DE69920409T2 - Verfahren zur herstellung von stilbenverbindungen - Google Patents

Verfahren zur herstellung von stilbenverbindungen Download PDF

Info

Publication number
DE69920409T2
DE69920409T2 DE69920409T DE69920409T DE69920409T2 DE 69920409 T2 DE69920409 T2 DE 69920409T2 DE 69920409 T DE69920409 T DE 69920409T DE 69920409 T DE69920409 T DE 69920409T DE 69920409 T2 DE69920409 T2 DE 69920409T2
Authority
DE
Germany
Prior art keywords
formula
compound
alkyl
acid
polyglycol
Prior art date
Legal status (The legal status is an assumption and is not a legal conclusion. Google has not performed a legal analysis and makes no representation as to the accuracy of the status listed.)
Expired - Fee Related
Application number
DE69920409T
Other languages
English (en)
Other versions
DE69920409D1 (de
Inventor
Georges Metzger
Fabienne Cuesta
Peter Rohringer
Dieter Reinehr
Rene Schlatter
Current Assignee (The listed assignees may be inaccurate. Google has not performed a legal analysis and makes no representation or warranty as to the accuracy of the list.)
BASF Schweiz AG
Original Assignee
Ciba Spezialitaetenchemie Holding AG
Ciba SC Holding AG
Priority date (The priority date is an assumption and is not a legal conclusion. Google has not performed a legal analysis and makes no representation as to the accuracy of the date listed.)
Filing date
Publication date
Application filed by Ciba Spezialitaetenchemie Holding AG, Ciba SC Holding AG filed Critical Ciba Spezialitaetenchemie Holding AG
Publication of DE69920409D1 publication Critical patent/DE69920409D1/de
Application granted granted Critical
Publication of DE69920409T2 publication Critical patent/DE69920409T2/de
Anticipated expiration legal-status Critical
Expired - Fee Related legal-status Critical Current

Links

Classifications

    • CCHEMISTRY; METALLURGY
    • C11ANIMAL OR VEGETABLE OILS, FATS, FATTY SUBSTANCES OR WAXES; FATTY ACIDS THEREFROM; DETERGENTS; CANDLES
    • C11DDETERGENT COMPOSITIONS; USE OF SINGLE SUBSTANCES AS DETERGENTS; SOAP OR SOAP-MAKING; RESIN SOAPS; RECOVERY OF GLYCEROL
    • C11D3/00Other compounding ingredients of detergent compositions covered in group C11D1/00
    • C11D3/40Dyes ; Pigments
    • C11D3/42Brightening agents ; Blueing agents
    • CCHEMISTRY; METALLURGY
    • C07ORGANIC CHEMISTRY
    • C07DHETEROCYCLIC COMPOUNDS
    • C07D251/00Heterocyclic compounds containing 1,3,5-triazine rings
    • C07D251/02Heterocyclic compounds containing 1,3,5-triazine rings not condensed with other rings
    • C07D251/12Heterocyclic compounds containing 1,3,5-triazine rings not condensed with other rings having three double bonds between ring members or between ring members and non-ring members
    • C07D251/26Heterocyclic compounds containing 1,3,5-triazine rings not condensed with other rings having three double bonds between ring members or between ring members and non-ring members with only hetero atoms directly attached to ring carbon atoms
    • C07D251/40Nitrogen atoms
    • C07D251/54Three nitrogen atoms
    • C07D251/68Triazinylamino stilbenes
    • CCHEMISTRY; METALLURGY
    • C09DYES; PAINTS; POLISHES; NATURAL RESINS; ADHESIVES; COMPOSITIONS NOT OTHERWISE PROVIDED FOR; APPLICATIONS OF MATERIALS NOT OTHERWISE PROVIDED FOR
    • C09BORGANIC DYES OR CLOSELY-RELATED COMPOUNDS FOR PRODUCING DYES, e.g. PIGMENTS; MORDANTS; LAKES
    • C09B23/00Methine or polymethine dyes, e.g. cyanine dyes
    • C09B23/14Styryl dyes
    • C09B23/148Stilbene dyes containing the moiety -C6H5-CH=CH-C6H5
    • DTEXTILES; PAPER
    • D06TREATMENT OF TEXTILES OR THE LIKE; LAUNDERING; FLEXIBLE MATERIALS NOT OTHERWISE PROVIDED FOR
    • D06LDRY-CLEANING, WASHING OR BLEACHING FIBRES, FILAMENTS, THREADS, YARNS, FABRICS, FEATHERS OR MADE-UP FIBROUS GOODS; BLEACHING LEATHER OR FURS
    • D06L4/00Bleaching fibres, filaments, threads, yarns, fabrics, feathers or made-up fibrous goods; Bleaching leather or furs
    • D06L4/60Optical bleaching or brightening
    • D06L4/614Optical bleaching or brightening in aqueous solvents
    • D06L4/621Optical bleaching or brightening in aqueous solvents with anionic brighteners
    • DTEXTILES; PAPER
    • D06TREATMENT OF TEXTILES OR THE LIKE; LAUNDERING; FLEXIBLE MATERIALS NOT OTHERWISE PROVIDED FOR
    • D06MTREATMENT, NOT PROVIDED FOR ELSEWHERE IN CLASS D06, OF FIBRES, THREADS, YARNS, FABRICS, FEATHERS OR FIBROUS GOODS MADE FROM SUCH MATERIALS
    • D06M2200/00Functionality of the treatment composition and/or properties imparted to the textile material
    • D06M2200/25Resistance to light or sun, i.e. protection of the textile itself as well as UV shielding materials or treatment compositions therefor; Anti-yellowing treatments
    • DTEXTILES; PAPER
    • D21PAPER-MAKING; PRODUCTION OF CELLULOSE
    • D21HPULP COMPOSITIONS; PREPARATION THEREOF NOT COVERED BY SUBCLASSES D21C OR D21D; IMPREGNATING OR COATING OF PAPER; TREATMENT OF FINISHED PAPER NOT COVERED BY CLASS B31 OR SUBCLASS D21G; PAPER NOT OTHERWISE PROVIDED FOR
    • D21H21/00Non-fibrous material added to the pulp, characterised by its function, form or properties; Paper-impregnating or coating material, characterised by its function, form or properties
    • D21H21/14Non-fibrous material added to the pulp, characterised by its function, form or properties; Paper-impregnating or coating material, characterised by its function, form or properties characterised by function or properties in or on the paper
    • D21H21/30Luminescent or fluorescent substances, e.g. for optical bleaching

Landscapes

  • Chemical & Material Sciences (AREA)
  • Organic Chemistry (AREA)
  • Engineering & Computer Science (AREA)
  • Life Sciences & Earth Sciences (AREA)
  • Chemical Kinetics & Catalysis (AREA)
  • Oil, Petroleum & Natural Gas (AREA)
  • Wood Science & Technology (AREA)
  • Textile Engineering (AREA)
  • Detergent Compositions (AREA)
  • Treatments For Attaching Organic Compounds To Fibrous Goods (AREA)
  • Paper (AREA)
  • Plural Heterocyclic Compounds (AREA)

Description

  • Die vorliegende Erfindung betrifft ein neues Verfahren zur Herstellung von 4,4'-Bis-(triazinylamino)-stilben-2,2'-disulfonsäure-Verbindungen und Zusammensetzungen, welche diese enthalten.
  • Die Herstellung von 4,4'-Bis-(triazinylamino)-stilben-2,2'-disulfonsäure-Derivaten durch zuerst Umsetzen von 4,4-Diaminostilben-2,2'-disulfonsäure mit Cyanurchlorid und sukzessives Ersetzen der verbleibenden Chloratome durch Nukleophile ist seit langem bekannt (siehe zum Beispiel: "Fluorescent Whitening Agents", R. Anliker und G. Müller, G. Thieme Verlag, 1975, Seiten 31 ff.). Gleiches gilt auch für die Verwendung solcher Verbindungen als fluoreszierende Weißmacher. Jedoch können, wie in der oben zitierten Veröffentlichung angegeben wird, oftmals unerwünschte Nebenprodukte, insbesondere während des letzten Reaktionsschritts (d.h. dem Ersatz des dritten Chloratoms von Cyanurchlorid), worin höhere Temperaturen, länger Reaktionszeiten, ein erhöhter Druck und eventuell ein Aminüberschuss erforderlich sind, gebildet werden.
  • Es wurde nun überraschend gefunden, dass der Reaktionsschritt wesentlich effizienter durchgeführt werden kann, wenn die Umsetzung in einem Medium, welches aus einer Wasser- und Polyglykol-Mischung besteht, durchgeführt wird. Ein weiterer Vorteil dieses Verfahrens liegt darin, dass die resultierende Reaktionsmischung eine stabile Zubereitung des fluoreszierenden Weißmachers darstellt, welche, wenn dies erwünscht, direkt ohne zwischenzeitige Isolierung verwendet werden kann.
  • Dementsprechend ist der Gegenstand der vorliegenden Erfindung ein Verfahren zur Herstellung einer 4,4'-Bis-(triazinylamino)-stilben-2,2'-disulfonsäure der Formel
    Figure 00010001
    das dadurch gekennzeichnet ist, dass
    • (a) in einem ersten Reaktionsschritt Cyanurchlorid mit dem Dinatriumsalz der 4,4'-Diaminostilben-2,2'-disulfonsäure unter Erhalt der Zwischenstufe der Formel
      Figure 00020001
      umgesetzt wird;
    • (b) in einem zweiten Reaktionsschritt die Verbindung der Formel (2) mit einer Verbindung der Formel R1-H und R2-H unter Erhalt der Verbindung der Formel
      Figure 00020002
      umgesetzt wird;
    • (c) in einer dritten Stufe die Verbindung der Formel (3) mit der Verbindung der Formel R3H umgesetzt wird und der Reaktionsschritt (a) und/oder (c) in einem Medium, welches aus einer Mischung aus Wasser und einem Polyglykol besteht, unter Erhalt der Verbindung der Formel (1) durchgeführt wird,
    worin
    R1, R2 und R3 unabhängig voneinander Phenylamino; durch C1-C3-Alkyl, Halogen, Cyano, COOR und COR substituiertes Phenylamino; CONH-R; SO2NH-R; NH-COR; mono- oder disulfoniertes Phenylamino; Morpholino; Piperidino; Pyrrolidino; -NH2; -NH(C1-C4-Alkyl); -N(C1-C4-Alkyl)2; -NH(C2-C4-Hydroxyalkyl); -N(C2-C4-Hydroxyalkyl)2; -N(C1-C4-Alkyl)(C2-C4-hydroxyalkyl); NHC2-C4-Alkylsulfonsäure; -OC1-C4-Alkyl; ein Aminosäure- oder Aminosäureamid-Rest, bei dem ein Wasserstoffatom der Aminogruppe entfernt wurde; oder ein Polyethylenglykol, bei dem ein Wasserstoffatom der -OH-Gruppe entfernt wurde, sind;
    R Wasserstoff; oder C1-C3-Alkyl ist; und
    M H oder Na ist.
  • Das fertige Produkt der Formel (1) kann 1 bis 20 Gew.-%, vorzugsweise 1 bis 10 Gew.-% der Komponenten, worin R3 ein Polyethylenglykol darstellt, bei dem ein Wasserstoffatom der -OH-Gruppe entfernt wurde, umfassen.
  • Als C1-C4-Alkyl werden Methyl, Ethyl, n-Propyl, Isopropyl, n-Butyl, sec-Butyl oder tert-Butyl definiert.
  • Die Reaktanden werden im Allgemeinen in im Wesentlichen stöchiometrischen Verhältnissen, welche zur Bildung der Verbindungen (1) erforderlich sind, verwendet.
  • Das Polyglykol weist bevorzugt ein Molekulargewicht innerhalb des Bereichs von 200 bis 5.000 auf und stellt besonders bevorzugt ein Polyethylenglykol des Molekulargewichts von ungefähr 200 bis 1.500 dar.
  • Weitere Polyglykole, welche in dem vorliegenden Verfahren verwendet werden können, sind Blockcopolymere von Ethylenoxid und Propylenoxid, welche durch die Formel H-(OCH2CH2)a-(O-CH(CH3)-CH2)b-(OCH2CH2)a-OH worin
    a von 0,5 bis 230 reicht; und
    b von 15 bis 80 reicht, dargestellt werden können.
  • Diese Blockcopolymere sind ebenso geeignet für die unterschiedlichen Papier-, Textil-, Detergens- und Kosmetikanwendungen.
  • Die Verhältnisse von Polyglykol zu Wasser, welche in dem obengenannten Verfahren in dem ersten und/oder dritten Reaktionsschritt verwendet werden können, können zwischen 90:10 und 10:90 liegen, befinden sich allerdings bevorzugt innerhalb des Bereichs von 30:70 bis 70:30.
  • Die Temperatur, bei der die Reaktion durchgeführt wird, kann sich zwischen 50°C und dem Siedepunkt der Polyglykol-Wasser-Mischung befinden, liegt allerdings bevorzugt bei dem Siedepunkt der Mischung.
  • Die Reaktion kann bei einem pH-Wert zwischen 7,5 und 12,5 durchgeführt werden, wird allerdings bevorzugt in dem Bereich zwischen pH 8,5 und 9,0 durchgeführt.
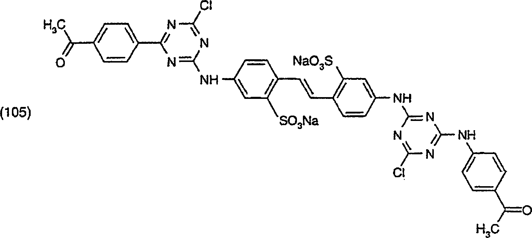
  • Das Verfahren ist besonders geeignet für die Herstellung einer Verbindung der Formel
    Figure 00040001
    worin M und R1 wie in Anspruch 1 definiert sind und n 0, 1 oder 2 beträgt.
  • Besonders bevorzugte Verbindungen, welche gemäß dem vorliegenden Verfahren hergestellt werden können, sind jene der Formel (4), worin ein jedes M Wasserstoff oder Natrium darstellt, und darüber hinaus jene, worin R1 Morpholino, -NH2; N-(CH2-CH3)2; -NHCH3; -N(CH3)CH2CH2OH; NHCH2CH2OH, -N(CH2CH2OH)2, -N(CH3)(CH2CH2OH) oder -NHCH2CH2SO3 darstellt, und ebenso jene, worin R1 einen Aminosäure-Rest, bei dem ein Wasserstoffatom der Aminogruppe entfernt wurde, darstellt. Spezifische Beispiele für Aminosäuren, von denen solche bevorzugten Aminosäure-Reste R1 abgeleitet sind, umfassen Glycin, Alanin, Sarcosin, Serin, Cystein, Phenylalanin, Tyrosin (4-Hydroxyphenylalanin), Diiodtyrosin, Tryptophan (β-Indolylalanin), Histidin (β-Imidazolylalanin), α-Aminobuttersäure, Methionin, Valin (α-Aminoisovaleriansäure), Norvalin, Leucin (α-Aminoisocapronsäure), Isoleucin (α-Amino-β-methylvaleriansäure), Norleucin (α-Amino-n-capronsäure), Arginin, Ornithin (α,δ-Diaminovaleriansäure), Lysin (α,ε-Diaminocapronsäure), Asparaginsäure (Aminobernsteinsäure), Glutaminsäure (α-Aminoglutarsäure), Threonin, Hydroxyglutaminsäure und Taurin, sowie Mischungen und optische Isomere davon. Unter diesen Aminosäuren, von denen solche bevorzugten Aminosäure-Reste R1 abgeleitet sind, sind Sarcosin, Taurin, Glutaminsäure und Asparaginsäure besonders bevorzugt.
  • In dem letzten Reaktionsschritt wird eine Reaktionsmischung der Verbindung der Formel (1) und der entsprechenden Polyglykol/Wasser-Mischung erhalten. Ein weiterer Vorteil der vorliegenden Erfindung liegt darin, dass die Polyglykol-enthaltende Mischung, welche die oben erwähnten multifunktionalen Eigenschaften aufweist, direkt ohne weitere Behandlung für Papier-, Textil-, Detergens- und Kosmetikanwendungen verwendet werden kann.
  • In gelösten oder fein verteilten Zuständen zeigen die gemäß dem oben erwähnten Verfahren erhaltenen Aufheller eine mehr oder weniger starke Fluoreszenz. Sie werden daher zum optischen Aufhellen von synthetischen oder natürlichen organischen Materialien verwendet.
  • Beispiele für solche Materialien, welche erwähnt werden können, ohne dass der unten angegebene Überblick irgendeine Begrenzung darauf bedeuten soll, sind Textilfasern der folgenden Gruppen organischer Materialien, insoweit das optische Aufhellen von ihnen in Betracht gezogen wird:
    • (a) Polyamide, welche als Polymerisationsprodukte durch Ringöffnung erhalten werden, beispielsweise jene vom Polycaprolactam-Typ,
    • (b) Polyamide, welche als Polykondensationsprodukte auf der Basis bifunktioneller oder polyfunktioneller Verbindungen, welche einer Kondensationsreaktion zugänglich sind, wie Hexamethylendiaminadipat, erhältlich sind und
    • (c) natürliche organische Textilmaterialien tierischen oder pflanzlichen Ursprungs, beispielsweise auf der Basis von Cellulose oder Proteinen, wie Baumwolle oder Wolle, Leinen oder Seide.
  • Diese optisch aufzuhellenden organischen Materialien können in verschiedenen Verarbeitungsstufen vorliegen und sind vorzugsweise fertige bzw. appretierte/ausgerüstete Textilprodukte. Sie können beispielsweise in der Form von Strangwaren, Textilfilamenten, Garnen, gedrehten Garnen, nichtgewebten Artikeln, Filzen, Textilgeweben, Textilkompositen oder gestrickten Textilien vorliegen.
  • Die oben definierten Aufheller sind von besonderem Interesse für die Behandlung von Textilgeweben. Die Behandlung von Textilsubstraten wird vorteilhafterweise in einem wässrigen Medium, worin die speziellen optischen Aufheller in fein verteilter Form (Suspensionen, sogenannte Mikrodispersionen und in einigen Fällen Lösungen) vorliegen, durchgeführt. Dispergierungsmittel, Stabilisatoren, Benetzungsmittel und weitere Hilfsmittel können wahlweise während der Behandlung zugesetzt werden.
  • Die Behandlung wird gewöhnlich bei Temperaturen von ungefähr 20° bis ungefähr 140°C, beispielsweise beim Siedepunkt des Bades oder in dem Bereich davon (ungefähr 90°C), durchgeführt. Für die Appretur bzw. Ausrüstung der Textilsubstrate ist es gemäß der vorliegenden Erfindung ebenso möglich, Lösungen oder Emulsionen in organischen Lösungsmitteln, wie sie in der Färbepraxis in sogenannten Lösungsmittel-Färbeverfahren (Pad-Thermofix-Verfahren und Exhaustions-Färbeverfahren in Färbemaschinen) verwendet werden, einzusetzen.
  • Die gemäß der vorliegenden Erfindung herstellbaren optischen Aufheller können ebenso beispielsweise in den folgenden Verwendungsformen eingesetzt werden:
    • (a) In Mischungen mit sogenannten "Trägern", Benetzungsmitteln, Weichmachern, Quellmitteln, Antioxidationsmitteln, Lichtstabilisatoren, Wärmestabilisatoren und chemischen Bleichmitteln (Chlorit-Bleichen und Bleichbadadditiven).
    • (b) In Mischungen mit Vernetzungsmitteln und Appreturmitteln (beispielsweise Stärke oder synthetische Appreturmittel) und ebenso in Kombination mit den verschiedenen Textilappreturverfahren, insbesondere einer synthetischen Harzausrüstung (beispielsweise eine faltenresistente Ausrüstung, wie "wash-and-wear", "permanent press" und "no-iron"), und ebenso mit einer flammenbeständigen Ausrüstung, einer Weichanfühlausrüstung, Antiverschmutzungsausrüstung oder Antistatikausrüstung sowie einer antimikrobiellen Ausrüstung.
    • (c) Als Additive für verschiedene Seifen und Waschmittel.
    • (d) In Kombination mit anderen Substanzen mit einer optischen Aufhellerwirkung.
  • Wenn das Aufhellungsverfahren mit Textilbehandlungs- oder Appretur- bzw. Ausrüstungsverfahren kombiniert wird, kann die kombinierte Behandlung in vielen Fällen vorteilhafterweise mit Hilfe korrespondierender stabiler Zubereitungen, welche die Verbindungen mit einer optischen Aufhellungswirkung in einer Konzentration enthalten, dass der gewünschte Aufhellungseffekt erhalten wird, bewirkt werden.
  • In bestimmten Fällen wird die vorstehende Wirkung des Aufhellers durch eine Nachbehandlung erreicht. Diese kann beispielsweise eine chemische Behandlung (beispielsweise eine Säurebehandlung), eine thermische Behandlung (beispielsweise Wärme) oder eine kombinierte chemische/Wärme-Behandlung sein.
  • Die Menge des zu verwendenden optischen Aufhellers relativ zu dem optisch aufzuhellenden Material kann innerhalb breiter Bereiche variieren. Ein deutlicher und dauerhafter Effekt kann bereits mit sehr kleinen Mengen und in bestimmten Fällen beispielsweise mit Mengen von 0,03 Gew.-% erreicht werden. Jedoch können ebenso Mengen bis zu ungefähr 0,5 Gew.-% verwendet werden. In den meisten Fällen von Interesse in der Praxis sind Mengen von zwischen 0,05 und 0,5 Gew.-%, relativ zu dem aufzuhellenden Material, besonders interessant.
  • Die optischen Aufheller sind ebenso besonders geeignet als Additive für Waschbäder oder für Industrie- und Haushaltswaschmittel, und sie können auf verschiedene Weise zugesetzt werden. Sie werden geeigneterweise Waschbädern in der Form ihrer Lösungen in Wasser oder organischen Lösungsmitteln oder ebenso in einem Zustand feiner Verteilung als wässrige Dispersionen oder Aufschlämmungen zugegeben. Sie oder ihre Komponenten werden vorteilhafterweise Haushalts- oder Industriewaschmitteln in irgendeiner Phase des Herstellungsverfahrens des Waschmittels, beispielsweise zu der sogenannten "Aufschlämmung" vor dem Sprühtrocknen des Waschpulvers oder während der Herstellung der flüssigen Waschmittel-Kombinationen, zugesetzt. Die Verbindungen können sowohl in der Form einer Lösung als auch einer Dispersion in Wasser oder anderen Lösungsmitteln und ebenso ohne Hilfsmittel in der Form eines trockenen Aufhellerpulvers zugegeben werden. Jedoch können Sie ebenso in der gelösten oder vordispergierten Form auf das fertige Waschmittel aufgesprüht werden.
  • Waschmittel, welche verwendet werden können, sind die bekannten Mischungen von Detergenssubstanzen, wie beispielsweise Seife in der Form von Chips und Pulvern, synthetische Produkte, lösliche Salze von Sulfonsäurehalbestern höherer Fettalkohole, Arylsulfonsäuren, welche durch höheres Alkyl substituiert und/oder durch Alkyl polysubstituiert sind, Carbonsäureester mit Alkoholen mittleren oder höheren Molekulargewichts, Fettsäureacylaminoalkyl- oder -aminoarylglycerinsulfonate, Phosphorsäureester von Fettalkoholen und ähnliches. Sogenannte "Builder", welche verwendet werden können, sind beispielsweise Alkalimetallpolyphosphate und Alkalimetallmetaphosphate, Alkalimetallpyrophosphate, Alkalimetallsalze von Carboxyethylcellulose und andere "Schmutzwiederabsetzungs-Inhibitoren", und ebenso Alkalimetallsilicate, Alkalimetallcarbonate, Alkalimetallborate, Alkalimetallperborate, Nitrilotriessigsäure, Ethylendiamintetraessigsäure und Schaumstabilisatoren, wie Alkanolamide höherer Fettsäuren. Darüber hinaus können die Waschmittel beispielsweise enthalten: antistatische Mittel, Hautüberfettungsschutzmittel, wie Lanolin, Enzyme, antimikrobielle Mittel, Duftstoffe und Farbstoffe.
  • Die Aufheller weisen den besonderen Vorteil auf, dass sie ebenso in Gegenwart von Aktivchlordonoren, wie beispielsweise Hypochlorit, wirksam sind und ohne wesentlichen Verlust der Wirksamkeit in Waschbädern mit nichtionischen Waschmitteln, beispielsweise Alkylphenolpolyglykolethern, verwendet werden können. Ebenso sind die neuen Aufheller in Gegenwart von Perborat oder Persäuren und Aktivatoren, beispielsweise Tetraacetylglykoluril oder Ethylendiamintetraessigsäure, sowohl in pulverförmigen Waschmitteln als auch in Waschbädern äußerst stabil.
  • Die Aufheller werden in Mengen von 0,005 bis 2% oder mehr und vorzugsweise von 0,03 bis 0,5%, bezogen auf das Gewicht des flüssigen oder pulverförmigen zur Verwendung fertigen Waschmittels, zugesetzt. Wenn sie zum Waschen von Textilien, welche aus Cellulosefasern, Polyamidfasern, Cellulosefasern mit einem hohen Appreturgrad, Wolle und ähnlichem hergestellt sind, verwendet werden, verleihen die Waschlaugen, welche die angegebenen Mengen der optischen Aufheller gemäß der vorliegenden Erfindung enthalten, bei Tageslicht eine brillante Erscheinung.
  • Die Waschbehandlung wird beispielsweise wie folgt durchgeführt:
    Die angegebenen Textilien werden 1 bis 30 Minuten bei 5° bis 100°C und vorzugsweise bei 25° bis 100°C in einem Waschbad, welches 1 bis 10 g/kg eines Kompositwaschmittels, das Builder und 0,05 bis 1%, relativ zum Gewicht des Waschmittels, der beanspruchten Aufheller enthält, aufweist, behandelt. Das Laugenverhältnis kann 1:3 bis 1:50 betragen. Nach dem Waschen werden die Textilien in herkömmlicher Weise ausgespült und getrocknet. Das Waschbad kann als Bleichadditiv 0,2 g/l Aktivchlor (beispielsweise in der Form von Hypochlorit) oder 0,1 bis 2 g/l Natriumperborat enthalten.
  • Die Aufheller können ebenso in einem Spülbad mit einem "Träger" angewendet werden. Zu diesem Zweck wird der Aufheller in ein Weichspülmittel oder in andere Spülmittel, welche als "Träger" beispielsweise Polyvinylalkohol, Stärke, Copolymere auf einer Acrylbasis oder Formaldehyd/Harnstoff- oder Ethylen-Harnstoff- oder Propylen-Harnstoff-Derivate, in Mengen von 0,005 bis 5% oder mehr und vorzugsweise von 0,2 bis 2%, relativ zu dem Spülmittel, enthalten, eingefügt. Bei Verwendungsmengen von 1 bis 100 ml und vorzugsweise von 2 bis 25 ml pro Liter Spülbad verleihen die Spülmittel diesen Typs, welche die Aufheller gemäß der vorliegenden Erfindung enthalten, verschiedenen Typen von behandelten Textilien brillante Aufhellungseffekte.
  • Eine weitere Anwendung der gemäß dem Verfahren der vorliegenden Erfindung hergestellten Verbindungen liegt in dem Aufhellen von Papier, entweder in der Pulpenmasse während der Papierherstellung oder in der Leimpresse, wie es in der britischen Patentbeschreibung 1,247,934 offenbart wurde, oder vorzugsweise in Beschichtungszusammensetzungen. Wenn diese Aufheller in solchen Zubereitungen eingesetzt werden, zeigen mit ihnen aufgehellte Papiere einen sehr hohen Weißheitsgrad.
  • In bestimmten Fällen können die gemäß dem Verfahren der vorliegenden Erfindung erhaltenen Verbindungen als Ultraviolett-Absorber (UVAs) nützlich sein und als solche zum Verbessern des Sonnenschutzfaktors (SPF) von Textilfasermaterialien eingesetzt werden, wie es beispielsweise in der europäischen Patentanmeldung 728 749 beschrieben ist.
  • Die folgenden Beispiele dienen zur Verdeutlichung der Erfindung; Teile und Prozentangaben beziehen sich auf das Gewicht, solange nichts anderes angegeben ist.
  • Beispiel 1:
  • Es werden 38 g der Verbindung der Formel
    Figure 00090001
    in 38 g Polyethylenglykol-600 und 30 g Wasser suspendiert. Eine Lösung von 17,16 g des Dinatriumsalzes von Asparaginsäure in 23 g Wasser werden anschließend zugesetzt. Die Reaktionsmischung wird anschließend unter Rückfluss auf 95°C unter Rühren über 6 Stunden erwärmt, während der pH bei 8,5 bis 9,0 durch Zugabe von 11,5 g 32%iger Natriumhydroxidlösung gehalten wird.
  • Die resultierende Lösung enthält die Verbindung der Formel
    Figure 00100001
    in einer Ausbeute von 96%.
  • Die resultierende Lösung ist innerhalb einer Zeitdauer von mindestens 1 Monat bei –5°C stabil und besteht aus:
    Verbindung der Formel (102): 28%
    Wasser: 45%
    Polyethylenglykol: 22%
    Natriumchlorid: 3%.
  • Diese Lösung kann direkt zum optischen Aufhellen von Textilien, Detergentien und Papier oder zur Verbesserung des Sonnenschutzfaktors von Textilfasermaterialien verwendet werden.
  • Wenn dies erwünscht ist, kann das erhaltene Produkt als gelbliche Kristalle, welche frei von Polyethylenglykol sind, durch Ausfällen mit warmem Ethanol erhalten werden.
  • Analoge Ergebnisse werden ebenso bei Verwendung von Polyethylenglykol-300 oder 1.500 erhalten.
  • Beispiel 2:
  • Es werden 1 kg (0,9 mMol) der nassen Verbindung der Formel (101) in einer Lösung von 159 g (1,71 Mol) Anilin in 2,5 kg Polyethylenglykol-300 suspendiert und unter Rückflussbedingung bei 130°C innerhalb von 30 Minuten gerührt. Zuerst resultiert eine klare Lösung, und anschließend fällt die freie Säure von TAS aus. Nach Abkühlen wird die freie Säure unter Vakuum abfiltriert und mit Wasser gewaschen.
  • In einer weiteren Variation werden 225 g heißes NaOH (32%) und 275 g Wasser zu der Reaktionsmischung zugesetzt. Nach Abkühlen werden 4 kg einer klaren 23,4%igen Lösung der Verbindung der Formel
    Figure 00110001
    erhalten.
  • Beispiel 3:
  • Es werden 120 g (0,65 Mol) Cyanurchlorid in einer Mischung von 250 g Polyethylenglykolether-300 und 300 g Eiswasser suspendiert. Es werden 1.057 g (0,314 Mol) einer 12%igen Lösung von 4,4'-Diaminostilben-2,2'-disulfonsäure in Wasser zugegeben. Der pH wird durch Zugabe von Natriumcarbonat (20%) reguliert. Die Reaktionsmischung wird auf 30°C erwärmt, der pH wird auf 7 mit Natriumcarbonat (20%) eingestellt, und 61,3 g (0,659 Mol) Anilin werden zugegeben. Die Reak tionsmischung wird auf 80°C erwärmt, und der pH wird durch NaOH (50%) reguliert. Das Rühren wird 30 Minuten lang bei 80°C und pH 7 fortgesetzt. Die Mischung wird auf 96°C erwärmt, und 81,6 g (0,82 Mol) Diethanolamin werden bei pH 8,2–8,5 zugesetzt. Es wird eine Zweiphasen- Reaktionsmischung erhalten.
  • Nach 30 Minuten werden 150 ml konzentrierte NaCl-Lösung zugegeben. Die organische Phase wird abgetrennt und mit 200 g Polyethylenglykol-300 und 15 g Wasser verdünnt. Der pH wird auf 10 mit 4 g NaOH (50%) eingestellt, und die Mischung wird filtriert.
  • Die Reaktionszubereitung weist einen Gehalt von 24,8% der Verbindung der Formel
    Figure 00120001
    auf, welche ein klares Aussehen sogar nach einer Lagerungszeit von 1 Monat aufweist.
  • Die Verbindung, welche frei von Lösungsmitteln ist, kann durch Ausfällen in Ethanol isoliert werden. Ausbeute: 89% hinsichtlich 4,4'-Diaminostilben-2,2'-disulfonsäure.
  • Beispiel 4:
  • Es werden 10 g der Verbindung der Formel
    Figure 00130001
    in 41 g Polyethylenglykol-200 und 14 g Butyltriglykol suspendiert. Zu dieser Mischung wird eine Lösung von 3,1 g (23 mMol) Asparaginsäure in 12 ml Wasser und 2,66 g NaOH (30%) zugegeben. Die Reaktionsmischung wird auf 90°C erwärmt, und der pH wird auf 8,5 bis 9 mit NaOH (30%) eingestellt. Nach 5 Stunden wird eine leicht trübe Lösung erhalten, und der pH dieser Lösung bleibt stabil. Nach Abkühlen und Filtrieren wird eine stabile klare Reaktionszubereitung der Verbindung der Formel
    Figure 00130002
    erhalten.
    Ausbeute: 95%
    Gehalt: 14%
  • Die Verbindung kann durchaus Ausfällen in Aceton/HCl, gefolgt von Umwandlung in das Hexanatriumsalz, isoliert werden.
  • Elementaranalyse für C44H34N12Na6O16S2 + NaCl und 14,4 H2O:
    Figure 00140001
  • Beispiel 5:
  • Es werden 38 g (66% = 30,4 mmol) der nassen Verbindung der Formel (101) in 40 g Wasser und 12 g Polyethylenglykol-300 überführt. Es werden 5,42 g (70 mmol) Methylamin (40%ige Lösung in Wasser) zugegeben, und es wird auf 90°C erwärmt. Bei dieser Temperatur wird die Mischung 5 Stunden lang gerührt, und der pH wird auf 8,5 durch Zugabe von NaOH (30%) eingestellt. Am Ende der Reaktion bleibt der pH konstant. Die Mischung wird auf Raumtemperatur abgekühlt. Es wird eine klare Reaktionszubereitung, welche 16% der Verbindung der Formel
    Figure 00140002
    enthält, nach Zugabe von 38 g Polyethylenglykol-300 zu der zweiphasigen Reaktionsmischung erhalten.
  • Die Identifikation und der Gehalt wird über HPLC und das Handelsprodukt (Blankophor HRS) belegt.

Claims (10)

  1. Verfahren zur Herstellung einer 4,4'-Bis-(triazinylamino)-stilben-2,2'-disulfonsäure der Formel
    Figure 00160001
    dadurch gekennzeichnet, dass (a) in einem ersten Reaktionsschritt Cyanurchlorid mit dem Dinatriumsalz der 4,4'-Diaminostilben-2,2'-disulfonsäure unter Erhalt der Zwischenstufe der Formel
    Figure 00160002
    umgesetzt wird; (b) in einem zweiten Reaktionsschritt die Verbindung der Formel (2) mit einer Verbindung der Formel R1H und R2-H unter Erhalt der Verbindung der Formel
    Figure 00160003
    umgesetzt wird; (c) in einer dritten Stufe die Verbindung der Formel (3) mit der Verbindung der Formel R3H umgesetzt wird und der Reaktionsschritt (a) und/oder (c) in einem Medium, welches aus einer Mischung aus Wasser und einem Polyglykol besteht, unter Erhalt der Verbindung der Formel (1) durchgeführt wird, worin R1, R2 und R3 unabhängig voneinander Phenylamino; durch C1-C3-Alkyl, Halogen, Cyano, COOR und COR substituiertes Phenylamino; CONH-R; SO2NH-R; NH-COR; mono- oder disulfoniertes Phenylamino; Morpholino; Piperidino; Pyrrolidino; -NH2; -NH(C1-C4-Alkyl); -N(C1-C4-Alkyl)2; -NH(C2-C4-Hydroxyalkyl); -N(C2-C4-Hydroxyalkyl)2; -N(C1-C4-Alkyl)(C2-C4-hydroxyalkyl); NHC2-C4-Alkylsulfonsäure; -OC1-C4-Alkyl; ein Aminosäure- oder Aminosäureamid-Rest, bei dem ein Wasserstoffatom der Aminogruppe entfernt wurde; oder ein Polyethylenglykol, bei dem ein Wasserstoffatom der -OH-Gruppe entfernt wurde, sind; R Wasserstoff; oder C1-C3-Alkyl ist; und M H oder Na ist.
  2. Verfahren nach Anspruch 1, worin die Reaktanden in im Wesentlichen den stöchiometrischen Verhältnissen, welche zur Bildung der Verbindungen der Formel (1) erforderlich sind, verwendet werden.
  3. Verfahren nach Anspruch 1 oder 2, worin das Polyglykol ein Molekulargewicht in dem Bereich von 200 bis 5.000 aufweist.
  4. Verfahren nach einem der Ansprüche 1 bis 3, worin das Verhältnis von Polyglykol zu Wasser zwischen 90:10 und 10:90 Gewichtsteilen liegt.
  5. Verfahren nach einem der Ansprüche 1 bis 4, worin die Reaktion bei einer Temperatur zwischen 50°C und dem Siedepunkt der Polyglykol-Wasser-Mischung durchgeführt wird.
  6. Verfahren nach einem der Ansprüche 1 bis 5, worin die Reaktion bei einem pH-Wert innerhalb des Bereichs von 7,85 bis 12,5 durchgeführt wird.
  7. Verfahren nach einem der Ansprüche 1 bis 6 zur Herstellung einer Verbindung der Formel
    Figure 00180001
    worin M und R1 wie in Anspruch 1 definiert sind und n 0,1 oder 2 ist.
  8. Verfahren nach Anspruch 7, worin R1 Morpholino, -NH2; N-(CH2-CH3)2; -NHCH3; -N(CH3)CH2CH2OH; NHCH2CH2OH, -N(CH2CH2OH)2, -N(CH3)(CH2CH2OH) oder -NHCH2CH2SO3H darstellt.
  9. Verfahren nach Anspruch 7, worin R1 einen Aminosäure-Rest, bei dem ein Wasserstoffatom der Aminogruppe entfernt wurde, darstellt.
  10. Verfahren nach Anspruch 9, worin der Aminosäure-Rest von Asparaginsäure, Glutarsäure, Sarcosin oder Taurin abgeleitet ist.
DE69920409T 1998-02-20 1999-02-13 Verfahren zur herstellung von stilbenverbindungen Expired - Fee Related DE69920409T2 (de)

Applications Claiming Priority (3)

Application Number Priority Date Filing Date Title
EP98810140 1998-02-20
EP98810140 1998-02-20
PCT/EP1999/000950 WO1999042454A1 (en) 1998-02-20 1999-02-13 A process for the preparation of stilbene compounds

Publications (2)

Publication Number Publication Date
DE69920409D1 DE69920409D1 (de) 2004-10-28
DE69920409T2 true DE69920409T2 (de) 2005-10-06

Family

ID=8235955

Family Applications (1)

Application Number Title Priority Date Filing Date
DE69920409T Expired - Fee Related DE69920409T2 (de) 1998-02-20 1999-02-13 Verfahren zur herstellung von stilbenverbindungen

Country Status (15)

Country Link
US (1) US6365737B1 (de)
EP (1) EP1054873B1 (de)
JP (1) JP2002503727A (de)
KR (1) KR100529488B1 (de)
CN (1) CN1137107C (de)
AU (1) AU759897B2 (de)
BR (1) BR9908116A (de)
CA (1) CA2319641A1 (de)
DE (1) DE69920409T2 (de)
ES (1) ES2228013T3 (de)
ID (1) ID26102A (de)
IL (1) IL137534A (de)
PL (1) PL193440B1 (de)
RU (1) RU2241703C2 (de)
WO (1) WO1999042454A1 (de)

Families Citing this family (27)

* Cited by examiner, † Cited by third party
Publication number Priority date Publication date Assignee Title
US6165973A (en) * 1999-02-05 2000-12-26 Ciba Specialty Chemicals Corporation Fluorescent whitening agent, its preparation and use
WO2000055688A1 (en) * 1999-03-15 2000-09-21 Ciba Specialty Chemicals Holding Inc. Process for removing stain in a photographic material
AU7618600A (en) * 1999-09-30 2001-04-30 Procter & Gamble Company, The Cotton fabric with durable properties
CN1326843C (zh) * 2000-12-22 2007-07-18 富士胶片株式会社 二氨基-1,2-二苯乙烯衍生物
EP1358166A1 (de) * 2001-01-12 2003-11-05 Ciba SC Holding AG Verfahren zur herstellung von triazinylaminostilbendisulfonsäureverbindungen
GB0127903D0 (en) * 2001-11-21 2002-01-16 Clariant Int Ltd Improvements relating to organic compounds
MXPA04011842A (es) * 2002-06-11 2005-03-31 Ciba Sc Holding Ag Pigmentos blanqueadores.
MXPA05005347A (es) * 2002-11-19 2005-08-03 Ciba Sc Holding Ag Agentes blanqueadores fluorescentes anfotericos.
AU2004210104C1 (en) * 2003-02-10 2009-11-26 Basf Se Crystalline modifications of triazinylaminostilbenes
EP1612209A1 (de) * 2004-06-28 2006-01-04 Clariant International Ltd. Verbesserungen betreffend optische Aufheller
CN101039924A (zh) * 2004-10-20 2007-09-19 西巴特殊化学品控股有限公司 作为纸荧光增白剂的两性4,4′-二(三嗪基氨基)均二苯代乙烯-2,2′-二磺酸衍生物
US7731820B2 (en) 2004-10-27 2010-06-08 Ciba Specialty Chemicals Corporation Compositions of fluorescent whitening agents
RU2285719C1 (ru) * 2005-04-18 2006-10-20 Открытое акционерное общество "Химпром" Состав для отбеливания текстильных материалов
KR100689260B1 (ko) * 2005-05-24 2007-03-02 삼원산업주식회사 항산화성 스틸벤계 형광증백제 및 이의 합성방법
EP1752453A1 (de) * 2005-08-04 2007-02-14 Clariant International Ltd. Lagerstabile Lösungen von optischen Aufhellern
WO2007048720A1 (en) * 2005-10-24 2007-05-03 Ciba Specialty Chemicals Holding Inc. A composition for whitening paper
PL209690B1 (pl) * 2005-11-24 2011-10-31 Termo Organika Społka Z Ograniczoną Odpowiedzialnością Sposób preparacji tworzyw, zabezpieczający przed działaniem promieniowania ultrafioletowego i ozonu
BRPI0713792A8 (pt) * 2006-06-27 2018-01-09 Hadasit Medical Res Services And Development Limited uso de derivados de estilbeno para tratamento e prevenção de infecções por fungos aquáticos
KR100907903B1 (ko) 2007-07-30 2009-07-15 에스케이에너지 주식회사 아미노 트리아진이 치환된 스틸벤디설폰산나트륨염의제조방법
PL2135997T3 (pl) * 2008-06-11 2012-03-30 Blankophor Gmbh & Co Kg Kompozycja i sposób wybielania papieru
EP2412870B1 (de) * 2010-07-30 2013-04-17 Blankophor GmbH & Co. KG Zusammensetzung und Verfahren zur Papierbleichung
ES2525151T3 (es) * 2011-04-27 2014-12-18 Clariant International Ltd. Nuevos derivados de bis-(triacinilamino)-estilbeno
MX344954B (es) * 2011-06-21 2017-01-12 Piramal Imaging Sa Formulaciones de estilbeno fluorado adecuado para la formacion de imagenes pet.
KR101421622B1 (ko) 2012-06-29 2014-07-23 삼원산업주식회사 항산화성 스틸벤계 형광증백의 합성방법
CN103205134B (zh) * 2013-03-14 2014-04-23 浙江传化华洋化工有限公司 一种dsd酸三嗪类荧光增白剂的合成方法
PT2781648E (pt) * 2013-03-21 2016-03-07 Clariant Int Ltd Agentes de branqueamento ótico para impressão a jato de tinta de alta qualidade
CN113717117A (zh) * 2021-09-29 2021-11-30 浙江宏达化学制品有限公司 一种超声波辅助合成荧光增白剂的工艺

Family Cites Families (7)

* Cited by examiner, † Cited by third party
Publication number Priority date Publication date Assignee Title
US4737240A (en) 1985-05-02 1988-04-12 Ciba-Geigy Corporation Trisazo black dyes from 2-(4'-aminophenylazo)-7-amino-1-naphthol-3-sulfonic acid
GB8704328D0 (en) 1987-02-24 1987-04-01 Sandoz Products Ltd Organic compounds
SU1646260A1 (ru) * 1989-02-28 1995-01-27 Л.В. Байгузова Тетранатриевая соль 4,4'-бис-4-морфолино- 6-(n-сульфоанилино)- сим-триазинил-2-ил- аминостильбен-2,2'- дисульфокислоты в качестве оптически отбеливающего вещества
DE59208643D1 (de) 1991-09-26 1997-07-31 Ciba Geigy Ag Verfahren zum Färben von Papier mit Disazofarbstoffen
GB9418958D0 (en) * 1994-09-21 1994-11-09 Ciba Geigy Ag Fluorescent whitening agents
DE19500791C1 (de) * 1995-01-13 1996-08-01 Bayer Ag Verfahren zur Herstellung von substituierten 4,4'-Diaminostilben-2,2'-disulfonsäuresalzen
GB9503474D0 (en) * 1995-02-22 1995-04-12 Ciba Geigy Ag Compounds and their use

Also Published As

Publication number Publication date
DE69920409D1 (de) 2004-10-28
KR100529488B1 (ko) 2005-11-22
CN1291191A (zh) 2001-04-11
JP2002503727A (ja) 2002-02-05
KR20010041064A (ko) 2001-05-15
BR9908116A (pt) 2000-10-31
IL137534A (en) 2005-08-31
IL137534A0 (en) 2001-07-24
AU759897B2 (en) 2003-05-01
PL193440B1 (pl) 2007-02-28
CN1137107C (zh) 2004-02-04
EP1054873B1 (de) 2004-09-22
US6365737B1 (en) 2002-04-02
AU2833799A (en) 1999-09-06
EP1054873A1 (de) 2000-11-29
ES2228013T3 (es) 2005-04-01
PL342469A1 (en) 2001-06-04
CA2319641A1 (en) 1999-08-26
RU2241703C2 (ru) 2004-12-10
WO1999042454A1 (en) 1999-08-26
ID26102A (id) 2000-11-23

Similar Documents

Publication Publication Date Title
DE69920409T2 (de) Verfahren zur herstellung von stilbenverbindungen
DE69825574T2 (de) Optische aufheller
DE69627411T2 (de) Triazinderivate, ihre Herstellung und Verwendung
DE2262633B2 (de) Sulfogruppen und v-Triazolylreste enthaltende 4,4'-Divinyldiphenyl-Verbindungen und deren Salze
JPS5865760A (ja) 貯蔵安定な螢光増白剤組成物の製造法
DE69827588T2 (de) Asymetrische Stilbenverbindungen verwendbar als Sonnenschutzmittel
DE60314746T2 (de) Aufhellerpigmente
DE2444784A1 (de) Bis-(triazinylamino)-stilben-disulfonsaeure-derivate
CA1094262A (en) Brightening compositions
DE2335570A1 (de) Verfahren zur herstellung von bistriazinylamino-stilben-disulfonsaeuren(2,2'), neue bis-triazinyl-amino-stilbendisulfonsaeuren-(2,2'), sowie deren verwendung als optische aufheller fuer organische materialien
CH668774A5 (de) Selbstschmierende antifriktionskomposition.
DE1545920A1 (de) Verfahren zur Herstellung optischer Aufheller der Stilbenreihe
US4814453A (en) Naphthalimides containing sulfuric acid ester groups, a process for their preparation and their use
EP0298361B1 (de) Flüssigwaschmittel enthaltend disulfonierte optische Aufheller
JPH11158398A (ja) スルホン化ジスチリル−ビフェニル化合物
US6096919A (en) Process for the preparation of sulphonated distyryl-biphenyl compounds
DE69914186T2 (de) Verfahren zur herstellung von sulfonierten distyrylbiphenylverbindungen
US2805999A (en) Detergent compositions containing derivatives of 4:4'-diaminostilbene-disulfonic acid
DE2051718A1 (de) Konzentrierte wasserige, asymmetrisch substituierte Bis triazinyl amino stilbene enthaltende Zurbereitungen und deren Ver wendung zum optischen Aufhellen
US20040077515A1 (en) Bis-triazinylaminobenzoxazole derivatives
EP0413926A1 (de) Weisstönerhaltige Flüssigwaschmittel
DE2325582A1 (de) Neue bis-(triazinylamino)-stilbendisulfosaeure-derivate
JP2002506850A5 (de)
CH107363A (de) Spülvorrichtung für Klosetts etc.

Legal Events

Date Code Title Description
8364 No opposition during term of opposition
8327 Change in the person/name/address of the patent owner

Owner name: CIBA HOLDING INC., BASEL, CH

8339 Ceased/non-payment of the annual fee