JP3768232B2 - 2,6‐ジアミノプリン誘導体 - Google Patents
2,6‐ジアミノプリン誘導体 Download PDFInfo
- Publication number
- JP3768232B2 JP3768232B2 JP51665294A JP51665294A JP3768232B2 JP 3768232 B2 JP3768232 B2 JP 3768232B2 JP 51665294 A JP51665294 A JP 51665294A JP 51665294 A JP51665294 A JP 51665294A JP 3768232 B2 JP3768232 B2 JP 3768232B2
- Authority
- JP
- Japan
- Prior art keywords
- amino
- ethyl
- diphenylethyl
- deoxy
- ribofuranuronamide
- Prior art date
- Legal status (The legal status is an assumption and is not a legal conclusion. Google has not performed a legal analysis and makes no representation as to the accuracy of the status listed.)
- Expired - Fee Related
Links
- 0 C[C@]([C@@]1O)OC[C@]1([n]1c2nc(C)nc(*)c2nc1)O Chemical compound C[C@]([C@@]1O)OC[C@]1([n]1c2nc(C)nc(*)c2nc1)O 0.000 description 2
Classifications
-
- C—CHEMISTRY; METALLURGY
- C07—ORGANIC CHEMISTRY
- C07H—SUGARS; DERIVATIVES THEREOF; NUCLEOSIDES; NUCLEOTIDES; NUCLEIC ACIDS
- C07H19/00—Compounds containing a hetero ring sharing one ring hetero atom with a saccharide radical; Nucleosides; Mononucleotides; Anhydro-derivatives thereof
- C07H19/02—Compounds containing a hetero ring sharing one ring hetero atom with a saccharide radical; Nucleosides; Mononucleotides; Anhydro-derivatives thereof sharing nitrogen
- C07H19/04—Heterocyclic radicals containing only nitrogen atoms as ring hetero atom
- C07H19/16—Purine radicals
-
- A—HUMAN NECESSITIES
- A61—MEDICAL OR VETERINARY SCIENCE; HYGIENE
- A61P—SPECIFIC THERAPEUTIC ACTIVITY OF CHEMICAL COMPOUNDS OR MEDICINAL PREPARATIONS
- A61P1/00—Drugs for disorders of the alimentary tract or the digestive system
-
- A—HUMAN NECESSITIES
- A61—MEDICAL OR VETERINARY SCIENCE; HYGIENE
- A61P—SPECIFIC THERAPEUTIC ACTIVITY OF CHEMICAL COMPOUNDS OR MEDICINAL PREPARATIONS
- A61P11/00—Drugs for disorders of the respiratory system
-
- A—HUMAN NECESSITIES
- A61—MEDICAL OR VETERINARY SCIENCE; HYGIENE
- A61P—SPECIFIC THERAPEUTIC ACTIVITY OF CHEMICAL COMPOUNDS OR MEDICINAL PREPARATIONS
- A61P29/00—Non-central analgesic, antipyretic or antiinflammatory agents, e.g. antirheumatic agents; Non-steroidal antiinflammatory drugs [NSAID]
-
- A—HUMAN NECESSITIES
- A61—MEDICAL OR VETERINARY SCIENCE; HYGIENE
- A61P—SPECIFIC THERAPEUTIC ACTIVITY OF CHEMICAL COMPOUNDS OR MEDICINAL PREPARATIONS
- A61P35/00—Antineoplastic agents
- A61P35/04—Antineoplastic agents specific for metastasis
-
- A—HUMAN NECESSITIES
- A61—MEDICAL OR VETERINARY SCIENCE; HYGIENE
- A61P—SPECIFIC THERAPEUTIC ACTIVITY OF CHEMICAL COMPOUNDS OR MEDICINAL PREPARATIONS
- A61P37/00—Drugs for immunological or allergic disorders
-
- A—HUMAN NECESSITIES
- A61—MEDICAL OR VETERINARY SCIENCE; HYGIENE
- A61P—SPECIFIC THERAPEUTIC ACTIVITY OF CHEMICAL COMPOUNDS OR MEDICINAL PREPARATIONS
- A61P37/00—Drugs for immunological or allergic disorders
- A61P37/02—Immunomodulators
- A61P37/06—Immunosuppressants, e.g. drugs for graft rejection
-
- A—HUMAN NECESSITIES
- A61—MEDICAL OR VETERINARY SCIENCE; HYGIENE
- A61P—SPECIFIC THERAPEUTIC ACTIVITY OF CHEMICAL COMPOUNDS OR MEDICINAL PREPARATIONS
- A61P37/00—Drugs for immunological or allergic disorders
- A61P37/08—Antiallergic agents
-
- A—HUMAN NECESSITIES
- A61—MEDICAL OR VETERINARY SCIENCE; HYGIENE
- A61P—SPECIFIC THERAPEUTIC ACTIVITY OF CHEMICAL COMPOUNDS OR MEDICINAL PREPARATIONS
- A61P9/00—Drugs for disorders of the cardiovascular system
-
- C—CHEMISTRY; METALLURGY
- C07—ORGANIC CHEMISTRY
- C07H—SUGARS; DERIVATIVES THEREOF; NUCLEOSIDES; NUCLEOTIDES; NUCLEIC ACIDS
- C07H19/00—Compounds containing a hetero ring sharing one ring hetero atom with a saccharide radical; Nucleosides; Mononucleotides; Anhydro-derivatives thereof
- C07H19/02—Compounds containing a hetero ring sharing one ring hetero atom with a saccharide radical; Nucleosides; Mononucleotides; Anhydro-derivatives thereof sharing nitrogen
- C07H19/04—Heterocyclic radicals containing only nitrogen atoms as ring hetero atom
- C07H19/16—Purine radicals
- C07H19/167—Purine radicals with ribosyl as the saccharide radical
Landscapes
- Health & Medical Sciences (AREA)
- Chemical & Material Sciences (AREA)
- Organic Chemistry (AREA)
- General Health & Medical Sciences (AREA)
- Life Sciences & Earth Sciences (AREA)
- Engineering & Computer Science (AREA)
- Veterinary Medicine (AREA)
- Public Health (AREA)
- Medicinal Chemistry (AREA)
- Nuclear Medicine, Radiotherapy & Molecular Imaging (AREA)
- Chemical Kinetics & Catalysis (AREA)
- Pharmacology & Pharmacy (AREA)
- General Chemical & Material Sciences (AREA)
- Animal Behavior & Ethology (AREA)
- Bioinformatics & Cheminformatics (AREA)
- Genetics & Genomics (AREA)
- Biochemistry (AREA)
- Immunology (AREA)
- Molecular Biology (AREA)
- Biotechnology (AREA)
- Pulmonology (AREA)
- Transplantation (AREA)
- Rheumatology (AREA)
- Pain & Pain Management (AREA)
- Cardiology (AREA)
- Heart & Thoracic Surgery (AREA)
- Oncology (AREA)
- Pharmaceuticals Containing Other Organic And Inorganic Compounds (AREA)
- Macromolecular Compounds Obtained By Forming Nitrogen-Containing Linkages In General (AREA)
- Saccharide Compounds (AREA)
- Acyclic And Carbocyclic Compounds In Medicinal Compositions (AREA)
- Hydrogenated Pyridines (AREA)
- Organic Low-Molecular-Weight Compounds And Preparation Thereof (AREA)
Description
炎症は組織損傷または微生物侵入に対する一次応答であり、血管内皮への循環白血球結合とそこからの管外遊出により特徴付けられる。循環白血球には好中球、好酸球、好塩基球、単球およびリンパ球がある。異なる形の炎症は異なるタイプの浸潤白血球を伴い、具体的なプロフィルは様々な炎症媒介物質に応答した血管内皮の遺伝子発現により調節される。
白血球の主要機能は細菌および寄生虫のような侵入生物から宿主を防ぐことである。組織が損傷または感染すると、循環系から罹患組織に白血球を局所補充する一連の現象が生じる。白血球補充は外来または死滅細胞の整然とした破壊および食作用と、その後に組織修復および炎症浸潤物の消散を起こすように制御される。しかしながら、慢性炎症状態において、補充および消散は十分に制御されず、炎症反応は組織破壊を起こす。
我々は、白血球補充および活性化を阻害する広い抗炎症性質のある新規群の化合物を発見した。したがって、化合物は白血球が炎症部位で関与する疾患において白血球起因性組織損傷から保護する上で潜在的治療効果を有している。本発明による化合物は、炎症疾患の治療において、それらの副作用特徴で使用がかなり制限されるコルチコステロイドよりも安全な代替物である。
このため、本発明の一面によれば、我々は下記一般式(I)の化合物並びにそれらの塩および溶媒和物を提供する。
(上記式中
R1は水素原子、C3-8シクロアルキルまたはC1-6アルキル基を表し、
R2は:
(i)C3-8シクロアルキル
(ii)C2-7アシルアミノ、グアニジノ、カルボキシル、オキソおよび(CH2)pR3(pは0または1であり、R3はヒドロキシ、NH2、C1-6アルキルアミノまたはジC1-6アルキルアミノである)から選択される同一または異なる1以上の基(例えば1、2または3つの基)で置換されたC3-8シクロアルキル
(iii)環窒素原子が水素、C1-6アルキルまたはアリールC1-6アルキル(例えば、ベンジル)で置換された、ピロリジン-3-イル、2-オキソピロリジン-4-イル、2-オキソピロリジン-5-イル、ピペリジン-3-イルまたはピペリジン-4-イル
(iv)環窒素原子が水素、C1-6アルキルまたはアリールC1-6アルキル(例えば、ベンジル)で置換され、環炭素原子の1以上(例えば1、2または3つの環炭素原子)がC2-7アシルアミノ、グアニジノ、オキソおよび(CH2)pR3(pおよびR3は前記のとおりである)から選択される同一または異なる基で置換された、ピロリジン-3-イル、ピペリジン-3-イルまたはピペリジン-4-イル
(v)C3-8シクロアルキルC1-6アルキル
(vi)環炭素原子の1以上(例えば1、2または3つの環炭素原子)がC2-7アシルアミノ、グアニジノ、カルボキシル、オキソおよび(CH2)pR3(pおよびR3は前記のとおりである)から選択される同一または異なる基で置換されたC3-8シクロアルキルC1-6アルキル
(vii)Alk1がC2-6アルキレン基であり、YがC2-7アシルアミノ、グアニジノ、ヒドロキシル、NH2、C1-6アルキルアミノ、ジC1-6アルキルアミノまたは
(上記において、Xは結合、O、CH2またはNR4であり、ここでR4は水素、C1-6アルキルまたはアリールC1-6アルキルである)から選択される基である-Alk1Y、および
(viii)mおよびnが各々独立して0または1を表し、但しmが1のとき、nも1を表さねばならず、R5が水素原子、カルボキシ基または基CH2R6(R6はC2-7アシルアミノ、グアニジノ、ヒドロキシ、メトキシ、NH2、C1-6アルキルアミノまたはジC1-6アルキルアミノである)であり、Alk2がC1-5アルキリデン基であり、Zが水素原子であるかまたはフェニル、ピリジル、ピリミジニル、イミダゾリル、トリアゾリル、テトラゾリルおよびベンゾイミダゾリルから選択される場合により置換された芳香族環であり、その場合に環はC1-6アルキル、C2-7アシルアミノ、グアニジノ、カルボキシエチル、ヒドロキシ、NH2、C1-6アルキルアミノまたはジC1-6アルキルアミノから選択される同一または異なる1以上の基(例えば1、2または3つの基)で場合により置換されている-(CHR5)m(Alk2)nZ
から選択される基を表し、
Qは酸素またはイオウ原子を表し、
Phはフェニルを表す)
式(I)の化合物の適切な塩には、無機または有機酸から誘導される酸付加塩、例えば塩酸塩、臭化水素酸塩、硫酸塩、リン酸塩、酢酸塩、安息香酸塩、クエン酸塩、コハク酸塩、乳酸塩、酒石酸塩、フマル酸塩およびマレイン酸塩と、適切であればアルカリ金属塩等の無機塩基塩、例えばナトリウム塩のような生理学上許容される塩がある。式(I)の化合物の他の塩には、生理学上許容されないが、式(I)の化合物とその生理学上許容される塩の製造にとり有用である塩がある。このような塩の例にはトリフルオロ酢酸塩がある。
式(I)の化合物の適切な溶媒和物の例には水和物がある。
式(I)の化合物においてR2が1以上の不斉炭素原子を含むとき、本発明に式(I)の化合物のすべてのジアステレオマーとその混合物を含むことは明らかであろう。その他において、本発明による化合物の立体化学配置は前記式(I)で示されたとおりである。
式(I)の化合物のすべての互変異性体が本発明の範囲内に含まれると理解される。
R1またはR2に属するシクロアルキル基は単環式でもまたは架橋環式の環であってもよい。適切なシクロアルキル環系の具体例にはシクロプロピル、シクロペンチルおよびシクロヘキシルのようなC3-8単環式シクロアルキル基がある。R2において、C3-8シクロアルキル基は特にシクロペンチルまたはシクロヘキシルを表す。
アリールC1-6アルキル基の一部として‘アリール’という用語は、例えば、ハロゲン、ヒドロキシル、C1-3アルコキシおよびC1-3アルキルから選択される同一または異なる1以上の置換基(例えば1、2または3つの置換基)で場合により置換されたフェニル基を表す。
基または基の一部として‘アルキル’という用語は、直鎖または分岐鎖アルキル基を意味する。適切なアルキル基の具体例にはメチル、エチル、n-プロピル、i-プロピル、n-ブチル、s-ブチルおよびt-ブチルがある。
基の一部として‘アルキレン’という用語は、直鎖または分岐アルキレン鎖を意味する。適切なアルキレン鎖の具体例には-CH2-、-CH2-CH2-、-CH2CH2CH2-、-CHCH3CH2-および-CH2C(CH3)2CH2-がある。
R2が基Alk1Yを表すとき、C2-6アルキレン基は特に-CH2CH2-、-CH2CH2CH2-または-CH2C(CH3)2CH2-を表す。
R2が基-(CHR5)m(Alk2)nZを表すとき、鎖-(CHR5)m(Alk2)nは特に結合、-CH2-、-CH2CH2-、-CHR5CHCH3CH2-または-CHR5CH2-を表す(R5は基CH2R6であり、R6は前記のとおりである)。
R2に属する‘C2-7アシルアミノ’という用語は、そのC1-6アルキル部分が前記のような直鎖または分岐アルキル基であり、フッ素のような1以上のハロゲン原子で場合により置換されている、C2-7アルカノイルアミノ基を意味する。R2に属する適切なC2-7アルカノイルアミノ基の例には、アセトアミドおよびトリフルオロアセトアミドがある。
Zに属する‘ピリジル’という用語は2-、3-または4-ピリジル基を意味し、‘ピリミジニル’という用語は2-、4-または5-ピリミジニル基を意味し、‘イミダゾリル’という用語は1-、2-、4-または5-イミダゾリル基を意味し、‘トリアゾリル’という用語は1、2、4-トリアゾリル基(例えば、1、2、4-トリアゾール-1-イルまたは1、2、4-トリアゾール-3-イル)を意味する。
R1は好ましくはC1-3アルキル基、特にエチルを表す。
Qが酸素原子を表す式(I)の化合物が通常好ましい。
R1NHC(=Q)-がエチルアミノカルボニルを表す式(I)の化合物が特に好ましい。
本発明による化合物の好ましい群は、R2が置換シクロペンチルまたはシクロヘキシル基を表す式(I)の化合物であり、その環は1または2つの基、特にヒドロキシ、NH2、メチルアミノ、ジメチルアミノ、アセトアミドまたはトリフルオロアセトアミドから選択される1または2つの基で置換されている。好ましい置換基にはヒドロキシ、ジヒドロキシ、NH2およびジメチルアミノがある。
本発明による化合物の他の好ましい群は、R2がピロリジン-3-イルまたはピペリジン-3-イル基を表し、その環窒素原子が水素、C1-3アルキル(例えばエチル)またはベンジルで置換された、式(I)の化合物である。
本発明による化合物のもう1つの好ましい群は、R2が(CHR5)m(Alk2)nZを表し、R5、mおよびnが前記のとおりで、Zが場合により置換されたイミダゾリル基である、式(I)の化合物である。-(CH2R5)m(Alk2)n-が-CH2CH2-を表す化合物が特に好ましい。
本発明は前記の具体的な好ましい基のすべての組合せをカバーしていることが理解される。
本発明による具体的化合物には:
(1S-トランス)-1-デオキシ-1-〔6-〔(2,2-ジフェニルエチル)アミノ〕-2-〔(3-ヒドロキシシクロペンチル)アミノ〕-9H-プリン-9-イル〕-N-エチル-β-D-リボフラヌロンアミド;
(1R-トランス)-1-デオキシ-1-〔6-〔(2,2-ジフェニルエチル)アミノ〕-2-〔(3-ヒドロキシシクロペンチル)アミノ〕-9H-プリン-9-イル〕-N-エチル-β-D-リボフラヌロンアミド;
〔1S-(1α,2β,3β)〕-1-デオキシ-1-〔2-〔(2,3-ジヒドロキシシクロペンチル)アミノ〕-6-〔(2,2-ジフェニルエチル)アミノ〕-9H-プリン-9-イル〕-N-エチル-β-D-リボフラヌロンアミド;
〔シス-(+/−)〕-1-〔2-〔(3-アミノシクロペンチル)アミノ〕-6-〔(2,2-ジフェニルエチル)アミノ〕-9H-プリン-9-イル〕-1-デオキシ-N-エチル-β-D-リボフラヌロンアミド;
(トランス)-1-〔2-〔(2-アミノシクロペンチル)アミノ〕-6-〔(2,2-ジフェニルエチル)アミノ〕-9H-プリン-9-イル〕-1-デオキシ-N-エチル-β-D-リボフラヌロンアミド、異性体1;
〔1S-トランス〕-1-〔2-〔(3-アミノシクロペンチル)アミノ〕-6-〔(2,2-ジフェニルエチル)アミノ〕-9H-プリン-9-イル〕-1-デオキシ-N-エチル-β-D-リボフラヌロンアミド;
〔1R-トランス〕-1-〔2-〔(3-アミノシクロペンチル)アミノ〕-6-〔(2,2-ジフェニルエチル)アミノ〕-9H-プリン-9-イル〕-1-デオキシ-N-エチル-β-D-リボフラヌロンアミド;
〔トランス-(+/−)〕-1-デオキシ-1-〔6-〔(2,2-ジフェニルエチル)アミノ〕-2-〔〔3-〔(トリフルオロアセチル)アミノ〕シクロペンチル〕アミノ〕-N-エチル-9H-プリン-9-イル〕-β-D-リボフラヌロンアミド;
1-デオキシ-1-〔6-〔(2,2-ジフェニルエチル)アミノ〕-2-〔〔2-(1H-イミダゾール-4-イル)エチル〕アミノ〕-9H-プリン-9-イル〕-N-エチル-β-D-リボフラヌロンアミド;
(1S)-1-デオキシ-1-〔6-〔(2,2-ジフェニルエチル)アミノ〕-2-〔〔1-(ヒドロキシメチル)-2-フェニルエチル〕アミノ〕-9H-プリン-9-イル〕-N-エチル-β-D-リボフラヌロンアミド;
(トランス)-1-デオキシ-1-〔6-〔(2,2-ジフェニルエチル)アミノ〕-2-〔(4-ヒドロキシシクロヘキシル)アミノ〕-9H-プリン-9-イル〕-N-エチル-β-D-リボフラヌロンアミド;
(シス)-1-デオキシ-1-〔6-〔(2,2-ジフェニルエチル)アミノ〕-2-〔(4-ヒドロキシシクロヘキシル)アミノ〕-9H-プリン-9-イル〕-N-エチル-β-D-リボフラヌロンアミド;
1-デオキシ-N-エチル-1-〔2-〔(3-ヒドロキシプロピル)アミノ〕-6-〔(2,2-ジフェニルエチル)アミノ〕-9H-プリン-9-イル〕-β-D-リボフラヌロンアミド;
1-〔2-〔(4-アミノフェニル)アミノ〕-6-〔(2,2-ジフェニルエチル)アミノ〕-9H-プリン-9-イル〕-1-デオキシ-N-エチル-β-D-リボフラヌロンアミド;
1-デオキシ-1-〔2-〔〔4-(ジメチルアミノ)フェニル〕アミノ〕-6-〔(2,2-ジフェニルエチル)アミノ〕〕-9H-プリン-9-イル〕-N-エチル-β-D-リボフラヌロンアミド;
(1α,2β,5β)-1-デオキシ-1-〔2-〔(2,5-ジヒドロキシシクロペンチル)アミノ〕-6-〔(2,2-ジフェニルエチル)アミノ〕〕-9H-プリン-9-イル〕-N-エチル-β-D-リボフラヌロンアミド;
(トランス-(+/−)〕-1-デオキシ-1-〔6-〔(2,2-ジフェニルエチル)アミノ〕-2-(4-ヒドロキシ-3-ピロリジニル)アミノ〕-9H-プリン-9-イル〕-N-エチル-β-D-リボフラヌロンアミド;
(+/−)-1-デオキシ-1-〔6-〔(2,2-ジフェニルエチル)アミノ〕-2-〔(N-エチルピペリジン-3-イル)アミノ〕-9H-プリン-9-イル〕-N-エチル-β-D-リボフラヌロンアミド;
1-デオキシ-1-〔6-〔(2,2-ジフェニルエチル)アミノ〕-2-〔〔2-(1-ピペリジニル)エチル〕アミノ〕-9H-プリン-9-イル〕-N-エチル-β-D-リボフラヌロンアミド;
1-デオキシ-1-〔6-〔(2,2-ジフェニルエチル)アミノ〕-2-〔〔2-(4-モルホリニル)エチル〕アミノ〕-9H-プリン-9-イル〕-N-エチル-β-D-リボフラヌロンアミド;
1-デオキシ-1-〔6-〔(2,2-ジフェニルエチル)アミノ〕-2-〔〔2-(2-ピリジニル)エチル〕アミノ〕-9H-プリン-9-イル〕-N-エチル-β-D-リボフラヌロンアミド;
1-デオキシ-1-〔6-〔(2,2-ジフェニルエチル)アミノ〕-2-〔〔2-(ピロリジン-1-イル)エチル〕アミノ〕-9H-プリン-9-イル〕-N-エチル-β-D-リボフラヌロンアミド;
(1S)-1-デオキシ-1-〔6-〔(2,2-ジフェニルエチル)アミノ〕-2-〔〔1-(ヒドロキシメチル)-2-(3-ピリジニル)エチル〕アミノ〕-9H-プリン-9-イル〕-N-エチル-β-D-リボフラヌロンアミド;
(1S)-1-デオキシ-1-〔6-〔(2,2-ジフェニルエチル)アミノ〕-2-〔〔1-(ヒドロキシメチル)-2-(メチル)プロピル〕アミノ〕-9H-プリン-9-イル〕-N-エチル-β-D-リボフラヌロンアミド;
〔シス-(+/−)〕-1-デオキシ-1-〔6-〔(2,2-ジフェニルエチル)アミノ〕-2-〔(3-ヒドロキシシクロペンチル)アミノ〕-9H-プリン-9-イル〕-N-エチル-β-D-リボフラヌロンアミド;
1-デオキシ-1-〔2-〔〔2-(N,N-ジメチルアミノ)エチル〕アミノ〕-6-〔(2,2-ジフェニルエチル)アミノ〕-9H-プリン-9-イル〕-N-エチル-β-D-リボフラヌロンアミド;
1-デオキシ-1-〔2-〔〔3-(N,N-ジメチルアミノ)プロピル〕アミノ〕-6-〔(2,2-ジフェニルエチル)アミノ〕-9H-プリン-9-イル〕-N-エチル-β-D-リボフラヌロンアミド;
(1α,3β,4β)-1-デオキシ-1-〔2-〔(3,4-ジヒドロキシシクロペンチル)アミノ〕-6-〔(2,2-ジフェニルエチル)アミノ〕〕-9H-プリン-9-イル〕-N-エチル-β-D-リボフラヌロンアミド;
〔(1S)-トランス〕-1-デオキシ-1-〔2-〔(3-N,N-ジメチルアミノ)シクロペンチルアミノ〕-6-〔(2,2-ジフェニルエチル)アミノ〕-9H-プリン-9-イル〕-N-エチル-β-D-リボフラヌロンアミド;
(3S)-1-デオキシ-1-〔6-〔(2,2-ジフェニルエチル)アミノ〕-2-〔(3-ピロリジニル)アミノ〕-9H-プリン-9-イル〕-N-エチル-β-D-リボフラヌロンアミド;
(3R)-1-デオキシ-1-〔6-〔(2,2-ジフェニルエチル)アミノ〕-2-〔(3-ピロリジニル)アミノ〕-9H-プリン-9-イル〕-N-エチル-β-D-リボフラヌロンアミド;
(3R)-1-デオキシ-1-〔6-〔(2,2-ジフェニルエチル)アミノ〕-2-〔〔1-(フェニルメチル)-3-ピロリジニル〕アミノ〕-9H-プリン-9-イル〕-N-エチル-β-D-リボフラヌロンアミド;
(+/−)-1-デオキシ-1-〔6-〔(2,2-ジフェニルエチル)アミノ〕-2-〔(1-エチル-3-ピロリジニル)アミノ〕-9H-プリン-9-イル〕-N-エチル-β-D-リボフラヌロンアミド;
1-デオキシ-1-〔6-〔(2,2-ジフェニルエチル)アミノ〕-2-〔(1-エチル-4-ピペリジニル)アミノ〕-9H-プリン-9-イル〕-N-エチル-β-D-リボフラヌロンアミド;
(トランス)-1-〔2-〔(4-アミノシクロヘキシル)アミノ〕-6-〔(2,2-ジフェニルエチル)アミノ〕-9H-プリン-9-イル〕-1-デオキシ-N-エチル-β-D-リボフラヌロンアミド;
〔(1α,2β,3β)-(+/−)〕-1-〔2-〔(3-アセチルアミノ-2-ヒドロキシシクロペンチル)アミノ〕-6-〔(2,2-ジフェニルエチル)アミノ〕-9H-プリン-9-イル〕-1-デオキシ-N-エチル-β-D-リボフラヌロンアミド;
(1R-トランス)-1-デオキシ-1-〔6-〔(2,2-ジフェニルエチル)アミノ〕-2-〔(2-ヒドロキシシクロペンチル)アミノ〕-9H-プリン-9-イル〕-N-エチル-β-D-リボフラヌロンアミド;
1-デオキシ-1-〔6-〔(2,2-ジフェニルエチル)アミノ〕-2-〔〔2-(1-メチル-1H-イミダゾール-4-イル)エチル〕アミノ〕-N-エチル-9H-プリン-9-イル〕-β-D-リボフラヌロンアミド;
1-デオキシ-1-〔6-〔(2,2-ジフェニルエチル)アミノ〕-2-〔〔2-(1H-イミダゾール-2-イル)エチル〕アミノ〕-9H-プリン-9-イル〕-N-エチル-β-D-リボフラヌロンアミド;
1-デオキシ-1-〔6-〔(2,2-ジフェニルエチル)アミノ〕-2-〔〔3-(1H-イミダゾール-4-イル)プロピル〕アミノ〕-9H-プリン-9-イル〕-N-エチル-β-D-リボフラヌロンアミド;
1-デオキシ-1-〔6-〔(2,2-ジフェニルエチル)アミノ〕-2-〔〔2-(1H-1,2,4-トリアゾール-3-イル)エチル〕アミノ〕-9H-プリン-9-イル〕-N-エチル-β-D-リボフラヌロンアミド;
(トランス)-1-デオキシ-1-〔2-〔(4-N,N-ジメチルアミノシクロヘキシル)アミノ〕-6-〔(2,2-ジフェニルエチル)アミノ〕-9H-プリン-9-イル〕-N-エチル-β-D-リボフラヌロンアミド;
1-デオキシ-1-〔6-〔(2,2-ジフェニルエチル)アミノ〕-2-〔〔2-(2-メチル-1H-イミダゾール-4-イル)エチル〕アミノ〕-9H-プリン-9-イル〕-N-エチル-β-D-リボフラヌロンアミド;
1-デオキシ-1-〔2-〔〔2-〔(アミノイミノメチル)アミノ〕エチル〕アミノ〕-6-〔2,2-ジフェニルエチル)アミノ〕-9H-プリン-9-イル〕-N-エチル-β-D-リボフラヌロンアミド;
1-デオキシ-1-〔2-〔〔3-〔(アミノイミノメチル)アミノ〕プロピル〕アミノ〕-6-〔2,2-ジフェニルエチル)アミノ〕-9H-プリン-9-イル〕-N-エチル-β-D-リボフラヌロンアミド;
1-〔2-〔〔(6-アミノ-2-ピリジニル)メチル〕アミノ〕-6-〔2,2-ジフェニルエチル)アミノ〕-9H-プリン-9-イル〕-1-デオキシ-N-エチル-β-D-リボフラヌロンアミド;
並びにそれらの生理学上許容される塩および溶媒和物がある。
特に本発明による化合物には:
(1S-トランス)-1-デオキシ-1-〔6-〔(2,2-ジフェニルエチル)アミノ〕-2-〔(3-ヒドロキシシクロペンチル)アミノ〕-9H-プリン-9-イル〕-N-エチル-β-D-リボフラヌロンアミド;
〔1S-(1α,2β,3β)〕-1-デオキシ-1-〔2-〔(2,3-ジヒドロキシシクロペンチル)アミノ〕-6-〔(2,2-ジフェニルエチル)アミノ〕-9H-プリン-9-イル〕-N-エチル-β-D-リボフラヌロンアミド;
〔(1S)-トランス〕-1-デオキシ-1-〔2-〔(3-N,N-ジメチルアミノ)シクロペンチルアミノ〕-6-〔(2,2-ジフェニルエチル)アミノ〕-9H-プリン-9-イル〕-N-エチル-β-D-リボフラヌロンアミド;
(3S)-1-デオキシ-1-〔6-〔(2,2-ジフェニルエチル)アミノ〕-2-〔(3-ピロリジニル)アミノ〕-9H-プリン-9-イル〕-N-エチル-β-D-リボフラヌロンアミド;
(トランス)-1-〔2-〔(4-アミノシクロヘキシル)アミノ〕-6-〔(2,2-ジフェニルエチル)アミノ〕-9H-プリン-9-イル〕-1-デオキシ-N-エチル-β-D-リボフラヌロンアミド;
1-デオキシ-1-〔6-〔(2,2-ジフェニルエチル)アミノ〕-2-〔〔2-(1-メチル-1H-イミダゾール-4-イル)エチル〕アミノ〕-N-エチル-9H-プリン-9-イル〕-β-D-リボフラヌロンアミド;
(トランス)-1-デオキシ-1-〔2-〔(4-N,N-ジメチルアミノシクロヘキシル)アミノ〕-6-〔(2,2-ジフェニルエチル)アミノ〕-9H-プリン-9-イル〕-N-エチル-β-D-リボフラヌロンアミド;
1-デオキシ-1-〔6-〔(2,2-ジフェニルエチル)アミノ〕-2-〔〔2-(2-メチル-1H-イミダゾール-4-イル)エチル〕アミノ〕-9H-プリン-9-イル〕-N-エチル-β-D-リボフラヌロンアミド;
並びにそれらの生理学上許容される塩および溶媒和物がある。
式(I)の特に好ましい化合物は(トランス)-1-〔2-〔(4-アミノシクロヘキシル)アミノ〕-6-〔(2,2-ジフェニルエチル)アミノ〕-9H-プリン-9-イル〕-1-デオキシ-N-エチル-β-D-シボフラヌロンアミド並びに塩酸塩を含めたその生理学上許容される塩および溶媒和物である。
白血球機能を阻害する式(I)の化合物に関する能力は、例えば、N-ホルミルメチオニル-ロイシル-フェニルアラニン(fMLP)のような走化性誘起物質で刺激された好中球からスーパーオキシド(O2 -)生成を阻害するそれらの能力により証明される。したがって、式(I)の化合物は白血球が炎症部位で関与する疾患において白血球起因性組織損傷から保護する上で潜在的治療効果を有している。
本発明による化合物が潜在的に有益な抗炎症効果を有する病状の例には気道の疾患、例えば成人呼吸促進症候群(ARDS)、気管支炎(慢性気管支炎を含む)、嚢胞性繊維症、喘息(アレルゲン起因性喘息反応)、気腫、鼻炎および敗血症性ショックがある。他の関連病状には胃腸管の疾患、例えば炎症腸疾患を含めた腸炎症疾患(例えば、クローン病または潰瘍性大腸炎)、Helicobacterr-pylori起因性胃炎、光暴露またはアレルゲン暴露に二次的な腸炎症疾患、非ステロイド系抗炎症剤起因性胃疾患がある。更に、本発明による化合物は皮膚疾患、例えば乾癬、アレルギー性皮膚炎および過敏性反応を治療するために用いてもよい。
更に、本発明による化合物が潜在的に有益な効果を有する病状の例には心疾患、例えば末梢血管疾患、虚血後再灌流損傷および特発性好酸球増多症候群がある。
リンパ球機能を阻害する本発明による化合物は、リウマチ様関節炎および糖尿病のような自己免疫疾患の治療にも用途を有する。
本発明による化合物は転移を阻害する上でも有用であろう。
ここで治療への言及は確定症状の治療だけでなく予防にも及ぶことは、当業者にとり明らかであろう。
前記のように、式(I)の化合物は、ヒトまたは獣医学において、特に抗炎症剤として有用である。
このため、特に白血球起因性組織損傷になりやすい炎症症状のある患者の治療で、ヒトまたは獣医学上の使用向けに、本発明の他の面として式(I)の化合物またはその生理学上許容される塩もしくは溶媒和物が提供される。
本発明のもう1つの面によれば、白血球起因性組織損傷になりやすい炎症症状のある患者の治療用薬剤の製造に関する式(I)の化合物またはその生理学上許容される塩もしくは溶媒和物の使用が提供される。
他のまたは別の面において、式(I)の化合物またはその生理学上許容される塩もしくは溶媒和物の有効量をヒトまたは動物被治療体に投与することからなる、白血球起因性組織損傷になりやすい炎症症状のあるヒトまたは動物被治療体の治療法が提供される。
本発明による化合物はいずれか好ましい方法で投与用に処方され、したがって本発明はその範囲内に、所望であれば1種以上の生理学上許容されるキャリアまたは賦形剤と一緒に式(I)の化合物またはその生理学上許容される塩もしくは溶媒和物を含んでなる、抗炎症治療用の医薬組成物も含む。
本発明に化合物は、例えば経口、経口腔、非経口、局所または直腸投与用に、好ましくは非経口または局所(例えば、エアゾールによる)投与用に処方される。
経口投与用の錠剤およびカプセルは、結合剤、例えばシロップ、アラビアガム、ゼラチン、ソルビトール、トラガカントガム、デンプンの粘滑物、セルロースまたはポリビニルピロリドン;充填剤、例えばラクトース、微結晶セルロース、糖、メイズデンプン、リン酸カルシウムまたはソルビトール;滑沢剤、例えばステアリン酸マグネシウム、ステアリン酸、タルク、ポリエチレングリコールまたはシリカ;崩壊剤、例えばポテトデンプン、クロスカルメロースナトリウムまたはデンプングリコール酸ナトリウム;湿潤剤、例えばラウリル硫酸ナトリウムのような慣用的賦形剤を含有していてもよい。錠剤は当業界で周知の方法によりコートしてもよい。経口液体製剤は例えば水性または油性懸濁液、溶液、エマルジョン、シロップまたはエリキシルの形をとっても、あるいは使用前に水または他の適切なビヒクルで調製される乾燥製品として供与してもよい。このような液体製剤は、懸濁剤、例えばソルビトールシロップ、メチルセルロース、グルコース/糖シロップ、ゼラチン、ヒドロキシメチルセルロース、カルボキシメチルセルロース、ステアリン酸アルミニウムゲルまたは水素付加食用脂肪;乳化剤、例えばレシチン、モノオレイン酸ソルビタンまたはアラビアガム;非水性ビヒクル(食用油を含んでいてもよい)、例えばアーモンド油、分別ココナツ油、油性エステル、プロピレングリコールまたはエチルアルコール;保存剤、例えばp-ヒドロキシ安息香酸メチルもしくはプロピルまたはソルビン酸のような慣用的添加剤を含有していてもよい。製剤は適宜に緩衝塩、香味、着色および/または甘味剤(例えば、マンニトール)も含有してよい。
経口腔投与の場合、組成物は常法で処方される錠剤またはロゼンジの形をとってよい。
化合物は、例えばカカオ脂または他のグリセリドのような慣用的坐薬基剤を含有した坐剤として処方してもよい。
本発明による化合物はボーラス注射または連続注入による非経口投与用に処方してもよく、保存剤を加えて、例えばアンプル、バイアル、少量注入もしくは前充填シリンジまたは多用量容器として、単位剤形で供与される。組成物は水性または非水性ビヒクル中で溶液、懸濁液またはエマルジョンのような形をとって、酸化防止剤、緩衝剤、抗菌剤および/または張度調節剤のような処方剤を含有してもよい。一方、活性成分は、使用前に適切なビヒクル、例えば無菌無発熱物質水で調製される粉末形であってもよい。乾燥固体供給品は無菌粉末を無菌的に個別的無菌容器に充填するか、または無菌溶液を無菌的に各容器に充填して、凍結乾燥することにより製造される。
ここで用いられる局所投与には、我々は通気および吸入による投与を含む。局所投与の様々なタイプの製剤の例には軟膏、クリーム、ローション、散剤、ペッサリー、スプレー、エアゾール、カプセル、吸入器または通気器で使用のカートリッジ、噴霧用溶液または点滴剤(例えば、点眼または点鼻剤)がある。
軟膏およびクリームは、例えば、適切な増粘剤および/またはゲル化剤および/または溶媒の添加により、水性または油性基剤で処方される。このような基剤には、例えば水および/または流動パラフィンのような油、アラキス油またはヒマシ油のような植物油、あるいはポリエチレングリコールのような溶媒がある。用いてよい増粘剤には軟質パラフィン、ステアリン酸アルミニウム、セトステアリルアルコール、ポリエチレングリコール、微結晶ロウおよび蜜ロウがある。
ローションは水性または油性基剤で処方され、一般的に1種以上の乳化剤、安定剤、分散剤、懸濁剤または増粘剤も含有している。
外用散剤はいずれか適切な粉末基剤、例えばタルク、ラクトースまたはデンプンの助けで処方される。点滴剤は水性または非水性基剤で処方され、1種以上の分散剤、溶解剤または懸濁剤も含む。
スプレー組成物は、適切な噴射剤、例えばジクロロジフルオロメタン、トリクロロフルオロメタン、ジクロロテトラフルオロエタン、1,1,1,2,3,3,3-ヘプタフルオロプロパン、1,1,1,2-テトラフルオロエタン、二酸化炭素または他の適切なガスの使用下において加圧パックから送達される、例えば水性溶液、懸濁液またはエアゾールとして処方される。
鼻内スプレーは、増粘剤、緩衝塩、pHを調節する酸またはアルカリ、等張調節剤あるいは酸化防止剤のような物質の添加により、水性または非水性ビヒクルで処方される。
吸入器または通気器用に、例えばゼラチンのカプセルおよびカートリッジ、または例えばラミネート化アルミニウムホイルのブリスターが、本発明による化合物とラクトースまたはデンプンのような適切な粉末基剤との粉末混合物を含有させて処方される。
噴霧による吸入用の溶液は、酸またはアルカリ、緩衝塩、等張調節剤あるいは抗菌剤のような物質の添加により、水性ビヒクルで処方される。それらは濾過またはオートクレーブ加熱により滅菌しても、あるいは無菌製品として供与してもよい。
本発明による医薬組成物は、他の治療剤、例えばコルチコステロイドまたはNSAIDのような抗炎症剤と併用してもよい。
本発明は、別の面において、他の治療活性剤、例えばコルチコステロイドまたはNSAIDのような抗炎症剤と一緒に式(I)の化合物またはその生理学上許容される塩もしくは溶媒和物を含んでなる組合せを提供する。
上記組合せは好ましくは医薬処方剤の形で使用に供され、このため上記組合せをその薬学上許容されるキャリアと一緒に含んでなる医薬処方剤は本発明の別の面を表す。
このような組合せの個別成分は、別々のまたは混合された医薬処方剤で逐次的にまたは同時に投与される。公知治療剤の適切な用量は、当業者により容易に明らかにされる。
本発明による化合物は、例えば0.01〜500mg/kg体重、好ましくは0.01〜100mg/kg体重の量で1日1〜4回投与されることが好ましい。正確な用量は、勿論、患者の年齢および状態と、選択される具体的な投与経路に依存する。
式(I)の化合物とその塩および溶媒和物は後記の方法で製造され、本発明の別の面を構成する。下記操作において、基R1、R2およびQは、他で指摘されないかぎり、式(I)の化合物で定義されたとおりである。
第一の方法(A)によれば、式(I)の化合物は下記式(II)の化合物:
(上記式中RaおよびRbは各々水素原子を表すか、または一緒になってイソプロピリデンのようなアルキリデン基を形成している)をアミンR2aNH2(式中R2aは基R2であるか、またはその保護誘導体である)で処理し、その後必要であれば存在する保護基の除去により製造される。
アミン部分を導入する置換反応は、場合によりシメチルスルホキシドのような溶媒の存在下、50〜150℃範囲の温度で試薬を加熱することにより行われる。
Qがイオウ原子を表す式(II)の化合物は、Qが酸素原子を表し、RaおよびRbが一緒になってイソプロピリデンのようなアルキリデン基を形成している式(II)の化合物から、チア化とその後に適切であればアルキリデン基の除去により製造される。
チア化反応は、好ましくは硫化水素、五硫化リンまたはLawesson′s試薬(p-メトキシフェニルチオホスフィンスルフィドダイマー)のような公知のチア化剤を用いて行われる。反応は公知方法で行われる。例えば硫化水素が用いられる場合、塩酸のような酸が好ましくは触媒量で加えられ、反応は酢酸またはエタノールのような極性溶媒中で行われる。Lawesson′s試薬を用いる場合、反応は好ましくはトルエンまたは塩化メチレンのような乾燥溶媒中で行われる。
Qが酸素原子を表す式(II)の化合物は、好ましくはアミン塩基(例えば、ジイソプロピルエチルアミン)のような塩基の存在下、アルコール(例えば、イソプロパノール)のような溶媒中、高温(例えば、還流)で下記式(III)の化合物:
(上記式中RaおよびRbは前記のとおりである)を2,2-ジフェニルエチルアミンで処理し、その後所望であれば存在する保護基を除去することにより製造される。
Qが酸素原子を表す式(II)の化合物は、下記式(IV)の化合物:
(上記式中RaおよびRbは前記のとおりである)またはその活性誘導体、例えば対応酸ハライドをアミンR1NH2で処理し、その後所望であれば存在する保護基を除去することにより製造してもよい。
アミノ化反応は、公知方法で、例えば約0〜20℃でハロゲン化炭化水素(例えば、塩化メチレン)のような溶媒中アミンを化合物(IV)または更に具体的には対応酸クロリドに加えることにより行われる。酸クロリドは、好ましくは高温で化合物(IV)を塩化チオニルで処理することにより製造される。
式(IV)の化合物は、下記式(V)の化合物:
またはその塩(上記式中RaおよびRbは一緒になってイソプロピリデンのようなアルキリデン基を形成している)を酸化し、その後所望であればアルキリデン基を除去することにより製造される。酸化反応は、過マンガン酸カリウムまたは重クロム酸ピリジニウムのような酸化剤を用いて、公知方法で行われる。
式(V)の化合物またはその塩は、下記式(VI)の化合物
を酸、例えばp-トルエンスルホン酸の存在下、好ましくはほぼ室温でアセトンのようなケトンおよび/または2,2-ジメトキシプロパンで処理することにより製造される。
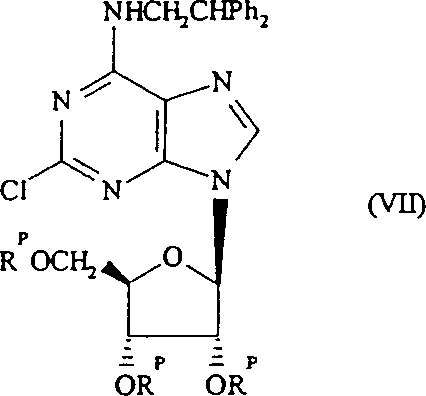
式(VI)の化合物は、下記式(VII)の化合物:
(上記式中Rpは適切なヒドロキシル保護基である)を脱保護することにより製造される。脱保護の適切な方法は後で記載されている。
式(VII)の化合物は、式(III)の化合物から式(II)の化合物を製造するために前記された条件下で、下記式(VIII)の化合物:
(上記式中Rpは前記のとおりである)を2,2-ジフェニルエチルアミンで処理することにより製造される。
式(III)および(VIII)の化合物は公知化合物であるか、あるいは式(III)および(VIII)の公知化合物を製造するために当業界で記載された場合と類似した方法により製造される。
アミンR2aNH2は当業界で公知であるか、あるいは後の実施例に記載された方法または後のこのような方法と類似した方法により製造される。
式(II)および(IV)の化合物は新規中間体であり、本発明の別の面を表す。RaおよびRbが水素原子を表す式(II)の化合物もそれら自体活性化合物であり、本発明の更に別の面を構成する。
2′,3′-ジオール基に加えて、R2に存在する基は保護を要し、脱保護が望ましい化合物を得るために中間または最終工程として要することがあるのは明らかである。このため、もう1つの一般的方法(B)によれば、式(I)の化合物は保護基を除去する反応に式(I)の化合物の保護誘導体を付すことにより製造される。官能基の保護および脱保護は慣用的手段を用いて行われる。例えば、アミノ基はアラルキル(例えば、ベンジル)、アシル(例えば、ベンジルオキシカルボニルまたはt-ブトキシカルボニル)またはスルホニル(例えば、アリルスルホニルまたはトシル)から選択される基で保護され、その後保護基の除去が標準条件を用いて適宜に加水分解または水素付加分解により所望時に行われる。ヒドロキシ基は、例えば″Protective Groups in Organic Chemistry″,Ed.J.F.O.McOmie(Plenum Press,1973)または″Protective Groups in Organic Synthesis″,Theodora W.Greene(John Wiley and Sons,1991)に記載されるように、慣用的なヒドロキシル保護基を用いて保護される。適切なヒドロキシル保護基の例には、アルキル(例えば、メチル、t-ブチルまたはメトキシメチル)、アラルキル(例えば、ベンジル、ジフェニルメチルまたはトリフェニルメチル)、テトラヒドロピラニルのようなヘテロ環式基、アシル(例えば、アセチルまたはベンゾイル)およびトリアルキルシリルのようなシリル基(例えば、t-ブチルジメチルシリル)から選択される基がある。ヒドロキシル保護基は慣用的技術により除去される。例えば、アルキル、シリル、アシルおよびヘテロ環式基は、加溶媒分解、例えば酸性または塩基性条件下で加水分解により除去される。トリフェニルメチルのようなアラルキル基も、同時に加溶媒分解、例えば酸性条件下で加水分解により除去される。ベンジルのようなアラルキル基は、パラジウム炭のような貴金属触媒の存在下で水素付加分解により開裂される。シリル基も、好ましくはテトラ-n-ブチルアンモニウムフルオリドのようなフッ化物イオン源を用いて除去される。カルボキシル保護基は好ましくは前記の適切なヒドロキシル保護基で代表され、脱保護は前記方法に従い行われる。このような基の例は、酸加水分解(例えば、トリフルオロ酢酸または塩酸を用いる)で除去しうるアルキル(例えば、メチルまたはt-ブチル)基、または接触水素付加分解で除去しうるアラルキル(例えば、ベンジル)基である。
Rpで表される特に適切なヒドロキシル保護基には、アセチルまたはベンゾイルのようなアシル基がある。アルキリデン保護基は、例えばトリフルオロ酢酸、硫酸または塩酸を用いて、好ましくは酸触媒加水分解により除去される。
式(I)の化合物は、N-アシル化、N-脱ベンジル化およびヒドロキシル基からケトンへの酸化を含めた慣用的相互変換操作を用い、その後必要であれば存在する保護基の除去により、式(I)の他の化合物またはその保護誘導体から製造してもよい。
式(I)の個別異性体は、望ましい立体化学を有する出発物質から、あるいは慣用的手段を用いて式(I)の所要化合物の合成において適切な段階でエピマー化、分割またはクロマトグラフィー(例えば、HPLC分離)により製造される。
式(I)の化合物の酸付加塩を製造することが望まれる場合には、上記操作の生成物は得られた遊離塩基を適切な酸で常法を用いて処理することにより塩に変換される。
式(I)の化合物の生理学上許容される酸付加塩は、場合によりエステル(例えば、酢酸エチル)またはアルコール(例えば、メタノール、エタノールまたはイソプロパノール)のような適切な溶媒の存在下で、遊離塩基形の式(I)の化合物を適切な酸と反応させることにより製造される。
無機塩基塩は、常法を用いて式(I)の化合物の遊離塩基を反応させることにより製造される。
式(I)の化合物の溶媒和物(例えば、水和物)は前記プロセス工程の1つの後処理操作中に形成される。
下記例は本発明を説明するもので、本発明を決して制限するものではない。すべての温度は℃である。以下において用語DMSOはジメチルスルホキシドを意味する。
例
一般的記述
生成物をカラムクロマトグラフィーで精製した場合、‘シリカ’とは0.063〜0.20mmメッシュのクロマトグラフィー用シリカゲル(例えば、Merck Art 7735)に関し、‘フラッシュシリカ’とは0.040〜0.063mmメッシュのクロマトグラフィー用シリカゲル(例えば、Merck Art 9385)に関する。この後者の場合において、カラム溶出は5psi(約0.35kg/cm2)以内において窒素加圧下で促進させた。
生成物をプレパラティブHPLCで精製した場合、これはC18逆相カラム(1″Dynamax)で行い、水(0.1%トリフルオロ酢酸含有)中アセトニトリル(0.1%トリフルオロ酢酸含有)の勾配で溶出させ、化合物を他で指摘されないかぎりそれらのトリフルオロ酢酸塩として単離した。
製造1
2-クロロ-N-(2,2-ジフェニルエチル)アデノシン2′,3′,5′-三酢酸
2-プロパノール(300ml)中2,6-ジクロロ-9-(2,3,5-トリ-O-アセチル-β-D-リボフラノシル)-9H-プリン1(6.68g、14.9mmol)の溶液をジイソプロピルエチルアミン(3.8ml)の存在下において2,2-ジフェニルエチルアミン(4.3g、21.8mmol)と共に還流下で3.5時間攪拌および加熱した。冷却された混合液を真空蒸発により容量減少させ残渣を酢酸エチル(200ml)で希釈した。この混合液を水(100ml)、10%クエン酸溶液(2×100ml)および水(100ml)で洗浄し、その後(MgSO4)乾燥し、蒸発させ、淡黄色泡状物として標題化合物(9.01g)を得た。サンプル(500mg)をフラッシュシリカでカラムクロマトグラフィーにより酢酸エチル:シクロヘキサン(1:2)で溶出させて精製した。生成物(0.34g)を白色泡状物として得た。〔α〕D−20°(CHCl3、c=1%)
1.M.J.Robins and B.Uznanski,Canad.J.Chem.,1981,59(17),2608.
製造2
2-クロロ-N-(2,2-ジフェニルエチル)アデノシン
2-クロロ-N-(2,2-ジフェニルエチル)アデノシン2′,3′,5′-三酢酸(2.0g、3.29mmol)をメタノール(120ml)に溶解し、溶液を2M炭酸ナトリウム水溶液(10ml)と共に室温で攪拌した。2時間後に混合液を水(350ml)で希釈し、酢酸エチル(2×100ml)で抽出した。抽出液を水(100ml)で洗浄し、(MgSO4)乾燥し、その後蒸発させ、泡状物(1.42g)を得た。サンプル(0.42g)をフラッシュシリカでカラムクロマトグラフィーにより酢酸エチル:シクロヘキサン(3:1)で溶出させて精製した。適切な分画の蒸発により油状物を得、これをエーテル(20ml)で処理して固体物を得、これを濾取し、エーテルで洗浄し、真空乾燥し、固体物として標題化合物(0.177g)を得た。〔α〕D−39°(CHCl3、c=1%)
製造3
2-クロロ-N-(2,2-ジフェニルエチル)-2,3-O-(1-メチルエチリデン)アデノシン トルエン-4-スルホン酸塩
トルエン-4-スルホン酸(7.0g、37mmol)をアセトン(300ml)及び2,2-ジメトキシプロパン(90ml)中2-クロロ-N-(2,2-ジフェニルエチル)アデノシン(6.85g、14mmol)の攪拌溶液に加えた。数分間後に沈澱物が生成したが、これは0.5時間以内に溶解した。反応液を3日間攪拌し、生成した沈澱物を濾取し、アセトン(50ml)で洗浄し、乾燥させて、標題化合物(4.64g)を得た:〔α〕D−38°(1,4-ジオキサン、c=1%)。第二収量(2.7g)を母液から得た。
製造4
1-〔2-クロロ-6-〔(2,2-ジフェニルエチル)アミノ〕-9H-プリン-9-イル〕-1-デオキシ-2,3-O-(1-メチルエチリデン)-β-D-リボフラヌロン酸
1,4-ジオキサン(200ml)中2-クロロ-N-(2,2-ジフェニルエチル)-2,3-O-(1-メチルエチリデン)アデノシン トルエン-4-スルホン酸塩(6.94g、10mmol)の溶液を水(200ml)中過マンガン酸カリウム(8.85g、56.1mmol)及び水酸化カリウム(2.71g、48.4mmol)の冷(4℃)溶液に加え、温度を10℃以下に保った。添加終了後、混合液を5℃〜室温で3.5時間攪拌した。メタ重亜硫酸ナトリウムの5%水溶液をすべての色が消失するまで少しずつ加えた。次いでpHを濃塩酸でpH3に調整し、混合液を酢酸エチル(3×200ml)で抽出した。抽出液を水(200ml)で洗浄し、(MgSO4)乾燥し、蒸発させて、ロウ状固体物(5.45g)を得、これを真空下で乾燥させた。この固体物の大部分(4.1g)を溶液が得られるまでエーテル(100ml)及び5%炭酸水素ナトリウム水溶液(100ml)と共に攪拌した。水相をエーテル(2×100ml)で洗浄し、その後10%クエン酸溶液でpH3にして沈澱物を得、これを濾取し、水(100ml)で洗浄し、乾燥させた。得られた固体物(6.1g)を水(500ml)と共に2時間攪拌し、その後濾取し、水(50ml)で洗浄し、五酸化リンで真空下乾燥させ、標題化合物(3.52g)を得た。〔α〕D+53°(CHCl3、c=1%)
製造5
1-〔2-クロロ-6-〔(2,2-ジフェニルエチル)アミノ〕-9H-プリン-9-イル〕-1-デオキシ-N-エチル-2,3-O-(1-メチルエチリデン)-β-D-リボフラヌロンアミド
塩化チオニル(10ml)中1-〔2-クロロ-6-〔(2,2-ジフェニルエチル)アミノ〕-9H-プリン-9-イル〕-1-デオキシ-2,3-O-(1-メチルエチリデン)-β-D-リボフラヌロン酸(3.3g、6.16mmol)の溶液を70℃で1.5時間加熱した。混合液を蒸発させて淡褐色泡状物を得、これをトルエンと2回共沸した。得られた泡状物をジクロロメタン(50ml)に溶解し、溶液を5℃に冷却した。ジクロロメタン(20ml)中エチルアミン(6ml)の溶液を少しずつ加え、混合液を5℃で30分間放置し、その後水(100ml)に注いだ。水相をジクロロメタン(3×50ml)で抽出し、抽出液を水洗し、(MgSO4)乾燥し、その後蒸発させて泡状物(3.37g)を得、これをフラッシュシリカでカラムクロマトグラフィーにより酢酸エチル:シクロヘキサン(1:1)で溶出させて精製し、淡黄色泡状物として標題化合物(2.74g)を得た。〔α〕D−18.9°(CHCl3、c=0.9%)
製造6
2-クロロ-N-(2,2-ジフェニルエチル)アデノシン2′,3′,5′-三安息香酸
2-プロパノール(2200ml)中2,6-ジクロロ-9-(2,3,5-トリ-O-ベンゾイル-β-D-リボフラノシル)-9H-プリン1(67.69g)、2,2-ジフェニルエチルアミン(27.67g)及びジイソプロピルエチルアミン(75.5g)の混合液を還流下で2.5時間加熱した。冷却混合液を蒸発させ、残留橙色泡状物をフラッシュシリカ(1.5kg)で酢酸エチル:シクロヘキサン(1:2)で溶出させて精製し、淡褐色泡状物として標題化合物(71.2g)得た。nmr(δ、CDCl3)4.2-4.4及び4.6-4.95(2m、6H)、5.97(br.s、1H)、6.14(q、2H)、6.43(d、1H)、7.15-7.65(m、約19H)、7.79(s、1H)、7.9-8.15(m、6H)
1.K.Imai,et al.,Chem.Pharm.Bull.,1966,14,1377.
製造7
2-クロロ-N-(2,2-ジフェニルエチル)アデノシン
メタノール(980ml)中2-クロロ-N-(2,2-ジフェニルエチル)アデノシン2′,3′,5′-三安息香酸(71.2g)を炭酸カリウム(52.1g)で処理した。懸濁液を22℃で2時間攪拌した。次いでそれを濃塩酸でpH8に酸性化し、蒸発させ、フラッシュシリカ(2kg)でジクロロメタン:エタノール:0.880アンモニア(90:10:1)で溶出させて精製し、白色固体物として標題化合物(40.2g)得た。nmr(δ、DMSO-d6)3.58(m、1H)、3.65(m、1H)、3.84(br.s、1H)、4.0-4.2及び4.4-4.65(2m、5H)、5.04(t、1H)、5.22(d、1H)、5.48(d、1H)、5.82(m、1H)、7.1-7.4(m、10H)、8.33(s、1H)、8.42(t、1H)
製造8
2-クロロ-N-(2,2-ジフェニルエチル)-2,3-O-(1-メチルエチリデン)アデノシン
アセトン(970ml)中2-クロロ-N-(2,2-ジフェニルエチル)アデノシン(40g)を2,2-ジメトキシプロパン(49ml)およびトルエン-4-スルホン酸(4.97g)で処理した。混合液を約22℃で67時間攪拌し、その後スリラーを蒸発させ、フラッシュシリカでクロマトグラフィーに付して、ジクロロメタン:メタノール(19:1)で溶出させ、白色固体物として標題化合物(39.6g)得た。一部(1.5g)を酢酸エチルから再結晶化させて、分析上純粋なサンプル1.27gを得た。m.p.185-187℃。〔α〕D−86°(c=0.8%、CHCl3)
製造9
1-〔2-クロロ-6-〔(2,2-ジフェニルエチル)アミノ〕-9H-プリン-9-イル〕-1-デオキシ-N-エチル-2,3-O-(1-メチルエチリデン)-β-D-リボフラヌロンアミド
1-(2,6-ジクロロ-9H-プリン-9-イル)-1-デオキシ-N-エチル-2,3-O-(1-メチルエチリデン)-β-D-リボフラヌロンアミド1(5.66g、14.07mmol)をN,N-ジイソプロピルエチルアミン(13.2ml)の存在下2,2-ジフェニルエチルアミン(3.62g、18.3mmol)と共に2-プロパノール(300ml)中で6時間加熱還流した。冷却された溶液を蒸発させて褐色泡状物を得、これをシリカにより酢酸エチルで溶出させて精製し、淡黄色泡状物として標題化合物(7.31g)を得た。nmr(δ、DMSO-d6)0.62(t、3H)、1.34(s、3H)、1.53(s、3H)、2.82(m、2H)、4.05(m、1.5H)、4.54(m、2.5H)、5.40(m、2H)、6.18(s、1H)、7.1-7.4(m、10H)、7.50(t、1H)、8.22(s、1H)、8.40(m、1H)
1.R.R.Schmidt et al.,Chem.Ber.,1980,113,2891.
製造10
1-〔2-クロロ-6-〔(2,2-ジフェニルエチル)アミノ〕-9H-プリン-9-イル〕-1-デオキシ-N-エチル-β-D-リボフラヌロンアミド
1-〔2-クロロ-6-〔(2,2-ジフェニルエチル)アミノ〕-9H-プリン-9-イル〕-1-デオキシ-N-エチル-2,3-O-(1-メチルエチリデン)-β-D-リボフラヌロンアミド(2.02g)をトリフルオロ酢酸(10ml)および水(1.1ml)で処理し、得られた溶液を20°で2時間攪拌した。混合液を蒸発させ、残渣を炭酸水素ナトリウム(3.75g)およびエタノール(30ml)で処理し、1時間攪拌した。混合液を濾過し、固体物をエタノールで洗浄した。全濾液および洗液を蒸発させ、残渣をフラッシュシリカにより酢酸エチル:メタノール(19.1)で溶出させて精製し、白色固体物として標題化合物(1.96g)を得た。nmr(δ、DMSO-d6)1.05(t、3H)、3.22(m、2H)、4.0-4.2(m、2.5H)、4.30(m、1H)、4.45-4.65(m、2.5H)、5.58(d、1H)、5.72(d、1H)、5.90(d、1H)、7.14-7.40(m、10H)、8.36(t、1H)、8.43(s、1H)、8.52(t、1H)
製造11
〔シス-(+/−)〕-〔3-〔(メチルスルホニル)オキシ〕シクロペンチル〕カルバミン酸フェニルメチルエステル
メタンスルホニルクロリド(0.163ml、2.1mmol)をアセトン(10ml)中〔シス-(+/−)〕-(3-ヒドロキシシクロペンチル)カルバミン酸フェニルメチルエステル1(0.47g、2mmol)およびトリエチルアミン(0.293ml、2mmol)の攪拌混合液に加えた。2時間後に上記試薬を追加し、反応液を更に1時間放置した。水(70ml)および酢酸エチル(70ml)を加え、有機相を水(20ml)で洗浄し、(MgSO4)乾燥し、蒸発させて固体物(0.71g)を得、これをフラッシュシリカでカラムクロマトグラフィーによりシクロヘキサン中50%酢酸エチルで溶出させて精製し、標題化合物(0.532g)を得た。m.p.84-86℃(エーテルから)
1.公開欧州特許出願EP-A-322242
製造12
〔トランス-(+/−)〕-〔3-(N,N-ジメチルアミノ)シクロペンチル〕カルバミン酸フェニルメチルエステル
エタノール中33%ジメチルアミン(30ml)中〔シス-(+/−)〕-〔3-〔(メチルスルホニル)オキシ〕シクロペンチル〕カルバミン酸フェニルメチルエステル(2g、6.38mmol)の溶液を還流下で4時間加熱した。冷却された混合液を水(250ml)で希釈し、酢酸エチル(3×70ml)で抽出した。抽出液を(MgSO4)乾燥し、蒸発させて油状物を得、これをエーテル/シクロヘキサンから再結晶化し、標題化合物(1.28g)を得た。m.p.85-86℃
製造13
〔トランス-(+/−)〕-3-(N,N-ジメチルアミノ)シクロペンチルアミン
テトラヒドロフラン(100ml)中〔トランス-(+/−)〕-〔3-(N,N-ジメチルアミノ)シクロペンチル〕カルバミン酸フェニルメチルエステル(1.4g、5.34mmol)の溶液に10%パラジウム炭素(0.17g)で3日間水素付加した。触媒を濾去し、テトラヒドロフラン(20ml)で洗浄し、合わせた有機相を窒素流で蒸発させ、油状物として標題化合物(0.412g)を得た。nmr(δ、CDCl3)1.25-1.65(m、3H)、1.7-1.85(m、1H)、1.85-2.1(m、2H)、2.25(s、6H)、2.65(m、1H)、3.48(m、1H)
製造14
〔トランス-(+/−)〕-(3-アジドシクロペンチル)カルバミン酸フェニルメチルエステル
水(2ml)中アジ化ナトリウム(0.5g、7.69mmol)の溶液をジメチルホルムアミド(12ml)中〔シス-(+/−)〕-〔3-〔(メタンスルホニル)オキシ〕シクロペンチル〕カルバミン酸フェニルメチルエステル(1.74g、5.55mmol)の溶液に加え、混合液を100℃で0.5時間加熱した。冷却された反応混合液を水(150ml)で希釈し、酢酸エチル(3×50ml)で抽出した。抽出液を水(50ml)で洗浄し、(MgSO4)乾燥し、蒸発させ、油状物として標題化合物(1.41g)を得たが、これは乾燥で固化した。nmr(δ、CDCl3)1.4-1.55(m、1H)、1.6-1.85(m、2H)、1.95-2.3(m、3H)、4.05(m、1H)、4.17(m、1H)、4.72(bs、1H)、5.1(s、2H)、7.45(s、5H)
製造15
〔トランス-(+/−)〕-(3-アミノシクロペンチル)カルバミン酸フェニルメチルエステル
エタノール(230ml)中〔トランス-(+/−)〕-(3-アジドシクロペンチル)カルバミン酸フェニルメチルエステル(4.65g、0.0179mmol)の溶液に、攪拌溶液に水素を40分間吹込むことにより、10%パラジウム炭素(0.5g)で水素付加した。混合液をセライトで濾過し、パッドをエタノール(50ml)で洗浄した。合わせたエタノール溶液を蒸発させて油状物(4.2g)を得、これを2M塩酸(50ml)と酢酸エチル(50ml)に分配した。有機相を2M塩酸(2×20ml)で抽出し、合わせた水相を炭酸ナトリウム溶液でpH8にし、酢酸エチル(3×70ml)で抽出した。抽出液を(MgSO4)乾燥し、蒸発させ、固体物として標題化合物(0.32g)を得た。nmr(δ、CDCl3)1.25-1.45(m、4H)、1.75(t、2H)、1.9-2.1(m、1H)、2.1-2.3(m、1H)、3.47(m、1H)、4.2(m、1H)、4.72(bs、1H)、5.1(s、2H)、7.47(s、5H)
製造16
〔トランス-(+/−)〕-〔3-〔(メチルスルホニル)オキシ〕シクロペンチル〕カルバミン酸フェニルメチルエステル
メタンスルホニルクロリド(1.42ml、18.35mmol)をアセトン(100ml)中〔トランス-(+/−)〕-(3-ヒドロキシシクロペンチル)カルバミン酸フェニルメチルエステル1(2.16g、9.19mmol)およびトリエチルアミン(2.54ml、18.35mmol)の攪拌溶液に加えた。混合液を2時間攪拌し、その後水(500ml)で希釈し、酢酸エチル(3×100ml)で抽出した。抽出液を水(100ml)で洗浄し、(MgSO4)乾燥し、蒸発させ、固体物として標題化合物(2.75g)を得た。nmr(δ、CDCl3)1.45-1.6(m、1H)、1.77-1.9(m、1H)、1.9-2.1(m、1H)、2.1-2.3(m、2H)、2.3-2.45(m、1H)、3.0(s、3H)、4.25(m、1H)、4.73(bs、1H)、5.1(s、2H)、5.2(m、1H)、7.35(s、5H)
1.公開欧州特許出願EP-A-322242
製造17
〔シス-(+/−)〕-(3-アジドシクロペンチル)カルバミン酸フェニルメチルエステル
アジ化ナトリウム(0.74g、10.4mmol)を水(4ml)に溶解し、溶液をジメチルホルムアミド(15ml)中〔トランス-(+/−)〕-〔3-〔(メチルスルホニル)オキシ〕シクロペンチル〕カルバミン酸フェニルメチルエステル(2.35g、7.25mmol)の溶液に加えた。混合液を100℃で2時間加熱し、冷却し、酢酸エチル(50ml)と水(50ml)に分配した。水相を酢酸エチル(2×50ml)で抽出し、合わせた抽出液を水(2×50ml)で洗浄し、(MgSO4)乾燥し、蒸発させ、油状物として標題化合物(1.92g)を得た。nmr(δ、CDCl3)1.55-1.7(m、2H)、1.85(m、2H)、2.0-2.27(m、2H)、4.05(m、1H)、4.17(m、1H)、5.0(m、1H)、5.1(s、2H)、7.35(s、5H)
製造18
〔シス-(+/−)〕-(3-アミノシクロペンチル)カルバミン酸フェニルメチルエステル
エタノール(60ml)中〔シス-(+/−)〕-(3-アジドシクロペンチル)カルバミン酸フェニルメチルエステル(1.46g、5.61mmol)の溶液に、溶液に水素を30分間吹込むことにより、10%パラジウム炭素(0.2g)で水素付加した。触媒を濾去し、エタノール(20ml)で洗浄し、合わせた有機溶液を蒸発させて油状物(1.41g)を得た。一部(1g)を2M塩酸(5ml)と酢酸エチル(10ml)に分配した。水を加え、水相を酢酸エチル(2×10ml)で洗浄し、炭酸ナトリウム溶液でpH9にし、酢酸エチル(3×25ml)で抽出した。抽出液で水(2×20ml)で洗浄し、(MgSO4)乾燥し、蒸発させ、油状物として標題化合物(0.37g)を得た。nmr(δ、CDCl3)1.25-1.55(m、2H)、1.65-1.95(m、2H)、1.95-2.1(m、2H)、3.52(m、1H)、4.15(m、1H)、5.1(s、2H)、5.33(m、1H)、7.35-7.45(m、5H)
製造19
2,5-ジヒドロ-1H-ピロール-1-カルボン酸1,1-ジメチルエチルエステル
ジt-ブチルピロカーボネート(84.2g、0.386モル)を1,4-ジオキサン(150ml)中純度70%3-ピロリン(25g、0.253モル)の氷冷溶液に加えた。3日後に混合液を酢酸エチル(200ml)で希釈し、水(5×200ml)で洗浄した。水相を酢酸エチル(100ml)で抽出し、合わせた有機溶液を水(100ml)で洗浄し、(MgSO4)乾燥し、蒸発させて油状物を得、これをフラッシュシリカでカラムクロマトグラフィーによりシクロヘキサン中30%酢酸エチルで溶出させて精製し、油状物として標題化合物(48.6g)を得た。nmr(δ、CDCl3)1.45(s、9H)、4.12(dd、4H)、5.77(m、2H)
製造20
3-〔(1,1-ジメチルエトキシ)カルボニル〕-6-オキサ-3-アザビシクロ〔3.1.0〕ヘキサン
80%m-クロロ過安息香酸(3.9g、0.0226モル)をジクロロメタン(70ml)中2,5-ジヒドロ-1H-ピロール-1-カルボン酸1,1-ジメチルエチルエステル(3.55g、0.021モル)の溶液に加え、混合液を24時間攪拌してから、過酸(0.27g、0.00156モル)を追加し、攪拌を更に4時間続けた。酢酸エチルを加え、混合液を10%炭酸ナトリウム溶液で洗浄した。水相を酢酸エチル(50ml)で抽出し、合わせた有機溶液を水で洗浄し、(MgSO4)乾燥し、蒸発させて油状物を得、これをフラッシュシリカでカラムクロマトグラフィーによりシクロヘキサン中30%酢酸エチルで溶出させて精製し、油状物として標題化合物(1.52g)を得た。nmr(δ、CDCl3)1.45(s、9H)、3.42(dd、2H)、3.67(s、2H)、3.78(dd、2H)
製造21
〔トランス-(+/−)〕-3-ヒドロキシ-4-〔(フェニルメチル)アミノ〕-1-ピロリジンカルボン酸1,1-ジメチルエチルエステル
1,4-ジオキサン(5ml)および水(5ml)中3-〔(1,1-ジメチルエトキシ)カルボニル〕-6-オキサ-3-アザビシクロ〔3.1.0〕ヘキサン(1.32g、7.13mmol)およびベンジルアミン(2ml)の溶液を85℃で5時間加熱した。反応液を18時間かけて冷却させ、形成された固体物を濾取し、酢酸エチル/シクロヘキサンから結晶化して、標題化合物(1.3g)得た。nmr(δ、DMSO-d6)1.4(s、9H)、2.32(bs、1H)、2.93(bs、1H)、3.1(bt、2H)、3.4(m、1H)、3.7(bs、2H)、3.97(bs、1H)、5.0(d、1H)、7.15-7.35(m、5H)
製造22
〔トランス-(+/−)〕-3-アミノ-4-ヒドロキシ-1-ピロリジンカルボン酸1,1-ジメチルエチルエステル
エタノール(150ml)中〔トランス-(+/−)〕-3-ヒドロキシ-4-〔(フェニルメチル)アミノ〕-1-ピロリジンカルボン酸1,1-ジメチルエチルエステル(1.1g、3.76mmol)の溶液に10%パラジウム炭素(0.05g)で3.5時間水素付加した。触媒を濾去し、エタノール(50ml)で洗浄し、合わせたエタノール溶液を蒸発させて油状物を得、これを酢酸エチル(75ml)に溶解した。溶液を濾過し、濾液を蒸発させて固体物を得、これを酢酸エチル/シクロヘキサンから結晶化して標題化合物(0.643g)得た。nmr(δ、CDCl3)1.45(s、9H)、1.6-2.2(bm、3H)、3.1(m、1H)、3.3(m、2H)、3.68(m、2H)、3.98(m、1H)
製造23
1-アミノシクロプロパンメタノール
テトラヒドロフラン(20ml)中水素化ホウ素リチウム(0.771g、35.4mmol)のスラリーをクロロトリメチルシラン(9ml、70.8mmol)の添加中攪拌し、混合液を添加終了後5分間攪拌した。次いで1-アミノ-1-シクロプロパンカルボン酸(1.95g、17.7mmol)を5分間かけて少しずつ加え、混合液を室温で18時間攪拌した。メタノール(30ml)を10分間かけて滴下し、その後混合液を濃縮してゴム状物を得、これを20%水酸化カリウム溶液(50ml)で処理し、ジクロロメタン(4×75ml)で抽出した。合わせた抽出液を(Na2SO4)乾燥し、蒸発させ、固体物として標題化合物(0.286g)得た。nmr(δ、CDCl3)0.5-0.6および0.6-0.7(m、4H)、1.8(s、3H)、3.47(s、2H)
製造24
(+/−)-4-トリメチルシリルオキシ-1H-ピロリジン-2-オン
(+/−)-4-アミノ-3-ヒドロキシ酪酸(1.0g、8.39mmol)、キシレン(110ml)、ヘキサメチルジシラザン(12.4ml、58.7mmol)およびクロロトリメチルシラン(2滴)を還流下で4時間加熱し、その後冷却された混合液をエタノール(250ml)に注いだ。得られた溶液を蒸発させて固体物を得、これをクロロホルム(150ml)に溶解し、セライトで濾過した。濾液を蒸発乾固させ、残渣をフラッシュシリカでカラムクロマトグラフィーによりクロロホルム中5〜25%メタノールで溶出させて精製し、固体物として標題化合物(0.757g)を得た。nmr(δ、CDCl3)0.1-0.2(m、9H)、2.28および2.55(ddおよびdd、2H)、3.25および3.6(ddおよびdd、2H)、4.5-4.6(m、1H)、5.6-5.7(m、1H)
製造25
(+/−)-4-〔(メチルスルホニル)オキシ〕-1H-ピロリジン-2-オン
アセトニトリル(30ml)中(+/−)-4-トリメチルシリルオキシ-1H-ピロリジン-2-オン(2.0g、11.5mmol)を4M HCl(2.9ml、11.5mmol)で処理し、混合液を45分間攪拌してから蒸発させ、褐色油状物を得た。この油状物をトルエン(2×10ml)と共沸し、その後アセトン(40ml)に溶解し、メタンスルホニルクロリド(1.8ml、23mmol)およびトリエチルアミン(3.2ml、23mmol)と共に2.5時間攪拌した。メタンスルホニルクロリド(0.9ml、11.5mmol)およびトリエチルアミン(1.6ml、11.5mmol)を追加し、反応液を16時間放置した。メタンスルホニルクロリド(1.35ml、17.3mmol)およびトリエチルアミン(2.4ml、17.3mmol)を追加し、混合液を更に2時間攪拌してから蒸発させて、固体物を得、これをフラッシュシリカでカラムクロマトグラフィーによりクロロホルム中5〜10%メタノールで溶出させて精製し、固体物として標題化合物(0.813g)得たが、これは酢酸エチル/シクロヘキサンから結晶化させることができる。nmr(δ、CDCl3)2.59および2.78(ddおよびdd、2H)、3.09(s、3H)、3.68および3.81(bdおよびdd、2H)、5.37-5.45(m、1H)、5.5-5.7(m、1H)
製造26
(+/−)-4-アミノ-1H-ピロリジン-2-オン塩酸塩
ジメチルホルムアミド(15ml)中(+/−)-4-〔(メチルスルホニル)オキシ〕-1H-ピロリジン-2-オン(0.8g、4.9mmol)およびアジ化ナトリウム(0.348g、5.39mmol)の溶液を室温で65時間攪拌し、その後50℃で6時間加熱した。水を冷却反応液に加え、生成物を酢酸エチル(8×20ml)に抽出し、合わせた抽出液を(Na2SO4)乾燥し、15mlまで濃縮させた。この溶液にエタノール(25ml)中で水素を1時間吹込むことにより10%パラジウム炭素(0.165g)で水素付加した。混合液をセライトで濾過し、濾液を10mlまで濃縮し、これを4M塩酸(0.88ml、4.9mmol)と共に攪拌した。3時間後に混合液を蒸発および乾燥させて固体物を得、これをエタノール中で0.5時間攪拌し、濾取して、標題化合物(0.402g、60%)を得た。nmr(δ、DMSO-d6)2.2-2.58(2×dd、2H)、3.24および3.55(2×dd、2H)、3.85-3.96(m、1H)、7.82-7.87(bs、1H)、8.3-8.5(bs、3H)
製造27
〔シス-(+/−)〕-(2-ヒドロキシシクロペンチル)カルバミン酸フェニルメチルエステル
1,4-ジオキサン(100ml)および水(50ml)中〔シス-(+/−)〕-2-アミノシクロペンタノール1(6.0g、58.4mmol)の溶液を炭酸ナトリウム(30.9g、292mmol)およびベンジルクロロホルメート(8.34ml、58.4mmol)で処理した。得られた混合液を21℃で一夜攪拌した。次いでそれを2N塩酸(300ml)に注ぎ、酢酸エチル(3×100ml)で抽出した。全有機溶液を(塩水、200ml)洗浄し、(Na2SO4)乾燥し、蒸発させて油状物(17.13g)を得、これをシリカによりシクロヘキサン:酢酸エチル(2:1)で溶出させて精製し、白色固体物として標題化合物(6.089g)得た。nmr(δ、CDCl3)1.4-2.1(m、7H)、3.88(m、1H)、4.18(m、1H)、5.11(br.s、3H)、7.35(m、5H)
1.R.A.B.Bannard et al.,Canad.J.Chem.,1971,49,2064.
製造28
〔シス-(+/−)〕-〔2-〔(メチルスルホニル)オキシ〕シクロペンチル〕カルバミン酸フェニルメチルエステル
メタンスルホニルクロリド(1.85ml、23.9mmol)をジクロロメタン(125ml)中〔シス-(+/−)〕-(2-ヒドロキシシクロペンチル)カルバミン酸フェニルメチルエステル(2.50g、10.6mmol)およびトリエチルアミン(3.35ml、23.9mmol)の攪拌混合液に21℃で加えた。得られた黄色溶液を21℃で一夜攪拌した。次いでそれを(水100ml、その後塩水100ml)洗浄し、(Na2SO4)乾燥し、蒸発させて黄色油状物(4.20g)を得た。油状物をシリカによりシクロヘキサン:酢酸エチル(3:2)で溶出させて精製し、黄色油状物として標題化合物(3.29g)得たが、これは放置時に結晶化した。m.p.74-76℃
製造29
〔トランス-(+/−)〕-(2-アジドシクロペンチル)カルバミン酸フェニルメチルエステル
N,N-ジメチルホルムアミド(50ml)および水(10ml)中〔シス-(+/−)〕-〔2-〔(メチルスルホニル)オキシ〕シクロペンチル〕カルバミン酸フェニルメチルエステル(3.23g、10.3mmol)の溶液を攪拌して、アジ化ナトリウム(0.823g、12.66mmol)で処理した。次いで得られた溶液を攪拌し、油浴中100℃で2.5時間加熱し、その後21℃に冷却させた。混合液を水(200ml)で希釈し、酢酸エチル(3×100ml)で抽出した。全有機溶液を(水2×100ml、その後塩水200ml)洗浄し、(Na2SO4)乾燥し、蒸発させて黄色油状物(2.63g)を得、これをシリカによりシクロヘキサン:酢酸エチル(4:1)で溶出させて精製し、淡黄色油状物として標題化合物(2.00g)得た。nmr(δ、CDCl3)1.4-1.55(m、1H)、1.6-1.8(m、3H)、1.9-2.05(m、1H)、2.05-2.2(m、1H)、3.72(m、1H)、3.90(m、1H)、4.70(br.s、1H)、5.12(s、2H)、7.35(m、5H);ir(CHBr3)2101cm-1(N3)
製造30
〔トランス-(+/−)〕-(2-アミノシクロペンチル)カルバミン酸フェニルメチルエステル
エタノール(20ml)中〔トランス-(+/−)〕-(2-アジドシクロペンチル)カルバミン酸フェニルメチルエステル(0.25g)の溶液を窒素下でエタノール(2ml)中10%パラジウム炭素触媒(0.025g)の懸濁液にゆっくり加えた。水素を懸濁液に20分間吹込み、その後直ちに混合液を窒素でパージし、セライトで濾過した。濾液を蒸発させて、油状物(0.17g)を得た。油状物を酢酸エチル(20ml)に溶解し、2N塩酸(2×25ml)で抽出した。全水溶液を酢酸エチル(25ml)でカバーし、固体炭酸ナトリウムで塩基性化した。水層を更に酢酸エチル(25ml)で抽出し、全有機溶液を(塩水30ml)洗浄し、(Na2SO4)乾燥し、蒸発させ、黄色油状物として標題化合物(0.104g)得た。nmr(δ、CDCl3)1.3-1.5(m、2H)、1.55-1.85(m、2H)、1.9-2.25(m、2H)、3.03(q、1H)、3.60(m、1H)、4.75(br.s、1H)、5.10(s、2H)、7.35(m、5H)
製造31
〔(3aα,4α,6aα)-(+/−)〕-N-(テトラヒドロ-2,2-ジメチル-4H-シクロペンタ-1,3-ジオキソール-4-イル)-N-(フェニルメチル)アミンおよび(1α,2β,3α)-2-(フェニルメチル)アミノ-1,3-シクロペンタンジオール
〔(1α,2β,5α)-(+/−)〕-6-オキサビシクロ〔3.1.0〕ヘキサン-2-オール1(2.5g、25mmol)、ベンジルアミン(2.75ml、25.2mmol)および水(15ml)の混合液を還流下で5時間攪拌および加熱した。溶液を蒸発させて褐色油状物を得、これをアセトン(30ml)に溶解し、2,2-ジメトキシプロパン(14ml)および4-トルエンスルホン酸一水和物(4.7g)で処理した。混合液を還流下で一夜攪拌および加熱し、その後冷却させた。混合液を5%炭酸水素ナトリウム溶液(200ml)と酢酸エチル(200ml)に分配した。水層を更に酢酸エチル(2×100ml)で抽出し、水性および有機溶液を保持した。全有機溶液を(塩水50ml)洗浄し、(Na2SO4)乾燥し、褐色油状物に蒸発させ、これをフラッシュシリカにより酢酸エチル:シクロヘキサン(3:1)で溶出させて精製し、淡褐色油状物として〔(3aα,4α,6aα)-(+/−)〕-N-(テトラヒドロ-2,2-ジメチル-4H-シクロペンタ-1,3-ジオキソール-4-イル)-N-(フェニルメチル)アミン(3.41g)を得た。nmr(δ、CDCl3)1.30(s、3H)、1.42(s、3H)、1.5、1.8、2.0(ms、4H)、3.80(br.s、2H)、4.24(d、1H)、4.74(t、1H)、7.2-7.45(m、5H)
合わせた水層を湿潤固体物に蒸発させ、これを酢酸エチル(3×200ml)と共に振盪した。有機溶液を濾過し、(Na2SO4)乾燥し、白色固体物に蒸発させ、これをフラッシュシリカによりジクロロメタン:エタノール:0.880アンモニア(50:8:1)で溶出させて精製し、灰白色固体物として(1α,2β,3α)-2-(フェニルメチル)アミノ-1,3-シクロペンタンジオール(0.410g)を得た。nmr(δ、DMSO-d6)1.4-1.6、1.65-1.85(ms、4H)、2.05(br.s、1H)、2.61(t、1H)、3.6-3.75(m、2H)、3.81(s、2H)、4.67(d、2H)、7.15-7.4(m、5H)
1.T.Itoh et al.,J.Am.Chem.Soc.,1979,101,159.
製造32
〔(3aα,4α,6aα)-(+/−)〕-テトラヒドロ-2,2-ジメチル-4H-シクロペンタ-1,3-ジオキソール-4-アミン
エタノール(80ml)中〔(3aα,4α,6aα)-(+/−)〕-N-(テトラヒドロ-2,2-ジメチル-4H-シクロペンタ-1,3-ジオキソール-4-イル)-N-(フェニルメチル)アミン(3.2g、12.9mmol)に10%パラジウム炭素触媒(1.0g)で5.5時間水素付加させた。触媒を濾去し、濾液を蒸発させ、淡灰色液体として標題化合物(2.02g)を得た。nmr(δ、DMSO-d6)1.18(s、3H)、1.30(s、3H)、1.5-1.6、1.65-2.0(ms、4H)、3.19(d、1H)、4.12(d、1H)、4.61(t、1H)
製造33
(1α,2β,3α)-2-アミノ-1,3-シクロペンタンジオール
エタノール(20ml)中(1α,2β,3α)-2-(フェニルメチル)アミノ-1,3-シクロペンタンジオール(0.380g)に10%パラジウム炭素触媒(0.125g)で7時間水素付加させた。触媒を濾去し、濾液を蒸発させ、淡褐色油状物として標題化合物(0.220g)を得たが、これは4℃で放置時に固化した。nmr(δ、DMSO-d6)1.45(m、2H)、1.75(m、2H)、3.2-3.55(m、3H)、4.7(m、2H)
製造34
〔1R-(エキソ,エキソ)〕-5,6-ジヒドロキシ-2-アザビシクロ〔2.2.1〕ヘプタン-3-オン
水(39ml)中N-メチルモルホリン(12.67g、108mmol)を攪拌し、四酸化オスミウム(t-ブタノール中2.5%溶液)(4ml)およびt-ブタノール(16ml)で処理した。t-ブタノール(50ml)中〔1R-(エキソ,エキソ)〕-2-アザビシクロ〔2.2.1〕ヘプタ-5-エン-3-オン1(10g、91.6mmol)のスラリーを加えた。得られた黒褐色溶液を70℃で30分間攪拌し、その後25分間かけて55℃まで冷却させた。ヒドロ亜硫酸ナトリウム(0.900g)を加え、混合液を30℃に冷却し、30℃で30分間攪拌した。活性炭(4g)を加え、混合液を25〜30℃で30分間攪拌した。混合液をセライトで濾過し、残渣をメタノール(3×20ml)で洗浄した。全濾液および洗液を蒸発させ、トルエン(3×20ml)から蒸発により共沸乾固させた。メタノール(100ml)中残渣を加熱還流し、その後熱時濾過し、約35mlまで蒸発させ、4℃で一夜放置した。固体物を濾取し、冷メタノール変性アルコール(2×10ml)で洗浄し、乾燥させ、褐色固体物として標題化合物(7.69g)を得た。〔α〕D−99°(H2O、c=1.4%)
1.S.J.C.Taylor et al.,J.Chem.Soc,Chem.Commun.,1990,1120.
製造35
〔1S-(1α,2β,3β,4α)〕-4-アミノ-2,3-ジヒドロキシシクロペンタンカルボン酸メチルエステル塩酸塩
3N塩酸(85ml)中〔1R-(エキソ,エキソ)〕-5,6-ジヒドロキシ-2-アザビシクロ〔2.2.1〕ヘプタン-3-オン(11.815g)の溶液を還流下で1時間攪拌および加熱した。反応混合液を真空下で蒸発させ、次いでメタノール(2×40ml)、その後トルエン(6×40ml)から蒸発させた。残渣を1NメタノールHCl(70ml)で処理し、その後還流下で2時間加熱した。次いで冷却された混合液を真空下で蒸発により濃縮し、2-プロパノール(100ml)を加え、混合液を1時間攪拌した。懸濁液を濾過し、残渣を乾燥させ、灰色固体物として標題化合物(16.095g)を得た。nmr(δ、DMSO-d6)1.70(m、1H)、2.25(m、1H)、2.75(m、1H)、3.30(m、1H)、3.65(s、3H)、3.75(t、1H)、4.05(t、1H)、4.15(m、2H)、8.25(s、3H)
製造36
〔1S-(1α,2β,3β,4α)〕-2,3-ジヒドロキシ-4-〔〔(フェニルメトキシ)カルボニル〕アミノ〕シクロペンタンカルボン酸メチルエステル
水(35ml)中〔1S-(1α,2β,3β,4α)〕-4-アミノ-2,3-ジヒドロキシシクロペンタンカルボン酸メチルエステル塩酸塩(2.054g)の溶液を0℃に冷却し、炭酸ナトリウム(3.19g)で処理した。混合液を10分間攪拌し、その後1,4-ジオキサン(60ml)中ベンジルクロロホルメート(1.52ml)の溶液を滴下した。反応液を0〜5℃で30分間攪拌し、その後21℃に加温し、2.5時間攪拌した。懸濁液を酢酸エチルで希釈し、2N塩酸で洗浄し、水層を新鮮な酢酸エチルで2回抽出した。合わせた有機層を塩水で洗浄し、硫酸ナトリウムで乾燥し、蒸発させ、白色固体物として標題化合物(2.702g)を得た。少量(0.7g)を2-プロパノールから再結晶化させ、白色針状物として分析用サンプル(0.058g)を得た。分析実測値C58.4,H6.25,N4.45%;C15H19NO6計算値C58.25,H6.2,N4.5%
製造37
〔3aR-(3aα,4α,6α,6aα)〕-テトラヒドロ-2,2-ジメチル-6-〔〔(フェニルメトキシ)カルボニル〕アミノ〕-4H-シクロペンタ-1,3-ジオキソール-4-カルボン酸メチルエステル
アセトン(400ml)中〔1S-(1α,2β,3β,4α)〕-2,3-ジヒドロキシ-4-〔〔(フェニルメトキシ)カルボニル〕アミノ〕シクロペンタンカルボン酸メチルエステル塩酸塩(21.385g)の溶液を2,2-ジメトキシプロパン(75ml)およびトルエン-4-スルホン酸(1.58g)で処理し、溶液を21℃で一晩攪拌した。反応混合液を蒸発させ、残渣を酢酸エチルと8%炭酸水素ナトリウム溶液に分配した。水層を分離し、酢酸エチルで2回で抽出した。合わせた有機層を塩水で洗浄し、硫酸ナトリウムで乾燥し、淡黄褐色固体物に蒸発させ、これをジイソプロピルエーテルから再結晶化し、白色結晶として標題化合物(18.452g)を得た。nmr(δ、CDCl3)1.30(s、3H)、1.45(s、3H)、1.95(d、1H)、2.45(m、1H)、3.00(d、1H)、3.70(s、3H)、4.15(t、1H)、4.50(d、1H)、4.80(d、1H)、5.10(t、2H)、5.70(m、1H)、7.35(m、5H)
製造38
〔3aR-(3aα,4α,6α,6aα)〕-6-アミノテトラヒドロ-2,2-ジメチル-4H-シクロペンタ-1,3-ジオキソール-4-カルボン酸メチルエステル
エタノール(400ml)中〔3aR-(3aα,4α,6α,6aα)〕-テトラヒドロ-2,2-ジメチル-6-〔〔(フェニルメトキシ)カルボニル〕アミノ〕-4H-シクロペンタ-1,3-ジオキソール-4-カルボン酸メチルエステル(18.4g、52.67mmol)の溶液を窒素下でエタノール(100ml)中10%パラジウム炭素触媒(1.87g)の懸濁液に加えた。次いで混合液に6.5時間水素付加させた。反応混合液をセライトで濾過し、濾液を蒸発させ、淡黄色油状物として標題化合物(11.304g)を得た。nmr(δ、CDCl3)1.30(s、3H)、1.35(s、2H)、1.45(s、3H)、1.95(dt、1H)、2.30(dt、1H)、2.90(m、1H)、3.45(m、1H)、3.70(s、3H)、4.25(d、1H)、5.10(d、1H)
製造39
〔3aR-(3aα,4α,6α,6aα)〕-テトラヒドロ-6-(ホルミルアミノ)-2,2-ジメチル-4H-シクロペンタ-1,3-ジオキソール-4-カルボン酸メチルエステル
アセチルホルミルオキシド(3.2g、36.37mmol)を50℃で2時間かけてギ酸(1.37ml)および無水酢酸(3.46ml)から製造した。次いでそれをエーテル(100ml)中〔3aR-(3aα,4α,6α,6aα)〕-6-アミノテトラヒドロ-2,2-ジメチル-4H-シクロペンタ-1,3-ジオキソール-4-カルボン酸メチルエステル(6.062g、28.16mmol)の攪拌溶液に乾燥テトラヒドロフラン(50ml)中でゆっくり加えた。混合液を21℃で2時間攪拌し、その後蒸発乾固させた。残渣をイソプロピルエーテルから再結晶化し、淡桃色結晶として標題化合物(4.2434g)を得た。nmr(δ、CDCl3)1.30(s、3H)、1.45(s、3H)、1.95(d、1H)、2.50(m、1H)、3.10(m、1H)、3.75(s、3H)、4.50(m、2H)、4.80(d、1H)、6.80(m、1H)、8.15(s、1H)
母液を蒸発させ、残渣をシリカによりジクロロメタン:メタノール25:1で溶出させて精製し、更に1.762gの標題化合物を得た。
製造40
〔3aR-(3aα,4α,6aα)〕-テトラヒドロ-2,2-ジメチル-4H-シクロペンタ-1,3-ジオキソール-4-カルボン酸メチルエステル
ジクロロメタン(50ml)中〔3aR-(3aα,4α,6α,6aα)〕-テトラヒドロ-6-(ホルミルアミノ)-2,2-ジメチル-4H-シクロペンタ-1,3-ジオキソール-4-カルボン酸メチルエステル(6.014g、24.72mmol)の溶液を−40℃においてトリエチルアミン(8.27ml、59.33mmol)および塩化ホスホリル(2.31ml、24.72mmol)で滴下処理した。反応液を−40℃で20分間攪拌し、その後21℃に加温し、5時間攪拌した。混合液を炭酸ナトリウム(25g)含有の氷/水(300ml)中に注ぎ、ジクロロメタン(2×100ml)で抽出した。合わせた有機相を塩水(200ml)で洗浄し、(Na2SO4)乾燥し、蒸発させ、トルエン(2×50ml)と共沸させた。残渣を4℃で一夜貯蔵した。乾燥トルエン(400ml)中水素化トリn-ブチルスズ(9.31ml、34.61mmol)の溶液を窒素下100℃で加熱し、乾燥トルエン(150ml)中上記残渣の溶液で20分間滴下処理した。2,2′-アゾビス(2-メチルプロピオニトリル)(0.27g)を同時に加えた。反応液を110℃で2時間攪拌し、その後21℃に冷却し、真空下で蒸発させた。残渣をシリカによりシクロヘキサン:酢酸エチル(2:1)で溶出させて精製し、透明油状物として標題化合物(2.709g)を得た。nmr(δ、CDCl3)1.30(s、3H)、1.45(s、3H)、1.70-1.95(m、3H)、2.10(m、1H)、2.90(d、1H)、3.70(s、3H)、4.70(t、1H)、4.85(d、1H)
製造41
〔3aR-(3aα,4α,6aα)〕-テトラヒドロ-2,2-ジメチル-4H-シクロペンタ-1,3-ジオキソール-4-カルボン酸
水(50ml)およびメタノール(5ml)中〔3aR-(3aα,4α,6aα)〕-テトラヒドロ-2,2-ジメチル-4H-シクロペンタ-1,3-ジオキソール-4-カルボン酸メチルエステル(2.492g、12.45mmol)を水酸化カリウム(2.10g、37.35mmol)で処理し、混合液を21℃で2.5時間激しく攪拌した。次いで反応混合液を酢酸エチル(50ml)で洗浄し、その後氷冷し、酢酸エチル(50ml)でカバーした。混合液を2N塩酸でpH2に酸性化し、水層を更に酢酸エチル(2×25ml)で抽出した。合わせた有機層を塩水(50ml)で洗浄し、(Na2SO4)乾燥し、蒸発させ、白色結晶として標題化合物(2.318g)を得た。少量をヘキサンから再結晶化させて、分析用サンプル(0.13g)を得た。m.p.72-73℃;分析実測値C58.1,H7.7%;C9H14O4計算値C58.05,H7.6%
製造42
〔3aR-(3aα,4α,6aα)〕-(テトラヒドロ-2,2-ジメチル-4H-シクロペンタ-1,3-ジオキソール-4-イル)カルバミン酸フェニルメチルエステル
乾燥1,4-ジオキサン(100ml)中〔3aR-(3aα,4α,6aα)〕-テトラヒドロ-2,2-ジメチル-4H-シクロペンタ-1,3-ジオキソール-4-カルボン酸(4.27g、22.9mmol)の溶液を窒素下でベンジルアルコール(4.75ml、45.88mmol)、トリエチルアミン(3.20ml、22.94mmol)およびジフェニルホスホリルアジド(4.94ml、22.94mmol)で処理した。得られた溶液を90℃で一夜攪拌および加熱し、その後21℃に冷却し、真空下で濃縮し、残渣を酢酸エチル(100ml)に溶解し、1N塩酸で洗浄した。水層を酢酸エチル(100ml)で抽出し、合わせた有機抽出液を塩水で洗浄し、(Na2SO4)乾燥し、油状物まで蒸発させた。酢酸ベンジルとして過剰のベンジルアルコールを除去するために、油状物をジクロロメタン(150ml)に溶解し、5〜10℃に冷却し、4-ジメチルアミノピリジン(5.6g、45.9mmol)および無水酢酸(4.33ml、45.9mmol)で処理した。得られた溶液を21℃で1.5時間攪拌し、その後2N塩酸(100ml)で洗浄した。水層をジクロロメタン(2×100ml)で抽出し、合わせた有機抽出液を(塩水200ml)洗浄し、(Na2SO4)乾燥し、蒸発させて油状物を得、これをシリカによりエーテル:シクロヘキサン2:1で溶出させて精製し、白色固体物として標題化合物(4.588g)得た。nmr(δ、CDCl3)1.30(s、3H)、1.45(s、3H)、1.55(m、1H)、1.75(m、1H)、1.90(dd、1H)、2.10(m、1H)、3.95(t、1H)、4.45(d、1H)、4.60(m、1H)、4.70(t、1H)、5.10(s、2H)、7.35(s、5H)
製造43
〔3aR-(3aα,4α,6aα)〕-テトラヒドロ-2,2-ジメチル-4H-シクロペンタ-1,3-ジオキソール-4-アミン
エタノール(80ml)中〔3aR-(3aα,4α,6aα)〕-(テトラヒドロ-2,2-ジメチル-4H-シクロペンタ-1,3-ジオキソール-4-イル)カルバミン酸フェニルメチルエステル(2.0g、6.86mmol)の溶液を窒素下でエタノール中10%パラジウム炭素触媒(0.20g)の攪拌懸濁液に滴下した。懸濁液に21℃で4.5時間水素付加し、その後セライトで濾過した。濾液を蒸発させて、透明油状物として標題化合物(1.053g)を得た。nmr(δ、CDCl3)1.25-1.45(m、9H)、1.75-2.10(m、3H)、3.40(d、1H)、4.20(d、1H)、4.75(t、1H)
製造44
(S)-3-〔〔(1,1-ジメチルエトキシ)カルボニル〕アミノ〕ヘキサン二酸1-メチル6-(フェニルメチル)エステル
4-メチルモルホリン(2ml)を0℃で酢酸エチル(60ml)中t-ブトキシカルボニル-L-グルタミン酸5-ベンジルエステル(6.75g、20mmol)の溶液に加えた。次いでi-ブチルクロロホルメート(2.61ml、20mmol)を加えて沈澱物を得、混合液を0℃で15分間攪拌してから、0℃でフラスコ中にセライトで濾過した。パッドを前冷却された酢酸エチルで洗浄した。合わせた濾液および洗液をエーテル中ジアゾメタン(100ml中30mmol)で5分間処理し、反応液を0℃で3時間放置してから、室温まで加温した。過剰のジアゾメタンを溶液中への窒素の吹込みにより除去し、その後濃縮させて、黄色ゴム状物を得た。ゴム状物をメタノール(100ml)に溶解し、安息香酸銀(1g、4.4mmol)およびトリエチルアミン(10ml、70mmol)で処理し、その後室温で2.5時間攪拌した。黒色溶液を減圧下で濃縮し、残渣を酢酸エチル(100ml)に溶解し、その後飽和炭酸水素ナトリウム水溶液(100ml)、水(100ml)、1M硫酸水素カリウム水溶液(2×100ml)および塩水(100ml)で洗浄した。乾燥(MgSO4)有機相を蒸発させて黄色油状物を得、これをフラッシュシリカでカラムクロマトグラフィーによりシクロヘキサン中15〜50%酢酸エチルの勾配で溶出させて精製し、白色固体物として標題化合物(1.972g)を得、これをシクロヘキサンから結晶化させた。m.p.60-61℃;〔α〕D−21℃(CHCl3、c=1%)
製造45
(S)-(3-オキソシクロペンチル)カルバミン酸1,1-ジメチルエチルエステル
ヘキサン(5.83ml)中2.5M n-ブチルリチウムを4℃でテトラヒドロフラン(30ml)中1,1,1,3,3,3-ヘキサメチルジシラザン(3.16ml、15mmol)の攪拌溶液を滴下した。20分間後に溶液を−60℃に冷却し、テトラヒドロフラン(10ml)中(S)-3-〔〔(1,1-ジメチルエトキシ)カルボニル〕アミノ〕ヘキサン二酸1-メチル6-(フェニルメチル)エステル(1.522g、4.16mmol)を5分間かけて滴下した。溶液を10分間攪拌してから、pH7緩衝液(5ml)を加え、その後混合液をジクロロメタン(200ml)およびpH7緩衝液(300ml)で希釈した。水相を2M塩酸でpH6.5に調整し、その後有機相を分離した。水相をジクロロメタン(2×200ml)で抽出し、合わせた有機相を(MgSO4)乾燥し、その後蒸発させて、固体物を得た。固体物をエタノール(45ml)に溶解し、10%パラジウム炭素(0.5g)で4時間水素付加させた。水素を窒素に代えて、反応液を更に18時間攪拌し、その後セライトで濾過し、パッドをエタノールで洗浄した。濾液および洗液を合わせ、蒸発させて固体物を得、これをフラッシュシリカでカラムクロマトグラフィーによりシクロヘキサン中25〜40%酢酸エチルで溶出させて精製し、白色固体物として標題化合物(0.437g)を得、これをイソプロピルエーテルから結晶化させた。m.p.97-98℃;〔α〕D−48℃(CHCl3、c=0.52%)
製造46
(1S-トランス)-(3-ヒドロキシシクロペンチル)カルバミン酸1,1-ジメチルエチルエステル
テトラヒドロフラン(1.99ml)中水素化ホウ素トリス(1,2-ジメチルプロピル)リチウムの1M溶液をテトラヒドロフラン(3ml)で希釈し、−78℃に冷却し、0℃で乾燥テトラヒドロフラン(2ml)中(S)-(3-オキソシクロペンチル)カルバミン酸1,1-ジメチルエチルエステル(0.38g、1.66mmol)の溶液で滴下処理した。反応液を−78℃で2時間攪拌し、その後室温まで1時間かけて加温した。水(2ml)を滴下し、その後混合液を水(20ml)および酢酸エチル(30ml)で希釈した。有機相を水(20ml)で洗浄し、(MgSO4)乾燥し、蒸発させて、不純生成物を得、これをフラッシュシリカでクロマトグラフィーにより最初はシクロヘキサン中15%酢酸エチルから次第にニートな酢酸エチルで溶出させて精製した。初期分画から油状物として(1S-シス)-(3-ヒドロキシシクロペンチル)カルバミン酸1,1-ジメチルエチルエステル(0.16g)を得た。nmr(δ、CDCl3)1.43(s、9H)、1.50-2.10(m、6H)、3.97-4.10(m、1H)、4.32-4.40(m、1〜H)、5.00-5.12(m、1H)
後の分画から固体物として標題化合物(0.124g)を得、これをジイソプロピルエーテルから結晶化させた。mp83-85℃;〔α〕D+1.4°(CHCl3、c=0.54%)
製造47
(1S-トランス)-(3-(ホルミルオキシ)シクロペンチル)カルバミン酸1,1-ジメチルエチルエステル
アゾジカルボン酸ジエチル(0.164ml、1.23mmol)を(1S-シス)-(3-ヒドロキシシクロペンチル)カルバミン酸1,1-ジメチルエチルエステル(0.124g、0.61mmol)、トリフェニルホスフィン(0.323g、1.23mmol)およびギ酸(0.046ml、1.23mmol)の攪拌溶液に滴下し、溶液を室温で2時間攪拌した。次いで溶液を濃縮し、フラッシュシリカでカラムクロマトグラフィーによりシクロヘキサン中10〜30%酢酸エチルで溶出させて精製し、ジイソプロピルエーテルから白色針状物として標題化合物(0.07g)を得た。m.p.84-85℃;〔α〕D−12.7°(CHCl3、c=0.55%)
製造48
(1S-トランス)-(3-ヒドロキシシクロペンチル)カルバミン酸1,1-ジメチルエチルエステル
メタノール(3ml)中(1S-トランス)-〔3-(ホルミルオキシ)シクロペンチル)カルバミン酸1,1-ジメチルエチルエステル(0.081g、0.35mmol)の溶液を水(1.5ml)中炭酸水素カリウム(0.707g、7.06mmol)のスラリーで処理し、室温で2時間攪拌した。次いで混合液を水(20ml)および酢酸エチル(20ml)で希釈し、水相を酢酸エチル(2×20ml)で抽出した。合わせた有機相を(MgSO4)乾燥し、蒸発させて固体物を得、これをフラッシュシリカでカラムクロマトグラフィーによりシクロヘキサン中30〜40%酢酸エチルで溶出させて精製し、ジイソプロピルエーテルから標題化合物(0.037g)を得た。m.p.83-85℃;〔α〕D0.0°(CHCl3、c=0.55%)
製造49
(S)-〔1-〔〔(メチルスルホニル)オキシ〕メチル〕-2-フェニルエチル〕カルバミン酸フェニルメチルエステル
メタンスルホニルクロリド(6.45ml)をアセトン(190ml)中(S)-〔1-(ヒドロキシメチル)-2-フェニルエチル〕カルバミン酸フェニルメチルエステル1(12.0g、0.042モル)およびトリエチルアミン(11.7ml)の攪拌溶液に加えた。添加終了後に混合液を0.5時間攪拌し、その後水(700ml)および酢酸エチル(600ml)で希釈した。水相を酢酸エチル(2×500ml)で抽出し、合わせた有機溶液を水(2×500ml)で洗浄し、(MgSO4)乾燥し、蒸発させて固体物を得、これをフラッシュクロマトグラフィーによりシクロヘキサン中40〜60%酢酸エチルを用いて精製し、標題化合物(13.95g)を得た。MH+=364
1.A.Correa et al.,Synth.Commun.,1991,21(1),1.
製造50
(S)-〔1-(アジドメチル-2-フェニルエチル〕カルバミン酸フェニルメチルエステル
ジメチルホルムアミド(35ml)中(S)-〔1-〔〔(メチルスルホニル)オキシ〕メチル〕-2-フェニルエチル〕カルバミン酸フェニルメチルエステル(2.0g、5.5mmol)の溶液をアジ化ナトリウム(0.43g、6.6mmol)と共に80℃で4.5時間加熱した。次いで反応液を冷却し、氷水(100ml)および酢酸エチル(70ml)に注いだ。水相を酢酸エチル(2×70ml)で抽出し、合わせた抽出液を水(50ml)で洗浄し、(MgSO4)乾燥し、蒸発させて油状物を得、これをフラッシュクロマトグラフィーによりシクロヘキサン中20%酢酸エチルで溶出させて精製し、油状物として標題化合物(1.51g)得た。MH+=312
製造51
(S)-〔1-(アミノメチル)-2-フェニルエチル〕カルバミン酸フェニルメチルエステル
エタノール(5ml)中(S)-〔1-(アジドメチル)-2-フェニルエチル〕カルバミン酸フェニルメチルエステル(0.104g、0.323mmol)の溶液に、水素を20分間吹込むことにより、10%パラジウム炭素(0.019g)で水素付加した。触媒を濾去し、濾液を蒸発させて油状物を得、これを酢酸エチル(15ml)に溶解し、溶液を濾過した。濾液を蒸発させて、油状物として標題化合物(0.102g)を得たが、これは放置時に固化した。MH+=284
製造52
(S)-〔1-〔〔(1,1-ジメチルエトキシ)カルボニル〕アミノ〕メチル〕-2-フェニルエチル〕カルバミン酸フェニルメチルエステル
水(80ml)、炭酸ナトリウム(3.91g、3.69mmol)およびt-ブチルピロカーボネート(8.05g、3.69mmol)を1,4‐ジオキサン(80ml)中(S)-〔1-(アミノメチル)-2-フェニルエチル〕カルバミン酸フェニルメチルエステル(3.5g、12.3mmol)の溶液に加え、混合液を3.3時間攪拌した。酢酸エチル(500ml)および水(500ml)を加え、水相を酢酸エチル(2×500ml)で抽出した。合わせた有機相を(MgSO4)乾燥し、蒸発させて固体物を得、これをフラッシュシリカでカラムクロマトグラフィーによりシクロヘキサン中10〜27%酢酸エチルで溶出させて精製し、固体物として標題化合物(3.093g)を得た。nmr(δ、CDCl3)1.42(s、9H)、2.76および2.82-2.93(ddおよびm、2H)、3.1-3.3(m、2H)、3.87-4.0(m、1H)、5.08(s、2H)、7.1-7.4(m、10H)
製造53
(S)-(2-アミノ-3-フェニルプロピル)カルバミン酸1,1-ジメチルエチルエステル
エタノール(70ml)中(S)-〔1-〔〔〔(1,1-ジメチルエトキシ)カルボニル〕アミノ〕メチル〕-2-フェニルエチル〕カルバミン酸フェニルメチルエステル(2.89g、7.51mmol)および10%Pd-C(0.171g)の混合液を水素下で2日間攪拌した。反応混合液をセライトで濾過し、濾液を蒸発させて、固体物として標題化合物(2.18g)を得た。nmr(δ、CDCl3)1.43(s、9H)、2.5-2.62および2.83(mおよびdd、2H)、3.0および3.1-3.25(m、2H)、3.25-3.4(m、1H)、5.0-5.15(m、1H)、7.15-7.35(m、5H)
製造54
(S)-〔1-(ヒドロキシメチル)-2-(3-ピリジニル)エチル〕カルバミン酸1,1-ジメチルエチルエステル
乾燥テトラヒドロフラン(30ml)(S)-〔2-〔〔(1,1-ジメチルエトキシ)カルボニル〕アミノ〕-3-(3-ピリジニル)プロピオン酸(1.804g、6.77mmol)の混合液を−10℃に冷却し、4‐メチルモルホリン(0.74ml、6.77mmol)、5分後にエチルクロロホルメート(0.65ml、6.77mmol)で滴下処理した。溶液を25分間攪拌し、その後0℃で水(25ml)中水素化ホウ素ナトリウム(0.64g、16.1mmol)の攪拌溶液に濾過後少しずつ加えた。反応液を25分間攪拌し、その後室温まで3時間かけて加温した。溶液のpHを2M塩酸でpH3に調整し、0.7時間攪拌してから、炭酸水素ナトリウム溶液でpH7にした。混合液を酢酸エチル(3×150ml)で抽出し、抽出液を(MgSO4)乾燥し、蒸発乾固させた。残渣をフラッシュシリカでカラムクロマトグラフィーによりジクロロメタン:エタノール:0.880アンモニア(100:8:1)で溶出させて精製した。このカラムからの不純分画を再精製し、カラムからの純粋分画に加えて、固体物として標題化合物(1.274g)得た。nmr(δ、CDCl3)1.4(s、9H)、2.8-2.95(m、2H)、3.61(m、2H)、3.8-3.9(m、1H)、4.8-4.9(m、1H)、7.2-7.3、7.6および8.45-8.52(m、d、m、4H)
製造55
(S)-β-アミノ-3-ピリジンプロパノール二塩酸塩
1,4-ジオキサン(3ml)中(S)-〔1-(ヒドロキシメチル)-2-(3-ピリジニル)エチル〕カルバミン酸1,1-ジメチルエチルエステル(1.27g、5.03mmol)の溶液にHClガスで飽和された1,4-ジオキサン(10ml)を加え、その後更に1,4-ジオキサン(10ml)を加えた。室温で2時間後に沈澱固体物を濾取し、1,4-ジオキサン(5ml)およびエーテルで洗浄し、その後真空下で乾燥させ、固体物として標題化合物(0.928g)得た。nmr(δ、DMSO-d6)3.11(bd、2H)、3.4-3.7(m、3H)、7.86(dd、1H)、8.1-8.3(bs、3H)、8.45(d、1H)、8.81(d、1H)、8.9(s、1H)
製造56
(3aα,5α,6aα)-(テトラヒドロ-2,2-ジメチル-4H-シクロペンタ-1,3-ジオキソール-5-イル)カルバミン酸フェニルメチルエステル
乾燥1,4-ジオキサン中(3aα,5α,6aα)-テトラヒドロ-2,2-ジメチル-4H-シクロペンタ-1,3-ジオキソール-5-カルボン酸1(2.00g、10.74mmol)の溶液を窒素下でベンジルアルコール(2.22ml、21.5mmol)、トリエチルアミン(1.50ml、10.74mmol)およびジフェニルホスホリルアジド(2.31ml、10.74mmol)で処理した。得られた溶液を油浴中90℃で一夜で攪拌し、その後21℃に冷却した。混合液を蒸発させ、残渣を酢酸エチル(80ml)と1N塩酸(80ml)に分配した。水層を新鮮な酢酸エチル(50ml)で抽出し、全有機溶液を(塩水100ml)洗浄し、(Na2SO4)乾燥し、蒸発させて淡黄色油状物(7.24g)を得た。油状物をシリカによりジエチルエーテル:シクロヘキサン(2:1)で溶出させて精製し、白色固体物として標題化合物(2.055g)得た。nmr(δ、CDCl3)1.25(s、3H)、1.3-1.5(m、2H)、1.45(s、3H)、2.25(dd、2H)、4.25(m、1H)、4.5-4.7(m、3H)、5.10(s、2H)、7.3-7.4(m、5H)
1.W.H.Rastetter and D.P.Phillion,J.Org.Chem.,1981,46,3204.
製造57
(3aα,5α,6aα)-テトラヒドロ-2,2-ジメチル-4H-シクロペンタ-1,3-ジオキソール-5-アミン
エタノール(50ml)中(3aα,5α,6aα)-(テトラヒドロ-2,2-ジメチル-4H-シクロペンタ-1,3-ジオキソール-5-イル)カルバミン酸フェニルメチルエステル(2.05g、7.06mmol)の溶液を窒素下でエタノール中10%パラジウム炭素(0.210g)の攪拌懸濁液に滴下した。次いで懸濁液を攪拌して、一夜水素付加した。混合液をセライトで濾過し、濾液を蒸発させて、淡黄色油状物として標題化合物(1.24g)を得たが、これは4℃で放置時に固化した。m.p.55-57℃;nmr(δ、CDCl3)1.25(s、3H)、1.2-1.5(m、2H)、1.45(s、3H)、2.10(dd、2H)、3.60(m、1H)、4.52(m、2H)
製造58
(1α,2α,4β)-4-アミノ-1,2-シクロペンタジオール塩酸塩
エタノール(70ml)中(3aα,5α,6aα)-(テトラヒドロ-2,2-ジメチル-4H-シクロペンタ-1,3-ジオキソール-5-イル)カルバミン酸フェニルメチルエステル(製造56)の溶液を乾燥窒素下で10%パラジウム炭素(0.190g)に滴下した。混合液に21℃で一夜水素付加し、その後セライトで濾過した。濾液をエタノール(20ml)および水(2ml)中2.5M塩化水素で処理し、65℃で3.5時間加熱した。混合液を蒸発させ、残渣を更にエタノール(15ml)および水(1ml)中2.5M塩化水素で処理した。溶液を65℃で2時間加熱し、その後それを蒸発させて、白色固体物(0.995g)を得た。固体物をメタノール/酢酸エチルから再結晶化して、白色結晶として標題化合物(0.373g)を得た。nmr(δ、DMSO-d6)1.6-1.8(m、2H)、1.8-2.0(m、2H)、3.60(m、1H)、4.00(s、2H)、4.60(brs、1H)、8.05(br.s、3H)
製造59
5-アミノ-1H-テトラゾールエタンアミン
アセトニトリル(30ml)中5-アミノテトラゾール(6.0g、58.2mmol)および固体水酸化ナトリウム(8.36g、208mmol)の混合液を0.5時間攪拌した。2-クロロエチルアミン塩酸塩(7.26g、62.4mmol)および硫酸水素テトラブチルアンモニウム(0.788g、2.32mmol)を加え、反応液を還流下で18時間加熱した。混合液を濾過し、濾液を蒸発させて油状物得、これを48%水性HBrに溶解させた。溶液をエタノール(150ml)で希釈し、その後蒸発させて油状物を得たが、これはすぐに固化した。固体物を熱エタノールで浸出して褐色ゴム状物を得、これを水に溶解し、溶液を蒸発乾固させて、乾燥後に固体物(1.62g)を得た。エタノールを容量減少させ、結晶化させた。得られた固体物(0.879g)と水溶液からの固体物を合わせ、透明溶液が得られるまで、わずかに過剰の水酸化ナトリウムを含むエタノール中で攪拌した。この溶液をフラッシュシリカに前吸着させ、ジクロロメタン:エタノール:0.88アンモニア(100:8:1)〜(30:8:1)での溶出により精製した。生成物の分画を蒸発させて、油状物として標題化合物(0.217g)得た。MH+=129
製造60
(トランス)-(4-アミノシクロヘキシル)カルバミン酸フェニルメチルエステル
乾燥ジオキサン(100ml)中トランス1,4-シクロヘキサンジアミン(22.8g、200mmol)の溶液を5〜10℃に冷却し、ジオキサン(50ml)中1-〔〔(フェニルメトキシ)カルボニル〕オキシ〕-2,5-ピロリジンジオン(4.98g、20mmol)で3時間にわたり滴下処理した。混合液を21℃に加温し、その後更に2時間攪拌し、濾過した。濾液を蒸発させて固体物を得、これをシリカによりジクロロメタン:エタノール:0.88アンモニア(30:8:1)で溶出させて精製し、白色固体物として標題化合物(2.58g)得た。MH+=249
製造61
(トランス)-(4-N,N-ジメチルアミノシクロヘキシル)カルバミン酸フェニルメチルエステル
ホルムアルデヒド(5ml)およびギ酸(0.1ml)中(トランス)-(4-アミノシクロヘキシル)カルバミン酸フェニルメチルエステル(0.2g、0.805mmol)の溶液を還流下で1.5時間加熱した。ホルムアルデヒド(2.5ml)を追加し、反応を更に2.5時間続けた。冷却された混合液を飽和炭酸水素ナトリウム溶液(50ml)に注ぎ、酢酸エチル(3×30ml)で抽出した。合わせた有機抽出液を水(2×30ml)で洗浄し、(MgSO4)乾燥し、蒸発させて油状物を得、シリカによりジクロロメタン:エタノール:0.88アンモニア(30:8:1)で溶出させて精製し、油状物として標題化合物を得た。MH+=279
製造62
(トランス)-(4-N,N-ジメチルアミノ)シクロヘキシルアミン
エタノール(10ml)中(トランス)-(4-N,N-ジメチルアミノシクロヘキシル)カルバミン酸フェニルメチルエステル(0.245g、0.887mmol)の溶液に10%パラジウム炭素(0.03g)で50時間にわたり水素付加し、触媒(各々0.05g)を更に2回交換した。反応混合液を濾過し、触媒をエタノールで洗浄した。濾液および洗液の蒸発により油状物として標題化合物(0.097g)を得た。nmr(δ、CDCl3)1.0-1.05(m、2H)、1.1-1.4(m、2H)、1.4-1.8(m、2H)、1.8-2.05(m、4H)、2.05-2.25(m、1H)、2.27(s、6H)、2.58-2.72(m、1H)
製造63
(1S-シス)-〔3-〔(メチルスルホニル)オキシ〕シクロペンチル〕カルバミン酸1,1-ジメチルエチルエステル
メタンスルホニルクロリド(0.98ml、12.6mmol)を4℃でアセトン(55ml)中(1S-シス)-(3-ヒドロキシシクロペンチル)カルバミン酸1,1-ジメチルエチルエステル(1.41g、7.01mmol)およびトリエチルアミン(1.76ml、12.6mmol)の攪拌溶液に加えた。白色沈澱物含有の得られた混合物を4℃で1時間、その後21℃で更に2.25時間攪拌し、次いでそれを水(150ml)で希釈し、酢酸エチル(3×100ml)で抽出した。全有機溶液を水(50ml)で洗浄し、(MgSO4)乾燥し、白色固体物まで蒸発させた。これを熱ジエチルエーテル(25ml)に溶解し、4℃まで2時間かけて冷却し、その後シクロヘキサン(25ml)を加えて、沈澱物を直ちに形成させた。混合液を4℃で更に3時間放置し、その後固体物を濾取し、冷シクロヘキサン/ジエチルエーテル(2:1)で洗浄し、その後乾燥させて、白色固体物として標題化合物(1.202g)得た。m.p.88-89℃;〔α〕D-11.11°(CHCl3、c=0.54%)
製造64
(1S-トランス)-〔3-(N,N-ジメチルアミノ)シクロペンチル〕カルバミン酸1,1-ジメチルエチルエステル
ジメチルアミン(エタノール中33%、25ml)の溶液中(1S-シス)-〔3-〔(メチルスルホニル)オキシ〕シクロペンチル〕カルバミン酸1,1-ジメチルエチルエステル(1.452g、5.20mmol)を還流下で3.75時間加熱し、その後冷却した。溶液を水(100ml)で希釈し、酢酸エチル(3×100ml)で抽出した。全有機溶液を(Na2SO4)乾燥し、蒸発させて黄色ゴム状物を得た。これをシリカによりジクロロメタン:エタノール:0.88アンモニアで(100:8:1)から(30:8:1)に変えて溶出させて精製し、褐色フィルム(0.988g、83%)を得た。この一部をイソプロピルエーテル溶液から蒸発させて、褐色固体物として標題化合物(0.139g)を得た。m.p.65-67°;〔α〕D-40.35°(CHCl3、c=0.57%)
製造65
(1S-トランス)-3-(N,N-ジメチルアミノ)シクロペンチルアミン二塩酸塩
1,4-ジオキサン(4ml)中(1S-トランス)-〔3-(N,N-ジメチルアミノ)シクロペンチル〕カルバミン酸1,1-ジメチルエチルエステル(0.537g、2.35mmol)を1,4-ジオキサン(15ml)中塩化水素の飽和溶液と更に1,4-ジオキサン(8ml)で処理した。21°で50分間後に1,4-ジオキサン(5ml)中塩化水素の飽和溶液を更に加え、更に2.5時間後に不透明溶液を蒸発により濃縮させて、ベージュ色固体物として標題化合物を得、これを特徴付けせずに用いた。
製造66
6-アミノ-2-ピリジンメタンアミン
エタノール(150ml)中6-アセチルアミノピリジン-2-カルボキサルデヒド1(0.65g、3.96mmol)の溶液をアンモニアで飽和させ、10%Pd-C(0.32g)で24時間水素付加した。触媒を多孔質珪藻土で濾去し、触媒をエタノール(2×50ml)で洗浄した。濾液および洗液を蒸発させて固体物を得、これを2M水酸化ナトリウム溶液(20ml)に溶解し、60°で2時間加熱した。冷却された混合液を少量(〜1.5ml)に蒸発させ、ジクロロメタン(5×20ml)で抽出した。抽出液を(MgSO4)乾燥し、蒸発させ、油状物として粗製標題化合物を得、これを更に精製せずに用いた。
1.Abarca,B,.et al.,Tetrahedron,1989,45(22),7041.
例1
(1S-トランス)-1-デオキシ-1-〔6-〔(2,2-ジフェニルエチル)アミノ〕-2-〔(3-ヒドロキシシクロペンチル)アミノ〕-9H-プリン-9-イル〕-N-エチル-2,3-O-(1-メチルエチリデン)-β-D-リボフラヌロンアミド
1,4-ジオキサン(2ml)中(1S-トランス)-N-(3-ヒドロキシシクロペンチル)カルバミン酸1,1-ジメチルエチルエステル(0.138g、0.69mmol)を1,4-ジオキサン(2ml)中塩化水素の飽和溶液で0.5時間処理した。溶液を蒸発乾固させ、メタノール(2×5ml)と共沸し、その後メタノール(4ml)に溶解し、メタノール(4ml)中水酸化ナトリウム(0.011g、0.65mmol)の溶液に加えた。メタノールを窒素で吹き払い、得られたフィルムをジメチルスルホキシド(0.5ml)に溶解した。この溶液を1-〔2-クロロ-6-〔(2,2-ジフェニルエチル)アミノ〕-9H-プリン-9-イル〕-1-デオキシ-N-エチル-2,3-O-(1-メチルエチリデン)-β-D-リボフラヌロンアミド(0.127g、0.69mmol)に加え、混合液を140℃で27時間加熱した。冷却された混合液を酢酸エチル(40ml)および水(40ml)で希釈し、有機相を水(30ml)で洗浄し、(MgSO4)乾燥し、蒸発させて油状物を得、これをフラッシュシリカでカラムクロマトグラフィーにより最初はシクロヘキサン中60%酢酸エチルから次第にニートな酢酸エチルで溶出させて精製し、標題化合物(0.029g)を得て、これを酢酸エチル/シクロヘキサンから結晶化させた。MH+=628;〔α〕D+1.9°(CHCl3、c=0.53%)
例2
(1S-トランス)-1-デオキシ-1-〔6-〔(2,2-ジフェニルエチル)アミノ〕-2-〔(3-ヒドロキシシクロペンチル)アミノ〕-9H-プリン-9-イル〕-N-エチル-β-D-リボフラヌロンアミド塩酸塩
1,4-ジオキサン(1.5ml)中(1S-トランス)-1-デオキシ-1-〔6-〔(2,2-ジフェニルエチル)アミノ〕-2-〔(3-ヒドロキシシクロペンチル)アミノ〕-9H-プリン-9-イル〕-N-エチル-2,3-O-(1-メチルエチリデン)-β-D-リボフラヌロンアミド(0.01g、0.02mmol)の溶液を6M水性塩酸(3ml)で処理し、溶液を4日間放置し、その後蒸発させて、ガラス状固体物として標題化合物(0.029g)を得た。MH+=588;nmr(δ、CDCl3)1.02(t、3H)、1.4-1.6、1.6-1.8、1.85-2.05、2.1-2.25(ms、6H)、3.1-3.2(m、2H)、4.35(s、1H)、5.85-5.9(m、1H)、7.1-7.4(m、10H)
例3
〔トランス-(+/−)〕-1-デオキシ-1-〔6-〔(2,2-ジフェニルエチル)アミノ〕-2-〔(3-ヒドロキシシクロペンチル)アミノ〕-9H-プリン-9-イル〕-N-エチル-2,3-O-(1-メチルエチリデン)-β-D-リボフラヌロンアミド
ジメチルスルホキシド(3ml)中1-〔2-クロロ-6-〔(2,2-ジフェニルエチル)アミノ〕-9H-プリン-9-イル〕-1-デオキシ-N-エチル-2,3-O-(1-メチルエエチリデン)-β-D-リボフラヌロンアミド(0.7g、1.24mmol)およびトランス-(+/−)-3-アミノシクロペンタノール1(0.844g、7.23mmol)の溶液を140℃で24時間加熱した。溶液を酢酸エチル(90ml)で希釈し、水(3×100ml)で洗浄し、その後(MgSO4)乾燥し、蒸発させて泡状物を得、これをフラッシュシリカでカラムクロマトグラフィーにより最初はシクロヘキサン中65%酢酸エチルから次第にニートな酢酸エチルで溶出させて精製し、泡状物として標題化合物(0.498g)を得た。MH+=628;nmr(δ、CDCl3)0.705-0.715(ts、3H)、1.4(s、3H)、1.59(s、3H)、1.55-2.3(ms、6H)、2.9-3.05(m、2H)、4.15-4.55(ms、5H)、4.65(bd、1H)、5.5-5.6(m、1H)、5.6-5.7(m、1H)、5.99(d、1H)、7.2-7.4(m、10H)、7.41(s、1H)
1.公開欧州出願EP-A-322242
例4
〔トランス-(+/−)〕-1-デオキシ-1-〔6-〔(2,2-ジフェニルエチル)アミノ〕-2-〔(3-ヒドロキシシクロペンチル)アミノ〕-9H-プリン-9-イル〕-N-エチル-β-D-リボフラヌロンアミド
95:5トリフルオロ酢酸:水(5ml)中〔トランス-(+/−)〕-1-デオキシ-1-〔6-〔(2,2-ジフェニルエチル)アミノ〕-2-〔(3-ヒドロキシシクロペンチル)アミノ〕-9H-プリン-9-イル〕-N-エチル-2,3-O-(1-メチルエチリデン)-β-D-リボフラヌロンアミド(0.137g、0.218mmol)の溶液を室温で4時間保ち、その後溶媒を蒸発により除去した。残渣をプレパラティブHPLC(30〜70%アセトニトリル)により精製して、標題化合物(0.033g)を得た。nmr(δ、DMSO-d6)1.0(t、3H)、1.5(m、2H)、1.6-1.8(m、1H)、1.8(m、2H)、2.0-2.3(m、1H)、3.15(m、2H)、4.0-4.4(m、6H)、4.4-4.7(m、3H)、5.85(d、1H)、7.1-7.4(m、10H)、8.1-8.4(m、2H)
例5
(1R-トランス)-1-デオキシ-1-〔6-〔(2,2-ジフェニルエチル)アミノ〕-2-〔(3-ヒドロキシシクロペンチル)アミノ〕-9H-プリン-9-イル〕-N-エチル-β-D-リボフラヌロンアミドおよび
(1S-トランス)-1-デオキシ-1-〔6-〔(2,2-ジフェニルエチル)アミノ〕-2-〔(3-ヒドロキシシクロペンチル)アミノ〕-9H-プリン-9-イル〕-N-エチル-β-D-リボフラヌロンアミド
1,4-ジオキサン(9ml)中〔トランス-(+/−)〕-1-デオキシ-1-〔6-〔(2,2-ジフェニルエチル)アミノ〕-2-〔(3-ヒドロキシシクロペンチル)アミノ〕-9H-プリン-9-イル〕-N-エチル-2,3-O-(1-メチルエチリデン)-β-D-リボフラヌロンアミド(0.433g、0.69mmol)の溶液を2M塩酸(11ml)と共に25時間攪拌した。酸(4M、2ml)を追加し、混合液を3℃で65時間保ち、その後蒸発させて固体物を得、これをプレパラティブHPLC(39%アセトニトリルで16分間、その後42%以内で5分間および45%以内で1分間)により精製して、エーテルから固体物として(1R)異性体(0.142g)MH+=588;nmr(δ、DSMO-d6)1.01(t、3H)、1.4-1.6、1.6-1.8、1.8-2.0、2.1-2.25(ms、6H)、3.1-3.25(m、2H)、4.3(s、1H)、5.85(bd、1H)、7.1-7.4(m、10H)、8.15(bd、1H)、その後エーテルから固体物として(1S)異性体(0.14g)MH+=588;nmr(δ、DMSO-d6)1.01(t、3H)、1.4-1.6、1.6-1.8、1.8-2.0、2.1-2.25(ms、6H)、3.1-3.25(m、2H)、4.3(s、1H)、5.84(bd、1H)、7.15-7.4(m、10H)、8.03(bd、1H)を得た。
例6
〔3aR-(3aα,4α,6aα)〕-1-デオキシ-1-〔6-〔(2,2-ジフェニルエチル)アミノ〕-2-(テトラヒドロ-2,2-ジメチル-4H-シクロペンタ-1,3-ジオキソール-4-アミノ)-9H-プリン-9-イル〕-N-エチル-2,3-O-(1-メチルエチリデン)-β-D-リボフラヌロンアミド
1-〔2-クロロ-6-〔(2,2-ジフェニルエチル)アミノ〕-9H-プリン-9-イル〕-1-デオキシ-N-エチル-2,3-O-(1-メチルエチリデン)-β-D−リボフラヌロンアミド(0.346g、0.614mmol)および〔3aR-(3aα,4α,6aα)〕-テトラヒドロ-2,2-ジメチル-4H-シクロペンタ-1,3-ジオキソール-4-アミン(0.965g、6.14mmol)の混合物をジメチルスルホキシド(1.8ml)に溶解し、溶液を窒素下140℃で11時間攪拌および加熱した。混合液を21℃に冷却し、その後酢酸エチル(50ml)と水(50ml)に分配した。有機層を水で洗浄し、合わせた水層を酢酸エチル(2×30ml)で抽出した。合わせた有機抽出液を(塩水)洗浄し、(Na2SO4)乾燥し、蒸発させた。残渣をシリカにより酢酸エチル:シクロヘキサン(9:1)で溶出させて精製し、その後シリカにより酢酸エチル:シクロヘキサン(3:1)で溶出させて再精製し、クローム色泡状物として標題化合物(0.302g)得た。MH+=684
同様に以下を製造した:
〔(3aα,4α,6aα)-(+/−)〕-1-デオキシ-1-〔6-〔(2,2-ジフェニルエチル)アミノ〕-2-(テトラヒドロ-2,2-ジメチル-4H-シクロペンタ-1,3-ジオキソール-4-アミノ)-9H-プリン-9-イル〕-N-エチル-2,3-O-(1-メチルエチリデン)-β-D-リボフラヌロンアミド ジメチルスルホキシド(1.5ml)中140℃で20時間かけて2-クロロプリン(0.269g)および〔(3aα,4α,6aα)-(+/−)〕-テトラヒドロ-2,2-ジメチル-4H-シクロペンタ-1,3-ジオキソール-4-アミン(0.75g)から。生成物をシリカにより酢酸エチル:シクロヘキサン9:1で溶出させて精製した。MH+=684
例7
〔1S-(1α,2β,3β)〕-1-デオキシ-1-〔2-〔(2,3-ジヒドロキシシクロペンチル)アミノ〕-6-〔(2,2-ジフェニルエチル)アミノ〕-9H-プリン-9-イル〕-N-エチル-β-D-リボフラヌロンアミド
〔3aR-(3aα,4α,6aα)〕-1-デオキシ-1-〔6-〔(2,2-ジフェニルエチル)アミノ〕-2-(テトラヒドロ-2,2-ジメチル-4H-シクロペンタ-1,3-ジオキソール-4-アミノ)-9H-プリン-9-イル〕-N-エチル-2,3-O-(1-メチルエチリデン)-β-D-リボフラヌロンアミド(0.13g、0.19mmol)をトリフルオロ酢酸(1ml)および水(0.25ml)で処理し、得られた溶液を21℃で1.5時間放置した。反応混合液を蒸発させ、残渣をシリカによりジクロロメタン:メタノール(9:1)で溶出させて精製し、クリーム色泡状物として標題化合物(0.080g)得た。MH+=604;nmr(δ、DMSO-d6)1.00(t、3H)、1.35(m、1H)、1.55(m、1H)、1.85(m、1H)、2.20(m、1H)、3.15(m、1H)、3.75(m、1H)、3.90-4.25(m、6H)、4.40(m、1H)、4.65(m、2H)、5.50(d、1H)、5.60(d、1H)、5.80(d、1H)、6.35(m、1H)、7.10-7.45(m、11H)、7.95(s、1H)、8.15(m、1H)
例8
〔(1α,2β,3β)-(+/−)〕-1-デオキシ-1-〔2-〔(2,3-ジヒドロキシシクロペンチル)アミノ〕-6-〔(2,2-ジフェニルエチル)アミノ〕〕-9H-プリン-9-イル)-N-エチル-β-D-リボフラヌロンアミド
〔1R-(1α,2β,3β)〕-1-デオキシ-1-(2-〔(2,3-ジヒドロキシシクロペンチル)アミノ〕-6-〔(2,2-ジフェニルエチル)アミノ〕-9H-プリン-9-イル〕-N-エチル-β-D-リボフラヌロンアミド
および
〔1S-(1α,2β,3β)〕-1-デオキシ-1-〔2-〔(2,3-ジヒドロキシシクロペンチル)アミノ〕-6-〔(2,2-ジフェニルエチル)アミノ〕-9H-プリン-9-イル〕-N-エチル-β-D-リボフラヌロンアミド
〔(3aα,4α,6aα)-(+/−)〕-1-デオキシ-1-〔6-〔(2,2-ジフェニルエチル)アミノ〕-2-(テトラヒドロ-2,2-ジメチル-4H-シクロペンタ-1,3-ジオキソール-4-アミノ)-9H-プリン-9-イル〕-N-エチル-2,3-O-(1-メチルエチリデン)-β-D-リボフラヌロンアミド(0.222g)をトリフルオロ酢酸(2.5ml)および水(0.25ml)で処理し、得られた溶液を20℃で3時間放置した。反応混合液を蒸発させ、残渣をエタノール(6ml)中炭酸水素ナトリウム(2.4g)と共に20℃で1時間攪拌した。全濾液および洗液を蒸発させ、残渣をフラッシュシリカによりジクロロメタン:エタノール:0.880アンモニア(30:8:1)で溶出させて精製し、淡褐色固体物として第一の標題化合物(0.089g)得た。MH+=604;分析実測値C59.05,H6.1,N15.5%;C31H37N7O6.1.5H2O計算値C59.05,H6.4,N15.55%
類似反応からの生成物の一部(0.060g)をプレパラティブHPLCにより均等に35%アセトニトリルで精製した。早いランニング成分から灰白色固体物として第二(1R)標題化合物(0.015g)を得た。MH+=604;nmr(δ、DMSO-d6;400MHz)1.35(m、1H)、1.55(m、1H)、1.90(m、1H)、2.25(m、1H)、4.30(s、1H)、4.60(brs、1H)、4.65(m、1H)、5.85(d、1H)
遅いランニング成分から灰白色固体物として第三(1S)標題化合物(0.015g)を得た。MH+=604;nmr(δ、DMSO-d6:400MHz)1.35(m、1H)、1.55(m、1H)、1.90(m、1H)、2.25(m、1H)、4.30(s、1H)、4.60(brs、1H)、4.65(m、1H)、5.85(d、1H)
例9
〔シス-(+/−)〕-1-デオキシ-1-〔6-〔(2,2-ジフェニルエチル)アミノ〕-2-〔〔3-〔〔(フェニルメトキシ)カルボニル〕アミノ〕シクロペンチル〕アミノ〕-N-エチル-2,3-O-(1-メチルエチリデン)-9H-プリン-9-イル〕-β-D-リボフラヌロンアミド
1-〔2-クロロ-6-〔2,2-ジフェニルエチル)アミノ〕-9H-プリン-9-イル〕-1-デオキシ-N-エチル-2,3-O-(1-メチルエチリデン)-β-D-リボフラヌロンアミド(0.3g、0.533mmol)および〔シス-(+/−)〕-(3-アミノシクロペンチル)カルバミン酸フェニルメチルエステル(0.41g)の混合液を140℃で4日間加熱した。冷却された混合液をジクロロメタンに溶解し、フラッシュシリカでカラムクロマトグラフィーによりシクロヘキサン中50%酢酸エチルで精製し、泡状物として標題化合物(0.214g)を得た。nmr(δ、DMSO-d6)0.55(m、3H)、0.8-1.1(m、2H)、1.1-1.35(m、2H)、1.45(s、3H)、1.5(s、3H)、1.45-1.75(m、2H)、1.75-2.0(m、1H)、2.6-2.95(m、2H)、3.8-4.0(m、1H)、3.95-4.15(m、2H)、4.1-4.3(m、1H)、4.45(s、1H)、4.5-4.65(m、1H)、5.03(m、2H)、5.3-5.5(m、2H)、6.2(bs、1H)、6.45(m、1H)、7.1-7.5(m、15H)、7.78(bs、1H)
例10
〔シス-(+/−)〕-1-〔2-〔(3-アミノシクロペンチル)アミノ〕-6-〔(2,2-ジフェニルエチル)アミノ〕-9H-プリン-9-イル〕-1-デオキシ-N-エチル-β-D-リボフラヌロンアミド
エタノール(30ml)中〔シス-(+/−)〕-1-デオキシ-1-〔6-〔(2,2-ジフェニルエチル)アミノ〕-2-〔〔3-〔〔(フェニルメトキシ)カルボニル〕アミノ〕シクロペンチル〕アミノ〕-N-エチル-2,3-O-(1-メチルエチリデン)-9H-プリン-9-イル〕-β-D-リボフラヌロンアミド(0.15g、0.197mmol)の溶液に10%パラジウム炭素で8時間水素付加した。触媒を濾去し、エタノール(20ml)で洗浄し、合わせたエタノール溶液を蒸発させて、油状物を得た。油状物を酢酸エチルに溶解し、溶液を濾過してから、油状物に蒸発させた。この油状物をトリフルオロ酢酸:水(9:1、5ml)に溶解し、溶液を3時間放置してから、溶液を蒸発させて油状物を得、これを逆相HPLC(20〜60%アセトニトリル)により精製して、標題化合物(0.073g)を得た。MH+=587;nmr(δ、DMSO-d6)1.02(t、2H)、1.4-1.65(m、1H)、1.6-1.85(m、2H)、1.85-2.1(m、2H)、3.05-3.25(m、2H)、3.4-3.6(m、1H)、4.0-4.15(m、2H)、4.15-4.22(m、1H)、4.28(s、1H)、4.55-4.7(m、2H)、5.83(d、1H)、7.15-7.4(m、10H)、7.9(bs、3H)、8.15(m、2H)
例11
〔トランス-(+/−)〕-1-デオキシ-1-〔6-〔(2,2-ジフェニルエチル)アミノ〕-2-〔〔2-〔〔(フェニルメトキシ)カルボニル〕アミノ〕シクロペンチル〕アミノ〕-N-エチル-2,3-O-(1-メチルエチリデン)-9H-プリン-9-イル〕-β-D-リボフラヌロンアミドおよびジアステレオマーの分離
1-〔2-クロロ-6-〔2,2-(ジフェニルエチル)アミノ〕-9H-プリン-9-イル〕-1-デオキシ-N-エチル-2,3-O-(1-メチルエチリデン)-β-D-リボフラヌロンアミド(0.31g、0.55mmol)および〔トランス-(+/−)〕-(2-アミノシクロペンチル)カルバミン酸フェニルメチルエステル(0.77g、3.28mmol)の混合液を140℃で24時間加熱した。アミン(0.51g、2.18mmol)を追加して、加熱を更に17時間続け、その後アミン(0.30g、1.28mmol)を追加して、加熱(140℃)を更に24時間続けた。冷却された混合液をシリカでカラムクロマトグラフィーによりシクロヘキサン中20%酢酸エチル、その後プレパラティブHPLC(50〜90%アセトニトリル)により精製して、灰色泡状物として標題化合物(異性体1)(0.067g)MH+=761および灰色泡状物として遅いランニング成分、異性体2(0.062g)MH+=761を得た。
例12
(トランス)-1-〔2-〔(2-アミノシクロペンチル)アミノ〕-6-〔(2,2-ジフェニルエチル)アミノ〕-9H-プリン-9-イル〕-1-デオキシ-N-エチル-β-D-リボフラヌロンアミド、異性体1
エタノール(10ml)中〔トランス-(+/−)〕-1-デオキシ-1-〔6-〔(2,2-ジフェニルエチル)アミノ〕-2-〔〔2-〔〔(フェニルメトキシ)カルボニル〕アミノ〕シクロペンチル〕アミノ〕-N-エチル-2,3-O-(1-メチルエチリデン)-9H-プリン-9-イル〕-β-D-リボフラヌロンアミド、異性体1(0.075g、0.098mmol)の溶液に10%パラジウム炭素(10mg)で2日間水素付加した。触媒を濾去し、エタノールで洗浄し、合わせたエタノール溶液を蒸発させて、泡状物(62mg)を得た。泡状物(0.058g)をトリフルオロ酢酸(0.75ml)および水(0.25ml)で処理し、溶液を1.5時間放置した。次いでそれを蒸発させて黄色泡状物(0.076g)を得、これをプレパラティブHPLC(20〜60%アセトニトリル)により精製して、標題化合物(0.030g)を得た。MH+=587;nmr(δ、DMSO-d6)1.00(t、3H)、1.65(m、4H)、2.15(m、2H),3.15(m、2H)、3.45(m、1H)、4.00-4.35(m、5H)、4.55(m、2H)、5.85(d、1H)、7.00(m、1H)、7.15-7.40(m、10H)、7.90-8.25(m、5H)
同様に以下を製造した:
(トランス)-1-〔2-〔(2-アミノシクロペンチル)アミノ〕-6-〔(2,2-ジフェニルエチル)アミノ〕-9H-プリン-9-イル〕-1-デオキシ-N-エチル-β-D-リボフラヌロンアミド、異性体2 例11の異性体2生成物(0.072g)から、まず水素付加分解により生成物0.065gを得た。この0.058gを前記のように水性トリフルオロ酢酸で処理し、所要生成物0.031gを得た。MH+=587;nmr(δ、DMSO-d6)1.00(t、3H)、1.65(m、4H)、2.15(m、2H),3.15(m、2H)、3.45(m、1H)、4.00-4.30(m、5H)、4.55(m、2H)、5.90(d、1H)、7.15-7.40(m、10H)、7.65(m、1H)、8.00(m、2H)、8.20(m、2H)
例13
〔トランス-(+/−)〕-1-〔2-〔(3-アミノシクロペンチル)アミノ〕-6-〔(2,2-ジフェニルエチル)アミノ〕-9H-プリン-9-イル〕-1-デオキシ-N-エチル-β-D-リボフラヌロンアミド
1-〔2-クロロ-6-〔2,2-(ジフェニルエチル)アミノ〕-9H-プリン-9-イル〕-1-デオキシ-N-エチル-2,3-O-(1-メチルエチリデン)-β-D-リボフラヌロンアミド(0.25g、0.44mmol)および〔トランス-(+/−)〕-(3-アミノシクロペンチル)カルバミン酸フェニルメチルエステル(0.29g)の混合液を135℃で2日間加熱した。次いでアミン(0.376g)を追加して、加熱を更に24時間続けた。ジクロロメタンを冷却された混合液に加え、その後これをフラッシュシリカによりジクロロメタン:エタノール:0.880アンモニア(100:8:1)で溶出させて精製し、〔トランス-(+/−)〕-1-デオキシ-1-〔6-〔(2,2-ジフェニルエチル)アミノ〕-2-〔〔3-〔〔(フェニルメトキシ)カルボニル〕アミノ〕シクロペンチル〕アミノ〕-9H-プリン-9-イル〕-N-エチル-2,3-O-(1-メチルエチリデン)-β-D-リボフラヌロンアミド(0.101g)を得た。エタノール(10ml)中この化合物(0.101g、0.133mmol)に10%パラジウム炭素(0.05g)で6時間水素付加した。触媒を濾去し、エタノール(20ml)で洗浄し、合わせたエタノール溶液を蒸発させて、油状物(0.081g)を得、これをトリフルオロ酢酸:水(95:5、5ml)に溶解し、溶液を3時間放置してから、油状物に蒸発させた。この油状物を逆相HPLC(30〜70%アセトニトリル)により精製して、エーテルから固体物として標題化合物(0.042g)を得た。MH+=587;nmr(δ、DMSO-d6)1.02(t、2H)、1.47-1.7(m、2H)、1.85-2.05(m、1H)、2.0-2.25(m、2H)、3.05-3.25(m、2H)、3.6-3.75(m、1H)、4.0-4.15(m、2H)、4.18(bs、2H)、4.25(s、1H)、5.85(d、1H)、7.15-7.4(m、12H)、7.82(m、3H)、8.15(m、2H)
例14
(1S-トランス)-1-〔2-〔(3-アミノシクロペンチル)アミノ〕-6-〔(2,2-ジフェニルエチル)アミノ〕-9H-プリン-9-イル〕-1-デオキシ-N-エチル-β-D-リボフラヌロンアミドおよび
(1R-トランス)-1-〔2-〔(3-アミノシクロペンチル)アミノ〕-6-〔(2,2-ジフェニルエチル)アミノ〕-9H-プリン-9-イル〕-1-デオキシ-N-エチル-β-D-リボフラヌロンアミド
メタノール(50ml)中〔トランス-(+/−)〕-1-デオキシ-1-〔6-〔(2,2-ジフェニルエチル)アミノ〕-2-〔〔3-〔〔(フェニルメトキシ)カルボニル〕アミノ〕シクロペンチル〕アミノ〕-9H-プリン-9-イル〕-N-エチル-2,3-O-(1-メチルエチリデン)-β-D-リボフラヌロンアミド(0.601g、0.79mmol)の溶液を窒素下で攪拌し、還流下でギ酸アンモニウム(0.25g)と共に加熱した。3時間後に冷却された混合液を濾過し、濾液を蒸発させ、固体物として〔トランス-(+/−)〕-1-〔2-〔(3-アミノシクロペンチル)アミノ〕-6-〔(2,2-ジフェニルエチル)アミノ〕-9H-プリン-9-イル〕-1-デオキシ-N-エチル-2,3-O-(1-メチルエチリデン)-β-D-リボフラヌロンアミド(0.511g)を得た。
一部(0.31g)を逆相HPLC(38%アセトニトリル)により精製し、2種の生成物を集め、蒸発させて、異性体I(0.1g)および異性体II(0.103g)を得た。これらをトリフルオロ酢酸/水9/1(5ml)で別々に処理し、2.5時間放置した。得られた溶液を蒸発乾固させ、残渣を逆相HPLC(20〜60%アセトニトリル)により精製して、エーテルから固体物として標題化合物を得た。異性体I(0.065g)MH+=587;nmr(δ、DMSO-d6)1.02(t、3H)、1.45-1.7(m、2H)、1.85-2.25(m、3H)、3.05-3.25(m、2H)、4.15(m、1H)、4.27(s、1H)、4.63(m、2H)、5.84(d、1H)、7.15-7.4(m、10H)、7.84(m、2H)、8.05-8.2(m、2H).異性体II(0.61g)MH+=587;nmr(δ、DMSO-d6)1.02(t、3H)、1.5-1.7(m、2H)、1.85-2.25(m、3H)、3.05-3.25(m、2H)、4.17(bs、1H)、4.25(s、1H)、4.62(m、2H)、5.84(d、1H)、7.15-7.4(m、10H)、7.84(m、2H)、8.05-8.2(m、2H).
例15
〔トランス-(+/−)〕-1-デオキシ-1-〔6-〔(2,2-ジフェニルエチル)アミノ〕-2-〔〔3-〔(トリフルオロアセチル)アミノ〕シクロペンチル〕アミノ〕-N-エチル-9H-プリン-9-イル〕-β-D-リボフラヌロンアミド
無水トリフルオロ酢酸(3×0.047ml)をジクロロメタン(10ml)中〔トランス-(+/−)〕-1-〔2-〔(3-アミノシクロペンチル)アミノ〕-6-〔(2,2-ジフェニルエチル)アミノ〕-9H-プリン-9-イル〕-1-デオキシ-N-エチル-2,3-O-(1-メチルエチリデン)-β-D-リボフラヌロンアミド(例14で最初に形成された生成物)(0.2g、0.32mmol)およびトリエチルアミン(0.15ml)の攪拌混合液に2時間かけて3回に別けて加えた。更に0.5時間後に反応液を酢酸エチル(50ml)で希釈し、水(3×20ml)で洗浄し、(MgSO4)乾燥し、蒸発させて油状物を得、これをトリフルオロ酢酸:水(9:1、10ml)に溶解した。溶液を2.5時間放置し、その後蒸発させて油状物を得、これを逆相HPLC(30〜70%アセトニトリル)により精製して、標題化合物(0.04g)を得た。MH+=683;nmr(δ、DSMO-d6)1.05(t、3H)、1.4-1.7(m、2H)、1.7-2.0(m、1H)、1.9-2.3(m、3H)、3.1-3.3(m、2H)、4.05-4.3(m、2H)、4.32(m、1H)、4.5-4.7(m、2H)、5.87(d、1H)、7.15-7.4(m、10H)、7.95(s、1H)
例16
〔トランス-(+/−)〕-1-デオキシ-1-〔2-〔〔3-(N,N-ジメチルアミノ)シクロペンチル〕アミノ〕-6-〔(2,2-ジフェニルエチル)アミノ〕-9H-プリン-9-イル〕-N-エチル-2,3-O-(1-メチルエチリデン)-β-D-リボフラヌロンアミド
ジメチルスルホキシド(2ml)中1-〔2-クロロ-6-〔2,2-(ジフェニルエチル)アミノ〕-9H-プリン-9-イル〕-1-デオキシ-N-エチル-2,3-O-(1-メチルエチリデン)-β-D-リボフラヌロンアミド(0.28g、0.5mmol)および〔トランス-(+/−)〕-3-(N,N-ジメチルアミノ)シクロペンチルアミン(0.36g、2.81mmol)の溶液を130℃で還流コンデンサーを用いて加熱した。24時間後に混合液を冷却し、酢酸エチル(50ml)と水(50ml)に分配した。水相を酢酸エチル(20ml)で抽出し、合わせた有機溶液を蒸発させて油状物(0.592g)を得、これをフラッシュシリカでカラムクロマトグラフィーによりジクロロメタン:エタノール:0.880アンモニア(100:8:1)で溶出させて精製し、固体物として標題化合物(0.163g)得た。nmr(δ、CDCl3)0.7(t、3H)、1.48(s、3H)、1.6(s、3H)、1.2-1.4(m、1H)、1.45-1.7(m、2H)、1.95(m、2H)、2.05(m、2H)、2.3(s、3H)、2.4(s、3H)、2.75-3.0(m、2H)、2.85-3.1(m、1H)、4.1-4.3(m、1H)、2.25-4.5(m、2H)、4.63(s、1H)、4.78(m、1H)、5.5(m、2H)、5.6(d、1H)、6.0(bs、2H)、7.15-7.35(m、10H)、7.4(s、1H)
例17
〔トランス-(+/−)〕-1-デオキシ-1-〔2-〔〔3-(N,N-ジメチルアミノ)シクロペンチル〕アミノ〕-6-〔(2,2-ジフェニルエチル)アミノ〕-9H-プリン-9-イル〕-N-エチル-β-D-リボフラヌロンアミド
トリフルオロ酢酸:水(9:1、10ml)中〔トランス-(+/−)〕-1-デオキシ-1-〔2-〔〔3-(N,N-ジメチルアミノ)シクロペンチル〕アミノ〕-6-〔(2,2-ジフェニルエチル)アミノ〕-9H-プリン-9-イル〕-N-エチル-2,3-O-(1-メチルエチリデン)-β-D-リボフラヌロンアミド(0.15g、0.23mmol)の溶液を室温で2.5時間放置し、その後蒸発させて油状物を得、これを逆相HPLC(30〜70%アセトニトリル)により精製して、エーテルから固体物として標題化合物(0.12g)を得た。MH+=615;nmr(δ、DMSO-d6)1.0(t、3H)、1.55-1.7(m、2H)、1.95-2.25(m、4H)、2.78(s、6H)、3.12(m、2H)、3.7(m、1H)、4.1(m、2H)、4.18(m、1H)、4.28(s、1H)、4.4(m、1H)、4.6(m、2H)、5.85(d、1H)、7.15-7.4(m、10H)、7.72(m、1H)、8.15(bs、2H)、9.62(m、1H)
例18
1-デオキシ-1-〔6-〔(2,2-ジフェニルエチル)アミノ〕-2-〔〔2-(1H-イミダゾール-4-イル)エチル〕アミノ〕-9H-プリン-9-イル〕-N-エチル-2,3-O-(1-メチルエチリデン)-β-D-リボフラヌロンアミド
ジメチルスルホキシド(2ml)中1-〔2-クロロ-6-〔(2,2-ジフェニルエチル)アミノ〕-9H-プリン-9-イル〕-1-デオキシ-N-エチル-2,3-O-(1-メチルエチリデン)-β-D-リボフラヌロンアミド(0.25g、0.444mmol)およびヒスタミン(0.35g、3.15mmol)の溶液を窒素下130℃で18時間加熱した。冷却された混合液を酢酸エチル(50ml)で希釈し、水(2×50ml)で洗浄し、(MgSO4)乾燥し、蒸発させて泡状物を得、これをフラッシュシリカでカラムクロマトグラフィーによりジクロロメタン:エタノール:0.880アンモニア(100:8:1)で溶出させて精製し、エーテルから固体物として標題化合物(0.176g)得た。nmr(δ、CDCl3)0.4(t、3H)、1.35(s、3H)、1.6(s、3H)、2.65-2.9(m、1H)、2.8-3.05(m、3H)、3.4-3.8(m、3H)、4.05-4.3(bs、2H)、4.32(t、1H)、4.7(s、1H)、4.95(m、1H)、4.98(m、1H)、5.5(d、1H)、5.72(dd、1H)、5.97(m、1H)、6.02(s、1H)、6.9(s、1H)、7.15-7.45(m、10H)、7.43(s、1H)、7.62(s、1H)
例19
1-デオキシ-1-〔6-〔(2,2-ジフェニルエチル)アミノ〕-2-〔〔2-(1H-イミダゾール-4-イル)エチル〕アミノ〕-9H-プリン-9-イル〕-N-エチル-β-D-リボフラヌロンアミド
トリフルオロ酢酸:水(9:1、8ml)中1-デオキシ-1-〔6-〔(2,2-ジフェニルエチル)アミノ〕-2-〔〔2-(1H-イミダゾール-4-イル)エチル〕アミノ〕-9H-プリン-9-イル〕-N-エチル-2,3-O-(1-メチルエチリデン)-β-D-リボフラヌロンアミド(0.126g、0.198mmol)の溶液を室温で3時間放置し、その後蒸発乾燥固させた。得られた油状物をエーテル(20ml)で処理し、固体物として標題化合物(0.147g)得た。MH+=598;nmr(δ、DMSO-d6)0.98(t、3H)、2.9-3.05(m、2H)、3.05-3.25(m、2H)、4.3(s、1H)、4.5-4.65(m、2H)、5.84(d、1H)、7.15-7.35(m、10H)、7.42(s、1H)、8.1(s、1H)、9.0(s、1H)、14.0-14.2(m、2H)
例20
(1S)-1-デオキシ-1-〔6-〔(2,2-ジフェニルエチル)アミノ〕-2-〔〔1-(ヒドロキシメチル)-2-フェニルエチル〕アミノ〕-9H-プリン-9-イル〕-N-エチル-2,3-O-(1-メチルエチリデン)-β-D-リボフラヌロンアミド
(S)-フェニルアラニノール(0.403g、2.67mmol)および1-〔2-クロロ-6-〔(2,2-ジフェニルエチル)アミノ〕-9H-プリン-9-イル〕-1-デオキシ-N-エチル-2,3-O-(1-メチルエチリデン)-β-D-リボフラヌロンアミド(0.25g、0.44mmol)を一緒に130℃で40時間加熱した。冷却された混合液をフラッシュシリカでカラムクロマトグラフィーによりシクロヘキサン中10〜85%酢酸エチルで溶出させて精製し、泡状物として標題化合物(0.136g)を得た。nmr(δ、CDCl3)0.6(t、3H)、1.4(s、3H)、1.58(s、3H)、2.7-2.85(m、2H)、2.85-3.0(m、2H)、3.47(dd、1H)、3.81(dd、1H)、4.1-4.5(m、3H)、4.62(s、1H)、5.3(d、1H)、5.69(d、1H)、5.94(s、1H)、7.1-7.4(m、16H)
同様に以下を製造した:
1)〔シス-(+/−)〕-1-デオキシ-1-〔6-〔(2,2-ジフェニルエチル)アミノ〕-2-〔(2-ヒドロキシシクロペンチル)アミノ〕-9H-プリン-9-イル〕-N-エチル-2,3-O-(1-メチルエチリデン)-β-D-リボフラヌロンアミド 後記表1の項目1のように求核剤として〔シス-(+/−)〕-2-アミノシクロペンタノール1を用いた。生成物をシリカにより酢酸エチル:シクロヘキサン(19:1)で溶出させて精製した。MH+=628
1.R.A.B.Bannard et al.,Canad.J.Chem.,1971,49,2064.
2)〔トランス-(+/−)〕-2-〔〔6-〔(2,2-ジフェニルエチル)アミノ〕-9-〔N-エチル-2,3-O-(1-メチルエチリデン)-β-D-リボフラヌロンアミドシル〕-9H-プリン-2-イル〕アミノ〕シクロペンタンカルボン酸2,2-ジメチルエチルエステル 後記表1の項目2のように求核剤として(+/−)-トランス-2-アミノシクロペンタンカルボン酸1,1-ジメチルエチルエステル1を用いた。生成物をシリカにより酢酸エチル:シクロヘキサン(4:1)で溶出させて精製した。
1.J.Xie,et al.,Int.J.Pept.Protein Res.,1989,34,246.
3)(トランス)-1-デオキシ-1-〔6-〔(2,2-ジフェニルエチル)アミノ〕-2-〔(4-ヒドロキシシクロヘキシル)アミノ〕-9H-プリン-9-イル〕-N-エチル-2,3-O-(1-メチルエチリデン)-β-D-リボフラヌロンアミド 後記表1の項目3のように求核剤としてトランス-4-アミノシクロヘキサノール(塩酸塩の塩基性化により製造)を用いた。生成物をシリカにより酢酸エチル:メタノール25:1で溶出させて精製した。MH+=642
4)(シス)-1-デオキシ-1-〔6-〔(2,2-ジフェニルエチル)アミノ〕-2-〔(4-ヒドロキシシクロヘキシル)アミノ〕-9H-プリン-9-イル〕-N-エチル-2,3-O-(1-メチルエチリデン)-β-D-リボフラヌロンアミド 後記表1の項目4のように求核剤としてシス-4-アミノシクロヘキサノール1(塩基塩の塩基性化により製造)を用いた。生成物をシリカにより酢酸エチルで溶出させて精製した。MH+=642
1.A.G.Renwick and R.T.Williams,Biochem.J.,1972,129,857.
5)1-デオキシ-N-エチル-1-〔2-〔(3-ヒドロキシプロピル)アミノ〕-6-〔(2,2-ジフェニルエチル)アミノ〕-9H-プリン-9-イル〕-2,3-O-(1-メチルエチリデン)-β-D-リボフラヌロンアミド 後記表1の項目5のように求核剤として3-アミノプロパノールを用いた。生成物をシリカによりジクロロメタン:メタノール(19:1)で溶出させて精製した。MH+=642
6)1-〔2-〔(4-アミノフェニル)アミノ〕-6-〔(2,2-ジフェニルエチル)アミノ〕-9H-プリン-9-イル〕-1-デオキシ-N-エチル-2,3-O-(1-メチルエチリデン)-β-D-リボフラヌロンアミド 後記表1の項目6のように求核剤として1,4-フェニレンジアミンを用いた。生成物をフラッシュシリカにより酢酸エチル:エタノール(24:1)、その後ジクロロメタン:メタノール(24:1)で溶出させて(2回)精製し、まだ不純な生成物を得た。nmr(δ、CDCl3)6.60(d、2H)、6.70(brs、2H)、
7)1-デオキシ-1-〔2-〔〔4-(ジメチルアミノ)フェニル〕アミノ〕-6-〔(2,2-ジフェニルエチル)アミノ〕-9H-プリン-9-イル〕-N-エチル-2,3-O-(1-メチルエチリデン)-β-D-リボフラヌロンアミド 後記表1の項目7のように求核剤として4-アミノ-N,N-ジメチルアニリンを用いた。生成物をフラッシュシリカによりジクロロメタン:メタノール(24:1)で溶出させて精製した。nmr(δ、CDCl3)2.80(s)、2.90(s)、6.60-6.70(m)
8)(1α,2β,5β)-1-デオキシ-1-〔2-〔(2,5-ジヒドロキシシクロペンチル)アミノ〕-6-〔(2,2-ジフェニルエチル)アミノ〕-9H-プリン-9-イル〕-N-エチル-2,3-O-(1-メチルエチリデン)-β-D-リボフラヌロンアミド 後記表1の項目8のように求核剤として〔1α,2β,3α)-(+/−)〕-2-アミノ-1,3-シクロペンタンジオール(製造33)を用いた。生成物をフラッシュシリカによりジクロロメタン:メタノール(9:1)で溶出させて精製した。nmr(δ、DMSO-d6)1.60(brs)、1.85(brs)、3.8-4.2(2m)
9)(1R-トランス)-1-〔2-〔(2-アミノシクロヘキシル)アミノ〕-6-〔(2,2-ジフェニルエチル)アミノ〕-9H-プリン-9-イル〕-1-デオキシ-N-エチル-2,3-O-(1-メチルエチリデン)-β-D-リボフラヌロンアミド 後記表1の項目9のように求核剤として(1R-トランス)-1,2-ジアミノシクロヘキサンを用いた。生成物をフラッシュシリカによりジクロロメタン:メタノール(9:1)で溶出させて精製した。MH+=641.3
10)(1S-トランス)-1-〔2-〔(2-アミノシクロヘキシル)アミノ〕-6-〔(2,2-ジフェニルエチル)アミノ〕-9H-プリン-9-イル〕-1-デオキシ-N-エチル-2,3-O-(1-メチルエチリデン)-β-D-リボフラヌロンアミド 後記表1の項目10のように求核剤として(1R-トランス)-1,2-ジアミノシクロヘキサンを用いた。生成物をフラッシュシリカによりジクロロメタン:メタノール(9:1)で溶出させて精製した。MH+=641
11)〔トランス-(+/−)〕-1-デオキシ-1-〔6-〔(2,2-ジフェニルエチル)アミノ〕-2-〔4-ヒドロキシ-1-〔(1,1-ジメチルエトキシ)カルボニル〕ピロリジン-3-イル〕アミノ〕-9H-プリン-9-イル〕-N-エチル-2,3-O-(1-メチルエチリデン)-β-D-リボフラヌロンアミド 後記表1の項目11のように求核剤として〔トランス-(+/−)〕-3-アミノ-4-ヒドロキシ-1-ピロリジンカルボン酸1,1-ジメチルエチルエステルを用いた。生成物をフラッシュシリカによりジクロロメタン:エタノール:0.88アンモニア(100:8:1)で溶出させて精製した。nmr(δ、DMSO-d6)0.55(t、3H)、1.35(s、3H)、1.42(s、9H)、1.5(s、3H)、2.75(m、2H)、3.2(m、1H)、3.4-3.7(m、3H)、3.9-4.3(4H)、4.45(s、1H)、4.6(m、1H)、5.1-5.6(m、4H)、6.15(m、1H)、7.1-7.4(m、12H)、7.8(bs、1H)
12)(+/−)-1-デオキシ-1-〔6-〔(2,2-ジフェニルエチル)アミノ〕-2-〔(N-エチルピペリジン-3-イル)アミノ〕-9H-プリン-9-イル〕-N-エチル-2,3-O-(1-メチルエチリデン)-β-D-リボフラヌロンアミド 後記表1の項目12のように求核剤として(+/−)-1-エチル-3-ピペリジンアミンを用いた。生成物をフラッシュシリカによりジクロロメタン:エタノール:0.88アンモニア(100:8:1)で溶出させて精製した。nmr(δ、CDCl3)0.75(m、3H)、1.05(m、3H)、2.2-2.6(m、6H)、2.75-3.2(m、3H)、4.0-4.25(m、1H)、4.2(m、2H)、4.35(m、1H)、4.63(s、1H)、5.5(m、3H)、5.95(m、1H)、7.15-7.4(m、10H)、7.4(s、1H)
13)1-デオキシ-1-〔6-〔(2,2-ジフェニルエチル)アミノ〕-2-〔〔2-(1-ピペリジニル)エチル〕アミノ〕-9H-プリン-9-イル〕-N-エチル-2,3-O-(1-メチルエチリデン)-β-D-リボフラヌロンアミド 後記表1の項目13のように求核剤として1-(2-アミノエチル)ピペリジンを用いた。生成物をフラッシュシリカによりジクロロメタン:エタノール:0.88アンモニア(100:8:1)で溶出させて精製した。nmr(δ、CDCl3)0.7(t、3H)、1.4(s、3H)、1.6(s、3H)、1.6-1.9(m、2H)、2.8-3.1(m、2H)、3.12(t、2H)、3.8(m、2H)、4.22(m、2H)、4.85(t、1H)、4.65(s、1H)、5.38(m、1H)、5.0(m、1H)、5.1(m、1H)、5.97(s、1H)、7.1-7.35(m、12H)、7.4(s、1H)、7.6(dt、1H)、8.58(d、1H)
14)1-デオキシ-1-〔6-〔(2,2-ジフェニルエチル)アミノ〕-2-〔〔2-(4-モルホリニル)エチル〕アミノ〕-9H-プリン-9-イル〕-N-エチル-2,3-O-(1-メチルエチリデン)-β-D-リボフラヌロンアミド 後記表1の項目14のように求核剤として4-(2-アミノエチル)モルホリンを用いた。生成物をフラッシュシリカにより酢酸エチル中0〜2%エタノールで溶出させて精製した。nmr(δ、CDCl3)0.7(t、3H)、1.4(s、3H)、1.6(s、3H)、2.5(m、4H)、2.6(t、2H)、2.8-3.05(m、2H)、3.4-3.55(m、2H)、3.73(m、4H)、4.15-4.25(m、2H)、4.33(t、1H)、4.63(bs、1H)、5.27(m、1H)、5.48(m、1H)、5.6(m、1H)、5.98(s、1H)、7.15-7.35(m、10H)、7.4(s、1H)
15)1-デオキシ-1-〔6-〔(2,2-ジフェニルエチル)アミノ〕-2-〔〔2-(2-ピリジニル)エチル〕アミノ〕-9H-プリン-9-イル〕-N-エチル-2,3-O-(1-メチルエチリデン)-β-D-リボフラヌロンアミド 後記表1の項目15のように求核剤として2-(2-アミノエチル)ピリジンを用いた。生成物をフラッシュシリカにより酢酸エチルで溶出させて精製した。nmr(δ、CDCl3)0.68(t、3H)、1.37(s、3H)、1.6(s、3H)、1.6-1.9(m、2H)、2.75-3.1(m、2H)、3.13(t、2H)、3.7-3.95(m、2H)、4.0-4.4(m、2H)、4.38(t、1H)、4.65(s、1H)、5.28(m、1H)、5.5(m、2H)、5.6(m、1H)、5.98(s、1H)、6.12(m、1H)、7.1-7.4(m、12H)、7.4(s、1H)、7.6(dt、1H)、8.57(d、1H)
16)1-デオキシ-1-〔6-〔(2,2-ジフェニルエチル)アミノ〕-2-〔〔2-ピロリジン-1-イル)エチル〕アミノ〕-9H-プリン-9-イル〕-N-エチル-2,3-O-(1-メチルエチリデン)-β-D-リボフラヌロンアミド 後記表1の項目16のように求核剤として1-(2-アミノエチル)ピロリジンを用いた。生成物をフラッシュシリカによりジクロロメタン:エタノール:0.88アンモニア(100:8:1)で溶出させて精製した。nmr(δ、CDCl3)0.63(t、3H)、1.4(s、3H)、1.6(s、3H)、2.0(m、4H)、2.7-3.0(m、2H)、2.9-3.5(m、4H)、3.6-3.9(m、2H)、4.1-4.3(m、2H)、4.32(t、1H)、4.63(s、1H)、5.4-5.65(m、4H)、5.8-6.1(m、1H)、6.05(s、1H)、7.15-7.4(m、10H)、7.45(s、1H)
17)1-デオキシ-1-〔6-〔(2,2-ジフェニルエチル)アミノ〕-2-〔〔2-(2-ピリジニル)メチル〕アミノ〕-9H-プリン-9-イル〕-N-エチル-2,3-O-(1-メチルエチリデン)-β-D-リボフラヌロンアミド 後記表1の項目17のように求核剤として2-(アミノメチル)ピリジンを用いた。生成物をフラッシュシリカにより酢酸エチルで溶出させて精製した。nmr(δ、DMSO-d6)0.52(t、3H)、1.12(bs、3H)、1.45(s、3H)、2.6-2.9(m、2H)、3.8-4.1(m、2H)、4.3-4.6(m、3H)、4.42(s、1H)、4.75-4.9(m、1H)、5.12(m、1H)、5.88(m、1H)、6.15(s、1H)、7.0-7.5(m、12H)、7.6-7.9(m、3H)、8.5(d、1H)
18)1-デオキシ-1-〔6-〔(2,2-ジフェニルエチル)アミノ〕-2-〔〔2-(4-ピリジニル)メチル〕アミノ〕-9H-プリン-9-イル〕-N-エチル-2,3-O-(1-メチルエチリデン)-β-D-リボフラヌロンアミド 後記表1の項目18のように求核剤として4-(アミノメチル)ピリジンを用いた。生成物をフラッシュシリカにより酢酸エチルで溶出させて精製した。nmr(δ、CDCl3)0.65(t、3H)、1.35(s、3H)、1.52(s、3H)、1.8-2.1(m、2H)、2.75-3.05(m、2H)、4.0-4.25(m、2H)、4.38(t、1H)、4.35-4.5(dd、1H)、4.6(s、1H)、4.75-4.95(dd、1H)、5.17(d、1H)、5.3-5.5(m、2H)、5.55-5.7(m、1H)、5.92(m、1H)、5.94(s、1H)、7.15-7.35(m、12H)、7.4(s、1H)、8.5(m、2H)
19)1-デオキシ-1-〔6-〔(2,2-ジフェニルエチル)アミノ〕-2-〔〔(1H-イミダゾール-2-イル)メチル〕アミノ〕-9H-プリン-9-イル〕-N-エチル-2,3-O-(1-メチルエチリデン)-β-D-リボフラヌロンアミド 後記表1の項目19のように求核剤として2-(アミノメチル)イミダゾール1(塩基塩の塩基性化により製造)を用いた。生成物をフラッシュシリカによりジクロロメタン:エタノール:0.880アンモニア(200:8:2)〜(150:8:1.5)で溶出させて精製した。nmr(δ、CDCl3)0.54(t、3H)、1.4(s、3H)、1.59(s、3H)、2.55-2.95(m、2H)、4.05-4.2(m、2H)、4.25-4.34(m、1H)、4.4-4.5(m、1H)、4.9-5.1(m、1H)、4.7(s、1H)、5.61(d、1H)、5.78(dd、1H)、6.03(s、1H)、7.02(s、2H)、7.15-7.35(m、10H)、7.45(s、1H)
1.L.A.M.Bastiaansen and E.F.Godefroi,J.Org.Chem.,1978,43(8),1603.
20)4-〔2-〔〔6-〔(2,2-ジフェニルエチル)アミノ〕-9-〔N-エチル-2,3-O-(1-メチルエチリデン)-β-D-リボフラヌロンアミドシル〕-9H-プリン-2-イル〕アミノ〕エチル〕ベンゼンプロパン酸1,1-ジメチルエチルエステル 後記表1の項目20のように求核剤として3-〔4-(2-アミノエチル)フェニル〕プロピオン酸1,1-ジメチルエチルエステル1を用いた。生成物をフラッシュシリカによりシクロヘキサン中20〜40%酢酸エチルで溶出させて精製した。nmr(δ、CDCl3)0.67(t、3H)、1.38(s、3H)、1.43(s、9H)、1.6(s、3H)、2.52(t、2H)、2.75-3.05(m、6H)、3.5-3.8(m、2H)、4.1-4.3(m、2H)、4.35(t、1H)、4.63(s、1H)、4.9(m、1H)、5.48(m、2H)、5.6(d、1H)、5.97(s、1H)、7.12(m、4H)、7.15-7.35(m、10H)、7.4(s、1H)
1.A.J.Hutchison et al.,J.Med.Chem.,1990,33,1919.
21)(1S)-1-デオキシ-1-〔6-〔(2,2-ジフェニルエチル)アミノ〕-2-〔〔1-(ヒドロキシメチル)-2-(3-ピリジニル)エチル〕アミノ〕-9H-プリン-9-イル〕-N-エチル-2,3-O-(1-メチルエチリデン)-β-D-リボフラヌロンアミド 後記表1の項目21のように求核剤として(S)-β-アミノ-3-ピリジンプロパノール(塩酸塩の塩基性化により製造)を用いた。生成物をフラッシュシリカによりジクロロメタン:エタノール:0.88アンモニア(200:8:2)で溶出させて精製した。MH+=679
22)(1S)-1-デオキシ-1-〔6-〔(2,2-ジフェニルエチル)アミノ〕-2-〔〔1-(ヒドロキシメチル)-2-(メチル)プロピル〕アミノ〕-9H-プリン-9-イル〕-N-エチル-2,3-O-(1-メチルエチリデン)-β-D-リボフラヌロンアミド 後記表1の項目22のように求核剤として(S)-(+)-2-アミノ-3-メチル-3-ブタノールを用いた。生成物をフラッシュシリカによりシクロヘキサン中50%酢酸エチル〜ニートな酢酸エチルで溶出させて精製した。MH+=630
23)〔シス-(+/−)〕-1-デオキシ-1-〔6-〔(2,2-ジフェニルエチル)アミノ〕-2-〔〔3-ヒドロキシシクロペンチル)アミノ〕-9H-プリン-9-イル〕-N-エチル-2,3-O-(1-メチルエチリデン)-β-D-リボフラヌロンアミド 後記表1の項目23のように求核剤として〔シス-(+/−)〕-3-アミノシクロペンタノール1を用いた。生成物をフラッシュシリカでカラムクロマトグラフィーによりジクロロメタン:エタノール:0.880アンモニア(100:8:1)で溶出させて精製した。nmr(δ、CDCl3)0.68および0.7(t、3H)、1.38(s、3H)、1.6(s、3H)、1.65-1.85(m、4H)、1.8-2.0(m、2H)、1.9-2.3(m、2H)、2.7-2.95および2.9-3.1(m、2H)、4.1-4.35(m、2H)、4.3-4.5(m、3H)、4.6(m、1H)、5.25および5.37(d、1H)、5.45-5.6(m、2H)、5.97(s、1H)、7.15-7.35(m、10H)、7.4(s、1H)
1.R.A.B.Bannard et al.,Canad,J.Chem.,1971,49,2064.
24)(1S)-1-デオキシ-1-〔2-〔1-〔〔〔(1,1-ジメチルエトキシ)カルボニル〕アミノ〕メチル〕-2-フェニルエチル〕アミノ〕-6-〔(2,2-ジフェニルエチル)アミノ〕-9H-プリン-9-イル〕-N-エチル-2,3-O-(1-メチルエチリデン)-β-D-リボフラヌロンアミド 後記表1の項目24のように求核剤として(S)-(2-アミノ-3-フェニルプロピル)カルバミン酸1,1-ジメチルエチルエステル(製造53)を用いた。生成物をフラッシュシリカによりトルエン中40〜45%酢酸エチルで溶出させて精製した。MH+=777
25)1-デオキシ-1-〔2-〔〔2-(N,N-ジメチルアミノ)エチル〕アミノ〕-6-〔(2,2-ジフェニルエチル)アミノ〕-9H-プリン-9-イル〕-N-エチル-2,3-O-(1-メチルエチリデン)-β-D-リボフラヌロンアミド 後記表1の項目25のように求核剤として2-(N,N-ジメチルアミノ)エチルアミンを用いた。生成物をフラッシュシリカによりジクロロメタン:エタノール:0.88アンモニア(100:8:1)で溶出させて精製した。MH+=615
26)1-デオキシ-1-〔2-〔〔(3-(N,N-ジメチルアミノ)プロピル〕アミノ〕-6-〔(2,2-ジフェニルエチル)アミノ〕-9H-プリン-9-イル〕-N-エチル-2,3-O-(1-メチルエチリデン)-β-D-リボフラヌロンアミド 後記表1の項目26のように求核剤として3-(N,N-ジメチルアミノ)プロピルアミンを用いた。生成物をフラッシュシリカによりジクロロメタン:エタノール:0.880アンモニア(100:8:1)で溶出させて精製した。MH+=629
27)(+/−)-1-デオキシ-1-〔6-〔(2,2-ジフェニルエチル)アミノ〕-2-〔(5-オキソ-3-ピロリジニル)アミノ〕-9H-プリン-9-イル〕-N-エチル-2,3-O-(1-メチルエチリデン)-β-D-リボフラヌロンアミド 後記表1の項目27のように求核剤として(+/−)-4-アミノ-1H-ピロリジン-2-オン(塩酸塩の塩基性化により製造)を用いた。生成物をフラッシュシリカによりジクロロメタン:エタノール:0.880アンモニア(200:8:1)〜(100:8:1)で溶出させて精製した。nmr(δ、CDCl3)0.6-0.7(m、3H)、1.4(s、6H)、2.8-3.0(m、2H)、3.3-3.4および3.75-3.9(m、22H)、4.0-4.35(m、3H)、4.65(s、1H)、4.7-4.8(m、1H)、5.4-5.7(m、2H)、6.01(d、1H)、7.2-7.4(m、10H)、7.45-7.5(bs、1H)
28)1-デオキシ-1-〔6-〔(2,2-ジフェニルエチル)アミノ〕-2-〔〔1-(ヒドロキシメチル)シクロプロピル〕アミノ〕-9H-プリン-9-イル〕-N-エチル-2,3-O-(1-メチルエチリデン)-β-D-リボフラヌロンアミド 後記表1の項目28のように求核剤として1-アミノシクロプロパンメタノール(製造23)を用いた。生成物をフラッシュシリカによりシクロヘキサン中50%酢酸エチルで溶出させて精製した。MH+=614
29)1-デオキシ-1-〔6-〔(2,2-ジフェニルエチル)アミノ〕-2-〔〔2-(1-ピペラジニル)エチル〕アミノ〕-9H-プリン-9-イル〕-N-エチル-2,3-O-(1-メチルエチリデン)-β-D-リボフラヌロンアミド 後記表1の項目29のように求核剤として1-(2-アミノエチル)ピペラジンを用いた。生成物をフラッシュシリカによりジクロロメタン:エタノール:0.88アンモニア(100:8:1)で溶出させて精製した。nmr(δ、CDCl3)0.7(t、3H)、1.35(s、3H)、1.6(s、3H)、2.4-2.7(m、6H)、2.87(t、2H)、2.8-3.1(m、2H)、3.25-3.6(m、2H)、3.65-3.9(m、4H)、4.1-4.3(m、2H)、4.35(m、1H)、4.62(s、1H)、5.4-5.7(m、1H)、5.55(s、2H)、5.85-6.05(m、1H)、6.0(s、1H)、7.15-7.35(m、10H)、7.4(s、1H)
30)〔トランス-(+/−)〕-1-デオキシ-1-〔6-〔(2,2-ジフェニルエチル)アミノ〕-2-〔(2-ヒドロキシシクロヘキシル)アミノ〕-9H-プリン-9-イル〕-N-エチル-2,3-O-(1-メチルエチリデン)-β-D-リボフラヌロンアミド 後記表1の項目30のように求核剤として〔トランス-(+/−)〕-2-アミノシクロヘキサノール(塩酸塩の塩基性化により製造)を用いた。生成物をシリカにより酢酸エチル:シクロヘキサン(2:1)で溶出させて精製した。MH+=642
31)(1α,3β,4β)-1-デオキシ-1-〔2-〔(3,4-ジヒドロキシシクロペンチル)アミノ〕-6-〔(2,2-ジフェニルエチル)アミノ〕-9H-プリン-9-イル〕-N-エチル-2,3-O-(1-メチルエチリデン)-β-D-リボフラヌロンアミド 後記表1の項目31のように求核剤として(1α,2α,4β)-4-アミノ-1,2-シクロペンタンジオール(塩酸塩の塩基性化により製造)を用いた。生成物をシリカにより酢酸エチル:メタノール(24:1)で溶出させて精製した。nmr(δ、DMSO-d6)1.60(brs、2H)、1.82(brs、2H)、4.0(brs)
32)1-〔2-〔(2-シクロヘキシルエチル)アミノ〕-6-〔(2,2-ジフェニルエチル)アミノ〕-9H-プリン-9-イル〕-1-デオキシ-N-エチル-2,3-O-(1-メチルエチリデン)-β-D-リボフラヌロンアミド 後記表1の項目32のように求核剤として2-シクロヘキシルエチルアミンを用いた。生成物をシリカにより酢酸エチル:シクロヘキサン(1:1)で溶出させて精製した。nmr(δ、CDCl3)0.7(t、3H)、0.8-1.1(m、2H)、1.1-1.5(m、4H)、1.4(s、3H)、1.45-1.55(m、1H)、1.6(s、3H)、1.5-1.8(m、6H)、2.8-3.1(m、2H)、3.2-3.45(m、1H)、3.35-3.6(m、1H)、4.1-4.3(m、2H)、4.35(t、1H)、4.63(s、1H)、4.8(m、1H)、5.5(m、1H)、5.6(d、1H)、5.97(s、1H)、6.05(m、1H)、7.15-7.35(m、10H)、7.4(s、1H)
33)(1R)-1-デオキシ-1-〔6-〔(2,2-ジフェニルエチル)アミノ〕-2-〔〔1-(ヒドロキシメチル)-2-フェニルエチル〕アミノ〕-9H-プリン-9-イル〕-N-エチル-2,3-O-(1-メチルエチリデン)-β-D-リボフラヌロンアミド 後記表1の項目33のように求核剤として(R)-2-アミノ-3-フェニル-1-プロパノールを用いた。生成物をシリカによりシクロヘキサン中50%酢酸エチル〜ニートな酢酸エチルで溶出させて精製した。MH+=678
34)(1S)-1-デオキシ-1-〔6-〔(2,2-ジフェニルエチル)アミノ〕-2-〔〔1-(メトキシメチル)-2-フェニルエチル〕アミノ〕-9H-プリン-9-イル〕-N-エチル-2,3-O-(1-メチルエチリデン)-β-D-リボフラヌロンアミド 後記表1の項目34のように求核剤として(S)-2-アミノ-1-メトキシ-3-フェニルプロパン(塩酸塩の塩基性化により製造)を用いた。生成物をシリカによりシクロヘキサン中50〜70%酢酸エチルで溶出させて精製した。MH+=692
35)1-デオキシ-1-〔6-〔(2,2-ジフェニルエチル)アミノ〕-2-〔〔2-(2-メチル-1H-イミダゾール-1-イル)エチル〕アミノ〕-9H-プリン-9-イル〕-N-エチル-2,3-O-(1-メチルエチリデン)-β-D-リボフラヌロンアミド 後記表1の項目35のように求核剤として2-(2-メチル-1H-イミダゾール-1-イル)エチルアミン(塩酸塩の塩基性化により製造1)を用いた。生成物をシリカによりジクロロメタン中1〜8%メタノールの勾配溶出により精製し、得られた油状物へのエーテルの添加で固体物を得た。nmr(δ、CDCl3)0.65(t、3H)、1.4(s、3H)、1.6(s、3H)、2.35(s、3H)、2.7-3.05(m、2H)、3.6-3.8(m、2H)、4.05-4.25(m、3H)、4.3(t、1H)、4.67(s、1H)、4.85-5.0(m、1H)、5.43(d、1H)、5.45-5.15(m、1H)、5.63(dd、1H)、5.9-6.0(m、1H)、6.03(s、1H)、6.86(bs、1H)、7.15-7.4(m、10H)、7.45(s、1H)
1.Shikoku Kaken Kogyo K.K.日本特許62/198,668
36)〔(1S)-トランス〕-1-デオキシ-1-〔6-〔(2,2-ジフェニルエチル)アミノ〕-2-〔(3-N,N-ジメチルアミノ)シクロペンチルアミノ〕-9H-プリン-9-イル〕-N-エチル-2,3-O-(1-メチルエチリデン)-β-D-リボフラヌロンアミド 後記表1の項目36のように求核剤として(S)-3-(N,N-ジメチルアミノシクロペンチル)アミン(塩酸塩の塩基性化により製造)を用いた。生成物をシリカでジクロロメタン:エタノール:0.88アンモニア(100:8:1)〜(50:8:1)による溶出とプレパラティブHPLC(30〜90%アセトニトリル)で精製した。MH+=655
37)1-〔2-〔〔(6-アミノ-2-ピリジニル)メチル〕アミノ〕-6-〔(2,2-ジフェニルエチル)アミノ〕-9H-プリン-9-イル〕-1-デオキシ-N-エチル-2,3-O-(1-メチルエチリデン)-β-D-リボフラヌロンアミド 後記表1の項目37のように求核剤として6-アミノ-2-ピリジンメタンアミンを用いた。生成物をシリカにより酢酸エチルで溶出させて精製し、得られた油状物へのエーテルの添加で固体物を得た。nmr(δ、CDCl3)0.7(t、3H)、1.35(s、3H)、1.58(s、3H)、2.85-3.15(m、2H)、4.1-4.3(m、2H)、4.3-4.4(t、1H)、4.45(bs、2H)、4.45-4.6(m、2H)、4.65(d、1H)、5.4(d、1H)、5.56(d、1H)、5.95(s、1H)、6.36(d、1H)、6.7(d、1H)、7.15-7.35(m、10H)、7.35(t、1H)、7.42(s、1H)
例21
(1S)-1-デオキシ-1-〔6-〔(2,2-ジフェニルエチル)アミノ〕-2-〔〔1-(ヒドロキシメチル)-2-フェニルエチル〕アミノ〕-9H-プリン-9-イル〕-N-エチル-β-D-リボフラヌロンアミド
トリフルオロ酢酸(4.7ml)および水(0.3ml)中(1S)-1-デオキシ-1-〔6-〔(2,2-ジフェニルエチル)アミノ〕-2-〔〔1-(ヒドロキシメチル)-2-フェニルエチル〕アミノ〕-9H-プリン-9-イル〕-N-エチル-2,3-O-(1-メチルエチリデン)-β-D-リボフラヌロンアミド(0.104g、0.16mmol)の溶液を3.5時間攪拌し、その後蒸発乾固させた。残渣をエタノール(10ml)に溶解し、溶液を炭酸ナトリウム(1g)と共に0.7時間攪拌した。混合液を濾過し、濾液を蒸発させて泡状物を得、これを酢酸エチル(50ml)に溶解し、水(40ml)で洗浄し、(MgSO4)乾燥し、蒸発させて、固体物として標題化合物(0.082g)を得た。MH+=638;nmr(δ、DMSO-d6)0.98(t、3H)、2.88(m、2H)、3.05-3.25(m、2H)、3.4-3.5(m、2H)、4.23(s、1H)、5.48(d、1H)、5.6(d、1H)、5.8(d、1H)、7.1-7.4(m、15H)
同様に以下を製造した:
1)〔シス-(+/−)〕-1-デオキシ-1-〔6-〔(2,2-ジフェニルエチル)アミノ〕-2-〔(2-ヒドロキシシクロペンチル)アミノ〕-9H-プリン-9-イル〕-N-エチル-β-D-リボフラヌロンアミド 後記表2の項目1のような条件下で、前記例20および表1の項目1の生成物から。生成物をシリカにより酢酸エチル:メタノール(19:1)で溶出させて精製した。生成物はMH+=588を有していた。nmr(δ、DMSO-d6)1.05(t、3H)、1.35-1.90(m、6H)、3.15(m、2H)、4.05(m、4H)、4.25(s、1H)、4.65(m、2H)、4.85(d、1H)、5.50(d、1H)、5.65(t、2H)、5.80(d、1H)、7.10-7.40(m、11H)、7.50(m、1H)、7.90(s、1H)、8.55(m、1H)
2)〔トランス-(+/−)〕-2-〔〔6-〔(2,2-ジフェニルエチル)アミノ〕-9-(N-エチル-β-D-リボフラヌロンアミドシル)-9H-プリン-2-イル〕アミノ〕シクロペンタンカルボン酸 後記表2の項目2のような条件下で、前記例20および表1の項目2の生成物から。生成物をプレパラティブHPLC(30〜70%アセトニトリル)により精製した。生成物はMH+=616を有していた。nmr(δ、DMSO-d6)1.00(t、3H)、1.70(m、4H)、2.05(m、2H)、2.80(m、1H)、3.15(m、2H)、4.10(m、3H)、4.30(s、1H)、4.60(m、4H)、5.85(d、1H)、7.15-7.40(m、10H)、8.25(m、2H)
3)(トランス)-1-デオキシ-1-〔6-〔(2,2-ジフェニルエチル)アミノ〕-2-〔(4-ヒドロキシシクロヘキシル)アミノ〕-9H-プリン-9-イル〕-N-エチル-β-D-リボフラヌロンアミド 後記表2の項目3のような条件下で、前記例20および表1の項目3の生成物から。生成物をプレパラティブHPLC(30〜70%アセトニトリル)により精製した。生成物はMH+=602を有していた。分析実測値C52.7,H5.15,N11.8,F11.8%;C32H39N7O5・1.75CF3CO2H.0.4H2O計算値C52.7,H5.2,N12.1,F12.3%
4)(シス)-1-デオキシ-1-〔6-〔(2,2-ジフェニルエチル)アミノ〕-2-〔(4-ヒドロキシシクロヘキシル)アミノ〕-9H-プリン-9-イル〕-N-エチル-β-D-リボフラヌロンアミド 後記表2の項目4のような条件下で、前記例20および表1の項目4の生成物から。生成物をプレパラティブHPLC(30〜70%アセトニトリル)により精製した。生成物はMH+=602を有していた。分析実測値C53.35,H5.65,N11.8,F9.9%;C32H39N7O5.1.4CF3CO2H.0.9H2O計算値C53.75,H5.5,N11.6,F10.25%
5)1-デオキシ-N-エチル-1-〔2-〔(3-ヒドロキシプロピル)アミノ〕-6-〔(2,2-ジフェニルエチル)アミノ〕-9H-プリン-9-イル〕-β-D-リボフラヌロンアミド 後記表2の項目5のような条件下で、前記例20および表1の項目5の生成物から。生成物をプレパラティブHPLC(30〜70%アセトニトリル)により精製した。生成物はMH+=562を有していた。実測値C52.75,H5.1,N13.65,F9.9%;C29H35N7O5・1.25CF3CO2H.0.6H2O計算値C52.95,H5.3,N13.7,F10.0%
6)1-〔2-〔(4-アミノフェニル)アミノ〕-6-〔(2,2-ジフェニルエチル)アミノ〕-9H-プリン-9-イル〕-1-デオキシ-N-エチル-β-D-リボフラヌロンアミド 後記表2の項目6のような条件下で、前記例20および表1の項目6の生成物から。生成物をフラッシュシリカ(2回)によりジクロロメタン:メタノール(9:1)で溶出させて精製した。生成物はMH+=594を有していた。nmr(δ、DMSO-d6)6.50(d、2H)、7.28-7.48(m、12H)
7)1-デオキシ-1-〔2-〔〔4-(ジメチルアミノ)フェニル〕アミノ〕-6-〔(2,2-ジフェニルエチル)アミノ〕-9H-プリン-9-イル〕-N-エチル-β-D-リボフラヌロンアミド 後記表2の項目7のような条件下で、前記例20および表1の項目7の生成物から。生成物をプレパラティブHPLC(30〜70%アセトニトリル)により2回精製した。生成物はMH+=623を有していた。nmr(δ、DMSO-d6)2.95-3.2(brs、6H)、7.15-7.25(m、2H)、7.75-7.9(m、2H)
8)(1α,2β,5β)-1-デオキシ-1-〔2-〔(2,5-ジヒドロキシシクロペンチル)アミノ〕-6-〔(2,2-ジフェニルエチル)アミノ〕-9H-プリン-9-イル〕-N-エチル-β-D-リボフラヌロンアミド 後記表2の項目8のような条件下で、前記例20および表1の項目8の生成物から。生成物をフラッシュシリカによりジクロロメタン:メタノール0.880アンモニア(30:8:1)で溶出させ、その後フラッシュシリカにより酢酸エチル:メタノール(19:1)で溶出させて精製した。生成物はMH+=604を有していた。nmr(δ、DMSO-d6)1.67(br.s、2H)、1.90(br.s、2H)、4.0(br.s、2H)
9)(1R-トランス)-1-〔2-〔(2-アミノシクロヘキシル)アミノ〕-6-〔(2,2-ジフェニルエチル)アミノ〕-9H-プリン-9-イル〕-1-デオキシ-N-エチル-β-D-リボフラヌロンアミド 後記表2の項目9のような条件下で、前記例20および表1の項目9の生成物から。生成物をフラッシュシリカによりジクロロメタン:エタノール:0.880アンモニア(30:8:1)で溶出させて精製した。生成物はMH+=601を有していた。nmr(δ、DMSO-d6)1.23(brs、6H)、1.68(brs、2H)、2.92(brs、1H)
10)(1S-トランス)-1-〔2-〔(2-アミノシクロヘキシル)アミノ〕-6-〔(2,2-ジフェニルエチル)アミノ〕-9H-プリン-9-イル〕-1-デオキシ-N-エチル-β-D-リボフラヌロンアミド 後記表2の項目10のような条件下で、前記例20および表1の項目10の生成物から。生成物をフラッシュシリカによりジクロロメタン:エタノール:0.880アンモニア(30:8:1)で溶出させて精製した。生成物はMH+=601を有していた。nmr(δ、DMSO-d6)1.24(brs、6H)、1.64(br.s、2H)、2.66(brs、1H)
11)〔トランス-(+/−)〕-1-デオキシ-1-〔6-〔(2,2-ジフェニルエチル)アミノ〕-2-(4-ヒドロキシ-3-ピロリジニル)アミノ〕-9H-プリン-9-イル〕-N-エチル-β-D-リボフラヌロンアミド 後記表2の項目11のような条件下で、前記例20および表1の項目11の生成物から。生成物をプレパラティブHPLC(20〜60%アセトニトリル)により精製した。生成物はMH+=589を有していた。nmr(δ、DMSO-d6)1.0(t、3H)、3.0-3.25(m、3H)、3.25-3.6(m、3H)、4.1(m、2H)、4.15(m、1H)、4.25(s、1H)、4.25-4.5(m、2H)、4.6(m、2H)、5.85(d、1H)、7.1-7.4(10H)、8.14(m、2H)
12)(+/−)-1-デオキシ-1-〔6-〔(2,2-ジフェニルエチル)アミノ〕-2-〔(N-エチルピペリジン-3-イル)アミノ〕-9H-プリン-9-イル〕-N-エチル-β-D-リボフラヌロンアミド 後記表2の項目12のような条件下で、前記例20および表1の項目12の生成物から。生成物をプレパラティブHPLC(30〜70%アセトニトリル)により精製した。生成物はMH+=615を有していた。nmr(δ、DMSO-d6)1.0(t、3H)、1.2(m、3H)、1.5-2.2(m、4H)、2.4-2.9(m、2H)、3.05-3.25(m、4H)、4.15(m、1H)、4.25(bs、1H)、4.5-4.7(m、2H)、5.87(m、1H)、7.15-7.4(m、10H)、8.12(m、2H)
13)1-デオキシ-1-〔6-〔(2,2-ジフェニルエチル)アミノ〕-2-〔〔2-(1-ピペリジニル)エチル〕アミノ〕-9H-プリン-9-イル〕-N-エチル-β-D-リボフラヌロンアミド 後記表2の項目13のような条件下で、前記例20および表1の項目13の生成物から。生成物を反応混合物の蒸発およびエーテルの添加により単離して、固体物を得た。生成物はMH+=615を有していた。nmr(δ、DMSO-d6)1.02(t、3H)、1.25-1.5(m、1H)、1.5-1.85(m、4H)、2.9(m、1H)、3.14(m、1H)、3.22(m、1H)、3.5(m、1H)、3.65(m、1H)、4.07(m、2H)、4.2(m、1H)、4.28(s、1H)、4.6(m、2H)、5.85(d、1H)、7.15-7.4(m、10H)、8.15(m、2H)
14)1-デオキシ-1-〔6-〔(2,2-ジフェニルエチル)アミノ〕-2-〔〔2-(4-モルホリニル)エチル〕アミノ〕-9H-プリン-9-イル〕-N-エチル-β-D-リボフラヌロンアミド 後記表2の項目14のような条件下で、前記例20および表1の項目14の生成物から。生成物を反応混合物の蒸発およびエーテルの添加により単離して、固体物を得た。生成物はMH+=617を有していた。nmr(δ、DMSO-d6)1.02(t、3H)、3.14(m、4H)、3.45(m、4H)、4.25(s、1H)、4.55(m、2H)、5.85(d、1H)、7.15-7.4(m、10H)、8.15(bs、2H)
15)1-デオキシ-1-〔6-〔(2,2-ジフェニルエチル)アミノ〕-2-〔〔2-(2-ピリジニル)エチル〕アミノ〕-9H-プリン-9-イル〕-N-エチル-β-D-リボフラヌロンアミド 後記表2の項目15のような条件下で、前記例20および表1の項目15の生成物から。生成物を反応混合物の蒸発およびエーテルの添加により単離して、固体物を得た。生成物はMH+=609を有していた。nmr(δ、DMSO-d6)1.02(t、3H)、3.05-3.25(m、2H)、3.15-3.35(m、2H)、3.7-3.9(m、2H)、4.1(m、1H)、4.2(m、1H)、4.35(s、1H)、4.5-4.7(m、2H)、5.87(d、1H)、7.15-7.4(m、10H)、7.6-7.8(m、2H)、8.1-8.4(m、3H)、8.72(m、1H)
16)1-デオキシ-1-〔6-〔(2,2-ジフェニルエチル)アミノ〕-2-〔〔2-(ピロリジン-1-イル)エチル〕アミノ〕-9H-プリン-9-イル〕-N-エチル-β-D-リボフラヌロンアミド 後記表2の項目16のような条件下で、前記例20および表1の項目16の生成物から。生成物をプレパラティブHPLC(30〜70%アセトニトリル)により精製した。生成物はMH+=601を有していた。nmr(δ、DMSO-d6)1.02(t、3H)、1.7-2.1(m、4H)、2.9-3.25(m、4H)、3.35(m、2H)、3.6(m、4H)、4.78(s、1H)、4.55(m、3H)、5.85(d、1H)、7.1-7.4(m、10H)、8.15(bs、2H)
17)1-デオキシ-1-〔6-〔(2,2-ジフェニルエチル)アミノ〕-2-〔〔2-(2-ピリジニル)メチル〕アミノ〕-9H-プリン-9-イル〕-N-エチル-β-D-リボフラヌロンアミド 後記表2の項目17のような条件下で、前記例20および表1の項目17の生成物から。生成物をフラッシュシリカによりジクロロメタン:エタノール:0.880アンモニア(30:8:1)で溶出させて精製した。生成物はMH+=601を有していた。nmr(δ、DMSO-d6)1.02(t、3H)、3.1−3.3(m、2H)、3.7-4.0(m、2H)、4.15(bs、1H)、4.32(s、1H)、4.4-4.6(m、3H)、4.8(s、1H)、5.85(d、1H)、7.1-7.4(m、10H)、7.65(t、1H)、7.72(d、1H)、8.0-8.5(m、2H)、8.2(s、1H)、8.67(d、1H)
18)1-デオキシ-1-〔6-〔(2,2-ジフェニルエチル)アミノ〕-2-〔〔2-(4-ピリジニル)メチル〕アミノ〕-9H-プリン-9-イル〕-N-エチル-β-D-リボフラヌロンアミド 後記表2の項目18のような条件下で、前記例20および表1の項目18の生成物から。生成物をプレパラティブHPLC(20〜60%アセトニトリル)により精製した。生成物はMH+=601を有していた。nmr(δ、DMSO-d6)1.02(t、3H)、3.05-3.3(m、2H)、3.75-4.0(m、2H)、4.14(m、1H)、4.25(s、1H)、4.45(m、2H)、4.55(m、1H)、5.82(d、1H)、7.05-7.4(m、10H)、7.85(d、2H)、8.12(s、1H)、8.78(d、2H)
19)1-デオキシ-1-〔6-〔(2,2-ジフェニルエチル)アミノ〕-2-〔〔(1H-イミダゾール-2-イル)メチル〕アミノ〕-9H-プリン-9-イル〕-N-エチル-β-D-リボフラヌロンアミド 後記表2の項目19のような条件下で、前記例20および表1の項目19の生成物から。生成物をプレパラティブHPLC(30〜90%アセトニトリル)により精製した。生成物はMH+=584を有していた。nmr(δ、DMSO-d6)1.01(t、3H)、3.08-3.2(m、2H)、3.8-4.3(m、4H)、4.4-4.52(m、2H)、4.72-4.82(m、1H)、5.82(d、1H)、7.15-7.4(m、10H)、7.55(bs、2H)、7.55-7.65(m、1H)、8.1-8.2(m、2H)
20)4-〔2-〔〔6-〔(2,2-ジフェニルエチル)アミノ〕-9-〔N-エチル-β-D-リボフラヌロンアミドシル〕-9H-プリン-2-イル〕アミノ〕エチル〕ベンゼンプロパン酸 後記表2の項目20のような条件下で、前記例20および表1の項目20の生成物から。生成物を反応混合物の蒸発および酢酸エチルの添加により単離して、固体物を得た。生成物はMH+=680を有していた。nmr(δ、DMSO-d6)1.02(t、3H)、2.7-2.95(m、4H)、3.05-3.3(m、2H)、3.4-3.7(m、2H)、4.04-4.25(m、3H)、4.35(s、1H)、4.45-4.7(m、2H)、5.88(d、1H)、7.13(s、4H)、7.15-7.4(m、10H)、8.16(bs、1H)
21)(1S)-1-デオキシ-1-〔6-〔(2,2-ジフェニルエチル)アミノ〕-2-〔〔1-(ヒドロキシメチル)-2-(3-ピリジニル)エチル〕アミノ〕-9H-プリン-9-イル〕-N-エチル-β-D-リボフラヌロンアミド 後記表2の項目21のような条件下で、但し脱保護のため1,4-ジオキサン中4M水性塩化水素を用いて、前記例20および表1の項目21の生成物から。生成物をプレパラティブHPLC(20〜40%アセトニトリル)により精製した。生成物はMH+=639を有していた。nmr(δ、DMSO-d6)1.0(t、3H)、2.9-3.2(m、4H)、4.3(s、1H)、4.5-4.6(m、2H)、5.82(d、1H)、7.15-7.4(m、11H)、7.65-7.75(m、1H)、8.6-8.75(m、2H)
22)(1S)-1-デオキシ-1-〔〔6-〔(2,2-ジフェニルエチル)アミノ〕-2-〔〔1-(ヒドロキシメチル)-2-(メチル)プロピル〕アミノ〕-9H-プリン-9-イル〕-N-エチル-β-D-リボフラヌロンアミド〕 後記表2の項目22のような条件下で、但し脱保護のため1,4-ジオキサン中4M水性塩化水素を用いて、前記例20および表1の項目22の生成物から。生成物はプレパラティブHPLC(30〜60%アセトニトリル)により精製し、MH+=590を有していた。nmr(δ、DMSO-d6)0.9-1.0(m、6H)、1.01(t、3H)、3.1-3.3(m、2H)、3.5-3.6(m、2H)、3.9-4.2(4H)、4.5-4.7(m、2H)、4.23(s、1H)、5.49(d、1H)、5.61(d、1H)、5.75-5.85(m、1H)、7.1-7.4(m、10H)、7.91(s、1H)
23)〔シス-(+/−)〕-1-デオキシ-1-〔6-〔(2,2-ジフェニルエチル)アミノ〕-2-〔(3-ヒドロキシシクロペンチル)アミノ〕-9H-プリン-9-イル〕-N-エチル-β-D-リボフラヌロンアミド 後記表2の項目23のような条件下で、前記例20および表1の項目23の生成物から。生成物はプレパラティブHPLC(40〜80%アセトニトリル)により精製し、MH+=584を有していた。nmr(δ、DMSO-d6)1.02(t、3H)、1.4-1.85(m、4H)、1.9-2.3(m、2H)、3.1-3.3(m、2H)、4.0-4.15(m、1H)、4.1-4.3(m、2H)、4.33(s、1H)、4.5-4.7(m、2H)、5.54(d、1H)、7.1-7.4(m、10H)、8.14(bs、1H)
24)(1S)-1-〔2-〔〔1-(アミノメチル)-2-フェニルエチル〕アミノ〕-6-〔(2,2-ジフェニルエチル)アミノ〕-9H-プリン-9-イル〕-1-デオキシ-N-エチル-β-D-リボフラヌロンアミド 後記表2の項目24のような条件下で、前記例20および表1の項目24の生成物から。生成物をプレパラティブHPLC(32〜40%アセトニトリル)により精製した。生成物はMH+=637を有していた。nmr(δ、DMSO-d6)1.0(t、3H)、2.7-2.8(m、2H)、2.9-3.2(m、4H)、4.5-4.65(m、1H)、5.85-5.95(m、1H)、6.55-6.65(m、1H)、7.15-7.4(m、15H)、8.1-8.2(m、2H)
25)1-デオキシ-1-〔2-〔〔2-(N,N-ジメチルアミノ)エチル〕アミノ〕-6-〔(2,2-ジフェニルエチル)アミノ〕-9H-プリン-9-イル〕-N-エチル-β-D-リボフラヌロンアミド 後記表2の項目25のような条件下で、前記例20および表1の項目25の生成物から。生成物をプレパラティブHPLC(27〜60%アセトニトリル)により精製した。生成物はMH+=575を有していた。nmr(δ、DMSO-d6)1.0(t、3H)、2.82(s、3H)、2.83(s、3H)、3.1-3.2(m、2H)、3.2-3.35(m、2H)、3.55-3.7(m、2H)、4.5-4.6(d、1H)、5.85(d、1H)、6.75-6.9(m、1H)、7.15-7.4(m、10H)、8.1-8.2(m、2H)
26)1-デオキシ-1-〔2-〔〔3-(N,N-ジメチルアミノ)プロピル〕アミノ〕-6-〔(2,2-ジフェニルエチル)アミノ〕-9H-プリン-9-イル〕-N-エチル-β-D-リボフラヌロンアミド 後記表2の項目26のような条件下で、前記例20および表1の項目26の生成物から。生成物をプレパラティブHPLC(27〜54%アセトニトリル)により精製した。生成物はMH+=589を有していた。nmr(δ、DMSO-d6)1.01(t、3H)、1.85-2.0(m、2H)、2.75(s、3H)、2.76(s、3H)、3.05-3.2(m、4H)、3.3-3.45(m、2H)、4.5-4.6(m、1H)、5.86(d、1H)、7.15-7.4(m、10H)、8.1-8.25(m、2H)
27)(+/−)-1-デオキシ-1-〔6-〔(2,2-ジフェニルエチル)アミノ〕-2-〔(5-オキソ-3-ピロリジニル)アミノ〕-9H-プリン-9-イル〕-N-エチル-β-D-リボフラヌロンアミド 後記表2の項目27のような条件下で、前記例20および表1の項目27の生成物から。生成物をプレパラティブHPLC(30〜70%アセトニトリル)により精製した。生成物はMH+=587を有していた。nmr(δ、DMSO-d6)1.01(t、3H)、2.2-2.3(m、1H)、2.76-2.8(m、1H)、3.1-3.25(m、3H)、3.58-3.68(m、1H)、5.86(d、1H)、7.3-7.4(m、10H)、7.66(d、1H)、8.15-8.25(bs、1H)
28)1-デオキシ-1-〔6-〔(2,2-ジフェニルエチル)アミノ〕-2-〔〔1-(ヒドロキシメチル)シクロプロピル〕アミノ〕-9H-プリン-9-イル〕-N-エチル-β-D-リボフラヌロンアミド 後記表2の項目28のような条件下で、但し脱保護のため1,4-ジオキサン中4M水性塩化水素を用いて、前記例20および表1の項目28の生成物から。生成物をプレパラティブHPLC(30〜53%アセトニトリル)により精製した。生成物はMH+=574を有していた。nmr(δ、DMSO-d6)0.7-0.9(m、4H)、1.01(t、3H)、3.1-3.25(m、2H)、4.0-4.1および4.13-4.2(ms、3H)、4.25-4.3(bs、1H)、4.5-4.7(m、2H)、5.82(d、1H)、7.2-7.4(m、10H)、8.12(bs、1H)
29)1-デオキシ-1-〔6-〔(2,2-ジフェニルエチル)アミノ〕-2-〔〔2-(1-ピペラジニル)エチル〕アミノ〕-9H-プリン-9-イル〕-N-エチル-β-D-リボフラヌロンアミド 後記表2の項目29のような条件下で、前記例20および表1の項目29の生成物から。生成物をプレパラティブHPLC(30〜70%アセトニトリル)により精製した。生成物はMH+=616を有していた。nmr(δ、DMSO-d6)1.02(t、3H)、3.0-3.25(m、2H)、3.1-3.45(m、4H)、4.25(s、1H)、4.5-4.7(m、3H)、5.88(d、1H)、7.15-7.4(m、10H)、8.15(s、1H)
30)〔トランス-(+/−)〕-1-デオキシ-1-〔6-〔(2,2-ジフェニルエチル)アミノ〕-2-〔(2-ヒドロキシシクロヘキシル)アミノ〕-9H-プリン-9-イル〕-N-エチル-β-D-リボフラヌロンアミド 後記表2の項目30のような条件下で、前記例20および表1の項目30の生成物から。生成物をフラッシュシリカによりジクロロメタン:メタノール:0.880アンモニア(90:10:1)で溶出させて精製した。生成物はMH+=602を有していた。nmr(δ、DMSO-d6)1.20(br.s)、1.60(br.s)、1.92(br.s)、2.20(br.s)
31)(1α,3β,4β)-1-デオキシ-1-〔2-〔(3,4-ジヒドロキシシクロペンチル)アミノ〕-6-〔(2,2-ジフェニルエチル)アミノ〕-9H-プリン-9-イル〕-N-エチル-β-D-リボフラヌロンアミド 後記表2の項目31のような条件下で、前記例20および表1の項目31の生成物から(2類似実験の合計として、その生成物を合わせた)。生成物をプレパラティブHPLC(30〜70%アセトニトリル)により精製した。生成物はMH+=604を有していた。nmr(δ、DMSO-d6)1.69(br.s、2H)、1.90(br.s、2H)、4.0(br.s、2H)
32)1-〔2-〔(2-シクロヘキシルエチル)アミノ〕-6-〔(2,2-ジフェニルエチル)アミノ〕-9H-プリン-9-イル〕-1-デオキシ-N-エチル-β-D-リボフラヌロンアミド 後記表2の項目32のような条件下で、前記例20および表1の項目32の生成物から。生成物をプレパラティブHPLC(30〜70%アセトニトリル)により精製した。生成物はMH+=614を有していた。nmr(δ、DMSO-d6)0.8-1.0(m、2H)、1.05(t、3H)、1.1-1.4(m、5H)、1.4-1.8(6H)、3.1-3.3(m、2H)、3.3-3.6(m、2H)、4.35(s、1H)、4.45-4.7(m、2H)、5.87(d、1H)、7.15-7.4(10H)、8.2(bs、1H)
33)(1R)-1-デオキシ-1-〔6-〔(2,2-ジフェニルエチル)アミノ〕-2-〔〔1-(ヒドロキシメチル-2-フェニルエチル)アミノ〕-9H-プリン-9-イル〕-N-エチル-β-D-リボフラヌロンアミド 後記表2の項目33のような条件下で、前記例20および表1の項目33の生成物から。生成物はMH+=638を有していた。nmr(δ、DMSO-d6)1.0(t、3H)、2.9(bs、2H)、3.1-3.25(m、2H)、3.4-3.5(m、2H)、4.0-4.2(m、3H)、4.3(bs、2H)、4.55-4.65(m、2H)、4.75-4.82(m、1H)、5.48(d、1H)、5.59(d、1H)、5.82(bd、1H)、5.95-6.05(m、1H)、7.1-7.4(m、15H)、7.97(bs、1H)
34)(1S)-1-デオキシ-1-〔6-〔(2,2-ジフェニルエチル)アミノ〕-2-〔〔1-(メトキシメチル)-2-フェニルエチル〕アミノ〕-9H-プリン-9-イル〕-N-エチル-β-D-リボフラヌロンアミド 後記表2の項目34のような条件下で、前記例20および表1の項目34の生成物から。生成物をプレパラティブ薄層クロマトグラフィーによりジクロロメタン:エタノール:0.88アンモニア(150:8:1)で溶出させて精製した(4回)。生成物はMH+=652を有していた。nmr(δ、DMSO-d6)0.97(t、3H)、2.8-2.9(m、2H)、3.0-3.2(m、3H)、3.27(s、3H)、3.4-3.45(m、2H)、4.0-4.1および4.1-4.2(m、2H)、4.23(bs、1H)、4.6-4.7(m、2H)、5.8(bd、1H)、7.1-7.4(m、15H)、7.95(bs、1H)
35)1-デオキシ-1-〔6-〔(2,2-ジフェニルエチル)アミノ〕-2-〔〔(2-メチル-1H-イミダゾール-1-イル)エチル〕アミノ〕-9H-プリン-9-イル〕-N-エチル-β-D-リボフラヌロンアミド 後記表2の項目35のような条件下で、前記例20および表1の項目35の生成物から。生成物を反応混合物の蒸発およびエーテルの添加により単離して、固体物を得た。生成物はMH+=612を有していた。nmr(δ、DMSO-d6)1.0(t、3H)、2.47(s、3H)、3.0-3.25(m、2H)、3.5-3.8(m、2H)、3.95-4.15(m、2H)、4.2(m、2H)、4.25-4.35(m、2H)、4.5-4.65(m、2H)、5.85(d、1H)、7.15-7.4(m、10H)、7.52(s、1H)、7.58(s、1H)、8.12(bs、2H)
36)〔(1S)-トランス〕-1-デオキシ-1-〔2-〔(3-N,N-ジメチルアミノ)シクロペンチルアミノ〕-6-〔(2,2-ジフェニルエチル)アミノ〕-9H-プリン-9-イル〕-N-エチル-β-D-リボフラヌロンアミド 後記表2の項目36のような条件下で、前記例20および表1の項目36の生成物から。生成物をプレパラティブHPLC(20〜60%アセトニトリル)により精製した。生成物はMH+=615を有していた。nmr(δ、DMSO-d6)1.01(t、3H)、1.6-1.8(m、2H)、2.05-2.3(m、4H)、2.75-2.81(m、6H)、3.1-3.2(m、2H)、4.0-4.15(m、1H)、4.15-4.22(m、1H)、4.3-4.5(m、1H)、4.25(bs、1H)、4.55-4.67(m、2H)、5.82(d、1H)、7.15-7.4(10H)、9.45-9.6(m、1H)
37)1-〔2-〔〔(6-アミノ-2-ピリジニル)メチル〕アミノ〕-6-〔(2,2-ジフェニルエチル)アミノ〕-9H-プリン-9-イル〕-1-デオキシ-N-エチル-β-D-リボフラヌロンアミド 後記表2の項目37のような条件下で、前記例20および表1の項目37の生成物から。生成物を反応混合物の蒸発およびエーテルの添加により単離して、固体物を得た。生成物はMH+=610を有していた。nmr(δ、DMSO-d6)1.02(t、3H)、3.05-3.15(m、2H)、4.15(m、1H)、4.28(d、1H)、4.4-4.65(m、4H)、5.84(d、1H)、6.75(d、1H)、6.82(d、1H)、7.1-7.35(10H)、7.83(t、1H)、7.15(s、1H)
例22
1-デオキシ-1-〔6-〔(2,2-ジフェニルエチル)アミノ〕-2-〔(4-オキソシクロヘキシル)アミノ〕-9H-プリン-9-イル〕-N-エチル-2,3-O-(1-メチルエチリデン)-β-D-リボフラヌロンアミド
アセトン(15ml)中(トランス)-1-デオキシ-1-〔6-〔(2,2-ジフェニルエチル)アミノ〕-2-〔(4-ヒドロキシシクロヘキシル)アミノ〕-9H-プリン-9-イル〕-N-エチル-2,3-O-(1-メチルエチリデン)-β-D-リボフラヌロンアミド(例20および表1、項目3)(0.158g、0.246mool)の溶液を赤褐色が持続するまでジョーンズ試薬(約0.5ml)で滴下処理し、反応液を21°で更に30分間攪拌した。次いで2-プロパノール(0.5ml)を滴下して、色を消散させた。混合液を2N水酸化ナトリウム溶液でpH9に塩基性化し、その後それを水(10ml)で希釈し、酢酸エチル(4×15ml)で抽出した。合わせた有機層を(塩水)洗浄し、(Na2SO4)乾燥し、蒸発させて泡状物を得、これをシリカにより酢酸エチル:シクロヘキサン(9:1)で溶出させて精製し、白色泡状物として標題化合物(102mg)を得た。MH+=640
例23
1-デオキシ-1-〔6-〔(2,2-ジフェニルエチル)アミノ〕-2-〔(4-オキソシクロヘキシル)アミノ〕-9H-プリン-9-イル〕-N-エチル-β-D-リボフラヌロンアミド
1-デオキシ-1-〔6-〔(2,2-ジフェニルエチル)アミノ〕-2-〔(4-オキソシクロヘキシル)アミノ〕-9H-プリン-9-イル〕-N-エチル-2,3-O-(1-メチルエチリデン)-β-D-リボフラヌロンアミド(0.133g、0.128mool)をトリフルオロ酢酸(1.95ml)および水(0.5ml)で処理した。混合液を溶液が形成されるまで攪拌し、その後それを21°で1.5時間放置した。溶液を蒸発させ、残渣をプレパラティブHPLC(30〜70%アセトニトリル)により精製し、白色泡状物として標題化合物(0.088g)を得た。MH+=600;nmr(δ、DMSO-d6)1.00(t、3H)、1.80(m、2H)、2.20(m、2H)、2.35(m、4H)、3.15(m、2H)、4.60(m、4H)、5.90(d、1H)、7.15-7.40(m、10H)、8.25(m、3H)
例24
(3S)-1-デオキシ-1-〔6-〔(2,2-ジフェニルエチル)アミノ〕-2-〔〔1-(フェニルメチル)-3-ピロリジニル〕アミノ〕-9H-プリン-9-イル〕-N-エチル-2,3-O-(1-メチルエチリデン)-β-D-リボフラヌロンアミド
1-〔2-クロロ-6-〔(2,2-ジフェニルエチル)アミノ〕-9H-プリン-9-イル〕-1-デオキシ-N-エチル-2,3-O-(1-メチルエチリデン)-β-D-リボフラヌロンアミド(0.4g)および(3S)-(+)-1-ベンジル-3-アミノピロリジン(1.23ml)の混合液をジメチルスルホキシド(2ml)に溶解し、窒素下140°で8時間加熱および攪拌した。反応液を20°まで冷却し、その後酢酸エチルと水に分配した。有機層を水洗し、合わせた水層を酢酸エチルで抽出した。合わせた有機層を塩水で洗浄し、硫酸ナトリウムで乾燥し、蒸発させて残渣を得、これをシリカのカラムにより酢酸エチル:メタノール(50:1)で溶出させて精製し、白色泡状物として標題化合物(0.336g)を得た。nmr(δ、DMSO-d6)0.55(m、3H)、1.35(s、3H)、1.50(s、3H)、1.70(m、1H)、2.20(m、1H)、2.55-2.95(m、4H)、3.60(s、2H)、4.00(m、2H)、4.40(m、2H)、4.55(m、1H)、5.40(m、2H)、6.15(s、1H)、6.45(m、1H)、7.10-7.35(m、17H)、7.75(s、1H)
同様に以下を製造した:
(+/−)-1-デオキシ-1-〔6-〔(2,2-ジフェニルエチル)アミノ〕-2-〔〔1-(フェニルメチル)-3-ピロリジニル〕アミノ〕-9H-プリン-9-イル〕-N-エチル-2,3-O-(1-メチルエチリデン)-β-D-リボフラヌロンアミド DMSO(1ml)中140°で24時間かけて2-クロロプリン(0.200g)および(+/−)-1-ベンジル-3-アミノピロリジン(0.614ml)から。生成物をシリカにより酢酸エチル:メタノール50:1で溶出させて精製した。MH+=703
1-デオキシ-1-〔6-〔(2,2-ジフェニルエチル)アミノ〕-2-〔〔1-(フェニルメチル)-4-ピペリジニル〕アミノ〕-9H-プリン-9-イル〕-N-エチル-2,3-O-(1-メチルエチリデン)-β-D-リボフラヌロンアミド 135°で24時間かけて2-クロロプリン(0.4g)および1-ベンジル-4-アミノピペリジン(1.5g)から。生成物をフラッシュシリカにより酢酸エチル中1%メタノールおよびジクロロメタン:エタノール:0.880アンモニア(100:8:1)で溶出させて精製した。nmr(δ、CDCl3)0.7(t、3H)、1.35(s、3H)、1.4-1.65(m、2H)、1.6(s、3H)、1.95-2.3(m、4H)、2.8-3.1(m、4H)、3.5(s、2H)、3.7-3.95(m、1H)、4.1-4.3(m、2H)、4.34(t、1H)、4.65(s、1H)、4.77(d、1H)、5.4-5.6(m、3H)、5.97(s、2H)、7.15-7.35(m、15H)、7.4(s、1H)
例25
3R-1-デオキシ-1-〔6-〔(2,2-ジフェニルエチル)アミノ〕-2-〔〔1-(フェニルメチル)-3-ピロリジニル〕アミノ〕-9H-プリン-9-イル〕-N-エチル-2,3-O-(1-メチルエチリデン)-β-D-リボフラヌロンアミド
1-〔2-クロロ-6-〔(2,2-ジフェニルエチル)アミノ〕-9H-プリン-9-イル〕-1-デオキシ-N-エチル-2,3-O-(1-メチルエチリデン)-β-D-リボフラヌロンアミド(0.4g)および(3R)-(−)-1-ベンジル-3-アミノピロリジン(1.23ml)の混合液をジメチルスルホキシド(2ml)に溶解し、窒素下140°で5時間加熱および攪拌した。反応液を20°まで冷却し、その後酢酸エチルと水に分配した。有機層を水洗し、合わせた水層を酢酸エチルで2回抽出した。合わせた有機層を塩水で洗浄し、硫酸ナトリウムで乾燥し、蒸発させて残渣を得、これをシリカのカラムにより酢酸エチル:メタノール(50:1)で溶出させて精製し、白色泡状物として標題化合物(0.335g)を得た。nmr(δ、DMSO-d6)0.5(m、3H)、1.30(s、3H)、1.50(s、3H)、1.75-2.25(m、2H)、2.75(m、4H)、3.57(s、2H)、3.85-4.65(m、6H)、5.35(m、1H)、5.50(m、1H)、6.20(s、1H)、6.50(m、1H)、7.05-7.40(m、18H)、7.75(s、1H)
例26
(3S)-1-デオキシ-1-〔6-〔(2,2-ジフェニルエチル)アミノ〕-2-〔(3-ピロリジニル)アミノ〕-9H-プリン-9-イル〕-N-エチル-2,3-O-(1-メチルエチリデン)-β-D-リボフラヌロンアミド
メタノール(20ml)中(3S)-1-デオキシ-1-〔6-〔(2,2-ジフェニルエチル)アミノ〕-2-〔〔1-(フェニルメチル)-3-ピロリジニル〕アミノ〕-9H-プリン-9-イル〕-N-エチル-2,3-O-(1-メチルエチリデン)-β-Dリボフラヌロンアミド(0.18g)の溶液を窒素下メタノール(10ml)中10%パラジウム炭素触媒(0.027g)の攪拌懸濁液に滴下した。混合液をギ酸アンモニウム(0.08g)で処理し、反応混合液を還流下で2.5時間攪拌および加熱した。次いで冷却された混合液をセライトで濾過し、濾液を蒸発させて白色泡状物を得、これをプレパラティブHPLC(30〜70%アセトニトリル)により精製し、白色泡状物として標題化合物(0.166g)を得た。MH+=613
同様に以下を製造した:
(+/−)-1-デオキシ-1-〔6-〔(2,2-ジフェニルエチル)アミノ〕-2-〔(3-ピロリジニル)アミノ〕-9H-プリン-9-イル〕-N-エチル-2,3-O-(1-メチルエチリデン)-β-D-リボフラヌロンアミド 同一条件下で(+/)-1-デオキシ-1-〔6-〔(2,2-ジフェニルエチル)アミノ〕-2-〔〔1-(フェニルメチル)-3-ピロリジニル〕アミノ〕-9H-プリン-9-イル〕-N-エチル-2,3-O-(1-メチルエチリデン)-β-D-リボフラヌロンアミドから。濾過された反応混合物を蒸発させて、直接生成物を得た。MH+=613
(3R)-1-デオキシ-1-〔6-〔(2,2-ジフェニルエチル)アミノ〕-2-〔(3-ピロリジニル)アミノ〕-9H-プリン-9-イル〕-N-エチル-2,3-O-(1-メチルエチリデン)-β-D-リボフラヌロンアミド 同一条件下で、但し0.070gの触媒を用い、反応時間を2時間にして、(3R)-1-デオキシ-1-〔6-〔(2,2-ジフェニルエチル)アミノ〕-2-〔〔1-(フェニルメチル)-3-ピロリジニル〕アミノ〕-9H-プリン-9-イル〕-N-エチル-2,3-O-(1-メチルエチリデン)-β-D-リボフラヌロンアミドから。濾過された反応混合物を蒸発させ、残渣をプレパラティブHPLC(30〜70%アセトニトリル)により精製して、生成物を得た。MH+=613
例27
(3S)-1-デオキシ-1-〔6-〔(2,2-ジフェニルエチル)アミノ〕-2-〔(3-ピロリジニル)アミノ〕-9H-プリン-9-イル〕-N-エチル-β-D-リボフラヌロンアミド
(3S)-1-デオキシ-1-〔6-〔(2,2-ジフェニルエチル)アミノ〕-2-〔(3-ピロリジニル)アミノ〕-9H-プリン-9-イル〕-N-エチル-2,3-O-(1-メチルエチリデン)-β-D-リボフラヌロンアミド(0.139g)をトリフルオロ酢酸(1.5ml)および水(0.4ml)で処理した。混合液を溶液が形成されるまで攪拌し、その後それを21°で1.5時間放置した。反応混合液を蒸発させて残渣を得、これをプレパラティブHPLC(20〜60%アセトニトリル)により精製し、白色泡状物として標題化合物(0.116g)を得た。分析実測値C47.4,H4.5,F17.1,N12.15,H2O1.95%;C30H36N8O4・2C2F3HO2・H2O計算値C47.0,H4.5,F17.5,N12.3,H2O2.0%;nmr(δ、DMSO-d6)1.00(t、3H)、1.95-2.30(m、2H)、3.05-3.50(m、6H)、4.05(m、2H)、4.20(m、1H)、4.25(s、1H)、4.60(m、4H)、5.85(d、1H)、6.95(m、1H)、7.15-7.40(m、10H)、7.65(m、1H)、8.15(m、2H)、8.80(m、2H)
同様に以下を製造した:
(+/−)-1-デオキシ-1-〔6-〔(2,2-ジフェニルエチル)アミノ〕-2-〔(3-ピロリジニル)アミノ〕-9H-プリン-9-イル〕-N-エチル-β-D-リボフラヌロンアミド 21°で1時間けけて(+/−)-1-デオキシ-N-エチル-2,3-O-(1-メチルエチリデン)-1-〔6-〔(2,2-ジフェニルエチル)アミノ〕-2-〔(3-ピロリジニル)アミノ〕-9H-プリン-9-イル〕-β-D-リボフラヌロンアミド(0.186g)、トリフルオロ酢酸(2.6ml)および水(0.65ml)から。プレパラティブHPLC(30〜70%アセトニトリル)による精製で生成物を得た。MH+=573;nmr(δ、DMSO-d6)1.00(t、3H)、2.10(m、2H)、3.25(m、6H)、4.00-4.20(m、3H)、4.25(s、1H)、4.55(m、3H)、5.85(d、1H)、6.95(m、1H)、7.15-7.40(m、10H)、7.65(m、1H)、8.10(m、1H)、8.20(s、1H)、8.80(m、2H)
(3R)-1-デオキシ-1-〔6-〔(2,2-ジフェニルエチル)アミノ〕-2-〔(3-ピロリジニル)アミノ〕-9H-プリン-9-イル〕-N-エチル-β-D-リボフラヌロンアミド 21°で1.25時間かけて(3S)-1-デオキシ-1-〔6-〔(2,2-ジフェニルエチル)アミノ〕-2-〔(3-ピロリジニル)アミノ〕-9H-プリン-9-イル〕-N-エチル-2,3-O-(1-メチルエチリデン)-β-D-リボフラヌロンアミド(0.112g)、トリフルオロ酢酸(1.5ml)および水(0.4ml)から。プレパラティブHPLC(20〜60%アセトニトリル)による精製で生成物を得た。MH+=573;分析実測値C46.9,H4.3,F17.1,N12.2;C30H36N8O4・2C2F3HO2.0.8H2O計算値C47.3,H4.5,F17.4,N12.45.
1-デオキシ-N-エチル-1-〔6-〔(2,2-ジフェニルエチル)アミノ〕-2-〔(4-ピペリジニル)アミノ〕-9H-プリン-9-イル〕-β-D-リボフラヌロンアミド 酢酸エチル中10%パラジウム炭素で14日間にわたる水素付加、その後21°で2.5時間にわたるトリフルオロ酢酸(9ml)および水(1ml)での脱保護により1-デオキシ-1-〔6-〔(2,2-ジフェニルエチル)アミノ〕-2-〔〔1-(フェニルメチル)-4-ピペリジニル〕アミノ〕-9H-プリン-9-イル〕-N-エチル-2,3-O-(1-メチルエチリデン)-β-D-リボフラヌロンアミド(0.15g)から。プレパラティブHPLC(20〜60%アセトニトリル)による精製で生成物を得た。MH+=587;nmr(δ、DMSO-d6)1.02(t、3H)、1.55-1.8(m、2H)、1.95-2.2(m、2H)、2.8-3.1(m、2H)、3.0-3.3(m、2H)、3.9-4.15(m、3H)、4.15-4.3(m、1H)、4.25(s、1H)、4.55(t、1H)、4.63(m、1H)、5.53(bm、1H)、5.83(d、1H)、7.1-7.4(m、10H)、8.05(s、1H)、8.0-8.2(m、1H)、8.2-8.4(m、1H)、8.4-8.6(m、1H)
例28
(3R)-1-デオキシ-1-〔6-〔(2,2-ジフェニルエチル)アミノ〕-2-〔〔1-(フェニルメチル)-3-ピロリジニル〕アミノ〕-9H-プリン-9-イル〕-N-エチル-2,3-O-(1-メチルエチリデン)-β-D-リボフラヌロンアミド
1-〔2-クロロ-6-〔(2,2-ジフェニルエチル)アミノ〕-9H-プリン-9-イル〕-1-デオキシ-N-エチル-2,3-O-(1-メチルエチリデン)-β-D-リボフラヌロンアミド(0.4g)および(3R)-(−)-1-ベンジル-3-アミノピロリジン(1.23ml)の混合液をジメチルスルホキシド(2ml)に溶解し、窒素下140°で5時間加熱および攪拌した。反応液を20°まで冷却し、その後酢酸エチルと水に分配した。有機層を水洗し、合わせた水層を酢酸エチルで2回抽出した。合わせた有機層を塩水で洗浄し、硫酸ナトリウムで乾燥し、蒸発させて残渣を得、これをシリカのカラムにより酢酸エチル:メタノール(50:1)で溶出させて精製し、白色泡状物として標題化合物(0.335g)を得た。nmr(δ、DMSO-d6)0.5(m、3H)、1.30(s、3H)、1.50(s、3H)、1.75-2.25(m、2H)、2.75(m、4H)、3.57(s、2H)、3.85-4.65(m、6H)、5.35(m、1H)、5.50(m、1H)、6.20(s、1H)、6.50(m、1H)、7.05-7.40(m、18H)、7.75(s、1H)
例29
(3R)-1-デオキシ-1-〔6-〔(2,2-ジフェニルエチル)アミノ〕-2-〔〔1-(フェニルメチル)-3-ピロリジニル〕アミノ〕-9H-プリン-9-イル〕-N-エチル-β-D-リボフラヌロンアミド
(3R)-1-デオキシ-1-〔6-〔(2,2-ジフェニルエチル)アミノ〕-2-〔〔1-(フェニルメチル)-3-ピロリジニル〕アミノ〕-9H-プリン-9-イル〕-N-エチル-2,3-O-(1-メチルエチリデン)-β-D-リボフラヌロンアミド(0.125g)をトリフルオロ酢酸(1.5ml)および水(0.4ml)で処理した。混合液を溶液が形成されるまで攪拌し、その後それを21°で1時間放置した。溶液混合液を蒸発させて残渣を得、これをシリカカラムクロマトグラフィーによりジクロロメタン:メタノール(9:1)で溶出させて精製し、白色泡状物として標題化合物(0.173g)を得た。MH+=663;nmr(δ、DMSO-d6)1.00(t、3H)、1.80-2.20(m、2H)、3.15(m、2H)、3.60(m、2H)、4.00(m、2H)、4.15(m、1H)、4.25(s、1H)、4.45(m、1H)、4.60(m、2H)、5.50(d、1H)、5.60(d、1H)、5.80(d、1H)、6.45(m、1H)、7.10-7.40(m、15H)、7.95(s、1H)、8.15(m、1H)
同様に以下を製造した:
(+/−)-1-デオキシ-1-〔6-〔(2,2-ジフェニルエチル)アミノ〕-2-〔〔1-(フェニルメチル)-3-ピロリジニル〕アミノ〕-9H-プリン-9-イル〕-N-エチル-β-D-リボフラヌロンアミド トリフルオロ酢酸(0.5ml)および水(0.1ml)と2.5時間かけて(+/−)-1-デオキシ-1-〔6-〔(2,2-ジフェニルエチル)アミノ〕-2-〔〔1-(フェニルメチル)-3-ピロリジニル〕アミノ〕-9H-プリン-9-イル〕-N-エチル-2,3-O-(1-メチルエチリデン)-β-D-リボフラヌロンアミド(0.071g)から。生成物をプレパラティブHPLC(30〜70%アセトニトリル)により精製した。MH+=663;分析実測値C52.8,H4.8,N11.35,F14.5%;C37H42N8O4.2.5CF3CO2H.0.9H2O計算値C52.4,H4.85,N11.6,F14.8%
(3S)-1-デオキシ-1-〔6-〔(2,2-ジフェニルエチル)アミノ〕-2-〔〔1-(フェニルメチル)-3-ピロリジニル〕アミノ〕-9H-プリン-9-イル〕-N-エチル-β-D-リボフラヌロンアミド トリフルオロ酢酸(1.5ml)および水(0.4ml)と1.5時間かけて(3S)-1-デオキシ-1-〔6-〔(2,2-ジフェニルエチル)アミノ〕-2-〔〔1-(フェニルメチル)-3-ピロリジニル〕アミノ〕-9H-プリン-9-イル〕-N-エチル-2,3-O-(1-メチルエチリデン)-β-D-リボフラヌロンアミド(0.125g)から。生成物をプレパラティブHPLC(30〜70%アセトニトリル)により精製して、0.172gを得た。MH+=663;nmr(δ、DMSO-d6)1.00(t、3H)、1.75(m、1H)、2.25(m、1H)、2.60-3.00(m、2H)、3.15(m、2H)、3.60(m、2H)、3.90-4.70(m、7H)、5.50(d、1H)、5.60(d、1H)、5.80(d、1H)、6.45(m、1H)、7.10-7.40(m、15H)、7.95(s、1H)、8.15(m、1H)
1-デオキシ-1-〔6-〔(2,2-ジフェニルエチル)アミノ〕-2-〔〔1-(フェニルメチル)-4-ピペリジニル〕アミノ〕-9H-プリン-9-イル〕-N-エチル-β-D-リボフラヌロンアミド トリフルオロ酢酸(9.5ml)および水(0.5ml)中で3時間かけて1-デオキシ-1-〔6-〔(2,2-ジフェニルエチル)アミノ〕-2-〔〔1-(フェニルメチル)-4-ピペリジニル〕アミノ〕-9H-プリン-9-イル〕-N-エチル-2,3-O-(1-メチルエチリデン)-β-D-リボフラヌロンアミド(0.07g)から。混合液を蒸発乾固させ、残渣を逆相HPLC(20〜60%アセトニトリル)により精製した。MH+=677;nmr(δ、DMSO-d6)1.0(t、3H)、1.55-1.8(m、2H)、1.85-2.15(m、1H)、2.05-2.3(m、2H)、2.8-3.15(m、1H)、3.05-3.3(m、3H)、3.35-3.55(m、2H)、4.0-4.15(m、2H)、4.2(m、1H)、4.28(m、3H)、4.5(t、1H)、4.6(m、1H)、5.83(m、1H)、7.1-7.4(m、10H)、7.5(s、5H)、8.12(bs、2H)
例30
(+/−)-1-デオキシ-1-〔6-〔(2,2-ジフェニルエチル)アミノ〕-2-〔(1-エチル-3-ピロリジニル)アミノ〕-9H-プリン-9-イル〕-N-エチル-2,3-O-(1-メチルエチリデン)-β-D-リボフラヌロンアミド
エタノール(分析試薬用)(10ml)中(+/−)-1-デオキシ-1-〔6-〔(2,2-ジフェニルエチル)アミノ〕-2-〔〔1-(フェニルメチル)-3-ピロリジニル〕アミノ〕-9H-プリン-9-イル〕-N-エチル-2,3-O-(1-メチルエチリデン)-β-D-リボフラヌロンアミド(0.123g、0.175mmol)の溶液をエタノール(2ml)中10%パラジウム炭素触媒(45mg)の攪拌懸濁液にゆっくり加えた。次いで混合液に2.5日間水素付加した。次いで濾過された溶液を蒸発させ、残渣に再びエタノール(12ml)中10%パラジウム炭素(40mg)で2週間水素付加したが、明らかな反応はまだなかった(tlc)。濾過された混合液を蒸発させ、残渣に再びエタノール中10%パラジウム炭素で5日間250psi(約17.5kg/cm2)で水素付加した。濾過された混合液を蒸発させ、残渣をプレパラティブHPLC(30〜70%アセトニトリル)により精製し、白色泡状物として標題化合物(0.068g)を得た。MH+=641
例31
(+/−)-1-デオキシ-1-〔6-〔(2,2-ジフェニルエチル)アミノ〕-2-〔(1-エチル-3-ピロリジニル)アミノ〕-9H-プリン-9-イル〕-N-エチル-β-D-リボフラヌロンアミド
(+/−)-1-デオキシ-1-〔6-〔(2,2-ジフェニルエチル)アミノ〕-2-〔(1-エチル-3-ピロリジニル)アミノ〕-9H-プリン-9-イル〕-N-エチル-2,3-O-(1-メチルエチリデン)-β-D-リボフラヌロンアミド(0.060g)をトリフルオロ酢酸(0.5ml)および水(0.1ml)で処理し、得られた溶液を21°で1時間放置した。溶液を蒸発させ、残渣をプレパラティブHPLC(30〜70%アセトニトリル)により精製し、白色泡状物として標題化合物(0.053g)を得た。MH+=601;nmr(δ、DMSO-d6)1.00(t、3H)、1.20(m、3H)、2.10(m、2H)、3.15(m、5H)、4.05(m、1H)、4.25(m、2H)、4.55(m、4H)、5.85(d、1H)、7.15-7.40(m、10H)、8.15(m、2H)、9.70(m、1H)
例30および31と類似した方法により以下を製造した:
1-デオキシ-1-〔6-〔(2,2-ジフェニルエチル)アミノ〕-2-〔(1-エチル-4-ピペリジニル)アミノ〕-9H-プリン-9-イル〕-N-エチル-β-D-リボフラヌロンアミド エタノール中で水素付加およびトリフルオロ酢酸:水での脱保護により1-デオキシ-1-〔6-〔(2,2-ジフェニルエチル)アミノ〕-2-〔〔1-(フェニルメチル)-4-ピペリジニル〕アミノ〕-9H-プリン-9-イル〕-N-エチル-2,3-O-(1-メチルエチリデン)-β-D-リボフラヌロンアミド(0.14g)から。生成物を逆相HPLC(20〜60%アセトニトリル)により精製した。MH+=587;nmr(δ、CDCl3)1.0(t、3H)、1.23(t、3H)、1.55-1.7(m、1H)、1.85-2.2(m、1H)、2.1-2.3(m、1H)、2.75-3.05(m、1H)、3.0-3.25(m、4H)、3.52(bd、1H)、4.25(s、1H)、4.53(t、1H)、4.6(m、1H)、4.6(m、1H)、5.85(d、1H)、7.15-7.4(m、10H)、8.13(bs、2H)
例32
(トランス)-1-〔2-〔(4-アミノシクロヘキシル)アミノ〕-6-〔(2,2-ジフェニルエチル)アミノ〕-9H-プリン-9-イル〕-1-デオキシ-N-エチル-2,3-O-(1-メチルエチリデン)-β-D-リボフラヌロンアミド 1-〔2-クロロ-6-〔(2,2-ジフェニルエチル)アミノ〕-9H-プリン-9-イル〕-1-デオキシ-N-エチル-2,3-O-(1-メチルエチリデン)-β-D-リボフラヌロンアミド(0.4g)およびトランス-1,4-ジアミノシクロヘキサン(0.811g)の混合物をジメチルスルホキシド(2.0ml)に溶解し、窒素下140°で4時間加熱および攪拌した。反応混合液を21°まで冷却し、その後酢酸エチルと水(1:1)(40ml)に分配した。有機層を分離し、水洗した。合わせた水層を酢酸エチルで2回抽出し、全有機溶液を塩水で洗浄し、硫酸ナトリウムで乾燥し、真空下で蒸発させて残渣を得、これをプレパラティブHPLC(30〜70%アセトニトリル)により精製し、白色泡状物として標題化合物(0.342g)を得た。MH+=641
同様に以下を製造した:
1)1-〔2-〔(3-アミノプロピル)アミノ〕-6-〔(2,2-ジフェニルエチル)アミノ〕-9H-プリン-9-イル〕-1-デオキシ-N-エチル-2,3-O-(1-メチルエチリデン)-β-D-リボフラヌロンアミド 下記表3の項目1のように求核剤として1,3-ジアミノプロパンを用いた。生成物はMH+=601を有していた。
2)1-デオキシ-〔2-〔(2,2-ジメチル-3-アミノプロピル)アミノ〕-6-〔(2,2-ジフェニルエチル)アミノ〕-9H-プリン-9-イル〕-N-エチル-2,3-O-(1-メチルエチリデン)-β-D-リボフラヌロンアミド 下記表3の項目2のように求核剤として2,2-ジメチル-1,3-プロパンジアミンを用いた。生成物はMH+=629を有していた。
3)〔(1α,2β,3β)-(+/−)〕-1-〔2-〔(3-アセチルアミノ-2-ヒドロキシシクロペンチル)アミノ〕-6-〔(2,2-ジフェニルエチル)アミノ〕-9H-プリン-9-イル〕-1-デオキシ-N-エチル-2,3-O-(1-メチルエチリデン)-β-D-リボフラヌロンアミド 下記表3の項目3のように求核剤として〔(1α,2β,3β)-(+/−)〕-3-アセチルアミノ-2-ヒドロキシシクロペンチルアミン1を用いた。生成物はMH+=685を有していた。
1.R.Vince and S.Daluge,J.Med.Chem.,1974,17,578
例33
(トランス)-1-〔2-〔(4-アミノシクロヘキシル)アミノ〕-6-〔(2,2-ジフェニルエチル)アミノ〕-9H-プリン-9-イル〕-1-デオキシ-N-エチル-β-D-リボフラヌロンアミド
(トランス)-1-〔2-〔(4-アミノシクロヘキシル)アミノ〕-6-〔(2,2-ジフェニルエチル)アミノ〕-9H-プリン-9-イル〕-1-デオキシ-N-エチル-2,3-O-(1-メチルエチリデン)-β-D-リボフラヌロンアミド(0.277g)をトリフルオロ酢酸(2.0ml)および水(0.5ml)で処理した。混合液を溶液が形成されるまで攪拌し、その後それを21°で2時間放置した。反応混合液を真空下で蒸発させて残渣を得、これをプレパラティブHPLC(30〜70%アセトニトリル)により精製し、白色泡状物として標題化合物(0.24g)を得た。MH+=601;nmr(δ、DMSO-d6)1.00(t、3H)、1.40(m、4H)、2.00(m、4H)、3.10(m、3H)、3.70(m、1H)、4.15(m、3H)、4.30(s、1H)、4.55(m、5H)、5.80(d、1H)、7.15-7.40(m、10H)、7.80(m、3H)、8.15(m、2H)
同様に以下を製造した:
1)1-〔2-〔(3-アミノプロピル)アミノ〕-6-〔(2,2-ジフェニルエチル)アミノ〕-9H-プリン-イル〕-1-デオキシ-N-エチル-β-D-リボフラヌロンアミド 下記表4の項目1のように、前記表3の項目1の生成物から。生成物はMH+=561を有していた。nmr(δ、DMSO-d6)1.90(m、2H)、2.85(m、2H)、3.15(m、2H)
2)1-デオキシ-〔2-〔(2,2-ジメチル-3-アミノプロピル)アミノ〕-6-〔(2,2-ジフェニルエチル)アミノ〕-9H-プリン-9-イル〕-N-エチル-β-Dリボフラヌロンアミド 下記表4の項目2のように、前記表3の項目2の生成物から。生成物はMH+=589を有していた。nmr(δ、DMSO-d6)0.95(m、9H)、2.70(m、2H)、3.05-3.45(m、4H)
3)〔(1α,2β,3β)-(+/−)〕-1-〔2-〔(3-アセチルアミノ-2-ヒドロキシシクロペンチル)アミノ〕-6-〔(2,2-ジフェニルエチル)アミノ〕-9H-プリン-9-イル〕-1-デオキシ-N-エチル-β-D-リボフラヌロンアミド 下記表4の項目3のように、前記表3の項目3の生成物から。MH+=645;nmr(δ、DMSO-d6)1.32-1.62(m、2H)、1.78-1.98(m、1H)、1.82(s、3H)、2.07-2.28(m、1H)、3.89(brs、1H)、4.1(m、1H)、4.65(brs、1H)、4.92(brs、1H)、6.51(brs、1H)、7.57(d、1H)。最後の3つのシグナルはD2Oと置換可能であった。
例34
1-〔2-(シクロペンチルアミノ)-6-〔(2,2-ジフェニルエチル)アミノ〕-9H-プリン-9-イル〕-1-デオキシ-N-エチル-β-D-リボフラヌロンアミド
1-〔2-クロロ-6-〔(2,2-ジフェニルエチル)アミノ〕-9H-プリン-9-イル〕-1-デオキシ-N-エチル-β-D-リボフラヌロンアミド(0.407g、0.78mmol)およびシクロペンチルアミノ(6ml)の混合液を窒素下で26時間攪拌および還流した。炭酸水素ナトリウム(0.600g)を加え、混合液を21°で0.5時間攪拌した。混合液を蒸発させ、フラッシュシリカによりジクロロメタン:エタノール:0.880アンモニア(75:8:1)で溶出させて精製して不純生成物を得、これをフラッシュシリカにより酢酸エチル中2〜5%メタノールで溶出させて精製して生成物を得、これをエーテルで摩砕して、白色固体物として標題化合物(0.205g)を得た。mp122-128°;実測値C64.8,H6.7,N17.0%;C51H37N7O4計算値C65.1,H6.5,N17.15%
同様に以下を製造した:
(1R-トランス)-1-デオキシ-1-〔6-〔(2,2-ジフェニルエチル)アミノ〕-2-〔(2-ヒドロキシシクロペンチル)アミノ〕-9H-プリン-9-イル〕-N-エチル-β-D-リボフラヌロンアミド 130°で10時間かけて2-クロロプリン(0.35g)および(R)-(トランス)-2-アミノシクロペンタノール1(1.0g)から。生成物をシリカにより酢酸エチル:メタノール19:1で溶出させ、その後シリカによりジクロロメタン:メタノール:0.880アンモニア(100:8:1)で溶出させて精製した。生成物はmp122-130°を有していた。分析実測値C6.26,H6.2,N16.2%;C31H37N7O5.0.4H2O計算値C62.6,H6.4,N16.5%
1.L.E.Overman and S.Sugai,J,Org.Chem.,1985,50,4154
例35
1-デオキシ-1-〔6-〔(2,2-ジフェニルエチル)アミノ〕-2-〔(2-ヒドロキシフェニル)アミノ〕-9H-プリン-9-イル〕-N-エチル-β-D-リボフラヌロンアミド
1-〔2-クロロ-6-〔(2,2-ジフェニルエチル)アミノ〕-9H-プリン-9-イル〕-1-デオキシ-N-エチル-β-D-リボフラヌロンアミド(0.20g、0.38mmol)、2-アミノフェノール(0.20g、1.83mmol)、1,8-ジアザビシクロ〔5.4.0〕ウンデカ-7-エン(0.052ml、DBU)およびジメチルスルホキシド(1ml)の混合液を窒素下140°で6時間攪拌および加熱し、その後21°で一夜放置した。混合液を酢酸エチル(200ml)と水(40ml)に分配した。水層を更に酢酸エチル(50ml)で抽出し、全有機溶液を(水20ml)洗浄し、(Na2SO4)乾燥し、蒸発させた。残渣をフラッシュシリカによりジクロロメタン:メタノール(19:1)で溶出させ、その後ジクロロメタン:酢酸エチル:エタノール9:9:2でプレパラティブTLC(20×20cmプレート、Kieselgel 60F254の2mm層;Art 5717)、その後プレパラティブHPLC(30〜70%アセトニトリル)により精製し、クリーム色泡状物として標題化合物(0.018g)を得た。MH+=596;分析実測値C52.2,H4.3,N11.8;C32H33N7O5・2CF3CO2H計算値C52.5,H4.3,N11.9%
同様に以下を製造した:
1-デオキシ-1-〔6-〔(2,2-ジフェニルエチル)アミノ〕-2-〔(4-ヒドロキシフェニル)アミノ〕-9H-プリン-9-イル〕-N-エチル-β-D-リボフラヌロンアミド 140°で10時間かけて2-クロロプリン(0.135g)、4-アミノフェノール(0.135g)、DBU(0.035ml)およびDMSO(0.6ml)から。生成物はジクロロメタンで抽出し、精製はプレパラティブTLCおよびプレパラティブHPLC(上記と同様の系)によった。生成物はMH+=596を有していた。nmr(δ、DMSO-d6)7.09(d、2H)および7.27(d、2H)
例36
1-デオキシ-1-〔6-〔(2,2-ジフェニルエチル)アミノ〕-2-〔〔2-(1H-イミダゾール-4-イル)エチル〕アミノ〕-9H-プリン-9-イル〕-N-エチル-β-D-リボフラヌロンアミド塩酸塩
ジメチルスルホキシド(1.5ml)中1-〔2-クロロ-6-〔(2,2-ジフェニルエチル)アミノ〕-9H-プリン-9-イル〕-1-デオキシ-N-エチル-β-D-リボフラヌロンアミド(0.155g、0.296mmol)およびヒスタミン(0.22g)の溶液を120°で16時間加熱した。混合液を冷却し、酢酸エチル(50ml)で希釈し、その後水(50ml)で洗浄した。水相を酢酸エチル(50ml)で抽出し、合わせた有機相を水(50ml)で洗浄し、(MgSO4)乾燥し、蒸発させて固体物を得、これをメタノール(30ml)中2N塩酸(2ml)で処理し、溶液を蒸発させて、固体物として標題化合物(0.15g、80%)を得た。MH+=598;nmr(δ、DMSO-d6)1.02(t、3H)、3.0(m、2H)、3.13(m、2H)、3.7(m、2H)、4.2(m、2H)、4.85(s、1H)、4.55(m、3H)、5.9(d、1H)、7.1-7.6(m、12H)、8.45(s、1H)、9.05(s、1H)、14.3(m、1H)
例37
N-〔6-〔(2,2-ジフェニルエチル)アミノ〕-9-〔N-エチル-2,3-O-(1-メチルエチリデン)-β-D-リボフラヌロンアミドシル〕-9H-プリン-2-イル〕-L-フェニルアラニン1,1-ジメチルエチルエステルおよび
N-〔6-〔(2,2-ジフェニルエチル)アミノ〕-9-〔N-エチル-2,3-O-(1-メチルエチリデン)-β-D-リボフラヌロンアミドシル〕-9H-プリン-2-イル〕-D-フェニルアラニン1,1-ジメチルエチルエステル
1-〔2-クロロ-6-〔(2,2-ジフェニルエチル)アミノ〕-9H-プリン-9-イル〕-1-デオキシ-N-エチル-2,3-O-(1-メチルエチリデン)-β-D-リボフラヌロンアミド(0.402g、0.714mmol)およびL-フェニルアラニン1,1-ジメチルエチルエステル(0.3g)の混合液を130°で17時間加熱してから、アミン(0.4g)を追加した。加熱を更に29時間続け、その後アミン(0.37g、3時間後に0.4g)を追加し、反応液を130°で更に74時間放置した。冷却された残渣をシクロヘキサン中70%酢酸エチルを用いたフラッシュクロマトグラフィーおよびプレパラティブHPLC(70〜100%アセトニトリル)により精製し、得られた溶液を炭酸水素ナトリウムでpH8にした。混合液を容量減少させ、生成物を塩溶液の存在下酢酸エチル(3×75ml)で抽出した。抽出液を乾燥し、蒸発させて、固体物として標題化合物の混合物(0.2g)を得た。MH+=748
例38
N-〔6-〔(2,2-ジフェニルエチル)アミノ〕-9-(N-エチル-β-D-リボフラヌロンアミドシル)-9H-プリン-2-イル〕-L-フェニルアラニンおよび
N-〔6-〔(2,2-ジフェニルエチル)アミノ〕-9-(N-エチル-β-D-リボフラヌロンアミドシル)-9H-プリン-2-イル〕-D-フェニルアラニン
9:1トリフルオロ酢酸:水(5ml)中N-〔6-〔(2,2-ジフェニルエチル)アミノ〕-9-〔N-エチル-2,3-O-(1-メチルエチリデン)-β-D-リボフラヌロンアミドシル〕-9H-プリン-2-イル〕-L-フェニルアラニン1,1-ジメチルエチルエステルおよびN-〔6-〔(2,2-ジフェニルエチル)アミノ〕-9-〔N-エチル-2,3-O-(1-メチルエチリデン)-β-D-リボフラヌロンアミドシル〕-9H-プリン-2-イル〕-D-フェニルアラニン1,1-ジメチルエチルエステル(0.152g、0.203mmol)の溶液を室温で3.5時間保ち、その後蒸発させて固体物を得、これをプレパラティブHPLC(均等に48%アセトニトリル)により精製した。
異性体1(0.019g、14%)はMH+=652を有していた;nmr(δ、DMSO-d6)0.98(t、3H)、3.0-3.2(m、4H)、4.0-4.15(m、3H)、4.27(bs、1H)、4.5-4.65(m、2H)、4.7-4.8(m、1H)、5.81(bd、1H)、7.1-7.4(m、15H)、8.05-8.15(bs、1H)
異性体2(0.0466g、35%)はMH+=652を有していた;nmr(δ、DMSO-d6)0.8-0.95(m、3H)、3.0-3.2(m、4H)、4.0-4.15(m、3H)、4.25(bs、1H)、4.55-4.7(m、2H)、4.7-4.8(m、1H)、5.8(bd、1H)、7.1-7.4(m、15H)、8.05-8.15(bs、1H)
例39
(トランス)-1-〔2-〔(4-アミノシクロヘキシル)アミノ〕-6-〔(2,2-ジフェニルエチル)アミノ〕-9H-プリン-9-イル〕-1-デオキシ-N-エチル-β-D-リボフラヌロンアミド
ジメチルスルホキシド(100ml)中1-〔2-クロロ-6-〔(2,2-ジフェニルエチル)アミノ〕-9H-プリン-9-イル〕-1-デオキシ-N-エチル-β-D-リボフラヌロンアミド(18.0g、0.0344モル)の溶液を窒素下120°でトランス-シクロヘキサン-1,4-ジアミン(29.5g、0.258モル)と共に48時間加熱した。冷却された混合液を酢酸エチル(1リットル)および水(500ml)で希釈した。相当量の油状物を含有した水相を酢酸エチルから分離した。水を油状物からデカントし、その後酢酸エチル(100ml)で抽出し、酢酸エチル溶液を合わせ、(MgSO4)乾燥し、蒸発させて泡状物(9.2g)を得た。油状物をエタノール(500ml)に溶解し、溶液を蒸発させて固体物を得、これを真空下で乾燥させた。固体物をエタノール(3×200ml)で浸出し、濾過された溶液を真空下で蒸発させて、泡状物(11.1g)を得た。2つの生成物分画を合わせ、フラッシュシリカのカラムクロマトグラフィーによりジクロロメタン:エタノール:0.88アンモニア(30:8:1)で溶出させて精製し、標題化合物(17.11g)を得た。nmr(δ、CDCl3)1.1(t、3H)、1.1-5(m、4H)、1.75-1.95(m、2H)、1.95-2.2(m、2H)、3.05-3.25(m、1H)、3.2-3.5(m、1H)、4.5-4.8(m、1H)、4.1-4.3(m、2H)、4.35(t、1H)、4.5(d、1H)、4.67(d、1H)、4.8(m、2H)、5.7-5.9(m、1H)、5.8(d、1H)、7.1-7.4(m、10H)、7.47(s、1H)
例40
(トランス)-1-〔2-〔(4-アミノシクロヘキシル)アミノ〕-6-〔(2,2-ジフェニルエチル)アミノ〕-9H-プリン-9-イル〕-1-デオキシ-N-エチル-β-D-リボフラヌロンアミド塩酸塩
エタノール(120ml)中(トランス)-1-〔2-〔(4-アミノシクロヘキシル)アミノ〕-6-〔(2,2-ジフェニルエチル)アミノ〕-9H-プリン-9-イル〕-1-デオキシ-N-エチル-β-D-リボフラヌロンアミド(11.05g、0.0184モル)の溶液をエーテル中1M塩化水素(18.4ml、0.0184モル)の添加中攪拌した。初期沈澱物は添加終了時に再溶解し、混合液を15分間攪拌してから、エーテル(400ml)を加えた。得られた沈澱物を更に15分間攪拌し、その後窒素下で濾取し、真空下60°で五酸化リンにより乾燥させた。固体物(10.1g)をイソプロパノール(120ml)から結晶化させて、標題化合物(7.95g)を得た。生成物はMH+=601を有していた;nmr(δ、DMSO-d6)1.0(t、3H)、1.2-1.5(m、4H)、1.9-2.1(m、4H)、2.9-3.1(m、1H)、3.0-3.3(m、2H)、3.6-3.8(m、1H)、3.9-4.2(m、2H)、4.1-4.2(m、1H)、4.25(s、1H)、4.5-4.6(m、1H)、4.6-4.7(m、1H)、5.4-5.7(m、2H)、5.8(d、1H)、6.2-6.4(m、1H)、7.1-7.4(m、10H)、7.95(bs、1H)、7.8-8.2(m、3H)
例41
1-デオキシ-1-〔6-〔(2,2-ジフェニルエチル)アミノ〕-2-〔〔2-(1-メチル-1H-イミダゾール-4-イル)エチル〕アミノ〕-N-エチル-9H-プリン-9-イル〕-β-D-リボフラヌロンアミド
メタノール(20ml)中水酸化ナトリウム(242mg、6.05mmol)の溶液をメタノール(10ml)中1-メチルヒスタミン二塩酸塩(600mg、3.029mmol)の懸濁液に加えた。混合液を0.5時間攪拌して、微細沈澱物を得た。混合液を窒素で吹いて乾燥させた。ジメチルスルホキシド(2ml)中1-〔2-クロロ-6-〔(2,2-ジフェニルエチル)アミノ〕-9H-プリン-9-イル〕-1-デオキシ-N-エチル-β-D-リボフラヌロンアミド(253mg、0.484mmol)の溶液を加え、混合液を窒素下125°で24時間加熱した。冷却された混合液を酢酸エチル(50ml)と水(20ml)に分配した。水相を酢酸エチル(20ml)で抽出し、合わせた有機相を水(50ml)で洗浄し、(MgSO4)乾燥し、蒸発させて固体物を得、これをプレパラティブHPLC(30〜70%アセトニトリル)により精製して、標題化合物(251mg)を得た。生成物はMH+=612を有していた;nmr(δ、DMSO-d6)1.0(t、3H)、2.95-3.05(m、2H)、3.05-3.25(m、2H)、3.5-3.85(m、2H)、3.8(s、3H)、4.38(s、1H)、4.5-4.65(m、2H)、5.85(d、1H)、7.15-7.4(m、10H)、7.45(s、1H)、8.13(s、1H)、8.1-8.3(m、3H)、8.95(s、1H)
同様に以下を製造した:
1)1-デオキシ-1-〔6-〔(2,2-ジフェニルエチル)アミノ〕-2-〔〔2-(3-メチル-3H-イミダゾール-4-イル)エチル〕アミノ〕-9H-プリン-9-イル〕-N-エチル-β-D-リボフラヌロンアミド 下記表5の項目1のように求核剤として3-メチルヒスタミン(二塩酸塩の塩基性化により製造)を用いた。生成物をプレパラティブHPLC(30〜70%アセトニトリル)により精製した。生成物はMH+=612を有していた;nmr(δ、DMSO-d6)1.0(t、3H)、2.85-3.05(m、2H)、3.05-3.25(m、2H)、3.55-3.85(m、2H)、3.78(s、3H)、3.95-4.15(m、2H)、4.18および4.3(bs、3H)、4.45-4.65(m、2H)、5.85(d、1H)、7.15-7.4(m、10H)、7.48(s、1H)、8.1-8.3(m、2H)、9.0(s、1H)
2)1-デオキシ-1-〔6-〔(2,2-ジフェニルエチル)アミノ〕-2-〔〔2-(1H-イミダゾール-2-イル)エチル〕アミノ〕-9H-プリン-9-イル〕-N-エチル-β-D-リボフラヌロンアミド 下記表5の項目2のように求核剤として2-(1H-イミダゾール-2-イル)エチル〕アミン1(二塩酸塩の塩基性化により製造)を用いた。生成物をプレパラティブHPLC(25〜56%アセトニトリルで14分間、その後90%まで16分間)により精製した。生成物はMH+=598を有していた;nmr(δ、DMSO-d6)0.91(t、3H)、3.90-4.05(m、2H)、4.10-4.16(m、1H)、4.45-4.55(m、2H)、5.77(d、1H)、7.10-7.30(m、12H)、7.40-7.50(m、2H)、8.00-8.10(m、2H)
1.Durant,G.J.et al.,Chem.Comm.,1968,(2),108-110
3)1-デオキシ-1-〔6-〔(2,2-ジフェニルエチル)アミノ〕-2-〔〔(1H-イミダゾール-4-イル)メチル〕アミノ〕-9H-プリン-9-イル〕-N-エチル-β-D-リボフラヌロンアミド 下記表5の項目3のように求核剤として(1H-イミダゾール-4-イル)メチルアミン1(二塩酸塩の塩基性化により製造)を用いた。生成物をプレパラティブHPLC(25〜56%アセトニトリルで14分間、その後90%まで16分間)により精製した。生成物はMH+=584を有していた;nmr(δ、DMSO-d6)1.07(t、3H)、3.10-3.30(m、2H)、4.00-4.10(m、2H)、4.22-4.27(m、1H)、4.34(bs、1H)、4.50-4.70(m、4H)、5.92(d、1H)、7.20-7.40(m、14H)、7.51(s、1H)、8.20(bs、1H)、9.05(bs、1H)
1.Turner,R.A.,Huebner,C.F.and Scholz,C.R.,J.Am.Chem.Soc.,1949,71,2801-2803
4)1-デオキシ-1-〔6-〔(2,2-ジフェニルエチル)アミノ〕-2-〔〔3-(1H-イミダゾール-4-イル)プロピル〕アミノ〕-9H-プリン-9-イル〕-N-エチル-β-D-リボフラヌロンアミド 下記表5の項目4のように求核剤として3-(1H-イミダゾール-4-イル)プロピルアミン1(二塩酸塩の塩基性化により製造)を用いた。生成物をプレパラティブHPLC(25〜56%アセトニトリルで14分間、その後90%まで16分間)により精製した。生成物はMH+=612を有していた;nmr(δ、DMSO-d6)1.01(t、3H)、1.90-2.00(m、2H)、2.70(bt、4H)、3.10-3.25(m、2H)、4.00-4.10(m、2H)、4.15-4.24(m、1H)、4.30(s、1H)、4.55-4.65(m、4H)、5.84(d、1H)、7.15-7.35(m、10H)、7.42(s、1H)、8.12(s、1H)、8.15-8.25(m、1H)、8.98(s、1H)
1.Adger,B.M.and Surtees,J.,Synth.Comm.,1987,17(2),223-227
5)1-デオキシ-1-〔6-〔(2,2-ジフェニルエチル)アミノ〕-2-〔〔(1H-イミダゾール-1-イル)エチル〕アミノ〕-9H-プリン-9-イル〕-N-エチル-β-D-リボフラヌロンアミド 下記表5の項目5のように求核剤として2-〔1H-イミダゾール-1-イル)エチルアミン1(二臭化水素酸塩の塩基性化により製造)を用いた。生成物をプレパラティブHPLC(27〜54%アセトニトリルで14.5分間)により精製した。生成物はMH+=598を有していた;nmr(δ、DMSO-d6)0.98(t、3H)、3.05-3.20(m、2H)、4.00-4.10(2H)、4.15-4.25(m、1H)、4.27(bs、1H)、4.38-4.48(m、2H)、4.50-4.62(m、2H)、5.83(d、1H)、6.74-6.85(m、1H)、7.15-7.40(10H)、7.60-7.70(m、2H)、7.72(s、1H)、8.10-8.20(m、2H)、9.05(bs、1H)
1.Cuadro,A.M.et al.,Synth.Comm.,1991,21(4),535-544
6)1-デオキシ-1-〔6-〔(2,2-ジフェニルエチル)アミノ〕-2-〔〔2-(ピリジ-3-イル)エチル〕アミノ〕-9H-プリン-9-イル〕-N-エチル-β-D-リボフラヌロンアミド 下記表5の項目6のように求核剤として3-(2-アミノエチル)ピリジン1を用いた。生成物をプレパラティブHPLC(20〜60%アセトニトリル)により精製した。生成物はMH+=609を有していた;nmr(δ、DMSO-d6)1.0(t、3H)、2.95-3.25(m、4H)、3.55-3.8(m、2H)、5.87(d、1H)、7.15-7.4(10H)、7.8(dd、1H)、8.0-8.5(m、3H)、8.65-8.8(m、2H)
1.Soeda,Y.and Yamamoto,I.,Agr.Biol.Chem.(Tokyo),1968,32(6),747-752
7)1-デオキシ-1-〔6-〔(2,2-ジフェニルエチル)アミノ〕-2-〔〔2-(ピリジ-4-イル)エチル〕アミノ〕-9H-プリン-9-イル〕-N-エチル-β-D-リボフラヌロンアミド 下記表5の項目7のように求核剤として4-(2-アミノエチル)ピリジン1を用いた。生成物をプレパラティブHPLC(25〜47.5%アセトニトリル)により精製した。生成物はMH+=609を有していた;nmr(δ、DMSO-d6)1.09(t、3H)、3.00-3.22(m、4H)、4.00-4.10(m、2H)、4.15-4.21(m、1H)、4.30(bs、1H)、4.52-4.62(m、2H)、5.83(d、1H)、7.15-7.35(m、10H)、7.81(d、2H)、8.10-8.25(m、2H)、8.71(d、2H)
1.Magnus,G.and Levine,R.,J.Am.Chem.Soc.,1956,78,4127-4130
8)1-デオキシ-1-〔6-〔(2,2-ジフェニルエチル)アミノ〕-2-〔〔(ピリジ-3-イル)メチル〕アミノ〕-9H-プリン-9-イル〕-N-エチル-β-D-リボフラヌロンアミド 下記表5の項目8のように求核剤として3-アミノメチルピリジンを用いた。生成物をプレパラティブHPLC(25〜56%アセトニトリルで14分間、その後90%まで16分間)により精製した。生成物はMH+=595を有していた;nmr(δ、DMSO-d6)1.01(t、3H)、3.10-3.25(m、2H)、4.29(d、1H)、4.40-4.56(m、3H)、4.65-4.72(bs、2H)、5.83(d、1H)、7.10-7.30(m、10H)、7.75-7.81(m、2H)、8.13-8.30(m、3H)、8.68(d、1H)、8.75(bs、1H)
9)1-デオキシ-1-〔6-〔(2,2-ジフェニルエチル)アミノ〕-2-〔〔2-(1H-1,2,4-トリアゾール-3-イル)エチル〕アミノ〕-9H-プリン-9-イル〕-N-エチル-β-D-リボフラヌロンアミド 下記表5の項目9のように求核剤として3-(2-アミノエチル)-1,2,4-トリアゾール1(二塩酸塩の塩基性化により製造)を用いた。生成物をプレパラティブHPLC(20〜65%アセトニトリル)により精製した。生成物はMH+=599を有していた;nmr(δ、DMSO-d6)1.01(t、3H)、3.00-3.20(m、4H)、4.35(d、1H)、4.50-4.65(m、3H)、5.87(d、1H)、7.10-7.40(m、10H)、8.20-8.50(m、3H)
1.Ainsworth,C.and Jones,R.,J.Am.Chem.Soc.,1953,75,4915-4918
10)1-デオキシ-1-〔6-〔(2,2-ジフェニルエチル)アミノ〕-2-〔〔2-(1H-1,2,4-トリアゾール-1-イル)エチル〕アミノ〕-9H-プリン-9-イル〕-N-エチル-β-D-リボフラヌロンアミド 下記表5の項目10のように 求核剤として1-(2-アミノエチル)-1,2,4-トリアゾール1(二臭化水素酸塩の塩基性化により製造)を用いた。生成物をプレパラティブHPLC(29〜51%アセトニトリル)により精製した。生成物はMH+=599を有していた;nmr(δ、DMSO-d6)1.00(t、3H)、3.10-3.20(m、2H)、5.85(d、1H)、6.80-6.95(m、1H)、7.10-7.40(m、10H)、8.00(bs、1H)、8.16(m、2H)、8.47(bs、1H)
1.Cuadro,A.M.et al.,Synth.Comm.,1991,21(4),535-544
11)1-デオキシ-1-〔2-〔〔(5-アミノ-1H-テトラゾール-1-イル)エチル〕アミノ〕-6-〔(2,2-ジフェニルエチル)アミノ〕-9H-プリン-9-イル〕-N-エチル-β-D-リボフラヌロンアミド 下記表5の項目11のように求核剤として1-(2-アミノエチル)-5-アミノ-1H-テトラゾール(二臭化水素酸塩の塩基性化により製造)を用いた。生成物をプレパラティブHPLC(40〜60%アセトニトリル)により精製した。生成物はMH+=615を有していた;nmr(δ、DMSO-d6)1.03(t、3H)、3.05-3.25(m、2H)、4.0-4.3(m、2H)、4.38(bs、1H)、4.45-4.6(m、1H)、4.55-4.75(m、2H)、5.87(d、1H)、7.1-7.4(m、10H)、8.3(bs、1H)
12)(トランス)-1-デオキシ-1-〔2-〔(4-N,N-ジメチルアミノシクロヘキシル)アミノ〕-6-〔(2,2-ジフェニルエチル)アミノ〕-9H-プリン-9-イル〕-N-エチル-β-D-リボフラヌロンアミド 下記表5の項目12のように求核剤として4-(N,N-ジメチルアミノ)シクロヘキシルアミンを用いた。生成物をシリカでカラムクロマトグラフィーによりジクロロメタン:エタノール:0.88アンモニア(30:8:1)で溶出させ、その後プレパラティブHPLC(30〜70%アセトニトリル)により精製した。生成物はMH+=629を有していた;nmr(δ、DMSO-d6)1.0(t、3H)、1.2-1.6(m、4H)、1.95-2.25(m、4H)、2.75(s、6H)、3.05-3.3(m、3H)、3.6-3.85(m、1H)、4.0-4.15(m、2H)、4.15-4.25(m、1H)、4.3(s、1H)、4.4-4.75(m、2H)、5.85(d、1H)、7.15-7.45(m、10H)、8.2(bs、1H)、9.5(m、1H)
13)1-デオキシ-1-〔2-〔〔(4-アミノピリミジン-5-イル)メチル〕アミノ〕-6-〔(2,2-ジフェニルエチル)アミノ〕-9H-プリン-9-イル〕-N-エチル-β-D-リボフラヌロンアミド 下記表5の項目13のように求核剤として4-アミノ-5-アミノメチルピリミジン1を用いた。生成物をシリカでカラムクロマトグラフィーによりジクロロメタン:エタノール:0.88アンモニア(30:8:1)で溶出させ、その後プレパラティブHPLC(20〜60%アセトニトリル)により精製した。生成物はMH+=611を有していた;nmr(δ、DMSO-d6)1.0(t、3H)、3.05-3.25(m、2H)、4.17(m、1H)、4.3(s、1H)、4.35-4.45(m、1H)、4.45-4.6(m、2H)、5.85(d、1H)、7.0-7.4(m、10H)、8.05-8.2(3H)、8.7(s、1H)
1.Neef,H.,Kohnert,K.D.,Schellenberger,A.,J.Prakt.Chem.,1973,315(4),701
14)1-デオキシ-1-〔6-〔(2,2-ジフェニルエチル)アミノ〕-2-〔〔2-(2-メチル-1H-イミダゾール-4-イル)エチル〕アミノ〕-9H-プリン-9-イル〕-N-エチル-β-D-リボフラヌロンアミド 下記表5の項目14のように求核剤として2-(2-メチル-1H-イミダゾール-4-イル)エチルアミン1を用いた。生成物をプレパラティブHPLC(25〜46%アセトニトリルで11.5分間)により精製した。生成物はMH+=612を有していた;nmr(δ、DMSO-d6)1.0(t、3H)、2.85-3.0(m、2H)、3.1-3.25(m、2H)、3.5-3.7(m、2H)、4.0-4.15(m、2H)、4.15-4.25(m、1H)、4.3(s、1H)、5.82(d、1H)、6.8-7.05(m、1H)、7.1-7.4(m、10H)、7.8-8.0(m、1H)、8.1-8.3(m、2H)、13.7-13.8(bs、1H)、13.85-14.0(bs、1H)
1.Dziuron,P.and Schunack,W.,Eur.J.Med.Chem.Chimica.Therapeutica,1975,10(2),129
例42
1-デオキシ-1-〔2-〔〔2-〔(アミノイミノメチル)アミノ〕エチル〕アミノ〕-6-〔(2,2-ジフェニルエチル)アミノ〕-9H-プリン-9-イル〕-N-エチル-β-D-リボフラヌロンアミド
ジメチルスルホキシド(2.5ml)中1-〔2-クロロ-6-〔(2,2-ジフェニルエチル)アミノ〕-9H-プリン-9-イル〕-1-デオキシ-N-エチル-β-D-リボフラヌロンアミド(0.382g、0.73mmol)の溶液をエチレンジアミン(1.15g、19.2mmol)と共に窒素下125°で18時間加熱した。冷却された混合液を酢酸エチル(50ml)と水(50ml)に分配し、水相を分離し、酢酸エチル(20ml)で抽出し、抽出液を分配による有機相と合わせた。有機溶液を(MgSO4)乾燥し、蒸発させて、褐色泡状物(0.373g)を得た。この泡状物(0.353g)を50%水性メタノール(20ml)に溶解し、溶液をピラゾール-1-カルボキサミジン塩酸塩(0.099g、0.675mmol)と共に50°で18時間加熱した。更にピラゾール-1-カルボキサミジン塩酸塩(0.099g、0.675mmol)およびイミダゾール(0.048g、0.705mmol)を加え、反応液を50°で更に18時間加熱した。混合液を蒸発させて赤色油状物を得、これをプレパラティブHPLC(20〜60%アセトニトリル)により精製し、エーテルから固体物として標題化合物(0.23g)を得た。生成物はMH+=589を有していた;nmr(δ、DMSO-d6)1.02(t、3H)、3.05-3.25(m、2H)、3.3-3.5(m、2H)、3.4-3.6(m、1H)、4.8(s、1H)、4.5-4.7(m、2H)、5.85(d、1H)、7.15-7.4(m、10H)、7.57(m、1H)、8.12(s、1H)、8.1-8.25(m、1H)、
例43
1-デオキシ-1-〔2-〔〔3-〔(アミノイミノメチル)アミノ〕プロピル〕アミノ〕-6-〔(2,2-ジフェニルエチル)アミノ〕-9H-プリン-9-イル〕-N-エチル-β-D-リボフラヌロンアミド
ジメチルスルホキシド(2ml)中1-〔2-クロロ-6-〔(2,2-ジフェニルエチル)アミノ〕-9H-プリン-9-イル〕-1-デオキシ-N-エチル-β-D-リボフラヌロンアミド(0.310g、0.592mmol)の溶液を1,3-ジアミノプロパン(0.542g、7.31mmol)と共に120°で24時間加熱した。冷却された混合液を酢酸エチル(50ml)と水(50ml)に分配し、水相を分離し、酢酸エチル(20ml)で抽出した。合わせた酢酸エチル溶液を水(20ml)で洗浄し、(MgSO4)乾燥し、蒸発させて、泡状物(0.302g)を得た。この泡状物(0.3g)を50%水性メタノール(20ml)に溶解し、溶液をピラゾール-1-カルボキサミジン塩酸塩(0.099g、0.675mmol)およびイミダゾール(0.05g、0.734mmol)と共に還流下で18時間加熱した。更にピラゾール-1-カルボキサミジン塩酸塩(0.099g、0.675mmol)を加え、加熱を更に24時間続けた。混合液を蒸発させて固体物を得、これをプレパラティブHPLC(20〜60%アセトニトリル)により精製し、エーテルから固体物として標題化合物(0.202g)を得た。生成物はMH+=603を有していた;nmr(δ、DMSO-d6)1.02(t、3H)、1.7-1.9(m、2H)、3.05-3.25(m、4H)、3.3-3.5(m、2H)、4.15-4.25(m、1H)、4.8(s、1H)、4.5-4.7(m、2H)、5.85(d、1H)、7.15-7.4(m、10H)、7.5-7.65(m、1H)、8.12(s、1H)、8.1-8.25(m、1H)
例44
O 2 − 生成のfMLP活性化に関する本発明の化合物の効果
白血球機能を阻害する式(I)の化合物の能力は、W.Busse et al.,J.Allergy Clin.Immunology,83(2),Part 1,400-405(1989)により記載された操作に従い、fMLPで刺激された好中球からのスーパーオキシド(O2 −)生成を阻害する化合物の能力を測定することにより試験した。この試験において、特定例の脱保護化合物はO2 −生成を阻害することが示された。例えば、例2、5、7、10、12、14、15、19、21、21(3)、21(4)、21(5)、21(6)、21(7)、21(8)、21(11)、21(12)、21(13)、21(14)、21(15)、21(16)、21(21)、21(22)、21(23)、21(25)、21(26)、21(31)、21(36)、21(37)、27、27(2)、29、31、31(1)、33、33(3)、34(1)、41、41(2)、41(4)、41(9)、41(12)、41(14)、42および43の化合物は、この研究で少くともNECAと同じくらい活性であった。実際に、例33の化合物はこの研究でNECAよりも25倍強力である。
感作モルモットにおける抗原誘導性肺好酸球蓄積
オボアルブミン感作モルモットにメピラミン(1mg/kg ip)を投与して、アナフィラキシー気管支痙攣から保護した。次いで本発明の化合物をオボアルブミン侵襲の30分前に腹腔内(ip)投与した(オボアルブミンの50μg/ml溶液から生じるエアゾールの30分間吸入)。2回目の試験化合物投与は1回目の6時間後に行った。侵襲の24時間後にモルモットを殺し、気管支肺胞洗浄を行った。次いで全体のおよび異なる細胞を数え、細胞蓄積を50%減少させる試験化合物の用量(ED50)を計算した。
結果
上記試験において、例33の化合物は10μg/kgの平均ED50を有している。
モルモットへの例33の化合物の腹腔内投与では、100μg/kg以内の単回投与で明らかな毒性作用を示さなかった。
以下は本発明の化合物の適切な処方例である。“活性成分”という用語は本発明による化合物を表すためにここで用いられ、例えば例33の化合物である。
1.静脈内投与用注射液
塩化ナトリウムを加えて溶液の張度を調整し、pHは最適安定性を保ちおよび/または活性成分の溶解を促進するために酸またはアルカリを用いて調整する。一方、適切な緩衝塩も用いてよい。
溶液を調製し、清澄化し、適切なサイズのアンプル中に充填して、ガラスの溶融により密封する。注射液は許容されるサイクルの1つを用いてオートクレーブで加熱滅菌する。一方、溶液は濾過滅菌して、無菌条件下で無菌アンプルに充填してもよい。溶液は窒素または他の適切なガスの不活性雰囲気下で充填してもよい。
2.吸入カートリッジ
活性成分を微粒子サイズ範囲まで液体エネルギーミルで微粉化してから、高エネルギーミキサーで標準錠剤用ラクトースと混合する。粉末混合物を適切なカプセル化機械で3号硬ゼラチンカプセル中に充填する。カートリッジの内容物はGlaxo Rotahalerのような強力吸入器を用いて投与する。
3.計測用量加圧エアゾール
A.懸濁液エアゾール
活性成分を微粒子サイズ範囲まで液体エネルギーミルで微粉化する。オレイン酸を10〜15°の温度でトリクロロフルオロメタンと混合し、微粉化薬物を高剪断ミキサーで溶液中に混合する。懸濁液をアルミニウムエアゾール缶中に計量して入れ、懸濁液85mgを送達する適切な計量バルブを缶に取付け、ジクロロジフルオロメタンをバルブから缶中に加圧充填する。
B.溶液エアゾール
オレイン酸BPまたは適切な界面活性剤、例えばSpan 85(ソルビタントリオレエート)も含有させてよい。
用いるのであればオレイン酸または界面活性剤と一緒に、活性成分をエタノールに溶解する。アルコール溶液、次いでトリクロロフルオロメタンを適切なエアゾール容器中に計量して入れる。適切な計量バルブを容器に取付け、ジクロロジフルオロメタンをバルブからそれらの中に加圧充填する。
C.別の懸濁液エアゾール
オレイン酸BPまたは適切な界面活性剤も含有させてよい。
活性成分を高圧および/または低温で液体として保たれた噴射剤に分散させる。次いで得られた分散液は、計量バルブを取付ける前に低温で、または予め取付けた計量バルブから加圧充填により、適切な容器中に計量して入れる。
Claims (16)
- 下記式(I)の化合物、または、その塩もしくは溶媒和物:
〔上記式中:
R1は水素原子、C3-8シクロアルキルまたはC1-6アルキル基を表し、
R2は:
(i)C3-8シクロアルキル
(ii)C2-7アシルアミノ、グアニジノ、カルボキシル、オキソおよび(CH2)pR3(pは0または1であり、R3はヒドロキシ、NH2、C1-6アルキルアミノまたはジC1-6アルキルアミノである)から選択される同一または異なる1以上の基で置換されたC3-8シクロアルキル
(iii)環窒素原子が水素、C1-6アルキルまたはアリールC1-6アルキルで置換された、ピロリジン-3-イル、2-オキソピロリジン-4-イル、2-オキソピロリジン-5-イル、ピペリジン-3-イルまたはピペリジン-4-イル
(iv)環窒素原子が水素、C1-6アルキルまたはアリールC1-6アルキルで置換され、環炭素原子の1以上がC2-7アシルアミノ、グアニジノ、オキソおよび(CH2)pR3(pおよびR3は前記のとおりである)から選択される同一または異なる基で置換された、ピロリジン-3-イル、ピペリジン-3-イルまたはピペリジン-4-イル
(v)C3-8シクロアルキルC1-6アルキル
(vi)環炭素原子の1以上がC2-7アシルアミノ、グアニジノ、カルボキシル、オキソおよび(CH2)pR3(pおよびR3は前記のとおりである)から選択される同一または異なる基で置換されたC3-8シクロアルキルC1-6アルキル
(vii)Alk1がC2-6アルキレン基であり、YがC2-7アシルアミノ、グアニジノ、ヒドロキシル、NH2、C1-6アルキルアミノ、ジC1-6アルキルアミノまたは
(上記において、Xは結合、O、CH2またはNR4であり、ここでR4は水素、C1-6アルキルまたはアリールC1-6アルキルである)から選択される基である-Alk1Y、および
(viii)mおよびnが各々独立して0または1を表し、但しmが1のとき、nも1を表さねばならず、R5が水素原子、カルボキシ基または基CH2R6(R6はC2-7アシルアミノ、グアニジノ、ヒドロキシ、メトキシ、NH2、C1-6アルキルアミノまたはジC1-6アルキルアミノである)であり、Alk2がC1-5アルキリデン基であり、Zが水素原子であるかまたはフェニル、ピリジル、ピリミジニル、イミダゾリル、トリアゾリル、テトラゾリルおよびベンゾイミダゾリルから選択される場合により置換された芳香族環であり、その場合に環はC1-6アルキル、C2-7アシルアミノ、グアニジノ、カルボキシエチル、ヒドロキシ、NH2、C1-6アルキルアミノまたはジC1-6アルキルアミノから選択される同一または異なる1以上の基で場合により置換されている-(CHR5)m(Alk2)nZ
から選択される基を表し、
Qは酸素またはイオウ原子を表し、
Phはフェニルを表す〕。 - R1がC1-3アルキルである、請求項1に記載の化合物。
- Qが酸素原子である、請求項1または2に記載の化合物。
- R1NHC(=Q)-がエチルアミノカルボニルである、請求項1に記載の化合物。
- R2がC2-7アシルアミノ、グアニジノ、カルボキシル、オキソおよび(CH2)pR3から選択される1または2つの基で各々置換されたシクロペンチルまたはシクロヘキシルである、請求項1〜4のいずれか一項に記載の化合物。
- R2がヒドロキシ、NH2、メチルアミノ、ジメチルアミノ、アセトアミドまたはトリフルオロアセトアミドから選択される1または2つの基で各々置換されたシクロペンチルまたはシクロヘキシルである、請求項5に記載の化合物。
- R2がピロリジン-3-イルまたはピペリジン-3-イルであり、その各環が各々水素、C1-3アルキルまたはベンジルで置換されていることもある、請求項1〜4のいずれか一項に記載の化合物。
- R2が-(CHR5)m(Alk2)nZであり、Zが場合により置換されたイミダゾリル基である、請求項1〜4のいずれか一項に記載の化合物。
- -(CHR5)m(Alk2)n-が-CH2CH2-である、請求項8に記載の化合物。
- (1S-トランス)-1-デオキシ-1-〔6-〔(2,2-ジフェニルエチル)アミノ〕-2-〔(3-ヒドロキシシクロペンチル)アミノ〕-9H-プリン-9-イル〕-N-エチル-β-D-リボフラヌロンアミド;
〔1S-(1α,2β,3β)〕-1-デオキシ-1-〔2-〔(2,3-ジヒドロキシシクロペンチル)アミノ〕-6-〔(2,2-ジフェニルエチル)アミノ〕-9H-プリン-9-イル〕-N-エチル-β-D-リボフラヌロンアミド;
〔(1S)-トランス〕-1-デオキシ-1-〔2-〔(3-N,N-ジメチルアミノ)シクロペンチルアミノ〕-6-〔(2,2-ジフェニルエチル)アミノ〕-9H-プリン-9-イル〕-N-エチル-β-D-リボフラヌロンアミド;
(3S)-1-デオキシ-1-〔6-〔(2,2-ジフェニルエチル)アミノ〕-2-〔(3-ピロリジニル)アミノ〕-9H-プリン-9-イル〕-N-エチル-β-D-リボフラヌロンアミド;
(トランス)-1-〔2-〔(4-アミノシクロヘキシル)アミノ〕-6-〔(2,2-ジフェニルエチル)アミノ〕-9H-プリン-9-イル〕-1-デオキシ-N-エチル-β-D-リボフラヌロンアミド;
1-デオキシ-1-〔6-〔(2,2-ジフェニルエチル)アミノ〕-2-〔〔2-(1-メチル-1H-イミダゾール-4-イル)エチル〕アミノ〕-N-エチル-9H-プリン-9-イル〕-β-D-リボフラヌロンアミド;
(トランス)-1-デオキシ-1-〔2-〔(4-N,N-ジメチルアミノシクロヘキシル)アミノ〕-6-〔(2,2-ジフェニルエチル)アミノ〕-9H-プリン-9-イル〕-N-エチル-β-D-リボフラヌロンアミド;
1-デオキシ-1-〔6-〔(2,2-ジフェニルエチル)アミノ〕-2-〔〔2-(2-メチル-1H-イミダゾール-4-イル)エチル〕アミノ〕-9H-プリン-9-イル〕-N-エチル-β-D-リボフラヌロンアミド;
または、それらの生理学上許容される塩もしくは溶媒和物。 - (トランス)-1-〔2-〔(4-アミノシクロヘキシル)アミノ〕-6-〔(2,2-ジフェニルエチル)アミノ〕-9H-プリン-9-イル〕-1-デオキシ-N-エチル-β-D-リボフラヌロンアミド、または、その生理学上許容される塩もしくは溶媒和物。
- (トランス)-1-〔2-〔(4-アミノシクロヘキシル)アミノ〕-6-〔(2,2-ジフェニルエチル)アミノ〕-9H-プリン-9-イル〕-1-デオキシ-N-エチル-β-D-リボフラヌロンアミドの塩酸塩。
- 1-デオキシ-1-〔6-〔(2,2-ジフェニルエチル)アミノ〕-2-〔(2-(1-ピペリジニル)エチル)アミノ〕-9H-プリン-9-イル〕-N-エチル-β-D-リボフラヌロンアミド、または、その生理学上許容される塩もしくは溶媒和物。
- Zが場合により置換されたトリアゾリルまたはテトラゾリル環を表すことはない、請求項1に記載の式(I)の化合物。
- 請求項1に記載の式(I)の化合物の製造方法であって、
式(I)の化合物の保護誘導体を脱保護し、
必要または所望であれば、その後に(i)塩形成、または(ii)式(I)の化合物から式(I)の異なる化合物への変換、または(iii)式(I)の化合物の個別異性体の製造を行うことからなる、方法。
Applications Claiming Priority (3)
| Application Number | Priority Date | Filing Date | Title |
|---|---|---|---|
| GB9301000.7 | 1993-01-20 | ||
| GB939301000A GB9301000D0 (en) | 1993-01-20 | 1993-01-20 | Chemical compounds |
| PCT/EP1994/000145 WO1994017090A1 (en) | 1993-01-20 | 1994-01-18 | 2,6-diaminopurine derivatives |
Publications (2)
| Publication Number | Publication Date |
|---|---|
| JPH08505864A JPH08505864A (ja) | 1996-06-25 |
| JP3768232B2 true JP3768232B2 (ja) | 2006-04-19 |
Family
ID=10728948
Family Applications (1)
| Application Number | Title | Priority Date | Filing Date |
|---|---|---|---|
| JP51665294A Expired - Fee Related JP3768232B2 (ja) | 1993-01-20 | 1994-01-18 | 2,6‐ジアミノプリン誘導体 |
Country Status (29)
| Country | Link |
|---|---|
| US (2) | US5925624A (ja) |
| EP (1) | EP0680488B1 (ja) |
| JP (1) | JP3768232B2 (ja) |
| KR (1) | KR960700261A (ja) |
| CN (1) | CN1043997C (ja) |
| AP (1) | AP457A (ja) |
| AT (1) | ATE164849T1 (ja) |
| AU (1) | AU679714B2 (ja) |
| CA (1) | CA2153688A1 (ja) |
| CZ (1) | CZ187995A3 (ja) |
| DE (1) | DE69409503T2 (ja) |
| DK (1) | DK0680488T3 (ja) |
| EC (1) | ECSP941104A (ja) |
| ES (1) | ES2117249T3 (ja) |
| FI (1) | FI953489L (ja) |
| GB (1) | GB9301000D0 (ja) |
| HU (1) | HU211914A9 (ja) |
| IL (1) | IL108372A (ja) |
| IS (1) | IS4121A (ja) |
| NO (1) | NO305603B1 (ja) |
| NZ (1) | NZ259880A (ja) |
| PE (1) | PE54194A1 (ja) |
| PL (1) | PL309975A1 (ja) |
| RU (1) | RU2129561C1 (ja) |
| SI (1) | SI9400021A (ja) |
| SK (1) | SK281229B6 (ja) |
| TW (1) | TW267168B (ja) |
| WO (1) | WO1994017090A1 (ja) |
| ZA (1) | ZA94335B (ja) |
Families Citing this family (101)
| Publication number | Priority date | Publication date | Assignee | Title |
|---|---|---|---|---|
| UA64695C2 (en) * | 1995-05-30 | 2004-03-15 | Aventis Pharma Sa | 2-azabicyclo[2.2.1]heptane derivatives and a method for preparing the same |
| TW528755B (en) * | 1996-12-24 | 2003-04-21 | Glaxo Group Ltd | 2-(purin-9-yl)-tetrahydrofuran-3,4-diol derivatives |
| JP3861413B2 (ja) * | 1997-11-05 | 2006-12-20 | ソニー株式会社 | 情報配信システム、情報処理端末装置、携帯端末装置 |
| YU44900A (sh) | 1998-01-31 | 2003-01-31 | Glaxo Group Limited | Derivati 2-(purin-9-il)tetrahidrofuran-3,4-diola |
| US6413974B1 (en) | 1998-02-26 | 2002-07-02 | Aventis Pharmaceuticals Inc. | 6,9,-disubstituted 2-[trans-(4-aminocyclohexyl) amino] purines |
| PT1056745E (pt) * | 1998-02-26 | 2004-09-30 | Aventis Pharma Inc | 2-¬trans-(4-aminociclo-hexil)amino|purinas dissubstituidas em 6,9 |
| US6479487B1 (en) | 1998-02-26 | 2002-11-12 | Aventis Pharmaceuticals Inc. | 6, 9-disubstituted 2-[trans-(4-aminocyclohexyl)amino] purines |
| HUP0103836A3 (en) | 1998-06-02 | 2003-05-28 | Osi Pharmaceuticals Inc Uniond | Pyrrolo[2,3d]pyrimidine compositions and their use |
| US6878716B1 (en) | 1998-06-02 | 2005-04-12 | Osi Pharmaceuticals, Inc. | Compounds specific to adenosine A1 receptor and uses thereof |
| US6686366B1 (en) | 1998-06-02 | 2004-02-03 | Osi Pharmaceuticals, Inc. | Compounds specific to adenosine A3 receptor and uses thereof |
| GB9813540D0 (en) * | 1998-06-23 | 1998-08-19 | Glaxo Group Ltd | Chemical compounds |
| HRP20000894A2 (en) | 1998-06-23 | 2001-12-31 | Glaxo Group Ltd | 2-(purin-9-yl)-tetrahydrofuran-3,4-diol derivatives |
| GB9813554D0 (en) * | 1998-06-23 | 1998-08-19 | Glaxo Group Ltd | Chemical compounds |
| GB9813535D0 (en) * | 1998-06-23 | 1998-08-19 | Glaxo Group Ltd | Chemical compounds |
| GB9813565D0 (en) * | 1998-06-23 | 1998-08-19 | Glaxo Group Ltd | Chemical compounds |
| RU2258071C2 (ru) * | 1999-05-24 | 2005-08-10 | Юниверсити Оф Вирджиния Пэйтент Фаундейшн | Производные 2-алкиниладенозина для борьбы с воспалительной реакцией |
| US6680322B2 (en) | 1999-12-02 | 2004-01-20 | Osi Pharmaceuticals, Inc. | Compounds specific to adenosine A1 receptors and uses thereof |
| US6664252B2 (en) | 1999-12-02 | 2003-12-16 | Osi Pharmaceuticals, Inc. | 4-aminopyrrolo[2,3-d]pyrimidine compounds specific to adenosine A2a receptor and uses thereof |
| US7160890B2 (en) | 1999-12-02 | 2007-01-09 | Osi Pharmaceuticals, Inc. | Compounds specific to adenosine A3 receptor and uses thereof |
| CA2394654A1 (en) | 1999-12-17 | 2001-06-21 | Manfred Weigele | Proton pump inhibitors |
| DE60144277D1 (de) * | 2000-04-25 | 2011-05-05 | Icos Corp | Hemmer der menschlichen phosphatidyl-inositol-3-kinase delta |
| US6667300B2 (en) | 2000-04-25 | 2003-12-23 | Icos Corporation | Inhibitors of human phosphatidylinositol 3-kinase delta |
| EP1939203B1 (en) * | 2000-04-25 | 2014-11-19 | ICOS Corporation | Inhibitors of human phosphatidyl-inositol 3-kinase delta isoform |
| US6861524B2 (en) | 2000-10-31 | 2005-03-01 | Aventis Pharmaceuticals Inc. | Acyl and sulfonyl derivatives of 6,9-disubstituted 2-(trans-1,4-diaminocyclohexyl)-purines and their use as antiproliferative agents |
| US6673802B2 (en) | 2000-12-01 | 2004-01-06 | Osi Pharmaceuticals, Inc. | Compounds specific to adenosine A3 receptor and uses thereof |
| US6680324B2 (en) | 2000-12-01 | 2004-01-20 | Osi Pharmaceuticals, Inc. | Compounds specific to adenosine A1 receptors and uses thereof |
| WO2002088079A2 (en) * | 2001-05-01 | 2002-11-07 | Bristol-Myers Squibb Company | Dual inhibitors of pde 7 and pde 4 |
| PE20030008A1 (es) * | 2001-06-19 | 2003-01-22 | Bristol Myers Squibb Co | Inhibidores duales de pde 7 y pde 4 |
| MXPA04000162A (es) * | 2001-07-06 | 2006-05-22 | Topigen Pharma Inc | Metodos para incrementar la eficacia in vivo de oligonucleotidos e inhibir la inflamacion en mamiferos. |
| CA2466477C (en) * | 2001-11-09 | 2012-10-02 | Rao Kalla | A2b adenosine receptor antagonists |
| US7321033B2 (en) | 2001-11-27 | 2008-01-22 | Anadys Pharmaceuticals, Inc. | 3-B-D-ribofuranosylthiazolo [4,5-d] pyrimidine nucleosides and uses thereof |
| AU2002365412B2 (en) | 2001-11-27 | 2008-10-09 | Anadys Pharmaceuticals, Inc. | 3-Beta-D-ribofuranosylthiazolo[4,5-d]pyrimidine nucleosides and uses thereof |
| AU2002360436A1 (en) | 2001-11-30 | 2003-06-17 | Osi Pharmaceuticals, Inc. | 2-aryl pyrrologpyrimidines for a1 and a3 receptors |
| AU2002366811B2 (en) | 2001-12-20 | 2009-01-15 | Osi Pharmaceuticals, Inc. | Pyrimidine A2B selective antagonist compounds, their synthesis and use |
| DE60236458D1 (de) | 2001-12-20 | 2010-07-01 | Osi Pharm Inc | Pyrrolopyrimidin a2b selektive antagonistische verbindungen, deren synthese und verwendung |
| ES2237234B1 (es) * | 2002-08-02 | 2006-11-01 | Universidad De Oviedo | Preparacion de (+) y (-)-trans-ciclopentano-1,2-diamina. |
| MXPA05001844A (es) * | 2002-08-15 | 2005-04-19 | Cv Therapeutics Inc | Combatientes completos y parciales de receptores de adenosina a1. |
| AR044519A1 (es) | 2003-05-02 | 2005-09-14 | Novartis Ag | Derivados de piridin-tiazol amina y de pirimidin-tiazol amina |
| GB0328319D0 (en) * | 2003-12-05 | 2004-01-07 | Cambridge Biotechnology Ltd | Improved synthesis of 2-substituted adenosines |
| GB0401334D0 (en) | 2004-01-21 | 2004-02-25 | Novartis Ag | Organic compounds |
| ES2607804T3 (es) | 2004-05-13 | 2017-04-04 | Icos Corporation | Quinazolinones como inhibidores de la fosfatidilinositol humana 3-quinasa delta |
| GB0411056D0 (en) | 2004-05-18 | 2004-06-23 | Novartis Ag | Organic compounds |
| AR049384A1 (es) | 2004-05-24 | 2006-07-26 | Glaxo Group Ltd | Derivados de purina |
| WO2005117910A2 (en) * | 2004-05-26 | 2005-12-15 | Inotek Pharmaceuticals Corporation | Purine derivatives as adenosine a1 receptor agonists and methods of use thereof |
| FR2874014B1 (fr) * | 2004-08-03 | 2010-05-14 | Univ Paris Descartes | Analogues d'aminoglycosides, leur utilisation et leur synthese |
| RU2416412C2 (ru) * | 2004-10-29 | 2011-04-20 | Топиджен Фармасьютикалз Инк. | Антисмысловые олигонуклеотиды для лечения аллергии и пролиферации неопластических клеток |
| GB0424284D0 (en) | 2004-11-02 | 2004-12-01 | Novartis Ag | Organic compounds |
| GB0426164D0 (en) | 2004-11-29 | 2004-12-29 | Novartis Ag | Organic compounds |
| BRPI0518861B8 (pt) | 2004-12-17 | 2021-05-25 | Anadys Pharmaceuticals Inc | compostos, sais ou hidratos farmaceuticamente aceitos, composição farmacêutica e uso de quantidade terapeutica ou profilaticamente eficaz de composto ou de composição farmacêutica |
| GB0500785D0 (en) * | 2005-01-14 | 2005-02-23 | Novartis Ag | Organic compounds |
| GB0510390D0 (en) | 2005-05-20 | 2005-06-29 | Novartis Ag | Organic compounds |
| GB0514809D0 (en) | 2005-07-19 | 2005-08-24 | Glaxo Group Ltd | Compounds |
| AU2006303452B2 (en) | 2005-10-21 | 2011-06-09 | Novartis Ag | Human antibodies against IL13 and therapeutic uses |
| BRPI0618789A2 (pt) | 2005-11-21 | 2016-08-30 | Anadys Pharmaceuticals Inc | processos de preparação de 5-amino-3h-tiazol [4,5-d] pirimidin-2-ona, de ciclocondensação de 2,4-diamino-5-halo-pirimidina e de oxidação de 5-amino-3h-tiazol [4,5-d] pirimidin-2-tiona |
| GB0601951D0 (en) | 2006-01-31 | 2006-03-15 | Novartis Ag | Organic compounds |
| ATE496924T1 (de) | 2006-06-22 | 2011-02-15 | Anadys Pharmaceuticals Inc | Prodrugs von 5-amino-3-(3'-deoxy-beta-d- ribofuranosyl)-thiazolä4,5-düpyrimidin-2,7-dion |
| US7528115B2 (en) | 2006-07-18 | 2009-05-05 | Anadys Pharmaceuticals, Inc. | Carbonate and carbamate prodrugs of thiazolo[4,5-d]pyrimidines |
| DE602007013441D1 (de) | 2006-09-29 | 2011-05-05 | Novartis Ag | Pyrazolopyrimidine als pi3k-lipidkinasehemmer |
| RU2009120389A (ru) | 2006-10-30 | 2010-12-10 | Новартис АГ (CH) | Гетероциклические соединения в качестве противовоспалительных агентов |
| WO2009032057A2 (en) | 2007-08-29 | 2009-03-12 | Adam Lubin | Method for the selective therapy of disease |
| CN101910153B (zh) | 2008-01-11 | 2014-01-22 | 诺华股份有限公司 | 作为激酶抑制剂的嘧啶类 |
| ES2331867B1 (es) * | 2008-07-17 | 2010-10-27 | Entrechem, S.L. | Sintesis enzimatica de derivados enantiomericamente enriquecidos de trans-ciclopentano- 1,2-diaminas. |
| US9492449B2 (en) | 2008-11-13 | 2016-11-15 | Gilead Calistoga Llc | Therapies for hematologic malignancies |
| EP3427739A1 (en) | 2008-11-13 | 2019-01-16 | Gilead Calistoga LLC | Therapies for hematologic malignancies |
| PT2391366E (pt) | 2009-01-29 | 2013-02-05 | Novartis Ag | Benzimidazoles substituídos para o tratamento de astrocitomas |
| BRPI1012333A2 (pt) | 2009-03-24 | 2016-03-29 | Gilead Calistoga Llc | atropisômeros de derivados de 2-purinil-3-tolil-quinazolinonas e métodos de uso |
| AU2010239312A1 (en) | 2009-04-20 | 2011-11-10 | Gilead Calistoga Llc | Methods of treatment for solid tumors |
| CA2768843A1 (en) | 2009-07-21 | 2011-01-27 | Gilead Calistoga Llc | Treatment of liver disorders with pi3k inhibitors |
| US8389526B2 (en) | 2009-08-07 | 2013-03-05 | Novartis Ag | 3-heteroarylmethyl-imidazo[1,2-b]pyridazin-6-yl derivatives |
| JP5781510B2 (ja) | 2009-08-12 | 2015-09-24 | ノバルティス アーゲー | ヘテロ環式ヒドラゾン化合物および癌および炎症の処置のためのそれらの使用 |
| SG178454A1 (en) | 2009-08-17 | 2012-03-29 | Intellikine Inc | Heterocyclic compounds and uses thereof |
| IN2012DN01453A (ja) | 2009-08-20 | 2015-06-05 | Novartis Ag | |
| BR112012017269A2 (pt) | 2010-01-12 | 2016-05-03 | Hoffmann La Roche | compostos heterocíclicos tricíclicos, composições e métodos de uso dos mesmos |
| US8637516B2 (en) | 2010-09-09 | 2014-01-28 | Irm Llc | Compounds and compositions as TRK inhibitors |
| WO2012034095A1 (en) | 2010-09-09 | 2012-03-15 | Irm Llc | Compounds and compositions as trk inhibitors |
| US20130324526A1 (en) | 2011-02-10 | 2013-12-05 | Novartis Ag | [1,2,4] triazolo [4,3-b] pyridazine compounds as inhibitors of the c-met tyrosine kinase |
| EP2678016B1 (en) | 2011-02-23 | 2016-08-10 | Intellikine, LLC | Heterocyclic compounds and uses thereof |
| AU2012220572A1 (en) | 2011-02-25 | 2013-08-29 | Irm Llc | Compounds and compositions as trk inhibitors |
| WO2013007768A1 (en) | 2011-07-13 | 2013-01-17 | F. Hoffmann-La Roche Ag | Tricyclic heterocyclic compounds, compositions and methods of use thereof as jak inhibitors |
| ES2691650T3 (es) | 2011-09-15 | 2018-11-28 | Novartis Ag | 3-(quinolin-6-il-tio)-[1,2,4]-triazolo-[4,3-a]-piridinas 6-sustituidas como inhibidores de tirosina quinasa c-Met |
| US20130209543A1 (en) | 2011-11-23 | 2013-08-15 | Intellikine Llc | Enhanced treatment regimens using mtor inhibitors |
| EA201691327A1 (ru) | 2012-03-05 | 2017-03-31 | Джилид Калистога Ллс | Полиморфные формы (s)-2-(1-(9h-пурин-6-иламино)пропил)-5-фтор-3-фенилхиназолин-4(3h)-она |
| CA2868202C (en) | 2012-04-03 | 2021-08-10 | Novartis Ag | Combination products with tyrosine kinase inhibitors and their use |
| UY35213A (es) | 2012-12-21 | 2014-06-30 | Gilead Sciences Inc | Compuestos del tipo de las carbamilpiridonas policíclicas y su uso farmaceutico |
| HK1219421A1 (zh) | 2013-03-15 | 2017-04-07 | 因特利凯有限责任公司 | 激酶抑制剂的组合及其用途 |
| SI3252058T1 (sl) | 2013-07-12 | 2021-03-31 | Gilead Sciences, Inc. | Policiklične karbamoilpiridonske spojine in njihova uporaba za zdravljenje okužb s HIV |
| NO2865735T3 (ja) | 2013-07-12 | 2018-07-21 | ||
| TW201605450A (zh) | 2013-12-03 | 2016-02-16 | 諾華公司 | Mdm2抑制劑與BRAF抑制劑之組合及其用途 |
| AU2014364414A1 (en) | 2013-12-20 | 2016-06-30 | Gilead Calistoga Llc | Polymorphic forms of a hydrochloride salt of (S) -2-(1-(9H-purin-6-ylamino) propyl) -5-fluoro-3-phenylquinazolin-4 (3H) -one |
| EP3594215A1 (en) | 2013-12-20 | 2020-01-15 | Gilead Calistoga LLC | Intermediate products in process methods for the preparation of phosphatidylinositol 3-kinase inhibitors |
| SG11201609877XA (en) | 2014-06-13 | 2016-12-29 | Gilead Sciences Inc | Phosphatidylinositol 3-kinase inhibitors |
| TWI677489B (zh) | 2014-06-20 | 2019-11-21 | 美商基利科學股份有限公司 | 多環型胺甲醯基吡啶酮化合物之合成 |
| NO2717902T3 (ja) | 2014-06-20 | 2018-06-23 | ||
| TW201613936A (en) | 2014-06-20 | 2016-04-16 | Gilead Sciences Inc | Crystalline forms of(2R,5S,13aR)-8-hydroxy-7,9-dioxo-n-(2,4,6-trifluorobenzyl)-2,3,4,5,7,9,13,13a-octahydro-2,5-methanopyrido[1',2':4,5]pyrazino[2,1-b][1,3]oxazepine-10-carboxamide |
| WO2016011658A1 (en) | 2014-07-25 | 2016-01-28 | Novartis Ag | Combination therapy |
| RU2695230C2 (ru) | 2014-07-31 | 2019-07-22 | Новартис Аг | Сочетанная терапия |
| JP7430892B2 (ja) * | 2016-08-10 | 2024-02-14 | 株式会社スリーボンド | エポキシ樹脂組成物およびこれを含む導電性接着剤 |
| CN106632339B (zh) * | 2016-12-16 | 2018-11-27 | 温州医科大学 | 一种6-取代-9h-嘌呤类衍生物及其制备方法和应用 |
| EP3749697A4 (en) | 2018-02-05 | 2021-11-03 | Bio-Rad Laboratories, Inc. | CHROMATOGRAPHY RESIN WITH LIGAND MIXED MODE ANIONIC / HYDROPHOBIC EXCHANGE |
| TW202140550A (zh) | 2020-01-29 | 2021-11-01 | 瑞士商諾華公司 | 使用抗tslp抗體治療炎性或阻塞性氣道疾病之方法 |
| CN119798352B (zh) * | 2024-01-15 | 2025-11-11 | 中国医学科学院药物研究所 | 化合物yzg-331的晶型及其制备方法 |
Family Cites Families (22)
| Publication number | Priority date | Publication date | Assignee | Title |
|---|---|---|---|---|
| BE789773A (fr) * | 1971-10-08 | 1973-04-06 | Schering Ag | Adenosines n6 -substituees et leur procede de |
| CA1239397A (en) * | 1983-08-01 | 1988-07-19 | James A. Bristol | N.sup.6-substituted adenosines |
| DE3406533A1 (de) * | 1984-02-23 | 1985-08-29 | Boehringer Mannheim Gmbh, 6800 Mannheim | Verwendung von adenosin-derivaten als antiallergica und arzneimittel, die diese enthalten |
| EP0180614B1 (en) * | 1984-04-18 | 1990-03-07 | Whitby Research Incorporated | N-6 substituted adenosine derivatives as cardiac vasodilators |
| US4663313A (en) * | 1984-10-26 | 1987-05-05 | Warner-Lambert Company | N6 -tricyclic adenosines for treating hypertension |
| US4738954A (en) * | 1985-11-06 | 1988-04-19 | Warner-Lambert Company | Novel N6 -substituted-5'-oxidized adenosine analogs |
| US5106837A (en) * | 1988-03-16 | 1992-04-21 | The Scripps Research Institute | Adenosine derivatives with therapeutic activity |
| US4757747A (en) * | 1986-04-08 | 1988-07-19 | Vickers, Incorporated | Power transmission |
| AU8274187A (en) * | 1986-10-31 | 1988-05-25 | Warner-Lambert Company | Heteroaromatic derivatives of adenosine |
| US4968697A (en) * | 1987-02-04 | 1990-11-06 | Ciba-Geigy Corporation | 2-substituted adenosine 5'-carboxamides as antihypertensive agents |
| EP0277917A3 (en) * | 1987-02-04 | 1990-03-28 | Ciba-Geigy Ag | Certain adenosine 5'-carboxamide derivatives |
| LU87181A1 (fr) * | 1987-04-06 | 1988-11-17 | Sandoz Sa | Nouveaux derives de l'acide furannuronique,leur preparation et leur utilisation comme medicaments |
| DE3810551A1 (de) * | 1987-04-06 | 1988-11-03 | Sandoz Ag | Neue ribofuranuronsaeure-derivate |
| US5219840A (en) * | 1987-04-06 | 1993-06-15 | Sandoz Ltd. | Antihypertensive 9-(2,N6 -disubstituted adenyl) ribofuranuronic acid derivatives |
| CA1339964C (en) * | 1988-03-16 | 1998-07-21 | Dennis A. Carson | Substituted adenine derivatives useful as therapeutic agents |
| JPH0725785B2 (ja) * | 1989-01-11 | 1995-03-22 | 日本臓器製薬株式会社 | アデノシン誘導体及び該化合物を有効成分として含有する医薬組成物 |
| DE3924424A1 (de) * | 1989-07-24 | 1991-01-31 | Boehringer Mannheim Gmbh | Nucleosid-derivate, verfahren zu deren herstellung, deren verwendung als arzneimittel sowie deren verwendung bei der nucleinsaeure-sequenzierung |
| CA2028002A1 (en) * | 1989-10-19 | 1991-04-20 | Daniel P. Becker | Method of treating gastrointestinal motility disorders |
| US5459255A (en) * | 1990-01-11 | 1995-10-17 | Isis Pharmaceuticals, Inc. | N-2 substituted purines |
| DE4025879A1 (de) * | 1990-08-16 | 1992-02-20 | Sandoz Ag | Neue adenosin derivate, deren herstellung und verwendung |
| FR2687678B1 (fr) * | 1992-01-31 | 1995-03-31 | Union Pharma Scient Appl | Nouveaux derives de l'adenosine, leurs procedes de preparation, compositions pharmaceutiques les contenant. |
| AU7331094A (en) * | 1993-07-13 | 1995-02-13 | United States Of America, As Represented By The Secretary, Department Of Health And Human Services, The | A3 adenosine receptor agonists |
-
1993
- 1993-01-20 GB GB939301000A patent/GB9301000D0/en active Pending
-
1994
- 1994-01-14 IS IS4121A patent/IS4121A/is unknown
- 1994-01-18 SK SK918-95A patent/SK281229B6/sk unknown
- 1994-01-18 CN CN94191527A patent/CN1043997C/zh not_active Expired - Fee Related
- 1994-01-18 US US08/446,727 patent/US5925624A/en not_active Expired - Fee Related
- 1994-01-18 DK DK94905100T patent/DK0680488T3/da active
- 1994-01-18 JP JP51665294A patent/JP3768232B2/ja not_active Expired - Fee Related
- 1994-01-18 CZ CZ951879A patent/CZ187995A3/cs unknown
- 1994-01-18 WO PCT/EP1994/000145 patent/WO1994017090A1/en not_active Ceased
- 1994-01-18 ES ES94905100T patent/ES2117249T3/es not_active Expired - Lifetime
- 1994-01-18 NZ NZ259880A patent/NZ259880A/en unknown
- 1994-01-18 ZA ZA94335A patent/ZA94335B/xx unknown
- 1994-01-18 RU RU95122754A patent/RU2129561C1/ru active
- 1994-01-18 FI FI953489A patent/FI953489L/fi unknown
- 1994-01-18 AP APAP/P/1994/000613A patent/AP457A/en active
- 1994-01-18 CA CA002153688A patent/CA2153688A1/en not_active Abandoned
- 1994-01-18 KR KR1019950702963A patent/KR960700261A/ko not_active Abandoned
- 1994-01-18 DE DE69409503T patent/DE69409503T2/de not_active Expired - Lifetime
- 1994-01-18 PL PL94309975A patent/PL309975A1/xx unknown
- 1994-01-18 AT AT94905100T patent/ATE164849T1/de not_active IP Right Cessation
- 1994-01-18 AU AU58851/94A patent/AU679714B2/en not_active Ceased
- 1994-01-18 EP EP94905100A patent/EP0680488B1/en not_active Expired - Lifetime
- 1994-01-19 SI SI9400021A patent/SI9400021A/sl unknown
- 1994-01-19 IL IL108372A patent/IL108372A/en not_active IP Right Cessation
- 1994-05-30 TW TW083104895A patent/TW267168B/zh active
- 1994-06-14 EC EC1994001104A patent/ECSP941104A/es unknown
- 1994-06-15 PE PE1994244634A patent/PE54194A1/es not_active Application Discontinuation
-
1995
- 1995-06-28 HU HU95P/P00514P patent/HU211914A9/hu unknown
- 1995-07-19 NO NO952872A patent/NO305603B1/no not_active IP Right Cessation
-
1997
- 1997-09-22 US US08/934,540 patent/US5889178A/en not_active Expired - Lifetime
Also Published As
Similar Documents
| Publication | Publication Date | Title |
|---|---|---|
| JP3768232B2 (ja) | 2,6‐ジアミノプリン誘導体 | |
| US6525032B2 (en) | Purine derivatives | |
| US6448236B1 (en) | Purine derivatives | |
| DK170894B1 (da) | Adenosinderivater, fremgangsmåde til fremstilling deraf, farmaceutiske præparater indeholdende forbindelserne samt anvendelse af forbindelserne | |
| WO1996002543A1 (en) | 2,3-dihydroxy cyclopentane derivatives of purines | |
| BG107216A (bg) | 2-аминокарбонил-9н-пуринови производни | |
| SK18192001A3 (sk) | Deriváty purínu | |
| US6753322B2 (en) | 2-aminocarbonyl-9H-purine derivatives | |
| CA2412327A1 (en) | Imidazopyridine and imidazopyrimidine antiviral agents | |
| CA3208618A1 (en) | Cdk2 inhibitors and methods of using the same | |
| US5578582A (en) | Methods of treating ischemia with C2, N6 -disubstituted adenosine derivatives | |
| US4857531A (en) | Guanine derivatives | |
| EP0410660A1 (en) | Cyclopentane derivatives |
Legal Events
| Date | Code | Title | Description |
|---|---|---|---|
| A131 | Notification of reasons for refusal |
Free format text: JAPANESE INTERMEDIATE CODE: A131 Effective date: 20041124 |
|
| A601 | Written request for extension of time |
Free format text: JAPANESE INTERMEDIATE CODE: A601 Effective date: 20050209 |
|
| A602 | Written permission of extension of time |
Free format text: JAPANESE INTERMEDIATE CODE: A602 Effective date: 20050328 |
|
| A521 | Request for written amendment filed |
Free format text: JAPANESE INTERMEDIATE CODE: A523 Effective date: 20050510 |
|
| A02 | Decision of refusal |
Free format text: JAPANESE INTERMEDIATE CODE: A02 Effective date: 20050802 |
|
| A521 | Request for written amendment filed |
Free format text: JAPANESE INTERMEDIATE CODE: A523 Effective date: 20051124 |
|
| A911 | Transfer to examiner for re-examination before appeal (zenchi) |
Free format text: JAPANESE INTERMEDIATE CODE: A911 Effective date: 20051215 |
|
| TRDD | Decision of grant or rejection written | ||
| A01 | Written decision to grant a patent or to grant a registration (utility model) |
Free format text: JAPANESE INTERMEDIATE CODE: A01 Effective date: 20060104 |
|
| A61 | First payment of annual fees (during grant procedure) |
Free format text: JAPANESE INTERMEDIATE CODE: A61 Effective date: 20060201 |
|
| R150 | Certificate of patent or registration of utility model |
Free format text: JAPANESE INTERMEDIATE CODE: R150 |
|
| FPAY | Renewal fee payment (event date is renewal date of database) |
Free format text: PAYMENT UNTIL: 20090210 Year of fee payment: 3 |
|
| FPAY | Renewal fee payment (event date is renewal date of database) |
Free format text: PAYMENT UNTIL: 20100210 Year of fee payment: 4 |
|
| FPAY | Renewal fee payment (event date is renewal date of database) |
Free format text: PAYMENT UNTIL: 20110210 Year of fee payment: 5 |
|
| LAPS | Cancellation because of no payment of annual fees |
