KR20180098385A - 표면 수식 무기물 및 그 제조 방법, 수지 조성물, 열전도 재료, 디바이스, 및 윤활제 - Google Patents
표면 수식 무기물 및 그 제조 방법, 수지 조성물, 열전도 재료, 디바이스, 및 윤활제 Download PDFInfo
- Publication number
- KR20180098385A KR20180098385A KR1020187021730A KR20187021730A KR20180098385A KR 20180098385 A KR20180098385 A KR 20180098385A KR 1020187021730 A KR1020187021730 A KR 1020187021730A KR 20187021730 A KR20187021730 A KR 20187021730A KR 20180098385 A KR20180098385 A KR 20180098385A
- Authority
- KR
- South Korea
- Prior art keywords
- group
- nitride
- inorganic
- aldehyde compound
- compound
- Prior art date
- Legal status (The legal status is an assumption and is not a legal conclusion. Google has not performed a legal analysis and makes no representation as to the accuracy of the status listed.)
- Granted
Links
- -1 Device Substances 0.000 title claims abstract description 86
- 239000011342 resin composition Substances 0.000 title claims abstract description 43
- 239000004020 conductor Substances 0.000 title claims abstract description 21
- 238000000034 method Methods 0.000 title claims description 36
- 239000000314 lubricant Substances 0.000 title claims description 9
- 229910010272 inorganic material Inorganic materials 0.000 title abstract description 38
- 239000011147 inorganic material Substances 0.000 title abstract description 37
- 238000004519 manufacturing process Methods 0.000 title description 5
- 150000001875 compounds Chemical class 0.000 claims abstract description 74
- 239000000126 substance Substances 0.000 claims abstract description 50
- 125000002887 hydroxy group Chemical group [H]O* 0.000 claims abstract description 25
- 125000005647 linker group Chemical group 0.000 claims abstract description 20
- 230000004048 modification Effects 0.000 claims abstract description 20
- 238000012986 modification Methods 0.000 claims abstract description 20
- 125000000466 oxiranyl group Chemical group 0.000 claims abstract description 20
- 125000003396 thiol group Chemical group [H]S* 0.000 claims abstract description 18
- 125000003277 amino group Chemical group 0.000 claims abstract description 17
- 125000003178 carboxy group Chemical group [H]OC(*)=O 0.000 claims abstract description 14
- IQPQWNKOIGAROB-UHFFFAOYSA-N isocyanate group Chemical group [N-]=C=O IQPQWNKOIGAROB-UHFFFAOYSA-N 0.000 claims abstract description 14
- 125000003566 oxetanyl group Chemical group 0.000 claims abstract description 12
- NIXOWILDQLNWCW-UHFFFAOYSA-M acrylate group Chemical group C(C=C)(=O)[O-] NIXOWILDQLNWCW-UHFFFAOYSA-M 0.000 claims abstract description 8
- 125000003118 aryl group Chemical group 0.000 claims description 57
- 150000004767 nitrides Chemical class 0.000 claims description 57
- 239000003795 chemical substances by application Substances 0.000 claims description 27
- 125000002950 monocyclic group Chemical group 0.000 claims description 27
- ZWEHNKRNPOVVGH-UHFFFAOYSA-N 2-Butanone Chemical compound CCC(C)=O ZWEHNKRNPOVVGH-UHFFFAOYSA-N 0.000 claims description 21
- PZNSFCLAULLKQX-UHFFFAOYSA-N Boron nitride Chemical group N#B PZNSFCLAULLKQX-UHFFFAOYSA-N 0.000 claims description 19
- 229910052582 BN Inorganic materials 0.000 claims description 18
- YMWUJEATGCHHMB-UHFFFAOYSA-N Dichloromethane Chemical compound ClCCl YMWUJEATGCHHMB-UHFFFAOYSA-N 0.000 claims description 18
- 239000000463 material Substances 0.000 claims description 17
- XEKOWRVHYACXOJ-UHFFFAOYSA-N Ethyl acetate Chemical compound CCOC(C)=O XEKOWRVHYACXOJ-UHFFFAOYSA-N 0.000 claims description 12
- 239000000178 monomer Substances 0.000 claims description 12
- 239000002904 solvent Substances 0.000 claims description 11
- 238000003756 stirring Methods 0.000 claims description 9
- 125000002843 carboxylic acid group Chemical group 0.000 claims description 4
- PMHQVHHXPFUNSP-UHFFFAOYSA-M copper(1+);methylsulfanylmethane;bromide Chemical group Br[Cu].CSC PMHQVHHXPFUNSP-UHFFFAOYSA-M 0.000 claims description 4
- ZOXJGFHDIHLPTG-UHFFFAOYSA-N Boron Chemical compound [B] ZOXJGFHDIHLPTG-UHFFFAOYSA-N 0.000 claims description 3
- XUIMIQQOPSSXEZ-UHFFFAOYSA-N Silicon Chemical compound [Si] XUIMIQQOPSSXEZ-UHFFFAOYSA-N 0.000 claims description 3
- 229910052782 aluminium Inorganic materials 0.000 claims description 3
- XAGFODPZIPBFFR-UHFFFAOYSA-N aluminium Chemical compound [Al] XAGFODPZIPBFFR-UHFFFAOYSA-N 0.000 claims description 3
- 229910052796 boron Inorganic materials 0.000 claims description 3
- 230000008569 process Effects 0.000 claims description 3
- 229910052710 silicon Inorganic materials 0.000 claims description 3
- 239000010703 silicon Substances 0.000 claims description 3
- 125000004435 hydrogen atom Chemical group [H]* 0.000 abstract description 19
- 125000004432 carbon atom Chemical group C* 0.000 description 38
- 238000001723 curing Methods 0.000 description 37
- 125000001424 substituent group Chemical group 0.000 description 37
- 125000000217 alkyl group Chemical group 0.000 description 24
- 229910052757 nitrogen Inorganic materials 0.000 description 21
- IOJUPLGTWVMSFF-UHFFFAOYSA-N benzothiazole Chemical compound C1=CC=C2SC=NC2=C1 IOJUPLGTWVMSFF-UHFFFAOYSA-N 0.000 description 19
- 125000000524 functional group Chemical group 0.000 description 19
- 238000001179 sorption measurement Methods 0.000 description 16
- 125000001997 phenyl group Chemical group [H]C1=C([H])C([H])=C(*)C([H])=C1[H] 0.000 description 15
- 239000004973 liquid crystal related substance Substances 0.000 description 14
- 239000011347 resin Substances 0.000 description 13
- 229920005989 resin Polymers 0.000 description 13
- 238000002835 absorbance Methods 0.000 description 12
- 125000002947 alkylene group Chemical group 0.000 description 12
- 239000011230 binding agent Substances 0.000 description 12
- 150000003839 salts Chemical class 0.000 description 12
- 125000006165 cyclic alkyl group Chemical group 0.000 description 11
- XLOMVQKBTHCTTD-UHFFFAOYSA-N Zinc monoxide Chemical compound [Zn]=O XLOMVQKBTHCTTD-UHFFFAOYSA-N 0.000 description 10
- 125000004450 alkenylene group Chemical group 0.000 description 10
- 125000000732 arylene group Chemical group 0.000 description 9
- 238000006243 chemical reaction Methods 0.000 description 9
- WYURNTSHIVDZCO-UHFFFAOYSA-N Tetrahydrofuran Chemical compound C1CCOC1 WYURNTSHIVDZCO-UHFFFAOYSA-N 0.000 description 8
- 239000000047 product Substances 0.000 description 8
- YLQBMQCUIZJEEH-UHFFFAOYSA-N Furan Chemical compound C=1C=COC=1 YLQBMQCUIZJEEH-UHFFFAOYSA-N 0.000 description 7
- 229910052799 carbon Inorganic materials 0.000 description 7
- 239000002245 particle Substances 0.000 description 7
- 229910052717 sulfur Inorganic materials 0.000 description 7
- 125000004434 sulfur atom Chemical group 0.000 description 7
- 125000003342 alkenyl group Chemical group 0.000 description 6
- 125000004122 cyclic group Chemical group 0.000 description 6
- 125000001072 heteroaryl group Chemical group 0.000 description 6
- 125000002496 methyl group Chemical group [H]C([H])([H])* 0.000 description 6
- 125000001570 methylene group Chemical group [H]C([H])([*:1])[*:2] 0.000 description 6
- 239000000203 mixture Substances 0.000 description 6
- 125000004433 nitrogen atom Chemical group N* 0.000 description 6
- 125000004430 oxygen atom Chemical group O* 0.000 description 6
- OKTJSMMVPCPJKN-UHFFFAOYSA-N Carbon Chemical compound [C] OKTJSMMVPCPJKN-UHFFFAOYSA-N 0.000 description 5
- 239000003822 epoxy resin Substances 0.000 description 5
- 125000005843 halogen group Chemical group 0.000 description 5
- 239000003960 organic solvent Substances 0.000 description 5
- 125000001476 phosphono group Chemical group [H]OP(*)(=O)O[H] 0.000 description 5
- 229920000647 polyepoxide Polymers 0.000 description 5
- 125000006850 spacer group Chemical group 0.000 description 5
- 239000011787 zinc oxide Substances 0.000 description 5
- RGCKGOZRHPZPFP-UHFFFAOYSA-N Alizarin Natural products C1=CC=C2C(=O)C3=C(O)C(O)=CC=C3C(=O)C2=C1 RGCKGOZRHPZPFP-UHFFFAOYSA-N 0.000 description 4
- YTPLMLYBLZKORZ-UHFFFAOYSA-N Thiophene Chemical compound C=1C=CSC=1 YTPLMLYBLZKORZ-UHFFFAOYSA-N 0.000 description 4
- 238000000862 absorption spectrum Methods 0.000 description 4
- HFVAFDPGUJEFBQ-UHFFFAOYSA-M alizarin red S Chemical compound [Na+].O=C1C2=CC=CC=C2C(=O)C2=C1C=C(S([O-])(=O)=O)C(O)=C2O HFVAFDPGUJEFBQ-UHFFFAOYSA-M 0.000 description 4
- 125000001495 ethyl group Chemical group [H]C([H])([H])C([H])([H])* 0.000 description 4
- 125000000623 heterocyclic group Chemical group 0.000 description 4
- 239000007788 liquid Substances 0.000 description 4
- 238000005259 measurement Methods 0.000 description 4
- 125000000843 phenylene group Chemical group C1(=C(C=CC=C1)*)* 0.000 description 4
- 239000003505 polymerization initiator Substances 0.000 description 4
- 239000005268 rod-like liquid crystal Substances 0.000 description 4
- 239000007787 solid Substances 0.000 description 4
- WEVYAHXRMPXWCK-UHFFFAOYSA-N Acetonitrile Chemical compound CC#N WEVYAHXRMPXWCK-UHFFFAOYSA-N 0.000 description 3
- IAYPIBMASNFSPL-UHFFFAOYSA-N Ethylene oxide Chemical compound C1CO1 IAYPIBMASNFSPL-UHFFFAOYSA-N 0.000 description 3
- 125000005118 N-alkylcarbamoyl group Chemical group 0.000 description 3
- JUJWROOIHBZHMG-UHFFFAOYSA-N Pyridine Chemical group C1=CC=NC=C1 JUJWROOIHBZHMG-UHFFFAOYSA-N 0.000 description 3
- 125000003172 aldehyde group Chemical group 0.000 description 3
- 125000003545 alkoxy group Chemical group 0.000 description 3
- 150000001412 amines Chemical class 0.000 description 3
- 230000015572 biosynthetic process Effects 0.000 description 3
- 125000003917 carbamoyl group Chemical group [H]N([H])C(*)=O 0.000 description 3
- 229910052801 chlorine Inorganic materials 0.000 description 3
- 239000000460 chlorine Substances 0.000 description 3
- 229940125782 compound 2 Drugs 0.000 description 3
- 238000001816 cooling Methods 0.000 description 3
- 125000004093 cyano group Chemical group *C#N 0.000 description 3
- 239000000706 filtrate Substances 0.000 description 3
- 229910052731 fluorine Inorganic materials 0.000 description 3
- 230000005484 gravity Effects 0.000 description 3
- 230000017525 heat dissipation Effects 0.000 description 3
- 238000010438 heat treatment Methods 0.000 description 3
- 125000005549 heteroarylene group Chemical group 0.000 description 3
- RAXXELZNTBOGNW-UHFFFAOYSA-N imidazole Natural products C1=CNC=N1 RAXXELZNTBOGNW-UHFFFAOYSA-N 0.000 description 3
- 238000002156 mixing Methods 0.000 description 3
- ISWSIDIOOBJBQZ-UHFFFAOYSA-N phenol group Chemical group C1(=CC=CC=C1)O ISWSIDIOOBJBQZ-UHFFFAOYSA-N 0.000 description 3
- 238000002360 preparation method Methods 0.000 description 3
- 239000004065 semiconductor Substances 0.000 description 3
- 125000001140 1,4-phenylene group Chemical group [H]C1=C([H])C([*:2])=C([H])C([H])=C1[*:1] 0.000 description 2
- FCEHBMOGCRZNNI-UHFFFAOYSA-N 1-benzothiophene Chemical compound C1=CC=C2SC=CC2=C1 FCEHBMOGCRZNNI-UHFFFAOYSA-N 0.000 description 2
- YBRVSVVVWCFQMG-UHFFFAOYSA-N 4,4'-diaminodiphenylmethane Chemical compound C1=CC(N)=CC=C1CC1=CC=C(N)C=C1 YBRVSVVVWCFQMG-UHFFFAOYSA-N 0.000 description 2
- RGHHSNMVTDWUBI-UHFFFAOYSA-N 4-hydroxybenzaldehyde Chemical compound OC1=CC=C(C=O)C=C1 RGHHSNMVTDWUBI-UHFFFAOYSA-N 0.000 description 2
- 239000004925 Acrylic resin Substances 0.000 description 2
- 229920000178 Acrylic resin Polymers 0.000 description 2
- 229920002799 BoPET Polymers 0.000 description 2
- WKBOTKDWSSQWDR-UHFFFAOYSA-N Bromine atom Chemical compound [Br] WKBOTKDWSSQWDR-UHFFFAOYSA-N 0.000 description 2
- CURLTUGMZLYLDI-UHFFFAOYSA-N Carbon dioxide Chemical compound O=C=O CURLTUGMZLYLDI-UHFFFAOYSA-N 0.000 description 2
- ZAMOUSCENKQFHK-UHFFFAOYSA-N Chlorine atom Chemical compound [Cl] ZAMOUSCENKQFHK-UHFFFAOYSA-N 0.000 description 2
- MQJKPEGWNLWLTK-UHFFFAOYSA-N Dapsone Chemical compound C1=CC(N)=CC=C1S(=O)(=O)C1=CC=C(N)C=C1 MQJKPEGWNLWLTK-UHFFFAOYSA-N 0.000 description 2
- 239000004985 Discotic Liquid Crystal Substance Substances 0.000 description 2
- 239000004593 Epoxy Substances 0.000 description 2
- PXGOKWXKJXAPGV-UHFFFAOYSA-N Fluorine Chemical compound FF PXGOKWXKJXAPGV-UHFFFAOYSA-N 0.000 description 2
- 239000005264 High molar mass liquid crystal Substances 0.000 description 2
- KAESVJOAVNADME-UHFFFAOYSA-N Pyrrole Chemical compound C=1C=CNC=1 KAESVJOAVNADME-UHFFFAOYSA-N 0.000 description 2
- 229910052581 Si3N4 Inorganic materials 0.000 description 2
- BLRPTPMANUNPDV-UHFFFAOYSA-N Silane Chemical compound [SiH4] BLRPTPMANUNPDV-UHFFFAOYSA-N 0.000 description 2
- 150000008065 acid anhydrides Chemical class 0.000 description 2
- 125000004442 acylamino group Chemical group 0.000 description 2
- 125000001931 aliphatic group Chemical group 0.000 description 2
- BBEAQIROQSPTKN-UHFFFAOYSA-N antipyrene Natural products C1=CC=C2C=CC3=CC=CC4=CC=C1C2=C43 BBEAQIROQSPTKN-UHFFFAOYSA-N 0.000 description 2
- 125000004104 aryloxy group Chemical group 0.000 description 2
- 125000004429 atom Chemical group 0.000 description 2
- GDTBXPJZTBHREO-UHFFFAOYSA-N bromine Substances BrBr GDTBXPJZTBHREO-UHFFFAOYSA-N 0.000 description 2
- 229910052794 bromium Inorganic materials 0.000 description 2
- 125000001951 carbamoylamino group Chemical group C(N)(=O)N* 0.000 description 2
- 150000001721 carbon Chemical group 0.000 description 2
- 239000003054 catalyst Substances 0.000 description 2
- 125000001309 chloro group Chemical group Cl* 0.000 description 2
- 239000010949 copper Substances 0.000 description 2
- 125000000113 cyclohexyl group Chemical group [H]C1([H])C([H])([H])C([H])([H])C([H])(*)C([H])([H])C1([H])[H] 0.000 description 2
- 230000003247 decreasing effect Effects 0.000 description 2
- 125000002704 decyl group Chemical group [H]C([H])([H])C([H])([H])C([H])([H])C([H])([H])C([H])([H])C([H])([H])C([H])([H])C([H])([H])C([H])([H])C([H])([H])* 0.000 description 2
- 239000006185 dispersion Substances 0.000 description 2
- 239000007772 electrode material Substances 0.000 description 2
- 125000000816 ethylene group Chemical group [H]C([H])([*:1])C([H])([H])[*:2] 0.000 description 2
- GVEPBJHOBDJJJI-UHFFFAOYSA-N fluoranthrene Natural products C1=CC(C2=CC=CC=C22)=C3C2=CC=CC3=C1 GVEPBJHOBDJJJI-UHFFFAOYSA-N 0.000 description 2
- 239000011737 fluorine Substances 0.000 description 2
- 239000004519 grease Substances 0.000 description 2
- 125000003187 heptyl group Chemical group [H]C([*])([H])C([H])([H])C([H])([H])C([H])([H])C([H])([H])C([H])([H])C([H])([H])[H] 0.000 description 2
- 125000005842 heteroatom Chemical group 0.000 description 2
- 229910052739 hydrogen Inorganic materials 0.000 description 2
- 239000001257 hydrogen Substances 0.000 description 2
- XEEYBQQBJWHFJM-UHFFFAOYSA-N iron Substances [Fe] XEEYBQQBJWHFJM-UHFFFAOYSA-N 0.000 description 2
- 229910001337 iron nitride Inorganic materials 0.000 description 2
- 230000001788 irregular Effects 0.000 description 2
- 125000000959 isobutyl group Chemical group [H]C([H])([H])C([H])(C([H])([H])[H])C([H])([H])* 0.000 description 2
- 125000004491 isohexyl group Chemical group C(CCC(C)C)* 0.000 description 2
- 125000001972 isopentyl group Chemical group [H]C([H])([H])C([H])(C([H])([H])[H])C([H])([H])C([H])([H])* 0.000 description 2
- 125000001449 isopropyl group Chemical group [H]C([H])([H])C([H])(*)C([H])([H])[H] 0.000 description 2
- CTAPFRYPJLPFDF-UHFFFAOYSA-N isoxazole Chemical compound C=1C=NOC=1 CTAPFRYPJLPFDF-UHFFFAOYSA-N 0.000 description 2
- 229910052746 lanthanum Inorganic materials 0.000 description 2
- FZLIPJUXYLNCLC-UHFFFAOYSA-N lanthanum atom Chemical compound [La] FZLIPJUXYLNCLC-UHFFFAOYSA-N 0.000 description 2
- 239000011777 magnesium Substances 0.000 description 2
- KQSABULTKYLFEV-UHFFFAOYSA-N naphthalene-1,5-diamine Chemical compound C1=CC=C2C(N)=CC=CC2=C1N KQSABULTKYLFEV-UHFFFAOYSA-N 0.000 description 2
- 125000001971 neopentyl group Chemical group [H]C([*])([H])C(C([H])([H])[H])(C([H])([H])[H])C([H])([H])[H] 0.000 description 2
- 125000000449 nitro group Chemical group [O-][N+](*)=O 0.000 description 2
- 125000001400 nonyl group Chemical group [H]C([*])([H])C([H])([H])C([H])([H])C([H])([H])C([H])([H])C([H])([H])C([H])([H])C([H])([H])C([H])([H])[H] 0.000 description 2
- 125000002347 octyl group Chemical group [H]C([*])([H])C([H])([H])C([H])([H])C([H])([H])C([H])([H])C([H])([H])C([H])([H])C([H])([H])[H] 0.000 description 2
- VATYWCRQDJIRAI-UHFFFAOYSA-N p-aminobenzaldehyde Chemical compound NC1=CC=C(C=O)C=C1 VATYWCRQDJIRAI-UHFFFAOYSA-N 0.000 description 2
- 239000000049 pigment Substances 0.000 description 2
- 125000001436 propyl group Chemical group [H]C([*])([H])C([H])([H])C([H])([H])[H] 0.000 description 2
- 125000004805 propylene group Chemical group [H]C([H])([H])C([H])([*:1])C([H])([H])[*:2] 0.000 description 2
- 125000000714 pyrimidinyl group Chemical group 0.000 description 2
- 230000005855 radiation Effects 0.000 description 2
- 239000002094 self assembled monolayer Substances 0.000 description 2
- 239000013545 self-assembled monolayer Substances 0.000 description 2
- 229910000077 silane Inorganic materials 0.000 description 2
- HQVNEWCFYHHQES-UHFFFAOYSA-N silicon nitride Chemical compound N12[Si]34N5[Si]62N3[Si]51N64 HQVNEWCFYHHQES-UHFFFAOYSA-N 0.000 description 2
- 125000003808 silyl group Chemical group [H][Si]([H])([H])[*] 0.000 description 2
- 239000002002 slurry Substances 0.000 description 2
- 238000006467 substitution reaction Methods 0.000 description 2
- 239000006228 supernatant Substances 0.000 description 2
- 238000012360 testing method Methods 0.000 description 2
- 125000000383 tetramethylene group Chemical group [H]C([H])([*:1])C([H])([H])C([H])([H])C([H])([H])[*:2] 0.000 description 2
- RIOQSEWOXXDEQQ-UHFFFAOYSA-N triphenylphosphine Chemical compound C1=CC=CC=C1P(C=1C=CC=CC=1)C1=CC=CC=C1 RIOQSEWOXXDEQQ-UHFFFAOYSA-N 0.000 description 2
- JWZZKOKVBUJMES-UHFFFAOYSA-N (+-)-Isoprenaline Chemical compound CC(C)NCC(O)C1=CC=C(O)C(O)=C1 JWZZKOKVBUJMES-UHFFFAOYSA-N 0.000 description 1
- BCMCBBGGLRIHSE-UHFFFAOYSA-N 1,3-benzoxazole Chemical compound C1=CC=C2OC=NC2=C1 BCMCBBGGLRIHSE-UHFFFAOYSA-N 0.000 description 1
- 125000001989 1,3-phenylene group Chemical group [H]C1=C([H])C([*:1])=C([H])C([*:2])=C1[H] 0.000 description 1
- ALQLPWJFHRMHIU-UHFFFAOYSA-N 1,4-diisocyanatobenzene Chemical compound O=C=NC1=CC=C(N=C=O)C=C1 ALQLPWJFHRMHIU-UHFFFAOYSA-N 0.000 description 1
- 125000004958 1,4-naphthylene group Chemical group 0.000 description 1
- YFOOEYJGMMJJLS-UHFFFAOYSA-N 1,8-diaminonaphthalene Chemical compound C1=CC(N)=C2C(N)=CC=CC2=C1 YFOOEYJGMMJJLS-UHFFFAOYSA-N 0.000 description 1
- FBHPRUXJQNWTEW-UHFFFAOYSA-N 1-benzyl-2-methylimidazole Chemical compound CC1=NC=CN1CC1=CC=CC=C1 FBHPRUXJQNWTEW-UHFFFAOYSA-N 0.000 description 1
- 125000004973 1-butenyl group Chemical group C(=CCC)* 0.000 description 1
- 125000006019 1-methyl-1-propenyl group Chemical group 0.000 description 1
- 125000006017 1-propenyl group Chemical group 0.000 description 1
- XARVANDLQOZMMJ-CHHVJCJISA-N 2-[(z)-[1-(2-amino-1,3-thiazol-4-yl)-2-oxo-2-(2-oxoethylamino)ethylidene]amino]oxy-2-methylpropanoic acid Chemical compound OC(=O)C(C)(C)O\N=C(/C(=O)NCC=O)C1=CSC(N)=N1 XARVANDLQOZMMJ-CHHVJCJISA-N 0.000 description 1
- NGNBDVOYPDDBFK-UHFFFAOYSA-N 2-[2,4-di(pentan-2-yl)phenoxy]acetyl chloride Chemical group CCCC(C)C1=CC=C(OCC(Cl)=O)C(C(C)CCC)=C1 NGNBDVOYPDDBFK-UHFFFAOYSA-N 0.000 description 1
- 125000003229 2-methylhexyl group Chemical group [H]C([H])([H])C([H])([H])C([H])([H])C([H])([H])C([H])(C([H])([H])[H])C([H])([H])* 0.000 description 1
- 125000004135 2-norbornyl group Chemical group [H]C1([H])C([H])([H])C2([H])C([H])([H])C1([H])C([H])([H])C2([H])* 0.000 description 1
- AJNPOWPFTJRHFO-UHFFFAOYSA-N 2-phenylcyclohexene-1-carbonitrile Chemical class C1CCCC(C#N)=C1C1=CC=CC=C1 AJNPOWPFTJRHFO-UHFFFAOYSA-N 0.000 description 1
- OXPDQFOKSZYEMJ-UHFFFAOYSA-N 2-phenylpyrimidine Chemical class C1=CC=CC=C1C1=NC=CC=N1 OXPDQFOKSZYEMJ-UHFFFAOYSA-N 0.000 description 1
- 125000000175 2-thienyl group Chemical group S1C([*])=C([H])C([H])=C1[H] 0.000 description 1
- GSSXLFACIJSBOM-UHFFFAOYSA-N 2h-pyran-2-ol Chemical compound OC1OC=CC=C1 GSSXLFACIJSBOM-UHFFFAOYSA-N 0.000 description 1
- JRBJSXQPQWSCCF-UHFFFAOYSA-N 3,3'-Dimethoxybenzidine Chemical group C1=C(N)C(OC)=CC(C=2C=C(OC)C(N)=CC=2)=C1 JRBJSXQPQWSCCF-UHFFFAOYSA-N 0.000 description 1
- HLBLWEWZXPIGSM-UHFFFAOYSA-N 4-Aminophenyl ether Chemical compound C1=CC(N)=CC=C1OC1=CC=C(N)C=C1 HLBLWEWZXPIGSM-UHFFFAOYSA-N 0.000 description 1
- ULKLGIFJWFIQFF-UHFFFAOYSA-N 5K8XI641G3 Chemical compound CCC1=NC=C(C)N1 ULKLGIFJWFIQFF-UHFFFAOYSA-N 0.000 description 1
- ZCYVEMRRCGMTRW-UHFFFAOYSA-N 7553-56-2 Chemical compound [I] ZCYVEMRRCGMTRW-UHFFFAOYSA-N 0.000 description 1
- 229910015900 BF3 Inorganic materials 0.000 description 1
- UGFAIRIUMAVXCW-UHFFFAOYSA-N Carbon monoxide Chemical compound [O+]#[C-] UGFAIRIUMAVXCW-UHFFFAOYSA-N 0.000 description 1
- BVKZGUZCCUSVTD-UHFFFAOYSA-L Carbonate Chemical compound [O-]C([O-])=O BVKZGUZCCUSVTD-UHFFFAOYSA-L 0.000 description 1
- RYGMFSIKBFXOCR-UHFFFAOYSA-N Copper Chemical compound [Cu] RYGMFSIKBFXOCR-UHFFFAOYSA-N 0.000 description 1
- BRLQWZUYTZBJKN-UHFFFAOYSA-N Epichlorohydrin Chemical compound ClCC1CO1 BRLQWZUYTZBJKN-UHFFFAOYSA-N 0.000 description 1
- JMASRVWKEDWRBT-UHFFFAOYSA-N Gallium nitride Chemical compound [Ga]#N JMASRVWKEDWRBT-UHFFFAOYSA-N 0.000 description 1
- ZCQWOFVYLHDMMC-UHFFFAOYSA-N Oxazole Chemical compound C1=COC=N1 ZCQWOFVYLHDMMC-UHFFFAOYSA-N 0.000 description 1
- LGRFSURHDFAFJT-UHFFFAOYSA-N Phthalic anhydride Natural products C1=CC=C2C(=O)OC(=O)C2=C1 LGRFSURHDFAFJT-UHFFFAOYSA-N 0.000 description 1
- GOOHAUXETOMSMM-UHFFFAOYSA-N Propylene oxide Chemical group CC1CO1 GOOHAUXETOMSMM-UHFFFAOYSA-N 0.000 description 1
- WTKZEGDFNFYCGP-UHFFFAOYSA-N Pyrazole Chemical compound C=1C=NNC=1 WTKZEGDFNFYCGP-UHFFFAOYSA-N 0.000 description 1
- RTAQQCXQSZGOHL-UHFFFAOYSA-N Titanium Chemical compound [Ti] RTAQQCXQSZGOHL-UHFFFAOYSA-N 0.000 description 1
- NRTOMJZYCJJWKI-UHFFFAOYSA-N Titanium nitride Chemical compound [Ti]#N NRTOMJZYCJJWKI-UHFFFAOYSA-N 0.000 description 1
- 238000005874 Vilsmeier-Haack formylation reaction Methods 0.000 description 1
- 125000004062 acenaphthenyl group Chemical group C1(CC2=CC=CC3=CC=CC1=C23)* 0.000 description 1
- 125000002777 acetyl group Chemical group [H]C([H])([H])C(*)=O 0.000 description 1
- 125000003668 acetyloxy group Chemical group [H]C([H])([H])C(=O)O[*] 0.000 description 1
- 125000002252 acyl group Chemical group 0.000 description 1
- 125000004423 acyloxy group Chemical group 0.000 description 1
- 230000002776 aggregation Effects 0.000 description 1
- 238000004220 aggregation Methods 0.000 description 1
- 150000001299 aldehydes Chemical class 0.000 description 1
- 125000004453 alkoxycarbonyl group Chemical group 0.000 description 1
- 125000005370 alkoxysilyl group Chemical group 0.000 description 1
- 125000005138 alkoxysulfonyl group Chemical group 0.000 description 1
- 125000002877 alkyl aryl group Chemical group 0.000 description 1
- 125000004644 alkyl sulfinyl group Chemical group 0.000 description 1
- 125000005332 alkyl sulfoxy group Chemical group 0.000 description 1
- 125000004414 alkyl thio group Chemical group 0.000 description 1
- 230000029936 alkylation Effects 0.000 description 1
- 238000005804 alkylation reaction Methods 0.000 description 1
- 125000000304 alkynyl group Chemical group 0.000 description 1
- 150000004645 aluminates Chemical class 0.000 description 1
- PNEYBMLMFCGWSK-UHFFFAOYSA-N aluminium oxide Inorganic materials [O-2].[O-2].[O-2].[Al+3].[Al+3] PNEYBMLMFCGWSK-UHFFFAOYSA-N 0.000 description 1
- 150000008064 anhydrides Chemical group 0.000 description 1
- 125000005428 anthryl group Chemical group [H]C1=C([H])C([H])=C2C([H])=C3C(*)=C([H])C([H])=C([H])C3=C([H])C2=C1[H] 0.000 description 1
- 150000003934 aromatic aldehydes Chemical class 0.000 description 1
- 125000006615 aromatic heterocyclic group Chemical group 0.000 description 1
- 125000005162 aryl oxy carbonyl amino group Chemical group 0.000 description 1
- 125000005161 aryl oxy carbonyl group Chemical group 0.000 description 1
- 125000005135 aryl sulfinyl group Chemical group 0.000 description 1
- 125000004391 aryl sulfonyl group Chemical group 0.000 description 1
- 125000005110 aryl thio group Chemical group 0.000 description 1
- NWAIGJYBQQYSPW-UHFFFAOYSA-N azanylidyneindigane Chemical compound [In]#N NWAIGJYBQQYSPW-UHFFFAOYSA-N 0.000 description 1
- GPBUGPUPKAGMDK-UHFFFAOYSA-N azanylidynemolybdenum Chemical compound [Mo]#N GPBUGPUPKAGMDK-UHFFFAOYSA-N 0.000 description 1
- CFJRGWXELQQLSA-UHFFFAOYSA-N azanylidyneniobium Chemical compound [Nb]#N CFJRGWXELQQLSA-UHFFFAOYSA-N 0.000 description 1
- IVHJCRXBQPGLOV-UHFFFAOYSA-N azanylidynetungsten Chemical compound [W]#N IVHJCRXBQPGLOV-UHFFFAOYSA-N 0.000 description 1
- 150000001558 benzoic acid derivatives Chemical class 0.000 description 1
- WTEOIRVLGSZEPR-UHFFFAOYSA-N boron trifluoride Substances FB(F)F WTEOIRVLGSZEPR-UHFFFAOYSA-N 0.000 description 1
- JHIWVOJDXOSYLW-UHFFFAOYSA-N butyl 2,2-difluorocyclopropane-1-carboxylate Chemical compound CCCCOC(=O)C1CC1(F)F JHIWVOJDXOSYLW-UHFFFAOYSA-N 0.000 description 1
- 125000000484 butyl group Chemical group [H]C([*])([H])C([H])([H])C([H])([H])C([H])([H])[H] 0.000 description 1
- 229910002092 carbon dioxide Inorganic materials 0.000 description 1
- 239000001569 carbon dioxide Substances 0.000 description 1
- 229910002091 carbon monoxide Inorganic materials 0.000 description 1
- 125000005587 carbonate group Chemical group 0.000 description 1
- 239000003153 chemical reaction reagent Substances 0.000 description 1
- 239000011248 coating agent Substances 0.000 description 1
- 238000000576 coating method Methods 0.000 description 1
- 230000000052 comparative effect Effects 0.000 description 1
- 239000002131 composite material Substances 0.000 description 1
- 229940125904 compound 1 Drugs 0.000 description 1
- 229910052802 copper Inorganic materials 0.000 description 1
- 239000007822 coupling agent Substances 0.000 description 1
- 125000004802 cyanophenyl group Chemical group 0.000 description 1
- 125000001995 cyclobutyl group Chemical group [H]C1([H])C([H])([H])C([H])(*)C1([H])[H] 0.000 description 1
- 125000000582 cycloheptyl group Chemical group [H]C1([H])C([H])([H])C([H])([H])C([H])([H])C([H])(*)C([H])([H])C1([H])[H] 0.000 description 1
- 125000000640 cyclooctyl group Chemical group [H]C1([H])C([H])([H])C([H])([H])C([H])([H])C([H])(*)C([H])([H])C([H])([H])C1([H])[H] 0.000 description 1
- 125000001511 cyclopentyl group Chemical group [H]C1([H])C([H])([H])C([H])([H])C([H])(*)C1([H])[H] 0.000 description 1
- 125000001559 cyclopropyl group Chemical group [H]C1([H])C([H])([H])C1([H])* 0.000 description 1
- 125000001028 difluoromethyl group Chemical group [H]C(F)(F)* 0.000 description 1
- 230000000694 effects Effects 0.000 description 1
- 230000008030 elimination Effects 0.000 description 1
- 238000003379 elimination reaction Methods 0.000 description 1
- 125000003700 epoxy group Chemical group 0.000 description 1
- 125000001301 ethoxy group Chemical group [H]C([H])([H])C([H])([H])O* 0.000 description 1
- 125000003754 ethoxycarbonyl group Chemical group C(=O)(OCC)* 0.000 description 1
- 239000010419 fine particle Substances 0.000 description 1
- 125000003983 fluorenyl group Chemical group C1(=CC=CC=2C3=CC=CC=C3CC12)* 0.000 description 1
- 125000001153 fluoro group Chemical group F* 0.000 description 1
- 125000002485 formyl group Chemical group [H]C(*)=O 0.000 description 1
- ANSXAPJVJOKRDJ-UHFFFAOYSA-N furo[3,4-f][2]benzofuran-1,3,5,7-tetrone Chemical compound C1=C2C(=O)OC(=O)C2=CC2=C1C(=O)OC2=O ANSXAPJVJOKRDJ-UHFFFAOYSA-N 0.000 description 1
- 230000009477 glass transition Effects 0.000 description 1
- 125000004836 hexamethylene group Chemical group [H]C([H])([*:2])C([H])([H])C([H])([H])C([H])([H])C([H])([H])C([H])([H])[*:1] 0.000 description 1
- 125000004051 hexyl group Chemical group [H]C([H])([H])C([H])([H])C([H])([H])C([H])([H])C([H])([H])C([H])([H])* 0.000 description 1
- 150000002430 hydrocarbons Chemical group 0.000 description 1
- 125000002883 imidazolyl group Chemical group 0.000 description 1
- 125000001841 imino group Chemical group [H]N=* 0.000 description 1
- 125000003454 indenyl group Chemical group C1(C=CC2=CC=CC=C12)* 0.000 description 1
- 150000002484 inorganic compounds Chemical class 0.000 description 1
- 230000003993 interaction Effects 0.000 description 1
- 238000011835 investigation Methods 0.000 description 1
- 229910052740 iodine Inorganic materials 0.000 description 1
- 239000011630 iodine Substances 0.000 description 1
- ZLTPDFXIESTBQG-UHFFFAOYSA-N isothiazole Chemical group C=1C=NSC=1 ZLTPDFXIESTBQG-UHFFFAOYSA-N 0.000 description 1
- 238000004898 kneading Methods 0.000 description 1
- 229910052749 magnesium Inorganic materials 0.000 description 1
- FPYJFEHAWHCUMM-UHFFFAOYSA-N maleic anhydride Chemical compound O=C1OC(=O)C=C1 FPYJFEHAWHCUMM-UHFFFAOYSA-N 0.000 description 1
- 229910052751 metal Inorganic materials 0.000 description 1
- 239000002184 metal Substances 0.000 description 1
- 125000005641 methacryl group Chemical group 0.000 description 1
- 125000000956 methoxy group Chemical group [H]C([H])([H])O* 0.000 description 1
- 125000001160 methoxycarbonyl group Chemical group [H]C([H])([H])OC(*)=O 0.000 description 1
- 239000003607 modifier Substances 0.000 description 1
- 125000004108 n-butyl group Chemical group [H]C([H])([H])C([H])([H])C([H])([H])C([H])([H])* 0.000 description 1
- 125000001280 n-hexyl group Chemical group C(CCCCC)* 0.000 description 1
- 125000004123 n-propyl group Chemical group [H]C([H])([H])C([H])([H])C([H])([H])* 0.000 description 1
- 239000002073 nanorod Substances 0.000 description 1
- 239000002135 nanosheet Substances 0.000 description 1
- 239000002071 nanotube Substances 0.000 description 1
- PKXSNWGPLBAAJQ-UHFFFAOYSA-N naphthalene-1,3-diamine Chemical compound C1=CC=CC2=CC(N)=CC(N)=C21 PKXSNWGPLBAAJQ-UHFFFAOYSA-N 0.000 description 1
- OKBVMLGZPNDWJK-UHFFFAOYSA-N naphthalene-1,4-diamine Chemical compound C1=CC=C2C(N)=CC=C(N)C2=C1 OKBVMLGZPNDWJK-UHFFFAOYSA-N 0.000 description 1
- 125000001624 naphthyl group Chemical group 0.000 description 1
- 150000002825 nitriles Chemical class 0.000 description 1
- 229910052755 nonmetal Inorganic materials 0.000 description 1
- 150000002894 organic compounds Chemical class 0.000 description 1
- 125000000962 organic group Chemical group 0.000 description 1
- 239000011368 organic material Substances 0.000 description 1
- 239000005416 organic matter Substances 0.000 description 1
- JMANVNJQNLATNU-UHFFFAOYSA-N oxalonitrile Chemical compound N#CC#N JMANVNJQNLATNU-UHFFFAOYSA-N 0.000 description 1
- 238000007254 oxidation reaction Methods 0.000 description 1
- UPCMCJFEQBFNCT-UHFFFAOYSA-N oxirane-2,2-diol Chemical class OC1(O)CO1 UPCMCJFEQBFNCT-UHFFFAOYSA-N 0.000 description 1
- 125000004043 oxo group Chemical group O=* 0.000 description 1
- 125000004817 pentamethylene group Chemical group [H]C([H])([*:2])C([H])([H])C([H])([H])C([H])([H])C([H])([H])[*:1] 0.000 description 1
- 125000001147 pentyl group Chemical group C(CCCC)* 0.000 description 1
- 125000005561 phenanthryl group Chemical group 0.000 description 1
- OPYYWWIJPHKUDZ-UHFFFAOYSA-N phenyl cyclohexanecarboxylate Chemical class C1CCCCC1C(=O)OC1=CC=CC=C1 OPYYWWIJPHKUDZ-UHFFFAOYSA-N 0.000 description 1
- 238000000016 photochemical curing Methods 0.000 description 1
- 239000004848 polyfunctional curative Substances 0.000 description 1
- 229920000642 polymer Polymers 0.000 description 1
- 239000002952 polymeric resin Substances 0.000 description 1
- 238000006116 polymerization reaction Methods 0.000 description 1
- 125000003373 pyrazinyl group Chemical group 0.000 description 1
- 125000003226 pyrazolyl group Chemical group 0.000 description 1
- 150000003220 pyrenes Chemical class 0.000 description 1
- 125000001725 pyrenyl group Chemical group 0.000 description 1
- PBMFSQRYOILNGV-UHFFFAOYSA-N pyridazine Chemical group C1=CC=NN=C1 PBMFSQRYOILNGV-UHFFFAOYSA-N 0.000 description 1
- 125000000168 pyrrolyl group Chemical group 0.000 description 1
- 230000009257 reactivity Effects 0.000 description 1
- 229930195734 saturated hydrocarbon Natural products 0.000 description 1
- 125000002914 sec-butyl group Chemical group [H]C([H])([H])C([H])([H])C([H])(*)C([H])([H])[H] 0.000 description 1
- 125000003548 sec-pentyl group Chemical group [H]C([H])([H])C([H])([H])C([H])([H])C([H])(*)C([H])([H])[H] 0.000 description 1
- 239000002356 single layer Substances 0.000 description 1
- 239000000758 substrate Substances 0.000 description 1
- 125000000020 sulfo group Chemical group O=S(=O)([*])O[H] 0.000 description 1
- 229920003002 synthetic resin Polymers 0.000 description 1
- MZLGASXMSKOWSE-UHFFFAOYSA-N tantalum nitride Chemical compound [Ta]#N MZLGASXMSKOWSE-UHFFFAOYSA-N 0.000 description 1
- 125000000999 tert-butyl group Chemical group [H]C([H])([H])C(*)(C([H])([H])[H])C([H])([H])[H] 0.000 description 1
- 125000001973 tert-pentyl group Chemical group [H]C([H])([H])C([H])([H])C(*)(C([H])([H])[H])C([H])([H])[H] 0.000 description 1
- 238000001029 thermal curing Methods 0.000 description 1
- 229920001187 thermosetting polymer Polymers 0.000 description 1
- 229930192474 thiophene Natural products 0.000 description 1
- 150000001608 tolans Chemical class 0.000 description 1
- 150000003852 triazoles Chemical class 0.000 description 1
- 125000002023 trifluoromethyl group Chemical group FC(F)(F)* 0.000 description 1
- BHZCMUVGYXEBMY-UHFFFAOYSA-N trilithium;azanide Chemical compound [Li+].[Li+].[Li+].[NH2-] BHZCMUVGYXEBMY-UHFFFAOYSA-N 0.000 description 1
- SRPWOOOHEPICQU-UHFFFAOYSA-N trimellitic anhydride Chemical compound OC(=O)C1=CC=C2C(=O)OC(=O)C2=C1 SRPWOOOHEPICQU-UHFFFAOYSA-N 0.000 description 1
- 229910052721 tungsten Inorganic materials 0.000 description 1
- 239000010937 tungsten Substances 0.000 description 1
- 125000002948 undecyl group Chemical group [H]C([*])([H])C([H])([H])C([H])([H])C([H])([H])C([H])([H])C([H])([H])C([H])([H])C([H])([H])C([H])([H])C([H])([H])C([H])([H])[H] 0.000 description 1
- 125000000391 vinyl group Chemical group [H]C([*])=C([H])[H] 0.000 description 1
- XLYOFNOQVPJJNP-UHFFFAOYSA-N water Substances O XLYOFNOQVPJJNP-UHFFFAOYSA-N 0.000 description 1
- ZVWKZXLXHLZXLS-UHFFFAOYSA-N zirconium nitride Chemical compound [Zr]#N ZVWKZXLXHLZXLS-UHFFFAOYSA-N 0.000 description 1
Images
Classifications
-
- C—CHEMISTRY; METALLURGY
- C01—INORGANIC CHEMISTRY
- C01B—NON-METALLIC ELEMENTS; COMPOUNDS THEREOF; METALLOIDS OR COMPOUNDS THEREOF NOT COVERED BY SUBCLASS C01C
- C01B21/00—Nitrogen; Compounds thereof
- C01B21/06—Binary compounds of nitrogen with metals, with silicon, or with boron, or with carbon, i.e. nitrides; Compounds of nitrogen with more than one metal, silicon or boron
- C01B21/064—Binary compounds of nitrogen with metals, with silicon, or with boron, or with carbon, i.e. nitrides; Compounds of nitrogen with more than one metal, silicon or boron with boron
-
- C—CHEMISTRY; METALLURGY
- C09—DYES; PAINTS; POLISHES; NATURAL RESINS; ADHESIVES; COMPOSITIONS NOT OTHERWISE PROVIDED FOR; APPLICATIONS OF MATERIALS NOT OTHERWISE PROVIDED FOR
- C09C—TREATMENT OF INORGANIC MATERIALS, OTHER THAN FIBROUS FILLERS, TO ENHANCE THEIR PIGMENTING OR FILLING PROPERTIES ; PREPARATION OF CARBON BLACK ; PREPARATION OF INORGANIC MATERIALS WHICH ARE NO SINGLE CHEMICAL COMPOUNDS AND WHICH ARE MAINLY USED AS PIGMENTS OR FILLERS
- C09C3/00—Treatment in general of inorganic materials, other than fibrous fillers, to enhance their pigmenting or filling properties
- C09C3/08—Treatment with low-molecular-weight non-polymer organic compounds
-
- C—CHEMISTRY; METALLURGY
- C01—INORGANIC CHEMISTRY
- C01B—NON-METALLIC ELEMENTS; COMPOUNDS THEREOF; METALLOIDS OR COMPOUNDS THEREOF NOT COVERED BY SUBCLASS C01C
- C01B21/00—Nitrogen; Compounds thereof
- C01B21/06—Binary compounds of nitrogen with metals, with silicon, or with boron, or with carbon, i.e. nitrides; Compounds of nitrogen with more than one metal, silicon or boron
-
- C—CHEMISTRY; METALLURGY
- C01—INORGANIC CHEMISTRY
- C01B—NON-METALLIC ELEMENTS; COMPOUNDS THEREOF; METALLOIDS OR COMPOUNDS THEREOF NOT COVERED BY SUBCLASS C01C
- C01B21/00—Nitrogen; Compounds thereof
- C01B21/06—Binary compounds of nitrogen with metals, with silicon, or with boron, or with carbon, i.e. nitrides; Compounds of nitrogen with more than one metal, silicon or boron
- C01B21/064—Binary compounds of nitrogen with metals, with silicon, or with boron, or with carbon, i.e. nitrides; Compounds of nitrogen with more than one metal, silicon or boron with boron
- C01B21/0648—After-treatment, e.g. grinding, purification
-
- C—CHEMISTRY; METALLURGY
- C01—INORGANIC CHEMISTRY
- C01B—NON-METALLIC ELEMENTS; COMPOUNDS THEREOF; METALLOIDS OR COMPOUNDS THEREOF NOT COVERED BY SUBCLASS C01C
- C01B21/00—Nitrogen; Compounds thereof
- C01B21/06—Binary compounds of nitrogen with metals, with silicon, or with boron, or with carbon, i.e. nitrides; Compounds of nitrogen with more than one metal, silicon or boron
- C01B21/068—Binary compounds of nitrogen with metals, with silicon, or with boron, or with carbon, i.e. nitrides; Compounds of nitrogen with more than one metal, silicon or boron with silicon
-
- C—CHEMISTRY; METALLURGY
- C01—INORGANIC CHEMISTRY
- C01B—NON-METALLIC ELEMENTS; COMPOUNDS THEREOF; METALLOIDS OR COMPOUNDS THEREOF NOT COVERED BY SUBCLASS C01C
- C01B21/00—Nitrogen; Compounds thereof
- C01B21/06—Binary compounds of nitrogen with metals, with silicon, or with boron, or with carbon, i.e. nitrides; Compounds of nitrogen with more than one metal, silicon or boron
- C01B21/068—Binary compounds of nitrogen with metals, with silicon, or with boron, or with carbon, i.e. nitrides; Compounds of nitrogen with more than one metal, silicon or boron with silicon
- C01B21/0687—After-treatment, e.g. grinding, purification
-
- C—CHEMISTRY; METALLURGY
- C01—INORGANIC CHEMISTRY
- C01B—NON-METALLIC ELEMENTS; COMPOUNDS THEREOF; METALLOIDS OR COMPOUNDS THEREOF NOT COVERED BY SUBCLASS C01C
- C01B21/00—Nitrogen; Compounds thereof
- C01B21/06—Binary compounds of nitrogen with metals, with silicon, or with boron, or with carbon, i.e. nitrides; Compounds of nitrogen with more than one metal, silicon or boron
- C01B21/072—Binary compounds of nitrogen with metals, with silicon, or with boron, or with carbon, i.e. nitrides; Compounds of nitrogen with more than one metal, silicon or boron with aluminium
-
- C—CHEMISTRY; METALLURGY
- C01—INORGANIC CHEMISTRY
- C01B—NON-METALLIC ELEMENTS; COMPOUNDS THEREOF; METALLOIDS OR COMPOUNDS THEREOF NOT COVERED BY SUBCLASS C01C
- C01B21/00—Nitrogen; Compounds thereof
- C01B21/06—Binary compounds of nitrogen with metals, with silicon, or with boron, or with carbon, i.e. nitrides; Compounds of nitrogen with more than one metal, silicon or boron
- C01B21/072—Binary compounds of nitrogen with metals, with silicon, or with boron, or with carbon, i.e. nitrides; Compounds of nitrogen with more than one metal, silicon or boron with aluminium
- C01B21/0728—After-treatment, e.g. grinding, purification
-
- C—CHEMISTRY; METALLURGY
- C01—INORGANIC CHEMISTRY
- C01B—NON-METALLIC ELEMENTS; COMPOUNDS THEREOF; METALLOIDS OR COMPOUNDS THEREOF NOT COVERED BY SUBCLASS C01C
- C01B35/00—Boron; Compounds thereof
- C01B35/08—Compounds containing boron and nitrogen, phosphorus, oxygen, sulfur, selenium or tellurium
- C01B35/14—Compounds containing boron and nitrogen, phosphorus, sulfur, selenium or tellurium
-
- C—CHEMISTRY; METALLURGY
- C08—ORGANIC MACROMOLECULAR COMPOUNDS; THEIR PREPARATION OR CHEMICAL WORKING-UP; COMPOSITIONS BASED THEREON
- C08G—MACROMOLECULAR COMPOUNDS OBTAINED OTHERWISE THAN BY REACTIONS ONLY INVOLVING UNSATURATED CARBON-TO-CARBON BONDS
- C08G18/00—Polymeric products of isocyanates or isothiocyanates
- C08G18/06—Polymeric products of isocyanates or isothiocyanates with compounds having active hydrogen
- C08G18/70—Polymeric products of isocyanates or isothiocyanates with compounds having active hydrogen characterised by the isocyanates or isothiocyanates used
- C08G18/72—Polyisocyanates or polyisothiocyanates
- C08G18/74—Polyisocyanates or polyisothiocyanates cyclic
- C08G18/76—Polyisocyanates or polyisothiocyanates cyclic aromatic
-
- C—CHEMISTRY; METALLURGY
- C08—ORGANIC MACROMOLECULAR COMPOUNDS; THEIR PREPARATION OR CHEMICAL WORKING-UP; COMPOSITIONS BASED THEREON
- C08G—MACROMOLECULAR COMPOUNDS OBTAINED OTHERWISE THAN BY REACTIONS ONLY INVOLVING UNSATURATED CARBON-TO-CARBON BONDS
- C08G59/00—Polycondensates containing more than one epoxy group per molecule; Macromolecules obtained by polymerising compounds containing more than one epoxy group per molecule using curing agents or catalysts which react with the epoxy groups
- C08G59/18—Macromolecules obtained by polymerising compounds containing more than one epoxy group per molecule using curing agents or catalysts which react with the epoxy groups ; e.g. general methods of curing
- C08G59/40—Macromolecules obtained by polymerising compounds containing more than one epoxy group per molecule using curing agents or catalysts which react with the epoxy groups ; e.g. general methods of curing characterised by the curing agents used
-
- C—CHEMISTRY; METALLURGY
- C08—ORGANIC MACROMOLECULAR COMPOUNDS; THEIR PREPARATION OR CHEMICAL WORKING-UP; COMPOSITIONS BASED THEREON
- C08G—MACROMOLECULAR COMPOUNDS OBTAINED OTHERWISE THAN BY REACTIONS ONLY INVOLVING UNSATURATED CARBON-TO-CARBON BONDS
- C08G65/00—Macromolecular compounds obtained by reactions forming an ether link in the main chain of the macromolecule
- C08G65/02—Macromolecular compounds obtained by reactions forming an ether link in the main chain of the macromolecule from cyclic ethers by opening of the heterocyclic ring
- C08G65/04—Macromolecular compounds obtained by reactions forming an ether link in the main chain of the macromolecule from cyclic ethers by opening of the heterocyclic ring from cyclic ethers only
- C08G65/22—Cyclic ethers having at least one atom other than carbon and hydrogen outside the ring
-
- C—CHEMISTRY; METALLURGY
- C08—ORGANIC MACROMOLECULAR COMPOUNDS; THEIR PREPARATION OR CHEMICAL WORKING-UP; COMPOSITIONS BASED THEREON
- C08K—Use of inorganic or non-macromolecular organic substances as compounding ingredients
- C08K9/00—Use of pretreated ingredients
- C08K9/04—Ingredients treated with organic substances
-
- C—CHEMISTRY; METALLURGY
- C08—ORGANIC MACROMOLECULAR COMPOUNDS; THEIR PREPARATION OR CHEMICAL WORKING-UP; COMPOSITIONS BASED THEREON
- C08K—Use of inorganic or non-macromolecular organic substances as compounding ingredients
- C08K9/00—Use of pretreated ingredients
- C08K9/04—Ingredients treated with organic substances
- C08K9/06—Ingredients treated with organic substances with silicon-containing compounds
-
- C—CHEMISTRY; METALLURGY
- C08—ORGANIC MACROMOLECULAR COMPOUNDS; THEIR PREPARATION OR CHEMICAL WORKING-UP; COMPOSITIONS BASED THEREON
- C08L—COMPOSITIONS OF MACROMOLECULAR COMPOUNDS
- C08L101/00—Compositions of unspecified macromolecular compounds
- C08L101/02—Compositions of unspecified macromolecular compounds characterised by the presence of specified groups, e.g. terminal or pendant functional groups
-
- C—CHEMISTRY; METALLURGY
- C08—ORGANIC MACROMOLECULAR COMPOUNDS; THEIR PREPARATION OR CHEMICAL WORKING-UP; COMPOSITIONS BASED THEREON
- C08L—COMPOSITIONS OF MACROMOLECULAR COMPOUNDS
- C08L61/00—Compositions of condensation polymers of aldehydes or ketones; Compositions of derivatives of such polymers
- C08L61/04—Condensation polymers of aldehydes or ketones with phenols only
- C08L61/06—Condensation polymers of aldehydes or ketones with phenols only of aldehydes with phenols
-
- C—CHEMISTRY; METALLURGY
- C08—ORGANIC MACROMOLECULAR COMPOUNDS; THEIR PREPARATION OR CHEMICAL WORKING-UP; COMPOSITIONS BASED THEREON
- C08L—COMPOSITIONS OF MACROMOLECULAR COMPOUNDS
- C08L61/00—Compositions of condensation polymers of aldehydes or ketones; Compositions of derivatives of such polymers
- C08L61/34—Condensation polymers of aldehydes or ketones with monomers covered by at least two of the groups C08L61/04, C08L61/18 and C08L61/20
-
- C—CHEMISTRY; METALLURGY
- C10—PETROLEUM, GAS OR COKE INDUSTRIES; TECHNICAL GASES CONTAINING CARBON MONOXIDE; FUELS; LUBRICANTS; PEAT
- C10M—LUBRICATING COMPOSITIONS; USE OF CHEMICAL SUBSTANCES EITHER ALONE OR AS LUBRICATING INGREDIENTS IN A LUBRICATING COMPOSITION
- C10M103/00—Lubricating compositions characterised by the base-material being an inorganic material
-
- C—CHEMISTRY; METALLURGY
- C10—PETROLEUM, GAS OR COKE INDUSTRIES; TECHNICAL GASES CONTAINING CARBON MONOXIDE; FUELS; LUBRICANTS; PEAT
- C10M—LUBRICATING COMPOSITIONS; USE OF CHEMICAL SUBSTANCES EITHER ALONE OR AS LUBRICATING INGREDIENTS IN A LUBRICATING COMPOSITION
- C10M105/00—Lubricating compositions characterised by the base-material being a non-macromolecular organic compound
- C10M105/08—Lubricating compositions characterised by the base-material being a non-macromolecular organic compound containing oxygen
- C10M105/20—Aldehydes; Ketones
-
- H—ELECTRICITY
- H05—ELECTRIC TECHNIQUES NOT OTHERWISE PROVIDED FOR
- H05K—PRINTED CIRCUITS; CASINGS OR CONSTRUCTIONAL DETAILS OF ELECTRIC APPARATUS; MANUFACTURE OF ASSEMBLAGES OF ELECTRICAL COMPONENTS
- H05K7/00—Constructional details common to different types of electric apparatus
- H05K7/20—Modifications to facilitate cooling, ventilating, or heating
- H05K7/2039—Modifications to facilitate cooling, ventilating, or heating characterised by the heat transfer by conduction from the heat generating element to a dissipating body
- H05K7/20436—Inner thermal coupling elements in heat dissipating housings, e.g. protrusions or depressions integrally formed in the housing
- H05K7/20445—Inner thermal coupling elements in heat dissipating housings, e.g. protrusions or depressions integrally formed in the housing the coupling element being an additional piece, e.g. thermal standoff
- H05K7/20472—Sheet interfaces
-
- C—CHEMISTRY; METALLURGY
- C08—ORGANIC MACROMOLECULAR COMPOUNDS; THEIR PREPARATION OR CHEMICAL WORKING-UP; COMPOSITIONS BASED THEREON
- C08K—Use of inorganic or non-macromolecular organic substances as compounding ingredients
- C08K3/00—Use of inorganic substances as compounding ingredients
- C08K3/38—Boron-containing compounds
- C08K2003/382—Boron-containing compounds and nitrogen
- C08K2003/385—Binary compounds of nitrogen with boron
-
- C—CHEMISTRY; METALLURGY
- C08—ORGANIC MACROMOLECULAR COMPOUNDS; THEIR PREPARATION OR CHEMICAL WORKING-UP; COMPOSITIONS BASED THEREON
- C08K—Use of inorganic or non-macromolecular organic substances as compounding ingredients
- C08K3/00—Use of inorganic substances as compounding ingredients
- C08K3/38—Boron-containing compounds
Landscapes
- Chemical & Material Sciences (AREA)
- Organic Chemistry (AREA)
- Inorganic Chemistry (AREA)
- Chemical Kinetics & Catalysis (AREA)
- Health & Medical Sciences (AREA)
- Medicinal Chemistry (AREA)
- Polymers & Plastics (AREA)
- General Chemical & Material Sciences (AREA)
- Oil, Petroleum & Natural Gas (AREA)
- Emergency Medicine (AREA)
- Physics & Mathematics (AREA)
- Thermal Sciences (AREA)
- Engineering & Computer Science (AREA)
- Microelectronics & Electronic Packaging (AREA)
- Compositions Of Macromolecular Compounds (AREA)
- Epoxy Resins (AREA)
- Epoxy Compounds (AREA)
- Plural Heterocyclic Compounds (AREA)
- Lubricants (AREA)
Abstract
Description
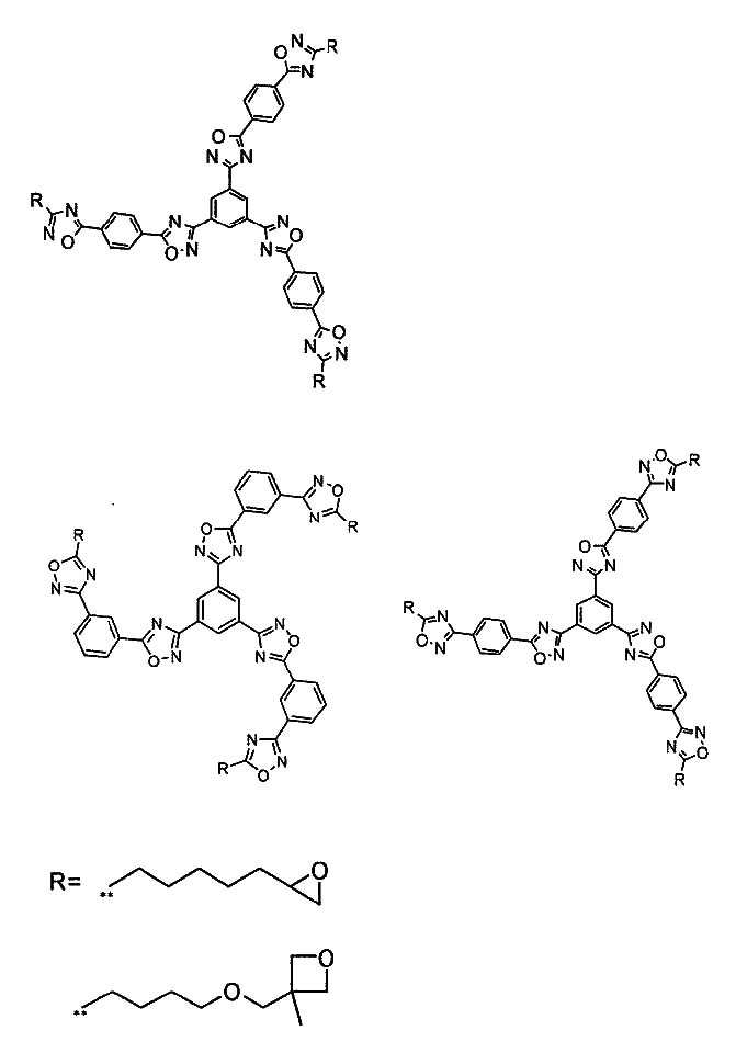
도 2는 피렌의 각종 유도체에 각각 질화 붕소를 첨가한 후의 극대가 되는 특정 파장에서의 흡광도의 변화를 비교한 그래프를 나타낸다.
Claims (22)
- 무기 질화물이 알데하이드 화합물로 표면 수식된, 표면 수식 무기물.
- 청구항 1에 있어서,
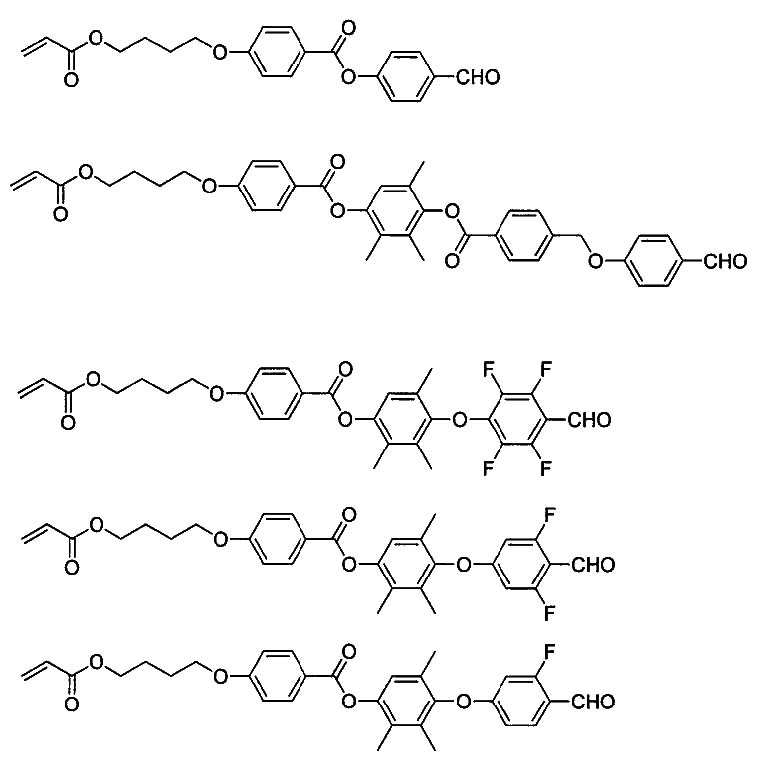
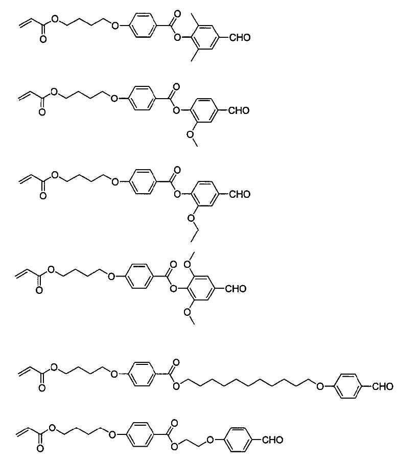
상기 알데하이드 화합물이 하기 일반식 I로 나타나는 화합물인, 표면 수식 무기물;
ZZ-XX-CHO 일반식 I
식 중, ZZ는 아미노기, 싸이올기, 수산기, 아이소사이아네이트기, 카복실기, 무수 카복실산기, 옥세탄일기, 옥시란일기, (메트)아크릴레이트기, 및 수소 원자로 이루어지는 군으로부터 선택되는 기를 나타내고, XX는 2가의 연결기를 나타낸다. - 청구항 1 또는 청구항 2에 있어서,
상기 알데하이드 화합물이 비축합 단환 방향환을 2개 이상 포함하거나, 또는 단환 방향환이 3개 이상 축합한 축합환을 포함하는 구조를 갖는, 표면 수식 무기물. - 청구항 1 또는 청구항 2에 있어서,
상기 알데하이드 화합물이, 단환 방향환이 3개 이상 축합한 축합환을 포함하는 구조를 갖는, 표면 수식 무기물. - 청구항 1 내지 청구항 4 중 어느 한 항에 있어서,
상기 무기 질화물이 붕소, 알루미늄 또는 규소를 포함하는, 표면 수식 무기물. - 청구항 5에 있어서,
상기 무기 질화물이 질화 붕소인, 표면 수식 무기물. - 청구항 5에 있어서,
상기 무기 질화물이 질화 알루미늄인, 표면 수식 무기물. - 청구항 1 내지 청구항 7 중 어느 한 항에 있어서,
상기 표면 수식이 상기 무기 질화물 표면에 알데하이드 화합물이 공유 결합하는 것에 근거하는 수식인, 표면 수식 무기물. - 청구항 1 내지 청구항 8 중 어느 한 항에 기재된 표면 수식 무기물과 옥세탄일기, 옥시란일기, 및 (메트)아크릴레이트기로 이루어지는 군으로부터 선택되는 기를 갖는 모노머를 포함하는, 수지 조성물.
- 청구항 9에 있어서,
상기 모노머가 옥시란일기를 갖는, 수지 조성물. - 청구항 10에 있어서,
상기 알데하이드 화합물이 아미노기, 싸이올기, 수산기, 아이소사이아네이트기, 카복실기, 및 무수 카복실산기로 이루어지는 군으로부터 선택되는 기를 갖는, 수지 조성물. - 청구항 10에 있어서,
아미노기, 싸이올기, 수산기, 아이소사이아네이트기, 카복실기, 및 무수 카복실산기로 이루어지는 군으로부터 선택되는 기를 갖는 경화제를 포함하는, 수지 조성물. - 청구항 12에 있어서,
상기 알데하이드 화합물이 옥시란일기를 갖는, 수지 조성물. - 청구항 1 내지 청구항 8 중 어느 한 항에 기재된 표면 수식 무기물을 포함하는, 열전도 재료.
- 청구항 9 내지 청구항 13 중 어느 한 항에 기재된 수지 조성물의 경화물을 포함하는, 열전도 재료.
- 청구항 14 또는 청구항 15에 있어서,
시트 형상인 열전도 재료. - 청구항 16에 있어서,
방열 시트인 열전도 재료. - 청구항 14 내지 청구항 17 중 어느 한 항에 기재된 열전도 재료를 포함하는, 디바이스.
- 청구항 1 내지 청구항 8 중 어느 한 항에 기재된 표면 수식 무기물을 포함하는, 윤활제.
- 청구항 1 내지 청구항 8 중 어느 한 항에 기재된 표면 수식 무기물의 제조 방법으로서,
무기 질화물에 알데하이드 화합물을 접촉시키는 것을 포함하는, 제조 방법. - 청구항 20에 있어서,
상기 접촉이 무기 질화물 및 알데하이드 화합물을 포함하는 용액을 교반함으로써 행해지는, 제조 방법. - 청구항 21에 있어서,
상기 용액의 용매가, 아세트산 에틸, 메틸에틸케톤 또는 다이클로로메테인인, 제조 방법.
Applications Claiming Priority (5)
| Application Number | Priority Date | Filing Date | Title |
|---|---|---|---|
| JPJP-P-2016-012618 | 2016-01-26 | ||
| JP2016012618 | 2016-01-26 | ||
| JP2017009112 | 2017-01-23 | ||
| JPJP-P-2017-009112 | 2017-01-23 | ||
| PCT/JP2017/002467 WO2017131005A1 (ja) | 2016-01-26 | 2017-01-25 | 表面修飾無機物およびその製造方法、樹脂組成物、熱伝導材料、ならびにデバイス |
Publications (2)
| Publication Number | Publication Date |
|---|---|
| KR20180098385A true KR20180098385A (ko) | 2018-09-03 |
| KR102148585B1 KR102148585B1 (ko) | 2020-08-26 |
Family
ID=59398979
Family Applications (1)
| Application Number | Title | Priority Date | Filing Date |
|---|---|---|---|
| KR1020187021730A Active KR102148585B1 (ko) | 2016-01-26 | 2017-01-25 | 표면 수식 무기물 및 그 제조 방법, 수지 조성물, 열전도 재료, 디바이스, 및 윤활제 |
Country Status (5)
| Country | Link |
|---|---|
| US (1) | US10633252B2 (ko) |
| JP (2) | JP6632636B2 (ko) |
| KR (1) | KR102148585B1 (ko) |
| CN (1) | CN108602671B (ko) |
| WO (1) | WO2017131005A1 (ko) |
Families Citing this family (7)
| Publication number | Priority date | Publication date | Assignee | Title |
|---|---|---|---|---|
| CN110785376B (zh) * | 2017-07-14 | 2023-03-31 | 富士胶片株式会社 | 表面修饰无机氮化物、组合物、导热材料及带导热层的器件 |
| WO2019013343A1 (ja) * | 2017-07-14 | 2019-01-17 | 富士フイルム株式会社 | 表面修飾無機窒化物、組成物、熱伝導材料、熱伝導層付きデバイス |
| JP7064408B2 (ja) * | 2018-08-31 | 2022-05-10 | 富士フイルム株式会社 | 組成物、熱伝導シート、熱伝導層付きデバイス |
| EP4001340A4 (en) * | 2019-07-17 | 2022-08-24 | FUJIFILM Corporation | COMPOSITION FOR THE PRODUCTION OF THERMAL CONDUCTIVE MATERIAL, THERMAL CONDUCTIVE MATERIAL AND SURFACE MODIFIED INORGANIC SUBSTANCE |
| JP7261733B2 (ja) * | 2019-12-23 | 2023-04-20 | 富士フイルム株式会社 | 熱伝導材料形成用組成物、熱伝導材料、熱伝導シート、熱伝導層付きデバイス、表面修飾窒化ホウ素 |
| CN112457900A (zh) * | 2020-12-11 | 2021-03-09 | 齐鲁工业大学 | 六方氮化硼纳米片作为添加剂改性液晶润滑剂的应用及耐磨性液晶润滑剂 |
| KR102807924B1 (ko) * | 2022-11-15 | 2025-05-16 | 내일테크놀로지 주식회사 | 표면 처리된 질화 붕소 나노튜브 및 질화 붕소 나노튜브의 표면 처리 방법 |
Citations (7)
| Publication number | Priority date | Publication date | Assignee | Title |
|---|---|---|---|---|
| JPS6187699A (ja) * | 1984-10-05 | 1986-05-06 | Nok Corp | 生理活性物質の固定化方法 |
| US4858470A (en) | 1988-03-23 | 1989-08-22 | Ird Mechanalysis, Inc. | Vibration transducer mounting |
| JP2001192500A (ja) | 2000-01-12 | 2001-07-17 | Edison Polymer Innovation Corp | 低粘度高熱伝導性ポリマー系窒化ホウ素組成物形成用表面処理窒化ホウ素及び該組成物の形成方法 |
| KR20050092789A (ko) * | 2003-02-03 | 2005-09-22 | 쇼와 덴코 가부시키가이샤 | 입방정 질화붕소 및 입방정 질화붕소의 합성 촉매 및입방정 질화붕소의 제조 방법 |
| JP2006257392A (ja) | 2005-03-14 | 2006-09-28 | General Electric Co <Ge> | 改良窒化ホウ素組成物及び該組成物を配合したポリマー系組成物 |
| US20150069288A1 (en) * | 2013-09-06 | 2015-03-12 | Korea Advanced Institute Of Science And Technology | Hexagonal boron nitride nanosheet/ceramic nanocomposite powder and producing method of the same, and hexagonal boron nitride nanosheet/ceramic nanocomposite materials and producing method of the same |
| US20150291814A1 (en) * | 2012-10-31 | 2015-10-15 | Nano Labs Corp. | Nanotechnological thermal insulating coating and uses thereof |
Family Cites Families (25)
| Publication number | Priority date | Publication date | Assignee | Title |
|---|---|---|---|---|
| JPS5337999A (en) | 1976-09-19 | 1978-04-07 | Nippon Steel Corp | Method of cutting hard and soft material laminated panel |
| JP2802719B2 (ja) | 1994-04-08 | 1998-09-24 | 富士写真フイルム株式会社 | 光学異方性シートおよびそれを用いた液晶表示素子 |
| JP2696480B2 (ja) | 1994-05-11 | 1998-01-14 | 富士写真フイルム株式会社 | 新規なトリフェニレン誘導体およびそれを含む光学異方性材料 |
| DE19532408A1 (de) | 1995-09-01 | 1997-03-06 | Basf Ag | Polymerisierbare flüssigkristalline Verbindungen |
| JPH11323162A (ja) | 1998-03-19 | 1999-11-26 | Hitachi Ltd | 絶縁組成物 |
| US7109288B2 (en) | 2001-05-18 | 2006-09-19 | Hitachi, Ltd. | Cured thermosetting resin product |
| US7214359B2 (en) | 2003-02-03 | 2007-05-08 | Showa Denko K.K. | Cubic boron nitride, catalyst for synthesizing cubic boron nitride, and method for producing cubic boron nitride |
| JP4344591B2 (ja) | 2003-11-25 | 2009-10-14 | 富士フイルム株式会社 | 位相差板、トリフェニレン化合物および液晶表示装置 |
| JP4738034B2 (ja) | 2004-08-12 | 2011-08-03 | 富士フイルム株式会社 | 液晶性化合物、組成物および薄膜 |
| JP5209181B2 (ja) | 2005-03-15 | 2013-06-12 | 富士フイルム株式会社 | 化合物、組成物、位相差板、楕円偏光板および液晶表示装置 |
| JP4866638B2 (ja) | 2005-03-24 | 2012-02-01 | 富士フイルム株式会社 | 位相差板 |
| JP2008013759A (ja) | 2006-06-07 | 2008-01-24 | Sumitomo Chemical Co Ltd | エポキシ樹脂組成物及びエポキシ樹脂硬化物 |
| WO2009035439A1 (en) * | 2007-09-14 | 2009-03-19 | Henkel Ag & Co, Kgaa | Thermally conductive composition |
| JP4858470B2 (ja) | 2008-03-14 | 2012-01-18 | 新神戸電機株式会社 | 無機窒化物粒子およびこれを混合した樹脂組成物 |
| JP5380058B2 (ja) | 2008-11-28 | 2014-01-08 | 富士フイルム株式会社 | インプリント材料及びインプリント方法 |
| JP5620129B2 (ja) | 2009-03-19 | 2014-11-05 | 富士フイルム株式会社 | 光学フィルム、位相差板、楕円偏光板、液晶表示装置、及び化合物 |
| US8258346B2 (en) * | 2009-05-13 | 2012-09-04 | E I Du Pont De Nemours And Company | Surface modified hexagonal boron nitride particles |
| JP5479175B2 (ja) | 2009-12-07 | 2014-04-23 | 富士フイルム株式会社 | アリザリン誘導体化合物の製造方法、新規アリザリン誘導体化合物、表面修飾方法、光電変換膜、光電変換素子、及び電子写真感光体 |
| KR101769172B1 (ko) * | 2010-02-18 | 2017-08-17 | 히타치가세이가부시끼가이샤 | 복합 입자 및 그 제조 방법 그리고 수지 조성물 |
| JP2012067225A (ja) | 2010-09-24 | 2012-04-05 | Hitachi Chemical Co Ltd | 樹脂シート硬化物の製造方法、樹脂シート硬化物、樹脂付金属箔、金属基板、led基板、及びパワーモジュール |
| JP5555732B2 (ja) * | 2012-02-29 | 2014-07-23 | 富士フイルム株式会社 | 感光性樹脂組成物、これを用いた硬化膜の製造方法、硬化膜、液晶表示装置および有機el表示装置 |
| JP6192635B2 (ja) * | 2012-03-30 | 2017-09-06 | 株式会社トクヤマ | 硬化性樹脂組成物及びその製造方法、高熱伝導性樹脂組成物及び高熱伝導性積層基板 |
| JP6102082B2 (ja) | 2012-04-26 | 2017-03-29 | 日立化成株式会社 | エポキシ樹脂組成物、半硬化エポキシ樹脂組成物、硬化エポキシ樹脂組成物、樹脂シート、プリプレグ、積層板、金属基板、及びプリント配線板 |
| CN103087556B (zh) * | 2012-12-31 | 2014-11-12 | 东莞市万钧化工新材料科技有限公司 | 一种导热填料的表面处理方法及应用 |
| JP2015052710A (ja) | 2013-09-06 | 2015-03-19 | 富士フイルム株式会社 | 偏光板およびその製造方法 |
-
2017
- 2017-01-25 JP JP2017564294A patent/JP6632636B2/ja active Active
- 2017-01-25 WO PCT/JP2017/002467 patent/WO2017131005A1/ja not_active Ceased
- 2017-01-25 CN CN201780008452.6A patent/CN108602671B/zh active Active
- 2017-01-25 KR KR1020187021730A patent/KR102148585B1/ko active Active
-
2018
- 2018-07-25 US US16/045,714 patent/US10633252B2/en active Active
-
2019
- 2019-08-28 JP JP2019155353A patent/JP6823126B2/ja active Active
Patent Citations (7)
| Publication number | Priority date | Publication date | Assignee | Title |
|---|---|---|---|---|
| JPS6187699A (ja) * | 1984-10-05 | 1986-05-06 | Nok Corp | 生理活性物質の固定化方法 |
| US4858470A (en) | 1988-03-23 | 1989-08-22 | Ird Mechanalysis, Inc. | Vibration transducer mounting |
| JP2001192500A (ja) | 2000-01-12 | 2001-07-17 | Edison Polymer Innovation Corp | 低粘度高熱伝導性ポリマー系窒化ホウ素組成物形成用表面処理窒化ホウ素及び該組成物の形成方法 |
| KR20050092789A (ko) * | 2003-02-03 | 2005-09-22 | 쇼와 덴코 가부시키가이샤 | 입방정 질화붕소 및 입방정 질화붕소의 합성 촉매 및입방정 질화붕소의 제조 방법 |
| JP2006257392A (ja) | 2005-03-14 | 2006-09-28 | General Electric Co <Ge> | 改良窒化ホウ素組成物及び該組成物を配合したポリマー系組成物 |
| US20150291814A1 (en) * | 2012-10-31 | 2015-10-15 | Nano Labs Corp. | Nanotechnological thermal insulating coating and uses thereof |
| US20150069288A1 (en) * | 2013-09-06 | 2015-03-12 | Korea Advanced Institute Of Science And Technology | Hexagonal boron nitride nanosheet/ceramic nanocomposite powder and producing method of the same, and hexagonal boron nitride nanosheet/ceramic nanocomposite materials and producing method of the same |
Also Published As
| Publication number | Publication date |
|---|---|
| WO2017131005A1 (ja) | 2017-08-03 |
| US20180327265A1 (en) | 2018-11-15 |
| CN108602671B (zh) | 2021-08-06 |
| JP2020073422A (ja) | 2020-05-14 |
| JPWO2017131005A1 (ja) | 2018-11-29 |
| JP6823126B2 (ja) | 2021-01-27 |
| US10633252B2 (en) | 2020-04-28 |
| KR102148585B1 (ko) | 2020-08-26 |
| JP6632636B2 (ja) | 2020-01-22 |
| CN108602671A (zh) | 2018-09-28 |
Similar Documents
| Publication | Publication Date | Title |
|---|---|---|
| JP6823126B2 (ja) | 表面修飾無機物およびその製造方法、樹脂組成物、熱伝導材料、ならびにデバイス | |
| KR20180099793A (ko) | 표면 수식 무기물을 포함하는 수지 조성물, 열전도 재료, 및 디바이스 | |
| JP6625669B2 (ja) | 熱伝導材料、樹脂組成物、およびデバイス | |
| KR102293461B1 (ko) | 표면 수식 무기 질화물, 조성물, 열전도 재료, 열전도층 부착 디바이스 | |
| JP6646144B2 (ja) | 表面修飾無機窒化物、組成物、熱伝導材料、熱伝導層付きデバイス、表面修飾無機窒化物の製造方法 | |
| KR102252723B1 (ko) | 표면 수식 무기 질화물, 조성물, 열전도 재료, 열전도층 부착 디바이스 | |
| KR102361265B1 (ko) | 표면 수식 무기 질화물, 조성물, 열전도 재료, 열전도층 부착 디바이스 | |
| CN110799453B (zh) | 表面修饰无机氮化物、组合物、导热材料及带导热层的器件 | |
| WO2016084873A1 (ja) | 表面修飾無機物、表面修飾無機物の製造方法、および無機物表面を有機物で修飾する方法、ならびに放熱材料、熱伝導材料、および潤滑剤 | |
| JP6737908B2 (ja) | 硬化性組成物、熱伝導材料、熱伝導層付きデバイス |
Legal Events
| Date | Code | Title | Description |
|---|---|---|---|
| A201 | Request for examination | ||
| PA0105 | International application |
Patent event date: 20180726 Patent event code: PA01051R01D Comment text: International Patent Application |
|
| PA0201 | Request for examination |
Patent event code: PA02012R01D Patent event date: 20180726 Comment text: Request for Examination of Application |
|
| PG1501 | Laying open of application | ||
| E902 | Notification of reason for refusal | ||
| PE0902 | Notice of grounds for rejection |
Comment text: Notification of reason for refusal Patent event date: 20190708 Patent event code: PE09021S01D |
|
| E902 | Notification of reason for refusal | ||
| PE0902 | Notice of grounds for rejection |
Comment text: Notification of reason for refusal Patent event date: 20200116 Patent event code: PE09021S01D |
|
| E701 | Decision to grant or registration of patent right | ||
| PE0701 | Decision of registration |
Patent event code: PE07011S01D Comment text: Decision to Grant Registration Patent event date: 20200730 |
|
| GRNT | Written decision to grant | ||
| PR0701 | Registration of establishment |
Comment text: Registration of Establishment Patent event date: 20200820 Patent event code: PR07011E01D |
|
| PR1002 | Payment of registration fee |
Payment date: 20200820 End annual number: 3 Start annual number: 1 |
|
| PG1601 | Publication of registration | ||
| PR1001 | Payment of annual fee |
Payment date: 20230718 Start annual number: 4 End annual number: 4 |
|
| PR1001 | Payment of annual fee |
Payment date: 20240725 Start annual number: 5 End annual number: 5 |


























