JP7105225B2 - ジェルネイル化粧用組成物、その使用方法、爪化粧用組成物及び爪化粧用樹脂 - Google Patents
ジェルネイル化粧用組成物、その使用方法、爪化粧用組成物及び爪化粧用樹脂 Download PDFInfo
- Publication number
- JP7105225B2 JP7105225B2 JP2019515559A JP2019515559A JP7105225B2 JP 7105225 B2 JP7105225 B2 JP 7105225B2 JP 2019515559 A JP2019515559 A JP 2019515559A JP 2019515559 A JP2019515559 A JP 2019515559A JP 7105225 B2 JP7105225 B2 JP 7105225B2
- Authority
- JP
- Japan
- Prior art keywords
- cosmetic composition
- nail
- silicone macromonomer
- silicone
- nail cosmetic
- Prior art date
- Legal status (The legal status is an assumption and is not a legal conclusion. Google has not performed a legal analysis and makes no representation as to the accuracy of the status listed.)
- Active
Links
Classifications
-
- A—HUMAN NECESSITIES
- A61—MEDICAL OR VETERINARY SCIENCE; HYGIENE
- A61K—PREPARATIONS FOR MEDICAL, DENTAL OR TOILETRY PURPOSES
- A61K8/00—Cosmetics or similar toiletry preparations
- A61K8/18—Cosmetics or similar toiletry preparations characterised by the composition
- A61K8/72—Cosmetics or similar toiletry preparations characterised by the composition containing organic macromolecular compounds
- A61K8/84—Cosmetics or similar toiletry preparations characterised by the composition containing organic macromolecular compounds obtained by reactions otherwise than those involving only carbon-carbon unsaturated bonds
- A61K8/89—Polysiloxanes
- A61K8/896—Polysiloxanes containing atoms other than silicon, carbon, oxygen and hydrogen, e.g. dimethicone copolyol phosphate
- A61K8/898—Polysiloxanes containing atoms other than silicon, carbon, oxygen and hydrogen, e.g. dimethicone copolyol phosphate containing nitrogen, e.g. amodimethicone, trimethyl silyl amodimethicone or dimethicone propyl PG-betaine
-
- A—HUMAN NECESSITIES
- A61—MEDICAL OR VETERINARY SCIENCE; HYGIENE
- A61K—PREPARATIONS FOR MEDICAL, DENTAL OR TOILETRY PURPOSES
- A61K8/00—Cosmetics or similar toiletry preparations
- A61K8/02—Cosmetics or similar toiletry preparations characterised by special physical form
- A61K8/04—Dispersions; Emulsions
- A61K8/042—Gels
-
- A—HUMAN NECESSITIES
- A61—MEDICAL OR VETERINARY SCIENCE; HYGIENE
- A61Q—SPECIFIC USE OF COSMETICS OR SIMILAR TOILETRY PREPARATIONS
- A61Q3/00—Manicure or pedicure preparations
- A61Q3/02—Nail coatings
-
- C—CHEMISTRY; METALLURGY
- C08—ORGANIC MACROMOLECULAR COMPOUNDS; THEIR PREPARATION OR CHEMICAL WORKING-UP; COMPOSITIONS BASED THEREON
- C08F—MACROMOLECULAR COMPOUNDS OBTAINED BY REACTIONS ONLY INVOLVING CARBON-TO-CARBON UNSATURATED BONDS
- C08F290/00—Macromolecular compounds obtained by polymerising monomers on to polymers modified by introduction of aliphatic unsaturated end or side groups
- C08F290/02—Macromolecular compounds obtained by polymerising monomers on to polymers modified by introduction of aliphatic unsaturated end or side groups on to polymers modified by introduction of unsaturated end groups
- C08F290/06—Polymers provided for in subclass C08G
- C08F290/068—Polysiloxanes
-
- A—HUMAN NECESSITIES
- A61—MEDICAL OR VETERINARY SCIENCE; HYGIENE
- A61K—PREPARATIONS FOR MEDICAL, DENTAL OR TOILETRY PURPOSES
- A61K2800/00—Properties of cosmetic compositions or active ingredients thereof or formulation aids used therein and process related aspects
- A61K2800/40—Chemical, physico-chemical or functional or structural properties of particular ingredients
- A61K2800/54—Polymers characterized by specific structures/properties
-
- A—HUMAN NECESSITIES
- A61—MEDICAL OR VETERINARY SCIENCE; HYGIENE
- A61K—PREPARATIONS FOR MEDICAL, DENTAL OR TOILETRY PURPOSES
- A61K2800/00—Properties of cosmetic compositions or active ingredients thereof or formulation aids used therein and process related aspects
- A61K2800/40—Chemical, physico-chemical or functional or structural properties of particular ingredients
- A61K2800/59—Mixtures
- A61K2800/594—Mixtures of polymers
-
- A—HUMAN NECESSITIES
- A61—MEDICAL OR VETERINARY SCIENCE; HYGIENE
- A61K—PREPARATIONS FOR MEDICAL, DENTAL OR TOILETRY PURPOSES
- A61K2800/00—Properties of cosmetic compositions or active ingredients thereof or formulation aids used therein and process related aspects
- A61K2800/80—Process related aspects concerning the preparation of the cosmetic composition or the storage or application thereof
- A61K2800/805—Corresponding aspects not provided for by any of codes A61K2800/81 - A61K2800/95
Landscapes
- Health & Medical Sciences (AREA)
- Life Sciences & Earth Sciences (AREA)
- Animal Behavior & Ethology (AREA)
- General Health & Medical Sciences (AREA)
- Public Health (AREA)
- Veterinary Medicine (AREA)
- Chemical & Material Sciences (AREA)
- Birds (AREA)
- Epidemiology (AREA)
- Medicinal Chemistry (AREA)
- Polymers & Plastics (AREA)
- Organic Chemistry (AREA)
- Chemical Kinetics & Catalysis (AREA)
- Dispersion Chemistry (AREA)
- Cosmetics (AREA)
- Macromonomer-Based Addition Polymer (AREA)
Description
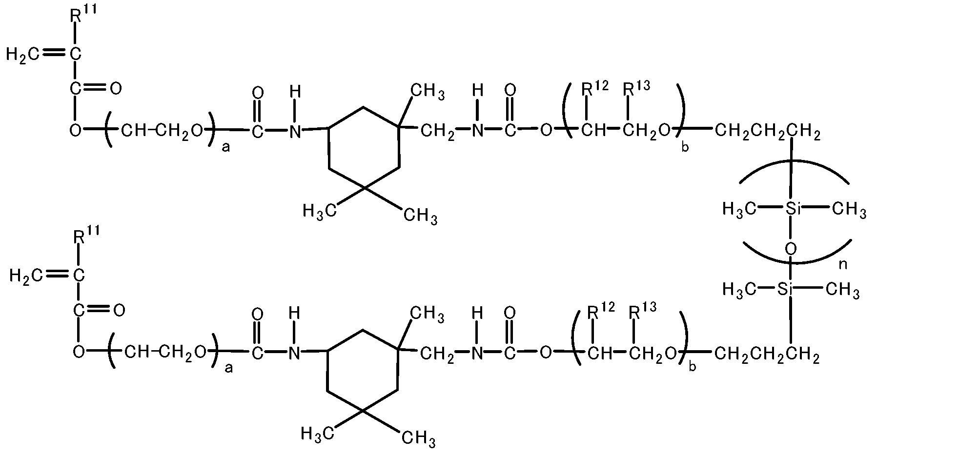
(R-A) x -Bによる構造を有し;
式中、Rは、重合性官能基であり、Aは、連結原子または基であり、Bは、シリコーン含有基であり、Xは、任意の整数である。
式中、R1およびR9は、末端重合性官能基であり;R2、R4、R6およびR8は、アルキレンオキシ基の構造を有する基であり;R3およびR7は、それぞれ環状基であり;R5は、ポリシロキサン基である。
式中、R11、R12およびR13は、それぞれ水素または3個以下の炭素原子を有するアルキル基であり、aおよびbは、それぞれ1から15の間である。
R2、R4、R6及びR8は、アルキレンオキシ基の構造を含む基を表し、ここで、前述の
もののいずれかのうち少なくとも2つは、同じであっても異なってもよく;R3および
R7は、環構造を有する基を表し、同じであっても異なってもよく;R5はポリシロキサ ン構造を有する基を表す。)
・シリコーンマクロモノマー
SiDA-A:化学式4のnが約60のシリコーンマクロモノマー
SiDA-B:化学式4のnが約40のシリコーンマクロモノマー
SiDA-C:化学式4のnが約20のシリコーンマクロモノマー
SiDA-D:化学式4のnが約10のシリコーンマクロモノマー
SiDA-E:化学式5のnが約40のシリコーンマクロモノマー
SiDA-F:化学式6のnが約60のシリコーンマクロモノマー
・共重合モノマー
ACMO:アクリロイルモルホリン
DEAA:N,N-ジエチルアクリルアミド
2-MTA:2-メトキシエチルアクリレート
・架橋剤
EDMA:エチレングリコールジメタクリレート
TAIC:トリアリルイソシアヌレート
PETA:ペンタエリスリトールテトラアクリレート
TPO:ジフェニル(2,4,6-トリメチルベンゾイル)ホスフィンオキシド
IRG651(イルガキュア651:2,2-ジメトキシ-2-フェニルアセトフェノン
TRIS:トリス(トリメチルシロキシ)シリルプロピルメタクリレート
SiST:トリス(トリメチルシロキシ)シリルスチレン
爪化粧用組成物は、その特性を評価するために、混合後に硬化させた。爪化粧用組成物は、ポリプロピレン(PP)製のプレートまたはアクリロニトリル-ブタジエン-スチレン(ABS)製のネイルチップの上にジェルネイル用の市販のブラシを用いて塗布し、続いて硬化させるために光を照射した。実験例1~11においては、ジェルネイル化粧用樹脂を得るために、4個の9W-紫外線ランプ(365nm)を備えた有限会社ドウユウ(DOUYU,Ltd.)から市販されている爪硬化装置を用いて2分間照射を行った。ウシオ電機株式会社(Ushio,Inc.)から市販されているUIT-101、UVD-365PDルミノメーターで測定したこの照射装置の照度は、約1.9mW/cm2であることを見いだした。実験例12~14においては、硬化のために有限会社ドウユウのネイルガーデン(Nail Garden)から市販されているCCFL-LEDランプ(36W、N-218)を使用した。この照射装置において、365nmの波長における照度は、約1.9mW/cm2であり、405nmの波長における照度は、ともにウシオ電機株式会社から市販されている製品であるUIT-150CCFLランプの直下で約8mW/cm2、UVD-S405LEDランプの直下で27mW/cm2であった。これらの装置の標準硬化時間は、60秒に設定した。実験例15~20においては、スイーツ株式会社(Sweets Co.,Ltd.)によって製造された市販LEDランプ(12V-6W、6UVT、S/N 0008767)を使用して硬化を行った。この照射装置において、LEDランプの直下で、365nmの波長における照度は、約0.7mW/cm2であり、405nmの波長における照度は、約31mW/cm2であった。これらの装置の標準硬化時間は、30秒に設定した。実験例23~45においては、18W-LEDランプ(405nm)を備える爪硬化装置(パラジェル(Paragel)LEDパラライト(Paralite)IV)を用いた1分間の照射が、爪化粧用樹脂を与えた。この照射装置において、365nmで測定した照度は、約0.1mW/cm2(ウシオ電機株式会社によって製造されたルミノメーターUIT-101、UVD-365PD)であり、405nmの波長における照度は、約12mW/cm2(ウシオ電機株式会社によって製造されたルミノメーターUIT-150、UVD-S405)である。
爪化粧用組成物の特性としてのネイルチップへの被覆性を、以下の評価基準に基づいて確認および評価した。好ましい粘度、優れた被覆性、および容易に形成されかつ均一な塗膜を有す試料は、「AA」と評点した。好ましい粘度、良好な被覆性、および均一な塗膜を有する試料は、「A」と評点した。若干高い流動性、比較的良好な塗布性、および形成された均一な塗膜を有する試料は、「B」と評点した。気泡もしくはダマを発生する高い粘度、または顕著な滴下の原因となる低い粘度を有する試料は、[C]と評点した。
20℃で粘度を測定するために東機産業株式会社(Toki Sangyo,Co.,Ltd.)によって製造されたE-型回転粘度計(TVE-20H)を使用した。
光照射を行い、未重合成分を除去した後の透明性、曇度およびムラの観点での外観を、以下の評価基準に基づいて評価した。曇りがなく透明であり、ムラのない均一な外観を有する試料は、「A」と評点した。若干ムラがあり、鈍さおよび濁りがある試料は、「B」と評点した。不均一な外観を有するかまたは透明性がなく、白い濁りがある試料は、「C」と評点した。
得られた爪化粧用樹脂は、目視検査によって確認し、その光沢度を、以下の評価基準に基づいて評価した。樹脂全体にわたって優れた光沢を有する試料は、「AA」;樹脂全体にわたって良好な光沢を有する試料は、「A」;樹脂の一部でムラがあり、光沢のない試料は、「B」;樹脂全体にわたって光沢がない鈍い外観を示す試料は、「C」と評点した。
爪化粧用樹脂の性質は、目視検査によって確認し、硬度および脆さは、以下の評価基準に基づいて評価した。極めて高い硬度を有し、圧力を加えた後でも亀裂またはかけらのない試料は、「AA」と評点し、高い硬度を有し、圧力を加えた後でも亀裂またはかけらのないものは、「A」と評点し、良好な硬度を有するが硬化後に圧力を加えた後に樹脂の一部分で亀裂またはかけらが発生したものは、「B」、弱い硬度を有するものまたは容易に亀裂するかもしくは欠ける樹脂は、「C」と評点した。
組成物を爪に塗布し、硬化させた後、2週間が過ぎた後の外観を確認し、以下の評価基準に基づいて耐久性を評点した。外観および完全なコーティングを少なくとも2週間維持する試料は、「A」;2週間後にキューティクル部の一部分からおよび爪の先端において樹脂が剥がれるかまたは離れるものは、「B」;2週間後にキューティクル部の一部および爪の先端において亀裂するかまたは欠けた樹脂を有するものは、「C」と評点した。
抽出率値は、式(W1-W2)/W1×100(%)によって取得した。式中、W1は、硬化させるために爪化粧用組成物を光で照射した後に、2-プロパノールで拭いておいた4枚の樹脂の重量を表し、W2は、室温で30mLのアセトン中に一夜(約16時間)浸漬し、取り出し、続いて乾燥機中105℃で約3時間乾燥し、次にデシケータ中で約30分間冷却しておいた樹脂の重量を表す。
含水率は、方程式(W3-W4)/W3×100(%)によって取得した。式中、W3は、硬化させるために爪化粧用組成物を光で照射した後に、2-プロパノールで拭いておいた4枚の樹脂の重量を表し、W4は、30mLの蒸留水中に浸漬し、20℃に設定した恒温水槽中にそのまま一夜(約16時間)静置し、取り出し、続いて乾燥機中105℃で約3時間乾燥し、デシケータ中で約30分間冷却した樹脂の重量を表す。
評価における使用のための約0.3mmの厚さを有する爪甲を調製するために、PPプレートを簡便に作製するための型で閉じたシステム中で爪化粧用組成物を硬化させた。2-プロパノールによる拭き取りは、行わなかった。レーダーデベロップメントカンパニー(Rehder Development Company)によって製造されたGTG(GAS to GAS)アナライザーを用いて測定を行った。測定時間は、35℃の温度で2分間であり、取得した測定値を変換してDk値を得た。Dk値とは、酸素透過係数[(cm2/sec)・(mlO2/(mL×mmHg))]の値を指し、酸素透過係数値に1011を乗じることによって得る。
光を照射することによって爪化粧用組成物を硬化させた後に、2-プロパノール水溶液(505)を用いて2枚の樹脂を拭いた。次に20°および60°における測定値を決定するためにコニカミノルタによって製造されたISO2813、ISO7668、ASTM D523、ASTM D2457、DIN67 530、JIS Z8741、GM-268Plusに対応する光沢度計を用いて光沢を測定した。
実験例1~11中の組成物の硬化後の原材料の配合比(重量%)、被覆性および外観を評価した後に得た結果を下表1および2にまとめる。原材料の配合比(重量%)、被覆性、硬化後の外観、光沢、硬度および脆さ、耐久性、抽出率、含水量および酸素透過係数を評価した後に得た結果を下表3および4にまとめる。実験例1~20に記載する爪化粧用組成物は、表1~4から分るように、優れた被覆性および硬化性を有する。シリコーンマクロモノマーは、好ましくは2重量部以上から80重量部以下の範囲、特に好ましくは50重量部以上から75重量部以下の範囲で含有されると推測できる。特に、10以上から40以下のシリコーン単位の繰り返し数nを有するシリコーンマクロモノマーを用いた爪化粧用組成物は、硬化後に美しい外観および良好な光沢を示す。基材は、好ましくは、シリコーンマクロモノマーに加えて、共重合モノマーであるアクリロイルモルホリン、N,N-ジエチルアクリルアミド、2-メトキシエチルアクリレート、およびエチレングリコールジメタクリレートのうち少なくとも1種を含有する。重合開始剤および架橋剤は、100重量部の基材に対して好ましくは1.0重量部以上から20重量部以下の範囲、2重量部以上から10重量部以下の範囲で含まれると推測される。
爪化粧用樹脂の水分蒸散性は、デルフィンテクノロジーズインク(Delfin Technologies Inc.)によって製造されたバポメーター(VapoMeter)を用いて評価した。本明細書に記載したいくつかの実施形態による爪化粧用組成物の試料を取得し、PP平板の上で評価した。市販のジェルネイルおよびマニキュア液の試料も調製し、試験に付した。ジェルネイルの場合は18W-LEDランプ(405nm)を備えたパラジェル「LEDパラライトIV」硬化装置を適用し、照射時間を1分に設定した。マニキュア液の場合は、試料を調製するために2ラウンドのコーティングと乾燥とを行った。試料は、水分蒸散性の測定の前に少なくとも24時間蒸留水中に浸漬した。
Claims (30)
- 爪の表面に塗布されるように構成されたジェルネイル化粧用組成物であって、前記ジェルネイル化粧用組成物は、硬化したとき15g/m2・hrより大きな水分蒸散率を有し、
少なくとも2つの重合性官能基を有するシリコーンマクロモノマーを含む基材を含み、
前記基材は、第1の構造を有する第1のシリコーンマクロモノマーと第2の構造を有する第2のシリコーンマクロモノマーとを含み、前記第2の構造の鎖長は、前記第1の構造の鎖長より長く、前記第2のシリコーンマクロモノマーは、前記第1のシリコーンマクロモノマー以上の重量比で含まれる、ジェルネイル化粧用組成物。 - 前記基材は、第1の構造を有する第1のシリコーンマクロモノマーと第2の構造を有する第2のシリコーンマクロモノマーとを含み、
前記第2の構造の鎖長は、前記第1の構造の鎖長より長く、前記第2のシリコーンマクロモノマーは、前記第1のシリコーンマクロモノマー以上の重量比で含まれる、請求項1に記載のジェルネイル化粧用組成物。 - 爪の表面に塗布されるように構成されたジェルネイル化粧用組成物であって、前記ジェルネイル化粧用組成物は、硬化したとき15g/m2・hrより大きな水分蒸散率を有し、
少なくとも2つの重合性官能基を有するシリコーンマクロモノマーを含む基材を含み、
前記シリコーンマクロモノマーは、重合開始剤及び着色剤及び顔料を除いた100重量部の前記基材の成分全体に対して10重量部以上から80重量部以下の範囲内で含まれ、
前記シリコーンマクロモノマーは、次の化学式
(R-A) x -B
による構造を有し、
Rは、重合性官能基であり、Aは、連結原子または基であり、Bは、シリコーン含有基であり、Xは、任意の整数であり、
前記シリコーンマクロモノマーは、前記シリコーン含有基としてのポリシロキサン構造と連結基としてのウレタン結合およびエーテル結合とを少なくとも含む、ジェルネイル化粧用組成物。 - 爪の表面に塗布されるように構成されたジェルネイル化粧用組成物であって、前記ジェルネイル化粧用組成物は、硬化したとき15g/m2・hrより大きな水分蒸散率を有し、
少なくとも2つの重合性官能基を有するシリコーンマクロモノマーを含む基材を含み、
前記シリコーンマクロモノマーは、重合開始剤及び着色剤及び顔料を除いた100重量部の前記基材の成分全体に対して10重量部以上から80重量部以下の範囲内で含まれ、
前記基材は、重合開始剤、を含み、
前記重合開始剤は、2種以上が前記基材に含まれる、ジェルネイル化粧用組成物。 - 爪の表面に塗布されるように構成されたジェルネイル化粧用組成物であって、前記ジェルネイル化粧用組成物は、硬化したとき15g/m2・hrより大きな水分蒸散率を有し、
少なくとも2つの重合性官能基を有するシリコーンマクロモノマーを含む基材を含み、
前記シリコーンマクロモノマーは、重合開始剤及び着色剤及び顔料を除いた100重量部の前記基材の成分全体に対して10重量部以上から80重量部以下の範囲内で含まれ、
前記基材は、アクリロイルモルホリン、N,N-ジエチルアクリルアミドおよび2-メトキシエチルアクリレートのうち少なくとも1種をさらに含む、ジェルネイル化粧用組成物。 - 前記硬化したジェルネイル化粧用組成物の水分蒸散率は、28g/m2・hrより大きい、請求項1~5のいずれか1項に記載のジェルネイル化粧用組成物。
- 前記ジェルネイル化粧用組成物は、硬化したとき25barrer以上の酸素透過係数を有する、請求項1~6のいずれか1項に記載のジェルネイル化粧用組成物。
- 前記シリコーンマクロモノマーは、次の化学式
(R-A)x-B
による構造を有し;
Rは、重合性官能基であり、Aは、連結原子または基であり、Bは、シリコーン含有基であり、Xは、任意の整数である、請求項1、2、4~7のいずれか1項に記載のジェルネイル化粧用組成物。 - 前記シリコーンマクロモノマーは、前記シリコーン含有基としてのポリシロキサン構造と連結基としてのウレタン結合およびエーテル結合とを少なくとも含む、請求項8に記載のジェルネイル化粧用組成物。
- 前記シリコーンマクロモノマーは、少なくとも2種の化学的に異なるシリコーンマクロモノマーを含む、請求項11に記載のジェルネイル化粧用組成物。
- a=b=1である第1のシリコーンマクロモノマーと;
a≧1かつb>1である第2のシリコーンマクロモノマーと;
を含み、
前記第2のシリコーンマクロモノマーに対する前記第1のシリコーンマクロモノマーの質量比は、10/90以上から50/50以下である、請求項12に記載のジェルネイル化粧用組成物。 - 前記基材は、重合開始剤、を含む、請求項1~3、5~13のいずれか1項に記載のジェルネイル化粧用組成物。
- 前記重合開始剤は、該重合開始剤及び着色剤及び顔料を除いた100重量部の前記基材に対して2重量部以上15重量部以下の範囲内で含まれる、請求項14に記載のジェルネイル化粧用組成物。
- 前記重合開始剤は、2種以上が前記基材に含まれる、請求項14又は15に記載のジェルネイル化粧用組成物。
- 前記基材は、アクリロイルモルホリン、N,N-ジエチルアクリルアミドおよび2-メトキシエチルアクリレートのうち少なくとも1種をさらに含む、請求項1~4、6~16のいずれか1項に記載のジェルネイル化粧用組成物。
- 架橋剤であって、前記架橋剤は、二官能架橋剤、三官能架橋剤または四官能架橋剤のうち少なくとも1種を含む架橋剤をさらに含む、請求項1~17のいずれか1項に記載のジェルネイル化粧用組成物。
- 前記ジェルネイル化粧用組成物は、回転粘度計を用いて20℃で測定して50mPa・sから38,000mPa・sの粘度を有する、請求項1~18のいずれか1項に記載のジェルネイル化粧用組成物。
- 前記シリコーンマクロモノマーは、重合開始剤及び着色剤及び顔料を除いた100重量部の前記基材に対して10重量部以上78重量部以下の範囲内で含まれる、請求項1~19のいずれか1項に記載のジェルネイル化粧用組成物。
- 前記シリコーンマクロモノマーは、重合開始剤及び着色剤及び顔料を除いた100重量部の前記基材に対して20重量部以上77重量部以下の範囲内で含まれる、請求項1~20のいずれか1項に記載のジェルネイル化粧用組成物。
- 請求項1~21のいずれか1項のジェルネイル化粧用組成物を用いて硬化した爪化粧用組成物を爪の上に形成する方法であって、
爪化粧用組成物を爪の上に塗布するステップと;
前記爪化粧用組成物を主波長で80mW/cm2以下の照度を有する光に3分未満曝露して前記爪化粧用組成物を硬化させるステップと;
を含む、方法。 - 前記硬化した爪化粧用組成物は、25barrerより大きな酸素透過率を有する、請求項22に記載の方法。
- 前記硬化した爪化粧用組成物は、50barrerより大きな酸素透過率を有する、請求項22又は23に記載の方法。
- 前記硬化した爪化粧用組成物は、75barrerより大きな酸素透過率を有する、請求項22~24のいずれか1項に記載の方法。
- 前記硬化した爪化粧用組成物は、100barrerより大きな酸素透過率を有する、請求項22~25のいずれか1項に記載の方法。
- 基材としてのシリコーンマクロモノマーによって重合したシリコーン単位を含み、
前記シリコーンマクロモノマーは、2つ以上の重合性官能基を有し、
前記基材は、第1の構造を有する第1のシリコーンマクロモノマーと第2の構造を有する第2のシリコーンマクロモノマーとを含み、前記第2の構造の鎖長は、前記第1の構造の鎖長より長く、前記第2のシリコーンマクロモノマーは、前記第1のシリコーンマクロモノマー以上の重量比で含まれ、
15g/m2・hrより大きな水分蒸散率を有する、
爪の化粧のための爪化粧用樹脂。 - 基材としてのシリコーンマクロモノマーによって重合したシリコーン単位を含み、
前記シリコーンマクロモノマーは、2つ以上の重合性官能基を有し、
前記シリコーンマクロモノマーは、重合開始剤及び着色剤及び顔料を除いた100重量部の前記基材の成分全体に対して10重量部以上から80重量部以下の範囲内で含まれ、
15g/m2・hrより大きな水分蒸散率を有し、
前記シリコーンマクロモノマーは、次の化学式
(R-A) x -B
による構造を有し、
Rは、重合性官能基であり、Aは、連結原子または基であり、Bは、シリコーン含有基であり、Xは、任意の整数であり、
前記シリコーンマクロモノマーは、前記シリコーン含有基としてのポリシロキサン構造と連結基としてのウレタン結合およびエーテル結合とを少なくとも含む、爪の化粧のための爪化粧用樹脂。 - 基材としてのシリコーンマクロモノマーによって重合したシリコーン単位を含み、
前記シリコーンマクロモノマーは、2つ以上の重合性官能基を有し、
前記シリコーンマクロモノマーは、重合開始剤及び着色剤及び顔料を除いた100重量部の前記基材の成分全体に対して10重量部以上から80重量部以下の範囲内で含まれ、
15g/m2・hrより大きな水分蒸散率を有し、
前記基材は、重合開始剤、を含み、
前記重合開始剤は、2種以上が前記基材に含まれる、爪の化粧のための爪化粧用樹脂。 - 基材としてのシリコーンマクロモノマーによって重合したシリコーン単位を含み、
前記シリコーンマクロモノマーは、2つ以上の重合性官能基を有し、
前記シリコーンマクロモノマーは、重合開始剤及び着色剤及び顔料を除いた100重量部の前記基材の成分全体に対して10重量部以上から80重量部以下の範囲内で含まれ、
15g/m2・hrより大きな水分蒸散率を有し、
前記基材は、アクリロイルモルホリン、N,N-ジエチルアクリルアミドおよび2-メトキシエチルアクリレートのうち少なくとも1種をさらに含む、爪の化粧のための爪化粧用樹脂。
Applications Claiming Priority (3)
| Application Number | Priority Date | Filing Date | Title |
|---|---|---|---|
| JP2016185331 | 2016-09-23 | ||
| JP2016185331 | 2016-09-23 | ||
| PCT/JP2017/036202 WO2018056472A1 (en) | 2016-09-23 | 2017-09-25 | Cosmetic composition for nails, method of using same, and cosmetic resin for nails |
Publications (2)
| Publication Number | Publication Date |
|---|---|
| JP2019530680A JP2019530680A (ja) | 2019-10-24 |
| JP7105225B2 true JP7105225B2 (ja) | 2022-07-22 |
Family
ID=61690855
Family Applications (1)
| Application Number | Title | Priority Date | Filing Date |
|---|---|---|---|
| JP2019515559A Active JP7105225B2 (ja) | 2016-09-23 | 2017-09-25 | ジェルネイル化粧用組成物、その使用方法、爪化粧用組成物及び爪化粧用樹脂 |
Country Status (6)
| Country | Link |
|---|---|
| US (1) | US11278489B2 (ja) |
| EP (1) | EP3512493A4 (ja) |
| JP (1) | JP7105225B2 (ja) |
| CN (1) | CN109715135B (ja) |
| CA (1) | CA3038042A1 (ja) |
| WO (1) | WO2018056472A1 (ja) |
Families Citing this family (3)
| Publication number | Priority date | Publication date | Assignee | Title |
|---|---|---|---|---|
| CN109715135B (zh) | 2016-09-23 | 2023-01-24 | 株式会社目立康 | 美甲用化妆品组合物、其使用方法和美甲用化妆品树脂 |
| JP2020055772A (ja) * | 2018-10-01 | 2020-04-09 | 株式会社サクラクレパス | 硬化性ジェルネイル組成物、ジェルネイルベース層、ジェルネイル、及び、ジェルネイル組成物セット |
| KR20250126009A (ko) * | 2022-12-23 | 2025-08-22 | 다우 도레이 캄파니 리미티드 | 라디칼 중합성 폴리카보네이트 변성 실리콘 화합물, 이를 사용하는 신규 실리콘-폴리카보네이트 공중합체 입자 및 화장료 조성물 그 외의 용도 |
Citations (4)
| Publication number | Priority date | Publication date | Assignee | Title |
|---|---|---|---|---|
| JP2002322034A (ja) | 2001-04-06 | 2002-11-08 | L'oreal Sa | 不飽和モノマーを含まない光−架橋性マニキュア |
| JP2007269939A (ja) | 2006-03-31 | 2007-10-18 | Menicon Co Ltd | ガス透過性材料 |
| JP2013043853A (ja) | 2011-08-24 | 2013-03-04 | Jujo Chemical Kk | 光硬化型ジェルネイル用下地剤およびジェルネイル方法 |
| KR101646004B1 (ko) | 2015-10-15 | 2016-08-09 | 유한회사 베리카화장품 | 젤 폴리시 조성물 |
Family Cites Families (18)
| Publication number | Priority date | Publication date | Assignee | Title |
|---|---|---|---|---|
| NO134790C (no) | 1968-07-09 | 1984-03-22 | Smith & Nephew | Klebende,; trykkfoelsomt, vanndamp-permeabelt produkt for bruk paa hud hos mennesker. |
| JPS5466347A (en) | 1977-11-08 | 1979-05-28 | Sankyo Aruminiumu Kougiyou Kk | Surface treatment of aluminium to impart pattern |
| US4649045A (en) * | 1986-04-03 | 1987-03-10 | Desoto, Inc. | Coating compositions and nail polish compositions including the same |
| JPH05255043A (ja) | 1991-03-07 | 1993-10-05 | Nippon Oil & Fats Co Ltd | ネイル化粧料 |
| JPH0892038A (ja) | 1994-09-28 | 1996-04-09 | Kao Corp | 水系美爪料 |
| JPH1149836A (ja) | 1997-08-04 | 1999-02-23 | Three Bond Co Ltd | 光硬化性シリコーン組成物 |
| JP2001146522A (ja) | 1999-11-19 | 2001-05-29 | Dow Corning Asia Ltd | ポリシロキサンの光硬化方法 |
| EP1106653A3 (en) | 1999-11-19 | 2002-03-20 | Dow Corning Asia, Ltd. | Method for photocuring polyorganosiloxane and polysiloxane composition for optical use |
| JP2003342128A (ja) * | 2002-05-29 | 2003-12-03 | Mikimoto Pharmaceut Co Ltd | 美爪料及びその製造方法 |
| WO2007060710A1 (ja) | 2005-11-22 | 2007-05-31 | Seed Co., Ltd. | 美爪料及びその製造方法 |
| JP2011105639A (ja) | 2009-11-17 | 2011-06-02 | Kao Corp | シリコーンゲル組成物 |
| FR3005052B1 (fr) * | 2013-04-30 | 2015-04-17 | Oreal | Compose adapte au maquillage et/ou soin des ongles |
| DE102013106905A1 (de) | 2013-07-01 | 2015-01-08 | Evonik Industries Ag | Siloxan-Polymere mit zentralem Polysiloxan-Polymerblock mit organofunktionellen Resten mit jeweils mindestens zwei bivalenten Gruppen ausgewählt aus Harnstoff- und/oder Carbamat-Gruppen und mindestens einem UV/Vis-Chromophor als Rest |
| JP5452756B1 (ja) * | 2013-07-02 | 2014-03-26 | Hoya株式会社 | 親水性表面を有するシリコーン含有共重合体成形品を作製する方法及び親水性表面を有するシリコーンハイドロゲルコンタクトレンズ |
| JP6023899B2 (ja) | 2013-12-16 | 2016-11-09 | 株式会社メニコン | 眼用レンズ |
| FR3027902B1 (fr) * | 2014-10-29 | 2019-10-18 | L'oreal | Polymere a groupes alcoxysilane et utilisation en cosmetique |
| FR3027903B1 (fr) * | 2014-10-29 | 2016-11-25 | Oreal | Polymere a groupes alcoxysilane et utilisation en cosmetique |
| CN109715135B (zh) | 2016-09-23 | 2023-01-24 | 株式会社目立康 | 美甲用化妆品组合物、其使用方法和美甲用化妆品树脂 |
-
2017
- 2017-09-25 CN CN201780058254.0A patent/CN109715135B/zh active Active
- 2017-09-25 US US16/335,983 patent/US11278489B2/en active Active
- 2017-09-25 JP JP2019515559A patent/JP7105225B2/ja active Active
- 2017-09-25 CA CA3038042A patent/CA3038042A1/en active Pending
- 2017-09-25 WO PCT/JP2017/036202 patent/WO2018056472A1/en not_active Ceased
- 2017-09-25 EP EP17853239.6A patent/EP3512493A4/en not_active Withdrawn
Patent Citations (4)
| Publication number | Priority date | Publication date | Assignee | Title |
|---|---|---|---|---|
| JP2002322034A (ja) | 2001-04-06 | 2002-11-08 | L'oreal Sa | 不飽和モノマーを含まない光−架橋性マニキュア |
| JP2007269939A (ja) | 2006-03-31 | 2007-10-18 | Menicon Co Ltd | ガス透過性材料 |
| JP2013043853A (ja) | 2011-08-24 | 2013-03-04 | Jujo Chemical Kk | 光硬化型ジェルネイル用下地剤およびジェルネイル方法 |
| KR101646004B1 (ko) | 2015-10-15 | 2016-08-09 | 유한회사 베리카화장품 | 젤 폴리시 조성물 |
Also Published As
| Publication number | Publication date |
|---|---|
| CN109715135B (zh) | 2023-01-24 |
| JP2019530680A (ja) | 2019-10-24 |
| CN109715135A (zh) | 2019-05-03 |
| US11278489B2 (en) | 2022-03-22 |
| US20190274947A1 (en) | 2019-09-12 |
| CA3038042A1 (en) | 2018-03-29 |
| EP3512493A4 (en) | 2020-04-15 |
| WO2018056472A1 (en) | 2018-03-29 |
| EP3512493A1 (en) | 2019-07-24 |
Similar Documents
| Publication | Publication Date | Title |
|---|---|---|
| JP6389368B2 (ja) | 除去性の改善された人工爪被覆組成物 | |
| CN102770119B (zh) | 指甲或人工指甲被覆用硬化性树脂组合物 | |
| JPWO2015046300A1 (ja) | 人工爪組成物、人工爪、人工爪の形成方法、及び、ネイルアートキット | |
| JPWO2014157272A1 (ja) | 人工爪組成物、人工爪、人工爪の形成方法、及び、ネイルアートキット | |
| WO2011016531A1 (ja) | 爪装飾用硬化性組成物、爪装飾の形成方法、及び、爪装飾の除去方法 | |
| JP7105225B2 (ja) | ジェルネイル化粧用組成物、その使用方法、爪化粧用組成物及び爪化粧用樹脂 | |
| TWI817009B (zh) | 塗料組成物、裝飾薄膜及裝飾成形品 | |
| JPWO2014157271A1 (ja) | 人工爪組成物、人工爪、人工爪の形成方法、人工爪の除去方法、及び、ネイルアートキット | |
| JP2017210457A (ja) | 疎水性ウレタン(メタ)アクリレートオリゴマー含有自爪塗布用光硬化性人工爪組成物 | |
| JP7297228B2 (ja) | 抗菌性爪化粧料 | |
| JP7199693B2 (ja) | 光硬化性爪化粧料 | |
| JP2020132590A (ja) | 重合性歯科用樹脂組成物 | |
| JP2011229725A (ja) | 爪装飾の形成方法およびその除去方法、並びに、爪装飾および爪装飾用キット | |
| JP7289498B2 (ja) | 美爪料組成物 | |
| JPWO2016194731A1 (ja) | 爪化粧料、及び、ネイルアートキット | |
| WO2016194732A1 (ja) | 爪化粧料、及び、ネイルアートキット | |
| ES2988537T3 (es) | Procedimientos y composiciones para eliminar fácilmente los recubrimientos de uñas | |
| JP6841485B2 (ja) | 重合禁止剤含有ウレタン(メタ)アクリレートオリゴマー光硬化性人工爪組成物 | |
| CN105764483A (zh) | 作为底涂层的可光致交联指甲油组合物和应用方法 | |
| JP6429307B2 (ja) | 人工爪被覆組成物 | |
| JPWO2016194730A1 (ja) | 爪化粧料及びネイルアートキット | |
| WO2025189613A1 (zh) | 树脂组合物,人工指甲及其制备方法 | |
| JP2017149668A (ja) | 爪用プライマー組成物、人工爪、人工爪の形成方法、及び、ネイルアートキット | |
| HK40006662A (en) | Cosmetic composition for nails, method of using same, and cosmetic resin for nails | |
| HK40006662B (en) | Cosmetic composition for nails, method of using same, and cosmetic resin for nails |
Legal Events
| Date | Code | Title | Description |
|---|---|---|---|
| A521 | Request for written amendment filed |
Free format text: JAPANESE INTERMEDIATE CODE: A523 Effective date: 20190820 |
|
| A621 | Written request for application examination |
Free format text: JAPANESE INTERMEDIATE CODE: A621 Effective date: 20200709 |
|
| A131 | Notification of reasons for refusal |
Free format text: JAPANESE INTERMEDIATE CODE: A131 Effective date: 20210525 |
|
| A521 | Request for written amendment filed |
Free format text: JAPANESE INTERMEDIATE CODE: A523 Effective date: 20210721 |
|
| A131 | Notification of reasons for refusal |
Free format text: JAPANESE INTERMEDIATE CODE: A131 Effective date: 20211214 |
|
| A521 | Request for written amendment filed |
Free format text: JAPANESE INTERMEDIATE CODE: A523 Effective date: 20220128 |
|
| TRDD | Decision of grant or rejection written | ||
| A01 | Written decision to grant a patent or to grant a registration (utility model) |
Free format text: JAPANESE INTERMEDIATE CODE: A01 Effective date: 20220621 |
|
| A61 | First payment of annual fees (during grant procedure) |
Free format text: JAPANESE INTERMEDIATE CODE: A61 Effective date: 20220711 |
|
| R150 | Certificate of patent or registration of utility model |
Ref document number: 7105225 Country of ref document: JP Free format text: JAPANESE INTERMEDIATE CODE: R150 |
|
| R250 | Receipt of annual fees |
Free format text: JAPANESE INTERMEDIATE CODE: R250 |

















