DE60129210T2 - Zyklische amid-derivate - Google Patents

Zyklische amid-derivate Download PDF

Info

Publication number
DE60129210T2
DE60129210T2 DE60129210T DE60129210T DE60129210T2 DE 60129210 T2 DE60129210 T2 DE 60129210T2 DE 60129210 T DE60129210 T DE 60129210T DE 60129210 T DE60129210 T DE 60129210T DE 60129210 T2 DE60129210 T2 DE 60129210T2
Authority
DE
Germany
Prior art keywords
group
compound
methyl
piperidin
isoindolin
Prior art date
Legal status (The legal status is an assumption and is not a legal conclusion. Google has not performed a legal analysis and makes no representation as to the accuracy of the status listed.)
Expired - Lifetime
Application number
DE60129210T
Other languages
English (en)
Other versions
DE60129210D1 (de
Inventor
H. MITSUBISHI-TOKYO PHARM.INC Yokohama-shi YAMABE
M. MITSUBISHI-TOKYO PHARM.IN Yokohama-shi OKUYAMA
A. MITSUBISHI-TOKYO PHARM.INC. Yokohama-shi NAKAO
M. MITSUBISHI-TOKYO PHARM.IN Yokohama-shi OOIZUMI
K. MITSUBISHI-TOKYO PHARM.INC. Yokohama-shi SAITO
Current Assignee (The listed assignees may be inaccurate. Google has not performed a legal analysis and makes no representation or warranty as to the accuracy of the list.)
Mitsubishi Tanabe Pharma Corp
Original Assignee
Mitsubishi Pharma Corp
Priority date (The priority date is an assumption and is not a legal conclusion. Google has not performed a legal analysis and makes no representation as to the accuracy of the date listed.)
Filing date
Publication date
Application filed by Mitsubishi Pharma Corp filed Critical Mitsubishi Pharma Corp
Publication of DE60129210D1 publication Critical patent/DE60129210D1/de
Application granted granted Critical
Publication of DE60129210T2 publication Critical patent/DE60129210T2/de
Anticipated expiration legal-status Critical
Expired - Lifetime legal-status Critical Current

Links

Classifications

    • CCHEMISTRY; METALLURGY
    • C07ORGANIC CHEMISTRY
    • C07DHETEROCYCLIC COMPOUNDS
    • C07D401/00Heterocyclic compounds containing two or more hetero rings, having nitrogen atoms as the only ring hetero atoms, at least one ring being a six-membered ring with only one nitrogen atom
    • C07D401/02Heterocyclic compounds containing two or more hetero rings, having nitrogen atoms as the only ring hetero atoms, at least one ring being a six-membered ring with only one nitrogen atom containing two hetero rings
    • C07D401/06Heterocyclic compounds containing two or more hetero rings, having nitrogen atoms as the only ring hetero atoms, at least one ring being a six-membered ring with only one nitrogen atom containing two hetero rings linked by a carbon chain containing only aliphatic carbon atoms
    • AHUMAN NECESSITIES
    • A61MEDICAL OR VETERINARY SCIENCE; HYGIENE
    • A61PSPECIFIC THERAPEUTIC ACTIVITY OF CHEMICAL COMPOUNDS OR MEDICINAL PREPARATIONS
    • A61P1/00Drugs for disorders of the alimentary tract or the digestive system
    • A61P1/04Drugs for disorders of the alimentary tract or the digestive system for ulcers, gastritis or reflux esophagitis, e.g. antacids, inhibitors of acid secretion, mucosal protectants
    • AHUMAN NECESSITIES
    • A61MEDICAL OR VETERINARY SCIENCE; HYGIENE
    • A61PSPECIFIC THERAPEUTIC ACTIVITY OF CHEMICAL COMPOUNDS OR MEDICINAL PREPARATIONS
    • A61P1/00Drugs for disorders of the alimentary tract or the digestive system
    • A61P1/06Anti-spasmodics, e.g. drugs for colics, esophagic dyskinesia
    • AHUMAN NECESSITIES
    • A61MEDICAL OR VETERINARY SCIENCE; HYGIENE
    • A61PSPECIFIC THERAPEUTIC ACTIVITY OF CHEMICAL COMPOUNDS OR MEDICINAL PREPARATIONS
    • A61P25/00Drugs for disorders of the nervous system
    • AHUMAN NECESSITIES
    • A61MEDICAL OR VETERINARY SCIENCE; HYGIENE
    • A61PSPECIFIC THERAPEUTIC ACTIVITY OF CHEMICAL COMPOUNDS OR MEDICINAL PREPARATIONS
    • A61P25/00Drugs for disorders of the nervous system
    • A61P25/02Drugs for disorders of the nervous system for peripheral neuropathies
    • AHUMAN NECESSITIES
    • A61MEDICAL OR VETERINARY SCIENCE; HYGIENE
    • A61PSPECIFIC THERAPEUTIC ACTIVITY OF CHEMICAL COMPOUNDS OR MEDICINAL PREPARATIONS
    • A61P25/00Drugs for disorders of the nervous system
    • A61P25/04Centrally acting analgesics, e.g. opioids
    • AHUMAN NECESSITIES
    • A61MEDICAL OR VETERINARY SCIENCE; HYGIENE
    • A61PSPECIFIC THERAPEUTIC ACTIVITY OF CHEMICAL COMPOUNDS OR MEDICINAL PREPARATIONS
    • A61P25/00Drugs for disorders of the nervous system
    • A61P25/08Antiepileptics; Anticonvulsants
    • AHUMAN NECESSITIES
    • A61MEDICAL OR VETERINARY SCIENCE; HYGIENE
    • A61PSPECIFIC THERAPEUTIC ACTIVITY OF CHEMICAL COMPOUNDS OR MEDICINAL PREPARATIONS
    • A61P25/00Drugs for disorders of the nervous system
    • A61P25/14Drugs for disorders of the nervous system for treating abnormal movements, e.g. chorea, dyskinesia
    • A61P25/16Anti-Parkinson drugs
    • AHUMAN NECESSITIES
    • A61MEDICAL OR VETERINARY SCIENCE; HYGIENE
    • A61PSPECIFIC THERAPEUTIC ACTIVITY OF CHEMICAL COMPOUNDS OR MEDICINAL PREPARATIONS
    • A61P25/00Drugs for disorders of the nervous system
    • A61P25/18Antipsychotics, i.e. neuroleptics; Drugs for mania or schizophrenia
    • AHUMAN NECESSITIES
    • A61MEDICAL OR VETERINARY SCIENCE; HYGIENE
    • A61PSPECIFIC THERAPEUTIC ACTIVITY OF CHEMICAL COMPOUNDS OR MEDICINAL PREPARATIONS
    • A61P25/00Drugs for disorders of the nervous system
    • A61P25/22Anxiolytics
    • AHUMAN NECESSITIES
    • A61MEDICAL OR VETERINARY SCIENCE; HYGIENE
    • A61PSPECIFIC THERAPEUTIC ACTIVITY OF CHEMICAL COMPOUNDS OR MEDICINAL PREPARATIONS
    • A61P25/00Drugs for disorders of the nervous system
    • A61P25/24Antidepressants
    • AHUMAN NECESSITIES
    • A61MEDICAL OR VETERINARY SCIENCE; HYGIENE
    • A61PSPECIFIC THERAPEUTIC ACTIVITY OF CHEMICAL COMPOUNDS OR MEDICINAL PREPARATIONS
    • A61P25/00Drugs for disorders of the nervous system
    • A61P25/28Drugs for disorders of the nervous system for treating neurodegenerative disorders of the central nervous system, e.g. nootropic agents, cognition enhancers, drugs for treating Alzheimer's disease or other forms of dementia
    • AHUMAN NECESSITIES
    • A61MEDICAL OR VETERINARY SCIENCE; HYGIENE
    • A61PSPECIFIC THERAPEUTIC ACTIVITY OF CHEMICAL COMPOUNDS OR MEDICINAL PREPARATIONS
    • A61P25/00Drugs for disorders of the nervous system
    • A61P25/30Drugs for disorders of the nervous system for treating abuse or dependence
    • AHUMAN NECESSITIES
    • A61MEDICAL OR VETERINARY SCIENCE; HYGIENE
    • A61PSPECIFIC THERAPEUTIC ACTIVITY OF CHEMICAL COMPOUNDS OR MEDICINAL PREPARATIONS
    • A61P29/00Non-central analgesic, antipyretic or antiinflammatory agents, e.g. antirheumatic agents; Non-steroidal antiinflammatory drugs [NSAID]
    • AHUMAN NECESSITIES
    • A61MEDICAL OR VETERINARY SCIENCE; HYGIENE
    • A61PSPECIFIC THERAPEUTIC ACTIVITY OF CHEMICAL COMPOUNDS OR MEDICINAL PREPARATIONS
    • A61P35/00Antineoplastic agents
    • AHUMAN NECESSITIES
    • A61MEDICAL OR VETERINARY SCIENCE; HYGIENE
    • A61PSPECIFIC THERAPEUTIC ACTIVITY OF CHEMICAL COMPOUNDS OR MEDICINAL PREPARATIONS
    • A61P43/00Drugs for specific purposes, not provided for in groups A61P1/00-A61P41/00
    • AHUMAN NECESSITIES
    • A61MEDICAL OR VETERINARY SCIENCE; HYGIENE
    • A61PSPECIFIC THERAPEUTIC ACTIVITY OF CHEMICAL COMPOUNDS OR MEDICINAL PREPARATIONS
    • A61P9/00Drugs for disorders of the cardiovascular system
    • A61P9/06Antiarrhythmics
    • AHUMAN NECESSITIES
    • A61MEDICAL OR VETERINARY SCIENCE; HYGIENE
    • A61PSPECIFIC THERAPEUTIC ACTIVITY OF CHEMICAL COMPOUNDS OR MEDICINAL PREPARATIONS
    • A61P9/00Drugs for disorders of the cardiovascular system
    • A61P9/10Drugs for disorders of the cardiovascular system for treating ischaemic or atherosclerotic diseases, e.g. antianginal drugs, coronary vasodilators, drugs for myocardial infarction, retinopathy, cerebrovascula insufficiency, renal arteriosclerosis
    • AHUMAN NECESSITIES
    • A61MEDICAL OR VETERINARY SCIENCE; HYGIENE
    • A61PSPECIFIC THERAPEUTIC ACTIVITY OF CHEMICAL COMPOUNDS OR MEDICINAL PREPARATIONS
    • A61P9/00Drugs for disorders of the cardiovascular system
    • A61P9/12Antihypertensives
    • CCHEMISTRY; METALLURGY
    • C07ORGANIC CHEMISTRY
    • C07DHETEROCYCLIC COMPOUNDS
    • C07D401/00Heterocyclic compounds containing two or more hetero rings, having nitrogen atoms as the only ring hetero atoms, at least one ring being a six-membered ring with only one nitrogen atom
    • C07D401/14Heterocyclic compounds containing two or more hetero rings, having nitrogen atoms as the only ring hetero atoms, at least one ring being a six-membered ring with only one nitrogen atom containing three or more hetero rings
    • CCHEMISTRY; METALLURGY
    • C07ORGANIC CHEMISTRY
    • C07DHETEROCYCLIC COMPOUNDS
    • C07D405/00Heterocyclic compounds containing both one or more hetero rings having oxygen atoms as the only ring hetero atoms, and one or more rings having nitrogen as the only ring hetero atom
    • C07D405/14Heterocyclic compounds containing both one or more hetero rings having oxygen atoms as the only ring hetero atoms, and one or more rings having nitrogen as the only ring hetero atom containing three or more hetero rings
    • CCHEMISTRY; METALLURGY
    • C07ORGANIC CHEMISTRY
    • C07DHETEROCYCLIC COMPOUNDS
    • C07D413/00Heterocyclic compounds containing two or more hetero rings, at least one ring having nitrogen and oxygen atoms as the only ring hetero atoms
    • C07D413/14Heterocyclic compounds containing two or more hetero rings, at least one ring having nitrogen and oxygen atoms as the only ring hetero atoms containing three or more hetero rings
    • CCHEMISTRY; METALLURGY
    • C07ORGANIC CHEMISTRY
    • C07DHETEROCYCLIC COMPOUNDS
    • C07D471/00Heterocyclic compounds containing nitrogen atoms as the only ring hetero atoms in the condensed system, at least one ring being a six-membered ring with one nitrogen atom, not provided for by groups C07D451/00 - C07D463/00
    • C07D471/02Heterocyclic compounds containing nitrogen atoms as the only ring hetero atoms in the condensed system, at least one ring being a six-membered ring with one nitrogen atom, not provided for by groups C07D451/00 - C07D463/00 in which the condensed system contains two hetero rings
    • C07D471/04Ortho-condensed systems
    • CCHEMISTRY; METALLURGY
    • C07ORGANIC CHEMISTRY
    • C07DHETEROCYCLIC COMPOUNDS
    • C07D491/00Heterocyclic compounds containing in the condensed ring system both one or more rings having oxygen atoms as the only ring hetero atoms and one or more rings having nitrogen atoms as the only ring hetero atoms, not provided for by groups C07D451/00 - C07D459/00, C07D463/00, C07D477/00 or C07D489/00
    • C07D491/02Heterocyclic compounds containing in the condensed ring system both one or more rings having oxygen atoms as the only ring hetero atoms and one or more rings having nitrogen atoms as the only ring hetero atoms, not provided for by groups C07D451/00 - C07D459/00, C07D463/00, C07D477/00 or C07D489/00 in which the condensed system contains two hetero rings
    • C07D491/04Ortho-condensed systems
    • CCHEMISTRY; METALLURGY
    • C07ORGANIC CHEMISTRY
    • C07DHETEROCYCLIC COMPOUNDS
    • C07D495/00Heterocyclic compounds containing in the condensed system at least one hetero ring having sulfur atoms as the only ring hetero atoms
    • C07D495/02Heterocyclic compounds containing in the condensed system at least one hetero ring having sulfur atoms as the only ring hetero atoms in which the condensed system contains two hetero rings
    • C07D495/04Ortho-condensed systems
    • AHUMAN NECESSITIES
    • A61MEDICAL OR VETERINARY SCIENCE; HYGIENE
    • A61KPREPARATIONS FOR MEDICAL, DENTAL OR TOILETRY PURPOSES
    • A61K47/00Medicinal preparations characterised by the non-active ingredients used, e.g. carriers or inert additives; Targeting or modifying agents chemically bound to the active ingredient
    • A61K47/06Organic compounds, e.g. natural or synthetic hydrocarbons, polyolefins, mineral oil, petrolatum or ozokerite
    • AHUMAN NECESSITIES
    • A61MEDICAL OR VETERINARY SCIENCE; HYGIENE
    • A61KPREPARATIONS FOR MEDICAL, DENTAL OR TOILETRY PURPOSES
    • A61K47/00Medicinal preparations characterised by the non-active ingredients used, e.g. carriers or inert additives; Targeting or modifying agents chemically bound to the active ingredient
    • A61K47/06Organic compounds, e.g. natural or synthetic hydrocarbons, polyolefins, mineral oil, petrolatum or ozokerite
    • A61K47/08Organic compounds, e.g. natural or synthetic hydrocarbons, polyolefins, mineral oil, petrolatum or ozokerite containing oxygen, e.g. ethers, acetals, ketones, quinones, aldehydes, peroxides
    • A61K47/10Alcohols; Phenols; Salts thereof, e.g. glycerol; Polyethylene glycols [PEG]; Poloxamers; PEG/POE alkyl ethers
    • AHUMAN NECESSITIES
    • A61MEDICAL OR VETERINARY SCIENCE; HYGIENE
    • A61KPREPARATIONS FOR MEDICAL, DENTAL OR TOILETRY PURPOSES
    • A61K47/00Medicinal preparations characterised by the non-active ingredients used, e.g. carriers or inert additives; Targeting or modifying agents chemically bound to the active ingredient
    • A61K47/06Organic compounds, e.g. natural or synthetic hydrocarbons, polyolefins, mineral oil, petrolatum or ozokerite
    • A61K47/26Carbohydrates, e.g. sugar alcohols, amino sugars, nucleic acids, mono-, di- or oligo-saccharides; Derivatives thereof, e.g. polysorbates, sorbitan fatty acid esters or glycyrrhizin
    • AHUMAN NECESSITIES
    • A61MEDICAL OR VETERINARY SCIENCE; HYGIENE
    • A61KPREPARATIONS FOR MEDICAL, DENTAL OR TOILETRY PURPOSES
    • A61K47/00Medicinal preparations characterised by the non-active ingredients used, e.g. carriers or inert additives; Targeting or modifying agents chemically bound to the active ingredient
    • A61K47/30Macromolecular organic or inorganic compounds, e.g. inorganic polyphosphates
    • A61K47/36Polysaccharides; Derivatives thereof, e.g. gums, starch, alginate, dextrin, hyaluronic acid, chitosan, inulin, agar or pectin
    • A61K47/38Cellulose; Derivatives thereof
    • AHUMAN NECESSITIES
    • A61MEDICAL OR VETERINARY SCIENCE; HYGIENE
    • A61KPREPARATIONS FOR MEDICAL, DENTAL OR TOILETRY PURPOSES
    • A61K9/00Medicinal preparations characterised by special physical form
    • A61K9/0012Galenical forms characterised by the site of application
    • A61K9/0014Skin, i.e. galenical aspects of topical compositions
    • AHUMAN NECESSITIES
    • A61MEDICAL OR VETERINARY SCIENCE; HYGIENE
    • A61KPREPARATIONS FOR MEDICAL, DENTAL OR TOILETRY PURPOSES
    • A61K9/00Medicinal preparations characterised by special physical form
    • A61K9/0012Galenical forms characterised by the site of application
    • A61K9/0019Injectable compositions; Intramuscular, intravenous, arterial, subcutaneous administration; Compositions to be administered through the skin in an invasive manner
    • AHUMAN NECESSITIES
    • A61MEDICAL OR VETERINARY SCIENCE; HYGIENE
    • A61KPREPARATIONS FOR MEDICAL, DENTAL OR TOILETRY PURPOSES
    • A61K9/00Medicinal preparations characterised by special physical form
    • A61K9/0087Galenical forms not covered by A61K9/02 - A61K9/7023
    • A61K9/0095Drinks; Beverages; Syrups; Compositions for reconstitution thereof, e.g. powders or tablets to be dispersed in a glass of water; Veterinary drenches
    • AHUMAN NECESSITIES
    • A61MEDICAL OR VETERINARY SCIENCE; HYGIENE
    • A61KPREPARATIONS FOR MEDICAL, DENTAL OR TOILETRY PURPOSES
    • A61K9/00Medicinal preparations characterised by special physical form
    • A61K9/20Pills, tablets, discs, rods
    • A61K9/2004Excipients; Inactive ingredients
    • A61K9/2009Inorganic compounds
    • AHUMAN NECESSITIES
    • A61MEDICAL OR VETERINARY SCIENCE; HYGIENE
    • A61KPREPARATIONS FOR MEDICAL, DENTAL OR TOILETRY PURPOSES
    • A61K9/00Medicinal preparations characterised by special physical form
    • A61K9/20Pills, tablets, discs, rods
    • A61K9/2004Excipients; Inactive ingredients
    • A61K9/2013Organic compounds, e.g. phospholipids, fats
    • A61K9/2018Sugars, or sugar alcohols, e.g. lactose, mannitol; Derivatives thereof, e.g. polysorbates

Landscapes

  • Organic Chemistry (AREA)
  • Chemical & Material Sciences (AREA)
  • Health & Medical Sciences (AREA)
  • Bioinformatics & Cheminformatics (AREA)
  • Engineering & Computer Science (AREA)
  • Chemical Kinetics & Catalysis (AREA)
  • Medicinal Chemistry (AREA)
  • Nuclear Medicine, Radiotherapy & Molecular Imaging (AREA)
  • General Chemical & Material Sciences (AREA)
  • Pharmacology & Pharmacy (AREA)
  • Life Sciences & Earth Sciences (AREA)
  • Animal Behavior & Ethology (AREA)
  • General Health & Medical Sciences (AREA)
  • Public Health (AREA)
  • Veterinary Medicine (AREA)
  • Biomedical Technology (AREA)
  • Neurosurgery (AREA)
  • Neurology (AREA)
  • Psychiatry (AREA)
  • Pain & Pain Management (AREA)
  • Heart & Thoracic Surgery (AREA)
  • Cardiology (AREA)
  • Rheumatology (AREA)
  • Hospice & Palliative Care (AREA)
  • Urology & Nephrology (AREA)
  • Vascular Medicine (AREA)
  • Addiction (AREA)
  • Psychology (AREA)
  • Pharmaceuticals Containing Other Organic And Inorganic Compounds (AREA)
  • Organic Low-Molecular-Weight Compounds And Preparation Thereof (AREA)
  • Plural Heterocyclic Compounds (AREA)
  • Nitrogen And Oxygen Or Sulfur-Condensed Heterocyclic Ring Systems (AREA)

Description

  • Gebiet der Erfindung
  • Die vorliegende Erfindung betrifft neuartige Verbindungen, welche als Ligand für die Bindestelle des Sigma-Rezeptors wirken, sowie Medikamente, welche diese Verbindungen als einen Wirkstoff umfassen.
  • Hintergrund der Erfindung
  • Die kürzlich identifizierte Bindestelle des Sigma-Rezeptors im Gehirn ist ein wichtiges Ziel für die Entwicklung antipsychotischer Arzneien, welche frei von den Nebenwirkungen aktuell erhältlicher antipsychotischer Arzneien sind, die eine antagonistische Aktivität am Dopamin-D2-Rezeptor zeigen (J.M. Walker und W.D. Bowen, F.O. Walker und R.R. Masumoto, B. de Costa und K.C. Rice, Pharmacological Reviews, 42, S. 355–402, 1990; G. Debonnel, J. Psychiatr. Neurosci., 18, 4, S. 157–172, 1993; G. Debonnel und C. de Montigny, Life Sciences, 58, 9, S. 721–734, 1996). Ferner wurden Daten veröffentlicht, welche die Regulation der Signalweiterleitung durch einen Sigma-Liganden (auch als „Sigma-Rezeptor-Ligand" bezeichnet) und dessen Rezeptor mittels Kontrolle des Calcium-Spiegels in Synaptosomen vorschlagen (P.J. Brent, H. Saunders und P.R. Dunkley, Neurosci. Lett., 211, S. 138–142, 1996).
  • Der hier verwendete Begriff „Rezeptor" bezeichnet einen membranständigen Rezeptor und andere Bindestellen. Die Existenz von mindestens zwei Arten von Untertypen des Sigma-Rezeptors, d.h. Sigma 1 und Sigma 2, wurde entdeckt, und die Klassifizierung der Sigma-Bindestellen wurde vorgeschlagen (R. Quirion, W.D. Bowen, Y. Itzhak, J.L. Junien, J.M. Musacchio, R.B. Rothman, T.P. Su, W. Tam und D.P. Taylor, TIPS, 13, S. 85–86, 1992). Die Sigma-1-Bindestelle ist charakterisiert durch ihre hohe Affinität zu Haloperidol, Di-o-Tolylguanidin (DTG) und (+)-Benzomorphan, wie beispielsweise (+)-Pentazocin, während die Sigma-2-Bindestelle charakterisiert ist durch eine hohe Affinität zu Haloperidol und DTG, jedoch nur geringer Affinität zu (+)-Benzomorphan aufweist.
  • Der Sigma-1-Ligand zeigt eine Wirkung auf den Gastrointestinaltrakt, und es scheint, dass die Sigma-1-Bindestelle die Unterdrückung der Muscarin-ähnlichen Acetylcholinrezeptor-/Phosphoinositid-Antwort vermittelt. Die Sigma-1-Bindestelle kommt nicht nur im Gehirn vor, sondern auch auf Milzzellen (Y. Lin, B.B. Whitlock, J.A. Pultz und S.A. Wolfe Jr, J. Neuroimmunol., 58, S. 143–154, 1995), und derartige Sigma-Liganden können das Immunsystem unterdrücken (H.H. Garza, S. Mayo, W.D. Bowen, B.R. DeCosta und D.J.J. Carr, J. of Immunology, 151, 9, S. 4672–4680, 1993).
  • Die Sigma-2-Bindestelle kommt in großer Zahl in der Leber vor (A.E. Bruce, S.B. Hellewell und W.D. Bowen, Neurosci. Abstr., 16, 370, 1990; A.S. Basile, I.A. Paul und B. DeCosta, Eur. J. Pharmacol. Mol. Pharm. Sect., 227, S: 95–98, 1992; C. Torrence-Campbell und W.D. Bowen, Eur. J. Pharmacol., 304, S. 201–210, 1996), in den Nieren (W.D. Bowen, G. Feinstein und J.S. Orringer, Soc. Neurosci. Abstr., 18, 456, Abstract 195.8, 1992) und im Herzen (M. Dumont und S. Lemaire, Eur. J. Pharmacol., 209, S. 245–248, 1991).
  • Die Sigma-2-Bindestelle im Gehirn kommt vor im Hypothalamus, im Cerebellum, der Pons Medulla und der Medulla oblongata. Im Hippocampus, Lobus frontalis und Lobus occipitalis des Rattenhirns kommt diese häufiger vor als die Sigma-1-Bindestelle (D.J. McCann, A.D. Weissmann und T.P. Su, Soc. Neurosci. Abstr. 18, 22, Abstract 16.5, 1992). In den Synaptosomen im Hippocampus von Meerschweinchen gibt es ebenso Sigma-2-Bindestellen, welche selektiv mit (3H)-BIMU markiert wurden (D.W. Bonhaus, D.N. Loury, L.B. Jakeman, Z. To, A. De-Souza, R.M. Eglen und E.H.F. Wong, J. Pharmacol. Exp. Ther., 267, 2, S. 961–970, 1993). Die Beziehung zwischen der Sigma-2-Bindestelle und dem Cortex sowie dem Iimbischen System ist ein Beleg für den Wert von Verbindungen, welche zur Behandlung mentaler Erkrankungen verwendet werden (D.C. Marsh und C.P. Zabetian, Synapse, 12, S. 195–205, 1992).
  • Es wurde vermutet, dass die Sigma-2-Bindestelle an Funktionen des Bewegungsapparats beteiligt ist, insbesondere bei Dystonie (R.R. Matsumoto, M.K. Hemstreet, N.L. Lai und A. Thurkauf, B.R. DeCosta, K.C. Rice, S.B. Hellewell, W.D. Bowen und J.M. Walker, Pharmacol. Biochem., Behav. 36, S. 151–155, 1990). Jedoch wurde in Primatenmodellen zu funktionalen Störungen des extrapyramidalen Systems kein Anhaltspunkt gefunden, der eine derartige Wirkung nachweist (L.T. Meltzer, C.L. Christoffersen, K.A. Serpa, T.A. Pugsley, A. Razmpour und T.G. Heffner, Neuropharmacology, 31, 9, S. 961–967, 1992).
  • Haloperidol, welches ein klinisch wirksames dopaminerges antipsychotisches Mittel ist, zeigt eine hohe Affinität zu diesen zwei Sigma-Untertypen. Jedoch zeigt ein reduzierter Metabolit des Haloperidols, welcher auf das zentrale Nervensystem wirkt, im Vergleich zu Haloperidol eine deutlich bessere Affinität und Selektivität zum Sigma-2-Rezeptor als Dopamin D2 (J.C. Jaen, B.W. Caprathe, T.A. Pugsley, L.D. Wise und H. Akunne, J. Med. Chem., 36, S. 3929–3936, 1993). Da ein selektives Mittel nicht verfügbar gewesen ist, sind pharmakologische Bedeutung, Verteilung und Funktionen der Sigma-2-Bindestelle bisher nicht aufgeklärt worden. Andererseits zeigten neuere Studien, dass die Sigma-2-Stelle eine Rolle spielt bei der Kontrolle der Funktionen des Ileums (G.G. Kinney, E.W. Hans, R. Ray und T.J. Hudzik, Europ. J. Pharmacol., 294, S. 547–553, 1995). Diese Daten weisen darauf hin, dass der selektive Sigma-2-Ligand anwendbar ist zur Behandlung des Reizdarmsyndroms.
  • Derartige Sigma-Liganden werden in EP 1043319 und EP 777660 und ähnlichen offenbart. Jedoch ist bisher kein cyclisches Aminderivat, wie Isoindolin-1-on als typisches Beispiel, beschrieben worden.
  • Als Verbindungen, welche eine Struktur aufweisen, die ähnlich der allgemeinen Formel (I) der vorliegenden Erfindung ist, offenbart EP 637306 4-Imidomethyl-1-(2'-phenyl-2'-oxoethyl)-piperidine, wie beispielsweise:
    Figure 00040001
    und Hydrochloride davon usw. Jedoch werden diese Verbindungen als Serotonin-2-Antagonisten beschrieben, und ob sie als Sigma-Liganden wirken können oder nicht, ist bisher noch nicht bekannt. Des Weiteren können diese Verbindungen, welche eine Phtalimidgruppe besitzen, möglicherweise ein Problem aufgrund unzureichender Sicherheit darstellen.
  • Sowohl WO 91/06297 als auch WO 93/22310 beschreiben bestimmte (N-Phthalimidoalkyl)-piperidin-Verbindungen, welche einen selektiven Sigma-Rezeptor-Antagonismus zeigen und welche verwendet werden können bei der Behandlung physiologischer oder medikamentös induzierter Psychose und Dyskinesie bei einem Säugetier. Allerdings unterscheiden sich die (N-Phthalimidoalkyl)-piperidine aus WO 91/06297 und WO 93/22310 bezüglich ihrer Substituenten in einigen Aspekten von den Verbindungen der allgemeinen Formel (I) der vorliegenden Erfindung.
  • Offenbarung der Erfindung
  • Eine Aufgabe der vorliegenden Erfindung ist es, eine neuartige Verbindung bereitzustellen, welche eine hervorragende Affinität zur Sigma-Bindestelle besitzt. Eine andere Aufgabe der vorliegenden Erfindung ist es, ein Medikament bereitzustellen, welches eine Verbindung mit den zuvor genannten Eigenschaften als Wirkstoff umfasst, welcher für Erkrankungen anwendbar ist, die therapeutisch und/oder präventiv behandelt werden können durch die Wirkung des Sigma-Liganden auf die Nervensteuerung.
  • Die Erfinder der vorliegenden Erfindung haben Untersuchungen durchgeführt, um die oben genannten Aufgaben zu erfüllen. Als Ergebnis wurde gefunden, dass durch Formel (I) repräsentierte Verbindungen eine hohe Affinität zur Sigma-1-Bindestelle und eine kleine Inhibitionskonstante Ki für Sigma 1 und/oder Sigma 2 aufweisen. Außerdem wurde gefunden, dass diese Verbindungen ein selektives Bindungsprofil aufwiesen, welches sich vollständig von denen der herkömmlichen bekannten Verbindungen unterschied, und dass diese anwendbar waren zur Behandlung von Erkrankungen, welche therapeutisch und/oder präventiv durch die Wirkung des Sigma-Liganden auf die Nervensteuerung behandelt werden können. Die vorliegende Erfindung wurde auf der Basis dieser Erkenntnisse erzielt.
  • Die vorliegende Erfindung stellt somit Verbindungen, repräsentiert durch die folgende Formel (I), bereit, oder Salze davon oder Hydrate davon oder Solvate davon:
    Figure 00050001
    wobei:
    X eine Alkylgruppe, eine cycloalkylsubstituierte Alkylgruppe, eine Arylsubstituierte Alkylgruppe, eine Aryl-substituierte Alkenylgruppe, eine Aryl-substituierte Alkinylgruppe, eine monocyclische oder polycyclische Cycloalkylgruppe repräsentiert, welche substituiert sein können mit einer Alkylgruppe, einer Arylgruppe, einer heterocyclischen Gruppe oder einer substituierten oder unsubstituierten Aminogruppe;
    Q eine Gruppe repräsentiert, dargestellt durch -CO-, -O-, -S-, -CH(OR7)-, -C(=CH2)- oder -C(=NR8)- (wobei R7 ein Wasserstoffatom, eine Alkylgruppe, eine Hydroxyalkylgruppe oder eine Acylgruppe repräsentiert, und R8 eine Hydroxylgruppe, eine Alkoxygruppe, eine Aralkoxygruppe, eine Acyloxygruppe, eine Acylaminogruppe oder eine Alkoxycarbonylaminogruppe repräsentiert);
    n eine Ganzzahl von 0 bis 5 repräsentiert;
    R1 und R2 jeweils unabhängig ein Wasserstoffatom oder eine Alkylgruppe repräsentiern, oder R1 und R2 verknüpft werden, um eine Alkylengruppe zu bilden;
    B die beiden folgenden Gruppen repräsentiert:
    Figure 00060001
    (wobei R3, R4, R5 und R6 jeweils unabhängig einen Substituenten repräsentieren, ausgewählt aus der Gruppe, bestehend aus einem Wasserstoffatom, einem Halogenatom, einer Nitrogruppe, einer Alkylgruppe, einer halogenierten Alkylgruppe, einer Hydroxylgruppe, einer Alkoxygruppe, einer halogenierten Alkoxygruppe und einer Cyanogruppe);
    m 1 oder 2 repräsentiert; und
    der Ring:
    Figure 00060002
    einen 5- oder 6-gliedrigen aromatischen heterocyclischen Ring repräsentiert, enthaltend ein oder zwei Heteroatome, welcher substituiert sein kann.
  • Nach einem anderen Aspekt der vorliegenden Erfindung, werden Medikamente bereitgestellt, welche als Wirkstoff eine Substanz umfassen, ausgewählt aus der Gruppe, bestehend aus den zuvor genannten Verbindungen und deren Salze, sowie deren Hydrate und deren Solvate. Als eine bevorzugte Ausführungsform derselben werden die zuvor genannten Medikamente bereitgestellt, welche für Erkrankungen angewendet werden, die therapeutisch und/oder präventiv behandelt werden durch die Nervensteuerungsfunktion eines Sigma-Liganden (beispielsweise Erkrankungen des zentralen Nervensystems, Erkrankungen des Gastrointestinaltraktes, Herzdefekte und dergleichen). Die vorliegende Erfindung stellt außerdem einen Sigma-Liganden bereit, welcher eine Substanz umfasst, ausgewählt aus der Gruppe, welche aus den zuvor genannten Verbindungen und deren Salze, deren Hydrate und deren Solvate besteht.
  • Nach weiteren Aspekten der vorliegenden Erfindung wird eine Anwendung einer Substanz, ausgewählt aus der Gruppe, bestehend aus den zuvor genannten Verbindungen und deren Salze, deren Hydrate und deren Solvate, bereitgestellt für die Herstellung der zuvor genannten Medikamente, vorzugsweise in Form einer pharmazeutischen Zusammensetzung, sowie Verfahren für eine therapeutische und/oder präventive Behandlung von Erkrankungen durch die Nervensteuerungsfunktion von Sigma-Liganden, welche einen Schritt des Verabreichens einer wirksamen Menge einer Substanz an ein Säugetier, einschließlich Menschen, umfassen, ausgewählt aus der Gruppe, bestehend aus den zuvor genannten Verbindungen und deren Salze, deren Hydrate und deren Solvate.
  • Bester Weg zur Ausführung der Erfindung
  • In der oben beschrieben Formel (I) repräsentiert X eine Alkylgruppe, eine Cycloalkyl-substituierte Alkylgruppe, eine Aryl-substituierte Alkylgruppe, eine Aryl-substituierte Alkenylgruppe, eine Aryl-substituierte Alkinylgruppe, eine monocyclische oder polycyclische Cycloalkylgruppe, welche substituiert sein kann mit einer Alkylgruppe, einer Arylgruppe, einer heterocyclischen Gruppe oder einer substituierten oder unsubstituierten Aminogruppe.
  • Der hier verwendete Begriff „Alkylgruppe" und der Begriff „Alkyl" für eine Gruppe, welche eine Alkylgruppe als Rest enthält, umfasst beispielsweise lineare oder verzweigte Alkylgruppen mit 1 bis 6 Kohlenstoffatomen, vorzugsweise 1 bis 4 Kohlenstoffatome. Insbesondere können als Alkylgruppe verwendet werden: Methylgruppen, Ethylgruppen, n-Propylgruppen, Isopropylgruppen, n-Butylgruppen, Isobutylgruppen, sec-Butylgruppen, tert-Butylgruppen, n-Pentylgruppen, Isopentylgruppen, Neopentylgruppen, tert-Pentylgruppen, n-Hexylgruppen und dergleichen.
  • Wenn sich auf „Alkylgruppe" bezogen wird, umfasst dieser Begriff in der Beschreibung jene, welche eine oder mehrere Substituenten besitzen, falls nicht anders angegeben. Zu den Beispielen für diese Substituenten gehören: ein Halogenatom, eine Nitrogruppe, eine Cycloalkylgruppe, eine Arylgruppe, eine Aryloxygruppe, eine Heteroarylgruppe, eine Hydroxylgruppe, eine Alkoxygruppe, eine halogenierte Alkoxygruppe, eine Carboxylgruppe, eine Alkoxycarboxylgruppe, eine substituierte oder unsubstituierte Aminogruppe, eine Acylgruppe oder eine Cyanogruppe. Als diese Substituenten können vorzugsweise die unten beschriebenen verwendet werden.
  • Der hier verwendete Begriff „Cycloalkylgruppe" und der Begriff „Cycloalkyl" für eine Gruppe, welche eine Cycloalkylgruppe als Rest enthält, umfassen beispielsweise eine 3- bis 8-gliedrige Cycloalkylgruppe, vorzugsweise eine etwa 3- bis 6-gliedrige Cycloalkylgruppe (eine monocyclische Cycloalkylgruppe, falls nicht anderweitig besonders erwähnt). Diese Cycloalkylgruppen können eine oder zwei Alkylgruppen an ihrem Ring aufweisen. Insbesondere können, beispielsweise, Cyclopropylgruppen, Methylcyclopropylgruppen, Cyclobutylgruppen, Cyclopentylgruppen, Cyclohexylgruppen, Methylcyclohexylgruppen, Dimethylcyclohexylgruppen und dergleichen als Cycloalkylgruppe verwendet werden. Als polycyclische Cycloalkylgruppe kann eine 5- bis 12-gliedrige Polycycloalkylgruppe, wie beispielsweise eine Norbonylgruppe oder eine Adamantylgruppe verwendet werden, und die Adamantylgruppe kann vorzugsweise verwendet werden.
  • Zu den Beispielen für die Cycloalkyl-substituierten Alkylgruppen gehören beispielsweise: Cyclopropylmethylgruppen, Methylcyclopropylmethylgruppen, Cyclopropylethylgruppen, Cyclopropylpropylgruppen, Cyclobutylmethylgruppen, Cyclobutylethylgruppen, Cyclopentylmethylgruppen, Cyclohexylmethylgruppen, Dimethylcyclohexylmethylgruppen und dergleichen.
  • Der hier verwendete Begriff „Arylgruppe" und der Begriff „Aryl" für eine Gruppe, welche eine Arylgruppe als Rest enthält, umfassen beispielsweise eine monocyclische, bicyclische oder tricyclische Arylgruppe, welche etwa 6 bis 14 Atome enthalten. Beispielsweise können Phenylgruppen, 1-Naphthylgruppen und 2-Naphthylgruppen, ebenso wie Phenanthrylgruppen, Anthracenylgruppen und dergleichen verwendet werden. Ferner umfasst „Arylgruppe" bicyclische oder tricyclische Arylgruppen, deren Ring oder Ringe teilweise hydriert sind, einschließlich einer 5,6,7,8-Tetrahydronaphthylgruppe.
  • Der hier verwendete Begriff „Alkenylgruppe" umfasst lineare oder verzweigte Alkenylgruppen mit 2 bis 6 Kohlenstoffatomen, vorzugsweise 3 bis 6 Kohlenstoffatome, und welche eine oder mehrere Doppelbindungen enthalten, vorzugsweise eine Doppelbindung. Beispielsweise können 1-Propenylgruppen, Allylgruppen, Isopropenylgruppen, 1-Butenylgruppen, 3-Butenylgruppen, 1-Pentenylgruppen, 2-Pentenylgruppen, 3-Pentenylgruppen, 4-Pentenylgruppen, 1-Hexenylgruppen, 2-Hexenylgruppen und dergleichen als Alkenylgruppe verwendet werden. Die in der Alkenylgruppe enthaltene Doppelbindung kann entweder in cis- oder in trans-Konfiguration vorliegen.
  • Der Begriff „Alkinylgruppe" umfasst eine lineare oder verzweigte Alkinylgruppe mit 2 bis 6 Kohlenstoffatomen, vorzugsweise 3 bis 6 Kohlenstoffatome, beispielsweise 2-Propinylgruppen, 3-Butinylgruppen, 4-Pentinylgruppen, 5-Hexinylgruppen und dergleichen
  • Als heterocyclische Gruppe wird eine 5- bis 10-gliedrige monocyclische bis tricyclische heterocyclische Gruppe verwendet, welche 1 bis 4 Heteroatome enthält, ausgewählt aus Sauerstoffatomen, Schwefelatomen und Stickstoffatomen als ringbildende Atome. Beispielsweise schließen verwendbare Gruppen ein: Furylgruppe (Furanring), Benzofuranylgruppe (Benzofuranring), Isobenzofuranylgruppe (Isobenzofuranring), Thienylgruppe (Thiophenring), Benzothiophenylgruppe (Benzothiophenring), Pyrrolylgruppe (Pyrrolring), Imidazolylgruppe (Imidazolring), Pyrazolylgruppe (Pyrazolring), Thiazolylgruppe (Thiazolring), Benzothiazolylgruppe (Benzothiazolring), Isothiazolylgruppe (Isothiazolring), Benzisothiazo lylgruppe (Benzisothiazolring), Triazolylgruppe (Triazolring), Tetrazolylgruppe (Tetrazolring), Pyridylgruppe (Pyridinring), Pyrazinylgruppe (Pyrazinring), Pyrimidinylgruppe (Pyrimidinring), Pyridazinyigruppe (Pyridazinring), Indolylgruppe (Indolring), Isoindolylgruppe (Isoindolring), Benzimidazolylgruppe (Benzimidazolring), Purinylgruppe (Purinring), Chinolylgruppe (Chinolinring), Isochinolylgruppe (Isochinolinring), Dihydroisochinolylgruppe (Dihydroisochinolinring), Phthalazinylgruppe (Phthalazinring), Naphthyridinylgruppe (Naphthyridinring), Chinoxalinylgruppe (Chinoxalinring), Cinnolinylgruppe (Cinnolinring), Pteridinylgruppe (Pteridinring), Oxazolylgruppe (Oxazolring), Isoxazolylgruppe (Isoxazolring), Benzoxazolylgruppe (Benzoxazolring), Benzisoxazolylgruppe (Benzisoxazolring), Furazanylgruppe (Furazanring), Oxazinylgruppe (Oxazinring) und dergleichen. Zusätzlich können außerdem jene heterocyclischen Gruppen, deren Ring oder Ringe teilweise hydriert sind, verwendet werden, einschließlich der Pyrrolidingruppe (Pyrrolidinring), Imidazolidinylgruppe (Imidazolidinring), Piperidinylgruppe (Piperidinring), Piperazinylgruppe (Piperazinring), Morpholinyigruppe (Morpholinring) und dergleichen. Unter diesen kann eine 5- bis 7-gliedrige monocyclische heterocyclische Gruppe, die 1 oder 2 Heteroatome enthält, oder eine 8- bis 10-gliedrige bicyclische Heteroarylgruppe, die 1 oder 2 Heteroatome enthält, vorzugsweise als die erfindungsgemäße heterocyclische Gruppe verwendet werden.
  • Wenn sich in der Beschreibung auf „Cycloalkylgruppe", „Arylgruppe", „Heterocyclische Gruppe" oder „Heteroarylgruppe" bezogen wird, umfasst der Begriff eine Cycloalkylgruppe, eine Arylgruppe, eine heterocyclische Gruppe oder eine Heteroarylgruppe mit einem oder mehreren Substituenten am Ring, falls nicht anders angegeben. Zu den Beispielen für Substituenten gehören: ein Halogenatom, eine Nitrogruppe, eine Alkylgruppe, eine Cycloalkylgruppe, eine Alkenylgruppe, eine Alkinylgruppe, eine halogenierte Alkylgruppe, eine Hydroxylgruppe, eine Alkoxygruppe, eine halogenierte Alkoxygruppe, eine Carboxylgruppe, eine Alkoxycarboxylgruppe, eine Phenylgruppe, eine Phenoxygruppe, eine substituierte oder unsubstituierte Aminogruppe, eine Acylgruppe, eine Cyanogruppe und dergleichen. Als diese Substituenten können die oben erläuterten oder die unten beschriebenen vorzugsweise verwendet werden.
  • Beispiele der substituierten oder unsubstituierten Aminogruppe schließen beispielsweise ein: eine Aminogruppe, eine Alkylaminogruppe, wie beispielsweise eine Monoalkylaminogruppe und eine Dialkylaminogruppe, eine Acylaminogruppe, wie beispielsweise eine Alkanoylaminogruppe und eine Arylcarbonylaminogruppe, eine Aralkylaminogruppe, eine Alkylsulfonylaminogruppe und dergleichen. Insbesondere sind in den Beispielen eingeschlossen: eine Alkylaminogruppe, wie beispielsweise eine Monomethylaminogruppe, Dimethylaminogruppe, Ethylaminogruppe, Diethylaminogruppe, Methylethylaminogruppe, Propylaminogruppe, Dipropylaminogruppe, Butylaminogruppe, Pentylaminogruppe und Hexylaminogruppe; eine Acylaminogruppe, wie beispielsweise eine Acetylaminogruppe, Trifluoracetylaminogruppe, Propionylaminogruppe, Benzoylaminogruppe und p-Methoxybenzoylaminogruppe; eine Aralkylaminogruppe, wie beispielsweise eine Benzylaminogruppe und eine p-Methoxybenzylaminogruppe; und eine Alkylsulfonylaminogruppe, wie beispielsweise eine Methylsulfonylaminogruppe, Ethylsulfonylaminogruppe, n-Propylsulfonylaminogruppe und eine n-Hexylsulfonylaminogruppe.
  • Wenn sich in der Beschreibung auf den Begriff „Halogenatom" oder „halogeniert" bezogen wird, kann jeweils ein Fluoratom, Chloratom, Bromatom und Jodatom als das Halogenatom verwendet werden. Der in der Beschreibung verwendete Begriff „halogenierte Alkylgruppe" umfasst beispielsweise eine Monofluormethylgruppe, Difluormethylgruppe, Trifluormethylgruppe, Trifluorethylgruppe, Pentafluorethylgruppe, Monochlormethylgruppe, Dichlormethylgruppe, Trichlormethylgruppe und dergleichen, und bevorzugte Beispiele derselben schließen eine Trifluormethylgruppe ein.
  • Der hier verwendete Begriff „Alkoxygruppe" und der Begriff „Alkoxy" für eine Gruppe, welche eine Alkoxygruppe als Rest enthält, umfasst beispielsweise lineare oder verzweigte Alkoxygruppen mit 1 bis 6 Kohlenstoffatomen, vorzugsweise 1 bis 4 Kohlenstoffatome. Insbesondere kann eine Methoxygruppe, Eth oxygruppe, n-Propoxygruppe, Isopropoxygruppe, n-Butoxygruppe, Isobutoxygruppe, tert-Butoxygruppe, n-Pentyloxygruppe, n-Hexyloxygruppe und dergleichen als die Alkoxygruppe verwendet werden. Beispielsweise können eine Trifluormethoxygruppe, Trifluorethoxygruppe, Monochlormethoxygruppe, Trichlormethoxygruppe und dergleichen als die halogenierte Alkoxygruppe verwendet werden.
  • Als die Alkoxycarboxylgruppe können beispielsweise Alkoxycarboxylgruppen, gebildet durch die zuvor genannten Alkoxygruppen, verwendet werden, und insbesondere kann eine Methoxycarbonylgruppe, Ethoxycarbonylgruppe, n-Propoxycarbonylgruppe, Isopropoxycarbonylgruppe und dergleichen verwendet werden.
  • Beispiele der Acylgruppe schließen ein eine Alkanoylgruppe (z. B. eine Alkylcarbonylgruppe, eine halogenierte Alkylcarbonylgruppe und dergleichen), eine Arylcarbonylgruppe, eine Heteroarylcarbonylgruppe und dergleichen. Insbesondere können eine Formylgruppe, Acetylgruppe, Propionylgruppe, Trifluormethylcarbonylgruppe, Pentafluorethylcarbonylgruppe, Benzoylgruppe, p-Methoxybenzoylgruppe, 3-Pyridylcarbonylgruppe und dergleichen verwendet werden.
  • Als X kann eine Alkylgruppe, eine Aryl-substituierte Alkylgruppe, eine Ar–yl-substituierte Alkenylgruppe, eine Aryl-substituierte Alkinylgruppe, eine Arylgruppe, eine monocyclische Cycloalkylgruppe, eine monocyclische heterocyclische Gruppe, eine 8- bis 10-gliedrige bicyclische Heteroarylgruppe, welche, 1 oder 2 Heteroatome enthält, oder eine Aminogruppe, welche substituiert ist mit einer Alkyl- oder Arylgruppe, in der vorliegenden Erfindung vorzugsweise verwendet werden. Besonders bevorzugt kann eine substituierte oder unsubstituierte Phenylgruppe (Beispiele des Substituenten schließen einen oder mehrere Substituenten ein, ausgewählt aus der Gruppe, welche beispielsweise besteht aus: einem Halogenatom, einer Alkylgruppe, einer halogenierten Alkylgruppe, einer Alkoxygruppe, einer halogenierten Alkoxygruppe, einer Aralkylgruppe, einer Aralkoxygruppe, einer Phenylgruppe, einer Phenoxygruppe, einer Furylgruppe, ei ner Acylgruppe, einer Aminogruppe, einer Alkylaminogruppe, einer Acylaminogruppe, einer Nitrogruppe und einer Cyanogruppe), eine 5- oder 6-gliedrige monocyclische heterocyclische Gruppe oder eine 8- bis 10-gliedrige bicyclische Heteroarylgruppe, welche ein oder zwei Heteroatome enthält, verwendet werden.
  • Besonders bevorzugte Beispiele von X in der vorliegenden Erfindung schließen ein: eine substituierte oder unsubstituierte Phenylgruppe (der Substituent ist vorzugsweise einer oder mehrere Substituenten, ausgewählt aus der Gruppe, bestehend aus einem Halogenatom, einer Alkylgruppe, einer halogenierten Alkylgruppe, einer Alkoxygruppe, einer halogenierten Alkoxygruppe und einer Cyanogruppe, und besonders bevorzugt einer oder mehrere Substituenten, ausgewählt aus der Gruppe, bestehend aus einem Halogenatom und einer Alkoxygruppe). Die p-Fluorphenylgruppe ist am meisten bevorzugt. In der oben beschriebenen Formel (I) steht Q für eine Gruppe, repräsentiert durch -CO-, -O-, -S-, -CH(OR7), -C(=CH2)- oder -C(=NR8). R7 repräsentiert ein Wasserstoffatom, eine Alkylgruppe, eine Hydroxyalkylgruppe oder eine Acylgruppe, besonders bevorzugt für ein Wasserstoffatom, eine niedere Alkylgruppe oder eine Acetylgruppe, und am meisten bevorzugt für ein Wasserstoffatom oder eine Acetylgruppe. R8 repräsentiert eine Hydroxylgruppe, eine Alkoxygruppe, eine Aralkoxygruppe, eine Acyloxygruppe, eine Acylaminogruppe oder eine Alkoxycarbonylaminogruppe, und besonders bevorzugt für eine Hydroxylgruppe, eine Alkoxygruppe oder eine Acylaminogruppe. Am meisten bevorzugt ist es, wenn R8 eine Hydroxylgruppe oder eine Acetylaminogruppe ist.
  • Als Q kann eine Gruppe, repräsentiert durch -CO-, -O-, -C(=NOH)- oder -CH(=NR)-, in der vorliegenden Erfindung bevorzugt sein, und eine Gruppe, repräsentiert durch -CH2-, -CO-, -O- oder -CH(OH)- ist besonders bevorzugt. Am meisten bevorzugt ist -CO-.
  • In der oben beschrieben Formel (I) repräsentiert n eine Ganzzahl von 0 bis 5, vorzugsweise von 0 bis 4, besonders bevorzugt von 1 bis 3 und am meisten bevorzugt 1.
  • In der oben beschriebenen Formel (I) stehen R1 und R2 jeweils unabhängig für ein Wasserstoffatom oder eine Alkylgruppe, oder R1 und R2 werden kombiniert, um eine Alkylengruppe zu bilden. Vorzugsweise repräsentieren unter diesen R1 und R2 unabhängig ein Wasserstoffatom oder eine Alkylgruppe, und am meisten bevorzugt ist es, wenn sowohl R1 als auch R2 Wasserstoffatome sind.
  • In B der oben beschrieben Formel (I) stehen R3, R4, R5 und R6 jeweils unabhängig für einen Substituenten, ausgewählt aus der Gruppe, bestehend aus einem Wasserstoffatom, einem Halogenatom, einer Nitrogruppe, einer Alkylgruppe, einer halogenierten Alkylgruppe, einer Hydroxylgruppe, einer Alkoxygruppe, einer halogenierten Alkoxygruppe und einer Cyanogruppe. Vorzugsweise repräsentieren unter diesen R3, R4, R5 und R6 jeweils unabhängig einen Substituenten, ausgewählt aus der Gruppe, bestehend aus einem Wasserstoffatom, einem Halogenatom, einer Nitrogruppe, einer Alkylgruppe, einer Hydroxylgruppe, einer Alkoxygruppe und einer Cyanogruppe. Besonders bevorzugt ist es, wenn drei von R3, R4, R5 und R6 Wasserstoffatome sind, und das verbliebene einen Substituenten repräsentiert, ausgewählt aus der Gruppe, bestehend aus einem Wasserstoffatom, einem Halogenatom, einer Alkoxygruppe und einer Cyanogruppe. Am meisten bevorzugt ist es, wenn drei von R3, R4, R5 und R6 Wasserstoffatome sind und das verbliebene ein Wasserstoffatom, Fluoratom, Chloratom, Bromatom, Methoxygruppe oder Cyanogruppe repräsentiert. m repräsentiert eine Ganzzahl von 1 oder 2, vorzugsweise 1.
  • In einer Gruppe, repräsentiert durch B, repräsentiert der Ring:
    Figure 00140001
    einen 5- oder 6-gliedrigen aromatischen heterocyclischen Ring, enthaltend ein oder zwei Heteroatome, welcher substituiert sein kann. Unter diesen ist ein aromatischer heterocyclischer Ring, ausgewählt aus der Gruppe, bestehend aus Furanring, Thiophenring und Pyridinring bevorzugt, und ein unsubstituierter Thio phenring oder Furanring ist besonders bevorzugt.
  • Beispiele bevorzugter Klassen von Verbindungen, welche der oben genannten Formel (I) entsprechen, schließen ein:
    • (1) jene, bei welchen X eine Alkylgruppe, eine Aryl-substituierte Alkylgruppe, eine Aryl-substituierte Alkenylgruppe, eine Aryl-substituierte Alkinylgruppe, eine Arylgruppe, eine monocyclische Cycloalkylgruppe, eine monocyclische heterocyclische Gruppe, eine 8- bis 10-gliedrige bicyclische Heteroarylgruppe, welche 1 oder 2 Heteroatome enthält, oder eine substituierte oder unsubstituierte Aminogruppe repräsentiert; Q eine Gruppe darstellt, repräsentiert durch -CO-, -O-, -S-, -CH(OR7)- oder -C(=NR8)- (wobei R7 ein Wasserstoffatom, eine Alkylgruppe oder eine Acylgruppe repräsentiert, und R8 eine Hydroxylgruppe, eine Alkoxygruppe oder eine Acylaminogruppe repräsentiert); n eine Ganzzahl von 0 bis 4 repräsentiert; R1 und R2 jeweils unabhängig ein Wasserstoffatom oder eine Alkylgruppe repräsentieren; R3, R4, R5 und R6 jeweils unabhängig einen Substituenten repräsentieren, ausgewählt aus der Gruppe, bestehend aus einem Wasserstoffatom, einem Halogenatom, einer Nitrogruppe, einer Alkylgruppe, einer halogenierten Alkylgruppe, einer Hydroxylgruppe, einer Alkoxygruppe, einer halogenierten Alkoxygruppe und einer Cyanogruppe; m 1 oder 2 repräsentiert; und der Ring:
      Figure 00150001
      ein heterocyclischer Ring ist, ausgewählt aus der Gruppe, bestehend aus einem Furanring, einem Thiophenring und einem Pyridinring, welche substituiert sein können.
  • Beispiele von besonders bevorzugten Klassen von Verbindungen schließen ein:
    • (2) die Verbindungen nach (1), wobei X eine Alkylgruppe repräsentiert, eine Arylsubstituierte Alkylgruppe, eine Aryl-substituierte Alkenylgruppe, eine Aryl-substituierte Alkinylgruppe, eine Arylgruppe, eine monocyclische Cycloalkylgruppe, ei ne monocyclische heterocyclische Gruppe, eine 8- bis 10-gliedrige bicyclische Heteroalkylgruppe, welche 1 oder 2 Heteroatome enthält, oder eine Aminogruppe, welche substituiert ist mit einer Alkyl- oder Arylgruppe, und sowohl R1 als auch R2 Wasserstoffatome sind, R3, R4, R5 und R6 jeweils unabhängig einen Substituenten repräsentieren, ausgewählt aus der Gruppe, bestehend aus einem Wasserstoffatom, einem Halogenatom, einer Nitrogruppe, einer Alkylgruppe, einer Hydroxylgruppe, einer Alkoxygruppe und einer Cyanogruppe, m 1 oder 2 repräsentiert, und der Ring:
      Figure 00160001
      ein Furanring, ein Thiophenring oder ein Pyridinring ist, welche substituiert sein können;
    • (3) Verbindungen nach (1), wobei X eine substituierte oder unsubstituierte Phenylgruppe repräsentiert (der Substituent ist ein oder mehrere Substituenten, ausgewählt aus der Gruppe, bestehend aus einem Wasserstoffatom, einer Alkylgruppe, einer halogenierten Alkylgruppe, einer Alkoxygruppe, einer halogenierten Alkoxygruppe und einer Cyanogruppe), eine 5- oder 6-gliedrige monocyclische heterocyclische Gruppe, oder einer 8- bis 10-gliedrigen bicyclischen Heteroarylgruppe, welche ein oder zwei Heteroatome enthält, sowohl R1 als auch R2 Wasserstoffatome sind, drei von R3, R4, R5, R6 Wasserstoffatome sind und das verbliebene einen Substituenten repräsentiert, ausgewählt aus der Gruppe, bestehend aus einem Wasserstoffatom, einem Halogenatom, einer Nitrogruppe, einer Alkoxygruppe, einer halogenierten Alkoxygruppe und einer Cyanogruppe, m 1 oder 2 repräsentiert, und der Ring:
      Figure 00160002
      ein heterocyclischer Ring ist aus der Gruppe, bestehend aus einem Furanring, einem Thiophenring und einem Pyridinring, wobei diese jeweils substituiert sein können;
    • (4) die Verbindungen nach (2) oder (3) oben, wobei Q -CO-, -O-, -C(=NOH)- oder -CH(OR7)- repräsentiert (wobei R7 ein Wasserstoffatom, eine Alkylgruppe oder eine Acylgruppe repräsentiert), B durch folgende Formel repräsentiert wird:
      Figure 00170001
      (wobei drei von R3, R4, R5 und R5 Wasserstoffatome sind und das verbliebene einen Substituenten repräsentiert, ausgewählt aus der Gruppe, bestehend aus einem Wasserstoffatom, einem Halogenatom, einer Nitrogruppe, einer Alkylgruppe, einer Hydroxylgruppe, einer Alkoxygruppe und einer Cyanogruppe), und n 1 ist; und
    • (5) Verbindungen, in welchen X eine substituierte oder unsubstituierte Phenylgruppe repräsentiert (der Substituent ist ein oder mehrere Substituenten, ausgewählt aus der Gruppe, bestehend aus einem Halogenatom und einer Alkoxygruppe), Q -CO-, -O- oder -CH(OH)- repräsentiert, n eine Ganzzahl von 1 bis 3 repräsentiert, sowohl R1 und R2 Wasserstoffatome sind, drei von R3, R4, R5 und R6 Wasserstoffatome sind, und das verbliebene ein Wasserstoffatom, ein Halogenatom oder eine Alkoxygruppe repräsentiert, m 1 oder 2 repräsentiert, und der folgende Ring:
      Figure 00170002
      ein Thiophen- oder Furanring ist.
  • Zu den Beispielen besonders bevorzugter Verbindungsklassen gehören:
    • (6) die Verbindungen, bei welchen X eine substituierte oder unsubstituierte Phenylgruppe repräsentiert, eine Naphthylgruppe, tert-Butylgruppe, Cyclohexylgrup pe, eine substituierte oder unsubstituierte Pyrrolylgruppe, Piperidinylgruppe, Benzisoxazolylgruppe, Benzodioxolygruppe, Tetrahydrochinolylgruppe, Indolinylgruppe oder eine substituierte oder unsubstituierte Phenylaminogruppe, Q -CO-, -O-, -S-, -CH(OH)- oder -C(=NHO)- repräsentiert, n eine Ganzzahl von 1 oder 2 repräsentiert, R1 und R2 jeweils ein Wasserstoffatom ist, drei von R3, R4, R5 und R6 Wasserstoffatome sind, und das verbliebene einen Substituenten repräsentiert, ausgewählt aus der Gruppe, bestehend aus einem Wasserstoffatom, einem Fluoratom, einem Chloratom, einem Bromatom und einer Methoxygruppe, m 1 oder 2 repräsentiert, und der Ring:
      Figure 00180001
      ein Furan- oder Thiophenring ist;
    • (7) die Verbindungen, bei welchen X eine p-Fluorphenylgruppe repräsentiert, Q -CO-, -O- oder -CH(OH)- repräsentiert, n 1 repräsentiert, sowohl R1 als auch R2 Wasserstoffatome sind, drei von R3, R4, R5 und R6 sind Wasserstoffatome, und der verbliebene ein Wasserstoffatom, ein Halogenatom oder eine Methoxygruppe repräsentiert, und m 1 repräsentiert;
    • (8) die Verbindungen nach (7), wobei Q -CO- repräsentiert;
    • (9) die Verbindungen nach (8), wobei alle von R3, R4, R5 und R6 Wasserstoffatome sind;
    • (10) die Verbindungen nach (8), wobei drei von R3, R4, R5 und R6 Wasserstoffatome sind, und das verbliebene ein Halogenatom repräsentiert; und
    • (11) die Verbindungen nach (6), wobei X eine p-Fluorphenylgruppe repräsentiert, Q -CO- repräsentiert, n 1 repräsentiert und der Ring:
      Figure 00180002
      einen Furan- oder Thiophenring repräsentiert.
  • Spezielle Beispiele von besonders bevorzugten Verbindungen der vorliegenden Erfindung sind in den folgenden Tabellen aufgelistet. Jedoch sind die Verbindungen der vorliegenden Erfindung nicht auf diese Beispiele beschränkt. In den unten genannten Verbindungen sind sowohl R1 als auch R2 Wasserstoffatome. In den Tabellen bedeutet beispielsweise die Spezifizierung von „p-F-Ph" für X, dass X eine p-Fluorphenylgruppe ist. Andere Spezifizierungen sind auf ähnliche Weise angegeben. Ferner steht „Bu" für eine Butyl- oder Butylengruppe, „Pr" steht für eine Propyl- oder Propylengruppe, „Et" steht für eine Ethyl- oder Ethylengruppe, „Ac" steht für eine Acetylgruppe, und „"" steht für die gleiche Gruppe wie die in einer oberen Zeile abgebildete Gruppe.
  • Tabelle 1 zeigt die Verbindungen, wobei B eine Gruppe ist, die durch folgende Formel repräsentiert wird:
    Figure 00190001
    und Tabelle 2 zeigt jene, bei welchen B eine Gruppe ist, die durch die folgende Formel repräsentiert wird:
    Figure 00190002
  • Die speziell offenbarten Verbindungen in den Beispielen der Beschreibung sind auch erfindungsgemäß bevorzugt, ebenso die unten beschriebenen. Tabelle 1
    Nr. X Q n R3 R4 R5 R6 m
    1 p-F-Ph C=O 1 H H H H 1
    2 " " " Br " " " "
    3 " " " H Br " " "
    4 " " " " H Br " "
    5 " " " " " H Br "
    6 " " " Br " " " "
    7 " " " F H " H "
    8 " " " H F " " "
    9 " " " " H F " "
    10 " " " " " H F "
    11 " " " Cl " " H "
    12 " " " H Cl " " "
    13 " " " " H Cl " "
    14 " " " " " H Cl "
    15 " " " OCH3 " " H "
    16 " " " H OCH3 " " "
    17 " " " " H OCH3 " "
    18 " " " " " H OCH3 "
    19 " " " CN " " H "
    20 " " " H CN " " "
    21 " " " " H CN " "
    22 " " " " " H CN "
    23 " " " " NO2 " H "
    24 " " " " H NO2 " "
    25 " " " " " H NO2 "
    26 Ph " " " " " H "
    27 " " " Br " " " "
    28 " " " H Br " " "
    29 " " " " H Br " "
    30 " " " " " H Br "
    31 " " " " Br " " "
    32 " " " F H " H "
    33 " " " H F " " "
    34 " " " " H F " "
    35 " " " " " H F "
    Tabelle 1 (Fortsetzung)
    Nr. X Q n R3 R4 R5 R6 m
    36 Ph C=O 1 Cl H H H "
    37 " " " H Cl " " "
    38 " " " " H Cl " "
    39 " " " " " H Cl "
    40 " " " OCH3 " " H "
    41 " " " H OCH3 " " "
    42 " " " " H OCH3 " "
    43 " " " " " H OCH3 "
    44 " " " C N " " H "
    45 " " " H CN " " "
    46 " " " " H CN " "
    47 " " " " " H CN "
    48 " " " " NO2 " H "
    49 " " " " H NO2 " "
    50 " " " " " H NO2 "
    51 p-Cl-Ph " " " " " H "
    52 " " " " Br " " "
    53 " " " " H Br " "
    54 " " " " " H Br "
    55 " " " " Br " " "
    56 " " " " F " H "
    57 " " " " H " F "
    58 " " " " " Cl H "
    59 " " " " Cl H " "
    60 " " " " H OCH3 " "
    61 " " " " " CN " "
    62 " " " " NO2 H " "
    63 " " " " H " NO2 "
    64 p-H3CO-Ph " " " " " H "
    65 " " " " Br " " "
    Tabelle 1 (Fortsetzung)
    Nr. X Q n R3 R4 R5 R6 m
    66 " " " " H Br " "
    67 p-H3CO-Ph C=O 1 H H H Br 1
    68 " " " " Br " " "
    69 " " " " F " H "
    70 " " " " H " F "
    71 p-H3CO-Ph C=O 1 H H Cl H 1
    72 " " " " Cl H " "
    73 " " " " H OCH3 " "
    74 " " " " " CN " "
    75 " " " " NO2 H " "
    76 " " " " H " NO2 "
    77 p-F-Ph CHOH " " " " H "
    78 " " " " Br " " "
    79 " " " " H Br " "
    80 " " " " " H Br "
    81 p-F-Ph CHOH 1 H Br H Br 1
    82 " " " " F " H "
    83 " " " " H " F "
    84 " " " " " Cl H "
    85 " " " " Cl H " "
    86 " " " " H OCH3 " "
    87 " " " " " CN " "
    88 " " " " NO2 H " "
    89 " " " " H " NO2 "
    90 " C=NOH " " " " H "
    91 " " " " Br " " "
    92 " " " " H Br " "
    93 " " " " " H Br "
    94 " " " " Br " " "
    95 " " " H F " H "
    Tabelle 1 (Fortsetzung)
    Nr. X Q n R3 R4 R5 R6 m
    96 " " " " H " F "
    97 " " " " " Cl H "
    98 p-F-Ph C=NOH 1 H Cl H H 1
    99 " " " " H OCH3 " "
    100 " " " " " CN " "
    101 " " " " NO2 H " "
    102 " " " " H " NO2 "
    103 p-F-Ph CHOAc " " " " H "
    104 " " " " Br " " "
    105 " " " " H Br " "
    106 p-F-ph CHOAc 1 H H H Br 1
    107 " " " " Br " " "
    108 " " " " F " " "
    109 " " " " H " F "
    110 " " " " " Cl H "
    111 " " " " Cl H " "
    112 " " " " H OCH3 " "
    113 " " " " " CN " "
    114 " " " " NO2 H " "
    115 " " " " H " NO2 "
    116 o,p-diF-Ph C=NOH " " " " H "
    117 " " " " Br " " "
    118 " " " " H Br " "
    119 " " " " " H Br "
    120 " " " " Br " " "
    121 o,p-diF-Ph C=NOH 1 H F H H 1
    122 " " " " H " F "
    123 " " " " " Cl H "
    124 " " " " " OCH3 " "
    125 " " " " " CN " "
    Tabelle 1 (Fortsetzung)
    Nr. X Q n R3 R4 R5 R6 m
    126 t-Bu C=O " " " H " "
    127 " " " " Br " " "
    128 " " " " H Br " "
    129 t-Bu C=O 1 H H H Br 1
    130 " " " " Br " " "
    131 " " " " F " H "
    132 " " " " H " F "
    133 " " " " " Cl H "
    134 " " " " " OCH3 " "
    135 " " " " " CN " "
    156 Ph C=O 2 H H H H 1
    157 " " " " Br " " "
    158 " " " " H Br " "
    159 " " " " " H Br
    160 " " " " Br " " "
    161 Ph C=O 2 H F H H 1
    162 " " " " H " F "
    163 " " " " " Cl H
    164 " " " " " OCH3 " "
    165 " " " " " CN " "
    166 p-F-Ph " 3 " " H " "
    167 " " " " Br " " "
    168 " " " " H Br " "
    169 " " " " " H Br "
    170 " " " " Br " " "
    171 " " " " F " H "
    172 " " " " H " F "
    173 " " " " " Cl H "
    174 " " " " " OCH3 " "
    175 " " " " " CN " "
    Tabelle 1 (Fortsetzung)
    Nr. X Q n R3 R4 R5 R6 m
    206 p-F-Ph O 2 H H H H 1
    207 " " " " Br " " "
    208 " " " " H Br " "
    209 " " " " " H Br "
    210 p-F-Ph O 2 H Br H Br 1
    211 p-F-Ph O 2 H F H H 1
    212 " " " " H " F "
    213 " " " " " Cl H "
    214 " " " " " OCH3 " "
    215 " " " " " CN " "
    216 " " 3 " " H " "
    217 " " " " Br " " "
    218 " " " " H Br " "
    219 " " " " " H Br "
    220 " " " " Br " " "
    221 " " " " F " H "
    222 " " " " H " F "
    223 " " " " " Cl H "
    224 " " " " " OCH3 " "
    225 " " " " " CN " "
    226 " " 4 " " H " "
    227 " " " " Br " " "
    228 " " " " H Br " "
    229 " " " " " H Br "
    230 " " " " Br " " "
    231 " " " " F " H "
    232 " " " " H " F "
    233 " " " " " Cl H "
    234 " " " " OCH3 " " "
    235 " " " " " CN " "
    Tabelle 1 (Fortsetzung)
    Figure 00260001
    Tabelle 1 (Fortsetzung)
    Figure 00270001
    Tabelle 1 (Fortsetzung)
    Figure 00280001
    Tabelle 1 (Fortsetzung)
    Figure 00290001
    Tabelle 1 (Fortsetzung)
    Figure 00300001
    Tabelle 1 (Fortsetzung)
    Figure 00310001
    Tabelle 1 (Fortsetzung)
    Figure 00320001
    Tabelle 1 (Fortsetzung)
    Figure 00330001
    Tabelle 1 (Fortsetzung)
    Nr. X Q n R3 R4 R5 R6 m
    629 p-Cl-Ph O 2 H H OCH3 H 1
    630 " " " H H CN H "
    631 o-CH3O-Ph " " H H H H "
    632 " " " H H Br H "
    633 " " " H H H F "
    634 " " " H H OCH3 H "
    635 " " " H H CN H "
    636 m-CH3O-Ph " " H H H H "
    637 " " " H H Br H "
    638 " " " H H H F "
    639 " " " H H OCH3 H "
    640 " " " H H CN H "
    641 p-CH3O-Ph O 2 H H H H 1
    642 " " " H H Br H "
    643 " " " H H H F "
    644 " " " H H OCH3 H "
    645 " " " H H CN H "
    646 o-CH3-Ph O 2 H H H H 1
    647 " " " H H Br H "
    648 " " " H H H F "
    649 " " " H H OCH3 H "
    650 " " " H H CN H "
    651 m-CH3-Ph " " H H H H "
    652 " " " H H Br H "
    653 " " " H H H F 1
    654 " " " H H OCH3 H "
    655 " " " H H CN H "
    656 p-CH3-Ph " " H H H H "
    657 " " " H H Br H "
    Tabelle 1 (Fortsetzung)
    Figure 00350001
    Tabelle 1 (Fortsetzung)
    Figure 00360001
    Tabelle 1 (Fortsetzung)
    Nr. X Q n R3 R4 R5 R6 m
    707 p-F-Ph S 2 H H Br H 1
    708 " " " H H H F "
    709 " " " H H OCH3 H "
    710 " " " H H CN H "
    711 " " 3 H H H H "
    712 " " " H H Br H "
    713 " " " H H H F "
    714 " " " H H OCH3 H "
    715 " " " H H CN H "
    716 o-F-Ph " 2 H H H H "
    717 " " " H H Br H "
    718 " " " H H H F "
    719 " " " H H OCH3 H "
    720 " " " H H CN H "
    721 m-F-Ph " " H H H H "
    722 " " " H H Br H "
    723 " " " H H H F "
    724 " " " H H OCH3 H "
    725 " " " H H CN H "
    726 Ph " " H H H H "
    727 " " " H H Br H "
    728 " " " H H H F "
    729 " " " H H OCH3 H "
    730 " " " H H CN H "
    731 o-CH3-O-Ph S 2 H H H H 1
    732 " " " H H Br N "
    733 " " " H H H F "
    734 " " " H H OCH3 H "
    735 " " " H H CN H "
    736 m-CH3O-Ph " " H H H H "
    Tabelle 1 (Fortsetzung)
    Nr. X Q n R3 R4 R5 R6 m
    737 m-CH3O-Ph S 2 H H Br H 1
    738 " " " H H H F "
    739 " " " H H OCH3 H "
    740 " " " H H CN H "
    741 4-F-Ph C=NOCH3 1 H H H H 1
    742 " " " H H Br H "
    743 " " " H H H F "
    744 " " " H H OCH3 H "
    745 " " " H H CN H "
    746 4-F-Ph C=NNH(COOCH3) 1 H H H H 1
    747 " " " H H Br H "
    748 " " " H H H F "
    749 " " " H H OCH3 H "
    750 " " " H H CN H "
    751 " C=NNH(COCH3) " H H H H 1
    752 " " " H H Br H "
    753 " " " H H H F "
    754 " " " H H OCH3 H "
    755 " " " H H CN H "
    756 " C=NOCH2Ph " H H H H "
    757 " " " H H Br H "
    758 " " " H H H F "
    759 " " " H H OCH3 H "
    760 " " " H H CN H "
    761 " C=O " H H H H 2
    762 " " " Br H H H "
    763 " " " H Br H H "
    764 " " " H H Br H "
    765 " " " H H H Br "
    766 " " " H Br H Br "
    Tabelle 1 (Fortsetzung)
    Nr. X Q n R3 R4 R5 R6 m
    767 4-F-Ph C=O 1 H F H H 2
    768 " " " H H F H "
    769 " " " H H H F "
    770 " " " H H Cl H "
    771 " " " H Cl H H "
    772 " " " H H OCH3 H "
    773 " " " H H CN H "
    774 " " " H NO2 H H "
    775 " " " H H H NO2 "
    Tabelle 2
    Figure 00400001
    Tabelle 2 (Fortsetzung)
    Figure 00410001
    Tabelle 2 (Fortsetzung)
    Figure 00420001
  • Verfahren zur Herstellung der Verbindungen der vorliegenden Erfindung, repräsentiert durch Formel (I), sind nicht speziell beschränkt. Beispielsweise können die Verbindungen hergestellt werden durch eines der unten beschriebenen Verfahren. Die Herstellung bevorzugter Verbindungen, welche zu den Verbindungen der vorliegenden Erfindung gehören, wird in den Beispielen der Beschreibung genauer erläutert. Dementsprechend können Fachleute eine Verbindung der vorliegenden Erfindung, welche der Formel (I) entspricht, durch Bezug auf die folgenden allgemeinen Erläuterungen und auf spezielle Erläuterungen, herstellen, und die Ausgangsstoffe, die Reaktionsbedingungen, Reagenzien und so weiter, falls erforderlich, entsprechend abändern oder abwandeln.
  • Verfahren zur Herstellung
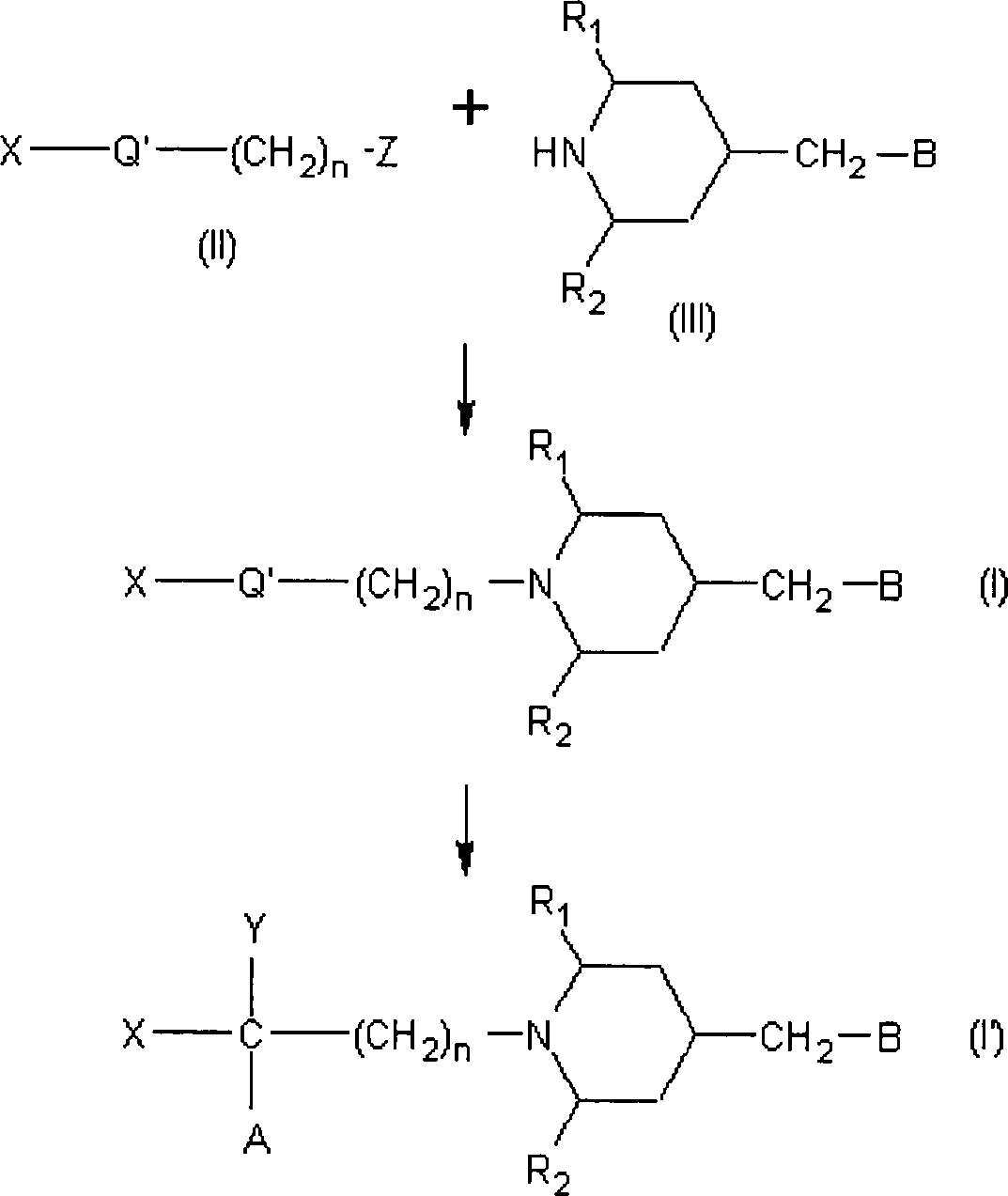
  • Schema A:
    Figure 00430001
  • Eine Verbindung nach der Formel (II) (in der Formel repräsentiert Z ein Halogenatom, wie beispielsweise ein Chloratom, Bromatom oder Jodatom, oder für Tosylat oder Mesylat oder dergleichen, Q' steht für -CO-, -O- oder -S-, und X ist wie oben beschrieben) kann mit einem nukleophilen Aminoderivat, repräsentiert durch die Formel (III) (R1, R2 und B besitzen die gleichen Bedeutungen wie oben definiert), zur Reaktion gebracht werden, um eine entsprechende Verbindung nach der Formel (I) zu erhalten. Diese Reaktion kann gewöhnlich in einem polaren Lösemittel wie Dimethylformamid, N-Methylpyrrolidon, Ethanol oder Acetonitril in Gegenwart einer Base wie Triethylamin, Natriumhydrogencarbonat oder Kaliumcarbonat durchgeführt werden.
  • Wenn Q' -CO- ist, kann das Amino-Keto-Derivat nach Formel (I) reduziert werden, um ein Hydroxyderivat nach Formel (I') zu erhalten, wobei A eine Hydroxylgruppe ist und Y ein Wasserstoffatom. Allgemein kann die Reduktion bei Raumtemperatur in einem organischen Lösemittel wie Ethanol, Methanol oder Tetrahydrofuran unter Verwendung von Borhydrid durchgeführt werden. Das Amino-Keto-Derivat nach Formel (I) kann außerdem mit einem organometallischen Reagenz wie Y-MgBr umgesetzt werden, um eine Verbindung nach Formel (I') zu erhalten, wobei A eine Hydroxylgruppe ist.
  • Die Acyloxy- und Alkoxyverbindungen können durch die üblichen Verfahren dargestellt werden, ausgehend von einem freien Hydroxyderivat. Ein O-Alkyl-Derivat kann durch Solvolyse eines Sulfonylesterintermediats dargestellt werden (Advanced Organic Chemistry, J. March, John Wiley & Sons, New York, S. 264–317, 1985). Ein chiraler Ether kann ebenfalls durch Solvolyse eines chiralen Sulfonylesterderivats wie beispielsweise Camphersulfonsäure erhalten werden. Ein Oxim des Ketoderivats nach Formel (I), wobei Q' -CO- ist, kann dargestellt werden durch eine Oxim-Darstellung, wie jene, welche beschrieben wurden in Organic Functional Group Preparation Vol. 111, S.R. Sandler und W. Karo, Academic Press, London, S. 430–481, 1989.
  • Als Verbindung nach Formel (II), gezeigt in Schema A, wobei Q' -CO- ist, kön nen kommerziell erhältliche Verbindungen verwendet werden, oder die Verbindungen können erhalten werden durch Halogenisierung unter Verwendung einer mit einer Alkylgruppe oder einer Alkylketongruppe substituierten Verbindung als Ausgangsstoff oder durch ein anderes, ähnliches Verfahren. Dort, wo Q' -O- oder -S- ist, können kommerziell erhältliche Verbindungen verwendet werden, oder die Verbindungen können erhalten werden durch Reaktion einer Verbindung, welche mit einer Hydroxylgruppe oder Thiolgruppe substituiert ist, als Ausgangssubstanz mit Z(CH2)nZ' (wobei Z und Z' für ein Halogenatom, Tosylat, Mesylat oder dergleichen stehen), oder durch ein ähnliches Verfahren.
  • Bezüglich der Synthesen von Benzisoxazolidin-Derivaten und Benzisothioxazolin-Derivaten schließen die Beispiele die in bekannten Referenzen beschriebenen Verfahren ein (H. Uno, M. Kurokawa, K. Natsuka, Y. Yamato und H. Nishimura, Chem. Pharm. Bull., 24 (4), S. 632–643, 1976; H. Uno und M. Kurokawa, Chem. Pharm. Bull., 26 (12), S. 3888–3891, 1978)).
  • Schema B:
    Figure 00460001
  • Eine Verbindung der Formel (III) als Ausgangssubstanz im Schema A oben, wobei m für 1 repräsentiert, kann, wie in dem oben beschriebenen Schema B gezeigt, hergestellt werden nach dem Verfahren von P. D. Leeson et al., (J. Med. Chem., 35, 1954–1968, 1992). Eine Verbindung der Formel (IV) (wobei R9 eine Alkylgruppe repräsentiert und R3, R4, R5 und R6 definiert sind wie oben) wird halogeniert in einem Lösemittel wie beispielsweise Kohlenstofftetrachlorid unter Verwendung von beispielsweise N-Bromsuccinimid, um eine Verbindung der Formel (V) zu erhalten (wobei Z' ein Halogenatom repräsentiert), welcher anschließend ermöglicht wird, mit einer Verbindung der Formel (VI) zu reagieren.
  • Der Substituent P der im Schema abgebildeten Verbindungen repräsentiert eine Schutzgruppe für die Aminogruppe, wie beispielsweise jene, welche in Protective Groups in Organic Synthesis (T.W. Greene und P.G.M. Wuts, John Wiley & Sons, New York, 1991) beschrieben wurden, und die Schutzgruppe lässt sich bereitwillig abtrennen, um eine Piperidinverbindung der Formel (III) zu ergeben.
  • Alternativ können Verbindungen der Formel (VII) außerdem synthetisiert werden nach den in der Literatur beschriebenen Verfahren (I. Takahashi, T. Kawakami, E. Hirano, H. Yokota und H. Kitajima, Synlett, 4, 353–355, 1996; S. M. Allin, C. C. Hodkinson und N. Taj, Synlett, 8, 781–782, 1996).
  • Die als Ausgangssubstanzen verwendeten Verbindungen können in den zuvor genannten Verfahren ein Racemat oder eine erwünschte optisch aktive Substanz sein, und es kann ein entsprechendes Racemat oder eine optisch aktive Substanz hergestellt werden. Es ist außerdem möglich, eine erwünschte optisch aktive Substanz durch Racematspaltung nach bekannten herkömmlichen Verfahren herzustellen. Basische Substanzen der Formel (I) können mit verschiedenen anorganischen oder organischen Säuren Säureadditionssalze bilden, vorzugsweise pharmakologisch zulässige Salze. Diese Salze können leicht dargestellt werden durch Behandlung einer basischen Verbindung der Formel (I) mit einer Mineralsäure oder einer organischen Säure in einem geeigneten organischen Lösemittel wie beispielsweise Methanol, Ethanol, Isopropanol oder Ethylacetat.
  • Die Verbindungen der vorliegenden Erfindung, repräsentiert durch die allgemeine Formel (I), können ein oder mehrere asymmetrische Kohlenstoffatome besitzen, und daher können die Verbindungen als optische Isomere existieren. Jede Art von Racemat oder optischen Isomeren in einer optisch reinen Form, und jede Mischung von optischen Isomeren gehören zum Umfang der vorliegenden Erfindung. Racemate können durch ein Fachleuten wohlbekanntes Verfahren in optisch reine Enantiomere getrennt. Ferner gehören Diastereomere, basierend auf zwei oder mehr asymmetrischen Kohlenstoffatomen, und jede Mischung derselben, ebenso zum Umfang der vorliegenden Erfindung. Säureadditionssalze, vorzugsweise pharmazeutisch zulässige Säureadditionssalze, Hydrate und jede Art von Solvat der Verbindungen der vorliegenden Erfindung, repräsentiert durch zuvor genannte allgemeine Formel (I), gehören ebenfalls um Umfang der vorlie genden Erfindung.
  • Beispiele von Salzen, welche mit den Verbindungen der vorliegenden Erfindung gebildet werden können, schließen beispielsweise ein: anorganische Salze wie Hydrochloride, Hydrobromide, Hydroiodide, Sulfate, Nitrate und Phosphate, Salze organischer Säuren, wie Succinate, Acetate, Glycolate, Methansulfonate und Toluolsulfonate, Alkalimetallsalze wie Natriumsalze und Kaliumsalze, Erdalkalimetallsalze wioe Magnesiumsalze und Calciumsalze, Ammoniumsalze wie Ammoniumsalze und Alkylammoniumsalze und dergleichen. Beispiele von mit den Solvaten assoziierten Lösemitteln, die mit den Verbindungen der vorliegenden Erfindung gebildet werden können, schließen ein: Methanol, Ethanol, Isopropanol, Aceton, Ethylacetat und dergleichen. Jedoch sind die Formen der Salze und Solvate nicht auf die oben beispielhaft genannten beschränkt.
  • Die Verbindungen der vorliegenden Erfindung besitzen eine hohe Affinität zur Sigma-Bindestelle (wenn sich in der Beschreibung auf eine bestimmte Verbindung als „Sigma-Ligand" bezogen wird, dann heißt dies, dass die Verbindung das zuvor genannte Merkmal besitzt). Daher sind die Verbindungen der vorliegenden Erfindung als Medikamente anwendbar für verschiedene Erkrankungen und Symptome, welche therapeutisch und/oder präventiv durch die Wirkung des Sigma-Liganden auf die Nervensteuerung in Säugetieren, einschließlich des Menschen, vorzugsweise in Menschen, behandelt werden können. Zu den derartigen Erkrankungen zählen beispielsweise Erkrankungen der zentralen Nervensystems, des Gastrointestinaltraktes und des kardiovaskulären Systems.
  • Zu den Erkrankungen des zentralen Nervensystems zählen beispielsweise Angststörungen, Depressionen oder emotionale Störungen, Schizophrenie, Betäubungsmittelvergiftung oder Betäubungsmittelabhängigkeit, starke Schmerzen, Dyskinesie, zerebrovaskuläre Erkrankungen, Epilepsie, Demenz, einschließlich der Alzheimer-Krankheit, Parkinson-Krankheit, Gehirntumor, Aufmerksamkeitsdefizitstörung und dergleichen. Zu den gastrointestinalen Erkrankungen zählen beispielsweise das Reizdarmsyndrom, Reizdarm, spastischer Colon, Colitis mu cosa, Enterocolitis, Divertikulitis, Dysenterie. Zu den Erkrankungen des kardiovaskulären Systems gehören beispielsweise Hypertonie, Arrhythmie, Angina pectoris. Jedoch sind die durch die Medikamente der vorliegenden Erfindung behandelten Erkrankungen nicht auf diese speziellen Erkrankungen und/oder Symptome beschränkt, und die Medikamente können für die therapeutische und/oder präventive Behandlung einer Vielzahl von Erkrankungen und/oder Symptomen angewendet werden, bei welchen Sigma-Liganden in vivo involviert sind.
  • Die Verbindungen nach der vorliegenden Erfindung zeigen eine ausgezeichnete Anti-Methamphetaminaktivität und sind als Medikamente anwendbar, insbesondere zur therapeutischen und/oder präventiven Behandlung von Schizophrenie, Betäubungsmittelvergiftung oder Betäubungsmittelabhängigkeit unter den oben beispielhaft angeführten Erkrankungen und Symptomen.
  • Als Wirkstoff der Medikamente der vorliegenden Erfindung können eine oder mehrere Substanzen, ausgewählt aus der Gruppe, bestehend aus den zuvor genannten Verbindungen und deren Salze, und deren Hydrate und deren Solvate verwendet werden. Die Art der Verabreichung der Medikamente der vorliegenden Erfindung ist nicht speziell beschränkt, und sie können oral oder parenteral verabreicht werden. Als die Medikamente der vorliegenden Erfindung können die zuvor genannten Substanzen in Reinform an Patienten verabreicht werden. Vorzugsweise sollten die Medikamente als Zubereitungen in Form pharmazeutischer Zusammensetzungen verabreicht werden, welche den Wirkstoff und ein oder zwei pharmakologisch und pharmazeutisch zulässige Additive enthalten. Zu den Beispielen pharmakologisch und pharmazeutisch zulässiger Additive gehören beispielsweise Arzneistoffträger, Tablettensprengmittel oder Tabletten sprengende Hilfsstoffe, Bindemittel, Gleitmittel, Überzugmittel, Farbstoffe, Verdünnungsmittel, Grundstoffe, Lösemittel und Lösehilfen, isotonische Substanzen, pH-Regulatoren, Stabilisierungsmittel, Treibmittel, Klebemittel und dergleichen. Zu den Beispielen pharmazeutischer Zubereitungen, geeignet zur oralen Verabreichung, gehören beispielsweise Tabletten, Kapseln, Pulver, Feingranu lat, Granulat, Flüssigkeiten, Sirups und dergleichen. Zu den Beispielen pharmazeutischer Zubereitungen, geeignet zur parenteralen Verabreichung, gehören beispielsweise Injektionen, Tropfinfusionen, Salben, Cremes, transmukosale Zubereitungen, Augentropfen, Ohrentropfen, Inhalationsmittel, Suppositorien und dergleichen. Jedoch sind die Formen der Zubereitungen nicht auf diese Beispiele beschränkt.
  • Als Additive für die zur oralen Verabreichung geeigneten Zubereitungen können beispielsweise verwendet werden: Arzneistoffträger wie Glucose, Lactose, D-Mannit, Stärke und kristalline Cellulose; Tablettensprengmittel oder Tabletten sprengende Hilfsstoffe wie Carboxymethylcellulose, Stärke und Calciumcarboxymethylcellulose; Bindemittel wie Hydroxypropylcellulose, Hydroxypropylmethylcellulose, Polyvinylpyrrolidon und Gelatine; Gleitmittel wie Magnesiumstearat und Talkum; Überzugmittel wie Hydroxypropylmethylcellulose, Saccharose, Polyethylenglykol und Titandioxid; und Grundstoffe wie Vaseline, flüssiges Paraffin, Polyethylenglykol, Gelatine, Kaolin, Glycerin, gereinigtes Wasser und harte Fette. Für die zur Injektion oder Tropfinfusion geeigneten Zubereitungen können beispielsweise als Additive für pharmazeutische Zubereitungen verwendet werden: Lösemittel oder Lösehilfen, welche wässrige Injektionen bilden können oder Injektionen, die zur Anwendung gelöst werden, wie beispielsweise destilliertes Wasser für Injektionen, physiologische Kochsalzlösung und Propylenglykol; Isotonische Mittel wie Glucose, Natriumchlorid, D-Mannit und Glycerin; pH-Regulatoren wie anorganische Säuren, organische Säuren, anorganische Basen und organische Basen und dergleichen.
  • Die Dosen der Medikamente der vorliegenden Erfindung sollten geeignet festgelegt werden in Abhängigkeit von der Art der zu behandelnden Erkrankung, dem Zweck der Prävention oder der therapeutischen Behandlung, dem Alter, Körpergewicht und der Verfassung des Patienten und dergleichen. Eine Tagesdosis für einen erwachsenen Patienten kann allgemein innerhalb eines Bereichs von etwa 0,05 bis 500 mg bei oraler Verabreichung liegen. Allgemein kann die zuvor genannte Dosis einmal oder in zwei oder mehr aufgeteilten Portionen pro Tag ver abreicht werden, oder diese kann jeweils im Abstand von wenigen Tagen verabreicht werden.
  • Beispiele
  • Die vorliegende Erfindung wird mit Bezug auf die folgenden Beispiele genauer erläutert werden. Jedoch ist der Umfang der vorliegenden Erfindung nicht auf diese Beispiele beschränkt.
  • Bei den physikochemischem Eigenschaften bedeutet NMR Nuklearmagnetisches Resonanzspektrum, und die Werte sind angegeben als δ-Werte, welche allgemein verwendet werden, um chemische Verschiebungen anzugeben, und die „Einheit" ist ppm. TMS (Tetramethylsilan) wurde als interner Standard verwendet. In den Klammern, die auf die δ-Werte folgen, zeigt „s" eine einzelne Linie an, „d" zeigt eine doppelte Linie an, „t" zeigt eine dreifache Linie an, „q" zeigt eine vierfache Linie an, „m" zeigt eine Vielfachlinie an, „br" zeigt einen breiten Absorptionspeak an, und Zahlen, die den Buchstaben folgen, stellen die Anzahl der Wasserstoffatome dar.
  • Beispiel 1: 2-((1-(2-(4-Fluorphenyl)-2-oxoethyl)-piperidin-4-yl)-methyl)-isoindolin-1-on-hydrochlorid (Verbindung 1 in Tabelle 1)
  • a) 4-Aminomethyl-piperidin-1-tert-butylcarboxylat-hydrochlorid
  • Unter Verwendung von 5,71 g 4-Aminomethylpiperidin als Ausgangssubstanz wurde 4-Aminomethyl-piperidin-1-tert-butylcarboxylat dargestellt nach dem Verfahren, welches beschrieben wurde in Synthetic Commun., 22 (16), 2357–2360 (1992). Die resultierende Verbindung wurde in 80 ml Ethylacetat gelöst und der Lösung wurde 4N Chlorwasserstoff in-Ethylacetat zugesetzt und gerührt. Der Niederschlag wurde mittels Filtration gesammelt, um die Titelverbindung zu erhalten (10,27 g, Ausbeute: 82%).
    Schmelzpunkt: 236–240°C
    1H-NMR (DMSO-d6): δ 8,00 (3H, s), 3,92 (2H, br d, J = 12,6 Hz), 2,68 (4H, m), 1,77-1,65 (3H, m), 1,39 (9H, s), 1,02 (2H, m)
  • b) 2-Brommethylbenzoesäureethylester
  • 2-Methylbenzoesäureethylester (2,00 g, 11,9 mmol) wurde in Kohlenstofftetrachlorid (60 ml) gelöst und der Lösung wurden N-Bromsuccinimid (2,56 g, 14,4 mmol) und eine katalytische Menge Benzoylperoxid zugegeben und anschließend unter Rückfluss erhitzt. Nach einer Stunde wurde die Reaktionsmischung auf Raumtemperatur abgekühlt und mit Hexan (40 ml) versetzt, um unlösliche Feststoffe mittels Filtration zu entfernen. Das Filtrat wurde unter vermindertem Druck eingedampft, um die Titelverbindung als gelbes Öl (3,16 g) zu erhalten. Das Produkt wurde ohne Aufreinigung in die nächste Reaktion eingesetzt.
  • c) 4-(1-Oxoisoindolin-2-yl-methyl)-piperidin-1-tert-butylcarboxylat
  • Die in Beispiel 1b erhaltene Verbindung (3,15 g) und die in Beispiel 1a (3,00 g, 12,0 mmol) erhaltene Verbindung wurden in Dimethylformamid (30 ml) vereinigt. Die Mischung wurde unter Rühren bei Raumtemperatur mit Triethylamin (3,5 ml, 25 mmol) versetzt, anschließend wurde das Rühren für 17 Stunden bei gleicher Temperatur fortgesetzt. Der Reaktionsmischung wurde Wasser zugesetzt und extrahiert mit einem Lösemittelgemisch aus Ethylacetat und Hexan. Die organische Phase wurde mit 10% wässriger Citronensäurelösung, Wasser, wässriger Natriumhydrogencarbonat-Lösung und anschließend mit gesättigter Kochsalzlösung gewaschen. Anschließend wurde über Magnesiumsulfat getrocknet. Unlösliche Feststoffe wurden durch Filtration abgetrennt und das Filtrat wurde unter vermindertem Druck eingedampft. Das resultierende Öl wurde mittels Silicagel-Säulenchromatographie (Ethylacetat/Hexan) gereinigt, um die Titelverbindung als gelbes Öl zu erhalten (Ausbeute: 41%).
    1H-NMR (CDCl3): δ 7,85 (1H, d, J = 7,5), 7,4-7,6 (3H, m), 4,41 (2H, s), 4,0-4,2 (2H, m), 3,4-3,6 (2H, m), 2,6-2,8 (2H, m), 1,8-2,0 (1H, m), 1,5-1,7 (4H, m), 1,45 (9H, s)
  • d) 2-(Piperidin-4-yl-methyl)-isoindolin-1-on-hydrochlorid
  • Die in Beispiel 1c erhaltene Verbindung (1,61 g, 4,87 mmol) wurde gelöst in ei nem Lösemittelgemisch aus Methylenchlorid (5 ml) und Ethanol (1 ml), und die Lösung wurde mit 4N Chlorwasserstoff in Ethylacetat (5 ml, 20 mmol) bei Raumtemperatur versetzt. Die Mischung wurde bei gleicher Temperatur für 1 Stunde gerührt, und der Niederschlag wurde durch Filtration gesammelt. Der resultierende Feststoff wurden mit Ethylacetat gewaschen und anschließend unter vermindertem Druck getrocknet, um die Titelverbindung als farblosen Feststoff zu erhalten (726 mg, Ausbeute: 56%).
    1H-NMR (DMSO-d6): δ 8,83 (1H, brs), 8,53 (1H, brs), 7,4-7,7 (4H, m), 4,50 (2H, s), 3,44 (2H, d, J = 7,2), 3,2-3,3 (2H, m), 2,7-2,9 (2H, m), 1,9-2,1 (1H, m), 1,6-1,8 (2H, m), 1,3-1,5 (2H, m)
  • e) 2-((1-(2-(4-Fluorphenyl)-2-oxoethyl)-piperidin-4-yl)-methyl)-isoindolin-1-on
  • Die in Beispiel 1d erhaltene Verbindung (518 mg, 1,94 mmol) und 2-Chlor-4'-fluoracetophenon (358 mg, 2,07 mmol) wurden zu Dimethylformamid gegeben (12 ml), und der Lösung wurde unter Rühren bei Raumtemperatur Triethylamin (575 μl, 4,13 mmol) zugesetzt. Das Rühren wurde für 4 Stunden bei gleicher Temperatur fortgesetzt, und anschließend wurde Wasser zu der Reaktionsmischung gegeben und mit Ethylacetat extrahiert. Die organische Phase wurde mit Wasser und dann mit gesättigter Kochsalzlösung gewaschen, anschließend wurde über Natriumsulfat getrocknet. Unlösliche Feststoffe wurden durch Filtration abgetrennt und das Filtrat wurde unter vermindertem Druck eingedampft, um ein oranges Öl zu erhalten. Das resultierende Öl wurde durch Zusatz von Hexan kristallisiert und der Feststoff wurde durch Filtration gesammelt und unter vermindertem Druck getrocknet, um die Titelverbindung als blassgelben Feststoff zu erhalten (551 mg, Ausbeute: 77%).
    1H-NMR (CDCl3): δ 8,0-8,1 (2H, m), 7,85 (1H, d, J = 7,2), 7,4-7,55 (3H, m), 7,12 (2H, t), 4,41 (2H, s), 3,73 (2H, s), 3,51 (2H, d, J = 7,5), 2,9-3,0 (2H, m), 2,1-2,2 (2H, m), 1,4-1,9 (5H, m)
  • f) 2-((1-(2-(4-Fluorphenyl)-2-oxoethyl)-piperidin-4-yl)-methyl)-isoindolin-1-on-hydrochlorid
  • Die in Beispiel 1e erhaltene Verbindung (550 mg, 1,50 mmol) wurde gelöst in Ethanol (2 ml) und der Lösung wurde bei Raumtemperatur 4N HCl in Ethylacetat (2 ml, 8 mmol) zugegeben und das Rühren wurde bei gleicher Temperatur für 15 Minuten fortgesetzt. Zur Reaktionsmischung wurde Ethylacetat (10 ml) gegeben und der Niederschlag wurde durch Filtration gesammelt. Der resultierende Feststoff wurde mit Ethylacetat gewaschen und unter vermindertem Druck getrocknet, um ein weißes Pulver zu erhalten (364 mg). Das Produkt wurde in Ethanol/Ethylacetat umkristallisiert, um die Titelverbindung als farblosen Feststoff zu erhalten (246 mg, Ausbeute: 41%).
    Schmelzpunkt: 182–188°C
    1H-NMR (DMSO-d6): δ 9,93 (br s, 1H), 8,0-8,2 (m, 2H), 7,4-7,7 (m, 6H), 4,9-5,1 (m, 2H), 4,53 (s, 2H), 2,9-3,6 (m, 6H), 1,6-2,2 (m, 5).
  • Beispiel 2: 4-Brom-2-((1-(2-(4-fluorphenyl)-2-oxoethyl)-piperidin-4-yl)-methyl)-isoindolin-1-on-hydrochlorid (Verbindung 5 in Tabelle 1)
  • a) 3-Brom-2-methylbenzoesäureethylester
  • 2-Methylbenzoesäureethylester (18,3 mmol) wurde tropfenweise zu Aluminiumtrichlorid (45,7 mmol) gegeben, anschließend wurde Br2 (22,0 mmol) tropfenweise zugegeben. Das Rühren wurde für 1 Stunde bei Raumtemperatur fortgesetzt, anschließend wurden Eis und Ethylacetat zugefügt, um die organische Phase abzutrennen. Die organische Phase wurde mit Wasser, einer wässrigen Natriumhydrogencarbonat-Lösung und anschließend mit gesättigter Kochsalzlösung gewaschen und über Natriumsulfat getrocknet. Das Trockenmittel wurde durch Filtration abgetrennt, die Phase wurde eingeengt und drei Produkte wurden durch Silicagel-Säulenchromatographie aufgetrennt (Hexan/Ether), d.h. 3-Brom-2-methylbenzoesäureethylester (Ausbeute: 14%), 5-Brom-2-methyl-benzoesäureethylester (Ausbeute: 13%), 3,5-Dibrom-2-methylbenzoesäureethylester (Ausbeute: 10%).
    3-Brom-2-methylbenzoesäureethylester:
    1H-NMR (CDCl3): δ 7,71 (dd, J = 7,9, 1,0 Hz, 1H), 7,69 (dd, J = 7,9, 1,0 Hz, 1H), 7,10 (t, J = 7,9 Hz, 1H), 4,37 (q, J = 7,0 Hz, 2H), 2,63 (s, 3H), 1,40 (t, J = 7,0 Hz, 3H).
    5-Brom-2-methylbenzoesäureethylester:
    1H-NMR (CDCl3): δ 8,03 (d, J = 2,1 Hz, 1H), 7,50 (dd, J = 8,4, 2,1 Hz, 1H), 7,12 (d, J = 8,4 Hz, 1H), 4,36 (q, J = 6,9 Hz, 2H), 2,54 (s, 3H), 1,40 (t, J = 6,9 Hz, 3H).
    3,5-Dibrom-2-methyl-benzoesäureethylester:
    1H-NMR (CDCl3): δ 7,85 (d, J = 2 Hz, 1H), 7,84 (d, J = 2 Hz, 1H), 4,37 (q, J = 7,0 Hz, 2H), 2,57 (s, 3H), 1,40 (t, J = 7,0 Hz, 3H).
  • b) 4-(4-Brom-1-oxoisoindolin-2-yl-methyl)-piperidin-1-tert-butylcarboxylat
  • Unter Verwendung von 3-Brom-2-methylbenzoesäureethylester, erhalten in Beispiel 2a, wurde die Titelverbindung durch ähnliche Verfahren wie in den Beispielen 1b und 1c erhalten.
    1H-NMR (CDCl3): δ 7,80 (d, J = 9 Hz, 1H), 7,66 (d, J = 6 Hz, 1H), 7,37 (dd, J = 9,6 Hz, 1H), 4,33 (s, 2H), 4,12 (m, 2H), 3,54 (br d, J = 7 Hz, 2H), 2,70 (br t, J = 12 Hz, 2H), 1,95 (m, 1H), 1,66 (br d, J = 12 Hz, 2H), 1,45 (s, 9H), 1,24 (dq, J = 12 Hz, 4 Hz, 2H).
  • c) 4-Brom-2-(piperidin-4-yl-methyl)-isoindolin-1-on-hydrochlorid
  • Unter Verwendung der in Beispiel 2b erhaltenen Verbindung wurde die Titelverbindung auf die gleiche Weise erhalten wie in Beispiel 1d (Ausbeute: 62%).
    1H-NMR (DMSO-d6): δ 8,92 (br s, 1H), 8,64 (br s, 1H), 7,83 (d, J = 9 Hz, 1H), 7,71 (d, J = 6 Hz, 1H), 7,48 (dd, J = 9 Hz, 6 Hz, 1H), 4,45 (s, 2H), 3,45 (d, J = 12 Hz, 2H), 3,24 (br d, J = 12 Hz, 2H), 2,79 (br q, J = 12 Hz, 2H), 2,06 (m, 1H), 1,74 (br d, J = 12 Hz, 2H), 1,37 (br q, J = 12 Hz, 2H).
  • d) 4-Brom-2-((1-(2-(4-fluorphenyl)-2-oxoethyl)-piperidin-4-yl)-methyl)-isoindolin-1-on
  • Unter Verwendung der in Beispiel 2c erhaltenen Verbindung wurde die Titelverbindung durch ähnliche Verfahren wie in Beispiel 1e erhalten (Ausbeute: 57%).
    1H-NMR (CDCl3): δ 8,07 (m, 2H), 7,79 (d, J = 7,8 Hz, 1H), 7,65 (d, J = 7,8 Hz, 1H), 7,37 (t, J = 7,8 Hz, 1H), 7,11 (t, J = 8,6 Hz, 2H), 4,32 (s, 2H), 3,72 (s, 2H), 3,53 (d, J = 7,2 Hz, 2H), 2,96 (br d, J = 11,4 Hz, 2H), 2,16 (dt, J = 11,4 Hz, 2,7 Hz, 2H), 1,84 (m, 1H), 1,69 (br d, J = 12 Hz, 2H), 1,48 (dq, J = 12 Hz, 4 Hz, 2H).
  • e) 4-Brom-2-((1-(2-(4-fluorphenyl)-2-oxoethyl)-piperidin-4-yl)-methyl)-isoindolin-1-on-hydrochlorid
  • Unter Verwendung der in Beispiel 2d erhaltenen Verbindung wurde die Titelverbindung durch ähnliche Verfahren wie in Beispiel 1f erhalten (Ausbeute: 66%).
    Schmelzpunkt: 152–154°C
    1H-NMR (DMSO-d6): δ 9,98 (br s, 1H), 8,06-8,16 (m, 2H), 7,84 (d, J = 8,1 Hz, 1H), 7,72 (d, J = 7,5 Hz, 1H), 7,45-7,48 (m, 3H), 5,04-5,10 (m, 2H), 4,48 (s, 2H), 3,00-3,56 (m, 6H), 2,09 (m, 1H), 1,58-1,83 (m, 4H).
  • Beispiel 3: 5-Brom-2-((1-(2-(4-fluorphenyl)-2-oxoethyl)-piperidin-4-yl)-methyl)-isoindolin-1-on-hydrochlorid (Verbindung 4 in Tabelle 1)
  • a) 4-Brom-2-methyl-benzoesäuremethylester
  • 4-Brom-2-methyl-benzoesäure (4,06 g, 18,5 mmol) wurde in Methanol gelöst (60 ml). Zur Lösung wurde konzentrierte Schwefelsäure (1 ml) gegeben und anschließend unter Rückfluss 9 Stunden erhitzt. Das Lösemittel wurde unter vermindertem Druck verdampft und der Rückstand mit Ethylether (100 ml) verdünnt. Die resultierende Lösung wurde mit Wasser, einer wässrigen Natriumhydrogencarbonat-Lösung und anschließend mit gesättigter Kochsalzlösung gewaschen und über Magnesiumsulfat getrocknet. Unlösliche Feststoffe wurden durch Filtration abgetrennt und das Filtrat wurde unter vermindertem Druck eingeengt, um die Titelverbindung als gelbes Öl zu erhalten (3,87 g, Ausbeute: 91%).
    1H-NMR (CDCl3): δ 7,78 (d, J = 8,3 Hz, 1H), 7,42 (d, J = 1,9 Hz, 1H), 7,38 (dd, J = 1,9 Hz, 8,3 Hz, 1H) 3,88 (s, 3H), 2,58 (s, 3H)
  • b) 4-Brom-2-brommethyl-benzoesäuremethylester
  • Unter Verwendung der in Beispiel 3a (3,83 g, 16,7 mmol) erhaltenen Verbindung wurde die Titelverbindung durch ähnliche Verfahren wie in Beispiel 1b erhalten (5,70 g). Das Produkt wurde ohne jede Behandlung in die nächste Reaktion eingesetzt.
  • c) 4-(5-Brom-1-oxoisoindolin-2-yl-methyl)-piperidin-1-tert-butylcarboxylat
  • Unter Verwendung der in Beispiel 3b erhaltenen Verbindung (5,70 g) wurde die Titelverbindung als weißer Feststoff durch ähnliche Verfahren wie in Beispiel 1c erhalten (3,04 g, Ausbeute: 44%).
    1H-NMR (CDCl3): δ 7,69-7,73 (m, 1H), 7,59-7,62 (m, 2H), 4,39 (s, 2H), 4,0-4,2 (m, 2H), 3,4-3,6 (m, 2H), 2,5-2,7 (m, 2H), 1,8-2,0 (m, 1H), 1,5-1,7 (m, 2H), 1,45 (s, 9H), 1,1-1,3 (m, 2H)
  • d) 5-Brom-2-(piperidin-4-yl-methyl)-isoindolin-1-on-hydrochlorid
  • Unter Verwendung der in Beispiel 3c erhaltenen Verbindung (3,03 g, 7,40 mmol) wurde die Titelverbindung durch ähnliche Verfahren wie in Beispiel 1d als weißer Feststoff erhalten (1,86 g, Ausbeute: 73%).
    1H-NMR (DMSO-d6): δ 8,96 (br s, 1H), 8,68 (br s, 1H), 7,89 (s, 1H), 7,69 (d, J = 8,2 Hz, 1H), 7,61 (d, J = 8,2 Hz, 1H), 4,50 (s, 2H), 3,42 (d, J = 7,2 Hz, 2H), 3,1-3,3 (m, 2H), 2,6-2,9 (m, 2H), 1,9-2,1 (m, 1H), 1,6-1,8 (m, 2H), 1,2-1,4 (m, 2H)
  • e) 5-Brom-2-((1-(2-(4-fluorphenyl)-2-oxoethyl)-piperidin-4-yl)-methyl)-isoindolin-1-on
  • Unter Verwendung der in Beispiel 3d erhaltenen Verbindung (834 mg, 2,41 mmol) wurde die Titelverbindung durch ähnliche Verfahren wie in Beispiel 1e als blassgelber Feststoff erhalten (727 mg, Ausbeute: 68%).
    1H-NMR (CDCl3): δ 8,0-8,1 (m, 2H), 7,68-7,72 (m, 1H), 7,58-7,62 (m, 2H), 7,08-7,15 (m, 2H), 4,38 (s, 2H), 3,73 (s, 2H), 3,49 (d, J = 7,2 Hz, 2H), 2,8-3,0 (m, 2H), 2,0-2,2 (m, 2H), 1,6-1,9 (m, 3H), 1,35-1,5 (m, 2H)
  • f) 5-Brom-2-((1-(2-(4-fluorphenyl)-2-oxoethyl)-piperidin-4-yl)-methyl)-isoindolin-1-on-hydrochlorid
  • Unter Verwendung der in Beispiel 3e erhaltenen Verbindung (727 mg, 1,63 mmol) wurde die Titelverbindung durch ähnliche Verfahren wie in Beispiel 1f als farbloser Feststoff erhalten (704 mg, Ausbeute: 89%)
    Schmelzpunkt: 205–222°C
    1H-NMR (DMSO-d6): δ 9,91 (br s, 1H), 8,0-8,2 (m, 2H), 7,90 (s, 1H), 7,70 (d, J = 8,2 Hz, 1H), 7,62 (d, J = 8,2 Hz, 1H), 7,4-7,5 (m, 2H), 5,0-5,2 (m, 2H), 4,53 (s, 2H), 3,3-3,6 (4H, m), 2,9-3,1 (m, 2H), 2,0-2,2 (m, 1H), 1,5-1,9 (m, 4H).
  • Beispiel 4: 6-Brom-2-((1-(2-(4-fluorphenyl)-2-oxoethyl)-piperidin-4-yl)-methyl)-isoindolin-1-on-hydrochlorid (Verbindung 3 in Tabelle 1)
  • a) 4-(6-Brom-1-oxoisoindolin-2-yl-methyl)-piperidin-1-tert-butylcarboxylat
  • Unter Verwendung von 5-Brom-2-methylbenzoesäureethylester, erhalten in Beispiel 2a, wurde die Titelverbindung durch ähnliche Verfahren wie in den Beispielen 1b und 1c erhalten (Ausbeute: 52%).
    1H-NMR (CDCl3): δ 7,98 (d, J = 1,8 Hz, 1H), 7,65 (dd, J = 8,0 Hz, 1,8 Hz, 1H), 7,32 (d, J = 8,0 Hz, 1H), 4,36 (s, 2H), 4,10 (m, 2H), 3,48 (m, 2H), 2,69 (br t, J = 12 Hz, 2H), 1,93 (m, 1H), 1,64 (br d, J = 12 Hz, 2H), 1,45 (s, 9H), 1,24 (dq, J = 12,3 Hz, 4,4 Hz, 2H).
  • b) 6-Brom-2-(piperidin-4-yl-methyl)-isoindolin-1-on-hydrochlorid
  • Unter Verwendung der in Beispiel 4a erhaltenen Verbindung wurde die Titelverbindung durch ähnlich Verfahren wie in Beispiel 1d erhalten (Ausbeute: 96%).
    1H-NMR (DMSO-d6): δ 8,90 (br s, 1H), 8,61 (br s, 1H), 7,78-7,81 (m, 2H), 7,6 (d, J = 8,8 Hz, 1H), 4,48 (s, 2H), 3,43 (d, J = 7,4 Hz, 2H), 3,24 (br d, J = 12 Hz, 2H), 2,80 (br q, J = 12 Hz, 2H), 2,01 (m, 1H), 1,73 (br d, J = 12 Hz, 2H), 1,37 (br q, J = 12 Hz, 2H).
  • c) 6-Brom-2-((1-(2-(4-fluorphenyl)-2-oxoethyl)-piperidin-4-yl)-methyl)-isoindolin-1-on
  • Unter Verwendung der in Beispiel 4b erhaltenen Verbindung wurde die Titelverbindung durch ähnliche Verfahren wie in Beispiel 1e erhalten (Ausbeute: 93%).
    1H-NMR (CDCl3): δ 8,07 (m, 2H), 7,97 (d, J = 1,8 Hz, 1H), 7,65 (dd, J = 8,1 Hz, 1,8 Hz, 1H), 7,32 (d, J = 8,1 Hz, 1H), 7,12 (t, J = 8,7 Hz, 2H), 4,36 (s, 2H), 3,72 (s, 2H), 3,50 (d, J = 6,9 Hz, 2H), 2,96 (br d, J = 12 Hz, 2H), 2,14 (dt, J = 11,6 Hz, 2,4 Hz, 2H), 1,82 (m, 1H), 1,67 (br d, J = 12 Hz, 2H), 1,46 (dq, J = 11,7 Hz, 3,6 Hz, 2H).
  • d) 6-Brom-2-((1-(2-(4-fluorphenyl)-2-oxoethyl)-piperidin-4-yl)-methyl)-isoindolin-1-on-hydrochlorid
  • Unter Verwendung der in Beispiel 4c erhaltenen Verbindung wurde die Titelverbindung durch ähnliche Verfahren erhalten wie in Beispiel 1f (Ausbeute: 72%).
    Schmelzpunkt: 187–193°C
    1H-NMR (DMSO-d6): δ 9,99 (br s, 1H), 8,05-8,16 (m, 2H), 7,62-7,78 (m, 2H), 7,60 (d, J = 8,6 Hz, 1H), 7,47 (t, J = 8,6 Hz, 2H), 5,03-5,09 (m, 2H), 4,51 (s, 2H), 3,01-3,55 (m, 6H), 2,03 (m, 1H), 1,62-1,86 (m, 4H).
  • Beispiel 5: 4,6-Dibrom-2-((1-(2-(4-fluorphenyl)-2-oxoethyl)-piperidin-4-yl)-methyl)-isoindolin-1-on-hydrochlorid (Verbindung 6 in Tabelle 1)
  • a) 4-(4,6-Dibrom-1-oxoisoindolin-2-yl-methyl)-piperidin-1-tert-butylcarboxylat
  • Unter Verwendung von 3,5-Dibrom-2-methylbenzoesäureethylester, erhalten in Beispiel 2a, wurde die Titelverbindung durch ähnliche Verfahren erhalten wie in den Beispielen 1b und 1c (Ausbeute: 64%).
    1H-NMR (CDCl3): δ 7,93 (d, J = 1,5 Hz, 1H), 7,82 (d, J = 1,5 Hz, 1H), 4,27 (s, 2H), 4,12 (m, 2H), 3,51 (d, J = 6,7 Hz, 2H), 2,70 (br t, J = 12 Hz, 2H), 1,94 (m, 1H), 1,64 (br d, J = 12 Hz, 2H), 1,45 (s, 9H), 1,25 (dq, J = 12 Hz, 4 Hz, 2H).
  • b) 4,6-Dibrom-2-(piperidin-4-yl-methyl)-isoindolin-1-on-hydrochlorid
  • Unter Verwendung der in Beispiel 5a erhaltenen Verbindung wurde die Titelverbindung durch ähnliche Verfahren wie in Beispiel 1a erhalten (Ausbeute: 100%).
    1H-NMR (DMSO-d6): δ 8,87 (br s, 1H), 8,60 (br s, 1H), 4,43 (s, 2H), 3,44 (d, J = 7,5 Hz, 2H), 3,24 (br d, J = 12 Hz, 2H), 2,79 (br q, J = 12 Hz, 2H), 2,06 (m, 1H), 1,74 (br d, J = 12 Hz, 2H), 1,36 (br q, J = 12 Hz, 2H).
  • c) 4,6-Dibrom-2-((1-(2-(4-fluorphenyl)-2-oxoethyl)-piperidin-4-yl)-methyl)-isoindolin-1-on
  • Unter Verwendung der in Beispiel 5b erhaltenen Verbindung wurde die Titelverbindung durch ähnliche Verfahren wie in Beispiel 1e erhalten (Ausbeute: 83%).
    1H-NMR (CDCl3): δ 8,07 (m, 2H), 7,92 (d, J = 1,4 Hz, 1H), 7,81 (d, J = 1,4 Hz, 1H), 7,60 (t, J = 8,6 Hz, 2H), 4,28 (s, 2H), 3,73 (s, 2H), 3,51 (d, J = 7,3 Hz, 2H), 2,97 (br d, J = 12 Hz, 2H), 2,16 (br t, J = 12 Hz, 2H), 1,83 (m, 1H), 1,68 (br d, J = 12 Hz, 2H), 1,47 (dq, J = 12 Hz, 3 Hz, 2H).
  • d) 4,6-Dibrom-2-((1-(2-(4-fluorphenyl-2-oxoethyl)-piperidin-4-yl)-methyl)-isoindolin-1-on-hydrochlorid
  • Unter Verwendung der in Beispiel 5c erhaltenen Verbindung wurde die Titelverbindung durch ähnliche Verfahren wie in Beispiel 1f erhalten (Ausbeute: 77%).
    Schmelzpunkt: 186–190°C
    1H-NMR (DMSO-d5): δ 10,03 (br s, 1H), 8,06-8,16 (m, 3H), 7,86 (s, 1H), 7,47 (t, J = 8,7 Hz, 2H), 5,04-5,10 (m, 2H), 4,46 (s, 2H), 3,30-3,56 (m, 6H), 2,08 (m, 1H), 1,58-1,91 (m, 4H).
  • Beispiel 6: 4-Fluor-2-((1-(2-(4-fluorphenyl)-2-oxoethyl)-piperidin-4-yl)-methyl)-isoindolin-1-on-hydrochlorid (Verbindung 10 in Tabelle 1)
  • a) 3-Fluor-2-methyl-benzoesäureethylester
  • Unter Verwendung von 3-Fluor-2-methyl-benzoesäure (2,0 g, 12,98 mmol) wurde die Titelverbindung durch ähnliche Verfahren wie in Beispiel 3a als farbloses Öl erhalten (1,31 g). Das Produkt wurde ohne Aufreinigung in die nächste Reaktion eingesetzt.
  • b) 2-Brommethyl-3-fluor-benzoesäureethylester
  • Unter Verwendung der in Beispiel 6a erhaltenen Verbindung (1,31 g) wurde die Titelverbindung durch ähnliche Verfahren wie in Beispiel 1b als blassgelbes Öl erhalten (2,01 g). Das Produkt wurde ohne Aufreinigung in die nächste Reaktion eingesetzt.
  • c) 4-((4-Fluorisoindolin-1-on)-2-yl-methyl)-piperidin-1-tert-butylcarboxylat
  • Unter Verwendung der in Beispiel 6b erhaltenen Verbindung (1,57 g) wurde die Titelverbindung durch ähnliche Verfahren wie in Beispiel 1c als farbloser Feststoff erhalten (1,68 g, Ausbeute: 63%).
    1H-NMR (CDCl3): δ 7,65 (d, J = 7,5 Hz, 1H), 7,49-7,43 (ddd, J = 7,8 Hz, 7,8 Hz, 4,8 Hz, 1H), 7,22 (dd, J = 8,6 Hz, 8,5 Hz, 1H), 4,45 (s, 2H), 4,11 (br d, J = 11,7 Hz, 2H), 3,50 (br d, J = 6,3 Hz, 2H), 2,70 (br dd, J = 12,6 Hz, 6,3 Hz, 2H), 1,98-1,91 (m, 1H), 1,67-1,62 (m, 2H), 1,45 (s, 9H), 1,35-1,19 (m, 2H).
  • d) 4-Fluor-2-(piperidin-4-yl-methyl)-isoindolin-1-on-hydrochlorid
  • Unter Verwendung der in Beispiel 6c erhaltenen Verbindung (1,68 g, 4,82 mmol) wurde die Titelverbindung durch ähnliche Verfahren wie in Beispiel 1d als farbloser Feststoff erhalten (1,27 g, Ausbeute: 93%).
    1H-NMR (DMSO-d6): δ 8,91 (br s, 1H), 8,65 (br s, 1H), 7,60-7,42 (m, 3H), 4,60 (s, 2H), 3,44 (d, J = 7,5 Hz, 2H), 3,24 (br d, J = 12,6 Hz, 2H), 2,79 (br dd, J = 23,3 Hz, 12,2 Hz, 2H), 2,08-1,99 (m, 1H), 1,74 (br d, J = 12,3 Hz, 2H), 1,45-1,31 (m, 2H).
  • e) 4-Fluor-2-((1-(2-(4-fluorphenyl)-2-oxoethyl)-piperidin-4-yl)-methyl)-isoindolin-1-on
  • Unter Verwendung der in Beispiel 6d erhaltenen Verbindung (1,27 g, 4,46 mmol) wurde die Titelverbindung durch ähnliche Verfahren wie in Beispiel 1e als blassbrauner Feststoff erhalten (1,52 g, Ausbeute: 89%).
    1H-NMR (CDCl3): δ 8,10-8,05 (m, 2H), 7,65 (d, J = 7,3 Hz, 1H), 7,46-7,44 (m, 1H), 7,21 (dd, J = 8,8 Hz, 8,8 Hz, 2H), 7,11 (dd, J = 7,6 Hz, 7,6 Hz, 2H), 4,45 (s, 2H), 3,71 (s, 2H), 3,52 (d, J = 7,2 Hz, 2H), 2,96 (br d, J = 11,6 Hz, 2H), 2,19-2,08 (m, 2H), 1,71-1,67 (m, 2H), 1,54-1,46 (m, 2H).
  • f) 4-Fluor-2-((1-(2-(4-fluorphenyl)-2-oxoethyl)-piperidin-4-yl)-methyl)-isoindolin-1-on-hydrochlorid
  • Unter Verwendung der in Beispiel 6e erhaltenen Verbindung (500 mg, 1,30 mmol) wurde die Titelverbindung durch ähnliche Verfahren wie in Beispiel 1f als farbloser Feststoff erhalten (484 mg, Ausbeute: 89%).
    Schmelzpunkt: 177–196°C
    1H-NMR (DMSO-d5): δ 9,92 (br s, 1H), 8,16-8,06 (m, 2H), 7,59-7,44 (m, 5H), 5,04-5,01 (m, 2H), 4,63 (s, 2H), 3,56-3,46 (m, 4H), 3,02 (br d, J = 10,8 Hz, 2H), 2,09-2,06 (m, 1H), 1,91-1,62 (m, 4H).
  • Beispiel 7: 6-Fluor-2-((1-(2-(4-fluorphenyl)-2-oxoethyl)-piperidin-4-yl)-methyl)-isoindolin-1-on-hydrochlorid (Verbindung 8 in Tabelle 1)
  • a) 5-Fluor-2-methyl-benzoesäuremethylester
  • Unter Verwendung von 5-Fluor-2-methyl-benzoesäure (900 mg, 5,78 mmol) wurde die Titelverbindung durch ähnliche Verfahren wie in Beispiel 3a als farbloses Öl erhalten (1,01 g). Das Produkt wurde ohne Aufreinigung in die nächste Reaktion eingesetzt.
  • b) 2-Brommethyl-5-fluor-benzoesäuremethylester
  • Unter Verwendung der in Beispiel 7a erhaltenen Verbindung (957 mg) wurde die Titelverbindung durch ähnliche Verfahren wie in Beispiel 1b erhalten (1,57 g). Das Produkt wurde ohne Aufreinigung in die nächste Reaktion eingesetzt.
  • c) 4-(6-Fluor-1-oxoisoindolin-2-yl-methyl)-piperidin-1-tert-butylcarboxylat
  • Unter Verwendung der in Beispiel 7b erhaltenen Verbindung (1,57 g) wurde die Titelverbindung durch ähnliche Verfahren wie in Beispiel 1c als farbloser Feststoff erhalten (1,13 g, Ausbeute: 57%).
    1H-NMR (CDCl3): δ 7,50-7,54 (m, 1H), 7,38-7,43 (m, 1H), 7,20-7,28 (m, 1H), 4,38 (s, 2H), 4,0-4,2 (m, 2H), 3,4-3,6 (m, 2H), 2,6-2,8 (m, 2H), 1,8-2,0 (m, 1H), 1,5-1,7 (m, 2H), 1,45 (s, 9H), 1,1-1,3 (m, 2H).
  • d) 6-Fluor-2-(piperidin-4-yl-methyl)-isoindolin-1-on-hydrochlorid
  • Unter Verwendung der in Beispiel 7c erhaltenen Verbindung (1,09 g, 3,13 mmol) wurde die Titelverbindung durch ähnlich Verfahren wie in Beispiel 1d als farblo ser Feststoff erhalten (722 mg, Ausbeute: 81 %).
    1H-NMR (DMSO-d6): δ 8,73 (br s, 1H), 8,46 (br s, 1H), 7,63-7,69 (m, 1H), 7,43-7,49 (m, 2H), 4,48 (s, 2H), 3,44 (d, J = 7,3 Hz, 2H), 3,1-3,3 (m, 2H), 2,7-2,9 (m, 2H), 1,9-2,1 (m, 1H), 1,6-1,8 (m, 2H), 1,2-1,4 (m, 2H).
  • e) 6-Fluor-2-((1-(2-(4-fluorphenyl)-2-oxoethyl)-piperidin-4-yl)-methyl)-isoindolin-1-on
  • Unter Verwendung der in Beispiel 7d erhaltenen Verbindung (721 mg, 2,53 mmol) wurde die Titelverbindung durch ähnliche Verfahren wie in Beispiel 18 als blassgelber Feststoff erhalten (762 mg, Ausbeute: 78%).
    1H-NMR (CDCl3): δ 8,04-8,10 (m, 2H), 7,49-7,53 (m, 1H), 7,37-7,41 (m, 1H), 7,22-7,26 (m, 1H), 7,08-7,15 (m, 2H), 4,38 (s, 2H), 3,73 (s, 2H), 3,50 (d, J = 7,3 Hz, 2H), 2,9-3,0 (m, 2H), 2,0-2,2 (m, 2H), 1,7-1,9 (m, 1H), 1,5-1,7 (m, 2H), 1,3-1,5 (m, 2H)
  • f) 6-Fluor-2-((1-(2-(4-fluorphenyl)-2-oxoethyl)-piperidin-4-yl)-methyl)-isoindolin-1-on-hydrochlorid
  • Unter Verwendung der in Beispiel 7e erhaltenen Verbindung (762 mg, 1,98 mmol) wurde die Titelverbindung durch ähnliche Verfahren wie in Beispiel 1f als farbloser Feststoff erhalten (762 mg, 91%).
    Schmelzpunkt: 193–205°C
    1H-NMR (DMSO-d6): δ 9,96 (br s, 1H), 8,0-8,2 (m, 2H), 7,64-7,70 (m, 1H), 7,3-7,5 (m, 4H), 5,0-5,2 (m, 2H), 4,52 (s, 2H), 3,4-3,6 (m, 4H), 3,9-4,1 (m, 2H), 1,9-2,1 (m, 1H), 1,5-1,9 (m, 4H).
  • Beispiel 8: 5-Chlor-2-((1-(2-(4-fluorphenyl)-2-oxoethyl)-piperidin-4-yl)-methyl)-isoindolin-1-on-hydrochlorid (Verbindung 13 in Tabelle 1)
  • a) 4-Chlor-2-methyl-benzoesäureethylester
  • Unter Verwendung von 4-Chlor-2-methyl-benzoesäure (300 mg, 1,76 mmol) wurde die Titelverbindung durch ähnliche Verfahren wie in Beispiel 3a als farbloser Feststoff erhalten (347 mg). Das Produkt wurde ohne Aufreinigung in die nächste Reaktion eingesetzt.
  • b) 2-Brommethyl-4-chlor-benzoesäureethylester
  • Unter Verwendung der in Beispiel 8a erhaltenen Verbindung wurde die Titelverbindung durch ähnliche Verfahren wie in Beispiel 1b als blassbraunes Öl erhalten (494 mg). Das Produkt wurde ohne Aufreinigung in die nächste Reaktion eingesetzt.
  • c) 4-((5-Chlor-isoindolin-1-on)-2-yl-methyl)-piperidin-1-tert-butylcarboxylat
  • Unter Verwendung der in Beispiel 8b erhaltenen Verbindung (490 mg) wurde die Titelverbindung durch ähnliche Verfahren wie in Beispiel 1c als blassbrauner Feststoff erhalten (375 mg, Ausbeute: 58%).
    1H-NMR (CDCl3): δ 7,77 (d, J = 8,7 Hz, 1H), 7,48-7,44 (m, 2H), 4,39 (s, 2H), 4,11 (br s, 2H), 3,49 (br s, 2H), 2,69 (br dd, J = 12,2 Hz, 12,2 Hz, 2H), 1,97-1,89 (m, 1H), 1,66-1,62 (m, 2H), 1,45 (s, 9H), 1,31-1,18 (m, 2H).
  • d) 5-Chlor-2-(piperidin-4-yl-methyl)-isoindolin-1-on-hydrochlorid
  • Unter Verwendung der in Beispiel 8c erhaltenen Verbindung (370 mg, 1,01 mmol) wurde die Titelverbindung durch ähnliche Verfahren wie in Beispiel 1d als farbloser Feststoff erhalten (221 mg, Ausbeute: quantitativ).
    1H-NMR (DMSO-d6): δ 9,08 (br s, 1H), 8,81 (br s, 1H), 7,80 (s, 1H), 7,74 (d, J = 8,0 Hz, 1H), 7,60 (dd, J = 8,1 Hz, 1,6 Hz, 1H), 4,56 (s, 2H), 3,48 (d, J = 7,4 Hz, 2H), 3,29 (br d, J = 12,6 Hz, 2H), 2,85 (br dd, J = 23,0 Hz, 12,0 Hz, 2H), 2,10-2,02 (m, 1H), 1,78 (br d, J = 12,8 Hz, 2H), 1,51-1,37 (m, 2H).
  • e) 5-Chlor-2-((1-(2-(4-fluorphenyl)-2-oxoethyl)-piperidin-4-yl)-methyl)-isoindolin-1-on
  • Unter Verwendung der in Beispiel 8d erhaltenen Verbindung (205 mg, 0,68 mmol) wurde die Titelverbindung durch ähnliche Verfahren wie in Beispiel 1e erhalten als weißer Feststoff (213 mg, Ausbeute: 78%).
    1H-NMR (CDCl3): δ 8,07 (dd, J = 8,9 Hz, 5,6 Hz, 2H), 7,76 (d, J = 9,0 Hz, 1H), 7,44 (d, J = 8,1 Hz, 2H), 7,12 (dd, J = 8,7 Hz, 8,7 Hz, 2H), 4,39 (s, 2H), 3,73 (s, 2H), 3,49 (d, J = 7,2 Hz, 2H), 2,96 (br d, J = 11,4 Hz, 2H), 2,19-2,11 (m, 2H), 1,84-1,77 (m, 1H), 1,68 (br d, J = 12,6 Hz, 2H), 1,54-1,45 (m, 2H).
  • f) 5-Chlor-2-((1-(2-(4-fluorphenyl)-2-oxoethyl)-piperidin-4-yl)-methyl-isoindolin-1-on-hydrochlorid
  • Unter Verwendung der in Beispiel 8e erhaltenen Verbindung (213 mg, 0,53 mmol) wurde die Titelverbindung durch ähnliche Verfahren wie in Beispiel 1f erhalten als farbloser Feststoff (155 mg, Ausbeute: 48%).
    Schmelzpunkt: 209–221°C
    1H-NMR (DMSO-d6): δ 9,94 (br s, 1H), 8,19-8,06 (m, 2H), 7,76 (s, 1H), 7,69 (d, J = 8,1 Hz, 1H), 7,65 (d, J = 9,3 Hz, 1H), 7,48 (dd, J = 8,7 Hz, 8,7 Hz, 2H), 5,10-5,03 (m, 2H), 4,54 (s, 2H), 3,55-3,40 (m, 4H), 3,08-3,00 (m, 2H), 2,09-1,99 (m, 1H), 1,88-1,61 (m, 4H).
  • Beispiel 9: 5-Methoxy-2-((1-(2-(4-fluorphenyl)-oxoethyl)-piperidin-4-yl)-methyl)-isoindolin-1-on-hydrochlorid (Verbindung 17 in Tabelle 1)
  • a) 4-Methoxy-2-methyl-benzoesäuremethylester
  • 4-Brom-2-methyl-benzoesäuremethylester (19,0 mmol) wurde in Dimethylformamid (2,7 ml) und Methanol (1,1 ml) gelöst. Die Lösung wurde auf 80°C erhitzt und mit CuBr (1,09 mmol) versetzt. Nachdem 2 Stunden unter Erhitzen weiter gerührt worden war, wurde die Mischung auf Raumtemperatur abgekühlt. Der Mischung wurde Diethylether zugesetzt (25 ml) und dann filtriert. Das Filtrat wurde viermal gewaschen mit Wasser, einer wässrigen Natriumhydrogencarbonat-Lösung und anschließend mit gesättigter Kochsalzlösung und über Natriumsulfat getrocknet. Das Trockenmittel wurde durch Filtration abgetrennt und das Filtrat eingeengt, um die Titelverbindung zu ergeben.
    1H-NMR (CDCl3): δ 7,93 (d, J = 9,3 Hz, 1H), 6,72-6,76 (m, 2H), 3,86 (s, 3H), 3,84 (s, 3H), 2,60 (s, 3H).
  • b) 4-(5-Methoxy-1-oxoisoindolin-2-yl-methyl)-piperidin-1-tert-butylcarboxylat
  • Unter Verwendung der in Beispiel 9a erhaltenen Verbindung wurde die Titelver bindung durch ähnliche Verfahren erhalten wie in den Beispielen 1b und 1c (Ausbeute: 40%).
    1H-NMR (CDCl3): δ 7,75 (d, J = 8,4 Hz, 1H), 6,99 (dd, J = 8,4 Hz, 2,1 Hz, 1H), 6,93 (d, J = 2,1 Hz, 1H), 4,35 (s, 2H), 4,11 (m, 2H), 3,87 (s, 3H), 3,47 (m, 2H), 2,69 (br t, J = 12 Hz, 2H), 1,93 (m, 1H), 1,65 (br d, J = 12 hz, 2H), 1,45 (s, 9H), 1,24 (dq, J = 12,4 Hz, 2H).
  • c) 5-Methoxy-2-(piperidin-4-yl-methyl)-isoindolin-1-on-hydrochlorid
  • Unter Verwendung der in Beispiel 9b erhaltenen Verbindung wurde die Titelverbindung durch ähnliche Verfahren wie in Beispiel 1d erhalten (Ausbeute: 100%).
    1H-NMR (DMSO-d6): δ 9,13 (br s, 1H), 8,86 (br s, 1H), 7,57 (d, J = 8,4 Hz, 1H), 7,15 (d, J = 2,2 Hz, 1H), 7,02 (dd, J = 8,6 Hz, 2,2 Hz, 1H), 4,43 (s, 2H), 3,83 (s, 3H), 3,39 (d, J = 7,4 Hz, 2H), 3,22 (br d, J = 12 Hz, 2H), 2,78 (br q, J = 12 Hz, 2H), 1,98 (m, 1H), 1,71 (br d, J = 12 Hz, 2H), 1,43 (br q, J = 12 Hz, 2H).
  • d) 5-Methoxy-2-((1-(2-(4-fluorphenyl)-2-oxoethyl)-piperidin-4-yl)-methyl)-isoindolin-1-on
  • Unter Verwendung der in Beispiel 9c erhaltenen Verbindung wurde die Titelverbindung durch ähnliche Verfahren wie in Beispiel 1e erhalten (Ausbeute: 84%).
    1H-NMR (CDCl3): δ 8,08 (m, 2H), 7,75 (d, J = 7,8 Hz, 1H), 7,11 (t, J = 8,4 Hz, 2H), 6,98 (dd, J = 8,4 Hz, 2,4 Hz, 1H), 6,77 (d, J = 2,4 Hz, 1H), 4,34 (s, 2H), 3,87 (s, 3H), 3,71 (s, 2H), 3,47 (d, J = 7,2 Hz, 2H), 2,95 (br d, J = 12 Hz, 2H), 2,15 (dt, J = 11,7 Hz, 2,4 Hz, 2H), 1,80 (m, 1H), 1,67 (br d, J = 12 Hz, 2H), 1,46 (dq, J = 12,4 Hz, 2H).
  • e) 5-Methoxy-2-((1-(2-(4-fluorphenyl)-2-oxoethyl)-piperidin-4-yl)-methyl)-isoindolin-1-on-hydrochlorid
  • Unter Verwendung der in Beispiel 9d erhaltenen Verbindung wurde die Titelverbindung durch ähnliche Verfahren erhalten wie in Beispiel 1f (Ausbeute: 65%).
    Schmelzpunkt: 205–214°C
    1H-NMR (DMSO-d6): δ 10,07 (br s, 1H), 8,06-8,16 (m, 2H), 7,59 (d, J = 8,4 Hz, 1H), 7,47 (t, J = 8,4 Hz, 2H), 7,17 (s, 1H), 7,03 (d, J = 8,4 Hz, 1H), 5,06-5,12 (m, 2H), 4,47 (s, 2H), 3,84 (s, 3H), 3,02-3,52 (m, 6H), 2,01 (m, 1H), 1,63-1,84 (m, 4H).
  • Beispiel 10: 5-Cyano-2-((1-(2-(4-fluorphenyl)-2-oxoethyl)-piperidin-4-yl)-methyl)-isoindolin-1-on-hydrochlorid (Verbindung 21 in Tabelle 1)
  • a) 4-Cyano-2-methylbenzoesäuremethylester
  • 4-Brom-2-methylbenzoesäuremethylester (17,5 mmol) wurde gelöst in N-Methyl-2-pyrrolidon (24 ml). Der Lösung wurde CuCN (21,0 mmol) zugesetzt und anschließend auf 180°C erhitzt. Nach 5 Stunden wurde die Reaktionsmischung auf Raumtemperatur abgekühlt, mit 40 ml Wasser versetzt und filtriert. Der im Filter zurückbleibende Feststoff wurde mit Aceton extrahiert, und der Extrakt wurde eingeengt, um die Titelverbindung zu erhalten (Ausbeute: 45%).
    1H-NMR (CDCl3): δ 7,97 (d, J = 8,6 Hz, 1H), 7,55 (s, 1H), 7,54 (d, J = 8,6 Hz, 1H), 3,93 (s, 3H), 2,62 (s, 3H).
  • b) 4-(5-Cyano-1-oxoisoindolin-2-yl-methyl)-piperidin-1-tert-butylcarboxylat
  • Unter Verwendung der in Beispiel 10a erhaltenen Verbindung wurde die Titelverbindung durch ähnliche Verfahren erhalten wie in den Beispielen 1b und 1c (Ausbeute: 40%).
    1H-NMR (CDCl3): δ 7,96 (d, J = 7,5 Hz, 1H), 7,78 (d, J = 7,5 Hz, 1H), 7,76 (s, 1H), 4,48 (s, 2H), 4,11 (m, 2H), 3,53 (m, 2H), 2,69 (br t, J = 12 Hz, 2H), 1,95 (m, 1H), 1,64 (br d, J = 12 Hz, 2H), 1,45 (s, 9H), 1,26 (dq, J = 12 Hz, 4 Hz, 2H).
  • c) 5-Cyano-2-(piperidin-4-yl-methyl)-isoindolin-1-on-hydrochlorid
  • Unter Verwendung der in Beispiel 10b erhaltenen Verbindung wurde die Titelverbindung durch ähnliche Verfahren wie in Beispiel 1d erhalten (Ausbeute: 100%).
    1H-NMR (DMSO-d6): δ 9,06 (br s, 1H), 8,80 (br s, 1H), 8,16 (s, 1H), 7,95 (d, J = 7,4 Hz, 1H), 7,84 (d, J = 7,4 Hz, 1H), 4,57 (s, 2H), 3,45 (d, J = 7,3 Hz, 2H), 3,22 (br d, J = 12 Hz, 2H), 2,78 (br q, J = 12 Hz, 2H), 2,02 (m, 1H), 1,73 (br d, J = 12 Hz, 2H), 1,39 (br q, J = 12 Hz, 2H).
  • d) 5-Cyano-2-((1-(2-(4-fluorphenyl)-2-oxoethyl)-piperidin-4-yl)-methyl)-isoindolin-1-on
  • Unter Verwendung der in Beispiel 10c erhaltenen Verbindung wurde die Titelverbindung durch ähnliche Verfahren erhalten wie in Beispiel 1e (Ausbeute: 79%).
    1H-NMR (CDCl3): δ 8,07 (m, 2H), 7,95 (d, J = 7,8 Hz, 1H), 7,77 (d, J = 7,8 Hz, 1H), 7,76 (s, 1H), 7,12 (t, J = 8,4 Hz, 2H), 4,48 (s, 2H), 3,74 (s, 2H), 3,54 (d, J = 7,2 Hz, 2H), 2,97 (br d, J = 12 Hz, 2H), 2,15 (dt, J = 11,4 Hz, 2,1 Hz, 2H) 1,84 (m, 1H), 1,66 (br d, J = 12 Hz, 2H), 1,48 (dq, J = 12,4 Hz, 2H).
  • e) 5-Cyano-2-((1-(2-(4-fluorphenyl)-2-oxoethyl)-piperidin-4-yl)-methyl)-isoindolin-1-on-hydrochlorid
  • Unter Verwendung der in Beispiel 10d erhaltenen Verbindung wurde die Titelverbindung durch ähnliche Verfahren erhalten wie in Beispiel 1f (Ausbeute: 85%).
    Schmelzpunkt: 212–217°C
    1H-NMR (DMSO-d6): δ 10,00 (br s, 1H), 8,18 (s, 1H), 8,06-8,14 (m, 2H), 7,97 (d, J = 8 Hz, 1H), 7,86 (d, J = 8 Hz, 1H), 7,48 (t, J = 8,8 Hz, 2H), 5,06-5,12 (m, 2H), 4,61 (s, 2H), 3,01-3,61 (m, 6H), 2,06 (m, 1H), 1,59-1,87 (m, 4H).
  • Beispiel 11: 4-Nitro-2-((1-(2-(4-fluorphenyl)-2-oxoethyl)-piperidin-4-yl)-methyl)-isoindolin-1-on-hydrochlorid (Verbindung 25 in Tabelle 1)
  • a) 2-Methyl-3-nitro-benzoesäuremethylester
  • Unter Verwendung von 2-Methyl-3-nitro-benzoesäure (3,0 g, 16,56 mmol) wurde die Titelverbindung durch ähnliche Verfahren wie in Beispiel 3a als farbloser Feststoff erhalten (1,74 g). Das Produkt wurde ohne Aufreinigung in die nächste Reaktion eingesetzt.
  • b) 2-Brommethyl-3-nitro-benzoesäuremethylester
  • Unter Verwendung der in Beispiel 11a erhaltenen Verbindung (1,00 g) wurde die Titelverbindung durch ähnliche Verfahren wie in Beispiel 1b erhalten als blassgelbes Öl (1,43 g). Das Produkt wurde ohne Aufreinigung in die nächste Reaktion eingesetzt.
  • c) 4-((4-Nitroisoindolin-1-on)-2-yl-methyl)-piperidin-1-tert-butylcarboxylat
  • Unter Verwendung der in Beispiel 11b erhaltenen Verbindung (783 mg) wurde die Titelverbindung durch ähnliche Verfahren wie in Beispiel 1c erhalten als blassbrauner Feststoff (590 mg, Ausbeute: 56%).
    1H-NMR (CDCl3): δ 8,40 (dd, J = 8,2 Hz, 0,9 Hz, 1H), 8,19 (d, J = 7,6 Hz, 1H), 7,71 (dd, J = 7,9 Hz, 7,9 Hz, 1H), 4,88 (s, 2H), 4,11 (br s, 2H), 3,57 (br d, J = 7,2 Hz, 2H), 2,71 (br dd, J = 12,9 Hz, 12,9 Hz, 2H), 2,04-1,96 (m, 1H), 1,69-1,58 (m, 2H), 1,45 (s, 9H), 1,35-1,21 (m, 2H).
  • d) 4-Nitro-2-(piperidin-4-yl-methyl)-isoindolin-1-on-hydrochlorid
  • Unter Verwendung der in Beispiel 11c erhaltenen Verbindung (590 mg, 1,57 mmol) wurde die Titelverbindung durch ähnliche Verfahren wie in Beispiel 1d erhalten als farbloser Feststoff (454 mg, Ausbeute: 93%).
    1H-NMR (DMSO-d6): δ 8,96 (br s, 1H), 8,71 (br s, 1H), 8,45 (d, J = 8,4 Hz, 1H), 8,13 (d, J = 7,5 Hz, 1H), 7,82 (dd, J = 7,8 Hz, 7,8 Hz, 1H), 4,94 (s, 2H), 3,50 (d, J = 7,5 Hz, 2H), 3,25 (br d, J = 12,3 Hz, 2H), 2,77 (br dd, J = 23,1 Hz, 11,7 Hz, 2H), 2,13-2,06 (m, 1H), 1,76 (br d, J = 12,6 Hz, 2H), 1,47-1,33 (m, 2H).
  • e) 4-Nitro-2-((1-(2-(4-fluorphenyl)-2-oxoethyl)-piperidin-4-yl)-methyl)-isoindolin-1-on
  • Unter Verwendung der in Beispiel 11d erhaltenen Verbindung (454 mg, 1,46 mmol) wurde die Titelverbindung durch ähnliche Verfahren wie in Beispiel 1e erhalten als blassgelber Feststoff (344 mg, Ausbeute: 57%).
    1H-NMR (CDCl3): δ 8,40 (d, J = 8,2 Hz, 1H), 8,18 (d, J = 7,4 Hz, 1H), 8,10-8,05 (m, 2H), 7,70 (dd, J = 7,8 Hz, 7,8 Hz, 1H), 7,09 (dd, J = 8,6 Hz, 8,6 Hz, 2H), 4,88 (s, 2H), 3,72 (s, 2H), 3,57 (d, J = 7,2 Hz, 2H), 2,97 (br d, 2H), 2,21-2,12 (m, 2H), 1,88-1,83 (m, 1H), 1,71 (br s, 2H), 1,56-1,47 (m, 2H).
  • f) 2-((1-(2-(4-Fluorphenyl)-2-oxoethyl)-piperidin-4-yl)-methyl)-4-nitroisoindolin-1-on-hydrochlorid
  • Unter Verwendung der in Beispiel 11e erhaltenen Verbindung (320 mg, 0,78 mmol) wurde die Titelverbindung durch ähnliche Verfahren wie in Beispiel 1f erhalten als farbloser Feststoff (262 mg, Ausbeute: 75%).
    Schmelzpunkt: 177–181°C
    1H-NMR (DMSO-d6): δ 9,90 (br s, 1H), 8,46 (d, J = 8,4 Hz, 1H), 8,16-8,09 (m, 3H), 7,83 (dd, J = 7,8 Hz, 7,8 Hz, 1H), 7,48 (dd, J = 8,7 Hz, 8,7 Hz, 2H), 4,97 (s, 4H), 3,53 (br s, 4H), 3,02 (br s, 2H), 2,12 (br s, 1H), 1,83-1,61 (m, 4H).
  • Beispiel 12: 6-Nitro-2-((1-(2-(4-fluorphenyl)-2-oxoethyl)-piperidin-4-yl)-methyl)-isoindolin-1-on-fumarat (Verbindung 23 in Tabelle 1)
  • a) 2-Methyl-5-nitro-benzoesäuremethylester
  • Unter Verwendung von 2-Methyl-5-nitro-benzoesäure (2,0 g, 11,04 mmol) wurde die Titelverbindung durch ähnliche Verfahren wie in Beispiel 3a erhalten als farbloser Feststoff (2,14 g). Das Produkt wurde ohne Aufreinigung in die nächste Reaktion eingesetzt.
  • b) 2-Brommethyl-5-nitro-benzoesäuremethylester
  • Unter Verwendung der in Beispiel 12a erhaltenen Verbindung (2,14 g) wurde die Titelverbindung durch ähnliche Verfahren wie in Beispiel 1b erhalten als blassbraunes Öl (3,22 g). Das Produkt wurde ohne Aufreinigung in die nächste Reaktion eingesetzt.
  • c) 4-((6-Nitroisoindolin-1-on)-2-yl-methyl)-piperidin-1-tert-butylcarboxylat
  • Unter Verwendung der in Beispiel 12b erhaltenen Verbindung (3,22 g) wurde die Titelverbindung durch ähnliche Verfahren wie in Beispiel 1c erhalten als blassbrauner Feststoff (864 mg, Ausbeute: 21%).
    1H-NMR (CDCl3): δ 8,68 (d, J = 2,1 Hz, 1H), 8,43 (dd, J = 8,4 Hz, 1,8 Hz, 1H), 7,62 (d, J = 8,1 Hz, 1H), 4,53 (s, 2H), 4,11 (br s, 2H), 3,53 (br s, 2H), 2,70 (br dd, J = 12,0 Hz, 12,0 Hz, 2H), 2,00-1,92 (m, 1H), 1,68-1,64 (m, 2H), 1,45 (s, 9H), 1,33-1,20 (m, 2H).
  • d) 6-Nitro-2-(piperidin-4-yl-methyl)-isoindolin-1-on-hydrochlorid
  • Unter Verwendung der in Beispiel 12c erhaltenen Verbindung (860 mg, 2,29 mmol) wurde die Titelverbindung durch ähnliche Verfahren wie in Beispiel 1d erhalten als farbloser Feststoff (732 mg, Ausbeute: quantitativ).
    1H-NMR (DMSO-d6): δ 8,93 (br s, 1H), 8,67 (br s, 1H), 8,47 (dd, J = 8,3 Hz, 2,3 Hz, 1H), 8,35 (d, J = 2,1 Hz, 1H), 7,92 (d, J = 8,4 Hz, 1H), 4,67 (s, 2H), 3,46 (br s, 2H), 3,25 (br d, J = 13,3 Hz, 2H), 2,80 (br dd, J = 23,1 Hz, 12,0 Hz, 2H), 2,07-2,00 (m, 1H), 1,75 (br d, J = 12,3 Hz, 2H), 1,46-1,34 (m, 2H).
  • e) 6-Nitro-2-((1-(2-(4-fluorphenyl)-2-oxoethyl)-piperidin-4-yl)-methyl)-isoindolin-1-on
  • Unter Verwendung der in Beispiel 12d erhaltenen Verbindung (725 mg, 2,33 mmol) wurde die Titelverbindung durch ähnliche Verfahren wie in Beispiel 1e erhalten als blassgelber Feststoff (637 mg, Ausbeute: 67%).
    1H-NMR (CDCl3): δ 8,68 (d, J = 2,1 Hz, 1H), 8,43 (dd, J = 8,4 Hz, 2,1 Hz, 1H), 8,09-8,02 (m, 2H), 7,63 (d, J = 8,4 Hz, 1H), 7,16-7,08 (m, 2H), 4,54 (s, 2H), 3,74 (s, 2H), 3,55 (d, J = 7,2 Hz, 2H), 2,98 (br d, J = 9,9 Hz, 2H), 2,20-2,19 (m, 2H), 1,87-1,81 (m, 1H), 1,70 (br d, J = 12,9 Hz, 2H), 1,56-1,47 (m, 2H).
  • f) 6-Nitro-2-((1-(2-(4-fluorphenyl)-2-oxoethyl)-piperidin-4-yl)-methyl)-isoindolin-1-on-fumarat
  • Die in Beispiel 12e erhaltene Verbindung (287 mg, 0,70 mmol) wurde gelöst in Dichlormethan (3 ml) und Aceton (3 ml), und der Lösung wurde bei Raumtemperatur Fumarsäure zugefügt (41 mg, 0,35 mmol) und für 3 Stunden gerührt. Der Niederschlag wurde durch Filtration gesammelt, um die Titelverbindung als farblosen Feststoff zu erhalten (148 mg, Ausbeute: 40%).
    Schmelzpunkt: 195–206°C
    1H-NMR (DMSO-d6): δ 8,46 (dd, J = 8,3 Hz, 2,3 Hz, 1H), 8,34 (d, J = 2,4 Hz, 1H), 8,11-8,07 (m, 2H), 7,88 (d, J = 8,4 Hz, 1H), 7,38-7,32 (m, 2H), 6,61 (s, 2H), 4,66 (s, 2H), 3,86 (s, 2H), 3,44 (d, J = 7,5 Hz, 2H), 2,90 (br d, J = 11,4 Hz, 2H), 2,16 (br t, J = 10,8 Hz, 2H), 1,79-1,74 (m, 1H), 1,59 (br d, J = 11,7 Hz, 2H), 1,30-1,19 (m, 2H).
  • Beispiel 13: 2-((1-(2-Phenyl-2-oxoethyl)-piperidin-4-yl)-methyl)-isoindolin-1-on-hydrochlorid (Verbindung 26 in Tabelle 1)
  • a) 2-((1-(2-Phenyl-2-oxoethyl)-piperidin-4-yl)-methyl)-isoindolin-1-on
  • Eine Lösung von der in Beispiel 1d erhaltenen Verbindung (400 mg, 1,50 mmol), 2-Bromacetophenon (299 mg, 1,50 mmol) und Triethylamin (0,46 ml, 3,30 mmol) in Dimethylformamid (3 ml) wurde bei Raumtemperatur für 3 Stunden gerührt. Die Reaktionsmischung wurde mit Wasser (10 ml) versetzt und bei Raumtemperatur gerührt, und anschließend wurden die niedergeschlagenen Kristalle durch Filtration gesammelt und mit Wasser gewaschen, um die Titelverbindung zu erhalten (319 mg, Ausbeute: 61%).
    1H-NMR (CDCl3): δ 8,01 (d, 2H), 7,84 (d, 1H), 7,56-7,42 (m, 6H), 4,41 (s, 2H), 3,79 (s, 1H), 3,51 (d, 2H), 3,00 (br d, 2H), 2,16 (dt, 2H), 1,82 (m, 1H), 1,70 (m, 2H), 1,52 (dt, 2H).
  • b) 2-((1-(2-Phenyl-2-oxoethyl)-piperidin-4-yl)-methyl)-isoindolin-1-on-hydrochlorid
  • Die in Beispiel 13a erhaltene Verbindung (319 mg) wurde in Ethanol-Ethylacetat gelöst. Zur Lösung wurde 4N HCl in Ethylacetat gegeben. Die niedergeschlagenen Kristalle wurden durch Filtration gesammelt, um die Titelverbindung als weißen Feststoff zu erhalten (299 mg, Ausbeute: 85%).
    Schmelzpunkt: 190–197°C
    1H-NMR (DMSO-d6): δ 9,91 (br s, 1H), 8,03 (m, 2H), 7,77 (m, 1H), 7,65 (m, 1H), 7,49 (m, 1H), 5,06 (m, 2H), 4,54 (s, 2H), 3,48 (m, 2H), 3,03 (m, 2H), 2,04 (m, 1H), 1,99–1,61 (m, 4H).
  • Beispiel 14: 2-((1-(2-(4-Chlorphenyl)-2-oxoethyl)-piperidin-4-yl)-methyl)-isoindolin-1-on-hydrochlorid (Verbindung 51 in Tabelle 1)
  • a) 2-((1-(2-(4-Chlorphenyl)-2-oxoethyl)-piperidin-4-yl)-methyl)-isoindolin-1-on
  • Eine Lösung von der in Beispiel 1d erhaltenen Verbindung (400 mg, 1,50 mmol), 2-Brom-4'-chloracetophenon (350 mg, 1,50 mmol) und Triethylamin (0,46 ml, 3,30 mmol) in Dimethylformamid (3 ml) wurde bei Raumtemperatur für 3 Stunden gerührt. Zur Reaktionsmischung wurde Wasser gegeben und anschließend mit Ethylacetat extrahiert. Der Extrakt wurde viermal mit Wasser gewaschen und über Natriumsulfat getrocknet. Das Lösemittel wurde verdampft und der Rückstand aus Ethylacetat-Hexan auskristallisiert, um die Titelverbindung zu erhalten (318 mg, Ausbeute: 55%).
    1H-NMR (CDCl3): δ 7,99 (d, 2H), 7,84 (d, 2H), 7,56-7,40 (m, 5H), 4,41 (s, 2H), 3,73 (s, 2H), 3,51 (d, 1H), 2,95 (br d, 2H), 2,15 (dt, 2H), 1,82 (m, 1H), 1,70 (m, 2H), 1,50 (dt, 2H).
  • b) 2-((1-(2-(4-Chlorphenyl)-2-oxoethyl)-piperidin-4-yl)-methyl)-isoindolin-1-on-hydrochlorid
  • Die in Beispiel 14a erhaltene Verbindung (318 mg) wurde in Ethanol-Ethylacetat gelöst und zu der Lösung wurde 4N Chlorwasserstoff in Ethylacetat gegeben. Die niedergeschlagenen Kristalle wurden durch Filtration gesammelt, um die Titelverbindung als weißen Feststoff zu erhalten (268 mg, Ausbeute: 77%).
    Schmelzpunkt: 188–196°C.
    1H-NMR (DMSO-d6): δ 9,97 (br s, 1H), 8,00 (m, 2H), 7,68 (m, 3H), 7,57 (m, 2H), 7,47 (m, 1H), 5,03 (m, 2H), 4,51 (s, 2H), 3,54-2,95 (m, 6H), 1,97 (m, 1H), 1,80-1,60 (m, 4H).
  • Beispiel 15: 2-((1-(2-(4-Methoxyphenyl)-2-oxoethyl)-piperidin-4-yl)-methyl)-isoindolin-1-on-hydrochlorid (Verbindung 64 in Tabelle 1)
  • a) 2-((1-(2-(4-Methoxyphenyl)-2-oxoethyl)-piperidin-4-yl)-methyl)-isoindolin-1-on
  • Eine Lösung von der in Beispiel 1d erhaltenen Verbindung (400 mg, 1,50 mmol), 2-Brom-4'-methoxyacetophenon (344 mg, 1,50 mmol) und Triethylamin (0,46 ml, 3,30 mmol) in Dimethylformamid (3 ml) wurde bei Raumtemperatur für 3 Stunden gerührt. Zur Reaktionsmischung wurde Wasser (10 ml) gegeben und bei Raumtemperatur gerührt. Anschließend wurden die niedergeschlagenen Kristalle durch Filtration gesammelt und mit Wasser gewaschen, um die Titelverbindung zu erhalten (537 mg, Ausbeute: 95%).
    1H-NMR (CDCl3): δ 8,02 (d, 2H), 7,85 (d, 1H), 7,53-7,42 (m, 3H), 6,91 (d, 2H), 4,41 (s, 2H), 3,87 (s, 3H), 3,73 (s, 2H), 3,51 (d, 2H), 2,98 (br d, 2H), 2,15 (dt, 2H), 1,81 (m, 1H), 1,70 (m, 2H), 1,51 (dt, 2H).
  • b) 2-((1-(2-(4-Methoxyphenyl)-2-oxoethyl)-piperidin-4-yl)-methyl)-isoindolin)-1-on-hydrochlorid
  • Die in Beispiel 15a erhaltene Verbindung (537 mg) wurde in Ethanol-Ethylacetat gelöst und mit 4N Chlorwasserstoff in Ethylacetat versetzt. Die niedergeschlagenen Kristalle wurden durch Filtration gesammelt, um die Titelverbindung als weißen Feststoff zu erhalten (444 mg, Ausbeute: 75%).
    Schmelzpunkt: 163–168°C
    1H-NMR (DMSO-d6): δ 9,85 (br s, 1H), 7,95 (m, 2H), 7,67 (d, 1H), 7,59 (d, 2H), 7,47 (m, 1H), 7,12 (d, 2H), 4,95 (m, 2H), 4,51 (s, 2H), 3,86 (s, 3H), 3,45 (m, 4H), 2,99 (m, 2H), 2,01 (m, 1H), 1,65 (m, 4H).
  • Beispiel 16: (R,S)-2-((1-(2-(4-Fluorphenyl)-2-hydroxyethyl)-piperidin-4-yl)-methyl)-isoindolin-1-on-hydrochlorid (Verbindung 77 in Tabelle 1)
  • a) (R,S)-2-((1-(2-(4-Fluorphenyl)-2-hydroxyethyl)-piperidin)-methyl)-isoindolin)-1-on
  • Die in Beispiel 1f erhaltene Verbindung (403 mg, 1,0 mmol) wurde mit Methylenchlorid und 1N Natriumhydroxid-Lösung behandelt. Die Methylenchlorid-Phase wurde über Natriumsulfat getrocknet und das Lösemittel anschließend verdampft. Der resultierende Rückstand wurde zu 15 ml ethanolischer Lösung gelöst und der Lösung wurde anschließend Natriumborhydrid (30 mg, 0,79 mmol) zugegeben und bei Raumtemperatur für 2 Stunden gerührt. Das Lösemittel wurde verdampft und der Rückstand zur Bildung einer Suspension mit Wasser versetzt. Die resultierenden Kristalle wurden durch Filtration gesammelt, um die Titelverbindung als weißen Feststoff zu erhalten (331 mg, Ausbeute: 90%).
    1H-NMR (CDCl3): δ 7,86 (d, 1H), 7,55-7,43 (m, 3H), 7,32 (m, 2H), 7,02 (m, 2H), 4,69 (m, 1H), 4,42 (s, 2H), 3,53 (d, 2H), 3,15 (m, 1H), 2,82 (m, 1H), 2,49-2,00 (m, 4H), 1,84 (m, 1H), 1,70 (m, 2H), 1,40 (m, 2H).
  • b) (R,S)-2-((1-(2-(4-Fluorphenyl)-2-hydroxyethyl)-piperidin-4-yl)-methyl)-isoindolin-1-on-hydrochlorid
  • Die in Beispiel 16a erhaltene Verbindung (331 mg) wurde gelöst in Ethanol-Ethylacetat und versetzt mit 4N Chlorwasserstoff in Ethylacetat. Die niedergeschlagenen Kristalle wurden durch Filtration gesammelt, um die Titelverbindung als weißen Feststoff zu erhalten (347 mg, Ausbeute: 95%).
    Schmelzpunkt: 223–228°C
    1H-NMR (DMSO-d6): δ 9,82 (br s, 1H), 7,68 (d, 1H), 7,61 (d, 2H), 7,48 (m, 3H), 7,22 (m, 2H), 6,26 (m, 1H), 5,15 (m, 1H), 4,52 (s, 2H), 3,63 (m, 2H), 3,45 (d, 2H), 3,18 (m, 2H), 2,95 (m, 2H), 1,99 (m, 1H), 1,86-1,57 (m, 4H).
  • Beispiel 17: (R,S)-5-Brom-2-((1-(2-(4-fluorphenyl)-2-hydroxyethyl)-piperidin-4-yl)-methyl)-isoindolin-1-on-hydrochlorid (Verbindung 79 in Tabelle 1)
  • a) (R,S)-5-Brom-2-((1-(2-(4-fluorphenyl)-2-hydroxyethyl)-piperidin-4-yl)-methyl)-isoindolin-1-on
  • Unter Verwendung der in Beispiel 3e erhaltenen Verbindung (678 mg, 1,52 mmol) wurde die Titelverbindung durch ähnliche Verfahren wie in Beispiel 16a erhalten als farbloser Feststoff (677 mg, Ausbeute: 99%).
    1H-NMR (CDCl3): δ 7,70-7,74 (m, 1H), 7,60-7,63 (m, 2H), 7,31-7,36 (m, 2H), 6,99-7,06 (m, 2H), 4,69 (dd, J = 3,6 Hz, 10,2 Hz, 1H), 4,40 (s, 2H), 3,51 (d, J = 6,9 Hz, 2H), 3,1-3,2 (m, 1H), 2,7-2,8 (m, 1H), 2,30-2,51 (m, 2H), 2,2-2,3 (m, 1H), 2,0-2,1 (m, 1H), 1,3-1,9 (m, 5H).
  • b) (R,S)-5-Brom-2-((1-(2-(4-fluorphenyl)-2-hydroxyethyl)-piperidin-4-yl)-methyl)-isoindolin-1-on-hydrochlorid
  • Unter Verwendung der in Beispiel 17a erhaltenen Verbindung (313 mg, 0,700 mmol) wurde die Titelverbindung durch ähnliche Verfahren wie in Beispiel 1f als farbloser Feststoff erhalten (317 mg, Ausbeute: 94%).
    Schmelzpunkt: 230–240°C
    1H-NMR (DMSO-d6): δ 9,81 (br s, 1H), 7,90 (d, J = 0,9 Hz, 1H), 7,70 (dd, J = 0,9 Hz, 8,0 Hz, 1H), 7,62 (d, J = 8,0 Hz, 1H), 7,43-7,53 (m, 2H), 7,20-7,26 (m, 2H), 6,29-6,31 (m, 1H), 5,0-5,2 (m, 1H), 4,52 (s, 2H), 3,5-3,7 (m, 2H), 2,8-3,5 (m, 4H), 1,5-2,2 (m, 5H).
  • Beispiel 18: 2-((1-(2-(4-Fluorphenyl)-2-(Z)-hydroxyiminoethyl)-piperidin-4-yl)-methyl)-isoindolin-1-on-fumarat (Z-Isomer von Verbindung 90 in Tabelle 1)
  • a) 2-((1-(2-(4-Fluorphenyl)-2-(Z)-hydroxyiminoethyl)-piperidin-4-yl)-methyl)-isoindolin-1-on
  • Die in Beispiel 1e erhaltene Verbindung (496 mg, 1,35 mmol) wurde in einer Lösemittelmischung aus Ethanol (10 ml) und Pyridin (10 ml) gelöst. Der Lösung wurde bei Raumtemperatur Hydroxylaminhydrochlorid (255 mg, 3,67 mmol) zugefügt und für 5 Tage bei gleicher Temperatur weiter gerührt. Die Reaktionsmischung wurde mit Ethylacetat verdünnt und mit wässriger Natriumhydrogencarbonat-Lösung und anschließend mit gesättigter Kochsalzlösung gewaschen und über Natriumsulfat getrocknet. Unlöslicher Niederschlag wurde durch Filtration abgetrennt und das Lösemittel unter vermindertem Druck verdampft. Der resultierende Feststoff wurde über Silicagel-Säulenchromatographie (Methanol/Dichlormethan) gereinigt, um die Titelverbindung (295 mg, Ausbeute: 57%) und das E-Isomer (216 mg, Ausbeute: 42%) als farblose Feststoffe zu erhalten.
    (Z-Isomer)
    1H-NMR (CDCl3): δ 7,85 (d, J = 7,4 Hz, 1H), 7,42-7,64 (m, 5H), 7,01-7,07 (m, 2H), 4,41 (s, 2H), 3,74 (s, 2H), 3,52 (d, J = 7,4 Hz, 2H), 3,0-3,1 (m, 2H), 2,13-2,22 (m, 2H), 1,8-2,0 (m, 1H), 1,7-1,8 (m, 2H), 1,3-1,5 (m, 2H)
    (E-Isomer)
    1H-NMR (CDCl3): δ 7,84 (d, J = 6,9 Hz, 1H), 7,61-7,67 (m, 2H), 7,41-7,54 (m, 3H), 7,05-7,12 (m, 2H), 4,38 (s, 2H), 3,48 (d, J = 7,2 Hz, 2H), 3,31 (s, 2H), 2,8-3,0 (m, 2H), 1,9-2,05 (m, 2H), 1,5-1,8 (m, 3H), 1,3-1,4 (m, 2H).
  • b) 2-((1-(2-(4-Fluorphenyl)-2-(Z)-hydroxyiminoethyl)-piperidin-4-yl)-methyl)-isoindolin-1-on-fumarat
  • Unter Verwendung des in Beispiel 18a erhaltenen Z-Isomers (289 mg, 0,756 mmol) wurde die Titelverbindung durch ähnliche Verfahren wie in Beispiel 36c als farbloser Feststoff erhalten (320 mg, Ausbeute: 85%).
    Schmelzpunkt: 178–180°C
    1H-NMR (DMSO-d6): δ 7,76-7,81 (m, 2H), 7,4-7,7 (m, 4H), 7,16-7,23 (m, 2H), 6,62 (s, 2H, Fumarsäure), 4,45 (s, 2H), 3,61 (s, 2H), 3,2-3,4 (m, 2H), 2,7-2,8 (m, 2H), 1,9-2,1 (m, 2H), 1,6-1,8 (m, 1H), 1,4-1,6 (m, 2H), 1,0-1,2 (m, 2H).
  • Beispiel 19: 2-((1-(2-(4-Fluorphenyl)-2-(E)-hydroxyiminoethyl)-piperidin-4-yl)-methyl)-isoindolin-1-on-fumarat (E-Isomer der Verbindung 90 in Tabelle 1)
  • Unter Verwendung des in Beispiel 18a erhaltenen E-Isomers (214 mg, 0,560 mmol) wurde die Titelverbindung durch ähnliche Verfahren wie in Beispiel 36c als farbloser Feststoff erhalten (225 mg, Ausbeute: 81 %).
    Schmelzpunkt: 186–188°C
    1H-NMR (DMSO-d6): δ 11,03 (br s, 1H, OH), 7,4-7,7 (m, 6H), 7,19-7,25 (m, 2H), 6,62 (s, 2H, Fumarsäure), 4,46 (s, 2H), 3,2-3,4 (m, 2H), 2,8-2,9 (m, 2H), 1,9-2,05 (m, 2H), 1,6-1,8 (m, 1H), 1,4-1,6 (m, 2H), 1,0-1,2 (m, 2H).
  • Beispiel 20: 2-((1-(2-(2,4-Difluorphenyl)-2-hydroxyiminoethyl)-piperidin-4-yl)-methyl)-isoindolin-1-on-hydrochlorid (Verbindung 116 in Tabelle 1)
  • a) 2-Chlor-2',4'-difluoracetophenonoxim
  • 2-Chlor-2',4'-difluoracetophenon (3,09 g, 16,2 mmol) wurde in Ethanol (30 ml) gelöst. Zu der Lösung wurde unter Eiskühlung schrittweise Hydroxylaminhydrochlorid (1,23 g, 17,7 mmol) und Natriumacetat (1,45 g, 17,7 mmol) gegeben, und der Mischung wurde erlaubt, sich auf Raumtemperatur zu erwärmen, und es wurde für 20 Stunden gerührt. Das Lösemittel der Reaktion wurde unter vermindertem Druck verdampft und der Rückstand mit Ethylacetat verdünnt und mit einer wässrigen Natriumhydrogencarbonat-Lösung sowie anschließend mit gesättigter Kochsalzlösung gewaschen und über Magnesiumsulfat getrocknet. Unlösliche Feststoffe wurden durch Filtration abgetrennt und das Lösemittel wurde unter vermindertem Druck verdampft. Der Rückstand wurde in Hexan suspendiert und getrocknet, um die Titelverbindung als farblosen Feststoff zu erhalten (2,29 g, Ausbeute: 69%).
    1H-NMR (CDCl3): δ 8,74 (s, 1H), 7,48-7,56 (m, 1H), 6,85-6,99 (m, 2H), 4,63 (s, 2H).
  • b) 2-((1-(2-(2,4-Difluorphenyl)-2-hydroxyiminoethyl)-piperidin-4-yl)-methyl)-isoindolin-1-on
  • Unter Verwendung der in Beispiel 20a erhaltenen Verbindung (710 mg, 3,45 mmol) und der in Beispiel 1d erhaltenen Verbindung (880 mg, 3,30 mmol) wurde die Titelverbindung durch ähnliche Verfahren wie in Beispiel 1e erhalten als farbloser Feststoff (1,38 g, Ausbeute: 100%).
    1H-NMR (CDCl3): δ 8,3 (br s, 1H), 7,84 (d, J = 7,5 Hz, 1H), 7,41-7,53 (m, 3H), 7,25-7,31 (m, 1H), 6,81-6,92 (m, 2H), 4,38 (s, 2H), 3,46 (d, J = 7,2 Hz, 2H), 3,33 (s, 2H), 2,87-2,91 (m, 2H), 1,96-2,05 (m, 2H), 1,5-1,9 (m, 3H), 1,2-1,4 (m, 2H).
  • c) 2-((1-(2-(2,4-Difluorphenyl)-hydroxyiminoethyl)-piperidin-4-yl)-methyl)-isoindolin-1-on-hydrochlorid
  • Unter Verwendung der in Beispiel 20b erhaltenen Verbindung (213 mg, 0,533 mmol) wurde die Titelverbindung durch ähnliche Verfahren wie in Beispiel 1f erhalten als farbloser Feststoff (168 mg, Ausbeute: 72%).
    Schmelzpunkt: 152–157°C
    1H-NMR (DMSO-d6): δ 12,1 (s, 1H), 9,92 (br s, 1H), 7,65 (d, J = 7,5 Hz, 1H), 7,45-7,59 (m, 4H), 7,32-7,39 (m, 1H), 7,17-7,23 (m, 1H), 4,48 (s, 2H), 4,20-4,38 (m, 2H), 3,3-3,6 (m, 4H), 2,8-3,0 (m, 2H), 1,4-2,2 (m, 5H).
  • Beispiel 21: (R,S)-5-Brom-2-((1-(2-(4-fluorphenyl)-2-acetoxyethyl)-piperidin-4-yl)-methyl)-isoindolin-1-on-hydrochlorid (Verbindung 105 in Tabelle 1)
  • a) (R,S)-5-Brom-2-((1-(2-(4-fluorphenyl)-2-acetoxyethyl)-piperidin-4-yl)-methyl)-isoindolin-1-on
  • Die in Beispiel 17a erhaltene Verbindung (360 mg, 0,805 mmol) und Dimethylaminopyridin (139 mg, 1,14 mmol) wurden gelöst in Dichlormethan (6 ml). Der Lösung wurde Essigsäureanhydrid (100 μl, 1,06 mmol) unter Eiskühlung zugesetzt, und das Rühren wurde bei gleicher Temperatur für 2 Stunden fortgesetzt. Die Reaktionsmischung wurde mit Ethylacetat verdünnt, mit Eiswasser, einer wässrigen Natriumhydrogencarbonat-Lösung sowie anschließend mit gesättigter Kochsalzlösung gewaschen und über Natriumsulfat getrocknet. Unlösliche Feststoffe wurden durch Filtration abgetrennt und das Lösemittel unter vermindertem Druck verdampft, um die Titelverbindung als farblosen Feststoff zu erhalten (391 mg, Ausbeute: 99%).
    1H-NMR (CDCl3): δ 7,71 (d, J = 8,5 Hz, 1H), 7,58-7,62 (m, 2H), 7,27-7,33 (m, 2H), 6,98-7,05 (m, 2H), 5,89 (dd, J = 4,6 Hz, 8,4 Hz, 1H), 4,37 (s, 2H), 3,4-3,5 (m, 2H), 2,84-3,0 (m, 2H), 2,80 (dd, J = 8,4 Hz, 13,5 Hz, 1H), 2,52 (dd, J = 4,6 Hz, 13,5 Hz, 1H), 2,11 (s, 3H), 1,9-2,2 (m, 2H), 1,7-1,8 (m, 1H), 1,5-1,7 (m, 2H), 1,2-1,4 (m, 2H).
  • b) (R,S)-5-Brom-2-((1-(2-(4-fluorphenyl)-2-acetoxyethyl)-piperidin-4-yl)-methyl)-isoindolin-1-on-hydrochlorid
  • Unter Verwendung der in Beispiel 21a erhaltenen Verbindung (387 mg, 0,791 mmol) wurde die Titelverbindung durch ähnliche Verfahren wie in Beispiel 1f erhalten als farbloser Feststoff (285 mg, Ausbeute: 69%).
    Schmelzpunkt: 193–200°C
    1H-NMR (DMSO-d6): δ 11,0 (br s, 1H), 7,90 (s, 1H), 7,69 (d, J = 8,1 Hz, 1H), 7,62 (d, J = 8,1 Hz, 1H), 7,44-7,53 (m, 2H), 7,22-7,31 (m, 2H), 6,0-6,2 (m, 1H), 4,49-4,52 (m, 2H), 3,2-3,7 (m, 6H), 2,8-3,0 (m, 2H), 2,12 (s, 3H), 1,4-2,0 (m, 5H).
  • Beispiel 22: 5-((1-(2-(4-Fluorphenyl)-2-oxoethyl)-piperidin-4-yl)-methyl)-4,5-dihydro-6H-thieno[2,3-c]-pyrrol-6-on-hydrochlorid (Verbindung 776 in Tabelle 2)
  • a) 3-Methylthiophen-2-ethylcarboxylat
  • Unter Verwendung von 3-Methyl-2-thiophencarbonsäure (1,5 g, 10,55 mmol), wurde die Titelverbindung unter Anwendung ähnlicher Verfahren wie in Beispiel 1b erhalten als blassgelbes Öl (1,20 g). Das Produkt wurde ohne Aufreinigung in die nächste Reaktion eingesetzt.
  • b) 3-Brommethylthiophen-2-ethylcarboxylat
  • Unter Verwendung der in Beispiel 22a erhaltenen Verbindung (1,20 g) wurde die Titelverbindung unter Anwendung ähnlicher Verfahren wie in Beispiel 1b erhalten als blassbraunes Öl (1,88 g). Das Produkt wurde ohne Aufreinigung in die nächste Reaktion eingesetzt.
  • c) 3-((1-(tert-Butoxycarbonyl)-piperidin-4-yl)-methylaminomethyl)-thiophen-2-ethylcarboxylat
  • Unter Verwendung der in Beispiel 22b erhaltenen Verbindung (1,88 g) wurde die Titelverbindung unter Anwendung ähnlicher Verfahren wie in Beispiel 1c erhalten als blassbrauner Feststoff (2,02 g). Das Produkt wurde ohne Aufreinigung in die nächste Reaktion eingesetzt.
  • d) 3-((1-(tert-Butoxycarbonyl)-piperidin-4-yl)-methylaminomethyl)-thiophen-2-carbonsäure
  • Die in Beispiel 22c erhaltene Verbindung 22c (1,0 g) wurde gelöst in Ethanol (15 ml). Der Lösung wurde Wasser (5 ml) zugefügt und anschließend unter Eiskühlung Natriumhydroxid (400 mg, 10,0 mmol), anschließend wurde die Mischung auf Raumtemperatur erwärmt und gerührt. Nach 6 Stunden wurde der Mischung unter Eiskühlung konzentrierte Salzsäure zugegeben, um den pH-Wert auf 7,0 einzustellen. Anschließend wurde mit Dichlormethan extrahiert. Die organische Phase wurde mit Wasser gewaschen und über Magnesiumsulfat getrocknet. Unlösliche Feststoffe wurden durch Filtration abgetrennt und das Filtrat wurde unter vermindertem Druck eingedampft. Der resultierende Feststoff wurde in Dichlormethan (3 ml) gelöst. Der Lösung wurde Diethylether (20 ml) zugegeben und der Niederschlag wurde durch Filtration gesammelt, um die Titelverbindung zu erhalten (416 mg, 35%, 3 Stufen).
    1H-NMR (CDCl3): δ 11,4 (s, 2H), 7,32 (d, J = 5,1 Hz, 1H), 6,91 (d, J = 4,5 Hz, 1H), 4,21 (s, 2H), 4,04 (s, 2H), 2,71-2,61 (m, 4H), 1,96 (br s, 1H), 1,79 (br d, J = 12,6 Hz, 2H), 1,41 (s, 9H), 1,16-1,03 (m, 2H).
  • e) 4-((4,5-Dihydro-6H-thieno[2,3-c]-pyrrol-6-on)-2-yl-methyl)-piperidin-1-tert-butylcarboxylat
  • Die in Beispiel 22d erhaltene Verbindung (500 mg) wurde gelöst in Dichlormethan (14 ml) und unter Eiskühlung wurde Methansulfonylchlorid (0,11 ml, 1,41 mmol) zugegeben. Die Mischung wurde bei gleicher Temperatur 1 Stunde gerührt, dann auf Raumtemperatur erwärmt und für 17 Stunden gerührt. Der Reaktionsmischung wurde Wasser (5 ml) bei gleicher Temperatur zugesetzt und mit Dichlormethan extrahiert. Die organische Phase wurde mit Wasser gewaschen und über Magnesiumsulfat getrocknet. Unlösliche Feststoffe wurden durch Filtration abgetrennt und das Filtrat wurde unter vermindertem Druck eingedampft. Das resultierende Öl wurde mittels Silicagel-Säulenchromatographie (Methanol/Dichlormethan) gereinigt, um die Titelverbindung als blassgrünen Feststoff zu erhalten (247 mg, Ausbeute: 52%).
    1H-NMR (CDCl3): δ 7,63 (d, J = 4,5 Hz, 1H), 7,04 (d, J = 4,8 Hz, 1H), 4,33 (s, 2H), 4,11 (br s, 2H), 3,45 (br s, 2H), 2,69 (br dd, J = 12,3 Hz, 12,3 Hz, 2H), 1,93-1,87 (m, 1H), 1,67 (br d, J = 9,3 Hz, 2H), 1,45 (s, 9H), 1,30-1,16 (m, 2H).
  • f) 5-(piperidin-4-yl-methyl)-4,5-dihydro-6H-thieno[2,3-c]pyrrol-6-on-hydrochlorid
  • Unter Verwendung der in Beispiel 22e erhaltenen Verbindung (310 mg, 0,90 mmol) wurde die Titelverbindung durch ähnliche Verfahren wie in Beispiel 1d erhalten als blassgrüner Feststoff (200 mg, Ausbeute: 80%).
    1H-NMR (DMSO-d5): δ 8,90 (br s, 1H), 8,62 (br s, 1H), 7,98 (d, J = 4,7 Hz, 1H), 7,24 (d, J = 4,7 Hz, 1H), 4,44 (s, 2H), 3,38 (d, J = 7,4 Hz, 2H), 3,24 (br d, J = 12,6 Hz, 2H), 2,80 (br dd, J = 23,1 Hz, 12,1 Hz, 2H), 2,02-1,19 (m, 1H), 1,74 (br d, J = 13,2 Hz, 2H), 1,43-1,29 (m, 2H).
  • g) 5-((1-(2-(4-Fluorphenyl)-2-oxoethyl)-piperidin-4-yl)-methyl)-4,5-dihydro-6H-thieno[2,3-c]-pyrrol-6-on
  • Unter Verwendung der in Beispiel 22f erhaltenen Verbindung (193 mg, 0,71 mmol) wurde die Titelverbindung durch ähnliche Verfahren wie in Beispiel 1e erhalten als blassbrauner Feststoff (209 mg, Ausbeute: 79%).
    1H-NMR (CDCl3): δ 8,10-8,04 (m, 2H), 7,62 (d, 1H), 7,15-7,07 (m, 2H), 7,02 (m, 1H), 4,32 (s, 2H), 3,72 (s, 2H), 3,45 (d, J = 7,1 Hz, 2H), 2,96 (br d, J = 11,5 Hz, 2H), 2,20-2,11 (m, 2H), 1,83-1,76 (m, 1H), 1,70 (br d, J = 13,9 Hz, 2H), 1,51-1,43 (m, 2H).
  • h) 5-((1-(2-(4-Fluorphenyl)-2-oxoethyl)-piperidin-4-yl)-methyl)-4,5-dihydro-6H-thieno[2,3-c]-pyrrol-6-on-hydrochlorid
  • Unter Verwendung der in Beispiel 22g erhaltenen Verbindung (209 mg, 0,56 mmol) wurde die Titelverbindung durch ähnliche Verfahren wie in Beispiel 1f erhalten als farbloser Feststoff (178 mg, Ausbeute: 78%).
    Schmelzpunkt: 167–171°C
    1H-NMR (DMSO-d6): δ 9,94 (br s, 1H), 8,19-8,06 (m, 2H), 7,99 (d, J = 4,8 Hz, 1H), 7,58 (dd, J = 8,9 Hz, 8,9 Hz, 2H), 7,26 (d, J = 4,5 Hz, 1H), 5,11-5,04 (m, 2H), 4,47 (s, 2H), 3,54 (br d, J = 10,5 Hz, 2H), 3,31 (br s, 2H), 3,08-3,01 (m, 2H), 2,09-1,57 (m, 5H).
  • Beispiel 23: 6-((1-(2-(4-Fluorphenyl)-2-oxoethyl)-piperidin-4-yl)-methyl)-6,7-dihydro-5H-pyrrol[3,4-b]pyridin-5-on-dihydrochlorid (Verbindung 796 in Tabelle 2)
  • a) 2-Brommethylpyridin-3-ethylcarboxylat
  • Unter Verwendung von 2-Brommethylpyridin-3-carbonsäure (2,0 g, 12,11 mmol) wurde die Titelverbindung durch ähnliche Verfahren wie in Beispiel 1b erhalten als braunes Öl (1,02 g). Das Produkt wurde ohne Aufreinigung in die nächste Reaktion eingesetzt.
  • b) 4-((6,7-Dihydro-5H-pyrrol[3,4-b]pyridin-5-on)-2-yl-methyl)-piperidin-1-tert-butylcarboxylat
  • Unter Verwendung der in Beispiel 23a erhaltenen Verbindung (1,01 g) wurde die Titelverbindung durch ähnliche Verfahren wie in Beispiel 1c erhalten als braunes Öl (945 mg). Das Produkt wurde ohne Aufreinigung in die nächste Reaktion eingesetzt.
  • c) 6-Piperidin-4-yl-methyl)-6,7-dihydro-5H-pyrrol[3,4-b]pyridin-5-on-dihydrochlorid
  • Unter Verwendung der in Beispiel 23b erhaltenen Verbindung (811 mg, 1,01 mmol) wurde die Titelverbindung durch ähnliche Verfahren wie in Beispiel 1d erhalten als farbloser Feststoff (416 mg, Ausbeute: 33%).
    1H-NMR (DMSO-d6): δ 9,21 (s, 2H), 8,99 (s, 2H), 8,10 (dd, J = 8,6 Hz, 1,2 Hz, 1H), 7,54 (dd, J = 7,7 Hz, 5,0 Hz, 1H), 4,57 (s, 2H), 3,47 (d, J = 7,4 Hz, 2H), 3,24 (br d, J = 12,3 Hz, 2H), 2,79 (br dd, J = 23,5 Hz, 12,3 Hz, 2H), 2,09-1,99 (m, 1H), 1,75 (br d, J = 12,9 Hz, 2H), 1,46-1,32 (m, 2H).
  • d) 2-((1-(2-(4-Fluorphenyl)-2-oxoethyl)-piperidin-4-yl)-methyl)-6,7-dihydro-5H-pyrrol[3,4-b]pyridin-5-on
  • Unter Verwendung der in Beispiel 23c erhaltenen Verbindung (416 mg, 1,37 mmol) wurde die Titelverbindung durch ähnliche Verfahren wie in Beispiel 1e als blassbrauner Feststoff erhalten (377 mg, Ausbeute: 75%).
    1H-NMR (CDCl3): δ 8,72 (dd, J = 4,7 Hz, 1,4 Hz, 1H), 8,13-8,71 (m, 3H), 7,40 (dd, J = 7,6 Hz, 5,1 Hz, 1H), 7,12 (dd, J = 8,6 Hz, 8,6 Hz, 2H), 4,47 (s, 2H), 3,73 (s, 2H), 3,55 (d, J = 7,1 Hz, 2H), 2,97 (br d, J = 11,5 Hz, 2H), 2,15 (ddd, J = 2,1 Hz, 11,5 Hz, 11,5 Hz, 2H), 1,86-1,80 (m, 1H), 1,70 (br d, J = 13,0 Hz, 2H), 1,56-1,46 (m, 2H).
  • e) 2-((1-(2-(4-Fluorphenyl)-2-oxoethyl)-piperidin-4-yl)-methyl)-6,7-dihydro-5H-pyrrol[3,4-b]pyridin-5-on-dihydrochlorid
  • Unter Verwendung der in Beispiel 23d erhaltenen Verbindung (377 mg, 1,03 mmol) wurde die Titelverbindung durch ähnliche Verfahren wie in Beispiel 1f als farbloser Feststoff erhalten (384 mg, Ausbeute: 85%).
    Schmelzpunkt: 138–144°C
    1H-NMR (DMSO-d6): δ 10,1 (br s, 1H), 8,78 (dd, J = 4,7 Hz, 1,1 Hz, 1H), 8,19 (m, 3H), 7,57-7,45 (m, 3H), 5,13-5,05 (m, 2H), 4,61 (s, 2H), 3,62 (m, 3H), 3,32 (br s, 1H), 3,04 (br dd, J = 21,8 Hz, 10,1 Hz, 2H), 2,07 (br s, 1H), 1,89-1,60 (m, 4H).
  • Beispiel 24: 2-((1-(3,3-Dimethyl-2-oxobutyl)-piperidin-4-yl)-methyl)-isoindolin-1-on-hydrochlorid (Verbindung 126 in Tabelle 1)
  • a) 2-((1-(3,3-Dimethyl-2-oxobutyl)-piperidin-4-yl)-methyl)-isoindolin-1-on
  • Die in Beispiel 1d erhaltene Verbindung (500 mg, 1,87 mmol) wurde gelöst in DMF (6 ml). Der Lösung wurde Triethylamin (0,57 ml, 4,11 mmol) und 1-Chlorpinacolon (0,24 ml, 1,87 mmol) zugefügt und 30 Stunden bei Raumtemperatur gerührt, anschließend für 7 Stunden bei 50°C erhitzt. Nachdem die Mischung zur Abkühlung stehen gelassen wurde, wurde der Mischung Wasser (10 ml) zugefügt und mit Ethylacetat extrahiert. Die organische Phase wurde dreimal mit Wasser gewaschen und über Magnesiumsulfat getrocknet. Unlösliche Feststoffe wurden durch Filtration abgetrennt und das Filtrat wurde eingedampft. Das resultierende Öl wurde durch Silicagel-Säulenchromatographie gereinigt (Methanol/Dichlormethan), um die Titelverbindung als blassbraunen Feststoff zu erhaltenen (369 mg, Ausbeute: 60%).
    1H-NMR: (CDCl3): δ 7,84 (d, J = 7,2 Hz, 1H), 7,56-7,42 (m, 3H), 4,41 (s, 2H), 3,50 (d, J = 7,3 Hz, 2H), 3,36 (s, 2H), 2,88 (br d, J = 11,3 Hz, 2H), 2,05 (ddd, J = 2,2 Hz, 11,3 Hz, 11,3 Hz, 2H), 1,87-1,80 (m, 1H), 1,69 (br d, J = 12,9 Hz, 2H), 1,54-1,46 (m, 2H), 1,15 (s, 9H).
  • b) 2-((1-(3,3-Dimethyl-2-oxobutyl)-piperidin-4-yl)-methyl)-isoindolin-1-on-hydrochlorid
  • Unter Verwendung der in Beispiel 24a erhaltenen Verbindung (369 mg, 1,12 mmol) wurde die Titelverbindung durch ähnliche Verfahren wie in Beispiel 1f erhalten als farbloser Feststoff (323 mg, Ausbeute: 79%).
    Schmelzpunkt: 239–243°C
    1H-NMR (DMSO-d6): δ 9,73 (br s, 1H), 7,68 (d, J = 7,5 Hz, 1H), 7,61 (d, 2H), 7,53-7,45 (m, 1H), 4,64-4,52 (m, 4H), 3,60-3,21 (m, 4H), 2,95 (br d, J = 10,5 Hz, 2H), 1,97 (br s, 1H), 1,79 (br d, J = 13,5 Hz, 2H), 1,65-1,52 (m, 2H), 1,13 (s, 9H).
  • Beispiel 30: 2-((1-(3-Phenyl-3-oxopropyl)-piperidin-4-yl)-methyl)-isoindolin-1-on-hydrochlorid (Verbindung 156 in Tabelle 1)
  • a) 2-((1-(3-Phenyl-3-oxopropyl)-piperidin-4-yl)-methyl)-isoindolin-1-on
  • Die Titelverbindung wurde durch ähnliche Verfahren erhalten wie in Beispiel 26b (Ausbeute: 61%).
    1H-NMR (CDCl3): δ 7,96 (d, J = 6,9 Hz, 2H), 7,85 (d, J = 7,2 Hz, 1H), 7,42-7,59 (m, 6H), 4,41 (s, 2H), 3,51 (d, J = 6,9 Hz, 2H), 3,19 (t, J = 7,4 Hz, 2H), 2,96 (br t, J = 12 Hz, 2H), 2,82 (t, J = 7,4 Hz, 2H), 2,04 (dt, J = 11,7 Hz, 1,8 Hz, 2H), 1,81 (m, 1H), 1,71 (br d, J = 12 Hz, 2H), 1,40 (dq, J = 12 Hz, 4 Hz, 2H).
  • b) 2-((1-(3-Phenyl-3-oxopropyl)-piperidin-4-yl)-methyl)-isoindolin-1-on-hydrochlorid
  • Unter Verwendung der in Beispiel 30a erhaltenen Verbindung wurde die Titelverbindung durch ähnliche Verfahren wie in Beispiel 1f erhalten (Ausbeute: 66%).
    Schmelzpunkt: 245–261°C
    1H-NMR (DMSO-d6): δ 10,38 (br s, 1H), 8,01 (d, J = 7,5 Hz, 2H), 7,69 (m, 2H), 7,54-7,62 (m, 4H), 7,49 (m, 1H), 4,52 (s, 2H), 2,88-3,70 (m, 10H), 2,01 (m, 1H), 1,58 (br d, J = 12 Hz, 2H), 1,51 (br q, J = 12 Hz, 2H).
  • Beispiel 31: 2-((1-(4-(4-Fluorphenyl)-4-oxobutyl)-piperidin-4-yl)-methyl)-isoindolin-1-on-hydrochlorid (Verbindung 166 in Tabelle 1)
  • a) 2-((1-(4-(4-Fluorphenyl)-4-oxobutyl)-piperidin-4-yl)-methyl)-isoindolin-1-on
  • Die Titelverbindung wurde durch ähnliche Verfahren erhalten wie in Beispiel 26b.
    1H-NMR (CDCl3): δ 8,00 (m, 2H), 7,85 (d, J = 7,5 Hz, 1H), 7,42-7,54 (m, 3H), 7,12 (t, J = 8,4 Hz, 2H), 4,40 (s, 2H), 3,48 (d, J = 7,2 Hz, 2H), 2,96 (t, J = 7,2 Hz, 2H), 2,90 (br d, J = 12 Hz, 2H), 2,39 (t, J = 7,2 Hz, 2H), 1,90-1,97 (m, 4H), 1,78 (m, 1H), 1,66 (br d, J = 12 Hz, 2H), 1,32 (dq, J = 12 Hz, 4 Hz, 2H).
  • b) 2-((1-(4-(4-Fluorphenyl)-4-oxobutyl)-piperidin-4-yl)-methyl)-isoindolin-1-on-hydrochlorid
  • Unter Verwendung der in Beispiel 31a erhaltenen Verbindung wurde die Titelverbindung durch ähnliche Verfahren wie in Beispiel 1f erhalten (Ausbeute: 20%).
    Schmelzpunkt: 195–199°C
    1H-NMR (DMSO-d6): δ 9,87 (br s, 1H), 8,06 (m, 2H), 7,69 (d, J = 7,4 Hz, 1H), 7,60-7,63 (m, 2H), 7,51 (m, 1H), 7,38 (t, J = 8,8 Hz, 2H), 4,51 (s, 2H), 2,85-3,63 (m, 10H), 1,99-2,04 (m, 3H), 1,80 (br d, J = 12 Hz, 2H), 1,55 (br q, J = 12 Hz, 2H).
  • Beispiel 32: 2-((1-(2-(4-Fluorphenoxy)-ethyl)-piperidin-4-yl)-methyl)-isoindolin-1-on-hydrochlorid (Verbindung 20 in Tabelle 1)
  • a) 1-(2-Chlorethoxy)-4-fluorbenzol
  • 4-Fluorphenol (8,92 mmol) und 1-Chor-2-Bromethan (13,4 mmol) wurden gelöst in Aceton (18 ml). Der Lösung wurde Kaliumcarbonat (12,5 mmol) zugesetzt und unter Rückfluss für 10 Stunden erhitzt. Der Mischung wurde erlaubt, auf Raumtemperatur abzukühlen und wurde anschließend filtriert. Das Filtrat wurde eingeengt und der Rückstand durch Silicagel-Säulenchromatographie (Hexan/Ethylacetat) gereinigt, um die Titelverbindung zu erhalten (Ausbeute: 31 %).
    1H-NMR (CDCl3): δ 7,02 (t, J = 8,6 Hz, 1H), 6,87 (m, 2H), 4,19 (t, J = 5,8 Hz, 2H), 3,80 (t, J = 5,8 Hz, 2H).
  • b) 2-((1-(2-(4-Fluorphenoxy)-ethyl)-piperidin-4-yl)-methyl)-isoindolin-1-on
  • Unter Verwendung der in Beispiel 32a erhaltenen Verbindung wurde die Titelverbindung durch ähnliche Verfahren wie in Beispiel 26b erhalten (Ausbeute: 61%).
    1H-NMR (CDCl3): δ 7,85 (d, J = 7,2 Hz, 1H), 7,42-7,54 (m, 3H), 6,93 (t, J = 9 Hz, 2H), 6,83 (m, 2H), 4,41 (s, 2H), 4,05 (t, J = 6,0 Hz, 2H), 3,51 (d, J = 7,2 Hz, 2H), 3,00 (br d, J = 12 Hz, 2H), 2,78 (t, J = 6,0 Hz, 2H), 2,11 (dt, J = 11,7 Hz, 2,1 Hz, 2H), 1,81 (m, 1H), 1,69 (m, 2H), 1,43 (dq, J = 12,0 Hz, 3,6 Hz, 2H).
  • c) 2-((1-(2-(4-Fluorphenoxy)-ethyl)-piperidin-4-yl)-methyl)-isoindolin-1-on-hydrochlorid
  • Unter Verwendung der in Beispiel 32b erhaltenen Verbindung wurde die Titelverbindung durch ähnliche Verfahren wie in Beispiel 1f erhalten (Ausbeute: 56%).
    Schmelzpunkt: 198–204°C
    1H-NMR (DMSO-d6): δ 10,28 (br s, 1H), 7,68 (d, J = 7,5 Hz, 1H), 7,60-7,62 (m, 2H), 7,50 (m, 1H), 7,16 (m, 2H), 7,02 (m, 2H), 4,51 (s, 2H), 4,36 (s, 2H), 2,96-3,61 (m, 8H), 1,99 (m, 1H), 1,80 (m, 2H), 1,59 (m, 2H).
  • Beispiel 33: 2-((1-(3-(4-Fluorphenoxy)-propyl)-piperidin-4-yl)-methyl)-isoindolin-1-on-hydrochlorid (Verbindung 216 in Tabelle 1)
  • a) 1-(3-Chlorpropoxy)-4-fluorbenzol
  • Die Titelverbindung wurde erhalten durch ähnliche Verfahren wie in Beispiel 32a (Ausbeute: 94%).
    1H-NMR (CDCl3): δ 6,97 (t, J = 8,4 Hz, 2H), 6,84 (m, 2H), 4,07 (t, J = 6,0 Hz, 2H), 3,74 (t, J = 6,3 Hz, 2H), 2,22 (m, 2H).
  • b) 2-((1-(3-(4-Fluorphenoxy)-propyl)-piperidin-4-yl)-isoindolin-1-on
  • Unter Verwendung der in Beispiel 33a erhaltenen Verbindung wurde die Titelverbindung durch ähnliche Verfahren wie in Beispiel 26b erhalten (Ausbeute: 72%).
    1H-NMR (CDCl3): δ 7,85 (d, J = 6,9 Hz, 1H), 7,42-7,55 (m, 3H), 6,96 (t, J = 8,4 Hz, 2H), 6,82 (m, 2H), 4,41 (s, 2H), 3,96 (t, J = 6,3 Hz, 2H), 3,51 (d, J = 7,2 Hz, 2H), 2,94 (br d, J = 12 Hz, 2H), 2,49 (t, J = 7,4 Hz, 2H), 1,90-1,99 (m, 4H), 1,81 (m, 1H), 1,70 (m, 2H), 1,41 (dq, J = 12,3 Hz, 3,3 Hz, 2H).
  • c) 2-((1-(3-(4-Fluorphenoxy)-propyl)-piperidin-4-yl)-methyl)-isoindolin-1-on-hydrochlorid
  • Unter Verwendung der in Beispiel 33b erhaltenen Verbindung wurde die Titelverbindung durch ähnliche Verfahren erhalten wie in Beispiel 1f (Ausbeute:43%).
    Schmelzpunkt: 164°C
    1H-NMR (DMSO-d6): δ 10,14 (br s, 1H), 7,69 (d, J = 7,5 Hz, 1H), 7,61-7,62 (m, 2H), 7,51 (m, 1H), 7,13 (t, J = 8,7 Hz, 2H), 6,95 (m, 2H), 4,51 (s, 2H), 4,02 (t, J = 6 Hz, 2H), 2,85-3,64 (m, 6H), 2,16 (m, 2H), 1,99 (m, 1H), 1,80 (br d, J = 12 Hz, 2H), 1,56 (br q, J = 12 Hz, 2H).
  • Beispiel 34: 2-((1-(4-(4-Fluorphenoxy)-butyl)-piperidin-4-yl)-methyl)-isoindolin-1-on-hydrochlorid (Verbindung 226 in Tabelle 1)
  • a) 1-(4-Chlorbutoxy)-4-fluorbenzol
  • Die Titelverbindung wurde durch ähnliche Verfahren erhalten wie in Beispiel 32a (Ausbeute: 97%).
    1H-NMR (CDCl3): δ 6,96 (t, J = 8,7 Hz, 2H), 6,82 (m, 2H), 3,96 (t, J = 5,8 Hz, 2H), 3,61 (t, J = 6,2 Hz, 2H), 1,89-1,99 (m, 4H).
  • b) 2-((1-(4-(4-Fluorphenoxy)-butyl)-piperidin-4-yl)-methyl)-isoindolin-1-on
  • Unter Verwendung der in Beispiel 34a erhaltenen Verbindung wurde die Titelverbindung durch ähnliche Verfahren wie in Beispiel 26b erhalten (Ausbeute: 78%).
    1H-NMR (CDCl3): δ 7,85 (d, J = 7,5 Hz, 1H), 7,42-7,53 (m, 3H), 6,96 (t, J = 8,5 Hz, 2H), 6,1 (m, 2H), 4,41 (s, 2H), 3,92 (t, J = 6,3 Hz, 2H), 3,50 (d, J = 7,2 Hz, 2H), 2,93 (br d, J = 12 Hz, 2H), 2,38 (t, J = 7,5 Hz, 2H), 1,93 (br t, J = 12 Hz, 2H), 1,62-1,82 (m, 7H), 1,40 (dq, J = 12 Hz, 3 Hz, 2H).
  • c) 2-((1-(4-(4-Fluorphenoxy)-butyl)-piperidin-4-yl)-methyl-isoindolin-1-on-hydrochlorid
  • Unter Verwendung der in Beispiel 34b erhaltenen Verbindung wurde die Titelverbindung durch ähnliche Verfahren wie in Beispiel 1f erhalten (Ausbeute: 82%).
    Schmelzpunkt: 145–146°C
    1H-NMR (DMSO-d6): δ 10,08 (br s, 1H), 7,69 (d, J = 7,5 Hz, 1H), 7,60-7,62 (m, 2H), 7,51 (m, 1H), 7,12 (t, J = 9 Hz, 2H), 6,94 (m, 2H), 4,51 (s, 2H), 3,96 (t, J = 6 Hz, 2H), 2,81-3,62 (m, 8H), 1,99 (m, 1H), 1,70-1,81 (m, 6H), 1,55 (m, 2H).
  • Beispiel 38: 2-((1-(2-(1,3-Benzodioxol-5-yl)-2-oxoethyl)-piperidin-4-yl)-methyl)-isoindolin-1-on-hydrochlorid (Verbindung 251 in Tabelle 1)
  • a) 1-(1,3-Benzodioxol-5-yl)-bromethan-1-on
  • 1-(1,3-Benzodioxol-5-yl)-ethan-1-on (1,05 g, 6,40 mmol) wurde gelöst in einer Lösemittelmischung aus Dichlormethan (50 ml) und Methanol (20 ml). Zur Lösung wurde Pyridin-hydrobromid-perbromid (2,24 g, 7,00 mmol) bei Raumtemperatur gegeben und anschließend unter Rückfluss erhitzt. Nach einer Stunde wurde das Lösemittel unter vermindertem Druck verdampft und der Rückstand mit einem Lösemittelgemisch aus Ethylacetat und Hexan verdünnt. Die Mischung wurde mit Wasser, einer wässrigen Natriumhydrogencarbonat-Lösung und anschließend mit gesättigter Kochsalzlösung gewaschen und über Natriumsulfat getrocknet. Unlösliche Feststoffe wurden durch Filtration abgetrennt und das Lösemittel unter vermindertem Druck verdampft. Der resultierende Feststoff wurde in Hexan suspendiert und mit Hexan gewaschen und anschließend getrocknet, um die Titelverbindung als blassgelben Feststoff zu erhalten (1,46 g, Ausbeute: 94%).
    1H-NMR (CDCl3): δ 7,61 (dd, J = 2,2 Hz, 8,2 Hz, 1H), 7,46 (d, J = 2,2 Hz, 1H), 6,88 (d, J = 8,2 Hz, 1H), 6,08 (s, 2H), 4,38 (s, 2H).
  • b) 2-((1-(2-(1,3-Benzodioxol-5-yl)-2-oxoethyl)-piperidin-4-yl)-methyl)-isoindolin-1-on
  • Unter Verwendung der in Beispiel 38a erhaltenen Verbindung (491 mg, 2,02 mmol) und der in Beispiel 1d erhaltenen Verbindung (507 mg, 1,90 mmol) wurde durch ähnliche Verfahren wie in Beispiel 1e die Titelverbindung als blassgelber Feststoff erhalten (703 mg, Ausbeute: 94%).
    1H-NMR (CDCl3): δ 7,84 (d, J = 7,5 Hz, 1H), 7,67 (dd, J = 1,8 Hz, 8,1 Hz, 1H), 7,42-7,56 (m, 4H), 6,84 (d, J = 8,1 Hz, 1H), 6,04 (s, 2H), 4,41 (s, 2H), 3,70 (s, 2H), 3,51 (d, J = 7,5 Hz, 2H), 2,95-3,00 (m, 2H), 2,1-2,2 (m, 2H), 1,6-2,0 (m, 3H), 1,4-1,6 (m, 2H).
  • c) 2-((1-(2-(1,3-Benzodioxol-5-yl)-2-oxoethyl)-piperidin-4-yl)-methyl)-isoindolin-1-on-hydrochlorid
  • Unter Verwendung der in Beispiel 38b erhaltenen Verbindung (690 mg, 1,76 mmol) wurde die Titelverbindung durch ähnliche Verfahren wie in Beispiel 1f erhalten als farbloser Feststoff (549 mg, Ausbeute: 73%).
    Schmelzpunkt: 162–166°C
    1H-NMR (DMSO-d6): δ 9,85 (br s, 1H), 7,47-7,74 (m, 6H), 7,13-7,19 (m, 1H), 6,19-6,22 (m, 2H), 4,95-5,03 (m, 2H), 4,51-4,54 (m, 2H), 3,3-3,6 (m, 4H), 2,9-3,1 (m, 2H), 2,0-2,2 (m, 1H), 1,5-1,9 (m, 4H).
  • Beispiel 39: 2-((1-(2-(2,3-Dihydro-1,4-benzodioxin-6-yl)-2-oxoethyl)-piperidin-4-yl)-methyl)-isoindolin-1-on-hydrochlorid (Verbindung 256 in Tabelle 1)
  • a) 2-Brom-1-(2,3-dihydro-1,4-benzodioxin-6-yl)-ethan-1-on
  • Unter Verwendung von 1-(2,3-Dihydro-1,4-benzodioxin-6-yl)-ethan-1-on (1,42 g, 7,97 mmol) wurde die Titelverbindung durch ähnliche Verfahren wie in Beispiel 38a erhalten als blassgelber Feststoff (2,05 g, Ausbeute: 100%).
    1H-NMR (CDCl3): δ 7,50-7,54 (m, 2H), 6,93 (m, 1H), 4,37 (s, 2H), 4,32-4,35 (m, 2H), 4,27-4,31 (m, 2H).
  • b) 2-((1-(2-(2,3-Dihydro-1,4-benzodioxin-6-yl)-2-oxoethyl)-piperidin-4-yl)-methyl)-isoindolin-1-on
  • Unter Verwendung der in Beispiel 39a (571 mg, 2,22 mmol) und der in Beispiel 1d (576 mg, 2,16 mmol) erhaltenen Verbindungen wurde die Titelverbindung durch ähnliche Verfahren wie in Beispiel 1e erhalten als blassgelber Feststoff (627 mg, Ausbeute: 71%).
    1H-NMR (CDCl3): δ 7,84 (d, J = 7,5 Hz, 1H), 7,42-7,60 (m, 5H), 6,89 (d, J = 8,4 Hz, 1H), 4,41 (s, 2H), 4,26-4,34 (m, 4H), 3,69 (s, 2H), 3,51 (d, J = 7,2 Hz, 2H), 2,9-3,0 (m, 2H), 2,08-2,17 (m, 2H), 1,6-1,9 (m, 3H), 1,4-1,6 (m, 2H).
  • c) 2-((1-(2-(2,3-Dihydro-1,4-benzodioxin-6-yl)-2-oxoethyl)-piperidin-4-yl)-methyl)-isoindolin-1-on-hydrochlorid
  • Unter Verwendung der in Beispiel 39b erhaltenen Verbindung (306 mg, 0,753 mmol) wurde die Titelverbindung durch ähnliche Verfahren wie in Beispiel 1f erhalten als blassgelber Feststoff (263 mg, Ausbeute: 79%).
    Schmelzpunkt: 142–150°C
    1H-NMR (DMSO-d6): δ 10,01 (br s, 1H), 7,69 (d, J = 7,5 Hz, 1H), 7,48-7,62 (m, 5H), 7,06 (d, J = 8,1 Hz, 1H), 4,97-5,05 (m, 2H), 4,53 (s, 2H), 4,2-4,4 (m, 4H), 3,4-3,7 (m, 4H), 2,9-3,1 (m, 2H), 1,5-2,2 (m, 5H).
  • Beispiel 42: 2-((1-(2-(4-Fluoranilino)-2-oxoethyl)-piperidin-4-yl)-methyl)-isoindolin-1-on-hydrochlorid (Verbindung 271 in Tabelle 1)
  • a) 2-Chlor-N-(4-fluorphenyl)-acetamid
  • Chloracetylchlorid (0,60 ml, 7,54 mmol) wurde gelöst in Toluol (6 ml) und zur Lösung wurde 4-Fluoranilin (0,72 ml, 7,52 mmol) bei Raumtemperatur gegeben und bei gleicher Temperatur für eine Stunde gerührt. Zur Reaktionsmischung wurde Wasser gegeben und mit Ethylacetat extrahiert. Der Extrakt wurde gewaschen mit gesättigter Kochsalzlösung und getrocknet über Magnesiumsulfat. Unlösliche Feststoffe wurden durch Filtration abgetrennt und das Filtrat wurde unter vermindertem Druck eingedampft, um die Titelverbindung als blassgelben Feststoff zu erhalten (1,07 g, Ausbeute: 76%).
    1H-NMR (CDCl3): δ 8,23 (br s, 1H, NH), 7,47-7,55 (m, 2H), 7,02-7,11 (m, 2H) 4,20 (s, 2H).
  • b) 2-((1-(2-(4-Fluoranilino)-2-oxoethyl)-piperidin-4-yl)-methyl)-isoindolin-1-on
  • Die in Beispiel 42a erhaltene Verbindung (354 mg, 1,89 mmol), die in Beispiel 1d erhaltene Verbindung (501 mg, 1,88 mmol) und Triethylamin (0,65 ml, 4,66 mmol) wurden zu Dimethylformamid (6 ml) gegeben und die Mischung bei 60° für 3 Stunden gerührt. Der Reaktionsmischung wurde erlaubt, auf Raumtemperatur abzukühlen und wurde anschließend mit Wasser versetzt. Der niedergeschlagene Feststoff wurde durch Filtration gesammelt und unter vermindertem Druck getrocknet, um die Titelverbindung als blassgelben Feststoff zu erhalten (577 mg, Ausbeute: 81%).
    1H-NMR (CDCl3): δ 9,14 (br s, 1H, NH), 7,86 (d, J = 7,5 Hz, 1H), 7,43-7,57 (m, 5H), 6,99-7,07 (m, 2H), 4,42 (s, 2H), 3,57 (d, J = 7,2 Hz, 2H), 3,10 (s, 2H), 2,86-2,97 (m, 2H), 2,19-2,30 (m, 2H), 1,7-1,9 (m, 3H), 1,3-1,5 (m, 2H).
  • c) 2-((1-(2-(4-Fluoranilino)-2-oxoethyl)-piperidin-4-yl)-methyl)-isoindolin-1-on-hydrochlorid
  • Unter Verwendung der in Beispiel 42b erhaltenen Verbindung wurde die Titelverbindung durch ähnliche Verfahren wie in Beispiel 1f als farbloser Feststoff erhalten (Ausbeute: 70%).
    Schmelzpunkt: 201–219°C
    1H-NMR (DMSO-d6): δ 10,9 (br s, 1H, NH), 9,9 (br s, 1H, HCl), 7,58-7,71 (m, 5H), 7,46-7,54 (m, 1H), 7,21 (t, J = 8,7 Hz, 2H), 4,52 (s, 2H), 4,25 (s, 0,4H), 4,14 (s, 1,6H), 3,3-3,7 (m, 4H), 2,9-3,1 (m, 2H), 1,9-2,1 (m, 1H), 1,7-1,9 (m, 2H), 1,4-1,6 (m, 2H).
  • Beispiel 43: 2-((1-(2-(Diphenylamino)-2-oxoethyl)-piperidin-4-yl)-methyl)-isoindolin-1-on-hydrochlorid (Verbindung 278 in Tabelle 1)
  • a) 2-Chlor-N,N-diphenylacetamid
  • Chloracetylchlorid (0,32 ml, 4,02 mmol) wurde in einer Lösemittelmischung aus Toluol (6 ml) und Tetrahydrofuran (2 ml) gelöst. Zur Lösung wurde bei Raumtemperatur Diphenylamin (690 mg, 4,08 mmol) gegeben und anschließend bei 100°C für 80 Minuten erhitzt. Das Lösemittel wurde unter vermindertem Druck verdampft und der niedergeschlagene Feststoff wurde suspendiert in und gewaschen mit Ethylether. Der Feststoff wurde durch Filtration gesammelt und unter vermindertem Druck getrocknet, um die Titelverbindung als farblosen Feststoff zu erhalten (746 mg, Ausbeute: 75%).
    1H-NMR (CDCl3): δ 7,0-7,5 (m, 10H), 4,03 (s, 2H)
  • b) 2-((1-(2-(Diphenylamino)-2-oxoethyl)-piperidin-4-yl)-methyl)-isoindolin-1-on
  • Unter Verwendung der in Beispiel 43a erhaltenen Verbindung wurde die Titelverbindung durch ähnliche Verfahren wie in Beispiel 42b erhalten als blassgelber Feststoff (Ausbeute: 67%).
    1H-NMR (CDCl3): δ 7,84 (d, J = 7,2 Hz, 1H), 7,1-7,6 (m, 13H), 4,38 (s, 2H), 3,48 (d, J = 7,2 Hz, 2H), 3,10 (s, 2H), 2,82-2,90 (m, 2H), 2,04-2,18 (m, 2H), 1,5-1,8 (m, 3H), 1,2-1,4 (m, 2H).
  • c) 2-((1-(2-(Diphenylamino)-2-oxoethyl)-piperidin-4-yl)-methyl)-isoindolin-1-on-hydrochlorid
  • Unter Verwendung der in Beispiel 43b erhaltenen Verbindung wurde die Titelverbindung durch ähnliche Verfahren wie in Beispiel 1f erhalten als farbloser Feststoff (Ausbeute: 84%).
    Schmelzpunkt: 197–209°C
    1H-NMR (DMSO-d6): δ 9,7 (br s, 1H, HCl), 7,68 (d, J = 7,4 Hz, 1H), 7,2-7,6 (m, 13H), 4,49 (s, 2H), 4,10 (s, 0,4H), 4,02 (s, 1,6H), 3,3-3,6 (m, 4H), 2,8-3,0 (m, 2H), 1,7-1,9 (m, 1H), 1,6-1,7 (m, 2H), 1,4-1,6 (m, 2H).
  • Beispiel 44: 2-((1-(2-(N-Methylanilino)-2-oxoethyl)-piperidin-4-yl)-methyl)-isoindolin-1-on-hydrochlorid (Verbindung 284 in Tabelle 1)
  • a) 2-((1-(2-(N-Methylanilino)-2-oxoethyl)-piperidin-4-yl)-methyl)-isoindolin-1-on
  • Unter Verwendung von N-Methylanilin wurde 2-Chlor-N-methyl-N-phenylacetamid durch ähnliche Verfahren wie in Beispiel 43a als Rohprodukt erhalten. Unter Verwendung des resultierenden Produkts wurde die Titelverbindung durch ähnliche Verfahren wie in Beispiel 42b als farbloses Öl erhalten (Ausbeute: 69%).
    1H-NMR (CDCl3): δ 7,83 (d, J = 7,3 Hz, 1H), 7,16-7,54 (m, 8H), 4,38 (s, 2H), 3,46 (d, J = 7,2 Hz, 2H), 3,26 (s, 3H), 2,92 (s, 2H), 2,75-2,85 (m, 2H), 1,9-2,1 (m, 2H), 1,5-1,8 (m, 3H), 1,2-1,4 (m, 2H).
  • b) 2-((1-(2-(N-Methylanilino)-2-oxoethyl)-piperidin-4-yl)-methyl)-isoindolin-1-on-hydrochlorid
  • Unter Verwendung der in Beispiel 44a erhaltenen Verbindung wurde die Titelverbindung durch ähnliche Verfahren wie in Beispiel 1f erhalten als farbloser Feststoff (Ausbeute: 92%).
    Schmelzpunkt: 199–213°C
    1H-NMR (DMSO-d6): δ 9,6 (br s, 1H, Hcl), 7,68 (d, J = 7,2 Hz, 1H), 7,56-7,62 (m, 2H), 7,2-7,55 (m, 6H), 4,49 (s, 2H), 3,9-4,0 (m, 2H), 3,37 (s, 3H), 3,1-3,7 (m, 4H), 2,8-3,0 (m, 2H), 1,6-1,9 (m, 3H), 1,3-16 (m, 2H).
  • Beispiel 45: 2-((1-(3-(4-Fluoranilino)-3-oxopropyl)-piperidin-4-yl)-methyl)-isoindolin-1-on-hydrochlorid (Verbindung 274 in Tabelle 1)
  • a) 3-Chlor-N-(4-fluorphenyl)-propanamid
  • Unter Verwendung von 4-Fluoranilin und 3-Chlorpropionylchlorid wurde die Titelverbindung durch ähnliche Verfahren erhalten wie in Beispiel 42a (Ausbeute: 57%).
    1H-NMR (CDCl3): δ 7,3-7,5 (m, 3H), 6,98-7,05 (m, 2H), 3,88 (t, J = 6,2 Hz, 2H), 2,81 (t, J = 6,2 Hz, 2H).
  • b) 2-((1-(3-(4-Fluoranilino)-3-oxopropyl)-piperidin-4-yl)-methyl)-isoindolin-1-on
  • Unter Verwendung der in Beispiel 45a erhaltenen Verbindung wurde die Titelverbindung durch ähnliche Verfahren wie in Beispiel 26b erhalten als blassgelber Feststoff (Ausbeute: 86%).
    1H-NMR (CDCl3): δ 11,04 (s, 1H, NH), 7,87 (d, J = 7,2 Hz, 1H), 7,44-7,60 (m, 5H), 6,96-7,03 (m, 2H), 4,43 (s, 2H), 3,58 (d, J = 6,9 Hz, 2H), 3,06-3,12 (m, 2H), 2,69 (t, J = 6,0 Hz, 2H), 2,51 (t, J = 6,0 Hz, 2H), 2,03-2,14 (m, 2H), 1,7-2,0 (m, 3H), 1,3-1,5 (2H, m).
  • c) 2-((1-(3-(4-Fluoranilino)-3-oxopropyl)-piperidin-4-yl)-methyl)-isoindolin-1-on-hydrochlorid
  • Unter Verwendung der in Beispiel 45b erhaltenen Verbindung wurde die Titelverbindung durch ähnliche Verfahren wie in Beispiel 1f erhalten als farbloser Feststoff (Ausbeute: 91 %).
    Schmelzpunkt: 211–223°C
    1H-NMR (DMSO-d6): δ 10,4 (s, 1H, NH), 10,2 (br s, 1H, HCl), 7,59-7,71 (m, 5H), 7,45-7,53 (m, 1H), 7,12-7,20 (m, 2H), 4,51 (s, 2H), 3,1-3,6 (m, 6H), 2,8-3,0 (m, 4H), 1,9-2,1 (m, 1H), 1,6-1,8 (m, 2H), 1,4-1,6 (m, 2H).
  • Beispiel 46: 2-((1-(3-(Diphenylamino)-3-oxopropyl)-piperidin-4-yl)-methyl)-isoindolin-1-on-hydrochlorid (Verbindung 281 in Tabelle 1)
  • a) 2-((1-(3-(Diphenylamino)-3-oxopropyl)-piperidin-4-yl)-methyl)-isoindolin-1-on
  • Unter Verwendung von Diphenylamin wurde 3-Chlor-N,N-diphenylpropanamid durch ähnliche Verfahren wie in Beispiel 43a als Rohprodukt erhalten. Unter Verwendung des resultierenden Produkts wurde die Titelverbindung durch ähnliche Verfahren wie in Beispiel 26b erhalten als farbloser Feststoff (Ausbeute: 89%).
    1H-NMR (CDCl3): δ 7,84 (d, J = 7,4 Hz, 1H), 7,0-7,6 (m, 13H), 4,38 (s, 2H), 3,48 (d, J = 7,1 Hz, 2H), 2,74-2,84 (m, 2H), 2,73 (t, J = 7,5 Hz, 2H), 2,45 (t, J = 7,5 Hz, 2H), 1,86-1,96 (m, 2H), 1,5-1,8 (m, 3H), 1,2-1,4 (m, 2H).
  • b) 2-((1-(3-(Diphenylamino)-3-oxopropyl)-piperidin-4-yl)-methyl)-isoindolin-1-on-hydrochlorid
  • Unter Verwendung der in Beispiel 46a erhaltenen Verbindung wurde die Titelverbindung durch ähnliche Verfahren wie in Beispiel 1f erhalten als farbloser Feststoff (Ausbeute: 82%).
    Schmelzpunkt: 200–205°C
    1H-NMR (DMSO-d6): δ 9,6-10,2 (breit, 1H, HCl), 7,68 (d, J = 7,5 Hz, 1H), 7,1-7,65 (m, 13H), 4,49 (s, 2H), 3,0-3,6 (m, 6H), 3,6-3,9 (m, 4H), 1,8-2,0 (m, 1H), 1,6-1,8 (m, 2H), 1,3-1,6 (m, 2H).
  • Beispiel 47: 2-((1-(3-(N-Methylanilino)-3-oxopropyl)-piperidin-4-yl)-methyl)-isoindolin-1-on-hydrochlorid (Verbindung 287 in Tabelle 1)
  • a) 2-((1-(3-(N-Methylanilino)-3-oxopropyl)-piperidin-4-yl)-methyl)-isoindolin-1-on
  • Unter Verwendung von N-Methylanilin wurde 3-Chlor-N-methyl-N-phenylpropanamid durch ähnliche Verfahren wie in Beispiel 43a als Rohprodukt erhalten. Unter Verwendung des resultierenden Produkts wurde die Titelverbindung durch ähnliche Verfahren wie in Beispiel 26b erhalten als farbloser Feststoff (Ausbeute: 57%).
    1H-NMR (CDCl3): δ 7,83 (d, J = 7,2 Hz, 1H), 7,3-7,5 (m, 6H), 7,18 (dd, J = 1,4 Hz, 7,2 Hz, 2H), 4,37 (s, 2H), 3,46 (d, J = 7,2 Hz, 2H), 3,26 (s, 3H), 2,70-2,78 (m, 2H), 2,65 (t, J = 7,5 Hz, 2H), 2,26 (t, J = 7,5 Hz, 2H), 1,8-2,0 (m, 2H), 1,5-1,8 (m, 3H), 1,2-1,4 (m, 2H).
  • b) 2-((1-(3-(N-Methylanilino)-3-oxopropyl)-piperidin-4-yl)-methyl)-isoindolin-1-on-hydrochlorid
  • Unter Verwendung der in Beispiel 47a erhaltenen Verbindung wurde die Titelverbindung durch ähnliche Verfahren wie in Beispiel 1f als farbloser Feststoff erhalten (Ausbeute: 91%).
    Schmelzpunkt: 206–214°C
    1H-NMR (DMSO-d6): δ 9,5-10,1 (breit, 1H, HCl), 7,67 (d, J = 7,5 Hz, 1H), 7,55-7,62 (m, 2H), 7,1-7,5 (m, 6H), 4,48 (s, 2H), 3,0-3,6 (m, 9H), 2,7-2,9 (m, 2H), 2,5-2,6 (m, 2H), 1,8-2,0 (m, 1H), 1,6-1,8 (m, 2H), 1,3-1,6 (m, 2H).
  • Beispiel 48: 2-((1-(2-(1,2,3,4-Tetrahydrochinolin-1-yl)-2-oxoethyl)-piperidin-4-yl)-methyl)-isoindolin-1-on-hydrochlorid (Verbindung 320 in Tabelle 1)
  • a) 2-((1-(2-(1,2,3,4-Tetrahydrochinolin-1-yl)-2-oxoethyl)-piperidin-4-yl)-methyl)-isoindolin-1-on
  • Unter Verwendung von 1,2,3,4-Tetrahydrochinolin wurde 2-Chlor-1-(1,2,3,4-tetrahydrochinolin-1-yl)-ethan-1-on durch ähnliche Verfahren wie in Beispiel 43a als Rohprodukt erhalten. Unter Verwendung des resultierenden Produkts wurde die Titelverbindung durch ähnliche Verfahren wie in Beispiel 42b erhalten als blassgelbes Öl (Ausbeute: 82%).
    1H-NMR (CDCl3): δ 7,84 (d, J = 7,2 Hz, 1H), 7,40-7,54 (m, 4H), 7,06-7,17 (m, 3H), 4,38 (s, 2H), 3,80 (t, J = 6,6 Hz, 2H), 3,48 (d, J = 7,2 Hz, 2H), 3,27 (s, 2H), 2,86-2,94 (m, 2H), 2,72 (t, J = 6,6 Hz, 2H), 2,04-2,14 (m, 2H), 1,92-2,02 (m, 2H), 1,5-1,8 (m, 3H), 1,2-1,4 (m, 2H).
  • b) 2-((1-(2-(1,2,3,4-Tetrahydrochinolin-1-yl)-2-oxoethyl)-piperidin-4-yl)-methyl)-isoindolin-1-on-hydrochlorid
  • Unter Verwendung der in Beispiel 48a erhaltenen Verbindung wurde die Titel verbindung durch ähnliche Verfahren wie in Beispiel 1f erhalten als farbloser Feststoff (Ausbeute: 94%).
    Schmelzpunkt: 208–221°C
    1H-NMR (DMSO-d6): δ 9,6 (br s, 1H, HCl), 7,68 (d, J = 7,4 Hz, 1H), 7,55-7,62 (m, 2H), 7,45-7,54 (m, 1H), 7,0-7,4 (breit, 4H), 4,51 (s, 2H), 4,1-4,6 (breit, 2H), 3,2-3,8 (m, 8H), 2,8-3,0 (m, 2H), 2,6-2,8 (m, 2H), 1,5-2,0 (m, 7H).
  • Beispiel 49: 2-((1-(3-(1,2,q3,4-Tetrahydrochinolin-1-yl)-3-oxoethyl)-piperidin-4-yl)-methyl)-isoindolin-1-on-hydrochlorid (Verbindung 324 in Tabelle 1)
  • a) 2-((1-(3-(1,2,3,4-Tetrahydrochinolin-1-yl)-3-oxopropyl)-piperidin-4-yl)-methyl)-isoindolin-1-on
  • Unter Verwendung von 1,2,3,4-Tetrahydrochinolin wurde 3-Chlor-1-(1,2,3,4-tetrahydrochinolin-1-yl)-propan-1-on durch ähnliche Verfahren wie in Beispiel 43a als Rohprodukt erhalten. Unter Verwendung des resultierenden Produkts wurde durch ähnliche Verfahren wie in Beispiel 26b die Titelverbindung erhalten als farbloser Feststoff (Ausbeute: 79%).
    1H-NMR (CDCl3): δ 7,84 (d, J = 7,2 Hz, 1H), 7,40-7,55 (m, 3H), 7,07-7,25 (m, 4H), 4,38 (s, 2H), 3,78 (t, J = 6,6 Hz, 2H), 3,47 (d, J = 7,2 Hz, 2H), 2,6-2,9 (m, 8H), 1,8-2,0 (m, 4H), 1,5-1,8 (m, 3H), 1,2-1,4 (m, 2H).
  • b) 2-((1-(3-(1,2,3,4-Tetrahydrochinolin-1-yl)-3-oxopropyl)-piperidin-4-yl)-methyl)-isoindolin-1-on-hydrochlorid
  • Unter Verwendung der in Beispiel 49a erhaltenen Verbindung wurde durch ähnliche Verfahren wie in Beispiel 1f die Titelverbindung erhalten als farbloser Feststoff (Ausbeute: 97%).
    Schmelzpunkt: 227–232°C
    1H-NMR (DMSO-d6): δ 9,6 (br s, 1H, HCl), 7,4-7,7 (m, 5H), 7,0-7,3 (m, 3H), 4,50 (s, 2H), 3,6-3,7 (m, 2H), 3,2-3,6 (m, 8H), 3,0-3,2 (m, 2H), 2,8-3,0 (m, 2H), 2,6-2,8 (m, 2H), 1,7-2,0 (m, 5H), 1,3-1,6 (m, 2H).
  • Beispiel 50: 2-((1-(2-Oxo-2-(piperidin-1-yl)-ethyl)-piperidin-4-yl)-methyl)-isoindolin-1-on-fumarat (Verbindung 328 in Tabelle 1)
  • a) 2-((1-(2-Oxo-2-(piperidin-1-yl)-ethyl)-piperidin-4-yl)-methyl)-isoindolin-1-on
  • Unter Verwendung von Piperidin wurde 2-Chlor-1-(piperidin-1-yl)-ethan-1-on durch Verwendung ähnlicher Verfahren wie in Beispiel 42a als Rohprodukt erhalten. Unter Verwendung des resultierenden Produkts wurde die Titelverbindung durch ähnliche Verfahren wie in Beispiel 42b als blassgelbes Öl erhalten (Ausbeute: 73%).
    1H-NMR (CDCl3): δ 7,85 (d, J = 7,5 Hz, 1H), 7,42-7,54 (m, 3H), 4,39 (s, 2H), 3,48-3,55 (m, 6H), 3,13 (s, 2H), 2,84-2,91 (m, 2H), 1,97-2,08 (m, 2H), 1,4-1,8 (m, 9H), 1,2-1,4 (m, 2H).
  • b) 2-((1-(2-Oxo-2-(piperidin-1-yl)-ethyl)-piperidin-4-yl)-methyl)-isoindolin-1-on-fumarat
  • Unter Verwendung der in Beispiel 50a erhaltenen Verbindung wurde die Titelverbindung durch ähnliche Verfahren wie in Beispiel 36c als farbloser Feststoff erhalten (Ausbeute: 83%).
    Schmelzpunkt: 201–204°C
    1H-NMR (DMSO-d6): δ 7,67 (d, J = 7,5 Hz, 1H), 7,56-7,61 (m, 2H), 7,45-7,52 (m, 1H), 6,59 (s, 2H, Fumarsäure), 4,48 (s, 2H), 3,3-3,5 (m, 6H), 3,23 (s, 2H), 2,83-3,00 (m, 2H), 2,03-2,14 (m, 2H), 1,6-1,8 (m, 1H), 1,3-1,6 (m, 8H), 1,1-1,3 (m, 2H).
  • Beispiel 51: 2-((1-(2-(Indolin-1-yl)-2-oxoethyl)-piperidin-4-yl)-methyl)-isoindolin-1-on-fumarat (Verbindung 333 in Tabelle 1)
  • a) 2-((1-(2-(Indolin-1-yl)-2-oxoethyl)-piperidin-4-yl)-methyl)-isoindolin-1-on
  • Unter Verwendung von Indolin wurde 2-Chlor-1-(indolin-1-yl)-ethan-1-on durch ähnliche Verfahren wie in Beispiel 43a als Rohprodukt erhalten. Unter Verwendung des resultierenden Produkts wurde durch ähnliche Verfahren wie in Beispiel 42b die Titelverbindung erhalten als blassgelber Feststoff (Ausbeute: 84%).
    1H-NMR (CDCl3): δ 8,22 (d, J = 8,4 Hz, 1H), 7,84 (d, J = 7,2 Hz, 1H), 7,42-7,56 (m, 3H), 7,14-7,23 (m, 2H), 7,14 (t, J = 7,7 Hz, 1H), 4,40 (s, 2H), 4,19 (t, J = 8,4 Hz, 2H), 3,51 (d, J = 7,2 Hz, 2H), 3,24 (s, 2H), 3,18 (t, J = 8,4 Hz, 2H), 2,94-3,01 (m, 2H), 2,12-2,22 (m, 2H), 1,7-1,9 (m, 1H), 1,5-1,7 (m, 3H), 1,3-1,5 (m, 2H).
  • b) 2-((1-(2-(Indolin-1-yl)-2-oxoethyl)-piperidin-4-yl)-methyl)-isoindolin-1-on-fumarat
  • Unter Verwendung der in Beispiel 51a erhaltenen Verbindung wurde die Titelverbindung durch ähnliche Verfahren wie in Beispiel 36c erhalten als farbloser Feststoff (Ausbeute: 54%).
    Schmelzpunkt: 168–171°C
    1H-NMR (DMSO-d6): δ 8,05 (d, J = 7,9 Hz, 1H), 7,67 (d, J = 7,4 Hz, 1H), 7,55-7,62 (m, 2H), 7,45-7,52 (m, 1H), 7,24 (d, J = 7,3 Hz, 1H), 7,12-7,18 (m, 1H), 6,97-7,03 (m, 1H), 6,61 (s, 2H, Fumarsäure), 4,49 (s, 2H), 4,17 (t, J = 8,4 Hz, 2H), 3,42 (d, J = 7,2 Hz, 2H), 3,35 (s, 2H), 3,13 (t, 8,4 Hz, 2H), 2,91-2,98 (m, 2H), 2,15-2,26 (m, 2H), 1,6-1,8 (m, 1H), 1,5-1,6 (m, 2H), 1,1-1,3 (m, 2H).
  • Beispiel 52: 2-((1-(2-(1,2,3,4-Tetrahydroisochinolin-2-yl)-2-oxoethyl)-piperidin-4-yl)-methyl)-isoindolin-1-on-fumarat (Verbindung 229 in Tabelle 1)
  • Unter Verwendung von 1,2,3,4-Tetrahydroisochinolin wurde 2-Chlor-1-(1,2,3,4-tetrahydroisochinolin-2-yl)-ethan-1-on durch ähnliche Verfahren wie in Beispiel 42a als Rohprodukt erhalten. Unter Verwendung des resultierenden Produkts wurde durch ähnliche Verfahren wie in Beispiel 42b 2-((1-(2-(1,2,3,4-Tetrahydroisochinolin-2-yl)-2-oxoethyl)-piperidin-4-yl)-methyl)-isoindolin-1-on als Rohprodukt erhalten. Unter Verwendung des resultierenden Produkts wurde die Titelverbindung durch ähnliche Verfahren wie in Beispiel 36c erhalten als farbloser Feststoff (Ausbeute: 38%).
    Schmelzpunkt: 171–173°C
    1H-NMR (DMSO-d6): δ 7,67 (d, J = 7,5 Hz, 1H), 7,55-7,61 (m, 2H), 7,45-7,52 (m, 1H), 7,0-7,2 (m, 4H), 6,60 (s, 2H, Fumarsäure), 4,73 (s, 0,8H), 4,59 (s, 1,2H), 4,48 (s, 1,2H), 4,46 (s, 0,8H), 3,74 (t, J = 5,7 Hz, 1,2H), 3,66 (t, J = 6,0 Hz, 0,8H), 3,32-3,43 (m, 4H), 2,6-3,0 (m, 4H), 2,0-2-2 (m, 2H), 1,6-1,8 (m, 1H), 1,4-1,6 (m, 2H), 1,1-1,3 (m, 2H).
  • Beispiel 54: 2-((1-(2-(1,2,3,4-Tetrahydrochinolin-1-yl)-ethyl)-piperidin-4-yl)-methyl)-isoindolin-1-on-fumarat (Verbindung 325 in Tabelle 1)
  • Unter Verwendung von 1,2,3,4-Tetrahydrochinolin wurde 2-(1,2,3,4-Tetrahydrochinolin-1-yl)-ethylacetat als Rohprodukt durch ähnliche Verfahren erhalten wie in Beispiel 53a. Unter Verwendung des resultierenden Produkts wurde 2-(1,2,3,4-Tetrahydrochinolin-1-yl)-ethan-1-ol durch ähnliche Verfahren wie in Beispiel 53b als Rohprodukt erhalten. Unter Verwendung des resultierenden Produkts wurde 2-(1,2,3,4-Tetrahydrochinolin-1-yl)-ethyl-1-methansulfonat durch ähnliche Verfahren wie in Beispiel 26a als Rohprodukt erhalten. Unter Verwendung des resultierenden Produkts wurde 2-((1-(2-(1,2,3,4-Tetrahydrochinolin-1-yl)-ethyl)-piperidin-4-yl)-methyl)-isoindolin-1-on durch ähnliche Verfahren wie in Beispiel 26b als Rohprodukt erhalten. Unter Verwendung des resultierenden Produkts wurde die Titelverbindung durch ähnliche Verfahren wie in Beispiel 36c erhalten (Ausbeute: 46%).
    Schmelzpunkt: 196–200°C
    1H-NMR (DMSO-d6): δ 7,67 (d, J = 7,5 Hz, 1H), 7,55-7,61 (m, 2H), 7,45-7,52 (m, 1H), 6,90-6,97 (m, 1H), 6,84 (d, J = 6,4 Hz, 1H), 6,59 (s, 2H, Fumarsäure), 6,56 (d, J = 8,3 Hz, 1H), 6,41-6,48 (m, 1H), 4,48 (s, 2H), 3,37-3,44 (m, 4H), 3,26 (t, J = 5,5 Hz, 2H), 3,00-3,07 (m, 2H), 2,56-2,68 (m, 4H), 2,1-2,3 (m, 2H), 1,7-1,9 (m, 3H), 1,5-1,7 (m, 2H), 1,1-1,4 (m, 2H).
  • Beispiel 55: 5-Methoxy-2-((1-(2-(4-fluorphenyl)-2-(Z)-hydroxyiminoethyl)-piperidin-4-yl)-methyl)-isoindolin-1-on-hydrochlorid (Z-Isomer von Verbindung 99 in Tabelle 1)
  • a) 5-Methoxy-2-((1-(2-(4-fluorphenyl)-2-(E,Z)-hyd roxyiminoethyl)-piperidin-4-yl)-methyl)-isoindolin-1-on
  • Unter Verwendung der in Beispiel 3e erhaltenen Verbindung (443 mg, 1,12 mmol) wurden das Z-Isomer (239 mg, Ausbeute: 52%) und das E-Isomer (187 mg, Ausbeute: 41%) der Titelverbindung als farblose Feststoffe durch ähnliche Verfahren wie in Beispiel 18a erhalten.
    (Z-Isomer)
    1H-NMR (CDCl3): δ 12-13 (br, 1H, OH), 7,75 (d, J = 8,4 Hz, 1H), 7,56-7,65 (m, 2H), 6,96-7,08 (m, 3H), 6,92 (d, J = 2,1 Hz, 1H), 4,35 (s, 2H), 3,87 (s, 3H), 3,74 (s, 2H), 3,48 (d, J = 7,2, 2H), 3,00-3,07 (m, 2H), 2,12-2,23 (m, 2H), 1,8-2,0 (m, 1H), 1,6-1,8 (m, 2H), 1,3-1,5 (m, 2H).
    (E-Isomer)
    1H-NMR (CDCl3): δ 7,74 (d, J = 8,4 Hz, 1H), 7,60-7,68 (m, 2H), 7,05-7,12 (m, 2H), 6,98 (dd, J = 2,1 Hz, 8,4 Hz, 1H), 6,91 (d, J = 2,1 Hz, 1H), 4,32 (s, 2H), 3,86 (s, 3H), 3,44 (d, J = 7,5 Hz, 2H), 3,31 (s, 2H), 2,88-2,95 (m, 2H), 1,95-2,05 (m, 2H), 1,5-1,9 (m, 3H), 1,2-1,4 (m, 2H).
  • b) 5-Methoxy-2-((1-(2-(4-fluorphenyl)-2-(Z)-hydroxyiminoethyl)-piperidin-4-yl)-methyl)-isoindolin-1-on-hydrochlorid
  • Unter Verwendung des in Beispiel 55a erhaltenen Z-Isomers (232 mg, 0,564mmol) wurde die Titelverbindung durch ähnliche Verfahren wie in Beispiel 1f als farbloser Feststoff erhalten (208 mg, Ausbeute: 82%).
    Schmelzpunkt: 173–178°C
    1H-NMR (DMSO-d6): δ 12,61 (s, 1H, OH), 10,6 (br s, 1H, HCl), 7,81-7,87 (m, 2H), 7,56 (d, J = 8,4 Hz, 1H), 7,27-7,34 (m, 2H), 7,15 (d, J = 1,8 Hz, 1H), 7,02 (dd, J = 1,8 Hz, 8,4 Hz, 1H), 4,53 (s, 0,4H), 4,42 (s, 2H), 4,39 (s, 1,6H), 3,83 (s, 3H), 2,9-3,6 (m, 6H), 1,4-2,0 (m, 5H).
  • Beispiel 56: 5-Methoxy-2-((1-(2-(4-fluorphenyl)-2-(E)-hydroxyiminoethyl)-piperidin-4-yl)-methyl)-isoindolin-1-on-hydrochlorid (E-Isomer von Verbindung 99 in Tabelle 1)
  • Unter Verwendung des in Beispiel 55a erhaltenen E-Isomers (180 mg, 0,438 mmol), wurde die Titelverbindung durch ähnliche Verfahren wie in Beispiel 1f erhalten als farbloser Feststoff (140 mg, Ausbeute: 71%).
    Schmelzpunkt: 192–195°C
    1H-NMR (DMSO-d6): δ 11,86 (s, 1H, OH), 10,7 (br s, 1H, HCl), 7,68-7,74 (m, 2H), 7,57 (d, J = 8,4 Hz, 1H), 7,29-7,37 (m, 2H), 7,15 (d, J = 1,8 Hz, 1H), 7,03 (dd, J = 1,8 Hz, 8,4 Hz, 1H), 4,43 (s, 2H+0,4H), 4,30 (s, 1,6H), 3,83 (s, 3H), 3,48-3,55 (m, 2H), 3,37 (d, J = 6,9 Hz, 2H), 2,90-3,01 (m, 2H), 1,8-2,0 (m, 2H), 1,3-1,8 (m, 4H).
  • Beispiel 57: 5-Brom-2-((1-(2-(4-fluorphenyl)-2-(Z)-hydroxyiminoethyl)-piperidin-4-yl)-methyl)-isoindolin-1-on-fumarat (Z-Isomer von Verbindung 92 in Tabelle 1)
  • a) 5-Brom-2-((1-(2-(4-fluorphenyl)-2-(E,Z)-hydroxyiminoethyl)-piperidin-4-yl)-methyl)-isoindolin-1-on
  • Unter Verwendung der in Beispiel 3e erhaltenen Verbindung (481 mg, 1,08 mmol) wurden das Z-Isomer (217 mg, Ausbeute: 44%) und das E-Isomer (112 mg, Ausbeute: 23%) der Titelverbindung durch ähnliche Verfahren wie in Beispiel 18a als farblose Feststoffe erhalten.
    (Z-Isomer)
    1H-NMR (CDCl3): δ 7,71 (d, J = 8,5 Hz, 1H), 7,56-7,65 (m, 4H), 7,00-7,08 (m, 2H), 4,38 (s, 2H), 3,74 (s, 2H), 3,49 (d, J = 7,3 Hz, 2H), 3,00-3,07 (m, 2H), 2,12-2,22 (m, 2H), 1,8-2,0 (m, 1H), 1,6-1,8 (m, 2H), 1,3-1,5 (m, 2H).
    (E-Isomer)
    1H-NMR (CDCl3): δ 7,70 (d, J = 8,4 Hz, 1H), 7,56-7,66 (m, 4H), 7,04-7,12 (m, 2H), 4,36 (s, 2H), 3,46 (d, J = 7,5 Hz, 2H), 3,32 (s, 2H), 2,90-2,96 (m, 2H), 1,96-2,07 (m, 2H), 1,5-1,9 (m, 3H), 1,2-1,4 (m, 2H).
  • b) 5-Brom-2-((1-(2-(4-fluorphenyl)-2-(Z)-hydroxyiminoethyl)-piperidin-4-yl)-methyl)-isoindolin-1-on-fumarat
  • Unter Verwendung des in Beispiel 57a erhaltenen Z-Isomers (212 mg, 0,461 mmol) wurde die Titelverbindung durch ähnliche Verfahren wie in Beispiel 36c als farbloser Feststoff erhalten (114 mg, Ausbeute: 43%).
    Schmelzpunkt: 171–174°C
    1H-NMR (DMSO-d6): δ 7,83 (s, 1H), 7,75-7,82 (m, 2H), 7,66 (d, J = 8,1 Hz, 1H), 7,58 (d, J = 8,1 Hz, 1H), 7,15-7,22 (m, 2H), 6,62 (s, 2H, Fumarsäure), 4,45 (s, 2H), 3,60 (s, 2H), 3,34 (d, J = 7,2 Hz, 2H), 2,75-2,80 (m, 2H), 1,96-2,05 (m, 2H), 1,6-1,8 (m, 1H), 1,4-1,6 (m, 2H), 1,0-1,2 (m, 2H).
  • Beispiel 58: 5-Brom-2-((1-(2-(4-Fluorphenyl)-2-(E)-hydroxyiminoethyl)-piperidin-4-yl)-methyl)-isoindolin-1-on-fumarat (E-Isomer der Verbindung 92 in Tabelle 1)
  • Unter Verwendung des in Beispiel 57a erhaltenen E-Isomers (109 mg, 0,237 mmol) wurde die Titelverbindung durch ähnliche Verfahren wie in Beispiel 36c als farbloser Feststoff erhalten (36 mg, Ausbeute: 26%).
    Schmelzpunkt: 186–188°C
    1H-NMR (DMSO-d6): δ 10,98 (br s, 1H, OH), 7,83 (s, 1H), 7,61-7,70 (m, 3H), 7,59 (d, J = 8,1 Hz, 1H), 7,15-7,25 (m, 2H), 6,62 (s, 2H, Fumarsäure), 4,45 (s, 2H), 3,35 (d, J = 7,2 Hz, 2H), 3,30 (s, 2H), 2,77-2,85 (m, 2H), 1,86-1,97 (m, 2H), 1,6-1,8 (m, 1H), 1,4-1,6 (m, 2H), 1,0-1,2 (m, 2H).
  • Beispiel 59: 2-((1-(2-Phenylbenzyl)-piperidin-4-yl)-methyl)-isoindolin-1-on-fumarat (Verbindung 456 in Tabelle 1)
  • a) 2-((1-(2-Phenylbenzyl)-piperidin-4-yl)-methyl)-isoindolin-1-on
  • 2-Phenylbenzylbromid (462 mg, 1,87 mmol) und die in Beispiel 1 d erhaltene Verbindung wurden in Dimethylformamid (6 ml) gelöst. Der Lösung wurde Kaliumcarbonat (517 mg, 1,87 mmol) zugefügt und auf 80°C unter Rühren erhitzt. Der Reaktionsmischung wurde Wasser (10 ml) zugesetzt und der Niederschlag wurde durch Filtration gesammelt, um die Titelverbindung als farblosen Feststoff zu erhalten (633 mg, Ausbeute: 85%).
    1H-NMR (CDCl3): δ 7,84 (d, J = 7,5 Hz, 1H), 7,53-7,24 (m, 12H), 4,36 (s, 2H), 3,47 (d, J = 7,2 Hz, 2H), 3,37 (s, 2H), 2,78 (br d, J = 11,4 Hz, 2H), 1,83 (br dd, J = 11,6 Hz, 11,6 Hz, 2H), 1,74-1,68 (m, 1H), 1,63-1,57 (m, 2H) 1,39-1,30 (m, 2H).
  • b) 2-((1-(2-Phenylbenzyl)-piperidin-4-yl)-methyl)-isoindolin-1-on-fumarat
  • Unter Verwendung der in Beispiel 59a erhaltenen Verbindung (620 mg, 1,56 mmol) wurde die Titelverbindung durch ähnliche Verfahren wie in Beispiel 36c erhalten als farbloser Feststoff (331 mg, Ausbeute: 41%).
    Schmelzpunkt: 188–193°C
    1H-NMR (DMSO-d6): δ 7,67-7,23 (m, 13H), 6,62 (s, 2H), 4,45 (s, 2H), 3,42 (s, 2H), 3,37 (d, J = 6,9 Hz, 2H), 2,74 (br d, J = 11,4 Hz, 2H), 1,86 (br dd, J = 10,8 Hz, 10,8 Hz, 2H), 1,69-1,65 (m, 1H), 1,52 (br d, J = 12,6 Hz, 2H), 1,17 (br dd, J = 22,4 Hz, 10,4 Hz, 2H).
  • Beispiel 66: 2-((1-(3-(2-Phenetylphenoxy)-propyl)-piperidin-4-yl)-methyl)-isoindolin-1-on-fumarat (Verbindung 691 in Tabelle 1)
  • a) 2-(3-(Tetrahydro-2H-pyran-2-yl-oxy)-propoxy)-benzaldehyd
  • Unter Verwendung von 2-(3-Brompropoxy)-tetrahydro-2H-pyran und Salicylaldehyd wurde die Titelverbindung durch ähnliche Verfahren wie in Beispiel 60b als farbloses Öl erhalten (Ausbeute: quantitativ).
    1H-NMR (CDCl3): δ 10,52 (s, 1H, OH), 7,83 (dd, J = 1,8 Hz, 7,8 Hz, 1H), 7,50-7,57 (m, 1H), 6,98-7,05 (m, 2H), 4,56-4,61 (m, 1H), 4,22 (t, J = 6,3 Hz, 2H), 3,91-4,00 (m, 1H), 3,75-3,85 (m, 1H), 3,56-3,66 (m, 1H), 3,38-3,50 (m, 1H), 2,05-2,22 (m, 2H), 1,4-1,9 (m, 8H).
  • b) 3-(2-Phenethylphenoxy)-propanol
  • Benzyltriphenylphosphoniumbromid (2,25 g, 5,19 mmol) wurde in Tetrahydrofuran (20 ml) suspendiert und die Suspension wurde unter Eiskühlung gerührt. Der Suspension wurde Kalium-tert-butoxid (596 mg, 5,31 mol) zugefügt und die Mischung bei gleicher Temperatur weiter gerührt. Der Reaktionsmischung wurde die in Beispiel 66a erhaltene Verbindung zugesetzt (1,09 g, 4,12 mmol), welche in Tetrahydrofuran (4 ml) gelöst war, anschließend wurde die Mischung für 1 Stunde gerührt. Die Reaktionsmischung wurde mit 10% wässriger Citronensäu relösung verdünnt und mit Ethylacetat extrahiert. Der Extrakt wurde mit Wasser, gesättigter wässriger Natriumhydrogencarbonat-Lösung und anschließend mit gesättigter Kochsalzlösung gewaschen und über Magnesiumsulfat getrocknet. Unlösliche Feststoffe wurden durch Filtration abgetrennt und das Filtrat wurde unter vermindertem Druck eingedampft, um 2-(3-(2-((E,Z)-2-Phenylethenyl)-phenoxy)-propoxy)-tetrahydro-2H-pyran als Rohprodukt zu erhalten. Das Produkt wurde in Methanol (50 ml) gelöst und der Lösung wurde eine katalytische Menge an p-Toluolsulfonsäure zugesetzt und anschließend unter Rückfluss für 4 Stunden erhitzt. Die Reaktionsmischung wurde unter vermindertem Druck eingeengt und das resultierende Cl wurde mittels Silicagel-Säulenchromatographie (Ethylacetat/Hexan) gereinigt, um 3-(2-((E,Z)-2-Phenylethenyl)-phenoxy)-propanol zu erhalten. Das Produkt wurde in Ethanol (12 ml) gelöst und der Lösung wurde eine katalytische Menge an 10% Palladiumkohlenstoff zugegeben und die Mischung wurde unter Wasserstoffatmosphäre gerührt, um die Titelverbindung als farbloses Öl zu erhalten (464 mg, Ausbeute: 45%).
    1H-NMR (CDCl3): δ 7,10-7,32 (m, 7H), 6,85-6,92 (m, 2H), 4,12 (t, J = 5,9 Hz, 2H), 3,90 (t, J = 5,9 Hz, 2H), 2,8-3,0 (m, 4H), 2,0-2,2 (m, 2H).
  • c) 2-((1-(3-(2-Phenethylphenoxy)-propyl)-piperidin-4-yl)-methyl)-isoindolin-1-on
  • Unter Verwendung der in Beispiel 66b erhaltenen Verbindung wurde 3-(2-Phenethylphenoxy)-propyl-methansulfonat als Rohprodukt durch ähnliche Verfahren wie in Beispiel 26a erhalten. Unter Verwendung des resultierenden Produkts wurde die Titelverbindung durch ähnliche Verfahren wie in Beispiel 26b erhalten als gelbes Öl (Ausbeute: 86%).
    1H-NMR (CDCl3): δ 7,85 (d, J = 7,5 Hz, 1H), 7,40-7,55 (m, 3H), 7,07-7,29 (m, 7H), 6,83-6,89 (m, 2H), 4,41 (s, 2H), 4,01 (t, J = 6,2 Hz, 2H), 3,51 (d, J = 7,2 Hz, 2H), 2,82-3,00 (m, 6H), 2,51-2,59 (m, 2H), 1,9-2,1 (m, 4H), 1,6-1,9 (m, 3H), 1,3-1,5 (m, 2H)
  • d) 2-((1-(3-(2-Phenethylphenoxy)-propyl)-piperidin-4-yl)-methyl)-isoindolin-1-on-fumarat
  • Unter Verwendung der in Beispiel 66c erhaltenen Verbindung wurde die Titel verbindung durch ähnliche Verfahren wie in Beispiel 36c erhalten als farbloser Feststoff (Ausbeute: 60%).
    Schmelzpunkt: 166–169°C
    1H-NMR (DMSO-d6): δ 7,68 (d, J = 7,3 Hz, 1H), 7,57-7,61 (m, 2H), 7,4-7,5 (m, 1H), 7,11-7,27 (m, 7H), 6,93 (d, J = 8,0 Hz, 1H), 6,8-6,9 (m, 1H), 6,57 (s, 2H, Fumarsäure), 4,48 (s, 2H), 4,00 (t, J = 5,9 Hz, 2H), 3,42 (d, J = 7,3 Hz, 2H), 3,00-3,07 (m, 2H), 2,81 (s, 4H), 2,6-2,7 (m, 2H), 2,1-2,3 (m, 2H), 1,9-2,0 (m, 2H), 1,7-1,9 (m, 1H), 1,5-1,7 (m, 2H), 1,2-1,4 (m, 2H).
  • Beispiel 67: 2-((1-(3-(2-Benzylphenoxy)-propyl)-piperidin-4-yl)-methyl)-isoindolin-1-on-fumarat (Verbindung 696 in Tabelle 1)
  • a) 3-(2-Benzylphenoxy)-propanol
  • Unter Verwendung von 2-Hydroxydiphenylmethan und 3-Brompropanol wurde die Titelverbindung durch ähnliche Verfahren wie in Beispiel 60b erhalten als farbloses Öl (Ausbeute: 28%).
    1H-NMR (CDCl3): δ 7,08-7,28 (m, 7H), 6,86-6,94 (m, 2H), 4,08 (t, J = 5,7 Hz, 2H), 3,98 (s, 2H), 3,71 (t, J = 6,0 Hz, 2H), 1,93-2,03 (m, 2H), 1,49 (br s, 1H, OH).
  • b) 2-((1-(3-(2-Benzylphenoxy)-propyl)-piperidin-4-yl)-methyl)-isoindolin-1-on
  • Unter Verwendung der in Beispiel 67a erhaltenen Verbindung wurde 3-(2-Benzylphenoxy)-propanol als Rohprodukt durch ähnliche Verfahren wie in Beispiel 26a erhalten. Unter Verwendung des resultierenden Produkts wurde die Titelverbindung durch ähnliche Verfahren wie in Beispiel 26b erhalten als blassgelber Feststoff (Ausbeute: 87%).
    1H-NMR (CDCl3): δ 7,85 (d, J = 7,3 Hz, 1H), 7,41-7,55 (m, 3H), 7,0-7,3 (m, 7H), 6,81-6,90 (m, 2H), 4,40 (s, 2H), 3,97 (t, J = 6,1 Hz, 2H), 3,96 (s, 2H), 3,50 (d, J = 7,1 Hz, 2H), 2,84-3,92 (m, 2H), 2,36-2,44 (m, 2H), 1,8-2,0 (m, 4H), 1,5-1,8 (m, 3H), 1,2-1,4 (m, 2H).
  • c) 2-((1-(3-(2-(2-(3-Methoxyphenyl)-ethyl)-phenoxy)-propyl)-piperidin-4-yl)-methyl)-isoindolin-1-on-fumarat
  • Unter Verwendung der in Beispiel 67b erhaltenen Verbindung wurde die Titelverbindung durch ähnliche Verfahren wie in Beispiel 36c erhalten als farbloser Feststoff (Ausbeute: 80%).
    Schmelzpunkt: 185–191°C
    1H-NMR (DMSO-d6): δ 7,67 (d, J = 7,2 Hz, 1H), 7,56-7,60 (m, 2H), 7,46-7,52 (m, 1H), 7,13-7,27 (m, 7H), 6,93 (d, J = 7,8 Hz, 1H), 6,83-6,89 (m, 1H), 6,57 (s, 2H, Fumarsäure), 4,48 (s, 2H), 3,97 (t, J = 6,0 Hz, 2H), 3,88 (s, 2H), 3,41 (d, J = 7,2 Hz, 2H), 2,90-2,97 (m, 2H), 2,48-2,52 (m, 2H), 2,0-2,15 (m, 2H), 1,6-1,9 (m, 3H), 1,5-1,6 (m, 2H), 1,2-1,3 (m, 2H).
  • Beispiel 68: 2-((1-(3-(2-(2-(3-Methoxyphenyl)-ethyl)-phenoxy)-propyl)-piperidin-4-yl)-methyl)-isoindolin-1-on-fumarat (Verbindung 701 in Tabelle 1)
  • a) 3-Methoxybenzyltriphenylphosphoniumchlorid
  • 3-Methoxybenzylchlorid (1,05 g, 6,69 mmol) und Triphenylphosphin (1,75 g, 6,67 mmol) wurden in Dimethylformamid (10 ml) gelöst und für 40 Minuten bei 150°C erhitzt. Die Reaktionsmischung wurde auf Raumtemperatur abgekühlt und der Niederschlag wurde durch Filtration gesammelt und mit Ethylether gewaschen und anschließend unter vermindertem Druck getrocknet, um die Titelverbindung als farblosen Feststoff zu erhalten (1,70 g, Ausbeute: 61 %).
    1H-NMR (DMSO-d6): δ 7,87-7,95 (m, 3H), 7,64-7,79 (m, 12H), 7,16 (t, J = 7,9 Hz, 1H), 6,86 (d, J = 8,3 Hz, 1H), 6,61 (d, J = 7,4 Hz, 1H), 6,49 (s, 1H), 5,1-5,3 (m, 2H), 3,50 (s, 3H).
  • b) 3-(2-(2-(3-Methoxyphenyl)-ethyl)-phenoxy)-propanol
  • Unter Verwendung der in Beispiel 68a erhaltenen Verbindung und der in Beispiel 66a erhaltenen Verbindung wurde die Titelverbindung durch ähnliche Verfahren wie in Beispiel 66b erhalten als farbloses Öl (Ausbeute: 50%).
    1H-NMR (CDCl3): δ 7,10-7,24 (m, 3H), 6,70-6,93 (m, 5H), 4,12 (t, J = 5,9 Hz, 2H), 3,90 (t, J = 5,9 Hz, 2H), 3,78 (s, 3H), 2,8-3,0 (m, 4H), 2,0-2,2 (m, 2H), 1,72 (br s, 1H, OH).
  • c) 2-((1-(3-(2-(2-(3-Methoxyphenyl)-ethyl)-phenoxy)-piperidin-4-yl)-methyl)-isoindolin-1-on
  • Unter Verwendung der in Beispiel 68b erhaltenen Verbindung wurde 3-(2-(2-(3-Methoxyphenyl)-ethyl)-phenoxy)-propyl-methansulfonat als Rohprodukt durch ähnliche Verfahren wie in Beispiel 26a erhalten. Unter Verwendung des resultierenden Produkts wurde die Titelverbindung durch ähnliche Verfahren wie in Beispiel 26b als gelbes Öl erhalten (Ausbeute: 84%).
    1H-NMR (CDCl3): δ 7,85 (d, J = 7,5 Hz, 1H), 7,42-7,55 (m, 3H), 7,07-7,22 (m, 3H), 6,70-6,89 (m, 5H), 4,41 (s, 2H), 4,01 (t, J = 6,1 Hz, 2H), 3,77 (s, 3H), 3,50 (d, J = 7,2 Hz, 2H), 2,80-3,00 (m, 6H), 2,51-2,59 (m, 2H), 1,9-2,1 (m, 4H), 1,6-1,9 (m, 3H), 1,3-1,5 (m, 2H).
  • d) 2-((1-(3-(2-(2-(3-Methoxyphenyl)-ethyl)-phenoxy)-propyl)-piperidin-4-yl)-methyl)-isoindolin-1-on-fumarat
  • Unter Verwendung der in Beispiel 68c erhaltenen Verbindung wurde die Titelverbindung durch ähnliche Verfahren wie in Beispiel 36c erhalten als farbloser Feststoff (Ausbeute: 73%).
    Schmelzpunkt: 181–184°C
    1H-NMR (DMSO-d6): δ 7,67 (d, J = 7,4 Hz, 1H), 7,58-7,60 (m, 2H), 7,47-7,51 (m, 1H), 7,12-7,20 (m, 3H), 6,93 (d, J = 8,0 Hz, 1H), 6,70-6,87 (m, 4H), 6,57 (s, 2H, Fumarsäure), 4,48 (s, 2H), 4,00 (t, J = 5,8 Hz, 2H), 3,70 (s, 3H), 3,41 (d, J = 7,2 Hz, 2H), 2,98-3,05 (m, 2H), 2,7-2,9 (m, 4H), 2,6-2,7 (m, 2H), 2,0-2,2 (m, 2H), 1,9-2,0 (m, 2H), 1,7-1,8 (m, 1H), 1,5-1,7 (m, 2H), 1,2-1,4 (m, 2H).
  • Beispiel 69: 2-((1-(4-Phenyl-2-oxobutyl)-piperidin-4-yl)-methyl)-isoindolin-1-on-hydrochlorid (Verbindung 344 in Tabelle 1)
  • 2M LDA-Lösung in Heptan/THF/EtPh (3,07 ml, 6,14 mmol) wurden bei –78°C zu DME (3 ml) gegeben und anschließend wurde der Mischung tropfenweise 0,700 g Benzylaceton (4,72 mmol in 5 ml DME) zugegeben. Nachdem eine Stunde gerührt worden war, wurde der Mischung tropfenweise Chlortrimethylsilan (0,779 ml, 6,14 mmol) zugesetzt und anschließend auf Raumtemperatur er wärmt. Die Reaktionsmischung wurde mit Hexan verdünnt und zweimal mit Wasser, zweimal mit gesättigter NH4Cl-Lösung und anschließend mit Kochsalzlösung gewaschen und dann über Na2SO4 getrocknet.
  • Das Lösemittel wurde verdampft und das zurückbleibende Öl wurde gelöst in THF (18 ml), auf 0°C gekühlt und mit NBS (0,924 g, 5,19 mmol) versetzt. Die Reaktionsmischung wurde auf Raumtemperatur erwärmt und 1 Stunde lang gerührt, dann wurde die Reaktionsmischung in wässrige Na2S2O3-Lösung geschüttet und dreimal mit Ether extrahiert. Die vereinigten organischen Phasen wurden über Na2SO4 getrocknet.
  • Nachdem das Lösemittel verdampft worden war, wurde das zurückbleibende Öl in DMF (10 ml) gelöst und zu der Lösung wurden die in Beispiel 1d erhaltene Verbindung (1,26 g, 4,72 mmol) und Triethylamin (1,64 ml, 11,8 mmol) gegeben. Nachdem bei Raumtemperatur gerührt worden war, wurde die Reaktionsmischung verdünnt mit Ethylacetat und viermal mit Wasser und anschließend mit Kochsalzlösung gewaschen und über Na2SO4 getrocknet.
  • Das Trockenmittel wurde durch Filtration abgetrennt und das Filtrat wurde gelöst in einer Mischung aus Ethanol (1,5 ml) und Ethylacetat (3 ml). Zur Lösung wurde 4N HCl in Ethylacetat (1,08 ml, 4,31 mmol) gegeben. Nach Rühren wurde der Mischung Ethylacetat (10 ml) zugegeben und niedergeschlagene Kristalle wurden durch Filtration gesammelt und getrocknet, um die Titelverbindung zu erhalten (Ausbeute: 39%).
    Schmelzpunkt: 183–187°C
    1H-NMR (DMSO-d6): δ 9,93 (br s, 1H), 7,68 (d, J = 7,4 Hz, 1H), 7,61 (m, 2H), 7,49 (m, 1H), 7,16-7,31 (m, 5H), 4,51 (s, 2H), 4,33-4,50 (m, 2H), 2,84-3,57 (m, 10H), 1,99 (m, 1H), 1,78 (br d, J = 13 Hz, 2H), 1,58 (m, 2H).
  • Beispiel 70: 2-((1-(3-Phenyl-2-oxopropyl)-piperidin-4-yl)-methyl)-isoindolin-1-on-hydrochlorid (Verbindung 349 in Tabelle 1)
  • a) 2-((1-(3-Phenyl-2-hydroxypropyl)-piperidin-4-yl)-methyl)-isoindolin-1-on
  • Die in Beispiel 1d erhaltene Verbindung (994 mg, 3,73 mmol) und (2,3-Epoxypropyl)-benzol (0,500 g, 3,73 mmol) und Triethylamin (0,78 ml, 5,60 mmol) wurden in Ethanol (8 ml) gelöst und die Mischung auf 50°C erwärmt. Nach Ende der Reaktion wurde die Reaktionsmischung mit Ethylacetat verdünnt und viermal mit Wasser und anschließend mit Kochsalzlösung gewaschen und über Na2SO4 getrocknet. Nachdem das Trockenmittel durch Filtration abgetrennt worden war, wurde das Filtrat eingeengt und der Rückstand mittels Silicagel-Säulenchromatographie (Aceton) gereinigt, um die Titelverbindung zu erhalten (Ausbeute: 44%).
    1H-NMR (CDCl3): δ 7,85 (d, J = 7,2 Hz, 1H), 7,42-7,56 (m, 3H), 7,21-7,32 (m, 5H), 4,39 (s, 2H), 3,90 (m, 1H), 3,49 (d, J = 9,6 Hz, 2H), 2,96 (br d, J = 9 Hz, 1H), 2,76-2,86 (m, 2H), 2,65 (m, 1H), 2,20-2,31 (m, 3H), 1,87 (dt, J = 12 Hz, 2 Hz, 1H), 1,79 (m, 1H), 1,67 (br d, J = 13 Hz, 2H), 1,36 (dq, J = 12 Hz, 4 Hz, 2H).
  • b) 2-((1-(3-Phenyl-2-oxopropyl)-piperidin-4-yl)-methyl)-isoindolin-1-on
  • (COCl)2 (0,125 g, 0,998 mmol) in CH2Cl2 (3 ml) wurde abgekühlt auf –78°C und der Lösung wurde tropfenweise DMSO (0,121 g, 1,55 mmol) zugegeben und nach 10 Minuten des Rührens wurde der Mischung tropfenweise die in Beispiel 70a erhaltene Verbindung (180 mg, 0,494 mmol) in CH2Cl2 (1 ml) zugesetzt. Nach 30 Minuten Rühren wurde der Reaktionsmischung tropfenweise Triethylamin (0,491 ml, 3,52 mmol) zugefügt und nach 4 Stunden Rühren wurde die Reaktionsmischung auf Raumtemperatur erwärmt. Die Reaktionsmischung wurde verdünnt mit Ethylacetat (40 ml) und viermal mit Wasser und anschließend mit Kochsalzlösung gewaschen und über Na2SO4 getrocknet. Nach Abtrennen des Trockenmittels durch Filtration und Einengen des Filtrats wurde der Rückstand gereinigt mittels Silicagel-Säulenchromatographie (Aceton/Hexan), um die Titelverbindung zu erhalten (Ausbeute: 50%).
    1H-NMR (CDCl3): δ 7,85 (d, J = 7,5 Hz, 1H), 7,42-7,54 (m, 3H), 7,22-7,35 (m, 5H), 4,40 (s, 2H), 3,75 (s, 2H), 3,51 (d, J = 7,2 Hz, 2H), 3,16 (s, 2H), 2,79 (br d, J = 12 Hz, 2H), 2,03 (dt, J = 11,4 Hz, 2,1 Hz, 2H), 1,78 (m, 1H), 1,67 (br d, J = 10 Hz, 2H), 1,47 (dq, J = 12 Hz, 4 Hz, 2H).
  • c) 2-((1-(3-Phenyl-2-oxopropyl)-piperidin-4-yl)-methyl)-isoindolin-1-on-hydrochlorid
  • Unser Verwendung der in Beispiel 70b erhaltenen Verbindung wurde die Titelverbindung durch ähnliche Verfahren wie in Beispiel 1f erhalten (Ausbeute: 59%).
    Schmelzpunkt: 198–204°C
    1H-NMR (DMSO-d6): δ 9,84 (br s, 1H), 7,68 (d, J = 7,5 Hz, 1H), 7,61 (m, 2H), 7,50 (m, 1H), 7,22-7,37 (m, 5H), 4,40-4,54 (m, 4H), 3,88 (s, 2H), 2,94-3,56 (m, 6H), 1,99 (m, 1H), 1,78 (br d, J = 14 Hz, 2H), 1,56 (m, 2H).
  • Beispiel 71: 2-((1-(4-Phenyl-3-oxobutyl)-piperidin-4-yl)-methyl)-isoindolin-1-on-hydrochlorid (Verbindung 354 in Tabelle 1)
  • a) 1-Tosyloxy-3-hydroxy-4-phenylpropan
  • Eine Lösung von Methyl-(phenylacetyl)-essigsäure (0,700 g, 3,64 mmol), dargestellt nach dem in der Literatur beschriebenen Verfahren (Yonemitsu, O et al., Org. Synth., 1984, 63, 198), in 24 ml Ethanol wurde auf 0°C gekühlt und der Lösung wurde NaBH4 (1,10 g, 29,1 mmol) zugefügt und bei Raumtemperatur gerührt. Der Reaktionsmischung wurde zur Ansäuerung konzentrierte Salzsäure zugesetzt und anschließend mit Kochsalzlösung verdünnt und viermal mit Dichlormethan extrahiert. Die vereinigten organischen Phasen wurden über Na2SO4 getrocknet.
  • Nachdem das Trockenmittel durch Filtration abgetrennt und das Filtrat eingeengt worden war, wurde das resultierende Öl in Dichlormethan (8 ml) gelöst. Der Lösung wurde Pyridin (0,61 ml, 7,54 mmol) zugefügt und auf 0°C gekühlt. Unser Rühren wurde Tosylchlorid (0,694 g, 3,64 mmol) zu der Lösung gegeben und für 2 Stunden gerührt. Anschließend wurde die Reaktionsmischung mit Ether verdünnt und zweimal mit Wasser gewaschen und über Na2SO4 getrocknet. Nach Entfernen des Trockenmittels durch Filtration und Einengen des Filtrats wurde der Rückstand mittels Silicagel-Säulenchromatographie (Ethylacetat/Hexan) gereinigt, um die Titelverbindung zu erhalten (Ausbeute: 32%).
    1H-NMR (CDCl3): δ 7,78 (d, J = 8,1 Hz, 2H), 7,15-7,34 (m, 7H), 4,26 (m, 1H), 4,17 (m, 1H), 3,94 (m, 1H), 2,78 (m, 1H), 2,64 (m, 1H), 2,44 (s, 3H), 1,93 (m, 1H), 1,75 (m, 1H).
  • b) 2-((1-(4-Phenyl-3-oxobutyl)-piperidin-4-yl)-methyl)-isoindolin-1-on
  • Unter Verwendung der in Beispiel 71a erhaltenen Verbindung wurde ein Produkt durch ähnliche Verfahren wie in Beispiel 26b erhalten, welches ohne Aufreinigung ähnlichen Verfahren wie in Beispiel 70b unterworfen wurde, um die Titelverbindung zu erhalten (Ausbeute: 27%).
    1H-NMR (CDCl3): δ 7,84 (d, J = 7,2 Hz, 1H), 7,44-7,53 (m, 3H), 7,18-7,32 (m, 5H), 4,39 (s, 2H), 3,70 (s, 2H), 3,48 (d, J = 7,2 Hz, 2H), 2,82 (br d, J = 12 Hz, 2H), 2,05-2,65 (m, 4H), 1,91 (dt, J = 11,7 Hz, 2,1 Hz, 2H), 1,75 (m, 1H), 1,66 (m, 2H), 1,33 (dq, J = 12 Hz, 3 Hz, 2H).
  • c) 2-((1-(4-Phenyl-3-oxobutyl)-piperidin-4-yl)-methyl)-isoindolin-1-on-hydrochlorid
  • Unter Verwendung der in Beispiel 71b erhaltenen Verbindung wurde die Titelverbindung durch ähnliche Verfahren wie in Beispiel 1f erhalten (Ausbeute: 61%).
    Schmelzpunkt: 163–166°C
    1H-NMR (DMSO-d5): δ 9,89 (br s, 1H), 7,68 (d, J = 7,5 Hz, 1H), 7,61 (m, 2H), 7,49 (m, 1H), 7,19-7,35 (m, 5H), 4,50 (s, 2H), 3,84 (s, 2H), 2,81-3,62 (m, 10H), 1,97 (m, 1H), 1,78 (br d, J = 13 Hz, 2H), 1,49 (m, 2H).
  • Beispiel 72: 2-((1-(2-(2-Methoxyphenyl)-2-oxoethyl)-piperidin-4-yl)-methyl)-isoindolin-1-on-fumarat (Verbindung 376 in Tabelle 1)
  • a) 2-((1-(2-(2-Methoxyphenyl)-2-oxoethyl)-piperidin-4-yl)-methyl)-isoindolin-1-on
  • 2'-Methoxyacetophenon (1,11 g, 7,39 mmol) und Pyridin-hydrobromid-perbromid (2,61 g, 8,16 mmol) wurden gelöst in einem Lösemittelgemisch aus Dichlormethan (50 ml) und Methanol (20 ml) und die Mischung wurde unter Rückfluss für 1 Stunde erhitzt. Das Lösemittel der Reaktion wurde unter vermindertem Druck verdampft und der Rückstand mit Ethylacetat verdünnt. Die Mischung wurde mit Wasser und gesättigter Kochsalzlösung gewaschen und über Magnesiumsulfat getrocknet. Unlösliche Feststoffe wurden durch Filtration abgetrennt und das Filtrat wurde unter vermindertem Druck eingedampft, um 2-Brom-1-(2-methoxyphenyl)-ethan-1-on als Rohprodukt zu erhalten. Unter Verwendung des Produkts wurde die Titelverbindung durch ähnliche Verfahren wie in Beispiel 1e erhalten als gelbes Öl (Ausbeute: 63%).
    1H-NMR (CDCl3): δ 7,84 (d, J = 7,5 Hz, 1H), 7,70 (dd, J = 2,0 Hz, 7,7 Hz, 1H), 7,42-7,55 (m, 4H), 6,93-7,03 (m, 2H), 4,41 (s, 2H), 3,89 (s, 3H), 3,80 (s, 2H), 3,50 (d, J = 7,2 Hz, 2H), 2,92-3,00 (m, 2H), 2,14-2,26 (m, 2H), 1,6-1,9 (m, 3H), 1,4-1,55 (m, 2H).
  • b) 2-((1-(2-(2-Methoxyphenyl)-2-oxoethyl)-piperidin-4-yl)-methyl)-isoindolin-1-on-fumarat
  • Unter Verwendung der in Beispiel 72 erhaltenen Verbindung wurde die Titelverbindung durch ähnliche Verfahren wie in Beispiel 36c erhalten als farbloser Feststoff (Ausbeute: 50%).
    Schmelzpunkt: 180–190°C
    1H-NMR (DMSO-d6): δ 7,67 (d, J = 7,5 Hz, 1H), 7,44-7,61 (m, 5H), 7,17 (d, J = 8,2 Hz, 1H), 7,03 (t, J = 7,4 Hz, 1H), 6,60 (s, 2H, Fumarsäure), 4,48 (s, 2H), 3,88 (s, 3H), 3,84 (s, 2H), 3,40 (d, J = 7,3 Hz, 2H), 2,88-2,95 (m, 2H), 2,21-2,31 (m, 2H), 1,6-1,8 (m, 1H), 1,4-1,6 (m, 2H), 1,1-1,3 (m, 2H).
  • Beispiel 73: 2-((1-(2-(4-Tolyl)-2-oxoethyl)-piperidin-4-yl)-methyl)-isoindolin-1-on-hydrochlorid (Verbindung 396 in Tabelle 1)
  • a) 2-((1-(2-(4-Tolyl)-2-oxoethyl)-piperidin-4-yl)-methyl)-isoindolin-1-on
  • Unter Verwendung von 2-Brom-1-(4-methylphenyl)-ethan-1-on wurde die Titelverbindung durch ähnliche Verfahren wie in Beispiel 1e erhalten als blassgelber Feststoff (Ausbeute: 83%).
    1H-NMR (CDCl3): δ 7,91 (d, J = 8,2 Hz, 2H), 7,84 (d, J = 7,5 Hz, 1H), 7,41-7,59 (m, 3H), 7,24 (d, J = 8,2 Hz, 2H), 4,41 (s, 2H), 3,76 (s, 2H), 3,51 (d, J = 7,1 Hz, 2H), 2,95-3,03 (m, 2H), 2,41 (s, 3H), 2,09-2,21 (m, 2H), 1,6-1,9 (m, 3H), 1,4-1,6 (m, 2H).
  • b) 2-((1-(2-(4-Tolyl)-2-oxoethyl)-piperidin-4-yl)-methyl)-isoindolin-1-on-hydrochlorid
  • Unter Verwendung der in Beispiel 73a erhaltenen Verbindung wurde die Titelverbindung durch ähnliche Verfahren wie in Beispiel 1f erhalten als farbloser Feststoff (Ausbeute: 90%).
    Schmelzpunkt: 169–185°C
    1H-NMR (DMSO-d6): δ 9,8-10,0 (br s, 1H, HCl), 7,80 (d, J = 7,9 Hz, 0,5H), 7,89 (d, J = 7,9 Hz, 1,5H), 7,69 (d, J = 7,4 Hz, 1H), 7,57-7,36 (m, 2H), 7,40-7,52 (m, 3H), 5,09 (s, 0,5H), 5,02 (s, 1,5H), 4,53 (s, 2H), 3,51-3,58 (m, 2H), 3,47 (d, J = 7,0 Hz, 2H), 2,9-3,1 (m, 2H), 2,41 (s, 3H), 1,9-2,1 (m, 1H), 1,4-1,9 (m, 4H).
  • Beispiel 74: 2-((1-(2-(3,4-Difluorphenyl)-2-oxoethyl)-piperidin-4-yl)-methyl)-isoindolin-1-on-fumarat (Verbindung 401 in Tabelle 1)
  • a) 2-((1-(2-(3,4-Difluorphenyl)-2-oxoethyl)-piperidin-4-yl)-methyl)-isoindolin-1-on
  • Unter Verwendung von 3',4'-Difluoracetophenon wurde die Titelverbindung durch ähnliche Verfahren wie in Beispiel 72a und Beispiel 1e erhalten als gelber Feststoff (Ausbeute: 84%).
    1H-NMR (CDCl3): δ 7,8-8,0 (m, 3H), 7,40-7,57 (m, 3H), 7,10-7,26 (m, 1H), 4,40 (s, 2H), 3,67 (s, 2H), 3,51 (d, J = 7,2 Hz, 2H), 2,86-2,97 (m, 2H), 2,08-2,20 (m, 2H), 1,6-1,9 (m, 3H), 1,3-1,5 (m, 2H).
  • b) 2-((1-(2-(3,4-Difluorphenyl)-2-oxoethyl)-piperidin-4-yl)-methyl)-isoindolin-1-on-fumarat
  • Unter Verwendung der in Beispiel 74a erhaltenen Verbindung wurde die Titelverbindung durch ähnliche Verfahren wie in Beispiel 36c erhalten als farbloser Feststoff (Ausbeute: 79%).
    Schmelzpunkt: 186–193°C
    1H-NMR (DMSO-d6): δ 8,00-8,09 (m, 1H), 7,85-7,95 (m, 1H), 7,54-7,69 (m, 4H), 7,4-7,5 (m, 1H), 6,62 (s, 2H, Fumarsäure), 4,48 (s, 2H), 3,83 (s, 2H), 3,40 (d, J = 7,2 Hz, 2H), 2,84-2,90 (m, 2H), 2,08-2,18 (m, 2H), 1,6-1,8 (m, 1H), 1,4-1,6 (m, 2H), 1,1-1,3 (m, 2H).
  • Beispiel 75: 2-((1-(2-(2-Naphthyl)-2-oxoethyl)-piperidin-4-yl)-methyl)-isoindolin-1-on-hydrochlorid (Verbindung 411 in Tabelle 1)
  • a) 2-((1-(2-(2-Naphthyl)-2-oxoethyl)-piperidin-4-yl)-methyl)-isoindolin-1-on
  • Unter Verwendung von 2-Brom-1-(2-naphthyl)-ethan-1-on wurde die Titelverbindung durch ähnliche Verfahren wie in Beispiel 1e erhalten als blassgelber Feststoff (Ausbeute: 83%).
    1H-NMR (CDCl3): δ 8,57 (s, 1H), 7,83-8,05 (m, 4H), 7,41-7,66 (m, 6H), 4,42 (s, 2H), 3,96 (s, 2H), 3,53 (d, J = 7,2 Hz, 2H), 3,04-3,13 (m, 2H), 2,20-2,31 (m, 2H), 1,6-1,9 (m, 3H), 1,4-1,6 (m, 2H).
  • b) 2-((1-(2-(2-Naphthyl)-2-oxoethyl)-piperidin-4-yl)-methyl)-isoindolin-1-on-hydrochlorid
  • Unter Verwendung der in Beispiel 75a erhaltenen Verbindung wurde die Titelverbindung durch ähnliche Verfahren wie in Beispiel 1f erhalten als blassgelber Feststoff (Ausbeute: 61%).
    Schmelzpunkt: 192–201°C
    1H-NMR (DMSO-d6): δ 9,8-10,2 (br s, 1H, HCl), 8,81 (s, 0,2H), 8,72 (s, 0,8H), 7,97-8,19 (m, 4H), 7,4-7,8 (m, 6H), 5,26 (s, 0,4H), 5,19 (s, 1,6H), 4,55 (s, 2H), 3,57-3,64 (m, 2H), 3,49 (d, J = 6,9 Hz, 2H), 3,0-3,2 (m, 2H), 2,0-2,2 (m, 1H), 1,5-1,9 (m, 4H).
  • Beispiel 76: 2-((1-(2-(3-Chlorphenyl)-2-oxoethyl)-piperidin-4-yl)-methyl)-isoindolin-1-on-fumarat (Verbindung 406 in Tabelle 1)
  • a) 2-((1-(2-(3-Chlorphenyl)-2-oxoethyl)-piperidin-4-yl)-methyl)-isoindolin-1-on
  • Unter Verwendung von 3'-Chloracetophenon wurde die Titelverbindung durch ähnliche Verfahren wie in Beispiel 72a und Beispiel 1e erhalten als oranges Öl (Ausbeute: 79%).
    1H-NMR (CDCl3): δ 7,98-8,00 (m, 1H), 7,90 (d, J = 8,1 Hz, 1H), 7,85 (d, J = 7,5 Hz, 1H), 7,3-7,6 (m, 5H), 4,41 (s, 2H), 3,74 (s, 2H), 3,52 (d, J = 7,4 Hz, 2H), 2,94-3,02 (m, 2H), 2,08-2,20 (m, 2H), 1,6-1,9 (m, 3H), 1,3-1,5 (m, 2H).
  • b) 2-((1-(2-(3-Chlorphenyl)-2-oxoethyl)-piperidin-4-yl)-methyl)-isoindolin-1-on-fumarat
  • Unter Verwendung der in Beispiel 76a erhaltenen Verbindung wurde die Titelverbindung durch ähnliche Verfahren wie in Beispiel 36c erhalten als farbloser Feststoff (Ausbeute: 64%).
    Schmelzpunkt: 187–193°C
    1H-NMR (DMSO-d6): δ 8,00 (d, J = 1,5 Hz, 1H), 7,97 (d, J = 8,4 Hz, 1H), 7,64-7,74 (m, 2H), 7,4-7,6 (m, 4H), 6,61 (s, 2H, Fumarsäure), 4,48 (s, 2H), 3,88 (s, 2H), 3,40 (d, J = 7,2 Hz, 2H), 2,86-2,92 (m, 2H), 2,10-2,21 (m, 2H), 1,6-1,8 (m, 1H), 1,5-1,6 (m, 2H), 1,1-1,3 (m, 2H).
  • Beispiel 77: 2-((1-(2-(2-Tolyl)-2-oxoethyl)-piperidin-4-yl)-methyl)-isoindolin-1-on-fumarat (Verbindung 386 in Tabelle 1)
  • a) 2-((1-(2-(2-Tolyl)-2-oxoethyl)-piperidin-4-yl)-methyl)-isoindolin-1-on
  • Unter Verwendung von 2'-Methylacetophenon wurde die Titelverbindung durch ähnliche Verfahren wie in Beispiel 72a und Beispiel 1e erhalten als oranges Öl (Ausbeute: 78%).
    1H-NMR (CDCl3): δ 7,84 (d, J = 7,5 Hz, 1H), 7,33-7,66 (m, 5H), 7,20-7,27 (m, 2H), 4,41 (s, 2H), 3,75 (s, 2H), 3,52 (d, J = 7,2 Hz, 2H), 2,99-3,07 (m, 2H), 2,48 (s, 3H), 2,1-2,3 (m, 2H), 1,8-2,0 (m, 1H), 1,6-1,8 (m, 2H), 1,4-1,6 (m, 2H).
  • b) 2-((1-(2-(2-Tolyl)-2-oxoethyl)-piperidin-4-yl)-methyl)-isoindolin-1-on-fumarat
  • Unter Verwendung der in Beispiel 77a erhaltenen Verbindung wurde die Titelverbindung durch ähnliche Verfahren wie in Beispiel 36c erhalten als farbloser Feststoff (Ausbeute: 56%).
    Schmelzpunkt: 186–194°C
    1H-NMR (DMSO-d6): δ 7,75 (d, J = 7,2 Hz, 1H), 7,66 (d, J = 7,5 Hz, 1H), 7,55-7,60 (m, 2H), 7,39-7,51 (m, 2H), 7,30 (t, J = 7,1 Hz, 2H), 6,61 (s, 2H, Fumarsäure), 4,47 (s, 2H), 3,79 (s, 2H), 3,39 (d, J = 7,2 Hz, 2H), 2,86-2,93 (m, 2H), 2,38 (s, 3H), 2,12-2,23 (m, 2H), 1,6-1,8 (m, 1H), 1,5-1,6 (m, 2H), 1,1-1,3 (m, 2H).
  • Beispiel 78: 2-((1-(2-(3-Tolyl)-2-oxoethyl)-piperidin-4-yl)-methyl)-isoindolin-1-on-fumarat (Verbindung 391 in Tabelle 1)
  • a) 2-((1-(2-(3-Tolyl)-2-oxoethyl)-piperidin-4-yl)-methyl)-isoindolin-1-on
  • Unter Verwendung von 3'-Methylacetophenon wurde die Titelverbindung durch ähnliche Verfahren wie in den Beispielen 72a und 1e erhalten als gelbes Öl (Ausbeute: 58%).
    1H-NMR (CDCl3): δ 7,84 (d, J = 7,5 Hz, 1H), 7,77-7,82 (m, 2H), 7,26-7,56 (m, 5H), 4,41 (s, 2H), 3,82 (s, 2H), 5,52 (d, J = 7,2 Hz, 2H), 2,99-3,06 (m, 2H), 2,40 (s, 3H), 2,18-2,30 (m, 2H), 1,8-2,0 (m, 1H), 1,6-1,8 (m, 2H), 1,4-1,6 (m, 2H).
  • b) 2-((1-(2-(3-Tolyl)-2-oxoethyl)-piperidin-4-yl)-methyl)-isoindolin-1-on-fumarat
  • Unter Verwendung der in Beispiel 78a erhaltenen Verbindung wurde die Titelverbindung durch ähnliche Verfahren wie in Beispiel 36c erhalten als farbloser Feststoff (Ausbeute: 55%).
    Schmelzpunkt: 185–193°C
    1H-NMR (DMSO-d6): δ 7,77-7,82 (m, 2H), 7,67 (d, J = 7,5 Hz, 1H), 7,55-7,60 (m, 2H), 7,35-7,52 (m, 3H), 6,61 (s, 2H, Fumarsäure), 4,48 (s, 2H), 3,88 (s, 2H), 3,41 (d, J = 7,3 Hz, 2H), 2,8-3,0 (m, 2H), 2,37 (s, 3H), 2,0-2,2 (m, 2H), 1,6-1,8 (m, 1H), 1,5-1,6 (m, 2H), 1,1-1,3 (m, 2H).
  • Beispiel 79: 2-((1-(2-(3-Methoxyphenyl)-2-oxoethyl)-piperidin-4-yl)-methyl)-isoindolin-1-on-fumarat (Verbindung 381 in Tabelle 1)
  • a) 2-((1-(2-(3-Methoxyphenyl)-2-oxoethyl)-piperidin-4-yl)-methyl)-isoindolin-1-on
  • Unter Verwendung von 2-Brom-1-(3-methoxyphenyl)-ethan-1-on wurde die Titelverbindung durch ähnliche Verfahren wie in Beispiel 1e erhalten als gelbes Öl (Ausbeute: 90%).
    1H-NMR (CDCl3): δ 7,84 (d, J = 7,2 Hz, 1H), 7,40-7,65 (m, 5H), 7,35 (t, J = 8,0 Hz, 1H), 7,08-7,19 (m, 1H), 4,41 (s, 2H), 3,85 (s, 3H), 3,80 (s, 2H), 3,52 (d, J = 7,2 Hz, 2H), 2,97-3,06 (m, 2H), 2,15-2,29 (m, 2H), 1,6-1,9 (m, 3H), 1,4-1,6 (m, 2H).
  • b) 2-((1-(2-(3-Methoxyphenyl)-2-oxoethyl)-piperidin-4-yl)-methyl)-isoindolin-1-on-fumarat
  • Unter Verwendung der in Beispiel 79a erhaltenen Verbindung wurde die Titelverbindung durch ähnliche Verfahren wie in Beispiel 36c erhalten als farbloser Feststoff (Ausbeute: 71 %).
    Schmelzpunkt: 178–188°C
    1H-NMR (DMSO-d6): δ 7,67 (d, J = 7,5 Hz, 1H), 7,55-7,61 (m, 3H), 7,40-7,52 (m, 3H), 7,21 (dd, J = 2,3 Hz, 8,1 Hz, 1H), 6,61 (s, 2H, Fumarsäure), 4,48 (s, 2H), 3,87 (s, 2H), 3,81 (s, 3H), 3,41 (d, J = 7,2 Hz, 2H), 2,8-3,0 (m, 2H), 2,0-2,2 (m, 2H), 1,6-1,8 (m, 1H), 1,5-1,6 (m, 2H), 1,1-1,3 (m, 2H).
  • Beispiel 80: 5-Methoxy-2-((1-(2-phenyl-2-oxoethyl)-piperidin-4-yl)-methyl)-isoindolin-1-on-fumarat (Verbindung 42 in Tabelle 1)
  • a) 5-Methoxy-2-((1-(2-phenyl-2-oxoethyl)-piperidin-4-yl)-methyl)-isoindolin-1-on
  • Unter Verwendung der in Beispiel 9c erhaltenen Verbindung sowie Phenacylbromid wurde die Titelverbindung durch ähnliche Verfahren wie in Beispiel 1e erhalten als blassgelbes Öl (Ausbeute: 55%).
    1H-NMR (CDCl3): δ 8,01 (d, J = 7,2 Hz, 2H), 7,75 (dd, J = 2,6 Hz, 8,7 Hz, 1H), 7,53-7,61 (m, 1H), 7,45 (t, J = 7,5 Hz, 2H), 6,96-7,00 (m, 1H), 6,92 (s, 1H), 4,63 (s, 2H), 3,88 (s, 3H), 3,82 (s, 2H), 3,48 (d, J = 7,2 Hz, 2H), 2,97-3,05 (m, 2H), 2,15-2,27 (m, 2H), 1,6-1,9 (m, 3H), 1,4-1,6 (m, 2H).
  • b) 5-Methoxy-2-((1-(2-phenyl-2-oxoethyl)-piperidin-4-yl)-methyl)-isoindolin-1-on-fumarat
  • Unter Verwendung der in Beispiel 80a erhaltenen Verbindung wurde die Titelverbindung durch ähnliche Verfahren wie in Beispiel 36c erhalten als farbloser Feststoff (Ausbeute: 74%).
    Schmelzpunkt: 186–193°C
    1H-NMR (DMSO-d6): δ 7,99 (d, J = 7,5 Hz, 2H), 7,66 (t, J = 7,5 Hz, 1H), 7,49-7,62 (m, 3H), 7,13 (d, J = 1,5 Hz, 1H), 7,02 (dd, J = 2,1 Hz, 8,4 Hz, 1H), 6,61 (s, 2H, Fumarsäure), 4,41 (s, 2H), 3,89 (s, 2H), 3,83 (s, 3H), 3,36 (d, J = 7,2 Hz, 2H), 2,88-2,95 (m, 2H), 2,12-2,23 (m, 2H), 1,6-1,8 (m, 1H), 1,5-1,6 (m, 2H), 1,1-1,3 (m, 2H).
  • Beispiel 81: 2-((1-(2-(2-Furyl)-2-oxoethyl)-piperidin-4-yl)-methyl)-isoindolin-1-on-hydrochlorid (Verbindung 416 in Tabelle 1)
  • a) 2-Brom-1-(2-furyl)-ethan-1-on
  • Unter Verwendung von 2-Acetylfuran (500 mg, 4,54 mmol) wurde die Titelverbindung durch ähnliche Verfahren wie in Beispiel 72a erhalten als farblose halbfeste Substanz (119 mg, Ausbeute: 14%).
    1H-NMR (CDCl3): δ 7,65 (s, 1H), 7,35 (d, J = 3,9 Hz, 1H), 4,33 (s, 2H).
  • b) 2-((1-(2-(2-Furyl)-2-oxoethyl)-piperidin-4-yl)-methyl)-isoindolin-1-on
  • Unter Verwendung der in Beispiel 81a erhaltenen Verbindung (119 mg, 0,63 mmol) und der in Beispiel 1d erhaltenen Verbindung (160 mg, 0,60 mmol) wurde die Titelverbindung durch ähnliche Verfahren wie in Beispiel 1e als Rohprodukt erhalten (131 mg). Das Rohprodukt wurde in die nächste Reaktion ohne Aufreinigung eingesetzt.
  • c) 2-((1-(2-(2-Furyl)-2-oxoethyl)-piperidin-4-yl)-methyl)-isoindolin-1-on-hydrochlorid
  • Unter Verwendung des in Beispiel 81b erhaltenen Rohprodukts (131 mg) wurde die Titelverbindung durch ähnliche Verfahren wie in Beispiel 1f erhalten als farbloser Feststoff (Ausbeute: 18%, 2 Stufen).
    Schmelzpunkt (Zersetzung): 209–216°C
    1H-NMR (DMSO-d6): δ 9,98 (br s, 1H), 8,17 (s, 1H), 7,74-7,58 (m, 4H), 7,53-7,47 (m, 1H), 6,85 (d, J = 3,5 Hz, 1H), 4,87-4,78 (m, 2H), 4,52 (s, 2H), 3,60-3,44 (m, 4H), 3,05-2,98 (m, 2H), 2,01 (br s, 1H), 1,83 (br d, J = 13,9 Hz, 2H), 1,64 (br dd, J = 11,1 Hz, 11,1 Hz, 2H).
  • Beispiel 82: 2-((1-(2-(2-Thienyl)-2-oxoethyl)-piperidin-4-yl)-methyl)-isoindolin-1-on-hydrochlorid (Verbindung 421 in Tabelle 1)
  • a) 2-Brom-1-(2-thienyl)-ethan-1-on und 2-Brom-1-(5-brom-2-thienyl)-ethan-1-on
  • Unter Verwendung von 2-Acetylthiophen (500 mg, 3,96 mmol) wurde eine ähnliche Reaktion wie in Beispiel 72a durchgeführt. Das Produkt wurde mittels Silicagel-Säulenchromatographie gereinigt, um 2-Brom-1-(2-thienyl)-ethan-1-on als blassgelbes Öl (618 mg, Ausbeute: 76%) und 2-Brom-1-(5-brom-2-thienyl)-ethan-1-on als blassgelbes Öl (171 mg, Ausbeute: 15%) zu erhalten.
    2-Brom-1-(2-thienyl)-ethan-1-on
    1H-NMR (CDCl3): δ 7,82 (d, J = 3,6 Hz, 1H), 7,73 (d, J = 4,0 Hz, 1H), 7,18 (dd, J = 5,2 Hz, 3,8 Hz, 1H), 4,37 (s, 2H).
    2-Brom-1-(5-brom-2-thienyl)-ethan-1-on
    1H-NMR (CDCl3): δ 7,55 (d, J = 3,8 Hz, 1H), 7,14 (d, J = 3,8 Hz, 1H), 4,28 (s, 2H).
  • b) 2-((1-(2-(2-Thienyl)-2-oxoethyl)-piperidin-4-yl)-methyl)-isoindolin-1-on
  • Unter Verwendung von 2-Brom-1-(2-thienyl)-ethan-1-on, erhalten in Beispiel 82a (300 mg, 1,46 mmol), und der in Beispiel 1d erhaltenen Verbindung (389 mg, 1,46 mmol), wurde eine ähnliche Reaktion wie in Beispiel 1e durchgeführt, um die Titelverbindung als farblosen Feststoff zu erhalten (441 mg, Ausbeute: 85%).
    1H-NMR (CDCl3): δ 7,98 (dd, J = 3,8 Hz, 1,1 Hz, 1H), 7,85 (d, J = 7,5 Hz, 1H), 7,62-7,61 (m, 1H), 7,56-7,43 (m, 3H), 7,13-7,10 (m, 1H), 4,41 (s, 2H), 3,58 (s, 2H), 3,53 (d, J = 7,3 Hz, 2H), 2,96 (br d, J = 11,5 Hz, 2H), 2,17 (ddd, J = 2,4 Hz, 11,5 Hz, 11,5 Hz, 2H), 1,84-1,78 (m, 1H), 1,70-1,67 (m, 2H), 1,53 (ddd, J = 3,6 Hz, J = 12,0 Hz, 12,0 Hz, 2H).
  • c) 2-((1-(2-(2-Thienyl)-2-oxoethyl)-piperidin-4-yl)-methyl)-isoindolin-1-on-hydrochlorid
  • Unter Verwendung der in Beispiel 82b erhaltenen Verbindung (435 mg, 1,23 mmol) wurde eine ähnliche Reaktion wie in Beispiel 1f durchgeführt, um die Titelverbindung als farblosen Feststoff zu erhalten (418 mg, Ausbeute: 87%).
    Schmelzpunkt: 182–186°C
    1H-NMR (DMSO-d6): δ 10,1 (br s, 1H), 8,18 (d, J = 1,8 Hz, 1H), 8,05 (d, J = 3,3 Hz, 1H), 7,69 (d, J = 7,2 Hz, 1H), 7,62-7,58 (m, 2H), 7,53-7,47 (m, 1H), 7,36-7,34 (m, 1H), 5,04-4,95 (m, 2H), 4,53 (s, 2H), 3,55 (br d, J = 11,7 Hz, 2H), 3,46 (br d, J = 6,9 Hz, 2H), 3,05 (br s, 2H), 2,03 (br s, 1H), 1,86-1,63 (m, 4H).
  • Beispiel 83: 2-((1-(2-(5-Brom-2-thienyl)-2-oxoethyl)-piperidin-4-yl)-methyl)-isoindolin-1-on-hydrochlorid (Verbindung 426 in Tabelle 1)
  • a) 2-((1-(2-(5-Brom-2-thienyl)-2-oxoethyl)-piperidin-4-yl)-methyl)-isoindolin-1-on
  • Unter Verwendung von 2-Brom-1-(5-brom-2-thienyl)-ethan-1-on, erhalten in Beispiel 82a (171 mg, 0,602 mmol), wurde eine ähnliche Reaktion wie in Beispiel 82a durchgeführt, um das Rohprodukt der Titelverbindung als blassbraunen Feststoff zu erhalten (210 mg). Das erhaltene Rohprodukt wurde ohne Aufreinigung in die nächste Reaktion eingesetzt.
  • b) 2-((1-(2-(5-Brom-2-thienyl)-2-oxoethyl)-piperidin-4-yl)-methyl)-isoindolin-1-on-hydrochlorid
  • Unter Verwendung des in Beispiel 83a erhaltenen Rohprodukts (171 mg) wurde eine ähnliche Reaktion wie in Beispiel 1f durchgeführt, um die Titelverbindung als blassbraunen Feststoff zu erhalten (99 mg, Ausbeute: 38%, 2 Stufen).
    Schmelzpunkt (Zersetzung): 195–208°C
    1H-NMR (DMSO-d6): δ 10,1 (br s, 1H), 8,03-7,89 (m, 1H), 7,70-7,47 (m, 5H), 5,01-4,90 (m, 2H), 4,52 (s, 2H), 3,58-3,44 (m, 4H), 3,04-2,97 (m, 2H), 2,03-1,60 (m, 5H).
  • Beispiel 84: 2-((1-(2-Cyclohexyl-2-oxoethyl)-piperidin-4-yl)-methyl)-isoindolin-1-on-fumarat (Verbindung 446 in Tabelle 1)
  • a) 2-Chlor-1-(1-cyclohexyl)-ethan-1-on
  • Unter Verwendung von Methylcyclohexancarbonsäure wurde die Titelverbindung erhalten nach dem Verfahren zur Darstellung von Halogenketonen, beschrieben in der internationalen Veröffentlichung Nr. WO/23756 (Ausbeute: 79%).
    1H-NMR (CDCl3): δ 4,16 (s, 2H), 2,58-2,69 (m, 1H), 1,6-1,9 (m, 4H), 1,1-1,5 (m, 6H).
  • b) 2-((1-(2-Cyclohexyl-2-oxoethyl)-piperidin-4-yl)-methyl)-isoindolin-1-on
  • Unter Verwendung der in Beispiel 84a erhaltenen Verbindung wurde die Titelverbindung durch ähnliche Verfahren wie in Beispiel 1e erhalten als farbloses Öl (Ausbeute: 51%).
    1H-NMR (CDCl3): δ 7,84 (d, J = 7,2 Hz, 1H), 7,41-7,56 (m, 3H), 4,40 (s, 2H), 3,50 (d, J = 7,2 Hz, 2H), 3,20 (s, 2H), 2,81-2,88 (m, 2H), 2,41-2,50 (m, 1H), 1,98-2,09 (m, 2H), 1,6-1,9 (m, 7H), 1,1-1,5 (m, 8H).
  • c) 2-((1-(2-Cyclohexyl-2-oxoethyl)-piperidin-4-yl)-methyl)-isoindolin-1-on-fumarat
  • Unter Verwendung der in Beispiel 84b erhaltenen Verbindung wurde die Titelverbindung durch ähnliche Verfahren wie in Beispiel 36c erhalten als farbloser Feststoff (Ausbeute: 89%).
    Schmelzpunkt: 186–196°C
    1H-NMR (DMSO-d6): δ 7,67 (d, J = 7,5 Hz, 1H), 7,55-7,60 (m, 2H), 7,45-7,52 (m, 1H), 6,61 (s, 2H, Fumarsäure), 4,48 (s, 2H), 3,41 (d, J = 7,4 Hz, 2H), 3,29 (s, 2H), 2,75-2,81 (m, 2H), 2,4-2,6 (m, 1H), 2,0-2,2 (m, 2H), 1,53-1,76 (m, 8H), 1,0-1,3 (m, 7H).
  • Beispiel 85: 2-((1-(2-Cyclohexyl-2-hydroxyethyl)-piperidin-4-yl)-methyl)-isoindolin-1-on-fumarat (Verbindung 451 in Tabelle 1)
  • a) 2-((1-(2-Cyclohexyl-2-hydroxyethyl)-piperidin-4-yl)-methyl)-isoindolin-1-on
  • Unter Verwendung der in Beispiel 84b erhaltenen Verbindung wurde die Titelverbindung durch ähnliche Verfahren wie in Beispiel 16a erhalten als farbloser Feststoff (Ausbeute: 77%).
    1H-NMR (CDCl3): δ 7,85 (d, J = 7,5 Hz, 1H), 7,42-7,57 (m, 3H), 4,40 (s, 2H), 3,48-3,53 (m, 2H), 3,35-3,45 (m, 1H), 3,0-3,1 (m, 1H), 2,7-2,8 (m, 1H), 2,2-2,4 (m, 3H), 1,5-2,0 (m, 9H), 0,9-1,5 (m, 8H).
  • b) 2-((1-(2-Cyclohexyl-2-hydroxyethyl)-piperidin-4-yl)-methyl)-isoindolin-1-on-fumarat
  • Unter Verwendung der in Beispiel 85a erhaltenen Verbindung wurde die Titelverbindung durch ähnliche Verfahren wie in Beispiel 36c erhalten als farbloser Feststoff (Ausbeute: 85%).
    Schmelzpunkt: 180–183°C
    1H-NMR (DMSO-d6): δ 7,67 (d, J = 7,2 Hz, 1H), 7,55-7,62 (m, 2H), 7,44-7,52 (m, 1H), 6,53 (s, 2H, Fumarsäure), 4,49 (s, 2H), 3,45-3,60 (m, 1H), 3,42 (d, J = 7,2 Hz, 2H), 3,0-3,2 (m, 2H), 2,5-2,7 (m, 2H), 2,2-2,4 (m, 2H), 0,90-2,0 (m, 17H).
  • Beispiel 93: 2-((1-(2-(2-(1-Benzyl)-pyrrolyl)-2-oxoethyl)-piperidin-4-yl)-methyl)-isoindolin-1-on-hydrochlorid (Verbindung 431 in Tabelle 1)
  • Unter Verwendung von 2-Acetylpyrrol wurde 1-Benzyl-2-acetylpyrrol durch ähnliche Verfahren wie in Beispiel 89a synthetisiert, und anschließend wurde das Produkt ohne Aufreinigung ähnlichen Verfahren wie in Beispiel 69 unterworfen, um die Titelverbindung zu erhalten (Ausbeute: 8%)
    Schmelzpunkt: 196–200°C
    1H-NMR (DMSO-d6): δ 9,71 (br s, 1H), 7,68 (d, J = 7,8 Hz, 1H), 7,61 (m, 2H), 7,57 (m, 1H), 7,49 (m, 1H), 7,23-7,33 (m, 4H), 7,08 (m, 2H), 6,35 (m, 1H), 5,59 (s, 2H), 4,69-4,78 (m, 2H), 4,51 (s, 2H), 2,89-3,56 (m, 6H), 1,97 (m, 1H), 1,79 (m, 2H), 1,58 (m, 2H).
  • Beispiel 94: 2-((1-(2-(2-(1-Butyl)-pyrrolyl)-2-oxoethyl)-piperidin-4-yl)-methyl)-isoindolin-1-on-hydrochlorid (Verbindung 436 in Tabelle 1)
  • Unter Verwendung von 2-Acetylpyrrol wurde 1-Butyl-2-acetylpyrrol durch ähnliche Verfahren wie in Beispiel 90a synthetisiert, und anschließend wurde das Produkt ohne Aufreinigung ähnlichen Verfahren wie in Beispiel 69 unterworfen, um die Titelverbindung zu erhalten (Ausbeute: 67%).
    Schmelzpunkt: 200–207°C
    1H-NMR (DMSO-d6): δ 9,78 (br s, 1H), 7,69 (d, J = 7,5 Hz, 1H), 7,61 (m, 2H), 7,51 (m, 1H), 7,40 (m, 1H), 7,20 (m, 1H), 6,25 (m, 1H), 4,70-4,78 (m, 2H), 4,53 (s, 2H), 4,30 (t, J = 7,2 Hz, 2H), 2,52-3,51 (m, 6H), 1,94 (m, 1H), 1,82 (br d, J = 12 Hz, 2H), 1,25 (m, 2H), 0,88 (t, J = 7,5 Hz, 3H).
  • Beispiel 95: 2-((1-(2-(2-(1-Phenyl)-pyrrolyl)-2-oxoethyl)-piperidin-4-yl)-methyl)-isoindolin-1-on-hydrochlorid (Verbindung 441 in Tabelle 1)
  • a) 2-((1-(2-(2-(1-Phenyl)-pyrrolyl)-2-oxoethyl)-piperidin-4-yl)-methyl)-isoindolin-1-on
  • Unter Verwendung von 1-Phenyl-2-chloracetylpyrrol, dargestellt nach dem in der Literatur beschriebenen Verfahren (P.D. Croce, C.L. Rosa, A. Ritieni, Synthesis, 1989, 783), wurde die Titelverbindung durch ähnliche Verfahren wie in Beispiel 1e erhalten (Ausbeute: 52%).
    1H-NMR (CDCl3): δ 7,84 (d, J = 7,2 Hz, 1H), 7,34-7,57 (m, 6H), 7,21-7,25 (m, 3H), 6,95 (m, 1H), 6,29 (m, 1H), 4,38 (s, 2H), 3,61 (s, 2H), 3,48 (d, J = 7,2 Hz, 2H), 2,94 (br d, J = 11 Hz, 2H), 2,12 (dt, J = 11,4 Hz, 2,4 Hz, 2H), 1,80 (m, 1H), 1,65 (br d, J = 12 Hz, 2H), 1,45 (dq, J = 12 Hz, 3 Hz, 2H).
  • b) 2-((1-(2-(2-(1-Phenyl)-pyrrolyl)-2-oxoethyl)-piperidin-4-yl)-methyl)-isoindolin-1-on-hydrochlorid
  • Unter Verwendung der in Beispiel 95a erhaltenen Verbindung wurde die Titelverbindung durch ähnliche Verfahren wie in Beispiel 1f erhalten (Ausbeute: 89%).
    Schmelzpunkt: (193–197°C)
    1H-NMR (DMSO-d6): δ 9,75 (br s, 1H), 7,65 (d, J = 7,5 Hz, 1H), 7,33-7,50 (m, 8H), 6,46 (m, 1H), 4,76-4,86 (m, 2H), 4,51 (s, 2H), 2,98-3,61 (m, 6H), 1,99 (m, 1H), 1,78 (m, 2H), 1,56 (m, 2H).
  • Beispiel 107: 2-((1-(2-(4-Fluorphenylthio)-ethyl)-piperidin-4-yl)-methyl)-isoindolin-1-on-hydrochlorid (Verbindung 706 in Tabelle 1)
  • a) 2-((1-(2-(4-Fluorphenylthio)-ethyl)-piperidin-4-yl)-methyl)-isoindolin-1-on
  • 4-Fluorbenzolthiol (0,50 ml, 4,69 mmol) und 2-Bromethanol (0,345 ml, 4,87 mmol) wurden gelöst in Tetrahydrofuran (12 ml). Zur Lösung wurde 1N wässrige Natriumhydroxidlösung (4,8 ml, 4,8 mmol) gegeben und bei 80°C für eine Stunde unter Rühren erhitzt. Die Reaktionsmischung wurde mit einem Lösemittelgemisch aus Ethylacetat und Hexan verdünnt und mit verdünnter wässriger Natriumhydroxidlösung, Wasser und anschließend mit gesättigter Kochsalzlösung gewaschen und über Magnesiumsulfat getrocknet. Unlösliche Feststoffe wurden durch Filtration abgetrennt und das Filtrat wurde unter vermindertem Druck eingeengt, um 2-(4-Fluorphenylthio)-ethanol als Rohprodukt zu erhalten. Unter Verwendung des resultierenden Produkts wurde 2-(4-Fluorphenylthio)-ethyl-ethansulfonat als Rohprodukt durch ähnliche Verfahren wie in Beispiel 26a erhalten. Unter Verwendung des resultierenden Produkts wurde die Titelverbindung durch ähnliche Verfahren wie in Beispiel 26b erhalten als farbloser Feststoff (Ausbeute: 64%).
    1H-NMR (CDCl3): δ 7,84 (d, J = 7,5 Hz, 1H), 7,40-7,55 (m, 3H), 7,31-7,39 (m, 2H), 6,98 (t, J = 8,9 Hz, 2H), 4,39 (s, 2H), 3,49 (d, J = 7,2 Hz, 2H), 2,95-3,02 (m, 2H), 2,85-2,94 (m, 2H), 2,54-2,61 (m, 2H), 1,94-2,04 (m, 2H), 1,5-1,8 (m, 3H), 1,2-1,4 (m, 2H).
  • b) 2-((1-(2-(4-Fluorphenylthio)-ethyl)-piperidin-4-yl)-methyl)-isoindolin-1-on-hydrochlorid
  • Unter Verwendung der in Beispiel 107a erhaltenen Verbindung wurde die Titelverbindung durch ähnliche Verfahren wie in Beispiel 1f erhalten (Ausbeute: 86%).
    Schmelzpunkt: 185–192°C
    1H-NMR (DMSO-d6): δ 10,55 (br s, 1H, HCl), 7,68 (d, J = 7,5 Hz, 1H), 7,59-7,62 (m, 2H), 7,46-7,52 (m, 3H), 7,18-7,25 (m, 2H), 4,50 (s, 2H), 3,1-3,7 (m, 8H), 2,7-2,9 (m, 2H), 1,7-2,0 (m, 3H), 1,4-1,6 (m, 2H).
  • Beispiel 108: 2-((1-(3-(4-Fluorphenylthio)-propyl)-piperidin-4-yl)-methyl)-isoindolin-1-on-hydrochlorid (Verbindung 711 in Tabelle 1)
  • a) 3-(4-Fluorphenylthio)-propanol
  • 4-Fluorbenzolthiol (788 mg, 6,15 mmol) und 3-Brompropanol (0,535 ml, 6,16 mmol) wurden gelöst in Tetrahydrofuran (20 ml). Der Lösung wurde 1N wässrige Natriumhydroxidlösung (6,2 ml, 6,2 mmol) zugefügt und bei 80°C unter Rühren für 3 Stunden erhitzt. Die Reaktionsmischung wurde verdünnt mit einem Lösemittelgemisch aus Ethylacetat und Hexan und mit verdünnter wässriger Natriumhydroxidlösung, Wasser und anschließend mit gesättigter Kochsalzlösung gewaschen und über Magnesiumsulfat getrocknet. Unlösliche Feststoffe wurden durch Filtration abgetrennt und das Filtrat unter vermindertem Druck eingeengt. Das resultierende Öl wurde gereinigt mittels Silicagel-Säulenchromatographie (Ethylacetat/Hexan), um die Titelverbindung als farbloses Öl zu erhalten (592 mg, Ausbeute: 52%).
    1H-NMR (CDCl3): δ 7,33-7,39 (m, 2H), 6,97-7,03 (m, 2H), 3,77 (t, J = 6,0 Hz, 2H), 2,99 (t, J = 7,3 Hz, 2H), 1,80-1,91 (m, 2H), 1,49 (br s, 1H, OH).
  • b) 2-((1-(3-(4-Fluorphenylthio)-propyl)-piperidin-4-yl)-methyl)-isoindolin-1-on
  • Unter Verwendung der in Beispiel 108a erhaltenen Verbindung wurde 3-(4-Fluorphenylthio)-propyl-methansulfonat durch ähnliche Verfahren wie in Beispiel 26a als Rohprodukt erhalten. Unter Verwendung des resultierenden Produkts wurde die Titelverbindung durch ähnliche Verfahren wie in Beispiel 26b erhalten als blassgelber Feststoff (Ausbeute: 86%).
    1H-NMR (CDCl3): δ 7,85 (d, J = 7,5 Hz, 1H), 7,41-7,55 (m, 3H), 7,30-7,37 (m, 2H), 6,98 (t, J = 8,6 Hz, 2H), 4,40 (s, 2H), 3,40 (d, J = 7,3 Hz, 2H), 2,83-2,92 (m, 4H), 2,41 (t, J = 7,5 Hz, 2H), 1,86-1,96 (m, 2H), 1,5-1,8 (m, 5H), 1,2-1,4 (m, 2H).
  • c) 2-((1-(3-(4-Fluorphenylthio)-propyl)-piperidin-4-yl)-methyl)-isoindolin-1-on-hydrochlorid
  • Unter Verwendung der in Beispiel 108b erhaltenen Verbindung wurde die Titelverbindung durch ähnliche Verfahren wie in Beispiel 1f erhalten als farbloser Feststoff (Ausbeute: 52%).
    Schmelzpunkt: 162–164°C
    1H-NMR (DMSO-d6): δ 9,8-10,6 (br s, 1H, HCl), 7,68 (d, J = 7,5 Hz, 1H), 7,60-7,62 (m, 2H), 7,42-7,52 (m, 3H), 7,17-7,24 (m, 2H), 4,50 (s, 2H), 2,9-3,7 (m, 8H), 2,6-2,8 (m, 2H), 1,8-2,0 (m, 3H), 1,6-1,8 (m, 2H), 1,4-1,6 (m, 2H).
  • Beispiel 109: 2-((1-(2-(Phenylthio)-ethyl)-piperidin-4-yl)-methyl)-isoindolin-1-on-fumarat (Verbindung 726 in Tabelle 1)
  • Unter Verwendung von Thiophenol wurde 2-((1-(2-(Phenylthio)-ethyl)-piperidin-4-yl)-methyl)-isoindolin-1-on durch ähnliche Verfahren wie in Beispiel 107a als Rohprodukt erhalten. Unter Verwendung des resultierenden Produkts wurde die Titelverbindung durch ähnliche Verfahren wie in Beispiel 36c erhalten als farbloser Feststoff (Ausbeute: 62%).
    Schmelzpunkt: 188–192°C
    1H-NMR (DMSO-d6): δ 7,67 (d, J = 7,5 Hz, 1H), 7,55-7,60 (m, 2H), 7,45-7,52 (m, 1H), 7,27-7,35 (m, 4H), 7,14-7,20 (m, 1H), 6,60 (s, 2H, Fumarsäure), 4,47 (s, 2H), 3,40 (d, J = 7,2 Hz, 2H), 3,06-3,18 (m, 2H), 2,88-2,95 (m, 2H), 2,5-2,6 (m, 2H), 1,9-2,1 (m, 2H), 1,6-1,8 (m, 1H), 1,5-1,6 (m, 2H), 1,1-1,3 (m, 2H).
  • Beispiel 110: 2-((1-(2-(2-Methoxyphenylthio)-ethyl)-piperidin-4-yl)-methyl)-isoindolin-1-on-fumarat (Verbindung 731 in Tabelle 1)
  • Unter Verwendung von 2-Methoxybenzolthiol wurde 2-((1-(2-(2-Methoxyphenylthio)-ethyl)-piperidin-4-yl)-methyl)-isoindolin-1-on durch ähnliche Verfahren wie in Beispiel 107a als Rohprodukt erhalten. Unter Verwendung des resultierenden Produkts wurde die Titelverbindung durch ähnliche Verfahren wie in Beispiel 36c erhalten als farbloser Feststoff (Ausbeute: 53%).
    Schmelzpunkt: 166–169°C
    1H-NMR (DMSO-d6): δ 7,67 (d, J = 7,5 Hz, 1H), 7,55-7,60 (m, 2H), 7,45-7,52 (m, 1H), 7,14-7,25 (m, 2H), 6,90-6,99 (m, 2H), 6,60 (s, 2H, Fumarsäure), 4,48 (s, 2H), 3,80 (s, 3H), 3,41 (d, J = 7,3 Hz, 2H), 2,99-3,06 (m, 2H), 2,91-2,98 (m, 2H), 2,55-2,64 (m, 2H), 2,0-2,11 (m, 2H), 1,6-1,8 (m, 1H), 1,5-1,6 (m, 2H), 1,1-1,3 (m, 2H).
  • Beispiel 111: 2-((1-(2-(3-Methoxyphenylthio)-ethyl)-piperidin-4-yl)-methyl)-isoindolin-1-on-fumarat (Verbindung 736 in Tabelle 1)
  • Unter Verwendung von 3-Methoxybenzolthiol wurde 2-((1-(2-(3-Methoxyphenylthio)-ethyl)-piperidin-4-yl)-methyl)-isoindolin-1-on durch ähnliche Verfahren wie in Beispiel 107a als Rohprodukt erhalten. Unter Verwendung des resultierenden Produkts wurde die Titelverbindung durch ähnliche Verfahren wie in Beispiel 36c erhalten als farbloser Feststoff (Ausbeute: 40%).
    Schmelzpunkt: 156–159°C
    1H-NMR (DMSO-d6): δ 7,67 (d, J = 7,4 Hz, 1H), 7,56-7,61 (m, 2H), 7,45-7,52 (m, 1H), 7,21 (t, J = 7,9 Hz, 1H), 6,84-6,91 (m, 2H), 6,71-6,77 (m, 1H), 6,61 (s, 2H, Fumarsäure), 4,48 (s, 2H), 3,74 (s, 3H), 3,40 (d, J = 7,3 Hz, 2H), 3,07-3,15 (m, 2H), 2,90-2,97 (m, 2H), 2,56-2,63 (m, 2H), 2,02-2,09 (m, 2H), 1,6-1,8 (m, 1H), 1,5-1,6 (m, 2H), 1,1-1,3 (m, 2H).
  • Beispiel 112: 2-((1-(2-(2-Fluorphenylthio)-ethyl)-piperidin-4-yl)-methyl)-isoindolin-1-on-fumarat (Verbindung 716 in Tabelle 1)
  • Unter Verwendung von 2-Fluorbenzolthiol wurde 2-((1-(2-(2-Fluorphenylthio)ethyl)-piperidin-4-yl)-methyl)-isoindolin-1-on durch ähnliche Verfahren wie in Beispiel 107a als Rohprodukt erhalten. Unter Verwendung des resultierenden Produkts wurde die Titelverbindung durch ähnliche Verfahren wie in Beispiel 36c erhalten als farbloser Feststoff (Ausbeute: 46%).
    Schmelzpunkt: 187–189°C
    1H-NMR (DMSO-d6): δ 7,67 (d, J = 7,2 Hz, 1H), 7,55-7,60 (m, 2H), 7,41-7,52 (m, 2H), 7,14-7,28 (m, 3H), 6,16 (s, 2H, Fumarsäure), 4,47 (s, 2H), 3,39 (d, J = 7,2 Hz, 2H), 3,05-3,13 (m, 2H), 2,86-2,92 (m, 2H), 2,54-2,63 (m, 2H), 1,9-2,1 (m, 2H), 1,6-1,8 (m, 1H), 1,5-1,6 (m, 2H), 1,1-1,3 (m, 2H).
  • Beispiel 113: 2-((1-(2-(3-Fluorphenylthio)-ethyl)-piperidin-4-yl)-methyl)-isoindolin-1-on-fumarat (Verbindung 721 in Tabelle 1)
  • Unter Verwendung von 3-Fluorbenzolthiol wurde 2-((1-(2-(3-Fluorphenylthio)q-ethyl)-piperidin-4-yl)-methyl)-isoindolin-1-on durch ähnliche Verfahren wie in Beispiel 107a als Rohprodukt erhalten. Unter Verwendung des resultierenden Produkts wurde die Titelverbindung durch ähnliche Verfahren wie in Beispiel 36c erhalten als farbloser Feststoff (Ausbeute: 48%).
    Schmelzpunkt: 194–198°C
    1H-NMR (DMSO-d5): δ 7,67 (d, J = 7,4 Hz, 1H), 7,55-7,61 (m, 2H), 7,45-7,52 (m, 1H), 7,28-7,36 (m, 1H), 7,11-7,22 (m, 2H), 6,94-7,02 (m, 1H), 6,60 (s, 2H, Fumarsäure), 4,48 (s, 2H), 3,40 (d, J = 7,2 Hz, 2H), 3,12-3,19 (m, 2H), 2,90-2,96 (m, 2H), 2,56-2,64 (m, 2H), 1,97-2,08 (m, 2H), 1,6-1,8 (m, 1H), 1,5-1,6 (m, 2H), 1,1-1,3 (m, 2H).
  • Beispiel 114: 2-((1-(2-Phenoxyethyl)-piperidin-4-yl)-methyl)-isoindolin-1-on-fumarat (Verbindung 611 in Tabelle 1)
  • a) 1-(4-Methylbenzol)-sulfonyloxy-2-phenoxyethan
  • 2-Phenoxyethanol (500 mg, 3,62 mmol) wurde gelöst in Dichlormethan (7 ml) und der Lösung wurden p-Toluolsulfonylchlorid (690 mg, 3,62 mmol) und Triethylamin (0,51 ml, 3,62 mmol) zugesetzt und bei Raumtemperatur für 15 Stunden gerührt. Die Reaktionsmischung wurde mit Dichlormethan verdünnt, mit Wasser gewaschen und über Magnesiumsulfat getrocknet. Unlösliche Feststoffe wurden durch Filtration abgetrennt und das Filtrat wurde unter vermindertem Druck eingedampft, um die Titelverbindung zu erhalten (1,08 g, Ausbeute: quantitativ).
    1H-NMR (CDCl3): δ 7,83 (d, J = 1,8 Hz, 2H), 7,34 (d, J = 8,4 Hz, 2H), 7,28-7,23 (m, 2H), 6,98-6,93 (m, 1H), 6,78 (d, J = 7,8 Hz, 2H), 4,37 (t, J = 4,8 Hz, 2H), 4,14 (t, J = 5,0 Hz, 2H), 2,44 (s, 3H).
  • b) 2-((1-(2-Phenoxyethyl)-piperidin-4-yl)-methyl)-isoindolin-1-on
  • Die in Beispiel 114a erhaltene Verbindung (547 mg, 1,87 mmol) wurde gelöst in Dimethylformamid (3 ml), und der Lösung wurden die in Beispiel 1d erhaltene Verbindung (500 mg, 1,87 mmol) und Kaliumcarbonat (517 mg, 3,74 mmol) zugefügt und anschließend bei 60°C für 7 Stunden unter Rühren erhitzt. Die Reaktionsmischung wurde zur Abkühlung stehen gelassen und anschließend wurde Wasser (10 ml) zugegeben und mit Ethylacetat extrahiert. Der Extrakt wurde mit Wasser und gesättigter Kochsalzlösung gewaschen und über Natriumsulfat getrocknet. Unlösliche Feststoffe wurden durch Filtration abgetrennt und das Filtrat unter vermindertem Druck eingedampft. Der resultierende Feststoff wurde suspendiert und gewaschen in Diethylether/Hexan und durch Filtration gesammelt, um die Titelverbindung als Rohprodukt zu erhalten (171 mg). Das Produkt wurde ohne Aufreinigung in die nächste Reaktion eingesetzt.
  • c) 2-((1-(2-Phenoxyethyl)-piperidin-4-yl)-methyl)-isoindolin-1-on-fumarat
  • Unter Verwendung der in Beispiel 114b erhaltenen Verbindung (170 mg) wurde die Titelverbindung durch ähnliche Verfahren wie in Beispiel 36c erhalten als farbloser Feststoff (170 mg, Ausbeute: 19%, 2 Stufen).
    Schmelzpunkt: 178–181°C
    1H-NMR (DMSO-d6): δ 7,67 (d, J = 7,5 Hz, 1H), 7,59 (d, J = 4,2 Hz, 2H), 7,51-7,47 (m, 1H), 6,95-6,90 (m, 3H), 6,59 (s, 2H), 4,48 (s, 2H), 4,11 (br t, J = 5,7 Hz, 2H), 3,42 (br d, J = 10,2 Hz, 2H), 2,85 (br t, J = 5,4 Hz, 2H), 2,23 (br dd, J = 11,3 Hz, 11,3 Hz, 2H), 1,80-1,75 (m, 1H), 1,61 (br d, J = 12,9 Hz, 2H) 1,28 (br dd, J = 23,0 Hz, 10,2 Hz, 2H).
  • Beispiel 115: 2-((1-(2-(4-Chlorphenoxy)-ethyl)-piperidin-4-yl)-methyl)-isoindolin-1-on-fumarat (Verbindung 626 in Tabelle 1)
  • a) 1-Brom-2-(4-chlorphenoxy)-ethan
  • 4-Chlorphenol (500 mg, 3,89 mmol), 2-Bromethanol (0,28 ml, 3,89 mmol) und Triphenylphosphin (1,02 g, 3,89 mmol) wurden gelöst in Tetrahydrofuran (8 ml). Der Lösung wurde tropfenweise Diisopropylazodicarboxylat (0,84 ml, 3,89 mmol) zugegeben und bei Raumtemperatur für 3 Stunden gerührt. Das Lösemittel der Reaktionsmischung wurde verdampft und Feststoffe wurden unter Verwendung von Diethylether/Hexan ausgefällt und durch Filtration abgetrennt. Das Filtrat wurde unter vermindertem Druck eingedampft, um die Titelverbindung als Rohprodukt zu erhalten (1,18 g). Das Rohprodukt wurde ohne Aufreinigung in die nächste Reaktion eingesetzt.
  • b) 2-((1-(2-(4-Chlorphenoxy)-ethyl)-piperidin-4-yl)-methyl)-isoindolin-1-on
  • Die in Beispiel 115a erhaltene Verbindung (500 mg) wurde gelöst in Dimethylformamid (2 ml). Zur Lösung wurden die in Beispiel 1d erhaltene Verbindung (440 mg, 1,65 mmol), Kaliumcarbonat (456 mg, 3,30 mmol) und Natriumiodid (247 mg, 1,65 mmol) gegeben, und die Mischung wurde bei 60°C für 17 Stunden unter Rühren erhitzt. Die Reaktionsmischung wurde zum Abkühlen stehen gelassen und anschließend mit Ethylacetat verdünnt. Die Mischung wurde mit Wasser und gesättigter Kochsalzlösung gewaschen und über Natriumsulfat getrocknet. Unlösliche Feststoffe wurden durch Filtration abgetrennt und das Filtrat unter vermindertem Druck eingedampft. Das resultierende Rohprodukt wurde gereinigt mittels Silicagel-Säulenchromatographie (Methanol/Dichlormethan), um die Titelverbindung als blassbraunen Feststoff zu erhalten (273 mg, Ausbeute: 18%, 2 Stufen).
    1H-NMR (CDCl3): δ 7,85 (d, J = 7,4 Hz, 1H), 7,56-7,42 (m, 3H), 7,23-7,19 (m, 2H), 6,84-6,80 (m, 2H), 4,40 (s, 2H), 4,05 (t, J = 5,8 Hz, 2H), 3,51 (d, J = 7,3 Hz, 2H), 2,98 (br d, J = 11,8 Hz, 2H), 2,77 (t, J = 5,9 Hz, 2H), 2,10 (ddd, J = 2,3 Hz, 11,6 Hz, 11,6 Hz, 2H), 1,84-1,68 (m, 3H), 1,45-1,40 (m, 2H).
  • c) 2-((1-(2-(4-Chlorphenoxy)-ethyl)-piperidin-4-yl)-methyl)-isoindolin-1-on-fumarat
  • Unter Verwendung der in Beispiel 115b erhaltenen Verbindung (270 mg, 0,70 mmol) wurde die Titelverbindung durch ähnliche Verfahren wie in Beispiel 36c erhalten als farbloser Feststoff (272 mg, Ausbeute: 78%).
    Schmelzpunkt: 189–192°C
    1H-NMR (DMSO-d6): δ 7,67 (d, J = 7,4 Hz, 1H), 7,59 (d, J = 1,4 Hz, 2H), 7,58-7,46 (m, 1H), 7,31 (dd, J = 7,5 Hz, 2,1 Hz, 1H), 6,97 (dd, J = 6,7 Hz, 2,1 Hz, 2H), 6,59 (s, 2H), 4,48 (s, 2H), 4,10 (t, J = 5,7 Hz, 2H), 3,41 (d, J = 7,3 Hz, 2H), 3,00 (br d, J = 11,7 Hz, 2H), 2,80 (t, J = 5,8 Hz, 2H), 2,17 (dd, J = 10,7 Hz, 10,7 Hz, 2H), 1,79 (m, 1H), 1,60 (br d, J = 12,4 Hz, 2H), 1,33-1,21 (m, 2H).
  • Beispiel 116: 2-((1-(2-(2-Methoxyphenoxy)-ethyl)-piperidin-4-yl)-methyl)-isoindolin-1-on-fumarat (Verbindung 631 in Tabelle 1)
  • a) 1-Brom-2-(2-methoxyphenoxy)-ethan
  • Unter Verwendung von 2-Methoxyphenol (186 mg, 1,5 mmol) wurde die Titelverbindung durch ähnliche Verfahren wie in Beispiel 115a erhalten (551 mg). Das resultierende Rohprodukt wurde ohne Aufreinigung in die nächste Reaktion eingesetzt.
  • b) 2-((1-(2-(2-Methoxyphenoxy)-ethyl)-piperidin-4-yl)-methyl)-isoindolin-1-on
  • Unter Verwendung der in Beispiel 116a erhaltenen Verbindung (551 mg) wurde die Titelverbindung durch ähnliche Verfahren wie in Beispiel 115b erhalten als braunes Öl (119 mg, Ausbeute: 21%, 2 Stufen).
    1H-NMR (CDCl3): δ 7,85 (d, J = 7,5 Hz, 1H), 7,56-7,42 (m, 3H), 6,92-6,87 (m, 4H), 4,41 (s, 2H), 4,14 (t, J = 6,2 Hz, 2H), 3,85 (s, 3H), 3,51 (d, J = 7,2 Hz, 2H), 3,02 (br d, J = 11,7 Hz, 2H), 2,83 (t, J = 6,2 Hz, 2H), 2,15-2,07 (m, 2H), 1,87-1,69 (m, 3H), 1,51-1,37 (m, 2H).
  • c) 2-((1-(2-(2-Methoxyphenoxy)-ethyl)-piperidin-4-yl)-methyl)-isoindolin-1-on-fumarat
  • Unter Verwendung der in Beispiel 116b erhaltenen Verbindung (119 mg, 0,32 mmol) wurde die Titelverbindung durch ähnliche Verfahren wie in Beispiel 36c erhalten als farbloser Feststoff (108 mg, Ausbeute: 69%).
    Schmelzpunkt: 188–191°C
    1H-NMR (DMSO-d6): δ 7,67 (d, J = 7,5 Hz, 1H), 7,59-7,50 (m, 3H), 7,00-6,84 (m, 4H), 6,59 (s, 2H), 4,48 (s, 2H), 4,09 (t, J = 5,7 Hz, 2H), 3,74 (s, 3H), 3,41 (d, J = 7,2 Hz, 2H), 3,05 (br d, J = 11,1 Hz, 2H), 2,83 (br s, 2H), 2,22 (br dd, J = 11,0 Hz, 11,0 Hz, 2H), 1,78-1,77 (m, 1H), 1,62 (br d, J = 12,0 Hz, 2H), 1,28 (br dd, J = 21,8 Hz, 11,4 Hz, 2H).
  • Beispiel 117: 2-((1-(2-(2-Fluorphenoxy)-ethyl)-piperidin-4-yl)-methyl)-isoindolin-1-on-fumarat (Verbindung 616 in Tabelle 1)
  • a) 1-Brom-2-(2-fluorphenoxy)-ethan
  • Unter Verwendung von 2-Fluorphenol (168 mg, 1,5 mmol) wurde die Titelverbindung mittels Durchführung einer ähnlichen Reaktion wie in Beispiel 115a als Rohprodukt erhalten (418 mg). Das resultierende Rohprodukt wurde ohne Aufreinigung in die nächste Reaktion eingesetzt.
  • b) 2-((1-(2-(2-Fluorphenoxy)-ethyl)-piperidin-4-yl)-methyl)-isoindolin-1-on
  • Unter Verwendung der in Beispiel 117a erhaltenen Verbindung (418 mg) wurde die Titelverbindung mittels Durchführung ähnlicher Reaktionen wie in Beispiel 115b als braunes Öl erhalten (240 mg, Ausbeute: 43%, 2 Stufen).
    1H-NMR (CDCl3): δ 7,85 (d, J = 7,2 Hz, 1H), 7,53-7,42 (m, 3H), 7,07-6,96 (m, 4H), 4,41 (s, 2H), 4,16 (t, J = 6,0 Hz, 2H), 3,51 (d, J = 7,2 Hz, 2H), 3,01 (br d, J = 11,7 Hz, 2H), 2,82 (t, J = 6,0 Hz, 2H), 2,13 (ddd, J = 23,3 Hz, 11,6 Hz, 11,6 Hz, 2H), 1,84-1,68 (m, 3H), 1,49-1,40 (m, 2H).
  • c) 2-((1-(2-(2-Fluorphenoxy)-ethyl)-piperidin-4-yl)-methyl)-isoindolin-1-on-fumarat
  • Unter Verwendung der in Beispiel 117b erhaltenen Verbindung (240 mg) wurde die Titelverbindung mittels Ausführung einer ähnlichen Reaktion wie in Beispiel 36c als farbloser Feststoff erhalten (108 mg, Ausbeute: 78%).
    Schmelzpunkt: 168–171°C
    1H-NMR (DMSO-d6): δ 7,67 (d, J = 7,5 Hz, 1H), 7,58 (br s, 2H), 7,50-7,47 (m, 1H), 7,22-7,11 (m, 3H), 6,94-6,92 (m, 1H), 6,60 (s, 2H), 4,48 (s, 2H), 4,17 (t, J = 5,6 Hz, 2H), 3,40 (d, J = 7,2 Hz, 2H), 3,00 (br d, J = 11,1 Hz, 2H), 2,81 (br dd, J = 5,6 Hz, 5,6 Hz, 2H), 2,17 (br dd, J = 10,7 Hz, 10,7 Hz, 2H), 1,76-1,73 (m, 1H), 1,62 (br d, J = 12,0 Hz, 2H), 1,25 (br dd, J = 22,4 Hz, 10,6 Hz, 2H).
  • Beispiel 118: 2-((1-(2-(3-Fluorphenoxy)-ethyl)-piperidin-4-yl)-methyl)-isoindolin-1-on-fumarat (Verbindung 621 in Tabelle 1)
  • a) 1-Brom-2-(3-fluorphenoxy)-ethan
  • Unter Verwendung von 3-Fluorphenol (500 mg, 4,46 mmol) wurde die Titelverbindung mittels Durchführung einer ähnlichen Reaktion wie in Beispiel 115a als Rohprodukt erhalten (1,26 g). Das resultierende Rohprodukt wurde ohne Aufreinigung in die nächste Reaktion eingesetzt.
  • b) 2-((1-(2-(3-Fluorphenoxy)-ethyl)-piperidin-4-yl)-methyl)-isoindolin-1-on
  • Unter Verwendung der in Beispiel 118a erhaltenen Verbindung (1,26 g) wurde die Titelverbindung mittels Durchführung einer ähnlichen Reaktion wie in Beispiel 115b als braunes Öl erhalten (823 mg, Ausbeute: 50%, 2 Stufen).
    1H-NMR (CDCl3): δ 7,85 (d, J = 7,2 Hz, 1H), 7,53-7,42 (m, 3H), 7,21-7,16 (m, 1H), 6,69-6,59 (m, 3H), 4,41 (s, 2H), 4,07 (t, J = 5,9 Hz, 2H), 3,51 (d, J = 7,2 Hz, 2H), 2,99 (br d, J = 12,0 Hz, 2H), 2,78 (t, J = 6,0 Hz, 2H), 2,11 (ddd, J = 2,5 Hz, 11,6 Hz, 11,6 Hz, 2H), 1,82-1,68 (m, 3H), 1,49-1,40 (m, 2H).
  • c) 2-((1-(2-(3-Fluorphenoxy)-ethyl)-piperidin-4-yl)-methyl)-isoindolin-1-on-fumarat
  • Unter Verwendung der in Beispiel 118b erhaltenen Verbindung (823 mg) wurde die Titelverbindung mittels Durchführung einer ähnlichen Reaktion wie in Beispiel 36c als farbloser Feststoff erhalten (720 mg, Ausbeute: 67%)
    Schmelzpunkt: 193–194°C
    1H-NMR (DMSO-d6): δ 7,67 (d, J = 7,4 Hz, 1H), 7,60-7,58 (m, 2H), 7,51-7,48 (m, 1H), 7,34-7,31 (m, 1H), 6,84-6,75 (m, 3H), 6,59 (s, 2H), 4,48 (s, 2H), 4,12 (t, J = 5,7 Hz, 2H), 3,41 (d, J = 7,3 Hz, 2H), 3,02 (br d, J = 11,7 Hz, 2H), 2,81 (br dd, J = 5,7 Hz, 5,7 Hz, 2H), 2,19 (br dd, J = 10,5 Hz, 10,5 Hz, 2H), 1,79-1,74 (m, 1H), 1,61 (br d, J = 12,0 Hz, 2H), 1,32-1,20 (m, 2H).
  • Beispiel 119: 2-((1-(2-(4-Methylphenoxy)-ethyl)-piperidin-4-yl)-methyl)-isoindolin-1-on-fumarat (Verbindung 656 in Tabelle 1)
  • a) 1-Brom-2-(4-methylphenoxy)-ethan
  • Unter Verwendung von 4-Methylphenol (162 mg, 1,5 mmol) wurde die Titelverbindung mittels Durchführung einer ähnlichen Reaktion wie in Beispiel 115a als Rohprodukt erhalten (458 mg). Das Rohprodukt wurde ohne Aufreinigung in die nächste Reaktion eingesetzt.
  • b) 2-((1-(2-(4-Methylphenoxy)-ethyl)-piperidin-4-yl)-methyl)-isoindolin-1-on
  • Unter Verwendung der in Beispiel 119a erhaltenen Verbindung (458 mg) wurde die Titelverbindung mittels Durchführung von ähnlichen Reaktionen wie in Beispiel 115b als braunes Öl erhalten (210 mg, Ausbeute: 38%, 2 Stufen).
    1H-NMR (CDCl3): δ 7,84 (d, J = 6,9 Hz, 1H), 7,55-7,42 (m, 3H), 7,06 (d, J = 8,4 Hz, 2H), 6,81-6,77 (m, 2H), 4,40 (s, 2H), 4,06 (t, J = 6,0 Hz, 2H), 3,50 (d, J = 7,2 Hz, 2H), 3,00 (br d, J = 11,7 Hz, 2H), 2,77 (t, J = 6,0 Hz, 2H), 2,27 (s, 3H), 2,10 (ddd, J = 2,3 Hz, 11,6 Hz, 11,6 Hz, 2H), 1,84-1,70 (m, 3H), 1,49-1,40 (m, 2H).
  • c) 2-((1-(2-(4-Methylphenoxy)-ethyl)-piperidin-4-yl)-methyl)-isoindolin-1-on-fumarat
  • Unter Verwendung der in Beispiel 119b erhaltenen Verbindung (210 mg) wurde die Titelverbindung mittels Durchführung einer ähnlichen Reaktion wie in Beispiel 36c als farbloser Feststoff erhalten (220 mg, Ausbeute: 79%).
    Schmelzpunkt: 183–185°C
    1H-NMR (DMSO-d6): δ 7,67 (d, J = 7,6 Hz, 1H), 7,62-7,58 (m, 2H), 7,52-7,45 (m, 1H), 7,07 (d, J = 8,3 Hz, 2H), 6,82 (d, J = 8,4 Hz, 2H), 6,59 (s, 2H), 4,48 (s, 2H), 4,05 (t, J = 5,7 Hz, 2H), 3,41 (d, J = 7,2 Hz, 2H), 3,00 (br d, J = 11,6 Hz, 2H), 2,78 (t, J = 5,7 Hz, 2H), 2,22-2,09 (m, 5H), 1,79-1,73 (m, 1H), 1,61 (br d, J = 13,3 Hz, 2H), 1,26 (br dd, J = 21,4 Hz, 11,4 Hz, 2H).
  • Beispiel 120: 2-((1-(2-(3-Methoxyphenoxy)-ethyl)-piperidin-4-yl)-methyl)-isoindolin-1-on-fumarat (Verbindung 636 in Tabelle 1)
  • a) 1-Brom-2-(3-methoxyphenoxy)-ethan
  • Unter Verwendung von 4-Methoxyphenol (186 mg, 1,5 mmol) wurde die Titelverbindung mittels Durchführung einer ähnlichen Reaktion wie in Beispiel 115a als Rohprodukt erhalten (953 mg). Das resultierende Rohprodukt wurde ohne Aufreinigung in die nächste Reaktion eingesetzt.
  • b) 2-((1-(2-(3-Methoxyphenoxy)-ethyl)-piperidin-4-yl)-methyl)-isoindolin-1-on
  • Unter Verwendung der in Beispiel 120a erhaltenen Verbindung (953 mg) wurde die Titelverbindung mittels Durchführung von ähnlich Reaktionen wie in Beispiel 115b als braunes Öl erhalten (192 mg, Ausbeute: 34%, 2 Stufen).
    1H-NMR (CDCl3): δ 7,85 (d, J = 7,2 Hz, 1H), 7,55-7,42 (m, 3H), 7,16 (dd, J = 8,0 Hz, 8,0 Hz, 1H), 6,51-6,46 (m, 3H), 4,41 (s, 2H), 4,08 (t, J = 6,0 Hz, 2H), 3,78 (s, 3H), 3,51 (d, J = 7,2 Hz, 2H), 3,00 (br d, J = 11,7 Hz, 2H), 2,79 (t, J = 6,0 Hz, 2H), 2,16-2,08 (m, 2H), 1,83-1,68 (m, 3H), 1,50-1,41 (m, 2H).
  • c) 2-((1-(2-(3-Methoxyphenoxy)-ethyl)-piperidin-4-yl)-methyl)-isoindolin-1-on-fumarat
  • Unter Verwendung der in Beispiel 120b erhaltenen Verbindung (190 mg) wurde die Titelverbindung mittels Durchführung einer ähnlichen Reaktion wie in Beispiel 36c als farbloser Feststoff erhalten (200 mg, Ausbeute: 81%).
    Schmelzpunkt: 173–174°C
    1H-NMR (DMSO-d6): δ 7,67 (d, J = 7,5 Hz, 1H), 7,62-7,58 (m, 2H), 7,52-7,45 (m, 1H), 7,17 (dd, J = 8,3 Hz, 8,0 Hz, 1H), 6,59 (s, 2H), 6,53-6,49 (m, 3H), 4,48 (s, 2H), 4,09 (t, J = 5,4 Hz, 2H), 3,72 (s, 3H), 3,41 (d, J = 7,2 Hz, 2H), 3,03 (br d, J = 11,2 Hz, 2H), 2,82 (br s, 2H), 2,21 (br dd, J = 11,4 Hz, 11,4 Hz, 2H) 1,78-1,77 (m, 1H), 1,62 (br d, J = 12,5 Hz, 2H), 1,28 (br dd, J = 22,0 Hz, 11,0 Hz, 2H).
  • Beispiel 121: 2-((1-(2-(3-Methylphenoxy)-ethyl)-piperidin-4-yl)-methyl)-isoindolin-1-on-fumarat (Verbindung 651 in Tabelle 1)
  • a) 1-Brom-2-(3-methylphenoxy)-ethan
  • Unter Verwendung von 3-Methylphenol (162 mg, 1,5 mmol) wurde die Titelverbindung mittels Durchführung einer ähnlichen Reaktion wie in Beispiel 115a als Rohprodukt erhalten (410 mg). Das resultierende Rohprodukt wurde ohne Aufreinigung in die nächste Reaktion eingesetzt.
  • b) 2-((1-(2-(3-Methylphenoxy)-ethyl)-piperidin-4-yl)-methyl)-isoindolin-1-on
  • Unter Verwendung der in Beispiel 121a erhaltenen Verbindung (410 mg) wurde die Titelverbindung mittels Durchführung von ähnlichen Reaktionen wie in Beispiel 115b als braunes Cl erhalten (213 mg, Ausbeute: 39%, 2 Stufen).
    1H-NMR (CDCl3): δ 7,85 (d, J = 7,5 Hz, 1H), 7,55-7,42 (m, 3H), 7,14 (dd, J = 7,7 Hz, 7,7 Hz, 1H), 6,76-6,69 (m, 3H), 4,40 (s, 2H), 4,08 (t, J = 5,9 Hz, 2H), 3,51 (d, J = 6,9 Hz, 2H), 3,00 (br d, J = 11,7 Hz, 2H), 2,79 (t, J = 5,9 Hz, 2H), 2,31 (s, 3H), 2,12 (br dd, J = 10,5 Hz, 10,5 Hz, 2H), 1,82-1,69 (m, 3H), 1,49-1,26 (m, 2H).
  • c) 2-((1-(2-(3-Methylphenoxy)-ethyl)-piperidin-4-yl)-methyl)-isoindolin-1-on-fumarat
  • Unter Verwendung der in Beispiel 121b erhaltenen Verbindung (210 mg) wurde die Titelverbindung mittels Durchführung einer ähnlichen Reaktion wie in Beispiel 36c als farbloser Feststoff erhalten (252 mg, Ausbeute: 91%).
    Schmelzpunkt: 202–203°C
    1H-NMR (DMSO-d6): δ 7,67 (d, J = 7,4 Hz, 1H), 7,59-7,58 (m, 2H), 7,50-7,45 (m, 1H), 7,15 (dd, J = 7,8 Hz, 7,8 Hz, 1H), 6,75-6,71 (m, 3H), 6,59 (s, 2H), 4,48 (s, 2H), 4,09 (t, J = 5,5 Hz, 2H), 3,41 (d, J = 7,3 Hz, 2H), 3,04 (br d, J = 11,3 Hz, 2H), 2,83 (t, J = 5,0 Hz, 2H), 2,26-2,19 (m, 5H), 1,78 (br s, 1H), 1,62 (br d, J = 12,7 Hz, 2H), 1,28 (br dd, J = 21,9 Hz, 10,7 Hz, 2H).
  • Beispiel 122: 2-((1-(2-(4-Methoxyphenoxy)-ethyl)-piperidin-4-yl)-methyl)-isoindolin-1-on-fumarat (Verbindung 641 in Tabelle 1)
  • a) 1-Brom-2-(4-methoxyphenoxy)-ethan
  • Unter Verwendung von 4-Methoxyphenol (186 g, 1,5 mmol) wurde die Titelver bindung mittels Durchführung einer ähnlichen Reaktion wie in Beispiel 115a als Rohprodukt erhalten (347 mg). Das resultierende Rohprodukt wurde ohne Aufreinigung in die nächste Reaktion eingesetzt.
  • b) 2-((1-(2-(4-Methoxyphenoxy)-ethyl)-piperidin-4-yl)-methyl)-isoindolin-1-on
  • Unter Verwendung der in Beispiel 122a erhaltenen Verbindung (347 mg) wurde die Titelverbindung mittels Durchführung von ähnlichen Reaktionen wie in Beispiel 115b als braunes Öl erhalten (274 mg, Ausbeute: 48%, 2 Stufen).
    1H-NMR (CDCl3): δ 7,85 (d, J = 7,2 Hz, 1H), 7,56-7,42 (m, 3H), 6,82-6,78 (m, 4H), 4,41 (s, 2H), 4,05 (t, J = 5,9 Hz, 2H), 3,76 (s, 3H), 3,51 (d, J = 7,2 Hz, 2H), 3,00 (br d, J = 12,0 Hz, 2H), 2,77 (t, J = 6,0 Hz, 2H), 2,11 (ddd, J = 2,3 Hz, 11,6 Hz, 11,6 Hz, 2H), 1,82-1,68 (m, 3H), 1,51-1,41 (m, 2H).
  • c) 2-((1-(2-(4-Methoxyphenoxy)-ethyl)-piperidin-4-yl)-methyl)-isoindolin-1-on-fumarat
  • Unter Verwendung der in Beispiel 122b erhaltenen Verbindung (270 mg) wurde die Titelverbindung mittels Durchführung einer ähnlichen Reaktion wie in Beispiel 36c als farbloser Feststoff erhalten (232 mg, Ausbeute: 82%).
    Schmelzpunkt: 165–168°C
    1H-NMR (DMSO-d6): δ 7,67 (d, J = 7,3 Hz, 1H), 7,59-7,58 (m, 2H), 7,52-7,45 (m, 1H), 6,89-6,82 (m, 4H), 6,59 (s, 2H), 4,48 (s, 2H), 4,04 (t, J = 5,7 Hz, 2H), 3,41 (d, J = 7,3 Hz, 2H), 3,03 (br d, J = 11,6 Hz, 2H), 2,80 (t, J = 5,7 Hz, 2H), 2,21 (br dd, J = 10,7 Hz, 10,7 Hz, 2H), 1,80-1,79 (m, 1H), 1,61 (br d, J = 11,6 Hz, 2H), 1,33-1,18 (m, 2H).
  • Beispiel 123: 2-((1-(2-(2-Methylphenoxy)-ethyl)-piperidin-4-yl)-methyl)-isoindolin-1-on-fumarat (Verbindung 646 in Tabelle 1)
  • a) 1-Brom-2-(2-methylphenoxy)-ethan
  • Unter Verwendung von 2-Methylphenol (162 mg, 1,5 mmol) wurde die Titelverbindung mittels Durchführung einer ähnlichen Reaktion wie in Beispiel 115a als Rohprodukt erhalten (334 mg). Das resultierende Rohprodukt wurde ohne Auf reinigung in die nächste Reaktion eingesetzt.
  • b) 2-((1-(2-(2-Methylphenoxy)-ethyl)-piperidin-4-yl)-methyl)-isoindolin-1-on
  • Unter Verwendung der in Beispiel 123a erhaltenen Verbindung (334 mg) wurde die Titelverbindung mittels Durchführung einer ähnlichen Reaktion wie in Beispiel 115b als braunes Öl erhalten (485 mg). Das resultierende Rohprodukt wurde ohne Aufreinigung in die nächste Reaktion eingesetzt.
  • c) 2-((1-(2-(2-Methylphenoxy)-ethyl)-piperidin-4-yl)-methyl)-isoindolin-1-on-fumarat
  • Unter Verwendung der in Beispiel 123b erhaltenen Verbindung (485 mg) wurde die Titelverbindung mittels Durchführung von ähnlichen Reaktionen wie in Beispiel 36c als farbloser Feststoff erhalten (89 mg, Ausbeute: 14%, 3 Stufen).
    Schmelzpunkt: 214–218°C
    1H-NMR (DMSO-d6): δ 7,67 (d, J = 7,2 Hz, 1H), 7,59-7,58 (m, 2H), 7,52-7,45 (m, 1H), 7,16-7,11 (m, 2H), 6,92 (d, J = 8,1 Hz, 1H), 6,82 (dd, J = 7,5 Hz, 7,5 Hz, 1H), 6,59 (s, 2H), 4,48 (s, 2H), 4,10 (t, J = 5,6 Hz, 2H), 3,41 (d, J = 7,2 Hz, 2H), 3,03 (br d, J = 12,0 Hz, 2H), 2,85 (br s, 2H), 2,23 (br dd, J = 11,0 Hz, 11,0 Hz, 2H), 2,13 (s, 3H), 1,77 (br s, 1H), 1,61 (br d, J = 12,3 Hz, 2H), 1,32-1,24 (m, 2H).
  • Beispiel 124: 2-((1-(2-(4-Trifluormethylphenoxy)-ethyl)-piperidin-4-yl)-methyl)-isoindolin-1-on-fumarat (Verbindung 661 in Tabelle 1)
  • a) 1-Brom-2-(4-trifluormethylphenoxy)-ethan
  • Unter Verwendung von 4-Trifluormethylphenol (243 mg, 1,5 mmol) wurde die Titelverbindung mittels Durchführung einer ähnlichen Reaktion wie in Beispiel 115a als Rohprodukt erhalten (519 mg). Das resultierende Rohprodukt wurde ohne Aufreinigung in die nächste Reaktion eingesetzt.
  • b) 2-((1-(2-(4-Trifluormethylphenoxy)-ethyl)-piperidin-4-yl)-methyl)-isoindolin-1-on
  • Unter Verwendung der in Beispiel 124a erhaltenen Verbindung (519 mg) wurde die Titelverbindung mittels Durchführung von ähnlichen Reaktionen wie in Beispiel 115b erhalten (150 mg, Ausbeute: 19%, 2 Stufen).
    1H-NMR (CDCl3): δ 7,85 (d, J = 7,2 Hz, 1H), 7,56-7,42 (m, 5H), 6,95 (d, J = 8,7 Hz, 2H), 4,41 (s, 2H), 4,13 (t, J = 5,9 Hz, 2H), 3,51 (d, J = 6,9 Hz, 2H), 3,00 (br d, J = 11,4 Hz, 2H), 2,81 (t, J = 5,9 Hz, 2H), 2,17-2,09 (m, 2H), 1,85-1,63 (m, 3H), 1,50-1,38 (m, 2H).
  • c) 2-((1-(2-(4-Trifluormethylphenoxy)-ethyl)-piperidin-4-yl)-methyl)-isoindolin-1-on-fumarat
  • Unter Verwendung der in Beispiel 124b erhaltenen Verbindung (150 mg) wurde die Titelverbindung mittels Durchführung einer ähnlichen Reaktion wie in Beispiel 36c als farbloser Feststoff erhalten (171 mg, Ausbeute: 89%).
    Schmelzpunkt: 198–199°C
    1H-NMR (DMSO-d6): δ 7,68-7,56 (m, 5H), 7,52-7,45 (m, 1H), 7,12 (d, J = 8,6 Hz, 2H), 6,60 (s, 2H), 4,48 (s, 2H), 4,18 (t, J = 5,7 Hz, 2H), 3,41 (d, J = 7,2 Hz, 2H), 2,98 (br d, J = 11,6 Hz, 2H), 2,79 (t, J = 5,7 Hz, 2H), 2,13 (br dd, J = 11,7 Hz, 11,7 Hz, 2H), 1,79-1,72 (m, 1H), 1,60 (br d, J = 12,3 Hz, 2H), 1,38-1,18 (m, 2H).
  • Beispiel 125: 2-((1-(2-(4-Trifluormethoxyphenoxy)-ethyl)-piperidin-4-yl)-methyl)-isoindolin-1-on-fumarat (Verbindung 666 in Tabelle 1)
  • a) 1-Brom-2-(4-trifluormethoxyphenoxy)-ethan
  • Unter Verwendung von 4-Trifluormethoxyphenol (267 mg, 1,5 mmol) wurde die Titelverbindung mittels Durchführung einer ähnlichen Reaktion wie in Beispiel 115a als Rohprodukt erhalten (598 mg). Das resultierende Rohprodukt wurde ohne Aufreinigung in die nächste Reaktion eingesetzt.
  • b) 2-((1-(2-(4-Trifluormethoxyphenoxy)-ethyl)-piperidin-4-yl)-methyl)-isoindolin-1-on
  • Unter Verwendung der in Beispiel 125a erhaltenen Verbindung (598 mg) wurde die Titelverbindung mittels Durchführung einer ähnlichen Reaktion wie in Beispiel 115b als Rohprodukt erhalten (589 mg). Das resultierende Rohprodukt wurde ohne Aufreinigung in die nächste Reaktion eingesetzt.
  • c) 2-((1-(2-(4-Trifluormethoxyphenoxy)-ethyl)-piperidin-4-yl)-methyl)-isoindolin-1-on-fumarat
  • Unter Verwendung der in Beispiel 125b erhaltenen Verbindung (589 mg) wurde die Titelverbindung mittels Durchführung ähnlicher Reaktionen wie in Beispiel 36c als farbloser Feststoff erhalten (304 mg, Ausbeute: 55%, 3 Stufen).
    Schmelzpunkt: 181–183°C
    1H-NMR (DMSO-d6): δ 7,67 (d, J = 7,3 Hz, 1H), 7,59-7,58 (m, 2H), 7,50-7,45 (m, 1H), 7,28 (d, J = 8,9 Hz, 2H), 7,06-7,00 (m, 2H), 6,60 (s, 2H), 4,48 (s, 2H), 4,11 (t, J = 5,7 Hz, 2H), 3,41 (d, J = 7,2 Hz, 2H), 2,98 (br d, J = 11,7 Hz, 2H), 2,78 (t, J = 5,7 Hz, 2H), 2,18-2,09 (m, 2H), 1,80-1,72 (m, 1H), 1,60 (m, 2H), 1,30-1,19 (m, 2H).
  • Beispiel 126: 2-((1-(2-(1,3-Benzodioxol-5-yl-oxy)-ethyl)-piperidin-4-yl)-methyl)-isoindolin-1-on-fumarat (Verbindung 671 in Tabelle 1)
  • Unter Verwendung von 3,4-Methylendioxyphenol wurde die Titelverbindung durch ähnliche Verfahren wie in Beispiel 115a und Beispiel 36c als farbloser Feststoff erhalten (Ausbeute: 52%).
    Schmelzpunkt: 220–232°C
    1H-NMR (DMSO-d6): δ 7,67 (d, J = 7,5 Hz, 1H), 7,55-7,60 (m, 2H), 7,45-7,52 (m, 1H), 6,79 (d, J = 8,4 Hz, 1H), 6,62 (d, J = 2,4 Hz, 1H), 6,59 (s, 2H, Fumarsäure), 6,36 (dd, J = 2,4 Hz, 8,4 Hz, 1H), 5,94 (s, 2H), 4,48 (s, 2H), 3,98-4,04 (m, 2H), 3,41 (d, J = 7,2 Hz, 2H), 2,94-3,01 (m, 2H), 2,71-2,77 (m, 2H), 2,08-2,19 (m, 2H), 1,6-1,8 (m, 1H), 1,5-1,6 (m, 2H), 1,1-1,3 (m, 2H).
  • Beispiel 127: 2-((1-(2-(2,3-Dihydro-1H-inden-5-yl-oxy)-ethyl)-piperidin-4-yl)-methyl)-isoindolin-1-on-fumarat (Verbindung 676 in Tabelle 1)
  • Unter Verwendung von 5-Indanol wurde die Titelverbindung durch ähnliche Verfahren wie in Beispiel 115a und Beispiel 36 als farbloser Feststoff erhalten (Aus beute: 22%).
    Schmelzpunkt: 181–185°C
    1H-NMR (DMSO-d6): δ 7,67 (d, J = 7,2 Hz, 1H), 7,55-7,60 (m, 2H), 7,45-7,52 (m, 1H), 7,08 (d, J = 8,4 Hz, 1H), 6,80 (d, J = 2,1 Hz, 1H), 6,67 (dd, J = 2,1 Hz, 8,4 Hz, 1H), 6,59 (s, 2H, Fumarsäure), 4,49 (s, 2H), 4,02-4,08 (m, 2H), 3,41 (d, J = 7,2 Hz, 2H), 2,96-3,03 (m, 2H), 2,72-2,84 (m, 6H), 2,12-2,22 (m, 2H), 1,93-2,04 (m, 2H), 1,6-1,8 (m, 1H), 1,5-1,6 (m, 2H), 1,1-1,3 (m, 2H).
  • Beispiel 128: 2-((1-(2-(5,6,7,8-Tetrahydronaphthalin-2-yl-oxy)-ethyl)-piperidin-4-yl)-methyl)-isoindolin-1-on-fumarat (Verbindung 681 in Tabelle 1)
  • Unter Verwendung von 5,6,7,8-Tetrahydro-2-naphthol wurde die Titelverbindung durch ähnliche Verfahren wie in Beispiel 115a und Beispiel 36c als farbloser Feststoff erhalten (Ausbeute: 19%).
    Schmelzpunkt: 186–190°C
    1H-NMR (DMSO-d6): δ 7,67 (d, J = 7,2 Hz, 1H), 7,55-7,60 (m, 2H), 7,45-7,52 (m, 1H), 6,92 (d, J = 8,1 Hz, 1H), 6,60-6,67 (m, 2H), 6,59 (s, 2H, Fumarsäure), 4,48 (s, 2H), 3,99-4,06 (m, 2H), 3,41 (d, J = 7,2 Hz, 2H), 2,95-3,02 (m, 2H), 2,72-2,79 (m, 2H), 2,60-2,69 (m, 4H), 2,10-2,20 (m, 2H), 1,55-1,80 (m, 7H), 1,1-1,3 (m, 2H).
  • Beispiel 129: 2-((1-(2-(5,6,7,8-Tetrahydronaphthalin-1-yl-oxy)-ethyl)-piperidin-4-yl)-methyl)-isoindolin-1-on-fumarat (Verbindung 686 in Tabelle 1)
  • Unter Verwendung von 5,6,7,8-Tetrahydro-1-naphthol wurde die Titelverbindung durch ähnliche Verfahren wie in Beispiel 115a und Beispiel 36c als farbloser Feststoff erhalten (Ausbeute: 13%).
    Schmelzpunkt: 196–203°C
    1H-NMR (DMSO-d6): δ 7,67 (d, J = 7,5 Hz, 1H), 7,55-7,60 (m, 2H), 7,45-7,52 (m, 1H), 6,97-7,05 (m, 1H), 6,70 (d, J = 8,1 Hz, 1H), 6,64 (d, J = 7,5 Hz, 1H), 6,59 (s, 2H, Fumarsäure), 4,48 (s, 2H), 4,03-4,09 (m, 2H), 3,41 (d, J = 7,2 Hz, 2H), 2,98-3,05 (m, 2H), 2,80-2,85 (m, 2H), 2,62-2,70 (m, 2H), 2,50-2,55 (m, 2H), 2,1-2,3 (m, 2H), 1,5-1,8 (m, 7H), 1,1-1,3 (m, 2H).
  • Beispiel 137: 2-((1-(2-(4-Fluorphenyl)-2-oxoethyl)-piperidin-4-yl)-methyl)-3,4-dihydroisochinolin-1-(2H)-on-hydrochlorid (Verbindung 761 in Tabelle 1)
  • a) 4-(4-Methylbenzolsulfonyloxymethyl)-piperidin-1-tert-butylcarboxylat
  • 4-Hydroxymethylpiperidin-1-tert-butylcarboxylat (12,12 g, 56,30 mmol, dargestellt unter Bezug auf Japanische Ungeprüfte Patentveröffentlichung Nr. 11-217377 ,) wurde gelöst in Dichlormethan (26 ml), und der Lösung wurden p-Toluolsulfonylchlorid (10,73 g, 56,30 mmol) und Triethylamin (8,63 ml, 61,9 mmol) bei Raumtemperatur zugegeben und anschließend bei gleicher Temperatur für 5 Stunden gerührt. Die Reaktionsmischung wurde mit Dichlormethan (100 ml) verdünnt und mit Wasser und gesättigter Kochsalzlösung gewaschen und über Natriumsulfat getrocknet. Unlösliche Feststoffe wurden durch Filtration abgetrennt und das Filtrat wurde unter vermindertem Druck eingedampft. Der Rückstand wurde aus Hexan (100 ml) umkristallisiert, um die Titelverbindung als farblosen Feststoff zu erhalten (14,13 g, Ausbeute: 85%).
    1H-NMR (CDCl3): δ 7,78 (d, J = 8,1 Hz, 2H), 7,35 (d, J = 8,4 Hz, 2H), 4,09 (br s, 2H), 3,85 (d, J = 6,9 Hz, 2H), 2,65 (br dd, J = 12,5 Hz, 12,5 Hz, 2H), 2,46 (s, 3H), 1,87-1,79 (m, 1H), 1,65-1,62 (m, 2H), 1,44 (s, 9H), 1,17-1,03 (m, 2H).
  • b) 4-(3,4-Dihydroisochinolin-2-(1H)-yl-methyl)-piperidin-1-tert-butylcarboxylat
  • Die in Beispiel 137a erhaltene Verbindung (1,0 g, 2,71 mmol), Kaliumcarbonat (375 mg, 2,71 mmol) und 3,4-Dihydroisochinolin (399 mg, 2,71 mmol) wurden gelöst in Dimethylformamid (9 ml) und die Mischung bei 80°C für 13 Stunden gerührt. Die Reaktionsmischung wurde zum Abkühlen stehen gelassen und anschließend mit Ethylacetat verdünnt und mit Wasser gewaschen, und anschließend über Natriumsulfat getrocknet. Unlösliche Feststoffe wurden durch Filtration abgetrennt und das Filtrat unter vermindertem Druck eingedampft. Das resultierende Rohprodukt wurde mittels Silicagel-Säulenchromatographie gereinigt (Methanol/Dichlormethan), die Titelverbindung als farbloses Öl zu erhalten (948 mg, Ausbeute: quantitativ).
    1H-NMR (CDCl3): δ 7,20-7,07 (m, 3H), 7,02-7,00 (m, 1H), 4,11 (br s, 2H), 3,60 (s, 2H), 2,91-2,87 (m, 2H), 2,76-2,68 (m, 4H), 2,35 (d, J = 6,6 Hz, 2H), 1,80-1,68 (m, 3H), 1,46 (s, 9H), 1,18-1,09 (m, 2H).
  • c) 4-((1-Oxo-3,4-dihydroisochinolin-2-(1H)-yl)-methyl)-piperidin-1-tert-butylcarboxylat
  • Die in Beispiel 137b erhaltene Verbindung (488 mg, 1,48 mmol) wurde gelöst in Dichlormethan (15 ml), und der Lösung wurde Kaliumpermanganat (702 mg, 4,44 mmol) und Triethylbenzylammoniumchlorid (337 g, 1,48 mmol) zugegeben und unter Rückfluss für 5,5 Stunden erhitzt. Die Reaktionsmischung wurde zum Abkühlen stehen gelassen und anschließend mit gesättigter wässriger Natriumdithionit-Lösung (15 ml) versetzt und für 20 Minuten gerührt. Die Reaktionsmischung wurde mit Dichlormethan extrahiert, mit Wasser gewaschen und über Natriumsulfat getrocknet. Unlösliche Feststoffe wurden durch Filtration abgetrennt, das Filtrat unter vermindertem Druck eingedampft und der Rückstand gereinigt mittels Silicagel-Säulenchromatographie (Methanol/Dichlormethan), um die Titelverbindung als farbloses Öl zu erhalten (281 mg, Ausbeute: 55%).
    1H-NMR (CDCl3): δ 8,07 (dd, J = 7,5 Hz, 1,2 Hz, 1H), 7,45-7,32 (m, 2H), 7,19-7,17 (m, 1H), 4,10 (br s, 2H), 3,57 (dd, J = 6,6 Hz, 6,6 Hz, 2H), 3,00 (dd, J = 6,6 Hz, 6,6 Hz, 2H), 3,02 (br s, 2H), 2,69 (br dd, J = 12,1 Hz, 12,1 Hz, 2H), 1,96-1,90 (m, 1H), 1,72-1,62 (m, 2H), 1,46 (s, 9H), 1,31-1,18 (m, 2H).
  • d) 2-(Piperidin-4-yl-methyl)-3,4-dihydroisochinolin-1-(2H)-on-hydrochlorid
  • Unter Verwendung des in Beispiel 137c erhaltenen Rohprodukts (281 mg) wurde die Titelverbindung durch ähnliche Verfahren wie in Beispiel 1d erhalten als farbloser Feststoff (232 mg, Ausbeute: quantitativ).
  • e) 2-((1-(2-(4-Fluorphenyl)-2-oxoethyl)-piperidin-4-yl)-methyl)-3,4-dihydroisochinolin-1-(2H)-on
  • Unter Verwendung der in Beispiel 137d erhaltenen Verbindung 230 mg, 0,82 mmol) wurde die Titelverbindung durch ähnliche Verfahren wie in Beispiel 1 e erhalten als braunes Öl (110 mg, Ausbeute: 35%).
    1H-NMR (CDCl3): δ 8,10-8,05 (m, 3H), 7,43-7,33 (m, 2H), 7,19-7,09 (m, 3H), 3,73 (s, 2H), 3,57 (dd, J = 6,8 Hz, 6,8 Hz, 2H), 3,45 (d, J = 7,2 Hz, 2H), 3,01-2,95 (m, 4H), 2,15 (ddd, J = 1,1 Hz, 11,5 Hz, 11,5 Hz, 2H), 1,83-1,44 (m, 5H).
  • f) 2-((1-(2-(4-Fluorphenyl)-2-oxoethyl)-piperidin-4-yl)-methyl)-3,4-dihydroisochinolin-1-(2H)-on-hydrochlorid
  • Unter Verwendung der in Beispiel 137e erhaltenen Verbindung (110 mg, 0,29 mmol) wurde die Titelverbindung durch ähnliche Verfahren wie in Beispiel 1f erhalten als blassbrauner Feststoff (80 mg, Ausbeute: 66%).
    Schmelzpunkt: 151–156°C
    1H-NMR (DMSO-d6): δ 10,02 (br s, 1H), 8,19-8,06 (m, 2H), 7,87 (d, J = 7,8 Hz, 1H), 7,51-7,45 (m, 3H), 7,38-7,29 (m, 2H), 5,11-5,04 (m, 2H), 3,60-3,53 (m, 4H), 3,44-3,37 (m, 2H), 3,07-2,98 (m, 4H), 1,99-1,07 (m, 5H).
  • Beispiel 138: 2-((1-((E)-2-(4-Fluorphenyl)-2-methoxyiminoethyl)-piperidin-4-yl)-methyl)-isoindolin-1-on-fumarat (E-Isomer von Verbindung 741 in Tabelle 1)
  • a) 2-((1-((E)-2-(4-Fluorphenyl)-2-methoxyiminoethyl)-piperidin-4-yl)-methyl)-isoindolin-1-on und 2-((1-((2)-2-(4-Fluorphenyl)-2-methoxyiminoethyl)-piperidin-4-yl)-methyl)-isoindolin-1-on
  • Unter Verwendung der in Beispiel 1e erhaltenen Verbindung und Methylhydroxylamin-hydrochlorid wurden die Titelverbindungen durch ähnliche Verfahren wie in Beispiel 18a erhalten.
    2-((1-((E)-2-(4-Fluorphenyl)-2-methoxyiminoethyl)-piperidin-4-yl)-methyl)-isoindolin-1-on (Ausbeute: 30%)
    1H-NMR (CDCl3): δ 7,84 (d, J = 7,5 Hz, 1H), 7,78 (m, 2H), 7,41-7,52 (m, 3H), 7,01 (t, J = 9 Hz, 2H), 4,37 (s, 2H), 3,94 (s, 3H), 3,57 (s, 2H), 3,46 (d, J = 7,4 Hz, 2H), 2,82 (br d, J = 11,6 Hz, 2H), 2,04 (t, J = 10 Hz, 2H), 1,74 (m, 1H) 1,59 (m, 2H), 1,30 (m, 2H).
    2-((1-((Z)-2-(4-Fluorphenyl)-2-methoxyiminoethyl)-piperidin-4-yl)-methyl)-isoindo lin-1-on (Ausbeute: 6%)
    1H-NMR (CDCl3): δ 7,84 (d, J = 7,5 Hz, 1H), 7,59 (m, 2H), 7,42-7,53 (m, 3H), 7,05 (t, J = 8,9 Hz, 2H), 4,38 (s, 2H), 3,86 (s, 3H), 3,48 (d, J = 7,3 Hz, 2H), 3,30 (s, 2H), 2,91 (br d, J = 11,6 Hz, 2H), 2,01 (br t, J = 11 Hz, 2H), 1,76 (m, 1H), 1,62 (m, 2H), 1,33 (m, 2H).
  • b) 2-((1-((E)-2-(4-Fluorphenyl)-2-methoxyiminoethyl)-piperidin-4-yl)-methyl)-isoindolin-1-on-fumarat
  • Unter Verwendung der in Beispiel 138a erhaltenen Verbindung wurde die Titelverbindung durch ähnliche Verfahren wie in Beispiel 40f erhalten (Ausbeute: 66%).
    Schmelzpunkt: 176°C
    1H-NMR (DMSO-d6): δ 7,79 (m, 2H), 7,65 (d, J = 7,5 Hz, 1H), 7,58 (m, 2H), 7,49 (m, 1H), 7,21 (m, 2H), 6,63 (s, 2H), 4,45 (s, 2H), 3,88 (s, 3H), 3,59 (s, 2H), 3,35 (d, J = 7,3 Hz, 2H), 2,76 (br d, J = 11,5 Hz, 2H), 1,99 (br t, J = 10 Hz, 2H), 1,69 (m, 1H), 1,51 (br d, J = 11,4 Hz, 2H), 1,08 (m, 2H).
  • Beispiel 139: 2-((1-((2)-2-(4-Fluorphenyl)-2-methoxyiminoethyl)-piperidin-4-yl)-methyl)-isoindolin-1-on-fumarat (Z-Isomer von Verbindung 741 in Tabelle 1)
  • Unter Verwendung der in Beispiel 138a erhaltenen Verbindung wurde die Titelverbindung durch ähnliche Verfahren wie in Beispiel 40f erhalten (Ausbeute: 91%).
    Schmelzpunkt: 164°C
    1H-NMR (DMSO-d6): δ 7,65 (d, J = 7,5 Hz, 1H), 7,55-7,62 (m, 4H), 7,47 (m, 1H), 7,23 (t, J = 8,9 Hz, 2H), 6,61 (s, 2H), 4,49 (s, 2H), 3,75 (s, 3H), 3,35 (d, J = 7,4 Hz, 2H), 3,30 (s, 2H), 2,80 (br d, J = 11,5 Hz, 2H), 1,93 (br t, J = 11 Hz, 2H), 1,68 (m, 1H), 1,52 (br d, J = 11,8 Hz, 2H), 1,07 (m, 2H).
  • Beispiel 140: 2-((1-((E)-2-(4-Fluorphenyl)-2-methoxycarbonylhydrazonoethyl)-piperidin-4-yl)-methyl)-isoindolin-1-on ¼ fumarat (E-Isomer von Verbindung 746 in Tabelle 1)
  • a) 2-((1-((E)-2-(4-Fluorphenyl)-2-methoxycarbonylhydrazonoethyl)-piperidin-4-yl)-methyl)-isoindolin-1-on
  • Unter Verwendung der in Beispiel 1e erhaltenen Verbindung und Hydrazinmethylcarboxylat wurde die Titelverbindung durch ähnliche Verfahren wie in Beispiel 18a erhalten (Ausbeute: 46%).
    1H-NMR (CDCl3): δ 11,95 (s, 1H), 7,85 (d, J = 6,9 Hz, 1H), 7,68 (m, 2H), 7,43-7,55 (m, 3H), 7,03 (t, J = 9 Hz, 2H), 4,41 (s, 2H), 3,85 (s, 3H), 3,64 (s, 2H), 3,54 (d, J = 7,2 Hz, 2H), 2,95 (br d, J = 11 Hz, 2H), 2,08 (br t, J = 11 Hz, 2H), 1,87 (m, 1H), 1,76 (br d, J = 12 Hz, 2H), 1,44 (m, 2H).
    2-((1-((Z)-2-(4-Fluorphenyl)-2-methoxycarbonylhydrazonoethyl)-piperidin-4-yl)-methyl)-isoindolin-1-on (Ausbeute: 15%)
    1H-NMR (CDCl3): δ 7,84 (d, J = 7,2 Hz, 1H), 7,45-7,53 (m, 3H), 7,28 (m, 2H), 7,18 (t, J = 9 Hz, 2H), 4,38 (s, 2H), 3,78 (br s, 3H), 3,47 (d, J = 7,5 Hz, 2H), 3,36 (s, 2H), 2,85 (br d, J = 11 Hz, 2H), 2,06 (br t, J = 10 Hz, 2H), 1,72 (m, 1H), 1,61 (m, 2H), 1,28 (m, 2H).
  • b) 2-((1-((E)-2-(4-Fluorphenyl)-2-methoxycarbonylhydrazonoethyl)-piperidin-4-yl)-methyl)-isoindolin-1-on ¼ fumarat
  • Unter Verwendung der in Beispiel 140a erhaltenen Verbindung wurde die Titelverbindung durch ähnliche Verfahren wie in Beispiel 40f erhalten (Ausbeute: 76%).
    Schmelzpunkt: 154°C
    1H-NMR (DMSO-d6): δ 12,08 (br s, 1H), 7,75 (m, 2H), 7,67 (d, J = 7,5 Hz, 1H), 7,59 (m, 2H), 7,50 (m, 1H), 7,22 (t, J = 9 Hz, 2H), 6,63 (s, 0,5H), 4,48 (s, 2H), 3,73 (s, 2H), 3,71 (s, 3H), 3,42 (d, J = 7,2 Hz, 2H), 2,83 (br d, J = 12 Hz, 2H), 2,08 (br t, J = 11 Hz, 2H), 1,77 (m, 1H), 1,64 (br d, J = 12 Hz, 2H), 1,18 (m, 2H).
  • Beispiel 141: 2-((1-((2)-2-(4-Fluorphenyl)-2-methoxycarbonylhydrazonoethyl)-piperidin-4-yl)-methyl)-isoindolin-1-on-fumarat (Z-Isomer von Verbindung 746 in Tabelle 1)
  • Unter Verwendung der in Beispiel 140a erhaltenen Verbindung wurde die Titelverbindung durch ähnliche Verfahren wie in Beispiel 40 erhalten (Ausbeute: 73%).
    Schmelzpunkt: 153°C
    1H-NMR (DMSO-d6): δ 9,39 (s, 1H), 7,65 (d, J = 7,5 Hz, 1H), 7,58 (m, 2H), 7,48 (m, 1H), 7,38 (m, 2H), 7,27 (t, J = 9 Hz, 2H), 6,62 (s, 2H), 4,45 (s, 2H), 3,60 (s, 3H), 3,35 (d, J = 7,5 Hz, 2H), 3,32 (s, 2H), 2,80 (br d, J = 11 Hz, 2H), 1,98 (m, 2H), 1,70 (m, 1H), 1,52 (m, 2H), 1,07 (m, 2H).
  • Beispiel 142: 2-((1-((E)-2-(4-Fluorphenyl)-2-acetylhydrazonoethyl)-piperidin-4-yl)-methyl)-isoindolin-1-on-fumarat (E-Isomer von Verbindung 751 in Tabelle 1)
  • a) 2-((1-((E)-2-(4-Fluorphenyl)-2-acetylhydrazonoethyl)-piperidin-4-yl)-methyl)-isoindolin-1-on
  • Unter Verwendung der in Beispiel 1e erhaltenen Verbindung und Essigsäurehydrazid wurde die Titelverbindung durch ähnliche Verfahren wie in Beispiel 18a erhalten (Ausbeute: 64%).
    1H-NMR (CDCl3): δ 11,98 (s, 1H), 7,84 (d, J = 7,2 Hz, 1H), 7,67 (m, 2H), 7,24-7,54 (m, 3H), 7,06 (t, J = 8,7 Hz, 2H), 4,41 (s, 2H), 3,63 (s, 2H), 3,51 (d, J = 7,5, Hz, 2H), 2,91 (br d, J = 11,4 Hz, 2H), 2,32 (s, 3H), 2,09 (br t, J = 10 Hz, 2H), 1,83 (m, 1H), 1,76 (br d, J = 12 Hz, 2H), 1,47 (m, 2H).
  • b) 2-((1-((E)-2-(4-Fluorphenyl)-2-acetylhydrazonoethyl)-piperidin-4-yl)-methyl)-isoindolin-1-on-fumarat
  • Unter Verwendung der in Beispiel 142a erhaltenen Verbindung wurde die Titelverbindung durch ähnliche Verfahren wie in Beispiel 40f erhalten (Ausbeute: 75%).
    Schmelzpunkt: 168–170°C
    1H-NMR (DMSO-d6): δ 12,06 (s, 1H), 7,80 (m 2H), 7,67 (d, J = 7,5 Hz, 1H), 7,59 (m, 2H), 7,48 (m, 1H), 7,23 (t, J = 9 Hz, 2H), 4,48 (s, 2H), 3,75 (s, 2H), 3,42 (d, J = 7,2 Hz, 2H), 2,83 (br d, J = 11 Hz, 2H), 2,20 (s, 3H), 2,08 (br t, J = 11 Hz, 2H), 1,76 (m, 1H), 1,64 (br d, J = 12 Hz, 2H), 1,19 (m, 2H).
  • Beispiel 143: 2-((1-((Z)-2-(4-Fluorphenyl)-2-acetylhydrazonoethyl)-piperidin-4-yl)-methyl)-isoindolin-1-on-fumarat (Z-Isomer von Verbindung 751 in Tabelle 1)
  • a) N'-(2-Chlor-1-(4-fluorphenyl)-ethyliden)-essigsäurehydrazid
  • 2-Chlor-4'-fluoracetophenon (1,00 g, 5,79 mmol) und Essigsäurehydrazid (0,472 g, 6,37 mmol) wurden gelöst in Ethanol und die Mischung wurde bei Raumtemperatur für 8 Stunden gerührt. Die Reaktionsmischung wurde eingeengt und anschließend wurde der zurückbleibende Feststoff in Hexan suspendiert und gewaschen. Der resultierende Feststoff wurde gereinigt mittels Silicagel-Säulenchromatographie (Dichlormethan/Ethylacetat), um die Titelverbindung zu erhalten (Ausbeute: 94%).
    1H-NMR (CDCl3): δ 9,19 (br s, 1H), 7,75 (m, 2H), 7,12 (m, 2H), 4,44 (s, 2H), 2,41 (s, 3H).
  • b) 2-((1-((2)-2-(4-Fluorphenyl)-2-acetylhydrazonoethyl)-piperidin-4-yl)-methyl)-isoindolin-1-on
  • Unter Verwendung der in Beispiel 143a erhaltenen Verbindung wurde die Titelverbindung durch ähnliche Verfahren wie in Beispiel 1f und anschließender Reinigung mittels Silicagel-Säulenchromatographie (Dichlormethan/Methanol) erhalten (Ausbeute: 53%).
    1H-NMR (CDCl3): δ 8,29 (s, 1H), 7,85 (d, J = 7,2 Hz, 1H), 7,42-7,54 (m, 3H), 7,24 (m, 2H), 7,16 (t, J = 8,7 Hz, 2H), 4,39 (s, 2H), 3,49 (d, J = 7,2 Hz, 2H), 3,30 (s, 2H), 2,90 (br d, J = 11,7 Hz, 2H), 2,30 (s, 3H), 2,06 (m, 2H), 1,78 (m, 1H), 1,65 (m, 2H), 1,34 (m, 2H).
  • c) 2-((1-((Z)-2-(4-Fluorphenyl)-2-acetylhydrazonoethyl)-piperidin-4-yl)-methyl)-isoindolin-1-on-fumarat
  • Unter Verwendung der in Beispiel 143b erhaltenen Verbindung wurde die Titelverbindung durch ähnliche Verfahren wie in Beispiel 40f erhalten (Ausbeute: 63%).
    Schmelzpunkt: 157°C
    1H-NMR (DMSO-d6): δ 9,34-9,92 (m, 1H), 7,66 (d, J = 7,2 Hz, 1H), 7,58 (m, 2H), 7,40-7,57 (m, 3H), 7,31 (t, J = 9,0 Hz, 2H), 6,62 (s, 2H), 4,45 (s, 2H), 3,35-3,40 (m, 4H), 2,83 (m, 2H), 1,82-2,15 (m, 5H), 1,71 (m, 1H), 1,53 (m, 2H), 1,08 (m, 2H).
  • Beispiel 144: (E,Z)-2-((1-(2-(4-Fluorphenyl)-2-(benzyloxy)-iminoethyl)-piperidin-4-yl)-methyl)-isoindolin-1-on-fumarat (Verbindung 756 in Tabelle 1)
  • Die in Beispiel 1e erhaltene Verbindung (581 mg, 1,59 mmol) und Benzyloxyaminhydrochlorid (581 mg, 1,59 mmol) wurden gelöst in einem Lösemittelgemisch aus Pyridin (12 ml) und Ethanol (12 ml), und die wurde bei Raumtemperatur für 3 Tage gerührt. Die Reaktionsmischung wurde mit Ethylacetat verdünnt und mit gesättigter wässriger Natriumhydrogencarbonat-Lösung und anschließend mit gesättigter Kochsalzlösung gewaschen und über Natriumsulfat getrocknet. Unlösliche Feststoffe wurden durch Filtration abgetrennt und das Filtrat wurde unter vermindertem Druck eingeengt, um (E,Z)-2-((1-(2-(4-Fluorphenyl)-2-(benzyloxy)-iminoethyl-)piperidin-4-yl)-methyl)-isoindolin-1-on als Rohprodukt zu erhalten. Unter Verwendung des resultierenden Produkts wurde die Titelverbindung durch ähnliche Verfahren wie in Beispiel 36c als farbloser Feststoff erhalten (255 mg, Ausbeute: 27%).
    Schmelzpunkt: 151–155°C
    1H-NMR (DMSO-d6): δ 7,18-7,78 (m, 13H), 6,63 (s, 2H, Fumarsäure), 5,17 (s, 0,8H), 5,07 (s, 1,2H), 4,45 (s, 2H), 3,63 (s, 0,8H), 3,2-3,4 (m, 3,2H), 2,70-2,80 (m, 2H), 1,86-2,03 (m, 2H), 1,6-1,8 (m, 1H), 1,4-1,5 (m, 2H), 0,9-1,1 (m, 2H).
  • Beispiel 145: 2-((1-((E)-3-Phenylprop-2-enyl)-piperidin-4-yl)-methyl)-isoindolin-1-on-hydrochlorid (E-Isomer von Verbindung 364 in Tabelle 1)
  • a) 2-((1-((E)-3-Phenylprop-2-enyl)-piperidin-4-yl)-methyl)-isoindolin-1-on
  • Die in Beispiel 1e erhaltene Verbindung (500 mg, 1,87 mmol) und 3-Brom-1- phenyl-1-propen (369 mg, 1,87 mmol) wurden gelöst in Dimethylformamid (6 ml) und Kaliumcarbonat (516 mg, 3,74 mmol) wurde zu der Lösung gegeben und bei Raumtemperatur für 20 Stunden gerührt. Der Reaktionsmischung wurde Wasser zugefügt (20 ml) und der Niederschlag durch Filtration gesammelt, um die Titelverbindung als farblosen Feststoff zu erhalten (402 mg, Ausbeute: 62%).
    1H-NMR (CDCl3): δ 7,85 (d, J = 7,0 Hz, 1H), 7,83-7,22 (m, 8H), 6,50 (d, J = 16,0 Hz, 1H), 6,28 (d t, J = 15,8 Hz, 6,7 Hz, 1H), 4,41 (s, 2H), 3,51 (d, J = 7,1 Hz, 2H), 3,14 (d, J = 6,7 Hz, 2H), 2,98 (br d, J = 11,0 Hz, 2H), 1,97 (dd, J = 11,4 Hz, 2H), 1,86-1,69 (m, 3H), 1,42 (ddd, J = 24,5 Hz, 12,5 Hz, 2,9 Hz, 2H).
  • b) 2-((1-((E)-3-Phenylprop-2-enyl)-piperidin-4-yl)-methyl)-isoindolin-1-on-hydrochlorid
  • Unter Verwendung der in Beispiel 145a erhaltenen Verbindung wurde die Titelverbindung durch ähnliche Verfahren wie in Beispiel 1f erhalten als farbloser Feststoff (197 mg, Ausbeute: 45%).
    Schmelzpunkt: 212–215°C
    1H-NMR (DMSO-d6): δ 10,8 (m, 1H), 7,68 (d, J = 4,8 Hz, 1H), 7,61 (d, J = 3,9 Hz, 2H), 7,53-7,46 (m, 3H), 7,41-7,30 (m, 3H), 6,81 (d, J = 15,9 Hz, 1H), 6,43 (dt, J = 15,9 Hz, 7,6 Hz, 1H), 4,51 (s, 2H), 3,84 (s, 2H), 3,44 (d, J = 6,9 Hz, 2H), 3,35 (s, 2H), 2,90-2,87 (m, 2H), 1,99 (br s, 1H), 1,81 (br d, J = 13,5 Hz, 2H), 1,57 (br dd, J = 15,2 Hz, 11,6 Hz, 2H).
  • Beispiel 154: 5-Fluor-2-((1-(2-(4-fluorphenyl)-2-oxoethyl)-piperidin-4-yl)-methyl)-isoindolin-1-on-hydrochlorid (Verbindung 9 in Tabelle 1)
  • a) 4-Fluor-2-methyl-benzoesäureethylester
  • Magnesium (0,644 g, 26,5 mmol) wurde mit THF (4 ml) versetzt sowie einer kleinen Menge an Iod. Nach Rühren der Mischung wurde der Mischung tropfenweise 1-Brom-4-fluor-2-methylbenzol (5,00 g, 26,5 mmol) in THF (50 ml) zugegeben. Die Mischung wurde bei Raumtemperatur für 30 Minuten gerührt und anschließend auf –78°C gekühlt und tropfenweise mit einer Lösung von Chlorameisensäureethylester (3,80 ml, 39,8 mmol) in THF (40 ml) versetzt. Die Mischung wurde langsam auf Raumtemperatur erwärmt und 2 weitere Stunden bei Raumtemperatur gerührt. Die Reaktionsmischung wurde mit Ether verdünnt und mit Wasser, gesättigter wässriger Natriumhydrogencarbonat-Lösung und anschließend mit gesättigter Kochsalzlösung gewaschen und über Natriumsulfat getrocknet. Das Trockenmittel wurde durch Filtration abgetrennt und das Filtrat eingeengt, und die resultierende ölige Substanz wurde mittels Silicagel-Säulenchromatographie (Hexan/Ether) gereinigt, um die Titelverbindung zu erhalten (3,65 g, Ausbeute: 76%).
    1H-NMR (CDCl3): δ 1,39 (t, J = 7,0 Hz, 3H), 2,61 (s, 3H), 4,35 (q, J = 7,0 Hz, 2H), 6,89-6,95 (m, 2H), 7,95 (m, 1H).
  • b) 4-(5-Fluor-1-oxoisoindolin-2-yl-methyl)-piperidin-1-tert-butylcarboxylat
  • Unter Verwendung der in Beispiel 154a erhaltenen Verbindung wurde die Titelverbindung durch ähnliche Verfahren wie in den Beispielen 1b und 1c erhalten (Ausbeute: 57%).
    1H-NMR (CDCl3): δ 1,25 (m, 2H), 1,45 (s, 9H), 1,64 (m, 2H), 1,93 (m, 1H), 2,69 (m, 2H), 3,47 (m, 2H), 4,11 (m, 2H), 4,39 (s, 2H), 7,12-7,20 (m, 2H), 7,82 (dd, J = 5,0 Hz, 8,3 Hz, 1H).
  • c) 5-Fluor-2-(piperidin-4-yl-methyl)-isoindolin-1-on-hydrochlorid
  • Unter Verwendung der in Beispiel 154b erhaltenen Verbindung wurde die Titelverbindung durch ähnliche Verfahren wie in Beispiel 1d erhalten (Ausbeute: 91%).
    1H-NMR (DMSO-d6): δ 1,36 (m, 2H), 1,73 (m, 2H), 2,00 (m, 1H), 2,80 (m, 2H), 3,24 (m, 2H), 3,42 (d, J = 7,5 Hz, 2H), 4,49 (s, 2H), 7,32 (m, 1H), 7,49 (d, J = 8,6 Hz, 1H), 7,71 (dd, J = 5,1 Hz, 8,4 Hz, 1H), 8,49 (br s, 1H), 8,78 (br s, 1H).
  • d) 5-Fluor-2-((1-(2-(4-fluorphenyl)-2-oxoethyl)-piperidin-4-yl)-methyl)-isoindolin-1-on
  • Unter Verwendung der in Beispiel 154c erhaltenen Verbindung wurde die Titelverbindung durch ähnliche Verfahren wie in Beispiel 1e erhalten (Ausbeute: 85%).
    1H-NMR (CDCl3): δ 1,47 (m, 2H), 1,68 (m, 2H), 1,81 (m, 1H), 2,15 (m, 2H), 2,96 (m, 2H), 3,49 (d, J = 7,2 Hz, 2H), 3,72 (s, 2H), 4,38 (s, 2H), 7,08-7,18 (m, 4H), 7,81 (dd, J = 5,0 Hz, 8,3 Hz, 1H), 8,07 (m, 2H).
  • e) 5-Fluor-2-((1-(2-(4-fluorphenyl)-2-oxoethyl)-piperidin-4-yl)-methyl)-isoindolin-1-on-hydrochlorid
  • Unter Verwendung der in Beispiel 154d erhaltenen Verbindung wurde die Titelverbindung durch ähnliche Verfahren wie in Beispiel 1f erhalten (Ausbeute: 90%).
    Schmelzpunkt: 209–216°C
    1H-NMR (DMSO-d6): δ 1,58-1,86 (m, 4H), 2,03 (m, 1H), 3,04 (m, 2H), 3,45 (d, J = 8,8 Hz, 2H), 3,54 (m, 2H), 4,53 (s, 2H), 5,04-5,10 (m, 2H), 7,33 (m, 1H), 7,45-7,53 (m, 3H), 7,73 (dd, J = 5,2 Hz, 8,3 Hz, 1H), 8,06-8,15 (m, 2H), 9,96 (br s, 1H).
  • Beispiel 155: 6-Methoxy-2-((1-(2-(4-fluorphenyl)-2-oxoethyl)-piperidin-4-yl)-methyl)-isoindolin-1-on-hydrochlorid (Verbindung 18 in Tabelle 1)
  • a) 3-Hydroxy-2-methyl-benzoesäuremethylester
  • Unter Verwendung von 3-Hydroxy-2-methylbenzoesäure wurde die Titelverbindung durch ähnliche Verfahren wie in Beispiel 3a erhalten (Ausbeute: 97%).
    1H-NMR (CDCl3): δ 2,46 (s, 3H), 3,89 (s, 3H), 6,94 (d, J = 8,3 Hz, 1H), 7,11 (t, J = 8,3 Hz, 1H), 7,42 (d, J = 8,3 Hz, 1H).
  • b) 3-(tert-Butyl-dimethyl-silanyloxy)-2-methyl-benzoesäuremethylester
  • Die in Beispiel 155a erhaltene Verbindung (4,99 g, 30,0 mmol) wurde in DMF (26 ml) gelöst und anschließend wurden der Lösung tert-Butyldimethylchlorsilan (5,43 g, 36,0 mmol) und Imidazol (5,11 g, 75 mmol) zugefügt und bei Raumtemperatur gerührt. Die Reaktionsmischung wurde mit gesättigter wässriger Natriumhydrogencarbonat-Lösung versetzt und viermal mit Hexan extrahiert, und anschließend wurden die vereinigten organischen Phasen über Natriumsulfat getrocknet. Das Trockenmittel wurde durch Filtration abgetrennt und das Filtrat eingeengt, die resultierende ölige Substanz wurde gereinigt mittels Silicagel-Säulenchromatographie (Hexan/Ethylacetat), um die Titelverbindung zur erhal ten (8,24 g, Ausbeute: 93%).
    1H-NMR (CDCl3): δ 0,21 (s, 6H), 1,02 (s, 9H), 2,41 (s, 3H), 3,88 (s, 3H), 6,93 (d, J = 8,4 Hz, 1H), 7,09 (t, J = 8,4 Hz, 1H), 7,42 (d, J = 8,4 Hz, 1H).
  • c) 4-(6-(tert-Butyl-dimethyl-silanyloxy)-1-oxoisoindolin-2-yl-methyl)-piperidin-1-tert-butylcarboxylat
  • Unter Verwendung der in Beispiel 155b erhaltenen Verbindung wurde die Titelverbindung durch ähnliche Verfahren wie in den Beispielen 1b und 1c erhalten (Ausbeute: 71%).
    1H-NMR (CDCl3): δ 0,25 (s, 6H), 1,02 (s, 9H), 1,26 (m, 2H), 1,45 (s, 9H), 1,66 (m, 2H), 1,95 (m, 1H), 2,70 (m, 2H), 3,49 (m, 2H), 4,10 (m, 2H), 4,30 (s, 2H), 6,93 (d, J = 7,7 Hz, 1H), 7,33 (t, J = 7,7 Hz, 1H), 7,45 (d, J = 7,7 Hz, 1H).
  • d) 4-(6-Hydroxy-1-oxoisoindolin-2-yl-methyl)-piperidin-1-tert-butylcarboxylat
  • Die in Beispiel 155c erhaltene Verbindung (9,20 g, 20,0 mmol) und Essigsäure (9,44 ml) wurden in THF (100 ml) gelöst und die Lösung auf 0°C gekühlt und tropfenweise mit 1M Tetrabutylammoniumfluorid-Lösung in THF (20 ml, 20 mmol) versetzt. Nach 30 Minuten wurde die Reaktionsmischung mit Ethylacetat verdünnt und dreimal mit 0,5N wässriger Salzsäure und anschließend mit gesättigter Kochsalzlösung gewaschen und über Natriumsulfat getrocknet. Das Trockenmittel wurde durch Filtration abgetrennt und das Filtrat eingeengt. Die resultierende ölige Substanz wurde kristallisiert aus Dichlormethan/Ether/Hexen, um die Titelverbindung zu erhalten (5,70 g, Ausbeute: 82%).
    1H-NMR (CDCl3): δ 1,23 (m, 2H), 1,46 (s, 9H), 1,65 (m, 2H), 1,95 (m, 1H), 2,69 (m, 2H), 3,50 (m, 2H), 4,12 (m, 2H), 4,41 (s, 2H), 7,03 (d, J = 7,5 Hz, 1H), 7,29 (t, J = 7,5 Hz, 1H), 7,39 (d, J = 7,5 Hz, 1H).
  • e) 6-Methoxy-2-(piperidin-4-yl-methyl)-isoindolin-1-on-hydrochlorid
  • Eine Lösung der in Beispiel 155d erhaltenen Verbindung (0,600 g, 1,74 mmol) in Acetonitril (6 ml) wurde mit Methyliodid (0,216 ml, 3,46 mmol) und Kaliumcarbonat (478 mg, 3,46 mmol) versetzt und auf 60°C erhitzt. Nach 2,5 Stunden wurde die Mischung auf Raumtemperatur abgekühlt und mit Ethylacetat verdünnt und zweimal mit gesättigter wässriger Natriumhydrogencarbonat-Lösung und gesättigter Kochsalzlösung gewaschen und anschließend über Natriumsulfat getrocknet. Das Trockenmittel wurde durch Filtration abgetrennt und das Filtrat eingeengt, das resultierende Rohprodukt wurde ähnlichen Verfahren wie in Beispiel 1d ohne Aufreinigung unterworfen, um die Titelverbindung zu erhalten (Ausbeute: 94%).
    1H-NMR (DMSO-d6): δ 1,36 (m, 2H), 1,71 (m, 2H), 2,04 (m, 1H), 2,79 (m, 2H), 3,24 (m, 2H), 3,42 (d, J = 7,4 Hz, 2H), 3,89 (s, 3H), 4,41 (s, 2H), 7,21 (d, J = 8,1 Hz, 1H), 7,26 (d, J = 7,4 Hz, 1H), 7,47, (dd, J = 4,7 Hz, 8,1 Hz, 1H), 8,55 (br s, 1H), 8,84 (br s, 1H).
  • f) 6-Methoxy-2-((1-(2-(4-fluorphenyl)-2-oxoethyl)-piperidin-4-yl)-methyl)-isoindolin-1-on-hydrochlorid
  • Unter Verwendung der in Beispiel 155e erhaltenen Verbindung wurde die Titelverbindung durch ähnliche Verfahren wie in den Beispielen 1e und 1f erhalten (Ausbeute: 67%).
    Schmelzpunkt: 213–229°C
    1H-NMR (DMSO-d6): δ 1,57-1,84 (m, 4H), 2,05 (m, 1H), 3,02 (m, 2H), 3,45 (d, J = 6,9 Hz, 2H), 3,53 (m, 2H), 3,89 (s, 3H), 4,45 (s, 2H), 5,03-5,09 (m, 2H), 7,22 (d, J = 8,1 Hz, 1H), 7,27 (d, J = 7,4 Hz, 1H), 7,45-7,50 (m, 3H), 8,05-8,15 (m, 2H), 9,95 (br s, 1H).
  • Beispiel 156: 6-Ethoxy-2-((1-(2-(4-fluorphenyl)-2-oxoethyl)-piperidin-4-yl)-methyl)-isoindolin-1-on-hydrochlorid
  • a) 6-Ethoxy-2-(piperidin-4-yl-methyl)-isoindolin-1-on-hydrochlorid
  • Unter Verwendung der in Beispiel 155d erhaltenen Verbindung wurde die Titelverbindung durch ähnliche Verfahren wie in Beispiel 155e erhalten (Ausbeute: 97%).
    1H-NMR (DMSO-d6): δ 1,36 (m, 2H), 1,37 (t, J = 6,9 Hz, 3H), 1,71 (m, 2H), 2,05 (m, 1H), 2,79 (m, 2H), 3,23 (m, 2H), 3,42 (d, J = 7,1 Hz, 2H), 4,16 (q, J = 6,9 Hz, 2H), 4,41 (s, 2H), 7,19 (d, J = 8,1 Hz, 1H), 7,25 (d, J = 7,4 Hz, 1H), 7,45 (dd, J = 7,4 Hz, 8,1 Hz, 1H), 8,74 (br s, 1H), 9,02 (br s, 1H).
  • b) 6-Ethoxy-2-((1-(2-(4-fluorphenyl)-2-oxoethyl)-piperidin-4-yl)-methyl)-isoindolin-1-on-hydrochlorid
  • Unter Verwendung der in Beispiel 156a erhaltenen Verbindung wurde die Titelverbindung durch ähnliche Verfahren wie in den Beispielen 1e und 1f erhalten (Ausbeute: 43%).
    Schmelzpunkt: 200–209°C
    1H-NMR (DMSO-d6): δ 1,37 (t, J = 6,9 Hz, 3H), 1,57-1,84 (m, 4H), 2,08 (m, 1H), 3,01 (m, 2H), 3,45 (d, J = 6,8 Hz, 2H), 3,53 (m, 2H), 4,17 (q, J = 6,9 Hz, 2H), 4,44 (s, 2H), 5,03-5,09 (m, 2H), 7,20 (d, J = 8,0 Hz, 1H), 7,26 (d, J = 7,4 Hz, 1H), 7,42-7,50 (m, 3H), 8,06-8,16 (m, 2H), 9,93 (br s, 1H).
  • Beispiel 157: 6-Isopropoxy-2-((1-(2-(4-fluorphenyl)-2-oxoethyl)-piperidin-4-yl)-methyl)-isoindolin-1-on-hydrochlorid
  • a) Isopropoxy-2-(piperidin-4-yl-methyl)-isoindolin-1-on-hydrochlorid
  • Unter Verwendung der in Beispiel 155d erhaltenen Verbindung wurde die Titelverbindung durch ähnliche Verfahren wie in Beispiel 155e erhalten (Ausbeute: 99%).
    1H-NMR (DMSO-d6): δ 1,30 (d, J = 5,5 Hz, 6H), 1,34 (m, 2H), 1,71 (m, 2H), 2,04 (m, 1H), 2,79 (m, 2H), 3,23 (m, 2H), 3,41 (d, J = 6,6 Hz, 2H), 4,37 (s, 2H), 4,74 (m, 1H), 7,21-7,23 (m, 2H), 7,43 (m, 1H), 8,60 (br s, 1H), 8,88 (br s, 1H).
  • b) 6-Isopropoxy-2-((1-(2-(4-fluorphenyl)-2-oxoethyl)-piperidin-4-yl)-methyl)-isoindolin-1-on-fumarat
  • Unter Verwendung der in Beispiel 157a erhaltenen Verbindung wurde die Titelverbindung durch ähnliche Verfahren wie in den Beispielen 1e und 36c erhalten (Ausbeute: 53%).
    Schmelzpunkt: 132°C
    1H-NMR (DMSO-d6): δ 1,21 (m, 2H), 1,30 (d, J = 6,0 Hz, 6H), 1,55 (m, 2H), 1,76 (m, 1H), 2,13 (m, 2H), 2,87 (m, 2H), 3,38 (d, J = 7,2 Hz, 2H), 3,81 (s, 2H), 4,35 (s, 2H), 4,74 (m, 1H), 6,61 (s, 2H), 7,19-7,23 (m, 2H), 7,35 (t, J = 8,7 Hz, 2H), 7,42 (t, J = 7,8 Hz, 1H), 8,09 (dd, J = 5,7 Hz, 8,7 Hz, 2H).
  • Beispiel 158: 5-((1-(2-(4-Fluorphenyl)-2-oxoethyl)-piperidin-4-yl)-methyl)-4,5-dihydro-6H-furo[2,3-c]pyrrol-6-on-fumarat (Verbindung 817 in Tabelle 2)
  • a) 3-Brommethylfuran-2-methylcarboxylat
  • Unter Verwendung von 3-Methylfuranmethylcarboxylat (2,00 g, 14,27 mmol) wurde die Titelverbindung als Rohprodukt mittels Durchführung einer ähnlichen Reaktion wie in Beispiel 1c als gelbes Öl erhalten (3,51 g). Das Rohprodukt wurde ohne Aufreinigung in die nächste Reaktion eingesetzt.
  • b) 3-((1-(tert-Butoxycarbonyl)-piperidin-4-yl)-methylaminomethyl)-2-furanmethylcarboxylat
  • Unter Verwendung der in Beispiel 158a erhaltenen Verbindung (3,51 g) wurde die Titelverbindung mittels Durchführung von ähnlichen Reaktionen wie in Beispiel 1c als gelbes Öl erhalten (1,80 g, Ausbeute: 36%, 2 Stufen).
    1H-NMR (CDCl3): δ 7,48 (d, J = 1,5 Hz, 1H), 6,55 (d, J = 1,8 Hz, 1H), 4,09 (br d, J = 11,7 Hz, 2H), 3,94-3,91 (m, 5H), 2,69 (br t, J = 12,5 Hz, 2H), 2,51 (d, J = 6,6 Hz, 2H), 1,73-1,58 (m, 3H), 1,45 (s, 9H), 1,18-1,06 (m, 2H).
  • c) 3-((1-(tert-Butoxycarbonyl)-piperidin-4-yl)-methylaminomethyl)-2-furancarbonsäure
  • Unter Verwendung der in Beispiel 158b erhaltenen Verbindung (1,80 g) wurde die Titelverbindung mittels Durchführung einer ähnlichen Reaktion wie in Beispiel 22d, als gelbe, halbfeste Substanz erhalten (1,35 g, Ausbeute: 78%).
    1H-NMR (CDCl3): δ 10,36 (br s, 2H), 7,48 (d, J = 1,5 Hz, 1H), 6,58 (d, J = 1,2 Hz, 1H), 4,23 (br s, 2H), 4,09 (br d, J = 7,4 Hz, 2H), 2,97-2,70 (m, 4H), 2,08 (br s, 1H), 1,85 (br d, J = 12,0 Hz, 2H), 1,42 (s, 9H), 1,25-1,11 (m, 2H).
  • d) 4-((4,5-Dihydro-6H-furo[2,3-c]pyrrol-6-on)-2-yl-methyl)-piperidin-1-tert-butylcarboxylat
  • Die in Beispiel 158c erhaltene Verbindung (658 mg, 1,94 mmol), 2,2'-Dipyridyldisulfid (513 mg, 2,33 mmol) und Triphenylphosphin (611 mg, 2,33 mmol) wurden in Acetonitril (6 ml) gelöst und die Mischung unter Rückfluss für 4 Stunden erhitzt. Die Reaktionsmischung wurde zum Abkühlen stehen gelassen und das Lösemittel wurde verdampft. Der Rückstand wurde mit Wasser versetzt und mit Ethylacetat extrahiert. Die organische Phase wurde mit gesättigter wässriger Natriumhydrogencarbonat-Lösung, Wasser und anschließend gesättigter Kochsalzlösung gewaschen und über wasserfreiem Natriumsulfat getrocknet. Unlösliche Feststoffe wurden durch Filtration abgetrennt und das Lösemittel unter vermindertem Druck verdampft. Das resultierende Rohprodukt wurde mittels Silicagel-Chromatographie (Ethylacetat/Hexan = 1/1) gereinigt, um die Titelverbindung als gelbes Öl zu erhalten (694 mg, eine Mischung mit dem Reagenz).
  • e) 5-(Piperidin-4-yl-methyl)-4,5-dihydro-6H-furo[2,3-c]pyrrol-6-on-hydrochlorid
  • Unter Verwendung der in Beispiel 158d erhaltenen Verbindung (658 mg) wurde die Titelverbindung mittels Durchführung ähnlicher Reaktionen wie in Beispiel 1d als farbloser Feststoff erhalten (161 mg, Ausbeute: 12%, 3 Stufen).
    1H-NMR (DMSO-d6): δ 8,92 (br s, 1H), 8,65 (br s, 1H), 7,99 (s, 1H), 6,77 (s, 1H), 4,30 (s, 2H), 3,33 (d, J = 7,4 Hz, 1H), 3,24 (br d, J = 12,7 Hz, 1H), 2,79 (br dd, J = 23,2 Hz, 12,0 Hz, 2H), 1,99-1,91 (m, 1H), 1,72 (d, J = 13,2 Hz, 2H), 1,42-1,29 (m, 2H).
  • f) 5-((1-(2-(4-Fluorphenyl)-2-oxoethyl)-piperidin-4-yl)-methyl)-4,5-dihydro-6H-furo[2,3-c]pyrrol-6-on
  • Unter Verwendung der in Beispiel 158e erhaltenen Verbindung (80 mg, 0,312 mmol) wurde dir Titelverbindung mittels Durchführung einer ähnlichen Reaktion wie in Beispiel 1e als farbloser Feststoff erhalten (90 mg, Ausbeute: 81%).
    1H-NMR (CDCl3): δ 8,10-8,05 (m, 2H), 7,61 (d, J = 1,7 Hz, 1H), 7,12 (t, J = 8,7 Hz, 2H), 6,50 (d, J = 1,6 Hz, 1H), 4,18 (s, 2H), 3,72 (s, 2H), 3,41 (d, J = 7,2 Hz, 2H), 2,96 (br d, J = 11,4 Hz, 2H), 2,18-2,10 (m, 2H), 1,78-1,62 (m, 3H), 1,50-1,41 (m, 2H).
  • g) 4-Fluor-2-(1-(2-(4-fluorphenyl)-ethyl)-piperidin-4-yl-methyl)-isoindolin-1-on-fumarat
  • Unter Verwendung der in Beispiel 158f erhaltenen Verbindung (90 mg, 0,253 mmol) wurde die Titelverbindung mittels Durchführung einer ähnlichen Reaktion wie in Beispiel 36c als farbloser Feststoff erhalten (109 mg, Ausbeute: 91%).
    Schmelzpunkt: 230–232°C
    1H-NMR (DMSO-d6): δ 8,11-8,07 (m, 2H), 7,97 (d, J = 1,7 Hz, 1H), 7,38-7,32 (m, 2H), 6,75 (d, J = 1,6 Hz, 1H), 6,61 (s, 2H), 4,27 (s, 2H), 3,84 (s, 2H), 3,29 (d, J = 7,2 Hz, 2H), 2,88 (br d, J = 11,4 Hz, 2H), 2,14 (t, J = 10,8 Hz, 2H), 1,70-1,67 (m, 1H), 1,56 (d, J = 12,3 Hz, 2H), 1,26-1,16 (m, 2H).
  • Beispiel 171: (R,S)-2-(1-(2-(4-Fluorphenyl)-2-hydroxyethyl)-piperidin-4-yl-methyl)-4-fluorisoindolin-1-on-hydrochlorid (Verbindung 83 in Tabelle 1)
  • a) (R,S)-2-(1-(2-(4-Fluorphenyl)-2-hydroxyethyl)-piperidin-4-yl-methyl)-4-fluorisoindolin-1-on
  • Unter Verwendung der in Beispiel 6 erhaltenen Verbindung wurde die Titelverbindung durch ähnliche Verfahren wie in Beispiel 16a erhalten (Ausbeute: 85%).
    1H-NMR (CDCl3): δ 7,66 (d, J = 7,8 Hz, 1H), 7,46 (m, 1H), 7,35-7,30 (m, 2H), 7,22 (t, J = 8,1 Hz, 1H), 7,04-6,99 (m, 2H), 4,71-4,66 (m, 1H), 4,46 (s, 2H), 3,53 (d, J = 7,2 Hz, 2H), 3,15 (br d, J = 11,7 Hz, 1H), 2,83 (br d, J = 10,2 Hz, 1H), 2,51-2,31 (m, 3H), 2,04 (m, 1H), 1,85 (m, 1H), 1,80-1,65 (m, 2H), 1,49-1,22 (m, 2H).
  • b) (R,S)-2-(1-(2-(4-Fluorphenyl)-2-hydroxyethyl)-piperidin-4-yl-methyl)-4-fluorisoindolin-1-on-hydrochlorid
  • Unter Verwendung der in Beispiel 171a erhaltenen Verbindung wurde die Titelverbindung durch ähnliche Verfahren wie in Beispiel 1f erhalten (Ausbeute: 78%).
    Schmelzpunkt: 221–224°C
    1H-NMR (DMSO-d6): δ 9,63 (br s, 1H), 7,56-7,42 (m, 5H), 7,20 (t, J = 8,7 Hz, 2H), 6,24 (br s, 1H), 5,11 (br s, 1H), 4,59 (s, 2H), 3,55-2,90 (m, 8H), 2,00 (m, 1H), 1,86-1,56 (m, 2H).
  • Beispiel 172: (R,S)-2-(1-(2-(4-Fluorphenyl)-2-hydroxyethyl)-piperidin-4-yl-methyl)-5-chlorisoindolin-1-on-hydrochlorid (Verbindung 84 in Tabelle 1)
  • a) (R,S)-2-(1-(2-(4-Fluorphenyl)-2-hydroxyethyl)-piperidin-4-yl-methyl)-5-chlorisoindolin-1-on
  • Unter Verwendung der in Beispiel 8 erhaltenen Verbindung wurde die Titelverbindung durch ähnliche Verfahren wie in Beispiel 16a erhalten (Ausbeute: 82%).
    1H-NMR (CDCl3): δ 7,78 (d, J = 8,7 Hz, 1H), 7,44 (m, 2H), 7,35-7,30 (m, 2H), 7,02 (m, 2H), 4,69 (m, 1H), 4,44 (s, 2H), 4,09 (br s, 1H), 3,51 (d, J = 7,2 Hz, 2H), 3,15 (br d, J = 11,4 Hz, 1H), 8,81 (br d, J = 11,1 Hz, 1H), 2,49-2,30 (m, 3H), 2,02 (m, 1H), 1,80 (m, 1H), 1,80-1,20 (m, 4H).
  • b) (R,S)-2-(1-(2-(4-Fluorphenyl)-2-hydroxyethyl)-piperidin-4-yl-methyl)-5-chlorisoindolin-1-on-hydrochlorid
  • Unter Verwendung der in Beispiel 172a erhaltenen Verbindung wurde die Titelverbindung durch ähnliche Verfahren wie in Beispiel 1f erhalten (Ausbeute: 90%).
    Schmelzpunkt: 254–256°C
    1H-NMR (DMSO-d6): δ 9,59 (br s, 1H), 7,74-7,67 (m, 2H), 7,56-7,43 (m, 3H), 7,25-7,20 (m, 2H), 6,27 (br s, 1H), 5,13 (br s, 1H), 4,52 (s, 2H), 3,64-2,95 (m, 8H), 1,99-1,57 (m, 5H).
  • Beispiel 173: (R,S)-2-(1-(2-(4-Fluorphenyl)-2-hydroxyethyl)-piperidin-4-yl-methyl)-5-fluorisoindolin-1-on-hydrochlorid
  • a) (R,S)-2-(1-(2-(4-Fluorphenyl)-2-hydroxyethyl)-piperidin-4-yl-methyl)-5-fluorisoindolin-1-on
  • Unter Verwendung der in Beispiel 154 erhaltenen Verbindung wurde die Titelverbindung durch ähnliche Verfahren wie in Beispiel 16a erhalten (Ausbeute: 61%).
    1H-NMR (CDCl3): δ 7,83 (m, 1H), 7,35-7,25 (m, 2H), 7,17-7,12 (m, 2H), 7,05-6,99 (m, 2H), 4,67 (m, 1H), 4,44 (s, 2H), 4,08 (br s, 1H), 3,51 (d, J = 7,2 Hz, 2H), 3,15 (br d, J = 11,1 Hz, 1H), 2,82 (br s, J = 11,1 Hz, 1H), 2,49-2,28 (m, 3H), 2,02 (m, 1H), 1,80 (m, 1H), 1,77-1,25 (m, 4H).
  • b) (R,S)-2-(1-(2-(4-Fluorphenyl)-2-hydroxyethyl)-piperidin-4-yl-methyl)-5-fluorisoindolin-1-on-hydrochlorid
  • Unter Verwendung der in Beispiel 173a erhaltenen Verbindung wurde die Titelverbindung durch ähnliche Verfahren wie in Beispiel 1f erhalten (Ausbeute: 70%).
    Schmelzpunkt: 243–245°C
    1H-NMR (DMSO-d6): δ 9,66 (br s, 1H), 7,71 (m, 1H), 7,43 (m, 3H), 7,34-7,17 (m, 3H), 6,24 (d, J = 3,9 Hz, 1H), 5,11 (br s, 1H), 4,49 (s, 2H), 3,66-2,91 (m, 8H), 1,97-1,52 (m, 5H).
  • Beispiel 174: (R,S)-2-(1-(2-(4-Fluorphenyl)-2-hydroxyethyl)-piperidin-4-yl-methyl)-5-cyanoisoindolin-1-on-hydrochlorid (Verbindung 87 in Tabelle 1)
  • a) (R,S)-2-(1-(2-(4-Fluorphenyl)-2-hydroxyethyl)-piperidin-4-yl-methyl)-5-cyanoisoindolin-1-on
  • Unter Verwendung der in Beispiel 10 erhaltenen Verbindung wurde die Titelverbindung durch ähnliche Verfahren wie in Beispiel 16a erhalten (Ausbeute: 37%).
    1H-NMR (CDCl3): δ 7,95 (d, J = 7,8 Hz, 1H), 7,76 (m, 2H), 7,32 (m, 2H), 7,01 (m, 2H), 4,69 (m, 1H), 4,47 (s, 2H), 3,55 (d, J = 7,2 Hz, 2H), 3,14 (br d, J = 10,5 Hz, 1H), 2,81 (br d, J = 10,5 Hz, 1H), 2,79-2,29 (m, 3H), 2,03 (m, 1H), 1,95-1,35 (m, 5H).
  • b) (R,S)-2-(1-(2-(4-Fluorphenyl)-2-hydroxyethyl)-piperidin-4-yl-methyl)-5-cyanoisoindolin-1-on-hydrochlorid
  • Unter Verwendung der in Beispiel 174a erhaltenen Verbindung wurde die Titelverbindung durch ähnliche Verfahren wie in Beispiel 1f erhalten (Ausbeute: 74%).
    Schmelzpunkt: 255–262°C
    1H-NMR (DMSO-d6): δ 9,66 (br s, 1H), 8,16 (s, 1H), 7,96 (d, J = 7,5 Hz, 1H), 7,86 (d, J = 7,8 Hz, 1H), 7,45 (m, 2H), 7,22 (m, 2H), 6,27 (br s, 1H), 5,13 (br s, 1H), 4,59 (s, 2H), 3,60-2,92 (m, 8H), 1,98-1,54 (m, 5H).
  • Beispiel 175: (R,S)-5-(1-(2-(Fluorphenyl)-2-hydroxyethyl)-piperidin-4-yl-methyl)-4,5-dihydro-6H-thieno[2,3-c]pyrrol-6-on-fumarat (Verbindung 780 in Tabelle 2)
  • a) (R,S)-5-(1-(2-(Fluorphenyl)-2-hydroxyethyl)-piperidin-4-yl-methyl)-4,5-dihydro-6H-thieno[2,3-c]pyrrol-6-on
  • Unter Verwendung der in Beispiel 22 erhaltenen Verbindung wurde die Titelverbindung durch ähnliche Verfahren wie in Beispiel 16 erhalten (Ausbeute: 87%).
    1H-NMR (CDCl3): δ 7,63 (d, J = 4,8 Hz, 1H), 7,32 (m, 3H), 7,01 (m, 3H), 4,67 (m, 1H), 4,34 (s, 2H), 4,11 (br s, 1H), 3,47 (d, J = 6,9 Hz, 2H), 3,15 (br d, J = 11,1 Hz, 1H), 2,83 (br d, J = 10,8 Hz, 1H), 2,50-2,30 (m, 3H), 2,03 (m, 1H), 1,87-1,71 (m, 3H), 1,47-1,37 (m, 1H).
  • b) (R,S)-5-(1-(2-(Fluorphenyl)-2-hydroxyethyl)-piperidin-4-yl-methyl)-4,5-dihydro-6H-thieno[2,3-c]pyrrol-6-on-fumarat
  • Die in Beispiel 176a erhaltene Verbindung (70 mg) wurde in Ethanol (1 ml) und Ethylacetat (3 ml) gelöst und zu der Lösung wurde Fumarsäure (26 mg) gegeben. Die niedergeschlagenen Kristalle, welche nach vollständiger Auflösung auftraten, wurden durch Filtration gesammelt, um die Titelverbindung zu erhalten (Ausbeute: 87%).
    Schmelzpunkt: 174–176°C
    1H-NMR (DMSO-d6): δ 7,95 (d, J = 5,1 Hz, 1H), 7,41-7,35 (m, 2H), 7,23-7,11 (m, 3H), 6,57 (s, 2H), 4,76 (br s, 1H), 4,42 (s, 2H), 3,33-2,15 (m, 8H), 1,72-1,57 (m, 3H), 1,25-1,15 (m, 2H).
  • Beispiel 176: 2-(1-(2-(4-Fluorphenoxy)-ethyl)-piperidin-4-yl-methyl)-5-methoxyisoindolin-1-on-hydrochlorid (Verbindung 214 in Tabelle 1)
  • a) 2-(1-(2-(4-Fluorphenoxy)-ethyl-)-piperidin-4-yl-methyl)-5-methoxyisoindolin-1-on
  • Unter Verwendung der in Beispiel 9c erhaltenen Verbindung und 1-Fluor-4-(2-bromethoxy)-benzol wurde die Titelverbindung durch ähnliche Verfahren wie in Beispiel 165a erhalten (Ausbeute: 78%).
    1H-NMR (CDCl3): δ 7,75 (d, J = 8,4 Hz), 7,0-6,91 (m, 4H), 6,85-6,80 (m, 2H), 4,34 (s, 2H), 4,04 (t, J = 6,0 Hz, 2H), 3,87 (s, 3H), 3,47 (d, J = 7,2 Hz, 2H), 2,98 (br d, J = 11,7 Hz, 2H), 2,76 (t, J = 6,0 Hz, 2H), 2,09 (t, J = 9,3 Hz, 2H), 1,77 (m, 1H), 1,72 (m, 2H), 1,48-1,39 (m, 2H).
  • b) 2-(1-(2-(4-Fluorphenoxy)-ethyl)-piperidin-4-yl-methyl)-5-methoxyisoindolin-1-on-hydrochlorid
  • Unter Verwendung der in Beispiel 176a erhaltenen Verbindung wurde die Titelverbindung durch ähnliche Verfahren wie in Beispiel 1f erhalten (Ausbeute: 47%).
    Schmelzpunkt: 216–219°C
    1H-NMR (DMSO-d6): δ 10,44 (br s, 1H), 7,58 (d, J = 8,4 Hz), 7,19-7,13 (m, 3H), 7,06-6,99 (m, 3H), 4,44 (s, 2H), 4,37 (t, J = 4,5 Hz, 2H), 3,84 (s, 3H), 3,59-3,45 (m, 2H), 3,45-3,30 (m, 4H), 3,05-2,94 (m, 2H), 1,97 (m, 1H), 1,81-1,76 (m, 2H), 1,64-1,52 (m, 2H).
  • Beispiel 177: 2-(1-(2-(4-Fluorphenoxy)-ethyl)-piperidin-4-yl-methyl)-5-bromisoindolin-1-on-hydrochlorid (Verbindung 208 in Tabelle 1)
  • a) 2-(1-(2-(4-Fluorphenoxy)-ethyl)-piperidin-4-yl-methyl)-5-bromisoindolin-1-on
  • Unter Verwendung der in Beispiel 3d erhaltenen Verbindung sowie 1-Fluor-4-(2-bromethoxy)-benzol wurde die Titelverbindung durch ähnliche Verfahren wie in Beispiel 165a erhalten (Ausbeute: 66%).
    1H-NMR (CDCl3): δ 7,71 (d, J = 8,4 Hz, 1H), 7,62-7,59 (m, 2H), 6,99-6,93 (m, 2H), 6,85-6,80 (m, 2H), 4,38 (s, 2H), 4,04 (t, J = 6,0 Hz, 2H), 3,48 (d, J = 4,9 Hz), 2,99 (br d, J = 11,7 Hz), 2,77 (t, J = 6,0 Hz), 2,10 (t, J = 11,7 Hz), 1,80 (m, 1H), 1,78-1,70 (m, 2H), 1,48-1,39 (m, 2H).
  • b) 2-(1-(2-(4-Fluorphenoxy)-ethyl)-piperidin-4-yl-methyl)-5-bromisoindolin-1-on-hydrochlorid
  • Unter Verwendung der in Beispiel 177a erhaltenen Verbindung wurde die Titelverbindung durch ähnliche Verfahren wie in Beispiel 1f erhalten (Ausbeute: 86%).
    Schmelzpunkt: 222–225°C
  • Beispiel 178: 5-Chlor-2-(1-(2-(4-fluorphenoxy)-ethyl)-piperidin-4-yl-methyl)-isoindolin-1-on-fumarat (Verbindung 213 in Tabelle 1)
  • a) 5-Chlor-2-(1-(2-(4-fluorphenoxy)-ethyl)-piperidin-4-yl-methyl)-isoindolin-1-on
  • Unter Verwendung der in Beispiel 8e erhaltenen Verbindung (250 mg, 0.83 mmol) sowie der in Beispiel 32a erhaltenen Verbindung (182 mg, 0.83 mmol) wurde die Titelverbindung als Rohprodukt durch ähnliche Verfahren wie in Beispiel 26b als blassbrauner Feststoff erhalten (321 mg). Das resultierende Rohprodukt wurde ohne Aufreinigung in die nächste Reaktion eingesetzt.
  • b) 5-Chlor-2-(1-(2-(4-fluorphenoxy)-ethyl)-piperidin-4-yl-methyl)-isoindolin-1-on-fumarat
  • Unter Verwendung der in Beispiel 178a erhaltenen Verbindung (321 mg) wurde die Titelverbindung mittels Durchführung ähnlicher Reaktionen wie in Beispiel 36c als farbloser Feststoff erhalten (320 mg, Ausbeute: 74%, 2 Stufen).
    Schmelzpunkt: 172–176°C
    1H-NMR (DMSO-d6): δ 7,68 (t, J = 7,6 Hz, 2H), 7,55 (d, J = 2,7 Hz, 1H), 7,11 (t, J = 8,8 Hz, 2H), 6,93-6,79 (m, 2H), 6,59 (s, 2H), 4,49 (s, 2H), 4,08 (t, J = 5,6 Hz, 2H), 3,40 (d, J = 7,2 Hz, 2H), 3,01 (br d, J = 11,5 Hz, 2H), 2,80 (t, J = 5,6 Hz, 2H), 2,21-2,14 (m, 2H), 1,76-1,72 (m, 1H), 1,60 (br d, J = 12,1 Hz, 2H), 1,26 (br dd, J = 21,4 Hz, 11,3 Hz, 2H).
  • Beispiel 179: 5-Cyano-2-(1-(2-(4-fluorphenoxy)-ethyl)-piperidin-4-yl-methyl)-isoindolin-1-on-fumarat (Verbindung 215 in Tabelle 1)
  • a) 5-Cyano-2-(1-(2-(4-fluorphenoxy)-ethyl)-piperidin-4-yl-methyl)-isoindolin-1-on
  • Unter Verwendung der in Beispiel 8e erhaltenen Verbindung (300 mg, 1,03 mmol) sowie der in Beispiel 10c erhaltenen Verbindung (226 mg, 1,03 mmol) wurde die Titelverbindung als Rohprodukt mittels Durchführung einer ähnlichen Reaktion wie in Beispiel 26b als blassbrauner Feststoff erhalten (314 mg). Das resultierende Rohprodukt wurde ohne Aufreinigung in die nächste Reaktion eingesetzt.
  • b) 5-Cyano-2-(1-(2-(4-fluorphenoxy)-ethyl)-piperidin-4-yl-methyl)-isoindolin-1-on-fumarat
  • Unter Verwendung der in Beispiel 179a erhaltenen Verbindung (314 mg) wurde die Titelverbindung mittels Durchführung ähnlicher Reaktionen wie in Beispiel 36c als farbloser Feststoff erhalten (331 mg, Ausbeute: 63%, 2 Stufen).
    Schmelzpunkt: 194–198°C
    1H-NMR (DMSO-d6). δ 8,13 (s, 1H), 7,95 (d, J = 7,9 Hz, 1H), 7,84 (d, J = 7,7 Hz, 1H), 7,14-7,07 (t, J = 5,6 Hz, 2H), 6,99 (m, 2H), 6,59 (s, 2H), 4,57 (s, 2H), 4,11 (t, J = 5,6 Hz, 2H), 3,44 (d, J = 7,2 Hz, 2H), 3,06 (br d, J = 11,6 Hz, 2H), 2,87 (t, J = 5,5 Hz, 2H), 2,27 (br t, J = 11,0 Hz, 2H), 1,83-1,77 (m, 1H), 1,63 (br d, J = 11,7 Hz, 2H), 1,36-1,23 (m, 2H).
  • Beispiel 180: 5-Fluor-2-((1-(2-(4-Fluorphenoxy)-ethyl)-piperidin-4-yl)-methyl)-isoindolin-1-on-fumarat
  • Unter Verwendung der in Beispiel 154c erhaltenen Verbindung wurde die Titelverbindung durch ähnliche Verfahren wie in den Beispielen 26b und 36c erhalten (Ausbeute: 88%).
    Schmelzpunkt: 174–176°C
    1H-NMR (DMSO-d6): δ 1,25 (m, 2H), 1,60 (m, 2H), 1,76 (m, 1H), 2,17 (m, 2H), 2,79 (t, J = 5,6 Hz, 2H), 3,50 (m, 2H), 3,39 (d, J = 7,2 Hz, 2H), 4,07 (t, J = 5,6 Hz, 2H), 4,47 (s, 2H), 6,60 (s, 2H), 6,95 (m, 2H), 7,10 (t, J = 8,9 Hz, 2H), 7,31 (m, 1H), 7,46 (dd, J = 1,9 Hz, 8,7 Hz, 1H), 7,70 (dd, J = 5,2 Hz, 8,3 Hz, 1H).
  • Beispiel 181: 4-Fluor-2-(1-(2-(4-fluorphenoxy)-ethyl)-piperidin-4-yl-methyl)-isoindolin-1-on-fumarat (Verbindung 212 in Tabelle 1)
  • a) 4-Fluor-2-(1-(2-(4-fluorphenoxy)-ethyl)-piperidin-4-yl-methyl)-isoindolin-1-on
  • Unter Verwendung der in Beispiel 6d erhaltenen Verbindung (300 mg, 1,05 mmol) sowie der in Beispiel 32a erhaltenen Verbindung (230 mg, 1,05 mmol) wurde die Titelverbindung als Rohprodukt mittels Durchführung einer ähnlichen Reaktion wie in Beispiel 26b als blassbrauner Feststoff erhalten (356 mg). Das resultierende Rohprodukt wurde ohne Aufreinigung in die nächste Reaktion eingesetzt.
  • b) 4-Fluor-2-(1-(2-(4-fluorphenoxy)-ethyl)-piperidin-4-yl-methyl)-isoindolin-1-on-fumarat
  • Unter Verwendung der in Beispiel 181a erhaltenen Verbindung (356 mg) wurde die Titelverbindung mittels Durchführung von ähnlichen Reaktionen wie in Beispiel 36c als farbloser Feststoff erhalten (412 mg, Ausbeute: 89%, 2 Stufen).
    Schmelzpunkt: 196–198°C
    1H-NMR (DMSO-d6): δ 7,56-7,53 (m, 2H), 7,46 (m, 1H), 7,13-7,07 (m, 2H), 6,97-6,92 (m, 2H), 6,60 (s, 2H), 4,57 (s, 2H), 4,07 (t, J = 5,7 Hz, 2H), 3,41 (d, J = 7,4 Hz, 2H), 2,99 (br d, J = 11,7 Hz, 2H), 2,78 (t, J = 5,7 Hz, 2H), 2,16 (br t, J = 10,9 Hz, 2H), 1,80-1,75 (m, 1H), 1,61 (br d, J = 11,6 Hz, 2H), 1,32-1,23 (m, 2H).
  • Beispiel 182: 2-((1-(2-(4-Fluorphenyl)-2-oxoethyl)-piperidin-4-yl)-methyl)-isoindolin-1-on-hydrochlorid-dihydrat
  • 2-((1-(2-(4-Fluorphenyl)-2-oxoethyl)-piperidin-4-yl)-methyl)-isoindolin-1-on-hydrochlorid (die Verbindung aus Beispiel 1, 39,4 mmol) wurde Wasser (30 ml) und Aceton (210 ml) zugefügt und die Mischung zur Auflösung auf 60°C erhitzt. Der Mischung wurde tropfenweise Ethylacetat (100 ml) zugegeben und zum Abkühlen auf Raumtemperatur stehen gelassen. Die ausgefällten Kristalle wurden durch Filtration abgetrennt und die resultierenden Kristalle wurden mit Ethylacetat gewaschen und unter vermindertem Druck getrocknet, um die Titelverbin dung zu erhalten (Ausbeute: 79%).
    Analyse (berechnet): C: 60,20; H: 6,43; N: 6,38; Cl: 8,08; (gefunden): C: 60,02; H: 6,24; N: 5,97; Cl: 7,74.
    Analyse des Wassergehalts (nach Karl Fischer) (berechnet): 8,2%, (gefunden): 8,3%.
  • Testbeispiel: Test zur Bindungshemmung der Sigma-Bindestelle
  • Ein Sigma-2-selektiver Inhibitionstest zur Rezeptorbindung wurde durchgeführt unter Verwendung von [3H]-di-o-Tolylguanidin (DTG, Endkonzentration: 1 nM, 37 Ci/mmol, New England Nuclear, Dupont de Nemours) als radioaktiven Liganden. Eine P2-Membran-Rohfraktion wurde aus den Lebern männlicher Ratten zubereitet (Sprague-Dawley-Ratten), nach einem in der Literatur beschriebenen Verfahren (X. He et al., J. Med. Chem., 36, S. 566–571, 1993). In Gegenwart von 500 nM Pentazocin und einer Kontrollverbindung bei verschiedenen Konzentrationen (Haloperidol, 10–10 bis 10–6 M) oder eines Testliganden bei verschiedenen Konzentrationen (10–10 bis 10–5 M), zusammen mit einem radioaktiven Liganden, wurde die P2-Fraktion (0,4 ml) in 50 mM Tris-HCl (pH 7,4, Endvolumen: 0,5 ml) bei 25°C für 2 Stunden inkubiert. Die Reaktionsmischung wurde auf einem Brandell-Zellernter unter Verwendung von Whatman-GF/B-Filterpapier, welches zuvor in 0,5% Polyethylenimin 1 Stunde lang getränkt wurde, schnell filtriert, um die Reaktion zu stoppen. Das Filterpapier wurde viermal mit dem eisgekühltem Inkubationspuffer gewaschen. Die unspezifischen Resultate wurden evaluiert unter Verwendung von 1 μM Haloperidol, und die Szintillationsanalyse und die Kurvenanalyse wurden wie oben beschrieben durchgeführt. Der Kd-Wert für [3H]-DTG betrug 6,9 nM. Die Ergebnisse sind unten in den Tabellen 3 und 4 angegeben. Tabelle 3
    Testverbindung Sigma-2 Ki (nM)
    Beispiel 1 13
    Beispiel 2 2,8
    Beispiel 3 7
    Beispiel 4 7,6
    Beispiel 6 8,7
    Beispiel 7 16
    Beispiel 8 3,1
    Beispiel 9 4,9
    Beispiel 13 6,6
    Beispiel 17 24
    Beispiel 22 22
    Beispiel 24 13
    Beispiel 30 22
    Beispiel 31 22
    Beispiel 32 2,8
    Beispiel 50 14
    Beispiel 84 3,4
    Beispiel 137 7,8
    Beispiel 154 16
    Tabelle 4
    Testverbindung Inhibitionsrate gegen Sigma-2 (%, 10 nM)
    Beispiel 48 59
    Beispiel 50 52
    Beispiel 51 74
    Beispiel 72 55
    Beispiel 76 84
    Beispiel 77 80
    Beispiel 78 86
    Beispiel 84 58
    Beispiel 85 59
    Beispiel 94 83
    Beispiel 95 69
    Beispiel 109 68
    Beispiel 110 68
    Beispiel 111 51
    Beispiel 112 60
    Beispiel 113 64
    Beispiel 114 51
    Beispiel 117 52
    Beispiel 118 50
    Beispiel 158 57
    Beispiel 177 55
    Beispiel 178 50
    Beispiel 181 70
  • Rezepturbeispiele
  • Die pharmazeutischen Zusammensetzungen der vorliegenden Erfindung können hergestellt werden durch Anwendung von Verfahren und Verwendung pharmazeutischer Additive, welche in diesem Fachgebiet in herkömmlicher Weise verwendet werden. Typische Rezepturbeispiele sind unten angegeben. Jedoch sind die pharmazeutischen Zusammensetzungen der vorliegenden Erfindung nicht auf diese Beispiele beschränkt. 1) Tablette
    Verbindung aus Beispiel 2 0,1 bis 50 mg
    Calciumphosphat 20 mg
    Lactose 30 mg
    Talkum 10 mg
    Magnesiumstearat 5 mg
    Kartoffelstärke ad 200 mg
  • 2) Suspension
  • Wasser wird zur Verbindung aus Beispiel 2 (1 bis 5 mg) gegeben, Carboxymethylcellulose-Natrium (50 mg), Natriumbenzoat (1 mg) und Sorbit (500 mg), um eine wässrige Suspension zur oralen Verabreichung mit einem Gesamtvolumen von 1 ml herzustellen.
  • 3) Injektion
  • Die Verbindung aus Beispiel 2 wird in einer Menge von 1,5%, bezogen auf Gewicht, als Wirkstoff mit einer Mischung aus Propylenglykol (10%, bezogen auf Volumen) und destilliertem Wasser für Injektionen durch Rühren vermischt, und die resultierende Lösung wird mittels Filtration durch einen Membranfilter sterilisiert, um eine Zusammensetzung zur Injektion herzustellen. 4) Salbe
    Verbindung aus Beispiel 2 1 bis 1.000 mg
    Stearylalkohol 3 g
    Lanolin 5g
    Weiße Vaseline 15 g
    Wasser ad 100 g
  • Industrielle Anwendbarkeit
  • Die Verbindungen der vorliegenden Erfindung weisen eine hohe Affinität zur Sigma-Bindestelle auf. Zusätzlich besitzen die Verbindungen der vorliegenden Erfindung ausgezeichnete pharmakokinetische Profile, wie beispielsweise eine hohe Fähigkeit zur oralen Absorption und eine geringe Verstoffwechselungsrate, und des Weiteren sind sie in hohem Maße sicher und zeigen hohe Wirksamkeit in pharmakologischen Studien unter Verwendung von Tiermodellen. Daher sind die Verbindungen der vorliegenden Erfindung anwendbar als Sigma-Liganden für die therapeutische oder präventive Behandlung von verschiedenen Erkrankungen und Symptomen, bei denen der Sigma-Ligand involviert ist.

Claims (20)

  1. Verbindung, repräsentiert durch die folgende Formel (I), oder ein Salz davon, oder ein Hydrat oder ein Solvat davon:
    Figure 01710001
    wobei: X eine Alkylgruppe, eine Cycloalkyl-substituierte Alkylgruppe, eine Aryl-substituierte Alkylgruppe, eine Aryl-substituierte Alkenylgruppe, eine Aryl-substituierte Alkinylgruppe, eine monocyclische oder polycyclische Cycloalkylgruppe repräsentiert, welche substituiert sein können mit einer Alkylgruppe, einer Arylgruppe, einer heterocyclischen Gruppe oder einer substituierten oder unsubstituierten Aminogruppe; Q eine Gruppe repräsentiert, dargestellt durch -CO-, -O-, -S-, -CH(OR7)-, -C(=CH2)- oder -C(=NR8)-, wobei R7 ein Wasserstoffatom, eine Alkylgruppe, eine Hydroxyalkylgruppe oder eine Acylgruppe repräsentiert, und R8 eine Hydroxylgruppe, eine Alkoxygruppe, eine Aralkoxygruppe, eine Acyloxygruppe, eine Acylaminogruppe oder eine Alkoxycarbonylaminogruppe repräsentiert; n eine Ganzzahl von 0 bis 5 repräsentiert; R1 und R2 jeweils unabhängig ein Wasserstoffatom oder eine Alkylgruppe repräsentieren, oder R1 und R2 verknüpft sind, um eine Alkylengruppe zu bilden; B die beiden folgenden Gruppen repräsentiert:
    Figure 01720001
    wobei R3, R4, R5 und R6 jeweils unabhängig einen Substituenten repräsentieren, ausgewählt aus der Gruppe, bestehend aus einem Wasserstoffatom, einem Halogenatom, einer Nitrogruppe, einer Alkylgruppe, einer halogenierten Alkylgruppe, einer Hydroxylgruppe, einer Alkoxygruppe, einer halogenierten Alkoxygruppe und einer Cyanogruppe; m 1 oder 2 repräsentiert; und der Ring:
    Figure 01720002
    einen 5- oder 6-gliedrigen aromatischen heterocyclischen Ring, enthaltend ein oder zwei Heteroatome, repräsentiert, welcher substituiert sein kann.
  2. Verbindung oder ein Salz davon, oder ein Hydrat oder ein Solvat davon, nach Anspruch 1, wobei R1 und R2 unabhängig ein Wasserstoffatom oder eine Alkylgruppe repräsentieren.
  3. Verbindung oder ein Salz davon, oder ein Hydrat oder ein Solvat davon, nach Anspruch 1, wobei X eine Alkylgruppe, eine Aryl-substituierte Alkylgruppe, eine Aryl-substituierte Alkenylgruppe, eine Aryl-substituierte Alkinylgruppe, eine Arylgruppe, eine monocyclische Cycloalkylgruppe, eine monocyclische heterocyclische Gruppe, eine 8- 10-gliedrige bicyclische Heteroarylgruppe, welche 1 oder 2 Heteroatome enthält, oder eine Aminogruppe repräsentiert, substituiert mit einer Alkylgruppe oder einer Arylgruppe; Q eine Gruppe repräsentiert, dargestellt durch -CO-, -O-, -S-, -CH(OR7)- oder -C(=NR8)-, wobei R7 ein Wasserstoffatom, eine Alkylgruppe oder eine Acylgruppe repräsentiert, und R8 eine Hydroxylgrup pe, eine Alkoxygruppe oder eine Acylaminogruppe repräsentiert; n eine Ganzzahl von 0 bis 4 repräsentiert; R1 und R2 jeweils ein Wasserstoffatom repräsentieren; R3, R4, R5 und R6 jeweils unabhängig einen Substituenten repräsentieren, ausgewählt aus der Gruppe, bestehend aus einem Wasserstoffatom, einem Halogenatom, einer Nitrogruppe, einer Alkylgruppe, einer halogenierten Alkylgruppe, einer Hydroxylgruppe, einer Alkoxygruppe, einer halogenierten Alkoxygruppe und einer Cyanogruppe; m 1 oder 2 repräsentiert; und der Ring:
    Figure 01730001
    ein heterocyclischer Ring ist, ausgewählt aus der Gruppe, bestehend aus einem Furanring, einem Thiophenring und einem Pyridinring, welche substituiert sein können.
  4. Verbindung oder ein Salz davon, oder ein Hydrat oder ein Solvat davon, nach Anspruch 3, wobei X eine substituierte oder unsubstituierte Phenylgruppe repräsentiert, wobei der Substituent ein oder mehrere Substituenten ist, ausgewählt aus der Gruppe, bestehend aus einem Halogenatom, einer Alkylgruppe, einer halogenierten Alkylgruppe, einer Alkoxygruppe, einer halogenierten Alkoxygruppe und einer Cyanogruppe, einer 5- oder 6-gliedrigen monocyclischen heterocyclischen Gruppe oder einer 8- bis 10- gliedrigen bicyclischen Heteroarylgruppe, welche ein oder zwei Heteroatome enthalten.
  5. Verbindung oder ein Salz davon, oder ein Hydrat oder ein Solvat davon, nach Anspruch 3, wobei B durch die folgende Formel repräsentiert wird:
    Figure 01730002
    wobei drei von R3, R4, R5 und R6 Wasserstoffatome sind, und das verbliebene einen Substituenten repräsentiert, ausgewählt aus der Gruppe, bestehend aus einem Wasserstoffatom, einem Halogenatom, einer Nitrogruppe, einer Alkylgruppe, einer Hydroxylgruppe, einer Alkoxygruppe und einer Cyanogruppe.
  6. Verbindung oder ein Salz davon, oder ein Hydrat oder ein Solvat davon, nach Anspruch 1, wobei X eine substituierte oder unsubstituierte Phenylgruppe repräsentiert, wobei der Substituent ein oder mehrere Substituenten ist, ausgewählt aus der Gruppe, bestehend aus einem Halogenatom und einer Alkoxygruppe, Q -CO-, -O- oder -CH(OH)- repräsentiert, n eine Ganzzahl von 1 bis 3 repräsentiert, R1 und R2 jeweils ein Wasserstoffatom ist, drei von R3, R4, R5 und R6 Wasserstoffatome sind und das verbleibende ein Wasserstoffatom, ein Halogenatom oder eine Alkoxygruppe repräsentiert, m 1 oder 2 repräsentiert, und der Ring:
    Figure 01740001
    ein Thiophenring oder ein Furanring ist.
  7. Verbindung oder ein Salz davon, oder ein Hydrat oder ein Solvat davon, nach Anspruch 6, wobei X eine p-Fluorphenylgruppe repräsentiert, n 1 repräsentiert, drei von R3, R4, R5 und R6 Wasserstoffatome sind und das verbliebene ein Wasserstoffatom, ein Halogenatom oder eine Methoxygruppe repräsentiert und m 1 repräsentiert.
  8. Verbindung oder ein Salz davon, oder ein Hydrat oder Solvat davon, nach Anspruch 7, wobei Q -CO- repräsentiert.
  9. Verbindung oder ein Salz davon, oder ein Hydrat oder ein Solvat davon, nach Anspruch 7, wobei Q -O- repräsentiert.
  10. Verbindung oder ein Salz davon, oder ein Hydrat oder ein Solvat davon, nach Anspruch 7, wobei Q -CH(OH)- repräsentiert.
  11. 2-((1-(2-(4-Fluorphenyl)-2-oxoethyl)-piperidin-4-yl)-methyl)-isoindolin-4-on oder ein Salz davon, oder ein Hydrat oder ein Solvat davon.
  12. 4-Fluor-2-((1-(2-(4-fluorphenyl)-oxoethyl)-piperidin-4-yl)-methyl-isoindolin-1-on oder ein Salz davon, oder ein Hydrat oder ein Solvat davon.
  13. 5-Chlor-2-((1-(2-(4-fluorphenyl)-2-oxoethyl)-piperidin-4-yl)-methyl)-isoindolin-1-on oder ein Salz davon, oder ein Hydrat oder ein Solvat davon.
  14. 5-((1-(2-(4-fluorphenyl)-2-oxoethyl)-piperidin-4-yl)-methyl)-4,5-dihydro-6H-thieno[2,3-c]pyrrol-6-on oder ein Salz davon, oder ein Hydrat oder ein Solvat davon.
  15. 5-Fluor-2-((1-(2-(4-fluorphenyl)-2-oxoethyl)-piperidin-4-yl)-methyl)-isoindolin-1-on oder ein Salz davon, oder ein Hydrat oder ein Solvat davon.
  16. 5-((1-(2-(4-Fluorphenyl)-2-oxoethyl)-piperidin-4-yl)-methyl)-4,5-dihydro-6H-furo[2,3-c]pyrrol-6-on oder ein Salz davon, oder ein Hydrat oder ein Solvat davon.
  17. Medikament, welches eine Substanz umfasst, ausgewählt aus der Gruppe, bestehend aus den Verbindungen nach einem der Ansprüche 1 bis 16 und einem Salz davon, und einem Hydrat und einem Solvat davon als einen Wirkstoff.
  18. Medikament nach Anspruch 17, welches anwendet wird für eine Erkrankung, welche therapeutisch und/oder präventiv behandelt werden kann durch die Nervensteuerungsfunktion eines Sigma-Liganden.
  19. Medikament nach Anspruch 18, wobei die Erkrankung, welche therapeutisch und/oder präventiv durch die Nervensteuerungsfunktion eines Sigma-Liganden behandelt werden kann, eine Erkrankung des zentralen Nervensystems ist, ausgewählt aus der Gruppe, bestehend aus Angststörungen, Depression oder emotionale Störung, Schizophrenie, Betäubungsmittelvergiftung oder Betäubungsmittelabhängigkeit, starke Schmerzen, Dyskinesie, eine zerebrovaskuläre Erkrankung, Epilepsie, Demenz, einschließlich der Alzheimer-Krankheit, Parkinson-Krankheit, Gehirntumor und Aufmerksamkeitsdefizitstörung, eine gastrointestinale Erkrankung, ausgewählt aus der Gruppe, bestehend aus Reizdarmsyndrom, Reizdarm, spastischer Colon, Colitis mucosa, Enterocolitis, Divertikulitis und Dysenterie, oder einer Erkrankung des kardiovaskulären Systems, ausgewählt aus der Gruppe, bestehend aus Hypertonie, Arrhythmie und Angina pectoris.
  20. Sigma-Ligand, welcher eine Substanz umfasst, ausgewählt aus der Gruppe, bestehend aus einer Verbindung nach einem der Ansprüche 1 bis 16 und einem Salz davon, und einem Hydrat und einem Solvat davon.
DE60129210T 2000-02-29 2001-02-26 Zyklische amid-derivate Expired - Lifetime DE60129210T2 (de)

Applications Claiming Priority (3)

Application Number Priority Date Filing Date Title
JP2000054674 2000-02-29
JP2000054674 2000-02-29
PCT/JP2001/001413 WO2001064670A1 (en) 2000-02-29 2001-02-26 Novel cyclic amide derivatives

Publications (2)

Publication Number Publication Date
DE60129210D1 DE60129210D1 (de) 2007-08-16
DE60129210T2 true DE60129210T2 (de) 2008-03-20

Family

ID=18575896

Family Applications (1)

Application Number Title Priority Date Filing Date
DE60129210T Expired - Lifetime DE60129210T2 (de) 2000-02-29 2001-02-26 Zyklische amid-derivate

Country Status (19)

Country Link
US (1) US7166617B2 (de)
EP (1) EP1260512B1 (de)
JP (1) JP4859324B2 (de)
KR (1) KR100815772B1 (de)
CN (1) CN100384836C (de)
AT (1) ATE366249T1 (de)
AU (2) AU2001234175B2 (de)
CA (1) CA2401711C (de)
CY (1) CY1106858T1 (de)
DE (1) DE60129210T2 (de)
DK (1) DK1260512T3 (de)
ES (1) ES2291293T3 (de)
HU (1) HUP0300203A3 (de)
IL (2) IL151533A0 (de)
NZ (1) NZ521576A (de)
PT (1) PT1260512E (de)
RU (1) RU2257384C2 (de)
TW (1) TWI296625B (de)
WO (1) WO2001064670A1 (de)

Families Citing this family (45)

* Cited by examiner, † Cited by third party
Publication number Priority date Publication date Assignee Title
WO2003057672A2 (en) 2001-12-28 2003-07-17 Acadia Pharmaceuticals, Inc. Tetrahydroquinoline analogues as muscarinic agonists
US7550459B2 (en) 2001-12-28 2009-06-23 Acadia Pharmaceuticals, Inc. Tetrahydroquinoline analogues as muscarinic agonists
KR20060061393A (ko) * 2003-10-24 2006-06-07 에프. 호프만-라 로슈 아게 Ccr3 수용체 길항제
US20060019969A1 (en) * 2004-07-24 2006-01-26 Laboratorios Dr. Esteve S.A. Use of compounds active on the sigma receptor for the treatment of allodynia
US8329694B2 (en) 2005-06-24 2012-12-11 Toyama Chemical Co., Ltd. Quinoxalinones as antibacterial composition
US7807706B2 (en) * 2005-08-12 2010-10-05 Astrazeneca Ab Metabotropic glutamate-receptor-potentiating isoindolones
WO2007021309A1 (en) * 2005-08-12 2007-02-22 Astrazeneca Ab Substituted isoindolones and their use as metabotropic glutamate receptor potentiators
US7868008B2 (en) * 2005-08-12 2011-01-11 Astrazeneca Ab Substituted isoindolones and their use as metabotropic glutamate receptor potentiators
EP2377530A3 (de) 2005-10-21 2012-06-20 Braincells, Inc. Modulation von Neurogenese durch PDE-Hemmung
EP2314289A1 (de) 2005-10-31 2011-04-27 Braincells, Inc. Gaba-rezeptor-vermittelte modulation von neurogenese
TW200804281A (en) * 2006-02-16 2008-01-16 Astrazeneca Ab New metabotropic glutamate receptor-potentiating isoindolones
US20100216734A1 (en) 2006-03-08 2010-08-26 Braincells, Inc. Modulation of neurogenesis by nootropic agents
AU2007249399A1 (en) 2006-05-09 2007-11-22 Braincells, Inc. Neurogenesis by modulating angiotensin
AU2007249435A1 (en) 2006-05-09 2007-11-22 Braincells, Inc. 5 HT receptor mediated neurogenesis
US7998971B2 (en) * 2006-09-08 2011-08-16 Braincells Inc. Combinations containing a 4-acylaminopyridine derivative
US20100184806A1 (en) 2006-09-19 2010-07-22 Braincells, Inc. Modulation of neurogenesis by ppar agents
CN101186612B (zh) * 2006-11-15 2012-10-03 天津和美生物技术有限公司 可抑制细胞释放肿瘤坏死因子的吡咯啉衍生物及其制备和应用
EP2114166A4 (de) * 2006-12-11 2011-05-25 Reviva Pharmaceuticals Inc Zusammensetzungen, synthese und verfahren zur verwendung indanonbasierter cholinesterase-hemmer
ATE533761T1 (de) * 2007-03-30 2011-12-15 Hoffmann La Roche Imidazolidinonderivate
TWI417100B (zh) * 2007-06-07 2013-12-01 Astrazeneca Ab 二唑衍生物及其作為代謝型麩胺酸受體增效劑-842之用途
WO2009010479A2 (en) * 2007-07-13 2009-01-22 Euroscreen S.A. Heterocyclic methylene piperidine derivatives and their use
DE102007047737A1 (de) * 2007-10-05 2009-04-30 Merck Patent Gmbh Piperidin- und Piperazinderivate
US7790760B2 (en) * 2008-06-06 2010-09-07 Astrazeneca Ab Metabotropic glutamate receptor isoxazole ligands and their use as potentiators 286
WO2010099217A1 (en) 2009-02-25 2010-09-02 Braincells, Inc. Modulation of neurogenesis using d-cycloserine combinations
EP2353591A1 (de) 2010-02-04 2011-08-10 Laboratorios Del. Dr. Esteve, S.A. Sigma-Liganden zur Verstärkung der analgesischen Wirkung von Opioden und Opiaten bei postoperativem Schmerz und zur Schwächung der Abhängigkeit davon
ES2914120T3 (es) * 2010-07-20 2022-06-07 Minerva Neurosciences Inc Procedimientos de uso de derivados de amida cíclicos para tratar trastornos mediados por el receptor sigma
PL3135286T3 (pl) 2010-07-20 2024-04-22 Minerva Neurosciences, Inc. Sposoby zastosowania pochodnych amidów cyklicznych do leczenia schizofrenii i jej objawów
US8937900B2 (en) * 2010-07-20 2015-01-20 Qualcomm Incorporated Enhancing pilot channel transmission in TD-SCDMA multicarrier systems using secondary carrier frequencies
EP2415471A1 (de) 2010-08-03 2012-02-08 Laboratorios Del. Dr. Esteve, S.A. Verwendung von Sigmaliganden bei opioidinduzierter Hyperalgesie
EP2524694A1 (de) 2011-05-19 2012-11-21 Laboratorios Del. Dr. Esteve, S.A. Verwendung von Sigmaliganden bei Schmerz im Zusammenhang mit Typ-2-Diabetes
CN103524515B (zh) * 2012-07-03 2016-07-06 浙江海正药业股份有限公司 具有乙酰胆碱酯酶抑制活性的苯并间二氧杂环戊烯衍生物及其制备方法和用途
WO2015191554A1 (en) * 2014-06-09 2015-12-17 Intra-Cellular Therapies, Inc. Compounds and methods of use to treat schizophrenia
BR112017011555B1 (pt) * 2014-12-02 2023-10-03 Minerva Neurosciences, Inc Formulação farmacêutica compreendendo 2-((1-(2(4- fluorofenil)-2-oxoetil)piperidin-4-il)metil)isoindolin-1- ona e kit
US10238632B2 (en) 2015-06-11 2019-03-26 Fujifilm Toyama Chemical Co., Ltd. Sigma receptor-binding agent
CN105523939B (zh) * 2015-12-30 2017-11-14 李函璞 一种来那度胺中间体的制备方法
TWI820001B (zh) * 2016-05-25 2023-11-01 日商田邊三菱製藥股份有限公司 醫藥組成物的用於製造非思覺失調症病患之負性症狀治療劑的用途
US11464744B2 (en) 2017-06-21 2022-10-11 Minerva Neurosciences, Inc. Gastro-resistant controlled release oral dosage forms
EP3840835A1 (de) 2018-08-21 2021-06-30 Minerva Neurosciences, Inc. Verwendung von roluperidon zur behandlung von negativen symptomen und störungen, zur erhöhung der neuroplastizität und zur förderung der neuroprotektion
CN114401715A (zh) * 2019-05-06 2022-04-26 瓦洛健康股份有限公司 抑制usp19
WO2020264486A1 (en) 2019-06-28 2020-12-30 Teva Czech Industries S.R.O Solid state forms of roluperidone and salts thereof
IL298323B2 (en) 2020-05-20 2023-10-01 Univ Illinois A method for treating lysosomal storage disease using histatin peptides
EP4196222A1 (de) 2020-08-14 2023-06-21 Minerva Neurosciences, Inc. Kondensierte azacyclen als sigma-liganden-verbindungen und verwendungen davon
CN113651767B (zh) * 2021-09-18 2023-06-09 江西中医药大学 一种苯并异噁唑类杂环化合物及其制备方法和应用
WO2023154927A1 (en) 2022-02-14 2023-08-17 Minerva Neurosciences, Inc. Use of roluperidone in preventing relapse in schizophrenia patients
WO2025090588A1 (en) 2023-10-24 2025-05-01 Minerva Neurosciences, Inc. Roluperidone for the treatment of lysosomal storage disorders and their symptoms

Family Cites Families (39)

* Cited by examiner, † Cited by third party
Publication number Priority date Publication date Assignee Title
US3797494A (en) * 1969-04-01 1974-03-19 Alza Corp Bandage for the administration of drug by controlled metering through microporous materials
US3996934A (en) * 1971-08-09 1976-12-14 Alza Corporation Medical bandage
US3742951A (en) * 1971-08-09 1973-07-03 Alza Corp Bandage for controlled release of vasodilators
US3947578A (en) * 1972-07-28 1976-03-30 Roussel Uclaf Omega-[4-(3"-indolyl)-piperidino]-alkyl-arylketones as nevroleptics
US3921636A (en) * 1973-01-15 1975-11-25 Alza Corp Novel drug delivery device
US4000287A (en) * 1974-12-16 1976-12-28 Ciba-Geigy Corporation Isoindolinopiperidines
US4031894A (en) * 1975-12-08 1977-06-28 Alza Corporation Bandage for transdermally administering scopolamine to prevent nausea
US4062953A (en) * 1976-06-24 1977-12-13 E. R. Squibb & Sons, Inc. Various 2-substituted-1H-benz[de]isoquinoline-1,3(2H)-diones
US4168315A (en) * 1977-09-28 1979-09-18 The Upjohn Company Dianisyl thiazole compound, compositions and method of antithrombotic treatment
US4495194A (en) * 1982-11-12 1985-01-22 Mead Johnson & Company Antihypertensive isoindole derivatives
US5021428A (en) * 1985-07-02 1991-06-04 Merrell Dow Pharmaceuticals Inc. Novel chemical compounds for the prophylactic treatment of migraine
US4912117A (en) * 1985-07-02 1990-03-27 Merrell Dow Pharmaceuticals Inc. Novel chemical compounds
US5169096A (en) * 1985-07-02 1992-12-08 Merrell Dow Pharmaceuticals Inc. N-aralkyl-piperidine-methanol derivatives
US4783471A (en) * 1985-07-02 1988-11-08 Merrell Dow Pharmaceuticals Inc. N-aralkyl piperidine methanol derivatives and the uses thereof
US4762842A (en) * 1985-10-01 1988-08-09 Eli Lilly And Company Selective method for blocking 5HT2 receptors
DE3717561A1 (de) * 1987-05-25 1988-12-08 Thomae Gmbh Dr K Indol-, isochinolin- und benzazepinderivate, diese verbindungen enthaltende arzneimittel und verfahren zu ihrer herstellung
JP2660407B2 (ja) * 1986-09-26 1997-10-08 住友製薬株式会社 新規なイミド誘導体
EP0296477B1 (de) * 1987-06-26 1996-05-15 Hitachi, Ltd. Supraleitender Draht
US4877798A (en) * 1987-11-23 1989-10-31 Merrell Dow Pharmaceuticals Inc. Treatment of fibromyalgia
US5093341A (en) 1987-12-17 1992-03-03 Merrell Dow Pharmaceuticals Inc. N-aralkyl piperidine derivatives useful as antithrombolytic agents
US5166211A (en) * 1987-12-17 1992-11-24 Merrell Dow Pharmaceuticals Inc. Method of using 1,4-disubstituted piperidinyl compounds in the treatment of coronary vasospasons and variant angina
DE3888340T2 (de) * 1988-01-21 1994-06-30 Merrell Dow Pharma Verwendung von 1,4-disubstituierten-Piperidinyl-Verbindungen zur Herstellung eines Arzneimittels zur Behandlung von Schlaflosigkeit.
EP0339342A1 (de) * 1988-04-23 1989-11-02 Bayer Ag N-Substituierte N-Amino-pyrrole
US4908372A (en) * 1988-10-13 1990-03-13 Merrell Dow Pharmaceuticals Inc. Antihistaminic piperidinyl benzimidazoles
US5182399A (en) * 1988-10-13 1993-01-26 Merrell Dow Pharmaceuticals Inc. Process for preparing piperidinyl benzimidazoles
FR2641278B1 (fr) * 1989-01-05 1991-03-22 Lipha Piperidines, procedes de preparation et medicaments les contenant
KR927002347A (ko) * 1989-10-27 1992-09-03 레이몬드 지. 아너 (n-프탈이미도알킬) 피페리딘
US5356906A (en) * 1989-10-27 1994-10-18 The Du Pont Merck Pharmaceutical Company (N-phthalimidoalkyl) piperidines useful as treatments for psychosis
US5106855A (en) * 1989-12-20 1992-04-21 Merrell Dow Pharmaceuticals Inc. Method for the treatment of glaucoma
US5292752A (en) * 1989-12-21 1994-03-08 Merrell Dow Pharmaceuticals Inc. Antithrombotic compounds
ES2067937T3 (es) * 1990-06-01 1995-04-01 Merrell Dow Pharma (+)-alfa-(2,3-dimetoxifenil)-1-(2-(4-fluorofenil)etil)-4-piperidinametanol.
DE69123090D1 (de) * 1990-07-06 1996-12-19 Yoshitomi Pharmaceutical Kondensierte Thiophenverbindungen und deren Verwendung
EP0561973A1 (de) * 1990-12-14 1993-09-29 Merrell Dow Pharmaceuticals Inc. Antiallergische verbindungen
US5231099A (en) * 1991-04-15 1993-07-27 Du Pont Merck Pharmaceutical Company Use of sigma receptor antagonists to enhance the effects of antipsychotic drugs
ES2163407T3 (es) * 1992-02-13 2002-02-01 Merrell Pharma Inc Derivados piperidinilos tiaciclicos.
DK78692D0 (da) * 1992-06-12 1992-06-12 Lundbeck & Co As H Dimere piperidin- og piperazinderivater
AU5923398A (en) 1997-01-21 1998-08-07 Human Genome Sciences, Inc. Polynucleotides and polypeptides encoding receptors
DE19905823C1 (de) 1999-02-12 2000-06-08 Deutsches Krebsforsch Kollimator zum Begrenzen eines Bündels energiereicher Strahlen
CA2364739A1 (en) 1999-03-18 2000-09-21 Incyte Pharmaceuticals, Inc. Regulators of intracellular phosphorylation

Also Published As

Publication number Publication date
US7166617B2 (en) 2007-01-23
JP4859324B2 (ja) 2012-01-25
KR100815772B1 (ko) 2008-03-20
TWI296625B (en) 2008-05-11
ES2291293T3 (es) 2008-03-01
KR20020095185A (ko) 2002-12-20
HUP0300203A3 (en) 2006-01-30
CA2401711C (en) 2008-06-03
NZ521576A (en) 2005-06-24
ATE366249T1 (de) 2007-07-15
CA2401711A1 (en) 2001-09-07
PT1260512E (pt) 2007-10-10
HUP0300203A2 (en) 2003-05-28
CN100384836C (zh) 2008-04-30
IL151533A (en) 2008-03-20
US20030212094A1 (en) 2003-11-13
EP1260512B1 (de) 2007-07-04
AU2001234175B2 (en) 2004-10-07
DK1260512T3 (da) 2007-11-05
AU3417501A (en) 2001-09-12
EP1260512A4 (de) 2005-07-13
CN1426405A (zh) 2003-06-25
CY1106858T1 (el) 2012-05-23
DE60129210D1 (de) 2007-08-16
IL151533A0 (en) 2003-04-10
RU2257384C2 (ru) 2005-07-27
EP1260512A1 (de) 2002-11-27
WO2001064670A1 (en) 2001-09-07

Similar Documents

Publication Publication Date Title
DE60129210T2 (de) Zyklische amid-derivate
RU2582338C2 (ru) Соединения пиразола в качестве ингибиторов сигма рецепторов
JPWO2001064670A1 (ja) 新規環状アミド誘導体
SU1255050A3 (ru) Способ получени рацемических или стереоизомерных производных нафталин- или азанафталинкарбоксамидов
CZ283680B6 (cs) Nové azaheterocyklylmethyl-chromany
TW401417B (en) 4-Aryloxy- and 4-arylthiopiperidine derivatives
DE69031111T2 (de) Indolderivate
IT8148772A1 (it) Derivato di piperazina, procedimento per prepararlo e composizione analgesica che lo contiene
EP0546389B1 (de) Piperidylmethyl substituierte Chromanderivate als Wirkstoffe zur Behandlung von Erkrankungen des Zentralnervensystems
DE60010855T2 (de) Phenylsulphonylderivative als 5-ht rezeptorliganden
JP2974529B2 (ja) 両性型三環系化合物
EP1847535A1 (de) 1-(piperidin-4-yl)-1h-indolderivate
EP0506903A1 (de) 4-acetoxypiperidinderivate, verfahren zur herstellung sowie verwendung als m3-muscarinrezeptorantagonisten
KR100437561B1 (ko) 신규헤테로고리화합물
RU2418794C2 (ru) ПРОИЗВОДНЫЕ ИЗОХИНОЛИНА И БЕНЗО[h]ИЗОХИНОЛИНА, ИХ ПОЛУЧЕНИЕ И ИХ ПРИМЕНЕНИЕ В ТЕРАПИИ В КАЧЕСТВЕ АНТАГОНИСТОВ РЕЦЕПТОРА ГИСТАМИНА H3
DE19531321A1 (de) Piperidinylmethyloxazolidinone
CA2768948A1 (en) Process for producing thiabenzoazulene-propionic acid derivative
DE60204046T2 (de) N-heterocyclylhydrazide als neurotrophe mittel
JPH0741481A (ja) 両性型三環系化合物
JP3786984B2 (ja) ピペラジン誘導体
KR20240109240A (ko) 베타 아드레날린 작용제 및 이의 사용 방법
CN120682218A (zh) 4,4-二取代哌啶类化合物及其制备方法、药物组合物和用途
NO139519B (no) Baereanordning for haandtering av opprullet materiale, saasom f.eks. papirruller og lignende
JPH10338672A (ja) 排尿調節剤および2環性化合物
WO1996013488A1 (en) Novel benzodiazepinone derivative and medicinal composition thereof

Legal Events

Date Code Title Description
8364 No opposition during term of opposition