WO2018164113A1 - マウス近視誘導モデル及び近視予防・抑制のための小胞体ストレス抑制剤 - Google Patents
マウス近視誘導モデル及び近視予防・抑制のための小胞体ストレス抑制剤 Download PDFInfo
- Publication number
- WO2018164113A1 WO2018164113A1 PCT/JP2018/008554 JP2018008554W WO2018164113A1 WO 2018164113 A1 WO2018164113 A1 WO 2018164113A1 JP 2018008554 W JP2018008554 W JP 2018008554W WO 2018164113 A1 WO2018164113 A1 WO 2018164113A1
- Authority
- WO
- WIPO (PCT)
- Prior art keywords
- myopia
- mouse
- endoplasmic reticulum
- reticulum stress
- lens
- Prior art date
- Legal status (The legal status is an assumption and is not a legal conclusion. Google has not performed a legal analysis and makes no representation as to the accuracy of the status listed.)
- Ceased
Links
Images
Classifications
-
- A—HUMAN NECESSITIES
- A61—MEDICAL OR VETERINARY SCIENCE; HYGIENE
- A61K—PREPARATIONS FOR MEDICAL, DENTAL OR TOILETRY PURPOSES
- A61K31/00—Medicinal preparations containing organic active ingredients
- A61K31/185—Acids; Anhydrides, halides or salts thereof, e.g. sulfur acids, imidic, hydrazonic or hydroximic acids
- A61K31/19—Carboxylic acids, e.g. valproic acid
- A61K31/192—Carboxylic acids, e.g. valproic acid having aromatic groups, e.g. sulindac, 2-aryl-propionic acids, ethacrynic acid
-
- A—HUMAN NECESSITIES
- A01—AGRICULTURE; FORESTRY; ANIMAL HUSBANDRY; HUNTING; TRAPPING; FISHING
- A01K—ANIMAL HUSBANDRY; AVICULTURE; APICULTURE; PISCICULTURE; FISHING; REARING OR BREEDING ANIMALS, NOT OTHERWISE PROVIDED FOR; NEW BREEDS OF ANIMALS
- A01K67/00—Rearing or breeding animals, not otherwise provided for; New or modified breeds of animals
- A01K67/02—Breeding vertebrates
-
- A—HUMAN NECESSITIES
- A01—AGRICULTURE; FORESTRY; ANIMAL HUSBANDRY; HUNTING; TRAPPING; FISHING
- A01K—ANIMAL HUSBANDRY; AVICULTURE; APICULTURE; PISCICULTURE; FISHING; REARING OR BREEDING ANIMALS, NOT OTHERWISE PROVIDED FOR; NEW BREEDS OF ANIMALS
- A01K67/00—Rearing or breeding animals, not otherwise provided for; New or modified breeds of animals
- A01K67/027—New or modified breeds of vertebrates
-
- A—HUMAN NECESSITIES
- A61—MEDICAL OR VETERINARY SCIENCE; HYGIENE
- A61K—PREPARATIONS FOR MEDICAL, DENTAL OR TOILETRY PURPOSES
- A61K31/00—Medicinal preparations containing organic active ingredients
- A61K31/13—Amines
- A61K31/155—Amidines (), e.g. guanidine (H2N—C(=NH)—NH2), isourea (N=C(OH)—NH2), isothiourea (—N=C(SH)—NH2)
-
- A—HUMAN NECESSITIES
- A61—MEDICAL OR VETERINARY SCIENCE; HYGIENE
- A61K—PREPARATIONS FOR MEDICAL, DENTAL OR TOILETRY PURPOSES
- A61K31/00—Medicinal preparations containing organic active ingredients
- A61K31/21—Esters, e.g. nitroglycerine, selenocyanates
- A61K31/215—Esters, e.g. nitroglycerine, selenocyanates of carboxylic acids
- A61K31/235—Esters, e.g. nitroglycerine, selenocyanates of carboxylic acids having an aromatic ring attached to a carboxyl group
-
- A—HUMAN NECESSITIES
- A61—MEDICAL OR VETERINARY SCIENCE; HYGIENE
- A61K—PREPARATIONS FOR MEDICAL, DENTAL OR TOILETRY PURPOSES
- A61K31/00—Medicinal preparations containing organic active ingredients
- A61K31/33—Heterocyclic compounds
- A61K31/335—Heterocyclic compounds having oxygen as the only ring hetero atom, e.g. fungichromin
- A61K31/365—Lactones
-
- A—HUMAN NECESSITIES
- A61—MEDICAL OR VETERINARY SCIENCE; HYGIENE
- A61K—PREPARATIONS FOR MEDICAL, DENTAL OR TOILETRY PURPOSES
- A61K31/00—Medicinal preparations containing organic active ingredients
- A61K31/33—Heterocyclic compounds
- A61K31/395—Heterocyclic compounds having nitrogen as a ring hetero atom, e.g. guanethidine or rifamycins
- A61K31/435—Heterocyclic compounds having nitrogen as a ring hetero atom, e.g. guanethidine or rifamycins having six-membered rings with one nitrogen as the only ring hetero atom
- A61K31/47—Quinolines; Isoquinolines
- A61K31/4706—4-Aminoquinolines; 8-Aminoquinolines, e.g. chloroquine, primaquine
-
- A—HUMAN NECESSITIES
- A61—MEDICAL OR VETERINARY SCIENCE; HYGIENE
- A61K—PREPARATIONS FOR MEDICAL, DENTAL OR TOILETRY PURPOSES
- A61K31/00—Medicinal preparations containing organic active ingredients
- A61K31/33—Heterocyclic compounds
- A61K31/395—Heterocyclic compounds having nitrogen as a ring hetero atom, e.g. guanethidine or rifamycins
- A61K31/435—Heterocyclic compounds having nitrogen as a ring hetero atom, e.g. guanethidine or rifamycins having six-membered rings with one nitrogen as the only ring hetero atom
- A61K31/47—Quinolines; Isoquinolines
- A61K31/472—Non-condensed isoquinolines, e.g. papaverine
-
- A—HUMAN NECESSITIES
- A61—MEDICAL OR VETERINARY SCIENCE; HYGIENE
- A61K—PREPARATIONS FOR MEDICAL, DENTAL OR TOILETRY PURPOSES
- A61K31/00—Medicinal preparations containing organic active ingredients
- A61K31/33—Heterocyclic compounds
- A61K31/395—Heterocyclic compounds having nitrogen as a ring hetero atom, e.g. guanethidine or rifamycins
- A61K31/495—Heterocyclic compounds having nitrogen as a ring hetero atom, e.g. guanethidine or rifamycins having six-membered rings with two or more nitrogen atoms as the only ring heteroatoms, e.g. piperazine or tetrazines
- A61K31/505—Pyrimidines; Hydrogenated pyrimidines, e.g. trimethoprim
- A61K31/519—Pyrimidines; Hydrogenated pyrimidines, e.g. trimethoprim ortho- or peri-condensed with heterocyclic rings
-
- A—HUMAN NECESSITIES
- A61—MEDICAL OR VETERINARY SCIENCE; HYGIENE
- A61K—PREPARATIONS FOR MEDICAL, DENTAL OR TOILETRY PURPOSES
- A61K31/00—Medicinal preparations containing organic active ingredients
- A61K31/56—Compounds containing cyclopenta[a]hydrophenanthrene ring systems; Derivatives thereof, e.g. steroids
- A61K31/575—Compounds containing cyclopenta[a]hydrophenanthrene ring systems; Derivatives thereof, e.g. steroids substituted in position 17 beta by a chain of three or more carbon atoms, e.g. cholane, cholestane, ergosterol, sitosterol
-
- A—HUMAN NECESSITIES
- A61—MEDICAL OR VETERINARY SCIENCE; HYGIENE
- A61K—PREPARATIONS FOR MEDICAL, DENTAL OR TOILETRY PURPOSES
- A61K31/00—Medicinal preparations containing organic active ingredients
- A61K31/70—Carbohydrates; Sugars; Derivatives thereof
- A61K31/7088—Compounds having three or more nucleosides or nucleotides
-
- A—HUMAN NECESSITIES
- A61—MEDICAL OR VETERINARY SCIENCE; HYGIENE
- A61K—PREPARATIONS FOR MEDICAL, DENTAL OR TOILETRY PURPOSES
- A61K49/00—Preparations for testing in vivo
- A61K49/0004—Screening or testing of compounds for diagnosis of disorders, assessment of conditions, e.g. renal clearance, gastric emptying, testing for diabetes, allergy, rheuma, pancreas functions
- A61K49/0008—Screening agents using (non-human) animal models or transgenic animal models or chimeric hosts, e.g. Alzheimer disease animal model, transgenic model for heart failure
-
- A—HUMAN NECESSITIES
- A61—MEDICAL OR VETERINARY SCIENCE; HYGIENE
- A61K—PREPARATIONS FOR MEDICAL, DENTAL OR TOILETRY PURPOSES
- A61K9/00—Medicinal preparations characterised by special physical form
- A61K9/0012—Galenical forms characterised by the site of application
- A61K9/0048—Eye, e.g. artificial tears
-
- A—HUMAN NECESSITIES
- A61—MEDICAL OR VETERINARY SCIENCE; HYGIENE
- A61P—SPECIFIC THERAPEUTIC ACTIVITY OF CHEMICAL COMPOUNDS OR MEDICINAL PREPARATIONS
- A61P27/00—Drugs for disorders of the senses
- A61P27/02—Ophthalmic agents
- A61P27/10—Ophthalmic agents for accommodation disorders, e.g. myopia
-
- G—PHYSICS
- G01—MEASURING; TESTING
- G01N—INVESTIGATING OR ANALYSING MATERIALS BY DETERMINING THEIR CHEMICAL OR PHYSICAL PROPERTIES
- G01N33/00—Investigating or analysing materials by specific methods not covered by groups G01N1/00 - G01N31/00
- G01N33/15—Medicinal preparations ; Physical properties thereof, e.g. dissolubility
-
- G—PHYSICS
- G01—MEASURING; TESTING
- G01N—INVESTIGATING OR ANALYSING MATERIALS BY DETERMINING THEIR CHEMICAL OR PHYSICAL PROPERTIES
- G01N33/00—Investigating or analysing materials by specific methods not covered by groups G01N1/00 - G01N31/00
- G01N33/48—Biological material, e.g. blood, urine; Haemocytometers
- G01N33/50—Chemical analysis of biological material, e.g. blood, urine; Testing involving biospecific ligand binding methods; Immunological testing
- G01N33/5005—Chemical analysis of biological material, e.g. blood, urine; Testing involving biospecific ligand binding methods; Immunological testing involving human or animal cells
- G01N33/5008—Chemical analysis of biological material, e.g. blood, urine; Testing involving biospecific ligand binding methods; Immunological testing involving human or animal cells for testing or evaluating the effect of chemical or biological compounds, e.g. drugs, cosmetics
- G01N33/5082—Supracellular entities, e.g. tissue, organisms
- G01N33/5088—Supracellular entities, e.g. tissue, organisms of vertebrates
-
- G—PHYSICS
- G02—OPTICS
- G02C—SPECTACLES; SUNGLASSES OR GOGGLES INSOFAR AS THEY HAVE THE SAME FEATURES AS SPECTACLES; CONTACT LENSES
- G02C7/00—Optical parts
- G02C7/02—Lenses; Lens systems ; Methods of designing lenses
- G02C7/06—Lenses; Lens systems ; Methods of designing lenses bifocal; multifocal ; progressive
-
- A—HUMAN NECESSITIES
- A01—AGRICULTURE; FORESTRY; ANIMAL HUSBANDRY; HUNTING; TRAPPING; FISHING
- A01K—ANIMAL HUSBANDRY; AVICULTURE; APICULTURE; PISCICULTURE; FISHING; REARING OR BREEDING ANIMALS, NOT OTHERWISE PROVIDED FOR; NEW BREEDS OF ANIMALS
- A01K2207/00—Modified animals
- A01K2207/30—Animals modified by surgical methods
-
- A—HUMAN NECESSITIES
- A01—AGRICULTURE; FORESTRY; ANIMAL HUSBANDRY; HUNTING; TRAPPING; FISHING
- A01K—ANIMAL HUSBANDRY; AVICULTURE; APICULTURE; PISCICULTURE; FISHING; REARING OR BREEDING ANIMALS, NOT OTHERWISE PROVIDED FOR; NEW BREEDS OF ANIMALS
- A01K2227/00—Animals characterised by species
- A01K2227/10—Mammal
- A01K2227/105—Murine
-
- A—HUMAN NECESSITIES
- A01—AGRICULTURE; FORESTRY; ANIMAL HUSBANDRY; HUNTING; TRAPPING; FISHING
- A01K—ANIMAL HUSBANDRY; AVICULTURE; APICULTURE; PISCICULTURE; FISHING; REARING OR BREEDING ANIMALS, NOT OTHERWISE PROVIDED FOR; NEW BREEDS OF ANIMALS
- A01K2267/00—Animals characterised by purpose
- A01K2267/03—Animal model, e.g. for test or diseases
-
- A—HUMAN NECESSITIES
- A61—MEDICAL OR VETERINARY SCIENCE; HYGIENE
- A61K—PREPARATIONS FOR MEDICAL, DENTAL OR TOILETRY PURPOSES
- A61K2121/00—Preparations for use in therapy
-
- A—HUMAN NECESSITIES
- A61—MEDICAL OR VETERINARY SCIENCE; HYGIENE
- A61K—PREPARATIONS FOR MEDICAL, DENTAL OR TOILETRY PURPOSES
- A61K2300/00—Mixtures or combinations of active ingredients, wherein at least one active ingredient is fully defined in groups A61K31/00 - A61K41/00
Definitions
- the present invention relates to a method for producing a mouse myopia induction model for elucidating the mechanism of occurrence of myopia, and a drug that suppresses myopia.
- East Asians are said to have a higher percentage of myopia than Westerners, and at least about 1/3 of the population, that is, about 40 million people are said to be myopic. Nevertheless, no molecular mechanism for the onset and progression of myopia has been elucidated, and even if correction has been performed with glasses or contact lenses, there is no fundamental cure.
- Myopia is a condition where it is not clearly visible because it is focused in front of the retina.
- Myopia is roughly divided into two types: refractive myopia caused by the refractive index of the cornea and the crystalline lens being too strong, and axial myopia caused by the length of the eyeball in the longitudinal direction of the eyeball being too long.
- Refractive myopia is a condition in which the lens thickness that plays the role of the lens does not adjust well and the focus is in front of the retina.
- Axis myopia is a long eye axis, so even if the lens is adjusted to be thin enough A state where the focus is in front of the retina (see FIG. 1, axial myopia). Most patients with myopia have axial myopia.
- Non-patent Document 1 myopia research has been conducted by inducing myopia in animals such as chicks, pineapples, and guinea pigs.
- chicks are diurnal, have a relatively large eye, and are easy to handle. Therefore, chicks are widely used as model animals for myopia research, and 35 years have passed since myopia models using chicks were introduced. Even now, it has been used as the main myopia model.
- a variety of animals are used in myopia studies, including pineapple, marmoset, guinea pig, and rhesus monkey. However, none of these animals can be genetically manipulated easily and are not suitable for studying the genetic elements of myopia.
- the occurrence frequency of myopia has a racial difference as described above, it is considered that genetic factors are large in addition to environmental factors.
- the lack of a myopia-inducing model animal capable of studying genetic elements contributes to the establishment of a treatment method for suppressing myopia.
- the currently reported mouse model does not satisfy all of the symptoms known as symptoms of intense myopia in humans. That is, it does not satisfy the symptoms such as the degree of extension of the axial length, the refractive index and the sclera being thinner than normal, and is incomplete as a myopia model.
- An object of the present invention is to produce a mouse model having myopia that closely resembles the symptoms of intense myopia in humans.
- the conventional mouse model cannot be easily removed because the lens is sutured to the skin and further reinforced and fixed with an adhesive. For this reason, it has been difficult to observe changes with time as myopia progresses. It is an object of the present invention to analyze a process of myopia progression using a mouse myopia induction model, search for a therapeutic agent for myopia based on the obtained knowledge, and obtain a therapeutic agent that suppresses myopia.
- the present invention relates to the following myopia preventive / suppressor, a method for producing a mouse myopia induction model, a mouse myopia induction model produced by the production method, and a pharmaceutical screening method using the mouse myopia induction model.
- a myopia prevention / suppression agent comprising an endoplasmic reticulum stress inhibitor as an active ingredient.
- the endoplasmic reticulum stress inhibitor is phenylbutyric acid, tauroursodeoxycholic acid, salubrinal, guanabenz, GSK2606414, GSK2656157, ISRIB, azolamide, arctigenin or a pharmacologically acceptable salt thereof.
- the myopia preventive / suppressor according to (1).
- Agent. (4) The myopia preventing / suppressing agent according to any one of (1) to (3), wherein the myopia is axial myopia.
- a method for preparing a mouse myopia induction model comprising mounting a protector and a minus lens in front of the eyes of a young mouse and rearing the mouse with an angle and a width adjusted by an adjusting mechanism according to the growth of the mouse.
- a candidate substance is administered to a mouse model in which a protector and a minus lens are attached to the eyes of a young mouse, and the angle and width are adjusted by an adjustment mechanism according to the growth of the mouse to induce myopia.
- Myopia prevention / suppression drug screening method A mouse myopia induction model produced by mounting a protector and a minus lens in front of the eyes of a young mouse and rearing the mouse with the angle and width adjusted by an adjusting mechanism according to the growth of the mouse.
- a mouse myopia induction model with the same symptoms as those observed in human intense myopia was prepared. Mice can provide a good tool for studying the genetic factors of myopia because they have better genetic manipulation techniques than other animals. As a result of analysis of this model mouse, it was revealed that endoplasmic reticulum stress occurs in the sclera with myopia induction. Furthermore, since myopia was induced by applying endoplasmic reticulum stress, it was shown that myopia was induced by endoplasmic reticulum stress. In addition, experiments using a mouse myopia induction model revealed that endoplasmic reticulum stress inhibitors are effective in suppressing myopia. Therefore, it has become possible to provide a therapeutic agent in myopia where there has been no effective treatment until now.
- mouth myopia induction model The figure which shows the change of the refraction value of the mouse myopia guidance model, the axial length, and the sclera.
- An electron microscope image showing changes in the sclera of a mouse myopia induction model.
- 4A shows the refraction value
- FIG. 4B shows the axial length
- FIG. 4C shows the change in the axial length after one week of lens wearing and after 3 weeks.
- the figure which shows the effect with respect to myopia induction of the taurursodeoxycholic acid which is an endoplasmic reticulum stress inhibitor The figure which shows the effect with respect to myopia induction of sodium phenylbutyrate by eye drops. The figure which shows the result of having analyzed myopia induction by the endoplasmic reticulum stress inducer. The figure which shows the effect of the compound which inhibits the signal pathway of a different endoplasmic reticulum stress sensor. 8A shows the refraction value, and FIG. 8B shows the analysis result of the axial length.
- the present inventors have revealed for the first time that endoplasmic reticulum stress occurs in the sclera when myopia is induced.
- endoplasmic reticulum stress affects corneal endothelial cells and causes numerous diseases (Patent Document 1).
- Patent Document 1 it has not been reported so far that myopia and endoplasmic reticulum stress are correlated or that myopia is induced by endoplasmic reticulum stress.
- the present inventors have discovered for the first time that the progression of myopia is suppressed by an endoplasmic reticulum stress inhibitor.
- Non-Patent Documents 1 and 2 myopia induction models have been produced in various animals so far, and myopia induction models for mice have also been reported (Non-Patent Documents 1 and 2).
- no model has been reported so far in which all the same symptoms as human myopia, i.e., changes in refractive value, axial length, and sclera, are observed.
- a mouse model exhibiting symptoms similar to those of humans could be produced for the first time by the inventor's method. This makes it possible to study genetic factors for myopia that have not been clarified so far, and it becomes possible to screen for drugs that provide fundamental treatment for myopia.
- the present inventors have found that an endoplasmic reticulum stress inhibitor suppresses myopia induction in a mouse model.
- the candidate compound When screening for a myopia prevention / suppressor, the candidate compound may be administered at any timing. That is, administration of the candidate compound may be started immediately after the start of myopia induction, or administration of the candidate compound may be started after some symptoms of axial myopia are observed after the start of myopia induction. Further, the administration period and timing can be appropriately determined depending on the candidate compound.
- the administration of the myopia suppressant is carried out by intraperitoneal administration and instillation here, but any administration form may be used. Specifically, administration by injection, application by eye drops, eye ointment, or oral administration may be used. Therefore, the dosage form may be an eye drop, an eye ointment, or a dosage form suitable for internal use such as tablets and capsules in addition to the injection. In particular, eye drops and eye ointments are preferable because they can be directly applied to the eye.
- sodium phenylbutyric acid (4-phenylbutyric acid, 4-PBA) and taursodeoxycholic acid (TUDCA) are used as endoplasmic reticulum stress inhibitors. It may be other salts acceptable to the above. Pharmacologically acceptable salts include alkali metal salts, alkaline earth metal salts, amines or basic amino acid addition salts.
- any drug that can suppress endoplasmic reticulum stress may be used.
- Chemical chaperones that contribute to the formation and stabilization of higher-order protein structures such as sodium phenylbutyrate, tauroursodeoxycholic acid, and trehalose are said to reduce endoplasmic reticulum stress.
- the endoplasmic reticulum stress signal can also be suppressed by inhibiting the signal downstream of the endoplasmic reticulum stress sensor (Non-patent Documents 3-5).
- any compound that has an action of reducing endoplasmic reticulum stress or suppressing a signal generated from the endoplasmic reticulum stress sensor may act as a myopia prevention / suppression agent.
- Endoplasmic reticulum stress is detected by three stress sensors, and signals are transmitted downstream so as not to accumulate excessively folded proteins.
- ERP1 non-patent literature
- PERK PSR-like endoplasmic reticulum kinase
- IRE1 Inositol requiring 1
- ATF6 Activating transcription factor 6
- Such drugs include Salubrinal, Guanabenz, GSK2606414, GSK2656157, ISRIB, STF-083010, MKC-3946, Toyocamycin (Nelfinavib (Nelfinavib), Nelfinavib (Nelfinavib) -Hydroxy-4-methyl-2-oxo-2H-1-benzopyran-8-carbodealdehyde) (Non-patent Document 5).
- the drugs of the PERK pathway and the ATF6 pathway are effective.
- Patent Document 2 discloses PERK inhibitors including GSK2606414 and GSK2656157. Needless to say, the inhibitor described in Patent Document 2 can also be used.
- Non-patent Documents 7 and 8 Azolamide and Arctigenin are thought to inhibit endoplasmic reticulum stress upstream. Therefore, these drugs are also considered to act as myopia suppressants.
- Astragalaside IV Astragalaside IV
- baicalein Baicalein
- berberine Berberine
- crocin Rosin
- Elatoside Cb ginsenoside Rb1
- Examples of compounds that suppress endoplasmic reticulum stress include Honokiol Ikariin, Mangiferin, Notoginsenoside R1, and Pterostilbene (Non-patent Document 9).
- FIG. 1 schematically shows a mechanism that induces axial myopia by wearing a minus lens.
- Normal vision refers to a state where the image is clearly visible because parallel rays entering the eye form an image on the retina.
- axial myopia refers to a state in which the collimated rays entering the eyes form an image in front of the retina because the length of the eye axis is long, so that it cannot be clearly seen.
- the eye axis When a minus lens is worn on a young mouse, the eye axis extends to a position where an image is formed when the minus lens is worn, that is, a state where it can be clearly seen when the minus lens is worn. As a result, the eye axis extends, and an eye state similar to axial myopia can be created.
- a mouse myopia guidance model is prepared as follows. Since young mice are more likely to induce myopia, it is desirable to attach a minus lens as soon as possible after weaning. Here, 3 weeks old C57BL6J is used. The mouse is anesthetized with three types of mixed anesthesia of Domitor (Nippon Zenyaku Kogyo Co., Ltd.), Betolfal (Meiji Seika Pharma Co., Ltd.) and Midazolam (Sand Corp.), and the skull is exposed with scissors. The column 1 is erected on the skull and fixed with dental cement (Super-Bond, Sun Medical Co., Ltd.). The support column is provided with a thread so that an adjusting device described later can be fixed with a nut.
- -30 diopter (D) minus lens (Rainbow Contact, Rainbow Optical Laboratory Co., Ltd.) 2 is attached to one side and 0D lens as a control, or only frame 3 is attached to the other side.
- a protector 4 having a shape protruding sideways is bonded to the frame portion below the lens so that the mouse is not damaged by the front legs or the like.
- the protector 4 prevents the mouse from touching the lens and does not damage the lens.
- the protector 4 is bonded to and integrated with the frame portion.
- the protector 4 is not required to be integrated with the lens as long as the lens is not damaged by the action of the mouse. For example, it may have a shape such as an Elizabeth collar worn by an injured animal.
- the adjusting device 5 for adjusting the width and angle of the mounted lens is adhered to the frame portion above the lens in accordance with the growth of the mouse.
- the adjusting device 5 is bent into a “ ⁇ ” shape, and one has a lens attached thereto, and the other has a long hole 6 so that it can be attached to the column 1 standing on the head.
- Width and angle can be adjusted according to the growth of the mouse, and the lens can be adjusted to the position of the eye of the mouse by the adjustment mechanism consisting of three points, the support column 1, the nut 7, and the adjusting device 5.
- the lens can be removed, it is possible to measure temporal changes in the axial length and the refractive value. As described above, changes in myopia progression over time could not be observed with the conventional model, but the lens can be easily removed with this myopia guidance model, so the myopia progression can be analyzed in more detail. Can now.
- Refractive values are refractometers (Infrared photorefractor for mice, produced by Prof. Schaeffel, Tubingen University), SD-OCT (Spectral-domain OCT, Spectral domain optical coherence tomography, Envisu R4310, biooptimized film thickness of Biot.
- the obtained paraffin sections were measured with an imaging software cellSens after acquiring an optical image with an optical microscope (BX53, Olympus Corporation). The results were analyzed by ANOVA and Turkey HSD.
- the refractive value, the axial length, and the thickness of the sclera were all significantly different from the control in the eyes in which myopia was induced by the -30D lens (* in the figure).
- Regarding the thickness of the sclera it was observed that the thickness of the sclera was thinner in the myopic eye than in the normal eye, regardless of the distance from the optic disc.
- the myopia guidance model produced in this example has all the characteristics of human axial myopia, indicating that it can be an excellent model. This is because the myopia guidance model allows the position of the lens to be fine-tuned as it grows, and since a protector for protecting the lens is provided, the lens is not damaged, and axial myopia is prevented. This is thought to be because it can be induced more significantly.
- Example 2 Screening of therapeutic agents using mouse myopia induction model
- analysis was performed using a transmission electron microscope (TEM).
- TEM transmission electron microscope
- the eyeball in which a negative lens was worn for 3 weeks to induce axial myopia, and the eyeball that had only been worn with a frame as a control were removed from the mouse, and 2.5% glutaraldehyde / saline solution for 1 hour at 4 ° C. Fixed.
- the cornea was removed, followed by post-fixation overnight with 2.5% glutaraldehyde / saline, embedded in Epok812 (Oken Shoji Co., Ltd.), sliced, and TEM (JEM-1400plus, JEOL Ltd.) was observed.
- the scale is 1.0 ⁇ m, 500 nm, and 500 nm from the left.
- the mouse sclera is mostly composed of collagen fibers and fibroblasts. Control fibroblasts are rich in mitochondria and rough endoplasmic reticulum (indicated by the upper arrow). On the other hand, a large number of expanded vacuolar ERs were observed in the sclera of the mouse in which myopia was induced by a minus lens (indicated by the lower arrow), suggesting that endoplasmic reticulum stress occurred.
- FIG. 4 (A) shows the amount of change in the refractive value.
- a group administered with PBS as a control when a -30D lens was worn, a significant change in refractive value was observed, but in a group administered with sodium phenylbutyrate (4-PBA), a -30D lens was used. There was no change in the refractive value between the eye wearing the eye and the eye wearing only the frame, and it was shown that sodium phenylbutyrate has a myopia suppression effect.
- the change of the axial length is shown in FIG.
- the sodium phenylbutyrate administration group no difference in elongation was observed when comparing the axial length of the eye wearing the minus lens and the eye wearing only the control frame.
- the axial length of the eye wearing the minus lens was significantly extended compared to the minus lens wearing group of the sodium phenylbutyrate administration group.
- FIG. 4C shows the length of the axial length after 1 week and 3 weeks after lens wearing.
- the eye wearing the minus lens of the PBS administration group has a significant extension to the control eye without lens and the lens wearing eye and non-wearing eye of the sodium phenylbutyrate administration group one week after the lens wearing.
- the axial length at 3 weeks after the start of lens wearing is elongated in all groups compared to the axial length at 1 week after the start of lens wearing. Even in the sodium phenylbutyrate administration group, the same degree of elongation as the axial length of the eyes wearing only the frame of the PBS administration group is observed. Indicates no effect.
- tauroursodeoxycholic acid was administered in spite of a significant change in refractive value between the eye wearing the ⁇ 30D lens and the eye wearing only the frame. In the group, there was no difference between the two, and tauroursodeoxycholic acid was found to have a myopia-inhibiting effect. In addition, with respect to changes in the axial length, a significant difference was observed between the group administered with tauroursodeoxycholic acid and the PBS-administered group in the eyes subjected to myopia induction. In contrast, it was revealed that tauroursodeoxycholic acid has an effect.
- Efficacy of endoplasmic reticulum stress-inhibiting agent As an agent that suppresses myopia, a dosage form that can be administered directly to the eye, such as eye drops or eye ointments, is highly effective, and patients themselves Is desirable because it can be administered. Therefore, a mouse myopia induction model was prepared in the same manner as in Example 1, and the effect of instillation of sodium phenylbutyrate was analyzed.
- a control group (n 4) received PBS instillation.
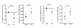
- mice 50 ⁇ g / ml tunicamycin (Tm) (SIGMA Aldrich) or 10 ⁇ M thapsigargin (TG) (Wako Pure Chemical Industries, Ltd.) is applied to the right eye, and PBS (Veh) is applied once to the left eye. Administered. The refractive value and the axial length were measured before and 1 week after administration of tunicamycin and thapsigargin, and the amount of change was calculated (FIG. 7).
- tunicamycin which is known as an endoplasmic reticulum stress inducer
- endoplasmic reticulum stress inducer showed significant differences in both refractive value and axial length of the PBS-administered eye, and induced myopia. That is, it was shown that endoplasmic reticulum stress directly induced myopia.
- Example 4 Effect of endoplasmic reticulum stress pathway inhibitor on myopia induction As described above, it is known that there are three pathways downstream of endoplasmic reticulum stress: the IRE1 pathway, the PERK pathway, and the ATF6 pathway. Using inhibitors of three pathways of the endoplasmic reticulum stress pathway, it was analyzed whether there was an effect of suppressing myopia induction.
- STF-083010 STF was used as an inhibitor of the IRE1 pathway
- GSK265615 GSK265615
- NFV Nelfinavir
- Example 1 3-week-old male C57BL6J mice were worn with a -30D lens on the right eye and only a frame on the left eye.
- a solution dissolved in PBS so that n 3) was administered by eye drop every day.
- 0.1% DMSO (SIGMA Aldrich Co.) was dissolved in PBS and administered by eye drops.
- the refractive value and the axial length were measured before lens wearing and one week after wearing, and the amount of change was calculated (FIG. 8).
- the difference (change amount) between the refractive values before and after the lens wearing (FIG. 8A) and the axial length (FIG. 8B) is changed to the left, and the difference of the change amount in each individual is compared. Therefore, the difference between the change amount of the lens wearing eye and the change amount of the control eye is obtained and represented as a graph on the right side.
- STF-083010 like DMSO, produced significant changes in the refractive value and the axial length of the control eye that did not wear the lens, and did not suppress myopia induction.
- DMSO dimethyl methacrylate
- a change in refractive value and an increase in the axial length were observed even in the control eye not wearing the lens.
- the difference in the amount of change from the eye wearing the lens and inducing myopia is significantly reduced (the graphs on the right in FIGS. 8A and 8B), there is an effect of suppressing myopia induction. it is conceivable that.
- endoplasmic reticulum stress inhibitors suppress the progression of myopia in contrast to myopia where there was no effective therapeutic agent. Therefore, the endoplasmic reticulum stress inhibitor can act as a therapeutic agent for myopia.
- a myopia induction model exhibiting symptoms similar to those of human myopia could be created using mice that can be easily genetically analyzed. In the future, by using a mouse myopia induction model, it will be possible to elucidate the molecular mechanism of the onset of myopia and develop molecularly targeted drugs.
Landscapes
- Health & Medical Sciences (AREA)
- Life Sciences & Earth Sciences (AREA)
- General Health & Medical Sciences (AREA)
- Chemical & Material Sciences (AREA)
- Animal Behavior & Ethology (AREA)
- Medicinal Chemistry (AREA)
- Veterinary Medicine (AREA)
- Public Health (AREA)
- Pharmacology & Pharmacy (AREA)
- Epidemiology (AREA)
- Engineering & Computer Science (AREA)
- Ophthalmology & Optometry (AREA)
- Biomedical Technology (AREA)
- Environmental Sciences (AREA)
- Physics & Mathematics (AREA)
- Bioinformatics & Cheminformatics (AREA)
- Molecular Biology (AREA)
- Immunology (AREA)
- Zoology (AREA)
- General Physics & Mathematics (AREA)
- Pathology (AREA)
- Urology & Nephrology (AREA)
- Animal Husbandry (AREA)
- Biodiversity & Conservation Biology (AREA)
- Toxicology (AREA)
- Chemical Kinetics & Catalysis (AREA)
- General Chemical & Material Sciences (AREA)
- Nuclear Medicine, Radiotherapy & Molecular Imaging (AREA)
- Organic Chemistry (AREA)
- Biochemistry (AREA)
- Cell Biology (AREA)
- Food Science & Technology (AREA)
- Analytical Chemistry (AREA)
- Hematology (AREA)
- Optics & Photonics (AREA)
- Gastroenterology & Hepatology (AREA)
- Rheumatology (AREA)
- Endocrinology (AREA)
- Diabetes (AREA)
- Tropical Medicine & Parasitology (AREA)
Priority Applications (13)
| Application Number | Priority Date | Filing Date | Title |
|---|---|---|---|
| CN202211310191.2A CN115645535B (zh) | 2017-03-06 | 2018-03-06 | 小鼠近视诱导模型及用于近视预防/抑制的内质网应激抑制剂 |
| CN202211310272.2A CN115645536A (zh) | 2017-03-06 | 2018-03-06 | 小鼠近视诱导模型及用于近视预防/抑制的内质网应激抑制剂 |
| DK18764652.6T DK3593817T3 (da) | 2017-03-06 | 2018-03-06 | Sammensætning til anvendelse til forebyggelse eller undertrykkelse af nærsynethed |
| FIEP18764652.6T FI3593817T3 (fi) | 2017-03-06 | 2018-03-06 | Koostumus käytettäväksi likinäköisyyden ehkäisyssä tai vähentämisessä |
| HRP20241734TT HRP20241734T1 (hr) | 2017-03-06 | 2018-03-06 | Pripravak za uporabu u prevenciji ili suzbijanju miopije |
| EP18764652.6A EP3593817B1 (en) | 2017-03-06 | 2018-03-06 | Composition for use in the prevention or suppression of myopia |
| ES18764652T ES2997337T3 (en) | 2017-03-06 | 2018-03-06 | Composition for use in the prevention or suppression of myopia |
| CN201880016406.5A CN110392579B (zh) | 2017-03-06 | 2018-03-06 | 小鼠近视诱导模型及用于近视预防/抑制的内质网应激抑制剂 |
| PL18764652.6T PL3593817T3 (pl) | 2017-03-06 | 2018-03-06 | Kompozycja do zastosowania w zapobieganiu lub hamowaniu krótkowzroczności |
| KR1020197029237A KR102680012B1 (ko) | 2017-03-06 | 2018-03-06 | 근시 예방 또는 억제제, 마우스 근시 유도 모델의 제작 방법, 및 근시 예방 또는 억제 의약 스크리닝 방법 |
| JP2019504597A JP6637217B2 (ja) | 2017-03-06 | 2018-03-06 | 近視予防又は抑制剤、マウス近視誘導モデルの作製方法、及び、近視予防又は抑制医薬スクリーニング方法 |
| US16/561,776 US12478597B2 (en) | 2017-03-06 | 2019-09-05 | Mouse myopia-induced model and endoplasmic reticulum stress suppressant for preventing and suppressing myopia |
| US18/600,985 US20240210736A1 (en) | 2017-03-06 | 2024-03-11 | Mouse myopia-induced model and endoplasmic reticulum stress suppressant for preventing and suppressing myopia |
Applications Claiming Priority (2)
| Application Number | Priority Date | Filing Date | Title |
|---|---|---|---|
| JP2017-041349 | 2017-03-06 | ||
| JP2017041349 | 2017-03-06 |
Related Child Applications (1)
| Application Number | Title | Priority Date | Filing Date |
|---|---|---|---|
| US16/561,776 Continuation-In-Part US12478597B2 (en) | 2017-03-06 | 2019-09-05 | Mouse myopia-induced model and endoplasmic reticulum stress suppressant for preventing and suppressing myopia |
Publications (1)
| Publication Number | Publication Date |
|---|---|
| WO2018164113A1 true WO2018164113A1 (ja) | 2018-09-13 |
Family
ID=63448602
Family Applications (1)
| Application Number | Title | Priority Date | Filing Date |
|---|---|---|---|
| PCT/JP2018/008554 Ceased WO2018164113A1 (ja) | 2017-03-06 | 2018-03-06 | マウス近視誘導モデル及び近視予防・抑制のための小胞体ストレス抑制剤 |
Country Status (13)
| Country | Link |
|---|---|
| US (2) | US12478597B2 (enExample) |
| EP (1) | EP3593817B1 (enExample) |
| JP (6) | JP6637217B2 (enExample) |
| KR (1) | KR102680012B1 (enExample) |
| CN (3) | CN110392579B (enExample) |
| DK (1) | DK3593817T3 (enExample) |
| ES (1) | ES2997337T3 (enExample) |
| FI (1) | FI3593817T3 (enExample) |
| HR (1) | HRP20241734T1 (enExample) |
| HU (1) | HUE069999T2 (enExample) |
| PL (1) | PL3593817T3 (enExample) |
| PT (1) | PT3593817T (enExample) |
| WO (1) | WO2018164113A1 (enExample) |
Cited By (17)
| Publication number | Priority date | Publication date | Assignee | Title |
|---|---|---|---|---|
| WO2020129964A1 (ja) * | 2018-12-18 | 2020-06-25 | 参天製薬株式会社 | ウルソデオキシコール酸を含有する老視の治療または予防剤 |
| WO2020129965A1 (ja) * | 2018-12-18 | 2020-06-25 | 参天製薬株式会社 | 4-フェニル酪酸を含有する老視の治療または予防剤 |
| JP2020138964A (ja) * | 2019-02-25 | 2020-09-03 | 株式会社坪田ラボ | 近視進行抑制剤、機能性食品及び眼科用組成物 |
| JPWO2022123837A1 (enExample) * | 2020-12-11 | 2022-06-16 | ||
| JPWO2022123836A1 (enExample) * | 2020-12-11 | 2022-06-16 | ||
| WO2022196609A1 (ja) * | 2021-03-16 | 2022-09-22 | 学校法人慶應義塾 | 網膜変性抑制用組成物 |
| EP3934754A4 (en) * | 2019-03-08 | 2022-11-23 | The Regents Of The University Of California | COMPOSITIONS AND METHODS FOR THE TREATMENT OF RESPIRATORY INSUFFICIENCY |
| WO2023145578A1 (ja) * | 2022-01-25 | 2023-08-03 | 株式会社坪田ラボ | 薬剤点眼による近視誘導モデル |
| WO2023182480A1 (ja) | 2022-03-25 | 2023-09-28 | 株式会社坪田ラボ | 水性組成物 |
| WO2023210657A1 (ja) * | 2022-04-26 | 2023-11-02 | 株式会社坪田ラボ | 近視を予防または治療するための方法および組成物 |
| WO2024048697A1 (ja) * | 2022-08-31 | 2024-03-07 | 国立大学法人京都大学 | 化合物、小胞体ストレス抑制剤、医薬品、眼科用剤、点眼薬、組成物、化合物の製造方法 |
| WO2024203727A1 (ja) * | 2023-03-24 | 2024-10-03 | 株式会社坪田ラボ | 水性組成物 |
| WO2025089394A1 (ja) * | 2023-10-25 | 2025-05-01 | 株式会社坪田ラボ | 近視を予防または治療するための方法および組成物 |
| JP2025073060A (ja) * | 2023-10-25 | 2025-05-12 | 株式会社坪田ラボ | 近視を予防または治療するための方法および組成物 |
| CN120392754A (zh) * | 2025-07-02 | 2025-08-01 | 深圳市中佳生物医疗科技有限公司 | 化合物在制备增强造血干细胞代谢活性、治疗异染性脑白质营养不良的产品中的应用 |
| WO2025182819A1 (ja) * | 2024-02-29 | 2025-09-04 | 慶應義塾 | 動物モデルの作製方法 |
| KR102902220B1 (ko) * | 2018-12-18 | 2025-12-18 | 산텐 세이야꾸 가부시키가이샤 | 4-페닐부티르산을 함유하는 노시의 치료 또는 예방제 |
Families Citing this family (6)
| Publication number | Priority date | Publication date | Assignee | Title |
|---|---|---|---|---|
| KR20230051155A (ko) * | 2020-06-11 | 2023-04-17 | 더 트러스티스 오브 콜롬비아 유니버시티 인 더 시티 오브 뉴욕 | 베르베리다세아엔 알칼로이드인 베르베린 및 이의 유도체를 이용한 근시의 예방 및 치료를 위한 방법 및 조성물 |
| CN112970666B (zh) * | 2021-02-04 | 2023-02-03 | 复旦大学附属眼耳鼻喉科医院 | 一种简便式动物近视诱导装置及制作方法 |
| CN115777618B (zh) * | 2022-11-14 | 2025-07-08 | 首都医科大学附属北京同仁医院 | 一种病理性近视动物模型的构建方法及用途 |
| CN116267712B (zh) * | 2023-02-23 | 2024-08-06 | 温州医科大学 | 一种近视眼动物模型的构建方法及其应用 |
| CN116918764B (zh) * | 2023-08-28 | 2025-11-28 | 河南省儿童医院郑州儿童医院 | 一种豚鼠近视模型的构建方法 |
| CN117797133A (zh) * | 2023-12-29 | 2024-04-02 | 上海交通大学医学院附属仁济医院 | 内质网应激抑制剂isrib在制备胎儿宫内生长受限药物中的应用 |
Citations (5)
| Publication number | Priority date | Publication date | Assignee | Title |
|---|---|---|---|---|
| JP2008513465A (ja) * | 2004-09-15 | 2008-05-01 | ザ プレジデント アンド フェロウズ オブ ハーバード カレッジ | 肥満及び糖尿病の治療におけるerストレス低減 |
| WO2010010702A1 (ja) * | 2008-07-24 | 2010-01-28 | 国立大学法人大阪大学 | 軸性近視の予防または治療剤 |
| JP2013534902A (ja) | 2010-03-25 | 2013-09-09 | グラクソスミスクライン・リミテッド・ライアビリティ・カンパニー | 化合物 |
| WO2015064768A1 (ja) | 2013-10-31 | 2015-05-07 | 京都府公立大学法人 | 角膜内皮の小胞体細胞死関連疾患治療薬 |
| WO2016171282A1 (ja) * | 2015-04-24 | 2016-10-27 | 学校法人慶應義塾 | 近視予防剤及び近視進行抑制剤 |
Family Cites Families (12)
| Publication number | Priority date | Publication date | Assignee | Title |
|---|---|---|---|---|
| JP3066561B2 (ja) | 1993-10-07 | 2000-07-17 | 武田薬品工業株式会社 | 近視予防・治療剤 |
| JPH09315954A (ja) | 1996-05-30 | 1997-12-09 | Kita:Kk | 眼科手術後の眼組織混濁防止剤。 |
| JP2003520228A (ja) | 2000-01-18 | 2003-07-02 | バリー フォージ ファーマスーティカルズ インコーポレイテッド | 眼の成長及びニコチン性アンタゴニスト |
| CN1191074C (zh) * | 2002-09-18 | 2005-03-02 | 王力 | 熊胆粉滴眼液及其制备方法 |
| MXPA03011987A (es) | 2003-12-19 | 2005-06-23 | Osio Sancho Alberto | Metodo para el tratamiento de la presbicia induciendo cambios en el poder y fisiologia corneal. |
| US20060073213A1 (en) * | 2004-09-15 | 2006-04-06 | Hotamisligil Gokhan S | Reducing ER stress in the treatment of obesity and diabetes |
| CA2794153C (en) * | 2010-03-25 | 2018-01-02 | Glaxosmithkline Llc | Substituted indoline derivatives as perk inhibitors |
| US8962686B2 (en) | 2010-04-28 | 2015-02-24 | The Chinese University Of Hong Kong | Method and medication for prevention and treatment of ocular hypertension and glaucoma |
| KR102011947B1 (ko) * | 2011-01-14 | 2019-08-19 | 유니버시티 오브 워싱턴 | 눈 길이 관련 질환을 진단 및 치료하는 방법 |
| WO2013025840A1 (en) * | 2011-08-15 | 2013-02-21 | Massachusetts Eye And Ear Infirmary | Methods for preserving photoreceptor cell viability following retinal detachment |
| GB201217296D0 (en) * | 2012-09-27 | 2012-11-14 | Alta Innovations Ltd | Method of treatment and/or prevention |
| WO2015056180A1 (en) * | 2013-10-15 | 2015-04-23 | Glaxosmithkline Intellectual Property (No.2) Limited | Indoline derivatives as inhibitors of perk |
-
2018
- 2018-03-06 HU HUE18764652A patent/HUE069999T2/hu unknown
- 2018-03-06 CN CN201880016406.5A patent/CN110392579B/zh active Active
- 2018-03-06 WO PCT/JP2018/008554 patent/WO2018164113A1/ja not_active Ceased
- 2018-03-06 PL PL18764652.6T patent/PL3593817T3/pl unknown
- 2018-03-06 CN CN202211310272.2A patent/CN115645536A/zh active Pending
- 2018-03-06 PT PT187646526T patent/PT3593817T/pt unknown
- 2018-03-06 KR KR1020197029237A patent/KR102680012B1/ko active Active
- 2018-03-06 ES ES18764652T patent/ES2997337T3/es active Active
- 2018-03-06 CN CN202211310191.2A patent/CN115645535B/zh active Active
- 2018-03-06 EP EP18764652.6A patent/EP3593817B1/en active Active
- 2018-03-06 FI FIEP18764652.6T patent/FI3593817T3/fi active
- 2018-03-06 JP JP2019504597A patent/JP6637217B2/ja active Active
- 2018-03-06 HR HRP20241734TT patent/HRP20241734T1/hr unknown
- 2018-03-06 DK DK18764652.6T patent/DK3593817T3/da active
-
2019
- 2019-09-05 US US16/561,776 patent/US12478597B2/en active Active
- 2019-11-07 JP JP2019202287A patent/JP6856275B2/ja active Active
-
2021
- 2021-03-11 JP JP2021038816A patent/JP7236753B2/ja active Active
-
2022
- 2022-12-09 JP JP2022197027A patent/JP7424676B2/ja active Active
-
2024
- 2024-01-11 JP JP2024002286A patent/JP2024026709A/ja not_active Withdrawn
- 2024-03-11 US US18/600,985 patent/US20240210736A1/en active Pending
- 2024-11-07 JP JP2024195194A patent/JP2025013575A/ja active Pending
Patent Citations (5)
| Publication number | Priority date | Publication date | Assignee | Title |
|---|---|---|---|---|
| JP2008513465A (ja) * | 2004-09-15 | 2008-05-01 | ザ プレジデント アンド フェロウズ オブ ハーバード カレッジ | 肥満及び糖尿病の治療におけるerストレス低減 |
| WO2010010702A1 (ja) * | 2008-07-24 | 2010-01-28 | 国立大学法人大阪大学 | 軸性近視の予防または治療剤 |
| JP2013534902A (ja) | 2010-03-25 | 2013-09-09 | グラクソスミスクライン・リミテッド・ライアビリティ・カンパニー | 化合物 |
| WO2015064768A1 (ja) | 2013-10-31 | 2015-05-07 | 京都府公立大学法人 | 角膜内皮の小胞体細胞死関連疾患治療薬 |
| WO2016171282A1 (ja) * | 2015-04-24 | 2016-10-27 | 学校法人慶應義塾 | 近視予防剤及び近視進行抑制剤 |
Non-Patent Citations (14)
| Title |
|---|
| CHEN Y. ET AL., SCIENTIFIC REPORTS, vol. 6, 2016, pages 27486 |
| FU, S. ET AL.: "Phenotypic assays identify azoramide as a small-molecule modulator of the unfolded protein response with antidiabetic activity", SCIENCE TRANSLATIONAL MEDICINE, vol. 7, no. 292, 2015, pages 292ra98, XP055557634, ISSN: 1946-6242 * |
| GU Y. ET AL., ACTA PHARMACOL. SINICA, vol. 33, 2012, pages 941 - 952 |
| GU, Y. ET AL.: "Arctigenin alleviates ER stress via activating AMPK", ACTA PHARMACOLOGICA SINICA, vol. 33, no. 7, 2012, pages 941 - 952, XP055557639, ISSN: 1672-4083 * |
| GUILLEN C., ANN. TRANSL. MED., 2016, pages S45 |
| HATZ C. ET AL., NATURE REV. DRUG DISCOV., vol. 12, 2013, pages 703 - 719 |
| HETZ C., NATURE REV. MOL. CELL BIOL., vol. 13, 2012, pages 89 - 102 |
| HETZ, C.: "Targeting the unfolded protein response in disease", NATURE REVIEWS DRUG DISCOVERY, vol. 12, no. 9, 2013, pages 703 - 719, XP055557628, ISSN: 1474-1776 * |
| KOLB P. S. ET AL., INT. J. BIOCHEM. CELL BIOL., vol. 61, 2015, pages 45 - 52 |
| LIU H. ET AL., EVIDENCE-BASED COMPLE. ALTER. MED., vol. 2016, 2016 |
| SCHAEFFEL F.FELDKAEMPER M., CLIN. EXP. OPTOM., vol. 98, 2015, pages 507 - 517 |
| TKATCHENKO T. V. ET AL., INVEST. OPHTHALMOL. VIS. SCI., vol. 51, 2010, pages 1297 - 1303 |
| TKATCHENKO, T. V. ET AL.: "Mouse experimental myopia has features of primate myopia", INVESTIGATIVE OPHTHALMOLOGY AND VISUAL SCIENCE, vol. 51, no. 3, 2010, pages 1297 - 1303, XP055561777 * |
| ZHOU, S. ET AL.: "ER stress mediate crystalline alpha A alteration in high myopia related cataract", INVESTIGATIVE OPHTHALMOLOGY AND VISUAL SCIENCE, vol. 55, no. 13, 2014, pages 4054, XP009516554, ISSN: 0146-0404 * |
Cited By (34)
| Publication number | Priority date | Publication date | Assignee | Title |
|---|---|---|---|---|
| JPWO2020129965A1 (ja) * | 2018-12-18 | 2021-11-04 | 参天製薬株式会社 | 4−フェニル酪酸を含有する老視の治療または予防剤 |
| US11419880B2 (en) | 2018-12-18 | 2022-08-23 | Santen Pharmaceutical Co., Ltd. | Ursodeoxycholic acid-containing agent for treating or preventing presbyopia |
| KR102902220B1 (ko) * | 2018-12-18 | 2025-12-18 | 산텐 세이야꾸 가부시키가이샤 | 4-페닐부티르산을 함유하는 노시의 치료 또는 예방제 |
| JP6771698B1 (ja) * | 2018-12-18 | 2020-10-21 | 参天製薬株式会社 | ウルソデオキシコール酸を含有する老視の治療または予防剤 |
| CN113164499A (zh) * | 2018-12-18 | 2021-07-23 | 参天制药株式会社 | 含有熊去氧胆酸的老视的治疗或预防剂 |
| CN113164421A (zh) * | 2018-12-18 | 2021-07-23 | 参天制药株式会社 | 含有4-苯基丁酸的老视的治疗或预防剂 |
| WO2020129964A1 (ja) * | 2018-12-18 | 2020-06-25 | 参天製薬株式会社 | ウルソデオキシコール酸を含有する老視の治療または予防剤 |
| EP3900714A4 (en) * | 2018-12-18 | 2022-09-21 | Santen Pharmaceutical Co., Ltd. | AGENT CONTAINING 4-PHENYLBUTYRATE, FOR THE PREVENTION OR TREATMENT OF PRESBYOPIA |
| WO2020129965A1 (ja) * | 2018-12-18 | 2020-06-25 | 参天製薬株式会社 | 4-フェニル酪酸を含有する老視の治療または予防剤 |
| US12290497B2 (en) | 2018-12-18 | 2025-05-06 | Santen Pharmaceutical Co., Ltd. | Agent containing 4-phenylbutyrate, for preventing or treating presbyopia |
| JP7474706B2 (ja) | 2018-12-18 | 2024-04-25 | 参天製薬株式会社 | 4-フェニル酪酸を含有する老視の治療または予防剤 |
| JP7608707B2 (ja) | 2019-02-25 | 2025-01-07 | 株式会社坪田ラボ | 近視進行抑制剤、機能性食品及び眼科用組成物 |
| JP2020138964A (ja) * | 2019-02-25 | 2020-09-03 | 株式会社坪田ラボ | 近視進行抑制剤、機能性食品及び眼科用組成物 |
| EP3934754A4 (en) * | 2019-03-08 | 2022-11-23 | The Regents Of The University Of California | COMPOSITIONS AND METHODS FOR THE TREATMENT OF RESPIRATORY INSUFFICIENCY |
| WO2022123837A1 (ja) | 2020-12-11 | 2022-06-16 | 株式会社坪田ラボ | 強膜菲薄化治療用点眼剤及び強膜菲薄化治療剤のスクリーニング方法 |
| JPWO2022123836A1 (enExample) * | 2020-12-11 | 2022-06-16 | ||
| KR20230135054A (ko) | 2020-12-11 | 2023-09-22 | 가부시키가이샤 쓰보타 라보 | 소아의 근시 진행 억제용 점안제 및 소아의 근시 진행억제제의 스크리닝 방법 |
| CN116801864A (zh) * | 2020-12-11 | 2023-09-22 | 坪田实验室股份有限公司 | 巩膜变薄治疗用滴眼剂及巩膜变薄治疗剂的筛选方法 |
| KR20230135055A (ko) | 2020-12-11 | 2023-09-22 | 가부시키가이샤 쓰보타 라보 | 강막 비박화 치료용 점안제 및 강막 비박화 치료제의스크리닝 방법 |
| JPWO2022123837A1 (enExample) * | 2020-12-11 | 2022-06-16 | ||
| WO2022196609A1 (ja) * | 2021-03-16 | 2022-09-22 | 学校法人慶應義塾 | 網膜変性抑制用組成物 |
| WO2023145578A1 (ja) * | 2022-01-25 | 2023-08-03 | 株式会社坪田ラボ | 薬剤点眼による近視誘導モデル |
| WO2023182480A1 (ja) | 2022-03-25 | 2023-09-28 | 株式会社坪田ラボ | 水性組成物 |
| MA67594A1 (fr) * | 2022-03-25 | 2025-07-31 | Tsubota Laboratory, Inc. | Composition aqueuse |
| KR20240159636A (ko) | 2022-03-25 | 2024-11-05 | 가부시키가이샤 쓰보타 라보 | 수성 조성물 |
| WO2023210657A1 (ja) * | 2022-04-26 | 2023-11-02 | 株式会社坪田ラボ | 近視を予防または治療するための方法および組成物 |
| WO2024048697A1 (ja) * | 2022-08-31 | 2024-03-07 | 国立大学法人京都大学 | 化合物、小胞体ストレス抑制剤、医薬品、眼科用剤、点眼薬、組成物、化合物の製造方法 |
| WO2024203727A1 (ja) * | 2023-03-24 | 2024-10-03 | 株式会社坪田ラボ | 水性組成物 |
| WO2025089394A1 (ja) * | 2023-10-25 | 2025-05-01 | 株式会社坪田ラボ | 近視を予防または治療するための方法および組成物 |
| JP2025073060A (ja) * | 2023-10-25 | 2025-05-12 | 株式会社坪田ラボ | 近視を予防または治療するための方法および組成物 |
| JP7781461B2 (ja) | 2023-10-25 | 2025-12-08 | 株式会社坪田ラボ | 近視を予防または治療するための方法および組成物 |
| WO2025182819A1 (ja) * | 2024-02-29 | 2025-09-04 | 慶應義塾 | 動物モデルの作製方法 |
| CN120392754A (zh) * | 2025-07-02 | 2025-08-01 | 深圳市中佳生物医疗科技有限公司 | 化合物在制备增强造血干细胞代谢活性、治疗异染性脑白质营养不良的产品中的应用 |
| CN120392754B (zh) * | 2025-07-02 | 2025-09-09 | 深圳市中佳生物医疗科技有限公司 | 化合物在制备增强造血干细胞代谢活性、治疗异染性脑白质营养不良的产品中的应用 |
Also Published As
| Publication number | Publication date |
|---|---|
| JP6856275B2 (ja) | 2021-04-07 |
| KR20190126365A (ko) | 2019-11-11 |
| US12478597B2 (en) | 2025-11-25 |
| DK3593817T3 (da) | 2024-11-25 |
| FI3593817T3 (fi) | 2025-02-05 |
| JP2023017050A (ja) | 2023-02-02 |
| CN115645535B (zh) | 2024-07-09 |
| ES2997337T3 (en) | 2025-02-17 |
| JPWO2018164113A1 (ja) | 2019-06-27 |
| JP2025013575A (ja) | 2025-01-24 |
| US20240210736A1 (en) | 2024-06-27 |
| JP2024026709A (ja) | 2024-02-28 |
| PL3593817T3 (pl) | 2025-03-31 |
| CN115645536A (zh) | 2023-01-31 |
| JP6637217B2 (ja) | 2020-01-29 |
| JP7236753B2 (ja) | 2023-03-10 |
| HRP20241734T1 (hr) | 2025-02-28 |
| JP2020023574A (ja) | 2020-02-13 |
| CN115645535A (zh) | 2023-01-31 |
| KR102680012B1 (ko) | 2024-06-28 |
| EP3593817A4 (en) | 2021-04-07 |
| HUE069999T2 (hu) | 2025-04-28 |
| US20200150457A1 (en) | 2020-05-14 |
| EP3593817B1 (en) | 2024-11-13 |
| JP7424676B2 (ja) | 2024-01-30 |
| CN110392579A (zh) | 2019-10-29 |
| CN110392579B (zh) | 2022-11-08 |
| EP3593817A1 (en) | 2020-01-15 |
| JP2021091731A (ja) | 2021-06-17 |
| PT3593817T (pt) | 2024-12-17 |
Similar Documents
| Publication | Publication Date | Title |
|---|---|---|
| JP7236753B2 (ja) | マウス近視誘導モデル及び近視予防・抑制のための小胞体ストレス抑制剤 | |
| US20210283108A1 (en) | Method for treating neurodegenerative diseases | |
| RU2632107C2 (ru) | Пероральная фармацевтическая композиция для профилактики или лечения синдрома "сухого глаза", содержащая ребамипид или его предшественник | |
| RU2414904C2 (ru) | ЗАЩИТНОЕ СРЕДСТВО ДЛЯ НЕЙРОНА СЕТЧАТКИ, СОДЕРЖАЩЕЕ В КАЧЕСТВЕ АКТИВНОГО КОМПОНЕНТА ПРОИЗВОДНОЕ ПРОСТАГЛАНДИНА F2α | |
| WO2011004620A1 (ja) | 細胞保護剤 | |
| AU2021346006A9 (en) | Application of regulation of eye sclera lipid metabolism to inhibit myopia | |
| CN101484004A (zh) | 新型大麻素及使用方法 | |
| WO2022123837A1 (ja) | 強膜菲薄化治療用点眼剤及び強膜菲薄化治療剤のスクリーニング方法 | |
| KR102045044B1 (ko) | 지페노사이드 화합물을 포함하는 망막 질환 예방 또는 치료용 조성물 | |
| JP7706376B2 (ja) | 神経修復方法 | |
| US20240165087A1 (en) | Application of riluzole- and borneol-containing composition in preparation of medication for treating cerebrovascular diseases | |
| Kim et al. | Intraocular infestation with Thelazia callipaeda | |
| WO2019093262A1 (ja) | 腸内環境制御による近視抑制 | |
| CN107648236B (zh) | 一种预防或治疗缺血/再灌注损伤的药物组合物及应用 | |
| Bali et al. | Latest update in glaucoma: The first approvals for Rho Kinase inhibitors | |
| 김동현 | Topical Dopamine Application on Form-Deprivation Myopia in Rabbits | |
| WO2022123836A1 (ja) | 小児の近視進行抑制用点眼剤及び小児の近視進行抑制剤のスクリーニング方法 | |
| JPWO2002051431A1 (ja) | 網膜虚血に基づく疾患の治療および/または予防剤 | |
| Katz et al. | Spontaneously resolved posterior rosette cataract after sulcus‐fixed phakic lens implantation | |
| Ketring | Treating glaucoma-not for the faint-hearted. | |
| Daily | thalmia usunllv starts out with an optic neuritis, and tl& he argues IKO\TS that the optic nerve plays an important part in tr-nnsmissir, ii. R. Grunfelrl. |
Legal Events
| Date | Code | Title | Description |
|---|---|---|---|
| 121 | Ep: the epo has been informed by wipo that ep was designated in this application |
Ref document number: 18764652 Country of ref document: EP Kind code of ref document: A1 |
|
| ENP | Entry into the national phase |
Ref document number: 2019504597 Country of ref document: JP Kind code of ref document: A |
|
| NENP | Non-entry into the national phase |
Ref country code: DE |
|
| ENP | Entry into the national phase |
Ref document number: 20197029237 Country of ref document: KR Kind code of ref document: A |
|
| ENP | Entry into the national phase |
Ref document number: 2018764652 Country of ref document: EP Effective date: 20191007 |