WO2016129684A1 - 縮合複素環化合物及び有害生物防除剤 - Google Patents
縮合複素環化合物及び有害生物防除剤 Download PDFInfo
- Publication number
- WO2016129684A1 WO2016129684A1 PCT/JP2016/054171 JP2016054171W WO2016129684A1 WO 2016129684 A1 WO2016129684 A1 WO 2016129684A1 JP 2016054171 W JP2016054171 W JP 2016054171W WO 2016129684 A1 WO2016129684 A1 WO 2016129684A1
- Authority
- WO
- WIPO (PCT)
- Prior art keywords
- group
- hydrogen atom
- haloalkyl
- alkyl
- atom
- Prior art date
- Legal status (The legal status is an assumption and is not a legal conclusion. Google has not performed a legal analysis and makes no representation as to the accuracy of the status listed.)
- Ceased
Links
- 0 C*[n]1c(nc(*)c(*)c2*)c2nc1-c(nc1[n]2nc(*)c(*)c1*)c2S(*)=C(C)C Chemical compound C*[n]1c(nc(*)c(*)c2*)c2nc1-c(nc1[n]2nc(*)c(*)c1*)c2S(*)=C(C)C 0.000 description 3
Classifications
-
- A—HUMAN NECESSITIES
- A01—AGRICULTURE; FORESTRY; ANIMAL HUSBANDRY; HUNTING; TRAPPING; FISHING
- A01N—PRESERVATION OF BODIES OF HUMANS OR ANIMALS OR PLANTS OR PARTS THEREOF; BIOCIDES, e.g. AS DISINFECTANTS, AS PESTICIDES OR AS HERBICIDES; PEST REPELLANTS OR ATTRACTANTS; PLANT GROWTH REGULATORS
- A01N43/00—Biocides, pest repellants or attractants, or plant growth regulators containing heterocyclic compounds
- A01N43/90—Biocides, pest repellants or attractants, or plant growth regulators containing heterocyclic compounds having two or more relevant hetero rings, condensed among themselves or with a common carbocyclic ring system
-
- A—HUMAN NECESSITIES
- A61—MEDICAL OR VETERINARY SCIENCE; HYGIENE
- A61K—PREPARATIONS FOR MEDICAL, DENTAL OR TOILETRY PURPOSES
- A61K31/00—Medicinal preparations containing organic active ingredients
- A61K31/33—Heterocyclic compounds
- A61K31/395—Heterocyclic compounds having nitrogen as a ring hetero atom, e.g. guanethidine or rifamycins
- A61K31/435—Heterocyclic compounds having nitrogen as a ring hetero atom, e.g. guanethidine or rifamycins having six-membered rings with one nitrogen as the only ring hetero atom
- A61K31/4353—Heterocyclic compounds having nitrogen as a ring hetero atom, e.g. guanethidine or rifamycins having six-membered rings with one nitrogen as the only ring hetero atom ortho- or peri-condensed with heterocyclic ring systems
- A61K31/437—Heterocyclic compounds having nitrogen as a ring hetero atom, e.g. guanethidine or rifamycins having six-membered rings with one nitrogen as the only ring hetero atom ortho- or peri-condensed with heterocyclic ring systems the heterocyclic ring system containing a five-membered ring having nitrogen as a ring hetero atom, e.g. indolizine, beta-carboline
-
- A—HUMAN NECESSITIES
- A61—MEDICAL OR VETERINARY SCIENCE; HYGIENE
- A61K—PREPARATIONS FOR MEDICAL, DENTAL OR TOILETRY PURPOSES
- A61K31/00—Medicinal preparations containing organic active ingredients
- A61K31/33—Heterocyclic compounds
- A61K31/395—Heterocyclic compounds having nitrogen as a ring hetero atom, e.g. guanethidine or rifamycins
- A61K31/495—Heterocyclic compounds having nitrogen as a ring hetero atom, e.g. guanethidine or rifamycins having six-membered rings with two or more nitrogen atoms as the only ring heteroatoms, e.g. piperazine or tetrazines
- A61K31/50—Pyridazines; Hydrogenated pyridazines
- A61K31/5025—Pyridazines; Hydrogenated pyridazines ortho- or peri-condensed with heterocyclic ring systems
-
- A—HUMAN NECESSITIES
- A61—MEDICAL OR VETERINARY SCIENCE; HYGIENE
- A61K—PREPARATIONS FOR MEDICAL, DENTAL OR TOILETRY PURPOSES
- A61K31/00—Medicinal preparations containing organic active ingredients
- A61K31/33—Heterocyclic compounds
- A61K31/395—Heterocyclic compounds having nitrogen as a ring hetero atom, e.g. guanethidine or rifamycins
- A61K31/495—Heterocyclic compounds having nitrogen as a ring hetero atom, e.g. guanethidine or rifamycins having six-membered rings with two or more nitrogen atoms as the only ring heteroatoms, e.g. piperazine or tetrazines
- A61K31/505—Pyrimidines; Hydrogenated pyrimidines, e.g. trimethoprim
- A61K31/519—Pyrimidines; Hydrogenated pyrimidines, e.g. trimethoprim ortho- or peri-condensed with heterocyclic rings
-
- A—HUMAN NECESSITIES
- A61—MEDICAL OR VETERINARY SCIENCE; HYGIENE
- A61P—SPECIFIC THERAPEUTIC ACTIVITY OF CHEMICAL COMPOUNDS OR MEDICINAL PREPARATIONS
- A61P33/00—Antiparasitic agents
-
- A—HUMAN NECESSITIES
- A61—MEDICAL OR VETERINARY SCIENCE; HYGIENE
- A61P—SPECIFIC THERAPEUTIC ACTIVITY OF CHEMICAL COMPOUNDS OR MEDICINAL PREPARATIONS
- A61P33/00—Antiparasitic agents
- A61P33/14—Ectoparasiticides, e.g. scabicides
-
- C—CHEMISTRY; METALLURGY
- C07—ORGANIC CHEMISTRY
- C07D—HETEROCYCLIC COMPOUNDS
- C07D471/00—Heterocyclic compounds containing nitrogen atoms as the only ring hetero atoms in the condensed system, at least one ring being a six-membered ring with one nitrogen atom, not provided for by groups C07D451/00 - C07D463/00
- C07D471/02—Heterocyclic compounds containing nitrogen atoms as the only ring hetero atoms in the condensed system, at least one ring being a six-membered ring with one nitrogen atom, not provided for by groups C07D451/00 - C07D463/00 in which the condensed system contains two hetero rings
- C07D471/04—Ortho-condensed systems
-
- C—CHEMISTRY; METALLURGY
- C07—ORGANIC CHEMISTRY
- C07D—HETEROCYCLIC COMPOUNDS
- C07D513/00—Heterocyclic compounds containing in the condensed system at least one hetero ring having nitrogen and sulfur atoms as the only ring hetero atoms, not provided for in groups C07D463/00, C07D477/00 or C07D499/00 - C07D507/00
- C07D513/02—Heterocyclic compounds containing in the condensed system at least one hetero ring having nitrogen and sulfur atoms as the only ring hetero atoms, not provided for in groups C07D463/00, C07D477/00 or C07D499/00 - C07D507/00 in which the condensed system contains two hetero rings
- C07D513/04—Ortho-condensed systems
-
- C—CHEMISTRY; METALLURGY
- C07—ORGANIC CHEMISTRY
- C07D—HETEROCYCLIC COMPOUNDS
- C07D519/00—Heterocyclic compounds containing more than one system of two or more relevant hetero rings condensed among themselves or condensed with a common carbocyclic ring system not provided for in groups C07D453/00 or C07D455/00
Definitions
- the present invention relates to a novel condensed heterocyclic compound and a salt thereof, and a pest control agent characterized by containing the compound as an active ingredient.
- Patent Documents 1 to 31 disclose fused heterocyclic compounds, but none of the fused heterocyclic compounds according to the present invention are disclosed. Furthermore, its usefulness as a pest control agent, in particular, an insecticide / acaricide, and an internal or ectoparasite control agent for mammals or birds is not known at all.
- the development of pest control agents for the purpose of controlling various pests such as agricultural and horticultural pests, forest pests, and hygiene pests has progressed, and a wide variety of drugs have been put to practical use to date.
- pests due to the long-term use of such drugs, in recent years, pests have acquired drug resistance, making it difficult to control with existing insecticides and fungicides that have been used.
- some existing pest control agents are highly toxic, or some of them remain in the environment for a long time, and the problem of disturbing the ecosystem is becoming apparent. Under such circumstances, development of a novel pest control agent having not only high pest control activity but also low toxicity and low persistence is always expected.
- the object of the present invention is to provide a novel pest control which exhibits excellent pest control activity, has low toxicity and has little adverse effect on non-target organisms such as mammals, fish and beneficial insects. It is to provide an agent.
- the present inventors have found that the novel condensed heterocyclic compound represented by the following formula (1) according to the present invention has excellent pest control activity, particularly insecticide /
- the present invention was completed by discovering that it is an extremely useful compound that exhibits acaricidal activity and has almost no adverse effect on non-target organisms such as mammals, fish and beneficial insects. That is, the present invention relates to the following [1] to [167].
- R 1 represents a ring represented by any one of D1, D2 and D3;
- Q represents a ring represented by any of Q1, Q2, Q3 or Q4,
- G 1 represents a nitrogen atom or C (Y1)
- G 2 represents a nitrogen atom or C (Y2)
- G 3 represents a nitrogen atom or C (Y3)
- G 4 represents a nitrogen atom or C (Y4)
- G 5 represents a nitrogen atom or C (Y5)
- T 1 represents N (T 1a ), an oxygen atom or a sulfur atom
- a 1 represents N (A 1a ), an oxygen atom or a sulfur atom
- a 2 represents a nitrogen atom or C (R 2 )
- a 3 represents a nitrogen atom or C (R 3 )
- a 4 represents a nitrogen atom or C (R 4 )
- a 5 represents a nitrogen atom or C (R 5 )
- a 8 represents a nitrogen atom or C (R 8 ),
- R 1 is a C 1 -C 6 alkyl group, a C 1 -C 6 haloalkyl group, a (C 1 -C 6 ) alkyl group optionally substituted by R 1a , a C 2 -C 6 alkenyl group, C 2 -C 6 haloalkenyl groups, C 2 -C 6 alkynyl groups, C 2 -C 6 haloalkynyl groups, C 3 -C 6 cycloalkyl groups, C 3 -C 6 halocycloalkyl groups, C 3 -C 6 cycloalkyl groups (C 1- C 6 ) alkyl group, C 3 -C 6 halocycloalkyl (C 1 -C 6 ) alkyl group or hydroxy (C 1 -C 6 ) alkyl group, R 1a is a C 1 -C 8 alkoxy group, a C 1 -C 8 haloalkoxy group, a C 1 -C
- R 5 represents a hydrogen atom, a halogen atom, a C 1 -C 6 alkyl group, a C 1 -C 6 haloalkyl group, a C 1 -C 8 alkoxy group, a C 1 -C 8 haloalkoxy group, or a C 3 -C 6 cycloalkyl group.
- C 1 -C 6 haloalkylthio group C 1 -C 6 alkylsulfinyl group, C 1 -C 6 haloalkylsulfinyl group, C 1 -C 6 alkylsulfonyl group, C 1 -C 6 haloalkylsulfonyl group, mercapto group,- SF 5 represents a cyano group or a nitro group
- R 8 represents a hydrogen atom, a halogen atom, a C 1 -C 6 alkyl group, a C 1 -C 6 haloalkyl group, a C 1 -C 8 alkoxy group, a C 1 -C 8 haloalkoxy group or a cyano group,
- a 1a represents a hydrogen atom, C 1 -C 6 alkyl, C 1 -C 6 haloalkyl group, optionally substituted by A 1a-a (C 1 -C 6) alkyl group, optionally by A 1a-a A substituted (C 1 -C 6 ) haloalkyl group, C 2 -C 6 alkenyl group, C 2 -C 6 haloalkenyl group, C 2 -C 6 alkynyl group, C 2 -C 6 haloalkynyl group, C 1- A C 8 alkoxy group, a C 1 -C 8 haloalkoxy group, a C 3 -C 6 cycloalkyl group, a C 3 -C 6 halocycloalkyl group, a C 3 -C 6 cycloalkyl (C 1 -C 6 ) alkyl group, C 3 -C 6 halocycloalkyl (C 1 -C 6 ) alky
- T 1a is a hydrogen atom, C 1 -C 6 alkyl group, C 1 -C 6 haloalkyl group, C 2 -C 6 alkenyl group, C 2 -C 6 haloalkenyl group, C 2 -C 6 alkynyl group, C 2 -C 6 haloalkynyl group, C 1 -C 8 alkoxy group, C 1 -C 8 haloalkoxy group,
- Y 1, Y 2, Y 3 and Y 4 are each independently a hydrogen atom, a halogen atom, a C 1 -C 6 alkyl group, a C 1 -C 6 haloalkyl group, or optionally substituted by Y a (C 1 -C 6 )
- Y a is a C 1 -C 8 alkoxy group, a C 1 -C 8 haloalkoxy group, a C 1 -C 8 alkoxycarbonyl group, a C 1 -C 8 haloalkoxycarbonyl group, a C 1 -C 6 alkylcarbonyl group, C 1 -C 6 haloalkylcarbonyl group, C 1 -C 6 alkylthio group, C 1 -C 6 haloalkylthio group, C 1 -C 6 alkylsulfinyl group, C 1 -C 6 haloalkylsulfinyl group, C 1 -C 6 alkylsulfonyl A group, a C 1 -C 6 haloalkylsulfonyl group, a hydroxy group or a cyano group, Y b represents a C 1 -C 6 alkyl group, a C 3 -C 6 cycloalkyl group
- R 20g, R 20h, R 30f , R 30g, R 30h, R 30i, R 40f, R 40g, R 40h, R 40i, R 50g, R 50h, R 60g, R 60h, R 90b, R 90c, R 90i , R 90j and R 90k each independently represents a C 1 -C 6 alkyl group or a C 1 -C 6 haloalkyl group
- R 90d represents a hydrogen atom, a C 1 -C 6 alkyl group or a C 1 -C 6 haloalkyl group
- R 90e is a hydrogen atom, a C 1 -C 6 alkyl group, a C 1 -C 6 haloalkyl group, a C 1 -C 8 alkoxy group, a C 1 -C 8 haloalkoxy group, a C 1 -C
- R 1 represents a ring represented by D1, G 1 represents C (Y1), G 2 is represents C (Y2), G 3 represents C (Y3), G 4 represents C (Y4), A 2 represents C (R 2 ), A 3 represents C (R 3 ), R 1 is a C 1 -C 6 alkyl group, a C 1 -C 6 haloalkyl group, a C 2 -C 6 alkenyl group, a C 2 -C 6 haloalkenyl group, a C 2 -C 6 alkynyl group, a C 2 -C 6 Represents a haloalkynyl group, a C 3 -C 6 cycloalkyl (C 1 -C 6 ) alkyl group or a C 3 -C 6 halocycloalkyl (C 1 -C 6 ) alkyl group, R 2 represents a hydrogen atom, a halogen atom, a
- R 1 represents a ring represented by D2, Q represents a ring represented by Q1, A 1 represents N (A 1a ), A 2 represents C (R 2 ), A 3 represents C (R 3 ), A 4 represents C (R 4 ), A 5 represents a nitrogen atom, R 1 is a C 1 -C 6 alkyl group, a C 1 -C 6 haloalkyl group, a C 2 -C 6 alkenyl group, a C 2 -C 6 haloalkenyl group, a C 2 -C 6 alkynyl group, a C 2 -C 6 Represents a haloalkynyl group, a C 3 -C 6 cycloalkyl (C 1 -C 6 ) alkyl group or a C 3 -C 6 halocycloalkyl (C 1 -C 6 ) alkyl group, R 2 represents a hydrogen atom, a halogen
- R 1 represents a ring represented by D3;
- Q represents a ring represented by Q1,
- G 1 represents C (Y1),
- G 2 is represents C (Y2),
- G 3 represents C (Y3),
- G 4 represents C (Y4),
- T 1 represents N (T 1a ) or a sulfur atom,
- a 1 represents N (A 1a ),
- a 2 represents C (R 2 ),
- a 3 represents C (R 3 ),
- a 4 represents C (R 4 ),
- a 5 represents a nitrogen atom
- R 1 is a C 1 -C 6 alkyl group, a C 1 -C 6 haloalkyl group, a C 2 -C 6 alkenyl group, a C 2 -C 6 haloalkenyl group, a C 2 -C 6 alkynyl group, a C 2 -C 6 Represents a haloalkynyl group, a C 3 -C 6 cycloal
- Q represents a ring represented by Q1
- a 1 represents N (A 1a )
- R 1 represents a C 1 -C 6 alkyl group
- R 3 represents a hydrogen atom, a halogen atom, C 1 -C 6 haloalkyl group, C 1 -C 6 haloalkylthio group, optionally substituted by R 3a (C 1 -C 6) alkylthio group
- C 1 -C 6 represents a haloalkylsulfinyl group or a C 1 -C 6 haloalkylsulfonyl group
- R 4 is a hydrogen atom, a halogen atom, C 1 -C 6 haloalkyl group, C 1 -C 6 haloalkylthio group, optionally substituted by R 4a (C 1 -C 6) alkylthio group, C 1 -C 6 Represents a haloalkylsulfinyl group or
- a 4 represents C (R 4 ), A 5 represents a nitrogen atom, R 2 represents a hydrogen atom, R 4 represents a hydrogen atom or a C 1 -C 6 haloalkyl group, Y1 represents a hydrogen atom, a C 1 -C 6 alkyl group or a C 1 -C 6 haloalkyl group, Y2 represents a hydrogen atom, a halogen atom, a C 1 -C 6 alkyl group, a C 1 -C 6 haloalkyl group, a C 2 -C 6 alkenyl group, a (C 2 -C 6 ) alkynyl group optionally substituted by Y b , C 1 -C 8 alkoxy group, C 1 -C 6 alkylthio group, C 1 -C 6 haloalkylthio group, (C 1 -C 6 ) alkylthio group, C 1 -C 6 alkyl optionally substituted by Y
- a 4 represents a nitrogen atom
- a 5 represents the condensed heterocyclic compound or the salt thereof or the N-oxide thereof according to the above [5], wherein C 5 represents C (R 5 ).
- a 4 represents a nitrogen atom
- a 5 represents C (R 5 )
- R 2 represents a hydrogen atom
- R 3 represents a C 1 -C 6 haloalkyl group
- R 5 represents a hydrogen atom or a C 1 -C 6 alkyl group
- Y1 represents a hydrogen atom
- Y2 represents a hydrogen atom, a halogen atom or a C 1 -C 6 haloalkyl group
- Y3 represents a hydrogen atom, a halogen atom, a C 1 -C 6 haloalkyl group or a cyano group
- Y4 represents a condensed heterocyclic compound or a salt thereof or an N-oxide thereof according to any one of [5] or [8], wherein
- Q represents a ring represented by Q2
- a 4 represents a nitrogen atom or C (R 4 )
- a 5 represents a nitrogen atom or C (R 5 ), (Except when A 4 and A 5 both represent a nitrogen atom)
- R 1 represents a C 1 -C 6 alkyl group
- R 2 represents a hydrogen atom
- R 3 represents a hydrogen atom, a halogen atom, C 1 -C 6 haloalkyl group, C 1 -C 6 haloalkylthio group, optionally substituted by R 3a (C 1 -C 6) alkylthio group
- C 1 -C 6 Represents a haloalkylsulfinyl group or a C 1 -C 6 haloalkylsulfonyl group
- R 4 is a hydrogen atom, a halogen atom, C 1 -C 6 haloalkyl group, C 1 -C 6 haloalkylthio
- a 4 represents C (R 4 ), A 5 represents the condensed heterocyclic compound or a salt thereof or the N-oxide thereof according to the above [10], wherein C 5 represents C (R 5 ).
- a 4 represents C (R 4 ), A 5 represents a condensed heterocyclic compound or a salt thereof or an N-oxide thereof according to the above [10], in which A 5 represents a nitrogen atom.
- a 4 represents a nitrogen atom
- a 5 represents the condensed heterocyclic compound or a salt thereof or the N-oxide thereof according to the above [10], wherein C 5 represents C (R 5 ).
- a 4 represents a nitrogen atom
- a 5 represents C (R 5 )
- R 3 represents a C 1 -C 6 haloalkyl group
- R 5 represents a hydrogen atom or a C 1 -C 6 alkyl group
- R 6 represents a hydrogen atom, a halogen atom or a C 1 -C 6 alkyl group
- Y1 and Y4 represent a hydrogen atom
- Y2 represents a hydrogen atom, a halogen atom or a C 1 -C 6 haloalkyl group
- Y3 represents a hydrogen atom or a C 1 -C 6 haloalkyl group, the condensed heterocyclic compound or a salt thereof according to any one of [10] or [13], or an N-oxide thereof.
- Q represents a ring represented by Q3;
- a 4 represents a nitrogen atom or C (R 4 ),
- a 5 represents a nitrogen atom or C (R 5 ), (Except when A 4 and A 5 both represent a nitrogen atom)
- R 1 represents a C 1 -C 6 alkyl group
- R 2 represents a hydrogen atom
- R 3 represents a hydrogen atom, a halogen atom, C 1 -C 6 haloalkyl group, C 1 -C 6 haloalkylthio group, optionally substituted by R 3a (C 1 -C 6) alkylthio group
- C 1 -C 6 Represents a haloalkylsulfinyl group or a C 1 -C 6 haloalkylsulfonyl group
- R 4 is a hydrogen atom, a halogen atom, C 1 -C 6 haloalkyl group, C 1 -C 6 haloalkylthi
- a 4 represents C (R 4 ), A 5 represents the condensed heterocyclic compound or a salt thereof or the N-oxide thereof according to [15], wherein C 5 represents C (R 5 ).
- a 4 represents C (R 4 ), A 5 represents a condensed heterocyclic compound or a salt thereof according to the above [15], wherein N 5 represents a nitrogen atom, or an N-oxide thereof.
- a 4 represents a nitrogen atom
- a 5 represents the condensed heterocyclic compound or a salt thereof or the N-oxide thereof according to [15], wherein C 5 represents C (R 5 ).
- a 4 represents a nitrogen atom
- a 5 represents C (R 5 )
- R 3 represents a C 1 -C 6 haloalkyl group
- R 5 represents a hydrogen atom
- R 6 represents a hydrogen atom
- Y1 represents a hydrogen atom
- Y2 and Y3 each independently represent a hydrogen atom, a halogen atom or a C 1 -C 6 haloalkyl group
- Y4 represents a condensed heterocyclic compound or a salt thereof or an N-oxide thereof according to any one of [15] and [18], wherein Y4 represents a hydrogen atom or a halogen atom.
- Q is the condensed heterocyclic compound or a salt thereof or the N-oxide thereof according to the above [2], wherein Q represents a ring represented by Q4.
- a 8 represents the condensed heterocyclic compound or a salt thereof or the N-oxide thereof according to the above [20], in which A 8 represents a nitrogen atom.
- a 8 represents the condensed heterocyclic compound or a salt thereof or the N-oxide thereof according to the above [20], wherein C 8 represents C (R 8 ).
- R 1 represents a C 1 -C 6 alkyl group
- R 6 represents a hydrogen atom
- R 7 represents a C 1 -C 6 haloalkyl group
- R 8 represents a hydrogen atom or a C 1 -C 6 alkyl group
- Y1 and Y4 represent a hydrogen atom
- Y2 represents a hydrogen atom, a halogen atom or a C 1 -C 6 haloalkyl group
- Y3 represents a hydrogen atom or a C 1 -C 6 haloalkyl group, the fused heterocyclic compound or salt thereof according to any one of [20], [21] or [22] above, or an N-oxide thereof.
- R 1 represents a C 1 -C 6 alkyl group
- R 2 represents a hydrogen atom
- R 3 represents a C 1 -C 6 haloalkyl group
- R 4 represents a hydrogen atom
- a 1a represents a C 1 -C 6 alkyl group
- Y5 represents a hydrogen atom
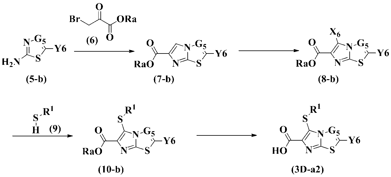
- Y6 is fused heterocyclic compound or a salt thereof or a N- oxide according to [3] representing the C 1 -C 6 haloalkyl group.
- R 1 represents a C 1 -C 6 alkyl group
- R 2 represents a hydrogen atom
- R 3 represents a C 1 -C 6 haloalkyl group
- R 4 represents a hydrogen atom
- a 1a represents a C 1 -C 6 alkyl group
- T 1a represents a C 1 -C 6 alkyl group
- Y1, Y3 and Y4 represent a hydrogen atom
- Y2 represents a fused heterocyclic compound or a salt thereof or an N-oxide thereof according to the above [4], wherein Y 2 represents a C 1 -C 6 haloalkyl group.
- a 1 represents N (A 1a ) or an oxygen atom
- R 2 represents a hydrogen atom
- R 3 represents a C 1 -C 6 haloalkyl group, C 1 -C 6 haloalkylthio group, C 1 -C 6 haloalkylsulfinyl group or a C 1 -C 6 haloalkylsulfonyl group
- R 4 represents a hydrogen atom
- R 5 represents a hydrogen atom or a C 1 -C 6 alkyl group
- R 6 represents a hydrogen atom
- a 1a represents a C 1 -C 6 alkyl group
- Y1 and Y4 represent a hydrogen atom
- Y2 and Y3 each independently represents a hydrogen atom or a C 1 -C 6 haloalkyl group, the fused heterocyclic compound or a salt thereof according to the above [2], or an N-oxide thereof.
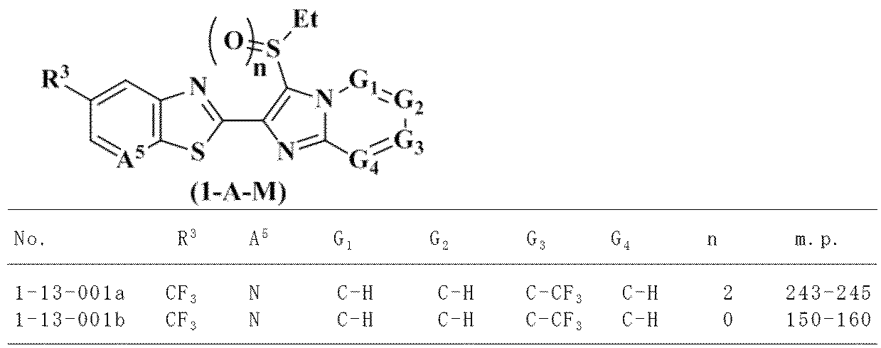
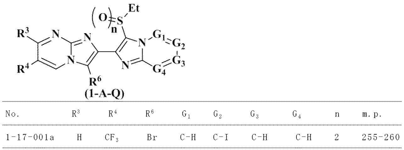
- the formula (1) is represented by the following formula (1-A-A1), formula (1-A-B1), formula (1-A-C1), formula (1-A-D1), formula (1-A-E1), formula (1-A-F1), formula (1-A-G1), formula (1-A-H1), formula (1-A-I1), formula (1-A-J1), formula (1) 1-A-K1), formula (1-A-L1), formula (1-A-M1) or formula (1-A-N1):
- Formula (1) is represented by Formula (1-B-A1): The fused heterocyclic compound or a salt thereof, or an N-oxide thereof according to any one of the above [1] or [3], which is a compound represented by the formula: [29]
- Formula (1) is represented by Formula (1-C-A1): The fused heterocyclic compound or a salt thereof, or an N-oxide thereof according to any one of the above [1] or [4], which is a compound represented by the formula:
- Formula (1) is converted to Formula (1-d-A1): A compound represented by In the formula, R 1 represents a C 1 -C 6 alkyl group, a C 1 -C 6 haloalkyl group, a C 2 -C 6 alkenyl group, a C 2 -C 6 haloalkenyl group, a C 2 -C 6 alkynyl group or a C 2.
- R 3 represents a hydrogen atom, a halogen atom, a C 1 -C 6 alkyl group, a C 1 -C 6 haloalkyl group, a C 1 -C 8 alkoxy group, a C 1 -C 8 haloalkoxy group, or a C 1 -C 6 alkylthio group.
- a 1a represents a hydrogen atom, a C 1 -C 6 alkyl group, a C 2 -C 6 alkenyl group or a C 2 -C 6 alkynyl group
- R 2 , R 4 , Y 2, Y 3, and Y 4 each independently represent a hydrogen atom, a halogen atom, a C 1 -C 6 alkyl group, or a C 1 -C 6 haloalkyl group, as described in [1] above.
- R 1 and A 1a each independently represent a C 1 -C 6 alkyl group
- R 3 and Y 3 each independently represent a C 1 -C 6 haloalkyl group
- R 2 , R 4 , Y 2 and Y 4 are each a condensed heterocyclic compound or a salt thereof or an N-oxide thereof according to the above [30], in which each represents a hydrogen atom.
- the formula (1) is represented by the formula (1-e-A1): A compound represented by In the formula, R 1 represents a C 1 -C 6 alkyl group, a C 1 -C 6 haloalkyl group, a C 2 -C 6 alkenyl group, a C 2 -C 6 haloalkenyl group, a C 2 -C 6 alkynyl group or a C 2.
- R 3 represents a hydrogen atom, a halogen atom, a C 1 -C 6 alkyl group, a C 1 -C 6 haloalkyl group, a C 1 -C 8 alkoxy group, a C 1 -C 8 haloalkoxy group, or a C 1 -C 6 alkylthio group.
- a 1a represents a hydrogen atom, a C 1 -C 6 alkyl group, a C 2 -C 6 alkenyl group or a C 2 -C 6 alkynyl group
- R 2 , R 4 , Y 1, Y 3, and Y 4 each independently represent a hydrogen atom, a halogen atom, a C 1 -C 6 alkyl group, or a C 1 -C 6 haloalkyl group, as described in [1] above.
- R 1 and A 1a each independently represent a C 1 -C 6 alkyl group
- R 3 and Y 3 each independently represent a C 1 -C 6 haloalkyl group
- R 2 , R 4 , Y 1 and Y 4 are each a condensed heterocyclic compound or a salt thereof or an N-oxide thereof according to the above [32], in which each represents a hydrogen atom.
- the formula (1) is represented by the formula (1-f-A1): A compound represented by In the formula, R 1 represents a C 1 -C 6 alkyl group, a C 1 -C 6 haloalkyl group, a C 2 -C 6 alkenyl group, a C 2 -C 6 haloalkenyl group, a C 2 -C 6 alkynyl group or a C 2.
- R 3 represents a hydrogen atom, a halogen atom, a C 1 -C 6 alkyl group, a C 1 -C 6 haloalkyl group, a C 1 -C 8 alkoxy group, a C 1 -C 8 haloalkoxy group, or a C 1 -C 6 alkylthio group.
- a 1a represents a hydrogen atom, a C 1 -C 6 alkyl group, a C 2 -C 6 alkenyl group or a C 2 -C 6 alkynyl group
- R 2 , R 4 , Y 1, Y 2, and Y 4 each independently represent a hydrogen atom, a halogen atom, a C 1 -C 6 alkyl group, or a C 1 -C 6 haloalkyl group, as described in [1] above.
- R 1 and A 1a each independently represent a C 1 -C 6 alkyl group
- R 3 represents a C 1 -C 6 haloalkyl group
- R 2 , R 4 , Y1 and Y4 represent a hydrogen atom
- Y2 represents a fused heterocyclic compound or a salt thereof or an N-oxide thereof according to the above [34], wherein Y2 represents a hydrogen atom or a halogen atom.
- the formula (1) is represented by the formula (1-g-A1): A compound represented by In the formula, R 1 represents a C 1 -C 6 alkyl group, a C 1 -C 6 haloalkyl group, a C 2 -C 6 alkenyl group, a C 2 -C 6 haloalkenyl group, a C 2 -C 6 alkynyl group or a C 2.
- R 3 represents a hydrogen atom, a halogen atom, a C 1 -C 6 alkyl group, a C 1 -C 6 haloalkyl group, a C 1 -C 8 alkoxy group, a C 1 -C 8 haloalkoxy group, or a C 1 -C 6 alkylthio group.
- a 1a represents a hydrogen atom, a C 1 -C 6 alkyl group, a C 2 -C 6 alkenyl group or a C 2 -C 6 alkynyl group
- R 2 , R 4 , Y 1, Y 2 and Y 3 each independently represents a condensed heterocycle according to the above [1], which represents a hydrogen atom, a halogen atom, a C 1 -C 6 alkyl group or a C 1 -C 6 haloalkyl group.
- R 1 and A 1a each independently represent a C 1 -C 6 alkyl group
- R 3 represents a C 1 -C 6 haloalkyl group
- R 2 , R 4 , Y1 and Y3 represent a hydrogen atom
- Y2 represents a fused heterocyclic compound or a salt thereof or an N-oxide thereof according to the above [36], wherein Y2 represents a halogen atom or a C 1 -C 6 haloalkyl group.
- the formula (1) is represented by the formula (1-a-G1): A compound represented by In the formula, R 1 represents a C 1 -C 6 alkyl group, a C 1 -C 6 haloalkyl group, a C 2 -C 6 alkenyl group, a C 2 -C 6 haloalkenyl group, a C 2 -C 6 alkynyl group or a C 2.
- R 3 represents a hydrogen atom, a halogen atom, a C 1 -C 6 alkyl group, a C 1 -C 6 haloalkyl group, a C 1 -C 8 alkoxy group, a C 1 -C 8 haloalkoxy group, or a C 1 -C 6 alkylthio group.
- a 1a represents a hydrogen atom, a C 1 -C 6 alkyl group, a C 2 -C 6 alkenyl group or a C 2 -C 6 alkynyl group
- R 4 , R 5 , Y 1, Y 2, Y 3 and Y 4 are each independently a hydrogen atom, a halogen atom, a C 1 -C 6 alkyl group or a C 1 -C 6 haloalkyl group as described in [1] above Fused heterocyclic compounds or salts thereof or N-oxides thereof.
- R 1 and A 1a each independently represent a C 1 -C 6 alkyl group
- R 3 and Y 3 each independently represent a C 1 -C 6 haloalkyl group
- R 4 , R 5 , Y 1, Y 2 and Y 4 are each a condensed heterocyclic compound or a salt thereof or an N-oxide thereof according to the above [38], wherein each represents a hydrogen atom.
- the formula (1) is represented by the formula (1-a-I1): A compound represented by In the formula, R 1 represents a C 1 -C 6 alkyl group, a C 1 -C 6 haloalkyl group, a C 2 -C 6 alkenyl group, a C 2 -C 6 haloalkenyl group, a C 2 -C 6 alkynyl group or a C 2.
- R 4 represents a hydrogen atom, a halogen atom, a C 1 -C 6 alkyl group, a C 1 -C 6 haloalkyl group, a C 1 -C 8 alkoxy group, a C 1 -C 8 haloalkoxy group, or a C 1 -C 6 alkylthio group.
- a 1a represents a hydrogen atom, a C 1 -C 6 alkyl group, a C 2 -C 6 alkenyl group or a C 2 -C 6 alkynyl group
- R 2 , R 5 , Y 1, Y 2, Y 3 and Y 4 are each independently a hydrogen atom, a halogen atom, a C 1 -C 6 alkyl group or a C 1 -C 6 haloalkyl group as described in [1] above Fused heterocyclic compounds or salts thereof or N-oxides thereof.
- R 1 and A 1a each independently represent a C 1 -C 6 alkyl group
- R 4 represents a C 1 -C 6 haloalkyl group
- Y2 represents a hydrogen atom or a C 1 -C 6 haloalkyl group
- Y3 represents a hydrogen atom, a halogen atom or a C 1 -C 6 haloalkyl group
- R 2 , R 5 , Y 1 and Y 4 are each a condensed heterocyclic compound or a salt thereof or an N-oxide thereof according to the above [40], wherein each represents a hydrogen atom.
- the formula (1) is represented by the formula (1-a-F1): A compound represented by In the formula, R 1 represents a C 1 -C 6 alkyl group, a C 1 -C 6 haloalkyl group, a C 2 -C 6 alkenyl group, a C 2 -C 6 haloalkenyl group, a C 2 -C 6 alkynyl group or a C 2.
- R 4 represents a hydrogen atom, a halogen atom, a C 1 -C 6 alkyl group, a C 1 -C 6 haloalkyl group, a C 1 -C 8 alkoxy group, a C 1 -C 8 haloalkoxy group, or a C 1 -C 6 alkylthio group.
- R 2 , R 5 , R 6 , Y 1, Y 2, Y 3 and Y 4 each independently represents a hydrogen atom, a halogen atom, a C 1 -C 6 alkyl group or a C 1 -C 6 haloalkyl group [1] Or a heterocyclic salt thereof or an N-oxide thereof.
- R 1 represents a C 1 -C 6 alkyl group
- R 4 represents a C 1 -C 6 haloalkyl group
- Y2 and Y3 each independently represent a hydrogen atom or a C 1 -C 6 haloalkyl group
- R 2 , R 5 , R 6 , Y 1 and Y 4 are each a condensed heterocyclic compound or a salt thereof or an N-oxide thereof according to the above [42], wherein each represents a hydrogen atom.
- the formula (1) is represented by the formula (1-a-O1): A compound represented by In the formula, R 1 represents a C 1 -C 6 alkyl group, a C 1 -C 6 haloalkyl group, a C 2 -C 6 alkenyl group, a C 2 -C 6 haloalkenyl group, a C 2 -C 6 alkynyl group or a C 2.
- R 4 represents a hydrogen atom, a halogen atom, a C 1 -C 6 alkyl group, a C 1 -C 6 haloalkyl group, a C 1 -C 8 alkoxy group, a C 1 -C 8 haloalkoxy group, or a C 1 -C 6 alkylthio group.
- R 3 , R 5 , R 6 , Y 1, Y 2, Y 3 and Y 4 each independently represent a hydrogen atom, a halogen atom, a C 1 -C 6 alkyl group or a C 1 -C 6 haloalkyl group [1] Or a heterocyclic salt thereof or an N-oxide thereof.
- R 1 represents a C 1 -C 6 alkyl group
- R 4 represents a C 1 -C 6 haloalkyl group
- R 6 and Y 2 each independently represent a halogen atom
- R 3 , R 5 , Y 1, Y 3 and Y 4 are each a condensed heterocyclic compound or a salt thereof or an N-oxide thereof according to the above [44], wherein each represents a hydrogen atom.
- R 1 represents a C 1 -C 6 alkyl group, a C 1 -C 6 haloalkyl group, a C 2 -C 6 alkenyl group, a C 2 -C 6 haloalkenyl group, a C 2 -C 6 alkynyl group or a C 2.
- R 3 and R 4 are each independently a hydrogen atom, a halogen atom, a C 1 -C 6 alkyl group, a C 1 -C 6 haloalkyl group, a C 1 -C 8 alkoxy group, or a C 1 -C 8 haloalkoxy group.
- R 2 , R 5 , Y 1, Y 2, Y 3 and Y 4 each independently represents a hydrogen atom, a halogen atom, a C 1 -C 6 alkyl group or a C 1 -C 6 haloalkyl group, [1] or [2 Or the N-oxide thereof.
- R 1 represents a C 1 -C 6 alkyl group
- R 3 represents a C 1 -C 6 haloalkylthio group, a C 1 -C 6 haloalkylsulfinyl group or a C 1 -C 6 haloalkylsulfonyl group
- Y2 and Y3 each independently represent a hydrogen atom or a C 1 -C 6 haloalkyl group
- R 2 , R 4 , R 5 , Y 1 and Y 4 are each a condensed heterocyclic compound or a salt thereof or an N-oxide thereof according to the above [46], wherein each represents a hydrogen atom.
- the formula (1) is represented by the formula (1-ab-2): A compound represented by In the formula, R 1 represents a C 1 -C 6 alkyl group, a C 1 -C 6 haloalkyl group, a C 2 -C 6 alkenyl group, a C 2 -C 6 haloalkenyl group, a C 2 -C 6 alkynyl group or a C 2.
- R 3 and R 4 are each independently a hydrogen atom, a halogen atom, a C 1 -C 6 alkyl group, a C 1 -C 6 haloalkyl group, a C 1 -C 8 alkoxy group, or a C 1 -C 8 haloalkoxy group.
- R 1 represents a C 1 -C 6 alkyl group
- R 3 and Y 3 each independently represent a C 1 -C 6 haloalkyl group
- R 1 represents a C 1 -C 6 alkyl group
- R 3 and Y 3 each independently represent a C 1 -C 6 haloalkyl group
- Formula (1) is converted to Formula (1-a-m2):
- R 1 represents a C 1 -C 6 alkyl group, a C 1 -C 6 haloalkyl group, a C 2 -C 6 alkenyl group, a C 2 -C 6 haloalkenyl group, a C 2 -C 6 alkynyl group or a C 2.
- R 3 represents a hydrogen atom, a halogen atom, a C 1 -C 6 alkyl group, a C 1 -C 6 haloalkyl group, a C 1 -C 8 alkoxy group, a C 1 -C 8 haloalkoxy group, or a C 1 -C 6 alkylthio group.
- R 2 , R 4 , Y 1, Y 2, Y 3 and Y 4 each independently represents a hydrogen atom, a halogen atom, a C 1 -C 6 alkyl group or a C 1 -C 6 haloalkyl group, the above [1] or [2 Or the N-oxide thereof.
- R 1 represents a C 1 -C 6 alkyl group
- R 3 and Y 3 each independently represent a C 1 -C 6 haloalkyl group
- R 2 , R 4 , Y 1, Y 2 and Y 4 are each a condensed heterocyclic compound or a salt thereof or an N-oxide thereof according to the above [50], wherein each represents a hydrogen atom.
- the formula (1) is represented by the formula (1-a-p1): A compound represented by Wherein R 1 represents a C 1 -C 6 alkyl group, R 3 represents a hydrogen atom, a halogen atom, C 1 -C 6 haloalkyl group, C 1 -C 6 haloalkylthio group, a C 1 -C 6 haloalkylsulfinyl group or a C 1 -C 6 haloalkylsulfonyl group, R 4 represents a hydrogen atom, a halogen atom or a C 1 -C 6 haloalkyl group, A 1a represents a hydrogen atom or a C 1 -C 6 alkyl group, R 2 , R 5 , Y 1, Y 2, Y 3 and Y 4 each independently represent a hydrogen atom, a halogen atom, a C 1 -C 6 alkyl group or a C 1 -C 6 haloalkyl group, [
- R 2 and R 5 each independently represents a hydrogen atom or a halogen atom
- R 3 and R 4 each independently represents a hydrogen atom or a C 1 -C 6 haloalkyl group
- Y3 represents a C 1 -C 6 haloalkyl group
- Y1, Y2 and Y4 are each a condensed heterocyclic compound or a salt thereof or an N-oxide thereof according to [52], wherein each represents a hydrogen atom.
- the formula (1) is represented by the formula (1-aq1): A compound represented by Wherein R 1 represents a C 1 -C 6 alkyl group, R 3 represents a hydrogen atom, a halogen atom, C 1 -C 6 haloalkyl group, C 1 -C 6 haloalkylthio group, a C 1 -C 6 haloalkylsulfinyl group or a C 1 -C 6 haloalkylsulfonyl group, A 1a represents a hydrogen atom or a C 1 -C 6 alkyl group, R 2 , Y 1, Y 2, Y 3 and Y 4 each independently represents a hydrogen atom, a halogen atom, a C 1 -C 6 alkyl group or a C 1 -C 6 haloalkyl group, the above [1], [2] or [ [5] The fused heterocyclic compound or a salt thereof or the N-oxide thereof according to any one of [5
- R 3 and Y 2 each independently represent a C 1 -C 6 haloalkyl group
- a 1a represents a C 1 -C 6 alkyl group
- R 2 , Y 1, Y 3 and Y 4 are each a condensed heterocyclic compound or a salt thereof or an N-oxide thereof according to [54], wherein each represents a hydrogen atom.
- Formula (1) is represented by Formula (1-a-E1): A compound represented by Wherein R 1 represents a C 1 -C 6 alkyl group, R 2 represents a hydrogen atom, R 3 represents a hydrogen atom, a halogen atom, C 1 -C 6 haloalkyl group, C 1 -C 6 haloalkylthio group, a C 1 -C 6 haloalkylsulfinyl group or a C 1 -C 6 haloalkylsulfonyl group, R 4 represents a hydrogen atom, a halogen atom or a C 1 -C 6 haloalkyl group, R 5 , R 6 , Y 1, Y 2, Y 3 and Y 4 each independently represents a hydrogen atom, a halogen atom, a C 1 -C 6 alkyl group or a C 1 -C 6 haloalkyl group [1], [2 ]
- R 1 represents a C 1 -C 6
- R 3 , R 4 , Y 2 and Y 3 each independently represent a hydrogen atom or a C 1 -C 6 haloalkyl group
- R 5 , R 6 , Y 1 and Y 4 are each a condensed heterocyclic compound or a salt thereof or an N-oxide thereof according to the above [56], wherein each represents a hydrogen atom.
- Formula (1) is represented by Formula (1-a-D1): A compound represented by Wherein R 1 represents a C 1 -C 6 alkyl group, R 2 represents a hydrogen atom, R 3 represents a hydrogen atom, a halogen atom, C 1 -C 6 haloalkyl group, C 1 -C 6 haloalkylthio group, a C 1 -C 6 haloalkylsulfinyl group or a C 1 -C 6 haloalkylsulfonyl group, R 4 represents a hydrogen atom, a halogen atom or a C 1 -C 6 haloalkyl group, R 6 , Y 1, Y 2, Y 3 and Y 4 each independently represent a hydrogen atom, a halogen atom, a C 1 -C 6 alkyl group or a C 1 -C 6 haloalkyl group, the above [1], [2], [ [10] or [12], the condensed hetero
- R 3 represents a C 1 -C 6 haloalkyl group
- Y2 represents a hydrogen atom, a halogen atom or a C 1 -C 6 haloalkyl group
- Y3 represents a hydrogen atom or a C 1 -C 6 haloalkyl group
- R 4 , R 6 , Y 1 and Y 4 are each a condensed heterocyclic compound or a salt thereof or an N-oxide thereof according to the above [58], wherein each represents a hydrogen atom.
- Formula (1) is converted to Formula (1-a-j1): A compound represented by Wherein R 1 represents a C 1 -C 6 alkyl group, R 2 represents a hydrogen atom, R 3 represents a hydrogen atom, a halogen atom, C 1 -C 6 haloalkyl group, C 1 -C 6 haloalkylthio group, a C 1 -C 6 haloalkylsulfinyl group or a C 1 -C 6 haloalkylsulfonyl group, R 4 represents a hydrogen atom, a halogen atom or a C 1 -C 6 haloalkyl group, R 5 , R 6 , Y 1, Y 2, Y 3 and Y 4 each independently represent a hydrogen atom, a halogen atom, a C 1 -C 6 alkyl group or a C 1 -C 6 haloalkyl group [1], [2 ]
- R 1 represents a C 1 -C 6
- R 3 and Y 3 each independently represent a C 1 -C 6 haloalkyl group
- R 4 , R 5 , R 6 , Y 1, Y 2, and Y 4 are each a condensed heterocyclic compound or a salt thereof or an N-oxide thereof according to [60], wherein each represents a hydrogen atom.
- Formula (1) is converted to Formula (1-a-j2): A compound represented by Wherein R 1 represents a C 1 -C 6 alkyl group, R 2 represents a hydrogen atom, R 3 represents a hydrogen atom, a halogen atom, C 1 -C 6 haloalkyl group, C 1 -C 6 haloalkylthio group, a C 1 -C 6 haloalkylsulfinyl group or a C 1 -C 6 haloalkylsulfonyl group, R 4 represents a hydrogen atom, a halogen atom or a C 1 -C 6 haloalkyl group, R 6 , Y 1, Y 2, Y 3 and Y 4 each independently represent a hydrogen atom, a halogen atom, a C 1 -C 6 alkyl group or a C 1 -C 6 haloalkyl group, the above [1], [2], [ 15] or the fused heterocyclic compound according to
- R 3 represents a C 1 -C 6 haloalkyl group
- Y2 represents a hydrogen atom or a halogen atom
- Y3 represents a hydrogen atom or a C 1 -C 6 haloalkyl group
- R 4 , R 6 , Y 1 and Y 4 are each a condensed heterocyclic compound or a salt thereof or an N-oxide thereof according to the above [62], in which each represents a hydrogen atom.
- R 1 represents a ring represented by either D1 or D2
- Q represents a ring represented by either Q1 or Q2
- R 1a represents a C 1 -C 8 alkoxycarbonyl group
- R 2 represents a hydrogen atom, a halogen atom, a C 1 -C 6 alkyl group, a C 1 -C 6 haloalkyl group, a C 1 -C 8 alkoxy group or a C 1 -C 8 haloalkoxy group
- R 3 and R 4 are each independently a hydrogen atom, a halogen atom, a C 1 -C 6 alkyl group, a C 1 -C 6 haloalkyl group, a C 1 -C 8 alkoxy group, or a C 1 -C 8 haloalkoxy group.
- R 1 represents a ring represented by D1, G 1 represents C (Y1), G 2 is represents C (Y2), G 3 represents C (Y3), G 4 represents C (Y4), A 1 represents N (A 1a ) or an oxygen atom, A 2 represents C (R 2 ), A 3 represents C (R 3 ), R 1 and A 1a each independently represent a C 1 -C 6 alkyl group, R 3 represents a C 1 -C 6 haloalkyl group, C 1 -C 6 haloalkylthio group, C 1 -C 6 haloalkylsulfinyl group or a C 1 -C 6 haloalkylsulfonyl group, R 5 represents a hydrogen atom or a C 1 -C 6 alkyl group, Y2 and Y3 each independently represent a hydrogen atom or a C 1 -C 6 haloalkyl group, R 2 , R 4 , R
- R 1 represents a ring represented by D2
- Q represents a ring represented by Q1
- G 5 represents C (Y5)
- a 1 represents N (A 1a )
- a 2 represents C (R 2 )
- a 3 represents C (R 3 )
- a 4 represents C (R 4 )
- a 5 represents a nitrogen atom
- R 1 and A 1a each independently represent a C 1 -C 6 alkyl group
- R 2 , R 4 and Y 5 represent a hydrogen atom
- R 3 and Y 6 each independently represent a fused heterocyclic compound or a salt thereof or an N-oxide thereof according to the above [3], wherein each represents a C 1 -C 6 haloalkyl group.
- R 1 is a C 1 -C 6 alkyl group, a C 1 -C 6 haloalkyl group, a C 2 -C 6 alkenyl group, a C 2 -C 6 haloalkenyl group, a C 2 -C 6 alkynyl group, a C 2 -C 6 Any one of the above [1] to [66], which represents a haloalkynyl group, a C 3 -C 6 cycloalkyl (C 1 -C 6 ) alkyl group or a C 3 -C 6 halocycloalkyl (C 1 -C 6 ) alkyl group A condensed heterocyclic compound or a salt thereof, or an N-oxide thereof; [68] R 1 represents a C 1 -C 6 alkyl group, a C 1 -C 6 haloalkyl group or a C 3 -C 6 cycloalkyl (C 1 -C 6 ) alkyl group
- R 1 represents a fused heterocyclic compound or a salt thereof or an N-oxide thereof according to any one of the above [1] to [66], wherein R 1 represents a C 1 -C 6 alkyl group or a C 1 -C 6 haloalkyl group.
- R 1 represents a fused heterocyclic compound or a salt thereof or an N-oxide thereof according to any one of the above [1] to [66], wherein R 1 represents a C 1 -C 6 alkyl group.
- R 1 represents a fused heterocyclic compound or a salt thereof or an N-oxide thereof according to any one of [1] to [66], wherein R 1 represents a C 1 -C 6 haloalkyl group.
- R 1a represents a C 1 -C 8 alkoxy group, a C 1 -C 8 alkoxycarbonyl group or a cyano group, the condensed heterocyclic compound or a salt thereof according to any one of the above [1] to [71], or an N thereof -Oxides.
- R 1a is the fused heterocyclic compound or a salt thereof according to any one of the above [1] to [71], wherein N 1 represents a C 1 -C 8 alkoxycarbonyl group, or an N-oxide thereof.
- R 2 represents a hydrogen atom, a halogen atom, a C 1 -C 6 alkyl group or a C 1 -C 6 haloalkyl group, the condensed heterocyclic compound or a salt thereof according to any one of the above [1] to [73] or a salt thereof N-oxides of [75]
- R 2 represents a condensed heterocyclic compound or a salt thereof, or an N-oxide thereof according to any one of the above [1] to [73], in which R 2 represents a hydrogen atom.
- R 3 represents a hydrogen atom, a halogen atom, a C 1 -C 6 alkyl group, a C 1 -C 6 haloalkyl group, a C 1 -C 8 alkoxy group, a C 1 -C 8 haloalkoxy group, or a C 1 -C 6 alkylthio group.
- R 3 represents a hydrogen atom, a halogen atom, a C 1 -C 6 haloalkyl group, a C 1 -C 6 alkylthio group, a (C 1 -C 6 ) alkylthio group optionally substituted by R 3a , or a C 1 -C 6 halo.
- R 3 represents a hydrogen atom, a halogen atom, C 1 -C 6 haloalkyl group, C 1 -C 6 haloalkylthio group, [1] representing the C 1 -C 6 haloalkylsulfinyl group or a C 1 -C 6 haloalkylsulfonyl group
- a condensed heterocyclic compound or a salt thereof, or an N-oxide thereof
- R 3 represents a C 1 -C 6 haloalkylthio group, a C 1 -C 6 haloalkylsulfinyl group or a C 1 -C 6 haloalkylsulfonyl group, wherein the condensed heterocyclic compound according to any one of [1] to [75] above Or a salt thereof or an N-oxide thereof.
- R 3 represents a fused heterocyclic compound or a salt thereof or an N-oxide thereof according to any one of the above [1] to [75], in which R 3 represents a halogen atom.
- R 3 represents a fused heterocyclic compound or a salt thereof or an N-oxide thereof according to any one of [1] to [75] above, wherein R 3 represents a C 1 -C 6 haloalkyl group.
- R 3 represents a fused heterocyclic compound or a salt thereof or an N-oxide thereof according to any one of the above [1] to [75], wherein R 3 represents a C 1 -C 6 haloalkylthio group.
- R 3 represents a fused heterocyclic compound or a salt thereof or an N-oxide thereof according to any one of the above [1] to [75], wherein R 3 represents a C 1 -C 6 haloalkylsulfinyl group.
- R 3 represents a fused heterocyclic compound or a salt thereof or an N-oxide thereof according to any one of the above [1] to [75], wherein R 3 represents a C 1 -C 6 haloalkylsulfonyl group.
- R 4 represents a hydrogen atom, a halogen atom, a C 1 -C 6 alkyl group, a C 1 -C 6 haloalkyl group, a C 1 -C 8 alkoxy group, a C 1 -C 8 haloalkoxy group, or a C 1 -C 6 alkylthio group.
- R 4 represents a hydrogen atom, a halogen atom, a C 1 -C 6 haloalkyl group, a C 1 -C 6 alkylthio group, a (C 1 -C 6 ) alkylthio group optionally substituted with R 4a , or a C 1 -C 6 halo.
- R 4 is a hydrogen atom, a halogen atom, C 1 -C 6 haloalkyl group, C 1 -C 6 haloalkylthio group, [1] representing the C 1 -C 6 haloalkylsulfinyl group or a C 1 -C 6 haloalkylsulfonyl group
- R 4 represents a condensed heterocyclic compound or a salt thereof or an N-oxide thereof according to any one of the above [1] to [84], in which R 4 represents a hydrogen atom.
- R 4 represents a condensed heterocyclic compound or a salt thereof or an N-oxide thereof according to any one of the above [1] to [84], in which R 4 represents a halogen atom.
- R 4 represents a C 1 -C 6 haloalkylthio group, a C 1 -C 6 haloalkylsulfinyl group or a C 1 -C 6 haloalkylsulfonyl group, wherein the condensed heterocyclic compound according to any one of the above [1] to [84] Or a salt thereof or an N-oxide thereof.
- R 4 represents a fused heterocyclic compound or a salt thereof or an N-oxide thereof according to any one of [1] to [84], wherein R 4 represents a C 1 -C 6 haloalkyl group.
- R 5 represents a hydrogen atom, a halogen atom, a C 1 -C 6 alkyl group or a C 1 -C 6 haloalkyl group, the condensed heterocyclic compound or a salt thereof according to any one of the above [1] to [91] or a salt thereof N-oxides of [93]
- R 5 represents a condensed heterocyclic compound or a salt thereof or an N-oxide thereof according to any one of the above [1] to [91], wherein R 5 represents a halogen atom.
- R 5 represents a condensed heterocyclic compound or a salt thereof or an N-oxide thereof according to any one of the above [1] to [91], in which R 5 represents a hydrogen atom.
- R 5 represents a fused heterocyclic compound or a salt thereof or an N-oxide thereof according to any one of the above [1] to [91], wherein R 5 represents a C 1 -C 6 alkyl group.
- R 6 represents a hydrogen atom, a halogen atom, a C 1 -C 6 alkyl group or a C 1 -C 6 haloalkyl group, the condensed heterocyclic compound or a salt thereof according to any one of the above [1] to [95], or a salt thereof N-oxides of [97]
- R 6 represents a condensed heterocyclic compound or a salt thereof or an N-oxide thereof according to any one of the above [1] to [95], in which R 6 represents a hydrogen atom.
- R 6 represents a condensed heterocyclic compound or a salt thereof or an N-oxide thereof according to any one of the above [1] to [95], in which R 6 represents a halogen atom.
- R 6 represents a fused heterocyclic compound or a salt thereof or an N-oxide thereof according to any one of [1] to [95], wherein R 6 represents a C 1 -C 6 alkyl group.
- R 7 represents a fused heterocyclic compound or a salt thereof according to any one of the above [1] to [99], wherein R 7 represents a hydrogen atom, a halogen atom or a C 1 -C 6 haloalkyl group, or an N-oxide thereof.
- R 7 represents a fused heterocyclic compound or a salt thereof or an N-oxide thereof according to any one of the above [1] to [99], wherein R 7 represents a C 1 -C 6 haloalkyl group.
- R 8 represents a hydrogen atom, a halogen atom, a C 1 -C 6 alkyl group or a C 1 -C 6 haloalkyl group, the condensed heterocyclic compound or a salt thereof according to any one of the above [1] to [101], or a salt thereof N-oxides of [103]
- R 8 represents a fused heterocyclic compound or a salt thereof or an N-oxide thereof according to any one of the above [1] to [101], wherein R 8 represents a C 1 -C 6 alkyl group.
- a 1a is a hydrogen atom, a C 1 -C 6 alkyl group, a (C 1 -C 6 ) alkyl group optionally substituted by A 1a-a , a C 2 -C 6 alkenyl group, a C 2 -C 6 alkynyl group , A C 1 -C 8 alkoxy group, a C 3 -C 6 cycloalkyl group, or a condensed heterocyclic compound or a salt thereof according to any one of [1] to [103] above, which represents C (O) R 10a , or a salt thereof N-oxide.
- a 1a represents a hydrogen atom, a C 1 -C 6 alkyl group, a C 2 -C 6 alkenyl group, a C 2 -C 6 alkynyl group or a C 3 -C 6 cycloalkyl group, the above [1] to [103] The fused heterocyclic compound or a salt thereof or an N-oxide thereof according to any one of the above.
- a 1a is a condensed heterocyclic compound or a salt thereof or an N-oxide thereof according to any one of the above [1] to [103], in which A 1a represents a hydrogen atom.
- a 1a is the fused heterocyclic compound or a salt thereof or an N-oxide thereof according to any one of the above [1] to [103], in which A 1a represents a C 1 -C 6 alkyl group.
- Y1, Y2, Y3 and Y4 each independently represent a hydrogen atom, a halogen atom, a C 1 -C 6 alkyl group, a C 1 -C 6 haloalkyl group, a C 2 -C 6 alkenyl group, or a C 2 -C 6 alkynyl.
- Y1, Y2, Y3 and Y4 are each independently optionally substituted by a hydrogen atom, a halogen atom, a C 1 -C 6 alkyl group, a C 1 -C 6 haloalkyl group, a C 2 -C 6 alkenyl group, or Y b (C 2 -C 6 ) alkynyl group, C 1 -C 8 alkoxy group, C 1 -C 6 alkylthio group, C 1 -C 6 haloalkylthio group, optionally substituted by Y a (C 1 -C 6 ) alkylthio group, C 1 -C 6 alkylsulfinyl group, C 1 -C 6 alkylsulfonyl group, —C (O) R 90a , —C (O) N (R 90c ) R 90b , —C (O) OH , —NH 2 , —NHR 90 g ,
- Y1 represents a hydrogen atom, a halogen atom, a C 1 -C 6 alkyl group or a C 1 -C 6 haloalkyl group, the condensed heterocyclic compound or a salt thereof according to any one of the above [1] to [109], or a salt thereof N-oxide.
- Y1 represents a condensed heterocyclic compound or a salt thereof or an N-oxide thereof according to any one of the above [1] to [109], in which Y1 represents a hydrogen atom.
- Y1 represents a condensed heterocyclic compound or a salt thereof, or an N-oxide thereof according to any one of the above [1] to [109], wherein Y1 represents a halogen atom.
- Y1 represents a fused heterocyclic compound or a salt thereof or an N-oxide thereof according to any one of the above [1] to [109], wherein Y1 represents a C 1 -C 6 alkyl group.
- Y1 represents the fused heterocyclic compound or a salt thereof or an N-oxide thereof according to any one of [1] to [109], wherein Y1 represents a C 1 -C 6 haloalkyl group.
- Y2 represents a hydrogen atom, a halogen atom, a C 1 -C 6 alkyl group, a C 1 -C 6 haloalkyl group, a C 2 -C 6 alkenyl group, a (C 2 -C 6 ) alkynyl group optionally substituted by Y b , C 1 -C 8 alkoxy group, C 1 -C 6 alkylthio group, C 1 -C 6 haloalkylthio group, (C 1 -C 6 ) alkylthio group, C 1 -C 6 alkyl optionally substituted by Y a [1] to [114] above which represents a sulfinyl group, a C 1 -C 6 alkylsulfonyl group, —NH 2 , —NHR 90 g , a nitro group, a phenyl group, a phenyl group or a heterocyclic group optionally substituted with
- Y2 represents a hydrogen atom, a halogen atom, a C 1 -C 6 alkyl group or a C 1 -C 6 haloalkyl group, the condensed heterocyclic compound or a salt thereof according to any one of the above [1] to [114], or a salt thereof N-oxide.
- Y2 represents a condensed heterocyclic compound or a salt thereof or an N-oxide thereof according to any one of the above [1] to [114], in which Y2 represents a hydrogen atom.
- Y2 represents a condensed heterocyclic compound or a salt thereof, or an N-oxide thereof according to any one of [1] to [114], in which Y2 represents a halogen atom.
- Y2 represents a fused heterocyclic compound or a salt thereof or an N-oxide thereof according to any one of [1] to [114], wherein Y2 represents a C 1 -C 6 alkyl group.
- Y2 represents a fused heterocyclic compound or a salt thereof or an N-oxide thereof according to any one of [1] to [114] above, wherein Y2 represents a C 1 -C 6 haloalkyl group.
- Y3 is optionally substituted with a hydrogen atom, a halogen atom, a C 1 -C 6 alkyl group, a C 1 -C 6 haloalkyl group, a C 1 -C 8 alkoxy group, a C 1 -C 6 alkylthio group, or Y a ( C 1 -C 6 ) alkylthio group, C 1 -C 6 alkylsulfinyl group, C 1 -C 6 alkylsulfonyl group, —C (O) R 90a , —C (O) N (R 90c ) R 90b , —C (O) The fused heterocyclic compound or a salt thereof or an N-oxide thereof according to any one of [1] to [120], which represents OH, a cyano group, or a nitro group.
- Y3 represents a hydrogen atom, a halogen atom, a C 1 -C 6 alkyl group or a C 1 -C 6 haloalkyl group, the condensed heterocyclic compound or a salt thereof according to any one of the above [1] to [120] or a salt thereof N-oxide.
- Y3 represents a condensed heterocyclic compound or a salt thereof or an N-oxide thereof according to any one of the above [1] to [120], in which Y3 represents a hydrogen atom.
- Y3 represents a fused heterocyclic compound or a salt thereof or an N-oxide thereof according to any one of [1] to [120], wherein Y3 represents a halogen atom.
- Y3 represents a fused heterocyclic compound or a salt thereof or an N-oxide thereof according to any one of the above [1] to [120], wherein Y3 represents a C 1 -C 6 alkyl group.
- Y3 represents a fused heterocyclic compound or a salt thereof or an N-oxide thereof according to any one of [1] to [120], wherein Y3 represents a C 1 -C 6 haloalkyl group.
- Y4 represents a hydrogen atom, a halogen atom, a C 1 -C 6 alkyl group, a C 1 -C 6 haloalkyl group, a C 1 -C 8 alkoxy group, a C 1 -C 6 alkylthio group, a C 1 -C 6 alkylsulfonyl group,
- the condensed heterocyclic compound or a salt thereof or the N-oxide thereof according to any one of the above [1] to [126], which represents -N (R 90h ) R 90 g or a cyano group.
- Y4 represents a C 1 -C 8 alkoxy group, a C 1 -C 6 alkylthio group, a C 1 -C 6 alkylsulfonyl group, -N (R 90h ) R 90 g, or a cyano group, wherein [1] to [126] The fused heterocyclic compound or a salt thereof or an N-oxide thereof according to any one of the above.
- Y4 represents a hydrogen atom, a halogen atom, a C 1 -C 6 alkyl group or a C 1 -C 6 haloalkyl group, the condensed heterocyclic compound or a salt thereof according to any one of the above [1] to [126] or a salt thereof N-oxide.
- Y4 represents a condensed heterocyclic compound or a salt thereof, or an N-oxide thereof according to any one of the above [1] to [126], in which Y4 represents a hydrogen atom.
- Y4 represents a fused heterocyclic compound or a salt thereof or an N-oxide thereof according to any one of [1] to [126], wherein Y4 represents a halogen atom.
- Y4 represents a fused heterocyclic compound or a salt thereof or an N-oxide thereof according to any one of [1] to [126], wherein Y4 represents a C 1 -C 6 alkyl group.
- Y4 represents a fused heterocyclic compound or a salt thereof or an N-oxide thereof according to any one of [1] to [126], wherein Y4 represents a C 1 -C 6 haloalkyl group.
- Y a is a condensed heterocyclic compound or a salt thereof or an N-oxide thereof according to any one of the above [1] to [133], which represents a C 1 -C 8 alkoxycarbonyl group or a C 1 -C 6 alkylcarbonyl group .
- Y a is a fused heterocyclic compound or a salt thereof or an N-oxide thereof according to any one of the above [1] to [133], wherein Y a represents a C 1 -C 8 alkoxycarbonyl group.
- Y b represents a C 1 -C 6 alkyl group, a C 3 -C 6 cycloalkyl group, a trimethylsilyl group or a phenyl group, the condensed heterocyclic compound or a salt thereof according to any one of the above [1] to [135] Their N-oxides.
- Y b represents a fused heterocyclic compound or a salt thereof or an N-oxide thereof according to any one of the above [1] to [135], wherein Y b represents a C 3 -C 6 cycloalkyl group or a trimethylsilyl group.
- Y b represents a fused heterocyclic compound or a salt thereof or an N-oxide thereof according to any one of the above [1] to [135], wherein Y b represents a C 3 -C 6 cycloalkyl group.
- Y b is a condensed heterocyclic compound or a salt thereof or an N-oxide thereof according to any one of the above [1] to [135], in which Y b represents a trimethylsilyl group.
- Y c represents a halogen atom, a C 1 -C 6 alkyl group, a C 1 -C 6 haloalkyl group, a C 1 -C 8 alkoxy group, a C 1 -C 8 haloalkoxy group, a cyano group or a nitro group.
- the condensed heterocyclic compound or salt thereof according to any one of [139] to [139] or an N-oxide thereof.
- Y c is a condensed heterocyclic compound or a salt thereof or an N-oxide thereof according to any one of the above [1] to [139], wherein Y c represents a halogen atom or a C 1 -C 6 haloalkyl group.
- Y c is a condensed heterocyclic compound or a salt thereof, or an N-oxide thereof according to any one of the above [1] to [139], in which Y c represents a halogen atom.
- Y c is a fused heterocyclic compound or a salt thereof according to any one of the above [1] to [139], wherein N c represents a C 1 -C 6 haloalkyl group, or an N-oxide thereof.
- R 10a , R 20a , R 30a , R 30e , R 40a , R 40e , R 50a , R 60a and R 90a are each independently a hydrogen atom, a C 1 -C 6 alkyl group, or a C 1 -C 6 haloalkyl.
- R 10a , R 20a , R 30a , R 30e , R 40a , R 40e , R 50a , R 60a and R 90a are each independently a hydrogen atom, a C 1 -C 6 alkyl group or C 1 -C 8 alkoxy
- R 10a , R 20a , R 30a , R 30e , R 40a , R 40e , R 50a , R 60a and R 90a each represents a hydrogen atom, and the condensed heterocyclic compound according to any one of [1] to [143] above Or a salt thereof or an N-oxide thereof.
- R 10a , R 20a , R 30a , R 30e , R 40a , R 40e , R 50a , R 60a and R 90a each independently represents a C 1 -C 6 alkyl group [1] to [143] Or a fused heterocyclic compound or a salt thereof, or an N-oxide thereof.
- R 10a , R 20a , R 30a , R 30e , R 40a , R 40e , R 50a , R 60a and R 90a each independently represents a C 1 -C 8 alkoxy group [1] to [143] Or a fused heterocyclic compound or a salt thereof, or an N-oxide thereof.
- R 20g, R 20h, R 30f , R 30g, R 30h, R 30i, R 40f, R 40g, R 40h, R 40i, R 50g, R 50h, R 60g, R 60h, R 90b, R 90c, R 90i , R 90j and R 90k each independently represents a C 1 -C 6 alkyl group or a C 1 -C 6 haloalkyl group, or a fused heterocyclic compound according to any one of the above [1] to [148] or a compound thereof Salts or their N-oxides.
- R 20g, R 20h, R 30f , R 30g, R 30h, R 30i, R 40f, R 40g, R 40h, R 40i, R 50g, R 50h, R 60g, R 60h, R 90b, R 90c, R 90i , R 90j and R 90k each independently represents a fused heterocyclic compound or a salt thereof or an N-oxide thereof according to any one of the above [1] to [148], which represents a C 1 -C 6 alkyl group.
- R 90g and R 90h are each independently a C 1 -C 6 alkyl group, a C 1 -C 6 haloalkyl group, a C 1 -C 6 alkylcarbonyl group, a C 1 -C 6 haloalkylcarbonyl group, a C 1 -C 8 alkoxycarbonyl group, C 1 -C 8 haloalkoxycarbonyl group, C 1 -C 6 alkylaminocarbonyl group, C 1 -C 6 haloalkylaminocarbonyl group, C 1 -C 6 alkylaminothiocarbonyl group, C 1 -C 6 haloalkylaminothiocarbonyl group, phenylcarbonyl group, C 1 -C 6 alkylsulfonyl group, C 1 -C 6 haloalkylsulfonyl group, C 1 -C 6 alkylaminosulfonyl group or di (C 1 -C 1
- R 90g represents a C 1 -C 6 alkyl group, a C 1 -C 6 haloalkylcarbonyl group, a C 1 -C 8 alkoxycarbonyl group or a phenylcarbonyl group, the condensed according to any one of [1] to [151] above Heterocyclic compounds or salts thereof or N-oxides thereof.
- R 90g is the fused heterocyclic compound or a salt thereof or an N-oxide thereof according to any one of the above [1] to [151], wherein R 90g represents a C 1 -C 6 alkyl group.
- R 90g represents the fused heterocyclic compound or a salt thereof or an N-oxide thereof according to any one of the above [1] to [151], wherein R 90g represents a C 1 -C 6 haloalkylcarbonyl group.
- R 90g is the condensed heterocyclic compound or a salt thereof according to any one of the above [1] to [151], wherein the C 1 -C 8 alkoxycarbonyl group is represented, or an N-oxide thereof.
- R 90g represents the fused heterocyclic compound or a salt thereof according to any one of the above [1] to [151], which represents a phenylcarbonyl group, or an N-oxide thereof.
- R 90h represents the fused heterocyclic compound or a salt thereof according to any one of the above [1] to [156] or a N-oxide thereof, wherein C 90 represents a C 1 -C 6 alkyl group.
- T 1 represents a fused heterocyclic compound or a salt thereof or an N-oxide thereof according to any one of [1] to [157], wherein T 1 represents a sulfur atom.
- T 1 represents N (T 1a ), the fused heterocyclic compound or a salt thereof according to any one of the above [1] to [157], or an N-oxide thereof.
- T 1a represents a hydrogen atom, the condensed heterocyclic compound or a salt thereof or the N-oxide thereof according to any one of [1] to [159].
- T 1a is the fused heterocyclic compound or a salt thereof or the N-oxide thereof according to any one of [1] to [159], wherein T 1a represents a C 1 -C 6 alkyl group.
- a pest control agent comprising one or more selected from the condensed heterocyclic compound according to any one of [1] to [161] above and a salt thereof as an active ingredient.
- An agrochemical containing, as an active ingredient, one or more selected from the condensed heterocyclic compound according to any one of [1] to [161] above and a salt thereof.
- a soil treatment agent comprising one or more selected from the condensed heterocyclic compounds according to any one of [1] to [161] as an active ingredient.
- the soil treatment agent according to [169] wherein the soil treatment is performed by a soil irrigation treatment.
- the compound of the present invention has excellent insecticidal / miticidal activity against many agricultural pests, spider mites, mammals or birds, or against insects that have acquired resistance to existing insecticides. Even against this, it exhibits a sufficient control effect. Furthermore, it has little adverse effect on mammals, fish and beneficial insects, has low persistence, and has a light environmental impact. Therefore, the present invention can provide a useful novel pest control agent.
- the compounds encompassed by the present invention may have geometrical isomers of E-forms and Z-forms depending on the type of substituents, and the present invention is concerned with these E-forms, Z-forms or E-forms. And a mixture containing the Z-form in an arbitrary ratio.
- the compounds included in the present invention include optically active substances resulting from the presence of one or more asymmetric carbon atoms or asymmetric sulfur atoms, but the present invention includes all optically active substances or racemic compounds. Includes the body.
- the compounds included in the present invention may have tautomers depending on the type of substituent, but the present invention includes all tautomers or a mixture of tautomers included in an arbitrary ratio. Is included.
- hydrohalic acid salts such as hydrofluoric acid, hydrochloric acid, hydrobromic acid, hydroiodic acid, Salts of inorganic acids such as nitric acid, sulfuric acid, phosphoric acid, chloric acid, perchloric acid, salts of sulfonic acids such as methanesulfonic acid, ethanesulfonic acid, trifluoromethanesulfonic acid, benzenesulfonic acid, p-toluenesulfonic acid, formic acid, Acetic acid, propionic acid, trifluoroacetic acid, fumaric acid, tartaric acid, succinic acid, maleic acid, malic acid, succinic acid, benzoic acid, mandelic acid, ascorbic acid, lactic acid, gluconic acid, citric acid and other carboxylic acid salts, glutamic acid, Salts of
- N-oxide is a compound in which a nitrogen atom constituting a ring on a heterocyclic group is oxidized.
- heterocyclic group that can form an N-oxide include a condensed ring containing a pyridine ring, a condensed ring containing a pyrazine ring, a condensed ring containing a pyridazine ring, or a condensed ring containing a pyrimidine ring.
- n- means normal, i- means iso, s- means secondary, and tert- means tertiary.
- halogen atom in the present specification include a fluorine atom, a chlorine atom, a bromine atom and an iodine atom.
- the notation “halo” also represents these halogen atoms.
- C a -C b alkyl represents a linear or branched hydrocarbon group having a carbon number of a to b, for example, methyl group, ethyl group, n-propyl group.
- Specific examples include a group, i-propyl group, n-butyl group, i-butyl group, s-butyl group, tert-butyl group, n-pentyl group, 1,1-dimethylpropyl group, n-hexyl group and the like. Selected within a range of each specified number of carbon atoms.
- C a -C b haloalkyl refers to a linear or branched chain having a carbon number of a to b in which a hydrogen atom bonded to a carbon atom is optionally substituted with a halogen atom In this case, when substituted by two or more halogen atoms, these halogen atoms may be the same as or different from each other.
- fluoromethyl group for example, fluoromethyl group, chloromethyl group, bromomethyl group, iodomethyl group, difluoromethyl group, dichloromethyl group, trifluoromethyl group, chlorodifluoromethyl group, trichloromethyl group, bromodifluoromethyl group, 1-fluoroethyl group, 2- Fluoroethyl group, 2-chloroethyl group, 2-bromoethyl group, 2,2-difluoroethyl group, 2,2,2-trifluoroethyl group, 2-chloro-2,2-difluoroethyl group, 2,2,2 -Trichloroethyl group, 2-bromo-2,2-difluoroethyl group, 1,1,2,2-tetrafluoroethyl group, 2-chloro-1,1,2-trifluoroethyl group, 2-chloro-1 , 1,2,2-tetrafluoroethyl group, pen
- C a -C b alkenyl refers to a linear or branched chain having a carbon number of a to b, and one or more double bonds in the molecule.
- An unsaturated hydrocarbon group having, for example, vinyl group, 1-propenyl group, 2-propenyl group, 1-methylethenyl group, 2-butenyl group, 2-methyl-2-propenyl group, 3-methyl-2-butenyl group
- Specific examples include 1,1-dimethyl-2-propenyl group and the like, and each is selected within the range of the designated number of carbon atoms.
- C a -C b haloalkenyl refers to a straight or branched chain having a to b carbon atoms in which a hydrogen atom bonded to a carbon atom is optionally substituted with a halogen atom
- An unsaturated hydrocarbon group which is chain-like and has one or more double bonds in the molecule.
- these halogen atoms may be the same as or different from each other.
- C a -C b alkynyl is a linear or branched chain composed of a to b carbon atoms and has one or more triple bonds in the molecule.
- C a -C b haloalkynyl refers to a straight or branched chain comprising a to b carbon atoms, in which a hydrogen atom bonded to a carbon atom is optionally substituted with a halogen atom.
- An unsaturated hydrocarbon group which is chain-like and has one or more triple bonds in the molecule. At this time, when substituted by two or more halogen atoms, these halogen atoms may be the same as or different from each other.
- C a -C b cycloalkyl represents a cyclic hydrocarbon group having a to b carbon atoms, and represents a monocyclic or complex ring structure having 3 to 6 members. Can be formed. Each ring may be optionally substituted with an alkyl group within the range of the specified number of carbon atoms.
- C a -C b halocycloalkyl refers to a cyclic hydrocarbon having a carbon number of a to b in which a hydrogen atom bonded to a carbon atom is optionally substituted with a halogen atom Represents a group, and can form a monocyclic or complex ring structure from 3 to 6-membered ring.
- Each ring may be optionally substituted with an alkyl group within the range of the specified number of carbon atoms, and the substitution with a halogen atom may be a ring structure part, a side chain part, They may be both, and when they are substituted by two or more halogen atoms, the halogen atoms may be the same as or different from each other.
- 2,2-difluorocyclopropyl group, 2,2-dichlorocyclopropyl group, 2,2-dibromocyclopropyl group, 2,2-difluoro-1-methylcyclopropyl group, 2,2-dichloro-1-methyl Specific examples include cyclopropyl group, 2,2-dibromo-1-methylcyclopropyl group, 2,2,3,3-tetrafluorocyclobutyl group, etc., each selected within the range of the designated number of carbon atoms.
- C a -C b alkoxy represents an alkyl-O— group having the above-mentioned meanings consisting of a to b carbon atoms, for example, methoxy group, ethoxy group, n-propyloxy group. Specific examples include a group, i-propyloxy group, n-butyloxy group, i-butyloxy group, s-butyloxy group, tert-butyloxy group, 2-ethylhexyloxy group, and the like. Selected by range.
- C a -C b haloalkoxy represents a haloalkyl-O— group having the above-mentioned meaning consisting of a to b carbon atoms, such as a difluoromethoxy group, a trifluoromethoxy group, Chlorodifluoromethoxy group, bromodifluoromethoxy group, 2-fluoroethoxy group, 2-chloroethoxy group, 2,2,2-trifluoroethoxy group, 1,1,2,2, -tetrafluoroethoxy group, 2-chloro Specific examples include -1,1,2-trifluoroethoxy group, 1,1,2,3,3,3-hexafluoropropyloxy group, and the like, each selected within the range of the designated number of carbon atoms.
- C a -C b alkenyloxy represents an alkenyl-O— group having the above-mentioned meaning consisting of a to b carbon atoms, for example, 2-propenyloxy group, 2- Specific examples include butenyloxy group, 2-methyl-2-propenyloxy group, 3-methyl-2-butenyloxy group, and the like, and each is selected within the range of the designated number of carbon atoms.
- C a -C b haloalkenyloxy represents a haloalkenyl-O— group having the above-mentioned meaning consisting of a to b carbon atoms, for example, 3,3-difluoroallyl Specific examples include an oxy group, a 3,3-dichloroallyloxy group, and the like, and each is selected within the range of the designated number of carbon atoms.
- C a -C b alkynyloxy represents an alkynyl-O— group having the above-mentioned meaning consisting of a to b carbon atoms, for example, an ethynyloxy group, a propargyloxy group, Specific examples include 2-butynyloxy group, 1-pentynyloxy group, 1-hexynyloxy group, and the like, and each is selected within the range of the designated number of carbon atoms.
- C a -C b haloalkynyloxy represents a haloalkynyl-O— group having the above-mentioned meaning consisting of a to b carbon atoms, for example, 3-chloro-2- Specific examples include propynyloxy group, 3-bromo-2-propynyloxy group, 3-iodo-2-propynyloxy group and the like, and each is selected within the range of the designated number of carbon atoms.
- C a -C b alkylthio represents an alkyl-S— group having the above-mentioned meaning consisting of a to b carbon atoms, for example, methylthio group, ethylthio group, n-propylthio group. Specific examples include i-propylthio group, n-butylthio group, i-butylthio group, s-butylthio group, tert-butylthio group and the like, and each is selected within the range of the designated number of carbon atoms.
- C a -C b haloalkylthio represents a haloalkyl-S— group having the above-mentioned meaning consisting of a to b carbon atoms, such as a difluoromethylthio group, a trifluoromethylthio group, Chlorodifluoromethylthio group, bromodifluoromethylthio group, 2,2,2-trifluoroethylthio group, 1,1,2,2-tetrafluoroethylthio group, 2-chloro-1,1,2-trifluoroethylthio group Group, pentafluoroethylthio group, 1,1,2,3,3,3-hexafluoropropylthio group, heptafluoropropylthio group, 1,2,2,2-tetrafluoro-1- (trifluoromethyl)
- Specific examples include an ethylthio group, a nonafluorobutylthio group
- C a -C b alkenylthio represents an alkenyl-S— group having the above-mentioned meaning consisting of a to b carbon atoms, such as a 2-propenylthio group, 2- Specific examples include a butenylthio group, a 2-methyl-2-propenylthio group, a 3-methyl-2-butenylthio group, and the like, and each is selected within the range of the designated number of carbon atoms.
- C a -C b haloalkenylthio represents a haloalkenyl-S— group having the above-mentioned meaning consisting of a to b carbon atoms, for example, 2-fluoro-2- Propenylthio group, 2-chloro-2-propenylthio group, 3,3-difluoro-2-propenylthio group, 3,3-dichloro-2-propenylthio group, 2,3,3-trifluoro-2-propenyl Specific examples include a thio group, a 4,4-difluoro-3-butenylthio group, a 3,4,4-trifluoro-3-butenylthio group, and the like, and each is selected within the range of the designated number of carbon atoms.
- C a -C b alkynylthio represents an alkynyl-S— group having the above-mentioned meanings consisting of a to b carbon atoms, for example, propynylthio group, butynylthio group, pentynylthio group, and the like. Specific examples include a group, a hexynylthio group and the like, and each group is selected within the range of the designated number of carbon atoms.
- C a -C b haloalkynylthio represents a haloalkynyl-S— group having the above-mentioned meaning consisting of a to b carbon atoms, for example, 3-chloro-2- Specific examples include propynylthio group, 3-bromo-2-propynylthio group, 3-iodo-2-propynylthio group and the like, and each is selected within the range of the designated number of carbon atoms.
- C a -C b alkylsulfinyl represents an alkyl-S (O) — group having the above-mentioned meanings consisting of a to b carbon atoms, for example, methylsulfinyl group, ethylsulfinyl group.
- Specific examples include a group, n-propylsulfinyl group, i-propylsulfinyl group, n-butylsulfinyl group, i-butylsulfinyl group, s-butylsulfinyl group, tert-butylsulfinyl group and the like. It is selected in the range of the number of atoms.
- C a -C b haloalkylsulfinyl represents a haloalkyl-S (O) — group having the above-mentioned meaning consisting of a to b carbon atoms, such as a difluoromethylsulfinyl group, Fluoromethylsulfinyl group, chlorodifluoromethylsulfinyl group, bromodifluoromethylsulfinyl group, 2,2,2-trifluoroethylsulfinyl group, 1,2,2,2-tetrafluoro-1- (trifluoromethyl) ethylsulfinyl group , Nonafluorobutylsulfinyl group and the like are mentioned as specific examples, and each is selected within the range of the designated number of carbon atoms.
- C a -C b alkenylsulfinyl represents an alkenyl-S (O) — group having the above-mentioned meaning consisting of a to b carbon atoms, for example, 2-propenyl
- 2-propenyl Specific examples include a sulfinyl group, a 2-butenylsulfinyl group, a 2-methyl-2-propenylsulfinyl group, a 3-methyl-2-butenylsulfinyl group, and the like. Selected.
- C a -C b haloalkenylsulfinyl represents a haloalkenyl-S (O) — group having the above-mentioned meaning consisting of a to b carbon atoms, for example, 2-fluoro 2-propenylsulfinyl group, 2-chloro-2-propenylsulfinyl group, 3,3-difluoro-2-propenylsulfinyl group, 3,3-dichloro-2-propenylsulfinyl group, 4,4-difluoro-3-butyl Specific examples include a tenylsulfinyl group, a 3,3,4-trifluoro-3-butenylsulfinyl group, and the like, and each selected within the range of the designated number of carbon atoms.
- C a -C b alkynylsulfinyl represents an alkynyl-S (O) -group having the above-mentioned meaning consisting of a to b carbon atoms, for example, 2-propynylsulfinyl group Specific examples include 2-butynylsulfinyl group and the like, and each is selected within the range of the designated number of carbon atoms.
- C a -C b haloalkynylsulfinyl represents a haloalkynyl-S (O) — group having the above-mentioned meaning consisting of a to b carbon atoms, for example, 3-chloro
- Specific examples include 2-propynylsulfinyl group, 3-bromo-2-propynylsulfinyl group, 3-iodo-2-propynylsulfinyl group and the like, and each is selected within the range of the designated number of carbon atoms.
- C a -C b alkylsulfonyl represents an alkyl-SO 2 — group having the above-mentioned meaning consisting of a to b carbon atoms, such as a methylsulfonyl group, an ethylsulfonyl group, Specific examples include n-propylsulfonyl group, i-propylsulfonyl group, n-butylsulfonyl group, i-butylsulfonyl group, s-butylsulfonyl group, tert-butylsulfonyl group and the like. The range is selected.
- C a -C b haloalkylsulfonyl represents a haloalkyl-SO 2 — group having the above-mentioned meaning consisting of a to b carbon atoms, such as a difluoromethylsulfonyl group, trifluoromethyl Sulfonyl group, chlorodifluoromethylsulfonyl group, bromodifluoromethylsulfonyl group, 2,2,2-trifluoroethylsulfonyl group, 1,1,2,2-tetrafluoroethylsulfonyl group, 2-chloro-1,1,2 Specific examples include -trifluoroethylsulfonyl group and the like, and each is selected within the range of the designated number of carbon atoms.
- C a -C b alkenylsulfonyl represents an alkenyl-SO 2 — group having the above-mentioned meaning consisting of a to b carbon atoms, for example, 2-propenylsulfonyl group
- 2-propenylsulfonyl group Specific examples include 2-butenylsulfonyl group, 2-methyl-2-propenylsulfonyl group, 3-methyl-2-butenylsulfonyl group, and the like, each selected within the range of the number of carbon atoms specified.
- C a -C b haloalkenylsulfonyl represents a haloalkenyl-SO 2 — group having the above-mentioned meaning consisting of a to b carbon atoms, such as 2-fluoro-2 -Propenylsulfonyl group, 2-chloro-2-propenylsulfonyl group, 3,3-difluoro-2-propenylsulfonyl group, 3,3-dichloro-2-propenylsulfonyl group, 4,4-difluoro-3-butenylsulfonyl Specific examples include a group, 3,4,4-trifluoro-3-butenylsulfonyl group, and the like, each selected within the range of the designated number of carbon atoms.
- C a -C b alkynylsulfonyl represents an alkynyl-SO 2 — group having the above-mentioned meaning consisting of a to b carbon atoms, such as a 2-propynylsulfonyl group, 2 Specific examples include -butynylsulfonyl group and the like, and each is selected within the range of the designated number of carbon atoms.
- C a -C b haloalkynylsulfonyl represents a haloalkynyl-SO 2 — group having the above-mentioned meaning consisting of a to b carbon atoms, for example, 3-chloro-2
- Specific examples include -propynylsulfonyl group, 3-bromo-2-propynylsulfonyl group, 3-iodo-2-propynylsulfonyl and the like, and each is selected within the range of the designated number of carbon atoms.
- C a -C b alkylamino represents an amino group in which one of the hydrogen atoms is substituted with an alkyl group having the above-mentioned meaning consisting of a to b carbon atoms, for example, Specific examples include methylamino group, ethylamino group, n-propylamino group, i-propylamino group, n-butylamino group, i-butylamino group, tert-butylamino group and the like. It is selected in the range of the number of atoms.
- C a -C b haloalkylamino represents an amino group in which one of the hydrogen atoms is substituted with a haloalkyl group having the above-mentioned meaning consisting of a to b carbon atoms, for example, Specific examples include 2,2,2-trifluoroethylamino group, 2-chloro-2,2-difluoroethylamino group, 3,3,3-trifluoropropylamino group, etc. Selected in a range of numbers.
- the expression “di (C a -C b ) alkylamino” means the above-mentioned meaning that the number of carbon atoms may be the same or different from each other, and the number of carbon atoms may be ab.
- Specific examples include -propyl) amino group, di (n-butyl) amino group and the like, and each is selected within the range of the designated number of carbon atoms.
- di (C a -C b ) haloalkylamino means that the number of carbon atoms in which both hydrogen atoms may be the same or different from each other consists of a to b.
- C a -C b alkylcarbonyl represents an alkyl-C (O) — group having the above-mentioned meanings consisting of a to b carbon atoms, for example, acetyl group, propionyl group , Butyryl group, isobutyryl group, valeryl group, isovaleryl group, 2-methylbutanoyl group, pivaloyl group, hexanoyl group, heptanoyl group, and the like, and specific examples thereof are selected within the range of the number of carbon atoms specified.
- C a -C b haloalkylcarbonyl represents a haloalkyl-C (O) — group having the above-mentioned meaning consisting of a to b carbon atoms, such as a fluoroacetyl group, chloro Acetyl group, difluoroacetyl group, dichloroacetyl group, trifluoroacetyl group, chlorodifluoroacetyl group, bromodifluoroacetyl group, trichloroacetyl group, pentafluoropropionyl group, heptafluorobutanoyl group, 3-chloro-2,2-dimethyl
- Specific examples include a propanoyl group and the like, and each is selected within the range of the designated number of carbon atoms.
- C a -C b alkoxycarbonyl represents an alkyl-O—C (O) — group having the above-mentioned meaning consisting of a to b carbon atoms, such as a methoxycarbonyl group, Ethoxycarbonyl group, n-propyloxycarbonyl group, i-propyloxycarbonyl group, n-butoxycarbonyl group, i-butoxycarbonyl group, s-butoxycarbonyl group, tert-butoxycarbonyl group, 2-ethylhexyloxycarbonyl group Etc. are given as specific examples, and each is selected within the range of the designated number of carbon atoms.
- C a -C b haloalkoxycarbonyl represents a haloalkyl-O—C (O) — group having the above-mentioned meaning consisting of a to b carbon atoms, for example, chloromethoxy
- Specific examples include carbonyl group, 2-chloroethoxycarbonyl group, 2,2-difluoroethoxycarbonyl group, 2,2,2, -trifluoroethoxycarbonyl group, 2,2,2, -trichloroethoxycarbonyl group and the like. , Each selected range of carbon atoms.
- C a -C b alkylaminocarbonyl represents a carbamoyl group in which one of the hydrogen atoms is substituted with an alkyl group having the above-mentioned meaning consisting of a to b carbon atoms.
- Specific examples include methylcarbamoyl group, ethylcarbamoyl group, n-propylcarbamoyl group, i-propylcarbamoyl group, n-butylcarbamoyl group, i-butylcarbamoyl group, s-butylcarbamoyl group, tert-butylcarbamoyl group and the like.
- C a -C b haloalkylaminocarbonyl represents a carbamoyl group in which one of the hydrogen atoms is substituted with a haloalkyl group having the above-mentioned meaning consisting of a to b carbon atoms, for example, Specific examples include 2-fluoroethylcarbamoyl group, 2-chloroethylcarbamoyl group, 2,2-difluoroethylcarbamoyl group, 2-trifluoroethylcarbamoyl group, etc., and each selected within the range of the specified number of carbon atoms.
- the expression “C a -C b haloalkylaminocarbonyl” represents a carbamoyl group in which one of the hydrogen atoms is substituted with a haloalkyl group having the above-mentioned meaning consisting of a to b carbon atoms, for example, Specific examples include 2-fluoroe
- C a -C b alkylaminothiocarbonyl refers to an alkylamino-C ( ⁇ S) — group having the above meaning in which one of the hydrogen atoms is composed of a to b carbon atoms.
- C a -C b haloalkylaminothiocarbonyl refers to a haloalkylamino-C ( ⁇ S) — group having the above meaning in which one of the hydrogen atoms is composed of a to b carbon atoms.
- Specific examples include 2-fluoroethylthiocarbamoyl group, 2-chloroethylthiocarbamoyl group, 2,2-difluoroethylthiocarbamoyl group, 2-trifluoroethylthiocarbamoyl group, and the like. Selected in the range of the number of carbon atoms.
- C a -C b alkylaminosulfonyl in the present specification represents a sulfamoyl group in which one of the hydrogen atoms is substituted with an alkyl group having the above-mentioned meaning consisting of a to b carbon atoms, for example, Methylsulfamoyl group, ethylsulfamoyl group, n-propylsulfamoyl group, i-propylsulfamoyl group, n-butylsulfamoyl group, i-butylsulfamoyl group, s-butylsulfa Specific examples include a moyl group, a tert-butylsulfamoyl group, and the like, and each is selected within the range of the designated number of carbon atoms.
- di (C a -C b ) alkylaminosulfonyl means that the number of carbon atoms in which both hydrogen atoms may be the same or different from each other consists of a to b.
- Represents a sulfamoyl group substituted by an alkyl group which means, for example, N, N-dimethylsulfamoyl group, N-ethyl-N-methylsulfamoyl group, N, N-diethylsulfamoyl group, N, Specific examples include N-di (n-propyl) sulfamoyl group, N, N-di (n-butyl) sulfamoyl group, etc., and each is selected within the range of the designated number of carbon atoms.
- heterocyclic group is represented by, for example, thiophen-2-yl, thiophen-3-yl, furan-2-yl, furan-3-yl, pyrrol-1-yl, pyrrole.
- C a -C b cycloalkyl (C d -C e ) alkyl “C a -C b halocycloalkyl (C d -C e ) alkyl” or “hydroxy (C d -C e )”
- alkyl or the like is used to arbitrarily substitute a hydrogen atom bonded to a carbon atom by any C a -C b cycloalkyl group, C a -C b halocycloalkyl group or hydroxyl group, each having the above-mentioned meaning.
- C a -C b alkyl optionally substituted by R 1a herein
- C 1 -C 6 alkyl group optionally substituted by A 1a-a
- Y a optionally substituted by a
- the notation such as C 1 -C 6 ) alkyl group consists of a to b carbon atoms in which a hydrogen atom bonded to a carbon atom is optionally substituted by any R 1a , A 1a-a or Y a
- each R 1a , A 1a-a or Y a is It may be the same or different.
- the notation such as (C a -C b ) haloalkyl optionally substituted by A 1a-a , (C a -C b ) haloalkyl optionally substituted by Y a , etc. refers to any A 1a-a Or Y a represents a haloalkyl group having the above meaning consisting of a to b carbon atoms in which a hydrogen atom or a halogen atom bonded to a carbon atom is optionally substituted, and each specified range of the number of carbon atoms Selected.
- each A 1a-a or Y a may be the same as or different from each other. .
- each Y a may be the same as or different from each other.
- each Y a may be the same as or different from each other.
- Optionally substituted by R 3a in this specification (C a ⁇ C b) alkylthio, optionally substituted by R 4a (C a ⁇ C b ) alkylthio, optionally substituted by Y a (C a ⁇ C b ) Alkylthio or the like represents alkylthio having the aforesaid number of carbon atoms in which a hydrogen atom bonded to a carbon atom is optionally substituted by any R 3a , R 4a or Y a . Represents a group and is selected for each specified number of carbon atoms.
- each R 3a , R 4a or Y a is the same or different from each other. Also good.
- Y a herein (C a ⁇ C b) representation of such alkylsulfinyl by any Y a the number of carbon atoms bonded hydrogen atom is optionally substituted carbon atom a
- each Y a may be the same as or different from each other.
- Y a herein (C a ⁇ C b) notation such as alkylsulfonyl
- the number of carbon atoms bonded hydrogen atom is optionally substituted carbon atom a
- each Y a may be the same as or different from each other.
- Phenyl optionally substituted by R 3b herein, notation phenyl group optionally substituted by phenyl or Y c optionally substituted by R 4b are any R 3b, by R 4b or Y c Represents a phenyl group in which a hydrogen atom bonded to a carbon atom is optionally substituted.
- each R 3b , R 4b or Y c may be the same as or different from each other.
- a heterocycle optionally substituted by R 3b a heterocycle optionally substituted by R 4b , a heterocycle optionally substituted by Y c , and the like are represented by any R 3b , R 4b or Y c represents a heterocyclic group in which a hydrogen atom bonded to a carbon atom or a nitrogen atom is optionally substituted.
- each R 3b , R 4b or Y c may be the same as or different from each other.
- the compound of the present invention can be produced, for example, by the following production methods 1 to 17. Manufacturing method 1
- a compound represented by the formula (2Q1-a) (wherein A 1a , A 2 , A 3 , A 4 and A 5 represent the same meaning as described above), and a formula (3D-a) (wherein R 1 , D and n represent the same meaning as described above.)
- a formula (3D-a) (wherein R 1 , D and n represent the same meaning as described above.)
- the solvent used may be inert to the reaction, such as water, lower alcohols such as methanol and ethanol, diethyl ether, tetrahydrofuran, 1,4-dioxane, 1,2-dimethoxyethane and the like.
- Ethers aromatic hydrocarbons such as benzene, chlorobenzene, bromobenzene, xylene and toluene, aliphatic hydrocarbons such as pentane, hexane and cyclohexane, halogenated hydrocarbons such as dichloromethane, chloroform and 1,2-dichloroethane , Nitriles such as acetonitrile and propionitrile, amides such as N, N-dimethylformamide, N, N-dimethylacetamide, N-methylpyrrolidone and N, N′-dimethylimidazolidinone, and sulfoxides such as dimethyl sulfoxide Pyridine, quino Examples thereof include nitrogen-containing aromatic compounds such as phosphorus or a mixed solvent thereof.
- the reaction can be carried out in the presence of a dehydration condensing agent.
- a dehydration condensing agent examples include 1H-benzotriazol-1-yloxytris (dimethylamino) phosphonium hexafluorophosphate, N, N′-dicyclohexylcarbodiimide, 1-ethyl-3- (3-dimethylamino).
- the equivalent of the dehydrating condensing agent can be used in the range of 0.1 to 100 equivalents relative to the compound represented by the formula (2Q1-a), and preferably in the range of 1 to 20 equivalents.
- the reaction can be carried out in the presence of a catalyst.
- the catalyst that can be used include 1-hydroxybenzotriazole and 4- (dimethylamino) pyridine.
- the equivalent of the catalyst can be used in the range of 0.005 to 20 equivalents relative to the compound represented by the formula (2Q1-a), and preferably in the range of 0.1 to 5 equivalents.
- the reaction temperature can be set at any temperature from ⁇ 80 ° C. to the reflux temperature of the reaction mixture, and the range of 0 ° C. to the reflux temperature of the reaction mixture is preferred.
- the reaction time varies depending on the concentration of the reaction substrate and the reaction temperature, but can usually be arbitrarily set in the range of 5 minutes to 100 hours, and preferably in the range of 1 hour to 48 hours.
- compound (3D-a) can be used in the range of 0.5 to 50 equivalents relative to compound (2Q1-a), and preferably in the range of 1 to 20 equivalents.
- the compound represented by the formula (4-a) includes the compound represented by the formula (2Q1-a) and the formula (3D-b) (wherein R 1 , D and n have the same meaning as described above). .))
- a solvent or without a solvent optionally in the presence of a base.
- the solvent used may be inert to the reaction, such as water, lower alcohols such as methanol and ethanol, diethyl ether, tetrahydrofuran, 1,4-dioxane, 1,2-dimethoxyethane and the like.
- Ethers aromatic hydrocarbons such as benzene, chlorobenzene, bromobenzene, xylene and toluene, aliphatic hydrocarbons such as pentane, hexane and cyclohexane, halogenated hydrocarbons such as dichloromethane, chloroform and 1,2-dichloroethane , Nitriles such as acetonitrile and propionitrile, amides such as N, N-dimethylformamide, N, N-dimethylacetamide, N-methylpyrrolidone and N, N′-dimethylimidazolidinone, and sulfoxides such as dimethyl sulfoxide Pyridine, quino Examples thereof include nitrogen-containing aromatic compounds such as phosphorus or a mixed solvent thereof.
- the reaction can be performed in the presence of a base.
- a base examples include pyridine, 2,6-lutidine, 4-dimethylaminopyridine, triethylamine, diisopropylethylamine, tributylamine, 4- (dimethylamino) pyridine, 1,4-diazabicyclo [2.2.2.
- Organic bases such as octane (DABCO), 1,8-diazabicyclo [5.4.0] -7-undecene (DBU) or 1,5-diazabicyclo [4.3.0] -5-nonene (DBN)
- inorganic bases such as sodium hydroxide, potassium hydroxide, sodium hydride, sodium hydrogen carbonate, potassium carbonate, cesium carbonate and the like.
- the equivalent of the base can be used in the range of 0.1 to 100 equivalents relative to the compound represented by the formula (2Q1-a), and preferably in the range of 1 to 20 equivalents.
- the reaction temperature can be set at any temperature from ⁇ 80 ° C. to the reflux temperature of the reaction mixture, and the range of 0 ° C.
- reaction time varies depending on the concentration of the reaction substrate and the reaction temperature, but can usually be arbitrarily set in the range of 5 minutes to 100 hours, and preferably in the range of 1 hour to 48 hours.
- compound (3D-b) can be used in the range of 0.5 to 50 equivalents relative to compound (2Q1-a), and preferably in the range of 1 to 20 equivalents.
- the compound represented by the formula (4-a) is subjected to dehydration condensation in a solvent or in the absence of a solvent, optionally in the presence of an acid, and optionally in the presence of a dehydrating agent.
- a solvent such as water, lower alcohols such as methanol and ethanol, diethyl ether, tetrahydrofuran, 1,4-dioxane, 1,2-dimethoxyethane and the like.
- Ethers aromatic hydrocarbons such as benzene, chlorobenzene, bromobenzene, xylene and toluene, aliphatic hydrocarbons such as pentane, hexane and cyclohexane, halogenated hydrocarbons such as dichloromethane, chloroform and 1,2-dichloroethane , Nitriles such as acetonitrile and propionitrile, amides such as N, N-dimethylformamide, N, N-dimethylacetamide, N-methylpyrrolidone and N, N′-dimethylimidazolidinone, and sulfoxides such as dimethyl sulfoxide Pyridine, quino Examples thereof include nitrogen-containing aromatic compounds such as phosphorus or a mixed solvent thereof.
- the reaction can be carried out in the presence of an acid.
- the acid that can be used include p-toluenesulfonic acid, polyphosphoric acid, acetic acid, and propionic acid.
- the acid equivalent can be used in the range of 0.1 to 1000 equivalents relative to the compound represented by the formula (4-a), and preferably in the range of 1 to 500 equivalents.
- the reaction can be performed in the presence of a dehydrating agent.
- the dehydrating agent examples include phosphorus oxychloride and acetic anhydride.
- the equivalent of the dehydrating agent can be used in the range of 0.5 to 50 equivalents relative to the compound represented by the formula (4-a), and preferably in the range of 1 to 20 equivalents.
- the reaction temperature can be set at any temperature from ⁇ 80 ° C. to the reflux temperature of the reaction mixture, and the range of 0 ° C. to the reflux temperature of the reaction mixture is preferred.
- the reaction time varies depending on the concentration of the reaction substrate and the reaction temperature, but can usually be arbitrarily set in the range of 5 minutes to 100 hours, and preferably in the range of 1 hour to 48 hours.
- Some of the compounds represented by the general formula (2Q1-a) are known compounds, and some of them are commercially available.
- other compounds can be synthesized according to, for example, the reaction formula 4 described below.
- the compound represented by the formula (3D-a) can be synthesized, for example, according to the following reaction formula 1 and reaction formula 2.
- the compound represented by the formula (3D-b) can be synthesized, for example, according to the following Reaction Scheme 1.
- a compound represented by the formula (1-f) (wherein R 1 , A 2 , A 3 , A 4 , A 5 , D and n have the same meanings as described above), the formula (16) [formula In which A 1aa represents a C 1 -C 6 alkyl group, X 1 is a halogen atom, a C 1 -C 4 alkyl sulfonate group (for example, methanesulfonyloxy group, etc.), a C 1 -C 4 haloalkyl sulfonate group (for example, Represents a leaving group such as a trifluoromethanesulfonyloxy group or the like, or an aryl sulfonate group (for example, a benzenesulfonyloxy group, a p-toluenesulfonyloxy group, or the like).
- the compound represented by formula (1-g) (wherein R 1 , A 1aa , A 2 , A 3 , A 4 ) is reacted in a solvent or without a solvent, optionally in the presence of a base. , A 5 , D and n represent the same meaning as described above).
- the solvent used may be inert to the reaction, such as water, lower alcohols such as methanol and ethanol, diethyl ether, tetrahydrofuran, 1,4-dioxane, 1,2-dimethoxyethane and the like.
- Ethers aromatic hydrocarbons such as benzene, chlorobenzene, bromobenzene, xylene and toluene, aliphatic hydrocarbons such as pentane, hexane and cyclohexane, halogenated hydrocarbons such as dichloromethane, chloroform and 1,2-dichloroethane , Nitriles such as acetonitrile and propionitrile, amides such as N, N-dimethylformamide, N, N-dimethylacetamide, N-methylpyrrolidone and N, N′-dimethylimidazolidinone, and sulfoxides such as dimethyl sulfoxide Pyridine, quino Examples thereof include nitrogen-containing aromatic compounds such as phosphorus or a mixed solvent thereof.
- the reaction can be performed in the presence of a base.
- a base examples include pyridine, 2,6-lutidine, 4-dimethylaminopyridine, triethylamine, diisopropylethylamine, tributylamine, 4- (dimethylamino) pyridine, 1,4-diazabicyclo [2.2.2.
- Organic bases such as octane (DABCO), 1,8-diazabicyclo [5.4.0] -7-undecene (DBU) or 1,5-diazabicyclo [4.3.0] -5-nonene (DBN)
- inorganic bases such as sodium hydroxide, potassium hydroxide, sodium hydride, sodium hydrogen carbonate, potassium carbonate, cesium carbonate and the like.
- the equivalent of the base can be used in the range of 0.1 to 100 equivalents relative to the compound represented by the formula (1-f), and preferably in the range of 1 to 20 equivalents.
- the reaction temperature can be set at any temperature from ⁇ 80 ° C. to the reflux temperature of the reaction mixture, and the range of 0 ° C.
- reaction time varies depending on the concentration of the reaction substrate and the reaction temperature, but can usually be arbitrarily set in the range of 5 minutes to 100 hours, and preferably in the range of 1 hour to 48 hours.
- compound (16) can be used in the range of 0.5 to 50 equivalents relative to compound (1-f), and preferably in the range of 1 to 20 equivalents.
- the compound represented by the general formula (1-f) can be synthesized according to Production Method 1.
- a compound represented by formula (2Q1-a) and a compound represented by formula (17-a) (wherein G 1 , G 2 , G 3 and G 4 have the same meanings as described above),
- the compound represented by formula (18-a) (wherein A 1a , A 2 , A 3 , A 4 , A 5 , G 1 , G 2 , G 3 and G 4 represent the same meanings as described above).
- the compound represented by the formula (18-a) includes the compound represented by the formula (2Q1-a) and the formula (17-b) (wherein G 1 , G 2 , G 3 and G 4 are Can be produced by reacting the compound represented by (2) according to the method described in the step [A] of production method 1.
- the compound represented by the formula (18-a) is subjected to dehydration condensation according to the method described in the step [B] of the production method 1, thereby obtaining the formula (19-a) (wherein A 1a , A 2 , A 3 , A 4 , A 5 , G 1 , G 2 , G 3 and G 4 represent the same meanings as described above).
- the compound represented by the formula (19-a) in a solvent or without solvent, the compound represented by the formula (9) (wherein R 1 has the same meaning as described above) and a halogenating agent By reacting with the formula (1-h) (wherein R 1 , A 1a , A 2 , A 3 , A 4 , A 5 , G 1 , G 2 , G 3 and G 4 have the same meanings as described above). Can be produced.
- the solvent used may be inert to the reaction, such as water, lower alcohols such as methanol and ethanol, diethyl ether, tetrahydrofuran, 1,4-dioxane, 1,2-dimethoxyethane and the like.
- Ethers aromatic hydrocarbons such as benzene, chlorobenzene, bromobenzene, xylene and toluene, aliphatic hydrocarbons such as pentane, hexane and cyclohexane, halogenated hydrocarbons such as dichloromethane, chloroform and 1,2-dichloroethane , Nitriles such as acetonitrile and propionitrile, amides such as N, N-dimethylformamide, N, N-dimethylacetamide, N-methylpyrrolidone and N, N′-dimethylimidazolidinone, and sulfoxides such as dimethyl sulfoxide Pyridine, quino Examples thereof include nitrogen-containing aromatic compounds such as phosphorus or a mixed solvent thereof.
- halogenating agent examples include chlorine, bromine, iodine, N-chlorosuccinimide, N-bromosuccinimide, N-iodosuccinimide, 1,3-dichloro-5,5-dimethylhydantoin, 1,3-dibromo-5,5- Examples thereof include dimethylhydantoin and 1,3-diiodo-5,5-dimethylhydantoin.
- the equivalent of the halogenating agent can be used in the range of 0.5 to 50 equivalents relative to the compound represented by the formula (19-a), and preferably in the range of 1 to 20 equivalents.
- the reaction temperature can be set at any temperature from ⁇ 80 ° C.
- reaction time varies depending on the concentration of the reaction substrate and the reaction temperature, but can usually be arbitrarily set in the range of 5 minutes to 100 hours, and preferably in the range of 1 hour to 48 hours.
- compound (9) can be used in the range of 0.5 to 50 equivalents relative to compound (19-a), and preferably in the range of 1 to 20 equivalents.
- the compound represented by the formula (19-a) by reacting the compound represented by the formula (19-a) with a halogenating agent in a solvent or without a solvent, the compound represented by the formula (23-a) (wherein A 1a , A 2 , A 3 , A 4 , A 5 , G 1 , G 2 , G 3 and G 4 represent the same meaning as described above, and X 10 represents a chlorine atom, a bromine atom or an iodine atom). it can.
- the solvent used may be inert to the reaction, such as water, lower alcohols such as methanol and ethanol, diethyl ether, tetrahydrofuran, 1,4-dioxane, 1,2-dimethoxyethane and the like.
- Ethers aromatic hydrocarbons such as benzene, chlorobenzene, bromobenzene, xylene and toluene, aliphatic hydrocarbons such as pentane, hexane and cyclohexane, halogenated hydrocarbons such as dichloromethane, chloroform and 1,2-dichloroethane , Nitriles such as acetonitrile and propionitrile, amides such as N, N-dimethylformamide, N, N-dimethylacetamide, N-methylpyrrolidone and N, N′-dimethylimidazolidinone, and sulfoxides such as dimethyl sulfoxide Pyridine, quino Examples thereof include nitrogen-containing aromatic compounds such as phosphorus or a mixed solvent thereof.
- halogenating agent examples include chlorine, bromine, iodine, N-chlorosuccinimide, N-bromosuccinimide, N-iodosuccinimide, 1,3-dichloro-5,5-dimethylhydantoin, 1,3-dibromo-5,5- Examples thereof include dimethylhydantoin and 1,3-diiodo-5,5-dimethylhydantoin.
- the equivalent of the halogenating agent can be used in the range of 0.5 to 50 equivalents relative to the compound represented by the formula (19-a), and preferably in the range of 1 to 20 equivalents.
- the reaction temperature can be set at any temperature from ⁇ 80 ° C.
- the reaction time varies depending on the concentration of the reaction substrate and the reaction temperature, but can usually be arbitrarily set in the range of 5 minutes to 100 hours, and preferably in the range of 1 hour to 48 hours.
- the solvent used may be inert to the reaction, such as water, lower alcohols such as methanol and ethanol, diethyl ether, tetrahydrofuran, 1,4-dioxane, 1,2-dimethoxyethane and the like.
- Ethers aromatic hydrocarbons such as benzene, chlorobenzene, bromobenzene, xylene and toluene, aliphatic hydrocarbons such as pentane, hexane and cyclohexane, halogenated hydrocarbons such as dichloromethane, chloroform and 1,2-dichloroethane , Nitriles such as acetonitrile and propionitrile, amides such as N, N-dimethylformamide, N, N-dimethylacetamide, N-methylpyrrolidone and N, N′-dimethylimidazolidinone, and sulfoxides such as dimethyl sulfoxide Pyridine, quino Examples thereof include nitrogen-containing aromatic compounds such as phosphorus or a mixed solvent thereof.
- the reaction can be performed in the presence of a base.
- a base examples include pyridine, 2,6-lutidine, 4-dimethylaminopyridine, triethylamine, diisopropylethylamine, tributylamine, 4- (dimethylamino) pyridine, 1,4-diazabicyclo [2.2.2.
- Organic bases such as octane (DABCO), 1,8-diazabicyclo [5.4.0] -7-undecene (DBU) or 1,5-diazabicyclo [4.3.0] -5-nonene (DBN)
- inorganic bases such as sodium hydroxide, potassium hydroxide, sodium hydride, sodium hydrogen carbonate, potassium carbonate, cesium carbonate and the like.
- the equivalent of the base can be used in the range of 0.1 to 100 equivalents relative to the compound represented by the formula (23-a), and preferably in the range of 1 to 20 equivalents.
- the reaction temperature can be set at any temperature from ⁇ 80 ° C. to the reflux temperature of the reaction mixture, and the range of 0 ° C.
- reaction time varies depending on the concentration of the reaction substrate and the reaction temperature, but can usually be arbitrarily set in the range of 5 minutes to 100 hours, and preferably in the range of 1 hour to 48 hours.
- compound (24) can be used in the range of 0.5 to 50 equivalents relative to compound (23-a), and preferably in the range of 1 to 20 equivalents.
- the compound represented by the formula (1-h) is a compound represented by the formula (23-a) and the compound represented by the formula (9) in a solvent or without a solvent. In some cases, it can be produced by reacting in the presence of a palladium catalyst and optionally in the presence of a ligand.
- a solvent the solvent used may be inert to the reaction, such as water, lower alcohols such as methanol and ethanol, diethyl ether, tetrahydrofuran, 1,4-dioxane, 1,2-dimethoxyethane and the like.
- Ethers aromatic hydrocarbons such as benzene, chlorobenzene, bromobenzene, xylene and toluene, aliphatic hydrocarbons such as pentane, hexane and cyclohexane, halogenated hydrocarbons such as dichloromethane, chloroform and 1,2-dichloroethane , Nitriles such as acetonitrile and propionitrile, amides such as N, N-dimethylformamide, N, N-dimethylacetamide, N-methylpyrrolidone and N, N′-dimethylimidazolidinone, and sulfoxides such as dimethyl sulfoxide Pyridine, quino Examples thereof include nitrogen-containing aromatic compounds such as phosphorus or a mixed solvent thereof.
- the reaction can be performed in the presence of a base.
- a base examples include pyridine, 2,6-lutidine, 4-dimethylaminopyridine, triethylamine, diisopropylethylamine, tributylamine, 4- (dimethylamino) pyridine, 1,4-diazabicyclo [2.2.2.
- Organic bases such as octane (DABCO), 1,8-diazabicyclo [5.4.0] -7-undecene (DBU) or 1,5-diazabicyclo [4.3.0] -5-nonene (DBN)
- inorganic bases such as sodium hydroxide, potassium hydroxide, sodium hydride, sodium hydrogen carbonate, potassium carbonate, cesium carbonate and the like.
- the equivalent of the base can be used in the range of 0.1 to 100 equivalents relative to the compound represented by the formula (23-a), and preferably in the range of 1 to 20 equivalents.
- the reaction can be carried out in the presence of a palladium catalyst.
- the palladium catalyst that can be used include palladium-carbon, palladium (II) chloride, palladium (II) acetate, bis (triphenylphosphine) palladium (II) dichloride, tetrakis (triphenylphosphine) palladium (0), bis (Dibenzylideneacetone) palladium (0), tris (dibenzylideneacetone) dipalladium (0) and the like can be mentioned.
- the equivalent amount of the palladium catalyst can be used in the range of 0.005 to 20 equivalents relative to the compound (23-a), and preferably in the range of 0.01 to 5 equivalents.
- the reaction can be performed in the presence of a ligand.
- ligand examples include 4,5′-bis (diphenylphosphino) -9,9′-dimethylxanthene, 1,10-phenanthroline, and the like.
- the equivalent of the ligand can be used in the range of 0.005 to 20 equivalents relative to compound (23-a), and preferably in the range of 0.01 to 5 equivalents.
- the reaction temperature can be set at any temperature from ⁇ 80 ° C. to the reflux temperature of the reaction mixture, and the range of 0 ° C. to the reflux temperature of the reaction mixture is preferred.
- the reaction time varies depending on the concentration of the reaction substrate and the reaction temperature, but can usually be arbitrarily set in the range of 5 minutes to 100 hours, and preferably in the range of 1 hour to 48 hours.
- compound (9) can be used in the range of 0.5 to 50 equivalents relative to compound (23-a), and preferably in the range of 1 to 20 equivalents.
- Some of the compounds represented by formula (17-a) are known compounds, and some of them are commercially available.
- Some of the compounds represented by the formula (17-b) are known compounds, and some of them are commercially available.
- Some of the compounds represented by formula (9) are known compounds, and some of them are commercially available.
- Some of the compounds represented by formula (24) are known compounds, and some of them are commercially available.
- the compound represented by the formula (2Q1-a) is represented by the formula (20-a) (wherein T 1 , G 1 , G 2 , G 3 and G 4 have the same meaning as described above).
- the compound represented by formula (21-a) (wherein A 1a , A 2 , A 3 , A 4 , A 5 , T 1 , G 1 , G 2 , G 3 and G 4 have the same meanings as described above).
- the compound represented by the formula (21-a) includes the compound represented by the formula (2Q1-a) and the formula (20-b) (wherein T 1 , G 1 , G 2 , G 3 and G 4 represents the same meaning as described above.) Can be produced by reacting according to the method described in the step [A] of production method 1. Next, the compound represented by the formula (21-a) is subjected to dehydration condensation according to the method described in the step [B] of the production method 1, thereby obtaining the formula (22-a) (wherein A 1a , A 2 , A 3 , A 4 , A 5 , T 1 , G 1 , G 2 , G 3, and G 4 represent the same meanings as described above).
- R 1 , A 1a , A 2 , A 3 , A 4 , A 5 , T 1 , G 1 , G 2 , G 3 and G 4 are the same as above.
- the compound represented by this can be produced.
- Some of the compounds represented by the formula (20-a) are known compounds, and some of them are commercially available.
- Some of the compounds represented by the formula (20-b) are known compounds, and some of them are commercially available.
- the compound represented by the formula (2Q1-b) (wherein A 2 , A 3 , A 4 and A 5 represent the same meaning as described above, and A 1b represents an oxygen atom or a sulfur atom)
- a compound represented by formula (4-b) (in which A 1b , R 1 , A 2 , A 3 , A 4 , A 5 , D and n represent the same meaning as described above).
- the compound represented by the formula (4-b) includes the compound represented by the formula (2Q1-b) and the compound represented by the formula (3D-b) in the step [A] of production method 1. It can also be produced by reacting according to the described method.
- the compound represented by the formula (4-b) is reacted in a solvent or in the absence of a solvent, optionally in the presence of an acid and optionally in the presence of a dehydrating condensing agent.
- a 1b , R 1 , A 2 , A 3 , A 4 , A 5 , D and n represent the same meaning as described above).
- the solvent used may be inert to the reaction, such as water, lower alcohols such as methanol and ethanol, diethyl ether, tetrahydrofuran, 1,4-dioxane, 1,2-dimethoxyethane and the like.
- Ethers aromatic hydrocarbons such as benzene, chlorobenzene, bromobenzene, xylene and toluene, aliphatic hydrocarbons such as pentane, hexane and cyclohexane, halogenated hydrocarbons such as dichloromethane, chloroform and 1,2-dichloroethane , Nitriles such as acetonitrile and propionitrile, amides such as N, N-dimethylformamide, N, N-dimethylacetamide, N-methylpyrrolidone and N, N′-dimethylimidazolidinone, and sulfoxides such as dimethyl sulfoxide Pyridine, quino Examples thereof include nitrogen-containing aromatic compounds such as phosphorus or a mixed solvent thereof.
- the reaction can be carried out in the presence of an acid.
- the acid examples include p-toluenesulfonic acid, polyphosphoric acid, acetic acid, and propionic acid.
- the acid equivalent can be used in the range of 0.1 to 1000 equivalents relative to the compound represented by the formula (4-b), and preferably in the range of 1 to 500 equivalents.
- the reaction can be carried out in the presence of a dehydration condensing agent.
- the dehydrating condensing agent examples include a mixture of triphenylphosphine and bis (2-methoxyethyl) azodicarboxylate.
- the equivalent of triphenylphosphine can be used in the range of 0.5 to 50 equivalents relative to the compound represented by the formula (4-b), and preferably in the range of 1 to 20 equivalents.
- the equivalent of bis (2-methoxyethyl) azodicarboxylate can be used in the range of 0.5 to 50 equivalents relative to the compound represented by the formula (4-b), and the range of 1 to 20 equivalents preferable.
- the reaction temperature can be set at any temperature from ⁇ 80 ° C. to the reflux temperature of the reaction mixture, and the range of 0 ° C. to the reflux temperature of the reaction mixture is preferred.
- the reaction time varies depending on the concentration of the reaction substrate and the reaction temperature, but can usually be arbitrarily set in the range of 5 minutes to 100 hours, and preferably in the range of 1 hour to 48 hours.
- Some of the compounds represented by the formula (2Q1-b) are known compounds, and some of them are commercially available.
- a compound represented by the formula (2Q2-a) (wherein A 2 , A 3 , A 4 and A 5 have the same meanings as described above), and a formula (3D-c) (wherein R 1 , R 6 , D, and n represent the same meaning as described above, and X 2 represents a chlorine atom, a bromine atom, or an iodine atom.)
- a compound represented by the formula (1-c) (wherein R 1 , R 6 , A 2 , A 3 , A 4 , A 5 , D and n have the same meanings as described above) is produced. can do.
- the solvent used may be inert to the reaction, such as water, lower alcohols such as methanol and ethanol, diethyl ether, tetrahydrofuran, 1,4-dioxane, 1,2-dimethoxyethane and the like.
- Ethers aromatic hydrocarbons such as benzene, chlorobenzene, bromobenzene, xylene and toluene, aliphatic hydrocarbons such as pentane, hexane and cyclohexane, halogenated hydrocarbons such as dichloromethane, chloroform and 1,2-dichloroethane , Nitriles such as acetonitrile and propionitrile, amides such as N, N-dimethylformamide, N, N-dimethylacetamide, N-methylpyrrolidone and N, N′-dimethylimidazolidinone, and sulfoxides such as dimethyl sulfoxide Pyridine, quino Examples thereof include nitrogen-containing aromatic compounds such as phosphorus or a mixed solvent thereof.
- the reaction can be performed in the presence of a base.
- a base examples include pyridine, 2,6-lutidine, 4-dimethylaminopyridine, triethylamine, diisopropylethylamine, tributylamine, 4- (dimethylamino) pyridine, 1,4-diazabicyclo [2.2.2.
- Organic bases such as octane (DABCO), 1,8-diazabicyclo [5.4.0] -7-undecene (DBU) or 1,5-diazabicyclo [4.3.0] -5-nonene (DBN)
- inorganic bases such as sodium hydroxide, potassium hydroxide, sodium hydride, sodium hydrogen carbonate, potassium carbonate, cesium carbonate and the like.
- equivalent of the base it can be used in the range of 0.1 to 100 equivalents, preferably 1 to 20 equivalents, relative to the compound represented by the formula (2Q2-a).
- the reaction temperature can be set at any temperature from ⁇ 80 ° C. to the reflux temperature of the reaction mixture, and the range of 0 ° C.
- the reaction time varies depending on the concentration of the reaction substrate and the reaction temperature, but can usually be arbitrarily set in the range of 5 minutes to 100 hours, and preferably in the range of 1 hour to 48 hours.
- Some of the compounds represented by the formula (2Q2-a) are known compounds, and some of them are commercially available.
- other compounds can be synthesized according to, for example, the reaction formula 5 described below.
- the compound represented by the formula (3D-c) can be synthesized, for example, according to Reaction Scheme 1 described below.
- Manufacturing method 7 A compound represented by formula (1-j) (wherein R 1 , A 2 , A 3 , A 4 , A 5 , D and n have the same meanings as described above), a halogenating agent, By reacting in the presence or absence of a solvent, the formula (1-k) (wherein R 1 , A 2 , A 3 , A 4 , A 5 , D and n represent the same meaning as described above, and X 4 represents chlorine Represents an atom, a bromine atom or an iodine atom).
- the solvent used may be inert to the reaction, such as water, lower alcohols such as methanol and ethanol, diethyl ether, tetrahydrofuran, 1,4-dioxane, 1,2-dimethoxyethane and the like.
- Ethers aromatic hydrocarbons such as benzene, chlorobenzene, bromobenzene, xylene and toluene, aliphatic hydrocarbons such as pentane, hexane and cyclohexane, halogenated hydrocarbons such as dichloromethane, chloroform and 1,2-dichloroethane , Nitriles such as acetonitrile and propionitrile, amides such as N, N-dimethylformamide, N, N-dimethylacetamide, N-methylpyrrolidone and N, N′-dimethylimidazolidinone, and sulfoxides such as dimethyl sulfoxide Pyridine, quino Examples thereof include nitrogen-containing aromatic compounds such as phosphorus or a mixed solvent thereof.
- halogenating agent examples include chlorine, bromine, iodine, N-chlorosuccinimide, N-bromosuccinimide, N-iodosuccinimide, 1,3-dichloro-5,5-dimethylhydantoin, 1,3-dibromo-5,5- Examples thereof include dimethylhydantoin and 1,3-diiodo-5,5-dimethylhydantoin.
- the equivalent of the halogenating agent can be used in the range of 0.5 to 50 equivalents relative to the compound represented by the formula (1-j), and preferably in the range of 1 to 20 equivalents.
- the reaction temperature can be set at any temperature from ⁇ 80 ° C.
- the reaction time varies depending on the concentration of the reaction substrate and the reaction temperature, but can usually be arbitrarily set in the range of 5 minutes to 100 hours, and preferably in the range of 1 hour to 48 hours.
- the compound represented by the formula (1-j) can be synthesized according to the method described in Production Method 6.
- Manufacturing method 8 A compound represented by formula (2Q3-a) (wherein R 2 , R 3 , A 4 and A 5 represent the same meaning as described above), and formula (3D-d) (wherein R 1 , D and n represent the same meaning as described above.)
- the compound represented by formula (40) (wherein R 1 and R 2 are reacted in a solvent or without a solvent, optionally in the presence of an acid). , R 3 , A 4 , A 5 , D, and n have the same meanings as described above).
- the solvent used may be inert to the reaction, such as water, lower alcohols such as methanol and ethanol, diethyl ether, tetrahydrofuran, 1,4-dioxane, 1,2-dimethoxyethane and the like.
- Ethers aromatic hydrocarbons such as benzene, chlorobenzene, bromobenzene, xylene and toluene, aliphatic hydrocarbons such as pentane, hexane and cyclohexane, halogenated hydrocarbons such as dichloromethane, chloroform and 1,2-dichloroethane , Nitriles such as acetonitrile and propionitrile, amides such as N, N-dimethylformamide, N, N-dimethylacetamide, N-methylpyrrolidone and N, N′-dimethylimidazolidinone, and sulfoxides such as dimethyl sulfoxide Pyridine, quino Examples thereof include nitrogen-containing aromatic compounds such as phosphorus or a mixed solvent thereof.
- the reaction can be carried out in the presence of an acid.
- the acid that can be used include acetic acid, formic acid, and paratoluenesulfonic acid.
- the equivalent of the acid can be used in the range of 0.1 to 100 equivalents relative to the compound represented by the formula (2Q3-a), and preferably in the range of 1 to 20 equivalents.
- the reaction temperature can be set at any temperature from ⁇ 80 ° C. to the reflux temperature of the reaction mixture, and the range of 0 ° C. to the reflux temperature of the reaction mixture is preferred.
- the reaction time varies depending on the concentration of the reaction substrate and the reaction temperature, but can usually be arbitrarily set in the range of 5 minutes to 100 hours, and preferably in the range of 1 hour to 48 hours.
- compound (3D-d) can be used in the range of 0.5 to 50 equivalents relative to compound (2Q3-a), and preferably in the range of 1 to 20 equivalents.
- the compound represented by the formula (40) is reacted with a phosphite in a solvent or without a solvent to give a formula (1-l) (wherein R 1 , R 2 , R 3 , A 4 , A 5 , D and n represent the same meaning as described above).
- the solvent used may be inert to the reaction, such as water, lower alcohols such as methanol and ethanol, diethyl ether, tetrahydrofuran, 1,4-dioxane, 1,2-dimethoxyethane and the like.
- Ethers aromatic hydrocarbons such as benzene, chlorobenzene, bromobenzene, xylene and toluene, aliphatic hydrocarbons such as pentane, hexane and cyclohexane, halogenated hydrocarbons such as dichloromethane, chloroform and 1,2-dichloroethane , Nitriles such as acetonitrile and propionitrile, amides such as N, N-dimethylformamide, N, N-dimethylacetamide, N-methylpyrrolidone and N, N′-dimethylimidazolidinone, and sulfoxides such as dimethyl sulfoxide Pyridine, quino Examples thereof include nitrogen-containing aromatic compounds such as phosphorus or a mixed solvent thereof.
- Examples of the phosphite ester include trimethyl phosphite and triethyl phosphite.
- the equivalent of the phosphite can be used in the range of 0.5 to 50 equivalents relative to the compound represented by the formula (40), and the range of 1 to 20 equivalents is preferable.
- the reaction temperature can be set at any temperature from ⁇ 80 ° C. to the reflux temperature of the reaction mixture, and the range of 0 ° C. to the reflux temperature of the reaction mixture is preferred.
- the reaction time varies depending on the concentration of the reaction substrate and the reaction temperature, but can usually be arbitrarily set in the range of 5 minutes to 100 hours, and preferably in the range of 1 hour to 48 hours.
- the solvent used may be inert to the reaction, such as water, lower alcohols such as methanol and ethanol, diethyl ether, tetrahydrofuran, 1,4-dioxane, 1,2-dimethoxyethane and the like.
- Ethers aromatic hydrocarbons such as benzene, chlorobenzene, bromobenzene, xylene and toluene, aliphatic hydrocarbons such as pentane, hexane and cyclohexane, halogenated hydrocarbons such as dichloromethane, chloroform and 1,2-dichloroethane , Nitriles such as acetonitrile and propionitrile, amides such as N, N-dimethylformamide, N, N-dimethylacetamide, N-methylpyrrolidone and N, N′-dimethylimidazolidinone, and sulfoxides such as dimethyl sulfoxide Pyridine, quino Examples thereof include nitrogen-containing aromatic compounds such as phosphorus or a mixed solvent thereof.
- the reaction temperature can be set at any temperature from ⁇ 80 ° C. to the reflux temperature of the reaction mixture, and the range of 0 ° C. to the reflux temperature of the reaction mixture is preferred.
- the reaction time varies depending on the concentration of the reaction substrate and the reaction temperature, but can usually be arbitrarily set in the range of 5 minutes to 100 hours, and preferably in the range of 1 hour to 48 hours.
- sodium azide can be used in the range of 0.5 to 50 equivalents relative to compound (2Q3-b), and preferably in the range of 1 to 20 equivalents.
- the compound represented by the formula (2Q3-c) and the compound represented by the formula (3D-d) are reacted in a solvent or without a solvent, optionally in the presence of a base, and sometimes in the presence of a catalyst.
- a compound represented by the formula (41) (wherein R 1 , R 2 , R 3 , A 4 , A 5 , D and n represent the same meaning as described above) can be produced.
- the solvent used may be inert to the reaction, such as water, lower alcohols such as methanol and ethanol, diethyl ether, tetrahydrofuran, 1,4-dioxane, 1,2-dimethoxyethane and the like.
- Ethers aromatic hydrocarbons such as benzene, chlorobenzene, bromobenzene, xylene and toluene, aliphatic hydrocarbons such as pentane, hexane and cyclohexane, halogenated hydrocarbons such as dichloromethane, chloroform and 1,2-dichloroethane , Nitriles such as acetonitrile and propionitrile, amides such as N, N-dimethylformamide, N, N-dimethylacetamide, N-methylpyrrolidone and N, N′-dimethylimidazolidinone, and sulfoxides such as dimethyl sulfoxide Pyridine, quino Examples thereof include nitrogen-containing aromatic compounds such as phosphorus or a mixed solvent thereof.
- the reaction can be performed in the presence of a base.
- a base examples include pyridine, 2,6-lutidine, 4-dimethylaminopyridine, triethylamine, diisopropylethylamine, tributylamine, 4- (dimethylamino) pyridine, 1,4-diazabicyclo [2.2.2.
- Organic bases such as octane (DABCO), 1,8-diazabicyclo [5.4.0] -7-undecene (DBU) or 1,5-diazabicyclo [4.3.0] -5-nonene (DBN)
- inorganic bases such as sodium hydroxide, potassium hydroxide, sodium hydride, sodium hydrogen carbonate, potassium carbonate, cesium carbonate and the like.
- the equivalent of the base can be used in the range of 0.1 to 100 equivalents relative to the compound represented by the formula (2Q3-c), and preferably in the range of 1 to 20 equivalents.
- the reaction can be carried out in the presence of a catalyst. Examples of the catalyst that can be used include titanium tetrachloride.
- the equivalent of the catalyst can be used in the range of 0.005 to 20 equivalents relative to the compound represented by the formula (2Q3-c), and preferably in the range of 0.1 to 5 equivalents.
- the reaction temperature can be set at any temperature from ⁇ 80 ° C. to the reflux temperature of the reaction mixture, and the range of 0 ° C. to the reflux temperature of the reaction mixture is preferred.
- the reaction time varies depending on the concentration of the reaction substrate and the reaction temperature, but can usually be arbitrarily set in the range of 5 minutes to 100 hours, and preferably in the range of 1 hour to 48 hours.
- compound (3D-d) can be used in the range of 0.5 to 50 equivalents relative to compound (2Q3-c), and preferably in the range of 1 to 20 equivalents.
- the compound represented by the formula (41) is cyclized in a solvent or without a solvent to obtain a compound represented by the formula (1-m) (wherein R 1 , R 2 , R 3 , A 4 , A 5 , D and n represent the same meaning as described above).
- the solvent used may be inert to the reaction, such as water, lower alcohols such as methanol and ethanol, diethyl ether, tetrahydrofuran, 1,4-dioxane, 1,2-dimethoxyethane and the like.
- Ethers aromatic hydrocarbons such as benzene, chlorobenzene, bromobenzene, xylene and toluene, aliphatic hydrocarbons such as pentane, hexane and cyclohexane, halogenated hydrocarbons such as dichloromethane, chloroform and 1,2-dichloroethane , Nitriles such as acetonitrile and propionitrile, amides such as N, N-dimethylformamide, N, N-dimethylacetamide, N-methylpyrrolidone and N, N′-dimethylimidazolidinone, and sulfoxides such as dimethyl sulfoxide Pyridine, quino Examples thereof include nitrogen-containing aromatic compounds such as phosphorus or a mixed solvent thereof.
- the reaction temperature can be set at any temperature from ⁇ 80 ° C. to the reflux temperature of the reaction mixture, and the range of 0 ° C. to the reflux temperature of the reaction mixture is preferred.
- the reaction time varies depending on the concentration of the reaction substrate and the reaction temperature, but can usually be arbitrarily set in the range of 5 minutes to 100 hours, and preferably in the range of 1 hour to 48 hours.
- Some of the compounds represented by the general formula (2Q3-b) are known compounds, and some of them are commercially available.
- other compounds can be synthesized according to, for example, the following reaction formula 7.
- Manufacturing method 11 The compound represented by the formula (1-d) (wherein R 1 , Q, and D have the same meanings as described above) and an oxidizing agent are used in a solvent or without a solvent, optionally in the presence of a catalyst.
- a compound represented by the formula (1-e) (wherein R 1 , Q and D represent the same meaning as described above, and n ′ represents an integer of 1 or 2) is produced.
- the solvent used may be inert to the reaction, such as water, lower alcohols such as methanol and ethanol, diethyl ether, tetrahydrofuran, 1,4-dioxane, 1,2-dimethoxyethane and the like.
- Ethers aromatic hydrocarbons such as benzene, chlorobenzene, bromobenzene, xylene and toluene, aliphatic hydrocarbons such as pentane, hexane and cyclohexane, halogenated hydrocarbons such as dichloromethane, chloroform and 1,2-dichloroethane , Nitriles such as acetonitrile and propionitrile, amides such as N, N-dimethylformamide, N, N-dimethylacetamide, N-methylpyrrolidone and N, N′-dimethylimidazolidinone, and sulfoxides such as dimethyl sulfoxide Pyridine, quino Examples thereof include nitrogen-containing aromatic compounds such as phosphorus, acetic acid or a mixed solvent thereof.
- the oxidizing agent examples include peracids such as metachloroperbenzoic acid and peracetic acid, hydrogen peroxide, and oxone (OXONE, registered trademark of EI DuPont; potassium peroxosulfuric acid hydrogen peroxide-containing product).
- the equivalent of the oxidizing agent can be used in the range of 0.1 to 100 equivalents relative to the compound represented by the formula (1-d), and preferably in the range of 1 to 20 equivalents.
- the reaction can be carried out in the presence of a catalyst.
- the catalyst that can be used include sodium tungstate.
- the equivalent of the catalyst can be used in the range of 0.005 to 20 equivalents relative to the compound represented by the formula (1-d), and preferably in the range of 0.1 to 5 equivalents.
- the reaction temperature can be set at any temperature from ⁇ 80 ° C. to the reflux temperature of the reaction mixture, and the range of 0 ° C. to the reflux temperature of the reaction mixture is preferred.
- the reaction time varies depending on the concentration of the reaction substrate and the reaction temperature, but can usually be arbitrarily set in the range of 5 minutes to 100 hours, and preferably in the range of 1 hour to 48 hours.
- the compound represented by the formula (1-d) can be synthesized according to the production method 1 to 10 or the method described in the following production method 14 to 17.
- Production method 12 The compound represented by the formula (1-o) (wherein R 1 , R 2 , R 3 , R 4 , A 1 , D and n represent the same meaning as described above) includes an oxidizing agent, a production method 11 by reacting according to the method described in 11, wherein R 1 , R 2 , R 3 , R 4 , A 1 and D are as defined above. Can be produced.
- the compound represented by the formula (1-o) can be synthesized according to the methods described in Production Methods 1 to 5.
- a trifluoromethylating agent such as a reagent (5- (Trifluoromethyl) dibenzothiophenium trifluoromethanesulfonate) or a Togni reagent (1-Trifluoromethyl-3,3-dimethyl-1,2-benziodoxole)
- a trifluoromethylating agent such as a reagent (5- (Trifluoromethyl) dibenzothiophenium trifluoromethanesulfonate) or a Togni reagent (1-Trifluoromethyl-3,3-dimethyl-1,2-benziodoxole
- the compound represented by the formula (1-s) is reacted with an oxidant according to the method described in Production Method 11 to obtain a compound represented by the formula (1-t) (wherein R 1 , A 1 , A 2 , A 4 , A 5 , D and n represent the same meaning as described above, and n ′ ′ represents an integer of 1 or 2.) can be produced.
- the compound represented by the formula (1-q) can be synthesized according to the methods described in Production Methods 1 to 5.
- Manufacturing method 14 Formula (2Q1-c) (wherein A 1a , A 4 , A 5 , R 2 and R 3 represent the same meaning as described above, and X 11 represents a chlorine atom, a bromine atom or an iodine atom). And a compound represented by the formula (3D-e) (wherein R 1 , D and n have the same meaning as described above) in a solvent or without a solvent, optionally in the presence of a copper catalyst. In some cases, it can be produced by reacting in the presence of a base and optionally in the presence of a ligand.
- the solvent used may be inert to the reaction, such as water, lower alcohols such as methanol and ethanol, diethyl ether, tetrahydrofuran, 1,4-dioxane, 1,2-dimethoxyethane and the like.
- Ethers aromatic hydrocarbons such as benzene, chlorobenzene, bromobenzene, xylene and toluene, aliphatic hydrocarbons such as pentane, hexane and cyclohexane, halogenated hydrocarbons such as dichloromethane, chloroform and 1,2-dichloroethane , Nitriles such as acetonitrile and propionitrile, amides such as N, N-dimethylformamide, N, N-dimethylacetamide, N-methylpyrrolidone and N, N′-dimethylimidazolidinone, and sulfoxides such as dimethyl sulfoxide Pyridine, quino Examples thereof include nitrogen-containing aromatic compounds such as phosphorus or a mixed solvent thereof.
- the reaction can be carried out in the presence of a copper catalyst.
- the copper catalyst that can be used include copper (I) iodide.
- the equivalent amount of the copper catalyst can be used in the range of 0.005 to 20 equivalents relative to the compound (2Q1-c), and preferably in the range of 0.01 to 5 equivalents.
- the reaction can be performed in the presence of a base.
- the base that can be used include pyridine, 2,6-lutidine, 4-dimethylaminopyridine, triethylamine, diisopropylethylamine, tributylamine, 4- (dimethylamino) pyridine, 1,4-diazabicyclo [2.2.2.
- Organic bases such as octane (DABCO), 1,8-diazabicyclo [5.4.0] -7-undecene (DBU) or 1,5-diazabicyclo [4.3.0] -5-nonene (DBN)
- inorganic bases such as sodium hydroxide, potassium hydroxide, sodium hydride, sodium hydrogen carbonate, potassium carbonate, cesium carbonate, and potassium phosphate.
- the equivalent of the base can be used in the range of 0.1 to 100 equivalents relative to the compound represented by the formula (2Q1-c), and preferably in the range of 1 to 20 equivalents.
- the reaction can be performed in the presence of a ligand.
- the ligand examples include 1,10-phenanthroline, 1,2-diaminoethane, N, N′-dimethylethylenediamine, and the like.
- the equivalent of the ligand it can be used in the range of 0.005 to 20 equivalents relative to compound (2Q1-c), and preferably in the range of 0.01 to 5 equivalents.
- the reaction temperature can be set at any temperature from ⁇ 80 ° C. to the reflux temperature of the reaction mixture, and the range of 0 ° C. to the reflux temperature of the reaction mixture is preferred.
- the reaction time varies depending on the concentration of the reaction substrate and the reaction temperature, but can usually be arbitrarily set in the range of 5 minutes to 100 hours, and preferably in the range of 1 hour to 48 hours.
- compound (3D-e) can be used in the range of 0.5 to 50 equivalents relative to compound (2Q1-c), and preferably in the range of 1 to 20 equivalents.
- the compound represented by the formula (4-c) is subjected to dehydration condensation according to the method described in the step [B] of the production method 1, thereby obtaining the formula (1-u) (wherein A 1a , A 4 , A 5 , R 1 , R 2 , R 3 , D and n represent the same meaning as described above).
- Some of the compounds represented by the general formula (2Q1-c) are known compounds, and some of them are commercially available.
- other compounds can be synthesized according to, for example, the reaction formula 4 described below.
- the compound represented by the formula (3D-e) can be synthesized, for example, according to Reaction Scheme 8 described below.
- the compound represented by the formula (1-v) is obtained by subjecting the compound represented by the formula (52) and the compound represented by the formula (9) to the method described in the step [E] of production method 3. Can be produced by reacting with each other.
- the compound represented by Formula (50) can be synthesized, for example, according to Reaction Formula 9 described below.
- the compound represented by the formula (53) By reacting the compound represented by the formula (50) with the compound represented by the formula (9) in a solvent or without a solvent, optionally in the presence of a base, the compound represented by the formula (53) (wherein R 1 , R 2 , R 3 , A 1a , A 4 and A 5 represent the same meaning as described above).
- the solvent used may be inert to the reaction, such as water, lower alcohols such as methanol and ethanol, diethyl ether, tetrahydrofuran, 1,4-dioxane, 1,2-dimethoxyethane and the like.
- Ethers aromatic hydrocarbons such as benzene, chlorobenzene, bromobenzene, xylene and toluene, aliphatic hydrocarbons such as pentane, hexane and cyclohexane, halogenated hydrocarbons such as dichloromethane, chloroform and 1,2-dichloroethane , Nitriles such as acetonitrile and propionitrile, amides such as N, N-dimethylformamide, N, N-dimethylacetamide, N-methylpyrrolidone and N, N′-dimethylimidazolidinone, and sulfoxides such as dimethyl sulfoxide Pyridine, quino Examples thereof include nitrogen-containing aromatic compounds such as phosphorus or a mixed solvent thereof.
- the reaction can be performed in the presence of a base.
- a base examples include pyridine, 2,6-lutidine, 4-dimethylaminopyridine, triethylamine, diisopropylethylamine, tributylamine, 4- (dimethylamino) pyridine, 1,4-diazabicyclo [2.2.2.
- Organic bases such as octane (DABCO), 1,8-diazabicyclo [5.4.0] -7-undecene (DBU) or 1,5-diazabicyclo [4.3.0] -5-nonene (DBN)
- inorganic bases such as sodium hydroxide, potassium hydroxide, sodium hydride, sodium hydrogen carbonate, potassium carbonate, cesium carbonate and the like.
- a base it can be used in the range of 0.1 to 100 equivalents with respect to the compound represented by the formula (50), and a range of 1 to 20 equivalents is preferable.
- the reaction temperature can be set at any temperature from ⁇ 80 ° C. to the reflux temperature of the reaction mixture, and the range of 0 ° C.
- reaction time varies depending on the concentration of the reaction substrate and the reaction temperature, but can usually be arbitrarily set in the range of 5 minutes to 100 hours, and preferably in the range of 1 hour to 48 hours.
- compound (9) can be used in the range of 0.5 to 50 equivalents relative to compound (50), and preferably in the range of 1 to 20 equivalents.
- the compound represented by the formula (53) is reacted with the halogenating agent in a solvent or without a solvent, optionally in the presence of a silylating agent, optionally in the presence of a base, and optionally in the presence of an acid.
- a solvent When a solvent is used, the solvent used may be inert to the reaction.
- fatty acids such as acetic acid
- lower alcohols such as methanol and ethanol, diethyl ether, tetrahydrofuran, 1,4-dioxane, 1, Ethers such as 2-dimethoxyethane
- aromatic hydrocarbons such as benzene, chlorobenzene, bromobenzene, xylene and toluene
- aliphatic hydrocarbons such as pentane, hexane and cyclohexane, dichloromethane, chloroform, 1,2-dichloroethane
- Halogenated hydrocarbons such as acetonitrile, nitriles such as acetonitrile and propionitrile
- amides such as N, N-dimethylformamide, N, N-dimethylacetamide, N-methylpyrrolidone and N, N′-dimethylimidazolidinone
- Sulfoxides such as dimethyl sulfoxide
- halogenating agent examples include chlorine, bromine, iodine, N-chlorosuccinimide, N-bromosuccinimide, N-iodosuccinimide, 1,3-dichloro-5,5-dimethylhydantoin, 1,3-dibromo-5,5- Examples thereof include dimethylhydantoin, 1,3-diiodo-5,5-dimethylhydantoin, and trimethylphenylammonium tribromide.
- a halogenating agent it can use in the range of 0.5-50 equivalent with respect to the compound represented by Formula (53), and the range of 1-20 equivalent is preferable.
- the reaction can be carried out in the presence of a silylating agent.
- a silylating agent examples include trimethylsilyl trifluoromethanesulfonate.
- a silylating agent it can use in the range of 0.005 to 20 equivalent with respect to the compound represented by Formula (53), and the range of 0.01 to 5 equivalent is preferable.
- the reaction can be performed in the presence of a base.
- the base examples of the base that can be used include pyridine, 2,6-lutidine, 4-dimethylaminopyridine, triethylamine, diisopropylethylamine, tributylamine, 4- (dimethylamino) pyridine, 1,4-diazabicyclo [2.2.2.
- Organic bases such as octane (DABCO), 1,8-diazabicyclo [5.4.0] -7-undecene (DBU) or 1,5-diazabicyclo [4.3.0] -5-nonene (DBN)
- inorganic bases such as sodium hydroxide, potassium hydroxide, sodium hydride, sodium hydrogen carbonate, potassium carbonate, cesium carbonate, and potassium phosphate.
- a base it can be used in the range of 0.1 to 100 equivalents with respect to the compound represented by the formula (53), and a range of 1 to 20 equivalents is preferable.
- the reaction can be carried out in the presence of an acid.
- Examples of the acid that can be used include hydrobromic acid and acetic acid solution of hydrogen bromide.
- As an equivalent of an acid it can be used in the range of 0.1 to 100 equivalents with respect to the compound represented by the formula (53), and a range of 1 to 20 equivalents is preferable.
- the reaction temperature can be set at any temperature from ⁇ 80 ° C. to the reflux temperature of the reaction mixture, and the range of 0 ° C. to the reflux temperature of the reaction mixture is preferred.
- the reaction time varies depending on the concentration of the reaction substrate and the reaction temperature, but can usually be arbitrarily set in the range of 5 minutes to 100 hours, and preferably in the range of 1 hour to 48 hours.
- the compound represented by the formula (54) and the compound represented by the formula (5-a) are reacted according to the method described in Production Method 6 to obtain a compound represented by the formula (1-v). Can be produced.
- the reaction mixture after completion of the reaction is directly concentrated, dissolved in an organic solvent, concentrated after washing with water, poured into ice water, and subjected to usual post-treatment such as concentration after extraction with organic solvent,
- the objective compound of the present invention can be obtained. Moreover, it can isolate
- step [A] of production method 1 step [A] of production method 3, step [A] of production method 4, step [A] of production method 5 and step [A] of production method 14, As the dehydration condensation reaction of the next step proceeds, each step [B] can be omitted.
- the compound represented by the formula (5-a) is a compound represented by the formula (6) (wherein Ra represents a C 1 -C 6 alkyl group) according to the method described in Production Method 6.
- Ra represents a C 1 -C 6 alkyl group
- the compound represented by the formula (7-a) is reacted with a halogenating agent according to the method described in the production method 7, thereby producing a compound represented by the formula (8-a) (wherein G 1 , G 2 , G 3 and G 4 represent the same meaning as described above, Ra represents a C 1 -C 6 alkyl group, and X 5 represents a chlorine atom, a bromine atom or an iodine atom. Can do.
- the compound represented by the formula (8-a) is represented by the formula (9) according to the method described in the step [E] of the production method 3 (wherein R 1 represents the same meaning as described above).
- the compound represented by the formula (3D-a1) is reacted with a chlorinating agent according to a known method known in the literature to obtain a compound represented by the formula (3D-b1) (wherein G 1 , G 2 , G 3 , G 4 and R 1 represent the same meaning as described above).
- the compound represented by the formula (3D-b1) and N, O-dimethylhydroxylamine represented by the formula (11) or a hydrochloride thereof are optionally reacted in the presence of a base to obtain a compound represented by the formula (12 ) (Wherein G 1 , G 2 , G 3 , G 4 and R 1 have the same meaning as described above) can be produced.
- the compound represented by the formula (14) is reacted with a halogenating agent according to the method described in the step [B] of the production method 16, thereby obtaining a compound represented by the formula (3D-c2) (wherein G 1 , G 2 , G 3 , G 4 , R 1 , R 6 and X 2 have the same meanings as described above).
- a compound represented by the formula (3D-c2) wherein G 1 , G 2 , G 3 , G 4 , R 1 , R 6 and X 2 have the same meanings as described above.
- reaction formula 2 Of the compounds represented by the formula (3D-a) used in the production method 1, the compound represented by the formula (3D-a2) in which n represents an integer of 0 is, for example, the production described in the following reaction formula 2. Can be manufactured according to the law. Reaction formula 2
- the compound represented by the formula (5-b) is reacted with the compound represented by the formula (6) according to the method described in the production method 6 to give a compound represented by the formula (7-b) (wherein G 5 , Y6 and Ra represent the same meaning as described above).
- the compound represented by the formula (7-b) is reacted with a halogenating agent according to the method described in the production method 7, thereby producing a compound represented by the formula (8-b) (wherein G 5 , Y6 and Ra represents the same meaning as described above, and X 6 represents a chlorine atom, a bromine atom or an iodine atom).
- the compound represented by the formula (8-b) is reacted with the compound represented by the formula (9) according to the method described in the step [E] of production method 3, thereby allowing the compound represented by the formula (10- b) (wherein, G 5 , Y 6, R 1 and Ra represent the same meaning as described above) can be produced.
- the compound represented by the formula (10-b) is subjected to a hydrolysis reaction according to a known method known in the literature to obtain a compound represented by the formula (3D-a2) (wherein G 5 , Y6, and R 1 Represents the same meaning as described above).
- Some of the compounds represented by the formula (5-b) are known compounds, and some of them are commercially available.
- reaction formula 1 The compound represented by the formula (10-a) used in the reaction formula 1 can be produced, for example, according to the production method described in the following reaction formula 3.
- Reaction formula 3 The compound represented by the formula (7-a) is reacted with the compound represented by the formula (9) and a halogenating agent in accordance with the method described in the step [C] of production method 3.
- the compound represented by 10-a) can be produced.
- a compound represented by the formula (25) (wherein R 2 , R 3 and A 5 represent the same meaning as described above) is converted into N according to the method described in, for example, International Publication No. 2007/099031 -By reacting with a brominating agent such as bromosuccinimide, a compound represented by the formula (26) (wherein R 2 , R 3 and A 5 have the same meaning as described above) can be produced. .
- the compound represented by the formula (26) is reacted with the compound represented by the formula (16) according to the method described in the production method 2, whereby the compound represented by the formula (27) (wherein R 2 , R 3 , A 1aa and A 5 represent the same meaning as described above).
- a compound represented by the formula (28) (wherein R 2 and R 3 represent the same meaning as described above, and Rb represents a C 1 -C 6 alkyl group) is exemplified by, for example, Journal of Fluorine Chemistry [ J. Fluorine. Chem.] 1989, 44, 361, Journal of Heterocyclic Chemistry [J.
- Rc represents a C 1 -C 6 alkyl group
- X 8 represents a halogen atom, a C 1 -C 4 alkyl sulfonate group (for example, a methanesulfonyloxy group) Etc.), a C 1 -C 4 haloalkyl sulfonate group (eg trifluoromethanesulfonyloxy group etc.) or an aryl sulfonate group (eg benzenesulfonyloxy group, a good leaving group such as p-toluenesulfonyloxy group).
- the compound represented by Formula (30) (In formula, R ⁇ 2 >, R ⁇ 3 >, Rb and Rc represent the same meaning as the above) can be manufactured by making it react with the compound represented by this. Next, the compound represented by the formula (30) is converted according to the method described in, for example, Bioorganic & Med. Chem. Lett. 2011, Vol. 21, p. By reacting with a compound represented by the formula (31) (wherein R 5 represents the same meaning as described above), the formula (32) (wherein R 2 , R 3 and R 5 are as defined above). The compounds represented by the same meaning) can be produced.
- the compound represented by the formula (32) is converted into a compound such as phosphorus oxychloride, thionyl chloride, or oxalyl dichloride according to a method described in, for example, International Publication No. 2012/061337, International Publication No. 2005/033084, or the like.
- a chlorinating agent By reacting with a chlorinating agent, a compound represented by the formula (33) (wherein R 2 , R 3 and R 5 have the same meaning as described above) can be produced.
- the compound represented by the formula (33) is reacted with aqueous ammonia according to the method described in, for example, International Publication No. 2012/061337, International Publication No. 2005/033084, etc.
- the compound represented by a-1) can be produced.
- Some of the compounds represented by formula (28) are known compounds, and some of them are commercially available.
- Some of the compounds represented by formula (29) are known compounds, and some of them are commercially available.
- Some of the compounds represented by formula (31) are known compounds, and some of them are commercially available.
- the compound represented by the formula (3D-d) used in Production Method 8 can be produced, for example, according to the production method described in Reaction Scheme 6 below.
- Reaction formula 6 The compound represented by the formula (3D-a) is converted into diphenylphosphoryl azide (DPPA) and the formula (34) according to the method described in, for example, International Publication No. 2012/174121, International Publication No. 2003/018021, etc.
- Rd represents a C 1 -C 6 alkyl group.
- the compound represented by the formula (3D-d-1) is reacted with an acid according to the method described in, for example, International Publication No. 2012/174121, International Publication No. 2003/018021, etc.
- a compound represented by (3D-d) can be produced.
- reaction formula 7 Compounds represented by the formula (35) (wherein R 2 , R 3 and R 5 have the same meanings as described above) are represented by, for example, International Publication No. 2013/064460, International Publication No. 2013/064461, etc.
- the compound represented by formula (36) is reduced according to the method described in, for example, International Publication No. 2013/064460, International Publication No. 2013/064461, etc.
- R 2 , R 3 , R 5 and X 3 represent the same meaning as described above).
- the compound represented by the formula (37) is oxidized according to the method described in, for example, International Publication No. 2013/064460, International Publication No. 2013/064461, etc., to thereby obtain the formula (2Q3-b-1) (Wherein R 2 , R 3 , R 5 and X 3 represent the same meaning as described above) can be produced.
- Some of the compounds represented by formula (35) are known compounds, and some of them are commercially available. Others can also be synthesized from known compounds according to known methods described in the literature, for example, according to the reaction conditions described in International Publication No. 2000/039094.
- the compound represented by the formula (3D-e) used in the production method 14 is, for example, the production described in the following reaction scheme 8. Can be manufactured according to the law.
- Reaction formula 8 By reacting the compound represented by the formula (3D-b1) with aqueous ammonia according to the method described in, for example, Japanese Patent Application Publication No. 2009/108046, the formula (3D-e1) (wherein , R 1 , G 1 , G 2 , G 3 and G 4 represent the same meaning as described above).
- the compound represented by the formula (2Q1-d) is reacted with the compound represented by the formula (55) according to the method described in the step [A] of production method 1 to obtain the formula (56) (formula Wherein R 2 , R 3 , A 1a , A 4 and A 5 have the same meanings as described above) can be produced.
- the compound represented by the formula (56) is deacetylated according to the method described in, for example, Synthesis, 1991, page 465, etc., thereby obtaining the formula (57) (wherein R 2 , R 3 , A 1a , A 4 and A 5 represent the same meaning as described above).
- the compound represented by the formula (57) is subjected to dehydration condensation according to the method described in the step [B] of the production method 1, thereby obtaining the formula (58) (wherein R 2 , R 3 , A 1a , A 4 and A 5 represent the same meaning as described above).
- the compound represented by the formula (58) and the oxidizing agent are converted according to the method described in, for example, Journal of Medicinal Chemistry [J. Med. Chem.] 1998, Vol. 31, p.
- a compound represented by the formula (59) (wherein R 2 , R 3 , A 1a , A 4 and A 5 represent the same meaning as described above) can be produced.
- the compound represented by the formula (59) and the halogenating agent are converted into the method described in the step [B] of production method 16 or, for example, Journal of Medicinal Chemistry [J. Med. Chem.] 1988. , 31, 656, Journal of Medicinal Chemistry [J. Med. Chem.] 2005, 48, 7658, and the like. Can be produced.
- the compound represented by the formula (55) is a known compound and can be obtained as a commercial product.
- the compound represented by the formula (55) includes an optically active form resulting from the presence of one asymmetric carbon, but includes all optically active forms and racemates.
- each of the production intermediates that are the raw material compounds of Production Method 1 to Production Method 17 can be obtained by performing a general post-treatment.
- each production intermediate produced by these methods can be used as it is in the next step without isolation and purification.
- the step [C] can be omitted by the progress of the dehydration condensation reaction in the next step.
- the condensed heterocyclic compound represented by the formula (1) included in the present invention that can be produced using the above method include compounds shown in Tables 1 to 5 below. However, the compounds shown in Tables 1 to 5 below are for illustrative purposes, and the compounds included in the present invention are not limited to these. In the table, the substituent described as Me represents a methyl group, and similarly, Et represents an ethyl group, n Pr represents a normal propyl group, and i Pr represents an isopropyl group.
- the pest control agent in the present invention is the field of agriculture and horticulture or the field of livestock and hygiene (internal parasites / external parasites for domestic animals and pets, hygiene pests and unpleasant pests for domestic and commercial use) It means a pest control agent for harmful arthropods such as
- the agrochemical in the present invention means an insecticide / acaricide, nematicide, herbicide, fungicide, etc. in the field of agriculture and horticulture.
- insects, mites, crustaceans, mollusks and nematodes that can be controlled using the compounds of the present invention include the following organisms, but the present invention is not limited to these. Is not to be done.
- Adoxophyes honmai Adoxophyes orana faciata, Archips breviplicanus, Archips fuscocupreanus, Grapholita molesta, Chama magnan Leguminivora glycinivorella), Matsumuraeses phaseoli, Pandemis heparana, Bucculatrix pyrivorella, Lyonetia clerkella, Lyonetia prunifal ringoniella), mandarin leaf moth (Phyllocnistis citrella), green moth (Acrolepiopsis sapporensis), wild moth (Acrolepiopsis suzukiella), black moth (Plutella xylostella), oyster leaf moth (Stathmopoda constitutesss
- Soybean flies (Asphondylia yushimai), mud wings (Sitodiplosis mosellana), fruit flies (Bactrocera cucurbitae), citrus fruit flies (Bactrocera dorsalis), citrus fruit flies (Ceratitis capitata), rice moth flies
- Leafhopper (Agromyza oryzae), Leafworm (Chromatomyia horticola), Eggplant leaffly (Liriomyza bryoniae), Leafhopper (Liriomyza chinensis), Tomato leaffly (Liriomyza sativae), Beanworm (Liriomyza trifoli), Liriomyza trifoli (Pegomya cunicularia), apple haggot (Rhagoletis pomonella), hessian fly (Mayetiola destructor), housefly (Musca domestica), barn fly (Stomoxys calcitrans), sheep
- Bumblebee (Apethymus kuri), Bumblebee (Athalia rosae), Bumblebee (Arge pagana), Bumblebee (Neodiprion sertifer), Bumblebee (Dryocosmus kuriphilus), Gantai (Eciton burchelli, Eciton schmitus), Eciton burchelli, Eciton schmitus Hymenoptera insects such as mandarina, bulldog ant (Myrmecia spp.), fire ant (Solenopsis spp.), pharaoh ant (Monomorium pharaonis).
- Teethosperta insects such as Teleogryllus emma, Gryllotalpa orientalis, Locusta migratoria, Oxya yezoensis, Schistocerca gregaria and others.
- Coleoptera insects such as Onychiurus folsomi, Onychiurus sibiricus and Bourletiella hortensis.
- Reticulate insects such as black cockroach (Periplaneta fuliginosa), cockroach (Periplaneta japonica), German cockroach (Blattella germanica).
- Termite insects such as termites (Coptotermes formosanus), Yamato termites (Reticulitermes speratus), Taiwan termites (Odontotermes formosanus).
- Fleas such as cat fleas (Ctenocephalidae felis), dog fleas (Ctenocephalides canis), chicken fleas (Echidnophaga gallinacea), human fleas (Pulex irritans), keops rat fleas (Xenopsylla cheopis) and the like.
- White-headed insects such as chicken lice (Menacanthus stramineus) and bovine lice (Bovicola bovis).
- Louse insects such as cattle lice (Haematopinus eurysternus), pig lice (Haematopinus suis), cattle white lice (Linognathus vituli), horned lice (Solenopotes capillatus) and the like.
- Dust mites such as cyclamen dust mite (Phytonemus pallidus), chano dust mite (Polyphagotarsonemus latus), and Sudabuto dust mite (Tarsonemus bilobatus).
- Spider mites such as cabbage mite (Penthaleus erythrocephalus) and wheat mite (Penthaleus major).
- Spider mites such as rice spider mite (Oligonychus shinkajii), citrus spider mite (Panonychus citri), blue spider mite (Panonychus mori), apple spider mite (Panonychus ulmi), Kanzawa spider mite (Tetranychus kanzawai), spider mite (Tetranychus urticae), etc.
- Cip chitrastrostrum Chinese cabbage mite (Acaphylla theavagrans), tulip rust mite (Aceria tulipae), tomato rust mite (Aculops lycopersici), citrus red mite (Aculops pelekassi), apple rust mite (Aculus Pinkendali), black rust mite (Eriophyes chitrastrostrum) ) Etc.
- Acarids such as Robin tick (Rhizoglyphus robini), Tyrophagus putrescentiae, and Tyrophagus similis.
- Bee mites such as honeybee mite (Varroa jacobsoni).
- Tick tick Boophilus microplus
- Rhipicephalus sanguineus Tick tick (Haemaphysalis longicornis), Tick tick (Haemophysalis flava), Tick tick (Haemophysalis campanulata), Tick tick (Ixo tus tick) Tick such as Amblyomma spp.), Dermacentor spp.
- Mesostigmata ticks such as red mite (Dermanyssus gallinae), house dust mite Tropical rat mite (Ornithonyssus bacoti), avian mite Northern fowl mite (Ornithonyssus sylviarum).
- Crawling ticks such as the crayfish tick (Cheyletiella yasguri) and the cat crawfish tick (Cheyletiella blakei).
- Acne mites such as Inodex canis and Demodex cati.
- Cucumber mites such as sheep cucumber mites (Psoroptes ovis).
- Spider mites such as Sarcoptes scabiei, Notoedres cati, and Knemidocoptes spp.
- Crustacea such as Armadillidium vulgare.
- Gastropods such as Pomacea canaliculata, African mussel (Achatina fulica), Slug (Meghimatium bilineatum), Chaukoura slug (Limax Valentiana), Uskawamai (Acusta despecta sieboldiana), Mishamai mai (Euhadra peliomphala).
- Southern nematode nematode (Prathylenchus coffeae), Kitane-negususa nematode (Prathylenchus penetrans), Kurume rushes nematode (Prathylenchus vulnus), potato cyst nematode (Globodera rostochiensis), soybean cyst nematode (Heterodera lypter Nematodes such as root-knot nematodes (Meloidogyne incognita), rice-spotted nematodes (Aphelenchoides besseyi), and pine wood nematodes (Bursaphelenchus xylophilus).
- Adult flies such as. Sheep flies (Oestrus ovis and Cuterebra spp.), Black flies or Phaenicia spp. , Flyfly or Cochliomyia hominivorax, cowfly or Hypoderma spp. Parasitic flies such as horse fleeceworm and Gastrophilus.
- endoparasites such as livestock, poultry, and pet animals that can be controlled using the compounds of the present invention
- endoparasites such as livestock, poultry, and pet animals that can be controlled using the compounds of the present invention
- the present invention is not limited to these. It is not something.
- Haemonchus Trichostrongylus, Ostertagia, Nematodirus, Cooperia, Ascaris, Bunostomum, Esphagostomum Genus (Oesophagostomum), Chabertia, Trichuris, Strongylus, Trichonema, Dictyocaulus, Capillaria, Heterakis ), Toxocara, Ascaridia, Oxyuris, Ancylostoma, Uncinaria, Toxacaris, Parascaris, and other nematodes .
- Filariidae nematodes such as Wuchereria, Brugia, Onchoceca, Dirofilaria and Loa.
- Dracunculidae nematodes such as the genus Deacunculus. Dogworms (Dipylidium caninum), caterpillars (Taenia taeniaeformis), rodents (Taenia solium), striped tapeworms (Taenia saginata), contracted tapeworms (Hymenolepis diminuta), Beneden tapeworms (Moniezia benedeni), Tapeworms such as Diphyllobothrium latum, Manson cleftworm (Diphyllobothrium erinacei), Echinococcus granulosus, Echinococcus multilocularis.
- Fasciola hepatica F. gigantica
- Westermann lung fluke Paragonimus westermanii
- hypertrophic fluke Fluorchis sinensis
- Schistosoma Schistosoma japonicum Schistosoma haematobium
- Schistosoma mansoni etc.
- Eimeria tenella, Eimeria acervulina, Eimeria brunetti, Eimeria maxima, Eimeria necatrix, Eimeria bovis, Eimeria bovis Eimeria spp. Such as Eimeria ovinoidalis. Trypanosomsa cruzi, Leishmania spp., Plasmodium spp., Babesis spp., Trichomonadidae spp., Histomanas spp., Giardia (Giardia spp.), Toxoplasma spp., Entamoeba histolytica, Theileria spp.
- the compound of the present invention is also effective against pests having developed resistance against existing insecticides such as organic phosphorus compounds, carbamate compounds, pyrethroid compounds and the like. That is, the compound of the present invention is composed of the order of mucous (Coleoptera); Eyes), Lepidoptera (Lepidoptera), Coleoptera (Coleoptera), Hymenoptera (Hymenoptera), Diptera (Flyidae), Isoptera (Lepidoptera), Louse, etc.
- pests belonging to gastropods, nematodes and the like can be effectively controlled at low concentrations.
- the compounds of the present invention have almost no adverse effects on mammals, fish, crustaceans and beneficial insects (useful insects such as bees and bumblebees, natural enemies such as honeybees, wasps, mistletoe, spider mites, and dust mites) and are extremely useful. It has various features.
- the compound of the present invention When using the compound of the present invention, it is usually mixed with an appropriate solid carrier or liquid carrier, and further, if desired, a surfactant, penetrant, spreading agent, thickener, antifreeze agent, binder, anti-caking agent.
- the preparations of any of the above dosage forms can be provided by being enclosed in a water-soluble package such as a water-soluble capsule or
- the solid support examples include quartz, calcite, gypsum, dolomite, chalk, kaolinite, pyrophyllite, sericite, halosite, metahalosite, kibushi clay, glazed clay, porcelain stone, dikelite, Natural minerals such as allophane, shirasu, giraffe, talc, bentonite, activated clay, acid clay, pumice, attapulgite, zeolite, diatomaceous earth, etc .; Quality baked goods; inorganic salts such as magnesium carbonate, calcium carbonate, sodium carbonate, sodium hydrogen carbonate, ammonium sulfate, sodium sulfate, magnesium sulfate, diammonium hydrogen phosphate, ammonium dihydrogen phosphate, potassium chloride; glucose, fructose, sucrose , Sugars such as lactose; starch, Polysaccharides such as powdered cellulose and dextrin; Organic substances such as urea,
- liquid carriers examples include aromatic hydrocarbons such as xylene, alkyl (C 9 or C 10 etc.) benzene, phenyl xylyl ethane, alkyl (C 1 or C 3 etc.) naphthalene; machine oil, normal paraffin, isoparaffin Aliphatic hydrocarbons such as naphthene, aromatic hydrocarbons such as kerosene, and aliphatic hydrocarbons; alcohols such as ethanol, isopropanol, cyclohexanol, phenoxyethanol, and benzyl alcohol; ethylene glycol, propylene glycol, diethylene glycol, hexylene Polyhydric alcohols such as glycol, polyethylene glycol and polypropylene glycol; propyl cellosolve, butyl cellosolve, phenyl cellosolve, propylene glycol monomethyl ether, propylene glycol monoethyl Ethers, ethers such as propylene glycol monopropyl ether
- surfactant examples include polyoxyethylene alkyl ether, polyoxyethylene alkyl (mono or di) phenyl ether, polyoxyethylene (mono, di or tri) styryl phenyl ether, polyoxyethylene polyoxypropylene block copolymer, polyoxyethylene Oxyethylene fatty acid (mono or di) ester, sorbitan fatty acid ester, polyoxyethylene sorbitan fatty acid ester, castor oil ethylene oxide adduct, acetylene glycol, acetylene alcohol, ethylene oxide adduct of acetylene glycol, ethylene oxide adduct of acetylene alcohol, Nonionic surfactants such as alkyl glycosides; alkyl sulfate salts, alkylbenzene sulfonates, lignin sulfonates, alkyls Succinate, naphthalenesulfonate, alkylnaphthalenesulfonate, salt
- the content of these surfactants is not particularly limited, but is preferably in the range of 0.05 to 20 parts by mass with respect to 100 parts by mass of the preparation of the present invention. These surfactants may be used alone or in combination of two or more.
- the application amount of the compound of the present invention varies depending on the application scene, application time, application method, cultivated crops, etc., but usually about 0.005 to 50 kg per hectare (ha) is appropriate as the amount of active ingredient. .
- an effective amount of the compound of the present invention is administered orally together with a pharmaceutical additive;
- Parenteral administration such as internal, subcutaneous, intravenous, intraperitoneal, etc .;
- transdermal administration such as immersion, spraying, bathing, washing, pouring-on and spotting-on, dusting; It can be administered by nasal administration, etc.
- the compounds of the present invention can also be administered by molded products using strips, plates, bands, collars, ear marks, limb bands, labeling devices and the like.
- the compound of the present invention can be in any dosage form suitable for the administration route.
- the preferred dosage of the compound of the present invention represented by the formula (1), which is the active ingredient is the type of the target parasite to be controlled and the subject to be administered. Although it depends on the species of animal or administration method, it is generally 0.01-100 mg / kg, preferably 0.01-50 mg / kg, based on the body weight of the subject animal to be administered. In particular, the dose to a dog may vary depending on the type or age of the target dog or the ectoparasite to be controlled, but is usually 1 to 5000 mg / kg per kg of the living weight of the target dog.
- the administration interval depends on the type of target parasite to be controlled, the type of target animal to be administered or the administration method, etc. It can be set arbitrarily from daily to once a year. It is preferably once a week to once every 6 months, more preferably daily (24 hours), monthly, monthly, once every two months, or once every three months.
- the compound of the present invention is orally administered to the dog, for example, at a timing just before 30 minutes after the start of food or 120 minutes after the end of the diet. Can be mentioned.
- 30 minutes before the start of the diet and 120 minutes after the end of the diet are based on the act of eating the food given to the dog for the purpose of nutrition intake.
- the prescribed time is a total of 170 minutes from 30 minutes before the start of the diet to 120 minutes after the end of the diet, based on the meal act.
- a diet means the act which an animal eats.
- diet means an act of feeding for the purpose of ingesting nutrition, and does not include an act of giving a so-called canine dog or food for the purpose of training.
- Arbitrary dosage forms to be prepared include powders, granules, wettable powders, pellets, tablets, large pills, capsules, solid preparations such as molded products containing active compounds; injection solutions, oral solutions, skin Liquid preparations such as liquids used above or in body cavities; Solution preparations such as Pour-on, Spot-on, flowable and emulsion; Semi-solid preparations such as ointments and gels And so on.
- Examples of the dosage form for oral administration of the compound of the present invention include tablets (Tablets), solid dosage forms (Chewables), capsules (Capsules), pills (Pills), large pills (Boluses), and granules (Granules). ), Solid preparations such as powders; semi-solid preparations such as pastes and gels; liquid preparations such as drinks; and the like.
- the dosage form for transdermal administration includes, for example, solid preparations such as powders (Cream), ointments (Salve and Ointment), pastes (Pastes), gels (Gels) Semi-solid preparations such as; sprays (Spray), aerosols (Aerosols), solutions (Solutions and Emulsions), suspensions (Suspensions), liquid preparations such as lotions (Lotions); and the like.
- examples of the dosage form for administration by injection include liquid preparations such as solutions (Solutions and Emulsions) and suspensions (Suspensions).
- Examples of dosage forms for nasal administration include And liquid preparations such as aerosols (Aerosols).
- solid preparations such as wettable powders, powders (Dusts), granules (Emulsions); emulsions (Emulsions) And liquid preparations such as flowable concentrates (Suspension concentrates).
- the formulation used for the parasite control agent of this invention is not limited only to these dosage forms.
- the solid preparation can be administered orally as it is, or diluted with water and used by transdermal administration or spraying in an animal breeding environment such as a barn.
- the solid preparation used for oral administration comprises a compound represented by formula (1) or a salt thereof, one or more excipients and binders suitable for oral administration, and if necessary, a lubricant. It can be prepared by mixing with a physiologically acceptable additive such as an agent, a disintegrant, a dye, and a pigment and molding the mixture into a desired shape.
- excipient and binder examples include sugars or sugar derivatives such as lactose, sucrose, mannitol, and sorbitol; starches such as corn starch, wheat starch, rice starch, and potato starch; methylcellulose, carboxymethylcellulose, hydroxyethylcellulose, hydroxy Examples thereof include cellulose or cellulose derivatives such as propylcellulose and hydroxypropylmethylcellulose; proteins or protein derivatives such as zein and gelatin; synthetic polymer compounds such as honey, gum arabic glue, polyvinyl alcohol, and polyvinylpyrrolidone.
- sugars or sugar derivatives such as lactose, sucrose, mannitol, and sorbitol
- starches such as corn starch, wheat starch, rice starch, and potato starch
- examples thereof include cellulose or cellulose derivatives such as propylcellulose and hydroxypropylmethylcellulose; proteins or protein derivatives such as ze
- Examples of the lubricant include magnesium stearate, and examples of the disintegrant include cellulose, agar, alginic acid, cross-linked polyvinyl pyrrolidinone, and carbonate.
- examples of the lubricant include magnesium stearate
- examples of the disintegrant include cellulose, agar, alginic acid, cross-linked polyvinyl pyrrolidinone, and carbonate.
- additives that give taste, texture, and taste preferred by the animals to be administered can also be used.
- the carriers and additives used in the solid preparation of the control agent composition are not limited to these.
- Liquid preparations should be administered as they are, transdermally or by injection, or mixed with feed, orally administered, diluted with water, transdermally administered, and sprayed into animal breeding environments such as barns. Can do.
- Injection solutions can be administered intravenously, intramuscularly and subcutaneously.
- Injection solutions can be prepared by dissolving the active compound in a suitable solvent and adding additives such as solubilizers, acids, bases, buffer salts, antioxidants, protective agents, etc., if necessary.
- Suitable solvents include water, ethanol, butanol, benzyl alcohol, glycerin, propylene glycol, polyethylene glycol, N-methylpyrrolidone and mixtures thereof, physiologically acceptable vegetable oils, synthetic oils suitable for injection, and the like.
- solubilizer include polyvinylpyrrolidone, polyoxyethylated castor oil, polyoxyethylated sorbitan ester, and the like.
- the protective agent include benzyl alcohol, trichlorobutanol, p-hydroxybenzoic acid ester, n-butanol and the like.
- Oral solutions can be administered directly or diluted. It can be prepared in the same manner as an injectable solution. Flowable agents, emulsions and the like can be administered directly or diluted, transdermally, or by environmental treatment. Solutions for use on the skin can be administered by dripping, spreading, rubbing, spraying, spraying or applying by dipping (immersion, bathing or washing). These solutions can be prepared in the same manner as injection solutions. Pour-on and spot-on agents can be dripped or sprayed onto a limited area of the skin, so that the active compound is immersed in the skin and acts systemically. it can. Drops and drop preparations can be prepared by dissolving, suspending or emulsifying the active ingredient in suitable skin-compatible solvents or solvent mixtures. If necessary, auxiliary agents such as surfactants, colorants, absorption promoting substances, antioxidants, light stabilizers, and adhesives may be added.
- auxiliary agents such as surfactants, colorants, absorption promoting substances, antioxidants, light stabilizers, and adhesive
- Suitable solvents include water, alkanol, glycol, polyethylene glycol, polypropylene glycol, glycerin, benzyl alcohol, phenylethanol, phenoxyethanol, ethyl acetate, butyl acetate, benzyl benzoate, dipropylene glycol monomethyl ether, diethylene glycol monobutyl ether, acetone, Methyl ethyl ketone, aromatic and / or aliphatic hydrocarbons, vegetable or synthetic oil, DMF (N, N-dimethylformamide), liquid paraffin, light liquid paraffin, silicone, dimethylacetamide, N-methylpyrrolidone or 2,2-dimethyl- 4-oxy-methylene-1,3-dioxolane.
- DMF N, N-dimethylformamide
- liquid paraffin light liquid paraffin
- silicone dimethylacetamide
- N-methylpyrrolidone 2,2-dimethyl- 4-oxy-methylene-1,3-dioxolane.
- Absorption promoting substances include DMSO (dimethyl sulfoxide), isopropyl myristate, dipropylene glycol pelargonate, silicone oil, aliphatic esters, triglycerides or fatty alcohols.
- Antioxidants include sulfites, metabisulfites, ascorbic acid, butylhydroxytoluene, butylhydroxyanisole or tocopherol.
- the emulsion can be administered orally, transdermally or as an injection.
- An emulsion is prepared by dissolving an active ingredient in a hydrophobic phase or a hydrophilic phase, and adding this to a suitable emulsifier, if necessary, further a colorant, an absorption promoting substance, a protective agent, an antioxidant, a light-shielding agent, a thickening substance. It can be prepared by homogenizing with other phase solvents together with other auxiliary agents.
- hydrophobic phase paraffin oil, silicone oil, sesame oil, almond oil, castor oil, synthetic triglyceride, ethyl stearate, di-n-butylyl adipate, hexyl laurate, dipropylene glycol pelargonate, branched chain Of a short fatty acid having a chain length and a saturated fatty acid having a chain length of C16 to C18, isopropyl myristate, isopropyl palmitate, capryl / caprate of a saturated fatty alcohol having a chain length of C12 to C18, isopropyl stearate, oleyl oleate Decyl oleate, ethyl oleate, ethyl lactate, waxy fatty acid ester, dibutyl phthalate, diisopropyl adipate, isotridecyl alcohol, 2-octyldodecanol, cetyl
- Emulsifiers include nonionic interfaces such as polyoxyethylated castor oil, polyoxyethylated sorbitan monoolefin acid, sorbitan monostearate, glyceryl monostearate, polyoxyethyl stearate, alkylphenol polyglycol ether, etc.
- amphoteric surfactants such as disodium N-lauryl- ⁇ -iminodipropionate and lecithin
- anions such as sodium lauryl sulfate, fatty alcohol sulfate ether, monoethanolamine salt of mono / dialkyl polyglycol orthophosphate
- cationic surfactants such as cetyltrimethylammonium chloride; and the like.
- adjuvants include carboxymethyl cellulose, methyl cellulose, polyacrylate, alginate, gelatin, gum arabic, polyvinyl pyrrolidone, polyvinyl alcohol, methyl vinyl ether, maleic anhydride copolymer, polyethylene glycol, wax, colloidal silica, etc. It is done.
- Semi-solid preparations can be administered by application on the skin or spreading or introduction into body cavities. Gels can be prepared by adding sufficient thickener to a solution prepared as described above for an injectable solution to produce a clear material having an ointment-like consistency.
- formulation examples of the preparation when the compound of the present invention is used are shown. However, the formulation examples of the present invention are not limited to these. In the following formulation examples, “parts” means parts by mass.
- [Wettable powder] Compound of the present invention 0.1 to 80 parts Solid carrier 5 to 98.9 parts Surfactant 1 to 10 parts Others 0 to 5 parts Others include, for example, anti-caking agent, decomposition inhibitor and the like.
- Liquid Compound of the present invention 0.01 to 70 parts Liquid carrier 20 to 99.99 parts Others 0 to 10 parts Others include, for example, antifreezing agents and spreading agents.
- composition Example 6 Powder This invention compound No. 1-1-001a 3 parts Carplex # 80D 0.5 part (trade name, synthetic hydrous silicic acid: manufactured by Shionogi & Co.). Kaolinite 95 parts Diisopropyl phosphate 1.5 parts or more uniformly mixed and pulverized to obtain a powder. In use, the above preparation is diluted 1 to 10,000 times with water, or directly sprayed without dilution.
- composition Example 10 Solution for transdermal administration Compound No. 1-1-001a 5 parts hexylene glycol 50 parts isopropanol 45 parts
- the compound of the present invention when used as an agrochemical, other types of herbicides, various insecticides, acaricides, nematicides, fungicides, plant growth regulators when formulated or sprayed as necessary Alternatively, it may be mixed with a synergist, a fertilizer, a soil conditioner and the like. In particular, by applying a mixture with other agricultural chemicals or plant hormones, it is possible to reduce the cost by reducing the amount of applied medicine, to expand the insecticidal spectrum due to the synergistic action of the mixed drugs, and to achieve a higher pest control effect. At this time, a combination with a plurality of known agricultural chemicals is also possible. Examples of the type of agricultural chemical used in combination with the compound of the present invention include compounds described in The Pesticide Manual 15th edition, 2009, and the like. Specific examples of the general names are as follows, but are not necessarily limited to these.
- Bactericides acibenzolar-S-methyl, acylaminobenzamide, acypetacs, aldimorph, ametoctradin, amisulbrom, amobam, ampropyl Phos (ampropyfos), anilazine, azaconazole, azithiram, azoxystrobin, barium polysulfide, benalaxyl, benalaxyl-M, benolaxyl-M (Benodanil), benomyl, benquinox, bentaluron, benthiavalicarb-isopropyl, benthiazole, benzamacril, benzamorf, benzo Vindiflupyr (benzo vindiflupyr), bethoxazine, binapacryl, biphenyl, bitertanol, blasticidin-S, bixafen, bordeaux mixture, boscalid, Bromuconazole, bupirimate, buthi
- Bactericides (continued): diethofencarb, difenoconazole, diflumetorim, dimethirimol, dimethomorph, dimoxystrobin, diniconazole-, diniconazole-M M), dinobuton, dinocap, dinocap-4, dinocap-6, dinoton, dinosulfon, dinoterbon, diphenylamine ), Dipymetitrone, dipyrithione, ditalimfos, dithianon, dodemorph-acetate, dodine, drazoxolone, edifenphosene Enoxastrobin, epoxiconazole, etaconazole, ethaboxam, etem, etirimol, ethoxyquin, etridiazole, famoxadone, fenarimol (Fenarimol), fenbuconazole, fenamidone, fen
- Fungicide (continued): kasugamycin, kresoxim-methyl, laminarin, mancopper, mancozeb, mandestrobin, mandipropamid, mannepropamid maneb), mebenil, mecarbinzid, mepanipyrim, meptyldinocap, mepronil, metalaxyl, metalaxyl-M, metam, Metazoxolon, metconazole, methasulfocarb, metfuroxam, methylisothiocyanate, metiram, metinofenstro, metolafenone, metolafenone Metsulfovax, milneb, microbutanil, myclozolin, nabam, natamycin, nickel bis (dimethyldithiocarbamate), nitrostyrene Nitrothal-isopropyl, nuarimol, nuarimol, OCH, octhilinone, ofurace, ory
- Bactericides (continued): sedaxane, sodium azide, sodium hydrogen carbonate, sodium hypochlorite, sulfur, spiroxamine, salicylanilide (Salycylanilide), silthiofam, simeconazole, tebuconazole, tebufloquin, tecnazene, tecoram, tetraconazole, thiabendazole, thiabendazole thiadifluor, thicyofen, thifluzamide, thiochlorfenphim, thiophanate, thiophanate-methyl, thioquinox, thiram, thiazinyl (Tiadinil), tioxymid, tolclofos-methyl, tolprocarb, tolylfluanid, triadimefon, triadimenol, triamiphos, triarimol, triarimol Triazoxide, triazbutil, tributyl
- Bactericides benzalkonium chloride, bithionol, bronopol, cresol, formaldehyde, nitrapyrin, oxolinic acid, oxyterracycline , Streptomycin and tecloftalam.
- Nematicides aldoxycarb, benclothiaz, cadusafos, davy cp (DBCP), dichlofenthion, dsp (DSP), etoprophos, fenamiphos, fensulfothion (Fensulfothion), fluazaindolizine, fluenesulfone, fosthiazate, fosthietan, imacyafos, isamidofos, isazofos, oxamyl, oxamyl, thiaxazafen), thionazin, tioxazafen, BYI-1921 (test name) and MAI-08015 (test name).
- Acaricides acequinocyl, acrinathrin, amidoflumet, amitraz, azocyclotin, BCI-033 (test name), benzoximate, bifenazate, Bromopropylate, chinomethionat, chlorobezilate, clofentezine, cyenopyrafen, cyflumetofen, cyhexatine, dicofol, diechlor , Diflovidazin, DNOC, etoxazole, fenazaquin, fenbutatin oxide, phenothiocarb, fenpro Fenpropathrin, fenpyroximate, fluacrypyrim, halfenprox, halfytproox, hexythiazox, milbemectin, propargite, piflubumide, pyridaben, py Pyrimidifen, S-1870 (test name), spirod
- Insecticides abamectin, acephate, acetamipirid, afidopyropen, afoxolaner, alanycarb, aldicarb, allethrin, azaphos, azaphos, azaphos -Azinphos-ethyl, azinphos-methyl, bacillus thuringiensis, bendiocarb, benfluthrin, benfuracarb, bensultap, bifenthrin, Bioallethrin, bioresmethrin, bistrifluron, broflanilide, buprofezin, butocarboxim, carbary l), carbofuran, carbosulfan, cartap, chlorantraniliprole, chlorethxyfos, chlorfenapyr, chlorfenvinphos, chlor Chlorfluazuron, chlormephos, chloroprallethrin, chlorpyrifos, chlorpyrif
- Insecticides (continued): gamma-cyhalothrin, halofenozide, heptafluthrin, hexaflumuron, hydramethylnon, imidacloprid, imiprothrin , Isofenphos, indoxacarb, indoxacarb-MP, indoxacarb-MP, isoprocarb, isoxathion, kappa-bifenthrin, kappa-tefluthrin ), Lepimectin, lufenuron, malathion, meperfluthrin, metaflumizone, metalaldehyde, metaldehyde, methidathion, methidathion, Methacrifos, metalcarb, methomyl, methoprene, methoxychlor, methoxyfenozide, methylbromide, epsilon-metofluthrin, methflu
- the medium pressure preparative liquid chromatography described in the synthesis examples and the reference examples used Yamazen's medium pressure preparative device; YFLC-Wprep (flow rate 18 ml / min, silica gel 40 ⁇ m column).
- the chemical shift value of proton nuclear magnetic resonance (NMR) in the synthesis examples and the reference examples is Me 4 Si (tetramethylsilane) as a reference material, and 300 MHz (model; ECX300 or ECP300, manufactured by JEOL). It was measured.
- Symbols in proton nuclear magnetic resonance chemical shift values have the following meanings. s: singlet, brs: broad singlet, d: doublet, dd: double doublet, t: triplet, q: quartet, m: multiplet. It was shown to.
- reaction mixture was stirred for 9 hours under heating to reflux.
- 10 ml of 1M aqueous sodium hydroxide solution was added to the reaction mixture, and the mixture was extracted with ethyl acetate (10 ml ⁇ 2).
- the obtained organic layer was dehydrated and dried in the order of saturated brine and then anhydrous sodium sulfate, and the solvent was distilled off under reduced pressure.
- the obtained residue was purified by medium pressure preparative liquid chromatography eluting with n-hexane-ethyl acetate [gradient of 100: 0 to 0: 100 (volume ratio, the same applies hereinafter)], 163.5 mg of the target product was obtained as a flesh-colored solid.
- Step 1 3- (Ethylthio) -N Synthesis of — [2- (methylamino) -5- (trifluoromethyl) pyridin-3-yl] -7- (trifluoromethyl) imidazo [1,2-a] pyridine-2-carboxamide N 2 -Methyl -5- (Trifluo (Romethyl) pyridine-2,3-diamine (856 mg) was dissolved in pyridine (20 ml) and 3- (ethylthio) -7- (trifluoromethyl) imidazo [1,2-a] pyridine-2-carboxylic acid (1.00 g) at room temperature.
- Step 2 2- [3- (Ethylthio) -7- (trifluoromethyl) imidazo [1,2-a] pyridin-2-yl] -3-methyl-6- (trifluoromethyl) -3H-imidazo [ Synthesis of 4,5-b] pyridine (Compound No.
- Step 3 2- [3- (Ethylsulfonyl) -7- (trifluoromethyl) imidazo [1,2-a] pyridin-2-yl] -3-methyl-6- (trifluoromethyl) -3H-imidazo Synthesis of [4,5-b] pyridine (the present compound No.
- the obtained organic layer was washed with 1M aqueous sodium hydroxide solution, dehydrated and dried over anhydrous sodium sulfate, and then the solvent was distilled off under reduced pressure.
- the obtained residue was purified by medium pressure preparative liquid chromatography eluting with n-hexane-ethyl acetate (gradient of 100: 0 to 50:50) to obtain 660 mg of the desired product as a white solid.
- Step 1 3- (ethylthio) -N- ⁇ 2-hydride Synthesis of Roxy-5-[(trifluoromethyl) thio] phenyl ⁇ -6- (trifluoromethyl) imidazo [1,2-a] pyridine-2-carboxamide 2-amino-4-[(trifluoromethyl) 466 mg of thio] phenol is dissolved in 10 ml of pyridine, and 356 mg of 3- (ethylthio) -6- (trifluoromethyl) imidazo [1,2-a] pyridine-2-carboxylic acid, 1-ethyl-3- ( 471 mg of 3-dimethylaminopropyl) carbodiimide hydrochloride and 75 mg of 4- (dimethylamino) pyridine were added.
- Step 2 2- [3- (Ethylthio) -6- (trifluoromethyl) imidazo [1,2-a] pyridin-2-yl] -5-[(trifluoromethyl) thio] benzo [d] oxazole ( Synthesis of the Present Compound No.
- Step 3 2- [3- (Ethylsulfonyl) -6- (trifluoromethyl) imidazo [1,2-a] pyridin-2-yl] -5-[(trifluoromethyl) sulfinyl] benzo [d] oxazole (Present compound No. 1-2-002a) and 2- [3- (ethylsulfonyl) -6- (trifluoromethyl) imidazo [1,2-a] pyridin-2-yl] -5-[(tri Synthesis of (fluoromethyl) sulfonyl] benzo [d] oxazole (present compound No.
- the obtained residue was purified by medium pressure preparative liquid chromatography eluting with n-hexane-ethyl acetate (gradient of 100: 0 to 50:50), and the target product 2- [3- ( Ethylsulfonyl) -6- (trifluoromethyl) imidazo [1,2-a] pyridin-2-yl] -5-[(trifluoromethyl) sulfinyl] benzo [d] oxazole and 2- [ 13 mg of 3- (ethylsulfonyl) -6- (trifluoromethyl) imidazo [1,2-a] pyridin-2-yl] -5-[(trifluoromethyl) sulfonyl] benzo [d] oxazole, Obtained as a solid.
- Step 1 5- (Ethylthio) -N Synthesis of — [2- (methylamino) -5- (trifluoromethyl) pyridin-3-yl] -2- (trifluoromethyl) imidazo [2,1-b] thiazole-6-carboxamide N 2 -Methyl -5- (Tori 242 mg of fluoromethyl) pyridine-2,3-diamine is dissolved in 10 ml of pyridine and 250 mg of 5- (ethylthio) -2- (trifluoromethyl) imidazo [2,1-b] thiazole-6-carboxylic acid at room temperature, 322 mg of 1-ethyl-3- (3-dimethylaminopropyl) carbodiimide hydrochloride and 10 mg of 4- (dimethylamino) pyridine were added.
- Step 2 5- (Ethylthio) -6- [3-methyl-6- (trifluoromethyl) -3H-imidazo [4,5-b] pyridin-2-yl] -2- (trifluoromethyl) imidazo [ Synthesis of 2,1-b] thiazole (Compound No.
- Step 3 5- (Ethylsulfonyl) -6- [3-methyl-6- (trifluoromethyl) -3H-imidazo [4,5-b] pyridin-2-yl] -2- (trifluoromethyl) imidazo
- [2,1-b] thiazole present compound No.2-1-001a
- 5- (ethylthio) -6- [3-methyl-6- (trifluoromethyl) -3H-imidazo [4,5 -B] Pyridin-2-yl] -2- (trifluoromethyl) imidazo [2,1-b] thiazole In a solution of 132 mg of chloroform in 3 ml of chloroform, 65% by mass metachloroperbenzoic acid (about 30% by mass) under ice-cooling.
- reaction mixture was stirred for 3 hours under heating to reflux.
- 10 ml of 1M aqueous sodium hydroxide solution was added to the reaction mixture, and the mixture was extracted with ethyl acetate (10 ml ⁇ 2).
- the obtained organic layer was dehydrated and dried in the order of saturated brine and then anhydrous sodium sulfate, and the solvent was distilled off under reduced pressure.
- the obtained residue was purified by medium pressure preparative liquid chromatography eluting with n-hexane-ethyl acetate (gradient of 100: 0 to 0: 100) to obtain 142 mg of the desired product as a brown solid.
- Step 1 3- (Ethylthio) -N Synthesis of — [2- (methylamino) -5- (trifluoromethyl) pyridin-3-yl] -6- (trifluoromethyl) imidazo [1,2-a] pyrazine-2-carboxamide N 2 -Methyl -5- (Trifluo 271 mg of (romethyl) pyridine-2,3-diamine was dissolved in 10 ml of pyridine, and 270 mg and 1 of 3- (ethylthio) -6- (trifluoromethyl) imidazo [1,2-a] pyrazine-2-carboxylic acid at room temperature.
- Step 2 2- [3- (Ethylthio) -6- (trifluoromethyl) imidazo [1,2-a] pyrazin-2-yl] -3-methyl-6- (trifluoromethyl) -3H-imidazo [ Synthesis of 4,5-b] pyridine (Compound No.
- the obtained organic layer was dehydrated and dried in the order of saturated brine and then anhydrous sodium sulfate, and the solvent was distilled off under reduced pressure.
- the obtained residue was purified by medium pressure preparative liquid chromatography eluting with n-hexane-ethyl acetate (gradient of 100: 0 to 80:20) to obtain 257 mg of the desired product as a white solid.
- Step 3 2- [3- (Ethylsulfonyl) -6- (trifluoromethyl) imidazo [1,2-a] pyrazin-2-yl] -3-methyl-6- (trifluoromethyl) -3H-imidazo Synthesis of [4,5-b] pyridine (Compound No.
- Step 2 2- [6-Bromo-7- (trifluoromethyl) imidazo [1,2-a] pyridin-2-yl] -3-methyl-6- (trifluoromethyl) -3H-imidazo [4 5-b] Synthesis of pyridine 6-bromo-N- [2- (methylamino) -5- (trifluoromethyl) pyridin-3-yl] -7- (trifluoromethyl) imidazo [1,2-a] 2.93 g of pyridine-2-carboxamide was dissolved in 15 ml of acetic acid and stirred for 2 hours under heating to reflux. After completion of the reaction, the solvent was distilled off under reduced pressure.
- Step 3 2- [6-Bromo-3- (ethylthio) -7- (trifluoromethyl) imidazo [1,2-a] pyridin-2-yl] -3-methyl-6- (trifluoromethyl)- Synthesis of 3H-imidazo [4,5-b] pyridine (the present compound No. 1-1-023b) 518 mg of N-chlorosuccinimide was dissolved in 5 ml of 1,2-dichloroethane, and 321 mg of ethanethiol was dissolved at ⁇ 40 ° C. Added. After the addition was complete, the reaction mixture was stirred at room temperature for 30 minutes.
- reaction mixture was stirred for 3 hours under heating to reflux.
- 10 ml of water was added to the reaction mixture and extracted with chloroform (10 ml ⁇ 2).
- the obtained organic layer was dehydrated and dried over anhydrous sodium sulfate, and the solvent was distilled off under reduced pressure.
- the obtained residue was purified by medium pressure preparative liquid chromatography eluting with n-hexane-ethyl acetate (gradient of 100: 0 to 0: 100) to obtain 212 mg of the desired product as a white solid.
- Step 4 2- [6-Bromo-3- (ethylsulfonyl) -7- (trifluoromethyl) imidazo [1,2-a] pyridin-2-yl] -3-methyl-6- (trifluoromethyl) Synthesis of 3H-imidazo [4,5-b] pyridine (Compound No.
- Step 1 N- [2-Amino- Synthesis of 6- (trifluoromethyl) pyridin-3-yl] -3-ethylthio-7- (trifluoromethyl) imidazo [1,2-a] pyridine-2-carboxamide 6- (trifluoromethyl) pyridine- 712 mg of 2,3-diamine was dissolved in 10 ml of pyridine, and 972 mg of 3- (ethylthio) -7- (trifluoromethyl) imidazo [1,2-a] pyridine-2-carboxylic acid and 1-ethyl-3 were dissolved at room temperature. 1.32 g of (3-dimethylaminopropyl) carbodiimide hydrochloride was added.
- reaction mixture was stirred at room temperature overnight. After completion of the reaction, 20 ml of water was added to the reaction mixture, and the precipitated solid was separated by filtration to obtain 1.20 g of a crude product as a reddish brown solid. This was used in the next step without further purification.
- Step 2 2- [3- (Ethylthio) -7- (trifluoromethyl) imidazo [1,2-a] pyridin-2-yl] -5- (trifluoromethyl) -3H-imidazo [4,5- b] Synthesis of Pyridine (Invention Compound No. 1-1-031b) N- [2-Amino-6- (trifluoromethyl) pyridin-3-yl] -3-ethylthio of the crude product obtained in Step 1 1.2 g of -7- (trifluoromethyl) imidazo [1,2-a] pyridine-2-carboxamide was dissolved in 10 ml of propionic acid and stirred for 3 hours under heating to reflux.
- Step 3 2- [3- (Ethylthio) -7- (trifluoromethyl) imidazo [1,2-a] pyridin-2-yl] -1-methyl-5- (trifluoromethyl) -1H-imidazo [ 4,5-b] pyridine (present compound No. 1-7-001b) and 2- [3- (ethylthio) -7- (trifluoromethyl) imidazo [1,2-a] pyridin-2-yl] Synthesis of -3-methyl-5- (trifluoromethyl) -3H-imidazo [4,5-b] pyridine (the present compound No.
- reaction mixture was stirred at room temperature for 1.5 hours. After completion of the reaction, 10 ml of water was added to the reaction mixture and extracted with ethyl acetate (10 ml ⁇ 2). The obtained organic layer was dehydrated and dried in the order of saturated brine and then anhydrous sodium sulfate, and the solvent was distilled off under reduced pressure.
- the obtained residue was purified by medium pressure preparative liquid chromatography eluting with n-hexane-ethyl acetate (gradient of 100: 0 to 50:50), and the target product 2- [3- ( 150 mg of ethylthio) -7- (trifluoromethyl) imidazo [1,2-a] pyridin-2-yl] -1-methyl-5- (trifluoromethyl) -1H-imidazo [4,5-b] pyridine and 2- [3- (Ethylthio) -7- (trifluoromethyl) imidazo [1,2-a] pyridin-2-yl] -3-methyl-5- (trifluoromethyl) -3H-imidazo 218 mg of [4,5-b] pyridine was obtained as a brown solid and a white solid, respectively.
- Step 1 3- (Ethylthio) -N Synthesis of — [5- (methylamino) -2- (trifluoromethyl) pyridin-4-yl] -7- (trifluoromethyl) imidazo [1,2-a] pyridine-2-carboxamide N 3 -Methyl -6- (Trifluo (Romethyl) pyridine-3,4-diamine (303 mg) was dissolved in pyridine (15 ml) and 3- (ethylthio) -7- (trifluoromethyl) imidazo [1,2-a] pyridine-2-carboxylic acid (552 mg and 1) was dissolved at room temperature.
- Step 2 2- [3- (Ethylthio) -7- (trifluoromethyl) imidazo [1,2-a] pyridin-2-yl] -3-methyl-6- (trifluoromethyl) -3H-imidazo [ Synthesis of 4,5-c] pyridine (Compound No. 1-8-005b of the Present Invention) 3- (ethylthio) -N- [5- (methylamino) -2- (tri 986 mg of (fluoromethyl) pyridin-4-yl] -7- (trifluoromethyl) imidazo [1,2-a] pyridine-2-carboxamide was dissolved in 15 ml of acetic acid and stirred for 22 hours under heating to reflux.
- Step 3 2- [3- (Ethylsulfonyl) -7- (trifluoromethyl) imidazo [1,2-a] pyridin-2-yl] -3-methyl-6- (trifluoromethyl) -3H-imidazo Synthesis of [4,5-c] pyridine (present compound No.
- Step 1 3- ( Ethylthio) -N- [2-methyl-3- (methylamino) -6- (trifluoromethyl) pyridin-4-yl] -6- (trifluoromethyl) imidazo [1,2-a] pyridine-2- Synthesis of Carboxamide N 3 , 2-Dimethyl-6- (trifluoromethyl) pyridine-3,4-diamine (212 mg) was dissolved in 10 ml of pyridine and 3- (ethylthio) -6- (trifluoromethyl) imidazo [1,2-a at room temperature.
- Step 2 2- [3- (Ethylthio) -6- (trifluoromethyl) imidazo [1,2-a] pyridin-2-yl] -3,4-dimethyl-6- (trifluoromethyl) -3H- Synthesis of imidazo [4,5-c] pyridine (present compound No. 1-8-003b) 3- (ethylthio) -N- [2-methyl-3- (methylamino) of the crude product obtained in step 1 ) -6- (trifluoromethyl) pyridin-4-yl] -6- (trifluoromethyl) imidazo [1,2-a] pyridine-2-carboxamide was dissolved in 10 ml of acetic acid and heated under reflux for 3 Stir for hours.
- the solvent was distilled off under reduced pressure. 10 ml of water was added to the obtained residue, and the mixture was extracted with ethyl acetate (10 ml ⁇ 2). The obtained organic layer was dehydrated and dried in the order of saturated brine and then anhydrous sodium sulfate, and the solvent was distilled off under reduced pressure. The obtained residue was purified by medium pressure preparative liquid chromatography eluting with n-hexane-ethyl acetate (gradient of 100: 0 to 70:30) to obtain 85 mg of the desired product as a white solid.
- Step 3 2- [3- (Ethylsulfonyl) -6- (trifluoromethyl) imidazo [1,2-a] pyridin-2-yl] -3,4-dimethyl-6- (trifluoromethyl) -3H Synthesis of imidazo [4,5-c] pyridine (the present compound No.
- Step 1 2- [3- (ethylsulfonyl) -6- (trifluoromethyl ) Synthesis of imidazo [1,2-a] pyridin-2-yl] -7- (perfluoroethyl) imidazo [1,2-c] pyrimidine (present compound No. 1-3-008a) 6- (Per Fluoroeth ) 800 mg of pyrimidine-4-amine was dissolved in 10 ml of chlorobenzene and 2-bromo-1- [3- (ethylsulfonyl) -6- (trifluoromethyl) imidazo [1,2-a] pyridine-2 was dissolved at room temperature. -Il] ethanone 1780 mg was added.
- reaction mixture was stirred for 3 hours under heating to reflux.
- 10 ml of 1M aqueous sodium hydroxide solution was added to the reaction mixture, and the mixture was extracted with ethyl acetate (10 ml ⁇ 2).
- the obtained organic layer was dehydrated and dried in the order of saturated brine and then anhydrous sodium sulfate, and the solvent was distilled off under reduced pressure.
- the obtained residue was purified by medium pressure preparative liquid chromatography eluting with n-hexane-ethyl acetate (gradient of 100: 0 to 50:50) to obtain 926 mg of the desired product as a yellow solid.
- the obtained organic layer was washed with a saturated aqueous sodium thiosulfate solution and then with saturated sodium bicarbonate, then dehydrated and dried with saturated brine and then anhydrous sodium sulfate, and the solvent was distilled off under reduced pressure. did.
- the obtained residue was purified by medium pressure preparative liquid chromatography eluting with n-hexane-ethyl acetate (gradient of 100: 0 to 0: 100) to obtain 127 mg of the desired product as a white solid.
- reaction mixture was stirred for 5 hours under heating to reflux.
- 10 ml of 1M aqueous sodium hydroxide solution was added to the reaction mixture, and the mixture was extracted with ethyl acetate (10 ml ⁇ 2).
- the obtained organic layer was dehydrated and dried in the order of saturated brine and then anhydrous sodium sulfate, and the solvent was distilled off under reduced pressure.
- the obtained residue was purified by medium pressure preparative liquid chromatography eluting with n-hexane-ethyl acetate (gradient of 100: 0 to 50:50) to obtain 82 mg of the desired product as a pale yellow solid. .
- reaction mixture was stirred for 5 hours under heating to reflux.
- 10 ml of 1M aqueous sodium hydroxide solution was added to the reaction mixture, and the mixture was extracted with ethyl acetate (10 ml ⁇ 2).
- the obtained organic layer was dehydrated and dried in the order of saturated brine and then anhydrous sodium sulfate, and the solvent was distilled off under reduced pressure.
- the obtained residue was purified by medium pressure preparative liquid chromatography eluting with n-hexane-ethyl acetate (gradient of 100: 0 to 50:50) to obtain 153 mg of the desired product as a white solid.
- Step 1 1-methyl-N- [2- Synthesis of (methylamino) -5- (trifluoromethyl) pyridin-3-yl] -5- (trifluoromethyl) -1H-indole-2-carboxamide N 2 -methyl-5- (trifluoromethyl) pyridine -2,3-diamine (573 mg) was dissolved in pyridine (10 ml) and 1-methyl-5- (trifluoromethyl) -1H-indole-2-carboxylic acid (608 mg), 1-ethyl-3- (3-dimethylamino) was dissolved at room temperature.
- Step 2 3-Methyl-2- [1-methyl-5- (trifluoromethyl) -1H-indol-2-yl] -6- (trifluoromethyl) -3H-imidazo [4,5-b] pyridine
- the crude 1-methyl-N- [2- (methylamino) -5- (trifluoromethyl) pyridin-3-yl] -5- (trifluoromethyl) -1H-indole obtained in Step 1 968 mg of -2-carboxamide was dissolved in 10 ml of acetic acid and stirred for 3 hours under heating and reflux. After completion of the reaction, the solvent was distilled off under reduced pressure.
- Step 3 2- [3-Iodo-1-methyl-5- (trifluoromethyl) -1H-indol-2-yl] -3-methyl-6- (trifluoromethyl) -3H-imidazo [4,5 -B] Synthesis of pyridine 3-methyl-2- [1-methyl-5- (trifluoromethyl) -1H-indol-2-yl] -6- (trifluoromethyl) -3H-imidazo [4,5- b] To a solution of 478 mg of pyridine in 8 ml of N, N-dimethylformamide, 405 mg of N-iodosuccinimide was added at room temperature. After the addition was complete, the reaction mixture was stirred for 7 hours under heating to reflux.
- Step 4 2- [3- (Ethylthio) -1-methyl-5- (trifluoromethyl) -1H-indol-2-yl] -3-methyl-6- (trifluoromethyl) -3H-imidazo [4 , 5-b] Pyridine (Compound No.
- reaction vessel was replaced with nitrogen gas, and then stirred for 1.5 hours under heating and reflux.
- reaction mixture was filtered through celite, and the celite was washed with chloroform.
- the obtained filtrate and washing solution were combined and the solvent was distilled off under reduced pressure.
- the obtained residue was purified by medium pressure preparative liquid chromatography eluting with n-hexane-ethyl acetate (gradient of 100: 0 to 50:50) to obtain 545 mg of the desired product as a pale yellow solid. .
- Step 5 2- [3- (Ethylsulfonyl) -1-methyl-5- (trifluoromethyl) -1H-indol-2-yl] -3-methyl-6- (trifluoromethyl) -3H-imidazo [ Synthesis of 4,5-b] pyridine (Compound No.
- the obtained organic layer was washed with 1M aqueous sodium hydroxide solution, dehydrated and dried over anhydrous sodium sulfate, and then the solvent was distilled off under reduced pressure.
- the obtained residue was purified by medium pressure preparative liquid chromatography eluting with n-hexane-ethyl acetate (gradient of 100: 0 to 0: 100) to obtain 245 mg of the desired product as a white solid.
- reaction mixture was stirred at room temperature overnight. After completion of the reaction, 20 ml of water was added to the reaction mixture, and the precipitated solid was filtered off to obtain 939 mg of a crude product as a gray solid by filtration. This was used in the next step without further purification.
- Step 2 Synthesis of 3-methyl-6- (trifluoromethyl) -2- [5- (trifluoromethyl) benzo [b] thiophen-2-yl] -3H-imidazo [4,5-b] pyridine 877 mg of the crude N- [2- (methylamino) -5- (trifluoromethyl) pyridin-3-yl] -5- (trifluoromethyl) benzo [b] thiophene-2-carboxamide obtained in 1. Was dissolved in 10 ml of acetic acid and stirred for 3 hours under reflux with heating. After completion of the reaction, the solvent was distilled off under reduced pressure.
- Step 3 2- [3-Chloro-5- (trifluoromethyl) benzo [b] thiophen-2-yl] -3-methyl-6- (trifluoromethyl) -3H-imidazo [4,5-b] Synthesis of pyridine 3-methyl-6- (trifluoromethyl) -2- [5- (trifluoromethyl) benzo [b] thiophen-2-yl] -3H-imidazo [4,5-b] pyridine 400 mg N , N-dimethylformamide (5 ml) was added with 1,3-dichloro-5,5-dimethylhydantoin (590 mg) at 80 ° C. After the addition was complete, the reaction mixture was stirred at 80 ° C for 1.5 hours.
- Step 4 2- [3- (Ethylthio) -5- (trifluoromethyl) benzo [b] thiophen-2-yl] -3-methyl-6- (trifluoromethyl) -3H-imidazo [4,5- b] Synthesis of pyridine (present compound No.3-1-002b) 2- [3-chloro-5- (trifluoromethyl) benzo [b] thiophen-2-yl] -3-methyl-6- (tri To a solution of 370 mg of fluoromethyl) -3H-imidazo [4,5-b] pyridine in 5 ml of N, N-dimethylformamide was added 119 mg of sodium ethanethiolate at 80 ° C.
- reaction mixture was stirred at 80 ° C for 1.5 hours. After completion of the stirring, 159 mg of sodium ethanethiolate was added to the reaction mixture at 80 ° C. After completion of the reaction, 20 ml of water was added to the reaction mixture and extracted with ethyl acetate (20 ml ⁇ 2). The obtained organic layer was dehydrated and dried in the order of saturated brine and then anhydrous sodium sulfate, and the solvent was distilled off under reduced pressure. The obtained residue was purified by silica gel column chromatography eluting with n-hexane-ethyl acetate (gradient of 100: 0 to 0: 100) to obtain 186 mg of the desired product as a yellow solid.
- Step 5 2- [3- (Ethylsulfonyl) -5- (trifluoromethyl) benzo [b] thiophen-2-yl] -3-methyl-6- (trifluoromethyl) -3H-imidazo [4,5 -B] Synthesis of pyridine (present compound No.3-1-002a) 2- [3- (ethylthio) -5- (trifluoromethyl) benzo [b] thiophen-2-yl] -3-methyl-6 To a solution of 147 mg of-(trifluoromethyl) -3H-imidazo [4,5-b] pyridine in 3 ml of chloroform was added 195 mg of 65% by mass metachloroperbenzoic acid (containing about 30% by mass water) under ice-cooling.
- Step 1 2- [3- (ethylthio) -7- (trifluoromethyl 3) Synthesis of imidazo [1,2-a] pyridin-2-yl] -6- (trifluoromethyl) -2H-pyrazolo [4,3-b] pyridine (the present compound No. 1-10-002b) -Nitro-5- (tri Ruoromechiru) picolinaldehyde 400mg and 3- (ethylthio) -7- (trifluoromethyl) imidazo [1,2-a] solution of xylene 5ml of pyridine-2-amine 522mg, and the mixture was stirred for 1 hour under heating reflux.
- Step 2 2- [3- (Ethylsulfonyl) -7- (trifluoromethyl) imidazo [1,2-a] pyridin-2-yl] -6- (trifluoromethyl) -2H-pyrazolo [4,3 -B] Synthesis of pyridine (the present compound No.
- reaction mixture was stirred at room temperature for 2 hours. After completion of the reaction, 3 ml of a saturated aqueous sodium thiosulfate solution was added to the reaction mixture, and the mixture was extracted with chloroform (10 ml ⁇ 2). The obtained organic layer was washed with 1M aqueous sodium hydroxide solution, dehydrated and dried over anhydrous sodium sulfate, and then the solvent was distilled off under reduced pressure. The obtained residue was purified by medium pressure preparative liquid chromatography eluting with n-hexane-ethyl acetate (gradient of 100: 0 to 0: 100) to obtain 61 mg of the desired product as a white solid.
- Step 1 Synthesis of 4-azido-6- (trifluoromethyl) nicotinaldehyde To a solution of 1.50 g of 4-chloro-6- (trifluoromethyl) nicotinaldehyde in 10 ml of N, N-dimethylformamide was added 511 mg of sodium azide under ice cooling. After the addition was complete, the reaction mixture was stirred at room temperature for 3 hours. After completion of the reaction, 10 ml of water was added to the reaction mixture and extracted with diethyl ether (20 ml ⁇ 2). The obtained organic layer was dehydrated and dried in the order of saturated brine and then anhydrous sodium sulfate, and the solvent was distilled off under reduced pressure.
- the obtained residue was filtered through celite, and the celite was washed with 20 ml of xylene. The resulting washing solution was stirred for 2 hours under heating to reflux. After completion of the reaction, 10 ml of water was added to the reaction mixture and extracted with ethyl acetate (20 ml ⁇ 2). The obtained organic layer was dehydrated and dried in the order of saturated brine and then anhydrous sodium sulfate, and the solvent was distilled off under reduced pressure. The obtained residue was purified by silica gel column chromatography eluting with n-hexane-ethyl acetate (gradient of 100: 0 to 50:50) to obtain 250 mg of the objective product as a pale yellow solid.
- the obtained organic layer was washed with a saturated aqueous sodium hydrogen carbonate solution, dehydrated and dried over anhydrous sodium sulfate, and the solvent was distilled off under reduced pressure.
- the obtained residue was purified by medium pressure preparative liquid chromatography eluting with n-hexane-ethyl acetate (gradient of 100: 0 to 0: 100) to obtain 63 mg of the desired product as a white solid.
- Step 1 3- (ethylthio) -N- [2-mercapto-5- (trifluoromethyl) pyridine Synthesis of -3-yl] -7- (trifluoromethyl) imidazo [1,2-a] pyridine-2-carboxamide 3-amino-5- (trifluoromethyl) pyridine-2-thiol 500 mg Dissolve in 5 ml of pyridine, 621 mg of 3- (ethylthio) -7- (trifluoromethyl) imidazo [1,2-a] pyridine-2-carboxylic acid, 1-ethyl-3- (3-dimethylaminopropyl) at room temperature ) 820 mg of carbodiimide hydrochloride and 10 mg of 1-hydroxybenzotriazole were added.
- reaction mixture was stirred at room temperature overnight. After completion of the reaction, water was added to the reaction mixture, and the precipitated solid was filtered off to obtain 234 mg of the target product as a brown solid. This was used in the next step without further purification.
- Step 2 2- [3- (Ethylthio) -7- (trifluoromethyl) imidazo [1,2-a] pyridin-2-yl] -6- (trifluoromethyl) thiazolo [5,4-b] pyridine (Synthesis of Compound No. 1-13-001b of the Present Invention)
- the crude product obtained in Step 1 3- (ethylthio) -N- [2-mercapto-5- (trifluoromethyl) pyridin-3-yl]- 214 mg of 7- (trifluoromethyl) imidazo [1,2-a] pyridine-2-carboxamide was dissolved in 5 ml of propionic acid and stirred for 4 hours under heating to reflux.
- Step 3 2- [3- (Ethylsulfonyl) -7- (trifluoromethyl) imidazo [1,2-a] pyridin-2-yl] -6- (trifluoromethyl) thiazolo [5,4-b] Synthesis of pyridine (present compound No.
- the obtained organic layer was washed with 1M aqueous sodium hydroxide solution, dehydrated and dried over anhydrous sodium sulfate, and then the solvent was distilled off under reduced pressure.
- the obtained residue was purified by medium pressure preparative liquid chromatography eluting with n-hexane-ethyl acetate (gradient of 100: 0 to 50:50) to obtain 15 mg of the objective product as a white solid.
- Step 1 3- (Ethylthio) -N- [5-iodo-2- (methylamino) pyridin-3-yl Synthesis of -7- (trifluoromethyl) imidazo [1,2-a] pyridine-2-carboxamide 1.59 g of 5-iodo-N 2 -methylpyridine-2,3-diamine was dissolved in 15 ml of pyridine, At room temperature, 1.54 g of 3- (ethylthio) -7- (trifluoromethyl) imidazo [1,2-a] pyridine-2-carboxylic acid and 1-ethyl-3- (3-dimethylaminopropyl) carbo It was added imide hydrochloride 2.45 g.
- reaction mixture was stirred at room temperature overnight. After completion of the reaction, water was added to the reaction mixture, and the precipitated solid was filtered off to obtain 2.49 g of a crude product as a gray solid. This was used in the next step without further purification.
- Step 2 2- [3- (Ethylthio) -7- (trifluoromethyl) imidazo [1,2-a] pyridin-2-yl] -6-iodo-3-methyl-3H-imidazo [4,5- b] Synthesis of Pyridine (Compound No. 1-1-026b of the Present Invention)
- -7- (Trifluoromethyl) imidazo [1,2-a] pyridine-2-carboxamide (2.49 g) was dissolved in 15 ml of acetic acid and stirred for 3.5 hours under heating to reflux.
- Step 3 2-ethylhexyl 3-((2- (3- (ethylthio) -7- (trifluoromethyl) imidazo [1,2-a] pyridin-2-yl) -3-methyl-3H-imidazo Synthesis of [4,5-b] pyridin-6-yl) thio) propanoate (present compound No.
- Step 4 2- [3- (Ethylthio) -7- (trifluoromethyl) imidazo [1,2-a] pyridin-2-yl] -3-methyl-6-((trifluoromethyl) thio) -3H Synthesis of imidazo [4,5-b] pyridine (the present compound No.
- Step 5 2- [3- (Ethylsulfonyl) -7- (trifluoromethyl) imidazo [1,2-a] pyridin-2-yl] -3-methyl-6-((trifluoromethyl) thio)- Synthesis of 3H-imidazo [4,5-b] pyridine (the present compound No. 1-1-027a) 2- [3- (ethylthio) -7- (trifluoromethyl) imidazo [1,2-a] pyridine -2-yl] -3-methyl-6-((trifluoromethyl) thio) -3H-imidazo [4,5-b] pyridine in a solution of 3 mg of chloroform in 65 ml of chloroform under ice-cooling.
- the obtained organic layer was washed with 1M aqueous sodium hydroxide solution, dehydrated and dried over anhydrous sodium sulfate, and then the solvent was distilled off under reduced pressure.
- the obtained residue was purified by medium pressure preparative liquid chromatography eluting with n-hexane-ethyl acetate (gradient of 100: 0 to 0: 100) to obtain 67 mg of the desired product as a white solid.
- Step 1 3- (ethylthio) -N- [3- Synthesis of (methylamino) -6- (trifluoromethyl) pyridazin-4-yl] -6- (trifluoromethyl) imidazo [1,2-a] pyridine-2-carboxamide 4-Bromo-N-methyl- 6 (Trifluoromethyl) pyridazin-3-amine 300 mg, 3- (ethylthio) -6- (trifluoromethyl) imidazo [1,2-a] pyridine-carboxamide 509 mg, potassium phosphate 497 mg and N, N′-dimethyl 52 mg of ethylenediamine was dissolved in 4 ml of N, N-dimethylformamide, and 56 mg of copper (I) iodide was added at room temperature.
- Step 2 8- [3- (Ethylthio) -6- (trifluoromethyl) imidazo [1,2-a] pyridin-2-yl] -9-methyl- (trifluoromethyl) -9H-imidazo [4 Synthesis of 5-c] pyridazine (Compound No.
- the obtained organic layer was washed with a saturated aqueous sodium hydrogen carbonate solution and 28 mass% aqueous ammonia in that order, and then dehydrated and dried over saturated brine and then anhydrous sodium sulfate, and the solvent was distilled off under reduced pressure. After dehydrating and drying in the order of saturated brine and then anhydrous sodium sulfate, the solvent was distilled off under reduced pressure.
- the obtained residue was purified by medium pressure preparative liquid chromatography eluting with n-hexane-ethyl acetate (gradient of 100: 0 to 25:75) to obtain 72 mg of the desired product as a pale yellow solid. .
- Step 3 8- [3- (Ethylsulfonyl) -6- (trifluoromethyl) imidazo [1,2-a] pyridin-2-yl] -9-methyl- (trifluoromethyl) -9H-imidazo [4 , 5-c] pyridazine (the present compound No.
- the obtained organic layer was washed with a saturated aqueous solution of sodium hydrogen carbonate, dehydrated and dried over anhydrous sodium sulfate, and then the solvent was distilled off under reduced pressure.
- the obtained residue was purified by medium pressure preparative liquid chromatography eluting with n-hexane-ethyl acetate (gradient of 100: 0 to 25:75) to obtain 66 mg of the objective product as a pale yellow solid. .
- Step 1 3-methyl-6- ( Synthesis of (trifluoromethyl) -2- [6- (trifluoromethyl) imidazo [1,2-a] pyrimidin-2-yl] -3H-imidazo [4,5-b] pyridine 5- (trifluoromethyl) Pyrimidine-2-amino 550 mg of 2-bromo-1- [3-methyl-6- (trifluoromethyl) -3H-imidazo [4,5-b] pyridin-2-yl] ethanone was dissolved in 10 ml of acetonitrile at room temperature. Was added. After completion of the addition, the reaction mixture was stirred for 7.5 hours under heating to reflux.
- Step 2 2- [3-Iodo-6- (trifluoromethyl) imidazo [1,2-a] pyrimidin-2-yl] -3-methyl-6- (trifluoromethyl) -3H-imidazo [4 5-b] Synthesis of pyridine 3-methyl-6- (trifluoromethyl) -2- [6- (trifluoromethyl) imidazo [1,2-a] pyrimidin-2-yl] -3H-imidazo [4 5-b] To a solution of 415 mg of pyridine and 4 ml of N, N-dimethylformamide, 408 mg of 1,3-diiodo-5,5-dimethylhydantoin was added at 80 ° C.
- Step 4 2- [3- (Ethylsulfonyl) -6- (trifluoromethyl) imidazo [1,2-a] pyrimidin-2-yl] -3-methyl-6- (trifluoromethyl) -3H-imidazo Synthesis of [4,5-b] pyridine (Compound No.
- the obtained organic layer was washed with a saturated aqueous solution of sodium hydrogen carbonate, dehydrated and dried over anhydrous sodium sulfate, and then the solvent was distilled off under reduced pressure.
- the obtained residue was purified by medium pressure preparative liquid chromatography eluting with n-hexane-ethyl acetate (gradient of 100: 0 to 50:50) to obtain 150 mg of the desired product as a white solid.
- Step 1 3-methyl-6- ( Synthesis of (trifluoromethyl) -2- [7- (trifluoromethyl) imidazo [1,2-c] pyrimidin-2-yl] -3H-imidazo [4,5-b] pyridine 6- (Trifluoromethyl) Pyrimidine-4-a 251 mg of ethanol was dissolved in 10 ml of acetonitrile, and 550 mg of 2-bromo-1- [3-methyl-6- (trifluoromethyl) -3H-imidazo [4,5-b] pyridin-2-yl] ethanone at room temperature. Was added. After completion of the addition, the reaction mixture was stirred for 7.5 hours under heating to reflux.
- Step 2 2- [3-Bromo-7- (trifluoromethyl) imidazo [1,2-c] pyrimidin-2-yl] -3-methyl-6- (trifluoromethyl) -3H-imidazo [4 5-b] Synthesis of pyridine 3-methyl-6- (trifluoromethyl) -2- [7- (trifluoromethyl) imidazo [1,2-c] pyrimidin-2-yl] -3H-imidazo [4 5-b] To a solution of 300 mg of pyridine in 5 ml of N, N-dimethylformamide was added 244 mg of 1,3-dibromo-5,5-dimethylhydantoin at 80 ° C.
- the inside of the reaction vessel was replaced with nitrogen gas, and then stirred for 6.5 hours under heating and reflux.
- the reaction mixture was mixed with 754 mg of diisopropylethylamine, 112 mg of 4,5′-bis (diphenylphosphino) -9,9′-dimethylxanthene, 88 mg of tris (dibenzylideneacetone) dipalladium (0) at room temperature and 242 mg of ethanethiol was added sequentially.
- the inside of the reaction vessel was replaced with nitrogen gas, and then stirred for 5 hours under heating and reflux.
- water was added to the reaction mixture, and the precipitated solid was filtered off by filtration.
- Step 4 2- [3- (Ethylsulfonyl) -7- (trifluoromethyl) imidazo [1,2-c] pyrimidin-2-yl] -3-methyl-6- (trifluoromethyl) -3H-imidazo Synthesis of [4,5-b] pyridine (Invention Compound No.
- reaction mixture was stirred at room temperature for 2 hours. After completion of the reaction, a saturated aqueous sodium thiosulfate solution was added to the reaction mixture, and the mixture was extracted with chloroform (10 ml ⁇ 2). The obtained organic layer was washed with a saturated aqueous solution of sodium hydrogen carbonate, dehydrated and dried over anhydrous sodium sulfate, and then the solvent was distilled off under reduced pressure. The obtained residue was purified by medium pressure preparative liquid chromatography eluting with n-hexane-ethyl acetate (gradient of 100: 0 to 50:50) to obtain 139 mg of the desired product as a white solid.
- reaction mixture was stirred for 5 hours under heating to reflux.
- 10 ml of 1M aqueous sodium hydroxide solution was added to the reaction mixture, and the mixture was extracted with ethyl acetate (10 ml ⁇ 2).
- the obtained organic layer was dehydrated and dried in the order of saturated brine and then anhydrous sodium sulfate, and the solvent was distilled off under reduced pressure.
- the obtained residue was purified by medium pressure preparative liquid chromatography eluting with n-hexane-ethyl acetate (gradient of 100: 0 to 0: 100) to obtain 38 mg of the desired product as a white solid.
- Step 2 2- [7-Chloro-3- (ethylthio) imidazo [1,2-a] pyridin-2-yl] -6- (trifluoromethyl) -3H-imidazo [4,5-c] pyridine ( Synthesis of the present compound No. 1-8-012b)
- the crude product N- [5-amino-2- (trifluoromethyl) pyridin-4-yl] -7-chloro-3- ( Ethylthio) imidazo [1,2-a] pyridine-2-carboxamide (749 mg) was dissolved in propionic acid (7 ml), and the mixture was stirred with heating under reflux for 20 hours. After completion of the stirring, the solid precipitated in the reaction mixture was filtered off by filtration. The obtained solid was washed with water to obtain 761 mg of the desired product as a brown solid. This was used in the next step without further purification.
- Step 3 2- [7-Chloro-3- (ethylthio) imidazo [1,2-a] pyridin-2-yl] -3-methyl-6- (trifluoromethyl) -3H-imidazo [4,5- c] pyridine (present compound No. 1-8-006b) and 2- [7-chloro-3- (ethylthio) imidazo [1,2-a] pyridin-2-yl] -1-methyl-6- ( Synthesis of synthesis of (trifluoromethyl) -1H-imidazo [4,5-c] pyridine (the present compound No.
- reaction mixture was stirred at room temperature for 1 hour. After completion of the reaction, 20 ml of water was added to the reaction mixture and extracted with diethyl ether (20 ml ⁇ 2). The obtained organic layer was dehydrated and dried in the order of saturated brine and then anhydrous sodium sulfate, and the solvent was distilled off under reduced pressure.
- the obtained residue was purified by medium pressure preparative liquid chromatography eluting with n-hexane-ethyl acetate (gradient of 100: 0 to 50:50), and the desired product 2- [7-chloro -3- (Ethylthio) imidazo [1,2-a] pyridin-2-yl] -3-methyl-6- (trifluoromethyl) -3H-imidazo [4,5-c] pyridine 65 mg and target product 2- [7-Chloro-3- (ethylthio) imidazo [1,2-a] pyridin-2-yl] -1-methyl-6- (trifluoromethyl) -1H-imidazo [4,5-c] pyridine 247 mg of each was obtained as a white solid.
- Step 1 2- (ethylthio) -1- [3-methyl-6- (trifluoromethyl)- Synthesis of 3H-imidazo [4,5-b] pyridin-2-yl] ethanone 2-Bromo-1- [3-methyl-6- (trifluoromethyl) -3H-imidazo [4,5-b] pyridine-
- 2-yl] ethanone 20 g in N, N-dimethylformamide 80 ml, ethanethiol 4.2 g and potassium carbonate 9.4 g were sequentially added under ice cooling. After completion of the addition, the reaction mixture was stirred for 30 minutes under ice cooling.
- Step 2 Synthesis of 2-bromo-2- (ethylthio) -1- [3-methyl-6- (trifluoromethyl) -3H-imidazo [4,5-b] pyridin-2-yl] ethanone 2- ( Ethylthio) -1- [3-methyl-6- (trifluoromethyl) -3H-imidazo [4,5-b] pyridin-2-yl] ethanone in a solution of 11.4 g of dichloromethane in 100 ml of dichloromethane at room temperature. 2g was added. After completion of the addition, the reaction mixture was cooled to ⁇ 20 ° C. and 8.8 g of trimethylsilyl trifluoromethanesulfonate was added.
- reaction mixture was stirred for 20 minutes under ice cooling. After stirring, the reaction mixture was cooled to ⁇ 20 ° C. and 14.1 g of trimethylphenylammonium tribromide was added. After completion of the addition, the reaction mixture was stirred for 30 minutes under ice cooling. After completion of the reaction, the reaction mixture was added dropwise to 100 ml of water under ice cooling and extracted with chloroform (100 ml ⁇ 2). The obtained organic layer was dehydrated and dried over anhydrous sodium sulfate, and the solvent was distilled off under reduced pressure to obtain 13.4 g of the desired product as a red brown oil.
- Step 3 2- [3- (Ethylthio) -6-iodo-8- (trifluoromethyl) imidazo [1,2-a] pyridin-2-yl] -3-methyl-6- (trifluoromethyl)- Synthesis of 3H-imidazo [4,5-b] pyridine (present compound No. 1-1-066b) 300 mg of 5-iodo-3- (trifluoromethyl) pyridin-2-amine was dissolved in 8 ml of propionitrile. 345 mg 2-bromo-2- (ethylthio) -1- [3-methyl-6- (trifluoromethyl) -3H-imidazo [4,5-b] pyridin-2-yl] ethanone at room temperature Added.
- reaction mixture was stirred for 1.5 hours under heating to reflux. After completion of the reaction, 20 ml of water was added to the reaction mixture and extracted with chloroform (20 ml ⁇ 2). The obtained organic layer was dehydrated and dried over anhydrous sodium sulfate, and then the solvent was distilled off under reduced pressure. 10 ml of diisopropyl ether was added to the precipitated solid, followed by filtration to obtain 294 mg of the desired product as an orange solid.
- Step 2 2- [3- (Ethylsulfonyl) -7- (trifluoromethyl) imidazo [1,2-b] pyridazin-2-yl] -3-methyl-6- (trifluoromethyl) -3H-imidazo [4,5-b] pyridine (the present compound No. 1-1-057a) and 2- [3- (ethylsulfinyl) -7- (trifluoromethyl) imidazo [1,2-b] pyridazine-2- Yl] -3-methyl-6- (trifluoromethyl) -3H-imidazo [4,5-b] pyridine (present compound No.
- the obtained residue was purified by medium pressure preparative liquid chromatography eluting with n-hexane-ethyl acetate (gradient of 100: 0 to 50:50), and the target product 2- [3- ( 70 mg of ethylsulfonyl) -7- (trifluoromethyl) imidazo [1,2-b] pyridazin-2-yl] -3-methyl-6- (trifluoromethyl) -3H-imidazo [4,5-b] pyridine 2- [3- (ethylsulfinyl) -7- (trifluoromethyl) imidazo [1,2-b] pyridazin-2-yl] -3-methyl-6- (trifluoromethyl) -3H -41 mg of imidazo [4,5-b] pyridine was obtained as a pale yellow oil, respectively.
- Step 1 5- (Ethylthio) -6- [3-methyl-6- (trifluoromethyl) -3H-imidazo [4,5-b] pyridin-2-yl] -2- (trifluoro Methyl) imidazo [2,1-b] [1 , 3, 4] Synthesis of thiadiazole (present compound No.2-1-002b) 195 mg of 5- (trifluoromethyl) -1,3,4-thiadiazol-2-amine was dissolved in 5 ml of propionitrile, At room temperature, 400 mg of 2-bromo-2- (ethylthio) -1- [3-methyl-6- (trifluoromethyl) -3H-imidazo [4,5-b] pyridin-2-yl] ethanone was added.
- Step 2 5- (Ethylsulfonyl) -6- [3-methyl-6- (trifluoromethyl) -3H-imidazo [4,5-b] pyridin-2-yl] -2- (trifluoromethyl) imidazo [2,1-b] Synthesis of [1,3,4] thiadiazole (present compound No.2-1-002a) 5- (ethylthio) -6- [3-methyl-6- (trifluoromethyl)- 3H-imidazo [4,5-b] pyridin-2-yl] -2- (trifluoromethyl) imidazo [2,1-b] [1,3,4] thiadiazole In a solution of 130 mg of chloroform in 10 ml of chloroform, Below, 191 mg of 65% by weight metachloroperbenzoic acid (containing about 30% by weight water) was added.
- reaction mixture was stirred at room temperature overnight.
- a saturated aqueous sodium thiosulfate solution was added to the reaction mixture, and the mixture was extracted with chloroform (10 ml ⁇ 2).
- the obtained organic layer was washed with a saturated aqueous solution of sodium hydrogen carbonate, dehydrated and dried over anhydrous sodium sulfate, and then the solvent was distilled off under reduced pressure.
- the obtained residue was purified by medium pressure preparative liquid chromatography eluting with n-hexane-ethyl acetate (gradient of 100: 0 to 50:50) to obtain 52 mg of the desired product as a white solid.
- Step 1 2- (Ethylthio) -1- [3-methyl-6- (trifluoromethyl) -3H-imidazo [ Synthesis of 4,5-c] pyridin-2-yl] ethanone 2-Bromo-1- [3-methyl-6- (trifluoromethyl) -3H-imidazo [4,5-c] pyridin-2-yl] To a solution of 2.36 g of ethanone in 25 ml of N, N-dimethylformamide, 546 mg of ethanethiol and 1.21 g of potassium carbonate were sequentially added under ice cooling. After the addition was complete, the reaction mixture was stirred at room temperature for 1 hour.
- Step 2 Synthesis of 2-bromo-2- (ethylthio) -1- [3-methyl-6- (trifluoromethyl) -3H-imidazo [4,5-c] pyridin-2-yl] ethanone 2- ( Ethylthio) -1- [3-methyl-6- (trifluoromethyl) -3H-imidazo [4,5-c] pyridin-2-yl] ethanone 1.63 g in dichloromethane 15 ml solution at room temperature with 600 mg triethylamine 600 mg Added. After completion of the addition, 1.25 g of trimethylsilyl trifluoromethanesulfonate was added to the reaction mixture under ice cooling.
- reaction mixture was stirred for 30 minutes under ice cooling. After completion of the stirring, 2.02 g of trimethylphenylammonium tribromide was added to the reaction mixture under ice cooling. After completion of the addition, the reaction mixture was stirred for 1 hour under ice cooling. After completion of the reaction, the reaction mixture was added dropwise to 20 ml of water under ice cooling and extracted with chloroform (20 ml ⁇ 2). The obtained organic layer was dehydrated and dried over anhydrous sodium sulfate, and the solvent was evaporated under reduced pressure to obtain 2.09 g of the desired product as a yellow oil.
- Step 3 2- [3- (Ethylthio) -8-fluoro-6-iodoimidazo [1,2-a] pyridin-2-yl] -3-methyl-6- (trifluoromethyl) -3H-imidazo [ Synthesis of 4,5-c] pyridine (Compound No. 1-8-008b of the present invention) 250 mg of 3-fluoro-5-iodopyridin-2-amine was dissolved in 5 ml of acetonitrile, and 2-bromo- 400 mg of 2- (ethylthio) -1- [3-methyl-6- (trifluoromethyl) -3H-imidazo [4,5-c] pyridin-2-yl] ethanone was added.
- reaction mixture was stirred for 1 hour under heating to reflux. After completion of the reaction, 10 ml of water was added to the reaction mixture and extracted with chloroform (10 ml ⁇ 2). The obtained organic layer was dehydrated and dried over anhydrous sodium sulfate, and then the solvent was distilled off under reduced pressure. The precipitated solid was filtered off to obtain 338 mg of the target product as a brown solid.
- Step 2 Synthesis of ethyl 3-iodo-7- (trifluoromethyl) imidazo [1,2-a] pyridine-2-carboxylate
- Step 3 Synthesis of ethyl 3- (ethylthio) -7- (trifluoromethyl) imidazo [1,2-a] pyridine-2-carboxylate Ethyl 3-iodo-7- (trifluoromethyl) imidazo [1,2 -A] To a solution of 5.73 g of pyridine-2-carboxylate in 40 ml of 1,4-dioxane, 5.79 g of diisopropylethylamine, 862 mg of 4,5-bis (diphenylphosphino) -9,9-dimethylxanthene at room temperature , 682 mg of tris (dibenzylideneacetone) dipalladium (valence 0) and 1.85 g of ethanethiol were sequentially added.
- the inside of the reaction vessel was replaced with nitrogen gas, and then stirred for 2 hours under heating and reflux.
- the reaction mixture was filtered through celite, and the celite was washed with 30 ml of chloroform.
- the obtained filtrate and washing solution were combined and the solvent was distilled off under reduced pressure.
- the obtained residue was purified by medium pressure preparative liquid chromatography eluting with n-hexane-ethyl acetate (gradient of 100: 0 to 50:50) to obtain 5.58 g of the objective product as a brown solid. It was.
- Step 4 Synthesis of 3- (ethylthio) -7- (trifluoromethyl) imidazo [1,2-a] pyridine-2-carboxylic acid Ethyl 3- (ethylthio) -7- (trifluoromethyl) imidazo [1, 2-a]
- a solution of 5.58 g of pyridine-2-carboxylate in 60 ml of ethanol and 30 ml of tetrahydrofuran was added 10 ml of 3M aqueous sodium hydroxide at room temperature. After the addition was complete, the reaction mixture was stirred at room temperature for 5 hours. After completion of the reaction, the solvent was distilled off from the reaction mixture under reduced pressure.
- a 1M aqueous hydrochloric acid solution was added to the obtained residue to adjust the pH of the aqueous layer to 2, and the mixture was extracted with ethyl acetate (20 ml ⁇ 2).
- the obtained organic layer was dehydrated and dried in the order of saturated brine and then anhydrous sodium sulfate, and then the solvent was distilled off under reduced pressure to obtain 3.40 g of the desired product as a yellow solid.
- Step 5 Synthesis of 3- (ethylthio) -N-methoxy-N-methyl-7- (trifluoromethyl) imidazo [1,2-a] pyridine-2-carboxamide 3- (ethylthio) -7- (tri To a solution of 2.52 g of fluoromethyl) imidazo [1,2-a] pyridine-2-carboxylic acid in 30 ml of dichloromethane were added 3.31 g of oxalyl dichloride and 30 mg of N, N-dimethylformamide under ice cooling. After the addition was complete, the reaction mixture was stirred at room temperature for 3 hours.
- reaction mixture was stirred at room temperature for 1.5 hours. After completion of the reaction, 10 ml of water was added to the reaction mixture and extracted with chloroform (10 ml ⁇ 2). The obtained organic layer was washed with diluted hydrochloric acid and saturated aqueous sodium hydrogen carbonate solution in this order, dehydrated and dried over anhydrous sodium sulfate, and then the solvent was distilled off under reduced pressure to obtain 2.50 g of the desired product as a skin-colored solid. It was.
- Step 6 Synthesis of 1- [3- (ethylthio) -7- (trifluoromethyl) imidazo [1,2-a] pyridin-2-yl] ethanone 3- (Ethylthio) -N-methoxy under nitrogen atmosphere
- a solution of 2.45 g of -N-methyl-7- (trifluoromethyl) imidazo [1,2-a] pyridine-2-carboxamide in 25 ml of tetrahydrofuran was added to a solution of about 3 M methylmagnesium bromide in diethyl ether under ice-cooling. .7 ml was added. After completion of the addition, the reaction mixture was stirred for 1 hour under ice cooling.
- reaction mixture was added dropwise to 10 ml of 4M aqueous hydrochloric acid solution under ice cooling and extracted with ethyl acetate (20 ml ⁇ 2).
- the obtained organic layer was washed with a saturated aqueous solution of sodium hydrogen carbonate, dehydrated and dried in the order of saturated brine and then anhydrous sodium sulfate, and the solvent was distilled off under reduced pressure to obtain 2.08 g of the desired product. was obtained as a brown solid.
- Step 7 Synthesis of 1- [3- (ethylsulfonyl) -7- (trifluoromethyl) imidazo [1,2-a] pyridin-2-yl] ethanone 1- [3- (ethylthio) -7- (tri To a solution of 2.08 g of fluoromethyl) imidazo [1,2-a] pyridin-2-yl] ethanone in 40 ml of methanol and 20 ml of water, 13.3 g of Oxone (registered trademark of DuPont) was added under ice cooling. After the addition was complete, the reaction mixture was stirred at room temperature overnight.
- Oxone registered trademark of DuPont
- Step 8 Synthesis of 2-bromo-1- [3- (ethylsulfonyl) -7- (trifluoromethyl) imidazo [1,2-a] pyridin-2-yl] ethanone 1- [3- (ethylsulfonyl) To a 15 ml toluene solution of 2.05 g of -7- (trifluoromethyl) imidazo [1,2-a] pyridin-2-yl] ethanone at 10.degree. 1.13 g of bromine was added sequentially. After the addition was complete, the reaction mixture was stirred at room temperature for 2 hours. After completion of the stirring, 205 mg of bromine was added to the reaction mixture and stirred overnight at room temperature.
- Step 2 Synthesis of ethyl 5-iodo-2- (trifluoromethyl) imidazo [2,1-b] thiazole-6-carboxylate ethyl 2- (trifluoromethyl) imidazo [2,1-b] thiazole-6 -To a solution of 7.97 g of carboxylate in 10 ml of N, N-dimethylformamide was added 3.58 g of N-iodosuccinimide at room temperature. After completion of the addition, the reaction mixture was stirred at 80 ° C. for 4 hours.
- Step 3 Synthesis of ethyl 3- (ethylthio) -2- (trifluoromethyl) imidazo [2,1-b] thiazole-6-carboxylate ethyl 5-iodo-2- (trifluoromethyl) imidazo [2,1 -B]
- thiazole-6-carboxylate ethyl 5-iodo-2- (trifluoromethyl) imidazo [2,1 -B]
- the inside of the reaction vessel was replaced with nitrogen gas, and then stirred for 4 hours under heating and reflux.
- the reaction mixture was filtered through celite, and the celite was washed with 30 ml of chloroform.
- the obtained filtrate and washing solution were combined and the solvent was distilled off under reduced pressure.
- the obtained residue was purified by medium pressure preparative liquid chromatography eluting with n-hexane-ethyl acetate (gradient of 100: 0 to 50:50) to obtain 1.11 g of the objective product as a yellow solid. It was.
- Step 4 Synthesis of 5- (ethylthio) -2- (trifluoromethyl) imidazo [2,1-b] thiazole-6-carboxylic acid Ethyl 3- (ethylthio) -2- (trifluoromethyl) imidazo [2, 1-b] Thiazole-6-carboxylate To a solution of 1.09 g of ethanol in 10 ml and tetrahydrofuran in 10 ml was added 6.8 ml of 1M aqueous sodium hydroxide at room temperature. After the addition was complete, the reaction mixture was stirred at room temperature overnight. After completion of the reaction, the solvent was distilled off from the reaction mixture under reduced pressure.
- Step 2 Synthesis of 4-bromo-N, 2-dimethyl-6- (trifluoromethyl) pyridin-3-amine 63 wt% sodium hydride (dispersed in mineral oil) 537 mg of N, N-dimethylformamide in 5 ml solution Then, a solution of 3.0 g of 4-bromo-2-methyl-6- (trifluoromethyl) pyridin-3-amine in 12 ml of N, N-dimethylformamide was added under ice cooling. After the addition was complete, the reaction mixture was stirred at room temperature for 1 hour. After the completion of stirring, 2.0 g of methyl iodide was added to the reaction mixture under ice cooling.
- Step 3 Synthesis of N 3 , 2-dimethyl-6- (trifluoromethyl) pyridine-3,4-diamine 4-Bromo-N, 2-dimethyl-6- (trifluoromethyl) pyridin-3-amine
- a solution of 0 g, 186 mg acetylacetone, 243 mg acetylacetone copper (II) and 1.81 g cesium carbonate in 30 ml N-methylpyrrolidone was added to the autoclave reactor. After completion of the addition, 20 ml of 28% by mass aqueous ammonia was added to the reaction mixture at room temperature. After completion of the addition, the reaction vessel was sealed, and the reaction mixture was heated to 140 ° C. and stirred for 1 hour.
- the reaction mixture was filtered through celite, and the celite was washed with 50 ml of acetone.
- the obtained filtrate and washing solution were combined and the solvent was distilled off under reduced pressure.
- 30 ml of water was added to the obtained residue, and the mixture was extracted with hexane (30 ml ⁇ 2).
- the obtained organic layer was dehydrated and dried in the order of saturated brine and then anhydrous sodium sulfate, and the solvent was distilled off under reduced pressure to obtain 20.53 g of a crude product as a colorless and transparent oil. It was.
- Step 2 Synthesis of 2-methyl-6- (perfluoroethyl) pyrimidin-4-ol
- An ethanol solution of about 20% by mass sodium ethoxide at 50 ° C. in a solution of 6.49 g of acetamidine hydrochloride in 75 ml of dimethyl sulfoxide 23.3 g and (Z) -ethyl 3-ethoxy-4,4,5,5,5-pentafluoropent-2-enoate 15.0 g were sequentially added. After completion of the addition, the reaction mixture was stirred at 50 ° C. for 2 hours. After completion of the stirring, 5.84 g of an ethanol solution of about 20% by mass sodium ethoxide was added to the reaction mixture at 50 ° C.
- reaction mixture was stirred at 50 ° C. for 2.5 hours. After completion of the stirring, the reaction mixture was stirred at room temperature overnight. After completion of the reaction, 50 ml of water was added to the reaction mixture and extracted with diethyl ether (50 ml ⁇ 2). Concentrated hydrochloric acid was added to the obtained aqueous layer to adjust the pH of the aqueous layer to 1-2, followed by extraction with chloroform (20 ml ⁇ 2). The obtained organic layer was dehydrated and dried over anhydrous sodium sulfate, and then the solvent was distilled off under reduced pressure to obtain 7.0 g of a crude product as a white solid. Melting point: 135-138 ° C 1 H-NMR (CDCl 3 ): ⁇ 6.77 (s, 1H), 2.57 (s, 3H) (the OH proton peak could not be observed).
- Step 3 Synthesis of 4-chloro-2-methyl-6- (perfluoroethyl) pyrimidine To a solution of 8.7 g 2-methyl-6- (perfluoroethyl) pyrimidin-4-ol in 20 ml thionyl chloride at room temperature 30 mg of N, N-dimethylformamide was added. After completion of the addition, the reaction mixture was stirred for 1 hour under heating to reflux. After completion of the reaction, the reaction mixture was allowed to cool to room temperature, dropped into ice water, and extracted with diethyl ether (20 ml ⁇ 2).
- Step 4 Synthesis of 2-methyl-6- (perfluoroethyl) pyrimidin-4-amine To a solution of 9.33 g of crude 4-chloro-2-methyl-6- (perfluoroethyl) pyrimidine in 20 ml of acetonitrile, At room temperature, 20 ml of 28% by mass aqueous ammonia was added.
- Reference Example 6 The following compounds were synthesized in the same manner as in Steps 1 to 4 of Reference Example 5. 6- (perfluoroethyl) pyrimidin-4-amine 1 H-NMR (CDCl 3 ): ⁇ 8.70 (s, 1H), 6.79 (s, 1H), 5.22 (brs, 2H).
- reaction mixture was cooled to ⁇ 78 ° C., and a solution of 2.3 g of 6- (perfluoroethyl) nicotinic acid in 20 ml of tetrahydrofuran was added. After completion of the addition, the reaction mixture was warmed to ⁇ 40 ° C. and stirred for 1.5 hours. After stirring, the reaction mixture was cooled to ⁇ 78 ° C. and 4.5 g of hexachloroethane was added. After the addition was complete, the reaction mixture was stirred at ⁇ 78 ° C. for 1.5 hours. After completion of the reaction, 25 ml of saturated aqueous ammonium chloride solution was added to the reaction mixture at -78 ° C.
- Step 2 Synthesis of [4-Chloro-6- (perfluoroethyl) pyridin-3-yl] methanol To a solution of 1.0 g of 4-chloro-6- (perfluoroethyl) nicotinic acid in 10 ml of tetrahydrofuran at ⁇ 50 ° C. Then, 8.5 ml of a 0.85M borane-tetrahydrofuran complex tetrahydrofuran solution was added. After the addition was complete, the reaction mixture was warmed to room temperature and stirred overnight.
- Step 3 Synthesis of 4-chloro-6- (perfluoroethyl) nicotinaldehyde 3 g of silicon dioxide at room temperature in a solution of 930 mg of [4-chloro-6- (perfluoroethyl) pyridin-3-yl] methanol in 10 ml of dichloromethane And 1.53 g of pyridinium chlorochromate were sequentially added. After the addition was complete, the reaction mixture was stirred at room temperature for 1 hour. After completion of stirring, 500 mg of pyridinium chlorochromate was added to the reaction mixture. After the addition was complete, the reaction mixture was stirred at room temperature for 30 minutes.
- Reference Example 8 The following compounds were synthesized in the same manner as in Steps 1 to 3 of Reference Example 7. 4-chloro-6- (trifluoromethyl) nicotinaldehyde 1 H-NMR (CDCl 3 ): ⁇ 10.54 (s, 1H), 9.12 (s, 1H), 7.81 (s, 1H).
- reaction mixture was stirred for 2 hours under heating to reflux. After completion of the reaction, the solvent was distilled off from the reaction mixture. 20 ml of water was added to the obtained residue, and the mixture was extracted with ethyl acetate (20 ml ⁇ 2). The obtained organic layer was washed with a saturated aqueous sodium hydrogen carbonate solution, dehydrated and dried over anhydrous sodium sulfate, and the solvent was distilled off under reduced pressure. The obtained residue was purified by medium pressure preparative liquid chromatography eluting with n-hexane-ethyl acetate (50:50) to obtain 2.12 g of the desired product as a pale yellow solid.
- Step 2 Synthesis of 3- (ethylthio) -7- (trifluoromethyl) imidazo [1,2-a] pyridin-2-amine tert-butyl [3- (ethylthio) -7- (trifluoromethyl) imidazo [
- reaction mixture was stirred at room temperature for 30 minutes. After completion of the stirring, the solvent was distilled off from the reaction mixture under reduced pressure. The obtained residue was dissolved in 150 ml of ethanol, and 39.4 ml of 10M aqueous sodium hydroxide solution was added at room temperature. After completion of the addition, the reaction mixture was stirred for 2 hours under heating to reflux. After completion of the stirring, 20 ml of 10M aqueous sodium hydroxide solution was added to the reaction mixture at room temperature. After the addition was complete, the reaction mixture was stirred for 4.5 hours under heating to reflux. After completion of the reaction, the solvent was distilled off from the reaction mixture under reduced pressure.
- Step 2 Synthesis of 1- [3-methyl-6- (trifluoromethyl) -3H-imidazo [4,5-b] pyridin-2-yl] ethanone (S) -1- [3-Methyl-6- A solution of 48.3 g of (trifluoromethyl) -3H-imidazo [4,5-b] pyridin-2-yl] ethanol in 200 ml of acetic acid was heated to 90 ° C., and 14.8 g of chromium (VI) oxide was added. A 50 ml solution was added. After completion of the addition, the reaction mixture was stirred for 1.5 hours under heating to reflux.
- VI chromium
- Step 3 Synthesis of 2-bromo-1- [3-methyl-6- (trifluoromethyl) -3H-imidazo [4,5-b] pyridin-2-yl] ethanone 1- [3-Methyl-6- (Trifluoromethyl) -3H-imidazo [4,5-b] pyridin-2-yl] ethanone (35.6 g) was dissolved in 300 ml of toluene and 150 ml of an acetic acid solution of about 5.1 M hydrogen bromide. 25.8 g of bromine was added. After the addition was complete, the reaction mixture was stirred at room temperature for 2 hours. After completion of stirring, 3.12 g of bromine was added to the reaction mixture at room temperature.
- reaction mixture was stirred at room temperature for 1 hour. After completion of stirring, 2.58 g of bromine was added to the reaction mixture at room temperature. After the addition was complete, the reaction mixture was stirred at room temperature for 30 minutes. After completion of the reaction, the reaction mixture was adjusted to pH 3 by adding a 10M aqueous sodium hydroxide solution under ice cooling, and then extracted with toluene (200 ml ⁇ 2). The obtained organic layer was washed with a saturated aqueous sodium hydrogensulfite solution, dehydrated and dried in the order of saturated brine and then anhydrous sodium sulfate, and then the solvent was distilled off under reduced pressure. The precipitated solid was filtered off by filtration.
- reaction mixture was stirred at room temperature for 20 minutes. After completion of the stirring, the solvent was distilled off from the reaction mixture under reduced pressure. The obtained residue was dissolved in 20 ml of ethanol, and 3.5 ml of 10M aqueous sodium hydroxide solution was added at room temperature. After completion of the addition, the reaction mixture was stirred for 1 hour under heating to reflux. After completion of the stirring, 1.8 ml of 10M aqueous sodium hydroxide solution was added to the reaction mixture at room temperature. After completion of the addition, the reaction mixture was stirred for 2 hours under heating to reflux. After completion of the reaction, 50 ml of water was added to the reaction mixture and extracted with ethyl acetate (50 ml ⁇ 2).
- the obtained organic layer was dehydrated and dried over anhydrous sodium sulfate, and then the solvent was distilled off under reduced pressure.
- the obtained residue was purified by medium pressure preparative liquid chromatography eluting with n-hexane-ethyl acetate (gradient of 100: 0 to 50:50), and 3.0 g of the target product was obtained as a light pink solid. Got as.
- Step 2 Synthesis of 1- [3-methyl-6- (trifluoromethyl) -3H-imidazo [4,5-c] pyridin-2-yl] ethanone (S) -1- [3-Methyl-6- A solution of 3.0 g of (trifluoromethyl) -3H-imidazo [4,5-c] pyridin-2-yl] ethanol in 30 ml of acetic acid was heated to 90 ° C. and 1.22 g of chromium (VI) oxide in water. A 10 ml solution was added. After completion of the addition, the reaction mixture was stirred for 1 hour under heating to reflux.
- VI chromium
- Step 3 Synthesis of 2-bromo-1- [3-methyl-6- (trifluoromethyl) -3H-imidazo [4,5-c] pyridin-2-yl] ethanone 1- [3-Methyl-6- To a solution of (trifluoromethyl) -3H-imidazo [4,5-c] pyridin-2-yl] ethanone in 2.55 g of dichloromethane in 30 ml was added 1.16 g of triethylamine at room temperature. After completion of the addition, 2.44 g of trimethylsilyl trifluoromethanesulfonate was added to the reaction mixture under ice cooling. After completion of the addition, the reaction mixture was stirred for 30 minutes under ice cooling.
- the compound of the present invention can be synthesized according to the above production method and synthesis examples.
- Examples of condensed heterocyclic compounds produced in the same manner as in Synthesis Examples 1 to 30 are shown in Tables 6 to 24, and examples of their production intermediates are shown in Tables 25 to 32.
- the condensed heterocyclic compounds and their production intermediates included in the present invention are not limited to these.
- “Me” represents a methyl group
- “Et” represents an ethyl group
- “Ph” represents a phenyl group.
- the substituents represented by Z1 to Z16 in the table represent the following structures.
- “* 1” indicates that the compound is solid
- “* 2” indicates that the compound is an oily substance
- “* 5” indicates that the compound has decomposed when the melting point of the compound is measured.
- “Mp” represents a melting point (unit: ° C.).
- “>” indicates that the melting point of the compound is higher than the indicated temperature. For example, the indication “> 250” means that the compound did not melt at 250 ° C.
- Table 1 shows 1 H-NMR data of the compound of the present invention and production intermediates.
- the proton nuclear magnetic resonance chemical shift value was measured at 300 MHz (model: ECX300 or ECP300, manufactured by JEOL) in deuterated chloroform solvent using Me 4 Si (tetramethylsilane) as a reference substance.
- Symbols in proton nuclear magnetic resonance chemical shift values have the following meanings. s: singlet, brs: broad singlet, d: doublet, dd: double doublet, t: triplet, q: quartet, m: multiplet
- Test Example 1 Insecticidal test against brown planthopper A 10% emulsion of the compound of the present invention (depending on the compound, 10% wettable powder) was diluted with water containing a spreading agent to prepare a chemical solution having a concentration of 500 ppm. Rice leaf sheaths were immersed in the chemical solution for about 10 seconds. After the dipping operation was finished, the leaf sheath of the rice treated with the chemical solution was air-dried and then placed in a test tube.
- Test Example 2 Insecticidal test for goldfish 10% emulsion of the compound of the present invention (depending on the compound, 10% wettable powder was tested) was diluted with water containing a spreading agent to prepare a chemical solution having a concentration of 500 ppm. In the chemical solution, kanran leaves were immersed for about 10 seconds. After the dipping operation was completed, the kanran leaves treated with the chemical solution were air-dried and then placed in a petri dish. In this, 5 third-instar larvae of Plutella xylostella were released per petri dish, capped, and housed in a thermostatic chamber at 25 ° C.
- Test Example 3 Insecticidal test against Spodoptera litura 10% emulsion of the compound of the present invention (depending on the compound, 10% wettable powder) was diluted with water containing a spreading agent to prepare a chemical solution having a concentration of 500 ppm. In the chemical solution, kanran leaves were immersed for about 10 seconds. After the dipping operation was completed, the kanran leaves treated with the chemical solution were air-dried and then placed in a petri dish. In this, 5 third-instar larvae of Spodoptera litura were released per petri dish, capped and housed in a constant temperature room at 25 ° C.
- Test Example 4 Insecticidal activity against citrus white thrips Place a wet filter paper on a 7 cm inner diameter styrol cup, place a 3 cm square of green beans on it, and place 20 larvae of Frankliniella occidentalis per leaf. Head inoculated. A 10% emulsion of the compound of the present invention (a 10% wettable powder was tested depending on the compound) was diluted with water containing a spreading agent to prepare a chemical solution having a concentration of 500 ppm. The prepared chemical solution was sprayed by 2.5 ml per styrene cup using a rotary spray tower (2.5 mg / cm 2 ). The number of dead citrus thrips ingested two days later and the damage of green beans were investigated.
- the mortality was calculated from the same calculation formula as in Test Example 1.
- the damage degree was determined as follows. 1: 0-20% damage, 2: 20-50% damage, 3: 50-70% damage, 4: 70% damage or more.
- the test was performed by 2 continuous systems. As a result, among the compounds tested, the following compounds showed a mortality rate of 50% or more and a food damage level of 2 or more.
- Test Example 5 Insecticidal test against peach aphid Placed wet cotton wool on a glass petri dish with an inner diameter of 3 cm, placed kanran leaves cut out on the same diameter, and released four adult mosquito aphids (Myzus persicae) Insects.
- a 10% emulsion of the compound of the present invention (depending on the compound, 10% wettable powder was tested) was diluted with water containing a spreading agent to prepare a chemical solution having a concentration of 500 ppm.
- the prepared chemical was sprayed (2.5 mg / cm 2 ) in a rotary spray tower, covered, and stored in a 25 ° C. constant temperature room.
- Test Example 6 Insecticidal test for silver leaf whitefly A moist filter paper was laid on a styrene cup having an inner diameter of 7 cm, and a green leaf cut into 3 cm was placed thereon. A 10% emulsion of the compound of the present invention (depending on the compound, a 10% wettable powder was tested) was diluted with water containing a spreading agent to prepare a chemical solution having a concentration of 500 ppm, and the rotary spray tower was used. The chemical solution was sprayed at a rate of 2.5 ml per styrene cup (2.5 mg / cm 2 ).
- Test Example 7 Soil irrigation treatment test for peach aphid A 10% emulsion of the compound of the present invention was diluted with tap water to prepare a chemical solution having a concentration of 500 ppm. 10 ml of the above-mentioned chemical solution was irrigated on the stock soil portion of a plastic cup planted cabbage seedling (2.5 true leaf stage). After the irrigation treatment, the cabbage seedling was left in the greenhouse. One day after the irrigation treatment, adult peach aphids (Myzus persicae) were released at 20 / strain. After the release, the cabbage seedling was left in the greenhouse. Six days after the release, the number of living peach aphids was examined, and a control value was calculated from the following formula.
- Control value (%) ⁇ 1 ⁇ (Cb ⁇ Tai) / (Cai ⁇ Tb) ⁇ ⁇ 100
- the characters in the formula represent the following: Cb: number of insects before treatment in the untreated group Cai: number of live insects at the time of final survey in the untreated group Tb: number of insects before treatment in the treated group Tai: number of live insects at the time of final survey in the treated group Among the compounds tested, the following compounds showed a control value of 90% or more.
- Test Example 8 Osmotic transfer test against brown planthopper A 10% emulsion of the compound of the present invention was diluted with tap water to prepare a chemical solution having a concentration of 20 ppm, and the roots of rice cell seedlings (two leaves) were immersed. Seven days later, the rice was cut out and placed in a test tube, in which five third-instar larvae of the green planthopper (Nilaparvata lugens) were released per test tube, covered with a sponge, and housed in a thermostatic chamber at 25 ° C. Six days after the release, the number of dead insects of the brown planthopper was examined, and the death rate (%) (number of dead insects ⁇ number of test insects ⁇ 100) was calculated.
- Test Example 9 Soil irrigation treatment test for diamondback moth 10% emulsion of the compound of the present invention was diluted with tap water to prepare a chemical solution having a concentration of 500 ppm. 10 ml of the above-mentioned chemical solution was irrigated on the stock soil portion of a plastic cup planted cabbage seedling (2.5 true leaf stage). After the irrigation treatment, the cabbage seedling was left in the greenhouse. Five days after the irrigation treatment, kanran leaves were cut out and placed in a petri dish. In this, 5 third-instar larvae of Plutella xylostella were released per petri dish, capped, and housed in a thermostatic chamber at 25 ° C.
- Test Example 10 Effect test on soybean aphid in seed treatment 2.4 mg of the compound of the present invention was diluted with 97.6 ⁇ l of acetone. Four soybean seeds were placed in a total amount of 50 ml of plastic tube, and the diluent was poured from above, and acetone was completely evaporated while stirring so that the compound was evenly adhered to the seeds. The treated seeds were planted at 4 grains / pot and left in the greenhouse. After the development of primary leaves, two adults of soybean aphids (Aphis glycines) were released in each strain. The number of surviving insects 7 days after release was investigated, and a control value was calculated from the following formula.
- Control value (%) ⁇ 1 ⁇ (Cb ⁇ Tai) / (Cai ⁇ Tb) ⁇ ⁇ 100
- the characters in the formula represent the following: Cb: number of insects before treatment in the untreated group Cai: number of live insects at the time of final survey in the untreated group Tb: number of insects before treatment in the treated group Tai: number of live insects at the time of final survey in the treated group Among the compounds tested, the following compounds showed a control value of 90% or more.
- Test Example 11 Effect test on mung beetle mite 3.5 mg of the compound of the present invention was dissolved in 3.5 ml of acetone to prepare a chemical solution having a concentration of 1000 ppm. After 350 ⁇ l of the chemical solution was applied to the bottom and side surfaces of a glass container having an inner wall surface area of 35 cm 2 , acetone was volatilized to produce a thin film of the compound on the inner wall of the glass container. The inner wall of the used glass container is 35 cm 2 , and the treatment drug amount is 10 ⁇ g / cm 2 .
- Test Example 12 Effect test on cat fleas 3.5 mg of the present compound was dissolved in 3.5 ml of acetone to prepare a chemical solution having a concentration of 1000 ppm. After 350 ⁇ l of the chemical solution was applied to the bottom and side surfaces of a glass container having an inner wall surface area of 35 cm 2 , acetone was volatilized to produce a thin film of the compound on the inner wall of the glass container. Since the inner wall of the used glass container is 35 cm 2 , the treatment dose is 10 ⁇ g / cm 2 . In the treated glass container, 5 adults (mixed male and female) of cat flea (Ctenocephalides felis) were released, covered, and housed in a thermostatic chamber at 25 ° C.
Landscapes
- Health & Medical Sciences (AREA)
- Chemical & Material Sciences (AREA)
- Organic Chemistry (AREA)
- Life Sciences & Earth Sciences (AREA)
- General Health & Medical Sciences (AREA)
- Veterinary Medicine (AREA)
- Animal Behavior & Ethology (AREA)
- Public Health (AREA)
- Medicinal Chemistry (AREA)
- Pharmacology & Pharmacy (AREA)
- Epidemiology (AREA)
- Zoology (AREA)
- Wood Science & Technology (AREA)
- Environmental Sciences (AREA)
- Dentistry (AREA)
- Agronomy & Crop Science (AREA)
- Pest Control & Pesticides (AREA)
- Plant Pathology (AREA)
- Engineering & Computer Science (AREA)
- Chemical Kinetics & Catalysis (AREA)
- Nuclear Medicine, Radiotherapy & Molecular Imaging (AREA)
- Tropical Medicine & Parasitology (AREA)
- General Chemical & Material Sciences (AREA)
- Agricultural Chemicals And Associated Chemicals (AREA)
- Pharmaceuticals Containing Other Organic And Inorganic Compounds (AREA)
- Nitrogen Condensed Heterocyclic Rings (AREA)
- Plural Heterocyclic Compounds (AREA)
- Nitrogen And Oxygen Or Sulfur-Condensed Heterocyclic Ring Systems (AREA)
- Pretreatment Of Seeds And Plants (AREA)
- Catching Or Destruction (AREA)
Abstract
Description
しかしながら、こうした薬剤の長年にわたる使用により、近年、病害虫が薬剤抵抗性を獲得し、従来用いられてきた既存の殺虫剤や殺菌剤による防除が困難となる場面が増えてきている。また、既存の有害生物防除剤の一部のものは毒性が高く、或いはあるものは環境中に長期間残留することにより、生態系を攪乱するという問題も顕在化しつつある。このような状況下、高度な有害生物防除活性を有するのみならず、低毒性且つ低残留性の新規な有害生物防除剤の開発が常に期待されている。
本発明の目的は、優れた有害生物防除活性を示し、ホ乳動物、魚類及び益虫等の非標的生物に対してほとんど悪影響が無いなどの低毒性で、且つ低残留性の新規な有害生物防除剤の提供することである。
すなわち、本発明は下記〔1〕~〔167〕に関するものである。
G2は、窒素原子又はC(Y2)を表し、
G3は、窒素原子又はC(Y3)を表し、
G4は、窒素原子又はC(Y4)を表し、
G5は、窒素原子又はC(Y5)を表し、
T1は、N(T1a)、酸素原子又は硫黄原子を表し、
A1は、N(A1a)、酸素原子又は硫黄原子を表し、
A2は、窒素原子又はC(R2)を表し、
A3は、窒素原子又はC(R3)を表し、
A4は、窒素原子又はC(R4)を表し、
A5は、窒素原子又はC(R5)を表し、
A8は、窒素原子又はC(R8)を表し、
R1aは、C1-C8アルコキシ基、C1-C8ハロアルコキシ基、C1-C8アルコキシカルボニル基、C1-C6アルキルチオ基、C1-C6ハロアルキルチオ基、C1-C6アルキルスルフィニル基、C1-C6ハロアルキルスルフィニル基、C1-C6アルキルスルホニル基、C1-C6ハロアルキルスルホニル基又はシアノ基を表し、
R2は、水素原子、ハロゲン原子、C1-C6アルキル基、C1-C6ハロアルキル基、C1-C8アルコキシ基、C1-C8ハロアルコキシ基、C3-C6シクロアルキル基、C3-C6ハロシクロアルキル基、C1-C6アルキルチオ基、C1-C6ハロアルキルチオ基、C1-C6アルキルスルフィニル基、C1-C6ハロアルキルスルフィニル基、C1-C6アルキルスルホニル基、C1-C6ハロアルキルスルホニル基、-C(O)R20a、-C(O)OH、ヒドロキシ基、-NH2、-NHR20g、-N(R20h)R20g、メルカプト基、シアノ基又はニトロ基を表し、
R3は、水素原子、ハロゲン原子、C1-C6アルキル基、C1-C6ハロアルキル基、C2-C6ハロアルケニル基、C2-C6ハロアルキニル基、C1-C8アルコキシ基、C1-C8ハロアルコキシ基、C3-C6シクロアルキル基、C3-C6ハロシクロアルキル基、C1-C6アルキルチオ基、C1-C6ハロアルキルチオ基、R3aによって任意に置換された(C1-C6)アルキルチオ基、C1-C6アルキルスルフィニル基、C1-C6ハロアルキルスルフィニル基、C1-C6アルキルスルホニル基、C1-C6ハロアルキルスルホニル基、-C(O)R30a、-C(O)OH、ヒドロキシ基、-OC(O)R30e、-OS(O)2R30f、-NH2、-NHR30g、-N(R30h)R30g、メルカプト基、-SC(O)R30i、-SF5、シアノ基、ニトロ基、フェニル基、R3bによって任意に置換されたフェニル基、複素環基又はR3bによって任意に置換された複素環基を表し、
R3aは、C1-C8アルコキシカルボニル基を表し、
R3bは、ハロゲン原子、C1-C6アルキル基、C1-C6ハロアルキル基、C1-C8アルコキシ基、C1-C8ハロアルコキシ基、シアノ基又はニトロ基を表し、
R4は、水素原子、ハロゲン原子、C1-C6アルキル基、C1-C6ハロアルキル基、C2-C6ハロアルケニル基、C2-C6ハロアルキニル基、C1-C8アルコキシ基、C1-C8ハロアルコキシ基、C3-C6シクロアルキル基、C3-C6ハロシクロアルキル基、C1-C6アルキルチオ基、C1-C6ハロアルキルチオ基、R4aによって任意に置換された(C1-C6)アルキルチオ基、C1-C6アルキルスルフィニル基、C1-C6ハロアルキルスルフィニル基、C1-C6アルキルスルホニル基、C1-C6ハロアルキルスルホニル基、-C(O)R40a、-C(O)OH、ヒドロキシ基、-OC(O)R40e、-OS(O)2R40f、-NH2、-NHR40g、-N(R40h)R40g、メルカプト基、-SC(O)R40i、-SF5、シアノ基、ニトロ基、フェニル基、R4bによって任意に置換されたフェニル基、複素環基又はR4bによって任意に置換された複素環基を表し、
R4aは、C1-C8アルコキシカルボニル基を表し、
R4bは、ハロゲン原子、C1-C6アルキル基、C1-C6ハロアルキル基、C1-C8アルコキシ基、C1-C8ハロアルコキシ基、シアノ基又はニトロ基を表し、
R6は、水素原子、ハロゲン原子、C1-C6アルキル基、C1-C6ハロアルキル基、C1-C8アルコキシ基、C1-C8ハロアルコキシ基、C3-C6シクロアルキル基、C3-C6ハロシクロアルキル基、C1-C6アルキルチオ基、C1-C6ハロアルキルチオ基、C1-C6アルキルスルフィニル基、C1-C6ハロアルキルスルフィニル基、C1-C6アルキルスルホニル基、C1-C6ハロアルキルスルホニル基、-C(O)R60a、-C(O)OH、ヒドロキシ基、-NH2、-NHR60g、-N(R60h)R60g、メルカプト基、シアノ基又はニトロ基を表し、
R7は、水素原子、ハロゲン原子、C1-C6アルキル基、C1-C6ハロアルキル基、C1-C8アルコキシ基、C1-C8ハロアルコキシ基、C1-C6アルキルチオ基、C1-C6ハロアルキルチオ基、C1-C6アルキルスルフィニル基、C1-C6ハロアルキルスルフィニル基、C1-C6アルキルスルホニル基、C1-C6ハロアルキルスルホニル基、メルカプト基、-SF5、シアノ基又はニトロ基を表し、
R8は、水素原子、ハロゲン原子、C1-C6アルキル基、C1-C6ハロアルキル基、C1-C8アルコキシ基、C1-C8ハロアルコキシ基又はシアノ基を表し、
A1a-aは、C1-C8アルコキシ基、C1-C8ハロアルコキシ基、C1-C8アルコキシカルボニル基、C1-C8ハロアルコキシカルボニル基、C1-C6アルキルカルボニル基、C1-C6ハロアルキルカルボニル基、C1-C6アルキルチオ基、C1-C6ハロアルキルチオ基、C1-C6アルキルスルフィニル基、C1-C6ハロアルキルスルフィニル基、C1-C6アルキルスルホニル基、C1-C6ハロアルキルスルホニル基、ヒドロキシ基又はシアノ基を表し、
T1aは、水素原子、C1-C6アルキル基、C1-C6ハロアルキル基、C2-C6アルケニル基、C2-C6ハロアルケニル基、C2-C6アルキニル基、C2-C6ハロアルキニル基、C1-C8アルコキシ基、C1-C8ハロアルコキシ基、C3-C6シクロアルキル基、C3-C6ハロシクロアルキル基、C3-C6シクロアルキル(C1-C6)アルキル基又はC3-C6ハロシクロアルキル(C1-C6)アルキル基を表し、
Y5及びY6は、各々独立して、水素原子、ハロゲン原子、C1-C6アルキル基、C1-C6ハロアルキル基、C1-C8アルコキシ基、C1-C8ハロアルコキシ基、C1-C6アルキルチオ基、C1-C6ハロアルキルチオ基、C1-C6アルキルスルフィニル基、C1-C6ハロアルキルスルフィニル基、C1-C6アルキルスルホニル基、C1-C6ハロアルキルスルホニル基、メルカプト基、-SF5、シアノ基又はニトロ基を表し、
Ybは、C1-C6アルキル基、C3-C6シクロアルキル基、トリメチルシリル基又はフェニル基を表し、
Ycは、ハロゲン原子、C1-C6アルキル基、C1-C6ハロアルキル基、C1-C8アルコキシ基、C1-C8ハロアルコキシ基、シアノ基又はニトロ基を表し、
R10a、R20a、R30a、R30e、R40a、R40e、R50a、R60a及びR90aは、各々独立して、水素原子、C1-C6アルキル基、C1-C6ハロアルキル基、C1-C8アルコキシ基又はC1-C8ハロアルコキシ基を表し、
R20g、R20h、R30f、R30g、R30h、R30i、R40f、R40g、R40h、R40i、R50g、R50h、R60g、R60h、R90b、R90c、R90i、R90j及びR90kは、各々独立して、C1-C6アルキル基又はC1-C6ハロアルキル基を表し、
R90dは、水素原子、C1-C6アルキル基又はC1-C6ハロアルキル基を表し、
R90eは、水素原子、C1-C6アルキル基、C1-C6ハロアルキル基、C1-C8アルコキシ基、C1-C8ハロアルコキシ基、C1-C6アルキルアミノ基、C1-C6ハロアルキルアミノ基、ジ(C1-C6)アルキルアミノ基又はジ(C1-C6)ハロアルキルアミノ基を表し、
R90fは、C1-C6アルキル基、C1-C6ハロアルキル基、C1-C6アルキルアミノ基、C1-C6ハロアルキルアミノ基、ジ(C1-C6)アルキルアミノ基又はジ(C1-C6)ハロアルキルアミノ基を表し、
R90g及びR90hは、各々独立して、C1-C6アルキル基、C1-C6ハロアルキル基、C1-C6アルキルカルボニル基、C1-C6ハロアルキルカルボニル基、C1-C8アルコキシカルボニル基、C1-C8ハロアルコキシカルボニル基、C1-C6アルキルアミノカルボニル基、C1-C6ハロアルキルアミノカルボニル基、C1-C6アルキルアミノチオカルボニル基、C1-C6ハロアルキルアミノチオカルボニル基、フェニルカルボニル基、C1-C6アルキルスルホニル基、C1-C6ハロアルキルスルホニル基、C1-C6アルキルアミノスルホニル基又はジ(C1-C6)アルキルアミノスルホニル基を表し、
nは、0、1又は2の整数を表す。]で表される縮合複素環化合物若しくはその塩又はそれらのN-オキシド。
-S(O)nR1で置換されたDは、D1で表される環を表し、
G1は、C(Y1)を表し、
G2は、C(Y2)を表し、
G3は、C(Y3)を表し、
G4は、C(Y4)を表し、
A2は、C(R2)を表し、
A3は、C(R3)を表し、
R1は、C1-C6アルキル基、C1-C6ハロアルキル基、C2-C6アルケニル基、C2-C6ハロアルケニル基、C2-C6アルキニル基、C2-C6ハロアルキニル基、C3-C6シクロアルキル(C1-C6)アルキル基又はC3-C6ハロシクロアルキル(C1-C6)アルキル基を表し、
R2は、水素原子、ハロゲン原子、C1-C6アルキル基又はC1-C6ハロアルキル基を表し、
R3は、水素原子、ハロゲン原子、C1-C6アルキル基、C1-C6ハロアルキル基、C1-C8アルコキシ基、C1-C8ハロアルコキシ基、C1-C6アルキルチオ基、C1-C6ハロアルキルチオ基、R3aによって任意に置換された(C1-C6)アルキルチオ基、C1-C6アルキルスルフィニル基、C1-C6ハロアルキルスルフィニル基、C1-C6アルキルスルホニル基又はC1-C6ハロアルキルスルホニル基を表し、
R4は、水素原子、ハロゲン原子、C1-C6アルキル基、C1-C6ハロアルキル基、C1-C8アルコキシ基、C1-C8ハロアルコキシ基、C1-C6アルキルチオ基、C1-C6ハロアルキルチオ基、R4aによって任意に置換された(C1-C6)アルキルチオ基、C1-C6アルキルスルフィニル基、C1-C6ハロアルキルスルフィニル基、C1-C6アルキルスルホニル基又はC1-C6ハロアルキルスルホニル基を表し、
R5、R6及びR8は、各々独立して、水素原子、ハロゲン原子、C1-C6アルキル基又はC1-C6ハロアルキル基を表し、
R7は、水素原子、ハロゲン原子又はC1-C6ハロアルキル基を表し、
A1aは、水素原子、C1-C6アルキル基、A1a-aによって任意に置換された(C1-C6)アルキル基、C2-C6アルケニル基、C2-C6アルキニル基、C1-C8アルコキシ基、C3-C6シクロアルキル基又はC(O)R10aを表し、
A1a-aは、C1-C8アルコキシ基、C1-C6アルキルチオ基、C1-C6アルキルスルフィニル基、C1-C6アルキルスルホニル基又はシアノ基を表し、
R10aは、水素原子、C1-C6アルキル基又はC1-C8アルコキシ基を表し、
Y1、Y2、Y3及びY4は、各々独立して、水素原子、ハロゲン原子、C1-C6アルキル基、C1-C6ハロアルキル基、C2-C6アルケニル基、C2-C6アルキニル基、Ybによって任意に置換された(C2-C6)アルキニル基、C1-C8アルコキシ基、C1-C8ハロアルコキシ基、C1-C6アルキルチオ基、C1-C6ハロアルキルチオ基、Yaによって任意に置換された(C1-C6)アルキルチオ基、C1-C6アルキルスルフィニル基、C1-C6ハロアルキルスルフィニル基、C1-C6アルキルスルホニル基、C1-C6ハロアルキルスルホニル基、-C(O)R90a、-C(O)NHR90b、-C(O)N(R90c)R90b、-C(O)OH、ヒドロキシ基、-OC(O)R90e、-OS(O)2R90f、-NH2、-NHR90g、-N(R90h)R90g、メルカプト基、-SC(O)R90i、-S(O)2NHR90j、-S(O)2N(R90k)R90j、-SF5、シアノ基、ニトロ基、フェニル基、Ycによって任意に置換されたフェニル基、複素環基又はYcによって任意に置換された複素環基を表し、
Yaは、C1-C8アルコキシカルボニル基を表す上記〔1〕に記載の縮合複素環化合物若しくはその塩又はそれらのN-オキシド。
-S(O)nR1で置換されたDは、D2で表される環を表し、
Qは、Q1で表される環を表し、
A1は、N(A1a)を表し、
A2は、C(R2)を表し、
A3は、C(R3)を表し、
A4は、C(R4)を表し、
A5は、窒素原子を表し、
R1は、C1-C6アルキル基、C1-C6ハロアルキル基、C2-C6アルケニル基、C2-C6ハロアルケニル基、C2-C6アルキニル基、C2-C6ハロアルキニル基、C3-C6シクロアルキル(C1-C6)アルキル基又はC3-C6ハロシクロアルキル(C1-C6)アルキル基を表し、
R2は、水素原子、ハロゲン原子、C1-C6アルキル基又はC1-C6ハロアルキル基を表し、
R3は、水素原子、ハロゲン原子、C1-C6アルキル基、C1-C6ハロアルキル基、C1-C8アルコキシ基、C1-C8ハロアルコキシ基、C1-C6アルキルチオ基、C1-C6ハロアルキルチオ基、R3aによって任意に置換された(C1-C6)アルキルチオ基、C1-C6アルキルスルフィニル基、C1-C6ハロアルキルスルフィニル基、C1-C6アルキルスルホニル基又はC1-C6ハロアルキルスルホニル基を表し、
R4は、水素原子、ハロゲン原子、C1-C6アルキル基、C1-C6ハロアルキル基、C1-C8アルコキシ基、C1-C8ハロアルコキシ基、C1-C6アルキルチオ基、C1-C6ハロアルキルチオ基、R4aによって任意に置換された(C1-C6)アルキルチオ基、C1-C6アルキルスルフィニル基、C1-C6ハロアルキルスルフィニル基、C1-C6アルキルスルホニル基又はC1-C6ハロアルキルスルホニル基を表し、
A1aは、水素原子、C1-C6アルキル基、A1a-aによって任意に置換された(C1-C6)アルキル基、C2-C6アルケニル基、C2-C6アルキニル基、C1-C8アルコキシ基、C3-C6シクロアルキル基又はC(O)R10aを表し、
A1a-aは、C1-C8アルコキシ基、C1-C6アルキルチオ基、C1-C6アルキルスルフィニル基、C1-C6アルキルスルホニル基又はシアノ基を表し、
R10aは、水素原子、C1-C6アルキル基又はC1-C8アルコキシ基を表し、
Y5は、水素原子、ハロゲン原子、C1-C6アルキル基又はC1-C6ハロアルキル基を表し、
Y6は、水素原子、ハロゲン原子又はC1-C6ハロアルキル基を表す上記〔1〕に記載の縮合複素環化合物若しくはその塩又はそれらのN-オキシド。
-S(O)nR1で置換されたDは、D3で表される環を表し、
Qは、Q1で表される環を表し、
G1は、C(Y1)を表し、
G2は、C(Y2)を表し、
G3は、C(Y3)を表し、
G4は、C(Y4)を表し、
T1は、N(T1a)又は硫黄原子を表し、
A1は、N(A1a)を表し、
A2は、C(R2)を表し、
A3は、C(R3)を表し、
A4は、C(R4)を表し、
A5は、窒素原子を表し、
R1は、C1-C6アルキル基、C1-C6ハロアルキル基、C2-C6アルケニル基、C2-C6ハロアルケニル基、C2-C6アルキニル基、C2-C6ハロアルキニル基、C3-C6シクロアルキル(C1-C6)アルキル基又はC3-C6ハロシクロアルキル(C1-C6)アルキル基を表し、
R2は、水素原子、ハロゲン原子、C1-C6アルキル基又はC1-C6ハロアルキル基を表し、
R3は、水素原子、ハロゲン原子、C1-C6アルキル基、C1-C6ハロアルキル基、C1-C8アルコキシ基、C1-C8ハロアルコキシ基、C1-C6アルキルチオ基、C1-C6ハロアルキルチオ基、R3aによって任意に置換された(C1-C6)アルキルチオ基、C1-C6アルキルスルフィニル基、C1-C6ハロアルキルスルフィニル基、C1-C6アルキルスルホニル基又はC1-C6ハロアルキルスルホニル基を表し、
R4は、水素原子、ハロゲン原子、C1-C6アルキル基、C1-C6ハロアルキル基、C1-C8アルコキシ基、C1-C8ハロアルコキシ基、C1-C6アルキルチオ基、C1-C6ハロアルキルチオ基、R4aによって任意に置換された(C1-C6)アルキルチオ基、C1-C6アルキルスルフィニル基、C1-C6ハロアルキルスルフィニル基、C1-C6アルキルスルホニル基又はC1-C6ハロアルキルスルホニル基を表し、
A1aは、水素原子、C1-C6アルキル基、A1a-aによって任意に置換された(C1-C6)アルキル基、C2-C6アルケニル基、C2-C6アルキニル基、C1-C8アルコキシ基、C3-C6シクロアルキル基又はC(O)R10aを表し、
A1a-aは、C1-C8アルコキシ基、C1-C6アルキルチオ基、C1-C6アルキルスルフィニル基、C1-C6アルキルスルホニル基又はシアノ基を表し、
R10aは、水素原子、C1-C6アルキル基又はC1-C8アルコキシ基を表し、
T1aは、水素原子又はC1-C6アルキル基を表し、
Y1、Y2、Y3及びY4は、各々独立して、水素原子、ハロゲン原子、C1-C6アルキル基、C1-C6ハロアルキル基、C1-C8アルコキシ基、C1-C8ハロアルコキシ基、C1-C6アルキルチオ基、C1-C6ハロアルキルチオ基、C1-C6アルキルスルフィニル基、C1-C6ハロアルキルスルフィニル基、C1-C6アルキルスルホニル基、C1-C6ハロアルキルスルホニル基、シアノ基又はニトロ基を表す上記〔1〕に記載の縮合複素環化合物若しくはその塩又はそれらのN-オキシド。
Qは、Q1で表される環を表し、
A1は、N(A1a)を表し、
R1は、C1-C6アルキル基を表し、
R3は、水素原子、ハロゲン原子、C1-C6ハロアルキル基、C1-C6ハロアルキルチオ基、R3aによって任意に置換された(C1-C6)アルキルチオ基、C1-C6ハロアルキルスルフィニル基又はC1-C6ハロアルキルスルホニル基を表し、
R4は、水素原子、ハロゲン原子、C1-C6ハロアルキル基、C1-C6ハロアルキルチオ基、R4aによって任意に置換された(C1-C6)アルキルチオ基、C1-C6ハロアルキルスルフィニル基又はC1-C6ハロアルキルスルホニル基を表し、
A1aは、水素原子又はC1-C6アルキル基を表す上記〔2〕に記載の縮合複素環化合物若しくはその塩又はそれらのN-オキシド。
〔6〕
A4は、C(R4)を表し、
A5は、窒素原子を表す上記〔5〕に記載の縮合複素環化合物若しくはその塩又はそれらのN-オキシド。
A4は、C(R4)を表し、
A5は、窒素原子を表し、
R2は、水素原子を表し、
R4は、水素原子又はC1-C6ハロアルキル基を表し、
Y1は、水素原子、C1-C6アルキル基又はC1-C6ハロアルキル基を表し、
Y2は、水素原子、ハロゲン原子、C1-C6アルキル基、C1-C6ハロアルキル基、C2-C6アルケニル基、Ybによって任意に置換された(C2-C6)アルキニル基、C1-C8アルコキシ基、C1-C6アルキルチオ基、C1-C6ハロアルキルチオ基、Yaによって任意に置換された(C1-C6)アルキルチオ基、C1-C6アルキルスルフィニル基、C1-C6アルキルスルホニル基、-NH2、-NHR90g、ニトロ基、フェニル基、Ycによって任意に置換されたフェニル基、チオフェン-2-イル基、ピリジン-3-イル基又はピリジン-4-イル基を表し、
Y3は、水素原子、ハロゲン原子、C1-C6アルキル基、C1-C6ハロアルキル基、C1-C8アルコキシ基、C1-C6アルキルチオ基、Yaによって任意に置換された(C1-C6)アルキルチオ基、C1-C6アルキルスルフィニル基、C1-C6アルキルスルホニル基、-C(O)R90a、-C(O)N(R90c)R90b、-C(O)OH、シアノ基又はニトロ基を表し、
Y4は、水素原子、ハロゲン原子、C1-C6アルキル基、C1-C6ハロアルキル基、C1-C8アルコキシ基、C1-C6アルキルチオ基、C1-C6アルキルスルホニル基、-N(R90h)R90g又はシアノ基を表し、
Yaは、C1-C8アルコキシカルボニル基を表し、
Ybは、C3-C6シクロアルキル基又はトリメチルシリル基を表し、
Ycは、ハロゲン原子又はC1-C6ハロアルキル基を表し、
R90aは、C1-C8アルコキシ基を表し、
R90b及びR90cは、各々独立して、C1-C6アルキル基を表し、
R90gは、C1-C6アルキル基、C1-C6ハロアルキルカルボニル基、C1-C8アルコキシカルボニル基又はフェニルカルボニル基を表し、
R90hは、C1-C6アルキル基を表す上記〔5〕又は〔6〕のいずれかに記載の縮合複素環化合物若しくはその塩又はそれらのN-オキシド。
A4は、窒素原子を表し、
A5は、C(R5)を表す上記〔5〕に記載の縮合複素環化合物若しくはその塩又はそれらのN-オキシド。
〔9〕
A4は、窒素原子を表し、
A5は、C(R5)を表し、
R2は、水素原子を表し、
R3は、C1-C6ハロアルキル基を表し、
R5は、水素原子又はC1-C6アルキル基を表し、
Y1は、水素原子を表し、
Y2は、水素原子、ハロゲン原子又はC1-C6ハロアルキル基を表し、
Y3は、水素原子、ハロゲン原子、C1-C6ハロアルキル基又はシアノ基を表し、
Y4は、水素原子、ハロゲン原子又はC1-C8アルコキシ基を表す上記〔5〕又は〔8〕のいずれかに記載の縮合複素環化合物若しくはその塩又はそれらのN-オキシド。
〔10〕
Qは、Q2で表される環を表し、
A4は、窒素原子又はC(R4)を表し、
A5は、窒素原子又はC(R5)を表し、
(但し、A4及びA5が共に窒素原子を表す場合は除く)
R1は、C1-C6アルキル基を表し、
R2は、水素原子を表し、
R3は、水素原子、ハロゲン原子、C1-C6ハロアルキル基、C1-C6ハロアルキルチオ基、R3aによって任意に置換された(C1-C6)アルキルチオ基、C1-C6ハロアルキルスルフィニル基又はC1-C6ハロアルキルスルホニル基を表し、
R4は、水素原子、ハロゲン原子、C1-C6ハロアルキル基、C1-C6ハロアルキルチオ基、R4aによって任意に置換された(C1-C6)アルキルチオ基、C1-C6ハロアルキルスルフィニル基又はC1-C6ハロアルキルスルホニル基を表す上記〔2〕に記載の縮合複素環化合物若しくはその塩又はそれらのN-オキシド。
A4は、C(R4)を表し、
A5は、C(R5)を表す上記〔10〕に記載の縮合複素環化合物若しくはその塩又はそれらのN-オキシド。
〔12〕
A4は、C(R4)を表し、
A5は、窒素原子を表す上記〔10〕に記載の縮合複素環化合物若しくはその塩又はそれらのN-オキシド。
〔13〕
A4は、窒素原子を表し、
A5は、C(R5)を表す上記〔10〕に記載の縮合複素環化合物若しくはその塩又はそれらのN-オキシド。
〔14〕
A4は、窒素原子を表し、
A5は、C(R5)を表し、
R3は、C1-C6ハロアルキル基を表し、
R5は、水素原子又はC1-C6アルキル基を表し、
R6は、水素原子、ハロゲン原子又はC1-C6アルキル基を表し、
Y1及びY4は、水素原子を表し、
Y2は、水素原子、ハロゲン原子又はC1-C6ハロアルキル基を表し、
Y3は、水素原子又はC1-C6ハロアルキル基を表す〔10〕又は〔13〕のいずれかに記載の縮合複素環化合物若しくはその塩又はそれらのN-オキシド。
〔15〕
Qは、Q3で表される環を表し、
A4は、窒素原子又はC(R4)を表し、
A5は、窒素原子又はC(R5)を表し、
(但し、A4及びA5が共に窒素原子を表す場合は除く)
R1は、C1-C6アルキル基を表し、
R2は、水素原子を表し、
R3は、水素原子、ハロゲン原子、C1-C6ハロアルキル基、C1-C6ハロアルキルチオ基、R3aによって任意に置換された(C1-C6)アルキルチオ基、C1-C6ハロアルキルスルフィニル基又はC1-C6ハロアルキルスルホニル基を表し、
R4は、水素原子、ハロゲン原子、C1-C6ハロアルキル基、C1-C6ハロアルキルチオ基、R4aによって任意に置換された(C1-C6)アルキルチオ基、C1-C6ハロアルキルスルフィニル基又はC1-C6ハロアルキルスルホニル基を表す上記〔2〕に記載の縮合複素環化合物若しくはその塩又はそれらのN-オキシド。
A4は、C(R4)を表し、
A5は、C(R5)を表す上記〔15〕に記載の縮合複素環化合物若しくはその塩又はそれらのN-オキシド。
〔17〕
A4は、C(R4)を表し、
A5は、窒素原子を表す上記〔15〕に記載の縮合複素環化合物若しくはその塩又はそれらのN-オキシド。
〔18〕
A4は、窒素原子を表し、
A5は、C(R5)を表す上記〔15〕に記載の縮合複素環化合物若しくはその塩又はそれらのN-オキシド。
〔19〕
A4は、窒素原子を表し、
A5は、C(R5)を表し、
R3は、C1-C6ハロアルキル基を表し、
R5は、水素原子を表し、
R6は、水素原子を表し、
Y1は、水素原子を表し、
Y2及びY3は、各々独立して、水素原子、ハロゲン原子又はC1-C6ハロアルキル基を表し、
Y4は、水素原子又はハロゲン原子を表す上記〔15〕又は〔18〕のいずれかに記載の縮合複素環化合物若しくはその塩又はそれらのN-オキシド。
〔20〕
Qは、Q4で表される環を表す上記〔2〕に記載の縮合複素環化合物若しくはその塩又はそれらのN-オキシド。
A8は、窒素原子を表す上記〔20〕に記載の縮合複素環化合物若しくはその塩又はそれらのN-オキシド。
〔22〕
A8は、C(R8)を表す上記〔20〕に記載の縮合複素環化合物若しくはその塩又はそれらのN-オキシド。
〔23〕
R1は、C1-C6アルキル基を表し、
R6は、水素原子を表し、
R7は、C1-C6ハロアルキル基を表し、
R8は、水素原子又はC1-C6アルキル基を表し、
Y1及びY4は、水素原子を表し、
Y2は、水素原子、ハロゲン原子又はC1-C6ハロアルキル基を表し、
Y3は、水素原子又はC1-C6ハロアルキル基を表す上記〔20〕、〔21〕又は〔22〕のいずれかに記載の縮合複素環化合物若しくはその塩又はそれらのN-オキシド。
〔24〕
R1は、C1-C6アルキル基を表し、
R2は、水素原子を表し、
R3は、C1-C6ハロアルキル基を表し、
R4は、水素原子を表し、
A1aは、C1-C6アルキル基を表し、
Y5は、水素原子を表し、
Y6は、C1-C6ハロアルキル基を表す上記〔3〕に記載の縮合複素環化合物若しくはその塩又はそれらのN-オキシド。
〔25〕
R1は、C1-C6アルキル基を表し、
R2は、水素原子を表し、
R3は、C1-C6ハロアルキル基を表し、
R4は、水素原子を表し、
A1aは、C1-C6アルキル基を表し、
T1aは、C1-C6アルキル基を表し、
Y1、Y3及びY4は、水素原子を表し、
Y2は、C1-C6ハロアルキル基を表す上記〔4〕に記載の縮合複素環化合物若しくはその塩又はそれらのN-オキシド。
A1は、N(A1a)又は酸素原子を表し、
R2は、水素原子を表し、
R3は、C1-C6ハロアルキル基、C1-C6ハロアルキルチオ基、C1-C6ハロアルキルスルフィニル基又はC1-C6ハロアルキルスルホニル基を表し、
R4は、水素原子を表し、
R5は、水素原子又はC1-C6アルキル基を表し、
R6は、水素原子を表し、
A1aは、C1-C6アルキル基を表し、
Y1及びY4は、水素原子を表し、
Y2及びY3は、各々独立して、水素原子又はC1-C6ハロアルキル基を表す上記〔2〕に記載の縮合複素環化合物若しくはその塩又はそれらのN-オキシド。
前記式(1)が、下記式(1-A-A1)、式(1-A-B1)、式(1-A-C1)、式(1-A-D1)、式(1-A-E1)、式(1-A-F1)、式(1-A-G1)、式(1-A-H1)、式(1-A-I1)、式(1-A-J1)、式(1-A-K1)、式(1-A-L1)、式(1-A-M1)又は式(1-A-N1):
前記式(1)が、式(1-B-A1):
〔29〕
前記式(1)が、式(1-C-A1):
前記式(1)が、式(1-d-A1):
式中、R1は、C1-C6アルキル基、C1-C6ハロアルキル基、C2-C6アルケニル基、C2-C6ハロアルケニル基、C2-C6アルキニル基又はC2-C6ハロアルキニル基を表し、
R3は、水素原子、ハロゲン原子、C1-C6アルキル基、C1-C6ハロアルキル基、C1-C8アルコキシ基、C1-C8ハロアルコキシ基、C1-C6アルキルチオ基、C1-C6ハロアルキルチオ基、C1-C6アルキルスルフィニル基、C1-C6ハロアルキルスルフィニル基、C1-C6アルキルスルホニル基又はC1-C6ハロアルキルスルホニル基を表し、
A1aは、水素原子、C1-C6アルキル基、C2-C6アルケニル基又はC2-C6アルキニル基を表し、
R2、R4、Y2、Y3及びY4は、各々独立して、水素原子、ハロゲン原子、C1-C6アルキル基又はC1-C6ハロアルキル基を表す上記〔1〕に記載の縮合複素環化合物若しくはその塩又はそれらのN-オキシド。
〔31〕
R1及びA1aは、各々独立して、C1-C6アルキル基を表し、
R3及びY3は、各々独立して、C1-C6ハロアルキル基を表し、
R2、R4、Y2及びY4は、水素原子を表す上記〔30〕に記載の縮合複素環化合物若しくはその塩又はそれらのN-オキシド。
前記式(1)が、式(1-e-A1):
式中、R1は、C1-C6アルキル基、C1-C6ハロアルキル基、C2-C6アルケニル基、C2-C6ハロアルケニル基、C2-C6アルキニル基又はC2-C6ハロアルキニル基表し、
R3は、水素原子、ハロゲン原子、C1-C6アルキル基、C1-C6ハロアルキル基、C1-C8アルコキシ基、C1-C8ハロアルコキシ基、C1-C6アルキルチオ基、C1-C6ハロアルキルチオ基、C1-C6アルキルスルフィニル基、C1-C6ハロアルキルスルフィニル基、C1-C6アルキルスルホニル基又はC1-C6ハロアルキルスルホニル基を表し、
A1aは、水素原子、C1-C6アルキル基、C2-C6アルケニル基又はC2-C6アルキニル基を表し、
R2、R4、Y1、Y3及びY4は、各々独立して、水素原子、ハロゲン原子、C1-C6アルキル基又はC1-C6ハロアルキル基を表す上記〔1〕に記載の縮合複素環化合物若しくはその塩又はそれらのN-オキシド。
〔33〕
R1及びA1aは、各々独立して、C1-C6アルキル基を表し、
R3及びY3は、各々独立して、C1-C6ハロアルキル基を表し、
R2、R4、Y1及びY4は、水素原子を表す上記〔32〕に記載の縮合複素環化合物若しくはその塩又はそれらのN-オキシド。
前記式(1)が、式(1-f-A1):
式中、R1は、C1-C6アルキル基、C1-C6ハロアルキル基、C2-C6アルケニル基、C2-C6ハロアルケニル基、C2-C6アルキニル基又はC2-C6ハロアルキニル基を表し、
R3は、水素原子、ハロゲン原子、C1-C6アルキル基、C1-C6ハロアルキル基、C1-C8アルコキシ基、C1-C8ハロアルコキシ基、C1-C6アルキルチオ基、C1-C6ハロアルキルチオ基、C1-C6アルキルスルフィニル基、C1-C6ハロアルキルスルフィニル基、C1-C6アルキルスルホニル基又はC1-C6ハロアルキルスルホニル基を表し、
A1aは、水素原子、C1-C6アルキル基、C2-C6アルケニル基又はC2-C6アルキニル基を表し、
R2、R4、Y1、Y2及びY4は、各々独立して、水素原子、ハロゲン原子、C1-C6アルキル基又はC1-C6ハロアルキル基を表す上記〔1〕に記載の縮合複素環化合物若しくはその塩又はそれらのN-オキシド。
〔35〕
R1及びA1aは、各々独立して、C1-C6アルキル基を表し、
R3は、C1-C6ハロアルキル基を表し、
R2、R4、Y1及びY4は、水素原子を表し、
Y2は、水素原子又はハロゲン原子を表す上記〔34〕に記載の縮合複素環化合物若しくはその塩又はそれらのN-オキシド。
前記式(1)が、式(1-g-A1):
式中、R1は、C1-C6アルキル基、C1-C6ハロアルキル基、C2-C6アルケニル基、C2-C6ハロアルケニル基、C2-C6アルキニル基又はC2-C6ハロアルキニル基を表し、
R3は、水素原子、ハロゲン原子、C1-C6アルキル基、C1-C6ハロアルキル基、C1-C8アルコキシ基、C1-C8ハロアルコキシ基、C1-C6アルキルチオ基、C1-C6ハロアルキルチオ基、C1-C6アルキルスルフィニル基、C1-C6ハロアルキルスルフィニル基、C1-C6アルキルスルホニル基又はC1-C6ハロアルキルスルホニル基を表し、
A1aは、水素原子、C1-C6アルキル基、C2-C6アルケニル基又はC2-C6アルキニル基を表し、
R2、R4、Y1、Y2及びY3は、各々独立して、水素原子、ハロゲン原子、C1-C6アルキル基又はC1-C6ハロアルキル基を表す上記〔1〕に記載の縮合複素環化合物若しくはその塩又はそれらのN-オキシド。
〔37〕
R1及びA1aは、各々独立して、C1-C6アルキル基を表し、
R3は、C1-C6ハロアルキル基を表し、
R2、R4、Y1及びY3は、水素原子を表し、
Y2は、ハロゲン原子又はC1-C6ハロアルキル基を表す上記〔36〕に記載の縮合複素環化合物若しくはその塩又はそれらのN-オキシド。
前記式(1)が、式(1-a-G1):
式中、R1は、C1-C6アルキル基、C1-C6ハロアルキル基、C2-C6アルケニル基、C2-C6ハロアルケニル基、C2-C6アルキニル基又はC2-C6ハロアルキニル基を表し、
R3は、水素原子、ハロゲン原子、C1-C6アルキル基、C1-C6ハロアルキル基、C1-C8アルコキシ基、C1-C8ハロアルコキシ基、C1-C6アルキルチオ基、C1-C6ハロアルキルチオ基、C1-C6アルキルスルフィニル基、C1-C6ハロアルキルスルフィニル基、C1-C6アルキルスルホニル基又はC1-C6ハロアルキルスルホニル基を表し、
A1aは、水素原子、C1-C6アルキル基、C2-C6アルケニル基又はC2-C6アルキニル基を表し、
R4、R5、Y1、Y2、Y3及びY4は、各々独立して、水素原子、ハロゲン原子、C1-C6アルキル基又はC1-C6ハロアルキル基を表す上記〔1〕に記載の縮合複素環化合物若しくはその塩又はそれらのN-オキシド。
〔39〕
R1及びA1aは、各々独立して、C1-C6アルキル基を表し、
R3及びY3は、各々独立して、C1-C6ハロアルキル基を表し、
R4、R5、Y1、Y2及びY4は、水素原子を表す上記〔38〕に記載の縮合複素環化合物若しくはその塩又はそれらのN-オキシド。
前記式(1)が、式(1-a-I1):
式中、R1は、C1-C6アルキル基、C1-C6ハロアルキル基、C2-C6アルケニル基、C2-C6ハロアルケニル基、C2-C6アルキニル基又はC2-C6ハロアルキニル基を表し、
R4は、水素原子、ハロゲン原子、C1-C6アルキル基、C1-C6ハロアルキル基、C1-C8アルコキシ基、C1-C8ハロアルコキシ基、C1-C6アルキルチオ基、C1-C6ハロアルキルチオ基、C1-C6アルキルスルフィニル基、C1-C6ハロアルキルスルフィニル基、C1-C6アルキルスルホニル基又はC1-C6ハロアルキルスルホニル基を表し、
A1aは、水素原子、C1-C6アルキル基、C2-C6アルケニル基又はC2-C6アルキニル基を表し、
R2、R5、Y1、Y2、Y3及びY4は、各々独立して、水素原子、ハロゲン原子、C1-C6アルキル基又はC1-C6ハロアルキル基を表す上記〔1〕に記載の縮合複素環化合物若しくはその塩又はそれらのN-オキシド。
〔41〕
R1及びA1aは、各々独立して、C1-C6アルキル基を表し、
R4は、C1-C6ハロアルキル基を表し、
Y2は、水素原子又はC1-C6ハロアルキル基を表し、
Y3は、水素原子、ハロゲン原子又はC1-C6ハロアルキル基を表し、
R2、R5、Y1及びY4は、水素原子を表す上記〔40〕に記載の縮合複素環化合物若しくはその塩又はそれらのN-オキシド。
前記式(1)が、式(1-a-F1):
式中、R1は、C1-C6アルキル基、C1-C6ハロアルキル基、C2-C6アルケニル基、C2-C6ハロアルケニル基、C2-C6アルキニル基又はC2-C6ハロアルキニル基を表し、
R4は、水素原子、ハロゲン原子、C1-C6アルキル基、C1-C6ハロアルキル基、C1-C8アルコキシ基、C1-C8ハロアルコキシ基、C1-C6アルキルチオ基、C1-C6ハロアルキルチオ基、C1-C6アルキルスルフィニル基、C1-C6ハロアルキルスルフィニル基、C1-C6アルキルスルホニル基又はC1-C6ハロアルキルスルホニル基を表し、
R2、R5、R6、Y1、Y2、Y3及びY4は、各々独立して、水素原子、ハロゲン原子、C1-C6アルキル基又はC1-C6ハロアルキル基を表す上記〔1〕に記載の縮合複素環化合物若しくはその塩又はそれらのN-オキシド。
〔43〕
R1は、C1-C6アルキル基を表し、
R4は、C1-C6ハロアルキル基を表し、
Y2及びY3は、各々独立して、水素原子又はC1-C6ハロアルキル基を表し、
R2、R5、R6、Y1及びY4は、水素原子を表す上記〔42〕に記載の縮合複素環化合物若しくはその塩又はそれらのN-オキシド。
前記式(1)が、式(1-a-O1):
式中、R1は、C1-C6アルキル基、C1-C6ハロアルキル基、C2-C6アルケニル基、C2-C6ハロアルケニル基、C2-C6アルキニル基又はC2-C6ハロアルキニル基を表し、
R4は、水素原子、ハロゲン原子、C1-C6アルキル基、C1-C6ハロアルキル基、C1-C8アルコキシ基、C1-C8ハロアルコキシ基、C1-C6アルキルチオ基、C1-C6ハロアルキルチオ基、C1-C6アルキルスルフィニル基、C1-C6ハロアルキルスルフィニル基、C1-C6アルキルスルホニル基又はC1-C6ハロアルキルスルホニル基を表し、
R3、R5、R6、Y1、Y2、Y3及びY4は、各々独立して、水素原子、ハロゲン原子、C1-C6アルキル基又はC1-C6ハロアルキル基を表す上記〔1〕に記載の縮合複素環化合物若しくはその塩又はそれらのN-オキシド。
〔45〕
R1は、C1-C6アルキル基を表し、
R4は、C1-C6ハロアルキル基を表し、
R6及びY2は、各々独立して、ハロゲン原子を表し、
R3、R5、Y1、Y3及びY4は、水素原子を表す上記〔44〕に記載の縮合複素環化合物若しくはその塩又はそれらのN-オキシド。
前記式(1)が、式(1-a-b1):
式中、R1は、C1-C6アルキル基、C1-C6ハロアルキル基、C2-C6アルケニル基、C2-C6ハロアルケニル基、C2-C6アルキニル基又はC2-C6ハロアルキニル基を表し、
R3及びR4は、各々独立して、水素原子、ハロゲン原子、C1-C6アルキル基、C1-C6ハロアルキル基、C1-C8アルコキシ基、C1-C8ハロアルコキシ基、C1-C6アルキルチオ基、C1-C6ハロアルキルチオ基、C1-C6アルキルスルフィニル基、C1-C6ハロアルキルスルフィニル基、C1-C6アルキルスルホニル基又はC1-C6ハロアルキルスルホニル基を表し、
R2、R5、Y1、Y2、Y3及びY4は、各々独立して、水素原子、ハロゲン原子、C1-C6アルキル基又はC1-C6ハロアルキル基を表す上記〔1〕又は〔2〕のいずれかに記載の縮合複素環化合物若しくはその塩又はそれらのN-オキシド。
〔47〕
R1は、C1-C6アルキル基を表し、
R3は、C1-C6ハロアルキルチオ基、C1-C6ハロアルキルスルフィニル基又はC1-C6ハロアルキルスルホニル基を表し、
Y2及びY3は、各々独立して、水素原子又はC1-C6ハロアルキル基を表し、
R2、R4、R5、Y1及びY4は、水素原子を表す上記〔46〕に記載の縮合複素環化合物若しくはその塩又はそれらのN-オキシド。
前記式(1)が、式(1-a-b2):
式中、R1は、C1-C6アルキル基、C1-C6ハロアルキル基、C2-C6アルケニル基、C2-C6ハロアルケニル基、C2-C6アルキニル基又はC2-C6ハロアルキニル基を表し、
R3及びR4は、各々独立して、水素原子、ハロゲン原子、C1-C6アルキル基、C1-C6ハロアルキル基、C1-C8アルコキシ基、C1-C8ハロアルコキシ基、C1-C6アルキルチオ基、C1-C6ハロアルキルチオ基、C1-C6アルキルスルフィニル基、C1-C6ハロアルキルスルフィニル基、C1-C6アルキルスルホニル基又はC1-C6ハロアルキルスルホニル基を表し、
R2、Y1、Y2、Y3及びY4は、各々独立して、水素原子、ハロゲン原子、C1-C6アルキル基又はC1-C6ハロアルキル基を表す上記〔1〕又は〔2〕のいずれかに記載の縮合複素環化合物若しくはその塩又はそれらのN-オキシド。
〔49〕
R1は、C1-C6アルキル基を表し、
R3及びY3は、各々独立して、C1-C6ハロアルキル基を表し、
R2、R4、Y1、Y2及びY4は、水素原子を表す上記〔48〕に記載の縮合複素環化合物若しくはその塩又はそれらのN-オキシド。
前記式(1)が、式(1-a-m2):
式中、R1は、C1-C6アルキル基、C1-C6ハロアルキル基、C2-C6アルケニル基、C2-C6ハロアルケニル基、C2-C6アルキニル基又はC2-C6ハロアルキニル基を表し、
R3は、水素原子、ハロゲン原子、C1-C6アルキル基、C1-C6ハロアルキル基、C1-C8アルコキシ基、C1-C8ハロアルコキシ基、C1-C6アルキルチオ基、C1-C6ハロアルキルチオ基、C1-C6アルキルスルフィニル基、C1-C6ハロアルキルスルフィニル基、C1-C6アルキルスルホニル基又はC1-C6ハロアルキルスルホニル基を表し、
R2、R4、Y1、Y2、Y3及びY4は、各々独立して、水素原子、ハロゲン原子、C1-C6アルキル基又はC1-C6ハロアルキル基を表す上記〔1〕又は〔2〕のいずれかに記載の縮合複素環化合物若しくはその塩又はそれらのN-オキシド。
〔51〕
R1は、C1-C6アルキル基を表し、
R3及びY3は、各々独立して、C1-C6ハロアルキル基を表し、
R2、R4、Y1、Y2及びY4は、水素原子を表す上記〔50〕に記載の縮合複素環化合物若しくはその塩又はそれらのN-オキシド。
前記式(1)が、式(1-a-p1):
式中、R1は、C1-C6アルキル基を表し、
R3は、水素原子、ハロゲン原子、C1-C6ハロアルキル基、C1-C6ハロアルキルチオ基、C1-C6ハロアルキルスルフィニル基又はC1-C6ハロアルキルスルホニル基を表し、
R4は、水素原子、ハロゲン原子又はC1-C6ハロアルキル基を表し、
A1aは、水素原子又はC1-C6アルキル基を表し、
R2、R5、Y1、Y2、Y3及びY4は、各々独立して、水素原子、ハロゲン原子、C1-C6アルキル基又はC1-C6ハロアルキル基を表す上記〔1〕、〔2〕又は〔5〕のいずれかに記載の縮合複素環化合物若しくはその塩又はそれらのN-オキシド。
〔53〕
R2及びR5は、各々独立して、水素原子又はハロゲン原子を表し、
R3及びR4は、各々独立して、水素原子又はC1-C6ハロアルキル基を表し、
Y3は、C1-C6ハロアルキル基を表し、
Y1、Y2及びY4は、水素原子を表す上記〔52〕に記載の縮合複素環化合物若しくはその塩又はそれらのN-オキシド。
前記式(1)が、式(1-a-q1):
式中、R1は、C1-C6アルキル基を表し、
R3は、水素原子、ハロゲン原子、C1-C6ハロアルキル基、C1-C6ハロアルキルチオ基、C1-C6ハロアルキルスルフィニル基又はC1-C6ハロアルキルスルホニル基を表し、
A1aは、水素原子又はC1-C6アルキル基を表し、
R2、Y1、Y2、Y3及びY4は、各々独立して、水素原子、ハロゲン原子、C1-C6アルキル基又はC1-C6ハロアルキル基を表す上記〔1〕、〔2〕又は〔5〕のいずれかに記載の縮合複素環化合物若しくはその塩又はそれらのN-オキシド。
〔55〕
R3及びY2は、各々独立して、C1-C6ハロアルキル基を表し、
A1aは、C1-C6アルキル基を表し、
R2、Y1、Y3及びY4は、水素原子を表す上記〔54〕に記載の縮合複素環化合物若しくはその塩又はそれらのN-オキシド。
前記式(1)が、式(1-a-E1):
式中、R1は、C1-C6アルキル基を表し、
R2は、水素原子を表し、
R3は、水素原子、ハロゲン原子、C1-C6ハロアルキル基、C1-C6ハロアルキルチオ基、C1-C6ハロアルキルスルフィニル基又はC1-C6ハロアルキルスルホニル基を表し、
R4は、水素原子、ハロゲン原子又はC1-C6ハロアルキル基を表し、
R5、R6、Y1、Y2、Y3及びY4は、各々独立して、水素原子、ハロゲン原子、C1-C6アルキル基又はC1-C6ハロアルキル基を表す上記〔1〕、〔2〕、〔10〕又は〔11〕のいずれかに記載の縮合複素環化合物若しくはその塩又はそれらのN-オキシド。
〔57〕
R3、R4、Y2及びY3は、各々独立して、水素原子又はC1-C6ハロアルキル基を表し、
R5、R6、Y1及びY4は、水素原子を表す上記〔56〕に記載の縮合複素環化合物若しくはその塩又はそれらのN-オキシド。
前記式(1)が、式(1-a-D1):
式中、R1は、C1-C6アルキル基を表し、
R2は、水素原子を表し、
R3は、水素原子、ハロゲン原子、C1-C6ハロアルキル基、C1-C6ハロアルキルチオ基、C1-C6ハロアルキルスルフィニル基又はC1-C6ハロアルキルスルホニル基を表し、
R4は、水素原子、ハロゲン原子又はC1-C6ハロアルキル基を表し、
R6、Y1、Y2、Y3及びY4は、各々独立して、水素原子、ハロゲン原子、C1-C6アルキル基又はC1-C6ハロアルキル基を表す上記〔1〕、〔2〕、〔10〕又は〔12〕のいずれかに記載の縮合複素環化合物若しくはその塩又はそれらのN-オキシド。
〔59〕
R3は、C1-C6ハロアルキル基を表し、
Y2は、水素原子、ハロゲン原子又はC1-C6ハロアルキル基を表し、
Y3は、水素原子又はC1-C6ハロアルキル基を表し、
R4、R6、Y1及びY4は、水素原子を表す上記〔58〕に記載の縮合複素環化合物若しくはその塩又はそれらのN-オキシド。
前記式(1)が、式(1-a-j1):
式中、R1は、C1-C6アルキル基を表し、
R2は、水素原子を表し、
R3は、水素原子、ハロゲン原子、C1-C6ハロアルキル基、C1-C6ハロアルキルチオ基、C1-C6ハロアルキルスルフィニル基又はC1-C6ハロアルキルスルホニル基を表し、
R4は、水素原子、ハロゲン原子又はC1-C6ハロアルキル基を表し、
R5、R6、Y1、Y2、Y3及びY4は、各々独立して、水素原子、ハロゲン原子、C1-C6アルキル基又はC1-C6ハロアルキル基を表す上記〔1〕、〔2〕、〔15〕又は〔16〕のいずれかに記載の縮合複素環化合物若しくはその塩又はそれらのN-オキシド。
〔61〕
R3及びY3は、各々独立して、C1-C6ハロアルキル基を表し、
R4、R5、R6、Y1、Y2及びY4は、水素原子を表す上記〔60〕に記載の縮合複素環化合物若しくはその塩又はそれらのN-オキシド。
前記式(1)が、式(1-a-j2):
式中、R1は、C1-C6アルキル基を表し、
R2は、水素原子を表し、
R3は、水素原子、ハロゲン原子、C1-C6ハロアルキル基、C1-C6ハロアルキルチオ基、C1-C6ハロアルキルスルフィニル基又はC1-C6ハロアルキルスルホニル基を表し、
R4は、水素原子、ハロゲン原子又はC1-C6ハロアルキル基を表し、
R6、Y1、Y2、Y3及びY4は、各々独立して、水素原子、ハロゲン原子、C1-C6アルキル基又はC1-C6ハロアルキル基を表す上記〔1〕、〔2〕、〔15〕又は〔17〕のいずれかに記載の縮合複素環化合物若しくはその塩又はそれらのN-オキシド。
〔63〕
R3は、C1-C6ハロアルキル基を表し、
Y2は、水素原子又はハロゲン原子を表し、
Y3は、水素原子又はC1-C6ハロアルキル基を表し、
R4、R6、Y1及びY4は、水素原子を表す上記〔62〕に記載の縮合複素環化合物若しくはその塩又はそれらのN-オキシド。
-S(O)nR1で置換されたDは、D1又はD2の何れかで表される環を表し、
Qは、Q1又はQ2の何れかで表される環を表し、
R1aは、C1-C8アルコキシカルボニル基を表し、
R2は、水素原子、ハロゲン原子、C1-C6アルキル基、C1-C6ハロアルキル基、C1-C8アルコキシ基又はC1-C8ハロアルコキシ基を表し、
R3及びR4は、各々独立して、水素原子、ハロゲン原子、C1-C6アルキル基、C1-C6ハロアルキル基、C1-C8アルコキシ基、C1-C8ハロアルコキシ基、C1-C6アルキルチオ基、C1-C6ハロアルキルチオ基、C1-C6アルキルスルフィニル基、C1-C6ハロアルキルスルフィニル基、C1-C6アルキルスルホニル基、C1-C6ハロアルキルスルホニル基、メルカプト基、シアノ基又はニトロ基を表し、
R5は、水素原子、ハロゲン原子、C1-C6アルキル基又はC1-C6ハロアルキル基を表し、
R6は、水素原子、ハロゲン原子又はC1-C6アルキル基を表し、
A1aは、水素原子、C1-C6アルキル基、C1-C6ハロアルキル基、C2-C6アルケニル基、C2-C6ハロアルケニル基、C2-C6アルキニル基、C2-C6ハロアルキニル基、C3-C6シクロアルキル(C1-C6)アルキル基又はC3-C6ハロシクロアルキル(C1-C6)アルキル基を表し、
Y1、Y2、Y3、Y4、Y5及びY6は、各々独立して、水素原子、ハロゲン原子、C1-C6アルキル基、C1-C6ハロアルキル基、C1-C8アルコキシ基、C1-C8ハロアルコキシ基、シアノ基又はニトロ基を表す上記〔1〕に記載の縮合複素環化合物若しくはその塩又はそれらのN-オキシド。
〔65〕
-S(O)nR1で置換されたDは、D1で表される環を表し、
G1は、C(Y1)を表し、
G2は、C(Y2)を表し、
G3は、C(Y3)を表し、
G4は、C(Y4)を表し、
A1は、N(A1a)又は酸素原子を表し、
A2は、C(R2)を表し、
A3は、C(R3)を表し、
R1及びA1aは、各々独立して、C1-C6アルキル基を表し、
R3は、C1-C6ハロアルキル基、C1-C6ハロアルキルチオ基、C1-C6ハロアルキルスルフィニル基又はC1-C6ハロアルキルスルホニル基を表し、
R5は、水素原子又はC1-C6アルキル基を表し、
Y2及びY3は、各々独立して、水素原子又はC1-C6ハロアルキル基を表し、
R2、R4、R6、Y1及びY4は、水素原子を表す上記〔2〕に記載の縮合複素環化合物若しくはその塩又はそれらのN-オキシド。
〔66〕
-S(O)nR1で置換されたDは、D2で表される環を表し、
Qは、Q1で表される環を表し、
G5は、C(Y5)を表し、
A1は、N(A1a)を表し、
A2は、C(R2)を表し、
A3は、C(R3)を表し、
A4は、C(R4)を表し、
A5は、窒素原子を表し、
R1及びA1aは、各々独立して、C1-C6アルキル基を表し、
R2、R4及びY5は、水素原子を表し、
R3及びY6は、各々独立して、C1-C6ハロアルキル基を表す上記〔3〕に記載の縮合複素環化合物若しくはその塩又はそれらのN-オキシド。
R1は、C1-C6アルキル基、C1-C6ハロアルキル基、C2-C6アルケニル基、C2-C6ハロアルケニル基、C2-C6アルキニル基、C2-C6ハロアルキニル基、C3-C6シクロアルキル(C1-C6)アルキル基又はC3-C6ハロシクロアルキル(C1-C6)アルキル基を表す上記〔1〕~〔66〕のいずれかに記載の縮合複素環化合物若しくはその塩又はそれらのN-オキシド。
〔68〕
R1は、C1-C6アルキル基、C1-C6ハロアルキル基又はC3-C6シクロアルキル(C1-C6)アルキル基を表す上記〔1〕~〔66〕のいずれかに記載の縮合複素環化合物若しくはその塩又はそれらのN-オキシド。
〔69〕
R1は、C1-C6アルキル基又はC1-C6ハロアルキル基を表す上記〔1〕~〔66〕のいずれかに記載の縮合複素環化合物若しくはその塩又はそれらのN-オキシド。
〔70〕
R1は、C1-C6アルキル基を表す上記〔1〕~〔66〕のいずれかに記載の縮合複素環化合物若しくはその塩又はそれらのN-オキシド。
〔71〕
R1は、C1-C6ハロアルキル基を表す上記〔1〕~〔66〕のいずれかに記載の縮合複素環化合物若しくはその塩又はそれらのN-オキシド。
〔72〕
R1aは、C1-C8アルコキシ基、C1-C8アルコキシカルボニル基又はシアノ基を表す上記〔1〕~〔71〕のいずれかに記載の縮合複素環化合物若しくはその塩又はそれらのN-オキシド。
〔73〕
R1aは、C1-C8アルコキシカルボニル基を表す上記〔1〕~〔71〕のいずれかに記載の縮合複素環化合物若しくはその塩又はそれらのN-オキシド。
R2は、水素原子、ハロゲン原子、C1-C6アルキル基又はC1-C6ハロアルキル基を表す上記〔1〕~〔73〕のいずれかに記載の縮合複素環化合物若しくはその塩又はそれらのN-オキシド。
〔75〕
R2は、水素原子を表す上記〔1〕~〔73〕のいずれかに記載の縮合複素環化合物若しくはその塩又はそれらのN-オキシド。
〔76〕
R3は、水素原子、ハロゲン原子、C1-C6アルキル基、C1-C6ハロアルキル基、C1-C8アルコキシ基、C1-C8ハロアルコキシ基、C1-C6アルキルチオ基、C1-C6ハロアルキルチオ基、R3aによって任意に置換された(C1-C6)アルキルチオ基、C1-C6アルキルスルフィニル基、C1-C6ハロアルキルスルフィニル基、C1-C6アルキルスルホニル基又はC1-C6ハロアルキルスルホニル基を表す上記〔1〕~〔75〕のいずれかに記載の縮合複素環化合物若しくはその塩又はそれらのN-オキシド。
〔77〕
R3は、水素原子、ハロゲン原子、C1-C6ハロアルキル基、C1-C6アルキルチオ基、R3aによって任意に置換された(C1-C6)アルキルチオ基、C1-C6ハロアルキルチオ基、C1-C6ハロアルキルスルフィニル基又はC1-C6ハロアルキルスルホニル基を表す上記〔1〕~〔75〕のいずれかに記載の縮合複素環化合物若しくはその塩又はそれらのN-オキシド。
〔78〕
R3は、水素原子、ハロゲン原子、C1-C6ハロアルキル基、C1-C6ハロアルキルチオ基、C1-C6ハロアルキルスルフィニル基又はC1-C6ハロアルキルスルホニル基を表す上記〔1〕~〔75〕のいずれかに記載の縮合複素環化合物若しくはその塩又はそれらのN-オキシド。
〔79〕
R3は、C1-C6ハロアルキルチオ基、C1-C6ハロアルキルスルフィニル基又はC1-C6ハロアルキルスルホニル基を表す上記〔1〕~〔75〕のいずれかに記載の縮合複素環化合物若しくはその塩又はそれらのN-オキシド。
〔80〕
R3は、ハロゲン原子を表す上記〔1〕~〔75〕のいずれかに記載の縮合複素環化合物若しくはその塩又はそれらのN-オキシド。
〔81〕
R3は、C1-C6ハロアルキル基を表す上記〔1〕~〔75〕のいずれかに記載の縮合複素環化合物若しくはその塩又はそれらのN-オキシド。
〔82〕
R3は、C1-C6ハロアルキルチオ基を表す上記〔1〕~〔75〕のいずれかに記載の縮合複素環化合物若しくはその塩又はそれらのN-オキシド。
〔83〕
R3は、C1-C6ハロアルキルスルフィニル基を表す上記〔1〕~〔75〕のいずれかに記載の縮合複素環化合物若しくはその塩又はそれらのN-オキシド。
〔84〕
R3は、C1-C6ハロアルキルスルホニル基を表す上記〔1〕~〔75〕のいずれかに記載の縮合複素環化合物若しくはその塩又はそれらのN-オキシド。
R4は、水素原子、ハロゲン原子、C1-C6アルキル基、C1-C6ハロアルキル基、C1-C8アルコキシ基、C1-C8ハロアルコキシ基、C1-C6アルキルチオ基、C1-C6ハロアルキルチオ基、R4aによって任意に置換された(C1-C6)アルキルチオ基、C1-C6アルキルスルフィニル基、C1-C6ハロアルキルスルフィニル基、C1-C6アルキルスルホニル基又はC1-C6ハロアルキルスルホニル基を表す上記〔1〕~〔84〕のいずれかに記載の縮合複素環化合物若しくはその塩又はそれらのN-オキシド。
〔86〕
R4は、水素原子、ハロゲン原子、C1-C6ハロアルキル基、C1-C6アルキルチオ基、R4aによって任意に置換された(C1-C6)アルキルチオ基、C1-C6ハロアルキルチオ基、C1-C6ハロアルキルスルフィニル基又はC1-C6ハロアルキルスルホニル基を表す上記〔1〕~〔84〕のいずれかに記載の縮合複素環化合物若しくはその塩又はそれらのN-オキシド。
〔87〕
R4は、水素原子、ハロゲン原子、C1-C6ハロアルキル基、C1-C6ハロアルキルチオ基、C1-C6ハロアルキルスルフィニル基又はC1-C6ハロアルキルスルホニル基を表す上記〔1〕~〔84〕のいずれかに記載の縮合複素環化合物若しくはその塩又はそれらのN-オキシド。
〔88〕
R4は、水素原子を表す上記〔1〕~〔84〕のいずれかに記載の縮合複素環化合物若しくはその塩又はそれらのN-オキシド。
〔89〕
R4は、ハロゲン原子を表す上記〔1〕~〔84〕のいずれかに記載の縮合複素環化合物若しくはその塩又はそれらのN-オキシド。
〔90〕
R4は、C1-C6ハロアルキルチオ基、C1-C6ハロアルキルスルフィニル基又はC1-C6ハロアルキルスルホニル基を表す上記〔1〕~〔84〕のいずれかに記載の縮合複素環化合物若しくはその塩又はそれらのN-オキシド。
〔91〕
R4は、C1-C6ハロアルキル基を表す上記〔1〕~〔84〕のいずれかに記載の縮合複素環化合物若しくはその塩又はそれらのN-オキシド。
R5は、水素原子、ハロゲン原子、C1-C6アルキル基又はC1-C6ハロアルキル基を表す上記〔1〕~〔91〕のいずれかに記載の縮合複素環化合物若しくはその塩又はそれらのN-オキシド。
〔93〕
R5は、ハロゲン原子を表す上記〔1〕~〔91〕のいずれかに記載の縮合複素環化合物若しくはその塩又はそれらのN-オキシド。
〔94〕
R5は、水素原子を表す上記〔1〕~〔91〕のいずれかに記載の縮合複素環化合物若しくはその塩又はそれらのN-オキシド。
〔95〕
R5は、C1-C6アルキル基を表す上記〔1〕~〔91〕のいずれかに記載の縮合複素環化合物若しくはその塩又はそれらのN-オキシド。
〔96〕
R6は、水素原子、ハロゲン原子、C1-C6アルキル基又はC1-C6ハロアルキル基を表す上記〔1〕~〔95〕のいずれかに記載の縮合複素環化合物若しくはその塩又はそれらのN-オキシド。
〔97〕
R6は、水素原子を表す上記〔1〕~〔95〕のいずれかに記載の縮合複素環化合物若しくはその塩又はそれらのN-オキシド。
〔98〕
R6は、ハロゲン原子を表す上記〔1〕~〔95〕のいずれかに記載の縮合複素環化合物若しくはその塩又はそれらのN-オキシド。
〔99〕
R6は、C1-C6アルキル基を表す上記〔1〕~〔95〕のいずれかに記載の縮合複素環化合物若しくはその塩又はそれらのN-オキシド。
R7は、水素原子、ハロゲン原子又はC1-C6ハロアルキル基を表す上記〔1〕~〔99〕のいずれかに記載の縮合複素環化合物若しくはその塩又はそれらのN-オキシド。
〔101〕
R7は、C1-C6ハロアルキル基を表す上記〔1〕~〔99〕のいずれかに記載の縮合複素環化合物若しくはその塩又はそれらのN-オキシド。
〔102〕
R8は、水素原子、ハロゲン原子、C1-C6アルキル基又はC1-C6ハロアルキル基を表す上記〔1〕~〔101〕のいずれかに記載の縮合複素環化合物若しくはその塩又はそれらのN-オキシド。
〔103〕
R8は、C1-C6アルキル基を表す上記〔1〕~〔101〕のいずれかに記載の縮合複素環化合物若しくはその塩又はそれらのN-オキシド。
A1aは、水素原子、C1-C6アルキル基、A1a-aによって任意に置換された(C1-C6)アルキル基、C2-C6アルケニル基、C2-C6アルキニル基、C1-C8アルコキシ基、C3-C6シクロアルキル基又はC(O)R10aを表す上記〔1〕~〔103〕のいずれかに記載の縮合複素環化合物若しくはその塩又はそれらのN-オキシド。
〔105〕
A1aは、水素原子、C1-C6アルキル基、C2-C6アルケニル基、C2-C6アルキニル基又はC3-C6シクロアルキル基を表す上記〔1〕~〔103〕のいずれかに記載の縮合複素環化合物若しくはその塩又はそれらのN-オキシド。
〔106〕
A1aは、水素原子を表す上記〔1〕~〔103〕のいずれかに記載の縮合複素環化合物若しくはその塩又はそれらのN-オキシド。
〔107〕
A1aは、C1-C6アルキル基を表す上記〔1〕~〔103〕のいずれかに記載の縮合複素環化合物若しくはその塩又はそれらのN-オキシド。
Y1、Y2、Y3及びY4は、各々独立して、水素原子、ハロゲン原子、C1-C6アルキル基、C1-C6ハロアルキル基、C2-C6アルケニル基、C2-C6アルキニル基、Ybによって任意に置換された(C2-C6)アルキニル基、C1-C8アルコキシ基、C1-C8ハロアルコキシ基、C1-C6アルキルチオ基、C1-C6ハロアルキルチオ基、Yaによって任意に置換された(C1-C6)アルキルチオ基、C1-C6アルキルスルフィニル基、C1-C6ハロアルキルスルフィニル基、C1-C6アルキルスルホニル基、C1-C6ハロアルキルスルホニル基、-C(O)R90a、-C(O)NHR90b、-C(O)N(R90c)R90b、-C(O)OH、ヒドロキシ基、-OC(O)R90e、-OS(O)2R90f、-NH2、-NHR90g、-N(R90h)R90g、メルカプト基、-SC(O)R90i、-S(O)2NHR90j、-S(O)2N(R90k)R90j、-SF5、シアノ基、ニトロ基、フェニル基、Ycによって任意に置換されたフェニル基、複素環基又はYcによって任意に置換された複素環基を表す上記〔1〕~〔107〕のいずれかに記載の縮合複素環化合物若しくはその塩又はそれらのN-オキシド。
〔109〕
Y1、Y2、Y3及びY4は、各々独立して、水素原子、ハロゲン原子、C1-C6アルキル基、C1-C6ハロアルキル基、C2-C6アルケニル基、Ybによって任意に置換された(C2-C6)アルキニル基、C1-C8アルコキシ基、C1-C6アルキルチオ基、C1-C6ハロアルキルチオ基、Yaによって任意に置換された(C1-C6)アルキルチオ基、C1-C6アルキルスルフィニル基、C1-C6アルキルスルホニル基、-C(O)R90a、-C(O)N(R90c)R90b、-C(O)OH、-NH2、-NHR90g、-N(R90h)R90g、メルカプト基、シアノ基、ニトロ基、フェニル基、Ycによって任意に置換されたフェニル基、複素環基又はYcによって任意に置換された複素環基を表す上記〔1〕~〔107〕のいずれかに記載の縮合複素環化合物若しくはその塩又はそれらのN-オキシド。
Y1は、水素原子、ハロゲン原子、C1-C6アルキル基又はC1-C6ハロアルキル基を表す上記〔1〕~〔109〕のいずれかに記載の縮合複素環化合物若しくはその塩又はそれらのN-オキシド。
〔111〕
Y1は、水素原子を表す上記〔1〕~〔109〕のいずれかに記載の縮合複素環化合物若しくはその塩又はそれらのN-オキシド。
〔112〕
Y1は、ハロゲン原子を表す上記〔1〕~〔109〕のいずれかに記載の縮合複素環化合物若しくはその塩又はそれらのN-オキシド。
〔113〕
Y1は、C1-C6アルキル基を表す上記〔1〕~〔109〕のいずれかに記載の縮合複素環化合物若しくはその塩又はそれらのN-オキシド。
〔114〕
Y1は、C1-C6ハロアルキル基を表す上記〔1〕~〔109〕のいずれかに記載の縮合複素環化合物若しくはその塩又はそれらのN-オキシド。
Y2は、水素原子、ハロゲン原子、C1-C6アルキル基、C1-C6ハロアルキル基、C2-C6アルケニル基、Ybによって任意に置換された(C2-C6)アルキニル基、C1-C8アルコキシ基、C1-C6アルキルチオ基、C1-C6ハロアルキルチオ基、Yaによって任意に置換された(C1-C6)アルキルチオ基、C1-C6アルキルスルフィニル基、C1-C6アルキルスルホニル基、-NH2、-NHR90g、ニトロ基、フェニル基、Ycによって任意に置換されたフェニル基又は複素環基を表す上記〔1〕~〔114〕のいずれかに記載の縮合複素環化合物若しくはその塩又はそれらのN-オキシド。
〔116〕
Y2は、水素原子、ハロゲン原子、C1-C6アルキル基又はC1-C6ハロアルキル基を表す上記〔1〕~〔114〕のいずれかに記載の縮合複素環化合物若しくはその塩又はそれらのN-オキシド。
〔117〕
Y2は、水素原子を表す上記〔1〕~〔114〕のいずれかに記載の縮合複素環化合物若しくはその塩又はそれらのN-オキシド。
〔118〕
Y2は、ハロゲン原子を表す上記〔1〕~〔114〕のいずれかに記載の縮合複素環化合物若しくはその塩又はそれらのN-オキシド。
〔119〕
Y2は、C1-C6アルキル基を表す上記〔1〕~〔114〕のいずれかに記載の縮合複素環化合物若しくはその塩又はそれらのN-オキシド。
〔120〕
Y2は、C1-C6ハロアルキル基を表す上記〔1〕~〔114〕のいずれかに記載の縮合複素環化合物若しくはその塩又はそれらのN-オキシド。
Y3は、水素原子、ハロゲン原子、C1-C6アルキル基、C1-C6ハロアルキル基、C1-C8アルコキシ基、C1-C6アルキルチオ基、Yaによって任意に置換された(C1-C6)アルキルチオ基、C1-C6アルキルスルフィニル基、C1-C6アルキルスルホニル基、-C(O)R90a、-C(O)N(R90c)R90b、-C(O)OH、シアノ基又はニトロ基を表す上記〔1〕~〔120〕のいずれかに記載の縮合複素環化合物若しくはその塩又はそれらのN-オキシド。
〔122〕
Y3は、水素原子、ハロゲン原子、C1-C6アルキル基又はC1-C6ハロアルキル基を表す上記〔1〕~〔120〕のいずれかに記載の縮合複素環化合物若しくはその塩又はそれらのN-オキシド。
〔123〕
Y3は、水素原子を表す上記〔1〕~〔120〕のいずれかに記載の縮合複素環化合物若しくはその塩又はそれらのN-オキシド。
〔124〕
Y3は、ハロゲン原子を表す上記〔1〕~〔120〕のいずれかに記載の縮合複素環化合物若しくはその塩又はそれらのN-オキシド。
〔125〕
Y3は、C1-C6アルキル基を表す上記〔1〕~〔120〕のいずれかに記載の縮合複素環化合物若しくはその塩又はそれらのN-オキシド。
〔126〕
Y3は、C1-C6ハロアルキル基を表す上記〔1〕~〔120〕のいずれかに記載の縮合複素環化合物若しくはその塩又はそれらのN-オキシド。
Y4は、水素原子、ハロゲン原子、C1-C6アルキル基、C1-C6ハロアルキル基、C1-C8アルコキシ基、C1-C6アルキルチオ基、C1-C6アルキルスルホニル基、-N(R90h)R90g又はシアノ基を表す上記〔1〕~〔126〕のいずれかに記載の縮合複素環化合物若しくはその塩又はそれらのN-オキシド。
〔128〕
Y4は、C1-C8アルコキシ基、C1-C6アルキルチオ基、C1-C6アルキルスルホニル基、-N(R90h)R90g又はシアノ基を表す上記〔1〕~〔126〕のいずれかに記載の縮合複素環化合物若しくはその塩又はそれらのN-オキシド。
〔129〕
Y4は、水素原子、ハロゲン原子、C1-C6アルキル基又はC1-C6ハロアルキル基を表す上記〔1〕~〔126〕のいずれかに記載の縮合複素環化合物若しくはその塩又はそれらのN-オキシド。
〔130〕
Y4は、水素原子を表す上記〔1〕~〔126〕のいずれかに記載の縮合複素環化合物若しくはその塩又はそれらのN-オキシド。
〔131〕
Y4は、ハロゲン原子を表す上記〔1〕~〔126〕のいずれかに記載の縮合複素環化合物若しくはその塩又はそれらのN-オキシド。
〔132〕
Y4は、C1-C6アルキル基を表す上記〔1〕~〔126〕のいずれかに記載の縮合複素環化合物若しくはその塩又はそれらのN-オキシド。
〔133〕
Y4は、C1-C6ハロアルキル基を表す上記〔1〕~〔126〕のいずれかに記載の縮合複素環化合物若しくはその塩又はそれらのN-オキシド。
Yaは、C1-C8アルコキシカルボニル基又はC1-C6アルキルカルボニル基を表す上記〔1〕~〔133〕のいずれかに記載の縮合複素環化合物若しくはその塩又はそれらのN-オキシド。
〔135〕
Yaは、C1-C8アルコキシカルボニル基を表す上記〔1〕~〔133〕のいずれかに記載の縮合複素環化合物若しくはその塩又はそれらのN-オキシド。
〔136〕
Ybは、C1-C6アルキル基、C3-C6シクロアルキル基、トリメチルシリル基又はフェニル基を表す上記〔1〕~〔135〕のいずれかに記載の縮合複素環化合物若しくはその塩又はそれらのN-オキシド。
〔137〕
Ybは、C3-C6シクロアルキル基又はトリメチルシリル基を表す上記〔1〕~〔135〕のいずれかに記載の縮合複素環化合物若しくはその塩又はそれらのN-オキシド。
〔138〕
Ybは、C3-C6シクロアルキル基を表す上記〔1〕~〔135〕のいずれかに記載の縮合複素環化合物若しくはその塩又はそれらのN-オキシド。
〔139〕
Ybは、トリメチルシリル基を表す上記〔1〕~〔135〕のいずれかに記載の縮合複素環化合物若しくはその塩又はそれらのN-オキシド。
〔140〕
Ycは、ハロゲン原子、C1-C6アルキル基、C1-C6ハロアルキル基、C1-C8アルコキシ基、C1-C8ハロアルコキシ基、シアノ基又はニトロ基を表す上記〔1〕~〔139〕のいずれかに記載の縮合複素環化合物若しくはその塩又はそれらのN-オキシド。
〔141〕
Ycは、ハロゲン原子又はC1-C6ハロアルキル基を表す上記〔1〕~〔139〕のいずれかに記載の縮合複素環化合物若しくはその塩又はそれらのN-オキシド。
〔142〕
Ycは、ハロゲン原子を表す上記〔1〕~〔139〕のいずれかに記載の縮合複素環化合物若しくはその塩又はそれらのN-オキシド。
〔143〕
Ycは、C1-C6ハロアルキル基を表す上記〔1〕~〔139〕のいずれかに記載の縮合複素環化合物若しくはその塩又はそれらのN-オキシド。
R10a、R20a、R30a、R30e、R40a、R40e、R50a、R60a及びR90aは、各々独立して、水素原子、C1-C6アルキル基、C1-C6ハロアルキル基、C1-C8アルコキシ基又はC1-C8ハロアルコキシ基を表す上記〔1〕~〔143〕のいずれかに記載の縮合複素環化合物若しくはその塩又はそれらのN-オキシド。
〔145〕
R10a、R20a、R30a、R30e、R40a、R40e、R50a、R60a及びR90aは、各々独立して、水素原子、C1-C6アルキル基又はC1-C8アルコキシ基を表す上記〔1〕~〔143〕のいずれかに記載の縮合複素環化合物若しくはその塩又はそれらのN-オキシド。
〔146〕
R10a、R20a、R30a、R30e、R40a、R40e、R50a、R60a及びR90aは、水素原子を表す上記〔1〕~〔143〕のいずれかに記載の縮合複素環化合物若しくはその塩又はそれらのN-オキシド。
〔147〕
R10a、R20a、R30a、R30e、R40a、R40e、R50a、R60a及びR90aは、各々独立して、C1-C6アルキル基を表す上記〔1〕~〔143〕のいずれかに記載の縮合複素環化合物若しくはその塩又はそれらのN-オキシド。
〔148〕
R10a、R20a、R30a、R30e、R40a、R40e、R50a、R60a及びR90aは、各々独立して、C1-C8アルコキシ基を表す上記〔1〕~〔143〕のいずれかに記載の縮合複素環化合物若しくはその塩又はそれらのN-オキシド。
〔149〕
R20g、R20h、R30f、R30g、R30h、R30i、R40f、R40g、R40h、R40i、R50g、R50h、R60g、R60h、R90b、R90c、R90i、R90j及びR90kは、各々独立して、C1-C6アルキル基又はC1-C6ハロアルキル基を表す上記〔1〕~〔148〕のいずれかに記載の縮合複素環化合物若しくはその塩又はそれらのN-オキシド。
〔150〕
R20g、R20h、R30f、R30g、R30h、R30i、R40f、R40g、R40h、R40i、R50g、R50h、R60g、R60h、R90b、R90c、R90i、R90j及びR90kは、各々独立して、C1-C6アルキル基を表す上記〔1〕~〔148〕のいずれかに記載の縮合複素環化合物若しくはその塩又はそれらのN-オキシド。
R90g及びR90hは、各々独立して、C1-C6アルキル基、C1-C6ハロアルキル基、C1-C6アルキルカルボニル基、C1-C6ハロアルキルカルボニル基、C1-C8アルコキシカルボニル基、C1-C8ハロアルコキシカルボニル基、C1-C6アルキルアミノカルボニル基、C1-C6ハロアルキルアミノカルボニル基、C1-C6アルキルアミノチオカルボニル基、C1-C6ハロアルキルアミノチオカルボニル基、フェニルカルボニル基、C1-C6アルキルスルホニル基、C1-C6ハロアルキルスルホニル基、C1-C6アルキルアミノスルホニル基又はジ(C1-C6)アルキルアミノスルホニル基を表す上記〔1〕~〔150〕のいずれかに記載の縮合複素環化合物若しくはその塩又はそれらのN-オキシド。
〔152〕
R90gは、C1-C6アルキル基、C1-C6ハロアルキルカルボニル基、C1-C8アルコキシカルボニル基又はフェニルカルボニル基を表す上記〔1〕~〔151〕のいずれかに記載の縮合複素環化合物若しくはその塩又はそれらのN-オキシド。
〔153〕
R90gは、C1-C6アルキル基を表す上記〔1〕~〔151〕のいずれかに記載の縮合複素環化合物若しくはその塩又はそれらのN-オキシド。
〔154〕
R90gは、C1-C6ハロアルキルカルボニル基を表す上記〔1〕~〔151〕のいずれかに記載の縮合複素環化合物若しくはその塩又はそれらのN-オキシド。
〔155〕
R90gは、C1-C8アルコキシカルボニル基を表す上記〔1〕~〔151〕のいずれかに記載の縮合複素環化合物若しくはその塩又はそれらのN-オキシド。
〔156〕
R90gは、フェニルカルボニル基を表す上記〔1〕~〔151〕のいずれかに記載の縮合複素環化合物若しくはその塩又はそれらのN-オキシド。
〔157〕
R90hは、C1-C6アルキル基を表す上記〔1〕~〔156〕のいずれかに記載の縮合複素環化合物若しくはその塩又はそれらのN-オキシド。
T1は、硫黄原子を表す上記〔1〕~〔157〕のいずれかに記載の縮合複素環化合物若しくはその塩又はそれらのN-オキシド。
〔159〕
T1は、N(T1a)を表す上記〔1〕~〔157〕のいずれかに記載の縮合複素環化合物若しくはその塩又はそれらのN-オキシド。
〔160〕
T1aは、水素原子を表す上記〔1〕~〔159〕のいずれかに記載の縮合複素環化合物若しくはその塩又はそれらのN-オキシド。
〔161〕
T1aは、C1-C6アルキル基を表す上記〔1〕~〔159〕のいずれかに記載の縮合複素環化合物若しくはその塩又はそれらのN-オキシド。
上記〔1〕~〔161〕のいずれか1項に記載の縮合複素環化合物及びその塩から選ばれる1種又は2種以上を有効成分として含有する有害生物防除剤。
〔163〕
上記〔1〕~〔161〕のいずれか1項に記載の縮合複素環化合物及びその塩から選ばれる1種又は2種以上を有効成分として含有する農薬。
〔164〕
上記〔1〕~〔161〕のいずれか1項に記載の縮合複素環化合物及びその塩から選ばれる1種又は2種以上を有効成分として含有する哺乳動物又は鳥類の内部若しくは外部寄生虫の防除剤。
〔165〕
外部寄生虫がノミ目類又はマダニ類である上記〔164〕に記載の防除剤。
〔166〕
上記〔1〕~〔161〕のいずれか1項に記載の縮合複素環化合物及びその塩から選ばれる1種又は2種以上を有効成分として含有する殺虫剤又は殺ダニ剤。
〔167〕
上記〔1〕~〔161〕のいずれか1項に記載の縮合複素環化合物及びその塩から選ばれる1種又は2種以上を有効成分として含有する種子処理剤。
〔168〕
種子処理が浸漬処理によって行われる上記〔167〕に記載の種子処理剤。
〔169〕
上記〔1〕~〔161〕のいずれか1項に記載の縮合複素環化合物から選ばれる1種又は2種以上を有効成分として含有する土壌処理剤。
〔170〕
土壌処理が土壌潅注処理によって行われる上記〔169〕に記載の土壌処理剤。
また、本発明に包含される化合物は、1個又は2個以上の不斉炭素原子又は不斉硫黄原子の存在に起因する光学活性体が存在するが、本発明は全ての光学活性体又はラセミ体を包含する。
また、本発明に包含される化合物には、置換基の種類によって互変異性体が存在する場合があるが、本発明は全ての互変異性体又は任意の割合で含む互変異性体の混合物を包含するものである。
本発明化合物において、N-オキシドとは、複素環基上の環を構成する窒素原子が酸化された化合物である。N-オキシドを形成しうる複素環基としは、例えばピリジン環を含む縮合環、ピラジン環を含む縮合環、ピリダジン環を含む縮合環又はピリミジン環を含む縮合環が挙げられる。
本明細書における「ハロゲン原子」としては、フッ素原子、塩素原子、臭素原子及びヨウ素原子が挙げられる。尚、本明細書中「ハロ」の表記もこれらのハロゲン原子を表す。
本明細書における「Ca~Cbアルキル」の表記は、炭素原子数がa~b個よりなる直鎖状又は分岐鎖状の炭化水素基を表し、例えばメチル基、エチル基、n-プロピル基、i-プロピル基、n-ブチル基、i-ブチル基、s-ブチル基、tert-ブチル基、n-ペンチル基、1,1-ジメチルプロピル基、n-ヘキシル基等が具体例として挙げられ、各々の指定の炭素原子数の範囲で選択される。
本明細書における「Ca~Cbハロアルキル」の表記は、炭素原子に結合した水素原子がハロゲン原子によって任意に置換された、炭素原子数がa~b個よりなる直鎖状又は分岐鎖状の炭化水素基を表し、このとき、2個以上のハロゲン原子によって置換されている場合、それらのハロゲン原子は互いに同一でも、または互いに相異なっていてもよい。例えばフルオロメチル基、クロロメチル基、ブロモメチル基、ヨードメチル基、ジフルオロメチル基、ジクロロメチル基、トリフルオロメチル基、クロロジフルオロメチル基、トリクロロメチル基、ブロモジフルオロメチル基、1-フルオロエチル基、2-フルオロエチル基、2-クロロエチル基、2-ブロモエチル基、2,2-ジフルオロエチル基、2,2,2-トリフルオロエチル基、2-クロロ-2,2-ジフルオロエチル基、2,2,2-トリクロロエチル基、2-ブロモ-2,2-ジフルオロエチル基、1,1,2,2-テトラフルオロエチル基、2-クロロ-1,1,2-トリフルオロエチル基、2-クロロ-1,1,2,2-テトラフルオロエチル基、ペンタフルオロエチル基、2,2-ジフルオロプロピル基、3,3,3-トリフルオロプロピル基、3-ブロモ-3,3-ジフルオロプロピル基、2,2,3,3-テトラフルオロプロピル基、2,2,3,3,3-ペンタフルオロプロピル基、1,1,2,3,3,3-ヘキサフルオロプロピル基、ヘプタフルオロプロピル基、2,2,2-トリフルオロ-1-(メチル)エチル基、2,2,2-トリフルオロ-1-(トリフルオロメチル)エチル基、1,2,2,2-テトラフルオロ-1-(トリフルオロメチル)エチル基、2,2,3,4,4,4-ヘキサフルオロブチル基、2,2,3,3,4,4,4-ヘプタフルオロブチル基、ノナフルオロブチル基等が具体例として挙げられ、各々の指定の炭素原子数の範囲で選択される。
本明細書における「Ca~Cbハロアルケニル」の表記は、炭素原子に結合した水素原子が、ハロゲン原子によって任意に置換された、炭素原子数がa~b個よりなる直鎖状又は分岐鎖状で、且つ分子内に1個又は2個以上の二重結合を有する不飽和炭化水素基を表す。このとき、2個以上のハロゲン原子によって置換されている場合、それらのハロゲン原子は互いに同一でも、又は互いに相異なっていてもよい。例えば2,2-ジクロロビニル基、2-フルオロ-2-プロペニル基、2-クロロ-2-プロペニル基、3-クロロ-2-プロペニル基、2-ブロモ-2-プロペニル基、3,3-ジフルオロ-2-プロペニル基、2,3-ジクロロ-2-プロペニル基、3,3-ジクロロ-2-プロペニル基、2,3,3-トリフルオロ-2-プロペニル基、2,3,3-トリクロロ-2-プロペニル基、1-(トリフルオロメチル)エテニル基、4,4-ジフルオロ-3-ブテニル基、3,4,4-トリフルオロ-3-ブテニル基、3-クロロ-4,4,4-トリフルオロ-2-ブテニル基等が具体例として挙げられ、各々の指定の炭素原子数の範囲で選択される。
本明細書における「Ca~Cbハロアルキニル」の表記は、炭素原子に結合した水素原子が、ハロゲン原子によって任意に置換された、炭素原子数がa~b個よりなる直鎖状又は分岐鎖状で、且つ分子内に1個又は2個以上の三重結合を有する不飽和炭化水素基を表す。このとき、2個以上のハロゲン原子によって置換されている場合、それらのハロゲン原子は互いに同一でも、又は互いに相異なっていてもよい。例えば2-クロロエチニル基、2-ブロモエチニル基、2-ヨードエチニル基、3-クロロ-2-プロピニル基、3-ブロモ-2-プロピニル基、3-ヨード-2-プロピニル基等が具体例として挙げられ、各々の指定の炭素原子数の範囲で選択される。
本明細書における「Ca~Cbシクロアルキル」の表記は、炭素原子数がa~b個よりなる環状の炭化水素基を表し、3員環から6員環までの単環又は複合環構造を形成することが出来る。また、各々の環は指定の炭素原子数の範囲でアルキル基によって任意に置換されていてもよい。例えばシクロプロピル基、1-メチルシクロプロピル基、2-メチルシクロプロピル基、2,2-ジメチルシクロプロピル基、シクロブチル基、シクロペンチル基、シクロヘキシル基等が具体例として挙げられ、各々の指定の炭素原子数の範囲で選択される。
本明細書における「Ca~Cbハロシクロアルキル」の表記は、炭素原子に結合した水素原子が、ハロゲン原子によって任意に置換された、炭素原子数がa~b個よりなる環状の炭化水素基を表し、3員環から6員環までの単環又は複合環構造を形成することが出来る。また、各々の環は指定の炭素原子数の範囲でアルキル基によって任意に置換されていてもよく、ハロゲン原子による置換は環構造部分であっても、側鎖部分であっても、或いはそれらの両方であってもよく、さらに、2個以上のハロゲン原子によって置換されている場合、それらのハロゲン原子は互いに同一でも、又は互いに相異なっていてもよい。例えば2,2-ジフルオロシクロプロピル基、2,2-ジクロロシクロプロピル基、2,2-ジブロモシクロプロピル基、2,2-ジフルオロ-1-メチルシクロプロピル基、2,2-ジクロロ-1-メチルシクロプロピル基、2,2-ジブロモ-1-メチルシクロプロピル基、2,2,3,3-テトラフルオロシクロブチル基等が具体例として挙げられ、各々の指定の炭素原子数の範囲で選択される。
本明細書における「Ca~Cbハロアルコキシ」の表記は、炭素原子数がa~b個よりなる前記の意味であるハロアルキル-O-基を表し、例えばジフルオロメトキシ基、トリフルオロメトキシ基、クロロジフルオロメトキシ基、ブロモジフルオロメトキシ基、2-フルオロエトキシ基、2-クロロエトキシ基、2,2,2-トリフルオロエトキシ基、1,1,2,2,-テトラフルオロエトキシ基、2-クロロ-1,1,2-トリフルオロエトキシ基、1,1,2,3,3,3-ヘキサフルオロプロピルオキシ基等が具体例として挙げられ、各々の指定の炭素原子数の範囲で選択される。
本明細書における「Ca~Cbアルケニルオキシ」の表記は、炭素原子数がa~b個よりなる前記の意味であるアルケニル-O-基を表し、例えば、2-プロペニルオキシ基、2-ブテニルオキシ基、2-メチル-2-プロペニルオキシ基、3-メチル-2-ブテニルオキシ基等が具体例として挙げられ、各々の指定の炭素原子数の範囲で選択される。
本明細書における「Ca~Cbハロアルケニルオキシ」の表記は、炭素原子数がa~b個よりなる前記の意味であるハロアルケニル-O-基を表し、例えば、3,3-ジフルオロアリルオキシ基、3,3-ジクロロアリルオキシ基等が具体例として挙げられ、各々の指定の炭素原子数の範囲で選択される。
本明細書における「Ca~Cbアルキニルオキシ」の表記は、炭素原子数がa~b個よりなる前記の意味であるアルキニル-O-基を表し、例えば、エチニルオキシ基、プロパルギルオキシ基、2-ブチニルオキシ基、1-ペンチニルオキシ基、1-ヘキシニルオキシ基等が具体例として挙げられ、各々の指定の炭素原子数の範囲で選択される。
本明細書における「Ca~Cbハロアルキニルオキシ」の表記は、炭素原子数がa~b個よりなる前記の意味であるハロアルキニル-O-基を表し、例えば、3-クロロ-2-プロピニルオキシ基、3-ブロモ-2-プロピニルオキシ基、3-ヨード-2-プロピニルオキシ基等が具体例として挙げられ、各々の指定の炭素原子数の範囲で選択される。
本明細書における「Ca~Cbハロアルキルチオ」の表記は、炭素原子数がa~b個よりなる前記の意味であるハロアルキル-S-基を表し、例えばジフルオロメチルチオ基、トリフルオロメチルチオ基、クロロジフルオロメチルチオ基、ブロモジフルオロメチルチオ基、2,2,2-トリフルオロエチルチオ基、1,1,2,2-テトラフルオロエチルチオ基、2-クロロ-1,1,2-トリフルオロエチルチオ基、ペンタフルオロエチルチオ基、1,1,2,3,3,3-ヘキサフルオロプロピルチオ基、ヘプタフルオロプロピルチオ基、1,2,2,2-テトラフルオロ-1-(トリフルオロメチル)エチルチオ基、ノナフルオロブチルチオ基等が具体例として挙げられ、各々の指定の炭素原子数の範囲で選択される。
本明細書における「Ca~Cbアルケニルチオ」の表記は、炭素原子数がa~b個よりなる前記の意味であるアルケニル-S-基を表し、例えば、2-プロペニルチオ基、2-ブテニルチオ基、2-メチル-2-プロペニルチオ基、3-メチル-2-ブテニルチオ基等が具体例として挙げられ、各々の指定の炭素原子数の範囲で選択される。
本明細書における「Ca~Cbハロアルケニルチオ」の表記は、炭素原子数がa~b個よりなる前記の意味であるハロアルケニル-S-基を表し、例えば、2-フルオロ-2-プロペニルチオ基、2-クロロ-2-プロペニルチオ基、3,3-ジフルオロ-2-プロペニルチオ基、3,3-ジクロロ-2-プロペニルチオ基、2,3,3-トリフルオロ-2-プロペニルチオ基、4,4-ジフルオロ-3-ブテニルチオ基、3,4,4-トリフルオロ-3-ブテニルチオ基等が具体例として挙げられ、各々の指定の炭素原子数の範囲で選択される。
本明細書における「Ca~Cbアルキニルチオ」の表記は、炭素原子数がa~b個よりなる前記の意味であるアルキニル-S-基を表し、例えば、プロピニルチオ基、ブチニルチオ基、ペンチニルチオ基、ヘキシニルチオ基等が具体例として挙げられ、各々の指定の炭素原子数の範囲で選択される。
本明細書における「Ca~Cbハロアルキニルチオ」の表記は、炭素原子数がa~b個よりなる前記の意味であるハロアルキニル-S-基を表し、例えば、3-クロロ-2-プロピニルチオ基、3-ブロモ-2-プロピニルチオ基、3-ヨード-2-プロピニルチオ基等が具体例として挙げられ、各々の指定の炭素原子数の範囲で選択される。
本明細書における「Ca~Cbアルキルスルフィニル」の表記は、炭素原子数がa~b個よりなる前記の意味であるアルキル-S(O)-基を表し、例えばメチルスルフィニル基、エチルスルフィニル基、n-プロピルスルフィニル基、i-プロピルスルフィニル基、n-ブチルスルフィニル基、i-ブチルスルフィニル基、s-ブチルスルフィニル基、tert-ブチルスルフィニル基等が具体例として挙げられ、各々の指定の炭素原子数の範囲で選択される。
本明細書における「Ca~Cbアルケニルスルフィニル」の表記は、炭素原子数がa~b個よりなる前記の意味であるアルケニル-S(O)-基を表し、例えば、2-プロぺニルスルフィニル基、2-ブテニルスルフィニル基、2-メチル-2-プロぺニルスルフィニル基、3-メチル-2-ブテニルスルフィニル基等が具体例として挙げられ、各々の指定の炭素原子数の範囲で選択される。
本明細書における「Ca~Cbハロアルケニルスルフィニル」の表記は、炭素原子数がa~b個よりなる前記の意味であるハロアルケニル-S(O)-基を表し、例えば、2-フルオロ-2-プロペニルスルフィニル基、2-クロロ-2-プロペニルスルフィニル基、3,3-ジフルオロ-2-プロペニルスルフィニル基、3,3-ジクロロ-2-プロペニルスルフィニル基、4,4-ジフルオロ-3-ブテニルスルフィニル基、3,4,4-トリフルオロ-3-ブテニルスルフィニル基等が具体例として挙げられ、各々の指定の炭素原子数の範囲で選択される。
本明細書における「Ca~Cbアルキニルスルフィニル」の表記は、炭素原子数がa~b個よりなる前記の意味であるアルキニル-S(O)-基を表し、例えば、2-プロピニルスルフィニル基、2-ブチニルスルフィニル基等が具体例として挙げられ、各々の指定の炭素原子数の範囲で選択される。
本明細書における「Ca~Cbハロアルキニルスルフィニル」の表記は、炭素原子数がa~b個よりなる前記の意味であるハロアルキニル-S(O)-基を表し、例えば、3-クロロ-2-プロピニルスルフィニル基、3-ブロモ-2-プロピニルスルフィニル基、3-ヨード-2-プロピニルスルフィニル等が具体例として挙げられ、各々の指定の炭素原子数の範囲で選択される。
本明細書における「Ca~Cbハロアルキルスルホニル」の表記は、炭素原子数がa~b個よりなる前記の意味であるハロアルキル-SO2-基を表し、例えばジフルオロメチルスルホニル基、トリフルオロメチルスルホニル基、クロロジフルオロメチルスルホニル基、ブロモジフルオロメチルスルホニル基、2,2,2-トリフルオロエチルスルホニル基、1,1,2,2-テトラフルオロエチルスルホニル基、2-クロロ-1,1,2-トリフルオロエチルスルホニル基等が具体例として挙げられ、各々の指定の炭素原子数の範囲で選択される。
本明細書における「Ca~Cbアルケニルスルホニル」の表記は、炭素原子数がa~b個よりなる前記の意味であるアルケニル-SO2-基を表し、例えば、2-プロぺニルスルホニル基、2-ブテニルスルホニル基、2-メチル-2-プロぺニルスルホニル基、3-メチル-2-ブテニルスルホニル基等が具体例として挙げられ、各々の指定の炭素原子数の範囲で選択される。
本明細書における「Ca~Cbハロアルケニルスルホニル」の表記は、炭素原子数がa~b個よりなる前記の意味であるハロアルケニル-SO2-基を表し、例えば、2-フルオロ-2-プロペニルスルホニル基、2-クロロ-2-プロペニルスルホニル基、3,3-ジフルオロ-2-プロペニルスルホニル基、3,3-ジクロロ-2-プロペニルスルホニル基、4,4-ジフルオロ-3-ブテニルスルホニル基、3,4,4-トリフルオロ-3-ブテニルスルホニル基等が具体例として挙げられ、各々の指定の炭素原子数の範囲で選択される。
本明細書における「Ca~Cbアルキニルスルホニル」の表記は、炭素原子数がa~b個よりなる前記の意味であるアルキニル-SO2-基を表し、例えば、2-プロピニルスルホニル基、2-ブチニルスルホニル基等が具体例として挙げられ、各々の指定の炭素原子数の範囲で選択される。
本明細書における「Ca~Cbハロアルキニルスルホニル」の表記は、炭素原子数がa~b個よりなる前記の意味であるハロアルキニル-SO2-基を表し、例えば、3-クロロ-2-プロピニルスルホニル基、3-ブロモ-2-プロピニルスルホニル基、3-ヨード-2-プロピニルスルホニル等が具体例として挙げられ、各々の指定の炭素原子数の範囲で選択される。
本明細書における「Ca~Cbハロアルキルアミノ」の表記は、水素原子の一方が炭素原子数がa~b個よりなる前記の意味であるハロアルキル基によって置換されたアミノ基を表し、例えば、2,2,2-トリフルオロエチルアミノ基、2-クロロ-2,2-ジフルオロエチルアミノ基、3,3,3-トリフルオロプロピルアミノ基等が具体例として挙げられ、各々の指定の炭素原子数の範囲で選択される。
本明細書における「ジ(Ca~Cb)アルキルアミノ」の表記は、水素原子が両方とも、それぞれ同一でも又は互いに相異なっていてもよい炭素原子数がa~b個よりなる前記の意味であるアルキル基によって置換されたアミノ基を表し、例えば、ジメチルアミノ基、エチル(メチル)アミノ基、ジエチルアミノ基、n-プロピル(メチル)アミノ基、i-プロピル(メチル)アミノ基、ジ(n-プロピル)アミノ基、ジ(n-ブチル)アミノ基等が具体例として挙げられ、各々の指定の炭素原子数の範囲で選択される。
本明細書における「ジ(Ca~Cb)ハロアルキルアミノ」の表記は、水素原子が両方とも、それぞれ同一でも又は互いに相異なっていてもよい炭素原子数がa~b個よりなる前記の意味であるハロアルキル基によって置換されたアミノ基を表し、例えば、ビス(2,2,2-トリフルオロエチル)アミノ基等が具体例として挙げられ、各々の指定の炭素原子数の範囲で選択される。
本明細書における「Ca~Cbハロアルキルカルボニル」の表記は、炭素原子数がa~b個よりなる前記の意味であるハロアルキル-C(O)-基を表し、例えば、フルオロアセチル基、クロロアセチル基、ジフルオロアセチル基、ジクロロアセチル基、トリフルオロアセチル基、クロロジフルオロアセチル基、ブロモジフルオロアセチル基、トリクロロアセチル基、ペンタフルオロプロピオニル基、ヘプタフルオロブタノイル基、3-クロロ-2,2-ジメチルプロパノイル基等が具体例として挙げられ、各々の指定の炭素原子数の範囲で選択される。
本明細書における「Ca~Cbアルコキシカルボニル」の表記は、炭素原子数がa~b個よりなる前記の意味であるアルキル-O-C(O)-基を表し、例えばメトキシカルボニル基、エトキシカルボニル基、n-プロピルオキシカルボニル基、i-プロピルオキシカルボニル基、n-ブトキシカルボニル基、i-ブトキシカルボニル基、s-ブトキシカルボニル基、tert-ブトキシカルボニル基、2-エチルへキシルオキシカルボニル基等が具体例として挙げられ、各々の指定の炭素原子数の範囲で選択される。
本明細書における「Ca~Cbハロアルコキシカルボニル」の表記は、炭素原子数がa~b個よりなる前記の意味であるハロアルキル-O-C(O)-基を表し、例えば、クロロメトキシカルボニル基、2-クロロエトキシカルボニル基、2,2-ジフルオロエトキシカルボニル基、2,2,2,-トリフルオロエトキシカルボニル基、2,2,2,-トリクロロエトキシカルボニル基等が具体例として挙げられ、各々の指定の炭素原子数の範囲で選択される。
本明細書における「Ca~Cbアルキルアミノカルボニル」の表記は、水素原子の一方が炭素原子数がa~b個よりなる前記の意味であるアルキル基によって置換されたカルバモイル基を表し、例えば、メチルカルバモイル基、エチルカルバモイル基、n-プロピルカルバモイル基、i-プロピルカルバモイル基、n-ブチルカルバモイル基、i-ブチルカルバモイル基、s-ブチルカルバモイル基、tert-ブチルカルバモイル基等が具体例として挙げられ、各々の指定の炭素原子数の範囲で選択される。
本明細書における「Ca~Cbハロアルキルアミノカルボニル」の表記は、水素原子の一方が炭素原子数a~b個よりなる前記の意味であるハロアルキル基によって置換されたカルバモイル基を表し、例えば、2-フルオロエチルカルバモイル基、2-クロロエチルカルバモイル基、2,2-ジフルオロエチルカルバモイル基、2-トリフルオロエチルカルバモイル基等が具体例として挙げられ、各々の指定の炭素原子数の範囲で選択される。
本明細書における「Ca~Cbハロアルキルアミノチオカルボニル」の表記は、水素原子の一方が炭素原子数がa~b個よりなる前記の意味であるハロアルキルアミノ-C(=S)-基を表し、例えば、2-フルオロエチルチオカルバモイル基、2-クロロエチルチオカルバモイル基、2,2-ジフルオロエチルチオカルバモイル基、2-トリフルオロエチルチオカルバモイル基等が具体例として挙げられ、各々の指定の炭素原子数の範囲で選択される。
本明細書における「Ca~Cbアルキルアミノスルホニル」の表記は、水素原子の一方が炭素原子数がa~b個よりなる前記の意味であるアルキル基によって置換されたスルファモイル基を表し、例えば、メチルスルファモイル基、エチルスルファモイル基、n-プロピルスルファモイル基、i-プロピルスルファモイル基、n-ブチルスルファモイル基、i-ブチルスルファモイル基、s-ブチルスルファモイル基、tert-ブチルスルファモイル基等が具体例として挙げられ、各々の指定の炭素原子数の範囲で選択される。
本明細書における「ジ(Ca~Cb)アルキルアミノスルホニル」の表記は、水素原子が両方とも、それぞれ同一でも又は互いに相異なっていてもよい炭素原子数がa~b個よりなる前記の意味であるアルキル基によって置換されたスルファモイル基を表し、例えば、N,N-ジメチルスルファモイル基、N-エチル-N-メチルスルファモイル基、N,N-ジエチルスルファモイル基、N,N-ジ(n-プロピル)スルファモイル基、N,N-ジ(n-ブチル)スルファモイル基等が具体例として挙げられ、各々の指定の炭素原子数の範囲で選択される。
本明細書におけるR1aによって任意に置換された(Ca~Cb)アルキル、A1a-aによって任意に置換された(C1-C6)アルキル基、Yaによって任意に置換された(C1-C6)アルキル基等の表記は、任意のR1a、A1a-a又はYaによって、炭素原子に結合した水素原子が任意に置換された炭素原子数がa~b個よりなる前記の意味であるアルキル基を表し、各々の指定の炭素原子数の範囲で選択される。このとき、それぞれの(Ca~Cb)アルキル基上の置換基R1a、A1a-a又はYaが2個以上存在するとき、それぞれのR1a、A1a-a又はYaは互いに同一でも異なってもよい。
本明細書におけるA1a-aによって任意に置換された(Ca~Cb)ハロアルキル、Yaによって任意に置換された(Ca~Cb)ハロアルキル等の表記は、任意のA1a-a又はYaによって、炭素原子に結合した水素原子又はハロゲン原子が任意に置換された炭素原子数がa~b個よりなる前記の意味であるハロアルキル基を表し、各々の指定の炭素原子数の範囲で選択される。このとき、それぞれの(Ca~Cb)ハロアルキル基上の置換基A1a-a又はYaが2個以上存在するとき、それぞれのA1a-a又はYaは互いに同一でも異なってもよい。
本明細書におけるYbによって任意に置換された(Ca~Cb)アルキニル等の表記は、任意のYbによって、炭素原子に結合した水素原子が任意に置換された炭素原子数がa~b個よりなる前記の意味であるアルキニル基を表し、各々の指定の炭素原子数の範囲で選択される。このとき、それぞれの(Ca~Cb)アルキニル基上の置換基Ybが2個以上存在するとき、それぞれのYbは互いに同一でも異なってもよい。
本明細書におけるYaによって任意に置換された(Ca~Cb)アルコキシ等の表記は、任意のYaによって、炭素原子に結合した水素原子が任意に置換された炭素原子数がa~b個よりなる前記の意味であるアルコキシ基を表し、各々の指定の炭素原子数の範囲で選択される。このとき、それぞれの(Ca~Cb)アルコキシ基上の置換基Yaが2個以上存在するとき、それぞれのYaは互いに同一でも異なってもよい。
本明細書におけるYaによって任意に置換された(Ca~Cb)アルケニルオキシ等の表記は、任意のYaによって、炭素原子に結合した水素原子が任意に置換された炭素原子数がa~b個よりなる前記の意味であるアルケニルオキシ基を表し、各々の指定の炭素原子数の範囲で選択される。このとき、それぞれの(Ca~Cb)アルケニルオキシ基上の置換基Yaが2個以上存在するとき、それぞれのYaは互いに同一でも異なってもよい。
本明細書におけるYaによって任意に置換された(Ca~Cb)アルキニルオキシ等の表記は、任意のYaによって、炭素原子に結合した水素原子が任意に置換された炭素原子数がa~b個よりなる前記の意味であるアルキニルオキシ基を表し、各々の指定の炭素原子数の範囲で選択される。このとき、それぞれの(Ca~Cb)アルキニルオキシ基上の置換基Yaが2個以上存在するとき、それぞれのYaは互いに同一でも異なってもよい。
本明細書におけるYaによって任意に置換された(Ca~Cb)アルキルスルフィニル等の表記は、任意のYaによって、炭素原子に結合した水素原子が任意に置換された炭素原子数がa~b個よりなる前記の意味であるアルキルスルフィニル基を表し、各々の指定の炭素原子数の範囲で選択される。このとき、それぞれの(Ca~Cb)アルキルスルフィニル基上の置換基Yaが2個以上存在するとき、それぞれのYaは互いに同一でも異なってもよい。
本明細書におけるYaによって任意に置換された(Ca~Cb)アルキルスルホニル等の表記は、任意のYaによって、炭素原子に結合した水素原子が任意に置換された炭素原子数がa~b個よりなる前記の意味であるアルキルスルホニル基を表し、各々の指定の炭素原子数の範囲で選択される。このとき、それぞれの(Ca~Cb)アルキルスルホニル基上の置換基Yaが2個以上存在するとき、それぞれのYaは互いに同一でも異なってもよい。
本明細書におけるR3bによって任意に置換されたフェニル、R4bによって任意に置換されたフェニル又はYcによって任意に置換されたフェニル基等の表記は、任意のR3b、R4b又はYcによって、炭素原子に結合した水素原子が任意に置換されたフェニル基を表す。このとき、それぞれのフェニル基上の置換基R3b、R4b又はYcが2個以上存在するとき、それぞれのR3b、R4b又はYcは互いに同一でも異なってもよい。
本明細書におけるR3bによって任意に置換された複素環、R4bによって任意に置換された複素環又はYcによって任意に置換された複素環等の表記は、任意のR3b、R4b又はYcによって、炭素原子又は窒素原子に結合した水素原子が任意に置換された複素環基を表す。このとき、それぞれの複素環基上の置換基R3b、R4b又はYcが2個以上存在するとき、それぞれのR3b、R4b又はYcは互いに同一でも異なってもよい。
該反応は脱水縮合剤の存在下に行うことができる。用いることのできる脱水縮合剤としては、例えば1H-ベンゾトリアゾール-1-イルオキシトリス(ジメチルアミノ)ホスホニウムヘキサフルオロホスファート、N,N'-ジシクロヘキシルカルボジイミド、1-エチル-3-(3-ジメチルアミノプロピル)カルボジイミド塩酸塩、2-クロロ-1-メチルピリジニウムヨージドが挙げられる。脱水縮合剤の当量としては、式(2Q1-a)で表される化合物に対して0.1から100当量の範囲で用いることができ、1から20当量の範囲が好ましい。
該反応は触媒の存在下に行うことができる。用いることのできる触媒としては、例えば1-ヒドロキシベンゾトリアゾール、4-(ジメチルアミノ)ピリジンが挙げられる。触媒の当量としては、式(2Q1-a)で表される化合物に対して0.005から20当量の範囲で用いることができ、0.1から5当量の範囲が好ましい。
反応温度は、-80℃から反応混合物の還流温度まで任意の温度で設定することができ、0℃から反応混合物の還流温度の範囲が好ましい。
反応時間は、反応基質の濃度、反応温度によって変化するが、通常5分から100時間の範囲で任意に設定でき、1時間から48時間の範囲が好ましい。
基質の当量としては、化合物(3D-a)は化合物(2Q1-a)に対して、0.5から50当量の範囲で用いることができ、1から20当量の範囲が好ましい。
該反応は塩基の存在下に行うことができる。用いることのできる塩基としては、例えばピリジン、2,6-ルチジン、4-ジメチルアミノピリジン、トリエチルアミン、ジイソプロピルエチルアミン、トリブチルアミン、4-(ジメチルアミノ)ピリジン、1,4-ジアザビシクロ[2.2.2]オクタン(DABCO)、1,8-ジアザビシクロ[5.4.0]-7-ウンデセン(DBU)又は1,5-ジアザビシクロ[4.3.0]-5-ノネン(DBN)等の有機塩基類、水酸化ナトリウム、水酸化カリウム、水素化ナトリウム、炭酸水素ナトリウム、炭酸カリウム、炭酸セシウム等の無機塩基類が挙げられる。塩基の当量としては、式(2Q1-a)で表される化合物に対して0.1から100当量の範囲で用いることができ、1から20当量の範囲が好ましい。
反応温度は、-80℃から反応混合物の還流温度まで任意の温度で設定することができ、0℃から反応混合物の還流温度の範囲が好ましい。
反応時間は、反応基質の濃度、反応温度によって変化するが、通常5分から100時間の範囲で任意に設定でき、1時間から48時間の範囲が好ましい。
基質の当量としては、化合物(3D-b)は化合物(2Q1-a)に対して、0.5から50当量の範囲で用いることができ、1から20当量の範囲が好ましい。
該反応は酸の存在下に行うことができる。用いることのできる酸としては、例えばパラトルエンスルホン酸、ポリリン酸、酢酸、プロピオン酸が挙げられる。酸の当量としては、式(4-a)で表される化合物に対して0.1から1000当量の範囲で用いることができ、1から500当量の範囲が好ましい。
該反応は脱水剤の存在下に行うことができる。用いることのできる脱水剤としては、オキシ塩化リン、無水酢酸が挙げられる。脱水剤の当量としては、式(4-a)で表される化合物に対して0.5から50当量の範囲で用いることができ、1から20当量の範囲が好ましい。
反応温度は、-80℃から反応混合物の還流温度まで任意の温度で設定することができ、0℃から反応混合物の還流温度の範囲が好ましい。
反応時間は、反応基質の濃度、反応温度によって変化するが、通常5分から100時間の範囲で任意に設定でき、1時間から48時間の範囲が好ましい。
一般式(2Q1-a)で表される化合物の或るものは公知化合物であり、一部は市販品として入手できる。また、それ以外のものも例えば下記に記載の反応式4に準じて合成することができる。
式(3D-a)で表される化合物は、例えば下記に記載の反応式1及び反応式2に準じて合成することができる。
式(3D-b)で表される化合物は、例えば下記に記載の反応式1に準じて合成することができる。
反応温度は、-80℃から反応混合物の還流温度まで任意の温度で設定することができ、0℃から反応混合物の還流温度の範囲が好ましい。
反応時間は、反応基質の濃度、反応温度によって変化するが、通常5分から100時間の範囲で任意に設定でき、1時間から48時間の範囲が好ましい。
基質の当量としては、化合物(16)は化合物(1-f)に対して、0.5から50当量の範囲で用いることができ、1から20当量の範囲が好ましい。
一般式(1-f)で表される化合物は、製造法1に準じて合成することができる。
式(16)で表される化合物の或るものは公知化合物であり、一部は市販品として入手できる。
また、式(18-a)で表される化合物は、式(2Q1-a)で表される化合物と式(17-b)(式中、G1、G2、G3及びG4は前記と同じ意味を表す。)で表される化合物を、製造法1の工程[A]に記載の方法に準じて反応させることにより製造することができる。
次いで、式(18-a)で表される化合物を、製造法1の工程[B]に記載の方法に準じて脱水縮合させることにより、式(19-a)(式中、A1a、A2、A3、A4、A5、G1、G2、G3及びG4は前記と同じ意味を表す。)で表される化合物を製造することができる。
次いで、式(19-a)で表される化合物を、溶媒中又は無溶媒で、式(9)(式中、R1は前記と同じ意味を表す。)で表される化合物及びハロゲン化剤と反応させることにより、式(1-h)(式中、R1、A1a、A2、A3、A4、A5、G1、G2、G3及びG4は前記と同じ意味を表す。)で表される化合物を製造することができる。溶媒を用いる場合、用いられる溶媒としては反応に不活性であればよく、例えば水、メタノール、エタノール等の低級アルコール類、ジエチルエーテル、テトラヒドロフラン、1,4-ジオキサン、1,2-ジメトキシエタン等のエーテル類、ベンゼン、クロロベンゼン、ブロモロベンゼン、キシレン、トルエン等の芳香族炭化水素類、ペンタン、ヘキサン、シクロヘキサン等の脂肪族炭化水素類、ジクロロメタン、クロロホルム、1,2-ジクロロエタン等のハロゲン化炭化水素類、アセトニトリル、プロピオニトリル等のニトリル類、N,N-ジメチルホルムアミド、N,N-ジメチルアセトアミド、N-メチルピロリドン、N,N’-ジメチルイミダゾリジノン等のアミド類、ジメチルスルホキシド等のスルホキシド類、ピリジン、キノリン等の含窒素芳香族化合物類又はこれらの混合溶媒等が挙げられる。
ハロゲン化剤としては、塩素、臭素、ヨウ素、N-クロロスクシンイミド、N-ブロモスクシンイミド、N-ヨードスクシンイミド、1,3-ジクロロ-5,5-ジメチルヒダントイン、1,3-ジブロモ-5,5-ジメチルヒダントイン、1,3-ジヨード-5,5-ジメチルヒダントイン等が挙げられる。ハロゲン化剤の当量としては、式(19-a)で表される化合物に対して0.5から50当量の範囲で用いることができ、1から20当量の範囲が好ましい。
反応温度は、-80℃から反応混合物の還流温度まで任意の温度で設定することができ、0℃から反応混合物の還流温度の範囲が好ましい。
反応時間は、反応基質の濃度、反応温度によって変化するが、通常5分から100時間の範囲で任意に設定でき、1時間から48時間の範囲が好ましい。
基質の当量としては、化合物(9)は化合物(19-a)に対して、0.5から50当量の範囲で用いることができ、1から20当量の範囲が好ましい。
ハロゲン化剤としては、塩素、臭素、ヨウ素、N-クロロスクシンイミド、N-ブロモスクシンイミド、N-ヨードスクシンイミド、1,3-ジクロロ-5,5-ジメチルヒダントイン、1,3-ジブロモ-5,5-ジメチルヒダントイン、1,3-ジヨード-5,5-ジメチルヒダントイン等が挙げられる。ハロゲン化剤の当量としては、式(19-a)で表される化合物に対して0.5から50当量の範囲で用いることができ、1から20当量の範囲が好ましい。
反応温度は、-80℃から反応混合物の還流温度まで任意の温度で設定することができ、0℃から反応混合物の還流温度の範囲が好ましい。
反応時間は、反応基質の濃度、反応温度によって変化するが、通常5分から100時間の範囲で任意に設定でき、1時間から48時間の範囲が好ましい。
該反応は塩基の存在下に行うことができる。用いることのできる塩基としては、例えばピリジン、2,6-ルチジン、4-ジメチルアミノピリジン、トリエチルアミン、ジイソプロピルエチルアミン、トリブチルアミン、4-(ジメチルアミノ)ピリジン、1,4-ジアザビシクロ[2.2.2]オクタン(DABCO)、1,8-ジアザビシクロ[5.4.0]-7-ウンデセン(DBU)又は1,5-ジアザビシクロ[4.3.0]-5-ノネン(DBN)等の有機塩基類、水酸化ナトリウム、水酸化カリウム、水素化ナトリウム、炭酸水素ナトリウム、炭酸カリウム、炭酸セシウム等の無機塩基類が挙げられる。塩基の当量としては、式(23-a)で表される化合物に対して0.1から100当量の範囲で用いることができ、1から20当量の範囲が好ましい。
反応温度は、-80℃から反応混合物の還流温度まで任意の温度で設定することができ、0℃から反応混合物の還流温度の範囲が好ましい。
反応時間は、反応基質の濃度、反応温度によって変化するが、通常5分から100時間の範囲で任意に設定でき、1時間から48時間の範囲が好ましい。
基質の当量としては、化合物(24)は化合物(23-a)に対して、0.5から50当量の範囲で用いることができ、1から20当量の範囲が好ましい。
該反応は塩基の存在下に行うことができる。用いることのできる塩基としては、例えばピリジン、2,6-ルチジン、4-ジメチルアミノピリジン、トリエチルアミン、ジイソプロピルエチルアミン、トリブチルアミン、4-(ジメチルアミノ)ピリジン、1,4-ジアザビシクロ[2.2.2]オクタン(DABCO)、1,8-ジアザビシクロ[5.4.0]-7-ウンデセン(DBU)又は1,5-ジアザビシクロ[4.3.0]-5-ノネン(DBN)等の有機塩基類、水酸化ナトリウム、水酸化カリウム、水素化ナトリウム、炭酸水素ナトリウム、炭酸カリウム、炭酸セシウム等の無機塩基類が挙げられる。塩基の当量としては、式(23-a)で表される化合物に対して0.1から100当量の範囲で用いることができ、1から20当量の範囲が好ましい。
該反応は配位子の存在下に行うことができる。用いることのできる配位子としては、例えば4,5’-ビス(ジフェニルホスフィノ)-9,9’-ジメチルキサンテン、1,10-フェナントロリン等が挙げられる。配位子の当量としては、化合物(23-a)に対して、0.005から20当量の範囲で用いることができ、0.01から5当量の範囲が好ましい。
反応温度は、-80℃から反応混合物の還流温度まで任意の温度で設定することができ、0℃から反応混合物の還流温度の範囲が好ましい。
反応時間は、反応基質の濃度、反応温度によって変化するが、通常5分から100時間の範囲で任意に設定でき、1時間から48時間の範囲が好ましい。
基質の当量としては、化合物(9)は化合物(23-a)に対して、0.5から50当量の範囲で用いることができ、1から20当量の範囲が好ましい。
式(17-a)で表される化合物の或るものは公知化合物であり、一部は市販品として入手できる。
式(17-b)で表される化合物の或るものは公知化合物であり、一部は市販品として入手できる。
式(9)で表される化合物の或るものは公知化合物であり、一部は市販品として入手できる。
式(24)で表される化合物の或るものは公知化合物であり、一部は市販品として入手できる。
また、式(21-a)で表される化合物は、式(2Q1-a)で表される化合物と式(20-b)(式中、T1、G1、G2、G3及びG4は前記と同じ意味を表す。)で表される化合物を、製造法1の工程[A]に記載の方法に準じて反応させることにより製造することができる。
次いで、式(21-a)で表される化合物を、製造法1の工程[B]に記載の方法に準じて脱水縮合させることにより、式(22-a)(式中、A1a、A2、A3、A4、A5、T1、G1、G2、G3及びG4は前記と同じ意味を表す。)で表される化合物を製造することができる。
次いで、式(22-a)で表される化合物を、製造法3の工程[C]に記載の方法、又は製造法3の工程[D]及び工程[E]に記載の方法に準じて反応させることで、式(1-i)(式中、R1、A1a、A2、A3、A4、A5、T1、G1、G2、G3及びG4は前記と同じ意味を表す。)で表される化合物を製造することができる。
式(20-a)で表される化合物の或るものは公知化合物であり、一部は市販品として入手できる。
式(20-b)で表される化合物の或るものは公知化合物であり、一部は市販品として入手できる。
また、式(4-b)で表される化合物は、式(2Q1-b)で表される化合物と、式(3D-b)で表される化合物を、製造法1の工程[A]に記載の方法に準じて反応させることにより製造することもできる。
次いで、式(4-b)で表される化合物を溶媒中又は無溶媒で、場合によっては酸存在下、場合によっては脱水縮合剤存在下反応させることにより、式(1-b)(式中、A1b、R1、A2、A3、A4、A5、D及びnは前記と同じ意味を表す。)で表される化合物を製造することができる。溶媒を用いる場合、用いられる溶媒としては反応に不活性であればよく、例えば水、メタノール、エタノール等の低級アルコール類、ジエチルエーテル、テトラヒドロフラン、1,4-ジオキサン、1,2-ジメトキシエタン等のエーテル類、ベンゼン、クロロベンゼン、ブロモロベンゼン、キシレン、トルエン等の芳香族炭化水素類、ペンタン、ヘキサン、シクロヘキサン等の脂肪族炭化水素類、ジクロロメタン、クロロホルム、1,2-ジクロロエタン等のハロゲン化炭化水素類、アセトニトリル、プロピオニトリル等のニトリル類、N,N-ジメチルホルムアミド、N,N-ジメチルアセトアミド、N-メチルピロリドン、N,N’-ジメチルイミダゾリジノン等のアミド類、ジメチルスルホキシド等のスルホキシド類、ピリジン、キノリン等の含窒素芳香族化合物類又はこれらの混合溶媒等が挙げられる。
該反応は脱水縮合剤の存在下に行うことができる。用いることのできる脱水縮合剤としては、例えばトリフェニルホスフィンとアゾジカルボン酸ビス(2-メトキシエチル)の混合物が挙げられる。
トリフェニルホスフィンの当量としては、式(4-b)で表される化合物に対して0.5から50当量の範囲で用いることができ、1から20当量の範囲が好ましい。
アゾジカルボン酸ビス(2-メトキシエチル)の当量としては、式(4-b)で表される化合物に対して0.5から50当量の範囲で用いることができ、1から20当量の範囲が好ましい。
反応温度は、-80℃から反応混合物の還流温度まで任意の温度で設定することができ、0℃から反応混合物の還流温度の範囲が好ましい。
反応時間は、反応基質の濃度、反応温度によって変化するが、通常5分から100時間の範囲で任意に設定でき、1時間から48時間の範囲が好ましい。
式(2Q1-b)で表される化合物の或るものは公知化合物であり、一部は市販品として入手できる。
該反応は塩基の存在下に行うことができる。用いることのできる塩基としては、例えばピリジン、2,6-ルチジン、4-ジメチルアミノピリジン、トリエチルアミン、ジイソプロピルエチルアミン、トリブチルアミン、4-(ジメチルアミノ)ピリジン、1,4-ジアザビシクロ[2.2.2]オクタン(DABCO)、1,8-ジアザビシクロ[5.4.0]-7-ウンデセン(DBU)又は1,5-ジアザビシクロ[4.3.0]-5-ノネン(DBN)等の有機塩基類、水酸化ナトリウム、水酸化カリウム、水素化ナトリウム、炭酸水素ナトリウム、炭酸カリウム、炭酸セシウム等の無機塩基類が挙げられる。塩基の当量としては、式(2Q2-a)で表される化合物に対して0.1から100当量の範囲で用いることができ、1から20当量の範囲が好ましい。
反応温度は、-80℃から反応混合物の還流温度まで任意の温度で設定することができ、0℃から反応混合物の還流温度の範囲が好ましい。
反応時間は、反応基質の濃度、反応温度によって変化するが、通常5分から100時間の範囲で任意に設定でき、1時間から48時間の範囲が好ましい。
式(2Q2-a)で表される化合物の或るものは公知化合物であり、一部は市販品として入手できる。また、それ以外のものも例えば下記に記載の反応式5に準じて合成することができる。
式(3D-c)で表される化合物は、例えば下記に記載の反応式1に準じて合成することができる。
ハロゲン化剤としては、塩素、臭素、ヨウ素、N-クロロスクシンイミド、N-ブロモスクシンイミド、N-ヨードスクシンイミド、1,3-ジクロロ-5,5-ジメチルヒダントイン、1,3-ジブロモ-5,5-ジメチルヒダントイン、1,3-ジヨード-5,5-ジメチルヒダントイン等が挙げられる。ハロゲン化剤の当量としては、式(1-j)で表される化合物に対して0.5から50当量の範囲で用いることができ、1から20当量の範囲が好ましい。
反応温度は、-80℃から反応混合物の還流温度まで任意の温度で設定することができ、0℃から反応混合物の還流温度の範囲が好ましい。
反応時間は、反応基質の濃度、反応温度によって変化するが、通常5分から100時間の範囲で任意に設定でき、1時間から48時間の範囲が好ましい。
式(1-j)で表される化合物は、製造法6に記載の方法に準じて合成することができる。
該反応は酸の存在下に行うことができる。用いることのできる酸としては、例えば酢酸、ギ酸、パラトルエンスルホン酸が挙げられる。酸の当量としては、式(2Q3-a)で表される化合物に対して0.1から100当量の範囲で用いることができ、1から20当量の範囲が好ましい。
反応温度は、-80℃から反応混合物の還流温度まで任意の温度で設定することができ、0℃から反応混合物の還流温度の範囲が好ましい。
反応時間は、反応基質の濃度、反応温度によって変化するが、通常5分から100時間の範囲で任意に設定でき、1時間から48時間の範囲が好ましい。
基質の当量としては、化合物(3D-d)は化合物(2Q3-a)に対して、0.5から50当量の範囲で用いることができ、1から20当量の範囲が好ましい。
亜リン酸エステルとしては、亜リン酸トリメチル、亜リン酸トリエチル等が挙げられる。亜リン酸エステルの当量としては、式(40)で表される化合物に対して0.5から50当量の範囲で用いることができ、1から20当量の範囲が好ましい。
反応温度は、-80℃から反応混合物の還流温度まで任意の温度で設定することができ、0℃から反応混合物の還流温度の範囲が好ましい。
反応時間は、反応基質の濃度、反応温度によって変化するが、通常5分から100時間の範囲で任意に設定でき、1時間から48時間の範囲が好ましい。
式(2Q3-a)で表される化合物の或るものは公知化合物であり、一部は市販品として入手できる。また、それ以外のものも文献記載の公知の方法、例えばジャーナル・オブ・メディシナル・ケミストリー[J. Med. Chem.]2008年,50巻,2468頁、国際公開第2011/075628号等に記載の反応条件に準じて、公知化合物から合成することができる。
式(3D-d)で表される化合物の或るものは公知化合物であり、一部は市販品として入手できる。また、それ以外のものも例えば下記に記載の反応式6に準じて合成することができる。
反応温度は、-80℃から反応混合物の還流温度まで任意の温度で設定することができ、0℃から反応混合物の還流温度の範囲が好ましい。
反応時間は、反応基質の濃度、反応温度によって変化するが、通常5分から100時間の範囲で任意に設定でき、1時間から48時間の範囲が好ましい。
基質の当量としては、アジ化ナトリウムは化合物(2Q3-b)に対して、0.5から50当量の範囲で用いることができ、1から20当量の範囲が好ましい。
該反応は塩基の存在下に行うことができる。用いることのできる塩基としては、例えばピリジン、2,6-ルチジン、4-ジメチルアミノピリジン、トリエチルアミン、ジイソプロピルエチルアミン、トリブチルアミン、4-(ジメチルアミノ)ピリジン、1,4-ジアザビシクロ[2.2.2]オクタン(DABCO)、1,8-ジアザビシクロ[5.4.0]-7-ウンデセン(DBU)又は1,5-ジアザビシクロ[4.3.0]-5-ノネン(DBN)等の有機塩基類、水酸化ナトリウム、水酸化カリウム、水素化ナトリウム、炭酸水素ナトリウム、炭酸カリウム、炭酸セシウム等の無機塩基類が挙げられる。塩基の当量としては、式(2Q3-c)で表される化合物に対して0.1から100当量の範囲で用いることができ、1から20当量の範囲が好ましい。
該反応は触媒の存在下に行うことができる。用いることのできる触媒としては、例えば四塩化チタンが挙げられる。触媒の当量としては、式(2Q3-c)で表される化合物に対して0.005から20当量の範囲で用いることができ、0.1から5当量の範囲が好ましい。
反応温度は、-80℃から反応混合物の還流温度まで任意の温度で設定することができ、0℃から反応混合物の還流温度の範囲が好ましい。
反応時間は、反応基質の濃度、反応温度によって変化するが、通常5分から100時間の範囲で任意に設定でき、1時間から48時間の範囲が好ましい。
基質の当量としては、化合物(3D-d)は化合物(2Q3-c)に対して、0.5から50当量の範囲で用いることができ、1から20当量の範囲が好ましい。
溶媒を用いる場合、用いられる溶媒としては反応に不活性であればよく、例えば水、メタノール、エタノール等の低級アルコール類、ジエチルエーテル、テトラヒドロフラン、1,4-ジオキサン、1,2-ジメトキシエタン等のエーテル類、ベンゼン、クロロベンゼン、ブロモロベンゼン、キシレン、トルエン等の芳香族炭化水素類、ペンタン、ヘキサン、シクロヘキサン等の脂肪族炭化水素類、ジクロロメタン、クロロホルム、1,2-ジクロロエタン等のハロゲン化炭化水素類、アセトニトリル、プロピオニトリル等のニトリル類、N,N-ジメチルホルムアミド、N,N-ジメチルアセトアミド、N-メチルピロリドン、N,N’-ジメチルイミダゾリジノン等のアミド類、ジメチルスルホキシド等のスルホキシド類、ピリジン、キノリン等の含窒素芳香族化合物類又はこれらの混合溶媒等が挙げられる。
反応温度は、-80℃から反応混合物の還流温度まで任意の温度で設定することができ、0℃から反応混合物の還流温度の範囲が好ましい。
反応時間は、反応基質の濃度、反応温度によって変化するが、通常5分から100時間の範囲で任意に設定でき、1時間から48時間の範囲が好ましい。
一般式(2Q3-b)で表される化合物の或るものは公知化合物であり、一部は市販品として入手できる。また、それ以外のものも例えば下記に記載の反応式7に準じて合成することができる。
式(2Q4-a)で表される化合物の或るものは公知化合物であり、一部は市販品として入手できる。また、それ以外のものも文献記載の公知の方法、例えばジャーナル オブ フルオリン ケミストリー(Journal of Fluorine Chemistry) 2012年、133巻、115項、CN101768135号、CN101885708号等に記載の反応条件に準じて、公知化合物から合成することができる。
酸化剤としては、例えばメタクロロ過安息香酸、過酢酸等の過酸、過酸化水素、オキソン(OXONE、イー・アイ・デュポン社登録商標;ぺルオキソ硫酸水素カリウム含有物)が挙げられる。酸化剤の当量としては、式(1-d)で表される化合物に対して0.1から100当量の範囲で用いることができ、1から20当量の範囲が好ましい。
該反応は触媒の存在下に行うことができる。用いることのできる触媒としては、例えばタングステン酸ナトリウムが挙げられる。触媒の当量としては、式(1-d)で表される化合物に対して0.005から20当量の範囲で用いることができ、0.1から5当量の範囲が好ましい。
反応温度は、-80℃から反応混合物の還流温度まで任意の温度で設定することができ、0℃から反応混合物の還流温度の範囲が好ましい。
反応時間は、反応基質の濃度、反応温度によって変化するが、通常5分から100時間の範囲で任意に設定でき、1時間から48時間の範囲が好ましい。
式(1-d)で表される化合物は、製造法1~10又は下記の製造法14~17に記載の方法に準じて合成することができる。
式(1-o)で表される化合物は、製造法1~5に記載の方法に準じて合成することができる。
次いで、式(1-r)で表される化合物を、例えば、国際公開第2013/043962号、国際公開第2013/040863号、国際公開第2012/082566号等に記載の方法に準じて、梅本試薬(5-(Trifluoromethyl) dibenzothiophenium trifluoromethanesulfonate)、Togni試薬(1-Trifluoromethyl-3,3-dimethyl-1,2-benziodoxole)等のトリフルオロメチル化剤と反応させることにより、式(1-s)(式中、R1、A1、A2、A4、A5、D及びnは前記と同じ意味を表す。)で表される化合物を製造することができる。
次いで、式(1-s)で表される化合物は、酸化剤と、製造法11に記載の方法に準じて反応させることにより、式(1-t)(式中、R1、A1、A2、A4、A5、D及びnは前記と同じ意味を表し、n’ ’は1又は2の整数を表す。)で表される化合物を製造することができる。
式(1-q)で表される化合物は、製造法1~5に記載の方法に準じて合成することができる。
該反応は塩基の存在下に行うことができる。用いることのできる塩基としては、例えばピリジン、2,6-ルチジン、4-ジメチルアミノピリジン、トリエチルアミン、ジイソプロピルエチルアミン、トリブチルアミン、4-(ジメチルアミノ)ピリジン、1,4-ジアザビシクロ[2.2.2]オクタン(DABCO)、1,8-ジアザビシクロ[5.4.0]-7-ウンデセン(DBU)又は1,5-ジアザビシクロ[4.3.0]-5-ノネン(DBN)等の有機塩基類、水酸化ナトリウム、水酸化カリウム、水素化ナトリウム、炭酸水素ナトリウム、炭酸カリウム、炭酸セシウム、リン酸カリウム等の無機塩基類が挙げられる。塩基の当量としては、式(2Q1-c)で表される化合物に対して0.1から100当量の範囲で用いることができ、1から20当量の範囲が好ましい。
該反応は配位子の存在下に行うことができる。用いることのできる配位子としては、例えば1,10-フェナントロリン、1,2-ジアミノエタン、N,N’-ジメチルエチレンジアミン等が挙げられる。配位子の当量としては、化合物(2Q1-c)に対して、0.005から20当量の範囲で用いることができ、0.01から5当量の範囲が好ましい。
反応温度は、-80℃から反応混合物の還流温度まで任意の温度で設定することができ、0℃から反応混合物の還流温度の範囲が好ましい。
反応時間は、反応基質の濃度、反応温度によって変化するが、通常5分から100時間の範囲で任意に設定でき、1時間から48時間の範囲が好ましい。
基質の当量としては、化合物(3D-e)は化合物(2Q1-c)に対して、0.5から50当量の範囲で用いることができ、1から20当量の範囲が好ましい。
次いで、式(4-c)で表される化合物を、製造法1の工程[B]に記載の方法に準じて脱水縮合させることにより、式(1-u)(式中、A1a、A4、A5、R1、R2、R3、D及びnは前記と同じ意味を表す。)で表される化合物を製造することができる。
一般式(2Q1-c)で表される化合物の或るものは公知化合物であり、一部は市販品として入手できる。また、それ以外のものも例えば下記に記載の反応式4に準じて合成することができる。
式(3D-e)で表される化合物は、例えば下記に記載の反応式8に準じて合成することができる。
次いで、式(51)で表される化合物と、式(9)で表される化合物を、製造法3の工程[C]に記載の方法に準じて反応させることにより、式(1-v)(式中、R1、R2、R3、A1a、A4、A5、G1、G2、G3及びG4は前記と同じ意味を表す。)で表される化合物を製造することができる。
また、式(51)で表される化合物と、ハロゲン化剤を、製造法3の工程[D]に記載の方法に準じて反応させることにより、式(52)(式中、R2、R3、A1a、A4、A5、G1、G2、G3、G4及びX10は前記と同じ意味を表す。)で表される化合物を製造することができる。
次いで、式(52)で表される化合物と、式(24)で表される化合物を、製造法3の工程[E]に記載の方法に準じて反応させることにより、式(1-v)で表される化合物を製造することができる。
また、式(1-v)で表される化合物は、式(52)で表される化合物と式(9)で表される化合物を、製造法3の工程[E]に記載の方法に準じて反応させることにより製造することができる。
式(50)で表される化合物は、例えば下記に記載の反応式9に準じて合成することができる。
式(5-a)で表される化合物の或るものは公知化合物であり、一部は市販品として入手できる。
該反応は塩基の存在下に行うことができる。用いることのできる塩基としては、例えばピリジン、2,6-ルチジン、4-ジメチルアミノピリジン、トリエチルアミン、ジイソプロピルエチルアミン、トリブチルアミン、4-(ジメチルアミノ)ピリジン、1,4-ジアザビシクロ[2.2.2]オクタン(DABCO)、1,8-ジアザビシクロ[5.4.0]-7-ウンデセン(DBU)又は1,5-ジアザビシクロ[4.3.0]-5-ノネン(DBN)等の有機塩基類、水酸化ナトリウム、水酸化カリウム、水素化ナトリウム、炭酸水素ナトリウム、炭酸カリウム、炭酸セシウム等の無機塩基類が挙げられる。塩基の当量としては、式(50)で表される化合物に対して0.1から100当量の範囲で用いることができ、1から20当量の範囲が好ましい。
反応温度は、-80℃から反応混合物の還流温度まで任意の温度で設定することができ、0℃から反応混合物の還流温度の範囲が好ましい。
反応時間は、反応基質の濃度、反応温度によって変化するが、通常5分から100時間の範囲で任意に設定でき、1時間から48時間の範囲が好ましい。
基質の当量としては、化合物(9)は化合物(50)に対して、0.5から50当量の範囲で用いることができ、1から20当量の範囲が好ましい。
ハロゲン化剤としては、塩素、臭素、ヨウ素、N-クロロスクシンイミド、N-ブロモスクシンイミド、N-ヨードスクシンイミド、1,3-ジクロロ-5,5-ジメチルヒダントイン、1,3-ジブロモ-5,5-ジメチルヒダントイン、1,3-ジヨード-5,5-ジメチルヒダントイン、トリメチルフェニルアンモニウムトリブロミド等が挙げられる。ハロゲン化剤の当量としては、式(53)で表される化合物に対して0.5から50当量の範囲で用いることができ、1から20当量の範囲が好ましい。
該反応はシリル化剤の存在下に行うことができる。用いることのできるシリル化剤としては、例えばトリフルオロメタンスルホン酸トリメチルシリル等が挙げられる。シリル化剤の当量としては、式(53)で表される化合物に対して、0.005から20当量の範囲で用いることができ、0.01から5当量の範囲が好ましい。
該反応は塩基の存在下に行うことができる。用いることのできる塩基としては、例えばピリジン、2,6-ルチジン、4-ジメチルアミノピリジン、トリエチルアミン、ジイソプロピルエチルアミン、トリブチルアミン、4-(ジメチルアミノ)ピリジン、1,4-ジアザビシクロ[2.2.2]オクタン(DABCO)、1,8-ジアザビシクロ[5.4.0]-7-ウンデセン(DBU)又は1,5-ジアザビシクロ[4.3.0]-5-ノネン(DBN)等の有機塩基類、水酸化ナトリウム、水酸化カリウム、水素化ナトリウム、炭酸水素ナトリウム、炭酸カリウム、炭酸セシウム、リン酸カリウム等の無機塩基類が挙げられる。塩基の当量としては、式(53)で表される化合物に対して0.1から100当量の範囲で用いることができ、1から20当量の範囲が好ましい。
該反応は酸の存在下に行うことができる。用いることのできる酸としては、例えば臭化水素酸、臭化水素の酢酸溶液等が挙げられる。酸の当量としては、式(53)で表される化合物に対して0.1から100当量の範囲で用いることができ、1から20当量の範囲が好ましい。
反応温度は、-80℃から反応混合物の還流温度まで任意の温度で設定することができ、0℃から反応混合物の還流温度の範囲が好ましい。
反応時間は、反応基質の濃度、反応温度によって変化するが、通常5分から100時間の範囲で任意に設定でき、1時間から48時間の範囲が好ましい。
次いで、式(54)で表される化合物と、式(5-a)で表される化合物を、製造法6に記載の方法に準じて反応させることにより、式(1-v)で表される化合物を製造することができる。
製造法1、製造法5に用いられる式(3D-a)及び式(3D-b)で表される化合物の内、nが0の整数を表す式(3D-a1)及び式(3D-b1)で表される化合物、並びに製造法6、製造法10に用いられる式(3D-c)で表される化合物の内、nが1又は2の整数を表す式(3D-c1)及びnが0の整数を表す式(3D-c2)で表される化合物は、例えば下記の反応式1に記載の製造法に従って製造することができる。
次いで、式(7-a)で表される化合物は、製造法7に記載の方法に準じて、ハロゲン化剤と反応させることにより、式(8-a)(式中、G1、G2、G3及びG4は前記と同じ意味を表し、RaはC1-C6アルキル基を表し、X5は塩素原子、臭素原子又はヨウ素原子を表す。)で表される化合物を製造することができる。
次いで、式(8-a)で表される化合物は、製造法3の工程[E]に記載の方法に準じて、式(9)(式中、R1は前記と同じ意味を表す。)で表される化合物と反応させることにより、式(10-a)(式中、G1、G2、G3、G4及びR1は前記と同じ意味を表し、RaはC1-C6アルキル基を表す。)で表される化合物を製造することができる。
次いで、式(10-a)で表される化合物を、文献既知の公知の方法に準じて、加水分解反応を行うことにより、式(3D-a1)(式中、G1、G2、G3、G4及びR1は前記と同じ意味を表す。)で表される化合物を製造することができる。
次いで、式(3D-a1)で表される化合物を、文献既知の公知の方法に準じて、塩素化剤と反応させることにより、式(3D-b1)(式中、G1、G2、G3、G4及びR1は前記と同じ意味を表す。)で表される化合物を製造することができる。
次いで、式(3D-b1)で表される化合物と、式(11)で表されるN,O-ジメチルヒドロキシルアミン又はその塩酸塩を、場合によっては塩基存在下反応させることにより、式(12)(式中、G1、G2、G3、G4及びR1は前記と同じ意味を表す。)で表される化合物を製造することができる。
次いで、式(14)で表される化合物と、酸化剤とを、製造法11に記載の方法に準じて反応させることにより、式(15)(式中、G1、G2、G3、G4、R1、R6及びn’は前記と同じ意味を表す。)で表される化合物を製造することができる。
次いで、式(15)で表される化合物を、製造法16の工程[B]に記載の方法に準じて、ハロゲン化剤と反応させることにより、式(3D-c1)(式中、G1、G2、G3、G4、R1、R6、X2及びn’は前記と同じ意味を表す。)で表される化合物を製造することができる。
また、式(14)で表される化合物を、製造法16の工程[B]に記載の方法に準じて、ハロゲン化剤と反応させることにより、式(3D-c2)(式中、G1、G2、G3、G4、R1、R6及びX2は前記と同じ意味を表す。)で表される化合物を製造することができる。
式(5-a)で表される化合物の或るものは公知化合物であり、一部は市販品として入手できる。
式(6)で表される化合物の或るものは公知化合物であり、一部は市販品として入手できる。
式(13)で表される化合物の或るものは公知化合物であり、一部は市販品として入手できる。
次いで、式(7-b)で表される化合物は、製造法7に記載の方法に準じて、ハロゲン化剤と反応させることにより、式(8-b)(式中、G5、Y6及びRaは前記と同じ意味を表し、X6は塩素原子、臭素原子又はヨウ素原子を表す。)で表される化合物を製造することができる。
次いで、式(8-b)で表される化合物は、製造法3の工程[E]に記載の方法に準じて、式(9)で表される化合物と反応させることにより、式(10-b)(式中、G5、Y6、R1及びRaは前記と同じ意味を表す。)で表される化合物を製造することができる。
次いで、式(10-b)で表される化合物を、文献既知の公知の方法に準じて加水分解反応を行うことにより、式(3D-a2)(式中、G5、Y6、及びR1は前記と同じ意味を表す。)で表される化合物を製造することができる。
式(5-b)で表される化合物の或るものは公知化合物であり、一部は市販品として入手できる。
反応式3
次いで、式(26)で表される化合物を、製造法2に記載の方法に準じて、式(16)で表される化合物と反応させることにより、式(27)(式中、R2、R3、A1aa及びA5は前記と同じ意味を表す。)で表される化合物を製造することができる。
次いで、式(27)で表される化合物を、例えば国際公開第2012/086848号等に記載の方法に準じて、アンモニア、アンモニア水又はリチウムアミド等のアミノ化剤と反応させることにより、式(2Q1-a-1)(式中、R2、R3、A1aa及びA5は前記と同じ意味を表す。)で表される化合物を製造することができる。
式(25)で表される化合物の或るものは公知化合物であり、一部は市販品として入手できる。
次いで、式(30)で表される化合物を、例えばバイオオーガニック・アンド・メディシナル・ケミストリー・レターズ[Bioorganic & Med. Chem. Lett.]2011年、21巻、1601頁等に記載の方法に準じて、式(31)(式中、R5は前記と同じ意味を表す。)で表される化合物と反応させることにより、式(32)(式中、R2、R3及びR5は前記と同じ意味を表す。)で表される化合物を製造することができる。
次いで、式(32)で表される化合物を、例えば国際公開第2012/061337号、国際公開第2005/033084号等に記載の方法に準じて、オキシ塩化リン、塩化チオニル又は二塩化オキサリル等の塩素化剤と反応させることにより、式(33)(式中、R2、R3及びR5は前記と同じ意味を表す。)で表される化合物を製造することができる。
次いで、式(33)で表される化合物を、例えば国際公開第2012/061337号、国際公開第2005/033084号等に記載の方法に準じて、アンモニア水と反応させることにより、式(2Q2-a-1)で表される化合物を製造することができる。
式(28)で表される化合物の或るものは公知化合物であり、一部は市販品として入手できる。
式(29)で表される化合物の或るものは公知化合物であり、一部は市販品として入手できる。
式(31)で表される化合物の或るものは公知化合物であり、一部は市販品として入手できる。
反応式6
次いで、式(3D-d-1)で表される化合物を、例えば国際公開第2012/174312号、国際公開第2003/018021号等に記載の方法に準じて、酸と反応させることにより、式(3D-d)で表される化合物を製造することができる。
反応式7
次いで、式(36)で表される化合物を、例えば国際公開第2013/064460号、国際公開第2013/064461号等に記載の方法に準じて還元することにより、式(37)(式中、R2、R3、R5及びX3は前記と同じ意味を表す)で表される化合物を製造することができる。
次いで、式(37)で表される化合物を、例えば国際公開第2013/064460号、国際公開第2013/064461号等に記載の方法に準じて酸化することにより、式(2Q3-b-1)(式中、R2、R3、R5及びX3は前記と同じ意味を表す)で表される化合物を製造することができる。
式(35)で表される化合物の或るものは公知化合物であり、一部は市販品として入手できる。また、それ以外のものも文献記載の公知の方法、例えば国際公開第2000/039094号等に記載の反応条件に準じて、公知化合物から合成することができる。
反応式8
次いで、式(56)で表される化合物を、例えばシンセシス[Synthesis]1991年、465頁等に記載の方法に準じて脱アセチル化することにより、式(57)(式中、R2、R3、A1a、A4及びA5は前記と同じ意味を表す。)で表される化合物を製造することができる。
次いで、式(57)で表される化合物を、製造法1の工程[B]に記載の方法に準じて、脱水縮合させることにより、式(58)(式中、R2、R3、A1a、A4及びA5は前記と同じ意味を表す。)で表される化合物を製造することができる。
次いで、式(58)で表される化合物と、酸化剤とを、例えばジャーナル・オブ・メディシナル・ケミストリー[J. Med. Chem.]1998年,31巻,545頁等に記載の方法に準じて反応させることにより、式(59)(式中、R2、R3、A1a、A4及びA5は前記と同じ意味を表す。)で表される化合物を製造することができる。
次いで、式(59)で表される化合物と、ハロゲン化剤とを、製造法16の工程[B]に記載の方法又は例えばジャーナル・オブ・メディシナル・ケミストリー[J. Med. Chem.]1988年,31巻,656頁、ジャーナル・オブ・メディシナル・ケミストリー[J. Med. Chem.]2005年,48巻,7658頁等に記載の方法に準じて反応させることにより、式(50)で表される化合物を製造することができる。
式(55)で表される化合物は公知化合物であり、市販品として入手できる。また、式(55)で表される化合物は、1個の不斉炭素の存在に起因する光学活性体が存在するが、全ての光学活性体及びラセミ体を包含する。
また、これらの方法により製造された各々の製造中間体は、単離・精製することなく、そのまま次工程の反応に用いることもできる。場合によっては、反応式9の工程[B]において、次工程の脱水縮合反応が進行することにより、工程[C]を省略することもできる。
上記の方法を用いて製造できる本発明に包含される式(1)で表される縮合複素環化合物としては、下記第1表乃至第5表に示す化合物が挙げられる。但し、下記第1表乃至第5表に示す化合物は例示のためのものであって、本発明に包含される化合物はこれらのみに限定されるものではない。
表中、Meと記載される置換基はメチル基を表し、以下同様にEtはエチル基を、nPrはノルマルプロピル基を、iPrはイソプロピル基を表す。
チャノコカクモンハマキ(Adoxophyes honmai)、リンゴコカクモンハマキ(Adoxophyes orana faciata)、リンゴモンハマキ(Archips breviplicanus)、ミダレカクモンハマキ(Archips fuscocupreanus)、ナシヒメシンクイ(Grapholita molesta)、チャハマキ(Homona magnanima)、マメシンクイガ(Leguminivora glycinivorella)、マメヒメサヤムシガ(Matsumuraeses phaseoli)、トビハマキ(Pandemis heparana)、ナシチビガ(Bucculatrix pyrivorella)、モモハモグリガ(Lyonetia clerkella)、ギンモンハモグリガ(Lyonetia prunifoliella malinella)、チャノホソガ(Caloptilia theivora)、キンモンホソガ(Phyllonorycter ringoniella)、ミカンハモグリガ(Phyllocnistis citrella)、ネギコガ(Acrolepiopsis sapporensis)、ヤマノイモコガ(Acrolepiopsis suzukiella)、コナガ(Plutella xylostella)、カキノヘタムシガ(Stathmopoda masinissa)、イモキバガ(Helcystogramma triannulella)、ワタアカミムシ(Pectinophora gossypiella)、モモシンクイガ(Carposina sasakii)、コドリンガ(Cydla pomonella)、ニカメイガ(Chilo suppressalis)、コブノメイガ(Cnaphalocrocis medinalis)、モモノゴマダラノメイガ(Conogethes punctiferalis)、ワタヘリクロノメイガ(Diaphania indica)、シロイチモジマダラメイガ(Etiella zinckenella)、クワノメイガ(Glyphodes pyloalis)、ハイマダラノメイガ(Hellula undalis)、アワノメイガ(Ostrinia furnacalis)、アズキノメイガ(Ostrinia scapulalis)、ヨーロピアンコーンボーラー(Ostrinia nubilalis)、シバツトガ(Parapediasia teterrella)、イチモンジセセリ(Parnara guttata)、オオモンシロチョウ(Pieris brassicae)、モンシロチョウ(Pieris rapae crucivora)、ヨモギエダシャク(Ascotis selenaria)、ソイビーンルーパー(Pseudoplusia includens)、チャドクガ(Euproctis pseudoconspersa)、マイマイガ(Lymantria dispar)、ヒメシロモンドクガ(Orgyia thyellina)、アメリカシロヒトリ(Hyphantria cunea)、クワゴマダラヒトリ(Lemyra imparilis)、アケビコノハ(Adris tyrannus)、ナカジロシタバ(Aedia leucomelas)、タマナヤガ(Agrotis ipsilon)、カブラヤガ(Agrotis segetum)、タマナギンウワバ(Autographa nigrisigna)、ミツモンキンウワバ(Ctenoplusia agnata)、オオタバコガ(Helicoverpa armigera)、タバコガ(Helicoverpa assulta)、コットンボールワーム(Helicoverpa zea)、タバコバッドワーム(Heliothis virescens)、ヨトウガ(Mamestra brassicae)、アワヨトウ(Mythimna separata)、フタオビコヤガ(Naranga aenescens)、サザンアーミーワーム(Spodoptera eridania)、シロイチモジヨトウ(Spodoptera exigua)、フォールアーミーワーム(Spodoptera frugiperda)、コットンリーフワーム(Spodoptera littoralis)、ハスモンヨトウ(Spodoptera litura)、スジキリヨトウ(Spodoptera depravata)、イラクサギンウワバ(Trichoplusia ni)、グレープベリーモス(Endopiza viteana)、トマトホーンワーム(Manduca quinquemaculata)、タバコホーンワーム(Manduca sexta)等の鱗翅目昆虫。
ヒラズハナアザミウマ(Frankliniella intonsa)、ミカンキイロアザミウマ(Frankliniella occidentalis)、クロトンアザミウマ(Heliothrips haemorrhoidalis)、チャノキイロアザミウマ(Scirtothrips dorsalis)、ミナミキイロアザミウマ(Thrips palmi)、ネギアザミウマ(Thrips tabaci)、カキクダアザミウマ(Ponticulothrips diospyrosi)等の総翅目昆虫。
ダイズサヤタマバエ(Asphondylia yushimai)、ムギアカタマバエ(Sitodiplosis mosellana)、ウリミバエ(Bactrocera cucurbitae)、ミカンコミバエ(Bactrocera dorsalis)、チチュウカイミバエ(Ceratitis capitata)、イネヒメハモグリバエ(Hydrellia griseola)、オウトウショウジョウバエ(Drosophila suzukii)、イネハモグリバエ(Agromyza oryzae)、ナモグリバエ(Chromatomyia horticola)、ナスハモグリバエ(Liriomyza bryoniae)、ネギハモグリバエ(Liriomyza chinensis)、トマトハモグリバエ(Liriomyza sativae)、マメハモグリバエ(Liriomyza trifolii)、タネバエ(Delia platura)、テンサイモグリハナバエ(Pegomya cunicularia)、アップルマゴット(Rhagoletis pomonella)、ヘシアンフライ(Mayetiola destructor)、イエバエ(Musca domestica)、サシバエ(Stomoxys calcitrans)、ヒツジシラミバエ(Melophagus ovinus)、ウシバエ(Hypoderma bovis)、キスジウシバエ(Hypoderma lineatum)、ヒツジバエ(Oestrus ovis)、ツェツェバエ(Glossina palpalis, Glossina morsitans)、キアシオオブユ(Prosimulium yezoensis)、ウシアブ(Tabanus trigonus)、オオチョウバエ(Telmatoscopus albipunctatus)、トクナガヌカカ(Leptoconops nipponensis)、アカイエカ(Culex pipiens pallens)、ネッタイシマカ(Aedes aegypti)、ヒトスジシマカ(Aedes albopicutus)、シナハマダラカ(Anopheles hyracanus sinesis)等の双翅目昆虫。
エンマコオロギ(Teleogryllus emma)、ケラ(Gryllotalpa orientalis)、トノサマバッタ(Locusta migratoria)、コバネイナゴ(Oxya yezoensis)、サバクワタリバッタ(Schistocerca gregaria)等の直翅目昆虫。
トゲナシシロトビムシ(Onychiurus folsomi)、シベリアシロトビムシ(Onychiurus sibiricus)、キボシマルトビムシ(Bourletiella hortensis)等の粘管目昆虫。
クロゴキブリ(Periplaneta fuliginosa)、ヤマトゴキブリ(Periplaneta japonica)、チャバネゴキブリ(Blattella germanica)等の網翅目昆虫。
イエシロアリ(Coptotermes formosanus)、ヤマトシロアリ(Reticulitermes speratus)、タイワンシロアリ(Odontotermes formosanus)等のシロアリ目昆虫。
ネコノミ(Ctenocephalidae felis)、イヌノミ(Ctenocephalides canis)、ニワトリノミ(Echidnophaga gallinacea)、ヒトノミ(Pulex irritans)、ケオプスネズミノミ(Xenopsylla cheopis)等のノミ目類。
ニワトリオオハジラミ(Menacanthus stramineus)、ウシハジラミ(Bovicola bovis)等のハジラミ目昆虫。
ウシジラミ(Haematopinus eurysternus)、ブタジラミ(Haematopinus suis)、ウシホソジラミ(Linognathus vituli)、ケブカウシジラミ(Solenopotes capillatus)等のシラミ目昆虫。
ハクサイダニ(Penthaleus erythrocephalus)、ムギダニ(Penthaleus major)等のハシリダニ類。
イネハダニ(Oligonychus shinkajii)、ミカンハダニ(Panonychus citri)、クワオオハダニ(Panonychus mori)、リンゴハダニ(Panonychus ulmi)、カンザワハダニ(Tetranychus kanzawai)、ナミハダニ(Tetranychus urticae)等のハダニ類。
チャノナガサビダニ(Acaphylla theavagrans)、チューリップサビダニ(Aceria tulipae)、トマトサビダニ(Aculops lycopersici)、ミカンサビダニ(Aculops pelekassi)、リンゴサビダニ(Aculus schlechtendali)、ニセナシサビダニ(Eriophyes chibaensis)、シトラスラストマイト(Phyllocoptruta oleivora)等のフシダニ類。
ロビンネダニ(Rhizoglyphus robini)、ケナガコナダニ(Tyrophagus putrescentiae)、ホウレンソウケナガコナダニ(Tyrophagus similis)等のコナダニ類。
ミツバチヘギイタダニ(Varroa jacobsoni)等のハチダニ類。
オウシマダニ(Boophilus microplus)、クリイロコイタマダニ(Rhipicephalus sanguineus)、フタトゲチマダニ(Haemaphysalis longicornis)、キチマダニ(Haemophysalis flava)、ツリガネチマダニ(Haemophysalis campanulata)、ヤマトマダニ(Ixodes ovatus)、シュルツェマダニ(Ixodes persulcatus)、オオマダニ(Amblyomma spp.)、アミメマダニ(Dermacentor spp.)等のマダニ類。
ワクモRed mite(Dermanyssus gallinae)、イエダニTropical rat mite(Ornithonyssus bacoti)、トリサシダニNorthern fowl mite(Ornithonyssus sylviarum)等のトゲダニ亜目(Mesostigmata)ダニ類。
イヌツメダニ(Cheyletiella yasguri)、ネコツメダニ(Cheyletiella blakei)等のツメダニ類。
イヌニキビダニ(Demodex canis)、ネコニキビダニ(Demodex cati)などのニキビダニ類。
ヒツジキュウセンダニ(Psoroptes ovis)等のキュウセンダニ類。
センコウヒゼンダニ(Sarcoptes scabiei)、ネコショウセンコウヒゼンダニ(Notoedres cati)、ニワトリヒゼンダニ(Knemidocoptes spp.)等のヒゼンダニ類。
スクミリンゴガイ(Pomacea canaliculata)、アフリカマイマイ(Achatina fulica)、ナメクジ(Meghimatium bilineatum)、チャコウラナメクジ(Limax Valentiana)、ウスカワマイマイ(Acusta despecta sieboldiana)、ミスジマイマイ(Euhadra peliomphala)等の腹足類。
ミナミネグサレセンチュウ(Prathylenchus coffeae)、キタネグサレセンチュウ(Prathylenchus penetrans)、クルミネグサレセンチュウ(Prathylenchus vulnus)、ジャガイモシストセンチュウ(Globodera rostochiensis)、ダイズシストセンチュウ(Heterodera glycines)、キタネコブセンチュウ(Meloidogyne hapla)、サツマイモネコブセンチュウ(Meloidogyne incognita)、イネシンガレセンチュウ(Aphelenchoides besseyi)、マツノザイセンチュウ(Bursaphelenchus xylophilus)等の線虫類。
ノサシバエ又はHaematobia irritans、アブ又はTabanus spp.、サシバエ又はStomoxys calcitrans、ブユ又はSimulium spp.、メクラアブ又はChrysops spp.、シラミバエ又はMelophagus ovinus、及びツェツェバエ又はGlossina spp.等の成虫のハエ。
ヒツジバエ(Oestrus ovisおよびCuterebra spp.)、クロバエ又はPhaenicia spp.、ラセンウジバエ又はCochliomyia hominivorax、ウシバエ又はHypoderma spp.、ウマのフリースワーム(fleeceworm)及びGastrophilus等の寄生性のハエウジ。
Culex spp.、Anopheles spp.及びAedes spp.等の蚊。
ヘモンクス属(Haemonchus)、トリコストロンギルス属(Trichostrongylus)、オステルターギヤ属(Ostertagia)、ネマトディルス属(Nematodirus)、クーペリア属(Cooperia)、アスカリス属(Ascaris)、ブノストムーム属(Bunostomum)、エスファゴストムーム属(Oesophagostomum)、チャベルチア属(Chabertia)、トリキュリス属(Trichuris)、ストロンギルス属(Storongylus)、トリコネマ属(Trichonema)、ディクチオカウルス属(Dictyocaulus)、キャピラリア属(Capillaria)、ヘテラキス属(Heterakis)、トキソカラ属(Toxocara)、アスカリディア属(Ascaridia)、オキシウリス属(Oxyuris)、アンキロストーマ属(Ancylostoma)、ウンシナリア属(Uncinaria)、トキサスカリス属(Toxascaris)、パラスカリス属(Parascaris)などの線虫類。
ブツヘレリア属(Wuchereria)、ブルージア属(Brugia)、オンコセルカ属(Onchoceca)、ディロフィラリア属(Dirofilaria)、ロア糸状虫属(Loa)などのフィラリア科(Filariidae)線虫類。
ドラクンクルス属(Deacunculus)などの蛇状線虫科(Dracunculidae)線虫類。
犬条虫(Dipylidium caninum)、猫条虫(Taenia taeniaeformis)、有鉤条虫(Taenia solium)、無鉤条虫(Taenia saginata)、縮小条虫(Hymenolepis diminuta)、ベネデン条虫(Moniezia benedeni)、広節裂頭条虫(Diphyllobothrium latum)、マンソン裂頭条虫(Diphyllobothrium erinacei)、単包条虫(Echinococcus granulosus)、多包条虫(Echinococcus multilocularis)などの条虫類。
肝蛭(Fasciola hepatica,F.gigantica)、ウエステルマン肺吸虫(Paragonimus westermanii)、肥大吸虫(Fasciolopsic bruski)、膵吸虫(Eurytrema pancreaticum,E.coelomaticum)、肝吸虫(Clonorchis sinensis)、日本住血吸虫(Schistosoma japonicum)、ビルハルツ住血吸虫(Schistosoma haematobium)、マンソン住血吸虫(Schistosoma mansoni)などの吸虫類。
エイメリア・テネラ(Eimeria tenella)、エイメリア・アセルブリナ(Eimeria acervulina)、エイメリア・ブルネッチ(Eimeria brunetti)、エイメリア・マクシマ(Eimeria maxima)、エイメリア・ネカトリクス(Eimeria necatrix)、エイメリア・ボビス(Eimeria bovis)、エイメリア・オビノイダリス(Eimeria ovinoidalis)のようなエイメリア類(Eimeria spp.)。
クルーズトリパノソーマ(Trypanosomsa cruzi)、リーシュマニア類(Leishmania spp.)、マラリア原虫(Plasmodium spp.)、バベシア類(Babesis spp.)、トリコモナス類(Trichomonadidae spp.)、ヒストモナス類(Histomanas spp.)、ジアルディア類(Giardia spp.)、トキソプラズマ類(Toxoplasma spp.)、赤痢アメーバ(Entamoeba histolytica)、タイレリア類(Theileria spp.)。
すなわち、本発明化合物は、粘管目(トビムシ目)、網翅目(ゴキブリ目)、直翅目(バッタ目)、シロアリ目、総翅目(アザミウマ目)、半翅目(カメムシ目及びヨコバイ目)、鱗翅目(チョウ目)、鞘翅目(コウチュウ目)、膜翅目(ハチ目)、双翅目(ハエ目)、等翅目(ノミ目)、シラミ目等の昆虫類、ダニ類、腹足類、線虫類等に属する有害生物を、低濃度で有効に防除することが出来る。
一方、本発明化合物はホ乳類、魚類、甲殻類及び益虫(ミツバチ、マルハナバチ等の有用昆虫やツヤコバチ、アブラバチ、ヤドリバエ、ヒメハナカメムシ、カブリダニ等の天敵)に対してほとんど悪影響の無い、極めて有用な特長を有している。
これら固体担体及び液体担体は、単独で用いても2種以上を併用してもよい。
これら界面活性剤の含有量は、特に限定されるものではないが、本発明の製剤100質量部に対し、通常0.05~20質量部の範囲が望ましい。また、これら界面活性剤は、単独で用いても2種以上を併用してもよい。
本発明化合物の施用薬量は、適用場面、施用時期、施用方法、栽培作物等により差異は有るが、通常は、有効成分量として、ヘクタール(ha)当たり0.005~50kg程度が適当である。
本発明化合物を用いて外部又は内部寄生虫を駆除する場合、有効成分である式(1)で表される本発明化合物の好ましい投与量は、防除すべき対象寄生虫の種類、投与される対象動物の種又は投与方法などにより左右されるが、通常は、投与する対象動物の体重当たり、0.01~100mg/kg、好ましくは0.01~50mg/kgである。特にイヌへの投与量は、対象となるイヌの種類又は年齢、あるいは防除する外部寄生虫によっても変わり得るが、対象となるイヌの生体重1kg当たり、通常1~5000mg/kgである。好ましくは1~100mg/kgである。
本発明化合物の投与により外部又は内部寄生虫を駆除する場合、その投与間隔は、防除すべき対象寄生虫の種類、投与される対象動物の種又は投与方法などにより左右されるが、通常は、毎日~年1回の範囲で任意に設定することができる。好ましくは週1回~6ヶ月に1回であり、より好ましくは毎日(24時間)、毎月、月1回、2か月に1回又は3ヶ月に1回である。
また、本発明化合物をイヌの外部寄生虫の防除に使用する場合、本発明化合物をイヌに投与するタイミングとして、例えば食餌開始30分直前や食餌終了120分後のタイミングにてイヌに経口投与することが挙げられる。ここでいう食餌開始30分前および食餌終了120分後とは、栄養摂取を目的にイヌに与えられた餌を摂食する行為を基準とする。例えばイヌの食餌時間が20分である場合は、規定される時間は食事行為を基準として、食餌開始30分前から食餌終了120分後の合計170分間となる。食餌中に一旦食餌を中断し、本発明化合物を経口投与した後に食餌を再開する場合も含む。尚、本明細書において食餌とは動物が餌を食する行為を意味する。
一般にイヌの一日の食餌回数は犬種や年齢や習慣によって異なるが、通常は生後半年未満のイヌで1日3~4回、生後半年から1年未満のイヌで1日2~3回、1歳~5歳程度の成犬で1日2回、6歳以上の老犬で1日2~3回程度とされている。本発明において、食餌とは栄養を摂取することを目的とした摂食行為を意味し、所謂イヌの躾や訓練を目的に与える餌等を与える行為は含まない。
また、経皮投与する場合の剤型としては、例えば、粉剤(Powders)等の固体調製物;クリーム剤(Cream)、軟膏剤(Salve and Ointment)、ペースト剤(Pastes)、ゲル剤(Gels)等の半固体調製物;スプレー剤(Spray)、エアゾール剤(Aerosols)、液剤(Solutions and Emulsions)、懸濁剤(Suspensions)、ローション剤(Lotions)等の液体調製物;などが挙げられる。
さらに、注射により投与する場合の剤型としては、例えば、液剤(Solutions and Emulsions)、懸濁剤(Suspensions)等の液体調製物などが挙げられ、経鼻投与する場合の剤型としては、例えば、エアゾール剤(Aerosols)等の液体調製物などが挙げられる。 また、畜舎等の動物の飼育環境に散布処理する場合の剤型としては、例えば、水和剤(Wettable powders)、粉剤(Dusts)、粒剤(Granules)などの固体調製物;乳剤(Emulsions)、フロアブル剤(Suspension concentrates)などの液体調製物;などが挙げられる。
固体調製物は、そのまま経口投与するか、或いは水で希釈して、経皮投与、畜舎等の動物の飼育環境に散布処理するなどして用いることができる。
経口投与で用いられる固体調製物は、式(1)で表される化合物又はその塩と、1種又は2種以上の経口投与に適した賦形剤及び結合剤、さらに、必要ならば滑沢剤、崩壊剤、染料、顔料などの生理学的に許容しうる添加剤とを混合し、所望の形状に成形することにより調製できる。
滑沢剤としては、例えば、ステアリン酸マグネシウムなどが挙げられ、崩壊剤としては、例えば、セルロース、寒天、アルギン酸、架橋ポリビニルピロリジノン、炭酸塩などが挙げられる。
さらに、経口投与で用いられる固体調製物のうち、特にチュアブル剤などの固型剤の場合、投与する動物の好む味、食感、風味を付与する添加物も用いられるが、本発明の寄生虫防除剤組成物の固体調製物に用いられる担体及び添加剤は、これらのみに限定されるものではない。
注射用液剤は、静脈内、筋肉内及び皮下に投与できる。注射用液剤は、活性化合物を適当な溶媒に溶解させ、必要ならば可溶化剤、酸、塩基、緩衝用塩、酸化防止剤、保護剤等の添加剤を加えることにより調製できる。
可溶化剤としては、ポリビニルピロリドン、ポリオキシエチル化されたヒマシ油、ポリオキシエチル化されたソルビタンエステル等が挙げられる。
保護剤としては、ベンジルアルコール、トリクロロブタノール、p-ヒドロキシ安息香酸エステル、n-ブタノール等が挙げられる。
フロアブル剤、乳剤等は、直接又は希釈して、経皮的に、又は環境処理にて投与できる。
皮膚上で用いる液剤は、滴下し、広げ、すり込み、噴霧し、散布するか、又は浸漬(浸漬、入浴又は洗浄)により塗布することにより投与できる。これらの液剤は、注射用液剤と同様に調製できる。
滴下(Pour-on)剤及び点下(Spot-on)剤は、皮膚の限定された場所に滴下するか、又は噴霧し、これにより活性化合物を皮膚に浸漬させ、全身的に作用させることができる。
滴下剤及び点下剤は、有効成分を適当な皮膚適合性溶媒又は溶媒混合物に溶解するか、懸濁させるか、又は乳化することにより調製できる。必要ならば、界面活性剤、着色剤、吸収促進物質、酸化防止剤、光安定剤、接着剤等の補助剤を加えてもよい。
吸収促進物質としては、DMSO(ジメチルスルホキシド)、ミリスチン酸イソプロピル、ペラルゴン酸ジプロピレングリコール、シリコーン油、脂肪族エステル、トリグリセリド又は脂肪アルコールが挙げられる。
酸化防止剤には、亜硫酸塩、メタ重亜硫酸塩、アスコルビン酸、ブチルヒドロキシトルエン、ブチルヒドロキシアニソール又はトコフェロールが挙げられる。
疎水性相(油)としては、パラフィン油、シリコーン油、ゴマ油、アーモンド油、ヒマシ油、合成トリグリセリド、ステアリン酸エチル、アジピン酸ジーn-ブチリル、ラウリル酸ヘキシル、ペラルゴン酸ジプロピレングリコール、分枝鎖状の短鎖長脂肪酸と鎖長C16~C18の飽和脂肪酸とのエステル、ミリスチン酸イソプロピル、パルミチン酸イソプロピル、鎖長C12~C18の飽和脂肪アルコールのカプリル/カプリン酸エステル、ステアリン酸イソプロピル、オレイン酸オレイル、オレイン酸デシル、オレイン酸エチル、乳酸エチル、ワックス状脂肪酸エステル、フタル酸ジブチル、アジピン酸ジイソプロピル、イソトリデシルアルコール、2-オクチルドデカノール、セチルステアリルアルコール、オレイルアルコール等が挙げられる。
親水性相としては、水、プロピレングリコール、グリセリン、ソルビトール等が挙げられる。
半固体調製物は、皮膚上に塗布するか、若しくは広げるか、又は体腔中に導入することにより投与できる。ゲルは、注射用液剤について上記したように調製した溶液に、軟膏状の粘稠性を有する透明な物質を生じさせるに十分なシックナーを加えることにより調製できる。
次に、本発明化合物を用いる場合の製剤の配合例を示す。但し、本発明の配合例は、これらに限定されるものではない。なお、以下の配合例において、「部」は質量部を意味する。
本発明化合物 0.1~80部
固体担体 5~98.9部
界面活性剤 1~10部
その他 0~5部
その他として、例えば、固結防止剤、分解防止剤等が挙げられる。
本発明化合物 0.1~30部
液体担体 45~95部
界面活性剤 4.9~15部
その他 0~10部
その他として、例えば、展着剤、分解防止剤等が挙げられる。
本発明化合物 0.1~70部
液体担体 15~98.89部
界面活性剤 1~12部
その他 0.01~30部
その他として、例え、ば凍結防止剤、増粘剤等が挙げられる。
本発明化合物 0.1~90部
固体担体 0~98.9部
界面活性剤 1~20部
その他 0~10部
その他として、例えば、結合剤、分解防止剤等が挙げられる。
本発明化合物 0.01~70部
液体担体 20~99.99部
その他 0~10部
その他として、例えば、凍結防止剤、展着剤等が挙げられる。
本発明化合物 0.01~80部
固体担体 10~99.99部
その他 0~10部
その他として、例えば、結合剤、分解防止剤等が挙げられる。
本発明化合物 0.01~30部
固体担体 65~99.99部
その他 0~5部
その他として、例えば、ドリフト防止剤、分解防止剤等が挙げられる。
なお、以下の配合例において、「部」は質量部を意味する。
〔配合例1〕水和剤
本発明化合物No.1-1-001a 20部
パイロフィライト 74部
ソルポール5039 4部
(商品名、非イオン性界面活性剤とアニオン性界面活性剤との混合物:東邦化学工業社製).
カープレックス#80D 2部
(商品名、合成含水珪酸:塩野義製薬社製).
以上を均一に混合粉砕して水和剤とする。
本発明化合物No.1-1-001a 5部
キシレン 75部
N-メチルピロリドン 15部
ソルポール2680 5部
(商品名、非イオン性界面活性剤とアニオン性界面活性剤との混合物:東邦化学工業社製).
以上を均一に混合して乳剤とする。
本発明化合物No.1-1-001a 25部
アグリゾールS-710 10部
(商品名、非イオン性界面活性剤:花王社製).
ルノックス1000C 0.5部
(商品名、アニオン性界面活性剤:東邦化学工業社製).
キサンタンガム 0.2部
水 64.3部
以上を均一に混合した後、湿式粉砕して懸濁剤とする。
本発明化合物No.1-1-001a 75部
ハイテノールNE-15 5部
(商品名、アニオン性界面活性剤:第一工業製薬社製).
バニレックスN 10部
(商品名、アニオン性界面活性剤:日本製紙社製).
カープレックス#80D 10部
(商品名、合成含水珪酸:塩野義製薬社製).
以上を均一に混合粉砕した後、少量の水を加えて撹拌混合し、押出式造粒機で造粒し、乾燥して、顆粒水和剤とする。
本発明化合物No.1-1-001a 5部
ベントナイト 50部
タルク 45部
以上を均一に混合粉砕した後、少量の水を加えて撹拌混合し、押出式造粒機で造粒し、乾燥して粒剤とする。
本発明化合物No.1-1-001a 3部
カープレックス#80D 0.5部
(商品名、合成含水珪酸:塩野義製薬社製).
カオリナイト 95部
リン酸ジイソプロピル 1.5部
以上を均一に混合粉砕して粉剤とする。
使用に際しては、上記製剤を、水で1~10000倍に希釈、又は希釈せずに直接散布する。
本発明化合物No.1-1-001a 25部
ジイソブチルナフタレンスルホン酸ナトリウム 1部
n-ドデシルベンゼンスルホン酸カルシウム 10部
アルキルアリール ポリグリコールエーテル 12部
ナフタレンスルホン酸ホルマリン縮合物のナトリウム塩 3部
エマルジョン型シリコーン 1部
二酸化ケイ素 3部
カオリン 45部
本発明化合物No.1-1-001a 20部
ポリオキシエチレンラウリルエーテル 3部
ジオクチルスルホコハク酸ナトリウム 3.5部
ジメチルスルホキシド 37部
2-プロパノール 36.5部
本発明化合物No.1-1-001a 2部
ジメチルスルホキシド 10部
2-プロパノール 35部
アセトン 53部
本発明化合物No.1-1-001a 5部
ヘキシレングリコール 50部
イソプロパノール 45部
本発明化合物No.1-1-001a 5部
プロピレングリコールモノメチルエーテル 50部
ジプロピレングリコール 45部
本発明化合物No.1-1-001a 2部
軽質流動パラフィン 98部
本発明化合物No.1-1-001a 2部
軽質流動パラフィン 58部
オリーブ油 30部
ODO-H 9部
信越シリコーン 1部
特に、他の農薬或いは植物ホルモンと混合施用することにより、施用薬量の低減による低コスト化、混合薬剤の相乗作用による殺虫スペクトラムの拡大やより高い有害生物防除効果が期待できる。この際、同時に複数の公知農薬との組み合わせも可能である。
本発明化合物と混合使用する農薬の種類としては、例えば、ザ・ペスティサイド・マニュアル(The Pesticide Manual)15版、2009年に記載されている化合物等が挙げられる。具体的にその一般名を例示すれば、次の通りであるが、必ずしもこれらのみに限定されるものではない。
殺線虫剤:アルドキシカルブ(aldoxycarb)、ベンクロチアズ(benclothiaz)、カズサホス(cadusafos)、デービーシーピー(DBCP)、ジクロフェンチオン(dichlofenthion)、デーエスピー(DSP)、エトプロホス(ethoprophos)、フェナミホス(fenamiphos)、フェンスルホチオン(fensulfothion)、フルアザインドリジン(fluazaindolizine)、フルエンスルホン(fluensulfone)、フォスチアゼート(fosthiazate)、フォスチエタン(fosthietan)、イミシアホス(imicyafos)、イサミドホス(isamidofos)、イサゾホス(isazofos)、オキサミル(oxamyl)、チオキサザフェン(thiaxazafen)、チオナジン(thionazin)、チオキサザフェン(tioxazafen)、BYI-1921(試験名)及びMAI-08015(試験名)など。
殺ダニ剤:アセキノシル(acequinocyl)、アクリナトリン(acrinathrin)、アミドフルメット(amidoflumet)、アミトラズ(amitraz)、アゾシクロチン(azocyclotin)、BCI-033(試験名)、ベンゾキシメート(benzoximate)、ビフェナゼート(bifenazate)、ブロモプロピレート(bromopropylate)、チノメチオネート(chinomethionat)、クロロベンジラート(chlorobezilate)、クロフェンテジン(clofentezine)、シエノピラフェン(cyenopyrafen)、シフルメトフェン(cyflumetofen)、サイヘキサチン(cyhexatine)、ジコフォール(dicofol)、ジエノクロール(dienochlor)、ジフロビダジン(diflovidazin)、デーエヌオーシー(DNOC)、エトキサゾール(etoxazole)、フェナザキン(fenazaquin)、フェンブタチンオキシド(fenbutatin oxide)、フェノチオカルブ(fenothiocarb)、フェンプロパトリン(fenpropathrin)、フェンピロキシメート(fenpyroximate)、フルアクリピリム(fluacrypyrim)、ハルフェンプロックス(halfenprox)、ヘキシチアゾックス(hexythiazox)、ミルベメクチン(milbemectin)、プロパルギット(propargite)、ピフルブミド(pyflubumide)、ピリダベン(pyridaben)、ピリミジフェン(pyrimidifen)、S-1870(試験名)、スピロジクロフェン(spirodiclofen)、スピロメシフェン(spyromesifen)、CL900167(試験名)、テブフェンピラド(tebufenpyrad)及びNA-89(試験名)など。
合成例及び参考例に記載した中圧分取液体クロマトグラフィーは、山善株式会社中圧分取装置;YFLC-Wprep(流速18ml/min、シリカゲル40μmのカラム)を使用した。
また、合成例及び参考例中のプロトン核磁気共鳴(NMR)のケミカルシフト値は、基準物質としてMe4Si(テトラメチルシラン)を用い、300MHz(機種;ECX300又はECP300、JEOL社製)にて測定した。
プロトン核磁気共鳴ケミカルシフト値における記号は、下記の意味を表す。
s:シングレット、brs:ブロードシングレット、d:ダブレット、dd:ダブルダブレット、t:トリプレット、q:カルテット、m:マルチプレット
なお、NMR測定に使用した溶媒名は、ケミカルシフト値のデータ中、括弧内に示した。
6-(トリフルオロメチル)ピリミジン-4-アミン82mgを、クロロベンゼン5mlに溶解させ、室温にて2-ブロモ-1-[3-(エチルスルホニル)-7-(トリフルオロメチル)イミダゾ[1,2-a]ピリジン-2-イル]エタノン200mgを添加した。添加終了後、該反応混合物を加熱還流下にて9時間攪拌した。反応終了後、該反応混合物に1M水酸化ナトリウム水溶液10mlを添加し、酢酸エチル(10ml×2)にて抽出した。得られた有機層を飽和食塩水、次いで無水硫酸ナトリウムの順で脱水・乾燥した後、減圧下にて溶媒を留去した。得られた残留物を、n-ヘキサン-酢酸エチル[100:0~0:100(体積比、以下同じである。)のグラジエント]にて溶出する中圧分取液体クロマトグラフィーにて精製し、目的物163.5mgを肌色固体として得た。
1H-NMR(CDCl3) : δ9.38(d, J=7.5Hz, 1H), 9.19(s, 1H), 8.63(s, 1H), 8.12-8.09(m, 1H), 8.02-8.00(m, 1H), 7.28-7.23(m, 1H), 3.73(q, J=7.4Hz, 2H), 1.34(t, J=7.4Hz, 3H).
工程1:3-(エチルチオ)-N-[2-(メチルアミノ)-5-(トリフルオロメチル)ピリジン-3-イル]-7-(トリフルオロメチル)イミダゾ[1,2-a]ピリジン-2-カルボキシアミドの合成
N2-メチル-5-(トリフルオロメチル)ピリジン-2,3-ジアミン856mgをピリジン20mlに溶解させ、室温にて3-(エチルチオ)-7-(トリフルオロメチル)イミダゾ[1,2-a]ピリジン-2-カルボン酸1.00g、1-エチル-3-(3-ジメチルアミノプロピル)カルボジイミド塩酸塩1.32g及び4-(ジメチルアミノ)ピリジン42mgを添加した。添加終了後、該反応混合物を室温にて6時間攪拌した。反応終了後、減圧下にて溶媒を留去した。得られた残留物に水10mlを添加し、酢酸エチル(10ml×2)にて抽出した。得られた有機層を、1M塩酸水溶液で洗浄した後、飽和食塩水、次いで無水硫酸ナトリウムの順で脱水・乾燥した後、減圧下にて溶媒を留去し、目的物1.40gの粗物を得た。このものは、さらなる精製を行うことなく、このまま次の工程に用いた。
工程1で得られた粗物の3-(エチルチオ)-N-[2-(メチルアミノ)-5-(トリフルオロメチル)ピリジン-3-イル]-7-(トリフルオロメチル)イミダゾ[1,2-a]ピリジン-2-カルボキシアミド1.40gを酢酸15mlに溶解させ、加熱還流下にて2時間攪拌した。撹拌終了後、該反応混合物を室温にて終夜撹拌した。撹拌終了後、該反応混合物中に析出した固体を、濾過によりろ別した。得られた固体を、ジイソプロピルエーテルで洗浄し、目的物645mgを白色固体として得た。
1H-NMR(CDCl3) : δ8.78(d, J=7.2Hz, 1H), 8.73(d, J=1.5Hz, 1H), 8.40(d, J=2.0Hz, 1H), 8.06-8.04(m, 1H), 7.21(dd, J=7.2, 1.5Hz, 1H), 4.33(s, 3H), 3.15(q, J=7.4Hz, 2H), 1.22(t, J=7.4Hz, 3H).
2-[3-(エチルチオ)-7-(トリフルオロメチル)イミダゾ[1,2-a]ピリジン-2-イル]-3-メチル-6-(トリフルオロメチル)-3H-イミダゾ[4,5-b]ピリジン645mgのクロロホルム15mlの溶液に、氷冷下にて65質量%メタクロロ過安息香酸(約30質量%の水を含む)961mgを添加した。添加終了後、該反応混合物を室温にて2.5時間攪拌した。反応終了後、該反応混合物に、飽和チオ硫酸ナトリウム水溶液を添加し、クロロホルム(10ml)にて抽出した。得られた有機層を、1M水酸化ナトリウム水溶液で洗浄し、無水硫酸ナトリウムで脱水・乾燥した後、減圧下にて溶媒を留去した。得られた残留物を、n-ヘキサン-酢酸エチル(100:0~50:50のグラジエント)にて溶出する中圧分取液体クロマトグラフィーにて精製し、目的物660mgを白色固体として得た。
1H-NMR(CDCl3) : δ9.42(d, J=7.5Hz, 1H), 8.77(s, 1H), 8.36(d, J=1.7Hz, 1H), 8.16(s, 1H), 7.32(dd, J=7.5, 1.7Hz, 1H), 4.18(s, 3H), 4.11(q, J=7.5Hz, 2H), 1.47(t, J=7.5Hz, 3H).
工程1:3-(エチルチオ)-N-{2-ヒドロキシ-5-[(トリフルオロメチル)チオ]フェニル}-6-(トリフルオロメチル)イミダゾ[1,2-a]ピリジン-2-カルボキシアミドの合成
2-アミノ-4-[(トリフルオロメチル)チオ]フェノール466mgをピリジン10mlに溶解させ、室温にて3-(エチルチオ)-6-(トリフルオロメチル)イミダゾ[1,2-a]ピリジン-2-カルボン酸356mg、1-エチル-3-(3-ジメチルアミノプロピル)カルボジイミド塩酸塩471mg及び4-(ジメチルアミノ)ピリジン75mgを添加した。添加終了後、該反応混合物を室温にて終夜攪拌した。反応終了後、減圧下にて溶媒を留去した。得られた残留物を、n-ヘキサン-酢酸エチル(100:0~0:100のグラジエント)にて溶出する中圧分取液体クロマトグラフィーにて精製し、目的物100mgを赤茶色固体として得た。
3-(エチルチオ)-N-{2-ヒドロキシ-5-[(トリフルオロメチル)チオ]フェニル}-6-(トリフルオロメチル)イミダゾ[1,2-a]ピリジン-2-カルボキシアミド89mgのテトラヒドロフラン5mlの溶液を、50℃まで昇温し、アゾジカルボン酸ビス(2-メトキシエチル)65mg及びトリフェニルホスフィン73mgを添加した。
添加終了後、該反応混合物を50℃にて3時間撹拌した。撹拌終了後、該反応混合物を室温にて終夜撹拌した。反応終了後、該反応混合物に水10mlを添加し、酢酸エチル(10ml×2)にて抽出した。得られた有機層を飽和食塩水、次いで無水硫酸ナトリウムの順で脱水・乾燥した後、減圧下にて溶媒を留去した。得られた残留物を、n-ヘキサン-酢酸エチル(85:15~0:100のグラジエント)にて溶出する中圧分取液体クロマトグラフィーにて精製し、目的物21mgを薄茶色固体として得た。
1H-NMR(CDCl3) : δ8.96(s, 1H), 8.23(s, 1H), 8.00-7.45(m, 4H), 3.11(q, J=7.4Hz, 2H), 1.26(t, J=7.4Hz, 3H).
2-[3-(エチルチオ)-6-(トリフルオロメチル)イミダゾ[1,2-a]ピリジン-2-イル]-5-[(トリフルオロメチル)チオ]ベンゾ[d]オキサゾール21mgのクロロホルム5mlの溶液に、室温にて、65質量%メタクロロ過安息香酸(約30質量%の水を含む)67mgを添加した。添加終了後、該反応混合物を室温にて終夜攪拌した。撹拌終了後、該反応混合物を加熱還流下にて2時間攪拌を継続した。反応終了後、該反応混合物に飽和チオ硫酸ナトリウム水溶液を添加し、クロロホルム(10ml)にて抽出した。得られた有機層を、飽和炭酸水素ナトリウム水溶液で洗浄し、無水硫酸ナトリウムで脱水・乾燥した後、減圧下にて溶媒を留去した。得られた残留物を、n-ヘキサン-酢酸エチル(100:0~50:50のグラジエント)にて溶出する中圧分取液体クロマトグラフィーにて精製し、目的物である2-[3-(エチルスルホニル)-6-(トリフルオロメチル)イミダゾ[1,2-a]ピリジン-2-イル]-5-[(トリフルオロメチル)スルフィニル]ベンゾ[d]オキサゾール5mg及び目的物である2-[3-(エチルスルホニル)-6-(トリフルオロメチル)イミダゾ[1,2-a]ピリジン-2-イル]-5-[(トリフルオロメチル)スルホニル]ベンゾ[d]オキサゾール13mgを、それぞれ薄茶色固体として得た。
2-[3-(エチルスルホニル)-6-(トリフルオロメチル)イミダゾ[1,2-a]ピリジン-2-イル]-5-[(トリフルオロメチル)スルホニル]ベンゾ[d]オキサゾールの1H-NMR(CDCl3) : δ9.74(s, 1H), 8.62(s, 1H), 8.25-7.40(m, 4H), 4.07(q, J=7.5Hz, 2H), 1.50(t, J=7.5Hz, 3H).
工程1:5-(エチルチオ)-N-[2-(メチルアミノ)-5-(トリフルオロメチル)ピリジン-3-イル]-2-(トリフルオロメチル)イミダゾ[2,1-b]チアゾール-6-カルボキシアミドの合成
N2-メチル-5-(トリフルオロメチル)ピリジン-2,3-ジアミン242mgをピリジン10mlに溶解させ、室温にて5-(エチルチオ)-2-(トリフルオロメチル)イミダゾ[2,1-b]チアゾール-6-カルボン酸250mg、1-エチル-3-(3-ジメチルアミノプロピル)カルボジイミド塩酸塩322mg及び4-(ジメチルアミノ)ピリジン10mgを添加した。添加終了後、該反応混合物を室温にて終夜攪拌した。反応終了後、減圧下にて溶媒を留去した。得られた残留物に水10mlを添加し、酢酸エチル(10ml×2)にて抽出した。得られた有機層を、1M塩酸水溶液で洗浄後、飽和食塩水、次いで無水硫酸ナトリウムの順で脱水・乾燥した後、減圧下にて溶媒を留去し、目的物である5-(エチルチオ)-N-[2-(メチルアミノ)-5-(トリフルオロメチル)ピリジン-3-イル]-2-(トリフルオロメチル)イミダゾ[2,1-b]チアゾール-6-カルボキシアミドの粗物を得た。このものは、さらなる精製を行うことなく、このまま次の工程に用いた。
工程1で得られた粗物の5-(エチルチオ)-N-[2-(メチルアミノ)-5-(トリフルオロメチル)ピリジン-3-イル]-2-(トリフルオロメチル)イミダゾ[2,1-b]チアゾール-6-カルボキシアミドを酢酸10mlに溶解させ、加熱還流下にて4.5時間攪拌した。反応終了後、減圧下にて溶媒を留去した。得られた残留物に1M塩酸水溶液10mlを添加し、酢酸エチル(10ml×2)にて抽出した。得られた有機層を飽和食塩水、次いで無水硫酸ナトリウムの順で脱水・乾燥した後、減圧下にて溶媒を留去した。析出した固体を、濾過によりろ別した。得られた固体を、ジイソプロピルエーテルで洗浄し、目的物332mgを白色固体として得た。
融点:200-203℃
1H-NMR(CDCl3) : δ8.72‐8.67(m, 1H), 8.37‐8.33(m, 1H), 8.12‐8.08(m, 1H), 4.25(s, 3H), 3.14(q, J=7.5Hz, 2H), 1.25(t, J=7.5Hz, 3H).
5-(エチルチオ)-6-[3-メチル-6-(トリフルオロメチル)-3H-イミダゾ[4,5-b]ピリジン-2-イル]-2-(トリフルオロメチル)イミダゾ[2,1-b]チアゾール132mgのクロロホルム3mlの溶液に、氷冷下にて65質量%メタクロロ過安息香酸(約30質量%の水を含む)155mgを添加した。添加終了後、該反応混合物を室温にて1.5時間攪拌した。反応終了後、該反応混合物に、飽和チオ硫酸ナトリウム水溶液を添加し、クロロホルム(10ml)にて抽出した。得られた有機層を、1M水酸化ナトリウム水溶液で洗浄し、無水硫酸ナトリウムで脱水・乾燥した後、減圧下にて溶媒を留去した。得られた残留物を、n-ヘキサン-酢酸エチル(100:0~50:50のグラジエント)にて溶出する中圧分取液体クロマトグラフィーにて精製し、目的物110mgを白色固体として得た。
融点:249-251℃
1H-NMR(CDCl3) : δ8.76‐8.71(m, 1H), 8.71‐8.66(m, 1H), 8.36‐8.32(m, 1H), 4.23(s, 3H), 4.19(q, J=7.5Hz, 2H), 1.45(t, J=7.5Hz, 3H).
5-(トリフルオロメチル)ピリダジン-3-アミン82mgを、クロロベンゼン5mlに溶解させ、室温にて、2-ブロモ-1-[3-(エチルスルホニル)-7-(トリフルオロメチル)イミダゾ[1,2-a]ピリジン-2-イル]エタノン200mgを添加した。添加終了後、該反応混合物を加熱還流下にて3時間攪拌した。反応終了後、該反応混合物に1M水酸化ナトリウム水溶液10mlを添加し、酢酸エチル(10ml×2)にて抽出した。得られた有機層を飽和食塩水、次いで無水硫酸ナトリウムの順で脱水・乾燥した後、減圧下にて溶媒を留去した。得られた残留物を、n-ヘキサン-酢酸エチル(100:0~0:100のグラジエント)にて溶出する中圧分取液体クロマトグラフィーにて精製し、目的物142mgを茶色固体として得た。
融点:214-218℃
1H-NMR(CDCl3) : δ9.40(d, J=7.5Hz, 1H), 8.94(s, 1H), 8.58(d, J=2.0Hz, 1H), 8.34-8.30(m, 1H), 8.11-8.09(m, 1H), 7.24(dd, J=7.5, 2.0Hz, 1H), 3.79(q, J=7.4Hz, 2H), 1.36(t, J=7.4Hz, 3H).
工程1:3-(エチルチオ)-N-[2-(メチルアミノ)-5-(トリフルオロメチル)ピリジン-3-イル]-6-(トリフルオロメチル)イミダゾ[1,2-a]ピラジン-2-カルボキシアミドの合成
N2-メチル-5-(トリフルオロメチル)ピリジン-2,3-ジアミン271mgをピリジン10mlに溶解させ、室温にて3-(エチルチオ)-6-(トリフルオロメチル)イミダゾ[1,2-a]ピラジン-2-カルボン酸270mg及び1-エチル-3-(3-ジメチルアミノプロピル)カルボジイミド塩酸塩357mgを添加した。添加終了後、該反応混合物を室温にて2時間攪拌した。反応終了後、減圧下にて溶媒を留去した。得られた残留物に水10mlを添加し、酢酸エチル(10ml×2)にて抽出した。得られた有機層を、飽和食塩水、次いで無水硫酸ナトリウムの順で脱水・乾燥した後、減圧下にて溶媒を留去し、3-(エチルチオ)-N-[2-(メチルアミノ)-5-(トリフルオロメチル)ピリジン-3-イル]-6-(トリフルオロメチル)イミダゾ[1,2-a]ピラジン-2-カルボキシアミドの粗物を得た。このものは、さらなる精製を行うことなく、このまま次の工程に用いた。
工程1で得られた粗物の3-(エチルチオ)-N-[2-(メチルアミノ)-5-(トリフルオロメチル)ピリジン-3-イル]-6-(トリフルオロメチル)イミダゾ[1,2-a]ピラジン-2-カルボキシアミドを酢酸10mlに溶解させ、加熱還流下にて17時間攪拌した。反応終了後、減圧下にて溶媒を留去した。得られた残留物に水10mlを添加し、酢酸エチル(10ml×2)にて抽出した。得られた有機層を飽和食塩水、次いで無水硫酸ナトリウムの順で脱水・乾燥した後、減圧下にて溶媒を留去した。得られた残留物を、n-ヘキサン-酢酸エチル(100:0~80:20のグラジエント)にて溶出する中圧分取液体クロマトグラフィーにて精製し、目的物257mgを白色固体として得た。
融点:220-222℃
1H-NMR(CDCl3) : δ9.24(s, 1H), 8.99(s, 1H), 8.76(d, J=1.5Hz, 1H), 8.42(d, J=1.5Hz, 1H), 4.37(s, 3H), 3.26(q, J=7.5Hz, 2H), 1.25(t, J=7.5Hz, 3H).
2-[3-(エチルチオ)-6-(トリフルオロメチル)イミダゾ[1,2-a]ピラジン-2-イル]-3-メチル-6-(トリフルオロメチル)-3H-イミダゾ[4,5-b]ピリジン232mgのクロロホルム5mlの溶液に、氷冷下にて65質量%メタクロロ過安息香酸(約30質量%の水を含む)326mgを添加した。添加終了後、該反応混合物を室温にて2時間攪拌した。反応終了後、該反応混合物に、飽和チオ硫酸ナトリウム水溶液を添加し、クロロホルム(10ml)にて抽出した。得られた有機層を、飽和炭酸水素ナトリウム水溶液で洗浄し、無水硫酸ナトリウムで脱水・乾燥した後、減圧下にて溶媒を留去した。得られた固体にジイソプロピルエーテル10mlを加え、濾過することにより、目的物203mgを白色固体として得た。
融点:234-236℃
1H-NMR(CDCl3) : δ9.63(s, 1H), 9.39(s, 1H), 8.81-8.77(m, 1H), 8.39-8.36(m, 1H), 4.25(s, 3H), 4.23(q, J=7.5Hz, 2H), 1.49(t, J=7.5Hz, 3H).
工程1:6-ブロモ-N-[2-(メチルアミノ)-5-(トリフルオロメチル)ピリジン-3-イル]-7-(トリフルオロメチル)イミダゾ[1,2-a]ピリジン-2-カルボキシアミドの合成
N2-メチル-5-(トリフルオロメチル)ピリジン-2,3-ジアミン1.51gをピリジン20mlに溶解させ、室温にて6-ブロモ-7-(トリフルオロメチル)イミダゾ[1,2-a]ピリジン-2-カルボン酸2.04g及び1-エチル-3-(3-ジメチルアミノプロピル)カルボジイミド塩酸塩2.53gを添加した。添加終了後、該反応混合物を室温にて3時間攪拌した。反応終了後、該反応混合物に水20mlを添加し、析出した固体を、濾過によりろ別することで、目的物2.98gを肌色固体として得た。
融点:200-205℃
1H-NMR(CDCl3) : δ8.77(brs, 1H), 8.54(s, 1H), 8.40-8.36(m, 1H), 8.28(s, 1H), 8.04(s, 1H), 7.85(d, J=2.0Hz, 1H), 5.20(brs, 1H), 3.10(d, J=4.8Hz, 3H).
6-ブロモ-N-[2-(メチルアミノ)-5-(トリフルオロメチル)ピリジン-3-イル]-7-(トリフルオロメチル)イミダゾ[1,2-a]ピリジン-2-カルボキシアミド2.93gを酢酸15mlに溶解させ、加熱還流下にて2時間攪拌した。反応終了後、減圧下にて溶媒を留去した。得られた残留物に水10mlを添加し、クロロホルム(10ml×2)にて抽出した。得られた有機層を無水硫酸ナトリウムで脱水・乾燥後、減圧下にて溶媒を留去した。得られた残留物を、n-ヘキサン-酢酸エチル(100:0~0:100のグラジエント)にて溶出する中圧分取液体クロマトグラフィーにて精製し、目的物2.82gを薄茶色固体として得た。
融点:220-225℃
1H-NMR(CDCl3) : δ8.71(d, J=1.4Hz, 1H), 8.55(s, 1H), 8.51(s, 1H), 8.27(d, J=1.4Hz, 1H), 8.14(s, 1H), 4.47(s, 3H).
N-クロロスクシンイミド518mgを1,2-ジクロロエタン5mlに溶解させ、-40℃にてエタンチオール321mgを添加した。添加終了後、該反応混合物を室温にて30分間撹拌した。撹拌終了後、該反応混合物に、室温にて2-[6-ブロモ-7-(トリフルオロメチル)イミダゾ[1,2-a]ピリジン-2-イル]-3-メチル-6-(トリフルオロメチル)-3H-イミダゾ[4,5-b]ピリジン300mgの1,2-ジクロロエタン2ml溶液を添加した。添加終了後、該反応混合物を加熱還流下にて3時間攪拌した。撹拌終了後、該反応混合物に、別容器で調製したN-クロロスクシンイミド1.04g及びエタンチオール642mgの1,2-ジクロロエタン5ml溶液を、室温にて添加した。添加終了後、該反応混合物を加熱還流下にて3時間攪拌した。反応終了後、該反応混合物に水10mlを添加し、クロロホルム(10ml×2)にて抽出した。得られた有機層を無水硫酸ナトリウムで脱水・乾燥後、減圧下にて溶媒を留去した。得られた残留物をn-ヘキサン-酢酸エチル(100:0~0:100のグラジエント)にて溶出する中圧分取液体クロマトグラフィーにて精製し、目的物212mgを白色固体として得た。
融点:214-215℃
1H-NMR(CDCl3) : δ8.93(s, 1H), 8.74(d, J=1.4Hz, 1H), 8.40(d, J=1.4Hz, 1H), 8.13(s, 1H), 4.33(s, 3H), 3.18(q, J=7.4Hz, 2H), 1.24(t, J=7.4Hz, 3H).
2-[6-ブロモ-3-(エチルチオ)-7-(トリフルオロメチル)イミダゾ[1,2-a]ピリジン-2-イル]-3-メチル-6-(トリフルオロメチル)-3H-イミダゾ[4,5-b]ピリジン150mgのクロロホルム5mlの溶液に、氷冷下にて65質量%メタクロロ過安息香酸(約30質量%の水を含む)175mgを添加した。添加終了後、該反応混合物を室温にて2時間攪拌した。反応終了後、該反応混合物に、飽和チオ硫酸ナトリウム水溶液を添加し、クロロホルム(10ml)にて抽出した。得られた有機層を、1M水酸化ナトリウム水溶液で洗浄し、無水硫酸ナトリウムで脱水・乾燥した後、減圧下にて溶媒を留去した。得られた残留物をn-ヘキサン-酢酸エチル(100:0~0:100のグラジエント)にて溶出する中圧分取液体クロマトグラフィーにて精製し、目的物142mgを白色固体として得た。
融点:226-228℃
1H-NMR(CDCl3) : δ9.60(s, 1H), 8.77(d, J=1.4Hz, 1H), 8.36(d, J=1.4Hz, 1H), 8.23(s, 1H), 4.19(s, 3H), 4.15(q, J=7.5Hz, 2H), 1.49(t, J=7.5Hz, 3H).
工程1:N-[2-アミノ-6-(トリフルオロメチル)ピリジン-3-イル]-3-エチルチオ-7-(トリフルオロメチル)イミダゾ[1,2-a]ピリジン-2-カルボキシアミドの合成
6-(トリフルオロメチル)ピリジン-2,3-ジアミン712mgをピリジン10mlに溶解させ、室温にて3-(エチルチオ)-7-(トリフルオロメチル)イミダゾ[1,2-a]ピリジン-2-カルボン酸972mg及び1-エチル-3-(3-ジメチルアミノプロピル)カルボジイミド塩酸塩1.32gを添加した。添加終了後、該反応混合物を室温にて終夜攪拌した。反応終了後、該反応混合物に水20mlを添加し、析出した固体を、濾過によりろ別することで、目的物1.20gの粗物を赤茶色固体として得た。このものは、さらなる精製を行うことなく、このまま次の工程に用いた。
工程1で得られた粗物のN-[2-アミノ-6-(トリフルオロメチル)ピリジン-3-イル]-3-エチルチオ-7-(トリフルオロメチル)イミダゾ[1,2-a]ピリジン-2-カルボキシアミド1.2gをプロピオン酸10mlに溶解させ、加熱還流下にて3時間攪拌した。反応終了後、減圧下にて溶媒を留去した。得られた残留物に水10mlを添加し、酢酸エチル(10ml×2)にて抽出した。得られた有機層を、1M水酸化ナトリウム水溶液で洗浄し、無水硫酸ナトリウムで脱水・乾燥した後、減圧下にて溶媒を留去することで、目的物1.0gを茶色固体として得た。このものはさらなる精製を行うことなく、このまま次の工程に用いた。
1H-NMR(CDCl3) : δ8.59(d, J=7.2Hz, 1H), 8.03(d, J=7.8Hz, 1H), 7.83(s, 1H), 7.36(d, J=7.8Hz, 1H), 7.04-6.98(m, 1H), 3.02(q, J=7.4Hz, 2H), 1.05(t, J=7.4Hz, 3H)(NHのプロトンのピークは観測できなかった).
63質量%水素化ナトリウム(鉱油中に分散)66mgのN,N-ジメチルホルムアミド3ml溶液に、氷冷下にて2-[3-(エチルチオ)-7-(トリフルオロメチル)イミダゾ[1,2-a]ピリジン-2-イル]-5-(トリフルオロメチル)-3H-イミダゾ[4,5-b]ピリジン500mgのN,N-ジメチルホルムアミド7ml溶液を添加した。添加終了後、該反応混合物を氷冷下にて30分間攪拌した。攪拌終了後、該反応混合物に、氷冷下にてトリフルオロメタンスルホン酸メチル286mgを添加した。添加終了後、該反応混合物を室温にて1.5時間攪拌した。反応終了後、該反応混合物に水10mlを添加し、酢酸エチル(10ml×2)にて抽出した。得られた有機層を飽和食塩水、次いで無水硫酸ナトリウムの順で脱水・乾燥後、減圧下にて溶媒を留去した。得られた残留物を、n-ヘキサン-酢酸エチル(100:0~50:50のグラジエント)にて溶出する中圧分取液体クロマトグラフィーにて精製し、目的物である2-[3-(エチルチオ)-7-(トリフルオロメチル)イミダゾ[1,2-a]ピリジン-2-イル]-1-メチル-5-(トリフルオロメチル)-1H-イミダゾ[4,5-b]ピリジン150mg及び目的物である2-[3-(エチルチオ)-7-(トリフルオロメチル)イミダゾ[1,2-a]ピリジン-2-イル]-3-メチル-5-(トリフルオロメチル)-3H-イミダゾ[4,5-b]ピリジン218mgをそれぞれ茶色固体、白色固体として得た。
1H-NMR(CDCl3) : δ8.81(d, J=7.5Hz, 1H), 8.03(s, 1H), 7.91(d, J=8.2Hz, 1H), 7.70(d, J=8.2Hz, 1H), 7.20(dd, J=7.5, 1.7Hz, 1H), 4.31(s, 3H), 3.35(q, J=7.4Hz, 2H), 1.24(t, J=7.4Hz, 3H).
2-[3-(エチルチオ)-7-(トリフルオロメチル)イミダゾ[1,2-a]ピリジン-2-イル]-3-メチル-5-(トリフルオロメチル)-3H-イミダゾ[4,5-b]ピリジンの融点:163-165℃
1H-NMR(CDCl3) : δ8.77(d, J=7.2Hz, 1H), 8.26(d, J=8.2Hz, 1H), 8.06(s, 1H), 7.68(d, J=8.2Hz, 1H), 7.21(dd, J=7.2, 1.5Hz, 1H), 4.33(s, 3H), 3.12(q, J=7.4Hz, 2H), 1.20(t, J=7.4Hz, 3H).
工程1:3-(エチルチオ)-N-[5-(メチルアミノ)-2-(トリフルオロメチル)ピリジン-4-イル]-7-(トリフルオロメチル)イミダゾ[1,2-a]ピリジン-2-カルボキシアミドの合成
N3-メチル-6-(トリフルオロメチル)ピリジン-3,4-ジアミン303mgをピリジン15mlに溶解させ、室温にて3-(エチルチオ)-7-(トリフルオロメチル)イミダゾ[1,2-a]ピリジン-2-カルボン酸552mg及び1-エチル-3-(3-ジメチルアミノプロピル)カルボジイミド塩酸塩732mgを添加した。添加終了後、該反応混合物を室温にて終夜攪拌した。反応終了後、減圧下にて溶媒を留去した。得られた残留物に水10mlを添加し、クロロホルム(10ml×2)にて抽出した。得られた有機層を無水硫酸ナトリウムで脱水・乾燥後、減圧下にて溶媒を留去し、目的物986mgの粗物を得た。このものは、さらなる精製を行うことなく、このまま次の工程に用いた。
工程1で得られた粗物の3-(エチルチオ)-N-[5-(メチルアミノ)-2-(トリフルオロメチル)ピリジン-4-イル]-7-(トリフルオロメチル)イミダゾ[1,2-a]ピリジン-2-カルボキシアミド986mgを酢酸15mlに溶解させ、加熱還流下にて22時間攪拌した。撹拌終了後、該反応混合物を室温にて終夜撹拌した。反応終了後、減圧下にて溶媒を留去した。得られた残留物に水10mlを添加し、クロロホルム(10ml×2)にて抽出した。得られた有機層を無水硫酸ナトリウムで脱水・乾燥後、減圧下にて溶媒を留去した。得られた残留物をn-ヘキサン-酢酸エチル(100:0~70:30のグラジエント)にて溶出する中圧分取液体クロマトグラフィーにて精製し、目的物358mgを黄色固体として得た。
融点:217-219℃
1H-NMR(CDCl3) : δ8.97(s, 1H), 8.78(d, J=7.2Hz, 1H), 8.20(s, 1H), 8.05(s, 1H), 7.22(d, J=7.2Hz, 1H), 4.37(s, 3H), 3.15(q, J=7.5Hz, 2H), 1.22(t, J=7.5Hz, 3H).
2-[3-(エチルチオ)-7-(トリフルオロメチル)イミダゾ[1,2-a]ピリジン-2-イル]-3-メチル-6-(トリフルオロメチル)-3H-イミダゾ[4,5-c]ピリジン258mgのクロロホルム8mlの溶液に、氷冷下にて65質量%メタクロロ過安息香酸(約30質量%の水を含む)323mgを添加した。添加終了後、該反応混合物を室温にて1時間攪拌した。反応終了後、該反応混合物に、飽和チオ硫酸ナトリウム水溶液を添加し、クロロホルム(10ml)にて抽出した。得られた有機層を、飽和炭酸水素ナトリウム水溶液で洗浄し、無水硫酸ナトリウムで脱水・乾燥した後、減圧下にて溶媒を留去した。得られた残留物を、n-ヘキサン-酢酸エチル(100:0~50:50のグラジエント)にて溶出する中圧分取液体クロマトグラフィーにて精製した。得られた固体にジイソプロピルエーテル10mlを加え、濾過することにより、目的物200mgを黄色固体として得た。
融点:245-247℃
1H-NMR(CDCl3) : δ9.39(d, J=7.2Hz, 1H), 9.00(s, 1H), 8.14(s, 2H), 7.33(d, J=7.2Hz, 1H), 4.20(s, 3H), 4.07(q, J=7.5Hz, 2H), 1.46(t, J=7.5Hz, 3H).
工程1:3-(エチルチオ)-N-[2-メチル-3-(メチルアミノ)-6-(トリフルオロメチル)ピリジン-4-イル]-6-(トリフルオロメチル)イミダゾ[1,2-a]ピリジン-2-カルボキシアミドの合成
N3,2-ジメチル-6-(トリフルオロメチル)ピリジン-3,4-ジアミン212mgをピリジン10mlに溶解させ、室温にて3-(エチルチオ)-6-(トリフルオロメチル)イミダゾ[1,2-a]ピリジン-2-カルボン酸200mg、1-エチル-3-(3-ジメチルアミノプロピル)カルボジイミド塩酸塩264mg及び4-(ジメチルアミノ)ピリジン9mgを添加した。添加終了後、該反応混合物を室温にて終夜攪拌した。反応終了後、減圧下にて溶媒を留去した。得られた残留物に水10mlを添加し、酢酸エチル(10ml×2)にて抽出した。得られた有機層を無水硫酸ナトリウムで脱水・乾燥後、減圧下にて溶媒を留去し、3-(エチルチオ)-N-[2-メチル-3-(メチルアミノ)-6-(トリフルオロメチル)ピリジン-4-イル]-6-(トリフルオロメチル)イミダゾ[1,2-a]ピリジン-2-カルボキシアミドの粗物を得た。このものは、さらなる精製を行うことなく、このまま次の工程に用いた。
工程1で得られた粗物の3-(エチルチオ)-N-[2-メチル-3-(メチルアミノ)-6-(トリフルオロメチル)ピリジン-4-イル]-6-(トリフルオロメチル)イミダゾ[1,2-a]ピリジン-2-カルボキシアミドを酢酸10mlに溶解させ、加熱還流下にて3時間攪拌した。反応終了後、減圧下にて溶媒を留去した。得られた残留物に水10mlを添加し、酢酸エチル(10ml×2)にて抽出した。得られた有機層を飽和食塩水、次いで無水硫酸ナトリウムの順で脱水・乾燥した後、減圧下にて溶媒を留去した。得られた残留物をn-ヘキサン-酢酸エチル(100:0~70:30のグラジエント)にて溶出する中圧分取液体クロマトグラフィーにて精製し、目的物85mgを白色固体として得た。
融点:169-171℃
1H-NMR(CDCl3) : δ9.01(s, 1H), 8.03(s, 1H), 7.83(d, J=9.3Hz, 1H), 7.54(dd, J=9.3, 1.8Hz, 1H), 4.41(s, 3H), 3.10(q, J=7.5Hz, 2H), 3.08(s, 3H), 1.22(t, J=7.5Hz, 3H).
2-[3-(エチルチオ)-6-(トリフルオロメチル)イミダゾ[1,2-a]ピリジン-2-イル]-3,4-ジメチル-6-(トリフルオロメチル)-3H-イミダゾ[4,5-c]ピリジン49mgのクロロホルム3mlの溶液に、氷冷下にて65質量%メタクロロ過安息香酸(約30質量%の水を含む)57mgを添加した。添加終了後、該反応混合物を室温にて2時間攪拌した。反応終了後、該反応混合物に、飽和チオ硫酸ナトリウム水溶液を添加し、クロロホルム(10ml)にて抽出した。得られた有機層を、飽和炭酸水素ナトリウム水溶液で洗浄し、無水硫酸ナトリウムで脱水・乾燥した後、減圧下にて溶媒を留去した。得られた残留物を、n-ヘキサン-酢酸エチル(100:0~50:50のグラジエント)にて溶出する中圧分取液体クロマトグラフィーにて精製し、目的物37mgを白色固体として得た。
融点:200-205℃
1H-NMR(CDCl3) : δ9.59(s, 1H), 7.97(s, 1H), 7.96(d, J=9.6Hz, 1H), 7.74(dd, J=9.6, 1.5Hz, 1H), 4.25(s, 3H), 3.96(q, J=7.5Hz, 2H), 3.08(s, 3H), 1.45(t, J=7.5Hz, 3H).
4-(トリフルオロメチル)ピリジン-2-アミン102mgを、ブロモベンゼン4mlに溶解させ、室温にて2-ブロモ-1-[3-(エチルスルホニル)-6-(トリフルオロメチル)イミダゾ[1,2-a]ピリジン-2-イル]エタノン300mgを添加した。添加終了後、該反応混合物を加熱還流下にて5時間攪拌した。反応終了後、該反応混合物に1M水酸化ナトリウム水溶液10mlを添加し、酢酸エチル(10ml×2)にて抽出した。得られた有機層を飽和食塩水、次いで無水硫酸ナトリウムの順で脱水・乾燥した後、減圧下にて溶媒を留去した。得られた残留物を、n-ヘキサン-酢酸エチル(100:0~50:50のグラジエント)にて溶出する中圧分取液体クロマトグラフィーにて精製し、目的物168mgを白色固体として得た。
融点:245-248℃
1H-NMR(CDCl3) : δ9.65(s, 1H), 8.57(s, 1H), 8.30(d, J=7.2Hz, 1H), 8.01(s, 1H), 7.90(d, J=9.6Hz, 1H), 7.63(dd, J=9.6, 1.8Hz, 1H), 7.03(dd, J=7.2, 1.8Hz, 1H), 3.73(q, J=7.5Hz, 2H), 1.33(t, J=7.5Hz, 3H).
工程1:2-[3-(エチルスルホニル)-6-(トリフルオロメチル)イミダゾ[1,2-a]ピリジン-2-イル]-7-(パーフルオロエチル)イミダゾ[1,2-c]ピリミジン(本発明化合物No.1-3-008a)の合成
6-(パーフルオロエチル)ピリミジン-4-アミン800mgを、クロロベンゼン10mlに溶解させ、室温にて2-ブロモ-1-[3-(エチルスルホニル)-6-(トリフルオロメチル)イミダゾ[1,2-a]ピリジン-2-イル]エタノン1780mgを添加した。添加終了後、該反応混合物を加熱還流下にて3時間攪拌した。反応終了後、該反応混合物に1M水酸化ナトリウム水溶液10mlを添加し、酢酸エチル(10ml×2)にて抽出した。得られた有機層を飽和食塩水、次いで無水硫酸ナトリウムの順で脱水・乾燥した後、減圧下にて溶媒を留去した。得られた残留物を、n-ヘキサン-酢酸エチル(100:0~50:50のグラジエント)にて溶出する中圧分取液体クロマトグラフィーにて精製し、目的物926mgを黄色固体として得た。
融点:233-239℃
1H-NMR(CDCl3) : δ9.63(s, 1H), 9.19(s, 1H), 8.64(s, 1H), 8.05(s, 1H), 7.92(d, J=9.6Hz, 1H), 7.66(dd, J=9.6, 1.5Hz, 1H), 3.72(q, J=7.5Hz, 2H), 1.35(t, J=7.5Hz, 3H).
2-[3-(エチルスルホニル)-6-(トリフルオロメチル)イミダゾ[1,2-a]ピリジン-2-イル]-7-(パーフルオロエチル)イミダゾ[1,2-c]ピリミジン150mgのN,N-ジメチルホルムアミド2mlの溶液に、氷冷下にてN-ブロモスクシンイミド57mgを添加した。添加終了後、該反応混合物を室温にて2時間攪拌した。反応終了後、該反応混合物に水10mlを添加し、ジエチルエーテル(10ml×2)にて抽出した。得られた有機層を、飽和チオ硫酸ナトリウム水溶液、次いで飽和炭酸水素ナトリウムの順で洗浄した後、飽和食塩水、次いで無水硫酸ナトリウムの順で脱水・乾燥した後、減圧下にて溶媒を留去した。得られた残留物を、n-ヘキサン-酢酸エチル(100:0~0:100のグラジエント)にて溶出する中圧分取液体クロマトグラフィーにて精製し、目的物127mgを白色固体として得た。
融点:200-205℃
1H-NMR(CDCl3) : δ9.61(s, 1H), 9.20(s, 1H), 7.99(s, 1H), 7.96(d, J=9.6Hz, 1H), 7.68(d, J=9.6Hz, 1H), 4.00(q, J=7.5Hz, 2H), 1.46(t, J=7.5Hz, 3H).
2-メチル-6-(パーフルオロエチル)ピリミジン-4-アミン143mgを、ブロモベンゼン4mlに溶解させ、室温にて2-ブロモ-1-[3-(エチルスルホニル)-6-(トリフルオロメチル)イミダゾ[1,2-a]ピリジン-2-イル]エタノン300mgを添加した。添加終了後、該反応混合物を加熱還流下にて5時間攪拌した。反応終了後、該反応混合物に1M水酸化ナトリウム水溶液10mlを添加し、酢酸エチル(10ml×2)にて抽出した。得られた有機層を飽和食塩水、次いで無水硫酸ナトリウムの順で脱水・乾燥した後、減圧下にて溶媒を留去した。得られた残留物を、n-ヘキサン-酢酸エチル(100:0~50:50のグラジエント)にて溶出する中圧分取液体クロマトグラフィーにて精製し、目的物82mgを薄黄色固体として得た。
融点:224-226℃
1H-NMR(CDCl3) : δ9.66(s, 1H), 8.46(s, 1H), 7.94(s, 1H), 7.90(d, J=9.6Hz, 1H), 7.66(dd, J=9.6, 1.8Hz, 1H), 3.85(q, J=7.5Hz, 2H), 2.97(s, 3H), 1.37(t, J=7.5Hz, 3H).
5-(トリフルオロメチル)チアゾール-2-アミン106mgを、ブロモベンゼン4mlに溶解させ、室温にて2-ブロモ-1-[3-(エチルスルホニル)-6-(トリフルオロメチル)イミダゾ[1,2-a]ピリジン-2-イル]エタノン300mgを添加した。添加終了後、該反応混合物を加熱還流下にて5時間攪拌した。反応終了後、該反応混合物に1M水酸化ナトリウム水溶液10mlを添加し、酢酸エチル(10ml×2)にて抽出した。得られた有機層を飽和食塩水、次いで無水硫酸ナトリウムの順で脱水・乾燥した後、減圧下にて溶媒を留去した。得られた残留物を、n-ヘキサン-酢酸エチル(100:0~50:50のグラジエント)にて溶出する中圧分取液体クロマトグラフィーにて精製し、目的物153mgを白色固体として得た。
融点:219-220℃
1H-NMR(CDCl3) : δ9.60(s, 1H), 8.44(s, 1H), 7.97-7.94(m, 1H), 7.87(d, J=9.6Hz, 1H), 7.62(dd, J=9.6, 1.5Hz, 1H), 3.59(q, J=7.5Hz, 2H), 1.30(t, J=7.5Hz, 3H).
工程1:1-メチル-N-[2-(メチルアミノ)-5-(トリフルオロメチル)ピリジン-3-イル]-5-(トリフルオロメチル)-1H-インドール-2-カルボキシアミドの合成
N2-メチル-5-(トリフルオロメチル)ピリジン-2,3-ジアミン573mgをピリジン10mlに溶解させ、室温にて1-メチル-5-(トリフルオロメチル)-1H-インドール-2-カルボン酸608mg、1-エチル-3-(3-ジメチルアミノプロピル)カルボジイミド塩酸塩959mg及び4-(ジメチルアミノ)ピリジン31mgを添加した。添加終了後、該反応混合物を室温にて終夜攪拌した。反応終了後、該反応混合物に水20mlを添加し、析出した固体を、濾過によりろ別することで、目的物1.02gの粗物を灰色固体として得た。このものは、さらなる精製を行うことなく、このまま次の工程に用いた。
工程1で得られた粗物の1-メチル-N-[2-(メチルアミノ)-5-(トリフルオロメチル)ピリジン-3-イル]-5-(トリフルオロメチル)-1H-インドール-2-カルボキシアミド968mgを酢酸10mlに溶解させ、加熱還流下にて3時間攪拌した。反応終了後、減圧下にて溶媒を留去した。得られた残留物に水10mlを添加し、酢酸エチル(10ml×2)にて抽出した。得られた有機層を飽和食塩水、次いで無水硫酸ナトリウムの順で脱水・乾燥した後、減圧下にて溶媒を留去した。得られた残留物を、n-ヘキサン-酢酸エチル(100:0~0:100のグラジエント)にて溶出する中圧分取液体クロマトグラフィーにて精製し、目的物638mgを肌色固体として得た。
融点:200-202℃
1H-NMR(DMSO-d6) : δ8.84(d, J=1.4Hz, 1H), 8.64(d, J=1.4Hz, 1H), 8.15(s, 1H), 7.86(d, J=8.9Hz, 1H), 7.63(dd, J=8.9, 1.4Hz, 1H), 7.46(s, 1H), 4.12(s, 3H), 4.06(s, 3H).
3-メチル-2-[1-メチル-5-(トリフルオロメチル)-1H-インドール-2-イル]-6-(トリフルオロメチル)-3H-イミダゾ[4,5-b]ピリジン478mgのN,N-ジメチルホルムアミド8mlの溶液に、室温にてN-ヨードスクシンイミド405mgを添加した。添加終了後、該反応混合物を加熱還流下にて7時間攪拌した。反応終了後、該反応混合物に飽和チオ硫酸ナトリウム水溶液を添加し、析出した固体を、濾過によりろ別することで、目的物675mgを白色固体として得た。
融点:165-167℃
1H-NMR(CDCl3) : δ8.82(d, J=1.4Hz, 1H), 8.43(d, J=1.4Hz, 1H), 7.90-7.87(m, 1H), 7.66(dd, J=8.7, 1.4Hz, 1H), 7.52(d, J=8.7Hz, 1H), 3.97(s, 3H), 3.85(s, 3H).
2-[3-ヨード-1-メチル-5-(トリフルオロメチル)-1H-インドール-2-イル]-3-メチル-6-(トリフルオロメチル)-3H-イミダゾ[4,5-b]ピリジン626mgの1,4-ジオキサン10mlの溶液に、室温にてジイソプロピルエチルアミン154mg、4,5’-ビス(ジフェニルホスフィノ)-9,9’-ジメチルキサンテン69mg、トリス(ジベンジリデンアセトン)ジパラジウム(0)54mg及びエタンチオール111mgを順次添加した。添加終了後、反応容器内を窒素ガスで置換した後、加熱還流下にて1.5時間撹拌した。反応終了後、該反応混合物をセライトろ過し、セライトをクロロホルムで洗浄した。得られたろ液と洗浄液を合わせ、減圧下にて溶媒を留去した。得られた残留物を、n-ヘキサン-酢酸エチル(100:0~50:50のグラジエント)にて溶出する中圧分取液体クロマトグラフィーにて精製し、目的物545mgを薄黄色固体として得た。
融点:153-155℃
1H-NMR(CDCl3) : δ8.80(s, 1H), 8.40(s, 1H), 8.19(s, 1H), 7.65(d, J=8.5Hz, 1H), 7.55(d, J=8.5Hz, 1H), 3.95(s, 3H), 3.85(s, 3H), 2.59(q, J=7.4Hz, 2H), 1.00(t, J=7.4Hz, 3H).
2-[3-(エチルチオ)-1-メチル-5-(トリフルオロメチル)-1H-インドール-2-イル]-3-メチル-6-(トリフルオロメチル)-3H-イミダゾ[4,5-b]ピリジン250mgのクロロホルム5mlの溶液に、氷冷下にて65質量%メタクロロ過安息香酸(約30質量%の水を含む)333mgを添加した。添加終了後、該反応混合物を室温にて2時間攪拌した。反応終了後、該反応混合物に、飽和チオ硫酸ナトリウム水溶液を添加し、クロロホルム(10ml)にて抽出した。得られた有機層を、1M水酸化ナトリウム水溶液で洗浄し、無水硫酸ナトリウムで脱水・乾燥した後、減圧下にて溶媒を留去した。得られた残留物をn-ヘキサン-酢酸エチル(100:0~0:100のグラジエント)にて溶出する中圧分取液体クロマトグラフィーにて精製し、目的物245mgを白色固体として得た。
融点:143-146℃
1H-NMR(CDCl3) : δ8.83(s, 1H), 8.50(s, 1H), 8.40(d, =1.7Hz, 1H), 7.75(dd, J=8.5, 1.7Hz, 1H), 7.63(d, J=8.5Hz, 1H), 3.88(s, 3H), 3.73(s, 3H), 3.30-3.11(m, 2H), 1.27(t, J=7.2Hz, 3H).
工程1:N-[2-(メチルアミノ)-5-(トリフルオロメチル)ピリジン-3-イル]-5-(トリフルオロメチル)ベンゾ[b]チオフェン-2-カルボキシアミドの合成
N2-メチル-5-(トリフルオロメチル)ピリジン-2,3-ジアミン573mgをピリジン10mlに溶解させ、室温にて5-(トリフルオロメチル)ベンゾ[b]チオフェン-2-カルボン酸615mg、1-エチル-3-(3-ジメチルアミノプロピル)カルボジイミド塩酸塩959mg及び4-(ジメチルアミノ)ピリジン31mgを添加した。添加終了後、該反応混合物を室温にて終夜攪拌した。反応終了後、該反応混合物に水20mlを添加し、析出した固体を、濾過によりろ別することで、目的物939mgの粗物を灰色固体として得た。このものは、さらなる精製を行うことなく、このまま次の工程に用いた。
工程1で得られた粗物のN-[2-(メチルアミノ)-5-(トリフルオロメチル)ピリジン-3-イル]-5-(トリフルオロメチル)ベンゾ[b]チオフェン-2-カルボキシアミド877mgを酢酸10mlに溶解させ、加熱還流下にて3時間攪拌した。反応終了後、減圧下にて溶媒を留去した。得られた残留物に水10mlを添加し、酢酸エチル(10ml×2)にて抽出した。得られた有機層を飽和食塩水、次いで無水硫酸ナトリウムの順で脱水・乾燥した後、減圧下にて溶媒を留去した。得られた残留物を、n-ヘキサン-酢酸エチル(100:0~0:100のグラジエント)にて溶出する中圧分取液体クロマトグラフィーにて精製し、目的物683mgを肌色固体として得た。
融点:191-193℃
1H-NMR(DMSO-d6) : δ8.83-8.79(m, 1H), 8.62-8.59(m, 1H), 8.53(s, 1H), 8.44(s, 1H), 8.36(d, J=8.5Hz, 1H), 7.80(d, J=8.5Hz, 1H), 4.24(s, 3H).
3-メチル-6-(トリフルオロメチル)-2-[5-(トリフルオロメチル)ベンゾ[b]チオフェン-2-イル]-3H-イミダゾ[4,5-b]ピリジン400mgのN,N-ジメチルホルムアミド5mlの溶液に、80℃にて1,3-ジクロロ-5,5-ジメチルヒダントイン590mgを添加した。添加終了後、該反応混合物を80℃にて1.5時間攪拌した。反応終了後、該反応混合物に飽和チオ硫酸ナトリウム水溶液を添加し、析出した固体を、濾過によりろ別することで、目的物390mgを白色固体として得た。
融点:158-160℃
1H-NMR(CDCl3) : δ8.81-8.77(m, 1H), 8.41-8.38(m, 1H), 8.29-8.26(m, 1H), 8.06(d, J=8.5Hz, 1H), 7.80(d, J=8.5Hz, 1H), 4.04(s, 3H).
2-[3-クロロ-5-(トリフルオロメチル)ベンゾ[b]チオフェン-2-イル]-3-メチル-6-(トリフルオロメチル)-3H-イミダゾ[4,5-b]ピリジン370mgのN,N-ジメチルホルムアミド5mlの溶液に、80℃にてナトリウムエタンチオラート119mgを添加した。添加終了後、該反応混合物を80℃にて1.5時間撹拌した。撹拌終了後、該反応混合物に、80℃にてナトリウムエタンチオラート159mgを添加した。反応終了後、該反応混合物に水20mlを添加し、酢酸エチル(20ml×2)にて抽出した。得られた有機層を飽和食塩水、次いで無水硫酸ナトリウムの順で脱水・乾燥後、減圧下にて溶媒を留去した。得られた残留物を、n-ヘキサン-酢酸エチル(100:0~0:100のグラジエント)にて溶出するシリカゲルカラムクロマトグラフィーにて精製し、目的物186mgを黄色固体として得た。
融点:120-122℃
1H-NMR(CDCl3) : δ8.78(s, 1H), 8.41(s, 1H), 8.38(d, J=1.8Hz, 1H), 8.06(d, J=8.6Hz, 1H), 7.77-7.74(m, 1H), 3.96(s, 3H), 2.69(q, J=7.4Hz, 2H), 1.05(t, J=7.4Hz, 3H).
2-[3-(エチルチオ)-5-(トリフルオロメチル)ベンゾ[b]チオフェン-2-イル]-3-メチル-6-(トリフルオロメチル)-3H-イミダゾ[4,5-b]ピリジン147mgのクロロホルム3mlの溶液に、氷冷下にて65質量%メタクロロ過安息香酸(約30質量%の水を含む)195mgを添加した。添加終了後、該反応混合物を室温にて4時間攪拌した。反応終了後、該反応混合物に、飽和チオ硫酸ナトリウム水溶液を添加し、クロロホルム(10ml)にて抽出した。得られた有機層を、1M水酸化ナトリウム水溶液で洗浄し、無水硫酸ナトリウムで脱水・乾燥した後、減圧下にて溶媒を留去した。得られた残留物をn-ヘキサン-酢酸エチル(100:0~0:100のグラジエント)にて溶出する中圧分取液体クロマトグラフィーにて精製し、目的物104mgを白色固体として得た。
融点:70-75℃
1H-NMR(CDCl3) : δ8.85(s, 1H), 8.79(d, J=1.5Hz, 1H), 8.35(d, J=1.8Hz, 1H), 8.13(d, J=8.6Hz, 1H), 7.85(dd, J=8.6, 1.8Hz, 1H), 3.89(s, 3H), 3.38(q, J=7.5Hz, 2H), 1.32(t, J=7.5Hz, 3H).
工程1:2-[3-(エチルチオ)-7-(トリフルオロメチル)イミダゾ[1,2-a]ピリジン-2-イル]-6-(トリフルオロメチル)-2H-ピラゾロ[4,3-b]ピリジン(本発明化合物No.1-10-002b)の合成
3-ニトロ-5-(トリフルオロメチル)ピコリンアルデヒド400mg及び3-(エチルチオ)-7-(トリフルオロメチル)イミダゾ[1,2-a]ピリジン-2-アミン522mgのキシレン5mlの溶液を、加熱還流下にて1時間攪拌した。攪拌終了後、該反応混合物に亜リン酸トリエチル1.50gを室温にて添加した。添加終了後、該反応混合物を加熱還流下にて1時間攪拌した。反応終了後、該反応混合物から溶媒を留去した。得られた残留物を、n-ヘキサン-酢酸エチル(100:0~50:50のグラジエント)にて溶出する中圧分取液体クロマトグラフィーにて精製し、目的物613mgを薄黄色固体として得た。
融点:161-163℃
1H-NMR(CDCl3) : δ9.43-9.41(m, 1H), 8.85(d, J=2.1Hz, 1H), 8.76(d, J=7.4Hz, 1H), 8.53-8.49(m, 1H), 8.05-8.00(m, 1H), 7.30-7.20(m, 1H), 2.99(q, J=7.5Hz, 2H), 1.21(t, J=7.5Hz, 3H).
2-[3-(エチルチオ)-7-(トリフルオロメチル)イミダゾ[1,2-a]ピリジン-2-イル]-6-(トリフルオロメチル)-2H-ピラゾロ[4,3-b]ピリジン150mgのクロロホルム5mlの溶液に、氷冷下にてメタクロロ過安息香酸(35重量%の水を含む)204mgを添加した。添加終了後、該反応混合物を室温にて2時間攪拌した。攪拌終了後、該反応混合物に、室温にてメタクロロ過安息香酸(35重量%の水を含む)40mgを添加した。添加終了後、該反応混合物を室温にて2時間攪拌した。反応終了後、該反応混合物に飽和チオ硫酸ナトリウム水溶液3mlを添加し、クロロホルム(10ml×2)にて抽出した。得られた有機層を、1M水酸化ナトリウム水溶液で洗浄し、無水硫酸ナトリウムで脱水・乾燥した後、減圧下にて溶媒を留去した。得られた残留物を、n-ヘキサン-酢酸エチル(100:0~0:100のグラジエント)にて溶出する中圧分取液体クロマトグラフィーにて精製し、目的物61mgを白色固体として得た。
融点:245-247℃
1H-NMR(CDCl3) : δ9.44(d, J=7.2Hz, 1H), 9.17-9.15(m, 1H), 8.86(d, J=1.8Hz, 1H), 8.48-8.43(m, 1H), 8.13-8.09(m, 1H), 7.35-7.30(m, 1H), 4.04(q, J=7.5Hz, 2H), 1.48(t, J=7.5Hz, 3H).
工程1:4-アジド-6-(トリフルオロメチル)ニコチンアルデヒドの合成
4-クロロ-6-(トリフルオロメチル)ニコチンアルデヒド1.50gのN,N-ジメチルホルムアミド10mlの溶液に、氷冷下にてアジ化ナトリウム511mgを添加した。添加終了後、該反応混合物を室温にて3時間撹拌した。反応終了後、該反応混合物に水10mlを添加し、ジエチルエーテル(20ml×2)にて抽出した。得られた有機層を飽和食塩水、次いで無水硫酸ナトリウムの順で脱水・乾燥後、減圧下にて溶媒を留去した。得られた残留物を、n-ヘキサン-酢酸エチル(100:0~80:20のグラジエント)にて溶出するシリカゲルカラムクロマトグラフィーにて精製し、目的物2.13gを白色固体として得た。
融点:54-56℃
1H-NMR(CDCl3) : δ10.39(s, 1H), 9.06(s, 1H), 7.54(s, 1H).
4-アジド-6-(トリフルオロメチル)ニコチンアルデヒド200mg及び3-(エチルチオ)-7-(トリフルオロメチル)イミダゾ[1,2-a]ピリジン-2-アミン266mgのジクロロメタン5mlの溶液に、氷冷下にてトリエチルアミン282mg及び約1M塩化チタン(IV)0.56mlのジクロロメタン溶液1mlを順次添加した。添加終了後、該反応混合物を室温にて1時間撹拌した。反応終了後、減圧下にて該反応混合物から溶媒を留去した。得られた残留物をセライトろ過し、セライトをキシレン20mlで洗浄した。得られた洗浄液を、加熱還流下にて2時間攪拌した。反応終了後、該反応混合物に水10mlを添加し、酢酸エチル(20ml×2)にて抽出した。得られた有機層を飽和食塩水、次いで無水硫酸ナトリウムの順で脱水・乾燥後、減圧下にて溶媒を留去した。得られた残留物を、n-ヘキサン-酢酸エチル(100:0~50:50のグラジエント)にて溶出するシリカゲルカラムクロマトグラフィーにて精製し、目的物250mgを薄黄色固体として得た。
融点:183-185℃
1H-NMR(CDCl3) : δ9.40-9.37(m, 1H), 9.29(d, J=0.9Hz, 1H), 8.77(d, J=7.4Hz, 1H), 8.14(s, 1H), 8.04-7.99(m, 1H), 7.30-7.25(m, 1H), 3.02(q, J=7.4Hz, 2H), 1.21(t, J=7.4Hz, 3H).
2-[3-(エチルチオ)-7-(トリフルオロメチル)イミダゾ[1,2-a]ピリジン-2-イル]-6-(トリフルオロメチル)-2H-ピラゾロ[4,3-c]ピリジン120mgのクロロホルム5mlの溶液に、氷冷下にて65質量%メタクロロ過安息香酸(約30質量%の水を含む)164mgを添加した。添加終了後、該反応混合物を室温にて終夜攪拌した。反応終了後、該反応混合物に飽和チオ硫酸ナトリウム水溶液を添加し、クロロホルム(10ml×2)にて抽出した。得られた有機層を飽和炭酸水素ナトリウム水溶液で洗浄した後、無水硫酸ナトリウムで脱水・乾燥後、減圧下にて溶媒を留去した。得られた残留物をn-ヘキサン-酢酸エチル(100:0~0:100のグラジエント)にて溶出する中圧分取液体クロマトグラフィーにて精製し、目的物63mgを白色固体として得た。
融点:230-233℃
1H-NMR(CDCl3) : δ9.43(d, J=7.4Hz, 1H), 9.41-9.37(m, 1H), 9.07(s, 1H), 8.12-8.06(m, 2H), 7.36(dd, J=7.4, 1.8Hz, 1H), 4.03(q, J=7.4Hz, 2H), 1.48(t, J=7.4Hz, 3H).
工程1:3-(エチルチオ)-N-[2-メルカプト-5-(トリフルオロメチル)ピリジン-3-イル]-7-(トリフルオロメチル)イミダゾ[1,2-a]ピリジン-2-カルボキシアミドの合成
3-アミノ-5-(トリフルオロメチル)ピリジン-2-チオール500mgをピリジン5mlに溶解させ、室温にて3-(エチルチオ)-7-(トリフルオロメチル)イミダゾ[1,2-a]ピリジン-2-カルボン酸621mg、1-エチル-3-(3-ジメチルアミノプロピル)カルボジイミド塩酸塩820mg及び1-ヒドロキシベンゾトリアゾール10mgを添加した。添加終了後、該反応混合物を室温にて終夜攪拌した。反応終了後、該反応混合物に水を添加し、析出した固体を、濾過によりろ別することで、目的物234mgの粗物を茶色固体として得た。このものは、さらなる精製を行うことなく、このまま次の工程に用いた。
工程1で得られた粗物の3-(エチルチオ)-N-[2-メルカプト-5-(トリフルオロメチル)ピリジン-3-イル]-7-(トリフルオロメチル)イミダゾ[1,2-a]ピリジン-2-カルボキシアミド214mgをプロピオン酸5mlに溶解させ、加熱還流下にて4時間攪拌した。撹拌終了後、該反応混合物を室温にて終夜撹拌した。反応終了後、該反応混合物に、水を添加し、酢酸エチル(10ml×2)にて抽出した。得られた有機層を、1M水酸化ナトリウム水溶液で洗浄し、無水硫酸ナトリウムで脱水・乾燥した後、減圧下にて溶媒を留去した。得られた残留物をn-ヘキサン-酢酸エチル(100:0~0:100のグラジエント)にて溶出する中圧分取液体クロマトグラフィーにて精製し、目的物20mgを白色固体として得た。
融点:150-160℃
1H-NMR(CDCl3) : δ8.91-8.87(m, 1H), 8.71(d, J=7.5Hz, 1H), 8.65-8.61(m, 1H), 8.06(s, 1H), 7.20(dd, J=7.5, 1.5Hz, 1H), 3.08(q, J=7.4Hz, 2H), 1.27(t, J=7.4Hz, 3H).
2-[3-(エチルチオ)-7-(トリフルオロメチル)イミダゾ[1,2-a]ピリジン-2-イル]-6-(トリフルオロメチル)チアゾロ[5,4-b]ピリジン20mgのクロロホルム3mlの溶液に、氷冷下にて65質量%メタクロロ過安息香酸(約30質量%の水を含む)27mgを添加した。添加終了後、該反応混合物を室温にて2時間攪拌した。反応終了後、該反応混合物に、飽和チオ硫酸ナトリウム水溶液を添加し、クロロホルム(10ml×2)にて抽出した。得られた有機層を、1M水酸化ナトリウム水溶液で洗浄し、無水硫酸ナトリウムで脱水・乾燥した後、減圧下にて溶媒を留去した。得られた残留物を、n-ヘキサン-酢酸エチル(100:0~50:50のグラジエント)にて溶出する中圧分取液体クロマトグラフィーにて精製し、目的物15mgを白色固体として得た。
融点:243-245℃
1H-NMR(CDCl3) : δ9.53(d, J=7.5Hz, 1H), 8.95-8.93(m, 1H), 8.63-8.61(m, 1H), 8.17-8.14(m, 1H), 7.30(dd, J=7.5, 1.9Hz, 1H), 4.10(q, J=7.5Hz, 2H), 1.45(t, J=7.5Hz, 3H).
工程1:3-(エチルチオ)-N-[5-ヨード-2-(メチルアミノ)ピリジン-3-イル]-7-(トリフルオロメチル)イミダゾ[1,2-a]ピリジン-2-カルボキシアミドの合成
5-ヨード-N2-メチルピリジン-2,3-ジアミン1.59gをピリジン15mlに溶解させ、室温にて3-(エチルチオ)-7-(トリフルオロメチル)イミダゾ[1,2-a]ピリジン-2-カルボン酸1.54g及び1-エチル-3-(3-ジメチルアミノプロピル)カルボジイミド塩酸塩2.45gを添加した。添加終了後、該反応混合物を室温にて終夜攪拌した。反応終了後、該反応混合物に水を添加し、析出した固体を、濾過によりろ別することで、目的物2.49gの粗物を灰色固体として得た。このものは、さらなる精製を行うことなく、このまま次の工程に用いた。
1H-NMR(CDCl3) : δ8.97(brs, 1H), 8.71(d, J=7.2Hz, 1H), 8.27(d, J=2.0Hz, 1H), 8.07(d, J=2.0Hz, 1H), 7.96(s, 1H), 7.19(dd, J=7.2, 2.0Hz, 1H), 4.78(brs, 1H), 3.08(q, J=7.4Hz, 2H), 3.03(d, J=4.8Hz, 3H), 1.22(t, J=7.4Hz, 3H).
工程1で得られた粗物の3-(エチルチオ)-N-[5-ヨード-2-(メチルアミノ)ピリジン-3-イル]-7-(トリフルオロメチル)イミダゾ[1,2-a]ピリジン-2-カルボキシアミド2.49gを酢酸15mlに溶解させ、加熱還流下にて3.5時間攪拌した。反応終了後、該反応混合物に水を添加し、析出した固体を、濾過によりろ別した。得られた固体をn-ヘキサンで洗浄し、目的物2.02gを茶色固体として得た。
融点:230-233℃
1H-NMR(CDCl3) : δ8.76(d, J=7.2Hz, 1H), 8.62(d, J=1.7Hz, 1H), 8.47(d, J=1.7Hz, 1H), 8.03(s, 1H), 7.19(dd, J=7.2, 1.7Hz, 1H), 4.25(s, 3H), 3.11(q, J=7.5Hz, 2H), 1.20(t, J=7.5Hz, 3H).
2-[3-(エチルチオ)-7-(トリフルオロメチル)イミダゾ[1,2-a]ピリジン-2-イル]-6-ヨード-3-メチル-3H-イミダゾ[4,5-b]ピリジン503mgの1,4-ジオキサン10mlの溶液に、室温にてジイソプロピルエチルアミン387mg、4,5’-ビス(ジフェニルホスフィノ)-9,9’-ジメチルキサンテン58mg、トリス(ジベンジリデンアセトン)ジパラジウム(0)92mg及び3-メルカプトプロピオン酸2-エチルヘキシル262mgを順次添加した。添加終了後、反応容器内を窒素ガスで置換した後、加熱還流下にて4時間撹拌した。反応終了後、該反応混合物に水10mlを添加し、ジエチルエーテル(10ml×2)にて抽出した。得られた有機層を飽和食塩水、次いで無水硫酸ナトリウムの順で脱水・乾燥後、減圧下にて溶媒を留去した。得られた残留物を、n-ヘキサン-酢酸エチル(100:0~80:20のグラジエント)にて溶出する中圧分取液体クロマトグラフィーにて精製し、目的物599mgを黄色固体として得た。
融点:94-96℃
1H-NMR(CDCl3) : δ8.76(d, J=7.2Hz, 1H), 8.53(d, J=2.0Hz, 1H), 8.27(d, J=2.0Hz, 1H), 8.03(s, 1H), 7.18(dd, J=7.2, 1.9Hz, 1H), 4.27(s, 3H), 4.01(dd, J=5.8, 1.7Hz, 2H), 3.20-3.05(m, 4H), 2.62(t, J=7.3Hz, 2H), 1.45-1.20(m, 12H), 0.89(t, J=7.5Hz, 6H).
窒素雰囲気下、2-エチルへキシル 3-((2-(3-(エチルチオ)-7-(トリフルオロメチル)イミダゾ[1,2-a]ピリジン-2-イル)-3-メチル-3H-イミダゾ[4,5-b]ピリジン-6-イル)チオ)プロパノエート560mgのテトラヒドロフラン5ml溶液に、氷冷下にてカリウム tert-ブトキシド159mgを添加した。添加終了後、該反応混合物を氷冷下にて30分間撹拌した。撹拌終了後、該反応混合物に、氷冷下にてS-(トリフルオロメチル)ジベンゾチオフェニウム トリフルオロメタンスルホナート756mgを添加した。添加終了後、該反応混合物を室温にて終夜撹拌した。反応終了後、該反応混合物に水を添加し、クロロホルム(10ml×2)にて抽出した。得られた有機層を飽和炭酸水素ナトリウム水溶液で洗浄した後、無水硫酸ナトリウムで脱水・乾燥後、減圧下にて溶媒を留去した。得られた残留物をn-ヘキサン-酢酸エチル(100:0~80:20のグラジエント)にて溶出する薄層クロマトグラフィーにて精製し、目的物69mgを薄黄色固体として得た。
融点:209-210℃
1H-NMR(CDCl3) : δ8.77(d, J=7.2Hz, 1H), 8.66(d, J=2.0Hz, 1H), 8.46(d, J=2.0Hz, 1H), 8.05-8.02(m, 1H), 7.20(dd, J=7.2, 1.9Hz, 1H), 4.31(s, 3H), 3.14(q, J=7.4Hz, 2H), 1.21(t, J=7.4Hz, 3H).
2-[3-(エチルチオ)-7-(トリフルオロメチル)イミダゾ[1,2-a]ピリジン-2-イル]-3-メチル-6-((トリフルオロメチル)チオ)-3H-イミダゾ[4,5-b]ピリジン31mgのクロロホルム3mlの溶液に、氷冷下にて65質量%メタクロロ過安息香酸(約30質量%の水を含む)38mgを添加した。添加終了後、該反応混合物を室温にて2時間攪拌した。反応終了後、該反応混合物に、飽和チオ硫酸ナトリウム水溶液を添加し、クロロホルム(10ml×2)にて抽出した。得られた有機層を、1M水酸化ナトリウム水溶液で洗浄し、無水硫酸ナトリウムで脱水・乾燥した後、減圧下にて溶媒を留去した。得られた残留物を、n-ヘキサン-酢酸エチル(100:0~50:50のグラジエント)にて溶出する中圧分取液体クロマトグラフィーにて精製し、目的物34mgを白色固体として得た。
融点:220-223℃
1H-NMR(CDCl3) : δ9.41(d, J=7.4Hz, 1H), 8.70(d, J=2.0Hz, 1H), 8.41(d.J=2.0Hz, 1H), 8.14(s, 1H), 7.31(dd, J=7.4, 1.6Hz, 1H), 4.16(s, 3H), 4.11(q, J=7.4Hz, 2H), 1.45(t, J=7.4Hz, 3H).
2-[3-(エチルスルホニル)-7-(トリフルオロメチル)イミダゾ[1,2-a]ピリジン-2-イル]-3-メチル-6-(トリフルオロメチル)-3H-イミダゾ[4,5-b]ピリジン500mgのアセトニトリル15mlの溶液に、氷冷下にて65質量%メタクロロ過安息香酸(約30質量%の水を含む)834mgを添加した。添加終了後、該反応混合物を50℃にて20時間時間攪拌した。撹拌終了後、該反応混合物に、室温にて65質量%メタクロロ過安息香酸(約30質量%の水を含む)279mgを添加した。添加終了後、該反応混合物を50℃にて20時間時間攪拌した。撹拌終了後、該反応混合物に、室温にて65質量%メタクロロ過安息香酸(約30質量%の水を含む)418mgを添加した。添加終了後、該反応混合物を50℃にて20時間時間攪拌した。反応終了後、該反応混合物に、飽和チオ硫酸ナトリウム水溶液を添加し、クロロホルム(20ml×2)にて抽出した。得られた有機層を、1M水酸化ナトリウム水溶液で洗浄し、無水硫酸ナトリウムで脱水・乾燥した後、減圧下にて溶媒を留去した。得られた残留物を、n-ヘキサン-酢酸エチル(100:0~0:100のグラジエント)にて溶出する中圧分取液体クロマトグラフィーにて精製し、目的物67mgを白色固体として得た。
1H-NMR(CDCl3) : δ9.35(d, J=7.2Hz, 1H), 8.48-8.46(m, 1H), 8.19-8.16(m, 1H), 7.96(s, 1H), 7.35(dd, J=7.2, 1.7Hz, 1H), 4.58(s, 3H), 3.94(q, J=7.4Hz, 2H), 1.46(t, J=7.4Hz, 3H).
工程1:3-(エチルチオ)-N-[3-(メチルアミノ)-6-(トリフルオロメチル)ピリダジン-4-イル]-6-(トリフルオロメチル)イミダゾ[1,2-a]ピリジン-2-カルボキシアミドの合成
4-ブロモ-N-メチル-6-(トリフルオロメチル)ピリダジン-3-アミン300mg、3-(エチルチオ)-6-(トリフルオロメチル)イミダゾ[1,2-a]ピリジン-カルボキシアミド509mg、リン酸カリウム497mg及びN,N’-ジメチルエチレンジアミン52mgをN,N-ジメチルホルムアミド4mlに溶解させ、室温にてヨウ化銅(I)56mgを添加した。添加終了後、反応容器内を窒素ガスで置換した後、90℃にて9時間撹拌した。反応終了後、該反応混合物に水10mlを添加し、酢酸エチル(10ml×2)にて抽出した。得られた有機層を飽和食塩水、次いで無水硫酸ナトリウムの順で脱水・乾燥後、減圧下にて溶媒を留去し、目的物である3-(エチルチオ)-N-[3-(メチルアミノ)-6-(トリフルオロメチル)ピリダジン-4-イル]-6-(トリフルオロメチル)イミダゾ[1,2-a]ピリジン-2-カルボキシアミドの粗物を得た。このものは、さらなる精製を行うことなく、このまま次工程に用いた。
工程1で得られた粗物の3-(エチルチオ)-N-[3-(メチルアミノ)-6-(トリフルオロメチル)ピリダジン-4-イル]-7-(トリフルオロメチル)イミダゾ[1,2-a]ピリジン-2-カルボキシアミドを酢酸10mlに溶解させ、加熱還流下にて7時間攪拌した。反応終了後、減圧下にて溶媒を留去した。得られた残留物に水10mlを添加し、酢酸エチル(10ml×2)にて抽出した。得られた有機層を飽和炭酸水素ナトリウム水溶液、28質量%アンモニア水の順で洗浄した後、飽和食塩水、次いで無水硫酸ナトリウムで脱水・乾燥後、減圧下にて溶媒を留去した。飽和食塩水、次いで無水硫酸ナトリウムの順で脱水・乾燥した後、減圧下にて溶媒を留去した。得られた残留物を、n-ヘキサン-酢酸エチル(100:0~25:75のグラジエント)にて溶出する中圧分取液体クロマトグラフィーにて精製し、目的物72mgを薄黄色固体として得た。
融点:240-242℃
1H-NMR(CDCl3) : δ9.05-9.00(m, 1H), 8.23(s, 1H), 7.85(d, J=9.8Hz, 1H), 7.56(dd, J=9.4, 1.6Hz, 1H), 4.55(s, 3H), 3.16(q, J=7.4Hz, 2H), 1.25(t, J=7.4Hz, 3H).
8-[3-(エチルチオ)-6-(トリフルオロメチル)イミダゾ[1,2-a]ピリジン-2-イル]-9-メチル-(トリフルオロメチル)-9H-イミダゾ[4,5-c]ピリダジン62mgのクロロホルム5mlの溶液に、氷冷下にて65質量%メタクロロ過安息香酸(約30質量%の水を含む)81mgを添加した。添加終了後、該反応混合物を室温にて1時間攪拌した。反応終了後、該反応混合物に、飽和チオ硫酸ナトリウム水溶液を添加し、クロロホルム(10ml)にて抽出した。得られた有機層を、飽和炭酸水素ナトリウム水溶液で洗浄し、無水硫酸ナトリウムで脱水・乾燥した後、減圧下にて溶媒を留去した。得られた残留物を、n-ヘキサン-酢酸エチル(100:0~25:75のグラジエント)にて溶出する中圧分取液体クロマトグラフィーにて精製し、目的物66mgを薄黄色固体として得た。
融点:274-276℃
1H-NMR(CDCl3) : δ9.70-9.60(m, 1H), 8.22(s, 1H), 7.99(d, J=9.4Hz, 1H), 7.75(dd, J=9.4, 1.6Hz, 1H), 4.38(s, 3H), 4.05(q, J=7.4Hz, 2H), 1.48(t, J=7.4Hz, 3H).
工程1:3-メチル-6-(トリフルオロメチル)-2-[6-(トリフルオロメチル)イミダゾ[1,2-a]ピリミジン-2-イル]-3H-イミダゾ[4,5-b]ピリジンの合成
5-(トリフルオロメチル)ピリミジン-2-アミン250mgを、アセトニトリル10mlに溶解させ、室温にて2-ブロモ-1-[3-メチル-6-(トリフルオロメチル)-3H-イミダゾ[4,5-b]ピリジン-2-イル]エタノン550mgを添加した。添加終了後、該反応混合物を加熱還流下にて7.5時間攪拌した。反応終了後、該反応混合物に水10mlを添加し、析出した固体を、濾過によりろ別することで、目的物445mgを黄色固体として得た。
融点:283-285℃
1H-NMR(CDCl3) : δ8.92-8.89(m, 1H), 8.84(d, J=2.4Hz, 1H), 8.73(s, 1H), 8.57(s, 1H), 8.29(s, 1H), 4.53(s, 3H).
3-メチル-6-(トリフルオロメチル)-2-[6-(トリフルオロメチル)イミダゾ[1,2-a]ピリミジン-2-イル]-3H-イミダゾ[4,5-b]ピリジン415mgのN,N-ジメチルホルムアミド4mlの溶液に、80℃にて1,3-ジヨード-5,5-ジメチルヒダントイン408mgを添加した。添加終了後、該反応混合物を80℃にて3時間攪拌した。反応終了後、該反応混合物に飽和チオ硫酸ナトリウム水溶液を添加し、析出した固体を、濾過によりろ別することで、目的物468mgを黄色固体として得た。
融点:260-265℃
1H-NMR(CDCl3) : δ9.00-8.86(m, 1H), 8.81(d, J=2.4Hz, 1H), 8.74(d, J=1.5Hz, 1H), 8.42(d, J=1.5Hz, 1H), 4.43(s, 3H).
2-[3-ヨード-6-(トリフルオロメチル)イミダゾ[1,2-a]ピリミジン-2-イル]-3-メチル-6-(トリフルオロメチル)-3H-イミダゾ[4,5-b]ピリジン438mgの1,4-ジオキサン10mlの溶液に、室温にてジイソプロピルエチルアミン334mg、4,5’-ビス(ジフェニルホスフィノ)-9,9’-ジメチルキサンテン50mg、トリス(ジベンジリデンアセトン)ジパラジウム(0)39mg及びエタンチオール106mgを順次添加した。添加終了後、反応容器内を窒素ガスで置換した後、加熱還流下にて3時間撹拌した。反応終了後、該反応混合物に水を添加し、析出した固体を、濾過によりろ別した。得られた固体を、ジイソプロピルエーテルで洗浄し、目的物337mgを黄色固体として得た。
融点:220-222℃
1H-NMR(CDCl3) : δ9.27-9.23(m, 1H), 8.88(d, J=2.1Hz, 1H), 8.75(s, 1H), 8.42(s, 1H), 4.42(s, 3H), 3.25(q, J=7.5Hz, 2H), 1.26(t, J=7.5Hz, 3H).
2-[3-(エチルチオ)-6-(トリフルオロメチル)イミダゾ[1,2-a]ピリミジン-2-イル]-3-メチル-6-(トリフルオロメチル)-3H-イミダゾ[4,5-b]ピリジン297mgのクロロホルム7mlの溶液に、氷冷下にて65質量%メタクロロ過安息香酸(約30質量%の水を含む)371mgを添加した。添加終了後、該反応混合物を室温にて3.5時間攪拌した。攪拌終了後、該反応混合物に、室温にてメタクロロ過安息香酸(35重量%の水を含む)100mgを添加した。添加終了後、該反応混合物を室温にて1時間攪拌した。攪拌終了後、該反応混合物に、室温にてメタクロロ過安息香酸(35重量%の水を含む)50mgを添加した。添加終了後、該反応混合物を室温にて1時間攪拌した。反応終了後、該反応混合物に、飽和チオ硫酸ナトリウム水溶液を添加し、クロロホルム(10ml×2)にて抽出した。得られた有機層を、飽和炭酸水素ナトリウム水溶液で洗浄し、無水硫酸ナトリウムで脱水・乾燥した後、減圧下にて溶媒を留去した。得られた残留物を、n-ヘキサン-酢酸エチル(100:0~50:50のグラジエント)にて溶出する中圧分取液体クロマトグラフィーにて精製し、目的物150mgを白色固体として得た。
融点:244-248℃
1H-NMR(CDCl3) : δ10.00-9.95(m, 1H), 9.04(d, J=2.4Hz, 1H), 8.80(s, 1H), 8.41-8.37(m, 1H), 4.30(s, 3H), 4.27(q, J=7.5Hz, 2H), 1.49(t, J=7.5Hz, 3H).
工程1:3-メチル-6-(トリフルオロメチル)-2-[7-(トリフルオロメチル)イミダゾ[1,2-c]ピリミジン-2-イル]-3H-イミダゾ[4,5-b]ピリジンの合成
6-(トリフルオロメチル)ピリミジン-4-アミン251mgを、アセトニトリル10mlに溶解させ、室温にて2-ブロモ-1-[3-メチル-6-(トリフルオロメチル)-3H-イミダゾ[4,5-b]ピリジン-2-イル]エタノン550mgを添加した。添加終了後、該反応混合物を加熱還流下にて7.5時間攪拌した。反応終了後、該反応混合物に水10mlを添加し、析出した固体を、濾過によりろ別することで、目的物335mgを黄色固体として得た。
融点:257-260℃
1H-NMR(CDCl3) : δ9.22(s, 1H), 8.73(d, J=1.2Hz, 1H), 8.64(s, 1H), 8.29(d, J=1.8Hz, 1H), 8.05(s, 1H), 4.47(s, 3H).
3-メチル-6-(トリフルオロメチル)-2-[7-(トリフルオロメチル)イミダゾ[1,2-c]ピリミジン-2-イル]-3H-イミダゾ[4,5-b]ピリジン300mgのN,N-ジメチルホルムアミド5mlの溶液に、80℃にて1,3-ジブロモ-5,5-ジメチルヒダントイン244mgを添加した。添加終了後、該反応混合物を80℃にて30分間攪拌した。反応終了後、該反応混合物に飽和チオ硫酸ナトリウム水溶液を添加し、析出した固体を、濾過によりろ別することで、目的物468mgの粗物を黄色固体として得た。このものは、さらなる精製を行うことなく、このまま次の工程に用いた。
1H-NMR(CDCl3) : δ9.27(s, 1H), 8.75(d, J=0.9Hz, 1H), 8.43(d, J=1.5Hz, 1H), 8.02(s, 1H), 4.37(s, 3H).
工程2で得られた粗物の2-[3-ブロモ-7-(トリフルオロメチル)イミダゾ[1,2-c]ピリミジン-2-イル]-3-メチル-6-(トリフルオロメチル)-3H-イミダゾ[4,5-b]ピリジン452mgの1,4-ジオキサン10mlの溶液に、室温にてジイソプロピルエチルアミン377mg、4,5’-ビス(ジフェニルホスフィノ)-9,9’-ジメチルキサンテン56mg、トリス(ジベンジリデンアセトン)ジパラジウム(0)44mg及びエタンチオール121mgを順次添加した。添加終了後、反応容器内を窒素ガスで置換した後、加熱還流下にて6.5時間撹拌した。撹拌終了後、該反応混合物に、室温にてジイソプロピルエチルアミン754mg、4,5’-ビス(ジフェニルホスフィノ)-9,9’-ジメチルキサンテン112mg、トリス(ジベンジリデンアセトン)ジパラジウム(0)88mg及びエタンチオール242mgを順次添加した。添加終了後、反応容器内を窒素ガスで置換した後、加熱還流下にて5時間撹拌した。反応終了後、該反応混合物に水を添加し、析出した固体を、濾過によりろ別した。得られた固体を、ジイソプロピルエーテルで洗浄し、目的物371mgを茶色固体として得た。
融点:198-200℃
1H-NMR(CDCl3) : δ9.54(s, 1H), 8.77-8.73(m, 1H), 8.41(s, 1H), 8.01(s, 1H), 4.32(s, 3H), 3.24(q, J=7.5Hz, 2H), 1.26(t, J=7.5Hz, 3H).
工程3で得られた2-[3-(エチルチオ)-7-(トリフルオロメチル)イミダゾ[1,2-c]ピリミジン-2-イル]-3-メチル-6-(トリフルオロメチル)-3H-イミダゾ[4,5-b]ピリジン315mgのクロロホルム10mlの溶液に、氷冷下にて65質量%メタクロロ過安息香酸(約30質量%の水を含む)412mgを添加した。添加終了後、該反応混合物を室温にて3時間攪拌した。攪拌終了後、該反応混合物に、室温にてメタクロロ過安息香酸(35重量%の水を含む)206mgを添加した。添加終了後、該反応混合物を室温にて2時間攪拌した。反応終了後、該反応混合物に、飽和チオ硫酸ナトリウム水溶液を添加し、クロロホルム(10ml×2)にて抽出した。得られた有機層を、飽和炭酸水素ナトリウム水溶液で洗浄し、無水硫酸ナトリウムで脱水・乾燥した後、減圧下にて溶媒を留去した。得られた残留物を、n-ヘキサン-酢酸エチル(100:0~50:50のグラジエント)にて溶出する中圧分取液体クロマトグラフィーにて精製し、目的物139mgを白色固体として得た。
融点:238-240℃
1H-NMR(CDCl3) : δ10.15(s, 1H), 8.80(s, 1H), 8.39(s, 1H), 8.15(s, 1H), 4.22(s, 3H), 4.22(q, J=7.5Hz, 2H), 1.50(t, J=7.5Hz, 3H).
5-(トリフルオロメチル)ピラジン-2-アミン103mgを、ブロモベンゼン4mlに溶解させ、室温にて、2-ブロモ-1-[3-(エチルスルホニル)-6-(トリフルオロメチル)イミダゾ[1,2-a]ピリジン-2-イル]エタノン300mgを添加した。添加終了後、該反応混合物を加熱還流下にて5時間攪拌した。反応終了後、該反応混合物に1M水酸化ナトリウム水溶液10mlを添加し、酢酸エチル(10ml×2)にて抽出した。得られた有機層を飽和食塩水、次いで無水硫酸ナトリウムの順で脱水・乾燥した後、減圧下にて溶媒を留去した。得られた残留物を、n-ヘキサン-酢酸エチル(100:0~0:100のグラジエント)にて溶出する中圧分取液体クロマトグラフィーにて精製し、目的物38mgを白色固体として得た。
融点:266-270℃
1H-NMR(CDCl3) : δ9.63(s, 1H), 9.24(s, 1H), 8.68(s, 1H), 8.62(s, 1H), 7.93(d, J=9.3Hz, 1H), 7.66(dd, J=9.3, 1.8Hz, 1H), 3.70(q, J=7.5Hz, 2H), 1.35(t, J=7.5Hz, 3H).
工程1:N-[5-アミノ-2-(トリフルオロメチル)ピリジン-4-イル]-7-クロロ-3-(エチルチオ)イミダゾ[1,2-a]ピリジン-2-カルボキシアミドの合成
6-(トリフルオロメチル)ピリジン-3,4-ジアミン470mgをピリジン7mlに溶解させ、室温にて7-クロロ-3-(エチルチオ)イミダゾ[1,2-a]ピリジン-2-カルボン酸486mg及び1-エチル-3-(3-ジメチルアミノプロピル)カルボジイミド塩酸塩752mgを添加した。添加終了後、該反応混合物を室温にて終夜攪拌した。反応終了後、該反応混合物に水20mlを添加し、析出した固体を、濾過によりろ別することで、目的物749mgの粗物を黄色固体として得た。このものは、さらなる精製を行うことなく、このまま次の工程に用いた。
工程1で得られた粗物のN-[5-アミノ-2-(トリフルオロメチル)ピリジン-4-イル]-7-クロロ-3-(エチルチオ)イミダゾ[1,2-a]ピリジン-2-カルボキシアミド749mgをプロピオン酸7mlに溶解させ、加熱還流下にて20時間攪拌した。撹拌終了後、該反応混合物中に析出した固体を、濾過によりろ別した。得られた固体を、水で洗浄し、目的物761mgを茶色固体として得た。このものはさらなる精製を行うことなく、このまま次の工程に用いた。
63質量%水素化ナトリウム(鉱油中に分散)219mgのN,N-ジメチルホルムアミド10ml溶液に、氷冷下にて2-[7-クロロ-3-(エチルチオ)イミダゾ[1,2-a]ピリジン-2-イル]-6-(トリフルオロメチル)-3H-イミダゾ[4,5-c]ピリジン761mgのN,N-ジメチルホルムアミド10ml溶液を添加した。添加終了後、該反応混合物を氷冷下にて30分間攪拌した。攪拌終了後、該反応混合物に、氷冷下にてトリフルオロメタンスルホン酸メチル940mgを添加した。添加終了後、該反応混合物を室温にて1時間攪拌した。反応終了後、該反応混合物に水20mlを添加し、ジエチルエーテル(20ml×2)にて抽出した。得られた有機層を飽和食塩水、次いで無水硫酸ナトリウムの順で脱水・乾燥後、減圧下にて溶媒を留去した。得られた残留物を、n-ヘキサン-酢酸エチル(100:0~50:50のグラジエント)にて溶出する中圧分取液体クロマトグラフィーにて精製し、目的物である2-[7-クロロ-3-(エチルチオ)イミダゾ[1,2-a]ピリジン-2-イル]-3-メチル-6-(トリフルオロメチル)-3H-イミダゾ[4,5-c]ピリジン65mg及び目的物である2-[7-クロロ-3-(エチルチオ)イミダゾ[1,2-a]ピリジン-2-イル]-1-メチル-6-(トリフルオロメチル)-1H-イミダゾ[4,5-c]ピリジン247mgをそれぞれ白色固体として得た。
1H-NMR(CDCl3) : δ8.95(s, 1H), 8.59(d, J=7.5Hz, 1H), 8.19(s, 1H), 7.74-7.71(m, 1H), 7.03(dd, J=7.5, 2.1Hz, 1H), 4.33(s, 3H), 3.09(q, J=7.5Hz, 2H), 1.19(t, J=7.5Hz, 3H).
2-[7-クロロ-3-(エチルチオ)イミダゾ[1,2-a]ピリジン-2-イル]-1-メチル-6-(トリフルオロメチル)-1H-イミダゾ[4,5-c]ピリジンの融点:187-188℃
1H-NMR(CDCl3) : δ9.24(s, 1H), 8.59(dd, J=7.2, 0.6Hz, 1H), 7.81(s, 1H), 7.73-7.69(m, 1H), 7.03(dd, J=7.2, 1.8Hz, 1H), 4.26(s, 3H), 3.10(q, J=7.5Hz, 2H), 1.20(t, J=7.5Hz, 3H).
工程1:2-(エチルチオ)-1-[3-メチル-6-(トリフルオロメチル)-3H-イミダゾ[4,5-b]ピリジン-2-イル]エタノンの合成
2-ブロモ-1-[3-メチル-6-(トリフルオロメチル)-3H-イミダゾ[4,5-b]ピリジン-2-イル]エタノン20gのN,N-ジメチルホルムアミド80ml溶液に、氷冷下にて、エタンチオール4.2g及び炭酸カリウム9.4gを順次添加した。添加終了後、該反応混合物を氷冷下にて30分間攪拌した。撹拌終了後、該反応混合物を室温にて1時間攪拌した。反応終了後、該反応混合物に水100mlを添加し、酢酸エチル(100ml×2)にて抽出した。得られた有機層を飽和食塩水、次いで無水硫酸ナトリウムの順で脱水・乾燥後、減圧下にて溶媒を留去した。得られた残留物を、n-ヘキサン-酢酸エチル(100:0~80:20のグラジエント)にて溶出する中圧分取液体クロマトグラフィーにて精製し、目的物13.8gを薄黄色固体として得た。
融点:67-69℃
1H-NMR(CDCl3) : δ8.85-8.80(m, 1H), 8.45-8.40(m, 1H), 4.24(s, 3H), 4.07(s, 2H), 2.66(q, J=7.4Hz, 2H), 1.31(t, J=7.4Hz, 3H).
2-(エチルチオ)-1-[3-メチル-6-(トリフルオロメチル)-3H-イミダゾ[4,5-b]ピリジン-2-イル]エタノン11.4gのジクロロメタン100ml溶液に、室温にてトリエチルアミン4.2gを添加した。添加終了後、該反応混合物を-20℃に冷却し、トリフルオロメタンスルホン酸トリメチルシリル8.8gを添加した。添加終了後、該反応混合物を氷冷下にて20分間撹拌した。撹拌終了後、該反応混合物を-20℃に冷却し、トリメチルフェニルアンモニウムトリブロミド14.1gを添加した。添加終了後、該反応混合物を氷冷下にて30分間撹拌した。反応終了後、該反応混合物を、氷冷下にて水100mlに滴下し、クロロホルム(100ml×2)にて抽出した。得られた有機層を、無水硫酸ナトリウムで脱水・乾燥した後、減圧下にて溶媒を留去することで、目的物13.4gを赤茶色油状物として得た。
1H-NMR(CDCl3) : δ8.90-8.80(m, 1H), 8.50-8.40(m, 1H), 7.14(s, 1H), 4.27(s, 3H), 3.05-2.80(m, 2H), 1.39(t, J=7.6Hz, 3H).
5-ヨード-3-(トリフルオロメチル)ピリジン-2-アミン300mgを、プロピオニトリル8mlに溶解させ、室温にて、2-ブロモ-2-(エチルチオ)-1-[3-メチル-6-(トリフルオロメチル)-3H-イミダゾ[4,5-b]ピリジン-2-イル]エタノン345mgを添加した。添加終了後、該反応混合物を加熱還流下にて1.5時間攪拌した。反応終了後、該反応混合物に水20mlを添加し、クロロホルム(20ml×2)にて抽出した。得られた有機層を、無水硫酸ナトリウムで脱水・乾燥した後、減圧下にて溶媒を留去した。析出した固体にジイソプロピルエーテル10mlを加え、濾過することにより、目的物294mgをオレンジ色固体として得た。
融点:222-225℃
1H-NMR(CDCl3) : δ9.10-9.00(m, 1H), 8.75-8.70(m, 1H), 8.40-8.35(m, 1H), 7.90-7.85(m, 1H), 4.35(s, 3H), 3.18(q, J=7.4Hz, 2H), 1.24(t, J=7.4Hz, 3H).
工程1:2-[3-(エチルチオ)-7-(トリフルオロメチル)イミダゾ[1,2-b]ピリダジン-2-イル]-3-メチル-6-(トリフルオロメチル)-3H-イミダゾ[4,5-b]ピリジン(本発明化合物No.1-1-057b)の合成
5-(トリフルオロメチル)ピリダジン-3-アミン42mgを、アセトニトリル3mlに溶解させ、室温にて、2-ブロモ-2-(エチルチオ)-1-[3-メチル-6-(トリフルオロメチル)-3H-イミダゾ[4,5-b]ピリジン-2-イル]エタノン100mgを添加した。添加終了後、該反応混合物を加熱還流下にて2時間攪拌した。反応終了後、該反応混合物に水10mlを添加し、クロロホルム(10ml×2)にて抽出した。得られた有機層を、無水硫酸ナトリウムで脱水・乾燥した後、減圧下にて溶媒を留去し、目的物130mgの粗物を得た。このものは、さらなる精製を行うことなく、このまま次の工程に用いた。
工程1で得られた粗物の2-[3-(エチルチオ)-7-(トリフルオロメチル)イミダゾ[1,2-b]ピリダジン-2-イル]-3-メチル-6-(トリフルオロメチル)-3H-イミダゾ[4,5-b]ピリジン120mgのクロロホルム10mlの溶液に、氷冷下にて65質量%メタクロロ過安息香酸(約30質量%の水を含む)99mgを添加した。添加終了後、該反応混合物を室温にて終夜攪拌した。反応終了後、該反応混合物に、飽和チオ硫酸ナトリウム水溶液を添加し、クロロホルム(10ml×2)にて抽出した。得られた有機層を、飽和炭酸水素ナトリウム水溶液で洗浄し、無水硫酸ナトリウムで脱水・乾燥した後、減圧下にて溶媒を留去した。得られた残留物を、n-ヘキサン-酢酸エチル(100:0~50:50のグラジエント)にて溶出する中圧分取液体クロマトグラフィーにて精製し、目的物である2-[3-(エチルスルホニル)-7-(トリフルオロメチル)イミダゾ[1,2-b]ピリダジン-2-イル]-3-メチル-6-(トリフルオロメチル)-3H-イミダゾ[4,5-b]ピリジン70mg及び目的物である2-[3-(エチルスルフィニル)-7-(トリフルオロメチル)イミダゾ[1,2-b]ピリダジン-2-イル]-3-メチル-6-(トリフルオロメチル)-3H-イミダゾ[4,5-b]ピリジン41mgを、それぞれ薄黄色油状物として得た。
2-[3-(エチルスルフィニル)-7-(トリフルオロメチル)イミダゾ[1,2-b]ピリダジン-2-イル]-3-メチル-6-(トリフルオロメチル)-3H-イミダゾ[4,5-b]ピリジンの1H-NMR : δ8.82(d, J=2.1Hz, 1H), 8.78-8.74(m, 1H), 8.49-8.45(m, 1H), 8.42-8.38(m, 1H), 4.36(s, 3H), 4.18-4.00(m, 1H), 3.85-3.70(m, 1H), 1.55(t, J=7.5Hz, 3H).
工程1:5-(エチルチオ)-6-[3-メチル-6-(トリフルオロメチル)-3H-イミダゾ[4,5-b]ピリジン-2-イル]-2-(トリフルオロメチル)イミダゾ[2,1-b] [1,3,4]チアジアゾール(本発明化合物No.2-1-002b)の合成
5-(トリフルオロメチル)-1,3,4-チアジアゾール-2-アミン195mgを、プロピオニトリル5mlに溶解させ、室温にて、2-ブロモ-2-(エチルチオ)-1-[3-メチル-6-(トリフルオロメチル)-3H-イミダゾ[4,5-b]ピリジン-2-イル]エタノン400mgを添加した。添加終了後、該反応混合物を加熱還流下にて3時間攪拌した。反応終了後、該反応混合物に水10mlを添加し、クロロホルム(10ml×2)にて抽出した。得られた有機層を、無水硫酸ナトリウムで脱水・乾燥した後、減圧下にて溶媒を留去した。得られた残留物を、n-ヘキサン-酢酸エチル(100:0~0:100のグラジエント)にて溶出する中圧分取液体クロマトグラフィーにて精製し、目的物130mgを白色固体として得た。
1H-NMR(CDCl3) : δ8.82(d, J=1.2Hz, 1H), 8.43(d, J=1.2Hz, 1H), 4.24(s, 3H), 2.66(q, J=7.5Hz, 2H), 1.31(t, J=7.5Hz, 3H).
5-(エチルチオ)-6-[3-メチル-6-(トリフルオロメチル)-3H-イミダゾ[4,5-b]ピリジン-2-イル]-2-(トリフルオロメチル)イミダゾ[2,1-b] [1,3,4]チアジアゾール130mgのクロロホルム10mlの溶液に、氷冷下にて65質量%メタクロロ過安息香酸(約30質量%の水を含む)191mgを添加した。添加終了後、該反応混合物を室温にて終夜攪拌した。反応終了後、該反応混合物に、飽和チオ硫酸ナトリウム水溶液を添加し、クロロホルム(10ml×2)にて抽出した。得られた有機層を、飽和炭酸水素ナトリウム水溶液で洗浄し、無水硫酸ナトリウムで脱水・乾燥した後、減圧下にて溶媒を留去した。得られた残留物を、n-ヘキサン-酢酸エチル(100:0~50:50のグラジエント)にて溶出する中圧分取液体クロマトグラフィーにて精製し、目的物52mgを白色固体として得た。
融点:231-234℃
1H-NMR(CDCl3) : δ8.76(s, 1H), 8.35(s, 1H), 4.11(s, 3H), 3.92(q, J=7.5Hz, 2H), 1.51(t, J=7.5Hz, 3H).
工程1:2-(エチルチオ)-1-[3-メチル-6-(トリフルオロメチル)-3H-イミダゾ[4,5-c]ピリジン-2-イル]エタノンの合成
2-ブロモ-1-[3-メチル-6-(トリフルオロメチル)-3H-イミダゾ[4,5-c]ピリジン-2-イル]エタノン2.36gのN,N-ジメチルホルムアミド25ml溶液に、氷冷下にて、エタンチオール546mg及び炭酸カリウム1.21gを順次添加した。添加終了後、該反応混合物を室温にて1時間攪拌した。反応終了後、該反応混合物に水50mlを添加し、酢酸エチル(50ml×2)にて抽出した。得られた有機層を飽和食塩水、次いで無水硫酸ナトリウムの順で脱水・乾燥後、減圧下にて溶媒を留去した。得られた残留物を、n-ヘキサン-酢酸エチル(100:0~80:20のグラジエント)にて溶出する中圧分取液体クロマトグラフィーにて精製し、目的物1.70gを白色固体として得た。
融点:90-93℃
1H-NMR(CDCl3) : 9.03(s, 1H), 8.19(d, J=1.0Hz, 1H), 4.29(s, 3H), 4.08(s, 2H), 2.65(q, J=7.4Hz, 2H), 1.32(t, J=7.4Hz, 3H).
2-(エチルチオ)-1-[3-メチル-6-(トリフルオロメチル)-3H-イミダゾ[4,5-c]ピリジン-2-イル]エタノン1.63gのジクロロメタン15ml溶液に、室温にてトリエチルアミン600mgを添加した。添加終了後、該反応混合物に、氷冷下にてトリフルオロメタンスルホン酸トリメチルシリル1.25gを添加した。添加終了後、該反応混合物を氷冷下にて30分間撹拌した。撹拌終了後、該反応混合物に、氷冷下にてトリメチルフェニルアンモニウムトリブロミド2.02gを添加した。添加終了後、該反応混合物を氷冷下にて1時間撹拌した。反応終了後、該反応混合物を、氷冷下にて水20mlに滴下し、クロロホルム(20ml×2)にて抽出した。得られた有機層を、無水硫酸ナトリウムで脱水・乾燥した後、減圧下にて溶媒を留去することで、目的物2.09gを黄色油状物として得た。
1H-NMR(CDCl3) : δ9.06(s, 1H), 8.19(s, 1H), 7.12(s, 1H), 4.31(s, 3H), 3.01-2.77(m, 2H), 1.39(t, J=7.5Hz, 3H).
3-フルオロ-5-ヨードピリジン-2-アミン250mgを、アセトニトリル5mlに溶解させ、室温にて、2-ブロモ-2-(エチルチオ)-1-[3-メチル-6-(トリフルオロメチル)-3H-イミダゾ[4,5-c]ピリジン-2-イル]エタノン400mgを添加した。添加終了後、該反応混合物を加熱還流下にて1時間攪拌した。反応終了後、該反応混合物に水10mlを添加し、クロロホルム(10ml×2)にて抽出した。得られた有機層を、無水硫酸ナトリウムで脱水・乾燥した後、減圧下にて溶媒を留去した。析出した固体を、濾過によりろ別することで、目的物338mgを茶色固体として得た。
1H-NMR(CDCl3) : δ8.96(s, 1H), 8.73(d, J=1.5Hz, 1H), 8.19(d, J=0.9Hz, 1H), 7.33(dd, J=9.0, 1.5Hz, 1H), 4.36(s, 3H), 3.15(q, J=7.5Hz, 2H), 1.23(t, J=7.5Hz, 3H).
工程1:エチル 7-(トリフルオロメチル)イミダゾ[1,2-a]ピリジン-2-カルボキシレートの合成
4-(トリフルオロメチル)ピリジン-2-アミン5.0gを、クロロベンゼン50mlに溶解させ、室温にてエチル 3-ブロモ-2-オキソプロパノエート6.67gを添加した。添加終了後、該反応混合物を加熱還流下にて6.5時間攪拌した。反応終了後、該反応混合物に1M水酸化ナトリウム水溶液20mlを添加し、酢酸エチル(20ml×2)にて抽出した。得られた有機層を飽和食塩水、次いで無水硫酸ナトリウムの順で脱水・乾燥した後、減圧下にて溶媒を留去した。得られた残留物に、3M塩酸水溶液を添加し、酢酸エチル10mlで洗浄した。次いで、水層を10M水酸化ナトリウム水溶液でpHを2~3とした後、酢酸エチル(10ml×2)で抽出した。得られた有機層を、飽和食塩水、次いで無水硫酸ナトリウムの順で脱水・乾燥した後、減圧下にて溶媒を留去し、目的物3.94gを黄色固体として得た。
融点:170-175℃
1H-NMR(CDCl3) : δ8.29(s, 1H), 8.27(d, J=7.2Hz, 1H), 8.01(s, 1H), 7.07(dd, J=7.2, 1.7Hz, 1H), 4.49(q, J=7.2Hz, 2H), 1.46(t, J=7.2Hz, 3H).
エチル 7-(トリフルオロメチル)イミダゾ[1,2-a]ピリジン-2-カルボキシレート3.73gのN,N-ジメチルホルムアミド20mlの溶液に、室温にてN-ヨードスクシンイミド6.5gを添加した。添加終了後、該反応混合物を80℃にて5時間攪拌した。反応終了後、該反応混合物に水を添加し、析出した固体を、濾過によりろ別した。得られた固体を、クロロホルム20mlに溶解させ、飽和チオ硫酸ナトリウム水溶液、次いで飽和炭酸水素ナトリウムの順で洗浄した。得られた有機層を無水硫酸ナトリウムで脱水・乾燥後、減圧下にて溶媒を留去することで、目的物5.08gを肌色固体として得た。
融点:183-185℃
1H-NMR(CDCl3) : δ8.40(d, J=7.2Hz, 1H), 7.99(s, 1H), 7.17(dd, J=7.2, 1.7Hz, 1H), 4.53(q, J=7.2Hz, 2H), 1.50(t, J=7.2Hz, 3H).
エチル 3-ヨード-7-(トリフルオロメチル)イミダゾ[1,2-a]ピリジン-2-カルボキシレート5.73gの1,4-ジオキサン40mlの溶液に、室温にてジイソプロピルエチルアミン5.79g、4,5-ビス(ジフェニルホスフィノ)-9,9-ジメチルキサンテン862mg、トリス(ジベンジリデンアセトン)ジパラジウム(0価)682mg及びエタンチオール1.85gを順次添加した。添加終了後、反応容器内を窒素ガスで置換した後、加熱還流下にて2時間撹拌した。反応終了後、該反応混合物を、セライトでろ過し、セライトをクロロホルム30mlで洗浄した。得られたろ液と洗浄液を合わせ、減圧下にて溶媒を留去した。得られた残留物を、n-ヘキサン-酢酸エチル(100:0~50:50のグラジエント)にて溶出する中圧分取液体クロマトグラフィーにて精製し、目的物5.58gを茶色固体として得た。
融点:50-52℃
1H-NMR(CDCl3) : δ8.67(d, J=7.4Hz, 1H), 8.02-8.00(m, 1H), 7.15(dd, J=7.4, 1.8Hz, 1H), 4.52(q, J=7.0Hz, 2H), 2.98(q, J=7.5Hz, 2H), 1.48(t, J=7.0Hz, 3H), 1.20(t, J=7.5Hz, 3H).
エチル 3-(エチルチオ)-7-(トリフルオロメチル)イミダゾ[1,2-a]ピリジン-2-カルボキシレート5.58gのエタノール60ml及びテトラヒドロフラン30mlの溶液に、室温にて3M水酸化ナトリウム水溶液10mlを添加した。添加終了後、該反応混合物を室温にて5時間撹拌した。反応終了後、減圧下にて該反応混合物から溶媒を留去した。得られた残留物に、1M塩酸水溶液を添加し、水層のpHを2とした後、酢酸エチル(20ml×2)にて抽出した。得られた有機層を、飽和食塩水、次いで無水硫酸ナトリウムの順で脱水・乾燥した後、減圧下にて溶媒を留去し、目的物3.40gを黄色固体として得た。
融点:163-171℃
1H-NMR(CDCl3) : δ8.69(d, J=7.2Hz, 1H), 8.19(s, 1H), 7.22(dd, J=7.2, 1.4Hz, 1H), 3.06(q, J=7.4Hz, 2H), 1.23(t, J=7.4Hz, 3H)(CO2Hのプロトンのピークは観測できなかった).
3-(エチルチオ)-7-(トリフルオロメチル)イミダゾ[1,2-a]ピリジン-2-カルボン酸2.52gのジクロロメタン30mlの溶液に、氷冷下にて二塩化オキサリル3.31g及びN,N-ジメチルホルムアミド30mgを添加した。添加終了後、該反応混合物を室温にて3時間撹拌した。撹拌終了後、減圧下にて、該反応混合物から溶媒を留去して、粗物の3-(エチルチオ)-7-(トリフルオロメチル)イミダゾ[1,2-a]ピリジン-2-カルボン酸クロリドを得た。得られた粗物の3-(エチルチオ)-7-(トリフルオロメチル)イミダゾ[1,2-a]ピリジン-2-カルボン酸クロリドを、ジクロロメタン5mlに溶解し、別容器で調製したN,O-ジメチルヒドロキシルアミン塩酸塩931mg及びトリエチルアミン1.93gのジクロロメタン15ml溶液に、氷冷下にて添加した。添加終了後、該反応混合物を室温にて1.5時間撹拌した。反応終了後、該反応混合物に水10mlを添加し、クロロホルム(10ml×2)にて抽出した。得られた有機層を、希塩酸、飽和炭酸水素ナトリウム水溶液の順で洗浄し、無水硫酸ナトリウムで脱水・乾燥した後、減圧下にて溶媒を留去し、目的物2.50gを肌色固体として得た。
融点:82-84℃
1H-NMR(CDCl3) : δ8.62(d, J=7.2Hz, 1H), 7.98-7.95(m, 1H), 7.14(dd, J=7.2, 1.7Hz, 1H), 3.80(s, 3H), 3.44(s, 3H), 2.91(q, J=7.4Hz, 2H), 1.22(t, J=7.4Hz, 3H).
窒素雰囲気下にて3-(エチルチオ)-N-メトキシ-N-メチル-7-(トリフルオロメチル)イミダゾ[1,2-a]ピリジン-2-カルボキシアミド2.45gのテトラヒドロフラン25ml溶液に、氷冷下にて約3Mメチルマグネシウムブロミドのジエチルエーテル溶液2.7mlを添加した。添加終了後、該反応混合物を氷冷下にて1時間撹拌した。反応終了後、該反応混合物を、氷冷下にて4M塩酸水溶液10mlに滴下し、酢酸エチル(20ml×2)にて抽出した。得られた有機層を、飽和炭酸水素ナトリウム水溶液で洗浄し、飽和食塩水、次いで無水硫酸ナトリウムの順で脱水・乾燥した後、減圧下にて溶媒を留去することで、目的物2.08gを茶色固体として得た。
融点:60-64℃
1H-NMR(CDCl3) : δ8.67(d, J=7.2Hz, 1H), 8.03-7.99(m, 1H), 7.15(dd, J=7.2, 1.7Hz, 1H), 3.01(q, J=7.4Hz, 2H), 2.80(s, 3H), 1.18(t, J=7.4Hz, 3H).
1-[3-(エチルチオ)-7-(トリフルオロメチル)イミダゾ[1,2-a]ピリジン-2-イル]エタノン2.08gのメタノール40ml及び水20mlの溶液に、氷冷下にてオキソン(DuPont社登録商標)13.3gを添加した。添加終了後、該反応混合物を室温にて終夜撹拌した。反応終了後、該反応混合物に、チオ硫酸ナトリウム2.28gの水25ml溶液を添加し、次いで、10M水酸化ナトリウム水溶液を添加し、水層をアルカリ性とした後、減圧下にてメタノールを留去した。得られた残留物に酢酸エチル(40mlx2)を加えて抽出した。得られた有機層を、飽和食塩水、次いで無水硫酸ナトリウムの順で脱水・乾燥した後、減圧下にて溶媒を留去することで、目的物2.11gを黄色固体として得た。
融点:135-138℃
1H-NMR(CDCl3) : δ9.44(d, J=7.5Hz, 1H), 8.12-8.09(m, 1H), 7.27-7.24(m, 1H), 3.80(q, J=7.5Hz, 2H), 2.80(s, 3H), 1.35(t, J=7.5Hz, 3H).
1-[3-(エチルスルホニル)-7-(トリフルオロメチル)イミダゾ[1,2-a]ピリジン-2-イル]エタノン2.05gのトルエン15ml溶液に、10℃にて約5.1M臭化水素の酢酸溶液10.2g及び臭素1.13gを順次添加した。添加終了後、該反応混合物を室温にて2時間撹拌した。撹拌終了後、該反応混合物に臭素205mgを添加し、室温にて終夜撹拌した。反応終了後、該反応混合物に水10mlを添加し、酢酸エチル(20ml×2)にて抽出した。得られた有機層を、5質量%亜硫酸水素ナトリウム水溶液で洗浄し、無水硫酸ナトリウムで脱水・乾燥した後、減圧下にて溶媒を留去することで、目的物2.48gを黄色固体として得た。
融点:122-123℃
1H-NMR(CDCl3) : δ9.45(d, J=7.5Hz, 1H), 8.14-8.11(m, 1H), 7.33-7.27(m, 1H), 4.78(s, 2H), 3.78(q, J=7.4Hz, 2H), 1.37(t, J=7.4Hz, 3H).
工程1:エチル 2-(トリフルオロメチル)イミダゾ[2,1-b]チアゾール-6-カルボキシレートの合成
5-(トリフルオロメチル)チアゾール-2-アミン4.0gを、クロロベンゼン80mlに溶解させ、室温にてエチル 3-ブロモ-2-オキソプロパノエート7.2gを添加した。添加終了後、該反応混合物を加熱還流下にて3時間攪拌した。撹拌終了後、該反応混合物にエチル 3-ブロモ-2-オキソプロパノエート3.09gを添加した。添加終了後、該反応混合物を加熱還流下にて1時間攪拌した。撹拌終了後、該反応混合物にエチル 3-ブロモ-2-オキソプロパノエート2.4gを添加した。添加終了後、該反応混合物を加熱還流下にて2時間攪拌した。反応終了後、減圧下にて、該反応混合物から溶媒を留去した。得られた残留物に、1M水酸化ナトリウム水溶液を添加し、水層のpHを8とした後、酢酸エチル(20ml×3)にて抽出した。得られた有機層を、飽和食塩水、次いで無水硫酸ナトリウムの順で脱水・乾燥した後、減圧下にて溶媒を留去した。析出した固体を、濾過によりろ別した。得られた固体を、ジイソプロピルエーテルで洗浄し、目的物2.12gを白色固体として得た。
1H-NMR(CDCl3) : δ8.14(s, 1H), 7.92(s, 1H), 4.42(q, J=7.5Hz, 2H), 1.43(t, J=7.5Hz, 3H).
エチル 2-(トリフルオロメチル)イミダゾ[2,1-b]チアゾール-6-カルボキシレート7.97gのN,N-ジメチルホルムアミド10mlの溶液に、室温にてN-ヨードスクシンイミド3.58gを添加した。添加終了後、該反応混合物を80℃にて4時間攪拌した。反応終了後、該反応混合物に飽和チオ硫酸ナトリウム水溶液を添加し、析出した固体を、濾過によりろ別することで、目的物3.09gを白色固体として得た。
1H-NMR(CDCl3) : δ7.90‐7.86(m, 1H), 4.44(q, J=7.5Hz, 2H), 1.45(t, J=7.5Hz, 3H).
エチル 5-ヨード-2-(トリフルオロメチル)イミダゾ[2,1-b]チアゾール-6-カルボキシレート2.00gの1,4-ジオキサン20mlの溶液に、室温にてジイソプロピルエチルアミン1.98g、4,5-ビス(ジフェニルホスフィノ)-9,9-ジメチルキサンテン296mg、トリス(ジベンジリデンアセトン)ジパラジウム(0価)234mg及びエタンチオール636mgを順次添加した。添加終了後、反応容器内を窒素ガスで置換した後、加熱還流下にて4時間撹拌した。反応終了後、該反応混合物をセライトでろ過し、セライトをクロロホルム30mlで洗浄した。得られたろ液と洗浄液を合わせ、減圧下にて溶媒を留去した。得られた残留物を、n-ヘキサン-酢酸エチル(100:0~50:50のグラジエント)にて溶出する中圧分取液体クロマトグラフィーにて精製し、目的物1.11gを黄色固体として得た。
1H-NMR(CDCl3) : δ8.04‐7.98(m, 1H), 4.44(q, J=7.5Hz, 2H), 2.99(q, J=7.5Hz, 2H), 1.46(t, J=7.5Hz, 3H), 1.23(t, J=7.5Hz, 3H).
エチル 3-(エチルチオ)-2-(トリフルオロメチル)イミダゾ[2,1-b]チアゾール-6-カルボキシレート1.09gのエタノール10ml及びテトラヒドロフラン10mlの溶液に、室温にて1M水酸化ナトリウム水溶液6.8mlを添加した。添加終了後、該反応混合物を室温にて終夜撹拌した。反応終了後、減圧下にて該反応混合物から溶媒を留去した。得られた残留物に、1M塩酸水溶液を添加し、水層のpHを2~3とした後、クロロホルム(20ml×2)にて抽出した。得られた有機層を、無水硫酸ナトリウムで脱水・乾燥した後、減圧下にて溶媒を留去し、目的物896mgを黄色固体として得た。
1H-NMR(CDCl3) : 8.06‐8.02(m, 1H), 3.04(q, J=7.5Hz, 2H), 1.25(t, J=7.5Hz, 3H)(CO2Hのプロトンのピークは観測できなかった).
3-(エチルチオ)-6-(トリフルオロメチル)イミダゾ[1,2-a]ピリジン-2-カルボン酸
融点:200-201℃
1H-NMR(CDCl3) : δ8.93(s, 1H), 8.20(d, J=9.6Hz, 1H), 7.56(dd, J=9.6, 1.8Hz, 1H), 3.06(q.J=7.4Hz, 2H), 1.23(t, J=7.4Hz, 3H)(CO2Hのプロトンのピークは観測できなかった).
3-(エチルチオ)-6-(トリフルオロメチル)イミダゾ[1,2-a]ピラジン-2-カルボン酸
融点:175-178℃
1H-NMR(CDCl3) : δ9.21(s, 1H), 8.84(s, 1H), 3.08(q, J=7.2Hz, 2H), 1.22(t, J=7.2Hz, 3H)(CO2Hのプロトンのピークは観測できなかった).
工程1:4-ブロモ-2-メチル-6-(トリフルオロメチル)ピリジン-3-アミンの合成
2-メチル-6-(トリフルオロメチル)ピリジン-3-アミン3.0gのアセトニトリル30mlの溶液に、室温にてN-ブロモスクシンイミド3.03gを添加した。添加終了後、該反応混合物を室温にて1.5時間攪拌した。反応終了後、減圧下にて溶媒を留去した。得られた残留物をn-ヘキサン-酢酸エチル(100:0~50:50のグラジエント)にて溶出する中圧分取液体クロマトグラフィーにて精製し、目的物4.0gを茶色固体として得た。
融点:40-41℃
1H-NMR(CDCl3) : δ7.61(s, 1H), 4.40(brs, 2H), 2.52(s, 3H).
63質量%水素化ナトリウム(鉱油中に分散)537mgのN,N-ジメチルホルムアミド5ml溶液に、氷冷下にて4-ブロモ-2-メチル-6-(トリフルオロメチル)ピリジン-3-アミン3.0gのN,N-ジメチルホルムアミド12ml溶液を添加した。添加終了後、該反応混合物を室温にて1時間攪拌した。攪拌終了後、該反応混合物に氷冷下にてヨウ化メチル2.0gを添加した。添加終了後、該反応混合物を室温にて30分間攪拌した。反応終了後、該反応混合物に水10mlを添加し、酢酸エチル(10ml×2)にて抽出した。得られた有機層を飽和食塩水、次いで無水硫酸ナトリウムの順で脱水・乾燥後、減圧下にて溶媒を留去した。得られた残留物を、n-ヘキサン-酢酸エチル(100:0~50:50のグラジエント)にて溶出する中圧分取液体クロマトグラフィーにて精製し、目的物2.82gを黄色油状物として得た。
1H-NMR(CDCl3) : δ7.62(s, 1H), 3.01(s, 3H), 2.65(s, 3H)(NHのプロトンのピークは観測できなかった).
4-ブロモ-N,2-ジメチル-6-(トリフルオロメチル)ピリジン-3-アミン1.0g、アセチルアセトン186mg、アセチルアセトン銅(II)243mg及び炭酸セシウム1.81gのN-メチルピロリドン30mlの溶液を、オートクレーブ反応装置に添加した。添加終了後、該反応混合物に室温にて28質量%アンモニア水20mlを添加した。添加終了後、反応容器を密封した後、該反応混合物を140℃まで昇温し、1時間撹拌した。反応終了後、該反応混合物に水20mlを添加し、酢酸エチル(20ml×2)にて抽出した。得られた有機層を飽和食塩水、次いで無水硫酸ナトリウムの順で脱水・乾燥後、減圧下にて溶媒を留去した。得られた残留物を、n-ヘキサン-酢酸エチル(100:0~0:100のグラジエント)にて溶出するシリカゲルカラムクロマトグラフィーにて精製し、目的物189mgを白色固体として得た。
1H-NMR(CDCl3) : 6.84(s, 1H), 4.53(brs, 2H), 2.69(s, 3H), 2.50(s, 3H)(NHのプロトンのピークは観測できなかった).
工程1:(Z)-エチル 3-エトキシ-4,4,5,5,5-ペンタフルオロペント-2-エノエートの合成
4,4,5,5,5-ペンタフルオロ-3-オキソ吉草酸エチル20.7gのアセトン150mlの溶液に、氷冷下にて炭酸カリウム24.4g及びトリフルオロメタンスルホン酸エチル15.7gを順次添加した。添加終了後、該反応混合物を室温にて30分間攪拌した。反応終了後、該反応混合物をセライトろ過し、セライトをアセトン50mlで洗浄した。得られたろ液と洗浄液を合わせ、減圧下にて溶媒を留去した。得られた残留物に水30mlを添加し、ヘキサン(30ml×2)にて抽出した。得られた有機層を飽和食塩水、次いで無水硫酸ナトリウムの順で脱水・乾燥後、減圧下にて溶媒を留去することで、目的物20.53gの粗物を無色透明の油状物として得た。
1H-NMR(CDCl3) : δ5.80(s, 1H), 4.33(q, J=7.0Hz, 2H), 4.22(q, J=7.0Hz, 2H), 1.36(t, J=7.0Hz, 3H), 1.32(t, J=7.0Hz, 3H).
アセトアミジン塩酸塩6.49gのジメチルスルホキシド75mlの溶液に、50℃にて約20質量%ナトリウムエトキシドのエタノール溶液23.3g及び(Z)-エチル 3-エトキシ-4,4,5,5,5-ペンタフルオロペント-2-エノエート15.0gを順次添加した。添加終了後、該反応混合物を50℃にて2時間攪拌した。撹拌終了後、該反応混合物に、50℃にて約20質量%ナトリウムエトキシドのエタノール溶液5.84gを添加した。添加終了後、該反応混合物を50℃にて2.5時間攪拌した。撹拌終了後、該反応混合物を室温にて終夜攪拌した。反応終了後、該反応混合物に水50mlを添加し、ジエチルエーテル(50ml×2)にて抽出した。得られた水層に濃塩酸を添加し、水層のpHを1~2とした後、クロロホルム(20ml×2)にて抽出した。得られた有機層を無水硫酸ナトリウムで脱水・乾燥後、減圧下にて溶媒を留去することで、目的物7.0gの粗物を白色固体として得た。
融点:135-138℃
1H-NMR(CDCl3) : δ6.77(s, 1H), 2.57(s, 3H)(OHのプロトンのピークは観測できなかった).
2-メチル-6-(パーフルオロエチル)ピリミジン-4-オール8.7gの塩化チオニル20mlの溶液に、室温にてN,N-ジメチルホルムアミド30mgを添加した。添加終了後、該反応混合物を加熱還流下にて1時間攪拌した。反応終了後、該反応混合物を室温まで放冷し、氷水に滴下し、ジエチルエーテル(20ml×2)にて抽出した。得られた有機層を飽和食塩水、次いで無水硫酸ナトリウムの順で脱水・乾燥後、減圧下にて溶媒を留去することで、目的物9.33gの粗物を赤褐色の油状物として得た。
1H-NMR(CDCl3) : δ7.54(s, 1H), 2.82(s, 3H).
工程4:2-メチル-6-(パーフルオロエチル)ピリミジン-4-アミンの合成
4-クロロ-2-メチル-6-(パーフルオロエチル)ピリミジンの粗物9.33gのアセトニトリル20mlの溶液に、室温にて28質量%アンモニア水20mlを添加した。添加終了後、該反応混合物を室温にて3日間撹拌した。反応終了後、減圧下にて該反応混合物から溶媒を留去した。得られた残留物に水20mlを添加し、酢酸エチル(20ml×2)にて抽出した。得られた有機層を飽和食塩水、次いで無水硫酸ナトリウムの順で脱水・乾燥後、減圧下にて溶媒を留去することで、目的物6.75gを赤褐色固体として得た。
融点:95-105℃
1H-NMR(CDCl3) : δ6.61(s, 1H), 5.12(brs, 2H), 2.59(s, 3H).
6-(パーフルオロエチル)ピリミジン-4-アミン
1H-NMR(CDCl3) : δ8.70(s, 1H), 6.79(s, 1H), 5.22(brs, 2H).
工程1:4-クロロ-6-(パーフルオロエチル)ニコチン酸の合成
窒素雰囲気下、2,2,6,6-テトラメチルピペリジン4.04gのテトラヒドロフラン20ml溶液に、-78℃にて約1.6Mのn-ブチルリチウムのn-ヘキサン溶液17.9mlを添加した。添加終了後、該反応混合物を0℃まで昇温し、10分間撹拌した。撹拌終了後、該反応混合物を-78℃に冷却し、6-(パーフルオロエチル)ニコチン酸2.3gのテトラヒドロフラン20ml溶液を添加した。添加終了後、該反応混合物を-40℃まで昇温し、1.5時間撹拌した。撹拌終了後、該反応混合物を-78℃に冷却し、ヘキサクロロエタン4.5gを添加した。添加終了後、該反応混合物を-78℃にて1.5時間撹拌した。反応終了後、該反応混合物に-78℃にて飽和塩化アンモニウム水溶液25mlを添加した。添加終了後、該反応混合物を室温まで昇温し、約1.0Mの水酸化ナトリウム水溶液を加えてpHを9とした後、ジエチルエーテル(20ml)にて洗浄した。得られた水層に濃塩酸を添加し、該水溶液のpHが2となる様に調製した後、酢酸エチル(20ml×2)にて抽出した。得られた有機層を飽和食塩水、次いで無水硫酸ナトリウムの順で脱水・乾燥後、減圧下にて溶媒を留去することで、目的物である4-クロロ-6-(パーフルオロエチル)ニコチン酸1.08gを茶色油状物として得た。
1H-NMR(CDCl3) : δ9.25(s, 1H), 7.84(s, 1H)(CO2Hのプロトンのピークは観測できなかった).
4-クロロ-6-(パーフルオロエチル)ニコチン酸1.0gのテトラヒドロフラン10ml溶液に、-50℃にて0.85Mのボラン-テトラヒドロフラン錯体のテトラヒドロフラン溶液8.5mlを添加した。添加終了後、該反応混合物を室温まで昇温し、終夜撹拌した。反応終了後、該反応混合物を氷冷下にて1M塩酸水溶液に滴下し、酢酸エチル(20ml×2)にて抽出した。得られた有機層を飽和食塩水、次いで無水硫酸ナトリウムの順で脱水・乾燥後、減圧下にて溶媒を留去することで、目的物である[4-クロロ-6-(パーフルオロエチル)ピリジン-3-イル]メタノール950mgをオレンジ色油状物として得た。
1H-NMR(CDCl3):δ8.87(s,1H),7.71(s,1H),4.92(s,2H)(OHのプロトンのピークは観測できなかった).
[4-クロロ-6-(パーフルオロエチル)ピリジン-3-イル]メタノール930mgのジクロロメタン10ml溶液に、室温にて二酸化ケイ素3g及びクロロクロム酸ピリジニウム1.53gを順次添加した。添加終了後、該反応混合物を室温にて1時間撹拌した。撹拌終了後、該反応混合物にクロロクロム酸ピリジニウム500mgを添加した。添加終了後、該反応混合物を室温にて30分間撹拌した。反応終了後、該反応混合物を、セライトでろ過し、セライトをn-ヘキサン-酢酸エチル[2:1(体積比)]100mlで洗浄した。得られたろ液と洗浄液を合わせ、減圧下にて溶媒を留去した。得られた残留物をn-ヘキサン-酢酸エチル(100:0~30:70のグラジエント)にて溶出する中圧分取液体クロマトグラフィーにて精製し、目的物154mgを黄色油状物として得た。
1H-NMR(CDCl3) : δ10.54(s, 1H), 9.14(s, 1H), 7.84(s, 1H).
4-クロロ-6-(トリフルオロメチル)ニコチンアルデヒド
1H-NMR(CDCl3) : δ10.54(s, 1H), 9.12(s, 1H), 7.81(s, 1H).
二酸化セレン930mg及び2-メチル-3-ニトロ-5-(トリフルオロメチル)ピリジン1.46gの1,4-ジオキサン10mlの溶液を、加熱還流下にて8時間攪拌した。攪拌終了後、該反応混合物をセライトろ過し、セライトを1,4-ジオキサン10mlで洗浄した。得られたろ液と洗浄液を合わせ、減圧下にて溶媒を留去した後、飽和重曹水5mlを添加し、酢酸エチル(10ml×2)にて抽出した。得られた有機層を飽和食塩水、次いで無水硫酸ナトリウムの順で脱水・乾燥後、減圧下にて溶媒を留去した。得られた残留物を、n-ヘキサン-酢酸エチル(100:0~50:50のグラジエント)にて溶出する中圧分取液体クロマトグラフィーにて精製した。濃縮して得られた残渣にトルエン10mlを添加し、減圧下にて溶媒を留去した。次いでトルエン10mlを添加し、減圧下にて溶媒を留去し、目的物1.07gを茶色液体として得た。
1H-NMR(CDCl3) : δ10.32(s, 1H), 9.25-9.20(m, 1H), 8.53-8.49(m, 1H).
工程1:tert-ブチル [3-(エチルチオ)-7-(トリフルオロメチル)イミダゾ[1,2-a]ピリジン-2-イル]カーバメートの合成
3-(エチルチオ)-7-(トリフルオロメチル)イミダゾ[1,2-a]ピリジン-2-カルボン酸3.0gの2-メチル-2-プロパノール30ml溶液に、室温にてトリエチルアミン3.14g及びジフェニルホスホリルアジド3.40gを添加した。添加終了後、該反応混合物を加熱還流下にて2時間撹拌した。反応終了後、該反応混合物から溶媒を留去した。得られた残留物に水20mlを添加し、酢酸エチル(20ml×2)にて抽出した。得られた有機層を飽和炭酸水素ナトリウム水溶液で洗浄した後、無水硫酸ナトリウムで脱水・乾燥後、減圧下にて溶媒を留去した。得られた残留物をn-ヘキサン-酢酸エチル(50:50)にて溶出する中圧分取液体クロマトグラフィーにて精製し、目的物2.12gを薄黄色固体として得た。
1H-NMR(CDCl3) : δ8.42(d, J=7.0Hz, 1H), 7.93-7.88(m, 1H), 7.13-7.01(m, 2H), 2.68(q, J=7.4Hz, 2H), 1.56(s, 9H), 1.21(t, J=7.4Hz, 3H).
tert-ブチル [3-(エチルチオ)-7-(トリフルオロメチル)イミダゾ[1,2-a]ピリジン-2-イル]カーバメート2.0gのジクロロメタン10ml溶液に、氷冷下にてトリフルオロ酢酸2.1mlを添加した。添加終了後、該反応混合物を室温にて30分間撹拌した。撹拌終了後、該反応混合物にトリフルオロ酢酸10mlを添加した。添加終了後、該反応混合物を室温にて30分間撹拌した。反応終了後、該反応混合物から溶媒を留去した。得られた残留物に水20mlを添加し、クロロホルム(20ml×2)にて抽出した。得られた有機層を、1M水酸化ナトリウム水溶液で洗浄し、無水硫酸ナトリウムで脱水・乾燥した後、減圧下にて溶媒を留去することで、目的物1.69gを黄色油状物として得た。
1H-NMR(CDCl3) : δ8.31(d, J=7.0Hz, 1H), 7.63-7.58(m, 1H), 6.98(dd, J=7.0, 1.6Hz, 1H), 4.41(brs, 2H), 2.63(q, J=7.4Hz, 2H), 1.21(t, J=7.4Hz, 3H).
3-(エチルチオ)-6-(トリフルオロメチル)イミダゾ[1,2-a]ピリジン-2-カルボン酸1.34gのジクロロメタン20mlの溶液に、氷冷下にて二塩化オキサリル882mg及びN,N-ジメチルホルムアミド10mgを添加した。添加終了後、該反応混合物を室温にて2.5時間撹拌した。撹拌終了後、減圧下にて、該反応混合物から溶媒を留去して、粗物の3-(エチルチオ)-6-(トリフルオロメチル)イミダゾ[1,2-a]ピリジン-2-カルボン酸クロリドを得た。得られた粗物の3-(エチルチオ)-6-(トリフルオロメチル)イミダゾ[1,2-a]ピリジン-2-カルボン酸クロリドを、テトラヒドロフラン2mlに溶解し、別容器で調製した28質量%アンモニア水20mlに、氷冷下にて添加した。添加終了後、該反応混合物を氷冷下にて30分間撹拌した。反応終了後、該反応混合物に水10mlを添加し、クロロホルム(10ml×2)にて抽出した。得られた有機層を、無水硫酸ナトリウムで脱水・乾燥した後、減圧下にて溶媒を留去し、目的物1.8gを薄黄色固体として得た。
1H-NMR(CDCl3) : δ8.90(s, 1H), 7.71(d, J=9.4Hz1H), 7.47(dd, J=9.4, 2.0Hz, 1H), 7.38(brs, 1H), 5.66(brs, 1H), 3.03(q, J=7.4Hz, 2H), 1.21(t, J=7.4Hz, 3H).
工程1:(S)-1-[3-メチル-6-(トリフルオロメチル)-3H-イミダゾ[4,5-b]ピリジン-2-イル]エタノールの合成
N2-メチル-5-(トリフルオロメチル)ピリジン-2,3-ジアミン37.7gをピリジン150mlに溶解させ、-20℃にて(S)-(-)-2-アセトキシプロピオニルクロリド32.8gを添加した。添加終了後、該反応混合物を室温にて30分間攪拌した。撹拌終了後、減圧下にて、該反応混合物から溶媒を留去した。得られた残留物をエタノール150mlに溶解させ、室温にて10M水酸化ナトリウム水溶液39.4mlを添加した。添加終了後、該反応混合物を加熱還流下にて2時間攪拌した。撹拌終了後、該反応混合物に、室温にて10M水酸化ナトリウム水溶液20mlを添加した。添加終了後、該反応混合物を加熱還流下にて4.5時間攪拌した。反応終了後、減圧下にて、該反応混合物から溶媒を留去した。得られた残留物に濃塩酸を添加し、該水溶液のpHが4となる様に調製した後、酢酸エチル(100ml×2)にて抽出した。得られた有機層を飽和食塩水、次いで無水硫酸ナトリウムの順で脱水・乾燥後、減圧下にて溶媒を留去することで、目的物である(S)-1-[3-メチル-6-(トリフルオロメチル)-3H-イミダゾ[4,5-b]ピリジン-2-イル]エタノール59.8gを黒色固体として得た。
1H-NMR(CDCl3) : δ8.65(s, 1H), 8.23(s, 1H), 5.20(brs, 1H), 3.97(s, 3H), 2.99(brs, 1H), 1.75(d, J=6.3Hz, 3H).
(S)-1-[3-メチル-6-(トリフルオロメチル)-3H-イミダゾ[4,5-b]ピリジン-2-イル]エタノール48.3gの酢酸200mlの溶液を、90℃まで昇温し、酸化クロム(VI)14.8gの水50ml溶液を添加した。添加終了後、該反応混合物を加熱還流下にて1.5時間撹拌した。撹拌終了後、該反応混合物に90℃にて、酸化クロム(VI)5gの水10ml溶液を添加した。添加終了後、該反応混合物を加熱還流下にて1.5時間撹拌した。反応終了後、該反応混合物を、室温にて水800mlに滴下した。析出した固体を、濾過によりろ別した。得られた固体を、水で洗浄することで、目的物である1-[3-メチル-6-(トリフルオロメチル)-3H-イミダゾ[4,5-b]ピリジン-2-イル]エタノン35.6gを茶色固体として得た。
融点:106-108℃
1H-NMR(CDCl3) : δ8.82(d, J=1.5Hz, 1H), 8.43(d, J=1.5Hz, 1H), 4.23(s, 3H), 2.86(s, 3H).
1-[3-メチル-6-(トリフルオロメチル)-3H-イミダゾ[4,5-b]ピリジン-2-イル]エタノン35.6gをトルエン300ml及び約5.1M臭化水素の酢酸溶液150ml溶液に溶解させ、氷冷下にて臭素25.8gを添加した。添加終了後、該反応混合物を室温にて2時間撹拌した。撹拌終了後、該反応混合物に、室温にて臭素3.12gを添加した。添加終了後、該反応混合物を室温にて1時間撹拌した。撹拌終了後、該反応混合物に、室温にて臭素2.58gを添加した。添加終了後、該反応混合物を室温にて30分間撹拌した。反応終了後、該反応混合物に、氷冷下にて10M水酸化ナトリウム水溶液を添加することでpHを3とした後、トルエン(200ml×2)で抽出した。得られた有機層を、飽和亜硫酸水素ナトリウム水溶液で洗浄した後、飽和食塩水、次いで無水硫酸ナトリウムの順で脱水・乾燥した後、減圧下にて溶媒を留去した。析出した固体を、濾過によりろ別した。得られた固体を、ジイソプロピルエーテルで洗浄し、目的物である2-ブロモ-1-[3-メチル-6-(トリフルオロメチル)-3H-イミダゾ[4,5-b]ピリジン-2-イル]エタノン36.6gを白色固体として得た。
融点:90-91℃
1H-NMR(CDCl3) : δ8.86(d, J=1.8Hz, 1H), 8.47(d, J=1.8Hz, 1H), 4.85(s, 2H), 4.26(s, 3H).
工程1:(S)-1-[3-メチル-6-(トリフルオロメチル)-3H-イミダゾ[4,5-c]ピリジン-2-イル]エタノールの合成
N3-メチル-6-(トリフルオロメチル)ピリジン-3,4-ジアミン3.34gをピリジン20mlに溶解させ、-20℃にて(S)-(-)-2-アセトキシプロピオニルクロリド2.89gを添加した。添加終了後、該反応混合物を室温にて20分間攪拌した。撹拌終了後、減圧下にて、該反応混合物から溶媒を留去した。得られた残留物をエタノール20mlに溶解させ、室温にて10M水酸化ナトリウム水溶液3.5mlを添加した。添加終了後、該反応混合物を加熱還流下にて1時間攪拌した。撹拌終了後、該反応混合物に、室温にて10M水酸化ナトリウム水溶液1.8mlを添加した。添加終了後、該反応混合物を加熱還流下にて2時間攪拌した。反応終了後、該反応混合物に水50mlを添加し、酢酸エチル(50ml×2)にて抽出した。得られた有機層を無水硫酸ナトリウムで脱水・乾燥した後、減圧下にて溶媒を留去した。得られた残留物を、n-ヘキサン-酢酸エチル(100:0~50:50のグラジエント)にて溶出する中圧分取液体クロマトグラフィーにて精製し、目的物3.0gを薄ピンク色固体として得た。
融点:97-100℃
1H-NMR(CDCl3) : δ8.84(s, 1H), 8.04(d, J=0.7Hz, 1H), 5.31-5.14(m, 1H), 4.02(s, 3H), 3.03(d, J=7.2Hz, 1H), 1.78(d, J=6.5Hz, 3H).
(S)-1-[3-メチル-6-(トリフルオロメチル)-3H-イミダゾ[4,5-c]ピリジン-2-イル]エタノール3.0gの酢酸30mlの溶液を、90℃まで昇温し、酸化クロム(VI)1.22gの水10ml溶液を添加した。添加終了後、該反応混合物を加熱還流下にて1時間撹拌した。反応終了後、該反応混合物に水50mlを添加し、酢酸エチル(50ml×2)にて抽出した。得られた有機層を無水硫酸ナトリウムで脱水・乾燥した後、減圧下にて溶媒を留去することで、目的物である1-[3-メチル-6-(トリフルオロメチル)-3H-イミダゾ[4,5-c]ピリジン-2-イル]エタノン2.59gを薄黄色固体として得た。
融点:136-140℃
1H-NMR(CDCl3) : δ9.03(s, 1H), 8.19(d, J=0.9Hz, 1H), 4.28(s, 3H), 2.89(s, 3H).
1-[3-メチル-6-(トリフルオロメチル)-3H-イミダゾ[4,5-c]ピリジン-2-イル]エタノン2.55gのジクロロメタン30ml溶液に、室温にてトリエチルアミン1.16gを添加した。添加終了後、該反応混合物に、氷冷下にてトリフルオロメタンスルホン酸トリメチルシリル2.44gを添加した。添加終了後、該反応混合物を氷冷下にて30分間撹拌した。撹拌終了後、該反応混合物に、氷冷下にてトリメチルフェニルアンモニウムトリブロミド3.95gを添加した。添加終了後、該反応混合物を氷冷下にて30分間撹拌した。反応終了後、該反応混合物に水50mlを添加し、クロロホルム(30ml×2)にて抽出した。得られた有機層を、無水硫酸ナトリウムで脱水・乾燥した後、減圧下にて溶媒を留去した。析出した固体を、濾過によりろ別した。得られた固体を、n-ヘキサンで洗浄し、目的物である2-ブロモ-1-[3-メチル-6-(トリフルオロメチル)-3H-イミダゾ[4,5-c]ピリジン-2-イル]エタノン2.66gを白色固体として得た。
融点:127-131℃
1H-NMR(CDCl3) : δ9.07(s, 1H), 8.21(d, J=1.0Hz, 1H), 4.87(s, 2H), 4.31(s, 3H).
尚、表中「Me」の記載はメチル基を表し、「Et」の記載はエチル基を表し、「Ph」の記載はフェニル基を表す。表中Z1乃至Z16で表される置換基は、以下の構造を表す。また、表中の「*1」は化合物が固体であることを表し、「*2」は化合物が油状物であることを表し、「*5」は化合物の融点を測定した際に分解したことを表し、「m.p.」は融点(単位は℃)を表す。また、表中の融点の記載において「>」は表記の温度より化合物の融点が高いを表し、例えば「>250」との表記は、化合物が250℃において融解しなかったことを意味する。
プロトン核磁気共鳴ケミカルシフト値における記号は、下記の意味を表す。
s:シングレット、brs:ブロードシングレット、d:ダブレット、dd:ダブルダブレット、t:トリプレット、q:カルテット、m:マルチプレット
試験例1:トビイロウンカに対する殺虫試験
本発明化合物の10%乳剤(化合物によっては10%水和剤を供試)を、展着剤の入った水で希釈して、500ppm濃度の薬液を調製した。該薬液中にイネの葉鞘を約10秒間浸漬した。浸漬操作が終了した後、薬液処理された稲の葉鞘を風乾した後、試験管に入れた。この中にトビイロウンカ(Nilaparvata lugens)の3齢幼虫を、試験管当たり5頭放虫し、スポンジで蓋をして、25℃恒温室に収容した。収容してから6日後に、試験管中のトビイロウンカの死虫数を調査し、死虫率(%)(死虫数÷供試虫数×100)を算出した。尚、試験は2連制で行なった。
その結果、供試した化合物の内、下記の化合物が90%以上の死虫率を示した。
本発明化合物:1-1-001a、1-1-002a、1-1-005a、1-1-006a、1-1-009a、1-1-015a、1-1-020a、1-1-023a、1-1-024a、1-1-035a、1-1-036a、1-1-038a、1-1-039a、1-1-040a、1-1-042a、1-1-043a、1-1-044a、1-1-049a、1-1-052a、1-1-057a、1-1-057c、1-1-058a、1-1-064a、1-1-072a、1-1-074a、1-1-095a、1-1-096a、1-1-097a、1-1-099a、1-1-100a、1-1-105a、1-1-106a、1-1-116a、1-1-117a、1-1-122a、1-1-123a、1-2-001a、1-2-002a、1-3-001a、1-3-003a、1-3-005a、1-3-007a、1-4-002a、1-5-002a、1-8-002a、1-8-005a、1-8-010a、1-9-002a、1-11-001a、1-11-001b、1-11-002a、1-11-003a、1-11-004a、1-11-004b、1-12-003a、1-12-004a、1-12-006a、1-12-007a、1-12-008a、1-12-009a、1-14-001a、1-16-001a、1-16-001b、2-1-001a、3-1-002a
本発明化合物の10%乳剤(化合物によっては10%水和剤を供試)を、展着剤の入った水で希釈して、500ppm濃度の薬液を調製した。該薬液中に、カンランの葉を約10秒間浸漬した。浸漬操作が終了した後、薬液処理されたカンランの葉を風乾した後、シャーレに入れた。この中にコナガ(Plutella xylostella)の3齢幼虫を、シャーレ当たり5頭放虫し、蓋をして25℃恒温室に収容した。収容してから6日後に、シャーレ中のコナガの死虫数を調査し、試験例1と同様の計算式から死虫率を算出した。尚、試験は2連制で行なった。
その結果、供試した化合物の内、下記の化合物が90%以上の死虫率を示した。
本発明化合物:1-1-001a、1-1-001b、1-1-001c、1-1-002a、1-1-002b、1-1-003a、1-1-003c、1-1-004a、1-1-005a、1-1-005c、1-1-006a、1-1-007a、1-1-008a、1-1-009a、1-1-011a、1-1-012a、1-1-012b、1-1-013a、1-1-013b、1-1-013c、1-1-014a、1-1-014b、1-1-014c、1-1-015a、1-1-015b、1-1-016a、1-1-016b、1-1-016c、1-1-017a、1-1-018a、1-1-019a、1-1-020a、1-1-020b、1-1-021b、1-1-022a、1-1-023a、1-1-023b、1-1-023c、1-1-024a、1-1-026a、1-1-027a、1-1-027b、1-1-029a、1-1-030a、1-1-030b、1-1-030c、1-1-032a、1-1-033a、1-1-034a、1-1-035a、1-1-036a、1-1-037a、1-1-038a、1-1-039a、1-1-040a、1-1-040c、1-1-041a、1-1-042a、1-1-043a、1-1-044a、1-1-045a、1-1-045b、1-1-046a、1-1-047a、1-1-048a、1-1-049a、1-1-049b、1-1-050a、1-1-050b、1-1-051a、1-1-051b、1-1-052a、1-1-052b、1-1-053a、1-1-054a、1-1-055a、1-1-056a、1-1-057a、1-1-057c、1-1-058a、1-1-058b、1-1-059a、1-1-060a、1-1-060b、1-1-061a、1-1-062a、1-1-063a、1-1-063b、1-1-064a、1-1-065a、1-1-066a、1-1-067a、1-1-068a、1-1-069a、1-1-069b、1-1-070a、1-1-070b、1-1-071a、1-1-072a、1-1-072b、1-1-072c、1-1-073b、1-1-074a、1-1-076a、1-1-077a、1-1-077b、1-1-080a、1-1-081a、1-1-082a、1-1-083a、1-1-084a、1-1-085a、1-1-086a、1-1-087a、1-1-088a、1-1-089a、1-1-090a、1-1-091a、1-1-092a、1-1-093a、1-1-093b、1-1-094a、1-1-094b、1-1-094c、1-1-095a、1-1-096a、1-1-097a、1-1-099a、1-1-100a、1-1-101a、1-1-101b、1-1-103a、1-1-103b、1-1-104a、1-1-105a、1-1-105b、1-1-105c、1-1-106a、1-1-106b、1-1-106c、1-1-107a、1-1-108a、1-1-109a、1-1-109b、1-1-110a、1-1-110c、1-1-111a、1-1-112a、1-1-112b、1-1-113a、1-1-113b、1-1-114a、1-1-114b、1-1-115a、1-1-115b、1-1-116a、1-1-117a、1-1-118a、1-1-118c、1-1-120c、1-1-121a、1-1-122a、1-1-123a、1-2-001a、1-2-002a、1-2-004a、1-2-004b、1-2-004c、1-2-005a、1-2-006a、1-3-001a、1-3-002a、1-3-003a、1-3-004a、1-3-005a、1-3-006a、1-3-007a、1-3-008a、1-3-009a、1-3-010a、1-3-011a、 1-3-012a、1-3-013a、1-3-014a、1-4-001a、1-4-002a、1-4-003a、1-4-003b、1-5-001a、1-5-002a、1-5-003a、1-5-004a、1-6-001a、1-6-002a、1-7-001a、1-8-001b、1-8-002a、1-8-002b、1-8-003a、1-8-003b、1-8-004b、1-8-005a、1-8-005b、1-8-006a、1-8-006b、1-8-007a、1-8-008a、1-8-009a、1-8-010a、1-8-011a、1-8-013a、1-8-013b、1-8-014a、1-8-014b、1-8-015a、1-8-015b、1-9-002a、1-9-002b、1-9-003a、1-9-003b、1-10-001a、1-10-001b、1-10-001c、1-10-002a、1-10-002b、1-10-002c、1-10-003a、1-11-001a、1-11-001b 、1-11-001c、1-11-002a、1-11-003a、1-11-003b、1-11-004a、1-11-004b、1-11-004c、1-11-005a、1-11-005b、1-11-006a、1-11-006b、1-11-007a、1-11-007b、1-11-007c、1-12-001a、1-12-002a、1-12-003a、1-12-004a、1-12-005a、1-12-006a、1-12-007a、1-12-008a、1-12-009a、1-13-001a 、1-14-001a、1-15-002a、1-15-003a、1-16-001a、1-16-001b、2-1-001a、2-1-001b、2-1-002a、3-1-001a、3-1-001b、3-1-001c、3-1-002a、3-1-002b、3-1-002c
本発明化合物の10%乳剤(化合物によっては10%水和剤を供試)を、展着剤の入った水で希釈して、500ppm濃度の薬液を調製した。該薬液中に、カンランの葉を約10秒間浸漬した。浸漬操作が終了した後、薬液処理されたカンランの葉を風乾した後、シャーレに入れた。この中にハスモンヨトウ(Spodoptera litura)の3齢幼虫を、シャーレ当たり5頭放虫し、蓋をして25℃恒温室に収容した。収容してから6日後に、シャーレ中のハスモンヨトウの死虫数を調査し、試験例1と同様の計算式から死虫率を算出した。尚、試験は2連制で行なった。
その結果、供試した化合物の内、下記の化合物が90%以上の死虫率を示した。
本発明化合物:1-1-001a、1-1-001b、1-1-001c、1-1-002a、1-1-002b、1-1-003a、1-1-004a、1-1-005a、1-1-005c、1-1-006a、1-1-007a、1-1-009a、1-1-011a、1-1-012a、1-1-013a、1-1-013b、1-1-013c、1-1-014a、1-1-014c、1-1-015a、1-1-015b、1-1-016a、1-1-016b、1-1-016c、1-1-017a、1-1-018a、1-1-019a、1-1-020a、1-1-020b、1-1-023a、1-1-023b、1-1-023c、1-1-024a、1-1-026a、1-1-027a、1-1-027b、1-1-029a、1-1-030a、1-1-030b、1-1-030c、1-1-032a、1-1-033a、1-1-034a、1-1-036a、1-1-037a、1-1-038a、1-1-039a、1-1-040a、1-1-040c、1-1-041a、1-1-042a、1-1-043a、1-1-044a、1-1-045a、1-1-045b、1-1-046a、1-1-047a、1-1-048a、1-1-049a、1-1-049b、1-1-050a、1-1-051a、1-1-051b、1-1-052a、1-1-053a、1-1-056a、1-1-057a、1-1-057c、1-1-058a、1-1-059a、1-1-060a、1-1-061a、1-1-062a、1-1-063a、1-1-064a、1-1-065a、1-1-066a、1-1-067a、1-1-068a、1-1-069a、1-1-070a、1-1-070b、1-1-071a、1-1-072a、1-1-072b、1-1-072c、1-1-074a、1-1-076a、1-1-077a、1-1-077b、1-1-080a、1-1-081a、1-1-082a、1-1-083a、1-1-084a、1-1-085a、1-1-087a、1-1-089a、1-1-090a、1-1-091a、1-1-092a、1-1-093a、1-1-093b、1-1-094a、1-1-094b、1-1-094c、1-1-095a、1-1-096a、1-1-097a、1-1-099a、1-1-100a、1-1-101a、1-1-103a、1-1-103b、1-1-104a、1-1-105a、1-1-105b、1-1-106a、1-1-109a、1-1-110a、1-1-110c、1-1-111a、1-1-112a、1-1-113a、1-1-114a、1-1-114b、1-1-115a、1-1-115b、1-1-118a、1-1-122a、1-1-123a、1-2-001a、1-2-002a、1-2-004a、1-2-004b、1-2-004c、1-2-005a、1-2-006a、1-3-001a、1-3-002a、1-3-003a、1-3-004a、1-3-005a、1-3-006a、1-3-007a、1-3-008a、1-3-009a、1-3-010a、1-3-011a、1-3-012a、1-3-013a、1-3-014a、1-4-001a、1-4-002a、1-4-003a、1-4-003b、1-5-001a、1-5-002a、1-5-003a、1-5-004a、1-6-001a、1-6-002a、1-7-001a、1-8-002a、1-8-002b、1-8-003a、1-8-003b、1-8-005a、1-8-005b、1-8-006a、1-8-006b、1-8-007a、1-8-008a、1-8-009a、1-8-010a、1-8-011a、1-8-013a、1-8-013b、1-8-014a、1-8-015a、1-9-002a、1-9-002b、1-9-003a、1-10-001a、1-10-001b、1-10-001c、1-10-002a、1-10-002b、1-10-002c、1-10-003a、1-11-001a、1-11-001b 、1-11-001c、1-11-002a、1-11-003a、1-11-004a、1-11-004b、1-11-004c、1-11-005a、1-11-005b、1-11-006a、1-11-007a、1-11-007b、1-11-007c、1-12-001a、1-12-002a、1-12-003a、1-12-004a、1-12-005a、1-12-006a、1-12-007a、1-12-008a、1-12-009a、1-13-001a 、1-14-001a、1-15-003a、1-16-001a、2-1-001a、2-1-001b、3-1-001a、3-1-001c、3-1-002a、3-1-002b、3-1-002c
内径7cmのスチロールカップに湿った濾紙を敷き、その上に3cm角に切り取ったインゲンの葉を置き、ミカンキイロアザミウマ(Frankliniella occidentalis)の幼虫を1葉あたり20頭接種した。本発明化合物の10%乳剤(化合物によっては10%水和剤を供試)を、展着剤の入った水で希釈して、500ppm濃度の薬液を調製した。調製後の薬液を、回転式散布塔を用いてスチロールカップ当たり2.5mlずつ散布した(2.5mg/cm2)。
2日後に摂取したミカンキイロアザミウマの死虫数と、インゲンの食害を調査した。死虫率は、試験例1と同様の計算式から算出した。
食害度は以下のように判定した。1:0~20%の食害、2:20~50%の食害、3:50~70%の食害、4:70%以上の食害。尚、試験は2連制で行なった。
その結果、供試した化合物の内、下記の化合物が50%以上の死虫率及び2以上の食害度を示した。
本発明化合物:1-1-001a、1-1-002b、1-1-003a、1-1-005a、1-1-006a、1-1-023c、1-1-035a、1-1-036a、1-1-038a、1-1-039a、1-1-042a、1-1-043a、1-1-049a、1-1-050a、1-1-051a、1-1-052a、1-1-052b、1-1-053a、1-1-054b、1-1-055b、1-1-056a、1-1-057a、1-1-057c、1-1-061a、1-1-062a、1-1-063a、1-1-064a、1-1-067a、1-1-068a、1-1-069b、1-1-070a、1-1-071a、1-1-072a、1-1-074a、1-1-076a、1-1-080a、1-1-081a、1-1-082a、1-1-087a、1-1-089a、1-1-090a、1-1-093a、1-1-095a、1-1-096a、1-1-097a、1-1-099a、1-1-105a、1-1-106b、1-1-109a、1-1-110a、1-1-112a、1-1-114a、1-1-115a、1-1-117a、1-1-120c、1-1-122a、1-1-123a、1-2-006a、1-3-012a、1-4-003a、1-8-007a、1-8-008a、1-8-011a、1-8-013a、1-8-014a、1-8-015a、1-9-002a、1-9-003a、1-10-003a、1-11-003a、1-11-004a、1-11-006a、1-11-007a、1-11-007c、1-12-009a、2-1-002a、3-1-001a、3-1-001b、3-1-001c、3-1-002a
内径3cmのガラスシャーレに湿った脱脂綿を敷き、その上に同径に切り取ったカンランの葉を置き、モモアカアブラムシ(Myzus persicae)無翅成虫を4頭放虫した。1日後、本発明化合物の10%乳剤(化合物によっては10%水和剤を供試)を、展着剤の入った水で希釈して、500ppm濃度の薬液を調製した。調製後の薬液を、回転式散布塔にて散布(2.5mg/cm2)し、蓋をして25℃恒温室に収容した。収容してから6日後に、シャーレ中のモモアカアブラムシの死虫数を調査し、試験例1と同様の計算式から死虫率を算出した。尚、試験は2連制で行なった。
その結果、供試した化合物の内、下記の化合物が90%以上の死虫率を示した。
本発明化合物:1-1-001a、1-1-002a、1-1-002b、1-1-003a、1-1-004a、1-1-004b、1-1-004c、1-1-005a、1-1-006a、1-1-007a、1-1-009a、1-1-011a、1-1-012a、1-1-012b、1-1-013a、1-1-013c、1-1-014a、1-1-014c、1-1-015a、1-1-015b、1-1-016c、1-1-017a、1-1-018a、1-1-019a、1-1-020a、1-1-023a、1-1-024a、1-1-025c、1-1-026a、1-1-027a、1-1-032a、1-1-033a、1-1-034a、1-1-035a、1-1-036a、1-1-037a、1-1-038a、1-1-039a、1-1-040b、1-1-040c、1-1-041a、1-1-042a、1-1-043a、1-1-044a、1-1-045b、1-1-046a、1-1-047a、1-1-048a、1-1-049a、1-1-049b、1-1-050a、1-1-051a、1-1-052a、1-1-053a、1-1-056a、1-1-057a、1-1-057c、1-1-058a、1-1-059a、1-1-060a、1-1-061a、1-1-062a、1-1-063a、1-1-064a、1-1-065a、1-1-066a、1-1-067a、1-1-068a、1-1-071a、1-1-072a、1-1-073b、1-1-074a、1-1-077a、1-1-077b、1-1-080a、1-1-082a、1-1-086a、1-1-087a、1-1-090a、1-1-091a、1-1-093a、1-1-093b、1-1-095a、1-1-096a、1-1-097a、1-1-099a、1-1-100a、1-1-101a、1-1-102a、1-1-105a、1-1-106a、1-1-106b、1-1-106c、1-1-107a、1-1-108a、1-1-109a、1-1-110a、1-1-112a、1-1-113a、1-1-115a、1-1-116a、1-1-117a、1-1-118a、1-1-120c、1-1-121a、1-1-122a、1-1-123a、1-2-001a、1-2-002a、1-3-001a、1-3-002a、1-3-003a、1-3-004a、1-3-005a、1-3-006a、1-3-007a、1-3-009a、1-3-010a、1-3-011a、1-3-012a、1-4-001a、1-4-002a、1-4-003a、1-5-001a、1-5-002a、1-5-003a、1-5-004a、1-6-001a、1-6-002a、1-8-002a、1-8-002b、1-8-003a、1-8-003b、1-8-004b、1-8-005a、1-8-006a、1-8-008a、1-8-010a、1-8-013a、1-8-014a、1-8-015b、1-9-002a、1-9-003a、1-10-001a、1-10-001b、1-10-002a、1-10-002b、1-10-002c、1-10-003a、1-11-001a、1-11-001b 、1-11-002a、1-11-003a、1-11-004a、1-11-007a、1-11-007b、1-11-007c、1-12-001a、1-12-002a、1-12-003a、1-12-004a、1-12-005a、1-12-006a、1-12-007a、1-12-008a、1-14-001a、1-15-003a、1-16-001a、1-17-001a、2-1-001a、2-1-002a、3-1-001a、3-1-001c、3-1-002a
内径7cmのスチロールカップに湿った濾紙を敷き、その上に3cmに切り取ったインゲンの葉を置いた。本発明化合物の10%乳剤(化合物によっては10%水和剤を供試)を展着剤の入った水で希釈して、500ppm濃度の薬液を調製し、回転式散布塔を用いて、該薬液をスチロールカップ当たり2.5mlずつ散布した(2.5mg/cm2)。葉を風乾後、シルバーリーフコナジラミ(Bemisia argentifolii)の成虫を放虫し、蓋をして25℃恒温室に収容した。5日後の死虫数を調査し、試験例1と同様の計算式から死虫率を算出した。尚、試験は2連制で行なった。
その結果、供試した化合物の内、下記の化合物が90%以上の死虫率を示した。
本発明化合物:1-1-035a、1-1-036a、1-1-043a、1-1-049a、1-1-047a、1-1-094a、1-1-095a、1-1-096a、1-1-099a、1-3-001a、1-14-001a、3-1-002a
本発明化合物の10%乳剤を水道水で希釈して、濃度が500ppmの薬液を調製した。
プラスチックカップ植えキャベツ苗(2.5本葉期)の株元土壌部分に、10mlの上記薬液を潅注処理した。潅注処理した後、キャベツ苗を温室内に放置した。潅注処理してから1日後に、モモアカアブラムシ(Myzus persicae)の成虫を20頭/株で放虫した。放虫処理した後、キャベツ苗を温室内に放置した。放虫してから6日後に、生モモアカアブラムシの存虫数を調査し、下記の計算式から対照値を算出した。
対照値(%)={1-(Cb×Tai)/(Cai×Tb)}×100
式中の文字は下記を表す。
Cb:無処理区における処理前の虫の数
Cai:無処理区における最終調査時の生存虫数
Tb:処理区における処理前の虫の数
Tai:処理区における最終調査時の生存虫数
その結果、供試した化合物の内、下記の化合物が90%以上の対照値を示した。
本発明化合物:1-1-001a、1-1-002a、1-1-003a、1-1-004a、1-1-005a、1-1-006a、1-1-012a、1-1-013a、1-1-014a、1-1-016a、1-1-017a、1-1-018a、1-1-029a、1-1-032a、1-1-035a、1-1-039a、1-1-042a、1-1-043a、1-1-049a、1-1-057a、1-1-058a、1-1-060a、1-1-074a、1-1-093a、1-1-097a、1-1-106a、1-1-112a、1-1-113a、1-1-122a、1-8-002a、1-8-003a、1-8-005a、1-8-006a、1-8-010a、1-8-013a、1-9-002a、1-12-008a、1-14-001a、1-16-001a、2-1-002a
本発明化合物の10%乳剤を水道水で希釈して、濃度が20ppmの薬液を調製し、イネセル苗(2本葉期)の根を浸した。7日後にイネを切り出して、試験管に入れ、この中にトビイロウンカ(Nilaparvata lugens)の3齢幼虫を、試験管当たり5頭放虫し、スポンジで蓋をして25℃恒温室に収容した。放虫してから6日後に、トビイロウンカの死虫数を調査し、死虫率(%)(死虫数÷供試虫数×100)を算出した。尚、試験は2連制で行なった。
その結果、供試した化合物の内、下記の化合物が90%以上の死虫率を示した。
本発明化合物:1-1-001a、1-1-001b、1-1-002a、1-1-005a、1-1-006a、1-1-013a、1-1-014a、1-1-017a、1-1-018a、1-1-020a、1-1-030a、1-1-032a、1-1-035a、1-1-036a、1-1-038a、1-1-039a、1-1-042a、1-1-043a、1-1-044a、1-1-049a、1-1-052a、1-1-057a、1-1-057c、1-1-058a、1-1-067a、1-1-070a、1-1-072a、1-1-074a、1-1-076a、1-1-077a、1-1-092a、1-1-093a、1-1-095a、1-1-096a、1-1-097a、1-1-099a、1-1-105a、1-1-106a、1-1-107a、1-1-109a、1-1-111a、1-1-113a、1-1-117a、1-1-122a、1-2-002a、1-3-001a、1-3-005a、1-3-007a、1-8-002a、1-8-005a、1-8-006a、1-8-008a、1-8-010a、1-8-013a、1-9-002a、1-11-001a、1-11-002a、1-11-003a、1-11-004a、1-11-007a、1-12-006a、1-12-008a、1-12-009a、1-14-001a、1-16-001a、2-1-002a、3-1-002b
本発明化合物の10%乳剤を水道水で希釈して、濃度が500ppmの薬液を調製した。
プラスチックカップ植えキャベツ苗(2.5本葉期)の株元土壌部分に、10mlの上記薬液を潅注処理した。潅注処理した後、キャベツ苗を温室内に放置した。潅注処理してから5日後にカンランの葉を切り取り、シャーレに入れた。この中にコナガ(Plutella xylostella)の3齢幼虫を、シャーレ当たり5頭放虫し、蓋をして25℃恒温室に収容した。収容してから6日後に、シャーレ中のコナガの死虫数を調査し、試験例1と同様の計算式から死虫率を算出した。尚、試験は2連制で行なった。
その結果、供試した化合物の内、下記の化合物が90%以上の対照値を示した。
本発明化合物:1-1-001a、1-1-001c、1-1-002a、1-1-003a、1-1-004a、1-1-005a、1-1-006a、1-1-013a、1-1-014a、1-1-015a、1-1-016a、1-1-018a、1-1-029a、1-1-030a、1-1-039a、1-1-042a、1-1-043a、1-1-049a、1-1-050a、1-1-052a、1-1-056a、1-1-057a、1-1-058a、1-1-059a、1-1-060a、1-1-063a、1-1-069a、1-1-070a、1-1-074a、1-1-076a、1-1-077a、1-1-080a、1-1-082a、1-1-090a、1-1-093a、1-1-096a、1-1-097a、1-1-099a、1-1-103a、1-1-103b、1-1-105a、1-1-106a、1-1-107a、1-1-109a、1-1-111a、1-1-112a、1-1-113a、1-1-117a、1-1-122a、1-3-001a、1-3-004a、1-3-013a、1-3-014a、1-4-001a、1-8-002a、1-8-003a、1-8-005a、1-8-006a、1-8-007a、1-8-008a、1-8-010a、1-8-013a、1-9-002a、1-10-002a、1-11-001a、1-11-002a、1-11-003a、1-11-004a、1-11-007a、1-12-008a、1-12-009a、1-14-001a、1-16-001a、2-1-002a
本発明化合物2.4mgを97.6μlのアセトンで希釈した。全量50mlのプラスチックチューブ内に4粒のダイズ種子を入れ、その上から上記希釈液を注ぎ入れ、種子に化合物が満遍なく付着するように撹拌しながら、アセトンを完全に蒸発させた。処理した種子を4粒/ポットで植え、温室内に放置した。初生葉展開後、ダイズアブラムシ(Aphis glycines)の成虫を各株2頭ずつ放虫した。放虫7日後の生存虫数を調査し、下記の計算式から対照値を算出した。
対照値(%)={1-(Cb×Tai)/(Cai×Tb)}×100
式中の文字は下記を表す。
Cb:無処理区における処理前の虫の数
Cai:無処理区における最終調査時の生存虫数
Tb:処理区における処理前の虫の数
Tai:処理区における最終調査時の生存虫数
その結果、供試した化合物の内、下記の化合物が90%以上の対照値を示した。
本発明化合物:1-1-001a、1-1-002a、1-1-003a、1-1-004a、1-1-005a、1-1-006a、1-1-012a、1-1-013a、1-1-014a、1-1-016a、1-1-017a、1-1-018a、1-1-029a、1-1-032a、1-1-035a、1-1-039a、1-1-042a、1-1-043a、1-1-049a、1-1-057a、1-1-058a、1-1-060a、1-1-074a、1-1-093a、1-1-097a、1-1-106a、1-1-112a、1-1-113a、1-1-122a、1-3-001a、1-8-002a、1-8-003a、1-8-005a、1-8-006a、1-8-010a、1-8-013a、1-9-002a、1-12-008a、1-14-001a、1-16-001a
本発明化合物3.5mgを3.5mlのアセトンに溶解し、1000ppm濃度の薬液を調製した。該薬液350μlを、内壁表面積35cm2のガラス製容器の底面と側面とに塗布した後、アセトンを揮発させて、化合物の薄膜をガラス容器内壁に作製した。用いたガラス容器の内壁は35cm2であり、処理薬量は10μg/cm2となる。
上記処理したガラス容器内に、クリイロコイタマダニ(Rhipicephalus sanguineus )の第1若虫(雌雄混合)を5頭放虫し、蓋をして25℃恒温室に収容した。放虫してから4日後に、マダニの死虫数を調査し、試験例1と同様の計算式から死虫率を算出した。
その結果、供試した化合物の内、下記の化合物が50%以上の死虫率を示した。
本発明化合物:1-1-001a、1-1-001b、1-1-002a、1-1-003a、1-1-003b、1-1-003c、1-1-004a、1-1-004b、1-1-004c、1-1-005a、1-1-005b、1-1-006a、1-1-006b、1-1-010a、1-1-011a、1-1-012a、1-1-013a、1-1-014a、1-1-014b、1-1-016a、1-1-016c、1-1-017a、1-1-018a、1-1-020a、1-1-022a、1-1-023c、1-1-026a、1-1-023c、1-1-027b、1-1-035a、1-1-039a、1-1-040a、1-1-042a、1-1-043a、1-1-045a、1-1-046a、1-1-047a、1-1-049a、1-1-051a、1-1-052b、1-1-053a、1-1-055a、1-1-057a、1-1-057c、1-1-059b、1-1-060a、1-1-062a、1-1-063a、1-1-065a、1-1-067a、1-1-068a、1-1-071a、1-1-072a、1-1-072b、1-1-075a、1-1-080a、1-1-083a、1-1-088a、1-1-093a、1-1-093b、1-1-094a、1-1-094b、1-1-095a、1-1-096a、1-1-099a、1-1-103a、1-1-105a、1-1-105b、1-1-105c、1-1-106a、1-1-106b、1-1-106c、1-1-107a、1-1-108a、1-1-109a、1-1-110a、1-1-110c、1-1-111a、1-1-111b、1-1-112a、1-1-113a、1-1-114a、1-1-114b、1-1-115a、1-1-115b、1-1-116a、1-1-118b、1-1-118c、1-1-120c、1-3-004a、1-3-005a、1-3-011a、1-3-013a、1-3-014a、1-5-001a、1-6-001a、1-8-002a、1-8-005a、1-8-006a、1-8-006b、1-8-008a、1-8-010a、1-8-011a、1-8-013a、1-8-014a、1-8-014b、1-8-015b、1-9-002a、1-9-002b、1-9-003a、1-10-002c、1-11-004a、1-11-004c、1-11-005a、1-11-006a、1-11-007c、1-12-004a、1-12-007a、1-15-003a、1-16-001a、3-1-002a、3-1-002b、3-1-002c
本発明化合物3.5mgを3.5mlのアセトンに溶解し、1000ppm濃度の薬液を調製した。該薬液350μlを、内壁表面積35cm2のガラス製容器の底面と側面とに塗布した後、アセトンを揮発させて、化合物の薄膜をガラス容器内壁に作製した。用いたガラス容器の内壁は35cm2なので、処理薬量は10μg/cm2となる。
上記処理したガラス容器内に、ネコノミ(Ctenocephalides felis)の成虫(雌雄混合)を5頭放虫し、蓋をして25℃の恒温室に収容した。放虫してから4日後に、ノミの死虫数を調査し、試験例1と同様の計算式から死虫率を算出した。
その結果、供試した化合物の内、下記の化合物が50%以上の死虫率を示した。
本発明化合物:1-1-001a、1-1-001b、1-1-001c、1-1-002a、1-1-002b、1-1-003a、1-1-003b、1-1-003c、1-1-004a、1-1-004b、1-1-004c、1-1-005a、1-1-005b、1-1-005c、1-1-006a、1-1-007a、1-1-009a、1-1-012a、1-1-013a、1-1-013b、1-1-013c、1-1-014a、1-1-014c、1-1-015a、1-1-015b、1-1-016a、1-1-016b、1-1-016c、1-1-017a、1-1-018a、1-1-019a、1-1-020a、1-1-023a、1-1-023b、1-1-023c、1-1-024a、1-1-025c、1-1-026a、1-1-027a、1-1-027b、1-1-029a、1-1-030a、1-1-032a、1-1-033a、1-1-034a、1-1-035a、1-1-036a、1-1-037a、1-1-039a、1-1-040c、1-1-041a、1-1-042a、1-1-043a、1-1-044a、1-1-045a、1-1-046a、1-1-047a、1-1-047b、1-1-048a、1-1-048b、1-1-049a、1-1-050a、1-1-050b、1-1-051a、1-1-051b、1-1-052a、1-1-052b、1-1-053a、1-1-054b、1-1-055a、1-1-056a、1-1-057a、1-1-057c、1-1-058a、1-1-058b、1-1-059b、1-1-060a、1-1-060b、1-1-061a、1-1-062a、1-1-062b、1-1-063a、1-1-063b、1-1-064a、1-1-065a、1-1-066a、1-1-066b、1-1-067a、1-1-067b、1-1-068a、1-1-069a、1-1-070a、1-1-071a、1-1-072a、1-1-072b、1-1-072c、1-1-073b、1-1-074a、1-1-074b、1-1-075a、1-1-076a、1-1-077a、1-1-077b、1-1-080a、1-1-081a、1-1-082a、1-1-084a、1-1-085a、1-1-086a、1-1-087a、1-1-088a、1-1-089a、1-1-090a、1-1-091a、1-1-092a、1-1-093a、1-1-093b、1-1-094a、1-1-094b、1-1-094c、1-1-095a、1-1-096a、1-1-097a、1-1-099a、1-1-101a、1-1-102a、1-1-103a、1-1-103b、1-1-104a、1-1-105a、1-1-105b、1-1-105c、1-1-106a、1-1-106b、1-1-106c、1-1-107a、1-1-108a、1-1-109a、1-1-110a、1-1-110c、1-1-111a、1-1-111b、1-1-112a、1-1-113a、1-1-114a、1-1-114b、1-1-115a、1-1-115b、1-1-116a、1-1-117a、1-1-118a、1-1-118b、1-1-119c、1-1-122a、1-1-123a、1-2-001a、1-3-001a、1-3-002a、1-3-003a、1-3-004a、1-3-005a、1-3-006a、1-3-007a、1-3-008a、1-3-009a、1-3-010a、1-3-011a、1-3-012a、1-3-013a、1-3-014a、1-4-001a、1-4-002a、1-4-003a、1-4-003b、1-5-001a、1-5-002a、1-5-003a、1-5-004a、1-8-002a、1-8-002b、1-8-003a、1-8-004b、1-8-005a、1-8-006a、1-8-006b、1-8-007a、1-8-007b、1-8-008a、1-8-009a、1-8-010a、1-8-011a、1-8-013a、1-8-013c、1-8-014a、1-8-014b、1-9-002a、1-9-002b、1-9-003a、1-9-003b、1-10-001b、1-10-002a、1-10-002b、1-10-002c、1-10-003a、1-11-001a、1-11-001b、1-11-001c、1-11-003a、1-11-004a、1-11-004c、1-11-005b、1-11-006a、1-11-007b、1-11-007c、1-12-001a、1-12-002a、1-12-003a、1-12-006a、1-12-007a、1-12-008a、1-12-009a、1-14-001a、1-15-003a、1-16-001a、1-16-001b、1-17-001a、2-1-001a、3-1-001a、3-1-001b、3-1-001c、3-1-002a、3-1-002b、3-1-002c
本発明化合物5mgを5mlのオリーブオイルに溶解させ、投与薬液を調製した。該薬液をラット体重kgあたり10mlの量で、胃ゾンデを用いて経口投与した。経口投与は、1群あたり2反復にて実施した。薬液投与1時間後に、ラット1匹につきクリイロコイタマダニ(Rhipicephalus sanguineus)の第1若虫(雌雄混合)を50頭放虫した。放虫3日後に供試ダニの寄生数を調査し、以下の計算式で防除率を算出した。
防除率(%)=100×(1-投与群寄生マダニ数/非投与群寄生マダニ数).
その結果、供試した化合物の内、下記の化合物が70%以上の防除率を示した。
本発明化合物:1-1-001a、1-1-002a、1-1-003a、1-1-006a、1-1-016a、1-1-096a、1-1-103a、1-3-011a、1-9-002a
なお、2015年2月12日に出願された日本特許出願2015-025604号、及び2015年7月2日に出願された日本特許出願2015-133816号の明細書、特許請求の範囲及び要約書の全内容をここに引用し、本発明の明細書の開示として、取り入れるものである。
Claims (25)
- 式(1):
[式中、-S(O)nR1で置換されたDは、D1、D2又はD3の何れかで表される環を表し、
Qは、Q1、Q2、Q3又はQ4の何れかで表される環を表し、
G1は、窒素原子又はC(Y1)を表し、
G2は、窒素原子又はC(Y2)を表し、
G3は、窒素原子又はC(Y3)を表し、
G4は、窒素原子又はC(Y4)を表し、
G5は、窒素原子又はC(Y5)を表し、
T1は、N(T1a)、酸素原子又は硫黄原子を表し、
A1は、N(A1a)、酸素原子又は硫黄原子を表し、
A2は、窒素原子又はC(R2)を表し、
A3は、窒素原子又はC(R3)を表し、
A4は、窒素原子又はC(R4)を表し、
A5は、窒素原子又はC(R5)を表し、
A8は、窒素原子又はC(R8)を表し、
R1は、C1-C6アルキル基、C1-C6ハロアルキル基、R1aによって任意に置換された(C1-C6)アルキル基、C2-C6アルケニル基、C2-C6ハロアルケニル基、C2-C6アルキニル基、C2-C6ハロアルキニル基、C3-C6シクロアルキル基、C3-C6ハロシクロアルキル基、C3-C6シクロアルキル(C1-C6)アルキル基、C3-C6ハロシクロアルキル(C1-C6)アルキル基又はヒドロキシ(C1-C6)アルキル基を表し、
R1aは、C1-C8アルコキシ基、C1-C8ハロアルコキシ基、C1-C8アルコキシカルボニル基、C1-C6アルキルチオ基、C1-C6ハロアルキルチオ基、C1-C6アルキルスルフィニル基、C1-C6ハロアルキルスルフィニル基、C1-C6アルキルスルホニル基、C1-C6ハロアルキルスルホニル基又はシアノ基を表し、
R2は、水素原子、ハロゲン原子、C1-C6アルキル基、C1-C6ハロアルキル基、C1-C8アルコキシ基、C1-C8ハロアルコキシ基、C3-C6シクロアルキル基、C3-C6ハロシクロアルキル基、C1-C6アルキルチオ基、C1-C6ハロアルキルチオ基、C1-C6アルキルスルフィニル基、C1-C6ハロアルキルスルフィニル基、C1-C6アルキルスルホニル基、C1-C6ハロアルキルスルホニル基、-C(O)R20a、-C(O)OH、ヒドロキシ基、-NH2、-NHR20g、-N(R20h)R20g、メルカプト基、シアノ基又はニトロ基を表し、
R3は、水素原子、ハロゲン原子、C1-C6アルキル基、C1-C6ハロアルキル基、C2-C6ハロアルケニル基、C2-C6ハロアルキニル基、C1-C8アルコキシ基、C1-C8ハロアルコキシ基、C3-C6シクロアルキル基、C3-C6ハロシクロアルキル基、C1-C6アルキルチオ基、C1-C6ハロアルキルチオ基、R3aによって任意に置換された(C1-C6)アルキルチオ基、C1-C6アルキルスルフィニル基、C1-C6ハロアルキルスルフィニル基、C1-C6アルキルスルホニル基、C1-C6ハロアルキルスルホニル基、-C(O)R30a、-C(O)OH、ヒドロキシ基、-OC(O)R30e、-OS(O)2R30f、-NH2、-NHR30g、-N(R30h)R30g、メルカプト基、-SC(O)R30i、-SF5、シアノ基、ニトロ基、フェニル基、R3bによって任意に置換されたフェニル基、複素環基又はR3bによって任意に置換された複素環基を表し、
R3aは、C1-C8アルコキシカルボニル基を表し、
R3bは、ハロゲン原子、C1-C6アルキル基、C1-C6ハロアルキル基、C1-C8アルコキシ基、C1-C8ハロアルコキシ基、シアノ基又はニトロ基を表し、
R4は、水素原子、ハロゲン原子、C1-C6アルキル基、C1-C6ハロアルキル基、C2-C6ハロアルケニル基、C2-C6ハロアルキニル基、C1-C8アルコキシ基、C1-C8ハロアルコキシ基、C3-C6シクロアルキル基、C3-C6ハロシクロアルキル基、C1-C6アルキルチオ基、C1-C6ハロアルキルチオ基、R4aによって任意に置換された(C1-C6)アルキルチオ基、C1-C6アルキルスルフィニル基、C1-C6ハロアルキルスルフィニル基、C1-C6アルキルスルホニル基、C1-C6ハロアルキルスルホニル基、-C(O)R40a、-C(O)OH、ヒドロキシ基、-OC(O)R40e、-OS(O)2R40f、-NH2、-NHR40g、-N(R40h)R40g、メルカプト基、-SC(O)R40i、-SF5、シアノ基、ニトロ基、フェニル基、R4bによって任意に置換されたフェニル基、複素環基又はR4bによって任意に置換された複素環基を表し、
R4aは、C1-C8アルコキシカルボニル基を表し、
R4bは、ハロゲン原子、C1-C6アルキル基、C1-C6ハロアルキル基、C1-C8アルコキシ基、C1-C8ハロアルコキシ基、シアノ基又はニトロ基を表し、
R5は、水素原子、ハロゲン原子、C1-C6アルキル基、C1-C6ハロアルキル基、C1-C8アルコキシ基、C1-C8ハロアルコキシ基、C3-C6シクロアルキル基、C3-C6ハロシクロアルキル基、C1-C6アルキルチオ基、C1-C6ハロアルキルチオ基、C1-C6アルキルスルフィニル基、C1-C6ハロアルキルスルフィニル基、C1-C6アルキルスルホニル基、C1-C6ハロアルキルスルホニル基、-C(O)R50a、-C(O)OH、ヒドロキシ基、-NH2、-NHR50g、-N(R50h)R50g、メルカプト基、シアノ基又はニトロ基を表し、
R6は、水素原子、ハロゲン原子、C1-C6アルキル基、C1-C6ハロアルキル基、C1-C8アルコキシ基、C1-C8ハロアルコキシ基、C3-C6シクロアルキル基、C3-C6ハロシクロアルキル基、C1-C6アルキルチオ基、C1-C6ハロアルキルチオ基、C1-C6アルキルスルフィニル基、C1-C6ハロアルキルスルフィニル基、C1-C6アルキルスルホニル基、C1-C6ハロアルキルスルホニル基、-C(O)R60a、-C(O)OH、ヒドロキシ基、-NH2、-NHR60g、-N(R60h)R60g、メルカプト基、シアノ基又はニトロ基を表し、
R7は、水素原子、ハロゲン原子、C1-C6アルキル基、C1-C6ハロアルキル基、C1-C8アルコキシ基、C1-C8ハロアルコキシ基、C1-C6アルキルチオ基、C1-C6ハロアルキルチオ基、C1-C6アルキルスルフィニル基、C1-C6ハロアルキルスルフィニル基、C1-C6アルキルスルホニル基、C1-C6ハロアルキルスルホニル基、メルカプト基、-SF5、シアノ基又はニトロ基を表し、
R8は、水素原子、ハロゲン原子、C1-C6アルキル基、C1-C6ハロアルキル基、C1-C8アルコキシ基、C1-C8ハロアルコキシ基又はシアノ基を表し、
A1aは、水素原子、C1-C6アルキル基、C1-C6ハロアルキル基、A1a-aによって任意に置換された(C1-C6)アルキル基、A1a-aによって任意に置換された(C1-C6)ハロアルキル基、C2-C6アルケニル基、C2-C6ハロアルケニル基、C2-C6アルキニル基、C2-C6ハロアルキニル基、C1-C8アルコキシ基、C1-C8ハロアルコキシ基、C3-C6シクロアルキル基、C3-C6ハロシクロアルキル基、C3-C6シクロアルキル(C1-C6)アルキル基、C3-C6ハロシクロアルキル(C1-C6)アルキル基、C1-C6アルキルチオ基、C1-C6ハロアルキルチオ基、C1-C6アルキルスルフィニル基、C1-C6ハロアルキルスルフィニル基、C1-C6アルキルスルホニル基、C1-C6ハロアルキルスルホニル基、C(O)R10a、ヒドロキシ基又はシアノ基を表し、
A1a-aは、C1-C8アルコキシ基、C1-C8ハロアルコキシ基、C1-C8アルコキシカルボニル基、C1-C8ハロアルコキシカルボニル基、C1-C6アルキルカルボニル基、C1-C6ハロアルキルカルボニル基、C1-C6アルキルチオ基、C1-C6ハロアルキルチオ基、C1-C6アルキルスルフィニル基、C1-C6ハロアルキルスルフィニル基、C1-C6アルキルスルホニル基、C1-C6ハロアルキルスルホニル基、ヒドロキシ基又はシアノ基を表し、
T1aは、水素原子、C1-C6アルキル基、C1-C6ハロアルキル基、C2-C6アルケニル基、C2-C6ハロアルケニル基、C2-C6アルキニル基、C2-C6ハロアルキニル基、C1-C8アルコキシ基、C1-C8ハロアルコキシ基、C3-C6シクロアルキル基、C3-C6ハロシクロアルキル基、C3-C6シクロアルキル(C1-C6)アルキル基又はC3-C6ハロシクロアルキル(C1-C6)アルキル基を表し、
Y1、Y2、Y3及びY4は、各々独立して、水素原子、ハロゲン原子、C1-C6アルキル基、C1-C6ハロアルキル基、Yaによって任意に置換された(C1-C6)アルキル基、Yaによって任意に置換された(C1-C6)ハロアルキル基、C2-C6アルケニル基、C2-C6ハロアルケニル基、Yaによって任意に置換された(C2-C6)アルケニル基、C2-C6アルキニル基、C2-C6ハロアルキニル基、Ybによって任意に置換された(C2-C6)アルキニル基、C1-C8アルコキシ基、C1-C8ハロアルコキシ基、Yaによって任意に置換された(C1-C8)アルコキシ基、C2-C6アルケニルオキシ基、C2-C6ハロアルケニルオキシ基、Yaによって任意に置換された(C2-C6)アルケニルオキシ基、C2-C6アルキニルオキシ基、C2-C6ハロアルキニルオキシ基、Yaによって任意に置換された(C2-C6)アルキニルオキシ基、C3-C6シクロアルキル基、C3-C6ハロシクロアルキル基、C3-C6シクロアルキル(C1-C6)アルキル基、C3-C6ハロシクロアルキル(C1-C6)アルキル基、C1-C6アルキルチオ基、C1-C6ハロアルキルチオ基、Yaによって任意に置換された(C1-C6)アルキルチオ基、C2-C6アルケニルチオ基、C2-C6ハロアルケニルチオ基、C2-C6アルキニルチオ基、C2-C6ハロアルキニルチオ基、C1-C6アルキルスルフィニル基、C1-C6ハロアルキルスルフィニル基、Yaによって任意に置換された(C1-C6)アルキルスルフィニル基、C2-C6アルケニルスルフィニル基、C2-C6ハロアルケニルスルフィニル基、C2-C6アルキニルスルフィニル基、C2-C6ハロアルキニルスルフィニル基、C1-C6アルキルスルホニル基、C1-C6ハロアルキルスルホニル基、Yaによって任意に置換された(C1-C6)アルキルスルホニル基、C2-C6アルケニルスルホニル基、C2-C6ハロアルケニルスルホニル基、C2-C6アルキニルスルホニル基、C2-C6ハロアルキニルスルホニル基、-C(O)R90a、-C(O)NHR90b、-C(O)N(R90c)R90b、-C(O)OH、-C(=NOR90d)R90a、-C(O)NH2、ヒドロキシ基、-OC(O)R90e、-OS(O)2R90f、-NH2、-NHR90g、-N(R90h)R90g、メルカプト基、-SC(O)R90i、-S(O)2NHR90j、-S(O)2N(R90k)R90j、-SF5、シアノ基、ニトロ基、フェニル基、Ycによって任意に置換されたフェニル基、複素環基又はYcによって任意に置換された複素環基を表し、
Y5及びY6は、各々独立して、水素原子、ハロゲン原子、C1-C6アルキル基、C1-C6ハロアルキル基、C1-C8アルコキシ基、C1-C8ハロアルコキシ基、C1-C6アルキルチオ基、C1-C6ハロアルキルチオ基、C1-C6アルキルスルフィニル基、C1-C6ハロアルキルスルフィニル基、C1-C6アルキルスルホニル基、C1-C6ハロアルキルスルホニル基、メルカプト基、-SF5、シアノ基又はニトロ基を表し、
Yaは、C1-C8アルコキシ基、C1-C8ハロアルコキシ基、C1-C8アルコキシカルボニル基、C1-C8ハロアルコキシカルボニル基、C1-C6アルキルカルボニル基、C1-C6ハロアルキルカルボニル基、C1-C6アルキルチオ基、C1-C6ハロアルキルチオ基、C1-C6アルキルスルフィニル基、C1-C6ハロアルキルスルフィニル基、C1-C6アルキルスルホニル基、C1-C6ハロアルキルスルホニル基、ヒドロキシ基又はシアノ基を表し、
Ybは、C1-C6アルキル基、C3-C6シクロアルキル基、トリメチルシリル基又はフェニル基を表し、
Ycは、ハロゲン原子、C1-C6アルキル基、C1-C6ハロアルキル基、C1-C8アルコキシ基、C1-C8ハロアルコキシ基、シアノ基又はニトロ基を表し、
R10a、R20a、R30a、R30e、R40a、R40e、R50a、R60a及びR90aは、各々独立して、水素原子、C1-C6アルキル基、C1-C6ハロアルキル基、C1-C8アルコキシ基又はC1-C8ハロアルコキシ基を表し、
R20g、R20h、R30f、R30g、R30h、R30i、R40f、R40g、R40h、R40i、R50g、R50h、R60g、R60h、R90b、R90c、R90i、R90j及びR90kは、各々独立して、C1-C6アルキル基又はC1-C6ハロアルキル基を表し、
R90dは、水素原子、C1-C6アルキル基又はC1-C6ハロアルキル基を表し、
R90eは、水素原子、C1-C6アルキル基、C1-C6ハロアルキル基、C1-C8アルコキシ基、C1-C8ハロアルコキシ基、C1-C6アルキルアミノ基、C1-C6ハロアルキルアミノ基、ジ(C1-C6)アルキルアミノ基又はジ(C1-C6)ハロアルキルアミノ基を表し、
R90fは、C1-C6アルキル基、C1-C6ハロアルキル基、C1-C6アルキルアミノ基、C1-C6ハロアルキルアミノ基、ジ(C1-C6)アルキルアミノ基又はジ(C1-C6)ハロアルキルアミノ基を表し、
R90g及びR90hは、各々独立して、C1-C6アルキル基、C1-C6ハロアルキル基、C1-C6アルキルカルボニル基、C1-C6ハロアルキルカルボニル基、C1-C8アルコキシカルボニル基、C1-C8ハロアルコキシカルボニル基、C1-C6アルキルアミノカルボニル基、C1-C6ハロアルキルアミノカルボニル基、C1-C6アルキルアミノチオカルボニル基、C1-C6ハロアルキルアミノチオカルボニル基、フェニルカルボニル基、C1-C6アルキルスルホニル基、C1-C6ハロアルキルスルホニル基、C1-C6アルキルアミノスルホニル基又はジ(C1-C6)アルキルアミノスルホニル基を表し、
nは、0、1又は2の整数を表す。]で表される縮合複素環化合物若しくはその塩又はそれらのN-オキシド。 - -S(O)nR1で置換されたDは、D1で表される環を表し、
G1は、C(Y1)を表し、
G2は、C(Y2)を表し、
G3は、C(Y3)を表し、
G4は、C(Y4)を表し、
A2は、C(R2)を表し、
A3は、C(R3)を表し、
R1は、C1-C6アルキル基、C1-C6ハロアルキル基、C2-C6アルケニル基、C2-C6ハロアルケニル基、C2-C6アルキニル基、C2-C6ハロアルキニル基、C3-C6シクロアルキル(C1-C6)アルキル基又はC3-C6ハロシクロアルキル(C1-C6)アルキル基を表し、
R2は、水素原子、ハロゲン原子、C1-C6アルキル基又はC1-C6ハロアルキル基を表し、
R3は、水素原子、ハロゲン原子、C1-C6アルキル基、C1-C6ハロアルキル基、C1-C8アルコキシ基、C1-C8ハロアルコキシ基、C1-C6アルキルチオ基、C1-C6ハロアルキルチオ基、R3aによって任意に置換された(C1-C6)アルキルチオ基、C1-C6アルキルスルフィニル基、C1-C6ハロアルキルスルフィニル基、C1-C6アルキルスルホニル基又はC1-C6ハロアルキルスルホニル基を表し、
R4は、水素原子、ハロゲン原子、C1-C6アルキル基、C1-C6ハロアルキル基、C1-C8アルコキシ基、C1-C8ハロアルコキシ基、C1-C6アルキルチオ基、C1-C6ハロアルキルチオ基、R4aによって任意に置換された(C1-C6)アルキルチオ基、C1-C6アルキルスルフィニル基、C1-C6ハロアルキルスルフィニル基、C1-C6アルキルスルホニル基又はC1-C6ハロアルキルスルホニル基を表し、
R5、R6及びR8は、各々独立して、水素原子、ハロゲン原子、C1-C6アルキル基又はC1-C6ハロアルキル基を表し、
R7は、水素原子、ハロゲン原子又はC1-C6ハロアルキル基を表し、
A1aは、水素原子、C1-C6アルキル基、A1a-aによって任意に置換された(C1-C6)アルキル基、C2-C6アルケニル基、C2-C6アルキニル基、C1-C8アルコキシ基、C3-C6シクロアルキル基又はC(O)R10aを表し、
A1a-aは、C1-C8アルコキシ基、C1-C6アルキルチオ基、C1-C6アルキルスルフィニル基、C1-C6アルキルスルホニル基又はシアノ基を表し、
R10aは、水素原子、C1-C6アルキル基又はC1-C8アルコキシ基を表し、
Y1、Y2、Y3及びY4は、各々独立して、水素原子、ハロゲン原子、C1-C6アルキル基、C1-C6ハロアルキル基、C2-C6アルケニル基、C2-C6アルキニル基、Ybによって任意に置換された(C2-C6)アルキニル基、C1-C8アルコキシ基、C1-C8ハロアルコキシ基、C1-C6アルキルチオ基、C1-C6ハロアルキルチオ基、Yaによって任意に置換された(C1-C6)アルキルチオ基、C1-C6アルキルスルフィニル基、C1-C6ハロアルキルスルフィニル基、C1-C6アルキルスルホニル基、C1-C6ハロアルキルスルホニル基、-C(O)R90a、-C(O)NHR90b、-C(O)N(R90c)R90b、-C(O)OH、ヒドロキシ基、-OC(O)R90e、-OS(O)2R90f、-NH2、-NHR90g、-N(R90h)R90g、メルカプト基、-SC(O)R90i、-S(O)2NHR90j、-S(O)2N(R90k)R90j、-SF5、シアノ基、ニトロ基、フェニル基、Ycによって任意に置換されたフェニル基、複素環基又はYcによって任意に置換された複素環基を表し、
Yaは、C1-C8アルコキシカルボニル基を表す請求項1記載の縮合複素環化合物若しくはその塩又はそれらのN-オキシド。 - -S(O)nR1で置換されたDは、D2で表される環を表し、
Qは、Q1で表される環を表し、
A1は、N(A1a)を表し、
A2は、C(R2)を表し、
A3は、C(R3)を表し、
A4は、C(R4)を表し、
A5は、窒素原子を表し、
R1は、C1-C6アルキル基、C1-C6ハロアルキル基、C2-C6アルケニル基、C2-C6ハロアルケニル基、C2-C6アルキニル基、C2-C6ハロアルキニル基、C3-C6シクロアルキル(C1-C6)アルキル基又はC3-C6ハロシクロアルキル(C1-C6)アルキル基を表し、
R2は、水素原子、ハロゲン原子、C1-C6アルキル基又はC1-C6ハロアルキル基を表し、
R3は、水素原子、ハロゲン原子、C1-C6アルキル基、C1-C6ハロアルキル基、C1-C8アルコキシ基、C1-C8ハロアルコキシ基、C1-C6アルキルチオ基、C1-C6ハロアルキルチオ基、R3aによって任意に置換された(C1-C6)アルキルチオ基、C1-C6アルキルスルフィニル基、C1-C6ハロアルキルスルフィニル基、C1-C6アルキルスルホニル基又はC1-C6ハロアルキルスルホニル基を表し、
R4は、水素原子、ハロゲン原子、C1-C6アルキル基、C1-C6ハロアルキル基、C1-C8アルコキシ基、C1-C8ハロアルコキシ基、C1-C6アルキルチオ基、C1-C6ハロアルキルチオ基、R4aによって任意に置換された(C1-C6)アルキルチオ基、C1-C6アルキルスルフィニル基、C1-C6ハロアルキルスルフィニル基、C1-C6アルキルスルホニル基又はC1-C6ハロアルキルスルホニル基を表し、
A1aは、水素原子、C1-C6アルキル基、A1a-aによって任意に置換された(C1-C6)アルキル基、C2-C6アルケニル基、C2-C6アルキニル基、C1-C8アルコキシ基、C3-C6シクロアルキル基又はC(O)R10aを表し、
A1a-aは、C1-C8アルコキシ基、C1-C6アルキルチオ基、C1-C6アルキルスルフィニル基、C1-C6アルキルスルホニル基又はシアノ基を表し、
R10aは、水素原子、C1-C6アルキル基又はC1-C8アルコキシ基を表し、
Y5は、水素原子、ハロゲン原子、C1-C6アルキル基又はC1-C6ハロアルキル基を表し、
Y6は、水素原子、ハロゲン原子又はC1-C6ハロアルキル基を表す請求項1記載の縮合複素環化合物若しくはその塩又はそれらのN-オキシド。 - -S(O)nR1で置換されたDは、D3で表される環を表し、
Qは、Q1で表される環を表し、
G1は、C(Y1)を表し、
G2は、C(Y2)を表し、
G3は、C(Y3)を表し、
G4は、C(Y4)を表し、
T1は、N(T1a)又は硫黄原子を表し、
A1は、N(A1a)を表し、
A2は、C(R2)を表し、
A3は、C(R3)を表し、
A4は、C(R4)を表し、
A5は、窒素原子を表し、
R1は、C1-C6アルキル基、C1-C6ハロアルキル基、C2-C6アルケニル基、C2-C6ハロアルケニル基、C2-C6アルキニル基、C2-C6ハロアルキニル基、C3-C6シクロアルキル(C1-C6)アルキル基又はC3-C6ハロシクロアルキル(C1-C6)アルキル基を表し、
R2は、水素原子、ハロゲン原子、C1-C6アルキル基又はC1-C6ハロアルキル基を表し、
R3は、水素原子、ハロゲン原子、C1-C6アルキル基、C1-C6ハロアルキル基、C1-C8アルコキシ基、C1-C8ハロアルコキシ基、C1-C6アルキルチオ基、C1-C6ハロアルキルチオ基、R3aによって任意に置換された(C1-C6)アルキルチオ基、C1-C6アルキルスルフィニル基、C1-C6ハロアルキルスルフィニル基、C1-C6アルキルスルホニル基又はC1-C6ハロアルキルスルホニル基を表し、
R4は、水素原子、ハロゲン原子、C1-C6アルキル基、C1-C6ハロアルキル基、C1-C8アルコキシ基、C1-C8ハロアルコキシ基、C1-C6アルキルチオ基、C1-C6ハロアルキルチオ基、R4aによって任意に置換された(C1-C6)アルキルチオ基、C1-C6アルキルスルフィニル基、C1-C6ハロアルキルスルフィニル基、C1-C6アルキルスルホニル基又はC1-C6ハロアルキルスルホニル基を表し、
A1aは、水素原子、C1-C6アルキル基、A1a-aによって任意に置換された(C1-C6)アルキル基、C2-C6アルケニル基、C2-C6アルキニル基、C1-C8アルコキシ基、C3-C6シクロアルキル基又はC(O)R10aを表し、
A1a-aは、C1-C8アルコキシ基、C1-C6アルキルチオ基、C1-C6アルキルスルフィニル基、C1-C6アルキルスルホニル基又はシアノ基を表し、
R10aは、水素原子、C1-C6アルキル基又はC1-C8アルコキシ基を表し、
T1aは、水素原子又はC1-C6アルキル基を表し、
Y1、Y2、Y3及びY4は、各々独立して、水素原子、ハロゲン原子、C1-C6アルキル基、C1-C6ハロアルキル基、C1-C8アルコキシ基、C1-C8ハロアルコキシ基、C1-C6アルキルチオ基、C1-C6ハロアルキルチオ基、C1-C6アルキルスルフィニル基、C1-C6ハロアルキルスルフィニル基、C1-C6アルキルスルホニル基、C1-C6ハロアルキルスルホニル基、シアノ基又はニトロ基を表す請求項1記載の縮合複素環化合物若しくはその塩又はそれらのN-オキシド。 - Qは、Q1で表される環を表し、
A1は、N(A1a)を表し、
R1は、C1-C6アルキル基を表し、
R3は、水素原子、ハロゲン原子、C1-C6ハロアルキル基、C1-C6ハロアルキルチオ基、R3aによって任意に置換された(C1-C6)アルキルチオ基、C1-C6ハロアルキルスルフィニル基又はC1-C6ハロアルキルスルホニル基を表し、
R4は、水素原子、ハロゲン原子、C1-C6ハロアルキル基、C1-C6ハロアルキルチオ基、R4aによって任意に置換された(C1-C6)アルキルチオ基、C1-C6ハロアルキルスルフィニル基又はC1-C6ハロアルキルスルホニル基を表し、
A1aは、水素原子又はC1-C6アルキル基を表す請求項2記載の縮合複素環化合物若しくはその塩又はそれらのN-オキシド。 - A4は、C(R4)を表し、
A5は、窒素原子を表し、
R2は、水素原子を表し、
R4は、水素原子又はC1-C6ハロアルキル基を表し、
Y1は、水素原子、C1-C6アルキル基又はC1-C6ハロアルキル基を表し、
Y2は、水素原子、ハロゲン原子、C1-C6アルキル基、C1-C6ハロアルキル基、C2-C6アルケニル基、Ybによって任意に置換された(C2-C6)アルキニル基、C1-C8アルコキシ基、C1-C6アルキルチオ基、C1-C6ハロアルキルチオ基、Yaによって任意に置換された(C1-C6)アルキルチオ基、C1-C6アルキルスルフィニル基、C1-C6アルキルスルホニル基、-NH2、-NHR90g、ニトロ基、フェニル基、Ycによって任意に置換されたフェニル基、チオフェン-2-イル基、ピリジン-3-イル基又はピリジン-4-イル基を表し、
Y3は、水素原子、ハロゲン原子、C1-C6アルキル基、C1-C6ハロアルキル基、C1-C8アルコキシ基、C1-C6アルキルチオ基、Yaによって任意に置換された(C1-C6)アルキルチオ基、C1-C6アルキルスルフィニル基、C1-C6アルキルスルホニル基、-C(O)R90a、-C(O)N(R90c)R90b、-C(O)OH、シアノ基又はニトロ基を表し、
Y4は、水素原子、ハロゲン原子、C1-C6アルキル基、C1-C6ハロアルキル基、C1-C8アルコキシ基、C1-C6アルキルチオ基、C1-C6アルキルスルホニル基、-N(R90h)R90g又はシアノ基を表し、
Yaは、C1-C8アルコキシカルボニル基を表し、
Ybは、C3-C6シクロアルキル基又はトリメチルシリル基を表し、
Ycは、ハロゲン原子又はC1-C6ハロアルキル基を表し、
R90aは、C1-C8アルコキシ基を表し、
R90b及びR90cは、各々独立して、C1-C6アルキル基を表し、
R90gは、C1-C6アルキル基、C1-C6ハロアルキルカルボニル基、C1-C8アルコキシカルボニル基又はフェニルカルボニル基を表し、
R90hは、C1-C6アルキル基を表す請求項5記載の縮合複素環化合物若しくはその塩又はそれらのN-オキシド。 - A4は、窒素原子を表し、
A5は、C(R5)を表し、
R2は、水素原子を表し、
R3は、C1-C6ハロアルキル基を表し、
R5は、水素原子又はC1-C6アルキル基を表し、
Y1は、水素原子を表し、
Y2は、水素原子、ハロゲン原子又はC1-C6ハロアルキル基を表し、
Y3は、水素原子、ハロゲン原子、C1-C6ハロアルキル基又はシアノ基を表し、
Y4は、水素原子、ハロゲン原子又はC1-C8アルコキシ基を表す請求項5記載の縮合複素環化合物若しくはその塩又はそれらのN-オキシド。 - Qは、Q2で表される環を表し、
A4は、窒素原子又はC(R4)を表し、
A5は、窒素原子又はC(R5)を表し、
(但し、A4及びA5が共に窒素原子を表す場合は除く)
R1は、C1-C6アルキル基を表し、
R2は、水素原子を表し、
R3は、水素原子、ハロゲン原子、C1-C6ハロアルキル基、C1-C6ハロアルキルチオ基、R3aによって任意に置換された(C1-C6)アルキルチオ基、C1-C6ハロアルキルスルフィニル基又はC1-C6ハロアルキルスルホニル基を表し、
R4は、水素原子、ハロゲン原子、C1-C6ハロアルキル基、C1-C6ハロアルキルチオ基、R4aによって任意に置換された(C1-C6)アルキルチオ基、C1-C6ハロアルキルスルフィニル基又はC1-C6ハロアルキルスルホニル基を表す請求項2記載の縮合複素環化合物若しくはその塩又はそれらのN-オキシド。 - A4は、窒素原子を表し、
A5は、C(R5)を表し、
R3は、C1-C6ハロアルキル基を表し、
R5は、水素原子又はC1-C6アルキル基を表し、
R6は、水素原子、ハロゲン原子又はC1-C6アルキル基を表し、
Y1及びY4は、水素原子を表し、
Y2は、水素原子、ハロゲン原子又はC1-C6ハロアルキル基を表し、
Y3は、水素原子又はC1-C6ハロアルキル基を表す請求項8記載の縮合複素環化合物若しくはその塩又はそれらのN-オキシド。 - Qは、Q3で表される環を表し、
A4は、窒素原子又はC(R4)を表し、
A5は、窒素原子又はC(R5)を表し、
(但し、A4及びA5が共に窒素原子を表す場合は除く)
R1は、C1-C6アルキル基を表し、
R2は、水素原子を表し、
R3は、水素原子、ハロゲン原子、C1-C6ハロアルキル基、C1-C6ハロアルキルチオ基、R3aによって任意に置換された(C1-C6)アルキルチオ基、C1-C6ハロアルキルスルフィニル基又はC1-C6ハロアルキルスルホニル基を表し、
R4は、水素原子、ハロゲン原子、C1-C6ハロアルキル基、C1-C6ハロアルキルチオ基、R4aによって任意に置換された(C1-C6)アルキルチオ基、C1-C6ハロアルキルスルフィニル基又はC1-C6ハロアルキルスルホニル基を表す請求項2記載の縮合複素環化合物若しくはその塩又はそれらのN-オキシド。 - A4は、窒素原子を表し、
A5は、C(R5)を表し、
R3は、C1-C6ハロアルキル基を表し、
R5は、水素原子を表し、
R6は、水素原子を表し、
Y1は、水素原子を表し、
Y2及びY3は、各々独立して、水素原子、ハロゲン原子又はC1-C6ハロアルキル基を表し、
Y4は、水素原子又はハロゲン原子を表す請求項10記載の縮合複素環化合物若しくはその塩又はそれらのN-オキシド。 - Qは、Q4で表される環を表す請求項2記載の縮合複素環化合物若しくはその塩又はそれらのN-オキシド。
- R1は、C1-C6アルキル基を表し、
R6は、水素原子を表し、
R7は、C1-C6ハロアルキル基を表し、
R8は、水素原子又はC1-C6アルキル基を表し、
Y1及びY4は、水素原子を表し、
Y2は、水素原子、ハロゲン原子又はC1-C6ハロアルキル基を表し、
Y3は、水素原子又はC1-C6ハロアルキル基を表す請求項12記載の縮合複素環化合物若しくはその塩又はそれらのN-オキシド。 - R1は、C1-C6アルキル基を表し、
R2は、水素原子を表し、
R3は、C1-C6ハロアルキル基を表し、
R4は、水素原子を表し、
A1aは、C1-C6アルキル基を表し、
Y5は、水素原子を表し、
Y6は、C1-C6ハロアルキル基を表す請求項3記載の縮合複素環化合物若しくはその塩又はそれらのN-オキシド。 - R1は、C1-C6アルキル基を表し、
R2は、水素原子を表し、
R3は、C1-C6ハロアルキル基を表し、
R4は、水素原子を表し、
A1aは、C1-C6アルキル基を表し、
T1aは、C1-C6アルキル基を表し、
Y1、Y3及びY4は、水素原子を表し、
Y2は、C1-C6ハロアルキル基を表す請求項4記載の縮合複素環化合物若しくはその塩又はそれらのN-オキシド。 - A1は、N(A1a)又は酸素原子を表し、
R2は、水素原子を表し、
R3は、C1-C6ハロアルキル基、C1-C6ハロアルキルチオ基、C1-C6ハロアルキルスルフィニル基又はC1-C6ハロアルキルスルホニル基を表し、
R4は、水素原子を表し、
R5は、水素原子又はC1-C6アルキル基を表し、
R6は、水素原子を表し、
A1aは、C1-C6アルキル基を表し、
Y1及びY4は、水素原子を表し、
Y2及びY3は、各々独立して、水素原子又はC1-C6ハロアルキル基を表す請求項2記載の縮合複素環化合物若しくはその塩又はそれらのN-オキシド。 - 請求項1乃至16のいずれか1項に記載の縮合複素環化合物及びその塩から選ばれる1種又は2種以上を有効成分として含有する有害生物防除剤。
- 請求項1乃至16のいずれか1項に記載の縮合複素環化合物及びその塩から選ばれる1種又は2種以上を有効成分として含有する農薬。
- 請求項1乃至16のいずれか1項に記載の縮合複素環化合物及びその塩から選ばれる1種又は2種以上を有効成分として含有する哺乳動物又は鳥類の内部若しくは外部寄生虫の防除剤。
- 外部寄生虫がノミ目類又はマダニ類である請求項19に記載の防除剤。
- 請求項1乃至16のいずれか1項に記載の縮合複素環化合物及びその塩から選ばれる1種又は2種以上を有効成分として含有する殺虫剤又は殺ダニ剤。
- 請求項1乃至16のいずれか1項に記載の縮合複素環化合物及びその塩から選ばれる1種又は2種以上を有効成分として含有する種子処理剤。
- 種子処理が浸漬処理によって行われる請求項22に記載の種子処理剤。
- 請求項1乃至16のいずれか1項に記載の縮合複素環化合物から選ばれる1種又は2種以上を有効成分として含有する土壌処理剤。
- 土壌処理が土壌潅注処理によって行われる請求項24に記載の土壌処理剤。
Priority Applications (20)
| Application Number | Priority Date | Filing Date | Title |
|---|---|---|---|
| JP2016574867A JP6781404B2 (ja) | 2015-02-12 | 2016-02-12 | 縮合複素環化合物及び有害生物防除剤 |
| EA201791815A EA034278B1 (ru) | 2015-02-12 | 2016-02-12 | Конденсированные гетероциклические соединения и пестициды |
| CA2973862A CA2973862C (en) | 2015-02-12 | 2016-02-12 | Condensed heterocyclic compounds and pesticides |
| ES16749327T ES2901127T3 (es) | 2015-02-12 | 2016-02-12 | Compuesto heterocíclico condensado y agente de control de organismos nocivos |
| SG11201706489YA SG11201706489YA (en) | 2015-02-12 | 2016-02-12 | Condensed heterocyclic compounds and pesticides |
| NZ734281A NZ734281B2 (en) | 2015-02-12 | 2016-02-12 | Condensed heterocyclic compounds and pesticides |
| US15/550,165 US10464950B2 (en) | 2015-02-12 | 2016-02-12 | Condensed heterocyclic compounds and pesticides |
| MYPI2017702937A MY183075A (en) | 2015-02-12 | 2016-02-12 | Condensed heterocyclic compounds and pesticides |
| BR112017015870-1A BR112017015870B1 (pt) | 2015-02-12 | 2016-02-12 | Composto heterocíclico condensado, pesticida, produto químico agrícola, agente de tratamento de sementes e do solo |
| AU2016216963A AU2016216963B2 (en) | 2015-02-12 | 2016-02-12 | Condensed heterocyclic compounds and pesticides |
| KR1020177022619A KR102129658B1 (ko) | 2015-02-12 | 2016-02-12 | 축합 복소 고리 화합물 및 유해 생물 방제제 |
| PL16749327T PL3257853T3 (pl) | 2015-02-12 | 2016-02-12 | Skondensowany związek heterocykliczny i środek zwalczający szkodliwe organizmy |
| EP16749327.9A EP3257853B1 (en) | 2015-02-12 | 2016-02-12 | Condensed heterocyclic compound and noxious organism control agent |
| CN201680009946.1A CN107207506B (zh) | 2015-02-12 | 2016-02-12 | 稠合杂环化合物和有害生物防除剂 |
| MX2017010420A MX2017010420A (es) | 2015-02-12 | 2016-02-12 | Compuestos heterociclicos condensados y plaguicidas. |
| PH12017501395A PH12017501395A1 (en) | 2015-02-12 | 2017-08-03 | Condensed heterocyclic compounds and pesticides |
| IL25393717A IL253937B (en) | 2015-02-12 | 2017-08-10 | Compressed Heterocyclic Compounds and Pesticides |
| ZA2017/06071A ZA201706071B (en) | 2015-02-12 | 2017-09-06 | Condensed heterocyclic compounds and pesticides |
| US16/545,594 US10882869B2 (en) | 2015-02-12 | 2019-08-20 | Condensed heterocyclic compounds and pesticides |
| US17/037,817 US20210017194A1 (en) | 2015-02-12 | 2020-09-30 | Condensed heterocyclic compounds and pesticides |
Applications Claiming Priority (4)
| Application Number | Priority Date | Filing Date | Title |
|---|---|---|---|
| JP2015025604 | 2015-02-12 | ||
| JP2015-025604 | 2015-02-12 | ||
| JP2015-133816 | 2015-07-02 | ||
| JP2015133816 | 2015-07-02 |
Related Child Applications (2)
| Application Number | Title | Priority Date | Filing Date |
|---|---|---|---|
| US15/550,165 A-371-Of-International US10464950B2 (en) | 2015-02-12 | 2016-02-12 | Condensed heterocyclic compounds and pesticides |
| US16/545,594 Division US10882869B2 (en) | 2015-02-12 | 2019-08-20 | Condensed heterocyclic compounds and pesticides |
Publications (1)
| Publication Number | Publication Date |
|---|---|
| WO2016129684A1 true WO2016129684A1 (ja) | 2016-08-18 |
Family
ID=56614451
Family Applications (1)
| Application Number | Title | Priority Date | Filing Date |
|---|---|---|---|
| PCT/JP2016/054171 Ceased WO2016129684A1 (ja) | 2015-02-12 | 2016-02-12 | 縮合複素環化合物及び有害生物防除剤 |
Country Status (20)
| Country | Link |
|---|---|
| US (3) | US10464950B2 (ja) |
| EP (1) | EP3257853B1 (ja) |
| JP (1) | JP6781404B2 (ja) |
| KR (1) | KR102129658B1 (ja) |
| CN (1) | CN107207506B (ja) |
| AU (1) | AU2016216963B2 (ja) |
| BR (1) | BR112017015870B1 (ja) |
| CA (1) | CA2973862C (ja) |
| EA (1) | EA034278B1 (ja) |
| ES (1) | ES2901127T3 (ja) |
| HU (1) | HUE057027T2 (ja) |
| IL (1) | IL253937B (ja) |
| MX (1) | MX2017010420A (ja) |
| MY (1) | MY183075A (ja) |
| PH (1) | PH12017501395A1 (ja) |
| PL (1) | PL3257853T3 (ja) |
| PT (1) | PT3257853T (ja) |
| SG (1) | SG11201706489YA (ja) |
| WO (1) | WO2016129684A1 (ja) |
| ZA (1) | ZA201706071B (ja) |
Cited By (59)
| Publication number | Priority date | Publication date | Assignee | Title |
|---|---|---|---|---|
| WO2017061497A1 (ja) * | 2015-10-06 | 2017-04-13 | 日本農薬株式会社 | 縮合複素環化合物又はその塩類及び該化合物を含有する農園芸用殺虫剤並びにその使用方法 |
| WO2017093180A1 (de) | 2015-12-01 | 2017-06-08 | Bayer Cropscience Aktiengesellschaft | Kondensierte bicyclische heterocyclen-derivate als schädlingsbekämpfungsmittel |
| WO2017144341A1 (de) | 2016-02-23 | 2017-08-31 | Bayer Cropscience Aktiengesellschaft | Kondensierte bicyclische heterocyclen-derivate als schädlingsbekämpfungsmittel |
| WO2017155103A1 (ja) * | 2016-03-10 | 2017-09-14 | 日産化学工業株式会社 | 縮合複素環化合物及び有害生物防除剤 |
| WO2018003976A1 (ja) * | 2016-07-01 | 2018-01-04 | 日本農薬株式会社 | N‐アルキルスルホニル縮合複素環化合物又はその塩類及び該化合物を含有する殺虫剤並びにその使用方法 |
| WO2018033455A1 (de) | 2016-08-15 | 2018-02-22 | Bayer Cropscience Aktiengesellschaft | Kondensierte bicyclische heterocyclen-derivate als schädlingsbekämpfungsmittel |
| WO2018052136A1 (ja) * | 2016-09-15 | 2018-03-22 | 日産化学工業株式会社 | 有害生物防除剤組成物及び有害生物防除方法 |
| WO2018050825A1 (de) | 2016-09-19 | 2018-03-22 | Bayer Cropscience Aktiengesellschaft | Pyrazolo[1,5-a]pyridin- derivative und ihre verwendung als schädlingsbekämpfungsmittel |
| JP2018509417A (ja) * | 2015-03-12 | 2018-04-05 | シンジェンタ パーティシペーションズ アーゲー | 硫黄含有置換基を有する有害生物防除に活性な四環式誘導体 |
| WO2018065288A1 (de) | 2016-10-07 | 2018-04-12 | Bayer Cropscience Aktiengesellschaft | 2-[2-phenyl-1-(sulfonylmethyl)vinyl]-imidazo[4,5-b]pyridin-derivate und verwandte verbindungen als schädlingsbekämpfungsmittel im pflanzenschutz |
| WO2018084141A1 (ja) * | 2016-11-01 | 2018-05-11 | 日本農薬株式会社 | N‐アルキルスルホニルインドリン化合物及び該化合物を含有する農園芸用殺虫剤並びにその使用方法 |
| WO2018095953A1 (de) | 2016-11-23 | 2018-05-31 | Bayer Cropscience Aktiengesellschaft | 2-[3-(alkylsulfonyl)-2h-indazol-2-yl]-3h-imidazo[4,5-b]pyridin-derivate und ähnliche verbindungen als schädlingsbekämpfungsmittel |
| JP2018515440A (ja) * | 2015-04-08 | 2018-06-14 | バイエル・クロップサイエンス・アクチェンゲゼルシャフト | 有害生物防除剤としての縮合二環式ヘテロ環誘導体及び中間体生成物 |
| WO2018130437A1 (de) | 2017-01-10 | 2018-07-19 | Bayer Aktiengesellschaft | Heterocyclen-derivate als schädlingsbekämpfungsmittel |
| WO2018130443A1 (de) | 2017-01-10 | 2018-07-19 | Bayer Aktiengesellschaft | Heterocyclen-derivate als schädlingsbekämpfungsmittel |
| WO2018138050A1 (de) | 2017-01-26 | 2018-08-02 | Bayer Aktiengesellschaft | Kondensierte bicyclische heterocyclen-derivate als schädlingsbekämpfungsmittel |
| WO2018141955A1 (de) | 2017-02-06 | 2018-08-09 | Bayer Aktiengesellschaft | Verfahren zur herstellung halogenierter imidazopyridinderivate |
| WO2018141954A1 (de) | 2017-02-06 | 2018-08-09 | Bayer Aktiengesellschaft | Aryl- oder heteroaryl-substituierte imidazopyridinderivate und deren anwendung als schädlingsbekämpfungsmittel |
| WO2018174170A1 (ja) | 2017-03-23 | 2018-09-27 | 住友化学株式会社 | 縮合複素環化合物及びそれを含有する組成物 |
| WO2018197257A1 (de) | 2017-04-24 | 2018-11-01 | Bayer Aktiengesellschaft | Kondensierte bicyclische heterocyclen-derivate als schädlingsbekämpfungsmittel |
| WO2018199210A1 (ja) | 2017-04-27 | 2018-11-01 | 日本農薬株式会社 | 縮合複素環化合物又はその塩類、及びそれらの化合物を含有する農園芸用殺虫剤並びにその使用方法 |
| WO2019038195A1 (de) | 2017-08-22 | 2019-02-28 | Bayer Aktiengesellschaft | Heterocyclen-derivate als schädlingsbekämpfungsmittel |
| WO2019065570A1 (ja) * | 2017-09-26 | 2019-04-04 | 住友化学株式会社 | 複素環化合物及びそれを含有する有害節足動物防除剤 |
| WO2019068572A1 (de) | 2017-10-04 | 2019-04-11 | Bayer Aktiengesellschaft | Heterocyclen-derivate als schädlingsbekämpfungsmittel |
| WO2019124548A1 (ja) | 2017-12-22 | 2019-06-27 | 住友化学株式会社 | 複素環化合物及びそれを含有する有害節足動物防除剤 |
| WO2019162174A1 (de) | 2018-02-21 | 2019-08-29 | Bayer Aktiengesellschaft | Kondensierte bicyclische heterocyclen-derivate als schädlingsbekämpfungsmittel |
| WO2019175045A1 (de) | 2018-03-12 | 2019-09-19 | Bayer Aktiengesellschaft | Kondensierte bicyclische heterocyclen-derivate als schädlingsbekämpfungsmittel |
| WO2019201921A1 (de) | 2018-04-20 | 2019-10-24 | Bayer Aktiengesellschaft | Heterocyclen-derivate als schädlingsbekämpfungsmittel |
| WO2020053282A1 (de) | 2018-09-13 | 2020-03-19 | Bayer Aktiengesellschaft | Heterocyclen-derivate als schädlingsbekämpfungsmittel |
| WO2020058010A1 (en) | 2018-09-19 | 2020-03-26 | Basf Se | Pesticidal mixtures comprising a mesoionic compound |
| US10709133B2 (en) | 2015-11-05 | 2020-07-14 | Sumitomo Chemical Company, Limited | Condensed heterocyclic compound |
| WO2020158889A1 (ja) | 2019-01-31 | 2020-08-06 | 住友化学株式会社 | 複素環化合物及びそれを含有する有害節足動物防除組成物 |
| WO2020171077A1 (ja) | 2019-02-19 | 2020-08-27 | 住友化学株式会社 | 複素環化合物及びそれを含有する有害節足動物防除組成物 |
| WO2020173861A1 (de) | 2019-02-26 | 2020-09-03 | Bayer Aktiengesellschaft | Kondensierte bicyclische heterocyclen-derivate als schädlingsbekämpfungsmittel |
| TWI705066B (zh) * | 2016-08-10 | 2020-09-21 | 日商日產化學工業股份有限公司 | 稠雜環化合物及有害生物防除劑 |
| WO2020203763A1 (ja) | 2019-03-29 | 2020-10-08 | 住友化学株式会社 | 複素環化合物及びそれを含有する有害節足動物防除組成物 |
| KR20210075127A (ko) * | 2018-10-11 | 2021-06-22 | 바이엘 악티엔게젤샤프트 | 치환된 이미다졸 유도체의 제조 방법 |
| WO2021141106A1 (ja) | 2020-01-09 | 2021-07-15 | 住友化学株式会社 | 複素環化合物及びそれを含有する有害節足動物防除組成物 |
| WO2021209265A1 (en) | 2020-04-14 | 2021-10-21 | Basf Se | Tricyclic pesticidal compounds |
| US11161850B2 (en) | 2018-07-05 | 2021-11-02 | Incyte Corporation | Fused pyrazine derivatives as A2A / A2B inhibitors |
| JP2021529745A (ja) * | 2018-06-26 | 2021-11-04 | バイエル・アクチエンゲゼルシヤフト | 有害生物防除剤としてのヘテロサイクレン誘導体 |
| US11168089B2 (en) | 2018-05-18 | 2021-11-09 | Incyte Corporation | Fused pyrimidine derivatives as A2A / A2B inhibitors |
| WO2022002818A1 (de) | 2020-07-02 | 2022-01-06 | Bayer Aktiengesellschaft | Heterocyclen-derivate als schädlingsbekämpfungsmittel |
| WO2022049144A1 (en) | 2020-09-02 | 2022-03-10 | Syngenta Crop Protection Ag | Pesticidally active heterocyclic derivatives with sulfur containing substituents |
| WO2022071428A1 (ja) | 2020-09-30 | 2022-04-07 | 住友化学株式会社 | 複素環化合物及びそれを含有する有害節足動物防除組成物 |
| WO2022071434A1 (ja) | 2020-09-30 | 2022-04-07 | 住友化学株式会社 | 複素環化合物及びそれを含有する有害節足動物防除組成物 |
| US11390624B2 (en) | 2019-01-29 | 2022-07-19 | Incyte Corporation | Pyrazolopyridines and triazolopyridines as A2A / A2B inhibitors |
| JP2023502705A (ja) * | 2019-11-22 | 2023-01-25 | ビーエーエスエフ ソシエタス・ヨーロピア | 2つの縮合二環式環を含むピリミドン誘導体 |
| WO2023046853A1 (en) | 2021-09-23 | 2023-03-30 | Syngenta Crop Protection Ag | Insect, acarina and nematode pest control |
| US11673894B2 (en) | 2018-02-27 | 2023-06-13 | Incyte Corporation | Imidazopyrimidines and triazolopyrimidines as A2A / A2B inhibitors |
| WO2023105065A1 (en) | 2021-12-10 | 2023-06-15 | Syngenta Crop Protection Ag | Insect, acarina and nematode pest control |
| WO2023105064A1 (en) | 2021-12-10 | 2023-06-15 | Syngenta Crop Protection Ag | Insect, acarina and nematode pest control |
| WO2023152340A1 (en) | 2022-02-10 | 2023-08-17 | Syngenta Crop Protection Ag | Insect, acarina and nematode pest control |
| WO2023203038A1 (en) | 2022-04-19 | 2023-10-26 | Syngenta Crop Protection Ag | Insect, acarina and nematode pest control |
| WO2024071219A1 (ja) * | 2022-09-28 | 2024-04-04 | 住友化学株式会社 | スルホンアミド化合物及びそれを含有する有害節足動物防除組成物 |
| WO2024071393A1 (ja) | 2022-09-30 | 2024-04-04 | 住友化学株式会社 | 複素環化合物及びそれを含有する有害節足動物防除組成物 |
| WO2024096093A1 (ja) | 2022-11-04 | 2024-05-10 | 住友化学株式会社 | 複素環化合物及びそれを含有する有害節足動物防除組成物 |
| WO2024189139A1 (en) | 2023-03-14 | 2024-09-19 | Syngenta Crop Protection Ag | Control of pests resistant to insecticides |
| WO2025026738A1 (en) | 2023-07-31 | 2025-02-06 | Bayer Aktiengesellschaft | 6-[5-(ethylsulfonyl)-1-methyl-1h-imidazol-4-yl]-7-methyl-3-(pentafluoroethyl)-7h-imidazo[4,5-c]pyridazine derivatives as pesticides |
Families Citing this family (9)
| Publication number | Priority date | Publication date | Assignee | Title |
|---|---|---|---|---|
| CN113825753A (zh) * | 2019-03-08 | 2021-12-21 | 先正达农作物保护股份公司 | 具有含硫取代基的杀有害生物活性的杂环衍生物 |
| AR120982A1 (es) * | 2020-01-06 | 2022-04-06 | Syngenta Crop Protection Ag | Derivados heterocíclicos activos como plaguicidas con sustituyentes que contienen azufre |
| CN115551857A (zh) | 2020-04-06 | 2022-12-30 | 巴斯夫欧洲公司 | 作为杀害虫剂的咪唑并嘧啶酮化合物 |
| EP4259627B1 (en) | 2020-12-14 | 2025-08-20 | Basf Se | Sulfoximine pesticides |
| KR20230155452A (ko) | 2021-03-09 | 2023-11-10 | 바스프 에스이 | 트리시클릭 살충 화합물 |
| BR112023018040A2 (pt) | 2021-03-09 | 2023-10-03 | Basf Se | Compostos, uso dos compostos, mistura pesticida, composições agroquímicas ou veterinárias, métodos para controlar pragas invertebradas e semente |
| KR102564484B1 (ko) * | 2021-05-24 | 2023-08-04 | 서울대학교산학협력단 | 유충호르몬 안타고니스트 활성을 갖는 카르바조마이신 유도체 화합물을 포함하는 해충방제용 조성물 및 방법 |
| EP4433479A1 (en) | 2021-11-19 | 2024-09-25 | Basf Se | Bicyclic compounds for the control of invertebrate pests |
| WO2025229111A1 (en) | 2024-05-01 | 2025-11-06 | Basf Se | Pyrimidinone derivatives as pesticidal compounds |
Citations (3)
| Publication number | Priority date | Publication date | Assignee | Title |
|---|---|---|---|---|
| GB2282808A (en) * | 1993-10-14 | 1995-04-19 | Merck & Co Inc | 3-substituted heterocyclic indoles as inhibitors of HIV reverse transcriptase |
| WO2013180193A1 (ja) * | 2012-05-31 | 2013-12-05 | 住友化学株式会社 | 縮合複素環化合物 |
| WO2015000715A1 (en) * | 2013-07-02 | 2015-01-08 | Syngenta Participations Ag | Pesticidally active bi- or tricyclic heterocycles with sulfur containing substituents |
Family Cites Families (33)
| Publication number | Priority date | Publication date | Assignee | Title |
|---|---|---|---|---|
| JP5369854B2 (ja) | 2008-04-21 | 2013-12-18 | 住友化学株式会社 | 有害節足動物防除組成物および縮合複素環化合物 |
| EP2424856B1 (en) | 2009-04-28 | 2014-12-31 | Sumitomo Chemical Company, Limited | Fused heterocyclic compound and use thereof |
| JP5540640B2 (ja) | 2009-10-07 | 2014-07-02 | 住友化学株式会社 | 複素環化合物及びその有害節足動物防除用途 |
| US8796306B2 (en) | 2010-06-23 | 2014-08-05 | Sumitomo Chemical Company, Limited | Noxious arthropod controlling composition and heterocyclic compound |
| TW201242962A (en) | 2010-12-01 | 2012-11-01 | Sumitomo Chemical Co | Pyrimidine compound and use for pest control thereof |
| TW201234965A (en) | 2010-12-24 | 2012-09-01 | Sumitomo Chemical Co | Fused heterocyclic compound and use for pest control thereof |
| TWI589570B (zh) | 2011-08-04 | 2017-07-01 | 住友化學股份有限公司 | 稠合雜環化合物及其在病蟲害防制上之用途 |
| EP2857397B1 (en) | 2012-05-30 | 2020-04-08 | Sumitomo Chemical Company Limited | Fused heterocyclic compound |
| BR112014029578B1 (pt) | 2012-06-18 | 2019-10-22 | Sumitomo Chemical Co | composto heterocíclico fundido, composição e método de controle de peste |
| WO2013191189A1 (ja) | 2012-06-21 | 2013-12-27 | 住友化学株式会社 | 縮合複素環化合物 |
| CN104395298A (zh) | 2012-06-22 | 2015-03-04 | 住友化学株式会社 | 稠合杂环化合物 |
| US9156838B2 (en) | 2012-06-22 | 2015-10-13 | Sumitomo Chemical Company, Limited | Fused heterocyclic compound |
| JP6060263B2 (ja) | 2012-12-27 | 2017-01-11 | 住友化学株式会社 | 縮合オキサゾール化合物及びその有害生物防除用途 |
| JPWO2014123205A1 (ja) | 2013-02-06 | 2017-02-02 | 住友化学株式会社 | 縮合複素環化合物 |
| EP2955179A4 (en) | 2013-02-06 | 2016-09-28 | Sumitomo Chemical Co | CONDENSED HETEROCYCLIC COMPOUND |
| BR112015020204B1 (pt) | 2013-02-28 | 2020-10-27 | Sumitomo Chemical Company, Limited | composto heterocíclico fundido, agente de controle de peste e método para controlar peste |
| EP2985278B1 (en) | 2013-02-28 | 2020-01-22 | Sumitomo Chemical Company, Limited | Fused heterocyclic compound and pest control applications thereof |
| UY35421A (es) | 2013-03-15 | 2014-10-31 | Nihon Nohyaku Co Ltd | Compuesto heterocíclico condensado o su sal, insecticida agrícola u hortícola que comprende el comp uesto y método de uso del insecticida |
| WO2014148451A1 (ja) | 2013-03-19 | 2014-09-25 | 日本農薬株式会社 | 縮合複素環化合物又はその塩類及び該化合物を含有する農園芸用殺虫剤並びにその使用方法 |
| JP2016135742A (ja) | 2013-03-29 | 2016-07-28 | 日本農薬株式会社 | 縮合複素環化合物又はその塩類及び該化合物を含有する農園芸用殺虫剤並びにその使用方法 |
| JP2015003906A (ja) * | 2013-05-24 | 2015-01-08 | 日本農薬株式会社 | 縮合複素環化合物又はその塩類及び該化合物を含有する農園芸用殺虫剤並びにその使用方法 |
| JP6350528B2 (ja) | 2013-07-01 | 2018-07-04 | 住友化学株式会社 | 縮合複素環化合物及びその有害生物防除用途 |
| CN105873914B (zh) | 2013-10-23 | 2018-10-19 | 拜耳作物科学股份公司 | 作为害虫防治剂的取代的喹喔啉衍生物 |
| EP2873668A1 (en) | 2013-11-13 | 2015-05-20 | Syngenta Participations AG. | Pesticidally active bicyclic heterocycles with sulphur containing substituents |
| WO2015087458A1 (ja) | 2013-12-13 | 2015-06-18 | 住友化学株式会社 | 縮合複素環化合物及びその有害生物防除用途 |
| CN105829324B (zh) | 2013-12-20 | 2018-12-14 | 先正达参股股份有限公司 | 具有含硫取代基的杀有害生物活性经取代的5,5-二环杂环 |
| MX388484B (es) | 2014-02-17 | 2025-03-20 | Bayer Cropscience Ag | Derivados de heterociclos bicíclicos condensados sustituidos con 2-(het) arilo como agentes para combatir parásitos. |
| AR099677A1 (es) | 2014-03-07 | 2016-08-10 | Sumitomo Chemical Co | Compuesto heterocíclico fusionado y su uso para el control de plagas |
| WO2015198859A1 (ja) | 2014-06-26 | 2015-12-30 | 住友化学株式会社 | 縮合複素環化合物 |
| BR112017000269B1 (pt) | 2014-07-08 | 2020-06-02 | Syngenta Participations Ag | Derivados de heterocíclicos ativos do ponto de vista pesticida com substituintes contendo enxofre |
| ES2762936T3 (es) | 2015-03-12 | 2020-05-26 | Syngenta Participations Ag | Derivados tetracíclicos activos como plaguicidas con sustituyentes que contienen azufre |
| WO2016162318A1 (de) * | 2015-04-08 | 2016-10-13 | Bayer Cropscience Aktiengesellschaft | Kondensierte bicyclische heterocyclen-derivate als schädlingsbekämpfungsmittel und deren zwischenprodukte |
| WO2017061497A1 (ja) * | 2015-10-06 | 2017-04-13 | 日本農薬株式会社 | 縮合複素環化合物又はその塩類及び該化合物を含有する農園芸用殺虫剤並びにその使用方法 |
-
2016
- 2016-02-12 MY MYPI2017702937A patent/MY183075A/en unknown
- 2016-02-12 MX MX2017010420A patent/MX2017010420A/es unknown
- 2016-02-12 SG SG11201706489YA patent/SG11201706489YA/en unknown
- 2016-02-12 PT PT167493279T patent/PT3257853T/pt unknown
- 2016-02-12 BR BR112017015870-1A patent/BR112017015870B1/pt active IP Right Grant
- 2016-02-12 CN CN201680009946.1A patent/CN107207506B/zh active Active
- 2016-02-12 CA CA2973862A patent/CA2973862C/en active Active
- 2016-02-12 EP EP16749327.9A patent/EP3257853B1/en active Active
- 2016-02-12 KR KR1020177022619A patent/KR102129658B1/ko active Active
- 2016-02-12 AU AU2016216963A patent/AU2016216963B2/en active Active
- 2016-02-12 EA EA201791815A patent/EA034278B1/ru not_active IP Right Cessation
- 2016-02-12 HU HUE16749327A patent/HUE057027T2/hu unknown
- 2016-02-12 JP JP2016574867A patent/JP6781404B2/ja active Active
- 2016-02-12 ES ES16749327T patent/ES2901127T3/es active Active
- 2016-02-12 WO PCT/JP2016/054171 patent/WO2016129684A1/ja not_active Ceased
- 2016-02-12 PL PL16749327T patent/PL3257853T3/pl unknown
- 2016-02-12 US US15/550,165 patent/US10464950B2/en active Active
-
2017
- 2017-08-03 PH PH12017501395A patent/PH12017501395A1/en unknown
- 2017-08-10 IL IL25393717A patent/IL253937B/en active IP Right Grant
- 2017-09-06 ZA ZA2017/06071A patent/ZA201706071B/en unknown
-
2019
- 2019-08-20 US US16/545,594 patent/US10882869B2/en not_active Expired - Fee Related
-
2020
- 2020-09-30 US US17/037,817 patent/US20210017194A1/en not_active Abandoned
Patent Citations (3)
| Publication number | Priority date | Publication date | Assignee | Title |
|---|---|---|---|---|
| GB2282808A (en) * | 1993-10-14 | 1995-04-19 | Merck & Co Inc | 3-substituted heterocyclic indoles as inhibitors of HIV reverse transcriptase |
| WO2013180193A1 (ja) * | 2012-05-31 | 2013-12-05 | 住友化学株式会社 | 縮合複素環化合物 |
| WO2015000715A1 (en) * | 2013-07-02 | 2015-01-08 | Syngenta Participations Ag | Pesticidally active bi- or tricyclic heterocycles with sulfur containing substituents |
Non-Patent Citations (1)
| Title |
|---|
| See also references of EP3257853A4 * |
Cited By (132)
| Publication number | Priority date | Publication date | Assignee | Title |
|---|---|---|---|---|
| JP2018509417A (ja) * | 2015-03-12 | 2018-04-05 | シンジェンタ パーティシペーションズ アーゲー | 硫黄含有置換基を有する有害生物防除に活性な四環式誘導体 |
| US10188108B2 (en) | 2015-04-08 | 2019-01-29 | Bayer Cropscience Aktiengesellschaft | Fused bicyclic heterocycle derivatives as pesticides |
| JP2018515440A (ja) * | 2015-04-08 | 2018-06-14 | バイエル・クロップサイエンス・アクチェンゲゼルシャフト | 有害生物防除剤としての縮合二環式ヘテロ環誘導体及び中間体生成物 |
| WO2017061497A1 (ja) * | 2015-10-06 | 2017-04-13 | 日本農薬株式会社 | 縮合複素環化合物又はその塩類及び該化合物を含有する農園芸用殺虫剤並びにその使用方法 |
| US10709133B2 (en) | 2015-11-05 | 2020-07-14 | Sumitomo Chemical Company, Limited | Condensed heterocyclic compound |
| WO2017093180A1 (de) | 2015-12-01 | 2017-06-08 | Bayer Cropscience Aktiengesellschaft | Kondensierte bicyclische heterocyclen-derivate als schädlingsbekämpfungsmittel |
| WO2017144341A1 (de) | 2016-02-23 | 2017-08-31 | Bayer Cropscience Aktiengesellschaft | Kondensierte bicyclische heterocyclen-derivate als schädlingsbekämpfungsmittel |
| CN108884091A (zh) * | 2016-03-10 | 2018-11-23 | 日产化学株式会社 | 稠合杂环化合物和有害生物防除剂 |
| US10640518B2 (en) | 2016-03-10 | 2020-05-05 | Nissan Chemical Corporation | Condensed heterocyclic compounds and pesticides |
| US10544163B2 (en) | 2016-03-10 | 2020-01-28 | Nissan Chemical Corporation | Condensed heterocyclic compounds and pesticides |
| CN108884091B (zh) * | 2016-03-10 | 2021-04-13 | 日产化学株式会社 | 稠合杂环化合物和有害生物防除剂 |
| WO2017155103A1 (ja) * | 2016-03-10 | 2017-09-14 | 日産化学工業株式会社 | 縮合複素環化合物及び有害生物防除剤 |
| EA036621B1 (ru) * | 2016-03-10 | 2020-12-01 | Ниссан Кемикал Корпорейшн | Конденсированные гетероциклические соединения и пестициды |
| AU2017230163B2 (en) * | 2016-03-10 | 2020-09-24 | Nissan Chemical Corporation | Condensed heterocyclic compounds and pesticides |
| US10759815B2 (en) | 2016-03-10 | 2020-09-01 | Nissan Chemical Corporation | Condensed heterocyclic compounds and pesticides |
| CN109415370B (zh) * | 2016-07-01 | 2021-06-08 | 日本农药株式会社 | N-烷基磺酰基稠杂环化合物或其盐类、以及含有该化合物的杀虫剂及其使用方法 |
| CN109415370A (zh) * | 2016-07-01 | 2019-03-01 | 日本农药株式会社 | N-烷基磺酰基稠杂环化合物或其盐类、以及含有该化合物的杀虫剂及其使用方法 |
| WO2018003976A1 (ja) * | 2016-07-01 | 2018-01-04 | 日本農薬株式会社 | N‐アルキルスルホニル縮合複素環化合物又はその塩類及び該化合物を含有する殺虫剤並びにその使用方法 |
| TWI705066B (zh) * | 2016-08-10 | 2020-09-21 | 日商日產化學工業股份有限公司 | 稠雜環化合物及有害生物防除劑 |
| WO2018033455A1 (de) | 2016-08-15 | 2018-02-22 | Bayer Cropscience Aktiengesellschaft | Kondensierte bicyclische heterocyclen-derivate als schädlingsbekämpfungsmittel |
| US10660334B2 (en) | 2016-08-15 | 2020-05-26 | Bayer Cropscience Aktiengesellschaft | Fused bicyclic heterocycle derivatives as pesticides |
| WO2018052136A1 (ja) * | 2016-09-15 | 2018-03-22 | 日産化学工業株式会社 | 有害生物防除剤組成物及び有害生物防除方法 |
| CN109963860A (zh) * | 2016-09-19 | 2019-07-02 | 拜耳作物科学股份公司 | 吡唑并[1,5-a]吡啶衍生物及其作为农药的用途 |
| WO2018050825A1 (de) | 2016-09-19 | 2018-03-22 | Bayer Cropscience Aktiengesellschaft | Pyrazolo[1,5-a]pyridin- derivative und ihre verwendung als schädlingsbekämpfungsmittel |
| US10611779B2 (en) | 2016-09-19 | 2020-04-07 | Bayer Cropscience Aktiengesellschaft | Fused bicyclic heterocycle derivatives as pesticides |
| JP7165126B2 (ja) | 2016-09-19 | 2022-11-02 | バイエル・クロップサイエンス・アクチェンゲゼルシャフト | ピラゾロ[1,5-a]ピリジン誘導体及びそれの殺有害生物剤としての使用 |
| JP2019529429A (ja) * | 2016-09-19 | 2019-10-17 | バイエル・クロップサイエンス・アクチェンゲゼルシャフト | ピラゾロ[1,5−a]ピリジン誘導体及びそれの殺有害生物剤としての使用 |
| WO2018065288A1 (de) | 2016-10-07 | 2018-04-12 | Bayer Cropscience Aktiengesellschaft | 2-[2-phenyl-1-(sulfonylmethyl)vinyl]-imidazo[4,5-b]pyridin-derivate und verwandte verbindungen als schädlingsbekämpfungsmittel im pflanzenschutz |
| US10716306B2 (en) | 2016-11-01 | 2020-07-21 | Nihon Nohyaku Co., Ltd. | N-alkylsulfonyl indoline compound, agricultural and horticultural insecticide comprising the compound, and method for using the insecticide |
| CN109906221B (zh) * | 2016-11-01 | 2021-10-01 | 日本农药株式会社 | N-烷基磺酰基吲哚啉化合物以及含有该化合物的农业园艺用杀虫剂及其使用方法 |
| CN109906221A (zh) * | 2016-11-01 | 2019-06-18 | 日本农药株式会社 | N-烷基磺酰基吲哚啉化合物以及含有该化合物的农业园艺用杀虫剂及其使用方法 |
| WO2018084141A1 (ja) * | 2016-11-01 | 2018-05-11 | 日本農薬株式会社 | N‐アルキルスルホニルインドリン化合物及び該化合物を含有する農園芸用殺虫剤並びにその使用方法 |
| JPWO2018084141A1 (ja) * | 2016-11-01 | 2019-09-19 | 日本農薬株式会社 | N‐アルキルスルホニルインドリン化合物及び該化合物を含有する農園芸用殺虫剤並びにその使用方法 |
| WO2018095953A1 (de) | 2016-11-23 | 2018-05-31 | Bayer Cropscience Aktiengesellschaft | 2-[3-(alkylsulfonyl)-2h-indazol-2-yl]-3h-imidazo[4,5-b]pyridin-derivate und ähnliche verbindungen als schädlingsbekämpfungsmittel |
| CN110248938A (zh) * | 2016-11-23 | 2019-09-17 | 拜耳作物科学股份公司 | 用作农药的2-[3-(烷基磺酰基)-2h-吲唑-2-基]-3h-咪唑并[4,5-b]吡啶衍生物和类似化合物 |
| US10765116B2 (en) | 2016-11-23 | 2020-09-08 | Bayer Cropscience Aktiengesellschaft | 2-[3-(alkylsulfonyl)-2H-indazol-2-yl]-3H-imidazo[4,5-B]pyridine derivatives and similar compounds as pesticides |
| WO2018130443A1 (de) | 2017-01-10 | 2018-07-19 | Bayer Aktiengesellschaft | Heterocyclen-derivate als schädlingsbekämpfungsmittel |
| US11058115B2 (en) | 2017-01-10 | 2021-07-13 | Bayer Aktiengesellschaft | Heterocycle derivatives as pesticides |
| WO2018130437A1 (de) | 2017-01-10 | 2018-07-19 | Bayer Aktiengesellschaft | Heterocyclen-derivate als schädlingsbekämpfungsmittel |
| US11083199B2 (en) | 2017-01-10 | 2021-08-10 | Bayer Aktiengesellschaft | Heterocycle derivatives as pesticides |
| JP2020504149A (ja) * | 2017-01-10 | 2020-02-06 | バイエル・アクチエンゲゼルシヤフト | 有害生物防除剤としてのヘテロサイクレン誘導体 |
| JP7098630B2 (ja) | 2017-01-10 | 2022-07-11 | バイエル・アクチエンゲゼルシヤフト | 有害生物防除剤としてのヘテロサイクレン誘導体 |
| WO2018138050A1 (de) | 2017-01-26 | 2018-08-02 | Bayer Aktiengesellschaft | Kondensierte bicyclische heterocyclen-derivate als schädlingsbekämpfungsmittel |
| US10772332B2 (en) | 2017-02-06 | 2020-09-15 | Bayer Aktiengesellschaft | 2-(het)aryl-substituted fused heterocycle derivatives as pesticides |
| US11072609B2 (en) | 2017-02-06 | 2021-07-27 | Bayer Aktiengesellschaft | Method for preparing halogenated imidazopyridine derivatives |
| WO2018141955A1 (de) | 2017-02-06 | 2018-08-09 | Bayer Aktiengesellschaft | Verfahren zur herstellung halogenierter imidazopyridinderivate |
| WO2018141954A1 (de) | 2017-02-06 | 2018-08-09 | Bayer Aktiengesellschaft | Aryl- oder heteroaryl-substituierte imidazopyridinderivate und deren anwendung als schädlingsbekämpfungsmittel |
| WO2018174170A1 (ja) | 2017-03-23 | 2018-09-27 | 住友化学株式会社 | 縮合複素環化合物及びそれを含有する組成物 |
| JP2020517656A (ja) * | 2017-04-24 | 2020-06-18 | バイエル・アクチエンゲゼルシヤフト | 有害生物防除剤としての縮合二環式ヘテロ環式化合物誘導体 |
| KR102537983B1 (ko) | 2017-04-24 | 2023-05-31 | 바이엘 악티엔게젤샤프트 | 해충 방제제로서의 축합된 비시클릭 헤테로시클릭-화합물 유도체 |
| WO2018197257A1 (de) | 2017-04-24 | 2018-11-01 | Bayer Aktiengesellschaft | Kondensierte bicyclische heterocyclen-derivate als schädlingsbekämpfungsmittel |
| JP7119001B2 (ja) | 2017-04-24 | 2022-08-16 | バイエル・アクチエンゲゼルシヤフト | 有害生物防除剤としての縮合二環式ヘテロ環式化合物誘導体 |
| CN110582503A (zh) * | 2017-04-24 | 2019-12-17 | 拜耳公司 | 作为有害物防治剂的稠合双环杂环化合物衍生物 |
| KR20190141202A (ko) * | 2017-04-24 | 2019-12-23 | 바이엘 악티엔게젤샤프트 | 해충 방제제로서의 축합된 비시클릭 헤테로시클릭-화합물 유도체 |
| AU2018257372B2 (en) * | 2017-04-24 | 2022-06-02 | Bayer Aktiengesellschaft | Condensed bicyclic heterocyclic-compound derivatives as pest control agents |
| WO2018199210A1 (ja) | 2017-04-27 | 2018-11-01 | 日本農薬株式会社 | 縮合複素環化合物又はその塩類、及びそれらの化合物を含有する農園芸用殺虫剤並びにその使用方法 |
| US11655258B2 (en) | 2017-08-22 | 2023-05-23 | Bayer Aktiengesellschaft | Heterocycle derivatives as pesticides |
| WO2019038195A1 (de) | 2017-08-22 | 2019-02-28 | Bayer Aktiengesellschaft | Heterocyclen-derivate als schädlingsbekämpfungsmittel |
| JP7219717B2 (ja) | 2017-09-26 | 2023-02-08 | 住友化学株式会社 | 複素環化合物及びそれを含有する有害節足動物防除剤 |
| WO2019065570A1 (ja) * | 2017-09-26 | 2019-04-04 | 住友化学株式会社 | 複素環化合物及びそれを含有する有害節足動物防除剤 |
| JPWO2019065570A1 (ja) * | 2017-09-26 | 2020-11-26 | 住友化学株式会社 | 複素環化合物及びそれを含有する有害節足動物防除剤 |
| CN111164081A (zh) * | 2017-09-26 | 2020-05-15 | 住友化学株式会社 | 杂环化合物和含有该杂环化合物的有害节肢动物防除剂 |
| CN111164081B (zh) * | 2017-09-26 | 2022-08-12 | 住友化学株式会社 | 杂环化合物和含有该杂环化合物的有害节肢动物防除剂 |
| US11084815B2 (en) | 2017-09-26 | 2021-08-10 | Sumitomo Chemical Company, Limited | Heterocyclic compound and harmful arthropod controlling agent containing same |
| WO2019068572A1 (de) | 2017-10-04 | 2019-04-11 | Bayer Aktiengesellschaft | Heterocyclen-derivate als schädlingsbekämpfungsmittel |
| JP2020536094A (ja) * | 2017-10-04 | 2020-12-10 | バイエル・アクチエンゲゼルシヤフト | 有害生物防除剤としてのヘテロ環式化合物の誘導体 |
| KR20200064103A (ko) * | 2017-10-04 | 2020-06-05 | 바이엘 악티엔게젤샤프트 | 해충 방제제로서의 헤테로시클릭 화합물의 유도체 |
| US10981935B2 (en) | 2017-10-04 | 2021-04-20 | Bayer Aktiengesellschaft | Heterocycle derivatives as pesticides |
| USRE50663E1 (en) | 2017-10-04 | 2025-11-18 | Bayer Aktiengesellschaft | Heterocycle derivatives as pesticides |
| JP7290631B2 (ja) | 2017-10-04 | 2023-06-13 | バイエル・アクチエンゲゼルシヤフト | 有害生物防除剤としてのヘテロ環式化合物の誘導体 |
| KR102622644B1 (ko) * | 2017-10-04 | 2024-01-10 | 바이엘 악티엔게젤샤프트 | 해충 방제제로서의 헤테로시클릭 화합물의 유도체 |
| US11490622B2 (en) | 2017-12-22 | 2022-11-08 | Sumitomo Chemical Company, Limited | Substituted heterocycles as harmful arthropod controlling agents |
| JPWO2019124548A1 (ja) * | 2017-12-22 | 2021-01-14 | 住友化学株式会社 | 複素環化合物及びそれを含有する有害節足動物防除剤 |
| JP7253498B2 (ja) | 2017-12-22 | 2023-04-06 | 住友化学株式会社 | 複素環化合物及びそれを含有する有害節足動物防除剤 |
| KR20200102442A (ko) | 2017-12-22 | 2020-08-31 | 수미토모 케미칼 컴퍼니 리미티드 | 복소환 화합물 및 그것을 함유하는 유해 절족 동물 방제제 |
| WO2019124548A1 (ja) | 2017-12-22 | 2019-06-27 | 住友化学株式会社 | 複素環化合物及びそれを含有する有害節足動物防除剤 |
| WO2019162174A1 (de) | 2018-02-21 | 2019-08-29 | Bayer Aktiengesellschaft | Kondensierte bicyclische heterocyclen-derivate als schädlingsbekämpfungsmittel |
| US11019821B2 (en) | 2018-02-21 | 2021-06-01 | Bayer Aktiengesellschaft | Fused bicyclic heterocycle derivatives as pesticides |
| US11673894B2 (en) | 2018-02-27 | 2023-06-13 | Incyte Corporation | Imidazopyrimidines and triazolopyrimidines as A2A / A2B inhibitors |
| WO2019175045A1 (de) | 2018-03-12 | 2019-09-19 | Bayer Aktiengesellschaft | Kondensierte bicyclische heterocyclen-derivate als schädlingsbekämpfungsmittel |
| WO2019175046A1 (de) | 2018-03-12 | 2019-09-19 | Bayer Aktiengesellschaft | Kondensierte bicyclische heterocyclen-derivate als schädlingsbekämpfungsmittel |
| US11414432B2 (en) | 2018-03-12 | 2022-08-16 | Bayer Aktiengesellschaft | Condensed bicyclic heterocyclic derivatives as pest control agents |
| JP2021517148A (ja) * | 2018-03-12 | 2021-07-15 | バイエル・アクチエンゲゼルシヤフト | 有害生物防除剤としての縮合二環式ヘテロ環式誘導体 |
| JP2021515783A (ja) * | 2018-03-12 | 2021-06-24 | バイエル・アクチエンゲゼルシヤフト | 害虫防除剤としての縮合二環式ヘテロ環式誘導体 |
| JP2021522182A (ja) * | 2018-04-20 | 2021-08-30 | バイエル・アクチエンゲゼルシヤフト | 殺有害生物剤としてのヘテロシクレン誘導体 |
| WO2019201921A1 (de) | 2018-04-20 | 2019-10-24 | Bayer Aktiengesellschaft | Heterocyclen-derivate als schädlingsbekämpfungsmittel |
| US11168089B2 (en) | 2018-05-18 | 2021-11-09 | Incyte Corporation | Fused pyrimidine derivatives as A2A / A2B inhibitors |
| US11873304B2 (en) | 2018-05-18 | 2024-01-16 | Incyte Corporation | Fused pyrimidine derivatives as A2A/A2B inhibitors |
| JP2021529745A (ja) * | 2018-06-26 | 2021-11-04 | バイエル・アクチエンゲゼルシヤフト | 有害生物防除剤としてのヘテロサイクレン誘導体 |
| US11926623B2 (en) | 2018-06-26 | 2024-03-12 | Bayer Aktiengesellschaft | Heterocycle derivatives as pesticides |
| JP7353310B2 (ja) | 2018-06-26 | 2023-09-29 | バイエル・アクチエンゲゼルシヤフト | 有害生物防除剤としてのヘテロサイクレン誘導体 |
| US11999740B2 (en) | 2018-07-05 | 2024-06-04 | Incyte Corporation | Fused pyrazine derivatives as A2A / A2B inhibitors |
| US11161850B2 (en) | 2018-07-05 | 2021-11-02 | Incyte Corporation | Fused pyrazine derivatives as A2A / A2B inhibitors |
| WO2020053282A1 (de) | 2018-09-13 | 2020-03-19 | Bayer Aktiengesellschaft | Heterocyclen-derivate als schädlingsbekämpfungsmittel |
| US12144349B2 (en) | 2018-09-19 | 2024-11-19 | Basf Se | Pesticidal mixtures comprising a mesoionic compound |
| WO2020058010A1 (en) | 2018-09-19 | 2020-03-26 | Basf Se | Pesticidal mixtures comprising a mesoionic compound |
| KR102793538B1 (ko) | 2018-10-11 | 2025-04-11 | 바이엘 악티엔게젤샤프트 | 치환된 이미다졸 유도체의 제조 방법 |
| KR20210075127A (ko) * | 2018-10-11 | 2021-06-22 | 바이엘 악티엔게젤샤프트 | 치환된 이미다졸 유도체의 제조 방법 |
| US11884665B2 (en) | 2019-01-29 | 2024-01-30 | Incyte Corporation | Pyrazolopyridines and triazolopyridines as A2A / A2B inhibitors |
| US11390624B2 (en) | 2019-01-29 | 2022-07-19 | Incyte Corporation | Pyrazolopyridines and triazolopyridines as A2A / A2B inhibitors |
| JPWO2020158889A1 (ja) * | 2019-01-31 | 2021-12-02 | 住友化学株式会社 | 複素環化合物及びそれを含有する有害節足動物防除組成物 |
| JP7442463B2 (ja) | 2019-01-31 | 2024-03-04 | 住友化学株式会社 | 複素環化合物及びそれを含有する有害節足動物防除組成物 |
| WO2020158889A1 (ja) | 2019-01-31 | 2020-08-06 | 住友化学株式会社 | 複素環化合物及びそれを含有する有害節足動物防除組成物 |
| CN113412050A (zh) * | 2019-01-31 | 2021-09-17 | 住友化学株式会社 | 杂环化合物和含有该杂环化合物的有害节肢动物防除组合物 |
| US12144350B2 (en) | 2019-01-31 | 2024-11-19 | Sumitomo Chemical Company, Limited | Heterocyclic compound and harmful arthropod control composition containing same |
| JP7492946B2 (ja) | 2019-02-19 | 2024-05-30 | 住友化学株式会社 | 複素環化合物及びそれを含有する有害節足動物防除組成物 |
| US12234247B2 (en) | 2019-02-19 | 2025-02-25 | Sumitomo Chemical Company, Limited | Heterocyclic compound and harmful arthropod-controlling composition containing same |
| JPWO2020171077A1 (ja) * | 2019-02-19 | 2021-12-16 | 住友化学株式会社 | 複素環化合物及びそれを含有する有害節足動物防除組成物 |
| WO2020171077A1 (ja) | 2019-02-19 | 2020-08-27 | 住友化学株式会社 | 複素環化合物及びそれを含有する有害節足動物防除組成物 |
| WO2020173861A1 (de) | 2019-02-26 | 2020-09-03 | Bayer Aktiengesellschaft | Kondensierte bicyclische heterocyclen-derivate als schädlingsbekämpfungsmittel |
| US12297196B2 (en) | 2019-02-26 | 2025-05-13 | Bayer Aktiengesellschaft | Condensed bicyclic heterocyclic derivatives as pest control agents |
| KR20210143201A (ko) | 2019-03-29 | 2021-11-26 | 수미토모 케미칼 컴퍼니 리미티드 | 복소환 화합물 및 그것을 함유하는 유해 절족 동물 방제 조성물 |
| WO2020203763A1 (ja) | 2019-03-29 | 2020-10-08 | 住友化学株式会社 | 複素環化合物及びそれを含有する有害節足動物防除組成物 |
| US12478067B2 (en) | 2019-03-29 | 2025-11-25 | Sumitomo Chemical Company, Limited | Heterocyclic compound and harmful arthropod pest control composition containing same |
| JP7692906B2 (ja) | 2019-11-22 | 2025-06-16 | ビーエーエスエフ ソシエタス・ヨーロピア | 2つの縮合二環式環を含むピリミドン誘導体 |
| JP2023502705A (ja) * | 2019-11-22 | 2023-01-25 | ビーエーエスエフ ソシエタス・ヨーロピア | 2つの縮合二環式環を含むピリミドン誘導体 |
| WO2021141106A1 (ja) | 2020-01-09 | 2021-07-15 | 住友化学株式会社 | 複素環化合物及びそれを含有する有害節足動物防除組成物 |
| WO2021209265A1 (en) | 2020-04-14 | 2021-10-21 | Basf Se | Tricyclic pesticidal compounds |
| WO2022002818A1 (de) | 2020-07-02 | 2022-01-06 | Bayer Aktiengesellschaft | Heterocyclen-derivate als schädlingsbekämpfungsmittel |
| WO2022049144A1 (en) | 2020-09-02 | 2022-03-10 | Syngenta Crop Protection Ag | Pesticidally active heterocyclic derivatives with sulfur containing substituents |
| WO2022071428A1 (ja) | 2020-09-30 | 2022-04-07 | 住友化学株式会社 | 複素環化合物及びそれを含有する有害節足動物防除組成物 |
| WO2022071434A1 (ja) | 2020-09-30 | 2022-04-07 | 住友化学株式会社 | 複素環化合物及びそれを含有する有害節足動物防除組成物 |
| WO2023046853A1 (en) | 2021-09-23 | 2023-03-30 | Syngenta Crop Protection Ag | Insect, acarina and nematode pest control |
| WO2023105064A1 (en) | 2021-12-10 | 2023-06-15 | Syngenta Crop Protection Ag | Insect, acarina and nematode pest control |
| WO2023105065A1 (en) | 2021-12-10 | 2023-06-15 | Syngenta Crop Protection Ag | Insect, acarina and nematode pest control |
| WO2023152340A1 (en) | 2022-02-10 | 2023-08-17 | Syngenta Crop Protection Ag | Insect, acarina and nematode pest control |
| WO2023203038A1 (en) | 2022-04-19 | 2023-10-26 | Syngenta Crop Protection Ag | Insect, acarina and nematode pest control |
| WO2024071219A1 (ja) * | 2022-09-28 | 2024-04-04 | 住友化学株式会社 | スルホンアミド化合物及びそれを含有する有害節足動物防除組成物 |
| WO2024071393A1 (ja) | 2022-09-30 | 2024-04-04 | 住友化学株式会社 | 複素環化合物及びそれを含有する有害節足動物防除組成物 |
| WO2024096093A1 (ja) | 2022-11-04 | 2024-05-10 | 住友化学株式会社 | 複素環化合物及びそれを含有する有害節足動物防除組成物 |
| WO2024189139A1 (en) | 2023-03-14 | 2024-09-19 | Syngenta Crop Protection Ag | Control of pests resistant to insecticides |
| WO2025026738A1 (en) | 2023-07-31 | 2025-02-06 | Bayer Aktiengesellschaft | 6-[5-(ethylsulfonyl)-1-methyl-1h-imidazol-4-yl]-7-methyl-3-(pentafluoroethyl)-7h-imidazo[4,5-c]pyridazine derivatives as pesticides |
Also Published As
Similar Documents
| Publication | Publication Date | Title |
|---|---|---|
| US10882869B2 (en) | Condensed heterocyclic compounds and pesticides | |
| JP6743881B2 (ja) | 縮合複素環化合物及び有害生物防除剤 | |
| JP2012188418A (ja) | トリアゾ−ル誘導体及び有害生物防除剤 | |
| TW202124378A (zh) | 稠雜環化合物及有害生物防除劑 | |
| JP2018024672A (ja) | 縮合複素環化合物及び有害生物防除剤 | |
| JP2018024658A (ja) | 縮合複素環化合物及び有害生物防除剤 | |
| JP2019043944A (ja) | 縮合複素環化合物及び有害生物防除剤 | |
| JP2018070585A (ja) | 縮合複素環化合物及び有害生物防除剤 | |
| JP2018024660A (ja) | アミド化合物及び有害生物防除剤 | |
| JP2018024657A (ja) | 縮合複素環化合物及び有害生物防除剤 | |
| TWI705066B (zh) | 稠雜環化合物及有害生物防除劑 | |
| JP2018027943A (ja) | 縮合複素環化合物及び有害生物防除剤 | |
| JP2018090578A (ja) | 縮合複素環化合物及び有害生物防除剤 | |
| JP2019182855A (ja) | 縮合複素環化合物及び有害生物防除剤 | |
| JP2018030834A (ja) | 縮合複素環化合物及び有害生物防除剤 | |
| JP2020111539A (ja) | 縮合複素環化合物及び有害生物防除剤 | |
| JP2017186327A (ja) | 縮合複素環化合物及び有害生物防除剤 | |
| JP2014034539A (ja) | 光学活性ピラゾールアミド誘導体および有害生物防除剤 | |
| JP2021102584A (ja) | 縮合複素環化合物及び有害生物防除剤 | |
| JP2014034540A (ja) | ピラゾールアミド誘導体および有害生物防除剤 | |
| NZ734281B2 (en) | Condensed heterocyclic compounds and pesticides | |
| JP2014040411A (ja) | ピラゾール誘導体および有害生物防除剤 |
Legal Events
| Date | Code | Title | Description |
|---|---|---|---|
| 121 | Ep: the epo has been informed by wipo that ep was designated in this application |
Ref document number: 16749327 Country of ref document: EP Kind code of ref document: A1 |
|
| ENP | Entry into the national phase |
Ref document number: 2973862 Country of ref document: CA |
|
| ENP | Entry into the national phase |
Ref document number: 2016574867 Country of ref document: JP Kind code of ref document: A |
|
| WWE | Wipo information: entry into national phase |
Ref document number: 122019026052 Country of ref document: BR |
|
| REEP | Request for entry into the european phase |
Ref document number: 2016749327 Country of ref document: EP |
|
| REG | Reference to national code |
Ref country code: BR Ref legal event code: B01A Ref document number: 112017015870 Country of ref document: BR |
|
| WWE | Wipo information: entry into national phase |
Ref document number: 12017501395 Country of ref document: PH |
|
| WWE | Wipo information: entry into national phase |
Ref document number: 11201706489Y Country of ref document: SG |
|
| ENP | Entry into the national phase |
Ref document number: 2016216963 Country of ref document: AU Date of ref document: 20160212 Kind code of ref document: A |
|
| WWE | Wipo information: entry into national phase |
Ref document number: 15550165 Country of ref document: US Ref document number: 253937 Country of ref document: IL |
|
| ENP | Entry into the national phase |
Ref document number: 20177022619 Country of ref document: KR Kind code of ref document: A |
|
| WWE | Wipo information: entry into national phase |
Ref document number: MX/A/2017/010420 Country of ref document: MX |
|
| NENP | Non-entry into the national phase |
Ref country code: DE |
|
| WWE | Wipo information: entry into national phase |
Ref document number: 201791815 Country of ref document: EA |
|
| ENP | Entry into the national phase |
Ref document number: 112017015870 Country of ref document: BR Kind code of ref document: A2 Effective date: 20170725 |






























































































































































































