WO2017122597A1 - 蓄電装置用水系電解液、及び当該水系電解液を含む蓄電装置 - Google Patents

蓄電装置用水系電解液、及び当該水系電解液を含む蓄電装置 Download PDF

Info

Publication number
WO2017122597A1
WO2017122597A1 PCT/JP2017/000320 JP2017000320W WO2017122597A1 WO 2017122597 A1 WO2017122597 A1 WO 2017122597A1 JP 2017000320 W JP2017000320 W JP 2017000320W WO 2017122597 A1 WO2017122597 A1 WO 2017122597A1
Authority
WO
WIPO (PCT)
Prior art keywords
electrolytic solution
storage device
mol
production example
alkali metal
Prior art date
Legal status (The legal status is an assumption and is not a legal conclusion. Google has not performed a legal analysis and makes no representation as to the accuracy of the status listed.)
Ceased
Application number
PCT/JP2017/000320
Other languages
English (en)
French (fr)
Japanese (ja)
Inventor
山田 淳夫
裕貴 山田
健司 碓井
淳一 丹羽
智之 河合
Current Assignee (The listed assignees may be inaccurate. Google has not performed a legal analysis and makes no representation or warranty as to the accuracy of the list.)
University of Tokyo NUC
Original Assignee
University of Tokyo NUC
Priority date (The priority date is an assumption and is not a legal conclusion. Google has not performed a legal analysis and makes no representation as to the accuracy of the date listed.)
Filing date
Publication date
Application filed by University of Tokyo NUC filed Critical University of Tokyo NUC
Priority to CN201780006800.6A priority Critical patent/CN108475589A/zh
Priority to US16/069,953 priority patent/US10658706B2/en
Publication of WO2017122597A1 publication Critical patent/WO2017122597A1/ja
Anticipated expiration legal-status Critical
Ceased legal-status Critical Current

Links

Images

Classifications

    • HELECTRICITY
    • H01ELECTRIC ELEMENTS
    • H01MPROCESSES OR MEANS, e.g. BATTERIES, FOR THE DIRECT CONVERSION OF CHEMICAL ENERGY INTO ELECTRICAL ENERGY
    • H01M10/00Secondary cells; Manufacture thereof
    • H01M10/36Accumulators not provided for in groups H01M10/05-H01M10/34
    • HELECTRICITY
    • H01ELECTRIC ELEMENTS
    • H01GCAPACITORS; CAPACITORS, RECTIFIERS, DETECTORS, SWITCHING DEVICES, LIGHT-SENSITIVE OR TEMPERATURE-SENSITIVE DEVICES OF THE ELECTROLYTIC TYPE
    • H01G11/00Hybrid capacitors, i.e. capacitors having different positive and negative electrodes; Electric double-layer [EDL] capacitors; Processes for the manufacture thereof or of parts thereof
    • H01G11/54Electrolytes
    • H01G11/58Liquid electrolytes
    • H01G11/60Liquid electrolytes characterised by the solvent
    • HELECTRICITY
    • H01ELECTRIC ELEMENTS
    • H01GCAPACITORS; CAPACITORS, RECTIFIERS, DETECTORS, SWITCHING DEVICES, LIGHT-SENSITIVE OR TEMPERATURE-SENSITIVE DEVICES OF THE ELECTROLYTIC TYPE
    • H01G11/00Hybrid capacitors, i.e. capacitors having different positive and negative electrodes; Electric double-layer [EDL] capacitors; Processes for the manufacture thereof or of parts thereof
    • H01G11/54Electrolytes
    • H01G11/58Liquid electrolytes
    • H01G11/62Liquid electrolytes characterised by the solute, e.g. salts, anions or cations therein
    • HELECTRICITY
    • H01ELECTRIC ELEMENTS
    • H01GCAPACITORS; CAPACITORS, RECTIFIERS, DETECTORS, SWITCHING DEVICES, LIGHT-SENSITIVE OR TEMPERATURE-SENSITIVE DEVICES OF THE ELECTROLYTIC TYPE
    • H01G11/00Hybrid capacitors, i.e. capacitors having different positive and negative electrodes; Electric double-layer [EDL] capacitors; Processes for the manufacture thereof or of parts thereof
    • H01G11/54Electrolytes
    • H01G11/58Liquid electrolytes
    • H01G11/64Liquid electrolytes characterised by additives
    • HELECTRICITY
    • H01ELECTRIC ELEMENTS
    • H01MPROCESSES OR MEANS, e.g. BATTERIES, FOR THE DIRECT CONVERSION OF CHEMICAL ENERGY INTO ELECTRICAL ENERGY
    • H01M4/00Electrodes
    • H01M4/02Electrodes composed of, or comprising, active material
    • H01M4/36Selection of substances as active materials, active masses, active liquids
    • H01M4/58Selection of substances as active materials, active masses, active liquids of inorganic compounds other than oxides or hydroxides, e.g. sulfides, selenides, tellurides, halogenides or LiCoFy; of polyanionic structures, e.g. phosphates, silicates or borates
    • H01M4/583Carbonaceous material, e.g. graphite-intercalation compounds or CFx
    • HELECTRICITY
    • H01ELECTRIC ELEMENTS
    • H01MPROCESSES OR MEANS, e.g. BATTERIES, FOR THE DIRECT CONVERSION OF CHEMICAL ENERGY INTO ELECTRICAL ENERGY
    • H01M4/00Electrodes
    • H01M4/02Electrodes composed of, or comprising, active material
    • H01M4/36Selection of substances as active materials, active masses, active liquids
    • H01M4/58Selection of substances as active materials, active masses, active liquids of inorganic compounds other than oxides or hydroxides, e.g. sulfides, selenides, tellurides, halogenides or LiCoFy; of polyanionic structures, e.g. phosphates, silicates or borates
    • H01M4/583Carbonaceous material, e.g. graphite-intercalation compounds or CFx
    • H01M4/587Carbonaceous material, e.g. graphite-intercalation compounds or CFx for inserting or intercalating light metals
    • HELECTRICITY
    • H01ELECTRIC ELEMENTS
    • H01MPROCESSES OR MEANS, e.g. BATTERIES, FOR THE DIRECT CONVERSION OF CHEMICAL ENERGY INTO ELECTRICAL ENERGY
    • H01M4/00Electrodes
    • H01M4/02Electrodes composed of, or comprising, active material
    • H01M4/64Carriers or collectors
    • H01M4/66Selection of materials
    • H01M4/661Metal or alloys, e.g. alloy coatings
    • HELECTRICITY
    • H01ELECTRIC ELEMENTS
    • H01GCAPACITORS; CAPACITORS, RECTIFIERS, DETECTORS, SWITCHING DEVICES, LIGHT-SENSITIVE OR TEMPERATURE-SENSITIVE DEVICES OF THE ELECTROLYTIC TYPE
    • H01G11/00Hybrid capacitors, i.e. capacitors having different positive and negative electrodes; Electric double-layer [EDL] capacitors; Processes for the manufacture thereof or of parts thereof
    • H01G11/22Electrodes
    • H01G11/30Electrodes characterised by their material
    • H01G11/32Carbon-based
    • H01G11/34Carbon-based characterised by carbonisation or activation of carbon
    • HELECTRICITY
    • H01ELECTRIC ELEMENTS
    • H01GCAPACITORS; CAPACITORS, RECTIFIERS, DETECTORS, SWITCHING DEVICES, LIGHT-SENSITIVE OR TEMPERATURE-SENSITIVE DEVICES OF THE ELECTROLYTIC TYPE
    • H01G11/00Hybrid capacitors, i.e. capacitors having different positive and negative electrodes; Electric double-layer [EDL] capacitors; Processes for the manufacture thereof or of parts thereof
    • H01G11/66Current collectors
    • H01G11/68Current collectors characterised by their material
    • HELECTRICITY
    • H01ELECTRIC ELEMENTS
    • H01MPROCESSES OR MEANS, e.g. BATTERIES, FOR THE DIRECT CONVERSION OF CHEMICAL ENERGY INTO ELECTRICAL ENERGY
    • H01M2300/00Electrolytes
    • H01M2300/0002Aqueous electrolytes
    • YGENERAL TAGGING OF NEW TECHNOLOGICAL DEVELOPMENTS; GENERAL TAGGING OF CROSS-SECTIONAL TECHNOLOGIES SPANNING OVER SEVERAL SECTIONS OF THE IPC; TECHNICAL SUBJECTS COVERED BY FORMER USPC CROSS-REFERENCE ART COLLECTIONS [XRACs] AND DIGESTS
    • Y02TECHNOLOGIES OR APPLICATIONS FOR MITIGATION OR ADAPTATION AGAINST CLIMATE CHANGE
    • Y02EREDUCTION OF GREENHOUSE GAS [GHG] EMISSIONS, RELATED TO ENERGY GENERATION, TRANSMISSION OR DISTRIBUTION
    • Y02E60/00Enabling technologies; Technologies with a potential or indirect contribution to GHG emissions mitigation
    • Y02E60/10Energy storage using batteries
    • YGENERAL TAGGING OF NEW TECHNOLOGICAL DEVELOPMENTS; GENERAL TAGGING OF CROSS-SECTIONAL TECHNOLOGIES SPANNING OVER SEVERAL SECTIONS OF THE IPC; TECHNICAL SUBJECTS COVERED BY FORMER USPC CROSS-REFERENCE ART COLLECTIONS [XRACs] AND DIGESTS
    • Y02TECHNOLOGIES OR APPLICATIONS FOR MITIGATION OR ADAPTATION AGAINST CLIMATE CHANGE
    • Y02EREDUCTION OF GREENHOUSE GAS [GHG] EMISSIONS, RELATED TO ENERGY GENERATION, TRANSMISSION OR DISTRIBUTION
    • Y02E60/00Enabling technologies; Technologies with a potential or indirect contribution to GHG emissions mitigation
    • Y02E60/13Energy storage using capacitors
    • YGENERAL TAGGING OF NEW TECHNOLOGICAL DEVELOPMENTS; GENERAL TAGGING OF CROSS-SECTIONAL TECHNOLOGIES SPANNING OVER SEVERAL SECTIONS OF THE IPC; TECHNICAL SUBJECTS COVERED BY FORMER USPC CROSS-REFERENCE ART COLLECTIONS [XRACs] AND DIGESTS
    • Y02TECHNOLOGIES OR APPLICATIONS FOR MITIGATION OR ADAPTATION AGAINST CLIMATE CHANGE
    • Y02TCLIMATE CHANGE MITIGATION TECHNOLOGIES RELATED TO TRANSPORTATION
    • Y02T10/00Road transport of goods or passengers
    • Y02T10/60Other road transportation technologies with climate change mitigation effect
    • Y02T10/70Energy storage systems for electromobility, e.g. batteries

Definitions

  • the present invention relates to a water-based electrolyte solution for a power storage device, and a power storage device including the water-based electrolyte solution.
  • Lithium ion secondary batteries are widely used as batteries for portable devices and electric vehicles because they have a large theoretical energy density as compared to conventional secondary batteries.
  • Conventional lithium ion secondary batteries use an organic solvent-based electrolyte that does not decompose even at a voltage of about 4 V in order to achieve high energy density.
  • an organic solvent typically, ethylene carbonate, diethyl carbonate and the like are mainly used (Patent Document 1).
  • a capacitor is a storage device that stores or releases charge by adsorption or desorption of ions in an electrolytic solution on the electrode surface.
  • Capacitors are roughly classified into organic solvent-based capacitors using an organic solvent, quaternary ammonium salt or the like as an electrolyte solution, and water-based capacitors using water as a solvent of the electrolyte solution.
  • the amount of charge stored in the capacitor is represented by the product of capacitance and voltage.
  • the upper limit of the voltage is limited due to the withstand voltage of water, it is general to study to increase the capacitance in order to increase the charge amount.
  • Patent Document 2 discloses the technology of a water-based capacitor in which the capacitance is increased by optimizing the pore diameter and specific surface area of activated carbon used for the electrode of the capacitor.
  • the present invention provides a new aqueous electrolytic solution in a storage battery such as a secondary battery such as a lithium ion secondary battery and a capacitor, and stores electric charge using the aqueous electrolytic solution that operates stably even at a relatively high voltage. It is an object to provide an apparatus.
  • the electrolytic solution is an aqueous solution containing a high concentration of an alkali metal salt, wherein the amount of solvent is 4 mol or less relative to 1 mol of alkali metal salt. It has been found that it has a potential window of 2 V or more, which greatly exceeds 1.23 V, which is the theoretical potential window (stable potential region) of pure water, and that an aqueous storage device using such an electrolytic solution can reversibly operate under high voltage.
  • the content of the technology is reported in Japanese Patent Application No. 2015-4889.
  • the electrolytic solution of the present invention is an electrolytic solution for a storage battery containing water as a solvent, and is characterized in that the solvent amount is more than 4 mol and 15 mol or less with respect to 1 mol of the alkali metal salt.
  • an aqueous solution containing a high concentration of an alkali metal salt, particularly an alkali metal salt of an organic anion and an alkali metal cation as an electrolyte, 1.23 V, which was difficult in the conventional aqueous electrolyte
  • an aqueous storage device such as a lithium ion secondary battery or a secondary battery such as a sodium ion secondary battery or a capacitor using an aqueous electrolytic solution that stably operates even at a high voltage.
  • the electrolyte of the present invention is a combination of water, which is an extremely inexpensive solvent, and an organic salt such as LiTFSA, which is used as a component in conventional electrolytes, the cost is also improved. Since it is excellent and is applicable to the electrode configuration put into practical use as a lithium ion secondary battery or a capacitor using an existing organic electrolytic solution as shown in the examples described later, it is put to practical use Barriers are extremely low.
  • 15 is a graph showing the results of cyclic voltammetry in Evaluation Example 4.
  • 15 is a graph showing the results of evaluation of the electric double layer capacitor in Evaluation Example 5;
  • 15 is a graph showing the results of cyclic voltammetry in Evaluation Example 6.
  • 15 is a graph showing the results of cyclic voltammetry of a cell equipped with the electrolytic solution of Production Example 17 in Evaluation Example 7.
  • 15 is a graph showing the results of cyclic voltammetry of a cell equipped with the electrolytic solution of Production Example 20 in Evaluation Example 7.
  • 15 is a graph showing the results of cyclic voltammetry of a cell equipped with the electrolytic solution of Production Example 21 in Evaluation Example 7.
  • it is a graph which shows the result of the cyclic voltammetry of the cell which comprises the electrolyte solution of manufacture example 22.
  • the electrolyte for a storage battery of the present invention (hereinafter sometimes simply referred to as “the electrolyte of the present invention”) is a water-based electrolyte. Therefore, the main solvent used in the storage battery electrolyte of the present invention is water. However, the solvent may be a mixed solvent containing water and other non-aqueous solvents.
  • non-aqueous solvents are soluble in water and, for example, alcohols such as methanol, and acetone, acetonitrile, dimethyl sulfoxide or dimethyl carbonate, ethyl methyl carbonate, diethyl carbonate, ethylene carbonate, propylene Mention may be made of aprotic polar solvents such as carbonates such as carbonate. Even in the case of such a mixed solvent, the proportion of water is preferably 90% or more by volume.
  • the alkali metal salt used in the electrolytic solution for a storage battery device of the present invention is preferably a lithium salt or a sodium salt, but a salt of a metal belonging to Group 2 such as magnesium can also be used.
  • the cationic species of the alkali metal salt may be selected according to the type of charge carrier of the storage battery using the electrolytic solution of the present invention. For example, when the secondary battery is a lithium ion secondary battery, a lithium salt is preferable, and when the secondary battery is a sodium ion secondary battery, a sodium salt is preferable.
  • the mixture which combined two or more types of alkali metal salts can also be used.
  • the anion constituting the alkali metal salt is preferably an organic anion containing a carbon atom in the structure.
  • R 1 SO 2 (R 2 SO 2 ) N - General formula (1)
  • R 1 and R 2 are each independently selected from an alkyl group or a halogen-substituted alkyl group. R 1 and R 2 may combine with each other to form a ring
  • R 3 SO 3 - General formula (2) (R 3 is selected from an alkyl group or a halogen-substituted alkyl group.)
  • R 4 CO 2 - General formula (3) (R 4 is selected from an alkyl group or a halogen-substituted alkyl group.)
  • the carbon number n of the alkyl group or the halogen-substituted alkyl group is preferably 1 to 6, more preferably 1 to 3, and still more preferably 1 to 2.
  • a halogen of the halogen substituted alkyl group fluorine is preferable.
  • the number of halogen substitution in the halogen-substituted alkyl group is equal to or less than the number of hydrogen in the original alkyl group.
  • R 1 to R 4 are each represented by the following general formula (1-1).
  • General formula (1-1) (N is an integer of 1 or more.
  • an organic anion having a fluoroalkyl group is preferable.
  • TFSA bis (trifluoromethanesulfonyl) amide
  • BETA bis (perfluoro ethanesulfonyl) amide
  • BETA bis (perfluoroethanesulfonyl) (trifluoromethanesulfonyl) amide
  • N (C 2 F 5 SO 2 ) (CF 3 SO 2 )] ⁇ is preferable.
  • alkali metal salt examples include lithium bis (trifluoromethanesulfonyl) amide (LiTFSA), lithium bis (perfluoroethanesulfonyl) amide (LiBETA), lithium (perfluoroethanesulfonyl) (trifluoromethanesulfonyl) amide Sodium bis (trifluoromethanesulfonyl) amide (NaTFSA), sodium bis (perfluoroethanesulfonyl) amide (NaBETA), and sodium (perfluoroethanesulfonyl) (trifluoromethanesulfonyl) amide.
  • CF 3 SO 3 ⁇ C 2 F 5 SO 3 ⁇ , CF 3 CO 2 ⁇ and C 2 F 5 CO 2 ⁇ can be exemplified.
  • alkali metal salts include CF 3 SO 3 Li, C 2 F 5 SO 3 Li, CF 3 CO 2 Li, C 2 F 5 CO 2 Li, CF 3 SO 3 Na, C 2 F 5 SO 3 Na, CF 3 CO 2 Na , and C 2 F 5 CO 2 Na can be exemplified.
  • the electrolytic solution for a storage battery device of the present invention is characterized in that it contains an alkali metal salt having a relatively high concentration.
  • the mixing ratio of the alkali metal salt to the solvent in the electrolytic solution of the present invention is more than 4 mol to 15 mol or less of the solvent, preferably 4 to 10 mol or less of the solvent per 1 mol of the alkali metal salt.
  • one aspect of the electrolytic solution of the present invention is an electrolytic solution for a storage battery containing water as a solvent, and the concentration of the alkali metal salt is 2.5 to 4.5 mol / L. It can also be expressed as The concentration of the alkali metal salt is preferably 2.5 to 4.0 mol / L, more preferably 2.5 to 3.5 mol / L, from the viewpoint of ion conductivity. The concentration of the alkali metal salt is preferably 2.6 to 4.1 mol / L, more preferably 3.1 to 3.6 mol / L, from the viewpoint of stability at low temperatures. Considered comprehensively, the concentration of the alkali metal salt is particularly preferably in the range of 3.1 to 3.5 mol / L.
  • the electrolytic solution of the present invention is an electrolytic solution for a storage battery containing water as a solvent, and the amount of water is more than 4 mol to 15 mol or less with respect to 1 mol of alkali metal salt. You can also figure out what is.
  • the electrolyte for a storage battery device of the present invention has a potential window exceeding that of pure water (stable potential region) by using an alkali metal salt having a relatively high concentration, and is preferably 1.2 V or more, more preferably Has a potential window of about 1.3 V or more, more preferably about 1.5 V.
  • supporting electrolytes known in the art can be included.
  • a supporting electrolyte is, for example, LiPF 6 , LiBF 4 , LiClO 4 , LiNO 3 , LiCl, Li 2 SO 4, Li 2 S, etc., and the like when the secondary battery is a lithium ion secondary battery. What is chosen from arbitrary combinations is mentioned.
  • the electrolyte for a storage battery device of the present invention can also contain other components as necessary for the purpose of improving its function and the like.
  • Other components include, for example, conventionally known overcharge inhibitors, deoxidizers, and property improving assistants for improving capacity retention characteristics after high temperature storage and cycle characteristics.
  • the content of the overcharge inhibitor in the electrolyte is preferably 0.01 to 5% by mass.
  • the electrolytic solution contains 0.1% by mass or more of the overcharge preventing agent, it becomes easier to suppress the explosion and the ignition of the electricity storage device due to the overcharge, and the electricity storage device can be used more stably.
  • property improvement aids for improving the capacity retention characteristics and cycle characteristics after high temperature storage include succinic anhydride, glutaric anhydride, maleic anhydride, citraconic anhydride, glutaconic anhydride, itaconic anhydride, diasteric anhydride, and the like.
  • Carboxylic acid anhydrides such as glycolic acid, cyclohexanedicarboxylic acid anhydride, cyclopentanetetracarboxylic acid dianhydride, phenylsuccinic acid anhydride; ethylene sulfite, 1,3-propane sultone, 1,4-butane sultone, methanesulfonic acid Methyl, busulfan, sulfolane, sulfolene, dimethyl sulfone, diphenyl sulfone, methylphenyl sulfone, dibutyl disulfide, dicyclohexyl disulfide, tetramethylthiuram monosulfide, N, N-dimethylmethanesulfonamide, N, N-diethylmethane Sulfur-containing compounds such Ruhon'amido the like.
  • One of these property improving auxiliaries may be used alone, or two or more thereof may be used
  • the power storage device of the present invention comprises a positive electrode and a negative electrode, and the electrolytic solution of the present invention.
  • a power storage device a secondary battery and a capacitor can be exemplified.
  • Negative electrode As a negative electrode in the power storage device of the present invention, an electrode configuration known in the relevant technical field can be used.
  • a negative electrode active material capable of electrochemically absorbing and desorbing lithium ions can be mentioned.
  • known negative electrode active materials for lithium ion secondary batteries can be used.
  • natural graphite (graphite), Highly Oriented Graphitic Graphite (HOPG), amorphous Carbonaceous materials such as carbon can be mentioned.
  • Still other examples include alloys containing lithium element, metal oxides, metal sulfides, and metal compounds such as metal nitrides.
  • lithium aluminum alloy, lithium tin alloy, lithium lead alloy, lithium silicon alloy etc. can be mentioned, for example.
  • the metal oxide having a lithium element can be, for example, lithium titanate (Li 4 Ti 5 O 12, etc.) and the like.
  • a metal nitride containing a lithium element lithium cobalt nitride, lithium iron nitride, lithium manganese nitride etc. can be mentioned, for example.
  • sulfur-based compounds can also be exemplified.
  • a metal such as iron or zinc may be used for the negative electrode.
  • These negative electrode active materials may be used alone or in combination of two or more. Among them, lithium titanate is preferable as the negative electrode active material in the case of a lithium ion secondary battery.
  • an electrode containing a negative electrode active material capable of electrochemically absorbing and desorbing sodium ions can be used.
  • sodium metal instead of lithium metal described above, etc.
  • an alloy containing a sodium element, a metal oxide, a metal sulfide, a metal compound such as a metal nitride can be used.
  • the polarizable electrode material is included in the negative electrode.
  • a polarizable electrode material what is used for a normal electric double layer capacitor should just be used, and the activated carbon manufactured from various raw materials can be illustrated.
  • the activated carbon preferably has a large specific surface area.
  • the negative electrode includes a material capable of inserting and extracting lithium ions or sodium ions.
  • a material capable of inserting and extracting lithium ions or sodium ions.
  • graphite containing materials such as natural graphite or artificial graphite, can be illustrated.
  • a material such as lithium titanate may be used which exhibits a redox capacity at a constant potential by inserting and desorbing a cation such as lithium ion.
  • the negative electrode active material contains no ion contributing to oxidation / reduction, for example, in the case of a lithium ion capacitor, when using a material not containing lithium as the negative electrode active material, the negative electrode or positive electrode contains a compound containing a large amount of lithium metal or lithium. Or the like, from which lithium is previously doped in the negative electrode active material may be used.
  • the negative electrode may contain only the negative electrode active material, and in addition to the negative electrode active material, contains at least one of a conductive material and a binder.
  • the negative electrode mixture may be attached to a negative electrode current collector.
  • the negative electrode active material is foil-like, it can be a negative electrode containing only the negative electrode active material.
  • the negative electrode active material is in the form of powder, it can be a negative electrode having the negative electrode active material and a binder.
  • a doctor blade method, a molding method using a pressure bonding press, or the like can be used as a method of forming a negative electrode using a powdery negative electrode active material. The same applies to the case where the power storage device is a capacitor.
  • conductive materials such as carbon materials and metal fibers, metal powders such as copper, silver, nickel and aluminum, and organic conductive materials such as polyphenylene derivatives can be used.
  • carbon material graphite, soft carbon, hard carbon, carbon black, ketjen black, acetylene black, graphite, activated carbon, carbon nanotube, carbon fiber and the like can be used.
  • synthetic resins containing an aromatic ring, mesoporous carbon obtained by firing petroleum pitch or the like can also be used.
  • a fluorine-based resin such as polyvinylidene fluoride (PVDF), polytetrafluoroethylene (PTFE), ethylene tetrafluoroethylene (ETFE) or the like, polyethylene, polypropylene or the like can be preferably used.
  • PVDF polyvinylidene fluoride
  • PTFE polytetrafluoroethylene
  • ETFE ethylene tetrafluoroethylene
  • polyethylene polypropylene or the like
  • the negative electrode current collector it is possible to use a rod-like body, a plate-like body, a foil-like body, a net-like body or the like mainly composed of a metal such as copper, nickel, aluminum, zinc, titanium, platinum or stainless steel.
  • Positive electrode As a positive electrode of the electricity storage device of the present invention, an electrode configuration known in the relevant technical field can be used.
  • the power storage device is a lithium ion secondary battery
  • LiMn 2 O 4 lithium manganate
  • LiNiO 2 lithium nickelate
  • LiNi LiNi .
  • the positive electrode may contain a conductive material and a binder.
  • an oxygen-containing metal salt such as oxygen or lithium oxide may be employed as the positive electrode active material.
  • the positive electrode which comprises this positive electrode active material may contain the catalyst which promotes the oxidation-reduction reaction of oxygen in this positive electrode active material.
  • the transition metal oxide (The said transition metal is manganese, cobalt, iron, nickel, copper, for example) which contains lithium excess can be illustrated.
  • a high specific surface area material such as activated carbon can also be used in the positive electrode in order to create a reaction field for efficiently redoxing the oxygen in the air and extracting the capacity.
  • the power storage device is a sodium ion secondary battery
  • a known positive electrode active material can be used.
  • the polarizable electrode material is contained in the positive electrode.
  • the polarizable electrode material those described for the negative electrode may be employed.
  • the polarizable electrode material may be a conductive polymer such as polyacene or a redox which increases capacity by adsorption and desorption of anion such as 2,2,6,6-tetramethylpiperidine-N-oxyl (TEMPO). You may use the material used for a capacitor.
  • TEMPO 2,2,6,6-tetramethylpiperidine-N-oxyl
  • a material such as lithium manganate having a spinel structure or lithium iron phosphate having an olivine structure may be included, which exhibits a redox capacity at a constant potential of 3 V or more by inserting and desorbing a cation such as lithium ion.
  • conductive material and the binder those similar to the above-mentioned negative electrode can be used.
  • MnO 2 , Fe 2 O 3 , NiO, CuO, Pt, Co or the like can be used as a catalyst for promoting the oxidation-reduction reaction of oxygen.
  • the binder the same binder as that of the above-mentioned negative electrode can be used.
  • the positive electrode current collector it is possible to use a rod-like body mainly made of a metal such as nickel, aluminum, titanium, platinum or stainless steel, a plate-like body, a foil-like body, a net-like body or the like.
  • the positive electrode active material is oxygen
  • the positive electrode current collector is a porous metal such as mesh (grid), sponge (foamed) metal, punched metal, expanded metal, etc., in order to increase the diffusion of oxygen.
  • the body is used.
  • the metal is, for example, copper, nickel, aluminum, stainless steel or the like.
  • the separator used in the power storage device of the present invention is not particularly limited as long as it has a function of electrically separating the positive electrode layer and the negative electrode layer, and examples thereof include polyethylene (PE), Examples thereof include porous insulating materials such as porous sheets made of resins such as polypropylene (PP), polyester, cellulose, and polyamide, and nonwoven fabrics such as non-woven fabrics and glass fiber non-woven fabrics.
  • PE polyethylene
  • porous insulating materials such as porous sheets made of resins such as polypropylene (PP), polyester, cellulose, and polyamide
  • nonwoven fabrics such as non-woven fabrics and glass fiber non-woven fabrics.
  • the shape of the power storage device of the present invention is not particularly limited as long as it can accommodate the positive electrode, the negative electrode, and the electrolytic solution, but, for example, cylindrical, coin, flat, laminate, etc. Can be mentioned.
  • the case for housing the power storage device may be an open air case or a closed case.
  • the open-air battery case has a vent port through which air can flow in and out, and the air can be in contact with the positive electrode.
  • the battery case is a sealed battery case
  • the gas to be supplied / discharged is preferably a dry gas, and in particular, the oxygen concentration is preferably high, and pure oxygen (99.99%) is more preferable. Further, it is preferable to increase the oxygen concentration at the time of discharge and lower the oxygen concentration at the time of charge.
  • electrolyte solution and secondary battery of this invention are suitable for the use as a secondary battery, using as a primary battery is not excluded.
  • LiTFSA as an alkali metal salt was dissolved in water to prepare an aqueous solution having a LiTFSA concentration of 5.13 mol / L. This aqueous solution was used as the electrolytic solution of Production Example 1.
  • the electrolytic solution of Production Example 1 contains water in an amount of 2.7 mol with respect to 1 mol of LiTFSA.
  • Production Example 8 Three parts by volume of the electrolyte solution of Production Example 1 and 7 parts by volume of water were mixed to prepare an aqueous solution having a LiTFSA concentration of 1.54 mol / L. This aqueous solution was used as an electrolyte of Production Example 8.
  • the electrolytic solution of Production Example 8 contains 28.0 mol of water per 1 mol of LiTFSA.
  • Production Example 9 Two parts by volume of the electrolyte solution of Production Example 1 and eight parts by volume of water were mixed to prepare an aqueous solution having a LiTFSA concentration of 1.03 mol / L. This aqueous solution was used as an electrolytic solution of Production Example 9.
  • the electrolytic solution of Production Example 9 contains water at 46.0 mol with respect to 1 mol of LiTFSA.
  • Production Example 10 One part by volume of the electrolytic solution of Production Example 1 and 9 parts by volume of water were mixed to prepare an aqueous solution having a concentration of LiTFSA of 0.51 mol / L. This aqueous solution was used as the electrolyte of Production Example 10.
  • the electrolytic solution of Production Example 10 contains water at 100.2 mol with respect to 1 mol of LiTFSA.
  • Production Example 12 LiTFSA as an alkali metal salt was dissolved in water to prepare an aqueous solution having a LiTFSA concentration of 1.00 mol / L. This aqueous solution was used as the electrolyte of Production Example 12.
  • the electrolytic solution of Production Example 12 contains 47.4 mol of water per 1 mol of LiTFSA.
  • Production Example 13 LiTFSA as an alkali metal salt was dissolved in water to prepare an aqueous solution in which the concentration of LiTFSA was 2.00 mol / L. This aqueous solution was used as the electrolyte of Production Example 13.
  • the electrolytic solution of Production Example 13 contains 19.6 mol of water per 1 mol of LiTFSA.
  • Production Example 14 LiTFSA as an alkali metal salt was dissolved in water to prepare an aqueous solution in which the concentration of LiTFSA was 2.50 mol / L. This aqueous solution was used as the electrolyte of Production Example 14.
  • the electrolytic solution of Production Example 14 contains 14.1 mol of water per 1 mol of LiTFSA.
  • Production Example 15 Example 7 LiTFSA as an alkali metal salt was dissolved in water to prepare an aqueous solution in which the concentration of LiTFSA was 3.00 mol / L. This aqueous solution was used as an electrolytic solution of Production Example 15. The electrolytic solution of Production Example 15 contains 10.4 mol of water per 1 mol of LiTFSA.
  • Production Example 17 Example 9 LiTFSA as an alkali metal salt was dissolved in water to prepare an aqueous solution having a LiTFSA concentration of 4.00 mol / L. This aqueous solution was used as an electrolytic solution of Production Example 17. The electrolytic solution of Production Example 17 contains 5.7 mol of water per 1 mol of LiTFSA.
  • LiTFSA as an alkali metal salt was dissolved in water to prepare an aqueous solution having a LiTFSA concentration of 4.50 mol / L. This aqueous solution was used as an electrolytic solution of Production Example 18.
  • the electrolytic solution of Production Example 18 contains 4.2 mol of water per 1 mol of LiTFSA.
  • Production Example 19 LiTFSA as an alkali metal salt was dissolved in water to prepare an aqueous solution having a concentration of 5.00 mol / L of LiTFSA. This aqueous solution was used as an electrolytic solution of Production Example 19. The electrolytic solution of Production Example 19 contains water in an amount of 2.9 mol per 1 mol of LiTFSA.
  • Production Example 21 An aqueous solution in which LiTFSA as a alkali metal salt and LiBETA are mixed at a molar ratio of 7: 3 to form a mixture, and the mixture is added to water so that the value of (number of moles of water) / (number of moles of alkali metal salt) becomes 50. was prepared. This aqueous solution was used as an electrolytic solution of Production Example 21.
  • Production Example 22 An aqueous solution having a value of (number of moles of water) / (number of moles of alkali metal salt) of 19 was prepared by adding to water Li 2 SO 4 as an alkali metal salt. This aqueous solution was used as the electrolyte of Production Example 22.
  • Example 12 An aqueous solution in which the value of (number of moles of water) / (number of moles of alkali metal salt) was 4.5 was prepared by adding to LiNO 3 as an alkali metal salt to water. This aqueous solution was used as an electrolytic solution of Production Example 23.
  • Table 1 shows a list of electrolytes. Blank means not calculated.
  • Electrolyte solution Electrolyte solution of Production Example 11
  • Working electrode Electrode for electric double layer capacitor comprising a mixture layer containing 86% by mass of activated carbon and Al foil (manufactured by Hohsen Co., Ltd .: density of mixture layer is 0.63 g / cm 3 ))
  • Reference electrode Ag / AgCl (saturated KCl)
  • Counter electrode platinum
  • Positive electrode An electrode for an electric double layer capacitor comprising a mixture layer containing 86% by mass of activated carbon and an Al foil (manufactured by Hohsen Co., Ltd .: the density of the mixture layer is 0.63 g / cm 3 )
  • Negative electrode An electrode for an electric double layer capacitor comprising a mixture layer containing 86% by mass of activated carbon and an Al foil (manufactured by Hohsen Co., Ltd .: density of mixture layer is 0.63 g / cm 3 )
  • Electrolyte Electrolyte of Production Example 11
  • the electric double layer capacitor was charged and discharged 10 times in a voltage range of 0 to 1 V at a current of 10 mA / g, and this was taken as conditioning.
  • charging / discharging in each voltage range at each charging / discharging current shown below was repeated five times, respectively.
  • an electric double layer capacitor having the same configuration as that described above was manufactured except that the electrolytic solution of Production Example 1 was used as the electrolytic solution, and a capacitor of Comparative Example A was obtained.
  • the capacitor of Comparative Example A was charged / discharged in the voltage range of 0 to 1.2 V under the same conditions as above.
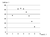
  • the range of the five small arrows is, from the left, a charge current of 100 mA / g, 500 mA / g, 1000 mA / g, 2000 mA / g, about It means 3600 mA / g.
  • the capacitor of Example A suitably charges and discharges under any current condition and in any voltage range. Further, when the capacitance of the capacitor of Example A and the capacitance of the capacitor of Comparative Example A in the voltage range of 0 to 1.2 V were compared, it was found that the capacitor of Example A was superior. It was confirmed that the electrolytic solution of the present invention is excellent.
  • Electrolyte solution Electrolyte solution of Production Example 11
  • Working electrode Four stacked aluminum foils with an area of 1 cm 2 and a thickness of 15 ⁇ m
  • Reference electrode Ag / AgCl (saturated KCl)
  • Counter electrode Platinum
  • the electrolytic solution of the present invention does not cause any particular decomposition of the solvent in the presence of aluminum and does not cause any particular corrosion to aluminum. It was supported that the electrolytic solution of the present invention can be suitably used also for a power storage device provided with a current collector made of aluminum.
  • Electrolyte solution Production Example 17, Production Example 20, Production Example 21 or Production Example 22
  • Working electrode An electrode composed of a negative electrode mixture layer containing 85% by mass of Li 4 Ti 5 O 12 , 5% by mass of PVDF and 10% by mass of acetylene black, and a current collector made of Zn.
  • Electrode composed of a mixture layer containing 10% by weight of LiMn 2 O 4 , 10% by weight of PVDF and 5% by weight of acetylene black and a current collector made of Ti
  • the secondary battery provided with the electrolytic solution of the present invention is reversibly operable.

Landscapes

  • Chemical & Material Sciences (AREA)
  • Chemical Kinetics & Catalysis (AREA)
  • Electrochemistry (AREA)
  • Engineering & Computer Science (AREA)
  • Power Engineering (AREA)
  • General Chemical & Material Sciences (AREA)
  • Microelectronics & Electronic Packaging (AREA)
  • Inorganic Chemistry (AREA)
  • Materials Engineering (AREA)
  • Manufacturing & Machinery (AREA)
  • Secondary Cells (AREA)
  • Electric Double-Layer Capacitors Or The Like (AREA)
  • Cell Electrode Carriers And Collectors (AREA)
PCT/JP2017/000320 2016-01-14 2017-01-06 蓄電装置用水系電解液、及び当該水系電解液を含む蓄電装置 Ceased WO2017122597A1 (ja)

Priority Applications (2)

Application Number Priority Date Filing Date Title
CN201780006800.6A CN108475589A (zh) 2016-01-14 2017-01-06 蓄电装置用水系电解液以及包含该水系电解液的蓄电装置
US16/069,953 US10658706B2 (en) 2016-01-14 2017-01-06 Aqueous electrolytic solution for power storage device and power storage device including said aqueous electrolytic solution

Applications Claiming Priority (2)

Application Number Priority Date Filing Date Title
JP2016005505A JP6613474B2 (ja) 2016-01-14 2016-01-14 蓄電装置用水系電解液、及び当該水系電解液を含む蓄電装置
JP2016-005505 2016-01-14

Publications (1)

Publication Number Publication Date
WO2017122597A1 true WO2017122597A1 (ja) 2017-07-20

Family

ID=59311063

Family Applications (1)

Application Number Title Priority Date Filing Date
PCT/JP2017/000320 Ceased WO2017122597A1 (ja) 2016-01-14 2017-01-06 蓄電装置用水系電解液、及び当該水系電解液を含む蓄電装置

Country Status (4)

Country Link
US (1) US10658706B2 (enExample)
JP (1) JP6613474B2 (enExample)
CN (1) CN108475589A (enExample)
WO (1) WO2017122597A1 (enExample)

Cited By (8)

* Cited by examiner, † Cited by third party
Publication number Priority date Publication date Assignee Title
JP2019053931A (ja) * 2017-09-15 2019-04-04 トヨタ自動車株式会社 水系リチウムイオン二次電池
CN110021788A (zh) * 2018-01-09 2019-07-16 丰田自动车株式会社 水系电解液和水系锂离子二次电池
CN110945708A (zh) * 2017-09-15 2020-03-31 株式会社Lg化学 水性电解液和包括该水性电解液的储能装置
WO2020195092A1 (ja) * 2019-03-27 2020-10-01 パナソニックIpマネジメント株式会社 二次電池
WO2020262102A1 (ja) 2019-06-28 2020-12-30 パナソニックIpマネジメント株式会社 二次電池
US11817561B2 (en) 2018-05-21 2023-11-14 Panasonic Intellectual Property Management Co., Ltd. Electrolyte and secondary battery
US12322803B2 (en) 2019-03-26 2025-06-03 Panasonic Intellectual Property Management Co., Ltd. Secondary battery
US12347860B2 (en) 2020-01-31 2025-07-01 Panasonic Intellectual Property Management Co., Ltd. Negative electrode active material for aqueous secondary battery, negative electrode for aqueous secondary battery, and aqueous secondary battery

Families Citing this family (12)

* Cited by examiner, † Cited by third party
Publication number Priority date Publication date Assignee Title
US11848419B2 (en) * 2020-10-28 2023-12-19 Enevate Corporation Metal amide bases as electrolyte additives for Si anode-based Li-ion batteries
JP2019053930A (ja) * 2017-09-15 2019-04-04 トヨタ自動車株式会社 水系リチウムイオン二次電池
CN109560247B (zh) * 2017-09-26 2021-02-23 宁德新能源科技有限公司 锂离子电池及其负极极片
JP7174922B2 (ja) * 2018-01-15 2022-11-18 パナソニックIpマネジメント株式会社 二次電池及び電解液
JP2021120965A (ja) * 2018-03-23 2021-08-19 株式会社村田製作所 電気化学キャパシタ
CN110828911B (zh) * 2018-08-13 2023-01-10 丰田自动车株式会社 锂/钠离子电池用水系电解液以及锂/钠离子电池
KR102700986B1 (ko) 2019-08-29 2024-08-29 주식회사 엘지에너지솔루션 수계 전해질 및 이를 포함하는 수도커패시터
KR102713213B1 (ko) 2019-09-19 2024-10-02 주식회사 엘지에너지솔루션 수계 전해질 및 이를 포함하는 수도커패시터
US20230109546A1 (en) * 2020-02-28 2023-04-06 Zeon Corporation Electrolyte solution for electrochemical devices, plastic composition, use and production method
CN114552072B (zh) * 2020-11-25 2024-05-07 中国科学院大连化学物理研究所 一种水系镁电池电解液
WO2022193226A1 (zh) * 2021-03-18 2022-09-22 宁德新能源科技有限公司 电解液、电化学装置和电子装置
JP7613434B2 (ja) 2022-08-29 2025-01-15 トヨタ自動車株式会社 水系カリウムイオン電池

Citations (2)

* Cited by examiner, † Cited by third party
Publication number Priority date Publication date Assignee Title
JP2010192346A (ja) * 2009-02-20 2010-09-02 Sony Corp 電解質及びこれを用いた電池とその使用方法、並びに電解質の製造方法
WO2013146792A1 (ja) * 2012-03-28 2013-10-03 国立大学法人信州大学 ハイブリッドキャパシタ

Family Cites Families (8)

* Cited by examiner, † Cited by third party
Publication number Priority date Publication date Assignee Title
JPH0922722A (ja) 1995-07-06 1997-01-21 Mitsubishi Chem Corp リチウムイオン電池用電解液
JP2001052747A (ja) 1999-08-06 2001-02-23 Matsushita Electric Ind Co Ltd リチウム二次電池
CN1323460C (zh) * 2003-12-11 2007-06-27 北京理工大学 一种复合电解质材料
JP2005175303A (ja) * 2003-12-12 2005-06-30 Hachiken Denshi:Kk 電気二重層コンデンサ
JP4842068B2 (ja) 2005-09-22 2011-12-21 株式会社クラレ 活性炭及びその製造方法、並びに該活性炭を用いた分極性電極及び電気二重層キャパシタ
JP5218406B2 (ja) * 2007-07-11 2013-06-26 株式会社豊田中央研究所 水系リチウム二次電池
CN101747243A (zh) * 2008-11-28 2010-06-23 华中科技大学 由双(氟磺酰)亚胺和(全氟烷基磺酰基氟磺酰基)亚胺碱金属盐制备的离子液体
KR20110035906A (ko) 2009-09-30 2011-04-06 가부시키가이샤 한도오따이 에네루기 켄큐쇼 커패시터

Patent Citations (2)

* Cited by examiner, † Cited by third party
Publication number Priority date Publication date Assignee Title
JP2010192346A (ja) * 2009-02-20 2010-09-02 Sony Corp 電解質及びこれを用いた電池とその使用方法、並びに電解質の製造方法
WO2013146792A1 (ja) * 2012-03-28 2013-10-03 国立大学法人信州大学 ハイブリッドキャパシタ

Cited By (14)

* Cited by examiner, † Cited by third party
Publication number Priority date Publication date Assignee Title
CN110945708A (zh) * 2017-09-15 2020-03-31 株式会社Lg化学 水性电解液和包括该水性电解液的储能装置
JP2020527835A (ja) * 2017-09-15 2020-09-10 エルジー・ケム・リミテッド 水系電解液およびこれを含むエネルギー貯蔵装置
JP2019053931A (ja) * 2017-09-15 2019-04-04 トヨタ自動車株式会社 水系リチウムイオン二次電池
US11316207B2 (en) 2017-09-15 2022-04-26 Lg Chem, Ltd. Aqueous electrolyte and energy storage device comprising the same
CN110021788B (zh) * 2018-01-09 2022-08-12 丰田自动车株式会社 水系电解液和水系锂离子二次电池
CN110021788A (zh) * 2018-01-09 2019-07-16 丰田自动车株式会社 水系电解液和水系锂离子二次电池
US11817561B2 (en) 2018-05-21 2023-11-14 Panasonic Intellectual Property Management Co., Ltd. Electrolyte and secondary battery
US12322803B2 (en) 2019-03-26 2025-06-03 Panasonic Intellectual Property Management Co., Ltd. Secondary battery
JP7357235B2 (ja) 2019-03-27 2023-10-06 パナソニックIpマネジメント株式会社 二次電池
JPWO2020195092A1 (enExample) * 2019-03-27 2020-10-01
WO2020195092A1 (ja) * 2019-03-27 2020-10-01 パナソニックIpマネジメント株式会社 二次電池
WO2020262102A1 (ja) 2019-06-28 2020-12-30 パナソニックIpマネジメント株式会社 二次電池
US12237509B2 (en) 2019-06-28 2025-02-25 Panasonic Intellectual Property Management Co., Ltd. Secondary battery
US12347860B2 (en) 2020-01-31 2025-07-01 Panasonic Intellectual Property Management Co., Ltd. Negative electrode active material for aqueous secondary battery, negative electrode for aqueous secondary battery, and aqueous secondary battery

Also Published As

Publication number Publication date
CN108475589A (zh) 2018-08-31
JP2017126500A (ja) 2017-07-20
JP6613474B2 (ja) 2019-12-04
US10658706B2 (en) 2020-05-19
US20190044190A1 (en) 2019-02-07

Similar Documents

Publication Publication Date Title
US10658706B2 (en) Aqueous electrolytic solution for power storage device and power storage device including said aqueous electrolytic solution
CN107112600B (zh) 蓄电装置用水系电解液和含有该水系电解液的蓄电装置
JP5883120B2 (ja) リチウム二次電池用電解液、及び当該電解液を含む二次電池
JP6238582B2 (ja) 高濃度金属塩を含むアセトニトリル電解液、及び当該電解液を含む二次電池
JP6113496B2 (ja) リチウム二次電池
JPWO2013073288A1 (ja) リチウムイオン二次電池
CN107148698A (zh) 用于基于锂的蓄能器的电解质
JP2009252681A (ja) 一次電池用非水電解液、及びそれを用いた非水電解液一次電池
JP7288777B2 (ja) 蓄電デバイス用水系電解液及びこの水系電解液を含む蓄電デバイス
US20250015337A1 (en) Metal ion cells with good low temperature performance
JP7288775B2 (ja) 蓄電デバイス用水系電解液及びこの水系電解液を含む蓄電デバイス
JP4862356B2 (ja) 負極活物質及び水系リチウム二次電池
JP2017228710A (ja) リチウムイオンキャパシタ及びリチウムイオンキャパシタ用電解液
TWI840529B (zh) 蓄電裝置用水系電解液,及包含該水系電解液之蓄電裝置,以及作為電解質之混合鹽
KR102886504B1 (ko) 수계 전해질용 티타늄 기준 전극 및 이의 제조방법
JP7288776B2 (ja) 蓄電デバイス用水系電解液及びこの水系電解液を含む蓄電デバイス
WO2018198742A1 (ja) リチウムイオン二次電池、リチウムイオン二次電池の製造方法およびリチウムイオン二次電池用の電解液
JP2025163825A (ja) 酸化腐食抑制能を有する電解液
JP5640666B2 (ja) リチウム二次電池

Legal Events

Date Code Title Description
121 Ep: the epo has been informed by wipo that ep was designated in this application

Ref document number: 17738351

Country of ref document: EP

Kind code of ref document: A1

NENP Non-entry into the national phase

Ref country code: DE

122 Ep: pct application non-entry in european phase

Ref document number: 17738351

Country of ref document: EP

Kind code of ref document: A1