DE60133821T2 - Verfahren zum optischen aufhellen von baumwolle - Google Patents
Verfahren zum optischen aufhellen von baumwolle Download PDFInfo
- Publication number
- DE60133821T2 DE60133821T2 DE60133821T DE60133821T DE60133821T2 DE 60133821 T2 DE60133821 T2 DE 60133821T2 DE 60133821 T DE60133821 T DE 60133821T DE 60133821 T DE60133821 T DE 60133821T DE 60133821 T2 DE60133821 T2 DE 60133821T2
- Authority
- DE
- Germany
- Prior art keywords
- sub
- hydroxyalkyl
- alkyl
- compound
- formula
- Prior art date
- Legal status (The legal status is an assumption and is not a legal conclusion. Google has not performed a legal analysis and makes no representation as to the accuracy of the status listed.)
- Expired - Lifetime
Links
- 238000000034 method Methods 0.000 title claims abstract description 34
- 230000003287 optical effect Effects 0.000 title description 3
- 150000001875 compounds Chemical class 0.000 claims abstract description 44
- 229920000742 Cotton Polymers 0.000 claims abstract description 19
- 229910052739 hydrogen Inorganic materials 0.000 claims abstract description 19
- 150000001413 amino acids Chemical class 0.000 claims abstract description 14
- -1 piperidino pyrrolidino Chemical group 0.000 claims abstract description 13
- 125000004435 hydrogen atom Chemical group [H]* 0.000 claims abstract description 12
- 229910052708 sodium Inorganic materials 0.000 claims abstract description 11
- 239000000203 mixture Substances 0.000 claims abstract description 9
- 229910052700 potassium Inorganic materials 0.000 claims abstract description 8
- 125000003277 amino group Chemical group 0.000 claims abstract description 7
- QGZKDVFQNNGYKY-UHFFFAOYSA-O Ammonium Chemical compound [NH4+] QGZKDVFQNNGYKY-UHFFFAOYSA-O 0.000 claims abstract description 6
- 239000001257 hydrogen Substances 0.000 claims abstract description 5
- 125000001424 substituent group Chemical group 0.000 claims abstract description 5
- 230000002087 whitening effect Effects 0.000 claims abstract description 4
- 229910052791 calcium Inorganic materials 0.000 claims abstract description 3
- 229910052744 lithium Inorganic materials 0.000 claims abstract description 3
- 229910052749 magnesium Inorganic materials 0.000 claims abstract description 3
- 229910052757 nitrogen Inorganic materials 0.000 claims description 14
- 229940024606 amino acid Drugs 0.000 claims description 12
- 235000001014 amino acid Nutrition 0.000 claims description 12
- FSYKKLYZXJSNPZ-UHFFFAOYSA-N sarcosine Chemical compound C[NH2+]CC([O-])=O FSYKKLYZXJSNPZ-UHFFFAOYSA-N 0.000 claims description 12
- XOAAWQZATWQOTB-UHFFFAOYSA-N taurine Chemical compound NCCS(O)(=O)=O XOAAWQZATWQOTB-UHFFFAOYSA-N 0.000 claims description 12
- CKLJMWTZIZZHCS-REOHCLBHSA-N L-aspartic acid Chemical compound OC(=O)[C@@H](N)CC(O)=O CKLJMWTZIZZHCS-REOHCLBHSA-N 0.000 claims description 9
- YNAVUWVOSKDBBP-UHFFFAOYSA-N Morpholine Chemical compound C1COCCN1 YNAVUWVOSKDBBP-UHFFFAOYSA-N 0.000 claims description 8
- WHUUTDBJXJRKMK-UHFFFAOYSA-N Glutamic acid Natural products OC(=O)C(N)CCC(O)=O WHUUTDBJXJRKMK-UHFFFAOYSA-N 0.000 claims description 6
- WHUUTDBJXJRKMK-VKHMYHEASA-N L-glutamic acid Chemical compound OC(=O)[C@@H](N)CCC(O)=O WHUUTDBJXJRKMK-VKHMYHEASA-N 0.000 claims description 6
- 108010077895 Sarcosine Proteins 0.000 claims description 6
- 229960005261 aspartic acid Drugs 0.000 claims description 6
- 235000003704 aspartic acid Nutrition 0.000 claims description 6
- OQFSQFPPLPISGP-UHFFFAOYSA-N beta-carboxyaspartic acid Natural products OC(=O)C(N)C(C(O)=O)C(O)=O OQFSQFPPLPISGP-UHFFFAOYSA-N 0.000 claims description 6
- 235000013922 glutamic acid Nutrition 0.000 claims description 6
- 229960002989 glutamic acid Drugs 0.000 claims description 6
- 239000004220 glutamic acid Substances 0.000 claims description 6
- 229940043230 sarcosine Drugs 0.000 claims description 6
- 229960003080 taurine Drugs 0.000 claims description 6
- 238000010923 batch production Methods 0.000 claims description 3
- HKNSIVFWRXBWCK-UHFFFAOYSA-N [N].NC1=CC=CC=C1 Chemical compound [N].NC1=CC=CC=C1 HKNSIVFWRXBWCK-UHFFFAOYSA-N 0.000 claims description 2
- 125000000539 amino acid group Chemical group 0.000 claims description 2
- 230000000844 anti-bacterial effect Effects 0.000 claims description 2
- 239000003795 chemical substances by application Substances 0.000 claims description 2
- 239000003086 colorant Substances 0.000 claims description 2
- 238000005260 corrosion Methods 0.000 claims description 2
- 230000007797 corrosion Effects 0.000 claims description 2
- 239000003995 emulsifying agent Substances 0.000 claims description 2
- 239000000945 filler Substances 0.000 claims description 2
- 239000003205 fragrance Substances 0.000 claims description 2
- 125000002887 hydroxy group Chemical group [H]O* 0.000 claims description 2
- 239000003112 inhibitor Substances 0.000 claims description 2
- 125000004433 nitrogen atom Chemical group N* 0.000 claims description 2
- 239000002736 nonionic surfactant Substances 0.000 claims description 2
- 239000003605 opacifier Substances 0.000 claims description 2
- 239000003899 bactericide agent Substances 0.000 claims 1
- 239000002253 acid Substances 0.000 abstract description 10
- 125000000217 alkyl group Chemical group 0.000 abstract 8
- 125000002768 hydroxyalkyl group Chemical group 0.000 abstract 5
- 125000003545 alkoxy group Chemical group 0.000 abstract 2
- WSFSSNUMVMOOMR-UHFFFAOYSA-N Formaldehyde Chemical compound O=C WSFSSNUMVMOOMR-UHFFFAOYSA-N 0.000 description 32
- CSCPPACGZOOCGX-UHFFFAOYSA-N Acetone Chemical compound CC(C)=O CSCPPACGZOOCGX-UHFFFAOYSA-N 0.000 description 21
- HEMHJVSKTPXQMS-UHFFFAOYSA-M Sodium hydroxide Chemical compound [OH-].[Na+] HEMHJVSKTPXQMS-UHFFFAOYSA-M 0.000 description 17
- XLYOFNOQVPJJNP-UHFFFAOYSA-N water Substances O XLYOFNOQVPJJNP-UHFFFAOYSA-N 0.000 description 15
- 239000011734 sodium Substances 0.000 description 14
- ISWSIDIOOBJBQZ-UHFFFAOYSA-N Phenol Chemical compound OC1=CC=CC=C1 ISWSIDIOOBJBQZ-UHFFFAOYSA-N 0.000 description 12
- CDBYLPFSWZWCQE-UHFFFAOYSA-L Sodium Carbonate Chemical compound [Na+].[Na+].[O-]C([O-])=O CDBYLPFSWZWCQE-UHFFFAOYSA-L 0.000 description 12
- LFQSCWFLJHTTHZ-UHFFFAOYSA-N Ethanol Chemical compound CCO LFQSCWFLJHTTHZ-UHFFFAOYSA-N 0.000 description 9
- 239000007859 condensation product Substances 0.000 description 7
- 238000003756 stirring Methods 0.000 description 7
- IAYPIBMASNFSPL-UHFFFAOYSA-N Ethylene oxide Chemical compound C1CO1 IAYPIBMASNFSPL-UHFFFAOYSA-N 0.000 description 6
- OKKJLVBELUTLKV-UHFFFAOYSA-N Methanol Chemical compound OC OKKJLVBELUTLKV-UHFFFAOYSA-N 0.000 description 6
- FAPWRFPIFSIZLT-UHFFFAOYSA-M Sodium chloride Chemical compound [Na+].[Cl-] FAPWRFPIFSIZLT-UHFFFAOYSA-M 0.000 description 6
- 238000000921 elemental analysis Methods 0.000 description 6
- 229910000029 sodium carbonate Inorganic materials 0.000 description 6
- 239000004753 textile Substances 0.000 description 5
- IGFHQQFPSIBGKE-UHFFFAOYSA-N 4-nonylphenol Chemical compound CCCCCCCCCC1=CC=C(O)C=C1 IGFHQQFPSIBGKE-UHFFFAOYSA-N 0.000 description 4
- REJHVSOVQBJEBF-UHFFFAOYSA-N DSD-acid Natural products OS(=O)(=O)C1=CC(N)=CC=C1C=CC1=CC=C(N)C=C1S(O)(=O)=O REJHVSOVQBJEBF-UHFFFAOYSA-N 0.000 description 4
- DGAQECJNVWCQMB-PUAWFVPOSA-M Ilexoside XXIX Chemical compound C[C@@H]1CC[C@@]2(CC[C@@]3(C(=CC[C@H]4[C@]3(CC[C@@H]5[C@@]4(CC[C@@H](C5(C)C)OS(=O)(=O)[O-])C)C)[C@@H]2[C@]1(C)O)C)C(=O)O[C@H]6[C@@H]([C@H]([C@@H]([C@H](O6)CO)O)O)O.[Na+] DGAQECJNVWCQMB-PUAWFVPOSA-M 0.000 description 4
- XSQUKJJJFZCRTK-UHFFFAOYSA-N Urea Chemical compound NC(N)=O XSQUKJJJFZCRTK-UHFFFAOYSA-N 0.000 description 4
- 150000002148 esters Chemical class 0.000 description 4
- 239000000835 fiber Substances 0.000 description 4
- 239000002244 precipitate Substances 0.000 description 4
- 239000000725 suspension Substances 0.000 description 4
- LYCAIKOWRPUZTN-UHFFFAOYSA-N Ethylene glycol Chemical compound OCCO LYCAIKOWRPUZTN-UHFFFAOYSA-N 0.000 description 3
- MHAJPDPJQMAIIY-UHFFFAOYSA-N Hydrogen peroxide Chemical compound OO MHAJPDPJQMAIIY-UHFFFAOYSA-N 0.000 description 3
- 229920001732 Lignosulfonate Polymers 0.000 description 3
- 239000004115 Sodium Silicate Substances 0.000 description 3
- PPBRXRYQALVLMV-UHFFFAOYSA-N Styrene Chemical compound C=CC1=CC=CC=C1 PPBRXRYQALVLMV-UHFFFAOYSA-N 0.000 description 3
- MGNCLNQXLYJVJD-UHFFFAOYSA-N cyanuric chloride Chemical compound ClC1=NC(Cl)=NC(Cl)=N1 MGNCLNQXLYJVJD-UHFFFAOYSA-N 0.000 description 3
- 125000001495 ethyl group Chemical group [H]C([H])([H])C([H])([H])* 0.000 description 3
- 239000004744 fabric Substances 0.000 description 3
- 239000000047 product Substances 0.000 description 3
- 239000011780 sodium chloride Substances 0.000 description 3
- NTHWMYGWWRZVTN-UHFFFAOYSA-N sodium silicate Chemical compound [Na+].[Na+].[O-][Si]([O-])=O NTHWMYGWWRZVTN-UHFFFAOYSA-N 0.000 description 3
- 229910052911 sodium silicate Inorganic materials 0.000 description 3
- 238000012360 testing method Methods 0.000 description 3
- JKTAIYGNOFSMCE-UHFFFAOYSA-N 2,3-di(nonyl)phenol Chemical compound CCCCCCCCCC1=CC=CC(O)=C1CCCCCCCCC JKTAIYGNOFSMCE-UHFFFAOYSA-N 0.000 description 2
- ALYNCZNDIQEVRV-UHFFFAOYSA-N 4-aminobenzoic acid Chemical compound NC1=CC=C(C(O)=O)C=C1 ALYNCZNDIQEVRV-UHFFFAOYSA-N 0.000 description 2
- REJHVSOVQBJEBF-OWOJBTEDSA-N 5-azaniumyl-2-[(e)-2-(4-azaniumyl-2-sulfonatophenyl)ethenyl]benzenesulfonate Chemical compound OS(=O)(=O)C1=CC(N)=CC=C1\C=C\C1=CC=C(N)C=C1S(O)(=O)=O REJHVSOVQBJEBF-OWOJBTEDSA-N 0.000 description 2
- 0 C*CC(*)Nc1nc(Nc2cc(*)c(C=C[C@@]3C=CC(Nc4nc(Nc(cc5)ccc5S(CCO)(=O)=O)nc(NC(*)C*)n4)=CC3*)cc2)nc(Nc(cc2)ccc2S(CCO)(=O)=O)n1 Chemical compound C*CC(*)Nc1nc(Nc2cc(*)c(C=C[C@@]3C=CC(Nc4nc(Nc(cc5)ccc5S(CCO)(=O)=O)nc(NC(*)C*)n4)=CC3*)cc2)nc(Nc(cc2)ccc2S(CCO)(=O)=O)n1 0.000 description 2
- KFZMGEQAYNKOFK-UHFFFAOYSA-N Isopropanol Chemical compound CC(C)O KFZMGEQAYNKOFK-UHFFFAOYSA-N 0.000 description 2
- GOOHAUXETOMSMM-UHFFFAOYSA-N Propylene oxide Chemical compound CC1CO1 GOOHAUXETOMSMM-UHFFFAOYSA-N 0.000 description 2
- 230000002378 acidificating effect Effects 0.000 description 2
- 239000002671 adjuvant Substances 0.000 description 2
- 238000005282 brightening Methods 0.000 description 2
- 238000001816 cooling Methods 0.000 description 2
- 235000014113 dietary fatty acids Nutrition 0.000 description 2
- LVTYICIALWPMFW-UHFFFAOYSA-N diisopropanolamine Chemical compound CC(O)CNCC(C)O LVTYICIALWPMFW-UHFFFAOYSA-N 0.000 description 2
- 229940043276 diisopropanolamine Drugs 0.000 description 2
- 239000002270 dispersing agent Substances 0.000 description 2
- 230000000694 effects Effects 0.000 description 2
- 239000000194 fatty acid Substances 0.000 description 2
- 229930195729 fatty acid Natural products 0.000 description 2
- 238000007730 finishing process Methods 0.000 description 2
- 125000001449 isopropyl group Chemical group [H]C([H])([H])C([H])(*)C([H])([H])[H] 0.000 description 2
- 239000000463 material Substances 0.000 description 2
- 238000005259 measurement Methods 0.000 description 2
- 125000002496 methyl group Chemical group [H]C([H])([H])* 0.000 description 2
- 125000004123 n-propyl group Chemical group [H]C([H])([H])C([H])([H])C([H])([H])* 0.000 description 2
- PSZYNBSKGUBXEH-UHFFFAOYSA-N naphthalene-1-sulfonic acid Chemical compound C1=CC=C2C(S(=O)(=O)O)=CC=CC2=C1 PSZYNBSKGUBXEH-UHFFFAOYSA-N 0.000 description 2
- 239000011541 reaction mixture Substances 0.000 description 2
- 150000003839 salts Chemical class 0.000 description 2
- VWDWKYIASSYTQR-UHFFFAOYSA-N sodium nitrate Chemical compound [Na+].[O-][N+]([O-])=O VWDWKYIASSYTQR-UHFFFAOYSA-N 0.000 description 2
- 239000007787 solid Substances 0.000 description 2
- 125000004178 (C1-C4) alkyl group Chemical group 0.000 description 1
- JYEUMXHLPRZUAT-UHFFFAOYSA-N 1,2,3-triazine Chemical group C1=CN=NN=C1 JYEUMXHLPRZUAT-UHFFFAOYSA-N 0.000 description 1
- AZUYLZMQTIKGSC-UHFFFAOYSA-N 1-[6-[4-(5-chloro-6-methyl-1H-indazol-4-yl)-5-methyl-3-(1-methylindazol-5-yl)pyrazol-1-yl]-2-azaspiro[3.3]heptan-2-yl]prop-2-en-1-one Chemical compound ClC=1C(=C2C=NNC2=CC=1C)C=1C(=NN(C=1C)C1CC2(CN(C2)C(C=C)=O)C1)C=1C=C2C=NN(C2=CC=1)C AZUYLZMQTIKGSC-UHFFFAOYSA-N 0.000 description 1
- KJCVRFUGPWSIIH-UHFFFAOYSA-N 1-naphthol Chemical compound C1=CC=C2C(O)=CC=CC2=C1 KJCVRFUGPWSIIH-UHFFFAOYSA-N 0.000 description 1
- CSCNRHJJGXZFGX-UHFFFAOYSA-N 2-(4-aminophenyl)sulfonylethanol Chemical compound NC1=CC=C(S(=O)(=O)CCO)C=C1 CSCNRHJJGXZFGX-UHFFFAOYSA-N 0.000 description 1
- GAWIXWVDTYZWAW-UHFFFAOYSA-N C[CH]O Chemical group C[CH]O GAWIXWVDTYZWAW-UHFFFAOYSA-N 0.000 description 1
- OFOBLEOULBTSOW-UHFFFAOYSA-N Malonic acid Chemical compound OC(=O)CC(O)=O OFOBLEOULBTSOW-UHFFFAOYSA-N 0.000 description 1
- 238000013494 PH determination Methods 0.000 description 1
- ZLMJMSJWJFRBEC-UHFFFAOYSA-N Potassium Chemical compound [K] ZLMJMSJWJFRBEC-UHFFFAOYSA-N 0.000 description 1
- PMZURENOXWZQFD-UHFFFAOYSA-L Sodium Sulfate Chemical compound [Na+].[Na+].[O-]S([O-])(=O)=O PMZURENOXWZQFD-UHFFFAOYSA-L 0.000 description 1
- 238000010306 acid treatment Methods 0.000 description 1
- 239000004480 active ingredient Substances 0.000 description 1
- 239000008186 active pharmaceutical agent Substances 0.000 description 1
- 229910052783 alkali metal Inorganic materials 0.000 description 1
- 229910000318 alkali metal phosphate Inorganic materials 0.000 description 1
- 229910052910 alkali metal silicate Inorganic materials 0.000 description 1
- 125000002947 alkylene group Chemical class 0.000 description 1
- 150000001412 amines Chemical class 0.000 description 1
- 229960004050 aminobenzoic acid Drugs 0.000 description 1
- 239000011324 bead Substances 0.000 description 1
- 150000008107 benzenesulfonic acids Chemical class 0.000 description 1
- 230000015572 biosynthetic process Effects 0.000 description 1
- 239000007844 bleaching agent Substances 0.000 description 1
- 238000009835 boiling Methods 0.000 description 1
- QDHFHIQKOVNCNC-UHFFFAOYSA-N butane-1-sulfonic acid Chemical group CCCCS(O)(=O)=O QDHFHIQKOVNCNC-UHFFFAOYSA-N 0.000 description 1
- 125000004106 butoxy group Chemical group [*]OC([H])([H])C([H])([H])C(C([H])([H])[H])([H])[H] 0.000 description 1
- 239000004202 carbamide Substances 0.000 description 1
- 125000004432 carbon atom Chemical group C* 0.000 description 1
- 238000004737 colorimetric analysis Methods 0.000 description 1
- 239000013065 commercial product Substances 0.000 description 1
- 150000001896 cresols Chemical class 0.000 description 1
- ZBCBWPMODOFKDW-UHFFFAOYSA-N diethanolamine Chemical compound OCCNCCO ZBCBWPMODOFKDW-UHFFFAOYSA-N 0.000 description 1
- 238000002845 discoloration Methods 0.000 description 1
- 239000003651 drinking water Substances 0.000 description 1
- 235000020188 drinking water Nutrition 0.000 description 1
- 229940088679 drug related substance Drugs 0.000 description 1
- 230000007613 environmental effect Effects 0.000 description 1
- 238000011156 evaluation Methods 0.000 description 1
- 150000004665 fatty acids Chemical class 0.000 description 1
- 150000002191 fatty alcohols Chemical class 0.000 description 1
- 150000002193 fatty amides Chemical class 0.000 description 1
- 239000002657 fibrous material Substances 0.000 description 1
- 239000000706 filtrate Substances 0.000 description 1
- 239000012530 fluid Substances 0.000 description 1
- 239000006081 fluorescent whitening agent Substances 0.000 description 1
- 239000000543 intermediate Substances 0.000 description 1
- 238000007040 multi-step synthesis reaction Methods 0.000 description 1
- 125000004108 n-butyl group Chemical group [H]C([H])([H])C([H])([H])C([H])([H])C([H])([H])* 0.000 description 1
- 230000007935 neutral effect Effects 0.000 description 1
- 150000002823 nitrates Chemical class 0.000 description 1
- 150000002826 nitrites Chemical class 0.000 description 1
- 239000002245 particle Substances 0.000 description 1
- 239000000546 pharmaceutical excipient Substances 0.000 description 1
- 150000002989 phenols Chemical class 0.000 description 1
- 150000003014 phosphoric acid esters Chemical class 0.000 description 1
- 229920001467 poly(styrenesulfonates) Polymers 0.000 description 1
- 229940068886 polyethylene glycol 300 Drugs 0.000 description 1
- 239000002952 polymeric resin Substances 0.000 description 1
- 150000007519 polyprotic acids Polymers 0.000 description 1
- 239000011970 polystyrene sulfonate Substances 0.000 description 1
- 239000011591 potassium Substances 0.000 description 1
- 238000001556 precipitation Methods 0.000 description 1
- 238000002360 preparation method Methods 0.000 description 1
- 125000001436 propyl group Chemical group [H]C([*])([H])C([H])([H])C([H])([H])[H] 0.000 description 1
- 239000010453 quartz Substances 0.000 description 1
- 150000003254 radicals Chemical class 0.000 description 1
- 239000000376 reactant Substances 0.000 description 1
- 238000012552 review Methods 0.000 description 1
- 125000002914 sec-butyl group Chemical group [H]C([H])([H])C([H])([H])C([H])(*)C([H])([H])[H] 0.000 description 1
- 230000035945 sensitivity Effects 0.000 description 1
- VYPSYNLAJGMNEJ-UHFFFAOYSA-N silicon dioxide Inorganic materials O=[Si]=O VYPSYNLAJGMNEJ-UHFFFAOYSA-N 0.000 description 1
- 239000004317 sodium nitrate Substances 0.000 description 1
- 235000010344 sodium nitrate Nutrition 0.000 description 1
- 229940048086 sodium pyrophosphate Drugs 0.000 description 1
- 159000000000 sodium salts Chemical class 0.000 description 1
- RSIJVJUOQBWMIM-UHFFFAOYSA-L sodium sulfate decahydrate Chemical compound O.O.O.O.O.O.O.O.O.O.[Na+].[Na+].[O-]S([O-])(=O)=O RSIJVJUOQBWMIM-UHFFFAOYSA-L 0.000 description 1
- 235000019832 sodium triphosphate Nutrition 0.000 description 1
- 238000003860 storage Methods 0.000 description 1
- 229920003002 synthetic resin Polymers 0.000 description 1
- 125000000999 tert-butyl group Chemical group [H]C([H])([H])C(*)(C([H])([H])[H])C([H])([H])[H] 0.000 description 1
- RYCLIXPGLDDLTM-UHFFFAOYSA-J tetrapotassium;phosphonato phosphate Chemical compound [K+].[K+].[K+].[K+].[O-]P([O-])(=O)OP([O-])([O-])=O RYCLIXPGLDDLTM-UHFFFAOYSA-J 0.000 description 1
- 230000009466 transformation Effects 0.000 description 1
- UNXRWKVEANCORM-UHFFFAOYSA-I triphosphate(5-) Chemical compound [O-]P([O-])(=O)OP([O-])(=O)OP([O-])([O-])=O UNXRWKVEANCORM-UHFFFAOYSA-I 0.000 description 1
- LWIHDJKSTIGBAC-UHFFFAOYSA-K tripotassium phosphate Chemical compound [K+].[K+].[K+].[O-]P([O-])([O-])=O LWIHDJKSTIGBAC-UHFFFAOYSA-K 0.000 description 1
Classifications
-
- D—TEXTILES; PAPER
- D06—TREATMENT OF TEXTILES OR THE LIKE; LAUNDERING; FLEXIBLE MATERIALS NOT OTHERWISE PROVIDED FOR
- D06P—DYEING OR PRINTING TEXTILES; DYEING LEATHER, FURS OR SOLID MACROMOLECULAR SUBSTANCES IN ANY FORM
- D06P5/00—Other features in dyeing or printing textiles, or dyeing leather, furs, or solid macromolecular substances in any form
- D06P5/02—After-treatment
- D06P5/04—After-treatment with organic compounds
- D06P5/06—After-treatment with organic compounds containing nitrogen
-
- C—CHEMISTRY; METALLURGY
- C07—ORGANIC CHEMISTRY
- C07D—HETEROCYCLIC COMPOUNDS
- C07D251/00—Heterocyclic compounds containing 1,3,5-triazine rings
- C07D251/02—Heterocyclic compounds containing 1,3,5-triazine rings not condensed with other rings
- C07D251/12—Heterocyclic compounds containing 1,3,5-triazine rings not condensed with other rings having three double bonds between ring members or between ring members and non-ring members
- C07D251/26—Heterocyclic compounds containing 1,3,5-triazine rings not condensed with other rings having three double bonds between ring members or between ring members and non-ring members with only hetero atoms directly attached to ring carbon atoms
- C07D251/40—Nitrogen atoms
- C07D251/54—Three nitrogen atoms
- C07D251/68—Triazinylamino stilbenes
-
- D—TEXTILES; PAPER
- D06—TREATMENT OF TEXTILES OR THE LIKE; LAUNDERING; FLEXIBLE MATERIALS NOT OTHERWISE PROVIDED FOR
- D06L—DRY-CLEANING, WASHING OR BLEACHING FIBRES, FILAMENTS, THREADS, YARNS, FABRICS, FEATHERS OR MADE-UP FIBROUS GOODS; BLEACHING LEATHER OR FURS
- D06L4/00—Bleaching fibres, filaments, threads, yarns, fabrics, feathers or made-up fibrous goods; Bleaching leather or furs
- D06L4/60—Optical bleaching or brightening
- D06L4/614—Optical bleaching or brightening in aqueous solvents
- D06L4/621—Optical bleaching or brightening in aqueous solvents with anionic brighteners
-
- D—TEXTILES; PAPER
- D06—TREATMENT OF TEXTILES OR THE LIKE; LAUNDERING; FLEXIBLE MATERIALS NOT OTHERWISE PROVIDED FOR
- D06M—TREATMENT, NOT PROVIDED FOR ELSEWHERE IN CLASS D06, OF FIBRES, THREADS, YARNS, FABRICS, FEATHERS OR FIBROUS GOODS MADE FROM SUCH MATERIALS
- D06M13/00—Treating fibres, threads, yarns, fabrics or fibrous goods made from such materials, with non-macromolecular organic compounds; Such treatment combined with mechanical treatment
- D06M13/322—Treating fibres, threads, yarns, fabrics or fibrous goods made from such materials, with non-macromolecular organic compounds; Such treatment combined with mechanical treatment with compounds containing nitrogen
- D06M13/35—Heterocyclic compounds
- D06M13/355—Heterocyclic compounds having six-membered heterocyclic rings
- D06M13/358—Triazines
-
- D—TEXTILES; PAPER
- D06—TREATMENT OF TEXTILES OR THE LIKE; LAUNDERING; FLEXIBLE MATERIALS NOT OTHERWISE PROVIDED FOR
- D06M—TREATMENT, NOT PROVIDED FOR ELSEWHERE IN CLASS D06, OF FIBRES, THREADS, YARNS, FABRICS, FEATHERS OR FIBROUS GOODS MADE FROM SUCH MATERIALS
- D06M2101/00—Chemical constitution of the fibres, threads, yarns, fabrics or fibrous goods made from such materials, to be treated
- D06M2101/02—Natural fibres, other than mineral fibres
- D06M2101/04—Vegetal fibres
- D06M2101/06—Vegetal fibres cellulosic
-
- Y—GENERAL TAGGING OF NEW TECHNOLOGICAL DEVELOPMENTS; GENERAL TAGGING OF CROSS-SECTIONAL TECHNOLOGIES SPANNING OVER SEVERAL SECTIONS OF THE IPC; TECHNICAL SUBJECTS COVERED BY FORMER USPC CROSS-REFERENCE ART COLLECTIONS [XRACs] AND DIGESTS
- Y10—TECHNICAL SUBJECTS COVERED BY FORMER USPC
- Y10S—TECHNICAL SUBJECTS COVERED BY FORMER USPC CROSS-REFERENCE ART COLLECTIONS [XRACs] AND DIGESTS
- Y10S8/00—Bleaching and dyeing; fluid treatment and chemical modification of textiles and fibers
- Y10S8/916—Natural fiber dyeing
- Y10S8/918—Cellulose textile
Landscapes
- Engineering & Computer Science (AREA)
- Textile Engineering (AREA)
- Chemical & Material Sciences (AREA)
- Organic Chemistry (AREA)
- Treatments For Attaching Organic Compounds To Fibrous Goods (AREA)
- Detergent Compositions (AREA)
- Paper (AREA)
- Coloring (AREA)
- Non-Portable Lighting Devices Or Systems Thereof (AREA)
- Manufacture Of Electron Tubes, Discharge Lamp Vessels, Lead-In Wires, And The Like (AREA)
- Plural Heterocyclic Compounds (AREA)
- Silver Salt Photography Or Processing Solution Therefor (AREA)
Description
- Die vorliegende Erfindung betrifft ein Verfahren zum fluoreszierenden Weißmachen (optischen Aufhellen) von Baumwolltextilien, welches besondere fluoreszierende Diaminostilben-Weißmacher mit einer guten Säurestabilität und einer hohen Affinität gegenüber Baumwolle einsetzen, von denen einige neu sind.
- Fluoreszierende Weißmacher (FWAs) werden in der Textilindustrie weitreichend eingesetzt, um die Weißheitseigenschaften eines breiten Bereichs an Textilfasermaterialien zu verbessern. Insbesondere bei Baumwolle müssen die FWAs und deren Anwendungs- bzw. Auftragungstechnik sorgfältig ausgesucht werden, da die FWAs einen breiten Bereich an Affinitäten zeigen.
- Bei "absatzweise betriebenen" Auftragungsverfahren (Batchwise-Verfahren) ist es bevorzugt, FWAs zu verwenden, die eine hohe Affinität gegenüber Baumwolle aufweisen, da solche FWAs ein maximales Aufziehen auf der Baumwollfaser aus dem Bad zeigen.
- Für "kontinuierliche" Verfahren muss jedoch ein FWA mit geringer Affinität verwendet werden, nämlich ein solcher, der denselben Weißheitseffekt sowohl am Anfang als auch am Ende des Materials liefert, da er nur auf einem untergeordneten Anteil des Materials aufzieht.
- In dem Fall bestimmter anderer Auftragungen, beispielsweise dem "Pad-Batch"-Verfahren, sind FWAs mit mittlerer Affinität gegenüber Baumwolle erforderlich.
- Darüber hinaus werden FWAs steigend in diskontinuierlichen Verfahren eingesetzt, in deren Verlauf eine saure Behandlung, insbesondere eine Endbearbeitung bzw. Appreturverfahren unter Verwendung eines Polymerharzes, auftritt. Um in solchen Verfahren ihre Wirkung zu zeigen, müssen die eingesetzten FWAs eine hohe Faseraffinität zeigen. Leider sind jedoch die meisten existierenden hochaffinen FWAs nur in dem pH-Bereich, der sich von alkalischen bis zu neutralen Werten erstreckt, stabil. Sogar bei einem pH-Wert von nur 6 werden die meisten existierenden hochaffinen FWAs trüb und bilden Niederschläge mit daraus folgender Verminderung in ihren Weißheitseffekten. Darüber hinaus unterlaufen sie in mehrstufigen Verfahren, wenn solche hochaffinen FWAs bereits in der ersten Stufe aufgetragen wurden, bei an schließender Behandlung in einem Säurebad einer Umwandlung, die zu grünen Verfärbungen und zu Verlusten hinsichtlich des Weißheitsgrads führt.
- Bis heute erforderten die meisten der hochaffinen FWAs eine relativ niedrige Wasserlöslichkeit, was augenblicklich zu der Bildung eines Niederschlags, z. B. der freien Säureform des FWAs, bei sauren pH-Werten führte.
- Bestimmte neue FWAs, welche diese Kriterien erfüllen, wurden in dem
US-Patent 5,656,760 beschrieben. Jedoch sind für die Herstellung dieser Verbindungen komplexe Zwischenstufen erforderlich, die gemäß mehrstufigen Synthesen hergestellt werden müssen und folglich aus kommerzieller und ökologischer Sicht nachteilig sind. - Überraschend wurde nun gefunden, dass bestimmte leicht erhältliche FWAs, von denen einige neu sind, sowohl eine hohe Affinität gegenüber Baumwolle als auch eine adäquate Stabilität in den Anwendungs- bzw. Auftragungsbädern mit einem pH-Wert von 6 oder darunter aufweisen.
- Dementsprechend stellt die vorliegende Erfindung ein Verfahren zum fluoreszierenden Weißmachen bzw. optischen Aufhellen von Baumwolle in einem diskontinuierlichen Verfahren zur Verfügung, welches das Inkontaktbringen der Baumwolle in einem wässrigen Bad mit einem pH-Wert von 6 oder weniger mit ein oder mehreren Verbindungen der Formel umfasst, worin
R1 einen -SO2R3-, -SOR3-, CO2M-, -CO2R3-, -CONR3R4-, -CN- oder -NO2-Substituenten darstellt, R2-NH(C1-C4-Alkyl), -N(C1-C4-Alkyl)2, -NH(C2-C4-Hydroxyalkyl), -N(C2-C4-Hydroxyalkyl)2, Morpholin, einen Aminosäure- oder Aminosäureamid-Rest, von dem ein Wasserstoffatom an der Aminogruppe entfernt worden ist, insbesondere von Sarcosin, Taurin, Glutaminsäure oder Asparaginsäure, oder -OC1-C4-Hydroxyalkyl, insbesondere Hydroxyethoxy, darstellt,
R3 und R4 jeweils unabhängig voneinander Wasserstoff, C1-C4-Alkyl, C2-C4-Hydroxyalkyl oder C1-C4-Alkoxy-C1-C4-Alkyl bedeuten und
M H, Na, Li, K, Ca, Mg, Ammonium oder Ammonium, welches durch C1-C4-Alkyl, C2-C4-Hydroxyalkyl oder eine Mischung davon mono-, di-, tri- oder tetrasubstituiert ist, darstellt. - Vorzugsweise setzt das Verfahren eine Verbindung der Formel (1), in der
R2 -NH(C1-C4-Alkyl), -N(C1-C4-Alkyl)2, -NH(C2-C4-Hydroxyalkyl), -N(C2-C4-Hydroxyalkyl)2, Morpholin, einen Aminosäure- oder Aminosäureamid-Rest, von dem ein Wasserstoffatom an der Aminogruppe entfernt worden ist, insbesondere von Sarcosin, Taurin, Glutaminsäure oder Asparaginsäure, oder -OC1-C4-Hydroxyalkyl, insbesondere Hydroxyethoxy, darstellt,
R3 und R4 jeweils unabhängig voneinander Wasserstoff, C1-C4-Alkyl oder C2-C4-Hydroxyalkyl sind und
M H, Na oder K ist, und besonders bevorzugt eine Verbindung der Formel (1), worin R1 einen -SO2R3-, CO2M- oder -CO2R3-Substituenten darstellt, der sich in ortho- oder para-Position zu dem Stickstoffatom befindet,
R3 und M wie vorstehend definiert sind, ein. - Wie oben erwähnt sind bestimmte Verbindungen der Formel (1) neu. Folglich ist ein weiterer Aspekt der Erfindung eine Verbindung der Formel worin
R2 -NH(C2-C4-Hydroxyalkyl), -N(C2-C4-Hydroxyalkyl)2 oder einen Aminosäure- oder Aminosäureamid-Rest darstellt, von dem ein Wasserstoffatom an der Aminogruppe entfernt worden ist, und
M wie in Anspruch 1 definiert ist. - Von besonderen Interesse ist die Verbindung der Formel (2), worin die
-SO2OH2OH2OH-Gruppe in der o- oder p-Position bezüglich des Anilin-Stickstoffatoms liegt,
R2 -NH(C2-C4-Hydroxyalkyl), -N(C2-C4-Hydroxyalkyl)2 oder ein Aminosäurerest darstellt, welcher von Sarcosin, Taurin, Glutaminsäure oder Asparaginsäure abgeleitet ist, und
M H, Na oder K ist, und insbesondere die Verbindung der Formel (2), worin R2 -N[CH2CH(OH)CH3]2 oder ein Asparaginsäurerest ist und
M Na ist. - Wenn R2, R3, R4 oder M in der Definition der Formeln (1) oder (2) eine C1-C4-Alkylgruppe enthält, kann diese beispielsweise eine Methyl-, Ethyl-, n-Propyl-, Isopropyl- oder eine n-, s- oder t-Butylgruppe sein.
- Wenn R2, R3, R4 oder M in der Definition der Formeln (1) oder (2) eine C2-C4-Hydroxyalkylgruppe enthält, kann diese beispielsweise Hydroxyethyl, Hydroxypropyl oder Hydroxybutyl sein.
- Wenn R2, R3, R4 oder M in der Definition der Formeln (1) oder (2) eine (C1-C4-Alkoxy)(C1-C4-Alkyl)-Gruppe enthält, kann diese beispielsweise eine Methyl-, Ethyl-, n-Propyl-, Isopropyl- oder eine n-, s- der t-Butyl-Gruppe sein, die durch Methoxy, Ethoxy, Propyloxy oder Butyloxy substituiert ist.
- Wenn R2 in der Definition der Formeln (1) oder (2) eine C2-C4-Alkylsulfonsäuregruppe enthält, kann diese beispielsweise eine Ethyl-, Propyl- oder Butylsulfonsäuregruppe sein.
- Die Verbindungen der Formel (2) können durch bekannte Verfahren hergestellt werden, beispielsweise durch Umsetzung von Cyanurchlorid in beliebiger Reihenfolge mit dem Natriumsalz von 4,4'-Diaminostilben-2,2'-disulfonsäure, einer Verbindung der Formel und einer Verbindung, die zum Einführen der Gruppe R2 in den Triazinring in der Lage ist.
- Die Reaktanden werden vorzugsweise in annähernd stöchiometrischen Mengen, die zur Bildung der Verbindungen der Formel (2) erforderlich sind, verwendet.
- Wie oben angegeben stellt die vorliegende Erfindung ein Verfahren zum fluoreszierenden Weißmachen (optischen Aufhellen) von Baumwolle in einen diskontinuierlichen Verfahren zur Verfügung, welches das Inkontaktbringen der Baumwolle in einem wässrigen Bad mit einem pH-Wert von 6 oder weniger, vorzugsweise mit einem pH-Wert von 4 bis 6, mit ein oder mehreren Verbindungen mit der Formel (1) umfasst.
- Einige der Verbindungen der Formel (1) können vorteilhafterweise in dispergierter Form aufgetragen werden. Zu diesem Zweck können sie mit einem geeigneten Dispergierungsmittel gemahlen werden, wobei herkömmlicherweise Quarzkügelchen und ein Impeller verwendet werden und auf eine Teilchengröße von 1 bis 2 μm herunter gemahlen wird.
- Als Dispergierungsmittel für solche Verbindungen können erwähnt werden:
- – Säureester oder deren Salze von Alkylenoxidaddukten, z. B. Säureester oder deren Salze eines Polyaddukts von 4 bis 40 Molen Ethylenoxid mit 1 Mol Phenol, oder Phosphorsäureester des Addukts von 6 bis 30 Molen Ethylenoxid mit 1 Mol 4-Nonylphenol, 1 Mol Dinonylphenol oder insbesondere mit 1 Mol Verbindungen, die durch Zugabe von 1 bis 3 Molen Styrol zu 1 Mol Phenol hergestellt wurden;
- – Polystyrolsulfonate;
- – Fettsäuretauride;
- – alkylierte Diphenyloxidmono- oder -disulfonate;
- – Sulfonate von Polycarbonsäureestern;
- – Additionsprodukte von 1 bis 60, vorzugsweise 2 bis 30 Molen Ethylenoxid und/oder Propylenoxid und Fettaminen, Fettamiden, Fettsäuren oder Fettalkoholen, welche jeweils 8 bis 22 Kohlenstoffatome aufweisen, oder mit tri- bis hexavalenten C3-C6-Alkanolen, wobei die Additionsprodukte in einen Säureester mit einer organischen Dicarbonsäure oder mit einer anorganischen polybasischen Säure umgewandelt wurden;
- – Ligninsulfonate; und insbesondere
- – Formaldehydkondensationsprodukte, z. B. Kondensationsprodukte von Ligninsulfonaten und/oder Phenol und Formaldehyd; Kondensationsprodukte von Formaldehyd mit aromatischen Sulfonsäuren; z. B. Kondensationsprodukte von Ditolylethersulfonaten und Formaldehyd; Kondensationsprodukte von Naphthalensulfonsäure und/oder Naphthol- oder Naphthylaminsulfonsäuren und Formaldehyd; Kondensationsprodukte von Phenylsulfonsäuren und/oder sulfonierten Dihydroxydiphenylsulfon und Phenolen oder Kresolen mit Formaldehyd und/oder Harnstoff; oder Kondensationsprodukte von Diphenyloxid-Disulfonsäure-Derivaten mit Formaldehyd.
- Die Verbindung der Formel (1) kann in dem Verfahren der vorliegenden Erfindung zusammen mit einer geringeren Menge an ein oder mehreren Hilfsstoffen verwendet werden. Beispiele für Hilfsstoffe umfassen Emulgatoren, Duftstoffe, Färbemittel, Trübungsmittel, Bakterizide, nichtionische Tenside, Antigelierungsmittel, wie Nitrite oder Nitrate von Alkalimetallsalzen, insbesondere Natriumnitrat, und Korrosionsinhibitoren, wie Natriumsilicat.
- Die Menge jedes dieser optionalen Hilfsstoffe liegt vorzugsweise innerhalb des Bereichs von 0,01 bis 1 Gew.-% bezogen auf das wässrige Behandlungsbad.
- Das Verfahren der vorliegenden Erfindung wird gewöhnlich im Temperaturbereich von 20 bis 140°C, beispielsweise bei oder in der Nähe des Siedepunkts des wässrigen Bads, z. B. bei ungefähr 90°C durchgeführt.
- Das Verfahren der vorliegenden Erfindung wird am bequemsten unter Verwendung einer Exhaust- oder Foulard-Technik durchgeführt.
- Das Verfahren der vorliegenden Erfindung kann mit einem Textilbehandlungs- oder Veredelungsverfahren, beispielsweise in Gegenwart eines Bleichmittels, wie Wasserstoffperoxid, kombiniert werden.
- Es ist oftmals von Vorteil, die Verbindung der Formel (1) in Mischung mit einer geringeren Menge eines Hilfsmittels oder Füllstoffs zu verwenden, wie wasserfreies Natriumsulfat, Natriumsulfatdecahydrat, Natriumchlorid, Natriumcarbonat, ein Alkalimetallphosphat, wie Natrium- oder Kaliumorthophosphat, Natrium- oder Kaliumpy rophosphat oder Natrium- oder Kaliumtripolyphosphat, oder ein Alkalimetallsilicat, wie Natriumsilicat.
- Die folgenden Beispiele verdeutlichen die vorliegende Erfindung.
- Präparative Beispiele
- Es werden 15 g Cyanurchlorid in 175 ml Aceton gelöst, und die Lösung wird in 175 g Eis/Wasser geschüttet. Zu der resultierenden Suspension wird eine Lösung von 16,3 g 4-(2-Hydroxyethylsulfonyl)anilin in 50 ml Aceton anschließend unter Rühren innerhalb von 5 Minuten zugesetzt. Der pH wird anschließend auf 6 durch Zugabe von 40 ml einer 1M wässrigen Natriumcarbonatlösung eingestellt, und die Mischung wird 1 Stunde lang gerührt, währenddessen die Temperatur auf 25°C steigt. Die Reaktionsmischung wird filtriert, der Rückstand wird mit Aceton gewaschen und anschließend in 200 ml Aceton und 90 g Eis/Wasser suspendiert. Zu dieser Suspension wird danach unter Rühren innerhalb von 15 Minuten eine Lösung von 15,12 g 4,4'-Diaminostilben-2,2'-disulfonsäure in 120 ml Wasser, 71 g Eis/Wasser und 40 ml einer 2N wässrigen Natriumhydroxidlösung gegeben. Während der Zugabe wird der pH zwischen 7,0 und 7,5 durch Zugabe von 40 ml einer 1M wässrigen Natriumcarbonatlösung gehalten, und die Temperatur steigt auf 50°C. Nach dem Rühren innerhalb weiterer 3 Stunden wird Natriumchloridlösung zugesetzt, der Niederschlag wird abfiltriert, mit Aceton und Wasser gewaschen und unter Vakuum bei 80°C unter Erhalt der Verbindung der Formel (101) getrocknet.
-
- Es werden 4,0 g der Verbindung (101) in 15 ml Wasser eingerührt, und 1,2 g Diisopropanolamin werden zugesetzt. Die Mischung wird anschließend auf 85°C erwärmt, wobei der pH zwischen 8,0 und 8,5 durch Zugabe von 0,84 g einer 32%igen wässrigen Natriumhydroxidlösung gehalten wird. Nach einem 3-stündigen Rühren wird die Lösung auf Raumtemperatur abgekühlt, und 20 ml Methanol werden zugesetzt. Die resultierende Lösung wird anschließend in 200 ml Isopropanol geschüttet, die ausgefällten Feststoffe werden filtriert und unter Vakuum bei 80°C getrocknet, wobei die Verbindung der Formel (102) erhalten wird.
-
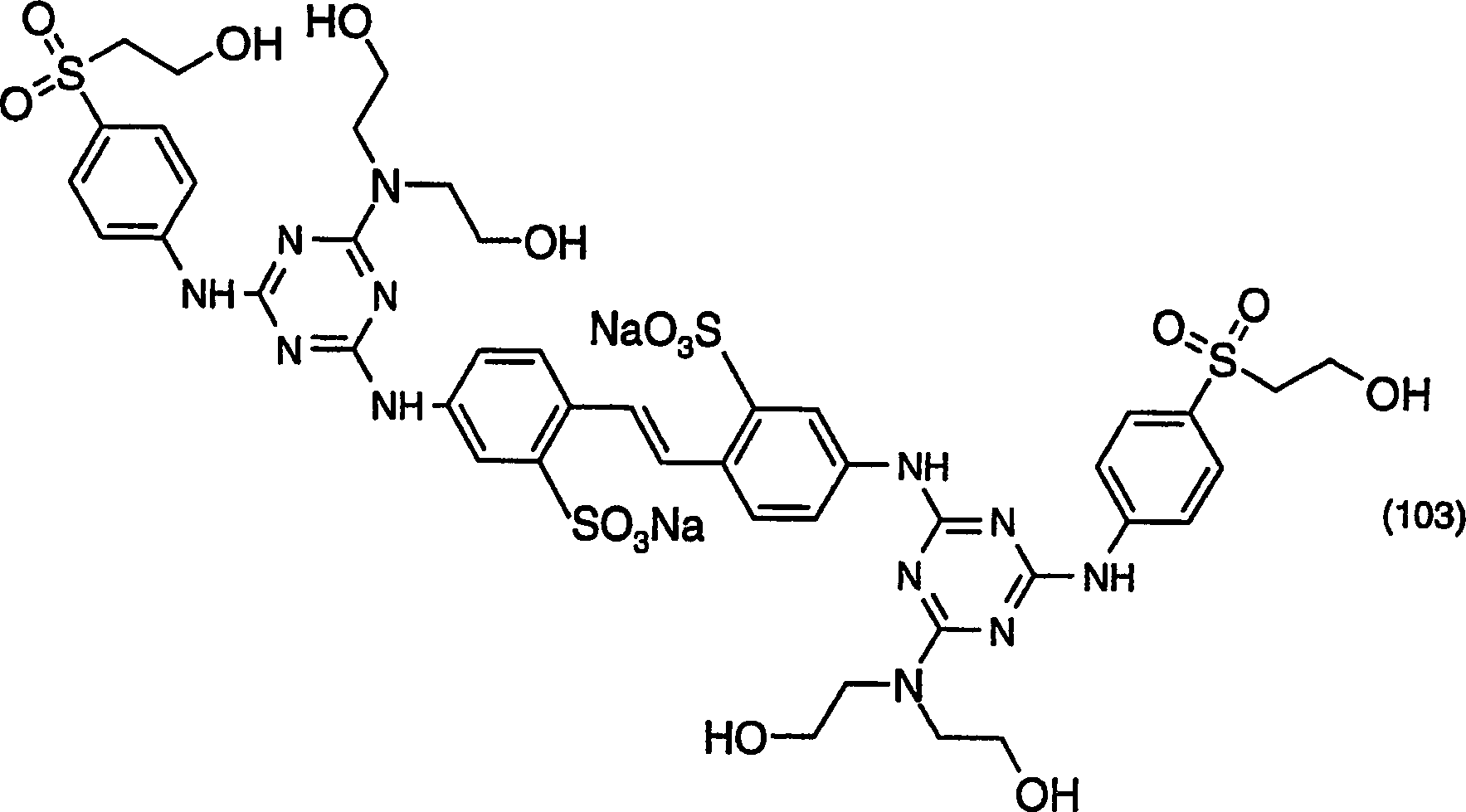
- Bei gleicher Vorgehensweise wie in Beispiel 1b, allerdings unter Ersatz von Diisopropanolamin durch 1,9 g Diethanolamin, wird die Verbindung der Formel (103) erhalten, die die folgende Elementaranalyse für C44H48N12Na2O16S4·1.5H2O·1NaCl·1.7C3H8O aufweist:
berechnet C 43,20%, H 4,90%, N 12,30%, S 9,40%
gefunden C 43,18%, H 4,90%, N 12,26%, S 9,43% Beispiel 3 - Es werden 4,0 g der Verbindung (101) in 10 ml Wasser eingerührt. Eine Lösung von 1,0 g Asparaginsäure in 10 ml Wasser, die 1,7 g 32%ige wässrige Natriumhydroxidlösung enthält, wird zu der Suspension zugegeben. Die Mischung wird anschließend auf 90°C erwärmt, und 10 ml Polyethylenglykol 300 werden zugesetzt, wobei der pH bei 8,0 durch Zugabe von 0,84 g einer 32%igen wässrigen Natriumhydroxidlösung gehalten wird. Nach dem Rühren innerhalb von 6 Stunden wird die Mischung auf Raumtemperatur abgekühlt, und 20 ml Wasser werden zugesetzt. Die resultierende Lösung wird in 100 ml Methanol geschüttet, und die ausgefällten Feststoffe werden abfiltriert. Dieses Produkt wird in 30 ml Aceton suspendiert, filtriert und bei Raumtemperatur getrocknet, wobei die Verbindung der Formel (104) erhalten wird:
Die Elementaranalyse für C42H38N12Na6O20S4·10H2O:
berechnet C 34,40%, H 3,98%, N 10,60%, S 7,46%
gefunden C 34,50%, H 4,06%, N 10,60%, S 7,43% Beispiel 4a - Es werden 20 g Cyanurchlorid in 128 ml Aceton gelöst, und die Lösung wird auf 118 g Eis/Wasser geschüttet. Zu der resultierenden Suspension wird eine Lösung von 24,8 g 80,8%iger 4,4'-Diaminostilben-2,2'-disulfonsäure in 210 ml Wasser und 94 g Eis/Wasser unter Rühren innerhalb von 25 Minuten zugesetzt. Nach der Zugabe wird der pH auf 4,5 eingestellt und für 40 Minuten lang durch Zugabe von 54 ml einer 1M wässrigen Natriumcarbonatlösung dort gehalten. Eine Lösung von 16 g 4-Aminobenzoesäure in 50 ml Wasser und 56 ml einer 1M wässrigen Natriumcarbonatlösung wird anschließend zugegeben. Der pH wird danach auf 7,0 bis 7,5 mit 54 ml einer 1M wässrigen Natriumcarbonatlösung eingestellt und dort gehalten, wobei 1 Stunde lang gerührt wird, währenddessen die Temperatur auf 40°C steigt. Nach dem Abkühlen werden 200 ml Natriumchloridlösung zugesetzt, der resultierende Niederschlag wird abfiltriert, mit Wasser gewaschen und unter Vakuum bei 80°C getrocknet, wobei die Verbindung der Formel (105) erhalten wird.
-
- Es werden 8 g der Verbindung (105) in 110 ml Ethylenglykol eingerührt, und 3 g Natriumcarbonat werden zugesetzt. Die Mischung wird auf 130°C erwärmt und bei dieser Temperatur 5 Stunden lang gerührt. Nach dem Abkühlen wird die Reaktionsmischung filtriert, das Filtrat wird in 700 ml Ethanol geschüttet und 1 Stunde lang gerührt. Der resultierende Niederschlag wird abfiltriert, mit Ethanol gewaschen und unter Vakuum bei 80°C getrocknet, wobei die Verbindung der Formel (106) erhalten wird.
- Die Elementaranalyse für C38H30N10Na4O14S2·4.25C2H6O(Ethanol)·1.4NaCl·1.5Na2CO3:
berechnet C 38,50%, H 4,15%, Cl– 3,00%, N 9,40%, S 4,30%
gefunden C 38,60%, H 4,18%, Cl– 2,90%, N 9,35%, S 4,30% - Anwendungsbeispiele
- Beispiel 5 – Bestimmung der Faseraffinität
- Verschiedene gebleichte Baumwollstoffproben werden mittels des Exhaust-Verfahrens in einem wässrigen Bad mit der folgenden Zusammensetzung behandelt:
0.2% fluoreszierender Testweißmacher (100% Wirkstoffsubstanz) auf der Basis des Gewichts der Faser,
0,5 ml/l Ultravon ELTM
20 ml/l 3%ige wässrige Natriumhydroxidlösung,
2 ml/l 10%ige wässrige Natriumsilicatlösung und
3 ml/l 35%ige wässrige Wasserstoffperoxidlösung. -
- Die Behandlung wird bei einem Laugenverhältnis von 1:40 30 Minuten lang bei 25 bis 95°C, danach weitere 60 Minuten lang bei 95°C durchgeführt, und schließlich wird auf 30°C gekühlt. Die Stoffproben werden aus dem Behandlungsbad entnommen, abgespült und bei 60°C getrocknet.
- Aufgrund der hohen Auftragungstemperatur von 95°C müssen die getesteten Verbindungen eine hohe Affinität gegenüber Baumwolle aufweisen, um hohe Weißheitsgrade zur Verfügung zu stellen. Folglich sind die Weißheitswerte ein geeignetes Maß für die Affinität, d. h. hohe Weißheit entspricht einer hohen Affinität.
- Die Weißheit wurde gemäß dem Ganz-Verfahren gemessen, welches detailliert in dem Ciba-Geigy Review, 1973/1 und ebenso in dem Artikel "Whiteness Measurement", ISCC Conference an Fluorescence and the Colorimetry of Fluorescent Materi als, Williamsburg, Februar 1972, veröffentlicht in dem Journal of Color and Appearance, 1, Nr. 5 (1972) beschrieben ist.
- Die Ergebnisse der Messungen sind in der folgenden Tabelle 1 gezeigt: Tabelle 1
Verbindungsnummer Weisheitswert (102) 234 (103) 224 (104) 150 (100) 237 - Der Weißheitswert der Verbindungen (102) und (104) der Erfindung ist nur geringfügig unterhalb des Werts des herkömmlichen kommerziellen FWA (103), und folglich können beide als mit einer hohen Affinität gegenüber der Faser eingesehen werden.
- Beispiel 6 – Bestimmung der pH-Stabilität
- Die Empfindlichkeit der Testverbindungen (102)–(104) der Erfindung und der kommerziellen Verbindung (103) gegenüber sauren pH-Werten wird in einem Bad und auf der Baumwolltextilie evaluiert.
- Eine Lösung, die 0,8 g/l der Testverbindung (als Wirkstoffbestandteil) in Trinkwasser (ungefähr 11° Deutsche Härte) enthält, wird vorgesehen, und getrennte Proben der Lösung werden auf unterschiedliche pH-Werte eingestellt und im Dunklen bei 25°C gelagert. Die Erscheinung einer jeden Probe wird sofort und ebenso nach 1, 2 und 4 Stunden Lagerung beurteilt.
- Nach der Erscheinungsbeurteilung nach 4 Stunden werden die getrennten Proben an gebleichter Baumwolle mit den jeweiligen Lösungen (Flüssigkeitsaufnahme 65%) versehen (fulardiert). Die Textilproben werden bei 70°C 20 Minuten lang getrocknet, und die Weißheitswerte werden gemäß dem Ganz-Verfahren bestimmt.
- Die Ergebnisse der Beobachtungen sind in der folgenden Tabelle 2 verzeichnet: Tabelle 2
Verbindungsnummer Zeit pH 7 pH 6 pH 5 pH 4 pH 3 (102) sofort klar klar klar klar teilweise trüb (102) 1 Stunde klar klar klar klar teilweise trüb (102) 2 Stunden klar klar klar klar teilweise trüb (102) 4 Stunden klar klar klar klar teilweise trüb (102) Weißheit 193 193 194 192 171 (103) Sofort klar klar klar teilweise trüb trüb (103) 1 Stunde klar klar klar trüb trüb (103) 2 Stunden klar klar klar trüb trüb (103) 4 Stunden klar klar klar trüb trüb (103) Weisheit 186 184 160 115 53 (104) Sofort klar klar klar klar trüb (104) 1 Stunde klar klar klar teilweise trüb trüb (104) 2 Stunden klar klar klar teilweise trüb trüb (104) 4 Stunden klar klar klar teilweise trüb trüb (104) Weißheit 195 196 193 189 55 (100) Sofort klar trüb trüb trüb trüb (100) 1 Stunde klar trüb trüb trüb trüb (100) 2 Stunden klar trüb trüb trüb trüb (100) 4 Stunden klar trüb trüb trüb trüb (100) Weisheit 201 169 133 91 60 - Im Gegensatz zu dem herkömmlichen FWA (100) mit hoher Affinität, welcher sowohl eine Eintrübung als auch einen deutlichen Verlust an Weisheit sogar bei einem pH-Wert von 6 zeigt, können die Lösungen, die die hochaffinen FWA's (102)–(104) gemäß der vorliegenden Erfindung enthalten, als stabil angesehen werden und zeigen keine deutlichen Verluste an Weisheit sogar in einigen Fällen bei einem pH-Wert von unterhalb 4.
Claims (11)
- Verfahren zum fluoreszierenden Weißmachen von Baumwolle in einem diskontinuierlichen Verfahren, umfassend das Inkontaktbringen der Baumwolle in einem wässrigen Bad mit einem pH-Wert von 6 oder weniger mit ein oder mehreren Verbindungen der Formel worin R1 einen -SO2R3-, -SOR3-, CO2M-, -CO2R3-, -CONR3R4-, -CN- oder -NO2-Substituenten darstellt, R2 -NH(C1-C4-Alkyl), -N(C1-C4-Alkyl)2, -NH(C2-C4-Hydroxyalkyl), -N(C2-C4-Hydroxyalkyl)2, Morpholin, einen Aminosäure- oder Aminosäureamid-Rest, von dem ein Wasserstoffatom an der Aminogruppe entfernt worden ist, insbesondere von Sarcosin, Taurin, Glutaminsäure oder Asparaginsäure, oder -OC1-C4-Hydroxyalkyl, insbesondere Hydroxyethoxy, darstellt, R3 und R4 jeweils unabhängig voneinander Wasserstoff, C1-C4-Alkyl, C2-C4-Hydroxyalkyl oder C1-C4-Alkoxy-C1-C4-Alkyl bedeuten und M H, Na, Li, K, Ca, Mg, Ammonium oder Ammonium, welches durch C1-C4-Alkyl, C2-C4-Hydroxyalkyl oder eine Mischung davon mono-, di-, tri- oder tetrasubstituiert ist, darstellt.
- Verfahren nach Anspruch 1, worin in der Verbindung der Formel (1) R2 -NH(C1-C4-Alkyl), -N(C1-C4-Alkyl)2, -NH(C2-C4-Hydroxyalkyl), -N(C2-C4-Hydroxyalkyl)2, Morpholin, einen Aminosäure- oder Aminosäureamid-Rest, von dem ein Wasserstoffatom an der Aminogruppe entfernt worden ist, insbesondere von Sarcosin, Taurin, Glutaminsäure oder Asparaginsäure, oder -OC1-C4-Hydroxyalkyl, insbesondere Hydroxyethoxy, darstellt, R3 und R4 jeweils unabhängig voneinander Wasserstoff, C1-C4-Alkyl oder C2-C4-Hydroxyalkyl sind und M H, Na oder K bedeutet.
- Verfahren nach Anspruch 2, worin in der Verbindung der Formel (1) R1 einen -SO2R3-, CO2M- oder -CO2R3-Substituenten darstellt, der sich in ortho- oder para-Position zu dem Stickstoffatom befindet, R3 und M wie in Anspruch 2 definiert sind.
- Verfahren nach Anspruch 1, worin das wässrige Bad einen pH-Wert in dem Bereich von 4 bis 6 aufweist.
- Verfahren nach einem der Ansprüche 1 bis 4, worin die Verbindung der Formel (1) zusammen mit einer geringeren Menge eines oder mehrerer Hilfsmittel verwendet wird, die ausgewählt sind aus Emulgatoren, Duftstoffen, Färbemitteln, Trübungsmitteln, Bakteriziden, nichtionischen Tensiden, Antigelierungsmitteln und Korrosionsinhibitoren.
- Verfahren nach einem der Ansprüche 1 bis 5, welches in den Temperaturbereich von 20 bis 140°C durchgeführt wird.
- Verfahren nach einem der Ansprüche 1 bis 6, welches unter Verwendung einer Exhaust- oder Foulard-Technik durchgeführt wird.
- Verfahren nach einem der Ansprüche 1 bis 7, worin die Verbindung der Formel (1) in Mischung mit einem geringeren Anteil eines Hilfs- oder Füllmittels verwendet wird.
- Verbindung nach Anspruch 9, worin die -SO2CH2CH2OH-Gruppe sich in o- oder p-Position bezüglich des Anilin-Stickstoffatoms befindet, R2 -NH(C2-C4-Hydroxyalkyl), -N(C2-C4-Hydroxyalkyl)2 oder einen Aminosäurerest, der von Sarcosin, Taurin, Glutaminsäure oder Asparaginsäure abgeleitet ist, darstellt und M H, Na oder K ist.
- Verbindung nach Anspruch 10, worin R2 -N[CH2CH(OH)CH3]2 oder ein Asparaginsäurerest ist und M Na ist.
Applications Claiming Priority (3)
| Application Number | Priority Date | Filing Date | Title |
|---|---|---|---|
| EP00810648 | 2000-07-20 | ||
| EP00810648 | 2000-07-20 | ||
| PCT/EP2001/008062 WO2002008511A1 (en) | 2000-07-20 | 2001-07-12 | A method for the fluorescent whitening of cotton |
Publications (2)
| Publication Number | Publication Date |
|---|---|
| DE60133821D1 DE60133821D1 (de) | 2008-06-12 |
| DE60133821T2 true DE60133821T2 (de) | 2008-11-20 |
Family
ID=8174820
Family Applications (1)
| Application Number | Title | Priority Date | Filing Date |
|---|---|---|---|
| DE60133821T Expired - Lifetime DE60133821T2 (de) | 2000-07-20 | 2001-07-12 | Verfahren zum optischen aufhellen von baumwolle |
Country Status (11)
| Country | Link |
|---|---|
| US (1) | US6929667B2 (de) |
| EP (1) | EP1303664B1 (de) |
| AT (1) | ATE393852T1 (de) |
| AU (1) | AU2001278483A1 (de) |
| BR (1) | BR0112583B1 (de) |
| DE (1) | DE60133821T2 (de) |
| ES (1) | ES2304391T3 (de) |
| MX (1) | MXPA03000545A (de) |
| PT (1) | PT1303664E (de) |
| TW (1) | TWI252270B (de) |
| WO (1) | WO2002008511A1 (de) |
Families Citing this family (5)
| Publication number | Priority date | Publication date | Assignee | Title |
|---|---|---|---|---|
| WO2002102275A2 (en) * | 2001-06-14 | 2002-12-27 | Amedica Corporation | Metal-ceramic composite articulation |
| US7425222B2 (en) * | 2002-02-18 | 2008-09-16 | Ciba Specialty Chemicals Corp. | Process for improving the sun protection factor of cellulosic fibre material |
| US20050120490A1 (en) * | 2002-03-18 | 2005-06-09 | Georges Metzger | Process for improving the sun protection factor of cellulosic fibre material |
| ES2316862T3 (es) * | 2002-12-10 | 2009-04-16 | Ciba Holding Inc. | Mezclas de agentes de blanqueo fluorescentes. |
| EP2386285A1 (de) * | 2010-05-10 | 2011-11-16 | B. Braun Melsungen AG | Anschlussvorrichtung |
Family Cites Families (9)
| Publication number | Priority date | Publication date | Assignee | Title |
|---|---|---|---|---|
| US2089413A (en) * | 1937-08-10 | Production of novel effects on | ||
| IT421447A (de) * | 1943-06-28 | |||
| GB987922A (en) * | 1961-03-15 | 1965-03-31 | Hickson & Welch Ltd | Derivatives of triazinyl-amino-stilbenes |
| NL136180C (de) * | 1965-12-10 | |||
| US5493022A (en) * | 1989-10-03 | 1996-02-20 | Sandoz Ltd. | Brightener and light stabilizer salts |
| GB9418958D0 (en) * | 1994-09-21 | 1994-11-09 | Ciba Geigy Ag | Fluorescent whitening agents |
| GB9503474D0 (en) | 1995-02-22 | 1995-04-12 | Ciba Geigy Ag | Compounds and their use |
| WO1998014435A1 (en) * | 1996-10-02 | 1998-04-09 | Dystar, L., P. | Fiber-reactive brighteners of bis-s-triazinylaminostilbene |
| GB9626851D0 (en) | 1996-12-24 | 1997-02-12 | Ciba Geigy Ag | Compounds |
-
2001
- 2001-06-13 TW TW090114250A patent/TWI252270B/zh not_active IP Right Cessation
- 2001-07-12 ES ES01956529T patent/ES2304391T3/es not_active Expired - Lifetime
- 2001-07-12 PT PT01956529T patent/PT1303664E/pt unknown
- 2001-07-12 AU AU2001278483A patent/AU2001278483A1/en not_active Abandoned
- 2001-07-12 MX MXPA03000545A patent/MXPA03000545A/es active IP Right Grant
- 2001-07-12 BR BRPI0112583-4B1A patent/BR0112583B1/pt not_active IP Right Cessation
- 2001-07-12 EP EP01956529A patent/EP1303664B1/de not_active Expired - Lifetime
- 2001-07-12 AT AT01956529T patent/ATE393852T1/de not_active IP Right Cessation
- 2001-07-12 US US10/333,258 patent/US6929667B2/en not_active Expired - Lifetime
- 2001-07-12 WO PCT/EP2001/008062 patent/WO2002008511A1/en not_active Ceased
- 2001-07-12 DE DE60133821T patent/DE60133821T2/de not_active Expired - Lifetime
Also Published As
| Publication number | Publication date |
|---|---|
| ATE393852T1 (de) | 2008-05-15 |
| PT1303664E (pt) | 2008-07-04 |
| MXPA03000545A (es) | 2003-06-09 |
| DE60133821D1 (de) | 2008-06-12 |
| BR0112583B1 (pt) | 2013-06-18 |
| EP1303664B1 (de) | 2008-04-30 |
| ES2304391T3 (es) | 2008-10-16 |
| WO2002008511A1 (en) | 2002-01-31 |
| US6929667B2 (en) | 2005-08-16 |
| BR0112583A (pt) | 2003-05-20 |
| AU2001278483A1 (en) | 2002-02-05 |
| US20030192137A1 (en) | 2003-10-16 |
| TWI252270B (en) | 2006-04-01 |
| EP1303664A1 (de) | 2003-04-23 |
Similar Documents
| Publication | Publication Date | Title |
|---|---|---|
| DE69825574T2 (de) | Optische aufheller | |
| DE69627411T2 (de) | Triazinderivate, ihre Herstellung und Verwendung | |
| DE69920409T2 (de) | Verfahren zur herstellung von stilbenverbindungen | |
| DE69718723T2 (de) | Triazinderivate als optische Aufheller, als UV Absorber und deren Verwendung zur Erhöhung des Sonnenschutzfaktors von Geweben | |
| US4605511A (en) | Stable stilbene fluorescent brightener solution | |
| DE60133821T2 (de) | Verfahren zum optischen aufhellen von baumwolle | |
| US5779741A (en) | Fluroescent whitening agents | |
| EP0082823B1 (de) | Verfahren zum Bleichen von Fasermaterialien unter Verwendung von Oligomeren von Phosphonsäureestern als Stabilisatoren in alkalischen, peroxydhaltigen Bleichflotten | |
| DE2060085A1 (de) | Neue Stilbenverbindungen | |
| EP0586346A1 (de) | Verfahren zur Herstellung von Distyrylbiphenylverbindungen | |
| DE1545920A1 (de) | Verfahren zur Herstellung optischer Aufheller der Stilbenreihe | |
| DE2262028C2 (de) | Neue Stilbenderivate | |
| EP0238446B1 (de) | Mischungen von optischen Aufhellern | |
| EP0298361B1 (de) | Flüssigwaschmittel enthaltend disulfonierte optische Aufheller | |
| DE1419333B1 (de) | Optische Aufhellungsmittel | |
| DE3125495A1 (de) | "verwendung von farbstoffen zur nuancierung von optischen aufhellungen" | |
| DE1295508B (de) | Aufheller fuer Cellulosematerialien | |
| AT227270B (de) | Verfahren zur Herstellung von Lösungen neuer Triazinderivate | |
| EP0719356A1 (de) | Aufhellermischungen auf basis von bisstyrylverbindungen | |
| DE2201857C3 (de) | Verwendung von Bis-stilbenverbindeungen als optische Aufhellmittel | |
| DE1419333C (de) | Optische Aufhellungsmittel | |
| DE1519479C3 (de) | Verfahren zum optischen Aufhellen von Fasermaterial aus gegebenenfalls veresterter Cellulose oder aus Polyamid | |
| DE2051718A1 (de) | Konzentrierte wasserige, asymmetrisch substituierte Bis triazinyl amino stilbene enthaltende Zurbereitungen und deren Ver wendung zum optischen Aufhellen | |
| AT227271B (de) | Verfahren zur Herstellung von neuen Bis-triazinylaminostilbenverbindungen | |
| CH318441A (de) | Verfahren zur Herstellung von optischen Aufhellungsmitteln |
Legal Events
| Date | Code | Title | Description |
|---|---|---|---|
| 8364 | No opposition during term of opposition |











