RU2012144289A - Новые аналоги глюкагона - Google Patents
Новые аналоги глюкагона Download PDFInfo
- Publication number
- RU2012144289A RU2012144289A RU2012144289/04A RU2012144289A RU2012144289A RU 2012144289 A RU2012144289 A RU 2012144289A RU 2012144289/04 A RU2012144289/04 A RU 2012144289/04A RU 2012144289 A RU2012144289 A RU 2012144289A RU 2012144289 A RU2012144289 A RU 2012144289A
- Authority
- RU
- Russia
- Prior art keywords
- amino
- ethoxy
- butanoyl
- carboxy
- acetyl
- Prior art date
Links
- MASNOZXLGMXCHN-ZLPAWPGGSA-N glucagon Chemical class C([C@@H](C(=O)N[C@H](C(=O)N[C@@H](CCC(N)=O)C(=O)N[C@@H](CC=1C2=CC=CC=C2NC=1)C(=O)N[C@@H](CC(C)C)C(=O)N[C@@H](CCSC)C(=O)N[C@@H](CC(N)=O)C(=O)N[C@@H]([C@@H](C)O)C(O)=O)C(C)C)NC(=O)[C@H](CC(O)=O)NC(=O)[C@H](CCC(N)=O)NC(=O)[C@H](C)NC(=O)[C@H](CCCNC(N)=N)NC(=O)[C@H](CCCNC(N)=N)NC(=O)[C@H](CO)NC(=O)[C@H](CC(O)=O)NC(=O)[C@H](CC(C)C)NC(=O)[C@H](CC=1C=CC(O)=CC=1)NC(=O)[C@H](CCCCN)NC(=O)[C@H](CO)NC(=O)[C@H](CC=1C=CC(O)=CC=1)NC(=O)[C@H](CC(O)=O)NC(=O)[C@H](CO)NC(=O)[C@@H](NC(=O)[C@H](CC=1C=CC=CC=1)NC(=O)[C@@H](NC(=O)CNC(=O)[C@H](CCC(N)=O)NC(=O)[C@H](CO)NC(=O)[C@@H](N)CC=1NC=NC=1)[C@@H](C)O)[C@@H](C)O)C1=CC=CC=C1 MASNOZXLGMXCHN-ZLPAWPGGSA-N 0.000 title claims 10
- 108060003199 Glucagon Proteins 0.000 claims abstract 39
- 229910052757 nitrogen Inorganic materials 0.000 claims abstract 16
- 150000001413 amino acids Chemical group 0.000 claims abstract 12
- 125000004433 nitrogen atom Chemical group N* 0.000 claims abstract 11
- 125000001424 substituent group Chemical group 0.000 claims abstract 8
- 229910052799 carbon Inorganic materials 0.000 claims abstract 7
- 125000004432 carbon atom Chemical group C* 0.000 claims abstract 7
- 239000003814 drug Substances 0.000 claims abstract 7
- 239000012634 fragment Substances 0.000 claims abstract 6
- 238000006467 substitution reaction Methods 0.000 claims abstract 4
- 150000001408 amides Chemical class 0.000 claims abstract 2
- 125000000896 monocarboxylic acid group Chemical group 0.000 claims abstract 2
- 125000001997 phenyl group Chemical group [H]C1=C([H])C([H])=C(*)C([H])=C1[H] 0.000 claims abstract 2
- 239000000651 prodrug Substances 0.000 claims abstract 2
- 229940002612 prodrug Drugs 0.000 claims abstract 2
- 150000003839 salts Chemical class 0.000 claims abstract 2
- 229910052717 sulfur Inorganic materials 0.000 claims abstract 2
- 125000004434 sulfur atom Chemical group 0.000 claims abstract 2
- 125000002924 primary amino group Chemical group [H]N([H])* 0.000 claims 183
- 125000001301 ethoxy group Chemical group [H]C([H])([H])C([H])([H])O* 0.000 claims 174
- 125000004063 butyryl group Chemical group O=C([*])C([H])([H])C([H])([H])C([H])([H])[H] 0.000 claims 127
- 125000000218 acetic acid group Chemical group C(C)(=O)* 0.000 claims 87
- -1 X 20 Chemical compound 0.000 claims 48
- KDXKERNSBIXSRK-UHFFFAOYSA-N Lysine Natural products NCCCCC(N)C(O)=O KDXKERNSBIXSRK-UHFFFAOYSA-N 0.000 claims 45
- 229960004666 glucagon Drugs 0.000 claims 43
- IJGRMHOSHXDMSA-UHFFFAOYSA-N Atomic nitrogen Chemical compound N#N IJGRMHOSHXDMSA-UHFFFAOYSA-N 0.000 claims 10
- 102000051325 Glucagon Human genes 0.000 claims 10
- 208000013016 Hypoglycemia Diseases 0.000 claims 10
- 230000002218 hypoglycaemic effect Effects 0.000 claims 8
- 239000000203 mixture Substances 0.000 claims 7
- NOESYZHRGYRDHS-UHFFFAOYSA-N insulin Substances N1C(=O)C(NC(=O)C(CCC(N)=O)NC(=O)C(CCC(O)=O)NC(=O)C(C(C)C)NC(=O)C(NC(=O)CN)C(C)CC)CSSCC(C(NC(CO)C(=O)NC(CC(C)C)C(=O)NC(CC=2C=CC(O)=CC=2)C(=O)NC(CCC(N)=O)C(=O)NC(CC(C)C)C(=O)NC(CCC(O)=O)C(=O)NC(CC(N)=O)C(=O)NC(CC=2C=CC(O)=CC=2)C(=O)NC(CSSCC(NC(=O)C(C(C)C)NC(=O)C(CC(C)C)NC(=O)C(CC=2C=CC(O)=CC=2)NC(=O)C(CC(C)C)NC(=O)C(C)NC(=O)C(CCC(O)=O)NC(=O)C(C(C)C)NC(=O)C(CC(C)C)NC(=O)C(CC=2NC=NC=2)NC(=O)C(CO)NC(=O)CNC2=O)C(=O)NCC(=O)NC(CCC(O)=O)C(=O)NC(CCCNC(N)=N)C(=O)NCC(=O)NC(CC=3C=CC=CC=3)C(=O)NC(CC=3C=CC=CC=3)C(=O)NC(CC=3C=CC(O)=CC=3)C(=O)NC(C(C)O)C(=O)N3C(CCC3)C(=O)NC(CCCCN)C(=O)NC(C)C(O)=O)C(=O)NC(CC(N)=O)C(O)=O)=O)NC(=O)C(C(C)CC)NC(=O)C(CO)NC(=O)C(C(C)O)NC(=O)C1CSSCC2NC(=O)C(CC(C)C)NC(=O)C(NC(=O)C(CCC(N)=O)NC(=O)C(CC(N)=O)NC(=O)C(NC(=O)C(N)CC=1C=CC=CC=1)C(C)C)CC1=CN=CN1 NOESYZHRGYRDHS-UHFFFAOYSA-N 0.000 claims 5
- 239000008194 pharmaceutical composition Substances 0.000 claims 5
- 238000011282 treatment Methods 0.000 claims 5
- 208000001072 type 2 diabetes mellitus Diseases 0.000 claims 5
- 239000004472 Lysine Substances 0.000 claims 4
- 125000004429 atom Chemical group 0.000 claims 4
- 238000004519 manufacturing process Methods 0.000 claims 4
- 201000009104 prediabetes syndrome Diseases 0.000 claims 4
- 208000002705 Glucose Intolerance Diseases 0.000 claims 3
- 102000004877 Insulin Human genes 0.000 claims 3
- 108090001061 Insulin Proteins 0.000 claims 3
- AHLPHDHHMVZTML-BYPYZUCNSA-N L-Ornithine Chemical compound NCCC[C@H](N)C(O)=O AHLPHDHHMVZTML-BYPYZUCNSA-N 0.000 claims 3
- AHLPHDHHMVZTML-UHFFFAOYSA-N Orn-delta-NH2 Natural products NCCCC(N)C(O)=O AHLPHDHHMVZTML-UHFFFAOYSA-N 0.000 claims 3
- UTJLXEIPEHZYQJ-UHFFFAOYSA-N Ornithine Natural products OC(=O)C(C)CCCN UTJLXEIPEHZYQJ-UHFFFAOYSA-N 0.000 claims 3
- 150000001875 compounds Chemical class 0.000 claims 3
- 206010012601 diabetes mellitus Diseases 0.000 claims 3
- 201000010099 disease Diseases 0.000 claims 3
- 208000037265 diseases, disorders, signs and symptoms Diseases 0.000 claims 3
- 229940125396 insulin Drugs 0.000 claims 3
- 229960003104 ornithine Drugs 0.000 claims 3
- 208000008589 Obesity Diseases 0.000 claims 2
- 206010033307 Overweight Diseases 0.000 claims 2
- 235000020824 obesity Nutrition 0.000 claims 2
- 230000002265 prevention Effects 0.000 claims 2
- 201000001320 Atherosclerosis Diseases 0.000 claims 1
- 208000032841 Bulimia Diseases 0.000 claims 1
- 206010006550 Bulimia nervosa Diseases 0.000 claims 1
- 208000032928 Dyslipidaemia Diseases 0.000 claims 1
- 208000004930 Fatty Liver Diseases 0.000 claims 1
- 101710198884 GATA-type zinc finger protein 1 Proteins 0.000 claims 1
- DTHNMHAUYICORS-KTKZVXAJSA-N Glucagon-like peptide 1 Chemical compound C([C@@H](C(=O)N[C@@H]([C@@H](C)CC)C(=O)N[C@@H](C)C(=O)N[C@@H](CC=1C2=CC=CC=C2NC=1)C(=O)N[C@@H](CC(C)C)C(=O)N[C@@H](C(C)C)C(=O)N[C@@H](CCCCN)C(=O)NCC(=O)N[C@@H](CCCNC(N)=N)C(N)=O)NC(=O)[C@H](CCC(O)=O)NC(=O)[C@H](CCCCN)NC(=O)[C@H](C)NC(=O)[C@H](C)NC(=O)[C@H](CCC(N)=O)NC(=O)CNC(=O)[C@H](CCC(O)=O)NC(=O)[C@H](CC(C)C)NC(=O)[C@H](CC=1C=CC(O)=CC=1)NC(=O)[C@H](CO)NC(=O)[C@H](CO)NC(=O)[C@@H](NC(=O)[C@H](CC(O)=O)NC(=O)[C@H](CO)NC(=O)[C@@H](NC(=O)[C@H](CC=1C=CC=CC=1)NC(=O)[C@@H](NC(=O)CNC(=O)[C@H](CCC(O)=O)NC(=O)[C@H](C)NC(=O)[C@@H](N)CC=1N=CNC=1)[C@@H](C)O)[C@@H](C)O)C(C)C)C1=CC=CC=C1 DTHNMHAUYICORS-KTKZVXAJSA-N 0.000 claims 1
- 206010018429 Glucose tolerance impaired Diseases 0.000 claims 1
- 206010019708 Hepatic steatosis Diseases 0.000 claims 1
- 206010020710 Hyperphagia Diseases 0.000 claims 1
- 206010020772 Hypertension Diseases 0.000 claims 1
- 208000017170 Lipid metabolism disease Diseases 0.000 claims 1
- 238000005481 NMR spectroscopy Methods 0.000 claims 1
- 208000001280 Prediabetic State Diseases 0.000 claims 1
- 102100040918 Pro-glucagon Human genes 0.000 claims 1
- 206010067584 Type 1 diabetes mellitus Diseases 0.000 claims 1
- 230000001476 alcoholic effect Effects 0.000 claims 1
- 239000002876 beta blocker Substances 0.000 claims 1
- 229940097320 beta blocking agent Drugs 0.000 claims 1
- 230000037396 body weight Effects 0.000 claims 1
- 238000002591 computed tomography Methods 0.000 claims 1
- 208000029078 coronary artery disease Diseases 0.000 claims 1
- 230000007850 degeneration Effects 0.000 claims 1
- 229940079593 drug Drugs 0.000 claims 1
- 238000005265 energy consumption Methods 0.000 claims 1
- 208000010706 fatty liver disease Diseases 0.000 claims 1
- 238000002594 fluoroscopy Methods 0.000 claims 1
- 230000037406 food intake Effects 0.000 claims 1
- 235000012631 food intake Nutrition 0.000 claims 1
- 230000002496 gastric effect Effects 0.000 claims 1
- 230000005176 gastrointestinal motility Effects 0.000 claims 1
- 210000001035 gastrointestinal tract Anatomy 0.000 claims 1
- 201000001421 hyperglycemia Diseases 0.000 claims 1
- 230000001939 inductive effect Effects 0.000 claims 1
- 206010022498 insulinoma Diseases 0.000 claims 1
- 125000003588 lysine group Chemical group [H]N([H])C([H])([H])C([H])([H])C([H])([H])C([H])([H])C([H])(N([H])[H])C(*)=O 0.000 claims 1
- 238000000034 method Methods 0.000 claims 1
- 235000020830 overeating Nutrition 0.000 claims 1
- 208000021255 pancreatic insulinoma Diseases 0.000 claims 1
- 238000007911 parenteral administration Methods 0.000 claims 1
- 231100000572 poisoning Toxicity 0.000 claims 1
- 230000000607 poisoning effect Effects 0.000 claims 1
- 230000035935 pregnancy Effects 0.000 claims 1
- 238000011321 prophylaxis Methods 0.000 claims 1
- 230000003893 regulation of appetite Effects 0.000 claims 1
- 231100000240 steatosis hepatitis Toxicity 0.000 claims 1
- 239000000126 substance Substances 0.000 claims 1
- 238000001356 surgical procedure Methods 0.000 claims 1
- 238000002560 therapeutic procedure Methods 0.000 claims 1
- 230000004584 weight gain Effects 0.000 claims 1
- 235000019786 weight gain Nutrition 0.000 claims 1
- 230000004580 weight loss Effects 0.000 claims 1
- YVHHVZXGKAMFNG-MXGQMUSSSA-N CC([C@H](CCCCNC(CC[C@@H](C(O)=O)NC(COCCOCCNC(COCCOCCNC(CC[C@@H](C(O)=O)NC(CC[C@@H](C(O)=O)NC(CCCCCCCCCCCCCCCCC(O)=O)=O)=O)=O)=O)=O)=O)NC)=O Chemical compound CC([C@H](CCCCNC(CC[C@@H](C(O)=O)NC(COCCOCCNC(COCCOCCNC(CC[C@@H](C(O)=O)NC(CC[C@@H](C(O)=O)NC(CCCCCCCCCCCCCCCCC(O)=O)=O)=O)=O)=O)=O)=O)NC)=O YVHHVZXGKAMFNG-MXGQMUSSSA-N 0.000 description 1
- KCHMQTAEKMVPPN-MXGQMUSSSA-N CC([C@H](CCCCNC(COCCOCCNC(COCCOCCNC(CC[C@@H](C(O)=O)NC(CC[C@@H](C(O)=O)NC(CC[C@@H](C(O)=O)NC(CCCCCCCCCCCCCCCCC(O)=O)=O)=O)=O)=O)=O)=O)NC)=O Chemical compound CC([C@H](CCCCNC(COCCOCCNC(COCCOCCNC(CC[C@@H](C(O)=O)NC(CC[C@@H](C(O)=O)NC(CC[C@@H](C(O)=O)NC(CCCCCCCCCCCCCCCCC(O)=O)=O)=O)=O)=O)=O)=O)NC)=O KCHMQTAEKMVPPN-MXGQMUSSSA-N 0.000 description 1
- DNZBFRIITAQSSD-KDXMTYKHSA-N CCCCNC(CCCNC(CC[C@@H](C(O)=O)NC(COCCOCCNC(COCCOCCNC(CCCNC(CCCCCCCCCCCCCCCCC(O)=O)=O)=O)=O)=O)=O)=O Chemical compound CCCCNC(CCCNC(CC[C@@H](C(O)=O)NC(COCCOCCNC(COCCOCCNC(CCCNC(CCCCCCCCCCCCCCCCC(O)=O)=O)=O)=O)=O)=O)=O DNZBFRIITAQSSD-KDXMTYKHSA-N 0.000 description 1
- LRSPVALBQXURMF-FIUDAGRWSA-N CNC(CCCCNC(CCC(C(O)=O)NC(CC[C@@H](C(O)=O)NC(COCCOCCNC(CCC(C(O)=O)NC(CCCCCCCCCCCCCCCCC(O)=O)=O)=O)=O)=O)=O)C(C=C)=O Chemical compound CNC(CCCCNC(CCC(C(O)=O)NC(CC[C@@H](C(O)=O)NC(COCCOCCNC(CCC(C(O)=O)NC(CCCCCCCCCCCCCCCCC(O)=O)=O)=O)=O)=O)=O)C(C=C)=O LRSPVALBQXURMF-FIUDAGRWSA-N 0.000 description 1
Classifications
-
- C—CHEMISTRY; METALLURGY
- C07—ORGANIC CHEMISTRY
- C07K—PEPTIDES
- C07K14/00—Peptides having more than 20 amino acids; Gastrins; Somatostatins; Melanotropins; Derivatives thereof
- C07K14/435—Peptides having more than 20 amino acids; Gastrins; Somatostatins; Melanotropins; Derivatives thereof from animals; from humans
- C07K14/575—Hormones
- C07K14/605—Glucagons
-
- A—HUMAN NECESSITIES
- A61—MEDICAL OR VETERINARY SCIENCE; HYGIENE
- A61K—PREPARATIONS FOR MEDICAL, DENTAL OR TOILETRY PURPOSES
- A61K38/00—Medicinal preparations containing peptides
- A61K38/16—Peptides having more than 20 amino acids; Gastrins; Somatostatins; Melanotropins; Derivatives thereof
- A61K38/17—Peptides having more than 20 amino acids; Gastrins; Somatostatins; Melanotropins; Derivatives thereof from animals; from humans
- A61K38/22—Hormones
- A61K38/26—Glucagons
-
- A—HUMAN NECESSITIES
- A61—MEDICAL OR VETERINARY SCIENCE; HYGIENE
- A61K—PREPARATIONS FOR MEDICAL, DENTAL OR TOILETRY PURPOSES
- A61K38/00—Medicinal preparations containing peptides
- A61K38/16—Peptides having more than 20 amino acids; Gastrins; Somatostatins; Melanotropins; Derivatives thereof
- A61K38/17—Peptides having more than 20 amino acids; Gastrins; Somatostatins; Melanotropins; Derivatives thereof from animals; from humans
- A61K38/22—Hormones
- A61K38/28—Insulins
-
- A—HUMAN NECESSITIES
- A61—MEDICAL OR VETERINARY SCIENCE; HYGIENE
- A61K—PREPARATIONS FOR MEDICAL, DENTAL OR TOILETRY PURPOSES
- A61K47/00—Medicinal preparations characterised by the non-active ingredients used, e.g. carriers or inert additives; Targeting or modifying agents chemically bound to the active ingredient
- A61K47/50—Medicinal preparations characterised by the non-active ingredients used, e.g. carriers or inert additives; Targeting or modifying agents chemically bound to the active ingredient the non-active ingredient being chemically bound to the active ingredient, e.g. polymer-drug conjugates
- A61K47/51—Medicinal preparations characterised by the non-active ingredients used, e.g. carriers or inert additives; Targeting or modifying agents chemically bound to the active ingredient the non-active ingredient being chemically bound to the active ingredient, e.g. polymer-drug conjugates the non-active ingredient being a modifying agent
- A61K47/54—Medicinal preparations characterised by the non-active ingredients used, e.g. carriers or inert additives; Targeting or modifying agents chemically bound to the active ingredient the non-active ingredient being chemically bound to the active ingredient, e.g. polymer-drug conjugates the non-active ingredient being a modifying agent the modifying agent being an organic compound
- A61K47/542—Carboxylic acids, e.g. a fatty acid or an amino acid
-
- A—HUMAN NECESSITIES
- A61—MEDICAL OR VETERINARY SCIENCE; HYGIENE
- A61K—PREPARATIONS FOR MEDICAL, DENTAL OR TOILETRY PURPOSES
- A61K47/00—Medicinal preparations characterised by the non-active ingredients used, e.g. carriers or inert additives; Targeting or modifying agents chemically bound to the active ingredient
- A61K47/50—Medicinal preparations characterised by the non-active ingredients used, e.g. carriers or inert additives; Targeting or modifying agents chemically bound to the active ingredient the non-active ingredient being chemically bound to the active ingredient, e.g. polymer-drug conjugates
- A61K47/51—Medicinal preparations characterised by the non-active ingredients used, e.g. carriers or inert additives; Targeting or modifying agents chemically bound to the active ingredient the non-active ingredient being chemically bound to the active ingredient, e.g. polymer-drug conjugates the non-active ingredient being a modifying agent
- A61K47/54—Medicinal preparations characterised by the non-active ingredients used, e.g. carriers or inert additives; Targeting or modifying agents chemically bound to the active ingredient the non-active ingredient being chemically bound to the active ingredient, e.g. polymer-drug conjugates the non-active ingredient being a modifying agent the modifying agent being an organic compound
- A61K47/545—Heterocyclic compounds
-
- A—HUMAN NECESSITIES
- A61—MEDICAL OR VETERINARY SCIENCE; HYGIENE
- A61P—SPECIFIC THERAPEUTIC ACTIVITY OF CHEMICAL COMPOUNDS OR MEDICINAL PREPARATIONS
- A61P1/00—Drugs for disorders of the alimentary tract or the digestive system
- A61P1/04—Drugs for disorders of the alimentary tract or the digestive system for ulcers, gastritis or reflux esophagitis, e.g. antacids, inhibitors of acid secretion, mucosal protectants
-
- A—HUMAN NECESSITIES
- A61—MEDICAL OR VETERINARY SCIENCE; HYGIENE
- A61P—SPECIFIC THERAPEUTIC ACTIVITY OF CHEMICAL COMPOUNDS OR MEDICINAL PREPARATIONS
- A61P1/00—Drugs for disorders of the alimentary tract or the digestive system
- A61P1/16—Drugs for disorders of the alimentary tract or the digestive system for liver or gallbladder disorders, e.g. hepatoprotective agents, cholagogues, litholytics
-
- A—HUMAN NECESSITIES
- A61—MEDICAL OR VETERINARY SCIENCE; HYGIENE
- A61P—SPECIFIC THERAPEUTIC ACTIVITY OF CHEMICAL COMPOUNDS OR MEDICINAL PREPARATIONS
- A61P25/00—Drugs for disorders of the nervous system
- A61P25/30—Drugs for disorders of the nervous system for treating abuse or dependence
-
- A—HUMAN NECESSITIES
- A61—MEDICAL OR VETERINARY SCIENCE; HYGIENE
- A61P—SPECIFIC THERAPEUTIC ACTIVITY OF CHEMICAL COMPOUNDS OR MEDICINAL PREPARATIONS
- A61P3/00—Drugs for disorders of the metabolism
- A61P3/04—Anorexiants; Antiobesity agents
-
- A—HUMAN NECESSITIES
- A61—MEDICAL OR VETERINARY SCIENCE; HYGIENE
- A61P—SPECIFIC THERAPEUTIC ACTIVITY OF CHEMICAL COMPOUNDS OR MEDICINAL PREPARATIONS
- A61P3/00—Drugs for disorders of the metabolism
- A61P3/06—Antihyperlipidemics
-
- A—HUMAN NECESSITIES
- A61—MEDICAL OR VETERINARY SCIENCE; HYGIENE
- A61P—SPECIFIC THERAPEUTIC ACTIVITY OF CHEMICAL COMPOUNDS OR MEDICINAL PREPARATIONS
- A61P3/00—Drugs for disorders of the metabolism
- A61P3/08—Drugs for disorders of the metabolism for glucose homeostasis
-
- A—HUMAN NECESSITIES
- A61—MEDICAL OR VETERINARY SCIENCE; HYGIENE
- A61P—SPECIFIC THERAPEUTIC ACTIVITY OF CHEMICAL COMPOUNDS OR MEDICINAL PREPARATIONS
- A61P3/00—Drugs for disorders of the metabolism
- A61P3/08—Drugs for disorders of the metabolism for glucose homeostasis
- A61P3/10—Drugs for disorders of the metabolism for glucose homeostasis for hyperglycaemia, e.g. antidiabetics
-
- A—HUMAN NECESSITIES
- A61—MEDICAL OR VETERINARY SCIENCE; HYGIENE
- A61P—SPECIFIC THERAPEUTIC ACTIVITY OF CHEMICAL COMPOUNDS OR MEDICINAL PREPARATIONS
- A61P9/00—Drugs for disorders of the cardiovascular system
-
- A—HUMAN NECESSITIES
- A61—MEDICAL OR VETERINARY SCIENCE; HYGIENE
- A61P—SPECIFIC THERAPEUTIC ACTIVITY OF CHEMICAL COMPOUNDS OR MEDICINAL PREPARATIONS
- A61P9/00—Drugs for disorders of the cardiovascular system
- A61P9/10—Drugs for disorders of the cardiovascular system for treating ischaemic or atherosclerotic diseases, e.g. antianginal drugs, coronary vasodilators, drugs for myocardial infarction, retinopathy, cerebrovascula insufficiency, renal arteriosclerosis
-
- A—HUMAN NECESSITIES
- A61—MEDICAL OR VETERINARY SCIENCE; HYGIENE
- A61P—SPECIFIC THERAPEUTIC ACTIVITY OF CHEMICAL COMPOUNDS OR MEDICINAL PREPARATIONS
- A61P9/00—Drugs for disorders of the cardiovascular system
- A61P9/12—Antihypertensives
-
- A—HUMAN NECESSITIES
- A61—MEDICAL OR VETERINARY SCIENCE; HYGIENE
- A61K—PREPARATIONS FOR MEDICAL, DENTAL OR TOILETRY PURPOSES
- A61K38/00—Medicinal preparations containing peptides
Landscapes
- Health & Medical Sciences (AREA)
- Life Sciences & Earth Sciences (AREA)
- Chemical & Material Sciences (AREA)
- Medicinal Chemistry (AREA)
- General Health & Medical Sciences (AREA)
- Engineering & Computer Science (AREA)
- Bioinformatics & Cheminformatics (AREA)
- Pharmacology & Pharmacy (AREA)
- Veterinary Medicine (AREA)
- Animal Behavior & Ethology (AREA)
- Public Health (AREA)
- Organic Chemistry (AREA)
- General Chemical & Material Sciences (AREA)
- Chemical Kinetics & Catalysis (AREA)
- Nuclear Medicine, Radiotherapy & Molecular Imaging (AREA)
- Diabetes (AREA)
- Endocrinology (AREA)
- Gastroenterology & Hepatology (AREA)
- Epidemiology (AREA)
- Proteomics, Peptides & Aminoacids (AREA)
- Zoology (AREA)
- Immunology (AREA)
- Hematology (AREA)
- Obesity (AREA)
- Cardiology (AREA)
- Heart & Thoracic Surgery (AREA)
- Biochemistry (AREA)
- Toxicology (AREA)
- Molecular Biology (AREA)
- Genetics & Genomics (AREA)
- Biophysics (AREA)
- Emergency Medicine (AREA)
- Psychiatry (AREA)
- Vascular Medicine (AREA)
- Urology & Nephrology (AREA)
- Child & Adolescent Psychology (AREA)
- Addiction (AREA)
- Biomedical Technology (AREA)
- Neurosurgery (AREA)
- Neurology (AREA)
Abstract
1. Пептид глюкагона, содержащий SEQ ID 1, до семи аминокислотных замен в указанном пептиде глюкагона и заместитель, включающий три или несколько отрицательно заряженных фрагментов, при этом один из указанных отрицательно заряженных фрагментов расположен дистально от липофильного фрагмента, и при этом указанный заместитель присоединен в положении эпсилон в составе Lys, в положении дельта в составе Orn или к атому серы в составе Cys, находящихся в одном или нескольких из следующих положений аминокислот в составе указанного пептида глюкагона: Х, X, X, X, X, X, X, X, X, X, X, Xи/или Х; или его фармацевтически приемлемая соль, амид, кислота или пролекарство.2. Пептид глюкагона по п.1, при этом указанные замены расположены в следующих положениях аминокислот в составе указанного пептида глюкагона: Х, Х, Х, Х, X, X, X, Х, X, X, X, X, X, X, Xи/или Х.3. Пептид глюкагона по п.1, при этом указанный заместитель имеет формулу II:гдеZпредставляет собой структуру согласно одной из формул IIa, IIb или IIc:где n в формуле IIa равно 6-20,m в формуле IIc равно 5-11;группа СООН в формуле IIc может быть присоединена в положении 2, 3 или 4 в составе фенильного кольца, символ * в формулах IIa, IIb и IIc указывает место присоединения к атому азота в Z;если Zотсутствует, Zприсоединен к атому азота на Zв месте, указанном символом *, и если Zи Zотсутствуют, Zприсоединен к атому азота на Zв месте, указанном символом *;Zотсутствует или представляет собой структуру согласно одной из формул IId, IIe, IIf, IIg, IIh, Iii, IIj или IIk:где каждый аминокислотный фрагмент независимо обладает стереохимией L или D;где Zприсоединен через атом углерода, обозначенный *, к атому азота в составе Z, обозначенному *;если Zотсутствует, Zприсоединен чер
Claims (18)
1. Пептид глюкагона, содержащий SEQ ID 1, до семи аминокислотных замен в указанном пептиде глюкагона и заместитель, включающий три или несколько отрицательно заряженных фрагментов, при этом один из указанных отрицательно заряженных фрагментов расположен дистально от липофильного фрагмента, и при этом указанный заместитель присоединен в положении эпсилон в составе Lys, в положении дельта в составе Orn или к атому серы в составе Cys, находящихся в одном или нескольких из следующих положений аминокислот в составе указанного пептида глюкагона: Х10, X12, X16, X17, X18, X20, X21, X24, X25, X27, X28, X29 и/или Х30; или его фармацевтически приемлемая соль, амид, кислота или пролекарство.
2. Пептид глюкагона по п.1, при этом указанные замены расположены в следующих положениях аминокислот в составе указанного пептида глюкагона: Х2, Х4, Х9, Х10, X12, X16, X17, Х18, X20, X21, X24, X25, X27, X28, X29 и/или Х30.
3. Пептид глюкагона по п.1, при этом указанный заместитель имеет формулу II:
где
Z1 представляет собой структуру согласно одной из формул IIa, IIb или IIc:
где n в формуле IIa равно 6-20,
m в формуле IIc равно 5-11;
группа СООН в формуле IIc может быть присоединена в положении 2, 3 или 4 в составе фенильного кольца, символ * в формулах IIa, IIb и IIc указывает место присоединения к атому азота в Z2;
если Z2 отсутствует, Z1 присоединен к атому азота на Z3 в месте, указанном символом *, и если Z2 и Z3 отсутствуют, Z1 присоединен к атому азота на Z4 в месте, указанном символом *;
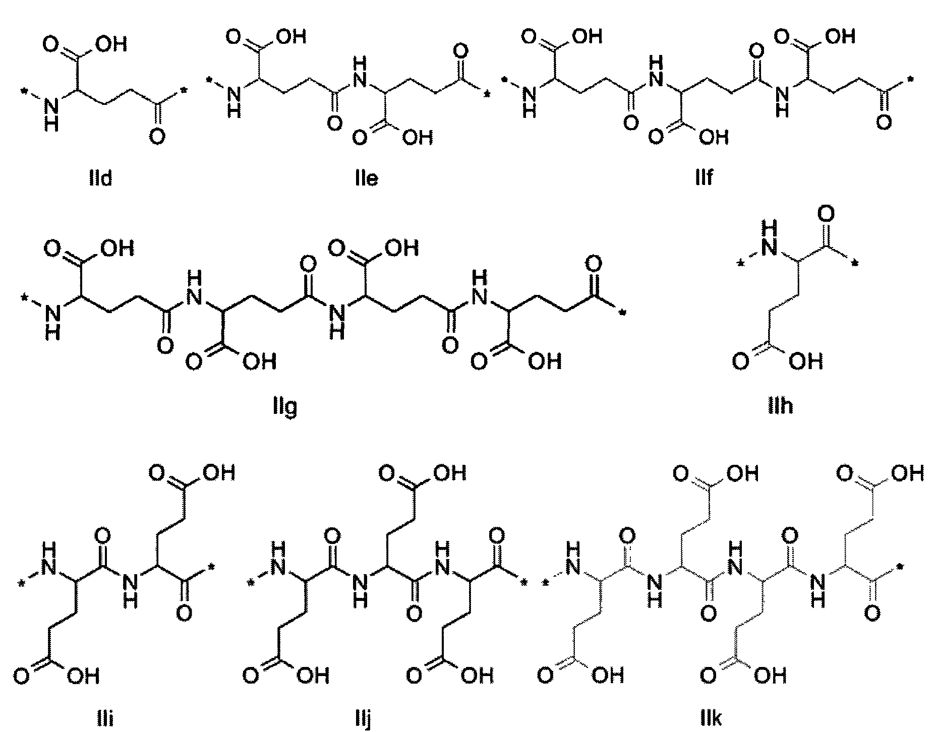
Z2 отсутствует или представляет собой структуру согласно одной из формул IId, IIe, IIf, IIg, IIh, Iii, IIj или IIk:
где каждый аминокислотный фрагмент независимо обладает стереохимией L или D;
где Z2 присоединен через атом углерода, обозначенный *, к атому азота в составе Z3, обозначенному *;
если Z2 отсутствует, Z2 присоединен через атом углерода, обозначенный *, к атому азота в составе Z4, обозначенному *;
и если Z3 и Z4 отсутствуют, Z2, присоединен через атом углерода, обозначенный *, к эпсилон-атому азота в составе лизина или к дельта-атому азота в составе орнитина в пептиде глюкагона;
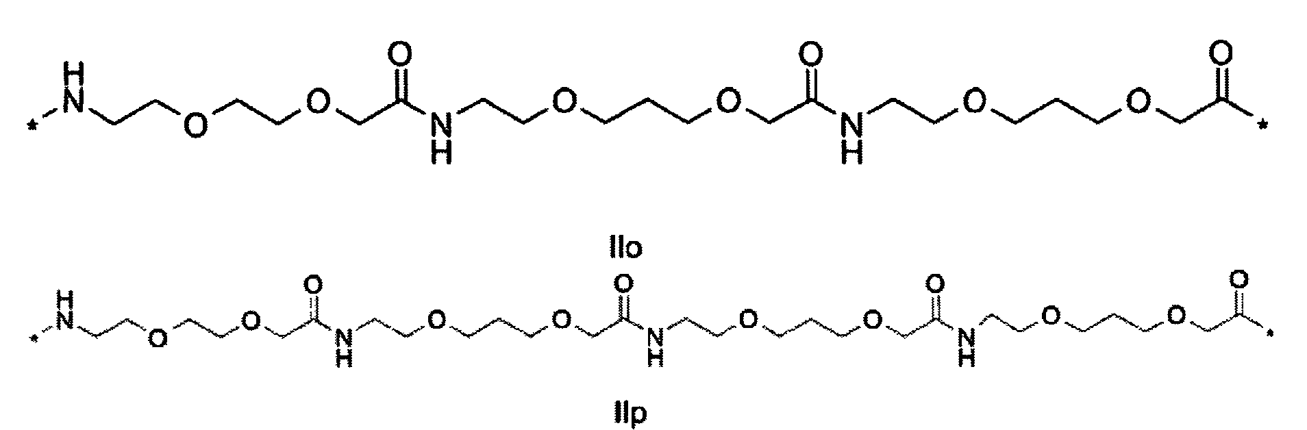
Z3 отсутствует или представляет собой структуру согласно одной из формул IIm, IIn, IIo или IIp:
Z3 присоединен через атом углерода в составе Z3, обозначенный символом *, к атому азота в составе Z4, обозначенному символом *, если Z4 отсутствует, Z3 присоединен через атом углерода, обозначенный *, к эпсилон-атому азота в составе лизина или к дельта-атому азота в составе орнитина в пептиде глюкагона;
Z4 отсутствует или представляет собой структуру согласно одной из формул IId, IIe, IIf, IIg, IIh, Iii, IIj или IIk, где каждый аминокислотный фрагмент независимо является либо L-, либо D-формой, при этом Z4 присоединен через атом углерода, обозначенный *, к эпсилон-атому азота в составе лизина или к дельта-атому азота в составе орнитина в пептиде глюкагона.
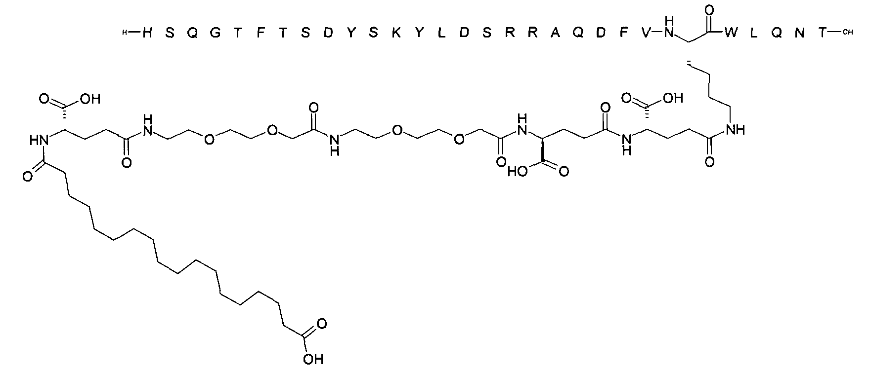
5. Пептид глюкагона по п.1, при этом указанный заместитель находится в одном или нескольких из следующих положений аминокислот в составе указанного пептида глюкагона: X12, X16, X20, X24, Х25, X28, X29 и/или Х30.
6. Пептид глюкагона по п.1, при этом указанный заместитель находится в одном или нескольких из следующих положений аминокислот в составе указанного пептида глюкагона: X16, X24 и/или X28.
7. Пептид глюкагона по п.1, при этом указанный заместитель находится в положении аминокислоты X24 в составе указанного пептида глюкагона.
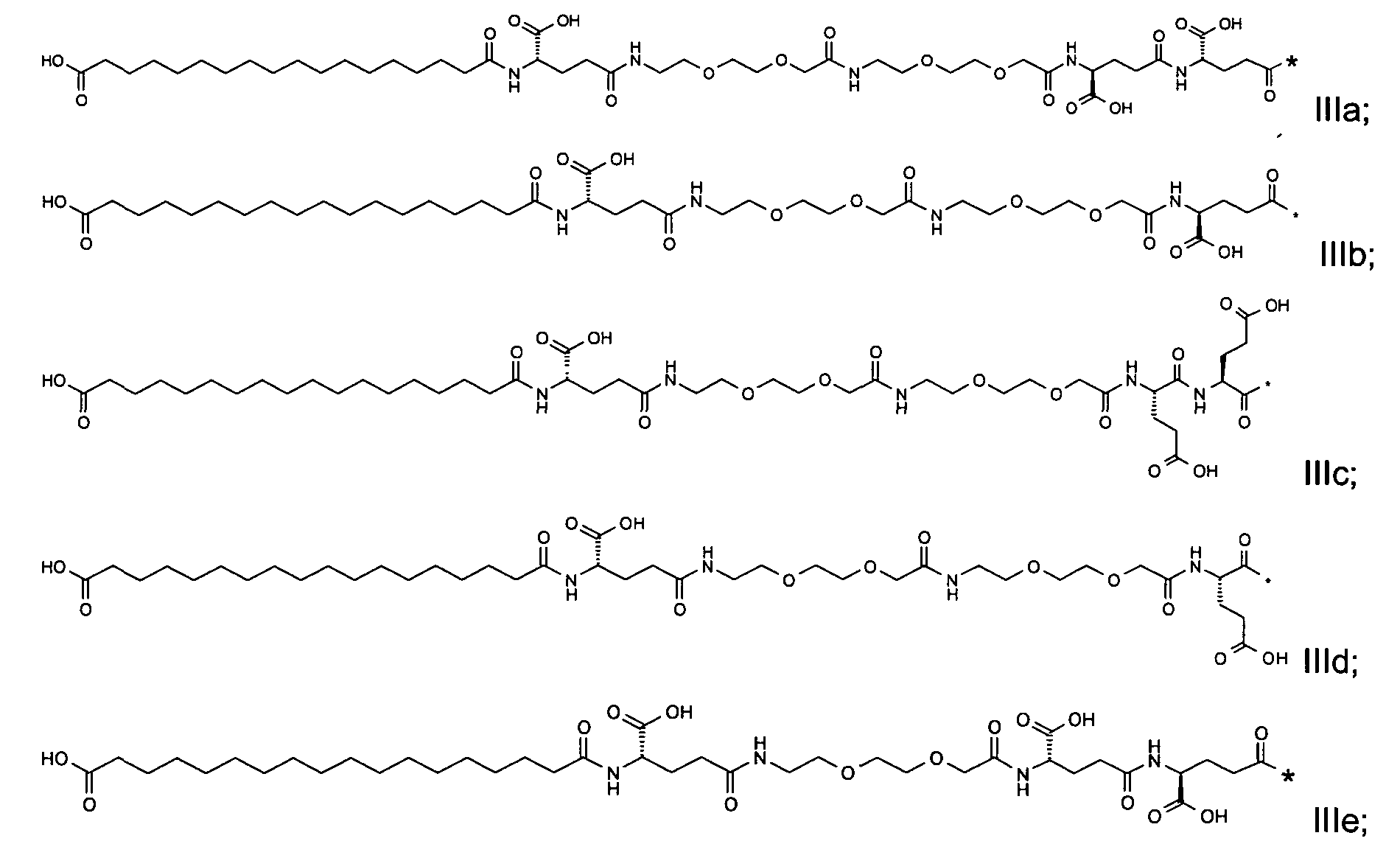
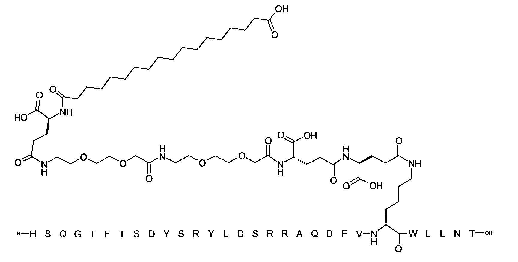
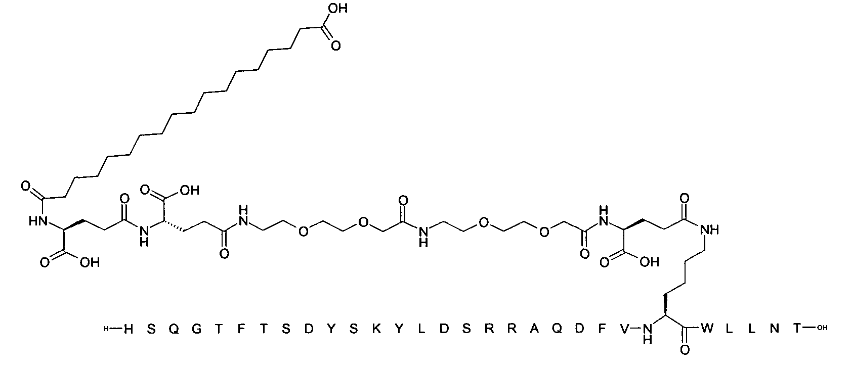
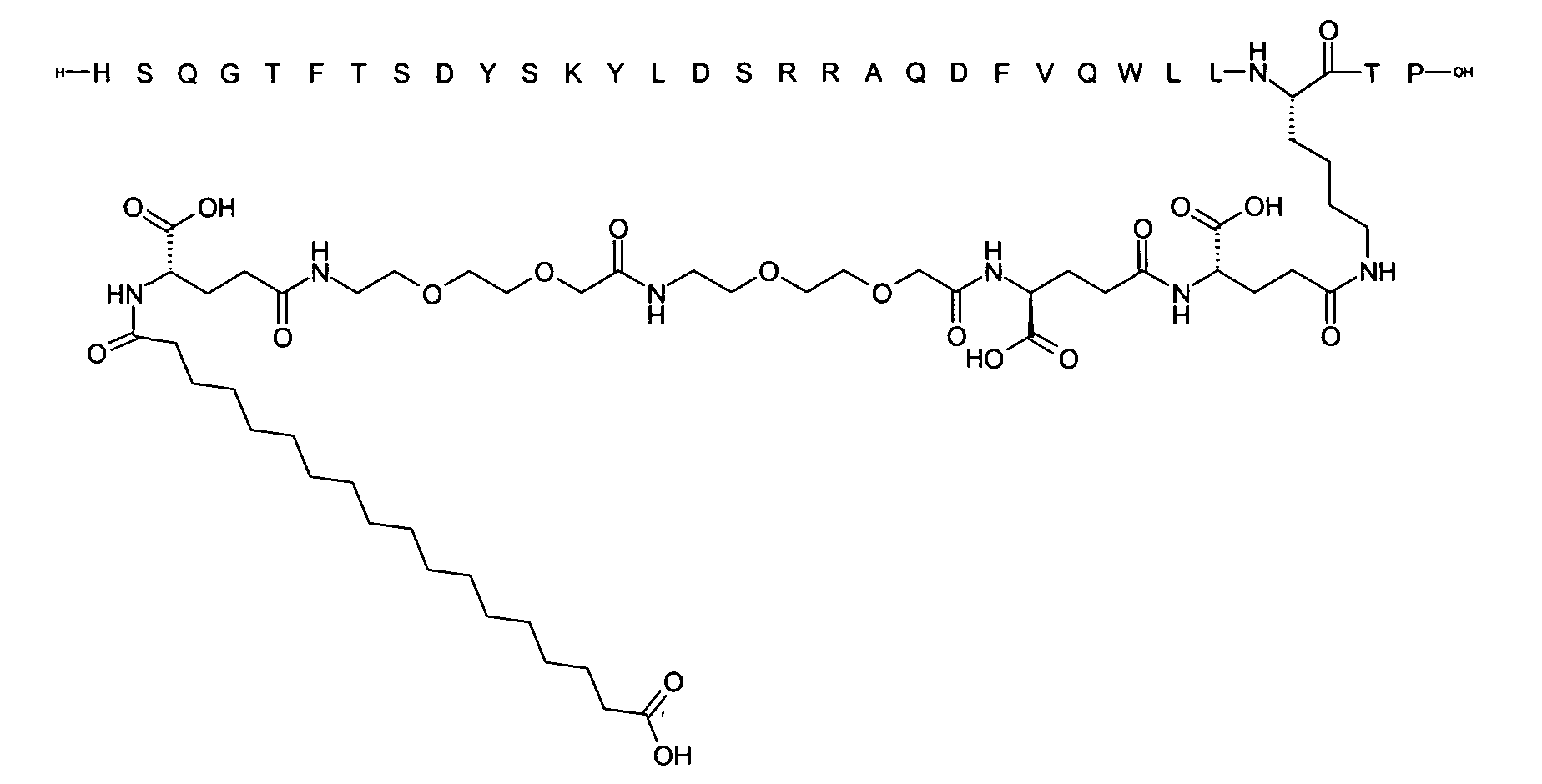
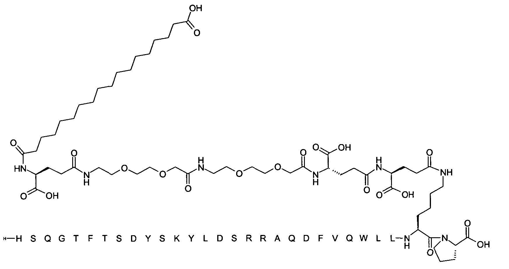
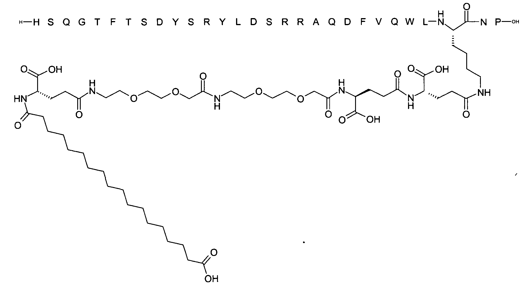
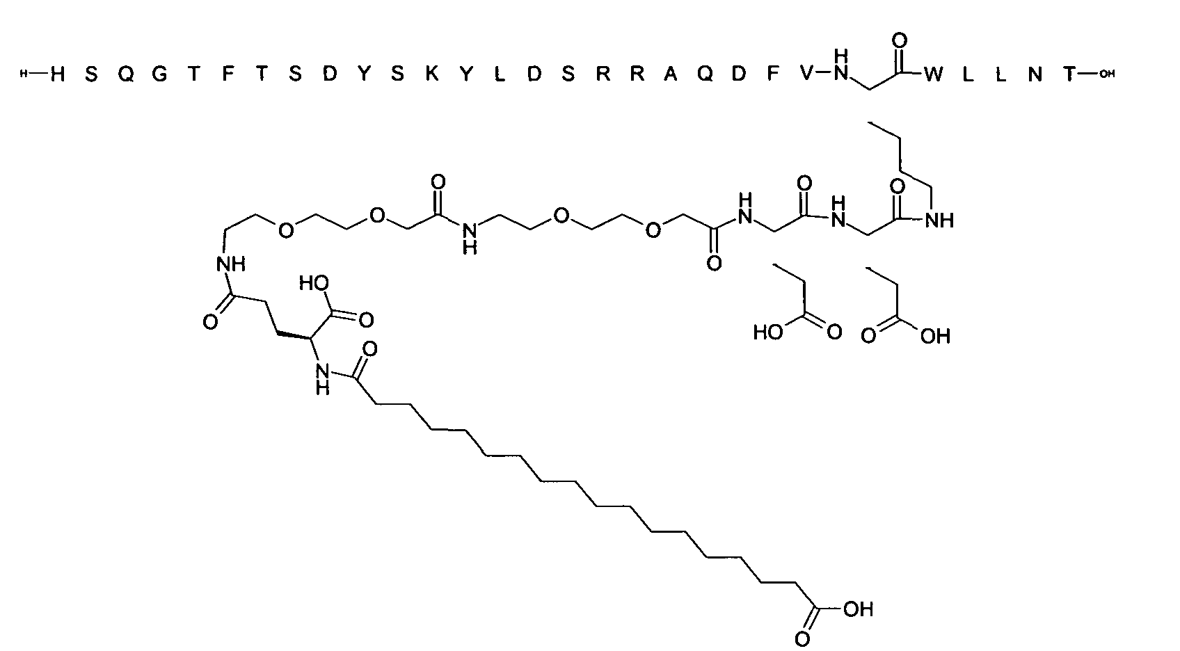
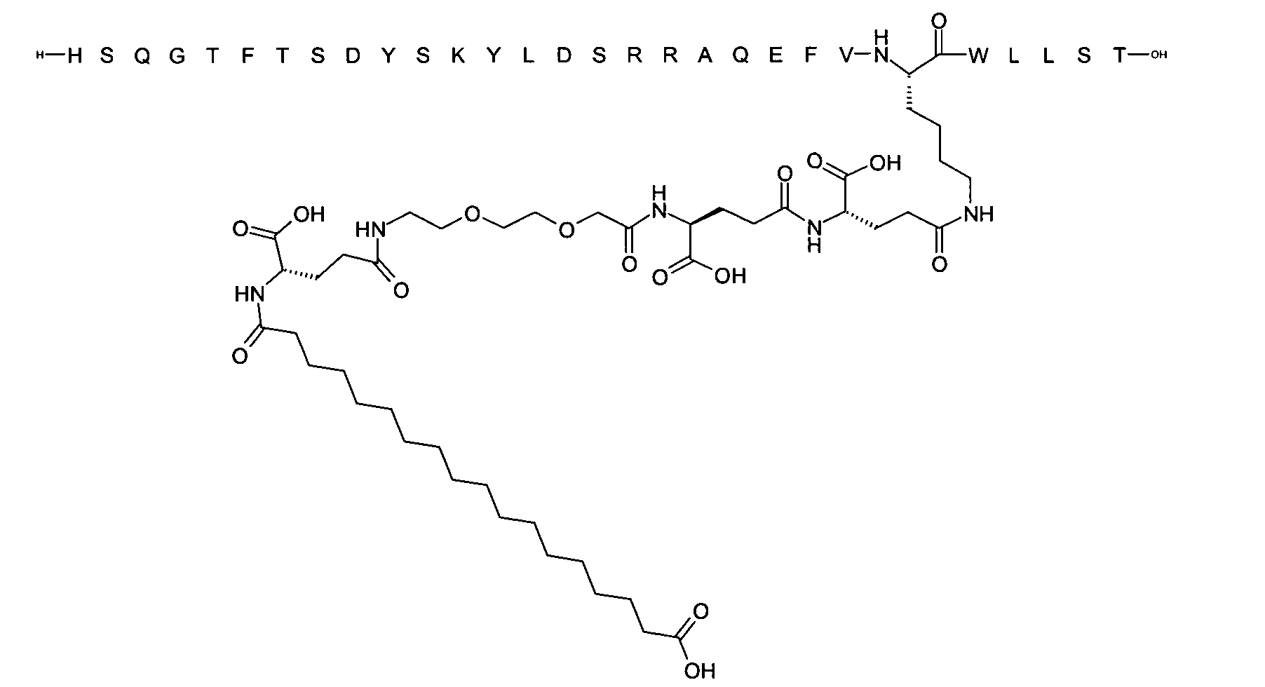
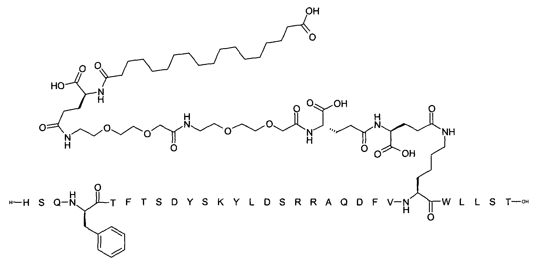
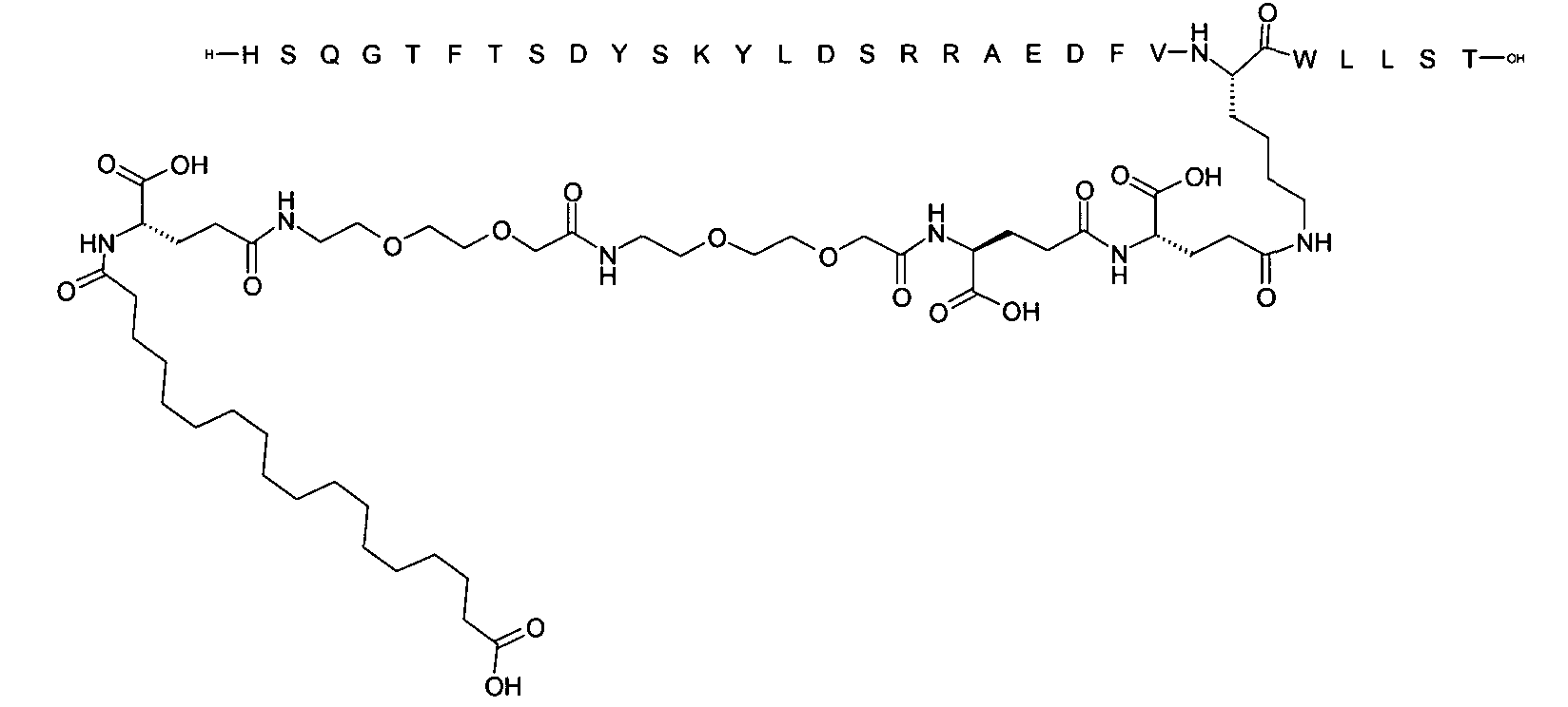
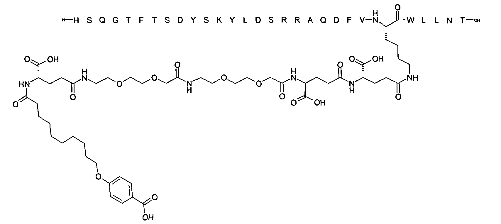
8. Пептид глюкагона по п.1, выбранный из группы, состоящей из следующих соединений:
Nε24-([(4S)-5-гидрокси-4-[[(4S)-5-гидрокси-4-[[2-[2-[2-[[2-[2-[2-[[(4S)-5-гидрокси-4-[(18-гидрокси-18-оксооктадеканоил)амино]-5-оксопентаноил]амино]этокси]этокси]ацетил]амино]этокси]этокси]ацетил]амино]-5-оксопентаноил]амино]-5-оксопентаноил])[Lys24,Leu27]глюкагон
Nε28-([(4S)-5-гидрокси-4-[[(4S)-5-гидрокси-4-[[2-[2-[2-[[2-[2-[2-[[(4S)-5-гидрокси-4-[(18-гидрокси-18-оксооктадеканоил)амино]-5-оксопентаноил]амино]этокси]этокси]ацетил]амино]этокси]этокси]ацетил]амино]-5-оксопентаноил]амино]-5-оксопентаноил])[Leu27,Lys28]глюкагон
Nε29-([(4S)-5-гидрокси-4-[[(4S)-5-гидрокси-4-[[2-[2-[2-[[2-[2-[2-[[(4S)-5-гидрокси-4-[(18-гидрокси-18-оксооктадеканоил)амино]-5-оксопентаноил]амино]этокси]этокси]ацетил]амино]этокси]этокси]ацетил]амино]-5-оксопентаноил]амино]-5-оксопентанил])[Leu27,Lys29]глюкагон
Nα-([Leu27]глюкагонил)-Nε-([(4S)-5-гидрокси-4-[[(4S)-5-гидрокси-4-[[2-[2-[2-[[2-[2-[2-[[(4S)-5-гидрокси-4-[(18-гидрокси-18-оксооктадеканоил)амино]-5-оксопентаноил]амино]этокси]этокси]ацетил]амино]этокси]этокси]ацетил]амино]-5-оксопентаноил]амино]-5-оксопентаноил])лизин
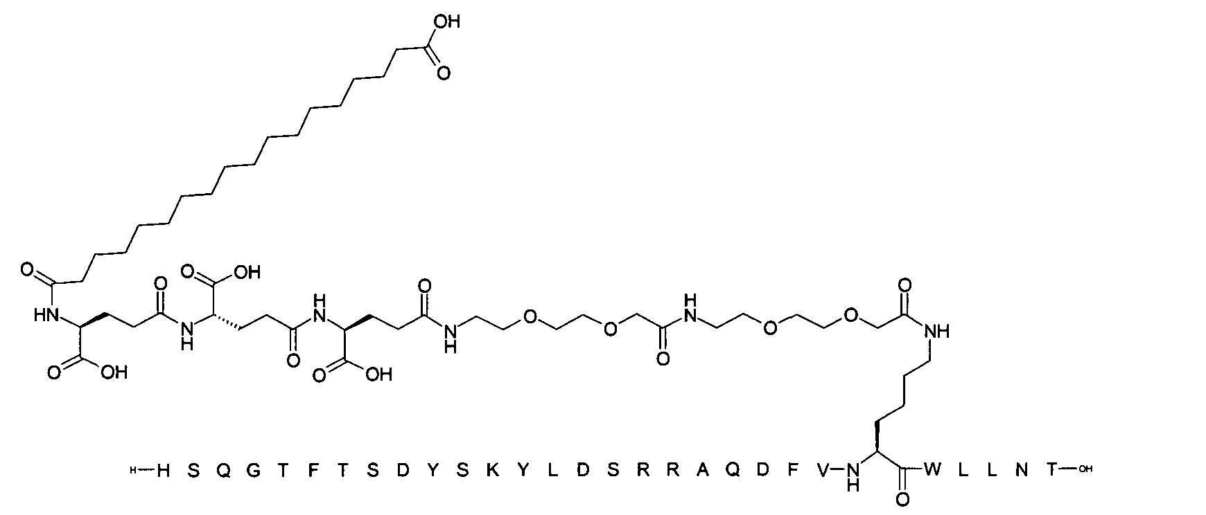
Nε28-[(4S)-4-карбокси-4-[[2-[2-[2-[[2-[2-[2-[[(4S)-4-карбокси-4-[[(4S)-4-карбокси-4-(17-карбоксигептадеканоиламино)бутаноил]амино]бутаноил]амино]этокси]этокси]ацетил]амино]этокси]этокси]ацетил]амино]бутаноил]-[Leu27,Lys28]-глюкагон
Nε28-[2-[2-[2-[[2-[2-[2-[[(4S)-4-карбокси-4-[[(4S)-4-карбокси-4-[[(4S)-4-карбокси-4-(17-карбоксигептадеканоиламино)бутаноил]амино]бутаноил]амино]бутаноил]амино]этокси]этокси]ацетил]амино]этокси]этокси]ацетил]-[Leu27,Lys28]-глюкагон
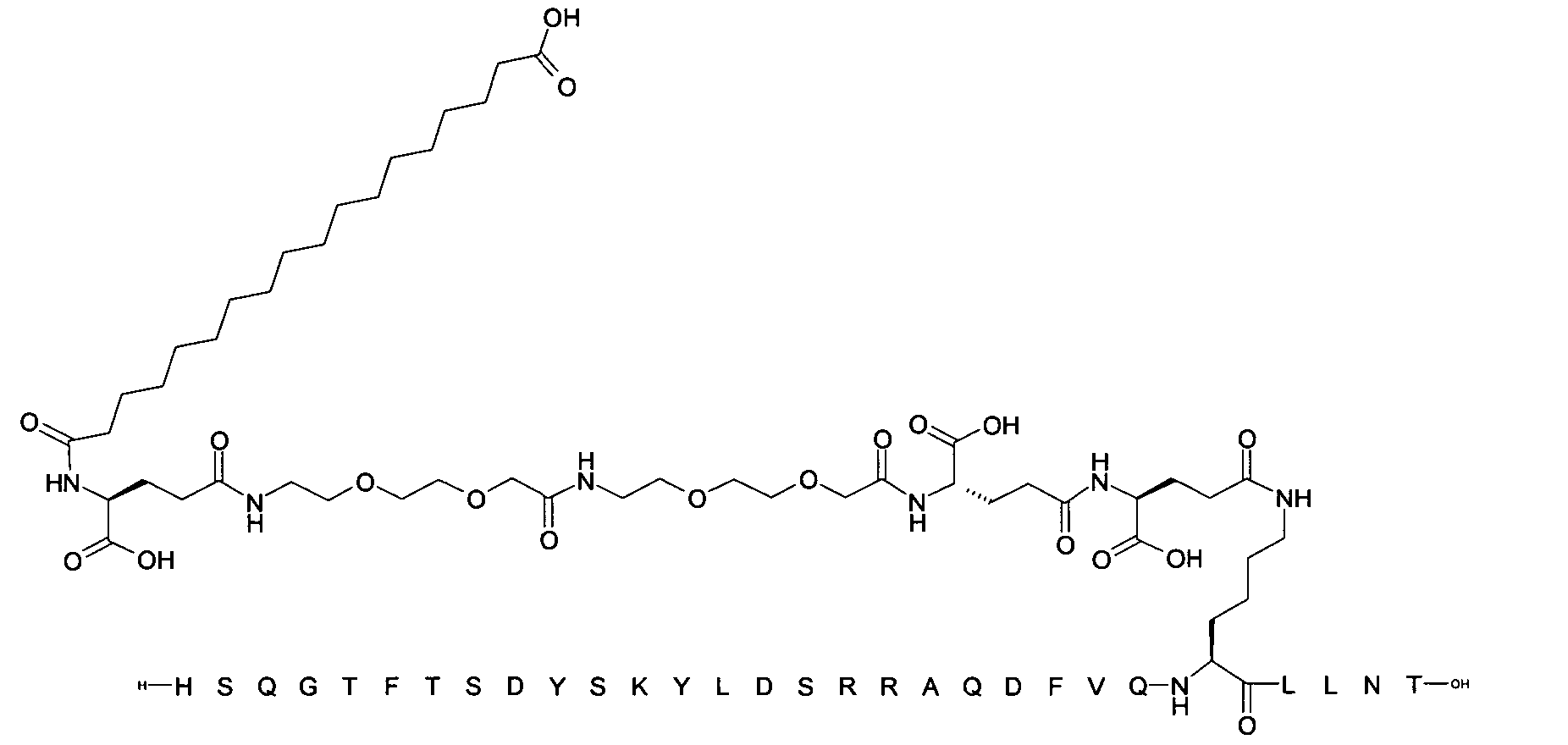
Nε24-[(4S)-4-карбокси-4-[[2-[2-[2-[[2-[2-[2-[[(4S)-4-карбокси-4-[[(4S)-4-карбокси-4-(17-карбоксигептадеканоиламино)бутаноил]амино]бутаноил]амино]этокси]этокси]ацетил]амино]этокси]этокси]ацетил]амино]бутаноил]-[Lys24,Leu27,Ser28]-глюкагон
Nε24-[2-[2-[2-[[2-[2-[2-[[(4S)-4-карбокси-4-[[(4S)-4-карбокси-4-[[(4S)-4-карбокси-4-(17-карбоксигептадеканоиламино)бутаноил]амино]бутаноил]амино]бутаноил]амино]этокси]этокси]ацетил]амино]этокси]этокси]ацетил]-[Lys24,Leu27,Ser28]-глюкагон
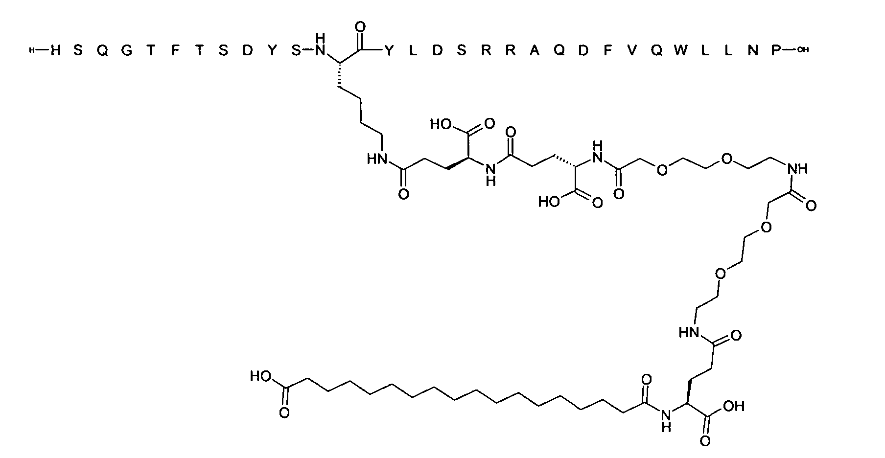
Nε16-[(4S)-4-карбокси-4-[[(4S)-4-карбокси-4-[[2-[2-[2-[[2-[2-[2-[[(4S)-4-карбокси-4-(17-карбоксигептадеканоиламино)бутаноил]амино]этокси]этокси]ацетил]амино]этокси]этокси]ацетил]амино]бутаноил]амино]бутаноил]-[Lys16,Leu27]-глюкагон
Nε24-[(4S)-4-карбокси-4-[[(4S)-4-карбокси-4-[[(4S)-4-карбокси-4-(17-карбоксигептадеканоиламино)бутаноил]амино]бутаноил]амино]бутаноил]-[Lys24,Leu27,Ser28]-глюкагон
Nε24-[(4S)-4-карбокси-4-[[(4S)-4-карбокси-4-[[2-[2-[2-[[2-[2-[2-[[(4S)-4-карбокси-4-(17-карбоксигептадеканоиламино)бутаноил]амино]этокси]этокси]ацетил]амино]этокси]этокси]ацетил]амино]бутаноил]амино]бутаноил]-[Arg12,Lys24,Leu27]-глюкагон
Nε24-[(4S)-4-карбокси-4-[[2-[2-[2-[[2-[2-[2-[[(4S)-4-карбокси-4-[[(4S)-4-карбокси-4-(17-карбоксигептадеканоиламино)бутаноил]амино]бутаноил]амино]этокси]этокси]ацетил]амино]этокси]этокси]ацетил]амино]бутаноил]-[Lys24,Leu27]-глюкагон
Nε24-[2-[2-[2-[[2-[2-[2-[[(4S)-4-карбокси-4-[[(4S)-4-карбокси-4-[[(4S)-4-карбокси-4-(17-карбоксигептадеканоиламино)бутаноил]амино]бутаноил]амино]бутаноил]амино]этокси]этокси]ацетил]амино]этокси]этокси]ацетил]-[Leu27,Lys28]-глюкагон
Nε24-[(4S)-4-карбокси-4-[[(4S)-4-карбокси-4-[[(4S)-4-карбокси-4-(17-карбоксигептадеканоиламино)бутаноил]амино]бутаноил]амино]бутаноил]-[Lys24,Leu27]-глюкагон
Nε25-[(4S)-4-карбокси-4-[[(4S)-4-карбокси-4-[[2-[2-[2-[[2-[2-[2-[[(4S)-4-карбокси-4-(17-карбоксигептадеканоиламино)бутаноил]амино]этокси]этокси]ацетил]амино]этокси]этокси]ацетил]амино]бутаноил]амино]бутаноил]-[Lys25,Leu27]-глюкагон
Nε16-[2-[2-[2-[[2-[2-[2-[[(4S)-4-карбокси-4-[[(4S)-4-карбокси-4-[[(4S)-4-карбокси-4-(17-карбоксигептадеканоиламино)бутаноил]амино]бутаноил]амино]бутаноил]амино]этокси]этокси]ацетил]амино]этокси]этокси]ацетил]-[Lys16,Leu27]-глюкагон
Nε16-[(4S)-4-карбокси-4-[[2-[2-[2-[[2-[2-[2-[[(4S)-4-карбокси-4-[[(4S)-4-карбокси-4-(17-карбоксигептадеканоиламино)бутаноил]амино]бутаноил]амино]этокси]этокси]ацетил]амино]этокси]этокси]ацетил]амино]бутаноил]-[Lys16,Leu27]-глюкагон
Nε28-[(4S)-4-карбокси-4-[[(4S)-4-карбокси-4-[[(4S)-4-карбокси-4-(17-карбоксигептадеканоиламино)бутаноил]амино]бутаноил]амино]бутаноил]-[Leu27,Lys28]-глюкагон
Nε12-[(4S)-4-карбокси-4-[[(4S)-4-карбокси-4-[[2-[2-[2-[[2-[2-[2-[[(4S)-4-карбокси-4-(17-карбоксигептадеканоиламино)бутаноил]амино]этокси]этокси]ацетил]амино]этокси]этокси]ацетил]амино]бутаноил]амино]бутаноил]-[Leu27,Pro29]-глюкагон
Nε24-[(4S)-4-карбокси-4-[[(4S)-4-карбокси-4-[[2-[2-[2-[[2-[2-[2-[[(4S)-4-карбокси-4-(17-карбоксигептадеканоиламино)бутаноил]амино]этокси]этокси]ацетил]амино]этокси]этокси]ацетил]амино]бутаноил]амино]бутаноил]-[Lys24,Leu27,Pro29]-глюкагон
Nε28-[(4S)-4-карбокси-4-[[(4S)-4-карбокси-4-[[2-[2-[2-[[2-[2-[2-[[(4S)-4-карбокси-4-(17-карбоксигептадеканоиламино)бутаноил]амино]этокси]этокси]ацетил]амино]этокси]этокси]ацетил]амино]бутаноил]амино]бутаноил]-[Leu27,Lys28]-глюкагонил-Pro
Nε12-[(4S)-4-карбокси-4-[[(4S)-4-карбокси-4-[[2-[2-[2-[[2-[2-[2-[[(4S)-4-карбокси-4-(17-карбоксигептадеканоиламино)бутаноил]амино]этокси]этокси]ацетил]амино]этокси]этокси]ацетил]амино]бутаноил]амино]бутаноил]-[Leu27]-глюкагон
Nε24-[(4S)-4-карбокси-4-[[(4S)-4-карбокси-4-[[2-[2-[2-[[2-[2-[2-[[(4S)-4-карбокси-4-(17-карбоксигептадеканоиламино)бутаноил]амино]этокси]этокси]ацетил]амино]этокси]этокси]ацетил]амино]бутаноил]амино]бутаноил]-[Lys24,Leu27]-глюкагонил-Pro
Nε27-[(4S)-4-карбокси-4-[[(4S)-4-карбокси-4-[[2-[2-[2-[[2-[2-[2-[[(4S)-4-карбокси-4-(17-карбоксигептадеканоиламино)бутаноил]амино]этокси]этокси]ацетил]амино]этокси]этокси]ацетил]амино]бутаноил]амино]бутаноил]-[Lys24,Pro29]-глюкагон
Nε28-[(4S)-4-карбокси-4-[[(4S)-4-карбокси-4-[[2-[2-[2-[[2-[2-[2-[[(4S)-4-карбокси-4-(17-карбоксигептадеканоиламино)бутаноил]амино]этокси]этокси]ацетил]амино]этокси]этокси]ацетил]амино]бутаноил]амино]бутаноил]-[Leu27,Lys28,Pro29]-глюкагон
Nε27-[(4S)-4-карбокси-4-[[(4S)-4-карбокси-4-[[2-[2-[2-[[2-[2-[2-[[(4S)-4-карбокси-4-(17-карбоксигептадеканоиламино)бутаноил]амино]этокси]этокси]ацетил]амино]этокси]этокси]ацетил]амино]бутаноил]амино]бутаноил]-[Arg12,Lys27,Pro29]-глюкагон
Nε24-[(2S)-4-карбокси-2-[[(2S)-4-карбокси-2-[[2-[2-[2-[[2-[2-[2-[[(4S)-4-карбокси-4-(17-карбоксигептадеканоиламино)бутаноил]амино]этокси]этокси]ацетил]амино]этокси]этокси]ацетил]амино]бутаноил]амино]бутаноил]-[Lys24,Leu27]-глюкагон
Nε24-[(2S)-4-карбокси-2-[[(2S)-4-карбокси-2-[[2-[2-[2-[[2-[2-[2-[[(2S)-4-карбокси-2-(17-карбоксигептадеканоиламино)бутаноил]амино]этокси]этокси]ацетил]амино]этокси]этокси]ацетил]амино]бутаноил]амино]бутаноил]-[Lys24,Leu27]-глюкагон
Nε24-[(4S)-4-карбокси-4-[[2-[2-[2-[[2-[2-[2-[[(4S)-4-карбокси-4-(17-карбоксигептадеканоиламино)бутаноил]амино]этокси]этокси]ацетил]амино]этокси]этокси]ацетил]амино]бутаноил]-[Lys24,Leu27]-глюкагон
Nε24-[(4S)-4-карбокси-4-[[(4S)-4-карбокси-4-[[2-[2-[2-[[(4S)-4-карбокси-4-(17-карбоксигептадеканоиламино)бутаноил]амино]этокси]этокси]ацетил]амино]бутаноил]амино]бутаноил]-[Glu21,Lys24,Leu27,Ser28]-глюкагон
Nε24-[(4S)-4-карбокси-4-[[(4S)-4-карбокси-4-[[2-[2-[2-[[(4S)-4-карбокси-4-(17-карбоксигептадеканоиламино)бутаноил]амино]этокси]этокси]ацетил]амино]бутаноил]амино]бутаноил]-[Glu9,Lys24,Leu27,Ser28]-глюкагон
Nε24-[(4S)-4-карбокси-4-[[(4S)-4-карбокси-4-[[2-[2-[2-[[(4S)-4-карбокси-4-(17-карбоксигептадеканоиламино)бутаноил]амино]этокси]этокси]ацетил]амино]бутаноил]амино]бутаноил]-[Glu20,Glu21,Lys24,Leu27,Ser28]-глюкагон
Nε24-[(4S)-4-карбокси-4-[[(4S)-4-карбокси-4-[[2-[2-[2-[[2-[2-[2-[[(4S)-4-карбокси-4-(15-карбоксипентадеканоиламино)бутаноил]амино]этокси]этокси]ацетил]амино]этокси]этокси]ацетил]амино]бутаноил]амино]бутаноил]-[Lys24,Leu27]-глюкагон
Nε24-[(4S)-4-карбокси-4-[[(4S)-4-карбокси-4-[[2-[2-[2-[[2-[2-[2-[[(4S)-4-карбокси-4-(11-карбоксиундеканоиламино)бутаноил]амино]этокси]этокси]ацетил]амино]этокси]этокси]ацетил]амино]бутаноил]амино]бутаноил]-[Lys24,Leu27]-глюкагон
Nε24-[(4S)-4-карбокси-4-[[(4S)-4-карбокси-4-[[2-[2-[2-[[2-[2-[2-[[(4S)-4-карбокси-4-(13-карбокситридеканоиламино)бутаноил]амино]этокси]этокси]ацетил]амино]этокси]этокси]ацетил]амино]бутаноил]амино]бутаноил]-[Lys24,Leu27]-глюкагон
Nε24-[(4S)-4-карбокси-4-[[(4S)-4-карбокси-4-[[2-[2-[2-[[2-[2-[2-[[2-[2-[2-[[2-[2-[2-[[(4S)-4-карбокси-4-(17-карбоксигептадеканоиламино)бутаноил]амино]этокси]этокси]ацетил]амино]этокси]этокси]ацетил]амино]этокси]этокси]ацетил]амино]этокси]этокси]ацетил]амино]бутаноил]амино]бутаноил]-[Lys24,Leu27]-глюкагон
Nε20-[(4S)-4-карбокси-4-[[(4S)-4-карбокси-4-[[2-[2-[2-[[2-[2-[2-[[(4S)-4-карбокси-4-(17-карбоксигептадеканоиламино)бутаноил]амино]этокси]этокси]ацетил]амино]этокси]этокси]ацетил]амино]бутаноил]амино]бутаноил]-[Lys20,Leu27]-глюкагон
Nε24-[(4S)-4-карбокси-4-[[(4S)-4-карбокси-4-[[2-[2-[2-[[2-[2-[2-[[(4S)-4-карбокси-4-(17-карбоксигептадеканоиламино)бутаноил]амино]этокси]этокси]ацетил]амино]этокси]этокси]ацетил]амино]бутаноил]амино]бутаноил]-[D-Phe4,Lys24,Leu27,Ser28]-глюкагон
Nε16-[(4S)-4-карбокси-4-[[(4S)-карбокси-4-[[2-[2-[2-[[2-[2-[2-[[(4S)-карбокси-4-(17-карбоксигептадеканоиламино)бутаноил]амино]этокси]этокси]ацетил]амино]этокси]этокси]ацетил]амино]бутаноил]амино]бутаноил]-[Lys16,Glu21,Arg25,Leu27]-глюкагон
Nε24-[(4S)-4-карбокси-4-[[(4S)-4-карбокси-4-[[2-[2-[2-[[2-[2-[2-[[(4S)-4-карбокси-4-(17-карбоксигептадеканоиламино)бутаноил]амино]этокси]этокси]ацетил]амино]этокси]этокси]ацетил]амино]бутаноил]амино]бутаноил]-[Glu20,Lys24,Leu27,Ser28]-глюкагон
Nε24-[(4S)-4-карбокси-4-[[(4S)-4-карбокси-4-[[2-[2-[2-[[2-[2-[2-[[(4S)-4-карбокси-4-[10-(4-карбоксифенокси)деканоиламино]бутаноил]амино]этокси]этокси]ацетил]амино]этокси]этокси]ацетил]амино]бутаноил]амино]бутаноил]-[Lys24,Leu27]-глюкагон
Nε24-[(4S)-4-карбокси-4-[[(4S)-4-карбокси-4-[[2-[2-[2-[[2-[2-[2-[[(4S)-4-карбокси-4-(17-карбоксигептадеканоиламино)бутаноил]амино]этокси]этокси]ацетил]амино]этокси]этокси]ацетил]амино]бутаноил]амино]бутаноил]-[Lys24,Gln27]-глюкагон
Nε24-[(4S)-4-карбокси-4-[[(4S)-4-карбокси-4-[[2-[2-[2-[[2-[2-[2-[[(4S)-4-карбокси-4-(17-карбоксигептадеканоиламино)бутаноил]амино]этокси]этокси]ацетил]амино]этокси]этокси]ацетил]амино]бутаноил]амино]бутаноил]-[Lys24,Glu27]-глюкагон
Nα([His24,Leu27]-глюкагонил)-Nε[(4S)-4-карбокси-4-[[(4S)-4-карбокси-4-[[2-[2-[2-[[2-[2-[2-[[(4S)-4-карбокси-4-(17-карбоксигептадеканоиламино)бутаноил]амино]этокси]этокси]ацетил]амино]этокси]этокси]ацетил]амино]бутаноил]амино]бутаноил]Lys
Nε24-[(4S)-4-карбокси-4-[[2-[2-[2-[[2-[2-[2-[[(4S)-4-карбокси-4-(17-карбоксигептадеканоиламино)бутаноил]амино]этокси]этокси]ацетил]амино]этокси]этокси]ацетил]амино]бутаноил]-[Lys24,Glu27]-глюкагон
Nε24-[(4S)-4-карбокси-4-[[(4S)-4-карбокси-4-[[2-[2-[2-[[2-[2-[2-[[(4S)-4-карбокси-4-(19-карбоксинонадеканоиламино)бутаноил]амино]этокси]этокси]ацетил]амино]этокси]этокси]ацетил]амино]бутаноил]амино]бутаноил]-[Lys24,Leu27]-глюкагон
Nε24-[(4S)-4-карбокси-4-[[(4S)-4-карбокси-4-[[2-[2-[2-[[2-[2-[2-[[(4S)-4-карбокси-4-(7-карбоксигептаноиламино)бутаноил]амино]этокси]этокси]ацетил]амино]этокси]этокси]ацетил]амино]бутаноил]амино]бутаноил]-[Lys24,Leu27]-глюкагон
9. Пептид глюкагона по любому из пп.1-8 для применения в терапии.
10. Фармацевтическая композиция, содержащая пептид глюкагона по любому из пп.1-8.
11. Фармацевтическая композиция по п.10, дополнительно содержащая одно или несколько дополнительных терапевтически активных соединений или субстанций.
12. Фармацевтическая композиция по п.11, дополнительно содержащая соединение GLP-1.
13. Фармацевтическая композиция по п.11, дополнительно содержащая соединение инсулина.
14. Фармацевтическая композиция по любому из пп.10-13, которая пригодна для парентерального введения.
15. Применение пептида глюкагона по любому из пп.1-8 для получения лекарства.
16. Применение пептида глюкагона по любому пп.1-8 для получения лекарства для лечения или профилактики гипергликемии, диабета 2 типа, нарушения толерантности к глюкозе, диабета 1 типа и ожирения.
17. Применение пептида глюкагона по любому из пп.1-8 для получения лекарства для замедления или профилактики прогрессирования заболевания при диабете 2 типа, лечения ожирения или профилактики избыточной массы тела, снижения потребления пищи, повышения расхода энергии, снижения массы тела, замедления прогрессирования от состояния нарушения толерантности к глюкозе (преддиабета) к диабету 2 типа; замедления прогрессирования от диабета 2 типа до диабета с потребностью в инсулине; регуляции аппетита; индуцирования насыщения; профилактики повторного увеличения массы тела после успешного снижения массы тела; лечения заболевания или состояния, связанного с избыточной массой тела или ожирением; лечения булимии; лечения компульсивного переедания; лечения атеросклероза, гипертонии, диабета 2 типа, нарушения толерантности к глюкозе, дислипидемии, коронарной болезни сердца, жировой дегенерации печени, лечения отравления бета-блокаторами, для применения с целью подавления подвижности желудочно-кишечного тракта, что полезно в связи с исследованиями желудочно-кишечного тракта с применением таких методик, как рентгеноскопическое исследование, компьютерная томография или ЯМР-сканирование.
18. Применение пептида глюкагона по любому из пп.1-8 для получения лекарства для лечения или профилактики гипогликемии, гипогликемии, вызванной инсулином, реактивной гипогликемии, диабетической гипогликемии, недиабетической гипогликемии, гипогликемии голодания, гипогликемии, вызванной приемом лекарств, гипогликемии, вызванной шунтированием желудка, гипогликемии при беременности, алкогольной гипогликемии, инсулиномы и болезни Гирке.
Applications Claiming Priority (5)
| Application Number | Priority Date | Filing Date | Title |
|---|---|---|---|
| EP10157901.9 | 2010-03-26 | ||
| EP10157901 | 2010-03-26 | ||
| US31994410P | 2010-04-01 | 2010-04-01 | |
| US61/319,944 | 2010-04-01 | ||
| PCT/EP2011/054714 WO2011117416A1 (en) | 2010-03-26 | 2011-03-28 | Novel glucagon analogues |
Publications (2)
| Publication Number | Publication Date |
|---|---|
| RU2012144289A true RU2012144289A (ru) | 2014-05-10 |
| RU2559320C2 RU2559320C2 (ru) | 2015-08-10 |
Family
ID=42710766
Family Applications (1)
| Application Number | Title | Priority Date | Filing Date |
|---|---|---|---|
| RU2012144289/04A RU2559320C2 (ru) | 2010-03-26 | 2011-03-28 | Новые аналоги глюкагона |
Country Status (12)
| Country | Link |
|---|---|
| US (8) | US20130143798A1 (ru) |
| EP (2) | EP2552950A1 (ru) |
| JP (3) | JP6026993B2 (ru) |
| KR (1) | KR20130018410A (ru) |
| CN (2) | CN102918055B (ru) |
| AU (1) | AU2011231503C1 (ru) |
| BR (1) | BR112012024379A2 (ru) |
| CA (1) | CA2792663A1 (ru) |
| MX (1) | MX336412B (ru) |
| RU (1) | RU2559320C2 (ru) |
| WO (2) | WO2011117416A1 (ru) |
| ZA (1) | ZA201206838B (ru) |
Families Citing this family (70)
| Publication number | Priority date | Publication date | Assignee | Title |
|---|---|---|---|---|
| KR20140020292A (ko) * | 2011-03-28 | 2014-02-18 | 노보 노르디스크 에이/에스 | 신규 글루카곤 유사체 |
| HRP20181591T1 (hr) | 2011-06-10 | 2018-11-30 | Hanmi Science Co., Ltd. | Novi derivati oksintomodulina i farmaceutski pripravci za liječenje pretilosti koji ih sadrže |
| AU2012270366C1 (en) | 2011-06-17 | 2017-07-13 | Hanmi Science Co., Ltd. | A conjugate comprising oxyntomodulin and an immunoglobulin fragment, and use thereof |
| JP6352806B2 (ja) * | 2011-09-23 | 2018-07-04 | ノヴォ ノルディスク アー/エス | 新規のグルカゴン類似体 |
| AR091422A1 (es) * | 2012-06-14 | 2015-02-04 | Sanofi Sa | Analogos peptidicos de la exendina 4 |
| MY170671A (en) * | 2012-07-23 | 2019-08-26 | Zealand Pharma As | Glucagon analogues |
| KR101968344B1 (ko) | 2012-07-25 | 2019-04-12 | 한미약품 주식회사 | 옥신토모듈린 유도체를 포함하는 고지혈증 치료용 조성물 |
| TWI608013B (zh) | 2012-09-17 | 2017-12-11 | 西蘭製藥公司 | 升糖素類似物 |
| UA116217C2 (uk) * | 2012-10-09 | 2018-02-26 | Санофі | Пептидна сполука як подвійний агоніст рецепторів glp1-1 та глюкагону |
| NZ739063A (en) | 2012-11-06 | 2019-11-29 | Hanmi Pharm Ind Co Ltd | Liquid formulation of protein conjugate comprising the oxyntomodulin and an immunoglobulin fragment |
| KR101993393B1 (ko) | 2012-11-06 | 2019-10-01 | 한미약품 주식회사 | 옥신토모듈린 유도체를 포함하는 당뇨병 또는 비만성 당뇨병 치료용 조성물 |
| CA2891931A1 (en) * | 2012-11-20 | 2014-05-30 | Mederis Diabetes, Llc | Improved peptide pharmaceuticals for insulin resistance |
| SG10201705097PA (en) | 2012-12-21 | 2017-07-28 | Sanofi Sa | Functionalized exendin-4 derivatives |
| ES2623979T3 (es) | 2013-03-21 | 2017-07-12 | Sanofi-Aventis Deutschland Gmbh | Síntesis de productos peptídicos que contienen hidantoína |
| ES2624961T3 (es) | 2013-03-21 | 2017-07-18 | Sanofi-Aventis Deutschland Gmbh | Síntesis de productos de péptido que contienen imida cíclica |
| AR095986A1 (es) | 2013-04-03 | 2015-11-25 | Sanofi Sa | Proteínas modificadas que regulan glucosa en sangre con perfil alterado de actividad farmacológica y preparación de las mismas |
| PL2986313T3 (pl) * | 2013-04-18 | 2019-12-31 | Novo Nordisk A/S | Stabilni, dłużej działający współagoniści receptora glp-1/glukagonu do zastosowań medycznych |
| HUE045573T2 (hu) * | 2013-04-18 | 2020-01-28 | Novo Nordisk As | Stabil, hosszú hatóidejû GLP-1/glükagon receptor ko-agonisták, gyógyászati alkalmazásra |
| EP3010546B1 (en) | 2013-06-20 | 2017-08-09 | Novo Nordisk A/S | Glp-1 derivatives and uses thereof |
| GB201315335D0 (en) * | 2013-08-29 | 2013-10-09 | Of Singapore | Amino diacids containing peptide modifiers |
| US9988429B2 (en) | 2013-10-17 | 2018-06-05 | Zealand Pharma A/S | Glucagon analogues |
| SI3057984T1 (sl) | 2013-10-17 | 2018-10-30 | Zealand Pharma A/S | Acilirani glukagonski analogi |
| US10093713B2 (en) | 2013-11-06 | 2018-10-09 | Zealand Pharma A/S | GIP-GLP-1 dual agonist compounds and methods |
| EA035688B1 (ru) | 2013-11-06 | 2020-07-27 | Зилэнд Фарма А/С | Соединения, которые представляют собой тройные агонисты глюкагона, glp-1 и gip |
| EP3080149A1 (en) | 2013-12-13 | 2016-10-19 | Sanofi | Dual glp-1/glucagon receptor agonists |
| WO2015086730A1 (en) | 2013-12-13 | 2015-06-18 | Sanofi | Non-acylated exendin-4 peptide analogues |
| WO2015086729A1 (en) | 2013-12-13 | 2015-06-18 | Sanofi | Dual glp-1/gip receptor agonists |
| WO2015086731A1 (en) | 2013-12-13 | 2015-06-18 | Sanofi | Exendin-4 peptide analogues as dual glp-1/glucagon receptor agonists |
| TW201609795A (zh) | 2013-12-13 | 2016-03-16 | 賽諾菲公司 | 作為雙重glp-1/gip受體促效劑的艾塞那肽-4(exendin-4)胜肽類似物 |
| AR098616A1 (es) * | 2013-12-18 | 2016-06-01 | Lilly Co Eli | Péptido para el tratamiento de hipoglicemia severa |
| AR100306A1 (es) | 2014-02-18 | 2016-09-28 | Novo Nordisk As | Análogos de glucagón estables y uso para el tratamiento de la hipoglucemia |
| TW201625669A (zh) | 2014-04-07 | 2016-07-16 | 賽諾菲公司 | 衍生自艾塞那肽-4(Exendin-4)之肽類雙重GLP-1/升糖素受體促效劑 |
| TW201625670A (zh) | 2014-04-07 | 2016-07-16 | 賽諾菲公司 | 衍生自exendin-4之雙重glp-1/升糖素受體促效劑 |
| TW201625668A (zh) | 2014-04-07 | 2016-07-16 | 賽諾菲公司 | 作為胜肽性雙重glp-1/昇糖素受體激動劑之艾塞那肽-4衍生物 |
| EP3151852A1 (en) | 2014-06-04 | 2017-04-12 | Novo Nordisk A/S | Glp-1/glucagon receptor co-agonists for medical use |
| US9932381B2 (en) | 2014-06-18 | 2018-04-03 | Sanofi | Exendin-4 derivatives as selective glucagon receptor agonists |
| TWI772252B (zh) | 2014-09-16 | 2022-08-01 | 南韓商韓美藥品股份有限公司 | 長效glp-1/高血糖素受體雙促效劑治療非酒精性脂肝疾病之用途 |
| JP2017536343A (ja) * | 2014-10-10 | 2017-12-07 | ノヴォ ノルディスク アー/エス | 安定したglp−1ベースのglp−1/グルカゴン受容体コアゴニスト |
| TWI705973B (zh) | 2014-10-29 | 2020-10-01 | 丹麥商西蘭製藥公司 | Gip促效劑化合物及方法 |
| JP6730278B2 (ja) | 2014-11-27 | 2020-07-29 | ノヴォ ノルディスク アー/エス | Glp−1誘導体及びその使用 |
| US10392428B2 (en) | 2014-12-17 | 2019-08-27 | Novo Nordisk A/S | GLP-1 derivatives and uses thereof |
| TN2017000271A1 (en) * | 2014-12-30 | 2018-10-19 | Hanmi Pharm Ind Co Ltd | Glucagon derivative having improved stability |
| KR102418477B1 (ko) | 2014-12-30 | 2022-07-08 | 한미약품 주식회사 | 글루카곤 유도체 |
| TWI707867B (zh) | 2015-04-16 | 2020-10-21 | 丹麥商西蘭製藥公司 | 醯化之昇糖素類似物 |
| AR105319A1 (es) | 2015-06-05 | 2017-09-27 | Sanofi Sa | Profármacos que comprenden un conjugado agonista dual de glp-1 / glucagón conector ácido hialurónico |
| WO2016198624A1 (en) | 2015-06-12 | 2016-12-15 | Sanofi | Exendin-4 derivatives as trigonal glp-1/glucagon/gip receptor agonists |
| WO2016198628A1 (en) | 2015-06-12 | 2016-12-15 | Sanofi | Non-acylated exendin-4 derivatives as dual glp-1/glucagon receptor agonists |
| TN2017000555A1 (en) | 2015-06-30 | 2019-04-12 | Hanmi Pharm Ind Co Ltd | Glucagon derivative and a composition comprising a long acting conjugate of the same |
| AR105284A1 (es) | 2015-07-10 | 2017-09-20 | Sanofi Sa | Derivados de exendina-4 como agonistas peptídicos duales específicos de los receptores de glp-1 / glucagón |
| TWI622596B (zh) | 2015-10-26 | 2018-05-01 | 美國禮來大藥廠 | 升糖素受體促效劑 |
| AU2016343775B2 (en) * | 2015-10-28 | 2021-07-29 | Tufts Medical Center | Novel polypeptides with improved proteolytic stability, and methods of preparing and using same |
| PH12018501409B1 (en) | 2015-12-31 | 2023-03-10 | Hanmi Pharmaceutical Co Ltd | Triple glucagon/glp-1/gip receptor agonist |
| JP7208020B2 (ja) * | 2016-06-29 | 2023-01-18 | ハンミ ファーマシューティカル カンパニー リミテッド | グルカゴン誘導体、その結合体、及びそれを含む組成物、並びにその治療的用途 |
| JOP20190097A1 (ar) * | 2016-10-27 | 2019-04-28 | Janssen Pharmaceutica Nv | الجلوبولينات المناعية واستخداماتها |
| AR110299A1 (es) | 2016-12-02 | 2019-03-13 | Sanofi Sa | Conjugados que comprenden un agonista dual de glp-1 / glucagón, un conector y ácido hialurónico |
| CN108261544B (zh) * | 2016-12-30 | 2023-05-05 | 江苏太平洋美诺克生物药业股份有限公司 | 稳定的包含cd147单克隆抗体的药物制剂 |
| CN108261391B (zh) | 2016-12-30 | 2022-03-01 | 江苏太平洋美诺克生物药业有限公司 | 稳定的包含cd147单克隆抗体的药物制剂 |
| TWI847306B (zh) | 2017-08-24 | 2024-07-01 | 丹麥商諾佛 儂迪克股份有限公司 | Glp-1組成物及其用途 |
| CN111818971A (zh) | 2018-01-03 | 2020-10-23 | 梅德瑞斯糖尿病有限责任公司 | 用于治疗nash和其他紊乱的改进的肽药物 |
| BR112021011595A2 (pt) | 2018-12-21 | 2021-11-30 | Jiangsu Hengrui Medicine Co | Proteína biespecífica |
| JP7212171B2 (ja) * | 2019-02-05 | 2023-01-24 | イーライ リリー アンド カンパニー | グルカゴン類似体アゴニストおよびその使用方法 |
| CN115380043A (zh) * | 2019-08-13 | 2022-11-22 | 安医健有限公司 | 艾塞那肽类似物及其用途 |
| CN118772259A (zh) | 2019-12-30 | 2024-10-15 | 甘李药业股份有限公司 | 胰岛素衍生物 |
| BR112022013795A2 (pt) | 2020-02-18 | 2022-09-13 | Novo Nordisk As | Composição farmacêutica líquida, e, kit |
| CN114075275A (zh) * | 2020-08-17 | 2022-02-22 | 成都奥达生物科技有限公司 | 一种长效胰岛素类似物 |
| CN117202924A (zh) | 2020-12-07 | 2023-12-08 | 斯皮特弗尔制药有限责任公司 | 使用glp-1r和gcgr平衡激动剂降低血糖和/或体重的治疗方案和方法 |
| EP4281464A4 (en) | 2021-01-20 | 2025-01-01 | Viking Therapeutics, Inc. | Compositions and methods for the treatment of metabolic and liver disorders |
| US20230015478A1 (en) * | 2021-06-14 | 2023-01-19 | Resolute Bio, Inc. | Glp-1 receptor agonists having improved pharmacological and drug delivery properties |
| JP7642830B2 (ja) | 2021-09-15 | 2025-03-10 | バイキング・セラピューティクス・インコーポレイテッド | 代謝及び肝臓障害の処置のための組成物及び方法 |
| AU2022390313A1 (en) * | 2021-11-19 | 2024-06-06 | Soter Biopharma Pte. Ltd. | Staple-containing polypeptides and application thereof |
Family Cites Families (52)
| Publication number | Priority date | Publication date | Assignee | Title |
|---|---|---|---|---|
| IL93173A0 (en) * | 1989-02-01 | 1990-11-05 | Shionogi & Co | Production of glucagon |
| US5408037A (en) * | 1991-01-17 | 1995-04-18 | Zymogenetics, Inc. | Methods for detecting glucagon antagonists |
| US5424286A (en) | 1993-05-24 | 1995-06-13 | Eng; John | Exendin-3 and exendin-4 polypeptides, and pharmaceutical compositions comprising same |
| US5869602A (en) | 1995-03-17 | 1999-02-09 | Novo Nordisk A/S | Peptide derivatives |
| IL124109A (en) | 1995-09-08 | 2001-10-31 | Novo Nordisk As | Pharmaceutical composition of 2-alkylpyrrolidines for use in the manufacture of medicaments for the treatment of diabetes |
| EP0876379A1 (en) | 1996-01-17 | 1998-11-11 | Novo Nordisk A/S | Fused 1,2,4-thiadiazine and fused 1,4-thiazine derivatives, their preparation and use |
| WO1997041120A1 (en) | 1996-07-26 | 1997-11-06 | Dr. Reddy's Research Foundation | Thiazolidinedione compounds having antidiabetic, hypolipidaemic, antihypertensive properties, process for their preparation and pharmaceutical compositions thereof |
| IL128332A0 (en) | 1996-08-30 | 2000-01-31 | Novo Nordisk As | GLP-1 derivatives |
| RU2200161C2 (ru) | 1996-12-31 | 2003-03-10 | Др. Редди'З Рисерч Фаундейшн | Новые производные азолидиндиона, способ их получения (варианты), фармацевтические композиции на их основе, способ предупреждения или лечения, способ снижения глюкозы и промежуточное соединение |
| JP2001518069A (ja) | 1997-05-02 | 2001-10-09 | ドクター・レディーズ・リサーチ・ファウンデーション | 低脂質性、抗高血圧性特性を有する新規な抗糖尿病化合物、それらの製造方法及びそれらを含有する薬学的組成物 |
| WO1999001423A1 (en) | 1997-07-01 | 1999-01-14 | Novo Nordisk A/S | Glucagon antagonists/inverse agonists |
| US6613942B1 (en) | 1997-07-01 | 2003-09-02 | Novo Nordisk A/S | Glucagon antagonists/inverse agonists |
| JP2001510195A (ja) | 1997-07-16 | 2001-07-31 | ノボ ノルディスク アクティーゼルスカブ | 縮合化1,2,4−チアジアジン誘導体、その調製及び使用 |
| WO1999019313A1 (en) | 1997-10-27 | 1999-04-22 | Dr. Reddy's Research Foundation | Novel tricyclic compounds and their use in medicine; process for their preparation and pharmaceutical compositions containing them |
| US6440961B1 (en) | 1997-10-27 | 2002-08-27 | Dr. Reddy's Research Foundation | Tricyclic compounds and their use in medicine: process for their preparation and pharmaceutical compositions containing them |
| AU6966498A (en) | 1997-12-02 | 1998-10-30 | Dr. Reddy's Research Foundation | Thiazolidinedione and oxazolidinedione derivatives having antidiabetic, hypol ipidaemic and antihypertensive properties |
| WO2000023415A1 (en) | 1998-10-21 | 2000-04-27 | Novo Nordisk A/S | New compounds, their preparation and use |
| AU6190299A (en) | 1998-10-21 | 2000-05-08 | Dr. Reddy's Research Foundation | New compounds, their preparation and use |
| AU6325599A (en) | 1998-10-21 | 2000-05-08 | Dr. Reddy's Research Foundation | New compounds, their preparation and use |
| EP1123269A1 (en) | 1998-10-21 | 2001-08-16 | Novo Nordisk A/S | New compounds, their preparation and use |
| JP2002527502A (ja) | 1998-10-21 | 2002-08-27 | ノボ ノルディスク アクティーゼルスカブ | 新規化合物、それらの調製及び使用 |
| WO2000023451A1 (en) | 1998-10-21 | 2000-04-27 | Novo Nordisk A/S | New compounds, their preparation and use |
| ES2200575T3 (es) | 1998-12-18 | 2004-03-01 | Novo Nordisk A/S | Derivados de 1,2,4-tiadiazina fusionados, su preparacion y uso. |
| WO2000041121A1 (en) | 1999-01-07 | 2000-07-13 | Ccrewards.Com | Method and arrangement for issuance and management of digital coupons and sales offers |
| WO2000042026A1 (en) | 1999-01-15 | 2000-07-20 | Novo Nordisk A/S | Non-peptide glp-1 agonists |
| WO2000042023A1 (en) | 1999-01-18 | 2000-07-20 | Novo Nordisk A/S | Substituted imidazoles, their preparation and use |
| AU2953699A (en) | 1999-04-16 | 2000-11-02 | Dr. Reddy's Research Foundation | Novel polymorphic forms of an antidiabetic agent: process for their preparation and a pharmaceutical composition containing them |
| WO2000063189A1 (en) | 1999-04-16 | 2000-10-26 | Novo Nordisk A/S | Crystalline r- guanidines, arginine or (l) -arginine (2s) -2- ethoxy -3-{4- [2-(10h -phenoxazin -10-yl)ethoxy]phenyl}propanoate |
| JP2002542245A (ja) | 1999-04-16 | 2002-12-10 | ノボ ノルディスク アクティーゼルスカブ | 置換イミダゾール、それらの製造および使用 |
| HRP20010748A2 (en) | 1999-04-16 | 2003-02-28 | Reddys Lab Ltd Dr | Novel polymorphic forms of an antidiabetic agent: process for their preparation and pharmaceutical compositions containing them |
| WO2000063196A1 (en) | 1999-04-20 | 2000-10-26 | Novo Nordisk A/S | New compounds, their preparation and use |
| EP1171438A1 (en) | 1999-04-20 | 2002-01-16 | Novo Nordisk A/S | Compounds, their preparation and use |
| CN1348439A (zh) | 1999-04-20 | 2002-05-08 | 诺沃挪第克公司 | 新化合物及其制备和用途 |
| EP1171431A1 (en) | 1999-04-20 | 2002-01-16 | Novo Nordisk A/S | Compounds, their preparation and use |
| AU3957600A (en) | 1999-04-26 | 2000-11-10 | Boehringer Ingelheim International Gmbh | Piperidyl-imidazole derivatives, their preparations and therapeutic uses |
| SI1105409T1 (sl) * | 1999-05-17 | 2006-06-30 | Conjuchem Inc | Zascita endogenih peptidov pred peptidazno ucinkovitostjo s konjugacijo na krvne komponente |
| EP1180121B9 (en) * | 1999-05-17 | 2004-09-08 | Conjuchem, Inc. | Long lasting insulinotropic peptides |
| AU2001287600B2 (en) | 2000-07-20 | 2006-07-13 | F. Hoffmann-La Roche Ag | Alpha-acyl and alpha-heteroatom-substituted benzene acetamide glucokinase activators |
| US6953787B2 (en) | 2002-04-12 | 2005-10-11 | Arena Pharmaceuticals, Inc. | 5HT2C receptor modulators |
| WO2004060387A1 (en) | 2002-12-27 | 2004-07-22 | Diobex, Inc. | Compositions and methods for the prevention and control of insulin-induced hypoglycemia |
| CN101380476A (zh) * | 2003-09-19 | 2009-03-11 | 诺沃挪第克公司 | 治疗肽的清蛋白结合型衍生物 |
| CA2539253A1 (en) * | 2003-09-19 | 2005-03-31 | Novo Nordisk A/S | Albumin-binding derivatives of therapeutic peptides |
| TWI372629B (en) * | 2005-03-18 | 2012-09-21 | Novo Nordisk As | Acylated glp-1 compounds |
| US8338368B2 (en) * | 2005-11-07 | 2012-12-25 | Indiana University Research And Technology Corporation | Glucagon analogs exhibiting physiological solubility and stability |
| TWI428346B (zh) * | 2006-12-13 | 2014-03-01 | Imp Innovations Ltd | 新穎化合物及其等對進食行為影響 |
| WO2008086086A2 (en) | 2007-01-05 | 2008-07-17 | Indiana University Research And Technology Corporation | Glucagon analogs exhibiting enhanced solubility in physiological ph buffers |
| JP6017754B2 (ja) | 2007-02-15 | 2016-11-02 | インディアナ ユニバーシティー リサーチ アンド テクノロジー コーポレーションIndiana University Research And Technology Corporation | グルカゴン/glp−1受容体コアゴニスト |
| DK2158214T3 (da) | 2007-06-15 | 2011-12-05 | Zealand Pharma As | Glukagonanaloger |
| US20100261637A1 (en) | 2007-09-05 | 2010-10-14 | Novo Nordisk A/S | Peptides derivatized with a-b-c-d- and their therapeutical use |
| ES2672770T3 (es) * | 2007-09-05 | 2018-06-18 | Novo Nordisk A/S | Derivados del péptido-1 similar al glucagón y su uso farmacéutico |
| US20100317057A1 (en) * | 2007-12-28 | 2010-12-16 | Novo Nordisk A/S | Semi-recombinant preparation of glp-1 analogues |
| KR101074010B1 (ko) * | 2009-09-04 | 2011-10-17 | (주)이스트소프트 | 블록 단위 데이터 압축 및 복원 방법 및 그 장치 |
-
2011
- 2011-03-28 US US13/637,522 patent/US20130143798A1/en not_active Abandoned
- 2011-03-28 CA CA2792663A patent/CA2792663A1/en not_active Withdrawn
- 2011-03-28 KR KR1020127027952A patent/KR20130018410A/ko not_active Ceased
- 2011-03-28 WO PCT/EP2011/054714 patent/WO2011117416A1/en not_active Ceased
- 2011-03-28 AU AU2011231503A patent/AU2011231503C1/en not_active Ceased
- 2011-03-28 JP JP2013500535A patent/JP6026993B2/ja not_active Expired - Fee Related
- 2011-03-28 WO PCT/EP2011/054712 patent/WO2011117415A1/en not_active Ceased
- 2011-03-28 BR BR112012024379A patent/BR112012024379A2/pt not_active Application Discontinuation
- 2011-03-28 JP JP2013500534A patent/JP6054861B2/ja not_active Expired - Fee Related
- 2011-03-28 MX MX2012010881A patent/MX336412B/es unknown
- 2011-03-28 RU RU2012144289/04A patent/RU2559320C2/ru not_active IP Right Cessation
- 2011-03-28 CN CN201180025875.1A patent/CN102918055B/zh not_active Expired - Fee Related
- 2011-03-28 EP EP11710218A patent/EP2552950A1/en not_active Withdrawn
- 2011-03-28 CN CN201180025883.6A patent/CN102918056B/zh not_active Expired - Fee Related
- 2011-03-28 US US13/637,454 patent/US20130035285A1/en not_active Abandoned
- 2011-03-28 EP EP11710504A patent/EP2552951A1/en not_active Withdrawn
-
2012
- 2012-09-12 ZA ZA2012/06838A patent/ZA201206838B/en unknown
-
2015
- 2015-06-15 US US14/739,614 patent/US20150274801A1/en not_active Abandoned
- 2015-08-17 US US14/827,539 patent/US20160002311A1/en not_active Abandoned
-
2016
- 2016-05-16 US US15/155,541 patent/US20160271263A1/en not_active Abandoned
- 2016-07-19 JP JP2016141243A patent/JP2016183192A/ja not_active Withdrawn
- 2016-09-12 US US15/262,450 patent/US20170051034A1/en not_active Abandoned
-
2017
- 2017-03-13 US US15/456,912 patent/US20170190757A1/en not_active Abandoned
- 2017-07-26 US US15/660,458 patent/US20180016319A1/en not_active Abandoned
Also Published As
| Publication number | Publication date |
|---|---|
| JP2013523618A (ja) | 2013-06-17 |
| US20160002311A1 (en) | 2016-01-07 |
| EP2552950A1 (en) | 2013-02-06 |
| EP2552951A1 (en) | 2013-02-06 |
| US20160271263A1 (en) | 2016-09-22 |
| CN102918056B (zh) | 2016-08-10 |
| KR20130018410A (ko) | 2013-02-21 |
| AU2011231503C1 (en) | 2016-03-03 |
| JP6026993B2 (ja) | 2016-11-16 |
| AU2011231503A1 (en) | 2012-09-27 |
| US20130143798A1 (en) | 2013-06-06 |
| CN102918055A (zh) | 2013-02-06 |
| JP2016183192A (ja) | 2016-10-20 |
| US20170190757A1 (en) | 2017-07-06 |
| US20180016319A1 (en) | 2018-01-18 |
| AU2011231503B2 (en) | 2014-11-06 |
| ZA201206838B (en) | 2013-06-26 |
| CA2792663A1 (en) | 2011-09-29 |
| US20130035285A1 (en) | 2013-02-07 |
| BR112012024379A2 (pt) | 2017-01-10 |
| JP6054861B2 (ja) | 2016-12-27 |
| CN102918056A (zh) | 2013-02-06 |
| CN102918055B (zh) | 2017-03-29 |
| JP2013523619A (ja) | 2013-06-17 |
| WO2011117416A1 (en) | 2011-09-29 |
| MX336412B (es) | 2016-01-19 |
| US20150274801A1 (en) | 2015-10-01 |
| US20170051034A1 (en) | 2017-02-23 |
| WO2011117415A1 (en) | 2011-09-29 |
| RU2559320C2 (ru) | 2015-08-10 |
| MX2012010881A (es) | 2012-11-06 |
Similar Documents
| Publication | Publication Date | Title |
|---|---|---|
| RU2012144289A (ru) | Новые аналоги глюкагона | |
| JP2013523619A5 (ru) | ||
| RU2014114434A (ru) | Новые аналоги глюкагона | |
| JP2013523618A5 (ru) | ||
| JP2014527975A5 (ru) | ||
| JP5669395B2 (ja) | 新規化合物および摂食行動に対するその効果 | |
| CN112409460B (zh) | 一类glp-1/胰高血糖素受体双重激动剂及其应用 | |
| KR101593406B1 (ko) | 글루카곤 유사체 | |
| AU2014345570B2 (en) | Glucagon-GLP-1-GIP triple agonist compounds | |
| EP2525809B1 (en) | Glucagon-glp1 dual agonists for use in the treatment of cardiac conditions | |
| RU2013145013A (ru) | Новые аналоги глюкагона | |
| KR20150116912A (ko) | 글루카곤 유사체 | |
| CN104144696A (zh) | 胰高血糖素类似物 | |
| CN101203531A (zh) | 修饰的pyy(3-36)多肽及它们对进食行为的影响 | |
| CA2747112A1 (en) | Glucagon analogues | |
| KR20130086343A (ko) | 글루카곤 유사체 | |
| JP2012532898A (ja) | アシル化グルカゴン類似体 | |
| JP2014504597A (ja) | アシル化グルカゴン類似体とインスリン類似体の組合せ物 | |
| RU2008100218A (ru) | Пептиды для лечения ожирения | |
| KR102886870B1 (ko) | 이중 수용체 아고니즘 작용을 갖는 폴리펩티드 유도체 및 그 용도 | |
| CA3222051A1 (en) | Polypeptide derivative having effect of dual targeted activation of glp-1r and gipr, preparation method therefor, and use thereof | |
| JP2015517458A5 (ru) | ||
| CA3073011A1 (en) | Acylated oxyntomodulin peptide analog | |
| JP2014500244A5 (ru) | ||
| CN114450300B (zh) | 新颖的化合物 |
Legal Events
| Date | Code | Title | Description |
|---|---|---|---|
| HE9A | Changing address for correspondence with an applicant | ||
| MM4A | The patent is invalid due to non-payment of fees |
Effective date: 20190329 |





























































