JP2010013630A - 顔料分散物及びそれを用いたインク組成物 - Google Patents
顔料分散物及びそれを用いたインク組成物 Download PDFInfo
- Publication number
- JP2010013630A JP2010013630A JP2009130688A JP2009130688A JP2010013630A JP 2010013630 A JP2010013630 A JP 2010013630A JP 2009130688 A JP2009130688 A JP 2009130688A JP 2009130688 A JP2009130688 A JP 2009130688A JP 2010013630 A JP2010013630 A JP 2010013630A
- Authority
- JP
- Japan
- Prior art keywords
- group
- pigment
- meth
- carbon atoms
- acrylate
- Prior art date
- Legal status (The legal status is an assumption and is not a legal conclusion. Google has not performed a legal analysis and makes no representation as to the accuracy of the status listed.)
- Granted
Links
Classifications
-
- C—CHEMISTRY; METALLURGY
- C09—DYES; PAINTS; POLISHES; NATURAL RESINS; ADHESIVES; COMPOSITIONS NOT OTHERWISE PROVIDED FOR; APPLICATIONS OF MATERIALS NOT OTHERWISE PROVIDED FOR
- C09D—COATING COMPOSITIONS, e.g. PAINTS, VARNISHES OR LACQUERS; FILLING PASTES; CHEMICAL PAINT OR INK REMOVERS; INKS; CORRECTING FLUIDS; WOODSTAINS; PASTES OR SOLIDS FOR COLOURING OR PRINTING; USE OF MATERIALS THEREFOR
- C09D11/00—Inks
- C09D11/30—Inkjet printing inks
- C09D11/32—Inkjet printing inks characterised by colouring agents
- C09D11/324—Inkjet printing inks characterised by colouring agents containing carbon black
- C09D11/326—Inkjet printing inks characterised by colouring agents containing carbon black characterised by the pigment dispersant
-
- C—CHEMISTRY; METALLURGY
- C09—DYES; PAINTS; POLISHES; NATURAL RESINS; ADHESIVES; COMPOSITIONS NOT OTHERWISE PROVIDED FOR; APPLICATIONS OF MATERIALS NOT OTHERWISE PROVIDED FOR
- C09D—COATING COMPOSITIONS, e.g. PAINTS, VARNISHES OR LACQUERS; FILLING PASTES; CHEMICAL PAINT OR INK REMOVERS; INKS; CORRECTING FLUIDS; WOODSTAINS; PASTES OR SOLIDS FOR COLOURING OR PRINTING; USE OF MATERIALS THEREFOR
- C09D11/00—Inks
- C09D11/02—Printing inks
- C09D11/10—Printing inks based on artificial resins
- C09D11/101—Inks specially adapted for printing processes involving curing by wave energy or particle radiation, e.g. with UV-curing following the printing
-
- C—CHEMISTRY; METALLURGY
- C09—DYES; PAINTS; POLISHES; NATURAL RESINS; ADHESIVES; COMPOSITIONS NOT OTHERWISE PROVIDED FOR; APPLICATIONS OF MATERIALS NOT OTHERWISE PROVIDED FOR
- C09D—COATING COMPOSITIONS, e.g. PAINTS, VARNISHES OR LACQUERS; FILLING PASTES; CHEMICAL PAINT OR INK REMOVERS; INKS; CORRECTING FLUIDS; WOODSTAINS; PASTES OR SOLIDS FOR COLOURING OR PRINTING; USE OF MATERIALS THEREFOR
- C09D17/00—Pigment pastes, e.g. for mixing in paints
Landscapes
- Chemical & Material Sciences (AREA)
- Life Sciences & Earth Sciences (AREA)
- Engineering & Computer Science (AREA)
- Materials Engineering (AREA)
- Wood Science & Technology (AREA)
- Organic Chemistry (AREA)
- Inks, Pencil-Leads, Or Crayons (AREA)
- Pigments, Carbon Blacks, Or Wood Stains (AREA)
- Addition Polymer Or Copolymer, Post-Treatments, Or Chemical Modifications (AREA)
- Emulsifying, Dispersing, Foam-Producing Or Wetting Agents (AREA)
- Macromonomer-Based Addition Polymer (AREA)
Abstract
Description
また、本発明の他の目的は、顔料が微細に分散され、かつ、長期間保存或いは繰り返し温度変化を経た後であっても顔料の分散安定性に優れ、インクジェット記録用として好適なインク組成物を提供することにある。
<1> 少なくとも、(a)顔料と、(b)下記一般式(1)で表される繰り返し単位を2質量%〜50質量%、及び下記一般式(2)で表される繰り返し単位を2質量%〜40質量%を有し、重量平均分子量が10000〜500000の重合体(以下、適宜「特定重合体」と称する。)と、を含み、顔料濃度が2質量%〜50質量%であることを特徴とする顔料分散物。
<6> インクジェット用であることを特徴とする<5>に記載のインク組成物。
また、本発明によれば、顔料が微細に分散され、かつ、長期間保存或いは繰り返し温度変化を経た後であっても顔料の分散安定性に優れ、インクジェット記録用として好適なインク組成物を提供することができる。
本発明の顔料分散物は、少なくとも、(a)顔料と、(b)特定重合体と、を含み、顔料濃度が2質量%〜50質量%であることを特徴とする。また、本発明の顔料分散物は、更に、(c)重合性化合物を含有する態様も好適である。
本発明の顔料分散物は、顔料を必須成分として含む。本発明の顔料分散物においては、後述する特定重合体の作用により、粒径が小さい顔料粒子であっても、顔料分散物中に顔料が均一且つ安定に分散される。
イエロー色を呈する顔料としては、例えば、C.I.ピグメントイエロー1(ファストイエローG等),C.I.ピグメントイエロー74の如きモノアゾ顔料、C.I.ピグメントイエロー12(ジスアジイエロー等)、C.I.ピグメントイエロー17、C.I.ピグメントイエロー97、C.I.ピグメントイエロー3、C.I.ピグメントイエロー16、C.I.ピグメントイエロー83、C.I.ピグメントイエロー155、C.I.ピグメントイエロー219の如きジスアゾ顔料、C.I.ピグメントイエロー100(タートラジンイエローレーキ等)の如きアゾレーキ顔料、C.I.ピグメントイエロー95(縮合アゾイエロー等)、C.I.ピグメントイエロー93、C.I.ピグメントイエロー94、C.I.ピグメントイエロー128、C.I.ピグメントイエロー166の如き縮合アゾ顔料、C.I.ピグメントイエロー115(キノリンイエローレーキ等)の如き酸性染料レーキ顔料、C.I.ピグメントイエロー18(チオフラビンレーキ等)の如き塩基性染料レーキ顔料、フラバントロンイエロー(Y−24)の如きアントラキノン系顔料、イソインドリノンイエロー3RLT(Y−110)の如きイソインドリノン顔料、キノフタロンイエロー(Y−138)の如きキノフタロン顔料、イソインドリンイエロー(Y−139)の如きイソインドリン顔料、C.I.ピグメントイエロー153(ニッケルニトロソイエロー等)の如きニトロソ顔料、C.I.ピグメントイエロー117(銅アゾメチンイエロー等)の如き金属錯塩アゾメチン顔料、C.I.ピグメントイエロー120(ベンズイミダゾロンイエロー)C.I.ピグメントイエロー151、C.I.ピグメントイエロー175、C.I.ピグメントイエロー180、C.I.ピグメントイエロー181、C.I.ピグメントイエロー194等の如きアセトロン顔料等が挙げられる。
本発明の顔料分散物は、下記一般式(1)で表される繰り返し単位を2質量%〜50質量%、及び下記一般式(2)で表される繰り返し単位を2質量%〜40質量%を有し、重量平均分子量が10000〜500000の重合体(特定重合体)を含有する。
特定重合体は、下記一般式(1)で表される繰り返し単位を含む。
一般式(1)中、Iは、−CO−、−COO−、−CONR3−、−OCO−、又はフェニレン基を表し、−COO、−CONR3−、又はフェニレン基が好ましい。R3は、水素原子、アルキル基、アリール基、又はアラルキル基を表し、炭素数1〜4のアルキル基が好ましい。
一般式(1)中、R2は、炭素数1〜4のアルキル基を表し、メチル基、エチル基、n−ブチル基、t−ブチル基が好ましい。
また、R2はYとは互いに結合して環構造を形成してもよく、形成される環構造としては、例えば、ピロリジン環、ピペリジン環、イミダゾリジン環などが挙げられ、例えば、テトラメチルピペリジン環のように置換基として、炭素数1〜4のアルキル基を1〜4個有していてもよい。
Yで表される2価の連結基としては、例えば、直鎖、分岐若しくは環状のアルキレン基、アラルキレン基、アリーレン基等が挙げられ、これらは置換基を有してもよい。
特定重合体は、下記一般式(2)で表される繰り返し単位を含む。
一般式(2)中、Jは、−CO−、−COO−、−CONR5−、−OCO−、又はフェニレン基を表し、中でも−COO−、−CONR5−、フェニレン基が好ましい。R5は水素原子、アルキル基(例えば、メチル基、エチル基、n−プロピル基、i−プロピル基、n−ブチル基など)、アリール基(例えば、フェニル基)、アラルキル基を表し、水素原子、炭素数1〜4のアルキル基が好ましい。これらの内、Jとしては−COO−、−CONH−、フェニレン基が好ましい。R5は、水素原子、アルキル基、アリール基、又はアラルキル基を表し、水素原子、炭素数1〜4のアルキル基が好ましい。
Wで表される2価の連結基としては、例えば、直鎖、分岐若しくは環状のアルキレン基、アラルキレン基等が挙げられ、これらは置換基を有してもよい。
重合性オリゴマーにおけるポリマー鎖部分は、アルキル(メタ)アクリレート、スチレン及びその誘導体、アクリロニトリル、酢酸ビニル、及びブタジエンからなる群より選ばれる少なくとも一種のモノマーから形成される単独重合体若しくは共重合体、あるいはポリエチレンオキシド、ポリプロピレンオキシド、ポリカプロラクトンであることが一般的である。
Yは、フェニル基、炭素原子数1〜4のアルキル基を有するフェニル基、又は−COOR14を表す。但し、R14は、炭素原子数1〜6のアルキル基、フェニル基、又は炭素原子数7〜10のアリールアルキル基を表す。Yとしては、フェニル基、又はR14が炭素原子数1〜12のアルキル基である−COOR14であることが好ましい。
qは15〜200を表し、好ましくは20〜150であり、より好ましくは20〜100である。
重合性化合物を併用する場合には、重合性オリゴマーは、重合性化合物に応じて適宜選択することが特に好ましい。
R22は、炭素数1〜8のアルキレン基を表し、中でも、炭素数1〜6のアルキレン基が好ましく、炭素数2〜3のアルキレン基がより好ましい。
X21が−OR23を表す場合、R23は、水素原子、炭素数1〜18のアルキル基、フェニル基、又は炭素数1〜18のアルキル基で置換されたフェニル基であることが好ましい。X21が−OCOR24を表す場合、R24は、炭素数1〜18のアルキル基であることが好ましい。
nは、2〜200を表し、5〜150が好ましく、10〜100が特に好ましい。
重合性オリゴマーに由来する繰り返し単位の特定重合体中に含まれる割合は、40質量%〜96質量%が好ましく、50質量%〜90質量%がより好ましく、55質量%〜85質量%が最も好ましい。特定重合体における重合性オリゴマーに由来する繰り返し単位の割合が、この範囲にあることで、液体媒体への親和性が良好であり、特定重合体の顔料への吸着性により優れることから、顔料分散物やその適用態様であるインク組成物の粘度を効果的に抑制しうる。
P−2) モノマーA−2/モノマーM−4/重合性オリゴマーN−1(AA−6、東亞合成(株)製)(20:10:70、質量比)の共重合体、重量平均分子量:Mw=86000
P−3) モノマーA−2/モノマーM−4/重合性オリゴマーN−2(AB−6、東亞合成(株)製)(10:10:80、質量比)の共重合体、重量平均分子量:Mw=60000
P−4) モノマーA−2/モノマーM−4/重合性オリゴマーN−3(AX−707、東亞合成(株)製)(40:5:55、質量比)の共重合体、重量平均分子量:Mw=320000
P−5) モノマーA−2/モノマーM−4/重合性オリゴマーN−5(ブレンマーPME−4000、日本油脂(株)製)(30:5:65、質量比)の共重合体、重量平均分子量:Mw=106000
P−6) モノマーA−2/モノマーM−6/重合性オリゴマーN−3(AX−707(東亞合成(株)製)(10:20:70、質量比)の共重合体、重量平均分子量:Mw=92000
P−7) モノマーA−2/モノマーM−17/重合性オリゴマーN−1(AA−6、東亞合成(株)製)(10:20:70、質量比)の共重合体、重量平均分子量:Mw=36000
P−8) モノマーA−2/モノマーM−17/重合性オリゴマーN−2(AB−6、東亞合成(株)製)(10:15:75、質量比)の共重合体、重量平均分子量:Mw=120000
P−9) モノマーA−2/モノマーM−17/重合性オリゴマーN−6(ブレンマーALE−800、日本油脂(株)製)(10:20:70、質量比)の共重合体、重量平均分子量:Mw=120000
P−10)モノマーA−3/モノマーM−1/重合性オリゴマーN−3(AX−707、東亞合成(株)製)(30:10:60、質量比)の共重合体、重量平均分子量:Mw=110000
P−12)モノマーA−3/モノマーM−4/重合性オリゴマーN−5(ブレンマーPME−4000、日本油脂(株)製)(50:2:48、質量比)の共重合体、重量平均分子量:Mw=194000
P−13)モノマーA−3/モノマーM−6/重合性オリゴマーN−1(AA−6、東亞合成(株)製)(20:10:70、質量比)の共重合体、重量平均分子量:Mw=163000
P−14)モノマーA−3/モノマーM−17/重合性オリゴマーN−1(AA−6、東亞合成(株)製)(10:10:80、質量比)の共重合体、重量平均分子量:Mw=230000
P−15)モノマーA−3/モノマーM−17/重合性オリゴマーN−4(プラクセルFM5、ダイセル化学(株)製)(10:10:80、質量比)の共重合体、重量平均分子量:Mw=232000
P−16)モノマーA−3/モノマーM−17/重合性オリゴマーN−5(ブレンマーPME−4000、日本油脂(株)製)(5:5:90、質量比)の共重合体、重量平均分子量:Mw=52000
P−17)モノマーA−3/モノマーM−18/重合性オリゴマーN−1(AA−6、東亞合成(株)製)(20:5:75、質量比)の共重合体、重量平均分子量:Mw=98000
P−18)モノマーA−5/モノマーM−13/重合性オリゴマーN−1(AA−6、東亞合成(株)製)(5:35:60、質量比)の共重合体、重量平均分子量:Mw=44000
P−19)モノマーA−2/モノマーM−17/重合性オリゴマーN−1(AA−6、東亞合成(株)製)/メチルメタクリレート(10:10:75:5、質量比)の共重合体、重量平均分子量:Mw=82000
P−20)モノマーA−2/モノマーM−17/重合性オリゴマーN−1(AA−6、東亞合成(株)製)/スチレン(15:10:70:5、質量比)の共重合体、重量平均分子量:Mw=110000
P−21)モノマーA−3/モノマーM−10/重合性オリゴマーN−2(AB−6、東亞合成(株)製)/スチレン(15:15:60:10、質量比)の共重合体、重量平均分子量:Mw=54000
なお、本発明の顔料分散物には、効果を損なわない限りにおいて、特定重合体に加えて、公知の顔料分散剤を併用することができる。その添加量としては、特定重合体の全質量に対して、5質量%〜50質量%の範囲であることが好ましい。さらに、必要に応じて分散助剤として、各種顔料に応じたシナージストを用いることも可能である。分散助剤は、顔料の全質量に対して、1質量%〜30質量%の範囲で添加することが好ましい。
本発明の顔料分散物は、重合性化合物を含有することが好ましい。重合性化合物としては、何らかのエネルギー付与により重合反応を生起し、硬化する化合物であれば特に制限はなく、モノマー、オリゴマー、ポリマーの種を問わず使用することができるが、特に、所望により添加される重合開始剤から発生する開始種により重合反応を生起する、ラジカル重合性モノマー、カチオン重合性モノマーとして知られる各種公知の重合性のモノマーが好ましい。中でも安定性の観点から、ラジカル重合性モノマー及びオキシラン化合物を含まないカチオン重合性モノマーがより好ましい。
ラジカル重合性モノマーとしては、(メタ)アクリレート類、(メタ)アクリルアミド類、芳香族ビニル類、等が挙げられる。なお、本明細書において「アクリレート」、「メタクリレート」の双方或いはいずれかを指す場合「(メタ)アクリレート」と、「アクリル」、「メタクリル」の双方或いはいずれかを指す場合「(メタ)アクリル」と、それぞれ記載することがある。
四官能の(メタ)アクリレートとしては、例えば、ペンタエリスリトールテトラ(メタ)アクリレート、ソルビトールテトラ(メタ)アクリレート、ジトリメチロールプロパンテトラ(メタ)アクリレート、プロピオン酸ジペンタエリスリトールテトラ(メタ)アクリレート、エトキシ化ペンタエリスリトールテトラ(メタ)アクリレート等が挙げられる。
五官能の(メタ)アクリレートとしては、例えば、ソルビトールペンタ(メタ)アクリレート、ジペンタエリスリトールペンタ(メタ)アクリレートが挙げられる。
六官能の(メタ)アクリレートとしては、例えば、ジペンタエリスリトールヘキサ(メタ)アクリレート、ソルビトールヘキサ(メタ)アクリレート、フォスファゼンのアルキレンオキサイド変性ヘキサ(メタ)アクリレート、ε−カプトラクトン変性ジペンタエリスリトールヘキサ(メタ)アクリレート等が挙げられる。
これらのエポキシ化合物のなかでも、芳香族エポキシド及び脂環式エポキシドが、硬化速度に優れるという観点から好ましく、特に脂環式エポキシドがより好ましい。
上述した多官能ビニルエーテル化合物のうち、ジ又はトリビニルエーテル化合物が、硬化性、被記録媒体との密着性、形成された硬化物(例えば、画像)の表面硬度などの観点から好ましく、特にジビニルエーテル化合物がより好ましい。
カチオン重合性モノマーとしてのオキセタン化合物のなかでも、顔料分散物及びその好適な適用態様であるインク組成物の粘度と粘着性の観点から、オキセタン環を1〜2個有する化合物を使用することが好ましい。
本発明の顔料分散物において、顔料などの諸成分を分散させる際に使用する分散媒としては、目的に応じて適宜選択することができる。例えば、溶剤を分散媒としてもよいし、また、無溶媒で、低粘度の重合性化合物を分散媒として用いてもよい。
分散媒として溶剤を用いる場合、該溶剤としては、公知のアルコール系溶剤、エステル系溶剤、エーテル系溶剤、炭化水素系溶剤などが好ましく用いられる。具体的には、アルキレンオキシドモノアルキルエーテル、アルキレンオキシドモノアルキルエーテルアセテート、アルキレングリコールジアセテート、ジカルボン酸ジエアルキルエステル、(メタ)アクリレート類、ジビニルエーテル類などが好ましい。
また、顔料分散物を活性エネルギー線硬化型のインク組成物等の着色硬化性組成物に適用する場合には、揮発性溶媒を含まないことが好ましく、沸点が180℃以上の高沸点溶剤、もしくは無溶剤であることが好ましい。そのような場合、重合性化合物を分散媒として使用することも好ましい。
本発明のインク組成物は、本発明の顔料分散物のうち重合性化合物を含む態様の好適な適用形態の一つであり、少なくと、当該顔料分散物と、(d)重合開始剤と、を含み、顔料濃度が1質量%〜10質量%であることを特徴とする。このインク組成物は、活性エネルギー線の照射又は加熱により硬化しうるインク組成物である。
本発明のインク組成物は、重合性化合物を含む本発明の顔料分散物を調製し、該顔料分散物に、少なくとも重合開始剤を加えることにより得ることができる。
ここで、本発明のインク組成物における顔料の濃度については、1質量%〜10質量%であり、1質量%〜9質量%であることが好ましく、1.5質量%〜8.5質量%がより好ましい。インク組成物における顔料濃度は、インク組成物を調製する際において、本発明の顔料分散物の使用量を調製することにより設定することができる。
また、本発明のインク組成物が含む特定重合体の含有量は、顔料の全質量に対し、1質量%〜100質量%が好ましく、5質量%〜50質量%であることがより好ましい。この範囲より少ない場合は、分散性安定性が低下し、またこの範囲以上の場合はインクの粘度が増大する傾向にあり、好ましくない。
さらに、本発明のインク組成物が含む重合性化合物の含有量については、硬化性の観点から、インク組成物の全質量に対して、60質量%〜95質量%が好ましく、75質量%〜92質量%がより好ましい。
本発明のインク組成物は、硬化感度向上の観点から、顔料分散物に重合開始剤を加えて調製されたものである。
光重合開始剤は、光の作用、又は、増感色素の電子励起状態との相互作用を経て、化学変化を生じ、ラジカル、酸及び塩基のうちの少なくともいずれか1種を生成する化合物である。
前記チタノセン化合物としては、例えば、ジ−シクロペンタジエニル−Ti−ジ−クロライド、ジ−シクロペンタジエニル−Ti−ビス−フェニル、ジ−シクロペンタジエニル−Ti−ビス−2,3,4,5,6−ペンタフルオロフェニ−1−イル、ジ−シクロペンタジエニル−Ti−ビス−2,3,5,6−テトラフルオロフェニ−1−イル、ジ−シクロペンタジエニル−Ti−ビス−2,4,6−トリフルオロフェニ−1−イル、ジ−シクロペンタジエニル−Ti−2,6−ジフルオロフェニ−1−イル、ジ−シクロペンタジエニル−Ti−ビス−2,4−ジフルオロフェニ−1−イル、ジ−メチルシクロペンタジエニル−Ti−ビス−2,3,4,5,6−ペンタフルオロフェニ−1−イル、ジ−メチルシクロペンタジエニル−Ti−ビス−2,3,5,6−テトラフルオロフェニ−1−イル、ジ−メチルシクロペンタジエニル−Ti−ビス−2,4−ジフルオロフェニ−1−イル、ビス(シクロペンタジエニル)−ビス(2,6−ジフルオロ−3−(ピリ−1−イル)フェニル)チタニウム、ビス(シクロペンタジエニル)ビス〔2,6−ジフルオロ−3−(メチルスルホンアミド)フェニル〕チタン、ビス(シクロペンタジエニル)ビス〔2,6−ジフルオロ−3−(N−ブチルビアロイル−アミノ)フェニル〕チタン等が挙げられる。
α−アミノアセトフェノン化合物としては、下記一般式(I)で表される化合物を好ましく用いることができる。
Yで表されるアルキル基が有していてもよい置換基としては、OH基、ハロゲン原子、−N(X10)2(X10は水素原子、炭素数1以上8以下のアルキル基、炭素数3以上5以下のアルケニル基、炭素数7以上9以下のフェニルアルキル基、炭素数1以上4以下のヒドロキシアルキル基、もしくはフェニル基を表す。)、炭素数1以上12以下のアルコキシ基、−COOR(Rは炭素数1以上18以下のアルキル基を表す。)、−CO(OCH2OCH2)nOCH3(nは1以上20以下の整数を表す。)、又は−OCOR(Rは炭素数1以上4以下のアルキル基を表す。)が挙げられる。
Yで表されるアルコキシ基が有していてもよい置換基としては、−COOR(Rは炭素数1以上18以下のアルキル基を表す。)、又は、−CO(OCH2CH2)nOCH3(nは1以上20以下の整数を表す。)が挙げられる。
Yで表される芳香環基又は複素環基が有していてもよい置換基としては、−(OCH2CH2)nOH(nは1以上20以下の整数を表す。)、−(OCH2CH2)nOCH3(nは1以上20以下の整数を表す。)、炭素数1以上8以下のアルキルチオ基、フェノキシ基、−COOR(Rは炭素数1以上18以下のアルキル基を表す。)、−CO(OCH2CH2)nOCH3(nは1以上20以下の整数を表す。)、フェニル基、又はベンジル基が挙げられる。
これら置換基は、可能であれば2以上有していてもよく、可能であれば、置換基をさらに置換していてもよい。
X2で表されるアルキル基、及び、フェニル基は置換基を有していてもよい。
X2で表されるアルキル基が有していてもよい置換基としては、炭素数1以上4以下のアルコキシ基、フェノキシ基、ハロゲン原子、又は、フェニル基が挙げられる。
X2で表されるフェニル基が有していてもよい置換基としては、ハロゲン原子、炭素数1以上12以下のアルキル基、又は炭素数1以上4以下のアルコキシ基が挙げられる。
これら置換基は、可能であれば2以上導入されていてもよく、可能であれば置換基をさらに置換していてもよい。
また、式中、X1とX2とは架橋して次式で表される基を形成してもよい。
X3で表されるアルキル基、アルケニル基、シクロアルキル基、及びフェニルアルキル基は、置換基を有していてもよく、該置換基としては、OH基、炭素数1以上4以下のアルコキシ基、−CN、又は、−COOR(Rは炭素数1以上4以下のアルキル基を表す。)が挙げられる。
X4で表されるアルキル基、アルケニル基、シクロアルキル基、フェニルアルキル基、及びフェニル基は置換基を有していてもよい。
X4で表されるアルキル基、アルケニル基、シクロアルキル基、及びフェニルアルキル基が有していてもよい置換基としては、OH基、炭素数1以上4以下のアルコキシル基、−CN、又は、−COOR(Rは炭素数1以上4以下のアルキル基を表す。)が挙げられる。また、X4で表されるアルキル基が置換基を有する場合、置換されるアルキル基の炭素数は2以上4以下であることが好ましい。
X4で表されるフェニル基が有していてもよい置換基としては、ハロゲン原子、炭素数1以上12以下のアルキル基、炭素数1以上4以下のアルコキシ基、又は−COOR(Rは炭素数1以上4以下のアルキル基を表す。)が挙げられる。
また、X3とX4とは架橋して炭素数3以上7以下のアルキレン基を形成してもよい。
X3とX4とが架橋して形成するアルキレン基は、置換基として、OH基、炭素数1以上4以下のアルコキシ基、又は−COOR(Rは炭素数1以上4以下のアルキルを表す。)を有していてもよく、また、結合中に−O−、−S−、−CO−、又は、−N(X16)−(X16は水素原子、炭素数1以上12以下のアルキル基、又は、結合鎖中に1もしくは2以上の−O−、炭素数3以上5以下のアルケニル基、炭素数7以上9以下のフェニルアルキル基、炭素数1以上4以下のヒドロキシアルキル基、−CH2CH2CN、−CH2CH2COOR(Rは炭素数1以上4以下のアルキル基を表す。)、炭素数2以上8以下のアルカノイル基もしくはベンゾイル基を介在させた炭素数1以上12以下のアルキル基を表す。)を介在させてもよい。
X17で表されるアルキル基、及び、フェニル基は置換基を有していてもよい。
X17で表されるアルキル基が有していてもよい置換基としては、−CN、−OH、炭素数1以上4以下のアルコキシ基、炭素数3以上6以下のアルケニルオキシ基、−OCH2CH2CN、−CH2CH2COOR(Rは炭素数1以上4以下のアルキル基を表す。)、−COOH、又は、−COOR(Rは炭素数1以上4以下のアルキル基を表す。)が挙げられる。また、X17におけるアルキル基が置換基を有する場合、置換されるアルキル基の炭素数は1以上6以下であることが好ましい。
X17で表されるフェニル基が有していてもよい置換基としては、ハロゲン原子、炭素数1以上12以下のアルキル基、又は、炭素数1以上4以下のアルコキシ基が挙げられる。
X18で表されるアルキル基、及びフェニル基は置換基を有していてもよい。
X18で表されるアルキル基が有していてもよい置換基は、−SH、−OH、−CN、−COOR(Rは炭素数1以上4以下のアルキル基を表す。)、炭素数1以上4以下のアルコキシ基、−OCH2CH2CN、又は、−OCH2CH2COOR(Rは炭素数1以上4以下のアルキルを表す。)が挙げられる。
X18で表されるフェニル基が有していてもよい置換基としては、ハロゲン原子、炭素数1以上12以下のアルキル基、又は炭素数1以上4以下のアルコキシ基が挙げられる。
また、市販のα−アミノアセトフェノン化合物としては、チバ・スペシャルティ・ケミカルズ社製からイルガキュア907(IRGACURE 907)、イルガキュア369(IRGACURE 369)、イルガキュア379(IRGACURE 379)の商品名で入手可能な重合開始剤が例示できる。
例えば、2−ジメチルアミノ−2−メチル−1−フェニルプロパン−1−オン、2−ジエチルアミノ−2−メチル−1−フェニルプロパン−1−オン、2−メチル−2−モルホリノ−1−フェニルプロパン−1−オン、2−ジメチルアミノ−2−メチル−1−(4−メチルフェニル)プロパン−1−オン、2−ジメチルアミノ−1−(4−エチルフェニル)−2−メチルプロパン−1−オン、2−ジメチルアミノ−1−(4−イソプロピルフェニル)−2−メチルプロパン−1−オン、1−(4−ブチルフェニル)−2−ジメチルアミノ−2−メチルプロパン−1−オン、2−ジメチルアミノ−1−(4−メトキシフェニル)−2−メチルプロパン−1−オン、2−ジメチルアミノ−2−メチル−1−(4−メチルチオフェニル)プロパン−1−オン、2−メチル−1−(4−メチルチオフェニル)−2−モルフォリノプロパン−1−オン(IRGACURE 907)、2−ベンジル−2−ジメチルアミノ−1−(4−モルフォリノフェニル)−ブタン−1−オン(IRGACURE 369)、2−ベンジル−2−ジメチルアミノ−1−(4−ジメチルアミノフェニル)−ブタン−1−オン、2−ジメチルアミノ−2−[(4−メチルフェニル)メチル]−1−[4−(4−モルフォルニル)フェニル]−1−ブタノン(IRGACURE 379)などが挙げられる。
アシルフォスフィンオキサイド化合物としては、下記一般式(II)又は下記一般式(III)で表される化合物であることが好ましい。
前記アルキル基としては、直鎖状、分岐状、環状のアルキル基が挙げられ、該アルキル基の炭素原子数としては、1以上30以下が好ましく、1以上20以下がより好ましい。置換アルキル基のアルキル部分の炭素原子数の好ましい範囲については、アルキル基の場合と同様である。前記アルキル基としては、メチル基、エチル基、プロピル基、ブチル基、ペンチル基、ヘキシル基、オクチル基、2−エチルヘキシル基、デシル基、ドデシル基、オクタデシル基、シクロヘキシル基、シクロペンチル基、ネオペンチル基、イソプロピル基、イソブチル基等が挙げられる。
前記置換アルキル基の置換基としては、−COOH(カルボキシル基)、−SO3H(スルホ基)、−CN(シアノ基)、ハロゲン原子(例えば、フッ素原子、塩素原子、臭素原子)、−OH(ヒドロキシ基)、炭素数30以下のアルコキシカルボニル基(例えば、メトキシカルボニル基、エトキシカルボニル基、ベンジルオキシカルボニル基)、炭素数30以下のアルキルスルホニルアミノカルボニル基、アリールスルホニルアミノカルボニル基、アルキルスルホニル基、アリールスルホニル基、炭素数30以下のアシルアミノスルホニル基、炭素数30以下のアルコキシ基(例えば、メトキシ基、エトキシ基、ベンジルオキシ基、フェノキシエトキシ基、フェネチルオキシ基等)、炭素数30以下のアルキルチオ基(例えば、メチルチオ基、エチルチオ基、メチルチオエチルチオエチル基等)、炭素数30以下のアリールオキシ基(例えば、フェノキシ基、p−トリルオキシ基、1−ナフトキシ基、2−ナフトキシ基等)、ニトロ基、アルコキシカルボニルオキシ基、アリールオキシカルボニルオキシ基、炭素数30以下のアシルオキシ基(例えば、アセチルオキシ基、プロピオニルオキシ基等)、炭素数30以下のアシル基(例えば、アセチル基、プロピオニル基、ベンゾイル基等)、カルバモイル基(例えば、カルバモイル基、N,N−ジメチルカルバモイル基、モルホリノカルボニル基、ピペリジノカルボニル基等)、スルファモイル基(例えば、スルファモイル基、N,N−ジメチルスルファモイル基、モルホリノスルホニル基、ピペリジノスルホニル基等)、炭素数30以下のアリール基(例えば、フェニル基、4−クロロフェニル基、4−メチルフェニル基、α−ナフチル基等)、置換アミノ基(例えば、アミノ基、アルキルアミノ基、ジアルキルアミノ基、アリールアミノ基、ジアリールアミノ基、アシルアミノ基等)、置換ウレイド基、置換ホスホノ基、複素環基等が挙げられる。ここで、カルボキシル基、スルホ基、ヒドロキシ基、ホスホノ基は、塩の状態であってもよい。その際、塩を形成するカチオンは、陽イオンを形成し得る基であり、有機カチオン性化合物、遷移金属配位錯体カチオン(特許2791143号公報に記載の化合物等)又は金属カチオン(例えば、Na+、K+、Li+、Ag+、Fe2+、Fe3+、Cu+、Cu2+、Zn2+、Al3+等)が好ましい。
前記アルキニル基としては、直鎖状、分岐状、環状のアルキニル基が挙げられ、該アルキニル基の炭素原子数としては、2以上30以下が好ましく、2以上20以下がより好ましい。また、該アルキニル基は、置換基を有する置換アルキニル基、無置換のアルキニル基のいずれであってもよく、置換アルキニル基のアルキニル部分の炭素原子数の好ましい範囲はアルキニル基の場合と同様である。置換アルキニル基の置換基としては、前記置換アルキル基の場合と同様の置換基が挙げられる。
前記アラルキル基としては、直鎖状、分岐状、環状のアルキル側鎖を有するアラルキル基が挙げられ、該アラルキル基の炭素原子数としては、7以上35以下が好ましく、7以上25以下がより好ましい。また、該アラルキル基は、置換基を有する置換アラルキル基、無置換のアラルキル基のいずれであってもよく、置換アラルキル基のアラルキル部分の炭素原子数の好ましい範囲はアラルキル基の場合と同様である。置換アラルキル基の置換基としては、前記置換アルキル基の場合と同様の置換基が挙げられる。また、アラルキル基のアリール部分が置換基を有していてもよく、該置換基としては前記アルキル基の場合と同様の置換基及び炭素数30以下の直鎖状、分岐状又は環状のアルキル基が例示できる。
一般式(II)において、R1又はR2で表される芳香族オキシ基としては、炭素数6以上30以下のアリールオキシ基が好ましく、例えば、フェノキシ基、メチルフェニルオキシ基、クロロフェニルオキシ基、メトキシフェニルオキシ基、オクチルオキシフェニルオキシ基等が挙げられる。但し、これらに限定されるものではない。
一般式(II)において、R1、R2又はR3で表される複素環基としては、N、O又はS原子を含む複素環基が好ましく、例えば、ピリジル基、フリル基、チエニル基、イミダゾリル基、ピロリル基等が挙げられる。
一般式(III)におけるアルキル基、アリール基、複素環基、アルコキシ基及びアリールオキシ基としては、前記一般式(II)における場合と同義である。
α−ヒドロキシアセトフェノン化合物は、下記一般式(VI)で表される化合物であることが好ましい。
上記アルキル基、アルコキシ基、アルキル基及び炭素数4以上8以下の環は、置換基を有していてもよく、置換基としては一般式(II)で挙げた置換基を例示できる。
また、市販のα−ヒドロキシアセトフェノン化合物として、チバ・スペシャルティ・ケミカルズ社製からイルガキュア184(IRGACURE 184)、ダロキュア1173(DARUCUR 1173)、イルガキュア127(IRGACURE 127)、イルガキュア2959(IRGACURE 2959)の商品名で入手可能な重合開始剤も使用することができる。
オキシムエステル化合物としては、下記一般式(VII)で表される化合物であることが好ましい。
nが1のとき、Mは、メチル基、エチル基等の炭素数1以上20以下のアルキル基、シクロプロパン基、シクロヘキサン基等の炭素数5以上8以下のシクロアルキル基、アセチルオキシ基、プロピノイルオキシ等の炭素数2以上20以下のアルカノイル基、プロピルオキシカルボニル基、ブチルオキシカルボニル等の炭素数2以上12以下のアルコキシカルボニル基、複数のポリメチレン基がエーテル結合によって連結された二価の基の1つの結合手にアルコキシ基が連結された1価の基、フェニル基、ベンゾイル基、ベンゾイルオキシ基、フェノキシカルボニル基、炭素数7以上13以下のアラルキルカルボニルオキシ基、炭素数7以上13以下のアラルキルオキシカルボニル基、又は炭素数1以上6以下のアルキルチオ基を表す。これらの中でも、Mが炭素数1以上20以下のアルキル基又はフェニル基であることが好ましい。
また、市販のオキシムエステル化合物として、チバ・スペシャルティ・ケミカルズ社製からイルガキュアOXE−01(1−(4−フェニルチオフェニル)−1,2−オクタンジオン−2−(O−ベンゾイルオキシム))、イルガキュアOXE−02(1−[9−エチル−6−(2−メチルベンゾイル)−9H−カルバゾール−3−イル]−エタノン−1−(O−アセチルオキシム))の商品名で入手可能な重合開始剤も使用することができる。
[増感色素]
本発明のインク組成物には、光重合開始剤の感度を向上させる目的で、増感色素を添加してもよい。増感色素としては、以下の化合物類に属しており、かつ350nmから450nm域に吸収波長を有するものが好ましい。
一般式(X)中、Ar1及びAr2はそれぞれ独立にアリール基を表し、−L3−による結合を介して連結している。ここでL3は−O−又は−S−を表す。また、Wは一般式(IX)に示したものと同義である。
一般式(XI)中、A2は、硫黄原子又はNR59を表し、L4は隣接するA2及び炭素原子と共同して色素の塩基性核を形成する非金属原子団を表し、R53、R54、R55、R56、R57及びR58はそれぞれ独立に一価の非金属原子団の基を表し、R59はアルキル基又はアリール基を表す。
一般式(XIII)中、R66は置換基を有してもよい芳香族環又はヘテロ環を表し、A5は酸素原子、硫黄原子又は−NR67−を表す。R64、R65及びR67はそれぞれ独立に水素原子又は一価の非金属原子団を表し、R67及びR64と、R65及びR67とは、それぞれ互いに脂肪族性又は芳香族性の環を形成するため結合することができる。
さらに、本発明のインク組成物の硬化感度を一層向上させる、あるいは酸素による重合阻害を抑制する等の作用を有する公知の化合物を共増感剤として加えてよい。
共増感剤としては、アミン類、例えば、M. R. Sanderら著「Journal of Polymer Society」第10巻3173頁(1972)、特公昭44−20189号公報、特開昭51−82102号公報、特開昭52−134692号公報、特開昭59−138205号公報、特開昭60−84305号公報、特開昭62−18537号公報、特開昭64−33104号公報、Research Disclosure 33825号に記載の化合物等が挙げられ、より具体的には、トリエタノールアミン、p−ジメチルアミノ安息香酸エチルエステル、p−ホルミルジメチルアニリン、p−メチルチオジメチルアニリン等が挙げられる。
本発明のインク組成物には、液物性の調整のためにノニオン性界面活性剤、カチオン性界面活性剤や、有機フルオロ化合物などを添加することもできる。
また、この他にも、必要に応じて、例えば、レベリング添加剤、マット剤、膜物性を調整するためのワックス類、ポリオレフィンやPET等の被記録媒体への密着性を改善するために、重合を阻害しないタッキファイヤーなどを含有させることができる。
本発明のインク組成物の好ましい態様の一つは、インクジェット用インク組成物である。本発明のインクジェット用インク組成物は、活性エネルギー線硬化型のインク組成物として調製することができ、この場合、インク組成物を被記録媒体上に適用後、放射線を照射して硬化させるため、溶剤を含まないか、或いは、含んでも極少量であることが好ましい。これは、硬化されたインク画像中に、溶剤が残留すると、耐溶剤性の劣化、ブロッキング性の低下、硬化不良、残留する溶剤によるインク画像の経時的な物性の変化が懸念されるためである。このような観点から、分散媒として、重合性化合物を用い、なかでも、粘度が低い重合性化合物を選択することが分散適性やインク組成物のハンドリング性向上及びインクジェット吐出適性の観点から好ましい。前記顔料分散物を適用してなるインク組成物は、活性放射線により高感度で硬化するとともに、顔料の分散安定性の低下に起因する増粘や着色性の低下の懸念がないため、後述するように、粘度安定性を要求されるインクジェット記録方法に適用されるインクジェット用インクに好適に使用される。
なお、25℃(室温)でのインク粘度は、0.5mPa・s以上200mPa・s以下、好ましくは1mPa・s以上100mPa・s以下であり、より好ましくは2mPa・s以上50mPa・s以下である。室温での粘度を高く設定することにより、多孔質な被記録媒体を用いた場合でも、被記録媒体中へのインク浸透を防ぎ、未硬化モノマーの低減、臭気低減が可能となり、更にインク液滴着弾時のドット滲みを抑えることができ、その結果として画質が改善される。25℃でのインク粘度が200mPa・sより大きいと、インク液のデリバリーに問題が生じる。
このインクにより得られた印刷物は、画像部が紫外線などの放射線照射により硬化しており、画像部の強度に優れるため、インクによる画像形成以外にも、例えば、平版印刷版のインク受容層(画像部)の形成など、種々の用途に使用しうる。
インクジェットプリンターによる記録方法においては、インク組成物を25℃〜80℃の温度範囲に制御して、インク組成物の粘度を30mPa・s以下とした後、射出することが好ましく、この方法を用いることにより高い射出安定性を実現することができる。
一般に、非水溶性インク組成物では、概して水性インクより粘度が高いため、印字時の温度変動による粘度変動幅が大きい。このインク組成物の粘度変動は、そのまま液滴サイズ、液滴射出速度に対して大きな影響を与え、これにより画質劣化を引き起こすため、印字時のインク組成物温度はできるだけ一定に保つことが必要である。インク組成物温度の制御幅は設定温度±5℃とすることが好ましく、設定温度±2℃とすることがより好ましく、設定温度±1℃とすることが特に好ましい。
このようなインク組成物における活性放射線の照射条件について述べる。基本的な照射方法は、特開昭60−132767号公報に開示されている。具体的には、ヘッドユニットの両側に光源を設け、シャトル方式でヘッドと光源を走査する。照射は、インク着弾後、一定時間をおいて行われることになる。更に、駆動を伴わない別光源によって硬化を完了させる。WO99/54415号では、照射方法として、光ファイバーを用いた方法やコリメートされた光源をヘッドユニット側面に設けた鏡面に当て、記録部へUV光を照射する方法が開示されている。本発明においては、これらの照射方法を用いることが可能である。
また、多孔質な被記録媒体に対しても光源の届かない深部までインク組成物が浸透する前に露光することができる為、未反応モノマーの残留を抑えられ、その結果として臭気を低減することができる。
インクジェット記録方法と本発明のインク組成物とを併せて用いることにより、大きな相乗効果をもたらすことになる。特に、25℃におけるインク粘度が200mPa・s以下のインク組成物を用いると大きな効果を得ることができる。
このようなインクジェット記録方法を取ることで、表面の濡れ性が異なる様々な被記録媒体に対しても、着弾したインクのドット径を一定に保つことができ、画質が向上する。なお、カラー画像を得るためには、明度の低い色から順に重ねていくことが好ましい。明度の低いインクを重ねると、下部のインクまで照射線が到達しにくく、硬化感度の阻害、残留モノマーの増加及び臭気の発生、密着性の劣化が生じやすい。また、照射は、全色を射出してまとめて露光することが可能だが、1色毎に露光するほうが、硬化促進の観点から好ましい。
前記好ましい射出条件によれば、本発明のインク組成物は加温、降温を繰り返すことになるが、本発明のインク組成物は、このような温度条件下で保存された場合でも、顔料分散性の低下が抑制され、長期間にわたり優れた発色性が得られ、且つ、顔料の凝集に起因する吐出性の低下も抑制されるという利点をも有する。
本発明のインク組成物を適用しうる被記録媒体としては、特に制限はなく、通常の非コート紙、コート紙などの紙類、いわゆる軟包装に用いられる各種非吸収性樹脂材料あるいは、それをフィルム状に成形した樹脂フィルムを用いることができ、各種プラスチックフィルムとしては、例えば、PETフィルム、OPSフィルム、OPPフィルム、ONyフィルム、PVCフィルム、PEフィルム、TACフィルム等が挙げられる。その他、被記録媒体材料として使用しうるプラスチックとしては、ポリカーボネート、アクリル樹脂、ABS、ポリアセタール、PVA、ゴム類などが挙げられる。また、金属類や、ガラス類も被記録媒体として使用可能である。
本発明のインク組成物をインクジェットプリンターにより被記録媒体に印字し、その後、好ましくは、印字されたインク組成物に活性エネルギーを照射又は加熱して硬化することで、印刷物を得ることができる。本発明のインク組成物により作製された印刷物は、画像形成に用いられるインクが微細な顔料粒子を均一、且つ、安定に分散して含むため、発色性と鮮鋭度に優れた高品質な画像を有し、画像の耐候性にも優れることから、広汎な分野に適用しうる。
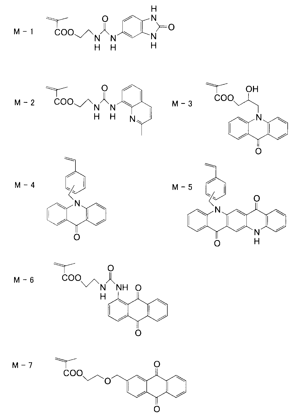
−モノマーM−4の合成−
9(10H)アクリドン(和光純薬社製)15g、水酸化ナトリウム(和光純薬社製)3.4gをジメチルスルホキシド(和光純薬社製)84gに溶解させ、45℃に加熱する。これにCMS−P(クロロメチルスチレン、セイミケミカル製)17.6gを滴下し、50℃でさらに5時間加熱攪拌を行う。この反応液を蒸留水30g、メタノール(和光純薬社製)30gの混合溶液に攪拌しながら注ぎ、得られた析出物を濾別、蒸留水、メタノールを同質量ずつ混合した溶液300gで洗浄することで、モノマーM−4を17.5g得た。
1,8−ナフタルイミド(関東化学社製)355.0gをN−メチルピロリドン(和光純薬社製)1500mLに溶解させ、25℃にてニトロベンゼン(和光純薬社製)0.57gを添加し、ここへDBU(ジアザビシクロウンデセン)(和光純薬社製)301.4gを滴下した。30分撹拌した後、CMS−P412.1gを滴下し、60℃でさらに4時間加熱攪拌を行った。この反応液へイソプロパノール(和光純薬社製)2.7L、蒸留水0.9Lを加え、5℃に冷却しながら攪拌した。得られた析出物を濾別し、イソプロパノール1.2Lで洗浄することで、モノマーM−17を544.0g得た。
2−アミノベンズイミダゾール133.2gをN−メチルピロリドン1,000mLに溶解させ、25℃にてニトロベンゼン0.29gを添加した。ここへ2−メタクリロイルオキシエチルイソシアネート155.2gを滴下し、30分撹拌した後、80℃で1時間撹拌した。この反応液へメタノール4,000mLを加えて攪拌した。得られた析出物を濾別し、メタノール1,200mLで洗浄することで、モノマーM−18を262.4g得た。
(tert−ブチルアミノ)エチルメタクリレート(アルドリッチ社製)4.0g、モノマ−M−4 2.0g、重合性オリゴマーN−1[末端にメタクリロイル基を有するポリ(メチルメタクリレート)マクロモノマー、商品名:AA−6、東亞合成(株)製、重量平均分子量5300]14.0g、及びメチルエチルケトン20gを、窒素置換した三口フラスコに導入し、攪拌機(新東科学(株):スリーワンモータ)にて攪拌し、窒素をフラスコ内に流しながら加熱して65℃まで昇温した。これに、2,2−アゾビス(2,4−ジメチルバレロニトリル(V−65、和光純薬社製)を40mg加え、65℃にて2時間加熱攪拌を行った。2時間後、さらにV−65を40mg加え、3時加熱攪拌した。得られた反応液をヘキサン1000mLに攪拌しながら注ぎ、生じた沈殿を加熱乾燥させることでグラフト共重合体1を得た。グラフト共重合体1は、例示化合物P−1として前記したグラフト共重合体(モノマーA−2/モノマーM−4/重合性オリゴマーN−1から合成した共重合体)である。
グラフト共重合体1の重量平均分子量(ポリスチレン換算)をGPCにより測定した結果、84,500であったことより、特定重合体(ポリマー)が得られたことを確認した。
特定重合体P−2の合成に用いたモノマー及びその使用量、並びに重合開始剤量を、下記表1に記載したように変更した以外は、特定重合体P−2と同様にして特定重合体P−3、P−5、P−9、P−11、P−15、P−17、及びP−21を合成した。生成した特定重合体(ポリマー)のGPCによる重量平均分子量は表1の通りであった。
尚、モノマーA−3(テトラメチルピペリジルメタクリレート、日立化成工業(株)製)、モノマーM−10(N−ビニルカルバゾール、アルドリッチ社製)、重合性オリゴマーN−2(末端にメタクリロイル基を有するポリ(n−ブチルアクリレート)マクロモノマー、商品名:AB−6、東亞合成(株)製、重量平均分子量5600)、重合性オリゴマーN−4(末端にメタクリロイル基を有するポリ(ε−カプロラクトン)マクロモノマー、商品名:プラクセルFM5、ダイセル化学(株)製、分子量1400)、重合性オリゴマーN−5(末端にメタクリロイル基を有するポリ(エチレンオキシド)マクロモノマー、商品名:ブレンマーPMEー4000、重量平均分子量4000)、重合性オリゴマーN−6(末端にメタクリロイル基を有するポリ(エチレンオキシド)マクロモノマー、商品名:ブレンマーALEー800、重量平均分子量800)は、市販品をそのまま用いた。
3級アミノ基を有するモノマー[(N,N−ジメチルアミノ)エチルメタクリレート、東京化成社製]4.0g、前記モノマーM−4を2.0g、前記重合性オリゴマーN−1(商品名:AA−6、東亞合成(株)製)14.0g、及びメチルエチルケトン20gを、窒素置換した三口フラスコに導入し、攪拌機(新東科学(株):スリーワンモータ)にて攪拌し、窒素をフラスコ内に流しながら加熱して65℃まで昇温した。これにV−65を40mg加え、65℃にて2時間加熱攪拌を行った。2時間後、さらにV−65を40mg加え、3時加熱攪拌した。得られた反応液をヘキサン1000mLに攪拌しながら注ぎ、生じた沈殿を加熱乾燥させることでグラフト共重合体(比較重合体1:(N,N−ジメチルアミノ)エチルメタクリレート/モノマーM−4/重合性オリゴマーN−1の共重合体)を得た。得られた比較重合体1の重量平均分子量は10,500であった。
3級アミノ基を有するモノマー[3−ジメチルアミノプロピルアクリルアミド、和光純薬社製]2.0g、前記モノマーM−17を4.0g、前記重合性オリゴマーN−2(商品名:AB−6、東亞合成(株)製)を14.0g、及びメチルエチルケトン20gを、窒素置換した三口フラスコに導入し、攪拌機(新東科学(株):スリーワンモータ)にて攪拌し、窒素をフラスコ内に流しながら加熱して65℃まで昇温した。これにV−65を40mg加え、65℃にて2時間加熱攪拌を行った。2時間後、さらにV−65を40mg加え、3時加熱攪拌した。得られた反応液をメタノール1000mLに攪拌しながら注ぎ、生じた沈殿を加熱乾燥させることでグラフト共重合体(比較重合体2:3−ジメチルアミノプロピルアクリルアミド/M−17/N−2の共重合体)を得た。得られた比較重合体2の重量平均分子量は72,300であった。
カルボキシル基を有するモノマー[メタクリル酸、和光純薬社製]4.0g、前記モノマーM−18を1.0g、前記重合性オリゴマーN−1(商品名:AA−6、東亞合成(株)製)を14.0g、及びメチルエチルケトン20gを、窒素置換した三口フラスコに導入し、攪拌機(新東科学(株):スリーワンモータ)にて攪拌し、窒素をフラスコ内に流しながら加熱して65℃まで昇温した。これにV−65を40mg加え、65℃にて2時間加熱攪拌を行った。2時間後、さらにV−65を40mg加え、3時加熱攪拌した。得られた反応液をヘキサン1000mLに攪拌しながら注ぎ、生じた沈殿を加熱乾燥させることでグラフト共重合体(比較重合体2:メタクリル酸/M−17/N−1の共重合体)を得た。得られた比較重合体3の重量平均分子量は111,000であった。
−ミルベース1〜16の作製−
(b)特定重合体8.0gを、(c)重合性化合物[トリエチレングリコールジビニルエーテル、商品名:DVE−3、BASF社製]を用いた。62gに溶解させ、(a)顔料30gと共にビーズミル(モーターミルM100、アイガー社製、ビーズ:ジルコニアビーズ、直径0.65mm)を用い、周速7.1m/sで2.5時間分散を行い、実施例1−1〜1−9及び比較例1−1〜1−7の顔料分散物であるミルベース(濃厚顔料分散液)1〜16を得た。
表2中、イエロー顔料PY−120は、ベンズイミダゾロン系イエロー顔料であり、クラリアント社製「Novoperm Yellow H2G」を使用した。オレンジ顔料PO−36は、ベンズイミダゾロン系オレンジ顔料であり、アルビオンカラーズ社製「KENALAKE ORANGE HPRO」を使用した。マゼンタ顔料PR−42は、キナクリドン系顔料であり、チバスペシャリティケミカル社製「Cinquacia Magenta RT−355D」を使用した。
また、比較例1−4及び1−6には、市販比較分散剤としてビックケミー社製Disperbyk−168を使用した。
得られた各ミルベースについて、下記の評価方法に従って評価した。その結果を表2に併せて記す。
各ミルベースについて、光散乱回折式の粒度分布測定装置(LA910、(株)堀場製作所製)を用いて体積基準の累積90%粒子径D90を測定し、評価した。評価基準は以下の通りである。
A:D90が400nm未満
B:D90が400nm以上、600nm未満
C:D90が600nm以上
A:D90が400nm未満
B:D90が400nm以上、600nm未満
C:D90が600nm以上
A:D90が300nm未満
B:D90が300nm以上、600nm未満
C:D90が600nm以上
各ミルベースを分散後、容量50mlのビーカーに25ml移し、室温で1時間静置した後ミルベースの流動性を確認した。評価基準は以下の通りである。
B:ミルベースが増粘しており、ビーカーを傾けてもほとんど流動しないが、撹拌すると流動性を発現するもの。
C:ミルベースが増粘しており、ビーカーを傾けても撹拌しても流動しないもの。
−インクジェットインク1の作製−
(c)重合成化合物、(d)重合開始剤、をミルベース1に加え、穏やかに混合させた後、これをメンブランフイルターで加圧濾過し、実施例2−1のインク組成物であるインクジェットインク1を得た。なお、ミルベース1の添加量、(c)重合性化合物及び(d)重合開始剤の種類及び添加量を以下に示す。
・重合性化合物:
(1)ジプロピレングリコールジアクリレート
(SR508、サートマー社製) 30g
(2)1,6−ヘキサンジオールジアクリレート
(SR238、サートマー社製) 30g
(3)2−フェノキシエチルアクリレート
(SR339、サートマー社製) 19.8g
・重合開始剤:
(1)アシルフォスフィンオキサイド化合物
(LucirinTPO−L、BASF社製) 8.0g
(2)イルガキュア184(チバスペシャルティケミカルズ社製) 2.0g
(3)ベンゾフェノン(和光純薬社製) 2.0g
・界面活性剤 BYK−307(ビックケミー社製) 0.1g
・重合禁止剤 メトキシハイドロキノン(東京化成工業(株)製) 0.1g
インクジェットインク1の作製において使用したミルベース1を、それぞれ前記ミルベースの作製で得たミルベース2〜16に変更した以外は、すべてインクジェットインク1の作製と同様にして、実施例2−2〜2−9、比較例2−1〜2−7のインク組成物であるインクジェットインク2〜16を得た。
得られたインクジェットインクについて、下記の評価方法に従って評価した。その結果を表3に記す。
各インクジェットインクの40℃における粘度をE型粘度計(東機産業(株)製)を用いて測定した。
A:15mPas未満
B:20mPas以上、40mPas未満
C:40mPas以上(吐出上問題のあるレベル)
各インクジェットインクを25℃で1ヶ月保存後、及び60℃で1週間保存後の分散状態を粘度により評価した。
◎:粘度の増加が2%未満で吐出性に問題ないレベル。
○:粘度の増加が2以上5%未満で吐出性に問題ないレベル。
△:粘度の増加が5%以上10%未満で吐出安定性が低下するレベル。
×:粘度の増加が10%以上であり吐出安定性が著しく低下するレベル。
各ミルベースについて、光散乱回折式の粒度分布測定装置(LA910、(株)堀場製作所製)を用いて体積基準の累積90%粒子径D90を測定し、評価した。評価基準は以下の通りである。
A:D90が400nm未満
B:D90が400nm以上、600nm未満
C:D90が600nm以上
A:D90が400nm未満
B:D90が400nm以上、600nm未満
C:D90が600nm以上
A:D90が300nm未満
B:D90が300nm以上、600nm未満
C:D90が600nm以上
得られた各インクジェットインクを、ピエゾ型インクジェットヘッド(CA3ヘッド、東芝テック(株)製、印字密度300dpi、打滴周波数4kHz、ノズル数64)を用いて、塩化ビニルフィルム上に印字してから、Deep UVランプ(ウシオ電機(株)製、SP−7)で1000mJ/cm2のエネルギーとなる条件で露光し、印字サンプルを得た。
硬化性は、硬化皮膜を指で触れて、べたつきの有無を以下の評価基準で評価した。
A:べたつきがない
B:僅かにべたつきがある
C:著しくべたつく
Claims (6)
- 少なくとも、(a)顔料と、(b)下記一般式(1)で表される繰り返し単位を2質量%〜50質量%、及び下記一般式(2)で表される繰り返し単位を2質量%〜40質量%を有し、重量平均分子量が10000〜500000の重合体と、を含み、顔料濃度が2質量%〜50質量%であることを特徴とする顔料分散物。
[一般式(1)中、R1は、水素原子又はメチル基を表す。Iは、−CO−、−COO−、−CONR3−、−OCO−、又はフェニレン基を表し、R3は、水素原子、アルキル基、アリール基、又はアラルキル基を表す。Yは、単結合又は2価の連結基を表す。R2は、炭素数1〜4のアルキル基を表し、R2とYとは互いに結合して環構造を形成してもよい。]
[一般式(2)中、R4は、水素原子又はメチル基を表す。Jは、−CO−、−COO−、−CONR5−、−OCO−、又はフェニレン基を表し、R5は、水素原子、アルキル基、アリール基、又はアラルキル基を表す。Wは、単結合又は2価の連結基を表す。Pは有機顔料に含まれる複素環を有する複素環残基を表す。] - 前記一般式(2)におけるPが、キナクリドン、ベンズイミダゾロン、インドール、キノリン、カルバゾール、アクリジン、アクリドン、アントラキノン、フタルイミド、又はナフタルイミドから水素原子を1つ除してなる基であることを特徴とする請求項1に記載の顔料分散物。
- 前記(b)重合体が、更に、末端にエチレン性不飽和2重結合を有する重量平均分子量が500〜20000である重合性オリゴマーに由来する繰り返し単位を含むグラフト共重合体であることを特徴とする請求項1又は請求項2に記載の顔料分散物。
- 更に、(c)重合性化合物を含むことを特徴とする請求項1〜請求項3のいずれか1項に記載の顔料分散物。
- 少なくとも、請求項4に記載の顔料分散物と、(d)重合開始剤と、を含み、顔料濃度が1質量%〜10質量%であることを特徴とするインク組成物。
- インクジェット用であることを特徴とする請求項5に記載のインク組成物。
Priority Applications (4)
| Application Number | Priority Date | Filing Date | Title |
|---|---|---|---|
| JP2009130688A JP5414367B2 (ja) | 2008-06-02 | 2009-05-29 | 顔料分散物及びそれを用いたインク組成物 |
| US12/475,620 US7919545B2 (en) | 2008-06-02 | 2009-06-01 | Pigment dispersion and ink composition using the same |
| EP20090161647 EP2130881B1 (en) | 2008-06-02 | 2009-06-02 | Pigment dispersion and ink composition using the same |
| AT09161647T ATE532834T1 (de) | 2008-06-02 | 2009-06-02 | Pigmentdispersion und tintenzusammensetzung, die diese verwendet |
Applications Claiming Priority (3)
| Application Number | Priority Date | Filing Date | Title |
|---|---|---|---|
| JP2008144775 | 2008-06-02 | ||
| JP2008144775 | 2008-06-02 | ||
| JP2009130688A JP5414367B2 (ja) | 2008-06-02 | 2009-05-29 | 顔料分散物及びそれを用いたインク組成物 |
Publications (2)
| Publication Number | Publication Date |
|---|---|
| JP2010013630A true JP2010013630A (ja) | 2010-01-21 |
| JP5414367B2 JP5414367B2 (ja) | 2014-02-12 |
Family
ID=41009801
Family Applications (1)
| Application Number | Title | Priority Date | Filing Date |
|---|---|---|---|
| JP2009130688A Active JP5414367B2 (ja) | 2008-06-02 | 2009-05-29 | 顔料分散物及びそれを用いたインク組成物 |
Country Status (4)
| Country | Link |
|---|---|
| US (1) | US7919545B2 (ja) |
| EP (1) | EP2130881B1 (ja) |
| JP (1) | JP5414367B2 (ja) |
| AT (1) | ATE532834T1 (ja) |
Cited By (8)
| Publication number | Priority date | Publication date | Assignee | Title |
|---|---|---|---|---|
| EP2365040A1 (en) | 2010-03-12 | 2011-09-14 | Fujifilm Corporation | Pigment dispersion, ink composition using the same, and printed material |
| EP2423278A1 (en) | 2010-08-31 | 2012-02-29 | Fujifilm Corporation | Ink composition, image forming method and printed matter |
| JP2012067227A (ja) * | 2010-09-24 | 2012-04-05 | Fujifilm Corp | インク組成物、画像形成方法、及び印画物 |
| EP2489708A1 (en) | 2011-02-16 | 2012-08-22 | Fujifilm Corporation | Inkjet ink composition and method for producing the same, and inkjet recording method |
| JP2013237832A (ja) * | 2012-04-18 | 2013-11-28 | Jsr Corp | 着色組成物、カラーフィルタ及び表示素子 |
| JP2014108985A (ja) * | 2012-12-03 | 2014-06-12 | Fujifilm Corp | 分散組成物、感光性樹脂組成物、硬化物及びその製造方法、樹脂パターン製造方法、硬化膜、有機el表示装置、液晶表示装置、並びに、タッチパネル表示装置 |
| WO2015045832A1 (ja) | 2013-09-30 | 2015-04-02 | 富士フイルム株式会社 | 顔料分散組成物、インクジェット記録方法、及び化合物の製造方法 |
| JP2016535139A (ja) * | 2013-11-04 | 2016-11-10 | ルブリゾル アドバンスド マテリアルズ, インコーポレイテッド | 縮合芳香族イミドアンカー基を有するアクリル系分散剤 |
Families Citing this family (10)
| Publication number | Priority date | Publication date | Assignee | Title |
|---|---|---|---|---|
| JP5383133B2 (ja) * | 2008-09-19 | 2014-01-08 | 富士フイルム株式会社 | インク組成物、インクジェット記録方法及び印刷物成形体の製造方法 |
| JP2010196032A (ja) * | 2009-01-29 | 2010-09-09 | Fujifilm Corp | 水不溶性色材の分散体及びこの製造方法、これを用いた記録液、インクセット、印画物、画像形成方法、及び画像形成装置 |
| JP5383289B2 (ja) * | 2009-03-31 | 2014-01-08 | 富士フイルム株式会社 | インク組成物、インクジェット用であるインク組成物、インクジェット記録方法、およびインクジェット法による印刷物 |
| JP5583375B2 (ja) * | 2009-09-08 | 2014-09-03 | 富士フイルム株式会社 | 水性インク組成物および画像形成方法 |
| US20130099423A1 (en) * | 2010-07-02 | 2013-04-25 | Tokuyama Corporation | Photocurable composition for imprint and method for formation of pattern using the composition |
| JP5598122B2 (ja) * | 2010-07-09 | 2014-10-01 | セイコーエプソン株式会社 | インクジェット記録方法およびインクジェット記録装置 |
| JP6115005B2 (ja) * | 2011-03-08 | 2017-04-19 | 住友化学株式会社 | 着色感光性樹脂組成物 |
| EP2520624B1 (en) * | 2011-03-16 | 2014-04-16 | Seiko Epson Corporation | Ink set and image printing method |
| JP6333947B2 (ja) * | 2014-02-20 | 2018-05-30 | 富士フイルム株式会社 | 感光性樹脂組成物、硬化物及びその製造方法、樹脂パターン製造方法、硬化膜、液晶表示装置、有機el表示装置、赤外線カットフィルター、並びに、固体撮像装置 |
| CN117886988A (zh) * | 2023-12-25 | 2024-04-16 | 常州大学 | 一种喹吖啶酮类颜料水性自分散颜料色浆及其制备方法 |
Citations (7)
| Publication number | Priority date | Publication date | Assignee | Title |
|---|---|---|---|---|
| JP2003026949A (ja) * | 2001-07-13 | 2003-01-29 | Fuji Photo Film Co Ltd | 顔料分散剤、顔料分散組成物、及び着色感光性組成物 |
| JP2004131549A (ja) * | 2002-10-09 | 2004-04-30 | Shin Etsu Chem Co Ltd | 下塗り剤組成物、該組成物を用いたコーティング方法、及びコーティング物品 |
| JP2006241192A (ja) * | 2005-02-28 | 2006-09-14 | Fuji Photo Film Co Ltd | インク組成物、それを用いたインクジェット記録方法、及び印刷物 |
| JP2007009117A (ja) * | 2005-07-01 | 2007-01-18 | Fujifilm Holdings Corp | インク組成物、画像形成方法及び印刷物 |
| JP2007066852A (ja) * | 2005-09-02 | 2007-03-15 | Samsung Yokohama Research Institute Co Ltd | 燃料電池用の高分子電解質膜及び燃料電池 |
| JP2007204664A (ja) * | 2006-02-03 | 2007-08-16 | Fujifilm Corp | 非水系顔料分散液の製造方法、これを用いたインク組成物、画像形成方法および記録物 |
| JP2008009426A (ja) * | 2006-06-02 | 2008-01-17 | Fujifilm Corp | 顔料分散組成物、光硬化性組成物、それを用いたカラーフィルタおよびカラーフィルタの製造方法 |
Family Cites Families (122)
| Publication number | Priority date | Publication date | Assignee | Title |
|---|---|---|---|---|
| US2833827A (en) | 1955-01-17 | 1958-05-06 | Bayer Ag | Tri (3, 5-di lower alkyl-4-hydroxy phenyl)-sulfonium chlorides and method of preparing same |
| US3567453A (en) | 1967-12-26 | 1971-03-02 | Eastman Kodak Co | Light sensitive compositions for photoresists and lithography |
| US3547651A (en) | 1968-04-02 | 1970-12-15 | Du Pont | Photopolymerizable compositions containing organometal compounds |
| GB1209867A (en) | 1968-04-16 | 1970-10-21 | Bayer Ag | Polyester moulding and coating compositions curable by ultraviolet irradiation |
| DE1769576A1 (de) | 1968-06-11 | 1971-09-30 | Bayer Ag | Durch UV-Bestrahlen haertbare Polyester-Form- und UEberzugsmassen |
| DE1769854C3 (de) | 1968-07-26 | 1982-08-19 | Bayer Ag, 5090 Leverkusen | Photoinitiatoren und Verfahren zur Photopolymerisation |
| CS151522B2 (ja) | 1968-07-26 | 1973-10-19 | ||
| CA933792A (en) | 1968-10-09 | 1973-09-18 | W. Heseltine Donald | Photopolymerization |
| US3987037A (en) | 1971-09-03 | 1976-10-19 | Minnesota Mining And Manufacturing Company | Chromophore-substituted vinyl-halomethyl-s-triazines |
| US3760958A (en) | 1972-05-22 | 1973-09-25 | Kearney & Trecker Corp | Clamping tool changer mechanism and actuating mechanism for a machine tool |
| US3844790A (en) | 1972-06-02 | 1974-10-29 | Du Pont | Photopolymerizable compositions with improved resistance to oxygen inhibition |
| CH575965A5 (en) | 1972-07-28 | 1976-05-31 | Ciba Geigy Ag | Aromatic 1,2-diketone monoacetals - useful as photoinitiators and cross-linking agents |
| DE2242106A1 (de) | 1972-08-26 | 1974-03-21 | Agfa Gevaert Ag | Lichtempfindliches photographisches material |
| GB1416652A (en) | 1973-04-26 | 1975-12-03 | Siemens Ag | Switching devices |
| DE2458345C3 (de) | 1974-12-10 | 1979-08-23 | Basf Ag, 6700 Ludwigshafen | Durch UV-Licht härtbare Überzugsmassen und Druckfarben |
| JPS5214278A (en) | 1975-07-25 | 1977-02-03 | Nippon Steel Corp | Panel assemly process |
| ZA757987B (en) | 1975-12-23 | 1976-12-29 | Dynachem Corp | Adhesion promoters for polymerizable films |
| JPS5928203B2 (ja) | 1976-05-04 | 1984-07-11 | 富士写真フイルム株式会社 | 光重合性組成物 |
| JPS52147277A (en) | 1976-06-01 | 1977-12-07 | Shin Meiwa Ind Co Ltd | Method and equipment for torsion spring assembly |
| DE2641100C2 (de) | 1976-09-13 | 1987-02-26 | Hoechst Ag, 6230 Frankfurt | Lichtempfindliches Gemisch |
| DE2718130C2 (de) | 1977-04-23 | 1979-05-17 | Du Pont De Nemours (Deutschland) Gmbh, 4000 Duesseldorf | lichtempfindliches Aufzeichnungsmaterial |
| DE2718259C2 (de) | 1977-04-25 | 1982-11-25 | Hoechst Ag, 6000 Frankfurt | Strahlungsempfindliches Gemisch |
| DE2722264C2 (de) | 1977-05-17 | 1984-06-28 | Merck Patent Gmbh, 6100 Darmstadt | Verwendung von substituierten Oxyalkylphenonen als Photosensibilisatoren |
| EP0003002B1 (de) | 1977-12-22 | 1984-06-13 | Ciba-Geigy Ag | Verwendung von aromatisch-aliphatischen Ketonen als Photoinitiatoren, photopolymerisierbare Systeme enthaltend solche Ketone und neue aromatisch-aliphatische Ketone |
| US4181531A (en) | 1978-04-07 | 1980-01-01 | E. I. Du Pont De Nemours And Company | Positive non-silver systems containing nitrofuryldihydropyridine |
| DE2830928A1 (de) | 1978-07-14 | 1980-01-31 | Basf Ag | Lichthaertbare form-, traenk- und ueberzugsmassen |
| DE2830927A1 (de) | 1978-07-14 | 1980-01-31 | Basf Ag | Acylphosphinoxidverbindungen und ihre verwendung |
| JPS55118030A (en) | 1979-03-06 | 1980-09-10 | Fuji Photo Film Co Ltd | Photopolymerizable composition |
| JPS5942864B2 (ja) | 1979-04-13 | 1984-10-18 | 京セラミタ株式会社 | 投影用原稿の作成方法及びそれに用いる静電写真用転写フイルム |
| DK145203C (da) | 1979-10-25 | 1983-02-28 | F T Steffensen | Demonterbart stillads |
| DE2944866A1 (de) | 1979-11-07 | 1981-05-21 | Hoechst Ag, 6000 Frankfurt | Photopolymerisierbares gemisch und damit hergestelltes photopolymerisierbares kopiermaterial |
| US4343891A (en) | 1980-05-23 | 1982-08-10 | Minnesota Mining And Manufacturing Company | Fixing of tetra (hydrocarbyl) borate salt imaging systems |
| DE3020092A1 (de) | 1980-05-27 | 1981-12-10 | Basf Ag, 6700 Ludwigshafen | Acylphosphinverbindungen und ihre verwendung |
| DE3021590A1 (de) | 1980-06-09 | 1981-12-17 | Hoechst Ag, 6000 Frankfurt | 4-halogen-5-(halogenmethyl-phenyl)-oxazol-derivate, ein verfahren zu ihrer herstellung und sie enthaltenden strahlungsempfindliche massen |
| DE3021599A1 (de) | 1980-06-09 | 1981-12-24 | Hoechst Ag, 6000 Frankfurt | 2-(halogenmethyl-phenyl)-4-halogenoxazol-derivate, ein verfahren zu ihrer herstellung und sie enthaltende strahlungsempfindliche massen |
| DE3023486A1 (de) | 1980-06-24 | 1982-01-07 | Bayer Ag, 5090 Leverkusen | Photopolymerisierbare mischungen mit aroylphosphonsaeureestern als photoinitiatoren |
| ATE9811T1 (de) | 1980-07-14 | 1984-10-15 | Akzo N.V. | Einen blockierten katalysator enthaltende waermehaertbare ueberzugszusammensetzung. |
| US4478967A (en) | 1980-08-11 | 1984-10-23 | Minnesota Mining And Manufacturing Company | Photolabile blocked surfactants and compositions containing the same |
| DE3034697A1 (de) | 1980-09-15 | 1982-05-06 | Basf Ag, 6700 Ludwigshafen | Acylphosphinsulfidverbindungen, ihre herstellung und verwendung |
| JPS5753747A (ja) | 1980-09-17 | 1982-03-30 | Fuji Photo Film Co Ltd | Hikarijugoseisoseibutsu |
| US4371605A (en) | 1980-12-09 | 1983-02-01 | E. I. Du Pont De Nemours And Company | Photopolymerizable compositions containing N-hydroxyamide and N-hydroxyimide sulfonates |
| JPS57163377A (en) | 1981-03-16 | 1982-10-07 | Nippon Kayaku Co Ltd | Dialkylthioxanthone compound, its preparation, and curing of photopolymerizable resin composition using it |
| JPH082182B2 (ja) | 1981-07-16 | 1996-01-10 | 株式会社東芝 | 整流回路 |
| US4431774A (en) | 1981-09-14 | 1984-02-14 | Ciba-Geigy Corporation | Process for the curing of stoving lacquers |
| US4510290A (en) | 1982-01-11 | 1985-04-09 | Ciba Geigy Corporation | Acid-curable composition containing a masked curing catalyst, and a process for the curing thereof |
| EP0101122B1 (en) | 1982-08-09 | 1986-06-18 | Akzo N.V. | Thermosetting coating composition containing a blocked acid as catalyst |
| US4518676A (en) | 1982-09-18 | 1985-05-21 | Ciba Geigy Corporation | Photopolymerizable compositions containing diaryliodosyl salts |
| US4447521A (en) | 1982-10-25 | 1984-05-08 | Minnesota Mining And Manufacturing Company | Fixing of tetra(hydrocarbyl)borate salt imaging systems |
| US4450227A (en) | 1982-10-25 | 1984-05-22 | Minnesota Mining And Manufacturing Company | Dispersed imaging systems with tetra (hydrocarbyl) borate salts |
| US4511596A (en) | 1983-01-20 | 1985-04-16 | Ciba-Geigy Corporation | Process for the electron beam curing of coating compositions |
| US4590287A (en) | 1983-02-11 | 1986-05-20 | Ciba-Geigy Corporation | Fluorinated titanocenes and photopolymerizable composition containing same |
| JPS59174831A (ja) | 1983-03-24 | 1984-10-03 | Fuji Photo Film Co Ltd | 光重合性組成物 |
| DE3331157A1 (de) | 1983-08-30 | 1985-03-14 | Basf Ag, 6700 Ludwigshafen | Photopolymerisierbare mischungen, enthaltend tertiaere amine als photoaktivatoren |
| DE3333450A1 (de) | 1983-09-16 | 1985-04-11 | Hoechst Ag, 6230 Frankfurt | Trihalogenmethylgruppen enthaltende carbonylmethylenheterocyclen, verfahren zu ihrer herstellung und lichtempfindliches gemisch, das diese verbindungen enthaelt |
| DE3337024A1 (de) | 1983-10-12 | 1985-04-25 | Hoechst Ag, 6230 Frankfurt | Lichtempfindliche, trichlormethylgruppen aufweisende verbindungen, verfahren zu ihrer herstellung und diese verbindungen enthaltendes lichtempfindliches gemisch |
| JPS60132767A (ja) | 1983-12-21 | 1985-07-15 | Seikosha Co Ltd | インクジエツトプリンタ |
| JPS60198538A (ja) | 1984-03-22 | 1985-10-08 | Toshiba Corp | ポジ型レジスト材料 |
| GB8407466D0 (en) | 1984-03-22 | 1984-05-02 | Rieter Ag Maschf | Yarn quality monitoring system |
| GB8413395D0 (en) | 1984-05-25 | 1984-07-04 | Ciba Geigy Ag | Production of images |
| DE3443221A1 (de) | 1984-11-27 | 1986-06-05 | ESPE Fabrik pharmazeutischer Präparate GmbH, 8031 Seefeld | Bisacylphosphinoxide, ihre herstellung und verwendung |
| US4713401A (en) | 1984-12-20 | 1987-12-15 | Martin Riediker | Titanocenes and a radiation-polymerizable composition containing these titanocenes |
| DE3505998A1 (de) | 1985-02-21 | 1986-08-21 | Merck Patent Gmbh, 6100 Darmstadt | Verwendung thiosubstituierter ketone als photoinitiatoren |
| DE3660255D1 (en) | 1985-04-12 | 1988-07-07 | Ciba Geigy Ag | Oxime sulphonates containing reactive groups |
| GB2180358B (en) | 1985-07-16 | 1989-10-04 | Mead Corp | Photosensitive microcapsules and their use on imaging sheets |
| JPH0766185B2 (ja) | 1985-09-09 | 1995-07-19 | 富士写真フイルム株式会社 | 感光性組成物 |
| DE3534645A1 (de) | 1985-09-28 | 1987-04-02 | Merck Patent Gmbh | Copolymerisierbare fotoinitiatoren |
| DE3604580A1 (de) | 1986-02-14 | 1987-08-20 | Basf Ag | Haertbare mischungen, enthaltend n-sulfonylaminosulfoniumsalze als kationisch wirksame katalysatoren |
| US4837124A (en) | 1986-02-24 | 1989-06-06 | Hoechst Celanese Corporation | High resolution photoresist of imide containing polymers |
| AU599400B2 (en) | 1986-08-01 | 1990-07-19 | Ciba-Geigy Ag | Titanocenes and their use |
| US4743531A (en) | 1986-11-21 | 1988-05-10 | Eastman Kodak Company | Dye sensitized photographic imaging system |
| US4743529A (en) | 1986-11-21 | 1988-05-10 | Eastman Kodak Company | Negative working photoresists responsive to shorter visible wavelengths and novel coated articles |
| US4743530A (en) | 1986-11-21 | 1988-05-10 | Eastman Kodak Company | Negative working photoresists responsive to longer wavelengths and novel coated articles |
| US4743528A (en) | 1986-11-21 | 1988-05-10 | Eastman Kodak Company | Enhanced imaging composition containing an azinium activator |
| DE3642855C1 (de) | 1986-12-16 | 1988-06-23 | Du Pont Deutschland | Lichtempfindliches Gemisch |
| US4760013A (en) | 1987-02-17 | 1988-07-26 | International Business Machines Corporation | Sulfonium salt photoinitiators |
| IL85760A (en) | 1987-03-19 | 1991-06-10 | Xytronyx Inc | Systems for the visualization of exposure to ultraviolet radiation and for the utilization of ultraviolet radiation to effect color changes |
| ATE89262T1 (de) | 1987-03-26 | 1993-05-15 | Ciba Geigy Ag | Neue alpha-aminoacetophenone als photoinitiatoren. |
| DE3721741A1 (de) | 1987-07-01 | 1989-01-12 | Basf Ag | Strahlungsempfindliches gemisch fuer lichtempfindliche beschichtungsmaterialien |
| DE3721740A1 (de) | 1987-07-01 | 1989-01-12 | Basf Ag | Sulfoniumsalze mit saeurelabilen gruppierungen |
| JP2582578B2 (ja) | 1987-07-14 | 1997-02-19 | 日本化薬株式会社 | 感光性樹脂組成物 |
| US5026625A (en) | 1987-12-01 | 1991-06-25 | Ciba-Geigy Corporation | Titanocenes, the use thereof, and n-substituted fluoroanilines |
| JPH01152109A (ja) | 1987-12-09 | 1989-06-14 | Toray Ind Inc | 光重合性組成物 |
| US4933377A (en) | 1988-02-29 | 1990-06-12 | Saeva Franklin D | Novel sulfonium salts and the use thereof as photoinitiators |
| US4885154A (en) | 1988-03-01 | 1989-12-05 | Alza Corporation | Method for reducing sensitization or irritation in transdermal drug delivery and means therefor |
| EP0334338A3 (en) | 1988-03-24 | 1990-06-20 | Dentsply International, Inc. | Titanate initiators for light cured compositions |
| JP2757375B2 (ja) | 1988-06-02 | 1998-05-25 | 東洋紡績株式会社 | 光重合性組成物 |
| US4954414A (en) | 1988-11-08 | 1990-09-04 | The Mead Corporation | Photosensitive composition containing a transition metal coordination complex cation and a borate anion and photosensitive materials employing the same |
| CA2002873A1 (en) | 1988-11-21 | 1990-05-21 | Franklin Donald Saeva | Onium salts and the use thereof as photoinitiators |
| EP0372778A1 (en) | 1988-12-01 | 1990-06-13 | Polychrome Corporation | Photoinitiator |
| JPH02150848A (ja) | 1988-12-02 | 1990-06-11 | Hitachi Ltd | 光退色性放射線感応性組成物およびそれを用いたパターン形成法 |
| JP2661671B2 (ja) | 1989-03-20 | 1997-10-08 | 株式会社日立製作所 | パタン形成材料とそれを用いたパタン形成方法 |
| EP0736540A3 (de) | 1989-08-04 | 1997-06-18 | Ciba Geigy | Mono- und Diacylphosphinoxide |
| US5059512A (en) | 1989-10-10 | 1991-10-22 | International Business Machines Corporation | Ultraviolet light sensitive photoinitiator compositions, use thereof and radiation sensitive compositions |
| JPH04365048A (ja) | 1991-06-12 | 1992-12-17 | Fuji Photo Film Co Ltd | 感光性組成物 |
| RU2091385C1 (ru) | 1991-09-23 | 1997-09-27 | Циба-Гейги АГ | Бисацилфосфиноксиды, состав и способ нанесения покрытий |
| JPH05142772A (ja) | 1991-11-26 | 1993-06-11 | Fuji Photo Film Co Ltd | 光重合性組成物 |
| JPH05281728A (ja) | 1992-04-01 | 1993-10-29 | Fuji Photo Film Co Ltd | 光重合性組成物 |
| JP3178091B2 (ja) | 1992-06-29 | 2001-06-18 | 住友化学工業株式会社 | 光重合性組成物及び光制御板の製造方法 |
| JP2510064B2 (ja) | 1992-12-25 | 1996-06-26 | 伊豫鉄工株式会社 | ボックス型パレット |
| JPH06250387A (ja) | 1993-03-01 | 1994-09-09 | Sumitomo Chem Co Ltd | キノンジアジドスルホン酸エステルの製法及び該製法により得られたキノンジアジドスルホン酸エステルを含有してなる感放射線性樹脂組成物 |
| ZA941879B (en) | 1993-03-18 | 1994-09-19 | Ciba Geigy | Curing compositions containing bisacylphosphine oxide photoinitiators |
| JP3112771B2 (ja) | 1993-04-19 | 2000-11-27 | 富士写真フイルム株式会社 | 光重合性組成物 |
| CH691970A5 (de) | 1996-03-04 | 2001-12-14 | Ciba Sc Holding Ag | Alkylphenylbisacylphosphinoxide und Photoinitiatormischungen. |
| SG53043A1 (en) | 1996-08-28 | 1998-09-28 | Ciba Geigy Ag | Molecular complex compounds as photoinitiators |
| DE69928198T2 (de) | 1998-04-15 | 2006-08-10 | Basf Coatings Japan Ltd., Yokohama | Verfahren zur erzeugung eines überzugsfilms und überzugszusammensetzung |
| JP2003026978A (ja) | 1998-09-08 | 2003-01-29 | Ricoh Co Ltd | 記録液体 |
| JP3726568B2 (ja) | 1999-07-23 | 2005-12-14 | 東洋インキ製造株式会社 | 紫外線硬化型塗料組成物及びその利用 |
| JP2001040068A (ja) | 1999-07-27 | 2001-02-13 | Asahi Denka Kogyo Kk | 光重合性組成物 |
| JP4358375B2 (ja) | 1999-08-19 | 2009-11-04 | 関西ペイント株式会社 | 活性エネルギー線硬化性組成物およびその被膜形成方法 |
| JP3893833B2 (ja) | 2000-02-09 | 2007-03-14 | ブラザー工業株式会社 | インクジェット記録方式用エネルギー線硬化型組成物 |
| JP2001310937A (ja) | 2000-04-27 | 2001-11-06 | Hitachi Chem Co Ltd | 硬化性オキセタン組成物およびその硬化方法ならびにその方法により得られる硬化物 |
| JP2001310938A (ja) | 2000-04-28 | 2001-11-06 | Showa Denko Kk | 重合性組成物、その硬化物と製造方法 |
| JP4441995B2 (ja) | 2000-06-28 | 2010-03-31 | 三菱化学株式会社 | 光重合性組成物、光重合性着色組成物およびカラーフィルター |
| JP4061876B2 (ja) | 2000-10-10 | 2008-03-19 | 東洋インキ製造株式会社 | 活性エネルギー線硬化型インクジェットインキ |
| JP4486282B2 (ja) | 2001-07-17 | 2010-06-23 | 富士フイルム株式会社 | 顔料分散剤、これを含む顔料分散組成物および着色感光性組成物 |
| JP3893931B2 (ja) | 2001-10-15 | 2007-03-14 | 東洋インキ製造株式会社 | 活性エネルギー線硬化型インクジェットインキ |
| JP4785321B2 (ja) | 2002-04-30 | 2011-10-05 | Dic株式会社 | 紫外線硬化型インクジェット記録用シアン色インク組成物 |
| JP2003341217A (ja) | 2002-05-24 | 2003-12-03 | Konica Minolta Holdings Inc | 画像形成方法、印刷物及び記録装置 |
| JP2003342503A (ja) | 2002-05-28 | 2003-12-03 | Konica Minolta Holdings Inc | インクジェット記録用ブラックインクおよび画像形成方法 |
| JP2004018656A (ja) | 2002-06-14 | 2004-01-22 | Toyo Ink Mfg Co Ltd | 活性エネルギー線硬化型インクジェットインキ組成物 |
| JP2004131589A (ja) | 2002-10-10 | 2004-04-30 | Konica Minolta Holdings Inc | 紫外線硬化型インクジェット組成物、その製造方法及び画像形成方法 |
| JP5306681B2 (ja) * | 2007-03-30 | 2013-10-02 | 富士フイルム株式会社 | 重合性化合物、重合体、インク組成物、印刷物及びインクジェット記録方法 |
-
2009
- 2009-05-29 JP JP2009130688A patent/JP5414367B2/ja active Active
- 2009-06-01 US US12/475,620 patent/US7919545B2/en active Active
- 2009-06-02 AT AT09161647T patent/ATE532834T1/de active
- 2009-06-02 EP EP20090161647 patent/EP2130881B1/en active Active
Patent Citations (7)
| Publication number | Priority date | Publication date | Assignee | Title |
|---|---|---|---|---|
| JP2003026949A (ja) * | 2001-07-13 | 2003-01-29 | Fuji Photo Film Co Ltd | 顔料分散剤、顔料分散組成物、及び着色感光性組成物 |
| JP2004131549A (ja) * | 2002-10-09 | 2004-04-30 | Shin Etsu Chem Co Ltd | 下塗り剤組成物、該組成物を用いたコーティング方法、及びコーティング物品 |
| JP2006241192A (ja) * | 2005-02-28 | 2006-09-14 | Fuji Photo Film Co Ltd | インク組成物、それを用いたインクジェット記録方法、及び印刷物 |
| JP2007009117A (ja) * | 2005-07-01 | 2007-01-18 | Fujifilm Holdings Corp | インク組成物、画像形成方法及び印刷物 |
| JP2007066852A (ja) * | 2005-09-02 | 2007-03-15 | Samsung Yokohama Research Institute Co Ltd | 燃料電池用の高分子電解質膜及び燃料電池 |
| JP2007204664A (ja) * | 2006-02-03 | 2007-08-16 | Fujifilm Corp | 非水系顔料分散液の製造方法、これを用いたインク組成物、画像形成方法および記録物 |
| JP2008009426A (ja) * | 2006-06-02 | 2008-01-17 | Fujifilm Corp | 顔料分散組成物、光硬化性組成物、それを用いたカラーフィルタおよびカラーフィルタの製造方法 |
Cited By (10)
| Publication number | Priority date | Publication date | Assignee | Title |
|---|---|---|---|---|
| EP2365040A1 (en) | 2010-03-12 | 2011-09-14 | Fujifilm Corporation | Pigment dispersion, ink composition using the same, and printed material |
| US8748529B2 (en) | 2010-03-12 | 2014-06-10 | Fujifilm Corporation | Pigment dispersion, ink composition using the same, and printed material |
| EP2423278A1 (en) | 2010-08-31 | 2012-02-29 | Fujifilm Corporation | Ink composition, image forming method and printed matter |
| JP2012067227A (ja) * | 2010-09-24 | 2012-04-05 | Fujifilm Corp | インク組成物、画像形成方法、及び印画物 |
| EP2489708A1 (en) | 2011-02-16 | 2012-08-22 | Fujifilm Corporation | Inkjet ink composition and method for producing the same, and inkjet recording method |
| JP2012184404A (ja) * | 2011-02-16 | 2012-09-27 | Fujifilm Corp | インクジェットインク組成物及びその製造方法、並びに、インクジェット記録方法 |
| JP2013237832A (ja) * | 2012-04-18 | 2013-11-28 | Jsr Corp | 着色組成物、カラーフィルタ及び表示素子 |
| JP2014108985A (ja) * | 2012-12-03 | 2014-06-12 | Fujifilm Corp | 分散組成物、感光性樹脂組成物、硬化物及びその製造方法、樹脂パターン製造方法、硬化膜、有機el表示装置、液晶表示装置、並びに、タッチパネル表示装置 |
| WO2015045832A1 (ja) | 2013-09-30 | 2015-04-02 | 富士フイルム株式会社 | 顔料分散組成物、インクジェット記録方法、及び化合物の製造方法 |
| JP2016535139A (ja) * | 2013-11-04 | 2016-11-10 | ルブリゾル アドバンスド マテリアルズ, インコーポレイテッド | 縮合芳香族イミドアンカー基を有するアクリル系分散剤 |
Also Published As
| Publication number | Publication date |
|---|---|
| JP5414367B2 (ja) | 2014-02-12 |
| US20100137509A1 (en) | 2010-06-03 |
| ATE532834T1 (de) | 2011-11-15 |
| EP2130881A1 (en) | 2009-12-09 |
| EP2130881B1 (en) | 2011-11-09 |
| US7919545B2 (en) | 2011-04-05 |
Similar Documents
| Publication | Publication Date | Title |
|---|---|---|
| JP5414367B2 (ja) | 顔料分散物及びそれを用いたインク組成物 | |
| JP5243072B2 (ja) | インク組成物、並びに、それを用いた画像記録方法及び画像記録物 | |
| JP4963803B2 (ja) | インク組成物、画像形成方法及び印刷物 | |
| JP5583329B2 (ja) | 顔料組成物、インク組成物、印刷物、インクジェット記録方法、及びポリアリルアミン誘導体 | |
| JP5306681B2 (ja) | 重合性化合物、重合体、インク組成物、印刷物及びインクジェット記録方法 | |
| JP4738844B2 (ja) | インク組成物、それを用いたインクジェット記録方法、及び印刷物 | |
| JP5260943B2 (ja) | 粒子分散物及びインク組成物、並びに、それを用いた画像記録方法及び画像記録物 | |
| JP2009233486A (ja) | 顔料分散剤の製造方法、硬化性組成物、硬化性インク組成物、インクジェット用インク組成物、およびインクジェット記録方法 | |
| JP2010018739A (ja) | 顔料分散物、及び、それを用いたインク組成物 | |
| JP5371352B2 (ja) | 顔料分散物及びそれを用いたインク組成物 | |
| JP5253015B2 (ja) | 顔料分散物およびそれを用いたインク組成物 | |
| JP2006241194A (ja) | インク組成物、それを用いた画像形成方法、印刷物 | |
| JP5215642B2 (ja) | インク組成物、並びに、それを用いた画像記録方法及び画像記録物 | |
| JP5393090B2 (ja) | 顔料分散物、及びそれを用いたインク組成物 | |
| JP5215641B2 (ja) | インク組成物、並びに、それを用いた画像記録方法及び画像記録物 | |
| JP4799031B2 (ja) | インク組成物、それを用いた画像形成方法、及び記録物 | |
| JP2009286901A (ja) | 顔料分散物、及びそれを用いたインク組成物 | |
| JP5255260B2 (ja) | インク組成物、インクジェット記録方法、及び印刷物 | |
| JP2009235133A (ja) | 顔料分散物、及びそれを用いたインク組成物 | |
| JP2006241193A (ja) | インク組成物、それを用いたインクジェット記録方法及び印刷物 | |
| JP2006241191A (ja) | インク組成物、それを用いたインクジェット記録方法、及び印刷物 | |
| JP5053045B2 (ja) | インク組成物、印刷物及びインクジェット記録方法 | |
| JP2009007542A (ja) | インク組成物、該インク組成物を用いた画像記録方法、及び該インク組成物を用いた印刷物 | |
| JP2007131787A (ja) | 着色分散液、インク組成物、それを用いた画像形成方法、及び印刷物 | |
| JP5490356B2 (ja) | インク組成物、インクジェット記録方法、及び印刷物 |
Legal Events
| Date | Code | Title | Description |
|---|---|---|---|
| A621 | Written request for application examination |
Free format text: JAPANESE INTERMEDIATE CODE: A621 Effective date: 20120118 |
|
| A977 | Report on retrieval |
Free format text: JAPANESE INTERMEDIATE CODE: A971007 Effective date: 20130819 |
|
| A131 | Notification of reasons for refusal |
Free format text: JAPANESE INTERMEDIATE CODE: A131 Effective date: 20130827 |
|
| A521 | Request for written amendment filed |
Free format text: JAPANESE INTERMEDIATE CODE: A523 Effective date: 20131001 |
|
| TRDD | Decision of grant or rejection written | ||
| A01 | Written decision to grant a patent or to grant a registration (utility model) |
Free format text: JAPANESE INTERMEDIATE CODE: A01 Effective date: 20131022 |
|
| A61 | First payment of annual fees (during grant procedure) |
Free format text: JAPANESE INTERMEDIATE CODE: A61 Effective date: 20131112 |
|
| R150 | Certificate of patent or registration of utility model |
Ref document number: 5414367 Country of ref document: JP Free format text: JAPANESE INTERMEDIATE CODE: R150 |
|
| R250 | Receipt of annual fees |
Free format text: JAPANESE INTERMEDIATE CODE: R250 |
|
| R250 | Receipt of annual fees |
Free format text: JAPANESE INTERMEDIATE CODE: R250 |
|
| R250 | Receipt of annual fees |
Free format text: JAPANESE INTERMEDIATE CODE: R250 |
|
| R250 | Receipt of annual fees |
Free format text: JAPANESE INTERMEDIATE CODE: R250 |
|
| R250 | Receipt of annual fees |
Free format text: JAPANESE INTERMEDIATE CODE: R250 |
|
| R250 | Receipt of annual fees |
Free format text: JAPANESE INTERMEDIATE CODE: R250 |
|
| R250 | Receipt of annual fees |
Free format text: JAPANESE INTERMEDIATE CODE: R250 |
|
| R250 | Receipt of annual fees |
Free format text: JAPANESE INTERMEDIATE CODE: R250 |
|
| R250 | Receipt of annual fees |
Free format text: JAPANESE INTERMEDIATE CODE: R250 |
|
| R250 | Receipt of annual fees |
Free format text: JAPANESE INTERMEDIATE CODE: R250 |
