DE60212652T2 - Verfahren zur entwässerung und entgasung von polymerpulvern - Google Patents

Verfahren zur entwässerung und entgasung von polymerpulvern Download PDF

Info

Publication number
DE60212652T2
DE60212652T2 DE60212652T DE60212652T DE60212652T2 DE 60212652 T2 DE60212652 T2 DE 60212652T2 DE 60212652 T DE60212652 T DE 60212652T DE 60212652 T DE60212652 T DE 60212652T DE 60212652 T2 DE60212652 T2 DE 60212652T2
Authority
DE
Germany
Prior art keywords
powder
extruder
polymer
polycarbonate
kneading
Prior art date
Legal status (The legal status is an assumption and is not a legal conclusion. Google has not performed a legal analysis and makes no representation as to the accuracy of the status listed.)
Expired - Lifetime
Application number
DE60212652T
Other languages
English (en)
Other versions
DE60212652T3 (de
DE60212652D1 (de
Inventor
Hua Clifton Park WANG
Thomas Eric Fairport GOHR
Current Assignee (The listed assignees may be inaccurate. Google has not performed a legal analysis and makes no representation or warranty as to the accuracy of the list.)
SABIC Global Technologies BV
Original Assignee
General Electric Co
Priority date (The priority date is an assumption and is not a legal conclusion. Google has not performed a legal analysis and makes no representation as to the accuracy of the date listed.)
Filing date
Publication date
Family has litigation
First worldwide family litigation filed litigation Critical https://patents.darts-ip.com/?family=25477528&utm_source=google_patent&utm_medium=platform_link&utm_campaign=public_patent_search&patent=DE60212652(T2) "Global patent litigation dataset” by Darts-ip is licensed under a Creative Commons Attribution 4.0 International License.
Application filed by General Electric Co filed Critical General Electric Co
Publication of DE60212652D1 publication Critical patent/DE60212652D1/de
Application granted granted Critical
Publication of DE60212652T2 publication Critical patent/DE60212652T2/de
Publication of DE60212652T3 publication Critical patent/DE60212652T3/de
Anticipated expiration legal-status Critical
Expired - Lifetime legal-status Critical Current

Links

Classifications

    • CCHEMISTRY; METALLURGY
    • C08ORGANIC MACROMOLECULAR COMPOUNDS; THEIR PREPARATION OR CHEMICAL WORKING-UP; COMPOSITIONS BASED THEREON
    • C08GMACROMOLECULAR COMPOUNDS OBTAINED OTHERWISE THAN BY REACTIONS ONLY INVOLVING UNSATURATED CARBON-TO-CARBON BONDS
    • C08G64/00Macromolecular compounds obtained by reactions forming a carbonic ester link in the main chain of the macromolecule
    • C08G64/40Post-polymerisation treatment
    • C08G64/406Purifying; Drying
    • BPERFORMING OPERATIONS; TRANSPORTING
    • B29WORKING OF PLASTICS; WORKING OF SUBSTANCES IN A PLASTIC STATE IN GENERAL
    • B29BPREPARATION OR PRETREATMENT OF THE MATERIAL TO BE SHAPED; MAKING GRANULES OR PREFORMS; RECOVERY OF PLASTICS OR OTHER CONSTITUENTS OF WASTE MATERIAL CONTAINING PLASTICS
    • B29B7/00Mixing; Kneading
    • B29B7/30Mixing; Kneading continuous, with mechanical mixing or kneading devices
    • B29B7/34Mixing; Kneading continuous, with mechanical mixing or kneading devices with movable mixing or kneading devices
    • B29B7/38Mixing; Kneading continuous, with mechanical mixing or kneading devices with movable mixing or kneading devices rotary
    • B29B7/46Mixing; Kneading continuous, with mechanical mixing or kneading devices with movable mixing or kneading devices rotary with more than one shaft
    • B29B7/48Mixing; Kneading continuous, with mechanical mixing or kneading devices with movable mixing or kneading devices rotary with more than one shaft with intermeshing devices, e.g. screws
    • B29B7/482Mixing; Kneading continuous, with mechanical mixing or kneading devices with movable mixing or kneading devices rotary with more than one shaft with intermeshing devices, e.g. screws provided with screw parts in addition to other mixing parts, e.g. paddles, gears, discs
    • B29B7/483Mixing; Kneading continuous, with mechanical mixing or kneading devices with movable mixing or kneading devices rotary with more than one shaft with intermeshing devices, e.g. screws provided with screw parts in addition to other mixing parts, e.g. paddles, gears, discs the other mixing parts being discs perpendicular to the screw axis
    • BPERFORMING OPERATIONS; TRANSPORTING
    • B29WORKING OF PLASTICS; WORKING OF SUBSTANCES IN A PLASTIC STATE IN GENERAL
    • B29BPREPARATION OR PRETREATMENT OF THE MATERIAL TO BE SHAPED; MAKING GRANULES OR PREFORMS; RECOVERY OF PLASTICS OR OTHER CONSTITUENTS OF WASTE MATERIAL CONTAINING PLASTICS
    • B29B7/00Mixing; Kneading
    • B29B7/30Mixing; Kneading continuous, with mechanical mixing or kneading devices
    • B29B7/34Mixing; Kneading continuous, with mechanical mixing or kneading devices with movable mixing or kneading devices
    • B29B7/38Mixing; Kneading continuous, with mechanical mixing or kneading devices with movable mixing or kneading devices rotary
    • B29B7/46Mixing; Kneading continuous, with mechanical mixing or kneading devices with movable mixing or kneading devices rotary with more than one shaft
    • B29B7/48Mixing; Kneading continuous, with mechanical mixing or kneading devices with movable mixing or kneading devices rotary with more than one shaft with intermeshing devices, e.g. screws
    • B29B7/488Parts, e.g. casings, sealings; Accessories, e.g. flow controlling or throttling devices
    • B29B7/489Screws
    • BPERFORMING OPERATIONS; TRANSPORTING
    • B29WORKING OF PLASTICS; WORKING OF SUBSTANCES IN A PLASTIC STATE IN GENERAL
    • B29BPREPARATION OR PRETREATMENT OF THE MATERIAL TO BE SHAPED; MAKING GRANULES OR PREFORMS; RECOVERY OF PLASTICS OR OTHER CONSTITUENTS OF WASTE MATERIAL CONTAINING PLASTICS
    • B29B7/00Mixing; Kneading
    • B29B7/80Component parts, details or accessories; Auxiliary operations
    • B29B7/84Venting or degassing ; Removing liquids, e.g. by evaporating components
    • B29B7/845Venting, degassing or removing evaporated components in devices with rotary stirrers
    • BPERFORMING OPERATIONS; TRANSPORTING
    • B29WORKING OF PLASTICS; WORKING OF SUBSTANCES IN A PLASTIC STATE IN GENERAL
    • B29BPREPARATION OR PRETREATMENT OF THE MATERIAL TO BE SHAPED; MAKING GRANULES OR PREFORMS; RECOVERY OF PLASTICS OR OTHER CONSTITUENTS OF WASTE MATERIAL CONTAINING PLASTICS
    • B29B7/00Mixing; Kneading
    • B29B7/80Component parts, details or accessories; Auxiliary operations
    • B29B7/86Component parts, details or accessories; Auxiliary operations for working at sub- or superatmospheric pressure
    • BPERFORMING OPERATIONS; TRANSPORTING
    • B29WORKING OF PLASTICS; WORKING OF SUBSTANCES IN A PLASTIC STATE IN GENERAL
    • B29CSHAPING OR JOINING OF PLASTICS; SHAPING OF MATERIAL IN A PLASTIC STATE, NOT OTHERWISE PROVIDED FOR; AFTER-TREATMENT OF THE SHAPED PRODUCTS, e.g. REPAIRING
    • B29C48/00Extrusion moulding, i.e. expressing the moulding material through a die or nozzle which imparts the desired form; Apparatus therefor
    • B29C48/25Component parts, details or accessories; Auxiliary operations
    • B29C48/254Sealing means
    • BPERFORMING OPERATIONS; TRANSPORTING
    • B29WORKING OF PLASTICS; WORKING OF SUBSTANCES IN A PLASTIC STATE IN GENERAL
    • B29CSHAPING OR JOINING OF PLASTICS; SHAPING OF MATERIAL IN A PLASTIC STATE, NOT OTHERWISE PROVIDED FOR; AFTER-TREATMENT OF THE SHAPED PRODUCTS, e.g. REPAIRING
    • B29C48/00Extrusion moulding, i.e. expressing the moulding material through a die or nozzle which imparts the desired form; Apparatus therefor
    • B29C48/25Component parts, details or accessories; Auxiliary operations
    • B29C48/256Exchangeable extruder parts
    • B29C48/2564Screw parts
    • BPERFORMING OPERATIONS; TRANSPORTING
    • B29WORKING OF PLASTICS; WORKING OF SUBSTANCES IN A PLASTIC STATE IN GENERAL
    • B29CSHAPING OR JOINING OF PLASTICS; SHAPING OF MATERIAL IN A PLASTIC STATE, NOT OTHERWISE PROVIDED FOR; AFTER-TREATMENT OF THE SHAPED PRODUCTS, e.g. REPAIRING
    • B29C48/00Extrusion moulding, i.e. expressing the moulding material through a die or nozzle which imparts the desired form; Apparatus therefor
    • B29C48/25Component parts, details or accessories; Auxiliary operations
    • B29C48/36Means for plasticising or homogenising the moulding material or forcing it through the nozzle or die
    • B29C48/395Means for plasticising or homogenising the moulding material or forcing it through the nozzle or die using screws surrounded by a cooperating barrel, e.g. single screw extruders
    • B29C48/40Means for plasticising or homogenising the moulding material or forcing it through the nozzle or die using screws surrounded by a cooperating barrel, e.g. single screw extruders using two or more parallel screws or at least two parallel non-intermeshing screws, e.g. twin screw extruders
    • B29C48/405Intermeshing co-rotating screws
    • BPERFORMING OPERATIONS; TRANSPORTING
    • B29WORKING OF PLASTICS; WORKING OF SUBSTANCES IN A PLASTIC STATE IN GENERAL
    • B29CSHAPING OR JOINING OF PLASTICS; SHAPING OF MATERIAL IN A PLASTIC STATE, NOT OTHERWISE PROVIDED FOR; AFTER-TREATMENT OF THE SHAPED PRODUCTS, e.g. REPAIRING
    • B29C48/00Extrusion moulding, i.e. expressing the moulding material through a die or nozzle which imparts the desired form; Apparatus therefor
    • B29C48/25Component parts, details or accessories; Auxiliary operations
    • B29C48/36Means for plasticising or homogenising the moulding material or forcing it through the nozzle or die
    • B29C48/50Details of extruders
    • B29C48/505Screws
    • B29C48/58Screws provided with seal ring elements, i.e. elements of generally circular and tapered shape for preventing the back flow of the melt
    • BPERFORMING OPERATIONS; TRANSPORTING
    • B29WORKING OF PLASTICS; WORKING OF SUBSTANCES IN A PLASTIC STATE IN GENERAL
    • B29CSHAPING OR JOINING OF PLASTICS; SHAPING OF MATERIAL IN A PLASTIC STATE, NOT OTHERWISE PROVIDED FOR; AFTER-TREATMENT OF THE SHAPED PRODUCTS, e.g. REPAIRING
    • B29C48/00Extrusion moulding, i.e. expressing the moulding material through a die or nozzle which imparts the desired form; Apparatus therefor
    • B29C48/25Component parts, details or accessories; Auxiliary operations
    • B29C48/36Means for plasticising or homogenising the moulding material or forcing it through the nozzle or die
    • B29C48/50Details of extruders
    • B29C48/76Venting, drying means; Degassing means
    • BPERFORMING OPERATIONS; TRANSPORTING
    • B29WORKING OF PLASTICS; WORKING OF SUBSTANCES IN A PLASTIC STATE IN GENERAL
    • B29CSHAPING OR JOINING OF PLASTICS; SHAPING OF MATERIAL IN A PLASTIC STATE, NOT OTHERWISE PROVIDED FOR; AFTER-TREATMENT OF THE SHAPED PRODUCTS, e.g. REPAIRING
    • B29C48/00Extrusion moulding, i.e. expressing the moulding material through a die or nozzle which imparts the desired form; Apparatus therefor
    • B29C48/03Extrusion moulding, i.e. expressing the moulding material through a die or nozzle which imparts the desired form; Apparatus therefor characterised by the shape of the extruded material at extrusion
    • BPERFORMING OPERATIONS; TRANSPORTING
    • B29WORKING OF PLASTICS; WORKING OF SUBSTANCES IN A PLASTIC STATE IN GENERAL
    • B29CSHAPING OR JOINING OF PLASTICS; SHAPING OF MATERIAL IN A PLASTIC STATE, NOT OTHERWISE PROVIDED FOR; AFTER-TREATMENT OF THE SHAPED PRODUCTS, e.g. REPAIRING
    • B29C48/00Extrusion moulding, i.e. expressing the moulding material through a die or nozzle which imparts the desired form; Apparatus therefor
    • B29C48/25Component parts, details or accessories; Auxiliary operations
    • B29C48/36Means for plasticising or homogenising the moulding material or forcing it through the nozzle or die
    • B29C48/395Means for plasticising or homogenising the moulding material or forcing it through the nozzle or die using screws surrounded by a cooperating barrel, e.g. single screw extruders
    • B29C48/40Means for plasticising or homogenising the moulding material or forcing it through the nozzle or die using screws surrounded by a cooperating barrel, e.g. single screw extruders using two or more parallel screws or at least two parallel non-intermeshing screws, e.g. twin screw extruders
    • B29C48/41Intermeshing counter-rotating screws
    • BPERFORMING OPERATIONS; TRANSPORTING
    • B29WORKING OF PLASTICS; WORKING OF SUBSTANCES IN A PLASTIC STATE IN GENERAL
    • B29KINDEXING SCHEME ASSOCIATED WITH SUBCLASSES B29B, B29C OR B29D, RELATING TO MOULDING MATERIALS OR TO MATERIALS FOR MOULDS, REINFORCEMENTS, FILLERS OR PREFORMED PARTS, e.g. INSERTS
    • B29K2069/00Use of PC, i.e. polycarbonates or derivatives thereof, as moulding material

Landscapes

  • Mechanical Engineering (AREA)
  • Engineering & Computer Science (AREA)
  • Chemical & Material Sciences (AREA)
  • Polymers & Plastics (AREA)
  • Chemical Kinetics & Catalysis (AREA)
  • Medicinal Chemistry (AREA)
  • Health & Medical Sciences (AREA)
  • Organic Chemistry (AREA)
  • Processes Of Treating Macromolecular Substances (AREA)
  • Processing And Handling Of Plastics And Other Materials For Molding In General (AREA)
  • Polyesters Or Polycarbonates (AREA)
  • Extrusion Moulding Of Plastics Or The Like (AREA)
  • Addition Polymer Or Copolymer, Post-Treatments, Or Chemical Modifications (AREA)

Description

  • HINTERGRUND DER ERFINDUNG
  • Diese Erfindung betrifft ein Verfahren zur Entfernung von flüchtigen Bestandteilen, wie z.B. Wasser, und flüchtigen organischen Verbindungen, wie z.B. Lösungsmitteln, aus Polymerpulvern unter Verwendung eines Extruders. Das erfindungsgemäße Verfahren vermeidet übermäßigen Rückfluss von flüchtigen Bestandteilen durch den Extruderzufuhrhals, ein Zustand, der ernsthaft die Durchsatzgeschwindigkeiten einschränkt.
  • Die Herstellung von verschiedenen Polymeren erfordert häufig einen letztendlichen Trocknungsschritt, um Wasser und andere flüchtige Bestandteile zu entfernen, die in dem Verfahren verwendet wurden, das verwendet wird, um das Polymer herzustellen. In einigen Fällen erfordert das Trocknungsverfahren die Behandlung eines feuchten Polymerpulvers, enthaltend flüchtige Bestandteile, wie z.B. Lösungsmittel oder andere flüchtige Materialien, in einem nachgeschalteten Wirbelschichttrockner (fluidized bed post dryer). Solche Ausrüstung ist häufig groß und kostenintensiv und weist große industrielle Trockner, Stickstoffzufuhrsysteme und Waschsysteme (scrubber systems) auf, um unerwünschtes Entkommen von flüchtigen Bestandteilen in die Umwelt zu kontrollieren. Während solche Wirbelschichttrockner typischerweise bei der Reduzierung der Feuchtigkeit und flüchtigen organischen Bestandteilen aus einer Vielzahl von Polymerpulvern wirksam sind, sind Prozesse, welche diese verwenden, relativ langsam und kostenintensiv.
  • Während des Trocknens von Polymerpulvern können die Trocknungsgeschwindigkeiten von der Teilchengröße und der Teilchengrößenverteilung abhängen. Z.B. haben typische Polycarbonatpulver, die folgend auf die Grenzflächenpolymerisation einer dihydroxyaromatischen Verbindung mit Phosgen isoliert wurden, eine breite Verteilung der Teilchengrößen im Bereich von weniger als 100 Mikrometern bis zu gut oberhalb 1 Millimeter. Die zahlenmittlere Teilchengröße ist typischerweise geringer als 200 Mikrometer. Wenn der Feuchtigkeitsgehalt, der in einem Polymerpulver vorhanden ist, unterhalb eines kritischen Feuchtigkeitsgehaltes fällt, können die Trocknungsgeschwindigkeiten durch die Geschwindigkeiten der Flüssigkeitsdiffusion und des Kapillartransports in den Pulverteilchen begrenzt sein. Demzufolge können die letzten Stufen bei der Trocknung eines Polymerpulvers schwierig sein und lange Trocknungszeiten erfordern. Es wäre daher wünschenswert, Vorrichtungen für die effiziente Entfernung von flüchtigen Bestandteilen aus Polymerpulvern zu entdecken, die nicht die Verwendung von komplexer Ausrüstung, wie z.B. nachgeschalteten Wirbelschichttrocknern erfordert. Insbesondere wäre es wünschenswert, hochwirksame Vorrichtungen für die Entfernung von flüchtigen Bestandteilen aus nassen Polycarbonatpulvern zu entdecken.
  • Die vorliegende Erfindung stellt ein alternatives Verfahren zur Trocknung von testen Polymerpulvern unter Verwendung eines Entgasungsextruders zur Verfügung, die flüchtige Bestandteile, wie z.B. Wasser und organische Lösungsmittel enthalten.. Das Verfahren verwendet Standardausrüstung einer Art, die leicht in typischen Polymerendbearbeitungsanlagen erhältlich ist und kann so angepasst werden, dass andere Arbeitsschritte, die das Polymer betreffen, ebenfalls eingeschlossen sind, wie z.B. Vermischen mit anderen Polymeren, Funktionalisieren durch chemische Reaktion und kontrollierte Molekulargewichtseinstellung. Die vorliegende Erfindung reduziert die Notwendigkeit von Wirbelschichttrocknungs-Arbeitsabläufen und erlaubt die Umsetzung von festen Polymerpulvern, die hohe Gehalte an Wasser enthalten, zu Polymerzusammensetzungen, die im Wesentlichen frei von Wasser sind, in einem einzelnen Extrusionsschritt. Die Entfernung von Wasser aus dem Polymerpulver unter Verwendung des erfindungsgemäßen Verfahrens stellt als einen unerwarteten Vorteil auch die gleichzeitige Entfernung von Verarbeitungslösungsmitteln und Spurenverunreinigungen her, wie z.B. Restmonomer und niedrigmolekulargewichtige Oligomere („Niedrige"), die die Produktcharakteristika beeinträchtigen können, wie z.B. Ablagerungen während des Formens der fertigen Polymerzusammensetzung. Das erfindungsgemäße Verfahren stellt einen einfachen, preiswerten Fortschritt in der Polymertrocknungstechnologie dar und kann Polymerzusammensetzungen ermöglichen, die verbesserte Produkteigenschaften relativ zu Polymerzusammensetzungen haben, die unter Verwendung von herkömmlicher Trocknungstechnologie hergestellt wurden.
  • Im Gegensatz zur vorliegenden Erfindung, bei der ein Polymerpulver, enthaltend flüchtige Bestandteile, Extrusionsentgasung unterzogen wird, ist die Extrusionsentgasung von Polymeren in Lösung wohl bekannt. Z. B. beschreiben Curry und Brauer in Polymer Devolatilization, R. Albalak Hrsg. Marcel Deker Inc., S. 345, 1996, die Umsetzung einer Lösung aus hochdichtem Polyethylen in Cyclohexan zu einem festen Polymermaterial, enthaltend etwa 10 Gew.-% Cyclohexan, unter Verwendung eines auf einem Extruder basierenden Verfahrens, aufweisend schnelle Entfernung von Lösungsmittel aus einer überhitzten Lösung des Polymeren in Cyclohexan in einem Extruder, wobei der genannte Extruder für mehrstufiges Einspritzen und Belüften des Abziehhilfsmittels ausgerüstet ist.
  • Das von Curry und Brauer beschriebene Verfahren ist jedoch auf die Entfernung von wesentlichen Mengen von flüchtigen Substanzen aus polymeren Materialien in Pulverform nicht anwendbar, wie z.B. nasse Polymercarbonatpulver, die nachfolgend auf Grenzflächenpolymerisation isoliert wurden. Solche Polycarbonatpulver enthalten typischerweise zwischen 1 und etwa 20 Gew.-% Wasser und zwischen etwa 0,001 und etwa 5 Gew.-% Methylenchlorid. Versuche, solche Pulver unter Verwendung eines Extruders zu entgasen, werden erschwert durch die Tendenz des Dampfes, der erzeugt wird, wenn das Polycarbonatpulver geschert und auf oberhalb seiner Glasübergangstemperatur erwärmt wird, aus dem Zufuhrhals des Extruders „rückwärts herauszutreten". Der Dampf verflüssigt das gepulverte Polymermaterial, das in den Zufuhrhals eingebracht wird und verursacht Zufuhrprobleme, wie z.B. Pulver, das aus dem Zufuhrhals entkommt und Pulver, dass den Zufuhrhals „überbrückt". Zufuhrprobleme dieser Art können etwas vereinfacht werden durch die Verwendung von Hilfsvorrichtungen, wie z.B. Schraubenzufuhrstrangpressen (screw feeder stuffers) und Stopfzuführer (crammer feeder). Solche Vorrichtungen sind jedoch häufig unwirksam, da die feinen Pulver, die durch aus dem Extruder entkommenden Dampf vorangetrieben werden, nach wie vor noch aus den Strangpressen und Stopfzuführern entkommen können. Zusätzlich erhöhen solche Hilfsvorrichtungen weiterhin die Kosten und die Komplexität des Arbeitsablaufs.
  • Eine weitere mögliche Lösung für die oben beschriebenen Zufuhrprobleme ist der Einsatz eines zusätzlichen Schrittes, um das feuchte Pulver zu größeren Teilchen vor dem Einbringen des Pulvers in den Extruder zu verdichten oder agglomerieren. Wiederum erfordert dies bestimmte Ausrüstung für zusätzliche Verfahrensschritte, was in erhöhter Verfahrenskomplexität, höherem Kapital und Arbeitskosten resultiert.
  • US-Patent 5 232 649 offenbart ein Verfahren, welches die mechanische Kraft der Schrauben in einem Doppelschraubenextruder verwendet, um Wasser und andere flüchtige Stoffe aus einem feuchten Polymermaterial heraus zu quetschen. Das Wasser wird aus dem Polymeren in einem flüssigen Zustand anstelle von Dampf entfernt. Während ein solches Verfahren gut bei polymeren Materialien arbeitet, die niedrige Glasübergangstemperaturen (Tg) haben, z.B. Materialien, die Tgs unterhalb von 100°C haben, ist es nicht anwendbar für die wirksame Entfernung von Wasser und anderen flüchtigen Substanzen aus polymeren Materialien mit höherem Tg, wie z.B. Polycarbonat, aufgrund ernsthafter Einschränkungen der Durchsatzraten.
  • US-Patent 5 717 055 offenbart ein Verfahren für die Herstellung von Polycarbonatpellets durch Schmelzkneten eines Polycarbonatpulvers in dem Knetabschnitt eines Extruders, der einen „Schmelzversiegelungs"-Mechanismus aufweist, bestehend aus Schraubenelementen mit umgekehrtem Gewindegang (reverse-flighted screw elements) oder einem Sperrring (dam ring). Hochvakuum wird an eine Belüftung stromab der „Schmelzversiegelung" aufgebracht, um flüchtige Bestandteile zu entfernen. Es ist jedoch wohl bekannt, dass, wenn Schraubenelemente mit umgekehrtem Gewinde (links herum) verwendet werden, der stromaufwärts liegende Schraubenabschnitt vollständig über einen gewissen Bereich gefüllt sein muss, um den Druck zu erzeugen der notwendig ist, um den Abschnitt mit umgekehrtem Gewinde (links herum) zu überwinden (Rauwendaal, Plastics Formulating & Compounding, Nov./Dez., 1995). Demzufolge wird Dampf, der in den Schraubenabschnitten erzeugt wird, die dem Abschnitt mit umgekehrtem Gewinde vorangehen, dazu gezwungen, entlang den Schrauben zurück und aus dem Zufuhrhals des Extruders heraus zu fließen. Wiederum verflüssigt der austretende Dampf das gepulverte Polymermaterial, das in den Extruder eingebracht wird und kann Zufuhrprobleme verursachen. Wenn das in den Extruder eingebrachte Polymer eine wesentliche Menge an Wasser und anderen flüchtigen Bestandteilen enthält, muss die Geschwindigkeit des Einbringens des Polymeren beschränkt werden, um die Wirkungen von großen Mengen von Dampf, der durch den Zufuhrhals entkommt, zu vermeiden und lediglich ein Teil des gesamten Drehmoments und der Leistung, die für die Polymerverarbeitung vorhanden ist, wird verwendet. Aus Produktivitätsgründen ist es ein Nachteil, wenn es nicht möglich ist, einen Extruder in der Nähe der Drehmoments- und Leistungsgrenze des Extruders zu betreiben, wie in dem Fall von trockener Pulverkompoundierung.
  • US-Patent 4 845 193 offenbart ein Verfahren zur Herstellung von Polycarbonat mit kleinen Teilchen, aufweisend Liefern eines feuchten Polycarbonatpulvers mit einem Wassergehalt von 0,5 bis 10 Gew.-% und einem organischen Lösungsmittelgehalt von 0,01 bis 5 Gew.-% in einen belüfteten Extruder. Die Referenz offenbart ein herkömmliches Schraubendesign und die Produktausstoßraten fallen deutlich unterhalb jene, die durch das erfindungsgemäße Verfahren erreicht werden.
  • Das japanische Patent JP 09 193 230 offenbart ein Verfahren zum Einspritzen von Wasser in geschmolzenes Polycarbonat in der Knetabteilung eines Extruders als Mittel zur Entfernung von flüchtigen Bestandteilen aus dem Polycarbonat. In diesem Fall ist das Polymer jedoch an dem Punkt, an dem das Wasser eingebracht wird, bereits geschmolzen und es wird kein Dampf entlang der Schrauben zu dem Zufuhrhals zurückgezwungen. Das Verfahren ist nicht anwendbar in Fällen, wenn das polymere Material, das extrudiert werden soll, ein Pulver ist, das eine wesentliche Menge an Wasser enthält, wie z.B. ein feuchtes Polycarbonatpulver, enthaltend Methylenchlorid.
  • Die europäische Patentanmeldung 0 410 650 A1 beschreibt ein Verfahren zur Herstellung von Polyamidprepolymeren durch Einbringen der einzelnen Monomere in einen Extruder, der eine Pulverdichtung aufweist. Die Referenz offenbart nicht das Verfahren der vorliegenden Erfindung.
  • WO-A-00 07 799 offenbart einen Doppelschraubenextruder zum Kneten von Bestandteilen zu einem geschmolzenen aromatischen Polycarbonat, wobei der Extruder zumindest ein Modul aufweist, bestehend aus einer Kneteinheit, einer Materialabdichteinheit, einer Rückwärtskneteinheit und einer durchgehenden Einheit (full flight unit), die von einer stromaufwärts Seite zu einer stromabwärts Seite hin angebracht ist, sowie ein Verfahren zum Kneten von Bestandteilen zu einem aromatischen Polycarbonat unter Verwendung des oben genannten Extruders. Ein aromatisches Polycarbonat, das einen extrem kleinen Gehalt an fremdem Material hat und frei ist von Verweilverschlechterung, wie z.B. Verfärbung, Vernetzen oder Gelierung wird erhalten, wenn das aromatische Polycarbonat mit verschiedenen Bestandteilen unter Verwendung dieser Apparatur verknetet wird.
  • KURZE ZUSAMMENFASSUNG DER ERFINDUNG
  • Die vorliegende Erfindung stellt ein Verfahren zur Entfernung von flüchtigen Bestandteilen aus einem Polymerpulver zur Verfügung, wobei das genannte Verfahren aufweist: Schritt (A) Einbringen eines Polymerpulvers, aufweisend Wasser, in einen Extruder, wobei der genannte Extruder aufweist:
    • (i) einen Pulverförderabschnitt;
    • (ii) einen Pulverabdichtungsabschnitt, stromabwärts des genannten Pulverförderabschnitts;
    • (iii) einen Knet- und Schmelzabschnitt, stromabwärts des genannten Pulverabdichtungsabschnitts und
    • (iv) eine Vakuumentlüftung, stromabwärts des genannten Knet- und Schmelzabschnitts,
  • Schritt (B) Förderung des Polymerpulvers durch den genannten Pulverabdichtungsabschnitt mit einer Zufuhrgeschwindigkeit und Schraubengeschwindigkeit, die ausreicht, um eine Pulverabdichtung zu erzeugen,
  • Schritt (C) Erwärmen und Scheren des Polymerpulvers in dem genannten Knet- und Schmelzabschnitt, um eine Polymerschmelze zu bilden, die Wasser aufweist und
  • Schritt (D) Unterziehen der genannten Polymerschmelze einer Vakuumentlüftung an der genannten Vakuumentlüftung.
  • Die vorliegende Erfindung betrifft weiterhin ein Verfahren zum Durchführen eines zweiten Arbeitsschrittes, der das Polymerpulver einbezieht, wie z.B. Vermischen, Kompoundieren oder chemische Modifikation während der Extruderentgasung. In einem erfindungsgemäßen Gesichtspunkt weist dieser zweite Arbeitsschritt das Einbringen eines Hydrolysekatalysators in den Extruder während der Extruderentgasung des feuchten Polycarbonatpulvers auf und Bewirken einer kontrollierten Molekulargewichtsreduktion des Polycarbonats. In einem anderen erfindungsgemäßen Gesichtspunkt wird während der Extruderentgasung ein Polymerblend hergestellt.
  • KURZE BESCHREIBUNG DER ZEICHNUNGEN
  • 1 veranschaulicht einen Extruder mit Schraubenelementen, die gemäß dem erfindungsgemäßen Verfahren aufgebaut sind, und zeigt die Stellen eines Anfangspulverförderabschnittes, eines Pulverabdichtabschnittes, eines Knet- und Schmelzabschnittes und einer Vakuumentlüftung, die stromabwärts des genannten Knet- und Schmelzabschnitts angebracht ist. 2 veranschaulicht die Wirkung von Wasser, das während der Extrusionsentgasung vorhanden ist, auf die kontrollierte Molekulargewichtseinstellung von Polycarbonat. 3 veranschaulicht den Zusammenhang zwischen Polycarbonatmolekulargewicht und Hydroxylendgruppenkonzentration, der bei der kontrollierten Molekulargewichtseinstellung von Polycarbonat beobachtet wird.
  • EINGEHENDE BESCHREIBUNG DER ERFINDUNG
  • Die vorliegende Erfindung kann leichter verstanden werden durch Bezugnahme auf die folgende eingehende Beschreibung der bevorzugten Ausführungsformen der Erfindung und die darin eingeschlossenen Beispiele. In der folgenden Beschreibung und den Ansprüchen, die folgen, wird Bezug genommen auf eine Anzahl von Bezeichnungen, die definiert werden sollen, so dass sie die folgenden Bedeutungen haben: Die Einzahlformen „ein", „einer" und „der/die/das" schließen Mehrzahlbezüge ein, sofern der Zusammenhang nicht eindeutig etwas anderes vorschreibt.
  • „Wahlweise" bedeutet, dass das nachfolgend beschriebene Ereignis oder Umstand eintreten kann oder nicht und dass die Beschreibung Fälle beinhaltet, bei denen das Ereignis eintritt und Fälle, bei denen es dies nicht tut.
  • So wie hier verwendet bedeutet die Bezeichnung „Polycarbonat" Polycarbonate, die Struktureinheiten enthalten, die aus einem oder mehreren dihydroxyaromatischen Verbindungen erhalten werden, und schließt Copolycarbonate und Polyestercarbonate ein.
  • So wie hier verwendet werden Polycarbonate gemäß ihren aufbauenden Bisphenolen benannt, demzufolge werden „Bisphenol A-Polycarbonat" und „1,1-Bis(3-methyl-4-hydroxyphenyl)cyclohexan-Polycarbonat" dazu verwendet, Polycarbonate zu bezeichnen, die Struktureinheiten aufweisen, die aus den Bisphenolen „Bisphenol A" bzw. „1,1-Bis(3-methyl-4-hydroxyphenyl)cyclohexan" erhalten werden.
  • „BPA" ist hier definiert als Bisphenol A oder 2,2-Bis(4-hydroxylphenyl)propan.
  • So wie hier verwendet bedeutet die Bezeichnung „Extruderentgasung" das Entfernen von flüchtigen Bestandteilen, wie z.B. Wasser und Methylenchlorid, aus einem polymeren Material, wie z.B. Polycarbonat, unter Verwendung eines Extruders, aufweisend zumindest eine Vakuumentlüftung, und wird austauschbar mit der Bezeichnung „Extrusionsentgasung" verwendet.
  • So wie hier verwendet werden die Bezeichnungen „Doppelschraubenextruder" und „Zwillingsschraubenextruder" austauschbar verwendet und haben die gleiche Bedeutung.
  • So wie hier verwendet werden die Bezeichnungen „Knetelement" und „Knetblock" austauschbar verwendet und haben die gleiche Bedeutung.
  • „Katalysatorsystem", so wie hier verwendet, betrifft den Katalysator oder Katalysatoren, welche die Hydrolyse von Carbonatbindungen in Polycarbonat katalysieren, welches Extruderentgasung in der Gegenwart von Wasser unterliegt.
  • „Katalytisch wirksame Menge" betrifft die Menge des Katalysators, bei der katalytische Leistung erreicht wird.
  • So wie hier verwendet bedeutet die Bezeichnung „Molekulargewichteinstellung" die Reduktion des Molekulargewichts eines Polymeren durch Katalysator vermittelten Polymerkettenschnitt, wobei die genannte Reduktion des Molekulargewichts während der Extrusion des Polymers auftritt. Molekulargewichtseinstellung wird veranschaulicht durch die teilweise Hydrolyse von Polycarbonat, die auftritt, wenn feuchtes Polycarbonat Extrusionsentgasung in der Gegenwart eines Hydrolysekatalysators unterzogen wird.
  • So wie hier verwendet, bedeutet die Bezeichnung „enthaltend eine wesentliche Menge an Wasser", dass etwa 1 Gew.-% von Wasser oder mehr enthalten sind. Zum Beispiel wird von einem Polymerpulver, das zwischen etwa 1 und 20 Gew.-% Wasser enthält, gesagt, dass es eine wesentliche Menge an Wasser enthält.
  • So wie hier verwendet, bedeutet die Bezeichnung „im wesentlichen frei von Wasser", dass weniger als etwa 0,5 Gew.-% Wasser enthalten sind. Zum Beispiel enthält ein Polycarbonat, das im wesentlichen frei von Wasser ist, weniger als etwa 0,5 Gew.-% Wasser.
  • So wie hier verwendet, bedeutet die Bezeichnung „feuchtes Polycarbonatpulver" und „feuchtes Polycarbonat" Polycarbonatpulver, enthaltend eine wesentliche Menge an Wasser, wie hier definiert.
  • So wie hier verwendet, bedeutet die Bezeichnung „Olefinpolymer" Polymere, aufweisend Struktureinheiten, erhalten aus olefinischen Species durch Polymerisation. Das Polymer ABS ist ein Beispiel eines Olefinpolymeren, so wie hier verwendet, darin, dass es ein Polymer darstellt, aufweisend Struktureinheiten, die aus der Polymerisation von olefinischen Species, Acrylnitril, 1,3-Butadien und Styrol, erhalten wurde.
  • So wie hier verwendet, bedeutet die Bezeichnung „aliphatischer Rest" einen Rest, der eine Wertigkeit von zumindest 1 hat, aufweisend einen linearen oder verzweigten Bereich von Atomen, der nicht cyclisch ist. Der Bereich kann Heteroatome, wie zum Beispiel Stickstoff, Schwefel und Sauerstoff enthalten oder kann ausschließlich aus Kohlenstoff und Wasserstoff zusammengesetzt sein. Beispiele von aliphatischen Resten beinhalten Methyl, Methylen, Ethyl, Ethylen, Hexyl, Hexamethylen und ähnliches.
  • So wie hier verwendet, bedeutet die Bezeichnung „aromatischer Rest" einen Rest, der eine Wertigkeit von zumindest eins hat, aufweisend zumindest eine aromatische Gruppe. Beispiele von aromatischen Resten beinhalten Phenyl, Pyridyl, Furanyl, Thienyl, Naphthyl, Phenylen und Biphenyl. Die Bezeichnung beinhaltet Gruppen, die sowohl aromatische als auch aliphatische Bestandteile enthalten, zum Beispiel eine Benzylgruppe.
  • So wie hier verwendet, bedeutet die Bezeichnung „cycloaliphatischer Rest" einen Rest mit einer Wertigkeit von zumindest eins, aufweisend einen Bereich von Atomen, der cyclisch, aber nicht aromatisch ist. Der Bereich kann Heteroatome wie zum Beispiel Stickstoff, Schwefel und Sauerstoff enthalten oder kann ausschließlich aus Kohlenstoff und Wasserstoff zusammengesetzt sein. Beispiel für cycloaliphatische Reste beinhalten Cyclopropyl, Cyclopentyl, Cyclohexyl, Tetrahydrofuranyl und ähnliches.
  • Die vorliegende Erfindung stellt ein Verfahren für die Entfernung von flüchtigen Bestandteilen, die in Polymerpulvern vorhanden sind, zur Verfügung. Es wurde gefunden, dass das erfindungsgemäße Verfahren insbesondere geeignet ist, wenn Polymerpulver eine wesentliche Menge an Wasser enthält, zum Beispiel zwischen etwa 1 Gew.-% und etwa 20 Gew.-% Wasser.
  • Gemäß dem erfindungsgemäßen Verfahren wird ein Polymerpulver, das Wasser und wahlweise ein oder mehrere andere flüchtige Bestandteile enthält, wie zum Beispiel ein oder mehrere Lösungsmittel, in einen Extruder eingebracht, aufweisend einen Pulverförderabschnitt, einen Pulverabdichtabschnitt, der sich stromab des genannten Pulverförderabschnittes befindet, einen Knet- und Schmelzabschnitt, der sich stromab des genannten Pulverabdichtabschnitts befindet und eine Vakuumentlüftung, die sich stromab des genannten Knet- und Schmelzabschnittes befindet. Das Polymerpulver kann ein einzelnes Polymer, zum Beispiel Bisphenol A-Polycarbonat aufweisen, oder das Polymerpulver kann eine Mischung aus Polymeren, zum Beispiel einen Blend aus Bisphenol A-Polycarbonat mit einem Olefinpolymeren, wie zum Beispiel ABS, aufweisen. Polymerpulver, die unter Verwendung des erfindungsgemäßen Verfahrens „entgast" werden können, beinhalten Polycarbonate, Polyphenylenether, Polyamide, Polyester, Polyimide, Polyetherimide, Polyethersulfone, Olefinpolymere, sowie Mischungen davon. Das erfindungsgemäße Verfahren ist insbesondere gut geeignet für die Entfernung von flüchtigen Bestandteilen aus Polycarbonaten. Typischerweise beinhaltet das Polymerpulver, welches der Extruderentgasung gemäß dem erfindungsgemäßen Verfahren unterzogen wird, zwischen etwa 1 und etwa 20 Gew.-% Wasser und zwischen etwa 0,001 und etwa 5 Gew-% organisches Lösungsmittel.
  • Polycarbonatpulver, die gemäß dem erfindungsgemäßen Verfahren behandelt werden können, um Polycarbonatzusammensetzungen zur Verfügung zu stellen, die reduzierte Gehalte von flüchtigen Bestandteilen, folgend auf die Extrusionsentgasung aufweisen, beinhalten Polycarbonate, aufweisend Wiederholungseinheiten mit Strtuktureinheiten I
    Figure 00110001
    wobei R1 unabhängig voneinander bei jedem Auftreten ein Halogenatom, Nitrogruppe, Cyanogruppe, C1-C20 Alkylgruppe, C4-C20 Cycloalkylgruppe oder C6-C20 Arylgruppe ist, n und m unabhängig voneinander ganze Zahlen von 0-4 sind und W eine Bindung, ein Sauerstoffatom, ein Schwefelataom, eine SO2-Gruppe, ein C1-C20 aliphatischer Rest, ein C6-C20 aromatischer Rest, ein C6-C20 cycloaliphatischer Rest oder die Gruppe
    Figure 00110002
    ist, wobei R2 und R3 unabhängig voneinander ein Wasserstoffatom, C1-C20 Alkylgruppe, C1-C20 Cycloalkylgruppe oder C4-C20 Arylgruppe sind, oder R2 und R3 zusammen einen C4-C20 cycloaliphatischen Ring bilden, der wahlweise durch eine oder mehrere C1-C20 Alkyl, C6-C20 Aryl, C5-C21 Aralkyl, C5-C20 Cycloalkylgruppen oder eine Kombination davon substituiert ist. Bisphenol A-Polycarbonat ist bevorzugt.
  • Polycarbonate, die Wiederholungseinheiten mit Struktur I aufweisen, werden typischerweise hergestellt durch die Grenzflächenpolymerisationsreaktion von einem oder mehreren Bisphenolen mit Phosgen in der Gegenwart eines Säureakzeptors, wie zum Beispiel Natriumhydroxid, und eines Phasentransferkatalysators, wie zum Beispiel einem guartären Ammoniumsalz. Bisphenole, die für die Verwendung bei der Herstellung von Polycarbonaten geeignet sind, die Wiederholungseinheiten mit Struktur I aufweisen, beinhalten Bisphenol A, 2,2-Bis(4-hydroxy-3-methylphenyl)propan, 2,2-Bis(3-chlor-4-hydroxyphenyl)propan, 2,2-Bis(3-brom-4-hydroxyphenyl)propan, 2,2-Bis(4-hydroxy-3-isopropylphenyl)propan, 1,1-Bis(4-hydroxyphenyl)cyclohexan, 1,1-Bis(4-hydroxy-3-methylphenyl)cyclohexan und 1,1-Bis(4-hydroxyphenyl)-3,3,5-trimethylcyclohexan. Bisphenol A ist typischerweise bevorzugt.
  • Der gemäß dem erfindungsgemäßen Verfahren verwendete Extruder kann jeder Extruder sein der dazu fähig ist, eine Pulverdichtung zu erzeugen, durch die Pulver in zumindest einen Schmelz- und Knetabschnitt gefördert werden kann und dann zu zumindest einer Vakuumentlüftung. Der Extruder gemäß dem erfindungsgemäßen Verfahren hat anfangs einen Förderabschnitt, der dazu fähig ist, schnell Polymerpulver in einen stromabwärts liegenden Pulverabdichtungsabschnitt zu liefern. Die Förderwirkung der Schraubenelemente zusammen mit der kontinuierlichen Lieferung von Polymerpulver auf der stromaufwärts liegenden Seite der Pulverdichtung zwingt das Pulver auf der Stromabseite der Pulverdichtung weiter stromab entlang des Extruderschraubenkanals in zumindest einen Knet- und Schmelzabschnitt und zu zumindest einer Vakuumentlüftung. Diese Bewegung des Polymerpulvers durch den Pulverabdichtabschnitt wird als „Befördern des Polymerpulvers durch den Polymerabdichtabschnitt" bezeichnet. Der Extruder gemäß dem erfindungsgemäßen Verfahren kann zum Beispiel ein corotierender, innenmischender Doppelschraubenextruder(co-rotating, intermeshing double screw extruder), ein gegenläufig rotierender, nicht ineinander greifender Doppelschraubenextruder (counter-rotating, non-intermeshing double screw extruder), ein hin- und hergehender Einschraubenextruder (single screw reciprocating extruder) oder ein nicht hin- und hergehender Einschraubenextruder (single screw non-reciprocating extruder) sein.
  • In einer erfindungsgemäßen Ausführungsform weist der Extruder einen nicht erwärmten Pulverzufuhrabschnitt und einen erwärmten Pulverförderabschnitt auf. Die Temperatur des erwärmten Pulverförderabschnitts wird so kontrolliert, dass das Polymerpulver in dem genannten Pulverförderabschnitt nicht zum Schmelzen gebracht wird. Der Pulverförderabschnitt weist Schraubenelemente auf, die dazu fähig sind, schnell Polymerpulver in einen stromab liegenden Pulverabdichtraum zu liefern. Förderabschnittschraubenelemente werden durch Schraubenelemente verkörpert, die eine relativ weite Steigung haben und die vorwärts gewunden sind. Der Pulverabdichtabschnitt ist typischerweise direkt stromab des Pulverförderabschnittes angebracht und weist Schraubenelemente auf, die den Stromabwärtsfortschritt des Pulvers ausreichend verzögern, um eine Pulverabdichtung zu erzeugen, die aber nicht die Bewegung des Polymerpulvers quer durch die genannte Pulverdichtung verhindern. Die Pulverdichtung weist dicht gepacktes Polymerpulver in einem vollständig gefüllten Anteil des Schraubenkanals auf. Typische Schraubenelemente des Pulverabdichtabschnitts beinhalten eng steigende Schraubenelemente und zylindrische Schraubenelemente, so wie jene, wie sie in Plastics Compounding D. Todd, Herausgeber, Hanser, S. 195, 1998 beschrieben sind. Stromabwärts des Pulverabdichtungsabschnitts befindet sich zumindest ein Knet- und Schmelzabschnitt, in dem das Polymerpulver, das Wasser aufweist, zu einer Polymerschmelze umgeformt wird. Typischerweise gewährleistet der Knet- und Schmelzabschnitt die Anwendung von extern zur Verfügung gestellter Wärme, sowie jene, die durch Scherung erzeugt wird. Die Schmelztemperatur ist somit typischerweise höher als die Solltemperatur des Gehäuses, in dem sich der Knet- und Schmelzabschnitt befindet. Typische Schraubenelemente, die in einer Knet- und Schmelzzone verwendet werden, beinhalten vorwärts und rückwärts gewundene Knetblöcke. Flüchtige Bestandteile, die in dem Polymerpulver vorhanden sind, werden aufgrund der Gegenwart der Pulverabdichtung daran gehindert, stromaufwärts entlang des Schraubenkanals aus dem Knet- und Schmelzabschnitt zu wandern, welche die Stromaufwärtsbewegung von Dampf oder anderen tüchtigen Bestandteilen blockiert.
  • Der Extruder weist typischerweise zwischen etwa 5 und etwa 10 Zylinder auf. In Fällen, wenn der Extruder einen einzelnen Zylinder aufweist, hat der Extruder typischerweise ein Längen-zu-Durchmesser-Verhältnis (L/D-Verhältnis) von zwischen etwa 20 und etwa 60. Längere Extruder, wie jene, die mehr Zylinder haben oder einfach ein größeres L/D-Verhältnis, wie in dem Fall von Einzylinderextrudern, sind häufig besser geeignet für das Einbringen von zusätzlichen Schmelzknetabschnitten und Vakuumentlüftungen. Längere Extruder können in manchen Ausführungsformen der vorliegenden Erfindung einen höheren Grad an Entfernung von flüchtigen Bestandteilen aus dem Polymerpulver, das der Extrusionsentgasung unterzogen wird, zur Verfügung stellen.
  • Der Extruder, der für das erfindungsgemäße Verfahren verwendet wird, weist typischerweise sowohl erwärmte als auch nicht erwärmte Abschnitte auf. Daher können der Pulverförderabschnitt und Pulverabdichtungsabschnitte ungeheizt sein, oder, falls geheizt, werden sie auf eine Temperatur erhitzt, bei der kein ausreichender Wärmetransfer vorhanden ist, um das vorhandene Polymerpulver zu schmelzen. Erwärmte Abschnitte beinhalten Knet- und Schmelzabschnitte, Schmelzförderabschnitte stromabwärts des Pulverabdichtabschnitts und vakuumbelüftete Abschnitte. Typischerweise haben die erwärmten Abschnitte „Soll"-Temperaturen in einem Temperaturbereich zwischen etwa 100°C und etwa 400°C, vorzugsweise zwischen etwa 150°C und etwa 350°C. Typischerweise ist die Schmelztemperatur des Polymermaterials in dem Extruder etwas höher als die Extrudersolltemperatur und ist in einem Bereich zwischen etwa 200°C und etwa 450°C, vorzugsweise zwischen etwa 300°C und etwa 370°C.
  • Der Extruder wird bei einer Zufuhrgeschwindigkeit und einer Schraubengeschwindigkeit betrieben, die ausreichend ist, um eine Pulverabdichtung zu erzeugen, und zusätzlich werden die Zufuhrgeschwindigkeit und die Schraubengeschwindigkeit so kontrolliert, dass die maximale Extruderleistungsausnutzung die möglich ist zur Verfügung gestellt wird, vorbehaltlich normaler Betriebseinschränkungen, wie zum Beispiel der maximalen Schmelztemperatur, der ein Polymermaterial ohne dass es einem Abbau unterliegt unterzogen werden kann. Extruderleistungsausnutzung ist abhängig sowohl von Extruderdrehmoment als auch Schraubengeschwindigkeit. In einer erfindungsgemäßen Ausführungsform liegt die Extruderleistungsausnutzung in einem Bereich zwischen etwa 50 und etwa 100%, vorzugsweise zwischen etwa 80 und etwa 95% der maximalen verfügbaren Leistung. Die Schraubengeschwindigkeit ist typischerweise in einem Bereich zwischen etwa 50 und etwa 100% der maximal erreichbaren Schraubengeschwindigkeit. Die maximal erreichbare Schraubengeschwindigkeit variiert von Maschine zu Maschine, liegt aber typischerweise in einem Bereich zwischen etwa 200 und etwa 1200 Umdrehungen pro Minute (Upm), und in einer erfindungsgemäßen Ausführungsform ist die Schraubengeschwindigkeit zwischen etwa 300 und etwa 600 Upm.
  • Der Extruder, der für das erfindungsgemäße Verfahren verwendet wird, weist zumindest eine Vakuumentlüftung auf, die sich stromabwärts von zumindest einem Knet- und Schmelzabschnitt befindet, der sich wiederum stromabwärts des Pulverabdichtabschnitts befindet. Die Vakuumentlüftung wird vorzugsweise bei einem Druck zwischen etwa 1333 Pa und 100 kPa (1 und etwa 750 torr) und bevorzugt in einem Bereich zwischen etwa 133,3 Pa und 66,7 kPa (1 und etwa 500 torr) betrieben. Das aufgebrachte Vakuum stellt eine Antriebskraft für den Stromabwärtsfluss von in den stromaufwärts liegenden Knet- und Schmelzabschnitten erzeugtem Dampf zur Verfügung.
  • In erfindungsgemäßen Ausführungsformen, bei denen der Extruder eine Mehrzahl von Vakuumentlüftungen aufweist, ist es allgemein bevorzugt, dass der Extruder in einer Art und Weise betrieben wird, so dass ein wesentlicher Anteil der flüchtigen Bestandteile, die in dem Ausgangspolymerpulver vorhanden sind, durch die erste Vakuumentlüftung entfernt wird, auf die sie folgend auf das Kneten und Schmelzen des Polymerpulvers in einem ersten Knet- und Schmelzabschnitt treffen. Die an der genannten ersten Vakuumentlüftung entfernte Menge an den flüchtigen Bestandteilen kann durch Kontrolle der Zufuhrgeschwindigkeit des Polymerpulvers, das Schraubendesign, Extruderbetriebsparameter, wie zum Beispiel Schraubengeschwindigkeit und Temperatur, sowie dem Druck, bei dem die erste Vakuumentlüftung betrieben wird, kontrolliert werden. Die Entfernung von „einem wesentlichen Anteil der flüchtigen Bestandteile" an der ersten Vakuumentlüftung bedeutet, dass zumindest etwa 50%, vorzugsweise zumindest etwa 80%, der flüchtigen Bestandteile des Ausgangspolymerpulvers über die erste Vakuumentlüftung stromabwärts des ersten Knet- und Schmelzabschnitts entfernt werden. In einer erfindungsgemäßen Ausführungsform weist die „erste Vakuumentlüftung" zwei oder mehr Vakuumentlüftungen auf, die im Tandem betrieben werden, zum Beispiel wie in den Beispielen 1 bis 4, wobei die Vakuumentlüftungen an den Zylindern 5 und 6 im Tandem betrieben werden.
  • Typischerweise ist der Extruder gemäß dem erfindungsgemäßen Verfahren mit einer Vielzahl von Knet- und Schmelzabschnitten und Vakuumentlüftungen ausgerüstet. Typischerweise folgt auf die Pulverabdichtung ein stromabwärts liegender Knet- und Schmelzabschnitt, wobei auf den genannten stromabwärts liegenden Knet- und Schmelzabschnitt zumindest eine Vakuumentlüftung folgt, wobei auf die genannte Vakuumentlüftung ein oder mehrere zusätzliche Knet- und Schmelzabschnitten und eine oder mehreren zusätzlichen Vakuumentlüftungen folgen, die sich stromabwärts entlang des Extruders befinden. Der Extruder kann mit einem oder mehreren Schmelzabdichtabschnitten stromabwärts der ersten Vakuumentlüftung ausgerüstet sein. Die zusätzlichen Vakuumentlüftungen dienen dazu, flüchtige Bestandteile zu entfernen, die nicht durch die erste Vakuumentlüftung entfernt wurden. Typischerweise werden die zusätzlichen Vakuumentlüftungen bei einem Druck betrieben, der niedriger ist als der Druck, bei dem die erste Vakuumentlüftung betrieben wird. Der Druck, bei dem die genannten zusätzlichen Vakuumbelüftungen betrieben werden, ist typischerweise in einem Bereich zwischen etwa 133,3 Pa und 66,7 kPa (1 und etwa 500 Torr), vorzugsweise zwischen etwa 133,3 Pa und 33,3 kPa (1 und etwa 250 Torr). In einer erfindungsgemäßen Ausführungsform weist der Extruder zumindest eine zusätzliche Vakuumentlüftung zusätzlich zu der ersten Vakuumentlüftung auf wobei sich die genannte zusätzliche Vakuumentlüftung stromabwärts der genannten ersten Vakuumentlüftung befindet, die genannte zusätzliche Vakuumentlüftung bei einem Druck zwischen etwa 133,3 Pa und 66,7 kPa (1 und etwa 500 Torr), vorzugsweise zwischen etwa 133,3 Pa und 33,3 kPa (1 und etwa 250 Torr) betrieben wird. Das in dem Extruder vorhandene geschmolzene Polymer zwischen der ersten und zweiten Vakuumentlüftung wird als die teilweise entgaste Polymerschmelze bezeichnet.
  • In einer erfindungsgemäßen Ausführungsform wird das geschmolzene Polymer, wenn einmal ein wesentlicher Anteil der flüchtigen Bestandteile an der ersten Vakuumentlüftung entfernt wurde, zusätzlicher Knetung und Mischung in zumindest einem zusätzlichen Schmelz- und Knetabschnitt unterzogen, stromabwärts der genannten ersten Vakuumentlüftung. Der zusätzliche Schmelzknetabschnitt kann vorwärts gewundene Schraubenelemente (forward flighted screw elements), Schraubenelementen mit umgekehrtem Gewindegang (reverse flighted screw elements), neutrale Schraubenelemente (neutral screw elements), Sperrringe (dam rings), Verteilungsmischelemente, wie z.B. TMEs (Turbinenmischelemente) und ZMEs ("Zahnmisch"elemente) oder Kombinationen daraus aufweisen. TMEs und ZMEs sind erhältlich von Werner & Pfleiderer Corporation. Die Verwendung von zweiten Knetabschnitten aus Schraubenelementen mit umgekehrtem Gewindegang, neutralen Schraubenelementen, Sperrringen oder Kombinationen davon resultiert typischerweise in der Bildung einer Schmelzdichtung. Der Extruder kann für mehrstufige Abziehhilfsmitteleinspritzung (multistage stripping agent injection) und Entlüftung an Orten stromabwärts der genannten Schmelzdichtung ausgerüstet sein, um die Entfernung von hartnäckigen flüchtigen Bestandteilen, die vorhanden sein können, zu vereinfachen. Hartnäckige flüchtige Bestandteile werden beispielhaft veranschaulicht durch Restmonomere, wie zum Beispiel Bisphenol A, und hochsiedende Nebenprodukte, die während der Herstellung des Polymermaterials gebildet wurden, zum Beispiel Diphenylcarbonat, das als ein Nebenprodukt während der Grenzflächenherstellung von Bisphenol A-Polycarbonat unter Verwendung von Phenol als Endverkappungsmittel gebildet wurde.
  • Additive, wie zum Beispiel Flammschutzmittel, Wärmestabilisatoren, Lichtstabilisatoren, Pigmente, Farbstoffe, Füller, Weichmacher, Schlagzähmodifizierer u.ä. können während des Extrusionsentgasungsprozesses zugegeben werden. Diese werden vorzugsweise stromabwärts der ersten Vakuumentlüftung in die Polymerschmelze eingebracht, um den Verlust der genannten Additive durch die genannte erste Vakuumentlüftung zu minimieren. Zusätzlich können andere Polymerharze, wie zum Beispiel das Olefinpolymer ABS, der Polyester PBT u.ä. in den Extruder eingebracht werden, um Polymerblends zu erhalten.
  • Das erfindungsgemäße Verfahren ist besonders geeignet für die Entfernung von flüchtigen Bestandteilen, die in feuchtem Polycarbonatpulver vorhanden sind, das folgend auf die Grenzflächenpolymerisation von Bisphenol A und Phosgen isoliert wird, kann jedoch auch für die Entfernung von flüchtigen Bestandteilen, die in anderen Polymerpulvern vorhanden sind, verwendet werden. Zum Beispiel bezieht sich das erfindungsgemäße Verfahren auf die Entfernung von flüchtigen Bestandteilen aus Polymerpulvern, die eine wesentliche Menge an flüchtigen Substanzen enthalten, zum Beispiel Polyphenylenetherpulver, die aus einem Lösungsmittel wie zum Beispiel Toluol oder einem Nichtlösungsmittel wie zum Beispiel Methanol isoliert werden, und von etwa 1 bis etwa 20 Gew.-% restliches Lösungsmittel oder Nichtlösungsmittel enthalten.
  • Wie erwähnt kann in einer Ausführungsform die vorliegende Erfindung so angepasst werden, dass andere Arbeitsabläufe, die das Polymerpulver betreffen, wie zum Beispiel Vermischen mit anderen Polymeren, Funktionalisieren durch chemische Reaktion und kontrollierte Molekulargewichtseinstellung, enthalten sein können. Im Falle der kontrollierten Molekulargewichtsteinstellung wäre es wünschenswert, eine Vielzahl von niedriger molekulargewichtigen Polycarbonaten aus einem einzelnen Polycarbonat mit hohem Molekulargewicht herzustellen. Polycarbonat wurde kontrollierter Molekulargewichtsreduktion durch Extrusion von trockenem Polycarbonatpulver in der Gegenwart eines Hydrolysekatalysators wie zum Beispiel Tetrabutylphosphoniumhydroxid unterzogen. Ein geringe Menge an Wasser wird in den Extruder eingebracht, um geeignete Geschwindigkeiten von Hydrolyse zu erreichen und dabei niedrig molekulargewichtiges Polycarbonat zu erhalten. Das Verfahren muss sorgfältig kontrolliert werden, so dass das Polycarbonat sowohl das gewünschte Molekulargewicht als auch eine enge Molekulargewichtsverteilung erhält.
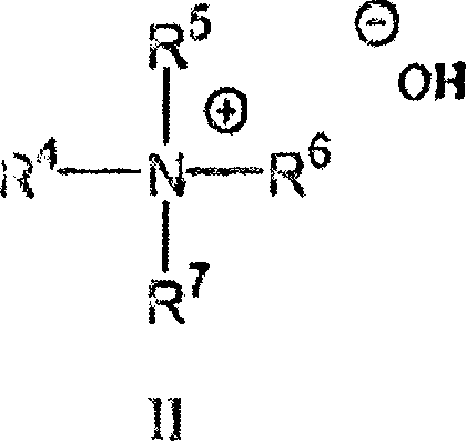
  • Extrusionsentgasung von Feuchtem Polycarbonat gemäß dem erfindungsgemäßen Verfahren in der Gegenwart von zumindest einem Hydrolysekatalysator, wie zum Beispiel Tetrabutylammoniumhydroxid, Tetrabutylphosphoniumhydroxid oder einer Mischung davon, resultiert in einer kontrollierten Einstellung des Polycarbonatmolekulargewichts nach unten. Der Grad, bis zu dem das Polycarbonatmolekulargewicht abgebaut wird, ist eine Funktion der Menge des eingesetzten Katalysators. Obwohl jede chemische Verbindung oder Mischung von Verbindungen, die die Geschwindigkeit der Hydrolyse von Carbonateinheiten erhöht, eingesetzt werden kann, sind quaternäre Ammoniumsalze, quaternäre Phosphoniumsalze und Mischungen daraus besonders wirksame Katalysatoren für die kontrollierte Molekulargewichtseinstellung von Polycarbonat während der Extruderentgasung gemäß dem erfindungsgemäßen Verfahren. Geeignete Hydrolysekatalysatoren beinhalten quaternäre Ammoniumhydroxide mit Struktur II
    Figure 00180001
    wobei jedes R4-R7 unabhängig voneinander ein C1-C20 Alkylrest, C4-C20 Cycloalkylrest oder ein C4-C20 Arylrest ist. Geeignete quaternäre Ammoniumhydroxide beinhalten Tetramethylammoniumhydroxid, Tetrabutylammoniumhydroxid, Phenyltrimethylammoniumhydroxid u.ä.
  • Geeignete Hydrolysekatalysatoren beinhalten auch quaternäre Phosphoniumhydroxide mit Struktur III
    Figure 00180002
    wobei R4-R7 wie in Struktur II definiert sind. Geeignete quaternäre Phosphoniumkatalysatoren beinhalten Tetramethylphosphoniumhydroxid, Tetrabutylphosphoniumhydroxid, Decyltrimethylphosphoniumhydroxid, Phenyltrimethylphosphoniumhydroxid u.ä.
  • Typischerweise liegt die Menge an Hydrolysekatalysator, der bei der kontrollierten Molekulargewichtseinstellung von Polycarbonat verwendet wird, in einem Bereich zwischen etwa 10 und etwa 300, vorzugsweise zwischen etwa 25 und etwa 50 je Million, basierend auf dem Gewicht des feuchten Polycarbonats, das in den Extruder eingebracht wird. Der Katalysator kann mit dem feuchtem Polycarbonatpulver vorvermischt werden oder unabhängig von dem Polycarbonat über den Zufuhrhals oder an einem anderen Punkt entlang des Extruders zugegeben werden.
  • Obwohl dieser Gesichtspunkt des erfindungsgemäßen Verfahrens verwendet werden kann, um die kontrollierte Hydrolyse zu bewirken und damit die kontrollierte Molekulargewichtsreduktion von jedem Polycarbonat, zum Beispiel Polycarbonate, aufweisend Struktureinheiten I, ist das Verfahren besonders gut geeignet zur Kontrolle der Molekulargewichtsreduktion von Bisphenol A-Polycarbonat. Bei Polycarbonaten, die kontrollierter Molekulargewichtsreduktion gemäß dem erfindungsgemäßen Verfahren unterzogen wurden, wird gefunden, dass sie weniger als etwa 0,5 Gew.-% Wasser aufweisen. Polycarbonate, die Methylenchlorid aufweisen, bevor sie kontrollierter Molekulargewichtsrediktion während des Extruderentgasungsverfahrens unterzogen wurden, ergeben geringer molekulargewichtige Polycarbonate bei Extruderentgasung in der Gegenwart eines Hydrolysekatalysators gemäß dem erfindungsgemäßen Verfahren und enthalten weniger als etwa 1 Teil je Million Methylenchlorid.
  • In einem anderen erfindungsgemäßen Gesichtspunkt wird ein Polymerpulver, aufweisend Wasser und wahlweise eine oder mehrere flüchtige organische Verbindungen, in einen Extruder zusammen mit zumindest einem zusätzlichen Polymer eingebracht, wobei der genannte Extruder gemäß dem erfindungsgemäßen Verfahren ausgerüstet ist. Zum Beispiel kann ein feuchtes Polycarbonatpulver aus Struktureinheiten I, etwa 10 Gew.-% Wasser und etwa 100 Teile je Million Methylenchlorid zusammen mit einem zusätzlichen Polymer in einen Extruder eingebracht werden, der gemäß dem erfindungsgemäßen Verfahren ausgerüstet ist, und Extruderentgasung unterzogen werden. Die aus dem Extruder gewonnene polymere Zusammensetzung enthält weniger als etwa 0,5 Gew.-% Wasser. Die gewonnene Polymerzusammensetzung kann ein mischbarer Polymerblend, ein teilweise mischbarer Polymerblend oder eine hochphasenseparierte Polymermischung sein.
  • Das zusätzliche Polymer, das während des Extruderentgasungsverfahrens eingebracht wird, kann selbst Wasser und ein oder mehrere flüchtige organische Verbindungen aufweisen oder kann im Wesentlichen frei von Wasser sein und lediglich sehr geringe Gehalte an flüchtigen Organika enthalten. Das zusätzliche Polymer kann eines oder mehr aus Polycarbonaten, Polyphenylenethern, Polyamiden, Polyestern, Polyimiden, Polyetherimiden, Polyethersulfonen, Olefinpolymeren oder Mischungen daraus sein. In einer erfindungsgemäßen Ausführungsform ist das zusätzliche Polymer ein Polycarbonat, aufweisend Struktureinheiten I. In einer alternativen Ausführungsform der vorliegenden Erfindung ist das zusätzliche Polymer ein Olefinpolymer, zum Beispiel Acrylnitril-Butadien-Styrol-Kautschuk (ABS).
  • 1 veranschaulicht einen 10-Zylinder-Extruder, ausgerüstet gemäß dem erfindungsgemäßen Verfahren. Der Abwärtspfeil zeigt den Punkt des Einbringens des Polymerpulvers. Aufwärtspfeile zeigen die Position von Vakuumventilen und wahlweise Ventilen in die Atmosphäre. In 1 ist die Entlüftung am Zylinder 3 eine Entlüftung in die Atmosphäre, wohingegen jene an Zylinder 5, 6 und 9 Vakuumentlüftungen sind. Schraubenelemente, aufweisend den Pulverförderabschnitt, Pulverabdichtabschnitt, Knet- und Schmelzabschnitte, Schmelzförderabschnitt, Schmelzknetabschnitt und Schmelzdichtabschnitt, werden unter Verwendung der herkömmlichen Kurzschriftschreibweise für Extruderschraubenelemente gekennzeichnet. 1 wird in größerem Detail im Beispielabschnitt unten diskutiert.
  • Beispiele
  • Die folgenden Beispiele werden aufgeführt, um den Durchschnittsfachmann mit einer eingehenden Beschreibung auszurüsten, wie die hier beanspruchten Verfahren bewerte werden und sind nicht dazu gedacht, den Umfang dessen, was die Erfinder als ihre Erfindung betrachten, einzuschränken. Wenn nicht anders angegeben, sind Teile in Gewicht und Temperatur in °C. Schraubenelemente werden bezeichnet unter Verwendung der herkömmlichen (Werner und Pfleiderer) Kurzschriftschreibweise. In den Beispielen und Vergleichsbeispielen die folgen, betrifft, sofern nicht anders angegeben, die Bezeichnung Polycarbonat Bisphenol A-Polycarbonat. Zufuhrgeschwindigkeiten geben das Gewicht des aktuell in den Extruder eingebrachten Materials wieder. Für feuchtes Polycarbonatpulver bedeutet dies das Gewicht je Stunde eingebrachtes Polycarbonat und Wasser. Zufuhrgeschwindigkeiten und „Durchsatzgeschwindigkeiten" können austauschbar bei der Beschreibung der erfindungsgemäßen Verfahren verwendet werden, da nur ein geringer oder kein Verlust an Polymerpulver besteht, das in den Extruder eingebracht wird.
  • Beispiele 1 bis 4 und Vergleichsbeispiele 1 bis 3
  • In Beispielen 1 bis 4 und Vergleichsbeispielen 1 bis 3 wird ein Werner & Pfleiderer 58 mm corotierender, ineinandergreifender 10-Zylinder-Zwillingsschraubenextruder (ZSK-58 Mega Compounder), der 3 Vakuumentlüftungen und eine Entlüftung in die Atmosphäre besitzt, eingesetzt. Ein Extruder, der dazu fähig ist, mit hohem spezifischem Drehmoment und hoher Leistung zu arbeiten, wie der ZSK-58 Mega Compounder, kann vorteilhaft bei der Erzeugung einer Pulverdichtung verwendet werden. Der Extruder wird mit 10 Zylindern (barrels) und Abstandsstücken (spacers) ausgerüstet, um 11 zylindrische Wellen (barrel shafts) aufzunehmen. Zylinder 1 ist ein 6-Durchmesser-Zufuhrzylinder (6 diameter feed barrel), in den feuchtes Polycarbonatpulver eingebracht wird. Stabilisator und wahlweise Farbkonzentrate werden in Zylinder 7 über eine ZSB-40-Seitenzufuhr (side feeder) eingebracht. Zylinder 3 (der sich zwischen Durchmesser 13 bis 16 befindet) wird mit Atmosphärendruck über eine Entlüftungspresse (vent stuffer) belüftet. Zylinder 5 und 6 (die sich zwischen Durchmessern 21-28 befinden) und Zylinder 9 (der sich zwischen Durchmessern 37-40 befindet) sind mit Vakuumentlüftungen ausgerüstet. Dampf aus den stromabwärts liegenden Entlüftungen wird unter Verwendung eines Wärmeaustauschers kondensiert.
  • Polycarbonatharzpulver, aufweisend zwischen etwa 8 und etwa 12 Gew.-% Wasser, werden als Rohmaterialien verwendet. Der Extruder wird in 9 Heizzonen mit dem folgenden Solltemperaturprofil unterteilt: 220°C (Zone 1, Zylinder 2), 265°C (Zone 2, Zylinder 3), 275°C (Zone 3, Zylinder 4), 290°C (Zone 4, Zylinder 5), 295°C (Zone 5, Zylinder 6), 295°C (Zone 6, Zylinder 7), 300°C (Zone 7, Zylinder 8), 300°C (Zone 8, Zylinder 9), 305°C (Zone 9, Zylinder 10), 305°C (Düse). Die Polymerschmelztemperatur ist in einem Bereich zwischen etwa 300°C und etwa 400°C. Die Extruderschrauben sind wie in 1 gezeigt ausgebildet. Die Extruderschraubenausführung weist einen Förderabschnitt, bestehend aus anfänglich sechs 110/55 SK unterschnittenen Schraubenelementen (undercut screw elements) in Zylinder 1 auf um die Zufuhr des Polycarbonatpulvers zu vereinfachen. Der Förderabschnitt beinhaltet zusätzliche Schraubenelemente, die von den anfänglichen sechs Elementen auf reguläre, nicht unterschneidende 80/80-Elemente (regular non-undercut) „übergehen". Der Pulverabdichtungsabschnitt besteht aus vier 80/80-Elementen und drei 60/60 eng steigenden (narrow pitch) Elementen, die sich zwischen Zylindern 3 und 4 befinden. Auf die Pulverabdichtzone folgt ein Knet- und Schmelzabschnitt in Zylinder 4, bestehend aus zwei 45/5/30-Knetblöcken, einem 45/5/30-LH umgekehrt steigenden (reverse pitched) Knetblock, einem 45/5/30-Knetblock und einem 45/5/30-LH umgekehrt steigenden Knetblock. Ein signifikanter Anteil des feuchten Pulvers wird in diesem Knet- und Schmelzabschnitt geknetet und geschmolzen. Der freigesetzte Dampf, wenn das Polycarbonat oberhalb seiner Glasübergangstemperatur geschert und erhitzt wird, wird durch die Vakuumentlüftungen, die sich an den Zylindern 5 und 6 befinden, entlüftet.
  • Die Vakuumentlüftungen an Zylindern 5 und 6 werden typischerweise im Tandem bei einem Druck zwischen etwa 350 und etwa 500 Torr betrieben. Das meiste in dem Polymer anfänglich vorhandene Wasser wird durch die an Zylindern 5 und 6 befindlichen Vakuumentlüftungen entfernt. Hinter den Vakuumentlüftungen an Zylindern 5 und 6 passiert die Polymerschmelze eine Schmelzdichtung, gebildet von 40/5/60 und 90/5/30 neutralen Knetelementen, die sich zwischen Durchmessern 27 und 28 befinden (die Abstandshalter zwischen Zylindern 6 und 7). Wahlweise können Stabilisator und Farbkonzentrate über eine ZSB-40-Seitenzufuhr in Zylinder 7 eingebracht werden (der sich zwischen Durchmessern 29 und 32 befindet). Zwei Turbinenmischelemente (TMEs) und das neutrale 90/5/30-Knetelement vereinfachen Vermischen und Bilden einer Schmelzdichtung. Eine zusätzliche Vakuumentlüftung befindet sich an Zylinder 9 und wird bei einem Druck unterhalb etwa 200 Torr betrieben. Das in 1 gezeigte Schraubedesign wird in den Beispielen 1 bis 4 verwendet.
  • In Beispielen 1 bis 4 und Vergleichsbeispielen 1 bis 3 wird der Extruder bei zwischen etwa 600 und etwa 1.000 Upm betrieben und bei zwischen etwa 40 und etwa 90% des maximalen Drehmoments. Die Daten in Tabelle 1 zeigen, dass das Pulverdichtungsschraubendesign des erfindungsgemäßen Verfahrens wirksam den Rückfluss von Dampf, der aus dem feuchten Polycarbonatpulver während des Knetens und Schmelzen freigesetzt wird, verhindert und einen schnellen Durchsatz von Polymer mit Durchsatzraten zwischen etwa 499 kg und 788 kg (1.100 und etwa 1.650 Pfund) Polymerpulver je Stunde zur Verfügung stellt. Es wird im Wesentlichen kein Dampf beobachtet, der entweder aus dem Extruderzufuhrhals oder der stromabwärts liegendenatmosphärischen Entlüftung, die sich an Zylinder 3 befindet, austritt. Die Extrusionsverarbeitung ist stabil.
  • In Tabelle 1 zeigt die Spalte „Feuchtigkeitsgehalt" die Menge an Wasser, die in dem Ausgangspolycarbonatpulver vorhanden ist, und wird ausgedrückt in Gewichtsprozent. „Schraubengeschwindigkeit" wird ausgedrückt in Umdrehungen pro Minute (Upm). Die Spaltenüberschrift „P Vakuumentlüftung 5&6" zeigt den Druck, ausgedrückt in Torr, bei dem die Vakuumentlüftungen, die sich an den Zylindern 5 und 6 befinden, betrieben werden. Die Spaltenüberschrift „P Vakuumentlüftung 9" zeigt den Druck, ausgedrückt in Torr, bei dem die Vakuumentlüftung, die sich an Zylinder 9 befindet, betrieben wird. „Drehmoment%" zeigt den Prozentanteil des maximal verfügbaren Drehmoments. „Zufuhrgeschwindigkeit" ist ausgedrückt in Pfund feuchtem Polycarbonat je Stunde und in Beispielen 1 bis 4 synonym mit „Durchsatzrate". „CE-1" zeigt Vergleichsbeispiel 1. Andere Vergleichsbeispiele sind analog gekennzeichnet.
  • Tabelle 1
    Figure 00230001
  • In Vergleichsbeispielen 1 und 2 (CE-1, 2) wird ein Extruder eingesetzt, der identisch ist mit dem in den Beispielen 1 bis 4 verwendeten, mit dem Unterschied, dass die Pulverabdichtzone entfernt wurde und alle Schraubenelemente in dem Abschnitt durch 110/55 SK-Elemente ersetzt wurden. Signifikante Mengen an Dampf und Polycarbonatpulver werden beobachtet, die aus dem stromaufwärts liegenden Stopfventil (das sich an Zylinder 3 befindet) und Zufuhrtrichter austreten, da die 110/55 SK- unterschneidenden Elemente mit einer hohen Steigung breite und tiefe Schraubenkanäle haben, die dem Dampf erlauben, stromaufwärts zu wandern. Es wird beobachtet, dass der aus dem Stopfventil und dem Zufuhrtrichter entweichende Dampf Polycarbonatpulver aus dem Stopfventil und Zufuhrtrichter heraus zwingt. Es wird gefunden, dass über 10% der gesamten Polycarbonatpulverzufuhr in den Extruder in Vergleichsbeispiel 2 (CE-2) aus dem Stopfventil und dem Zufuhrtrichter gezwungen wurde.
  • In Vergleichsbeispiel 3 (CE-3) ist die Extruderschraubenkonfiguration identisch zu der in Beispiel 2 verwendeten. Die Betriebsbedingungen sind ebenfalls identisch zu den Betriebsbedingungen, wie sie in Beispiel 2 verwendet werden, mit der Ausnahme, dass die Zufuhrgeschwindigkeit 317 kg (700 Pfund) je Stunde feuchtes Polycarbonatpulver anstelle von 658 kg (1.450 Pfund) je Stunde ist. Es wird beobachtet, dass Dampf aus dem stromaufwärts liegenden Ventil an Zylinder 3 und dem Zufuhrtrichter austritt. Dies ist die Folge aus der Tatsache, dass unter den eingesetzten Betriebsbedingungen die Pulverabdichtzone nicht vollständig durch das Polycarbonatpulver gefüllt ist und demzufolge keine Pulverdichtung erzeugt wurde. In Abwesenheit der Pulverdichtung wird der erzeugte Dampf, wenn das Polycarbonat Temperaturen oberhalb des Siedepunktes von Wasser unterzogen wird, stromaufwärts entlang dem Extruderschraubenkanal wandern lassen und tritt an dem Ventil an Zylinder 3 und dem Zufuhrtrichter aus.
  • Beispiel 5
  • Feuchtes Bisphenol A-Polycarbonatpulver mit einem gewichtsmittleren Molekulargewicht von etwa 55.000 Dalton (bestimmt durch Gelpermeationschromatografie gegenüber Polystyrolstandards), enthaltend 7 Gew.-% Wasser und 100 Teile je Million Methylenchlorid, und trockenes Bisphenol A-Polycarbonatpulver, enthaltend etwa 0,3 Gew.-% Wasser und mit einem gewichtsmittleren Molekulargewicht von etwa 38.500 Dalton (bestimmt durch Gelpermeationschromatografie gegenüber Polystyrolstandards) werden in einen 58 mm corotierenden, ineinandergreifenden, 10-zylindrigen Zwillingsschraubenextruder, ausgerüstet und betrieben, sofern nicht anders angegeben, wie in Beispiel 2, mit einem Gewichtsverhältnis von 65:35 von feuchten zu trockenen Harzen mit einer Gesamtdurchsatzgeschwindigkeit von 680 kg (1.500 Pfund) je Stunde zugeführt. Die Schraubengeschwindigkeit ist 800 Upm und das Drehmoment ist 85% des maximal möglichen Drehmoments. Ein Stabilisatorkonzentrat wird bei Zylinder 7 durch einen Seitenstopfer zugegeben. Der Betrieb ist sehr stabil, und kein Dampf wird an dem Ventil an Zylinder 3 oder an dem Zufuhrtrichter beobachtet, und es gibt keine Zufuhrprobleme.
  • Beispiele 6 bis 11 und Vergleichsbeispiele 4 bis 9
  • In Beispielen 6 bis 11 und Vergleichsbeispielen 4 bis 9 wird ein 58 mm corotierender ineinandergreifender 10-zylindriger Zwillingsschraubenextruder, ausgerüstet und betrieben, außer wenn anders angegeben, wie in Beispiel 2 eingesetzt. Der Extruder wird bei etwa 500 Upm und bei etwa 85% des maximalen Drehmoments betrieben. Die Durchsatzgeschwindigkeiten sind zwischen etwa 454 und 544 kg (1.000 und etwa 1.200 Pfund) Polymer je Stunde.
  • In Beispielen 6 bis 11 wird feuchtes Bisphenol A-Polycarbonatpulver, hergestellt durch Grenzflächenpolymerisation, Extrusionsentgasung unterzogen, wobei das genannte Polycarbonat etwa 7 Gew.-% Wasser und zwischen etwa 1 und etwa 100 Teile je Million Methylenchlorid aufweist. Ein Hydrolysekatalysator, Tetrabutylphosphoniumhydroxid, wird in deionisiertem Wasser auf eine 1%ige Lösung verdünnt und wird in den Extruder unter Verwendung einer Einspritzdüse, die sich in der Abstandshalterplatte zwischen Zylinder 1 und Zylinder 2 befindet, in einer Menge eingespritzt, die zu zwischen etwa 25 und etwa 50 Teilen je Million, bezogen auf das Gewicht des eingesetzten feuchten Polycarbonats, korrespondiert. In Vergleichsbeispielen 4 bis 9 wird trockenes Polycarbonatpulver, aufweisend weniger als etwa 0,5 Gew.-% Wasser und zwischen etwa 1 und etwa 100 Teile je Million Methylenchlorid, den Bedingungen der Extrusionsentgasung unterzogen. Ein Hydrolysekatalysator, Tetrabutylphosphoniumhydroxid, wird in deionisiertem Wasser auf eine 1%ige Lösung verdünnt und wird in den Extruder unter Verwendung einer Einspritzdüse eingespritzt, die sich in der Abstandshalterplatte zwischen Zylinder 1 und Zylinder 2 befindet, in einer Menge, die zu zwischen etwa 25 und etwa 200 Teilen je Million Tetrabutylphosphoniumhydroxid, bezogen auf das Gewicht des eingesetzten Polycarbonats, korrespondiert.
  • Daten für Beispiele 6 bis 11 und Vergleichsbeispiele 4 bis 9 werden in Tabelle 2 gesammelt, wobei „Katalysatorgehalt" die Menge an Tetrabutylphosphoniumhydroxid anzeigt, das während der Extrusion vorhanden ist. Werte von Katalysatorgehalten sind in Teilen je Million (ppm) ausgedrückt. Das gewichtsmittlere Molekulargewicht MW, bestimmt durch Gelpermeationschromatografie unter Verwendung von Polystyrolmolekulargewichtsstandards und Chloroform als Eluent, ist für das Polycarbonat folgend auf die Extrusion angegeben. Werte, die für MW angegeben sind, sind in Gramm je Mol. „% Feuchtigkeit" bedeutet die Menge an Wasser, die in dem Polycarbonat folgend auf die Extrusion vorhanden ist. Werte von „% Feuchtigkeit" werden in Gewichtsprozent Wasser ausgedrückt und werden bestimmt durch thermisch-gravimetrische Analyse. Die Spaltenbezeichnungen „CH2Cl2" und „[OH]" zeigen die Mengen an restlichem Methylenchlorid bzw. Hydroxylgruppenkonzentrationen, die im Polycarbonat folgend auf die Extrusion vorhanden sind. Die für „CH2Cl2" und „[OH]" gegebenen Werte werden in Teilen je Million ausgedrückt und werden bestimmt durch Gaschromatografie bzw quantitative Infrarotspektroskopie.
  • Tabelle 2
    Figure 00270001
  • Die Daten in Tabelle 2 machen deutlich, dass das Molekulargewicht des Polycarbonats eingestellt werden kann, während es der Extrusionsentgasung unterzogen wird, sowie die größere Wirksamkeit der Katalysatorverwendung, wenn die Molekulargewichtseinstellung während der Extruderentgasung des feuchten Polycarbonatpulvers ausgeführt wird, im Vergleich zur Molekulargewichtsteinstellung unter Verwendung von trockenem Polycarbonatpulver. Dieser Effekt wird weiter veranschaulicht in 2, wo der Zusammenhang zwischen Katalysatorbeladung und dem Molekulargewicht des Polycarbonats, das nach Extrusion des feuchten Polycarbonats, das in den Beispielen 6 bis 11 verwendet wird (gekennzeichnet mit „7% feuchtes Pulver") erhalten wird und dem trockenen Polycarbonat, verwendet in Vergleichsbeispielen 4 bis 9 (gekennzeichnet mit „trockenes Pulver"), gezeigt wird.
  • Die Daten in Tabelle 2 machen weiterhin deutlich, dass Hydroxylendgruppenkonzentrationen in den Polycarbonatzusammensetzungen, folgend auf die Extrusion, im Wesentlichen die gleiche ist für Polycarbonatzusammensetzungen, die ähnliche Molekulargewichte besitzen, was darauf hinweist, dass die Molekulargewichtsreduktion sowohl in Beispielen 6 bis 11 als auch in Vergleichsbeispielen 4 bis 9 durch den gleichen Mechanismus auftritt. Dieser Effekt wird veranschaulicht in 34, in der die Konzentration der OH-Endgruppen, die in den extrudierten Polycarbonatproben vorhanden sind, die in den Beispielen 6 bis 11 und Vergleichsbeispielen 4 bis 9 erhalten werden, gegen das gewichtsmittlere Molekulargewicht der genannten Polycarbonatproben aufgetragen ist.
  • Die Daten in Tabelle 2 machen auch die Wirksamkeit des erfindungsgemäßen Verfahrens bei der Reduzierung des Gehalts an restlichem Lösungsmittel, das im Polycarbonat vorhanden ist, deutlich. Es wird gezeigt, dass Beispiele 6 bis 11 frei von nachweisbaren Gehalten an restlichem Methylenchlorid sind. Das Symbol „nd" zeigt, dass Methylenchlorid, falls in der Polycarbonatzusammensetzung folgend auf die Extrusionsentgasung vorhanden, in einer Konzentration von unterhalb 0,05 ppm, der Nachweisgrenze für Methylenchlorid im Polycarbonat durch das eingesetzte Gaschromatografieverfahren, vorhanden ist. Die für Vergleichsbeispiele 4 bis 9 gegebenen Daten zeigen die Gegenwart von nachweisbaren Gehalten von Methylenchlorid in Proben, die durch die Extrusionsentgasung von Polycarbonatproben hergestellt wurden, die weniger als 0,5 Gew.-% Wasser enthalten, der oberen Grenze des Feuchtigkeitsgehalts des trockenen Polycarbonatpulvers, das in Vergleichsbeispielen 4 bis 9 eingesetzt wird.
  • Beispiel 12
  • Eine Mischung aus 504 kg (1.111 Pfund) feuchtem Bisphenol A-Polycarbonatpulver mit einem gewichtsmittleren Molekulargewicht von etwa 25.000 Dalton (bestimmt durch Gelpermeationschromatografie gegenüber Polystyrolstandards), enthaltend 10 Gew.-% Wasser und 100 Teile je Million Methylenchlorid, wird mit 1.000 Pfund trockenem 1,1-Bis(4-hydroxy-3-methyl)cyclohexan-polycarbonat (BCC-Polycarbonat)-pulver mit einem gewichtsmittleren Molekulargewicht von etwa 25.000 Dalton (bestimmt durch Gelpermeationschromatografie gegenüber Polystyrolstandards) vermischt und die Mischung als ein Pulver in einen 58 mm corotierenden, ineinandergreifenden, 10-zylindrigen Zwillingsschraubenextruder eingebracht, der ausgerüstet und betrieben wird wie in Beispiel 1. Die Mischung wird mit einem maximalen Durchsatz von etwa 467 kg (1.030 Pfund) je Stunde bei etwa 600 Upm extrudiert. Die prozentuale Verwendung des maximal verfügbaren Drehmoments ist in einem Bereich zwischen etwa 70 und etwa 95%. Ein Polycarbonatblend aus Bisphenol A-Polycarbonat und BCC-Polycarbonat wird hergestellt, wobei der genannte Blend weniger als 0,5 Gew.-% Wasser und weniger als 1 Teil je Million Methylenchlorid aufweist, wobei der genannte Blend eine Tg von zwischen 132 und 140°C hat.

Claims (10)

  1. Ein Verfahren zur Entfernung flüchtiger Bestandteile aus einem Polymerpulver, bei welchem Verfahren man: Schritt (A) ein Wasser aufweisendes Polymerpulver in einen Extruder einbringt, wobei der Extruder aufweist; (i) einen Pulverförderabschnitt; (ii) einen Pulverabdichtungsabschnitt stromabwärts des Pulverfördeabschnitts; (iii) einen Knet- und Schmelzabschnitt stromabwärts des Pulverabdichtungsabschnitts; und (iv) eine Vakuumentlüftung stromabwärts des Knet- und Schmelzabschnittes; Schritt (B) das Polymerpulver durch den Pulverabdichtungsabschnitt mit einer Förderrate und Schneckengeschwindigkeit befördert, die ausreicht eine Pulverabdichtung zu erzeugen; Schritt (C) das Polymerpulver in dem Knet- und Schmelzabschnitt zur Bildung einer Wasser aufweisenden Polymerschmelze erhitzt und schert; und Schritt (D) die Polymerschmelze an der Vakuumentlüftung einem Vakuumentlüften unterwirft.
  2. Verfahren nach Einspruch 1, dadurch gekennzeichnet, dass das Polymerpulver ausgewählt ist aus der Gruppe bestehend aus Polycarbonaten, Doppelschnecken Polyamiden, Polyestern, Polyimiden, Polyetherimiden, Doppelschnecken Olefinpolymeren und Mischungen daraus.
  3. Verfahren nach Anspruch 1, dadurch gekennzeichnet, dass das Wasser aufweisende Polymerpulver weiterhin eine oder mehrere flüchtige organische Verbindungen umfasst, wobei die flüchtigen organischen Verbindungen ein oder mehrere Lösungsmittel umfassen.
  4. Verfahren nach Anspruch 3, dadurch gekennzeichnet, dass das Polymerpulver zwischen 0,1 und 20 Gew.-Prozent Wasser umfasst und zwischen 0,001 und 5 Gew.-Prozent eines oder mehrerer organischer Lösungsmittel.
  5. Verfahren nach Anspruch 1, dadurch gekennzeichnet, dass der Extruder ein corotierender Doppelschneckenextruder ist.
  6. Verfahren nach Anspruch 1, dadurch gekennzeichnet, dass der Extruder mit Einstelltemperaturen der Heizzonen in einem Temperaturbereich zwischen 100°C und 400°C betrieben wird.
  7. Verfahren nach Anspruch 1, dadurch gekennzeichnet, dass der Schritt (C) umfasst, dass man die Polymerschmelze auf eine Temperatur im Bereich zwischen 200°C und 450°C erhitzt.
  8. Verfahren nach Anspruch 1, dadurch gekennzeichnet, dass die Vakuumentlüftung im Bereich zwischen 1 und 100 KPa (750 Torr) betrieben wird.
  9. Verfahren nach Anspruch 1, dadurch gekennzeichnet, dass der Extruder weiterhin wenigstens eine zusätzliche Vakuumentlüftung umfasst.
  10. Verfahren nach Anspruch 1 zur Entfernung von Wasser und Methylenchlorid aus Bisphenol A-Polycarbonatpulver, bei welchem man: Schritt (A) Bisphenol A-Polycarbonatpulver, welches Wasser aufweist und Methylenchlorid, in einen Extruder einbringt, wobei der Extruder aufweist; (i) einen Pulver-Förderabschnitt; (ii) einen Pulver-Abdichtungsabschnitt stromabwärts des Pulver-Förderabschnitts; (iii) einen Knet- und Schmelzabschnitt stromabwärts des Pulver-Abdichtungsabschnitte; und (iv) eine Vakuumentlüftung stromabwärts des Knet- und Schmelzabschnittes; Schritt (B) das Bisphenol A-Polycarbonat durch den Pulverabdichtungsabschnitt fördert, Schritt (C) das Bisphenol A-Polycarbonatpulver im Knet- und Schmelzabschnitt zur Bildung einer Wasser und Methylenchlorid umfassenden Polymerschmelze erhitzt und schert; Schritt (D) die Polymerschmelze bei der Vakuumentlüftung einem Vakuumentlüften unterwirft.
DE60212652T 2001-08-29 2002-07-29 Verfahren zur entwässerung und entgasung von polymerpulvern Expired - Lifetime DE60212652T3 (de)

Applications Claiming Priority (3)

Application Number Priority Date Filing Date Title
US09/942,066 US6833096B2 (en) 2001-08-29 2001-08-29 Method for removing water and other volatile components from polymer powders
US942066 2001-08-29
PCT/US2002/024152 WO2003020483A1 (en) 2001-08-29 2002-07-29 Method for removing water and other volatile components from polymer powders

Publications (3)

Publication Number Publication Date
DE60212652D1 DE60212652D1 (de) 2006-08-03
DE60212652T2 true DE60212652T2 (de) 2007-06-14
DE60212652T3 DE60212652T3 (de) 2011-02-17

Family

ID=25477528

Family Applications (1)

Application Number Title Priority Date Filing Date
DE60212652T Expired - Lifetime DE60212652T3 (de) 2001-08-29 2002-07-29 Verfahren zur entwässerung und entgasung von polymerpulvern

Country Status (10)

Country Link
US (1) US6833096B2 (de)
EP (1) EP1423245B2 (de)
JP (1) JP4439911B2 (de)
KR (1) KR100896562B1 (de)
CN (1) CN100398300C (de)
AT (1) ATE330764T1 (de)
AU (1) AU2002322788A1 (de)
DE (1) DE60212652T3 (de)
TW (1) TW584588B (de)
WO (1) WO2003020483A1 (de)

Cited By (1)

* Cited by examiner, † Cited by third party
Publication number Priority date Publication date Assignee Title
DE102011014131A1 (de) 2011-03-15 2012-09-20 Thyssenkrupp Uhde Gmbh Verfahren zur Trocknung von feuchtem Polymerpulver und dafür geeignete Vorrichtung

Families Citing this family (42)

* Cited by examiner, † Cited by third party
Publication number Priority date Publication date Assignee Title
US6881368B2 (en) * 2001-01-29 2005-04-19 Canon Kabushiki Kaisha Recycled ABS resin, recycled ABS alloy resin and production process of ABS alloy resin
US7018574B2 (en) * 2003-02-20 2006-03-28 Idemitsu Kosan Co., Ltd. Process for removing volatile components in polyarylene sulfide
US6908573B2 (en) 2003-04-17 2005-06-21 General Electric Polymeric resin blends and methods of manufacture thereof
US7167148B2 (en) * 2003-08-25 2007-01-23 Texas Instruments Incorporated Data processing methods and apparatus in digital display systems
US6949622B2 (en) * 2003-08-26 2005-09-27 General Electric Company Method of separating a polymer from a solvent
US7244813B2 (en) * 2003-08-26 2007-07-17 General Electric Company Methods of purifying polymeric material
US20050048252A1 (en) * 2003-08-26 2005-03-03 Irene Dris Substrate and storage media for data prepared therefrom
US7256225B2 (en) * 2003-08-26 2007-08-14 General Electric Company Methods of preparing a polymeric material
US20070225479A1 (en) * 2003-08-26 2007-09-27 General Electric Company Method of separating a polymer from a solvent
US7354990B2 (en) * 2003-08-26 2008-04-08 General Electric Company Purified polymeric materials and methods of purifying polymeric materials
US6924350B2 (en) * 2003-08-26 2005-08-02 General Electric Company Method of separating a polymer from a solvent
US20060089487A1 (en) * 2003-08-26 2006-04-27 Norberto Silvi Method of separating a polymer from a solvent
US7041780B2 (en) * 2003-08-26 2006-05-09 General Electric Methods of preparing a polymeric material composite
US7041773B2 (en) * 2003-09-26 2006-05-09 General Electric Company Polyimide sulfones, method and articles made therefrom
JP4252016B2 (ja) 2004-06-21 2009-04-08 株式会社神戸製鋼所 押出機
JP4651326B2 (ja) * 2004-08-09 2011-03-16 出光興産株式会社 ポリカーボネート粉末の製造方法
US20060047102A1 (en) 2004-09-02 2006-03-02 Stephen Weinhold Spheroidal polyester polymer particles
EP1861233A4 (de) * 2005-03-08 2010-10-06 Steer Engineering Private Ltd Doppelschneckeneinlasselemente für ein extrudersystem
US8710119B2 (en) * 2005-03-29 2014-04-29 Asahi Kasei Chemicals Corporation Process for producing polyphenylene ether composition
US7485694B2 (en) * 2005-12-21 2009-02-03 Sabic Innovative Plastics Ip B.V. Polycarbonates containing low levels of methyl salicylate prepared by a melt polymerization in a reactive extruder
US20070225988A1 (en) * 2006-03-23 2007-09-27 Vivek Bapat Method designed for international students or candidates in the United States to search for employers who may be receptive to their candidacy and search current Job opportunities or postings from these employers
BRPI0716663B1 (pt) * 2006-08-15 2019-08-27 Ecosynthetix Inc processo para produzir um produto de nanopartículas de biopolímero
CA2663956A1 (en) * 2006-09-19 2008-03-27 The Japan Steel Works, Ltd. Volatilization performance estimating apparatus and method of estimating volatilization performance
CN102775757B (zh) * 2007-01-10 2015-05-27 沙特基础全球技术有限公司 低烟气密度聚(亚芳基醚)组合物,方法,和制品
JP5017455B2 (ja) * 2007-10-19 2012-09-05 東レバッテリーセパレータフィルム合同会社 ポリマーと希釈剤の混合物を調製するための押出機、システム、及び方法
WO2009051281A1 (en) * 2007-10-19 2009-04-23 Tonen Chemical Corporation Extruder having dual mixing stages and process for preparing a mixture of polymer and diluent
WO2009060967A1 (ja) * 2007-11-06 2009-05-14 Teijin Chemicals Ltd. ポリカーボネート樹脂ペレットの製造方法および成形品
JP5748259B2 (ja) * 2008-10-27 2015-07-15 日本合成化学工業株式会社 ビニルアルコール系樹脂の製造方法
ATE528342T1 (de) 2008-11-26 2011-10-15 Veolia Umweltservice Beteiligungsverwaltungs Gmbh Polyester-mit-ätzmaterial-mischverfahren und - mischreaktoren
KR101467650B1 (ko) 2010-03-24 2014-12-01 란세스 인터내쇼날 에스에이 고무 이오노머 및 중합체 나노복합체의 제조 방법
CN103189176B (zh) 2010-10-29 2016-05-18 陶氏环球技术有限责任公司 熔体脱挥发分挤出方法
GB201111928D0 (en) 2011-07-12 2011-08-24 Norner As Process
IN2014CN02210A (de) 2011-09-27 2015-06-12 Dow Global Technologies Llc
KR102161076B1 (ko) 2013-07-10 2020-09-29 미쯔비시 가스 케미칼 컴파니, 인코포레이티드 폴리아미드 수지의 제조방법
US10676571B2 (en) 2013-12-02 2020-06-09 Sabic Global Technologies B.V. Polyetherimides with improved melt stability
EP3303457A1 (de) 2015-06-05 2018-04-11 SABIC Global Technologies B.V. Verfahren zur entwässerung eines polymers und daraus hergestelltes polymer
EP3328603B1 (de) * 2015-07-31 2022-04-06 Steerlife India Private Limited Verfahren und vorrichtung zur kontinuierlichen granulation von pulvermaterial
EP3344680A1 (de) 2015-08-31 2018-07-11 SABIC Global Technologies B.V. Polycarbonat mit niedrigem chlorgehalt und verfahren zur herstellung und analyse davon
AU2017211890A1 (en) * 2016-01-25 2018-05-10 Société des Produits Nestlé S.A. Extrusion process and system with vent stuffer for processing hygroscopic starting material
CN109789645B (zh) * 2016-08-23 2022-08-16 巴斯夫欧洲公司 通过挤出制备增强的聚酰胺的方法
JP7325603B2 (ja) * 2019-07-29 2023-08-14 ランクセス・ドイチュランド・ゲーエムベーハー 低いthf含量のポリブチレンテレフタレート
CN111242974B (zh) * 2020-01-07 2023-04-11 重庆邮电大学 一种基于孪生网络和反向传播的车辆实时跟踪方法

Family Cites Families (35)

* Cited by examiner, † Cited by third party
Publication number Priority date Publication date Assignee Title
US2633074A (en) 1948-05-01 1953-03-31 Monsanto Chemicals Apparatus for densifying dry powdered solids
US3114930A (en) 1961-03-17 1963-12-24 American Cyanamid Co Apparatus for densifying and granulating powdered materials
NL128227C (de) * 1963-09-20 1900-01-01
DE2005691A1 (de) * 1970-02-07 1971-08-12 Bayer Ag Verfahren zur Herstellung selbstver netzbarer hochreaktiver Pulverlackbinde mittel
US3985348A (en) * 1975-01-14 1976-10-12 W Bar E, Incorporated Apparatus and method for feeding a powdery material to a plasticized, pressurized polymer
DE2721848C2 (de) * 1977-05-14 1982-12-02 Bayer Ag, 5090 Leverkusen Verfahren zum Konzentrieren von Lösungen mit gleichzeitiger Erstarrung
DE3711328C1 (de) * 1987-04-03 1988-03-24 Werner & Pfleiderer Entgasungsvorrichtung fuer Schneckenextruder
JP2526943B2 (ja) * 1987-12-07 1996-08-21 三菱瓦斯化学株式会社 ポリカ―ボネ―ト樹脂成形材料の製造法
EP0300485A3 (de) 1987-07-21 1990-04-25 Mitsubishi Gas Chemical Company, Inc. Verfahren zur Herstellung von Polycarbonatharz-Formmasse mit niedrigem Teilchengehalt
DE3818003A1 (de) * 1988-05-27 1989-11-30 Kwm Kunststoffmaschinen Gmbh Vorrichtung zum kontinuierlichen entgasen eines gemisches aus polymeren bindemitteln und fuellstoffen und/oder fasern
GB8917093D0 (en) 1989-07-26 1989-09-13 Bp Chem Int Ltd High molecular weight polyamides production
GB8917156D0 (en) 1989-07-27 1989-09-13 Bp Chem Int Ltd Process for the preparation of polyamide prepolymers
US5232649A (en) 1990-10-31 1993-08-03 Werner & Pfleiderer Method of removing liquids from solids
US5424013A (en) * 1993-08-09 1995-06-13 Lieberman; Mark Thermoplastic closed loop recycling process
JP2909577B2 (ja) * 1993-10-29 1999-06-23 トヨタ自動車株式会社 樹脂廃材の再生方法及び装置
JPH07181558A (ja) 1993-12-24 1995-07-21 Canon Electron Inc 駆動制御装置
DE4446129A1 (de) * 1993-12-24 1995-06-29 Theysohn Friedrich Fa Verfahren zum Aufbereiten von feuchtem Material
JPH07215537A (ja) 1994-02-07 1995-08-15 Ricoh Co Ltd 自動原稿搬送装置に搭載された原稿重送検知装置
JP3604184B2 (ja) 1994-12-29 2004-12-22 デルタ工業株式会社 車両用シート装置のダブルヒンジナックル連結機構
JPH0966524A (ja) * 1995-06-20 1997-03-11 Mitsubishi Gas Chem Co Inc ポリカーボネート樹脂ペレットの製造法
US5717055A (en) 1995-06-20 1998-02-10 Mitsubishi Gas Chemical Company, Ltd. Production method of polycarbonate resin pellets
JP3658810B2 (ja) * 1995-08-02 2005-06-08 旭化成ケミカルズ株式会社 ポリフェニレンエーテル系フィルム又はシートの製造方法
JP3797696B2 (ja) 1996-01-18 2006-07-19 帝人化成株式会社 ポリカーボネート樹脂成形品の製造方法
JP3701391B2 (ja) * 1996-07-12 2005-09-28 旭化成ケミカルズ株式会社 粉体用押出機及びそれを用いた押出方法
DE19708097A1 (de) * 1997-02-28 1998-09-03 Krupp Werner & Pfleiderer Gmbh Schnecken-Extrusionsvorrichtung, insbesondere Doppelschnecken-Extrusionsvorrichtung, zur Verarbeitung stark ausgasender Materialien
JPH11227224A (ja) 1998-02-10 1999-08-24 Inoac Corporation:Kk インク保持体の製造方法及びインク収納容器
JP2000044669A (ja) * 1998-08-04 2000-02-15 Teijin Ltd 芳香族ポリカーボネートの製造方法および真空捕集系
DE19854689A1 (de) * 1998-11-26 2000-06-08 Buehler Ag Verfahren und Vorrichtung zur Aufbereitung eines thermoplastischen Polykondensats
WO2000031168A1 (en) * 1998-11-26 2000-06-02 Mitsui Chemicals, Incorporated Dyed molding
JP2000309019A (ja) * 1999-04-27 2000-11-07 Japan Steel Works Ltd:The ポリマー樹脂原料の脱揮処理方法および脱揮混練押出機
JP2000318017A (ja) * 1999-05-07 2000-11-21 Toshiba Mach Co Ltd 2軸押出機とその2軸押出機による熱可塑性樹脂原料の脱水方法
JP4176924B2 (ja) * 1999-08-11 2008-11-05 旭化成ケミカルズ株式会社 熱可塑性樹脂の溶融混練方法
US6492485B1 (en) * 2000-04-11 2002-12-10 General Electric Company Redistributed polycarbonate resin
US6599446B1 (en) * 2000-11-03 2003-07-29 General Electric Company Electrically conductive polymer composite compositions, method for making, and method for electrical conductivity enhancement
US6365710B1 (en) * 2001-08-29 2002-04-02 General Electric Company Method for removing volatile components from solid polymeric materials

Cited By (3)

* Cited by examiner, † Cited by third party
Publication number Priority date Publication date Assignee Title
DE102011014131A1 (de) 2011-03-15 2012-09-20 Thyssenkrupp Uhde Gmbh Verfahren zur Trocknung von feuchtem Polymerpulver und dafür geeignete Vorrichtung
WO2012123063A1 (de) 2011-03-15 2012-09-20 Thyssenkrupp Uhde Gmbh Verfahren zur trocknung von feuchtem polymerpulver und dafür geeignete vorrichtung
US9803919B2 (en) 2011-03-15 2017-10-31 Thyssenkrupp Uhde Gmbh Method for drying a humid polymer powder and device suitable for said method

Also Published As

Publication number Publication date
CN100398300C (zh) 2008-07-02
JP4439911B2 (ja) 2010-03-24
EP1423245A1 (de) 2004-06-02
ATE330764T1 (de) 2006-07-15
KR20040029442A (ko) 2004-04-06
DE60212652T3 (de) 2011-02-17
CN1592675A (zh) 2005-03-09
DE60212652D1 (de) 2006-08-03
TW584588B (en) 2004-04-21
KR100896562B1 (ko) 2009-05-07
WO2003020483A1 (en) 2003-03-13
JP2005501759A (ja) 2005-01-20
US20030067089A1 (en) 2003-04-10
AU2002322788A1 (en) 2003-03-18
EP1423245B1 (de) 2006-06-21
EP1423245B2 (de) 2010-11-03
US6833096B2 (en) 2004-12-21

Similar Documents

Publication Publication Date Title
DE60212652T2 (de) Verfahren zur entwässerung und entgasung von polymerpulvern
EP0928309B1 (de) Verfahren zur herstellung von thermoplasten
DE69621340T2 (de) Verfahren zur herstellung von polyestergegenstande mit geringen acetaldehydgehalt
DE69023068T2 (de) Isolierung von Polymeren aus deren Lösung mit der Hilfe von einem Extruder.
DE19811280C2 (de) Verfahren und Vorrichtung zur Rückgewinnung von linearem Polyester
EP1135245B1 (de) Verfahren zur aufbereitung eines thermoplastischen polykondensats
US6365710B1 (en) Method for removing volatile components from solid polymeric materials
DE60211914T2 (de) Extrusionsverfahren für die herstellung von polycarbonat
EP2254743B1 (de) Entgasungsextruder zum extrudieren von formmassen
EP0735077B1 (de) Verfahren zur Herstellung von Thermoplasten
EP1240209A1 (de) Verfahren zur reduzierung des polymergehalts im abwasser bei der entwässerung von kunststoff/wasser-gemischen
EP2057207A1 (de) Verfahren zum compoundieren von polymeren
EP1400337A1 (de) Vorrichtung zum Extrudieren von Thermoplasten
EP0734826B1 (de) Verfahren zur Herstellung von Thermoplasten
DE2438927A1 (de) Verfahren zum entfernen einer fluechtigen komponente aus einer metharcrylatpolymerzusammensetzung
EP3377288B1 (de) Verfahren zur herstellung eines kunststoffgranulats
DE60218719T2 (de) Verfahren zur herstellung von polyvinylalkohol enthaltender thermoplastischer zusammensetzung ohne degradation und nicht geschmolzenes material
DE3035587A1 (de) Verfahren zur herstellung von polyphenylenaethergruppen enthaltenden polymeren
DE69208387T2 (de) Herstellung von feuchtigkeitshärtenden Organosiloxanzusammensetzungen
DE2654774B2 (de) Schneckenmaschine zur Homogenisierung von aufgeschmolzenen Polymeren
EP3659773B1 (de) Verfahren und vorrichtung zur aufbereitung einer styrol-acrylnitril-schmelze
DE3605202C2 (de)
DE69801139T2 (de) Verfahren zur Herstellung einer Polymerzusammensetzung
DE2417792A1 (de) Verfahren zum einmischen von zusatzstoffen in kunststoffe unter gleichzeitigem entfernen fluechtiger bestandteile
DE1720349A1 (de) Verfahren und Vorrichtung zum kontinuierlichen Herstellen von hoehermolekularem Polyamid 6,6

Legal Events

Date Code Title Description
8363 Opposition against the patent
8327 Change in the person/name/address of the patent owner

Owner name: SABIC INNOVATIVE PLASTICS IP B.V., BERGEN OP Z, NL

8328 Change in the person/name/address of the agent

Representative=s name: PATENT- UND RECHTSANWAELTE BARDEHLE, PAGENBERG, DO

8366 Restricted maintained after opposition proceedings
8328 Change in the person/name/address of the agent

Representative=s name: SCHIEBER FARAGO, 80538 MUENCHEN