EP0948666B2 - Verfahren zur behandlung metallischer oberflächen - Google Patents
Verfahren zur behandlung metallischer oberflächen Download PDFInfo
- Publication number
- EP0948666B2 EP0948666B2 EP97954820A EP97954820A EP0948666B2 EP 0948666 B2 EP0948666 B2 EP 0948666B2 EP 97954820 A EP97954820 A EP 97954820A EP 97954820 A EP97954820 A EP 97954820A EP 0948666 B2 EP0948666 B2 EP 0948666B2
- Authority
- EP
- European Patent Office
- Prior art keywords
- aqueous solution
- acid
- process according
- group
- atoms
- Prior art date
- Legal status (The legal status is an assumption and is not a legal conclusion. Google has not performed a legal analysis and makes no representation as to the accuracy of the status listed.)
- Expired - Lifetime
Links
- 238000000034 method Methods 0.000 title claims abstract description 29
- 239000007864 aqueous solution Substances 0.000 claims abstract description 33
- 150000001875 compounds Chemical class 0.000 claims abstract description 27
- 239000003973 paint Substances 0.000 claims abstract description 26
- XAGFODPZIPBFFR-UHFFFAOYSA-N aluminium Chemical compound [Al] XAGFODPZIPBFFR-UHFFFAOYSA-N 0.000 claims abstract description 18
- 125000004432 carbon atom Chemical group C* 0.000 claims abstract description 18
- 239000000243 solution Substances 0.000 claims abstract description 17
- 229910052782 aluminium Inorganic materials 0.000 claims abstract description 16
- 238000005507 spraying Methods 0.000 claims abstract description 12
- 125000000217 alkyl group Chemical group 0.000 claims abstract description 11
- FYYHWMGAXLPEAU-UHFFFAOYSA-N Magnesium Chemical compound [Mg] FYYHWMGAXLPEAU-UHFFFAOYSA-N 0.000 claims abstract description 10
- 239000011777 magnesium Substances 0.000 claims abstract description 10
- 239000000853 adhesive Substances 0.000 claims abstract description 9
- 230000001070 adhesive effect Effects 0.000 claims abstract description 9
- 239000000565 sealant Substances 0.000 claims abstract description 9
- 239000004922 lacquer Substances 0.000 claims abstract description 8
- HRPVXLWXLXDGHG-UHFFFAOYSA-N Acrylamide Chemical compound NC(=O)C=C HRPVXLWXLXDGHG-UHFFFAOYSA-N 0.000 claims abstract description 7
- HCHKCACWOHOZIP-UHFFFAOYSA-N Zinc Chemical compound [Zn] HCHKCACWOHOZIP-UHFFFAOYSA-N 0.000 claims abstract description 7
- 229910052725 zinc Inorganic materials 0.000 claims abstract description 7
- 239000011701 zinc Substances 0.000 claims abstract description 7
- 229910052749 magnesium Inorganic materials 0.000 claims abstract description 6
- 229910001297 Zn alloy Inorganic materials 0.000 claims abstract description 5
- 229910000861 Mg alloy Inorganic materials 0.000 claims abstract description 4
- 239000004593 Epoxy Substances 0.000 claims abstract description 3
- 125000004435 hydrogen atom Chemical group [H]* 0.000 claims abstract description 3
- 239000004411 aluminium Substances 0.000 claims abstract 4
- 229910000838 Al alloy Inorganic materials 0.000 claims abstract 2
- LSNNMFCWUKXFEE-UHFFFAOYSA-M Bisulfite Chemical group OS([O-])=O LSNNMFCWUKXFEE-UHFFFAOYSA-M 0.000 claims abstract 2
- XLYOFNOQVPJJNP-UHFFFAOYSA-N water Substances O XLYOFNOQVPJJNP-UHFFFAOYSA-N 0.000 claims description 19
- IJGRMHOSHXDMSA-UHFFFAOYSA-N Atomic nitrogen Chemical compound N#N IJGRMHOSHXDMSA-UHFFFAOYSA-N 0.000 claims description 10
- 239000002253 acid Substances 0.000 claims description 10
- 239000006223 plastic coating Substances 0.000 claims description 10
- 150000003839 salts Chemical class 0.000 claims description 10
- 238000007598 dipping method Methods 0.000 claims description 9
- 239000000693 micelle Substances 0.000 claims description 5
- 229910052757 nitrogen Inorganic materials 0.000 claims description 5
- BEPFDRNIALBIKQ-UHFFFAOYSA-N 12-phosphonododecylphosphonic acid Chemical compound OP(O)(=O)CCCCCCCCCCCCP(O)(O)=O BEPFDRNIALBIKQ-UHFFFAOYSA-N 0.000 claims description 4
- CSCPPACGZOOCGX-UHFFFAOYSA-N Acetone Chemical compound CC(C)=O CSCPPACGZOOCGX-UHFFFAOYSA-N 0.000 claims description 4
- WYURNTSHIVDZCO-UHFFFAOYSA-N Tetrahydrofuran Chemical compound C1CCOC1 WYURNTSHIVDZCO-UHFFFAOYSA-N 0.000 claims description 4
- LFQSCWFLJHTTHZ-UHFFFAOYSA-N Ethanol Chemical compound CCO LFQSCWFLJHTTHZ-UHFFFAOYSA-N 0.000 claims description 3
- 229940069096 dodecene Drugs 0.000 claims description 3
- 229920003002 synthetic resin Polymers 0.000 claims description 3
- 239000000057 synthetic resin Substances 0.000 claims description 3
- RYHBNJHYFVUHQT-UHFFFAOYSA-N 1,4-Dioxane Chemical compound C1COCCO1 RYHBNJHYFVUHQT-UHFFFAOYSA-N 0.000 claims description 2
- AYQDAYSTSMCOCJ-UHFFFAOYSA-N 10-phosphonodecylphosphonic acid Chemical compound OP(O)(=O)CCCCCCCCCCP(O)(O)=O AYQDAYSTSMCOCJ-UHFFFAOYSA-N 0.000 claims description 2
- 239000003513 alkali Substances 0.000 claims description 2
- YLQBMQCUIZJEEH-UHFFFAOYSA-N tetrahydrofuran Natural products C=1C=COC=1 YLQBMQCUIZJEEH-UHFFFAOYSA-N 0.000 claims description 2
- SNRUBQQJIBEYMU-UHFFFAOYSA-N dodecane Chemical compound CCCCCCCCCCCC SNRUBQQJIBEYMU-UHFFFAOYSA-N 0.000 claims 4
- 238000007761 roller coating Methods 0.000 claims 2
- 239000005030 aluminium foil Substances 0.000 claims 1
- 239000002518 antifoaming agent Substances 0.000 claims 1
- 125000000896 monocarboxylic acid group Chemical group 0.000 claims 1
- 238000000576 coating method Methods 0.000 abstract description 14
- 229920003023 plastic Polymers 0.000 abstract description 7
- 239000004033 plastic Substances 0.000 abstract description 7
- 238000005096 rolling process Methods 0.000 abstract description 7
- 125000000962 organic group Chemical group 0.000 abstract description 6
- 125000003178 carboxy group Chemical group [H]OC(*)=O 0.000 abstract description 5
- 238000007654 immersion Methods 0.000 abstract 1
- 239000000463 material Substances 0.000 abstract 1
- 238000005260 corrosion Methods 0.000 description 19
- 230000007797 corrosion Effects 0.000 description 19
- 239000010410 layer Substances 0.000 description 17
- 239000004094 surface-active agent Substances 0.000 description 9
- NBIIXXVUZAFLBC-UHFFFAOYSA-N phosphoric acid Substances OP(O)(O)=O NBIIXXVUZAFLBC-UHFFFAOYSA-N 0.000 description 8
- 239000011248 coating agent Substances 0.000 description 7
- -1 hydrocarbon radical Chemical class 0.000 description 7
- ABLZXFCXXLZCGV-UHFFFAOYSA-N phosphonic acid group Chemical group P(O)(O)=O ABLZXFCXXLZCGV-UHFFFAOYSA-N 0.000 description 6
- 239000002904 solvent Substances 0.000 description 6
- 239000010409 thin film Substances 0.000 description 6
- 230000002378 acidificating effect Effects 0.000 description 5
- 229910045601 alloy Inorganic materials 0.000 description 5
- 239000000956 alloy Substances 0.000 description 5
- 229910000147 aluminium phosphate Inorganic materials 0.000 description 5
- 238000006243 chemical reaction Methods 0.000 description 5
- 125000002887 hydroxy group Chemical group [H]O* 0.000 description 5
- 229910052751 metal Inorganic materials 0.000 description 5
- 239000002184 metal Substances 0.000 description 5
- 239000000126 substance Substances 0.000 description 5
- 238000004833 X-ray photoelectron spectroscopy Methods 0.000 description 4
- 238000004532 chromating Methods 0.000 description 4
- XQRLCLUYWUNEEH-UHFFFAOYSA-N diphosphonic acid Chemical compound OP(=O)OP(O)=O XQRLCLUYWUNEEH-UHFFFAOYSA-N 0.000 description 4
- 239000003960 organic solvent Substances 0.000 description 4
- 238000005554 pickling Methods 0.000 description 4
- 239000000758 substrate Substances 0.000 description 4
- QTBSBXVTEAMEQO-UHFFFAOYSA-N Acetic acid Chemical compound CC(O)=O QTBSBXVTEAMEQO-UHFFFAOYSA-N 0.000 description 3
- HEMHJVSKTPXQMS-UHFFFAOYSA-M Sodium hydroxide Chemical compound [OH-].[Na+] HEMHJVSKTPXQMS-UHFFFAOYSA-M 0.000 description 3
- ZCDOYSPFYFSLEW-UHFFFAOYSA-N chromate(2-) Chemical compound [O-][Cr]([O-])(=O)=O ZCDOYSPFYFSLEW-UHFFFAOYSA-N 0.000 description 3
- 239000008367 deionised water Substances 0.000 description 3
- 229910021641 deionized water Inorganic materials 0.000 description 3
- 238000001035 drying Methods 0.000 description 3
- 238000004070 electrodeposition Methods 0.000 description 3
- 229930195733 hydrocarbon Natural products 0.000 description 3
- 239000003112 inhibitor Substances 0.000 description 3
- 230000002401 inhibitory effect Effects 0.000 description 3
- LWIPGCTWFZCIKX-UHFFFAOYSA-N n-ethyldodecan-1-amine Chemical compound CCCCCCCCCCCCNCC LWIPGCTWFZCIKX-UHFFFAOYSA-N 0.000 description 3
- 150000003009 phosphonic acids Chemical class 0.000 description 3
- 239000000843 powder Substances 0.000 description 3
- QGZKDVFQNNGYKY-UHFFFAOYSA-N Ammonia Chemical compound N QGZKDVFQNNGYKY-UHFFFAOYSA-N 0.000 description 2
- 239000004215 Carbon black (E152) Substances 0.000 description 2
- CURLTUGMZLYLDI-UHFFFAOYSA-N Carbon dioxide Chemical compound O=C=O CURLTUGMZLYLDI-UHFFFAOYSA-N 0.000 description 2
- XTEGARKTQYYJKE-UHFFFAOYSA-M Chlorate Chemical compound [O-]Cl(=O)=O XTEGARKTQYYJKE-UHFFFAOYSA-M 0.000 description 2
- 208000021236 Hereditary diffuse leukoencephalopathy with axonal spheroids and pigmented glia Diseases 0.000 description 2
- IOVCWXUNBOPUCH-UHFFFAOYSA-M Nitrite anion Chemical compound [O-]N=O IOVCWXUNBOPUCH-UHFFFAOYSA-M 0.000 description 2
- 229910019142 PO4 Inorganic materials 0.000 description 2
- XYFCBTPGUUZFHI-UHFFFAOYSA-N Phosphine Chemical compound P XYFCBTPGUUZFHI-UHFFFAOYSA-N 0.000 description 2
- 239000000654 additive Substances 0.000 description 2
- 239000002318 adhesion promoter Substances 0.000 description 2
- 230000002776 aggregation Effects 0.000 description 2
- 238000004220 aggregation Methods 0.000 description 2
- 150000001412 amines Chemical class 0.000 description 2
- 125000003277 amino group Chemical group 0.000 description 2
- 230000015572 biosynthetic process Effects 0.000 description 2
- 238000001816 cooling Methods 0.000 description 2
- 239000013530 defoamer Substances 0.000 description 2
- WNAHIZMDSQCWRP-UHFFFAOYSA-N dodecane-1-thiol Chemical compound CCCCCCCCCCCCS WNAHIZMDSQCWRP-UHFFFAOYSA-N 0.000 description 2
- 230000000694 effects Effects 0.000 description 2
- 150000002148 esters Chemical class 0.000 description 2
- 239000011888 foil Substances 0.000 description 2
- 230000005764 inhibitory process Effects 0.000 description 2
- 238000007591 painting process Methods 0.000 description 2
- 235000021317 phosphate Nutrition 0.000 description 2
- ACVYVLVWPXVTIT-UHFFFAOYSA-N phosphinic acid Chemical compound O[PH2]=O ACVYVLVWPXVTIT-UHFFFAOYSA-N 0.000 description 2
- 229920000728 polyester Polymers 0.000 description 2
- 229920000642 polymer Polymers 0.000 description 2
- 239000011241 protective layer Substances 0.000 description 2
- 239000011734 sodium Substances 0.000 description 2
- MWFOPMKUGZLPQA-UHFFFAOYSA-M sodium;3-(n-ethyl-3-methoxyanilino)propane-1-sulfonate Chemical compound [Na+].[O-]S(=O)(=O)CCCN(CC)C1=CC=CC(OC)=C1 MWFOPMKUGZLPQA-UHFFFAOYSA-M 0.000 description 2
- 239000007787 solid Substances 0.000 description 2
- 125000006850 spacer group Chemical group 0.000 description 2
- BAERPNBPLZWCES-UHFFFAOYSA-N (2-hydroxy-1-phosphonoethyl)phosphonic acid Chemical compound OCC(P(O)(O)=O)P(O)(O)=O BAERPNBPLZWCES-UHFFFAOYSA-N 0.000 description 1
- BVKZGUZCCUSVTD-UHFFFAOYSA-M Bicarbonate Chemical class OC([O-])=O BVKZGUZCCUSVTD-UHFFFAOYSA-M 0.000 description 1
- 241000819038 Chichester Species 0.000 description 1
- RYGMFSIKBFXOCR-UHFFFAOYSA-N Copper Chemical compound [Cu] RYGMFSIKBFXOCR-UHFFFAOYSA-N 0.000 description 1
- DGAQECJNVWCQMB-PUAWFVPOSA-M Ilexoside XXIX Chemical compound C[C@@H]1CC[C@@]2(CC[C@@]3(C(=CC[C@H]4[C@]3(CC[C@@H]5[C@@]4(CC[C@@H](C5(C)C)OS(=O)(=O)[O-])C)C)[C@@H]2[C@]1(C)O)C)C(=O)O[C@H]6[C@@H]([C@H]([C@@H]([C@H](O6)CO)O)O)O.[Na+] DGAQECJNVWCQMB-PUAWFVPOSA-M 0.000 description 1
- 229910002651 NO3 Inorganic materials 0.000 description 1
- NHNBFGGVMKEFGY-UHFFFAOYSA-N Nitrate Chemical compound [O-][N+]([O-])=O NHNBFGGVMKEFGY-UHFFFAOYSA-N 0.000 description 1
- GRYLNZFGIOXLOG-UHFFFAOYSA-N Nitric acid Chemical compound O[N+]([O-])=O GRYLNZFGIOXLOG-UHFFFAOYSA-N 0.000 description 1
- FEWJPZIEWOKRBE-UHFFFAOYSA-N Tartaric acid Natural products [H+].[H+].[O-]C(=O)C(O)C(O)C([O-])=O FEWJPZIEWOKRBE-UHFFFAOYSA-N 0.000 description 1
- 238000000026 X-ray photoelectron spectrum Methods 0.000 description 1
- 150000007513 acids Chemical class 0.000 description 1
- 230000000996 additive effect Effects 0.000 description 1
- 230000001476 alcoholic effect Effects 0.000 description 1
- 150000001298 alcohols Chemical class 0.000 description 1
- 150000001299 aldehydes Chemical class 0.000 description 1
- 125000001931 aliphatic group Chemical group 0.000 description 1
- 150000001338 aliphatic hydrocarbons Chemical class 0.000 description 1
- 229910001854 alkali hydroxide Inorganic materials 0.000 description 1
- 229910000288 alkali metal carbonate Inorganic materials 0.000 description 1
- 150000008041 alkali metal carbonates Chemical class 0.000 description 1
- 150000008044 alkali metal hydroxides Chemical class 0.000 description 1
- 150000001336 alkenes Chemical class 0.000 description 1
- WNROFYMDJYEPJX-UHFFFAOYSA-K aluminium hydroxide Chemical compound [OH-].[OH-].[OH-].[Al+3] WNROFYMDJYEPJX-UHFFFAOYSA-K 0.000 description 1
- QPWJVHUFZBIWJG-UHFFFAOYSA-N aluminum;chromium(3+) Chemical compound [Al+3].[Cr+3] QPWJVHUFZBIWJG-UHFFFAOYSA-N 0.000 description 1
- 150000001408 amides Chemical class 0.000 description 1
- 150000001414 amino alcohols Chemical class 0.000 description 1
- 229910021529 ammonia Inorganic materials 0.000 description 1
- 238000004937 angle-resolved X-ray photoelectron spectroscopy Methods 0.000 description 1
- 150000001448 anilines Chemical class 0.000 description 1
- 150000004945 aromatic hydrocarbons Chemical class 0.000 description 1
- 230000033228 biological regulation Effects 0.000 description 1
- 229910052793 cadmium Inorganic materials 0.000 description 1
- BDOSMKKIYDKNTQ-UHFFFAOYSA-N cadmium atom Chemical compound [Cd] BDOSMKKIYDKNTQ-UHFFFAOYSA-N 0.000 description 1
- 235000013877 carbamide Nutrition 0.000 description 1
- 150000001720 carbohydrates Chemical class 0.000 description 1
- 235000014633 carbohydrates Nutrition 0.000 description 1
- 229910052799 carbon Inorganic materials 0.000 description 1
- 239000001569 carbon dioxide Substances 0.000 description 1
- 229910002092 carbon dioxide Inorganic materials 0.000 description 1
- 239000000969 carrier Substances 0.000 description 1
- 239000003795 chemical substances by application Substances 0.000 description 1
- 230000000052 comparative effect Effects 0.000 description 1
- 239000000470 constituent Substances 0.000 description 1
- 239000005068 cooling lubricant Substances 0.000 description 1
- 229910052802 copper Inorganic materials 0.000 description 1
- 239000010949 copper Substances 0.000 description 1
- 230000001419 dependent effect Effects 0.000 description 1
- 238000003487 electrochemical reaction Methods 0.000 description 1
- 238000007590 electrostatic spraying Methods 0.000 description 1
- 150000002170 ethers Chemical class 0.000 description 1
- 239000010408 film Substances 0.000 description 1
- 150000004673 fluoride salts Chemical class 0.000 description 1
- 239000006260 foam Substances 0.000 description 1
- 125000000524 functional group Chemical group 0.000 description 1
- 238000010438 heat treatment Methods 0.000 description 1
- 150000002430 hydrocarbons Chemical class 0.000 description 1
- 230000002209 hydrophobic effect Effects 0.000 description 1
- XLYOFNOQVPJJNP-UHFFFAOYSA-M hydroxide Chemical compound [OH-] XLYOFNOQVPJJNP-UHFFFAOYSA-M 0.000 description 1
- 150000004679 hydroxides Chemical class 0.000 description 1
- 150000003949 imides Chemical class 0.000 description 1
- 238000007373 indentation Methods 0.000 description 1
- 230000008595 infiltration Effects 0.000 description 1
- 238000001764 infiltration Methods 0.000 description 1
- 238000002347 injection Methods 0.000 description 1
- 239000007924 injection Substances 0.000 description 1
- 150000002576 ketones Chemical class 0.000 description 1
- 150000003951 lactams Chemical class 0.000 description 1
- 150000002596 lactones Chemical class 0.000 description 1
- 239000007788 liquid Substances 0.000 description 1
- 230000007774 longterm Effects 0.000 description 1
- 239000011159 matrix material Substances 0.000 description 1
- 238000005259 measurement Methods 0.000 description 1
- 150000002739 metals Chemical class 0.000 description 1
- VUZPPFZMUPKLLV-UHFFFAOYSA-N methane;hydrate Chemical compound C.O VUZPPFZMUPKLLV-UHFFFAOYSA-N 0.000 description 1
- 239000002480 mineral oil Substances 0.000 description 1
- 229910017604 nitric acid Inorganic materials 0.000 description 1
- 150000002825 nitriles Chemical class 0.000 description 1
- 239000003921 oil Substances 0.000 description 1
- 150000007524 organic acids Chemical class 0.000 description 1
- 235000005985 organic acids Nutrition 0.000 description 1
- 229920000620 organic polymer Polymers 0.000 description 1
- 239000007800 oxidant agent Substances 0.000 description 1
- 150000002923 oximes Chemical class 0.000 description 1
- 125000004334 oxygen containing inorganic group Chemical group 0.000 description 1
- 230000035515 penetration Effects 0.000 description 1
- YFURFLWAOAZPGU-UHFFFAOYSA-N pentadec-1-en-3-one Chemical compound CCCCCCCCCCCCC(=O)C=C YFURFLWAOAZPGU-UHFFFAOYSA-N 0.000 description 1
- NBIIXXVUZAFLBC-UHFFFAOYSA-K phosphate Chemical compound [O-]P([O-])([O-])=O NBIIXXVUZAFLBC-UHFFFAOYSA-K 0.000 description 1
- 239000010452 phosphate Substances 0.000 description 1
- 150000003013 phosphoric acid derivatives Chemical class 0.000 description 1
- 229910000073 phosphorus hydride Inorganic materials 0.000 description 1
- 150000003053 piperidines Chemical class 0.000 description 1
- 229920000058 polyacrylate Polymers 0.000 description 1
- 229920001296 polysiloxane Polymers 0.000 description 1
- 229920002451 polyvinyl alcohol Polymers 0.000 description 1
- 235000019422 polyvinyl alcohol Nutrition 0.000 description 1
- 159000000001 potassium salts Chemical class 0.000 description 1
- 150000003222 pyridines Chemical class 0.000 description 1
- 150000003254 radicals Chemical class 0.000 description 1
- 230000009257 reactivity Effects 0.000 description 1
- 230000000717 retained effect Effects 0.000 description 1
- 230000002441 reversible effect Effects 0.000 description 1
- 229920006395 saturated elastomer Polymers 0.000 description 1
- 150000004756 silanes Chemical class 0.000 description 1
- 229910052708 sodium Inorganic materials 0.000 description 1
- 238000001179 sorption measurement Methods 0.000 description 1
- 230000003595 spectral effect Effects 0.000 description 1
- 238000001228 spectrum Methods 0.000 description 1
- 239000007921 spray Substances 0.000 description 1
- 238000005211 surface analysis Methods 0.000 description 1
- 238000010345 tape casting Methods 0.000 description 1
- 235000002906 tartaric acid Nutrition 0.000 description 1
- 239000011975 tartaric acid Substances 0.000 description 1
- 150000003556 thioamides Chemical class 0.000 description 1
- 150000003585 thioureas Chemical class 0.000 description 1
- 150000003672 ureas Chemical class 0.000 description 1
- LRXTYHSAJDENHV-UHFFFAOYSA-H zinc phosphate Chemical compound [Zn+2].[Zn+2].[Zn+2].[O-]P([O-])([O-])=O.[O-]P([O-])([O-])=O LRXTYHSAJDENHV-UHFFFAOYSA-H 0.000 description 1
- 229910000165 zinc phosphate Inorganic materials 0.000 description 1
- 150000003754 zirconium Chemical class 0.000 description 1
Images
Classifications
-
- C—CHEMISTRY; METALLURGY
- C23—COATING METALLIC MATERIAL; COATING MATERIAL WITH METALLIC MATERIAL; CHEMICAL SURFACE TREATMENT; DIFFUSION TREATMENT OF METALLIC MATERIAL; COATING BY VACUUM EVAPORATION, BY SPUTTERING, BY ION IMPLANTATION OR BY CHEMICAL VAPOUR DEPOSITION, IN GENERAL; INHIBITING CORROSION OF METALLIC MATERIAL OR INCRUSTATION IN GENERAL
- C23C—COATING METALLIC MATERIAL; COATING MATERIAL WITH METALLIC MATERIAL; SURFACE TREATMENT OF METALLIC MATERIAL BY DIFFUSION INTO THE SURFACE, BY CHEMICAL CONVERSION OR SUBSTITUTION; COATING BY VACUUM EVAPORATION, BY SPUTTERING, BY ION IMPLANTATION OR BY CHEMICAL VAPOUR DEPOSITION, IN GENERAL
- C23C22/00—Chemical surface treatment of metallic material by reaction of the surface with a reactive liquid, leaving reaction products of surface material in the coating, e.g. conversion coatings, passivation of metals
- C23C22/05—Chemical surface treatment of metallic material by reaction of the surface with a reactive liquid, leaving reaction products of surface material in the coating, e.g. conversion coatings, passivation of metals using aqueous solutions
- C23C22/06—Chemical surface treatment of metallic material by reaction of the surface with a reactive liquid, leaving reaction products of surface material in the coating, e.g. conversion coatings, passivation of metals using aqueous solutions using aqueous acidic solutions with pH less than 6
- C23C22/07—Chemical surface treatment of metallic material by reaction of the surface with a reactive liquid, leaving reaction products of surface material in the coating, e.g. conversion coatings, passivation of metals using aqueous solutions using aqueous acidic solutions with pH less than 6 containing phosphates
- C23C22/08—Orthophosphates
-
- C—CHEMISTRY; METALLURGY
- C23—COATING METALLIC MATERIAL; COATING MATERIAL WITH METALLIC MATERIAL; CHEMICAL SURFACE TREATMENT; DIFFUSION TREATMENT OF METALLIC MATERIAL; COATING BY VACUUM EVAPORATION, BY SPUTTERING, BY ION IMPLANTATION OR BY CHEMICAL VAPOUR DEPOSITION, IN GENERAL; INHIBITING CORROSION OF METALLIC MATERIAL OR INCRUSTATION IN GENERAL
- C23C—COATING METALLIC MATERIAL; COATING MATERIAL WITH METALLIC MATERIAL; SURFACE TREATMENT OF METALLIC MATERIAL BY DIFFUSION INTO THE SURFACE, BY CHEMICAL CONVERSION OR SUBSTITUTION; COATING BY VACUUM EVAPORATION, BY SPUTTERING, BY ION IMPLANTATION OR BY CHEMICAL VAPOUR DEPOSITION, IN GENERAL
- C23C22/00—Chemical surface treatment of metallic material by reaction of the surface with a reactive liquid, leaving reaction products of surface material in the coating, e.g. conversion coatings, passivation of metals
- C23C22/05—Chemical surface treatment of metallic material by reaction of the surface with a reactive liquid, leaving reaction products of surface material in the coating, e.g. conversion coatings, passivation of metals using aqueous solutions
- C23C22/68—Chemical surface treatment of metallic material by reaction of the surface with a reactive liquid, leaving reaction products of surface material in the coating, e.g. conversion coatings, passivation of metals using aqueous solutions using aqueous solutions with pH between 6 and 8
-
- C—CHEMISTRY; METALLURGY
- C23—COATING METALLIC MATERIAL; COATING MATERIAL WITH METALLIC MATERIAL; CHEMICAL SURFACE TREATMENT; DIFFUSION TREATMENT OF METALLIC MATERIAL; COATING BY VACUUM EVAPORATION, BY SPUTTERING, BY ION IMPLANTATION OR BY CHEMICAL VAPOUR DEPOSITION, IN GENERAL; INHIBITING CORROSION OF METALLIC MATERIAL OR INCRUSTATION IN GENERAL
- C23C—COATING METALLIC MATERIAL; COATING MATERIAL WITH METALLIC MATERIAL; SURFACE TREATMENT OF METALLIC MATERIAL BY DIFFUSION INTO THE SURFACE, BY CHEMICAL CONVERSION OR SUBSTITUTION; COATING BY VACUUM EVAPORATION, BY SPUTTERING, BY ION IMPLANTATION OR BY CHEMICAL VAPOUR DEPOSITION, IN GENERAL
- C23C22/00—Chemical surface treatment of metallic material by reaction of the surface with a reactive liquid, leaving reaction products of surface material in the coating, e.g. conversion coatings, passivation of metals
- C23C22/05—Chemical surface treatment of metallic material by reaction of the surface with a reactive liquid, leaving reaction products of surface material in the coating, e.g. conversion coatings, passivation of metals using aqueous solutions
- C23C22/06—Chemical surface treatment of metallic material by reaction of the surface with a reactive liquid, leaving reaction products of surface material in the coating, e.g. conversion coatings, passivation of metals using aqueous solutions using aqueous acidic solutions with pH less than 6
- C23C22/48—Chemical surface treatment of metallic material by reaction of the surface with a reactive liquid, leaving reaction products of surface material in the coating, e.g. conversion coatings, passivation of metals using aqueous solutions using aqueous acidic solutions with pH less than 6 not containing phosphates, hexavalent chromium compounds, fluorides or complex fluorides, molybdates, tungstates, vanadates or oxalates
-
- C—CHEMISTRY; METALLURGY
- C23—COATING METALLIC MATERIAL; COATING MATERIAL WITH METALLIC MATERIAL; CHEMICAL SURFACE TREATMENT; DIFFUSION TREATMENT OF METALLIC MATERIAL; COATING BY VACUUM EVAPORATION, BY SPUTTERING, BY ION IMPLANTATION OR BY CHEMICAL VAPOUR DEPOSITION, IN GENERAL; INHIBITING CORROSION OF METALLIC MATERIAL OR INCRUSTATION IN GENERAL
- C23C—COATING METALLIC MATERIAL; COATING MATERIAL WITH METALLIC MATERIAL; SURFACE TREATMENT OF METALLIC MATERIAL BY DIFFUSION INTO THE SURFACE, BY CHEMICAL CONVERSION OR SUBSTITUTION; COATING BY VACUUM EVAPORATION, BY SPUTTERING, BY ION IMPLANTATION OR BY CHEMICAL VAPOUR DEPOSITION, IN GENERAL
- C23C22/00—Chemical surface treatment of metallic material by reaction of the surface with a reactive liquid, leaving reaction products of surface material in the coating, e.g. conversion coatings, passivation of metals
- C23C22/05—Chemical surface treatment of metallic material by reaction of the surface with a reactive liquid, leaving reaction products of surface material in the coating, e.g. conversion coatings, passivation of metals using aqueous solutions
- C23C22/06—Chemical surface treatment of metallic material by reaction of the surface with a reactive liquid, leaving reaction products of surface material in the coating, e.g. conversion coatings, passivation of metals using aqueous solutions using aqueous acidic solutions with pH less than 6
- C23C22/48—Chemical surface treatment of metallic material by reaction of the surface with a reactive liquid, leaving reaction products of surface material in the coating, e.g. conversion coatings, passivation of metals using aqueous solutions using aqueous acidic solutions with pH less than 6 not containing phosphates, hexavalent chromium compounds, fluorides or complex fluorides, molybdates, tungstates, vanadates or oxalates
- C23C22/58—Treatment of other metallic material
-
- C—CHEMISTRY; METALLURGY
- C23—COATING METALLIC MATERIAL; COATING MATERIAL WITH METALLIC MATERIAL; CHEMICAL SURFACE TREATMENT; DIFFUSION TREATMENT OF METALLIC MATERIAL; COATING BY VACUUM EVAPORATION, BY SPUTTERING, BY ION IMPLANTATION OR BY CHEMICAL VAPOUR DEPOSITION, IN GENERAL; INHIBITING CORROSION OF METALLIC MATERIAL OR INCRUSTATION IN GENERAL
- C23C—COATING METALLIC MATERIAL; COATING MATERIAL WITH METALLIC MATERIAL; SURFACE TREATMENT OF METALLIC MATERIAL BY DIFFUSION INTO THE SURFACE, BY CHEMICAL CONVERSION OR SUBSTITUTION; COATING BY VACUUM EVAPORATION, BY SPUTTERING, BY ION IMPLANTATION OR BY CHEMICAL VAPOUR DEPOSITION, IN GENERAL
- C23C22/00—Chemical surface treatment of metallic material by reaction of the surface with a reactive liquid, leaving reaction products of surface material in the coating, e.g. conversion coatings, passivation of metals
- C23C22/05—Chemical surface treatment of metallic material by reaction of the surface with a reactive liquid, leaving reaction products of surface material in the coating, e.g. conversion coatings, passivation of metals using aqueous solutions
- C23C22/60—Chemical surface treatment of metallic material by reaction of the surface with a reactive liquid, leaving reaction products of surface material in the coating, e.g. conversion coatings, passivation of metals using aqueous solutions using alkaline aqueous solutions with pH greater than 8
- C23C22/66—Treatment of aluminium or alloys based thereon
-
- C—CHEMISTRY; METALLURGY
- C23—COATING METALLIC MATERIAL; COATING MATERIAL WITH METALLIC MATERIAL; CHEMICAL SURFACE TREATMENT; DIFFUSION TREATMENT OF METALLIC MATERIAL; COATING BY VACUUM EVAPORATION, BY SPUTTERING, BY ION IMPLANTATION OR BY CHEMICAL VAPOUR DEPOSITION, IN GENERAL; INHIBITING CORROSION OF METALLIC MATERIAL OR INCRUSTATION IN GENERAL
- C23C—COATING METALLIC MATERIAL; COATING MATERIAL WITH METALLIC MATERIAL; SURFACE TREATMENT OF METALLIC MATERIAL BY DIFFUSION INTO THE SURFACE, BY CHEMICAL CONVERSION OR SUBSTITUTION; COATING BY VACUUM EVAPORATION, BY SPUTTERING, BY ION IMPLANTATION OR BY CHEMICAL VAPOUR DEPOSITION, IN GENERAL
- C23C22/00—Chemical surface treatment of metallic material by reaction of the surface with a reactive liquid, leaving reaction products of surface material in the coating, e.g. conversion coatings, passivation of metals
- C23C22/78—Pretreatment of the material to be coated
Definitions
- the invention relates to a process for the treatment of metallic surfaces consisting of zinc, magnesium or aluminum or of the alloys of zinc, magnesium or aluminum and to which after the treatment lacquers, plastic layers, paints, sealants or adhesives are applied ,
- scale surfaces are coated with an inorganic conversion layer (e.g., zinc phosphate) prior to the application of a lacquer or plastic layer.
- an inorganic conversion layer e.g., zinc phosphate
- conversion treatment by means of layer-forming phosphating or chromating the metallic surface is passivated and prepared for the usually subsequent coating with a paint or with a plastic.
- the conversion treatment of aluminum surfaces is still carried out today by yellow chromating, using an acidic chromate solution with a pH of 1 to 2, which forms a protective layer on the aluminum.
- the protective layer consists of an insoluble Aluminum-chromium (III) mixed oxide and causes the high passivity of the surface against corrosion.
- the residual content of unused chromate ions deposited in the oxide layer additionally causes a self-healing effect in the case of a damaged coating of lacquer or plastic.
- the yellow chromated aluminum surfaces has the disadvantage that it has only insufficient adhesion-promoting properties with respect to a paint and plastic layer.
- chromate ions are washed out of free-weathered layers disadvantageously.
- the DE-A 31 37 525 discloses a process for inhibiting corrosion in an aqueous system, wherein the aqueous system contains at least one water-soluble inorganic nitrite and at least one organic diphosphonic acid or at least one salt of the diphosphonic acid.
- the diphosphonic acid is present in the aqueous system at a concentration of 0.1 to 20 ppm.
- corrosion problems in cooling systems should be avoided.
- especially the hydroxyethylidenediphosphonic acid and its inorganic salts are preferred.
- benzimidazolyl-2-alkane-phosphonic acids and their salts have a pronounced corrosion-inhibiting effect and can be used as corrosion inhibitors.
- They can be used individually, with each other or together with other known corrosion inhibitors.
- the compounds are added for corrosion inhibition in general aqueous, aqueous-alcoholic, alcoholic and / or oil-containing media.
- they can be used as corrosion inhibitors in heat carriers of cooling or heating circuits, cooling lubricants, mineral oils or Sparbeizen. the corrosion of metals is prevented by addition of the compounds and / or their salts to the media or circulatory liquids, in particular of copper and its alloys.
- the benzimidazolyl-2-alkane-phosphonic acids contain a phosphonic acid group, a straight-chain or branched, saturated or unsaturated, bivalent, optionally substituted hydrocarbon radical having 1 to 15 carbon atoms and a substituted benzimidazole radical, where the straight-chain or branched hydrocarbon radical and the benzimidazole radical are in position 2 the benzimidazole radical are linked together.
- DE-AS 1 013 814 teaches one-component reaction primer solutions (one-component "wash primer") for improving the printability of aluminum foils which contain not only hydroxyl-containing acetalized synthetic resin but also one or two oxygen-containing inorganic acids in hydroxyl-containing solvents and from 0.1 to 5% of an additive of organic hydroxyl group-containing acids or esters such as of oxybutyric acid or tartaric acid.
- a method in which firstly a layer of aluminum is produced on an aluminum substrate at a pH value of from 2 to 14 and in which then at the Aluminum hydroxide layer is deposited by treatment with an organic phosphinic acid or an organic phosphonic acid another layer.
- the organic radical of the phosphinic and phosphonic acid contains in each case 1 to 10 organic groups and 1 to 30 C atoms.
- the molecule of the organic phosphinic and phosphonic acids contains from 1 to 10 phosphine and phosphonic acid groups.
- an aqueous solution is used in which amines, amine alcohols, alkali hydroxides, alkaline earth hydroxides, alkali metal carbonates. Alkali bicarbonates or ammonia are included.
- a solution is used in which the phosphinic and phosphonic acids are present in a concentration of 0.001 mol / l up to the saturation concentration and contains as solvent water, an alcohol or an organic solvent.
- the phosphinic and phosphonic acids contain as organic groups, for example, aliphatic hydrocarbons, aromatic hydrocarbons, organic acids, aldehydes, ketones, amines, amides, thioamides, imides, lactams, anilines, piperidines, pyridines, carbohydrates, esters, lactones, ethers, alkenes, alcohols , Nitriles, oximes, silicones, ureas, thioureas, perfluorinated organic groups, silanes, and combinations of these groups.
- the second layer should act on the substrate in particular as a good adhesion promoter for paint and plastic coatings and for paints.
- the invention has for its object to provide a method according to which metallic surfaces, which consist of zinc, magnesium or aluminum or of the alloys of zinc, magnesium or aluminum, treated to the metallic surfaces in particular a good adhesion for Paints, plastic layers, paints, sealants and adhesives and to protect the metallic surfaces against corrosion.
- the object underlying the invention is achieved in that the metallic surfaces are treated at 10 to 100 ° C by dipping, spraying or rolling with an aqueous solution having a pH of 2 to 13 and 10 -5 to 1 mol / l one or more compounds.
- Y is a straight-chain alkyl group having 10 to 20 C atoms
- X is a COOH, HSO 3 , HSO 4 , (OH) 2 PO, (OH) 2 PO 2 - , (OH) (OR ') PO or (OH) (OR') PO 2 - group
- R ' is an alkyl group having 1 to
- the effect of the method according to the invention is based on the ability of the compounds XYZ to spontaneously organize and to form very thin, closed films on metallic surfaces, in particular an orientation of the acidic groups in the direction of the metallic surface and between the hydroxyl groups on the metallic surface and the acidic groups of the compound XYZ is a chemical bond is formed.
- the structure of the compounds XYZ was chosen according to the invention so that both a reactive binding of the thin film to the metal surface and to the matrix of paints, plastic coatings, paints, sealants and adhesives results.
- the straight-chain organic group Y acts as a "spacer" between the groups X and Z; it virtually gives the compound XYZ the properties of a surfactant, since the organic group Y has hydrophobic properties.
- the Z group imparts wettability and reactivity to the coated surface to paints, plastic coatings, paints, sealants and adhesives.
- paints, plastic coatings, paints, sealants and adhesives are applied to the thin films, the advantageous properties of the thin films are retained even under the action of corrosive media, so that the metallic surfaces are protected against corrosion.
- the reactive group Z should be matched in particular to the individual coatings.
- aqueous solution 0.1 to 50% of the water is replaced by an alcohol having 1 to 4 carbon atoms, by acetone, by dioxane or by tetrahydrofuran.
- organic solvents cause a higher solubility of the compounds XYZ, which are usually larger molecules whose solubility in pure water is not very high.
- the solution always contains a large amount of water, so that even in the presence of organic solvents can still be spoken of an aqueous system.
- the aqueous solution contains one or more compounds of the type XYZ in a concentration which is in the range of the critical micelle concentration.
- the critical micelle formation concentration cmc is a characteristic of the particular surfactant concentration, in which the aggregation of the surfactant molecules to micelles begins. The aggregation is reversible. Below the cmc, ie, when the solutions are diluted, the micelles again break down into monomeric surfactant molecules.
- the numerical value of cmc for each surfactant depends on its constitution as well as external parameters such as ionic strength, temperature and concentration of additives. Surface tension measurements are suitable as methods for determining the cmc.
- the surface tension is determined ⁇ of a surfactant solution as a function of its concentration c at constant temperature by means of the ring or plate method.
- the aqueous solution contains a defoamer and / or a solubilizer in each case in an amount of 0.05 to 5 wt .-%.
- the defoamer facilitates the handling of the solution according to the invention, which tends to foam due to the surfactant properties of the compounds XYZ.
- the solubilizer advantageously limits the use of organic solvents and favors the use of pure water. Both as defoamers and as solubilizers, for example, amino alcohols can be used.
- the compounds of the type XYZ are present in the aqueous solution as salts.
- the salts are generally more soluble than the compounds themselves, and moreover the dissolved salts are very stable, so that the handling of the solution according to the invention is improved by the use of the salts of the compounds XYZ.
- the sodium and potassium salts are used.
- Y is a straight-chain, straight-chain alkyl group having 10 to 12 C atoms. These groups Y give the compounds XYZ according to the invention very good adhesion-promoting properties for coatings and other organic coatings.
- Aqueous solutions containing the following compounds of the type XYZ have very good adhesion-promoting and corrosion-inhibiting properties: 1-phosphonic acid 12-mercaptododecane, 1-phosphonic acid 12- (N-ethylamino) dodecane, 1-phosphonic acid 12-dodecene, 1,10-decanediphosphonic acid, 1,12-dodecanediphosphonic acid, 1-phosphoric acid 12-hydroxvdodecane, 1-phosphoric acid 12 (N-ethylamino) dodecane, 1-phosphoric acid 12-mercaptododecane, 1,10-decanediphosphoric acid, 1,12- Dodecanediphosphoric acid, 1-phosphoric acid 12-acryloyldodecane.
- These compounds bond to the metallic surfaces via the phosphonic and phosphoric acid groups and act as adhesion promoters to the various organic constituents of the coatings, the plastic coatings, the paints, the sealants, both through their aliphatic group and through their functional group Z. and the adhesives.
- the aqueous solution is applied by the known dipping, spraying or rolling at 10 to 100 ° C on the metallic surfaces, the dipping time 5 seconds to 20 minutes, the injection time 5 seconds to 15 Minutes and the rolling time is 2 to 120 seconds. It has been found that a thin film is formed on the metallic surfaces when the aqueous solution is applied by dipping, spraying or rolling, wherein rinsing of the treated metallic surfaces is not essential, but may be advantageous.
- the metallic surfaces are stained alkaline and / or acid before applying the aqueous solution and then rinsed with water.
- the used water can be desalted or not desalted.
- the metallic surfaces consisting of zinc, magnesium, aluminum and their alloys are always covered by oxide layers and additionally contaminated by the superficial adsorption of carbon dioxide, water and / or hydrocarbons. These contaminated coatings are unable to permanently bond paints, plastic coatings, paints, sealants and adhesives and provide long term corrosion protection. Therefore, the metallic surfaces are cleaned in the manner according to the invention prior to treatment with the aqueous solution.
- the metallic surfaces on which the aqueous solution was applied by dipping or spraying, then rinsed with water and optionally dried in a stream of nitrogen or air, wherein the temperature of the nitrogen or air flow is 15 to 150 ° C. Rinsing and drying does not hinder the formation of the thin film on the metallic surfaces.
- the water used for rinsing may be desalted or not desalted.
- the method according to the invention is used for the treatment of metallic surfaces, to which a cathodic or anodic electrodeposition paint, a powder coating, a coil coating lacquer, a low-solvent high-solids lacquer or a water-diluted lacquer is subsequently applied ,
- a cathodic or anodic electrodeposition paint a powder coating, a coil coating lacquer, a low-solvent high-solids lacquer or a water-diluted lacquer is subsequently applied
- the pretreatment of the metallic surfaces with the aqueous solution according to the invention has proven particularly useful.
- the substrate sheets consist of the alloy AlMg1.
- the sheets are immersed in an alkaline pickling solution containing 32 g / l NaOH and 8 g / l Na 2 CO 3 at room temperature for 3 minutes. Then it is rinsed with deionized water. Thereafter, the alkaline pickled sheets are immersed for 3 minutes at 40 ° C in an acid pickling solution containing 10 g / l H 2 SO 4 and 33 g / l H 2 O 2 . Then it is rinsed with deionized water. Finally, the pickled sheets are immersed in the aqueous solution according to the invention at 40 ° C. for 3 minutes, which contains the compound XYZ according to the invention in a concentration of about 10 -3 mol / l. This is followed by rinsing with demineralized water and drying at room temperature in a stream of nitrogen.
- the sheets are first sprayed at 65 ° C for 10 seconds with an alkaline pickling solution containing 10 g / l Bonder V338M®. Subsequently, the sheets are rinsed by spraying with water. Thereafter, the alkaline pickled sheets are sprayed at 50 ° C for 30 seconds with an acidic pickling solution containing 16 g / l Bonder V450M®. Subsequently, the pickled sheets are rinsed by spraying with demineralized water. Finally, the sheets are sprayed with the aqueous solution according to the invention at 40 ° C for 30 seconds. This is followed by rinsing with deionized water and drying in a stream of air at room temperature.
- the compound XYZ according to the invention is present in the aqueous solution in a concentration of about 10 -3 mol / l (® registered trademark of Metallgesellschaft AG, Frankfurt / Main, DE).
- the sheets are pickled according to the spraying alkaline and acidic and rinsed. Subsequently, the aqueous solution according to the invention is rolled onto the sheets for two seconds at room temperature, wherein the roller is driven at 25 U / minute.
- the compound XYZ is present in a concentration of about 10 -3 mol / l. After rolling the aqueous solution, the sheets are dried in a convection oven at 105 ° C.
- the treated with the inventive aqueous solution panels were painted according to different methods. Both a cathodic electrodeposition paint and a powder coating as well as a polyester paint were used.
- the electrocoating was electrolytically deposited on the sheets at a voltage of about 250 volts and then dried at 180 ° C for 22 minutes.
- the powder coating was applied to the panels by electrostatic spraying and then dried at 200 ° C for 10 minutes.
- the polyester coating system consisted of a primer and a topcoat. Both components were applied to the sheets by knife coating. The primer had a layer thickness of 5 microns, while the topcoat had a layer thickness of 25 microns. The stoving temperatures were 216 ° C for the primer and 241 ° C for the top coat.
- the following table contains the test results which were measured when using different substances according to the invention.
- the substances were present in the solutions according to the invention in a concentration of about 10 -3 mol / l.
- the acetic acid-enhanced salt spray test ESS shows that the thin films produced according to the invention provide very good undercounter protection over the comparison sheets; Of the comparison sheets only the chromated sheet is sufficiently protected against corrosion.
- the T-bend test which was carried out under the T 0 condition, as well as the cross-hatching with Erichsentiefung show that the paint adhesion is better on the inventively treated sheets than on the comparison sheets. Overall, therefore, the results obtained with the invention are surprisingly good, since they are equivalent to the result obtained with the chromating equivalent corrosion resistance and with respect to the paint adhesion significantly.
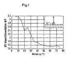
- angle-dependent X-ray photoelectron spectroscopy By angle-dependent X-ray photoelectron spectroscopy (ARXPS) the orientation of the molecules of the compounds of the type XYZ was determined. Due to the very limited penetration depth of the characteristic photoelectrons, angle-resolved x-ray photoelectrospectroscopy allows a different information depth of the spectral data as a function of the angle ⁇ . Thus, the information depth at small angles in the range of about 1 nm and at larger angles in the range to about 10 nm. This allows to determine the orientation of the molecules. This method is, for example, in the publication of Briggs, Practical Surface Analysis, 1990, Wiley & Sons, Chichester , described. FIG.
Landscapes
- Chemical & Material Sciences (AREA)
- General Chemical & Material Sciences (AREA)
- Chemical Kinetics & Catalysis (AREA)
- Engineering & Computer Science (AREA)
- Materials Engineering (AREA)
- Mechanical Engineering (AREA)
- Metallurgy (AREA)
- Organic Chemistry (AREA)
- Chemical Treatment Of Metals (AREA)
- Application Of Or Painting With Fluid Materials (AREA)
- ing And Chemical Polishing (AREA)
- Paints Or Removers (AREA)
Description
- Die Erfindung bezieht sich auf ein Verfahren zur Behandlung metallischer Oberflächen, die aus Zink, Magnesium oder Aluminium oder aus den Legierungen- des Zinks, des Magnesiums oder des Aluminiums bestehen und auf die nach der Behandlung Lacke, Kunststoffschichten, Anstriche, Dichtungsmassen oder Klebstoffe aufgebracht werden.
- Es ist bekannt, daß die Korrosion von polymerbeschichteten, metallischen Oberflächen auf elektrochemische Reaktionen an der Phasengrenze Metall /Polymer zurückzuführen ist. Bei vielen in der Technik angewendeten Beschichtungsverfahren werden daher Mecalloberflächen vor dem Auftragen einer Lack- oder Kunststoffschicht mit einer anorganischen Konversionsschicht (z.B. Zinkphosphat) überzogen. Durch Konversionsbehandlung mittels schichtbildender Phosphatierung oder Chromatierung wird die metallische Oberfläche passiviert und für die sich meist anschließende Beschichtung mit einem Lack oder mit einem Kunststoff vorbereitet.
- Die Konversionsbehandlung von Aluminiumoberflächen erfolgt auch heute noch durch Gelbchromatierung, wobei eine saure Chromatlösung mit einem pH-Wert von 1 bis 2 verwendet wird, durch die sich auf dem Aluminium eine Schutzschicht ausbildet. Die Schutzschicht besteht aus einem unlöslichen
Aluminium-Chrom-(III)-Mischoxid und bewirkt die hohe Passivität der Oberfläche gegen Korrosion. Der in der Oxidschicht deponierte Restgehalt unverbrauchter Chromationen bewirkt zusätzlich einen Selbstheilungseffekt bei einer beschädigten Lack- oder Kunststoffbeschichtung. Die Gelbchromatierung von Aluminiumoberflächen hat allerdings den Nachteil, daß sie gegenüber einer Lack- und Kunststoffschicht nur unzureichende haftungsvermittelnde Eigenschaften aufweist. Es kommt hinzu, daß Chromationen aus freibewitterten Schichten in nachteiliger Weise ausgewaschen werden. - Als Alternative zur Chromatierung wurde ein Verfahren entwickelt, daß mit Zirkonsalzen, Fluoriden, Phosphaten und organischen Polymeren (z.B. Polyacrylate und Polyvinylalkohole) arbeitet. Mit diesem Verfahren werden auf Aluminiumoberflächen Schichten gebildet, die dem Substrat einen gewissen Korrosionsschutz und ein recht gutes Haftungsvermögen für Lack- und Kunststoffbeschichtungen verleihen. Allerdings ist der erzielte Korrosionsschutz nicht immer befriedigend.
- Es hat auch nicht an Versuchen gefehlt, metallische Oberflächen aus Zink, Magnesium, Aluminium und deren Legierungen durch Behandlung mit organischen Substanzen für das Aufbringen von Lack- und Kunststoffbeschichtungen optimal auszurüsten.
- So ist aus der
DE-A 31 37 525 ein Verfahren zur Korrosionshemmung in einem wässrigen System bekannt, bei dem das wässrige System wenigstens ein wasserlösliches anorganisches Nitrit und wenigstens eine organische Diphosphonsäure oder wenigstens ein Salz der Diphosphonsäure enthält. Die Diphosphonsäure liegt im wässrigen System mit einer Konzentration von 0,1 bis 20 ppm vor. Mit dem bekannten wässrigen System sollen insbesondere Korrosionsprobleme in Kühlsystemen vermieden werden. Im wässrigen System sind besonders die Hydroxyethylidendiphosphonsäure und deren anorganische Salze bevorzugt. - Aus der
EP-A 0 012 909 ist bekannt, daß Benzimidazolyl-2-alkan-phosphonsäuren und deren Salze eine ausgeprägte korrosionsinhibierende Wirkung haben und als Korrosionsinhibitoren verwendet werden können. Zur Korrosionsinhibition können sie einzeln, untereinander kombiniert oder zusammen mit anderen bekannten Korrosionsinhibitoren eingesetzt werden. Die Verbindungen werden zur Korrosionsinhibition im allgemeinen wässrigen, wässrig-alkoholischen, alkoholischen und/oder ölhaltigen Medien zugesetzt. Beispielsweise können sie als Korrosionsinhibitoren in Wärmeträgern von Kühl- oder Heizkreisläufen, Kühlschmierstoffen, Mineralölen oder Sparbeizen eingesetzt werden. Durch Zusatz der Verbindungen und/oder deren Salzen zu den genannten Medien oder Kreislaufflüssigkeiten wird die Korrosion von Metallen, insbesondere von Kupfer und dessen Legierungen, verhindert. Die Benzimidazolyl-2-alkan-phosphonsäuren enthalten eine Phosphonsäuregruppe, einen geradkettigen oder verzweigten, gesättigten oder ungesättigten, bivalenten, ggf. substituierten Kohlenwasserstoffrest mit 1 bis 15 Kohlenstoffatomen und einen substituierten Benzimidazolrest, wobei der geradkettige oder verzweigte Kohlenwasserstoffrest und der Benzimidazolrest über die Position 2 des Benzimidazolrestes miteinander verknüpft sind. - Aus der
US-A 4 351 675 ist eine wäßrige Lösung zur Behandlung von Zink, Zinklegierungen oder Cadmium bekannt, die Salpetersäure, ein Oxidationsmittel (H2O2, Nitrat, Nitrit, Chlorat) und eine Diphosphonsäure enthält, wobei die beiden Phosphonsäuregruppen über ein Kohlenstoffatom miteinander verbunden sind, das außerdem eine OH-Gruppe und einen Alkylyrest mit 1 bis 4 Kohlenstoffatomen aufweist. -
DE-AS 1 013 814 lehrt Einkomponenten-Reaktionsgrundierlösungen (Einkomponenten-"Wash-Primer") für die Verbesserung der Bedruckbarkeit von Aluminiumfolien, die neben hydroxylgruppenhaltigem acetalisierten Kunstharz als Bindemittel eine oder zwei sauerstoffhaltige anorganische Säuren in hydroxylgruppenhaltigen Lösungsmitteln und 0,1 bis 5 % eines Zusatzes von organischen hydroxylgruppenhaitigen Säuren oder Estem wie z.B. von Oxybuttersäure oder Weinsäure enthalten. - Schließlich ist aus der
US-A 5 059 258 ein Verfahren bekannt, bei dem zunächst auf einem Aluminiumsubstrat bei einem pH-Wert von 2 bis 14 eine Schicht aus Aluminiumhydroxid erzeugt wird und bei dem danach auf der Aluminiumhydroxidschicht durch Behandlung mit einer organischen Phosphinsäure oder einer organischen Phosphonsäure eine weitere Schicht abgeschieden wird. Der organische Rest der Phosphin- und Phosphonsäure enthält jeweils 1 bis 10 organische Gruppen und 1 bis 30 C-Atome. Im Molekül der organischen Phosphin- und Phosphonsäuren sind 1 bis 10 Phosphin- und Phosphonsäure-Gruppen enthalten. Zur Erzeugung der Hydroxidschicht wird eine wäßrige Lösung verwendet, in der Amine, Aminalkohole, Alkalihydroxide, Erdalkalihydroxide, Alkalicarbonate. Alkalihydrogencarbonate oder Ammoniak enthalten sind. - Zur Erzeugung der zweiten Schicht wird eine Lösung verwendet, in der die Phosphin- und Phosphonsäuren in einer Konzentration von 0,001 mol/l bis zur Sättigungskonzentration vorliegen und die als Lösungsmittel Wasser, einen Alkohol oder ein organisches Lösungsmittel enthält. Die Phosphin- und Phosphonsäuren enthalten als organische Gruppen beispielsweise aliphatische Kohlenwasserstoffe, aromatische Kohlenwasserstoffe, organische Säuren, Aldehyde, Ketone, Amine, Amide, Thioamide, Imide, Lactame, Aniline, Piperidine, Pyridine, Kohlehydrate, Ester, Lactone, Ether, Alkene, Alkohole, Nitrile, Oxime, Silikone, Harnstoffe, Thioharnstoffe, perfluorierte organische Gruppen, Silane und Kombinationen dieser Gruppen. Die zweite Schicht soll auf dem Substrat insbesondere als guter Haftvermittler für Lack- und Kunststoffbeschichtungen sowie für Anstriche wirken.
- Der Erfindung liegt die Aufgabe zugrunde, ein Verfahren zu schaffen, gemäß dem metallische Oberflächen, die aus Zink, Magnesium oder Aluminium oder aus den Legierungen des Zinks, des Magnesiums oder des Aluminiums bestehen, behandelt werden, um den metallischen Oberflächen insbesondere ein gutes Haftungsvermögen für Lacke, Kunststoffschichten, Anstriche, Dichtungsmassen und Klebstoffe zu verleihen und die metallischen Oberflächen gegen Korrosion zu schützen.
- Die der Erfindung zugrunde liegende Aufgabe wird dadurch gelöst, daß die metallischen Oberflächen bei 10 bis 100°C durch Tauchen, Spritzen oder Walzen mit einer wäßrigen Lösung behandelt werden, die einen pH-Wert von 2 bis 13 hat und 10-5 bis 1 mol/l einer oder mehrerer Verbindungen. des Typs XYZ enthält, wobei Y eine unverzweigte geradkettige Alkyl-Gruppe mit 10 bis 20 C-Atomen ist, wobei X eine COOH-, HSO3-, HSO4-, (OH)2 PO-, (OH)2PO2-, (OH) (OR')POoder (OH) (OR')PO2- Gruppe ist, wobei Z eine OH-, SH-, NH2-, NHR'-, CN-, CH = CH2-, OCN-, Epoxy-, CH2=CR"-COO-, Acrylsäureamid-, (OH)2 PO-, (OH)2 PO2-, (OH) (OR') PO- oder (OH) (OR') PO2 -Gruppe ist und wobei R' eine Alkylgruppe mit 1 bis 4 C-Atomen ist, wobei R" ein H-Atom oder eine Alkylgruppe mit 1 bis 4 C-Atomen ist, und wobei die Gruppen X und Z an die Gruppe Y jeweils in deren Endstellung gebunden sind, wobei die wäßrige Lösung nicht als Kunstharz enthaltende Reaktionsgrundierlösung (Einkomponenten-"Wash-Primer") auf Aluminiumfolien verwendet wird.
- Die Wirkung des erfindungsgemäßen Verfahrens beruht auf der Fähigkeit der Verbindungen XYZ, sich spontan zu organisieren und auf metallischen Oberflächen sehr dünne, geschlossene Filme auszubilden, wobei insbesondere eine Orientierung der sauren Gruppen in Richtung der metallischen Oberfläche erfolgt und zwischen den auf der metallischen Oberfläche befindlichen Hydroxylgruppen sowie den sauren Gruppen der Verbindung XYZ eine chemische Bindung entsteht. Die Struktur der Verbindungen XYZ wurde erfindungsgemäß so gewählt, daß sich sowohl eine reaktive Anbindung des dünnen Films an die Metalloberfläche als auch an die Matrix von Lacken, Kunststoffbeschichtungen, Anstrichen, Dichtungsmassen und Klebstoffen ergibt. Die geradkettige organische Gruppe Y wirkt als "Abstandhalter" zwischen den Gruppen X und Z; sie verleiht der Verbindung XYZ quasi die Eigenschaften eines Tensids, da die organische Gruppe Y hydrophobe Eigenschaften aufweist. Die Gruppe Z verleiht der beschichteten Oberfläche eine gute Benetzbarkeit und Reaktivität gegenüber Lacken, Kunststoffbeschichtungen, Anstrichen, Dichtungsmassen und Klebstoffen. Wenn auf die dünnen Filme Lacke, Kunststoffbeschichtungen, Anstriche, Dichtungsmassen und Klebstoffe aufgebracht werden, bleiben die vorteilhaften Eigenschaften der dünnen Filme auch unter der Einwirkung korrosiver Medien erhalten, so daß die metallischen Oberflächen gegen Korrosion geschützt sind. Die reaktive Gruppe Z sollte insbesondere auf die einzelnen Lacke abgestimmt sein.
- In weiterer Ausgestaltung der Erfindung ist vorgesehen, daß in der wäßrigen Lösung 0,1 bis 50 % des Wassers durch einen Alkohol mit 1 bis 4 C-Atomen, durch Aceton, durch Dioxan oder durch Tetrahydrofuran ersetzt sind. Diese organischen Lösungsmittel bewirken eine höhere Löslichkeit der Verbindungen XYZ, bei denen es sich in der Regel um größere Moleküle handelt, deren Löslichkeit in reinem Wasser nicht sehr hoch ist. Andererseits enthält die Lösung immer eine große Menge an Wasser, so daß auch bei Anwesenheit organischer Lösungsmittel noch von einem wäßrigen System gesprochen werden kann.
- Nach der Erfindung ist es besonders vorteilhaft, wenn die wäßrige Lösung eine oder mehrere Verbindungen des Typs XYZ in einer Konzentration enthält, die im Bereich der kritischen Mizellbildungskonzentration liegt. Die kritische Mizellbildungskonzentration cmc ist eine für das jeweilige Tensid charakteristische Konzentration, bei der die Aggregation der Tensidmoleküle zu Mizellen einsetzt. Die Aggregation ist reversibel. Unterhalb der cmc, d. h. beim Verdünnen der Lösungen, zerfallen die Mizellen wieder in monomere Tensidmoleküle. Der Zahlenwert der cmc hängt für jedes Tensid von seiner Konstitution sowie von äußeren Parametern, wie Ionenstärke, Temperatur und Konzentration von Additiven, ab. Als Methoden zur Bestimmung der cmc eignen sich u. a. Oberflächenspannungsmessungen. Dabei wird mit Hilfe der Ring- oder Plattenmethode die Oberflächenspannung δ einer Tensidlösung in Abhängigkeit von ihrer Konzentration c bei konstanter Temperatur bestimmt. Die cmc erkennt man als Knickpunkt in der Meßkurve δ = f (lg c). Beispiele zur Bestimmung der cmc verschiedener Tenside finden sich in "Die Tenside" Hrsg. v. Kosswig und Stache, Carl Hanser Verlag, München, Wien, 1993.
- Nach der Erfindung hat es sich besonders bewährt, wenn die wäßrige Lösung einen Entschäumer und/oder einen Lösungsvermittler jeweils in einer Menge von 0,05 bis 5 Gew.-% enthält. Der Entschäumer erleichtert die Handhabung der erfindungsgemäßen Lösung, die aufgrund der Tensideigenschaften der Verbindungen XYZ zur Schaumbildung neigt. Der Lösungsvermittler begrenzt in vorteilhafter Weise die Verwendung organischer Lösungsmittel und begünstigt die Verwendung von reinem Wasser. Sowohl als Entschäumer als auch als Lösungsvermittler können beispielsweise Aminoalkohole verwendet werden.
- Nach der Erfindung hat es sich in einigen Fällen bewährt, wenn die Verbindungen des Typs XYZ in der wäßrigen Lösung als Salze vorliegen. Die Salze sind in der Regel besser löslich als die Verbindungen selbst, und außerdem sind die gelösten Salze sehr stabil, so daß die Handhabung der erfindungsgemäßen Lösung durch die Verwendung der Salze der Verbindungen XYZ verbessert wird. In der Praxis werden insbesondere die Natrium- und Kaliumsalze eingesetzt.
- Gemäß der Erfindung ist Y eine unverzweigte, geradkettige Alkylgruppe mit 10 bis 20 C-Atomen. Alle erfindungsgemäßen Gruppen Y sind also durch eine geradkettige, unverzweigte Molekülstruktur gekennzeichnet, die bestens geeignet ist, als "Abstandhalter" zwischen den Gruppen X und Z zu wirken. Die Gruppen Y können also erfindungsgemäß folgende Struktur haben:
- a) X-(CH2)m -Z; m = 10 bis 20
- Nach der Erfindung ist es besonders vorteilhaft, wenn Y eine unverzweigte, geradkettige Alkylgruppe mit 10 bis 12 C-Atomen ist. Diese Gruppen Y verleihen den erfindungsgemäßen Verbindungen XYZ sehr gute haftvermittelnde Eigenschaften für Lacke und andere organische Beschichtungen. Ferner ist es besonders vorteilhaft, wenn X eine (OH)2PO2- oder (OH)(OR')PO2-Gruppe ist und wenn Z eine (OH)2PO2-, (OH)(OR')PO2-, OH-, SH-, NHR'-, CH=CH2- oder CH2=CR"-COO-Gruppe ist. Verbindungen des Typs XYZ, die mit den vorgenannten Gruppen X und Z ausgestattet sind, haben ebenfalls gute haftvermittelnde Eigenschaften für Lacke und Kunststoffbeschichtungen und gehen darüber hinaus mit den metallischen Oberflächen eine feste chemische Bindung ein.
- Wäßrige Lösungen, welche die nachfolgend genannten Verbindungen des Typs XYZ enthalten, haben sehr gute haftvermittelnde und korrosionshemmende Eigenschaften: 1-Phosphonsäure-12-mercaptododecan, 1-Phosphonsäure-12-(N-ethylamino)dodecan, 1-Phosphonsäure-12-Dodecen, 1,10-Decandiphosphonsäure, 1,12-Dodecandiphosphonsäure, 1-Phosphorsäure-12-Hydroxvdodecan, 1-Phosphorsäure-12(N-ethylamino)dodecan, 1-Phosphorsäure-12-mercaptododecan, 1,10-Decandiphosphorsäure, 1,12-Dodecandiphosphorsäure, 1-Phosphorsäure-12-Acryloyldodecan. Diese Verbindungen gehen mit den metallischen Oberflächen über die Phosphon- und Phosphorsäure-Gruppe eine Bindung ein und wirken sowohl durch ihre aliphatische Gruppe als auch durch ihre funktionelle Gruppe Z als Haftvermittler gegenüber den verschiedenen organischen Bestandteilen der Lacke, der Kunststoffbeschichtungen, der Anstriche, der Dichtungsmassen und der Klebstoffe.
- In weiterer Ausgestaltung der Erfindung ist vorgesehen, daß die wäßrige Lösung durch das an sich bekannte Tauchen, Spritzen oder Walzen bei 10 bis 100°C auf die metallischen Oberflächen aufgebracht wird, wobei die Tauchzeit 5 Sekunden bis 20 Minuten, die Spritzzeit 5 Sekunden bis 15 Minuten und die Walzzeit 2 bis 120 Sekunden beträgt. Es hat sich gezeigt, daß auf den metallischen Oberflächen ein dünner Film entsteht, wenn die wäßrige Lösung durch Tauchen, Spritzen oder Walzen aufgebracht wird, wobei eine Spülung der behandelten metallischen Oberflächen nicht unbedingt erforderlich ist, aber vorteilhaft sein kann.
- Nach der Erfindung ist vorgesehen, daß die metallischen Oberflächen vor dem Aufbringen der wäßrigen Lösung alkalisch und/oder sauer gebeizt sowie danach mit Wasser gespült werden. Das verwendete Wasser kann entsalzt oder nicht entsalzt sein. Die aus Zink, Magnesium, Aluminium und deren Legierungen bestehenden metallischen Oberflächen sind stets von oxidischen Schichten bedeckt und zusätzlich durch die oberflächliche Adsorption von Kohlendioxid, Wasser und/oder Kohlenwasserstoffen kontaminiert. Diese kontaminierten Deckschichten sind nicht in der Lage, Lacke, Kunststoffbeschichtungen, Anstriche, Dichtungsmassen und Klebstoffe dauerhaft zu binden und einen langfristigen Korrosionsschutz zu gewährleisten. Daher werden die metallischen Oberflächen in der erfindungsgemäßen Weise vor der Behandlung mit der wäßrigen Lösung gereinigt.
- In weiterer Ausgestaltung der Erfindung ist vorgesehen, daß die metallischen Oberflächen, auf welche die wäßrige Lösung durch Tauchen oder Spritzen aufgebracht wurde, danach mit Wasser gespült und gegebenenfalls im Stickstoff- oder Luftstrom getrocknet werden, wobei die Temperatur des Stickstoff- oder Luftstroms 15 bis 150°C beträgt. Durch das Spülen und Trocknen wird die Ausbildung des dünnen Films auf den metallischen Oberflächen nicht behindert. Das zum Spülen verwendete Wasser kann entsalzt oder nicht entsalzt sein.
- Es ist besonders vorteilhaft, wenn das erfindungsgemäße Verfahren zur Behandlung metallischer Oberflächen eingesetzt wird, auf die anschließend ein kathodischer oder anodischer Elektrotauchlack, ein Pulverlack, ein Coil-Coating-Lack, ein lösungsmittelarmer High-Solid-Lack oder ein mit Wasser verdünnter Lack aufgebracht wird. Bei allen Lackierverfahren hat sich die Vorbehandlung der metallischen Oberflächen mit der erfindungsgemäßen wäßrigen Lösung besonders bewährt.
- Der Gegenstand der Erfindung wird nachfolgend anhand meherer Ausführungsbeispiele näher erläutert:
- Als Substrat werden Bleche verwendet, die aus der Legierung AlMg1 bestehen.
- Zunächst werden die Bleche bei Raumtemperatur während 3 Minuten in eine alkalische Beizlösung getaucht, die 32 g/l NaOH und 8 g/l Na2CO3 enthält. Anschließend wird mit entsalztem Wasser gespült. Danach werden die alkalisch gebeizten Bleche während 3 Minuten bei 40°C in eine saure Beizlösung getaucht, die 10 g/l H2 SO4 und 33 g/l H2 O2 enthält. Anschließend wird mit entsalztem Wasser gespült. Schließlich werden die gebeizten Bleche bei 40°C während 3 Minuten in die erfindungsgemäße wässrige Lösung getaucht, welche die erfindungsgemäße Verbindung XYZ in einer Konzentration von ca. 10-3 mol/l enthält. Anschließend erfolgt eine Spülung mit entsalztem Wasser und eine Trocknung bei Raumtemperatur im Stickstoffstrom.
- Die Bleche werden zunächst bei 65°C während 10 Sekunden mit einer alkalischen Beizlösung besprüht, die 10 g/l Bonder V338M® enthält. Anschließend werden die Bleche durch Besprühen mit Wasser gespült. Danach werden die alkalisch gebeizten Bleche bei 50°C während 30 Sekunden mit einer sauren Beizlösung besprüht, die 16 g/l Bonder V450M® enthält. Anschließend werden die gebeizten Bleche durch Besprühen mit entsalztem Wasser gespült. Schließlich werden die Bleche mit der erfindungsgemäßen wässrigen Lösung bei 40°C während 30 Sekunden besprüht. Es folgt eine Spülung mit entsalztem Wasser und eine Trocknung im Luftstrom bei Raumtemperatur. Die erfindungsgemäße Verbindung XYZ liegt in der wässrigen Lösung in einer Konzentration von ca. 10-3 mol/l vor.(® eingetragene Marke der Metallgesellschaft AG, Frankfurt/Main, DE)
- Zunächst werden die Bleche entsprechend dem Spritzverfahren alkalisch und sauer gebeizt sowie gespült. Anschließend wird die erfindungsgemäße wässrige Lösung auf die Bleche während zwei Sekunden bei Raumtemperatur aufgewalzt, wobei die Walze mit 25 U/Minute gefahren wird. In der erfindungsgemäßen wässrigen Lösung liegt die Verbindung XYZ in einer Konzentration von ca. 10-3mol/l vor. Nach dem Aufwalzen der wässrigen Lösung werden die Bleche im Umluftofen bei 105°C getrocknet.
- Zur Durchführung der Verfahrensvarianten wurden u. a. wässrige Lösungen verwendet, die folgende Verbindungen XYZ enthielten:
- 1-Phosphonsäure-12-(N-ethylamino)-dodecan
- 1-Phosphorsäure-12-Hydroxydodecan
- 1,12-Dodecandiphosphonsäure
- Die mit der erfindungsgemäßen wässrigen Lösung behandelten Bleche wurden nach verschiedenen Verfahren lackiert. Es wurde sowohl ein kathodischer Elektrotauchlack als auch ein Pulverlack als auch ein Polyesterlack verwendet. Der Elektrotauchlack wurde bei einer Spannung von ca. 250 Volt auf den Blechen elektrolytisch abgeschieden und anschließend während 22 Minuten bei 180°C getrocknet. Der Pulverlack wurde auf die Bleche durch elektrostatisches Sprühen aufgebracht und anschließend bei 200°C während 10 Minuten getrocknet. Das Polyesterlack-System bestand aus einem Primer und einem Decklack. Beide Komponenten wurden auf die Bleche durch Rakeln aufgebracht. Der Primer hatte eine Schichtdicke von 5 µm, während der Decklack eine Schichtdicke von 25 µm aufwies. Die Einbrenntemperaturen betrugen für den Primer 216°C und für den Decklack 241°C.
- In der nachfolgenden Tabelle sind die Prüfungsergebnisse enthalten, die bei Verwendung unterschiedlicher erfindungsgemäßer Substanzen gemessen wurden. Die Substanzen lagen in den erfindungsgemäßen Lösungen in einer Konzentration von ca. 10-3 mol/l vor. Der mit Essigsäure verstärkte Salzsprühtest ESS zeigt, daß die erfindungsgemäß hergestellten dünnen Filme einen sehr guten Unterwanderungsschutz gegenüber den Vergleichsblechen gewährleisten; von den Vergleichsblechen ist nur das chromatierte Blech ausreichend gegen Korrosion geschützt. Der T-Bend-Test, der unter der T0 -Bedingung durchgeführt wurde, sowie der Gitterschnitt mit Erichsentiefung zeigen, daß die Lackhaftung auf den erfindungsgemäß behandelten Blechen besser ist als auf den Vergleichsblechen. Insgesamt sind also die mit der Erfindung erzielten Ergebnisse überraschend gut, da sie dem mit der Chromatierung erzielten Ergebnis bezüglich der Korrosionsbeständigkeit gleichwertig und bezüglich der Lackhaftung deutlich überlegen sind.
- Durch winkelabhängige Röntgenphotoelektronenspektroskopie (ARXPS) wurde die Orientierung der Moleküle der Verbindungen des Typs XYZ bestimmt. Durch die sehr begrenzte Ausdringtiefe der charakteristischen Photoelektronen ermöglicht die winkelaufgelöste Röntgenphotoelektrospektroskopie in Abhängigkeit vom Winkel α eine unterschiedliche Informationstiefe der Spektraldaten. So liegt die Informationstiefe bei kleinen Winkeln im Bereich von ca. 1 nm und bei größeren Winkeln im Bereich bis ca. 10 nm. Dies erlaubt es, die Orientierung der Moleküle zu bestimmen. Diese Methode ist zum Beispiel in der Veröffentlichung von Briggs, Practical Surface Analysis, 1990, Wiley & Sons, Chichester, beschrieben. Figur 1 zeigt das Röntgenphotoelektronenspektrum des 1-Phosphorsäure-12-(N-ethylamino)-dodecans auf der Legierung AlMg1, in dem das XPS-Intensitätsverhältnis N/P in Abhängigkeit vom Winkel α dargestellt ist, wobei N die Intensität des Nls-Peaks der Aminogruppe und P der P2s-Peak der Phosphorsäuregruppe ist und wobei die Abkürzung XPS für den Begriff Röntgenphotoelektronenspektroskopie steht. Das Spektrum beweist, daß die Phosphorsäuregruppe an die Metalloberfläche anbindet und die Aminogruppe von der Metalloberfläche abgewandt ist.
Tabelle Verbindung T-Bend-Test (TO) Abgeplatzte Fläche nach LPV 75 [%] ESS-Test nach DIN 50021 ESS Unterwanderung Gitterschnitt mit Erichsentiefung nach ISO 1520 Filiform-TestnachDIN 65472 [mm] ADPS 1 < 1 0 -- AUDS 10 1 0 -- HDLS 10 1 0 -- HDPS 10 < 1 -- < 1 DDPS 0 < 1 0 < 1 Vergleichs blech O 100 8 0 5 G 85 4 5 4 P 10 3 1 < 1 C 25 < 1 2 < 1 ADPS C2 H5 NH- (CH2 )12 -PO(OH)2 AUDS = NH2 - (CH2)10 -COOH HDLS = OH-(CH2)11-COOH HDPS = (OH)2 PO2 - (CH2 ) 12 -OH DDPS= (OH)2 PO- (CH2)12-PO (OH)2 O = AlMg1 Originalblech G = AlMg1, alkalisch/sauer gebeizt P = AlMg1, phosphatiert C = AlMg1, chromatiert LPV = Labor-Pruf-Vorschriften, betriebsintern
Claims (12)
- Verfahren zur Behandlung metallischer Oberflächen, die aus Zink, Magnesium oder Aluminium oder aus den Legierungen des Zinks, des Magnesiums oder des Aluminiums bestehen und auf die nach der Behandlung Lacke, Kunststoffschichten, Anstriche, Dichtungsmassen oder Klebstoffe aufgebracht werden, dadurch gekennzeichnet, daß die metallischen Oberflächen bei 10 bis 100 °C durch Tauchen, Spritzen oder Walzen mit einer wäßrigen Lösung behandelt werden, die einen pH-Wert von 2 bis 13 hat und 10-5 bis 1 mol/l einer oder mehrerer Verbindungen des Typs XYZ enthält, wobei Y eine unverzweigte geradkettige Alkyl-Gruppe mit 10 bis 20 C-Atomen ist, wobei X eine COOH-, HSO3-, HSO4-, (OH)2PO-, (OH)2PO2-, (OH)(OR')PO- oder (OH)(OR')PO2-Gruppe ist, wobei Z eine OH-, SH-, NH2-, NHR'-, CN-, CH=CH2-, OCN-, Epoxy-, CH2=CR"-COO-, Acrylsäureamid-, (OH)2PO-, (OH)2PO2-, (OH)(OR')PO- oder (OH)(OR')PO2-Gruppe ist, wobei R' eine Alkylgruppe mit 1 bis 4 C-Atomen ist, wobei R" ein H-Atom oder eine Alkylgruppe mit 1 bis 4 C-Atomen ist, und wobei die Gruppen X und Z an die Gruppe Y jeweils in deren Endstellung gebunden sind, wobei die wäßrige Lösung nicht als Kunstharz enthaltende Reaktionsgrundierlösung (Einkomponenten-"Wash-Primer") auf Aluminiumfolien verwendet wird.
- Verfahren nach Anspruch 1, dadurch gekennzeichnet, daß in der wäßrigen Lösung 0,1 bis 50 % des Wassers durch einen Alkohol mit 1 bis 4 C-Atomen, durch Aceton, durch Dioxan oder durch Tetrahydrofuran ersetzt sind.
- Verfahren nach den Ansprüchen 1 bis 2, dadurch gekennzeichnet, daß die wäßrige Lösung eine oder mehrere Verbindungen des Typs XYZ in einer Konzentration enthält, die im Bereich der kritischen Mizellbildungskonzentration liegt.
- Verfahren nach den Ansprüchen 1 bis 3, dadurch gekennzeichnet, daß die wäßrige Lösung einen Entschäumer und/oder einen Lösungsvermittler jeweils in einer Menge von 0,05 bis 5 Gew.-% enthält.
- Verfahren nach den Ansprüchen 1 bis 4, dadurch gekennzeichnet, daß die Verbindungen des Typs XYZ in der wäßrigen Lösung als Salze vorliegen.
- Verfahren nach den Ansprüchen 1 bis 5, dadurch gekennzeichnet, daß Y eine unverzweigte, geradkettige Alkylgruppe mit 10 bis 12 C-Atomen ist.
- Verfahren nach den Ansprüchen 1 bis 6, dadurch gekennzeichnet, daß X eine (OH)2PO2- oder (OH) (OR')PO2-Gruppe ist.
- Verfahren nach den Ansprüchen 1 bis 7, dadurch gekennzeichnet, daß Z eine (OH)2PO2-, (OH)(OR')PO2,- OH-, SH-, NHR'-, CH=CH2- oder CH2=CR"-COO-Gruppe ist.
- Verfahren nach den Ansprüchen 1 bis 8, dadurch gekennzeichnet, daß die wäßrige Lösung als Verbindungen des Typs XYZ 1-Phosphonsäure-12-mercaptododecan, 1-Phosphonsäure-12-(N-ethylamino)-dodecan, 1-Phosphonsäure-12-dodecen, 1,10-Decandiphosphonsäure, 1,12-Dodecandiphosphonsäure, 1-Phosphorsäure-12-Hydroydodecan, 1-Phosphorsäure-12-(N-ethylamino)dodecan, 1-Phosphorsäure-12-dodecen, 1-Phosphorsäure-12-mercaptododecan, 1,10-Decandiphosphorsäure, 1,12-Dodecandiphosphorsäure, 1-Phosphorsäure-12-acrylododecan enthält.
- Verfahren nach den Ansprüchen 1 bis 9, dadurch gekennzeichnet, daß die Tauchzeit 5 Sekunden bis 20 Minuten, die Spritzzeit 5 Sekunden bis 15 Minuten und die Walzzeit 2 bis 120 Sekunden beträgt.
- Verfahren nach den Ansprüchen 1 bis 10, dadurch gekennzeichnet, daß die metallischen Oberflächen vor dem Aufbringen der wäßrigen Lösung alkalisch und/oder sauer gebeizt sowie danach mit Wasser gespült werden.
- Verfahren nach den Ansprüchen 1 bis 11, dadurch gekennzeichnet, daß die metallischen Oberflächen, auf welche die wäßrige Lösung durch Tauchen oder Spritzen aufgebracht wurde, danach mit Wasser gespült und gegebenenfalls im Stickstoff- oder Luftstrom getrocknet werden, wobei die Temperatur des Stickstoff- oder Luftstroms 15 bis 150 °C beträgt.
Applications Claiming Priority (3)
| Application Number | Priority Date | Filing Date | Title |
|---|---|---|---|
| DE19654642 | 1996-12-28 | ||
| DE19654642A DE19654642C2 (de) | 1996-12-28 | 1996-12-28 | Verfahren zur Behandlung metallischer Oberflächen mit einer wässerigen Lösung |
| PCT/EP1997/007100 WO1998029580A1 (de) | 1996-12-28 | 1997-12-18 | Verfahren zur behandlung metallischer oberflächen |
Publications (3)
| Publication Number | Publication Date |
|---|---|
| EP0948666A1 EP0948666A1 (de) | 1999-10-13 |
| EP0948666B1 EP0948666B1 (de) | 2003-03-19 |
| EP0948666B2 true EP0948666B2 (de) | 2007-09-26 |
Family
ID=7816377
Family Applications (1)
| Application Number | Title | Priority Date | Filing Date |
|---|---|---|---|
| EP97954820A Expired - Lifetime EP0948666B2 (de) | 1996-12-28 | 1997-12-18 | Verfahren zur behandlung metallischer oberflächen |
Country Status (14)
| Country | Link |
|---|---|
| US (1) | US6436475B1 (de) |
| EP (1) | EP0948666B2 (de) |
| JP (1) | JP3986092B2 (de) |
| KR (1) | KR100487855B1 (de) |
| AT (1) | ATE234948T1 (de) |
| AU (1) | AU735281B2 (de) |
| BR (1) | BR9713638A (de) |
| CA (1) | CA2275729C (de) |
| DE (2) | DE19654642C2 (de) |
| DK (1) | DK0948666T4 (de) |
| ES (1) | ES2195202T5 (de) |
| NO (1) | NO326333B1 (de) |
| TR (1) | TR199901466T2 (de) |
| WO (1) | WO1998029580A1 (de) |
Families Citing this family (38)
| Publication number | Priority date | Publication date | Assignee | Title |
|---|---|---|---|---|
| US7815963B2 (en) | 1996-10-17 | 2010-10-19 | The Trustees Of Princeton University | Enhanced bonding layers on titanium materials |
| US7569285B2 (en) * | 1996-10-17 | 2009-08-04 | The Trustees Of Princeton University | Enhanced bonding layers on titanium materials |
| US7396594B2 (en) * | 2002-06-24 | 2008-07-08 | The Trustees Of Princeton University | Carrier applied coating layers |
| US6299983B1 (en) | 1997-06-27 | 2001-10-09 | E. I. Du Pont De Nemours And Company | Derivatized metallic surfaces, composites of functionalized polymers with such metallic surfaces and processes for formation thereof |
| BR9914498A (pt) * | 1998-09-23 | 2001-06-26 | Phycogen Inc | Compostos inibidores de biopelìcula seguros e eficazes e usos dos mesmos relacionados a saúde |
| DE69830008T2 (de) * | 1998-11-16 | 2006-03-09 | E.I. Du Pont De Nemours And Co., Wilmington | Derivatisierte metallische oberflächen, komposite funktionalisierter polymere mit solchen metallischen oberflächen und verfahren zu deren herstellung |
| DE19911843C2 (de) * | 1999-03-17 | 2001-05-10 | Metallgesellschaft Ag | Verfahren für den Korrosionsschutz von Aluminium und Aluminiumlegierungen sowie Verwendung des Verfahrens |
| DE19923084A1 (de) * | 1999-05-20 | 2000-11-23 | Henkel Kgaa | Chromfreies Korrosionsschutzmittel und Korrosionsschutzverfahren |
| US7931943B2 (en) * | 1999-09-22 | 2011-04-26 | The Trustees Of Princeton University | Enhanced bonding layers on native oxide surfaces |
| US20060194008A1 (en) * | 1999-09-22 | 2006-08-31 | Princeton University | Devices with multiple surface functionality |
| DK1294834T3 (da) * | 2000-05-31 | 2013-12-09 | Chemetall Gmbh | Fremgangsmåde til behandling eller forbehandling af beholdere |
| EP1315968B1 (de) | 2000-09-05 | 2008-02-13 | Bayer Technology Services GmbH | Verfahren zur abscheidung von mono- und mehrfachschichten von organophosphor- und -phosphonsäuren und deren salzen sowie deren verwendung |
| US6488990B1 (en) * | 2000-10-06 | 2002-12-03 | Chemetall Gmbh | Process for providing coatings on a metallic surface |
| DE10051485A1 (de) * | 2000-10-17 | 2002-04-25 | Henkel Kgaa | Alkoxysilanhaltige Haftvermittler für Lacke und Klebstoffe auf Metallen |
| DE10114980A1 (de) * | 2001-03-27 | 2002-10-17 | Henkel Kgaa | Haftvermittler für Lacke und Klebstoffe auf Metallen |
| KR20030038039A (ko) * | 2001-11-08 | 2003-05-16 | 주식회사 한웅크레비즈 | 자외선 차단제용 바인더 제조방법 |
| EP1386952A3 (de) | 2002-08-02 | 2006-05-24 | Clariant Produkte (Deutschland) GmbH | Gefrierschutzmittel |
| JP2006513264A (ja) * | 2002-12-23 | 2006-04-20 | ビーエーエスエフ アクチェンゲゼルシャフト | 金属表面処理用の疎水性−親水性化合物 |
| US20060113509A1 (en) * | 2002-12-23 | 2006-06-01 | Basf Aktiengesellschaft | Hydrophobic-hydrophilic compounds for treating metallic surfaces |
| US20040191555A1 (en) * | 2003-02-06 | 2004-09-30 | Metal Coatings International Inc. | Coating systems having an anti-corrosion layer and a powder coating layer |
| US8101025B2 (en) * | 2003-05-27 | 2012-01-24 | Applied Materials, Inc. | Method for controlling corrosion of a substrate |
| US20040237997A1 (en) * | 2003-05-27 | 2004-12-02 | Applied Materials, Inc. ; | Method for removal of residue from a substrate |
| US7524535B2 (en) * | 2004-02-25 | 2009-04-28 | Posco | Method of protecting metals from corrosion using thiol compounds |
| US20060102197A1 (en) * | 2004-11-16 | 2006-05-18 | Kang-Lie Chiang | Post-etch treatment to remove residues |
| US7455881B2 (en) | 2005-04-25 | 2008-11-25 | Honeywell International Inc. | Methods for coating a magnesium component |
| CA2614399A1 (en) * | 2005-07-08 | 2007-01-18 | Liliana Craciun | (meth)acrylamide phosphorus monomer composition |
| DE202006019880U1 (de) * | 2006-02-24 | 2007-09-27 | Gerhard Heiche Gmbh | Korrosionsbeständiges Substrat |
| US20080131709A1 (en) * | 2006-09-28 | 2008-06-05 | Aculon Inc. | Composite structure with organophosphonate adherent layer and method of preparing |
| US9365931B2 (en) * | 2006-12-01 | 2016-06-14 | Kobe Steel, Ltd. | Aluminum alloy with high seawater corrosion resistance and plate-fin heat exchanger |
| US8372516B2 (en) * | 2008-10-31 | 2013-02-12 | Basf Se | (Meth)acrylate phosphonic esters as adhesion promoters |
| US8432036B2 (en) * | 2009-01-22 | 2013-04-30 | Aculon, Inc. | Lead frames with improved adhesion to plastic encapsulant |
| DE102009001372B4 (de) | 2009-03-06 | 2011-01-27 | Chemetall Gmbh | Verfahren zur Beschichtung von metallischen Oberflächen in einem mehrstufigen Verfahren und Verwendung der nach dem Verfahren beschichteten Produkte |
| EP2926951B1 (de) | 2014-04-01 | 2016-10-05 | Technische Universität Kaiserslautern | Verfahren zur gleichzeitigen Reinigung und Aktivierung von Bauteiloberflächen durch eine Kombination aus Kohlendioxidschneestrahlen und dem Auftrag von haftvermittelnden Substanzen |
| CN106167897A (zh) * | 2016-08-28 | 2016-11-30 | 青岛费米新材料科技有限公司 | 一种可水解的聚合物的金属表面成膜方法 |
| CA3129947C (en) * | 2019-03-01 | 2023-04-11 | Howmet Aerospace Inc. | Metallic substrate treatment methods and articles comprising a phosphonate functionalized layer |
| KR102334190B1 (ko) | 2019-11-29 | 2021-12-03 | 주식회사케이베츠 | 원형부재 보강용 클램프 장치, 그 시공방법, 원형부재 연결용 클램프 장치 및 그 시공방법 |
| KR102373470B1 (ko) | 2020-01-21 | 2022-03-14 | 주식회사케이베츠 | 원형부재 보강용 힌지 적용 클램프 장치, 그 시공방법, 원형부재 연결용 힌지 적용 클램프 장치 및 그 시공방법 |
| US11584900B2 (en) | 2020-05-14 | 2023-02-21 | Corrosion Innovations, Llc | Method for removing one or more of: coating, corrosion, salt from a surface |
Citations (1)
| Publication number | Priority date | Publication date | Assignee | Title |
|---|---|---|---|---|
| US3634146A (en) † | 1969-09-04 | 1972-01-11 | American Cyanamid Co | Chemical treatment of metal |
Family Cites Families (15)
| Publication number | Priority date | Publication date | Assignee | Title |
|---|---|---|---|---|
| DE1013814B (de) * | 1954-11-15 | 1957-08-14 | Aluminium Walzwerke Singen | Einkomponenten-Reaktionsgrundierloesung fuer Aluminiumfolien |
| US3770514A (en) * | 1972-06-08 | 1973-11-06 | American Cyanamid Co | Chemical treatment of metal |
| US4209487A (en) * | 1975-06-02 | 1980-06-24 | Monsanto Company | Method for corrosion inhibition |
| DE2614234C2 (de) * | 1976-04-02 | 1982-05-27 | Metallgesellschaft Ag, 6000 Frankfurt | Behandlungsflüssigkeit zum Korrosionsschutz von Metalloberflächen und Konzentrat zu deren Herstellung |
| DE2855659A1 (de) * | 1978-12-22 | 1980-07-03 | Bayer Ag | Benzimidazolyl-2-alkan-phosphonsaeuren |
| GB2084128B (en) * | 1980-09-25 | 1983-11-16 | Dearborn Chemicals Ltd | Inhibiting corrosion in aqueous systems |
| US4351675A (en) * | 1981-03-02 | 1982-09-28 | Rohco, Inc. | Conversion coatings for zinc and cadmium surfaces |
| JPS6041149B2 (ja) * | 1982-07-27 | 1985-09-14 | 日本ペイント株式会社 | リン酸亜鉛皮膜化成処理液の改良 |
| US5059258A (en) * | 1989-08-23 | 1991-10-22 | Aluminum Company Of America | Phosphonic/phosphinic acid bonded to aluminum hydroxide layer |
| DE4133102A1 (de) * | 1991-10-05 | 1993-04-08 | Metallgesellschaft Ag | Verfahren zum behandeln von phosphatierten metalloberflaechen vor der elektrotauchlackierung |
| US5306526A (en) * | 1992-04-02 | 1994-04-26 | Ppg Industries, Inc. | Method of treating nonferrous metal surfaces by means of an acid activating agent and an organophosphate or organophosphonate and substrates treated by such method |
| JP3319831B2 (ja) * | 1993-09-22 | 2002-09-03 | 日本パーカライジング株式会社 | 金属材料の自己析出型表面処理剤及び表面処理方法 |
| US5463804A (en) * | 1994-08-31 | 1995-11-07 | Aluminum Company Of America | Coating aluminum alloy sheet to promote adhesive bonding for vehicle assemblies |
| DE4441710A1 (de) * | 1994-11-23 | 1996-05-30 | Henkel Kgaa | Korrosionsschutz und Reibungsverminderung von Metalloberflächen |
| JPH08337884A (ja) * | 1995-06-09 | 1996-12-24 | Nippon Steel Corp | 耐食性及び耐熱性に優れた白色クロメート処理鋼板 |
-
1996
- 1996-12-28 DE DE19654642A patent/DE19654642C2/de not_active Expired - Lifetime
-
1997
- 1997-12-18 AT AT97954820T patent/ATE234948T1/de active
- 1997-12-18 BR BR9713638-7A patent/BR9713638A/pt not_active IP Right Cessation
- 1997-12-18 DK DK97954820T patent/DK0948666T4/da active
- 1997-12-18 KR KR10-1999-7005823A patent/KR100487855B1/ko not_active Expired - Lifetime
- 1997-12-18 CA CA002275729A patent/CA2275729C/en not_active Expired - Lifetime
- 1997-12-18 ES ES97954820T patent/ES2195202T5/es not_active Expired - Lifetime
- 1997-12-18 DE DE59709588T patent/DE59709588D1/de not_active Expired - Lifetime
- 1997-12-18 TR TR1999/01466T patent/TR199901466T2/xx unknown
- 1997-12-18 AU AU62058/98A patent/AU735281B2/en not_active Expired
- 1997-12-18 US US09/308,991 patent/US6436475B1/en not_active Expired - Lifetime
- 1997-12-18 WO PCT/EP1997/007100 patent/WO1998029580A1/de not_active Ceased
- 1997-12-18 EP EP97954820A patent/EP0948666B2/de not_active Expired - Lifetime
- 1997-12-18 JP JP52958098A patent/JP3986092B2/ja not_active Expired - Lifetime
-
1999
- 1999-06-23 NO NO19993118A patent/NO326333B1/no not_active IP Right Cessation
Patent Citations (1)
| Publication number | Priority date | Publication date | Assignee | Title |
|---|---|---|---|---|
| US3634146A (en) † | 1969-09-04 | 1972-01-11 | American Cyanamid Co | Chemical treatment of metal |
Also Published As
| Publication number | Publication date |
|---|---|
| EP0948666B1 (de) | 2003-03-19 |
| DE19654642C2 (de) | 2003-01-16 |
| CA2275729A1 (en) | 1998-07-09 |
| NO993118L (no) | 1999-06-23 |
| ES2195202T3 (es) | 2003-12-01 |
| CA2275729C (en) | 2007-09-25 |
| NO326333B1 (no) | 2008-11-10 |
| TR199901466T2 (xx) | 1999-10-21 |
| JP2001508499A (ja) | 2001-06-26 |
| EP0948666A1 (de) | 1999-10-13 |
| ATE234948T1 (de) | 2003-04-15 |
| KR100487855B1 (ko) | 2005-05-09 |
| WO1998029580A1 (de) | 1998-07-09 |
| DE19654642A1 (de) | 1998-09-17 |
| DK0948666T3 (da) | 2003-07-07 |
| US6436475B1 (en) | 2002-08-20 |
| DK0948666T4 (da) | 2008-01-07 |
| NO993118D0 (no) | 1999-06-23 |
| KR20000062344A (ko) | 2000-10-25 |
| JP3986092B2 (ja) | 2007-10-03 |
| ES2195202T5 (es) | 2008-04-01 |
| AU6205898A (en) | 1998-07-31 |
| BR9713638A (pt) | 2000-04-11 |
| DE59709588D1 (de) | 2003-04-24 |
| AU735281B2 (en) | 2001-07-05 |
Similar Documents
| Publication | Publication Date | Title |
|---|---|---|
| EP0948666B2 (de) | Verfahren zur behandlung metallischer oberflächen | |
| DE3146265C2 (de) | ||
| DE69703105T2 (de) | Zusammensetzung und verfahren zur behandlung von phosphatierten metalloberflächen | |
| DE69129527T2 (de) | Stahlblech mit verbesserter Korrosionbeständigkeit mit Silan-behandelter Silicatbeschichtung | |
| DE60127921T2 (de) | Verfahren zur Beschichtung von Metalloberflächen | |
| DE3408573A1 (de) | Verfahren zum behandeln von metalloberflaechen | |
| DE1184588B (de) | Verfahren und Loesung zum Aufbringen von festhaftenden UEberzuegen aus Polyvinylphosphonsaeure auf Metallteilen | |
| DE10310972A1 (de) | Stickstoffhaltige Polymere für die Metalloberflächenbehandlung | |
| EP1883679B1 (de) | Lackschichtbildendes korrosionsschutzmittel und verfahren zu dessen stromfreier applikation | |
| DE69106385T2 (de) | Verfahren zur chromatierung von mit zink beschichtetem stahl. | |
| EP1678344B1 (de) | Im wesentlichen chrom-freies verfahren zum passivieren von metallischen oberflächen aus zn, zn-legierungen, al oder al-legierungen | |
| DE2315180C2 (de) | Phosphatierungslösung | |
| DE69512049T2 (de) | Zusammensetzung und verfahren zur oberflächenbehandlung aluminiumhaltiger metalle | |
| EP2094793A1 (de) | LACKSCHICHTBILDENDES KORROSIONSSCHUTZMITTEL MIT VERMINDERTER RIßBILDUNG UND VERFAHREN ZU DESSEN STROMFREIER APPLIKATION | |
| EP0410497B1 (de) | Verfahren zur passivierenden Nachspülung von Phosphatschichten | |
| DE4041091A1 (de) | Verfahren zur nachspuelung von konversionsschichten | |
| DE10258291A1 (de) | Verfahren zur Beschichtung von Metallsubstraten mit einem radikalisch polymerisierbaren Überzugsmittel und beschichtete Substrate | |
| DE69012374T2 (de) | Phosphatbeschichtungen für Metalloberflächen. | |
| EP1294834B1 (de) | Verfahren zur behandlung oder vorbehandlung von behältern | |
| DE68927072T2 (de) | Organische Beschichtungsmasse für Metalle | |
| DE69614606T2 (de) | Organisch beschichtetes Verbundstahlblech | |
| DE2251611A1 (de) | Verfahren zum vorbehandeln von metalloberflaechen | |
| EP3434807A1 (de) | Stahlblech mit einer konversionsschicht, verfahren zur herstellung eines konversionsbeschichteten stahlblechs und behandlungsmittel zur applizierung einer konversionsschicht auf einem stahlblech | |
| EP2900771B1 (de) | Verwendung eines polymeren korrosionsinhibitors zur behandlung von anodisierten metalloberflächen | |
| DE3637254A1 (de) | Verfahren zum aufbringen von organischen ueberzuegen auf metalloberflaechen |
Legal Events
| Date | Code | Title | Description |
|---|---|---|---|
| PUAI | Public reference made under article 153(3) epc to a published international application that has entered the european phase |
Free format text: ORIGINAL CODE: 0009012 |
|
| 17P | Request for examination filed |
Effective date: 19990728 |
|
| AK | Designated contracting states |
Kind code of ref document: A1 Designated state(s): AT BE CH DE DK ES FI FR GB IT LI LU NL SE |
|
| RIN1 | Information on inventor provided before grant (corrected) |
Inventor name: SEBRALLA, LARS Inventor name: RUDOLPH, JUERGEN Inventor name: MAEGE, IRIS Inventor name: JUNG, CHRISTIAN Inventor name: JAEHNE, EVELIN Inventor name: FESER, RALF Inventor name: BRAM, CHRISTIAN Inventor name: ADLER, HANS-JUERGEN, P. |
|
| 17Q | First examination report despatched |
Effective date: 19991112 |
|
| RIN1 | Information on inventor provided before grant (corrected) |
Inventor name: SEBRALLA, LARS Inventor name: RUDOLPH, JUERGEN Inventor name: MAEGE, IRIS Inventor name: JUNG, CHRISTIAN Inventor name: JAEHNE, EVELIN Inventor name: FESER, RALF Inventor name: BRAM, CHRISTIAN Inventor name: ADLER, HANS-JUERGEN, P. |
|
| RAP1 | Party data changed (applicant data changed or rights of an application transferred) |
Owner name: CHEMETALL GMBH |
|
| GRAG | Despatch of communication of intention to grant |
Free format text: ORIGINAL CODE: EPIDOS AGRA |
|
| GRAG | Despatch of communication of intention to grant |
Free format text: ORIGINAL CODE: EPIDOS AGRA |
|
| GRAG | Despatch of communication of intention to grant |
Free format text: ORIGINAL CODE: EPIDOS AGRA |
|
| GRAH | Despatch of communication of intention to grant a patent |
Free format text: ORIGINAL CODE: EPIDOS IGRA |
|
| GRAH | Despatch of communication of intention to grant a patent |
Free format text: ORIGINAL CODE: EPIDOS IGRA |
|
| GRAA | (expected) grant |
Free format text: ORIGINAL CODE: 0009210 |
|
| AK | Designated contracting states |
Designated state(s): AT BE CH DE DK ES FI FR GB IT LI LU NL SE |
|
| REG | Reference to a national code |
Ref country code: GB Ref legal event code: FG4D Free format text: NOT ENGLISH |
|
| REG | Reference to a national code |
Ref country code: CH Ref legal event code: NV Representative=s name: ISLER & PEDRAZZINI AG Ref country code: CH Ref legal event code: EP |
|
| GBT | Gb: translation of ep patent filed (gb section 77(6)(a)/1977) |
Effective date: 20030319 |
|
| REF | Corresponds to: |
Ref document number: 59709588 Country of ref document: DE Date of ref document: 20030424 Kind code of ref document: P |
|
| REG | Reference to a national code |
Ref country code: DK Ref legal event code: T3 |
|
| REG | Reference to a national code |
Ref country code: SE Ref legal event code: TRGR |
|
| PLBQ | Unpublished change to opponent data |
Free format text: ORIGINAL CODE: EPIDOS OPPO |
|
| ET | Fr: translation filed | ||
| PLBI | Opposition filed |
Free format text: ORIGINAL CODE: 0009260 |
|
| PLAX | Notice of opposition and request to file observation + time limit sent |
Free format text: ORIGINAL CODE: EPIDOSNOBS2 |
|
| 26 | Opposition filed |
Opponent name: HENKEL KOMMANDITGESELLSCHAFT AUF AKTIEN Effective date: 20031212 |
|
| NLR1 | Nl: opposition has been filed with the epo |
Opponent name: HENKEL KOMMANDITGESELLSCHAFT AUF AKTIEN |
|
| PLAX | Notice of opposition and request to file observation + time limit sent |
Free format text: ORIGINAL CODE: EPIDOSNOBS2 |
|
| PLBB | Reply of patent proprietor to notice(s) of opposition received |
Free format text: ORIGINAL CODE: EPIDOSNOBS3 |
|
| PLBB | Reply of patent proprietor to notice(s) of opposition received |
Free format text: ORIGINAL CODE: EPIDOSNOBS3 |
|
| PUAH | Patent maintained in amended form |
Free format text: ORIGINAL CODE: 0009272 |
|
| STAA | Information on the status of an ep patent application or granted ep patent |
Free format text: STATUS: PATENT MAINTAINED AS AMENDED |
|
| 27A | Patent maintained in amended form |
Effective date: 20070926 |
|
| AK | Designated contracting states |
Kind code of ref document: B2 Designated state(s): AT BE CH DE DK ES FI FR GB IT LI LU NL SE |
|
| REG | Reference to a national code |
Ref country code: CH Ref legal event code: PCAR Free format text: ISLER & PEDRAZZINI AG;POSTFACH 1772;8027 ZUERICH (CH) |
|
| REG | Reference to a national code |
Ref country code: CH Ref legal event code: AEN Free format text: AUFRECHTERHALTUNG DES PATENTES IN GEAENDERTER FORM |
|
| NLR2 | Nl: decision of opposition |
Effective date: 20070926 |
|
| REG | Reference to a national code |
Ref country code: DK Ref legal event code: T4 |
|
| REG | Reference to a national code |
Ref country code: SE Ref legal event code: RPEO |
|
| GBTA | Gb: translation of amended ep patent filed (gb section 77(6)(b)/1977) |
Effective date: 20080109 |
|
| NLR3 | Nl: receipt of modified translations in the netherlands language after an opposition procedure | ||
| REG | Reference to a national code |
Ref country code: ES Ref legal event code: DC2A Date of ref document: 20071221 Kind code of ref document: T5 |
|
| ET3 | Fr: translation filed ** decision concerning opposition | ||
| REG | Reference to a national code |
Ref country code: FR Ref legal event code: PLFP Year of fee payment: 19 |
|
| PG25 | Lapsed in a contracting state [announced via postgrant information from national office to epo] |
Ref country code: BE Free format text: LAPSE BECAUSE OF NON-PAYMENT OF DUE FEES Effective date: 20151231 |
|
| PGRI | Patent reinstated in contracting state [announced from national office to epo] |
Ref country code: BE Effective date: 20160610 |
|
| REG | Reference to a national code |
Ref country code: FR Ref legal event code: PLFP Year of fee payment: 20 |
|
| PGFP | Annual fee paid to national office [announced via postgrant information from national office to epo] |
Ref country code: GB Payment date: 20161228 Year of fee payment: 20 Ref country code: DK Payment date: 20161227 Year of fee payment: 20 Ref country code: FI Payment date: 20161229 Year of fee payment: 20 Ref country code: NL Payment date: 20161226 Year of fee payment: 20 Ref country code: CH Payment date: 20161227 Year of fee payment: 20 |
|
| PGFP | Annual fee paid to national office [announced via postgrant information from national office to epo] |
Ref country code: FR Payment date: 20161227 Year of fee payment: 20 Ref country code: AT Payment date: 20161202 Year of fee payment: 20 Ref country code: ES Payment date: 20161227 Year of fee payment: 20 Ref country code: SE Payment date: 20161129 Year of fee payment: 20 |
|
| PGFP | Annual fee paid to national office [announced via postgrant information from national office to epo] |
Ref country code: DE Payment date: 20161229 Year of fee payment: 20 |
|
| PGFP | Annual fee paid to national office [announced via postgrant information from national office to epo] |
Ref country code: LU Payment date: 20161227 Year of fee payment: 20 Ref country code: BE Payment date: 20161227 Year of fee payment: 20 |
|
| PGFP | Annual fee paid to national office [announced via postgrant information from national office to epo] |
Ref country code: IT Payment date: 20161222 Year of fee payment: 20 |
|
| REG | Reference to a national code |
Ref country code: DE Ref legal event code: R071 Ref document number: 59709588 Country of ref document: DE |
|
| REG | Reference to a national code |
Ref country code: NL Ref legal event code: MK Effective date: 20171217 |
|
| REG | Reference to a national code |
Ref country code: CH Ref legal event code: PL |
|
| REG | Reference to a national code |
Ref country code: DK Ref legal event code: EUP Effective date: 20171218 |
|
| REG | Reference to a national code |
Ref country code: GB Ref legal event code: PE20 Expiry date: 20171217 |
|
| REG | Reference to a national code |
Ref country code: SE Ref legal event code: EUG |
|
| REG | Reference to a national code |
Ref country code: AT Ref legal event code: MK07 Ref document number: 234948 Country of ref document: AT Kind code of ref document: T Effective date: 20171218 |
|
| REG | Reference to a national code |
Ref country code: BE Ref legal event code: MK Effective date: 20171218 |
|
| PG25 | Lapsed in a contracting state [announced via postgrant information from national office to epo] |
Ref country code: GB Free format text: LAPSE BECAUSE OF EXPIRATION OF PROTECTION Effective date: 20171217 |
|
| REG | Reference to a national code |
Ref country code: ES Ref legal event code: FD2A Effective date: 20180507 |
|
| PG25 | Lapsed in a contracting state [announced via postgrant information from national office to epo] |
Ref country code: ES Free format text: LAPSE BECAUSE OF EXPIRATION OF PROTECTION Effective date: 20171219 |