DE69433181T2 - 5-(2-imidazolinylamino)benzimidazol derivate, deren herstellung und deren verwendung als alpha-2-adrenoceptor agonisten - Google Patents

5-(2-imidazolinylamino)benzimidazol derivate, deren herstellung und deren verwendung als alpha-2-adrenoceptor agonisten Download PDF

Info

Publication number
DE69433181T2
DE69433181T2 DE69433181T DE69433181T DE69433181T2 DE 69433181 T2 DE69433181 T2 DE 69433181T2 DE 69433181 T DE69433181 T DE 69433181T DE 69433181 T DE69433181 T DE 69433181T DE 69433181 T2 DE69433181 T2 DE 69433181T2
Authority
DE
Germany
Prior art keywords
compounds
compound
alpha
methyl
compositions
Prior art date
Legal status (The legal status is an assumption and is not a legal conclusion. Google has not performed a legal analysis and makes no representation as to the accuracy of the status listed.)
Expired - Lifetime
Application number
DE69433181T
Other languages
English (en)
Other versions
DE69433181D1 (de
Inventor
Lee Thomas CUPPS
Eva Sophie BOGDAN
Current Assignee (The listed assignees may be inaccurate. Google has not performed a legal analysis and makes no representation or warranty as to the accuracy of the list.)
University of Nebraska System
Original Assignee
Procter and Gamble Co
Priority date (The priority date is an assumption and is not a legal conclusion. Google has not performed a legal analysis and makes no representation as to the accuracy of the date listed.)
Filing date
Publication date
Family has litigation
First worldwide family litigation filed litigation Critical https://patents.darts-ip.com/?family=26865464&utm_source=google_patent&utm_medium=platform_link&utm_campaign=public_patent_search&patent=DE69433181(T2) "Global patent litigation dataset” by Darts-ip is licensed under a Creative Commons Attribution 4.0 International License.
Application filed by Procter and Gamble Co filed Critical Procter and Gamble Co
Publication of DE69433181D1 publication Critical patent/DE69433181D1/de
Application granted granted Critical
Publication of DE69433181T2 publication Critical patent/DE69433181T2/de
Anticipated expiration legal-status Critical
Expired - Lifetime legal-status Critical Current

Links

Classifications

    • CCHEMISTRY; METALLURGY
    • C07ORGANIC CHEMISTRY
    • C07DHETEROCYCLIC COMPOUNDS
    • C07D403/00Heterocyclic compounds containing two or more hetero rings, having nitrogen atoms as the only ring hetero atoms, not provided for by group C07D401/00
    • C07D403/02Heterocyclic compounds containing two or more hetero rings, having nitrogen atoms as the only ring hetero atoms, not provided for by group C07D401/00 containing two hetero rings
    • C07D403/12Heterocyclic compounds containing two or more hetero rings, having nitrogen atoms as the only ring hetero atoms, not provided for by group C07D401/00 containing two hetero rings linked by a chain containing hetero atoms as chain links
    • AHUMAN NECESSITIES
    • A61MEDICAL OR VETERINARY SCIENCE; HYGIENE
    • A61PSPECIFIC THERAPEUTIC ACTIVITY OF CHEMICAL COMPOUNDS OR MEDICINAL PREPARATIONS
    • A61P1/00Drugs for disorders of the alimentary tract or the digestive system
    • A61P1/12Antidiarrhoeals
    • AHUMAN NECESSITIES
    • A61MEDICAL OR VETERINARY SCIENCE; HYGIENE
    • A61PSPECIFIC THERAPEUTIC ACTIVITY OF CHEMICAL COMPOUNDS OR MEDICINAL PREPARATIONS
    • A61P11/00Drugs for disorders of the respiratory system
    • AHUMAN NECESSITIES
    • A61MEDICAL OR VETERINARY SCIENCE; HYGIENE
    • A61PSPECIFIC THERAPEUTIC ACTIVITY OF CHEMICAL COMPOUNDS OR MEDICINAL PREPARATIONS
    • A61P11/00Drugs for disorders of the respiratory system
    • A61P11/06Antiasthmatics
    • AHUMAN NECESSITIES
    • A61MEDICAL OR VETERINARY SCIENCE; HYGIENE
    • A61PSPECIFIC THERAPEUTIC ACTIVITY OF CHEMICAL COMPOUNDS OR MEDICINAL PREPARATIONS
    • A61P27/00Drugs for disorders of the senses
    • A61P27/02Ophthalmic agents
    • AHUMAN NECESSITIES
    • A61MEDICAL OR VETERINARY SCIENCE; HYGIENE
    • A61PSPECIFIC THERAPEUTIC ACTIVITY OF CHEMICAL COMPOUNDS OR MEDICINAL PREPARATIONS
    • A61P27/00Drugs for disorders of the senses
    • A61P27/02Ophthalmic agents
    • A61P27/06Antiglaucoma agents or miotics
    • AHUMAN NECESSITIES
    • A61MEDICAL OR VETERINARY SCIENCE; HYGIENE
    • A61PSPECIFIC THERAPEUTIC ACTIVITY OF CHEMICAL COMPOUNDS OR MEDICINAL PREPARATIONS
    • A61P27/00Drugs for disorders of the senses
    • A61P27/16Otologicals
    • AHUMAN NECESSITIES
    • A61MEDICAL OR VETERINARY SCIENCE; HYGIENE
    • A61PSPECIFIC THERAPEUTIC ACTIVITY OF CHEMICAL COMPOUNDS OR MEDICINAL PREPARATIONS
    • A61P43/00Drugs for specific purposes, not provided for in groups A61P1/00-A61P41/00

Landscapes

  • Health & Medical Sciences (AREA)
  • Chemical & Material Sciences (AREA)
  • Organic Chemistry (AREA)
  • Life Sciences & Earth Sciences (AREA)
  • General Health & Medical Sciences (AREA)
  • General Chemical & Material Sciences (AREA)
  • Medicinal Chemistry (AREA)
  • Nuclear Medicine, Radiotherapy & Molecular Imaging (AREA)
  • Bioinformatics & Cheminformatics (AREA)
  • Pharmacology & Pharmacy (AREA)
  • Engineering & Computer Science (AREA)
  • Animal Behavior & Ethology (AREA)
  • Chemical Kinetics & Catalysis (AREA)
  • Public Health (AREA)
  • Veterinary Medicine (AREA)
  • Ophthalmology & Optometry (AREA)
  • Pulmonology (AREA)
  • Pharmaceuticals Containing Other Organic And Inorganic Compounds (AREA)
  • Plural Heterocyclic Compounds (AREA)
  • Nitrogen Condensed Heterocyclic Rings (AREA)
  • Medicines That Contain Protein Lipid Enzymes And Other Medicines (AREA)

Description

  • TECHNISCHES GEBIET
  • Die vorliegende Erfindung betrifft bestimmte substituierte 5-(2-Imidazolinnylamino)benzimidazol-Verbindungen. Es wurde gefunden, dass die Verbindungen alpha-Adrenoceptor-Agonisten darstellen und nützlich sind für die Behandlung einer oder mehrerer Atmungs-Funktionsstörungen, insbesondere nasale Kongestion; Augen-Funktionsstörungen, insbesondere Glaukom; und gastrointestinale Funktionsstörungen, insbesondere Diarrhöe.
  • HINTERGRUND DER ERFINDUNG
  • Allgemeine Informationen betreffend alpha-adrenerge Rezeptoren, Agonisten und Antagonisten, und betreffend Verbindungen, die eine ähnliche Struktur aufweisen wie die der vorliegenden Erfindung, sind in den folgenden Literaturstellen offenbart: Timmermans, P:B:M:W:M., A. T. Chiu & M. J. M. C. Thoolen, „12.1 α-Adrenergic Receptors", Comprehensive Medicinal Chemistry, Bd. 3, Membranes & Receptors, P. G. Sammes & J. B. Taylor, Hrg., Pergamon Press (1990), S. 133– 185; Timmermans, P.B.M.W.M. & P.A. van Zwieten, „α-Adrenoceptor Agonists and Antagonists", Drugs of the Future, Bd. 9, Nr. 1, (Januar 1984), S. 41–55; Megens, A.A.H.P., J. E. Leysen, F. H. L. Awouters & C. J. E. Niemegeers, „Further Validation of in vivo and in vitro Pharmacological Procedures for Assessing the α1 and α2-Selectivity of Test Compounds: (2) α-Adrenoceptor Agonists", European Journal of Pharmacology, Bd. 129 (1986), S. 57–64; Timmermans, P.B.M.W.M., A. de Jonge, M. J. M. C. Thoolen, B. Wilffert, H. Batink & P.A. van Zwieten, „Quantitative Relationships between α-Adrenergic Activity and Binding Affinity of α-Adrenoceptor Agonists and Antagonists", Journal of Medicinal Chemistry, Bd. 27 (1984), S. 495– 503; van Meel, J.C.A., A. de Jonge, P.B.M.W.M. Timmermans & P.A. van Zwieten, "Selectivity of Some Alpha Adrenoceptor Agonists for Peropheral Alpha-1 and Alpha-2 Adrenoceptors in the Normotensive Rat", The Journal of Pharmacology and Experimental Therapeutics, Bd. 219, Nr. 3 (1981), S. 760–767; Chapleo, C. B., J. C. Doxey, P. L. Myers, M. Myers, C. F. C. Smith & M. R. Stillings, "Effect of 1,4-Dioxanyl Substitution on the Adrenergic Activity of Some Standard α-Adrenoreceptor Agents", European Journal of Medicinal Chemistry, Bd. 24 (1989), S. 619–622; Chapleo, C. B., R. C. M. Butler, D. C. England, P. L. Myers, A. G. Roach, C. F. C. Smith, M. R. Stillings & I. F. Tulloch, "Heteroaromatic Analogues of the α-2-Adrenoreceptor Partial Agonist Clonidine", J. Med. Chem., Bd. 32 (1989), S. 1627–1630; Clare, K. A., M. C. Scutton & N. T. Thompson, "Effects of α2-Adrenoceprtor Agonists and of Related Compounds on Aggregation of and on Adenylate Cyclase Activity in, Human Platelets", Br. J. Pharmac., Bd. 82 (1984), S. 467– 476; U.S.-Patente 3,890,319 und 5,180,721; WO 92/02515, WO 92/04345 (= U.S. 5,091,528) und WO 92/13855. Viele Verbindungen jedoch, die strukturell solchen der vorliegenden Erfindung ähneln, stellen nicht die gewünschte Aktivität und Spezifität zur Verfügung, wenn Atmungs-, Augen- und gastrointestinale Funktionsstörungen behandelt werden.
  • US 4,398,028 , die als anti-hypertensive Wirkstoffe verwendbare Verbindungen betrifft, und EP-A-399,791, die die Potenzierung von alpha-2-Agonisten mit einem alpha-3-Antagonisten betrifft, offenbaren beide eine generische Formel, die einige der Verbindungen der vorliegenden Erfindung umfassen kann.
  • WO 96/04270, deren frühestes Prioritätsdatum der zweiten Priorität der vorliegenden Anmeldung vorausgeht, und die nur unter Art. 54(3) EPÜ relevant ist, offenbart ebenfalls 5-(2-Imidazolinylamino)benzimidazol-Derivate.
  • Es ist für die vorliegende Erfindung insbesondere relevant, dass bei Verbindungen, von denen gefunden wurde, dass sie wirksame nasale Abschweller darstellen, oft unerwünschte Nebenwirkungen auftreten, wie zum Beispiel Bluthochdruck und Schlaflosigkeit verursachend, insbesondere wenn sie systemisch verabreicht werden. Es gibt eine Notwendigkeit für neue Arzneimittel, die eine Entlastung von nasaler Kongestion bereit stellen, ohne diese unerwünschten Nebenwirkungen zu verursachen.
  • Es ist eine Aufgabe der vorliegenden Erfindung, neue Verbindungen mit umfangreicher Aktivität bei der Vermeidung oder Behandlung von nasaler Kongestion bereit zu stellen.
  • Es ist eine weitere Aufgabe der vorliegenden Erfindung, solche Verbindungen zur Verfügung zu stellen, die keine Hypotonie, Benommenheit, Bluthochdruck, Schlaflosigkeit oder andere unerwünschte Nebenwirkungen verursachen, insbesondere, wenn sie systemisch verabreicht werden.
  • Es ist außerdem eine Aufgabe der vorliegenden Erfindung, neue Verbindungen zur Behandlung von Husten, chronischer Bronchitis (chronic obstructive pulmonary disease – COPD) und/oder Asthma zur Verfügung zu stellen.
  • Es ist außerdem eine Aufgabe der vorliegenden Erfindung, neue Verbindungen zur Behandlung von Glaukom und/oder Diarrhöe zur Verfügung zu stellen.
  • Es ist noch eine weitere Aufgabe der vorliegenden Erfindung, solche Verbindungen zur Verfügung zu stellen, die eine gute Aktivität aus einer peroralen und/oder topischen Dosierung aufweisen.
  • ZUSAMMENFASSUNG DER ERFINDUNG
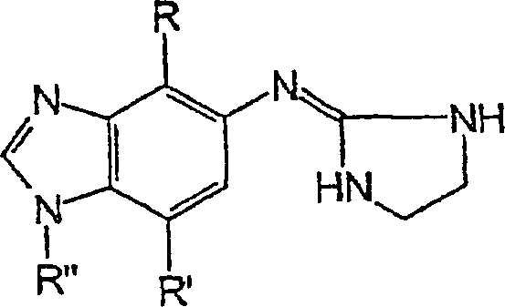
  • Die vorliegende Erfindung betrifft Verbindungen mit der folgenden Struktur:
    Figure 00030001
    worin
    (a) R unsubstituiertes Alkanyl oder Alkenyl mit bis zu 3 Kohlenstoffatomen ist;
    (b) R' gewählt ist aus Methyl, Cyano- und Fluor-; und
    (c) R'' Wasserstoff ist
    pharmazeutische Zusammensetzungen, die solche neuen Verbindungen enthalten, und die Verwendung solcher Verbindungen zur Vermeidung oder Behandlung anderer Atmungs-, Augen- und/oder gastrointestinaler Funktionsstörungen.
  • DETAILLIERTE BESCHREIBUNG DER ERFINDUNG
  • Wie hierin verwendet, meint „Alkanyl" einen gesättigten Kohlenwasserstoffsubstituenten, gerad- oder verzweigtkettig.
  • Wie hierin verwendet, meint „Alkenyl" einen Kohlenwasserstoffsubstituenten mit einer Doppelbindung, gerad- oder verzweigtkettig.
  • Verbindungen
  • Die vorliegende Erfindung umfasst Verbindungen mit der folgenden Struktur:
  • Figure 00030002
  • In der obigen Struktur ist R unsubstituiertes Alkanyl oder Alkenyl mit bis zu 3 Kohlenstoffatomen. R ist vorzugsweise Alkanyl. R ist höchst vorzugsweise Methyl oder Ethyl.
  • In der obigen Struktur ist R' gewählt aus Methyl, Cyano- und Fluor-.
  • In der obigen Struktur ist R'' Wasserstoff.
  • Bevorzugte Verbindungen der vorliegenden Erfindung weisen die folgende Struktur auf:
    Figure 00040001
    worin R, R' und R'' wie in der folgenden Tabelle angegeben sind:
  • Figure 00040002
  • Die Verbindungen der vorliegenden Erfindung sind insbesondere nützlich für die Behandlung von nasaler Kongestion, verbunden mit Allergien, Erkältungen und anderen nasalen Funktionsstörungen, als auch ihrer Folgekrankheiten (zum Beispiel Sinusitis und Otitis). Gleichzeitig wurde gefunden, dass unerwünschte Nebenwirkungen, wie zum Beispiel Hypotonie, Benommenheit, Bluthochdruck oder Schlaflosigkeit oftmals vermieden werden können. Ohne einen speziellen Wirkmechanismus beschränkt zu sein wird von den vorliegenden Verbindungen angenommen, dass sie gegenüber ähnlichen Verbindungen Vorteile bei der Behandlung von nasaler Abschwellung durch ihre Fähigkeit, mit alpha-2-Adrenozeptoren zusammenzuwirken, bieten. Bei den vorliegenden Verbindungen wurde gefunden, dass sie alpha-2-Adrenozeptor-Agonisten darstellen, die ein Zusammenziehen von peripheren Gefäßbahnen in den Nasenmuscheln verursachen.
  • Bestimmte vorliegende Verbindungen weisen keine oder nur schwache alpha-1-Agonistenaktivität auf und besitzen eine geringe oder keine Wirkung auf das zentrale Nervensystem, selbst wenn sie systemisch dosiert werden.
  • Die Verbindungen der vorliegenden Erfindung sind ebenfalls nützlich für die Behandlung von Augen-Funktionsstörungen, verbunden mit erhöhtem Augeninnendruck, wie zum Beispiel Glaukom. Die Verbindungen werden entweder peroral oder topisch als Tropfen, Gels oder Cremes direkt auf die Oberfläche des Säugetierauges verabreicht.
  • Die Verbindungen der vorliegenden Erfindung sind ebenfalls nützlich zur Kontrolle von gastrointestinalen Bewegungs-Funktionsstörungen, wie zum Beispiel Diarrhöe, durch antimotilitale und antisekretorische Wirkungen auf den Gastrointestinaltrakt.
  • Die pharmakologische Aktivität und Selektivität der vorliegenden Verbindungen kann unter Verwendung veröffentlichter Testverfahren bestimmt werden. Die alpha-2-Selektivität der Verbindungen wird bestimmt durch Messung von Rezeptor-Bindungsaffinitäten und in vitro-funktionalen Wirkstoffgehalten in einer Vielzahl von Geweben, von denen bekannt ist, dass sie alpha-2- und/oder alpha-1-Rezeptoren besitzen. (Vgl., z. B., The Alpha-2 Adrenergnic Receptors, L. E. Limbird, Hrg., Humana Press, Clifton, NJ.) Die folgenden in vivo-Untersuchungen werden typischerweise in Nagern oder anderen Spezies durchgeführt. Die Zentralnervensystem-Aktivität wird bestimmt durch Messung der Bewegungsaktivität als dem Sedierungsindex. (Vgl., z. B., Spyraki, C. & H. Fibiger, „Clonidine-induced Sedation in Rats: Evidence for Mediation by Postsynaptic Alpha-2 Adrenoreceptors", J. Neural. Trans., Bd. 54 (1982), S. 153–163). Die nasale Abschwellaktivität wird unter Verwendung der Rhinomanometrie als Abschätzung der nasalen Atemwegswiderstandsfähigkeit gemessen. (Vgl., z. B., Salem, S. & E. Clemente, „A New Experimantal Method for Evaluating Drugs in the Nasal Cavity", Arch. Otolarynng, Bd. 96 (1972), S. 524–529). Die Antiglaukomaktivität wird durch Messung des Augeninnendrucks bestimmt. (Vgl., z. B., Potter, D., „Adrenergic Pharmacology of Aqueous Human Dynamics", Pharmacol. Rev., Bd. 13 (1981), S. 133–153). Die Antidiarrhöe-Aktivität wird durch Messung der Fähigkeit der Verbindungen, prostaglandin-induzierte Diarrhöe zu verhindern, bestimmt. (Vgl., z. B., Thollander, M., P. Hellstrom & T. Svensson, „Suppression of Castor Oil-Induced Diarrhea by Alpha-2 Adrenoceptor Agonists", Aliment. Pharmacol. Therap., Bd. 5 (1991), S. 255–262). Die Antiasthma-Aktivität wird durch Messung des Wirkung der Verbindung auf Bronchokonstriktion, verbunden mit pulmonalen Schwierigkeiten, wie zum Beispiel eingeatmeten Antigenen, bestimmt. (Vgl., z. B., Chang, J. J. Musser & J. Hind, § "Effects of a Novel Leukotriene D4 Antagonist with 5-Lipoxygenase and Cyclooxygenase Inhibitory Activity, Wy-45,911, on Leukotriene-D4- and Antigen-Induced Bronchoconstriction in Guinea Pig", Int. Arch. Allegry Appl. Immun., Bd. 86 (1988), S. 48–54; und Delehunt, J., A. Perruchound, L. Yerger, B. Marchette, J. Stevenson & W. Abraham, „The Role of Slow-Reacting Substance of Anaphylaxis in the Late Bronchial Response After Antigen Challenge in Allergic Sheep", Am. Rev. Respir. Dis., Bd. 130 (1984), S. 748–754). Die Aktivität bei Husten wird bestimmt durch Messung der Anzahl und der Latenzzeit der Hustenreaktion auf Atemschwierigkeiten, wie zum Beispiel eingeatmete Zitronensäure. (Vgl., z. B., Callaway, J. & R. King, "Effects of Inhaled Alpha-2-Adrenoceptor and GABAB Receptor Agonists on Citric Acid-Induced Cough and Tidal Volume Changes in Guinea Pig", Eur. J. Pharmacol., Bd. 220 (1992), S. 187–185).
  • Die Verbindungen der vorliegenden Erfindung werden synthetisiert unter Verwendung der folgenden allgemeinen Arbeitsverfahren:
  • Schema 1
    Figure 00070001
  • Schema 2
    Figure 00080001
  • Schema 3
    Figure 00090001
  • Beispiel 1 Synthese von 7-Fluor-4-methyl-5-(2-imidazolinylamino)benzimidazol:
    Figure 00090002
  • 2,3-Dinitro-4-fluortoluol.
  • Rauchende Schwefelsäure (180 ml) wird unter Argonatmosphäre tropfenweise zu 4-Fluor-2-nitrotoluol (50,21 g) gegeben. Die interne Temperatur der Mischung wird unter Verwendung eines Eis/Natriumchloridbades bei 0–5°C gehalten. Eine vorgebildete (Eisbad) Mischung aus rauchender Salpetersäure (30 ml) und rauchender Schwefelsäure (90 ml) wird tropfenweise über drei Stunden zu der vorhergehenden Lösung gegeben. Die Reaktion wird dann auf Raumtemperatur aufwärmen gelassen. Nach zweistündigem Rühren bei Raumtemperatur wird die Mischung langsam in Eis eingegossen und die Produkte werden mit Methylenchlorid (4 × 500 ml) extrahiert. Die kombinierten Extrakte werden über Magnesiumsulfat getrocknet, filtriert und rotationsverdampft. Das Rohprodukt wird durch Flash-Chromatographie über Silicagel mittels Eluieren mit 5% Ethylacetat/Hexan gereinigt, um 2,3-Dinitro-4-fluortoluol als blassgelben Feststoff hervorzubringen.
  • 4-Fluor-7-methylbenzimidazol.
  • Eine Suspension von 2,3-Dimethyl-4-fluortoluol (1 g), Eisenpulver (1,95 g) und Palladium-auf-Kohlenstoff (10%, 150 mg) in Ameisensäure (995, 25 ml) wird am Rückfluss für 2,5 Stunden erhitzt. Die resultierende Mischung wird durch Celite gefiltert und die Feststoffe mit Methanol gewaschen. Das Filtrat wird rotationsverdampft und der Rückstand zwischen Wasser und Ethylacetat verteilt. Die organische Phase wird über Magnesiumsulfat getrocknet, filtriert und rotationsverdampft, um 4-Fluor-7-methylbenzimidazol als cremefarbenen Feststoff hervorzubringen.
  • 7-Fluor-4-methyl-5-nitrobenzimidazol.
  • Zu einer kalten (Eisbad) Lösung von 4-Fluor-7-methylbenzimidazol (724 g) in konzentrierter Schwefelsäure (10 ml) wird über 1 Stunde tropfenweise konzentrierte Salpetersäure (0,22 ml) gegeben. Die Mischung wird zusätzlich 15 Minuten im Eisbad gerührt, dann in eine Mischung aus gestoßenem Eis (20 ml) und Ammoniumhydroxid (20 ml) gegossen. Die resultierende Mischung wird über Magnesiumsulfat getrocknet, filtriert und rotationsverdampft, um 7-Fluor-4-methyl-5-nitrobenzimidazol als blassgelben Feststoff hervorzubringen.
  • 1-tert-Butoxycarbonyl-7-fluor-4-methyl-5-nitrobenzimidazol.
  • Eine Suspension von 7-Fluor-4-methyl-5-nitrobenzimidazol (0,556 g), di-tert-Butyl-dicarbonat (0,870 g), Triethylenamin (0,475 ml) und 4-Dimethylaminopyridin (0,01 g) in Ethylacetat (100 ml) wird bei Raumtemperatur über Nacht gerührt. Die Mischung wird rotationsverdampft und der Rückstand durch Flash-Chromatographie über Silicagel mittels Eluieren mit 10% Ethylacetat/Hexan gereinigt, um 1-tert-butoxycarbonyl-7-fluor-5-nitrobenzimidazol als cremefarbenen Feststoff hervorzubringen.
  • 5-Amino-1-tert-butoxycarbonyl-7-fluor-4-methylbenzimidazol.
  • Zu einer Lösung von 1-tert-butoxycarbonyl-7-fluor-5-nitrobenzimidazol (0,776 g) in Methanol (100 ml)/Ethylacetat (50 ml) wird Palladium-auf-Kohlenstoff (10%, 0,1 g) und Ammoniumformiat (0,663 g) gegeben. Die Mischung wird bei Raumtemperatur 5 Stunden lang gerührt, dann über Celite® filtriert, und die Feststoffe mit Methanol gewaschen. Das Filtrat wird rotationsverdampft und der Rückstand zwischen Wasser und Ethylacetat verteilt. Die organische Phase wird über Magnesiumsulfat getrocknet, filtriert und rotationsverdampft. Der Rückstand wird durch Flash-Chromatographie über Silicagel mittels Eluieren mit 25% Ethylacetat/Hexan gereinigt, um 5-Amino-1-tert-butoxycarbonyl-7-fluor-4-methylbenzimidazol als gelbes Öl hervorzubringen.
  • 1-tert-butoxycarbonyl-7-fluor-4-methyl-5-benzimidazolylisothiocyanoat.
  • Zu einer Lösung von di-2-Pyridylthioncarbonat (0,393 mg) und 4-Dimethylaminopyridin (0,01 g) in Methylenchlorid (100 ml) wird tropfenweise über 30 Minuten eine Lösung von 5-Amino-1-tert-butoxycarbonyl-7-fluor-4-methylbenzimidazol (0,409 g) in Methylenchlorid (70 ml) gegeben. Die Mischung wird bei Raumtemperatur 3 Stunden lang gerührt, dann rotationsverdampft. Der Rückstand wird durch Flash-Chromatographie über Silicagel mittels Eluieren mit 10% Ethylacetat/Hexan gereinigt, um 1-tert-butoxycarbonyl-7-fluor-4-methyl-5-benzimidazolylisothiocyanoat als weißen Feststoff hervorzubringen.
  • N-(1-tert-butoxvcarbonvl-7-fluor-4-methyl-5-benzimidazolyl-N'-2-aminoethylthioharnstoff
  • Eine Lösung von 1-tert-butoxycarbonyl-7-fluor-4-methyl-5-benzimidazolylisothiocyanoat (0,42 g) in Methylenchlorid (50 ml) wird tropfenweise über 15 Minuten zu 1,2-Ethylendiamitt (0,45 ml) in Lösung in Methylenchlorid (100 ml) gegeben. Die Mischung wird bei Raumtemperatur 10 Minuten lang gerührt, dann rotationsverdampft. Der Rückstand wird 30 Minuten lang mit Ether (100 ml) zerrieben. Die resultierende weiße Suspension wird filtriert und der Feststoff wird im Vakuum über Nacht getrocknet.
  • 7-Fluor-4-methyl-5-(2-imidazolinylamino)benzimidazol.
  • Eine Mischung von N-(1-tert-butoxycarbonyl-7-fluor-4-methyl-5-benzimidazolyl-N'-2-aminoethylthioharnstoff (0,5 g) und Quecksilberacetat (0,52 g) in methanol (150 ml) wird bei Raumtemperatur 1 Stunde lang gerührt. Die resultierende schwarze Mischung wird über Celite filtriert, und die Feststoffe mit Methanol gewaschen. Das Filtrat wird rotationsverdampft und der Rückstand durch einen kurzen Block Silicagel mittels Eluieren mit 25% Methanol in Chloroform, enthaltend 1% Ammoniumhydroxid, filtriert. Die produktenthaltenden Fraktionen werden rotationsverdampft, der Rückstand mit Wasser (15 ml) verdünnt, durch einen Block Glaswolle filtriert und gefriergetrocknet, um 7-Fluor-4-methyl-5-(2-imidazolinylamino)benzimidazol als blassgelben Feststoff hervorzubringen.
  • Zusammensetzungen
  • Ein anderer Aspekt der vorliegenden Erfindung sind Zusammensetzungen, die eine sichere und wirksame Menge einer betreffenden Verbindung, oder eines pharmazeutisch annehmbaren Salzes davon, und einen pharmazeutisch annehmbaren Träger umfassen. Wie hierin verwendet, meint „sichere und wirksame Menge" eine Menge der betreffenden Verbindung, die ausreichend ist, um bedeutsam eine positive Veränderung in dem zu behandelnden Zustand zu induzieren, aber niedrig genug ist, um ernsthafte Nebenwirkungen (bei einem vernünftigen Vorteil/Risiko-Verhältnis) innerhalb des Rahmens eines vernünftigen medizinischen Urteilsvermögens zu vermeiden. Eine sichere und wirksame Menge der betreffenden Verbindung wird mit dem Alter und dem physischen Zustand des zu behandelnden Patienten variieren, wobei die Natur der gleichzeitigen Therapie, des verwendeten speziellen pharmazeutisch annehmbaren Trägers, und ähnliche Faktoren innerhalb des Wissens und der Fachkenntnis des behandelnden Arztes liegen.
  • Zusammensetzungen der vorliegenden Erfindung umfassen vorzugsweise 0,0001 bis 99 Gew.-% der betreffenden Verbindung, mehr vorzugsweise 0,01 bis 90%; ebenfalls vorzugsweise 10 bis 50%, ebenfalls vorzugsweise 5 bis 10%; ebenfalls vorzugsweise 1 bis 5%, und ebenfalls vorzugsweise 0,1 bis 1%.
  • Zusätzlich zu der betreffenden Verbindung enthalten die Zusammensetzung der vorliegenden Erfindung einen pharmazeutisch annehmbaren Träger. Der Begriff „pharmazeutisch annehmbarer Träger", wie hierin verwendet, meint einen oder mehrere kompatible feste oder flüssige Füllverdünnungsmittel oder einkapselnde Substanzen, die zur Gabe an einen Menschen oder ein niederes Tier geeignet sind. Der begriff „kompatibel", wie hierin verwendet, meint, dass die Komponenten der Zusammensetzung in der Lage sind, in einer An und Weise mit der betreffenden Verbindung und miteinander zusammen gemischt zu werden, dass keine Wechselwirkung auftritt, die die pharmazeutische Wirkung der Zusammensetzung unter normalen Gebrauchsumständen wesentlich reduzieren würde. Pharmazeutisch annehmbare Träger müssen natürlich von ausreichend hoher Reinheit und ausreichend niedriger Toxizität sein, um sie für die Gabe an einen zu behandelnden Menschen oder ein niederes Tier geeignet zu machen.
  • Einige Beispiele von Substanzen, die als pharmazeutisch annehmbare Träger oder deren Bestandteile dienen können, sind Zucker, wie zum Beispiel Lactose, Glucose und Sucrose; Stärken, wie zum Beispiel Maisstärke und Kartoffelstärke; Cellulose und ihre Derivate, wie zum Beispiel Natriumcarboxymethylcellulose, Ethylcellulose, und Methylcellulose; gepulverter Tragantgummi; Malz; Gelatine; Talg; feste Schmierstoffe, wie zum Beispiel Stearinsäure und Magnesiumstearat; Calciumsulfat; Pflanzenöle, wie zum Beispiel Erdnussöl, Baumwollsamenöl, Sesamöl, Olivenöl, Maisöl und Kakaobutter; Polyole, wie zum Beispiel Propylenglykol, Glyzerin, Sorbitol, Mannitol, und Polyethylenglykol; Alginsäure; Emulgatoren, wie zum Beispiel das Tweens®; Benetzungsmittel, wie zum Beispiel Natriumlaurylsulfat; Färbemittel; Aromastoffe; Tablettierungsmittel, Stabilisatoren; Antioxidanzien; Konservierungsmittel; Pyrogen-freies Wasser; isotonische Kochsalzlösung; und Phosphatpufferlösungen.
  • Die Wahl eines in Verbindung mit der betreffenden Verbindung zu verwendenden pharmazeutisch annehmbaren Trägers wird grundsätzlich bestimmt durch den Weg, auf dem die Verbindung verabreicht werden soll.
  • Wenn die betreffende Verbindung injiziert werden soll, ist der bevorzugte pharmazeutisch annehmbare Träger eine sterile physiologische Kochsalzlösung, mit einem blut-kompatiblen Lösungsmittel, deren pH auf ungefähr 7,4 eingestellt wurde.
  • Die bevorzugte Art, die betreffenden Verbindungen zu verabreichen, ist peroral. Die bevorzugte Dosierungsform sind daher Tabletten, Kapseln, Pastillen, Kautabletten und dergleichen. Solche Dosierungsformen umfassen eine sichere und wirksame Menge der betreffenden Verbindung, die vorzugsweise zwischen 0,01 mg und 200 mg, mehr vorzugsweise zwischen 0,1 mg und 50 mg, noch mehr vorzugsweise zwischen 0,5 mg und 25 mg, ebenfalls vorzugsweise zwischen 1 mg und 10 mg beträgt. Die für die Herstellung von Dosierungsformen zur peroralen Gabe geeigneten pharmazeutisch annehmbaren Träger sind in der Technik wohlbekannt. Tabletten umfassen herkömmlicherweise pharmazeutisch annehmbare Zusatzstoffe als inerte Verdünnungsmittel, wie zum Beispiel Calciumcarbonat, Natriumcarbonat, Mannitol, Lactose und Cellulose; Bindemittel, wie zum Beispiel Stärke, Gelatine und Sucrose; Desintegrationsmittel, wie zum Beispiel Stärke, Alginsäure und Croscarmelose; Schmiermittel, wie zum Beispiel Magnesiumstearat, Stearinsäure und Talg. Gleitmittel, wie zum Beispiel Siliziumdioxid können verwendet werden, um die Fließeigenschaften der Pulvermischung zu verbessern. Färbemittel, wie zum Beispiel die FD&C-Farbstoffe können für das Aussehen zugegeben werden. Süßstoffe und Aromastoffe, wie zum Beispiel Aspartam, Saccharin, Menthol, Pfefferminze, und Fruchtaromen sind nützliche Zusatzstoffe für Kautabletten. Kapseln umfassen typischerweise eine oder mehrere oben offenbarte feste Verdünnungsstoffe. Die Auswahl von Trägerkomponenten hängt von untergeordneten Erwägungen ab wie Geschmack, Kosten, und Lagerstabilität, die für die Zwecke der vorliegenden Erfindung nicht entscheidend sind, und kann leicht von einem Fachmann durchgeführt werden.
  • Perorale Zusammensetzungen beinhalten auch flüssige Lösungen, Emulsionen, Suspensionen und dergleichen. Die für die Herstellung solcher Zusammensetzungen geeigneten pharmazeutisch annehmbaren Träger sind in der Technik wohlbekannt. Solche flüssigen oralen Zusammensetzungen umfassen vorzugsweise 0,001% der betreffenden Verbindung, mehr vorzugsweise 0,01 bis 0,5%. Typische Bestandteile von Trägern für Sirupe, Elixiere, Emulsionen und Suspensionen beinhalten Ethanol, Glycerol, Propylenglykol, Polyethylenglykol, flüssige Sucrose, Sorbitol und Wasser. Typische Suspendiermittel für eine Suspension beinhalten Methylcellulose, Natriumcarboxymethylcellulose, Avicel® RC-591, Tragantgummi und Natriumalginat; typische Benetzungsmittel beinhalten Lecithin und Polysorbat 80; und typische Konservierungsmittel beinhalten Methylparaben und Natriumbenzoat. Perorale flüssige Zusammensetzungen können auch eine oder mehrere oben offenbarten Komponenten wie zum Beispiel Süßstoffe, Aromastoffe und Färbemittel enthalten.
  • Andere für das Erzielen einer systemischen Abgabe der betreffenden Verbindungen beinhalten sublinguale und buccale Dosierungsformen. Solche Zusammensetzungen umfassen typischerweise eine oder mehrere von löslichen Füllsubstanzen wie zum Beispiel Sucrose, Sorbitol und Mannitol; und Bindemittel wie zum Beispiel Akazie, mikrokristalline Cellulose, Carboxymethylcellulose und Hydroxypropylmethylcellulose. Gleitmittel, Schmiermittel, Süßstoffe, Färbemittel, Antioxidanzien und Aromastoffe, die oben offenbart sind, können ebenfalls enthalten sein.
  • Ein bevorzugtes Verfahren der Gabe der betreffenden Verbindungen ist topisch an die Stelle, an der eine Aktivität gewünscht ist: intranasale Dosen für nasale Abschwellung, Inhalationsmittel für Asthma, Augentropfen, Gele und Cremes für Augen-Funktionsstörungen, und perorale Dosen für gastrointestinale Funktionsstörungen.
  • Bevorzugte Zusammensetzungen der vorliegenden Erfindung beinhalten wässrige Lösungen, umfassend eine sichere und wirksame Menge einer betreffenden Verbindung, beabsichtigt für die topische nasale Gabe. Solche Zusammensetzungen enthalten vorzugsweise 0,001 bis 5% einer betreffenden Verbindung, mehr vorzugsweise 0,01 bis 0,5%. Solche Zusammensetzungen beinhalten ebenfalls typischerweise sichere und wirksame Mengen an Konservierungsmitteln, wie zum Beispiel Benzalkoniumchlorid und Thimerosal; Puffer, wie zum Beispiel Phosphat und Acetat; Tonizitätsmittel, wie zum Beispiel Natriumchlorid; Antioxidanzien, wie zum Beispiel Ascorbinsäure; aromatische Stoffe; und Säuren und Basen, um den pH dieser wässrigen Zusammensetzungen wie benötigt einzustellen.
  • Bevorzugte Zusammensetzungen der vorliegenden Erfindung beinhalten wässrige Lösungen, Suspensionen und trockene Pulver, umfassend eine sichere und wirksame Menge einer betreffenden Verbindung, gedacht für Atomisierung und topische Inhalations-Gabe. Solche Zusammensetzungen umfassen vorzugsweise 0,1 bis 50% einer betreffenden Verbindung, mehr vorzugsweise 1 bis 20%. Solche Zusammensetzungen sind typischerweise in einem Behälter mit aufgesetzten Atomisierungsmitteln enthalten. Solche Zusammensetzungen beinhalten typischerweise auch Treibgase wie zum Beispiel Chlorfluorkohlenwasserstoffe 12/11 und 12/114; Lösungsmittel wie zum Beispiel Wasser, Glycerol und Ethanol; Stabilisatoren wie zum Beispiel Ascorbinsäure, Natriummetabisulfit; Konservierungsmittel wie zum Beispiel Cetylpyridiniumchlorid und Benzalkoniumchlorid; Tonizitätseinstellmittel wie zum Beispiel Natriumchlorid; uns Aromastoffe wie zum Beispiel Natriumsaccharin.
  • Bevorzugte Zusammensetzungen der vorliegenden Erfindung beinhalten wässrige Lösungen umfassend eine sichere und wirksame Menge einer betreffenden Verbindung, gedacht für eine topische intraokulare Gabe. Solche Zusammensetzungen umfassen vorzugsweise 0,0001 bis 5% einer betreffenden Verbindung, mehr vorzugsweise 0,01 bis 0,5%. Solche Zusammensetzungen beinhalten typischerweise ebenfalls ein oder mehrere Konservierungsmittel, wie zum Beispiel Benzalkoniumchlorid, Thimerosal, Phenylquecksilberacetat; Vehikel, wie zum Beispiel Poloxamere, modifizierte Cellulosen, Povidon und gereinigtes Wasser; Tonizitätseinstellmittel, wie zum Beispiel Natriumchlorid, Mannitol und Glycerin; Puffer, wie zum Beispiel Acetat, Citrat, Phosphat und Borat; Antioxidanzien, wie zum Beispiel Natriummetabisulfit, butyliertes Hydroxytoluol und Acetylcystein; Säuren und Basen können verwendet werden, um den pH dieser Formulierungen wie nötig einzustellen.
  • Bevorzugte Zusammensetzungen der vorliegenden Erfindung beinhalten Feststoffe, wie zum Beispiel Tabletten und Kapseln, und Flüssigkeiten, wie zum Beispiel Lösungen, Suspensionen und Emulsionen (vorzugsweise in Weichgelatinekapseln), umfassend eine sichere und wirksame Menge einer betreffenden Verbindung, gedacht für topische Gabe in den Gastrointestinaltrakt durch perorale Gabe. Solche Zusammensetzungen umfassen vorzugsweise 0,01 bis 100 mg pro Dosis, mehr vorzugsweise 0,1 bis 5 mg pro Dosis. Solche Zusammensetzungen können durch herkömmliche Verfahren beschichtet werden, typischerweise mit pH- oder zeitabhängigen Beschichtungen, so dass die betreffende Verbindung im Gastrointestinaltrakt in der Nähe der gewünschten topischen Anwendung oder zu unterschiedlichen Zeiten freigesetzt wird, um die gewünschte Wirkung zu erweitern. Solche Dosierungsformen beinhalten typischerweise, sind aber nicht darauf beschränkt, eins oder mehrere aus Celluloseacetatphthalat, Polyvinylacetatphthalat, Hydroxypropylmethylcellulosephthalat, Ethylcellulose, Eudragit®-Beschichtungen, Wachsen und Schelllack.
  • Zusammensetzungen der vorliegenden Erfindung können wahlweise andere Arzneimittelwirkstoffe enthalten. Nicht beschränkende Beispiele von Arzneimittelwirkstoffen, die in die betreffenden Zusammensetzungen eingebaut werden können, und typische Dosierungsmengen davon, beinhalten: Atmungs-Arzneiwirkstoffe: klassische Antihistaminika, z. B., Chlorpheniramin von 1 mg bis 4 mg pro Dosis, und Diphenhydramin von 10 mg bis 50 mg pro Dosis; nicht sedierende. Antihistaminika, z. B., Terfenadin von 30 mg bis 60 mg pro Dosis, Lorantadin von 5 mg pro Dosis bis 10 mg pro Dosis, und Ceterizin von 5 mg pro Dosis bis 10 mg pro Dosis; Schleimlöser, z. B., Guaifenesin von 100 mg bis 200 mg pro Dosis; Antitussiva, z. B., Dextromethorphan von 5 mg bis 30 mg pro Dosis; und Analgetika, z. B., Ibuprofen von 100 mg bis 800 mg pro Dosis; und Acetaminophen von 80 mg bis 1000 mg pro Dosis; Augen-Arzneimittelwirkstoffe: Acetylcholinesterase-Hemmer, z. B., Echothiophat von 0,03% bis 0,25% in topischer Lösung; und gastrointestinale Wirkstoffe: Anti-Diarrhöe-Mittel, z. B., Loperamid von 0,1 mg bis 1,0 mg pro Dosis, und Wismutsubsalicylat von 25 mg bis 300 mg pro Dosis.
  • Verfahren
  • Ein anderer Aspekt der vorliegenden Erfindung umfasst die Herstellung von Medikamenten zur Vermeidung oder Behandlung nasaler Kongestion durch Gabe einer sicheren und wirksamen Menge einer betreffenden Verbindung an einen Menschen oder ein niederes Tier, die an nasaler Kongestion leiden oder dadurch gefährdet sind. Eine solche nasale Kongestion kann einhergehen mit menschlichen Krankheiten oder Funktionsstörungen, die beinhalten, aber nicht beschränkt sind auf, saisonalen Heuschnupfen, akute Virusinfektionen der oberen Atemwege, Sinusitis, chronische Rhinitis, und vasomotorische Rhinitis. Jede Gabe einer Dosis der betreffenden Verbindung appliziert vorzugsweise eine Dosis innerhalb des Bereichs von 0,001 mg/kg und 10 mg/kg einer Verbindung, mehr vorzugsweise von 0,01 mg/kg und 5 mg/kg. Noch mehr vorzugsweise von 0,1 mg/kg und 1 mg/kg. Eine perorale Gabe solcher Dosen ist bevorzugt. Die Häufigkeit der Gabe einer betreffenden Verbindung gemäß der vorliegenden Erfindung liegt vorzugsweise zwischen einmal und sechsmal am Tag, mehr vorzugsweise zwischen zweimal und viermal am Tag. Solche Dosen und Häufigkeiten sind auch bevorzugt für die Behandlung anderer Atemzustände, wie zum Beispiel Otitis media, Husten, COPD und Asthma.
  • Ein anderer Aspekt der vorliegenden Erfindung umfasst die Herstellung von Medikamenten zur Vermeidung oder Behandlung von Glaukom durch Gabe einer sicheren und wirksamen Menge einer betreffenden Verbindung an einen Menschen oder ein niederes Tier, die an Glaukom leiden oder dadurch gefährdet sind. Jede Gabe einer Dosis der betreffenden Verbindung appliziert vorzugsweise eine Dosis innerhalb des Bereichs von 0,01 μg/kg und 10 mg/kg einer Verbindung, mehr vorzugsweise von 0,001 mg/kg bis 1 mg/kg, noch mehr vorzugsweise von 0,01 mg/kg bis 0,1 mg/kg. Eine intraokulare Gabe solcher Dosen ist bevorzugt. Die Häufigkeit der Gabe einer betreffenden Verbindung gemäß der vorliegenden Erfindung liegt vorzugsweise zwischen einmal und sechsmal am Tag, mehr vorzugsweise zwischen zweimal und viermal am Tag.
  • Ein anderer Aspekt der vorliegenden Erfindung umfasst die Herstellung von Medikamenten zur Vermeidung oder Behandlung von funktionellen Darm-Funktionsstörungen, wie zum Beispiel Diarrhöe, durch Gabe einer sicheren und wirksamen Menge einer betreffenden Verbindung an einen Menschen oder ein niederes Tier, die an Diarrhöe leiden oder dadurch gefährdet sind. Jede Gabe einer Dosis der betreffenden Verbindung appliziert vorzugsweise eine Dosis innerhalb des Bereichs von 0,001 mg/kg und 10 mg/kg einer Verbindung, mehr vorzugsweise von 0,01 mg/kg bis 5 mg/kg, noch mehr vorzugsweise von 0,1 mg/kg bis 1 mg/kg. Eine perorale Gabe solcher Dosen ist bevorzugt. Die Häufigkeit der Gabe einer betreffenden Verbindung gemäß der vorliegenden Erfindung liegt vorzugsweise zwischen einmal und sechsmal am Tag, mehr vorzugsweise zwischen zweimal und viermal am Tag.
  • Zusammensetzungs- und Verfahrensbeispiele
  • Die folgenden Beispiele illustrieren die Zusammensetzungen und Anwendungsverfahren der vorliegenden Erfindung, in denen „betreffende Verbindung" eine 5-(2-Imidazolinylamino)benzimidazol-Verbindung gemäß der Erfindung bezeichnet.
  • Beispiel A Orale Tabletten-Zusammensetzung
    Bestandteil Menge pro Tablette (mg)
    Betreffende Verbindung 20,0
    Mikrokrstalline Cellulose (Avicel PH 102®) 80,0
    Dicalciumphosphat 96,0
    Pyrogenes Silizium (Cab-O-Sil®) 1,0
    Magnesiumstearat 3,0
    Gesamt = 200,0
  • Eine Tablette wird von einem Patienten mit nasaler Kongestion geschluckt. Die Kongestion wird wesentlich verringert.
  • Beispiel B Kautabletten-Zusammensetzung
    Bestandteil Menge pro Tablette (mg)
    Betreffende Verbindung 15,0
    Mannitol 255,6
    Mikrokristalline Cellulose (Avicel PH 101®) 100,8
    Dextrinierte Sucrose (Di-Pac®) 199,5
    Künstliches Orangenaroma 4,2
    Natriumsaccharin 1,2
    Stearinsäure 15,0
    Magnesiumstearat 3,0
    FD&C Gelb #6-Farbstoff 3,0
    Pyrogenes Silizium (Cab-O-Sil®) 2,7
    Gesamt = 600,0
  • Eine Tablette wird von einem Patienten mit nasaler Kongestion gekaut und geschluckt, Die Kongestion wird wesentlich verringert.
  • Beispiel C Sublinguale Tabletten-Zusammensetzung
    Bestandteil Menge pro Tablette (mg)
    Betreffende Verbindung 2,00
    Mannitol 2,00
    Mikrokristalline Cellulose (Avicel PH 101®) 29,00
    Minzaromastoffe 0,25
    Natriumsaccharin 0,08
    Gesamt = 33,33
  • Eine Tablette wird unter die Zunge eines Patienten mit nasaler Kongestion platziert und sich auflösen gelassen. Die Kongestion wird schnell und wesentlich reduziert.
  • Beispiel D Intranasale Lösungs-Zusammensetzung
    Bestandteil Zusammensetzung (% Gew./Vol.)
    Betreffende Verbindung 0,20
    Benzalkoniumchlorid 0,002
    d-Sorbitol 5,0
    Glycin 0,35
    Aromatische Stoffe 0,075
    Gereinigtes Wasser q. s.
    Gesamt = 100,00
  • 1/10 ml der Zusammensetzung wurde aus einem Pumpaktuator in jedes Nasenloch eines Patienten mit nasaler Kongestion gesprüht. Die Kongestion wird wesentlich reduziert.
  • Beispiel E Intranasale Gel-Zusammensetzung
    Bestandteil Zusammensetzung (% Gew./Vol.)
    Betreffende Verbindung 0,10
    Benzalkoniumchlorid 0,02
    Thimerosal 0,002
    Hydroxypropylmethylcellulose 1,00
    (Metolose 65SH4000®) Aromatische Stoffe 0,06
    Natriumchlorid (0,65%) q. s.
    Gesamt = 100,00
  • 1/5 ml der Zusammensetzung werden als Tropfen aus einem Tropfer in jedes Nasenloch eines Patienten mit nasaler Kongestion appliziert. Die Kongestion wird wesentlich verringert.
  • Beispiel F Inhalations-Aerosol-Zusammensetzung
    Bestandteil Zusammensetzung (% Gew./Vol.)
    Betreffende Verbindung 5,0
    Alkohol 33,0
    Ascorbinsäure 0,1
    Menthol 0,1
    Natriumsaccharin 0,2
    Treibgas (F12, F114) q. s.
    Gesamt = 100,0
  • Zwei Stöße der Aerosol-Zusammensetzung werden aus einem Inhalator mit Dosierungsmessung durch einen Patienten mit Asthma inhaliert. Der asthmatische Zustand wird wirksam abgebaut.
  • Beispiel G Topische ophtalmische Zusammensetzung
    Bestandteil Zusammensetzung (% Gew./Vol.)
    Betreffende Verbindung 0,10
    Benzalkoniumchlorid 0,01
    EDTA 0,05
    Hydroxylethylcellulose (Natrosol M®) 0,50
    Natriumunetabisulfit 0,10
    Natriumchlorid (0,9%) q. s.
    Gesamt = 100,0
  • 1/10 ml der Zusammensetzung wird direkt in jedes Auge eines Patienten mit Glaukom verabreicht.
  • Der Augeninnendruck wird wesentlich reduziert.
  • Beispiel H Orale flüssige Zusammensetzung
    Bestandteil Menge/15 ml Dosis
    Betreffende Verbindung 15 mg
    Chlorpheniraminmaleat 4 mg
    Propylenglykol 1,8 g
    Ethanol (95%) 1,5 ml
    Methanol 12,5 ml
    Eukalyptusöl 7,55 mg
    Aromastoffe 0,05 ml
    Sucrose 7,65 g
    Cyrboxymethylcellulose (CMC) 7,5 mg
    Mikrokristalline Cellulose und 187,5 mg
    Natrium-CMC (Avicel RC 591®) Polysorbat 80 3,0 mg
    Glycerin 300 mg
    Sorbitol 300 mg
    FD&C Rot #40 Farbstoff 3 mg
    Natriumsaccharin 22,5 mg
    Natriumphosphat monobasisch 44 mg
    Natriumcitrat-Monohydrat 28 mg
    Gereinigtes Wasser q. s.
    Gesamt = 15 ml
  • 1/15 ml der flüssigen Zusammensetzung wird von einem Patienten mit nasaler Kongestion und laufender Nase aufgrund von Heuschnupfen geschluckt. Die Kongestion und die laufende Nase werden wirksam verringert.
  • Beispiel 7 Orale flüssige Zusammensetzung
    Bestandteil Menge/15 ml Dosis
    Betreffende Verbindung 30 mg
    Sucrose 8,16 g
    Glycerin 300 mg
    Sorbitol 300 mg
    Methylparaben 19,5 mg
    Propylparaben 4,5 mg
    Menthol 22,5 mg
    Eukalyptusöl 7,5 mg
    Aromastoffe 0,07 ml
    FD&C Rot #40 Farbstoff 3,0 mg
    Natriumsaccharin 30 mg
    Gereinigtes Wasser q. s.
    Gesamt = 15 ml
  • 1/15 ml der alkoholfreien flüssigen Medikation wird von einem Patienten mit nasaler Kongestion geschluckt. Die Kongestion wird wesentlich verringert.

Claims (11)

  1. Verbindung der folgenden Struktur:
    Figure 00220001
    worin: a) R ein unsubstituiertes Alkanyl oder Alkenyl mit bis zu 3 Kohlenstoffatomen ist; b) R' aus Methyl, Cyano und Fluor gewählt ist; c) R'' Wasserstoff ist.
  2. Verbindung nach Anspruch 1, wobei R Alkanyl ist.
  3. Verbindung nach Anspruch 2, wobei R Methyl ist.
  4. Verbindung nach Anspruch 2, wobei R Ethyl ist.
  5. Verbindung nach Anspruch 3 oder Anspruch 4, wobei R' Methyl ist.
  6. Verbindung nach Anspruch 3, wobei R' Cyano ist.
  7. Pharmazeutische Zusammensetzung, umfassend: a) Eine sichere und wirksame Menge einer Verbindung nach mindestens einem vorangehenden Anspruch; und b) einen pharmazeutisch annehmbaren Träger.
  8. Verwendung einer Verbindung nach mindestens einem der Ansprüche 1 bis 6 zur Herstellung eines Arzneimittels zur Verhinderung oder Behandlung nasaler Kongestion.
  9. Verwendung einer Verbindung nach mindestens einem der Ansprüche 1 bis 6 zur Herstellung eines Arzneimittels zur Verhinderung oder Behandlung von Glaukom.
  10. Verwendung einer Verbindung nach mindestens einem der Ansprüche 1 bis 6 zur Herstellung eines Arzneimittels zur Verhinderung oder Behandlung von Diarrhöe.
  11. Verwendung einer Verbindung nach mindestens einem der Ansprüche 1 bis 6 zur Herstellung eines Arzneimittels zur Verhinderung oder Behandlung von Asthma.
DE69433181T 1993-12-17 1994-12-15 5-(2-imidazolinylamino)benzimidazol derivate, deren herstellung und deren verwendung als alpha-2-adrenoceptor agonisten Expired - Lifetime DE69433181T2 (de)

Applications Claiming Priority (5)

Application Number Priority Date Filing Date Title
US16986893A 1993-12-17 1993-12-17
US169868 1993-12-17
US349558 1994-12-08
US08/349,558 US5478858A (en) 1993-12-17 1994-12-08 5-(2-imidazolinylamino) benzimidazole compounds useful as alpha-2 adrenoceptor agonists
PCT/US1994/014292 WO1995016685A1 (en) 1993-12-17 1994-12-15 5-(2-imidazolinylamino)benzimidazole derivatives, their preparation and their use as alpha-2 adrenoceptor agonists

Publications (2)

Publication Number Publication Date
DE69433181D1 DE69433181D1 (de) 2003-10-30
DE69433181T2 true DE69433181T2 (de) 2004-07-01

Family

ID=26865464

Family Applications (1)

Application Number Title Priority Date Filing Date
DE69433181T Expired - Lifetime DE69433181T2 (de) 1993-12-17 1994-12-15 5-(2-imidazolinylamino)benzimidazol derivate, deren herstellung und deren verwendung als alpha-2-adrenoceptor agonisten

Country Status (23)

Country Link
US (3) US5478858A (de)
EP (1) EP0736022B1 (de)
JP (1) JPH09507216A (de)
KR (1) KR100385195B1 (de)
CN (1) CN1076352C (de)
AT (1) ATE250598T1 (de)
AU (1) AU699631B2 (de)
BR (1) BR9408343A (de)
CA (1) CA2179008C (de)
CZ (1) CZ286816B6 (de)
DE (1) DE69433181T2 (de)
ES (1) ES2202352T3 (de)
FI (1) FI962494L (de)
HU (1) HU224016B1 (de)
MY (1) MY131696A (de)
NO (1) NO309325B1 (de)
NZ (1) NZ333371A (de)
PL (1) PL180903B1 (de)
RU (1) RU2143430C1 (de)
SG (1) SG49049A1 (de)
SK (1) SK282566B6 (de)
TW (1) TW393469B (de)
WO (1) WO1995016685A1 (de)

Families Citing this family (61)

* Cited by examiner, † Cited by third party
Publication number Priority date Publication date Assignee Title
US5478858A (en) * 1993-12-17 1995-12-26 The Procter & Gamble Company 5-(2-imidazolinylamino) benzimidazole compounds useful as alpha-2 adrenoceptor agonists
AU704972B2 (en) 1994-08-04 1999-05-13 H. Lundbeck A/S Novel benzimidazole derivatives
NZ302926A (en) * 1995-02-28 1998-10-28 Hoechst Marion Roussel Inc Composition for use as antihistamines comprising piperidinoalkanol derivatives and inert ingredients
US5677321A (en) 1996-02-29 1997-10-14 Synaptic Pharmaceutical Corporation 5- and 6-(2-imidazolin-2-ylamino) and -(2-thiazolin-2-ylamino)-benzothiazoles as alpha-2 adrenergic ligands
US5648358A (en) * 1996-03-05 1997-07-15 Mitra; Sekhar Compositions and methods for treating respiratory disorders
US6525018B1 (en) * 1999-05-17 2003-02-25 The General Hospital Corp. Treating eye disorders using intestinal trefoil proteins
DE69732244T2 (de) 1996-11-25 2006-06-29 The Board Of Regents Of The University Of Nebraska, Lincoln Guanidyl-heterocyclische verbindungen als alpha-2 adrenoceptor agonisten
IL130067A0 (en) * 1996-11-25 2000-02-29 Procter & Gamble 2-Imidazolinylaminoindazole compounds useful as alpha-2 adrenoceptor agonists
US6306877B1 (en) 1999-08-09 2001-10-23 The Procter & Gamble Co. Guanidinylamino heterocycle compounds useful as alpha-2 adrenoceptor agonists
US6172095B1 (en) 1996-11-25 2001-01-09 The Procter & Gamble Company Guanidinylamino heterocycle compounds useful as alpha-2 adrenoceptor agonists
EP0944621B1 (de) * 1996-11-25 2004-09-01 The Procter & Gamble Company 2-imidazolinylaminoindol verbindungen als alpha-2 adrenoceptor agonisten
ATE232518T1 (de) * 1996-11-25 2003-02-15 Procter & Gamble Guanidinylamino-heterocyclische verbindungen als alpha-2 adrenoceptor agonisten
US6192882B1 (en) * 1997-02-24 2001-02-27 Aradigm Corporation Formulation and devices for monitoring the efficacy of the delivery of aerosols
US6349719B2 (en) 1997-02-24 2002-02-26 Aradigm Corporation Formulation and devices for monitoring the efficacy of the delivery of aerosols
US6495583B1 (en) 1997-03-25 2002-12-17 Synaptic Pharmaceutical Corporation Benzimidazole derivatives
US20030186882A1 (en) * 2001-07-31 2003-10-02 Podolsky Daniel K. Methods and compositions for treating and preventing distal bowel lesions
US20030185838A1 (en) * 2001-11-28 2003-10-02 Podolsky Daniel K. Methods and compositions for treating lesions of the respiratory epithelium
ID24081A (id) * 1997-04-15 2000-07-06 Procter & Gamble Senyawa-senyawa 5-(2-imidazolinilamino) benzimidazol yang berguna sebagai agonis-agonis alfa-2-adrenoseptor
WO1998050368A1 (en) * 1997-05-01 1998-11-12 Nissan Chemical Industries, Ltd. Benzimidazole derivative
SG72827A1 (en) * 1997-06-23 2000-05-23 Hoffmann La Roche Phenyl-and aminophenyl-alkylsulfonamide and urea derivatives
CN1159012C (zh) * 1997-08-26 2004-07-28 阿旺蒂斯制药公司 用于组合哌啶子基烷醇-减充血剂的药物组合物
BR9815017A (pt) * 1997-11-24 2001-09-11 Procter & Gamble Derivados de 5-(2-imidazolinilamino)-benzimidazol, sua preparação e seu uso como agonistas de alfa-adrenorreceptores com estabilidade metabólica aperfeiçoada
US7919119B2 (en) * 1999-05-27 2011-04-05 Acusphere, Inc. Porous drug matrices and methods of manufacture thereof
US8889112B2 (en) * 1999-09-16 2014-11-18 Ocularis Pharma, Llc Ophthalmic formulations including selective alpha 1 antagonists
US20070059367A1 (en) * 2000-06-06 2007-03-15 Cherukuri S R Drug Delivery System and Associated Methods
US20100196466A1 (en) * 2000-06-06 2010-08-05 Capricorn Pharma Inc. Drug delivery system
US7678387B2 (en) * 2000-06-06 2010-03-16 Capricorn Pharma, Inc. Drug delivery systems
EP1317259A2 (de) * 2000-09-08 2003-06-11 Warner-Lambert Company Vorbeugung akuter sinusitis oder sinusanfall
AU2002220248A1 (en) * 2000-11-06 2002-05-15 Andrx Pharmaceuticals, Inc. Once a day antihistamine and decongestant formulation
US20030105016A1 (en) * 2001-09-06 2003-06-05 Podolsky Daniel K. Methods and compositions for treating vaginal, cervical, and uterine epithelial lesions
US7538082B2 (en) 2001-04-24 2009-05-26 The General Hospital Corporation Methods and compositions for treating oral and esophageal lesions
US20040171544A1 (en) * 2001-04-24 2004-09-02 Barker Nicholas P. Trefoil domain-containing polypeptides and uses thereof
US20060189526A1 (en) * 2002-04-24 2006-08-24 Podolsky Daniel K Compositions containing an intestinal trefoil peptide and a mucoadhesive
US20030186880A1 (en) * 2002-03-26 2003-10-02 Podolsky Daniel K. Combination therapy using trefoil peptides
RU2193403C1 (ru) * 2001-05-23 2002-11-27 Московский научно-исследовательский институт глазных болезней им. Гельмгольца Глазные капли для лечения аллергических конъюнктивитов и кератоконъюнктивитов
US20030181384A1 (en) * 2001-09-06 2003-09-25 Podolsky Daniel K. Methods and compositions for treating vaginal, cervical, and uterine epithelial lesions
US20030185839A1 (en) * 2001-10-05 2003-10-02 Podolsky Daniel K. Methods and compositions for treating dermal lesions
CN1599619A (zh) * 2001-10-05 2005-03-23 综合医院公司 治疗真皮损伤的方法和组合物
CA2468344A1 (en) * 2001-11-28 2003-06-05 The General Hospital Corporation Methods and compositions for treating lesions of the respiratory epithelium
US20040001885A1 (en) * 2002-06-27 2004-01-01 Unchalee Kositprapa Rapidly disintegrating antihistamine formulation
WO2004039961A2 (en) * 2002-10-31 2004-05-13 The Gi Company, Inc. Trefoil domain-containing polypeptides and uses thereof
US20060188471A1 (en) * 2002-10-31 2006-08-24 Podolsky Daniel K Methods of treating epithelial lesions
FI20022007A0 (fi) * 2002-11-08 2002-11-08 Juvantia Pharma Ltd Oy Oromukosaalinen valmiste ja menetelmä sen valmistamiseksi
US8092831B2 (en) * 2002-11-08 2012-01-10 Andrx Pharmaceuticals, Llc Antihistamine and decongestant system
US20040167194A1 (en) * 2003-02-20 2004-08-26 Randall Jared Lynn Methods of making 6-[(4,5-Dihydro-1H-imidazol-2-yl)amino-]-7-methyl-1H-benzimidazole-4-carbonitrile and its preferred salt form
US7777051B2 (en) * 2003-05-13 2010-08-17 Icagen, Inc. Asymmetric benzimidazoles and related compounds as potassium channel modulators
US8075771B2 (en) * 2005-02-17 2011-12-13 E. I. Du Pont De Nemours And Company Apparatus for magnetic field gradient enhanced centrifugation
US20070053868A1 (en) 2005-03-08 2007-03-08 Banner Pharmacaps, Inc. Solvent system for enhancing the solubility of pharmaceutical agents
AR054045A1 (es) 2005-05-18 2007-05-30 Neuraxon Inc Compuestos benzoimidazol sustituidos con actividad dual no inhibitoria y mu opioide agonista
NZ588134A (en) * 2005-06-17 2010-11-26 Aft Pharmaceuticals Ltd Novel pharmaceutical for use in a method for treatment of upper respiratory mucosal congestion
EP1956906A4 (de) 2005-11-09 2009-12-30 Combinatorx Inc Verfahren, zusammensetzungen und kits für die behandlung von medizinischen beschwerden
EP2525793B1 (de) * 2010-01-21 2018-09-05 Allergan, Inc. Alpha-2 Adrenorezeptor Agonist mit langanhaltender Augeninnendruck senkender Wirkung
US20130210876A1 (en) * 2010-01-21 2013-08-15 Allergan, Inc Alpha-2 adrenergic agonist having long duration of intraocular pressure-lowering effect
CN103781785A (zh) * 2011-07-25 2014-05-07 阿勒根公司 作为α2肾上腺素能受体的调节剂的N-(咪唑烷-2-亚基)-杂环戊并[b]吡啶衍生物
US9149474B2 (en) * 2011-11-23 2015-10-06 Michael Leighton Compositions and methods for treating symptoms of inflammatory related conditions using a combination of an antihistamine and a stimulant
US9629847B2 (en) 2011-11-23 2017-04-25 Michael Leighton Compositions and methods for treating symptoms of inflammatory related conditions using a combination of an antihistamine and a stimulant
WO2015073736A1 (en) 2013-11-13 2015-05-21 Arbor Pharmaceuticals, Llc Methods and compositions for treating adhd
US11077053B2 (en) * 2018-08-21 2021-08-03 Allergan, Inc. Alpha-2-adrenergic receptor agonists for treatment of presbyopia, visual glare, visual starbursts, visual halos and night myopia
KR20210047323A (ko) * 2018-08-21 2021-04-29 알러간, 인코포레이티드 시력 개선을 위한 알파-2-아드레날린성 수용체 효능제의 용도
EP4106728A1 (de) * 2020-02-20 2022-12-28 Allergan, Inc. Pharmazeutische zusammensetzungen von alpha-2-adrenergischen rezeptoragonisten und deren verwendung zur verbesserung des sehvermögens
US20210260042A1 (en) 2020-02-20 2021-08-26 Allergan, Inc. Alpha-2-adrenergic receptor agonists for reducing redness and increasing whiteness in eyes and other ophthalmic purposes

Family Cites Families (20)

* Cited by examiner, † Cited by third party
Publication number Priority date Publication date Assignee Title
BE791908A (fr) * 1971-11-24 1973-05-24 Beecham Group Ltd Derives du benzimidazole
BE795970A (fr) * 1972-02-29 1973-08-27 Pfizer Nouveaux derives de quinoleine, quinoxaline et quinazoline er composition pharmaceutiques les contenant
US4029792A (en) * 1972-02-29 1977-06-14 Pfizer Inc. (2-Imidazolin-2-ylamino) substituted -quinoxalines and -quinazolines as antihypertensive agents
US4036976A (en) * 1973-04-05 1977-07-19 Sandoz, Inc. Substituted imidazolinylamino-indazoles
US4217356A (en) * 1975-08-22 1980-08-12 Sandoz Ltd. 2-Imidazolinylamino-2,1,3-benzothiadiazoles
US4398028A (en) * 1977-01-14 1983-08-09 Sandoz Ltd. Bicyclic heterocyclic amino derivatives
EP0086428B1 (de) * 1979-08-23 1987-07-29 Beecham Group Plc Veterinärmittel gegen Diarrhöe, seine Herstellung und dieses enthaltende orale Dosierungsvorrichtung
WO1982000824A1 (en) * 1980-09-05 1982-03-18 Geissmann F 1h and 2h indazol derivatives and medicaments containing them
US4897401A (en) * 1987-06-19 1990-01-30 Janssen Pharmaceutical N.V. N-(4-piperidinyl) bicyclic condensed 2-imidazolamine derivatives useful in treating allergic diseases
FR2638356A1 (fr) * 1988-10-28 1990-05-04 Anben Nouveaux derives de la 2-arylimino-imidazolidine pour diminuer la pression intra-oculaire et traiter le glaucome
US5021410A (en) * 1989-05-22 1991-06-04 Allergan, Inc. Combinations of selective alpha-adrenergic agonists and antagonists useful in lowering intraocular pressure
US5281591A (en) * 1989-05-22 1994-01-25 Allergan, Inc. Combinations of selective alpha-adrenergic agonists and antagonists useful in lowering intraocular pressure
US5180721A (en) * 1989-05-22 1993-01-19 Allergan, Inc. Combinations of selective alpha-adrenergic agonists and antagonists useful in lowering intraocular pressure
US5112822A (en) * 1989-10-12 1992-05-12 Allergan, Inc. (2-imidazolin-2-ylamino) quinoxaline derivatives and methods for using same
US5231096A (en) * 1989-10-12 1993-07-27 Allergan, Inc. Methods for using (2-imidazolin-2-ylamino) quinoxaline derivatives
US5077292A (en) * 1989-10-12 1991-12-31 Allergan, Inc. (2-imidazolin-2-ylamino) tetrahydroquinoxalines and methods for using same
US5021416A (en) * 1989-10-31 1991-06-04 Allergan, Inc. Method for using (2-imidazolin-2-ylamino) quinoxalines to reduce or maintain intraocular pressure
US5091528A (en) * 1990-09-12 1992-02-25 Allergan, Inc. 6- or 7- (2-imino-2-imidazolidine)-1,4-benzoxazines as α adrenergic agents
US5478858A (en) * 1993-12-17 1995-12-26 The Procter & Gamble Company 5-(2-imidazolinylamino) benzimidazole compounds useful as alpha-2 adrenoceptor agonists
AU704972B2 (en) * 1994-08-04 1999-05-13 H. Lundbeck A/S Novel benzimidazole derivatives

Also Published As

Publication number Publication date
MY131696A (en) 2007-08-30
ATE250598T1 (de) 2003-10-15
FI962494A0 (fi) 1996-06-14
FI962494A7 (fi) 1996-06-14
CA2179008C (en) 1999-08-17
EP0736022A1 (de) 1996-10-09
SK282566B6 (sk) 2002-10-08
AU1306295A (en) 1995-07-03
BR9408343A (pt) 1997-08-19
RU2143430C1 (ru) 1999-12-27
NZ333371A (en) 2001-12-21
JPH09507216A (ja) 1997-07-22
NO962539L (no) 1996-08-13
EP0736022B1 (de) 2003-09-24
TW393469B (en) 2000-06-11
SK77196A3 (en) 1997-03-05
KR100385195B1 (ko) 2003-08-21
CN1076352C (zh) 2001-12-19
NO962539D0 (no) 1996-06-14
PL180903B1 (pl) 2001-04-30
DE69433181D1 (de) 2003-10-30
PL315059A1 (en) 1996-09-30
CZ175196A3 (en) 1996-11-13
US5691370A (en) 1997-11-25
FI962494L (fi) 1996-06-14
AU699631B2 (en) 1998-12-10
HU9601663D0 (en) 1996-08-28
CZ286816B6 (en) 2000-07-12
SG49049A1 (en) 1998-05-18
CA2179008A1 (en) 1995-06-22
ES2202352T3 (es) 2004-04-01
US5478858A (en) 1995-12-26
NO309325B1 (no) 2001-01-15
US5541210A (en) 1996-07-30
WO1995016685A1 (en) 1995-06-22
HUT76473A (en) 1997-09-29
CN1137794A (zh) 1996-12-11
HU224016B1 (hu) 2005-04-28

Similar Documents

Publication Publication Date Title
DE69433181T2 (de) 5-(2-imidazolinylamino)benzimidazol derivate, deren herstellung und deren verwendung als alpha-2-adrenoceptor agonisten
DE69425334T2 (de) 6-(2-imidazolinylamino) chinoxalin-verbindungen als alpha-2-adrenorezeptoragonisten
DE69427591T2 (de) 7-(2-imidazolinylamino)quinolin-verbindungen als alpha-2 adrenorezeptor-agonisten
DD294254A5 (de) Verfahren zur herstellung von salzen des azelastins
DE69825075T2 (de) 5-(2-imidazolinylamino)-benzimidazol derivate, deren herstellung und deren verwendung als .alpha.-adrenoceptor agonisten mit verbesserter metabolischer stabilität
DE69919341T2 (de) Salpetersäuresalz von antiulcus arzneimitteln
DE69424183T2 (de) 6-(2-imidazolinylamino)chinolin-verbindungen als alpha-2-adrenoceptor-antagonisten
DE69424156T2 (de) Arzneimittel zur prophylaxe und behandlung von katarakt
EP0161599A2 (de) Neue Benzazepinderivate, diese Verbindungen enthaltende Arzneimittel und Verfahren zu ihrer Herstellung
DE69630465T2 (de) Vorsorge-/heilmittel fur die komplikationen von diabetes
DE3326724A1 (de) In 1-stellung substituierte 4-hydroxymethyl-pyrrolidinone, verfahren zu ihrer herstellung, pharmazeutische zusammensetzungen und zwischenprodukte
DE69522764T2 (de) Verwendung vom einem Bicycloheptan-Derivat
DE2244737C3 (de) H-o-Chlorphenyl)-2-tert-butylaminoäthanol, Verfahren zu dessen Herstellung und Arzneimittel auf dessen Basis
DE3650311T2 (de) Verwendung von Quinazolinen zur Herstellung eines Arzneimittels zur Behandlung und Vorbeugung von Arrhythmie.
DE2754148A1 (de) Substituierte aminoaethanole, verfahren zu ihrer herstellung und ihre verwendung als arzneistoffe
DE2810974C2 (de)
DE3028927A1 (de) Mittel, welche azoverbindungen enthalten
AT373584B (de) Verfahren zur herstellung neuer 2-pyridylaminobenzoesaeuren und ihre salze
AT372679B (de) Verfahren zur herstellung neuer 2-pyridylaminobenzoes[uren und ihrer salze
DE2552151A1 (de) Benzimidazolderivate, verfahren zu ihrer herstellung und arzneimittel
DE19948428A1 (de) Neuer LTB¶4¶-Antagonist, Verfahren zu dessen Herstellung und dessen Verwendung als Arzneimittel

Legal Events

Date Code Title Description
8327 Change in the person/name/address of the patent owner

Owner name: THE BOARD OF REGENTS OF THE UNIVERSITY OF NEBRASKA

8364 No opposition during term of opposition