DE69918590T2 - Substituierte Karbazole, Verfahren zu ihrer Herstellung und ihre Verwendung als sPLA2-Inhibitoren - Google Patents

Substituierte Karbazole, Verfahren zu ihrer Herstellung und ihre Verwendung als sPLA2-Inhibitoren Download PDF

Info

Publication number
DE69918590T2
DE69918590T2 DE69918590T DE69918590T DE69918590T2 DE 69918590 T2 DE69918590 T2 DE 69918590T2 DE 69918590 T DE69918590 T DE 69918590T DE 69918590 T DE69918590 T DE 69918590T DE 69918590 T2 DE69918590 T2 DE 69918590T2
Authority
DE
Germany
Prior art keywords
methyl
butyl
oxyacetic acid
carbamoylcarbazol
compound according
Prior art date
Legal status (The legal status is an assumption and is not a legal conclusion. Google has not performed a legal analysis and makes no representation as to the accuracy of the status listed.)
Expired - Lifetime
Application number
DE69918590T
Other languages
English (en)
Other versions
DE69918590D1 (de
Inventor
Nicholas James Indianapolis Bach
Jolie Anne Beech Grove Bastian
Gary Alan Indianapolis Hite
Michael Dean South Indianapolis Kinnick
Edward David Carmel Mihelich
John Michael Jr. Brownsburg Morin
Daniel Jon Greenwood Sall
Robert Theodore Indianapolis Vasileff
Current Assignee (The listed assignees may be inaccurate. Google has not performed a legal analysis and makes no representation or warranty as to the accuracy of the list.)
Eli Lilly and Co
Original Assignee
Eli Lilly and Co
Priority date (The priority date is an assumption and is not a legal conclusion. Google has not performed a legal analysis and makes no representation as to the accuracy of the date listed.)
Filing date
Publication date
Application filed by Eli Lilly and Co filed Critical Eli Lilly and Co
Application granted granted Critical
Publication of DE69918590D1 publication Critical patent/DE69918590D1/de
Publication of DE69918590T2 publication Critical patent/DE69918590T2/de
Anticipated expiration legal-status Critical
Expired - Lifetime legal-status Critical Current

Links

Classifications

    • CCHEMISTRY; METALLURGY
    • C07ORGANIC CHEMISTRY
    • C07DHETEROCYCLIC COMPOUNDS
    • C07D209/00Heterocyclic compounds containing five-membered rings, condensed with other rings, with one nitrogen atom as the only ring hetero atom
    • C07D209/56Ring systems containing three or more rings
    • C07D209/80[b, c]- or [b, d]-condensed
    • C07D209/82Carbazoles; Hydrogenated carbazoles
    • C07D209/88Carbazoles; Hydrogenated carbazoles with hetero atoms or with carbon atoms having three bonds to hetero atoms with at the most one bond to halogen, e.g. ester or nitrile radicals, directly attached to carbon atoms of the ring system
    • CCHEMISTRY; METALLURGY
    • C07ORGANIC CHEMISTRY
    • C07DHETEROCYCLIC COMPOUNDS
    • C07D209/00Heterocyclic compounds containing five-membered rings, condensed with other rings, with one nitrogen atom as the only ring hetero atom
    • C07D209/56Ring systems containing three or more rings
    • C07D209/58[b]- or [c]-condensed
    • C07D209/70[b]- or [c]-condensed containing carbocyclic rings other than six-membered
    • AHUMAN NECESSITIES
    • A61MEDICAL OR VETERINARY SCIENCE; HYGIENE
    • A61PSPECIFIC THERAPEUTIC ACTIVITY OF CHEMICAL COMPOUNDS OR MEDICINAL PREPARATIONS
    • A61P1/00Drugs for disorders of the alimentary tract or the digestive system
    • AHUMAN NECESSITIES
    • A61MEDICAL OR VETERINARY SCIENCE; HYGIENE
    • A61PSPECIFIC THERAPEUTIC ACTIVITY OF CHEMICAL COMPOUNDS OR MEDICINAL PREPARATIONS
    • A61P11/00Drugs for disorders of the respiratory system
    • AHUMAN NECESSITIES
    • A61MEDICAL OR VETERINARY SCIENCE; HYGIENE
    • A61PSPECIFIC THERAPEUTIC ACTIVITY OF CHEMICAL COMPOUNDS OR MEDICINAL PREPARATIONS
    • A61P11/00Drugs for disorders of the respiratory system
    • A61P11/06Antiasthmatics
    • AHUMAN NECESSITIES
    • A61MEDICAL OR VETERINARY SCIENCE; HYGIENE
    • A61PSPECIFIC THERAPEUTIC ACTIVITY OF CHEMICAL COMPOUNDS OR MEDICINAL PREPARATIONS
    • A61P19/00Drugs for skeletal disorders
    • AHUMAN NECESSITIES
    • A61MEDICAL OR VETERINARY SCIENCE; HYGIENE
    • A61PSPECIFIC THERAPEUTIC ACTIVITY OF CHEMICAL COMPOUNDS OR MEDICINAL PREPARATIONS
    • A61P19/00Drugs for skeletal disorders
    • A61P19/02Drugs for skeletal disorders for joint disorders, e.g. arthritis, arthrosis
    • AHUMAN NECESSITIES
    • A61MEDICAL OR VETERINARY SCIENCE; HYGIENE
    • A61PSPECIFIC THERAPEUTIC ACTIVITY OF CHEMICAL COMPOUNDS OR MEDICINAL PREPARATIONS
    • A61P25/00Drugs for disorders of the nervous system
    • AHUMAN NECESSITIES
    • A61MEDICAL OR VETERINARY SCIENCE; HYGIENE
    • A61PSPECIFIC THERAPEUTIC ACTIVITY OF CHEMICAL COMPOUNDS OR MEDICINAL PREPARATIONS
    • A61P29/00Non-central analgesic, antipyretic or antiinflammatory agents, e.g. antirheumatic agents; Non-steroidal antiinflammatory drugs [NSAID]
    • AHUMAN NECESSITIES
    • A61MEDICAL OR VETERINARY SCIENCE; HYGIENE
    • A61PSPECIFIC THERAPEUTIC ACTIVITY OF CHEMICAL COMPOUNDS OR MEDICINAL PREPARATIONS
    • A61P31/00Antiinfectives, i.e. antibiotics, antiseptics, chemotherapeutics
    • AHUMAN NECESSITIES
    • A61MEDICAL OR VETERINARY SCIENCE; HYGIENE
    • A61PSPECIFIC THERAPEUTIC ACTIVITY OF CHEMICAL COMPOUNDS OR MEDICINAL PREPARATIONS
    • A61P31/00Antiinfectives, i.e. antibiotics, antiseptics, chemotherapeutics
    • A61P31/04Antibacterial agents
    • AHUMAN NECESSITIES
    • A61MEDICAL OR VETERINARY SCIENCE; HYGIENE
    • A61PSPECIFIC THERAPEUTIC ACTIVITY OF CHEMICAL COMPOUNDS OR MEDICINAL PREPARATIONS
    • A61P35/00Antineoplastic agents
    • AHUMAN NECESSITIES
    • A61MEDICAL OR VETERINARY SCIENCE; HYGIENE
    • A61PSPECIFIC THERAPEUTIC ACTIVITY OF CHEMICAL COMPOUNDS OR MEDICINAL PREPARATIONS
    • A61P43/00Drugs for specific purposes, not provided for in groups A61P1/00-A61P41/00
    • AHUMAN NECESSITIES
    • A61MEDICAL OR VETERINARY SCIENCE; HYGIENE
    • A61PSPECIFIC THERAPEUTIC ACTIVITY OF CHEMICAL COMPOUNDS OR MEDICINAL PREPARATIONS
    • A61P7/00Drugs for disorders of the blood or the extracellular fluid
    • YGENERAL TAGGING OF NEW TECHNOLOGICAL DEVELOPMENTS; GENERAL TAGGING OF CROSS-SECTIONAL TECHNOLOGIES SPANNING OVER SEVERAL SECTIONS OF THE IPC; TECHNICAL SUBJECTS COVERED BY FORMER USPC CROSS-REFERENCE ART COLLECTIONS [XRACs] AND DIGESTS
    • Y02TECHNOLOGIES OR APPLICATIONS FOR MITIGATION OR ADAPTATION AGAINST CLIMATE CHANGE
    • Y02PCLIMATE CHANGE MITIGATION TECHNOLOGIES IN THE PRODUCTION OR PROCESSING OF GOODS
    • Y02P20/00Technologies relating to chemical industry
    • Y02P20/50Improvements relating to the production of bulk chemicals
    • Y02P20/55Design of synthesis routes, e.g. reducing the use of auxiliary or protecting groups

Landscapes

  • Health & Medical Sciences (AREA)
  • Chemical & Material Sciences (AREA)
  • Organic Chemistry (AREA)
  • Chemical Kinetics & Catalysis (AREA)
  • General Chemical & Material Sciences (AREA)
  • Medicinal Chemistry (AREA)
  • Nuclear Medicine, Radiotherapy & Molecular Imaging (AREA)
  • Pharmacology & Pharmacy (AREA)
  • Life Sciences & Earth Sciences (AREA)
  • Animal Behavior & Ethology (AREA)
  • General Health & Medical Sciences (AREA)
  • Public Health (AREA)
  • Veterinary Medicine (AREA)
  • Engineering & Computer Science (AREA)
  • Bioinformatics & Cheminformatics (AREA)
  • Pulmonology (AREA)
  • Rheumatology (AREA)
  • Oncology (AREA)
  • Physical Education & Sports Medicine (AREA)
  • Communicable Diseases (AREA)
  • Biomedical Technology (AREA)
  • Orthopedic Medicine & Surgery (AREA)
  • Neurology (AREA)
  • Neurosurgery (AREA)
  • Diabetes (AREA)
  • Hematology (AREA)
  • Immunology (AREA)
  • Pain & Pain Management (AREA)
  • Pharmaceuticals Containing Other Organic And Inorganic Compounds (AREA)
  • Indole Compounds (AREA)
  • Nitrogen Condensed Heterocyclic Rings (AREA)
  • Organic Low-Molecular-Weight Compounds And Preparation Thereof (AREA)
  • Plural Heterocyclic Compounds (AREA)
  • Heterocyclic Carbon Compounds Containing A Hetero Ring Having Oxygen Or Sulfur (AREA)
  • Nitrogen And Oxygen Or Sulfur-Condensed Heterocyclic Ring Systems (AREA)
  • Acyclic And Carbocyclic Compounds In Medicinal Compositions (AREA)

Description

  • Die Erfindung beansprucht die Priorität der US 09/062 328 vom 17. April 1998.
  • Die Erfindung betrifft neue substituierte tricyclische organische Verbindungen, die zur Hemmung der sPLA2 vermittelten Freisetzung von Fettsäuren für Zustände, wie dem septischen Schock, brauchbar sind.
  • Die Struktur und die physikalischen Eigenschaften der humanen nicht aus dem Pankreas stammenden sekretorischen Phospholipase A2 (hierin "sPLA2" genannt) wurden ausführlich in zwei Artikeln beschrieben, nämlich "Cloning and Recombinant Expression of Phospholipase A2 Present in Rheumatoid Arthritic Synovial Fluid", von Jeffrey J. Seilhammer, Waldemar Pruzanski, Peter Vadas, Shelley Plant, Judy A. Miller, Jean Kloss und Lorin K. Johnson, The Journal of Biological Chemistry, Band 264, Nr. 10, Ausgabe vom 5. April, Seiten 5335–5338, 1989 und "Structure and Properties of a Human Non-pancreatic Phospholipase A2" von Ruth M. Kramer, Catherine Hession, Berit Johansen, Gretchen Hayes, Paula McGray, Pingchang E. Chaow, Richard Tizard und R. Blake Pepinsky, The Journal of Biological Chemistry, Band 264, Nr. 10, Ausgabe vom 5. April Seiten 5768–5775, 1989, deren Beschreibungen hiermit eingeführt sind.
  • Man glaubt, daß die sPLA2 ein geschwindigkeitslimitierendes Enzym in der Arachidonsäurekaskade ist, die Membranphospholipide hydrolysiert. Daher ist es wichtig, Verbindungen zu entwickeln, die die sPLA2 vermittelte Freisetzung von Fettsäuren (beispielsweise Arachidonsäure) hemmen. Solche Verbindungen wären bei der allgemeinen Behandlung von Zuständen brauchbar, die durch die Überproduktion von sPLA2 hervorgerufen und/oder aufrechterhalten werden, wie septischer Schock, Atemnotsyndrom beim Erwachsenen, Pankreatitis, durch Trauma induzierter Schock, Bronchialasthma, allergische Rhinitis, rheumatoide Arthritis und dergleichen.
  • Es ist erwünscht, neue Verbindungen und Behandlungen für Erkrankungen zu entwickeln, die durch sPLA2 induziert sind.
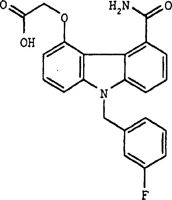
  • Die von der Erfindung umfassten Verbindungen sind aus der Gruppe ausgewählt, die besteht aus
    [9-Benzyl-5-carbamoyl-1-fluorcarbazol-4-yl]oxyessigsäure,
    {9-[(Phenyl)methyl]-5-carbamoylcarbazol-4-yl}oxyessigsäure,
    {9-[(3-Fluorphenyl)methyl]-5-carbamoylcarbazol-4-yl}oxyessigsäure,
    {9-[(3-Chlorphenyl)methyl]-5-carbamoylcarbazol-4-yl}oxyessigsäure,
    {9-[(3-Trifluormethylphenyl)methyl]-5-carbamoylcarbazol-4-yl}oxyessigsäure-Natriumsalz,
    {9-[(2-Methylphenyl)methyl]-5-carbamoylcarbazol-4-yl}oxyessigsäure-Natriumsalz,
    {9-[(3-Methylphenyl)methyl]-5-carbamoylcarbazol-4-yl}oxyessigsäure-Natriumsalz,
    {9-[(3-Trifluormethoxyphenyl)methyl]-5-carbamoylcarbazol-4-yl}oxyessigsäure-Natriumsalz,
    [9-Benzyl-5-carbamoyl-1-chlorcarbazol-4-yl]oxyessigsäure,
    [9-(Cyclohexyl)methyl]-5-carbamoylcarbazol-4-yl]oxyessigsäure und
    [9-[(Cyclopentyl)methyl]-5-carbamoylcarbazol-4-yl]oxyessigsäure oder einem pharmazeutisch annehmbaren Razemat, Solvat, Tautomer, optischen Isomer, Prodrugderivat, oder ein Salz hiervon.
  • Die Erfindung betrifft auch eine pharmazeutische Formulierung, die eine Verbindung, welche aus der Gruppe ausgewählt ist, die besteht aus
    [9-Benzyl-5-carbamoyl-1-fluorcarbazol-4-yl]oxyessigsäure,
    {9-[(Phenyl)methyl]-5-carbamoylcarbazol-4-yl}oxyessigsäure,
    {9-[(3-Fluorphenyl)methyl]-5-carbamoylcarbazol-4-yl}oxyessigsäure,
    {9-[(3-Chlorphenyl)methyl]-5-carbamoylcarbazol-4-yl}oxyessigsäure,
    {9-[(3-Trifluormethylphenyl)methyl]-5-carbamoylcarbazol-4-yl}oxyessigsäure-Natriumsalz,
    {9-[(2-Methylphenyl)methyl]-5-carbamoylcarbazol-4-yl}oxyessigsäure-Natriumsalz,
    {9-[(3-Methylphenyl)methyl]-5-carbamoylcarbazol-4-yl}oxyessigsäure-Natriumsalz,
    {9-[(3-Trifluormethoxyphenyl)methyl]-5-carbamoylcarbazol-4-yl}oxyessigsäure-Natriumsalz,
    [9-Benzyl-5-carbamoyl-1-chlorcarbazol-4-yl]oxyessigsäure,
    [9-(Cyclohexyl)methyl]-5-carbamoylcarbazol-4-yl]oxyessigsäure und
    [9-[(Cyclopentyl)methyl]-5-carbamoylcarbazol-4-yl]oxyessigsäure zusammen mit einem oder mehreren pharmazeutisch annehmbaren Verdünnungsmitteln, Trägern und Hilfsstoffen umfasst.
  • Die Erfindung betrifft auch die Verwendung einer Verbindung, die aus der Gruppe ausgewählt ist, welche besteht aus
    [9-Benzyl-5-carbamoyl-1-fluorcarbazol-4-yl]oxyessigsäure,
    {9-[(Phenyl)methyl]-5-carbamoylcarbazol-4-yl}oxyessigsäure,
    {9-[(3-Fluorphenyl)methyl]-5-carbamoylcarbazol-4-yl}oxyessigsäure,
    {9-[(3-Chlorphenyl)methyl]-5-carbamoylcarbazol-4-yl}oxyessigsäure,
    {9-((3-Trifluormethylphenyl)methyl]-5-carbamoylcarbazol-4-yl}oxyessigsäure-Natriumsalz,
    {9-[(2-Methylphenyl)methyl]-5-carbamoylcarbazol-4-yl}oxyessigsäure-Natriumsalz,
    {9-((3-Methylphenyl)methyl]-5-carbamoylcarbazol-4-yl}oxyessigsäure-Natriumsalz,
    {9-[(3-Trifluormethoxyphenyl)methyl]-5-carbamoylcarbazol-4-yl}oxyessigsäure-Natriumsalz,
    [9-Benzyl-5-carbamoyl-1-chlorcarbazol-4-yl]oxyessigsäure,
    [9-(Cyclohexyl)methyl]-5-carbamoylcarbazol-4-yl]oxyessigsäure und
    [9-[(Cyclopentyl)methyl]-5-carbamoylcarbazol-4-yl]oxyessigsäure zur Herstellung eines Arzneimittels zur Hemmung der sPLA2 bei einem Säuger.
  • Gemäß einem weiteren Aspekt der Erfindung wird die Verwendung einer Verbindung, die aus der Gruppe ausgewählt ist, welche besteht aus
    [9-Benzyl-5-carbamoyl-1-fluorcarbazol-4-yl]oxyessigsäure,
    {9-[(Phenyl)methyl]-5-carbamoylcarbazol-4-yl}oxyessigsäure,
    {9-[(3-Fluorphenyl)methyl]-5-carbamoylcarbazol-4-yl}oxyessigsäure,
    {9-[(3-Chlorphenyl)methyl]-5-carbamoylcarbazol-4-yl}oxyessigsäure,
    {9-[(3-Trifluormethylphenyl)methyl]-5-carbamoylcarbazol-4-yl}oxyessigsäure-Natriumsalz,
    {9-[(2-Methylphenyl)methyl]-5-carbamoylcarbazol-4-yl}oxyessigsäure-Natriumsalz,
    {9-[(3-Methylphenyl)methyl]-5-carbamoylcarbazol-4-yl}oxyessigsäure-Natriumsalz,
    {9-[(3-Trifluormethoxyphenyl)methyl]-5-carbamoylcarbazol-4-yl}oxyessigsäure-Natriumsalz,
    (9-Benzyl-5-carbamoyl-1-chlorcarbazol-4-yl]oxyessigsäure,
    [9-(Cyclohexyl)methyl]-5-carbamoylcarbazol-4-yl]oxyessigsäure und
    [9-[(Cyclopentyl)methyl]-5-carbamoylcarbazol-4-yl]oxyessigsäure zur Herstellung eines Arzneimittels zur selektiven Hemmung der sPLA2 bei einem Säuger bereitgestellt.
  • Die Erfindung liefert ferner eine Verbindung, die aus der Gruppe ausgewählt ist, welche besteht aus
    [9-Benzyl-5-carbamoyl-1-fluorcarbazol-4-yl]oxyessigsäure,
    {9-[(Phenyl)methyl]-5-carbamoylcarbazol-4-yl}oxyessigsäure,
    {9-[(3-Fluorphenyl)methyl]-5-carbamoylcarbazol-4-yl}oxyessigsäure,
    {9-[(3-Chlorphenyl)methyl]-5-carbamoylcarbazol-4-yl}oxyessigsäure,
    {9-[(3-Trifluormethylphenyl)methyl]-5-carbamoylcarbazol-4-yl}oxyessigsäure-Natriumsalz,
    {9-[(2-Methylphenyl)methyl]-5-carbamoylcarbazol-4-yl}oxyessigsäure-Natriumsalz,
    {9-[(3-Methylphenyl)methyl]-5-carbamoylcarbazol-4-yl}oxyessigsäure-Natriumsalz,
    {9-[(3-Trifluormethoxyphenyl)methyl]-5-carbamoylcarbazol-4-yl}oxyessigsäure-Natriumsalz,
    [9-Benzyl-5-carbamoyl-1-chlorcarbazol-4-yl]oxyessigsäure,
    [9-(Cyclohexyl)methyl]-5-carbamoylcarbazol-4-yl]oxyessigsäure und
    [9-[(Cyclopentyl)methyl]-5-carbamoylcarbazol-4-yl]oxyessigsäure zur Verwendung als Arzneimittel zur Behandlung von entzündlichen Erkrankungen, wie septischem Schock, Atemstresssyndrom beim Erwachsenen, Pankreatitis, Trauma induziertem Schock, Bronchialasthma, allergischer Rhinitis, rheumatoider Arthritis, cystischer Fibrose, Schlaganfall, akuter Bronchitis, chronischer Bronchitis, akuter Broncheolitis, chronischer Broncheolitis, Osteoarthritis, Gicht, Spondylarthropathie, ankylosierender Spondylitis, Reiter Syndrom, psoriatischer Arthropathie, enterapathischer Spondylitis, juveniler Arthropathie oder juveniler alkylosierender Spondylitis, reaktiver Arthropathie, infektiöser oder postinfektiöser Arthritis, Gonokokkenarthritis, Tuberkulosearthritis, viraler Arthritis, pilzbedingter Arthritis, Syphilis-bedingter Arthritis, Lyme-Erkankung, Arthritis, die mit "vaskulitischen Syndromen" assoziiert ist, Polyarteriitis nodosa, hyperempfindlicher Vaskulitis, Luegenec Granulomatose, Polymyalgia rheumatica, Gelenkszellarteritis, Arthropathie durch Calciumkristallablagerung, Pseudogicht, nicht-artikulärem Rheuma, Bursitis, Tenosynovitis, Epicondylitis (Tennisellenbogen), Carpaltunnelsyndrom, Verletzung durch wiederkehrende Tätigkeit (Tippen), verschiedenen Formen der Arthritis, neuropatischer Gelenkserkrankung (Charcotgelenk und Gelenke), Hämarthrose (hämarthrotisch), Purpura Schönlein-Hennoch, hypertropher Osteoarthropathie, multizentrischer Reticulohistiocytose, Arthritis, die mit bestimmten Erkrankungen assoziiert ist, Surcoilose, Hämochromatose, Sichelzellerkrankung und anderen Hämoglobinopathien, Hyperlipoproteinämie, Hypogammaglobulinämie, Hyperparathyreoidismus, Akromegalie, familiärem Mittelmeerfieber, Behat Erkrankung, systemischem Lupus erythrematodes oder Polychondritisrückfall und verwandten Erkrankungen, das die Verabreichung einer therapeutisch wirksamen Menge der Verbindung der Formel 1 in einer Menge an einen behandlungsbedürftigen Säuger umfasst, die zur Hemmung der durch sPLA2 vermittelten Freisetzung von Fettsäuren und hierbei zur Hemmung der Prävention der Arachidonsäurekaskade und ihrer schädlichen Produkte ausreicht.
  • Andere Ziele, Merkmale und Vorteile der vorliegenden Erfindung werden aus der anschließenden Beschreibung und den Patentansprüchen deutlich.
  • Definitionen:
  • Die pharmazeutisch annehmbaren Salze der obigen Tricyclen sind ein weiterer Aspekt der Erfindung. In den Fällen, in denen die erfindungsgemäßen Verbindungen funktionelle saure Gruppen besitzen, können verschiedene Salze gebildet werden, die wasserlöslicher und physiologisch geeigneter sind als die Ausgangsverbindung. Repräsentative pharmazeutisch annehmbare Salze sind unter anderem die Alkali- und Erdalkalimetallsalze, wie Lithium, Natrium, Kalium, Calcium, Magnesium, Aluminium und dergleichen. Salze werden bequem durch die Behandlung der Säure in Lösung mit einer Base oder durch Aussetzen der Säure gegenüber einem Ionenaustauscherharz aus der freien Säure hergestellt.
  • In der Definition der pharmazeutisch annehmbaren Salze eingeschlossen sind die relativ untoxischen, anorganischen und organischen Basenadditionssalze der erfindungsgemäßen Verbindungen, beispielsweise Ammonium-, quarternäre Ammonium- und Aminkationen, die von stickstoffhaltigen Basen mit einer ausreichenden Basizität zur Bildung von Salzen mit den erfindungsgemäßen Verbindungen stammen (siehe beispielsweise S.M. Berge et al., "Pharmaceutical Salts", J. Phar. Sci., 66: 1–19 (1977)).
  • Die erfindungsgemäßen Verbindungen können chirale Zentren aufweisen und daher in optisch aktiven Formen vorkommen. Die R- und S-Isomere und razemischen Gemische sind von der Erfindung abgedeckt. Ein bestimmtes Stereoisomer kann durch in der Technik gut bekannte Verfahren durch die Verwendung von stereospezifischen Reaktionen mit Ausgangsmaterialien hergestellt werden, die die asymmetrischen Zentren enthalten und bereits getrennt sind, oder alternativ dazu durch Verfahren, die zu Gemischen der Stereoisomeren führen und die anschließende Trennung durch bekannte Verfahren.
  • Prodrugs sind Derivate der erfindungsgemäßen Verbindungen, die chemisch oder metabolisch spaltbare Gruppen aufweisen und durch Solvolyse oder unter physiologischen Bedingungen zu den erfindungsgemäßen Verbindungen werden, die in vivo pharmazeutisch wirksam sind. Derivate der erfindungsgemäßen Verbindungen haben sowohl in ihren Säure- als auch Basenderivatformen eine Aktivität, aber die Säurederivatform bietet oft Vorteile hinsichtlich Löslichkeit, Gewebekompatibilität oder verzögerter Freisetzung in einem Säugerorganismus (siehe H. Bundgard, Design of Prodrugs, Seiten 7–9, 21–24, Elsevier, Amsterdam 1985). Prodrugs umfassen dem Fachmann gut bekannte Säurederivate, wie beispielsweise Ester, die durch die Umsetzung der sauren Ausgangsverbindung mit einem geeigneten Alkohol hergestellt werden. Einfache aliphatische Ester (beispielsweise Methyl, Ethyl, Propyl, Isopropyl, Butyl, sek-Butyl, tert-Butyl) oder aromatische Ester, die von sauren Gruppen stammen, die in den erfindungsgemäßen Verbindungen vorkommen, sind bevorzugte Prodrugs. Andere bevorzugte Ester umfassen Morpholinoethyloxy, Diethylglycolamid und Diethylaminocarbonylmethoxy.
  • Die folgende Liste an Abkürzungen wird in den Beispielen und Präparationen verwendet:
    HCl = Chlorwasserstoffsäure
    EtOAc = Ethylacetat
    DMF = Dimethylformamid
    THF = Tetrahydrofuran
    Et2O = Diethylether
    H2O = Wasser
    NaOH = Natriumhydroxid
    EtOH = Ethanol
    Na2SO4 = Natriumsulfat
    NaHCO3 = Natriumbicarbonat
    Celite = Diatomäenerde
    CH2Cl2 = Methylenchlorid
    H2SO4 = Schwefelsäure
    McOH = Methanol
    Rh/Al2O3 = Rhodium auf Aluminiumoxid
    DDQ = 2,3-Dichlor-5,6-dicyano-1,4-benzochinon
    TLC = Dünnschichtchromatographie
    NaH = Natriumhydrid
    NH4OH = Ammoniumhydroxid
    LiOH = Lithiumhydroxid
    NH3 = Ammoniak
    Cs2CO3 = Cäsiumcarbonat
    NH4OAc = Ammoniumacetat
  • Die folgenden Präparationen der Zwischenprodukte und die Beispiele der Endprodukte erläutern weiter die Herstellung der erfindungsgemäßen Verbindungen. Die Beispiele sind nur erläuternd und sollen den Schutzumfang der Erfindung in keiner Weise beschränken.
  • Prägaration 1
  • Herstellung von 5-Carbomethoxy-1,2-dihydro-9H-carbazol-4(3H)-on aus 2-Brom-3-nitrobenzoesäure
  • Figure 00050001
  • a) Methyl-2-brom-3-nitrobenzoat
  • Eine Lösung aus 2-Brom-3-nitrobenzoesäure (28,4 g, 115,0 mM), Iodmethan (18,0 g, 127 mM) und Kaliumcarbonat (19,0 g, 137,4 mM) in 100 ml DMF wird bei Raumtemperatur für 72 Stunden gerührt. Das Gemisch wird in 1,5 Liter H2O gegossen. Der entstehende Niederschlag wird durch Filtration gesammelt und unter Bildung von 28,79 g (96%) an Methyl-2-brom-3-nitrobenzoat als weißer Feststoff getrocknet.
    1H NMR (DMSO-d6) δ 8,3 (dd, 1H, J = 1 und 8 Hz), 7,9 (dd, 1H, J = 1 und 8 Hz), 7,7 (t, 1H, J = 8 Hz) und 3,9 (s, 3H).
    IR (KBr, cm–1) 2950, 1738, 1541, 1435, 1364, 1298 und 1142.
    MS (FD) m/e 259, 261.
  • Elementaranalyse für C8H6NO4Br: Berechnet: C 36,95, H 2,33, N 5,39. Gefunden: C 37,14, H 2,37, N 5,45.
  • b) Methyl-2-brom-3-aminobenzoat
  • Chlorwasserstoffgas wird durch eine Lösung aus Methyl-2-brom-3-nitrobenzoat (0,20 g, 0,77 mM) und 0,1 g an 3% sulfidiertem Platin auf Kohle in 25 ml Ethylacetat für 24 Stunden bei Raumtemperatur gegeben. Der Katalysator wird durch Filtration durch Celite entfernt. Eine Konzentration des Filtrats ergibt 0,175 g (99%) an Methyl-2-brom-3-aminobenzoat als gelbes Öl.
    1H NMR (CDCl3) δ 7,15 (t, 1H, J = 8 Hz), 7,1 (dd, 1H, J = 1 und 8 Hz), 6,8 (dd, 1H, J = 1 und 8 Hz) und 3,95 (s, 3H).
    IR (CHCl3, cm–1) 3550, 3380, 2980, 2900, 1729, 1613, 1465, 1451, 1434, 1324, 1266 und 1025.
    MS (FD) m/e 230, 232.
    Elementaranalyse für C8H8NO2Br:
    Berechnet: C 41,77, H 3,51, N 6,09. Gefunden: C 42,01, H 3,29, N 6,00.
  • b') In einem alternativen Verfahren kann Methyl-2-brom-3-aminobenzoat folgendermaßen hergestellt werden:
    Eine Lösung aus Zinn-(II)-chlorid (15,0 g, 76,1 mM) in 30 ml konzentrierter Chlorwasserstoffsäure wird langsam zu einer Lösung aus Methyl-2-brom-3-nitrobenzoat (4,0 g, 15,4 mM) in 90 ml Ethanol bei 15–30°C über 1 Stunde gegeben. Das Gemisch wird dann auf 50–60°C für 15 Minuten erhitzt. Das Gemisch wird auf Raumtemperatur gekühlt und durch langsame Zugabe von festem Natriumhydroxid alkalisch gemacht, wobei die Temperatur auf 30–35°C gehalten wird. Das entstehende Gemisch wird dreimal mit Chloroform extrahiert. Die Extrakte werden mit Kochsalzlösung gewaschen, über Natriumsulfat getrocknet, filtriert und unter Bildung von 3,51 g (99%) an Methyl-2-brom-3-aminobenzoat als gelbes Öl konzentriert, das in allen Aspekten zu dem durch katalytische Hydrierung abgeleiteten Material identisch ist, wie es oben beschrieben ist.
  • c) 3-(3-Carbomethoxy-2-bromanilin)cyclohex-2-en-1-on
  • Ein Gemisch aus Methyl-2-brom-3-aminobenzoat (13,2 g, 60,0 mM) und 1,3-Cyclohexandion (8,4 g, 75 mM) wird bei 125°C unter einem Stickstoffstrom für 4 h erhitzt. Der entstehende Feststoff wird durch HPLC auf Silicagel (Elution mit Methylenchlorid/Ethylacetat) unter Bildung von 17,2 g (88%) an 3-(3-Carbomethoxy-2-bromanilin)cyclohex-2-en-1-on als hellbrauner Schaum gereinigt.
    1H NMR (DMSO-d6) δ 8,75 (s, 1H), 7,6-7,4 (m, 3H), 4,65 (s, 1H), 3,85 (s, 3H), 2,6 (t, 2H, J = 6 Hz), 2,15 (t, 2H, J = 6 Hz) und 1,9 (m, 2H).
    IR (CHCl3, cm–1) 3400, 3004, 2954, 1732, 1607, 1588, 1573, 1513, 1464, 1436, 1412, 1308, 1249, 1177 und 1144.
    MS (ES) m/e 322, 324, 326.
    Elementaranalyse für C14H14NO3Br: Berechnet: C 51,85, H 4,32, N 4,32. Gefunden: C 53,60, H 4,73, N 4,09.
  • d) 5-Carbomethoxy-1,2-dihydro-9H-carbazol-4(3H)-on
  • Eine Suspension aus 3-(3-Carbomethoxy-2-bromanilin)cyclohex-2-en-1-on (15,8 g, 48,8 mM), Palladiumacetat (1,12 g, 5,0 mM), Tri-o-tolylphosphin (3,1 g, 10,0 mM) und Triethylamin (6,3 g, 62,0 mM) in 120 ml Acetonitril wird am Rückfluss für 8 Stunden erhitzt. Das Lösemittel wird im Vakuum entfernt. Der Rückstand wird in Methylenchlorid gelöst, zweimal mit 1 N HCl, zweimal mit H2O und einmal mit gesättigter Kochsalzlösung gewaschen, über wasserfreiem Magnesiumsulfat getrocknet, filtriert und unter Bildung von 17 g eines hellbraunen Schaums konzentriert. Eine Reinigung durch HPLC auf Silicagel (Elution mit einem Gradienten Methylenchlorid/Ethylacetat) ergibt 9,2 g (78%) an 5-Carbomethoxy-1,2-dihydro-9H-carbazol-4(3H)-on als gelben Feststoff, der identisch zu dem Material ist, das aus 3-(3-Carbomethoxy-2-chloranilin)cyclohex-2-en-1-on abgeleitet ist, wie dies oben beschrieben ist.
    1H NMR (DMSO-d6) δ 7,5 (d, 1H, J = 8 Hz), 7,25-7,1 (m, 2H), 5,7 (s, 1H), 3,8 (s, 3H), 2,95 (t, 2H, J = 6 Hz), 2,4 (t, 2H, J = 6 Hz) und 2,1 (m, 2H).
    MS (ES) m/e 242,244.
  • Beispiel 1
  • Herstellung von {9-[(Phenyl)methyl]-5-carbamoylcarbazol-4-yl}oxyessigsäurenatriumsalz
  • Figure 00070001
  • A. 9-[(Phenyl)methyl]-5-carbomethoxy-1,2-dihydrocarbazol-4(3H)-on
  • Eine Suspension aus 5-Carbomethoxy-1,2-dihydro-9H-carbazol-4(3H)-on (300 mg, 1,23 mM), Benzylbromid (210 mg, 1,23 mM) und Kaliumcarbonat (170 mg, 1,23 mM) in 15 ml DMF wird bei Raumtemperatur für 6 Stunden gerührt. Das Gemisch wird mit 80 ml H2O verdünnt und in einen Kühlschrank gegeben. Der entstehende weiße Niederschlag wird durch Filtration gesammelt, mit H2O gewaschen und im Vakuum unter Bildung von 325 mg (79%) an 9-[(Phenyl)methyl]-5-carbomethoxy-1,2-dihydrocarbazol-4(3H)-on als weißer Feststoff getrocknet.
    1N NMR (DMSO-d6) δ 7,7 (dd, 1H, J = 1 und 8 Hz), 7,45-7,0 (m, 7H), 5,6 (s, 2H), 3,8 (s, 3H), 3,05 (t, 2H, J = 6 Hz), 2,5 (t, 2H, J = 6 Hz) und 2,2 (m, 2H).
    IR (KBr, cm–1) 3421, 1726, 1676, 1636, 1473, 1450, 1435, 1288, 1122, 764, 745 und 706. MS (ES) m/e 334.
    Elementaranalyse für C21H19NO3: Berechnet: C 75,68, H 5,71, N 4,20. Gefunden: 70,85, H 5,53, N 4,49.
  • B. 9-[(Phenyl)methyl]-4-hydroxy-5-carbomethoxycarbazol
  • (a) Eine Lösung aus 9-[(Phenyl)methyl]-5-carbomethoxy-1,2-dihydrocarbazol-4(3H)-on (1,5 g, 4,5 mM) und 2,3-Dichlor-5,6-dicyano-1,4-benzochinon (1,12 g, 5,0 mM) in 25 ml Toluol wird zwischen 80–90°C für 6 h gerührt. Das Gemisch wird direkt durch Säulenchromatographie auf Silicagel (Elution mit Methylenchlorid/Ethylacetat) unter Bildung von 420 mg (28%) an 9-[(Phenyl)methyl]-4-hydroxy-5-carbomethoxycarbazol als gelber Feststoff gereinigt.
    1H NMR (DMSO-d6) δ 10,25 (s, 1H), 7,7 (d, 1H, J = 8 Hz), 7,4 (t, 1H, J = 8 Hz), 7,4-7,0 (m, 8H), 6,6 (d, 1H, J = 8 Hz), 5,6 (s, 2H) und 3,8 (s, 3H).
    IR (CHCl3, cm–1) 1723, 1685, 1621, 1597, 1568, 1496, 1453, 1442, 1392, 1286, 1267, 1156 und 1138.
    MS (ES) m/e 330, 332.
    Elementaranalyse für C21H17NO3: Berechnet: C 76,13, H 5,14, N 4,23. Gefunden: C 75,90, H 5,20, N 4,46.
  • (b) Zu einer Lösung aus 9-[(Phenyl)methyl]-5-carbomethoxy-1,2-dihydrocarbazol-4(3H)-on (2,87 g, 8,61 mM) in 29 ml Dioxan wird 60% Natriumhydrid in Mineralöl (0,79 g, 19,8 mM) gegeben. Die Reaktion wird für 8 Minuten gerührt und dann wird Methylbenzolsulfinat (1,80 ml, 13,8 mM) zugegeben. Die Reaktion wird für weitere 1,5 h gerührt und dann mit 43 ml Dioxan und 1,13 ml Essigsäure verdünnt. Das Gemisch wird für 1 h am Rückfluss erhitzt, mit Ethylacetat verdünnt und mit gesättigtem NaHCO3 zweimal und dann mit Kochsalzlösung extrahiert. Nach dem Trocknen (NaSO4) ergibt eine Eindampfung im Vakuum 4,90 g. Das Gemisch wird durch Säulenchromatographie auf Silicagel (Elution mit Toluol/Methylenchlorid) unter Bildung von 2,31 g (81%) an 9-[(Phenyl)methyl]-4-hydroxy-5-carbomethoxycarbazol gereinigt.
    1H NMR (DMSO-d6) δ 10,25 (s, 1H), 7,7 (d, 1H, J = 8 Hz), 7,4 (t, 1H, J = 8 Hz), 7,4-7,0 (m, 8H), 6,6 (d, 1H, J = 8 Hz), 5,6 (s, 2H) und 3,8 (s, 3H).
    IR (CHCl3, cm–1) 1723, 1685, 1621, 1597, 1568, 1496, 1453, 1442, 1392, 1286, 1267, 1156 und 1138.
    MS (ES) m/e 330, 332.
    Elementaranalyse für C21H17NO3: Berechnet: C 76,13, H 5,14, N 4,23. Gefunden: C 75,90, H 5,20, N 4,46.
  • C. 9-[(Phenyl)methyl]-4-hydroxy-5-carbamoylcarbazol
  • Eine Lösung aus 9-[(Phenyl)methyl]-4-hydroxy-5-carbomethoxycarbazol (200 mg, 0,6 mM) in 4 ml McOH und 40 ml konzentriertem wässrigem Ammoniumhydroxid wird für 30 h bei 40–50°C ultrabeschallt. Das Gemisch wird mit Ethylacetat verdünnt und mit 5 N HCl auf pH 1 angesäuert. Die wässrige Phase wird dreimal mit Ethylacetat extrahiert. Die vereinigten organischen Extrakte werden mit gesättigter Kochsalzlösung gewaschen, über Magnesiumsulfat getrocknet, filtriert und konzentriert. Der Rückstand wird durch Säulenchromatographie auf Silicagel (Elution mit einem Gradienten Methylenchlorid/Ethylacetat) unter Bildung von 50 mg (26%) an 9-[(Phenyl)methyl]-4-hydroxy-5-carbamoylcarbazol als weißer Feststoff gereinigt.
    1H NMR (DMSO-d6) δ 10,5 (s, 1H), 8,8 (br s, 1H), 8,4 (br s, 1H), 7,85 (dd, 1H, J = 1 und 8 Hz), 7,5-7,1 (m, 9H), 6,6 (d, 1H, J = 8 Hz) und 5,8 (s, 2H).
    IR (KBr, cm–1) 3428, 3198, 3063, 1631, 1599, 1579, 1562, 1496, 1442, 1330, 1261, 1215, 775 und 697.
    MS (ES) m/e 315, 317.
    Elementaranalyse für C20H16N2O2. Berechnet: C 75,95, H 5,06, N 8,86. Gefunden: C 74,88, H 5,40, N 7,78.
  • D. {9-[(Phenyl)methyl]-5-carbamoylcarbazol-4-yl}oxyessigsäuremethylester
  • 40% Methanolisches Triton B (0,11 ml, 0,24 mM) wird zu einer Lösung von 9-[(Phenyl)methyl]-4-hydroxy-5-carbamoylcarbazol (70 mg, 0,22 mM) in 20 ml DMF bei 0°C gegeben. Nach 15 Minuten wird Methylbromacetat (70 mg, 0,44 mM) zugegeben und das entstehende Gemisch wird bei Raumtemperatur für 5 h gerührt. Das Gemisch wird mit Ethylacetat verdünnt, mit 1 N HCl, H2O und gesättigter Kochsalzlösung gewaschen, über Magnesiumsulfat getrocknet, filtriert und konzentriert. Der Rückstand wird mit dem rohen Material vereinigt, das aus einem ähnlichen Lauf unter Verwendung von 45 mg (0,14 mM [0,36 mM gesamt]) an 9-[(Phenyl)methyl]-4-hydroxy-5-carbamoylcarbazol stammt. Die vereinigten Rückstände werden durch Säulenchromatographie auf Silicagel (Elution mit Ethylacetat) unter Bildung von 76 mg (54%) an {9-[(Phenyl)methyl]-5-carbamoylcarbazol-4-yl}oxyessigsäuremethylester als weißer Feststoff gereinigt.
    1H NMR (DMSO-d6) δ 7,65 (d, 1H, J = 8 Hz), 7,5 (br s, 1H), 7,4-7,15 (m, 9H), 7,1 (d, 1H, J = 8 Hz), 6,6 (d, 1H, J = 8 Hz), 5,7 (s, 2H), 4,9 (s, 2H) und 3,75 (s, 3H).
    IR (KBr, cm–1) 3367, 3200, 1760, 1643, 1579, 1496, 1452, 1427, 1216, 1157, 772 und 716.
    MS (FD) m/e 388.
    Elementaranalyse für C23H20N2O4: Berechnet: C 71,13, H 5,15, N 7,22. Gefunden: C 70,77, H 5,49, N 6,79.
  • E. {9-[(Phenyl)methyl]-5-carbamoylcarbazol-4-yl}oxyessigsäurenatriumsalz
  • Eine Lösung aus {9-[(Phenyl)methyl]-5-carbamoylcarbazol-4-yl}oxyessigsäuremethylester (10,1 mg, 0,025 mM) und 0,025 ml (0,025 mM) an 1 N NaOH in 3 ml Ethanol wird für 16 h bei 25°C gerührt. Der entstehende weiße Niederschlag wird durch Filtration gesammelt, mit einer kleinen Menge an EtOH gewaschen und dann unter Bildung von 7,1 mg (70%) an {9-[(Phenyl)methyl]-5-carbamoylcarbazol-4-yl}oxyessigsäurenatriumsalz als weißes Pulver gewaschen.
    1H NMR (DMSO-d6) δ 7,6 (d, 1H, J = 8 Hz), 7,5-7,05 (m, 11H), 6,55 (d, 1H, J = 8 Hz), 5,75 (s, 2H) und 4,3 (s, 2H).
    IR (KBr, cm–1) 3471, 1657, 1615, 1591, 1496, 1453, 1412, 1330, 1272 und 1151.
    MS (ES) m/e 373, 375, 397.
    Elementaranalyse für C22H17N2O4Na: C 66,67, H 4,29, N 7,07. Gefunden: C 66,75, H 4,55, N 6,83.
  • Beispiel 2
  • Herstellung von [9-Benzyl-4-carbamoyl-8-fluor-1,2,3,4-tetrahydrocarbazol-5-yl]oxyessigsäure
  • A. Herstellung von (2-Chlor-4-fluorphenyl)-ethylcarbonat
  • Eine Lösung aus 19,16 g an 2-Chlor-4-fluorphenol in 65,4 ml an 2 N wässriger Natriumhydroxidlösung wird in einem Eisbad gekühlt und tropfenweise mit 16,3 ml Ethylchlorformiat behandelt. Nach dem Rühren bei Raumtemperatur über Nacht wird das Zweiphasenreaktionsgemisch mit 100 ml Wasser verdünnt und mit 300 ml eines 1:1 Pentan/Ethergemisches extrahiert. Der Extrakt wird dreimal mit 0,02 N Natriumhydroxidlösung, Wasser und dann Kochsalzlösung gewaschen. Nach dem Trocknen und Eindampfung werden 27,63 g (97%) der Untertitelverbindung erhalten.
    NMR (300 MHz, CDCl3): δ 7,23-7,18 (m, 2H), 7,00 (dt, J = 8,4, 2,7, 1H), 4,35 (q, J = 7,1, 2H), 1,40 (t, J = 7,1, 3H).
  • B. Herstellung von (2-Chlor-4-fluor-5-nitrophenyl)-ethylcarbonat
  • Eine Lösung aus 27,63 g an (2-Chlor-4-fluorphenyl)-ethylcarbonat in 60 ml Dichlormethan wird in einem Eisbad gekühlt und tropfenweise mit 31,86 g eines 1:2 Gemisches aus rauchender Salpetersäure (90%) und konzentrierter Schwefelsäure behandelt. Die Reaktion wird für 2 Stunden bei Raumtemperatur gerührt und dann mit Eis gekühlt und mit weiteren 4,5 g desselben Nitrierungsgemisches behandelt. Die Reaktion wird über Nacht bei Raumtemperatur gerührt, in 200 ml Eis und Wasser gegossen und zweimal mit Dichlormethan extrahiert. Die Extrakte werden mit Wasser und dann mit Kochsalzlösung gewaschen, über Magnesiumsulfat getrocknet und unter Bildung von 33,01 g (99%) der Untertitelverbindung konzentriert.
    Smp. 50–51°C.
    Elementaranalyse: Berechnet: C 41,01, H 2,68, N 5,31, Cl 13,45. Gefunden: C 41,03, H 2,59, N 5,38, Cl 13,71.
  • C. Herstellung von 2-Chlor-4-fluor-5-nitroanisol
  • Eine Lösung aus 15,0 g an (2-Chlor-4-fluor-5-nitrophenyl)-ethylcarbonat in 100 ml Dimethylformamid wird mit 18,6 g Cäsiumcarbonat, 7,1 ml Iodmethan und 7 ml Methanol behandelt und über Nacht bei Raumtemperatur gerührt. Das Reaktionsgemisch wird in Wasser gegossen und zweimal mit Ether extrahiert. Die Extrakte werden zweimal mit Wasser und dann mit Kochsalzlösung gewaschen, über Magnesiumsulfat getrocknet und unter Bildung von 11,4 g der Untertitelverbindung konzentriert.
    Smp. 69–70°C. Bsp. 57, C.
    Elementaranalyse: Berechnet: C 40,90, H 2,45, N 6,81, Cl 17,25. Gefunden: C 41,20, H 2,48, N 6,70, Cl 17,44.
  • D. Herstellung von 2-Fluor-5-methoxyanilin
  • Eine Lösung aus 5,63 g an 2-Chlor-4-fluor-5-nitroanisol in 90 ml Ethanol und 5 ml Triethylamin wird bei Raumtemperatur unter 60 psi mit 1,0 g an 5% Palladium auf Kohle für vier Stunden hydriert. Der Katalysator wird abfiltriert und das Lösemittel wird verdampft. Der Rückstand wird in Chloroform aufgeschlämmt und durch ein Kissen aus Silicagel filtriert und dann eingedampft. Dieser Rückstand wird auf Silicagel mittels eines Hexan/Chloroformgemisches unter Bildung von 2,77 g (72%) der Untertitelverbindung chromatographiert.
    Smp. 253–254°C.
    NMR (300 MHz, CDCl3): δ 6,88 (dd, J = 10,6, 8,9, 1H), 6,32 (dd, J = 7,4, 3,0, 1H), 6,20 (dt, J = 8,9, 3,2, 1H), 3,73 (s, 3H), 3,72 (br, 2H).
  • E. Herstellung von N-Benzyl-2-fluor-5-methoxyanilin
  • Dieses Verfahren wird gemäß dem von Tietze und Grote, Chem. Ber. 126 (12), 2733 (1993) ausgeführt. Eine Lösung aus 2,73 g an 2-Fluor-5-methoxyanilin und 2,67 g Benzaldehyd in 48 ml Methanol wird mit 3,43 g Zinkchlorid behandelt und dann in einem Eisbad gekühlt. Natriumcyanoborhydrid (1,58 g) wird in kleinen Portionen bei Raumtemperatur über 30 Minuten zugegeben und die Reaktion wird für fünf Stunden bei Raumtemperatur gerührt. Nach der Verdampfung des Lösemittels wird der Rückstand in 40 ml an 1 N Natriumhydroxidlösung aufgeschlämmt und dann zweimal mit Ether extrahiert. Die Extrakte werden mit Wasser und dann mit Kochsalzlösung gewaschen, über Magnesiumsulfat getrocknet und konzentriert. Der Rückstand wird aus Hexan unter Bildung von 2,61 g umkristallisiert und die Mutterlaugen werden auf Silicagel unter Verwendung von 20:1 Hexan/Ether unter Bildung von weiteren 1,4 g der Untertitelverbindung (90%) chromatographiert.
    Smp. 56–58°C.
    Elementaranalyse: Berechnet: C 72,71, H 6,10; N 6,06. Gefunden: C 72,51, H 6,06, N 5,99.
  • F. Herstellung von Ethyl-9-benzyl-5-methoxy-8-fluor-1,2,3,4-tetrahydrocarbazol-4-carboxylat
  • Eine Lösung aus 0,62 g an N-Benzyl-2-fluor-5-methoxyanilin in 20 ml trockenem Tetrahydrofuran wird in einem Eisbad gekühlt und mit 11,3 ml an 0,5 M Kaliumbis(trimethylsilyl)amid in Toluol behandelt. Nach dem Rühren für 30 Minuten werden 0,74 g an 2-Carboethoxy-6-bromcyclohexanon (Sheehan und Mumaw, JACS, 72, 2127 (1950)) in 4 ml Tetrahydrofuran zugegeben und die Reaktion kann sich langsam über 2 Stunden auf Raumtemperatur erwärmen. Die Reaktion wird mit gesättigter Ammoniumchloridlö sung gestoppt und zweimal mit Ether extrahiert. Die Extrakte werden mit Wasser und dann mit Kochsalzlösung gewaschen, über Magnesiumsulfat getrocknet und konzentriert. Dieser Rückstand wird auf Silicagel mittels eines Hexan/Ethergemisches unter Bildung von 0,796 g (74%) an N-alkylierten Zwischenproduktdiastereomeren chromatographiert. Dieses Gemisch wird in 20 ml Benzol mit 0,99 g Zinkchlorid über Nacht am Rückfluss erhitzt. Das Lösemittel wird verdampft und der Rückstand wird zwischen 25 ml an 1 N HCl und 25 ml Ethylacetat aufgeteilt und dann erneut mit Ethylacetat extrahiert. Die organischen Phasen werden mit Wasser und dann Kochsalzlösung gewaschen, über Magnesiumsulfat getrocknet und unter Bildung von 0,734 g (96%) der Untertitelverbindung konzentriert.
    ESIMS m/e 382 (M++1).
    Elementaranalyse: Berechnet: C 72,42, H 6,34, N 3,67. Gefunden: C 72,20, H 6,26, N 3,70.
  • G. Herstellung von 9-Benzyl-5-methoxy-8-fluor-1,2,3,4-tetrahydrocarbazol-4-carboxamid
  • Ethyl-9-benzyl-5-methoxy-8-fluor-1,2,3,4-tetrahydrocarbazol-4-carboxylat (0,722 g) wird ähnlich wie in Beispiel 49, Teil C, beschrieben, behandelt und auf Silicagel mittels 1% Methanol in Dichlormethan unter Bildung von 0,482 g (72%) der Untertitelverbindung chromatographiert.
    ESIMS m/e 353 (M++1).
    Elementaranalyse: Berechnet: C 71,57, H 6,01, N 7,95. Gefunden: C 71,42, H 5,83, N 7,75.
  • H. Herstellung von [9-Benzyl-4-carbamoyl-8-fluor-1,2,3,4-tetrahydrocarbazol-5-yl]oxyessigsäuremethylester
  • 9-Benzyl-5-methoxy-8-Fluor-1,2,3,4-tetrahydrocarbazol-4-carboxamid (0,170 g) wird ähnlich wie in Beispiel 49, Teil D, beschrieben, umgewandelt und auf Silicagel mittels Methanol/0–1% in Dichlormethan unter Bildung von 85 mg (50%) der Untertitelverbindung chromatographiert.
    Smp. 183–185°C.
    Elementaranalyse: Berechnet: C 67,31, H 5,65, N 6,82. Gefunden: C 67,58, H 5,48, N 6,95.
  • 1. Herstellung von [9-Benzyl-4-carbamoyl-8-Fluor-1,2,3,4-tetrahydrocarbazol-5-yl]oxyessigsäure
  • 9-Benzyl-4-carbamoyl-8-fluor-1,2,3,4-tetrahydrocarbazol-5-yl]oxyessigsäuremethylester (71 mg) wird ähnlich wie in Beispiel 50, Teil D, beschrieben, unter Bildung von 65 mg der Titelverbindung hydrolysiert.
    ESIMS m/e 397 (M++1), 395 (M+-1).
    NMR (300 MHz, d6-DMSO): δ 13,03 (br, 1H), 7,31-7,19 (m, 3H), 6,97 (d, J = 7,4, 2H), 6,95 (br, 1H), 6,70 (d, J = 3,8, 1H), 6,67 (dd, J = 12,4, 3,9, 1H), 6,28 (dd, J = 8,5, 2,6, 1H), 5,39 (ABq, 2H), 4,64 (s, 2H), 3,92 (br, 1H), 2,71 (m, 1H), 2,44 (m, 1H), 2,02 (m, 2H), 1,76 (m, 2H).
  • Beispiel 3
  • Herstellung von [9-Benzyl-5-carbamoyl-1-fluorcarbazol-4-yl]oxyessigsäure
  • A. Herstellung von 9-Benzyl-5-carbamoyl-4-methoxy-1-fluorcarbazol
  • Eine Lösung aus 0,458 g an 9-Benzyl-5-methoxy-8-fluor-1,2,3,4-tetrahydrocarbazol-4-carboxamid in 13 ml trockenem Dioxan unter Stickstoff wird mit 0,59 g an 2,3-Dichlor-5,6-dicyano-1,4-benzochinon behandelt und am Rückfluss für eine Stunde erhitzt. Das Reaktionsgemisch wird abgekühlt und filtriert und der Niederschlag wird mit 15 ml Dioxan gewaschen. Das Filtrat und die Waschlösung werden in gesättigte Natriumbicarbonatlösung gegossen und dreimal mit Ethylacetat extrahiert. Die Extrakte werden mit gesättigtem Natriumbicarbonat, Wasser und dann Kochsalzlösung gewaschen, über Magnesiumsulfat getrocknet und konzentriert. Dieser Rückstand wird auf Silicagel mittels Dichlormethan/0–2% Methanol unter Bildung von 0,45 g der Untertitelverbindung chromatographiert.
    ESIMS m/e 349 (M++1).
    Elementaranalyse: Berechnet: C 72,42, H 4,92, N 8,04. Gefunden: C 72,35, H 4,81, N 7,88.
  • B. Herstellung von [9-Benzyl-5-carbamoyl-1-fluorcarbazol-4-yl]oxyessigsäuremethylester
  • Eine Lösung aus 0,45 g an 9-Benzyl-5-carbamoyl-4-methoxy-1-fluorcarbazol in 25 ml Dichlormethan wird in einem Eisbad gekühlt und tropfenweise mit 12 ml an 1,0 M Bortribromidlösung in Dichlormethan behandelt. Die Reaktion kann sich langsam über 2 Stunden auf Raumtemperatur erwärmen und wird dann durch Gießen in Eis und die Zugabe von 50 ml an 1 N HCl gestoppt. Das Gemisch wird mit Dichlormethan extrahiert (3 × 200 ml) und die Extrakte werden über Magnesiumsulfat getrocknet und unter Bildung von 0,35 g (78%) des demethylierten Zwischenprodukts konzentriert. Dieses Zwischenprodukt (0,215 g) wird alkyliert und ähnlich zu Beispiel GH1, Teil D unter Bildung von 0,166 g (64%) der Untertitelverbindung gereinigt.
    Smp. 190–191°C
    Elementaranalyse: Berechnet: C 67,97, H 4,71, N 6,89. Gefunden: C 67,81, H 4,94, N 6,96.
  • C. Herstellung von [9-Benzyl-5-carbamoyl-1-fluorcarbazol-4-yl]oxyessigsäure
  • [9-Benzyl-5-carbamoyl-1-fluorcarbazol-4-yl]oxyessigsäuremethylester (56 mg) wird hydrolysiert und ähnlich wie in Beispiel 50, Teil D, unter Bildung von 54 mg der Titelverbindung isoliert.
    FDMS m/e 392 (M+)
    ESIMS m/e 393 (M++1), 391 (M+-1).
    NMR (300 MHz, d6-DMSO): δ 12,92 (br, 1H), 7,70 (m, 2H), 7,45 (t, J = 7,5, 1H), 7,39 (br, 1H), 7,28-7,17 (m, 4H), 7,12 (d, J = 7,2, 1H), 7,07 (d, J = 7,0, 2H), 6,51 (dd, J = 8,8, 2,7, 1H), 5,77 (s, 2H), 4,80 (s, 2H).
    Elementaranalyse: Berechnet: C 67,34, H 4,37, N 7,14. Gefunden: C 66,92, H 4,49, N 6,77.
  • Beispiel 4
  • Herstellung von {9-[(3-Fluorphenyl)methyl]-5-carbamoylcarbazol-4-yl}oxyessigsäure
  • Figure 00130001
  • A. 9-[(3-Fluorphenyl)methyl]-5-carbomethoxy-1,2-dihydrocarbazol-4(3H)-on
  • Es wird 40% methanolisches Triton B (2,06 ml, 4,53 mM) langsam tropfenweise zu einer Lösung aus 5-Carbomethoxy-1,2-dihydro-9H-carbazol-4(3H)-on (930,0 mg, 3,82 mM) in 5 ml DMF bei 0°C gegeben. Nach 5 Minuten wird 3-Fluorbenzylchlorid (664,0 mg, 4,59 mM) zugegeben und das entstehende Gemisch wird bei 0°C für 3 h und dann bei Raumtemperatur für 20 Stunden gerührt. Das Gemisch wird mit Ethylacetat verdünnt, dreimal mit 1 N HCl, dreimal mit H2O und einmal mit gesättigter Kochsalzlösung gewaschen, über wasserfreiem Magnesiumsulfat getrocknet, filtriert und konzentriert. Der Rückstand wird durch Säulenchromatographie auf Silicagel (Elution mit einem Gradienten aus Methylenchlorid / Ethylacetat) unter Bildung von 502,3 mg (37%) an 9-[(3-Fluorphenyl)methyl]-5-carbomethoxy-1,2-dihydrocarbazol-4(3H)-on als gelber Schaum gereinigt.
    1H NMR (CDCl3) δ 7,4-7,2 (m, 4H), 6,9 (m, 1H), 6,7 (m, 2H), 5,35 (s, 2H), 4,05 (s, 3H), 2,9 (t, 2H, J = 6 Hz), 2,65 (t, 2H, J = 6 Hz) und 2,3 (m, 2H).
    IR (CHCl3, cm–1) 3050, 2950, 1725, 1654, 1464, 1451, 1440, 1288 und 1119. MS (ES) m/e 350, 352.
    Elementaranalyse für C21H18NO3F: Berechnet: C 71,78, H 5,16, N 3,99. Gefunden: C 72,00, H 4,95, N 4,11.
  • B. 9-((3-Fluorphenyl)methyl]-4-hydroxy-5-carbomethoxycarbazol
  • Eine Lösung aus 9-[(3-Fluorphenyl)methyl]-5-carbomethoxy-1,2-dihydrocarbazol-4(3H)-on (434,0 mg, 1,23 mM) und 2,3-Dichlor-5,6-dicyano-1,4-benzochinon (324,0 mg, 1,42 mM) in 20 ml Toluol wird zwischen 70–80°C für 5 h gerührt. Das Gemisch wird direkt durch Säulenchromatographie auf Silicagel (Elution mit Methylenchlorid) unter Bildung von 137,0 mg (32%) an 9-[(3-Fluorphenyl)methyl]-4-hydroxy-5-carbomethoxycarbazol als gelber Schaum gereinigt.
    1H NMR (DMSO-d6) δ 10,2 (s, 1H), 7,7 (d, 1H, J = 8 Hz), 7,4 (t, 1H, J = 8 Hz), 7,3 (m, 2H), 7,2 (d, 1H, J = 8 Hz), 7,1 (d, 1H, J = 8 Hz), 7,05-6,85 (m, 3H), 6,6 (d, 1H, J = 8 Hz), 5,65 (s, 2H) und 3,85 (s, 3H).
    IR (CNCl3, cm–1) 3200 (br), 1687, 1597, 1452, 1442, 1285 und 1267.
    MS (ES) m/e 348, 350.
    Elementaranalyse für C21H16NO3F: Berechnet: C 72,20, H 4,62, N 4,01. Gefunden: C 72,30, H 4,66, N 4,04.
  • C. 9-[(3-Fluorphenyl)methyl]-4-hydroxy-5-carbamoylcarbazol
  • Eine Lösung aus 9-[(3-Fluorphenyl)methyl]-4-hydroxy-5-carbomethoxycarbazol (130,8 mg, 0,37 mM) in 5 ml THF und 20 ml konzentriertes wässriges Ammoniumhydroxid wird für 5 h bei 40–50°C ultrabeschallt. Das Gemisch wird mit Ethylacetat verdünnt und mit 5 N HCl auf pH 1 angesäuert. Die wässrige Phase wird zweimal mit Ethylacetat extrahiert. Die vereinigten organischen Extrakte werden mit gesättigter Kochsalzlösung gewaschen, über Magnesiumsulfat getrocknet, filtriert und konzentriert. Der Rückstand wird durch Säulenchromatographie auf Silicagel (Elution mit einem Gradienten aus Methylenchlorid/Ethylacetat) unter Bildung von 57,4 mg (45%) an 9-[(3-Fluorphenyl)methyl]-4-hydroxy-5-carbamoylcarbazol als weißer Feststoff gereinigt.
    1H NMR (DMSO-d6) δ 10,5 (s, 1H), 8,8 (br s, 1H), 8,4 (br s, 1H), 7,8 (dd, 1H, J = 1 und 8 Hz), 7,5 (m, 2H), 7,3 (m, 2H), 7,15-7,0 (m, 2H), 6,95 (d, 1H, J = 8 Hz), 6,85 (d, 1H, J = 8 Hz), 6,6 (d, 1H, J = 8 Hz) und 5,7 (s, 2H).
    IR (CHCl3, cm–1) 3431, 3200 (br), 1628, 1614, 1600, 1580, 1546, 1488, 1448, 1329, 1261 und 776.
    MS (ES) m/e 333, 335.
    Elementaranalyse für C20H15N2O2F: Berechnet: C 71,85, H 4,52, N 8,38. Gefunden: C 74,45, H 6,01, N 8,48.
  • D. {9-[(3-Fluorphenyl)methyl]-5-carbamoylcarbazol-4-yl}oxyessigsäure-tert-butylester
  • Es wird 40% methanolisches Triton B (0,086 ml, 0,19 mM) zu einer Lösung aus 9-[(3-Fluorphenyl)methyl]-4-hydroxy-5-carbamoylcarbazol (51,9 mg, 0,155 mM) in 3 ml DMF bei Raumtemperatur gegeben. Nach 3 Minuten wird t-Butylbromacetat (87,8 mg, 0,44 mM) zugegeben und das entstehende Gemisch wird bei Raumtemperatur für 5 Stunden gerührt. Das Gemisch wird mit Ethylacetat verdünnt, viermal mit H2O und gesättigter Kochsalzlösung gewaschen, über Magnesiumsulfat getrocknet, filtriert und konzentriert. Der Rückstand wird durch Säulenchromatographie auf Silicagel (Elution mit einem Gradienten aus Methylenchlorid/Ethylacetat) unter Bildung von 44,0 mg (63%) an {9-[(3-Fluorphenyl)methyl]-5-carbamoylcarbazol-4-yl}oxyessigsäure-tert-butylester als weißer Feststoff gereinigt.
    1H NMR (DMSO-d6) δ 7,6 (d, 1H, J = 8 Hz), 7,5-6,8 (m, 10H), 6,55 (d, 1H, J = 8 Hz), 5,7 (s, 2H), 4,8 (s, 2H) und 1,45 (s, 9H).
    IR (CHCl3, cm–1) 3450, 3400, 1746, 1674, 1592, 1457, 1369 und 1151.
    MS (FD) m/e 448.
    Elementaranalyse für C26H25N2O4F: Berechnet: C 69,63, H 5,62, N 6,25. Gefunden: C 69,35, H 5,44, N 6,23.
  • E. {9-[(3-Fluorphenyl)methyl]-5-carbamoylcarbazol-4-yl}oxyessigsäure
  • Eine Lösung aus {9-[(3-Fluorphenyl)methyl]-5-carbamoylcarbazol-4-yl}oxyessigsäure-tert-butylester (40,0 mg, 0,089 mM) in 2 ml Trifluoressigsäure wird bei Raumtemperatur für 5 Stunden gerührt. Das Lösemittel wird im Vakuum entfernt. Der Rückstand wird mit Ethylether behandelt und dann im Vakuum unter Bildung von 35,0 mg (100%) an {9-[(3-Fluorphenyl)methyl]-5-carbamoylcarbazol-4-yl}oxyessigsäure als weißes Pulver getrocknet.
    1H NMR (DMSO-d6) δ 13,0 (br s, 1H), 7,75 (s, 1H), 7,6 (d, 1H, J = 8 Hz), 7,5-7,25 (m, 5H), 7,2-6,8 (m, 4H), 6,6 (d, 1H, J = 8 Hz), 5,7 (s, 2H) und 4,8 (s, 2H).
    IR (KBr, cm–1) 3423, 3400, 1736, 1637, 1615, 1589, 1499, 1487, 1450, 1436, 1331, 1250 und 1156.
    MS (ES) m/e 391, 393.
    Elementaranalyse für C22H17N2O4F: Berechnet: C 67,34, H 4,37, N 7,14. Gefunden: C 67,63, H 4,22, N 7,35.
  • Beispiel 5
  • Herstellung von {9-[(3-Chlorphenyl)methyl]-5-carbamoylcarbazol-4-yl}oxyessigsäure
  • Figure 00150001
  • A. 9-[(3-Chlorphenyl)methyl]-5-carbomethoxy-1,2-dihydrocarbazol-4(3H)-on
  • Eine Suspension aus 5-Carbomethoxy-1,2-dihydro-9H-carbazol-4(3H)-on (527,0 mg, 2,17 mM), 3-Chlorbenzylbromid (802,2 mg, 3,90 mM), eine katalytische Menge Natriumiodid (ca. 1 mg) und Kaliumcarbonat (500,0 mg, 3,62 mM) wird bei Raumtemperatur für 150 Stunden gerührt. Das Gemisch wird mit Ethylacetat verdünnt, fünfmal mit H2O und einmal mit gesättigter Kochsalzlösung gewaschen, über wasserfreiem Magnesiumsulfat getrocknet, filtriert und konzentriert. Der Rückstand wird durch Säulenchromatographie auf Silicagel (Elution mit einem Gradienten aus Methylenchlorid/Ethylacetat) unter Bildung 537,1 mg (67%) an 9-[(3-Chlorphenyl)methyl]-5-carbomethoxy-1,2-dihydrocarbazol-4(3H)-on als gelber Schaum gereinigt.
    1H NMR (CDCl3) δ 7,5-7,2 (m, 5H), 7,1 (s, 1H), 6,85 (m, 1H), 5,35 (s, 2H), 4,05 (s, 3H), 2,9 (t, 2H, J = 6 Hz), 2,65 (t, 2H, J = 6 Hz) und 2,3 (m, 2H).
    IR (CNCl3, cm–1) 3050, 2950, 1725, 1654, 1464, 1444, 1432, 1288 und 1120.
    MS (ES) m/e 366, 368, 370.
    Elementaranalyse für C21H18NO3Cl: Berechnet: C 68,57, H 4,93, N 3,81. Gefunden: C 68,61, H 4,92, N 3,70.
  • B. 9-[(3-Chlorphenyl)methyl]-4-hydroxy-5-carbomethoxycarbazol
  • Eine Lösung aus 9-[(3-Chlorphenyl)methyl]-5-carbomethoxy-1,2-dihydrocarbazol-4(3H)-on (480,5 mg, 1,31 mM) und 2,3-Dichlor-5,6-dicyano-1,4-benzochinon (325,7 mg, 1,43 mM) in 50 ml Toluol wird zwischen 70–80°C für 3 Stunden gerührt. Das Gemisch wird direkt durch Säulenchromatographie auf Silicagel (Elution mit Methylenchlorid) unter Bildung von 172,6 mg (36%) an 9-[(3-Chlorphenyl)methyl]-4-hydroxy-5-carbomethoxycarbazol als gelber Schaum gereinigt.
    1H NMR (CDCl3) δ 10,4 (s, 1H), 8,05 (d, 1H, J = 8 Hz), 7,6 (d, 1H, J = 8 Hz), 7,4 (m, 2H), 7,3-7,1 (m, 3H), 6,9-6,7 (m, 3H), 5,55 (s, 2H) und 4,15 (s, 3H).
    IR (CHCl3, cm–1) 3200 (br), 1684, 1598, 1442, 1428, 1331, 1285 und 1267.
    MS (ES) m/e 364, 366, 368.
    Elementaranalyse für C21H16NO3Cl: Berechnet: C 68,95, H 4,41, N 3,83. Gefunden: C 69,23, H 4,52, N 3,88.
  • C. 9-[(3-Chlorphenyl)methyl]-4-hydroxy-5-carbamoylcarbazol
  • Eine Lösung aus 9-[(3-Chlorphenyl)methyl]-4-hydroxy-5-carbomethoxycarbazol (156,2 mg, 0,43 mM) in 5 ml THF und 20 ml konzentriertes wässriges Ammoniumhydroxid wird für 5 Stunden bei 40–50°C ultrabeschallt. Das Gemisch wird mit Ethylacetat verdünnt und mit 5 N HCl auf pH 1 angesäuert. Die wässrige Phase wird zweimal mit Ethylacetat extrahiert. Die vereinigten organischen Extrakte werden mit gesättigter Kochsalzlösung gewaschen, über Magnesiumsulfat getrocknet, filtriert und konzentriert. Der Rückstand wird durch Säulenchromatographie auf Silicagel (Elution mit einem Gradienten aus Methylenchlorid/Ethylacetat) unter Bildung von 69,7 mg (47%) an 9-[(3-Chlorphenyl)methyl]-4-hydroxy-5-carbamoylcarbazol als weißer Feststoff gereinigt.
    1H NMR (DMSO-d6) δ 10,5 (s, 1H), 8,8 (br s, 1H), 8,4 (br s, 1H), 7,8 (dd, 1H, J = 1 und 8 Hz), 7,45 (m, 2H), 7,3 (m, 3H), 7,2 (s, 1H), 7,1 (d, 1H, J = 8 Hz), 6,95 (s, 1H), 6,6 (d, 1H, J = 8 Hz) und 5,7 (s, 2H).
    IR (CHCl3, cm–1) 3433, 3202 (br), 1630, 1600, 1580, 1564, 1433, 1330, 1261 und 776. MS (ES) m/e 349, 351, 353.
    Elementaranalyse für C20H15N2O2Cl: Berechnet: C 68,48, H 4,31, N 7,99. Gefunden: C 68,64, H 4,55, N 7,93.
  • D. {9-[(3-Chlorphenyl)methyl]-5-carbamoylcarbazol-4-yl}oxyessigsäure-tert-butylester
  • Es wird 40% methanolisches Triton B (0,053 ml, 0,12 mM) zu einer Lösung aus 9-[(3-Chlorphenyl)methyl]-4-hydroxy-5-carbamoylcarbazol (33,2 mg, 0,12 mM) in 2 ml DMF bei Raumtemperatur gegeben. Nach 3 Minuten wird t-Butylbromacetat (53,8 mg, 0,27 mM) zugegeben und das entstehende Gemisch wird bei Raumtemperatur für 20 Stunden gerührt. Das Gemisch wird mit Ethylacetat verdünnt, viermal mit H2O und einmal mit gesättigter Kochsalzlösung gewaschen, über Magnesiumsulfat getrocknet, filtriert und konzentriert. Der Rückstand wird durch Säulenchromatographie auf Silicagel (Elution mit einem Gradienten aus Methylenchlorid/Ethylacetat) unter Bildung von 42,1 mg (95%) an {9-[(3-Chlorphenyl)methyl]-5-carbamoylcarbazol-4-yl}oxyessigsäure-tert-butylester als weißer Feststoff gereinigt.
    1H NMR (DMSO-d6) δ 7,6 (d, 1H, J = 8 Hz), 7,5-6,8 (m, 10H), 6,55 (d, 1H, J = 8 Hz), 5,7 (s, 2H), 4,8 (s, 2H) und 1,45 (s, 9H).
    IR (CHCl3, cm–1) 3450, 3400, 1744, 1676, 1591, 1457, 1369 und 1150.
    MS (FD) m/e 464,466.
    Elementaranalyse für C26H25N2O4Cl: Berechnet: C 67,17, H 5,42, N 6,03. Gefunden: C 67,17, H 5,65, N 5,97.
  • E. {9-[(3-Chlorphenyl)methyl]-5-carbamoylcarbazol-4-yl}oxyessigsäure
  • Eine Lösung aus {9-[(3-Chlorphenyl)methyl]-5-carbamoylcarbazol-4-yl}oxyessigsäure-tert-butylester (35,6 mg, 0,077 mM) in 2 ml Trifluoressigsäure wird bei Raumtemperatur für 6 Stunden gerührt. Das Lösemittel wird im Vakuum entfernt. Der Rückstand wird mit Ethylacetat behandelt und dann im Vakuum unter Bildung von 31,4 mg (100%) an {9-[(3-Chlorphenyl)methyl]-5-carbamoylcarbazol-4-yl}oxyessigsäure als weißes Pulver getrocknet.
    1H NMR (DMSO-d6) δ 13,0 (br s, 1H), 7,75 (s, 1H), 7,6 (d, 1H, J = 8 Hz), 7,4-7,25 (m, 7H), 7,2 (d, 1H, J = 8 Hz), 7,0 (br t, 1H), 6,6 (d, 1H, J = 8 Hz), 5,7 (s, 2H) und 4,8 (s, 2H).
    IR (KBr, cm–1) 3456, 3416, 3335, 1735, 1638, 1617, 1580, 1499, 1452, 1431, 1431, 1329, 1255, 1157, 772, 764 und 717.
    MS (ES) m/e 407, 409, 411.
    Elementaranalyse für C22H17N2O4Cl: Berechnet: C 64,63, H 4,19, N 6,85. Gefunden: C 64,55, H 4,12, N 6,74.
  • Beispiel 6
  • Herstellung von {9-[(3-Trifluormethylphenyl)methyl]-5-carbamoylcarbazol-4-yl}oxyessigsäurenatriumsalz
  • Figure 00170001
  • A. 9-[(3-Trifluormethylphenyl)methyl]-5-carbomethoxy-1,2-dihydrocarbazol-4(3H)-on
  • Es wird 40% methanolisches Triton B (2,18 ml, 4,8 mM) langsam tropfenweise zu einer Lösung aus 5-Carbomethoxy-1,2-dihydro-9H-carbazol-4(3H)-on (973 mg, 4,0 mM) in 10 ml DMF bei –10°C gegeben. Nach 30 Minuten wird 3-(Trifluormethyl)benzylchlorid (1,53 g, 6,0 mM) und Natriumiodid (900 mg, 6,0 mM) zugegeben und das entstehende Gemisch wird bei Raumtemperatur für 25 Stunden gerührt. Das Gemisch wird mit Ethylacetat verdünnt, fünfmal mit H2O, 1 N HCl, H2O und gesättigtem NaHCO3 und gesättigter Kochsalzlösung gewaschen, über wasserfreiem Magnesiumsulfat getrocknet, filtriert, konzentriert und im Vakuum getrocknet. Der Rückstand wird mittels Säulenchromatographie auf Silicagel (Elution mit einem Gradienten aus Methylenchlorid/Ethylacetat) unter Bildung von 1,02 g (63%) an 9-[(3-Trifluormethylphenyl)methyl]-5-carbomethoxy-1,2-dihydrocarbazol-4(3H)-on als hellbrauner Feststoff gereinigt.
    1H NMR (CDCl3) δ 7,6 (d, 1H, J = 8 Hz), 7,45–7,2 (m, 5H), 7,0 (d, 1H, J = 8 Hz), 5,4 (s, 2H), 4,05 (s, 3H), 2,85 (t, 2H, J = 6 Hz), 2,6 (t, 2H, J = 6 Hz) und 2,2 (m, 2H).
    IR (KBr, cm–1) 1727 und 1652.
    MS (ES) m/e 400, 402.
    Elementaranalyse für C22H18NO3F3: Berechnet: C 65,83, H 4,52, N 3,49, F 14,20. Gefunden: C 65,63, H 4,58, N 3,39, F 14,14.
  • B. 9-[(3-Trifluormethylphenyl)methyl]-4-hydroxy-5-carbomethoxycarbazol
  • Eine Lösung aus 9-[(3-Trifluormethylphenyl)methyl]-5-carbomethoxy-1,2-dihydrocarbazol-4(3H)-on (1,21 g, 3,00 mM) und 2,3-Dichlor-5,6-dicyano-1,4-benzochinon (764 mg, 3,3 mM) in 25 ml Toluol wird zwischen 80–90°C für 7 Stunden gerührt. Das Gemisch wird direkt durch Säulenchromatographie auf Silicagel (Elution mit Methylenchlorid) unter Bildung von 340,0 mg (28%) an 9-[(3-Trifluormethylphenyl)methyl]-4-hydroxy-5-carbomethoxycarbazol als gelber Feststoff gereinigt.
    1H NMR (CDCl3) δ 10,35 (s, 1H), 8,0 (d, 1H, J = 8 Hz), 7,6-7,3 (m, 6H), 7,05 (d, 1H, J = 8 Hz), 6,85 (m, 2H), 5,6 (s, 2H) und 4,1 (s, 3H).
    IR (CHCl3, cm–1) 3378 und 1712.
    MS (ES) m/e 398, 400.
    Elementaranalyse für C22H16NO3F3: Berechnet: C 66,17, H 4,04, N 3,51. Gefunden: C 66,99, H 4,12, N 3,53.
  • C. 9-[(3-Trifluormethylphenyl)methyl]-4-hydroxy-5-carbamoylcarbazol
  • Eine Lösung aus 9-[(3-Trifluormethylphenyl)methyl]-4-hydroxy-5-carbomethoxycarbazol (250 mg, 0,625 mM) in 5 ml THF und 20 ml konzentriertes, wässriges Ammoniumhydroxid wird für 30 h bei 40–50°C ultrabeschallt. Das Gemisch wird mit Ethylacetat verdünnt und mit 5 N HCl auf pH 1 angesäuert. Die wässrige Phase wird dreimal mit Ethylacetat extrahiert. Die vereinigten organischen Extrakte werden mit gesättigter Kochsalzlösung gewaschen, über Magnesiumsulfat getrocknet, filtriert und konzentriert. Der Rückstand wird durch Säulenchromatographie auf Silicagel (Elution mit einem Gradienten aus Methylenchlorid/Ethylacetat) unter Bildung von 120 mg (50%) an 9-[(3-Trifluormethylphenyl)methyl]-4-hydroxy-5-carbamoylcarbazol als weißer Feststoff gereinigt.
    1H NMR (DMSO-d6) δ 10,5 (s, 1H), 8,8 (br s, 1H), 8,4 (br s, 1H), 7,8 (d, 1H, J = 8 Hz), 7,6-7,5 (m, 5H), 7,3 (t, 1H, J = 8 Hz), 7,15 (d, 1H, J = 8 Hz), 7,1 (d, 1H, J = 8 Hz), 6,6 (d, 1H, J = 8 Hz) und 5,8 (s, 2H).
    IR (KBr, cm–1) 3429, 3206 und 1630.
    MS (ES) m/e 383, 385.
    Elementaranalyse für C21H15N2O2F3: Berechnet: C 65,62, H 3,93, N 7,29. Gefunden: C 67,50, H 4,00, N 7,19.
  • D. {9-[(3-Trifluormethylphenyl)methyl]-5-carbamoylcarbazol-4-yl}oxyessigsäuremethylester
  • Es wird 40% methanolisches Triton B (0,18 ml, 0,4 mM) zu einer Lösung aus 9-[(3-Trifluormethylphenyl)methyl]-4-hydroxy-5-carbamoylcarbazol (115 mg, 0,3 mM) in 5 ml DMF bei Raumtemperatur gegeben. Nach 15 Minuten wird Methylbromacetat (95 mg, 0,6 mM) zugegeben und das entstehende Gemisch wird bei Raumtemperatur für 22 Stunden gerührt. Das Gemisch wird mit Ethylacetat verdünnt, viermal mit H2O, 1 N HCl, H2O, gesättigtem NaHCO3 und gesättigter Kochsalzlösung gewaschen, über Magnesiumsulfat getrocknet, filtriert und konzentriert. Der Rückstand wird mittels Säulenchromatographie auf Silicagel (Elution mit Ethylacetat) unter Bildung von 120 mg (88%) an {9-[(3-Trifluormethylphenyl)-methyl]-5-carbamoylcarbazol-4-yl}oxyessigsäuremethylester als weißer Feststoff gereinigt.
    1H NMR (CDCl3) δ 7,5-7,2 (m, 7H), 7,1 (d, 1H, J = 8 Hz), 7,0 (d, 1H, J = 8 Hz), 6,6 (d, 1H, J = 8 Hz), 6,4 (br s, 1H), 6,0 (br s, 1H), 5,55 (s, 2H), 4,9 (s, 2H) und 3,9 (s, 3H).
    IR (KBr, cm–1) 1763 und 1673.
    MS (ES) m/e 457.
    Elementaranalyse für C24H19N2O4F3: Berechnet: C 63,16, H 4,20, N 6,14. Gefunden: C 61,37, H 4,19, N 5,77.
  • E. {9-[(3-Trifluormethylphenyl)methyl]-5-carbamoylcarbazol-4-yl}oxyessigsäurenatriumsalz
  • Eine Lösung aus {9-[(3-Trifluormethylphenyl)methyl]-5-carbamoylcarbazol-4-yl}oxyessigsäuremethylester (91 mg, 0,153 mM) und 0,22 ml (0,22 mM) an 1 N NaOH in 8 ml Ethanol wird für 17 h bei 25°C gerührt. Das Ethanol wird im Vakuum entfernt. Der entstehende weiße Niederschlag wird durch Filtration gesammelt, mit kleinen Mengen an EtOH und Diethylether gewaschen und im Vakuum unter Bildung von 75 mg (81%) an {9-[(3-Trifluormethylphenyl)methyl]-5-carbamoylcarbazol-4-yl}oxyessigsäurenatriumsalz als weißer Pulver getrocknet.
    1H NMR (DMSO-d6) δ 7,65 (s, 1H), 7,6 (m, 4H), 7,45 (t, 1H, J = 8 Hz), 7,35 (t, 1H, J = 8 Hz), 7,3 (t, 1H, J = 8 Hz), 7,2 (d, 1H, J = 8 Hz), 7,1 (d, 1H, J = 8 Hz), 7,05 (d, 1H, J = 8 Hz), 6,5 (d, 1H, J = 8 Hz), 5,75 (s, 2H) und 4,3 (s, 2H).
    IR (KBr, cm–1) 1665 und 1618.
    MS (ES) m/e 441, 443.
    Elementaranalyse für C23H16N2O4F3Na: Berechnet: C 59,49, H 3,47, N 6,03. Gefunden: C 60,69, H 3,78, N 5,75.
  • Beispiel 7
  • Herstellung von {9-[(2-Methylphenyl)methyl]-5-carbamoylcarbazol-4-yl}oxyessigsäurenatriumsalz
  • Figure 00190001
  • A. 9-[(2-Methylphenyl)methyl]-5-carbomethoxy-1,2-dihydrocarbazol-4-(3H)-on
  • Eine Suspension aus 5-Carbomethoxy-1,2-dihydro-9H-carbazol-4(3H)-on (870 mg, 3,58 mM), α-Brom-o-xylol (662 mg, 3,58 mM) und Kaliumcarbonat (500 mg, 3,61 mM) in 20 ml DMF wird bei Raumtemperatur für 20 Stunden gerührt. Das Gemisch wird mit Ethylacetat verdünnt, mit H2O und gesättigter Kochsalzlösung gewaschen, über wasserfreiem Magnesiumsulfat getrocknet, filtriert und unter Bildung von 1,21 g (98%) an 9-[(2-Methylphenyl)methyl]-5-carbomethoxy-l,2-dihydrocarbazol-4-(3H)-on als dunkles Öl konzentriert.
    1H NMR (DMSO-d6) δ 7,5-7,2 (m, 4H), 7,15 (t, 1H, J = 8 Hz), 7,0 (t, 1H, J = 8 Hz), 6,15 (d, 1H, J = 8 Hz), 5,55 (s, 2H), 3,85 (s, 3H), 2,6 (m, 2H), 2,4 (m, 2H), 2,4 (s, 3H) und 2,1 (m, 2H).
    IR (CHCl3, cm–1) 3010, 2952, 1724, 1671, 1653, 1604, 1460, 1444, 1290, 1174 und 1122.
    MS (ES) m/e 348,5.
    Elementaranalyse für C22H21NO3: Berechnet: C 76,08, H 6,05, N 4,03. Gefunden: C 73,33, H 6,36, N 4,30.
  • B. 9-[(2-Methylphenyl)methyl]-4-hydroxy-5-carbomethoxycarbazol
  • Eine Lösung aus 9-[(2-Methylphenyl)methyl]-5-carbomethoxy-l,2-dihydrocarbazol-4-(3H)-on (1 ,2 g, 3,5 mM) und 2,3-Dichlor-5,6-dicyano-1,4-benzochinon (800 mg, 3,6 mM) in 70 ml Toluol wird bei 80–90°C für 5 Stunden gerührt. Das Gemisch wird direkt durch Säulenchromatographie auf Silicagel (Elution mit Methylenchlorid) unter Bildung von 260 mg (22%) an 9-[(2-Methylphenyl)methyl]-4-hydroxy-5-carbomethoxycarbazol als gelber Feststoff gereinigt.
    1H NMR (DMSO-d6) δ 10,25 (s, 1H), 7,5 (d, 1H, J = 8 Hz), 7,4 (t, 1H, J = 8 Hz), 7,3-7,1 (m, 4H), 6,9 (m, 2H), 6,6 (d, 1H, J = 8 Hz), 6,1 (d, 1H, J = 8 Hz), 5,65 (s, 2H), 3,8 (s, 3H) und 2,5 (s, 3H).
    IR (KBr, cm–1) 3200, 1672, 1440, 1426, 1332, 1302, 1265, 1216, 1141, 761, 749 und 718.
    MS (ES) m/e 344, 346.
    Elementaranalyse für C22H19NO3: Berechnet: C 76,52, H 5,51, N 4,06. Gefunden: C 76,44, H 5,66, N 3,94.
  • C. 9-[(2-Methylphenyl)methyl]-4-hydroxy-5-carbamoylcarbazol
  • Eine Lösung aus 9-[(2-Methylphenyl)methyl]-4-hydroxy-5-carbomethoxycarbazol (260 mg, 0,75 mM) in 10 ml THF und 30 ml konzentriertem wässrigem Ammoniumhydroxid wird für 5 Stunden bei 40–50°C ultrabeschallt. Das Gemisch wird mit Ethylacetat verdünnt und mit 5 N HCl auf pH 1 angesäuert. Die wässrige Phase wird dreimal mit Ethylacetat extrahiert. Die vereinigten organischen Extrakte werden mit H2O und gesättigter Kochsalzlösung gewaschen, über Magnesiumsulfat getrocknet, filtriert und konzentriert. Der Rückstand wird durch Säulenchromatographie auf Silicagel (Elution mit einem Gradienten aus Hexan/Ethylacetat) unter Bildung von 90 mg (36%) an 9-[(2-Methylphenyl)methyl]-4-hydroxy-5-carbamoylcarbazol als hellbrauner Feststoff gereinigt.
    1H NMR (DMSO-d6) δ 10,5 (s, 1H), 8,8 (br s, 1H), 8,4 (br s, 1H), 7,7 (m, 1H), 7,5 (m, 2H), 7,3 (m, 2H), 7,1 (t, 1H, J = 8 Hz), 6,95 (d, 1H, J = 8 Hz), 6,85 (t, 1H, J = 8 Hz), 6,6 (d, 1H, J = 8 Hz), 5,95 (d, 1H, J = 8 Hz), 5,7 (s, 2H) und 2,5 (s, 3H).
    IR (KBr, cm–1) 3451, 3191, 1627, 1600, 1584, 1562, 1435, 1329, 1322, 1263 und 774.
    MS (ES) m/e 329, 331.
    Elementaranalyse für C21H18N2O2: Berechnet: C 76,36, H 5,45, N 8,48. Gefunden: C 75,66, H 5,79, N 8,07.
  • D. {9-[(2-Methylphenyl)methyl]-5-carbamoylcarbazol-4-yl}oxyessigsäuremethylester
  • Es wird 40% methanolisches Triton B (0,45 ml, 0,99 mM) zu einer Lösung aus 9-[(2-Methylphenyl)methyl]-4-hydroxy-5-carbamoylcarbazol (80 mg, 0,24 mM) in 8 ml DMF bei Raumtemperatur gegeben. Nach 3 Minuten wird Methylbromacetat (115 mg, 0,72 mM) zugegeben und das entstehende Gemisch wird bei Raumtemperatur für 48 Stunden gerührt. Das Gemisch wird mit Ethylacetat verdünnt, mit H2O, 1 N HCl, H2O und gesättigter Kochsalzlösung gewaschen, über Magnesiumsulfat getrocknet, filtriert und konzentriert. Der Rückstand wird durch Säulenchromatographie auf Silicagel (Elution mit Ethylacetat) unter Bildung von 80 mg (82%) an {9-[(2-Methylphenyl)methyl]-5-carbamoylcarbazol-4-yl}oxyessigsäuremethylester als weißer Feststoff gereinigt.
    1H NMR (DMSO-d6) δ 7,56 (br s, 1H), 7,5-7,1 (m, 9H), 6,9 (t, 1H, J = 8 Hz), 6,6 (d, 1H, J = 8 Hz), 5,65 (s, 2H), 4,9 (s, 2H), 3,8 (s, 3H) und 2,5 (s, 3H).
    IR (KBr, cm–1) 3367, 3153, 1760, 1740, 1672, 1644, 1619, 1591, 1578, 1498, 1456, 1425, 1327, 1200, 1153, 1109, 1100 und 777.
    MS (FD) m/e 402.
    Elementaranalyse für C24H22N2O4: Berechnet: C 71,64, H 5,47, N 6,96. Gefunden: C 71,51, H 5,56, N 6,67.
  • E. {9-[(2-Methylphenyl)methyl]-5-carbamoylcarbazol-4-yl}oxyessigsäurenatriumsalz
  • Eine Suspension aus {9-[(2-Methylphenyl)methyl]-5-carbamoylcarbazol-4-yl}oxyessigsäuremethylester (15,5 mg, 0,039 mM) und 0,04 ml (0,04 mM) an 1 N NaOH in 5 ml Ethanol wird für 24 Stunden bei 25°C gerührt. Der entstehende weiße Niederschlag wird durch Filtration gesammelt, mit einer kleinen Menge an EtOH gewaschen und dann im Vakuum unter Bildung von 10 mg (63%) an {9-[(2-Methylphenyl)methyl]-5-carbamoylcarbazol-4-yl}oxyessigsäurenatriumsalz als weißes Pulver getrocknet.
    1H NMR (DMSO-d6) δ 7,55 (br s, 1H), 7,5-7,0 (m, 7H), 6,9 (d, 1H, J = 8 Hz), 6,85 (t, 1H, J = 8 Hz), 6,6 (d, 1H, J = 8 Hz), 6,2 (d, 1H, J = 8 Hz), 5,6 (s, 2H), 4,35 (s, 2H) und 2,5 (s, 3H).
    IR (KBr, cm–1) 3390, 1656, 1613, 1595, 1573, 1498, 1455, 1408, 1325, 1332 und 719.
    MS (ES) m/e 387, 389.
    Elementaranalyse für C23H19N2O4: Berechnet: C 67,32, H 4,63, N 6,83. Gefunden: C 64,72, H 4,44, N 6,40.
  • Beispiel 8
  • Herstellung von {9-[(3-Methylphenyl)methyl]-5-carbamoylcarbazol-4-yl}oxyessigsäurenatriumsalz
  • Figure 00220001
  • A. {9-[(3-Methylphenyl)methyl]-5-carbomethoxy-1,2-dihydrocarbazol-4(3H)-on
  • Eine Suspension aus 5-Carbomethoxy-1,2-dihydro-9H-carbazol-4(3H)-on (870 mg, 3,58 mM), α-Brom-m-xylol (662 mg, 3,58 mM) und Kaliumcarbonat (500 mg, 3,61 mM) in 20 ml DMF wird bei Raumtemperatur für 16 Stunden gerührt. Das Gemisch wird mit Ethylacetat verdünnt, mit H2O und gesättigter Kochsalzlösung gewaschen, über wasserfreiem Magnesiumsulfat getrocknet, filtriert und unter Bildung von 1,18 g (95%) an 9-[(3-Methylphenyl)methyl]-5-carbomethoxy-1,2-dihydrocarbazol-4-(3H)-on als dunkles Öl konzentriert.
    1H NMR (DMSO-d6) δ 7,65 (dd, 1H, J = 1 und 8 Hz), 7,3-7,1 (m, 3H), 7,05 (d, 1H, J = 8 Hz), 7,0 (s, 1H), 6,85 (d, 1H, J = 8 Hz), 5,5 (s, 2H), 3,8 (s, 3H), 3,0 (m, 2H), 2,45 (m, 2H), 2,3 (s, 3H) und 2,1 (m, 2H).
    IR (CHCl3, cm–1) 3010, 2953, 1724, 1652, 1605, 1465, 1442, 1288, 1174 und 1119.
    MS (ES) m/e 348,5.
    Elementaranalyse für C22H21NO3: Berechnet: C 76,08, H 6,05, N 4,03. Gefunden: C 74,53, H 6,03, N 3,68.
  • B. 9-[(3-Methylphenyl)methyl]-4-hydroxy-5-carbomethoxycarbazol
  • Eine Lösung aus 9-[(3-Methylphenyl)methyl]-5-carbomethoxy-1,2-dihydrocarbazol-4(3H)-on (1,18 g, 3,4 mM) und 2,3-Dichlor-5,6-dicyano-1,4-benzochinon (800 mg, 3,6 mM) in 70 ml Toluol wird bei 80–90°C für 6 Stunden gerührt. Das Gemisch wird direkt durch Säulenchromatographie auf Silicagel (Elution mit Methylenchlorid) unter Bildung von 300 mg (26%) an 9-[(3-Methylphenyl)methyl]-4-hydroxy-5-carbomethoxycarbazol als gelber Feststoff gereinigt.
    1H NMR (DMSO-d6) δ 10,2 (s, 1H), 7,65 (d, 1H, J = 8 Hz), 7,35 (t, 1H, J = 8 Hz), 7,25 (t, 1H, J = 8 Hz), 7,2-7,0 (m, 4H), 6,9 (m, 2H), 6,6 (d, 1H, J = 8 Hz), 5,6 (s, 2H), 3,85 (s, 3H) und 2,2 (s, 3H).
    IR (KBr, cm–1) 3200, 1673, 1596, 1440, 1426, 1394, 1265, 1216, 1152, 750, 711 und 694.
    MS (ES) m/e 344, 346.
    Elementaranalyse für C22H19NO3: Berechnet: C 76,52, H 5,51, N 4,06. Gefunden: C 76,22, H 5,55, N 3,97.
  • C. 9-[(3-Methylphenyl)methylj-4-hydroxy-5-carbamoylcarbazol
  • Eine Lösung aus 9-[(3-Methylphenyl)methyl]-4-hydroxy-5-carbomethoxycarbazol (300 mg, 0,87 mM) in 10 ml THF und 30 ml konzentiertem wässrigem Ammoniumhydroxid wird für 5 Stunden bei 40–50°C ultrabeschallt. Das Gemisch wird mit Ethylacetat verdünnt und mit 5 N HCl auf pH 1 angesäuert. Die wässrige Phase wird dreimal mit Ethylacetat extrahiert. Die vereinigten organischen Extrakte werden mit H2O und gesättigter Kochsalzlösung gewaschen, über Magnesiumsulfat getrocknet, filtriert und konzentriert. Der Rückstand wird durch Säulenchromatographie auf Silicagel (Elution mit einem Gradienten aus Hexan/Ethylacetat) unter Bildung von 114 mg (40%) an 9-[(3-Methylphenyl)methyl]-4-hydroxy-5-carbamoylcarbazol als nicht ganz weißer Feststoff gereinigt.
    1H NMR (DMSO-d6) δ 10,5 (s, 1H), 8,8 (br s, 1H), 8,4 (br s, 1H), 7,8 (dd, 1H, J = 1 und 8 Hz), 7,4 (m, 2H), 7,3 (t, 1H, J = 8 Hz), 7,15-7,0 (m, 3H), 6,85 (d, 1H, J = 8 Hz), 6,6 (d, 1H, J = 8 Hz), 5,95 (d, 1H, J = 8 Hz), 5,65 (s, 2H) und 2,25 (s, 3H).
    IR (KBr, cm–1) 3434, 3203, 1629, 1599, 1579, 1552, 1443, 1330, 1262, 1214 und 776.
    MS (ES) m/e 329, 331.
    Elementaranalyse für C21H18N2O2: Berechnet: C 76,36, H 5,45, N 8,48. Gefunden: C 77,56, H 5,67, N 8,26.
  • D. {9-[(3-Methylphenyl)methyl]-5-carbamoylcarbazol-4-yl}oxyessigsäuremethylester
  • Es wird 40% methanolisches Triton B (0,45 ml, 0,99 mM) zu einer Lösung aus 9-[(3-Methylphenyl)methyl]-4-hydroxy-5-carbamoylcarbazol (100 mg, 0,30 mM) in 8 ml DMF bei Raumtemperatur gegeben. Nach 3 Minuten wird Methylbromacetat (115 mg, 0,72 mM) zugegeben und das entstehende Gemisch wird bei Raumtemperatur für 24 Stunden gerührt. Das Gemisch wird mit Ethylacetat verdünnt, mit H2O und gesättigter Kochsalzlösung gewaschen, über Magnesiumsulfat getrocknet, filtriert und konzentriert. Der Rückstand wird durch Säulenchromatographie auf Silicagel (Elution mit Ethylacetat) unter Bildung von 80 mg (66%) an {9-[(3-Methylphenyl)methyl]-5-carbamoylcarbazol-4-yl}oxyessigsäuremethylester als weißer Feststoff gereinigt.
    1H NMR (DMSO-d6) δ 7,6 (d, 1H, J = 8 Hz), 7,55 (br s, 1H), 7,45-7,0 (m, 8H), 6,9 (d, 1H, J = 8 Hz), 6,6 (d, 1H, J = 8 Hz), 5,65 (s, 2H), 4,9 (s, 2H), 3,75 (s, 3H) und 2,2 (s, 3H).
    IR (KBr, cm–1) 3367, 3157, 1760, 1642, 1589, 1499, 1455, 1424, 1328, 1216, 1151, 1102, 772 und 714.
    MS (FD) m/e 402.
    Elementaranalyse für C24H22N2O4: Berechnet: C 71,64, H 5,47, N 6,96. Gefunden: C 71,01, H 5,60, N 6,66.
  • E. {9-[(3-Methylphenyl)methyl]-5-carbamoylcarbazol-4-yl}oxyessigsäurenatriumsalz
  • Eine Suspension aus {9-[(3-Methylphenyl)methyl]-5-carbamoylcarbazol-4-yl}oxyessigsäuremethylester (15,8 mg, 0,039 mM) und 0,04 ml (0,04 mM) an 1 N NaOH in 5 ml Ethanol wird für 24 Stunden bei 25°C gerührt. Der entstehende weiße Niederschlag wird durch Filtration gesammelt, mit einer kleinen Menge an EtOH gewaschen und dann im Vakuum unter Bildung von 10 mg (62%) an {9-[(3-Methylphenyl)methyl]-5-carbamoylcarbazol-4-yl}oxyessigsäurenatriumsalz als weißes Pulver getrocknet.
    1H NMR (DMSO-d6) δ 7,55 (d, 1H, J = 8 Hz), 7,5-7,0 (m, 9H), 6,85 (d, 1H, J = 8 Hz), 6,55 (d, 1H, J = 8 Hz), 5,6 (s, 2H), 4,35 (s, 2H) und 2,2 (s, 3H).
    IR (KBr, cm–1) 3390, 1656, 1613, 1595, 1573, 1498, 1455, 1408, 1325, 1332 und 719.
    MS (ES) m/e 387, 389.
    Elementaranalyse für C23H19N2O4Na: Berechnet: C 67,32, H 4,63, N 6,83. Gefunden: C 61,20, H 4,64, N 6, 06.
  • Beispiel 9
  • Herstellung von {9-[(3-Trifluormethoxyphenyl)methyl]-5-carbamoylcarbazol-4-yl}oxyessigsäurenatriumsalz
  • Figure 00240001
  • A. {9-[(3-Trifluormethoxyphenyl)methyl]-5-carbomethoxy-1,2-dihydrocarbazol-4(3H)-on
  • Eine Suspension aus 5-Carbomethoxy-1,2-dihydro-9H-carbazol-4(3H)-on (935 mg, 3,85 mM), 3-Trifluormethoxybenzylbromid (1,0 g, 3,93 mM) und Kaliumcarbonat (531 mg, 3,85 mM) in 20 ml DMF wird bei Raumtemperatur für 17 Stunden gerührt. Das Gemisch wird mit Ethylacetat verdünnt, mit H2O und gesättigter Kochsalzlösung gewaschen, über wasserfreiem Magnesiumsulfat getrocknet, filtriert und unter Bildung von 1,6 g (100%) an 9-[(3-Trifluormethoxyphenyl)methyl]-5-carbomethoxy-1,2-dihydrocarbazol-4-(3H)-on als Schaum konzentriert.
    1H NMR (DMSO-d6) δ 7,7 (dd, 1H, J = 1 und 8 Hz), 7,45 (t, 1H, J = 8 Hz), 7,3-7,1 (m, 4H), 7,05 (d, 1H, J = 8 Hz), 5,6 (s, 2H), 3,8 (s, 3H), 3,0 (m, 2H), 2,45 (m, 2H) und 2,1 (m, 2H).
    IR (CNCl3, cm–1) 1729, 1647, 1439, 1259, 1176 und 1116.
    MS (ES) m/e 418.
    Elementaranalyse für C22H18NO4F3: Berechnet: C 63,31, H 4,32, N 3,36. Gefunden: C 63,12, H 4,35, N 3,31.
  • B. 9-[(3-Trifluormethoxyphenyl)methyl]-4-hydroxy-5-carbomethoxycarbazol
  • Eine Lösung aus 9-[(3-Trifluormethoxyphenyl)methyl]-5-carbomethoxy-1,2-dihydrocarbazol-4-(3H)-on (0,75 g, 1,8 mM) und 2,3-Dichlor-5,6-dicyano-1,4-benzochinon (490 mg, 2,16 mM) in 70 ml Toluol wird am Rückfluss für 6 Stunden gerührt. Das Gemisch wird direkt durch Säulenchromatographie auf Silicagel (Elution mit Methylenchlorid) unter Bildung von 300 mg (40%) an 9-[(3-Trifluormethoxyphenyl)methyl]-4-hydroxy-5-carbomethoxycarbazol als gelber Feststoff gereinigt.
    1H NMR (DMSO-d6) δ 10,25 (s, 1H), 7,7 (d, 1H, J = 8 Hz), 7,5-7,0 (m, 8H), 6,6 (d, 1H, J = 8 Hz), 5,7 (s, 2H) und 3,85 (s, 3H).
    IR (KBr, cm–1) 3200, 1673, 1441, 1268, 1217, 1173 und 753.
    MS (ES) m/e 414, 416.
    Elementaranalyse für C22H16NO3F3: Berechnet: C 63,61, H 3,86, N 3,37. Gefunden: C 63,40, H 3,99, N 3,43.
  • C. 9-[(3-Trifluormethoxyphenyl)methyl]-4-hydroxy-5-carbamoylcarbazol
  • Eine Lösung aus 9-[(3-Trifluormethoxyphenyl)methyl]-4-hydroxy-5-carbomethoxycarbazol (260 mg, 0,62 mM) in 10 ml THF und 30 ml konzentiertem wässrigem Ammoniumhydroxid wird für 132 Stunden kräftig gerührt. Das Gemisch wird mit Ethylacetat verdünnt und mit 5 N HCl auf pH 1 angesäuert. Die wässrige Phase wird dreimal mit Ethylacetat extrahiert. Die vereinigten organischen Extrakte werden mit H2O und gesättigter Kochsalzlösung gewaschen, über Magnesiumsulfat getrocknet, filtriert und konzentriert. Der Rückstand wird durch Säulenchromatographie auf Silicagel (Elution mit einem Gradienten aus Hexan/Ethylacetat) unter Bildung von 150 mg (60%) an 9-[(3-Trifluormethoxyphenyl)methyl]-4-hydroxy-5-carbamoylcarbazol als nicht ganz weißer Feststoff gereinigt.
    1H NMR (DMSO-d6) δ 10,5 (s, 1H), 8,8 (br s, 1H), 8,4 (br s, 1H), 7,85 (dd, 1H, J = 1 und 8 Hz), 7,5-7,15 (m, 5H), 7,1 (d, 1H, J = 8 Hz), 7,0 (d, 1H, J = 8 Hz), 6,6 (d, 1H, J = 8 Hz), 5,95 (d, 1H, J = 8 Hz) und 5,65 (s, 2H).
    IR (KBr, cm–1) 3431, 3203, 1629, 1601, 1580, 1548, 1446, 1330, 1261, 1215 und 777.
    MS (ES) m/e 399, 401.
    Elementaranalyse für C21H15N2O2F3: Berechnet: C 63,00, H 3,75, N 7,0. Gefunden: C 63,15, H 4,07, N 6,84.
  • D. {9-[(3-Trifluormethoxyphenyl)methyl]-5-carbamoylcarbazol-4-yl}oxyessigsäuremethylester
  • Es wird 40% methanolisches Triton B (0,15 ml, 0,34 mM) zu einer Lösung aus 9-[(3-Trifluormethoxyphenyl)methyl]-4-hydroxy-5-carbamoylcarbazol (115 mg, 0,28 mM) in 8 ml DMF bei Raumtemperatur gegeben. Nach 3 Minuten wird Methylbromacetat (65 mg, 0,41 mM) zugegeben und das entstehende Gemisch wird bei Raumtemperatur für 23 Stunden gerührt. Das Gemisch wird mit Ethylacetat verdünnt, mit H2O und gesättigter Kochsalzlösung gewaschen, über Magnesiumsulfat getrocknet, filtriert und konzentriert. Der Rückstand wird durch Säulenchromatographie auf Silicagel (Elution mit Ethylacetat) unter Bildung von 112 mg (83%) an {9-[(3-Trifluormethoxyphenyl)methyl]-5-carbamoylcarbazol-4-yl}oxyessigsäuremethylester als weißer Feststoff gereinigt.
    1H NMR (DMSO-d6) δ 7,6 (d, 1H, J = 8 Hz), 7,55 (br s, 1H), 7,5-7,0 (m, 9H), 6,6 (d, 1H, J = 8 Hz), 5,7 (s, 2H), 4,9 (s, 2H) und 3,75 (s, 3H).
    IR (KBr, cm–1) 3488, 3141, 1763, 1674, 1501, 1444, 1269, 1215, 1178, 1102, 772 und 714.
    MS (FD) m/e 472.
    Elementaranalyse für C24H19N2O5F3: Berechnet: C 61,02, H 4,03, N 5,93. Gefunden: C 61,05, H 4,17, N 5,81.
  • E. {9-[(3-Trifluormethoxyphenyl)methyl]-5-carbamoylcarbazol-4-yl}oxyessigsäurenatriumsalz
  • Eine Suspension aus {9-[(3-Trifluormethoxyphenyl)methyl]-5-carbamoylcarbazol-4-yl}oxyessigsäuremethylester (22,4 mg, 0,047 mM) und 0,065 ml (0,065 mM) an 1 N NaOH in 5 ml Ethanol wird für 24 Stunden bei 25°C gerührt. Das Lösemittel wird im Vakuum entfernt und der Rückstand wird in EtOH suspendiert. Der entstehende weiße Niederschlag wird durch Filtration gesammelt, mit einer kleinen Menge an EtOH gewaschen und dann im Vakuum unter Bildung von 9 mg (41%) an {9-[(3-Trifluormethoxyphenyl)methyl]-5-carbamoylcarbazol-4-yl}oxyessigsäurenatriumsalz als weißes Pulver getrocknet.
    MS (ES) m/e 457, 459.
  • Beispiel 10
  • Herstellung von [9-Benzyl-5-carbamoyl-1-methylcarbazol-4-yl]oxyessigsäure
  • A. Herstellung von 5-Carbamoyl-4-methoxy-1-methylcarbazol
  • Eine Lösung aus 0,805 g an 9-Benzyl-5-methoxy-8-methyl-1,2,3,4-tetrahydrocarbazol-4-carboxamid in 24 ml Carbitol wird mit 1,1 g an 5% Palladium auf Kohle behandelt und am Rückfluss für 6 Stunden mit Luftzufuhr erhitzt. Nach dem Abkühlen wird die Lösung durch ein Kissen aus Celite filtriert und das Kissen wird mit Ethylacetat gewaschen. Die Filtrate werden mit Ether verdünnt und viermal mit Wasser gewaschen und über Magnesiumsulfat getrocknet und konzentriert. Der Rückstand wird auf Silicagel mittels Methanol/0–4% in Dichlormethan unter Bildung von 0,166 g (28%) an debenzyliertem Carbazol chromatographiert.
    ESIMS m/e 255 (M++1), 253 (M+-1)
    NMR (300 MHz, CDCl3): δ 8,13 (br, 1H), 7,51 (d, J = 8,1, 1H), 7,40 (t, J = 7,6, 1H), 7,32 (d, J = 7,2, 1H), 7,18 (d, J = 7,8, 1H), 6,60 (d, J = 8,0, 1H), 5,68 (br, 2H), 3,99 (s, 3H), 2,50 (s, 3H).
  • B. Herstellung von 9-Benzyl-5-carbamoyl-4-methoxy-1-methylcarbazol
  • Eine Lösung aus 0,148 g an 5-Carbamoyl-4-methoxy-1-methylcarbazol in 1,1 ml Dimethylformamid wird zu 0,026 g Natriumhydrid (60% in Mineralöl) in 0,4 ml Dimethylformamid gegeben und für 60 Minuten bei Raumtemperatur gerührt. Benzylbromid (0,076 ml) wird dann zugegeben und die Reaktion wird über Nacht gerührt. Das Reaktionsgemisch wird in 20 ml gesättigte Ammoniumchloridlösung gegossen und dann zweimal mit Ethylacetat extrahiert. Die Extrakte werden mit Wasser und dann mit Kochsalzlösung gewaschen, über Magnesiumsulfat getrocknet und konzentriert. Der Rückstand wird mit Hexan gespült und in Dichlormethan gelöst, filtriert und unter Bildung von 0,21 g der Untertitelverbindung konzentriert.
    FDMS m/e 344 (M+).
    Elementaranalyse: Berechnet: C 76,72, H 5,85, N 8,13. Gefunden: C 75,20, H 6,19, N 7,54.
  • C. Herstellung von [9-Benzyl-5-carbamoyl-1-methylcarbazol-4-yl]oxyessigsäuremethylester
  • Eine Lösung aus 0,23 g an 9-Benzyl-5-carbamoyl-4-methoxy-1-methylcarbazol in 4 ml Dimethylformamid wird zu einer 1 ml Lösung aus Natriumethanthiolat (hergestellt aus 0,116 g Natriumhydrid 60% Dispersion und 0,22 ml Ethanthiol unter Stickstoff) gegeben und bei 110°C für 15 Stunden erhitzt. Das Reaktionsgemisch wird gekühlt, in 20 ml an 1 N HCl gegossen und zweimal mit Ethylacetat extrahiert. Die Extrakte werden zweimal mit Wasser und dann mit Kochsalzlösung gewaschen, über Magnesiumsulfat getrocknet und konzentriert. Der Rückstand wird auf Silicagel unter Verwendung von Methanol/0–1% in Dichlormethan unter Bildung von 0,146 g (66%) des demethylierten Zwischenprodukts gegeben. Eine Lösung aus 0,146 g dieses Zwischenprodukts in 1,5 ml Dimethylfomamid wird zu 0,021 g Natriumhydrid (60% in Mineralöl) in 0,5 ml Dimethylformamid gegeben. Nach dem Rühren für 10 Minuten bei Raumtemperatur werden 0,054 ml Methylbromacetat zugegeben. Nach dem Rühren für 5 Stunden bei Raumtemperatur wird das Reaktionsgemisch in Wasser gegossen und zweimal mit Ethylacetat extrahiert. Die Extrakte werden mit Wasser und dann mit Kochsalzlösung gewaschen, über Magnesiumsulfat getrocknet und konzentriert. Der Rückstand wird auf Silicagel unter Verwendung von Methanol/0–2% in Dichlormethan unter Bildung von 0,10 g (56%) der Untertitelverbindung chromatographiert.
    Smp. 228–230°C.
    ESIMS m/e 403 (M++1).
    Elementaranalyse: Berechnet: C 71,63, H 5,51, N 6,96. Gefunden: C 71,34, H 5,60, N 6,70.
  • D. Herstellung von [9-Benzyl-5-carbamoyl-1-methylcarbazol-4-yl]oxyessigsäure
  • Eine Aufschlämmung aus 32 mg (0,0795 mmol) an [9-Benzyl-5-carbamoyl-1-methylcarbazol-4-yl]oxyessigsäuremethylester in 1 ml Tetrahydrofuran und 3,5 ml Methanol wird mit 0,3 ml wässriger 2 N Natriumhydroxidlösung behandelt und über Nacht bei Raumtemperatur gerührt. Das Lösemittel wird verdampft und der Rückstand wird zwischen 1:1 Ethylacetat/Tetrahydrofuran und 0,2 N HCl Lösung aufgeteilt. Nach einer weiteren Extraktion mit 1:1 Ethylacetat/Tetrahydrofuran werden die Extrakte mit Kochsalzlösung gewaschen, über Magnesiumsulfat getrocknet und unter Bildung der Titelverbindung (27 mg) konzentriert.
    Smp. 253–254°C.
    ESIMS m/e 389 (M++1), 387 (M+-1).
    NMR (300 MHz, d6-DMSO): δ 12,83 (br, 1H), 7,75 (br, 1H), 7,53 (d, J = 8,2, 1H), 7,41-7,34 (m, 2H), 7,28-7,17 (m, 3H), 7,07 (m, 2H), 6,90 (d, J = 7,2, 2H), 6,49 (d, J = 8,1, 1H), 5,89 (s, 2H), 4,79 (s, 2H), 2,52 (s, 3H).
  • Beispiel 11
  • Herstellung von [9-Benzyl-4-carbamoyl-8-fluor-1,2,3,4-tetrahydrocarbazol-5-yl]oxyessigsäure
  • A. Herstellung von (2-Chlor-4-fluorphenyl)-ethylcarbonat
  • Eine Lösung aus 19,16 g an 2-Chlor-4-fluorphenol in 65,4 ml an 2 N wässriger Natriumhydroxidlösung wird in einem Eisbad gekühlt und tropfenweise mit 16,3 ml Ethylchlorformiat behandelt. Nach dem Rühren bei Raumtemperatur über Nacht wird das Zweiphasenreaktionsgemisch mit 100 ml Wasser verdünnt und mit 300 ml eines 1:1 Pentan/Ethergemisches extrahiert. Der Extrakt wird dreimal mit 0,02 N Natriumhydroxidlösung, Wasser und dann Kochsalzlösung gewaschen. Nach dem Trocknen und Eindampfung werden 27,63 g (97%) der Untertitelverbindung erhalten.
    NMR (300 MHz, CDCl3): δ 7,23-7,18 (m, 2H), 7,00 (dt, J = 8,4, 2,7, 1H), 4,35 (q, J = 7,1, 2H), 1,40 (t, J = 7,1, 3H).
  • B. Herstellung von (2-Chlor-4-fluor-5-nitrophenyl)-ethylcarbonat
  • Eine Lösung aus 27,63 g an (2-Chlor-4-fluorphenyl)-ethylcarbonat in 60 ml Dichlormethan wird in einem Eisbad gekühlt und tropfenweise mit 31,86 g eines 1:2 Gemisches aus rauchender Salpetersäure (90%) und konzentrierter Schwefelsäure behandelt. Die Reaktion wird für 2 Stunden bei Raumtemperatur gerührt und dann mit Eis gekühlt und mit weiteren 4,5 g desselben Nitrierungsgemisches behandelt. Die Reaktion wird über Nacht bei Raumtemperatur gerührt, in 200 ml Eis und Wasser gegossen und zweimal mit Dichlormethan extrahiert. Die Extrakte werden mit Wasser und dann mit Kochsalzlösung gewaschen, über Magnesiumsulfat getrocknet und unter Bildung von 33,01 g (99%) der Untertitelverbindung konzentriert.
    Smp. 50–51°C.
    Elementaranalyse: Berechnet: C 41,01, H 2,68, N 5,31, Cl 13,45. Gefunden: C 41,03, H 2,59, N 5,38, Cl 13,71.
  • C. Herstellung von 2-Chlor-4-fuor-5-nitroanisol
  • Eine Lösung aus 15,0 g an (2-Chlor-4-fluor-5-nitrophenyl)-ethylcarbonat in 100 ml Dimethylformamid wird mit 18,6 g Cäsiumcarbonat, 7,1 ml Iodmethan und 7 ml Methanol behandelt und über Nacht bei Raumtemperatur gerührt. Das Reaktionsgemisch wird in Wasser gegossen und zweimal mit Ether extrahiert. Die Extrakte werden zweimal mit Wasser und dann mit Kochsalzlösung gewaschen, über Magnesiumsulfat getrocknet und unter Bildung von 11,4 g der Untertitelverbindung konzentriert.
    Smp. 69–70°C. Bsp. 57, C.
    Elementaranalyse: Berechnet: C 40,90, H 2,45, N 6,81, Cl 17,25. Gefunden: C 41,20, H 2,48, N 6,70, Cl 17,44.
  • D. Herstellung von 2-Fluor-5-methoxyanilin
  • Eine Lösung aus 5,63 g an 2-Chlor-4-fluor-5-nitroanisol in 90 ml Ethanol und 5 ml Triethylamin wird bei Raumtemperatur unter 60 psi mit 1,0 g an 5% Palladium auf Kohle für vier Stunden hydriert. Der Katalysator wird abfiltriert und das Lösemittel wird verdampft. Der Rückstand wird in Chloroform aufgeschlämmt und durch ein Kissen aus Silicagel filtriert und dann eingedampft. Dieser Rückstand wird auf Silicagel mittels eines Hexan/Chloroformgemisches unter Bildung von 2,77 g (72%) der Untertitelverbindung chromatographiert.
    Smp. 253–254°C.
    NMR (300 MHz, CDCl3): δ 6,88 (dd, J = 10,6, 8,9, 1H), 6,32 (dd, J = 7,4, 3,0, 1H), 6,20 (dt, J = 8,9, 3,2, 1H), 3,73 (s, 3H), 3,72 (br, 2H).
  • E. Herstellung von N-Benzyl-2-Fuor-5-methoxyanilin
  • Dieses Verfahren wird gemäß dem von Tietze und Grote, Chem. Ber. 126 (12), 2733 (1993) ausgeführt. Eine Lösung aus 2,73 g an 2-Fluor-5-methoxyanilin und 2,67 g Benzaldehyd in 48 ml Methanol wird mit 3,43 g Zinkchlorid behandelt und dann in einem Eisbad gekühlt. Natriumcyanoborhydrid (1,58 g) wird in kleinen Portionen bei Raumtemperatur über 30 Minuten zugegeben und die Reaktion wird für fünf Stunden bei Raumtemperatur gerührt. Nach der Verdampfung des Lösemittels wird der Rückstand in 40 ml an 1 N Natriumhydroxidlösung aufgeschlämmt und dann zweimal mit Ether extrahiert. Die Extrakte werden mit Wasser und dann mit Kochsalzlösung gewaschen, über Magnesiumsulfat getrocknet und konzentriert. Der Rückstand wird aus Hexan unter Bildung von 2,61 g kristallisiert und die Mutterlaugen werden auf Silicagel unter Verwendung von 20:1 Hexan/Ether unter Bildung von weiteren 1,4 g der Untertitelverbindung (90%) chromatographiert.
    Smp. 56–58°C.
    Elementaranalyse: Berechnet: C 72,71, H 6,10; N 6,06. Gefunden: C 72,51, H 6,06, N 5,99.
  • F. Herstellung von Ethyl-9-benzyl-5-methoxy-8-Fluor-1,2,3,4-tetrahydrocarbazol-4-carboxylat
  • Eine Lösung aus 0,62 g an N-Benzyl-2-fluor-5-methoxyanilin in 20 ml trockenem Tetrahydrofuran wird in einem Eisbad gekühlt und mit 11,3 ml an 0,5 M Kaliumbis(trimethylsilyl)amid in Toluol behandelt. Nach dem Rühren für 30 Minuten werden 0,74 g an 2-Carboethoxy-6-bromcyclohexanon (Sheehan und Mumaw, JACS, 72, 2127 (1950)) in 4 ml Tetrahydrofuran zugegeben und die Reaktion kann sich langsam über 2 Stunden auf Raumtemperatur erwärmen. Die Reaktion wird mit gesättigter Ammoniumchloridlösung gestoppt und zweimal mit Ether extrahiert. Die Extrakte werden mit Wasser und dann mit Kochsalzlösung gewaschen, über Magnesiumsulfat getrocknet und konzentriert. Dieser Rückstand wird auf Silicagel mittels eines Hexan/Ethergemisches unter Bildung von 0,796 g (74%) an N-alkylierten Zwischenproduktdiastereomeren chromatographiert. Dieses Gemisch wird in 20 ml Benzol mit 0,99 g Zinkchlorid über Nacht am Rückfluss erhitzt. Das Lösemittel wird verdampft und der Rückstand wird zwischen 25 ml an 1 N HCl und 25 ml Ethylacetat aufgeteilt und dann erneut mit Ethylacetat extrahiert. Die organischen Phasen werden mit Wasser und dann Kochsalzlösung gewaschen, über Magnesiumsulfat getrocknet und unter Bildung von 0,734 g (96%) der Untertitelverbindung konzentriert.
    ESIMS m/e 382 (M++1).
    Elementaranalyse: Berechnet: C 72,42, H 6,34, N 3,67. Gefunden: C 72,20, H 6,26, N 3,70.
  • G. Herstellung von 9-Benzyl-5-methoxy-8-fluor-1,2,3,4-tetrahydrocarbazol-4-carboxamid
  • Ethyl-9-benzyl-5-methoxy-8-fluor-1,2,3,4-tetrahydrocarbazol-4-carboxylat (0,722 g) wird ähnlich wie in Beispiel 49, Teil C, beschrieben, behandelt und auf Silicagel mittels 1% Methanol in Dichlormethan unter Bildung von 0,482 g (72%) der Untertitelverbindung chromatographiert.
    ESIMS m/e 353 (M++1).
    Elementaranalyse: Berechnet: C 71,57, H 6,01, N 7,95. Gefunden: C 71,42, H 5,83, N 7,75.
  • H. Herstellung von [9-Benzyl-4-carbamoyl-8-fluor-1,2,3,4-tetrahydrocarbazol-5-yl]oxyessigsäuremethylester
  • 9-Benzyl-5-methoxy-8-fluor-1,2,3,4-tetrahydrocarbazol-4-carboxamid (0,170 g) wird ähnlich wie in Beispiel 49, Teil D, beschrieben, umgewandelt und auf Silicagel mittels Methanol/0–1% in Dichlormethan unter Bildung von 85 mg (50%) der Untertitelverbindung chromatographiert.
    Smp. 183–185°C.
    Elementaranalyse: Berechnet: C 67,31, H 5,65, N 6,82. Gefunden: C 67,58, H 5,48, N 6,95.
  • 1. Herstellung von [9-Benzyl-4-carbamoyl-8-fluor-1,2,3,4-tetrahydrocarbazol-5-yl]oxyessigsäure
  • 9-Benzyl-4-carbamoyl-8-Fluor-1,2,3,4-tetrahydrocarbazol-5-yl]oxyessigsäuremethylester (71 mg) wird ähnlich wie in Beispiel 50, Teil D, beschrieben, unter Bildung von 65 mg der Titelverbindung hydrolysiert.
    ESIMS m/e 397 (M++1), 395 (M+-1).
    NMR (300 MHz, d6-DMSO): δ 13,03 (br, 1H), 7,31-7,19 (m, 3H), 6,97 (d, J = 7,4, 2H), 6,95 (br, 1H), 6,70 (d, J = 3,8, 1H), 6,67 (dd, J = 12,4, 3,9, 1H), 6,28 (dd, J = 8,5, 2,6, 1H), 5,39 (ABq, 2H), 4,64 (s, 2H), 3,92 (br, 1H), 2,71 (m, 1H), 2,44 (m, 1H), 2,02 (m, 2H), 1,76 (m, 2H).
  • Beispiel 12
  • Herstellung von [9-Benzyl-5-carbamoyl-1-chlorcarbazol-4-yl]oxyessigsäure
  • A. Herstellung von 9-Benzyl-5-carbamoyl-4-methoxy-1-chlorcarbazol
  • Eine Lösung von 1,0 g an 9-Benzyl-5-methoxy-8-methyl-1,2,3,4-tetrahydrocarbazol-4-carboxamid wird ähnlich zu Beispiel 51 Teil A oxidiert und auf Silicagel mittels Dichlormethan/0–1% Methanol unter Bildung von 0,66 g (67%) der Untertitelverbindung chromatographiert. FDMS m/e 364 (M+).
    Elementaranalyse
    Berechnet: C 69,14, H 4,70, N 7,68, Cl 9,72
    Gefunden: C 69,40, H 4,64, N 7,49, Cl 9,98
  • B. Herstellung von 5-Carbamoyl-4-hydroxy-1-chlorcarbazol
  • Eine Lösung aus 0,66 g an 9-Benzyl-5-carbamoyl-4-methoxy-1-chlorcarbazol in 40 ml Dichlormethan wird in einem Eisbad gekühlt und tropfenweise mit 14 ml an 1,0 M Bortribromidlösung in Dichlormethan behandelt. Die Reaktion kann sich langsam über 2 Stunden auf Raumtemperatur erwärmen und wird dann durch Gießen auf Eis und der anschließenden Zugabe von 50 ml an 1 N HCl gestoppt. Das Gemisch wird mit Dichlormethan (3 × 200 ml) extrahiert und die Extrakte werden mit Kochsalzlösung gewaschen, mit Magnesiumsufat getrocknet und konzentriert. Die wässrigen Phasen zeigen einen Niederschlag und werden dann zweimal mit Ethylacetat extrahiert, mit Kochsalzlösung gewaschen, mit Magnesiumsulfat getrocknet und unter Bildung von 0,287 g der Untertitelverbindung konzentriert. Der erste Rückstand wird auf Silicagel mittel 0,5% Methanol in Dichlormethan unter Bildung von weiteren 93 mg der Untertitelverbindung chromatographiert. (Gesamtausbeute 80%).
    ESIMS m/e 259 (M+-1),
    NMR (300 MHz, d6-DMSO): δ 11,79 (s, 1H), 10,76 (s, 1H), 8,87 (br s, 1H), 8,41 (br s, 1H), 7,77 (t, J = 4,6, 1H), 7,48 (d, J = 4,2, 2H), 7,34 (d, J = 8,5, 1H), 6,54 (d, J = 8,5, 1H).
  • C. Herstellung von [5-Carbamoyl-1-chlorcarbazol-4-yl]oxyessigsäuremethylester
  • Eine Lösung aus 0,28 g an 5-Carbamoyl-4-hydroxy-1-chlorcarbazol in 6 ml Tetrahydrofuran wird zu 0,043 g an Natriumhydrid (60% in Mineralöl) in 1 ml Tetrahydrofuran gegeben und für 60 Minuten bei Raumtemperatur gerührt. Methylbromacetat (0,11 ml) wird dann zugegeben und die Reaktion wird über Nacht gerührt. Das Reaktionsgemisch wird in 20 ml gesättigte Ammoniumchloridlösung gegossen und dann zweimal mit Ethylacetat extrahiert. Die Extrakte werden mit Wasser und dann mit Kochsalzlösung gewaschen, über Magnesiumsulfat getrocknet und konzentriert. Der Rückstand wird dann auf Silicagel chromatographiert, wobei mit Chloroform und dann mit 2:1 Chloroform/Ethylacetat unter Bildung von 0,16 g (45%) der Untertitelverbindung eluiert wird.
    ESIMS m/e 333 (M++1), 335 (M++3), 331 (M+-1).
    NMR (300 MHz, d6-DMSO): δ 11,73 (s, 1H), 7,56 (d, J = 8,1, 1H), 7,50 (br s, 1H), 7,43-7,35 (m, 2H), 7,18 (br s, 1H), 7,06 (d, J = 7,8, 1H), 6,56 (d, J = 8,6, 1H), 4,90 (s, 2H), 3,70 (s, 3H).
  • D. Herstellung von [9-Benzyl-5-carbamoyl-1-chlorcarbazol-4-yl]oxyessigsäuremethylester
  • Eine Lösung aus 78 mg an [5-Carbamoyl-1-chlorcarbazol-4-yl]oxyessigsäuremethylester in 0,8 ml trockenem Dimethylformamid wird dann zu 10 mg Natriumhydrid (60% in Mineralöl) in 0,2 ml Dimethylformamid gegeben und für 15 Minuten gerührt. Benzylbromid (0,031 ml) wird dann zugegeben und die Reaktion wird über Nacht gerührt. Das Reaktionsgemisch wird in Wasser gegossen und mit 1 ml an 1 N HCl Lösung angesäuert und zweimal mit Ethylacetat extrahiert. Die Extrakte werden mit Wasser (3×) und dann mit Kochsalzlösung gewaschen, über Magnesiumsulfat getrocknet und konzentriert. Der Rückstand wird auf Silicagel unter Bildung von 40 mg der Untertitelverbindung chromatographiert, wobei mit Methanol/0–2% in Dichlormethan eluiert wird.
    ESIMS m/e 423 (M++1), 425 (M++3).
    NMR (300 MHz, CDCl3): δ 7,43-7,22 (m, 7H), 7,06 (d, J = 7,3, 2H), 6,51 (d, J = 8,6, 1H), 6,05 (s, 2H), 5,80 (br, 2H), 4,88 (s, 2H), 3,83 (s, 3H).
  • E. Herstellung von [9-Benzyl-5-carbamoyl-1-chlorcarbazol-4-yl]oxyessigsäure
  • [9-Benzyl-5-carbamoyl-1-chlorcarbazol-4-yl]oxyessigsäuremethylester (15 mg) wird ähnlich zur Beschreibung von Beispiel 50, Teil D unter Bildung von 14 mg der Titelverbindung hydrolysiert.
    Smp. 240–242°C.
    ESIMS m/e 409 (M++1), 411 (M++3), 407 (M+-1).
    NMR (300 MHz, d6-DMSO): δ 12,94 (br, 1H), 7,70 (br, 1H), 7,61 (d, J = 8,3, 1H), 7,43 (t, J = 7,8, 1H), 7,36 (m, 2H), 7,28-7,19 (m, 3H), 7,13 (d, J = 7,2, 1H), 6,99 (d, J = 7,4, 2H), 6,63 (d, J = 8,6, 1H), 6,08 (s, 2H), 4,83 (s, 2H).
  • Beispiel 13
  • Herstellung von [9-(Cyclohexyl)methyl]-5-carbamoylcarbazol-4-yl]oxyessigsäure
  • Figure 00310001
  • A. 9-[(Cyclohexyl)methyi]-5-carbomethoxy-1,2-dihydrocarbazol-4(3H)-on
  • Eine 0°C Suspension aus 5-Carbomethoxy-1,2-dihydro-9H-carbazol-4(3H)-on (1,0 g, 4,11 mmol) einer katalytischen Menge NaI (etwa 10 mg) und K2CO3 (1,1 g, 8,2 mmol) in 10 ml DMF wird mit Cyclohexylmethylbromid (0,631 ml, 4,52 mmol) behandelt. Nach dem Rühren über Nacht bei Umgebungstemperatur werden zusätzliche 0,63 ml Cyclohexylmethylbromid zugegeben und das entstehende Gemisch wird bei 60°C für 3 Stunden erhitzt. Das Gemisch wird in H2O (30 ml) gegossen und mit EtOAc (2 × 25 ml) extrahiert. Die vereinigten organischen Phasen werden mit H2O (4 × 50 ml) gewaschen, über wasser freiem Na2SO4 getrocknet, filtriert und im Vakuum konzentriert. Der Rückstand wird durch Radialchromatographie auf Silicagel (Elution mit einem Gradienten aus 20% bis 40% EtOAc/Hexan) unter Bildung von 1,36 g (4,01 mmol, 97%) an 9-[(Cyclohexyl)methyl]-5-carbomethoxy-1,2-dihydrocarbazol-4(3H)-on als weißer Schaum gereinigt.
    IR (CHCl3, cm–1) 3011, 2932, 2857, 1725, 1649, 1469, 1446, 1288 und 1120.
    MS (ES) m/e 340 (M+1), 453 (M+AcO).
    FAB HRMS m/e, Berechnet für C21H26NO3: 340,1913. Gefunden: 340,1916 (M+1).
    Elementaranalyse für C21H25NO3: Berechnet: C 74,31, H 7,42, N 4,13. Gefunden: C 72,65, H 7,39, N 4,70.
  • B. 9-[(Cyclohexyl)methyl]-4-hydroxy-5-carbomethoxycarbazol
  • Eine Lösung aus 9-[(Cyclohexyl)methyl]-5-carbomethoxy-1,2-dihydrocarbazol-4(3H)-on (1,16 g, 3,42 mmol) und 2,3-Dichlor-5,6-dicyano-1,4-benzochinon (853 mg, 3,76 mmol) in 20 ml Toluol wird für 3 Stunden auf 80°C erhitzt. Das Gemisch wird direkt durch Säulenchromatographie auf Silicagel (Elution mit CH2Cl2) unter Bildung von 259 mg (0,768 mmol, 22%) an 9-[(Cyclohexyl)methyl]-4-hydroxy-5-carbomethoxycarbazol als gelbes Öl gereinigt, das sich langsam verfestigt.
    MS (ES) m/e 338 (M+1), 336 (M-1).
    Elementaranalyse für C21H23NO3: Berechnet: C 74,75, H 6,87, N 4,15. Gefunden: C 74,95, H 6,99, N 4,42.
  • C. 9-[(Cyclohexyl)methyl]-4-hydroxy-5-carbamoylcarbazol
  • Eine Lösung aus 9-[(Cyclohexyl)methyl]-4-hydroxy-5-carbomethoxycarbazol (205 mg, 0,608 mmol) in 5 ml THF und 20 ml konzentriertem, wässrigem Ammoniumhydroxid wird mit einem Strom aus NH3 Gas behandelt, um die Sättigung sicherzustellen. Das Reaktionsgefäß wird verschlossen und das Gemisch wird bei 35°C unter Rühren erhitzt, bis die TLC den vollständigen Verbrauch des Ausgangsmaterials anzeigt (20 Stunden). Das THF wird verdampft und die wässrige Phase wird filtriert. Der grüne Feststoffniederschlag wird in THF gelöst und durch Radialchromatographie auf Silicagel (Elution mit CH2Cl2) gereinigt. Der entstehende Schaum wird mit Ether unter Bildung von 138 mg (70%) der Titelverbindung als nicht ganz weißer Feststoff behandelt.
    IR (KBr, cm–1) 3418, 3200, 3131, 1629, 1600, 1443, 1261, 778.
    FAB HRMS m/e Berechnet für C20H23N2O2: 323,1760. Gefunden: 323,1760. (M+1)
  • D. [9-(Cyclohexyl)methyl]-5-carbamoylcarbazol-4-yl]oxyessigsäuremethylester
  • Ein Gemisch aus 9-[(Cyclohexyl)methyl]-4-hydroxy-5-carbamoylcarbazol (60 mg, 0,186 mmol) und Cs2CO3 (150 mg, 0,460 mmol) in 2 ml DMF wird mit Methylbromacetat (0,023 ml, 0,242 mmol) behandelt. Die Reaktion wird für 2 Stunden bei Umgebungstemperatur gerührt und dann wird sie mit EtOAc und H2O (jeweils 10 ml) verdünnt. Die wässrige Phase wird mit festem NaCl gesättigt und mit EtOAc (2 × 10 ml) extrahiert. Die vereinigten organischen Phasen werden mit H2O (2 × 25 ml) gewaschen, über wasserfreiem Na2SO4 getrocknet, filtriert und im Vakuum konzentriert. Eine Reinigung des rohen Rückstands durch Blitzchromatographie auf Silicagel (Elution mit einem Gradienten aus 0% bis 90% EtOAc/He xan), gefolgt von einer Behandlung mit Et2O/EtOAc ergibt 45 mg (0,114 mmol, 61%) der Titelverbindung als nicht ganz weißen Feststoff.
    MS (ES) m/e 395 (M+1), 378 (M+H-NH3), 453 (M+AcO).
    Elementaranalyse für C23H26N2O4 × 0,3H2O: Berechnet: C 69,08, H 6,71, N 7,01. Gefunden: C 69,13, H 6,71, N 7,09.
  • E. 9-[(Cyclohexyl)methyl]-5-carbamoylcarbazol-4-yl]oxyessigsäure
  • Eine Aufschlämmung aus [9-[(Cyclohexyl)methyl]-5-carbamoylcarbazol-4-yl]oxyessigsäuremethylester (20 mg, 0,051 mmol) in 0,3 ml THF und 0,1 ml McOH wird mit 0,1 ml an 1 N wässrigem LiOH (0,1 mmol) behandelt und das Gemisch wird bei Raumtemperatur für 2 Stunden gerührt. Die Reaktion wird mit 0,2 N HCl angesäuert und die organischen Anteile werden im Vakuum entfernt. Der weiße Niederschlag wird aus der wässrigen Phase abfiltriert und unter Bildung von 16 mg (0,042 mmol, 83%) der Titelsäure als weißes Pulver mit Et2O gewaschen.
    MS (ES) m/e 381 (M+1), 364 (M+H-NH3), 379 (M-1).
    Elementaranalysen für C22H24N2O4: Berechnet: C 69,46, H 6,36, N 7,36. Gefunden: C 69,34, H 6,35, N 7,29.
  • Beispiel 14
  • Herstellung von [9-[(Cyclopentyl)methyl]-5-carbamoylcarbazol-4-yl]oxyessigsäure
  • Figure 00330001
  • A. 9-[(Cyclopentyl)methyl]-5-carbomethoxy-1,2-dihydrocarbazol-4(3H)-on
  • Eine Suspension aus 5-Carbomethoxy-1,2-dihydro-9N-carbazol-4(3H)-on (820 mg, 3,37 mmol), einer katalytischen Menge NaI (etwa 10 mg) und K2CO3 (930 mg, 6,74 mmol) in 6 ml DMF wird mit Cyclopentylmethylchlorid (JOC, 1964, 29, 421–423, 400 mg, 3,37 mmol) behandelt. Nach dem Rühren über Nacht bei Umgebungstemperatur werden zusätzliche 800 mg Cyclopentylmethylchlorid und 1 g NaI zugegeben und das entstehende Gemisch wird bei 80°C über Nacht erhitzt. Es werden zusätzliche 800 mg an Cyclopentylmethylchlorid und 2,2 g Cs2CO3 zugegeben und das Reaktionsgemisch wird für 24 Stunden auf 80°C erhitzt. Es werden zusätzliche 1,6 g Cyclopentylmethylchlorid zugegeben und das Reaktionsgemisch wird bei 80°C für 3 Tage erhitzt. Das Gemisch wird in H2O (30 ml) gegossen und mit EtOAc (3 × 10 ml) extrahiert. Die vereinigten organischen Phasen werden über wasserfreiem Na2SO4 getrocknet, filtriert und im Vakuum konzentriert. Der Rückstand wird durch Radialchromatographie auf Silicagel (Elution mit einem Gradienten aus 10% bis 40% EtOAc/Hexan) unter Bildung von 775 mg (2,38 mmol, 71%) an 9-[(Cyclopentyl)methyl]-5-carbomethoxy-1,2-dihydrocarbazol-4(3H)-on als brauner Schaum gereinigt.
    MS (ES) m/e 326 (M+1), 384 (M+AcO).
    Elementaranalyse für C20H23NO3: Berechnet: C 73,82, H 7,12, N 4,30. Gefunden: C 74,12, H 7,21, N 4,45.
  • B. 9-[(Cyclopentyl)methyl]-4-hydroxy-5-carbomethoxycarbazol
  • Eine Lösung aus 9-[(Cyclopentyl)methyl]-5-carbomethoxy-1,2-dihydrocarbazol-4(3H)-on (730 mg, 2,24 mmol) und 2,3-Dichlor-5,6-dicyano-1,4-benzochinon (560 mg, 2,47 mmol) in 20 ml Toluol wird für 3 Stunden auf 80°C erhitzt. Das Gemisch wird direkt durch Säulenchromatographie auf Silicagel (Elution mit CH2Cl2) unter Bildung von 140 mg (0,433 mmol, 19%) an 9-[(Cyclopentyl)methyl]-4-hydroxy-5-carbomethoxycarbazol als gelbes Öl gereinigt, das sich langsam verfestigt.
    MS (ES) m/e 324 (M+1), 322 (M-1).
    Elementaranalyse für C20H21NO3 × 0,3H2O: Berechnet: C 73,06, H 6,62, N 4,26. Gefunden: C 73,19, H 6,44, N 4,40.
  • C. 9-[(Cyclopentyl)methyl]-4-hydroxy-5-carbamoylcarbazol
  • Eine Lösung aus 9-[(Cyclopentyl)methyl]-4-hydroxy-5-carbomethoxycarbazol (110 mg, 0,34 mmol) in 3 ml THF und 20 ml konzentriertem, wässrigem Ammoniumhydroxid wird mit einem Strom aus NH3 Gas behandelt, um die Sättigung sicherzustellen. Das Reaktionsgefäß wird verschlossen und das Gemisch wird bei 35°C unter Rühren erhitzt, bis die TLC den vollständigen Verbrauch des Ausgangsmaterials anzeigt (20 Stunden). Das THF wird verdampft und die wässrige Phase wird filtriert. Der entstehende Feststoff wird mit Ether unter Bildung von 50 mg (0,162 mmol, 48%) der Titelverbindung als grünlich-weißer Feststoff behandelt.
    IR (KBr, cm–1) 3416, 3199, 3126, 1630, 1599, 1442, 1262, 778.
    FAB HRMS m/e Berechnet für C20H21N2O2: 309,1603. Gefunden: 309,1607 (M+1).
  • D. [9-(Cyclopentyl)methyl]-5-carbamoylcarbazol-4-yl]oxyessigsäuremethylester
  • Ein Gemisch aus 9-[(Cyclopentyl)methylJ-4-hydroxy-5-carbamoylcarbazol (45 mg, 0,146 mmol) und Cs2CO3 (120 mg, 0,365 mmol) in 2 ml DMF wird mit Methylbromacetat (0,018 ml, 0,19 mmol) behandelt. Die Reaktion wird für 2 Stunden bei Umgebungstemperatur gerührt und dann wird sie mit EtOAc und H2O (jeweils 10 ml) verdünnt. Die wässrige Phase wird mit festem NaCl gesättigt und mit EtOAc (2 × 10 ml) extrahiert. Die vereinigten organischen Phasen werden mit H2O (2 × 25 ml) gewaschen, über wasserfreiem Na2SO4 getrocknet, filtriert und im Vakuum konzentriert. Eine Reinigung des rohen Rückstands durch Blitzchromatographie auf Silicagel (Elution mit einem Gradienten aus 0% bis 100% EtOAc/Hexan), gefolgt von einer Behandlung mit Et2O/EtOAc ergibt 26 mg (0,0683 mmol, 47%) der Titelverbindung als hellbraunen Feststoff. MS (ES) m/e 381 (M+1), 364 (M+H-NH3), 439 (M+AcO).
    Elementaranalyse für C23H26N2O4 × 0,1H2O:
    Berechnet: C 69,13, H 6,38, N 7,33.
    Gefunden: C 68,99, H 6,39, N 7,41.
  • E. 9-[(Cyclopentyl)methyl]-5-carbamoylcarbazol-4-yl]oxyessigsäure
  • Eine Aufschlämmung aus [9-[(Cyclopentyl)methyl]-5-carbamoylcarbazol-4-yl]oxyessigsäuremethylester (20 mg, 0,065 mmol) in 0,3 ml THF und 0,1 ml MeOH wird mit 0,1 ml an 1 N wässrigem LiOH (0,1 mmol) behandelt und das Gemisch wird bei Raumtemperatur für 2 Stunden gerührt. Die Reaktion wird mit 0,2 N HCl angesäuert und die organischen Anteile werden im Vakuum entfernt. Der weiße Niederschlag wird aus der wässrigen Phase abfiltriert und unter Bildung von 15 mg (0,0409 mmol, 63%) der Titelverbindung als weißes Pulver mit Et2O gewaschen.
    MS (ES) m/e 367 (M+1), 350 (M+H-NH3), 365 (M-1).
    Elementaranalyse für C21H22N2O4 × 0,3H2O. Berechnet: C 67,84, H 6,13, N 7,53. Gefunden: C 67,73, H 5,97, N 7,70.
  • Die hierin beschriebenen Verbindungen dürften ihre nützliche therapeutische Wirkung im Prinzip durch die direkte Hemmung der humanen sPLA2 erreichen, und nicht, indem sie als Antagonisten für Arachidonsäure wirken und auch nicht für andere wirksame Mittel unter der Arachidonsäure in der Arachidonsäurekaskade, wie 5-Lipoxygenasen, Cyclooxygenasen usw. Das Verfahren zur Hemmung der durch sPLA2 vermittelten Freisetzung von Fettsäuren umfasst das Zusammenbringen von sPLA2 mit einer therapeutisch wirksamen Menge einer Verbindung der Formel (I), die aus der Gruppe ausgewählt ist, welche besteht aus [9-Benzyl-5-carbamoyl-1-fluorcarbazol-4-yl]oxyessigsäure,
    {9-[(Phenyl)methyl]-5-carbamoylcarbazol-4-yl}oxyessigsäure,
    {9-[(3-Fluorphenyl)methyl]-5-carbamoylcarbazol-4-yl}oxyessigsäure,
    {9-[(3-Chlorphenyl)methyl]-5-carbamoylcarbazol-4-yl}oxyessigsäure,
    {9-[(3-Trifluormethylphenyl)methyl]-5-carbamoylcarbazol-4-yl}oxyessigsäure-Natriumsalz,
    {9-[(2-Methylphenyl)methyl]-5-carbamoylcarbazol-4-yl}oxyessigsäure-Natriumsalz,
    {9-[(3-Methylphenyl)methyl]-5-carbamoylcarbazol-4-yl}oxyessigsäure-Natriumsalz,
    {9-[(3-Trifluormethoxyphenyl)methyl]-5-carbamoylcarbazol-4-yl}oxyessigsäure-Natriumsalz,
    [9-Benzyl-5-carbamoyl-1-chlorcarbazol-4-yl]oxyessigsäure,
    [9-(Cyclohexyl)methyl]-5-carbamoylcarbazol-4-yl]oxyessigsäure und
    [9-[(Cyclopentyl)methyl]-5-carbamoylcarbazol-4-yl]oxyessigsäure oder einem pharmazeutisch annehmbaren Salz hiervon.
  • Die erfindungsgemäßen Verbindungen können in einem Verfahren zur Behandlung eines Säugers (beispielsweise eines Menschen) zur Linderung der pathologischen Wirkungen von septischem Schock, Atemstresssyndrom beim Erwachsenen, Pankreatitis, Trauma, Bronchialasthma, allergischer Rhinitis und rheumatoider Arthritis verwendet werden, wobei das Verfahren die Verabreichung einer Verbindung der Formel (I) in einer therapeutisch wirksamen Menge an den Säuger umfasst. Eine "therapeutisch wirksame Menge" ist eine Menge, die zur Hemmung der durch sPLA2 vermittelten Freisetzung von Fettsäuren und somit zur Hemmung oder Prävention der Arachidonsäurekaskade und ihrer schädlichen Produkte ausreichend ist. Die therapeutische Menge einer erfindungsgemäßen Verbindung, die zur Hemmung von sPLA2 erforderlich ist, kann leicht durch die Entnahme einer Körperflüssigkeitsprobe und der Bestimmung des sPLA2 Gehalts durch herkömmliche Verfahren bestimmt werden.
  • In diesem Dokument wird die Person oder das Tier, die zu behandeln sind, als "Säuger" beschrieben und es soll so verstanden werden, dass der am meisten bevorzugte Patient ein Mensch ist. Jedoch muss erwähnt werden, dass die Untersuchung von . gestörten Zuständen des zentralen Nervensystems bei Tieren jetzt erst beginnt und dass in einigen Fällen solche Behandlungen angewendet werden. Demnach ist die Verwendung der vorliegenden Verbindungen bei Tieren ebenfalls umfasst. Es ist verständlich, dass sich die Dosisbereiche für Tiere notwendigerweise von den dem Menschen verabreichten Dosen ziemlich unterscheiden und dass demnach die beschriebenen Dosisbereiche erneut berechnet werden müssen. Beispielsweise kann ein kleiner Hund nur 1/10 der typischen Größe eines Menschen aufweisen und es ist daher notwendig, eine viel kleinere Dosis zu verwenden. Die Bestimmung der wirksamen Menge für ein bestimmtes Tier wird auf dieselbe Weise ausgeführt, wie sie später im Fall des Menschen beschrieben ist und Tierärzte sind mit solchen Bestimmungen gut vertraut.
  • Wie vorher erwähnt sind die erfindungsgemäßen Verbindungen zur Hemmung der durch die sPLA2 vermittelten Freisetzung von Fettsäuren brauchbar, wie Arachidonsäure. Durch den Ausdruck "hemmend" ist die Prävention oder therapeutisch signifikante Verringerung der durch die sPLA2 hervorgerufenen Freisetzung von Fettsäuren durch die erfindungsgemäßen Verbindungen gemeint. Mit "pharmazeutisch annehmbar" ist gemeint, dass der Träger, das Verdünnungsmittel oder der Hilfsstoff mit den anderen Bestandteilen der Formulierung kompatibel sein muss und für den Empfänger hiervon nicht schädlich sein darf.
  • Im allgemeinen werden die erfindungsgemäßen Verbindungen am liebsten in einer Dosis verab reicht, die im allgemeinen wirksame Ergebnisse erzielt, ohne schwere Nebenwirkungen zu verursachen und kann entweder als Einheitsdosis verabreicht werden oder, falls erwünscht, kann die Dosis in bequeme Untereinheiten aufgeteilt werden, die zu geeigneten Zeiten über den Tag verabreicht werden.
  • Die bestimmte Dosis einer gemäß der Erfindung verabreichten Verbindung, um therapeutische oder prophylaktische Wirkungen zu erzielen, wird natürlich von den besonderen Umständen bestimmt, die den Fall umgeben, einschließlich beispielsweise, dem Verabreichungsweg, dem Alter, Gewicht und der Reaktion des einzelnen Patienten, dem bestimmten zu behandelnden Zustand und der Schwere der Symptome des Patienten. Typische Tagesdosen enthalten eine nicht-toxische Dosismenge von etwa 0,01 mg/kg bis etwa 50 mg/kg Körpergewicht des erfindungsgemäßen Wirkstoffs.
  • Vorzugsweise ist die pharmazeutische Formulierung eine Einheitsdosierungsform. Die Einheitsdosierungsform kann eine Kapsel oder eine Tablette oder die geeignete Anzahl dieser sein. Die Menge an Wirkstoff in einer Einheitsdosierungsformzusammensetzung kann von etwa 0,1 bis etwa 1000 Milligramm oder mehr gemäß der bestimmten involvierten Behandlung variiert oder eingestellt werden. Es ist verständlich, dass Routinevariationen bezüglich der Dosis in Abhängigkeit des Alters und des Zustands des Patienten notwendig sind. Die Dosis hängt auch vom Verabreichungsweg ab.
  • Ein "chronischer" Zustand steht für einen störenden Zustand mit langsamem Fortschritt und langer Dauer. Daher wird dieser bei Diagnose behandelt und während dem Verlauf der Krankheit fortgesetzt. Ein "akuter" Zustand ist ein schlechter Zustand von kurzer Dauer, dem eine Besserungsperiode folgt. In einem akuten Fall wird die Verbindung beim Einsetzen der Symptome verabreicht und abgesetzt, wenn die Symptome verschwinden.
  • Pankreatitis, Trauma-induzierter Schock, Bronchialasthma, allergische Rhinitis und rheumatoide Arthritis können als akuter Vorfall oder als chronischer Vorfall auftreten. Daher umfasst die Behandlung dieser Zustände sowohl die akuten als auch die chronischen Formen. Septischer Schock und Atemstresssyndrom beim Erwachsenen sind auf der anderen Seite akute Zustände, die bei Diagnose behandelt werden.
  • Die Verbindungen können auf eine Vielzahl an Arten verabreicht werden, einschließlich oral, durch Aerosol, rektal, transdermal, subkutan, intravenös, intramuskulär und intranasal.
  • Pharmazeutische Formulierungen der Erfindung werden hergestellt durch Kombination (beispielsweise Mischen) einer therapeutisch wirksamen Menge der erfindungsgemäßen Verbindungen mit einem pharmazeutisch annehmbaren Träger oder Verdünnungsmittel hierfür. Die vorliegenden pharmazeutischen Formulierungen werden durch gut bekannte Verfahren mittels gut bekannter und leicht verfügbarer Inhaltsstoffe hergestellt.
  • Bei der Herstellung der erfindungsgemäßen Zusammensetzungen wird der Wirkstoff gewöhnlich mit einem Träger gemischt oder mit einem Träger verdünnt oder in einem Träger eingeschlossen, der in Form einer Kapsel, eines Sachets, eines Papiers oder eines anderen Behälters vorliegen kann. Wenn der Träger als Verdünnungsmittel dient, kann dies ein festes, halbfestes oder flüssiges Material sein, das als Vehikel dient, oder kann in Form von Tabletten, Pillen, Pulvern, Lonzetten, Elixieren, Suspensionen, Emulsionen, Lösungen, Sirupen, Aerosolen (als Feststoff oder in einem flüssigen Medium) oder Salben vorliegen, die beispielsweise bis zu 10 Gewichtsprozent des Wirkstoffs enthalten. Die erfindungsgemäßen Verbindungen werden vorzugsweise vor der Verabreichung formuliert.
  • Für die pharmazeutischen Formulierungen kann jeder in der Technik bekannte Träger verwendet werden. In einer solchen Formulierung kann der Träger ein Feststoff, eine Flüssigkeit oder ein Gemisch eines Feststoffs und einer Flüssigkeit sein. Formulierungen in fester Form umfassen Pulver, Tabletten und Kapseln. Ein fester Träger kann eine oder mehrere Substanzen umfassen, die auch als Geschmacksmittel, Gleitmittel, Löslichkeitsvermittler, Suspendiermittel, Bindemittel, Tablettenzerfallshilfsmittel und verkapselndes Material wirken können.
  • Tabletten zur oralen Verabreichung können geeignete Hilfsstoffe enthalten, wie Calciumcarbonat, Natriumcarbonat, Lactose, Calciumphosphat, zusammen mit Zerfallshilfsstoffen, wie Maisstärke oder Alginsäure und/oder Bindemittel, beispielsweise Gelatine oder Akaziengummi, und Gleitmittel, wie Magnesiumstearat, Stearinsäure oder Talkum.
  • In Pulvern ist der Träger ein fein verteilter Feststoff, der mit dem fein verteilten Wirkstoff gemischt ist. In Tabletten wird der Wirkstoff mit einem Träger in geeigneten Anteilen gemischt, der die notwendigen Bindungseigenschaften aufweist, und in der gewünschten Form und Größe verpresst. Die Pulver und Tabletten enthalten vorzugsweise etwa 1 bis etwa 99 Gewichtsprozent des Wirkstoffs, der die neue Verbindung der Erfindung ist. Geeignete feste Träger sind Magnesiumcarbonat, Magnesiumstearat, Talkum, Zucker, Lactose, Pektin, Dextrin, Stärke, Gelatine, Tragacanth, Methylcellulose, Natriumcarboxymethylcellulose, niedrig schmelzende Wachse und Kakaobutter.
  • Sterile Formulierungen in flüssiger Form umfassen Suspensionen, Emulsionen, Sirupe und Elixiere.
  • Der Wirkstoff kann in einem pharmazeutisch annehmbaren Träger gelöst oder suspendiert werden, wie sterilem Wasser, sterilem organischem Lösemittel oder einem Gemisch aus beidem. Der Wirkstoff kann oft in einem geeigneten organischen Lösemittel gelöst werden, beispielsweise wässrigem Propylenglycol. Andere Zusammensetzungen können durch Dispergieren des fein verteilten Wirkstoffs in wässriger Stärke oder Natriumcarboxymethylcelluloselösung oder in einem geeigneten Öl hergestellt werden.
  • Die folgenden pharmazeutischen Formulierungen 1 bis 8 sind nur erläuternd und sollen den Schutzumfang der Erfindung in keiner Weise beschränken. "Wirkstoff" steht für eine Verbindung der Formel (I) oder ein pharmazeutisch annehmbares Salz, Solvat oder Prodrug hiervon.
  • Formulierung 1
  • Hartgelatinekapseln werden unter Verwendung folgender Inhaltsstoffe hergestellt:
    Menge
    (mg/Kapsel)
    Verbindung von Beispiel 1 250
    Stärke, getrocknet 200
    Magnesiumstearat 10
    Gesamt 460 mg
  • Formulierung 2
  • Eine Tablette wird unter Verwendung der folgenden Inhaltsstoffe hergestellt:
    Menge
    (mg/Tablette)
    Verbindung von Beispiel 2 250
    mikrokristalline Cellulose 400
    pyrogen hergestelltes Siliciumdioxid 10
    Stearinsäure 5
    Gesamt 665 mg
  • Die Bestandteile werden vermischt und unter Bildung von Tabletten gepresst, wobei jede 665 mg wiegt.
  • Formulierung 3
  • Eine Aerosollösung, die die folgenden Bestandteile enthält, wird hergestellt:
    Gewicht
    Verbindung von Beispiel 3 0,25
    Ethanol 25,75
    Propellant 22 (Chlordifluormethan) 74,00
    Gesamt 100,00
  • Der Wirkstoff wird mit Ethanol gemischt und das Gemisch wird zu einem Teil Propellant 22 gegeben, auf –30°C abgekühlt und in ein Abfüllgerät gegeben. Die erforderliche Menge wird anschließend in einen Edelstahlbehälter gefüllt und mit dem Rest des Propellants verdünnt. Die Ventileinheiten werden anschließend am Behälter angebracht.
  • Formulierung 4
  • Tabletten, die jeweils 60 mg des Wirkstoffs enthalten, werden folgendermaßen hergestellt:
    Verbindung von Beispiel 4 60 mg
    Stärke 45 mg
    Mikrokristalline Cellulose 35 mg
    Polyvinylpyrrolidon (als 10% Lösung in Wasser) 4 mg
    Natriumcarboxymethylstärke 4,5 mg
    Magnesiumstearat 0,5 mg
    Talkum 1 mg
    Gesamt 150 mg
  • Der Wirkstoff, die Stärke und die Cellulose werden durch ein Nr. 45 Mesh U.S. Sieb gegeben und sorgfältig vermischt. Die wässrige Lösung, die Polyvinylpyrrolidon enthält, wird mit dem entstehenden Pulver vermischt und das Gemisch wird anschließend durch ein Nr. 14 Mesh U.S. Sieb gegeben. Die so hergestellten Granula werden bei 50°C getrocknet und durch ein Nr. 18 Mesh U.S. Sieb gegeben. Die Natriumcarboxymethylstärke, das Magnesiumstearat und das Talkum werden, nachdem sie vorher durch ein Nr. 60 Mesh U.S. Sieb gegeben wurden, zu den Granula gegeben und nach dem Mischen in einer Tablettenmaschine unter Bildung von Tabletten gepresst, die jeweils 150 mg wiegen.
  • Formulierung 5
  • Kapseln, die jeweils 80 mg des Wirkstoffs enthalten, werden folgendermaßen hergestellt:
    Verbindung von Beispiel 5 80 mg
    Stärke 59 mg
    Mikrokristalline Cellulose 59 mg
    Magnesiumstearat 2 mg
    Gesamt 200 mg
  • Der Wirkstoff, die Cellulose, die Stärke und das Magnesiumstearat werden gemischt, durch ein Nr. 45 Mesh U.S. Sieb gegeben und in Hartgelatinekapseln in 200 mg Mengen abgefüllt.
  • Formulierung 6
  • Zäpfchen, die jeweils 225 mg des Wirkstoffs enthalten, werden folgendermaßen hergestellt:
    Verbindung von Beispiel 6 225 mg
    Gesättigte Fettsäureglyceride 2000 mg
    Gesamt 2225 mg
  • Der Wirkstoff wird durch ein Nr. 60 Mesh U.S. Sieb gegeben und in den gesättigten Fettsäureglyceriden suspendiert, die vorher bei möglichst geringer Hitze geschmolzen werden. Das Gemisch wird anschließend in eine Zäpfchenform mit einer nominalen Kapazität von 2 g gegossen und abgekühlt.
  • Formulierung 7
  • Suspensionen, die jeweils 50 mg des Wirkstoffs pro 5 ml Dosis enthalten, werden folgendermaßen hergestellt:
    Verbindung von Beispiel 7 50 mg
    Natriumcarboxymethylcellulose 50 mg
    Sirup 1,25 ml
    Benzoesäurelösung 0,10 ml
    Geschmacksstoff q.v.
    Farbstoff q.v.
    Gereinigtes Wasser auf gesamt 5 ml
  • Der Wirkstoff wird durch ein Nr.45 Mesh U.S. Sieb gegeben und mit Natriumcarboxymethylcellulose und Sirup vermischt, um eine glatte Paste zu erhalten. Die Benzoesäurelösung, der Geschmacksstoff und der Farbstoff werden mit einem Anteil Wasser vermischt, und unter Rühren zugegeben. Anschließend wird ausreichend Wasser zugegeben, um das erforderliche Volumen zu erhalten.
  • Formulierung 8
  • Eine intravenöse Formulierung kann folgendermaßen hergestellt werden:
    Verbindung von Beispiel 8 100 mg
    Isotonische Kochsalzlösung 1000 ml
  • Die Lösung der obigen Inhaltsstoffe wird im allgemeinen einem Patienten mit einer Geschwindigkeit von 1 ml pro Minute intravenös verabreicht.
  • Testexperimente
  • Testbeispiel 1
  • Das folgende chromogene Testverfahren wird zur Identifizierung und Evaluierung von Inhibitoren der rekombinanten humanen sekretierten Phospholipase A2 verwendet. Der hierin beschriebene Test wurde mittels Mikrotiterplatten mit 96 Vertiefungen für ein Screening mit hohem Durchsatz angepasst. Eine allgemeine Beschreibung des Testverfahrens findet man in dem Artikel "Analysis of Human Synovial Fluid Phospholipase A2 on Short Chain Phosphatidylcholin-Mixed Micelles: Development of a Spectrophotometric Assay Suitable for a Microtiterplate Reader", von Laure J. Reynolds, Lori L. Hughes und Edward A. Dennis, Analytical Biochemistry, 204, Seiten 190–197, 1992 (wobei die Beschreibung hiermit eingeführt ist).
  • Reagenzien:
    • Reaktionspuffer: CaCl2·2H2O (1,47 g/l) KCl (7,455 g/l) Rinderserumalbumin (fettsäurefrei) (1 g/l) (Sigma A-7030, Produkt von Sigma Chemical Co. St. Louis, Mo, USA) Tris HCl (3,94 g/l) pH 7,5 (eingestellt mit NaOH)
    • Enzympuffer 0,05 NaOAc·3 H2O, pH 4,5 0,2 NaCl pH eingestellt mit Essigsäure auf 4,5
    • DTNB – 5,5'-Dithiobis-2-nitrobenzoesäure
    • Razemisches Diheptanoyl Thio-PC razemisches 1,2-Bis(heptanoylthio)-1,2-didesoxy-sn-glycero-3-phosphorylcholin Triton X-100® angesetzt mit 6,249 mg/ml in Reaktionspuffer entspricht 10 μM Triton X-100® ist ein nicht-ionisches Polyoxyethylendetergenz, das von Pierce Chemical Company, 3747 N. Meridian Road, Rockford, Illinois 61101 vertrieben wird.
    • Reaktionsgemisch Ein gemessenes Volumen an razemischem Diheptanoylthio-PC in Chloroform mit einer Konzentration von 100 mg/ml wird eingedampft und in 10 mM rückgelöst Triton X-100® wässrige Lösung des nichtionischen Detergenzes Man gibt Reaktionspuffer zur Lösung und dann DTNB, um das Reaktionsgemisch zu erhalten. Das so erhaltene Reaktionsgemisch enthält 1 mM Diheptanoylthio-PC Substrat, 0,29 mM Triton X-100® Detergenz und 0,12 mM DTNB in einer gepufferten wässrigen Lösung bei pH 7,5
  • Testverfahren
    • 1. Zugabe von 0,2 ml Reaktionsgemisch zu allen Vertiefungen.
    • 2. Zugabe von 10 μl Testverbindung (oder Lösemittelkontrolle) zu geeigneten Vertiefungen, 20 Sekunden Mischen.
    • 3. Zugabe von 50 Nanogramm sPLA2 (10 μl) zu geeigneten Vertiefungen.
    • 4. Inkubation der Platte bei 40°C für 30 Minuten.
    • 5. Ablesen der Absorption der Vertiefungen bei 405 nm mit einem automatischen Mikrotiterphotometer.
  • Alle Verbindungen werden dreifach getestet. Typische Verbindungen werden in einer Endkonzentration von 5 μg/ml getestet. Verbindungen werden als wirksam betrachtet, wenn sie eine Hemmung von 40% oder mehr verglichen zu den ungehemmten Kontrollreaktionen aufweisen, wenn sie bei 405 nm gemessen werden. Das Fehlen der Farbentwicklung bei 405 nm zeigt eine Hemmung an. Verbindungen, die anfangs als aktiv befunden werden, werden erneut getestet, um ihre Aktivität zu bestätigen, und wenn sie ausreichend aktiv sind, werden die HK50 Werte bestimmt. Typischerweise werden die HK50 Werte durch serielle Zweifachverdünnung der Testverbindung bestimmt, so dass die Endkonzentration in der Reaktion von 45 μg/ml bis 0,35 μg/ml reicht. Stärkere Inhibitoren erfordern eine signifikant stärkere Verdünnung. In allen Fällen wird die prozentuale Hemmung bei 405 nm gemessen, die durch die Enzymreaktionen hervorgerufen wird, die Inhibitoren enthalten, relativ zu nicht-gehemmten Kontrollreaktionen. Jede Probe wird dreifach titriert und die Ergebnisse werden für die Auftragung und die Berechnung der HK50 Werte gemittelt. Die HK50 Werte werden durch Auftragung der logarithmischen Konzentrationen gegen die Hemmwerte im Bereich von 10–90% Hemmung bestimmt.
  • Die erfindungsgemäßen Verbindungen werden in Testbeispiel 1 getestet und sind bei Konzentrationen von weniger als 100 μM wirksam.
  • Testbeispiel 2
  • Verfahren:
  • Männliche Hartley-Meerschweinchen (500–700 g) werden durch cervikale Dislokation getötet und ihre Herzen und Lungen werden intakt entnommen und in einen belüfteten (95% O2 : 5% CO2) Krebs Puffer gegeben. Dorsale Pleurastreifen (4 × 1 × 25 mm) werden von intakten Parenchymsegmenten (8 × 4 × 25 mm) herausgeschnitten, die parallel zur äußeren Spitze der unteren Lungenlappen geschnitten wurden. Zwei benachbarte Pleurastreifen, die von einem einzelnen Lappen erhalten wurden und eine einzelne Gewebeprobe darstellen, werden an beiden Enden angebunden und unabhängig an einen Metallträgerstab angebracht. Ein Stab wird an einen Grass Kraftübertragungsumwandler (Modell FTO3C, Produkt von Grass Medical Instruments Co., Quincy, MA, USA) angebracht. Veränderungen in der isometrischen Spannung werden auf einen Monitor und einem Thermoschreiber (Produkt von Modular Instruments, Malvern, PA) angezeigt. Alle Gewebe werden in ummantelte 10 ml Gewebebäder gegeben und auf 37°C gehalten. Die Gewebebäder werden kontinuierlich belüftet und enthalten eine modifizierte Krebslösung der folgenden Zusammensetzung (mM): NaCl 118,2, KCl 4,6, CaCl2·2H2O 2,5, MgSO4·7H2O 1,2, NaHCO3 24,8, KH2PO4 1,0, und Dextrose 10,0. Pleurastreifen von den gegenüberliegenden Lungenlappen werden für gepaarte Experimente verwendet. Vorläufige Daten, die aus den Spannungs-/Antwortkurven erzeugt werden, zeigen, dass die Ruhespannung von 800 mg optimal ist. Die Gewebe können sich für 45 Minuten äquilibrieren, wenn die Badflüssigkeit periodisch ausgetauscht wurde.
  • Kumulative Konzentrations-Antwortkurven
  • Anfänglich werden die Gewebe dreimal mit KCl (40 mM) provoziert, um die Gewebelebensfähigkeit zu testen und eine konsistente Antwort zu erhalten. Nach der Aufzeichnung der maximalen Reaktion gegenüber KCl werden die Gewebe gewaschen und können vor der nächsten Provokation auf die Grundlinie zurückkehren. Man erhält kumulative Konzentrations-Antwortkurven aus den Pleurastreifen, indem man die Agonistkonzentration (sPLA2) im Gewebebad durch Zunahmen um halbe log10 erhöht, während die vorhergehende Konzentration mit den Geweben in Kontakt bleibt (siehe obige Referenz 1). Die Agonistkonzentration wird erhöht, nachdem die durch die vorangehende Konzentration ausgelöste Kontraktion ein Plateau erreicht hat. Man erhält eine Konzentrations-Antwortkurve aus jedem Gewebe. Um die Variabilität zwischen Geweben zu minimieren, die von verschiedenen Tieren erhalten wurden, werden die Kontraktionsreaktionen als Prozentsatz der maximalen Reaktion ausgedrückt, die mit der letzten KCl Provokation erhalten wurde. Wenn man die Effekte verschiedener Arzneimittel auf die kontraktilen Effekte der sPLA2 untersucht, werden die Verbindungen und ihre jeweiligen Träger 30 Minuten vor dem Start der sPLA2 Konzentrations-Antwortkurven zugegeben.
  • Statistische Analyse
  • Daten von verschiedenen Experimenten werden vereinigt und als Prozentsatz der maximalen KCl Reaktionen dargestellt (Mittel ± Standardabweichung). Um die durch die Arzneimittel hervorgerufenen Verschiebungen nach rechts in den Konzentrations-Antwortkurven abzuschätzen, werden die Kurven simultan mittels statistischer nichtlinearer Modellmethoden analysiert, die den von Waud (1976), Gleichung 26, Seite 163 (Referenz 2) beschriebenen ähnlich sind. Das Modell umfasst vier Parameter: Die maximale Gewebereaktion, die für jede Kurve als gleich angenommen wird, die ED50 für die Kontrollkurve, die Steilheit der Kurven und die pA2, die Konzentration an Agonist, die eine zweifache Erhöhung des Agonisten erfordert, um eine äquivalente Reaktion zu erreichen. Die Schild Steigung wird mittels statistischer nichtlinearer Modellmethoden mit 1 bestimmt, die zu den von Waud (1976), Gleichung 27, Seite 164 beschriebenen ähnlich sind (Referenz 2). Die dem Wert 1 entsprechende Schild-Steigung zeigt, dass das Modell mit den Annahmen eines kompetitiven Antagonisten konsistent ist, und daher die pA2 als scheinbare KB interpretiert werden kann, die Dissoziationskonstante des Inhibitors.
  • Um die Arzneimittel-induzierte Unterdrückung der Maximalreaktionen abzuschätzen, werden die sPLA2 Reaktionen (10 μg/ml) in Abwesenheit und Anwesenheit des Arzneimittels bestimmt und die prozentuale Unterdrückung wird für jedes Gewebepaar berechnet. Repräsentative Beispiele der Hemmaktivitäten sind in der Tabelle 2 unten gezeigt.
    Referenz 1 – van, J.M.: Cumulative dose-response curves. II.
    Technique for the making of dose-response curves in isolated organs and the evaluation of drug parameters. Arch. Int. Pharmacodyn. Ther. 143: 299–330, 1963.
    Referenz 2 – D. Waud: Analysis of dose-response relationships, in Advances in General and Cellular Pharmacology, Herausgeber Narahashi, Bianchi 1: 145–178, 1976.
  • Die erfindungsgemäßen Verbindungen werden im Testbeispiel 2 getestet und sind bei Konzentrationen unter 20 μM wirksam.
  • Testbeispiel 3
  • sPLA2 Test in transgenen Mäusen
  • Materialien und Methoden
  • Die in diesen Studien verwendeten Mäuse sind reife, 6–8 Monate alte, mit ZnSO4 stimulierte, transgene Mäuse der hemizygoten Linie 2608a (Fox et al., 1996). Die transgenen Mäuse dieser Linie exprimieren humane sPLA2 in der Leber und anderen Geweben und erreichen typischerweise Spiegel von humaner sPLA2 in ihrem Kreislauf von etwa 173 ± 10 ng/ml, wenn sie maximal mit ZnSO4 stimuliert werden (Fox et al., 1996). Die Mäuse werden unter konstanter Luftfeuchtigkeit und Temperatur gehalten und erhalten freien Zugang zu Futter und Wasser. Die Beleuchtung des Tierraums wird in einem 12 stündigen Hell-Dunkel-Zyklus gehalten und alle Experimente werden zur selben Zeit des Tages während der Lichtperiode am frühen Morgen ausgeführt.
  • Für intravenöse Tests werden die Verbindungen oder der Träger als i.v. Bolus über die Schwanzvene in einem Volumen von 0,15 ml verabreicht. Der Träger besteht aus 1–5% Dimethylsulfoxid, 1–5% Ethanol und 10–30% Polyethylenglycol 300 in H2O, wobei die Konzentrationen dieser Bestandteile gemäß der Löslichkeit der Verbindung angepasst werden. Die Mäuse lässt man retro-orbital vor der Verabreichung des Arzneimittels oder des Trägers und 30 Minuten, 2 und 4 Stunden danach bluten. 3 bis 6 Mäuse werden für jede Dosis verwendet. Die katalytische PLA2 Aktivität im Serum wird mit einem modifi zierten gemischten Mizelltest aus Phosphatidylcholin/-desoxycholin (Fox et al. 1996, Schadlich et al. 1987) unter Verwendung von 3 mM Natriumdesoxycholat und 1 mM 1-Palmitoyl-2-oleoyl-sn-glycero-3-phosphocholin getestet.
  • Für einen oralen Test werden die Verbindungen in 1–5% Ethanol/10–30% Polyethylenglycol 300 in H2O gelöst oder in 5% Dextrose in H2O suspendiert und durch orale Gabe verabreicht. Das Serum wird aus retro-orbitalem Blut gewonnen und wie oben auf eine katalytische PLA2 Aktivität getestet.
  • Literaturangaben:
    • N. Fox, M. Song, J. Schrementi, J.D. Sharp, D.L. White, D.W. Snyder, L.W. Hartley, D.G. Carlson, N.J. Bach, R.D. Dillard, S.E. Draheim, J. L. Bobbit, L. Fisher und E.D. Mihelich, 1996, Eur. J. Pharmacol. 308: 195.
    • H.R. Schadlich, M. Buchler und H.G. Reger, 1987, J. Clin. Chem. Clin Biochem. 25, 505.
  • Die Verbindungen der vorliegenden Erfindung werden in Testbeispiel 3 getestet und als wirksam befunden.
  • Obwohl die vorliegende Erfindung durch bestimmte Ausführungsformen erläutert wurde, ist es nicht beabsichtigt, dass diese bestimmten Beispiele den Schutzumfang der Erfindung beschränken, wie er in den Patentansprüchen beschrieben ist.

Claims (23)

  1. Verbindung, ausgewählt aus der Gruppe, die besteht aus [9-Benzyl-5-carbamoyl-1-fluorcarbazol-4-yl]oxyessigsäure, {9-[(Phenyl)methyl]-5-carbamoylcarbazol-4-yl}oxyessigsäure, {9-[(3-Fluorphenyl)methyl]-5-carbamoylcarbazol-4-yl}oxyessigsäure, {9-[(3-Chlorphenyl)methyl]-5-carbamoylcarbazol-4-yl}oxyessigsäure, {9-[(3-Trifluormethylphenyl)methyl]-5-carbamoylcarbazol-4-yl}oxyessigsäure-Natriumsalz, {9-[(2-Methylphenyl)methyl]-5-carbamoylcarbazol-4-yl}oxyessigsäure-Natriumsalz, {9-[(3-Methylphenyl)methyl]-5-carbamoylcarbazol-4-yl}oxyessigsäure-Natriumsalz, {9-[(3-Trifluormethoxyphenyl)methyl]-5-carbamoylcarbazol-4-yl}oxyessigsäure-Natriumsalz, [9-Benzyl-5-carbamoyl-1-chlorcarbazol-4-yl]oxyessigsäure, [9-(Cyclohexyl)methyl]-5-carbamoylcarbazol-4-yl]oxyessigsäure und [9-[(Cyclopentyl)methyl]-5-carbamoylcarbazol-4-yl]oxyessigsäure oder ein pharmazeutisch annehmbares Razemat, Solvat, Tautomer, optisches Isomer, Prodrugderivat, ausgewählt aus einem Methyl-, Ethyl-, Propyl-, Isopropyl-, Butyl-, sek-Butyl-, tert-Butyl-, Morpholinoethyloxy-, Diethylglycolamid- oder Diethylaminocarbonylmethoxyester oder ein Salz hiervon.
  2. Verbindung nach Anspruch 1, die {9-[(Phenyl)methyl]-5-carbamoylcarbazol-4-yl}oxyessigsäure ist oder ein pharmazeutisch annehmbares Razemat, Solvat, Tautomer, optisches Isomer, Prodrugderivat, ausgewählt aus einem Methyl-, Ethyl-, Propyl-, Isopropyl-, Butyl-, sek-Butyl-, tert-Butyl-, Morpholinoethyloxy-, Diethylglycolamid- oder Diethylaminocarbonylmethoxyester oder ein Salz hiervon.
  3. Verbindung nach Anspruch 1, die [9-Benzyl-5-carbamoyl-1-fluorcarbazol-4-yl}oxyessigsäure ist oder ein pharmazeutisch annehmbares Razemat, Solvat, Tautomer, optisches Isomer, Prodrugderivat, ausgewählt aus einem Methyl-, Ethyl-, Propyl-, Isopropyl-, Butyl-, sek-Butyl-, tert-Butyl-, Morpholinoethyloxy-, Diethylglycolamid- oder Diethylaminocarbonylmethoxyester oder ein Salz hiervon.
  4. Verbindung nach Anspruch 1, die {9-[(3-Fluorphenyl)methyl]-5-carbamoylcarbazol-4-yl}oxyessigsäure ist oder ein pharmazeutisch annehmbares Razemat, Solvat, Tautomer, optisches Isomer, Prodrugderivat, ausgewählt aus einem Methyl-, Ethyl-, Propyl-, Isopropyl-, Butyl-, sek-Butyl-, tert-Butyl-, Morpholinoethy-loxy-, Diethylglycolamid- oder Diethylaminocarbonylmethoxyester oder ein Salz hiervon.
  5. Verbindung nach Anspruch 1, die {9-[(3-Chlorphenyl)methyl]-5-carbamoylcarbazol-4-yl}oxyessigsäure ist oder ein pharmazeutisch annehmbares Razemat, Solvat, Tautomer, optisches Isomer, Prodrugderivat, ausgewählt aus einem Methyl-, Ethyl-, Propyl-, Isopropyl-, Butyl-, sek-Butyl-, tert-Butyl-, Morpholinoethy-loxy-, Diethylglycolamid- oder Diethylaminocarbonylmethoxyester oder ein Salz hiervon.
  6. Verbindung nach Anspruch 1, die {9-[(3-Trifluormethylphenyl)methyl]-5-carbamoylcarbazol-4-yl}oxyessigsäure-Natriumsalz ist oder ein pharmazeutisch annehmbares Razemat, Solvat, Tautomer, optisches Isomer, Prodrugderivat, ausgewählt aus einem Methyl-, Ethyl-, Propyl-, Isopropyl-, Butyl-, sek-Butyl-, tert-Butyl-, Morpholinoethyloxy-, Diethylglycolamid- oder Diethylaminocarbonylmethoxyester oder ein Salz hiervon.
  7. Verbindung nach Anspruch 1, die {9-[(2-Methylphenyl)methyl]-5-carbamoylcarbazol-4-yl}oxyessigsäure-Natriumsalz ist oder ein pharmazeutisch annehmbares Razemat, Solvat, Tautomer, optisches Isomer, Prodrugderivat, ausgewählt aus einem Methyl-, Ethyl-, Propyl-, Isopropyl-, Butyl-, sek-Butyl-, tert-Butyl-, Morpholinoethyloxy-, Diethylglycolamid- oder Diethylaminocarbonylmethoxyester oder ein Salz hiervon.
  8. Verbindung nach Anspruch 1, die {9-[(3-Methylphenyl)methyl]-5-carbamoylcarbazol-4-yl}oxyessigsäure-Natriumsalz ist oder ein pharmazeutisch annehmbares Razemat, Solvat, Tautomer, optisches Isomer, Prodrugderivat, ausgewählt aus einem Methyl-, Ethyl-, Propyl-, Isopropyl-, Butyl-, sek-Butyl-, tert-Butyl-, Morpholinoethyloxy-, Diethylglycolamid- oder Diethylaminocarbonylmethoxyester oder ein Salz hiervon.
  9. Verbindung nach Anspruch 1, die {9-[(3-Trifluormethoxyphenyl)methyl]-5-carbamoylcarbazol-4-yl}oxyessigsäure-Natriumsalz ist oder ein pharmazeutisch annehmbares Razemat, Solvat, Tautomer, optisches Isomer, Prodrugderivat, ausgewählt aus einem Methyl-, Ethyl-, Propyl-, Isopropyl-, Butyl-, sek-Butyl-, tert-Butyl-, Morpholinoethyloxy-, Diethylglycolamid- oder Diethylaminocarbonylmethoxyester oder ein Salz hiervon.
  10. Verbindung nach Anspruch 1, die [9-Benzyl-5-carbamoyl-1-chlorcarbazol-4-yl}oxyessigsäure ist oder ein pharmazeutisch annehmbares Razemat, Solvat, Tautomer, optisches Isomer, Prodrugderivat, ausgewählt aus einem Methyl-, Ethyl-, Propyl-, Isopropyl-, Butyl-, sek-Butyl-, tert-Butyl-, Morpholinoethyloxy-, Diethylglycolamid- oder Diethylaminocarbonylmethoxyester oder ein Salz hiervon.
  11. Verbindung nach Anspruch 1, die [9-[(Cyclohexyl)methyl]-5-carbamoylcarbazol-4-yl}oxyessigsäure ist oder ein pharmazeutisch annehmbares Razemat, Solvat, Tautomer, optisches Isomer, Prodrugderivat, ausgewählt aus einem Methyl-, Ethyl-, Propyl-, Isopropyl-, Butyl-, sek-Butyl-, tert-Butyl-, Morpholinoethy-loxy-, Diethylglycolamid- oder Diethylaminocarbonylmethoxyester oder ein Salz hiervon.
  12. Verbindung nach Anspruch 1, die [9-[(Cyclopentyl)methyl]-5-carbamoylcarbazol-4-yl}oxyessigsäure ist oder ein pharmazeutisch annehmbares Razemat, Solvat, Tautomer, optisches Isomer, Prodrugderivat, ausgewählt aus einem Methyl-, Ethyl-, Propyl-, Isopropyl-, Butyl-, sek-Butyl-, tert-Butyl-, Morpholinoethy-loxy-, Diethylglycolamid- oder Diethylaminocarbonylmethoxyester oder ein Salz hiervon.
  13. Verbindung nach einem der Ansprüche 1 bis 12, worin das Produgderivat ein Methyl-, Ethyl-, Propyl-, Isopropyl-, Butyl-, Morpholinoethyloxy- oder Diethylglycolamidester ist.
  14. Verbindung nach einem der Ansprüche 1 bis 5 und 10 bis 12, worin das Salz Natrium ist.
  15. Pharmazeutische Formulierung, die eine Verbindung nach einem der Ansprüche 1 bis 12 zusammen mit einem pharmazeutisch annehmbaren Träger oder Verdünnungsmittel hierfür enthält.
  16. Pharmazeutische Formulierung, die zur Behandlung eines Zustands angepasst ist, der mit der Hemmung der sPLA2 assoziiert ist, die eine Verbindung nach einem der Ansprüche 1 bis 12 zusammen mit einem pharmazeutisch annehmbaren Träger oder Verdünnungsmittel hierfür enthält.
  17. Verwendung einer Verbindung nach einem der Ansprüche 1 bis 12 zur Herstellung eines Arzneimittels zur selektiven Hemmung der sPLA2 bei einem Säuger.
  18. Verwendung nach Anspruch 17, worin der Säuger ein Mensch ist.
  19. Verwendung einer Verbindung nach einem der Ansprüche 1 bis 12 zur Herstellung eines Arzneimittels, das zur Verabreichung dieser Verbindung in einer Menge angepasst ist, die zur Hemmung der sPLA2 vermittelten Freisetzung von Fettsäuren und dadurch zur Hemmung oder Prävention der Arachidonsäurekaskade und ihrer schädlichen Produkte zur Linderung der pathologischen Effekte der mit sPLA2 zusammenhängenden Erkrankungen ausreichend ist.
  20. Verwendung einer Verbindung nach einem der Ansprüche 1 bis 12 zur Herstellung eines Arzneimittels zur Linderung der pathologischen Effekte der mit sPLA2 zusammenhängenden Erkrankungen.
  21. Verwenddung einer Verbindung nach einem der Ansprüche 1 bis 12 zur Herstellung eines Arzneimittels, das zur Kontaktierung von sPLA2 mit dieser Verbindung zur Hemmung der sPLA2 angepasst ist.
  22. Verwendung einer Verbindung nach einem der Ansprüche 1 bis 12 zur Herstellung eines Arzneimittels zur Behandlung von Sepsis, septischem Schock, rheumatoider Arthritis, Osteoarthritis, Schlaganfall, Apoptose, Asthma, chronischer Bronchitis, akuter Bronchitis, cystischer Fibrose, entzündlicher Darmerkrankung oder Pankreatitis.
  23. Verwendung nach Anspruch 21 zur Linderung der pathologischen Effekte von Sepsis, septischem Schock, Atemstresssyndrom beim Erwachsenen, Pankreatitis, Trauma induziertem Schock, Bronchialasthma, allergischer Rhinitis, rheumatoider Arthritis, cystischer Fibrose, Schlaganfall, akuter Bronchitis, chronischer Bronchitis, akuter Broncheolitis, chronischer Broncheolitis, Osteoarthritis, Gicht, Spondylarthropathie, alkylosierender Spondylitis, Reiter Syndrom, psoriatischer Arthropathie, enterapathischer Spondylitis, juveniler Arthropathie oder juveniler alkylosierender Spondylitis, reaktiver Arthropathie, infektiöser oder postinfektiöser Arthritis, Gonokokkenarthritis, Tuberkulosearthritis, viraler Arthritis, pilzbedingter Arthritis, Syphilis-bedingter Arthritis, Lyme-Erkankung, Arthritis, die mit "vaskulitischen Syndromen" assoziiert ist, Polyarteritis nodosa, hyperempfindlicher Vaskulitis, Luegenec Granulomatose, Polymyalgia rheumatica, Gelenkszellarteritis, Arthropathie durch Calciumkristallablagerung, Pseudogicht, nicht-artikulärem Rheuma, Bursitis, Tenosynovitis, Epicondylitis (Tennisellenbogen), Carpaltunnelsyndrom, Verletzung durch wiederkehrende Tätigkeit (Tippen), verschiedenen Formen der Arthritis, neuropatischer Gelenkserkrankung (Charcotgelenk und Gelenke), Hämarthrose (hämarthrotisch), Purpura Schönlein-Hennoch, hypertropher Osteoarthropathie, multizentrischer Reticulohistiocytose, Arthritis, die mit bestimmten Erkrankungen assoziiert ist, Surcoilose, Hämochromatose, Sichelzellerkrankung und anderen Hämoglobinopathien, Hyperlipoproteinämie, Hypogammaglobulinämie, Hyperparathyreoidismus, Akromegalie, familiärem Mittelmeerfieber, Behat Erkrankung, systemischem Lupus erythrematodes oder Polychondritisrückfall und verwandten Erkrankungen.
DE69918590T 1998-04-17 1999-04-16 Substituierte Karbazole, Verfahren zu ihrer Herstellung und ihre Verwendung als sPLA2-Inhibitoren Expired - Lifetime DE69918590T2 (de)

Applications Claiming Priority (2)

Application Number Priority Date Filing Date Title
US6232898A 1998-04-17 1998-04-17
US62328 1998-04-17

Publications (2)

Publication Number Publication Date
DE69918590D1 DE69918590D1 (de) 2004-08-19
DE69918590T2 true DE69918590T2 (de) 2005-07-21

Family

ID=22041763

Family Applications (2)

Application Number Title Priority Date Filing Date
DE69918590T Expired - Lifetime DE69918590T2 (de) 1998-04-17 1999-04-16 Substituierte Karbazole, Verfahren zu ihrer Herstellung und ihre Verwendung als sPLA2-Inhibitoren
DE69917833T Expired - Lifetime DE69917833T2 (de) 1998-04-17 1999-04-16 Substituierte Karbazole, Verfahren zu ihrer Herstellung und ihre Verwendung als sPLA2- Inhibitoren

Family Applications After (1)

Application Number Title Priority Date Filing Date
DE69917833T Expired - Lifetime DE69917833T2 (de) 1998-04-17 1999-04-16 Substituierte Karbazole, Verfahren zu ihrer Herstellung und ihre Verwendung als sPLA2- Inhibitoren

Country Status (30)

Country Link
EP (2) EP0952149B1 (de)
JP (2) JPH11322713A (de)
KR (2) KR100586761B1 (de)
CN (1) CN1149193C (de)
AR (2) AR018593A1 (de)
AT (2) ATE271037T1 (de)
AU (2) AU753436B2 (de)
BR (2) BR9901279A (de)
CA (2) CA2269262A1 (de)
CO (2) CO5011054A1 (de)
CZ (2) CZ137099A3 (de)
DE (2) DE69918590T2 (de)
DK (1) DK0950657T3 (de)
DZ (1) DZ2769A1 (de)
EA (2) EA002347B1 (de)
ES (2) ES2226286T3 (de)
HU (2) HUP9901220A3 (de)
ID (2) ID23761A (de)
IL (2) IL129485A0 (de)
NO (2) NO314400B1 (de)
NZ (3) NZ335251A (de)
PE (2) PE20000476A1 (de)
PL (2) PL332565A1 (de)
PT (1) PT950657E (de)
SG (2) SG81977A1 (de)
SI (1) SI0950657T1 (de)
TR (2) TR199900843A2 (de)
TW (1) TWI238160B (de)
YU (2) YU19199A (de)
ZA (2) ZA992772B (de)

Families Citing this family (27)

* Cited by examiner, † Cited by third party
Publication number Priority date Publication date Assignee Title
US6610728B2 (en) * 1997-08-28 2003-08-26 Eli Lilly And Company Method for treatment of non-rheumatoid arthritis
DZ2769A1 (fr) * 1998-04-17 2003-12-01 Lilly Co Eli Composés tricycliques substitués.
JP2002542148A (ja) * 1998-12-21 2002-12-10 イーライ・リリー・アンド・カンパニー 敗血症の処置のための組み合わせ療法
US6706752B1 (en) 1999-07-19 2004-03-16 Eli Lilly And Company sPLA2 inhibitors
EP1202963B1 (de) * 1999-07-19 2007-01-03 Eli Lilly And Company Spla2 inhibitoren
US20040102442A1 (en) * 2000-06-29 2004-05-27 Kohji Hanasaki Remedies for alzheimer's disease
AU2001267825A1 (en) 2000-06-29 2002-01-08 Shionogi And Co., Ltd. Remedies for cirrhosis
AU2001267824A1 (en) * 2000-06-29 2002-01-08 Shionogi And Co., Ltd. Remedies for cancer
AU2001272915A1 (en) * 2000-07-14 2002-01-30 Eli Lilly And Company Method for treating sepsis
CA2431028A1 (en) * 2000-12-18 2002-06-27 Ho-Shen Lin Tetracyclic carbazole derivates and their use as spla2 inhibitors
US6933313B2 (en) 2001-03-28 2005-08-23 Eli Lilly And Company Substituted carbazoles as inhibitors of sPLA2
AUPS282602A0 (en) 2002-06-07 2002-06-27 Garvan Institute Of Medical Research Method of inhibiting cell proliferation
DE10249055A1 (de) 2002-10-22 2004-05-06 Bayer Cropscience Ag 2-Phenyl-2-substituierte-1,3-diketone
JO3598B1 (ar) 2006-10-10 2020-07-05 Infinity Discovery Inc الاحماض والاسترات البورونية كمثبطات اميد هيدروليز الحامض الدهني
EP1988098A1 (de) * 2007-04-27 2008-11-05 AEterna Zentaris GmbH Neue Tetrahydrocarbazolderivate als Liganden von G-Protein-gekoppelten Rezeptoren
MY161992A (en) 2008-03-26 2017-05-31 Daiichi Sankyo Co Ltd Novel tetrahydroisoquinoline derivative
JP5637982B2 (ja) 2008-04-09 2014-12-10 インフィニティー ファーマシューティカルズ, インコーポレイテッド 脂肪酸アミド加水分解酵素の阻害剤
EP2379538A4 (de) * 2009-01-22 2013-01-02 Orchid Res Lab Ltd Heterozyklische verbindungen als phosophodiesterasehemmer
AU2010234445A1 (en) 2009-04-07 2011-11-03 Infinity Pharmaceuticals, Inc. Inhibitors of fatty acid amide hydrolase
US8541581B2 (en) 2009-04-07 2013-09-24 Infinity Pharmaceuticals, Inc. Inhibitors of fatty acid amide hydrolase
WO2011097233A1 (en) 2010-02-03 2011-08-11 Infinity Pharmaceuticals, Inc. Fatty acid amide hydrolase inhibitors
AR088377A1 (es) 2011-10-20 2014-05-28 Siena Biotech Spa Proceso para la preparacion de 6-cloro-2,3,4,9-tetrahidro-1h-carbazol-1-carboxamida y compuestos intermedios de esta
CN102816107B (zh) * 2012-08-20 2015-06-03 东南大学 咔唑衍生物及其制备方法与用途
CN104797559A (zh) * 2012-11-30 2015-07-22 通用电气健康护理有限公司 卤化锌介导的环化过程得到三环吲哚
RU2015118217A (ru) 2012-11-30 2017-01-11 ДжиИ ХЕЛТКЕР ЛИМИТЕД Способ кристаллизации трициклических индольных производных
WO2016116527A1 (de) * 2015-01-20 2016-07-28 Cynora Gmbh Organische moleküle, insbesondere zur verwendung in optoelektronischen bauelementen
CN108707104A (zh) * 2018-08-07 2018-10-26 北京恒信卓元科技有限公司 2-氯-1h-咔唑-1,4(9h)-二酮的合成方法

Family Cites Families (15)

* Cited by examiner, † Cited by third party
Publication number Priority date Publication date Assignee Title
US3579534A (en) * 1969-05-09 1971-05-18 American Cyanamid Co Tetrahydrocarbazolecarboxylates
US3939177A (en) * 1972-11-22 1976-02-17 Sterling Drug Inc. 4-Aminomethyl-9-benzyl-1,2,3,4-tetrahydrocarbazoles
US3979391A (en) * 1972-11-22 1976-09-07 Sterling Drug Inc. 1,2,3,4-Tetrahydrocarbazoles
PT95692A (pt) * 1989-10-27 1991-09-13 American Home Prod Processo para a preparacao de derivados de acidos indole-,indeno-,piranoindole- e tetra-hidrocarbazole-alcanoicos, ou quais sao uteis como inibidores de pla2 e da lipoxigenase
US5420289A (en) * 1989-10-27 1995-05-30 American Home Products Corporation Substituted indole-, indene-, pyranoindole- and tetrahydrocarbazole-alkanoic acid derivatives as inhibitors of PLA2 and lipoxygenase
JPH06509087A (ja) * 1991-07-05 1994-10-13 メルク シヤープ エンド ドーム リミテツド 芳香族化合物、それらを含む医薬組成物、及び治療におけるそれらの使用
MY110227A (en) * 1991-08-12 1998-03-31 Ciba Geigy Ag 1-acylpiperindine compounds.
IL109311A0 (en) * 1993-04-16 1994-07-31 Lilly Co Eli 1H-indole-3-acetamide sPla2 inhibitors
IL109309A (en) * 1993-04-16 2000-06-29 Lilly Co Eli 1-H-indole-3-acetic acid hydrazide SPLA2 inhibitors and pharmaceutical compositions containing them
DE69610793T2 (de) * 1995-06-23 2001-05-03 Eli Lilly And Co., Indianapolis 6-Subsitituierte-1,2,3,4-tetrahydro-9H-Carbazole und 7-substituierte-1OH-Cyclohepta(7,6-B)-Indole
JP2000501739A (ja) * 1995-12-13 2000-02-15 イーライ・リリー・アンド・カンパニー sPLA▲下2▼阻害物質としてのナフチルアセトアミド
NZ335246A (en) * 1996-10-30 2001-09-28 Lilly Co Eli Substituted carbazole or hydrogenated carbazole derivatives; useful for inhibiting sPLA2 (human non-pancreatic secretory phospholipase A2) mediated release of fatty acids for conditions such as septic shock
CA2304482A1 (en) * 1997-09-26 1999-04-08 Eli Lilly And Company Method for the treatment of cystic fibrosis
CA2310250A1 (en) * 1997-11-14 1999-05-27 August Masaru Watanabe Treatment for alzheimer's disease
DZ2769A1 (fr) * 1998-04-17 2003-12-01 Lilly Co Eli Composés tricycliques substitués.

Also Published As

Publication number Publication date
CA2269246C (en) 2009-08-25
CO5011054A1 (es) 2001-02-28
AU753547B2 (en) 2002-10-24
YU18999A (sh) 2002-08-12
CZ137099A3 (cs) 1999-11-17
DK0950657T3 (da) 2004-11-22
AU753436B2 (en) 2002-10-17
HUP9901220A3 (en) 2001-11-28
HU9901221A (hu) 2000-04-28
CN1149193C (zh) 2004-05-12
CZ136999A3 (cs) 1999-11-17
NZ335251A (en) 2000-11-24
YU19199A (sh) 2002-08-12
EP0952149A2 (de) 1999-10-27
BR9901279A (pt) 2000-05-02
PT950657E (pt) 2004-11-30
NO991822L (no) 1999-10-18
AR018186A1 (es) 2001-10-31
PE20000476A1 (es) 2000-06-02
KR19990083233A (ko) 1999-11-25
EP0950657B1 (de) 2004-07-14
ZA992772B (en) 2002-07-16
CN1253948A (zh) 2000-05-24
HU9901220A (hu) 2000-04-28
KR19990083232A (ko) 1999-11-25
SI0950657T1 (en) 2005-02-28
TWI238160B (en) 2005-08-21
HU9901220D0 (en) 1999-06-28
EP0950657A2 (de) 1999-10-20
TR199900853A2 (xx) 1999-11-22
EA199900303A2 (ru) 1999-10-28
HU9901221D0 (en) 1999-06-28
EA199900303A3 (ru) 2000-04-24
NZ507564A (en) 2002-10-25
EA199900301A3 (ru) 2000-04-24
EA002347B1 (ru) 2002-04-25
DE69917833D1 (de) 2004-07-15
AU2381999A (en) 1999-10-28
ZA992771B (en) 2002-04-18
ATE268756T1 (de) 2004-06-15
AR018593A1 (es) 2001-11-28
BR9902365A (pt) 2001-04-24
JP2000026416A (ja) 2000-01-25
EA002816B1 (ru) 2002-10-31
SG81976A1 (en) 2001-07-24
JPH11322713A (ja) 1999-11-24
CA2269246A1 (en) 1999-10-17
PE20000432A1 (es) 2000-05-23
TR199900853A3 (tr) 1999-11-22
EA199900301A2 (ru) 1999-10-28
PL332566A1 (en) 1999-10-25
ID23761A (id) 2000-05-11
JP4435330B2 (ja) 2010-03-17
PL332565A1 (en) 1999-10-25
NZ335253A (en) 2000-11-24
ID23287A (id) 2000-04-05
IL129485A0 (en) 2000-02-29
NO314400B1 (no) 2003-03-17
ES2226286T3 (es) 2005-03-16
CA2269262A1 (en) 1999-10-17
TR199900843A2 (xx) 2000-02-21
IL129483A0 (en) 2000-02-29
EP0952149B1 (de) 2004-06-09
ATE271037T1 (de) 2004-07-15
NO312240B1 (no) 2002-04-15
AU2381799A (en) 1999-10-28
DE69917833T2 (de) 2005-07-14
DE69918590D1 (de) 2004-08-19
EP0950657A3 (de) 2001-08-16
KR100586761B1 (ko) 2006-06-08
HUP9901221A3 (en) 2001-11-28
ES2222663T3 (es) 2005-02-01
EP0952149A3 (de) 2001-08-16
CO5031247A1 (es) 2001-04-27
NO991821L (no) 1999-10-18
DZ2769A1 (fr) 2003-12-01
SG81977A1 (en) 2001-07-24
NO991822D0 (no) 1999-04-16
NO991821D0 (no) 1999-04-16

Similar Documents

Publication Publication Date Title
DE69918590T2 (de) Substituierte Karbazole, Verfahren zu ihrer Herstellung und ihre Verwendung als sPLA2-Inhibitoren
DE69530590T2 (de) 1h-indol-1-funktionalisierte spla 2 inhibitoren
DE69724009T2 (de) PYRROLE ALS sPLA2 INHIBITOREN
DE69227458T2 (de) Tryptamin analoga, ihre herstellung und anwendung als 5-ht1-artige rezeptoren oder 5-ht2 rezeptor agonisten
DE69301618T2 (de) Imidazol-Derivate, ihre Herstellung und Verwendung
DE69937372T2 (de) Piperidin-indol derivate mit 5-ht6 affinität
EP0242518A1 (de) Cycloalkano[1,2-b]indol-sulfonamide
DE69912670T2 (de) Substituierte tricyclische Verbindungen und deren Verwendung zur Behandlung von sPLA2-bedingten Erkrankungen
DE69118539T2 (de) Exzitatorische Aminosäureantagonisten
DE3131728A1 (de) Indolverbindungen, verfahren zu ihrer herstellung und diese verbindungen enthaltende arzneimittel
KR20050119186A (ko) 인돌론-아세트아미드 유도체, 이의 제조 방법 및 이의 용도
DE69729392T2 (de) Krampfhemmende enantiomere Aminosäurederivate
DE69814735T2 (de) Carbazolcarboxamide als 5-HT1F Agonisten
DE3131752A1 (de) Heterocyclische verbindungen, verfahren zu ihrer herstellung und diese verbindungen enthaltende arzneimittel
DE69931496T2 (de) INDOLVERBINDUNGEN ALS sPLA2 INHIBITOREN
DE69720034T2 (de) PHENYLGLYOXAMIDE ALS sPLA2-INHIBITOREN
DE69108234T2 (de) 3-indolyl thioacetat derivate.
WO1999065874A1 (en) Benzanilide derivatives and medicinal compositions
EP0387618B1 (de) 1,7-anellierte 1H-Indol-2-carbonsäure-N-(1,4-benzodiazepin-3-yl)amide
DE69714289T2 (de) Phenylacetamide als spla2 inhibitoren
DE60313898T2 (de) Substituierte azabicyclo hexane derivate als muscarin rezeptor antagonisten
DD235259A5 (de) Verfahren zur herstellung von 5,11-dihydro-11-[[(1-methyl-4-piperidinyl)amino]carbonyl]-6 h-dibenz[b,e]azepin-6-on und dessen salzen
DE69734594T2 (de) Nmda (n-methyl-d-aspartate) antagonists
DE69828998T2 (de) Indolderivate verwendbar zur behandlung von u.a. osteoporosis
EP0548664B1 (de) 2,3,3a,4,5,9b-Hexahydro-1H-benzo[e]indol-Derivate

Legal Events

Date Code Title Description
8364 No opposition during term of opposition
8328 Change in the person/name/address of the agent

Representative=s name: KROHER, STROBEL RECHTS- UND PATENTANWAELTE, 80336

8328 Change in the person/name/address of the agent

Representative=s name: DR. SCHOEN & PARTNER, 80336 MUENCHEN