DE69738457T2 - Verfahren zur Herstellung von Oxazolidinonen - Google Patents

Verfahren zur Herstellung von Oxazolidinonen Download PDF

Info

Publication number
DE69738457T2
DE69738457T2 DE69738457T DE69738457T DE69738457T2 DE 69738457 T2 DE69738457 T2 DE 69738457T2 DE 69738457 T DE69738457 T DE 69738457T DE 69738457 T DE69738457 T DE 69738457T DE 69738457 T2 DE69738457 T2 DE 69738457T2
Authority
DE
Germany
Prior art keywords
fluoro
methanol
phenyl
oxo
oxazolidinyl
Prior art date
Legal status (The legal status is an assumption and is not a legal conclusion. Google has not performed a legal analysis and makes no representation as to the accuracy of the status listed.)
Expired - Fee Related
Application number
DE69738457T
Other languages
English (en)
Other versions
DE69738457D1 (de
Inventor
Bruce A. Kalamazoo PEARLMAN
William R. Kalamazoo PERRAULT
Michael R. Kalamazoo Barbachyn
Peter R. Portage Manninen
Dana S. Kalamazoo Toops
David J. Portage Houser
Thomas J. Scotts Fleck
Current Assignee (The listed assignees may be inaccurate. Google has not performed a legal analysis and makes no representation or warranty as to the accuracy of the list.)
Pharmacia and Upjohn Co LLC
Original Assignee
Pharmacia and Upjohn Co LLC
Priority date (The priority date is an assumption and is not a legal conclusion. Google has not performed a legal analysis and makes no representation as to the accuracy of the date listed.)
Filing date
Publication date
Application filed by Pharmacia and Upjohn Co LLC filed Critical Pharmacia and Upjohn Co LLC
Application granted granted Critical
Publication of DE69738457D1 publication Critical patent/DE69738457D1/de
Publication of DE69738457T2 publication Critical patent/DE69738457T2/de
Anticipated expiration legal-status Critical
Expired - Fee Related legal-status Critical Current

Links

Classifications

    • CCHEMISTRY; METALLURGY
    • C07ORGANIC CHEMISTRY
    • C07DHETEROCYCLIC COMPOUNDS
    • C07D487/00Heterocyclic compounds containing nitrogen atoms as the only ring hetero atoms in the condensed system, not provided for by groups C07D451/00 - C07D477/00
    • C07D487/02Heterocyclic compounds containing nitrogen atoms as the only ring hetero atoms in the condensed system, not provided for by groups C07D451/00 - C07D477/00 in which the condensed system contains two hetero rings
    • C07D487/04Ortho-condensed systems
    • CCHEMISTRY; METALLURGY
    • C07ORGANIC CHEMISTRY
    • C07DHETEROCYCLIC COMPOUNDS
    • C07D231/00Heterocyclic compounds containing 1,2-diazole or hydrogenated 1,2-diazole rings
    • C07D231/02Heterocyclic compounds containing 1,2-diazole or hydrogenated 1,2-diazole rings not condensed with other rings
    • C07D231/10Heterocyclic compounds containing 1,2-diazole or hydrogenated 1,2-diazole rings not condensed with other rings having two or three double bonds between ring members or between ring members and non-ring members
    • C07D231/12Heterocyclic compounds containing 1,2-diazole or hydrogenated 1,2-diazole rings not condensed with other rings having two or three double bonds between ring members or between ring members and non-ring members with only hydrogen atoms, hydrocarbon or substituted hydrocarbon radicals, directly attached to ring carbon atoms
    • CCHEMISTRY; METALLURGY
    • C07ORGANIC CHEMISTRY
    • C07DHETEROCYCLIC COMPOUNDS
    • C07D233/00Heterocyclic compounds containing 1,3-diazole or hydrogenated 1,3-diazole rings, not condensed with other rings
    • C07D233/54Heterocyclic compounds containing 1,3-diazole or hydrogenated 1,3-diazole rings, not condensed with other rings having two double bonds between ring members or between ring members and non-ring members
    • C07D233/56Heterocyclic compounds containing 1,3-diazole or hydrogenated 1,3-diazole rings, not condensed with other rings having two double bonds between ring members or between ring members and non-ring members with only hydrogen atoms or radicals containing only hydrogen and carbon atoms, attached to ring carbon atoms
    • CCHEMISTRY; METALLURGY
    • C07ORGANIC CHEMISTRY
    • C07DHETEROCYCLIC COMPOUNDS
    • C07D249/00Heterocyclic compounds containing five-membered rings having three nitrogen atoms as the only ring hetero atoms
    • C07D249/02Heterocyclic compounds containing five-membered rings having three nitrogen atoms as the only ring hetero atoms not condensed with other rings
    • C07D249/081,2,4-Triazoles; Hydrogenated 1,2,4-triazoles
    • CCHEMISTRY; METALLURGY
    • C07ORGANIC CHEMISTRY
    • C07DHETEROCYCLIC COMPOUNDS
    • C07D263/00Heterocyclic compounds containing 1,3-oxazole or hydrogenated 1,3-oxazole rings
    • C07D263/02Heterocyclic compounds containing 1,3-oxazole or hydrogenated 1,3-oxazole rings not condensed with other rings
    • C07D263/08Heterocyclic compounds containing 1,3-oxazole or hydrogenated 1,3-oxazole rings not condensed with other rings having one double bond between ring members or between a ring member and a non-ring member
    • C07D263/16Heterocyclic compounds containing 1,3-oxazole or hydrogenated 1,3-oxazole rings not condensed with other rings having one double bond between ring members or between a ring member and a non-ring member with hetero atoms or with carbon atoms having three bonds to hetero atoms with at the most one bond to halogen, e.g. ester or nitrile radicals, directly attached to ring carbon atoms
    • C07D263/18Oxygen atoms
    • C07D263/20Oxygen atoms attached in position 2
    • CCHEMISTRY; METALLURGY
    • C07ORGANIC CHEMISTRY
    • C07DHETEROCYCLIC COMPOUNDS
    • C07D263/00Heterocyclic compounds containing 1,3-oxazole or hydrogenated 1,3-oxazole rings
    • C07D263/02Heterocyclic compounds containing 1,3-oxazole or hydrogenated 1,3-oxazole rings not condensed with other rings
    • C07D263/08Heterocyclic compounds containing 1,3-oxazole or hydrogenated 1,3-oxazole rings not condensed with other rings having one double bond between ring members or between a ring member and a non-ring member
    • C07D263/16Heterocyclic compounds containing 1,3-oxazole or hydrogenated 1,3-oxazole rings not condensed with other rings having one double bond between ring members or between a ring member and a non-ring member with hetero atoms or with carbon atoms having three bonds to hetero atoms with at the most one bond to halogen, e.g. ester or nitrile radicals, directly attached to ring carbon atoms
    • C07D263/18Oxygen atoms
    • C07D263/20Oxygen atoms attached in position 2
    • C07D263/24Oxygen atoms attached in position 2 with hydrocarbon radicals, substituted by oxygen atoms, attached to other ring carbon atoms
    • CCHEMISTRY; METALLURGY
    • C07ORGANIC CHEMISTRY
    • C07DHETEROCYCLIC COMPOUNDS
    • C07D413/00Heterocyclic compounds containing two or more hetero rings, at least one ring having nitrogen and oxygen atoms as the only ring hetero atoms
    • C07D413/02Heterocyclic compounds containing two or more hetero rings, at least one ring having nitrogen and oxygen atoms as the only ring hetero atoms containing two hetero rings
    • C07D413/04Heterocyclic compounds containing two or more hetero rings, at least one ring having nitrogen and oxygen atoms as the only ring hetero atoms containing two hetero rings directly linked by a ring-member-to-ring-member bond
    • CCHEMISTRY; METALLURGY
    • C07ORGANIC CHEMISTRY
    • C07DHETEROCYCLIC COMPOUNDS
    • C07D413/00Heterocyclic compounds containing two or more hetero rings, at least one ring having nitrogen and oxygen atoms as the only ring hetero atoms
    • C07D413/02Heterocyclic compounds containing two or more hetero rings, at least one ring having nitrogen and oxygen atoms as the only ring hetero atoms containing two hetero rings
    • C07D413/10Heterocyclic compounds containing two or more hetero rings, at least one ring having nitrogen and oxygen atoms as the only ring hetero atoms containing two hetero rings linked by a carbon chain containing aromatic rings

Landscapes

  • Chemical & Material Sciences (AREA)
  • Organic Chemistry (AREA)
  • Heterocyclic Carbon Compounds Containing A Hetero Ring Having Nitrogen And Oxygen As The Only Ring Hetero Atoms (AREA)
  • Agricultural Chemicals And Associated Chemicals (AREA)
  • Pharmaceuticals Containing Other Organic And Inorganic Compounds (AREA)

Description

  • Hintergrund der Erfindung
  • 1. Gebiet der Erfindung
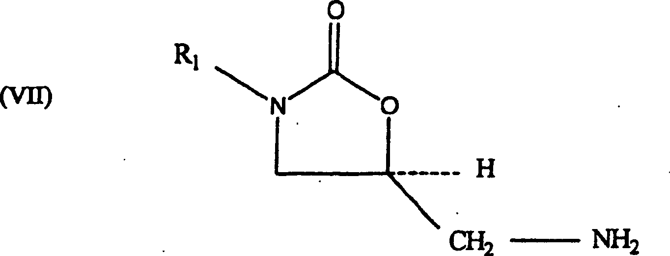
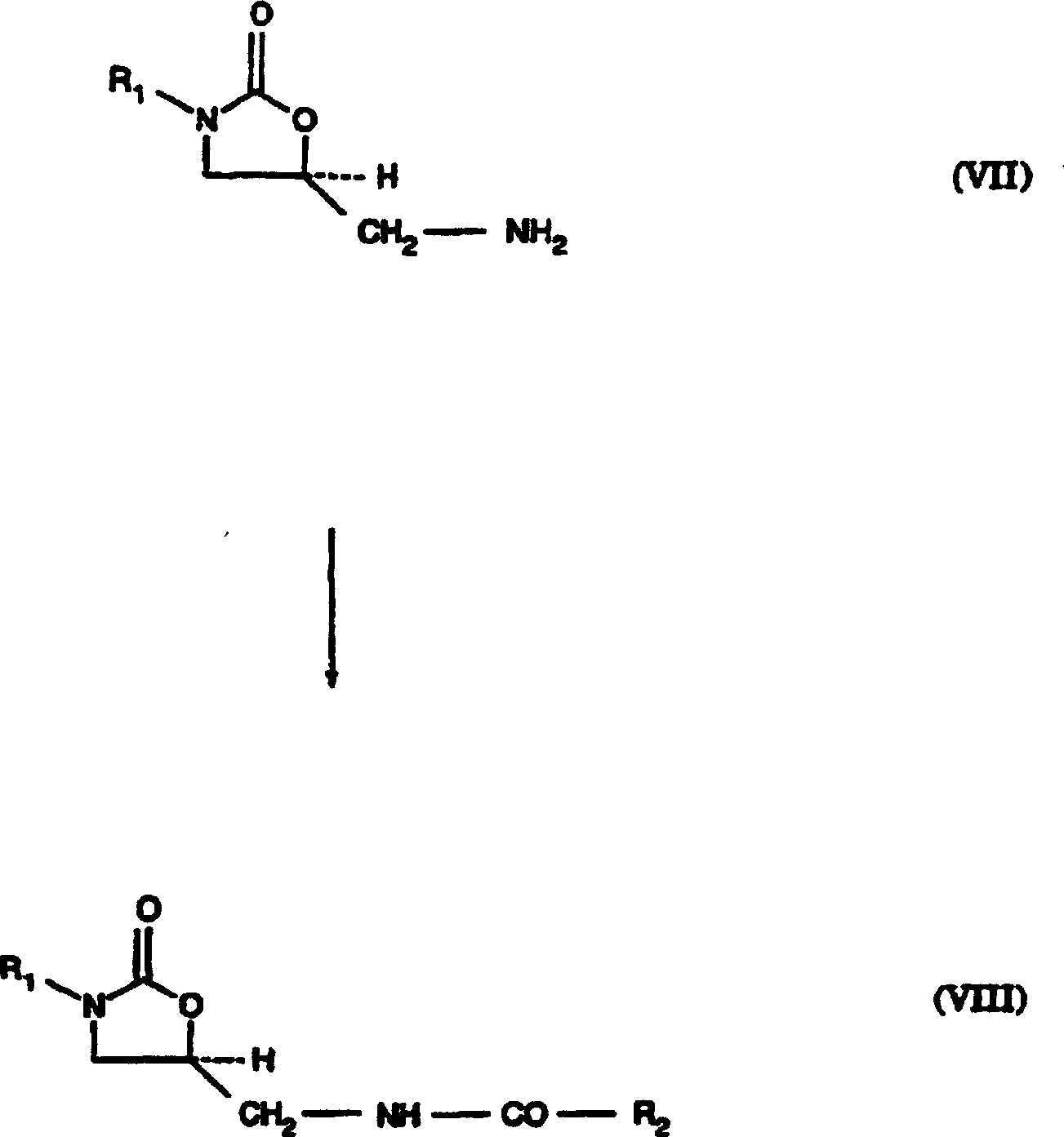
  • Die vorliegende Erfindung betrifft ein Verfahren zur Umwandlung von 5-Hydroxymethyl-substituierten Oxazolidinonalkoholen (III) in die entsprechenden 5-Aminomethyl-substituierten Oxazolidinonamine (VII), die bei der Herstellung von antibakteriellen Oxazolidinon-Pharmazeutika (VIII) verwendbar sind.
  • 2. Beschreibung des Standes der Technik
  • Die US-Patente 5 164 510 , 5 182 403 und 5 225 565 offenbaren 5'-Indolinyloxazolidinone, 3-(5'-Indazolyl)oxazolidinone, 3-(mit kondensiertem Ring substituierte)-Phenyloxazolidinone, die jeweils als antibakterielle Mittel verwendbar sind.
  • Die US-Patente 5 231 188 und 5 247 090 offenbaren verschiedene tricyclische Oxazolidinone mit [6.5.5]- und [6.6.5]-kondensiertem Ring, die als antibakterielle Mittel verwendbar sind.
  • Die WO93/09103 offenbart Mono- und Dihalogenphenyloxazolidinon-Antibiotika, die als pharmazeutische Mittel wegen deren antibakterieller Wirkung verwendbar sind.
  • Die US-Patente 4 062 862 und 4 236 012 offenbaren ein Verfahren zur Herstellung von Oxazolidinonen, das die Umsetzung eines Epoxids mit einem primären (ohne einen Substituenten am Stickstoffatom) Carbamat in Gegenwart eines Katalysators umfasst. Das Verfahren "wird vorzugsweise bei einer Temperatur von 100° bis 150° über mehrere Stunden durchgeführt".
  • Das kanadische Patent 681 830 offenbart ein Verfahren zur Herstellung von Oxazolidinonen, das die Umsetzung eines Arylethers von Glycidol mit einem primären Carbamat in Gegenwart eines alkalischen Katalysators (vorzugsweise Lithiumamid oder Lithiumhydroxid) umfasst. Das Verfahren wurde in dem "bevorzugten Temperaturbereich von 150° bis 165°" durchgeführt. Die Produkte sind Arylether von 5-Hydroxymethyl-substituierten Oxazolidinonen und die Ausbeuten sind schlecht (40–78%).
  • J. Am. Chem. Soc., 64, 1291 (1942) und das US-Patent 3 547 951 offenbaren ein Verfahren zur Umwandlung von primären Alkoholen in Amine, das eine Behandlung mit Methansulfonylchlorid unter Bildung des Mesylats und das anschließende Inkontaktbringen des Mesylats mit wasserfreiem Ammoniak bei Umgebungstemperatur in einem verschlossenen Reaktionsgefäß unter hohem Druck umfasst.
  • Es ist auch bekannt, dass die Mesylate von primären Alkoholen mit wässrigem Ammoniak unter Bildung der entsprechenden primären Amine reagieren, doch sind eine hohe Temperatur und ein hoher Druck (85 psig) erforderlich. Normalerweise kann dieses Verfahren in üblichen, allgemein verwendbaren Reaktoren nicht durchgeführt werden und es muss in für hohen Druck ausgelegten Spezialreaktoren durchgeführt werden.
  • Die WO95/07271 offenbart die Ammonolyse von Oxazolidinonmesylaten.
  • Das US-Patent 4 476 136 offenbart ein Verfahren zur Umwandlung von 5-Hydroxymethyl-substituierten Oxazolidinonen (III) in die entsprechenden 5(S)-Aminomethyl-substituierten Oxazolidinone (VII), wobei das Verfahren eine Behandlung mit Methansulfonylchlorid und anschließend mit Kaliumphthalimid und anschließend mit Hydrazin umfasst. Diese Reaktionsfolge ergibt Nebenprodukte, die von dem gewünschten Produkt schwierig abzutrennen sind.
  • J. Med. Chem., 32, 1673 (1989) und Tetrahedron 45, 1323 (1989) offenbaren ein Verfahren zur Umwandlung von 5-Hydroxymethyl-substituierten Oxazolidinonen in die entsprechenden 5S-Acetamidomethyl-substituierten Oxazolidinone, wobei das Verfahren eine Behandlung mit Methansulfonylchlorid oder Tosylchlorid und anschließend mit Natriumazid und anschließend mit Trimethylphosphit oder Platindioxid/Wasserstoff und anschließend Essigsäureanhydrid oder Acetylchlorid unter Bildung des gewünschten 5(S)-Acetamidomethyl-substituierten Oxazolidinons umfasst. Es ist bekannt, dass Natriumazid eine Explosionsgefahr darstellt.
  • Das US-Patent 5 210 303 offenbart die Umwandlung von verschiedenen substituierten Benzylchloriden in die entsprechenden Benzylamine durch Erhitzen mit wässrigem Ammoniak in Gegenwart aromatischer Aldehyde zur Unterdrückung einer Dialkylierung. Die dialkylierte Verunreinigung ist generell schwierig zu entfernen, siehe Chem. Lett., 1057 (1978).
  • Zusammenfassung der Erfindung
  • Ein Aspekt der vorliegenden Erfindung ist ein Verfahren zur Herstellung eines 5-Aminomethyl-substituierten Oxazolidinonamins der Formel (VII) aus einem 5-Hydroxymethyl-substituierten Oxazolidinonalkohol der Formel (III). Dieses Verfahren erfolgt über ein Oxazolidinonsulfonat der Formel (VIa–VId); diese Sulfonate sind neu und stellen einen weiteren Aspekt der vorliegenden Erfindung dar.
  • Das Verfahren der Erfindung (alle Variablen wie in Anspruch 1 definiert) umfasst:
    • (1) das Inkontaktbringen einer Verbindung der Formel (III) mit einem Sulfonylierungsmittel, das aus den Formeln Va–Vd ausgewählt ist, unter Herstellung des Oxazolidinonsulfonats und
    • (2) das Inkontaktbringen des Oxazolidinonsulfonats (VIa–VId) mit Ammoniak in einem verschlossenen System bei nicht mehr als 60°C und bei einem Druck von weniger als 30 psig (207 kPa).
  • Detaillierte Beschreibung der Erfindung
  • Ein Verfahren zur Herstellung der 5-Hydroxymethyl-substituierten Oxazolidinonalkohole (III) kann entweder die nicht-cyclischen (S)-, (R)-Dihydroxyverbindungen der Formel (I) oder ein beliebiges Gemisch derselben oder (S)-, (R)-Glycidol (IV) oder ein Gemisch zur Kopplung mit dem Carbamat (IIA) oder einem Trifluoracetamid der Formel (IIB) verwenden.
  • Die 5-Hydroxymethyl-substituierten Oxazolidinonalkohole (III) sind günstige Zwischenprodukte zur Herstellung von 5-Aminomethyl-substituierten Oxazolidinonaminen (VII), die zur Herstellung von pharmazeutisch verwendbaren 5-Acylamidomethyl-substituierten Oxazolidinon(VIII)-Antibiotika acyliert werden können. Wegen eines Enantiomerenzentrums können 5(R)-, 5(S)-Acylamidomethyl-substituierte Oxazolidinone (VIII) und Gemische derselben hergestellt werden. Das (S)-Enantiomer des 5-Acylamidomethyl-substituierten Oxazolidinons (VIII) weist antibakterielle Aktivität auf, das (R)-Enantiomer nicht. Das 5(S)-Aminomethyl-substituierte Oxazolidinonamin(VII)-enantiomer wird aus dem 5-(R)-Hydroxymethyl-substituierten Oxazolidinonalkohol(III)-enantiomer, das aus der (S)-Dihydroxyverbindung (I) oder dem (S)-Glycidol (IV) produziert wird, hergestellt. Daher ist die gewünschte und bevorzugte Enantiomerenfolge die Verwendung von einer enantiomerenreinen (S)-Dihydroxyverbindung (I) oder (S)-Glycidol (IV) unter Bildung des (R)-5-Hydroxymethyl-substituierten Oxazolidinonalkohols (III), der zur Bildung von enantiomerenreinem (S)-5-Aminomethyl-substituiertem Oxazolidinonamin (VII) verwendet wird, das in das enantiomerenreine (S)-5-Acylamidomethyl-substituierte Oxazolidinon (VIII) umgewandelt wird. Jedoch ist dem Fachmann ohne weiteres klar, dass die identischen Verfahrensstufen mit den entgegengesetzten Enantiomerenformen ohne weiteres durchgeführt werden können und an jedem Punkt in dem Verfahren eine nicht gewünschte Enantiomerenkonfiguration in die gewünschte umgewandelt werden kann. Daher wird eine Verwendung der Chemie des beanspruchten Verfahrens mit beliebigen der Enantiomerenformen als den beanspruchten Verfahren äquivalent betrachtet.
  • Die Dihydroxyverbindungen M1-CH2-CH(OH)-CH2-OH der Formel (I) und die Glycidolverbindungen C*H2-C*H-CH2-OH der Formel (IV), wobei die durch ein * bezeichneten Kohlenstoffatome jeweils an das gleiche Sauerstoffatom (-O-) unter Bildung eines dreigliedrigen Rings gebunden sind, sind dem Fachmann geläufig oder können ohne weiteres aus bekannten Verbindungen durch dem Fachmann geläufige Verfahren hergestellt werden. Vorzugsweise ist das Hydroxyausgangsmaterial die Dihydroxyverbindung (I). vorzugsweise sind die Dihydroxyverbindung (I) und das Glycidol(IV) das (S)-Enantiomer. Vorzugsweise steht M1 für Cl-; vorzugsweise ist die Dihydroxyverbindung (I) die von Anspruch 5, die im Handel gekauft werden kann.
  • Die Carbamate, R1-NH-CO-O-M2 der Formel (IIA) und das Trifluoracetamid R1-NH-CO-CF3 der Formel (IIB) sind entweder dem Fachmann bekannt oder können aus bekannten Verbindungen durch dem Fachmann geläufige Verfahren ohne weiteres hergestellt werden. Die Natur der Abgangsgruppe M2 ist nicht wichtig, da sie im Laufe der Reaktion verloren geht, was dem Fachmann geläufig ist. Verwendbare Gruppen M2 (Abgangsgruppen) sind solche, in denen -O-M2 eine Base ist, deren Säure einen pka-Wert zwischen etwa 8 und etwa 24 aufweist. Bevorzugte Gruppen M2 umfassen
    C1-C20-Alkyl,
    C3-C7-Cycloalkyl,
    Φ-, das optional mit einem oder zwei Resten von C1-C3-Alkyl oder F-, Cl-, Br-, I- substituiert ist,
    CH2=CH-CH2-,
    CH3-CH=CH-CH2-,
    (CH3)2C=CH-CH2-,
    CH2=CH-,
    Φ-CH=CH-CH2-,
    Φ-CH2-, das optional an Φ- mit einem oder zwei Resten von -Cl, C1-C4-Alkyl, -NO2, -CN, -CF3 substituiert ist,
    9-Fluorenylmethyl,
    (Cl)3C-CH2-,
    2-Trimethylsilylethyl,
    Φ-CH2-CH2-,
    1-Adamantyl,
    (Φ)2CH-,
    CH≡C-C(CH3)2-,
    2-Furanylmethyl,
    Isobornyl,
    wobei stärker bevorzugte Abgangsgruppen C1-C4-Alkyl oder Benzyl sind. Jede andere Abgangsgruppe, die in ähnlicher Weise funktioniert, wird als den oben angegebenen äquivalent betrachtet. Das Carbamat (IIA) und Trifluoracetamid (IIB) tragen die aromatische/heteroaromatische Gruppe (R1-) des 5-Hydroxymethyl-substituierten Oxazolidinonalkohols (III). Vorzugsweise ist R1 Phenyl, das mit einem -F und einer substituierten Aminogruppe substituiert ist; noch besser ist R1 3-Fluor-4-[4-(benzyloxycarbonyl)-1-piperazinyl]phenyl oder 3-Fluor-4-(4-morpholinyl)phenyl. In Abhängigkeit von den speziellen Substituenten in R1 kann es vorkommen, dass die Gruppen durch dem Fachmann bekannte Maßnahmen, um unerwünschte Nebenreaktionen zu verhindern, geschützt werden müssen, wie dies dem Fachmann geläufig ist. Beispielsweise ist es, wenn der R1-Substituent eine freie primäre oder sekundäre Hydroxygruppe aufweist, nicht notwendig, jedoch bevorzugt, diesen mit einer Alkoholschutzgruppe bei der Bildung der 5-Hydroxymethyl-substituierten Oxazolidinonalkohole (III) zu schützen. Der ungeschützte Alkohol stört generell bei der Reaktion der Dihydroxyverbindung (I) oder des Glycidols (IV) mit dem Carbamat (IIA) oder Trifluoracetamid (IIB) unter Bildung des 5-Hydroxymethyl-substituierten Oxazolidi nonalkohols (III) nicht. Jedoch stört ein ungeschützter Alkohol generell bei der Umwandlung des 5-Hydroxymethyl-substituierten Oxazolidinonalkohols (III) in die entsprechenden 5-Aminomethyl-substituierten Oxazolidinonamine (VII), da es sehr schwierig oder unmöglich ist, einen primären oder sekundären Alkohol an der R1-Funktionalität in Gegenwart eines anderen primären oder sekundären Alkohols selektiv zu schützen. Geeignete Alkoholschutzgruppen sind dem Fachmann geläufig, wobei C1-C5-Alkyl, Φ-CH2-, CH3-O-CH2-, CH3-, CH3-S-CH2, Φ-CH2-O-CH2-, Tetrahydropyranyl, CH3CH(-O-C2H5)-, p-Methoxybenzyl, p-Methoxyphenyl, p-Nitrobenzyl, (Φ)3-C-, (CH3)3Si-, [CH3-CH(CH3)]3Si-, Φ(CH3)2Si- bevorzugt sind. Diese Schutzgruppen werden durch dem Fachmann geläufige Mittel entfernt. Wenn beispielsweise R1 einen Hydroxy-substituenten enthält, muss dieser während der Umwandlung des 5-Hydroxymethyl-substituierten Oxazolidinonalkohols (III) in das 5-Aminomethyl-substituierte Oxazolidinonamin (VII) oder das 5-Acylamidomethyl-substituierte Oxazolidinon (VIII) geschützt werden. Wenn der R1-Substituent einen freien primären oder sekundären Aminosubstituenten enthält, muss dieser während der Bildung der 5-Hydroxymethyl-substituierten Oxazolidinonalkohole (III) nicht geschützt werden, jedoch während der Umwandlung der 5-Hydroxymethyl-substituierten Oxazolidinonalkohole (III) in die entsprechenden 5-Aminomethyl-substituierten Oxazolidinonamine (VII) und die 5-Acylamidomethyl-substituierten Oxazolidinone (VIII) geschützt werden. Der Grund hierfür liegt darin, dass die Aminogruppe generell eine unerwünschte Nebenreaktion während einer oder mehreren der Stufen, die an der Umwandlung der 5-Hydroxymethyl-substituierten Oxazolidinonalkohole (III) in die entsprechenden 5-Acylamidomethyl-substituierten Oxazolidinone (VIII) beteiligt sind, eingeht. Daher ist es bevorzugt, einen freien Aminosubstituenten in der R1-Funktionalität vor der Umsetzung der Dihydroxyverbindung (I) oder des Glycidols (IV) mit dem Carbamat (IIA) oder Trifluoracetamid (IIB) zu schützen. Aminoschutzgruppen sind dem Fachmann sehr geläufig. Bevorzugte Aminoschutzgruppen umfassen:
    • (I) C1-C4-Alkyl,
    • (II) Φ-CH2-,
    • (III) (Φ)3C-,
    • (IV) Ra-CO-, wobei Ra für (A) H-, (B) C1-C4-Alkyl, (C) C5-C7-Cycloalkyl, (D) (C1-C5-Alkyl)-O-, (E) Cl3C-CH2-O-, (F) H2C=CH-CH2-O-, (G) Φ-CH=CH-CH2-O-, (H) Φ-CH2-O-, (I) p-Methoxyphenyl-CH2-O-, (J) p-Nitrophenyl-CH2-O-, (K) Φ-O-, (L) CH3-CO-CH2-, (M) (CH3)3SiO- steht,
    • (V) Rb -SO2-, worin Rb für (A) (C1-Alkyl)-, (B) Φ-, (C) p-Methylphenyl- und (D) Φ-CH2- steht. Eine bevorzugte Aminoschutzgruppe ist Benzyloxycarbonyl, das durch katalytische Hydrierung entfernt werden kann, wie dem Fachmann geläufig ist. An der Verwendung von Schutzgruppen in diesen Reaktionen oder der Natur der speziellen Schutzgruppen ist nichts Neues. All dieses ist dem Fachmann geläufig. Die Schutzgruppen können nach der letzten Reaktion, in der der geschützte Substituent beeinflusst werden kann, entfernt werden oder weitergeführt werden und nach Folgereaktionen entfernt werden, wie dies dem Fachmann geläufig ist. Beispielsweise kann die Schutzgruppe vorzugsweise bis zur Durchführung der Acylierungsstufe am Ende weitergeführt werden, bevor sie entfernt wird, wie dies dem Fachmann geläufig ist. Optional kann der R1-Substituent nach der Bildung der 5-Acylamidomethyl-substituierten Oxazolidinone (VIII) in Abhängigkeit davon, welche chemischen Reaktionen erforderlich sind, modifiziert werden, wie dies dem Fachmann geläufig ist.
  • Die Reaktion von entweder Dihydroxyverbindungen (I) oder Glycidol (IV) mit entweder den Carbamaten (IIA) oder Trifluoracetamiden (IIB) ergibt die gleichen 5-Hydroxymethyl-substituierten Oxazolidinonalkohole (III). Die Wahl, ob eine Dihydroxyverbindung (I) oder ein Glycidol (IV) zur Herstellung eines speziellen 5-Hydroxymethyl-substituierten Oxazolidinonalkohols (III) zu verwenden ist, muss auf einer Basis von Fall zu Fall getroffen werden. Kein Ausgangsmaterial ist in allen Fällen bevorzugt; es besteht kein generell bevorzugter Weg allein auf der Basis der Chemie. Die Entscheidung umfasst die kommerzielle Verfügbarkeit des speziellen Ausgangsmaterials, dessen chemische und Enantiomerenreinheit, dessen Kosten usw., was dem Fachmann geläufig ist.
  • Ein Verfahren ist die Umsetzung der Dihydroxyverbindung (I) oder des Glycidols (IV) mit dem Carbamat (IIA) oder Trifluoracetamiden (IIB) in Gegenwart von Lithiumkationen (Li+) und einer Base, deren konjugierte Säure einen pKa-Wert von größer als etwa 8 aufweist.
  • Das Verfahren erfordert etwa ein Moläquivalent von entweder der Dihydroxyverbindung (I) oder dem Glycidol (IV)/Äquivalent von Carbamat (IIA) oder Trifluoracetamiden (IIB). Die Reaktion erfordert eine Base, deren Natur unkritisch ist, sofern sie zur Deprotonierung des Carbamats (II) stark genug ist. Verwendbare Basen sind solche, deren konjugierte Säure einen pKa-Wert von größer als etwa 8 aufweist. Bevorzugte Basen umfassen Verbindungen, die ausgewählt sind aus der Gruppe von:
    Alkoxyverbindungen mit einem bis sieben Kohlenstoffatomen,
    Carbonat,
    Methyl-, sek-Butyl- und tert-Butylcarbanionen,
    Tri(alkyl)aminen, wobei die Alkylgruppe 1 bis 4 Kohlenstoffatome aufweist,
    einer konjugierten Base des Carbamats (II),
    DBU,
    DBN,
    N-Methyl-piperidin,
    N-Methyl-morpholin,
    2,2,2-Trichlorethoxid und
    Cl3C-CH2-O; wobei am stärksten bevorzugte Basen diejenigen sind, wobei die Base Alkoxy mit 4 bis 5 Kohlenstoffatomen ist. Vorzugsweise sind die Alkoholbasen mit 4 und 5 Kohlenstoffen tert-Amylat oder tert-Gutoxid. Natrium- oder Kalium-basen in Kombination mit einem Lithiumsalz (wie Lithiumchlo rid oder Lithiumbromid) können verwendet werden, wobei das Lithiumkation und die Base in situ gebildet werden.
  • Die Natur des Lösemittels ist unkritisch. Verwendbare Lösemittel umfassen cyclische Ether, wie THF, Amide, wie DMF und DMAC, Amine, wie Triethylamin, Acetonitril, und Alkohole, wie tert-Amylalkohol und tert-Butylalkohol. Die Wahl eines Lösemittels hängt von der Löslichkeit des Carbamats (IIA) oder Trifluoracetamids (IIB) ab, was dem Fachmann geläufig ist.
  • Wenn das Ausgangsmaterial die Dihydroxyverbindungen (I) sind, kann es vorteilhaft sein, die Dihydroxyverbindung (I) mit einem Cyclisierungsmittel vor dem Inkontaktbringen mit dem Carbamat (IIA) oder Trifluoracetamid (IIB) umzusetzen. Der Ausdruck "Cyclisierungsmittel" bezeichnet eine Base, die die Dihydroxyverbindung (I) mit Glycidol (IV) cyclisiert. Verwendbare Cyclisierungsmittel umfassen Basen, deren Säure einen pKa-Wert von größer als etwa 7 aufweist; bevorzugte Cyclisierungsmittel sind Natrium-, Kalium- oder Lithiumbutoxid, Natrium- oder Kaliumhydroxid, Kaliumcarbonat, DBU, Lithium-, Natrium- und Kaliumamylat; noch besser ist Kalium-tert-butoxid. Vorzugsweise wird die Reaktion bei < 100°, noch günstiger bei < 70°, noch besser bei < 50° und stark bevorzugt bei < 25° durchgeführt. Die Reaktion kann bei Raumtemperatur (etwa 20 bis etwa 25°) durchgeführt werden. Bei etwa 20° sind etwa 8 h zum Erreichen einer vollständigen Umsetzung (in DMAC) erforderlich. Wenn eine schnellere Reaktion gewünscht wird, kann die Reaktion bei höherer Temperatur durchgeführt werden. Wie oben angegeben, ist eine Differenzierung zwischen primären Alkoholen und sekundären Alkoholen schwierig. In der Cyclisierungsreaktion wird ein einfacher Alkohol gebildet. Beispielsweise wird Benzylalkohol gebildet, wenn ein Benzylcarbonat den Cyclisierungsbedingungen unterworfen wird. Ein Entfernen dieses Alkohols ist für eine erfolgreiche Umwandlung des Alkohols in ein Amin notwendig. Dies wird durch Kristallisation unter Verwendung von Ethylacetat/Heptan (1/2) erreicht. Der Benzylalkohol bleibt in der Lösung und der gewünschte Oxazolidinonalkohol wird als Feststoff isoliert.
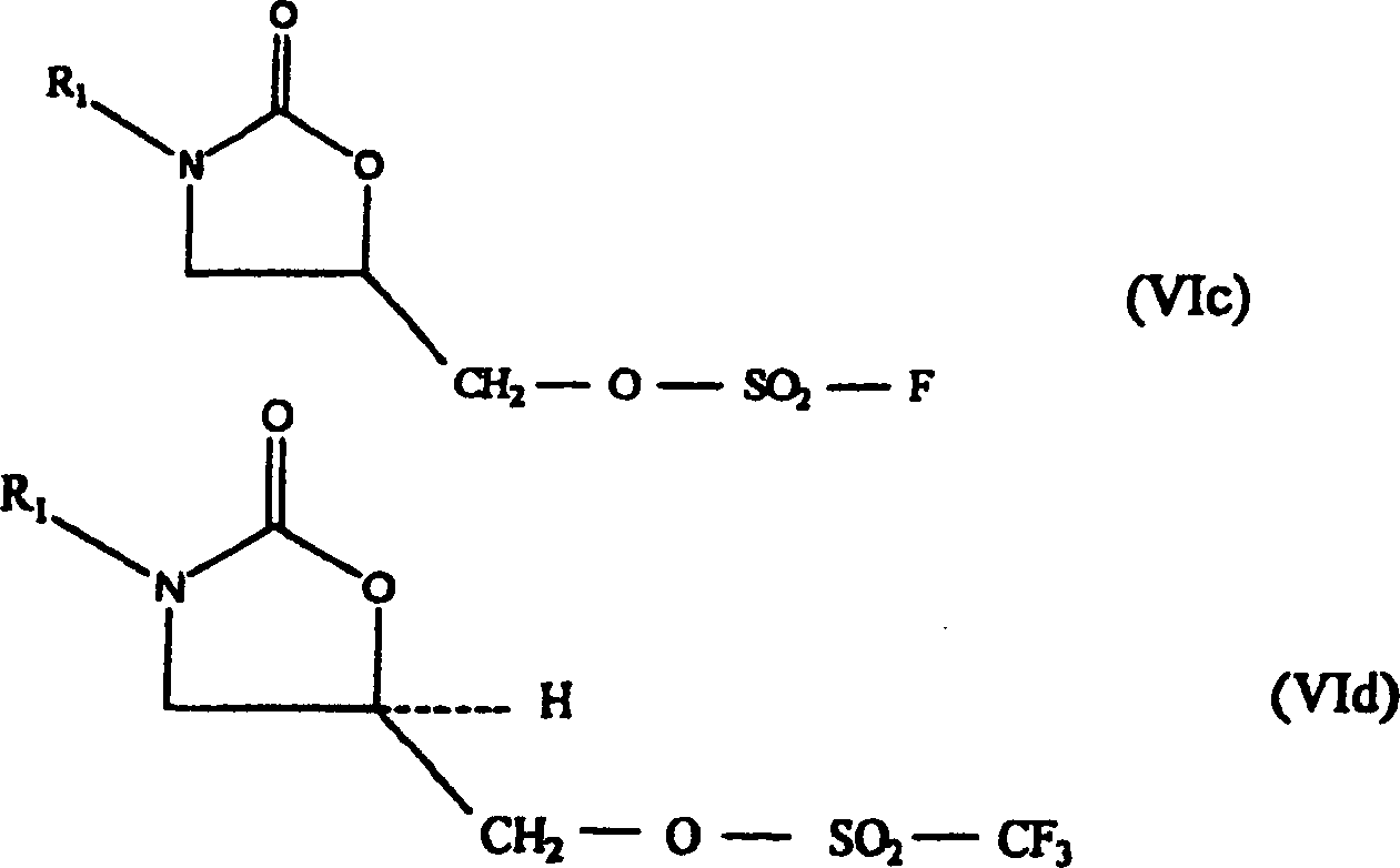
  • Das Reaktionsschema C offenbart die Verfahren der Umwandlung der 5-Hydroxymethyl-substituierten Oxazolidinonalkohole (III) in die entsprechenden 5-Aminomethyl-substituierten Oxazolidinonamine (VII). Die Situation des Schützens der Alkohol- und/oder Aminogruppen an der R1-Funktionalität wurde oben diskutiert. Die 5-Hydroxymethyl-substituierten Oxazolidinonalkohole (III) werden mit einem Sulfonylierungsmittel (Va–Vd) von vier Typen in Kontakt gebracht. Diese sind M3-SO2-C6Hn3(NO2)n1Cln2 (Va), O[-SO2-C6Hn3(NO2)n1Cln2]2 (Vb), O(SO2-F)2 (Va) und O(SO2-CF3)2 (Vd). M3 ist eine Abgangsgruppe, die Cl- oder Br- umfasst; vorzugsweise ist M3 Cl-. Die 5-Hydroxymethyl-substituierten Oxazolidinone (III) werden mit einem Sulfonylierungsmittel (Va–Vd) in Kontakt gebracht, wobei ein Oxazolidinonsulfonat(VIa–VId)-Zwischenprodukt gebildet wird.
  • Die Sulfonierungsreaktion der Umwandlung der 5-Hydroxymethyl-substituierten Oxazolidinone (III) in die entsprechenden Oxazolidinonsulfonate (VI) wird durch Inkontaktbringen der 5-Hydroxymethyl-substituierten Oxazolidinone (III) mit mindestens einem Moläquivalent des Sulfonylierungsmittels (Va–Vd) in Gegenwart einer Base in einem inerten Lösemittel bei etwa 0° durchgeführt. Verwendbare Basen umfassen Triethylamin, Tributylamin, Diisopropylethylamin, DABCO, DBU, DBN, n-Butyllithium, Ethylmagnesiumchlorid und die Äquivalente derselben; bevorzugt ist Triethylamin. Inerte Lösemittel umfassen die meisten organischen Lösemittel, wie Methylenchlorid, THF, DMA, DMF, Ethylacetat und Äquivalente derselben; bevorzugt ist Methylenchlorid.
  • Die Ammonolysereaktion der Umwandlung der Oxazolidinonsulfonate (VI) in die entsprechenden 5-Aminomethyl-substituierten Oxazolidinonamine (VII) wird unter offenen oder nicht herme tisch verschlossenen Bedingungen oder unter hermetisch verschlossenen Bedingungen durchgeführt, obwohl sie vorzugsweise unter hermetisch verschlossenen Bedingungen durchgeführt wird.
  • In jedem Fall wird die Ammonolysereaktion durch Inkontaktbringen der Oxazolidinonsulfonate (VI) mit Ammoniak (vorzugsweise wässrigem) vorzugsweise mit einem Lösemittel oder Lösemittelgemisch durchgeführt. Bevorzugte Lösemittel sind diejenigen, die sowohl die Oxazolidinonsulfonate (VI) als auch das wässrige Ammoniak lösen, da durch Lösen der beiden der Kontakt zwischen diesen sichergestellt wird. Jedoch ist das Verfahren auch mit Lösemitteln durchführbar, die die Oxazolidinonsulfonate (VI) nur partiell lösen, der Nachteil besteht darin, dass die Reaktion generell langsamer ist. Für den Fall der m-Nitrobenzolsulfonate ist das bevorzugte Lösemittel ein Gemisch von Acetonitril/Isopropanol oder THF/Isopropanol. Das System wird unter verminderten Druck gesetzt. Das System wird dann verschlossen oder hermetisch verschlossen und das Ammoniak (vorzugsweise wässriges Ammoniak) wird zugesetzt und auf weniger als 50°, vorzugsweise weniger als 40°, vorzugsweise etwa 38° (etwa 3 psig) erhitzt. Bei etwa 38–40° beträgt der Druck etwa 0 bis etwa 10 psig, was gut unter dem Ceiling-Druckwert von allgemein verwendbaren Reaktoren liegt. Unter diesen Bedingungen beträgt bei etwa 60° der psig-Wert etwa 20. Vorzugsweise wird die Ammonolysereaktion bei einem Druck von etwa 0 bis etwa 20 psig, noch günstiger etwa 0 bis etwa 5 psig und bei etwa 60° oder weniger durchgeführt. Alternativ wird die Reaktion in einem offenen System unter Refluxieren durchgeführt. In diesem Fall ist die Temperatur etwas niedriger und die Reaktion benötigt etwas länger bis zu einer vollständigen Durchführung. Das Ammoniak kann entweder wässrig, alkoholisch oder wasserfrei sein; jedoch ist wässriges Ammoniak bevorzugt.
  • Alternativ kann das Inkontaktbringen mit wässrigem Ammoniak in Gegenwart eines aromatischen Aldehyds (IX, Ar-CHO), vorzugsweise von Salicylaldehyd, durchgeführt werden. Die 5-Aminomethyl-substituierten Oxazolidinonamine (VII) und der Aldehyd (IX) bilden eine Schiff-Base der Formel (Oxazolidinon-N=CH-Ar), die dann mit einer wässrigen Säure, wie dem Fachmann geläufig ist, hydrolysiert wird, wobei die gewünschten 5-Aminomethyl-substituierten Oxazolidinonamine (VII) erhalten werden. Der aromatische Aldehyd (IX) ist zur Unterdrückung einer Dimerbildung verwendbar.
  • Die 5-Aminomethyl-substituierten Oxazolidinonamine (VII) werden durch bekannte Mittel, wie Acylhalogenide oder Acylanhydride, acyliert, wobei das entsprechende 5-Acylamidomethyl-substituierte Oxazolidinon (VIII) gebildet wird, siehe Reaktionsschema D. Eine Alkohol- oder Aminoschutzgruppe muss nach der Herstellung der 5-Acylamidomethyl-substituierten Oxazolidinone (VIII) entfernt werden. Jedoch können sie in Abhängigkeit von den in Frage kommenden speziellen Substituenten, wie dem Fachmann geläufig ist, früher in der Reaktionsfolge entfernt werden.
  • Die 5-Acylamidomethyl-substituierten Oxazolidinone (VIII) sind als antibakterielle Pharmazeutika bekannt. R2 ist aus der Gruppe von -H, C1-C12-Alkyl, das optional mit einem oder mehreren Halogen substituiert ist, (C3-C7)Cyclo(C5-C9)alkyl oder -O-R2a, worin R2a für C1-C6-Alkyl steht, ausgewählt. Vorzugsweise steht R2 für C1-Alkyl.
  • Definitionen und Übereinkünfte
  • Die folgenden Definitionen und Erklärungen gelten für die durchgängig in diesem gesamten Dokument einschließlich sowohl der Beschreibung als auch der Ansprüche verwendeten Ausdrücke.
  • I. Übereinkünfte für Formeln und Definitionen von Variablen
  • Die chemischen Formeln verschiedener Verbindungen oder Molekülfragmente in der Beschreibung und den Ansprüchen können variable Substituenten zusätzlich zu ausdrücklich definierten Strukturmerkmalen enthalten. Diese variablen Substituenten werden durch einen Buchstaben oder einen Buchstaben mit einem anschließenden Zahlenindex, beispielsweise "Z1" oder "Ri", wobei "i" eine ganze Zahl ist, angegeben. Diese variablen Substituenten sind entweder einwertig oder zweiwertig, d. h. sie stehen für eine Gruppe, die über eine oder zwei chemische Bindungen an der Formel hängt. Beispielsweise steht eine Gruppe Z1 für eine zweiwertige Variable, wenn sie an der Formel CH3-C(=Z1)H hängt. Die Gruppen Ri und Rj stehen für einwertige variable Substituenten, wenn sie an der Formel CH3-CH2-C(Ri)(Rj)-H hängen. Wenn chemische Formeln in linearer Form, wie oben, gezeichnet sind, sind in Klammern enthaltene variable Substituenten an das unmittelbar links des in Klammern eingeschlossenen variablen Substituenten stehende Atom gebunden. Wenn zwei oder mehr aufeinanderfolgende variable Substituenten in Klammern eingeschlossen sind, ist jeder der aufeinanderfolgenden variablen Substituenten an das links unmittelbar vorher stehende Atom, das nicht in Klammern eingeschlossen ist, gebunden. Deshalb sind in der obigen Formel sowohl Ri als auch Rj an das vorhergehende Kohlenstoffatom gebunden. Außerdem werden bei einem beliebigen Molekül mit einem etablierten System der Kohlenstoffnummerierung, wie Steroiden, diese Kohlenstoffatome mit Ci, wobei "i" die der Kohlenstoffatomnummer entsprechende ganze Zahl ist, bezeichnet. Beispielsweise bezeichnet C6 die Position 6 oder die Kohlenstoffatomnummer in dem Steroidkern gemäß der traditionellen Bezeichnung durch Fachleute auf dem Gebiet der Steroidchemie. In ähnlicher Weise bedeutet der Ausdruck "R6" einen variablen Substituenten (entweder einwertig oder zweiwertig) an der C6-Position.
  • In linearer Form gezeichnete chemische Formeln oder Teile derselben bedeuten Atome in einer linearen Kette. Das Symbol "-" bedeutet im allgemeinen eine Bindung zwischen zwei Atomen in der Kette. Daher bedeutet CH3-O-CH2-CH(Ri)-CH3 eine 2-substituierte 1-Methoxypropanverbindung. In ähnlicher Weise bedeutet das Symbol "=" eine Doppelbindung, z. B. CH2=C(Ri)-O-CH3 und das Symbol "=" eine Dreifachbindung, z. B. HC≡C-CH(Ri)-CH2-CH3. Carbonylgruppen werden auf eine von zwei Arten dargestellt: -CO- oder -C(=O)-, wobei die erstere der Einfachheit wegen bevorzugt ist.
  • Chemische Formeln von cyclischen (Ring)Verbindungen oder Molekülfragmenten können in linearer Form dargestellt werden. Daher kann die Verbindung 4-Chlor-2-methylpyridin in linearer Form durch N*=C(CH3)-CH=CCl-CH=C*H mit der Übereinkunft, dass die mit einem Stern (*) markierten Atome aneinander gebunden sind, was zur Bildung eines Rings führt, dargestellt werden. In ähnlicher Weise kann das cyclische Molekülfragment 4-(Ethyl)-1-piperazinyl durch -N*-(CH2)2-N(C2H5)-CH2-C*H2 dargestellt werden.
  • Eine starre cyclische (Ring)Struktur für beliebige Verbindungen legt hierbei für Substituenten, die an jedem der Kohlenstoffatome der starren cyclischen Verbindung hängen, eine Orientierung bezüglich der Ringebene fest. Bei gesättigten Verbindungen, die zwei an einem Kohlenstoffatom, das Teil eines cyclischen Systems ist, hängende Substituenten besitzen, -C(X1)(X2)-, können die zwei Substituenten relativ zum Ring entweder in axialer oder äquatorialer Position sein und zwischen axial/äquatorial wechseln. Die Position der zwei Substituenten relativ zum Ring und zueinander bleibt jedoch fixiert. Zwar kann jeder der zwei Substituenten zeitweilig in der Ebene des Rings (äquatorial) im Gegensatz zu oberhalb oder unterhalb der Ebene (axial) liegen, doch ist ein Substituent immer oberhalb des anderen. In solche Verbindungen beschreibenden chemischen Strukturformeln wird ein Substituent (X1), der "unterhalb" eines anderen Substituenten (X2) liegt, als in alpha(α)-Konfiguration vorliegend angegeben und durch eine Verbindung mit dem Kohlenstoffatom durch eine unterbrochene, gestrichelte oder punktierte Linie, d. h. das Symbol "---" oder "..." angegeben. Der entsprechende Substituent (X2), der "oberhalb" des anderen (X1) gebunden ist, wird als in beta(β)-Konfiguration vorliegend angegeben und durch eine Verbindung mit dem Kohlenstoffatom durch eine nicht-unterbrochene Linie angegeben.
  • Wenn ein variabler Substituent zweiwertig ist, können die Valenzen bei der Festlegung der Variablen zusammengenommen oder getrennt oder beides genommen werden. Beispielsweise kann eine an einem Kohlenstoffatom hängende Variable Ri, wie -C(=Ri)-, zweiwertig sein und als Oxo oder Keto (wodurch eine Carbonylgruppe (-CO-) gebildet wird) oder als zwei getrennt gebundene einwertige variable Substituenten α-Ri-j und β-Ri-k definiert sein. Wenn eine zweiwertige Variable Ri als aus zwei einwertigen variablen Substituenten bestehend definiert wird, besteht die zur Festlegung der zweiwertigen Variablen verwendete Übereinkunft aus der Form "α-Ri-j:β-Ri-k" oder einer Variante derselben. In diesem Fall hängen sowohl α-Ri-j als auch β-Ri-k an dem Kohlenstoffatom unter Bildung von -C(α-Ri-j)(β-Ri-k)-. Beispielsweise sind, wenn die zweiwertige Variable R6, -C(=R6)-, als aus zwei einwertigen variablen Substituenten bestehend definiert wird, die zwei einwertigen variablen Substituenten α-R6-1:β-R6-2, ... α-R6-9:β-R6-10 usw., wobei -C(α-R6-1)(β-R6-2)-, ... -C(α-R6-9)(β-R6-10) usw. erhalten wird. In ähnlicher Weise sind für die zweiwertige Variable R11, -C(=R11)-, zwei einwertige variable Substituenten α-R11-1:β-R11-2. Für einen Ringsubstituenten, für den getrennte α- und β-Orientierungen nicht existieren (beispielsweise aufgrund des Vorliegens einer Kohlenstoff-Kohlenstoff-Doppelbindung im Ring), und für einen an ein Kohlenstoffatom, das nicht Teil eines Rings ist, gebundenen Substituenten wird die obige Übereinkunft dennoch verwendet, wobei jedoch die Bezeichnungen α und β weggelassen werden.
  • Genau wie eine zweiwertige Variable als zwei getrennte einwertige variable Substituenten definiert werden kann, können zwei getrennte einwertige variable Substituenten zusammengenommen zur Bildung einer zweiwertigen Variablen definiert werden. Beispielsweise können in der Formel -C1(Ri)H-C2-(Rj)H- (C1 und C2 definieren willkürlich ein erstes bzw. zweites Kohlenstoffatom) Ri und Rj zusammengenommen so definiert werden, dass sie (1) eine zweite Bindung zwischen C1 und C2 oder (2) eine zweiwertige Gruppe, wie Oxa (-O-), bilden und die Formel dadurch ein Epoxid beschreibt. Wenn Ri und Rj zur Bildung einer komplexeren Einheit, beispielsweise der Gruppe -X-Y- zusammengenommen sind, ist die Orientierung der Einheit derart, dass C1 in der obigen Formel an X und C2 an Y gebunden ist. Daher bedeutet die Bezeichnung "... Ri und Ri bilden zusammengenommen -CH2-CH2-O-CO-..." nach der Übereinkunft ein Lacton, in dem das Carbonyl an C2 gebunden ist. Die Bezeichnung "... Rj und Ri bilden zusammengenommen -CO-O-CH2-CH2-" bedeutet jedoch nach der Übereinkunft ein Lacton, in dem das Carbonyl an C1 gebunden ist.
  • Der Kohlenstoffatomgehalt variabler Substituenten wird auf eine von zwei Arten angegeben. Das erste Verfahren verwendet ein Präfix zum Gesamtnamen der Variablen, wie "C1-C4", wobei sowohl "1" als auch "4" ganze Zahlen sind, die die minimale und maximale Anzahl von Kohlenstoffatomen in der Variablen angeben. Das Präfix ist von der Variablen durch einen Zwischenraum (in der deutschen Übersetzung: -) getrennt. Beispielsweise steht "C1-C4-Alkyl" für Alkyl mit 1–4 Kohlenstoffatomen (einschließlich isomerer Formen derselben, wenn nicht ausdrücklich das Gegenteil angegeben ist). Jedes Mal wenn dieses einzige Präfix angegeben ist, gibt das Präfix den Gesamtkohlenstoffatomgehalt der zu definierenden Variablen an. Daher beschreibt C2-C4-Alkoxycarbonyl eine Gruppe CH3-(CH2)n-O-CO-, wobei n 0, 1 oder 2 ist. Nach dem zweiten Verfahren wird der Kohlenstoffatomgehalt von lediglich jedem Teil der Definition getrennt angegeben, indem die "Ci-Cj"-Bezeichnung in in Klammern gesetzt und unmittelbar (kein Zwi schenraum) vor den zu definierenden Teil der Definition gesetzt wird. Nach dieser optionalen Übereinkunft hat (C1-C3)Alkoxycarbonyl die gleiche Bedeutung wie C2-C4-Alkoxycarbonyl, da sich "C1-C3" lediglich auf den Kohlenstoffatomgehalt der Alkoxygruppe bezieht. In ähnlicher Weise definieren zwar sowohl C2-C6-Alkoxyalkyl als auch (C1-C3)-Alkoxy(C1-C3)alkyl Alkoxyalkylgruppen, die 2 bis 6 Kohlenstoffatome enthalten, doch unterscheiden sich die zwei Definitionen, da nach der ersten Definition entweder der Alkoxyteil oder der Alkylteil allein 4 oder 5 Kohlenstoffatome enthalten kann, während die letztere Definition jede dieser zwei Gruppen auf 3 Kohlenstoffatome beschränkt.
  • Wenn die Ansprüche einen ziemlich komplexen (cyclischen) Substituenten enthalten, steht am Ende der den speziellen Substituenten bezeichnenden Phrase eine Angabe (in Klammern), die der gleichen Bezeichnung in einem der Reaktionsschemata entspricht, in denen auch die chemische Strukturformel des speziellen Substituenten angegeben ist.
  • II. Definitionen
  • Alle Temperaturen sind in Grad Celsius angegeben.
    • DC bezeichnet Dünnschichtchromatographie.
    • THF bezeichnet Tetrahydrofuran.
    • DMF bezeichnet Dimethylformamid.
    • DBU bezeichnet 1,8-Diazabicyclo[5.4.0]undec-7-en.
    • DBN bezeichnet 1,5-Diazabicyclo[4.3.0]non-5-en.
    • DABCO bezeichnet 1,4-Diazabicyclo[2.2.0]octan.
    • DMA bezeichnet Dimethylacetamid.
    • Kochsalzlösung bezeichnet eine wässrige gesättigte Natriumchloridlösung.
    • Chromatographie (Säulen- und Flashchromatographie) bezeichnet die Reinigung/Trennung von Verbindungen, ausgedrückt als (Träger; Eluens). Es ist klar, dass die entsprechenden Fraktionen gepoolt und konzentriert werden, wobei die gewünschte(n) Verbindung(en) erhalten werden.
    • IR bezeichnet Infrarotspektroskopie.
    • CMR bezeichnet C-13-Kernresonanzspektroskopie, wobei die chemischen Verschiebungen in ppm (δ) von TMS zu niederem Feld angegeben sind.
    • NMR bezeichnet (Proton)kernresonanzspektroskopie, wobei die chemischen Verschiebungen in ppm (δ) von Tetramethylsilan zu niederem Feld angegeben sind.
    • -Φ bezeichnet Phenyl (C6H5).
    • [α]D25 bezeichnet den Rotationswinkel von linear polarisiertem Licht (spezifische optische Drehung) bei 25° mit der Natrium-D-Linie (589 Å).
    • MS bezeichnet Massenspektrometrie, ausgedrückt als m/e, m/z oder Masse/Ladungseinheit.
    • [M+H]+ bezeichnet das positive Ion einer Mutterverbindung plus ein Wasserstoffatom. EI bezeichnet Elektronenstoß. CI bezeichnet chemische Ionisierung. FAB bezeichnet Beschuss mit schnellen Atomen.
    • HRMS bezeichnet hochaufgelöste Massenspektrometrie.
    • Pharmazeutisch akzeptabel bezeichnet die Eigenschaften und/oder Substanzen, die für den Patienten aus pharmakologischer/toxikologischer Sicht und für den herstellenden pharmazeutischen Chemiker aus physikalischer/chemischer Sicht im Hinblick auf Zusammensetzung, Formulierung, Stabilität, Patientenakzeptanz und Bioverfügbarkeit akzeptabel sind.
  • Wenn Lösemittelpaare verwendet werden, sind die Verhältnisse verwendeter Lösemittel als Volumen/Volumen (V/V) angegeben.
  • Wenn die Löslichkeit eines Feststoffs in einem Lösemittel verwendet wird, ist das Verhältnis von Feststoff zu Lösemittel als Gewicht/Volumen (Gew/V) angegeben.
    • NNNNNN-NN-N bezeichnet die Registrierungsnummern von Chemical Abstracts Service (CAS, Columbus, Ohio), wobei jedes "N" eine ganze Zahl von 0 bis 9 ist, jedoch voranstehende Nullen im sechsstelligen Teil der Nummer weggelassen sind. Registrierungsnummern werden einer speziellen chemischen Verbindung durch CAS-Kriterien zugeordnet, vorausgesetzt, die Existenz der Verbindung wurde ermittelt und sie wurde irgendwie charakterisiert. Verbindungen, die ab etwa 1967 bis zur Gegenwart veröffentlicht sind, sind öffentlich registriert und die Registrierungsnummer ist der Schlüssel, um Verweisstellen in der CAS-Datenbank für eine derartige registrierte Verbindung zu finden. Die CAS-Datenbank steht bei mehreren Datenbankbetreibern, wie STN International, System Development Corporation (SDC) Orbit Search Service, Lockheed Dialog, Bibliographic Retrieval Systems, Questrel und dergleichen öffentlich zur Verfügung. CAS-Registrierungsnummern sind in den "Beispielen" für einige der Verbindungen, die registriert sind, angegeben.
    • "psig" bezeichnet den "Manometerdruck", der gleich dem Druck (in psi) minus 1 Atmosphäre (14,7 psi) ist.
  • Beispiele
  • Es wird angenommen, dass ein Fachmann ohne weiteren Arbeitsaufwand unter Verwendung der vorhergehenden Beschreibung die vorliegende Erfindung in vollem Ausmaß durchführen kann. Die folgenden detaillierten Beispiele beschreiben, wie die verschiedenen Verbindungen hergestellt und/oder die verschiedenen Verfahren der Erfindung durchgeführt werden können und sie sollen lediglich der Erläuterung dienen und in keinster Weise Beschränkungen der vorhergehenden Offenbarung darstellen. Dem Fachmann sind ohne weiteres entsprechende Variationen der Verfahren sowohl im Hinblick auf die Reaktionsteilnehmer als auch die Reaktionsbedingungen und -techniken klar.
  • Beispiel 1
  • (R)-[N-3-[3-Fluor-4-[N-1-(4-carbobenzoxy)piperazinyl]phenyl]-2-oxo-5-oxazolidinyl]methanol (III)
  • Ein Gemisch von N-Carbobenzoxy-3-fluor-4-(N-carbobenzoxypiperazinyl)anilin (II, J. Med. Chem., 39(3), 673 (1996), 100 g von zu 98,4% reinem Material, 0,2133 mol) in DMAC (300 ml) wird auf 0° gekühlt. In einem getrennten Kolben wird ein Gemisch von tert-Amylalkohol (75 ml, 60,37 g, 0,685 mol, 3,23 eq) und Heptan (75 ml) auf –10° gekühlt und mit n-Butyllithium in Heptan (290 ml, 203 g einer 14,4%igen (Gew/V) Lösung, die 29,2 g oder 0,456 mol = 2/15 eq n-Butyllithium enthält) behandelt, wobei die Temperatur unter 10° gehalten wird. Das Lithium-tert-amylatgemisch wird dann zu dem N-Carbobenzoxy-3-fluor-4-(N-carbobenzoxypiperazinyl)anilin (II) unter Halten der Temperatur unter 10° gegeben.
  • Pures S-(+)-3-Chlor-1,2-propandiol (I, CAS Nr. 60827-45-4, 22 ml, 29,1 g, 0,263 mol, 1,24 eq) wird dann zugegeben, wobei mit einer kleinen Menge Heptan gespült wird. Das Reaktionsgemisch wird dann bei 20–25° gerührt und durch DC (Methanol/Methylenchlorid; 5/95) überwacht, bis die Reaktion vollständig ist. Das Reaktionsgemisch wird dann zu einem Gemisch von Essigsäure (40 ml, 42,0 g, 0,699 mol, 3,29 eq) in Methanol (700 ml) und Wasser (700 ml) gegeben. Die gebildete Aufschlämmung wird bei 20–25° 30 min gerührt, auf 0° gekühlt, bei 0° 30 min gerührt und filtriert. Der Kuchen wird mit Methanol/Wasser (50/50) gewaschen und unter vermindertem Druck getrocknet, wobei die Titelverbindung erhalten wird. DC (Methylenchlorid/Methanol, 95/5) Rf = 0,43.
  • Beispiel 2
  • (R)-[N-3-[3-Fluor-4-[N-1-(4-carbobenzoxy)piperazinyl]phenyl]-2-oxo-5-oxazolidinyl]methanol (III)
  • tert-Amylalkohol (0,967 g, 10,97 mmol, 2,571 eq) wird auf –10° gekühlt. Butyllithium (4,3 ml, 2,5 M in Hexanen, 10,8 mmol, 2,5 eq) wird unter Rühren zugegeben, während die Temperatur bei weniger als 5° gehalten wird.
  • N-Carbobenzoxy-3-fluor-4-(N-carbobenzoxypiperazinyl)anilin (II, 1,9780 g, 4,267 mmol, 1,000 eq) und Dimethylacetamid (6,2 ml) werden gemischt, gerührt und auf –25° gekühlt, wobei eine dünne Aufschlämmung erhalten wird. Das Lithium-tert-amylatgemisch wird dann zu dem N-Benzyloxycarbonyl-3-fluor-4-((4-benzyloxycarbonyl)-1-piperazinyl)anilin(II)-Gemisch gegeben, während weniger als –20° beibehalten werden. Das gebildete Gemisch wird auf 0° erwärmt und mit S-(+)-3-Chlor-1,2-propandiol (I, 0,5672 g, 5,131 mmol, 1,20 eq) versetzt. Das erhaltene Gemisch wird auf 21° erwärmt und 7,5 h gerührt.
  • Das Reaktionsgemisch wird zu einem Gemisch von Methanol (28 ml) und Eisessig (0,73 ml, 12,75 mmol) bei 20–22° gegeben. Die erhaltene Aufschlämmung wird dann auf –30° gekühlt und das Produkt wird durch Vakuumfiltration gewonnen und mit Methanol von –30° gewaschen. Die Feststoffe werden in einem Stickstoffstrom getrocknet, wobei die Titelverbindung erhalten wird.
    DC (Elutionsmittel Chloroform/Methanol, 90/10), Rf = 0,67. CMR (CDCl3) 43,91, 46,39, 50,58, 62,60, 67,29, 72,89, 107,21, 107,56, 113,85, 119,36, 127,92, 128,09, 128,52, 133,51, 133,65, 136,05, 136,17, 136,57, 153,91, 154,80, 155,25 und 157,17 δ; NMR (CDCl3) 7,43, 7,31-7,37, 7,09, 6,88, 5,15, 4,67-4,90, 3,89-3,99, 3,67-3,74, 3,66, 3,25 und 2,98 δ MS (CI, m/e) = 430 (100%, P + 1).
  • Beispiel 3
  • (R)-[N-3-(3-Fluor-4-(4-morpholinylphenyl)-2-oxo-5-oxazolidinyl]methanol (III)
  • Tetrahydrofuran (3,0 ml) und tert-Amylalkohol (0,66 ml, 6,03 mmol, 2,00 eq) werden gemischt. Butyllithium (1,8 ml, 2,5 M in Hexanen, 4,55 mmol, 1,5 eq) wird unter Rühren und unter Halten bei weniger als 2,5° zugegeben.
  • N-Carbobenzoxy-3-fluor-4-morpholinylanilin (II, J. Med. Chem., 39(3), 673 (1996), 0,9942 g, 3,009 mmol, 1,000 eq) und Tetrahydrofuran (3,5 ml) werden als Gemisch gerührt und gekühlt. Das Lithium-tert-amylatgemisch wird dann zu dem Carbamat(II)-Gemisch unter Halten einer Temperatur von weniger als 8° gegeben und mit Tetrahydrofuran (1 ml) hineingespült.
  • Tetrahydrofuran (3,2 ml) und S-(+)-3-Chlor-1,2-propandiol (I, 0,299 ml, 3,58 mmol, 1,19 eq) werden gemischt. Das Gemisch wird auf –16° gekühlt und mit Kalium-tert-butoxid (3,2 ml, 1,0 M in Tetrahydrofuran, 3,2 mmol, 1,07 eq) versetzt, während die Temperatur bei weniger als –10° gehalten wird. Die erhaltene Aufschlämmung wird bei –14 bis 0° 1 h gerührt und dann zu dem Lithiumanionengemisch gegeben, während beide Gemische bei 0° gehalten werden, und dann mit THF (2 ml) gespült. Die erhaltene Aufschlämmung wird bei 20–23° 2 h gerührt, dann auf 6° gekühlt und mit einem Gemisch von Citronensäuremonohydrat (0,4459 g, 2,122 mmol, 0,705 eq) in Wasser (10 ml) versetzt. Die erhaltenen flüssigen Phasen werden getrennt und die untere wässrige Phase wird mit Ethylacetat (12 ml) gewaschen. Die organischen Schichten werden vereinigt und Lösemittel wird unter vermindertem Druck entfernt, bis ein Nettogewicht von 9,73 g verbleibt. Heptan (10 ml) und Wasser (5 ml) werden zugegeben und das Lösemittel wird unter vermindertem Druck entfernt, bis ein Gesamtvolumen von 5 ml verbleibt. Das ausgefallene Produkt wird durch Vakuumfiltration gewonnen und mit Wasser (7 ml) gewaschen. Die Feststoffe werden in einem Stickstoffstrom getrocknet, wobei die Titelverbindung erhalten wird.
    DC (Chloroform/Methanol, 95/5), Rf = 0,23; CMR (CDCl3) 46,42, 51,01, 62,58, 73,07, 107,29, 107,64, 113,94, 118,80, 118,85, 128,28, 128,61, 133,15, 133,29, 136,26, 136,38, 153,82, 154,92 und 157,08 δ; NMR (CDCl3) 7,42, 7,32-7,37, 7,10, 4,67-4,75, 3,90-4,00, 3,86, 3,70-3,73, 3,44 und 3,03 δ; MS (EI, m/e) = 296.
  • Alternativ kann das rohe Produkt mit Methylenchlorid extrahiert werden. Das Lösemittel wird unter vermindertem Druck entfernt. Die Feststoffe werden in heißem Ethylacetat erneut gelöst, Heptan wird zugegeben und das Gemisch wird gekühlt und die Titelverbindung wird gewonnen.
  • Beispiel 4
  • (R)-[N-3-[3-Fluor-4-[N-1-(4-carbobenzoxy)piperazinyl]phenyl]-2-oxo-5-oxazolidinyl]methanol (III)
  • Eine Lösung von tert-Amylalkohol (75 ml, 60,3 g, 0,68 m) und Heptan (75 ml) wird gerührt und auf –10° gekühlt. Das Gemisch wird mit n-Butyllithium in Heptan (1,6 M, 0,46 m, 290 ml) über einen Zeitraum von 30 min unter Halten bei einer Temperatur von < 10° behandelt. Nach 30 min wird das Gemisch von Lithium-tert-amylat zu einem Gemisch von N-Carbobenzoxy-3-fluor-4-(N-carbobenzoxypiperazinyl)anilin (II, 100 g, 0,22 m) und Dimethylacetamid (300 ml) bei 0° unter Halten einer Temperatur von < 10° gegeben. Das Gemisch wird 30 min gerührt, dann mit S-(+)-3-Chlor-1,2-propandiol (I, 22 ml, 0,26 m) behandelt. Die Kühlung wird entfernt und das Gemisch wird sich auf 20–25° erwärmen gelassen. Die Reaktion wird durch DC überwacht und nach etwa 1 h als vollständig erachtet. Das Reaktionsgemisch wird in ein Gemisch von Methanol (700 ml), Wasser (700 ml) und Essigsäure (40 ml) gegossen und 30 min bei 20-25° gerührt, dann 30 min unter Kühlen auf 0° gerührt. Das Gemisch wird filtriert, mit wässrigem Methanol (50/50) gewaschen und unter vermindertem Druck bei 45° getrocknet, wobei die Titelverbindung erhalten wird. DC (Silicagel; Methanol/Methylenchlorid, 5/95) Rf = 0,5 (90,3% Ausbeute).
  • Beispiel 5
  • 3-Nitrobenzolsulfonatester von (R)-[N-3-[3-fluor-4-(N-1-(4-carbobenzoxy)piperazinyl]-phenyl]-2-oxo-5-oxazolidinyl]methanol (VI)
  • Ein Gemisch von (R)-[N-3-[3-Fluor-4-[N-1-(4-carbobenzoxy)piperazinyl]phenyl]-2-oxo-5-oxazolidinyl]methanol (III, Beispiel 1, 43 g, 0,1 m) und Methylenchlorid (500 ml) wird mit Triethylamin (32 ml, 0,23 m) behandelt und auf –5° gekühlt. Zu diesem Gemisch wird ein Gemisch von 3-Nitrobenzolsulfonylchlorid (CAS Nr. 121-51-7, 32 g, 0,14 ml) in Methylenchlorid (60 ml) unter Halten einer Temperatur von < 10° über einen Zeitraum von 1 h gegeben. Die Reaktion wird durch DC überwacht und nach 45 min als vollständig erachtet. Das Gemisch wird mit Methylenchlorid (500 ml) verdünnt und dann mit Wasser (2 × 600 ml) gewaschen. Die organische Phase wird dann mit Salzsäure (1 N, 400 ml) gewaschen und zu einem dicken Rückstand eingeengt. Der Rückstand wird mit Methanol (200 ml) verdünnt und 1,5 h gerührt. Die Feststoffe werden abfiltriert, mit Methanol gewaschen und unter einem vermindertem Druck bei 40° über Nacht getrocknet, wobei die Titelverbindung erhalten wird.
    DC (Silicagel; Methanol/Methylenchlorid, 5/95) Rf = 0,75.
  • Beispiel 6
  • (S)-N-[[3-[3-Fluor-4-[N-1-(4-carbobenzoxy)piperazinyl]-phenyl]-2-oxo-5-oxazolidinyl]methyl]acetamid (VII)
  • Eine Aufschlämmung des 3-Nitrobenzolsulfonatesters von (R)-[N-3-[3-Fluor-4-[N-1-(4-carbobenzoxy)piperazinyl]-phenyl]-2-oxo-5-oxazolidinyl]methanol (VI, Beispiel 5, 50 g, 0,081 ml), Isopropanol (250 ml), Acetonitril (400 ml) und wässrigem Ammoniumhydroxid (29%iges Ammoniak, bezogen auf das Gewicht, 500 ml) wird bei 40° 3,5 h erhitzt. Das Gemisch wird dann mit weiterem wässrigem Ammoniak (100 ml) behandelt und 20 h gerührt. Die Reaktion wird durch DC überwacht und an diesem Zeitpunkt als vollständig erachtet. Das Gemisch wird unter vermindertem Druck mit Wärme eingeengt und in Methylenchlorid/Wasser (1250 ml/750 ml) suspendiert. Die Phasen werden getrennt und die organische Phase wird eingeengt, wobei ein Rückstand erhalten wird.
  • Der Rückstand wird in Methylenchlorid (2 l) gelöst und mit Triethylamin (20 ml, 0,14 m) behandelt. Das Gemisch wird dann mit Essigsäureanhydrid (10 ml, 0,11 m) bei 20–25° über 10 min behandelt. Die Acetylierung wird durch DC überwacht und nach 15 min als vollständig erachtet. Das organische Gemisch wird mit Wasser (2 × 400 ml) gewaschen und dann zu einem Feststoff eingeengt. Die Feststoffe werden aus Ethanol (400 ml) umkristallisiert, filtriert und unter vermindertem Druck getrocknet, wobei die Titelverbindung erhalten wird. DC (Silicagel; Methanol/Methylenchlorid, 5/95) Rf = 0,6.
  • Beispiel 7
  • (S)-N-[[3-[3-Fluor-4-(1-piperazinyl)phenyl]-2-oxo-5-oxazolidinyl]methyl]acetamidhydrochlorid (Zwischenprodukt)
  • Ein Gemisch von (S)-N-[[3-[3-Fluor-4-[N-1-(4-carbobenzoxy)piperazinyl]-phenyl]-2-oxo-5-oxazolidinyl]methyl]acetamid (VII, Beispiel 6, 35 kg, 74,5 mol), Palladium-auf-Kohle (5%, 10 kg, 50% wasserfeucht), Methanol (550 l) und Tetrahydrofuran (250 l) wird bei 22 bis 42° in einer Wasserstoffatmosphäre von 42–50 psi gerührt. Nach 31 h zeigte eine DC-Analyse eine vollständige Umsetzung und die Wasserstoffatmosphäre wurde durch Stickstoff ersetzt. Der Katalysator wird durch Filtration entfernt und das Filtrat wird unter Vakuum auf 100 l eingeengt. Zu dem erhaltenen Gemisch, das auf 2° gekühlt wurde, wird Methanol (50 l) und dann ein Gemisch von Methanol (100 l) und Acetylchlorid (6,04 kg, 77 mol) bei –2° bis 6° gegeben. Das erhaltene Gemisch wird 90 min gerührt und dann unter Vakuum auf 60 l eingeengt, mit Aceton (100 l) verdünnt und des Weiteren auf 100 l eingeengt. Die erhaltene Aufschlämmung wird mit Aceton (200 l) verdünnt und 15 h bei 16° gerührt. Die Feststoffe werden auf einem Filter gewonnen, mit Aceton (50 l) gewaschen und unter vermindertem Druck bei 20–25° getrocknet, wobei das gewünschte Produkt erhalten wird. Es wird in Methanol (56 l) bei 53° gelöst, mit Aceton (150 l) verdünnt, 30 min bei 48° gerührt, dann auf 15° gekühlt und 18 h gerührt. Die Feststoffe werden auf einem Filter gewonnen, mit Aceton (50 l) gewaschen und unter vermindertem Druck bei 20–25° getrocknet, wobei die Titelverbindung erhalten wird.
    NMR (CDCl3) 7,56-7,45, 7,31, 7,12-6,86, 4,79, 4,09-4,0, 3,81, 3,62, 3,40-3,11 und 2,01 δ.
  • Beispiel 8
  • (S)-N-[[3-[3-Fluor-4-[4-hydroxyacetyl)-1-piperazinyl]-phenyl]-2-oxo-5-oxazolidinyl]methyl}-acetamid-sesquihydrat (VIII)
  • Zu einem gerührten Gemisch von (S)-N-[[3-[3-Fluor-4-[1-piperazinyl)phenyl]-2-oxo-5-oxazolidinyl]methyl]acetamidhydrochlorid (Beispiel 7, 16,2 kg, 43,5 mol), Tetrahydrofuran (205 kg) und Triethylamin (10,1 kg, 100 mol) wird Acetoxyacetylchlorid (6,5 kg, 47,8 mol) in Tetrahydrofuran (11,1 kg) über 35 min gegeben, wobei die Temperatur bei 22–23° gehalten wird. Nach 40 min, wobei an diesem Zeitpunkt eine DC- und HPLC-Analyse die vollständige Bildung des Acetoxyacetamidzwischenprodukts zeigte, wird das Gemisch unter vermindertem Druck auf 30 l eingeengt, mit Methanol (100 l) verdünnt und auf 30 l eingeengt. Zu dem Rückstand werden Methanol (25 l) und eine wässrige Kaliumcarbonatlösung (5,6 kg in 56 l) gegeben. Das erhaltene Gemisch wird 20 h bei 22–25° gerührt, wobei an diesem Zeitpunkt eine DC- und HPLC-Analyse zeigt, dass die Reaktion vollständig ist. Der pH-Wert wird mit Salzsäure (4 N, 14,3 l) auf 7–7,5 eingestellt. Das Gemisch wird 18 h bei 15–22°, dann 3 h bei 2–5° gerührt. Die Feststoffe werden auf einem Filter gewonnen, mit Wasser (68 l) gewaschen und bei 20–25° mit rückgeführtem Stickstoff getrocknet, wobei das gewünschte Produkt erhalten wird. Das rohe Produkt wird in Wasser (225 l) bei 60–70° gelöst, durch ein 0,6-μm-Filter geklärt, mit einer Wasserspülung (55 l) verdünnt und 17 h bei 15° gerührt. Die Feststoffe werden auf einem Filter gewonnen, mit Wasser bei 15° gewaschen und bei 45° mit rückgeführtem Stickstoff auf einen Wassergehalt von 0,33% getrocknet. Diese Feststoffe werden in einer Lösung von Ethylacetat (143 l), Methanol (65 l) und Wasser (1,95 l) bei 60–65° gelöst. Die Lösung wird auf 15–25° gekühlt und 16 h zur Kristallisation gerührt. Die Feststoffe werden auf einem Filter gewonnen, mit Ethylacetat (75 l) gewaschen und mit Stickstoff von 45° getrocknet, wobei das gewünschte Produkt erhalten wird. Das Produkt wird zwei weitere Male aus Wasser (147 1, dann 133 l) bei 60–70° umkristallisiert, jedes Mal durch ein 0,6-μm-Filter geklärt und mit Wasser (40 l und 30 l) gespült. Die Feststoffe werden auf dem Filter bei 30° mit rückgeführtem Stickstoff getrocknet, wobei nach Deagglomeration durch eine Mühle die Titelverbindung als das Sesquihydrat (6,45 % Wasser) erhalten wird.
    DC (Silicagel; Methanol/Methylenchlorid, 5/95) Rf = 0,45; [α]D = –20° (c = 1,0, Ethanol).
  • Beispiel 9
  • 3-Nitrobenzolsulfonatester von (R)-[N-3-[3-Fluor-4-(N-1-(4-carbobenzoxy)piperazinyl]-phenyl]-2-oxo-5-oxazolidinyl]methanol (VI)
  • Zu einer Aufschlämmung von (R)-[N-3-[3-Fluor-4-[N-1-(4-carbobenzoxy)piperazinyl]phenyl]-2-oxo-5-oxazolidinyl]methanol (III, Beispiel 1, 5,086 g, 11,86 mmol) in Methylenchlorid (50 ml) und Triethylamin (2,0 ml, 14,38 mmol) bei 0° wird tropfenweise über 6 min eine Lösung von 3-Nitrobenzolsulfulfonylchlorid (V) in Methylenchlorid (0,356 M, 33,4 ml, 11,89 mmol) gegeben. Nach Rühren während 3,25 h werden weitere 3,4 ml (1,21 mmol) der 0,356 M Lösung von 3-Nitrobenzolsulfonylchlorid (V) zugegeben. Nach Rühren während 1,75 h wird Salzsäure (1 N, 50 ml) zugegeben. Die Pha sen werden getrennt und die wässrige Phase wird mit Methylenchlorid extrahiert. Die vereinigten organischen Phasen werden mit Kochsalzlösung gewaschen, über Magnesiumsulfat getrocknet und eingeengt. Das Konzentrat wird aus heißem Methylenchlorid/Methanol umkristallisiert, wobei die Titelverbindung erhalten wird.
    Fp = 155–157°; NMR (CDCl3, 400 MHz) 8,72, 8,51, 8,23, 7,81, 7,35, 7,01, 6,91, 5,17, 4,85, 4,44, 4,39, 4,09, 3,85, 3,68 und 3,01 δ; CMR (CDCl3, 100 MHz) 44,26, 46,81, 50,91, 67,64, 69,54, 69,91, 107,85, 114,32, 119,85, 123,55, 128,30, 128,47, 128,91, 129,15, 131,51, 133,71, 136,99, 137,70, 148,71, 153,62, 155,57 und 155,88 δ; IR (Mineralölverreibung) 1744, 1703, 1528, 1520, 1367, 1347 und 1192 cm–1; MS (EI, M/Z) 614, 411, 107, 91, 79, 65 und 56; [a]D = –78° (c = 0,9812, CHCl3); DC (Ethylacetat/Hexan, 3/1) Rf = 0,43.
  • Beispiel 10
  • 2-Nitrobenzolsulfonatester von (R)-[N-3-[3-Fluor-4-(N-1-(4-carbobenzoxy)piperazinyl]-phenyl]-2-oxo-5-oxazolidinyl]methanol (VI)
  • Nach dem allgemeinen Verfahren von Beispiel 5 (für den 3-Nitrobenzolsulfonylester, (VI)) und unter Durchführung unkritischer Variationen wird (R)-[N-3-[3-Fluor-4-[N-1-(4-carbobenzoxy)piperazinyl]phenyl]-2-oxo-5-oxazolidinyl]methanol (III, Beispiel 1, 1,106 g, 2,578 mmol) mit Triethylamin (0,54 ml, 3,882 mmol) und 2-Nitrobenzolsulfonylchlorid handelsüblicher Qualität (V, 679 mg, 3,064 mmol) behandelt, wobei die Titelverbindung erhalten wird.
    NMR (CDCl3, 400 MHz) 8,15, 7,82, 7,37, 7,06, 6,94, 5,17, 4,89, 4,59, 4,50, 4,10, 3,98, 3,69 und 3,03 δ; IR (Mineralölverreibung) 1757, 1697, 1517, 1445, 1423, 1376, 1237 und 1188 cm–1; MS (EI, M/Z; relative Häufigkeit): 614 (18,3, M+), 91 (100), 69 (23,8) und 56 (52,9); DC (Ethylacetat/Hexan, 3/1) Rf = 0,31.
  • Beispiel 11
  • 2,4-Dinitrobenzolsulfonatester von (R)-[N-3-[3-Fluor-4-(N-1-(4-carbobenzoxy)piperazinyl]-phenyl]-2-oxo-5-oxazolidinyl]methanol (VI)
  • Nach dem allgemeinen Verfahren von Beispiel 5 (für den 3-Nitrobenzolsulfonylester, (VI)) und unter Durchführung unkritischer Variationen wird (R)-[N-3-[3-Fluor-4-[N-1-(4-carbobenzoxy)piperazinyl]phenyl]-2-oxo-5-oxazolidinyl]methanol (III, Beispiel 1, 1,094 g, 2,550 mmol) mit Triethylamin (0,55 ml, 3,950 mmol) und 2,4-Ditrobenzolsulfonylchlorid handelsüblicher Qualität (833 mg, 3,124 mmol) behandelt, wobei die Titelverbindung erhalten wird.
    NMR (CDCl3, 400 MHz) 8,59, 8,38, 7,35, 7,02, 5,17, 4,88, 4,74, 4,58, 4,10, 3,98, 3,71 und 3,05 δ; IR (Mineralölverreibung) 1756, 1697, 1554, 1541, 1517, 1351, 1237 und 1189 cm–1; MS (FAB, M/Z, relative Häufigkeit) 660 (21,3, [M+H]+), 659 (24,2 M+), 102 (76,5) und 91 (100); DC (Ethylacetat/Hexan, 3/1) Rf = 0,41.
  • Beispiel 12
  • (R)-[N-3-[3-Fluor-4-[N-1-(4-carbobenzoxy)piperazinyl]phenyl]-2-oxo-5-oxazolidinyl]methanol-4-chlorbenzolsulfonatester (VI)
  • Zu einer Aufschlämmung von (R)-[N-3-[3-Fluor-4-[N-1-(4-carbobenzoxy)piperazinyl]phenyl]-2-oxo-5-oxazolidinyl]methanol (III, Beispiel 1, 3,450 g, 8,034 mmol) in Methylenchlorid (40 ml) und Triethylamin (2,55 ml, 18,3 mmol) bei –12° wird 4-Chlorbenzolsulfonylchlorid (V, Aldrich Chemcial Co. – Handelsqualität, 2,298 g, 10,88 mmol) als Feststoff auf einmal gegeben. Das Gemisch wird in einem Bad von 0° 2,5 h gerührt, dann mit Wasser (2 × 35 ml) und 1 N Salzsäure (35 ml) gewaschen. Die organischen Extrakte werden auf ein Gesamtvolumen von 20 ml eingeengt und Methanol (50 ml) wird zugegeben. Der Niederschlag wird durch Vakuumfiltration gewonnen, mit Methanol gewaschen, getrocknet und erneut in Methylenchlorid (55 ml) gelöst. Das Gemisch wird auf eine Aufschlämmung des Gewichts von 32 g eingeengt und mit Methanol (11 ml) versetzt. Der Niederschlag wird durch Vakuumfiltration gewonnen, mit Methanol gewaschen und getrocknet. Die Feststoffe werden dann in Methylenchlorid (58 ml) gelöst und säulenchromatographiert (Silicasäule, 93 g 40–63 μ); Elution mit jeweils 450 ml der folgenden Ethylacetat/Cyclohexan-Gemische 25/75, 35/65, 45/55, 55/45; Gewinnung der letzten 50% des Eluats). Das gewonnene Eluat wird auf 200 ml eingeengt und mit 200 ml Heptan versetzt. Der Niederschlag wird durch Vakuumfiltration gewonnen und getrocknet, wobei die Titelverbindung erhalten wird;
    DC (Silicagel; Methanol/Chloroform, 5/95) Rf = 0,53;
    MS (FAB, M/Z) = 604,7 (100 [P+H]+); NMR (DMSO-d6, 300 MHz) 7,93, 6,7, 7,75, 7,48-7,32, 7,12-7,03, 5,12, 4,93-4,92, 4,40, 4,09, 3,69, 3,57 und 2,96 δ; CMR (DMSO-d6, 75 MHz) 43,51, 45,84, 50,22, 66,33, 69,75, 70,75, 106,63, 114,08, 119,83, 127,59, 127,87, 128,43, 129,62, 130,00, 133,31, 133,63, 135,52, 136,84, 139,63, 153,54, 154,40 und 154,62 δ.
  • Beispiel 13
  • (R)-[N-3-[3-Fluor-4-[N-1-(4-carbobenzoxy)piperazinyl]phenyl]-2-oxo-5-oxazolidinyl]methanol-2,5-dichlorbenzolsulfonatester (VI)
  • Zu einer Aufschlämmung von (R)-[N-3-[3-Fluor-4-[N-1-(4-carbobenzoxy)piperazinyl]phenyl]-2-oxo-5-oxazolidinyl]methanol (III, Beispiel 1, 3,439 g, 8,008 mmol) in Methylenchlorid (40 ml) und Triethylamin (2,55 ml, 18,3 mmol) bei –8° wird 2,5-Dichlorbenzolsulfonylchlorid (V, Aldrich Chemical Co. – Handelsqualität, 2,675 g, 10,90 mmol) als Feststoff auf einmal gegeben. Das Gemisch wird in einem Bad von 0° 2,5 h gerührt, dann mit Wasser (2 × 35 ml) und 1 N Salzsäure (35 ml) gewaschen. Die organischen Extrakte werden dann auf 12,0 g eingeengt und dieses wird säulenchromatographiert (Silicasäule, 108 g, 40–63 μ; Elution mit jeweils 450 ml der folgenden Ethylacetat/Cyclohexangemische 10/90, 20/80, 30/70, 40/60 und 60/40, Gewinnung der letzten 20% des Eluats). Das gewonnene Eluat wird eingeengt und mit 300 ml Methanol versetzt. Der Niederschlag wird durch Vakuumfiltration gewonnen, mit Methanol gewaschen und getrocknet, wobei die Titelverbindung erhalten wird.
    DC (Silicagel; Methanol/Chloroform, 5/95) Rf = 0,66; MS (FAB, M/Z) = 638,6 (100%, [P+H]+); NMR (CDCl3, 300 MHz) 8,04, 7,57-7,32, 7,06, 6,91, 5,16, 4,89-4,47, 4,42, 4,08, 3,93, 3,67 und 3,01 δ; CMR (CDCl3, 75 MHz), 43,93, 45,51, 50,56, 67,26, 69,16, 69,46, 107,55, 113,98, 119,41, 127,92, 128,10, 128,54, 131,21, 131,46, 132,97, 133,44, 133,50, 134,68, 135,15, 136,45, 136,61, 153,36, 155,22 und 155,53 δ.
  • Beispiel 14
  • (R)-[N-3-[3-Fluor-4-[N-1-(4-carbobenzoxy)piperazinyl]phenyl]-2-oxo-5-oxazolidinyl]methanol-4-nitrobenzolsulfonatester (VI)
  • Zu einer Aufschlämmung von (R)-[N-3-[3-Fluor-4-[N-1-(4-carbobenzoxy)piperazinyl]phenyl]-2-oxo-5-oxazolidinyl]methanol (III, Beispiel 1, 3,437 g, 8,003 mmol) und 4-Nitrobenzolsulfonylchlorid (V, 75 % reines technisches Material, Aldrich Chemical Co. – Handelsqualität, 3,077 g, 10,41 mmol) in Methylenchlorid (32 ml) bei 0° wird Triethylamin (2,23 ml, 16,0 mmol) gegeben. Das Gemisch wird in einem Bad von 0° 1 h gerührt, dann wird Wasser (1 ml) zugegeben und das Gemisch bei 20–25° 30 min gerührt. Methylenchlorid (75 ml) wird zugegeben und das Gemisch wird mit Salzsäure (5%, 50 ml) und dann Natriumbicarbonat (5%, 50 ml) gewaschen und auf Magnesiumsulfat getrocknet. Die organischen Extrakte werden dann eingeengt und das Konzentrat wird in siedendem Ethylacetat/Cyclohexan (1/1, 10 ml) aufgenommen und säulenchromatographiert (Silicagel, 4 cm × 6'', 40–63 μ; Elution mit etwa jeweils 400 ml der folgenden Ethylacetat/Cyclohexan-Gemische 20/80, 30/70, 40/60, 50/50, 60/40 und 70/30, Gewinnung der letzten etwa 45% des Eluats). Die entsprechenden Fraktionen werden kombiniert und zu einem Feststoff einge engt, der in 70 ml Methylenchlorid und 50 ml Ethylacetat gelöst wird. Das Gemisch wird zweimal auf 50 ml eingeengt und nach dem Einengen mit Cyclohexan (50 ml) versetzt. Der Niederschlag wird durch Vakuumfiltration gewonnen, mit Cyclohexan gewaschen und getrocknet, wobei die Titelverbindung erhalten wird.
    DC (Silicagel, Ethylacetat/Cyclohexan, 60/40) Rf = 0,37;
    NMR (CDCl3, 300 MHz) 8,36, 8,07, 7,38-7,29, 7,03, 6,89, 5,15, 4,86-4,80, 4,39, 4,07, 3,80, 3,67 und 3,00 δ; CMR (CDCl3, 75 MHz) 43,85, 46,34, 50,45, 67,20, 69,17, 69,57, 107,64, 113,88, 119,34, 124,63, 127,85, 128,05, 128,49, 129,26, 132,67, 136,48, 136,57, 140,75, 150,95, 153,29, 155,14 und 155,40 δ.
  • Beispiel 15
  • (S)-[N-3-[3-Fluor-4-[N-1-(4-carbobenzoxy)piperazinyl]phenyl]-2-oxo-5-oxazolidinyl]methylamin (VII)
  • Unter Stickstoff werden bei 40° der 3-Nitrobenzolsulfonatester von (R)-[N-3-[3-Fluor-4-[N-1-(4-carbobenzoxy)piperazinyl]phenyl]-2-oxo-5-oxazolidinyl]methanol (VI, Beispiel 5, 1,0099 g, 1,643 mmol), Isopropanol (5,6 ml), Acetonitril (9,0 ml), Benzaldehyd (0,50 ml, 4,92 mmol) und wässriges Ammoniak (29,8 Gew.-%, 9,5 ml, 148,6 mmol) gemischt. Das Gemisch wird bei 40° 21,5 h gerührt, dann unter vermindertem Druck eingeengt. Toluol (13,3 ml und Ethanol (6,0 ml) werden zugegeben und das Gemisch wird in einem Bad von 70° erwärmt. Citronensäuremonohydrat (2,433 g, 11,58 mmol) wird dann über 3,5 h zugegeben und die Phasen werden bei 64° getrennt. Die organische Phase wird mit Wasser (2,5 ml) bei 64° gewaschen. Die vereinigten wässrigen Schichten werden mit Toluol (10 ml) bei 64° gewaschen. Toluol (10 ml) wird dann zu dem wässrigen Gemisch gegeben und das Gemisch wird auf 0° gekühlt. Der Niederschlag wird durch Vakuumfiltration gewonnen, mit Toluol von 0° (10 ml) und Wasser von 0° (10 ml) gewaschen und zu einem Feststoff getrocknet. Ein Teil dieses Feststoffs (0,7301 g) wird in Wasser (10 ml) und Methylenchlorid (10 ml) aufgeschlämmt und der pH-Wert wird mit wässrigem Natriumhydroxid (50%, 0,3915 g, 4,90 mmol) bei –4 bis –2° von 2,78 auf 13,92 eingestellt. Das Gemisch wird auf 20–25° erwärmt und unter Rühren 0,5 h ultraschallbehandelt. Methylenchlorid (55 ml), gesättigtes wässriges Natriumchlorid (5 ml) und Wasser (35 ml) werden zugegeben und die Phasen werden getrennt. Die wässrige Phase wird zweimal mit Methylenchlorid (25 ml) gewaschen und die vereinigten organischen Phasen werden auf Natriumsulfat getrocknet, filtriert und unter vermindertem Druck eingeengt. Toluol (5 ml) wird zugegeben und anschließend erfolgt eine langsame Zugabe von Heptan (25 ml). Der erhaltene Niederschlag wird durch Vakuumfiltration gewonnen, mit Heptan (20 ml) gewaschen und getrocknet, wobei die Titelverbindung erhalten wird.
    DC (Silicagel; Methanol/Chloroform, 10/90) Rf = 0,32; MS (EI), M/Z (relative Intensität) = 428 (28%, M+), 252 (15%), 92 (32%), 91 (100%); NMR (CDCl3, 300 MHz), 7,46, 7,38-7,27, 7,12, 6,90, 5,16, 4,69-4,60, 3,98, 3,80, 3,67, 3,09, 3,00-2,92 und 1,30 δ; CMR (CDCl3, 75 MHz) 43,94, 44,89, 47,60, 50,63, 67,23, 73,84, 107,29, 113,72, 119,37, 127,92, 128,07, 128,52, 133,79, 136,05, 136,64, 154,57, 155,19 und 155,61 δ.
  • Beispiel 16
  • (R)-[N-3-[3-Fluor-4-morpholinylphenyl]-2-oxo-5-oxazolidinyl]methanol-4-nitrobenzolsulfonatester (VI)
  • Zu einer Aufschlämmung von (R)-[N-3-[3-Fluor-4-morpholinylphenyl]-2-oxo-5-oxazolidinyl]methanol (III, Beispiel 3, 43,0 g, 145 mmol) und Triethylamin (36 g, 355 mmol) in Methylenchlorid (450 ml) bei 0° wird ein Gemisch von 4-Nitrobenzolsulfonylchlorid (V, 32 g, 145 mmol) in Methylenchlorid (55 ml) gegeben. Das Gemisch wird in einem Bad von 0° 30 min gerührt und dann mit Salzsäure (10%, 200 ml) gequencht. Die organische Phase wird abgetrennt und die wässrige Phase wird erneut mit Methylenchlorid (200 ml) extra hiert. Die vereinigten organischen Extrakte werden dann eingeengt und säulenchromatographiert (Silicagel, 4 cm × 6'', 40–63 μ; Methanol/Methylenchlorid 1–2/98–99, etwa 8 l). Die entsprechenden Fraktionen werden vereinigt und eingeengt, wobei die Titelverbindung erhalten wird.
    Rf = 0,2; NMR (CDCl3, 300 MHz) 8,73, 8,54, 8,23, 7,82, 7,33, 7,04, 6,91, 4,86, 4,42, 4,12, 3,86 und 3,05 δ; CMR (CDCl3, 75 MHz, partiell) 46,42, 50,89, 66,87, 69,09, 69,45, 107,45, 113,95, 118,84, 123,14, 128,73, 131,08, 133,28 und 137,27 δ.
  • Beispiel 17
  • (S)-[N-3-[3-Fluor-4-morpholinylphenyl]-2-oxo-5-oxazolidinyl]methylamin-salicylaldehydimin
  • Ein Gemisch von (R)-[N-3-(3-Fluor-4-(4-morpholinylphenyl)-2-oxo-5-oxazolidinyl]methanol-4-nitrobenzolsulfonatester (VI, Beispiel 16, 20,608 g, 42,803 mmol), Isopropanol (149 ml), Acetonitril (245 ml), Salicylaldehyd (13,7 ml, 129 mmol) und wässrigem Ammoniak (30%, 257 ml, 4,02 mol) wird auf 40° erhitzt und 24 h bei 39–42° gerührt. Das Gemisch wird dann auf –22° gekühlt und der Niederschlag wird durch Vakuumfiltration gewonnen, mit Wasser (10 ml) gewaschen und getrocknet, wobei die Titelverbindung erhalten wird.
    DC (Silicagel; Methanol/Chloroform, 5/95) Rf = 0,79; SIMS (m/z, relative Intensität) = 399 (M+, 51) 234 (11), 196 (11), 149 (22), 135 (100), 134 (47); NMR (300 MHz, CDCl3) 8,44, 7,41, 7,33-6,87, 4,96-4,88, 4,12, 3,94-3,84 und 3,04 δ; CMR (CDCl3, 75 MHz) 48,21, 50,99, 61,94, 66,95, 71,30, 107,68, 114,12, 117,02, 118,43, 118,82, 119,01, 131,93, 133,04, 136,51, 154,24, 155,47, 160,78 und 168,87 δ.
  • Beispiel 18
  • (S)-N-[[3-(3-Fluor-4-morpholinylphenyl)-2-oxo-5-oxazolidinyl]methyl]acetamid (VIII)
  • (S)-[N-3-[3-Fluor-4-morpholinylphenyl]-2-oxo-5-oxazolidinyl]methylamin-salicylaldehydimin (Beispiel 17, 1,0068 g, 2,521 mmol) wird in Wasser (10 ml) und 37%iger wässriger Salzsäure (0,417 ml, 5,04 mmol) aufgeschlämmt und 15 h bei 20–25° gerührt. Toluol (10 ml) wird zugegeben und die Phasen werden getrennt; dann wird die organische Phase mit Salzsäure (1 M, 5 ml) gewaschen und die vereinigten wässrigen Phasen werden mit Toluol (10 ml) gewaschen. Die Toluolwaschflüssigkeit wird mit Salzsäure (1 M, 5 ml) zurückextrahiert. Die vereinigten wässrigen Phasen werden dann mit wässrigem Natriumhydroxid (50%, 1,83 g, 22,9 mmol) auf einen pH-Wert von 13,0 eingestellt. Zu der erhaltenen Aufschlämmung werden dann Methylenchlorid (10 ml) und Natriumchlorid (1 g) gegeben und die Phasen werden getrennt. Die wässrige Phase wird dann mit Methylenchlorid (10 ml) gewaschen. Zu den kombinierten organischen Phasen wird dann Essigsäureanhydrid (0,472 ml, 5,00 mmol) unter Beibehalten von 24–27° gegeben. Das Gemisch wird 40 min gerührt und dann mit Wasser (5 ml) versetzt. Die Phasen werden getrennt und die wässrige Phase wird mit Methylenchlorid (5 ml) gewaschen. Die vereinigten organischen Phasen werden eingeengt und mit Ethylacetat (25 ml) versetzt. Das Gemisch wird auf 70° erwärmt und dann wird das erhaltene Gemisch langsam auf –25° gekühlt. Der Niederschlag wird durch Vakuumfiltration gewonnen, mit Ethylacetat von –25° (5 ml) gewaschen und getrocknet, wobei die Titelverbindung erhalten wird.
    HPLC der Hauptkomponente (99,93 Flächenprozent bei Detektion bei 254 nm) Retentionszeit = 0,97 min, Säule = Zorbax RX-C8, 250 × 4,6 mm, mobile Phase = 650 ml Acetonitril, 1,85 ml Triethylamin, 1,30 ml Essigsäure und ausreichend Wasser zum Auffüllen auf 1000 ml; Durchflussrate = 3 ml/min.
  • Beispiel 19
  • (R)-[N-3-[3-Fluor-4-[N-1-(4-carbobenzoxy)piperazinyl]phenyl]-2-oxo-5-oxazolidinyl]methanol (III)
  • Ein Gemisch von N-Carbobenzoxy-3-fluor-4-(N-carbobenzoxypiperazinyl)anilin (II, 2,014 g, 4,345 mmol) und THF (10 ml) wird auf –20° gekühlt. In einem getrennten Kolben wird eine Lösung von tert-Amylalkohol (0,71 ml, 6,48 mmol) in THF (10 ml) bei –33° mit n-Butyllithium in Heptan (13,65 Gew.-%, 2,53 g, 5,38 mmol) behandelt, während das Gemisch bei weniger als –20° gehalten wird. Die erhaltene Lithium-tert-amylatlösung wird dann zu dem N-Carbobenzoxy-3-fluor-4-(N-carbobenzoxypiperazinyl)anilingemisch unter Aufrechterhalten von weniger als –20° gegeben und mit THF (4 ml) hineingespült. Zu dem erhaltenen Gemisch bei –20° wird dann S-Glycidol (IV, 0,3360 g, 4,536 mmol) gegeben. Das Gemisch wird dann 1,5 h bei –20°, dann 17 h bei –16°, 4 h bei –11°, dann 2 h bei –1° gerührt. Ein HPLC-Assay zeigte dann, dass die Hauptkomponente eine mit der Titelverbindung konsistente Retentionszeit aufwies (90,4 Flächenprozent bei Detektion bei 254 nm; Retentionszeit = 1,30 min; Säule = Zorbax RX-C8, 250 × 4,6 mm; mobile Phase = 650 ml Acetonitril, 1,85 ml Triethylamin, 1,30 ml Essigsäure und die Zugabe von ausreichend Wasser zum Auffüllen auf 1000 ml; Durchflussrate = 3 ml/min) wie auch DC (Silicagel; Methanol/Chloroform 10/90) Rf = 0,60.
  • Beispiel 20
  • (R)-[N-3-[3-Fluor-4-morpholinylphenyl]-2-oxo-5-oxazolidinyl]methanol-4-nitrobenzolsulfonatester (VI)
  • Nach dem allgemeinen Verfahren von Beispiel 16 und unter Durchführen unkritischer Variationen, jedoch ausgehend von 4-Nitrobenzolsulfonylchlorid, wird die Titelverbindung erhalten.
  • Beispiel 21
  • (R)-[N-3-[3-Fluor-4-morpholinylphenyl]-2-oxo-5-oxazolidinyl]methanol-2-nitrobenzolsulfonatester (VI)
  • Nach dem allgemeinen Verfahren von Beispiel 16 und unter Durchführen unkritischer Variationen, jedoch ausgehend von 2-Nitrobenzolsulfonylchlorid, wird die Titelverbindung erhalten.
  • Beispiel 22
  • (R)-[N-3-[3-Fluor-4-morpholinylphenyl]-2-oxo-5-oxazolidinyl]methanol-2,4-dinitrobenzolsulfonatester (VI)
  • Nach dem allgemeinen Verfahren von Beispiel 16 und unter Durchführen unkritischer Variationen, jedoch ausgehend von 2,4-Dinitrobenzolsulfonylchlorid, wird die Titelverbindung erhalten.
  • Beispiel 23
  • (R)-[N-3-[3-Fluor-4-morpholinylphenyl]-2-oxo-5-oxazolidinyl]methanol-4-chlorbenzolsulfonatester (VI)
  • Nach dem allgemeinen Verfahren von Beispiel 16 und unter Durchführen unkritischer Variationen, jedoch ausgehend von 4-Chlorbenzolsulfonylchlorid, wird die Titelverbindung erhalten.
  • Beispiel 24
  • (R)-[N-3-[3-Fluor-4-morpholinylphenyl]-2-oxo-5-oxazolidinyl]methanol-2,5-dichlorbenzolsulfonatester (VI)
  • Nach dem allgemeinen Verfahren von Beispiel 16 und unter Durchführen unkritischer Variationen, jedoch ausgehend von 2,5-Dichlorbenzolsulfonylchlorid, wird die Titelverbindung erhalten. Reaktionsschema A
    Figure 00390001
  • Reaktionsschema B
    • C*H2-C*H-CH2-OH (IV)wobei die durch ein * bezeichneten Kohlenstoffatome jeweils an das gleiche Sauerstoffatom (-O-) unter Bildung eines dreigliedrigen Rings oder Epoxids gebunden sind
  • Figure 00400001
  • Reaktionsschema C
    Figure 00410001
  • Reaktionsschema D
    Figure 00420001

Claims (18)

  1. Verfahren zur Herstellung eines 5-Aminomethyl-substituierten Oxazolidinonamins der Formel (VII)
    Figure 00430001
    worin R1 für
    Figure 00430002
    steht; worin X1 für H oder F steht; worin X2 für H oder F steht; worin Q1 für:
    Figure 00440001
    Figure 00450001
    steht; Q1 und X2 zusammengenommen für:
    Figure 00450002
    stehen; worin Z1 für: a) -CH2-, b) -CH(R4)-CH2-, c) -C(O)- oder d) -CH2CH2CH2- steht; worin Z2 für: a) -O2S-, b) -O-, c) -N(R7)-, d) -OS- oder e) -S- steht; worin Z3 für: a) -O2S-, b) -O-, c) -OS- oder d) -S- steht; worin A1 für: a) H oder b) CH3 steht; worin A2 für: a) H, b) HO-, c) CH3-, d) CH3O-, e) R2O-CH2-C(O)-NH-, f) R3O-C(O)-NH-, g) (C1-C2)Alkyl-O-C(O)-, h) HO-CH2-, i) CH3O-NH-, j) (C1-C3)Alkyl-O2C-, k) CH3-C(O)-, l) CH3-C(O)-CH2-,
    Figure 00460001
    Figure 00470001
    steht; A1 und A2 zusammengenommen für : a) -O-CHR12-CH2-O-, b) O=, c) R14-N= stehen; worin R2 für: a) H, b) CH3-, c) Phenyl-CH2- oder d) CH3C(O)- steht; worin R3 für: a) (C1-C3)Alkyl oder b) Phenyl steht; worin R4 für: a) H oder b) HO- steht; worin R5 für: a) H, b) (C1-C3)Alkyl, c) CH2=CH-CH2- oder d) CH3-O-(CH2)2- steht; worin R6 für: a) CH3-C(O)-, b) H-C(O)-, c) Cl2CH-C(O)-, d) HOCH2-C(O)-, e) CH3SO2-,
    Figure 00470002
    g) F2CHC(O)-,
    Figure 00480001
    i) H3C-C(O)-O-CH2-C(O)-, j) H-C(O)-O-CH2-C(O)-,
    Figure 00480002
    l) HC≡CH-CH2O-CH2-C(O)- oder m) Phenyl-CH2-O-CH2-C(O)- steht; worin R7 für a) R2O-C(R10)(R11)-C(O)-, b) R3O-C(O)-, c) R8-C(O)
    Figure 00480003
    f) H3C-C(O)-(CH2)2-C(O)-, g) R9-SO2-,
    Figure 00480004
    i) HO-CH2-C(O)-, j) R16-(CH2)2-, k) R13-C(O)-O-CH2-C(O)-, l) (CH3)2N-CH2-C(O)-NH-, m) NC-CH2- oder n) F2CH-CH2- steht; worin R8 für: a) H, b) (C1-C4)Alkyl, c) Aryl-(CH2)p-, d) ClH2C-, e) Cl2HC-, f) FH2C-, g) F2HC- oder h) (C3-C6)Cycloalkyl steht; worin R9 für: a) -CH3, b) -CH2Cl, c) -CH2CH=CH2, d) Aryl oder e) -CH2CN steht; worin R10 für H oder CH3 steht; worin R11 für H oder CH3 steht; worin R12 für: a) H, b) CH3O-CH2O-CH2- oder c) HOCH2- steht; worin R13 für: a) CH3-, b) HOCH2-, c) (CH3)2N-Phenyl oder d) (CH3)2N-CH2- steht; worin R14 für: a) HO-, b) CH3O-, c) H2N-, d) CH3O-C(O)-O-, e) CH3-C(O)-O-CH2-C(O)-O-, f) Phenyl-CH2-O-CH2-C(O)-O-, g) HO-(CH2)2-O-, h) CH3O-CH2-O-(CH2)2-O- oder i) CH3O-CH2-O- steht; worin R15 für: a) H oder b) Cl steht; worin R16 für: a) HO-, b) CH3O- oder c) F steht; worin m 0 oder 1 ist; worin n 1 bis 3 ist; worin p 0 oder 1 ist; worin Aryl ein Phenyl ist, das mit null (0) oder einem (1) der folgenden Reste substituiert ist: a) -F, b) -Cl, c) -OCH3, d) -OH, e) -NH2, f) -(C1-C4)Alkyl, g) -O-C(O)-OCH3 oder h) -NO2 und geschützte Formen desselben, mit der Maßgabe, dass jedes primäre oder sekundäre Amin in R1 geschützt ist, wobei das Verfahren (1) das Inkontaktbringen eines 5-Hydroxymethyl-substituierten Oxazolidinonalkohols der Formel (III)
    Figure 00510001
    worin R1 wie oben definiert ist, mit einem Sulfonylierungsmittel, das aus den Formeln Va–Vd ausgewählt ist, M3-SO2-C6Hn3(NO2)n1Cln2 (Va) O[-SO2-C6Hn3(NO2)n1Cln2]2 (Vb) O(SO2-F)2 (Va) O(SO2-CF3)2 (Vd)worin n1 0 ist und n2 2, 3 oder 4 ist; n1 1 ist und n2 0 oder 1 ist; oder n1 2 ist und n2 0 ist; n3 5 – (n1 + n2) ist und M3 für Cl oder Br steht; und (2) das Inkontaktbringen des gebildeten Oxazolidinonsulfonats der Formel (VIa–VId)
    Figure 00510002
    Figure 00520001
    mit Ammoniak in einem verschlossenen System bei einer Temperatur von nicht mehr als 60°C und einem Druck von weniger als 207 kPa (30 psig) umfasst.
  2. Verfahren nach Anspruch 1, wobei das Sulfonylierungsmittel die Formel Va aufweist.
  3. Verfahren nach Anspruch 2, wobei die Sulfonylierungsgruppe aus 2-Nitrobenzolsulfonyl, 3-Nitrobenzolsulfonyl, 4-Nitrobenzolsulfonyl, 2,4-Dinitrobenzolsulfonyl und 2,5-Dichlorbenzolsulfonyl ausgewählt ist.
  4. Verfahren nach Anspruch 3, wobei die Sulfonylierungsgruppe 3-Nitrobenzolsulfonyl ist.
  5. Verfahren nach einem der Ansprüche 1 bis 4, wobei der Druck nicht mehr als 138 kPa (20 psig) beträgt.
  6. Verfahren nach Anspruch 5, wobei der Druck nicht mehr als 34 kPa (5 psig) beträgt.
  7. Verfahren nach Anspruch 5, wobei der Druck atmosphärischer Druck ist.
  8. Verfahren nach einem der Ansprüche 1 bis 7, wobei die Temperatur weniger als 50°C beträgt.
  9. Verfahren nach einem der Ansprüche 1 bis 8, wobei die Stufe (2) in Gegenwart eines aromatischen Aldehyds durchgeführt wird.
  10. Verfahren nach Anspruch 9, wobei der Aldehyd Ar-CHO ist, wobei Ar ein optional mit F, Cl, Br, C1-C5-Alkyl, HO, O2N, CH3-O oder C2H5-O substituiertes Phenyl ist.
  11. Verfahren nach Anspruch 9, wobei der Aldehyd Salicylaldehyd ist.
  12. Verfahren nach einem der Ansprüche 1 bis 11, wobei M3 Cl ist.
  13. Verfahren nach einem der Ansprüche 1 bis 12, wobei die Stufe (1) in Gegenwart von Wasser durchgeführt wird.
  14. Verfahren nach einem der Ansprüche 1 bis 13, wobei R1 ein mit einem F-Atom und einer substituierten Aminogruppe substituiertes Phenyl ist.
  15. Verfahren nach Anspruch 14, wobei R1 3-Fluor-4-(4-benzyloxycarbonyl-1-piperazinyl)phenyl oder 3-Fluor-4-(4-morpholino)phenyl ist.
  16. Oxazolidinonsulfonat der Formel (VIa oder VIb) gemäß der Definition in Anspruch 1.
  17. Oxazolidinonsulfonat nach Anspruch 16, nämlich 3-Nitrobenzolsulfonatester von (R)-[N-3-[3-Fluor-4-(N-1-(4-carbobenzoxy)piperazinyl]-phenyl]-2-oxo-5-oxazolidinyl]methanol, 2-Nitrobenzolsulfonatester von (R)-[N-3-[3-Fluor-4-(N-1-(4-carbobenzoxy)piperazinyl]phenyl]-2-oxo-5-oxazolidinyl]methanol, 2,4-Dinitrobenzolsulfonatester von (R)-[N-3-[3-Fluor-4-[N-1-(4-carbobenzoxy)piperazinyl]phenyl]-2-oxo-5-oxazolidinyl]methanol, (R)-[N-3-[3-Fluor-4-[N-1-(4-carbobenzoxy)piperazinyl]phenyl]-2-oxo-5-oxazolidinyl]methanol-4-chlorbenzolsulfonatester, (R)-[N-3-[3-Fluor-4-[N-1-(4-carbobenzoxy)piperazinyl]phenyl]-2-oxo-5-oxazolidinyl]methanol-2,5-dichlorbenzolsulfonatester, (R)-[N-3-[3-Fluor-4-[N-1-(4-carbobenzoxy)piperazinyl]phenyl]-2-oxo-5-oxazolidinyl]methanol-4-nitrobenzolsulfonatester, (R)-[N-3-[3-Fluor-4-morpholinylphenyl]-2-oxo-5-oxazolidinyl]methanol-3-nitrobenzolsulfonatester, (R)-[N-3-[3-Fluor-4-morpholinylphenyl]-2-oxo-5-oxazolidinyl]methanol-4-nitrobenzolsulfonatester, (R)-[N-3-[3-Fluor-4-morpholinylphenyl]-2-oxo-5-oxazolidinyl]methanol-2-nitrobenzolsulfonatester, (R)-[N-3-[3-Fluor-4-morpholinylphenyl]-2-oxo-5-oxazolidinyl]methanol-2,4-dinitrobenzolsulfonatester, (R)-[N-3-[3-Fluor-4-morpholinylphenyl]-2-oxo-5-oxazolidinyl]methanol-4-chlorbenzolsulfonatester oder (R)-[N-3-[3-Fluor-4-morpholinylphenyl]-2-oxo-5-oxazolidinyl]methanol-2,5-dichlorbenzolsulfonatester.
  18. Oxazolidinonsulfonat nach Anspruch 16, nämlich 3-Nitrobenzolsulfonatester von (R)-[N-3-[3-Fluor-4-(N-1-(4-carbobenzoyl)piperazinyl]-phenyl]-2-oxo-5-oxazolidinyl]methanol, 2-Nitrobenzolsulfonatester von (R)-[N-3-[3-Fluor-4-[N-1-(4-carbobenzoxy)piperazinyl]piperazinyl]phenyl]-2-oxo-5-oxazolidinyl]methanol, 2,4-Dinitrobenzolsulfonatester von (R)-{N-3-[3-Fluor-4-[N-1-(4-carbobenzoxy)piperazinyl]phenyl]-2-oxo-5-oxazolidinyl]methanol, (R)-[N-3-[3-Fluor-4-[N-1-(4-carbobenzoyl)piperazinyl]phenyl]-2-oxo-5-oxazolidinyl]methanol-4-chlorbenzolsulfonatester, (R)-[N-3-[3-Fluor-4-[N-1-(4-carbobenzoxy)piperazinyl]phenyl]-2-oxo-5-oxazolidinyl]methanol-2,5-dichlorbenzolsulfonatester, (R)-[N-3-[3-Fluor-4-[N-1-(4-carbobenzoxy)piperazinyl]phenyl]-2-oxo-5-oxazolidinyl]methanol-4-nitrobenzolsulfonatester oder (R)-[N-3-[3-Fluor-4-morpholinylphenyl]-2-oxo-5-oxazolidinyl]methanol-3-nitrobenzolsulfonatester.
DE69738457T 1996-04-11 1997-03-28 Verfahren zur Herstellung von Oxazolidinonen Expired - Fee Related DE69738457T2 (de)

Applications Claiming Priority (2)

Application Number Priority Date Filing Date Title
US1549996P 1996-04-11 1996-04-11
US15499P 1996-04-11

Publications (2)

Publication Number Publication Date
DE69738457D1 DE69738457D1 (de) 2008-02-21
DE69738457T2 true DE69738457T2 (de) 2008-12-24

Family

ID=21771765

Family Applications (2)

Application Number Title Priority Date Filing Date
DE69709718T Expired - Fee Related DE69709718T2 (de) 1996-04-11 1997-03-28 Verfahren zur herstellung von oxazolidinonen
DE69738457T Expired - Fee Related DE69738457T2 (de) 1996-04-11 1997-03-28 Verfahren zur Herstellung von Oxazolidinonen

Family Applications Before (1)

Application Number Title Priority Date Filing Date
DE69709718T Expired - Fee Related DE69709718T2 (de) 1996-04-11 1997-03-28 Verfahren zur herstellung von oxazolidinonen

Country Status (24)

Country Link
US (1) US5837870A (de)
EP (2) EP0892792B1 (de)
JP (2) JP2000508312A (de)
KR (1) KR100530297B1 (de)
CN (3) CN1319952C (de)
AT (2) ATE383347T1 (de)
AU (1) AU706117B2 (de)
CA (1) CA2248143C (de)
CZ (2) CZ298060B6 (de)
DE (2) DE69709718T2 (de)
DK (2) DK1114819T3 (de)
ES (2) ES2166073T3 (de)
HU (1) HUP0500044A3 (de)
NO (2) NO311837B1 (de)
NZ (1) NZ332278A (de)
PL (1) PL192691B1 (de)
PT (2) PT1114819E (de)
RU (1) RU2176643C2 (de)
SG (1) SG85683A1 (de)
SI (1) SI0892792T1 (de)
SK (1) SK284703B6 (de)
TW (1) TW449593B (de)
WO (1) WO1997037980A1 (de)
ZA (1) ZA972983B (de)

Families Citing this family (56)

* Cited by examiner, † Cited by third party
Publication number Priority date Publication date Assignee Title
GB9601666D0 (en) * 1996-01-27 1996-03-27 Zeneca Ltd Chemical compounds
GB9702213D0 (en) 1996-02-24 1997-03-26 Zeneca Ltd Chemical compounds
GB9609919D0 (en) * 1996-05-11 1996-07-17 Zeneca Ltd Chemical compounds
GB9717807D0 (en) 1997-08-22 1997-10-29 Zeneca Ltd Chemical compounds
GB9717804D0 (en) 1997-08-22 1997-10-29 Zeneca Ltd Chemical compounds
GB9725244D0 (en) 1997-11-29 1998-01-28 Zeneca Ltd Chemical compounds
IL140084A0 (en) 1998-06-05 2002-02-10 Astra Ab Oxazolidinone derivatives, process for their preparation and pharmaceutical compositions containing them
DE69933526D1 (de) * 1998-12-07 2006-11-23 Takasago Perfumery Co Ltd Verfahren zur Herstellung von optisch aktiven Oxazolidinonderivate
DK1149089T3 (da) 1999-02-01 2003-07-21 Upjohn Co Fremgangsmåde til fremstilling af tetrahydrothiopyran-o-fluorerede carbamater
US6413981B1 (en) 1999-08-12 2002-07-02 Ortho-Mcneil Pharamceutical, Inc. Bicyclic heterocyclic substituted phenyl oxazolidinone antibacterials, and related compositions and methods
US6297242B1 (en) 1999-08-12 2001-10-02 Ortho-Mcneil Pharmaceutical, Inc. N-substituted amidine and guanidine oxazolidinone antibacterials and methods of use thereof
US6608081B2 (en) 1999-08-12 2003-08-19 Ortho-Mcneil Pharmaceutical, Inc. Bicyclic heterocyclic substituted phenyl oxazolidinone antibacterials, and related compositions and methods
GB9928568D0 (en) 1999-12-03 2000-02-02 Zeneca Ltd Chemical compounds
US6518285B2 (en) 1999-12-21 2003-02-11 Ortho Mcneil Pharmaceutical, Inc. Piperidinyloxy and pyrrolidinyloxy oxazolidinone antibacterials
AR027261A1 (es) * 2000-02-02 2003-03-19 Upjohn Co Linezolid forma cristalina ii
US6444813B2 (en) 2000-02-02 2002-09-03 Pharmacia & Upjohn Company Linezolid-crystal form II
US6514529B2 (en) 2000-03-22 2003-02-04 Pharmacia & Upjohn Company Oxazolidinone tablet formulation
MY127336A (en) * 2000-03-22 2006-11-30 Upjohn Co Container for linezolid iv solution
GB0009803D0 (en) * 2000-04-25 2000-06-07 Astrazeneca Ab Chemical compounds
ATE301474T1 (de) 2000-06-30 2005-08-15 Pharmacia & Upjohn Co Llc Zusammensetzungen zur behandlung baktrieller infektionen, welche ein oxazolidinonderivat, sulbactam und ampicillin enthalten
PE20020300A1 (es) * 2000-08-22 2002-05-10 Pharmacia Corp Composicion de solucion de un farmaco antibiotico a base de oxazolidinona con mejoramiento de la carga de farmaco
US6288239B1 (en) 2000-09-19 2001-09-11 Board Of Trustees Operating Michigan State University 5-trityloxymethyl-oxazolidinones and process for the preparation thereof
PE20020578A1 (es) 2000-10-10 2002-08-14 Upjohn Co Una composicion de antibiotico topico para el tratamiento de infecciones oculares
ES2268011T3 (es) * 2001-04-07 2007-03-16 Astrazeneca Ab Oxazolidinonas que contienen un grupo sulfonimida como antibioticos.
NZ528996A (en) 2001-04-20 2006-01-27 Upjohn Co Process to prepare oxazolidinones
ES2186550B2 (es) * 2001-06-27 2003-11-16 Vita Lab Nuevos derivados de oxazolidinonas como antibacterianos.
AU2002367959A1 (en) * 2001-10-18 2003-12-31 Michigan State University Process for the preparation of oxazolidinones and method of use thereof
TW200400055A (en) * 2002-02-22 2004-01-01 Pharmacia Corp Ophthalmic formulation with novel gum composition
WO2003072141A1 (en) * 2002-02-22 2003-09-04 Pharmacia Corporation Ophthalmic antibiotic drug formulations containing a cyclodextrin compound and cetyl pyridinium chloride
DE09163348T1 (de) * 2003-10-16 2010-01-07 Symed Labs Ltd., Hyderabad Kristalline Form von Linezolid
WO2005099353A2 (en) * 2004-04-19 2005-10-27 Symed Labs Limited A novel process for the preparation of linezolid and related compounds
PL1768967T3 (pl) 2004-07-20 2009-09-30 Symed Labs Ltd Nowe związki pośrednie do wytwarzania linezolidu oraz związki pokrewne
KR20080104178A (ko) * 2006-04-07 2008-12-01 화이자 프로덕츠 인코포레이티드 리네졸리드의 제조 방법
CN100395270C (zh) * 2006-05-25 2008-06-18 湖北大学 线型聚苯乙烯支载的(4s)-5,5-二取代基噁唑烷酮及其制备方法和用途
EP2033960A3 (de) * 2007-09-04 2009-04-29 Dipharma Francis S.r.l. Kristalline Linezolidhydratform und Linezolidsalze
WO2009032294A2 (en) * 2007-09-06 2009-03-12 Teva Pharmaceutical Industries Ltd. Processes for the preparation of a linezolid intermediate, linezolid hydroxide
EP2163547A1 (de) 2008-09-16 2010-03-17 Unión Químico Farmacéutica, S.A. (UQUIFA) Verfahren für die Herstellung eines antibakteriellen Oxazolidinon-Wirkstoffs und Zwischenprodukte davon
JP5561462B2 (ja) * 2009-09-17 2014-07-30 日東化成株式会社 漁網防汚塗料組成物、該組成物を用いて形成される防汚塗膜、該塗膜の形成方法、および該塗膜を表面に有する漁網、漁網用具又は水中構造物
CA2785620A1 (en) 2009-12-26 2011-06-30 Alembic Pharmaceuticals Limited Process for the preparation of linezolid
CN102822167A (zh) 2010-01-04 2012-12-12 埃南蒂亚有限公司 用于制备利伐沙班的方法及其中间体
EP2603506A1 (de) 2010-08-11 2013-06-19 Synthon BV Verfahren zur herstellung von linezolid
WO2012019632A1 (en) 2010-08-11 2012-02-16 Synthon B.V. Process for making linezolid
CA2816515A1 (en) 2010-11-03 2012-05-10 Wockhardt Limited Process for the preparation of phosphoric acid mono-(1-{4-[(s)-5-(acetylaminomethyl)-2-oxo-oxazolidin-3-yl]-2,6-difluorophenyl}-4-methoxymethylpiperidin-4-yl) ester
US9567307B2 (en) * 2011-01-07 2017-02-14 The Regents Of The University Of California Amination of aryl alcohol derivatives
CN102153521B (zh) * 2011-01-31 2012-09-12 宁波市鄞州百特佳医药科技有限公司 一种用于制备利奈唑胺的中间体及其制备方法
WO2012114354A1 (en) 2011-02-24 2012-08-30 Lee Pharma Limited Anhydrous linezolid crystalline form-ii
SI2595968T1 (sl) 2011-02-24 2016-01-29 Lee Pharma Limited Novi postopek za pripravo linezolida in njegovih novih intermediatov
CN102321042B (zh) * 2011-07-18 2013-12-04 苏州敬业医药化工有限公司 3-取代苯基-5-羟甲基噁唑烷-2-酮的制备方法
CN102311402B (zh) * 2011-07-18 2013-08-21 苏州敬业医药化工有限公司 3-取代苯基-5-羟甲基噁唑烷-2-酮的制备方法
WO2013072923A1 (en) 2011-09-19 2013-05-23 Cadila Healthcare Limited Process for the preparation of crystalline linezolid
WO2013111048A1 (en) 2012-01-24 2013-08-01 Jubilant Life Sciences Limited Improved process for the preparation of stable crystalline form-i of linezolid, substantially free of residual solvent
CN103626712B (zh) * 2012-08-23 2016-06-01 重庆药友制药有限责任公司 一种用于制备利奈唑胺的中间体及其制备方法
WO2014071990A1 (en) 2012-11-09 2014-05-15 Synthon Bv Process for making linezolid
WO2015173664A1 (en) 2014-05-14 2015-11-19 Wockhardt Limited Process for the preparation of (5s)-n-{3-[3,5-difluoro-4-(4-hydroxy-4-methoxymethyl-piperidin-1-yl)-phenyl]-2-oxo-oxazolidin-5-ylmethyl}-acetamide
WO2021184339A1 (en) 2020-03-20 2021-09-23 Merck Sharp & Dohme Corp. Oxazolidinone compound and methods of use thereof as an antibacterial agent
CN119119019B (zh) * 2024-09-11 2025-11-11 遵义医科大学 一种杂环磺酰胺/磺酸酯衍生物及其制备方法、应用

Family Cites Families (23)

* Cited by examiner, † Cited by third party
Publication number Priority date Publication date Assignee Title
CA681830A (en) * 1964-03-10 X. Markley Francis Process for 5-(aryloxymethyl)-2-oxazolidinones
US3547951A (en) * 1969-06-17 1970-12-15 Waldo R Hardie 1,3-dioxolan-4-yl-alkyl guanidines
FR2315925A1 (fr) * 1975-07-04 1977-01-28 Nippon Chemiphar Co Nouveaux derives de 5-benzyle-2-oxazolidone, leur procede de preparation et leur application en therapeutique
FR2356422A1 (fr) * 1976-03-01 1978-01-27 Delalande Sa Nouveaux hydroxymethyl-5 oxazolidinone-2, leur procede de preparation et leur application en therapeutique
LU80081A1 (fr) * 1977-08-26 1979-05-15 Delalande Sa Nouvelles hydroxymethyl-5 oxazolidinones-2,leur procede de preparation et leur application therapeutique
JPS6014032B2 (ja) * 1978-01-20 1985-04-11 日本ケミフア株式会社東京 5‐フエネチル‐2‐オキサゾリドン誘導体およびその製法
US4340606A (en) * 1980-10-23 1982-07-20 E. I. Du Pont De Nemours And Company 3-(p-Alkylsulfonylphenyl)oxazolidinone derivatives as antibacterial agents
FR2500450A1 (fr) * 1981-02-25 1982-08-27 Delalande Sa Nouveaux derives aminomethyl-5 oxazolidiniques, leur procede de preparation et leur application en therapeutique
US4461773A (en) * 1982-09-15 1984-07-24 E. I. Dupont De Nemours And Company P-Oxooxazolidinylbenzene compounds as antibacterial agents
US4948801A (en) * 1988-07-29 1990-08-14 E. I. Du Pont De Nemours And Company Aminomethyloxooxazolidinyl arylbenzene derivatives useful as antibacterial agents
US5225565A (en) * 1988-09-15 1993-07-06 The Upjohn Company Antibacterial 3-(fused-ring substituted)phenyl-5β-amidomethyloxazolidin-2-ones
US5164510A (en) * 1988-09-15 1992-11-17 The Upjohn Company 5'Indolinyl-5β-amidomethyloxazolidin-2-ones
US5182403A (en) * 1988-09-15 1993-01-26 The Upjohn Company Substituted 3(5'indazolyl) oxazolidin-2-ones
US5231188A (en) * 1989-11-17 1993-07-27 The Upjohn Company Tricyclic [6.5.51]-fused oxazolidinone antibacterial agents
JP2908510B2 (ja) * 1990-04-20 1999-06-21 イハラケミカル工業株式会社 ベンジルアミン類の製造方法
DE69210919T2 (de) * 1991-09-05 1997-01-23 Nippon Paint Co Ltd Hitzehärtbare Harzmischung, enthaltend eine polyfunktionelle Oxazolidon-Komponente und eine Polyamin-Komponente
KR100257418B1 (ko) * 1991-11-01 2000-05-15 로렌스 티. 마이젠헬더 치환된 아릴-및 헤테로아릴-페닐옥사졸리디논
SK283420B6 (sk) * 1992-05-08 2003-07-01 Pharmacia & Upjohn Company Antimikrobiálne oxazolidinóny obsahujúce substituované diazínové skupiny
MY115155A (en) * 1993-09-09 2003-04-30 Upjohn Co Substituted oxazine and thiazine oxazolidinone antimicrobials.
JPH0873455A (ja) * 1994-03-15 1996-03-19 Upjohn Co:The オキサゾリジノン誘導体及びこれを有効成分とする医薬組成物
EP0788498B1 (de) * 1994-10-26 2001-08-16 PHARMACIA &amp; UPJOHN COMPANY Phenyloxazolidinone mit antimikrobieller wirkung
US5952324A (en) * 1994-11-15 1999-09-14 Pharmacia & Upjohn Company Bicyclic oxazine and thiazine oxazolidinone antibacterials
CA2218088A1 (en) * 1995-05-11 1996-11-14 Pharmacia & Upjohn Company Spirocyclic and bicyclic diazinyl and carbazinyl oxazolidinones

Also Published As

Publication number Publication date
PT892792E (pt) 2002-05-31
HUP0500044A3 (en) 2005-09-28
EP1114819B1 (de) 2008-01-09
SI0892792T1 (en) 2002-06-30
CA2248143A1 (en) 1997-10-16
NO984737D0 (no) 1998-10-09
DE69709718T2 (de) 2002-06-20
SK284703B6 (sk) 2005-09-08
PL329295A1 (en) 1999-03-15
JP2008239621A (ja) 2008-10-09
US5837870A (en) 1998-11-17
NO312728B1 (no) 2002-06-24
NO20015253L (no) 1998-12-09
PL192691B1 (pl) 2006-11-30
EP0892792B1 (de) 2001-11-21
CN1167701C (zh) 2004-09-22
CN1082953C (zh) 2002-04-17
CZ287198A3 (cs) 1999-02-17
ES2166073T3 (es) 2002-04-01
WO1997037980A1 (en) 1997-10-16
CN1381454A (zh) 2002-11-27
SG85683A1 (en) 2002-01-15
EP1114819A1 (de) 2001-07-11
NO20015253D0 (no) 2001-10-26
RU2176643C2 (ru) 2001-12-10
CZ200788A3 (cs) 2017-01-25
CN1215393A (zh) 1999-04-28
NO311837B1 (no) 2002-02-04
EP0892792A1 (de) 1999-01-27
KR100530297B1 (ko) 2005-11-22
DE69709718D1 (de) 2002-02-21
CA2248143C (en) 2008-10-07
DK1114819T3 (da) 2008-04-14
PT1114819E (pt) 2008-02-28
DE69738457D1 (de) 2008-02-21
HK1061241A1 (en) 2004-09-10
HU0500044D0 (en) 2005-03-29
ZA972983B (en) 1998-10-08
TW449593B (en) 2001-08-11
AU2318297A (en) 1997-10-29
AU706117B2 (en) 1999-06-10
ATE209193T1 (de) 2001-12-15
CN1496983A (zh) 2004-05-19
SK133698A3 (en) 1999-06-11
KR20040066189A (ko) 2004-07-23
NZ332278A (en) 2000-05-26
JP2000508312A (ja) 2000-07-04
HK1018785A1 (en) 2000-01-07
ES2298198T3 (es) 2008-05-16
NO984737L (no) 1998-12-09
ATE383347T1 (de) 2008-01-15
DK0892792T3 (da) 2002-04-02
CZ298060B6 (cs) 2007-06-06
CN1319952C (zh) 2007-06-06

Similar Documents

Publication Publication Date Title
DE69738457T2 (de) Verfahren zur Herstellung von Oxazolidinonen
DE69837615T2 (de) Verfahren zur herstellung von oxazolidinonen
DE602004005323T2 (de) Azidfreies verfahren zur herstellung von 1,2-diaminoverbindungen
DE3700408A1 (de) Indolderivate, sie enthaltende pharmazeutische zubereitungen und verfahren zu ihrer herstellung
DE2461604C2 (de)
DD210451A1 (de) Verfahren zur herstellung von imidazolderivaten
DE69716455T2 (de) Azabicycliache carbamoyloxy mutilin derivate als antibakterielles mittel
EP0271795A2 (de) Octahydro-10-oxo-6H-pyridazo [1,2-a] [1,2] diazepin-Derivate, Zwischenprodukte und Verfahren zu deren Herstellung sowie diese enthaltende Arzneimittel
DE69524578T2 (de) Verfahren zur herstellung von epoxiden
WO2000029396A1 (de) Neue substituierte phenyloxazolidon-derivate
DE3855297T2 (de) Propoxybenzolderivate und Verfahren zu ihrer Herstellung
DE68915310T2 (de) Verfahren zur Herstellung von enantiomerischen homogenen Aminopyrrolidinyl-naphthyridin- und Quinoloncarbonsäuren.
EP0116360A1 (de) 1-Phenyl-2-aminocarbonylindol-Verbindungen sowie Verfahren zu ihrer Herstellung und diese Verbindungen enthaltende Arzneimittel
DE916168C (de) Verfahren zur Herstellung von Pyrrolidinoalkylphenothiazinen
DE69629474T2 (de) Antifungale tetrahydrofurane
DE2131034A1 (de) Acylharnstoffe und verfahren zu ihrer herstellung
DE69812079T2 (de) Verfahren zur herstellung eines buthylthuio-isochinolinderivates und zwischenprodukte dafür
DE3888811T2 (de) Tricyclische Carbamate, Verfahren zu ihrer Herstellung und ihre therapeutische Verwendung.
DE2219120A1 (de) Verfahren zur Herstellung von Nitrobenzylalkoholmesylaten und tosylaten
EP0491263A1 (de) Phenylalkylaminoalkyl-Verbindungen sowie Verfahren zu ihrer Herstellung und diese Verbindungen enthaltende Arzneimittel
EP0472166A1 (de) Tricyclische Pyridonderivate
CH653028A5 (de) Benzthiophenallylamin-verbindungen und verfahren zu ihrer herstellung.
EP0266308A1 (de) Indolo-pyrazino-benzodiazepin-Derivate
EP0420953A1 (de) 8-beta-substituierte ergoline, verfahren zu ihrer herstellung und ihre verwendung
DE2318575A1 (de) Neue oxazolidinone

Legal Events

Date Code Title Description
8364 No opposition during term of opposition
8339 Ceased/non-payment of the annual fee