DE69918383T2 - Notlaufreifen - Google Patents

Notlaufreifen Download PDF

Info

Publication number
DE69918383T2
DE69918383T2 DE69918383T DE69918383T DE69918383T2 DE 69918383 T2 DE69918383 T2 DE 69918383T2 DE 69918383 T DE69918383 T DE 69918383T DE 69918383 T DE69918383 T DE 69918383T DE 69918383 T2 DE69918383 T2 DE 69918383T2
Authority
DE
Germany
Prior art keywords
tire
point
tyre
breaker
run
Prior art date
Legal status (The legal status is an assumption and is not a legal conclusion. Google has not performed a legal analysis and makes no representation as to the accuracy of the status listed.)
Expired - Lifetime
Application number
DE69918383T
Other languages
English (en)
Other versions
DE69918383D1 (de
Inventor
Kazuo Kobe-shi Asano
Current Assignee (The listed assignees may be inaccurate. Google has not performed a legal analysis and makes no representation or warranty as to the accuracy of the list.)
Sumitomo Rubber Industries Ltd
Original Assignee
Sumitomo Rubber Industries Ltd
Priority date (The priority date is an assumption and is not a legal conclusion. Google has not performed a legal analysis and makes no representation as to the accuracy of the date listed.)
Filing date
Publication date
Application filed by Sumitomo Rubber Industries Ltd filed Critical Sumitomo Rubber Industries Ltd
Application granted granted Critical
Publication of DE69918383D1 publication Critical patent/DE69918383D1/de
Publication of DE69918383T2 publication Critical patent/DE69918383T2/de
Anticipated expiration legal-status Critical
Expired - Lifetime legal-status Critical Current

Links

Classifications

    • BPERFORMING OPERATIONS; TRANSPORTING
    • B60VEHICLES IN GENERAL
    • B60CVEHICLE TYRES; TYRE INFLATION; TYRE CHANGING; CONNECTING VALVES TO INFLATABLE ELASTIC BODIES IN GENERAL; DEVICES OR ARRANGEMENTS RELATED TO TYRES
    • B60C11/00Tyre tread bands; Tread patterns; Anti-skid inserts
    • B60C11/0083Tyre tread bands; Tread patterns; Anti-skid inserts characterised by the curvature of the tyre tread
    • BPERFORMING OPERATIONS; TRANSPORTING
    • B60VEHICLES IN GENERAL
    • B60CVEHICLE TYRES; TYRE INFLATION; TYRE CHANGING; CONNECTING VALVES TO INFLATABLE ELASTIC BODIES IN GENERAL; DEVICES OR ARRANGEMENTS RELATED TO TYRES
    • B60C17/00Tyres characterised by means enabling restricted operation in damaged or deflated condition; Accessories therefor
    • B60C17/0009Tyres characterised by means enabling restricted operation in damaged or deflated condition; Accessories therefor comprising sidewall rubber inserts, e.g. crescent shaped inserts
    • BPERFORMING OPERATIONS; TRANSPORTING
    • B60VEHICLES IN GENERAL
    • B60CVEHICLE TYRES; TYRE INFLATION; TYRE CHANGING; CONNECTING VALVES TO INFLATABLE ELASTIC BODIES IN GENERAL; DEVICES OR ARRANGEMENTS RELATED TO TYRES
    • B60C3/00Tyres characterised by the transverse section
    • B60C3/04Tyres characterised by the transverse section characterised by the relative dimensions of the section, e.g. low profile
    • BPERFORMING OPERATIONS; TRANSPORTING
    • B60VEHICLES IN GENERAL
    • B60CVEHICLE TYRES; TYRE INFLATION; TYRE CHANGING; CONNECTING VALVES TO INFLATABLE ELASTIC BODIES IN GENERAL; DEVICES OR ARRANGEMENTS RELATED TO TYRES
    • B60C9/00Reinforcements or ply arrangement of pneumatic tyres
    • B60C9/18Structure or arrangement of belts or breakers, crown-reinforcing or cushioning layers
    • BPERFORMING OPERATIONS; TRANSPORTING
    • B60VEHICLES IN GENERAL
    • B60CVEHICLE TYRES; TYRE INFLATION; TYRE CHANGING; CONNECTING VALVES TO INFLATABLE ELASTIC BODIES IN GENERAL; DEVICES OR ARRANGEMENTS RELATED TO TYRES
    • B60C9/00Reinforcements or ply arrangement of pneumatic tyres
    • B60C9/18Structure or arrangement of belts or breakers, crown-reinforcing or cushioning layers
    • B60C9/20Structure or arrangement of belts or breakers, crown-reinforcing or cushioning layers built-up from rubberised plies each having all cords arranged substantially parallel
    • B60C9/22Structure or arrangement of belts or breakers, crown-reinforcing or cushioning layers built-up from rubberised plies each having all cords arranged substantially parallel the plies being arranged with all cords disposed along the circumference of the tyre
    • BPERFORMING OPERATIONS; TRANSPORTING
    • B60VEHICLES IN GENERAL
    • B60CVEHICLE TYRES; TYRE INFLATION; TYRE CHANGING; CONNECTING VALVES TO INFLATABLE ELASTIC BODIES IN GENERAL; DEVICES OR ARRANGEMENTS RELATED TO TYRES
    • B60C9/00Reinforcements or ply arrangement of pneumatic tyres
    • B60C9/18Structure or arrangement of belts or breakers, crown-reinforcing or cushioning layers
    • B60C9/28Structure or arrangement of belts or breakers, crown-reinforcing or cushioning layers characterised by the belt or breaker dimensions or curvature relative to carcass
    • YGENERAL TAGGING OF NEW TECHNOLOGICAL DEVELOPMENTS; GENERAL TAGGING OF CROSS-SECTIONAL TECHNOLOGIES SPANNING OVER SEVERAL SECTIONS OF THE IPC; TECHNICAL SUBJECTS COVERED BY FORMER USPC CROSS-REFERENCE ART COLLECTIONS [XRACs] AND DIGESTS
    • Y10TECHNICAL SUBJECTS COVERED BY FORMER USPC
    • Y10TTECHNICAL SUBJECTS COVERED BY FORMER US CLASSIFICATION
    • Y10T152/00Resilient tires and wheels
    • Y10T152/10Tires, resilient
    • Y10T152/10495Pneumatic tire or inner tube
    • Y10T152/10765Characterized by belt or breaker structure
    • Y10T152/10783Reinforcing plies made up from wound narrow ribbons

Landscapes

  • Engineering & Computer Science (AREA)
  • Mechanical Engineering (AREA)
  • Tires In General (AREA)

Description

  • Die vorliegende Erfindung betrifft einen Luftreifen, spezieller einen Notlaufreifen mit einem verbesserten Reifenprofil, das in der Lage ist, die Notlaufleistung des Reifens zu verbessern ohne die Fahrleistung unter normalen Bedingungen preiszugeben.
  • Seit kurzem gibt es eine starke Nachfrage nach Notlaufreifen, die in der Lage sind, sicher über eine bestimmte Strecke mit einer normalen Geschwindigkeit, zum Beispiel mit einer Geschwindigkeit von 80 km/h über eine Strecke von mindestens 80 km, zu fahren.
  • Bisher wurde verbreitet vorgeschlagen, eine Verstärkungs-Gummischicht in jedem Seitenwandabschnitt eines Luftreifens des herkömmlichen Typs als ein Mittel zur Bereitstellung der Fähigkeit unter platten Bedingungen zu fahren, vorzusehen. Solche Reifen sind zum Beispiel in den offengelegten Japanischen Patentanmeldungen JP-A-53-18104, JP-A-1030809, die dem Oberbegriff von Anspruch 1 entspricht, und JP-A-2-281289 offenbart.
  • Bei solchen Reifen ist es jedoch schwierig, die oben genannten Anforderungen von mindestens 80 km Strecke mit 80 km/h zu erfüllen, weil die Dicke, das Volumen und das Gewicht der Seitenwand-Verstärkungsschicht unvermeidlich ansteigen. Auch ist die Reifenleistung unter normal aufgepumpten Bedingungen schlecht, wenn eine so große Masse an Seitenwand-Verstärkungsgummi verwendet wird. Zum Beispiel steigen das Reifengewicht und der Rollwiderstand an und der Kraftstoffverbrauch des Fahrzeugs wird erhöht, der Fahrkomfort ist nicht gut, und darüber hinaus kann leicht eine Ablösung der Gürtelkanten auftreten, wodurch die Haltbarkeit verringert wird.
  • Es ist deshalb eine Aufgabe der vorliegenden Erfindung einen Notlaufreifen bereitzustellen, bei welchem die Notlaufleistung verbessert ist und gleichzeitig die oben genannten Probleme gelöst werden können.
  • Gemäß einem Aspekt der vorliegenden Erfindung umfasst ein Notlaufreifen einen Laufstreifenabschnitt, ein Paar Seitenwandabschnitte, ein Paar Wulstabschnitte mit jeweils einem Wulstkern darin, eine Karkasse, die eine Karkasslage umfasst, die sich zwischen den Wulstabschnitten erstreckt, und eine Seitenwand-Verstärkungsschicht, die axial innerhalb der Karkasslage in jedem der Seitenwandabschnitte angeordnet ist, und hat in einem normal aufgepumpten, unbelasteten Zustand eine Profillinie von einem Reifenäquatorpunkt im Laufstreifenabschnitt zu einem Punkt maximaler Reifenquerschnittsbreite in jedem Seitenwandabschnitt, welche im Wesentlichen entlang einer Evolventenkurve so gekrümmt ist, dass sie einen Krümmungsradius aufweist, der kontinuierlich vom Reifenäquatorpunkt in Richtung des Seitenwandabschnitts abnimmt, wobei der Grundkreis der Evolventenkurve eine Ellipse ist, deren Hauptachse sich in der radialen Richtung des Reifens erstreckt, und der radiale Abstand zwischen dem Reifenäquatorpunkt und dem Punkt der maximalen Reifenquerschnittsbreite mehr als 34 % aber weniger als 50 % der Reifenquerschnittshöhe beträgt.
  • Eine Ausführungsform der vorliegenden Erfindung wird nun im Detail beispielhaft in Verbindung mit den beiliegenden Zeichnungen beschrieben:
  • 1 ist eine Querschnittsansicht eines Notlaufreifens gemäß der vorliegenden Erfindung;
  • 2 ist eine vergrößerte Querschnittsansicht des Gürtels desselben;
  • 3 ist eine schematische Querschnittsansicht des Reifens zur Erläuterung der Profillinie des Reifens;
  • 4 ist ein Diagramm zur Erläuterung einer Evolventenkurve, welche die Profillinie definiert;
  • 5 ist eine schematische Querschnittsansicht des Notlaufreifens unter einer nicht aufgepumpten oder platten Bedingung, die wiedergegeben wird, indem der Ventileinsatz des Reifens entfernt und er mit einer Standardlast belastet wird;
  • 6(A) ist eine schematische Querschnittsansicht eines herkömmlichen Reifens in seinem normalen Zustand;
  • 6(B) ist eine schematische Querschnittsansicht des herkömmlichen Reifens unter einer Notlaufbedingung, die auf dem gleichen Weg wiedergegeben wird wie in 5;
  • 7 ist eine Graphik, in welcher die Testergebnisse dargestellt sind; und
  • 8(A) und 8(B) zeigen axiale Verteilungen der Umfangsspannung eines Breakers.
  • In den 1-5 umfasst ein Notlaufreifen gemäß der vorliegenden Erfindung einen Laufstreifenabschnitt 2, ein Paar Seitenwandabschnitte 3, ein Paar Wulstabschnitte 4 und mit einem Wulstkern 5 darin, eine Karkasse 6, die sich zwischen den Wulstabschnitten 4 erstreckt, und einen Gürtel 7, 9, der radial außerhalb der Karkasse 6 in dem Laufstreifenabschnitt 2 angeordnet ist.
  • Bei dieser Ausführungsform ist der Reifen für Personenkraftwagen, und 1 zeigt einen Meridianquerschnitt des Reifens, welcher auf eine Standardfelge J aufgezogen und auf einen Standarddruck aufgepumpt aber nicht mit einer Reifenlast belastet ist (hierin im Folgenden normal aufgepumpter, unbelasteter Zustand).
  • Hier ist die Standardfelge die „Standard Rim" (Standardfelge), die spezifiziert ist in JATMA, die „Measuring Rim" (Messfelge) in ETRTO, die „Design Rim" (Konstruktionsfelge) in TRA und dergleichen. Der Standarddruck ist der „Maximum Air Pressure" (Maximalluftdruck) in JATMA, der „Inflation Pressure" (Fülldruck) in ETRTO, der maximale Druck, der in der Tabelle „Tyre Load Limits at Various Cold Inflation Pressures" (Reifenlastgrenzen bei unterschiedlichen Fülldrücken in kaltem Zustand) in TRA angegeben ist, oder dergleichen. Es werden jedoch im Allgemeinen, wenn der Reifen für Personenkraftwagen ist, 180 kPa als der Standarddruck verwendet. Die Standardlast ist die „Maximum Load Capacity" (maximale Lasttragfähigkeit) in JATMA, die „Load Capacity" (Lasttragfähigkeit) in ETRTO, der Maximalwert, der in der oben genannten Tabelle in TRA angegeben ist, oder dergleichen.
  • Die Karkasse 6 umfasst mindestens eine Karkasslage 6A, die sich zwischen den Wulstabschnitten 4 durch den Laufstreifenabschnitt 2 und die Seitenwandabschnitte 3 erstreckt und um den Wulstkern 5 herum von der axialen Innenseite zur Außenseite des Reifens umgeschlagen ist, um ein Paar Umschlagabschnitte 6b und einen Hauptabschnitt 6a zu bilden. Die Karkasslage 6A ist aus organischen Faserkorden, z. B. Nylon, Polyester, Rayon, aromatischem Polyamid oder dergleichen zusammengesetzt, die radial unter einem Winkel von 70 bis 90 Grad in Bezug zum Reifenäquator C angeordnet und mit einem Gummierungskautschuk gummiert sind. In dieser Ausführungsform ist die Karkasse 6 aus einer Lage 6A von Korden zusammengesetzt, die radial unter 90 Grad angeordnet sind.
  • Zwischen dem Umschlagabschnitt 6b und Hauptabschnitt 6a ist in jedem der Wulstabschnitte 4 ein Wulstkernreiter 8 angeordnet, um die Biegesteifigkeit zu verbessern. Der Wulstkernreiter 8 ist aus Hartgummi hergestellt und weist eine Gestalt auf, die sich vom Wulstkern 5 radial nach außen verjüngt und erstreckt.
  • Der oben genannte Karkasslagen-Umschlagabschnitt 6b erstreckt sich radial nach außen bis über das radial äußere Ende des Wulstkernreiters 8 hinaus.
  • Des Weiteren ist in jedem der Seitenwandabschnitte 3 eine Seitenwand-Verstärkungsschicht 10 axial innerhalb der Karkasse 6 angeordnet, um die Biegesteifigkeit zu erhöhen. Diese Schicht 10 ist aus Gummi hergestellt und weist eine sichelförmige Gestalt auf, die sich radial nach außen und innen verjüngt. Die maximale Dicke liegt nahe dem Punkt D maximaler Reifenquerschnittsbreite vor. Wie es in 1 gezeigt ist, überlappt das radial innere Ende 10B der Seitenwand-Verstärkungsschicht 10 das radial äußere Ende des Wulstkernreiter-Gummis 8. Um diese Seitenwand-Verstärkungsgummischicht 10 zu unterstützen, kann eine Verstärkungsschicht vorgesehen sein, die aus gummierten Korden hergestellt ist. Darü berhinaus kann als Seitenwand-Verstärkungsschicht 10 eine Verstärkungs-Kordschicht anstatt der Gummischicht verwendet werden.
  • Der oben genannte Breaker 7 umfasst mindestens zwei gekreuzte Lagen paralleler Korde, die unter einem Winkel von 10 bis 35 Grad in Bezug zum Reifenäquator gelegt sind. Für die Breakerkorde können Stahlkorde und hochmodulige organische Faserkorde, wie etwa Aramid, Rayon oder dergleichen verwendet werden. In dieser Ausführungsform ist der Breaker aus einer radial inneren ersten Lage 7A und einer radial äußeren zweiten Lage 7B zusammengesetzt, die jeweils aus Stahlkorden hergestellt sind.
  • Inzwischen ist eine Ursache für das Platzen des Reifens während des Notlaufs die Ablösung der Gürtelkante, nämlich eine Trennung von Gürtelkorden von dem umgebenden Gummi. Somit ist es sehr wichtig für die Verbesserung der Notlaufleistung, die Ablösung der Gürtelkanten zu kontrollieren.
  • Im Allgemeinen wechselt die Verteilung der Umfangsspannung des Breakers, wie es in 8(A) und 8(B) gezeigt ist, stark zwischen der Bodenberührungsfläche (8(B)) und anderen Stellen (8(A)), und es tritt eine verhältnismäßig große Scherspannung zwischen den gekreuzten Lagen in den Breakerkanten auf. Hierdurch wird die Ablösung der Gürtelkanten verursacht.
  • Bei der vorliegenden Erfindung ist zuerst die radial äußere Breakerlage 7B in die Seitenwandabschnitte 3 hinein bis über die Enden der radial inneren Breakerlage 7A hinaus verlängert. Deshalb sind die Enden der inneren Breakerlage 7A durch die äußere Breakerlage 7B bedeckt, und es kann ein Auftreten einer Gürtellagenlösung von dort aus verhindert werden. Bevorzugt beträgt der axiale Abstand S1 zwischen den Lagenenden nicht weniger als 5 mm, mit anderen Worten, die Differenz BW2-BW1 zwischen der axialen Breite BW2 der radial äußeren Breakerlage 7B und der axialen Breite BW1 der radial inneren Breakerlage 7A beträgt nicht weniger als 10 mm.
  • Des weiteren überlappt in diesem Beispiel das axiale Ende 7e des Breakers 7 den oben genannten Karkasslagen-Umschlagabschnitt 6b, welcher sich in den Laufstreifenabschnitt 2 hinein erstreckt, und das radial äußere Ende 6e der Umschlagabschnitte ist zwischen dem Breaker 7 und dem Karkassenhauptabschnitt 6a befestigt.
  • Die Überlappung EW des Karkassenumschlagabschnitts und des Breakers, gemessen in der axialen Richtung des Reifens, beträgt mehr als 5 mm, bevorzugt mehr als 10 mm, liegt stärker bevorzugt im Bereich von 15 bis 25 mm.
  • Deshalb kann der Seitenwandabschnitt 3 durch die minimale Anzahl der Karkasslagen wirksam verstärkt werden, was auch dabei hilft, die Dicke oder das Gewicht der Seitenwand-Verstärkungsschicht 10 zu verringern.
  • Darüber hinaus ist in diesem Beispiel ein Band oder eine Bandage 9, welche eine oder zwei, bevorzugt eine Kordlage umfasst, radial außerhalb des Breakers 7 angeordnet. Die axiale Breite BW3 des Bandes 9 ist so festgelegt, dass sie größer als die Breite BW2 der breitesten Breakerlage 7B ist, so dass die Enden der breitesten Breakerlage 7B durch das Band 9 bedeckt sind, um weiter das Auftreten einer Gürtelkantenablösung an diesen Enden zu verhindern. Die axiale Differenz S2 zwischen den Enden des Bandes 9 und der breitesten Breakerlage 7B beträgt bevorzugt nicht weniger als 10 mm. In dieser Ausführungsform ist das Band 9 gebildet, indem ein Gummiband, in welchem ein einzelner Kord oder parallele Korde entlang der Länge desselben eingebettet sind, spiralförmig gewickelt wird. Entsprechend ist das Band 9 aus einem oder mehreren Spiralkorden gebildet. Es ist auch möglich, das Band zu bilden, indem ein Streifen voller Breite aus gummierten parallelen Korden gewickelt wird. Für die Bandkorde können organische Faserkorde, z. B. Aramid, Nylon, Polyester, Rayon und dergleichen und Stahlkorde verwendet werden. In dieser Ausführungsform werden zwei parallele Aramidkorde verwendet. In jedem Fall sind der Bandkord oder die Korde oder Wicklungen im Wesentlichen parallel zur Umfangsrichtung des Reifens angeordnet.
  • Das Gürtelende, in diesem Beispiel das Bandende, überlappt das radial äußere Ende 10A der oben genannten Seitenwand-Verstärkungsschicht 10.
  • In jedem Reifenschulterbereich ist ein Gummistreifen 13 mit einer Dicke von weniger als 1,5 mm zwischen dem Breaker 7 und dem Band 9 angeordnet. Jeder Gummistreifen 13 erstreckt sich von der axialen Innenseite zu der axialen Außenseite des Breakerendes 7e. Die axiale Breite GW desselben ist bevorzugt im Bereich von 8 bis 30 % der Reifenquerschnittsbreite SW festgelegt. Im Fall von Personenkraftwagenreifen beträgt die Breite GW mehr als 20 mm, bevorzugt mehr als 30 mm, in diesem Beispiel 50 mm. Dadurch wird eine Scherspannung zwischen dem Band 9 und dem Breaker 7 gemildert und ein Lagentrennungsfehler wird weiter verhindert.
  • In einem Meridianabschnitt des Reifens ist die Profillinie des Reifens unter einem normal aufgepumpten, unbelasteten Zustand, wie er in 3 und 4 gezeigt ist, symmetrisch zu Reifenäquator C, und eine Profillinie 2e auf jeder Seite des Reifenäquators C, die so definiert ist, dass sie sich vom Reifenäquatorpunkt P im dem Laufstreifenabschnitt 2 zum Punkt D der maximalen Reifenquerschnittsbreite im Seitenwandabschnitt 3 erstreckt, ist als eine Evolventenkurve G gebildet, um so den Krümmungsradius derselben allmählich und kontinuierlich vom Reifenäquatorpunkt P in Richtung des Seitenwandabschnitts zu verringern.
  • Übrigens ist eine Evolventenkurve die Ortskurve, die durch ein Ende eines Fadens mit festgelegter Länge beschrieben ist, dessen anderes Ende am Ursprung fixiert ist, wenn der Faden ohne Durchhang um einen Grundkreis herum gewickelt wird.
  • In dieser Ausführungsform ist der Grundkreis eine Ellipse V.
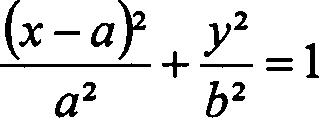
  • Wenn ein x-y-Koordinatensystem, wie es in 4 gezeigt ist, definiert ist, lautet die Ellipsenfunktion der Ellipse V
    Figure 00090001
    wobei 0 < a < b.
  • In diesem x-y-Koordinatensystem liegt die y-Achse auf dem Reifenäquator und die x-Achse liegt auf einer axialen Linie und der Ursprung O liegt einen Abstand B radial innerhalb des Reifenäquatorpunktes P. Entsprechend erstreckt sich die Nebenachse (Länge = aX2) der Ellipse V auf der x-Achse, und die Hauptachse (Länge = bX2) derselben erstreckt sich in der radialen Richtung, und die Koordinaten des Äquatorpunktes P sind (O, B).
  • Der radiale Abstand (h) zwischen dem Äquatorpunkt P und Punkt D maximaler Breite ist im Bereich von mehr als 34 % aber weniger als 50 % der Reifenquerschnittshöhe H festgelegt. Die Länge der Nebenachse (aX2) der Ellipse V ist im Bereich von 53 bis 89 % der Reifenquerschnittsbreite SW festgelegt. Und in diesem Beispiel ist die Länge der Hauptachse (bX2) gleich der Länge in der (radialen) Richtung der y-Achse zwischen dem Ursprung O und dem Punkt D maximaler Breite. Entsprechend ist b = B – h.
  • Wenn der Abstand h 34 % oder weniger beträgt, verschlechtern sich der Fahrkomfort und die Gewichtsverringerung. Wenn der Abstand h 50 % oder mehr beträgt steigt der Sturzdruck an und die Schwimmleistung verschlechtert sich.
  • Da der Laufstreifenabschnitt 2 verhältnismäßig rund ist, steigt sein Einfluß auf die vertikale Federkonstante des Reifens unter dem normalen Zustand an. Im Ergebnis ist die vertikale Federkonstante verringert, um den Fahrkomfort zu verbessern. Des Weiteren wird die Länge entlang der Profillinie 2e vom Reifenäquatorpunkt P zum Punkt D maximaler Breite kürzer als die von herkömmlichen Reifen. Besonders der Seitenwandabschnitt wird kurz. Im Ergebnis nimmt das Gummivolumen ab und das Reifengewicht ist verringert. Des Weiteren wird die Verteilung des Bodendrucks ausgeglichen.
  • Die Koordinaten (X, Y) eines Punktes (A) auf der Profillinie 2e können wie folgt als eine Funktion von x ausgedrückt werden.
    Figure 00100001
    wobei
    Figure 00110001
    s(x) ergibt eine Länge, gemessen entlang der Ellipse V vom Ursprung O zu einem Punkt F(x, y).
  • R(x) ergibt den Krümmungsradius der Profillinie 2e.
  • Wie es oben erläutert ist, ist die Profillinie 2e, das heißt die Kontur der Außenseite des Reifens, durch eine Evolventenkurve definiert. Bei der vorliegenden Erfindung ist die Kontur der Innenseite des Reifens des Weiteren auch wie folgt definiert.
  • Wie es in 5 gezeigt ist, ist die Innenseite des Reifens, wenn der Reifen auf die oben genannte Standard-Radfelge J aufgezogen, mit der Standardlast belastet ist und die Luft durch Entfernen des Ventileinsatzes abgelassen ist (hierin im Folgenden platter Zustand), so gekrümmt, dass eine radiale Linie T, die an einer axialen Position vorbeiläuft, die der Breite der Standard-Radfelge J entspricht, die Innenseite des Reifens an einem radial inneren Punkt C1 und einem radial äußeren Punkt C2 zweimal schneidet, und das Verhältnis L/N des Abstandes L zwischen den beiden Punkten C1 und C2 und des axialen Abstandes N von der radialen Linie T zum axial äußersten Punkt Q an der Innenseite des Reifens mehr als 0,95 aber weniger als 3,0, bevorzugt zwischen 1,0 und 2,0 beträgt.
  • Wenn das Verhältnis (L/N) 0,95 oder weniger beträgt, tritt auf der Innenseite des Seitenwandabschnitts eine große Spannung auf, und dieser Abschnitt kann leicht beschädigt werden. Wenn das Verhältnis (L/N) 3,0 oder mehr beträgt, verschlechtert sich der Fahrkomfort und somit kann leicht das Reifengewicht ansteigen.
  • In dieser Ausführungsform ist des Weiteren, um ein Abspringen des Wulstes von der Radfelge zu verhindern, die äußere Oberfläche eines unteren Seitenwandabschnitts radial innerhalb des Punktes D der maximalen Breite mit einer axial hervorstehenden Rippe 12 versehen, um so das Horn Jf der Standardfelge J zu überkragen.
  • * Vergleichstests
  • Es wurden Testreifen der Größe 185/55R14 mit den in Tabelle 1 gezeigten Spezifikationen hergestellt und auf Notlaufleistung, Reifengewicht, Fahrkomfort, Lenkstabilität und Haltbarkeit untersucht.
  • * Test der Notlaufleistung
  • Die Testreifen wurden auf alle vier Räder eines Japanischen, frontgetriebenen Personenkraftwagens aufgezogen, die Ventileinsätze wurden entfernt, und dann wurde der Testkraftwagen auf einem Testrundkurs gefahren, um die fahrbare Strecke zu messen.
    Fahrgeschwindigkeit: 80 km/h (geradeaus), 60 km/h (in Kurven)
    Reifenlast: 300 kgf
  • Die gemessene fahrbare Strecke in Tabelle 1 durch einen Index angegeben, der darauf basiert, dass Ref. 5 bei 100 liegt. Je größer der Index ist, umso besser ist die Leistung.
  • * Reifengewicht
  • Das Reifengewicht ist in Tabelle 1 durch einen Index angegeben, der darauf basiert, dass Ref. 5 bei 100 liegt.
  • * Test des Fahrkomforts und der Lenkstabilität
  • Die Testreifen wurden auf alle vier Räder eines Japanischen, frontgetriebenen Personenkraftwagens aufgezogen, und der Testkraftwagen wurde auf verschiedenartigen Straßenoberflächen unter dem normalen Zustand, aufgepumpt auf den Standard-Innendruck, gefahren, und der Fahrkomfort und die Lenkstabilität wurden nach dem Gefühl des Fahrers ermittelt. Die Ergebnisse sind durch einen Index angegeben, der darauf basiert, das Ref. 5 bei 100 liegt. Je größer der Index ist, um so besser ist die Leistung.
  • * Haltbarkeitstest
  • Unter Verwendung einer Reifentesttrommel mit einem Durchmesser von 1,7 m wurde der Testreifen kontinuierlich mit einer Geschwindigkeit von 80 km/h laufen gelassen, um die fahrbare Zeit zu ermitteln, bis eine Gürtel-kantenlösung verursacht wurde. Die verwendete Radfelge war die Stand-ardfelge und der Reifendruck war der Standarddruck. Die Reifenlast wurde jedoch auf 140 % der Standardlast erhöht. Die Ergebnisse sind in Tabelle 1 durch einen Index angegeben. Je größer der Index ist, um so besser ist die Haltbarkeit.
  • Tabelle 1
    Figure 00140001
  • Durch die Testergebnisse wurde bestätigt, dass die Notlaufleistung, der Widerstand gegen Gürtelkantenlösung und dergleichen der Beispielreifen gemäß der vorliegenden Erfindung verbessert waren, ohne das Reifengewicht stark zu vergrößern, obwohl die Reifen mit einer Standard-Radfelge verwendet werden konnten.
  • 6(A) zeigt den normalen Zustand von Ref. 5. 6(B) zeigt einen Zustand von Ref. 5, von welchem der Reifenventileinsatz entfernt war.
  • 7 ist eine Graphik, in welcher das Verhältnis (L/N) und das Verhältnis (h/H) der Testreifen dargestellt sind, wobei die Gewichtsverringerung um so besser ist, je größer das Verhältnis (h/H) ist, die Lenkstabilität um so besser ist, je kleiner das Verhältnis (h/H) ist, der Fahrkomfort um so besser ist, je kleiner das Verhältnis (L/N) ist und die Notlaufleistung um so besser ist, je größer das Verhältnis (L/N) ist.
  • Wie es oben beschrieben ist, kann im Notlaufreifen gemäß der vorliegenden Erfindung, wegen der vervielfachenden Wirkung des spezifischen Reifenprofils und der verringerten Seitenwand-Verstärkungsschicht die Notlaufleistung wirksam verbessert werden, ohne dass die Reifenleistungen unter normalen Bedingungen geopfert werden.
  • Die vorliegende Erfindung kann passend auf Luftreifen für Personenkraftwagen angewendet werden, aber es ist auch möglich, sie auf Reifen anderer Kategorien, wie etwa RV, LT und dergleichen anzuwenden.
  • Es ist nicht immer notwendig, dass die Profillinie 2e komplett oder streng mit der Evolventenkurve G zusammenfällt. Ein Grad an Toleranz ist natürlich zulässig. Deshalb kann innerhalb des zulässigen Toleranzbereichs eine der Evolventenkurve G angenäherte Mehrradius-Kurve verwendet werden.

Claims (6)

  1. Notlaufreifen, umfassend einen Laufstreifenabschnitt (2), ein Paar Seitenwandabschnitte (3), ein Paar Wulstabschnitte (4) mit jeweils einem Wulstkern (5) darin, eine Karkasse (6) mit einer Karkasslage (6a), die sich zwischen den Wulstabschnitten (4) erstreckt, und eine Seitenwand-Verstärkungsschicht (10), die axial innerhalb der Karkasslage in jedem Seitenwandabschnitt angeordnet ist, dadurch ge kennzeichnet, dass in einem normal aufgepumpten, unbelasteten Zustand, in welchem der Reifen auf eine Standardfelge (J) aufgezogen ist, eine Profillinie (2e) von einem Reifenäquatorpunkt (P) im Laufstreifenabschnitt (2) zu einem Punkt (D) maximaler Reifenquerschnittsbreite in jedem Seitenwandabschnitt (3) im Wesentlichen entlang einer Evolventenkurve (G) so gekrümmt ist, dass sie einen Krümmungsradius aufweist, der kontinuierlich vom Reifenäquatorpunkt (P) in Richtung des Seitenwandabschnitts abnimmt, wobei der Basiskreis der Evolventenkurve eine Ellipse (V) ist, deren Hauptachse sich in der radialen Richtung des Reifens erstreckt, und der radiale Abstand (h) zwischen dem Reifenäquatorpunkt (P) und dem Punkt (D) der maximalen Reifenquerschnittsbreite mehr als 34 % aber weniger als 50 % der Reifenquerschnittshöhe (H) beträgt.
  2. Notlaufreifen nach Anspruch 1, dadurch gekennzeichnet, dass in einem x-y-Koordinatensystem, welches in einem Meridianabschnitt des Reifens so definiert ist, dass sich die y-Achse auf dem Reifenäquator radial nach außen erstreckt, sich die x-Achse in der axialen Richtung des Reifens axial nach außen erstreckt und die x-y-Koordinaten des Reifenäquatorpunktes (P) 0 bzw. B sind, wobei B der Krümmungsradius der Profillinie (2e) am Reifenäquatorpunkt (P) ist und die Ellipsenfunktion der Ellipse
    Figure 00170001
    ist, wobei 0 < a < b.
  3. Notlaufreifen nach Anspruch 1 oder 2, dadurch gekennzeichnet, dass in einem platten Zustand, in welchem der Reifen auf die Standardfelge aufgezogen und mit der Standardlast belastet ist, aber der Druck Null beträgt, die Innenseite des Reifens so gekrümmt ist, dass eine radiale Linie (T) die an einer axialen Position verläuft, die der Felgenbreite der Standardfelge entspricht, die Innenseite des Reifens an einem radial inneren Punkt (C1) und einem radial äußeren Punkt (C2) schneidet, und der radiale Abstand L zwischen dem radial inneren Punkt (C1) und dem äußeren Punkt (C2) mehr als 95 % aber weniger als 300 % des axialen Abstands (N) von der radialen Linie (T) zu einem axial äußersten Punkt (Q) an der Innenseite des Reifens beträgt.
  4. Notlaufreifen nach Anspruch 1, 2 oder 3, dadurch gekennzeichnet, dass er des Weiteren einen Breaker (7), der radial außerhalb der Karkasslage (6) in dem Laufstreifenabschnitt (2) angeordnet ist, und ein Band (9) umfasst, das radial außerhalb des Breakers (7) angeordnet ist, wobei der Breaker (7) eine radial innere Lage (7a) und eine radial äußere Lage (7b) umfasst, die breiter als die innere Lage ist, und wobei das Band (9) breiter ist als der Breaker (7).
  5. Notlaufreifen nach Anspruch 4, dadurch gekennzeichnet, dass die Karkasse (6) aus der Karkasslage besteht, die sich zwischen den Wulstabschnitten erstreckt und um den Wulstkern (5) in jedem Wulstabschnitt (4) von der Innenseite zur Außenseite des Reifens umgeschlagen ist, um ein Paar Umschlagabschnitte und dazwischen einen Hauptabschnitt zu bilden, wobei die radial äußere Kante (6e) jedes Umschlagabschnitts eine der axialen Kanten des Breakers (7) überlappt, und dass Band (9) aus spiralförmigen Wicklungen eines einzelnen Aramidkords oder einer Vielzahl paralleler Aramidkorde zusammengesetzt ist.
  6. Notlaufreifen nach Anspruch 4 oder 5, dadurch gekennzeichnet, dass ein Streifen aus Gummi (13) mit einer Dicke von weniger als 1,5 mm and einer axialen Breite von mehr als 20 mm zwischen dem Breaker (7) und dem Band (9) angeordnet ist, um so jede axiale Kante des Breakers (7) abzudecken.
DE69918383T 1998-08-04 1999-08-03 Notlaufreifen Expired - Lifetime DE69918383T2 (de)

Applications Claiming Priority (4)

Application Number Priority Date Filing Date Title
JP22006898 1998-08-04
JP22006898 1998-08-04
JP34601398 1998-12-04
JP10346013A JP3053390B2 (ja) 1998-08-04 1998-12-04 ランフラットタイヤ

Publications (2)

Publication Number Publication Date
DE69918383D1 DE69918383D1 (de) 2004-08-05
DE69918383T2 true DE69918383T2 (de) 2005-08-25

Family

ID=26523508

Family Applications (1)

Application Number Title Priority Date Filing Date
DE69918383T Expired - Lifetime DE69918383T2 (de) 1998-08-04 1999-08-03 Notlaufreifen

Country Status (4)

Country Link
US (1) US6237661B1 (de)
EP (1) EP0985557B1 (de)
JP (1) JP3053390B2 (de)
DE (1) DE69918383T2 (de)

Families Citing this family (34)

* Cited by examiner, † Cited by third party
Publication number Priority date Publication date Assignee Title
DE19941340A1 (de) * 1999-08-31 2001-03-01 Dunlop Gmbh Fahrzeugreifen
JP2002012004A (ja) * 2000-06-28 2002-01-15 Sumitomo Rubber Ind Ltd 空気入りタイヤ
US6834696B1 (en) 2000-06-29 2004-12-28 Bridgestone/Firestone North American Tire, Llc Runflat tire with cantilever-like sidewall construction
JP4880810B2 (ja) * 2000-09-27 2012-02-22 株式会社ブリヂストン 空気入りランフラットラジアルタイヤ
JP4673495B2 (ja) * 2001-04-03 2011-04-20 住友ゴム工業株式会社 ランフラットタイヤ
JP4754162B2 (ja) * 2003-08-05 2011-08-24 住友ゴム工業株式会社 タイヤプロファイルの決定方法
JP2005271793A (ja) * 2004-03-25 2005-10-06 Sumitomo Rubber Ind Ltd ランフラットタイヤ
JP4723200B2 (ja) * 2004-03-25 2011-07-13 住友ゴム工業株式会社 ランフラットタイヤ
JP4184349B2 (ja) 2005-01-24 2008-11-19 住友ゴム工業株式会社 ランフラットタイヤ
US7721780B2 (en) * 2005-07-21 2010-05-25 The Goodyear Tire & Rubber Company Monoply pneumatic run-flat tire with composite ply cord
JP5038624B2 (ja) * 2005-08-08 2012-10-03 住友ゴム工業株式会社 ランフラットタイヤ
JP5237529B2 (ja) * 2005-08-08 2013-07-17 住友ゴム工業株式会社 ランフラットタイヤ
JP2007069775A (ja) * 2005-09-07 2007-03-22 Sumitomo Rubber Ind Ltd ランフラットタイヤ
JP2007069774A (ja) * 2005-09-07 2007-03-22 Sumitomo Rubber Ind Ltd ランフラットタイヤ
JP4880990B2 (ja) 2005-12-13 2012-02-22 住友ゴム工業株式会社 ランフラットタイヤ
JP5134249B2 (ja) * 2006-02-07 2013-01-30 住友ゴム工業株式会社 ランフラットタイヤ
JP4904075B2 (ja) * 2006-04-20 2012-03-28 住友ゴム工業株式会社 ランフラットタイヤ
JP4971680B2 (ja) * 2006-05-10 2012-07-11 住友ゴム工業株式会社 空気入りタイヤ
JP4971700B2 (ja) * 2006-06-26 2012-07-11 住友ゴム工業株式会社 ランフラットタイヤ
JP5005978B2 (ja) * 2006-07-28 2012-08-22 住友ゴム工業株式会社 ランフラットタイヤ
JP5006629B2 (ja) * 2006-12-05 2012-08-22 住友ゴム工業株式会社 ランフラットタイヤ
JP5006628B2 (ja) * 2006-12-05 2012-08-22 住友ゴム工業株式会社 ランフラットタイヤ
JP4995560B2 (ja) * 2006-12-22 2012-08-08 住友ゴム工業株式会社 ランフラットタイヤ
JP4769228B2 (ja) * 2007-06-01 2011-09-07 住友ゴム工業株式会社 ランフラットタイヤ
DE112010000860B4 (de) * 2009-02-03 2016-09-08 The Yokohama Rubber Co., Ltd. Luftreifen für einen Personenkraftwagen und Verfahren zur Herstellung eines Luftreifens für einen Personenkraftwagen
CN102939209B (zh) * 2010-04-07 2016-06-15 株式会社普利司通 充气轮胎
JP6377390B2 (ja) * 2014-04-04 2018-08-22 株式会社ブリヂストン ランフラットラジアルタイヤ
JP6383174B2 (ja) * 2014-05-02 2018-08-29 住友ゴム工業株式会社 空気入りタイヤ
JP6766418B2 (ja) * 2016-04-12 2020-10-14 住友ゴム工業株式会社 空気入りタイヤ
JP6819379B2 (ja) * 2017-03-16 2021-01-27 住友ゴム工業株式会社 空気入りタイヤ
FR3065911A1 (fr) * 2017-05-05 2018-11-09 Compagnie Generale Des Etablissements Michelin Pneumatique a couches de travail comprenant des monofilaments
WO2020004112A1 (ja) * 2018-06-25 2020-01-02 株式会社ブリヂストン ランフラットタイヤ
JP7124494B2 (ja) * 2018-07-03 2022-08-24 横浜ゴム株式会社 空気入りタイヤおよび空気入りタイヤの製造方法
JP7544653B2 (ja) * 2021-03-31 2024-09-03 株式会社ブリヂストン ランフラットタイヤ

Family Cites Families (8)

* Cited by examiner, † Cited by third party
Publication number Priority date Publication date Assignee Title
JPS5318104A (en) 1976-08-04 1978-02-20 Sumitomo Rubber Ind Pneumatic tire
JPS6430809A (en) * 1987-07-28 1989-02-01 Sumitomo Rubber Ind Run flat tire for high speed driving
JPH085285B2 (ja) 1990-10-18 1996-01-24 住友ゴム工業株式会社 安全タイヤ
JP3358900B2 (ja) * 1993-12-16 2002-12-24 住友ゴム工業株式会社 空気入りタイヤ
JP3497941B2 (ja) * 1995-06-13 2004-02-16 住友ゴム工業株式会社 空気入りタイヤ
JP2994989B2 (ja) * 1995-06-13 1999-12-27 住友ゴム工業株式会社 空気入りタイヤ
JP3513340B2 (ja) * 1995-12-05 2004-03-31 住友ゴム工業株式会社 車両用の空気入りタイヤ
US6073668A (en) * 1997-04-16 2000-06-13 Sumitomo Rubber Industries, Inc. Vehicle tire including tread portion having profile

Also Published As

Publication number Publication date
JP3053390B2 (ja) 2000-06-19
EP0985557A3 (de) 2001-12-19
US6237661B1 (en) 2001-05-29
JP2000108618A (ja) 2000-04-18
DE69918383D1 (de) 2004-08-05
EP0985557A2 (de) 2000-03-15
EP0985557B1 (de) 2004-06-30

Similar Documents

Publication Publication Date Title
DE69918383T2 (de) Notlaufreifen
DE69806004T2 (de) Ein unausdehnbarer hochtemperaturfester notlaufreifen
DE69917160T2 (de) Schlauchloser Reifen
DE69910523T2 (de) Reifen
DE69805819T2 (de) Reifen mit einer gürtelverbundstruktur und verfahren zur herstellung
DE69702460T2 (de) Radialer Luftreifen
DE60124822T2 (de) Notlaufreifen
DE69817265T2 (de) Luftreifen
DE602004010774T2 (de) Luftreifen und Verfahren zu seiner Herstellung
DE69713715T2 (de) Luftreifen
DE69808213T2 (de) Notlaufreifen
DE69928719T2 (de) Luftreifen
DE69706212T2 (de) Luftreifen
DE102013202009A1 (de) Luftreifen
DE112016004098B4 (de) Luftreifen
DE112018006136B4 (de) Luftreifen
DE102012217824A1 (de) Luftreifeneinheit
DE60108020T2 (de) Notlaufreifen
DE112015000970B4 (de) Luftreifen
DE69819242T2 (de) LKW-Reifen
DE69716190T2 (de) Radialer Luftreifen
DE69805101T2 (de) Pkw-radialreifen mit verbesserter profilstruktur und entkuppelnden rillen
DE69104542T2 (de) Radialer Luftreifen für Motorräder.
DE69706631T2 (de) LKW-Radialreifen
DE69204630T2 (de) Sicherheitsluftreifen.

Legal Events

Date Code Title Description
8364 No opposition during term of opposition