom or terephthalic acid ester.
- R47a is a t-butyl group
- R48a, R49a and R50a are each independently a hydrogen atom or an alkyl group
- R51a is an alkyl group, a phenyl group, an isocyanurate group or a propionate group. It is.
- R52a and R53a are each independently a hydrogen atom or a monovalent organic group having 1 to 6 carbon atoms
- R55a is an alkyl group, a phenyl group, an isocyanurate group or a propionate group
- R54a is The following general formula (78): Wherein R56a, R57a and R58a are each independently a hydrogen atom or a monovalent organic group having 1 to 6 carbon atoms, provided that at least two of R56a, R57a and R58a have 1 to 6 carbon atoms. 6 is a monovalent organic group), or a phenyl group.
- the hindered phenol compound has an action of preventing discoloration of copper or copper alloy when the photosensitive resin composition of the present invention is formed on, for example, copper or copper alloy.
- a specific phenol compound that is, a phenol compound represented by the above general formula (70), general formula (71), general formula (75), general formula (76), and general formula (77).
- the hindered phenol compound is represented by the above general formula (70), for example, 2,6-di-t-butyl-4-methylphenol, 2,5-di-t-butyl-hydroquinone, octadecyl-3- (3 , 5-di-t-butyl-4-hydroxyphenyl) propionate, isooctyl-3- (3,5-di-t-butyl-4-hydroxyphenyl) propionate and the like, and the above general formula (71)
- 1,3,5-tris (4-tert-butyl-3-hydroxy-2,6-dimethylbenzyl) -1,3,5-triazine-2,4,6- (1H, 3H, 5H ) -Trione and the like are particularly preferred.
- the addition amount of the hindered phenol compound is 0.1 to 20 parts by mass with respect to 100 parts by mass of the polyimide precursor, and preferably 0.5 to 10 parts by mass from the viewpoint of photosensitivity characteristics.
- the added amount of the hindered phenol compound to 100 parts by mass of the polyimide precursor is 0.1 parts by mass or more, for example, when the photosensitive resin composition of the present invention is formed on copper or a copper alloy, Discoloration / corrosion of copper or copper alloy is prevented, and on the other hand, if it is 20 parts by mass or less, the photosensitivity is excellent.
- the photosensitive resin composition of the present invention may contain (C) an organic titanium compound as a compound that improves chemical resistance.
- the organic titanium compound that can be used as the component (C) is not particularly limited as long as the organic chemical substance is bonded to the titanium atom through a covalent bond or an ionic bond.
- Titanium chelate compound a titanium chelate having two or more alkoxy groups is more preferable because it provides a stable composition and a good pattern.
- titanium bis (triethanolamine) diisopro Poxide Titanium di (n-butoxide) bis (2,4-pentanedionate, Titanium diisopropoxide bis (2,4-pentanedionate), Titanium diisopropoxide bis (tetramethylheptanedionate), Titanium diisopropoxide bis (ethylacetoacetate) and the like.
- Tetraalkoxytitanium compounds for example, titanium tetra (n-butoxide), titanium tetraethoxide, titanium tetra (2-ethylhexoxide), titanium tetraisobutoxide, titanium tetraisopropoxide, titanium tetramethoxide , Titanium tetramethoxypropoxide, titanium tetramethylphenoxide, titanium tetra (n-nonyloxide), titanium tetra (n-propoxide), titanium tetrastearyloxide, titanium tetrakis [bis ⁇ 2,2- (allyloxymethyl) Butoxide ⁇ ] and the like.
- Titanocene compounds for example, pentamethylcyclopentadienyltitanium trimethoxide, bis ( ⁇ 5-2,4-cyclopentadien-1-yl) bis (2,6-difluorophenyl) titanium, bis ( ⁇ 5-2, 4-cyclopentadien-1-yl) bis (2,6-difluoro-3- (1H-pyrrol-1-yl) phenyl) titanium and the like.
- Monoalkoxytitanium compounds for example, titanium tris (dioctyl phosphate) isopropoxide, titanium tris (dodecylbenzenesulfonate) isopropoxide, and the like.
- Titanium oxide compound for example, titanium oxide bis (pentanedionate), titanium oxide bis (tetramethylheptanedionate), phthalocyanine titanium oxide, and the like.
- Titanium tetraacetylacetonate compound For example, titanium tetraacetylacetonate.
- Titanate coupling agent For example, isopropyltridodecylbenzenesulfonyl titanate.
- at least one compound selected from the group consisting of I) titanium chelate compound, II) tetraalkoxytitanium compound, and III) titanocene compound is preferable from the viewpoint of more chemical resistance.
- the amount of these organic titanium compounds added is preferably 0.05 to 10 parts by weight, more preferably 0.1 to 2 parts by weight with respect to 100 parts by weight of the polyimide precursor.
- the addition amount is 0.05 parts by weight or more, desired heat resistance or chemical resistance is exhibited, while when it is 10 parts by weight or less, the storage stability is excellent.
- Adhesion aids include ⁇ -aminopropyldimethoxysilane, N- ( ⁇ -aminoethyl) - ⁇ -aminopropylmethyldimethoxysilane, ⁇ -glycidoxypropylmethyldimethoxysilane, ⁇ -mercaptopropylmethyldimethoxysilane, 3- Methacryloxypropyldimethoxymethylsilane, 3-methacryloxypropyltrimethoxysilane, dimethoxymethyl-3-piperidinopropylsilane, diethoxy-3-glycidoxypropylmethylsilane, N- (3-diethoxymethylsilylpropyl) succinimide N- [3- (triethoxysilyl) propyl] phthalamic acid, benzophenone-3,
- the addition amount of the adhesion assistant is preferably in the range of 0.5 to 25 parts by mass with respect to 100 parts by mass of the polyimide precursor.
- a crosslinking agent when the relief pattern is heat-cured, a polyimide precursor can be crosslinked, or a crosslinking agent that can form a crosslinked network by itself is added to further enhance heat resistance and chemical resistance. be able to.
- a crosslinking agent an amino resin or a derivative thereof is preferably used, and among them, a glycol urea resin, a hydroxyethylene urea resin, a melamine resin, a benzoguanamine resin, or a derivative thereof is preferably used. Particularly preferred is an alkoxymethylated melamine compound, and hexamethoxymethylmelamine is mentioned as an example.
- the addition amount of the crosslinking agent is preferably 2 to 40 parts by mass, more preferably 5 to 30 parts by mass with respect to 100 parts by mass of the polyimide precursor. It is. When the addition amount is 2 parts by mass or more, good heat resistance and chemical resistance are exhibited, and when it is 40 parts by mass or less, the storage stability is excellent.
- the photosensitive resin composition capable of producing a semiconductor device having a wide focus margin and good electrical characteristics preferably has a cross-sectional angle between the concave relief pattern and the substrate of 60 degrees or more and 90 degrees or less. .
- a cross-sectional angle within this range is preferable because bridging does not occur, a normal relief pattern can be formed, a focus margin is widened, and no disconnection occurs.
- the cross-sectional angle is lower than this range, it is not preferable because it is difficult to form the rewiring layer.
- a more preferable range of the cross-sectional angle is not less than 60 degrees and not more than 85 degrees.
- the present invention also includes the following steps (6) to (9): (6) forming a resin layer on the substrate by applying the above-described photosensitive resin composition of the present invention on the substrate; (7) exposing the resin layer; (8) A step of developing the exposed resin layer to form a relief pattern; (9) A method for producing a cured relief pattern, comprising a step of forming a cured relief pattern by heat-treating the relief pattern.
- steps (6) to (9) forming a resin layer on the substrate by applying the above-described photosensitive resin composition of the present invention on the substrate; (7) exposing the resin layer; (8) A step of developing the exposed resin layer to form a relief pattern; (9) A method for producing a cured relief pattern, comprising a step of forming a cured relief pattern by heat-treating the relief pattern.
- the photosensitive resin composition of this invention is apply
- a coating method a method conventionally used for coating a photosensitive resin composition, for example, a method of coating with a spin coater, bar coater, blade coater, curtain coater, screen printing machine, etc., spray coating with a spray coater A method or the like can be used.
- the photosensitive resin composition is not only applied to a substrate by coating the photosensitive resin composition on the substrate, but also the photosensitive resin composition.
- the resin layer may be formed by laminating a photosensitive resin composition layer on a substrate in the form of a film.
- a film of the photosensitive resin composition according to the present invention may be formed on a supporting substrate, and the supporting substrate may be removed after being laminated when the film is used, or removed before laminating. May be.
- the coating film made of the photosensitive resin composition can be dried.
- a drying method methods such as air drying, heat drying using an oven or a hot plate, vacuum drying, and the like are used. Specifically, when air drying or heat drying is performed, the drying can be performed at 20 ° C. to 140 ° C. for 1 minute to 1 hour. As described above, the resin layer can be formed on the substrate.
- Step of exposing the resin layer the resin layer formed above is exposed directly or directly through a photomask or reticle having a pattern using an exposure apparatus such as a contact aligner, mirror projection, or stepper. Exposure is performed with an ultraviolet light source or the like.
- post-exposure baking PEB
- pre-development baking with any combination of temperature and time may be performed as necessary for the purpose of improving photosensitivity.
- the range of the baking conditions is that the temperature is 40 to 120 ° C. and the time is preferably 10 seconds to 240 seconds, but this range is not used unless it inhibits various characteristics of the photosensitive resin composition of the present invention. Not limited to.
- Step of developing the exposed resin layer to form a relief pattern the unexposed portion of the exposed photosensitive resin layer is developed and removed.
- a developing method an arbitrary method can be selected and used from conventionally known photoresist developing methods such as a rotary spray method, a paddle method, and an immersion method involving ultrasonic treatment.
- post-development baking at any combination of temperature and time may be performed as necessary.
- the developer used for development is preferably a good solvent for the photosensitive resin composition or a combination of the good solvent and the poor solvent.
- the good solvent is preferably N-methylpyrrolidone, N-cyclohexyl-2-pyrrolidone, N, N-dimethylacetamide, cyclopentanone, cyclohexanone, ⁇ -butyrolactone, ⁇ -acetyl- ⁇ -butyrolactone, etc.
- Preferred examples include toluene, xylene, methanol, ethanol, isopropyl alcohol, ethyl lactate, propylene glycol methyl ether acetate, and water.
- the ratio of the poor solvent to the good solvent depending on the solubility of the polymer in the photosensitive resin composition.
- two or more of each solvent for example, several types may be used in combination.
- Step of forming a cured relief pattern by heat-treating the relief pattern the relief pattern obtained by the development is heated to be converted into a cured relief pattern.
- various methods such as a method using a hot plate, a method using an oven, a method using a temperature rising type oven capable of setting a temperature program can be selected. Heating can be performed, for example, at 180 ° C. to 400 ° C. for 30 minutes to 5 hours. Air may be used as the atmospheric gas during heat curing, and an inert gas such as nitrogen or argon may be used.
- the present invention also provides a semiconductor device including a cured relief pattern obtained by the above-described method for producing a cured relief pattern of the present invention.
- the present invention also provides a semiconductor device including a base material that is a semiconductor element and a cured relief pattern of a resin formed on the base material by the above-described cured relief pattern manufacturing method.
- the present invention can also be applied to a method for manufacturing a semiconductor device that uses a semiconductor element as a substrate and includes the above-described method for manufacturing a cured relief pattern as part of the process.
- the semiconductor device of the present invention comprises a cured relief pattern formed by the above cured relief pattern manufacturing method, a surface protective film, an interlayer insulating film, a rewiring insulating film, a flip chip device protective film, a fanout device protective film, Or it can form as a protective film etc. of the semiconductor device which has a bump structure, and can manufacture by combining with the manufacturing method of a known semiconductor device.
- the photosensitive resin composition according to the second aspect of the present invention is applied to the semiconductor device as described above, as well as interlayer insulation of multilayer circuits, cover coat of flexible copper-clad plate, solder resist film, and liquid crystal alignment film It is also useful for such applications.
- the element is mounted on the printed circuit board by various methods according to the purpose.
- Conventional devices are generally manufactured by a wire bonding method in which a thin wire is connected from an external terminal (pad) of the device to a lead frame.
- the difference in the wiring length of each terminal in the mounting has affected the operation of the device. For this reason, when mounting elements for high-end applications, it is necessary to accurately control the length of the mounting wiring, and it has become difficult to satisfy the requirements with wire bonding.
- flip chip mounting has been proposed in which a rewiring layer is formed on the surface of a semiconductor chip, bumps (electrodes) are formed thereon, and then the chip is flipped over and mounted directly on a printed circuit board.
- a rewiring layer is formed on the surface of a semiconductor chip, bumps (electrodes) are formed thereon, and then the chip is flipped over and mounted directly on a printed circuit board.
- the wiring distance can be controlled accurately, so it is used for high-end devices that handle high-speed signals, or mobile phones due to the small mounting size, and the demand is rapidly expanding.
- a metal wiring layer forming step is performed after the polyimide layer pattern is formed.
- the metal wiring layer is usually formed by plasma etching the polyimide layer surface to roughen the surface, and then forming a metal layer to be a seed layer for plating with a thickness of 1 ⁇ m or less, and then using the metal layer as an electrode. It is formed by electrolytic plating. At this time, in general, Ti is used as a metal to be a seed layer, and Cu is used as a metal of a rewiring layer formed by electrolytic plating.
- Such a metal rewiring layer is required to have high adhesion between the rewired metal layer and the resin layer.
- the adhesiveness between the re-routed Cu layer and the resin layer is lowered due to the influence of the resin and additives forming the photosensitive resin composition and the influence of the manufacturing method when forming the re-wiring layer. was there.
- the adhesion between the redistributed Cu layer and the resin layer decreases, the insulation reliability of the redistribution layer decreases.
- a third aspect of the present invention aims to provide a method for forming a rewiring layer having high adhesion to a Cu layer, and a semiconductor device having the rewiring layer. .
- the present inventors have found that the above object can be achieved by combining a photosensitive polyimide precursor and a specific compound, and have completed the third aspect of the present invention. That is, the third aspect of the present invention is as follows. [1] (A) component which is a photosensitive polyimide precursor, The following general formula (B1): ⁇ In Formula (B1), Rs1 to Rs5 each independently represents a hydrogen atom or a monovalent organic group ⁇ The photosensitive resin composition characterized by including (B) component represented by these. [2] The photosensitive resin composition according to [1], wherein the component (A) is a polyamic acid derivative having a radical polymerizable substituent in the side chain.
- the component (A) is represented by the following general formula (A1): ⁇ In General Formula (A1), X is a tetravalent organic group, Y is a divalent organic group, R 5b and R 6b are each independently a hydrogen atom, the following general formula (R1) (In the general formula (R1), R 7b , R 8b and R 9b are each independently a hydrogen atom or a C 1 to C 3 organic group, and p is an integer selected from 2 to 10) Or a C 1 -C 4 saturated aliphatic group, provided that both R 5b and R 6b are not hydrogen atoms at the same time.
- the component (B) is represented by the following formula (B2):
- X in the general formula (A1) is the following (C1) to (C3): Containing at least one tetravalent organic group selected from Y is the following (D1), (D2): ⁇ In General Formula (D1), R 10b to R 13b are a hydrogen atom or a C1-C4 monovalent aliphatic group, which may be the same or different.
- the cured relief pattern includes a polyimide resin,
- a photosensitive resin composition capable of obtaining a photosensitive resin having high adhesion between the Cu layer and the polyimide layer by combining the photosensitive polyimide precursor and the specific compound, A method for forming a cured relief pattern using a photosensitive resin composition, and a semiconductor device having the cured relief pattern can be provided.
- the photosensitive resin composition of the present invention includes a component (A) that is a photosensitive polyimide precursor,
- the photosensitive polyimide precursor (A) used in the present invention will be described. What is preferably used as the photosensitive polyimide resin in the present invention is one having an i-line absorbance of 0.8 to 2.0, measured on a 10 ⁇ m-thick film obtained after coating and pre-baking this as a single solution. . In order to make the side surface of the opening in the cured relief pattern obtained from the photosensitive resin composition into a forward taper type (the opening diameter of the film surface portion is larger than the opening diameter of the film bottom portion), the photosensitivity of the present invention.
- the resin composition preferably contains (A) a photosensitive polyimide precursor that satisfies the above requirements.
- the i-line absorbance of the 10 ⁇ m-thick film can be measured with an ordinary spectrophotometer for the coating film formed on quartz glass.
- the absorbance obtained for the film is converted to a thickness of 10 ⁇ m according to Lambert-Beer's law, whereby an i-line absorbance of 10 ⁇ m thickness can be obtained.
- the i-line absorbance is 0.8 or more and 2.0 or less, the coating film is excellent in mechanical properties, thermophysical properties, etc., and the i-line absorption of the coating film is moderate and light reaches the bottom. In this case, it is preferable because it cures to the bottom of the coating film.
- the (A) photosensitive polyimide precursor of the present invention is preferably composed mainly of a polyamic acid ester.
- the main component means that these resins are contained in an amount of 60% by mass or more, preferably 80% by mass or more, based on the total resin. Moreover, other resin may be included as needed.
- the weight average molecular weight (Mw) of the photosensitive polyimide precursor is 1,000 or more as a polystyrene conversion value by gel permeation chromatography (GPC) from the viewpoint of heat resistance and mechanical properties of the film obtained after the heat treatment. It is preferable that it is 5,000 or more.
- the upper limit of the weight average molecular weight (Mw) is preferably 100,000 or less. From the viewpoint of solubility in a developer, it is more preferably 50,000 or less.
- one of the most preferable (A) photosensitive polyimide precursors from the viewpoint of heat resistance and photosensitivity is represented by the following general formula (A1): ⁇ In the general formula (A1), X is a tetravalent organic group, Y is a divalent organic group, R 5b and R 6b are each independently a hydrogen atom, the following general formula (R1): (In the general formula (R1), R 7b , R 8b and R 9b are each independently a hydrogen atom or a C 1 to C 3 organic group, and p is an integer selected from 2 to 10) Or a C 1 -C 4 saturated aliphatic group, provided that both R 5b and R 6b are not hydrogen atoms at the same time. ⁇ The ester type photosensitive polyimide precursor containing the structure represented by this.
- the tetravalent organic group represented by X is preferably an organic group having 6 to 40 carbon atoms, more preferably, from the viewpoint of achieving both heat resistance and photosensitive properties.
- the —COOR group, the —COOR 2 group and the —CONH— group are an aromatic group or an alicyclic aliphatic group in which they are ortho to each other.
- the tetravalent organic group represented by X is preferably an organic group having 6 to 40 carbon atoms containing an aromatic ring, and more preferably the following formula (90):
- R25b is a monovalent group selected from a hydrogen atom, a fluorine atom, a C1 to C10 hydrocarbon group, and a C1 to C10 fluorine-containing hydrocarbon group
- l is an integer selected from 0 to 2
- m Is an integer selected from 0 to 3
- n is an integer selected from 0 to 4.
- the structure represented by these is mentioned, it is not limited to these. Further, the structure of X may be one type or a combination of two or more types.
- the X group having the structure represented by the above formula is particularly preferable in terms of achieving both heat resistance and photosensitive characteristics.
- the divalent organic group represented by Y is preferably an aromatic group having 6 to 40 carbon atoms from the viewpoint of achieving both heat resistance and photosensitive properties.
- R25b is a monovalent group selected from a hydrogen atom, a fluorine atom, a C1 to C10 hydrocarbon group, and a C1 to C10 fluorine-containing hydrocarbon group
- n is an integer selected from 0 to 4 .
- the structure represented by these is mentioned, it is not limited to these.
- the structure of Y may be one type or a combination of two or more types.
- the Y group having the structure represented by the above formula (91) is particularly preferable in terms of achieving both heat resistance and photosensitive characteristics.
- R 7b in the general formula (R1) is preferably a hydrogen atom or a methyl group
- R 8b and R 9b are preferably a hydrogen atom from the viewpoint of photosensitive properties.
- p is an integer of 2 or more and 10 or less, preferably an integer of 2 or more and 4 or less, from the viewpoint of photosensitive characteristics.
- Examples of methods for imparting photosensitivity to the photosensitive resin composition include an ester bond type and an ion bond type.
- the former is a method of introducing a photopolymerizable group, that is, a compound having an olefinic double bond, into the side chain of the polyimide precursor by an ester bond, and the latter has a carboxyl group and an amino group of the polyimide precursor ( In this method, a photopolymerizable group is imparted by bonding an amino group of a (meth) acrylic compound via an ionic bond.
- the ester bond-type polyimide precursor includes a tetracarboxylic dianhydride containing the above-described tetravalent organic group X, an alcohol having a photopolymerizable unsaturated double bond, and optionally having 1 to 4 carbon atoms.
- a saturated aliphatic alcohol to prepare a partially esterified tetracarboxylic acid (hereinafter also referred to as an acid / ester), this and a diamine containing the aforementioned divalent organic group Y 1 Can be obtained by amide polycondensation.
- the tetracarboxylic dianhydride having a tetravalent organic group X preferably used for preparing an ester bond type polyimide precursor has a structure represented by the above general formula (90).
- acid dianhydrides for example, pyromellitic anhydride, diphenyl ether-3,3 ′, 4,4′-tetracarboxylic dianhydride, benzophenone-3,3 ′, 4,4′-tetracarboxylic dianhydride Biphenyl-3,3 ′, 4,4′-tetracarboxylic dianhydride, diphenylsulfone-3,3 ′, 4,4′-tetracarboxylic dianhydride, diphenylmethane-3,3 ′, 4 4'-tetracarboxylic dianhydride, 2,2-bis (3,4-phthalic anhydride) propane, 2,2-bis (3,4-phthalic anhydride) -1,1,1,3,3 , 3-hexafluoropropane, etc.
- acid dianhydrides for example, pyromellitic anhydride, diphenyl ether-3,3 ′, 4,4′-tetracarboxylic dianhydride,
- pyromellitic anhydride diphenyl ether-3,3 ′, 4,4′-tetracarboxylic dianhydride, biphenyl-3,3 ′, 4,4′-tetracarboxylic dianhydride, etc.
- Merit acid, diphenyl ether-3,3 ′, 4,4′-tetracarboxylic dianhydride, benzophenone-3,3 ′, 4,4′-tetracarboxylic dianhydride, biphenyl-3,3 ′, 4 4′-tetracarboxylic dianhydride and the like, more preferably pyromellitic anhydride, diphenyl ether-3,3 ′, 4,4′-tetracarboxylic dianhydride, biphenyl-3,3 ′, 4,4 ′ -Tetracarboxylic dianhydrides may be mentioned, but are not limited thereto. These may be used alone or in combination of two or more.
- alcohols having a photopolymerizable group that can be suitably used for preparing an ester bond type polyimide precursor in the present invention include 2-acryloyloxyethyl alcohol, 1-acryloyloxy-3-propyl alcohol, and the like.
- 2-acrylamidoethyl alcohol methylol vinyl ketone, 2-hydroxyethyl vinyl ketone, 2-hydroxy-3-methoxypropyl acrylate, 2-hydroxy-3-butoxypropyl acrylate, 2-hydroxy-3-phenoxypropyl acrylate, 2- Hydroxy-3-butoxypropyl acrylate, 2-hydroxy-3-t-butoxypropyl acrylate, 2-hydroxy-3-cyclohexyloxypropyl acrylate, 2-methacryloyloxyethyl alcohol 1-methacryloyloxy-3-propyl alcohol, 2-methacrylamidoethyl alcohol, 2-hydroxy-3-methoxypropyl methacrylate, 2-hydroxy-3-butoxypropyl methacrylate, 2-hydroxy-3-phenoxypropyl methacrylate, 2-hydroxy Examples include -3-butoxypropyl methacrylate, 2-hydroxy-3-t-butoxypropyl methacrylate, and 2-hydroxy-3-cyclohexyloxypropyl methacrylate.
- saturated aliphatic alcohol that can be optionally used together with the alcohol having the photopolymerizable group
- a saturated aliphatic alcohol having 1 to 4 carbon atoms is preferable. Specific examples thereof include methanol, ethanol, n-propanol, isopropanol, n-butanol, tert-butanol and the like.
- the tetracarboxylic dianhydride suitable for the present invention and the above alcohols are preferably present in the presence of a basic catalyst such as pyridine, preferably in a suitable reaction solvent as described later, at a temperature of 20 to 50 ° C.
- a basic catalyst such as pyridine
- a suitable reaction solvent as described later
- a suitable dehydration condensing agent is added to and mixed with the acid / ester body (typically in a solution state dissolved in the reaction solvent), preferably under ice-cooling, to thereby convert the acid / ester body into a polymer.
- the acid / ester body typically in a solution state dissolved in the reaction solvent
- a diamine having a divalent organic group Y suitably used in the present invention is added dropwise by separately dissolving or dispersing it in a solvent, and the both are subjected to amide polycondensation to achieve the desired photosensitivity.
- a polyimide precursor can be obtained.
- Diaminosiloxanes may be used in combination with the diamine having the divalent organic group Y.
- Examples of the dehydrating condensing agent include dicyclohexylcarbodiimide, 1-ethoxycarbonyl-2-ethoxy-1,2-dihydroquinoline, 1,1-carbonyldioxy-di-1,2,3-benzotriazole, N, N Examples include '-disuccinimidyl carbonate. As described above, an intermediate polyacid anhydride is obtained.
- the diamine having a divalent organic group Y which is preferably used for the reaction with the polyanhydride obtained as described above, is a diamine having the structure represented by the general formula (91).
- substituents include 3,3′-dimethyl-4,4′-diaminobiphenyl, 2,2′-dimethyl-4,4′-diaminobiphenyl, and 3,3′-dimethyl-4,4.
- '-Diaminodiphenylmethane 2,2'-dimethyl-4,4'-diaminodiphenylmethane, 3,3'-dimethoxy-4,4'-diaminobiphenyl, 3,3'-dichloro-4,4'-diaminobiphenyl, 2,2′-bis (trifluoromethyl) -4,4′-diaminobiphenyl, 2,2′-bis (fluoro) -4,4′-diaminobiphenyl, 4,4′-diaminooctafluorobiphenyl, etc .; And mixtures thereof.
- the diamines are not limited to the above examples.
- the diaminosiloxanes are prepared in the preparation of (A) the photosensitive polyimide precursor. Used together with diamines containing an organic group Y. Specific examples of such diaminosiloxanes include 1,3-bis (3-aminopropyl) tetramethyldisiloxane and 1,3-bis (3-aminopropyl) tetraphenyldisiloxane. it can.
- the water-absorbing by-product of the dehydrating condensing agent coexisting in the reaction solution is filtered off if necessary, and then the solution containing the polymer component is mixed with a suitable poor solvent such as water. , Aliphatic lower alcohols, mixed liquids thereof, etc.) are added to precipitate the polymer component.
- the polymer is purified by repeating re-dissolution and re-precipitation operations, and then vacuum drying is performed to isolate the desired photosensitive polyimide precursor.
- the polymer solution may be passed through a column packed with an anion and / or cation exchange resin swollen with a suitable organic solvent to remove ionic impurities.
- the weight average molecular weight (Mw) of the ester bond type polyimide precursor is 1,000 or more as a polystyrene conversion value by gel permeation chromatography (GPC) from the viewpoint of heat resistance and mechanical properties of the film obtained after the heat treatment. It is preferable that it is 5,000 or more.
- the upper limit of the weight average molecular weight (Mw) is preferably 100,000 or less. From the viewpoint of solubility in a developer, it is more preferably 50,000 or less. Tetrahydrofuran or N-methyl-2-pyrrolidone is recommended as a developing solvent for gel permeation chromatography.
- the molecular weight is determined from a calibration curve prepared using standard monodisperse polystyrene. As the standard monodisperse polystyrene, it is recommended to select from standard organic solvent standard sample STANDARD SM-105 manufactured by Showa Denko.
- the i-line absorbance of the pre-baked film formed independently takes various values depending on the molecular structure.
- the i-ray absorbance of the mixture is an arithmetic average of the i-ray absorbance of each component.
- the i-line absorbance of the 10 ⁇ m thick film can be adjusted to 0.8 to 2.0.
- Component (B) in the present invention has an i-line absorbance of 0.1 to 0.2 in a 0.001 wt% solution, an h-ray absorbance of 0.02 to 0.1, and a g-ray absorbance of 0.02. It is the following oxime ester. These oxime esters have photosensitivity and are essential for patterning a photosensitive resin by photolithography. From the viewpoint of adhesion with Cu, the 0.001 wt% solution has an i-ray absorbance of 0.1 to 0.2, an h-ray absorbance of 0.02 to 0.1, and a g-ray absorbance of 0.02 in all cases. The following is preferable.
- the component (B) that can be used in the present invention is represented by the following general formula (B1): ⁇ In Formula (B1), Rs1 to Rs5 each independently represents a hydrogen atom or a monovalent organic group. ⁇ Is included.
- Rs1 to Rs5 are each independently a group selected from a hydrogen atom or a linear, branched or cyclic alkyl group having 1 to 20 carbon atoms, an alkylaryl group, and an arylalkyl group. .
- hydrogen atom methyl group, ethyl group, n-propyl group, isopropyl group, n-butyl group, isobutyl group, sec-butyl group, tert-butyl group, n-pentyl group, isopentyl group, neopentyl group, tert-pentyl group, n-hexyl group, isohexyl group, n-octyl group, isooctyl group, n-decyl group, isodecyl group, cyclopropyl group, cyclobutyl group, cyclopentyl group, cyclohexyl group, methylcyclopentyl group, cyclopentylmethyl group, Examples thereof include a methylcyclohexyl group, a cyclohexylmethyl group, a phenyl group, a tolyl group, a xylyl group, and
- components (B) are added in an amount of 0.1 to 10 parts by weight, preferably 0.5 to 5 parts by weight, based on 100 parts by weight of the (A) photosensitive polyimide precursor. Used.
- the amount of component (B) added is 0.1 parts by mass or more with respect to 100 parts by mass of (A) photosensitive polyimide precursor, suppression of void generation at the interface between the Cu layer and the polyimide layer after a high-temperature storage test. The effect is fully expressed.
- paintability of a composition improve that the addition amount of (B) component is 10 mass parts or less with respect to 100 mass parts of (A) photosensitive polyimide precursor.
- the oxime ester used in the present invention has an i-ray absorbance of 0.1 or more and 0.2 or less and a h-ray absorbance of 0.001 wt% when viewing g-line, h-line, and i-line absorbance.
- the characteristic is that it is 02 or more and 0.1 or less, and the g-ray absorbance is 0.02 or less.
- the oxime ester used as a photopolymerization initiator has only high i-line absorbance and does not absorb g-line and h-line.
- some oxime esters hardly absorb any of g-line, h-line and i-line, and some oxime esters are essential to be used in combination with a sensitizer.
- the oxime ester of the present invention generates a specific amount of not only a photopolymerization initiation radical but also a specific amine during exposure from such characteristic g-line, h-line, and i-line absorption spectra, and the amine is specific to Cu. Adhesiveness with Cu can be improved by performing a simple interaction.
- the photosensitive resin composition of this invention may further contain components other than the said (A) photosensitive polyimide precursor and (B) component.
- the photosensitive resin composition of the present invention is typically used as a liquid photosensitive resin composition in which the above-mentioned components and optional components further used as necessary are dissolved in a solvent to form a varnish.
- a solvent other than the photosensitive polyimide precursor of the component (A) a sensitizer, a monomer having a photopolymerizable unsaturated bond, Adhesion aids, thermal polymerization inhibitors, azole compounds, hindered phenol compounds and the like can be mentioned.
- the solvent examples include polar organic solvents and alcohols.
- a polar organic solvent from the viewpoint of solubility in (A) the photosensitive polyimide precursor.
- the solvent containing alcohol is preferable from a viewpoint of improving the storage stability of the photosensitive resin composition.
- the alcohols that can be suitably used are typically alcohols having an alcoholic hydroxyl group in the molecule and having no olefinic double bond.
- alkyl alcohols such as methyl alcohol, ethyl alcohol, n-propyl alcohol, isopropyl alcohol, n-butyl alcohol, isobutyl alcohol, and tert-butyl alcohol; lactic acid esters such as ethyl lactate; propylene glycol -1-methyl ether, propylene glycol-2-methyl ether, propylene glycol-1-ethyl ether, propylene glycol-2-ethyl ether, propylene glycol-1- (n-propyl) ether, propylene glycol-2- (n- Propylene glycol monoalkyl ethers such as propyl) ether; ethylene glycol methyl ether, ethylene glycol ethyl ether, ethylene glycol-n-propyl ether, etc.
- lactic acid esters such as ethyl lactate
- propylene glycol -1-methyl ether propylene glycol-2-methyl ether
- Roh alcohol 2-hydroxyisobutyric acid esters; Dialcohols such as ethylene glycol and propylene glycol; Etc.
- lactic acid esters, propylene glycol monoalkyl ethers, 2-hydroxyisobutyric acid esters, and ethyl alcohol are preferable, and ethyl lactate, propylene glycol-1-methyl ether, propylene glycol-1-ethyl ether, And propylene glycol-1- (n-propyl) ether is more preferred.
- ketones, esters, lactones, ethers, halogenated hydrocarbons, hydrocarbons and the like can be suitably used.
- ketones include acetone, methyl ethyl ketone, methyl isobutyl ketone, and cyclohexanone
- esters include methyl acetate, ethyl acetate, butyl acetate, diethyl oxalate and the like
- lactones include ⁇ -butyrolactone and the like
- ethers include ethylene glycol dimethyl ether, diethylene glycol dimethyl ether, and tetrahydrofuran
- halogenated hydrocarbons include dichloromethane, 1,2-dichloroethane, 1,4-dichlorobutane, chlorobenzene, o-dichlorobenzene and the like
- hydrocarbons include hexane, heptane, benzene, toluene, xylene, and the like. These may be used alone or in admixture of two or more as required.
- the solvent is, for example, in the range of 30 to 1500 parts by mass, preferably 100 to 1 part per 100 parts by mass of the (A) photosensitive polyimide precursor, depending on the desired coating thickness and viscosity of the photosensitive resin composition. , 000 parts by mass.
- the solvent contains an alcohol having no olefinic double bond
- the content of the alcohol having no olefinic double bond in the entire solvent is preferably 5 to 50% by mass, More preferably, it is 10 to 30% by mass.
- the content of alcohol having no olefinic double bond is 5% by mass or more, the storage stability of the photosensitive resin composition is improved.
- (A) a photosensitive polyimide precursor When the content is 50% by mass or less, (A) a photosensitive polyimide precursor. The solubility of is improved.
- the photosensitive resin composition of the present invention may further contain a resin component other than the above-described (A) photosensitive polyimide precursor.
- a resin component other than the above-described (A) photosensitive polyimide precursor examples include polyimide, polyoxazole, polyoxazole precursor, phenol resin, polyamide, epoxy resin, siloxane resin, and acrylic resin.
- the amount of these resin components is preferably in the range of 0.01 to 20 parts by mass with respect to 100 parts by mass of the (A) photosensitive polyimide precursor.
- a sensitizer can be arbitrarily blended in order to improve photosensitivity.
- the sensitizer include Michler's ketone, 4,4′-bis (diethylamino) benzophenone, 2,5-bis (4′-diethylaminobenzal) cyclopentane, and 2,6-bis (4′-diethylaminobenzal).
- the blending amount is 0.1 to 25 parts by mass with respect to 100 parts by mass of the (A) photosensitive polyimide precursor. Is preferred.
- a monomer having a photopolymerizable unsaturated bond can be arbitrarily blended in the photosensitive resin composition of the present invention.
- a monomer is preferably a (meth) acrylic compound that undergoes a radical polymerization reaction with a photopolymerization initiator.
- mono- or di (meth) acrylates of ethylene glycol or polyethylene glycol including diethylene glycol dimethacrylate, tetraethylene glycol dimethacrylate; Mono- or di (meth) acrylates of propylene glycol or polypropylene glycol; Mono, di or tri (meth) acrylates of glycerol; Cyclohexane di (meth) acrylate; 1,4-butanediol diacrylate and dimethacrylate, 1,6-hexanediol di (meth) acrylate; Di (meth) acrylate of neopentyl glycol; Mono or di (meth) acrylate of bisphenol A; Benzene trimethacrylate; Isobornyl (meth) acrylate; Acrylamide and its derivatives; Methacrylamide and derivatives thereof; Trimethylolpropane tri (meth) acrylate; Di- or tri (meth)
- the blending amount is (A) the photosensitive polyimide precursor 100.
- the amount is preferably 1 to 50 parts by mass with respect to parts by mass.
- an adhesive aid can be arbitrarily blended in the photosensitive resin composition.
- the adhesion assistant include ⁇ -aminopropyldimethoxysilane, N- ( ⁇ -aminoethyl) - ⁇ -aminopropylmethyldimethoxysilane, ⁇ -glycidoxypropylmethyldimethoxysilane, ⁇ -mercaptopropylmethyldimethoxysilane, 3-methacryloxypropyldimethoxymethylsilane, 3-methacryloxypropyltrimethoxysilane, dimethoxymethyl-3-piperidinopropylsilane, diethoxy-3-glycidoxypropylmethylsilane, N- (3-diethoxymethylsilylpropyl) ) Succinimide, N- [3- (triethoxysilyl) propyl] phthalamic acid, benzophenone
- adhesion assistants it is more preferable to use a silane coupling agent from the viewpoint of adhesive strength.
- the blending amount when the photosensitive resin composition contains an adhesion assistant is preferably in the range of 0.5 to 25 parts by mass with respect to 100 parts by mass of the (A) photosensitive polyimide precursor.
- a thermal polymerization inhibitor is optionally added to the photosensitive resin composition in order to improve the stability during storage and the photosensitivity.
- the thermal polymerization inhibitor include hydroquinone, N-nitrosodiphenylamine, p-tert-butylcatechol, phenothiazine, N-phenylnaphthylamine, ethylenediaminetetraacetic acid, 1,2-cyclohexanediaminetetraacetic acid, glycol etherdiaminetetraacetic acid, 2 , 6-Di-tert-butyl-p-methylphenol, 5-nitroso-8-hydroxyquinoline, 1-nitroso-2-naphthol, 2-nitroso-1-naphthol, 2-nitroso-5- (N-ethyl- N-sulfopropylamino) phenol, N-nitroso-N-phenyl
- the blending amount of the thermal polymerization inhibitor when blended in the photosensitive resin composition is preferably in the range of 0.005 to 12 parts by mass with respect to 100 parts by mass of the (A) photosensitive polyimide precursor.
- a nitrogen-containing heterocyclic ring such as an azole compound purine derivative is used to suppress discoloration on copper.
- a compound can be arbitrarily blended.
- Examples of the azole compound include 1H-triazole, 5-methyl-1H-triazole, 5-ethyl-1H-triazole, 4,5-dimethyl-1H-triazole, 5-phenyl-1H-triazole, 4-t-butyl- 5-phenyl-1H-triazole, 5-hydroxyphenyl-1H-triazole, phenyltriazole, p-ethoxyphenyltriazole, 5-phenyl-1- (2-dimethylaminoethyl) triazole, 5-benzyl-1H-triazole, hydroxy Phenyltriazole, 1,5-dimethyltriazole, 4,5-diethyl-1H-triazole, 1H-benzotriazole, 2- (5-methyl-2-hydroxyphenyl) benzotriazole, 2- [2-hydroxy-3,5 -Bis ( ⁇ , ⁇ -dimethyl) Rubenzyl) phenyl] -benzotriazole, 2- (3,5-di-tert-
- purine derivatives include purine, adenine, guanine, hypoxanthine, xanthine, theobromine, caffeine, uric acid, isoguanine, 2,6-diaminopurine, 9-methyladenine, 2-hydroxyadenine, 2-methyladenine, 1-methyladenine, N-methyladenine, N, N-dimethyladenine, 2-fluoroadenine, 9- (2-hydroxyethyl) adenine, guanine oxime, N- (2-hydroxyethyl) adenine, 8-aminoadenine, 6-amino-8-phenyl-9H-purine, 1-ethyladenine, 6-ethylaminopurine, 1-benzyladenine, N-methylguanine, 7- (2-hydroxyethyl) guanine, N- (3-chlorophenyl) Guanine, N- (3-ethylphenyl) guanine, 2-a Aden
- the blending amount is preferably 0.1 to 20 parts by mass with respect to 100 parts by mass of the (A) photosensitive polyimide precursor. From the viewpoint of characteristics, 0.5 to 5 parts by mass is more preferable.
- the blending amount of the azole compound with respect to 100 parts by mass of (A) the photosensitive polyimide precursor is 0.1 parts by mass or more, when the photosensitive resin composition of the present invention is formed on copper or a copper alloy, copper Or the discoloration of the copper alloy surface is suppressed, and on the other hand, when it is 20 parts by mass or less, the photosensitivity is excellent.
- a hindered phenol compound can be arbitrarily blended in place of the azole compound or together with the azole compound.
- the hindered phenol compound include 2,6-di-t-butyl-4-methylphenol, 2,5-di-t-butyl-hydroquinone, and octadecyl-3- (3,5-di-t-butyl.
- 1,3,5-tris (4-tert-butyl-3-hydroxy-2,6-dimethylbenzyl) -1,3,5-triazine-2,4,6- (1H, 3H, 5H ) -Trione and the like are particularly preferred.
- the amount of the hindered phenol compound is preferably 0.1 to 20 parts by mass with respect to 100 parts by mass of the (A) photosensitive polyimide precursor, and 0.5 to 10 parts by mass from the viewpoint of photosensitivity characteristics. More preferably.
- the compounding quantity with respect to 100 mass parts of (A) photosensitive polyimide precursor of a hindered phenol compound is 0.1 mass part or more, for example, when forming the photosensitive resin composition of this invention on copper or a copper alloy Further, discoloration / corrosion of copper or copper alloy is prevented, and on the other hand, when it is 20 parts by mass or less, the excellent photosensitivity of the photosensitive resin composition is maintained.
- the photosensitive resin composition of the present invention may contain a crosslinking agent.
- the crosslinking agent can crosslink the photosensitive polyimide precursor (A) when the relief pattern formed using the photosensitive resin composition of the present invention is heat-cured, or the crosslinking agent itself forms a crosslinked network.
- the crosslinking agent can further enhance the heat resistance and chemical resistance of the cured film formed from the photosensitive resin composition.
- crosslinking agent examples include Cymel (registered trademark) 300, 301, 303, 370, 325, 327, 701, 266, 267, 238, 1141, 272, which are compounds containing a methylol group and / or an alkoxymethyl group.
- phenol novolac type epoxy resin cresol novolac type epoxy resin, bisphenol type epoxy resin, trisphenol type epoxy resin, tetraphenol type epoxy resin, phenol-xylylene type epoxy resin, naphthol-xylylene type epoxy resin, phenol, which are oxirane compounds -Naphthol type epoxy resin, phenol-dicyclopentadiene type epoxy resin, alicyclic epoxy resin, aliphatic epoxy resin, diethylene glycol diglycidyl ether, sorbitol polyglycidyl ether, propylene glycol diglycidyl ether, trimethylolpropane polyglycidyl ether, 1 , 1,2,2-tetra (p-hydroxyphenyl) ethanetetraglycidyl ether, glycerol triglyci Ether, ortho-secondary butylphenyl glycidyl ether, 1,6-bis (2,3-epoxypropoxy) naphthalen
- isocyanate group-containing compounds such as 4,4′-diphenylmethane diisocyanate, tolylene diisocyanate, 1,3-phenylene bismethylene diisocyanate, dicyclohexylmethane-4,4′-diisocyanate, isophorone diisocyanate, hexamethylene diisocyanate, takenate ( (Registered Trademark) 500, 600, Cosmonate (Registered Trademark) NBDI, ND (trade name, manufactured by Mitsui Chemicals), Duranate (Registered Trademark) 17B-60PX, TPA-B80E, MF-B60X, MF-K60X, E402- B80T (trade name, manufactured by Asahi Kasei Chemicals Corporation) and the like.
- the bismaleimide compounds 4,4′-diphenylmethane bismaleimide, phenylmethane maleimide, m-phenylene bismaleimide, bisphenol A diphenyl ether bismaleimide, 3,3′-dimethyl-5,5′-diethyl-4,4 '-Diphenylmethane bismaleimide, 4-methyl-1,3-phenylene bismaleimide, 1,6'-bismaleimide- (2,2,4-trimethyl) hexane, 4,4'-diphenyl ether bismaleimide, 4,4' -Diphenylsulfone bismaleimide, 1,3-bis (3-maleimidophenoxy) benzene, 1,3-bis (4-maleimidophenoxy) benzene, BMI-1000, BMI-1100, BMI-2000, BMI-2300, BMI- 3000, BMI-40 0, BMI-5100, BMI-7000, BMI-TMH, BMI-6000, BMI-
- the amount of the crosslinking agent used is preferably 0.5 to 20 parts by mass, more preferably 2 to 10 parts by mass with respect to 100 parts by mass of (A) the photosensitive polyimide precursor.
- the blending amount is 0.5 parts by mass or more, good heat resistance and chemical resistance are expressed, and when it is 20 parts by mass or less, the storage stability is excellent.
- the present invention also provides a method for forming a cured relief pattern.
- the method for forming a cured relief pattern in the present invention includes, for example, the following steps: (1) Applying the above-described photosensitive resin composition of the present invention on a substrate, and forming a photosensitive resin layer on the substrate; (2) an exposure step of exposing the photosensitive resin layer; (3) a development step of developing the exposed photosensitive resin layer to form a relief pattern; (4) a heating step of forming a cured relief pattern by heat-treating the relief pattern; In the order described above.
- typical aspects of each process will be described.
- the photosensitive resin composition of this invention is apply
- the substrate for example, a metal substrate made of silicon, aluminum, copper, copper alloy or the like; Resin substrates such as epoxy, polyimide, polybenzoxazole; A substrate on which a metal circuit is formed on the resin substrate; A substrate in which a plurality of metals or a metal and a resin are laminated in multiple layers; Etc. can be used.
- a substrate having at least the surface of the substrate made of Cu it is possible to obtain the effect of the present invention that suppresses the generation of voids at the interface between the Cu layer and the polyimide layer.
- the present invention can be applied to other substrates.
- a coating method a method conventionally used for coating a photosensitive resin composition, for example, a method of coating with a spin coater, bar coater, blade coater, curtain coater, screen printing machine, etc., spray coating with a spray coater A method or the like can be used.
- the photosensitive resin composition film can be dried.
- a drying method methods such as air drying, heat drying using an oven or a hot plate, vacuum drying, and the like are used.
- the drying can be performed at 20 ° C. to 140 ° C. for 1 minute to 1 hour.
- a photosensitive resin layer can be formed on the substrate.
- Exposure process In this process, the photosensitive resin layer formed above is exposed.
- the exposure apparatus for example, an exposure apparatus such as a contact aligner, a mirror projection, or a stepper is used. The exposure can be performed through a photomask or reticle having a pattern, or directly.
- the light beam used for exposure is, for example, an ultraviolet light source.
- post-exposure baking PEB
- pre-development baking by any combination of temperature and time may be performed as necessary for the purpose of improving photosensitivity.
- the range of baking conditions is preferably a temperature of 40 to 120 ° C. and a time of 10 seconds to 240 seconds, but is not limited to this range as long as the various characteristics of the photosensitive resin composition of the present invention are not impaired.
- the unexposed part of the exposed photosensitive resin layer is developed and removed.
- a developing method for developing the photosensitive resin layer after exposure (irradiation) a conventionally known photoresist developing method can be selected and used. For example, a rotary spray method, a paddle method, an immersion method with ultrasonic treatment, or the like.
- post-development baking may be performed at any temperature and time combination as necessary.
- the post-development baking temperature can be, for example, 80 to 130 ° C.
- the time can be, for example, 0.5 to 10 minutes.
- the developer used for development is preferably a good solvent for the photosensitive resin composition or a combination of the good solvent and the poor solvent.
- the good solvent N-methyl-2-pyrrolidone, N-cyclohexyl-2-pyrrolidone, N, N-dimethylacetamide, cyclopentanone, cyclohexanone, ⁇ -butyrolactone, ⁇ -acetyl- ⁇ -butyrolactone, etc. are preferable.
- As the solvent toluene, xylene, methanol, ethanol, isopropyl alcohol, ethyl lactate, propylene glycol methyl ether acetate, water and the like are preferable.
- the ratio of the poor solvent to the good solvent is preferable to adjust the ratio of the poor solvent to the good solvent according to the solubility of the polymer in the photosensitive resin composition.
- two or more of each solvent for example, several types may be used in combination.
- the relief pattern obtained by the above development is heated to dilute the photosensitive component, and (A) the photosensitive polyimide precursor is imidized to form a cured relief pattern made of polyimide.
- Convert As a method of heat curing, various methods such as a method using a hot plate, a method using an oven, and a method using a temperature rising type oven capable of setting a temperature program can be selected. The heating can be performed, for example, at 200 ° C. to 400 ° C. for 30 minutes to 5 hours. Air may be used as the atmospheric gas at the time of heat curing, or an inert gas such as nitrogen or argon may be used. As described above, a cured relief pattern can be produced.
- the present invention also provides a semiconductor device comprising a cured relief pattern obtained by the above-described method for forming a cured relief pattern of the present invention.
- the semiconductor device described above can be, for example, a semiconductor device having a base material that is a semiconductor element and a cured relief pattern formed on the base material by the above-described cured relief pattern forming method. That is, the semiconductor device of the present invention has a base material and a cured relief pattern formed on the base material, and the cured relief pattern is represented by the polyimide resin and the general formula (B1) described above. And a compound.
- the semiconductor device can be manufactured, for example, by a method using a semiconductor element as a base material and including the above-described method for forming a cured relief pattern as a part of the process.
- the semiconductor device of the present invention is a semiconductor having a cured relief pattern formed by the above-described cured relief pattern forming method, for example, a surface protective film, an interlayer insulating film, a rewiring insulating film, a flip chip device protective film, or a bump structure. It can be manufactured by forming it as a protective film of the device and combining it with a known method for manufacturing a semiconductor device.
- the semiconductor device of the present invention When the semiconductor device of the present invention is applied to, for example, a metal redistribution layer made of a Cu layer and a relief pattern made of a polyimide resin, the generation of voids at the interface is suppressed and the adhesiveness is high, resulting in excellent characteristics. It will have.
- the photosensitive resin composition according to the third aspect of the present invention is applied to the semiconductor device as described above, such as interlayer insulation of multilayer circuits, cover coat of flexible copper-clad plate, solder resist film, liquid crystal alignment film, etc. It is also useful for applications.
- the element is mounted on the printed circuit board by various methods according to the purpose.
- Conventional devices are generally manufactured by a wire bonding method in which a thin wire is connected from an external terminal (pad) of the device to a lead frame.
- the difference in the wiring length of each terminal in the mounting has affected the operation of the device. For this reason, when mounting elements for high-end applications, it is necessary to accurately control the length of the mounting wiring, and it has become difficult to satisfy the requirements with wire bonding.
- flip chip mounting has been proposed in which a rewiring layer is formed on the surface of a semiconductor chip, bumps (electrodes) are formed thereon, and then the chip is flipped over and mounted directly on a printed circuit board.
- the wiring distance can be controlled accurately, so it is used for high-end devices that handle high-speed signals, or mobile phones due to the small mounting size, and the demand is rapidly expanding.
- a mold resin substrate in which the chip is embedded in a mold resin is made.
- Fan-out mounting in which a rewiring layer is formed on a substrate has also been proposed.
- materials such as polyimide, polybenzoxazole, and phenol resin are used for flip chip mounting and fan-out mounting
- a metal wiring layer forming step is performed after the resin layer pattern is formed.
- the metal wiring layer is usually formed by plasma etching the resin layer surface to roughen the surface, and then forming a metal layer to be a seed layer for plating with a thickness of 1 ⁇ m or less, and then using the metal layer as an electrode. It is formed by electrolytic plating.
- Ti is used as a metal to be a seed layer
- Cu is used as a metal of a rewiring layer formed by electrolytic plating.
- a metal foil or a metal-laminated board and a non-photosensitive insulating resin are laminated, and a hole is drilled in the insulating resin layer with a drill or a laser, so that the vertical direction
- a drill or a laser it has been required to make holes with a small diameter for finer pitch wiring, and photolithography using a photosensitive resin composition as an insulating resin on a substrate. The method of making holes is being taken.
- the conductive layer is formed by laminating or pressing Cu foil on an insulating resin, or by forming a seed layer on the resin by electroless plating or sputtering, and then electrolytically plating Cu or the like (for example, patents). No. 5219008 and Japanese Patent No. 4919501).
- Such a metal rewiring layer formed from the photosensitive resin composition and Cu is required to have high adhesion between the metal layer rewired after the reliability test and the resin layer.
- the reliability test performed here includes, for example, a high-temperature storage test in which air is stored at a high temperature of 125 ° C. or higher for 100 hours or more, and a voltage is applied to the wiring while applying a voltage at about 125 ° C. in air.
- High temperature operation test to confirm operation under storage for 100 hours or more
- Temperature cycle test to cycle back and forth between a low temperature state of about -65 to -40 ° C and a high temperature state of about 125 to 150 ° C in air
- 85 High-temperature and high-humidity storage test that is stored in a water vapor atmosphere at a temperature of 85 ° C or higher and a humidity of 85% or higher.
- solder reflow test in which the solder reflow furnace is passed a plurality of times.
- the fourth aspect of the present invention is a high-temperature storage (on a substrate in which silicon, glass, a dummy substrate, or separated silicon chips are arranged and embedded with a mold resin ( To provide a rewiring layer manufactured by combining a specific Cu surface treatment method and a specific photosensitive resin composition, in which no void is generated at the interface of the Cu layer in contact with the resin layer after a high temperature storage) test. With the goal.
- the present inventors treated the surface of the Cu layer formed on a substrate in which silicon, glass, a dummy substrate, or separated silicon chips are arranged and embedded with a mold resin by a specific method, and a specific method is performed.
- the combination with the photosensitive resin composition has found that a wiring layer having excellent high-temperature storage test characteristics can be obtained, and the fourth aspect of the present invention has been completed. That is, the fourth aspect of the present invention is as follows. [1] A maximum height of 0. is formed on a surface formed on silicon, glass, a compound semiconductor, a printed board, a build-up board, a dummy board, or a board in which individual silicon chips are arranged and embedded with a mold resin.
- It has a copper layer characterized by irregularities of 1 ⁇ m or more and 5 ⁇ m or less, and a cured relief pattern layer, wherein the cured relief pattern is obtained by curing a photosensitive resin composition Rewiring layer to do.
- a photosensitive resin composition Rewiring layer to do.
- (1) Maximum height of 0.1 ⁇ m on the surface formed on silicon, glass, compound semiconductor, printed board, build-up board, dummy board, or a board in which individual silicon chips are arranged and embedded with mold resin Forming a photosensitive resin layer on the copper layer by applying a photosensitive resin composition on the copper layer, wherein unevenness of 5 ⁇ m or less is formed; (2) exposing the photosensitive resin layer; (3) developing the photosensitive resin layer after the exposure to form a relief pattern; (4) The method for producing a rewiring layer according to [1], including a step of forming a cured relief pattern by heat-treating the relief pattern.
- the photosensitive resin composition comprises (A) polyamic acid, polyamic acid ester, polyamic acid salt, polyhydroxyamide, polyaminoamide, polyamide, polyamideimide, polyimide, polybenzoxazole, and novolak, polyhydroxystyrene and 100 parts by mass of at least one resin selected from the group consisting of phenolic resins, (B) 1 to 50 parts by weight of a photosensitive agent based on 100 parts by weight of the resin, A rewiring layer as described in [1] or a method as described in [2].
- the resin (A) is a polyimide precursor containing the following general formula (40), a polyamide containing the following general formula (43), a polyoxazole precursor containing the following general formula (44), the following general formula (45 ), And a rewiring layer according to [1] or [3] or at least one selected from the group consisting of novolak, polyhydroxystyrene and a phenol resin containing the following general formula (46) The method according to [2] or [3].
- X 1c is a tetravalent organic group
- Y 1c is a divalent organic group
- n 1c is an integer of 2 to 150
- R 1c and R 2c are each independently And a hydrogen atom, a saturated aliphatic group having 1 to 30 carbon atoms, an aromatic group, or the following general formula (41): (Wherein R 3c , R 4c and R 5c are each independently a hydrogen atom or an organic group having 1 to 3 carbon atoms, and m 1c is an integer of 2 to 10).
- R 9c is an organic group having at least one radical-polymerizable unsaturated bond group having 3 to 20 carbon atoms, and n 2c is an integer of 1 to 1000.
- ⁇ ; ⁇ Wherein Y 3c is a tetravalent organic group having a carbon atom, and Y 4c , X 3c and X 4c are each independently a divalent organic group having two or more carbon atoms, n 3c is an integer of 1 ⁇ 1000, n 4c is an integer of 0 ⁇ 500, n 3c / ( n 3c + n 4c)> 0.5, and n 3c including X 3c and Y 3c
- the arrangement order of n 4c diamide units including X 4c and Y 4c and any number of dihydroxy diamide units is not limited.
- X 5c is a tetravalent to 14valent organic group
- Y 5c is a divalent to 12valent organic group
- R 10c and R 11c are each independently a phenolic hydroxyl group or a sulfonic acid group.
- an organic group having at least one group selected from thiol groups n 5c is an integer of 3 to 200
- m 3c and m 4c are integers of 0 to 10.
- Xc is a divalent aliphatic group having 2 to 10 carbon atoms which may have an unsaturated bond, a divalent alicyclic group having 3 to 20 carbon atoms, and the following general formula (47): (Wherein p is an integer of 1 to 10) and a divalent organic group having an aromatic ring having 6 to 12 carbon atoms and a divalent alkylene oxide group represented by Represents a divalent organic group. ⁇ .
- R 18c , R 19c , R 20c and R 21c are each independently a hydrogen atom, a monovalent aliphatic group having 1 to 10 carbon atoms, or a part or all of the hydrogen atoms replaced by fluorine atoms.
- W is a single bond, an aliphatic group having 1 to 10 carbon atoms which may be substituted with a fluorine atom, or a fluorine atom.
- An alloy containing copper and tin on the surface formed on silicon, glass, compound semiconductor, printed circuit board, build-up board, dummy board, or a board in which individual silicon chips are arranged and embedded with mold resin A copper layer characterized in that a silane coupling agent layer is further formed thereon, and a cured relief pattern layer, the cured relief pattern being a cured product of the photosensitive resin composition
- the photosensitive resin composition comprises (A) polyamic acid, polyamic acid ester, polyamic acid salt, polyhydroxyamide, polyaminoamide, polyamide, polyamideimide, polyimide, polybenzoxazole, and novolak, polyhydroxystyrene, and 100 parts by mass of at least one resin selected from the group consisting of phenolic resins, (B) The rewiring layer according to [6] or the method according to [7], wherein the photosensitive agent contains 1 to 50 parts by mass based on 100 parts by mass of the resin.
- the resin (A) is a polyimide precursor containing the following general formula (40), a polyamide containing the following general formula (43), a polyoxazole precursor containing the following general formula (44), the following general formula (45 ), A rewiring layer according to [6] or [8], or at least one selected from the group consisting of novolac, polyhydroxystyrene and a phenol resin containing the following general formula (46) [7] or [8].
- X 1c is a tetravalent organic group
- Y 1c is a divalent organic group
- n 1c is an integer of 2 to 150
- R 1c and R 2c are each independently And a hydrogen atom, a saturated aliphatic group having 1 to 30 carbon atoms, an aromatic group, or the following general formula (41): (Wherein R 3c , R 4c and R 5c are each independently a hydrogen atom or an organic group having 1 to 3 carbon atoms, and m 1c is an integer of 2 to 10).
- R 9c is an organic group having at least one radical-polymerizable unsaturated bond group having 3 to 20 carbon atoms, and n 2c is an integer of 1 to 1000.
- ⁇ ; ⁇ Wherein Y 3c is a tetravalent organic group having a carbon atom, and Y 4c , X 3c and X 4c are each independently a divalent organic group having two or more carbon atoms, n 3c is an integer of 1 ⁇ 1000, n 4c is an integer of 0 ⁇ 500, n 3c / ( n 3c + n 4c)> 0.5, and n 3c including X 3c and Y 3c
- the arrangement order of n 4c diamide units including X 4c and Y 4c and any number of dihydroxy diamide units is not limited.
- X 5c is a tetravalent to 14valent organic group
- Y 5c is a divalent to 12valent organic group
- R 10c and R 11c are each independently a phenolic hydroxyl group or a sulfonic acid group.
- an organic group having at least one group selected from thiol groups n 5c is an integer of 3 to 200
- m 3c and m 4c are integers of 0 to 10.
- Xc is a divalent aliphatic group having 2 to 10 carbon atoms which may have an unsaturated bond, a divalent alicyclic group having 3 to 20 carbon atoms, and the following general formula (47): (Wherein p is an integer of 1 to 10) and a divalent organic group having an aromatic ring having 6 to 12 carbon atoms and a divalent alkylene oxide group represented by Represents a divalent organic group. ⁇ .
- the photosensitive resin composition includes a phenol resin having a repeating unit represented by the general formula (46), and X in the general formula (46) is represented by the following general formula (48): ⁇ In the formula, R 13c , R 14c , R 15c and R 16c each independently represent a hydrogen atom, a monovalent aliphatic group having 1 to 10 carbon atoms, or a part or all of the hydrogen atoms substituted with fluorine atoms.
- R 18c , R 19c , R 20c and R 21c are each independently a hydrogen atom, a monovalent aliphatic group having 1 to 10 carbon atoms, or a part or all of the hydrogen atoms replaced by fluorine atoms.
- W is a single bond, an aliphatic group having 1 to 10 carbon atoms which may be substituted with a fluorine atom, or a fluorine atom.
- Cu formed on a substrate in which silicon, glass, a compound semiconductor, a printed circuit board, a build-up substrate, a dummy substrate, or separated silicon chips are arranged and embedded with a mold resin.
- ⁇ Board> As a substrate used for forming a rewiring layer in the present invention, silicon, glass, a compound semiconductor, a printed board, a build-up board, a dummy board, or a board in which individual silicon chips are arranged and embedded with a mold resin Either of these can be mentioned.
- the shape may be round or square.
- the silicon substrate may be a substrate on which a semiconductor and fine wiring are formed, or a substrate on which nothing is formed. Moreover, the electrode part and unevenness
- the glass substrate may be made of any material as long as it is glass such as non-alkali glass or silica glass.
- irregularities may be formed on the front surface, and a wiring layer may be formed on the back surface, or a through hole penetrating the substrate may be formed.
- the compound semiconductor substrate include a substrate having SiC, GaAs, GaP, or the like. In this case, the substrate may be a substrate on which a semiconductor and fine wiring are formed, or a substrate on which nothing is formed.
- a printed circuit board is a normal wiring board made by laminating a core material and an insulating resin layer, such as a single-sided board, a double-sided board, or a multi-layer board, and has through holes penetrating the wiring board, blind vias between the wirings, etc. May be.
- the build-up substrate is a kind of printed circuit board, but it is not a collective lamination, but a structure in which an insulating layer or an insulating layer with Cu is sequentially laminated on a core material.
- the dummy substrate is a generic term for substrates that do not remain in the final product by forming a wiring layer on the dummy substrate and then peeling off the substrate and the wiring layer.
- the material may be anything such as resin, silicon, glass, and finally the method of peeling between the substrate and the wiring layer, the method of chemically treating the adhesive part with a chemical, such as heat-peeling the adhesive part, etc.
- Arbitrary methods such as a method of thermally processing, a method of optically processing such as peeling by irradiating the bonded portion with laser light, can be used.
- the substrate in which the separated silicon chips are arranged side by side and embedded in the mold resin is once separated into a normal silicon chip after dicing after forming a semiconductor or a rewiring layer on the silicon wafer.
- the copper layer is formed by electrolytic plating after the seed layer is formed by, for example, normal sputtering.
- Ti / Cu is usually used for the seed layer, and the thickness is usually 1 ⁇ m or less.
- electroless plating can be used for forming the seed layer instead of sputtering.
- a resist layer is formed on the surface, the resist is patterned into a desired pattern by exposure and development, and then patterned by electrolytic plating so as to have a desired thickness.
- Copper is deposited only on the part. Thereafter, the resist is stripped using a stripping solution or the like, and the seed layer is removed by flash etching.
- a method of forming a Cu layer on a resin by laminating a resin layer and a Cu foil can be exemplified.
- the copper surface treatment method used in the present invention the copper surface is micro-etched to form irregularities with a maximum height of 0.1 ⁇ m to 5 ⁇ m, or by electroless tin plating on the copper surface. Any of the methods of forming an alloy layer containing tin on the surface of copper and further reacting with a silane coupling agent can be mentioned.
- Copper can be etched under acidic conditions with, for example, an aqueous cupric chloride solution.
- a specific compound such as a compound having an amino group
- the copper surface is not uniformly dissolved, but a portion that is easy to dissolve and a portion that is difficult to dissolve are generated on the copper surface.
- Irregularities having a height of 0.1 ⁇ m or more and 5 ⁇ m or less can be formed (see, for example, Patent Document 2).
- the maximum height refers to the length from the peak portion of the unevenness to the valley bottom portion when the uneven surface profile is viewed on the basis of the case where the copper surface is etched on the average.
- the maximum height is preferably 0.1 ⁇ m or more, more preferably 0.2 ⁇ m or more from the viewpoint of adhesion between copper and resin, and preferably 5 ⁇ m or less, more preferably 2 ⁇ m or less from the viewpoint of insulation reliability.
- a rust preventive agent you may further process the copper surface in which the unevenness
- Silane coupling agents are less likely to react with the surface hydroxyl groups of copper. It is effective to deposit and then treat with a silane coupling agent (see, for example, Patent Document 3).
- the copper surface alloy layer may contain any metal such as nickel in addition to tin.
- silane coupling agent that can be used in the present invention, those having an epoxy group, an amino group, an acryloxy group, a methacryloxy group, a vinyl group and the like are suitable.
- the method for treating the silane coupling agent include a method in which a 1% aqueous solution of a silane coupling agent is brought into contact with the metal surface for 30 minutes.
- the present invention is selected from the group consisting of (A) polyamic acid, polyamic acid ester polyamic acid salt, polyhydroxyamide, polyaminoamide, polyamide, polyamideimide, polyimide, polybenzoxazole, and novolak, polyhydroxystyrene and phenol resin. At least one resin: 100 parts by mass, (B) Photosensitizer: (A) 1 to 50 parts by mass as an essential component based on 100 parts by mass of resin.
- the resin (A) of the present invention comprises a group consisting of polyamic acid, polyamic acid ester, polyamic acid salt, polyhydroxyamide, polyaminoamide, polyamide, polyamideimide, polyimide, polybenzoxazole, and novolak, polyhydroxystyrene and phenolic resin.
- the main component is at least one resin selected from the above.
- the main component means that these resins are contained in an amount of 60% by mass or more of the total resin, and preferably 80% by mass or more. Moreover, other resin may be included as needed.
- the weight average molecular weight of these resins is preferably 200 or more, more preferably 5,000 or more in terms of polystyrene by gel permeation chromatography, from the viewpoint of heat resistance after heat treatment and mechanical properties.
- the upper limit is preferably 500,000 or less, and more preferably 20,000 or less from the viewpoint of solubility in a developer when a photosensitive resin composition is used.
- the resin (A) is a photosensitive resin for forming a relief pattern.
- the photosensitive resin is a resin that becomes a photosensitive resin composition when used together with the photosensitive agent (B) described later, and causes a phenomenon of dissolution or undissolution in the subsequent development process.
- Photosensitive resins include polyamic acid, polyamic acid ester, polyamic acid salt, polyhydroxyamide, polyaminoamide, polyamide, polyamideimide, polyimide, polybenzoxazole, and novolak, polyhydroxystyrene and phenolic resin after heat treatment are excellent in heat resistance and mechanical properties, polyamic acid ester, polyamic acid salt, polyamide, polyhydroxyamide, polyimide and phenol resin are preferably used. These photosensitive resins can be selected according to the desired application, such as whether to prepare a negative or positive photosensitive resin composition together with the photosensitive agent (B) described later.
- one example of the most preferable (A) resin from the viewpoint of heat resistance and photosensitive characteristics is the general formula (40): ⁇ Wherein X 1c is a tetravalent organic group, Y 1c is a divalent organic group, n 1c is an integer of 2 to 150, and R 1c and R 2c are each independently , A hydrogen atom, a saturated aliphatic group having 1 to 30 carbon atoms, or the general formula (41): (Wherein R 3c , R 4c and R 5c are each independently a hydrogen atom or an organic group having 1 to 3 carbon atoms, and m 1c is an integer of 2 to 10).
- ⁇ A monovalent organic group represented by The following general formula (42): (Wherein R 6c , R 7c and R 8c are each independently a hydrogen atom or an organic group having 1 to 3 carbon atoms, and m 2c is an integer of 2 to 10).
- a polyamic acid, a polyamic acid ester, or a polyamic acid salt is regarded as a polyimide precursor because it is converted to polyimide by performing a cyclization treatment (for example, 200 ° C. or higher). These polyimide precursors are suitable for a negative photosensitive resin composition.
- the tetravalent organic group represented by X 1C is preferably an organic group having 6 to 40 carbon atoms, more preferably, from the viewpoint of achieving both heat resistance and photosensitive properties.
- —COOR 1 group, —COOR 2 group and —CONH— group are each an aromatic group or an alicyclic aliphatic group in the ortho position.
- the tetravalent organic group represented by X 1C is preferably an organic group having 6 to 40 carbon atoms containing an aromatic ring, and more preferably the following formula (90):
- R25b is a monovalent group selected from a hydrogen atom, a fluorine atom, a C1 to C10 hydrocarbon group, and a C1 to C10 fluorine-containing hydrocarbon group
- l is an integer selected from 0 to 2
- m Is an integer selected from 0 to 3
- n is an integer selected from 0 to 4.
- the structure represented by these is mentioned, it is not limited to these.
- the structure of X1c may be one type or a combination of two or more types.
- the X 1c group having a structure represented by the above formula is particularly preferable in terms of achieving both heat resistance and photosensitive characteristics.
- the divalent organic group represented by Y 1c is preferably an aromatic group having 6 to 40 carbon atoms from the viewpoint of achieving both heat resistance and photosensitive properties.
- R25b is a monovalent group selected from a hydrogen atom, a fluorine atom, a C1 to C10 hydrocarbon group, and a C1 to C10 fluorine-containing hydrocarbon group, and n is an integer selected from 0 to 4 .
- n is an integer selected from 0 to 4 .
- the structure represented by these is mentioned, it is not limited to these.
- the structure of Y 1c may be one type or a combination of two or more types.
- the Y 1c group having a structure represented by the above formula (91) is particularly preferable in terms of achieving both heat resistance and photosensitive characteristics.
- R 3c in the general formula (41) is preferably a hydrogen atom or a methyl group, and R 4c and R 5c are preferably a hydrogen atom from the viewpoint of photosensitive properties.
- M 1c is an integer of 2 or more and 10 or less, preferably an integer of 2 or more and 4 or less, from the viewpoint of photosensitive characteristics.
- examples of methods for imparting photosensitivity to the photosensitive resin composition include an ester bond type and an ion bond type.
- the former is a method of introducing a photopolymerizable group, that is, a compound having an olefinic double bond, into the side chain of the polyimide precursor by an ester bond, and the latter has a carboxyl group and an amino group of the polyimide precursor ( In this method, a photopolymerizable group is imparted by bonding an amino group of a (meth) acrylic compound via an ionic bond.
- the ester bond type polyimide precursor is first composed of the tetracarboxylic dianhydride containing the aforementioned tetravalent organic group X 1C , an alcohol having a photopolymerizable unsaturated double bond, and optionally having 1 carbon atom. 4 to 4 to prepare a partially esterified tetracarboxylic acid (hereinafter also referred to as an acid / ester), and the divalent organic group Y 1 described above. It is obtained by amide polycondensation with diamines containing
- the tetracarboxylic dianhydride containing a tetravalent organic group X 1C that is suitably used for preparing an ester bond type polyimide precursor is a tetracarboxylic acid represented by the above general formula (90).
- acid dianhydrides for example, pyromellitic anhydride, diphenyl ether-3,3 ′, 4,4′-tetracarboxylic dianhydride, benzophenone-3,3 ′, 4,4′-tetracarboxylic dianhydride Biphenyl-3,3 ′, 4,4′-tetracarboxylic dianhydride, diphenylsulfone-3,3 ′, 4,4′-tetracarboxylic dianhydride, diphenylmethane-3,3 ′, 4 4'-tetracarboxylic dianhydride, 2,2-bis (3,4-phthalic anhydride) propane, 2,2-bis (3,4-phthalic anhydride) -1,1,1,3,3 , 3-hexafluoropropane, etc.
- acid dianhydrides for example, pyromellitic anhydride, diphenyl ether-3,3 ′, 4,4′-tetracarboxylic dianhydride,
- pyromellitic anhydride diphenyl ether-3,3 ′, 4,4′-tetracarboxylic dianhydride, benzophenone-3,3 ′, 4,4′-tetracarboxylic dianhydride, biphenyl-3,3 Examples thereof include, but are not limited to, ', 4,4'-tetracarboxylic dianhydride. These may be used alone or in combination of two or more.
- Examples of alcohols having a photopolymerizable unsaturated double bond that are preferably used for preparing an ester bond type polyimide precursor in the present invention include 2-acryloyloxyethyl alcohol and 1-acryloyloxy. -3-propyl alcohol, 2-acrylamidoethyl alcohol, methylol vinyl ketone, 2-hydroxyethyl vinyl ketone, 2-hydroxy-3-methoxypropyl acrylate, 2-hydroxy-3-butoxypropyl acrylate, 2-hydroxy-3-phenoxy Propyl acrylate, 2-hydroxy-3-butoxypropyl acrylate, 2-hydroxy-3-t-butoxypropyl acrylate, 2-hydroxy-3-cyclohexyloxypropyl acrylate, 2-methacryloyloxye Alcohol, 1-methacryloyloxy-3-propyl alcohol, 2-methacrylamidoethyl alcohol, methylol vinyl ketone, 2-hydroxyethyl vinyl ketone, 2-hydroxy-3-methoxypropyl me
- methanol, ethanol, n-propanol, isopropanol, n-butanol, tert-butanol, etc. may be partially mixed and used as the saturated aliphatic alcohol having 1 to 4 carbon atoms.
- the tetracarboxylic dianhydride suitable for the present invention and the alcohols are stirred and dissolved in a solvent as described later at a temperature of 20 to 50 ° C. for 4 to 10 hours in the presence of a basic catalyst such as pyridine. , By mixing, the esterification reaction of the acid anhydride proceeds, and the desired acid / ester product can be obtained.
- An appropriate dehydration condensation agent such as dicyclohexylcarbodiimide, 1-ethoxycarbonyl-2-ethoxy-1,2-dihydroquinoline is added to the acid / ester (typically, a solution in a reaction solvent described later) under ice cooling.
- 1,1-carbonyldioxy-di-1,2,3-benzotriazole, N, N′-disuccinimidyl carbonate, etc. are added and mixed to form an acid / ester product as a polyanhydride.
- a diamine containing the divalent organic group Y 1 that is preferably used in the present invention is added dropwise to a solution obtained by dissolving or dispersing in a solvent, and amide polycondensation is performed to obtain a target polyimide precursor.
- the acid / ester can be reacted with a diamine compound in the presence of a base such as pyridine after the acid moiety has been acid chlorided using thionyl chloride or the like to obtain the target polyimide precursor. .
- diamines containing a divalent organic group Y 1c that are preferably used in the present invention include diamines having a structure represented by the above general formula (91), for example, p-phenylenediamine, m -Phenylenediamine, 4,4'-diaminodiphenyl ether, 3,4'-diaminodiphenyl ether, 3,3'-diaminodiphenyl ether, 4,4'-diaminodiphenyl sulfide, 3,4'-diaminodiphenyl sulfide, 3,3 ' -Diaminodiphenyl sulfide, 4,4'-diaminodiphenyl sulfone, 3,4'-diaminodiphenyl sulfone, 3,3'-diaminodiphenyl sulfone, 4,4'-diaminobiphenyl, 3,4'-diaminobiphenyl,
- 1,3-bis (3-aminophenoxy) benzene bis [4- (4-aminophenoxy) phenyl] sulfone, bis [4- (3-aminophenoxy) phenyl] sulfone, 4,4-bis (4-amino) Phenoxy) biphenyl, 4,4-bis (3-aminophenoxy) biphenyl, bis [4- (4-aminophenoxy) phenyl] ether, bis [4- (3-aminophenoxy) phenyl] ether, 1,4-bis (4-aminophenyl) benzene, 1,3-bis (4-aminophenyl) benzene, 9,10-bis (4-aminophenyl) anthracene, 2,2-bis (4-aminophenyl) propane, 2,2 -Bis (4-aminophenyl) hexafluoropropane, 2,2-bis [4- (4-aminophenoxy) phenyl) propane,
- 1,3- Diaminosiloxanes such as bis (3-aminopropyl) tetramethyldisiloxane and 1,3-bis (3-aminopropyl) tetraphenyldisiloxane can also be copolymerized.
- the water-absorbing by-product of the dehydrating condensing agent coexisting in the reaction solution is filtered off if necessary, and then a poor solvent such as water, an aliphatic lower alcohol, or a mixture thereof.
- a poor solvent such as water, an aliphatic lower alcohol, or a mixture thereof.
- the polymer component is added to precipitate the polymer component, and the polymer is purified by repeating redissolution and reprecipitation operations, followed by vacuum drying to obtain a single target polyimide precursor. Release.
- the polymer solution may be passed through a column packed with an anion and / or cation exchange resin swollen with a suitable organic solvent to remove ionic impurities.
- the ion-bonded polyimide precursor is typically obtained by reacting tetracarboxylic dianhydride with diamine.
- at least one of R 1c and R 2c in the general formula (40) is a hydroxyl group.
- the tetracarboxylic dianhydride is preferably a tetracarboxylic anhydride containing the structure of the above formula (90), and the diamine is preferably a diamine containing the structure of the above formula (91).
- a photopolymerizable group is imparted by an ionic bond between a carboxyl group and an amino group.
- Examples of (meth) acrylic compounds having an amino group include dimethylaminoethyl acrylate, dimethylaminoethyl methacrylate, diethylaminoethyl acrylate, diethylaminoethyl methacrylate, dimethylaminopropyl acrylate, dimethylaminopropyl methacrylate, diethylaminopropyl acrylate, diethylaminopropyl methacrylate, dimethylamino Dialkylaminoalkyl acrylates or methacrylates such as butyl acrylate, dimethylaminobutyl methacrylate, diethylaminobutyl acrylate, diethylaminobutyl methacrylate, etc. are preferred. From the viewpoint of photosensitive properties, alkyl groups on the amino group have 1 to 10 carbon atoms and alkyl chains. Dialkylaminoal having 1 to 10 carbon atoms Le acrylate or methacrylate is preferred.
- the compounding amount of the (meth) acrylic compound having an amino group is 1 to 20 parts by mass with respect to 100 parts by mass of the resin (A), and preferably 2 to 15 parts by mass from the viewpoint of photosensitivity characteristics.
- an (meth) acrylic compound having an amino group is blended in an amount of 1 part by mass or more with respect to 100 parts by mass of the resin (A). Excellent in properties.
- the molecular weight of the ester bond type and the ion bond type polyimide precursor is preferably 8,000 to 150,000, as measured by gel permeation chromatography in terms of polystyrene-reduced weight average molecular weight, and 9,000. More preferred is 50,000.
- the weight average molecular weight is 8,000 or more, the mechanical properties are good, and when it is 150,000 or less, the dispersibility in the developer is good and the resolution performance of the relief pattern is good. Tetrahydrofuran and N-methyl-2-pyrrolidone are recommended as developing solvents for gel permeation chromatography.
- the weight average molecular weight is determined from a calibration curve prepared using standard monodisperse polystyrene. As the standard monodisperse polystyrene, it is recommended to select from standard organic solvent standard sample STANDARD SM-105 manufactured by Showa Denko.
- Still another example of the preferred resin (A) in the photosensitive resin composition of the present invention is the following general formula (43): ⁇ Wherein X 2c is a trivalent organic group having 6 to 15 carbon atoms, and Y 2c is a divalent organic group having 6 to 35 carbon atoms, and has the same structure or a plurality of them. R 9c is an organic group having at least one radical-polymerizable unsaturated bond group having 3 to 20 carbon atoms, and n 2c is an integer of 1 to 1000.
- R 32c is an organic group having at least one radical-polymerizable unsaturated bond group having 2 to 19 carbon atoms. ⁇ It is preferable that it is group represented by these.
- the trivalent organic group represented by X 2c is preferably a trivalent organic group having 6 to 15 carbon atoms, for example, the following formula (101): Is preferably an aromatic group selected from the group represented by formula (II), and more preferably an aromatic group obtained by removing a carboxyl group and an amino group from an amino group-substituted isophthalic acid structure.
- the divalent organic group represented by Y 2c is preferably an organic group having 6 to 35 carbon atoms, and may be an aromatic or aliphatic ring which may be substituted. It is more preferably a cyclic organic group having 1 to 4 carbon atoms, an aliphatic group having no cyclic structure, or a siloxane group.
- Examples of the divalent organic group represented by Y 2c include the following general formulas (102) and (102-1): ⁇ In the formula, R 33c and R 34c each independently represent a hydroxyl group, a methyl group (—CH 3 ), an ethyl group (—C 2 H 5 ), a propyl group (—C 3 H 7 ) or a butyl group (—C 4 H 9 ) and one group selected from the group consisting of 4 H 9 ), and the propyl group and butyl group include various isomers.
- m 7c is an integer of 0 to 8
- m 8c and m 9c are each independently an integer of 0 to 3
- m 10c and m 11c are each independently an integer of 0 to 10
- R 35c and R 36c are each a methyl group (—CH 3 ), an ethyl group (—C 2 H 5 ), a propyl group (—C 3 H 7 ), a butyl group (—C 4 H 9 ) or These isomers.
- Examples of the aliphatic group or siloxane group having no cyclic structure include the following general formula (103): ⁇ Wherein m 12C is an integer from 2 to 12, m 13C is an integer from 1 to 3, m 14C is an integer from 1 to 20, and R 37C , R 38C , R 39C and R 40C each independently represents an alkyl group having 1 to 3 carbon atoms or an optionally substituted phenyl group. ⁇ Is preferable.
- the polyamide resin of the present invention can be synthesized, for example, as follows.
- Synthesis of sealed phthalate compound a compound having a trivalent aromatic group X 2c , such as phthalic acid substituted with an amino group, isophthalic acid substituted with an amino group, and terephthalic acid substituted with an amino group 1 mol of at least one compound (hereinafter referred to as “phthalic acid compound”) is reacted with 1 mol of a compound that reacts with an amino group, and the amino group of the phthalic acid compound is converted into a radical polymerizable compound described later.
- a compound modified and sealed with a group containing an unsaturated bond hereinafter referred to as “phthalic acid compound encapsulated body” is synthesized. These may be used alone or in combination.
- the group containing a radical polymerizable unsaturated bond is preferably an organic group having a radical polymerizable unsaturated bond group having 3 to 20 carbon atoms, particularly preferably a group containing a methacryloyl group or an acryloyl group.
- the above-mentioned sealed phthalic acid compound is obtained by reacting an amino group of a phthalic acid compound with an acid chloride, isocyanate or epoxy compound having at least one radical polymerizable unsaturated bond group having 3 to 20 carbon atoms. Can be obtained at
- Suitable acid chlorides include (meth) acryloyl chloride, 2-[(meth) acryloyloxy] acetyl chloride, 3-[(meth) acryloyloxy] propionyl chloride, 2-[(meth) acryloyloxy] ethyl chloroformate , 3-[(meth) acryloyloxypropyl] chloroformate, and the like.
- Suitable isocyanates include 2- (meth) acryloyloxyethyl isocyanate, 1,1-bis [(meth) acryloyloxymethyl] ethyl isocyanate, 2- [2- (meth) acryloyloxyethoxy] ethyl isocyanate, and the like.
- Suitable epoxy compounds include glycidyl (meth) acrylate. These may be used alone or in combination, but it is particularly preferable to use methacryloyl chloride and / or 2- (methacryloyloxy) ethyl isocyanate.
- phthalic acid compound encapsulants those in which the phthalic acid compound is 5-aminoisophthalic acid can provide a polyamide having excellent photosensitivity and film characteristics after heat curing. Is preferable.
- the above sealing reaction is carried out by stirring a phthalic acid compound and a sealing agent in a solvent as described later, if necessary, in the presence of a basic catalyst such as pyridine or a tin-based catalyst such as di-n-butyltin dilaurate. It can be advanced by dissolving and mixing.
- hydrogen chloride is produced as a by-product during the sealing reaction.
- purification such as re-precipitation in water and washing and drying once, or removal and reduction of ionic components through a column filled with ion exchange resin. Is preferred.
- Polyamide synthesis By mixing the phthalic acid compound encapsulated body and a diamine compound having a divalent organic group Y 2c in the presence of a basic catalyst such as pyridine or triethylamine in a solvent as described later, amide polycondensation is performed.
- the polyamide of the present invention can be obtained.
- a phthalic acid compound encapsulated body is made into a symmetrical polyacid anhydride using a dehydrating condensing agent and then mixed with a diamine compound, or a phthalic acid compound encapsulated body is acid chloride by a known method. And a method of mixing with a diamine compound after reacting a dicarboxylic acid component and an active esterifying agent in the presence of a dehydrating condensing agent to form an active ester.
- dehydrating condensing agent examples include dicyclohexylcarbodiimide, 1-ethoxycarbonyl-2-ethoxy-1,2-dihydroquinoline, 1,1′-carbonyldioxy-di-1,2,3-benzotriazole, N, N Preferred examples include '-disuccinimidyl carbonate.
- chlorinating agent examples include thionyl chloride.
- active esterifying agents include N-hydroxysuccinimide or 1-hydroxybenzotriazole, N-hydroxy-5-norbornene-2,3-dicarboxylic acid imide, 2-hydroxyimino-2-cyanoacetic acid ethyl, 2-hydroxyimino- Examples include 2-cyanoacetamide.
- the diamine compound having the organic group Y 2 is at least one diamine selected from the group consisting of an aromatic diamine compound, an aromatic bisaminophenol compound, an alicyclic diamine compound, a linear aliphatic diamine compound, and a siloxane diamine compound. It is preferably a compound, and a plurality can be used in combination as desired.
- aromatic diamine compounds include p-phenylenediamine, m-phenylenediamine, 4,4′-diaminodiphenyl ether, 3,4′-diaminodiphenyl ether, 3,3′-diaminodiphenyl ether, 4,4′-diaminodiphenyl sulfide, 3,4'-diaminodiphenylsulfide, 3,3'-diaminodiphenylsulfide, 4,4'-diaminodiphenylsulfone, 3,4'-diaminodiphenylsulfone, 3,3'-diaminodiphenylsulfone, 4,4'- Diaminobiphenyl, 3,4'-diaminobiphenyl, 3,3'-diaminobiphenyl, 4,4'-diaminobenzophenone, 3,4'-diaminobenzophenone, 3,3'-dia
- diamine compounds in which a hydrogen atom on the benzene ring is substituted include 3,3′-dimethyl-4,4′-diaminobiphenyl, 2,2′-dimethyl-4,4′-diaminobiphenyl, 3, 3'-dimethyl-4,4'-diaminodiphenylmethane, 2,2'-dimethyl-4,4'-diaminodiphenylmethane, 3,3'-dimethoxy-4,4'-diaminobiphenyl, 3,3'-dichloro- 4,4′-diaminobiphenyl and the like.
- Aromatic bisaminophenol compounds include 3,3′-dihydroxybenzidine, 3,3′-diamino-4,4′-dihydroxybiphenyl, 3,3′-dihydroxy-4,4′-diaminodiphenylsulfone, bis- (3-amino-4-hydroxyphenyl) methane, 2,2-bis- (3-amino-4-hydroxyphenyl) propane, 2,2-bis- (3-amino-4-hydroxyphenyl) hexafluoropropane, 2,2-bis- (3-hydroxy-4-aminophenyl) hexafluoropropane, bis- (3-hydroxy-4-aminophenyl) methane, 2,2-bis- (3-hydroxy-4-aminophenyl) Propane, 3,3'-dihydroxy-4,4'-diaminobenzophenone, 3,3'-dihydroxy-4,4'- Aminodiphenyl ether, 4,4′-dihydroxy-3,3′-di
- alicyclic diamine compounds include 1,3-diaminocyclopentane, 1,3-diaminocyclohexane, 1,3-diamino-1-methylcyclohexane, 3,5-diamino-1,1-dimethylcyclohexane, 1,5 -Diamino-1,3-dimethylcyclohexane, 1,3-diamino-1-methyl-4-isopropylcyclohexane, 1,2-diamino-4-methylcyclohexane, 1,4-diaminocyclohexane, 1,4-diamino-2 , 5-diethylcyclohexane, 1,3-bis (aminomethyl) cyclohexane, 1,4-bis (aminomethyl) cyclohexane, 2- (3-aminocyclopentyl) -2-propylamine, mensendiamine, isophoronediamine, norbornane Diamine, 1-
- linear aliphatic diamine compounds examples include 1,2-diaminoethane, 1,4-diaminobutane, 1,6-diaminohexane, 1,8-diaminooctane, 1,10-diaminodecane, and 1,12-diaminododecane.
- Hydrocarbon type diamines such as, or alkylene oxide type diamines such as 2- (2-aminoethoxy) ethylamine, 2,2 ′-(ethylenedioxy) diethylamine, bis [2- (2-aminoethoxy) ethyl] ether, etc. Is mentioned.
- siloxane diamine compound examples include dimethyl (poly) siloxane diamine, for example, trade names PAM-E, KF-8010, and X-22-161A manufactured by Shin-Etsu Chemical Co., Ltd.
- the precipitate derived from the dehydrating condensing agent that has precipitated in the reaction solution is filtered off as necessary.
- a poor polyamide solvent such as water or an aliphatic lower alcohol or a mixture thereof is added to the reaction solution to precipitate the polyamide.
- the precipitated polyamide is redissolved in a solvent and purified by repeating the reprecipitation precipitation, followed by vacuum drying to isolate the target polyamide.
- this polyamide solution may be passed through a column packed with an ion exchange resin to remove ionic impurities.
- the weight average molecular weight in terms of polystyrene determined by gel permeation chromatography (hereinafter referred to as “GPC”) of polyamide is preferably 7,000 to 70,000, and more preferably 10,000 to 50,000. If the weight average molecular weight in terms of polystyrene is 7,000 or more, the basic physical properties of the cured relief pattern are secured. Moreover, if the polystyrene conversion weight average molecular weight is 70,000 or less, the development solubility at the time of forming a relief pattern is ensured.
- Tetrahydrofuran or N-methyl-2-pyrrolidone is recommended as the eluent for GPC.
- a weight average molecular weight value is calculated
- the standard monodisperse polystyrene is recommended to be selected from Showa Denko's organic solvent standard sample STANDARD SM-105.
- Still another example of the preferred resin (A) in the photosensitive resin composition of the present invention is the following general formula (44): ⁇ Wherein Y 3C is a tetravalent organic group having a carbon atom, preferably a tetravalent organic group having 2 or more carbon atoms, and Y 4C , X 3C and X 4C are each independently And n 3C is an integer of 1 to 1000, n 4C is an integer of 0 to 500, and n 3C / (n 3C + n 4C is a divalent organic group having 2 or more carbon atoms.
- n 3C dihydroxydiamide units containing X 3C and Y 3C and n 4C diamide units containing X 4C and Y 4C is not critical.
- the polyhydroxyamide represented by the general formula (44) may be simply referred to as “polyhydroxyamide”).
- the polyoxazole precursor is a polymer having n 3C dihydroxydiamide units in the general formula (44) (hereinafter sometimes simply referred to as a dihydroxydiamide unit), and n 4C in the general formula (44). May have a number of diamide units (hereinafter sometimes simply referred to as diamide units).
- the number of carbon atoms of X 3C is preferably 2 or more and 40 or less for the purpose of obtaining photosensitive characteristics, and the number of carbon atoms of X 4C is 2 or more and 40 or less for the purpose of obtaining photosensitive characteristics.
- the number of carbon atoms of Y 3C is preferably 2 or more and 40 or less for the purpose of obtaining photosensitive characteristics, and the number of carbon atoms of Y 4C is 2 or more and 40 or less for the purpose of obtaining photosensitive characteristics.
- the dihydroxydiamide unit can be formed by synthesis from a diaminodihydroxy compound (preferably bisaminophenol) having a Y 3C (NH 2 ) 2 (OH) 2 structure and a dicarboxylic acid having a X 3C (COOH) 2 structure.
- a diaminodihydroxy compound preferably bisaminophenol
- Y 3C (NH 2 ) 2 (OH) 2 structure a dicarboxylic acid having a X 3C (COOH) 2 structure.
- typical embodiments will be described by taking as an example the case where the diaminodihydroxy compound is bisaminophenol.
- the two amino groups and the hydroxy group of the bisaminophenol are each in the ortho position, and the dihydroxydiamide unit is closed by heating at about 250 to 400 ° C. to form a heat-resistant polyoxazole structure.
- polyhydroxyamide is a polyoxazole precursor.
- N 3C in the general formula (5) is 1 or more for the purpose of obtaining photosensitive characteristics and 1000 or less for the purpose of obtaining photosensitive characteristics.
- n 3C is preferably in the range of 2 to 1000, more preferably in the range of 3 to 50, and most preferably in the range of 3 to 20.
- the polyhydroxyamide may be condensed with n 4C diamide units as necessary.
- the diamide unit can be formed by synthesis from a diamine having a Y 4C (NH 2 ) 2 structure and a dicarboxylic acid having a X 4C (COOH) 2 structure.
- N 4C in the general formula (44) is in the range of 0 to 500, and when n 4C is 500 or less, good photosensitive characteristics can be obtained.
- n 4C is more preferably in the range of 0-10. If the ratio of the diamide unit to the dihydroxydiamide unit is too high, the solubility in an alkaline aqueous solution used as a developer is lowered. Therefore, the value of n 3C / (n 3C + n 4C ) in formula (5) is 0.5. More than 0.7, more preferably 0.7 or more, and most preferably 0.8 or more.
- Examples of the bisaminophenol as the diaminodihydroxy compound having the structure of Y 3C (NH 2 ) 2 (OH) 2 include 3,3′-dihydroxybenzidine and 3,3′-diamino-4,4′-dihydroxybiphenyl.
- the Y 3 group in the bisaminophenol is represented by the following formula (104): ⁇ Wherein Rs1 and Rs2 each independently represents a hydrogen atom, a methyl group, an ethyl group, a propyl group, a cyclopentyl group, a cyclohexyl group, a phenyl group, or a trifluoromethyl group ⁇ This is preferable.
- the diamine having a structure of Y 4C (NH 2) 2 an aromatic diamine, a silicon diamine, and the like.
- the aromatic diamine include m-phenylenediamine, p-phenylenediamine, 2,4-tolylenediamine, 3,3′-diaminodiphenyl ether, 3,4′-diaminodiphenyl ether, and 4,4′-diamino.
- Diphenyl ether 3,3'-diaminodiphenylsulfone, 4,4'-diaminodiphenylsulfone, 3,4'-diaminodiphenylsulfone, 3,3'-diaminodiphenylmethane, 4,4'-diaminodiphenylmethane, 3,4'- Diaminodiphenylmethane, 4,4'-diaminodiphenyl sulfide, 3,3'-diaminodiphenyl ketone, 4,4'-diaminodiphenyl ketone, 3,4'-diaminodiphenyl ketone, 2,2'-bis (4-aminophenyl) ) Propane, 2,2'-bis (4-aminophenyl) hexa Fluoropropane, 1,3-bis (3-aminophenoxy) benzene, 1,3-bis (4-aminophenoxy)
- silicon diamine can be selected in order to improve the adhesion with the substrate.
- silicon diamines include bis (4-aminophenyl) dimethylsilane, bis (4-aminophenyl) tetramethylsiloxane, bis (4-aminophenyl) tetramethyldisiloxane, bis ( ⁇ -aminopropyl) tetramethyldi Examples thereof include siloxane, 1,4-bis ( ⁇ -aminopropyldimethylsilyl) benzene, bis (4-aminobutyl) tetramethyldisiloxane, bis ( ⁇ -aminopropyl) tetraphenyldisiloxane, and the like.
- X 3C and X 4C are aliphatic groups or aromatic groups each having a linear, branched or cyclic structure, respectively. What is a group is mentioned.
- X 3C and X 4C are each represented by the following formula (105): ⁇ Wherein R 41C is 2 selected from the group consisting of —CH 2 —, —O—, —S—, —SO 2 —, —CO—, —NHCO— and —C (CF 3 ) 2 —. Represents a valent group.
- R 41C is 2 selected from the group consisting of —CH 2 —, —O—, —S—, —SO 2 —, —CO—, —NHCO— and —C (CF 3 ) 2 —.
- ⁇ Can be preferably selected from the aromatic groups represented by the formula (1), and these are preferable from the viewpoint of photosensitive characteristics.
- the polyoxazole precursor may have a terminal group sealed with a specific organic group.
- a polyoxazole precursor sealed with a sealing group When a polyoxazole precursor sealed with a sealing group is used, the mechanical properties (particularly the elongation) and the cured relief pattern shape of the coating film after heat curing of the photosensitive resin composition of the present invention may be good. Be expected.
- the following formula (106) As a suitable example of such a sealing group, the following formula (106): The thing represented by is mentioned.
- the polystyrene-reduced weight average molecular weight of the polyoxazole precursor by gel permeation chromatography is preferably 3,000 to 70,000, and more preferably 6,000 to 50,000.
- the weight average molecular weight is preferably 3,000 or more from the viewpoint of the physical properties of the cured relief pattern. Moreover, from a viewpoint of resolution, 70,000 or less is preferable.
- Tetrahydrofuran and N-methyl-2-pyrrolidone are recommended as developing solvents for gel permeation chromatography.
- the molecular weight is determined from a calibration curve prepared using standard monodisperse polystyrene.
- the standard monodisperse polystyrene is recommended to be selected from STANDARD SM-105, an organic solvent standard sample manufactured by Showa Denko.
- Still another example of the preferred resin (A) in the photosensitive resin composition of the present invention is the general formula (45): ⁇ Wherein X 5C is a tetravalent to 14valent organic group, Y 5C is a divalent to 12valent organic group, and R 10C and R 11C are groups selected from a phenolic hydroxyl group, a sulfonic acid group, or a thiol group. Represents at least one organic group and may be the same or different, n 5C is an integer from 3 to 200, and m 3C and m 4C are integers from 0 to 10. ⁇ It is a polyimide which has the structure represented by these.
- the resin represented by the general formula (45) is particularly preferable because it does not require a chemical change in the heat treatment step for exhibiting sufficient film characteristics, and is suitable for a treatment at a lower temperature.
- X 5 in the structural unit represented by the general formula (45) is preferably a tetravalent to tetravalent organic group having 4 to 40 carbon atoms, in terms of achieving both heat resistance and photosensitive characteristics. More preferably, it is an organic group having 5 to 40 carbon atoms containing an aromatic ring or an aliphatic ring.
- the polyimide represented by the general formula (45) can be obtained by reacting tetracarboxylic acid, corresponding tetracarboxylic dianhydride, tetracarboxylic acid diester dichloride and the like with diamine, corresponding diisocyanate compound, and trimethylsilylated diamine. it can.
- Polyimide can be obtained by dehydrating and ring-closing polyamic acid, which is one of polyimide precursors generally obtained by reacting tetracarboxylic dianhydride and diamine, by heating or chemical treatment with acid or base.
- Suitable tetracarboxylic dianhydrides include pyromellitic dianhydride, 3,3 ′, 4,4′-biphenyltetracarboxylic dianhydride, 2,3,3 ′, 4′-biphenyltetracarboxylic acid Dianhydride, 2,2 ′, 3,3′-biphenyltetracarboxylic dianhydride, 3,3 ′, 4,4′-benzophenonetetracarboxylic dianhydride, 2,2 ′, 3,3′- Benzophenone tetracarboxylic dianhydride, 2,2-bis (3,4-dicarboxyphenyl) propane dianhydride, 2,2-bis (2,3-dicarboxyphenyl) propane dianhydride, 1,1- Bis (3,4-dicarboxyphenyl) ethane dianhydride, 1,1-bis (2,3-dicarboxyphenyl) ethane dianhydride, bis (3,4-
- Aromatic tetracarboxylic acid such as tetracarboxylic dianhydride, 3,4,9,10-perylenetetracarboxylic dianhydride, 2,2-bis (3,4-dicarboxyphenyl) hexafluoropropane dianhydride Dianhydrides, or aliphatic tetracarboxylic dianhydrides such as butanetetracarboxylic dianhydride, 1,2,3,4-cyclopentanetetracarboxylic dianhydride, 3,3 ′, 4,4 ′ -Diphenylsulfonetetracarboxylic dianhydride and the following general formula (107): ⁇ Wherein R 42C represents a group selected from an oxygen atom, C (
- Y 5C in the general formula (45) represents a structural component of a diamine, and the diamine represents a divalent to 12-valent organic group containing an aromatic ring or an aliphatic ring, and particularly has 5 carbon atoms. Up to 40 organic groups are preferred.
- diamines include 3,4'-diaminodiphenyl ether, 4,4'-diaminodiphenyl ether, 3,4'-diaminodiphenylmethane, 4,4'-diaminodiphenylmethane, 3,4'-diaminodiphenylsulfone, 4,4'-diaminodiphenyl sulfone, 3,4'-diaminodiphenyl sulfide, 4,4'-diaminodiphenyl sulfide, 1,4-bis (4-aminophenoxy) benzene, benzine, m-phenylenediamine, p-phenylene Diamine, 1,5-naphthalenediamine, 2,6-naphthalenediamine, bis (4-aminophenoxyphenyl) sulfone, bis (3-aminophenoxyphenyl) sulfone, bis (4-aminophenoxy) bipheny
- R 10C and R 11C in the general formula (45) represent a phenolic hydroxyl group, a sulfonic acid group, or a thiol group.
- phenolic hydroxyl group, sulfonic acid group and / or thiol group can be mixed as R 10C and R 11C .
- the dissolution rate with respect to the aqueous alkali solution is changed, so that a photosensitive resin composition having an appropriate dissolution rate can be obtained by this adjustment.
- an aliphatic group having a siloxane structure as X 5C and Y 5C may be copolymerized as long as the heat resistance is not lowered.
- the diamine component include those obtained by copolymerizing 1 to 10 mol% of bis (3-aminopropyl) tetramethyldisiloxane, bis (p-amino-phenyl) octamethylpentasiloxane, and the like.
- the polyimide may be prepared by reacting a tetracarboxylic dianhydride and a diamine compound (partially replaced with a monoamine end-capping agent) at a low temperature.
- a method of reacting in the presence of a condensing agent with a monoamine end-capping agent, a diester is obtained by tetracarboxylic dianhydride and an alcohol, and then the remaining dicarboxylic acid is converted to an acid chloride to give a diamine (partially)
- the polyimide precursor is obtained by using a method such as a method of reacting with a monoamine end-capping agent).
- a method of complete imidization using the imidation reaction method of the method, or a method of stopping the imidization reaction in the middle and introducing a partial imide structure in this case, polyamideimide
- a partial imide structure in this case, polyamideimide
- the polyimide preferably has a polyimide so that the imidization ratio is 15% or more with respect to the entire resin constituting the photosensitive resin composition. More preferably, it is 20% or more.
- the imidation rate refers to the ratio of imidation present in the entire resin constituting the photosensitive resin composition.
- the imidization rate can be easily calculated by the following method. First, the infrared absorption spectrum of the polymer is measured, and the presence of an absorption peak (near 1780 cm ⁇ 1, near 1377 cm ⁇ 1 ) of the imide structure due to polyimide is confirmed. Next, the polymer was heat treated at 350 ° C. for 1 hour, the infrared absorption spectrum after the heat treatment was measured, and the imidization in the polymer before the heat treatment was performed by comparing the peak intensity around 1377 cm ⁇ 1 with the strength before the heat treatment. Calculate the rate.
- the molecular weight of the polyimide is preferably 3,000 to 200,000, more preferably 5,000 to 50,000, as measured by polystyrene-reduced weight average molecular weight by gel permeation chromatography.
- weight average molecular weight is 3,000 or more, the mechanical properties are good, and when it is 50,000 or less, the dispersibility in the developer is good and the resolution performance of the relief pattern is good.
- Tetrahydrofuran and N-methyl-2-pyrrolidone are recommended as developing solvents for gel permeation chromatography.
- the molecular weight is determined from a calibration curve prepared using standard monodisperse polystyrene.
- As the standard monodisperse polystyrene it is recommended to select from organic solvent standard sample STANDARD SM-105 manufactured by Showa Denko.
- a phenol resin can also be used conveniently.
- the phenol resin in this embodiment means a resin having a repeating unit having a phenolic hydroxyl group.
- the phenol resin has an advantage that it can be cured at a low temperature (for example, 250 ° C. or lower) because a structural change that causes the polyimide precursor to be cyclized (imidized) during thermosetting does not occur.
- the weight average molecular weight of the (A) phenol resin is preferably 700 to 100,000, more preferably 1,500 to 80,000, still more preferably 2,000 to 50,000. is there.
- the weight average molecular weight is preferably 700 or more from the viewpoint of applicability of the reflow treatment to the cured film, and is preferably 100,000 or less from the viewpoint of alkali solubility of the photosensitive resin composition.
- the measurement of the weight average molecular weight in this indication is performed by gel permeation chromatography (GPC), and can be calculated by a calibration curve created using standard polystyrene.
- a phenol resin is a novolak, polyhydroxystyrene, following General formula (46) from the viewpoint of the solubility to aqueous alkali solution, the sensitivity and resolution at the time of forming a resist pattern, and the residual stress of a cured film: ⁇ Wherein, a is an integer of 1 to 3, b is an integer of 0 to 3, 1 ⁇ (a + b) ⁇ 4, and R 12C is a monovalent organic compound having 1 to 20 carbon atoms.
- X is a divalent aliphatic group having 2 to 10 carbon atoms which may have an unsaturated bond, a divalent alicyclic group having 3 to 20 carbon atoms, and the following general formula (47): (Wherein p is an integer of 1 to 10) and a divalent organic group having an aromatic ring having 6 to 12 carbon atoms and a divalent alkylene oxide group represented by Represents a divalent organic group.
- novolak means all polymers obtained by condensing phenols and formaldehyde in the presence of a catalyst. Generally, a novolak can be obtained by condensing less than 1 mol of formaldehyde with respect to 1 mol of phenols.
- phenols examples include phenol, o-cresol, m-cresol, p-cresol, o-ethylphenol, m-ethylphenol, p-ethylphenol, o-butylphenol, m-butylphenol, p-butylphenol, 2 , 3-xylenol, 2,4-xylenol, 2,5-xylenol, 2,6-xylenol, 3,4-xylenol, 3,5-xylenol, 2,3,5-trimethylphenol, 3,4,5- Examples include trimethylphenol, catechol, resorcinol, pyrogallol, ⁇ -naphthol, ⁇ -naphthol and the like.
- Specific novolaks include, for example, phenol / formaldehyde condensed novolak resins, cresol / formaldehyde condensed novolak resins, phenol-naphthol / formaldehyde condensed novolak resins, and the like.
- the weight average molecular weight of the novolak is preferably 700 to 100,000, more preferably 1,500 to 80,000, still more preferably 2,000 to 50,000.
- the weight average molecular weight is preferably 700 or more from the viewpoint of applicability of the reflow treatment to the cured film, and is preferably 100,000 or less from the viewpoint of alkali solubility of the photosensitive resin composition.
- polyhydroxystyrene means all polymers containing hydroxystyrene as a polymerized unit.
- Preferable examples of polyhydroxystyrene include polyparavinylphenol.
- Polyparavinylphenol means all polymers containing paravinylphenol as polymerized units. Accordingly, polymer units other than hydroxystyrene (for example, paravinylphenol) can be used to constitute polyhydroxystyrene (for example, polyparavinylphenol) unless the object of the present invention is contrary.
- the ratio of the number of moles of hydroxystyrene units based on the number of moles of all polymerized units is preferably 10 mol% to 99 mol%, more preferably 20 to 97 mol%, still more preferably 30 to 95 mol%. %.
- the ratio is 10 mol% or more, it is advantageous from the viewpoint of alkali solubility of the photosensitive resin composition, and when it is 99 mol% or less, a cured film obtained by curing a composition containing a copolymer component described later. This is advantageous from the viewpoint of reflow applicability.
- the polymerized units other than hydroxystyrene can be any polymerized unit that can be copolymerized with hydroxystyrene (for example, paravinylphenol).
- Copolymerization components that give polymerized units other than hydroxystyrene are not limited, and examples thereof include methyl acrylate, methyl methacrylate, hydroxyethyl acrylate, butyl methacrylate, octyl acrylate, and 2-ethoxyethyl.
- novolak and polyhydroxystyrene described above one kind can be used alone, or two or more kinds can be used in combination.
- the weight average molecular weight of polyhydroxystyrene is preferably 700 to 100,000, more preferably 1,500 to 80,000, and still more preferably 2,000 to 50,000.
- the weight average molecular weight is preferably 700 or more from the viewpoint of applicability of the reflow treatment to the cured film, and is preferably 100,000 or less from the viewpoint of alkali solubility of the photosensitive resin composition.
- the (A) phenol resin is represented by the following general formula (46): ⁇ Wherein, a is an integer of 1 to 3, b is an integer of 0 to 3, 1 ⁇ (a + b) ⁇ 4, and R 12C is a monovalent organic compound having 1 to 20 carbon atoms.
- X represents a divalent aliphatic group having 2 to 10 carbon atoms which may have an unsaturated bond, a divalent alicyclic group having 3 to 20 carbon atoms, and the following general formula (47): (Wherein p is an integer of 1 to 10) and a divalent organic group having an aromatic ring having 6 to 12 carbon atoms and a divalent alkylene oxide group represented by Represents a divalent organic group.
- the phenol resin having the above repeating unit can be cured at a low temperature as compared with, for example, conventionally used polyimide resin and polybenzoxazole resin, and enables formation of a cured film having good elongation. This is particularly advantageous.
- the repeating unit present in the phenol resin molecule may be one type or a combination of two or more types.
- R 12C represents a monovalent organic group having 1 to 20 carbon atoms, a halogen atom, a nitro group, and a cyano group from the viewpoint of reactivity when synthesizing the resin according to the general formula (46).
- R 12 is, from the viewpoint of alkali solubility, a halogen atom, a nitro group, a cyano group, an aliphatic group having 1 to 10 carbon atoms that may have an unsaturated bond, an aromatic group having 6 to 20 carbon atoms, And the following general formula (112): ⁇ Wherein R 61C , R 62C and R 63C each independently represent a hydrogen atom, an aliphatic group having 1 to 10 carbon atoms which may have an unsaturated bond, or an alicyclic group having 3 to 20 carbon atoms.
- R 64C represents a divalent aliphatic group having 1 to 10 carbon atoms which may have an unsaturated bond, 2 having 3 to 20 carbon atoms, or an aromatic group having 6 to 20 carbon atoms; Represents a divalent alicyclic group or a divalent aromatic group having 6 to 20 carbon atoms.
- a is an integer of 1 to 3, but 2 is preferable from the viewpoint of alkali solubility and elongation.
- the substitution position of hydroxyl groups may be any of ortho, meta, and para positions.
- the position of substitution between hydroxyl groups may be any of 1,2,3-position, 1,2,4-position, 1,3,5-position, and the like.
- a 1, a phenol resin having a repeating unit represented by the general formula (46) (hereinafter referred to as (a1)) is used to improve alkali solubility.
- a phenolic resin selected from novolak and polyhydroxystyrene (hereinafter also referred to as (a2) resin) can be further mixed with the resin.
- novolak and polyhydroxystyrene as the (a2) resin the same resins as those described in the above section (Novolak) and (polyhydroxystyrene) can be used.
- b is an integer of 0 to 3, and is preferably 0 or 1 from the viewpoint of alkali solubility and elongation.
- the plurality of R 12C may be the same as or different from each other.
- a and b satisfy the relationship of 1 ⁇ (a + b) ⁇ 4.
- X is a divalent divalent having 2 to 10 carbon atoms that may have an unsaturated bond from the viewpoint of the cured relief pattern shape and the elongation of the cured film.
- R 13C , R 14C , R 15C and R 16c are each independently a hydrogen atom, a monovalent aliphatic group having 1 to 10 carbon atoms, or a part or all of the hydrogen atoms substituted with fluorine atoms.
- R 18C , R 19C , R 20C and R 21C are each independently a hydrogen atom, a monovalent aliphatic group having 1 to 10 carbon atoms, or a part or all of the hydrogen atoms replaced by fluorine atoms.
- W is a single bond, an aliphatic group having 1 to 10 carbon atoms which may be substituted with a fluorine atom, or a fluorine atom.
- the divalent organic group X having an aromatic ring having 6 to 12 carbon atoms preferably has 8 to 75, more preferably 8 to 40 carbon atoms.
- the structure of the divalent organic group X having an aromatic ring having 6 to 12 carbon atoms is generally such that in the general formula (46), the OH group and an arbitrary R 12 group are bonded to the aromatic ring. The structure is different.
- the divalent organic group represented by the general formula (49) is represented by the following formula (113) from the viewpoint of good pattern forming properties of the resin composition and good elongation of the cured film after curing. It is more preferable that it is a divalent organic group represented by the following formula (114): The divalent organic group represented by the formula is particularly preferred.
- X is particularly preferably a structure represented by the formula (113) or (114), and is represented by a structure represented by the formula (113) or (114) in X.
- the proportion of the portion to be formed is preferably 20% by mass or more, and more preferably 30% by mass or more from the viewpoint of elongation.
- the proportion is preferably 80% by mass or less, and more preferably 70% by mass or less, from the viewpoint of alkali solubility of the composition.
- both the structure represented by the following general formula (115) and the structure represented by the following general formula (116) have the same resin skeleton.
- the structure contained therein is particularly preferable from the viewpoint of alkali solubility of the composition and elongation of the cured film.
- R 21d is a monovalent group having 1 to 10 carbon atoms selected from the group consisting of a hydrocarbon group and an alkoxy group, n 7C is 2 or 3, and n 8C is an integer of 0 to 2 M 5C is an integer of 1 to 500, 2 ⁇ (n 7C + n 8C ) ⁇ 4, and when n 8C is 2, the plurality of R 21d may be the same as or different from each other. .
- R 22C and R 23C are each independently a monovalent group having 1 to 10 carbon atoms selected from the group consisting of a hydrocarbon group and an alkoxy group, and n 9C is an integer of 1 to 3, n 10C is an integer of 0 to 2, n 11C is an integer of 0 to 3, m 6C is an integer of 1 to 500, 2 ⁇ (n 9C + n 10C ) ⁇ 4, and n 10C is 2
- the plurality of R 22C may be the same or different from each other, and when n 11C is 2 or 3, the plurality of R 23C may be the same or different from each other. ⁇ .
- M 5 in the general formula (115) and m 6 in the general formula (116) represent the total number of each repeating unit in the main chain of the phenol resin. That is, in the (A) phenol resin, for example, the repeating unit in parentheses in the structure represented by the general formula (115) and the repeating unit in parentheses in the structure represented by the general formula (116) are random. , Blocks or combinations thereof.
- m 5 and m 6 are each independently an integer of 1 to 500, the lower limit is preferably 2, more preferably 3, and the upper limit is preferably 450, more preferably 400, and even more preferably 350. is there.
- m 5 and m 6 are each independently preferably 2 or more from the viewpoint of the toughness of the cured film, and preferably 450 or less from the viewpoint of solubility in an alkaline aqueous solution.
- the total of m 5 and m 6 is preferably 2 or more, more preferably 4 or more, still more preferably 6 or more from the viewpoint of the toughness of the film after curing, and from the viewpoint of solubility in an alkaline aqueous solution, Preferably it is 200 or less, More preferably, it is 175 or less, More preferably, it is 150 or less.
- the ratio m 5C / m 6C of the structure represented by the general formula (14) to the structure represented by the general formula (116) is preferably 20/80 or more from the viewpoint of film physical properties after curing. More preferably 40/60 or more, particularly preferably 50/50 or more. From the viewpoint of alkali solubility and cured relief pattern shape, it is preferably 90/10 or less, more preferably 80/20 or less, and still more preferably 70 / 30 or less.
- the phenol resin having the repeating unit represented by the general formula (46) typically includes a phenol compound and a copolymer component (specifically, a compound having an aldehyde group (an aldehyde compound decomposed like trioxane).
- a copolymer component specifically, a compound having an aldehyde group (an aldehyde compound decomposed like trioxane).
- One or more compounds selected from the group), and more typically a monomer component comprising these can be synthesized by a polymerization reaction.
- phenol compound an aldehyde compound, a ketone compound, a methylol compound, an alkoxymethyl compound, a diene compound, a haloalkyl compound, etc. with respect to phenol and / or a phenol derivative (hereinafter also collectively referred to as “phenol compound”) as shown below (A)
- phenol compound a phenol resin
- the moiety represented by the structure in which the OH group and an arbitrary R 12C group are bonded to the aromatic ring is derived from the phenol compound, and the moiety represented by X is the above-mentioned common group. It comes from the polymerization component.
- the charged molar ratio of the phenol compound and the copolymer component (phenol compound): (copolymer component) is 5 : 1 to 1.01: 1 is preferable, and 2.5: 1 to 1.1: 1 is more preferable.
- the weight average molecular weight of the phenol resin having a repeating unit represented by the general formula (46) is preferably 700 to 100,000, more preferably 1,500 to 80,000, and still more preferably 2,000. ⁇ 50,000.
- the weight average molecular weight is preferably 700 or more from the viewpoint of applicability of the reflow treatment to the cured film, and is preferably 100,000 or less from the viewpoint of alkali solubility of the photosensitive resin composition.
- Examples of the phenol compound that can be used to obtain a phenol resin having a repeating unit represented by the general formula (46) include cresol, ethylphenol, propylphenol, butylphenol, amylphenol, cyclohexylphenol, hydroxybiphenyl, benzylphenol, Nitrobenzylphenol, cyanobenzylphenol, adamantanephenol, nitrophenol, fluorophenol, chlorophenol, bromophenol, trifluoromethylphenol, N- (hydroxyphenyl) -5-norbornene-2,3-dicarboximide, N- ( Hydroxyphenyl) -5-methyl-5-norbornene-2,3-dicarboximide, trifluoromethylphenol, hydroxybenzoic acid, hydro Methyl benzoate, ethyl hydroxybenzoate, benzyl hydroxybenzoate, hydroxybenzamide, hydroxybenzaldehyde, hydroxyacetophenone, hydroxybenzophenone,
- aldehyde compound examples include acetaldehyde, propionaldehyde, pivalaldehyde, butyraldehyde, pentanal, hexanal, trioxane, glyoxal, cyclohexylaldehyde, diphenylacetaldehyde, ethylbutyraldehyde, benzaldehyde, glyoxylic acid, 5-norbornene-2-carboxyl Examples include aldehyde, malondialdehyde, succindialdehyde, glutaraldehyde, salicylaldehyde, naphthaldehyde, terephthalaldehyde, and the like.
- ketone compound examples include acetone, methyl ethyl ketone, diethyl ketone, dipropyl ketone, dicyclohexyl ketone, dibenzyl ketone, cyclopentanone, cyclohexanone, bicyclohexanone, cyclohexanedione, 3-butyn-2-one, 2-norbornanone, Adamantanone, 2,2-bis (4-oxocyclohexyl) propane, and the like.
- methylol compound examples include 2,6-bis (hydroxymethyl) -p-cresol, 2,6-bis (hydroxymethyl) -4-ethylphenol, and 2,6-bis (hydroxymethyl) -4-propyl.
- alkoxymethyl compound examples include 2,6-bis (methoxymethyl) -p-cresol, 2,6-bis (methoxymethyl) -4-ethylphenol, and 2,6-bis (methoxymethyl) -4- Propylphenol, 2,6-bis (methoxymethyl) -4-n-butylphenol, 2,6-bis (methoxymethyl) -4-tert-butylphenol, 2,6-bis (methoxymethyl) -4-methoxyphenol, 2,6-bis (methoxymethyl) -4-ethoxyphenol, 2,6-bis (methoxymethyl) -4-propoxyphenol, 2,6-bis (methoxymethyl) -4-n-butoxyphenol, 2,6 -Bis (methoxymethyl) -4-t-butoxyphenol, 1,3-bis (methoxymethyl) urea, 2,2-bis (methoxy) Methyl) butyric acid, 2,2-bis (methoxymethyl) -5-norbornene, 2,3-bis (methoxy
- diene compound examples include butadiene, pentadiene, hexadiene, heptadiene, octadiene, 3-methyl-1,3-butadiene, 1,3-butanediol-dimethacrylate, 2,4-hexadien-1-ol, and methyl.
- haloalkyl compound examples include xylene dichloride, bischloromethyldimethoxybenzene, bischloromethyldurene, bischloromethylbiphenyl, bischloromethyl-biphenylcarboxylic acid, bischloromethyl-biphenyldicarboxylic acid, bischloromethyl-methylbiphenyl, Examples thereof include bischloromethyl-dimethylbiphenyl, bischloromethylanthracene, ethylene glycol bis (chloroethyl) ether, diethylene glycol bis (chloroethyl) ether, triethylene glycol bis (chloroethyl) ether, and tetraethylene glycol bis (chloroethyl) ether.
- a phenol resin can be obtained by condensing the above-described phenolic compound and copolymerization component by dehydration, dehydrohalogenation, or dealcoholization, or by polymerizing while cleaving the unsaturated bond.
- a catalyst may be used during the polymerization.
- the acidic catalyst examples include hydrochloric acid, sulfuric acid, nitric acid, phosphoric acid, phosphorous acid, methanesulfonic acid, p-toluenesulfonic acid, dimethyl sulfuric acid, diethyl sulfuric acid, acetic acid, oxalic acid, 1-hydroxyethylidene-1,1
- examples of the alkaline catalyst include lithium hydroxide, sodium hydroxide, potassium hydroxide, calcium hydroxide, barium hydroxide, sodium carbonate, triethylamine, pyridine, 4-N, N-dimethylaminopyridine, piperidine, Piperazine, 1,4-diazabicyclo [2.2.2] octane, 1,8-diazabicyclo [5.4.0] -7-undecene, 1,5-diazabicyclo [4.3.0] -5-nonene, Ammonia, hexamethylenetetramine and the like can be mentioned.
- the amount of the catalyst used to obtain the phenol resin having the repeating structure represented by the general formula (46) is the total number of moles of copolymerization components (that is, components other than the phenol compound), preferably aldehyde compounds, ketones It is preferably in the range of 0.01 mol% to 100 mol% with respect to 100 mol% of the total number of moles of the compound, methylol compound, alkoxymethyl compound, diene compound and haloalkyl compound.
- the reaction temperature is usually preferably 40 ° C. to 250 ° C., more preferably in the range of 100 ° C. to 200 ° C., and the reaction time is approximately 1 hour to 10 ° C. Time is preferred. If necessary, a solvent capable of sufficiently dissolving the resin can be used.
- the phenol resin having a repeating structure represented by the general formula (46) is obtained by further polymerizing a phenol compound that does not become a raw material of the structure of the general formula (7) within a range not impairing the effects of the present invention. It may be.
- the range that does not impair the effects of the present invention is, for example, 30% or less of the total number of moles of the phenol compound that is a raw material for the (A) phenol resin.
- a phenol resin modified with a compound having an unsaturated hydrocarbon group having 4 to 100 carbon atoms is composed of a compound having phenol or a derivative thereof and an unsaturated hydrocarbon group having 4 to 100 carbon atoms (hereinafter sometimes referred to simply as “unsaturated carbon”).
- a reaction product with a hydrogen group-containing compound ” (hereinafter also referred to as“ unsaturated hydrocarbon group-modified phenol derivative ”) and a condensation polymerization product of aldehydes, or a phenol resin and an unsaturated hydrocarbon group. It is a reaction product with the containing compound.
- phenol derivative those described above as the raw material of the phenol resin having the repeating unit represented by the general formula (46) can be used.
- the unsaturated hydrocarbon group of the unsaturated hydrocarbon group-containing compound preferably contains two or more unsaturated groups from the viewpoint of residual stress of the cured film and reflow treatment applicability. Further, from the viewpoint of compatibility when the resin composition is used and the residual stress of the cured film, the unsaturated hydrocarbon group preferably has 4 to 100 carbon atoms, more preferably 8 to 80 carbon atoms, and still more preferably carbon atoms. 10-60.
- Examples of the unsaturated hydrocarbon group-containing compound include unsaturated hydrocarbons having 4 to 100 carbon atoms, polybutadiene having a carboxyl group, epoxidized polybudadiene, linoleyl alcohol, oleyl alcohol, unsaturated fatty acid and unsaturated fatty acid ester. Can be mentioned.
- Suitable unsaturated fatty acids include crotonic acid, myristoleic acid, palmitoleic acid, oleic acid, elaidic acid, vaccenic acid, gadoleic acid, erucic acid, nervonic acid, linoleic acid, ⁇ -linolenic acid, eleostearic acid, stearidone
- Examples include acids, arachidonic acid, eicosapentaenoic acid, sardine acid and docosahexaenoic acid.
- vegetable oils that are unsaturated fatty acid esters are particularly preferable from the viewpoints of the elongation of the cured film and the flexibility of the cured film.
- the vegetable oil is usually a non-drying oil containing an ester of glycerin and an unsaturated fatty acid and having an iodine value of 100 or less, a semi-drying oil exceeding 100 and less than 130, or a drying oil of 130 or more.
- Non-drying oils include, for example, olive oil, Asa seed oil, cashew oil, potato oil, camellia oil, castor oil, and peanut oil.
- Examples of semi-drying oils include corn oil, cottonseed oil, and sesame oil.
- the drying oil include paulownia oil, linseed oil, soybean oil, walnut oil, safflower oil, sunflower oil, camellia oil and coconut oil.
- a non-drying oil from the viewpoint of preventing gelation accompanying excessive progress of reaction in the reaction of phenol or a derivative thereof or a phenol resin with vegetable oil, and improving the yield.
- a drying oil from the viewpoint of improving the adhesion, mechanical properties and thermal shock resistance of the resist pattern.
- tung oil, linseed oil, soybean oil, walnut oil and safflower oil are preferable, and tung oil and linseed oil are more preferable because the effects of the present invention can be more effectively and reliably exhibited.
- These vegetable oils are used alone or in combination of two or more.
- the reaction between phenol or a derivative thereof and an unsaturated hydrocarbon group-containing compound is preferably performed at 50 to 130 ° C.
- the reaction ratio between phenol or a derivative thereof and an unsaturated hydrocarbon group-containing compound is 1 to 100 masses of an unsaturated hydrocarbon group-containing compound with respect to 100 parts by mass of phenol or a derivative thereof. Part is preferable, and 5 to 50 parts by mass is more preferable. If the unsaturated hydrocarbon group-containing compound is less than 1 part by mass, the flexibility of the cured film tends to decrease, and if it exceeds 100 parts by mass, the heat resistance of the cured film tends to decrease.
- p-toluenesulfonic acid, trifluoromethanesulfonic acid or the like may be used as a catalyst.
- the phenol resin modified with the unsaturated hydrocarbon group-containing compound is produced by polycondensation of the unsaturated hydrocarbon group-modified phenol derivative produced by the above reaction with aldehydes.
- Aldehydes are, for example, formaldehyde, acetaldehyde, furfural, benzaldehyde, hydroxybenzaldehyde, methoxybenzaldehyde, hydroxyphenylacetaldehyde, methoxyphenylacetaldehyde, crotonaldehyde, chloroacetaldehyde, chlorophenylacetaldehyde, acetone, glyceraldehyde, glyoxylic acid, methyl glyoxylate, Phenyl glyoxylate, hydroxyphenyl glyoxylate, formylacetic acid, methyl formyl acetate, 2-formylpropionic acid, methyl 2-formylpropionate, pyruvic acid, repric acid, 4-
- the reaction between the aldehyde and the unsaturated hydrocarbon group-modified phenol derivative is a polycondensation reaction, and conventionally known synthesis conditions for phenol resins can be used.
- the reaction is preferably performed in the presence of a catalyst such as an acid or a base, and an acid catalyst is more preferably used from the viewpoint of the degree of polymerization (molecular weight) of the resin.
- a catalyst such as an acid or a base
- an acid catalyst is more preferably used from the viewpoint of the degree of polymerization (molecular weight) of the resin.
- the acid catalyst include hydrochloric acid, sulfuric acid, formic acid, acetic acid, p-toluenesulfonic acid, and oxalic acid. These acid catalysts can be used alone or in combination of two or more.
- the above reaction is usually preferably carried out at a reaction temperature of 100 to 120 ° C.
- the reaction time varies depending on the type and amount of the catalyst used, but is usually 1 to 50 hours.
- the reaction product is dehydrated under reduced pressure at a temperature of 200 ° C. or lower to obtain a phenol resin modified with the unsaturated hydrocarbon group-containing compound.
- a solvent such as toluene, xylene, or methanol can be used.
- a phenol resin modified with an unsaturated hydrocarbon group-containing compound can also be obtained by polycondensing the above unsaturated hydrocarbon group-modified phenol derivative with an aldehyde together with a compound other than phenol such as m-xylene.
- the charged molar ratio of the compound other than phenol to the compound obtained by reacting the phenol derivative with the unsaturated hydrocarbon group-containing compound is preferably less than 0.5.
- the phenol resin modified with an unsaturated hydrocarbon group-containing compound can also be obtained by reacting a phenol resin with an unsaturated hydrocarbon group-containing compound.
- the phenol resin used in this case is a polycondensation product of a phenol compound (that is, phenol and / or a phenol derivative) and an aldehyde.
- a phenol derivative and aldehydes the thing similar to the phenol derivative and aldehyde mentioned above can be used, and a phenol resin can be synthesize
- phenol resins obtained from phenol compounds and aldehydes suitable for use in forming phenol resins modified with unsaturated hydrocarbon group-containing compounds include phenol / formaldehyde novolac resins and cresol / formaldehyde.
- examples include novolak resins, xylyleneol / formaldehyde novolak resins, resorcinol / formaldehyde novolak resins and phenol-naphthol / formaldehyde novolak resins.
- the unsaturated hydrocarbon group-containing compound to be reacted with the phenol resin may be the same as the unsaturated hydrocarbon group-containing compound described above for the production of the unsaturated hydrocarbon group-modified phenol derivative to be reacted with aldehydes.
- the reaction between the phenol resin and the unsaturated hydrocarbon group-containing compound is usually preferably carried out at 50 to 130 ° C.
- the reaction rate of a phenol resin and an unsaturated hydrocarbon group containing compound is an unsaturated hydrocarbon group containing compound 1 with respect to 100 mass parts of phenol resins from a viewpoint of improving the flexibility of a cured film (resist pattern). It is preferably from ⁇ 100 parts by weight, more preferably from 2 to 70 parts by weight, even more preferably from 5 to 50 parts by weight.
- the unsaturated hydrocarbon group-containing compound is less than 1 part by mass, the flexibility of the cured film tends to decrease, and if it exceeds 100 parts by mass, the possibility of gelation during the reaction tends to increase, and curing The heat resistance of the film tends to decrease.
- p-toluenesulfonic acid, trifluoromethanesulfonic acid or the like may be used as a catalyst.
- solvents such as toluene, xylene, methanol, tetrahydrofuran, can be used, for example.
- an acid-modified phenol resin by reacting a polybasic acid anhydride with the phenolic hydroxyl group remaining in the phenol resin modified by the unsaturated hydrocarbon group-containing compound produced by the above method. it can.
- acid-modifying with a polybasic acid anhydride a carboxy group is introduced, and the solubility in an aqueous alkali solution (one used as a developer) is further improved.
- the polybasic acid anhydride is not particularly limited as long as it has an acid anhydride group formed by dehydration condensation of a carboxy group of a polybasic acid having a plurality of carboxy groups.
- Examples of the polybasic acid anhydride include phthalic anhydride, succinic anhydride, octenyl succinic anhydride, pentadodecenyl succinic anhydride, maleic anhydride, itaconic anhydride, tetrahydrophthalic anhydride, hexahydrophthalic anhydride, methyltetrahydrophthalic anhydride
- Dibasic acid anhydrides such as methylhexahydrophthalic anhydride, nadic anhydride, 3,6-endomethylenetetrahydrophthalic anhydride, methylendomethylenetetrahydrophthalic anhydride, tetrabromophthalic anhydride and trimellitic anhydride, biphenyltetra Carboxy
- the polybasic acid anhydride is preferably a dibasic acid anhydride, and more preferably at least one selected from the group consisting of tetrahydrophthalic anhydride, succinic anhydride, and hexahydrophthalic anhydride. In this case, there is an advantage that a resist pattern having a better shape can be formed.
- the reaction between the phenolic hydroxyl group and the polybasic acid anhydride can be carried out at 50 to 130 ° C.
- 0.10 to 0.80 mol of polybasic acid anhydride is preferably reacted with 1 mol of phenolic hydroxyl group, more preferably 0.15 to 0.60 mol. More preferably, the reaction is performed at 20 to 0.40 mol. If the polybasic acid anhydride is less than 0.10 mol, the developability tends to decrease, and if it exceeds 0.80 mol, the alkali resistance of the unexposed area tends to decrease.
- the catalyst include tertiary amines such as triethylamine, quaternary ammonium salts such as triethylbenzylammonium chloride, imidazole compounds such as 2-ethyl-4-methylimidazole, and phosphorus compounds such as triphenylphosphine.
- the acid value of the phenol resin further modified with polybasic acid anhydride is preferably 30 to 200 mgKOH / g, more preferably 40 to 170 mgKOH / g, and still more preferably 50 to 150 mgKOH / g. .
- the acid value is less than 30 mgKOH / g, it tends to require a longer time for alkali development than when the acid value is in the above range, and when it exceeds 200 mgKOH / g, the acid value is in the above range. In comparison with the above, the developer resistance of the unexposed portion tends to be lowered.
- the molecular weight of the phenol resin modified with the unsaturated hydrocarbon group-containing compound is preferably from 1,000 to 100,000, preferably from 2,000 to 100,000, in terms of weight average molecular weight, considering the solubility in an aqueous alkali solution and the balance between the photosensitive properties and the cured film properties. Is more preferable.
- Examples of the (A) phenol resin of the present embodiment include a phenol resin having a repeating unit represented by the general formula (46) and a phenol modified with the compound having an unsaturated hydrocarbon group having 4 to 100 carbon atoms.
- a mixture of at least one phenol resin selected from resins (hereinafter also referred to as (a3) resin) and a phenol resin selected from novolak and polyhydroxystyrene (hereinafter also referred to as (a4) resin) is also preferable.
- 95 to 95/5 is preferable
- the novolak and polyhydroxystyrene as the (a4) resin the same resins as those described in the above section (Novolak) and (polyhydroxystyrene) can be used.
- the photosensitive resin composition of the present invention is a negative type in which the photosensitive resin composition of the present invention mainly uses, for example, a polyimide precursor and / or polyamide as the (A) resin, or (A) as the resin, for example, mainly polyoxazole. It differs depending on whether it is a positive type using at least one of a precursor, a soluble polyimide and a phenol resin.
- the blending amount of the photosensitive agent in the photosensitive resin composition is 1 to 50 parts by mass with respect to 100 parts by mass of the (A) resin.
- the blending amount is 1 part by mass or more from the viewpoint of photosensitivity or patterning property, and is 50 parts by mass or less from the viewpoint of the curability of the photosensitive resin composition or the physical properties of the photosensitive resin layer after curing.
- (B) Negative photosensitive agent photopolymerization initiator and / or photoacid generator
- a photopolymerization initiator and / or a photoacid generator is used as the photosensitizer (B), and the photopolymerization initiator is preferably a photoradical polymerization initiator.
- Benzophenone methyl o-benzoylbenzoate
- Benzophenone derivatives such as 4-benzoyl-4′-methyldiphenyl ketone, dibenzyl ketone, fluorenone, 2,2′-diethoxyacetophenone, 2-hydroxy-2-methylpropiophenone, 1-hydroxycyclohexyl phenyl ketone, etc.
- Acetophenone derivatives such as thioxanthone, 2-methylthioxanthone, 2-isopropylthioxanthone, diethylthioxanthone, benzyl derivatives such as benzyl, benzyldimethyl ketal, benzyl- ⁇ -methoxyethyl acetal,
- Benzoin derivatives such as benzoin and benzoin methyl ether, 1-phenyl-1,2-butanedione-2- (o-methoxycarbonyl) oxime, 1-phenyl-1,2-propanedione-2- (o-methoxycarbonyl) oxime 1-phenyl-1,2-propanedione-2- (o-ethoxycarbonyl) oxime, 1-phenyl-1,2-propanedione-2- (o-benzoyl) oxime, 1,3-diphenylpropanetrione Oximes such as 2- (o-ethoxycarbonyl) oxime, 1-phenyl-3-ethoxypropanetrione-2- (o-benzoyl) oxime, N-arylglycines such as N-phenylglycine, benzoyl perchloride, etc.
- Peroxides, aromatic biimidazoles, titanocenes, ⁇ - (n-o Chest Gandolfo sulfonyl) -4-photoacid generator such as methoxybenzyl cyanide and the like are preferably exemplified, but not limited thereto.
- oximes are more preferable particularly from the viewpoint of photosensitivity.
- the negative photosensitive resin composition exhibits acidity upon irradiation with actinic rays such as ultraviolet rays, and the action of the crosslinking agent described later by component (A) It has the effect
- this photoacid generator examples include diarylsulfonium salts, triarylsulfonium salts, dialkylphenacylsulfonium salts, diaryliodonium salts, aryldiazonium salts, aromatic tetracarboxylic acid esters, aromatic sulfonic acid esters, nitrobenzyl esters, Oxime sulfonic acid esters, aromatic N-oxyimide sulfonates, aromatic sulfamides, haloalkyl group-containing hydrocarbon compounds, haloalkyl group-containing heterocyclic compounds, naphthoquinone diazide-4-sulfonic acid esters, and the like are used.
- Such compounds can be used in combination of two or more as required, or in combination with other sensitizers.
- aromatic oxime sulfonates and aromatic N-oxyimide sulfonates are more preferred, particularly in terms of photosensitivity.
- the blending amount of these photosensitizers is 1 to 50 parts by mass with respect to 100 parts by mass of the resin (A), and preferably 2 to 15 parts by mass from the viewpoint of photosensitivity characteristics.
- (A) resin represented by the general formula (1) is an ionic bond type
- (A) in order to impart a photopolymerizable group to the side chain of the resin via an ionic bond amino A (meth) acrylic compound having a group is used.
- a (meth) acrylic compound having an amino group is used as the photosensitive agent (B), and as described above, for example, dimethylaminoethyl acrylate, dimethylaminoethyl methacrylate, diethylaminoethyl acrylate, diethylaminoethyl methacrylate, dimethylamino Dialkylaminoalkyl acrylates or methacrylates such as propyl acrylate, dimethylaminopropyl methacrylate, diethylaminopropyl acrylate, diethylaminopropyl methacrylate, dimethylaminobutyl acrylate, dimethylaminobutyl methacrylate, diethylaminobutyl acrylate, diethylaminobutyl methacrylate, etc. are preferred.
- the alkyl group on the amino group has 1 to 10 carbon atoms. Alkyl chains are preferred dialkylaminoalkyl acrylate or meth
- the compounding amount of the (meth) acrylic compound having an amino group is 1 to 20 parts by mass with respect to 100 parts by mass of the resin (A), and preferably 2 to 15 parts by mass from the viewpoint of photosensitivity characteristics.
- an (meth) acrylic compound having an amino group is blended in an amount of 1 part by mass or more with respect to 100 parts by mass of the resin (A). Excellent in properties.
- a photoacid generator is used as the photosensitive agent (B).
- a diazoquinone compound, an onium salt, a halogen-containing compound, and the like can be used, but from the viewpoint of solvent solubility and storage stability.
- a compound having a diazoquinone structure is preferred.
- (B) Positive photosensitive agent a compound having a quinonediazide group
- Examples of the compound (B) having a quinonediazide group include compounds having a 1,2-benzoquinonediazide structure and compounds having a 1,2-naphthoquinonediazide structure.
- US Pat. No. 2,772,972, US Pat. No. 2,797,213 and US Pat. No. 3,669,658 are known substances.
- the (B) quinonediazide compound includes 1,2-naphthoquinonediazide-4-sulfonic acid ester of a polyhydroxy compound having a specific structure described in detail below, and 1,2-naphthoquinonediazide-5-sulfone of the polyhydroxy compound. It is preferably at least one compound selected from the group consisting of acid esters (hereinafter also referred to as “NQD compound”).
- the NQD compound can be obtained by subjecting a naphthoquinone diazide sulfonic acid compound to sulfonyl chloride with chlorosulfonic acid or thionyl chloride and subjecting the obtained naphthoquinone diazide sulfonyl chloride to a polyhydroxy compound according to a conventional method.
- a predetermined amount of polyhydroxy compound and 1,2-naphthoquinonediazide-5-sulfonyl chloride or 1,2-naphthoquinonediazide-4-sulfonyl chloride in a solvent such as dioxane, acetone, or tetrahydrofuran, and a basic such as triethylamine can be obtained by reacting in the presence of a catalyst for esterification and washing the resulting product with water and drying.
- the compound (B) having a quinonediazide group is a 1,2-naphthoquinonediazide-4-sulfonic acid ester and / or 1,2 of a hydroxy compound represented by the following general formulas (120) to (124): 2-Naphthoquinonediazide-5-sulfonic acid ester is preferable from the viewpoints of sensitivity and resolution when forming a resist pattern.
- the general formula (120) is ⁇ Wherein X 11 and X 12 each independently represent a hydrogen atom or a monovalent organic group having 1 to 60 carbon atoms (preferably 1 to 30 carbon atoms), and X 13 and X 14 each represents Independently represents a hydrogen atom or a monovalent organic group having 1 to 60 carbon atoms (preferably 1 to 30 carbon atoms), and r1, r2, r3 and r4 are each independently an integer of 0 to 5; , R3 and r4 are integers of 1 to 5, (r1 + r3) ⁇ 5 and (r2 + r4) ⁇ 5. ⁇ .
- the general formula (121) is ⁇ In the formula, Z represents a tetravalent organic group having 1 to 20 carbon atoms; and X 15 , X 16 , X 17 and X 18 each independently represent a monovalent organic group having 1 to 30 carbon atoms.
- R6 is an integer of 0 or 1
- r5, r7, r8 and r9 are each independently an integer of 0 to 3
- r10, r11, r12 and r13 are each independently 0 to 2 And all of r10, r11, r12, and r13 cannot be zero. ⁇ .
- the general formula (122) is ⁇ Wherein r14 represents an integer of 1 to 5, r15 represents an integer of 3 to 8, and (r14 ⁇ r15) L's are each independently a monovalent organic having 1 to 20 carbon atoms. And (r15) T 1 and (r15) T 2 each independently represents a hydrogen atom or a monovalent organic group having 1 to 20 carbon atoms. ⁇ .
- the general formula (123) is ⁇ Wherein A represents a divalent organic group containing an aliphatic tertiary or quaternary carbon, and M represents a divalent organic group, preferably the following chemical formula: Represents a divalent group selected from the three groups represented by: ⁇ .
- the general formula (124) is ⁇ Wherein, r17, r18, r19 and r20 are each independently an integer of 0 to 2, at least one of r17, r18, r19 and r20 is 1 or 2, and X 20 to X 29 are Each independently represents a monovalent group selected from the group consisting of a hydrogen atom, a halogen atom, an alkyl group, an alkenyl group, an alkoxy group, an allyl group and an acyl group, and Y 10 , Y 11 and Y 12 are Each independently a single bond, —O—, —S—, —SO—, —SO 2 —, —CO—, —CO 2 —, cyclopentylidene, cyclohexylidene, phenylene, and 1 to 20 carbon atoms. Represents a divalent group selected from the group consisting of divalent organic groups. ⁇ .
- Y 10 to Y 12 are each independently the following general formula: ⁇
- X 30 and X 31 each independently represent a hydrogen atom, an alkyl group, an alkenyl group, an aryl group, and at least one monovalent group selected from the group consisting of substituted aryl group
- X 32 , X 33 , X 34 and X 35 each independently represents a hydrogen atom or an alkyl group
- r 21 is an integer of 1 to 5
- X 36 , X 37 , X 38 and X 39 are each independently Represents a hydrogen atom or an alkyl group.
- Examples of the compound represented by the general formula (120) include hydroxy compounds represented by the following formulas (125) to (129). ⁇ Wherein, r16 are each independently 0 to an integer 2, and X 40 each independently represents a monovalent organic group hydrogen atom or a C 1 ⁇ 20, X 40 is a plurality When present, the plurality of X 40 may be the same or different from each other, and X 40 has the general formula:
- X 41 represents a monovalent organic group selected from the group consisting of a hydrogen atom, an alkyl group, and a cycloalkyl group, and r18 is 2) In some cases, the two X 41 may be the same or different from each other.) It is preferable that it is a monovalent organic group represented by these.
- ⁇ General formula (126) is
- X 42 is a monovalent organic group selected from the group consisting of a hydrogen atom, an alkyl group having 1 to 20 carbon atoms, an alkoxy group having 1 to 20 carbon atoms, and a cycloalkyl group having 1 to 20 carbon atoms. Represents. ⁇ . Also, the general formula (127) is
- r19 are each independently an integer of 0 ⁇ 2
- X 43 are each independently a hydrogen atom or the following general formula: (Wherein, r20 is an integer of 0 to 2)
- X 45 is a hydrogen atom, alkyl group, and the group consisting of cycloalkyl group and, if r20 is 2, two X 45 is X 44 represents a hydrogen atom, an alkyl group having 1 to 20 carbon atoms, and a cycloalkyl group having 1 to 20 carbon atoms, which may be the same or different from each other.
- ⁇ , And formulas (128) and (129) have the following structure.
- the hydroxy compounds represented by the following formulas (130) to (132) have high sensitivity when converted into NQD compounds, and in the photosensitive resin composition. This is preferable because of low precipitation.
- Examples of the compound represented by the general formula (126) include the following formula (133): Is preferable because it has high sensitivity when it is converted into an NQD compound and has low precipitation in the photosensitive resin composition.
- the hydroxy compounds represented by the following formulas (134) to (136) have high sensitivity when converted into NQD compounds, and in the photosensitive resin composition. This is preferable because of low precipitation.
- the structures of the formulas (134) to (136) are as follows.
- Z is not particularly limited as long as it is a tetravalent organic group having 1 to 20 carbon atoms. From the viewpoint of sensitivity, the following formula: It is preferable that it is a tetravalent group which has a structure represented by these.
- the hydroxy compounds represented by the following formulas (137) to (140) have high sensitivity when converted into NQD compounds, and in the photosensitive resin composition. This is preferable because of its low precipitation.
- the structures of the formulas (137) to (140) are as follows.
- Examples of the compound represented by the general formula (122) include the following formula (141): ⁇ Wherein r40 is each independently an integer of 0 to 9. ⁇ Is preferable because the sensitivity when the NQD compound is used is high and the precipitation in the photosensitive resin composition is low.
- the hydroxy compound represented by the following formulas (142) and (143) has high sensitivity when it is an NQD compound, and in the photosensitive resin composition. This is preferable because of low precipitation.
- the structures of the formulas (142) and (143) are as follows.
- this group is either a 1,2-naphthoquinonediazide-5-sulfonyl group or a 1,2-naphthoquinonediazide-4-sulfonyl group.
- the 1,2-naphthoquinonediazide-4-sulfonyl group can absorb the i-line region of a mercury lamp, it is suitable for i-line exposure.
- the 1,2-naphthoquinonediazide-5-sulfonyl group can absorb even the g-line region of a mercury lamp and is suitable for exposure with g-line.
- 1,2-naphthoquinonediazide-4-sulfonic acid ester compound and 1,2-naphthoquinonediazide-5-sulfonic acid ester compound it is preferable to select one or both of 1,2-naphthoquinonediazide-4-sulfonic acid ester compound and 1,2-naphthoquinonediazide-5-sulfonic acid ester compound according to the wavelength to be exposed.
- a 1,2-naphthoquinonediazide sulfonic acid ester compound having a 1,2-naphthoquinonediazide-4-sulfonyl group and a 1,2-naphthoquinonediazide-5-sulfonyl group in the same molecule can be used.
- a mixture of 2-naphthoquinonediazide-4-sulfonic acid ester compound and 1,2-naphthoquinonediazide-5-sulfonic acid ester compound can also be used.
- the average esterification rate of the naphthoquinonediazidesulfonyl ester of the hydroxy compound is preferably 10% to 100%, and preferably 20% to 100% from the viewpoint of development contrast. Further preferred.
- Examples of preferable NQD compounds from the viewpoint of cured film properties such as sensitivity and elongation include those represented by the following general formula group. ⁇ Wherein Q is a hydrogen atom or the following group of formulas: The naphthoquinone diazide sulfonate group represented by any of the above, but not all Q are hydrogen atoms at the same time. ⁇ Is represented.
- a naphthoquinone diazide sulfonyl ester compound having a 4-naphthoquinone diazide sulfonyl group and a 5-naphthoquinone diazide sulfonyl group in the same molecule can be used, or a 4-naphthoquinone diazide sulfonyl ester compound and a 5-naphthoquinone diazide. It can also be used by mixing with a sulfonyl ester compound.
- onium salt examples include an iodonium salt, a sulfonium salt, a fosiphonium salt, a phosphonium salt, an ammonium salt, and a diazonium salt. Salts are preferred.
- halogen-containing compound examples include haloalkyl group-containing hydrocarbon compounds, and trichloromethyltriazine is preferable.
- photoacid generators are blended in an amount of 1 to 50 parts by weight, preferably 5 to 30 parts by weight, based on 100 parts by weight of the resin (A).
- the compounding amount of the photoacid generator as the photosensitive agent is 1 part by mass or more, the patterning property by the photosensitive resin composition is good, and if it is 50 parts by mass or less, after curing of the photosensitive resin composition.
- the film has a good tensile elongation and a small amount of development residue (scum) in the exposed area.
- the NQD compounds may be used alone or in combination of two or more.
- the blending amount of the compound (B) having a quinonediazide group in the photosensitive resin composition is 0.1 to 70 parts by mass with respect to 100 parts by mass of the (A) resin, preferably 1 to 40 parts by mass, more preferably 3 to 30 parts by mass, and even more preferably 5 to 30 parts by mass. If this compounding amount is 0.1 parts by mass or more, good sensitivity is obtained, while if it is 70 parts by mass or less, the mechanical properties of the cured film are good.
- the above-mentioned polyimide precursor resin composition and polyamide resin composition which are negative resin compositions in the present embodiment, and polyoxazole resin composition, soluble polyimide resin composition, and phenol, which are positive photosensitive resin compositions
- the resin composition can contain a solvent for dissolving these resins.
- the solvent examples include amides, sulfoxides, ureas, ketones, esters, lactones, ethers, halogenated hydrocarbons, hydrocarbons, alcohols and the like, for example, N-methyl-2- Pyrrolidone, N, N-dimethylacetamide, N, N-dimethylformamide, dimethyl sulfoxide, tetramethylurea, acetone, methyl ethyl ketone, methyl isobutyl ketone, cyclopentanone, cyclohexanone, methyl acetate, ethyl acetate, butyl acetate, diethyl oxalate, Ethyl lactate, methyl lactate, butyl lactate, ⁇ -butyrolactone, propylene glycol monomethyl ether acetate, propylene glycol monomethyl ether, benzyl alcohol, phenyl glycol, tetrahydrofurfuryl alcohol, ethylene Use
- N-methyl-2-pyrrolidone, dimethyl sulfoxide, tetramethylurea, butyl acetate, ethyl lactate, ⁇ -butyrolactone, propylene from the viewpoints of resin solubility, resin composition stability, and adhesion to the substrate.
- Glycol monomethyl ether acetate, propylene glycol monomethyl ether, diethylene glycol dimethyl ether, benzyl alcohol, phenyl glycol, and tetrahydrofurfuryl alcohol are preferred.
- N-methyl-2-pyrrolidone N, N-dimethylacetamide, N, N-dimethylformamide, dimethyl sulfoxide, tetramethylurea And gamma-butyrolactone.
- Suitable solvents for the above phenolic resins include bis (2-methoxyethyl) ether, methyl cellosolve, ethyl cellosolve, propylene glycol monomethyl ether, propylene glycol monomethyl ether acetate, diethylene glycol dimethyl ether, dipropylene glycol dimethyl ether, cyclohexanone, cyclopentanone. , Toluene, xylene, ⁇ -butyrolactone, N-methyl-2-pyrrolidone and the like, but are not limited thereto.
- the amount of the solvent used is preferably 100 to 1000 parts by weight, more preferably 120 to 700 parts by weight, and still more preferably with respect to 100 parts by weight of the resin (A). Is in the range of 125 to 500 parts by weight.
- the photosensitive resin composition of the present invention may further contain components other than the components (A) and (B).
- a nitrogen-containing complex such as an azole compound or a purine derivative is used to suppress discoloration on copper.
- a ring compound can be arbitrarily blended.
- azole compound 1H-triazole, 5-methyl-1H-triazole, 5-ethyl-1H-triazole, 4,5-dimethyl-1H-triazole, 5-phenyl-1H-triazole, 4-t-butyl-5 -Phenyl-1H-triazole, 5-hydroxyphenyl-1H-triazole, phenyltriazole, p-ethoxyphenyltriazole, 5-phenyl-1- (2-dimethylaminoethyl) triazole, 5-benzyl-1H-triazole, hydroxyphenyl Triazole, 1,5-dimethyltriazole, 4,5-diethyl-1H-triazole, 1H-benzotriazole, 2- (5-methyl-2-hydroxyphenyl) benzotriazole, 2- [2-hydroxy-3,5- Bis ( ⁇ , ⁇ -Dimethylbe Benzyl) phenyl] -benzotriazole, 2- (3,5-di-tert-butyl
- tolyltriazole Particularly preferred are tolyltriazole, 5-methyl-1H-benzotriazole, and 4-methyl-1H-benzotriazole. These azole compounds may be used alone or in a mixture of two or more.
- purine derivatives include purine, adenine, guanine, hypoxanthine, xanthine, theobromine, caffeine, uric acid, isoguanine, 2,6-diaminopurine, 9-methyladenine, 2-hydroxyadenine, 2-methyladenine, 1-methyladenine, N-methyladenine, N, N-dimethyladenine, 2-fluoroadenine, 9- (2-hydroxyethyl) adenine, guanine oxime, N- (2-hydroxyethyl) adenine, 8-aminoadenine, 6-amino-8-phenyl-9H-purine, 1-ethyladenine, 6-ethylaminopurine, 1-benzyladenine, N-methylguanine, 7- (2-hydroxyethyl) guanine, N- (3-chlorophenyl) Guanine, N- (3-ethylphenyl) guanine, 2-a Aden
- the blending amount is preferably 0.1 to 20 parts by mass with respect to 100 parts by mass of the resin (A), from the viewpoint of photosensitivity characteristics. 0.5 to 5 parts by mass is more preferable.
- the compounding amount of the azole compound with respect to 100 parts by mass of the resin (A) is 0.1 parts by mass or more, when the photosensitive resin composition of the present invention is formed on copper or a copper alloy, the surface of the copper or copper alloy On the other hand, when it is 20 parts by mass or less, the photosensitivity is excellent.
- a hindered phenol compound can be arbitrarily blended to suppress discoloration on the copper surface.
- hindered phenol compounds include 2,6-di-t-butyl-4-methylphenol, 2,5-di-t-butyl-hydroquinone, and octadecyl-3- (3,5-di-t-butyl-4.
- Pentaerythrityl-tetrakis [3- (3,5-di-tert-butyl-4-hydroxyphenyl) propionate], tris- (3,5-di-tert-butyl-4-hydroxybenzyl) -isocyanurate, 1,3,5-trimethyl-2,4,6-tris (3,5-di-tert-butyl-4-hydroxybenzyl) benzene, 1,3,5-tris (3-hydroxy-2,6-dimethyl) -4-Isopropylbenzyl) -1,3,5-triazine-2,4,6- (1H, 3H, 5H) -trione, 1,3,5-tris (4-tert-butyl-3-hydroxy-2 , 6-Dimethylbenzyl) -1,3,5-triazine-2,4,6- (1H, 3H, 5H) -trione, 1,3,5-tris (4-s-butyl-3-hydroxy-2) , 6-Dimethylbenzyl)
- 1,3,5-tris (4-tert-butyl-3-hydroxy-2,6-dimethylbenzyl) -1,3,5-triazine-2,4,6- (1H, 3H, 5H ) -Trione and the like are particularly preferred.
- the amount of the hindered phenol compound is preferably 0.1 to 20 parts by mass with respect to 100 parts by mass of the resin (A), and more preferably 0.5 to 10 parts by mass from the viewpoint of photosensitivity characteristics. preferable.
- the compounding quantity with respect to 100 mass parts of (A) resin of a hindered phenol compound is 0.1 mass part or more, for example, when forming the photosensitive resin composition of this invention on copper or a copper alloy, copper or Discoloration / corrosion of the copper alloy is prevented, and on the other hand, when it is 20 parts by mass or less, the light sensitivity is excellent.
- the photosensitive resin composition of the present invention may contain a crosslinking agent.
- the crosslinking agent (A) can crosslink the resin, or the crosslinking agent itself can form a crosslinked network. Can be.
- the crosslinking agent can further enhance the heat resistance and chemical resistance of the cured film formed from the photosensitive resin composition.
- crosslinking agent examples include Cymel (registered trademark) 300, 301, 303, 370, 325, 327, 701, 266, 267, 238, 1141, 272, which are compounds containing a methylol group and / or an alkoxymethyl group.
- phenol novolac type epoxy resin cresol novolac type epoxy resin, bisphenol type epoxy resin, trisphenol type epoxy resin, tetraphenol type epoxy resin, phenol-xylylene type epoxy resin, naphthol-xylylene type epoxy resin, phenol, which are oxirane compounds -Naphthol type epoxy resin, phenol-dicyclopentadiene type epoxy resin, alicyclic epoxy resin, aliphatic epoxy resin, diethylene glycol diglycidyl ether, sorbitol polyglycidyl ether, propylene glycol diglycidyl ether, trimethylolpropane polyglycidyl ether, 1 , 1,2,2-tetra (p-hydroxyphenyl) ethanetetraglycidyl ether, glycerol triglyci Ether, ortho-secondary butylphenyl glycidyl ether, 1,6-bis (2,3-epoxypropoxy) naphthalen
- isocyanate group-containing compounds such as 4,4′-diphenylmethane diisocyanate, tolylene diisocyanate, 1,3-phenylene bismethylene diisocyanate, dicyclohexylmethane-4,4′-diisocyanate, isophorone diisocyanate, hexamethylene diisocyanate, takenate ( (Registered Trademark) 500, 600, Cosmonate (Registered Trademark) NBDI, ND (trade name, manufactured by Mitsui Chemicals), Duranate (Registered Trademark) 17B-60PX, TPA-B80E, MF-B60X, MF-K60X, E402- B80T (trade name, manufactured by Asahi Kasei Chemicals Corporation) and the like.
- the bismaleimide compounds 4,4′-diphenylmethane bismaleimide, phenylmethane maleimide, m-phenylene bismaleimide, bisphenol A diphenyl ether bismaleimide, 3,3′-dimethyl-5,5′-diethyl-4,4 '-Diphenylmethane bismaleimide, 4-methyl-1,3-phenylene bismaleimide, 1,6'-bismaleimide- (2,2,4-trimethyl) hexane, 4,4'-diphenyl ether bismaleimide, 4,4' -Diphenylsulfone bismaleimide, 1,3-bis (3-maleimidophenoxy) benzene, 1,3-bis (4-maleimidophenoxy) benzene, BMI-1000, BMI-1100, BMI-2000, BMI-2300, BMI- 3000, BMI-40 0, BMI-5100, BMI-7000, BMI-TMH, BMI-6000, BMI-
- the amount is preferably 0.5 to 20 parts by mass, more preferably 2 to 10 parts by mass with respect to 100 parts by mass of the resin.
- the blending amount is 0.5 parts by mass or more, good heat resistance and chemical resistance are expressed, and when it is 20 parts by mass or less, the storage stability is excellent.
- the photosensitive resin composition of the present invention may contain an organic titanium compound.
- an organic titanium compound By containing an organic titanium compound, a photosensitive resin layer having excellent chemical resistance can be formed even when cured at a low temperature of about 250 ° C.
- Usable organic titanium compounds include those in which an organic chemical substance is bonded to a titanium atom through a covalent bond or an ionic bond.
- Titanium chelate compound a titanium chelate having two or more alkoxy groups is more preferable because it provides storage stability and a good pattern of the negative photosensitive resin composition, and a specific example is titanium bis (Triethanolamine) diisopropoxide, titanium di (n-butoxide) bis (2,4-pentanedionate, titanium diisopropoxide bis (2,4-pentanedionate), titanium diisopropoxide bis ( Tetramethylheptanedionate), titanium diisopropoxide bis (ethylacetoacetate) and the like.
- titanium bis (Triethanolamine) diisopropoxide titanium di (n-butoxide) bis (2,4-pentanedionate, titanium diisopropoxide bis (2,4-pentanedionate), titanium diisopropoxide bis ( Tetramethylheptanedionate), titanium diisopropoxide bis (ethylacetoacetate) and the like.
- Tetraalkoxytitanium compounds for example, titanium tetra (n-butoxide), titanium tetraethoxide, titanium tetra (2-ethylhexoxide), titanium tetraisobutoxide, titanium tetraisopropoxide, titanium tetramethoxide , Titanium tetramethoxypropoxide, titanium tetramethylphenoxide, titanium tetra (n-nonyloxide), titanium tetra (n-propoxide), titanium tetrastearyloxide, titanium tetrakis [bis ⁇ 2,2- (allyloxymethyl) Butoxide ⁇ ] and the like.
- Titanocene compounds for example, pentamethylcyclopentadienyltitanium trimethoxide, bis ( ⁇ 5 -2,4-cyclopentadien-1-yl) bis (2,6-difluorophenyl) titanium, bis ( ⁇ 5 ⁇ 2,4-cyclopentadien-1-yl) bis (2,6-difluoro-3- (1H-pyrrol-1-yl) phenyl) titanium and the like.
- Monoalkoxytitanium compound For example, titanium tris (dioctyl phosphate) isopropoxide, titanium tris (dodecylbenzenesulfonate) isopropoxide, and the like.
- Titanium oxide compound for example, titanium oxide bis (pentanedionate), titanium oxide bis (tetramethylheptanedionate), phthalocyanine titanium oxide, and the like.
- Titanium tetraacetylacetonate compound For example, titanium tetraacetylacetonate.
- Titanate coupling agent For example, isopropyltridodecylbenzenesulfonyl titanate.
- the organic titanium compound is at least one compound selected from the group consisting of I) titanium chelate compound, II) tetraalkoxy titanium compound, and III) titanocene compound. It is preferable from the viewpoint.
- titanium diisopropoxide bis (ethyl acetoacetate), titanium tetra (n-butoxide), and bis ( ⁇ 5 -2,4-cyclopentadien-1-yl) bis (2,6-difluoro-3- ( 1H-pyrrol-1-yl) phenyl) titanium is preferred.
- the blending amount is preferably 0.05 to 10 parts by mass, more preferably 0.1 to 2 parts by mass with respect to 100 parts by mass of the resin (A).
- the blending amount is 0.05 parts by mass or more, good heat resistance and chemical resistance are expressed, and when it is 10 parts by mass or less, the storage stability is excellent.
- an adhesion aid can be arbitrarily blended for improving the adhesion between the film formed using the photosensitive resin composition of the present invention and the substrate.
- Adhesion aids include ⁇ -aminopropyldimethoxysilane, N- ( ⁇ -aminoethyl) - ⁇ -aminopropylmethyldimethoxysilane, ⁇ -glycidoxypropylmethyldimethoxysilane, ⁇ -mercaptopropylmethyldimethoxysilane, 3- Methacryloxypropyldimethoxymethylsilane, 3-methacryloxypropyltrimethoxysilane, dimethoxymethyl-3-piperidinopropylsilane, diethoxy-3-glycidoxypropylmethylsilane, N- (3-diethoxymethylsilylpropyl) succinimide N- [3- (triethoxysilyl) propyl] phthalamic acid, benzophenone-3,3′-bis (N- [
- the amount of the adhesion assistant is preferably in the range of 0.5 to 25 parts by mass with respect to 100 parts by mass of the resin (A).
- silane coupling agent 3-mercaptopropyltrimethoxysilane (manufactured by Shin-Etsu Chemical Co., Ltd .: trade name KBM803, manufactured by Chisso Corporation: trade name: Silaace S810), 3-mercaptopropyltriethoxysilane (manufactured by Asmax Co., Ltd .: Trade name: SIM6475.0), 3-mercaptopropylmethyldimethoxysilane (manufactured by Shin-Etsu Chemical Co., Ltd .: trade name: LS1375, manufactured by Azumax Co., Ltd .: trade name: SIM6474.0), mercaptomethyltrimethoxysilane (manufactured by Azumax Corporation: product Name SIM6473.5C), mercaptomethylmethyldimethoxysilane (manufactured by Azmax Co., Ltd .: trade name SIM6473.0), 3-mercaptopropyldiethoxymethoxysilane,
- N- (3-trimethoxysilylpropyl) urea (manufactured by Azmax Co., Ltd .: trade name SIU9058.0), N- (3-diethoxymethoxysilylpropyl) urea, N- (3-ethoxydimethoxysilylpropyl) Urea, N- (3-tripropoxysilylpropyl) urea, N- (3-diethoxypropoxysilylpropyl) urea, N- (3-ethoxydipropoxysilylpropyl) urea, N- (3-dimethoxypropoxysilylpropyl) urea Urea, N- (3-methoxydi Propoxysilylpropyl) urea, N- (3-trimethoxysilylethyl) urea, N- (3-ethoxydimethoxysilylethyl) urea, N- (3-tripropoxysilylethyl) urea, N- (3- (3-
- silane coupling agent among the above-mentioned silane coupling agents, from the viewpoint of storage stability, phenylsilanetriol, trimethoxyphenylsilane, trimethoxy (p-tolyl) silane, diphenylsilanediol, dimethoxydiphenylsilane, diethoxy Diphenylsilane, dimethoxydi-p-tolylsilane, triphenylsilanol, and a silane coupling agent represented by the following structure are preferred.
- the amount of the silane coupling agent used is preferably 0.01 to 20 parts by mass with respect to 100 parts by mass of the resin (A).
- the photosensitive resin composition of the present invention may further contain components other than the above components.
- the preferred component varies depending on whether the negative type using, for example, a polyimide precursor and polyamide, or a positive type using a polyoxazole precursor, polyimide, phenol resin, or the like as the resin (A).
- a sensitizer in the case of a negative type using a polyimide precursor or the like as a resin, a sensitizer can be arbitrarily blended in order to improve photosensitivity.
- the sensitizer include Michler's ketone, 4,4′-bis (diethylamino) benzophenone, 2,5-bis (4′-diethylaminobenzal) cyclopentane, and 2,6-bis (4′-diethylaminobenzal).
- the blending amount is preferably 0.1 to 25 parts by mass with respect to 100 parts by mass of (A) resin.
- a monomer having a photopolymerizable unsaturated bond can be arbitrarily blended.
- a monomer is preferably a (meth) acryl compound that undergoes a radical polymerization reaction with a photopolymerization initiator, and is not particularly limited to the following, but includes ethylene glycol or polyethylene such as diethylene glycol dimethacrylate and tetraethylene glycol dimethacrylate.
- the blending amount of the monomer having a photopolymerizable unsaturated bond is ( A) The amount is preferably 1 to 50 parts by mass with respect to 100 parts by mass of the resin.
- thermo polymerization inhibitor in order to improve the stability of the viscosity and the photosensitivity of the photosensitive resin composition at the time of storage especially in the state of a solution containing a solvent.
- a thermal polymerization inhibitor can be optionally blended.
- Thermal polymerization inhibitors include hydroquinone, N-nitrosodiphenylamine, p-tert-butylcatechol, phenothiazine, N-phenylnaphthylamine, ethylenediaminetetraacetic acid, 1,2-cyclohexanediaminetetraacetic acid, glycol etherdiaminetetraacetic acid, 2,6 -Di-tert-butyl-p-methylphenol, 5-nitroso-8-hydroxyquinoline, 1-nitroso-2-naphthol, 2-nitroso-1-naphthol, 2-nitroso-5- (N-ethyl-N- Sulfopropylamino) phenol, N-nitroso-N-phenylhydroxylamine ammonium salt, N-nitroso-N (1-naphthyl) hydroxylamine ammonium salt and the like are used.
- the blending amount of the thermal polymerization inhibitor when blended in the photosensitive resin composition is preferably in the range of 0.005 to 12 parts by mass with respect to 100 parts by mass of the resin (A).
- the photosensitive resin composition of the present invention in the case of a positive type using a polyoxazole precursor or the like as the resin (A), it has been conventionally used as an additive for the photosensitive resin composition as necessary.
- Dyes, surfactants, thermal acid generators, dissolution accelerators, adhesion aids for improving adhesion to the substrate, and the like can be added.
- the above additives include, for example, methyl violet, crystal violet, malachite green and the like as the dye.
- the surfactant include non-ionic surfactants made of polyglycols such as polypropylene glycol or polyoxyethylene lauryl ether or derivatives thereof, such as Fluorard (trade name, manufactured by Sumitomo 3M), Fluorosurfactants such as trade name, Dainippon Ink and Chemicals) or Lumiflon (trade name, manufactured by Asahi Glass), such as KP341 (trade name, manufactured by Shin-Etsu Chemical), DBE (trade name, manufactured by Chisso) ) And granol (trade name, manufactured by Kyoeisha Chemical Co., Ltd.) and the like.
- adhesion assistant examples include alkyl imidazoline, butyric acid, alkyl acid, polyhydroxystyrene, polyvinyl methyl ether, t-butyl novolac, epoxy silane, epoxy polymer, and various silane coupling agents.
- the blending amount of the above dye and surfactant is preferably 0.1 to 30 parts by mass with respect to 100 parts by mass of the resin (A).
- a thermal acid generator can be arbitrarily blended from the viewpoint of exhibiting good thermal and mechanical properties of the cured product.
- the thermal acid generator is preferably blended from the viewpoint of exhibiting good thermal and mechanical properties of the cured product even when the curing temperature is lowered.
- thermal acid generator examples include a salt formed from a strong acid such as an onium salt having a function of generating an acid by heat and a base, and imide sulfonate.
- Examples of the onium salt include diaryl iodonium salts such as aryldiazonium salts and diphenyliodonium salts; di (alkylaryl) iodonium salts such as di (t-butylphenyl) iodonium salts; trialkylsulfonium salts such as trimethylsulfonium salts; Examples thereof include dialkyl monoaryl sulfonium salts such as dimethylphenylsulfonium salt; diarylmonoalkyl iodonium salts such as diphenylmethylsulfonium salt; triarylsulfonium salts and the like.
- di (t-butylphenyl) iodonium salt of paratoluenesulfonic acid di (t-butylphenyl) iodonium salt of trifluoromethanesulfonic acid, trimethylsulfonium salt of trifluoromethanesulfonic acid, dimethyl of trifluoromethanesulfonic acid Phenylsulfonium salt, diphenylmethylsulfonium salt of trifluoromethanesulfonic acid, di (t-butylphenyl) iodonium salt of nonafluorobutanesulfonic acid, diphenyliodonium salt of camphorsulfonic acid, diphenyliodonium salt of ethanesulfonic acid, benzenesulfonic acid A dimethylphenylsulfonium salt, a diphenylmethylsulfonium salt of toluenesulfonic acid, and the like are prefer
- the salt formed from a strong acid and a base in addition to the onium salt described above, the following salt formed from a strong acid and a base, such as a pyridinium salt, can also be used.
- Strong acids include p-toluenesulfonic acid, arylsulfonic acid such as benzenesulfonic acid, camphorsulfonic acid, trifluoromethanesulfonic acid, perfluoroalkylsulfonic acid such as nonafluorobutanesulfonic acid, methanesulfonic acid, ethanesulfonic acid And alkylsulfonic acid such as butanesulfonic acid.
- the base include pyridine, alkylpyridines such as 2,4,6-trimethylpyridine, N-alkylpyridines such as 2-chloro-N-methylpyridine, and halogenated-N-alkylpyridines.
- imide sulfonate for example, naphthoyl imide sulfonate, phthalimide sulfonate, and the like can be used, but there is no limitation as long as the compound generates an acid by heat.
- the amount of the thermal acid generator used is preferably 0.1 to 30 parts by weight, more preferably 0.5 to 10 parts by weight, and more preferably 1 to 5 parts by weight with respect to 100 parts by weight of the resin (A). More preferably.
- a dissolution accelerator can be used in order to accelerate the removal of the resin that has become unnecessary after the exposure.
- a compound having a hydroxyl group or a carboxyl group is preferred.
- the compound having a hydroxyl group include the ballast agent used in the above-mentioned naphthoquinone diazide compound, paracumylphenol, bisphenols, resorcinols, and linear phenol compounds such as MtrisPC and MtetraPC, TrisP-HAP, TrisP -Non-linear phenolic compounds such as PHBA and TrisP-PA (all manufactured by Honshu Chemical Industry Co., Ltd.), 2-5 phenol substitutes of diphenylmethane, 1-5 phenol substitutes of 3,3-diphenylpropane, A compound obtained by reacting 2,2-bis- (3-amino-4-hydroxyphenyl) hexafluoropropane with 5-norbornene-2,3
- Examples of the compound having a carboxyl group include 3-phenyllactic acid, 4-hydroxyphenyllactic acid, 4-hydroxymandelic acid, 3,4-dihydroxymandelic acid, 4-hydroxy-3-methoxymandelic acid, 2-methoxy-2 -(1-Naphthyl) propionic acid, mandelic acid, atrolactic acid, ⁇ -methoxyphenylacetic acid, O-acetylmandelic acid, itaconic acid and the like can be mentioned.
- the blending amount in the case of using a dissolution accelerator is preferably 0.1 to 30 parts by mass with respect to 100 parts by mass of (A) resin.
- the present invention includes (1) a step of forming a resin layer on the copper layer by applying the above-described photosensitive resin composition of the present invention on the copper subjected to the surface treatment of the present invention, and (2) A step of exposing the resin layer; (3) a step of developing the exposed resin layer to form a relief pattern; and (4) a step of forming a cured relief pattern by heat-treating the relief pattern.
- a method for manufacturing a rewiring layer is provided.
- typical aspects of each process will be described.
- coating the photosensitive resin composition on the copper which surface-treated In this process, this invention performed the photosensitive resin composition of this invention.
- the resin layer is formed by coating on copper and then drying if necessary.
- a coating method a method conventionally used for coating a photosensitive resin composition, for example, a method of coating with a spin coater, bar coater, blade coater, curtain coater, screen printing machine, etc., spray coating with a spray coater A method or the like can be used.
- the coating film made of the photosensitive resin composition can be dried.
- a drying method methods such as air drying, heat drying using an oven or a hot plate, vacuum drying, and the like are used. Specifically, when air drying or heat drying is performed, the drying can be performed at 20 ° C. to 140 ° C. for 1 minute to 1 hour. As described above, a resin layer can be formed on copper.
- Step of exposing the resin layer the resin layer formed above is exposed directly or directly through a photomask or reticle having a pattern using an exposure apparatus such as a contact aligner, mirror projection, or stepper. Exposure is performed with an ultraviolet light source or the like.
- post-exposure baking PEB
- pre-development baking with any combination of temperature and time may be performed as necessary for the purpose of improving photosensitivity.
- the range of the baking conditions is that the temperature is 40 to 120 ° C. and the time is preferably 10 seconds to 240 seconds, but this range is not used unless it inhibits various characteristics of the photosensitive resin composition of the present invention. Not limited to.
- Step of developing the exposed resin layer to form a relief pattern the exposed or unexposed portion of the exposed photosensitive resin layer is developed and removed.
- a negative photosensitive resin composition for example, when (A) using a polyimide precursor as a resin
- a positive photosensitive resin composition for example, ( A)
- a polyoxazole precursor is used as the resin
- the exposed portion is developed and removed.
- a developing method an arbitrary method can be selected and used from conventionally known photoresist developing methods such as a rotary spray method, a paddle method, and an immersion method involving ultrasonic treatment.
- post-development baking at any combination of temperature and time may be performed as necessary.
- the developer used for development is preferably a good solvent for the photosensitive resin composition or a combination of the good solvent and the poor solvent.
- good solvents include N-methylpyrrolidone, N-cyclohexyl-2-pyrrolidone, N, N-dimethylacetamide, cyclopentanone, cyclohexanone, ⁇ -butyrolactone, ⁇ -Acetyl- ⁇ -butyrolactone and the like are preferable, and as the poor solvent, toluene, xylene, methanol, ethanol, isopropyl alcohol, ethyl lactate, propylene glycol methyl ether acetate, water and the like are preferable.
- the ratio of the poor solvent to the good solvent depending on the solubility of the polymer in the photosensitive resin composition.
- two or more of each solvent for example, several types may be used in combination.
- the developer used for development is one that dissolves and removes the aqueous alkali-soluble polymer, and is typically an aqueous alkaline solution in which an alkali compound is dissolved.
- the alkali compound dissolved in the developer may be either an inorganic alkali compound or an organic alkali compound.
- Examples of the inorganic alkali compound include lithium hydroxide, sodium hydroxide, potassium hydroxide, diammonium hydrogen phosphate, dipotassium hydrogen phosphate, disodium hydrogen phosphate, lithium silicate, sodium silicate, potassium silicate. , Lithium carbonate, sodium carbonate, potassium carbonate, lithium borate, sodium borate, potassium borate, and ammonia.
- organic alkali compound examples include tetramethylammonium hydroxide, tetraethylammonium hydroxide, trimethylhydroxyethylammonium hydroxide, methylamine, dimethylamine, trimethylamine, monoethylamine, diethylamine, triethylamine, n-propylamine, diethylamine.
- -N-propylamine isopropylamine, diisopropylamine, methyldiethylamine, dimethylethanolamine, ethanolamine, triethanolamine and the like.
- a relief pattern can be formed as described above.
- Step of forming a cured relief pattern by heat-treating the relief pattern the relief pattern obtained by the development is heated to be converted into a cured relief pattern.
- various methods such as a method using a hot plate, a method using an oven, a method using a temperature rising type oven capable of setting a temperature program can be selected. Heating can be performed, for example, at 180 ° C. to 400 ° C. for 30 minutes to 5 hours. Air may be used as the atmospheric gas during heat curing, and an inert gas such as nitrogen or argon may be used.
- a semiconductor device including a rewiring layer obtained by the above-described method for manufacturing a rewiring layer of the present invention can be provided.
- the present invention also provides a semiconductor device including a base material that is a semiconductor element and a rewiring layer formed on the base material by the above-described method for manufacturing a rewiring layer.
- the present invention can also be applied to a method for manufacturing a semiconductor device using a semiconductor element as a base material and including the above-described method for manufacturing a rewiring layer as part of the process.
- the element is mounted on the printed circuit board by various methods according to the purpose.
- Conventional devices are generally manufactured by a wire bonding method in which a thin wire is connected from an external terminal (pad) of the device to a lead frame.
- the difference in the wiring length of each terminal in mounting has come to affect the operation of the device. For this reason, when mounting elements for high-end applications, it is necessary to accurately control the length of the mounting wiring, and it has become difficult to satisfy the requirements with wire bonding.
- flip chip mounting has been proposed in which a rewiring layer is formed on the surface of a semiconductor chip, bumps (electrodes) are formed thereon, and then the chip is flipped over and mounted directly on a printed circuit board.
- a rewiring layer is formed on the surface of a semiconductor chip, bumps (electrodes) are formed thereon, and then the chip is flipped over and mounted directly on a printed circuit board.
- the wiring distance can be controlled accurately, so it is used for high-end devices that handle high-speed signals, or mobile phones due to the small mounting size, and the demand is rapidly expanding.
- materials such as polyimide, polybenzoxazole, and phenol resin are used for flip chip mounting, a metal wiring layer forming step is performed after the pattern of the resin layer is formed.
- the metal wiring layer is usually formed by plasma etching the resin layer surface to roughen the surface, and then forming a metal layer to be a seed layer for plating with a thickness of 1 ⁇ m or less, and then using the metal layer as an electrode. It is formed by electrolytic plating. At this time, in general, Ti is used as a metal to be a seed layer, and Cu is used as a metal of a rewiring layer formed by electrolytic plating.
- Such a metal rewiring layer is required to have high adhesion between the rewired metal layer and the resin layer.
- the adhesiveness between the re-routed Cu layer and the resin layer is lowered due to the influence of the resin and additives forming the photosensitive resin composition and the influence of the manufacturing method when forming the re-wiring layer. was there.
- the adhesion between the redistributed Cu layer and the resin layer decreases, the insulation reliability of the redistribution layer decreases.
- the microwave is an electromagnetic wave having a frequency of 300 MHz to 3 GHz.
- the material When the material is irradiated to the material, it acts on a permanent dipole contained in the material, thereby causing the material to generate heat locally.
- ring-closing imidization of polyamic acid which conventionally required heating at a high temperature of 300 ° C. or higher, proceeds at 250 ° C. or lower (for example, Japanese Patent No. 5121115).
- the effect of microwave irradiation on the adhesion between the resin and Cu has not been clear so far.
- a fifth aspect of the present invention aims to provide a method for forming a rewiring layer having high adhesion to a Cu layer.
- the present inventors have found that a rewiring layer having high adhesion between the Cu layer and the resin layer can be obtained by irradiating microwaves in the curing process of the specific photosensitive resin composition.
- the aspect of was completed. That is, the fifth aspect of the present invention is as follows. [1] The following steps: (A) 100 parts by mass of at least one resin selected from the group consisting of polyamic acid ester, novolak, polyhydroxystyrene, and phenol resin, and (B) a photosensitive agent based on 100 parts by mass of (A) resin.
- a method for manufacturing a wiring layer comprising: [2] The method according to [1], wherein the curing by microwave irradiation is performed at 250 ° C. or lower. [3] The method according to [1] or [2], wherein the substrate is made of copper or a copper alloy.
- the photosensitive resin is represented by the following general formula (40): ⁇ Wherein X 1c is a tetravalent organic group, Y 1c is a divalent organic group, n 1c is an integer of 2 to 150, and R 1c and R 2c are each independently And a hydrogen atom, a saturated aliphatic group having 1 to 30 carbon atoms, an aromatic group, or the following general formula (41): (Wherein R 3c , R 4c and R 5c are each independently a hydrogen atom or an organic group having 1 to 3 carbon atoms, and m 1c is an integer of 2 to 10). A monovalent organic group or a saturated aliphatic group having 1 to 4 carbon atoms.
- Xc is a divalent aliphatic group having 2 to 10 carbon atoms which may have an unsaturated bond, a divalent alicyclic group having 3 to 20 carbon atoms, and the following general formula (47): (Wherein p is an integer of 1 to 10) and a divalent organic group having an aromatic ring having 6 to 12 carbon atoms and a divalent alkylene oxide group represented by Represents a divalent organic group.
- the photosensitive resin composition includes a phenol resin having a repeating unit represented by the general formula (46), and Xc in the general formula (46) is represented by the following general formula (48): ⁇ In the formula, R 13c , R 14c , R 15c and R 16c each independently represent a hydrogen atom, a monovalent aliphatic group having 1 to 10 carbon atoms, or a part or all of the hydrogen atoms substituted with fluorine atoms.
- R 18c , R 19c , R 20c and R 21c are each independently a hydrogen atom, a monovalent aliphatic group having 1 to 10 carbon atoms, or a part or all of the hydrogen atoms replaced by fluorine atoms.
- W is a single bond, an aliphatic group having 1 to 10 carbon atoms which may be substituted with a fluorine atom, or a fluorine atom.
- a method for forming a rewiring layer having high adhesion between the Cu layer and the resin layer is provided by irradiating microwaves in the curing process of the specific photosensitive resin composition. be able to.
- the present invention is based on (A) at least one resin selected from the group consisting of polyamic acid ester, novolak, polyhydroxystyrene and phenol resin: 100 parts by mass, (B) photosensitive agent: (A) 100 parts by mass of resin. 1 to 50 parts by mass is an essential component.
- the resin (A) of the present invention contains at least one resin selected from the group consisting of polyamic acid ester, novolak, polyhydroxystyrene, and phenol resin as a main component.
- the main component means that these resins are contained in an amount of 60% by mass or more of the total resin, and preferably 80% by mass or more. Moreover, other resin may be included as needed.
- the weight average molecular weight of these resins is preferably 1,000 or more, more preferably 5,000 or more in terms of polystyrene by gel permeation chromatography, from the viewpoint of heat resistance after heat treatment and mechanical properties.
- the upper limit is preferably 100,000 or less, and more preferably 50,000 or less from the viewpoint of solubility in a developer when a photosensitive resin composition is used.
- the (A) resin is preferably a photosensitive resin in order to form a relief pattern.
- the photosensitive resin is a resin that becomes a photosensitive resin composition when used together with the photosensitive agent (B) described later, and causes a phenomenon of dissolution or undissolution in the subsequent development process.
- photosensitive resin polyamic acid ester, novolak, polyhydroxystyrene, and phenol resin are used. These photosensitive resins are either negative-type or positive-type photosensitive resins together with the photosensitive agent (B) described later. It can be selected according to the desired application, such as whether to prepare a composition.
- one example of the most preferable (A) resin from the viewpoint of heat resistance and photosensitive characteristics is the general formula (40): ⁇ Wherein X 1C is a tetravalent organic group, Y 1C is a divalent organic group, n 1C is an integer of 2 to 150, and R 1C and R 2C are each independently , A hydrogen atom, or the general formula (41): (Wherein R 3C , R 4C and R 5C are each independently a hydrogen atom or an organic group having 1 to 3 carbon atoms, and m 1C is an integer of 2 to 10). A monovalent organic group or a saturated aliphatic group having 1 to 4 carbon atoms.
- polyamic acid ester containing the structure represented by these.
- the polyamic acid ester is converted to polyimide by subjecting it to a cyclization treatment (for example, 200 ° C. or higher). Accordingly, the polyamic acid ester is also referred to as a polyimide precursor.
- the polyimide precursor is suitable for a negative photosensitive resin composition.
- the tetravalent organic group represented by XC 1 is preferably an organic group having 6 to 40 carbon atoms, more preferably from the viewpoint of achieving both heat resistance and photosensitive properties.
- -COOR 1C group, -COOR 2C group and -CONH- group are each an aromatic group or an alicyclic aliphatic group in the ortho position.
- the tetravalent organic group represented by X 1C is preferably an organic group having 6 to 40 carbon atoms containing an aromatic ring, and more preferably the following formula (90):
- R25b is a monovalent group selected from a hydrogen atom, a fluorine atom, a C1 to C10 hydrocarbon group, and a C1 to C10 fluorine-containing hydrocarbon group
- l is an integer selected from 0 to 2
- m Is an integer selected from 0 to 3
- n is an integer selected from 0 to 4.
- the structure represented by these is mentioned, it is not limited to these. Further, the structure of X 1C may be one type or a combination of two or more types.
- the X 1C group having a structure represented by the above formula is particularly preferable in terms of achieving both heat resistance and photosensitive characteristics.
- the divalent organic group represented by Y 1C is preferably an aromatic group having 6 to 40 carbon atoms in terms of achieving both heat resistance and photosensitive properties.
- R25b is a monovalent group selected from a hydrogen atom, a fluorine atom, a C1 to C10 hydrocarbon group, and a C1 to C10 fluorine-containing hydrocarbon group, and n is an integer selected from 0 to 4 .
- n is an integer selected from 0 to 4 .
- the structure of YC 1 may be one type or a combination of two or more types.
- the Y 1C group having the structure represented by the above formula is particularly preferable in terms of achieving both heat resistance and photosensitive characteristics.
- R 3C in the general formula (41) is preferably a hydrogen atom or a methyl group, and R 4C and R 5C are preferably a hydrogen atom from the viewpoint of photosensitive properties.
- M 1C is an integer of 2 or more and 10 or less, preferably an integer of 2 or more and 4 or less from the viewpoint of photosensitive characteristics.
- the polyamic acid ester is first composed of the tetracarboxylic dianhydride containing the aforementioned tetravalent organic group X 1C , an alcohol having a photopolymerizable unsaturated double bond, and optionally having 1 to 4 carbon atoms. And a partially esterified tetracarboxylic acid (hereinafter also referred to as an acid / ester), and the divalent organic group Y 1 described above. It can be obtained by amide polycondensation with diamines.
- Examples of the tetracarboxylic dianhydride containing a tetravalent organic group X 1 that is preferably used for preparing a polyamic acid ester in the present invention include the acid dianhydrides represented by the above general formula (90).
- pyromellitic anhydride diphenyl ether-3,3 ′, 4,4′-tetracarboxylic dianhydride, benzophenone-3,3 ′, 4,4′-tetracarboxylic dianhydride, biphenyl-3, 3 ′, 4,4′-tetracarboxylic dianhydride, diphenylsulfone-3,3 ′, 4,4′-tetracarboxylic dianhydride, diphenylmethane-3,3 ′, 4,4′-tetracarboxylic acid Dianhydride, 2,2-bis (3,4-phthalic anhydride) propane, 2,2-bis (3,4-phthalic anhydride) -1,1,1,3,3,3-hexafluoropropane Etc., preferably pyromellitic anhydride, Phenyl ether-3,3 ′, 4,4′-tetracarboxylic dianhydride, benzophenone-3,3 ′, 4,4
- Examples of alcohols having a photopolymerizable unsaturated double bond that are preferably used for preparing a polyamic acid ester in the present invention include 2-acryloyloxyethyl alcohol and 1-acryloyloxy-3-propyl.
- methanol, ethanol, n-propanol, isopropanol, n-butanol, tert-butanol, etc. may be partially mixed and used as the saturated aliphatic alcohol having 1 to 4 carbon atoms.
- the tetracarboxylic dianhydride suitable for the present invention and the alcohols are stirred and dissolved in a solvent as described later at a temperature of 20 to 50 ° C. for 4 to 10 hours in the presence of a basic catalyst such as pyridine. , By mixing, the esterification reaction of the acid anhydride proceeds, and the desired acid / ester product can be obtained.
- a suitable dehydration condensing agent such as dicyclohexylcarbodiimide, 1-ethoxycarbonyl-2-ethoxy-1,2-dihydroquinoline, 1,1-carbonyldioxy-di-1,2,3-benzotriazole, N, N′-disuccinimidyl carbonate and the like are added and mixed to form an acid / ester product as a polyanhydride.
- a target polyimide precursor can be obtained by adding dropwise a solution obtained by dissolving or dispersing a diamine containing a divalent organic group Y 1 suitably used in the present invention in a solvent and subjecting it to amide polycondensation. it can.
- the acid / ester can be reacted with a diamine compound in the presence of a base such as pyridine after the acid moiety has been acid chlorided using thionyl chloride or the like to obtain the target polyimide precursor. .
- diamines containing a divalent organic group Y 1C that are preferably used in the present invention include diamines represented by the above general formula (II), for example, p-phenylenediamine, m-phenylenediamine, 4,4 '-Diaminodiphenyl ether, 3,4'-diaminodiphenyl ether, 3,3'-diaminodiphenyl ether, 4,4'-diaminodiphenyl sulfide, 3,4'-diaminodiphenyl sulfide, 3,3'-diaminodiphenyl sulfide, 4, 4'-diaminodiphenyl sulfone, 3,4'-diaminodiphenyl sulfone, 3,3'-diaminodiphenyl sulfone, 4,4'-diaminobiphenyl, 3,4'-diaminobiphenyl, 3,3'-di
- 1,3-bis (3-aminophenoxy) benzene bis [4- (4-aminophenoxy) phenyl] sulfone, bis [4- (3-aminophenoxy) phenyl] sulfone, 4,4-bis (4-amino) Phenoxy) biphenyl, 4,4-bis (3-aminophenoxy) biphenyl, bis [4- (4-aminophenoxy) phenyl] ether, bis [4- (3-aminophenoxy) phenyl] ether, 1,4-bis (4-aminophenyl) benzene, 1,3-bis (4-aminophenyl) benzene, 9,10-bis (4-aminophenyl) anthracene, 2,2-bis (4-aminophenyl) propane, 2,2 -Bis (4-aminophenyl) hexafluoropropane, 2,2-bis [4- (4-aminophenoxy) phenyl) propane,
- 1,3-3- Diaminosiloxanes such as bis (3-aminopropyl) tetramethyldisiloxane and 1,3-bis (3-aminopropyl) tetraphenyldisiloxane can also be copolymerized.
- the water-absorbing by-product of the dehydrating condensing agent coexisting in the reaction solution is filtered off if necessary, and then a poor solvent such as water, an aliphatic lower alcohol, or a mixture thereof,
- a poor solvent such as water, an aliphatic lower alcohol, or a mixture thereof.
- the polymer component is put into the resulting polymer component, and the polymer component is precipitated. Further, the polymer is purified by repeating redissolution, reprecipitation, and the like. Release.
- the polymer solution may be passed through a column packed with an anion and / or cation exchange resin swollen with a suitable organic solvent to remove ionic impurities.
- the molecular weight of the polyamic acid ester is preferably 8,000 to 150,000, more preferably 9,000 to 50,000, as measured by polystyrene-reduced weight average molecular weight by gel permeation chromatography. preferable.
- the weight average molecular weight is 8,000 or more, the mechanical properties are good, and when it is 150,000 or less, the dispersibility in the developer is good and the resolution performance of the relief pattern is good. Tetrahydrofuran and N-methyl-2-pyrrolidone are recommended as developing solvents for gel permeation chromatography.
- the weight average molecular weight is determined from a calibration curve prepared using standard monodisperse polystyrene. As the standard monodisperse polystyrene, it is recommended to select from standard organic solvent standard sample STANDARD SM-105 manufactured by Showa Denko.
- novolak means all polymers obtained by condensing phenols and formaldehyde in the presence of a catalyst. Generally, a novolak can be obtained by condensing less than 1 mol of formaldehyde with respect to 1 mol of phenols.
- phenols examples include phenol, o-cresol, m-cresol, p-cresol, o-ethylphenol, m-ethylphenol, p-ethylphenol, o-butylphenol, m-butylphenol, p-butylphenol, 2 , 3-xylenol, 2,4-xylenol, 2,5-xylenol, 2,6-xylenol, 3,4-xylenol, 3,5-xylenol, 2,3,5-trimethylphenol, 3,4,5- Examples include trimethylphenol, catechol, resorcinol, pyrogallol, ⁇ -naphthol, ⁇ -naphthol and the like.
- Specific novolaks include, for example, phenol / formaldehyde condensed novolak resins, cresol / formaldehyde condensed novolak resins, phenol-naphthol / formaldehyde condensed novolak resins, and the like.
- the weight average molecular weight of the novolak is preferably 700 to 100,000, more preferably 1,500 to 80,000, still more preferably 2,000 to 50,000.
- the weight average molecular weight is preferably 700 or more from the viewpoint of applicability of the reflow treatment to the cured film, and is preferably 100,000 or less from the viewpoint of alkali solubility of the photosensitive resin composition.
- polyhydroxystyrene means all polymers containing hydroxystyrene as a polymerized unit.
- Preferable examples of polyhydroxystyrene include polyparavinylphenol.
- Polyparavinylphenol means all polymers containing paravinylphenol as polymerized units. Accordingly, polymer units other than hydroxystyrene (for example, paravinylphenol) can be used to constitute polyhydroxystyrene (for example, polyparavinylphenol) unless the object of the present invention is contrary.
- the ratio of the number of moles of hydroxystyrene units based on the number of moles of all polymerized units is preferably 10 mol% to 99 mol%, more preferably 20 to 97 mol%, still more preferably 30 to 95 mol%. %.
- the ratio is 10 mol% or more, it is advantageous from the viewpoint of alkali solubility of the photosensitive resin composition, and when it is 99 mol% or less, a cured film obtained by curing a composition containing a copolymer component described later. This is advantageous from the viewpoint of reflow applicability.
- the polymerized units other than hydroxystyrene can be any polymerized unit that can be copolymerized with hydroxystyrene (for example, paravinylphenol).
- Copolymerization components that give polymerized units other than hydroxystyrene are not limited, and examples thereof include methyl acrylate, methyl methacrylate, hydroxyethyl acrylate, butyl methacrylate, octyl acrylate, and 2-ethoxyethyl.
- novolak and polyhydroxystyrene described above one kind can be used alone, or two or more kinds can be used in combination.
- the weight average molecular weight of polyhydroxystyrene is preferably 700 to 100,000, more preferably 1,500 to 80,000, and still more preferably 2,000 to 50,000.
- the weight average molecular weight is preferably 700 or more from the viewpoint of applicability of the reflow treatment to the cured film, and is preferably 100,000 or less from the viewpoint of alkali solubility of the photosensitive resin composition.
- the (A) phenol resin is represented by the following general formula (46): ⁇ Wherein, a is an integer of 1 to 3, b is an integer of 0 to 3, 1 ⁇ (a + b) ⁇ 4, and R 12C is a monovalent organic compound having 1 to 20 carbon atoms.
- Xc is a divalent aliphatic group having 2 to 10 carbon atoms which may have an unsaturated bond, a divalent alicyclic group having 3 to 20 carbon atoms, and the following general formula (47): (Wherein p is an integer of 1 to 10) and a divalent organic group having an aromatic ring having 6 to 12 carbon atoms and a divalent alkylene oxide group represented by Represents a divalent organic group.
- the phenol resin having the above repeating unit can be cured at a low temperature as compared with, for example, conventionally used polyimide resin and polybenzoxazole resin, and enables formation of a cured film having good elongation. This is particularly advantageous.
- the repeating unit present in the phenol resin molecule may be one type or a combination of two or more types.
- R 12C represents a monovalent organic group having 1 to 20 carbon atoms, a halogen atom, a nitro group, and a cyano group from the viewpoint of reactivity when synthesizing the resin according to the general formula (46).
- R 12C is, from the viewpoint of alkali solubility, a halogen atom, a nitro group, a cyano group, an aliphatic group having 1 to 10 carbon atoms that may have an unsaturated bond, an aromatic group having 6 to 20 carbon atoms, And the following general formula (160): ⁇ Wherein R 61C , R 62C and R 63C each independently represent a hydrogen atom, an aliphatic group having 1 to 10 carbon atoms which may have an unsaturated bond, or an alicyclic group having 3 to 20 carbon atoms.
- R 64C represents a divalent aliphatic group having 1 to 10 carbon atoms which may have an unsaturated bond, 2 having 3 to 20 carbon atoms, or an aromatic group having 6 to 20 carbon atoms; Represents a divalent alicyclic group or a divalent aromatic group having 6 to 20 carbon atoms.
- a is an integer of 1 to 3, but 2 is preferable from the viewpoint of alkali solubility and elongation.
- the substitution position of hydroxyl groups may be any of ortho, meta, and para positions.
- the position of substitution between hydroxyl groups may be any of 1,2,3-position, 1,2,4-position, 1,3,5-position, and the like.
- a 1, a phenol resin having a repeating unit represented by the general formula (46) (hereinafter referred to as (a1)) is used to improve alkali solubility.
- a phenolic resin selected from novolak and polyhydroxystyrene (hereinafter also referred to as (a2) resin) can be further mixed with the resin.
- novolak and polyhydroxystyrene as the (a2) resin the same resins as those described in the above section (Novolak) and (polyhydroxystyrene) can be used.
- b is an integer of 0 to 3, and is preferably 0 or 1 from the viewpoint of alkali solubility and elongation.
- the plurality of R 12 may be the same as or different from each other.
- a and b satisfy the relationship of 1 ⁇ (a + b) ⁇ 4.
- X is a divalent divalent having 2 to 10 carbon atoms that may have an unsaturated bond from the viewpoint of the cured relief pattern shape and the elongation of the cured film.
- R 13C , R 14C , R 15C and R 16C are each independently a hydrogen atom, a monovalent aliphatic group having 1 to 10 carbon atoms, or a part or all of the hydrogen atoms substituted with fluorine atoms.
- R 1C8 , R 19C , R 20C and R 21C are each independently a hydrogen atom, a monovalent aliphatic group having 1 to 10 carbon atoms, or a part or all of the hydrogen atoms replaced by fluorine atoms.
- W is a single bond, an aliphatic group having 1 to 10 carbon atoms which may be substituted with a fluorine atom, or a fluorine atom.
- the carbon number of the divalent organic group having an aromatic ring having 6 to 12 carbon atoms is preferably 8 to 75, more preferably 8 to 40.
- the structure of the divalent organic group having an aromatic ring having 6 to 12 carbon atoms is generally such that in the general formula (46), an OH group and an arbitrary R 12 group are bonded to the aromatic ring. The structure is different.
- the divalent organic group represented by the general formula (50) is represented by the following formula (161) from the viewpoint of good pattern forming properties of the resin composition and good elongation of the cured film after curing. It is more preferable that it is a divalent organic group represented by the following formula (162): The divalent organic group represented by the formula is particularly preferred.
- Xc is particularly preferably the structure represented by the formula (161) or (162), and is represented by the structure represented by the formula (161) or (162) in Xc.
- the proportion of the portion to be formed is preferably 20% by mass or more, and more preferably 30% by mass or more from the viewpoint of elongation.
- the proportion is preferably 80% by mass or less, and more preferably 70% by mass or less, from the viewpoint of alkali solubility of the composition.
- both the structure represented by the following general formula (163) and the structure represented by the following general formula (164) have the same resin skeleton.
- the structure contained therein is particularly preferable from the viewpoint of alkali solubility of the composition and elongation of the cured film.
- R 21C is a monovalent group having 1 to 10 carbon atoms selected from the group consisting of a hydrocarbon group and an alkoxy group, n 7C is 2 or 3, and n 8C is an integer of 0 to 2 M 5C is an integer of 1 to 500, 2 ⁇ (n 7C + n 8C ) ⁇ 4, and when n 8C is 2, the plurality of R 21C may be the same as or different from each other. .
- R 22C and R 23C are each independently a monovalent group having 1 to 10 carbon atoms selected from the group consisting of a hydrocarbon group and an alkoxy group, and n 9C is an integer of 1 to 3, n 10C is an integer of 0 to 2, n 11C is an integer of 0 to 3, m 6C is an integer of 1 to 500, 2 ⁇ (n 9C + n 10C ) ⁇ 4, and n 10C is 2
- the plurality of R 22C may be the same or different from each other, and when n 11C is 2 or 3, the plurality of R 23C may be the same or different from each other.
- M 5C in the general formula (163) and m 6C in the general formula (164) represent the total number of each repeating unit in the main chain of the phenol resin. That is, in the (A) phenol resin, for example, the repeating unit in parentheses in the structure represented by the general formula (163) and the repeating unit in parentheses in the structure represented by the general formula (164) are random. , Blocks or combinations thereof.
- m 5C and m 6C are each independently an integer of 1 to 500, the lower limit is preferably 2, more preferably 3, and the upper limit is preferably 450, more preferably 400, and even more preferably 350. is there.
- m 5C and m 6C are each independently preferably 2 or more from the viewpoint of the toughness of the cured film, and preferably 450 or less from the viewpoint of solubility in an alkaline aqueous solution.
- the total of m 5C and m 6C is preferably 2 or more, more preferably 4 or more, still more preferably 6 or more from the viewpoint of toughness of the film after curing, and from the viewpoint of solubility in an alkaline aqueous solution, Preferably it is 200 or less, More preferably, it is 175 or less, More preferably, it is 150 or less.
- the ratio m 5C / m 6C of the structure represented by the general formula (163) to the structure represented by the general formula (164) is preferably 20/80 or more from the viewpoint of film physical properties after curing. More preferably 40/60 or more, particularly preferably 50/50 or more. From the viewpoint of alkali solubility and cured relief pattern shape, it is preferably 90/10 or less, more preferably 80/20 or less, and still more preferably 70 / 30 or less.
- the phenol resin having the repeating unit represented by the general formula (46) typically includes a phenol compound and a copolymer component (specifically, a compound having an aldehyde group (an aldehyde compound decomposed like trioxane).
- a copolymer component specifically, a compound having an aldehyde group (an aldehyde compound decomposed like trioxane).
- One or more compounds selected from the group), and more typically a monomer component comprising these can be synthesized by a polymerization reaction.
- phenol compound an aldehyde compound, a ketone compound, a methylol compound, an alkoxymethyl compound, a diene compound, a haloalkyl compound, etc. with respect to phenol and / or a phenol derivative (hereinafter also collectively referred to as “phenol compound”) as shown below (A)
- phenol compound a phenol resin
- the moiety represented by the structure in which the OH group and an arbitrary R 12C group are bonded to the aromatic ring is derived from the phenol compound, and the moiety represented by X is the above-mentioned common group. It comes from the polymerization component.
- the charged molar ratio of the phenol compound and the copolymer component (phenol compound): (copolymer component) is 5 : 1 to 1.01: 1 is preferable, and 2.5: 1 to 1.1: 1 is more preferable.
- the weight average molecular weight of the phenol resin having a repeating unit represented by the general formula (46) is preferably 700 to 100,000, more preferably 1,500 to 80,000, and still more preferably 2,000. ⁇ 50,000.
- the weight average molecular weight is preferably 700 or more from the viewpoint of applicability of the reflow treatment to the cured film, and is preferably 100,000 or less from the viewpoint of alkali solubility of the photosensitive resin composition.
- Examples of the phenol compound that can be used to obtain a phenol resin having a repeating unit represented by the general formula (46) include cresol, ethylphenol, propylphenol, butylphenol, amylphenol, cyclohexylphenol, hydroxybiphenyl, benzylphenol, Nitrobenzylphenol, cyanobenzylphenol, adamantanephenol, nitrophenol, fluorophenol, chlorophenol, bromophenol, trifluoromethylphenol, N- (hydroxyphenyl) -5-norbornene-2,3-dicarboximide, N- ( Hydroxyphenyl) -5-methyl-5-norbornene-2,3-dicarboximide, trifluoromethylphenol, hydroxybenzoic acid, hydro Methyl benzoate, ethyl hydroxybenzoate, benzyl hydroxybenzoate, hydroxybenzamide, hydroxybenzaldehyde, hydroxyacetophenone, hydroxybenzophenone,
- aldehyde compound examples include acetaldehyde, propionaldehyde, pivalaldehyde, butyraldehyde, pentanal, hexanal, trioxane, glyoxal, cyclohexylaldehyde, diphenylacetaldehyde, ethylbutyraldehyde, benzaldehyde, glyoxylic acid, 5-norbornene-2-carboxyl Examples include aldehyde, malondialdehyde, succindialdehyde, glutaraldehyde, salicylaldehyde, naphthaldehyde, terephthalaldehyde, and the like.
- ketone compound examples include acetone, methyl ethyl ketone, diethyl ketone, dipropyl ketone, dicyclohexyl ketone, dibenzyl ketone, cyclopentanone, cyclohexanone, bicyclohexanone, cyclohexanedione, 3-butyn-2-one, 2-norbornanone, Adamantanone, 2,2-bis (4-oxocyclohexyl) propane, and the like.
- methylol compound examples include 2,6-bis (hydroxymethyl) -p-cresol, 2,6-bis (hydroxymethyl) -4-ethylphenol, and 2,6-bis (hydroxymethyl) -4-propyl.
- alkoxymethyl compound examples include 2,6-bis (methoxymethyl) -p-cresol, 2,6-bis (methoxymethyl) -4-ethylphenol, and 2,6-bis (methoxymethyl) -4- Propylphenol, 2,6-bis (methoxymethyl) -4-n-butylphenol, 2,6-bis (methoxymethyl) -4-tert-butylphenol, 2,6-bis (methoxymethyl) -4-methoxyphenol, 2,6-bis (methoxymethyl) -4-ethoxyphenol, 2,6-bis (methoxymethyl) -4-propoxyphenol, 2,6-bis (methoxymethyl) -4-n-butoxyphenol, 2,6 -Bis (methoxymethyl) -4-t-butoxyphenol, 1,3-bis (methoxymethyl) urea, 2,2-bis (methoxy) Methyl) butyric acid, 2,2-bis (methoxymethyl) -5-norbornene, 2,3-bis (methoxy
- diene compound examples include butadiene, pentadiene, hexadiene, heptadiene, octadiene, 3-methyl-1,3-butadiene, 1,3-butanediol-dimethacrylate, 2,4-hexadien-1-ol, and methyl.
- haloalkyl compound examples include xylene dichloride, bischloromethyldimethoxybenzene, bischloromethyldurene, bischloromethylbiphenyl, bischloromethyl-biphenylcarboxylic acid, bischloromethyl-biphenyldicarboxylic acid, bischloromethyl-methylbiphenyl, Examples thereof include bischloromethyl-dimethylbiphenyl, bischloromethylanthracene, ethylene glycol bis (chloroethyl) ether, diethylene glycol bis (chloroethyl) ether, triethylene glycol bis (chloroethyl) ether, and tetraethylene glycol bis (chloroethyl) ether.
- a phenol resin can be obtained by condensing the above-described phenolic compound and copolymerization component by dehydration, dehydrohalogenation, or dealcoholization, or by polymerizing while cleaving the unsaturated bond.
- a catalyst may be used during the polymerization.
- the acidic catalyst examples include hydrochloric acid, sulfuric acid, nitric acid, phosphoric acid, phosphorous acid, methanesulfonic acid, p-toluenesulfonic acid, dimethyl sulfuric acid, diethyl sulfuric acid, acetic acid, oxalic acid, 1-hydroxyethylidene-1,1
- examples of the alkaline catalyst include lithium hydroxide, sodium hydroxide, potassium hydroxide, calcium hydroxide, barium hydroxide, sodium carbonate, triethylamine, pyridine, 4-N, N-dimethylaminopyridine, piperidine, Piperazine, 1,4-diazabicyclo [2.2.2] octane, 1,8-diazabicyclo [5.4.0] -7-undecene, 1,5-diazabicyclo [4.3.0] -5-nonene, Ammonia, hexamethylenetetramine and the like can be mentioned.
- the amount of the catalyst used to obtain the phenol resin having the repeating structure represented by the general formula (46) is the total number of moles of copolymerization components (that is, components other than the phenol compound), preferably aldehyde compounds, ketones It is preferably in the range of 0.01 mol% to 100 mol% with respect to 100 mol% of the total number of moles of the compound, methylol compound, alkoxymethyl compound, diene compound and haloalkyl compound.
- the reaction temperature is usually preferably 40 ° C. to 250 ° C., more preferably in the range of 100 ° C. to 200 ° C., and the reaction time is approximately 1 hour to 10 ° C. Time is preferred. If necessary, a solvent capable of sufficiently dissolving the resin can be used.
- the phenol resin having a repeating structure represented by the general formula (46) is obtained by further polymerizing a phenol compound that does not become a raw material of the structure of the general formula (46) as long as the effects of the present invention are not impaired. It may be.
- the range that does not impair the effects of the present invention is, for example, 30% or less of the total number of moles of the phenol compound that is a raw material for the (A) phenol resin.
- a phenol resin modified with a compound having an unsaturated hydrocarbon group having 4 to 100 carbon atoms is composed of a compound having phenol or a derivative thereof and an unsaturated hydrocarbon group having 4 to 100 carbon atoms (hereinafter sometimes referred to simply as “unsaturated carbon”).
- a reaction product with a hydrogen group-containing compound ” (hereinafter also referred to as“ unsaturated hydrocarbon group-modified phenol derivative ”) and a condensation polymerization product of aldehydes, or a phenol resin and an unsaturated hydrocarbon group. It is a reaction product with the containing compound.
- phenol derivative those described above as the raw material of the phenol resin having the repeating unit represented by the general formula (46) can be used.
- the unsaturated hydrocarbon group of the unsaturated hydrocarbon group-containing compound preferably contains two or more unsaturated groups from the viewpoint of residual stress of the cured film and reflow treatment applicability. Further, from the viewpoint of compatibility when the resin composition is used and the residual stress of the cured film, the unsaturated hydrocarbon group preferably has 4 to 100 carbon atoms, more preferably 8 to 80 carbon atoms, and still more preferably carbon atoms. 10-60.
- Examples of the unsaturated hydrocarbon group-containing compound include unsaturated hydrocarbons having 4 to 100 carbon atoms, polybutadiene having a carboxyl group, epoxidized polybudadiene, linoleyl alcohol, oleyl alcohol, unsaturated fatty acid and unsaturated fatty acid ester. Can be mentioned.
- Suitable unsaturated fatty acids include crotonic acid, myristoleic acid, palmitoleic acid, oleic acid, elaidic acid, vaccenic acid, gadoleic acid, erucic acid, nervonic acid, linoleic acid, ⁇ -linolenic acid, eleostearic acid, stearidone
- Examples include acids, arachidonic acid, eicosapentaenoic acid, sardine acid and docosahexaenoic acid.
- vegetable oils that are unsaturated fatty acid esters are particularly preferable from the viewpoints of the elongation of the cured film and the flexibility of the cured film.
- the vegetable oil is usually a non-drying oil containing an ester of glycerin and an unsaturated fatty acid and having an iodine value of 100 or less, a semi-drying oil exceeding 100 and less than 130, or a drying oil of 130 or more.
- Non-drying oils include, for example, olive oil, Asa seed oil, cashew oil, potato oil, camellia oil, castor oil, and peanut oil.
- Examples of semi-drying oils include corn oil, cottonseed oil, and sesame oil.
- the drying oil include paulownia oil, linseed oil, soybean oil, walnut oil, safflower oil, sunflower oil, camellia oil and coconut oil.
- a non-drying oil from the viewpoint of preventing gelation accompanying excessive progress of reaction in the reaction of phenol or a derivative thereof or a phenol resin with vegetable oil, and improving the yield.
- a drying oil from the viewpoint of improving the adhesion, mechanical properties and thermal shock resistance of the resist pattern.
- tung oil, linseed oil, soybean oil, walnut oil and safflower oil are preferable, and tung oil and linseed oil are more preferable because the effects of the present invention can be more effectively and reliably exhibited.
- These vegetable oils are used alone or in combination of two or more.
- the reaction between phenol or a derivative thereof and an unsaturated hydrocarbon group-containing compound is preferably performed at 50 to 130 ° C.
- the reaction ratio between phenol or a derivative thereof and an unsaturated hydrocarbon group-containing compound is 1 to 100 masses of an unsaturated hydrocarbon group-containing compound with respect to 100 parts by mass of phenol or a derivative thereof. Part is preferable, and 5 to 50 parts by mass is more preferable. If the unsaturated hydrocarbon group-containing compound is less than 1 part by mass, the flexibility of the cured film tends to decrease, and if it exceeds 100 parts by mass, the heat resistance of the cured film tends to decrease.
- p-toluenesulfonic acid, trifluoromethanesulfonic acid or the like may be used as a catalyst.
- the phenol resin modified with the unsaturated hydrocarbon group-containing compound is produced by polycondensation of the unsaturated hydrocarbon group-modified phenol derivative produced by the above reaction with aldehydes.
- Aldehydes are, for example, formaldehyde, acetaldehyde, furfural, benzaldehyde, hydroxybenzaldehyde, methoxybenzaldehyde, hydroxyphenylacetaldehyde, methoxyphenylacetaldehyde, crotonaldehyde, chloroacetaldehyde, chlorophenylacetaldehyde, acetone, glyceraldehyde, glyoxylic acid, methyl glyoxylate, Phenyl glyoxylate, hydroxyphenyl glyoxylate, formylacetic acid, methyl formyl acetate, 2-formylpropionic acid, methyl 2-formylpropionate, pyruvic acid, repric acid, 4-
- the reaction between the aldehyde and the unsaturated hydrocarbon group-modified phenol derivative is a polycondensation reaction, and conventionally known synthesis conditions for phenol resins can be used.
- the reaction is preferably performed in the presence of a catalyst such as an acid or a base, and an acid catalyst is more preferably used from the viewpoint of the degree of polymerization (molecular weight) of the resin.
- a catalyst such as an acid or a base
- an acid catalyst is more preferably used from the viewpoint of the degree of polymerization (molecular weight) of the resin.
- the acid catalyst include hydrochloric acid, sulfuric acid, formic acid, acetic acid, p-toluenesulfonic acid, and oxalic acid. These acid catalysts can be used alone or in combination of two or more.
- the above reaction is usually preferably carried out at a reaction temperature of 100 to 120 ° C.
- the reaction time varies depending on the type and amount of the catalyst used, but is usually 1 to 50 hours.
- the reaction product is dehydrated under reduced pressure at a temperature of 200 ° C. or lower to obtain a phenol resin modified with the unsaturated hydrocarbon group-containing compound.
- a solvent such as toluene, xylene, or methanol can be used.
- a phenol resin modified with an unsaturated hydrocarbon group-containing compound can also be obtained by polycondensing the above unsaturated hydrocarbon group-modified phenol derivative with an aldehyde together with a compound other than phenol such as m-xylene.
- the charged molar ratio of the compound other than phenol to the compound obtained by reacting the phenol derivative with the unsaturated hydrocarbon group-containing compound is preferably less than 0.5.
- the phenol resin modified with an unsaturated hydrocarbon group-containing compound can also be obtained by reacting a phenol resin with an unsaturated hydrocarbon group-containing compound.
- the phenol resin used in this case is a polycondensation product of a phenol compound (that is, phenol and / or a phenol derivative) and an aldehyde.
- a phenol derivative and aldehydes the thing similar to the phenol derivative and aldehyde mentioned above can be used, and a phenol resin can be synthesize
- phenol resins obtained from phenol compounds and aldehydes suitable for use in forming phenol resins modified with unsaturated hydrocarbon group-containing compounds include phenol / formaldehyde novolac resins and cresol / formaldehyde.
- examples include novolak resins, xylyleneol / formaldehyde novolak resins, resorcinol / formaldehyde novolak resins and phenol-naphthol / formaldehyde novolak resins.
- the unsaturated hydrocarbon group-containing compound to be reacted with the phenol resin may be the same as the unsaturated hydrocarbon group-containing compound described above for the production of the unsaturated hydrocarbon group-modified phenol derivative to be reacted with aldehydes.
- the reaction between the phenol resin and the unsaturated hydrocarbon group-containing compound is usually preferably carried out at 50 to 130 ° C.
- the reaction rate of a phenol resin and an unsaturated hydrocarbon group containing compound is an unsaturated hydrocarbon group containing compound 1 with respect to 100 mass parts of phenol resins from a viewpoint of improving the flexibility of a cured film (resist pattern). It is preferably from ⁇ 100 parts by weight, more preferably from 2 to 70 parts by weight, even more preferably from 5 to 50 parts by weight.
- the unsaturated hydrocarbon group-containing compound is less than 1 part by mass, the flexibility of the cured film tends to decrease, and if it exceeds 100 parts by mass, the possibility of gelation during the reaction tends to increase, and curing The heat resistance of the film tends to decrease.
- p-toluenesulfonic acid, trifluoromethanesulfonic acid or the like may be used as a catalyst.
- solvents such as toluene, xylene, methanol, tetrahydrofuran, can be used, for example.
- an acid-modified phenol resin by reacting a polybasic acid anhydride with the phenolic hydroxyl group remaining in the phenol resin modified by the unsaturated hydrocarbon group-containing compound produced by the above method. it can.
- acid-modifying with a polybasic acid anhydride a carboxy group is introduced, and the solubility in an aqueous alkali solution (one used as a developer) is further improved.
- the polybasic acid anhydride is not particularly limited as long as it has an acid anhydride group formed by dehydration condensation of a carboxy group of a polybasic acid having a plurality of carboxy groups.
- Examples of the polybasic acid anhydride include phthalic anhydride, succinic anhydride, octenyl succinic anhydride, pentadodecenyl succinic anhydride, maleic anhydride, itaconic anhydride, tetrahydrophthalic anhydride, hexahydrophthalic anhydride, methyltetrahydrophthalic anhydride
- Dibasic acid anhydrides such as methylhexahydrophthalic anhydride, nadic anhydride, 3,6-endomethylenetetrahydrophthalic anhydride, methylendomethylenetetrahydrophthalic anhydride, tetrabromophthalic anhydride and trimellitic anhydride, biphenyltetra Carboxy
- the polybasic acid anhydride is preferably a dibasic acid anhydride, and more preferably at least one selected from the group consisting of tetrahydrophthalic anhydride, succinic anhydride, and hexahydrophthalic anhydride. In this case, there is an advantage that a resist pattern having a better shape can be formed.
- the reaction between the phenolic hydroxyl group and the polybasic acid anhydride can be carried out at 50 to 130 ° C.
- 0.10 to 0.80 mol of polybasic acid anhydride is preferably reacted with 1 mol of phenolic hydroxyl group, more preferably 0.15 to 0.60 mol. More preferably, the reaction is performed at 20 to 0.40 mol. If the polybasic acid anhydride is less than 0.10 mol, the developability tends to decrease, and if it exceeds 0.80 mol, the alkali resistance of the unexposed area tends to decrease.
- the catalyst include tertiary amines such as triethylamine, quaternary ammonium salts such as triethylbenzylammonium chloride, imidazole compounds such as 2-ethyl-4-methylimidazole, and phosphorus compounds such as triphenylphosphine.
- the acid value of the phenol resin further modified with polybasic acid anhydride is preferably 30 to 200 mgKOH / g, more preferably 40 to 170 mgKOH / g, and still more preferably 50 to 150 mgKOH / g. .
- the acid value is less than 30 mgKOH / g, it tends to require a longer time for alkali development than when the acid value is in the above range, and when it exceeds 200 mgKOH / g, the acid value is in the above range. In comparison with the above, the developer resistance of the unexposed portion tends to be lowered.
- the molecular weight of the phenol resin modified with the unsaturated hydrocarbon group-containing compound is preferably from 1,000 to 100,000, preferably from 2,000 to 100,000, in terms of weight average molecular weight, considering the solubility in an aqueous alkali solution and the balance between the photosensitive properties and the cured film properties. Is more preferable.
- Examples of the (A) phenol resin of the present embodiment include a phenol resin having a repeating unit represented by the general formula (46) and a phenol modified with the compound having an unsaturated hydrocarbon group having 4 to 100 carbon atoms.
- a mixture of at least one phenol resin selected from resins (hereinafter also referred to as (a3) resin) and a phenol resin selected from novolak and polyhydroxystyrene (hereinafter also referred to as (a4) resin) is also preferable.
- 95 to 95/5 is preferable
- the novolak and polyhydroxystyrene as the (a4) resin the same resins as those described in the above section (Novolak) and (polyhydroxystyrene) can be used.
- the photosensitive resin composition of the present invention is a negative type using (A) a polyamic acid ester as the resin, or (A) the resin is, for example, mainly novolak, polyhydroxystyrene, or phenolic resin. It differs depending on whether it is a positive type using at least one kind.
- the blending amount of the photosensitive agent in the photosensitive resin composition is 1 to 50 parts by mass with respect to 100 parts by mass of (A) the photosensitive resin.
- the blending amount is 1 part by mass or more from the viewpoint of photosensitivity or patterning property, and is 50 parts by mass or less from the viewpoint of the curability of the photosensitive resin composition or the physical properties of the photosensitive resin layer after curing.
- a photopolymerization initiator and / or a photoacid generator is used as the photosensitizer (B), and the photopolymerization initiator is preferably a photoradical polymerization initiator.
- the photosensitizer (B) a photopolymerization initiator and / or a photoacid generator
- the photopolymerization initiator is preferably a photoradical polymerization initiator.
- Benzophenone, methyl o-benzoylbenzoate Benzophenone derivatives such as 4-benzoyl-4′-methyldiphenyl ketone, dibenzyl ketone, fluorenone, 2,2′-diethoxyacetophenone, 2-hydroxy-2-methylpropiophenone, 1-hydroxycyclohexyl phenyl ketone, etc.
- Acetophenone derivatives such as thioxanthone, 2-methylthioxanthone, 2-isopropylthioxanthone, diethylthioxanthone, benzyl derivatives such as benzyl, benzyldimethyl ketal, benzyl- ⁇ -methoxyethyl acetal,
- Benzoin derivatives such as benzoin and benzoin methyl ether, 1-phenyl-1,2-butanedione-2- (o-methoxycarbonyl) oxime, 1-phenyl-1,2-propanedione-2- (o-methoxycarbonyl) oxime 1-phenyl-1,2-propanedione-2- (o-ethoxycarbonyl) oxime, 1-phenyl-1,2-propanedione-2- (o-benzoyl) oxime, 1,3-diphenylpropanetrione Oximes such as 2- (o-ethoxycarbonyl) oxime, 1-phenyl-3-ethoxypropanetrione-2- (o-benzoyl) oxime, N-arylglycines such as N-phenylglycine, benzoyl perchloride, etc.
- Peroxides, aromatic biimidazoles, titanocenes, ⁇ - (n-o Chest Gandolfo sulfonyl) -4-photoacid generator such as methoxybenzyl cyanide and the like are preferably exemplified, but not limited thereto.
- oximes are more preferable particularly from the viewpoint of photosensitivity.
- the negative photosensitive resin composition exhibits acidity upon irradiation with actinic rays such as ultraviolet rays, and the action of the crosslinking agent described later by component (A) It has the effect
- this photoacid generator examples include diarylsulfonium salts, triarylsulfonium salts, dialkylphenacylsulfonium salts, diaryliodonium salts, aryldiazonium salts, aromatic tetracarboxylic acid esters, aromatic sulfonic acid esters, nitrobenzyl esters, Oxime sulfonic acid esters, aromatic N-oxyimide sulfonates, aromatic sulfamides, haloalkyl group-containing hydrocarbon compounds, haloalkyl group-containing heterocyclic compounds, naphthoquinone diazide-4-sulfonic acid esters, and the like are used.
- Such compounds can be used in combination of two or more as required, or in combination with other sensitizers.
- aromatic oxime sulfonates and aromatic N-oxyimide sulfonates are more preferred, particularly in terms of photosensitivity.
- the blending amount of these photosensitizers is 1 to 50 parts by mass with respect to 100 parts by mass of the resin (B), and preferably 2 to 15 parts by mass from the viewpoint of photosensitivity characteristics.
- B) It is excellent in photosensitivity by mix
- a photoacid generator is used as the photosensitive agent (B), and specifically, a compound having a quinonediazide group, an onium salt, a halogen-containing compound, and the like can be used, but solvent solubility and storage stability. In view of the above, a compound having a diazoquinone structure is preferable.
- Examples of the compound (B) having a quinonediazide group include compounds having a 1,2-benzoquinonediazide structure and compounds having a 1,2-naphthoquinonediazide structure.
- US Pat. No. 2,772,972, US Pat. No. 2,797,213 and US Pat. No. 3,669,658 are known substances.
- the (B) quinonediazide compound includes 1,2-naphthoquinonediazide-4-sulfonic acid ester of a polyhydroxy compound having a specific structure described in detail below, and 1,2-naphthoquinonediazide-5-sulfone of the polyhydroxy compound. It is preferably at least one compound selected from the group consisting of acid esters (hereinafter also referred to as “NQD compound”).
- the NQD compound can be obtained by subjecting a naphthoquinone diazide sulfonic acid compound to sulfonyl chloride with chlorosulfonic acid or thionyl chloride and subjecting the obtained naphthoquinone diazide sulfonyl chloride to a polyhydroxy compound according to a conventional method.
- a predetermined amount of a polyhydroxy compound and 1,2-naphthoquinonediazide-5-sulfonyl chloride or 1,2-naphthoquinonediazide-4-sulfonyl chloride in a solvent such as dioxane, acetone, or tetrahydrofuran, and a basic such as triethylamine can be obtained by reacting in the presence of a catalyst for esterification and washing the resulting product with water and drying.
- the compound (B) having a quinonediazide group is a 1,2-naphthoquinonediazide-4-sulfonic acid ester and / or 1,2 of a hydroxy compound represented by the following general formulas (120) to (124): 2-Naphthoquinonediazide-5-sulfonic acid ester is preferable from the viewpoints of sensitivity and resolution when forming a resist pattern.
- X 11 and X 12 each independently represent a hydrogen atom or a monovalent organic group having 1 to 60 carbon atoms (preferably 1 to 30 carbon atoms), and X 3 and X 4 each represents Independently represents a hydrogen atom or a monovalent organic group having 1 to 60 carbon atoms (preferably 1 to 30 carbon atoms), and r1, r2, r3 and r4 are each independently an integer of 0 to 5; , R3 and r4 are integers of 1 to 5, (r1 + r3) ⁇ 5 and (r2 + r4) ⁇ 5.
- Z represents a tetravalent organic group having 1 to 20 carbon atoms; and X 15 , X 16 , X 17 and X 18 each independently represent a monovalent organic group having 1 to 30 carbon atoms.
- R6 is an integer of 0 or 1
- r5, r7, r8 and r9 are each independently an integer of 0 to 3
- r10, r11, r12 and r13 are each independently 0 to 2 And all of r10, r11, r12, and r13 cannot be zero.
- r14 represents an integer of 1 to 5
- r15 represents an integer of 3 to 8
- (r14 ⁇ r15) L's are each independently a monovalent organic having 1 to 20 carbon atoms.
- (r15) T 1 and (r15) T 2 each independently represents a hydrogen atom or a monovalent organic group having 1 to 20 carbon atoms.
- A represents a divalent organic group containing an aliphatic tertiary or quaternary carbon
- M represents a divalent organic group, preferably the following chemical formula:
- X 20 to X 29 are Each independently represents a monovalent group selected from the group consisting of a hydrogen atom, a halogen atom, an alkyl group, an alkenyl group, an alkoxy group, an allyl group and an acyl group
- Y 10 , Y 11 and Y 12 are Each independently a single bond, —O—, —S—, —SO—, —SO 2 —, —CO—, —CO 2 —, cyclopentylidene,
- Y 10 to Y 12 are each independently the following general formula: ⁇
- X 30 and X 31 each independently represent a hydrogen atom, an alkyl group, an alkenyl group, an aryl group, and at least one monovalent group selected from the group consisting of substituted aryl group
- X 32 , X 33 , X 34 and X 35 each independently represents a hydrogen atom or an alkyl group
- r 21 is an integer of 1 to 5
- X 36 , X 37 , X 38 and X 39 are each independently Represents a hydrogen atom or an alkyl group.
- Examples of the compound represented by the general formula (120) include hydroxy compounds represented by the following formulas (125) to (129). ⁇ Wherein, r16 are each independently 0 to an integer 2, and X 40 each independently represents a monovalent organic group hydrogen atom or a C 1 ⁇ 20, X 40 is a plurality When present, the plurality of X 40 may be the same or different from each other, and X 40 has the general formula:
- X 41 represents a monovalent organic group selected from the group consisting of a hydrogen atom, an alkyl group, and a cycloalkyl group, and r18 is 2) In some cases, the two X 41 may be the same or different from each other.) It is preferable that it is a monovalent organic group represented by these. ⁇
- X 42 is a monovalent organic group selected from the group consisting of a hydrogen atom, an alkyl group having 1 to 20 carbon atoms, an alkoxy group having 1 to 20 carbon atoms, and a cycloalkyl group having 1 to 20 carbon atoms. Represents. ⁇
- r19 are each independently an integer of 0 ⁇ 2
- X 43 are each independently a hydrogen atom or the following general formula: Wherein r20 is an integer from 0 to 2
- X 41 is selected from the group consisting of a hydrogen atom, an alkyl group and a cycloalkyl group, and when r20 is 2, two X 41 are , Which may be the same or different from each other).
- the hydroxy compounds represented by the following formulas (130) to (132) have high sensitivity when converted into NQD compounds, and in the photosensitive resin composition. This is preferable because of low precipitation.
- the hydroxy compound represented by the following formula (133) has high sensitivity when it is an NQD compound and has low precipitation in the photosensitive resin composition. This is preferable.
- the hydroxy compounds represented by the following formulas (134) to (136) have high sensitivity when converted into NQD compounds, and in the photosensitive resin composition. This is preferable because of low precipitation.
- Z is not particularly limited as long as it is a tetravalent organic group having 1 to 20 carbon atoms. From the viewpoint of sensitivity, the following formula: It is preferable that it is a tetravalent group which has a structure represented by these.
- the hydroxy compounds represented by the following formulas (137) to (140) have high sensitivity when converted into NQD compounds, and in the photosensitive resin composition. This is preferable because of its low precipitation.
- the hydroxy compound represented by the following formula (141) has high sensitivity when it is an NQD compound and has low precipitation in the photosensitive resin composition. Therefore, it is preferable.
- r40 is each independently an integer of 0 to 9.
- the hydroxy compound represented by the following formulas (142) and (143) has high sensitivity when it is an NQD compound, and in the photosensitive resin composition. This is preferable because of low precipitation.
- an NQD product of a polyhydroxy compound represented by the following formula (144) has high sensitivity and is precipitated in the photosensitive resin composition. It is preferable because of its low nature.
- this group is either a 1,2-naphthoquinonediazide-5-sulfonyl group or a 1,2-naphthoquinonediazide-4-sulfonyl group.
- the 1,2-naphthoquinonediazide-4-sulfonyl group can absorb the i-line region of a mercury lamp, it is suitable for i-line exposure.
- the 1,2-naphthoquinonediazide-5-sulfonyl group can absorb even the g-line region of a mercury lamp and is suitable for exposure with g-line.
- 1,2-naphthoquinonediazide-4-sulfonic acid ester compound and 1,2-naphthoquinonediazide-5-sulfonic acid ester compound it is preferable to select one or both of 1,2-naphthoquinonediazide-4-sulfonic acid ester compound and 1,2-naphthoquinonediazide-5-sulfonic acid ester compound according to the wavelength to be exposed.
- a 1,2-naphthoquinonediazide sulfonic acid ester compound having a 1,2-naphthoquinonediazide-4-sulfonyl group and a 1,2-naphthoquinonediazide-5-sulfonyl group in the same molecule can be used.
- a mixture of 2-naphthoquinonediazide-4-sulfonic acid ester compound and 1,2-naphthoquinonediazide-5-sulfonic acid ester compound can also be used.
- the average esterification rate of the naphthoquinonediazidesulfonyl ester of the hydroxy compound is preferably 10% to 100%, and preferably 20% to 100% from the viewpoint of development contrast. Further preferred.
- Examples of preferable NQD compounds from the viewpoint of cured film properties such as sensitivity and elongation include those represented by the following general formula group. ⁇ Wherein Q is a hydrogen atom or the following group of formulas: The naphthoquinone diazide sulfonate group represented by any of the above, but not all Q are hydrogen atoms at the same time. ⁇ .
- a naphthoquinone diazide sulfonyl ester compound having a 4-naphthoquinone diazide sulfonyl group and a 5-naphthoquinone diazide sulfonyl group in the same molecule can be used, or a 4-naphthoquinone diazide sulfonyl ester compound and a 5-naphthoquinone diazide. It can also be used by mixing with a sulfonyl ester compound.
- the NQD compounds may be used alone or in combination of two or more.
- onium salt examples include an iodonium salt, a sulfonium salt, a fosiphonium salt, a phosphonium salt, an ammonium salt, and a diazonium salt. Salts are preferred.
- halogen-containing compound examples include haloalkyl group-containing hydrocarbon compounds, and trichloromethyltriazine is preferable.
- the compounding amount of these photoacid generators is 1 to 50 parts by mass, preferably 5 to 30 parts by mass with respect to 100 parts by mass of the resin (A).
- the compounding amount of the photoacid generator as the photosensitive agent is 1 part by mass or more, the patterning property by the photosensitive resin composition is good, and if it is 50 parts by mass or less, after curing of the photosensitive resin composition.
- the film has a good tensile elongation and a small amount of development residue (scum) in the exposed area.
- the photosensitive resin composition of the present invention may further contain components other than the above components (A) and (B).
- Polyamic acid ester, novolak, polyhydroxystyrene, phenol resin The above-mentioned polyamic acid ester resin composition, which is a negative resin composition in the present embodiment, and a novolak resin composition, a poly resin, which is a positive photosensitive resin composition.
- the hydroxystyrene resin composition and the phenol resin composition may contain a solvent for dissolving these resins.
- the solvent examples include amides, sulfoxides, ureas, ketones, esters, lactones, ethers, halogenated hydrocarbons, hydrocarbons, alcohols and the like, for example, N-methyl-2- Pyrrolidone, N, N-dimethylacetamide, N, N-dimethylformamide, dimethyl sulfoxide, tetramethylurea, acetone, methyl ethyl ketone, methyl isobutyl ketone, cyclopentanone, cyclohexanone, methyl acetate, ethyl acetate, butyl acetate, diethyl oxalate, Ethyl lactate, methyl lactate, butyl lactate, ⁇ -butyrolactone, propylene glycol monomethyl ether acetate, propylene glycol monomethyl ether, benzyl alcohol, phenyl glycol, tetrahydrofurfuryl alcohol, ethylene Use
- N-methyl-2-pyrrolidone, dimethyl sulfoxide, tetramethylurea, butyl acetate, ethyl lactate, ⁇ -butyrolactone, propylene from the viewpoints of resin solubility, resin composition stability, and adhesion to the substrate.
- Glycol monomethyl ether acetate, propylene glycol monomethyl ether, diethylene glycol dimethyl ether, benzyl alcohol, phenyl glycol, and tetrahydrofurfuryl alcohol are preferred.
- N-methyl-2-pyrrolidone N, N-dimethylacetamide, N, N-dimethylformamide, dimethyl sulfoxide, tetramethylurea And gamma-butyrolactone.
- Suitable solvents for the above phenolic resins include bis (2-methoxyethyl) ether, methyl cellosolve, ethyl cellosolve, propylene glycol monomethyl ether, propylene glycol monomethyl ether acetate, diethylene glycol dimethyl ether, dipropylene glycol dimethyl ether, cyclohexanone, cyclopentanone. , Toluene, xylene, ⁇ -butyrolactone, N-methyl-2-pyrrolidone and the like, but are not limited thereto.
- ketones, esters, lactones, ethers, hydrocarbons, and halogenated hydrocarbons may be used as a reaction solvent.
- the amount of the solvent used is preferably 100 to 1000 parts by weight, more preferably 120 to 700 parts by weight, and still more preferably with respect to 100 parts by weight of the resin (A). Is in the range of 125 to 500 parts by weight.
- an azole compound, a purine derivative, or the like is included in order to suppress discoloration on copper.
- a nitrogen heterocyclic compound can be arbitrarily blended.
- azole compound 1H-triazole, 5-methyl-1H-triazole, 5-ethyl-1H-triazole, 4,5-dimethyl-1H-triazole, 5-phenyl-1H-triazole, 4-t-butyl-5 -Phenyl-1H-triazole, 5-hydroxyphenyl-1H-triazole, phenyltriazole, p-ethoxyphenyltriazole, 5-phenyl-1- (2-dimethylaminoethyl) triazole, 5-benzyl-1H-triazole, hydroxyphenyl Triazole, 1,5-dimethyltriazole, 4,5-diethyl-1H-triazole, 1H-benzotriazole, 2- (5-methyl-2-hydroxyphenyl) benzotriazole, 2- [2-hydroxy-3,5- Bis ( ⁇ , ⁇ -Dimethylbe Benzyl) phenyl] -benzotriazole, 2- (3,5-di-tert-butyl
- tolyltriazole Particularly preferred are tolyltriazole, 5-methyl-1H-benzotriazole, and 4-methyl-1H-benzotriazole. These azole compounds may be used alone or in a mixture of two or more.
- purine derivatives include purine, adenine, guanine, hypoxanthine, xanthine, theobromine, caffeine, uric acid, isoguanine, 2,6-diaminopurine, 9-methyladenine, 2-hydroxyadenine, 2-methyladenine, 1-methyladenine, N-methyladenine, N, N-dimethyladenine, 2-fluoroadenine, 9- (2-hydroxyethyl) adenine, guanine oxime, N- (2-hydroxyethyl) adenine, 8-aminoadenine, 6-amino-8-phenyl-9H-purine, 1-ethyladenine, 6-ethylaminopurine, 1-benzyladenine, N-methylguanine, 7- (2-hydroxyethyl) guanine, N- (3-chlorophenyl) Guanine, N- (3-ethylphenyl) guanine, 2-a Aden
- the blending amount is preferably 0.1 to 20 parts by mass with respect to 100 parts by mass of the resin (A), from the viewpoint of photosensitivity characteristics. 0.5 to 5 parts by mass is more preferable.
- the compounding amount of the azole compound with respect to 100 parts by mass of the resin (A) is 0.1 parts by mass or more, when the photosensitive resin composition of the present invention is formed on copper or a copper alloy, the surface of the copper or copper alloy On the other hand, when it is 20 parts by mass or less, the photosensitivity is excellent.
- a hindered phenol compound can be arbitrarily blended to suppress discoloration on the copper surface.
- hindered phenol compounds include 2,6-di-t-butyl-4-methylphenol, 2,5-di-t-butyl-hydroquinone, and octadecyl-3- (3,5-di-t-butyl-4.
- Pentaerythrityl-tetrakis [3- (3,5-di-tert-butyl-4-hydroxyphenyl) propionate], tris- (3,5-di-tert-butyl-4-hydroxybenzyl) -isocyanurate, 1,3,5-trimethyl-2,4,6-tris (3,5-di-tert-butyl-4-hydroxybenzyl) benzene, 1,3,5-tris (3-hydroxy-2,6-dimethyl) -4-Isopropylbenzyl) -1,3,5-triazine-2,4,6- (1H, 3H, 5H) -trione, 1,3,5-tris (4-tert-butyl-3-hydroxy-2 , 6-Dimethylbenzyl) -1,3,5-triazine-2,4,6- (1H, 3H, 5H) -trione, 1,3,5-tris (4-s-butyl-3-hydroxy-2) , 6-Dimethylbenzyl)
- 1,3,5-tris (4-tert-butyl-3-hydroxy-2,6-dimethylbenzyl) -1,3,5-triazine-2,4,6- (1H, 3H, 5H ) -Trione and the like are particularly preferred.
- the amount of the hindered phenol compound is preferably 0.1 to 20 parts by mass with respect to 100 parts by mass of the resin (A), and more preferably 0.5 to 10 parts by mass from the viewpoint of photosensitivity characteristics. preferable.
- the compounding quantity with respect to 100 mass parts of (A) resin of a hindered phenol compound is 0.1 mass part or more, for example, when forming the photosensitive resin composition of this invention on copper or a copper alloy, copper or Discoloration / corrosion of the copper alloy is prevented, and on the other hand, when it is 20 parts by mass or less, the photosensitivity is excellent. You may make the photosensitive resin composition of this invention contain a crosslinking agent.
- the crosslinking agent (A) can crosslink the resin, or the crosslinking agent itself can form a crosslinked network. Can be.
- the crosslinking agent can further enhance the heat resistance and chemical resistance of the cured film formed from the photosensitive resin composition.
- crosslinking agent examples include Cymel (registered trademark) 300, 301, 303, 370, 325, 327, 701, 266, 267, 238, 1141, 272, which are compounds containing a methylol group and / or an alkoxymethyl group.
- phenol novolac type epoxy resin cresol novolac type epoxy resin, bisphenol type epoxy resin, trisphenol type epoxy resin, tetraphenol type epoxy resin, phenol-xylylene type epoxy resin, naphthol-xylylene type epoxy resin, phenol, which are oxirane compounds -Naphthol type epoxy resin, phenol-dicyclopentadiene type epoxy resin, alicyclic epoxy resin, aliphatic epoxy resin, diethylene glycol diglycidyl ether, sorbitol polyglycidyl ether, propylene glycol diglycidyl ether, trimethylolpropane polyglycidyl ether, 1 , 1,2,2-tetra (p-hydroxyphenyl) ethanetetraglycidyl ether, glycerol triglyci Ether, ortho-secondary butylphenyl glycidyl ether, 1,6-bis (2,3-epoxypropoxy) naphthalen
- isocyanate group-containing compounds such as 4,4′-diphenylmethane diisocyanate, tolylene diisocyanate, 1,3-phenylene bismethylene diisocyanate, dicyclohexylmethane-4,4′-diisocyanate, isophorone diisocyanate, hexamethylene diisocyanate, takenate ( (Registered Trademark) 500, 600, Cosmonate (Registered Trademark) NBDI, ND (trade name, manufactured by Mitsui Chemicals), Duranate (Registered Trademark) 17B-60PX, TPA-B80E, MF-B60X, MF-K60X, E402- B80T (trade name, manufactured by Asahi Kasei Chemicals Corporation) and the like.
- the bismaleimide compounds 4,4′-diphenylmethane bismaleimide, phenylmethane maleimide, m-phenylene bismaleimide, bisphenol A diphenyl ether bismaleimide, 3,3′-dimethyl-5,5′-diethyl-4,4 '-Diphenylmethane bismaleimide, 4-methyl-1,3-phenylene bismaleimide, 1,6'-bismaleimide- (2,2,4-trimethyl) hexane, 4,4'-diphenyl ether bismaleimide, 4,4' -Diphenylsulfone bismaleimide, 1,3-bis (3-maleimidophenoxy) benzene, 1,3-bis (4-maleimidophenoxy) benzene, BMI-1000, BMI-1100, BMI-2000, BMI-2300, BMI- 3000, BMI-40 0, BMI-5100, BMI-7000, BMI-TMH, BMI-6000, BMI-
- the amount is preferably 0.5 to 20 parts by mass, more preferably 2 to 10 parts by mass with respect to 100 parts by mass of the resin.
- the blending amount is 0.5 parts by mass or more, good heat resistance and chemical resistance are expressed, and when it is 20 parts by mass or less, the storage stability is excellent.
- the photosensitive resin composition of the present invention may contain an organic titanium compound.
- an organic titanium compound By containing an organic titanium compound, a photosensitive resin layer having excellent chemical resistance can be formed even when cured at a low temperature of about 250 ° C.
- Usable organic titanium compounds include those in which an organic chemical substance is bonded to a titanium atom through a covalent bond or an ionic bond.
- Titanium chelate compound a titanium chelate having two or more alkoxy groups is more preferable because it provides storage stability and a good pattern of the negative photosensitive resin composition, and a specific example is titanium bis (Triethanolamine) diisopropoxide, titanium di (n-butoxide) bis (2,4-pentanedionate, titanium diisopropoxide bis (2,4-pentanedionate), titanium diisopropoxide bis ( Tetramethylheptanedionate), titanium diisopropoxide bis (ethylacetoacetate) and the like.
- titanium bis (Triethanolamine) diisopropoxide titanium di (n-butoxide) bis (2,4-pentanedionate, titanium diisopropoxide bis (2,4-pentanedionate), titanium diisopropoxide bis ( Tetramethylheptanedionate), titanium diisopropoxide bis (ethylacetoacetate) and the like.
- Tetraalkoxytitanium compounds for example, titanium tetra (n-butoxide), titanium tetraethoxide, titanium tetra (2-ethylhexoxide), titanium tetraisobutoxide, titanium tetraisopropoxide, titanium tetramethoxide , Titanium tetramethoxypropoxide, titanium tetramethylphenoxide, titanium tetra (n-nonyloxide), titanium tetra (n-propoxide), titanium tetrastearyloxide, titanium tetrakis [bis ⁇ 2,2- (allyloxymethyl) Butoxide ⁇ ] and the like.
- Titanocene compounds for example, pentamethylcyclopentadienyltitanium trimethoxide, bis ( ⁇ 5 -2,4-cyclopentadien-1-yl) bis (2,6-difluorophenyl) titanium, bis ( ⁇ 5 ⁇ 2,4-cyclopentadien-1-yl) bis (2,6-difluoro-3- (1H-pyrrol-1-yl) phenyl) titanium and the like.
- Monoalkoxytitanium compound For example, titanium tris (dioctyl phosphate) isopropoxide, titanium tris (dodecylbenzenesulfonate) isopropoxide, and the like.
- Titanium oxide compound for example, titanium oxide bis (pentanedionate), titanium oxide bis (tetramethylheptanedionate), phthalocyanine titanium oxide, and the like.
- Titanium tetraacetylacetonate compound For example, titanium tetraacetylacetonate.
- Titanate coupling agent For example, isopropyltridodecylbenzenesulfonyl titanate.
- the organic titanium compound is at least one compound selected from the group consisting of I) titanium chelate compound, II) tetraalkoxy titanium compound, and III) titanocene compound. It is preferable from the viewpoint.
- titanium diisopropoxide bis (ethyl acetoacetate), titanium tetra (n-butoxide), and bis ( ⁇ 5 -2,4-cyclopentadien-1-yl) bis (2,6-difluoro-3- ( 1H-pyrrol-1-yl) phenyl) titanium is preferred.
- the blending amount is preferably 0.05 to 10 parts by mass, more preferably 0.1 to 2 parts by mass with respect to 100 parts by mass of the resin (A).
- the blending amount is 0.05 parts by mass or more, good heat resistance and chemical resistance are expressed, and when it is 10 parts by mass or less, the storage stability is excellent.
- an adhesion aid can be arbitrarily blended for improving the adhesion between the film formed using the photosensitive resin composition of the present invention and the substrate.
- Adhesion aids include ⁇ -aminopropyldimethoxysilane, N- ( ⁇ -aminoethyl) - ⁇ -aminopropylmethyldimethoxysilane, ⁇ -glycidoxypropylmethyldimethoxysilane, ⁇ -mercaptopropylmethyldimethoxysilane, 3- Methacryloxypropyldimethoxymethylsilane, 3-methacryloxypropyltrimethoxysilane, dimethoxymethyl-3-piperidinopropylsilane, diethoxy-3-glycidoxypropylmethylsilane, N- (3-diethoxymethylsilylpropyl) succinimide N- [3- (triethoxysilyl) propyl] phthalamic acid, benzophenone-3,3′-bis (N- [
- the amount of the adhesion assistant is preferably in the range of 0.5 to 25 parts by mass with respect to 100 parts by mass of the resin (A).
- silane coupling agent 3-mercaptopropyltrimethoxysilane (manufactured by Shin-Etsu Chemical Co., Ltd .: trade name KBM803, manufactured by Chisso Corporation: trade name: Silaace S810), 3-mercaptopropyltriethoxysilane (manufactured by Asmax Co., Ltd .: Trade name: SIM6475.0), 3-mercaptopropylmethyldimethoxysilane (manufactured by Shin-Etsu Chemical Co., Ltd .: trade name: LS1375, manufactured by Azumax Co., Ltd .: trade name: SIM6474.0), mercaptomethyltrimethoxysilane (manufactured by Azumax Corporation: product Name SIM6473.5C), mercaptomethylmethyldimethoxysilane (manufactured by Azmax Co., Ltd .: trade name SIM6473.0), 3-mercaptopropyldiethoxymethoxysilane,
- N- (3-trimethoxysilylpropyl) urea (manufactured by Azmax Co., Ltd .: trade name SIU9058.0), N- (3-diethoxymethoxysilylpropyl) urea, N- (3-ethoxydimethoxysilylpropyl) Urea, N- (3-tripropoxysilylpropyl) urea, N- (3-diethoxypropoxysilylpropyl) urea, N- (3-ethoxydipropoxysilylpropyl) urea, N- (3-dimethoxypropoxysilylpropyl) urea Urea, N- (3-methoxydi Propoxysilylpropyl) urea, N- (3-trimethoxysilylethyl) urea, N- (3-ethoxydimethoxysilylethyl) urea, N- (3-tripropoxysilylethyl) urea, N- (3- (3-
- silane coupling agent among the above-mentioned silane coupling agents, from the viewpoint of storage stability, phenylsilanetriol, trimethoxyphenylsilane, trimethoxy (p-tolyl) silane, diphenylsilanediol, dimethoxydiphenylsilane, diethoxy Diphenylsilane, dimethoxydi-p-tolylsilane, triphenylsilanol, and a silane coupling agent represented by the following structure are preferred.
- the amount of the silane coupling agent used is preferably 0.01 to 20 parts by mass with respect to 100 parts by mass of the resin (A).
- the photosensitive resin composition of the present invention may further contain components other than the above components.
- the preferred component varies depending on whether the negative type using a polyamic acid ester resin or the like or a positive type using a phenol resin or the like as the resin (A).
- a sensitizer in the case of a negative type using a polyimide precursor or the like as a resin, a sensitizer can be arbitrarily blended in order to improve photosensitivity.
- the sensitizer include Michler's ketone, 4,4′-bis (diethylamino) benzophenone, 2,5-bis (4′-diethylaminobenzal) cyclopentane, and 2,6-bis (4′-diethylaminobenzal).
- the blending amount is preferably 0.1 to 25 parts by mass with respect to 100 parts by mass of (A) resin.
- a monomer having a photopolymerizable unsaturated bond can be arbitrarily blended.
- a monomer is preferably a (meth) acryl compound that undergoes a radical polymerization reaction with a photopolymerization initiator, and is not particularly limited to the following, but includes ethylene glycol or polyethylene such as diethylene glycol dimethacrylate and tetraethylene glycol dimethacrylate.
- the blending amount of the monomer having a photopolymerizable unsaturated bond is ( A) The amount is preferably 1 to 50 parts by mass with respect to 100 parts by mass of the resin.
- a thermal polymerization inhibitor can be optionally blended.
- Thermal polymerization inhibitors include hydroquinone, N-nitrosodiphenylamine, p-tert-butylcatechol, phenothiazine, N-phenylnaphthylamine, ethylenediaminetetraacetic acid, 1,2-cyclohexanediaminetetraacetic acid, glycol etherdiaminetetraacetic acid, 2,6 -Di-tert-butyl-p-methylphenol, 5-nitroso-8-hydroxyquinoline, 1-nitroso-2-naphthol, 2-nitroso-1-naphthol, 2-nitroso-5- (N-ethyl-N- Sulfopropylamino) phenol, N-nitroso-N-phenylhydroxylamine ammonium salt, N-nitroso-N (1-naphthyl) hydroxylamine ammonium salt and the like are used.
- the blending amount of the thermal polymerization inhibitor when blended in the photosensitive resin composition is preferably in the range of 0.005 to 12 parts by mass with respect to 100 parts by mass of the resin (A).
- the photosensitive resin composition of the present invention in the case of a positive type using a phenol resin or the like as the resin (A), if necessary, a dye conventionally used as an additive for the photosensitive resin composition, A surfactant, a thermal acid generator, a dissolution accelerator, an adhesion aid for enhancing the adhesion to the substrate, and the like can be added.
- the above additives include, for example, methyl violet, crystal violet, malachite green and the like as the dye.
- the surfactant include non-ionic surfactants made of polyglycols such as polypropylene glycol or polyoxyethylene lauryl ether or derivatives thereof, such as Fluorard (trade name, manufactured by Sumitomo 3M), Fluorosurfactants such as trade name, Dainippon Ink and Chemicals) or Lumiflon (trade name, manufactured by Asahi Glass), such as KP341 (trade name, manufactured by Shin-Etsu Chemical), DBE (trade name, manufactured by Chisso) ) And granol (trade name, manufactured by Kyoeisha Chemical Co., Ltd.) and the like.
- adhesion assistant examples include alkyl imidazoline, butyric acid, alkyl acid, polyhydroxystyrene, polyvinyl methyl ether, t-butyl novolac, epoxy silane, epoxy polymer, and various silane coupling agents.
- the blending amount of the above dye and surfactant is preferably 0.1 to 30 parts by mass with respect to 100 parts by mass of the resin (A).
- a thermal acid generator can be arbitrarily blended from the viewpoint of exhibiting good thermal and mechanical properties of the cured product.
- the thermal acid generator is preferably blended from the viewpoint of exhibiting good thermal and mechanical properties of the cured product even when the curing temperature is lowered.
- thermal acid generator examples include a salt formed from a strong acid such as an onium salt having a function of generating an acid by heat and a base, and imide sulfonate.
- Examples of the onium salt include diaryl iodonium salts such as aryldiazonium salts and diphenyliodonium salts; di (alkylaryl) iodonium salts such as di (t-butylphenyl) iodonium salts; trialkylsulfonium salts such as trimethylsulfonium salts; Examples thereof include dialkyl monoaryl sulfonium salts such as dimethylphenylsulfonium salt; diarylmonoalkyl iodonium salts such as diphenylmethylsulfonium salt; triarylsulfonium salts and the like.
- di (t-butylphenyl) iodonium salt of paratoluenesulfonic acid di (t-butylphenyl) iodonium salt of trifluoromethanesulfonic acid, trimethylsulfonium salt of trifluoromethanesulfonic acid, dimethyl of trifluoromethanesulfonic acid Phenylsulfonium salt, diphenylmethylsulfonium salt of trifluoromethanesulfonic acid, di (t-butylphenyl) iodonium salt of nonafluorobutanesulfonic acid, diphenyliodonium salt of camphorsulfonic acid, diphenyliodonium salt of ethanesulfonic acid, benzenesulfonic acid A dimethylphenylsulfonium salt, a diphenylmethylsulfonium salt of toluenesulfonic acid, and the like are prefer
- the salt formed from a strong acid and a base in addition to the onium salt described above, the following salt formed from a strong acid and a base, such as a pyridinium salt, can also be used.
- Strong acids include p-toluenesulfonic acid, arylsulfonic acid such as benzenesulfonic acid, camphorsulfonic acid, trifluoromethanesulfonic acid, perfluoroalkylsulfonic acid such as nonafluorobutanesulfonic acid, methanesulfonic acid, ethanesulfonic acid And alkylsulfonic acid such as butanesulfonic acid.
- the base include pyridine, alkylpyridines such as 2,4,6-trimethylpyridine, N-alkylpyridines such as 2-chloro-N-methylpyridine, and halogenated-N-alkylpyridines.
- imide sulfonate for example, naphthoyl imide sulfonate, phthalimide sulfonate, and the like can be used, but there is no limitation as long as the compound generates an acid by heat.
- the amount of the thermal acid generator used is preferably 0.1 to 30 parts by weight, more preferably 0.5 to 10 parts by weight, and more preferably 1 to 5 parts by weight with respect to 100 parts by weight of the resin (A). More preferably.
- a dissolution accelerator can be used in order to accelerate the removal of the resin that has become unnecessary after the exposure.
- a compound having a hydroxyl group or a carboxyl group is preferred.
- the compound having a hydroxyl group include the ballast agent used in the above-mentioned naphthoquinone diazide compound, paracumylphenol, bisphenols, resorcinols, and linear phenol compounds such as MtrisPC and MtetraPC, TrisP-HAP, TrisP -Non-linear phenolic compounds such as PHBA and TrisP-PA (all manufactured by Honshu Chemical Industry Co., Ltd.), 2-5 phenol substitutes of diphenylmethane, 1-5 phenol substitutes of 3,3-diphenylpropane, A compound obtained by reacting 2,2-bis- (3-amino-4-hydroxyphenyl) hexafluoropropane with 5-norbornene-2,3
- Examples of the compound having a carboxyl group include 3-phenyllactic acid, 4-hydroxyphenyllactic acid, 4-hydroxymandelic acid, 3,4-dihydroxymandelic acid, 4-hydroxy-3-methoxymandelic acid, 2-methoxy-2 -(1-Naphthyl) propionic acid, mandelic acid, atrolactic acid, ⁇ -methoxyphenylacetic acid, O-acetylmandelic acid, itaconic acid and the like can be mentioned.
- the blending amount in the case of using a dissolution accelerator is preferably 0.1 to 30 parts by mass with respect to 100 parts by mass of (A) resin.
- the present invention also includes (1) a step of forming a resin layer on the substrate by applying the above-described photosensitive resin composition of the present invention onto the substrate, and (2) a step of exposing the resin layer. And (3) developing the exposed resin layer to form a relief pattern, and (4) forming a cured relief pattern by heat-treating the relief pattern under microwave irradiation.
- a method for producing a cured relief pattern is provided.
- substrate the photosensitive resin composition of this invention is apply
- a coating method a method conventionally used for coating a photosensitive resin composition, for example, a method of coating with a spin coater, bar coater, blade coater, curtain coater, screen printing machine, etc., spray coating with a spray coater A method or the like can be used.
- the coating film made of the photosensitive resin composition can be dried.
- a drying method methods such as air drying, heat drying using an oven or a hot plate, vacuum drying, and the like are used. Specifically, when air drying or heat drying is performed, the drying can be performed at 20 ° C. to 140 ° C. for 1 minute to 1 hour. As described above, the resin layer can be formed on the substrate.
- Step of exposing the resin layer the resin layer formed above is exposed directly or directly through a photomask or reticle having a pattern using an exposure apparatus such as a contact aligner, mirror projection, or stepper. Exposure is performed with an ultraviolet light source or the like.
- post-exposure baking PEB
- pre-development baking with any combination of temperature and time may be performed as necessary for the purpose of improving photosensitivity.
- the range of the baking conditions is that the temperature is 40 to 120 ° C. and the time is preferably 10 seconds to 240 seconds, but this range is not used unless it inhibits various characteristics of the photosensitive resin composition of the present invention. Not limited to.
- Step of developing the exposed resin layer to form a relief pattern the exposed or unexposed portion of the exposed photosensitive resin layer is developed and removed.
- a negative photosensitive resin composition for example, when (A) a polyamic acid ester is used as the resin
- the unexposed portion is developed and removed
- a positive photosensitive resin composition for example, ( A)
- a phenol resin is used as the resin
- the exposed portion is developed and removed.
- a developing method an arbitrary method can be selected and used from conventionally known photoresist developing methods such as a rotary spray method, a paddle method, and an immersion method involving ultrasonic treatment.
- post-development baking at any combination of temperature and time may be performed as necessary.
- the developer used for development is preferably a good solvent for the photosensitive resin composition or a combination of the good solvent and the poor solvent.
- good solvents include N-methylpyrrolidone, N-cyclohexyl-2-pyrrolidone, N, N-dimethylacetamide, cyclopentanone, cyclohexanone, ⁇ -butyrolactone, ⁇ -Acetyl- ⁇ -butyrolactone and the like are preferable, and as the poor solvent, toluene, xylene, methanol, ethanol, isopropyl alcohol, ethyl lactate, propylene glycol methyl ether acetate, water and the like are preferable.
- the ratio of the poor solvent to the good solvent depending on the solubility of the polymer in the photosensitive resin composition.
- two or more of each solvent for example, several types may be used in combination.
- the developer used for development is one that dissolves and removes the aqueous alkali-soluble polymer, and is typically an aqueous alkaline solution in which an alkali compound is dissolved.
- the alkali compound dissolved in the developer may be either an inorganic alkali compound or an organic alkali compound.
- Examples of the inorganic alkali compound include lithium hydroxide, sodium hydroxide, potassium hydroxide, diammonium hydrogen phosphate, dipotassium hydrogen phosphate, disodium hydrogen phosphate, lithium silicate, sodium silicate, potassium silicate. , Lithium carbonate, sodium carbonate, potassium carbonate, lithium borate, sodium borate, potassium borate, and ammonia.
- organic alkali compound examples include tetramethylammonium hydroxide, tetraethylammonium hydroxide, trimethylhydroxyethylammonium hydroxide, methylamine, dimethylamine, trimethylamine, monoethylamine, diethylamine, triethylamine, n-propylamine, diethylamine.
- -N-propylamine isopropylamine, diisopropylamine, methyldiethylamine, dimethylethanolamine, ethanolamine, triethanolamine and the like.
- a relief pattern can be formed as described above.
- Step of forming a cured relief pattern by heat-treating the relief pattern under microwave irradiation the relief pattern obtained by the above development is heated under microwave irradiation to form a cured relief pattern.
- Convert. There is no particular limitation on the frequency and output of the microwave to be irradiated and the method of irradiation. As a method of heat curing, it is necessary to carry out in an oven capable of microwave irradiation. The heating can be performed, for example, at 180 ° C. to 400 ° C. for 30 minutes to 5 hours, but is preferably performed in a temperature range of 180 ° C. to 250 ° C. Air may be used as the atmospheric gas during heat curing, and an inert gas such as nitrogen or argon may be used.
- the present invention also provides a semiconductor device including a cured relief pattern obtained by the above-described method for producing a cured relief pattern of the present invention.
- the present invention also provides a semiconductor device including a base material that is a semiconductor element and a cured relief pattern of a resin formed on the base material by the above-described cured relief pattern manufacturing method.
- the present invention can also be applied to a method for manufacturing a semiconductor device that uses a semiconductor element as a substrate and includes the above-described method for manufacturing a cured relief pattern as part of the process.
- the semiconductor device of the present invention is a semiconductor device having a surface relief film, an interlayer insulation film, a rewiring insulation film, a flip chip device protection film, or a bump structure as a cured relief pattern formed by the above-described cured relief pattern production method. And can be manufactured by combining with a known method for manufacturing a semiconductor device.
- the photosensitive resin composition of the present invention is useful not only for application to semiconductor devices as described above, but also for uses such as interlayer insulation for multilayer circuits, cover coating for flexible copper-clad plates, solder resist films, and liquid crystal alignment films. It is.
- the weight average molecular weight (Mw) of each resin was measured by the gel permeation chromatography method (standard polystyrene conversion).
- the column used for the measurement is the trade name “Shodex 805M / 806M series” manufactured by Showa Denko KK, and the standard monodisperse polystyrene is selected from the trade name “Shodex STANDARD SM-105” manufactured by Showa Denko KK
- the developing solvent was N-methyl-2-pyrrolidone, and the detector used was a trade name “Shodex RI-930” manufactured by Showa Denko KK.
- This coating film was irradiated with energy of 300 mJ / cm 2 by a parallel light mask aligner (PLA-501FA type, manufactured by Canon Inc.) using a mask with a test pattern.
- PPA-501FA type manufactured by Canon Inc.
- the wafer on which this coating film was formed was subjected to heat treatment at 230 ° C. for 2 hours in a nitrogen atmosphere by using a temperature rising programmed curing furnace (VF-2000 type, manufactured by Koyo Lindberg Co., Ltd.).
- VF-2000 type temperature rising programmed curing furnace
- the prepared cured film was treated with a pressure cooker tester device (manufactured by Hirayama Seisakusho, PC-422R8D type) under the conditions of 120 ° C., 2 atm, and relative humidity of 100% for 100 hours. Each of the cuts was cut 11 times in a grid pattern to create 100 independent films. Thereafter, a peel test was performed with cello tape (registered trademark), and the number of peels was recorded in Table 1 described later. The smaller the number of separations, the better the reliability as a semiconductor.
- ⁇ Chemical resistance test> On a 6-inch silicon wafer (Fujimi Electronics Co., Ltd., thickness: 625 ⁇ 25 ⁇ m), a photosensitive polyamic acid ester composition prepared by the method described later is rotated using a coater developer (D-Spin60A type, manufactured by SOKUDO). It was applied and dried to form a 10 ⁇ m thick coating film. This coating film was irradiated with energy of 300 mJ / cm 2 by a parallel light mask aligner (PLA-501FA type, manufactured by Canon Inc.) using a mask with a test pattern. Next, the wafer on which this coating film was formed was heat-treated at 230 ° C.
- VF-2000 type manufactured by Koyo Lindberg
- Si a temperature-programming cure furnace
- a cured relief pattern made of 7 ⁇ m thick polyimide resin was obtained.
- the prepared cured film was treated at 150 ° C. for 1000 hours with a pressure cooker tester device (manufactured by Hirayama Seisakusho, PC-422R8D type), and then treated with a chemical solution (1 wt% potassium hydroxide / tetramethylammonium hydroxide solution) at 110 ° C. 60
- the remaining film rate after immersion for 1 minute and the presence or absence of cracks were observed.
- a film having a residual film ratio of 90% and no crack was observed was marked with ⁇ , and a film not satisfying either one was marked with x.
- the obtained reaction solution was added to 3 L of ethyl alcohol to produce a precipitate consisting of a crude polymer.
- the produced crude polymer was separated by filtration and dissolved in 1.5 lg of tetrahydrofuran to obtain a crude polymer solution.
- the obtained crude polymer solution was dropped into 28 L of water to precipitate a polymer, and the resulting precipitate was filtered off and then dried under vacuum to obtain a powdery polymer (Polymer 1).
- the molecular weight of the polymer 1 was measured by gel permeation chromatography (standard polystyrene conversion), the weight average molecular weight (Mw) was 22,000.
- a negative photosensitive resin composition was prepared by the following method, and the prepared photosensitive resin composition was evaluated.
- Polymer 1 (corresponding to resin (A1)) 50 g and polymer 5 (corresponding to resin (A4)) 50 g, TR-PBG-305 (manufactured by Changzhou Powerful New Electronic Materials Co., Ltd., trade name)
- C1 ⁇ -but
- Example 2 A photosensitive resin composition was prepared in the same manner as described in Example 1 except that 20 g of polymer 1 of Example 1 was used instead of 50 g and 80 g of polymer 5 was used instead of 50 g. Was evaluated. The evaluation results are shown in Table 1.
- Example 3 A photosensitive resin composition was prepared in the same manner as in Example 1 except that 80 g of polymer 1 of Example 1 was used instead of 50 g and 20 g of polymer 5 was used instead of 50 g. Was evaluated. The evaluation results are shown in Table 1.
- Example 4 A photosensitive resin composition was prepared in the same manner as in Example 1 except that Polymer 2 was used instead of Polymer 1 in Example 1, and the same evaluation was performed. The evaluation results are shown in Table 1.
- Example 5 A photosensitive resin composition was prepared in the same manner as in Example 1 except that Polymer 3 was used instead of Polymer 1 in Example 1, and the same evaluation was performed. The evaluation results are shown in Table 1.
- Example 6 A photosensitive resin composition was prepared in the same manner as in Example 1 except that Polymer 4 was used instead of Polymer 1 in Example 1, and the same evaluation was performed. The evaluation results are shown in Table 1.
- Example 7 A photosensitive resin composition was prepared in the same manner as in Example 1 except that Polymer 6 was used instead of Polymer 5 in Example 1, and the same evaluation was performed. The evaluation results are shown in Table 1.
- Example 8> A photosensitive resin composition was prepared in the same manner as in Example 1 except that 200 g of GBL instead of 160 g of Example 1 was used and DMSO was removed, and the same evaluation was performed. The evaluation results are shown in Table 1.
- Example 9 A photosensitive resin composition was prepared in the same manner as in Example 1 except that 200 g of N-methylpyrrolidone (NMP) was used instead of GBL in Example 1 and DMSO was removed. Evaluation was performed. The evaluation results are shown in Table 1.
- NMP N-methylpyrrolidone
Landscapes
- Physics & Mathematics (AREA)
- General Physics & Mathematics (AREA)
- Spectroscopy & Molecular Physics (AREA)
- Chemical & Material Sciences (AREA)
- Chemical Kinetics & Catalysis (AREA)
- Organic Chemistry (AREA)
- Health & Medical Sciences (AREA)
- Medicinal Chemistry (AREA)
- Polymers & Plastics (AREA)
- Engineering & Computer Science (AREA)
- Life Sciences & Earth Sciences (AREA)
- Materials Engineering (AREA)
- Wood Science & Technology (AREA)
- Materials For Photolithography (AREA)
- Exposure And Positioning Against Photoresist Photosensitive Materials (AREA)
- Macromolecular Compounds Obtained By Forming Nitrogen-Containing Linkages In General (AREA)
- Photosensitive Polymer And Photoresist Processing (AREA)
- Macromonomer-Based Addition Polymer (AREA)
- Polymerisation Methods In General (AREA)
- Polymerization Catalysts (AREA)
Abstract
Description
[1]
(A)下記一般式(1):
(B)感光剤;
を含むネガ型感光性樹脂組成物であって、
前記(A)成分が、以下の(A1)樹脂~(A3)樹脂のうちの少なくとも1つと、以下の(A4)樹脂とのブレンドであることを特徴とする、前記樹脂組成物。
(A1)前記一般式(1)中のXが、下記一般式(4):
(A2)前記一般式(1)中のXが、下記一般式(8):
(A3)前記一般式(1)中のXが、前記一般式(4)、(5)又は(6)で表わされる基であり、かつ、前記一般式(1)中のYが、前記一般式(9)又は(10)で表される基である樹脂;及び、
(A4)前記一般式(1)中のXが、前記一般式(8)で表わされる基であり、かつ、前記一般式(1)中のYが、前記一般式(7)で表わされる基である樹脂。
[2]
前記一般式(6)で表わされる基が、下記一般式(X1):
前記一般式(8)で表わされる構造が、下記一般式(X2):
[3]
前記(A1)の一般式(1)中のXのうち50mol%以上が前記一般式(4)、(5)又は(6)で表わされる基であり、かつ、Yのうち50mol%以上が前記一般式(7)で表わされる基である、[1]又は[2]に記載のネガ型感光性樹脂組成物。
[4]
前記(A2)の一般式(1)中のXのうち50mol%以上が前記一般式(8)で表わされる基であり、かつ、前記Yのうち50mol%以上が前記一般式(9)又は(10)で表わされる基である、[1]~[3]のいずれか一項に記載のネガ型感光性樹脂組成物。
[5]
前記(A3)の一般式(1)中のXのうち、50mol%以上が前記一般式(4)、(5)又は(6)で表わされる基であり、かつ、Yのうち50mol%以上が、前記一般式(9)又は(10)で表わされる基である、[1]~[4]のいずれか一項に記載のネガ型感光性樹脂組成物。
[6]
前記(A4)の一般式(1)中のXのうち、50mol%以上が前記一般式(8)で表わされる基であり、かつ、前記一般式(1)中のYのうち、50mol%以上が前記一般式(7)で表わされる基である、[1]~[5]のいずれか一項に記載のネガ型感光性樹脂組成物。
[7]
前記(A4)の含有率が、前記(A1)~(A4)の質量の和に対して10質量%以上90質量%以下である、[1]~[6]のいずれか一項に記載のネガ型感光性樹脂組成物。
[8]
前記(A1)~(A4)の質量の和が、(A)成分全体の質量の50%以上である、[1]~[7]のいずれか一項に記載のネガ型感光性樹脂組成物。
[9]
前記(A1)の一般式(1)中のXのうち、50mol%以上が前記一般式(4)、(5)又は(6)で表わされる基であり、かつ、前記一般式(1)中のYのうち、50mol%以上が、下記式(11):
[10]
前記(A2)の一般式(1)中のXのうち、50mol%以上が下記式(12):
[11]
前記(A4)の一般式(1)中のXのうち、50mol%以上が上記式(12)で表わされる基であり、かつ、前記一般式(1)中のYのうち、50mol%以上が上記式(11)で表わされる基である、[1]~[10]のいずれか一項に記載のネガ型感光性樹脂組成物。
[12]
前記(A4)の一般式(1)中のXのうち、80mol%以上が上記式(12)で表わされる基であり、かつ、前記一般式(1)中のYのうち、80mol%以上が上記式(11)で表わされる基である、[11]に記載のネガ型感光性樹脂組成物。
[13]
沸点が200℃以上250℃以下の溶媒(C1)と、160℃以上190℃以下の溶媒(C2)と、を含む、[11]又は[12]に記載のネガ型感光性樹脂組成物。
[14]
前記(C)溶媒が、γ―ブチロラクトン、ジメチルスルホキシド、テトラヒドロフルフリルアルコール、アセト酢酸エチル、こはく酸ジメチル、マロン酸ジメチル、N,N-ジメチルアセトアセトアミド、ε―カプロラクトン、および1,3-ジメチル―2-イミダゾリジノンからなる群から選択される少なくとも2種を含む、[11]又は[12]に記載のネガ型感光性樹脂組成物。
[15]
前記溶媒(C1)はγ―ブチロラクトンであり、かつ、前記溶媒(C2)はジメチルスルホキシドである、[14]に記載のネガ型感光性樹脂組成物。
[16]
前記溶媒(C2)の質量が、前記溶媒(C1)と前記溶媒(C2)の質量の和に対して5%以上50%以下である、[13]~[15]のいずれか一項に記載のネガ型感光性樹脂組成物。
[17]
沸点が200℃以上250℃以下の溶媒(C1)と、160℃以上190℃以下の溶媒(C2)とを含む、[1]~[16]のいずれか一項に記載のネガ型感光性樹脂組成物。
[18]
前記(C)溶媒が、γ―ブチロラクトン、ジメチルスルホキシド、テトラヒドロフルフリルアルコール、アセト酢酸エチル、こはく酸ジメチル、マロン酸ジメチル、N,N-ジメチルアセトアセトアミド、ε―カプロラクトン、および1,3-ジメチル―2-イミダゾリジノンから選択される少なくとも2種を含む、[17]に記載のネガ型感光性樹脂組成物。
[19]
前記溶媒(C1)はγ―ブチロラクトンであり、かつ前記溶媒(C2)はジメチルスルホキシドである、[18]に記載のネガ型感光性樹脂組成物。
[20]
前記溶媒(C2)の質量が、前記溶媒(C1)と前記溶媒(C2)の質量の和に対して5%以上50%以下である、[17]~[19]のいずれか一項に記載のネガ型感光性樹脂組成物。
[21]
(A)下記一般式(18):
(B)感光剤;並びに
(C)溶媒;
を含むネガ型感光性樹脂組成物。
[22]
上記一般式(18)中のX1とX2が、下記一般式(4):
[23]
上記一般式(18)中の上記Y1とY2が下記一般式(7):
[24]
上記一般式(18)中のX1とX2が、上記一般式(4)、(5)、(6)、及び(8)からなる群から選択される少なくとも1つであり、そして上記一般式(18)中のY1とY2が、上記一般式(7)、(9)及び(10)からなる群から選択される少なくとも1つである、[22]又は[23]に記載のネガ型感光性樹脂組成物。
[25]
上記一般式(18)中のX1とX2の少なくとも一方が上記一般式(8)であり、そしてY1、Y2の少なくとも一方が上記一般式(7)である、[22]~[24]のいずれか一項に記載のネガ型感光性樹脂組成物。
[26]
上記一般式(18)中のX1が上記一般式(8)であり、そしてY1が上記一般式(7)である、[22]~[25]のいずれか一項に記載のネガ型感光性樹脂組成物。
[27]
前記(C)溶媒が、N-メチル-2-ピロリドン、γ―ブチロラクトン、ジメチルスルホキシド、テトラヒドロフルフリルアルコール、アセト酢酸エチル、こはく酸ジメチル、マロン酸ジメチル、N,N-ジメチルアセトアセトアミド、ε―カプロラクトン、及び1,3-ジメチル―2-イミダゾリジノンから成る群から選択される少なくとも1種の溶媒を含む、[21]~[26]のいずれか1項に記載のネガ型感光性樹脂組成物。
[28]
前記(C)溶媒が、N-メチル-2-ピロリドン、γ―ブチロラクトン、ジメチルスルホキシド、テトラヒドロフルフリルアルコール、アセト酢酸エチル、こはく酸ジメチル、マロン酸ジメチル、N,N-ジメチルアセトアセトアミド、ε―カプロラクトン、及び1,3-ジメチル―2-イミダゾリジノンから成る群から選択される少なくとも2種の溶媒を含む、[27]に記載のネガ型感光性樹脂組成物。
[29]
前記(C)溶媒が、γ―ブチロラクトンとジメチルスルホキシドを含む、[28]に記載のネガ型感光性樹脂組成物。
[30]
前記(B)感光剤が光ラジカル開始剤である、[1]~[29]のいずれか一項に記載のネガ型感光性樹脂組成物。
[31]
前記(B)感光剤が、
下記一般式(13):
[32]
前記一般式(13)で表される成分が下記式(14)~(17):
[33]
以下の工程:
(1)[1]~[32]のいずれか一項に記載のネガ型感光性樹脂組成物を基板上に塗布することによってネガ型感光性樹脂層を前記基板上に形成する工程;
(2)前記ネガ型感光性樹脂層を露光する工程;
(3)前記露光後の前記感光性樹脂層を現像してレリーフパターンを形成する工程;及び
(4)前記レリーフパターンを加熱処理することによって硬化レリーフパターンを形成する工程;
を含む、前記硬化レリーフパターンの製造方法。
[34]
以下の工程(1)~(5):
(1)スパッタCuウエハ基板上に該樹脂組成物をスピンコートする工程;
(2)スピンコートしたウエハ基板をホットプレート上、110℃で270秒加熱して膜厚13μmのスピンコート膜を得る工程;
(3)スピンコート膜表面を基準として、フォーカスを膜表面から膜底部にかけて2μmずつ変更して、マスクサイズが8μmの丸抜き凹型パターンを露光する工程;
(4)露光したウエハを現像しレリーフパターンを成形する工程;
(5)現像したウエハを窒素雰囲気下中、230℃で2時間加熱処理する工程;
を順に経て得られた丸抜き凹型レリーフパターンのフォーカスマージンが、8μm以上である、感光性ポリイミド前駆体を含む感光性樹脂組成物。
[35]
前記フォーカスマージンが12μm以上である、[34]に記載の感光性樹脂組成物。
[36]
前記感光性ポリイミド前駆体の硬化物である硬化レリーフパターンの断面角度が60°以上90°以下である、[34]又は[35]に記載の感光性樹脂組成物。
[37]
前記感光性ポリイミド前駆体が、側鎖にラジカル重合性置換基を有するポリアミド酸誘導体である、[34]~[36]のいずれか一項に記載の感光性樹脂組成物。
[38]
前記感光性ポリイミド前駆体が、下記一般式(21):
[39]
前記一般式(21)において、X1が、下記式(23)~(25):
[40]
光重合開始剤をさらに含む、[34]~[39]のいずれか一項に記載の感光性樹脂組成物。
[41]
前記光重合開始剤が下記一般式(29):
[42]
禁止剤をさらに含む、[34]~[41]のいずれか一項に記載の感光性樹脂組成物。
[43]
前記禁止剤が、ヒンダードフェノール系、およびニトロソ系から選択される少なくとも1種である、[42]に記載の感光性樹脂組成物。
[44]
以下の工程(6)~(9):
(6)[34]~[43]のいずれか一項に記載の感光性樹脂組成物を基板上に塗布することによって感光性樹脂層を前記基板上に形成する工程;
(7)前記感光性樹脂層を露光する工程;
(8)前記露光後の感光性樹脂層を現像してレリーフパターンを形成する工程;
(9)前記レリーフパターンを加熱処理することによって硬化レリーフパターンを形成する工程;
を含む、硬化レリーフパターンの製造方法。
[45]
前記基板が、銅又は銅合金から形成されている、[44]に記載の方法。
本発明の第一の態様は下記の感光性樹脂組成物である。
<感光性樹脂組成物>
本発明の実施の形態では、感光性樹脂組成物は、特定の構造を有するポリイミド前駆体(A)、及び感光成分(B)を必須成分とする。したがって、特定の構造を有するポリイミド前駆体(A)、及び感光成分(B)並びにその他の成分について詳細に説明する。
本発明に用いられる(A)樹脂について説明する。本発明の(A)樹脂は、下記一般式(1):
又は下記一般式(3):
具体例としては、
(A1)一般式(1)中のXが、下記一般式(4)、(5)又は(6)表わされる構造を含み、かつ前記一般式(1)中のYが、下記一般式(7)で表される構造を含む樹脂である。
ここで、一般式(4)は、
かつ一般式(1)中のYが下記一般式(7)で表わされる構造を含む樹脂であり、さらに一般式(7)は、
一般式(9)で表される樹脂として、
さらに、(A4)樹脂として、前記一般式(1)中のXが、前記一般式(8)で表わされる構造を含み、かつ一般式(1)中のYが、前記一般式(7)で表わされる構造を含む樹脂である。
上述したように、本発明においては、樹脂の組わせてとしては、(A1)、(A2)又は(A3))の少なくとも一つを含み、さらに(A4)を含む組み合わせである。
(A1)樹脂~(A3)はポリマー中にビフェニルや極性基など、分子間相互作用を促す構造を多く有する一方、(A4)は分子間相互作用を持ちうる基が少ない。したがって、(A1)~(A3)は樹脂膜中で互いに相互作用することで凝集し、樹脂膜中にやや高いガラス転位温度を持つ部分と低いガラス転位温度を持つ部分ができる。これが熱硬化時に、接着剤の分野における、ホットメルト接着剤のタッキファイヤとエラストマーのような関係となり、接着性が向上すると思われる。
本発明で、エステル結合型のポリイミド前駆体を調製するために好適に用いられる、4価の有機基Xを含むテトラカルボン酸二無水物としては、例えば、一般式(4)で表わされる構造を形成するものとして無水ピロメリット酸などを挙げられる。一般式(5)で表わされる構造を形成するものとして9,9-ビス(3,4-ジカルボキシフェニル)フルオレン二無水物などを挙げることができる。一般式(6)で表わされる構造を形成するものとしてベンゾフェノン-3,3’,4,4’-テトラカルボン酸二無水物、ビフェニル-3,3’,4,4’-テトラカルボン酸二無水物、ジフェニルスルホン-3,3’,4,4’-テトラカルボン酸二無水物、p-フェニレンビス(トリメリテート無水物)などを挙げることができる。一般式(8)で表わされる構造を形成するものとしてジフェニルエーテル-3,3’,4,4’-テトラカルボン酸二無水物、ジフェニルエーテル-2,2’,33’-テトラカルボン酸二無水物、ジフェニルメタン-3,3’,4,4’-テトラカルボン酸二無水物、2,2-ビス(3,4-無水フタル酸)プロパン、2,2-ビス(3,4-無水フタル酸)-1,1,1,3,3,3-ヘキサフルオロプロパン等を挙げることができるが、これらに限定されるものではない。また、これらは単独で用いることができるのは勿論のこと2種以上を混合して用いてもよい。一般式(8)で表わされる構造を形成する酸無水物として、接着性の観点から特にフェニルエーテル-3,3’,4,4’-テトラカルボン酸二無水物が好ましい。
前記(A4)の一般式(1)中のX構造として表される酸無水物のうち、50mol%以上が4,4’-オキシジフタル酸二無水物であって、前記一般式(1)中のY構造として表されるジアミンのうち、50mol%以上が4,4’-ジアミノジフェニルエーテルであることがさらに好ましい。
又、前記(A4)の一般式(1)中のX構造として表される酸無水物のうち、80mol%以上が4,4’-オキシジフタル酸二無水物であって、前記一般式(1)中のY構造として表されるジアミンのうち、80mol%以上が4,4’-ジアミノジフェニルエーテルであることがより好ましい。
上記アシッド/エステル体(典型的には上記反応溶媒中の溶液)に、氷冷下、適当な脱水縮合剤、例えば、ジシクロカルボジイミド、1-エトキシカルボニル-2-エトキシ-1,2-ジヒドロキノリン、1,1-カルボニルジオキシ-ジ-1,2,3-ベンゾトリアゾール、N,N’-ジスクシンイミジルカーボネート等を投入混合してアシッド/エステル体をポリ酸無水物とした後、これに、本発明で好適に用いられる2価の有機基Yを含むジアミン類を別途溶媒に溶解又は分散させたものを滴下投入し、アミド重縮合させることにより、目的のポリイミド前駆体を得ることができる。
前述したように、本発明においては、前記(A1)の一般式(1)中のX構造で表される化合物のうち、50mol%以上が前記一般式(4)、(5)又は(6)で表わされる構造であって、前記一般式(1)中のY構造で表されるジアミンのうち、50mol%以上が4、4’-ジアミノジフェニルエーテルであることがより好ましい。
又、前記(A2)の一般式(1)中のX構造で表される酸二無水物のうち、50mol%以上が4,4’-オキシジフタル酸二無水物であって、前記一般式(1)中のY構造で表される化合物のうち、50mol%以上が、前記一般式(9)又は(10)で表わされる構造であることがより好ましい。
次に、本発明に用いられる(B)感光成分について説明する。
本発明の感光性樹脂組成物は、感光性樹脂組成物の各成分を溶媒に溶解してワニス状にし、感光性樹脂組成物の溶液として使用するため、(C)溶媒を含有しても良い。溶媒としては、(A)樹脂に対する溶解性の点から、極性の有機溶媒を用いることが好ましい。具体的には、前述した溶媒(反応溶媒)を含む溶媒であって、N,N-ジメチルホルムアミド、N-メチル-2-ピロリドン、N-エチル-2-ピロリドン、N,N-ジメチルアセトアミド、ジメチルスルホキシド、ジエチレングリコールジメチルエーテル、シクロペンタノン、γ-ブチロラクトン、α-アセチル-γ-ブチロラクトン、テトラメチル尿素、1,3-ジメチル-2-イミダゾリノン、N-シクロヘキシル-2-ピロリドン、テトラヒドロフルフリルアルコール、アセト酢酸エチル、こはく酸ジメチル、マロン酸ジメチル、N,N-ジメチルアセトアセトアミド、ε―カプロラクトン、1,3-ジメチル―2-イミダゾリジノン等が挙げられ、これらは単独又は2種以上の組合せで用いることができる。
特に、γ―ブチロラクトン、ジメチルスルホキシド、テトラヒドロフルフリルアルコール、アセト酢酸エチル、こはく酸ジメチル、マロン酸ジメチル、N,N-ジメチルアセトアセトアミド、ε―カプロラクトン、および1,3-ジメチル―2-イミダゾリジノンから選択される少なくとも2種を用いることが銅接着性の観点から好ましい。
溶媒として(C1)及び(C2)を組み合わせて用いることで接着性が向上する理由は明らかではないが、発明者らは以下のように考察している。
該感光性樹脂組成物を基板に塗布し、溶媒を乾燥させる際、沸点が異なる溶媒を用いることでまず比較的沸点の低い溶媒(C2)が徐々に揮発する。これにより、前述のような分子間相互作用をしうる基を有する樹脂(A1)~(A3)の配向およびそれに続く凝集を促すが、沸点の高い溶媒(C1)があまり揮発しないため、相互作用しうる基が少ない樹脂(A4)は溶解した状態を保つ。結果として(A1)~(A3)と(A4)の部分的な分離が効率的に起こり、前述の理由により接着性が向上するものと考えられる。
本発明の感光性樹脂組成物には、(E)有機チタン化合物を含有させてもよい。(E)有機チタン化合物を含有することにより、約250℃という低温で硬化した場合であっても耐薬品性に優れる感光性樹脂層を形成できる。
I)チタンキレート化合物:中でも、アルコキシ基を2個以上有するチタンキレートが、ネガ型感光性樹脂組成物の保存安定性及び良好なパターンが得られることからより好ましく、具体的な例は、チタニウムビス(トリエタノールアミン)ジイソプロポキサイド、チタニウムジ(n-ブトキサイド)ビス(2,4-ペンタンジオネート、チタニウムジイソプロポキサイドビス(2,4-ペンタンジオネート)、チタニウムジイソプロポキサイドビス(テトラメチルヘプタンジオネート)、チタニウムジイソプロポキサイドビス(エチルアセトアセテート)等である。
本発明の感光性樹脂組成物は、上記(A)~(E)成分以外の成分をさらに含有してもよい。例えば、本発明の感光性樹脂組成物を用いて銅又は銅合金から成る基板上に硬化膜を形成する場合には、銅上の変色を抑制するためにアゾール化合物を任意に配合することができる。
また、本発明は、(1)上述した本発明の感光性樹脂組成物を基板上に塗布することによって樹脂層を該基板上に形成する工程と、(2)該樹脂層を露光する工程と、(3)該露光後の樹脂層を現像してレリーフパターンを形成する工程と、(4)該レリーフパターンを加熱処理することによって硬化レリーフパターンを形成する工程とを含む、硬化レリーフパターンの製造方法を提供する。以下、各工程の典型的な態様について説明する。
本工程では、本発明の感光性樹脂組成物を基材上に塗布し、必要に応じてその後乾燥させて樹脂層を形成する。塗布方法としては、従来から感光性樹脂組成物の塗布に用いられていた方法、例えば、スピンコーター、バーコーター、ブレードコーター、カーテンコーター、スクリーン印刷機等で塗布する方法、スプレーコーターで噴霧塗布する方法等を用いることができる。
本工程では、上記で形成した樹脂層を、コンタクトアライナー、ミラープロジェクション、ステッパー等の露光装置を用いて、パターンを有するフォトマスク又はレチクルを介して又は直接に、紫外線光源等により露光する。
本工程においては、露光後の感光性樹脂層の未露光部を現像除去する。現像方法としては、従来知られているフォトレジストの現像方法、例えば回転スプレー法、パドル法、超音波処理を伴う浸漬法等の中から任意の方法を選択して使用することができる。また、現像の後、レリーフパターンの形状を調整する等の目的で、必要に応じて任意の温度及び時間の組合せによる現像後ベークを施してもよい。
本工程では、上記現像により得られたレリーフパターンを加熱することによって、硬化レリーフパターンに変換する。加熱硬化の方法としては、ホットプレートによるもの、オーブンを用いるもの、温度プログラムを設定できる昇温式オーブンを用いるもの等種々の方法を選ぶことができる。加熱は、例えば180℃~400℃で30分~5時間の条件で行うことができる。加熱硬化の際の雰囲気気体としては空気を用いてもよく、窒素、アルゴン等の不活性ガスを用いることもできる。
本発明はまた、上述した本発明の硬化レリーフパターンの製造方法により得られる硬化レリーフパターンを含む、半導体装置を提供する。本発明は、半導体素子である基材と、前記基材上に上述した硬化レリーフパターン製造方法により形成された樹脂の硬化レリーフパターンとを含む半導体装置も提供する。また、本発明は、基材として半導体素子を用い、上述した硬化レリーフパターンの製造方法を工程の一部として含む半導体装置の製造方法にも適用できる。本発明の半導体装置は、上記硬化レリーフパターン製造方法で形成される硬化レリーフパターンを、表面保護膜、層間絶縁膜、再配線用絶縁膜、フリップチップ装置用保護膜、又はバンプ構造を有する半導体装置の保護膜等として形成し、既知の半導体装置の製造方法と組合せることで製造することができる。
半導体装置(以下、「素子」とも言う。)は、目的に合わせて、様々な方法でプリント基板に実装される。従来の素子は、素子の外部端子(パッド)からリードフレームまで細いワイヤで接続する、ワイヤボンディング法により作製されることが一般的であった。しかし、素子の高速化が進み、動作周波数がGHzまで到達した今日、実装における各端子の配線長さの違いが、素子の動作に影響を及ぼすまでに至った。そのため、ハイエンド用途の素子の実装では、実装配線の長さを正確に制御する必要が生じ、ワイヤボンディングではその要求を満たすことが困難となった。
[1]
以下の工程(1)~(5):
(1)スパッタCuウエハ基板上に該樹脂組成物をスピンコートする工程;
(2)スピンコートしたウエハ基板をホットプレート上、110℃で270秒加熱して膜厚13μmのスピンコート膜を得る工程;
(3)スピンコート膜表面を基準として、フォーカスを膜表面から膜底部にかけて2μmずつ変更して、マスクサイズが8μmの丸抜き凹型パターンを露光する工程;
(4)露光したウエハを現像しレリーフパターンを成形する工程;
(5)現像したウエハを窒素雰囲気下中、230℃で2時間加熱処理する工程;
を順に経て得られた丸抜き凹型レリーフパターンのフォーカスマージンが、8μm以上である、感光性ポリイミド前駆体を含む感光性樹脂組成物。
[2]
前記フォーカスマージンが12μm以上である、[1]に記載の感光性樹脂組成物。
[3]
前記感光性ポリイミド前駆体の硬化物である硬化レリーフパターンの断面角度が60°以上90°以下である、[1]又は[2]に記載の感光性樹脂組成物。
[4]
前記感光性ポリイミド前駆体が、側鎖にラジカル重合性置換基を有するポリアミド酸誘導体である、[1]~[3]のいずれか1項に記載の感光性樹脂組成物。
[5]
前記感光性ポリイミド前駆体が、下記一般式(21):
[6]
前記一般式(21)において、X1が、下記式(23)~(25):
[7]
光重合開始剤をさらに含む、[1]~[6]のいずれか1項に記載の感光性樹脂組成物。
[8]
前記光重合開始剤が下記一般式(29):
[9]
禁止剤をさらに含む、[1]~[8]のいずれか1項に記載の感光性樹脂組成物。
[10]
前記禁止剤が、ヒンダードフェノール系、およびニトロソ系から選択される少なくとも1種である、[9]に記載の感光性樹脂組成物。
[11]
以下の工程(6)~(9):
(6)[1]~[10]のいずれか1項に記載の感光性樹脂組成物を基板上に塗布することによって感光性樹脂層を前記基板上に形成する工程;
(7)前記感光性樹脂層を露光する工程;
(8)前記露光後の感光性樹脂層を現像してレリーフパターンを形成する工程;
(9)前記レリーフパターンを加熱処理することによって硬化レリーフパターンを形成する工程;
を含む、硬化レリーフパターンの製造方法。
[12]
前記基板が、銅又は銅合金から形成されている、[11]に記載の方法。
[感光性樹脂組成物]
本実施形態における感光性樹脂組成物は、以下の工程(1)~(5):
(1) スパッタCuウエハ基板上に該樹脂組成物をスピンコートする工程;
(2) スピンコートしたウエハ基板をホットプレート上、110℃で270秒加熱して膜厚13μmのスピンコート膜を得る工程;
(3) スピンコート膜表面を基準として、フォーカスを膜表面から膜底部にかけて2μmずつ変更して、マスクサイズが8μmの丸抜き凹型パターンを露光する工程;
(4) 露光したウエハを現像しレリーフパターンを成形する工程;及び
(5) 現像したウエハを窒素雰囲気下中、230℃で2時間加熱処理する工程;
を順に経て得られた丸抜き凹型レリーフパターンのフォーカスマージンが8μm以上であることを特徴とする。該感光性樹脂組成物を用いると、基板の反り及びゆがみが生じている場合、あるいは多層再配線層で下層の表面平坦性が悪く、露光時のフォーカス深度が所望の位置からずれた場合でも半導体装置を形成する際に断線が起きて収率が低下することを防ぐことが出来る。さらに、信号遅延が少なく電気特性が良好な半導体装置が製造し得る。
以下、本発明に用いられるポリイミド前駆体について説明する。本発明の感光性樹脂組成物の樹脂成分は、下記一般式(21)で表される構造単位を有するポリアミドである。ポリイミド前駆体は、加熱(例えば200℃以上)で環化処理を施すことによってポリイミドに変換される。
下記一般式(21):
下記式(27):
本発明で好適に用いられる、4価の有機基X1aを含むテトラカルボン酸二無水物としては、例えば、無水ピロメリット酸、ジフェニルエーテル-3,3',4,4'-テトラカルボン酸二無水物、ベンゾフェノン-3,3',4,4'-テトラカルボン酸二無水物、ビフェニル-3,3',4,4'-テトラカルボン酸二無水物、ジフェニルスルホン-3,3',4,4'-テトラカルボン酸二無水物、ジフェニルメタン-3,3',4,4'-テトラカルボン酸二無水物、2,2-ビス(3,4-無水フタル酸)プロパン、2,2-ビス(3,4-無水フタル酸)-1,1,1,3,3,3-ヘキサフルオロプロパンなどを挙げることができるが、これらに限定されるものではない。また、これらは単独で用いることができるのは勿論のこと2種以上を混合して用いてもよい。
2-ヒドロキシ-3-メトキシプロピルメタクリレート、2-ヒドロキシ-3-ブトキシプロピルメタクリレート、2-ヒドロキシ-3-フェノキシプロピルメタクリレート、2-ヒドロキシ-3-ブトキシプロピルメタクリレート、2-ヒドロキシ-3-t-ブトキシプロピルメタクリレート、2-ヒドロキシ-3-シクロヘキシルオキシプロピルメタクリレートなどを挙げることができる。
上記アシッド/エステル体溶液に、氷冷下、適当な脱水縮合剤、例えば、ジシクロヘキシルカルボジイミド、1-エトキシカルボニル-2-エトキシ-1,2-ジヒドロキノリン、1,1-カルボニルジオキシ-ジ-1,2,3-ベンゾトリアゾール、N,N’-ジスクシンイミジルカーボネートなどを投入混合し、アシッド/エステル体をポリ酸無水物とした。その後に、本発明で好適に用いられる2価の有機基Yを含むジアミン類を、別途溶媒に溶解又は分散させたものを滴下投入し、アミド重縮合させることにより、目的のポリイミド前駆体を得ることができる。
本発明にかかる感光性樹脂組成物は、光重合開始剤をさらに含んでいてもよい。
光重合開始剤としては、例えば、ベンゾフェノン、o-ベンゾイル安息香酸メチル、4-ベンゾイル-4'-メチルジフェニルケトン、ジベンジルケトン、フルオレノンなどのベンゾフェノン誘導体、2,2'-ジエトキシアセトフェノン、2-ヒドロキシ-2-メチルプロピオフェノン、1-ヒドロキシシクロヘキシルフェニルケトンなどのアセトフェノン誘導体、チオキサントン、2-メチルチオキサントン、2-イソプロピルチオキサントン、ジエチルチオキサントンなどのチオキサントン誘導体、ベンジル、ベンジルジメチルケタール、ベンジル-β-メトキシエチルアセタールなどのベンジル誘導体、ベンゾイン、ベンゾインメチルエーテルなどのベンゾイン誘導体、1-フェニル-1,2-ブタンジオン-2-(o- メトキシカルボニル)オキシム、1-フェニル-1,2-プロパンジオン-2-(o-メトキシカルボニル)オキシム、1-フェニル-1,2-プロパンジオン-2-(o-エトキシカルボニル)オキシム、1-フェニル-1,2-プロパンジオン-2-(o-ベンゾイル)オキシム、1,3-ジフェニルプロパントリオン-2-(o-エトキシカルボニル)オキシム、1-フェニル-3-エトキシプロパントリオン-2-(o-ベンゾイル)オキシムなどのオキシム類、N-フェニルグリシン等のN-アリールグリシン類、ベンゾイルパークロライド等の過酸化物類、芳香族ビイミダゾール類などが好ましく挙げられるが、これらに限定されるものではない。また、これらの使用にあたっては、単独でも2種以上の混合物でもかまわない。上記の光重合開始剤の中では、下記一般式(29):
で表されるオキシム系化合物がより好ましく用いられる。中でも特に好ましくは、下記式(63):
[熱重合禁止剤]
感光性樹脂組成物に添加する熱重合禁止剤の量としては、ポリイミド前駆体100質量部に対し、0.005~1.5質量部の範囲が好ましい。熱重合禁止剤の量が該範囲内にあると、露光時に光架橋反応が進行し易くなり、露光時の膨潤が抑制されてフォーカスマージが広まり電気特性が良好となり、さらに該組成物の保存安定性が良好で、光感度の安定性が増すため好まし。
本実施の形態にかかる上記開始剤と禁止剤は、フォーカスマージンが8um以上であれば限定されないが、オキシム系開始剤とヒンダードフェノール系禁止剤、オキシム開始剤とニトロソ系禁止剤、の組み合わせがフォーカスマージンが8um以上となる傾向があり、好ましい。
また、オキシム系開始剤とヒンダードフェノール系禁止剤、オキシム開始剤とニトロソ系禁止剤、の組み合わせは銅密着性やキュア後の断面角度、膜物性の観点から好ましい。
本発明に係る感光性樹脂組成物は、フォーカスマージンを向上させるため増感剤を任意に添加することができる。該増感剤としては、例えば、ミヒラーズケトン、4,4’-ビス(ジエチルアミノ)ベンゾフェノン、2,5-ビス(4’-ジエチルアミノベンザル)シクロペンタン、2,6-ビス(4’-ジエチルアミノベンザル)シクロヘキサノン、2,6-ビス(4’-ジエチルアミノベンザル)-4-メチルシクロヘキサノン、4,4’-ビス(ジメチルアミノ)カルコン、4,4’-ビス(ジエチルアミノ)カルコン、p-ジメチルアミノシンナミリデンインダノン、p-ジメチルアミノベンジリデンインダノン、2-(p-ジメチルアミノフェニルビフェニレン)-ベンゾチアゾール、2-(p-ジメチルアミノフェニルビニレン)ベンゾチアゾール、2-(p-ジメチルアミノフェニルビニレン)イソナフトチアゾール、1,3-ビス(4’-ジメチルアミノベンザル)アセトン、1,3-ビス(4’-ジエチルアミノベンザル)アセトン、3,3’-カルボニル-ビス(7-ジエチルアミノクマリン)、3-アセチル-7-ジメチルアミノクマリン、3-エトキシカルボニル-7-ジメチルアミノクマリン、3-ベンジロキシカルボニル-7-ジメチルアミノクマリン、3-メトキシカルボニル-7-ジエチルアミノクマリン、3-エトキシカルボニル-7-ジエチルアミノクマリン、N-フェニル-N’-エチルエタノールアミン、N-フェニルジエタノールアミン、N-p-トリルジエタノールアミン、N-フェニルエタノールアミン、4-モルホリノベンゾフェノン、ジメチルアミノ安息香酸イソアミル、ジエチルアミノ安息香酸イソアミル、2-メルカプトベンズイミダゾール、1-フェニル-5-メルカプトテトラゾール、2-メルカプトベンゾチアゾール、2-(p-ジメチルアミノスチリル)ベンズオキサゾール、2-(p-ジメチルアミノスチリル)ベンズチアゾール、2-(p-ジメチルアミノスチリル)ナフト(1,2-d)チアゾール、2-(p-ジメチルアミノベンゾイル)スチレン等が挙げられる。これらは単独で又は例えば2~5種類の組合せで用いることができる。
光感度を向上させるための増感剤は、ポリイミド前駆体100質量部に対し、0.1~15質量部を用いるのが好ましく、1~12質量部を用いるのがさらに好ましい。増感剤の量が0.1~15質量部の範囲にあると、露光時に該増感剤が膨潤しなくなりフォーカスマージンが広くなり、電気特性が良好となるため好ましくなく、又、光増感効果が良好で、光架橋反応が十分に進行するため好ましい。
[モノマー]
本発明にかかる感光性樹脂組成物は、感光性樹脂組成物の各成分を溶剤に溶解してワニス状にし、感光性樹脂組成物の溶液として使用するため、溶剤を使用することができる。溶剤としてはポリイミド前駆体に対する溶解性の点から、極性の有機溶剤を用いることが好ましい。具体的には、N,N-ジメチルホルムアミド、N-メチル-2-ピロリドン、N-エチル-2-ピロリドン、N,N-ジメチルアセトアミド、ジメチルスルホキシド、ジエチレングリコールジメチルエーテル、シクロペンタノン、γ-ブチロラクトン、α-アセチル-γ-ブチロラクトン、テトラメチル尿素、1,3-ジメチル-2-イミダゾリノン、N-シクロヘキシル-2-ピロリドン等が挙げられ、これらは単独又は2種以上の組合せで用いることができる。なかでもポリイミドの溶解性の観点から、N-メチル-2-ピロリドン、あるいはジメチルスルホキシドとγ-ブチロラクトンの組み合わせが好ましく、ジメチルスルホキシドとγ-ブチロラクトンの混合比率はジメチルスルホキシドの重量割合が50質量%以下であることが好ましく、5質量%以上20質量%以下であることが最も好ましい。
更に感光性樹脂組成物の保存安定性を向上させるため、アルコール類を含む溶剤が好ましい。
本発明の感光性樹脂組成物は、上記成分以外の成分として下記(A)~(D)を含有してもよい。
(A)アゾール化合物
本発明の感光性樹脂組成物は、下記一般式(67)、及び下記一般式(68)及び下記一般式(69)で表されるアゾール化合物を含有してもよい。アゾール化合物は、本発明の感光性樹脂組成物を、例えば銅又は銅合金の上に形成する場合に銅又は銅合金の変色を防止する作用を有する。
上記一般式(68)としては、1H-ベンゾトリアゾール、2-(5-メチル-2-ヒドロキシフェニル)ベンゾトリアゾール、2-[2-ヒドロキシ-3,5-ビス(α,α―ジメチルベンジル)フェニル]-ベンゾトリアゾール、2-(3,5-ジ-t-ブチル-2-ヒドロキシフェニル)ベンゾトリアゾール、2-(3-t-ブチル-5-メチル-2-ヒドロキシフェニル)-ベンゾトリアゾール、2-(3,5-ジ-t-アミル-2-ヒドロキシフェニル)ベンゾトリアゾール、2-(2’-ヒドロキシ-5’-t-オクチルフェニル)ベンゾトリアゾール、ヒドロキシフェニルベンゾトリアゾール、トリルトリアゾール、5-メチル-1H-ベンゾトリアゾール、4-メチル-1H-ベンゾトリアゾール、4-カルボキシ-1H-ベンゾトリアゾール、5-カルボキシ-1H-ベンゾトリアゾール、
上記一般式(69)としては、1H-テトラゾール、5-メチル-1H-テトラゾール、5-フェニル-1H-テトラゾール、5-アミノ-1H-テトラゾール、1-メチル-1H-テトラゾールなどが挙げられるが、これに限定されるものではない。これらの中でも、銅又は銅合金の変色抑制の観点から、トリルトリアゾール、5-メチル-1H-ベンゾトリアゾール、4-メチル-1H-ベンゾトリアゾールなどが特に好ましい。また、これらアゾール化合物は、単独でも2種以上の混合物で用いても構わない。
本発明の感光性樹脂組成物は、例えば銅又は銅合金の上に形成する場合に銅又は銅合金の変色を防止する作用を有する化合物として、さらに(B)ヒンダードフェノール化合物を含有してもよい。ここで、ヒンダードフェノール化合物とは、分子内に下記一般式(70)、一般式(71)、一般式(75)、一般式(76)又は一般式(77)で表される構造を有する化合物である。
下記一般式(72):
下記式(72-1):
下記式(72-2):
本発明の感光性樹脂組成物には、耐薬品性を向上する化合物として、(C)有機チタン化合物を含有させてもよい。ここで(C)成分として使用可能な有機チタン化合物としては、チタン原子に有機化学物質が共有結合又はイオン結合を介して結合しているものであれば特に制限はない。
I)チタンキレート化合物:中でも、アルコキシ基を2個以上有するチタンキレートが、組成物の安定性及び良好なパターンが得られることからより好ましく、具体的には、チタニウムビス(トリエタノールアミン)ジイソプロポキサイド、チタニウムジ(n-ブトキサイド)ビス(2,4-ペンタンジオネート、チタニウムジイソプロポキサイドビス(2,4-ペンタンジオネート)、チタニウムジイソプロポキサイドビス(テトラメチルヘプタンジオネート)、チタニウムジイソプロポキサイドビス( エチルアセトアセテート)等である。
中でも、上記I)チタンキレート化合物、II)テトラアルコキシチタン化合物、及びIII)チタノセン化合物からなる群から選ばれる少なくとも一種の化合物であることが、より耐薬品性を奏するという観点から好ましい。
また、本発明の感光性樹脂組成物を用いて形成される膜と基材との接着性向上のために(D)接着助剤を任意に添加することができる。接着助剤としては、γ-アミノプロピルジメトキシシラン、N-(β-アミノエチル)-γ-アミノプロピルメチルジメトキシシラン、γ-グリシドキシプロピルメチルジメトキシシラン、γ-メルカプトプロピルメチルジメトキシシラン、3-メタクリロキシプロピルジメトキシメチルシラン、3-メタクリロキシプロピルトリメトキシシラン、ジメトキシメチル-3-ピペリジノプロピルシラン、ジエトキシ-3-グリシドキシプロピルメチルシラン、N-(3-ジエトキシメチルシリルプロピル)スクシンイミド、N-〔3-(トリエトキシシリル)プロピル〕フタルアミド酸、ベンゾフェノン-3,3’-ビス(N-〔3-トリエトキシシリル〕プロピルアミド)-4,4’-ジカルボン酸、ベンゼン-1,4-ビス(N-〔3-トリエトキシシリル〕プロピルアミド)-2,5-ジカルボン酸、3-(トリエトキシシリル)プロピルスクシニックアンハイドライド、N-フェニルアミノプロピルトリメトキシシラン等のシランカップリング剤、及びアルミニウムトリス(エチルアセトアセテート)、アルミニウムトリス(アセチルアセトネート)、エチルアセトアセテートアルミニウムジイソプロピレート等のアルミニウム系接着助剤等が挙げられる。
また該範囲よりも断面角度が低いと、再配線層を形成しにくくなるので好ましくない。断面角度の更に好ましい範囲は60度以上85度以下である。
また、本発明は、以下の工程(6)~(9)
(6)上述した本発明の感光性樹脂組成物を基板上に塗布することによって樹脂層を該基板上に形成する工程と、
(7)該樹脂層を露光する工程と、
(8)該露光後の樹脂層を現像してレリーフパターンを形成する工程と、
(9)該レリーフパターンを加熱処理することによって硬化レリーフパターンを形成する工程とを含む、硬化レリーフパターンの製造方法を提供する。以下、各工程の典型的な態様について説明する。
本工程では、本発明の感光性樹脂組成物を基材上に塗布し、必要に応じてその後乾燥させて樹脂層を形成する。塗布方法としては、従来から感光性樹脂組成物の塗布に用いられていた方法、例えば、スピンコーター、バーコーター、ブレードコーター、カーテンコーター、スクリーン印刷機等で塗布する方法、スプレーコーターで噴霧塗布する方法等を用いることができる。
本工程では、上記で形成した樹脂層を、コンタクトアライナー、ミラープロジェクション、ステッパー等の露光装置を用いて、パターンを有するフォトマスク又はレチクルを介して又は直接に、紫外線光源等により露光する。
本工程においては、露光後の感光性樹脂層の未露光部を現像除去する。現像方法としては、従来知られているフォトレジストの現像方法、例えば回転スプレー法、パドル法、超音波処理を伴う浸漬法等の中から任意の方法を選択して使用することができる。また、現像の後、レリーフパターンの形状を調整する等の目的で、必要に応じて任意の温度及び時間の組合せによる現像後ベークを施してもよい。
本工程では、上記現像により得られたレリーフパターンを加熱することによって、硬化レリーフパターンに変換する。加熱硬化の方法としては、ホットプレートによるもの、オーブンを用いるもの、温度プログラムを設定できる昇温式オーブンを用いるもの等種々の方法を選ぶことができる。加熱は、例えば180℃~400℃で30分~5時間の条件で行うことができる。加熱硬化の際の雰囲気気体としては空気を用いてもよく、窒素、アルゴン等の不活性ガスを用いることもできる。
本発明はまた、上述した本発明の硬化レリーフパターンの製造方法により得られる硬化レリーフパターンを含む、半導体装置を提供する。本発明は、半導体素子である基材と、前記基材上に上述した硬化レリーフパターン製造方法により形成された樹脂の硬化レリーフパターンとを含む半導体装置も提供する。また、本発明は、基材として半導体素子を用い、上述した硬化レリーフパターンの製造方法を工程の一部として含む半導体装置の製造方法にも適用できる。本発明の半導体装置は、上記硬化レリーフパターン製造方法で形成される硬化レリーフパターンを、表面保護膜、層間絶縁膜、再配線用絶縁膜、フリップチップ装置用保護膜、ファンアウト装置用保護膜、又はバンプ構造を有する半導体装置の保護膜等として形成し、既知の半導体装置の製造方法と組合せることで製造することができる。
素子は、目的に合わせて、様々な方法でプリント基板に実装される。従来の素子は、素子の外部端子(パッド)からリードフレームまで細いワイヤで接続する、ワイヤボンディング法により作製されることが一般的であった。しかしながら、素子の高速化が進み、動作周波数がGHzまで到達した今日、実装における各端子の配線長さの違いが、素子の動作に影響を及ぼすまでに至った。そのため、ハイエンド用途の素子の実装では、実装配線の長さを正確に制御する必要が生じ、ワイヤボンディングではその要求を満たすことが困難となった。
[1] 感光性ポリイミド前駆体である(A)成分と、
下記一般式(B1):
で表される(B)成分を含むことを特徴とする感光性樹脂組成物。
[2] 前記(A)成分が、側鎖にラジカル重合性置換基を有するポリアミド酸誘導体である、[1]に記載の感光性樹脂組成物。
[3] 前記(A)成分が下記一般式(A1):
[4] 前記(B)成分が、下記式(B2):
[5] 前記一般式(A1)中のXが、下記(C1)~(C3):
Yが、下記(D1)、(D2):
[6] 前記(A)成分100質量部に対する(B)成分の含有量が0.1~10質量部である、[1]~[5]のいずれか1項に記載の感光性樹脂組成物。
[7] 前記(A)成分100質量部に対する(B)成分の含有量が0.5~5質量部である、[1]~[6]のいずれか1項に記載の感光性樹脂組成物。
[8] 以下の工程:
(1)[1]~[7]のいずれか1項に記載の感光性樹脂組成物を基板上に塗布し、該基板上に感光性樹脂層を形成する塗布工程と、
(2)該感光性樹脂層を露光する露光工程と、
(3)該露光後の感光性樹脂層を現像してレリーフパターンを形成する現像工程と、
(4)該レリーフパターンを加熱処理することによって硬化レリーフパターンを形成する加熱工程と
を含むことを特徴とする、硬化レリーフパターンの製造方法。
[9] 基材と、該基材上に形成された[8]に記載の方法により得られた硬化レリーフパターンとを有し、
前記硬化レリーフパターンは、ポリイミド樹脂と、
下記一般式(B1):
で表される化合物とを含有することを特徴とする半導体装置。
本発明の感光性樹脂組成物は、感光性ポリイミド前駆体である(A)成分と、
下記一般式(B1):
で表される(B)成分とを含有することを特徴とする。
本発明に用いられる(A)成分の感光性ポリイミド前駆体について説明する。
本発明における感光性ポリイミド樹脂として好ましく用いられるのは、これを単独の溶液として塗布し、プリベークした後に得られる10μm厚フィルムについて測定した、i線吸光度が0.8~2.0のものである。
感光性樹脂組成物から得られる硬化レリーフパターンにおける開口部の側面を順テーパー型(膜表面部の開口径の方が、膜底部の開口径より大きい形)にするために、本発明の感光性樹脂組成物は、上記の要件を満たす(A)感光性ポリイミド前駆体を含有することが好ましい。
(A)感光性ポリイミド前駆体を単独でプリベークした後、10μm厚フィルムのi線吸光度は、石英ガラス上に形成した塗膜について、通常の分光光度計により測定することができる。形成されたフィルムの厚みが10μmでない場合には、該フィルムについて得られた吸光度を、ランベルト・ベールの法則に従って10μm厚に換算することにより、10μm厚のi線吸光度を求めることができる。
i線吸光度が0.8以上で2.0以下であると、塗膜の機械物性、熱物性等に優れ、塗膜のi線吸収が適度で底部まで光が到達するため、例えばネガ型の場合、塗膜の底部まで硬化するので好ましい。
で表される構造が挙げられるが、これらに限定されるものではない。また、Xの構造は1種でも2種以上の組み合わせでも構わない。上記式で表される構造を有するX基は、耐熱性と感光特性とを両立するという点で特に好ましい。
で表される構造が挙げられるが、これらに限定されるものではない。また、Yの構造は1種でも2種以上の組み合わせでも構わない。上記式(91)で表される構造を有するY基は、耐熱性及び感光特性を両立するという点で特に好ましい。
本発明において、エステル結合型のポリイミド前駆体を調製するために好適に用いられる、4価の有機基Xを有するテトラカルボン酸二無水物としては、上記一般式(90)に示される構造を有する酸二無水物をはじめ、例えば、無水ピロメリット酸、ジフェニルエーテル-3,3’,4,4’-テトラカルボン酸二無水物、ベンゾフェノン-3,3’,4,4’-テトラカルボン酸二無水物、ビフェニル-3,3’,4,4’-テトラカルボン酸二無水物、ジフェニルスルホン-3,3’,4,4’-テトラカルボン酸二無水物、ジフェニルメタン-3,3’,4,4’-テトラカルボン酸二無水物、2,2-ビス(3,4-無水フタル酸)プロパン、2,2-ビス(3,4-無水フタル酸)-1,1,1,3,3,3-ヘキサフルオロプロパン等を挙げることができる。好ましくは無水ピロメリット酸、ジフェニルエーテル-3,3’,4,4’-テトラカルボン酸二無水物、ビフェニル-3,3’,4,4’-テトラカルボン酸二無水物等、好ましくは無水ピロメリット酸、ジフェニルエーテル-3,3’,4,4’-テトラカルボン酸二無水物、ベンゾフェノン-3,3’,4,4’-テトラカルボン酸二無水物、ビフェニル-3,3’,4,4’-テトラカルボン酸二無水物等を、より好ましくは無水ピロメリット酸、ジフェニルエーテル-3,3’,4,4’-テトラカルボン酸二無水物、ビフェニル-3,3’,4,4’-テトラカルボン酸二無水物等を挙げることができるが、これらに限定されるものではない。また、これらは単独でも、2種以上を混合して用いてもよい。
上記アシッド/エステル体(典型的には上記反応溶媒中に溶解された溶液状態にある。)に、好ましくは氷冷下、適当な脱水縮合剤を投入混合することにより、アシッド/エステル体をポリ酸無水物とする。次いでこれに、本発明で好適に用いられる2価の有機基Yを有するジアミン類を、別途溶媒に溶解又は分散させたものを滴下投入し、両者をアミド重縮合させることにより、目的の感光性ポリイミド前駆体を得ることができる。上記2価の有機基Yを有するジアミン類とともに、ジアミノシロキサン類を併用してもよい。
上記脱水縮合剤としては、例えば、ジシクロヘキシルカルボジイミド、1-エトキシカルボニル-2-エトキシ-1,2-ジヒドロキノリン、1,1-カルボニルジオキシ-ジ-1,2,3-ベンゾトリアゾール、N,N’-ジスクシンイミジルカーボネート等が挙げられる。
以上のようにして、中間体であるポリ酸無水化物が得られる。
及びこれらのベンゼン環上の水素原子の一部が、メチル基、エチル基、ヒドロキシメチル基、ヒドロキシエチル基、ハロゲン原子等で置換されたもの;
並びにこれらの混合物等が挙げられる。
及びこれらの混合物等が挙げられる。これらの中で好ましく用いられるものとして、p-フェニレンジアミン、4,4’-ジアミノジフェニルエーテル、2,2’-ジメチル-4,4’-ジアミノビフェニル、2,2’-ビス(トリフルオロメチル)-4,4‘-ジアミノビフェニル、2,2’-ビス(フルオロ)-4,4‘-ジアミノビフェニル、4,4’-ジアミノオクタフルオロビフェニル等を、より好ましくはp-フェニレンジアミン、4,4’-ジアミノジフェニルエーテル等を、並びにこれらの混合物等を挙げることができる。ジアミン類は、上記の例示に限定されるものではない。
次に、本発明に用いられる(B)成分について説明する。
本発明における(B)成分は、0.001wt%溶液のi線吸光度が0.1以上0.2以下で、かつh線吸光度が0.02以上0.1以下、g線吸光度が0.02以下であるオキシムエステルである。これらオキシムエステルは、感光性を有しており、フォトリソグラフィーによる感光性樹脂のパターニングのために必須である。
Cuとの密着性の観点から、0.001wt%溶液のi線吸光度は0.1以上0.2以下、h線吸光度は0.02以上0.1以下、g線吸光度はいずれも0.02以下であることが好ましい。i線吸光度が0.2超、h線吸光度が0.1超、g線吸光度が0.02超の場合、Cuとの密着性が低下し、i線吸光度が0.1未満及びh線吸光度が0.02未満の場合は、感度が低下する。
本発明で用いることができる(B)成分は、下記一般式(B1):
本発明で用いられるオキシムエステルは、0.001wt%溶液のg線、h線、i線吸光度を見たとき、i線吸光度が0.1以上0.2以下で、かつh線吸光度が0.02以上0.1以下、g線吸光度が0.02以下であるという特徴がある。通常、光重合開始剤として用いられるオキシムエステルは、i線吸光度のみが高く、g線及びh線は吸収がない。一方、一部のオキシムエステルでは、g線、h線、i線いずれも殆ど吸収がなく、増感剤と組み合わせて用いることが必須のものもある。
本発明のオキシムエステルはこのような特徴的なg線、h線、i線吸収スペクトルから、露光時に光重合開始ラジカルのみならず、特定のアミンを特定量発生し、そのアミンがCuと特異的な相互作用をすることで、Cuとの密着性を向上させることができる。
本発明の感光性樹脂組成物は、上記(A)感光性ポリイミド前駆体及び(B)成分以外の成分を更に含有してもよい。
本発明の感光性樹脂組成物は、典型的には、上記各成分及び必要に応じて更に使用される任意成分を溶剤に溶解してワニス状にした、液状の感光性樹脂組成物として使用される。そのため、(C)その他の成分としては、溶剤を挙げることができる他、例えば上記(A)成分の感光性ポリイミド前駆体以外の樹脂、増感剤、光重合性の不飽和結合を有するモノマー、接着助剤、熱重合禁止剤、アゾール化合物、ヒンダードフェノール化合物等を挙げることができる。
溶剤としては、(A)感光性ポリイミド前駆体に対する溶解性の点から、極性の有機溶剤を用いることが好ましい。具体的には、例えばN,N-ジメチルホルムアミド、N-メチル-2-ピロリドン、N-エチル-2-ピロリドン、N,N-ジメチルアセトアミド、ジメチルスルホキシド、ジエチレングリコールジメチルエーテル、シクロペンタノン、γ-ブチロラクトン、α-アセチル-γ-ブチロラクトン、テトラメチル尿素、1,3-ジメチル-2-イミダゾリノン、N-シクロヘキシル-2-ピロリドン等が挙げられ、これらは単独又は2種以上の組合せで用いることができる。
具体的な例としては、例えばメチルアルコール、エチルアルコール、n-プロピルアルコール、イソプロピルアルコール、n-ブチルアルコール、イソブチルアルコール、tert-ブチルアルコール等のアルキルアルコール類;乳酸エチル等の乳酸エステル類;プロピレングリコール-1-メチルエーテル、プロピレングリコール-2-メチルエーテル、プロピレングリコール-1-エチルエーテル、プロピレングリコール-2-エチルエーテル、プロピレングリコール-1-(n-プロピル)エーテル、プロピレングリコール-2-(n-プロピル)エーテル等のプロピレングリコールモノアルキルエーテル類;エチレングリコールメチルエーテル、エチレングリコールエチルエーテル、エチレングリコール-n-プロピルエーテル等のモノアルコール類;
2-ヒドロキシイソ酪酸エステル類;
エチレングリコール、プロピレングリコール等のジアルコール類;
等を挙げることができる。
これらの中では、乳酸エステル類、プロピレングリコールモノアルキルエーテル類、2-ヒドロキシイソ酪酸エステル類、及びエチルアルコールが好ましく、特に乳酸エチル、プロピレングリコール-1-メチルエーテル、プロピレングリコール-1-エチルエーテル、及びプロピレングリコール-1-(n-プロピル)エーテルがより好ましい。
ケトン類として、例えば、アセトン、メチルエチルケトン、メチルイソブチルケトン、シクロヘキサノン等を;
エステル類として、例えば、酢酸メチル、酢酸エチル、酢酸ブチル、シュウ酸ジエチル等を;
ラクトン類として、例えば、γ-ブチロラクトン等を;
エーテル類として、例えば、エチレングリコールジメチルエーテル、ジエチレングリコールジメチルエーテル、テトラヒドロフラン等を;
ハロゲン化炭化水素類として、例えば、ジクロロメタン、1,2-ジクロロエタン、1,4-ジクロロブタン、クロロベンゼン、o-ジクロロベンゼン等を;
炭化水素類として、例えば、ヘキサン、ヘプタン、ベンゼン、トルエン、キシレン等を、それぞれ挙げることができる。これらは必要に応じて、単独で用いても2種以上混合して用いてもよい。
以下に限定されるものではないが、特に、ジエチレングリコールジメタクリレート、テトラエチレングリコールジメタクリレートをはじめとする、エチレングリコール又はポリエチレングリコールのモノ又はジ(メタ)アクリレート;
プロピレングリコール又はポリプロピレングリコールのモノ又はジ(メタ)アクリレート;
グリセロールのモノ、ジ又はトリ(メタ)アクリレート;
シクロヘキサンジ(メタ)アクリレート;
1,4-ブタンジオールのジアクリレート及びジメタクリレート、1,6-ヘキサンジオールのジ(メタ)アクリレート;
ネオペンチルグリコールのジ(メタ)アクリレート;
ビスフェノールAのモノ又はジ(メタ)アクリレート;
ベンゼントリメタクリレート;
イソボルニル(メタ)アクリレート;
アクリルアミド及びその誘導体;
メタクリルアミド及びその誘導体;
トリメチロールプロパントリ(メタ)アクリレート;
グリセロールのジ又はトリ(メタ)アクリレート;
ペンタエリスリトールのジ、トリ、又はテトラ(メタ)アクリレート;
並びにこれら化合物のエチレンオキサイド又はプロピレンオキサイド付加物等の化合物を挙げることができる。
本発明はまた、硬化レリーフパターンの形成方法も提供する。
本発明における硬化レリーフパターンの形成方法は、例えば以下の工程:
(1)上述した本発明の感光性樹脂組成物を基板上に塗布し、該基板上に感光性樹脂層を形成する塗布工程と、
(2)感光性樹脂層を露光する露光工程と、
(3)露光後の感光性樹脂層を現像してレリーフパターンを形成する現像工程と、
(4)レリーフパターンを加熱処理することによって硬化レリーフパターンを形成する加熱工程と、
を上記に記載の順に含むことを特徴とする。
以下、各工程の典型的な態様について説明する。
本工程では、本発明の感光性樹脂組成物を基板上に塗布し、必要に応じて、その後乾燥させることにより感光性樹脂層を形成する。
基板としては、例えばシリコン、アルミニウム、銅、銅合金等から成る金属基板;
エポキシ、ポリイミド、ポリベンゾオキサゾール等の樹脂基板;
前記樹脂基板に金属回路が形成された基板;
複数の金属、又は金属と樹脂とが多層に積層された基板;
等を使用することができる。
本発明では、基板の少なくとも表面がCuからなる基板を用いることにより、Cu層とポリイミド層との界面でのボイドの発生を抑えるという、本発明の効果を得ることができ、特に好ましいが、それ以外の基板であっても本発明は適用可能である。
塗布方法としては、従来から感光性樹脂組成物の塗布に用いられていた方法、例えば、スピンコーター、バーコーター、ブレードコーター、カーテンコーター、スクリーン印刷機等で塗布する方法、スプレーコーターで噴霧塗布する方法等を用いることができる。
本工程では、上記で形成した感光性樹脂層を露光する。露光装置としては、例えばコンタクトアライナー、ミラープロジェクション、ステッパー等の露光装置が用いられる。露光は、パターンを有するフォトマスク又はレチクルを介して、又は直接に行うことができる。露光に使用する光線は、例えば、紫外線光源等である。
本工程では、露光後の感光性樹脂層のうち未露光部を現像除去する。露光(照射)後の感光性樹脂層を現像する現像方法としては、従来知られているフォトレジストの現像方法を選択して使用することができる。例えば回転スプレー法、パドル法、超音波処理を伴う浸漬法等である。また、現像の後、レリーフパターンの形状を調整する等の目的で、必要に応じて、任意の温度及び時間の組合せによる、現像後ベークを施してもよい。現像後ベークの温度は、例えば80~130℃とすることができ、時間は例えば0.5~10分とすることができる。
本工程では、上記現像により得られたレリーフパターンを加熱して感光成分を希散させるとともに、(A)感光性ポリイミド前駆体をイミド化させて、ポリイミドからなる硬化レリーフパターンに変換する。
加熱硬化の方法としては、ホットプレートによるもの、オーブンを用いるもの、温度プログラムを設定できる昇温式オーブンを用いるもの等、種々の方法を選ぶことができる。加熱は、例えば200℃~400℃で30分~5時間の条件で行うことができる。加熱硬化の際の雰囲気気体としては空気を用いてもよいし、窒素、アルゴン等の不活性ガスを用いてもよい。
以上のようにして、硬化レリーフパターンを製造することができる。
本発明はまた、上述した本発明の硬化レリーフパターンの形成方法により得られる硬化レリーフパターンを有して成る、半導体装置を提供する。
上記の半導体装置は、例えば、半導体素子である基材と、該基材上に、上述した硬化レリーフパターン形成方法により形成された硬化レリーフパターンとを有する半導体装置であることができる。
すなわち、本発明の半導体装置は、基材と、該基材上に形成された硬化レリーフパターンとを有し、前記硬化レリーフパターンは、ポリイミド樹脂と、上述した一般式(B1)で表される化合物とを含有することを特徴とする。上記半導体装置は、例えば、基材として半導体素子を用い、上述した硬化レリーフパターンの形成方法を工程の一部として含む方法によって製造することができる。本発明の半導体装置は、上記硬化レリーフパターン形成方法で形成される硬化レリーフパターンを、例えば表面保護膜、層間絶縁膜、再配線用絶縁膜、フリップチップ装置用保護膜、又はバンプ構造を有する半導体装置の保護膜等として形成し、公知の半導体装置の製造方法と組合せることにより、製造することができる。
本発明の半導体装置は、例えばCu層からなる金属再配線層と、ポリイミド樹脂からなるレリーフパターンに適用した場合、界面でのボイドの発生が抑えられて密着性が高いものとなり、優れた特性を有するものとなる。
素子は、目的に合わせて、様々な方法でプリント基板に実装される。従来の素子は、素子の外部端子(パッド)からリードフレームまで細いワイヤで接続する、ワイヤボンディング法により作製されることが一般的であった。しかしながら、素子の高速化が進み、動作周波数がGHzまで到達した今日、実装における各端子の配線長さの違いが、素子の動作に影響を及ぼすまでに至った。そのため、ハイエンド用途の素子の実装では、実装配線の長さを正確に制御する必要が生じ、ワイヤボンディングではその要求を満たすことが困難となった。
[1] シリコン、ガラス、化合物半導体、プリント基板、ビルドアップ基板、ダミー基板、もしくは個片化されたシリコンチップを並べてモールド樹脂で埋め込んだ基板上に形成された、表面に、最大高さ0.1μm以上5μm以下の凹凸が形成されていることを特徴とする銅の層と、硬化レリーフパターンの層を有し、該硬化レリーフパターンは感光性樹脂組成物を硬化したものであることを特徴とする再配線層。
[2]
(1)シリコン、ガラス、化合物半導体、プリント基板、ビルドアップ基板、ダミー基板、もしくは個片化されたシリコンチップを並べてモールド樹脂で埋め込んだ基板上に形成された、表面に最大高さ0.1μm以上5μm以下の凹凸が形成されていることを特徴とする銅の層の上に、感光性樹脂組成物を塗布することによって感光性樹脂層を銅層上に形成する工程と、
(2)前記感光性樹脂層を露光する工程と、
(3)前記露光後の感光性樹脂層を現像してレリーフパターンを形成する工程と、
(4)前記レリーフパターンを加熱処理することによって硬化レリーフパターンを形成する工程と
を含む、[1]に記載の再配線層の製造方法。
[3] 前記感光性樹脂組成物が、(A)ポリアミド酸、ポリアミド酸エステル、ポリアミド酸塩、ポリヒドロキシアミド、ポリアミノアミド、ポリアミド、ポリアミドイミド、ポリイミド、ポリベンゾオキサゾール、並びにノボラック、ポリヒドロキシスチレン及びフェノール樹脂から成る群より選ばれる少なくとも一種の樹脂を100質量部と、
(B)感光剤を前記樹脂100質量部を基準として1~50質量部、
を含有する、[1]に記載の再配線層もしくは[2]に記載の方法。
[4] 前記(A)樹脂が、下記一般式(40)を含むポリイミド前駆体、下記一般式(43)を含むポリアミド、下記一般式(44)を含むポリオキサゾール前駆体、下記一般式(45)を含むポリイミド、並びにノボラック、ポリヒドロキシスチレン及び下記一般式(46)を含むフェノール樹脂、からなる群から選択される少なくとも一種である、[1]又は[3]に記載の再配線層もしくは[2]又は[3]に記載の方法。
[5] 前記一般式(46)で表される繰り返し単位を有するフェノール樹脂を含み、前記一般式(46)中のXが、下記一般式(48):
[6] シリコン、ガラス、化合物半導体、プリント基板、ビルドアップ基板、ダミー基板、もしくは個片化されたシリコンチップを並べてモールド樹脂で埋め込んだ基板上に形成された、表面に銅とスズを含む合金層、更にその上にシランカップリング剤の層が形成されていることを特徴とする銅の層と、硬化レリーフパターンの層を有し、該硬化レリーフパターンは感光性樹脂組成物の硬化したものであることを特徴とする再配線層。
[7]
(1)シリコン、ガラス、化合物半導体、プリント基板、ビルドアップ基板、ダミー基板、もしくは個片化されたシリコンチップを並べてモールド樹脂で埋め込んだ基板上に形成された、表面に銅とスズを含む合金層、更にその上にシランカップリング剤の層が形成されていることを特徴とする銅の層の上に、感光性樹脂組成物を塗布することによって感光性樹脂層を銅層上に形成する工程と、
(2)前記感光性樹脂層を露光する工程と、
(3)前記露光後の感光性樹脂層を現像してレリーフパターンを形成する工程と、
(4)前記レリーフパターンを加熱処理することによって硬化レリーフパターンを形成する工程と
を含む、[6]に記載の再配線層の製造方法。
[8] 前記感光性樹脂組成物が、(A)ポリアミド酸、ポリアミド酸エステル、ポリアミド酸塩、ポリヒドロキシアミド、ポリアミノアミド、ポリアミド、ポリアミドイミド、ポリイミド、ポリベンゾオキサゾール、並びにノボラック、ポリヒドロキシスチレン及びフェノール樹脂から成る群より選ばれる少なくとも一種の樹脂を100質量部と、
(B)感光剤を前記樹脂100質量部を基準として1~50質量部、を含有する、[6]に記載の再配線層又は[7]に記載の方法。
[9] 前記(A)樹脂が、下記一般式(40)を含むポリイミド前駆体、下記一般式(43)を含むポリアミド、下記一般式(44)を含むポリオキサゾール前駆体、下記一般式(45)を含むポリイミド、並びにノボラック、ポリヒドロキシスチレン及び下記一般式(46)を含むフェノール樹脂、からなる群から選択される少なくとも一種である、[6]若しくは[8]に記載の再配線層又は[7]若しくは[8]に記載の方法。
[10] 前記感光性樹脂組成物が、前記一般式(46)で表される繰り返し単位を有するフェノール樹脂を含み、前記一般式(46)中のXが、下記一般式(48):
<基板>
本発明で再配線層を形成するために用いられる基板としては、シリコン、ガラス、化合物半導体、プリント基板、ビルドアップ基板、ダミー基板、もしくは個片化されたシリコンチップを並べてモールド樹脂で埋め込んだ基板のいずれかを挙げることができる。形状は丸型、角型いずれでも良い。
シリコン基板は、内部に半導体及び微細配線が形成された基板であっても、内部に何も形成されていない基板あっても良い。また、表面にAl等で形成された電極部や凹凸が形成されていても良く、SiO2やSiN等からなるパッシベーション膜や、基板を貫く貫通孔が形成されていても良い。
ガラス基板は、無アルカリガラス、シリカガラス等、ガラスであれば材質は問わない。また、表面に凹凸が、裏面に配線層が形成されていても良く、基板を貫く貫通孔が形成されていても良い。
化合物半導体基板としては、例えばSiC、GaAs、GaP等を有する基板が挙げられる。この場合も、内部に半導体及び微細配線が形成された基板であっても、内部に何も形成されていない基板あっても良い。また、表面にAl等で形成された電極部や凹凸が形成されていても良く、SiO2やSiN等からなるパッシベーション膜や、基板を貫く貫通孔が形成されていても良い。
プリント基板は、片面板、両面板、多層板等、コア材と絶縁樹脂層を積層することによってなる通常の配線基板であり、配線基板を貫くスルーホールや配線間のブラインドビア等が形成されていても良い。
ビルドアップ基板は、プリント基板の一種だが、一括積層ではなく、コア材に対し、絶縁層もしくはCu付き絶縁層を逐次積層してできるものを言う。
ダミー基板は、その上に配線層を形成した後、基板と配線層の間を引き剥がすことにより、最終製品には残らない基板の総称である。材質は樹脂、シリコン、ガラス等何でもよく、最終的に基板と配線層の間を引き剥がす方法も、接着部を薬剤で溶解する等、化学的に処理する方法、接着部を加熱剥離する等、熱的に処理する方法、接着部にレーザー光を照射して剥離する等、光学的に処理する方法等、任意の方法を用いることができる。
個片化されたシリコンチップを並べてモールド樹脂で埋め込んだ基板とは、一旦シリコンウェハに半導体や再配線層をつくりこんでからダイシングして、通常のシリコンチップの形にしてから、それらを改めて別の基板上に並べて、上から封止樹脂等でモールドした基板を指す。
本発明において、銅層は例えば通常スパッタでシード層を形成した後、電解メッキによって形成させる。シード層には通常Ti/Cuが用いられ、通常は厚み1μm以下である。樹脂上にスパッタを行なう場合は、樹脂との密着性の観点から、予め樹脂表面をプラズマエッチングで粗化しておくことが望ましい。また、シード層形成には、スパッタの代わりに無電解メッキを用いることもできる。
銅配線を形成するには、シード層を形成した後、表面にレジスト層を形成し、露光・現像によってレジストを所望のパターンにパターニングした後、所望の厚みになるよう、電解メッキでパターニングされた部分にのみ銅を析出させる。その後剥離液等を用いてレジストを剥離して、シード層をフラッシュエッチングにより除去する。
この他に、プリント基板で良く用いられる方法として、樹脂層とCu箔を積層することで樹脂上にCu層を形成する方法を挙げることもできる。
<銅の表面処理>
本発明で用いられる銅の表面処理方法としては、銅の表面をマイクロエッチングして、最大高さ0.1μm以上5μm以下の凹凸を形成する方法、もしくは銅の表面で無電解スズメッキを行なうことで、銅の表面にスズを含有する合金層を形成させ、更にシランカップリング剤と反応させる方法のいずれかを挙げることができる。
まずマイクロエッチングについて説明する。銅は、例えば、塩化第二銅水溶液によって酸性条件下でエッチングすることができる。このとき、例えばアミノ基を有する化合物等、特定の化合物を共存させることで、銅の表面を均一に溶解させるのではなく、銅の表面に溶解し易い部分と溶解しにくい部分を生じさせ、最大高さ0.1μm以上5μm以下の凹凸を形成させることができる(例えば特許文献2参照)。ここで、最大高さとは、銅表面が平均的にエッチングされた場合を基準として、表面の凹凸のプロファイルを見た場合の、凹凸の山頂部分から谷底部分までの長さを言う。最大高さは、銅と樹脂の密着性の観点から好ましくは0.1μm以上、より好ましくは0.2μm以上であり、絶縁信頼性の観点から好ましくは5μm以下、より好ましくは2μm以下である。また、マイクロエッチングを行なった後、凹凸の形成された銅の表面を更に防錆剤で処理しても良い。
次に、銅の表面をシランカップリング剤で処理する方法について説明する。シランカップリング剤は、銅の表面水酸基とは反応しにくいため、例えば、銅の表面で無電解スズメッキを行なうことで、銅よりもシランカップリング剤との反応性に富むスズを銅の表面に析出させ、それからシランカップリング剤で処理することが有効である(例えば特許文献3参照)。このとき銅の表面合金層には、スズの他、ニッケル等、任意の金属が含まれていても良い。
本発明で用いることができるシランカップリング剤としては、エポキシ基、アミノ基、アクリロキシ基、メタクリロキシ基、ビニル基等を有するものが適する。シランカップリング剤処理の方法としては、例えば、シランカップリング剤の1%水溶液を金属表面に30分接触させる方法を挙げることができる。
このように、銅の表面に微細な凹凸を形成させる、もしくはスズとの合金層を介してシランカップリング剤の層を形成させることで、銅と樹脂の間の相互作用の状態を未処理の場合から変えることで、高温保存試験後の銅のマイグレーションを抑制することができる。
<感光性樹脂組成物>
本発明は、(A)ポリアミド酸、ポリアミド酸エステルポリアミド酸塩、ポリヒドロキシアミド、ポリアミノアミド、ポリアミド、ポリアミドイミド、ポリイミド、ポリベンゾオキサゾール、並びにノボラック、ポリヒドロキシスチレン及びフェノール樹脂から成る群より選ばれる少なくとも一種の樹脂:100質量部、
(B)感光剤:(A)樹脂100質量部を基準として1~50質量部を必須成分とする。
本発明に用いられる(A)樹脂について説明する。本発明の(A)樹脂は、ポリアミド酸、ポリアミド酸エステル、ポリアミド酸塩、ポリヒドロキシアミド、ポリアミノアミド、ポリアミド、ポリアミドイミド、ポリイミド、ポリベンゾオキサゾール、並びにノボラック、ポリヒドロキシスチレン及びフェノール樹脂から成る群より選ばれる少なくとも一種の樹脂を主成分とする。ここで、主成分とは、これらの樹脂を全樹脂の60質量%以上含有することを意味し、80質量%以上含有することが好ましい。また、必要に応じて他の樹脂を含んでいてもよい。
本発明の感光性樹脂組成物において、耐熱性及び感光特性の観点から最も好ましい(A)樹脂の1つの例は、前記一般式(40):
下記一般式(42):
を含むポリアミド酸、ポリアミド酸エステル又はポリアミド酸塩である。
ポリアミド酸、ポリアミド酸エステル又はポリアミド酸塩は、加熱(例えば200℃以上)環化処理を施すことによってポリイミドに変換されることから、ポリイミド前駆体とみなされる。これらポリイミド前駆体は、ネガ型感光性樹脂組成物用として好適である。
で表される構造が挙げられるが、これらに限定されるものではない。また、X1cの構造は1種でも2種以上の組み合わせでも構わない。上記式で表される構造を有するX1c基は、耐熱性と感光特性とを両立するという点で特に好ましい。
で表される構造が挙げられるが、これらに限定されるものではない。また、Y1cの構造は1種でも2種以上の組み合わせでも構わない。上記式(91)で表される構造を有するY1c基は、耐熱性及び感光特性を両立するという点で特に好ましい。
本発明で、エステル結合型のポリイミド前駆体を調製するために好適に用いられる、4価の有機基X1Cを含むテトラカルボン酸二無水物としては、上記一般式(90)に示されるテトラカルボン酸二無水物をはじめ、例えば、無水ピロメリット酸、ジフェニルエーテル-3,3’,4,4’-テトラカルボン酸二無水物、ベンゾフェノン-3,3’,4,4’-テトラカルボン酸二無水物、ビフェニル-3,3’,4,4’-テトラカルボン酸二無水物、ジフェニルスルホン-3,3’,4,4’-テトラカルボン酸二無水物、ジフェニルメタン-3,3’,4,4’-テトラカルボン酸二無水物、2,2-ビス(3,4-無水フタル酸)プロパン、2,2-ビス(3,4-無水フタル酸)-1,1,1,3,3,3-ヘキサフルオロプロパン等を、好ましくは無水ピロメリット酸、ジフェニルエーテル-3,3’,4,4’-テトラカルボン酸二無水物、ベンゾフェノン-3,3’,4,4’-テトラカルボン酸二無水物、ビフェニル-3,3’,4,4’-テトラカルボン酸二無水物を挙げることができるが、これらに限定されるものではない。また、これらは単独で用いることができるのは勿論のこと2種以上を混合して用いてもよい。
上記アシッド/エステル体(典型的には後述する反応溶剤中の溶液)に、氷冷下、適当な脱水縮合剤、例えば、ジシクロヘキシルカルボジイミド、1-エトキシカルボニル-2-エトキシ-1,2-ジヒドロキノリン、1,1-カルボニルジオキシ-ジ-1,2,3-ベンゾトリアゾール、N,N’-ジスクシンイミジルカーボネート等を投入混合してアシッド/エステル体をポリ酸無水物とした後、これに、本発明で好適に用いられる2価の有機基Y1を含むジアミン類を別途溶剤に溶解又は分散させたものを滴下投入し、アミド重縮合させることにより、目的のポリイミド前駆体を得ることができる。もしくは、上記アシッド/エステル体を、塩化チオニル等を用いてアシッド部分を酸クロライド化した後に、ピリジン等の塩基存在下に、ジアミン化合物と反応させることにより、目的のポリイミド前駆体を得ることができる。
本発明の感光性樹脂組成物における好ましい(A)樹脂のさらに1つの例は、下記一般式(43):
で表される構造を有するポリアミドである。このポリアミドはネガ型感光性樹脂組成物用として好適である。
で表される基であることが好ましい。
(フタル酸化合物封止体の合成)
第一に、3価の芳香族基X2cを有する化合物、例えばアミノ基で置換されたフタル酸、アミノ基で置換されたイソフタル酸、及び、アミノ基で置換されたテレフタル酸からなる群から選ばれた少なくとも1つ以上の化合物(以下、「フタル酸化合物」という)1モルと、アミノ基と反応する化合物1モルとを反応させて、該フタル酸化合物のアミノ基を後述のラジカル重合性の不飽和結合を含む基で修飾、封止した化合物(以下、「フタル酸化合物封止体」という)を合成する。これらは単独でもよいし、混合して用いてもよい。
上記フタル酸化合物封止体と2価の有機基Y2cを有するジアミン化合物を、ピリジン又はトリエチルアミンなどの塩基性触媒の存在下、後述するような溶剤中で混合し、アミド重縮合させることにより、本発明のポリアミドを得ることができる。
本発明の感光性樹脂組成物における好ましい(A)樹脂のさらに1つの例は、下記一般式(44):
で表される芳香族基から好ましく選択でき、これらは感光特性の点で好ましい。
本発明の感光性樹脂組成物における好ましい(A)樹脂のさらに1つの例は、前記一般式(45):
で表される構造を有するポリイミドである。ここで、一般式(45)で表される樹脂は、十分な膜特性を発現する上で熱処理の工程で化学変化を要さないので、より低温での処理に好適である点で特に好ましい。
上記一般式(45)にて示される構造単位中のX5は、炭素数4~40の4価~14価の有機基であることが好ましく、耐熱性と感光特性とを両立するという点で、芳香族環又は脂肪族環を含有する炭素原子数5~40の有機基であることがさらに好ましい。
で表される構造のジアミンが好ましい。
で表される構造のジアミンが特に好ましい。これらは単独で又は2種以上を組み合わせて使用される。
さらに本発明においては、フェノール樹脂も好適に使用することができる。
本実施形態におけるフェノール樹脂とは、フェノール性水酸基を有する繰り返し単位を有する樹脂を意味する。(A)フェノール樹脂は、熱硬化時にポリイミド前駆体が環化(イミド化)するような構造変化がおこらないため、低温(例えば250℃以下)での硬化が可能であるという利点を有する。
本開示における重量平均分子量の測定は、ゲルパーミエーションクロマトグラフィー(GPC)により行い、標準ポリスチレンを用いて作成した検量線により算出することができる。
で表される繰り返し単位を有するフェノール樹脂、及び炭素数4~100の不飽和炭化水素基を有する化合物で変性されたフェノール樹脂から選択される少なくとも1種のフェノール樹脂であることが好ましい。
本開示で、ノボラックとは、フェノール類とホルムアルデヒドとを触媒の存在下で縮合させることにより得られるポリマー全般を意味する。一般に、ノボラックは、フェノール類1モルに対し、ホルムアルデヒド1モル未満を縮合させて得ることができる。上記フェノール類としては、例えば、フェノール、o-クレゾール、m-クレゾール、p-クレゾール、o-エチルフェノール、m-エチルフェノール、p-エチルフェノール、o-ブチルフェノール、m-ブチルフェノール、p-ブチルフェノール、2,3-キシレノール、2,4-キシレノール、2,5-キシレノール、2,6-キシレノール、3,4-キシレノール、3,5-キシレノール、2,3,5-トリメチルフェノール、3,4,5-トリメチルフェノール、カテコール、レゾルシノール、ピロガロール、α-ナフトール、β-ナフトール等が挙げられる。具体的なノボラックとしては、例えば、フェノール/ホルムアルデヒド縮合ノボラック樹脂、クレゾール/ホルムアルデヒド縮合ノボラック樹脂、フェノール-ナフトール/ホルムアルデヒド縮合ノボラック樹脂等が挙げられる。
本開示で、ポリヒドロキシスチレンとは、ヒドロキシスチレンを重合単位として含有するポリマー全般を意味する。ポリヒドロキシスチレンの好ましい例としては、ポリパラビニルフェノールが挙げられる。ポリパラビニルフェノールは、パラビニルフェノールを重合単位として含有するポリマー全般を意味する。従って、本発明の目的に反しない限りは、ポリヒドロキシスチレン(例えばポリパラビニルフェノール)を構成するために、ヒドロキシスチレン(例えばパラビニルフェノール)以外の重合単位を使用することができる。ポリヒドロキシスチレンにおいて、全重合単位のモル数基準でのヒドロキシスチレン単位のモル数の割合は、好ましくは10モル%~99モル%、より好ましくは20~97モル%、更に好ましくは30~95モル%である。上記割合が10モル%以上である場合、感光性樹脂組成物のアルカリ溶解性の観点で有利であり、99モル%以下である場合、後述の共重合成分を含有する組成物を硬化した硬化膜のリフロー適用性の観点から有利である。ヒドロキシスチレン(例えばパラビニルフェノール)以外の重合単位は、ヒドロキシスチレン(例えばパラビニルフェノール)と共重合可能な任意の重合単位であることができる。ヒドロキシスチレン(例えばパラビニルフェノール)以外の重合単位を与える共重合成分としては、限定されるものではないが、例えば、メチルアクリレート、メチルメタクリレート、ヒドロキシエチルアクリレート、ブチルメタクリレート、オクチルアクリレート、2-エトキシエチルメタアクリレート、t-ブチルアクリレート、1,5-ペンタンジオールジアクリレート、N,N-ジエチルアミノエチルアクリレート、エチレングリコールジアクリレート、1,3-プロパンジオールジアクリレート、デカメチレングリコールジアクリレート、デカメチレングリコールジメタクリレート、1,4-シクロヘキサンジオールジアクリレート、2,2-ジメチロールプロパンジアクリレート、グリセロールジアクリレート、トリプロピレングリコールジアクリレート、グリセロールトリアクリレート、2,2-ジ(p-ヒドロキシフェニル)-プロパンジメタクリレート、トリエチレングリコールジアクリレート、ポリオキシエチル-2-2-ジ(p-ヒドロキシフェニル)-プロパンジメタクリレート、トリエチレングリコールジメタクリレート、ポリオキシプロピルトリメチロールプロパントリアクリレート、エチレングリコールジメタクリレート、ブチレングリコールジメタクリレート、1,3-プロパンジオールジメタクリレート、ブチレングリコールジメタクリレート、1,3-プロパンジオールジメタクリレート、1,2,4-ブタントリオールトリメタクリレート、2,2,4-トリメチル-1,3-ペンタンジオールジメタクリレート、ペンタエリスリトールトリメタクリレート、1-フェニルエチレン-1,2-ジメタクリレート、ペンタエリスリトールテトラメタクリレート、トリメチロールプロパントリメタクリレート、1,5-ペンタンジオールジメタクリレート及び1,4-ベンゼンジオールジメタクリレートのようなアクリル酸のエステル;スチレン並びに、例えば、2-メチルスチレン及びビニルトルエンのような置換スチレン;例えば、ビニルアクリレート及びビニルメタクリレートのようなビニルエステルモノマー;並びにo-ビニルフェノール、m-ビニルフェノール等が挙げられる。
本実施形態では、(A)フェノール樹脂が、下記一般式(46):
下記一般式(115)は、
下記一般式(116)は、
炭素数4~100の不飽和炭化水素基を有する化合物で変性されたフェノール樹脂は、フェノール又はその誘導体と炭素数4~100の不飽和炭化水素基を有する化合物(以下場合により単に「不飽和炭化水素基含有化合物」という。)との反応生成物(以下「不飽和炭化水素基変性フェノール誘導体」ともいう。)と、アルデヒド類との縮重合生成物、又は、フェノール樹脂と不飽和炭化水素基含有化合物との反応生成物である。
本発明に用いられる(B)感光剤について説明する。(B)感光剤は、本発明の感光性樹脂組成物が、(A)樹脂として例えば主にポリイミド前駆体および/又はポリアミドを用いるネガ型であるか、(A)樹脂として例えば主にポリオキサゾール前駆体、可溶性ポリイミド及びフェノール樹脂の少なくとも一種類を用いるポジ型であるか等により異なる。
まずネガ型を所望する場合について説明する。この場合(B)感光剤としては光重合開始剤および/又は光酸発生剤が用いられ、光重合開始剤としては、光ラジカル重合開始剤であることが好ましく、ベンゾフェノン、o-ベンゾイル安息香酸メチル、4-ベンゾイル-4’-メチルジフェニルケトン、ジベンジルケトン、フルオレノン等のベンゾフェノン誘導体、2,2’-ジエトキシアセトフェノン、2-ヒドロキシ-2-メチルプロピオフェノン、1-ヒドロキシシクロヘキシルフェニルケトン等のアセトフェノン誘導体、チオキサントン、2-メチルチオキサントン、2-イソプロピルチオキサントン、ジエチルチオキサントン等のチオキサントン誘導体、ベンジル、ベンジルジメチルケタール、ベンジル-β-メトキシエチルアセタール等のベンジル誘導体、
(B)キノンジアジド基を有する化合物(以下、「(B)キノンジアジド化合物」とも言う)としては、1,2-ベンゾキノンジアジド構造を有する化合物、及び1,2-ナフトキノンジアジド構造を有する化合物を例示でき、米国特許第2,772,972号明細書、米国特許第2,797,213号明細書、及び米国特許第3,669,658号明細書等により公知の物質である。該(B)キノンジアジド化合物は、以降に詳述する特定構造を有するポリヒドロキシ化合物の1,2-ナフトキノンジアジド-4-スルホン酸エステル、及び該ポリヒドロキシ化合物の1,2-ナフトキノンジアジド-5-スルホン酸エステルからなる群から選択される少なくとも一種の化合物(以下、「NQD化合物」ともいう。)であることが好ましい。
一般式(120)は、
一般式(121)は、
並びに、一般式(122)は、
並びに、一般式(123)は、
さらに、一般式(124)は、
で表される3つの2価の有機基から選択されることが好ましい。
で表される1価の有機基であることが好ましい。}であり、
一般式(126)は、
また、一般式(127)は、
式(134)~(136)の構造は以下のごとくである。
式(137)~(140)の構造は以下のごとくである。
式(142)及び(143)の構造は以下のごとくである。
(A)樹脂100質量部に対し、0.5~20質量部であることが好ましく、より好ましくは2~10質量部である。該配合量が0.5質量部以上である場合、良好な耐熱性及び耐薬品性が発現し、一方、20質量部以下である場合、保存安定性に優れる。
使用可能な有機チタン化合物としては、チタン原子に有機化学物質が共有結合又はイオン結合を介して結合しているものが挙げられる。
I)チタンキレート化合物:中でも、アルコキシ基を2個以上有するチタンキレートが、ネガ型感光性樹脂組成物の保存安定性及び良好なパターンが得られることからより好ましく、具体的な例は、チタニウムビス(トリエタノールアミン)ジイソプロポキサイド、チタニウムジ(n-ブトキサイド)ビス(2,4-ペンタンジオネート、チタニウムジイソプロポキサイドビス(2,4-ペンタンジオネート)、チタニウムジイソプロポキサイドビス(テトラメチルヘプタンジオネート)、チタニウムジイソプロポキサイドビス(エチルアセトアセテート)等である。
熱酸発生剤は、硬化温度を下げた場合でも、良好な硬化物の熱物性及び機械的物性を発現させるという観点から、配合することが好ましい。
本発明は、(1)上述した本発明の感光性樹脂組成物を、本発明の表面処理を行なった銅上に塗布することによって樹脂層を該銅層上に形成する工程と、(2)該樹脂層を露光する工程と、(3)該露光後の樹脂層を現像してレリーフパターンを形成する工程と、(4)該レリーフパターンを加熱処理することによって硬化レリーフパターンを形成する工程とを含む、再配線層の製造方法を提供する。以下、各工程の典型的な態様について説明する。
本工程では、本発明の感光性樹脂組成物を本発明を行なった銅上に塗布し、必要に応じてその後乾燥させて樹脂層を形成する。塗布方法としては、従来から感光性樹脂組成物の塗布に用いられていた方法、例えば、スピンコーター、バーコーター、ブレードコーター、カーテンコーター、スクリーン印刷機等で塗布する方法、スプレーコーターで噴霧塗布する方法等を用いることができる。
本工程では、上記で形成した樹脂層を、コンタクトアライナー、ミラープロジェクション、ステッパー等の露光装置を用いて、パターンを有するフォトマスク又はレチクルを介して又は直接に、紫外線光源等により露光する。
本工程においては、露光後の感光性樹脂層の露光部又は未露光部を現像除去する。ネガ型の感光性樹脂組成物を用いる場合(例えば(A)樹脂としてポリイミド前駆体を用いる場合)には、未露光部が現像除去され、ポジ型の感光性樹脂組成物を用いる場合(例えば(A)樹脂としてポリオキサゾール前駆体を用いる場合)には、露光部が現像除去される。現像方法としては、従来知られているフォトレジストの現像方法、例えば回転スプレー法、パドル法、超音波処理を伴う浸漬法等の中から任意の方法を選択して使用することができる。また、現像の後、レリーフパターンの形状を調整する等の目的で、必要に応じて任意の温度及び時間の組合せによる現像後ベークを施してもよい。
本工程では、上記現像により得られたレリーフパターンを加熱することによって、硬化レリーフパターンに変換する。加熱硬化の方法としては、ホットプレートによるもの、オーブンを用いるもの、温度プログラムを設定できる昇温式オーブンを用いるもの等種々の方法を選ぶことができる。加熱は、例えば180℃~400℃で30分~5時間の条件で行うことができる。加熱硬化の際の雰囲気気体としては空気を用いてもよく、窒素、アルゴン等の不活性ガスを用いることもできる。
本発明の第四の態様によれば、また、上述した本発明の再配線層の製造方法により得られる再配線層を含む、半導体装置を提供することができる。本発明は、半導体素子である基材と、前記基材上に上述した再配線層の製造方法により形成された再配線層とを含む半導体装置も提供する。また、本発明は、基材として半導体素子を用い、上述した再配線層の製造方法を工程の一部として含む半導体装置の製造方法にも適用できる。
素子は、目的に合わせて、様々な方法でプリント基板に実装される。従来の素子は、素子の外部端子(パッド)からリードフレームまで細いワイヤで接続する、ワイヤボンディング法により作製されることが一般的であった。しかし、素子の高速化が進み、動作周波数がGHzまで到達した今日、実装における各端子の配線長さの違いが、素子の動作に影響を及ぼすまでに至った。そのため、ハイエンド用途の素子の実装では、実装配線の長さを正確に制御する必要が生じ、ワイヤボンディングではその要求を満たすことが困難となった。
[1]
以下の工程:
(A)ポリアミド酸エステル、ノボラック、ポリヒドロキシスチレン、及びフェノール樹脂から成る群より選ばれる少なくとも一種の樹脂を100質量部、(B)感光剤を前記(A)樹脂100質量部を基準として1~50質量部、を含む感光性樹脂組成物を調製する工程;
前記感光性樹脂組成物を基板上に塗布することによって、感光性樹脂層を前記基板上に形成する工程;
前記感光性樹脂層を露光する工程;
前記露光後の感光性樹脂層を現像してレリーフパターンを形成する工程;及び
前記レリーフパターンを、マイクロ波照射下で硬化させる工程;
を含む、配線層の製造方法。
[2] 前記マイクロ波照射による硬化を、250℃以下で行なう、[1]に記載の方法。
[3] 前記基板が、銅又は銅合金から形成されている、[1]又は[2]に記載の方法。
[4] 前記感光性樹脂が、下記一般式(40):
[5] 前記感光性樹脂組成物が、前記一般式(46)で表される繰り返し単位を有するフェノール樹脂を含み、前記一般式(46)中のXcが、下記一般式(48):
本発明は、(A)ポリアミド酸エステル、ノボラック、ポリヒドロキシスチレン及びフェノール樹脂から成る群より選ばれる少なくとも一種の樹脂:100質量部、(B)感光剤:(A)樹脂100質量部を基準として1~50質量部を必須成分とする。
本発明に用いられる(A)樹脂について説明する。本発明の(A)樹脂は、ポリアミド酸エステル、ノボラック、ポリヒドロキシスチレン、及びフェノール樹脂から成る群より選ばれる少なくとも一種の樹脂を主成分とする。ここで、主成分とは、これらの樹脂を全樹脂の60質量%以上含有することを意味し、80質量%以上含有することが好ましい。また、必要に応じて他の樹脂を含んでいてもよい。
本発明の感光性樹脂組成物において、耐熱性及び感光特性の観点から最も好ましい(A)樹脂の1つの例は、前記一般式(40):
で表される構造を含むポリアミド酸エステルである。ポリアミド酸エステルは、加熱(例えば200℃以上)環化処理を施すことによってポリイミドに変換される。従って、ポリアミド酸エステルはポリイミド前駆体とも言う。ポリイミド前駆体はネガ型感光性樹脂組成物用として好適である。
で表される構造が挙げられるが、これらに限定されるものではない。また、X1Cの構造は1種でも2種以上の組み合わせでも構わない。上記式で表される構造を有するX1C基は、耐熱性と感光特性とを両立するという点で特に好ましい。
で表される構造が挙げられるが、これらに限定されるものではない。また、YC1の構造は1種でも2種以上の組み合わせでも構わない。上記式で表される構造を有するY1C基は、耐熱性及び感光特性を両立するという点で特に好ましい。
本発明で、ポリアミド酸エステルを調製するために好適に用いられる、4価の有機基X1を含むテトラカルボン酸二無水物としては、上記一般式(90)に示される酸二無水物をはじめ、例えば、無水ピロメリット酸、ジフェニルエーテル-3,3’,4,4’-テトラカルボン酸二無水物、ベンゾフェノン-3,3’,4,4’-テトラカルボン酸二無水物、ビフェニル-3,3’,4,4’-テトラカルボン酸二無水物、ジフェニルスルホン-3,3’,4,4’-テトラカルボン酸二無水物、ジフェニルメタン-3,3’,4,4’-テトラカルボン酸二無水物、2,2-ビス(3,4-無水フタル酸)プロパン、2,2-ビス(3,4-無水フタル酸)-1,1,1,3,3,3-ヘキサフルオロプロパン等を、好ましくは無水ピロメリット酸、ジフェニルエーテル-3,3’,4,4’-テトラカルボン酸二無水物、ベンゾフェノン-3,3’,4,4’-テトラカルボン酸二無水物、ビフェニル-3,3’,4,4’-テトラカルボン酸二無水物等を挙げることができるが、これらに限定されるものではない。また、これらは単独で用いることができるのは勿論のこと2種以上を混合して用いてもよい。
上記アシッド/エステル体(典型的には上記反応溶媒中の溶液)に、氷冷下、適当な脱水縮合剤、例えば、ジシクロヘキシルカルボジイミド、1-エトキシカルボニル-2-エトキシ-1,2-ジヒドロキノリン、1,1-カルボニルジオキシ-ジ-1,2,3-ベンゾトリアゾール、N,N’-ジスクシンイミジルカーボネート等を投入混合してアシッド/エステル体をポリ酸無水物とした後、これに、本発明で好適に用いられる2価の有機基Y1を含むジアミン類を別途溶媒に溶解又は分散させたものを滴下投入し、アミド重縮合させることにより、目的のポリイミド前駆体を得ることができる。もしくは、上記アシッド/エステル体を、塩化チオニル等を用いてアシッド部分を酸クロライド化した後に、ピリジン等の塩基存在下に、ジアミン化合物と反応させることにより、目的のポリイミド前駆体を得ることができる。
本開示で、ノボラックとは、フェノール類とホルムアルデヒドとを触媒の存在下で縮合させることにより得られるポリマー全般を意味する。一般に、ノボラックは、フェノール類1モルに対し、ホルムアルデヒド1モル未満を縮合させて得ることができる。上記フェノール類としては、例えば、フェノール、o-クレゾール、m-クレゾール、p-クレゾール、o-エチルフェノール、m-エチルフェノール、p-エチルフェノール、o-ブチルフェノール、m-ブチルフェノール、p-ブチルフェノール、2,3-キシレノール、2,4-キシレノール、2,5-キシレノール、2,6-キシレノール、3,4-キシレノール、3,5-キシレノール、2,3,5-トリメチルフェノール、3,4,5-トリメチルフェノール、カテコール、レゾルシノール、ピロガロール、α-ナフトール、β-ナフトール等が挙げられる。具体的なノボラックとしては、例えば、フェノール/ホルムアルデヒド縮合ノボラック樹脂、クレゾール/ホルムアルデヒド縮合ノボラック樹脂、フェノール-ナフトール/ホルムアルデヒド縮合ノボラック樹脂等が挙げられる。
本開示で、ポリヒドロキシスチレンとは、ヒドロキシスチレンを重合単位として含有するポリマー全般を意味する。ポリヒドロキシスチレンの好ましい例としては、ポリパラビニルフェノールが挙げられる。ポリパラビニルフェノールは、パラビニルフェノールを重合単位として含有するポリマー全般を意味する。従って、本発明の目的に反しない限りは、ポリヒドロキシスチレン(例えばポリパラビニルフェノール)を構成するために、ヒドロキシスチレン(例えばパラビニルフェノール)以外の重合単位を使用することができる。ポリヒドロキシスチレンにおいて、全重合単位のモル数基準でのヒドロキシスチレン単位のモル数の割合は、好ましくは10モル%~99モル%、より好ましくは20~97モル%、更に好ましくは30~95モル%である。上記割合が10モル%以上である場合、感光性樹脂組成物のアルカリ溶解性の観点で有利であり、99モル%以下である場合、後述の共重合成分を含有する組成物を硬化した硬化膜のリフロー適用性の観点から有利である。ヒドロキシスチレン(例えばパラビニルフェノール)以外の重合単位は、ヒドロキシスチレン(例えばパラビニルフェノール)と共重合可能な任意の重合単位であることができる。ヒドロキシスチレン(例えばパラビニルフェノール)以外の重合単位を与える共重合成分としては、限定されるものではないが、例えば、メチルアクリレート、メチルメタクリレート、ヒドロキシエチルアクリレート、ブチルメタクリレート、オクチルアクリレート、2-エトキシエチルメタアクリレート、t-ブチルアクリレート、1,5-ペンタンジオールジアクリレート、N,N-ジエチルアミノエチルアクリレート、エチレングリコールジアクリレート、1,3-プロパンジオールジアクリレート、デカメチレングリコールジアクリレート、デカメチレングリコールジメタクリレート、1,4-シクロヘキサンジオールジアクリレート、2,2-ジメチロールプロパンジアクリレート、グリセロールジアクリレート、トリプロピレングリコールジアクリレート、グリセロールトリアクリレート、2,2-ジ(p-ヒドロキシフェニル)-プロパンジメタクリレート、トリエチレングリコールジアクリレート、ポリオキシエチル-2-2-ジ(p-ヒドロキシフェニル)-プロパンジメタクリレート、トリエチレングリコールジメタクリレート、ポリオキシプロピルトリメチロールプロパントリアクリレート、エチレングリコールジメタクリレート、ブチレングリコールジメタクリレート、1,3-プロパンジオールジメタクリレート、ブチレングリコールジメタクリレート、1,3-プロパンジオールジメタクリレート、1,2,4-ブタントリオールトリメタクリレート、2,2,4-トリメチル-1,3-ペンタンジオールジメタクリレート、ペンタエリスリトールトリメタクリレート、1-フェニルエチレン-1,2-ジメタクリレート、ペンタエリスリトールテトラメタクリレート、トリメチロールプロパントリメタクリレート、1,5-ペンタンジオールジメタクリレート及び1,4-ベンゼンジオールジメタクリレートのようなアクリル酸のエステル;スチレン並びに、例えば、2-メチルスチレン及びビニルトルエンのような置換スチレン;例えば、ビニルアクリレート及びビニルメタクリレートのようなビニルエステルモノマー;並びにo-ビニルフェノール、m-ビニルフェノール等が挙げられる。
本実施形態では、(A)フェノール樹脂が、下記一般式(46):
必要に応じて、該樹脂を十分に溶解できる溶剤を使用することができる。
炭素数4~100の不飽和炭化水素基を有する化合物で変性されたフェノール樹脂は、フェノール又はその誘導体と炭素数4~100の不飽和炭化水素基を有する化合物(以下場合により単に「不飽和炭化水素基含有化合物」という。)との反応生成物(以下「不飽和炭化水素基変性フェノール誘導体」ともいう。)と、アルデヒド類との縮重合生成物、又は、フェノール樹脂と不飽和炭化水素基含有化合物との反応生成物である。
本発明に用いられる(B)感光剤について説明する。(B)感光剤は、本発明の感光性樹脂組成物が、(A)樹脂としてポリアミド酸エステルを用いるネガ型であるか、(A)樹脂として例えば主にノボラック、ポリヒドロキシスチレン、フェノール樹脂の少なくとも一種類を用いるポジ型であるか等により異なる。
で表される3つの2価の有機基から選択されることが好ましい。
で表される1価の有機基であることが好ましい。}
本発明の感光性樹脂組成物は、上記(A)(B)成分以外の成分をさらに含有しても
良い。
本実施形態におけるネガ型樹脂組成物である前述のポリアミド酸エステル樹脂組成物、又、ポジ型感光性樹脂組成物である、ノボラック樹脂組成物、ポリヒドロキシスチレン樹脂組成物及びフェノール樹脂組成物には、これらの樹脂を溶解するための溶剤を含むことができる。
本発明の感光性樹脂組成物には、架橋剤を含有させてもよい。架橋剤は、本発明の感光性樹脂組成物を用いて形成されたレリーフパターンを加熱硬化する際に、(A)樹脂を架橋し得るか、又は架橋剤自身が架橋ネットワークを形成し得る架橋剤であることができる。架橋剤は、感光性樹脂組成物から形成された硬化膜の耐熱性及び耐薬品性を更に強化することができる。
(A)樹脂100質量部に対し、0.5~20質量部であることが好ましく、より好ましくは2~10質量部である。該配合量が0.5質量部以上である場合、良好な耐熱性及び耐薬品性が発現し、一方、20質量部以下である場合、保存安定性に優れる。
使用可能な有機チタン化合物としては、チタン原子に有機化学物質が共有結合又はイオン結合を介して結合しているものが挙げられる。
I)チタンキレート化合物:中でも、アルコキシ基を2個以上有するチタンキレートが、ネガ型感光性樹脂組成物の保存安定性及び良好なパターンが得られることからより好ましく、具体的な例は、チタニウムビス(トリエタノールアミン)ジイソプロポキサイド、チタニウムジ(n-ブトキサイド)ビス(2,4-ペンタンジオネート、チタニウムジイソプロポキサイドビス(2,4-ペンタンジオネート)、チタニウムジイソプロポキサイドビス(テトラメチルヘプタンジオネート)、チタニウムジイソプロポキサイドビス(エチルアセトアセテート)等である。
熱酸発生剤は、硬化温度を下げた場合でも、良好な硬化物の熱物性及び機械的物性を発現させるという観点から、配合することが好ましい。
また、本発明は、(1)上述した本発明の感光性樹脂組成物を基板上に塗布することによって樹脂層を該基板上に形成する工程と、(2)該樹脂層を露光する工程と、(3)該露光後の樹脂層を現像してレリーフパターンを形成する工程と、(4)該レリーフパターンをマイクロ波照射下に加熱処理することによって硬化レリーフパターンを形成する工程とを含む、硬化レリーフパターンの製造方法を提供する。以下、各工程の典型的な態様について説明する。
本工程では、本発明の感光性樹脂組成物を基材上に塗布し、必要に応じてその後乾燥させて樹脂層を形成する。塗布方法としては、従来から感光性樹脂組成物の塗布に用いられていた方法、例えば、スピンコーター、バーコーター、ブレードコーター、カーテンコーター、スクリーン印刷機等で塗布する方法、スプレーコーターで噴霧塗布する方法等を用いることができる。
本工程では、上記で形成した樹脂層を、コンタクトアライナー、ミラープロジェクション、ステッパー等の露光装置を用いて、パターンを有するフォトマスク又はレチクルを介して又は直接に、紫外線光源等により露光する。
本工程においては、露光後の感光性樹脂層の露光部又は未露光部を現像除去する。ネガ型の感光性樹脂組成物を用いる場合(例えば(A)樹脂としてポリアミド酸エステルを用いる場合)には、未露光部が現像除去され、ポジ型の感光性樹脂組成物を用いる場合(例えば(A)樹脂としてフェノール樹脂を用いる場合)には、露光部が現像除去される。現像方法としては、従来知られているフォトレジストの現像方法、例えば回転スプレー法、パドル法、超音波処理を伴う浸漬法等の中から任意の方法を選択して使用することができる。また、現像の後、レリーフパターンの形状を調整する等の目的で、必要に応じて任意の温度及び時間の組合せによる現像後ベークを施してもよい。
本工程では、上記現像により得られたレリーフパターンをマイクロ波照射下に加熱することによって、硬化レリーフパターンに変換する。照射するマイクロ波の周波数や出力、照射の方法について、特に限定はない。加熱硬化の方法としては、マイクロ波照射が可能なオーブンの中で行なう必要がある。加熱は、例えば180℃~400℃で30分~5時間の条件で行うことができるが、180℃~250℃の温度範囲で行なうのが好ましい。加熱硬化の際の雰囲気気体としては空気を用いてもよく、窒素、アルゴン等の不活性ガスを用いることもできる。
本発明はまた、上述した本発明の硬化レリーフパターンの製造方法により得られる硬化レリーフパターンを含む、半導体装置を提供する。本発明は、半導体素子である基材と、前記基材上に上述した硬化レリーフパターン製造方法により形成された樹脂の硬化レリーフパターンとを含む半導体装置も提供する。また、本発明は、基材として半導体素子を用い、上述した硬化レリーフパターンの製造方法を工程の一部として含む半導体装置の製造方法にも適用できる。本発明の半導体装置は、上記硬化レリーフパターン製造方法で形成される硬化レリーフパターンを、表面保護膜、層間絶縁膜、再配線用絶縁膜、フリップチップ装置用保護膜、又はバンプ構造を有する半導体装置の保護膜等として形成し、既知の半導体装置の製造方法と組合せることで製造することができる。
第一の実施形態として実施例1~24、比較例1~6を以下に説明する。
以下、実施例により本発明を具体的に説明するが、本発明はこれに限定されるものではない。実施例、比較例及び製造例においては、感光性樹脂組成物の物性を以下の方法に従って測定及び評価した。
各樹脂の重量平均分子量(Mw)をゲルパーミエーションクロマトグラフィー法(標準ポリスチレン換算)で測定した。測定に用いたカラムは昭和電工(株)製の商標名「Shodex 805M/806M直列」であり、標準単分散ポリスチレンは、昭和電工(株)製の商標名「Shodex STANDARD SM-105」を選択し、展開溶媒はN-メチル-2-ピロリドンであり、検出器は昭和電工(株)製の商標名「Shodex RI-930」を使用した。
6インチシリコンウェハー(フジミ電子工業株式会社製、厚み625±25μm)上に、スパッタ装置(L-440S-FHL型、キヤノンアネルバ社製)を用いて200nm厚のTi、400nm厚のCuをこの順にスパッタした。続いて、このウェハ上に、後述の方法により調製した感光性ポリアミド酸エステル組成物をコーターデベロッパー(D-Spin60A型、SOKUDO社製)を用いて回転塗布し、乾燥して10μm厚の塗膜を形成した。この塗膜に、テストパターン付マスクを用いて平行光マスクアライナー(PLA-501FA型、キヤノン社製)により300mJ/cm2のエネルギーを照射した。次いで、この塗膜を形成したウエハーを昇温プログラム式キュア炉(VF-2000型、光洋リンドバーグ社製)を用いて、窒素雰囲気下、230℃で2時間加熱処理することにより、Cu上に約7μm厚のポリイミド樹脂からなる硬化レリーフパターンを得た。作成した硬化膜を、プレッシャークッカーテスター装置(平山製作所製、PC-422R8D型)にて120℃、2気圧、相対湿度100%の条件で、100時間処理した後、カッターにて1mm間隔で縦及び横に碁盤目状に各11回切れ込みをいれ、100個の独立した膜を作成した。その後、セロテープ(登録商標)にて剥離試験を行い、剥離した数を後述の表1に記録した。剥離数は少ないほど半導体としての信頼性が上がるためよい。
6インチシリコンウェハー(フジミ電子工業株式会社製、厚み625±25μm)上に、後述の方法により調製した感光性ポリアミド酸エステル組成物をコーターデベロッパー(D-Spin60A型、SOKUDO社製)を用いて回転塗布し、乾燥して10μm厚の塗膜を形成した。この塗膜に、テストパターン付マスクを用いて平行光マスクアライナー(PLA-501FA型、キヤノン社製)により300mJ/cm2のエネルギーを照射した。次いで、この塗膜を形成したウエハーを昇温プログラム式キュア炉(VF-2000型、光洋リンドバーグ社製)を用いて、窒素雰囲気下、230℃で2時間加熱処理することにより、Si上に約7μm厚のポリイミド樹脂からなる硬化レリーフパターンを得た。作成した硬化膜を、プレッシャークッカーテスター装置(平山製作所製、PC-422R8D型)にて150℃、1000時間処理した後、薬液(1wt%水酸化カリウム/テトラメチルアンモニウムヒドロキシド溶液)に110℃60分間浸漬した後の残膜率およびクラックの有無を観察した。残膜率が90%かつクラックが観察されないものを○、どちらか一方でも満たさないものは×とした。
3,3’,4,4’-ビフェニルテトラカルボン酸二無水物(BPDA)147.1gを2L容量のセパラブルフラスコに入れ、2-ヒドロキシエチルメタクリレート(HEMA)131.2gとγ―ブチロラクトン400mlを入れて室温下で攪拌し、攪拌しながらピリジン81.5gを加えて反応混合物を得た。反応による発熱の終了後に室温まで放冷し、16時間放置した。
<製造例2>(ポリマー2の合成)
製造例1の3,3’,4,4’-ビフェニルテトラカルボン酸二無水物(BPDA)147.1gに代えて、無水ピロメリット酸(PMDA)54.5gとベンゾフェノン-3,3’,4,4’-テトラカルボン酸二無水物(BTDA)80.6gの混合物を用いた以外は、前述の製造例1に記載の方法と同様にして反応を行い、ポリマー2を得た。ポリマー2の分子量をゲルパーミエーションクロマトグラフィー(標準ポリスチレン換算)で測定したところ、重量平均分子量(Mw)は22,000であった。
<製造例3>(ポリマー3の合成)
製造例1の3,3’,4,4’-ビフェニルテトラカルボン酸二無水物(BPDA)147.1gに代えて、4,4’-オキシジフタル酸二無水物(ODPA)155.1gを用い、4,4’-ジアミノジフェニルエーテル(DADPE)93.0gに代えて、p-フェニレンジアミン(p-PD)50.2gを用いた以外は、前述の製造例1に記載の方法と同様にして反応を行い、ポリマー3を得た。ポリマー3の分子量をゲルパーミエーションクロマトグラフィー(標準ポリスチレン換算)で測定したところ、重量平均分子量(Mw)は20,000であった。
製造例1の4,4’-ジアミノジフェニルエーテル(DADPE)93.0gに代えて、2,2’-ビス(トリフルオロメチル)ベンジジン148.8gを用いた以外は、前述の製造例1に記載の方法と同様にして反応を行い、ポリマー4を得た。ポリマー4の分子量をゲルパーミエーションクロマトグラフィー(標準ポリスチレン換算)で測定したところ、重量平均分子量(Mw)は20,000であった。
製造例1の3,3’,4,4’-ビフェニルテトラカルボン酸二無水物(BPDA)147.1gに代えて、4,4’-オキシジフタル酸二無水物(ODPA)155.1gを用いた以外は、前述の製造例1に記載の方法と同様にして反応を行い、ポリマー5を得た。ポリマー5の分子量をゲルパーミエーションクロマトグラフィー(標準ポリスチレン換算)で測定したところ、重量平均分子量(Mw)は22,000であった。
製造例1の3,3’,4,4’-ビフェニルテトラカルボン酸二無水物(BPDA)147.1gに代えて、4,4’-オキシジフタル酸二無水物(ODPA)155.1gを用い、4,4’-ジアミノジフェニルエーテル(DADPE)93.0gの代わりに4,4’-ジアミノ-3,3'-ジメチルジフェニルメタン(MDT)を105.0g用いた以外は、前述の製造例1に記載の方法と同様にして反応を行い、ポリマー6を得た。ポリマー6の分子量をゲルパーミエーションクロマトグラフィー(標準ポリスチレン換算)で測定したところ、重量平均分子量(Mw)は22,000であった。
製造例1の3,3’,4,4’-ビフェニルテトラカルボン酸二無水物(BPDA)147.1gに代えて、無水ピロメリット酸(PMDA)54.5gと3,3’,4,4’-ビフェニルテトラカルボン酸二無水物(BPDA)73.55gの混合物を用いた以外は、前述の製造例1に記載の方法と同様にして反応を行い、ポリマー7を得た。ポリマー7の分子量をゲルパーミエーションクロマトグラフィー(標準ポリスチレン換算)で測定したところ、重量平均分子量(Mw)は21000であった。
製造例1の3,3’,4,4’-ビフェニルテトラカルボン酸二無水物(BPDA)147.1gに代えて、無水ピロメリット酸(PMDA)54.5gと4,4’-オキシジフタル酸二無水物(ODPA)77.55gの混合物を用いた以外は、前述の製造例1に記載の方法と同様にして反応を行い、ポリマー8を得た。ポリマー8の分子量をゲルパーミエーションクロマトグラフィー(標準ポリスチレン換算)で測定したところ、重量平均分子量(Mw)は22000であった。
製造例1の3,3’,4,4’-ビフェニルテトラカルボン酸二無水物(BPDA)147.1gに代えて、4,4’-オキシジフタル酸二無水物(ODPA)155.1gとし、4,4’-ジアミノジフェニルエーテル(DADPE)93.0gの代わりに、DADPE46.5gとp-フェニレンジアミン(p-PD)25.11gの混合物用いた以外は、前述の製造例1に記載の方法と同様にして反応を行い、ポリマー9を得た。ポリマー9の分子量をゲルパーミエーションクロマトグラフィー(標準ポリスチレン換算)で測定したところ、重量平均分子量(Mw)は23000であった。
以下の方法でネガ型感光性樹脂組成物を調製し、調製した感光性樹脂組成物の評価を行った。ポリイミド前駆体であるポリマー1(樹脂(A1)に該当)50gとポリマー5(樹脂(A4)に該当)50g、TR-PBG-305(常州強力新電子材料有限公司製、商品名)((B)感光成分に該当)2g、N-フェニルジエタノールアミン4g、チタニウムジイソプロポキサイドビス(エチルアセトアセテート)((E)有機チタン化合物に該当)0.1g、テトラエチレングリコールジメタクリレート10g、5-メチル-1H-ベンゾトリアゾール0.5g及び2-ニトロソ-1-ナフト-ル0.05gと共に、γ―ブチロラクトン((C1)に該当、以下ではGBLという)160gとジメチルスルホキシド((C2)溶媒に該当、以下ではDMSOという)40gから成る混合溶媒に溶解し、ネガ型感光性樹脂組成物とした。得られた樹脂組成物を前述の方法にしたがって評価した結果を表1に示した。
実施例1の、ポリマー1を50gの代わりに20g用い、ポリマー5を50gの代わりに80g用いた以外は前述の実施例1に記載の方法と同様にして感光性樹脂組成物を作成し、同様の評価を行った。評価した結果を表1に示した。
実施例1の、ポリマー1を50gの代わりに80g用い、ポリマー5を50gの代わりに20g用いた以外は前述の実施例1に記載の方法と同様にして感光性樹脂組成物を作成し、同様の評価を行った。評価した結果を表1に示した。
実施例1の、ポリマー1の代わりにポリマー2を用いた以外は前述の実施例1に記載の方法と同様にして感光性樹脂組成物を作成し、同様の評価を行った。評価した結果を表1に示した。
実施例1の、ポリマー1の代わりにポリマー3を用いた以外は前述の実施例1に記載の方法と同様にして感光性樹脂組成物を作成し、同様の評価を行った。評価した結果を表1に示した。
実施例1の、ポリマー1の代わりにポリマー4を用いた以外は前述の実施例1に記載の方法と同様にして感光性樹脂組成物を作成し、同様の評価を行った。評価した結果を表1に示した。
実施例1の、ポリマー5の代わりにポリマー6を用いた以外は前述の実施例1に記載の方法と同様にして感光性樹脂組成物を作成し、同様の評価を行った。評価した結果を表1に示した。
実施例1の、GBLを160gの代わりに200g用い、DMSOを除いた以外は前述の実施例1に記載の方法と同様にして感光性樹脂組成物を作成し、同様の評価を行った。評価した結果を表1に示した。
実施例1の、GBLの代わりにN-メチルピロリドン(NMP)を200g用い、DMSOを除いた以外は前述の実施例1に記載の方法と同様にして感光性樹脂組成物を作成し、同様の評価を行った。評価した結果を表1に示した。
実施例1の、ポリマー1の代わりにポリマー3を用い、さらにGBLの代わりにNMPを200g用い、DMSOを除いた以外は前述の実施例1に記載の方法と同様にして感光性樹脂組成物を作成し、同様の評価を行った。評価した結果を表1に示した。
実施例1の、GBLを除き、DMSOを40g用いる代わりにNMPを200g用いた以外は、は前述の実施例1に記載の方法と同様にして感光性樹脂組成物を作成し、同様の評価を行った。評価した結果を表1に示した。
実施例1の、GBLの代わりにNMPを用い、さらにDMSOを用いる代わりに乳酸エチルを用いる以外は、前述の実施例1に記載の方法と同様にして感光性樹脂組成物を作成し、同様の評価を行った。評価した結果を表1に示した。
実施例1の、TR-PBG-305を用いる代わりにOXE-01(BASF、商品名)を用いる以外は、前述の実施例1に記載の方法と同様にして感光性樹脂組成物を作成し、同様の評価を行った。評価した結果を表1に示した。
実施例1の、TR-PBG-305を用いる代わりに1-フェニル-1,2-プロパンジオン-2-(O-エトキシカルボニル)-オキシム(開始剤A)を用いる以外は、前述の実施例1に記載の方法と同様にして感光性樹脂組成物を作成し、同様の評価を行った。評価した結果を表1に示した。
組成を表1に示すとおりに変更したこと以外は実施例1と同様に評価を行った。評価結果も表1に示す。
表2に示す割合とした以外は、実施例1と同様の方法にてネガ型感光性樹脂組成を製造し、前述の方法にて評価を行った。
表3に示す割合とした以外は実施例1と同様の方法にてネガ型感光性樹脂組成を製造し、前述の耐薬品性試験方法により評価を行った。
第二の実施形態として実施例25~44、比較例7及び8を以下に説明する。
実施例及び比較例においては、感光性樹脂組成物の物性を以下の方法に従って測定及び評価した。
各ポリイミド前駆体の重量平均分子量(Mw)は先述した第一の実施形態と同様にして求めた。
<工程(1)及び(2)>
6インチシリコンウエハ(フジミ電子工業株式会社製、厚み625±25μm)上に、スパッタ装置(L-440S-FHL型、キヤノンアネルバ社製)を用いて200nm厚のTi、400nm厚のCuをこの順にスパッタし、スパッタCuウエハ基板を準備した。
感光性樹脂組成物をスピンコート装置(D-spin60A型、SOKUDO社製)を使用して上記スパッタCuウエハ基板にスピンコートし、110℃で270秒間加熱乾燥して、膜厚13μm±0.2μmのスピンコート膜を作製した。
このスピンコート膜にマスクサイズが直径8μmの円形パターンを有するテストパターン付レチクルを用いて等倍投影露光装置PrismaGHI S/N5503(ウルトラテック社製)により、300mJ/cm2から700mJ/cm2まで100mJ/cm2ステップでエネルギーを照射した。この際、各々の露光量に対してフォーカスをスピンコート膜表面を基準として膜底部方向に向けて、2μmずつ移動させ露光した。
次いで、スパッタCuウエハ上に形成した塗膜を、シクロペンタノンを用いて現像機(D-SPIN636型、大日本スクリーン社製)でスプレー現像し、プロピレングリコールメチルエーテルアセテートでリンスしてポリアミド酸エステルの丸抜き凹型レリーフパターンを得た。なお、スプレー現像の現像時間は、上記13μmのスピンコート膜において、未露光部の樹脂組成物が現像する最小時間の1.4倍の時間と定義した。
丸抜き凹型レリーフパターンを形成したスパッタCuウエハを昇温プログラム式キュア炉(VF-2000型、光洋リンドバーグ社製)を用いて、窒素雰囲気下、昇温速度5℃/分で230℃まで昇温し、230℃で2時間保持して熱処理することにより、マスクサイズが8μmのポリイミドの丸抜き凹型レリーフパターンをスパッタCuウエハ基板上に得た。得られた各パターンについて、パターン形状やパターン部の幅を光学顕微鏡下で観察し、フォーカスマージンを求めた。
工程(1)から(5)を順に経て得られたマスクサイズが8μmの丸抜き凹型レリーフパターンの開口可否は、以下の基準(I)及び(II)をいずれも満たすパターンを合格と判断した。
(I)パターン開口部の面積が、対応するパターンマスク開口面積の1/2以上である。
(II)パターン断面がすそびきしておらず、アンダーカットや膨潤、ブリッジングが起こっていない。
工程(1)から(5)を順に経て得られたレリーフパターンの断面角度の評価法を以下に説明する。工程(1)から(5)を順に経て得られたスパッタCuウエハを液体窒素に浸漬し、50μm幅ライン&スペース(1:1)部分を、ラインに対して垂直の方向に割断した。得られた断面を、SEM(日立ハイテクノロジーズS-4800型)によって観察した。図1A~図1Eを参照して、下記工程a~eの方法によって、断面角度を評価した。
a.開口部の上辺と下辺を引くこと(図1A);
b.開口部の高さを決めること(図1B);
c.高さの中央部分を通って、上辺及び下辺に平行な直線(中央線)を引くこと(図1C);
d.中央線と開口部パターンとの交点(中央点)を求めること(図1D);及び
e.中央線におけるパターンの傾きに合わせて接線を引き、その接線と下辺とが形成する角度を断面角度とみなす(図1E)。
以下、得られた感光性ポリイミド前駆体のワニスを用いて製造した半導体装置の電気特性の評価法について説明する。6インチシリコンウエハ(フジミ電子工業株式会社製、厚み625±25μm)上に窒化ケイ素層(サムコ株式会社製、PD-220NA)を形成した。該窒化ケイ素層の上に実施例1~15、及び比較例1~5で得られた感光性樹脂組成物をスピンコート装置(D-Spin60A型、SOKUDO社製)により塗布して、感光性ポリイミド前駆体の樹脂膜を得た。等倍投影露光装置PrismaGHI S/N5503(ウルトラテック社製)により所定のパターンを形成した。次いで、該ウエハ上に形成した樹脂膜を、シクロペンタノンを用いて現像機(D-SPIN636型、大日本スクリーン社製)でスプレー現像し、プロピレングリコールメチルエーテルアセテートでリンスしてポリアミド酸エステルの所定のレリーフパターンを得た。得られたウエハを昇温プログラム式キュア炉(VF-2000型、光洋リンドバーグ社製)を用いて、窒素雰囲気下、230℃の温度において2時間加熱処理して層間絶縁膜を得た。次に、前記層間絶縁膜に所定のパターンを形成するように金属配線を形成して半導体装置を得た。こうして得られた半導体装置と、この半導体装置と同様な構成で酸化ケイ素絶縁膜を有する半導体装置との配線遅延の程度を比較した。評価の基準にはリングオシュレータの発信周波数から換算して求めた信号遅延時間を採用した。両者を比較して、下記の基準で合否を判別した。
「合格」:酸化ケイ素絶縁膜を用いて得られた半導体装置よりも信号遅延が少ない半導体装置
「不合格」:酸化ケイ素絶縁膜を用いて得られた半導体装置よりも信号遅延が多い半導体装置
4,4’-オキシジフタル酸二無水物(ODPA)155.1gを2リットル容量のセパラブルフラスコに入れ、2-ヒドロキシエチルメタクリレート(HEMA)131.2gとγ―ブチロラクトン400mlを入れて室温下で攪拌し、攪拌しながらピリジン81.5gを加えて反応混合物を得た。反応による発熱の終了後に室温まで放冷し、16時間放置した。
製造例1aの4,4’-オキシジフタル酸二無水物(ODPA)155.1gに代えて、3,3’,4,4’-ビフェニルテトラカルボン酸二無水物(BPDA)147.1gを用いた以外は、前述の製造例1に記載の方法と同様にして反応を行い、ポリマー(A)-2を得た。ポリマー(A)-2の分子量をゲルパーミエーションクロマトグラフィー(標準ポリスチレン換算)で測定したところ、重量平均分子量(Mw)は22,000であった。
製造例1aの4,4’-ジアミノジフェニルエーテル(DADPE)93.0gに代えて、2,2’-ジメチルビフェニルー4,4’-ジアミン(m-TB)98.6gを用いた以外は、前述の製造例1に記載の方法と同様にして反応を行い、ポリマー(A)-3を得た。ポリマー(A)-3の分子量をゲルパーミエーションクロマトグラフィー(標準ポリスチレン換算)で測定したところ、重量平均分子量(Mw)は21,000であった。
製造例1aの4,4’-オキシジフタル酸二無水物(ODPA)155.1gに代えて、3,3’,4,4’-ビフェニルテトラカルボン酸二無水物(BPDA)147.1gを、4,4’-ジアミノジフェニルエーテル(DADPE)93.0gに代えて、2,2’-ジメチルaフェニルー4,4’-ジアミン(m-TB)98.6gを用いた以外は、前述の製造例1aに記載の方法と同様にして反応を行い、ポリマー(A)-4を得た。ポリマー(A)-4の分子量をゲルパーミエーションクロマトグラフィー(標準ポリスチレン換算)で測定したところ、重量平均分子量(Mw)は21,000であった。
製造例1aの4,4’-オキシジフタル酸二無水物(ODPA)155.1gに代えて、ピロメリット酸無水物(PMDA)109.1gを、4,4’-ジアミノジフェニルエーテル(DADPE)93.0gに代えて、2,2’-ビス(トリフルオロメチル)ベンジジン(TFMB)148.7gを用いた以外は、前述の製造例1aに記載の方法と同様にして反応を行い、ポリマー(A)-5を得た。ポリマー(A)-5の分子量をゲルパーミエーションクロマトグラフィー(標準ポリスチレン換算)で測定したところ、重量平均分子量(Mw)は21,000であった。
製造例1aの4,4’-ジアミノジフェニルエーテル(DADPE)93.0gに代えて、2,2’-ビス(トリフルオロメチル)ベンジジン(TFMB)148.7gを用いた以外は、前述の製造例1に記載の方法と同様にして反応を行い、ポリマー(A)-6を得た。ポリマー(A)-6の分子量をゲルパーミエーションクロマトグラフィー(標準ポリスチレン換算)で測定したところ、重量平均分子量(Mw)は22,000であった。
製造例1aの4,4’-オキシジフタル酸二無水物(ODPA)155.1gに代えて、4,4’-オキシジフタル酸二無水物(ODPA)77.6gと3,3’,4,4’-ビフェニルテトラカルボン酸二無水物(BPDA)73.6gの混合物を用いた以外は、前述の製造例1に記載の方法と同様にして反応を行い、ポリマー(A)-7を得た。ポリマー(A)-7の分子量をゲルパーミエーションクロマトグラフィー(標準ポリスチレン換算)で測定したところ、重量平均分子量(Mw)は21,000であった。
ポリマー(A)-1を用いて以下の方法で感光性樹脂組成物を調製し、フォーカスマージンの評価および電気特性の評価を行なった。ポリイミド前駆体であるポリマー(A)-1を100gとTR-PBG-305((B)-1、常州強力新電子材料有限公司製、商品名)2gとテトラエチレングリコールジメタクリレート12g((C)-1)と、2,6-ジ-tert-ブチル-p-クレゾール0.2g((D)-1)と2,2’-(フェニルイミノ)ジエタノール4g((E)-1)と共にN-メチル-2-ピロリドン(以下ではNMPという)80gと乳酸エチル20gからなる混合溶媒に溶解した。得られた溶液の粘度を、少量の前記混合溶媒を更に加えることによって約35ポイズ(poise)に調整し、感光性樹脂組成物とした。
この組成物について、上記<工程(1)~(5)>の方法により、ポリイミドの丸抜き凹型レリーフパターンをスパッタCuウエハ基板を作製し、上記<フォーカスマージン評価>の方法によりフォーカスマージンを求めたところ、フォーカスマージンは16μmであった。
また、上記<開口パターン断面角度評価>の方法により、断面角度を求めたところ、83°であった。さらに、上記<電気特性の評価方法>の方法により、電気特性評価を行ったところ、この組成物は「合格」であった。
上記実施例25において、(B)-1成分をTR-PBG-3057((B)-2、常州強力新電子材料有限公司製、商品名)2gに、(E)-1を8gに変更した以外は、実施例25と同様にしてフォーカスマージン評価、断面角度評価および電気特性の評価を行った。その結果、フォーカスマージンは16μm、断面角度は78°、電気特性評価は「合格」であった。
上記実施例25において、(B)-1成分を1,2-オクタンジオン、1-{4-(フェニルチオ)-、2-(O-ベンゾイルオキシム)}((B)-3、イルガキュアOXE01(BASF社製、商品名))2gに変更した以外は、実施例25と同様にしてフォーカスマージン評価、断面角度評価および電気特性の評価を行った。その結果、フォーカスマージンは16μm、断面角度は77°、電気特性評価は「合格」であった。
上記実施例25において、(B)-1成分を式(66)で表わされる化合物((B)-4)2gに、(E)-1を8gに変更した以外は、実施例25と同様にしてフォーカスマージン評価、断面角度評価および電気特性の評価を行った。その結果、フォーカスマージンは14μm、断面角度は70°、電気特性評価は「合格」であった。
上記実施例25において、(B)-1成分の添加量を4gに変更した以外は、実施例25と同様にしてフォーカスマージン評価、断面角度評価および電気特性の評価を行った。その結果、フォーカスマージンは12μm、断面角度は85°、電気特性評価は「合格」であった。
上記実施例25において、(C)-1成分をノナエチレングリコールジメタクリレート((C)-2)12gに変更した以外は、実施例25と同様にしてフォーカスマージン評価、断面角度評価および電気特性の評価を行った。その結果、フォーカスマージンは8μm、断面角度は83°、電気特性評価は「合格」であった。
上記実施例25において、(C)-1成分をジエチレングリコールジメタクリレート((C)-3)12gに変更した以外は、実施例25と同様にしてフォーカスマージン評価、断面角度評価および電気特性の評価を行った。その結果、フォーカスマージンは12μm、断面角度は83°、電気特性評価は「合格」であった。
上記実施例25において、(A)-1成分を、(A)-2を100gに、(E)-1成分の添加量を12gに変更した以外は、実施例25と同様にしてフォーカスマージン評価、断面角度評価および電気特性の評価を行った。その結果、フォーカスマージンは16μm、断面角度は68°、電気特性評価は「合格」であった。
上記実施例25において、(A)-1成分を、(A)-3を100gに変更した以外は、実施例25と同様にしてフォーカスマージン評価、断面角度評価および電気特性の評価を行った。その結果、フォーカスマージンは10μm、断面角度は85°、電気特性評価は「合格」であった。
上記実施例25において、(A)-1成分を、(A)-4を100gに変更した以外は、実施例25と同様にしてフォーカスマージン評価、断面角度評価および電気特性の評価を行った。その結果、フォーカスマージンは10μm、断面角度は85°、電気特性評価は「合格」であった。
上記実施例25において、(A)-1成分を、(A)-5を100gに変更した以外は、実施例25と同様にしてフォーカスマージン評価、断面角度評価および電気特性の評価を行った。その結果、フォーカスマージンは8μm、断面角度は75°、電気特性評価は「合格」であった。
上記実施例25において、(A)-1成分を、(A)-6を100gに変更した以外は、実施例25と同様にしてフォーカスマージン評価、断面角度評価および電気特性の評価を行った。その結果、フォーカスマージンは14μm、断面角度は70°、電気特性評価は「合格」であった。
上記実施例25において、(A)-1成分を、(A)-1を50gと(A)-2を50gの混合物に、(E)-1成分の添加量を8gに変更した以外は、実施例25と同様にしてフォーカスマージン評価、断面角度評価および電気特性の評価を行った。その結果、フォーカスマージンは14μm、断面角度は80°、電気特性評価は「合格」であった。
上記実施例25において、(D)-1成分の添加量を1gに変更した以外は、実施例25と同様にしてフォーカスマージン評価、断面角度評価および電気特性の評価を行った。その結果、フォーカスマージンは10μm、断面角度は75°、電気特性評価は「合格」であった。
上記実施例25において、溶剤をNMPからγ-ブチロラクトン80gとジメチルスルホキシド20gの混合物に変更した以外は、実施例25と同様にしてフォーカスマージン評価、断面角度評価および電気特性の評価を行った。その結果、フォーカスマージンは12μm、断面角度は85°、電気特性評価は「合格」であった。
上記実施例25において、(D)-1を(D)-2:p-メトキシフェノールに変更した以外は、実施例25と同様にしてフォーカスマージン評価、断面角度評価および電気特性の評価を行った。その結果、フォーカスマージンは16μm、断面角度は82°、電気特性評価は「合格」であった。
上記実施例25において、(D)-1を(D)-3:4-t-ブチルピロカテコールに変更した以外は、実施例25と同様にしてフォーカスマージン評価、断面角度評価および電気特性の評価を行った。その結果、フォーカスマージンは16μm、断面角度は80°、電気特性評価は「合格」であった。
上記実施例25において、(D)-1を(D)-4:N,N-ジフェニルニトロソアミドに変更した以外は、実施例25と同様にしてフォーカスマージン評価、断面角度評価および電気特性の評価を行った。その結果、フォーカスマージンは16μm、断面角度は78°、電気特性評価は「合格」であった。
上記実施例25において、(D)-1を(D)-5:アンモニウムN-ニトロソフェニルヒドロキルアミンに変更した以外は、実施例25と同様にしてフォーカスマージン評価、断面角度評価および電気特性の評価を行った。その結果、フォーカスマージンは16μm、断面角度は80°、電気特性評価は「合格」であった。
上記実施例25において、(A)-1成分を、(A)-7を100gに変更した以外は、実施例25と同様にしてフォーカスマージン評価、断面角度評価および電気特性の評価を行った。その結果、フォーカスマージンは10μm、断面角度は82°、電気特性評価は「合格」であった。
上記実施例25において、(B)-1成分を1-フェニル-1,2-プロパンジオン-2-(O-エトキシカルボニル)-オキシム((B)-5)2gに変更した以外は、実施例25と同様にしてフォーカスマージン評価、断面角度評価および電気特性の評価を行った。その結果、フォーカスマージンは4μm、断面角度は88°、電気特性評価は「不合格」であった。
上記実施例25において、(D)-1を(D)-5:1,1-ジフェニル―2-ピクリルヒドラジルフリーラジカルに変更した以外は、実施例25と同様にしてフォーカスマージン評価、断面角度評価および電気特性の評価を行った。その結果、フォーカスマージンは4μm、断面角度は92°、電気特性評価は「不合格」であった。
第三の実施形態として実施例45~51、比較例9及び10を以下に説明する。
実施例及び比較例においては、感光性樹脂組成物の物性を以下の方法に従って測定及び評価した。
後述の方法により合成した各ポリアミド酸エステルの重量平均分子量(Mw)は、ゲルパーミエーションクロマトグラフィー法(GPC)を用いて、標準ポリスチレン換算により測定した。GPCの分析条件を以下に記す。
カラム:昭和電工社製 商標名 Shodex 805M/806M直列
標準単分散ポリスチレン:昭和電工(株)製Shodex STANDARD SM-105
溶離液:N-メチル-2-ピロリドン 40℃
流速:1.0ml/分
検出器:昭和電工製 商標名 Shodex RI-930
6インチシリコンウェハー(フジミ電子工業株式会社製、厚み625±25μm)上に、スパッタ装置(L-440S-FHL型、キヤノンアネルバ社製)を用いて200nm厚のTi、400nm厚のCuをこの順にスパッタした。続いて、このウェハー上に、後述の方法により調製した感光性樹脂組成物をコーターデベロッパー(D-Spin60A型、SOKUDO社製)を用いて回転塗布し、乾燥することにより約15μm厚の塗膜を形成した。この塗膜全面に、平行光マスクアライナー(PLA-501FA型、キヤノン社製)により900mJ/cm2のエネルギーを照射した。次いで、この塗膜を、現像液としてシクロペンタノンを用いてコーターデベロッパー(D-Spin60A型、SOKUDO社製)でスプレー現像し、プロピレングリコールメチルエーテルアセテートでリンスすることにより、Cu上の現像膜を得た。
Cu上に形成した硬化膜に、粘着テープ(厚さ500μm)を貼った後、カッターで5mm幅の切り込みを入れ、切り込み部分を、JIS K 6854-2に基づいて180°引き剥がし強度を測定した。このときの引っ張り試験の条件は下記の通りである。
ロードセル:50N
引っ張り速度:50mm/min
移動量:60mm
4,4’-オキシジフタル酸二無水物(ODPA)155.1gを2リットル容量のセパラブルフラスコに入れ、2-ヒドロキシエチルメタクリレート(HEMA)134.0g及びγ―ブチロラクトン400mlを加えて、室温下で攪拌しながら、ピリジン79.1gを加えて、反応混合物を得た。反応による発熱の終了後、室温まで放冷し、更に16時間静置した。
このポリマーA-1の重量平均分子量(Mw)を測定したところ、20,000であった。
上記製造例1bにおいて、4,4’-オキシジフタル酸二無水物155.1gに代えて、3,3’4,4’-ビフェニルテトラカルボン酸二無水物147.1gを用いた以外は、製造例1bに記載の方法と同様にして反応を行うことにより、ポリマーA-2を得た。
このポリマーA-2の重量平均分子量(Mw)を測定したところ、22,000であった。
製造例1bの4,4’-ジアミノジフェニルエーテル(DADPE)93.0gに代えて、2,2‘-ビストリフルオロメチル-4,4’-ジアミノビフェニル(TFMB)147.8gを用いた以外は、前述の製造例1bに記載の方法と同様にして反応を行い、ポリマーA-3を得た。ポリマーA-3の分子量をゲルパーミエーションクロマトグラフィー(標準ポリスチレン換算)で測定したところ、重量平均分子量(Mw)は21,000であった。
(A)成分として、ポリマーA-1 50g及びポリマーA-2 50g、(B)成分として、TR-PBG-346(常州強力新電子材料有限公司製、商品名)2g、(C)成分として、テトラエチレングリコールジメタクリレート8g、2-ニトロソ-1-ナフト-ル0.05g、N-フェニルジエタノールアミン4g、N-(3-(トリエトキシシリル)プロピル)フタルアミド酸0.5g、及びベンゾフェノン-3,3‘-ビス(N-(3-トリエトキシシリル)プロピルアミド)-4,4’-ジカルボン酸0.5gを、N-メチルピロリドン及び乳酸エチルからなる混合溶媒(重量比8:2)に溶解し、粘度が約35ポイズになるように溶媒の量を調整することにより、感光性樹脂組成物溶液とした。
この組成物について、上述の方法により、Cu上に塗布、露光、現像後、230℃キュアしてCu層上に硬化膜を作製し、剥離強度を測定した所、0.63N/mmだった。
上記実施例45において、(B)成分として、TR-PBG-346の添加量を4gに変えた以外は、実施例45と同様にして感光性樹脂組成物溶液を調製した。
この組成物について、上述の方法により、Cu上に塗布、露光、現像後、230℃キュアしてCu層上に硬化膜を作製し、剥離強度を測定した所、0.61N/mmだった。
上記実施例45において、(B)成分として、TR-PBG-346の添加量を1gに変えた以外は、実施例45と同様にして感光性樹脂組成物溶液を調製した。
この組成物について、上述の方法により、Cu上に塗布、露光、現像後、230℃キュアしてCu層上に硬化膜を作製し、剥離強度を測定した所、0.60N/mmだった。
上記実施例45と同様にして感光性樹脂組成物溶液を調製した。この組成物について、上述の方法により、Cu上に塗布、露光、現像後、350℃キュアしてCu層上に硬化膜を作製し、剥離強度を測定した所、0.58N/mmだった。
上記実施例45において、(A)成分として、ポリマーA-1 50g及びポリマーA-2 50gの代わりに、ポリマーA-1 100gを用いた他は、実施例45と同様にして感光性樹脂組成物溶液を調製した。
この組成物について、上述の方法により、Cu上に塗布、露光、現像後、230℃キュアしてCu層上に硬化膜を作製し、剥離強度を測定した所、0.66N/mmだった。
上記実施例45において、(A)成分として、ポリマーA-1 50g及びポリマーA-2 50gの代わりに、ポリマーA-1 100gを用い、(C)成分として、溶媒をN-メチルピロリドン及び乳酸エチルからなる混合溶媒(重量比8:2)から、γ-ブチロラクトン及びジメチルスルホキシド(重量比85:15)に変えた他は、実施例45と同様にして感光性樹脂組成物溶液を調製した。
この組成物について、上述の方法により、Cu上に塗布、露光、現像後、230℃キュアしてCu層上に硬化膜を作製し、剥離強度を測定した所、0.65N/mmだった。
上記実施例45において、(A)成分として、ポリマーA-1 50g及びポリマーA-2 50gの代わりに、ポリマーA-3 100gを用いた他は、実施例45と同様にして感光性樹脂組成物溶液を調製した。
この組成物について、上述の方法により、Cu上に塗布、露光、現像後、350℃キュアしてCu層上に硬化膜を作製し、剥離強度を測定した所、0.50N/mmだった。
上記実施例45において、(B)成分の代わりに、TR-PBG-304(常州強力新電子材料有限公司製、商品名)2gを用いた他は、実施例45と同様にして感光性樹脂組成物を調整した。
この組成物について、上述の方法により、Cu上に塗布、露光、現像後、230℃キュアしてCu層上に硬化膜を作製し、剥離強度を測定した所、0.41N/mmだった。
上記実施例45において、(B)成分の代わりに、TR-PBG-304(常州強力新電子材料有限公司製、商品名)2gを用いた他は、実施例45と同様にして感光性樹脂組成物を調整した。
この組成物について、上述の方法により、Cu上に塗布、露光、現像後、350℃キュアしてCu層上に硬化膜を作製し、剥離強度を測定した所、0.38N/mmだった。
第四の実施形態として実施例52~67、比較例11~13を以下に説明する。
実施例及び比較例においては、感光性樹脂組成物の物性を以下の方法に従って測定及び評価した。
各ポリイミド前駆体の重量平均分子量(Mw)は先述した第一の実施形態と同様にして求めた。
表面処理を行なったCu上に、後述の方法により調製した感光性樹脂組成物をコーターデベロッパー(D-Spin60A型、SOKUDO社製)を用いて回転塗布し、乾燥することにより10μm厚の塗膜を形成した。この塗膜に、テストパターン付マスクを用いて、平行光マスクアライナー(PLA-501FA型、キヤノン社製)により300mJ/cm2のエネルギーを照射した。次いで、この塗膜を、現像液としてネガ型の場合はシクロペンタノンを、ポジ型の場合は2.38%TMAHを用いてコーターデベロッパー(D-Spin60A型、SOKUDO社製)でスプレー現像し、ネガ型の場合はプロピレングリコールメチルエーテルアセテートで、ポジ型の場合は純水でリンスすることにより、Cu上のレリーフパターンを得た。
表面処理を行なったCu上に該硬化レリーフパターンを形成したウェハーを、昇温プログラム式キュア炉(VF-2000型、光洋リンドバーグ社製)を用いて、空気中、150℃で168時間加熱した。続いて、プラズマ表面処理装置(EXAM型、神港精機社製)を用いて、Cu上の樹脂層を全てプラズマエッチングにより除去した。プラズマエッチング条件は下記の通りである。
出力:133W
ガス種・流量:O2:40ml/分 + CF4:1ml/分
ガス圧:50Pa
モード:ハードモード
エッチング時間:1800秒
4,4’-オキシジフタル酸二無水物(ODPA)155.1gを2l容量のセパラブルフラスコに入れ、2-ヒドロキシエチルメタクリレート(HEMA)131.2gとγ―ブチロラクトン400mlを入れて室温下で攪拌し、攪拌しながらピリジン81.5gを加えて反応混合物を得た。反応による発熱の終了後に室温まで放冷し、16時間放置した。
ポンプ:JASCO PU-980
検出器:JASCO RI-930
カラムオーブン:JASCO CO-965 40℃
カラム:Shodex KD-806M 直列に2本
移動相:0.1mol/l LiBr/NMP
流速:1ml/min.
製造例1の4,4’-オキシジフタル酸二無水物(ODPA)155.1gに代えて、3,3’,4,4’-ビフェニルテトラカルボン酸二無水物(BPDA)147.1gを用いた以外は、前述の製造例1に記載の方法と同様にして反応を行い、ポリマーBを得た。ポリマーBの分子量をゲルパーミエーションクロマトグラフィー(標準ポリスチレン換算)で測定したところ、重量平均分子量(Mw)は22,000であった。
製造例1の4,4’-ジアミノジフェニルエーテル(DADPE)93.0gに代えて、2,2’-ビストリフルオロメチル-4,4’-ジアミノビフェニル(TFMB)147.8gを用いた以外は、前述の製造例1に記載の方法と同様にして反応を行い、ポリマーCを得た。ポリマーCの分子量をゲルパーミエーションクロマトグラフィー(標準ポリスチレン換算)で測定したところ、重量平均分子量(Mw)は21,000であった。
(フタル酸化合物封止体AIPA-MOの合成)
容量5lのセパラブルフラスコに、5-アミノイソフタル酸{以下、AIPAと略す。}543.5g、N-メチル-2-ピロリドン1700gを投入、混合撹拌し、ウォーターバスで50℃まで加温した。これに、2-メタクリロイルオキシエチルイソシアネート512.0g(3.3mol)をγ-ブチロラクトン500gで希釈したものを滴下ロートで滴下投入し、そのまま50℃で2時間ほど撹拌した。
容量2lのセパラブルフラスコに、得られたAIPA-MOを100.89g(0.3mol)、ピリジンを71.2g(0.9mol)、GBLを400g投入、混合し、氷浴で5℃まで冷却した。これに、ジシクロヘキシルカルボジイミド(DCC)125.0g(0.606mol)をGBL125gに溶解希釈したものを、氷冷下、20分ほどかけて滴下し、続いて4,4’-ビス(4-アミノフェノキシ)ビフェニル{以下、BAPBと記す。}103.16g(0.28mol)をNMP168gに溶解させたものを、20分ほどかけて滴下し、氷浴で5℃未満を維持しつつ3時間、次いで氷浴を外して室温で5時間撹拌した。反応混合物に生じた沈殿物をろ過により取り除き、反応液を得た。
容量3lのセパラブルフラスコ中で、2,2-ビス(3-アミノ-4-ヒドロキシフェニル)-ヘキサフルオロプロパン183.1g、N,N-ジメチルアセトアミド(DMAc)640.9g、ピリジン63.3gを室温(25℃)で混合攪拌し、均一溶液とした。これに、4,4’-ジフェニルエーテルジカルボニルクロリド118.0gをジエチレングリコールジメチルエーテル(DMDG)354gに溶解したものを滴下ロートより滴下した。この際、セパラブルフラスコは15~20℃の水浴で冷却した。滴下に要した時間は40分、反応液温は最大で30℃であった。
テフロン(登録商標)製の碇型攪拌器を取り付けた、ガラス製のセパラブル4つ口フラスコに、ディーンスタークトラップ付き冷却管を取り付けた。窒素ガスを通じながら、上記フラスコをシリコンオイル浴につけて攪拌した。
容量0.5リットルのディーン・スターク装置付きセパラブルフラスラスコ中で、3,5-ジヒドロキシ安息香酸メチル128.3g(0.76mol)、4,4’-ビス(メトキシメチル)ビフェニル(以下「BMMB」ともいう。)121.2g(0.5mol)、ジエチル硫酸3.9g(0.025mol)、ジエチレングリコールジメチルエーテル140gを70℃で混合攪拌し、固形物を溶解させた。
容量1.0Lのディーン・スターク装置付きセパラブルフラスコを窒素置換し、その後、該セパラブルフラスコ中で、レゾルシノール81.3g(0.738mol)、BMMB84.8g(0.35mol)、p-トルエンスルホン酸3.81g(0.02mol)、プロピレングリコールモノメチルエーテル(以下、PGMEとも言う)116gを50℃で混合攪拌し、固形物を溶解させた。
ポリイミド前駆体であるポリマーA50gとB50g((A)樹脂に該当)を、1-フェニル-1,2-プロパンジオン-2-(O-エトキシカルボニル)-オキシム(表6には「PDO」と記載する)((B)感光剤に該当)4g、テトラエチレングリコールジメタクリレート8g、N-[3-(トリエトキシシリル)プロピル]フタルアミド酸1.5gと共に、N-メチル-2-ピロリドン(以下ではNMPという)80gと乳酸エチル20gからなる混合溶媒に溶解した。得られた溶液の粘度を、少量の前記混合溶媒を更に加えることによって約35ポイズ(poise)に調整し、ネガ型感光性樹脂組成物とした。
この表面処理を行なったCu層上に、上記組成物を用いて、上述の方法により、230℃キュアして硬化レリーフパターンを作製し、高温保存試験を行なった後、Cu層の表面に占めるボイドの面積割合を評価し、5.7%という結果を得た。
上記実施例52と同様にCu層の形成されたシリコンウェハを作製した後、Cu層のマイクロエッチング後の最大高さが2μmになるように変えた他は、実施例52と同様にマイクロエッチングによる表面処理を行なった。
この表面処理を行なったCu層上に、実施例52と同じ組成物を用いて、上述の方法により230℃キュアして硬化レリーフパターンを作製し、高温保存試験を行なった後、Cu層の表面に占めるボイドの面積割合を評価し、5.1%という結果を得た。
上記実施例52と同様にCu層の形成されたシリコンウェハを作製した後、無電解スズメッキを行ない、表面Cu層の一部をスズに置換した。続いて、この基板を3-グリシドキシプロピルトリメトキシシランの1wt%水溶液に30分浸漬し、表面にシランカップリング剤の層を形成させた。
この表面処理を行なったCu層上に、実施例52と同じ組成物を用いて、上述の方法により230℃キュアして硬化レリーフパターンを作製し、高温保存試験を行なった後、Cu層の表面に占めるボイドの面積割合を評価し、5.8%という結果を得た。
実施例52において、6インチシリコンウェハを20cm角ガラス基板に変えた他は、実施例52と同様に表面処理したCu層を形成した。
この表面処理を行なったCu層上に、実施例52と同じ組成物を用いて、上述の方法により230℃キュアして硬化レリーフパターンを作製し、高温保存試験を行なった後、Cu層の表面に占めるボイドの面積割合を評価し、5.6%という結果を得た。
実施例52において、6インチシリコンウェハを4インチSiCウェハに変えた他は、実施例52と同様に表面処理したCu層を形成した。
この表面処理を行なったCu層上に、実施例52と同じ組成物を用いて、上述の方法により230℃キュアして硬化レリーフパターンを作製し、高温保存試験を行なった後、Cu層の表面に占めるボイドの面積割合を評価し、5.3%という結果を得た。
実施例52において、6インチシリコンウェハを20cm角FR4基板に変えた他は、実施例52と同様に表面処理したCu層を形成した。
この表面処理を行なったCu層上に、実施例52と同じ組成物を用いて、上述の方法により230℃キュアして硬化レリーフパターンを作製し、高温保存試験を行なった後、Cu層の表面に占めるボイドの面積割合を評価し、5.5%という結果を得た。
実施例52において、6インチシリコンウェハをダイシングしたチップを埋め込んだ後、CMPにより表面を平坦化した8インチのモールド樹脂基板に変えた他は、実施例52と同様に表面処理したCu層を形成した。
この表面処理を行なったCu層上に、実施例52と同じ組成物を用いて、上述の方法により230℃キュアして硬化レリーフパターンを作製し、高温保存試験を行なった後、Cu層の表面に占めるボイドの面積割合を評価し、5.7%という結果を得た。
実施例52と同様に表面処理したCu層を作製し、実施例52と同じ組成物を用いて、上述の方法により350℃キュアして表面処理したCu層上に硬化レリーフパターンを作製し、高温保存試験を行なった後、Cu層の表面に占めるボイドの面積割合を評価し、5.5%という結果を得た。
上記実施例52において、(A)樹脂として、ポリマーA50gとポリマーB50gを、ポリマーA100gに変え、(B)成分として、PDO4gを、1,2-オクタンジオン、1-{4-(フェニルチオ)-、2-(O-ベンゾイルオキシム)}(イルガキュアOXE01(BASF社製、商品名))2.5gに変えた以外は、実施例52と同様にしてネガ型感光性樹脂組成物溶液を調製した。
実施例52と同様に表面処理したCu層を作製し、上記組成物を用いて、上述の方法により230℃キュアして表面処理したCu層上に硬化レリーフパターンを作製し、高温保存試験を行なった後、Cu層の表面に占めるボイドの面積割合を評価し、5.4%という結果を得た。
上記実施例52において、(A)樹脂として、ポリマーA50gとポリマーB50gを、ポリマーA100gに、(B)成分として、PDO4gを、1,2-オクタンジオン、1-{4-(フェニルチオ)-、2-(O-ベンゾイルオキシム)}(イルガキュアOXE01(BASF社製、商品名))2.5gに変え、更に溶媒をγ-ブチロラクトン85gとジメチスルホキシド15gに変えた以外は、実施例52と同様にしてネガ型感光性樹脂組成物溶液を調製した。
実施例52と同様に表面処理したCu層を作製し、上記組成物を用いて、上述の方法により230℃キュアして表面処理したCu層上に硬化レリーフパターンを作製し、高温保存試験を行なった後、Cu層の表面に占めるボイドの面積割合を評価し、5.4%という結果を得た。
上記実施例52において、(A)樹脂として、ポリマーA50gとポリマーB50gを、ポリマーC100gに変えた以外は、実施例52と同様にしてネガ型感光性樹脂組成物溶液を調製した。
実施例52と同様に表面処理したCu層を作製し、上記組成物を用いて、上述の方法により350℃キュアして表面処理したCu層上に硬化レリーフパターンを作製し、高温保存試験を行なった後、Cu層の表面に占めるボイドの面積割合を評価し、4.9%という結果を得た。
上記実施例52において、(A)樹脂として、ポリマーA50gとポリマーB50gを、ポリマーD100gに変えた以外は、実施例52と同様にしてネガ型感光性樹脂組成物溶液を調製した。
実施例52と同様に表面処理したCu層を作製し、上記組成物を用いて、上述の方法により250℃キュアして表面処理したCu層上に硬化レリーフパターンを作製し、高温保存試験を行なった後、Cu層の表面に占めるボイドの面積割合を評価し、5.6%という結果を得た。
ポリマーEを用いて以下の方法でポジ型感光性樹脂組成物を調製し、調製した感光性樹脂組成物の評価を行なった。ポリオキサゾール前駆体であるポリマーE100g((A)樹脂に該当)を、下記式(146):
実施例52と同様に表面処理したCu層を作製し、上記組成物を用いて、上述の方法により350℃キュアして表面処理したCu層上に硬化レリーフパターンを作製し、高温保存試験を行なった後、Cu層の表面に占めるボイドの面積割合を評価し、5.3%という結果を得た。
上記実施例62において、(A)樹脂として、ポリマーE100gをポリマーF100gに変えた以外は、実施例62と同様にしてポジ型感光性樹脂組成物溶液を調製した。
実施例52と同様に表面処理したCu層を作製し、上記組成物を用いて、上述の方法により250℃キュアして表面処理したCu層上に硬化レリーフパターンを作製し、高温保存試験を行なった後、Cu層の表面に占めるボイドの面積割合を評価し、5.2%という結果を得た。
上記実施例62において、(A)樹脂として、ポリマーE100gをポリマーG100gに変えた以外は、実施例62と同様にしてポジ型感光性樹脂組成物溶液を調製した。
実施例52と同様に表面処理したCu層を作製し、上記組成物を用いて、上述の方法により220℃キュアして表面処理したCu層上に硬化レリーフパターンを作製し、高温保存試験を行なった後、Cu層の表面に占めるボイドの面積割合を評価し、5.6%という結果を得た。
上記実施例62において、(A)樹脂として、ポリマーE100gをポリマーH100gに変えた以外は、実施例64と同様にしてポジ型感光性樹脂組成物溶液を調製した。
実施例52と同様に表面処理したCu層を作製し、上記組成物を用いて、上述の方法により220℃キュアして表面処理したCu層上に硬化レリーフパターンを作製し、高温保存試験を行なった後、Cu層の表面に占めるボイドの面積割合を評価し、5.5%という結果を得た。
表面処理を行なわなかった以外は実施例52と同様にCu層を作製し、実施例52と同じ組成物を用いて、上述の方法により230℃キュアしてCu層上に硬化レリーフパターンを作製し、高温保存試験を行なった後、Cu層の表面に占めるボイドの面積割合を評価した。評価結果は、Cuの表面処理を行なわなかったため、14.3%であった。
表面処理を行なわなかった以外は実施例52と同様にCu層を作製し、実施例60と同じ組成物を用いて、上述の方法により350℃キュアしてCu層上に硬化レリーフパターンを作製し、高温保存試験を行なった後、Cu層の表面に占めるボイドの面積割合を評価した。評価結果は、Cuの表面処理を行なわなかったため、14.9%であった。
表面処理を行なわなかった以外は実施例52と同様にCu層を作製し、実施例62と同じ組成物を用いて、上述の方法により350℃キュアしてCu層上に硬化レリーフパターンを作製し、高温保存試験を行なった後、Cu層の表面に占めるボイドの面積割合を評価した。評価結果は、Cuの表面処理を行なわなかったため、14.6%であった。
第五の実施形態として実施例68~73、比較例14~18を以下に説明する。
実施例及び比較例においては、感光性樹脂組成物の物性を以下の方法に従って測定及び評価した。
各ポリイミド前駆体の重量平均分子量(Mw)は先述した第一の実施形態と同様にして求めた。
6インチシリコンウェハー(フジミ電子工業株式会社製、厚み625±25μm)上に、スパッタ装置(L-440S-FHL型、キヤノンアネルバ社製)を用いて200nm厚のTi、400nm厚のCuをこの順にスパッタした。続いて、このウェハー上に、後述の方法により調製した感光性樹脂組成物をコーターデベロッパー(D-Spin60A型、SOKUDO社製)を用いて回転塗布し、乾燥することにより約15μm厚の塗膜を形成した。この塗膜全面に、平行光マスクアライナー(PLA-501FA型、キヤノン社製)により900mJ/cm2のエネルギーを照射した。次いで、この塗膜を、現像液としてネガ型の場合はシクロペンタノンを、ポジ型の場合は2.38%TMAHを用いてコーターデベロッパー(D-Spin60A型、SOKUDO社製)でスプレー現像し、ネガ型の場合はプロピレングリコールメチルエーテルアセテートで、ポジ型の場合は純水でリンスすることにより、Cu上の現像膜を得た。
Cu上に形成した硬化膜に、粘着テープ(厚さ500μm)を貼った後、カッターで5mm幅の切り込みを入れ、切り込み部分を、JIS K 6854-2に基づいて180°引き剥がし強度を測定した。このときの引っ張り試験の条件は下記の通りである。
ロードセル:50N
引っ張り速度:50mm/min
移動量:60mm
4,4’-オキシジフタル酸二無水物(ODPA)155.1gを2l容量のセパラブルフラスコに入れ、2-ヒドロキシエチルメタクリレート(HEMA)131.2gとγ―ブチロラクトン400mlを入れて室温下で攪拌し、攪拌しながらピリジン81.5gを加えて反応混合物を得た。反応による発熱の終了後に室温まで放冷し、16時間放置した。
ポンプ:JASCO PU-980
検出器:JASCO RI-930
カラムオーブン:JASCO CO-965 40℃
カラム:Shodex KD-806M 直列に2本
移動相:0.1mol/l LiBr/NMP
流速:1ml/min.
製造例1の4,4’-オキシジフタル酸二無水物(ODPA)155.1gに代えて、3,3’,4,4’-ビフェニルテトラカルボン酸二無水物(BPDA)147.1gを用いた以外は、前述の製造例1に記載の方法と同様にして反応を行い、ポリマーBを得た。ポリマーBの分子量をゲルパーミエーションクロマトグラフィー(標準ポリスチレン換算)で測定したところ、重量平均分子量(Mw)は22,000であった。
製造例1の4,4’-ジアミノジフェニルエーテル(DADPE)93.0gに代えて、2,2‘-ビストリフルオロメチル-4,4’-ジアミノビフェニル(TFMB)147.8gを用いた以外は、前述の製造例1に記載の方法と同様にして反応を行い、ポリマーCを得た。ポリマーCの分子量をゲルパーミエーションクロマトグラフィー(標準ポリスチレン換算)で測定したところ、重量平均分子量(Mw)は21,000であった。
容量0.5リットルのディーン・スターク装置付きセパラブルフラスラスコ中で、3,5-ジヒドロキシ安息香酸メチル128.3g(0.76mol)、4,4’-ビス(メトキシメチル)ビフェニル(以下「BMMB」ともいう。)121.2g(0.5mol)、ジエチル硫酸3.9g(0.025mol)、ジエチレングリコールジメチルエーテル140gを70℃で混合攪拌し、固形物を溶解させた。
容量1.0Lのディーン・スターク装置付きセパラブルフラスコを窒素置換し、その後、該セパラブルフラスコ中で、レゾルシノール81.3g(0.738mol)、BMMB84.8g(0.35mol)、p-トルエンスルホン酸3.81g(0.02mol)、プロピレングリコールモノメチルエーテル(以下、PGMEとも言う)116gを50℃で混合攪拌し、固形物を溶解させた。
<比較製造例1d>(ポリアミド酸としてのポリマーFの合成)
2Lセパラブルフラスコにジアミノジフェニルエーテル(DADPE)93.0gを入れ、N-メチル-2-ピロリドン400mlを加えて撹拌溶解させた。ここに4,4’-オキシジフタル酸二無水物(ODPA)155.1gを固体のまま加え、溶液を撹拌することで反応溶解させた後、80℃で2時間撹拌を続けて、ポリマーFの溶液を得た。このポリマーFのGPC法の標準ポリスチレン換算により求めた重量平均分子量20,000であった。
<比較製造例2d>(ポリアミド酸としてのポリマーGの合成)
比較製造例1の4,4’-オキシジフタル酸二無水物(ODPA)155.1gに代えて、3,3’,4,4’-ビフェニルテトラカルボン酸二無水物(BPDA)147.1gを用いた以外は、前述の比較製造例1に記載の方法と同様にして反応を行い、ポリマーGの溶液を得た。ポリマーGの分子量をゲルパーミエーションクロマトグラフィー(標準ポリスチレン換算)で測定したところ、重量平均分子量(Mw)は22,000であった。
<比較製造例3d>(ポリアミド酸としてのポリマーHの合成)
製造例1の4,4’-ジアミノジフェニルエーテル(DADPE)93.0gに代えて、2,2‘-ビストリフルオロメチル-4,4’-ジアミノビフェニル(TFMB)147.8gを用いた以外は、前述の比較製造例1に記載の方法と同様にして反応を行い、ポリマーHを得た。ポリマーHの分子量をゲルパーミエーションクロマトグラフィー(標準ポリスチレン換算)で測定したところ、重量平均分子量(Mw)は21,000であった。
ポリマーA、Bを用いて以下の方法でネガ型感光性樹脂組成物を調製し、調製した感光性樹脂組成物の評価を行なった。ポリアミド酸エステルであるポリマーA50gとB50g((A)樹脂に該当)を、1-フェニル-1,2-プロパンジオン-2-(O-エトキシカルボニル)-オキシム(表7には「PDO」と記載する)((B)感光剤に該当)4g、テトラエチレングリコールジメタクリレート8g、N-[3-(トリエトキシシリル)プロピル]フタルアミド酸1.5gと共に、N-メチル-2-ピロリドン(以下ではNMPという)80gと乳酸エチル20gからなる混合溶媒に溶解した。得られた溶液の粘度を、少量の前記混合溶媒を更に加えることによって約35ポイズ(poise)に調整し、ネガ型感光性樹脂組成物とした。
この組成物について、上述の方法により、Cu上に塗布、露光、現像後、マイクロ波を照射しながら230℃キュアしてCu層上に硬化膜を作製し、剥離強度を測定した所、0.69N/mmだった。
上記実施例68において、(A)樹脂として、ポリマーA50gとポリマーB50gを、ポリマーA100gに変えた以外は、実施例68と同様にしてネガ型感光性樹脂組成物溶液を調製した。
この組成物について、上述の方法により、Cu上に塗布、露光、現像後、マイクロ波を照射しながら230℃キュアしてCu層上に硬化膜を作製し、剥離強度を測定した所、0.68N/mmだった。
上記実施例68において、(A)樹脂として、ポリマーA50gとポリマーB50gを、ポリマーA100gに、(C)成分として、PDO4gを、1,2-オクタンジオン、1-{4-(フェニルチオ)-、2-(O-ベンゾイルオキシム)}(イルガキュアOXE01(BASF社製、商品名))2.5gに変え、更に溶媒をγ-ブチロラクトン85gとジメチスルホキシド15gに変えた以外は、実施例68と同様にしてネガ型感光性樹脂組成物溶液を調製した。
この組成物について、上述の方法により、Cu上に塗布、露光、現像後、マイクロ波を照射しながら230℃キュアしてCu層上に硬化膜を作製し、剥離強度を測定した所、0.68N/mmだった。
上記実施例68において、(A)樹脂として、ポリマーA50gとポリマーB50gを、ポリマーC100gに変えた以外は、実施例68と同様にしてネガ型感光性樹脂組成物溶液を調製した。
この組成物について、上述の方法により、Cu上に塗布、露光、現像後、マイクロ波を照射しながら230℃キュアしてCu層上に硬化膜を作製し、剥離強度を測定した所、0.65N/mmだった。
ポリマーDを用いて以下の方法でポジ型感光性樹脂組成物を調製し、調製した感光性樹脂組成物の評価を行なった。フェノール樹脂であるポリマーD100g((A)樹脂に該当)を、下記式(146):
この組成物について、上述の方法により、Cu上に塗布、露光、現像後、マイクロ波を照射しながら220℃キュアしてCu層上に硬化膜を作製し、剥離強度を測定した所、0.70N/mmだった。
上記実施例72において、(A)樹脂として、ポリマーD100gをポリマーE100gに変えた以外は、実施例72と同様にしてポジ型感光性樹脂組成物溶液を調製した。
この組成物について、上述の方法により、Cu上に塗布、露光、現像後、マイクロ波を照射しながら220℃キュアしてCu層上に硬化膜を作製し、剥離強度を測定した所、0.70N/mmだった。
実施例68と同様にしてネガ型感光性樹脂組成物を調製し、キュア時にマイクロ波を照射しなかった他は、実施例68と同様の評価を行なった。このとき、剥離強度は0.43N/mmだった。
実施例68のポリマーA50gとポリマーB50gを、ポリマーF50gとポリマーG50gに変えた他は、実施例68と同様にしてネガ型感光性樹脂組成物を調製し、実施例68と同様の評価を行なった。このとき、剥離強度は0.47N/mmだった。
実施例71と同様にしてネガ型感光性樹脂組成物を調製し、キュア時にマイクロ波を照射しなかった他は、実施例71と同様の評価を行なった。このとき、剥離強度は0.42N/mmだった。
実施例71のポリマーC100gを、ポリマーH100gに変えた他は、実施例71と同様にしてネガ型感光性樹脂組成物を調製し、実施例68と同様の評価を行なった。このとき、剥離強度は0.41N/mmだった。
実施例73と同様にしてネガ型感光性樹脂組成物を調製し、キュア時にマイクロ波を照射しなかった他は、実施例73と同様の評価を行なった。このとき、剥離強度は0.46N/mmだった。
Claims (45)
- (A)下記一般式(1):
{式中、Xは、4価の有機基であり、Yは、2価の有機基であり、n1は、2~150の整数であり、そしてR1及びR2は、それぞれ独立に、水素原子、炭素数1~30の飽和脂肪族基、芳香族基、下記一般式(2):
(式中、R3、R4及びR5は、それぞれ独立に、水素原子又は炭素数1~3の有機基であり、そしてm1は、2~10の整数である。)で表される1価の有機基、又は下記一般式(3):
(式中、R6、R7及びR8は、それぞれ独立に、水素原子又は炭素数1~3の有機基であり、そしてm2は、2~10の整数である。)で表される一価のアンモニウムイオンである。}で表されるポリイミドの前駆体であるポリアミド酸、ポリアミド酸エステル又はポリアミド酸塩;並びに
(B)感光剤;
を含むネガ型感光性樹脂組成物であって、
前記(A)成分が、以下の(A1)樹脂~(A3)樹脂のうちの少なくとも1つと、以下の(A4)樹脂とのブレンドであることを特徴とする、前記樹脂組成物。
(A1)前記一般式(1)中のXが、下記一般式(4):
{式中、a1は0~2の整数であり、そしてR9は水素原子、フッ素原子又は炭素数1~10の1価の有機基を表し、R9が複数存在する場合、R9は互いに同一であるか、又は異なっていてよい。}で表される基、下記一般式(5):
{式中、a2とa3はそれぞれ独立に0~4の整数であり、a4とa5はそれぞれ独立に0~3の整数であり、R10~R13は、それぞれ独立に、水素原子、フッ素原子又は炭素数1~10の1価の有機基を表し、R10~R13が複数存在する場合、R10~R13は互いに同一であるか、又は異なっていてよい。}で表される基、又は下記一般式(6):
{式中、n2は0~5の整数であり、Xn1は単結合又は2価の有機基であり、Xn1が複数存在する場合、Xn1は互いに同一であるか、又は異なっていてもよく、Xm1は単結合又は2価の有機基であり、Xm1又はXn1のうち少なくとも一つは単結合、オキシカルボニル基、オキシカルボニルメチレン基、カルボニルアミノ基、カルボニル基、及びスルホニル基から成る群から選択される有機基であり、a6とa8はそれぞれ独立に0~3の整数であり、a7は0~4の整数であり、R14、R15及びR16は、それぞれ独立に、水素原子、フッ素原子又は炭素数1~10の1価の有機基を表し、R14、R15及びR16が複数存在する場合は、それらは同一であるか、又は異なっていてよい。}で表わされる基であり、かつ、前記一般式(1)中のYが下記一般式(7):
{式中、n3は1~5の整数であり、Yn2は、炭素数1~10のフッ素原子を含んでもよいが、フッ素以外のヘテロ原子を含まない有機基、酸素原子又は硫黄原子のいずれかであり、Yn2が複数存在する場合、それらは同一であるか、又は異なっていてよく、a9とa10はそれぞれ独立に0~4の整数であり、R17とR18はそれぞれ独立に水素原子、フッ素原子又は炭素数1~10の1価の有機基を表し、R17とR18が複数存在する場合は、互いに同一であるか、又は異なっていてよい。}で表わされる基である樹脂;
(A2)前記一般式(1)中のXが、下記一般式(8):
{式中、n4は0~5の整数であり、Xm2とXn3はそれぞれ独立に、炭素数1~10のフッ素原子を含んでもよいが、フッ素以外のヘテロ原子を含まない有機基、酸素原子、又は硫黄原子のいずれかであり、Xn3が複数存在する場合、それらは同一であるか、又は異なっていてよく、a11とa13はそれぞれ独立に0~3の整数であり、a12は0~4の整数であり、R19、R20及びR21は、それぞれ独立に、水素原子、フッ素原子又は炭素数1~10の1価の有機基を表し、R19、R20及びR21が複数存在する場合、それらは同一であるか、又は異なっていてよい。}で表わされる基であり、かつ、前記一般式(1)中のYが下記一般式(9):
{式中、n5は0~5の整数であり、Yn4は単結合もしくは2価の有機基であり、Yn4が複数存在する場合、それらは同一であるか、又は異なっていてもよく、n4が2以上である場合は、Yn4のうち少なくとも一つは単結合、オキシカルボニル基、オキシカルボニルメチレン基、カルボニルアミノ基、カルボニル基、及びスルホニル基から成る群から選択される有機基であり、a14とa15はそれぞれ独立に0~4の整数であり、R22とR23は、それぞれ独立に、水素原子、フッ素原子又は炭素数1~10の1価の有機基を表し、R22とR23が複数存在する場合、それらは同一であるか、または異なっていてよい。}で表される基、又は下記一般式(10):
{式中、a16~a19はそれぞれ独立に0~4の整数であり、R24~R27は、それぞれ独立に、水素原子、フッ素原子又は炭素数1~10の1価の有機基を表し、R24~R27が複数存在する場合、R24~R27は互いに同一であるか、又は異なっていてよい。}で表される基である樹脂;
(A3)前記一般式(1)中のXが、前記一般式(4)、(5)又は(6)で表わされる基であり、かつ、前記一般式(1)中のYが、前記一般式(9)又は(10)で表される基である樹脂;及び、
(A4)前記一般式(1)中のXが、前記一般式(8)で表わされる基であり、かつ、前記一般式(1)中のYが、前記一般式(7)で表わされる基である樹脂。 - 前記一般式(6)で表わされる基が、下記一般式(X1):
{式中、a20とa21はそれぞれ独立に0~3の整数であり、a22は0~4の整数であり、R28~R30は、それぞれ独立に、水素原子、フッ素原子又は炭素数1~10の1価の有機基を表し、R28~R30が複数存在する場合、それらは互いに同一であるか、又は異なっていてよい。}で表される基から成る群から選ばれる少なくとも一つであり、前記一般式(7)で表わされる構造が、下記一般式(Y1):
{式中、a23~a26はそれぞれ独立に0~4の整数であり、R31~R34は、それぞれ独立に、水素原子、フッ素原子又は炭素数1~10の1価の有機基を表し、R31~R34が複数存在する場合、それらは互いに同一であるか、又は異なっていてよい。}で表される基からなる群から選択される少なくとも一つの基であり、
前記一般式(8)で表わされる構造が、下記一般式(X2):
{式中、a27とa28はそれぞれ独立に0~3の整数であり、R35とR36は、それぞれ独立に、水素原子、フッ素原子又は炭素数1~10の1価の有機基を表し、R35とR36が複数存在する場合、それらは互いに同一であるか、又は異なっていてよい。}で表される基から成る群から選ばれる少なくとも一つの基であり、そして前記一般式(9)で表わされる構造が、以下の一般式(Y2):
{式中、a29~a32はそれぞれ独立に0~4の整数であり、R37~R40は、それぞれ独立に、水素原子、フッ素原子又は炭素数1~10の1価の有機基を表し、R37~R40が複数存在する場合、それらは互いに同一であるか、又は異なっていてよい。}で表される基から成る群から選ばれる少なくとも一つの基である、請求項1に記載のネガ型感光性樹脂組成物。 - 前記(A1)の一般式(1)中のXのうち50mol%以上が前記一般式(4)、(5)又は(6)で表わされる基であり、かつ、Yのうち50mol%以上が前記一般式(7)で表わされる基である、請求項1又は2に記載のネガ型感光性樹脂組成物。
- 前記(A2)の一般式(1)中のXのうち50mol%以上が前記一般式(8)で表わされる基であり、かつ、前記Yのうち50mol%以上が前記一般式(9)又は(10)で表わされる基である、請求項1~3のいずれか一項に記載のネガ型感光性樹脂組成物。
- 前記(A3)の一般式(1)中のXのうち、50mol%以上が前記一般式(4)、(5)又は(6)で表わされる基であり、かつ、Yのうち50mol%以上が、前記一般式(9)又は(10)で表わされる基である、請求項1~4のいずれか一項に記載のネガ型感光性樹脂組成物。
- 前記(A4)の一般式(1)中のXのうち、50mol%以上が前記一般式(8)で表わされる基であり、かつ、前記一般式(1)中のYのうち、50mol%以上が前記一般式(7)で表わされる基である、請求項1~5のいずれか一項に記載のネガ型感光性樹脂組成物。
- 前記(A4)の含有率が、前記(A1)~(A4)の質量の和に対して10質量%以上90質量%以下である、請求項1~6のいずれか一項に記載のネガ型感光性樹脂組成物。
- 前記(A1)~(A4)の質量の和が、(A)成分全体の質量の50%以上である、請求項1~7のいずれか一項に記載のネガ型感光性樹脂組成物。
- 前記(A4)の一般式(1)中のXのうち、50mol%以上が上記式(12)で表わされる基であり、かつ、前記一般式(1)中のYのうち、50mol%以上が上記式(11)で表わされる基である、請求項1~10のいずれか一項に記載のネガ型感光性樹脂組成物。
- 前記(A4)の一般式(1)中のXのうち、80mol%以上が上記式(12)で表わされる基であり、かつ、前記一般式(1)中のYのうち、80mol%以上が上記式(11)で表わされる基である、請求項11に記載のネガ型感光性樹脂組成物。
- 沸点が200℃以上250℃以下の溶媒(C1)と、160℃以上190℃以下の溶媒(C2)と、を含む、請求項11又は12に記載のネガ型感光性樹脂組成物。
- 前記(C)溶媒が、γ―ブチロラクトン、ジメチルスルホキシド、テトラヒドロフルフリルアルコール、アセト酢酸エチル、こはく酸ジメチル、マロン酸ジメチル、N,N-ジメチルアセトアセトアミド、ε―カプロラクトン、および1,3-ジメチル―2-イミダゾリジノンからなる群から選択される少なくとも2種を含む、請求項11又は12に記載のネガ型感光性樹脂組成物。
- 前記溶媒(C1)はγ―ブチロラクトンであり、かつ、前記溶媒(C2)はジメチルスルホキシドである、請求項14に記載のネガ型感光性樹脂組成物。
- 前記溶媒(C2)の質量が、前記溶媒(C1)と前記溶媒(C2)の質量の和に対して5%以上50%以下である、請求項13~15のいずれか一項に記載のネガ型感光性樹脂組成物。
- 沸点が200℃以上250℃以下の溶媒(C1)と、160℃以上190℃以下の溶媒(C2)とを含む、請求項1~16のいずれか一項に記載のネガ型感光性樹脂組成物。
- 前記(C)溶媒が、γ―ブチロラクトン、ジメチルスルホキシド、テトラヒドロフルフリルアルコール、アセト酢酸エチル、こはく酸ジメチル、マロン酸ジメチル、N,N-ジメチルアセトアセトアミド、ε―カプロラクトン、および1,3-ジメチル―2-イミダゾリジノンから選択される少なくとも2種を含む、請求項17に記載のネガ型感光性樹脂組成物。
- 前記溶媒(C1)はγ―ブチロラクトンであり、かつ前記溶媒(C2)はジメチルスルホキシドである、請求項18に記載のネガ型感光性樹脂組成物。
- 前記溶媒(C2)の質量が、前記溶媒(C1)と前記溶媒(C2)の質量の和に対して5%以上50%以下である、請求項17~19のいずれか一項に記載のネガ型感光性樹脂組成物。
- 上記一般式(18)中のX1とX2が、下記一般式(4):
{式中、a1は0~2の整数であり、R9は水素原子、フッ素原子又は炭素数1~10の1価の有機基を表し、R9が複数存在する場合、R9は互いに同一であるか、又は異なっていてよい。}で表される基、下記一般式(5):
{式中、a2とa3はそれぞれ独立に0~4の整数であり、a4とa5はそれぞれ独立に0~3の整数であり、R10~R13は、それぞれ独立に、水素原子、フッ素原子又は炭素数1~10の1価の有機基を表し、R10~R13が複数存在する場合、R10~R13は互いに同一であるか、又は異なっていてよい。}で表される基、下記一般式(6):
{式中、n2は0~5の整数であり、Xn1は単結合もしくは2価の有機基であり、Xn1が複数存在する場合、Xn1は互いに同一であるか、または異なっていてもよく、Xm1は単結合又は2価の有機基であり、Xm1またはXn1のうち少なくとも一つは単結合、オキシカルボニル基、オキシカルボニルメチレン基、カルボニルアミノ基、カルボニル基、及びスルホニル基から成る群から選択される有機基であり、a6とa8はそれぞれ独立に0~3の整数であり、a7は0~4の整数であり、R14、R15及びR16は、それぞれ独立に、水素原子、フッ素原子又は炭素数1~10の1価の有機基を表し、R14、R15及びR16が複数存在する場合、それらは同一であるか、又は異なっていてよい。}で表される基、及び下記一般式(8):
{式中、n4は0~5の整数であり、Xm2とXn3は、それぞれ独立に、炭素数1~10のフッ素原子を含んでもよいが、フッ素以外のヘテロ原子を含まない有機基、酸素原子、又は硫黄原子のいずれかであり、Xn3が複数存在する場合、それらは同一であるか、又は異なっていてよく、a11とa13はそれぞれ独立に0~3の整数であり、a12は0~4の整数であり、R19、R20及びR21は、それぞれ独立に、水素原子、フッ素原子又は炭素数1~10の1価の有機基を表し、R19、R20及びR21が複数存在する場合、それらは同一であるか、または異なっていてよい。}で表わされる基からなる群から選択される少なくとも1種である、請求項21に記載のネガ型感光性樹脂組成物。 - 上記一般式(18)中の上記Y1とY2が下記一般式(7):
{式中、n3は1~5の整数であり、Yn2は、炭素数1~10のフッ素原子を含んでもよいが、フッ素以外のヘテロ原子を含まない有機基、酸素原子、又は硫黄原子であり、Yn2が複数存在する場合、それらは同一であるか、または異なっていてよく、a9とa10はそれぞれ独立に0~4の整数であり、R17とR18はそれぞれ独立に水素原子、フッ素原子又は炭素数1~10の1価の有機基を表し、R17とR18が複数存在する場合、互いに同一であるか、または異なっていてよい。}で表わされる基、下記一般式(9):
{式中、n5は0~5の整数であり、Yn4は単結合又は2価の有機基であり、Yn4が複数存在する場合、それらは同一であるか、または異なっていてもよく、n4が2以上である場合、Yn4のうち少なくとも一つは単結合、オキシカルボニル基、オキシカルボニルメチレン基、カルボニルアミノ基、カルボニル基、及びスルホニル基から成る群から選択される有機基であり、a14とa15はそれぞれ独立に0~4の整数であり、R22とR23は、それぞれ独立に、水素原子、フッ素原子又は炭素数1~10の1価の有機基を表し、R22とR23が複数存在する場合、それらは同一であるか、または異なっていてよい。}で表される基、又は下記一般式(10):
{式中、a16~a19はそれぞれ独立に0~4の整数であり、R24~R27は、それぞれ独立に、水素原子、フッ素原子又は炭素数1~10の1価の有機基を表し、R24~R27が複数存在する場合、R24~R27は互いに同一であるか、又は異なっていてよい。}で表される基からなる群から選択される少なくとも1種である、請求項21又は22に記載のネガ型感光性樹脂組成物。 - 上記一般式(18)中のX1とX2が、上記一般式(4)、(5)、(6)、及び(8)からなる群から選択される少なくとも1つであり、そして上記一般式(18)中のY1とY2が、上記一般式(7)、(9)及び(10)からなる群から選択される少なくとも1つである、請求項22又は23に記載のネガ型感光性樹脂組成物。
- 上記一般式(18)中のX1とX2の少なくとも一方が上記一般式(8)であり、そしてY1、Y2の少なくとも一方が上記一般式(7)である、請求項22~24のいずれか一項に記載のネガ型感光性樹脂組成物。
- 上記一般式(18)中のX1が上記一般式(8)であり、そしてY1が上記一般式(7)である、請求項22~25のいずれか一項に記載のネガ型感光性樹脂組成物。
- 前記(C)溶媒が、N-メチル-2-ピロリドン、γ―ブチロラクトン、ジメチルスルホキシド、テトラヒドロフルフリルアルコール、アセト酢酸エチル、こはく酸ジメチル、マロン酸ジメチル、N,N-ジメチルアセトアセトアミド、ε―カプロラクトン、及び1,3-ジメチル―2-イミダゾリジノンから成る群から選択される少なくとも1種の溶媒を含む、請求項21~26のいずれか1項に記載のネガ型感光性樹脂組成物。
- 前記(C)溶媒が、N-メチル-2-ピロリドン、γ―ブチロラクトン、ジメチルスルホキシド、テトラヒドロフルフリルアルコール、アセト酢酸エチル、こはく酸ジメチル、マロン酸ジメチル、N,N-ジメチルアセトアセトアミド、ε―カプロラクトン、及び1,3-ジメチル―2-イミダゾリジノンから成る群から選択される少なくとも2種の溶媒を含む、請求項27に記載のネガ型感光性樹脂組成物。
- 前記(C)溶媒が、γ―ブチロラクトンとジメチルスルホキシドを含む、請求項28に記載のネガ型感光性樹脂組成物。
- 前記(B)感光剤が光ラジカル開始剤である、請求項1~29のいずれか一項に記載のネガ型感光性樹脂組成物。
- 以下の工程:
(1)請求項1~32のいずれか一項に記載のネガ型感光性樹脂組成物を基板上に塗布することによってネガ型感光性樹脂層を前記基板上に形成する工程;
(2)前記ネガ型感光性樹脂層を露光する工程;
(3)前記露光後の前記感光性樹脂層を現像してレリーフパターンを形成する工程;及び
(4)前記レリーフパターンを加熱処理することによって硬化レリーフパターンを形成する工程;
を含む、前記硬化レリーフパターンの製造方法。 - 以下の工程(1)~(5):
(1)スパッタCuウエハ基板上に該樹脂組成物をスピンコートする工程;
(2)スピンコートしたウエハ基板をホットプレート上、110℃で270秒加熱して膜厚13μmのスピンコート膜を得る工程;
(3)スピンコート膜表面を基準として、フォーカスを膜表面から膜底部にかけて2μmずつ変更して、マスクサイズが8μmの丸抜き凹型パターンを露光する工程;
(4)露光したウエハを現像しレリーフパターンを成形する工程;
(5)現像したウエハを窒素雰囲気下中、230℃で2時間加熱処理する工程;
を順に経て得られた丸抜き凹型レリーフパターンのフォーカスマージンが、8μm以上である、感光性ポリイミド前駆体を含む感光性樹脂組成物。 - 前記フォーカスマージンが12μm以上である、請求項34に記載の感光性樹脂組成物。
- 前記感光性ポリイミド前駆体の硬化物である硬化レリーフパターンの断面角度が60°以上90°以下である、請求項34又は35に記載の感光性樹脂組成物。
- 前記感光性ポリイミド前駆体が、側鎖にラジカル重合性置換基を有するポリアミド酸誘導体である、請求項34~36のいずれか一項に記載の感光性樹脂組成物。
- 光重合開始剤をさらに含む、請求項34~39のいずれか一項に記載の感光性樹脂組成物。
- 禁止剤をさらに含む、請求項34~41のいずれか一項に記載の感光性樹脂組成物。
- 前記禁止剤が、ヒンダードフェノール系、およびニトロソ系から選択される少なくとも1種である、請求項42に記載の感光性樹脂組成物。
- 以下の工程(6)~(9):
(6)請求項34~43のいずれか一項に記載の感光性樹脂組成物を基板上に塗布することによって感光性樹脂層を前記基板上に形成する工程;
(7)前記感光性樹脂層を露光する工程;
(8)前記露光後の感光性樹脂層を現像してレリーフパターンを形成する工程;
(9)前記レリーフパターンを加熱処理することによって硬化レリーフパターンを形成する工程;
を含む、硬化レリーフパターンの製造方法。 - 前記基板が、銅又は銅合金から形成されている、請求項44に記載の方法。
Priority Applications (9)
| Application Number | Priority Date | Filing Date | Title |
|---|---|---|---|
| CN202111074739.3A CN113820920B (zh) | 2016-03-31 | 2017-03-28 | 感光性树脂组合物、固化浮雕图案的制造方法和半导体装置 |
| JP2017551344A JP6271105B1 (ja) | 2016-03-31 | 2017-03-28 | 感光性樹脂組成物、硬化レリーフパターンの製造方法及び半導体装置 |
| CN202210744394.6A CN115185157A (zh) | 2016-03-31 | 2017-03-28 | 感光性树脂组合物、固化浮雕图案的制造方法和半导体装置 |
| CN201780002139.1A CN107850844B (zh) | 2016-03-31 | 2017-03-28 | 感光性树脂组合物、固化浮雕图案的制造方法和半导体装置 |
| US15/742,975 US10831101B2 (en) | 2016-03-31 | 2017-03-28 | Photosensitive resin composition, method for manufacturing cured relief pattern, and semiconductor apparatus |
| KR1020177036954A KR102090449B1 (ko) | 2016-03-31 | 2017-03-28 | 감광성 수지 조성물, 경화 릴리프 패턴의 제조 방법 및 반도체 장치 |
| US17/018,459 US20200409263A1 (en) | 2016-03-31 | 2020-09-11 | Photosensitive resin composition, method for manufacturing cured relief pattern, and semiconductor apparatus |
| US18/396,056 US20240210827A1 (en) | 2016-03-31 | 2023-12-26 | Photosensitive resin composition, method for manufacturing cured relief pattern, and semiconductor apparatus |
| US18/742,227 US20240329525A1 (en) | 2016-03-31 | 2024-06-13 | Photosensitive resin composition, method for manufacturing cured relief pattern, and semiconductor apparatus |
Applications Claiming Priority (10)
| Application Number | Priority Date | Filing Date | Title |
|---|---|---|---|
| JP2016-073576 | 2016-03-31 | ||
| JP2016073576 | 2016-03-31 | ||
| JP2016-084497 | 2016-04-20 | ||
| JP2016084497 | 2016-04-20 | ||
| JP2016-085535 | 2016-04-21 | ||
| JP2016085535 | 2016-04-21 | ||
| JP2016-086482 | 2016-04-22 | ||
| JP2016086482 | 2016-04-22 | ||
| JP2016-094177 | 2016-05-09 | ||
| JP2016094177 | 2016-05-09 |
Related Child Applications (2)
| Application Number | Title | Priority Date | Filing Date |
|---|---|---|---|
| US15/742,975 A-371-Of-International US10831101B2 (en) | 2016-03-31 | 2017-03-28 | Photosensitive resin composition, method for manufacturing cured relief pattern, and semiconductor apparatus |
| US17/018,459 Division US20200409263A1 (en) | 2016-03-31 | 2020-09-11 | Photosensitive resin composition, method for manufacturing cured relief pattern, and semiconductor apparatus |
Publications (1)
| Publication Number | Publication Date |
|---|---|
| WO2017170600A1 true WO2017170600A1 (ja) | 2017-10-05 |
Family
ID=59965805
Family Applications (1)
| Application Number | Title | Priority Date | Filing Date |
|---|---|---|---|
| PCT/JP2017/012743 Ceased WO2017170600A1 (ja) | 2016-03-31 | 2017-03-28 | 感光性樹脂組成物、硬化レリーフパターンの製造方法及び半導体装置 |
Country Status (6)
| Country | Link |
|---|---|
| US (4) | US10831101B2 (ja) |
| JP (5) | JP6271105B1 (ja) |
| KR (1) | KR102090449B1 (ja) |
| CN (3) | CN107850844B (ja) |
| TW (4) | TW201928522A (ja) |
| WO (1) | WO2017170600A1 (ja) |
Cited By (19)
| Publication number | Priority date | Publication date | Assignee | Title |
|---|---|---|---|---|
| JP2018173461A (ja) * | 2017-03-31 | 2018-11-08 | 株式会社Dnpファインケミカル | 感光性着色樹脂組成物、硬化物、カラーフィルタ、表示装置 |
| JP2018197863A (ja) * | 2015-08-21 | 2018-12-13 | 旭化成株式会社 | 感光性樹脂組成物、ポリイミドの製造方法および半導体装置 |
| JPWO2020184326A1 (ja) * | 2019-03-14 | 2020-09-17 | ||
| CN111880371A (zh) * | 2020-08-13 | 2020-11-03 | 清华大学 | 光刻胶及亚胺类材料的图案化方法 |
| TWI736307B (zh) * | 2019-06-03 | 2021-08-11 | 日商昭和電工股份有限公司 | 正型感光性樹脂組成物及有機el元件隔板 |
| JPWO2021157571A1 (ja) * | 2020-02-03 | 2021-08-12 | ||
| JPWO2021157306A1 (ja) * | 2020-02-05 | 2021-08-12 | ||
| JP2021131543A (ja) * | 2017-11-28 | 2021-09-09 | 旭化成株式会社 | ネガ型感光性樹脂組成物及びその製造方法、並びに硬化レリーフパターンの製造方法 |
| WO2021227020A1 (zh) * | 2020-05-15 | 2021-11-18 | 律胜科技股份有限公司 | 感光性聚酰亚胺树脂组合物及应用其的保护膜 |
| WO2021235469A1 (ja) * | 2020-05-20 | 2021-11-25 | 富士フイルム株式会社 | 硬化性樹脂組成物、硬化膜、積層体、硬化膜の製造方法、及び、半導体デバイス |
| TWI753592B (zh) * | 2020-09-30 | 2022-01-21 | 臺灣永光化學工業股份有限公司 | 聚醯亞胺正型光阻組成物及其用途 |
| EP3893053A4 (en) * | 2018-12-05 | 2022-02-23 | FUJIFILM Corporation | PHOTOSENSITIVE RESIN COMPOSITION, METHOD OF MAKING PATTERNS, CURED FILM, MULTI-LAYER BODY AND DEVICE |
| JP2023520210A (ja) * | 2020-03-31 | 2023-05-16 | ソルベイ スペシャルティ ポリマーズ イタリー エス.ピー.エー. | リチウムイオン電池用ポリアミック酸誘導体バインダー |
| JP2023080873A (ja) * | 2021-11-30 | 2023-06-09 | 日本ペイント・インダストリアルコーティングス株式会社 | 電着塗料組成物及び物品の製造方法 |
| JP2023115093A (ja) * | 2018-05-29 | 2023-08-18 | 旭化成株式会社 | 樹脂組成物、及び硬化膜の製造方法 |
| WO2023162687A1 (ja) | 2022-02-24 | 2023-08-31 | 富士フイルム株式会社 | 樹脂組成物、硬化物、積層体、硬化物の製造方法、積層体の製造方法、半導体デバイスの製造方法、及び、半導体デバイス |
| WO2024071380A1 (ja) * | 2022-09-30 | 2024-04-04 | 富士フイルム株式会社 | 樹脂組成物、硬化物、積層体、硬化物の製造方法、積層体の製造方法、半導体デバイスの製造方法、及び、半導体デバイス |
| US12174539B2 (en) | 2019-07-29 | 2024-12-24 | Asahi Kasei Kabushiki Kaisha | Negative photosensitive resin composition, production method for polyimide, production method for cured relief pattern, and semiconductor device |
| JP7746515B1 (ja) * | 2024-12-12 | 2025-09-30 | 四国化成工業株式会社 | シラン化合物およびその利用 |
Families Citing this family (31)
| Publication number | Priority date | Publication date | Assignee | Title |
|---|---|---|---|---|
| WO2017170600A1 (ja) * | 2016-03-31 | 2017-10-05 | 旭化成株式会社 | 感光性樹脂組成物、硬化レリーフパターンの製造方法及び半導体装置 |
| JP2018189738A (ja) * | 2017-04-28 | 2018-11-29 | メルク、パテント、ゲゼルシャフト、ミット、ベシュレンクテル、ハフツングMerck Patent GmbH | ポジ型感光性シロキサン組成物、およびそれを用いて形成した硬化膜 |
| JP7169844B2 (ja) * | 2017-12-15 | 2022-11-11 | 旭化成株式会社 | 感光性樹脂組成物、硬化レリーフパターンの製造方法、及び半導体装置 |
| WO2020031240A1 (ja) * | 2018-08-06 | 2020-02-13 | 日立化成デュポンマイクロシステムズ株式会社 | 感光性樹脂組成物、パターン硬化膜の製造方法、硬化膜、層間絶縁膜、カバーコート層、表面保護膜及び電子部品 |
| US11189538B2 (en) * | 2018-09-28 | 2021-11-30 | Taiwan Semiconductor Manufacturing Co., Ltd. | Semiconductor structure with polyimide packaging and manufacturing method |
| CN110431483B (zh) * | 2019-01-23 | 2022-02-11 | 律胜科技股份有限公司 | 感光性树脂组合物及其应用 |
| JP7592393B2 (ja) * | 2019-04-09 | 2024-12-02 | 旭化成株式会社 | ネガ型感光性樹脂組成物、ポリイミドの製造方法および硬化レリーフパターンの製造方法 |
| KR102716758B1 (ko) * | 2019-08-01 | 2024-10-15 | 도레이 카부시키가이샤 | 감광성 수지 조성물, 감광성 시트, 경화막, 경화막의 제조 방법, 층간 절연막 및 전자 부품 |
| JP7363901B2 (ja) * | 2019-08-08 | 2023-10-18 | Hdマイクロシステムズ株式会社 | 樹脂組成物、硬化物の製造方法、硬化物、パターン硬化物、層間絶縁膜、カバーコート層、表面保護膜及び電子部品 |
| JP2021152585A (ja) * | 2020-03-24 | 2021-09-30 | 株式会社Screenホールディングス | 基板処理方法および基板処理装置 |
| CN111522200B (zh) * | 2020-04-07 | 2021-07-27 | 中国科学院化学研究所 | 一种用于12英寸硅晶圆的负型pspi树脂及其制备方法与应用 |
| JP7543691B2 (ja) * | 2020-04-20 | 2024-09-03 | Hdマイクロシステムズ株式会社 | 感光性樹脂組成物、パターン硬化膜の製造方法、硬化膜、層間絶縁膜、カバーコート層、表面保護膜及び電子部品 |
| CN115943190A (zh) | 2020-04-27 | 2023-04-07 | 布鲁尔科技公司 | 用于临时键合的多功能材料 |
| CN112180681B (zh) * | 2020-09-23 | 2021-07-09 | 上海玟昕科技有限公司 | 一种负性低温固化型感光性树脂组合物 |
| TWI817316B (zh) * | 2021-01-12 | 2023-10-01 | 日商旭化成股份有限公司 | 聚醯亞胺前驅體樹脂組合物及其製造方法 |
| CN117083346A (zh) * | 2021-03-30 | 2023-11-17 | 富士胶片株式会社 | 树脂组合物、固化物、层叠体、固化物的制造方法及半导体器件 |
| CN113061338B (zh) * | 2021-05-08 | 2022-11-15 | 深圳先进电子材料国际创新研究院 | 聚酰胺酸组合物、聚酰亚胺组合物、聚酰亚胺薄膜及聚酰亚胺覆铜板 |
| US20230040536A1 (en) * | 2021-07-12 | 2023-02-09 | Shin-Etsu Chemical Co., Ltd. | Photocurable maleimide resin composition |
| KR20240113844A (ko) * | 2021-12-09 | 2024-07-23 | 닛산 가가쿠 가부시키가이샤 | 수지 조성물 |
| CN116256946A (zh) * | 2021-12-10 | 2023-06-13 | 旭化成株式会社 | 感光性树脂组合物、固化浮雕图案的制造方法和半导体装置 |
| KR20240136339A (ko) | 2022-01-13 | 2024-09-13 | 아지노모토 가부시키가이샤 | 회로 기판의 제조방법 및 이에 사용하는 수지 시트 |
| JPWO2023181637A1 (ja) * | 2022-03-25 | 2023-09-28 | ||
| TWI854552B (zh) * | 2022-03-28 | 2024-09-01 | 日商Ube股份有限公司 | 聚醯亞胺前驅體組合物、聚醯亞胺膜及聚醯亞胺膜/基材積層體 |
| KR20240157719A (ko) * | 2022-03-29 | 2024-11-01 | 후지필름 가부시키가이샤 | 수지 조성물, 경화물, 적층체, 경화물의 제조 방법, 적층체의 제조 방법, 반도체 디바이스의 제조 방법, 및, 반도체 디바이스 |
| TWI870812B (zh) * | 2022-05-23 | 2025-01-21 | 日商旭化成股份有限公司 | 感光性樹脂組合物、以及使用其之聚醯亞胺硬化膜之製造方法及聚醯亞胺硬化膜 |
| TW202411343A (zh) | 2022-07-22 | 2024-03-16 | 日商味之素股份有限公司 | 樹脂組成物 |
| KR102547094B1 (ko) * | 2022-11-18 | 2023-06-23 | 와이씨켐 주식회사 | 극자외선 리소그래피용 린스액 조성물 및 이를 이용한 패턴 형성 방법 |
| CN117447911B (zh) * | 2023-07-12 | 2025-09-23 | 深圳市华星光电半导体显示技术有限公司 | 涂膜和显示面板 |
| WO2025211230A1 (ja) * | 2024-04-03 | 2025-10-09 | 東亞合成株式会社 | 接着剤組成物、接着構造体、積層体及びモータ |
| CN119274890B (zh) * | 2024-12-12 | 2025-03-25 | 浙江天杰实业股份有限公司 | 一种楼宇安防系统用耐高温低烟无卤阻燃型双绞型电缆及其制备方法 |
| CN119356030B (zh) * | 2024-12-25 | 2025-03-25 | 山东凯恩新材料科技有限公司 | 一种用于光学波导光刻胶及其制备方法 |
Citations (13)
| Publication number | Priority date | Publication date | Assignee | Title |
|---|---|---|---|---|
| JP2002040658A (ja) * | 2000-07-27 | 2002-02-06 | Hitachi Chemical Dupont Microsystems Ltd | 感光性樹脂組成物、これを用いた半導体装置及び電子部品 |
| JP2004126547A (ja) * | 2002-08-05 | 2004-04-22 | Toray Ind Inc | 感光性樹脂前駆体組成物 |
| JP2007206423A (ja) * | 2006-02-02 | 2007-08-16 | Asahi Kasei Electronics Co Ltd | ポリアミド酸エステル組成物 |
| US20080103275A1 (en) * | 2006-10-30 | 2008-05-01 | Eternal Chemical Co., Ltd. | Negative photosensitive polyimide polymer and uses thereof |
| JP2011191749A (ja) * | 2010-02-16 | 2011-09-29 | Asahi Kasei E-Materials Corp | ネガ型感光性樹脂組成物、硬化レリーフパターンの製造方法、並びに半導体装置 |
| JP2013076845A (ja) * | 2011-09-30 | 2013-04-25 | Nippon Zeon Co Ltd | 感光性樹脂組成物 |
| WO2014024951A1 (ja) * | 2012-08-08 | 2014-02-13 | 旭化成イーマテリアルズ株式会社 | 感光性フィルム積層体、フレキシブルプリント配線板、及び、その製造方法 |
| WO2014097595A1 (ja) * | 2012-12-21 | 2014-06-26 | 日立化成デュポンマイクロシステムズ株式会社 | 感光性樹脂組成物、それを用いたパターン硬化膜の製造方法及び半導体装置 |
| JP2014201695A (ja) * | 2013-04-08 | 2014-10-27 | 日立化成デュポンマイクロシステムズ株式会社 | 樹脂組成物及びそれを用いたパターン形成方法 |
| JP2015113429A (ja) * | 2013-12-13 | 2015-06-22 | 日立化成デュポンマイクロシステムズ株式会社 | ポリイミド前駆体樹脂組成物 |
| WO2015141618A1 (ja) * | 2014-03-17 | 2015-09-24 | 旭化成イーマテリアルズ株式会社 | 感光性樹脂組成物、硬化レリーフパターンの製造方法、並びに半導体装置 |
| WO2016194769A1 (ja) * | 2015-05-29 | 2016-12-08 | 富士フイルム株式会社 | ポリイミド前駆体組成物、感光性樹脂組成物、硬化膜、硬化膜の製造方法、半導体デバイスおよびポリイミド前駆体組成物の製造方法 |
| WO2017033833A1 (ja) * | 2015-08-21 | 2017-03-02 | 旭化成株式会社 | 感光性樹脂組成物、ポリイミドの製造方法および半導体装置 |
Family Cites Families (38)
| Publication number | Priority date | Publication date | Assignee | Title |
|---|---|---|---|---|
| BE540225A (ja) | 1954-08-20 | |||
| NL199484A (ja) | 1954-08-20 | |||
| US3669658A (en) | 1969-06-11 | 1972-06-13 | Fuji Photo Film Co Ltd | Photosensitive printing plate |
| US6071667A (en) * | 1995-04-13 | 2000-06-06 | Hitachi Chemical Co., Ltd. | Photosensitive resin composition containing a photosensitive polyamide resin |
| KR100427832B1 (ko) | 1999-01-21 | 2004-04-28 | 아사히 가세이 가부시키가이샤 | 폴리아미드산 에스테르 |
| JP2001338947A (ja) | 2000-05-26 | 2001-12-07 | Nec Corp | フリップチップ型半導体装置及びその製造方法 |
| JP4046563B2 (ja) | 2002-01-25 | 2008-02-13 | 旭化成エレクトロニクス株式会社 | 高耐熱性感光性樹脂組成物 |
| WO2004008252A1 (ja) | 2002-07-11 | 2004-01-22 | Asahi Kasei Emd Corporation | 高耐熱性ネガ型感光性樹脂組成物 |
| US6887643B2 (en) | 2002-08-05 | 2005-05-03 | Toray Industries, Inc. | Photosensitive resin precursor composition |
| JP4183459B2 (ja) | 2002-08-30 | 2008-11-19 | 旭化成エレクトロニクス株式会社 | ポリアミド酸エステル組成物 |
| JP2004285129A (ja) * | 2003-03-19 | 2004-10-14 | Nippon Zeon Co Ltd | 感光性ポリイミド前駆体、感光性ポリイミド樹脂組成物、及び該樹脂組成物を用いた半導体素子の製造方法 |
| JP2005148633A (ja) * | 2003-11-19 | 2005-06-09 | Hitachi Chemical Dupont Microsystems Ltd | 感光性重合体組成物、パターン製造法及び電子部品 |
| JP2005336125A (ja) | 2004-05-28 | 2005-12-08 | Toray Ind Inc | 光酸発生剤およびこれを用いた化学線感応性重合体組成物 |
| JP4884853B2 (ja) | 2006-06-20 | 2012-02-29 | 富士フイルム株式会社 | 染料含有ネガ型硬化性組成物、カラーフィルタ及びその製造方法 |
| JP4776486B2 (ja) | 2006-09-28 | 2011-09-21 | 旭化成イーマテリアルズ株式会社 | 感光性ポリアミド酸エステル組成物 |
| JP4776485B2 (ja) | 2006-09-28 | 2011-09-21 | 旭化成イーマテリアルズ株式会社 | 感光性ポリアミド酸エステル組成物 |
| JP4919501B2 (ja) | 2007-05-16 | 2012-04-18 | メック株式会社 | シランカップリング剤皮膜の分析方法 |
| TWI383251B (zh) * | 2008-01-16 | 2013-01-21 | Eternal Chemical Co Ltd | 感光型聚醯亞胺 |
| JP5207907B2 (ja) | 2008-10-03 | 2013-06-12 | 旭化成イーマテリアルズ株式会社 | 感光性樹脂組成物、パターン形成方法、並びに半導体装置及びその製造方法 |
| JP5415861B2 (ja) | 2009-07-29 | 2014-02-12 | 旭化成イーマテリアルズ株式会社 | 感光性樹脂組成物、パターン形成方法、及び半導体装置 |
| JP5708082B2 (ja) | 2010-03-24 | 2015-04-30 | 信越化学工業株式会社 | パターン形成方法及びネガ型レジスト組成物 |
| TWI513678B (zh) | 2010-06-29 | 2015-12-21 | Sumitomo Chemical Co | 鹽、酸產生劑及光阻組成物 |
| TWI430024B (zh) * | 2010-08-05 | 2014-03-11 | Asahi Kasei E Materials Corp | A photosensitive resin composition, a method for manufacturing a hardened bump pattern, and a semiconductor device |
| JP5219008B1 (ja) | 2012-07-24 | 2013-06-26 | メック株式会社 | 銅のマイクロエッチング剤及びその補給液、並びに配線基板の製造方法 |
| JP2014122267A (ja) | 2012-12-20 | 2014-07-03 | Showa Denko Kk | 防湿絶縁塗料、防湿絶縁塗料を用いた封止・絶縁処理方法、および防湿絶縁塗料にて封止・絶縁処理された電子部品 |
| WO2014097633A1 (ja) | 2012-12-21 | 2014-06-26 | 日立化成デュポンマイクロシステムズ株式会社 | ポリイミド前駆体、該ポリイミド前駆体を含む感光性樹脂組成物、それを用いたパターン硬化膜の製造方法及び半導体装置 |
| WO2014097594A1 (ja) * | 2012-12-21 | 2014-06-26 | 日立化成デュポンマイクロシステムズ株式会社 | ポリイミド前駆体樹脂組成物 |
| JP2015010113A (ja) | 2013-06-27 | 2015-01-19 | 昭和電工株式会社 | 防湿絶縁塗料、該塗料を用いた封止絶縁処理方法、および電子部品 |
| WO2015011893A1 (ja) * | 2013-07-23 | 2015-01-29 | 日立化成デュポンマイクロシステムズ株式会社 | 樹脂組成物、それを用いたパターン形成方法及び電子部品 |
| JP6206028B2 (ja) | 2013-09-19 | 2017-10-04 | 日立化成株式会社 | 導電パターンの製造方法、その方法により製造された導電パターンを備える導電パターン基板、その導電パターン基板を含むタッチパネルセンサ、及び感光性導電フィルム |
| WO2015052885A1 (ja) | 2013-10-09 | 2015-04-16 | 日立化成デュポンマイクロシステムズ株式会社 | ポリイミド前駆体を含む樹脂組成物、及びそれを用いた硬化膜の製造方法 |
| KR102301297B1 (ko) * | 2014-02-19 | 2021-09-10 | 에이치디 마이크로시스템즈 가부시키가이샤 | 수지 조성물, 그에 따라 형성되는 경화막 및 패턴 경화막, 및 그들의 제조 방법 |
| JP6398364B2 (ja) | 2014-06-20 | 2018-10-03 | 日立化成デュポンマイクロシステムズ株式会社 | 感光性樹脂組成物、パターン硬化膜の製造方法及び電子部品 |
| TWI671343B (zh) | 2014-06-27 | 2019-09-11 | 日商富士軟片股份有限公司 | 熱硬化性樹脂組成物、硬化膜、硬化膜的製造方法以及半導體裝置 |
| JP6344108B2 (ja) * | 2014-07-18 | 2018-06-20 | 三菱ケミカル株式会社 | 感光性樹脂組成物、これを硬化させてなる硬化物、ブラックマトリックス及び画像表示装置 |
| CN107709408B (zh) * | 2015-06-30 | 2020-02-14 | 富士胶片株式会社 | 前驱体组合物、感光性树脂组合物、前驱体组合物的制造方法、固化膜、固化膜的制造方法及半导体器件 |
| TWI662367B (zh) | 2015-06-30 | 2019-06-11 | 日商富士軟片股份有限公司 | 負型感光性樹脂組成物、硬化膜、硬化膜的製造方法及半導體元件 |
| WO2017170600A1 (ja) * | 2016-03-31 | 2017-10-05 | 旭化成株式会社 | 感光性樹脂組成物、硬化レリーフパターンの製造方法及び半導体装置 |
-
2017
- 2017-03-28 WO PCT/JP2017/012743 patent/WO2017170600A1/ja not_active Ceased
- 2017-03-28 US US15/742,975 patent/US10831101B2/en active Active
- 2017-03-28 JP JP2017551344A patent/JP6271105B1/ja active Active
- 2017-03-28 CN CN201780002139.1A patent/CN107850844B/zh active Active
- 2017-03-28 CN CN202210744394.6A patent/CN115185157A/zh active Pending
- 2017-03-28 KR KR1020177036954A patent/KR102090449B1/ko active Active
- 2017-03-28 CN CN202111074739.3A patent/CN113820920B/zh active Active
- 2017-03-29 TW TW108110240A patent/TW201928522A/zh unknown
- 2017-03-29 TW TW107112427A patent/TWI659267B/zh active
- 2017-03-29 TW TW110117090A patent/TWI780701B/zh active
- 2017-03-29 TW TW106110461A patent/TWI638231B/zh active
- 2017-12-26 JP JP2017249983A patent/JP2018087986A/ja not_active Withdrawn
- 2017-12-26 JP JP2017249864A patent/JP6806665B2/ja active Active
-
2019
- 2019-07-25 JP JP2019137302A patent/JP6878515B2/ja active Active
-
2020
- 2020-09-11 US US17/018,459 patent/US20200409263A1/en not_active Abandoned
-
2021
- 2021-04-28 JP JP2021076217A patent/JP7457669B2/ja active Active
-
2023
- 2023-12-26 US US18/396,056 patent/US20240210827A1/en not_active Abandoned
-
2024
- 2024-06-13 US US18/742,227 patent/US20240329525A1/en active Pending
Patent Citations (13)
| Publication number | Priority date | Publication date | Assignee | Title |
|---|---|---|---|---|
| JP2002040658A (ja) * | 2000-07-27 | 2002-02-06 | Hitachi Chemical Dupont Microsystems Ltd | 感光性樹脂組成物、これを用いた半導体装置及び電子部品 |
| JP2004126547A (ja) * | 2002-08-05 | 2004-04-22 | Toray Ind Inc | 感光性樹脂前駆体組成物 |
| JP2007206423A (ja) * | 2006-02-02 | 2007-08-16 | Asahi Kasei Electronics Co Ltd | ポリアミド酸エステル組成物 |
| US20080103275A1 (en) * | 2006-10-30 | 2008-05-01 | Eternal Chemical Co., Ltd. | Negative photosensitive polyimide polymer and uses thereof |
| JP2011191749A (ja) * | 2010-02-16 | 2011-09-29 | Asahi Kasei E-Materials Corp | ネガ型感光性樹脂組成物、硬化レリーフパターンの製造方法、並びに半導体装置 |
| JP2013076845A (ja) * | 2011-09-30 | 2013-04-25 | Nippon Zeon Co Ltd | 感光性樹脂組成物 |
| WO2014024951A1 (ja) * | 2012-08-08 | 2014-02-13 | 旭化成イーマテリアルズ株式会社 | 感光性フィルム積層体、フレキシブルプリント配線板、及び、その製造方法 |
| WO2014097595A1 (ja) * | 2012-12-21 | 2014-06-26 | 日立化成デュポンマイクロシステムズ株式会社 | 感光性樹脂組成物、それを用いたパターン硬化膜の製造方法及び半導体装置 |
| JP2014201695A (ja) * | 2013-04-08 | 2014-10-27 | 日立化成デュポンマイクロシステムズ株式会社 | 樹脂組成物及びそれを用いたパターン形成方法 |
| JP2015113429A (ja) * | 2013-12-13 | 2015-06-22 | 日立化成デュポンマイクロシステムズ株式会社 | ポリイミド前駆体樹脂組成物 |
| WO2015141618A1 (ja) * | 2014-03-17 | 2015-09-24 | 旭化成イーマテリアルズ株式会社 | 感光性樹脂組成物、硬化レリーフパターンの製造方法、並びに半導体装置 |
| WO2016194769A1 (ja) * | 2015-05-29 | 2016-12-08 | 富士フイルム株式会社 | ポリイミド前駆体組成物、感光性樹脂組成物、硬化膜、硬化膜の製造方法、半導体デバイスおよびポリイミド前駆体組成物の製造方法 |
| WO2017033833A1 (ja) * | 2015-08-21 | 2017-03-02 | 旭化成株式会社 | 感光性樹脂組成物、ポリイミドの製造方法および半導体装置 |
Cited By (34)
| Publication number | Priority date | Publication date | Assignee | Title |
|---|---|---|---|---|
| JP2018197863A (ja) * | 2015-08-21 | 2018-12-13 | 旭化成株式会社 | 感光性樹脂組成物、ポリイミドの製造方法および半導体装置 |
| JP2018173461A (ja) * | 2017-03-31 | 2018-11-08 | 株式会社Dnpファインケミカル | 感光性着色樹脂組成物、硬化物、カラーフィルタ、表示装置 |
| JP7393491B2 (ja) | 2017-11-28 | 2023-12-06 | 旭化成株式会社 | ネガ型感光性樹脂組成物及びその製造方法、並びに硬化レリーフパターンの製造方法 |
| JP7146014B2 (ja) | 2017-11-28 | 2022-10-03 | 旭化成株式会社 | ネガ型感光性樹脂組成物及びその製造方法、並びに硬化レリーフパターンの製造方法 |
| JP2022173316A (ja) * | 2017-11-28 | 2022-11-18 | 旭化成株式会社 | ネガ型感光性樹脂組成物及びその製造方法、並びに硬化レリーフパターンの製造方法 |
| JP2021131543A (ja) * | 2017-11-28 | 2021-09-09 | 旭化成株式会社 | ネガ型感光性樹脂組成物及びその製造方法、並びに硬化レリーフパターンの製造方法 |
| JP7481548B2 (ja) | 2018-05-29 | 2024-05-10 | 旭化成株式会社 | 樹脂組成物、及び硬化膜の製造方法 |
| JP2023115093A (ja) * | 2018-05-29 | 2023-08-18 | 旭化成株式会社 | 樹脂組成物、及び硬化膜の製造方法 |
| US12078929B2 (en) | 2018-12-05 | 2024-09-03 | Fujifilm Corporation | Photosensitive resin composition, pattern forming method, cured film, laminate, and device |
| EP3893053A4 (en) * | 2018-12-05 | 2022-02-23 | FUJIFILM Corporation | PHOTOSENSITIVE RESIN COMPOSITION, METHOD OF MAKING PATTERNS, CURED FILM, MULTI-LAYER BODY AND DEVICE |
| JP7517149B2 (ja) | 2019-03-14 | 2024-07-17 | 東レ株式会社 | 感光性樹脂組成物、感光性樹脂シート、硬化膜、硬化膜の製造方法、有機el表示装置、および電子部品 |
| JPWO2020184326A1 (ja) * | 2019-03-14 | 2020-09-17 | ||
| CN113544585A (zh) * | 2019-03-14 | 2021-10-22 | 东丽株式会社 | 感光性树脂组合物、感光性树脂片、固化膜及其制造方法、有机el显示装置及电子部件 |
| US11953830B2 (en) | 2019-03-14 | 2024-04-09 | Toray Industries, Inc. | Photosensitive resin composition, photosensitive resin sheet, cured film, method for producing cured film, organic EL display device and electronic component |
| TWI736307B (zh) * | 2019-06-03 | 2021-08-11 | 日商昭和電工股份有限公司 | 正型感光性樹脂組成物及有機el元件隔板 |
| US12174539B2 (en) | 2019-07-29 | 2024-12-24 | Asahi Kasei Kabushiki Kaisha | Negative photosensitive resin composition, production method for polyimide, production method for cured relief pattern, and semiconductor device |
| WO2021157571A1 (ja) * | 2020-02-03 | 2021-08-12 | 富士フイルム株式会社 | 硬化性樹脂組成物、樹脂膜、硬化膜、積層体、硬化膜の製造方法、及び、半導体デバイス |
| JP7453260B2 (ja) | 2020-02-03 | 2024-03-19 | 富士フイルム株式会社 | 硬化性樹脂組成物、樹脂膜、硬化膜、積層体、硬化膜の製造方法、及び、半導体デバイス |
| JPWO2021157571A1 (ja) * | 2020-02-03 | 2021-08-12 | ||
| JP7558988B2 (ja) | 2020-02-05 | 2024-10-01 | 富士フイルム株式会社 | 樹脂組成物、硬化膜、積層体、硬化膜の製造方法、及び、半導体デバイス |
| JPWO2021157306A1 (ja) * | 2020-02-05 | 2021-08-12 | ||
| WO2021157306A1 (ja) * | 2020-02-05 | 2021-08-12 | 富士フイルム株式会社 | 樹脂組成物、硬化膜、積層体、硬化膜の製造方法、及び、半導体デバイス |
| JP2023520210A (ja) * | 2020-03-31 | 2023-05-16 | ソルベイ スペシャルティ ポリマーズ イタリー エス.ピー.エー. | リチウムイオン電池用ポリアミック酸誘導体バインダー |
| WO2021227020A1 (zh) * | 2020-05-15 | 2021-11-18 | 律胜科技股份有限公司 | 感光性聚酰亚胺树脂组合物及应用其的保护膜 |
| WO2021235469A1 (ja) * | 2020-05-20 | 2021-11-25 | 富士フイルム株式会社 | 硬化性樹脂組成物、硬化膜、積層体、硬化膜の製造方法、及び、半導体デバイス |
| CN111880371B (zh) * | 2020-08-13 | 2022-05-03 | 常州华睿芯材科技有限公司 | 光刻胶及亚胺类材料的图案化方法 |
| CN111880371A (zh) * | 2020-08-13 | 2020-11-03 | 清华大学 | 光刻胶及亚胺类材料的图案化方法 |
| TWI753592B (zh) * | 2020-09-30 | 2022-01-21 | 臺灣永光化學工業股份有限公司 | 聚醯亞胺正型光阻組成物及其用途 |
| JP2023080873A (ja) * | 2021-11-30 | 2023-06-09 | 日本ペイント・インダストリアルコーティングス株式会社 | 電着塗料組成物及び物品の製造方法 |
| JP7752411B2 (ja) | 2021-11-30 | 2025-10-10 | 日本ペイント・インダストリアルコーティングス株式会社 | 電着塗料組成物及び物品の製造方法 |
| WO2023162687A1 (ja) | 2022-02-24 | 2023-08-31 | 富士フイルム株式会社 | 樹脂組成物、硬化物、積層体、硬化物の製造方法、積層体の製造方法、半導体デバイスの製造方法、及び、半導体デバイス |
| KR20240129216A (ko) | 2022-02-24 | 2024-08-27 | 후지필름 가부시키가이샤 | 수지 조성물, 경화물, 적층체, 경화물의 제조 방법, 적층체의 제조 방법, 반도체 디바이스의 제조 방법, 및, 반도체 디바이스 |
| WO2024071380A1 (ja) * | 2022-09-30 | 2024-04-04 | 富士フイルム株式会社 | 樹脂組成物、硬化物、積層体、硬化物の製造方法、積層体の製造方法、半導体デバイスの製造方法、及び、半導体デバイス |
| JP7746515B1 (ja) * | 2024-12-12 | 2025-09-30 | 四国化成工業株式会社 | シラン化合物およびその利用 |
Also Published As
| Publication number | Publication date |
|---|---|
| TWI659267B (zh) | 2019-05-11 |
| KR20180011245A (ko) | 2018-01-31 |
| US20200409263A1 (en) | 2020-12-31 |
| US10831101B2 (en) | 2020-11-10 |
| TW201826022A (zh) | 2018-07-16 |
| TWI780701B (zh) | 2022-10-11 |
| TWI638231B (zh) | 2018-10-11 |
| JP2019197227A (ja) | 2019-11-14 |
| JP2018101138A (ja) | 2018-06-28 |
| US20240329525A1 (en) | 2024-10-03 |
| JP6806665B2 (ja) | 2021-01-06 |
| CN107850844A (zh) | 2018-03-27 |
| US20240210827A1 (en) | 2024-06-27 |
| JP7457669B2 (ja) | 2024-03-28 |
| TW201740198A (zh) | 2017-11-16 |
| CN107850844B (zh) | 2021-09-07 |
| US20190113845A1 (en) | 2019-04-18 |
| TW202201128A (zh) | 2022-01-01 |
| KR102090449B1 (ko) | 2020-03-18 |
| JPWO2017170600A1 (ja) | 2018-04-05 |
| TW201928522A (zh) | 2019-07-16 |
| CN113820920A (zh) | 2021-12-21 |
| JP6878515B2 (ja) | 2021-05-26 |
| CN115185157A (zh) | 2022-10-14 |
| CN113820920B (zh) | 2023-07-04 |
| JP2018087986A (ja) | 2018-06-07 |
| JP2021140163A (ja) | 2021-09-16 |
| JP6271105B1 (ja) | 2018-01-31 |
Similar Documents
| Publication | Publication Date | Title |
|---|---|---|
| JP7457669B2 (ja) | 感光性樹脂組成物、硬化レリーフパターンの製造方法及び半導体装置 | |
| JP7293299B2 (ja) | 感光性樹脂組成物、硬化レリーフパターンの製造方法及び半導体装置 | |
| JP7766669B2 (ja) | 感光性樹脂組成物及び硬化レリーフパターンの製造方法 | |
| JP2024043132A (ja) | 感光性樹脂組成物及び硬化レリーフパターンの製造方法 |
Legal Events
| Date | Code | Title | Description |
|---|---|---|---|
| ENP | Entry into the national phase |
Ref document number: 2017551344 Country of ref document: JP Kind code of ref document: A |
|
| ENP | Entry into the national phase |
Ref document number: 20177036954 Country of ref document: KR Kind code of ref document: A |
|
| NENP | Non-entry into the national phase |
Ref country code: DE |
|
| 121 | Ep: the epo has been informed by wipo that ep was designated in this application |
Ref document number: 17775137 Country of ref document: EP Kind code of ref document: A1 |
|
| 122 | Ep: pct application non-entry in european phase |
Ref document number: 17775137 Country of ref document: EP Kind code of ref document: A1 |





















































































































































































































































































































