RU2012136451A - Композиции и способы улучшения активности протеасомы - Google Patents
Композиции и способы улучшения активности протеасомы Download PDFInfo
- Publication number
- RU2012136451A RU2012136451A RU2012136451/04A RU2012136451A RU2012136451A RU 2012136451 A RU2012136451 A RU 2012136451A RU 2012136451/04 A RU2012136451/04 A RU 2012136451/04A RU 2012136451 A RU2012136451 A RU 2012136451A RU 2012136451 A RU2012136451 A RU 2012136451A
- Authority
- RU
- Russia
- Prior art keywords
- alkyl
- haloalkyl
- fluoroalkyl
- compound according
- proteasome
- Prior art date
Links
- 238000000034 method Methods 0.000 title claims 7
- 239000000203 mixture Substances 0.000 title 1
- 125000000217 alkyl group Chemical group 0.000 claims abstract 59
- 150000001875 compounds Chemical class 0.000 claims abstract 32
- 125000001188 haloalkyl group Chemical group 0.000 claims abstract 24
- 125000003709 fluoroalkyl group Chemical group 0.000 claims abstract 22
- 239000001257 hydrogen Substances 0.000 claims abstract 20
- 229910052739 hydrogen Inorganic materials 0.000 claims abstract 20
- 125000001072 heteroaryl group Chemical group 0.000 claims abstract 16
- 150000003839 salts Chemical class 0.000 claims abstract 16
- 125000003118 aryl group Chemical group 0.000 claims abstract 15
- 239000000651 prodrug Substances 0.000 claims abstract 15
- 229940002612 prodrug Drugs 0.000 claims abstract 15
- 239000012453 solvate Substances 0.000 claims abstract 15
- 125000004183 alkoxy alkyl group Chemical group 0.000 claims abstract 13
- 125000003545 alkoxy group Chemical group 0.000 claims abstract 11
- 125000000547 substituted alkyl group Chemical group 0.000 claims abstract 10
- 125000003710 aryl alkyl group Chemical group 0.000 claims abstract 9
- 125000002023 trifluoromethyl group Chemical group FC(F)(F)* 0.000 claims abstract 5
- 125000000623 heterocyclic group Chemical group 0.000 claims abstract 3
- 125000004452 carbocyclyl group Chemical group 0.000 claims abstract 2
- 102000004245 Proteasome Endopeptidase Complex Human genes 0.000 claims 18
- 108090000708 Proteasome Endopeptidase Complex Proteins 0.000 claims 18
- 150000002431 hydrogen Chemical class 0.000 claims 10
- 125000001475 halogen functional group Chemical group 0.000 claims 9
- -1 4-methylpiperidin-1-yl Chemical group 0.000 claims 8
- 101100371648 Caenorhabditis elegans usp-14 gene Proteins 0.000 claims 8
- JUWDSDKJBMFLHE-UHFFFAOYSA-N 1-[1-(4-fluorophenyl)-2,5-dimethylpyrrol-3-yl]-2-pyrrolidin-1-ylethanone Chemical compound CC=1N(C=2C=CC(F)=CC=2)C(C)=CC=1C(=O)CN1CCCC1 JUWDSDKJBMFLHE-UHFFFAOYSA-N 0.000 claims 7
- 125000002496 methyl group Chemical group [H]C([H])([H])* 0.000 claims 7
- 125000002924 primary amino group Chemical group [H]N([H])* 0.000 claims 7
- 125000001424 substituent group Chemical group 0.000 claims 7
- 125000004428 fluoroalkoxy group Chemical group 0.000 claims 6
- 125000004438 haloalkoxy group Chemical group 0.000 claims 6
- 125000004475 heteroaralkyl group Chemical group 0.000 claims 6
- 125000002887 hydroxy group Chemical group [H]O* 0.000 claims 6
- 125000000449 nitro group Chemical group [O-][N+](*)=O 0.000 claims 5
- 239000008194 pharmaceutical composition Substances 0.000 claims 4
- UFHFLCQGNIYNRP-UHFFFAOYSA-N Hydrogen Chemical compound [H][H] UFHFLCQGNIYNRP-UHFFFAOYSA-N 0.000 claims 3
- 125000000852 azido group Chemical group *N=[N+]=[N-] 0.000 claims 3
- 125000004093 cyano group Chemical group *C#N 0.000 claims 3
- 125000001997 phenyl group Chemical group [H]C1=C([H])C([H])=C(*)C([H])=C1[H] 0.000 claims 3
- 125000004105 2-pyridyl group Chemical group N1=C([*])C([H])=C([H])C([H])=C1[H] 0.000 claims 2
- 241001529936 Murinae Species 0.000 claims 2
- 102000007056 Recombinant Fusion Proteins Human genes 0.000 claims 2
- 108010008281 Recombinant Fusion Proteins Proteins 0.000 claims 2
- 125000002947 alkylene group Chemical group 0.000 claims 2
- 125000003368 amide group Chemical group 0.000 claims 2
- RWTNPBWLLIMQHL-UHFFFAOYSA-N fexofenadine Chemical group C1=CC(C(C)(C(O)=O)C)=CC=C1C(O)CCCN1CCC(C(O)(C=2C=CC=CC=2)C=2C=CC=CC=2)CC1 RWTNPBWLLIMQHL-UHFFFAOYSA-N 0.000 claims 2
- 239000000758 substrate Substances 0.000 claims 2
- 125000003349 3-pyridyl group Chemical group N1=C([H])C([*])=C([H])C([H])=C1[H] 0.000 claims 1
- 125000001255 4-fluorophenyl group Chemical group [H]C1=C([H])C(*)=C([H])C([H])=C1F 0.000 claims 1
- ZAMOUSCENKQFHK-UHFFFAOYSA-N Chlorine atom Chemical group [Cl] ZAMOUSCENKQFHK-UHFFFAOYSA-N 0.000 claims 1
- PXGOKWXKJXAPGV-UHFFFAOYSA-N Fluorine Chemical group FF PXGOKWXKJXAPGV-UHFFFAOYSA-N 0.000 claims 1
- 125000003342 alkenyl group Chemical group 0.000 claims 1
- 125000005193 alkenylcarbonyloxy group Chemical group 0.000 claims 1
- 125000004448 alkyl carbonyl group Chemical group 0.000 claims 1
- 125000005196 alkyl carbonyloxy group Chemical group 0.000 claims 1
- 125000005529 alkyleneoxy group Chemical group 0.000 claims 1
- 125000000304 alkynyl group Chemical group 0.000 claims 1
- 125000005198 alkynylcarbonyloxy group Chemical group 0.000 claims 1
- 125000005133 alkynyloxy group Chemical group 0.000 claims 1
- 125000004103 aminoalkyl group Chemical group 0.000 claims 1
- 150000005347 biaryls Chemical group 0.000 claims 1
- 230000015556 catabolic process Effects 0.000 claims 1
- 239000000460 chlorine Chemical group 0.000 claims 1
- 229910052801 chlorine Inorganic materials 0.000 claims 1
- 230000009504 deubiquitination Effects 0.000 claims 1
- 201000010099 disease Diseases 0.000 claims 1
- 208000037265 diseases, disorders, signs and symptoms Diseases 0.000 claims 1
- 125000000816 ethylene group Chemical group [H]C([H])([*:1])C([H])([H])[*:2] 0.000 claims 1
- 229910052731 fluorine Inorganic materials 0.000 claims 1
- 239000011737 fluorine Chemical group 0.000 claims 1
- 125000002485 formyl group Chemical group [H]C(*)=O 0.000 claims 1
- 125000004692 haloalkylcarbonyl group Chemical group 0.000 claims 1
- 125000005844 heterocyclyloxy group Chemical group 0.000 claims 1
- 230000002401 inhibitory effect Effects 0.000 claims 1
- 125000000325 methylidene group Chemical group [H]C([H])=* 0.000 claims 1
- 125000005322 morpholin-1-yl group Chemical group 0.000 claims 1
- 229910052757 nitrogen Inorganic materials 0.000 claims 1
- 125000004433 nitrogen atom Chemical group N* 0.000 claims 1
- 125000001181 organosilyl group Chemical group [SiH3]* 0.000 claims 1
- 125000001037 p-tolyl group Chemical group [H]C1=C([H])C(=C([H])C([H])=C1*)C([H])([H])[H] 0.000 claims 1
- 239000000546 pharmaceutical excipient Substances 0.000 claims 1
- LFGREXWGYUGZLY-UHFFFAOYSA-N phosphoryl Chemical group [P]=O LFGREXWGYUGZLY-UHFFFAOYSA-N 0.000 claims 1
- 125000004194 piperazin-1-yl group Chemical group [H]N1C([H])([H])C([H])([H])N(*)C([H])([H])C1([H])[H] 0.000 claims 1
- 102000004169 proteins and genes Human genes 0.000 claims 1
- 108090000623 proteins and genes Proteins 0.000 claims 1
- 230000017854 proteolysis Effects 0.000 claims 1
- 125000000246 pyrimidin-2-yl group Chemical group [H]C1=NC(*)=NC([H])=C1[H] 0.000 claims 1
- 238000012216 screening Methods 0.000 claims 1
- 125000004469 siloxy group Chemical group [SiH3]O* 0.000 claims 1
- 230000001225 therapeutic effect Effects 0.000 claims 1
- 125000004435 hydrogen atom Chemical group [H]* 0.000 abstract 7
- 125000004404 heteroalkyl group Chemical group 0.000 abstract 4
- 125000005843 halogen group Chemical group 0.000 abstract 2
- 125000005841 biaryl group Chemical group 0.000 abstract 1
- 125000001153 fluoro group Chemical group F* 0.000 abstract 1
Classifications
-
- C—CHEMISTRY; METALLURGY
- C07—ORGANIC CHEMISTRY
- C07D—HETEROCYCLIC COMPOUNDS
- C07D487/00—Heterocyclic compounds containing nitrogen atoms as the only ring hetero atoms in the condensed system, not provided for by groups C07D451/00 - C07D477/00
- C07D487/02—Heterocyclic compounds containing nitrogen atoms as the only ring hetero atoms in the condensed system, not provided for by groups C07D451/00 - C07D477/00 in which the condensed system contains two hetero rings
- C07D487/04—Ortho-condensed systems
-
- A—HUMAN NECESSITIES
- A61—MEDICAL OR VETERINARY SCIENCE; HYGIENE
- A61K—PREPARATIONS FOR MEDICAL, DENTAL OR TOILETRY PURPOSES
- A61K31/00—Medicinal preparations containing organic active ingredients
- A61K31/33—Heterocyclic compounds
- A61K31/395—Heterocyclic compounds having nitrogen as a ring hetero atom, e.g. guanethidine or rifamycins
- A61K31/435—Heterocyclic compounds having nitrogen as a ring hetero atom, e.g. guanethidine or rifamycins having six-membered rings with one nitrogen as the only ring hetero atom
- A61K31/44—Non condensed pyridines; Hydrogenated derivatives thereof
- A61K31/4427—Non condensed pyridines; Hydrogenated derivatives thereof containing further heterocyclic ring systems
- A61K31/4439—Non condensed pyridines; Hydrogenated derivatives thereof containing further heterocyclic ring systems containing a five-membered ring with nitrogen as a ring hetero atom, e.g. omeprazole
-
- A—HUMAN NECESSITIES
- A61—MEDICAL OR VETERINARY SCIENCE; HYGIENE
- A61P—SPECIFIC THERAPEUTIC ACTIVITY OF CHEMICAL COMPOUNDS OR MEDICINAL PREPARATIONS
- A61P17/00—Drugs for dermatological disorders
-
- A—HUMAN NECESSITIES
- A61—MEDICAL OR VETERINARY SCIENCE; HYGIENE
- A61P—SPECIFIC THERAPEUTIC ACTIVITY OF CHEMICAL COMPOUNDS OR MEDICINAL PREPARATIONS
- A61P19/00—Drugs for skeletal disorders
- A61P19/08—Drugs for skeletal disorders for bone diseases, e.g. rachitism, Paget's disease
-
- A—HUMAN NECESSITIES
- A61—MEDICAL OR VETERINARY SCIENCE; HYGIENE
- A61P—SPECIFIC THERAPEUTIC ACTIVITY OF CHEMICAL COMPOUNDS OR MEDICINAL PREPARATIONS
- A61P21/00—Drugs for disorders of the muscular or neuromuscular system
-
- A—HUMAN NECESSITIES
- A61—MEDICAL OR VETERINARY SCIENCE; HYGIENE
- A61P—SPECIFIC THERAPEUTIC ACTIVITY OF CHEMICAL COMPOUNDS OR MEDICINAL PREPARATIONS
- A61P25/00—Drugs for disorders of the nervous system
- A61P25/02—Drugs for disorders of the nervous system for peripheral neuropathies
-
- A—HUMAN NECESSITIES
- A61—MEDICAL OR VETERINARY SCIENCE; HYGIENE
- A61P—SPECIFIC THERAPEUTIC ACTIVITY OF CHEMICAL COMPOUNDS OR MEDICINAL PREPARATIONS
- A61P25/00—Drugs for disorders of the nervous system
- A61P25/14—Drugs for disorders of the nervous system for treating abnormal movements, e.g. chorea, dyskinesia
-
- A—HUMAN NECESSITIES
- A61—MEDICAL OR VETERINARY SCIENCE; HYGIENE
- A61P—SPECIFIC THERAPEUTIC ACTIVITY OF CHEMICAL COMPOUNDS OR MEDICINAL PREPARATIONS
- A61P25/00—Drugs for disorders of the nervous system
- A61P25/28—Drugs for disorders of the nervous system for treating neurodegenerative disorders of the central nervous system, e.g. nootropic agents, cognition enhancers, drugs for treating Alzheimer's disease or other forms of dementia
-
- A—HUMAN NECESSITIES
- A61—MEDICAL OR VETERINARY SCIENCE; HYGIENE
- A61P—SPECIFIC THERAPEUTIC ACTIVITY OF CHEMICAL COMPOUNDS OR MEDICINAL PREPARATIONS
- A61P27/00—Drugs for disorders of the senses
- A61P27/02—Ophthalmic agents
-
- A—HUMAN NECESSITIES
- A61—MEDICAL OR VETERINARY SCIENCE; HYGIENE
- A61P—SPECIFIC THERAPEUTIC ACTIVITY OF CHEMICAL COMPOUNDS OR MEDICINAL PREPARATIONS
- A61P27/00—Drugs for disorders of the senses
- A61P27/02—Ophthalmic agents
- A61P27/12—Ophthalmic agents for cataracts
-
- A—HUMAN NECESSITIES
- A61—MEDICAL OR VETERINARY SCIENCE; HYGIENE
- A61P—SPECIFIC THERAPEUTIC ACTIVITY OF CHEMICAL COMPOUNDS OR MEDICINAL PREPARATIONS
- A61P3/00—Drugs for disorders of the metabolism
- A61P3/08—Drugs for disorders of the metabolism for glucose homeostasis
- A61P3/10—Drugs for disorders of the metabolism for glucose homeostasis for hyperglycaemia, e.g. antidiabetics
-
- A—HUMAN NECESSITIES
- A61—MEDICAL OR VETERINARY SCIENCE; HYGIENE
- A61P—SPECIFIC THERAPEUTIC ACTIVITY OF CHEMICAL COMPOUNDS OR MEDICINAL PREPARATIONS
- A61P35/00—Antineoplastic agents
-
- A—HUMAN NECESSITIES
- A61—MEDICAL OR VETERINARY SCIENCE; HYGIENE
- A61P—SPECIFIC THERAPEUTIC ACTIVITY OF CHEMICAL COMPOUNDS OR MEDICINAL PREPARATIONS
- A61P43/00—Drugs for specific purposes, not provided for in groups A61P1/00-A61P41/00
-
- A—HUMAN NECESSITIES
- A61—MEDICAL OR VETERINARY SCIENCE; HYGIENE
- A61P—SPECIFIC THERAPEUTIC ACTIVITY OF CHEMICAL COMPOUNDS OR MEDICINAL PREPARATIONS
- A61P7/00—Drugs for disorders of the blood or the extracellular fluid
-
- C—CHEMISTRY; METALLURGY
- C07—ORGANIC CHEMISTRY
- C07D—HETEROCYCLIC COMPOUNDS
- C07D207/00—Heterocyclic compounds containing five-membered rings not condensed with other rings, with one nitrogen atom as the only ring hetero atom
- C07D207/02—Heterocyclic compounds containing five-membered rings not condensed with other rings, with one nitrogen atom as the only ring hetero atom with only hydrogen or carbon atoms directly attached to the ring nitrogen atom
- C07D207/30—Heterocyclic compounds containing five-membered rings not condensed with other rings, with one nitrogen atom as the only ring hetero atom with only hydrogen or carbon atoms directly attached to the ring nitrogen atom having two double bonds between ring members or between ring members and non-ring members
- C07D207/32—Heterocyclic compounds containing five-membered rings not condensed with other rings, with one nitrogen atom as the only ring hetero atom with only hydrogen or carbon atoms directly attached to the ring nitrogen atom having two double bonds between ring members or between ring members and non-ring members with only hydrogen atoms, hydrocarbon or substituted hydrocarbon radicals, directly attached to ring carbon atoms
- C07D207/33—Heterocyclic compounds containing five-membered rings not condensed with other rings, with one nitrogen atom as the only ring hetero atom with only hydrogen or carbon atoms directly attached to the ring nitrogen atom having two double bonds between ring members or between ring members and non-ring members with only hydrogen atoms, hydrocarbon or substituted hydrocarbon radicals, directly attached to ring carbon atoms with substituted hydrocarbon radicals, directly attached to ring carbon atoms
- C07D207/333—Radicals substituted by oxygen or sulfur atoms
-
- C—CHEMISTRY; METALLURGY
- C07—ORGANIC CHEMISTRY
- C07D—HETEROCYCLIC COMPOUNDS
- C07D207/00—Heterocyclic compounds containing five-membered rings not condensed with other rings, with one nitrogen atom as the only ring hetero atom
- C07D207/02—Heterocyclic compounds containing five-membered rings not condensed with other rings, with one nitrogen atom as the only ring hetero atom with only hydrogen or carbon atoms directly attached to the ring nitrogen atom
- C07D207/30—Heterocyclic compounds containing five-membered rings not condensed with other rings, with one nitrogen atom as the only ring hetero atom with only hydrogen or carbon atoms directly attached to the ring nitrogen atom having two double bonds between ring members or between ring members and non-ring members
- C07D207/32—Heterocyclic compounds containing five-membered rings not condensed with other rings, with one nitrogen atom as the only ring hetero atom with only hydrogen or carbon atoms directly attached to the ring nitrogen atom having two double bonds between ring members or between ring members and non-ring members with only hydrogen atoms, hydrocarbon or substituted hydrocarbon radicals, directly attached to ring carbon atoms
- C07D207/33—Heterocyclic compounds containing five-membered rings not condensed with other rings, with one nitrogen atom as the only ring hetero atom with only hydrogen or carbon atoms directly attached to the ring nitrogen atom having two double bonds between ring members or between ring members and non-ring members with only hydrogen atoms, hydrocarbon or substituted hydrocarbon radicals, directly attached to ring carbon atoms with substituted hydrocarbon radicals, directly attached to ring carbon atoms
- C07D207/335—Radicals substituted by nitrogen atoms not forming part of a nitro radical
-
- C—CHEMISTRY; METALLURGY
- C07—ORGANIC CHEMISTRY
- C07D—HETEROCYCLIC COMPOUNDS
- C07D209/00—Heterocyclic compounds containing five-membered rings, condensed with other rings, with one nitrogen atom as the only ring hetero atom
- C07D209/02—Heterocyclic compounds containing five-membered rings, condensed with other rings, with one nitrogen atom as the only ring hetero atom condensed with one carbocyclic ring
- C07D209/04—Indoles; Hydrogenated indoles
- C07D209/08—Indoles; Hydrogenated indoles with only hydrogen atoms or radicals containing only hydrogen and carbon atoms, directly attached to carbon atoms of the hetero ring
-
- C—CHEMISTRY; METALLURGY
- C07—ORGANIC CHEMISTRY
- C07D—HETEROCYCLIC COMPOUNDS
- C07D209/00—Heterocyclic compounds containing five-membered rings, condensed with other rings, with one nitrogen atom as the only ring hetero atom
- C07D209/02—Heterocyclic compounds containing five-membered rings, condensed with other rings, with one nitrogen atom as the only ring hetero atom condensed with one carbocyclic ring
- C07D209/44—Iso-indoles; Hydrogenated iso-indoles
-
- C—CHEMISTRY; METALLURGY
- C07—ORGANIC CHEMISTRY
- C07D—HETEROCYCLIC COMPOUNDS
- C07D233/00—Heterocyclic compounds containing 1,3-diazole or hydrogenated 1,3-diazole rings, not condensed with other rings
- C07D233/54—Heterocyclic compounds containing 1,3-diazole or hydrogenated 1,3-diazole rings, not condensed with other rings having two double bonds between ring members or between ring members and non-ring members
- C07D233/64—Heterocyclic compounds containing 1,3-diazole or hydrogenated 1,3-diazole rings, not condensed with other rings having two double bonds between ring members or between ring members and non-ring members with substituted hydrocarbon radicals attached to ring carbon atoms, e.g. histidine
-
- C—CHEMISTRY; METALLURGY
- C07—ORGANIC CHEMISTRY
- C07D—HETEROCYCLIC COMPOUNDS
- C07D401/00—Heterocyclic compounds containing two or more hetero rings, having nitrogen atoms as the only ring hetero atoms, at least one ring being a six-membered ring with only one nitrogen atom
- C07D401/02—Heterocyclic compounds containing two or more hetero rings, having nitrogen atoms as the only ring hetero atoms, at least one ring being a six-membered ring with only one nitrogen atom containing two hetero rings
- C07D401/04—Heterocyclic compounds containing two or more hetero rings, having nitrogen atoms as the only ring hetero atoms, at least one ring being a six-membered ring with only one nitrogen atom containing two hetero rings directly linked by a ring-member-to-ring-member bond
-
- C—CHEMISTRY; METALLURGY
- C07—ORGANIC CHEMISTRY
- C07D—HETEROCYCLIC COMPOUNDS
- C07D401/00—Heterocyclic compounds containing two or more hetero rings, having nitrogen atoms as the only ring hetero atoms, at least one ring being a six-membered ring with only one nitrogen atom
- C07D401/02—Heterocyclic compounds containing two or more hetero rings, having nitrogen atoms as the only ring hetero atoms, at least one ring being a six-membered ring with only one nitrogen atom containing two hetero rings
- C07D401/06—Heterocyclic compounds containing two or more hetero rings, having nitrogen atoms as the only ring hetero atoms, at least one ring being a six-membered ring with only one nitrogen atom containing two hetero rings linked by a carbon chain containing only aliphatic carbon atoms
-
- C—CHEMISTRY; METALLURGY
- C07—ORGANIC CHEMISTRY
- C07D—HETEROCYCLIC COMPOUNDS
- C07D401/00—Heterocyclic compounds containing two or more hetero rings, having nitrogen atoms as the only ring hetero atoms, at least one ring being a six-membered ring with only one nitrogen atom
- C07D401/02—Heterocyclic compounds containing two or more hetero rings, having nitrogen atoms as the only ring hetero atoms, at least one ring being a six-membered ring with only one nitrogen atom containing two hetero rings
- C07D401/10—Heterocyclic compounds containing two or more hetero rings, having nitrogen atoms as the only ring hetero atoms, at least one ring being a six-membered ring with only one nitrogen atom containing two hetero rings linked by a carbon chain containing aromatic rings
-
- C—CHEMISTRY; METALLURGY
- C07—ORGANIC CHEMISTRY
- C07D—HETEROCYCLIC COMPOUNDS
- C07D401/00—Heterocyclic compounds containing two or more hetero rings, having nitrogen atoms as the only ring hetero atoms, at least one ring being a six-membered ring with only one nitrogen atom
- C07D401/02—Heterocyclic compounds containing two or more hetero rings, having nitrogen atoms as the only ring hetero atoms, at least one ring being a six-membered ring with only one nitrogen atom containing two hetero rings
- C07D401/12—Heterocyclic compounds containing two or more hetero rings, having nitrogen atoms as the only ring hetero atoms, at least one ring being a six-membered ring with only one nitrogen atom containing two hetero rings linked by a chain containing hetero atoms as chain links
-
- C—CHEMISTRY; METALLURGY
- C07—ORGANIC CHEMISTRY
- C07D—HETEROCYCLIC COMPOUNDS
- C07D401/00—Heterocyclic compounds containing two or more hetero rings, having nitrogen atoms as the only ring hetero atoms, at least one ring being a six-membered ring with only one nitrogen atom
- C07D401/14—Heterocyclic compounds containing two or more hetero rings, having nitrogen atoms as the only ring hetero atoms, at least one ring being a six-membered ring with only one nitrogen atom containing three or more hetero rings
-
- C—CHEMISTRY; METALLURGY
- C07—ORGANIC CHEMISTRY
- C07D—HETEROCYCLIC COMPOUNDS
- C07D403/00—Heterocyclic compounds containing two or more hetero rings, having nitrogen atoms as the only ring hetero atoms, not provided for by group C07D401/00
- C07D403/02—Heterocyclic compounds containing two or more hetero rings, having nitrogen atoms as the only ring hetero atoms, not provided for by group C07D401/00 containing two hetero rings
- C07D403/04—Heterocyclic compounds containing two or more hetero rings, having nitrogen atoms as the only ring hetero atoms, not provided for by group C07D401/00 containing two hetero rings directly linked by a ring-member-to-ring-member bond
-
- C—CHEMISTRY; METALLURGY
- C07—ORGANIC CHEMISTRY
- C07D—HETEROCYCLIC COMPOUNDS
- C07D403/00—Heterocyclic compounds containing two or more hetero rings, having nitrogen atoms as the only ring hetero atoms, not provided for by group C07D401/00
- C07D403/02—Heterocyclic compounds containing two or more hetero rings, having nitrogen atoms as the only ring hetero atoms, not provided for by group C07D401/00 containing two hetero rings
- C07D403/06—Heterocyclic compounds containing two or more hetero rings, having nitrogen atoms as the only ring hetero atoms, not provided for by group C07D401/00 containing two hetero rings linked by a carbon chain containing only aliphatic carbon atoms
-
- C—CHEMISTRY; METALLURGY
- C07—ORGANIC CHEMISTRY
- C07D—HETEROCYCLIC COMPOUNDS
- C07D471/00—Heterocyclic compounds containing nitrogen atoms as the only ring hetero atoms in the condensed system, at least one ring being a six-membered ring with one nitrogen atom, not provided for by groups C07D451/00 - C07D463/00
- C07D471/02—Heterocyclic compounds containing nitrogen atoms as the only ring hetero atoms in the condensed system, at least one ring being a six-membered ring with one nitrogen atom, not provided for by groups C07D451/00 - C07D463/00 in which the condensed system contains two hetero rings
- C07D471/04—Ortho-condensed systems
-
- G—PHYSICS
- G01—MEASURING; TESTING
- G01N—INVESTIGATING OR ANALYSING MATERIALS BY DETERMINING THEIR CHEMICAL OR PHYSICAL PROPERTIES
- G01N33/00—Investigating or analysing materials by specific methods not covered by groups G01N1/00 - G01N31/00
- G01N33/48—Biological material, e.g. blood, urine; Haemocytometers
- G01N33/50—Chemical analysis of biological material, e.g. blood, urine; Testing involving biospecific ligand binding methods; Immunological testing
- G01N33/53—Immunoassay; Biospecific binding assay; Materials therefor
- G01N33/573—Immunoassay; Biospecific binding assay; Materials therefor for enzymes or isoenzymes
-
- C—CHEMISTRY; METALLURGY
- C07—ORGANIC CHEMISTRY
- C07B—GENERAL METHODS OF ORGANIC CHEMISTRY; APPARATUS THEREFOR
- C07B2200/00—Indexing scheme relating to specific properties of organic compounds
- C07B2200/07—Optical isomers
-
- G—PHYSICS
- G01—MEASURING; TESTING
- G01N—INVESTIGATING OR ANALYSING MATERIALS BY DETERMINING THEIR CHEMICAL OR PHYSICAL PROPERTIES
- G01N2333/00—Assays involving biological materials from specific organisms or of a specific nature
- G01N2333/90—Enzymes; Proenzymes
- G01N2333/914—Hydrolases (3)
- G01N2333/948—Hydrolases (3) acting on peptide bonds (3.4)
-
- G—PHYSICS
- G01—MEASURING; TESTING
- G01N—INVESTIGATING OR ANALYSING MATERIALS BY DETERMINING THEIR CHEMICAL OR PHYSICAL PROPERTIES
- G01N2500/00—Screening for compounds of potential therapeutic value
- G01N2500/04—Screening involving studying the effect of compounds C directly on molecule A (e.g. C are potential ligands for a receptor A, or potential substrates for an enzyme A)
Landscapes
- Chemical & Material Sciences (AREA)
- Organic Chemistry (AREA)
- Health & Medical Sciences (AREA)
- Life Sciences & Earth Sciences (AREA)
- Engineering & Computer Science (AREA)
- General Health & Medical Sciences (AREA)
- Medicinal Chemistry (AREA)
- Animal Behavior & Ethology (AREA)
- Veterinary Medicine (AREA)
- Public Health (AREA)
- Pharmacology & Pharmacy (AREA)
- Chemical Kinetics & Catalysis (AREA)
- Bioinformatics & Cheminformatics (AREA)
- General Chemical & Material Sciences (AREA)
- Nuclear Medicine, Radiotherapy & Molecular Imaging (AREA)
- Biomedical Technology (AREA)
- Neurology (AREA)
- Hematology (AREA)
- Diabetes (AREA)
- Neurosurgery (AREA)
- Immunology (AREA)
- Ophthalmology & Optometry (AREA)
- Physical Education & Sports Medicine (AREA)
- Molecular Biology (AREA)
- Urology & Nephrology (AREA)
- Orthopedic Medicine & Surgery (AREA)
- Biochemistry (AREA)
- Analytical Chemistry (AREA)
- Biotechnology (AREA)
- Cell Biology (AREA)
- Microbiology (AREA)
- Pathology (AREA)
- General Physics & Mathematics (AREA)
- Food Science & Technology (AREA)
- Physics & Mathematics (AREA)
- Psychiatry (AREA)
- Hospice & Palliative Care (AREA)
- Endocrinology (AREA)
- Psychology (AREA)
- Emergency Medicine (AREA)
Abstract
1. Соединение, представленное формулой:или его фармацевтически приемлемая соль, сольват, гидрат, пролекарство, химически защищенная форма, энантиомер или стереоизомер; где, независимо для каждого случая,A является арилом, гетероарилом, карбоциклилом, гетероциклилом или биарилом;Rявляется водородом, алкилом, галоалкилом, фторалкилом, низшим алкилокси, гало или трифторметилом;Z является =C(R)-, =C(R)- или =N-;Rявляется водородом, алкилом, галоалкилом, фторалкилом, низшим алкилокси, гало или трифторметилом;или если Z является =C(R)-, два R, взятых вместе, являютсяХ являетсяили гетероарилом;Y является -CHNRR, -CH(N-гетероциклилом), -CHNH(CH)NH(алкилом), -CHNH(CH)N(алкилом), -CHNH(CH)(N-гетероциклилом), -CHN(алкил)(CH)NH(алкилом), -CHN(алкил)(CH)N(алкилом), -CHN(алкил)(CH)(N-гетероциклилом), -CHNH(CH)O(алкилом), -CHN(алкил)(CH)O(алкилом), -NRR, -NRNRRили -NR(N-гетероциклилом);n равно 1, 2, 3 или 4;Rявляется водородом, алкилом, замещенным алкилом, алкоксиалкилом, галоалкилом, фторалкилом, арилом, аралкилом, гетероарилом или гетероаралкилом;Rявляется водородом, алкилом, замещенным алкилом, алкоксиалкилом, галоалкилом, фторалкилом, арилом, аралкилом, гетероарилом или гетероаралкилом;Rявляется водородом, алкилом, замещенным алкилом, алкоксиалкилом, галоалкилом, фторалкилом, арилом, аралкилом, гетероарилом или гетероаралкилом;Rявляется водородом, алкилом, замещенным алкилом, алкоксиалкилом, галоалкилом, фторалкилом, арилом, аралкилом, гетероарилом или гетероаралкилом;Rявляется водородом, алкилом, замещенным алкилом, алкоксиалкилом, галоалкилом, фторалкилом, арилом, аралкилом, гетероарилом или гетероаралкилом;Rявляется водородом, алкилом, замещенным алкилом, алкоксиалкилом, галоалкилом, фтора�
Claims (37)
1. Соединение, представленное формулой II:
или его фармацевтически приемлемая соль, сольват, гидрат, пролекарство, химически защищенная форма, энантиомер или стереоизомер; где, независимо для каждого случая,
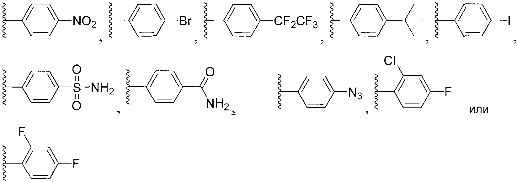
A является арилом, гетероарилом, карбоциклилом, гетероциклилом или биарилом;
R1 является водородом, алкилом, галоалкилом, фторалкилом, низшим алкилокси, гало или трифторметилом;
Z является =C(R8)-, =C(R2)- или =N-;
R2 является водородом, алкилом, галоалкилом, фторалкилом, низшим алкилокси, гало или трифторметилом;
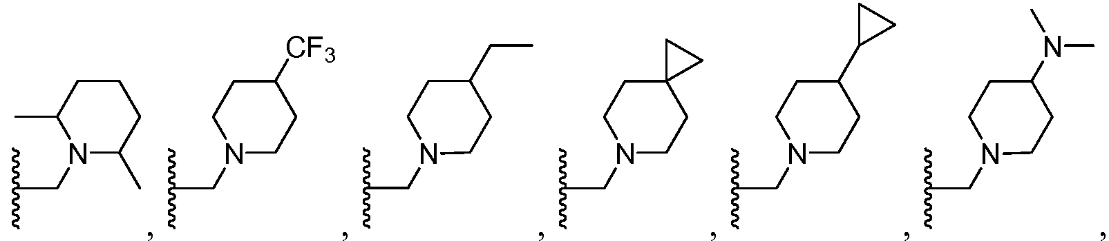
Y является -CH2NR3R4, -CH2(N-гетероциклилом), -CH2NH(CH2)nNH(алкилом), -CH2NH(CH2)nN(алкилом)2, -CH2NH(CH2)n(N-гетероциклилом), -CH2N(алкил)(CH2)nNH(алкилом), -CH2N(алкил)(CH2)nN(алкилом)2, -CH2N(алкил)(CH2)n(N-гетероциклилом), -CH2NH(CH2)nO(алкилом), -CH2N(алкил)(CH2)nO(алкилом), -NR3R4, -NR5NR6R7 или -NR5(N-гетероциклилом);
n равно 1, 2, 3 или 4;
R3 является водородом, алкилом, замещенным алкилом, алкоксиалкилом, галоалкилом, фторалкилом, арилом, аралкилом, гетероарилом или гетероаралкилом;
R4 является водородом, алкилом, замещенным алкилом, алкоксиалкилом, галоалкилом, фторалкилом, арилом, аралкилом, гетероарилом или гетероаралкилом;
R5 является водородом, алкилом, замещенным алкилом, алкоксиалкилом, галоалкилом, фторалкилом, арилом, аралкилом, гетероарилом или гетероаралкилом;
R6 является водородом, алкилом, замещенным алкилом, алкоксиалкилом, галоалкилом, фторалкилом, арилом, аралкилом, гетероарилом или гетероаралкилом;
R7 является водородом, алкилом, замещенным алкилом, алкоксиалкилом, галоалкилом, фторалкилом, арилом, аралкилом, гетероарилом или гетероаралкилом;
R8 является водородом, алкилом, замещенным алкилом, алкоксиалкилом, галоалкилом, фторалкилом, арилом, аралкилом, гетероарилом или гетероаралкилом;
R9 является алкилом; или два R9, взятые вместе с атомом азота, к которому они присоединены, являются N-гетероциклильной группой; и
R10 является водородом, алкилом, галоалкилом, фторалкилом, алкилокси, алкоксиалкилом, гало, трифторметилом, амино, амидо, N-гетероциклилом, аминоалкилом, амидоалкилом или N-гетероциклилалкилом;
при условии, что, если A является 4-фторфенилом, R1 является метилом, R2 является метилом, X является и Y является -CH2(пиперидин-1-илом), Z не является =C(H)-; и если A является 4-метилфенилом, R1 является метилом, R2 является метилом, X является и Y является -CH2(4-метилпиперидин-1-илом), Z не является =C(H)-.
2. Соединение по п.1, где A является арилом или гетероарилом.
3. Соединение по п.1, где A является фенилом, пиридин-2-илом, пиридин-3-илом или пиримидин-2-илом, необязательно замещенным 1, 2, 3, 4 или 5 заместителями, выбранными из группы, включающей алкил, алкенил, алкинил, гало, галоалкил, фторалкил, гидрокси, алкокси, алкиенилокси, алкинилокси, карбоциклилокси, гетероциклилокси, галоалкокси, фторалкилокси, формил, алкилкарбонил, галоалкилкарбонил, фторалкилкарбонил, алкенилкарбонил, алкинилкарбонил, карбокси, алкоксикарбонил, галоалкоксикарбонил, фторалкоксикарбонил, алкенилоксикарбонил, алкинилоксикарбонил, алкилкарбонилокси, галоалкилкарбонилокси, фторалкилкарбонилокси, алкенилкарбонилокси, алкинилкарбонилокси, амино, амидо, азидо, аминосульфонил, аминосульфинил, циано, нитро, фосфинил, фосфорил, силил, силилокси, и любой из указанных заместителей связан с гетероциклильной группой через метиленовую или этиленовую группу.
4. Соединение по п.1, где A является фенилом, необязательно замещенным 1, 2, 3, 4 или 5 заместителями, выбранными из группы, включающей алкил, гало, галоалкил, фторалкил, гидрокси, алкокси, галоалкокси, фторалкилокси, амино, азидо, циано и нитро.
5. Соединение по п.1, где A является фенилом, замещенным в положении четыре, необязательно также замещенным в положении два, заместителем, независимо выбранным из группы, включающей алкил, гало, галоалкил, фторалкил, гидрокси, алкокси, галоалкокси, фторалкилокси, амино, азидо, циано и нитро.
7. Соединение по п.1, где A является пиридин-2-илом, необязательно замещенным в положении четыре заместителем, выбранным из группы, включающей алкил, гало, галоалкил, фторалкил, гидрокси, алкокси, галоалкокси, фторалкилокси, амино, азидо, циано и нитро.
9. Соединение по любому из пп.1-4, где R1 и R2 независимо выбирают из группы, включающей водород, алкил и галоалкил.
10. Соединение по любому из пп.1-4, где R1 является метилом; и R2 является метилом.
11. Соединение по любому из пп.1-4, где Z является =C(R8)-; и R8 является водородом или алкилом.
12. Соединение по любому из пп.1-4, где Z является =N-.
15. Соединение по любому из пп.1-4, где Y является -CH2NR3R4 R3 является водородом или алкилом; и R4 является водородом или алкилом.
17. Соединение по любому из пп.1-4, где Y является -CH2(N-гетероциклилом), который необязательно замещен одним, двумя, тремя, четырьмя или пятью заместителями, выбранными из группы, включающей алкил, галоалкил, фторалкил, гало, гидроксил, алкокси, галоалкокси, фторалкокси, амино и нитро.
18. Соединение по любому из пп.1-4, где Y является -CH2(пиперидин-1-илом), -CH2(пиперазин-1-илом), -CH2(гексагидропиримидин-1-илом), -CH2(морфолин-1-илом) или -CH2(1,3-оксазинан-3-илом), которые необязательно замещены одним, двумя, тремя, четырьмя или пятью заместителями, независимо выбранными из группы, включающей алкил, галоалкил, фторалкил, гало, гидроксил, алкокси, галоалкокси, фторалкокси, амино и нитро.
20. Соединение по любому из пп.1-4, где Y является -CH2NH(CH2)nNH(алкилом), -CH2NH(CH2)nN(алкилом)2, -CH2NH(CH2)nN(алкиленом), -CH2N(алкил)(CH2)nNH(алкилом), -CH2N(алкил)(CH2)nN(алкилом)2 или -CH2N(алкил)(CH2)nN(алкиленом).
21. Соединение по любому из пп.1-4, где Y является -CH2NH(CH2)nO(алкилом) или -CH2N(алкил)(CH2)nO(алкилом); и n равно 2, 3 или 4.
24. Фармацевтическая композиция, содержащая соединение или его фармацевтически приемлемую соль, сольват, гидрат, пролекарство, химически защищенную форму, энантиомер или стереоизомер, по любому из пп.1-22 или 23, или IU1 или его фармацевтически приемлемую соль, сольват, гидрат, пролекарство, химически защищенную форму, энантиомер или стереоизомер и фармацевтически приемлемый наполнитель.
25. Способ ингибирования деубиквитинирующего действия Usp14 белка, включающий контакт Usp14 белка с соединением или его фармацевтически приемлемой солью, сольватом, гидратом, пролекарством, химически защищенной формой, энантиомером или стереоизомером, по любому из пп.1-22 или 23, или IU1 или его фармацевтически приемлемой солью, сольватом, гидратом, пролекарством, химически защищенной формой, энантиомером или стереоизомером.
26. Способ улучшения деградации белка протеасомой в клетке, включающий контакт клетки с соединением или его фармацевтически приемлемой солью, сольватом, гидратом, пролекарством, химически защищенной формой, энантиомером или стереоизомером, по любому из пп.1-22 или 23, или IU1 или его фармацевтически приемлемой солью, сольватом, гидратом, пролекарством, химически защищенной формой, энантиомером или стереоизомером.
27. Способ лечения или профилактики протеинопатии у пациента, включающий введение пациенту соединения или его фармацевтически приемлемой соли, сольвата, гидрата, пролекарства, химически защищенной формы, энантиомера или стереоизомера, по любому из пп.1-22 или 23, или IU1 или его фармацевтически приемлемой соли, сольвата, гидрата, пролекарства, химически защищенной формы, энантиомера или стереоизомера или фармацевтической композиции по п.24.
28. Способ лечения или профилактики заболевания, для которого улучшенное разложение белка может быть терапевтическим, у пациента, включающий введение пациенту соединения или его фармацевтически приемлемой соли, сольвата, гидрата, пролекарства, химически защищенной формы, энантиомера или стереоизомера, по любому из пп.1-22 или 23, или IU1 или его фармацевтически приемлемой соли, сольвата, гидрата, пролекарства, химически защищенной формы, энантиомера или стереоизомера или фармацевтической композиции по п.24.
29. Способ улучшения функции протеасомы у пациента, включающий введение пациенту соединения или его фармацевтически приемлемой соли, сольвата, гидрата, пролекарства, химически защищенной формы, энантиомера или стереоизомера, по любому из пп.1-22 или 23, или IU1 или его фармацевтически приемлемой соли, сольвата, гидрата, пролекарства, химически защищенной формы, энантиомера или стереоизомера или фармацевтической композиции по п.24.
30. Выделенная протеасома, содержащая ферментно неактивный Uch37, а также содержащая ферментно активный Usp14.
31. Протеасома по п.30, где указанная протеасома содержит винилсульфон-Uch37 аддукты.
32. Протеасома по п.30, где указанным Usp14 является рекомбинантный белок.
33. Протеасома по п.30, где указанной протеасомой является человеческая протеасома или мышиная протеасома.
34. Выделенная протеасома, содержащая ферментно активный Usp14 и не содержащая ферментно активный Uch37.
35. Протеасома по п.34, где указанным Usp14 является рекомбинантный белок.
36. Протеасома по п.34, где указанной протеасомой является человеческая протеасома или мышиная протеасома.
37. Способ скрининга ингибитора Usp14, включающий:
(a) получение протеасомы, содержащей ферментно неактивный Uch37, а также содержащая ферментно активный Usp14;
(b) контакт указанной протеасомы с тестируемым соединением и субстратом Usp14; и
(c) определение того, ингибирует ли тестируемое соединение деубиквитинирование указанного субстрата.
Applications Claiming Priority (5)
| Application Number | Priority Date | Filing Date | Title |
|---|---|---|---|
| US33695910P | 2010-01-28 | 2010-01-28 | |
| US61/336,959 | 2010-01-28 | ||
| US37340410P | 2010-08-13 | 2010-08-13 | |
| US61/373,404 | 2010-08-13 | ||
| PCT/US2011/022919 WO2011094538A1 (en) | 2010-01-29 | 2011-01-28 | Depletion of teratoma-forming pluripotent stem cells |
Publications (1)
| Publication Number | Publication Date |
|---|---|
| RU2012136451A true RU2012136451A (ru) | 2014-03-10 |
Family
ID=44320152
Family Applications (1)
| Application Number | Title | Priority Date | Filing Date |
|---|---|---|---|
| RU2012136451/04A RU2012136451A (ru) | 2010-01-28 | 2011-01-28 | Композиции и способы улучшения активности протеасомы |
Country Status (12)
| Country | Link |
|---|---|
| US (2) | US20130045992A1 (ru) |
| EP (1) | EP2528911B1 (ru) |
| JP (2) | JP2013518129A (ru) |
| KR (1) | KR20120117905A (ru) |
| CN (1) | CN102844313B (ru) |
| AU (1) | AU2011210765A1 (ru) |
| BR (1) | BR112012018631A8 (ru) |
| CA (1) | CA2787785C (ru) |
| MX (1) | MX336731B (ru) |
| RU (1) | RU2012136451A (ru) |
| SG (1) | SG182662A1 (ru) |
| WO (1) | WO2011094545A2 (ru) |
Families Citing this family (41)
| Publication number | Priority date | Publication date | Assignee | Title |
|---|---|---|---|---|
| US20130045992A1 (en) | 2010-01-28 | 2013-02-21 | President And Fellows Of Harvard College | Compositions and Methods for Enhancing Proteasome Activity |
| JP6042331B2 (ja) | 2010-07-23 | 2016-12-14 | プレジデント アンド フェローズ オブ ハーバード カレッジ | プロテアソーム活性を向上させる三環系化合物 |
| WO2012154967A1 (en) * | 2011-05-12 | 2012-11-15 | Proteostasis Therapeutics, Inc. | Proteostasis regulators |
| WO2013039438A1 (en) * | 2011-09-16 | 2013-03-21 | Vivolux Ab | Proteasome deubiquinating inhibitor screening |
| EP2806875B1 (en) * | 2012-01-25 | 2017-07-19 | Proteostasis Therapeutics, Inc. | Proteasome activity modulating compounds |
| EP2938610A2 (en) | 2012-12-28 | 2015-11-04 | The U.S.A. as represented by the Secretary, Department of Health and Human Services | Inhibitors of the usp1/uaf1 deubiquitinase complex and uses thereof |
| US9849135B2 (en) | 2013-01-25 | 2017-12-26 | President And Fellows Of Harvard College | USP14 inhibitors for treating or preventing viral infections |
| US11306328B2 (en) * | 2013-07-26 | 2022-04-19 | President And Fellows Of Harvard College | Genome engineering |
| WO2015073528A1 (en) | 2013-11-12 | 2015-05-21 | Proteostasis Therapeutics, Inc. | Proteasome activity enhancing compounds |
| SI3102576T1 (sl) | 2014-02-03 | 2019-08-30 | Vitae Pharmaceuticals, Llc | Inhibitorji dihidropirolopiridina ROR-gama |
| CN104844704B (zh) * | 2014-02-17 | 2018-02-23 | 华东师范大学 | Ub‑Nanoluc、Ub‑Ub‑GS‑Nanoluc报告基因系统及其构建和应用 |
| BR112017007460A2 (pt) | 2014-10-14 | 2017-12-19 | Vitae Pharmaceuticals Inc | inibidores de di-hidropirrolopiridina de ror-gama |
| US9845308B2 (en) | 2014-11-05 | 2017-12-19 | Vitae Pharmaceuticals, Inc. | Isoindoline inhibitors of ROR-gamma |
| US9663515B2 (en) | 2014-11-05 | 2017-05-30 | Vitae Pharmaceuticals, Inc. | Dihydropyrrolopyridine inhibitors of ROR-gamma |
| CN104478780B (zh) * | 2014-11-17 | 2017-04-19 | 华东师范大学 | 酰基吡咯类小分子有机化合物及其衍生物、用途及其制备方法 |
| ES2856931T3 (es) | 2015-08-05 | 2021-09-28 | Vitae Pharmaceuticals Llc | Moduladores de ROR-gamma |
| WO2017087608A1 (en) | 2015-11-20 | 2017-05-26 | Vitae Pharmaceuticals, Inc. | Modulators of ror-gamma |
| GB201521109D0 (en) * | 2015-11-30 | 2016-01-13 | Mission Therapeutics Ltd | Novel compounds |
| US20190016680A1 (en) | 2016-01-14 | 2019-01-17 | Beth Israel Deaconess Medical Center, Inc. | Mast-cell modulators and uses thereof |
| TWI757266B (zh) | 2016-01-29 | 2022-03-11 | 美商維它藥物有限責任公司 | ROR-γ調節劑 |
| WO2017197051A1 (en) | 2016-05-10 | 2017-11-16 | C4 Therapeutics, Inc. | Amine-linked c3-glutarimide degronimers for target protein degradation |
| WO2017197046A1 (en) | 2016-05-10 | 2017-11-16 | C4 Therapeutics, Inc. | C3-carbon linked glutarimide degronimers for target protein degradation |
| ES2989988T3 (es) * | 2016-05-10 | 2024-11-28 | C4 Therapeutics Inc | Degronímeros heterorocíclicos para la degradación de proteínas diana |
| US9481674B1 (en) | 2016-06-10 | 2016-11-01 | Vitae Pharmaceuticals, Inc. | Dihydropyrrolopyridine inhibitors of ROR-gamma |
| CN106065389A (zh) * | 2016-08-08 | 2016-11-02 | 山东理工大学 | 一种促进木瓜蛋白酶活性的方法及其在啤酒澄清中的应用 |
| CN106281935A (zh) * | 2016-08-08 | 2017-01-04 | 山东理工大学 | 一种促进中性蛋白酶活性的方法及其在啤酒澄清中的应用 |
| CN107903208B (zh) * | 2016-12-26 | 2021-09-03 | 杭州市西溪医院 | 一类联芳吡啶类去泛素化酶抑制剂、其制备方法及应用 |
| CN110769822A (zh) | 2017-06-20 | 2020-02-07 | C4医药公司 | 用于蛋白降解的n/o-连接的降解决定子和降解决定子体 |
| WO2019018975A1 (en) | 2017-07-24 | 2019-01-31 | Vitae Pharmaceuticals, Inc. | INHIBITORS OF ROR GAMMA |
| KR20200053481A (ko) | 2017-07-24 | 2020-05-18 | 비타이 파마슈티컬즈, 엘엘씨 | RORγ의 억제제 |
| EP3710002A4 (en) | 2017-11-16 | 2021-07-07 | C4 Therapeutics, Inc. | DEGRADER AND DEGRONE FOR TARGETED PROTEIN DEGRADATION |
| CN111902141A (zh) | 2018-03-26 | 2020-11-06 | C4医药公司 | 用于ikaros降解的羟脑苷脂结合剂 |
| CN112312904B (zh) | 2018-04-16 | 2025-01-07 | C4医药公司 | 螺环化合物 |
| WO2020006269A1 (en) * | 2018-06-27 | 2020-01-02 | Proteostasis Therapeutics, Inc. | Proteasome activity enhancing compounds |
| MX2020014082A (es) | 2018-06-27 | 2021-04-13 | Proteostasis Therapeutics Inc | Compuestos que mejoran la actividad del proteasoma. |
| CN120698983A (zh) | 2018-12-20 | 2025-09-26 | C4医药公司 | 靶向蛋白降解 |
| CA3164578A1 (en) * | 2020-01-14 | 2021-07-22 | Scott KANNER | Compositions and methods for targeted protein stabilization by redirecting endogenous deubiquitinases |
| JP2022012379A (ja) * | 2020-07-01 | 2022-01-17 | 国立大学法人富山大学 | ユビキチン-プロテアソーム系の活性化剤、およびその利用 |
| WO2022250363A1 (ko) * | 2021-05-24 | 2022-12-01 | 재단법인대구경북과학기술원 | 아이유원 계열의 유비퀴틴 특이적 프로테아제 14 억제제를 유효성분으로 포함하는, 프로탁의 항암 효과 증진용 약학적 조성물 |
| WO2025219559A1 (en) * | 2024-04-18 | 2025-10-23 | Booster Therapeutics Gmbh | Pyrrolidine compounds as proteasome stimulators |
| CN119707772B (zh) * | 2024-12-23 | 2025-09-02 | 浙江大学 | 一种usp14共价抑制剂及其制备方法和应用 |
Family Cites Families (122)
| Publication number | Priority date | Publication date | Assignee | Title |
|---|---|---|---|---|
| DE2557341A1 (de) * | 1975-12-19 | 1977-06-30 | Hoechst Ag | Basisch substituierte indolderivate und verfahren zu ihrer herstellung |
| WO1981000108A1 (fr) | 1979-06-28 | 1981-01-22 | Ciba Geigy Ag | Stabilisateurs pour thermoplaste chlore |
| NL8701682A (nl) | 1986-07-30 | 1988-02-16 | Sandoz Ag | Werkwijze voor het therapeutisch toepassen van serotonine antagonisten, aktieve verbindingen en farmaceutische preparaten die deze verbindingen bevatten. |
| CA2092112A1 (en) | 1992-03-23 | 1993-09-24 | Nobuyoshi Iwata | Indole and indazole derivatives, for the treatment and prophylaxis of cerebral disorders, their preparation and their use |
| DE4325204C2 (de) | 1993-07-27 | 2002-11-28 | Matthias Lehr | Acylpyrrolalkansäuren und ihre Derivate als Hemmstoffe der Phospholipase A¶2¶ |
| US5852046A (en) | 1993-08-03 | 1998-12-22 | Hoechst Aktiengesellschaft | Benzo-fused heterocyclic compounds having a 5-membered ring processes for their preparation their use as medicaments their use as diagnostic agents and medicaments containing them |
| EP0639573A1 (de) | 1993-08-03 | 1995-02-22 | Hoechst Aktiengesellschaft | Benzokondensierte 5-Ringheterocyclen, Verfahren zu ihrer Herstellung, ihre Verwendung als Medikament, ihre Verwendung als Diagnostikum, sowie sie enthaltendes Medikament |
| JPH07133274A (ja) | 1993-11-09 | 1995-05-23 | Sankyo Co Ltd | ピロール誘導体 |
| DE4338770A1 (de) | 1993-11-12 | 1995-05-18 | Matthias Dr Lehr | Indol-2-alkansäuren und ihre Derivate als Hemmstoffe der Phospholipase A¶2¶ |
| CZ283216B6 (cs) | 1994-01-19 | 1998-02-18 | Sankyo, Company Limited | Pyrrolopyridazinové deriváty |
| JPH11501004A (ja) | 1995-02-01 | 1999-01-26 | ユニヴァーシティー・カレッジ・カーディフ・コンサルタンツ・リミテッド | 三環系誘導体及びそれらの抗ガン剤としての使用 |
| AU716381B2 (en) | 1996-04-03 | 2000-02-24 | Merck & Co., Inc. | Inhibitors of farnesyl-protein transferase |
| US5859035A (en) | 1996-04-03 | 1999-01-12 | Merck & Co., Inc. | Arylheteroaryl inhibitors of farnesyl-protein transferase |
| DE19622222A1 (de) | 1996-06-03 | 1997-12-04 | Hoechst Ag | Verwendung von Inhibitoren des zellulären Na·+·/H·+·-Exchangers (NHE) zur Herstellung eines Medikament zur Normalisierung der Serumlipide |
| US20040122096A1 (en) | 1996-06-03 | 2004-06-24 | Hoechst Aktiengesellschaft | Use of inhibitors of the cellular Na+/H+ exchanger (NHE) for preparing a medicament for normalizing serum lipids |
| ATE255090T1 (de) | 1996-08-01 | 2003-12-15 | Merckle Gmbh | Acylpyrroldicarbonsäuren und acylindoldicarbonsäuren sowie ihre derivate als hemmstoffe der cytosolischen phospholipase a2 |
| US5998462A (en) | 1996-12-16 | 1999-12-07 | Allelix Biopharmaceuticals Inc. | 5-alkyl indole compounds |
| US6828344B1 (en) | 1998-02-25 | 2004-12-07 | Genetics Institute, Llc | Inhibitors of phospholipase enzymes |
| KR20010041346A (ko) | 1998-02-25 | 2001-05-15 | 브루스 엠. 에이센, 토마스 제이 데스로저 | 포스포리파제 a2 억제제 |
| US6500853B1 (en) | 1998-02-28 | 2002-12-31 | Genetics Institute, Llc | Inhibitors of phospholipase enzymes |
| US6589954B1 (en) | 1998-05-22 | 2003-07-08 | Scios, Inc. | Compounds and methods to treat cardiac failure and other disorders |
| US6867209B1 (en) | 1998-05-22 | 2005-03-15 | Scios, Inc. | Indole-type derivatives as inhibitors of p38 kinase |
| AUPP433398A0 (en) | 1998-06-25 | 1998-07-16 | Australian National University, The | Compounds and processes |
| JP2000063354A (ja) | 1998-08-21 | 2000-02-29 | Sumitomo Pharmaceut Co Ltd | ピロール誘導体 |
| JP2001151771A (ja) | 1999-09-10 | 2001-06-05 | Kyowa Hakko Kogyo Co Ltd | 含窒素芳香族複素環誘導体 |
| WO2001044182A2 (en) | 1999-12-16 | 2001-06-21 | Eli Lilly And Company | New synthesis of spla2 inhibitors |
| AU5919001A (en) | 2000-04-28 | 2001-11-12 | Acadia Pharm Inc | Muscarinic agonists |
| ES2172415B2 (es) | 2000-07-28 | 2003-11-16 | Univ Madrid Complutense | Tratamiento del glaucoma y la hipertension ocular por medio de un analogo de la melatonina. |
| EP1377549A1 (en) | 2001-03-12 | 2004-01-07 | Millennium Pharmaceuticals, Inc. | Functionalized heterocycles as modulators of chemokine receptor function and methods of use therefor |
| WO2003041644A2 (en) | 2001-11-09 | 2003-05-22 | Scios Inc. | Method to treat cystic fibrosis |
| US7632955B2 (en) | 2001-12-13 | 2009-12-15 | National Health Research Institutes | Indole compounds |
| US7528165B2 (en) | 2001-12-13 | 2009-05-05 | National Health Research Institutes | Indole compounds |
| RU2328483C2 (ru) | 2002-08-29 | 2008-07-10 | Мерк Энд Ко., Инк. | Индолы, обладающие противодиабетической активностью |
| US7482354B2 (en) * | 2003-05-22 | 2009-01-27 | Nerviano Medical Sciences S.R.L. | Pyrazolo-quinazoline derivatives, process for their preparation and their use as kinase inhibitors |
| WO2005012245A1 (ja) | 2003-07-15 | 2005-02-10 | Dainippon Sumitomo Pharma Co., Ltd. | 新規ヘテロアリール誘導体 |
| US7576206B2 (en) * | 2003-08-14 | 2009-08-18 | Cephalon, Inc. | Proteasome inhibitors and methods of using the same |
| US7767817B2 (en) | 2003-09-05 | 2010-08-03 | Binghe Wang | Water soluble boronic acid fluorescent reporter compounds and methods of use thereof |
| US20050203063A1 (en) * | 2003-09-12 | 2005-09-15 | Raymond Deshaies | Proteasome pathway inhibitors and related methods |
| TW200522944A (en) | 2003-12-23 | 2005-07-16 | Lilly Co Eli | CB1 modulator compounds |
| US7417063B2 (en) | 2004-04-13 | 2008-08-26 | Bristol-Myers Squibb Company | Bicyclic heterocycles useful as serine protease inhibitors |
| CA2570043A1 (en) | 2004-06-08 | 2005-12-22 | Chiron Corporation | Env polypeptide complexes and methods of use |
| ES2246721B1 (es) | 2004-08-10 | 2007-03-16 | Laboratorios Del Dr. Esteve, S.A. | Compuestos indolicos sustituidos, su preparacion y su uso como medicamentos. |
| US20090264384A1 (en) | 2004-11-01 | 2009-10-22 | Nuada, Inc. | Indole, benzimidazole, and benzolactam boronic acid compounds, analogs thereof and methods of use thereof |
| JP2008521831A (ja) | 2004-11-30 | 2008-06-26 | プレキシコン,インコーポレーテッド | Ppar活性化合物 |
| GB0500492D0 (en) | 2005-01-11 | 2005-02-16 | Cyclacel Ltd | Compound |
| EP1837329A4 (en) | 2005-01-14 | 2009-08-05 | Dainippon Sumitomo Pharma Co | NEW HETEROARYL DERIVATIVE |
| RU2410377C2 (ru) | 2005-02-16 | 2011-01-27 | Солвей Фармасьютикалс Б.В. | Производные 1н-имидазола как модуляторы рецептора каннабиноидов св2 |
| AU2006251832A1 (en) | 2005-05-27 | 2006-11-30 | Queen's University At Kingston | Treatment of protein folding disorders |
| JP2009508872A (ja) | 2005-09-16 | 2009-03-05 | セレネックス, インコーポレイテッド | カルバゾール誘導体 |
| EP1783114A1 (en) | 2005-11-03 | 2007-05-09 | Novartis AG | N-(hetero)aryl indole derivatives as pesticides |
| EP1984334B1 (en) | 2006-02-15 | 2014-04-09 | Allergan, Inc. | Indole-3-carboxylic acid amide, ester, thioamide and thiol ester compounds bearing aryl or heteroaryl groups having sphingosine-1-phosphate (s1p) receptor antagonist biological activity |
| US8097644B2 (en) | 2006-03-28 | 2012-01-17 | Allergan, Inc. | Indole compounds having sphingosine-1-phosphate (S1P) receptor antagonist |
| WO2008019139A2 (en) | 2006-08-04 | 2008-02-14 | Beth Israel Deaconess Medical Center | Inhibitors of pyruvate kinase and methods of treating disease |
| EP2049520A4 (en) | 2006-08-07 | 2011-01-05 | Ironwood Pharmaceuticals Inc | indole compounds |
| WO2008024978A2 (en) | 2006-08-24 | 2008-02-28 | Serenex, Inc. | Tetrahydroindolone and tetrahydroindazolone derivatives |
| EP1902733A1 (en) | 2006-09-19 | 2008-03-26 | Laboratorios Del Dr. Esteve, S.A. | Combination of a NMDA-receptor ligand and a compound with 5-HT6 receptor affinity |
| WO2008055236A2 (en) | 2006-10-31 | 2008-05-08 | Takeda Pharmaceutical Company Limited | Mapk/erk kinase inhibitors |
| US8524917B2 (en) | 2007-01-11 | 2013-09-03 | Allergan, Inc. | 6-substituted indole-3-carboxylic acid amide compounds having sphingosine-1-phosphate (S1P) receptor antagonist biological activity |
| JP2010518025A (ja) | 2007-02-05 | 2010-05-27 | アミラ ファーマシューティカルス,インコーポレーテッド | 5−リポキシゲナーゼ活性化タンパク質(flap)インヒビターとしての逆インドール |
| EP2134683A2 (en) | 2007-02-12 | 2009-12-23 | Intermune, Inc. | Novel inhibitors hepatitis c virus replication |
| ATE482209T1 (de) | 2007-03-08 | 2010-10-15 | Irm Llc | Verbindungen und zusammensetzungen als modulatoren der gpr119-aktivität |
| CN101016294A (zh) | 2007-03-13 | 2007-08-15 | 中国人民武装警察部队医学院 | 具有多种生物活性的取代吲哚-3-基草酰胺衍生物 |
| MX2009010302A (es) | 2007-03-29 | 2009-10-16 | Asubio Pharma Co Ltd | Derivados de indol que tienen actividad inhibidora de cpla2 y aplicaciones y metodos de produccion. |
| US8091582B2 (en) | 2007-04-13 | 2012-01-10 | Cla-Val Co. | System and method for hydraulically managing fluid pressure downstream from a main valve between set points |
| JP2010532748A (ja) | 2007-04-26 | 2010-10-14 | メルク・シャープ・エンド・ドーム・コーポレイション | カルシウムチャネル遮断薬としての2−置換インドール誘導体 |
| US8563594B2 (en) | 2007-05-08 | 2013-10-22 | Allergan, Inc. | S1P3 receptor inhibitors for treating pain |
| WO2008147536A1 (en) * | 2007-05-24 | 2008-12-04 | President And Fellows For Harvard College | Methods and compositions for enhancing proteasome activity |
| TW201242961A (en) | 2007-06-20 | 2012-11-01 | Ironwood Pharmaceuticals Inc | FAAH inhibitors |
| EP2018861A1 (en) | 2007-07-26 | 2009-01-28 | Laboratorios del Dr. Esteve S.A. | 5HT6-Ligands such as sulfonamide derivatives in drug-induced weight-gain |
| ATE495737T1 (de) | 2007-08-01 | 2011-02-15 | Esteve Labor Dr | Kombination von mindestens zwei 5-ht6-liganden |
| AU2008323694A1 (en) | 2007-11-07 | 2009-05-14 | Foldrx Pharmaceuticals, Inc. | Modulation of protein trafficking |
| EP2227233B1 (en) | 2007-11-30 | 2013-02-13 | Newlink Genetics | Ido inhibitors |
| JP5301557B2 (ja) | 2007-12-04 | 2013-09-25 | エフ.ホフマン−ラ ロシュ アーゲー | イソオキサゾロ−ピリジン誘導体 |
| GB0723815D0 (en) | 2007-12-05 | 2008-01-16 | Glaxo Group Ltd | Compounds |
| US8642660B2 (en) * | 2007-12-21 | 2014-02-04 | The University Of Rochester | Method for altering the lifespan of eukaryotic organisms |
| JP2009179589A (ja) | 2008-01-30 | 2009-08-13 | Pharma Ip | 抗ウイルス剤 |
| WO2009097141A1 (en) | 2008-01-31 | 2009-08-06 | Joslin Diabetes Center | Methods for treatment of kallikrein-related disorders |
| WO2009108551A2 (en) | 2008-02-25 | 2009-09-03 | H. Lundbeck A/S | Heteroaryl amide analogues |
| MX2010008198A (es) | 2008-02-25 | 2010-08-23 | Hoffmann La Roche | Inhibidores de cinasa de pirrolopirazina. |
| CA2718705A1 (en) | 2008-03-17 | 2009-09-24 | Allergan, Inc. | S1p3 receptor inhibitors for treating inflammation |
| MX2010010241A (es) | 2008-03-20 | 2010-12-06 | Forest Lab Holdings Ltd | Derivados de piperidina novedosos como inhibidores de estearoil-coa desaturasa. |
| KR101673621B1 (ko) * | 2008-03-24 | 2016-11-07 | 노파르티스 아게 | 아릴술폰아미드-계 매트릭스 메탈로프로테아제 억제제 |
| WO2009121033A2 (en) | 2008-03-27 | 2009-10-01 | University Of Southern California | Substituted nitrogen heterocycles and synthesis and uses thereof |
| PT2276732E (pt) | 2008-04-16 | 2015-09-28 | Karobio Ab | Novos ligandos do recetor de estrogénio |
| US8993574B2 (en) | 2008-04-24 | 2015-03-31 | F2G Ltd | Pyrrole antifungal agents |
| GB0808282D0 (en) | 2008-05-07 | 2008-06-11 | Medical Res Council | Compounds for use in stabilizing p53 mutants |
| JP2011525915A (ja) | 2008-06-26 | 2011-09-29 | アムジエン・インコーポレーテツド | キナーゼ阻害薬としてのアルキニルアルコール類 |
| US20110129455A1 (en) | 2008-06-26 | 2011-06-02 | Hong Lin | Inhibitors of akt activity |
| EP2141163A1 (de) | 2008-07-02 | 2010-01-06 | Bayer Schering Pharma AG | Substituierte Thiazolidinone, deren Herstellung und Verwendung als Arzneimittel |
| WO2010015816A2 (en) | 2008-08-06 | 2010-02-11 | Summit Corporation Plc | Treatment of lysosomal storage disorders and other proteostatic diseases |
| JP2011530602A (ja) | 2008-08-12 | 2011-12-22 | メルク・シャープ・エンド・ドーム・コーポレイション | N−ヘテロ環式m1受容体ポジティブアロステリックモジュレーター |
| US8143269B2 (en) | 2008-10-03 | 2012-03-27 | Calcimedica, Inc. | Inhibitors of store operated calcium release |
| US8071605B2 (en) | 2008-12-12 | 2011-12-06 | Astrazeneca Ab | Piperidine compounds for use in the treatment of bacterial infections |
| EP2408744A1 (en) | 2009-03-18 | 2012-01-25 | Schering Corporation | Bicyclic compounds as inhibitors of diacylglycerol acyltransferase |
| WO2010129553A1 (en) | 2009-05-05 | 2010-11-11 | Allergan, Inc. | S1p3 receptor inhibitors for treating conditions of the eye |
| EP2464227A4 (en) | 2009-08-10 | 2013-02-20 | Galenea Corp | COMPOUNDS AND METHODS OF USE |
| WO2011038579A1 (en) | 2009-09-30 | 2011-04-07 | Zhejiang Beta Pharma Inc. | Compounds and compositions as protein kinase inhibitors |
| NZ599445A (en) | 2009-10-19 | 2014-04-30 | Synta Pharmaceuticals Corp | Combination cancer therapy with hsp90 inhibitory compounds |
| US20130045992A1 (en) | 2010-01-28 | 2013-02-21 | President And Fellows Of Harvard College | Compositions and Methods for Enhancing Proteasome Activity |
| WO2011127333A2 (en) | 2010-04-09 | 2011-10-13 | University Of Louisville Research Foundation, Inc. | Compounds for treating disease, for administering, and for pharmaceutical compositions |
| WO2011133520A1 (en) | 2010-04-19 | 2011-10-27 | Synta Pharmaceuticals Corp. | Cancer therapy using a combination of a hsp90 inhibitory compounds and a egfr inhibitor |
| EP2560641A2 (en) | 2010-04-19 | 2013-02-27 | Synta Pharmaceuticals Corp. | Cancer therapy using a combination of a hsp90 inhibitory compounds and a vegf inhibitor |
| US20130171105A1 (en) | 2010-05-24 | 2013-07-04 | Synta Pharmaceuticals Corp. | Cancer therapy using a combination of a hsp90 inhibitory compound and a topoisomerase ii inhibitor |
| JP6042331B2 (ja) * | 2010-07-23 | 2016-12-14 | プレジデント アンド フェローズ オブ ハーバード カレッジ | プロテアソーム活性を向上させる三環系化合物 |
| AU2011302344B2 (en) | 2010-09-13 | 2015-01-15 | Synta Pharmaceuticals Corp. | HSP90 inhibitors for treating non-small cell lung cancers in wild-type EGFR and/or KRAS patients |
| WO2012078757A2 (en) | 2010-12-08 | 2012-06-14 | Synta Pharmaceuticals Corp. | Combination breast cancer therapy with hsp90 inhibitory compounds |
| US20130331357A1 (en) | 2011-01-11 | 2013-12-12 | Synta Pharmaceuticals Corp. | Combination therapy of hsp90 inhibitory compounds with proteasome inhibitors |
| AU2012212323A1 (en) | 2011-02-01 | 2013-09-12 | The Board Of Trustees Of The University Of Illinois | HDAC inhibitors and therapeutic methods using the same |
| WO2012116061A1 (en) | 2011-02-23 | 2012-08-30 | Synta Pharmaceuticals Corp. | Combination therapy of hsp90 inhibitory compounds with radiotherapy |
| AU2012243289A1 (en) | 2011-02-24 | 2013-08-29 | Synta Pharmaceuticals Corp. | Prostate cancer therapy with Hsp90 inhibitory compounds |
| WO2012116247A1 (en) | 2011-02-25 | 2012-08-30 | Synta Pharmaceuticals Corp. | Hsp90 inhibitory compounds in treating jak/stat signaling-mediated cancers |
| WO2012154967A1 (en) | 2011-05-12 | 2012-11-15 | Proteostasis Therapeutics, Inc. | Proteostasis regulators |
| EP2714039A1 (en) | 2011-05-23 | 2014-04-09 | Synta Pharmaceuticals Corp. | Combination therapy of hsp90 inhibitory compounds with mek inhibitors |
| WO2012162372A1 (en) | 2011-05-24 | 2012-11-29 | Synta Pharmaceuticals Corp. | Combination therapy of hsp90 inhibitory compounds with mtor/p13k inhibitors |
| WO2012162584A1 (en) | 2011-05-26 | 2012-11-29 | Synta Pharmaceuticals Corp. | Combination therapy of hsp90 inhibitory compounds with chk inhibitors |
| WO2012166415A1 (en) | 2011-05-27 | 2012-12-06 | Amira Pharmaceuticals, Inc. | Heterocyclic autotaxin inhibitors and uses thereof |
| WO2013006864A2 (en) | 2011-07-07 | 2013-01-10 | Synta Pharmaceuticals Corp. | Treating cancer with hsp90 inhibitory compounds |
| EP2548865B1 (en) | 2011-07-22 | 2014-03-05 | Université Joseph Fourier | Novel bis-indolic derivatives, their uses in particular as antibacterials |
| WO2013067165A1 (en) | 2011-11-02 | 2013-05-10 | Synta Pharmaceuticals Corp. | Combination therapy of hsp90 inhibitors with platinum-containing agents |
| JP2014532712A (ja) | 2011-11-02 | 2014-12-08 | シンタ ファーマシューティカルズ コーポレーション | トポイソメラーゼi阻害剤とhsp90阻害剤の組合せを使用する癌療法 |
| WO2013074594A1 (en) | 2011-11-14 | 2013-05-23 | Synta Pharmaceuticals Corp. | Combination therapy of hsp90 inhibitors with braf inhibitors |
| US9849135B2 (en) | 2013-01-25 | 2017-12-26 | President And Fellows Of Harvard College | USP14 inhibitors for treating or preventing viral infections |
-
2011
- 2011-01-28 US US13/575,812 patent/US20130045992A1/en not_active Abandoned
- 2011-01-28 CA CA2787785A patent/CA2787785C/en not_active Expired - Fee Related
- 2011-01-28 RU RU2012136451/04A patent/RU2012136451A/ru not_active Application Discontinuation
- 2011-01-28 KR KR1020127022300A patent/KR20120117905A/ko not_active Ceased
- 2011-01-28 JP JP2012551323A patent/JP2013518129A/ja active Pending
- 2011-01-28 MX MX2012008626A patent/MX336731B/es unknown
- 2011-01-28 BR BR112012018631A patent/BR112012018631A8/pt not_active Application Discontinuation
- 2011-01-28 WO PCT/US2011/022929 patent/WO2011094545A2/en not_active Ceased
- 2011-01-28 SG SG2012054235A patent/SG182662A1/en unknown
- 2011-01-28 CN CN201180016116.9A patent/CN102844313B/zh not_active Expired - Fee Related
- 2011-01-28 AU AU2011210765A patent/AU2011210765A1/en not_active Abandoned
- 2011-01-28 EP EP11737731.7A patent/EP2528911B1/en not_active Not-in-force
-
2015
- 2015-11-05 US US14/933,671 patent/US10351568B2/en not_active Expired - Fee Related
-
2016
- 2016-03-24 JP JP2016060063A patent/JP6371786B2/ja not_active Expired - Fee Related
Also Published As
| Publication number | Publication date |
|---|---|
| CN102844313B (zh) | 2016-10-05 |
| KR20120117905A (ko) | 2012-10-24 |
| EP2528911A2 (en) | 2012-12-05 |
| EP2528911B1 (en) | 2017-10-25 |
| WO2011094545A3 (en) | 2012-01-05 |
| CA2787785C (en) | 2018-03-06 |
| US20130045992A1 (en) | 2013-02-21 |
| EP2528911A4 (en) | 2014-08-06 |
| CA2787785A1 (en) | 2011-08-04 |
| US10351568B2 (en) | 2019-07-16 |
| BR112012018631A8 (pt) | 2017-12-19 |
| BR112012018631A2 (pt) | 2016-04-05 |
| US20160214989A1 (en) | 2016-07-28 |
| JP6371786B2 (ja) | 2018-08-08 |
| SG182662A1 (en) | 2012-08-30 |
| AU2011210765A1 (en) | 2012-09-13 |
| MX2012008626A (es) | 2012-08-15 |
| JP2016147893A (ja) | 2016-08-18 |
| MX336731B (es) | 2016-01-28 |
| CN102844313A (zh) | 2012-12-26 |
| JP2013518129A (ja) | 2013-05-20 |
| WO2011094545A2 (en) | 2011-08-04 |
Similar Documents
| Publication | Publication Date | Title |
|---|---|---|
| RU2012136451A (ru) | Композиции и способы улучшения активности протеасомы | |
| JP2013518129A5 (ru) | ||
| RU2495873C2 (ru) | Новое урациловое соединение или его соль, обладающие ингибирующей активностью относительно дезоксиуридинтрифосфатазы человека | |
| RU2013108641A (ru) | Способ лечения офтальмологических заболеваний с использованием соединений ингибиторов киназы в пролекарственных формах | |
| EA200501332A1 (ru) | Производные пиримидин-4-она и их применение в качестве модуляторов киназы p38 | |
| EA200700099A1 (ru) | Производные пиридина | |
| RU2013144215A (ru) | Средство для борьбы с эндопаразитами | |
| RU2012112050A (ru) | Производные дигидроптеридинона, способ их получения и фармацевтическое применение | |
| JP2009532453A5 (ru) | ||
| RU2012129168A (ru) | Производные оксазина | |
| EA200601350A1 (ru) | Азотсодержащие гетероциклические производные и их фармацевтические применения | |
| EA200600892A1 (ru) | Новые хинолиновые производные | |
| EA201390766A1 (ru) | БЕНЗОКСАЗЕПИНЫ КАК ИНГИБИТОРЫ PI3K/mTOR И СПОСОБЫ ИХ ИСПОЛЬЗОВАНИЯ И ПОЛУЧЕНИЯ | |
| JP2013512903A5 (ru) | ||
| RU2008112691A (ru) | Азотсодержащее гетероциклическое соединение и его фармацевтическое применение | |
| RU2015106434A (ru) | Производные типа азаиндазола или диазаиндазола для лечения боли | |
| EA200901573A1 (ru) | Гетероарилзамещенные тиазолы | |
| RU2011105810A (ru) | Азотсодержащие бициклические гетероциклические соединения | |
| EA201590022A1 (ru) | Новые производные 1,3-дигидро-2h-бензимидазол-2-она, замещенные гетероциклами, в качестве противовирусных средств против респираторного синцитиального вируса | |
| EA200970637A1 (ru) | 2-замещенные-6-гетероциклилпроизводные пиримидона в качестве ингибиторов тау-протеинкиназы | |
| RU2007130144A (ru) | Гетероциклические соединения в качестве антагонистов cccr2b | |
| JP2005538111A5 (ru) | ||
| EA019037B1 (ru) | 5-[5-[2-[3,5-бис(трифторметил)фенил-2-метилпропаноилметиламино]-4-(4-фтор-2-метилфенил)]-2-пиридинил]-2-алкилпролинамиды в качестве антагонистов рецептора nk1 | |
| RU2008102156A (ru) | НОВЫЕ ФУРО- И ТИЕНО[2,3-b]-ХИНОЛИН-2-КАРБОКСАМИДЫ, СПОСОБ ПОЛУЧЕНИЯ И ПРОТИВОТУБЕРКУЛЕЗНАЯ АКТИВНОСТЬ | |
| EA200901474A1 (ru) | Соли [4-(6-фтор-7-метиламино-2,4-диоксо-1,4-дигидро-2н-хиназолин-3-ил)фенил]-5-хлортиофен-2-илсульфонилмочевины в различных кристаллических формах и фармацевтические композиции на их основе |
Legal Events
| Date | Code | Title | Description |
|---|---|---|---|
| FA92 | Acknowledgement of application withdrawn (lack of supplementary materials submitted) |
Effective date: 20170406 |



































