WO2012108510A1 - 所望の分岐化度を有する分岐化芳香族ポリカーボネート樹脂の製造方法 - Google Patents
所望の分岐化度を有する分岐化芳香族ポリカーボネート樹脂の製造方法 Download PDFInfo
- Publication number
- WO2012108510A1 WO2012108510A1 PCT/JP2012/052988 JP2012052988W WO2012108510A1 WO 2012108510 A1 WO2012108510 A1 WO 2012108510A1 JP 2012052988 W JP2012052988 W JP 2012052988W WO 2012108510 A1 WO2012108510 A1 WO 2012108510A1
- Authority
- WO
- WIPO (PCT)
- Prior art keywords
- aromatic polycarbonate
- group
- value
- molecular weight
- branching
- Prior art date
- Legal status (The legal status is an assumption and is not a legal conclusion. Google has not performed a legal analysis and makes no representation as to the accuracy of the status listed.)
- Ceased
Links
- 0 O*Oc(ccc1c2)cc1ccc2O*O Chemical compound O*Oc(ccc1c2)cc1ccc2O*O 0.000 description 3
- ORILYTVJVMAKLC-UHFFFAOYSA-N C(C(C1)C2)C3CC2CC1C3 Chemical compound C(C(C1)C2)C3CC2CC1C3 ORILYTVJVMAKLC-UHFFFAOYSA-N 0.000 description 1
- CDBAMNGURPMUTG-UHFFFAOYSA-N CC(C)(C(CC1)CCC1O)C(CC1)CCC1O Chemical compound CC(C)(C(CC1)CCC1O)C(CC1)CCC1O CDBAMNGURPMUTG-UHFFFAOYSA-N 0.000 description 1
- GCFOMMXFYQFLTF-UHFFFAOYSA-N CCC1C=CC(CC)=CC1 Chemical compound CCC1C=CC(CC)=CC1 GCFOMMXFYQFLTF-UHFFFAOYSA-N 0.000 description 1
- AFZZYIJIWUTJFO-UHFFFAOYSA-N CCc1cc(CC)ccc1 Chemical compound CCc1cc(CC)ccc1 AFZZYIJIWUTJFO-UHFFFAOYSA-N 0.000 description 1
- UVWJWMOUCOKCOO-UHFFFAOYSA-N OC(C(c1ccccc1)(C1=CCCC=C1)O)c1ccccc1 Chemical compound OC(C(c1ccccc1)(C1=CCCC=C1)O)c1ccccc1 UVWJWMOUCOKCOO-UHFFFAOYSA-N 0.000 description 1
- IHPDTPWNFBQHEB-UHFFFAOYSA-N OC(C(c1ccccc1)O)c1ccccc1 Chemical compound OC(C(c1ccccc1)O)c1ccccc1 IHPDTPWNFBQHEB-UHFFFAOYSA-N 0.000 description 1
- OIXGILBUABDWRY-UHFFFAOYSA-N OC(CC1)CC(CC2)C1CC2O Chemical compound OC(CC1)CC(CC2)C1CC2O OIXGILBUABDWRY-UHFFFAOYSA-N 0.000 description 1
- YKXXBEOXRPZVCC-UHFFFAOYSA-N OC(Cc1ccccc11)C1O Chemical compound OC(Cc1ccccc11)C1O YKXXBEOXRPZVCC-UHFFFAOYSA-N 0.000 description 1
- YLVACWCCJCZITJ-UHFFFAOYSA-N OC1OCCOC1O Chemical compound OC1OCCOC1O YLVACWCCJCZITJ-UHFFFAOYSA-N 0.000 description 1
- YAZNZZZSPZTZIN-UHFFFAOYSA-N OC1SCCSC1O Chemical compound OC1SCCSC1O YAZNZZZSPZTZIN-UHFFFAOYSA-N 0.000 description 1
- KLDXJTOLSGUMSJ-JGWLITMVSA-N O[C@H](CO[C@@H]12)[C@H]1OC[C@@H]2O Chemical compound O[C@H](CO[C@@H]12)[C@H]1OC[C@@H]2O KLDXJTOLSGUMSJ-JGWLITMVSA-N 0.000 description 1
Images
Classifications
-
- C—CHEMISTRY; METALLURGY
- C08—ORGANIC MACROMOLECULAR COMPOUNDS; THEIR PREPARATION OR CHEMICAL WORKING-UP; COMPOSITIONS BASED THEREON
- C08G—MACROMOLECULAR COMPOUNDS OBTAINED OTHERWISE THAN BY REACTIONS ONLY INVOLVING UNSATURATED CARBON-TO-CARBON BONDS
- C08G64/00—Macromolecular compounds obtained by reactions forming a carbonic ester link in the main chain of the macromolecule
- C08G64/04—Aromatic polycarbonates
-
- C—CHEMISTRY; METALLURGY
- C08—ORGANIC MACROMOLECULAR COMPOUNDS; THEIR PREPARATION OR CHEMICAL WORKING-UP; COMPOSITIONS BASED THEREON
- C08G—MACROMOLECULAR COMPOUNDS OBTAINED OTHERWISE THAN BY REACTIONS ONLY INVOLVING UNSATURATED CARBON-TO-CARBON BONDS
- C08G64/00—Macromolecular compounds obtained by reactions forming a carbonic ester link in the main chain of the macromolecule
- C08G64/42—Chemical after-treatment
-
- C—CHEMISTRY; METALLURGY
- C08—ORGANIC MACROMOLECULAR COMPOUNDS; THEIR PREPARATION OR CHEMICAL WORKING-UP; COMPOSITIONS BASED THEREON
- C08G—MACROMOLECULAR COMPOUNDS OBTAINED OTHERWISE THAN BY REACTIONS ONLY INVOLVING UNSATURATED CARBON-TO-CARBON BONDS
- C08G64/00—Macromolecular compounds obtained by reactions forming a carbonic ester link in the main chain of the macromolecule
- C08G64/16—Aliphatic-aromatic or araliphatic polycarbonates
-
- C—CHEMISTRY; METALLURGY
- C08—ORGANIC MACROMOLECULAR COMPOUNDS; THEIR PREPARATION OR CHEMICAL WORKING-UP; COMPOSITIONS BASED THEREON
- C08G—MACROMOLECULAR COMPOUNDS OBTAINED OTHERWISE THAN BY REACTIONS ONLY INVOLVING UNSATURATED CARBON-TO-CARBON BONDS
- C08G64/00—Macromolecular compounds obtained by reactions forming a carbonic ester link in the main chain of the macromolecule
- C08G64/16—Aliphatic-aromatic or araliphatic polycarbonates
- C08G64/1608—Aliphatic-aromatic or araliphatic polycarbonates saturated
- C08G64/1616—Aliphatic-aromatic or araliphatic polycarbonates saturated containing a chain-terminating or -crosslinking agent
-
- C—CHEMISTRY; METALLURGY
- C08—ORGANIC MACROMOLECULAR COMPOUNDS; THEIR PREPARATION OR CHEMICAL WORKING-UP; COMPOSITIONS BASED THEREON
- C08G—MACROMOLECULAR COMPOUNDS OBTAINED OTHERWISE THAN BY REACTIONS ONLY INVOLVING UNSATURATED CARBON-TO-CARBON BONDS
- C08G64/00—Macromolecular compounds obtained by reactions forming a carbonic ester link in the main chain of the macromolecule
- C08G64/20—General preparatory processes
- C08G64/30—General preparatory processes using carbonates
-
- C—CHEMISTRY; METALLURGY
- C08—ORGANIC MACROMOLECULAR COMPOUNDS; THEIR PREPARATION OR CHEMICAL WORKING-UP; COMPOSITIONS BASED THEREON
- C08L—COMPOSITIONS OF MACROMOLECULAR COMPOUNDS
- C08L69/00—Compositions of polycarbonates; Compositions of derivatives of polycarbonates
Definitions
- the present invention relates to a method for producing a branched aromatic polycarbonate resin having a desired degree of branching. Specifically, the present invention relates to a method for producing a branched aromatic polycarbonate resin having a high degree of polymerization in which the degree of branching is adjusted according to the amount of the branching agent used, using an ester exchange method.
- PC Polycarbonate
- bisphenol A polycarbonates derived from aromatic dihydroxy compounds such as 2,2-bis (4-hydroxyphenyl) propane (hereinafter referred to as “bisphenol A”) are produced by either interfacial polymerization or melt polymerization. It is industrialized by the method.
- Polycarbonate produced from the interfacial polymerization method is produced from bisphenol A and aromatic monohydroxy compounds such as p-tert-butylphenol and phosgene.
- the polycarbonate obtained is a linear polymer and exhibits Newtonian properties when melted. In other words, the shear fluidity is less dependent on the shear rate of the melt viscosity, and the elongation fluidity is extremely low. Therefore, when performing large extrusion molding or blow molding, resin dripping is likely to occur due to its own weight. It is difficult to mold large products.
- Polycarbonate resins used for applications such as large-capacity hollow molded products, large extrusion molded products, and blow molded products have been evaluated for melt flow characteristics by this N value, and generally non-Newtonian flow behavior that is highly pressure dependent Is preferable because sagging and drawdown during extrusion and molding can be prevented. Therefore, it is desired to arbitrarily produce a polycarbonate resin having suitable melt flow characteristics such that this N value falls within an appropriate range.
- the interfacial polymerization method controls the non-Newtonian property at the time of melting by adding a polycarbonate resin component with an extremely high molecular weight or arbitrarily incorporating a branching agent into the molecule to form a branched structure. is doing. That is, the melt viscosity and elongational viscosity in a low shear rate region are arbitrarily increased to improve blow moldability, drip prevention properties, flame retardancy, and the like.
- a melt polymerization method that has been known as another method for producing a polycarbonate resin is a method for producing a polycarbonate from an aromatic dihydroxy compound and a diaryl carbonate, such as bisphenol A (BPA) and diphenyl carbonate (DPC). ) With a transesterification reaction in a molten state, and polymerizing while removing the by-produced aromatic monohydroxy compound.
- BPA bisphenol A
- DPC diphenyl carbonate
- the melt polymerization method has the advantage of not using a solvent, but in the manufacturing process, in order to distill off the aromatic monohydroxy compound and carbonic acid diester in the high-viscosity polycarbonate melt. It is necessary to carry out the reaction for a long time at a high temperature and under a high vacuum. Therefore, a special apparatus capable of withstanding a long-time reaction under high temperature and high vacuum and a powerful stirring apparatus are required because the product is highly viscous.
- Non-Patent Documents 1 to 3 high molecular weight polycarbonate produced by the conventional transesterification method has an unspecified amount of branched structure at the time of production. Is possible. In addition, it exhibits a greater non-Newtonian property than that produced by the interfacial polymerization method. As seen in Non-Patent Documents 4 and 5, this branched structure is due to a branched structure or a crosslinked structure due to an ester bond produced by the reaction of a polycarbonate similar to the Kolbe-Schmitt reaction under the action of an alkali. It is known that it is difficult to control the amount of branched structure. That is, there is a possibility of increasing or decreasing depending on the apparatus and operating conditions, and it is extremely difficult to control the flow behavior during melting in accordance with various moldings.
- the high molecular weight polycarbonate produced by the conventional transesterification method tends to decrease the hue, and only a yellowish one is obtained industrially. Furthermore, it is also known that it has a defect that strength is inferior (brittle fracture property is large).
- Patent Documents 1 and 2 have proposed transesterification polycarbonates that have no branched structure or are eliminated as much as possible.
- Patent Document 3 proposes a method for producing a polycarbonate having the Kolbe-Schmitt type branched structure having a concentration of 300 ppm or less.
- Patent Documents 4 and 5 the generation of a branched structure due to a side reaction that is extremely difficult to control is eliminated by using a specific catalyst, the color tone is improved, and a specific branched structure is actively used using a polyfunctional compound.
- Transesterification polycarbonates having improved hollow moldability by increasing the non-Newtonian nature of the flow behavior are disclosed.
- Patent Document 6 an attempt is made to improve molding fluidity by using 5- (dimethyl-p-hydroxybenzyl) salicylic acid as a branching agent.
- this polyfunctional compound has a problem that a gel is easily formed by crosslinking.
- Patent Documents 7 and 8 propose that the Kolbe-Schmitt-type branched structure derived from thermal degradation is controlled within a certain range by using a specific apparatus, temperature range and residence conditions.
- this control method it is difficult to fundamentally suppress the spontaneous occurrence of the branched structure, and because it is a heterogeneous structure due to a spontaneous thermal degradation reaction, to arbitrarily control the amount of branched structure generated, It is necessary to use specific operating conditions in specific equipment.
- Patent Document 9 an acid anhydride is used as a branching agent, but the influence on the physical properties and color tone due to the generation of an acid during the production and the introduction of an ester bond cannot be ignored.
- Patent Document 10 describes a polycarbonate having a structural viscosity index of 1.36 or more obtained using a branching agent, but no relationship between the branching agent and the degree of branching is found.
- Patent Document 11 discloses a continuous production method in which several polymerization vessels are connected, and a production method using a special horizontal stirring polymerization vessel as a final polymerization vessel.
- a method using a shaft vent extruder has been proposed.
- these are aimed at promoting the elimination of phenol, and although a high molecular weight polycarbonate can be obtained, the physical properties cannot satisfy both mechanical properties and molding fluidity.
- the conventional method for producing a high molecular weight aromatic polycarbonate has many problems in order to control the branched structure arbitrarily and stably.
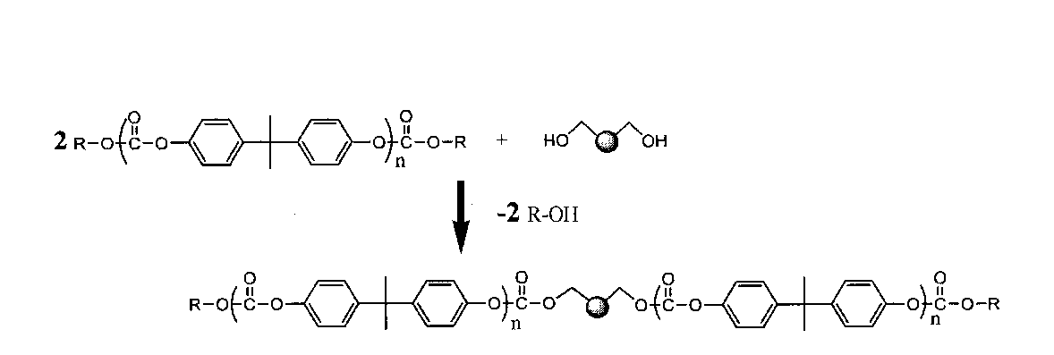
- Patent Document 14 The inventors of the present invention have previously proposed a method for producing a high molecular weight aromatic polycarbonate resin capable of maintaining the good quality of the aromatic polycarbonate resin and achieving a sufficiently high molecular weight.
- an aromatic polycarbonate prepolymer having a very low terminal hydroxyl group concentration and a linking agent comprising a specific aliphatic diol compound are linked by transesterification (copolymerization reaction) under reduced pressure conditions in the presence of a transesterification catalyst.
- This is a method of increasing the molecular weight, whereby a polycarbonate resin having the original physical properties of an aromatic polycarbonate resin and having a sufficiently high molecular weight can be obtained.
- An example of a linking high molecular weight reaction using an aliphatic diol compound is shown in a specific reaction scheme as follows.
- the aromatic polycarbonate resin having a high degree of polymerization having a Mw of about 30,000 to 100,000 can be obtained in a short time by connecting the end of the aromatic polycarbonate with an aliphatic diol compound and extending the chain. Can be manufactured. Since this method produces a polycarbonate by a high-speed polymerization reaction, it can suppress a branching / crosslinking reaction caused by a long-time heat retention or the like, and can avoid resin deterioration such as hue.
- the problem to be solved by the present invention is to provide a method for easily producing an aromatic polycarbonate resin having a sufficiently high molecular weight and having a desired degree of branching by using a general branching agent. It is.
- the inventors of the present invention have prepared an aromatic polycarbonate prepolymer having a branched structure introduced using a predetermined amount of a branching agent in the presence of an ester exchange catalyst as an aliphatic diol compound. It has been found that a certain degree of correlation is established between the amount of the branching agent used and the degree of branching of the high molecular weight branched aromatic polycarbonate obtained by reacting with the reaction.
- this invention relates to the manufacturing method of the branched aromatic polycarbonate resin shown below.
- Aromatic polycarbonate prepolymer introduced with a branched structure using a predetermined amount of a branching agent and an aliphatic diol compound having an aliphatic hydrocarbon group bonded to a terminal OH group are linked to a higher molecular weight under reduced pressure conditions.
- N value (log (Q160 value) ⁇ log (Q10 value)) / (log160 ⁇ log10) (I)
- the Q160 value represents the melt flow volume per unit time (ml / sec) measured at 280 ° C. and a load of 160 kg
- the Q10 value is the melt flow per unit time measured at 280 ° C. and a load of 10 kg. Represents volume (ml / sec).
- the amount (A) of the branching agent used is 0.01 to 1 mol% with respect to the total amount (total number of moles) of carbonate constituent units of the aromatic polycarbonate prepolymer.
- (1) to (3) The manufacturing method in any one of.
- (5) The production method according to any one of (1) to (4), wherein the degree of branching (N value) is 1.1 to 2.2.
- Q represents a hydrocarbon group having 3 or more carbon atoms which may contain different atoms.
- R 1 to R 4 each independently represents a hydrogen atom or an aliphatic hydrocarbon group having 1 to 30 carbon atoms.
- n and m each independently represent an integer of 0 to 10, provided that Q is bonded to the terminal OH group.
- n and m each independently represent an integer of 1 to 10.
- at least one of R 1 and R 2 and at least one of R 3 and R 4 are each (Selected from the group consisting of hydrogen atoms and aliphatic hydrocarbon groups.)
- the weight average molecular weight (Mw) of the branched aromatic polycarbonate is 5,000 or more higher than the weight average molecular weight (Mw) of the aromatic polycarbonate prepolymer, (1) to (8)
- the addition amount of the aliphatic diol compound is any one of (1) to (9), which is 0.01 to 1.0 mol with respect to 1 mol of the total terminal amount of the aromatic polycarbonate prepolymer. Manufacturing method.
- an aromatic polycarbonate prepolymer introduced with a branched structure using a predetermined amount of a branching agent is subjected to a simple process in which a specific aliphatic diol compound is subjected to a linked high molecular weight reaction under reduced pressure conditions. It becomes possible to obtain a high molecular weight branched aromatic polycarbonate having a desired degree of branching in a short time under mild conditions. This is due to the finding that a certain degree of correlation is established between the amount of the branching agent used and the degree of branching of the resulting high molecular weight branched aromatic polycarbonate.
- the branched structure amount of the aromatic polycarbonate can be controlled.
- the time required for the production of polycarbonate can be shortened, and it can be performed under mild conditions (reduction and speeding up of the reaction), so that high temperature and high shear conditions can be avoided as compared with conventional methods. It becomes possible, and coloring, crosslinking, gelation, etc. do not occur in the resin, so that a branched aromatic polycarbonate resin excellent in quality that does not contain a hue or an unexpected branched structure can be obtained.
- 6 is a graph showing the relationship between the amount of branching agent and the N value in Examples 1 to 4, Comparative Examples 1 to 4 and Reference Examples 1 to 4 of the present invention.
- 6 is a graph showing the relationship between the amount of branching agent and the N value in Examples 5 to 7 and Comparative Example 5 of the present invention.
- 6 is a graph showing the relationship between the amount of branching agent and the N value in Examples 8 to 10 and Comparative Example 6 of the present invention.
- 6 is a graph showing the relationship between the amount of branching agent and the N value in Examples 11 to 13 and Comparative Example 7 of the present invention.
- an aromatic polycarbonate prepolymer having a branched structure introduced using a predetermined amount of a branching agent and an aliphatic diol compound are subjected to a linked high molecular weight reaction under reduced pressure conditions in the presence of a transesterification catalyst.
- Aromatic polycarbonate prepolymer The aromatic polycarbonate prepolymer of the present invention is a polycondensation polymer having a structural unit (carbonate structural unit) represented by the following general formula (1) as a main repeating unit, and further described below. A branched structure is introduced into the molecular chain by using a branching agent.
- R 1 and R 2 are each independently a hydrogen atom, a halogen atom, an alkyl group having 1 to 20 carbon atoms, an alkoxyl group having 1 to 20 carbon atoms, or a cycloalkyl having 6 to 20 carbon atoms.
- p and q each represents an integer of 0 to 4.
- X represents a group selected from a divalent organic group represented by the following general formula (1 ′).
- R 3 and R 4 each independently represent a hydrogen atom, an alkyl group having 1 to 10 carbon atoms, or an aryl group having 6 to 10 carbon atoms, and R 3 and R 4 are It may combine to form an aliphatic ring.
- the aromatic polycarbonate prepolymer may be synthesized by an interfacial polymerization method or a melt polymerization method, or may be synthesized by a method such as a solid phase polymerization method or a thin film polymerization method. There may be. Further, it is also possible to use polycarbonate (recycled product of product PC) recovered from used products such as used disk molded products.
- the polycarbonate used as the aromatic polycarbonate prepolymer may be a mixture of a plurality of types.
- it may be a mixture of a polycarbonate polymerized by the interfacial polymerization method and a polycarbonate polymerized by the melt polymerization method, or a mixture of a polycarbonate polymerized by the melt polymerization method or the interfacial polymerization method and a recycled polycarbonate. It may be.
- Such an aromatic polycarbonate prepolymer of the present invention can also be said to be a polycondensate comprising a reaction product of an aromatic dihydroxy compound and a carbonate bond-forming compound as a main repeating unit. That is, the aromatic polycarbonate prepolymer of the present invention is a known transesterification method in which an aromatic dihydroxy compound that induces each structure is reacted with a carbonic acid diester in the presence of a basic catalyst, or an aromatic dihydroxy compound is acid-bonded. It can be obtained by a known interfacial polycondensation method in which it is reacted with phosgene or the like in the presence of an agent.
- Aromatic dihydroxy compound As an aromatic dihydroxy compound, the compound represented by following General formula (2) is mentioned.
- R 1 and R 2 are each independently a hydrogen atom, a halogen atom, an alkyl group having 1 to 20 carbon atoms, an alkoxyl group having 1 to 20 carbon atoms, or a cycloalkyl having 6 to 20 carbon atoms.
- p and q each represents an integer of 0 to 4.
- X represents a group selected from a divalent organic group represented by the following general formula (2 ′).
- R 3 and R 4 each independently represent a hydrogen atom, an alkyl group having 1 to 10 carbon atoms, or an aryl group having 6 to 10 carbon atoms, and R 3 and R 4 are It may combine to form an aliphatic ring.
- aromatic dihydroxy compounds include bis (4-hydroxyphenyl) methane, 1,1-bis (4-hydroxyphenyl) ethane, 2,2-bis (4-hydroxyphenyl) propane, , 2-bis (4-hydroxyphenyl) butane, 2,2-bis (4-hydroxyphenyl) octane, bis (4-hydroxyphenyl) phenylmethane, 1,1-bis (4-hydroxyphenyl) -1-phenyl Ethane, bis (4-hydroxyphenyl) diphenylmethane, 2,2-bis (4-hydroxy-3-methylphenyl) propane, 1,1-bis (4-hydroxy-3-tert-butylphenyl) propane, 2,2 -Bis (3,5-dimethyl-4-hydroxyphenyl) propane, 2,2-bis (4-hydroxy-3- Enylphenyl) propane, 2,2-bis (3-cyclohexyl-4-hydroxyphenyl) propane, 2,2-bis (4-hydroxy-3-bromophenyl) propane, 2,2-bis (3,5-di
- 2,2-bis (4-hydroxyphenyl) propane is preferable because it is stable as a monomer, and is easily available with a small amount of impurities contained therein.
- aromatic polycarbonate prepolymer of the present invention various monomers described above are used for the purpose of controlling the optical properties such as controlling the glass transition temperature, improving the fluidity, improving the refractive index, or reducing the birefringence.
- a plurality of (aromatic dihydroxy compounds) can be used in combination as necessary.
- the aromatic polycarbonate prepolymer used in the present invention can have any branched structure in its molecular chain by using a branching agent during the reaction between the aromatic dihydroxy compound and the carbonate bond-forming compound. Have been introduced in quantities.
- a branching agent a polyfunctional compound having 3 or more, preferably 3 to 6, functional groups in one molecule is used.
- a compound having a phenolic hydroxyl group or a carboxyl group is preferably used.
- trifunctional compounds include 1,1,1-tris (4-hydroxyphenyl) ethane (1,1,1-trisphenolethane; TPA), ⁇ , ⁇ , ⁇ '-tris (4-hydroxyphenyl) ) -1-ethyl-4-isopropylbenzene, ⁇ -methyl- ⁇ , ⁇ ', ⁇ "-tris (4-hydroxyphenyl) -1,4-diethylbenzene, ⁇ , ⁇ ', ⁇ " -tris (4-hydroxy) Phenyl) -1,3,5-triisopropylbenzene, phloroglycine, 4,6-dimethyl-2,4,6-tris (4-hydroxyphenyl) -heptane, 1,3,5-tris (4-hydroxyphenyl) ) Benzene, 2,2-bis [4,4- (4,4'-dihydroxyphenyl) -cyclohexyl] -propane, trimellitic acid, 1,3,5-benzane
- tetrafunctional or higher functional compounds include purpurogallin, 2,3,4,4′-terolahydroxybenzophenone, 2,3,4,4′-terolahydroxydiphenylmethane, galein, 2,3,3 ′, 4, Examples include 4 ′, 5′-hexahydroxybenzophenone.
- 1,1,1-tris (4-hydroxyphenyl) ethane (the following chemical formula (1)), ⁇ , ⁇ , ⁇ ′-tris (4-hydroxyphenyl) -1-ethyl-4-isopropylbenzene (the following chemical formula ( 2)), and a branching agent selected from the group consisting of trimethylolpropane (the following chemical formula (3)) is easily available as a monomer and having a small amount of impurities contained therein. , Etc. are preferable. Particularly preferred is 1,1,1-tris (4-hydroxyphenyl) ethane.
- the amount of branching agent used (the amount of branch structure introduced) can be varied according to the purpose of improvement such as blow moldability, anti-drip property and flame retardancy, but the above general formula in the aromatic polycarbonate prepolymer
- the amount is preferably 0.01 to 1 mol%, more preferably 0.1 to 0.9 mol%, particularly preferably 0.2 to 0.00 mol% based on the total amount (total number of moles) of the carbonate structural unit represented by (1). 8 mol% is desirable.
- it is preferably 0.01 to 1 mol%, more preferably 0.1 to 0.9 mol%, particularly preferably 0.2 to 0.2 mol% based on the total number of moles of the aromatic dihydroxy compound used and the branching agent. It is desirable to be 0.8 mol%.
- the aromatic polycarbonate prepolymer of the present invention can be produced by reacting an aromatic dihydroxy compound and a carbonate bond-forming compound together with a branching agent.
- examples of the carbonate bond-forming compound include carbonyl halides such as phosgene, haloformate compounds, and the like.
- the reaction is usually performed in the presence of an acid binder and a solvent.
- an acid binder for example, an alkali metal hydroxide such as sodium hydroxide or potassium hydroxide or an amine compound such as pyridine is used.
- the solvent for example, halogenated hydrocarbons such as methylene chloride and chlorobenzene are used.
- a catalyst such as a tertiary amine or a quaternary ammonium salt can also be used.
- the reaction temperature is usually 0 to 40 ° C., and the reaction time is several minutes to 5 hours.
- a carbonic acid diester is used as the carbonate bond-forming compound.
- dimethyl carbonate, diethyl carbonate, dibutyl carbonate, dicyclohexyl carbonate and the like can be used as desired.
- diphenyl carbonate is preferred from the standpoint of reactivity, stability of the resulting resin against coloring, and cost.
- These carbonic acid diesters are preferably used in a ratio of 0.95 to 1.30 mol, more preferably 0.98 to 1.20 mol, based on 1 mol of the aromatic dihydroxy compound.
- the melt polymerization method using a carbonic acid diester as a carbonate bond-forming compound is a method in which an aromatic dihydroxy component in a predetermined ratio is stirred with heating with a carbonic acid diester in an inert gas atmosphere to distill the resulting alcohol or phenols. Is done.
- the reaction temperature varies depending on the boiling point of the alcohol or phenol produced, but is usually in the range of 120 to 350 ° C.
- the reaction is decompressed from the beginning, and the reaction is completed while distilling off the produced alcohol or phenol.
- the basic compound or transesterification catalyst used normally can also be used.
- a dicarboxylic acid compound may be used in combination with the aromatic dihydroxy compound to form a polyester carbonate.
- the dicarboxylic acid compound terephthalic acid, isophthalic acid, naphthalenedicarboxylic acid, 1,4-cyclohexanedicarboxylic acid and the like are preferable, and these dicarboxylic acids are preferably used as an acid chloride or ester compound.
- the dicarboxylic acid is preferably used in the range of 0.5 to 45 mol% when the total of the dihydroxy component and the dicarboxylic acid component is 100 mol%. More preferably, it is used in the range of ⁇ 40 mol%.
- the aromatic polycarbonate prepolymer preferably has at least a part of end groups sealed.
- the effect is particularly remarkable when the ratio of the amount of the terminal end constituted by the aromatic monohydroxy compound in all terminals is 60% or more.
- the ratio of the amount of capped ends to the total amount of ends of the polymer can be analyzed by 1 H-NMR analysis of the polymer. It can also be determined by measuring the hydroxyl group concentration by spectroscopic measurement with a Ti complex or 1 H-NMR analysis.
- the hydroxyl group concentration by the same evaluation is preferably 1,500 ppm or less, more preferably 1, Those having a viscosity of 000 ppm or less are preferred.
- the reaction between the aromatic polycarbonate prepolymer of the present invention and the aliphatic diol compound is a transesterification reaction between the sealed end group of the prepolymer and the aliphatic diol compound. If the hydroxyl group terminal amount exceeds the above range or the blocked terminal amount is less than the above range, there may be a case where a sufficient high molecular weight effect due to the linked high molecular weight reaction cannot be obtained. In addition, there is a case where a sufficient correlation does not hold between the amount of the branching agent used and the degree of branching of the obtained high molecular weight branched aromatic polycarbonate resin.
- sealing end group examples include phenyl end, cresyl end, o-tolyl end, p-tolyl end, pt-butylphenyl end, biphenyl end, o-methoxycarbonylphenyl end, p-cumylphenyl end, etc. There may be mentioned end groups.
- a terminal group composed of an aromatic monohydroxy compound having a low boiling point which is easily removed from the reaction system by a linking reaction described later is preferable, and a phenyl terminal, a p-tert-butylphenyl terminal, and the like are preferable.
- Such a sealed end group can be introduced by using a terminal terminator during the production of the aromatic polycarbonate prepolymer in the interface method.
- the terminal terminator include p-tert-butylphenol.
- the amount of the end stopper used can be appropriately determined according to the desired terminal amount of the aromatic polycarbonate (that is, the desired molecular weight of the aromatic polycarbonate), the reaction apparatus, the reaction conditions, and the like.
- the sealed end group can be introduced.
- the weight average molecular weight (Mw) is preferably 5,000 to 60,000, more preferably 10,000 to 50,000, and still more preferably 10,000 to 40,000. 000.
- the molecular weight of the aromatic polycarbonate prepolymer is too low, the influence of the physical properties of the copolymer increases. Although it is possible to improve the physical properties by this, it may not be preferable as an effect of increasing the molecular weight of the aromatic polycarbonate prepolymer introduced with a branched structure. A sufficient correlation may not be established between the degree of branching of the fluorinated aromatic polycarbonate resin.
- the concentration of active ends may be reduced, and the effect of increasing the molecular weight may be small.
- the prepolymer itself has a high viscosity, it is necessary to carry out reaction conditions at high temperatures, high shear, and long periods of time. Unexpected branching and crosslinking structures occur naturally in the prepolymer itself, so the desired high quality It is not preferable to obtain a branched aromatic polycarbonate.
- a sufficient correlation does not hold between the amount of the branching agent used and the degree of branching of the obtained high molecular weight branched aromatic polycarbonate resin.
- Aliphatic diol compound The production method of the present invention includes a step of subjecting the aromatic polycarbonate prepolymer to a linked high molecular weight reaction under reduced pressure conditions in the presence of a transesterification catalyst. That is, branching is performed by causing an aliphatic diol compound to act on the aromatic polycarbonate prepolymer, and replacing the sealed end group composed of the aromatic hydroxy compound present in the aromatic polycarbonate prepolymer with an alcoholic hydroxyl group.
- Aromatic polycarbonate prepolymers having a structure introduced therein are connected to increase the molecular weight.
- the degree of branching shows a certain correlation with the amount of the branching agent used when the branched structure is introduced into the aromatic polycarbonate prepolymer. Therefore, since it is possible in the melting method to adjust the degree of branching according to the amount of branching agent used, a high molecular weight branched aromatic polycarbonate resin having an arbitrary degree of branching can be used with special equipment and operating conditions. Even if it does not search, it can acquire easily by the melt-polymerization method using the conditions of the general transesterification method.
- the aliphatic diol compound used in the present invention is a compound having an aliphatic hydrocarbon group bonded to a terminal OH group.
- the aliphatic hydrocarbon group include an alkylene group and a cycloalkylene group, and these may be partially substituted with an aromatic group, a heterocyclic group, or the like. More specifically, a compound having a divalent alcoholic hydroxyl group represented by the following general formula (I) is exemplified.
- Q represents a hydrocarbon group having 3 or more carbon atoms which may contain a hetero atom, preferably a hydrocarbon group having 6 to 40 carbon atoms which may contain a hetero atom, particularly preferably a hetero atom. And a hydrocarbon group having 6 to 30 carbon atoms.
- hetero atom examples include an oxygen atom (O), a sulfur atom (S), a nitrogen atom (N), a fluorine atom (F), and a silicon atom (Si). Of these, oxygen atoms (O) and sulfur atoms (S) are particularly preferred.
- the hydrocarbon group may be linear, branched or cyclic.
- Q may contain a cyclic structure such as an aromatic ring or a heterocyclic ring.
- R 1 , R 2 , R 3 and R 4 are each independently a hydrogen atom, an aliphatic hydrocarbon group having 1 to 30 carbon atoms, preferably 1 to 10 carbon atoms, and a carbon number. It represents a group selected from the group consisting of aromatic hydrocarbon groups having 6 to 20, preferably 6 to 10 carbon atoms.
- aliphatic hydrocarbon group examples include a linear or branched alkyl group and a cyclohexyl group.
- alkyl group include methyl group, ethyl group, propyl group, isopropyl group, n-butyl group, i-butyl group, t-butyl group, n-amyl group, isoamyl group, n-hexyl group, and isohexyl group. It is done.
- the aromatic hydrocarbon group examples include a phenyl group and a naphthyl group.
- At least one of R 1 and R 2 and at least one of R 3 and R 4 are each selected from the group consisting of a hydrogen atom and an aliphatic hydrocarbon group.
- N and m each independently represents an integer of 0 to 10, preferably 1 to 4.
- Q does not include an aliphatic hydrocarbon group bonded to the terminal OH group
- n and m each independently represent an integer of 1 to 10, preferably 1 to 4.
- terminal structures “HO— (CR 1 R 2 ) n —” and “— (CR 3 R 4 ) m —OH” include the following structures.
- R 1 to R 4 are preferably all hydrogen atoms. That is, the aliphatic diol compound used in the present invention is preferably a primary diol compound, and more preferably a primary diol compound excluding a linear aliphatic diol.
- More preferable examples of the aliphatic diol compound include compounds having a divalent alcoholic hydroxyl group represented by any of the following general formulas (i) to (iii).
- Q 1 represents a hydrocarbon group having 6 to 40 carbon atoms including an aromatic ring, preferably a hydrocarbon group having 6 to 30 carbon atoms including an aromatic ring.
- Q 1 contains at least one hetero atom selected from the group consisting of an oxygen atom (O), a sulfur atom (S), a nitrogen atom (N), a fluorine atom (F), and a silicon atom (Si). Also good.
- N1 represents an integer of 1 to 10, preferably an integer of 1 to 4.
- the aromatic ring include a phenyl group, a biphenyl group, a fluorenyl group, and a naphthyl group.
- Q 2 is a linear or branched hydrocarbon group having 3 to 40 carbon atoms which may contain a heterocyclic ring, preferably a linear or branched carbon which may contain a heterocyclic ring. It represents a hydrocarbon group having 5 to 30 carbon atoms, more preferably a linear or branched hydrocarbon group having 7 to 20 carbon atoms which may contain a heterocyclic ring.
- Q2 may contain at least one hetero atom selected from the group consisting of oxygen atom (O), sulfur atom (S), nitrogen atom (N), fluorine atom (F) and silicon atom (Si). Good.
- n2 represents an integer of 1 to 10, preferably an integer of 1 to 4.
- Q 3 represents a group containing a cyclic hydrocarbon group having 6 to 40 carbon atoms (cycloalkylene group), preferably a cyclic hydrocarbon group having 6 to 30 carbon atoms.
- n3 represents an integer of 0 to 10, preferably 1 to 4.
- the cycloalkylene group include a cyclohexyl group, bicyclodecanyl, tricyclodecanyl and the like.
- R 1 to R 4 are each independently a hydrogen atom, an aliphatic hydrocarbon group having 1 to 30 carbon atoms, preferably 1 to 10 carbon atoms, and 6 carbon atoms. Represents a group selected from the group consisting of aromatic hydrocarbon groups of ⁇ 20, preferably 6-10 carbon atoms. Specific examples thereof are the same as those in the general formula (I).
- the aliphatic diol compound used is the aromatic monohydroxy compound. It is preferable that it has a higher boiling point. In addition, it is desirable to use an aliphatic diol compound having a higher boiling point because the reaction needs to proceed reliably without volatilization under a certain temperature and pressure. Therefore, specifically, the aliphatic diol used in the present invention has a boiling point at normal pressure of 240 ° C. or higher, preferably 250 ° C. or higher, particularly preferably 350 ° C. or higher. The upper limit is not particularly limited, but 500 ° C. or less is sufficient.
- an aliphatic diol compound having a relatively high boiling point employs the method of the present invention (that is, a method including a step of continuously supplying an aliphatic diol compound to a linked high molecular weight reactor under a reduced pressure condition of 10 torr or less).
- volatilization of the aliphatic diol compound during the production process can be further suppressed.
- the ratio of the aliphatic diol compound which contributes to a connection high molecular weight reaction can further be raised, it becomes unnecessary to add an aliphatic diol compound excessively, and can improve economical efficiency.
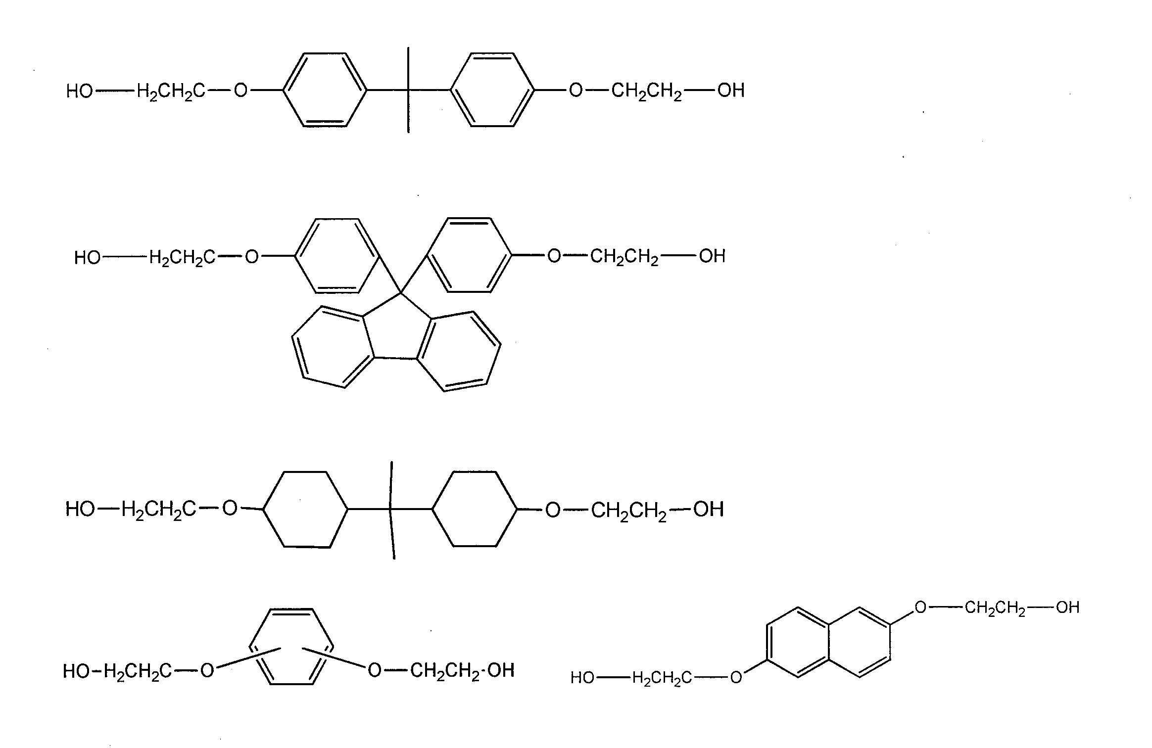
- aliphatic diol compound of the present invention examples include compounds having the following structures.
- 2-hydroxy represented by “HO— (CH 2 ) 2 —OYO— (CH 2 ) 2 —OH” is preferable.
- a hydroxyethoxy group containing compound is mentioned.
- Y is selected from an organic group (A) having the structure shown below, an organic group (B), an organic group (C) selected from a divalent phenylene group or a naphthylene group, or the following structural formula: A cycloalkylene group (D).
- X represents a single bond or a group having the following structure.
- R 1 and R 2 are each independently an alkyl group having 1 to 4 carbon atoms, a phenyl group or cyclohexyl group, which may contain a fluorine atom.
- R 1 and R 2 are preferably a hydrogen atom or a methyl group.
- p and q each independently represents an integer of 0 to 4 (preferably 0 to 3).
- Ra and Rb are each independently a hydrogen atom, a linear or branched alkyl group having 1 to 30, preferably 1 to 12, more preferably 1 to 6, and particularly preferably 1 to 4 carbon atoms, It represents an aryl group having 6 to 12 carbon atoms or a cycloalkyl group having 6 to 12 carbon atoms, or may be bonded to each other to form a ring.
- the ring include an aromatic ring, an alicyclic ring, a heterocyclic ring (including O and / or S), or any combination thereof.
- Ra and Rb form an alkyl group or a ring with each other, they may contain a fluorine atom.
- Rc and Rd each independently represents an alkyl group having 1 to 10 carbon atoms, preferably 1 to 6 carbon atoms, more preferably 1 to 4 carbon atoms (particularly preferably a methyl group or an ethyl group), and they may contain a fluorine atom.
- . e represents an integer of 1 to 20, preferably 1 to 12.
- n and m each independently represents an integer of 0 to 4.
- R 1 and R 2 each independently represents a hydrogen atom, a methyl group, an ethyl group, an n-propyl group, an isopropyl group, a butyl group, an isobutyl group, a phenyl group, or a cyclohexyl group.
- X preferably represents —CRaRb— (Ra and Rb are each independently a hydrogen atom or an alkyl group having 1 to 6 carbon atoms, preferably a methyl group). Specific examples include the following compounds.
- the aliphatic diol compound of the present invention preferably contains a hydroxyalkyl group represented by “HO— (CH 2 ) r —Z— (CH 2 ) r —OH”.
- r is 1 or 2. That is, the hydroxyalkyl group includes a hydroxymethyl group and a hydroxyethyl group.
- Examples of Z include the organic groups shown below.
- n and m each independently represents an integer of 0 to 4.
- a preferred example of the aliphatic diol compound of the present invention is a carbonate diol compound represented by the following formula.
- R the organic group which has the structure shown below is mentioned.
- n is an integer of 1 to 20, preferably 1 to 2.
- m is an integer of 3 to 20, preferably 3 to 10.
- Preferred examples of the polycarbonate diol-based compound include diols (cyclohexanedimethanol or neopentyl glycol dimer) shown below or those containing these as a main component.
- aliphatic diol compound of the present invention a primary diol selected from the above-mentioned (i) 2-hydroxyethoxy group-containing compound, (ii) hydroxyalkyl group-containing compound, and (iii) carbonate diol compound is used. Is preferred.
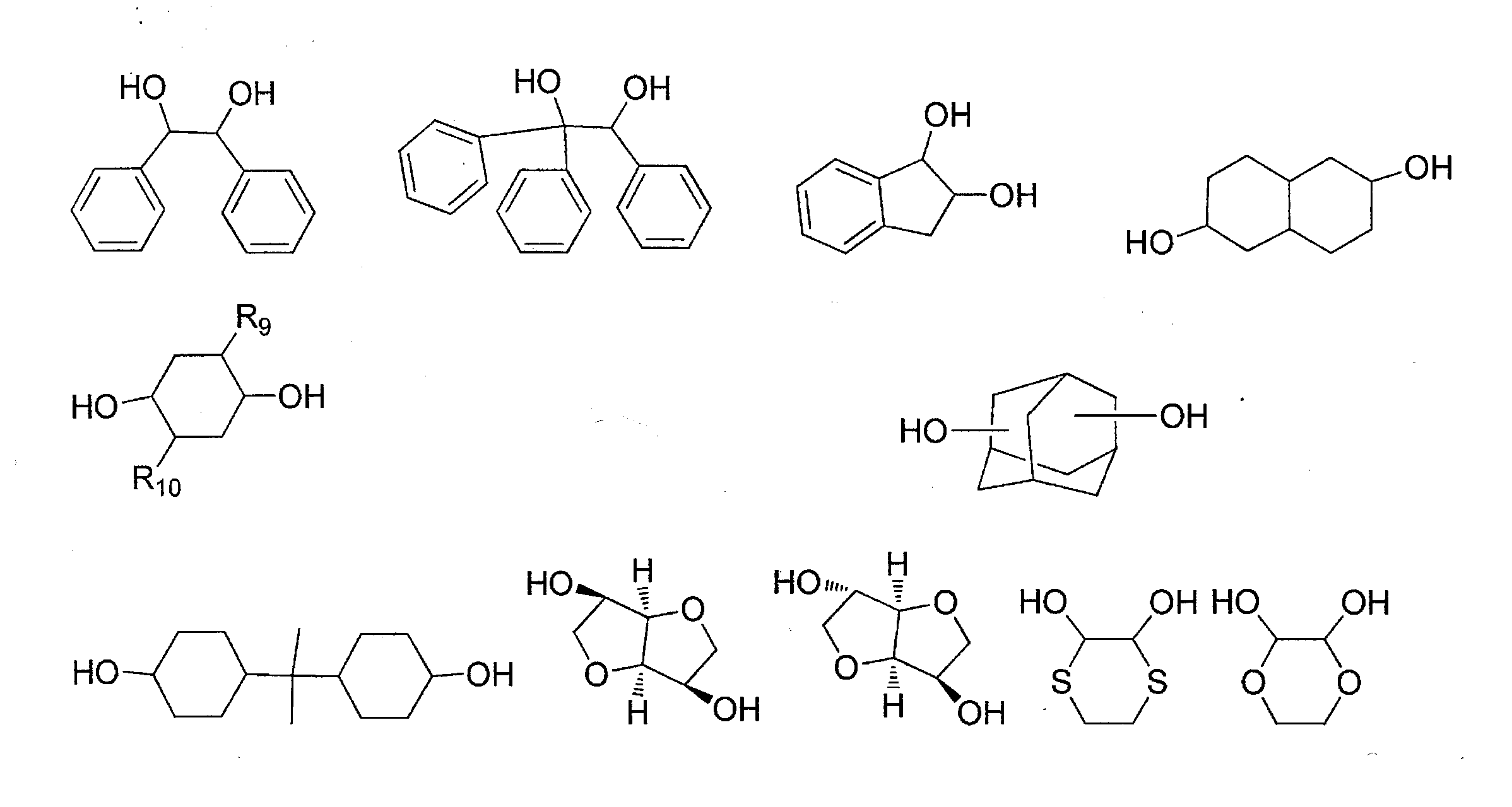
- the aliphatic diol compound of the present invention is not particularly limited to the above-mentioned specific primary diol, and can be used in primary diol compounds other than the primary diol, or secondary diol compounds. Things exist. Examples of other primary diol compounds or secondary diol compounds that can be used are shown below.
- R 5 , R 6 , R 7 , and R 8 are a hydrogen atom or a monovalent alkyl group having 1 to 10 carbon atoms.
- R 9 and R 10 are each independently a linear or branched alkyl group having 1 to 8, preferably 1 to 4 carbon atoms.
- Ra and Rb are the same as described above.
- R ′ is an alkylene group having 1 to 10 carbon atoms, preferably 1 to 8 carbon atoms.
- Re and Rf are each independently a hydrogen atom, methyl group, ethyl group, n-propyl group, isopropyl group, butyl group, isobutyl group or phenyl group.
- m ′′ is an integer of 1 to 10, preferably 1 to 5.
- e is an integer of 1 to 10.
- the above aliphatic diol compounds may be used alone or in combination of two or more.
- the aliphatic diol compound actually used may vary depending on the reaction conditions and the like, and may be appropriately selected depending on the reaction conditions to be employed.
- decalin-2,6-dimethanol DDM
- pentacyclopentadecane dimethanol BPA-2EO
- BPA-2EO 2,2′-bis [(2 -Hydroxyethoxy) phenyl] propane
- BPEF 9,9-bis [4- (2-hydroxyethoxy) phenyl] fluorene
- fluorene glycol fluorenediethanol
- 1,4-cyclohexanedimethanol CHDM
- the amount of the aliphatic diol compound used in the present invention is preferably from 0.01 to 1.0 mol, more preferably from 0.1 to 1 mol, based on 1 mol of all terminal groups of the aromatic polycarbonate prepolymer. 0.0 mol, more preferably 0.2 to 0.7 mol, particularly preferably 0.2 to 0.4 mol.
- total amount of terminal groups of polycarbonate or “total amount of terminal groups of polymer” is, for example, in the case of an unbranched polycarbonate (or chain polymer), the number of terminal groups per molecule is 2. If the amount of polycarbonate without water is 0.5 mol, the total end group amount is calculated as 1 mol. In the case of a polycarbonate having a branch, the terminal group of the branched chain is also included in the total amount of terminal groups. The total amount of terminals including such branched chain end groups is calculated by 1 H-NMR measurement or calculation from molecular weight, and the amount of branching agent used.
- Alkali metals are sodium, potassium, and salts and derivatives thereof, and heavy metals specifically refer to iron, nickel, and chromium.
- the content of these impurities is 1000 ppm or less for chlorine, 100 ppm or less for nitrogen, 10 ppm or less for alkali metals, 3 ppm or less for iron, 2 ppm or less for nickel, and 1 ppm or less for chromium among heavy metals. preferable.
- Examples of the basic compound catalyst include alkali metal compounds and / or alkaline earth metal compounds, nitrogen-containing compounds, and the like.
- Examples of alkali metal compounds and / or alkaline earth metal compounds include organic acid salts, inorganic salts, oxides, hydroxides, hydrides or alkoxides of quaternary ammonium hydroxides and salts thereof. And amines are preferably used, and these compounds can be used alone or in combination.
- alkali metal compound examples include sodium hydroxide, potassium hydroxide, cesium hydroxide, lithium hydroxide, sodium bicarbonate, sodium carbonate, potassium carbonate, cesium carbonate, lithium carbonate, sodium acetate, potassium acetate, cesium acetate, Lithium acetate, sodium stearate, potassium stearate, cesium stearate, lithium stearate, sodium borohydride, sodium phenyl borohydride, sodium benzoate, potassium benzoate, cesium benzoate, lithium benzoate, disodium hydrogen phosphate , Dipotassium hydrogen phosphate, dilithium hydrogen phosphate, disodium phenyl phosphate, disodium salt of bisphenol A, 2 potassium salt, 2 cesium salt, 2 lithium salt, sodium salt of phenol, potassium salt, Siumu salt, lithium salt or the like is used.
- alkaline earth metal compound examples include magnesium hydroxide, calcium hydroxide, strontium hydroxide, barium hydroxide, magnesium bicarbonate, calcium bicarbonate, strontium bicarbonate, barium bicarbonate, magnesium carbonate, calcium carbonate, carbonate Strontium, barium carbonate, magnesium acetate, calcium acetate, strontium acetate, barium acetate, magnesium stearate, calcium stearate, calcium benzoate, magnesium phenyl phosphate and the like are used.
- nitrogen-containing compounds include alkyl groups and / or aryl groups such as tetramethylammonium hydroxide, tetraethylammonium hydroxide, tetrapropylammonium hydroxide, tetrabutylammonium hydroxide, and trimethylbenzylammonium hydroxide.
- Tertiary ammonium hydroxides such as triethylamine, dimethylbenzylamine and triphenylamine, secondary amines such as diethylamine and dibutylamine, primary amines such as propylamine and butylamine, 2-methylimidazole, 2 -Imidazoles such as phenylimidazole and benzimidazole, or ammonia, tetramethylammonium borohydride, tetrabutylammonium borohydride Id, tetrabutylammonium tetraphenylborate, basic or basic salts such as tetraphenyl ammonium tetraphenylborate, or the like is used.
- zinc, tin, zirconium and lead salts are preferably used, and these can be used alone or in combination.
- transesterification catalyst examples include zinc acetate, zinc benzoate, zinc 2-ethylhexanoate, tin (II) chloride, tin (IV) chloride, tin (II) acetate, tin (IV) acetate, and dibutyltin.
- Dilaurate, dibutyltin oxide, dibutyltin dimethoxide, zirconium acetylacetonate, zirconium oxyacetate, zirconium tetrabutoxide, lead (II) acetate, lead (IV) acetate and the like are used.
- These catalysts are used in a ratio of 1 ⁇ 10 ⁇ 9 to 1 ⁇ 10 ⁇ 3 mol, preferably 1 ⁇ 10 ⁇ 7 to 1 ⁇ 10 ⁇ 5 mol, relative to a total of 1 mol of the dihydroxy compound. .
- the reaction temperature in the high molecular weight reaction (linking reaction) with the aliphatic diol compound is preferably in the range of 240 ° C to 320 ° C, more preferably 260 ° C to 310 ° C, and particularly preferably 270 ° C to 300 ° C.
- the degree of reduced pressure is preferably 13 kPaA (100 torr) or less, more preferably 1.3 kPaA (10 torr) or less, more preferably 0.67 to 0.013 kPaA (5 to 0.1 torr).
- the high molecular weight reaction is carried out at normal pressure, there is a possibility of inducing a low molecular weight of the polymer.
- the weight average molecular weight (Mw) of the branched aromatic polycarbonate resin is increased by 5,000 or more than the weight average molecular weight (Mw) of the aromatic polycarbonate prepolymer. More preferably, it increases 10,000 or more, More preferably, it increases 15,000 or more.
- the weight average molecular weight (Mw) of the branched aromatic polycarbonate resin of the present invention is not particularly limited, but is preferably 30,000 to 100,000, more preferably 30,000 to 80,000.
- Evaluation of the degree of branching of the branched aromatic polycarbonate resin in the present invention is represented by the structural viscosity index N value.
- the N value is obtained by using the following formula (melt flow volume Q160 value per unit time measured at 280 ° C. and a load of 160 kg) and melt flow volume Q10 value per unit time measured at a load of 280 ° C. and a load of 10 kg. This is the value obtained in I).
- Q is the outflow rate (ml / sec) of the molten resin.
- N value (log (Q160 value) ⁇ log (Q10 value)) / (log160 ⁇ log10) (I)
- the linear aromatic polycarbonate obtained by the interfacial polymerization method has an N value of 1.1 to 1.4, but the high molecular weight of the aromatic polycarbonate obtained by the melt polymerization method is a heat-treatment during the production process. Due to the deterioration of quality due to deterioration or the like, the N value is 1.3 to 2.0 without using a branching agent. In this case, the N value is not a controlled N value, and increases depending on the degree of deterioration of the resin in the production process of the melt polymerization method, and cannot be controlled. However, the N value of the branched aromatic polycarbonate resin obtained by the present invention is roughly proportional to the amount of branching agent used during the production of the aromatic polycarbonate prepolymer. Have the correlation shown.
- K 1 is a constant (no unit) of 0.1 to 2.0, preferably 0.3 to 1.6, and K 2 is 1.05 to 1.5, preferably 1 A constant between 1 and 1.4 (no unit).
- the amount of the branching agent used during the production of the aromatic polycarbonate prepolymer and the degree of branching show a certain correlation.
- the degree of branching can be controlled by the amount of branching agent used during the production of the aromatic polycarbonate prepolymer.
- the degree of branching (N value) of the resulting branched aromatic polycarbonate resin is in the range of 1.1 to 2.2, more preferably in the range of 1.2 to 2.0. More preferably, it can be controlled to the intended value in the range of 1.2 to 1.9, particularly preferably 1.26 to 1.9.
- the hue evaluation of aromatic polycarbonate is generally represented by a ⁇ YI value.
- the ⁇ YI value of the branched aromatic polycarbonate resin obtained from the interfacial polymerization method is 0.8 to 1.0.
- the high molecular weight polymer of the aromatic polycarbonate obtained by the melt polymerization method has a ⁇ YI value of 1.7 to 2.0 due to a decrease in quality accompanying the production process.
- the ⁇ YI value of the branched aromatic polycarbonate resin obtained by the present invention shows a ⁇ YI value equivalent to that of the aromatic polycarbonate obtained by the interfacial polymerization method, and the hue is not deteriorated.
- any kind of known apparatus may be used for the high molecular weight reaction, the material of the kettle, etc., which may be a continuous process or a batch process.
- the reaction apparatus used for carrying out the above reaction is equipped with paddle blades, lattice blades, glasses blades, etc. It may be a horizontal type or an extruder type equipped with a screw, and it is preferable to use a reaction apparatus in which these are appropriately combined in consideration of the viscosity of the polymer. It is preferable to use a screw having a horizontal type stirring efficiency and a unit capable of reducing pressure. More preferably, a twin screw extruder or a horizontal reactor having a polymer seal and having a vent structure is suitable.
- the material of the apparatus is preferably stainless steel such as SUS310, SUS316 or SUS304, or a material that does not affect the color tone of the polymer such as nickel or iron nitride.
- the inner side of the apparatus may be subjected to buffing or electropolishing, or may be subjected to metal plating such as chromium.
- a catalyst deactivator can be used for the polymer whose molecular weight has been increased by the high molecular weight reaction.
- a method of deactivating a catalyst by adding a known acidic substance is preferably performed.
- these substances include aromatic sulfonic acid esters such as p-toluenesulfonic acid, aromatic sulfonic acid esters such as butyl paratoluenesulfonate, stearic acid chloride, butyric acid chloride, benzoyl chloride, and toluenesulfonic acid chloride.
- An organic halide such as dimethyl sulfate, an alkyl sulfate such as dimethyl sulfate, and an organic halide such as benzyl chloride are preferably used.
- a step of devolatilizing and removing low boiling point compounds in the polymer at a pressure of 0.013 to 0.13 kPaA (0.1 to 1 torr) and a temperature of 200 to 350 ° C. may be provided.
- a horizontal apparatus equipped with a stirring blade having excellent surface renewability, such as a paddle blade, a lattice blade, or a glasses blade, or a thin film evaporator is preferably used.
- antioxidants in addition to the above heat stabilizer, antioxidants, pigments, dye reinforcing agents and fillers, ultraviolet absorbers, lubricants, mold release agents, crystal nucleating agents, plasticizers, fluidity improvers, An antistatic agent or the like can be added.
- additives can be mixed with polycarbonate resin by a conventionally known method.
- a method in which each component is dispersed and mixed with a high-speed mixer represented by a turnbull mixer, a Henschel mixer, a ribbon blender, or a super mixer, and then melt-kneaded with an extruder, a Banbury mixer, a roll or the like is appropriately selected.
- the branched polycarbonate disclosed by the present invention is particularly suitable for large-scale extrusion molding and various blow molding, and can be preferably used for various molded products, sheets, films and the like.
- the branched polycarbonate obtained in the present invention may be a single product or a blend with another polymer.
- processing such as hard coating and laminating can be preferably used.
- molded products include optical parts such as headlamp lenses for cars and lens bodies such as cameras, optical equipment parts such as siren light covers and lighting lamp covers, and substitutes for window glass for vehicles such as trains and automobiles. Household glass replacements, daylighting parts such as sunroofs and greenhouse roofs, goggles and sunglasses, eyeglass lenses and housings, housings for OA equipment such as copiers, facsimiles and personal computers, housings for household appliances such as televisions and microwave ovens Examples include, but are not limited to, body parts, electronic parts such as connectors and IC trays, helmets, protectors, protective equipment such as protective surfaces, dishes such as trays, and medical supplies such as artificial dialysis cases and dentures.
- Hydroxyl terminal concentration Measured by UV / visible spectroscopic analysis (546 nm) of a complex formed from a polymer and titanium tetrachloride in a methylene chloride solution. Or it measured by observing the terminal hydroxyl group by NMR.
- Resin hue 6 g of a resin sample was dissolved in 60 ml of methylene chloride, and the YI value was measured using a spectroscopic color difference meter (trade name “SE-2000” manufactured by Nippon Denshoku Industries Co., Ltd.).
- N value Aromatic polycarbonate (sample) dried at 130 ° C. for 5 hours using Koka-type flow tester CFT-500D (manufactured by Shimadzu Corporation) as the analyzer, 280 ° C., load 160 kg Using the melt flow volume Q160 value per unit time measured in step 1 and the melt flow volume Q10 value per unit time measured at 280 ° C. and a load of 10 kg, the following formula was used. Q is the outflow rate (ml / sec) of the molten resin.
- N value (log (Q160 value) -log (Q10 value)) / (log160-log10)
- Example 1 4,2-bis (4-hydroxyphenyl) propane (hereinafter sometimes abbreviated as “BPA”) 45.5 g (0.20 mol), diphenyl carbonate 46.0 g (0.21 mol), 1,1,1- Trisphenol ethane (hereinafter sometimes abbreviated as “TPE”) 0.15 g (0.49 mmol), and sodium hydrogen carbonate 1 ⁇ mol / mol as a catalyst (“1 ⁇ mol per 1 mol in total of BPA and TPE”) was placed in a 300 cc four-necked flask equipped with a stirrer and a distillation apparatus, heated to 180 ° C. in a nitrogen atmosphere, and stirred for 30 minutes.
- BPA 4,2-bis (4-hydroxyphenyl) propane
- TPE 1,1,1- Trisphenol ethane
- the degree of vacuum was adjusted to 20 kPa (150 torr), and at the same time, the temperature was raised to 200 ° C. at a rate of 60 ° C./hr, and the temperature was maintained at that temperature for 40 minutes to carry out a transesterification reaction. Further, the temperature was raised to 225 ° C. at a rate of 75 ° C./hr and held at that temperature for 10 minutes. Subsequently, the temperature was raised to 260 ° C. at a rate of 65 ° C./hr, and the degree of vacuum was reduced to 0.13 kPaA (1 torr) or less over 1 hour. 40 g of aromatic polycarbonate prepolymer having a weight average molecular weight (Mw) of 33,200 was obtained.
- Mw weight average molecular weight
- Example 2 2,2-bis (4-hydroxyphenyl) propane 45.5 g (0.20 mol), diphenyl carbonate 46.0 g (0.21 mol), 1,1,1-trisphenolethane (hereinafter abbreviated as “TPE”) 0.30 g (0.96 mmol), and 1 ⁇ mol / mol of sodium hydrogen carbonate as a catalyst (“1 ⁇ mol relative to 1 mol of BPA and TPE in total”) were added in four 300 cc units equipped with a stirrer and a distiller. The flask was placed in a neck flask, heated to 180 ° C. under a nitrogen atmosphere, and stirred for 30 minutes.
- TPE 1,1,1-trisphenolethane
- the degree of vacuum was adjusted to 20 kPa (150 torr), and at the same time, the temperature was raised to 200 ° C. at a rate of 60 ° C./hr, and the temperature was maintained at that temperature for 40 minutes to carry out a transesterification reaction. Further, the temperature was raised to 225 ° C. at a rate of 75 ° C./hr and held at that temperature for 10 minutes. Subsequently, the temperature was raised to 260 ° C. at a rate of 65 ° C./hr, and the degree of vacuum was reduced to 0.13 kPaA (1 torr) or less over 1 hour. 40 g of aromatic polycarbonate prepolymer having a weight average molecular weight (Mw) of 33,100 was obtained.
- Mw weight average molecular weight
- Example 3 4,2-bis (4-hydroxyphenyl) propane 45.6 g (0.20 mol), diphenyl carbonate 50.1 g (0.22 mol), 1,1,1-trisphenolethane 0.31 g (1.00 mmol) and
- 1 ⁇ mol / mol of sodium hydrogen carbonate (“1 ⁇ mol for 1 mol of BPA and TPE in total”) was placed in a 300 cc four-necked flask equipped with a stirrer and a distiller, and heated to 180 ° C. in a nitrogen atmosphere. And stirred for 30 minutes. Thereafter, the degree of vacuum was adjusted to 20 kPa (150 torr), and at the same time, the temperature was raised to 200 ° C.
- Example 4 2,2-bis (4-hydroxyphenyl) propane 35.9 g (0.16 mol), diphenyl carbonate 36.8 g (0.18 mol), 1,1,1-trisphenolethane 0.42 g (1.37 mmol) and
- sodium hydrogen carbonate 1 ⁇ mol / mol (“1 ⁇ mol relative to the total 1 mol of BPA and TPE”) was placed in a 300 cc four-necked flask equipped with a stirrer and a distiller and heated to 180 ° C. in a nitrogen atmosphere. Stir for 30 minutes. Thereafter, the degree of vacuum was adjusted to 20 kPa (150 torr), and at the same time, the temperature was raised to 200 ° C.
- the temperature was raised to 225 ° C. at a rate of 75 ° C./hr and held at that temperature for 10 minutes. Subsequently, the temperature was raised to 290 ° C. at a rate of 65 ° C./hr, and the degree of vacuum was reduced to 0.13 kPaA (1 torr) or less over 1 hour.
- the polymerization reaction was carried out with stirring for a total of 7 hours to obtain 36 g of an aromatic polycarbonate having a weight average molecular weight (Mw): 69,000. Table 2 shows the physical property values of the obtained polymer.
- Table 3 shows the physical properties of the aromatic polycarbonate polymer obtained by the 1 mmol) interfacial polymerization method.
- FIG. 1 is a graph showing the relationship between the branching agent amount (branching agent addition rate; mol%) and the N value in Examples 1 to 4, Comparative Examples 1 to 4 and Reference Examples 1 to 4. .
- the N value increases in proportion to the increase in the addition rate of TPE. From the addition rate of branching agent (TPE) and the slope and intercept of the regression curve of N value shown in FIG.
- TPE addition rate of branching agent
- K 1 and K 2 in Equation (II) the value of K 1 in this case is about 0.6 and the value of K 2 is about 1.2.
- Example 5 2,2-bis (4-hydroxyphenyl) propane 42.0 g, diphenyl carbonate 43.0 g, ⁇ , ⁇ , ⁇ '-tris (4-hydroxyphenyl) -1-ethyl-4-isopropylbenzene 0 as a branching agent .15 g and 2 ⁇ mol / mol phenyl disodium phosphate (PhNa 2 PO 4 ) as a catalyst were placed in a 300 cc four-necked flask equipped with a stirrer and a distiller, heated to 180 ° C. in a nitrogen atmosphere, and stirred for 30 minutes. .
- the degree of vacuum was adjusted to 20 kPa (150 torr), and at the same time, the temperature was raised to 200 ° C. at a rate of 60 ° C./hr, and the temperature was maintained at that temperature for 40 minutes to carry out a transesterification reaction. Further, the temperature was raised to 225 ° C. at a rate of 75 ° C./hr and held at that temperature for 10 minutes. Subsequently, the temperature was raised to 260 ° C. at a rate of 65 ° C./hr, and the degree of vacuum was reduced to 0.13 kPaA (1 torr) or less over 1 hour. 40 g of aromatic polycarbonate prepolymer having a weight average molecular weight (Mw) of 30,000 was obtained.
- Mw weight average molecular weight
- Examples 6 to 7 The same procedure as in Example 5 was performed except that the amount of branching agent used and the amount of aliphatic diol compound used were changed as shown in Table 4. The results are shown in Table 4.
- FIG. 1 A graph showing the relationship between the amount of branching agent (branching agent addition rate; mol%) and the N value in Examples 5 to 7 and Comparative Example 5 is shown in FIG.
- the results of Comparative Examples 2 to 4 using the conventional melting method and Reference Examples 1 to 4 using the interface method are also shown.
- the N value increased in proportion to the increase in the addition rate of the branching agent.
- the above formula (II) representing the relationship between the N value and the branching agent usage amount A, taking into account the fluctuation of the measured value, from the addition rate of the branching agent and the slope and intercept of the regression curve of the N value shown in FIG.
- the value of K 1 in this case is about 0.6
- the value of K 2 is about 1.2
- the N value and the branching agent addition rate are approximately the same as those in Examples 5 to 7.
- Example 8 2,2-bis (4-hydroxyphenyl) propane 45.0 g, diphenyl carbonate 46.5 g, trimethylolpropane 0.08 g as a branching agent, and cesium carbonate (Cs 2 CO 3 ) 0.5 ⁇ mol / mol as a catalyst
- the mixture was placed in a 300 cc four-necked flask equipped with a stirrer and a distillation apparatus, heated to 180 ° C. under a nitrogen atmosphere, and stirred for 30 minutes. Thereafter, the degree of vacuum was adjusted to 20 kPa (150 torr), and at the same time, the temperature was raised to 200 ° C.
- Example 9 to 10 The same procedure as in Example 8 was performed except that the amount of branching agent used and the amount of aliphatic diol compound used were changed as shown in Table 5. The results are shown in Table 5.
- FIG. 8 to 10 A graph showing the relationship between the amount of the branching agent and the N value in Examples 8 to 10 and Comparative Example 6 is shown in FIG.
- the results of Comparative Examples 2 to 4 using the conventional melting method and Reference Examples 1 to 4 using the interface method are also shown.
- the N value increased in proportion to the increase in the addition rate of the branching agent.
- the above formula (II) representing the relationship between the N value and the branching agent usage A, taking into account the fluctuation of the measured value, from the slope and intercept of the branching agent addition rate and N value regression curve shown in FIG. when obtaining the K 1 and K 2 in), the value of K 1 in this case is about 0.7, the value of K 2 is about 1.1.
- the N value and the branching agent addition rate are approximately the same as in Examples 8 to 10.
- Example 11 4,2-bis (4-hydroxyphenyl) propane 41.5 g, diphenyl carbonate 43.0 g, 1,1,1-tris (4-hydroxyphenyl) ethane (TPA) 0.10 g as a branching agent, and catalyst Sodium tetraphenyl boron (Ph 4 BNa) 1 ⁇ mol / mol was placed in a 300 cc four-necked flask equipped with a stirrer and a distillation apparatus, heated to 180 ° C. under a nitrogen atmosphere, and stirred for 30 minutes. Thereafter, the degree of vacuum was adjusted to 20 kPa (150 torr), and at the same time, the temperature was raised to 200 ° C.
- Example 12 to 13> The same procedure as in Example 11 was performed except that the amount of branching agent used and the amount of aliphatic diol compound used were changed as shown in Table 6. The results are shown in Table 6.
- FIG. 4 A graph showing the relationship between the amount of the branching agent and the N value in Examples 11 to 13 and Comparative Example 7 is shown in FIG.
- the results of Comparative Examples 2 to 4 using the conventional melting method and Reference Examples 1 to 4 using the interface method are also shown.
- the N value increases in proportion to the increase in the addition rate of the branching agent.
- the above formula (II) representing the relationship between the N value and the branching agent usage A, taking into account the fluctuation of the measured value, from the addition rate of the branching agent and the slope and intercept of the regression curve of the N value shown in FIG. when obtaining the K 1 and K 2 in), the value of K 1 in this case is about 0.6, the value of K 2 is about 1.2.
- the N value and the branching agent addition rate are almost similar to those in Examples 11 to 13.
- a high molecular weight branched aromatic polycarbonate which is controlled to have a good hue and high quality and an arbitrary branched structure amount (N value) using a general branching agent under mild conditions and a short processing time. Resin can be produced.
- the high molecular weight branched aromatic polycarbonate resin thus obtained is a polycarbonate resin having a suitable melt flow property in which the N value is controlled to fall within the proper range. It can be suitably used for applications such as molded products and blow molded products.
Landscapes
- Chemical & Material Sciences (AREA)
- Health & Medical Sciences (AREA)
- Chemical Kinetics & Catalysis (AREA)
- Medicinal Chemistry (AREA)
- Polymers & Plastics (AREA)
- Organic Chemistry (AREA)
- General Chemical & Material Sciences (AREA)
- Polyesters Or Polycarbonates (AREA)
Abstract
Description
このように、従来の高分子量芳香族ポリカーボネートの製造方法では、任意に且つ安定的に分岐構造を制御するには多くの課題を有している。
エステル交換反応の後段で二価ジオールを添加してポリカーボネートを製造する方法は特許文献15及び16に記載されているが、分岐化剤の添加量により分岐度が制御できることは示されておらず、また得られるポリカーボネートの品質は十分満足できるものではない。
N値=(log(Q160値)-log(Q10値))/(log160―log10) ・・・(I)
(数式(I)中、Q160値は280℃、荷重160kgで測定した単位時間当たりの溶融流動体積(ml/sec)を表し、Q10値は280℃、荷重10kgで測定した単位時間当たりの溶融流動体積(ml/sec)を表す。)
[数2]
N値=K1A+K2・・・(II)
(数式(II)中、K1は0.1~1.0の定数、K2は1.1~1.4の定数である。)
(5)前記分岐化度(N値)が1.1~2.2である、(1)~(4)のいずれかに記載の製造方法。
(8)前記芳香族ポリカーボネートプレポリマーの水酸基末端濃度が1,500ppm以下であることを特徴とする、(1)~(7)のいずれかに記載の製造方法。
(10)脂肪族ジオール化合物の添加量が、前記芳香族ポリカーボネートプレポリマーの全末端量1モルに対して0.01~1.0モルである、(1)~(9)のいずれかに記載の製造方法。
(12)連結高分子量化反応を13kPa(100torr)~0.01kPa(0.01torr)の減圧下にて実施することを特徴とする、(1)~(11)のいずれかに記載の製造方法。
(14)上記(1)~(13)のいずれかに記載の製造方法で得られる、分岐化芳香族ポリカーボネート樹脂。
(15)重量平均分子量(Mw)が30,000~100,000である、(14)記載の分岐化芳香族ポリカーボネート樹脂。
本発明の芳香族ポリカーボネートプレポリマーは、下記一般式(1)で表される構造単位(カーボネート構造単位)を主たる繰り返し単位とする重縮合ポリマーであって、さらに後述する分岐化剤の使用によってその分子鎖内に分岐構造を導入したものである。
本発明で用いられる芳香族ポリカーボネートプレポリマーは、芳香族ジヒドロキシ化合物とカーボネート結合形成性化合物との反応時に分岐化剤を使用することによって、その分子鎖内に分岐構造が任意の量で導入されている。分岐化剤としては、一分子中に3個以上、好ましくは3~6の官能基を有する多官能化合物が用いられる。このような多官能化合物としてはフェノール性水酸基、カルボキシル基を有する化合物が好ましく使用される。
4官能以上の化合物の具体例としては、プルプロガリン、2,3,4,4’-テロラヒドロキシベンゾフェノン、2,3,4,4’-テロラヒドロキシジフェニルメタン、ガレイン、2,3,3’,4,4’,5’-ヘキサヒドロキシベンゾフェノンなどが挙げられる。
本発明の芳香族ポリカーボネートプレポリマーは、芳香族ジヒドロキシ化合物とカーボネート結合形成性化合物とを、分岐化剤とともに反応させることによって製造することができる。
上記芳香族ポリカーボネートプレポリマーの末端基としては、全末端に占める芳香族モノヒドロキシ化合物で構成される封止末端量の割合が60%以上の場合に、特に効果が著しい。ポリマーの全末端量に対する封止末端量の割合は、ポリマーの1H-NMR解析により分析することができる。また、Ti複合体による分光測定または1H-NMR解析により水酸基末端濃度を測定することによって求めることも可能であり、同評価による水酸基末端濃度としては1,500ppm以下が好ましく、さらに好ましくは1,000ppm以下のものが好適である。
本発明の製造方法は、上記芳香族ポリカーボネートプレポリマーに、脂肪族ジオール化合物をエステル交換触媒存在下、減圧条件にて連結高分子量化反応させる工程を含む。すなわち、上記芳香族ポリカーボネートプレポリマーに脂肪族ジオール化合物を作用させて、該芳香族ポリカーボネートプレポリマー中に存在する芳香族ヒドロキシ化合物で構成される封止末端基をアルコール性水酸基と入れ替えることによって、分岐構造が導入された芳香族ポリカーボネートプレポリマー同士を連結し分子量を増大させる。
より具体的には、下記一般式(I)で表される2価のアルコール性水酸基を有する化合物が挙げられる。
該炭化水素基は直鎖状であっても分岐状であっても、環状構造であってもよい。またQは芳香環、複素環等の環状構造を含んでいてもよい。
また、Q2は酸素原子(O)、硫黄原子(S)、窒素原子(N)、フッ素原子(F)及びケイ素原子(Si)からなる群から選択される少なくとも一種の異種原子を含んでいてもよい。n2は1~10の整数を表し、好ましくは1~4の整数である。
(i)1級ジオール:2-ヒドロキシエトキシ基含有化合物
本発明の脂肪族ジオール化合物として好ましくは、「HO-(CH2)2-O-Y-O-(CH2)2-OH」で表される2-ヒドロキシエトキシ基含有化合物が挙げられる。ここで、Yとしては、以下に示す構造を有する有機基(A)、有機基(B)、二価のフェニレン基もしくはナフチレン基から選択される有機基(C)、又は下記構造式から選択されるシクロアルキレン基(D)が挙げられる。
Yが有機基(B)の場合、Xは好ましくは-CRaRb-(Ra及びRbは各々独立して、水素原子又は炭素数1~6のアルキル基、好ましくはメチル基である)を表す。具体的には以下に示す化合物が挙げられる。
本発明の脂肪族ジオール化合物として好ましくは、「HO-(CH2)r-Z-(CH2)r-OH」で表されるヒドロキシアルキル基含有化合物が挙げられる。ここで、rは1又は2である。すなわち、ヒドロキシアルキル基としては、ヒドロキシメチル基及びヒドロキシエチル基である。
本発明の脂肪族ジオール化合物の好ましいものとして、下記式で表されるカーボネートジオール系化合物が挙げられる。ここで、Rとしては、以下に示す構造を有する有機基が挙げられる。下記式中、nは1~20、好ましくは1~2の整数である。mは3~20、好ましくは3~10の整数である。
本発明では、分岐構造を導入した芳香族ポリカーボネートプレポリマーと末端OH基に結合する脂肪族炭化水素基を有する上記脂肪族ジオール化合物とを、エステル交換触媒の存在下、減圧条件で連結高分子量化反応させる。この連結高分子量化反応に使用される触媒としては、通常のポリカーボネート製造用触媒として用いられる塩基性化合物触媒や、エステル交換触媒を用いることができる。
アルカリ金属化合物および/またはアルカリ土類金属化合物としては、アルカリ金属およびアルカリ土類金属の有機酸塩、無機塩、酸化物、水酸化物、水素化物あるいはアルコキシド、4級アンモニウムヒドロキシドおよびそれらの塩、アミン類等が好ましく用いられ、これらの化合物は単独もしくは組み合わせて用いることができる。
N値=(log(Q160値)-log(Q10値))/(log160―log10) ・・・(I)
N=K1A+K2・・・(II)
さらに好ましくは、ポリマーシールを有し、ベント構造をもつ2軸押出機あるいは横型反応機が好適である。
2)ガラス転移温度(Tg):示差熱走査熱量分析計(DSC)により測定した。
5)樹脂色相(YI値):樹脂サンプル6gを60mlの塩化メチレンに溶解し、分光式色差計(日本電色工業社製、商品名「SE-2000」)を用いてYI値を測定した。
N値=(log(Q160値)-log(Q10値))/(log160―log10)
2,2-ビス(4-ヒドロキシフェニル)プロパン(以下、「BPA」と略す場合がある)45.5g(0.20mol)、ジフェニルカーボネート46.0g(0.21mol)、1,1,1-トリスフェノールエタン(以下、「TPE」と略す場合がある)0.15g(0.49mmol)、及び触媒として炭酸水素ナトリウム1μmol/mol(「BPAとTPEの合計1モルに対し1μmol」の意。)を、攪拌機及び留出装置付の300cc四つ口フラスコに入れ、窒素雰囲気下180℃に加熱し、30分間攪拌した。
その後、減圧度を20kPa(150torr)に調整すると同時に、60℃/hrの速度で200℃まで昇温を行い、40分間その温度に保持しエステル交換反応を行った。さらに、75℃/hrの速度で225℃まで昇温し、10分間その温度で保持した。引き続き、65℃/hrの速度で260℃まで昇温し、1時間かけて減圧度を0.13kPaA(1torr)以下とした。重量平均分子量(Mw):33,200の芳香族ポリカーボネートプレポリマー40gを得た。
2,2-ビス(4-ヒドロキシフェニル)プロパン45.5g(0.20mol)、ジフェニルカーボネート46.0g(0.21mol)、1,1,1-トリスフェノールエタン(以下、「TPE」と略す場合がある)0.30g(0.96mmol)、及び触媒として炭酸水素ナトリウム1μmol/mol(「BPAとTPEの合計1モルに対し1μmol」の意。)を、攪拌機及び留出装置付の300cc四つ口フラスコに入れ、窒素雰囲気下180℃に加熱し、30分間攪拌した。
その後、減圧度を20kPa(150torr)に調整すると同時に、60℃/hrの速度で200℃まで昇温を行い、40分間その温度に保持しエステル交換反応を行った。さらに、75℃/hrの速度で225℃まで昇温し、10分間その温度で保持した。引き続き、65℃/hrの速度で260℃まで昇温し、1時間かけて減圧度を0.13kPaA(1torr)以下とした。重量平均分子量(Mw):33,100の芳香族ポリカーボネートプレポリマー40gを得た。
2,2-ビス(4-ヒドロキシフェニル)プロパン45.6g(0.20mol)、ジフェニルカーボネート50.1g(0.22mol)、1,1,1-トリスフェノールエタン0.31g(1.00mmol)及び触媒として炭酸水素ナトリウム1μmol/mol(「BPAとTPEの合計1モルに対し1μmol」の意。)を、攪拌機及び留出装置付の300cc四つ口フラスコに入れ、窒素雰囲気下180℃に加熱し、30分間攪拌した。その後、減圧度を20kPa(150torr)に調整すると同時に、60℃/hrの速度で200℃まで昇温を行い、40分間その温度に保持しエステル交換反応を行った。さらに、75℃/hrの速度で225℃まで昇温し、10分間その温度で保持した。引き続き、65℃/hrの速度で260℃まで昇温し、45分かけて減圧度を0.13kPa(1torr)以下とした。重量平均分子量(Mw):27,000の芳香族ポリカーボネートプレポリマー40gを得た。
2,2-ビス(4-ヒドロキシフェニル)プロパン35.9g(0.16mol)、ジフェニルカーボネート36.8g(0.18mol)、1,1,1-トリスフェノールエタン0.42g(1.37mmol)及び触媒として炭酸水素ナトリウム1μmol/mol(「BPAとTPEの合計1モルに対し1μmol」の意。)を攪拌機及び留出装置付の300cc四つ口フラスコに入れ、窒素雰囲気下180℃に加熱し、30分間攪拌した。その後、減圧度を20kPa(150torr)に調整すると同時に、60℃/hrの速度で200℃まで昇温を行い、40分間その温度に保持しエステル交換反応を行った。さらに、75℃/hrの速度で225℃まで昇温し、10分間その温度で保持した。引き続き、65℃/hrの速度で260℃まで昇温し、1時間かけて減圧度を0.13kPaA(1torr)以下とした。重量平均分子量(Mw):32,100の芳香族ポリカーボネートプレポリマー38gを得た。
2,2-ビス(4-ヒドロキシフェニル)プロパン45.6g(0.20mol)、ジフェニルカーボネート46.1g(0.22mol)及び触媒として炭酸水素ナトリウムを1μmol/mol(「BPA1モルに対し1μmol」の意。)を、攪拌機及び留出装置付の300cc四つ口フラスコに入れ、窒素雰囲気下180℃に加熱し、30分間攪拌した。その後、減圧度を20kPa(150torr)に調整すると同時に、60℃/hrの速度で200℃まで昇温を行い、40分間その温度に保持しエステル交換反応を行った。さらに、75℃/hrの速度で225℃まで昇温し、10分間その温度で保持した。引き続き、65℃/hrの速度で260℃まで昇温し、1時間かけて減圧度を0.13kPa(1torr)以下とした。重量平均分子量(Mw):31,300の芳香族ポリカーボネートプレポリマー39gを得た。
2,2-ビス(4-ヒドロキシフェニル)プロパン45.6g(0.20mol)、ジフェニルカーボネート44.5g(0.21mol)、及び触媒として炭酸水素ナトリウム1μmol/mol(「BPA1モルに対し1μmol」の意。)を攪拌機及び留出装置付の300cc四つ口フラスコに入れ、窒素雰囲気下180℃に加熱し、30分間攪拌した。その後、減圧度を20kPaA(150torr)に調整すると同時に、60℃/hrの速度で200℃まで昇温を行い、40分間その温度に保持しエステル交換反応を行った。さらに、75℃/hrの速度で225℃まで昇温し、10分間その温度で保持した。引き続き、65℃/hrの速度で290℃まで昇温し、1時間かけて減圧度を0.13kPaA(1torr)以下とした。合計7時間攪拌下で重合反応を行ない、重量平均分子量(Mw):69,000の芳香族ポリカーボネート36gを得た。得られたポリマーの物性値を表2に示す。
2,2-ビス(4-ヒドロキシフェニル)プロパン45.6g(0.20mol)、ジフェニルカーボネート44.4g(0.21mol)、1,1,1-トリスフェノールエタン0.33g(1.08mmol)、及び触媒として炭酸水素ナトリウム1μmol/mol(「BPAとTPEの合計1モルに対し1μmol」の意。)を、攪拌機及び留出装置付の300cc四つ口フラスコに入れ、窒素雰囲気下180℃に加熱し、30分間攪拌した。その後、減圧度を20kPa(150torr)に調整すると同時に、60℃/hrの速度で200℃まで昇温を行い、40分間その温度に保持しエステル交換反応を行った。さらに、75℃/hrの速度で225℃まで昇温し、10分間その温度で保持した。引き続き、65℃/hrの速度で290℃まで昇温し、1時間かけて減圧度を0.13kPa(1torr)以下とした。合計7時間半攪拌下で重合反応を行ない、重量平均分子量(Mw):95,000の一部ゲル化した芳香族ポリカーボネート35gを得た。得られたポリマーの物性値を表2に示す。
2,2-ビス(4-ヒドロキシフェニル)プロパン45.6g(0.20mol)、ジフェニルカーボネート44.3g(0.21mol)、1,1,1-トリスフェノールエタン0.49g(1.58mmol)、及び触媒として炭酸水素ナトリウム1μmol/mol(「BPAとTPEの合計1モルに対し1μmol」の意。)を、攪拌機及び留出装置付の300cc四つ口フラスコに入れ、窒素雰囲気下180℃に加熱し、30分間攪拌した。その後、減圧度を20kPa(150torr)に調整すると同時に、60℃/hrの速度で200℃まで昇温を行い、40分間その温度に保持しエステル交換反応を行った。さらに、75℃/hrの速度で225℃まで昇温し、10分間その温度で保持した。引き続き、65℃/hrの速度で290℃まで昇温し、1時間かけて減圧度を0.13kPa(1torr)以下とした。合計6時間40分攪拌下で重合反応を行ない、重量平均分子量(Mw):125,000のゲル状の芳香族ポリカーボネート30gを得た。得られたポリマーの物性値を表2に示す。
ビスフェノールA125.0g(0.55mol)、ホスゲン70.5g(0.71mol)、1,1,1-トリスフェノールエタン0.50g(1.6mmol)及びp-t-ブチルフェノール4.15g(27.7mmol)より界面重合法により得られた芳香族ポリカーボネートポリマーの物性を表3に示す。
ビスフェノールA125.0g(0.55mol)、ホスゲン70.5g(0.71mol)、1,1,1-トリスフェノールエタン0.84g(2.7mmol)及びp-t-ブチルフェノール3.40g(22.7mmol)より界面重合法により得られた芳香族ポリカーボネートポリマーの物性を表3に示す。
ビスフェノールA125.0g(0.55mol)、ホスゲン70.5g(0.71mol)、1,1,1-トリスフェノールエタン0.84g(2.7mmol)及びp-t-ブチルフェノール4.38g(29.2mmol)より界面重合法により得られた芳香族ポリカーボネートポリマーの物性を表3に示す。
ビビスフェノールA125.0g(0.55mol)、ホスゲン70.5g(0.71mol)、1,1,1-トリスフェノールエタン1.20g(3.9mmol)及びp-t-ブチルフェノール3.46g(23.1mmol)界面重合法により得られた芳香族ポリカーボネートポリマーの物性を表3に示す。
また、界面重合法を用いた参考例1~2によって得られる分岐化芳香族ポリカーボネート樹脂においても、N値とTPE添加率はほぼ実施例1~3の場合と近似している。
一方、実施例と同様の溶融重合法を用いながら、脂肪族ジオール化合物を用いなかった比較例2~4では、分岐化剤の添加率とN値との間に直線的な相関関係がないため、分岐化剤の使用量によって分岐化度を制御することができないことがわかる。
このことから明らかなように、本発明の方法によれば、製造工程上の安全性や環境問題に課題を有する界面重合法を用いることなく、溶融重合法によって任意のN値を有する分岐化芳香族ポリカーボネート樹脂を製造することが可能であり、これは従来の溶融重合法では達成し得なかったことである。
2,2-ビス(4-ヒドロキシフェニル)プロパン42.0g、ジフェニルカーボネート43.0g、分岐化剤としてα,α,α’-トリス(4-ヒドロキシフェニル)-1-エチル-4-イソプロピルベンゼン0.15g、及び触媒としてフェニルリン酸二ナトリウム(PhNa2PO4)2μmol/molを、攪拌機及び留出装置付の300cc四つ口フラスコに入れ、窒素雰囲気下180℃に加熱し、30分間攪拌した。
その後、減圧度を20kPa(150torr)に調整すると同時に、60℃/hrの速度で200℃まで昇温を行い、40分間その温度に保持しエステル交換反応を行った。さらに、75℃/hrの速度で225℃まで昇温し、10分間その温度で保持した。引き続き、65℃/hrの速度で260℃まで昇温し、1時間かけて減圧度を0.13kPaA(1torr)以下とした。重量平均分子量(Mw):30,000の芳香族ポリカーボネートプレポリマー40gを得た。
分岐化剤の使用量及び脂肪族ジオール化合物の使用量を表4に示すように代えた以外は、実施例5と同様に行った。結果を表4に示す。
分岐化剤を使用しないほかは、実施例5と同様にして芳香族ポリカーボネートプレポリマー(重量平均分子量(Mw)=30,000)を得た。
得られた芳香族ポリカーボネートプレポリマー30gを、実施例5と同様に、攪拌機及び留出装置付の300cc四つ口フラスコに入れ、290℃にて真空下、加熱溶融させた。続いて2,2’-ビス[(2-ヒドロキシエトキシ)フェニル]プロパン(BPA-2EO)0.47g(1.5mmol)を投入し、ジャケット温度290℃、圧力0.04kPa(0.3torr)で30分間攪拌混練した。反応系より留出するフェノールは冷却管にて凝集し、反応系より除去した。その結果、得られた芳香族ポリカーボネート樹脂の重量平均分子量(Mw)は、59,000であった。得られたポリマーの物性値を表4に示す。
図2のグラフから分かるように、実施例5~7では、分岐化剤の添加率の増加に比例してN値が上昇している。図2に示す分岐化剤の添加率とN値の回帰曲線の傾きと切片より、測定値のぶれも考慮した上で、N値と分岐化剤使用量Aとの関係を表す上記数式(II)におけるK1及びK2を求めると、この場合のK1の値は約0.6であり、K2の値は約1.2である。
また、界面重合法を用いた参考例1~4によって得られる分岐化芳香族ポリカーボネート樹脂においても、N値と分岐化剤添加率はほぼ実施例5~7の場合と近似している。
2,2-ビス(4-ヒドロキシフェニル)プロパン45.0g、ジフェニルカーボネート46.5g、分岐化剤としてトリメチロールプロパン0.08g、及び触媒として炭酸セシウム(Cs2CO3)0.5μmol/molを、攪拌機及び留出装置付の300cc四つ口フラスコに入れ、窒素雰囲気下180℃に加熱し、30分間攪拌した。
その後、減圧度を20kPa(150torr)に調整すると同時に、60℃/hrの速度で200℃まで昇温を行い、40分間その温度に保持しエステル交換反応を行った。さらに、75℃/hrの速度で225℃まで昇温し、10分間その温度で保持した。引き続き、65℃/hrの速度で260℃まで昇温し、1時間かけて減圧度を0.13kPaA(1torr)以下とした。重量平均分子量(Mw):30,000の芳香族ポリカーボネートプレポリマー40gを得た。
分岐化剤の使用量及び脂肪族ジオール化合物の使用量を表5に示すように代えた以外は、実施例8と同様に行った。結果を表5に示す。
分岐化剤を使用しないほかは、実施例8と同様にして芳香族ポリカーボネートプレポリマー(重量平均分子量(Mw)=31,000)を得た。
得られた芳香族ポリカーボネートプレポリマー30gを、実施例8と同様に、攪拌機及び留出装置付の300cc四つ口フラスコに入れ、290℃にて真空下、加熱溶融させた。続いて1,4-シクロヘキサンジメタノール0.20g(1.4mmol)を投入し、ジャケット温度290℃、圧力0.04kPa(0.3torr)で30分間攪拌混練した。反応系より留出するフェノールは冷却管にて凝集し、反応系より除去した。その結果、得られた芳香族ポリカーボネート樹脂の重量平均分子量(Mw)は、58,000であった。得られたポリマーの物性値を表5に示す。
図3のグラフから分かるように、実施例8~10では、分岐化剤の添加率の増加に比例してN値が上昇している。図3に示す分岐化剤の添加率とN値の回帰曲線の傾きと切片より、測定値のぶれも考慮した上で、N値と分岐化剤使用量Aとの関係を表す上記数式(II)におけるK1及びK2を求めると、この場合のK1の値は約0.7であり、K2の値は約1.1である。
また、界面重合法を用いた参考例1~4によって得られる分岐化芳香族ポリカーボネート樹脂においても、N値と分岐化剤添加率はほぼ実施例8~10の場合と近似している。
2,2-ビス(4-ヒドロキシフェニル)プロパン41.5g、ジフェニルカーボネート43.0g、分岐化剤として1,1,1-トリス(4-ヒドロキシフェニル)エタン(TPA)0.10g、及び触媒としてテトラフェニルホウ素ナトリウム(Ph4BNa)1μmol/molを、攪拌機及び留出装置付の300cc四つ口フラスコに入れ、窒素雰囲気下180℃に加熱し、30分間攪拌した。
その後、減圧度を20kPa(150torr)に調整すると同時に、60℃/hrの速度で200℃まで昇温を行い、40分間その温度に保持しエステル交換反応を行った。さらに、75℃/hrの速度で225℃まで昇温し、10分間その温度で保持した。引き続き、65℃/hrの速度で260℃まで昇温し、1時間かけて減圧度を0.13kPaA(1torr)以下とした。重量平均分子量(Mw):28,000の芳香族ポリカーボネートプレポリマー40gを得た。
分岐化剤の使用量及び脂肪族ジオール化合物の使用量を表6に示すように代えた以外は、実施例11と同様に行った。結果を表6に示す。
分岐化剤を使用しないほかは、実施例11と同様にして芳香族ポリカーボネートプレポリマー(重量平均分子量(Mw)=28,000)を得た。
得られた芳香族ポリカーボネートプレポリマー30gを、実施例11と同様に、攪拌機及び留出装置付の300cc四つ口フラスコに入れ、290℃にて真空下、加熱溶融させた。続いてデカリンジメタノール(DDM)0.30g(1.5mmol)を投入し、ジャケット温度290℃、圧力0.04kPa(0.3torr)で30分間攪拌混練した。反応系より留出するフェノールは冷却管にて凝集し、反応系より除去した。その結果、得られた芳香族ポリカーボネート樹脂の重量平均分子量(Mw)は、57,000であった。得られたポリマーの物性値を表6に示す。
図4のグラフから分かるように、実施例11~13では、分岐化剤の添加率の増加に比例してN値が上昇している。図4に示す分岐化剤の添加率とN値の回帰曲線の傾きと切片より、測定値のぶれも考慮した上で、N値と分岐化剤使用量Aとの関係を表す上記数式(II)におけるK1及びK2を求めると、この場合のK1の値は約0.6であり、K2の値は約1.2である。
また、界面重合法を用いた参考例1~4によって得られる分岐化芳香族ポリカーボネート樹脂においても、N値と分岐化剤添加率はほぼ実施例11~13の場合と近似している。
このようにして得られる高分子量分岐化芳香族ポリカーボネート樹脂は、N値が適正な範囲に入るよう制御された好適な溶融流動特性を有するポリカーボネート樹脂であり、特に大容量の中空成形品、大型押出成形品、ブロー成形品等の用途に好適に用いることができる。
Claims (15)
- 所定量の分岐化剤を使用して分岐構造を導入した芳香族ポリカーボネートプレポリマーと末端OH基に結合する脂肪族炭化水素基を有する脂肪族ジオール化合物とを、減圧条件で連結高分子量化反応させる工程を含む、所望の分岐化度を有する分岐化芳香族ポリカーボネート樹脂の製造方法。
- 前記分岐化剤の使用量(A;単位:モル%)と、分岐化芳香族ポリカーボネート樹脂の分岐化度(下記数式(I)で表されるN値;構造粘性指数)との相関関係に基づき、前記分岐化剤の使用量(A)を調整することによって前記分岐化度(N値)を所定範囲内とすることを特徴とする、請求項1記載の製造方法。
[数1]
N値=(log(Q160値)-log(Q10値))/(log160―log10) ・・・(I)
(数式(I)中、Q160値は280℃、荷重160kgで測定した単位時間当たりの溶融流動体積(ml/sec)を表し、Q10値は280℃、荷重10kgで測定した単位時間当たりの溶融流動体積(ml/sec)を表す。) - 前記分岐化剤の使用量(A)と分岐化度(N値)とが、下記数式(II)を満たす相関関係を有することを特徴とする、請求項2記載の製造方法。
[数2]
N値=K1A+K2・・・(II)
(数式(II)中、K1は0.1~1.0の定数、K2は1.1~1.4の定数である。) - 前記分岐化剤の使用量(A)が、芳香族ポリカーボネートプレポリマーのカーボネート構成単位全量と分岐化剤の使用量との合計モル数に対し、0.01~1モル%である、請求項1~3のいずれかに記載の製造方法。
- 前記分岐化度(N値)が1.1~2である、請求項1~4のいずれかに記載の製造方法。
- 前記脂肪族ジオール化合物が下記一般式(I)で表される化合物である、請求項1~5のいずれかに記載の製造方法。
(式(I)中、Qは異種原子を含んでも良い炭素数3以上の炭化水素基を表す。R1~R4はそれぞれ独立して水素原子、炭素数1~30の脂肪族炭化水素基、及び炭素数1~30の芳香族炭化水素基からなる群から選択される基を表す。n及びmはそれぞれ独立して0~10の整数を表す。ただし、Qが末端OH基に結合する脂肪族炭化水素基を含まない場合、nは及びmはそれぞれ独立して1~10の整数を表す。また、R1及びR2の少なくとも一方と、R3及びR4の少なくとも一方は、各々水素原子及び脂肪族炭化水素基からなる群から選択される。) - 前記脂肪族ジオール化合物の沸点が240℃以上である、請求項1~6のいずれかに記載の製造方法。
- 前記芳香族ポリカーボネートプレポリマーの水酸基末端濃度が1,500ppm以下であることを特徴とする、請求項1~7のいずれかに記載の製造方法。
- 前記分岐化芳香族ポリカーボネートの重量平均分子量(Mw)が、前記芳香族ポリカーボネートプレポリマーの重量平均分子量(Mw)よりも5,000以上高いことを特徴とする、請求項1~8のいずれかに記載の製造方法。
- 脂肪族ジオール化合物の添加量が、前記芳香族ポリカーボネートプレポリマーの全末端量1モルに対して0.01~1.0モルである、請求項1~9のいずれかに記載の製造方法。
- 前記連結高分子量化反応を減圧下に240℃~320℃の温度にて実施することを特徴とする、請求項1~10のいずれかに記載の製造方法。
- 連結高分子量化反応を13kPa(100torr)~0.01kPa(0.01torr)の減圧下にて実施することを特徴とする、請求項1~11のいずれかに記載の製造方法。
- 前記芳香族ポリカーボネートプレポリマーの重量平均分子量(Mw)が5,000~60,000であることを特徴とする、請求項1~12のいずれかに記載の製造方法。
- 上記請求項1~13のいずれかに記載の製造方法で得られる、分岐化芳香族ポリカーボネート樹脂。
- 重量平均分子量(Mw)が30,000~100,000である、請求項14記載の分岐化芳香族ポリカーボネート樹脂。
Priority Applications (8)
| Application Number | Priority Date | Filing Date | Title |
|---|---|---|---|
| CN201280008547.5A CN103502304B (zh) | 2011-02-11 | 2012-02-09 | 具有所期望的支化度的支化芳香族聚碳酸酯树脂的制造方法 |
| EP12744763.9A EP2674445B1 (en) | 2011-02-11 | 2012-02-09 | Process for manufacturing branched aromatic polycarbonate resin with desired degree of branching |
| KR1020137023922A KR101808370B1 (ko) | 2011-02-11 | 2012-02-09 | 원하는 분기화도를 갖는 분기화 방향족 폴리카보네이트 수지의 제조 방법 |
| ES12744763.9T ES2653853T3 (es) | 2011-02-11 | 2012-02-09 | Procedimiento para fabricar resina de policarbonato aromático ramificado con grado de ramificación deseado |
| US13/984,380 US8969505B2 (en) | 2011-02-11 | 2012-02-09 | Process for manufacturing branched aromatic polycarbonate resin with desired degree of branching |
| JP2012556931A JP5804387B2 (ja) | 2011-02-11 | 2012-02-09 | 所望の分岐化度を有する分岐化芳香族ポリカーボネート樹脂の製造方法 |
| RU2013141545/04A RU2591189C2 (ru) | 2011-02-11 | 2012-02-09 | Способ получения разветвленной ароматической поликарбонатной смолы с требуемой степенью разветвления |
| HK14103908.9A HK1190744B (en) | 2011-02-11 | 2012-02-09 | Process for manufacturing branched aromatic polycarbonate resin with desired degree of branching |
Applications Claiming Priority (2)
| Application Number | Priority Date | Filing Date | Title |
|---|---|---|---|
| JP2011-028011 | 2011-02-11 | ||
| JP2011028011 | 2011-02-11 |
Publications (1)
| Publication Number | Publication Date |
|---|---|
| WO2012108510A1 true WO2012108510A1 (ja) | 2012-08-16 |
Family
ID=46638722
Family Applications (1)
| Application Number | Title | Priority Date | Filing Date |
|---|---|---|---|
| PCT/JP2012/052988 Ceased WO2012108510A1 (ja) | 2011-02-11 | 2012-02-09 | 所望の分岐化度を有する分岐化芳香族ポリカーボネート樹脂の製造方法 |
Country Status (10)
| Country | Link |
|---|---|
| US (1) | US8969505B2 (ja) |
| EP (1) | EP2674445B1 (ja) |
| JP (1) | JP5804387B2 (ja) |
| KR (1) | KR101808370B1 (ja) |
| CN (1) | CN103502304B (ja) |
| ES (1) | ES2653853T3 (ja) |
| MY (1) | MY159293A (ja) |
| RU (1) | RU2591189C2 (ja) |
| TW (1) | TWI557153B (ja) |
| WO (1) | WO2012108510A1 (ja) |
Cited By (9)
| Publication number | Priority date | Publication date | Assignee | Title |
|---|---|---|---|---|
| WO2012157766A1 (ja) | 2011-05-19 | 2012-11-22 | 三菱瓦斯化学株式会社 | 高流動性ポリカーボネート共重合体、高分子量化された芳香族ポリカーボネート樹脂の製造方法、及び芳香族ポリカーボネート化合物 |
| WO2013100072A1 (ja) * | 2011-12-28 | 2013-07-04 | 三菱瓦斯化学株式会社 | 高分子量ポリカーボネート樹脂の連続製造方法 |
| WO2013172317A1 (ja) * | 2012-05-18 | 2013-11-21 | 三菱瓦斯化学株式会社 | 高分子量ポリカーボネート樹脂の連続製造方法 |
| WO2014024904A1 (ja) | 2012-08-10 | 2014-02-13 | 三菱瓦斯化学株式会社 | 分岐化芳香族ポリカーボネート樹脂の製造方法 |
| WO2014077351A1 (ja) | 2012-11-17 | 2014-05-22 | 三菱瓦斯化学株式会社 | 高分子量化された芳香族ポリカーボネート樹脂の製造方法 |
| WO2014077350A1 (ja) | 2012-11-17 | 2014-05-22 | 三菱瓦斯化学株式会社 | 高分子量化された芳香族ポリカーボネート樹脂の製造方法 |
| WO2014077342A1 (ja) * | 2012-11-17 | 2014-05-22 | 三菱瓦斯化学株式会社 | 高分子量化された芳香族ポリカーボネート樹脂の製造方法 |
| WO2014077341A1 (ja) | 2012-11-17 | 2014-05-22 | 三菱瓦斯化学株式会社 | 芳香族ポリカーボネート樹脂組成物 |
| JP2022088490A (ja) * | 2019-03-29 | 2022-06-14 | 帝人株式会社 | 三次元架橋型脂肪族ポリカーボネート |
Families Citing this family (3)
| Publication number | Priority date | Publication date | Assignee | Title |
|---|---|---|---|---|
| TWI794172B (zh) * | 2016-05-25 | 2023-03-01 | 日商三菱鉛筆股份有限公司 | 氟系樹脂之非水系分散體、使用其之含氟系樹脂之熱硬化樹脂組成物及其硬化物、聚醯亞胺前驅物溶液組成物 |
| CN110041484B (zh) * | 2018-01-17 | 2022-12-06 | Ube株式会社 | 高支化聚碳酸酯多元醇组合物 |
| CN116063672B (zh) * | 2023-02-08 | 2024-04-12 | 四川轻化工大学 | 三酚a型聚碳酸酯及其制备方法 |
Citations (17)
| Publication number | Priority date | Publication date | Assignee | Title |
|---|---|---|---|---|
| JPS5236159B2 (ja) | 1972-12-13 | 1977-09-13 | ||
| US4562242A (en) | 1984-12-24 | 1985-12-31 | General Electric Company | Branched polycarbonate from carboxy containing diphenol |
| JPH05202180A (ja) | 1992-01-29 | 1993-08-10 | Daicel Chem Ind Ltd | 直鎖状ポリカーボネート及びその製造法 |
| JPH05271400A (ja) | 1992-01-29 | 1993-10-19 | Daicel Chem Ind Ltd | 分岐状ポリカーボネート及びその製造法 |
| JPH05295101A (ja) | 1992-01-29 | 1993-11-09 | Daicel Chem Ind Ltd | 分岐状ポリカーボネート及びその製造法 |
| JPH0699552B2 (ja) | 1986-07-16 | 1994-12-07 | ダイセル化学工業株式会社 | カ−ボネ−ト結合含有重合物の製造方法 |
| JPH0718069A (ja) | 1993-06-18 | 1995-01-20 | Bayer Ag | 熱可塑性ポリカーボネート類の製造方法 |
| JPH0726009A (ja) | 1993-07-13 | 1995-01-27 | Idemitsu Petrochem Co Ltd | ポリカーボネートの製造方法 |
| JPH0753708A (ja) | 1993-08-09 | 1995-02-28 | Idemitsu Petrochem Co Ltd | ポリカーボネートの製造方法 |
| JP2674813B2 (ja) | 1988-12-06 | 1997-11-12 | 日本ジーイープラスチックス 株式会社 | ポリカーボネートの製造方法 |
| JPH11302370A (ja) | 1998-04-27 | 1999-11-02 | Teijin Chem Ltd | ポリカーボネート樹脂および中空成形容器 |
| JP2000281769A (ja) * | 1999-04-01 | 2000-10-10 | Idemitsu Petrochem Co Ltd | ポリカーボネートの製造方法 |
| JP3102927B2 (ja) | 1991-10-18 | 2000-10-23 | ダイセル化学工業株式会社 | 直鎖状ポリカーボネート及びその製造法 |
| JP3249825B2 (ja) | 1996-03-05 | 2002-01-21 | 旭化成株式会社 | 異種結合単位を含有するポリカーボネート及びその製造方法 |
| JP4598958B2 (ja) | 1999-04-19 | 2010-12-15 | 帝人株式会社 | 分岐状芳香族ポリカーボネートの製造法 |
| WO2011062220A1 (ja) | 2009-11-20 | 2011-05-26 | 三菱瓦斯化学株式会社 | 高分子量化された芳香族ポリカーボネート樹脂の製造方法 |
| JP2011105931A (ja) * | 2009-10-22 | 2011-06-02 | Mitsubishi Chemicals Corp | ポリカーボネート樹脂 |
Family Cites Families (11)
| Publication number | Priority date | Publication date | Assignee | Title |
|---|---|---|---|---|
| JPS5825096B2 (ja) | 1975-09-18 | 1983-05-25 | 積水化成品工業株式会社 | ポリオレフイン系樹脂発泡体の製造方法 |
| US5204377A (en) * | 1988-12-27 | 1993-04-20 | Asahi Kasei Kogyo Kabushiki Kaisha | Porous, crystallized, aromatic polycarbonate prepolymer, a porous, crystallized aromatic polycarbonate, and production methods |
| JPH03102927A (ja) | 1989-09-18 | 1991-04-30 | Toshiba Corp | 路側放送システム |
| JP3000608B2 (ja) | 1990-02-27 | 2000-01-17 | 日本電気株式会社 | 衛星通信方式 |
| DE4301466C2 (de) | 1993-01-21 | 2002-01-24 | Zeiss Carl | Endoskopischer Vorsatz für ein stereoskopisches Beobachtungssystem |
| JP3098113B2 (ja) | 1992-09-21 | 2000-10-16 | 積水化学工業株式会社 | 耐食性繊維強化樹脂管 |
| JPH0770304A (ja) * | 1993-04-28 | 1995-03-14 | Daicel Chem Ind Ltd | 分岐状ポリカーボネート及びその製造法 |
| CN1206278C (zh) * | 2001-07-23 | 2005-06-15 | 帝人化成株式会社 | 热塑性树脂组合物、成形品及其制造方法 |
| US6437083B1 (en) * | 2001-12-06 | 2002-08-20 | General Electric Company | Process for preparing branched aromatic polycarbonates |
| MXPA06000792A (es) * | 2003-07-23 | 2006-04-18 | Dow Global Technologies Inc | Proceso para preparar policarbonato ramificado. |
| RU2407757C2 (ru) * | 2006-06-15 | 2010-12-27 | Мицубиси Кемикал Корпорейшн | Способ получения поликарбонатной смолы |
-
2012
- 2012-02-09 KR KR1020137023922A patent/KR101808370B1/ko active Active
- 2012-02-09 ES ES12744763.9T patent/ES2653853T3/es active Active
- 2012-02-09 CN CN201280008547.5A patent/CN103502304B/zh active Active
- 2012-02-09 EP EP12744763.9A patent/EP2674445B1/en active Active
- 2012-02-09 MY MYPI2013002944A patent/MY159293A/en unknown
- 2012-02-09 JP JP2012556931A patent/JP5804387B2/ja active Active
- 2012-02-09 WO PCT/JP2012/052988 patent/WO2012108510A1/ja not_active Ceased
- 2012-02-09 RU RU2013141545/04A patent/RU2591189C2/ru active
- 2012-02-09 US US13/984,380 patent/US8969505B2/en active Active
- 2012-02-10 TW TW101104364A patent/TWI557153B/zh active
Patent Citations (17)
| Publication number | Priority date | Publication date | Assignee | Title |
|---|---|---|---|---|
| JPS5236159B2 (ja) | 1972-12-13 | 1977-09-13 | ||
| US4562242A (en) | 1984-12-24 | 1985-12-31 | General Electric Company | Branched polycarbonate from carboxy containing diphenol |
| JPH0699552B2 (ja) | 1986-07-16 | 1994-12-07 | ダイセル化学工業株式会社 | カ−ボネ−ト結合含有重合物の製造方法 |
| JP2674813B2 (ja) | 1988-12-06 | 1997-11-12 | 日本ジーイープラスチックス 株式会社 | ポリカーボネートの製造方法 |
| JP3102927B2 (ja) | 1991-10-18 | 2000-10-23 | ダイセル化学工業株式会社 | 直鎖状ポリカーボネート及びその製造法 |
| JPH05295101A (ja) | 1992-01-29 | 1993-11-09 | Daicel Chem Ind Ltd | 分岐状ポリカーボネート及びその製造法 |
| JPH05271400A (ja) | 1992-01-29 | 1993-10-19 | Daicel Chem Ind Ltd | 分岐状ポリカーボネート及びその製造法 |
| JPH05202180A (ja) | 1992-01-29 | 1993-08-10 | Daicel Chem Ind Ltd | 直鎖状ポリカーボネート及びその製造法 |
| JPH0718069A (ja) | 1993-06-18 | 1995-01-20 | Bayer Ag | 熱可塑性ポリカーボネート類の製造方法 |
| JPH0726009A (ja) | 1993-07-13 | 1995-01-27 | Idemitsu Petrochem Co Ltd | ポリカーボネートの製造方法 |
| JPH0753708A (ja) | 1993-08-09 | 1995-02-28 | Idemitsu Petrochem Co Ltd | ポリカーボネートの製造方法 |
| JP3249825B2 (ja) | 1996-03-05 | 2002-01-21 | 旭化成株式会社 | 異種結合単位を含有するポリカーボネート及びその製造方法 |
| JPH11302370A (ja) | 1998-04-27 | 1999-11-02 | Teijin Chem Ltd | ポリカーボネート樹脂および中空成形容器 |
| JP2000281769A (ja) * | 1999-04-01 | 2000-10-10 | Idemitsu Petrochem Co Ltd | ポリカーボネートの製造方法 |
| JP4598958B2 (ja) | 1999-04-19 | 2010-12-15 | 帝人株式会社 | 分岐状芳香族ポリカーボネートの製造法 |
| JP2011105931A (ja) * | 2009-10-22 | 2011-06-02 | Mitsubishi Chemicals Corp | ポリカーボネート樹脂 |
| WO2011062220A1 (ja) | 2009-11-20 | 2011-05-26 | 三菱瓦斯化学株式会社 | 高分子量化された芳香族ポリカーボネート樹脂の製造方法 |
Non-Patent Citations (3)
| Title |
|---|
| "Plastic Material; Polycarbonate Resin", 1981, NIKKAN KOGYO SHIMBUN, pages: 64 - 66 |
| "Polycarbonate Handbook", 1992, NIKKAN KOGYO SHIMBUN LTD., pages: 49 |
| POLYMER, vol. 27, July 1978 (1978-07-01), pages 521 |
Cited By (30)
| Publication number | Priority date | Publication date | Assignee | Title |
|---|---|---|---|---|
| US10053537B2 (en) | 2011-05-19 | 2018-08-21 | Mitsubishi Gas Chemical Company, Inc. | High-fluidity polycarbonate copolymer, process for production highly polymerized aromatic polycarbonate resin and aromatic polycarbonate compound |
| WO2012157766A1 (ja) | 2011-05-19 | 2012-11-22 | 三菱瓦斯化学株式会社 | 高流動性ポリカーボネート共重合体、高分子量化された芳香族ポリカーボネート樹脂の製造方法、及び芳香族ポリカーボネート化合物 |
| US9353216B2 (en) | 2011-05-19 | 2016-05-31 | Mitsubishi Gas Chemical Company, Inc. | High-fluidity polycarbonate copolymer, process for production highly polymerized aromatic polycarbonate resin and aromatic polycarbonate compound |
| WO2013100072A1 (ja) * | 2011-12-28 | 2013-07-04 | 三菱瓦斯化学株式会社 | 高分子量ポリカーボネート樹脂の連続製造方法 |
| US9243106B2 (en) | 2012-05-18 | 2016-01-26 | Mitsubishi Gas Chemical Company, Inc. | Method for continuous production of high molecular weight polycarbonate resin |
| WO2013172317A1 (ja) * | 2012-05-18 | 2013-11-21 | 三菱瓦斯化学株式会社 | 高分子量ポリカーボネート樹脂の連続製造方法 |
| WO2014024904A1 (ja) | 2012-08-10 | 2014-02-13 | 三菱瓦斯化学株式会社 | 分岐化芳香族ポリカーボネート樹脂の製造方法 |
| US9701788B2 (en) | 2012-08-10 | 2017-07-11 | Mitsubishi Gas Chemical Company, Inc. | Method for producing branched aromatic polycarbonate resin |
| JPWO2014024904A1 (ja) * | 2012-08-10 | 2016-07-25 | 三菱瓦斯化学株式会社 | 分岐化芳香族ポリカーボネート樹脂の製造方法 |
| KR20150042249A (ko) | 2012-08-10 | 2015-04-20 | 미츠비시 가스 가가쿠 가부시키가이샤 | 분기화 방향족 폴리카보네이트 수지의 제조 방법 |
| WO2014077341A1 (ja) | 2012-11-17 | 2014-05-22 | 三菱瓦斯化学株式会社 | 芳香族ポリカーボネート樹脂組成物 |
| US9499661B2 (en) | 2012-11-17 | 2016-11-22 | Mitsubishi Gas Chemical Company, Inc. | Process for producing highly polymerized aromatic polycarbonate resin |
| KR20150087316A (ko) * | 2012-11-17 | 2015-07-29 | 미츠비시 가스 가가쿠 가부시키가이샤 | 고분자량화된 방향족 폴리카보네이트 수지의 제조 방법 |
| CN104837891A (zh) * | 2012-11-17 | 2015-08-12 | 三菱瓦斯化学株式会社 | 芳香族聚碳酸酯树脂组合物 |
| KR20150086328A (ko) | 2012-11-17 | 2015-07-27 | 미츠비시 가스 가가쿠 가부시키가이샤 | 방향족 폴리카보네이트 수지 조성물 |
| CN104797628A (zh) * | 2012-11-17 | 2015-07-22 | 三菱瓦斯化学株式会社 | 经高分子量化的芳香族聚碳酸酯树脂的制造方法 |
| WO2014077342A1 (ja) * | 2012-11-17 | 2014-05-22 | 三菱瓦斯化学株式会社 | 高分子量化された芳香族ポリカーボネート樹脂の製造方法 |
| US9428608B2 (en) | 2012-11-17 | 2016-08-30 | Mitsubishi Gas Chemical Company, Inc. | Aromatic polycarbonate resin composition |
| US9458290B2 (en) | 2012-11-17 | 2016-10-04 | Mitsubishi Gas Chemical Company, Inc. | Process for preparing highly polymerized aromatic polycarbonate resin |
| KR20150086507A (ko) | 2012-11-17 | 2015-07-28 | 미츠비시 가스 가가쿠 가부시키가이샤 | 고분자량화된 방향족 폴리카보네이트 수지의 제조 방법 |
| JPWO2014077341A1 (ja) * | 2012-11-17 | 2017-01-05 | 三菱瓦斯化学株式会社 | 芳香族ポリカーボネート樹脂組成物 |
| JPWO2014077342A1 (ja) * | 2012-11-17 | 2017-01-05 | 三菱瓦斯化学株式会社 | 高分子量化された芳香族ポリカーボネート樹脂の製造方法 |
| JPWO2014077350A1 (ja) * | 2012-11-17 | 2017-01-05 | 三菱瓦斯化学株式会社 | 高分子量化された芳香族ポリカーボネート樹脂の製造方法 |
| JPWO2014077351A1 (ja) * | 2012-11-17 | 2017-01-05 | 三菱瓦斯化学株式会社 | 高分子量化された芳香族ポリカーボネート樹脂の製造方法 |
| US9546249B2 (en) | 2012-11-17 | 2017-01-17 | Mitsubishi Gas Chemical Company, Inc. | Process for preparing highly polymerized aromatic polycarbonate resin |
| WO2014077350A1 (ja) | 2012-11-17 | 2014-05-22 | 三菱瓦斯化学株式会社 | 高分子量化された芳香族ポリカーボネート樹脂の製造方法 |
| WO2014077351A1 (ja) | 2012-11-17 | 2014-05-22 | 三菱瓦斯化学株式会社 | 高分子量化された芳香族ポリカーボネート樹脂の製造方法 |
| KR102074690B1 (ko) | 2012-11-17 | 2020-02-07 | 미츠비시 가스 가가쿠 가부시키가이샤 | 고분자량화된 방향족 폴리카보네이트 수지의 제조 방법 |
| JP2022088490A (ja) * | 2019-03-29 | 2022-06-14 | 帝人株式会社 | 三次元架橋型脂肪族ポリカーボネート |
| JP7314347B2 (ja) | 2019-03-29 | 2023-07-25 | 帝人株式会社 | 三次元架橋型脂肪族ポリカーボネート |
Also Published As
| Publication number | Publication date |
|---|---|
| US8969505B2 (en) | 2015-03-03 |
| RU2013141545A (ru) | 2015-03-20 |
| CN103502304A (zh) | 2014-01-08 |
| JP5804387B2 (ja) | 2015-11-04 |
| KR20140024282A (ko) | 2014-02-28 |
| ES2653853T3 (es) | 2018-02-09 |
| US20130317182A1 (en) | 2013-11-28 |
| RU2591189C2 (ru) | 2016-07-10 |
| EP2674445A1 (en) | 2013-12-18 |
| EP2674445A4 (en) | 2017-01-04 |
| EP2674445B1 (en) | 2017-10-11 |
| CN103502304B (zh) | 2015-12-02 |
| JPWO2012108510A1 (ja) | 2014-07-03 |
| HK1190744A1 (zh) | 2014-07-11 |
| MY159293A (en) | 2016-12-30 |
| TW201245276A (en) | 2012-11-16 |
| TWI557153B (zh) | 2016-11-11 |
| KR101808370B1 (ko) | 2017-12-12 |
Similar Documents
| Publication | Publication Date | Title |
|---|---|---|
| JP5804387B2 (ja) | 所望の分岐化度を有する分岐化芳香族ポリカーボネート樹脂の製造方法 | |
| JP5857744B2 (ja) | 高分子量化された芳香族ポリカーボネート樹脂の製造方法 | |
| JP6037075B2 (ja) | 高流動性ポリカーボネート共重合体、高分子量化された芳香族ポリカーボネート樹脂の製造方法、及び芳香族ポリカーボネート化合物 | |
| JP6131961B2 (ja) | 芳香族ポリカーボネート樹脂組成物 | |
| JP6212854B2 (ja) | ポリカーボネート共重合体 | |
| JP6137183B2 (ja) | 分岐化芳香族ポリカーボネート樹脂の製造方法 | |
| HK1190744B (en) | Process for manufacturing branched aromatic polycarbonate resin with desired degree of branching | |
| HK1190743A (en) | Process for manufacturing branched aromatic polycarbonate resin with desired degree of branching | |
| HK1190743B (en) | Process for manufacturing branched aromatic polycarbonate resin with desired degree of branching |
Legal Events
| Date | Code | Title | Description |
|---|---|---|---|
| 121 | Ep: the epo has been informed by wipo that ep was designated in this application |
Ref document number: 12744763 Country of ref document: EP Kind code of ref document: A1 |
|
| ENP | Entry into the national phase |
Ref document number: 2012556931 Country of ref document: JP Kind code of ref document: A |
|
| WWE | Wipo information: entry into national phase |
Ref document number: 13984380 Country of ref document: US |
|
| WWE | Wipo information: entry into national phase |
Ref document number: 1301004452 Country of ref document: TH |
|
| NENP | Non-entry into the national phase |
Ref country code: DE |
|
| REEP | Request for entry into the european phase |
Ref document number: 2012744763 Country of ref document: EP |
|
| WWE | Wipo information: entry into national phase |
Ref document number: 2012744763 Country of ref document: EP |
|
| ENP | Entry into the national phase |
Ref document number: 20137023922 Country of ref document: KR Kind code of ref document: A |
|
| ENP | Entry into the national phase |
Ref document number: 2013141545 Country of ref document: RU Kind code of ref document: A |






























