JP7526243B2 - 無細胞翻訳系におけるペプチドの合成方法 - Google Patents
無細胞翻訳系におけるペプチドの合成方法 Download PDFInfo
- Publication number
- JP7526243B2 JP7526243B2 JP2022191886A JP2022191886A JP7526243B2 JP 7526243 B2 JP7526243 B2 JP 7526243B2 JP 2022191886 A JP2022191886 A JP 2022191886A JP 2022191886 A JP2022191886 A JP 2022191886A JP 7526243 B2 JP7526243 B2 JP 7526243B2
- Authority
- JP
- Japan
- Prior art keywords
- amino
- compound
- protecting group
- amino acid
- group
- Prior art date
- Legal status (The legal status is an assumption and is not a legal conclusion. Google has not performed a legal analysis and makes no representation as to the accuracy of the status listed.)
- Active
Links
Images
Classifications
-
- C—CHEMISTRY; METALLURGY
- C12—BIOCHEMISTRY; BEER; SPIRITS; WINE; VINEGAR; MICROBIOLOGY; ENZYMOLOGY; MUTATION OR GENETIC ENGINEERING
- C12Y—ENZYMES
- C12Y305/00—Hydrolases acting on carbon-nitrogen bonds, other than peptide bonds (3.5)
- C12Y305/01—Hydrolases acting on carbon-nitrogen bonds, other than peptide bonds (3.5) in linear amides (3.5.1)
- C12Y305/01011—Penicillin amidase (3.5.1.11), i.e. penicillin-amidohydrolase
-
- C—CHEMISTRY; METALLURGY
- C07—ORGANIC CHEMISTRY
- C07H—SUGARS; DERIVATIVES THEREOF; NUCLEOSIDES; NUCLEOTIDES; NUCLEIC ACIDS
- C07H21/00—Compounds containing two or more mononucleotide units having separate phosphate or polyphosphate groups linked by saccharide radicals of nucleoside groups, e.g. nucleic acids
- C07H21/02—Compounds containing two or more mononucleotide units having separate phosphate or polyphosphate groups linked by saccharide radicals of nucleoside groups, e.g. nucleic acids with ribosyl as saccharide radical
-
- C—CHEMISTRY; METALLURGY
- C07—ORGANIC CHEMISTRY
- C07K—PEPTIDES
- C07K1/00—General methods for the preparation of peptides, i.e. processes for the organic chemical preparation of peptides or proteins of any length
- C07K1/06—General methods for the preparation of peptides, i.e. processes for the organic chemical preparation of peptides or proteins of any length using protecting groups or activating agents
- C07K1/061—General methods for the preparation of peptides, i.e. processes for the organic chemical preparation of peptides or proteins of any length using protecting groups or activating agents using protecting groups
-
- C—CHEMISTRY; METALLURGY
- C07—ORGANIC CHEMISTRY
- C07K—PEPTIDES
- C07K17/00—Carrier-bound or immobilised peptides; Preparation thereof
-
- C—CHEMISTRY; METALLURGY
- C12—BIOCHEMISTRY; BEER; SPIRITS; WINE; VINEGAR; MICROBIOLOGY; ENZYMOLOGY; MUTATION OR GENETIC ENGINEERING
- C12N—MICROORGANISMS OR ENZYMES; COMPOSITIONS THEREOF; PROPAGATING, PRESERVING, OR MAINTAINING MICROORGANISMS; MUTATION OR GENETIC ENGINEERING; CULTURE MEDIA
- C12N15/00—Mutation or genetic engineering; DNA or RNA concerning genetic engineering, vectors, e.g. plasmids, or their isolation, preparation or purification; Use of hosts therefor
- C12N15/09—Recombinant DNA-technology
- C12N15/11—DNA or RNA fragments; Modified forms thereof; Non-coding nucleic acids having a biological activity
- C12N15/113—Non-coding nucleic acids modulating the expression of genes, e.g. antisense oligonucleotides; Antisense DNA or RNA; Triplex- forming oligonucleotides; Catalytic nucleic acids, e.g. ribozymes; Nucleic acids used in co-suppression or gene silencing
-
- C—CHEMISTRY; METALLURGY
- C12—BIOCHEMISTRY; BEER; SPIRITS; WINE; VINEGAR; MICROBIOLOGY; ENZYMOLOGY; MUTATION OR GENETIC ENGINEERING
- C12N—MICROORGANISMS OR ENZYMES; COMPOSITIONS THEREOF; PROPAGATING, PRESERVING, OR MAINTAINING MICROORGANISMS; MUTATION OR GENETIC ENGINEERING; CULTURE MEDIA
- C12N15/00—Mutation or genetic engineering; DNA or RNA concerning genetic engineering, vectors, e.g. plasmids, or their isolation, preparation or purification; Use of hosts therefor
- C12N15/09—Recombinant DNA-technology
- C12N15/63—Introduction of foreign genetic material using vectors; Vectors; Use of hosts therefor; Regulation of expression
- C12N15/67—General methods for enhancing the expression
-
- C—CHEMISTRY; METALLURGY
- C12—BIOCHEMISTRY; BEER; SPIRITS; WINE; VINEGAR; MICROBIOLOGY; ENZYMOLOGY; MUTATION OR GENETIC ENGINEERING
- C12P—FERMENTATION OR ENZYME-USING PROCESSES TO SYNTHESISE A DESIRED CHEMICAL COMPOUND OR COMPOSITION OR TO SEPARATE OPTICAL ISOMERS FROM A RACEMIC MIXTURE
- C12P21/00—Preparation of peptides or proteins
- C12P21/02—Preparation of peptides or proteins having a known sequence of two or more amino acids, e.g. glutathione
-
- C—CHEMISTRY; METALLURGY
- C12—BIOCHEMISTRY; BEER; SPIRITS; WINE; VINEGAR; MICROBIOLOGY; ENZYMOLOGY; MUTATION OR GENETIC ENGINEERING
- C12Y—ENZYMES
- C12Y301/00—Hydrolases acting on ester bonds (3.1)
-
- C—CHEMISTRY; METALLURGY
- C12—BIOCHEMISTRY; BEER; SPIRITS; WINE; VINEGAR; MICROBIOLOGY; ENZYMOLOGY; MUTATION OR GENETIC ENGINEERING
- C12Y—ENZYMES
- C12Y304/00—Hydrolases acting on peptide bonds, i.e. peptidases (3.4)
- C12Y304/11—Aminopeptidases (3.4.11)
-
- Y—GENERAL TAGGING OF NEW TECHNOLOGICAL DEVELOPMENTS; GENERAL TAGGING OF CROSS-SECTIONAL TECHNOLOGIES SPANNING OVER SEVERAL SECTIONS OF THE IPC; TECHNICAL SUBJECTS COVERED BY FORMER USPC CROSS-REFERENCE ART COLLECTIONS [XRACs] AND DIGESTS
- Y02—TECHNOLOGIES OR APPLICATIONS FOR MITIGATION OR ADAPTATION AGAINST CLIMATE CHANGE
- Y02P—CLIMATE CHANGE MITIGATION TECHNOLOGIES IN THE PRODUCTION OR PROCESSING OF GOODS
- Y02P20/00—Technologies relating to chemical industry
- Y02P20/50—Improvements relating to the production of bulk chemicals
- Y02P20/55—Design of synthesis routes, e.g. reducing the use of auxiliary or protecting groups
Landscapes
- Chemical & Material Sciences (AREA)
- Life Sciences & Earth Sciences (AREA)
- Organic Chemistry (AREA)
- Health & Medical Sciences (AREA)
- Genetics & Genomics (AREA)
- Engineering & Computer Science (AREA)
- Biochemistry (AREA)
- Zoology (AREA)
- Wood Science & Technology (AREA)
- General Health & Medical Sciences (AREA)
- Molecular Biology (AREA)
- Bioinformatics & Cheminformatics (AREA)
- General Engineering & Computer Science (AREA)
- Biotechnology (AREA)
- Biomedical Technology (AREA)
- Proteomics, Peptides & Aminoacids (AREA)
- Biophysics (AREA)
- Microbiology (AREA)
- Medicinal Chemistry (AREA)
- General Chemical & Material Sciences (AREA)
- Chemical Kinetics & Catalysis (AREA)
- Physics & Mathematics (AREA)
- Plant Pathology (AREA)
- Analytical Chemistry (AREA)
- Mycology (AREA)
- Peptides Or Proteins (AREA)
- Preparation Of Compounds By Using Micro-Organisms (AREA)
- Pyridine Compounds (AREA)
- Saccharide Compounds (AREA)
- Organic Low-Molecular-Weight Compounds And Preparation Thereof (AREA)
- Enzymes And Modification Thereof (AREA)
Description
このことから、非天然型アミノ酸を複数含む多様なペプチドのライブラリーから医薬品の候補物質を選択する創薬方法が考えられている。なかでも無細胞翻訳系を利用した非天然型アミノ酸を含有するペプチドのmRNAディスプレイライブラリーなどは、その多様性、スクリーニングの簡便性の点から期待が集まっている(非特許文献9,10、特許文献2)。
このように、ARSを使用して多様な構造を持つ非天然型アミノ酸をアミノアシル化することは簡単ではない。このような背景から、ARSを用いない、多様な構造を持つ非天然型アミノアシルtRNAの調製法(non-ARS法と定義する)が知られている。代表的なものとして以下の方法が挙げられる。
なおこれらnon-ARS法においては、翻訳系の外で調製された非天然型アミノアシルtRNAを翻訳反応液に添加することにより、ペプチドを合成する。
〔1〕保護基を有するアミノ酸が結合したtRNAを含む無細胞翻訳系中で、該アミノ酸の保護基を脱保護する工程、及び翻訳工程を含む、少なくとも1つのアミノ酸を含むペプチドの合成方法であって、該脱保護する工程、および該翻訳工程が並行して行われる、方法。
〔2〕前記アミノ酸の保護基が、酵素、還元剤、及び光反応からなる群より選択される一以上によって脱保護される、〔1〕に記載の方法。
〔3〕前記酵素が、加水分解酵素である、〔2〕に記載の方法。
〔4〕前記酵素が、ペニシリンアミドヒドロラーゼ、エステラーゼ、又はアミノペプチダーゼである、〔3〕に記載の方法。
〔5〕前記保護基が、下記一般式(I)、(II)、(III)、又は(XII)で表される基である、〔4〕に記載の方法:
(式中、
X1は、ペニシリンアミドヒドロラーゼが認識する部分構造であり、
Yは、NHもしくは酸素原子であり、
X2は、エステラーゼが認識する部分構造であり、
X3は、アミノペプチダーゼが認識する部分構造であり、
Lは、単結合、アリーレン、またはヘテロアリーレンである)。
〔6〕前記式(I)中のX1が以下一般式(IV)で表される基、もしくは2-チエニルメチルであるか、または、前記式(III)中のX2が置換されてもよいアルキル、アラルキル、またはシクロアルキルである、〔5〕に記載の方法:
(式中のR1、およびR2は、それぞれ独立して、水素原子、ヒドロキシル、フルオロ、クロロ、ブロモ、アミノ、ニトロ、またはメトキシである)。
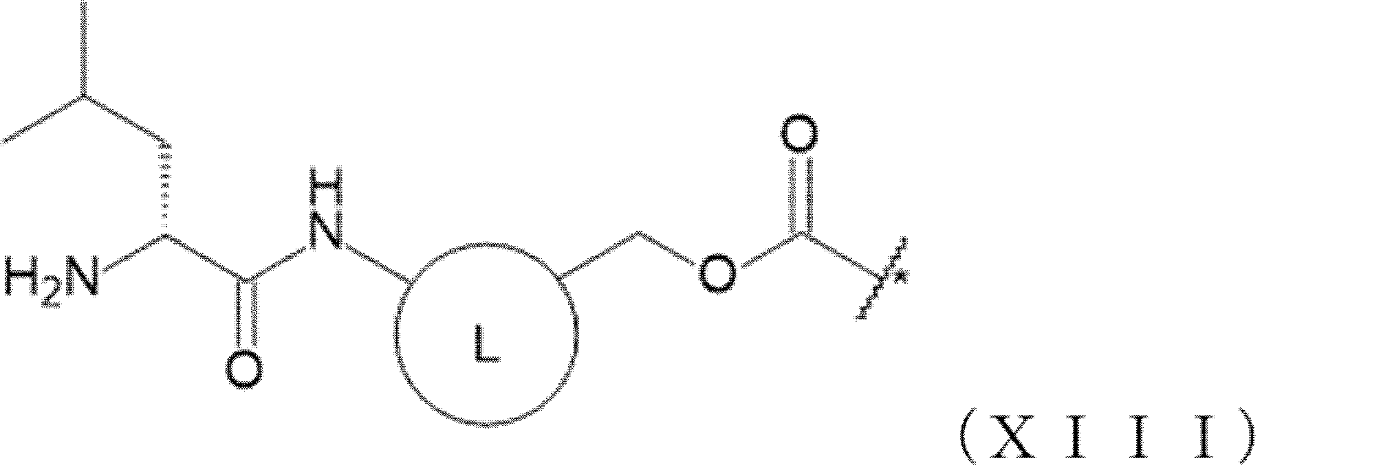
〔7〕前記式(XII)が、下記一般式(XIII)で表される基である、〔5〕に記載の方法:
〔8〕前記還元剤が、トリス(2-カルボキシエチル)ホスフィン(TCEP)である、〔2〕に記載の方法。
〔9〕前記保護基が、下記一般式(V)で表される基であるか、又は主鎖のアミノ基と一緒になって形成されたアジド基である、〔8〕に記載の方法:
(式中のLは、単結合、アリーレン、またはヘテロアリーレンである)。
〔10〕前記保護基が、4-アジドベンジルオキシカルボニル基(Acbz)、又はアジドメチルオキシカルボニル基(Azoc)である、〔9〕に記載の方法。
〔11〕前記アミノ酸が、アミノ酸類縁体である、〔1〕~〔10〕のいずれか一項に記載の方法。
〔12〕前記アミノ酸類縁体が、環状アミノ酸を含むNアルキルアミノ酸、脂肪族アミノ酸、芳香族アミノ酸、βアミノ酸、Dアミノ酸、及びαジアルキルアミノ酸からなる群より選ばれる1種以上の翻訳可能なアミノ酸類縁体である、〔11〕に記載の方法。
〔13〕前記アミノ酸類縁体が、下記一般式(VI)または(VII)で表される、〔12〕に記載の方法:
(式中、
R3、R4、およびR5は、それぞれ独立して、水素原子、アルキル、アルケニル、アルキニル、アリール、ヘテロアリール、アラルキル、またはシクロアルキルであり、これらの基は置換されていてもよく、あるいはR3とR4もしくはR3とR5は、それらが結合する原子と一緒になって環を形成してもよく、
R6、およびR7は、それぞれ独立して水素原子またはメチルである)。
〔14〕前記保護基が、翻訳後修飾のために用いられる反応条件とオルソゴナルな反応条件によって脱保護される保護基である、〔1〕~〔13〕のいずれか一項に記載の方法。
〔15〕前記保護基が、iSP(Initiation Suppression)法で用いられる保護基とオルソゴナルな保護基である、〔14〕に記載の方法。
〔16〕下記一般式(VIII)または(IX)で表される、アミノ酸類縁体の主鎖のアミノ基上に、保護基P1を有する化合物:
(式中、R3~R7はそれぞれ〔13〕に定義したとおりであり、P1は〔5〕~〔7〕のいずれか一項に記載の保護基である)。
〔17〕下記一般式(X)または(XI)で表される、〔16〕に記載の化合物とpCpA、又はpdCpAとが結合してなる化合物:
(式中、R3~R7はそれぞれ〔13〕に定義したとおりであり、R8は水素原子またはヒドロキシルであり、P1は〔5〕~〔7〕のいずれか一項に記載の保護基である)。
〔18〕〔16〕に記載の化合物とtRNAが結合してなるアミノアシルtRNA。
〔2-1〕保護基を有する、無細胞翻訳系の1種以上の構成成分を、該無細胞翻訳系中で脱保護する工程、及び翻訳工程を含む、ペプチドの合成方法であって、該脱保護する工程および該翻訳工程が並行して行われる、方法。
〔2-2〕保護基を有する、無細胞翻訳系の1種以上の構成成分を、該無細胞翻訳系中で酵素、還元剤、または光反応によって脱保護する工程、及び翻訳工程を含む、ペプチドの合成方法であって、該脱保護する工程および該翻訳工程が並行して行われる、方法。
〔2-3〕保護基を有するアミノ酸が結合したtRNAを含む無細胞翻訳系中で、該アミノ酸の保護基を酵素、還元剤、または光反応によって脱保護する工程、及び翻訳工程を含む、ペプチドの合成方法。
〔2-4〕無細胞翻訳系中で、前記アミノ酸の保護基を脱保護した後に翻訳工程を開始する、〔2-3〕に記載の方法。
〔2-5〕1種以上のアミノ酸残基を含み、かつ環状部を有するペプチドと当該ペプチドをコードする核酸との複合体、又は当該複合体を含むライブラリーの製造方法であって、〔2-1〕~〔2-4〕に記載の方法によりペプチドを合成する工程、及び合成されたペプチドを環化する工程を含む、方法。
〔2-6〕アミド結合、チオエーテル結合、ジスルフィド結合、エーテル結合、エステル結合、チオエステル結合、又は炭素-炭素結合によって前記ペプチドが環化される、〔2-5〕に記載の方法。
〔2-7〕ペプチドの合成方法における酵素、還元剤、または光反応によって脱保護される保護基の使用であって、該方法は、保護基を有する、無細胞翻訳系の1種以上の構成成分を、該無細胞翻訳系中で脱保護する工程、及び翻訳工程を含み、該脱保護する工程および該翻訳工程が並行して行われる、前記使用。
〔2-8〕ペプチドの合成方法における酵素、還元剤、または光反応によって脱保護される保護基の使用であって、該方法は、保護基を有するアミノ酸が結合したtRNAを含む無細胞翻訳系中で、該アミノ酸の保護基を脱保護する工程、及び翻訳工程を含み、該脱保護する工程および該翻訳工程が並行して行われる、前記使用。
〔2-9〕保護基を有する、無細胞翻訳系の1種以上の構成成分を、該無細胞翻訳系中で脱保護する工程、及び翻訳工程を含む、合成されるペプチドの収率を上げる方法であって、該脱保護する工程および該翻訳工程が並行して行われる、方法。
〔2-10〕保護基を有するアミノ酸が結合したtRNAを含む無細胞翻訳系中で、該アミノ酸の保護基を脱保護する工程、及び翻訳工程を含む、合成されるペプチドの収率を上げる方法であって、該脱保護する工程および該翻訳工程が並行して行われる、方法。
〔2-11〕ペプチドの合成方法において使用するための、酵素、還元剤、または光反応によって脱保護される保護基であって、該方法は、保護基を有する、無細胞翻訳系の1種以上の構成成分を、該無細胞翻訳系中で脱保護する工程、及び翻訳工程を含み、該脱保護する工程および該翻訳工程が並行して行われる、前記保護基。
〔2-12〕ペプチドの合成方法において使用するための、酵素、還元剤、または光反応によって脱保護される保護基であって、該方法は、保護基を有するアミノ酸が結合したtRNAを含む無細胞翻訳系中で、該アミノ酸の保護基を脱保護する工程、及び翻訳工程を含み、該脱保護する工程および該翻訳工程が並行して行われる、前記保護基。
〔2-13〕前記アミノ酸が、アミノ酸類縁体である、〔2-3〕~〔2-6〕、〔2-10〕のいずれか一項に記載の方法、〔2-8〕に記載の使用、または〔2-12〕に記載の保護基。
本明細書において、「アルキル」とは脂肪族炭化水素から任意の水素原子を1個除いて誘導される1価の基であり、骨格中にヘテロ原子または不飽和の炭素-炭素結合を含有せず、水素および炭素原子を含有するヒドロカルビルまたは炭化水素基構造の部分集合を有する。炭素鎖の長さnは1~20個の範囲であり、好ましくはC2-C10アルキルである。アルキルとしては、たとえば、「C1~C6アルキル」が挙げられ、具体的には、メチル、エチル、プロピル、ブチル、ペンチル、ヘキシル、イソプロピル、t-ブチル基、sec-ブチル基、1-メチルプロピル基、1,1-ジメチルプロピル基、2,2-ジメチルプロピル、1,2-ジメチルプロピル、1,1,2-トリメチルプロピル、1,2,2-トリメチルプロピル、1,1,2,2-テトラメチルプロピル、1-メチルブチル、2-メチルブチル、3-メチルブチル、1,1-ジメチルブチル、1,2-ジメチルブチル、1,1-ジメチルブチル、1,2-ジメチルブチル、1,3-ジメチルブチル、2,2-ジメチルブチル、2,3-ジメチルブチル、3,3-ジメチルブチル、1-エチルブチル、2-エチルブチル、イソペンチル、ネオペンチル等が挙げられる。
このようなアルケニルとして、具体的には、たとえば、ビニル、アリル、1-プロペニル、2-プロペニル、1-ブテニル、2-ブテニル(シス、トランスを含む)、3-ブテニル、ペンテニル、ヘキセニルなどが挙げられる。
アルキニルとしては具体的には、たとえば、エチニル、1-プロピニル、プロパルギル、3-ブチニル、ペンチニル、ヘキシニル、3-フェニル-2-プロピニル、3-(2’-フルオロフェニル)-2-プロピニル、2-ヒドロキシ-2-プロピニル、3-(3-フルオロフェニル)-2-プロピニル、3-メチル-(5-フェニル)-4-ペンチニルなどが挙げられる。
ヘテロアリールとしては具体的には、たとえば、フリル、チエニル、ピロリル、イミダゾリル、ピラゾリル、チアゾリル、イソチアゾリル、オキサゾリル、イソオキサゾリル、オキサジアゾリル、チアジアゾリル、トリアゾリル、テトラゾリル、ピリジル、ピリミジル、ピリダジニル、ピラジニル、トリアジニル、ベンゾフラニル、ベンゾチエニル、ベンゾチアジアゾリル、ベンゾチアゾリル、ベンゾオキサゾリル、ベンゾオキサジアゾリル、ベンゾイミダゾリル、インドリル、イソインドリル、インダゾリル、キノリル、イソキノリル、シンノリニル、キナゾリニル、キノキサリニル、ベンゾジオキソリル、インドリジニル、イミダゾピリジルなどが挙げられる。
(-C=O-OR)
一方で、特定の理論に拘束されることは無いが、本発明において翻訳効率の改善効果が大きくないと予測されるアミノ酸の特徴としては、アミノアシルtRNA単独での加水分解が遅いアミノ酸(特に翻訳時間を考慮したときに無視できるほど遅い)、及び/又はEF-tuとの親和性が十分に高いアミノ酸を挙げることができる。そのようなアミノ酸であっても、本発明の効果を損なわない範囲で使用することはできる。
N-メチルアラニン、N-メチルグリシン、N-メチルフェニルアラニン、N-メチルチロシン、N-メチル-3-クロロフェニルアラニン、N-メチル-4―クロロフェニルアラニン、N-メチル-4-メトキシフェニルアラニン、N-メチル-4-チアゾールアラニン、N-メチルヒスチジン、N-メチルセリン、N-メチルアスパラギン酸。
上記態様において用いられるアミノ酸類縁体が翻訳可能か否かは、これに限定されることはないが、無細胞翻訳系にて翻訳合成されたペプチドを質量分析するためのMALDI-TOF MSや、ラジオアイソトープでラベルしたアミノ酸を用いたペプチドの電気泳動による検出等、当業者公知の手法により評価することができる。
式中のR3、R4、およびR5は、それぞれ独立して、水素原子、アルキル、アルケニル、アルキニル、アリール、ヘテロアリール、アラルキル、またはシクロアルキルであり、これらの基は置換されていてもよく、あるいはR3とR4もしくはR3とR5は、それらが結合する原子と一緒になって環を形成してもよい。R6、およびR7は、それぞれ独立して水素原子またはメチルである。
これらに限定されることはないが、R4、R5のいずれか一方は水素原子であるかもしくはR3と一緒になって環を形成してもよく、その際にR4、R5のもう一方は置換されていてもよいC1-6アルキル、C1-6アルケニル、C1-6アルキニル、アリール、ヘテロアリール、アラルキル、またはC3-7シクロアルキルである。
上記脱保護工程及び上記翻訳工程は、脱保護工程を先に開始してもよいし、翻訳工程を先に開始してもよい。あるいは、両工程を同時に開始することもできる。また、並行して行う時間に特に制限はなく、例えば、30秒、1分、5分、10分、20分、30分、60分、120分、180分以上であってもよい。
本発明の非限定の一態様として、tRNAに結合したアミノ酸が無細胞翻訳系中に添加される時点においては、該アミノ酸はまだ保護基を有していることが好ましい。あるいは、tRNAに結合したアミノ酸が無細胞翻訳系中に添加される前に、該アミノ酸の保護基は脱保護されていないことが好ましい。
非限定の一態様として、本発明のペプチド合成方法は、ペプチドを翻訳後修飾する工程を含んでもよい。限定の一態様として、本発明のペプチド合成方法は、翻訳後修飾によりペプチドを環化する工程を含んでもよい。本発明のペプチド合成方法よって得られる環化前のペプチドは、環化反応に供されるアミノ酸が保護基で保護されたものであってもよい。本発明においては、例えば、翻訳後修飾の過程で脱保護を行うこともできる。その場合、上記翻訳条件下における脱保護条件は、該翻訳後修飾のために用いる脱保護反応条件とオルソゴナルな脱保護条件であることが好ましい。本発明においては、翻訳条件下における脱保護条件は、翻訳後修飾のために用いる脱保護反応条件とオルソゴナルな脱保護条件である限り、どのような脱保護法を用いてもよい。ここで、翻訳後修飾とは、翻訳後にリボゾームの作用以外で自動的に生じるあるいは翻訳条件下において脱保護反応を進行させるための試薬とは異なる試薬を添加させて生じさせる化学反応を指し、例えば環化反応や脱保護反応を挙げることができる。
本発明におけるペニシリンアミドヒドロラーゼは、EC番号(Enzyme Commission numbers)3.5.1.11に分類される加水分解酵素を表す。EC番号3.5.1.11に分類される加水分解酵素は、ペニシリンと水を天然の基質とし、生成物としてカルボン酸とぺニシラン酸を与える化学反応を触媒する酵素である。また、通常のペプチド結合を加水分解せず、例えばフェニルアセチルアミド結合に対して特異的に加水分解作用を有することもあわせて古くから知られている。例えば、大腸菌由来のペニシリンアミドヒドロラーゼを用いることも出来る。これらのペニシリンアミドヒドロラーゼのアミノ酸配列および塩基配列は、当業者に公知である(www.ncbi.nlm.nih.gov/protein/?term=EC+3.5.1.11)。
なおこれらのペニシリンアミドヒドロラーゼは、その機能を保持する限り、遺伝子操作によりアミノ酸が改変された改変体であってもよく、化学修飾の有無も問わない。EC番号は、酵素を反応形式に従って系統的に分類するための4組の数字より成る番号で、国際生化学分子生物学連合の酵素委員会によって定義づけられている酵素の番号である。
なおこれらのエステラーゼは、その機能を保持する限り、遺伝子操作によりアミノ酸が改変された改変体であってもよく、化学修飾の有無も問わない。
なおこれらのアミノペプチダーゼは、その機能を保持する限り、遺伝子操作によりアミノ酸が改変された改変体であってもよく、化学修飾の有無も問わない。
(式中のYは、NHもしくは酸素原子であり、Lは、単結合(ここではメチレン基を表す)、アリーレン、またはヘテロアリーレンである。)
式中のX1は、酵素であるペニシリンアミドヒドロラーゼによって認識される構造であり、式(I)中のY-C=Oで表記されるエステルまたはアミド結合、あるいは式(II)中の*-C=Oで表記されるアミド結合がペニシリンアミドヒドロラーゼの基質として加水分解され得る限り、特にその構造(X1)が限定されることはない。加水分解された後の残りの保護基は自動的にアミノ酸から脱保護される。そのような構造は、当業者が公知技術より適宜選択することができる(Journal of Molecular Biology, Volume 284, Issue 2, 27 November 1998, Pages 463-475, Annals New York Academy of Sciences, Volume 799, Enzyme Engineering XIII Pages 659-669)。
(式中のLは、単結合、アリーレン、またはヘテロアリーレンである。)
式中のX2は、酵素であるエステラーゼによって認識される構造であり、式中、X2とLとの間にあるエステル結合がエステラーゼの基質として加水分解され得る限り、特にその構造(X2)が限定されることはない。加水分解された後の残りの保護基は自動的にアミノ酸から脱保護される。エステラーゼはその種類により多様な基質特異性を持つことが知られており、当業者は公知技術より適切な構造を適宜選択することができる。
(式中のLは、単結合、アリーレン、またはヘテロアリーレンである。)
式中のX3は、酵素であるアミノペプチダーゼによって認識される構造であり、式中のアミド結合がアミノペプチダーゼの基質として加水分解され得る限り、特にその構造(X3)が限定されることはない。加水分解された後の残りの保護基は自動的にアミノ酸から脱保護される。そのような構造は、当業者が公知技術より適宜選択することができる。
(式中のR1、およびR2は、それぞれ独立して、水素原子、ヒドロキシル、フルオロ、クロロ、ブロモ、アミノ、ニトロ、またはメトキシである。)
また、R1、およびR2の組み合わせとして、好ましくは、R1=FかつR2=H、R1=ClかつR2=H、R1=BrかつR2=Hが挙げられる。また、R1は、-CHR2-に対してオルト位、メタ位、パラ位のどの位置に存在していてもよく、パラ位に存在することが好ましい。
(式中のLは、単結合、アリーレン、またはヘテロアリーレンである。)
上記態様において、アミノ酸の保護基を脱保護する工程とペプチドの翻訳工程は、時間的に一部重複して行うか、時間的に一致して同時に行うことができる。あるいは本発明においては、脱保護工程と翻訳工程を時間的に互いに独立して行ってもよい。独立して行う場合、これに限定されることはないが、無細胞翻訳系中で、該アミノ酸の保護基を脱保護した後に翻訳工程を開始することがより好ましい。
すなわち、非限定の一態様として、本発明は、アミノ酸の有する保護基が、翻訳後修飾のために用いられる反応条件とオルソゴナルな反応条件によって脱保護される保護基である、ペプチドの合成方法を提供する。さらに、上述したアミノ酸の有する保護基は、iSP(Initiation Suppression)法で用いられる保護基とオルソゴナルな保護基であることが好ましい。
例えば、翻訳後修飾の過程で、還元条件下でペプチドの環化反応を行う場合、該還元条件とはオルソゴナルな反応条件である酵素による脱保護条件を、本発明のペプチド合成に用いることができる。
上記態様における、「オルソゴナル」な保護基とは、他の脱保護反応の条件に実質的に影響されない保護基をいう。例えば、他の脱保護反応が還元条件下で行なわれる場合、オルソゴナルな保護基としては、還元反応以外の条件(例えば、酵素反応、光反応等)で脱保護反応が進行し得る保護基を選択することが好ましい。また、他の脱保護反応が酵素反応(エステラーゼ)で行なわれる場合、オルソゴナルな保護基として他の酵素反応(例えば、ペニシリンアミドヒドロラーゼ)で脱保護反応が進行し得る保護基を選択することもできる。
iSP(Initiation Suppression)法
本来は、一般的に翻訳開始アミノ酸(N末端アミノ酸)としてメチオニンが翻訳されるが、他の所望のアミノ酸をアミノアシル化した翻訳開始tRNAを用いて翻訳させることによって、当該所望のアミノ酸を翻訳開始アミノ酸(N末端アミノ酸)として翻訳させることもできる。N末端におけるアミノ酸類縁体の許容度は、ペプチド鎖の伸長時におけるそれよりも高く、N末端では天然アミノ酸と大きく構造の異なるアミノ酸類縁体を利用できることが知られている(非特許文献:J Am Chem Soc. 2009 Apr 15;131(14):5040-1.Translation initiation with initiator tRNA charged with exotic peptides.Goto Y, Suga H.)。
これに限定されることはないが、N末端のアミノ酸として、Cys、又は側鎖にSH基を有するアミノ酸類縁体を用いる場合、該アミノ酸の主鎖のアミノ基及び/又は側鎖のSH基は保護基を有していることが好ましい。保護基は、本発明のペプチド合成における脱保護条件とはオルソゴナルな条件で反応が進行する保護基を選択することがさらに好ましい。
所望のtRNA配列をコードし、上流にT7、T3もしくはSP6プロモーターを配置した鋳型DNAを用意し、T7 RNA polymeraseやT3, SP6 RNA polymeraseなどのプロモーターに適応したRNAポリメラーゼを利用して、転写によってtRNAを合成することが出来る。あるいは、細胞からtRNAを抽出精製し、tRNAの配列と相補的な配列を有するプローブを用いて目的の生成tRNAを抽出することも出来る。この際、目的のtRNAの発現ベクターで形質転換した細胞をソースとして用いることも出来る。化学合成によって目的の配列のtRNAを合成することも出来る。アミノアシルtRNAは、例えば、このようにして得られた3’末端のCCA配列からCAを除いたtRNAと別途調製したアミノアシル化したpdCpAまたはpCpAとをRNAリガーゼで結合させることで得ることが出来る(pdCpA法、pCpA法)。
(式中、R3~R7、およびP1は後述の式(VIII)または(IX)中のR3~R7およびP1と同意義であり、R8は水素原子またはヒドロキシルである。)
また本発明は、式(VI)又は(VII)で表されるアミノ酸でアミノアシル化されたtRNAに関する。
あるいは、全長tRNAを用意し、種々のアミノ酸類縁体の活性エステルをtRNAに担持させるリボザイムであるフレキシザイムによるアミノアシル化も可能である。
一方、PURE systemは大腸菌の翻訳に必要な蛋白因子類、エネルギー再生系酵素、リボソームのそれぞれを抽出、精製し、tRNA、アミノ酸、ATP、GTPなどと混合した再構成無細胞翻訳系である。不純物の含有量が少ないだけでなく、再構成系であるため排除したい蛋白因子、アミノ酸を含まない系を容易に作製することができる。((i)Nat Biotechnol. 2001;19:751-5. Cell-free translation reconstituted with purified components. Shimizu Y, Inoue A, Tomari Y, Suzuki T, Yokogawa T, Nishikawa K, Ueda T.(ii)Methods Mol Biol. 2010;607:11-21.PURE technology.Shimizu Y, Ueda T.)。
(式中のR3、R4、およびR5は、それぞれ独立して、水素原子、アルキル、アルケニル、アルキニル、アリール、ヘテロアリール、アラルキル、またはシクロアルキルであり、これらの基は置換されていてもよく、あるいはR3とR4もしくはR3とR5は、それらが結合する原子と一緒になって環を形成してもよい。R6、R7は、それぞれ独立して水素原子またはメチルであり、P1は、酵素、還元剤、及び/又は光反応によって脱保護される保護基である。)
これに限定されることはないが、式中のP1は、ペニシリンアミドヒドロラーゼ、エステラーゼ、又はアミノペプチダーゼが認識する保護基であることが好ましい。
(式中のYは、NHもしくは酸素原子であり、Lは、単結合、アリーレン、またはヘテロアリーレンである。)
(R1、R2は、それぞれ独立して、水素原子、ヒドロキシル、フルオロ、クロロ、ブロモ、アミノ、ニトロ、またはメトキシである。)
4-(プロピオニルオキシ)ベンジルオキシカルボニル(Etez)基:
(S)-((4-(2-アミノ-4-メチルペンタンアミド)ベンジル)オキシ)カルボニル(Leuz)基:
が挙げられる。
(式中のLは、単結合、アリーレン、またはヘテロアリーレンである。)
これらの保護基は、還元剤(好ましくは、TCEP)により脱保護することができる。これらの保護基として、より具体的には、例えば、4-アジドベンジルオキシカルボニル基(Acbz)、又はアジドメチルオキシカルボニル基(Azoc)が挙げられる。
(式中、R3~R7、およびP1は前記式(VIII)または(IX)中のR3~R7およびP1と同意義であり、R8は水素原子またはヒドロキシルである。)
さらに本発明は、前記式(VIII)または(IX)に記載の化合物とtRNAとが結合してなるアミノアシルtRNAに関する。
上記態様における「無細胞翻訳系の構成成分」は、アミノ酸を含むペプチドの翻訳合成をする際に使用する無細胞翻訳系中に含まれる構成成分であれば限定されることはない。
本発明における「核酸」は、デオキシリボ核酸(DNA)、リボ核酸(RNA)あるいは、人工塩基を有するヌクレオチド誘導体を含むことができる。また、ペプチド核酸(PNA)を含むこともできる。本発明の核酸は、目的とする遺伝情報が保持される限り、これらの核酸のいずれか、あるいは混成とすることもできる。すなわち、DNA-RNAのハイブリッドヌクレオチドやDNAとRNAのような異なる核酸が1本鎖に連結されたキメラ核酸も本発明における核酸に含まれる。
本発明においては、これら核酸を鋳型として含むdisplayライブラリーなどの核酸ライブラリーを、好適に用いることができる。
ペプチドとピューロマイシンの複合体にペプチドをコードするcDNAが結合しているcDNA display(Nucleic Acids Res. 2009;37(16):e108.cDNA display: a novel screening method for functional disulfide-rich peptides by solid-phase synthesis and stabilization of mRNA-protein fusions.Yamaguchi J, Naimuddin M, Biyani M, Sasaki T, Machida M, Kubo T, Funatsu T, Husimi Y, Nemoto N.)、
mRNA翻訳中におけるribosomeと翻訳産物の複合体が比較的安定であることを利用したribosome display(Proc Natl Acad Sci U S A. 1994;91:9022-6. An in vitro polysome display system for identifying ligands from very large peptide libraries. Mattheakis LC, Bhatt RR, Dower WJ.)、
bacteriophage endonuclease P2AがDNAと共有結合を形成することを利用したcovalent display(Nucleic Acids Res. 2005;33:e10.Covalent antibody display--an in vitro antibody-DNA library selection system.Reiersen H, Lobersli I, Loset GA, Hvattum E, Simonsen B, Stacy JE, McGregor D, Fitzgerald K, Welschof M, Brekke OH, Marvik OJ.)、
微生物のプラスミドの複製開始蛋白RepAが複製開始点oriに結合することを利用したCIS display(Proc Natl Acad Sci U S A. 2004;101:2806-10. CIS display: In vitro selection of peptides from libraries of protein-DNA complexes. Odegrip R, Coomber D, Eldridge B, Hederer R, Kuhlman PA, Ullman C, FitzGerald K, McGregor D.)
が知られている。また、DNAライブラリーを構成するDNAの1分子毎に転写翻訳系をwater-in-oilエマルジョンやリポソームに封入し、翻訳反応を行う、in vitro compartmentalization(Nat Biotechnol. 1998;16:652-6. Man-made cell-like compartments for molecular evolution. Tawfik DS, Griffiths AD.)も知られている。適宜、公知の方法を用いて上記方法を使用することができる。
所望の活性を有するペプチド-核酸複合体を製造する方法としては、例えば以下の工程を含む製造方法を挙げることができる:
(i)上述した本発明におけるペプチドの合成方法を使用して、天然アミノ酸及び/又はアミノ酸類縁体の総数が9~13残基である非環状ペプチドを翻訳合成して、当該非環状ペプチドとそれをコードする核酸配列がリンカーを介して結合している複合体からなる非環状ペプチド-核酸複合体を形成する工程
(ii)工程(i)で翻訳合成された複合体の非環状ペプチドをアミド結合又は炭素-炭素結合によって環化し、環状部の天然アミノ酸及び/又はアミノ酸類縁体の残基数の合計が5~12となる環状ペプチドを形成する工程
(iii)工程(ii)で得られた環状部を有するペプチド-核酸複合体ライブラリーと標的物質とを接触させ、当該標的物質に対して結合活性を有する複合体を選択する工程。
例えば以下の工程を含む製造方法を挙げることができる:
(iv)前記工程(iii)で選択された複合体の核酸配列に基づきペプチドの配列情報を得る工程、および、
(v)前記工程(iv)で得られた配列情報に基づきペプチドを化学合成する工程。
上記の製造工程において、前記非環状ペプチドはα-ヒドロキシカルボン酸、及び、保護されていてもよい側鎖にアミノ基を有する天然アミノ酸及び/又はアミノ酸類縁体を含んでいてもよい。さらに、工程(ii)の環状ペプチドを形成する工程の前又は後で、α-ヒドロキシカルボン酸と側鎖にアミノ基を有する天然アミノ酸及び/又はアミノ酸類縁体を化学反応させて分枝部位を形成させる工程を含んでいてもよい。当該工程により、環状部の様々な位置に直鎖部を有する環状ペプチドを製造することが可能である。
具体的には例えば、STAT、AP1、CREB、SREBPなどの転写因子、ムスカリン性アセチルコリン受容体, カンナビノイド受容体、GLP-1受容体、PTH受容体などのGタンパク質共役型受容体(GPCR)、TNF、TNFR、IL-6、IL-6R等のサイトカインやそのレセプター、P2X受容体、ニコチン性アセチルコリン受容体などのイオンチャネル型受容体、イオンチャネル、トランスポーター、miR-21、miR206などのmicroRNAなどが挙げられる。
また、環状部は、例えば、上述の環化反応を利用して形成することが可能であり、当該環化反応によって、アミド結合や炭素-炭素結合を形成させることが可能である。
非限定の一態様として、本発明は、ペプチドの合成方法における酵素、還元剤、または光反応によって脱保護される保護基の使用であって、該方法は、保護基を有するアミノ酸を結合したtRNAを含む無細胞翻訳系中で、該アミノ酸の保護基を脱保護する工程、及び翻訳工程を並行して行うことを特徴とする、該保護基の使用を提供する。
非限定の一態様として、本発明は、ペプチドの合成方法において使用するための、酵素、還元剤、または光反応によって脱保護される保護基であって、該方法は、保護基を有するアミノ酸が結合したtRNAを含む無細胞翻訳系中で、該アミノ酸の保護基を脱保護する工程、及び翻訳工程を含み、該脱保護する工程および該翻訳工程が並行して行われる、前記保護基を提供する。
なお、実施例中では以下の略号を使用した。
DCM ジクロロメタン
DIPEA N,N-ジイソプロピルエチルアミン
DMF ジメチルホルムアミド
DMSO ジメチルスルホキシド
DTT ジチオスレイロール
FA ギ酸
TFA トリフルオロ酢酸
TFE トリフルオロエタノール
THF テトラヒドロフラン
TCEP トリス(2-カルボキシエチル)ホスフィン
NMP N-メチル‐2‐ピロリドン
DBU 1,8-ジアザビシクロ[5.4.0]-7-ウンデセン
HOAt 1-ヒドロキシベンゾトリアゾール
DIC N,N-ジイソプロピルカルボジイミド
PGA ペニシリンGアシラーゼ
Acbz 4-アジドベンジルオキシカルボニル基:
F-Pnaz 4-(2-(4-フルオロフェニル)アセトアミド)ベンジルオキシカルボニル基:
Pen 4-ペンテノイル基
CH2CN シアノメチル基
DMAP 4,4-ジメチルアミノピリジン:
Etez 4-(プロピオニルオキシ)ベンジルオキシカルボニル基:
Leuz (S)-((4-(2-アミノ-4-メチルペンタンアミド)ベンジル)オキシ)カルボニル基:
以下のスキームに従い、アミノアシル化pCpA(ts05、ts07、ts09、ts14、ts19、ts20、ts23、ts26、ts29、TS03、TS06、TS09、TS12、TS15、TS18、TS21、TS24、TS29、TS34、TS37)を合成した。
LCMS(ESI) m/z = 275 (M-H)-
保持時間:0.60分(分析条件SQDFA05)
LCMS(ESI) m/z = 305 (M-H)-
保持時間:0.77分(分析条件SQDFA05)
LCMS(ESI) m/z = 340 (M-H)-
保持時間:0.43分(分析条件SQDFA05)
LCMS(ESI) m/z = 316 (M+H)+
保持時間:0.72分(分析条件SQDFA05)
LCMS(ESI) m/z = 911 (M+H)+
保持時間:0.43分(分析条件SQDFA05)
N,N,N-トリメチルヘキサデカン-1-アミニウム 塩化物(6,40g、20mmol)とイミダゾール(6.81g、100mmol)の水溶液に酢酸を添加し、pH8、20mM N,N,N-トリメチルヘキサデカン-1-アミニウム、100mMイミダゾールの緩衝液A(1L)を得た。
LCMS(ESI) m/z = 346 (M+H)+
保持時間:0.87分(分析条件SQDFA05)
LCMS(ESI) m/z = 941 (M+H)+
保持時間:0.52分(分析条件SQDFA05)
LCMS(ESI) m/z = 381 (M+H)+
保持時間:0.51分(分析条件SQDFA05)
LCMS(ESI) m/z = 976 (M+H)+
保持時間:0.36分(分析条件SQDFA05)
LCMS(ESI) m/z = 260 (M+H)+
保持時間:0.55分(分析条件SQDFA05)
LCMS(ESI) m/z = 425 (M+H)+
保持時間:0.84分(分析条件SQDFA05)
LCMS(ESI) m/z = 415 (M-H)-
保持時間:0.72分(分析条件SQDFA05)
LCMS(ESI) m/z = 456 (M+H)+
保持時間:0.81分(分析条件SQDFA05)
LCMS(ESI) m/z = 1051 (M+H)+
保持時間:0.53分(分析条件SQDFA05)
LCMS(ESI) m/z = 385 (M-H)-
保持時間:0.60分(分析条件SQDFA05)
LCMS(ESI) m/z = 452 (M+H)+
保持時間:0.46分(分析条件SQDFA05)
LCMS(ESI) m/z = 426 (M+H)+
保持時間:0.70分(分析条件SQDFA05)
LCMS(ESI) m/z = 491 (M+H)+
保持時間:0.52分(分析条件SQDFA05)
LCMS(ESI) m/z = 1021 (M+H)+
保持時間:0.45分(分析条件SQDFA05)
LCMS(ESI) m/z = 1086 (M+H)+
保持時間:0.40分(分析条件SQDFA05)
LCMS(ESI) m/z = 184(M+H)+
保持時間:1.03分(分析条件SMD method2)
LCMS(ESI) m/z = 223(M+H)+
保持時間:1.13分(分析条件SMD method2)
LCMS(ESI) m/z = 818(M+H)+
保持時間:0.63分(分析条件SMD method1)
LCMS(ESI) m/z = 214(M+H)+
保持時間:1.24分(分析条件SMD method3)
LCMS(ESI) m/z = 253(M+H)+
保持時間:1.40分(分析条件SMD method3)
LCMS(ESI) m/z = 848(M+H)+
保持時間:1.25分(分析条件SMD method3)
LCMS(ESI) m/z = 247(M-H)-
保持時間:0.33分(分析条件SQDFA05)
LCMS(ESI) m/z = 288 (M+H)+
保持時間:0.40分(分析条件SQDFA05)
LCMS(ESI) m/z = 896 (M+H)+
保持時間:0.39、0.41分(分析条件SMD method2)
LCMS(ESI) m/z = 263 (M-H)-
保持時間:0.61分(分析条件SQDFA05)
LCMS(ESI) m/z = 302 (M+H)-
保持時間:0.71分(分析条件SQDFA05)
LCMS(ESI) m/z = 899 (M+H)+
保持時間:0.44分(分析条件SQDFA05)
LCMS(ESI) m/z = 373 (M+H)-
保持時間:0.62分(分析条件SQDFA05)
LCMS(ESI) m/z = 412 (M+H)-
保持時間:0.71分(分析条件SQDFA05)
LCMS(ESI) m/z = 1007 (M+H)-
保持時間:0.47分(分析条件SQDFA05)
LCMS(ESI) m/z = 277 (M-H)-
保持時間:0.64分(分析条件SQDFA05)
LCMS(ESI) m/z = 316 (M+H)-
保持時間:0.74分(分析条件SQDFA05)
LCMS(ESI) m/z = 1007 (M+H)-
保持時間:0.47分(分析条件SQDFA05)
LCMS(ESI) m/z = 387 (M+H)-
保持時間:0.63分(分析条件SQDFA05)
LCMS(ESI) m/z = 426 (M+H)-
保持時間:0.71分(分析条件SQDFA05)
LCMS(ESI) m/z = 1021 (M+H)-
保持時間:0.46分(分析条件SQDFA05)
LCMS(ESI) m/z = 263 (M-H)-
保持時間:0.58分(分析条件SQDFA05)
LCMS(ESI) m/z = 302 (M+H)-
保持時間:0.69分(分析条件SQDFA05)
LCMS(ESI) m/z = 897 (M+H)-
保持時間:0.42分(分析条件SQDFA05)
LCMS(ESI) m/z = 373 (M+H)-
保持時間:0.58分(分析条件SQDFA05)
LCMS(ESI) m/z = 412 (M+H)-
保持時間:0.67分(分析条件SQDFA05)
LCMS(ESI) m/z = 1007 (M+H)-
保持時間:0.44分(分析条件SQDFA05)
LCMS(ESI) m/z = 263 (M-H)-
保持時間:0.61分(分析条件SQDFA05)
LCMS(ESI) m/z = 302 (M+H)-
保持時間:0.71分(分析条件SQDFA05)
LCMS(ESI) m/z = 899 (M+H)+
保持時間:0.44分(分析条件SQDFA05)
LCMS(ESI) m/z = 373 (M+H)-
保持時間:0.62分(分析条件SQDFA05)
LCMS(ESI) m/z = 412 (M+H)-
保持時間:0.71分(分析条件SQDFA05)
LCMS(ESI) m/z = 1007 (M+H)-
保持時間:0.47分(分析条件SQDFA05)
LCMS(ESI) m/z = 179 (M+H)-
保持時間:0.51分(分析条件SQDFA05)
LCMS(ESI) m/z = 346 (M+H)+
保持時間:0.86分(分析条件SQDFA05)
LCMS(ESI) m/z = 384 (M+H)-
保持時間:0.75分(分析条件SQDFA05)
LCMS(ESI) m/z = 423 (M+H)-
保持時間:0.84分(分析条件SQDFA05)
LCMS(ESI) m/z = 1018 (M+H)-
保持時間:0.54分(分析条件SQDFA05)
LCMS(ESI) m/z = 335 (M+H)-
保持時間:0.66分(分析条件SQDFA05)
LCMS(ESI) m/z = 502 (M+H)+
保持時間:0.91分(分析条件SQDFA05)
LCMS(ESI) m/z = 540 (M+H)-
保持時間:0.84分(分析条件SQDFA05)
LCMS(ESI) m/z = 1074 (M+H)-
保持時間:0.46分(分析条件SQDFA05)
LCMS(ESI) m/z = 1074 (M+H)-
保持時間:0.46分(分析条件SQDFA05)
LCMS(ESI) m/z = 353 (M-H)-
保持時間:0.82分(分析条件SQDFA05)
LCMS(ESI) m/z = 392 (M+H)-
保持時間:0.91分(分析条件SQDFA05)
LCMS(ESI) m/z = 987 (M+H)-
保持時間:0.62分(分析条件SQDFA05)
定法により以下のtRNAGluUAG(-CA)を調製した。
配列番号TR-1(配列番号:1)
tRNAGluUAG(-CA) RNA配列:
GUCCCCUUCGUCUAGAGGCCCAGGACACCGCCCUUAGACGGCGGUAACAGGGGUUCGAAUCCCCUAGGGGACGC
配列番号TR-2(配列番号:9)
tRNAGluACG(-CA) RNA配列:
GUCCCCUUCGUCUAGAGGCCCAGGACACCGCCCUACGACGGCGGUAACAGGGGUUCGAAUCCCCUAGGGGACGC
50μM 転写tRNAGluUAG(-CA)(配列番号TR-1)(20μl)に、10X ligation buffer (500 mM HEPES-KOH pH 7.5, 200 mM MgCl2)(4μl)、10mM ATP (4μl)、Nuclease free water (5.6μl)を加え、95℃で2分間加熱した後、室温で5分間放置し、tRNAのリフォールディングを行った。10unit/μl T4 RNAリガーゼ(New england bio lab.社)(2.4μL)および、2.5mMのアミノアシル化pCpA(ts05、ts07、ts09、ts14、ts19、ts20、ts23、ts26、およびts29)のDMSO溶液 (4μL)を加え、16℃で45分間ライゲーション反応を行った。ライゲーション反応液に、0.3M 酢酸ナトリウムと、62.5mMヨウ素(水:THF=1:1溶液)を加え、室温で10分間静置し、ペンテノイル基の脱保護を行った後、フェノール・クロロホルム抽出を行い、エタノール沈殿によりアミノアシル化tRNA(化合物AAtR-1、2、3、4,5,6,7,8,9)を回収した。(なお保護基がペンテノイル基でない、ts05、ts07、ts09、ts14、ts19、ts20、についてはこの操作を行っていない。)回収したアミノアシル化tRNA(化合物AAtR-1、2、3,4,5,6,7,8,9)は、翻訳混合物に添加する直前に1mM酢酸ナトリウムに溶解した。
50μM 転写tRNAGluUAG(-CA)(配列番号TR-1)(20μl)に、10X ligation buffer (500 mM HEPES-KOH pH 7.5, 200 mM MgCl2)(4μl)、10mM ATP (4μl)、Nuclease free water (5.6μl)を加え、95℃で2分間加熱した後、室温で5分間放置し、tRNAのリフォールディングを行った。10unit/μl T4 RNAリガーゼ(New england bio lab.社)(2.4μL)および、2.5mMのアミノアシル化pCpA(TS03、TS06、TS09、TS12、TS15、TS18、TS21、TS24、TS29、およびTS37)のDMSO溶液 (4μL)を加え、16℃で45分間ライゲーション反応を行った。ライゲーション反応液に、0.3M 酢酸ナトリウムと、0.5M TCEP水溶液(pH7に調整、4μL)を加え、室温で10分間静置し、Acbz基の脱保護を行った後、フェノール・クロロホルム抽出を行い、エタノール沈殿によりアミノアシル化tRNAを回収した。(なお保護基がAcbz基でない、TS06、TS12、TS18、TS24、TS29についてはこの脱保護操作を行っていない。)回収したアミノアシル化tRNA(化合物AAtR-10~AAtR-14,AAtR-16~AAtR-20)は、翻訳混合物に添加する直前に1mM酢酸ナトリウムに溶解した。
50μM 転写tRNAGluACG(-CA)(配列番号TR-2)(20μl)に、10X ligation buffer (500 mM HEPES-KOH pH 7.5, 200 mM MgCl2)(4μl)、10mM ATP (4μl)、Nuclease free water (5.6μl)を加え、95℃で2分間加熱した後、室温で5分間放置し、tRNAのリフォールディングを行った。10unit/μl T4 RNAリガーゼ(New england bio lab.社)(2.4μL)および、2.5mMのアミノアシル化pCpA(TS34、およびTS37)のDMSO溶液 (4μL)を加え、16℃で45分間ライゲーション反応を行った。ライゲーション反応液に、0.3M 酢酸ナトリウムと、0.5M TCEP水溶液(pH7に調整、4μL)を加え、室温で10分間静置し、Acbz基の脱保護を行った後、フェノール・クロロホルム抽出を行い、エタノール沈殿によりアミノアシル化tRNAを回収した。(なお保護基がAcbz基でないTS34についてはこの脱保護操作を行っていない。)回収したアミノアシル化tRNA(化合物AAtR-15,AAtR-21)は、翻訳混合物に添加する直前に1mM酢酸ナトリウムに溶解した。
Leuz-Hph-tRNAGluACG(配列番号:10)
次に、本手法を用いることにより、翻訳の伸長反応におけるアミノ酸の翻訳効率と生成物の純度がどのように影響されるかを確認するための実験を実施した。具体的には、同じアミノ酸を含む同じペプチド化合物の翻訳合成を実施し、生成物の純度については質量分析を用いて比較・確認を行い、翻訳効率については放射性同位体によるラベル体を用いて比較・確認を行った。
翻訳合成を行った。翻訳系は、大腸菌由来の再構成無細胞タンパク質合成系であるPURE systemを用いた。具体的には、無細胞翻訳液(1%(v/v)RNasein Ribonuclease inhibitor(Promega社,N2111),1mM GTP,1mM ATP,20mMクレアチンリン酸,50mM HEPES-KOH pH7.6,100mM 酢酸カリウム,6mM 酢酸マグネシウム,2mMスペルミジン,1mM ジチオスレイトール,1.5mg/ml E.coli MRE600(RNaseネガティブ)由来tRNA(Roche社),0.1mM 10-HCO-H4folate、4μg/ml クレアチンキナーゼ,3μg/ml ミオキナーゼ,2unit/ml 無機ピロフォスファターゼ,1.1μg/ml ヌクレオシド二リン酸キナーゼ,0.6μM メチオニルtRNAトランスフォルミラーゼ,0.26μM EF-G、0.24μM RF2、0.17μM RF3、0.5μM RRF,2.7μM IF1,0.4μM IF2,1.5μM IF3,40μM EF-Tu,44μM EF-Ts,1.2μM リボソーム,0.73μM AlaRS,0.03μM ArgRS,0.38μM AsnRS,0.13μM AspRS,0.02μM CysRS,0.06μM GlnRS,0.23μM GluRS,0.09μM GlyRS,0.02μM HisRS,0.4μM IleRS,0.04μM LeuRS,0.11μM LysRS,0.03μM MetRS,0.68μM PheRS,0.16μM ProRS,0.04μM SerRS,0.09μM ThrRS,0.03μM TrpRS,0.02μM TyrRS,0.02μM ValRS(自家調製タンパクは基本的にHisタグ付加タンパクとして調製した))に、1μM 鋳型mRNAと、Ala,Phe,Gly,Lys,Met,Pro,Arg,Ser,Valの各アミノ酸をそれぞれ250μMずつ加え、さらに10μMのアミノアシルtRNAGluを翻訳液混合物に加えて、37℃で1時間静置した。
無細胞翻訳系にて翻訳合成されたペプチドを質量分析するために、MALDI-TOF MSを用いて実施した。具体的には、上述の無細胞翻訳系に1μM 鋳型mRNA(R-1)と各アミノ酸としてAla,Phe,Gly,Lys,Met,Pro,Arg,Ser,Val(各々最終濃度250μM)を加えた溶液を調製し、調製した9種類の10μMアミノアシルtRNA(AAtR-1、AAtR-2、AAtR-3、AAtR-4、AAtR-5、AAtR-6、AAtR-7、AAtR-8、AAtR-9)をそれぞれ添加し、37℃で60分間保温した。Acbz保護基のついたアミノアシルtRNA(AAtR-4、AAtR-5、AAtR-6)を用いた翻訳系については脱保護試薬としてTCEP(トリス(2-カルボキシエチル)ホスフィン;還元剤、最終濃度10mM)を、F-Pnaz保護基のついたアミノアシルtRNA(AAtR-7、AAtR-8、AAtR-9)については脱保護試薬としてPGA(ペニシリンGアシラーゼ(=ペニシリンアミドヒドロラーゼ)、最終濃度1uM、SIGMA社)を加えた。得られた翻訳反応物を、SPE C-TIP(日京テクノス社)で精製し、MALDI-TOF MSで分析した。翻訳産物はマトリックスとしてα-シアノ-4-ヒドロキシケイ皮酸を用いてMALDI-TOF MSスペクトルを測定して同定した。
その結果、Acbz保護されたアミノアシルtRNAをTCEPを用い翻訳系内で脱保護を行った翻訳産物(AAtR-4、AAtR-5、AAtR-6)、F-Pnaz保護されたアミノアシルtRNAをPGAを用い翻訳系内で脱保護を行った翻訳産物(AAtR-7、AAtR-8、AAtR-9)のいずれにおいても表2に示した目的物が主生成物として翻訳出来ていることが確認された(図1-1、図1-2、図1-3)。
無細胞翻訳系にて翻訳合成されたペプチドを質量分析するために、MALDI-TOF MSを用いて実施した。具体的には、上述の無細胞翻訳系に1μM 鋳型mRNA(R-1)と各アミノ酸としてAla,Phe,Gly,Lys,Met,Pro,Arg,Ser,Val(各々最終濃度250μM)を加えた溶液を調製し、調製した8種類の10μMアミノアシルtRNA(AAtR-10~AAtR-13、AAtR-16~AAtR-19)をそれぞれ添加し、37℃で60分間保温した。F-Pnaz保護基のついたアミノアシルtRNA(AAtR-16~AAtR-19)については脱保護試薬としてPGA(最終濃度1μM、SIGMA社)を加えた。得られた翻訳反応物を、SPE C-TIP(日京テクノス社)で精製し、MALDI-TOF MSで分析した。翻訳産物はマトリックスとしてα-シアノ-4-ヒドロキシケイ皮酸を用いてMALDI-TOF MSスペクトルを測定して同定した。
その結果、F-Pnaz保護されたアミノアシルtRNAをPGAを用い翻訳系内で脱保護を行った翻訳産物も従来法同様に表2に示した目的物が主生成物として翻訳出来ていることが確認された(図1-4、図1-5、図1-6、図1-7)。
無細胞翻訳系にて翻訳合成されたペプチドを質量分析するために、MALDI-TOF MSを用いて実施した。具体的には、上述の無細胞翻訳系に1μM 鋳型mRNA(R-1)と各アミノ酸としてAla,Phe,Gly,Lys,Met,Pro,Arg,Ser,Val(各々最終濃度250μM)を加えた溶液を調製し、調製した2種類の10μMアミノアシルtRNA(AAtR-14、AAtR-20)をそれぞれ添加し、37℃で60分間保温した。Etez保護基のついたアミノアシルtRNA(AAtR-20)については脱保護試薬としてCHIRAZYME L―2 CB(リパーゼ、最終濃度1mg/ml、Roche Diagnostics社)を加えた。得られた翻訳反応物を、SPE C-TIP(日京テクノス社)で精製し、MALDI-TOF MSで分析した。翻訳産物はマトリックスとしてα-シアノ-4-ヒドロキシケイ皮酸を用いてMALDI-TOF MSスペクトルを測定して同定した。
その結果、Etez保護されたアミノアシルtRNAをリパーゼを用い翻訳系内で脱保護を行った翻訳産物も従来法同様に表2に示した目的物が主生成物として翻訳出来ていることが確認された(図1-8)。
無細胞翻訳系にて翻訳合成されたペプチドを質量分析するために、MALDI-TOF MSを用いて実施した。具体的には、上述の無細胞翻訳系に1μM 鋳型mRNA(R-1)と各アミノ酸としてAla,Phe,Gly,Lys,Met,Pro,Leu,Ser,Val(各々最終濃度250μM)を加えた溶液を調製し、調製した2種類の10μMアミノアシルtRNA(AAtR-15、AAtR-21)をそれぞれ添加し、37℃で60分間保温した。Leuz保護基のついたアミノアシルtRNA(AAtR-21)については脱保護試薬としてAminopeptidase(ロイシンアミノペプチダーゼ、最終濃度1mg/ml、SIGMA社)を加えた。得られた翻訳反応物を、SPE C-TIP(日京テクノス社)で精製し、MALDI-TOF MSで分析した。翻訳産物はマトリックスとしてα-シアノ-4-ヒドロキシケイ皮酸を用いてMALDI-TOF MSスペクトルを測定して同定した。
その結果、Leuz保護されたアミノアシルtRNAをロイシンアミノペプチダーゼを用い翻訳系内で脱保護を行った翻訳産物も従来法同様に表2に示した目的物が主生成物として翻訳出来ていることが確認された(図1-9)。
DNA配列:
GGCGTAATACGACTCACTATAGGGTTAACTTTAAGAAGGAGATATACATATGAGTCTAAAGCCGTTTGCTCGTGTTGGTTAAGCTTCG
RNA配列:
GGGUUAACUUUAAGAAGGAGAUAUACAUAUGAGUCUAAAGCCGUUUGCUCGUGUUGGUUAAGCUUCG
fMetSer[Xaa]LysProPheAlaArgValGly(配列番号:5)
fMetSerLeuLysProPheAla[Xaa]ValGly(配列番号:11)
N末端にシステインまたはシステイン類縁体が翻訳導入されたペプチドを検出するために、ラジオアイソトープでラベルしたアスパラギン酸を用いてペプチドの翻訳実験を行った。具体的には、上述の無細胞翻訳系に1μM 鋳型mRNA(R-1D)と各アミノ酸としてAla,Phe,Gly,Lys,Met,Pro,Arg,Ser,Val(各々最終濃度250μM)、14C-アスパラギン酸(最終濃度37μM、Moravek Biochemicals社、MC139)を加えた溶液を調製し、調製した9種類の10μMアミノアシルtRNA(AAtR-1、AAtR-2、AAtR-3、AAtR-4、AAtR-5、AAtR-6、AAtR-7、AAtR-8、AAtR-9)をそれぞれ添加し、37℃で1時間静置した。Acbz保護基のついたアミノアシルtRNA(AAtR-4、AAtR-5、AAtR-6)を用いた翻訳系については脱保護試薬としてTCEP(最終濃度10mM)を、F-Pnaz保護基のついたアミノアシルtRNA(AAtR-7、AAtR-8、AAtR-9)については脱保護試薬としてPGA(最終濃度1uM、SIGMA社)を加えた。
得られた翻訳反応溶液に対して等量の2Xサンプルバッファー(TEFCO社、catNo.06-323)を加え、95℃で3分間加熱後、電気泳動(16% Peptide-PAGE mini、TEFCO社、TB-162)を実施した。泳動後のゲルは、Clear Dry Quick Dry Starter KIT(TEFCO社、03-278)を用いて乾燥させ、イメージングプレート(GEヘルスケア社、28-9564-75)に24時間露光させ、バイオアナライザーシステム(Typhoon FLA 7000、GEヘルスケア社)で検出し、ImageQuantTL(GEヘルスケア社)で解析した。
その結果、Acbz保護されたアミノアシルtRNAをTCEPを用い翻訳系内で脱保護を行った翻訳産物(AAtR-4、AAtR-5、AAtR-6)、F-Pnaz保護されたアミノアシルtRNAをPGAを用い翻訳系内で脱保護を行った翻訳産物(AAtR-7、AAtR-8、AAtR-9)いずれにおいても、翻訳系外で調製したアミノアシルtRNA(AAtR-1、AAtR-2、AAtR-3)を用いた場合と比較して、表3に示した目的物が高い翻訳効率で合成されていることが確認された(図2-1)。
N末端にシステインまたはシステイン類縁体が翻訳導入されたペプチドを検出するために、ラジオアイソトープでラベルしたアスパラギン酸を用いてペプチドの翻訳実験を行った。具体的には、上述の無細胞翻訳系に1μM 鋳型mRNA(R-1D)と各アミノ酸としてAla,Phe,Gly,Lys,Met,Pro,Arg,Ser,Val(各々最終濃度250μM)、14C-アスパラギン酸(最終濃度37μM、Moravek Biochemicals社、MC139)を加えた溶液を調製し、調製した8種類の10μMアミノアシルtRNA(AAtR-10~AAtR-13、AAtR-16~AAtR-19)をそれぞれ添加し、37℃で1時間静置した。F-Pnaz保護基のついたアミノアシルtRNA(AAtR-16~AAtR-19)については脱保護試薬としてPGA(最終濃度1μM、SIGMA社)を加えた。
得られた翻訳反応溶液に対して等量の2Xサンプルバッファー(TEFCO社、catNo.06-323)を加え、95℃で3分間加熱後、電気泳動(16% Peptide-PAGE mini、TEFCO社、TB-162)を実施した。泳動後のゲルは、Clear Dry Quick Dry Starter KIT(TEFCO社、03-278)を用いて乾燥させ、イメージングプレート(GEヘルスケア社、28-9564-75)に24時間露光させ、バイオアナライザーシステム(Typhoon FLA 7000、GEヘルスケア社)で検出し、ImageQuantTL(GEヘルスケア社)で解析した。
その結果、F-Pnaz保護されたアミノアシルtRNAをPGAを用い翻訳系内で脱保護を行った翻訳産物(AAtR-16~AAtR-19)においては、翻訳系外で調製したアミノアシルtRNA(AAtR-10~AAtR-13)を用いた場合と比較して、表3に示した目的物が高い翻訳効率で合成されていることが確認された(図2-2)。
N末端にシステインまたはシステイン類縁体が翻訳導入されたペプチドを検出するために、ラジオアイソトープでラベルしたアスパラギン酸を用いてペプチドの翻訳実験を行った。具体的には、上述の無細胞翻訳系に1μM 鋳型mRNA(R-1D)と各アミノ酸としてAla,Phe,Gly,Lys,Met,Pro,Arg,Ser,Val(各々最終濃度250μM)、14C-アスパラギン酸(最終濃度37μM、Moravek Biochemicals社、MC139)を加えた溶液を調製し、調製した2種類の10μMアミノアシルtRNA(AAtR-14、AAtR-20)をそれぞれ添加し、37℃で1時間静置した。Etez保護基のついたアミノアシルtRNA(AAtR-20)については脱保護試薬としてCHIRAZYME L―2 CB(リパーゼ;最終濃度1mg/ml、Roche Diagnostics社)を加えた。
得られた翻訳反応溶液に対して等量の2Xサンプルバッファー(TEFCO社、catNo.06-323)を加え、95℃で3分間加熱後、電気泳動(16% Peptide-PAGE mini、TEFCO社、TB-162)を実施した。泳動後のゲルは、Clear Dry Quick Dry Starter KIT(TEFCO社、03-278)を用いて乾燥させ、イメージングプレート(GEヘルスケア社、28-9564-75)に24時間露光させ、バイオアナライザーシステム(Typhoon FLA 7000、GEヘルスケア社)で検出し、ImageQuantTL(GEヘルスケア社)で解析した。
その結果、Etez保護されたアミノアシルtRNAをリパーゼを用い翻訳系内で脱保護を行った翻訳産物(AAtR-20)においては、翻訳系外で調製したアミノアシルtRNA(AAtR-14)を用いた場合と比較して、表3に示した目的物が高い翻訳効率で合成されていることが確認された(図2-3)。
N末端にシステインまたはシステイン類縁体が翻訳導入されたペプチドを検出するために、ラジオアイソトープでラベルしたアスパラギン酸を用いてペプチドの翻訳実験を行った。具体的には、上述の無細胞翻訳系に1μM 鋳型mRNA(R-1D)と各アミノ酸としてAla,Phe,Gly,Lys,Met,Pro,Leu,Ser,Val(各々最終濃度250μM)、14C-アスパラギン酸(最終濃度37μM、Moravek Biochemicals社、MC139)を加えた溶液を調製し、調製した2種類の10μMアミノアシルtRNA(AAtR-15、AAtR-21)をそれぞれ添加し、37℃で1時間静置した。Leuz保護基のついたアミノアシルtRNA(AAtR-21)については脱保護試薬としてAminopeptidase(最終濃度1mg/ml、SIGMA社)を加えた。
得られた翻訳反応溶液に対して等量の2Xサンプルバッファー(TEFCO社、catNo.06-323)を加え、95℃で3分間加熱後、電気泳動(16% Peptide-PAGE mini、TEFCO社、TB-162)を実施した。泳動後のゲルは、Clear Dry Quick Dry Starter KIT(TEFCO社、03-278)を用いて乾燥させ、イメージングプレート(GEヘルスケア社、28-9564-75)に24時間露光させ、バイオアナライザーシステム(Typhoon FLA 7000、GEヘルスケア社)で検出し、ImageQuantTL(GEヘルスケア社)で解析した。
その結果、Leuz保護されたアミノアシルtRNAをロイシンアミノペプチダーゼを用い翻訳系内で脱保護を行った翻訳産物(AAtR-21)においては、翻訳系外で調製したアミノアシルtRNA(AAtR-15)を用いた場合と比較して、表3に示した目的物が高い翻訳効率で合成されていることが確認された(図2-4)。
DNA配列:
GGCGTAATACGACTCACTATAGGGTTAACTTTAAGAAGGAGATATACATATGAGTCTAAAGCCGTTTGCTCGTGTTGGTGACGACGACTAAGCTTCG
RNA配列:
GGGUUAACUUUAAGAAGGAGAUAUACAUAUGAGUCUAAAGCCGUUUGCUCGUGUUGGUGACGACGACUAAGCUUCG
fMetSer[Xaa]LysProPheAlaArgValGlyAspAspAsp(配列番号:8)
fMetSerLeuLysProPheAla[Xaa]ValGlyAspAspAsp(配列番号:12)
Claims (14)
- 保護基を有するアミノ酸が結合したtRNAを含む無細胞翻訳系中で、該アミノ酸の保護基を脱保護する工程、及び翻訳工程を含む、ペプチドの合成方法であって、該脱保護する工程、および該翻訳工程がともに該無細胞翻訳系中で行われ、該脱保護する工程が先に開始され、
前記アミノ酸の保護基が、酵素及び還元剤からなる群より選択される一以上によって脱保護され、かつ前記保護基を有するアミノ酸が、主鎖のアミノ基上に保護基を有するアミノ酸であり、
前記酵素が、加水分解酵素であり、かつ前記還元剤が、トリス(2-カルボキシエチル)ホスフィン(TCEP)である、方法。 - 保護基を有するアミノ酸が結合したtRNAを含む無細胞翻訳系中で、該アミノ酸の保護基を脱保護する工程、及び翻訳工程を含む、ペプチドの合成方法であって、該脱保護する工程、および該翻訳工程がともに該無細胞翻訳系中で行われ、該脱保護する工程が先に開始され、
前記アミノ酸の保護基が、酵素及び還元剤からなる群より選択される一以上によって脱保護され、かつ前記保護基を有するアミノ酸が、主鎖のアミノ基上に保護基を有するアミノ酸であり、
前記酵素が、加水分解酵素であり、かつ
前記還元剤によって脱保護される保護基が下記一般式(V)で表される保護基、又は、主鎖のアミノ基と一緒になって形成されたアジド基である、方法:
(式中のLは、単結合、アリーレン、またはヘテロアリーレンである)。 - 前記還元剤によって脱保護される保護基が4-アジドベンジルオキシカルボニル基又はアジドメチルオキシカルボニルである、請求項2に記載の方法。
- 前記酵素が、ペニシリンアミドヒドロラーゼ、エステラーゼ、又はアミノペプチダーゼである、請求項1に記載の方法。
- 前記保護基が、下記一般式(I)、(II)、(III)、又は(XII)で表される基である、請求項4に記載の方法:
(式中、
X1は、ペニシリンアミドヒドロラーゼが認識する部分構造であり、
Yは、NHもしくは酸素原子であり、
X2は、エステラーゼが認識する部分構造であり、
X3は、アミノペプチダーゼが認識する部分構造であり、
Lは、単結合、アリーレン、またはヘテロアリーレンである)。 - 前記式(I)中のX1が以下一般式(IV)で表される基、もしくは2-チエニルメチルであるか、または、前記式(III)中のX2が置換されてもよいアルキル、アラルキル、またはシクロアルキルである、請求項5に記載の方法:
(式中のR1、およびR2は、それぞれ独立して、水素原子、ヒドロキシル、フルオロ、クロロ、ブロモ、アミノ、ニトロ、またはメトキシである)。 - 前記式(XII)が、下記一般式(XIII)で表される基である、請求項5に記載の方法。
- 前記保護基が、下記一般式(V)で表される基であるか、又は主鎖のアミノ基と一緒になって形成されたアジド基である、請求項1に記載の方法:
(式中のLは、単結合、アリーレン、またはヘテロアリーレンである)。 - 前記保護基が、4-アジドベンジルオキシカルボニル基(Acbz)、又はアジドメチルオキシカルボニル基(Azoc)である、請求項8に記載の方法。
- 前記アミノ酸が、アミノ酸類縁体である、請求項1~9のいずれか一項に記載の方法。
- 前記アミノ酸類縁体が、環状アミノ酸を含むNアルキルアミノ酸、脂肪族アミノ酸、芳香族アミノ酸、βアミノ酸、Dアミノ酸、及びαジアルキルアミノ酸からなる群より選ばれる1種以上の翻訳可能なアミノ酸類縁体である、請求項10に記載の方法。
- 前記アミノ酸類縁体が、下記一般式(VI)または(VII)で表される、請求項11に記載の方法:
(式中、
R3、R4、およびR5は、それぞれ独立して、水素原子、アルキル、アルケニル、アルキニル、アリール、ヘテロアリール、アラルキル、またはシクロアルキルであり、これらの基は置換されていてもよく、あるいはR3とR4もしくはR3とR5は、それらが結合する原子と一緒になって環を形成してもよく、
R6、およびR7は、それぞれ独立して水素原子またはメチルである)。 - 前記保護基が、翻訳後修飾のために用いられる反応条件とオルソゴナルな反応条件によって脱保護される保護基である、請求項1~12のいずれか一項に記載の方法。
- 前記保護基が、iSP(Initiation Suppression)法で用いられる保護基とオルソゴナルな保護基である、請求項13に記載の方法。
Priority Applications (1)
| Application Number | Priority Date | Filing Date | Title |
|---|---|---|---|
| JP2024115568A JP2024138064A (ja) | 2017-01-31 | 2024-07-19 | 無細胞翻訳系におけるペプチドの合成方法 |
Applications Claiming Priority (4)
| Application Number | Priority Date | Filing Date | Title |
|---|---|---|---|
| JP2017015201 | 2017-01-31 | ||
| JP2017015201 | 2017-01-31 | ||
| PCT/JP2018/002831 WO2018143145A1 (ja) | 2017-01-31 | 2018-01-30 | 無細胞翻訳系におけるペプチドの合成方法 |
| JP2018565534A JP7187323B2 (ja) | 2017-01-31 | 2018-01-30 | 無細胞翻訳系におけるペプチドの合成方法 |
Related Parent Applications (1)
| Application Number | Title | Priority Date | Filing Date |
|---|---|---|---|
| JP2018565534A Division JP7187323B2 (ja) | 2017-01-31 | 2018-01-30 | 無細胞翻訳系におけるペプチドの合成方法 |
Related Child Applications (1)
| Application Number | Title | Priority Date | Filing Date |
|---|---|---|---|
| JP2024115568A Division JP2024138064A (ja) | 2017-01-31 | 2024-07-19 | 無細胞翻訳系におけるペプチドの合成方法 |
Publications (2)
| Publication Number | Publication Date |
|---|---|
| JP2023021170A JP2023021170A (ja) | 2023-02-09 |
| JP7526243B2 true JP7526243B2 (ja) | 2024-07-31 |
Family
ID=63040698
Family Applications (3)
| Application Number | Title | Priority Date | Filing Date |
|---|---|---|---|
| JP2018565534A Active JP7187323B2 (ja) | 2017-01-31 | 2018-01-30 | 無細胞翻訳系におけるペプチドの合成方法 |
| JP2022191886A Active JP7526243B2 (ja) | 2017-01-31 | 2022-11-30 | 無細胞翻訳系におけるペプチドの合成方法 |
| JP2024115568A Pending JP2024138064A (ja) | 2017-01-31 | 2024-07-19 | 無細胞翻訳系におけるペプチドの合成方法 |
Family Applications Before (1)
| Application Number | Title | Priority Date | Filing Date |
|---|---|---|---|
| JP2018565534A Active JP7187323B2 (ja) | 2017-01-31 | 2018-01-30 | 無細胞翻訳系におけるペプチドの合成方法 |
Family Applications After (1)
| Application Number | Title | Priority Date | Filing Date |
|---|---|---|---|
| JP2024115568A Pending JP2024138064A (ja) | 2017-01-31 | 2024-07-19 | 無細胞翻訳系におけるペプチドの合成方法 |
Country Status (4)
| Country | Link |
|---|---|
| US (2) | US12391971B2 (ja) |
| EP (1) | EP3591048A4 (ja) |
| JP (3) | JP7187323B2 (ja) |
| WO (1) | WO2018143145A1 (ja) |
Families Citing this family (25)
| Publication number | Priority date | Publication date | Assignee | Title |
|---|---|---|---|---|
| TWI640541B (zh) | 2011-12-28 | 2018-11-11 | 中外製藥股份有限公司 | Peptide compound having an annular portion and pharmaceutical composition thereof |
| HUE059925T2 (hu) | 2015-03-13 | 2023-01-28 | Chugai Pharmaceutical Co Ltd | Módosított aminoacil-tRNS-szintetáz és alkalmazása |
| JP7187323B2 (ja) | 2017-01-31 | 2022-12-12 | 中外製薬株式会社 | 無細胞翻訳系におけるペプチドの合成方法 |
| CN110799520B (zh) | 2017-06-09 | 2024-07-12 | 中外制药株式会社 | 用于合成含有n-取代氨基酸的肽的方法 |
| US11492369B2 (en) | 2017-12-15 | 2022-11-08 | Chugai Seiyaku Kabushiki Kaisha | Method for producing peptide, and method for processing bases |
| CN112955457B (zh) * | 2018-09-20 | 2024-10-08 | 香港大学 | β-内酰胺化合物及其使用方法 |
| CN112969683B (zh) | 2018-11-07 | 2024-05-14 | 中外制药株式会社 | O-取代的丝氨酸衍生物制备方法 |
| KR20210098476A (ko) | 2018-11-30 | 2021-08-10 | 추가이 세이야쿠 가부시키가이샤 | 펩티드 화합물 또는 아마이드 화합물의 탈보호법 및 고상 반응에 있어서의 탈수지 방법, 및 펩티드 화합물의 제조 방법 |
| CN109593044B (zh) * | 2018-12-06 | 2021-05-14 | 盐城工学院 | 一种烷基脂肪酸胺及其制备方法 |
| CN113454058B (zh) * | 2018-12-12 | 2024-03-22 | 中外制药株式会社 | 具有能形成分子内氢键的官能团的氨基酸、包含该氨基酸的肽化合物、及其制备方法 |
| CN109438234B (zh) | 2018-12-21 | 2020-04-21 | 浙江中欣氟材股份有限公司 | 一种2,3,5,6-四氟-4-甲氧基甲基苯甲醇的合成方法 |
| CN119080856A (zh) | 2018-12-26 | 2024-12-06 | 中外制药株式会社 | 用于密码子扩展的突变tRNA |
| WO2020189540A1 (ja) | 2019-03-15 | 2020-09-24 | 中外製薬株式会社 | 芳香族アミノ酸誘導体の製造方法 |
| KR102368948B1 (ko) | 2019-11-07 | 2022-03-02 | 추가이 세이야쿠 가부시키가이샤 | Kras 저해 작용을 갖는 환상 펩티드 화합물 |
| WO2021117848A1 (ja) | 2019-12-12 | 2021-06-17 | 中外製薬株式会社 | 非天然アミノ酸を含むペプチドの製造方法 |
| CN114641569A (zh) | 2019-12-26 | 2022-06-17 | 中外制药株式会社 | 翻译用组合物及肽的制备方法 |
| EP4101929A4 (en) * | 2019-12-27 | 2024-05-22 | The University of Tokyo | BANK CONSTRUCTION METHOD, CYCLIC PEPTIDE, FXIIA BINDER AND IFNGR1 BINDER |
| CN115867648A (zh) * | 2020-02-14 | 2023-03-28 | 西北大学 | 将用于遗传密码重编程的化学底物扩展至包括长链碳和环状氨基酸 |
| JPWO2021261577A1 (ja) * | 2020-06-25 | 2021-12-30 | ||
| JPWO2022138892A1 (ja) | 2020-12-25 | 2022-06-30 | ||
| EP4378944A4 (en) | 2021-09-30 | 2025-04-09 | Chugai Seiyaku Kabushiki Kaisha | CONNECTION WITH PHOTOCLAVABLE SITE, LINKER AND SCREENING METHODS THEREFOR |
| AU2023264918A1 (en) | 2022-05-06 | 2025-01-09 | Chugai Seiyaku Kabushiki Kaisha | Cyclic compound having selective kras inhibitory effect on hras and nras |
| CN120380162A (zh) | 2022-12-12 | 2025-07-25 | 中外制药株式会社 | 包括用于翻译在特定位置处具有氧原子的氨基酸的步骤的肽生产方法 |
| WO2024214303A1 (ja) | 2023-04-14 | 2024-10-17 | 中外製薬株式会社 | 複数種類の標的分子との複合体を形成し得る目的分子のスクリーニング方法、及び当該スクリーニング方法を含む目的分子の製造方法 |
| JP7426764B1 (ja) * | 2023-06-05 | 2024-02-02 | NUProtein株式会社 | タンパク質の生産方法、培養肉の生産方法、培養肉の生産方法に用いる添加物、および、タンパク質の生産方法に用いるキット |
Citations (8)
| Publication number | Priority date | Publication date | Assignee | Title |
|---|---|---|---|---|
| WO2003068990A1 (en) | 2002-01-17 | 2003-08-21 | Ambergen, Inc. | METHODS FOR THE PREPARATION OF CHEMICALLY MISAMINOACYLATED tRNA VIA PROTECTIVE GROUPS |
| JP2007319064A (ja) | 2006-05-31 | 2007-12-13 | Japan Science & Technology Agency | 修飾化アミノ酸を部位特異的に導入したタンパク質を発現させる方法 |
| JP2008125396A (ja) | 2006-11-17 | 2008-06-05 | Univ Of Tokyo | N末端に非天然骨格をもつポリペプチドの翻訳合成とその応用 |
| US20080221303A1 (en) | 2004-02-18 | 2008-09-11 | Jehoshua Katzhendler | Method for the Preparation of Peptide-Oligonucleotide Conjugates |
| JP2011139667A (ja) | 2010-01-07 | 2011-07-21 | Tottori Univ | プロリンおよびβ−アラニンをN末端に有するジペプチド、及びその環化ジペプチドの酵素合成法 |
| WO2012026566A1 (ja) | 2010-08-27 | 2012-03-01 | 国立大学法人 東京大学 | 新規人工翻訳合成系 |
| WO2013100132A1 (ja) | 2011-12-28 | 2013-07-04 | 中外製薬株式会社 | ペプチド化合物の環化方法 |
| WO2015019999A1 (ja) | 2013-08-05 | 2015-02-12 | 国立大学法人東京大学 | 荷電性非タンパク質性アミノ酸含有ペプチドの製造方法 |
Family Cites Families (67)
| Publication number | Priority date | Publication date | Assignee | Title |
|---|---|---|---|---|
| JPS57159747A (en) | 1981-03-27 | 1982-10-01 | Kenji Okawa | Synthesis of amino acid derivative |
| JPS60169451A (ja) | 1984-02-13 | 1985-09-02 | Mitsui Toatsu Chem Inc | L−フエニルアラニンの分離精製法 |
| FR2583432B1 (fr) | 1985-06-13 | 1988-11-04 | Inst Francais Du Petrole | Procede de production enzymatique de l-a-aminoacides a partir d'a-cetoacides |
| ES8607214A1 (es) * | 1985-10-16 | 1986-06-01 | Gema Sa | Procedimiento enzimatico de resolucion de n-fenilacetil-ami-nocompuestos y purificacion de sus isomeros opticamente ac- tivos |
| US4859736A (en) | 1987-03-30 | 1989-08-22 | Ciba-Geigy Corporation | Synthetic polystyrene resin and its use in solid phase peptide synthesis |
| DE3733198A1 (de) | 1987-10-01 | 1989-04-13 | Kernforschungsanlage Juelich | Enzymatisches verfahren zur herstellung von dipeptiden |
| JPH0681759B2 (ja) | 1988-03-31 | 1994-10-19 | 信越化学工業株式会社 | ポリペプチドの製造方法 |
| US6258558B1 (en) | 1997-01-21 | 2001-07-10 | The General Hospital Corporation | Method for selection of proteins using RNA-protein fusions |
| US20020068301A1 (en) | 1997-05-28 | 2002-06-06 | Hung-Sen Lai | Cyclic peptide libraries and methods of use thereof to identify binding motifs |
| ES2223512T3 (es) * | 1999-04-27 | 2005-03-01 | Novartis Ag | Uso de derivados de acidos 2,4-diamino-3-hidroxicarboxilicos como inhibidores de la proteasoma. |
| DE19942624A1 (de) | 1999-08-28 | 2001-03-08 | Chemotopix Gmbh | Verfahren zur Herstellung von zyklischen Peptidomimetika |
| IL151935A0 (en) | 2000-04-19 | 2003-04-10 | Schering Corp | Macrocyclic ns3-serine protease inhibitors of hepatitis c virus comprising alkyl and aryl alanine p2 moieties |
| EP1277755A4 (en) | 2000-04-21 | 2006-01-11 | Nagase & Co Ltd | OPTICALLY ACTIVE QUATERNARY AMMONIUM SALT BY AXIAL ASYMMETRY, METHOD FOR THE PRODUCTION THEREOF, AND THEIR APPLICATION IN THE ASYMMETRIC SYNTHESIS OF ALPHA-AMINO-ACID DERIVATIVES |
| IL158419A0 (en) | 2001-04-19 | 2004-05-12 | Scripps Research Inst | Methods and composition for the production of orthoganal trna-aminoacyl trna synthetase pairs |
| CA2452818C (en) | 2001-08-01 | 2010-06-29 | Japan Science And Technology Agency | Tyrosyl-trna synthetase variants |
| AU2003225085A1 (en) | 2002-04-19 | 2003-11-03 | California Institute Of Technology | Unnatural amino acid containing display libraries |
| WO2004087730A2 (en) * | 2003-03-27 | 2004-10-14 | The Johns Hopkins University | Method for producing diverse libraries of encoded polymers |
| JP4490663B2 (ja) | 2003-09-22 | 2010-06-30 | 株式会社東京大学Tlo | イソロイシンtRNA(tRNAIle)のライシジン合成酵素(TilS)としてのmesJ遺伝子産物及びその相同性遺伝子(COG0037) |
| WO2005063791A2 (en) | 2003-12-31 | 2005-07-14 | F. Hoffmann-La Roche Ag | Process for peptide synthesis using a reduced amount of deprotection agent |
| US8188260B2 (en) | 2005-12-06 | 2012-05-29 | The University Of Tokyo | Versatile acylation catalytic RNAs and uses thereof |
| ES2504521T3 (es) | 2006-03-03 | 2014-10-08 | California Institute Of Technology | Incorporación específica del sitio de aminoácidos en moléculas |
| WO2007120614A2 (en) | 2006-04-11 | 2007-10-25 | Sloan-Kettering Institute For Cancer Research | Homogeneous erythropoietin and other peptides and proteins, methods and intermediates for their preparation |
| WO2008117833A1 (ja) | 2007-03-26 | 2008-10-02 | The University Of Tokyo | 環状ペプチド化合物の合成方法 |
| JP2009096791A (ja) | 2007-09-26 | 2009-05-07 | Kaneka Corp | アミノ酸の製造方法 |
| EP2177533A1 (en) | 2008-10-09 | 2010-04-21 | TU München | Multiple N-methylated cyclic hexapeptides for treatment of neurogenic inflammation |
| TWI468375B (zh) | 2008-10-27 | 2015-01-11 | Janssen Pharmaceutica Nv | 製備經保護之l-丙胺酸衍生物之方法 |
| WO2010053050A1 (ja) | 2008-11-04 | 2010-05-14 | 株式会社カネカ | O-アルキルセリンおよびn-ベンジル-o-アルキルセリンの製造法 |
| JP2012510486A (ja) | 2008-12-03 | 2012-05-10 | エフ.ホフマン−ラ ロシュ アーゲー | 治療用ペプチドの製造方法 |
| EP2424888A2 (en) | 2009-05-01 | 2012-03-07 | F. Hoffmann-La Roche AG | Insulinotropic peptide synthesis using solid and solution phase combination techniques |
| US20120208720A1 (en) | 2009-10-22 | 2012-08-16 | Kenji Kashiwagi | Rapid display method in translational synthesis of peptide |
| GB0919194D0 (en) | 2009-11-02 | 2009-12-16 | Lytix Biopharma As | Compounds |
| US20110118314A1 (en) | 2009-11-16 | 2011-05-19 | Weiya Yun | Piperidine analogs as glycogen synthase activators |
| EP2380596A1 (en) | 2010-04-20 | 2011-10-26 | Technische Universität München | Cyclopentapeptide derivatives and uses thereof |
| JP5818237B2 (ja) | 2010-09-09 | 2015-11-18 | 国立大学法人 東京大学 | N−メチルアミノ酸およびその他の特殊アミノ酸を含む特殊ペプチド化合物ライブラリーの翻訳構築と活性種探索法 |
| JP6206943B2 (ja) | 2010-12-03 | 2017-10-04 | 国立大学法人 東京大学 | ペプチドライブラリーの製造方法、ペプチドライブラリー、及びスクリーニング方法 |
| JP6239979B2 (ja) | 2011-03-04 | 2017-11-29 | ニューヨーク・ユニバーシティ | Rasの調節因子としての水素結合代替大環状分子 |
| US9133245B2 (en) | 2011-06-13 | 2015-09-15 | Trustees Of Boston College | Cyclic lactadherin peptide mimetics and their uses |
| GB201215538D0 (en) | 2012-08-31 | 2012-10-17 | Stetsenko Dmitry | Method and compositions for removing acid-labile protecting groups |
| EP2897971B1 (en) | 2012-09-24 | 2017-05-31 | DSM Sinochem Pharmaceuticals Netherlands B.V. | Method for producing a cyclic peptide |
| JP6440055B2 (ja) | 2013-05-10 | 2018-12-19 | 国立大学法人 東京大学 | ペプチドライブラリの製造方法、ペプチドライブラリ、及びスクリーニング方法 |
| JP6571650B2 (ja) | 2013-08-05 | 2019-09-04 | メディミューン リミテッド | アミノ酸誘導体 |
| US20170022254A1 (en) | 2014-04-08 | 2017-01-26 | Novartis Ag | Novel Aldehyde Acetal Based Processes for the Manufacture of Macrocyclic Depsipeptides and New Intermediates |
| US20170112896A1 (en) | 2014-05-20 | 2017-04-27 | Ohio State Innovation Foundation | Small molecule rac or rho inhibitors |
| US10919938B2 (en) | 2014-06-06 | 2021-02-16 | Technische Universität München | Modified cyclopentapeptides and uses thereof |
| WO2016115168A1 (en) | 2015-01-12 | 2016-07-21 | Synthorx, Inc. | Incorporation of unnatural nucleotides and methods thereof |
| HUE059925T2 (hu) | 2015-03-13 | 2023-01-28 | Chugai Pharmaceutical Co Ltd | Módosított aminoacil-tRNS-szintetáz és alkalmazása |
| JP2018509172A (ja) | 2015-03-27 | 2018-04-05 | ザ ユニバーシティ オブ クィーンズランド | タンパク質への非天然アミノ酸組込みのためのプラットフォーム |
| JP2017043615A (ja) | 2015-08-27 | 2017-03-02 | 塩野義製薬株式会社 | 環状ペプチドの膜透過性および/または代謝安定性を改善するシクロプロパンアミノ酸ユニット |
| US10662220B2 (en) | 2016-02-04 | 2020-05-26 | The Johns Hopkins University | Synthesis and composition of rapafucin libraries |
| US20190338050A1 (en) | 2016-03-03 | 2019-11-07 | Chugai Seiyaku Kabushiki8 Kaisha | Production method for noncyclic peptide-nucleic acid complex having, at n-terminal, amino acid with thiol group near amino group, library thereof, and cyclic peptide-nucleic acid complex library derived from same |
| WO2017181061A1 (en) | 2016-04-15 | 2017-10-19 | Ra Pharmaceuticals, Inc. | Ras binding peptides and methods of use |
| IT201600122363A1 (it) | 2016-12-02 | 2018-06-02 | Dolores Fregona | Composti di coordinazione, sintesi, nanoformulazione ed uso degli stessi in oncologia |
| JP7187323B2 (ja) | 2017-01-31 | 2022-12-12 | 中外製薬株式会社 | 無細胞翻訳系におけるペプチドの合成方法 |
| CN110799520B (zh) | 2017-06-09 | 2024-07-12 | 中外制药株式会社 | 用于合成含有n-取代氨基酸的肽的方法 |
| JP7232758B2 (ja) | 2017-06-09 | 2023-03-06 | 中外製薬株式会社 | 膜透過性の高い環状ペプチド化合物、及びこれを含むライブラリ |
| US11492369B2 (en) | 2017-12-15 | 2022-11-08 | Chugai Seiyaku Kabushiki Kaisha | Method for producing peptide, and method for processing bases |
| CN112969683B (zh) | 2018-11-07 | 2024-05-14 | 中外制药株式会社 | O-取代的丝氨酸衍生物制备方法 |
| KR20210098476A (ko) | 2018-11-30 | 2021-08-10 | 추가이 세이야쿠 가부시키가이샤 | 펩티드 화합물 또는 아마이드 화합물의 탈보호법 및 고상 반응에 있어서의 탈수지 방법, 및 펩티드 화합물의 제조 방법 |
| CN113454058B (zh) | 2018-12-12 | 2024-03-22 | 中外制药株式会社 | 具有能形成分子内氢键的官能团的氨基酸、包含该氨基酸的肽化合物、及其制备方法 |
| CN119080856A (zh) | 2018-12-26 | 2024-12-06 | 中外制药株式会社 | 用于密码子扩展的突变tRNA |
| WO2020189540A1 (ja) | 2019-03-15 | 2020-09-24 | 中外製薬株式会社 | 芳香族アミノ酸誘導体の製造方法 |
| KR102368948B1 (ko) | 2019-11-07 | 2022-03-02 | 추가이 세이야쿠 가부시키가이샤 | Kras 저해 작용을 갖는 환상 펩티드 화합물 |
| WO2021117848A1 (ja) | 2019-12-12 | 2021-06-17 | 中外製薬株式会社 | 非天然アミノ酸を含むペプチドの製造方法 |
| CN114641569A (zh) | 2019-12-26 | 2022-06-17 | 中外制药株式会社 | 翻译用组合物及肽的制备方法 |
| JPWO2021261577A1 (ja) | 2020-06-25 | 2021-12-30 | ||
| EP4309741A4 (en) | 2021-05-07 | 2025-05-14 | Chugai Seiyaku Kabushiki Kaisha | CYCLIC COMPOUND WITH SELECTIVE INHIBITORY FOR KRAs BUT NOT FOR HRAS AND NRAS |
| AU2023264918A1 (en) | 2022-05-06 | 2025-01-09 | Chugai Seiyaku Kabushiki Kaisha | Cyclic compound having selective kras inhibitory effect on hras and nras |
-
2018
- 2018-01-30 JP JP2018565534A patent/JP7187323B2/ja active Active
- 2018-01-30 EP EP18748388.8A patent/EP3591048A4/en active Pending
- 2018-01-30 WO PCT/JP2018/002831 patent/WO2018143145A1/ja not_active Ceased
- 2018-01-30 US US16/479,736 patent/US12391971B2/en active Active
-
2022
- 2022-11-30 JP JP2022191886A patent/JP7526243B2/ja active Active
-
2024
- 2024-07-19 JP JP2024115568A patent/JP2024138064A/ja active Pending
-
2025
- 2025-06-20 US US19/244,213 patent/US20250340916A1/en active Pending
Patent Citations (8)
| Publication number | Priority date | Publication date | Assignee | Title |
|---|---|---|---|---|
| WO2003068990A1 (en) | 2002-01-17 | 2003-08-21 | Ambergen, Inc. | METHODS FOR THE PREPARATION OF CHEMICALLY MISAMINOACYLATED tRNA VIA PROTECTIVE GROUPS |
| US20080221303A1 (en) | 2004-02-18 | 2008-09-11 | Jehoshua Katzhendler | Method for the Preparation of Peptide-Oligonucleotide Conjugates |
| JP2007319064A (ja) | 2006-05-31 | 2007-12-13 | Japan Science & Technology Agency | 修飾化アミノ酸を部位特異的に導入したタンパク質を発現させる方法 |
| JP2008125396A (ja) | 2006-11-17 | 2008-06-05 | Univ Of Tokyo | N末端に非天然骨格をもつポリペプチドの翻訳合成とその応用 |
| JP2011139667A (ja) | 2010-01-07 | 2011-07-21 | Tottori Univ | プロリンおよびβ−アラニンをN末端に有するジペプチド、及びその環化ジペプチドの酵素合成法 |
| WO2012026566A1 (ja) | 2010-08-27 | 2012-03-01 | 国立大学法人 東京大学 | 新規人工翻訳合成系 |
| WO2013100132A1 (ja) | 2011-12-28 | 2013-07-04 | 中外製薬株式会社 | ペプチド化合物の環化方法 |
| WO2015019999A1 (ja) | 2013-08-05 | 2015-02-12 | 国立大学法人東京大学 | 荷電性非タンパク質性アミノ酸含有ペプチドの製造方法 |
Non-Patent Citations (3)
| Title |
|---|
| ACS Chem. Biol.,2015年,Vol.10,pp.2187-2192 |
| J. Biol. Chem.,1978年,Vol.253, No.13,pp.4517-4520 |
| NATURE COMMUNICATIONS,2016年,Vol.7, No.12501,pp.1-7 |
Also Published As
| Publication number | Publication date |
|---|---|
| US12391971B2 (en) | 2025-08-19 |
| JP2023021170A (ja) | 2023-02-09 |
| JPWO2018143145A1 (ja) | 2019-11-21 |
| JP7187323B2 (ja) | 2022-12-12 |
| JP2024138064A (ja) | 2024-10-07 |
| US20250340916A1 (en) | 2025-11-06 |
| EP3591048A4 (en) | 2020-12-23 |
| US20200040372A1 (en) | 2020-02-06 |
| EP3591048A1 (en) | 2020-01-08 |
| WO2018143145A1 (ja) | 2018-08-09 |
Similar Documents
| Publication | Publication Date | Title |
|---|---|---|
| JP7526243B2 (ja) | 無細胞翻訳系におけるペプチドの合成方法 | |
| JP7351968B2 (ja) | チオール基をアミノ基近傍に有するアミノ酸をn末端に持つ非環状ペプチド-核酸複合体、そのライブラリー、およびそれから誘導される環状ペプチド-核酸複合体ライブラリーの製造方法 | |
| JP7611279B2 (ja) | 膜透過性の高い環状ペプチド化合物、及びこれを含むライブラリ | |
| JP7639091B2 (ja) | コドン拡張のための変異tRNA | |
| JP7757469B2 (ja) | 分子内水素結合可能な官能基を有するアミノ酸とそれらのアミノ酸を含むペプチド化合物、およびそれらの製造方法 | |
| JP7702985B2 (ja) | 非天然アミノ酸を含むペプチドの製造方法 | |
| JP2025172162A (ja) | 翻訳用組成物及びペプチドの製造方法 | |
| EP4628592A1 (en) | Peptide production method comprising step for translating amino acid having oxygen atom at specific position | |
| HK40069794A (en) | Method for producing peptide containing non-natural amino acid | |
| Nangreave | Novel Strategies for Producing Proteins with Non-proteinogenic Amino Acids |
Legal Events
| Date | Code | Title | Description |
|---|---|---|---|
| A621 | Written request for application examination |
Free format text: JAPANESE INTERMEDIATE CODE: A621 Effective date: 20221223 |
|
| A131 | Notification of reasons for refusal |
Free format text: JAPANESE INTERMEDIATE CODE: A131 Effective date: 20231107 |
|
| A601 | Written request for extension of time |
Free format text: JAPANESE INTERMEDIATE CODE: A601 Effective date: 20231228 |
|
| A521 | Request for written amendment filed |
Free format text: JAPANESE INTERMEDIATE CODE: A523 Effective date: 20240228 |
|
| A131 | Notification of reasons for refusal |
Free format text: JAPANESE INTERMEDIATE CODE: A131 Effective date: 20240402 |
|
| TRDD | Decision of grant or rejection written | ||
| A01 | Written decision to grant a patent or to grant a registration (utility model) |
Free format text: JAPANESE INTERMEDIATE CODE: A01 Effective date: 20240625 |
|
| A61 | First payment of annual fees (during grant procedure) |
Free format text: JAPANESE INTERMEDIATE CODE: A61 Effective date: 20240719 |
|
| R150 | Certificate of patent or registration of utility model |
Ref document number: 7526243 Country of ref document: JP Free format text: JAPANESE INTERMEDIATE CODE: R150 |






























































































































