JP2005298635A - ゲル状組成物及びその製造方法 - Google Patents
ゲル状組成物及びその製造方法 Download PDFInfo
- Publication number
- JP2005298635A JP2005298635A JP2004115365A JP2004115365A JP2005298635A JP 2005298635 A JP2005298635 A JP 2005298635A JP 2004115365 A JP2004115365 A JP 2004115365A JP 2004115365 A JP2004115365 A JP 2004115365A JP 2005298635 A JP2005298635 A JP 2005298635A
- Authority
- JP
- Japan
- Prior art keywords
- acid
- alcohol
- propylene glycol
- ether
- polyoxyethylene
- Prior art date
- Legal status (The legal status is an assumption and is not a legal conclusion. Google has not performed a legal analysis and makes no representation as to the accuracy of the status listed.)
- Pending
Links
Landscapes
- Colloid Chemistry (AREA)
- Cosmetics (AREA)
Abstract
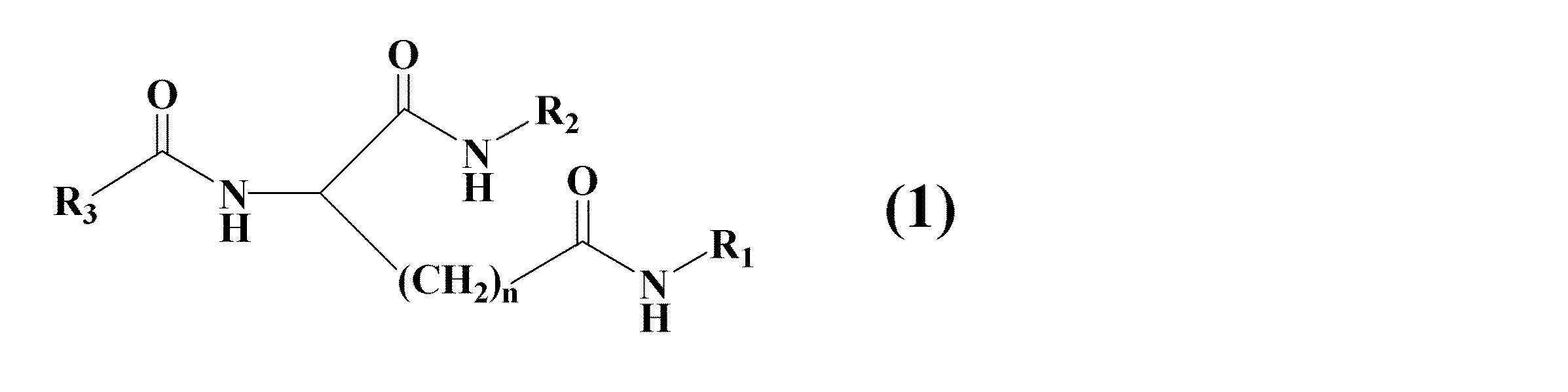
【解決手段】 (a)下記一般式(1)で表されるアミノ酸誘導体と、
(b)ベヘニルアルコール、オクチルドデカノール等の特定の有機溶媒と
を含有し、(b)有機溶媒の含有量が組成物中の溶媒全量に対して40質量%以上であることを特徴とするゲル状組成物。
【化1】
(式中、R1及びR2は炭素数1〜26の炭化水素基、R3は炭素数7〜10の炭化水素基、nは1又は2を表す。)
【選択図】 なし
Description
なお、本発明にかかるゲル状組成物は、(a)下記一般式(1)で表されるアミノ酸誘導体と、(b)ベヘニルアルコール、オクチルドデカノール、イソステアリルアルコール、ベヘニン酸、ステアリン酸、オレイン酸、イソステアリン酸、ラウリン酸、12−ヒドロキシステアリン酸、ポリオキシエチレン(3)ラウリルエーテル、ポリオキシエチレン(2)セチルエーテル、ポリオキシエチレン(2)ステアリルエーテル、イソステアリン酸プロピレングリコール、ポリプロピレングリコール(3)ミリスチルエーテル、1−オクタノール、2−プロパノール、ジプロピレングリコール、1,3−ブチレングリコール、プロピレングリコール、エタノール、ラウリルアルコール、ミリスチルアルコール、セチルアルコール、ステアリルアルコール、ミリスチン酸、パルミチン酸、ラウリン酸プロピレングリコール、ステアリン酸エチレングリコール、ステアリン酸プロピレングリコールからなる群から選択される1種又は2種以上の有機溶媒とを含有し、(b)有機溶媒の含有量が組成物中の溶媒全量に対して40質量%以上であることを特徴とする。
有機溶媒の選定
まず最初に、本発明者らは、アミノ酸誘導体系の油ゲル化剤を100℃以下の条件で溶解することが可能な有機溶媒の種類を選定するため、アミノ酸誘導体としてN−2−エチルヘキサノイルグルタミン酸ジブチルアミドを用い、95℃の温度条件での各種有機溶媒への溶解性について検討を行った。なお、試験の内容は以下の通りである。試験に用いた有機溶媒の種類と試験結果とを併せて下記表1及び2に示す。
N−2−エチルヘキサノイルグルタミン酸ジブチルアミド0.1gを各種有機溶媒9.9g中に添加し、これをオイルバスで95℃に加熱して、N−2−エチルヘキサノイルグルタミン酸ジブチルアミドが有機溶媒中に溶解するかどうかを確認した。
・溶解性(95℃)
◎:完全に溶解した。
○:ほとんどが溶解した。
△:一部が溶解した。
×:ほとんどが溶解せずに溶け残った。
このことから、N−2−エチルヘキサノイルグルタミン酸ジブチルアミドにおいては、特定の有機溶媒を用いた場合においてのみ、100℃以下の温度条件で溶解することができるということが明らかとなった。
つづいて、本発明者らは、前記試験において95℃でアミノ酸誘導体を溶解可能であった有機溶媒29種のゲル状組成物中における含有量について検討を行なうため、95℃でアミノ酸誘導体を溶解可能であった有機溶媒(以下、95℃可溶性溶媒と略す)と、95℃でアミノ酸誘導体を溶解できなかった有機溶媒(以下、95℃不溶性溶媒と略す)の両者を用い、その配合比率を各種変化させて、前記試験と同様にして95℃の温度条件でのアミノ酸誘導体の溶解性についての試験を行った。試験に用いた各種成分の配合量と試験結果とを併せて下記表3に示す。
このことから、100℃以下の温度条件でN−2−エチルヘキサノイルグルタミン酸ジブチルアミドを完全に溶解するためには、95℃可溶性溶媒の含有量が溶媒全量に対して40質量%以上である必要があると考えられる。
さらに本発明者らは、前記95℃可溶性溶媒によりアミノ酸誘導体を溶解した油ゲル化剤組成物の使用可能性について検討を行なうため、予め95℃可溶性溶媒のみを用いてアミノ酸誘導体を完全に溶解した組成物を調製し、その後95℃不溶性溶媒を混合した組成物について、前記試験と同様にして95℃の温度条件でのアミノ酸誘導体の溶解性についての試験を行った。試験に用いた各種成分の配合量と試験結果とを併せて下記表4に示す。
実施例1
クレンジングオイル 質量%
(1)N−2−エチルヘキサノイルグルタミン酸ジブチルアミド 2.0
(2)オクチルドデカノール 40.0
(3)イソステアリン酸 40.0
(4)流動パラフィン 8.0
(5)トリイソステアリン酸ポリオキシエチレングリセリル 10.0
(6)香料 適 量
(製法) (1)〜(6)を95℃にて混合溶解した後、容器に流し込み、冷却固化することによりクレンジングオイルを得た。
得られたクレンジングオイルは、硬度、使用性ともに良好であった。
保湿ジェル 質量%
(1)N−2−エチルヘキサノイルグルタミン酸ジブチルアミド 2.0
(2)ジプロピレングリコール 50.0
(3)イソステアリルアルコール 30.0
(4)PEG/PPG−14/7ジメチルエーテル 18.0
(5)香料 適 量
(製法) (1)〜(5)を95℃にて混合溶解した後、容器に流し込み、冷却固化することにより保湿ジェルを得た。
得られた保湿ジェルは硬度、使用性ともに良好であった。
油ゲル化剤 質量%
(1)N−2−エチルヘキサノイルグルタミン酸ジブチルアミド 5.0
(2)オクチルドデカノール 95.0
(製法) (1)、(2)を95℃にて混合溶解し、油ゲル化剤を得た。
クレンジングオイル 質量%
(1)実施例3の油ゲル化剤 42.0
(2)流動パラフィン 46.0
(3)メチルフェニルポリシロキサン 2.0
(4)トリイソステアリン酸ポリオキシエチレングリセリル 10.0
(5)香料 適 量
(製法) (1)〜(5)を95℃にて混合溶解した後、容器に流し込み、冷却固化することによりクレンジングオイルを得た。
得られたクレンジングオイルは硬度、使用性ともに良好であった。
リップグロス 質量%
(1)実施例3の油ゲル化剤 20.0
(2)流動パラフィン 39.0
(3)重質流動イソパラフィン 30.0
(4)メチルフェニルポリシロキサン 10.0
(5)顔料 1.0
(6)香料 適 量
(製法) (1)〜(6)を95℃にて混合溶解した後、容器に流し込み、冷却固化することによりリップグロスを得た。
得られたリップグロスは硬度、使用性ともに良好であった。
油ゲル化剤 質量%
(1)N−2−エチルヘキサノイルグルタミン酸ジブチルアミド 5.0
(2)ジプロピレングリコール 95.0
(製法) (1)、(2)を95℃にて混合溶解し、油ゲル化剤を得た。
保湿ジェル 質量%
(1)実施例6の油ゲル化剤 40.0
(2)トリ2−エチルヘキサン酸グリセリル 25.0
(3)PEG/PPG−14/7ジメチルエーテル 35.0
(4)香料 適 量
(製法) (1)〜(4)を95℃にて混合溶解した後、容器に流し込み、冷却固化することにより保湿ジェルを得た。
得られた保湿ジェルは硬度、使用性ともに良好であった。
廃油ゲル化剤 質量%
(1)N−2−エチルヘキサノイルグルタミン酸ジブチルアミド 5.0
(2)オクチルドデカノール 95.0
(製法) (1)、(2)を95℃にて混合溶解し、廃油ゲル化剤を得た。
得られた廃油ゲル化剤20部を廃油100部中に添加し、廃油ゲル化剤が溶解するまで加熱し撹拌した後、室温に放置しておくと、廃油全体がゲル化し、廃棄が容易な形態となった。
Claims (7)
- (a)下記一般式(1)で表されるアミノ酸誘導体と、
(b)ベヘニルアルコール、オクチルドデカノール、イソステアリルアルコール、ベヘニン酸、ステアリン酸、オレイン酸、イソステアリン酸、ラウリン酸、12−ヒドロキシステアリン酸、ポリオキシエチレン(3)ラウリルエーテル、ポリオキシエチレン(2)セチルエーテル、ポリオキシエチレン(2)ステアリルエーテル、イソステアリン酸プロピレングリコール、ポリプロピレングリコール(3)ミリスチルエーテル、1−オクタノール、2−プロパノール、ジプロピレングリコール、1,3−ブチレングリコール、プロピレングリコール、エタノール、ラウリルアルコール、ミリスチルアルコール、セチルアルコール、ステアリルアルコール、ミリスチン酸、パルミチン酸、ラウリン酸プロピレングリコール、ステアリン酸エチレングリコール、ステアリン酸プロピレングリコールからなる群から選択される1種又は2種以上の有機溶媒と
を含有し、(b)有機溶媒の含有量が組成物中の溶媒全量に対して40質量%以上であることを特徴とするゲル状組成物。
(式中、R1及びR2は炭素数1〜26の炭化水素基、R3は炭素数7〜10の炭化水素基、nは1又は2を表す。) - 請求項1に記載のゲル状組成物において、(a)アミノ酸誘導体がN−2−エチル−ヘキサノイル−L−グルタミン酸ジブチルアミドであることを特徴とするゲル状組成物。
- 請求項1又は2に記載のゲル状組成物において、(b)有機溶媒がベヘニルアルコール、オクチルドデカノール、イソステアリルアルコール、ベヘニン酸、ステアリン酸、イソステアリン酸、12−ヒドロキシステアリン酸、ポリオキシエチレン(3)ラウリルエーテル、イソステアリン酸プロピレングリコール、ポリプロピレングリコール(3)ミリスチルエーテル、ジプロピレングリコール、1,3−ブチレングリコール、プロピレングリコール、エタノール、ラウリン酸プロピレングリコールから選択される1種又は2種以上であることを特徴とするゲル状組成物。
- (a)上記一般式(1)で表されるアミノ酸誘導体と、
(b)ベヘニルアルコール、オクチルドデカノール、イソステアリルアルコール、ベヘニン酸、ステアリン酸、オレイン酸、イソステアリン酸、ラウリン酸、12−ヒドロキシステアリン酸、ポリオキシエチレン(3)ラウリルエーテル、ポリオキシエチレン(2)セチルエーテル、ポリオキシエチレン(2)ステアリルエーテル、イソステアリン酸プロピレングリコール、ポリプロピレングリコール(3)ミリスチルエーテル、1−オクタノール、2−プロパノール、ジプロピレングリコール、1,3−ブチレングリコール、プロピレングリコール、エタノール、ラウリルアルコール、ミリスチルアルコール、セチルアルコール、ステアリルアルコール、ミリスチン酸、パルミチン酸、ラウリン酸プロピレングリコール、ステアリン酸エチレングリコール、ステアリン酸プロピレングリコールからなる群から選択される1種又は2種以上の有機溶媒と
を含有し、(b)有機溶媒の含有量が化粧料中の溶媒全量に対して40質量%以上であることを特徴とするゲル状化粧料。 - (a)上記一般式(1)で表されるアミノ酸誘導体と、
(b)ベヘニルアルコール、オクチルドデカノール、イソステアリルアルコール、ベヘニン酸、ステアリン酸、オレイン酸、イソステアリン酸、ラウリン酸、12−ヒドロキシステアリン酸、ポリオキシエチレン(3)ラウリルエーテル、ポリオキシエチレン(2)セチルエーテル、ポリオキシエチレン(2)ステアリルエーテル、イソステアリン酸プロピレングリコール、ポリプロピレングリコール(3)ミリスチルエーテル、1−オクタノール、2−プロパノール、ジプロピレングリコール、1,3−ブチレングリコール、プロピレングリコール、エタノール、ラウリルアルコール、ミリスチルアルコール、セチルアルコール、ステアリルアルコール、ミリスチン酸、パルミチン酸、ラウリン酸プロピレングリコール、ステアリン酸エチレングリコール、ステアリン酸プロピレングリコールからなる群から選択される1種又は2種以上の有機溶媒と
からなることを特徴とする油ゲル化剤組成物。 - (a)上記一般式(1)で表されるアミノ酸誘導体と、(b)ベヘニルアルコール、オクチルドデカノール、イソステアリルアルコール、ベヘニン酸、ステアリン酸、オレイン酸、イソステアリン酸、ラウリン酸、12−ヒドロキシステアリン酸、ポリオキシエチレン(3)ラウリルエーテル、ポリオキシエチレン(2)セチルエーテル、ポリオキシエチレン(2)ステアリルエーテル、イソステアリン酸プロピレングリコール、ポリプロピレングリコール(3)ミリスチルエーテル、1−オクタノール、2−プロパノール、ジプロピレングリコール、1,3−ブチレングリコール、プロピレングリコール、エタノール、ラウリルアルコール、ミリスチルアルコール、セチルアルコール、ステアリルアルコール、ミリスチン酸、パルミチン酸、ラウリン酸プロピレングリコール、ステアリン酸エチレングリコール、ステアリン酸プロピレングリコールからなる群から選択される1種又は2種以上の有機溶媒とを含有し、(b)有機溶媒の含有量が混合物中の溶媒全量に対して40質量%以上である混合物を、100℃以下の温度条件で加熱溶解するアミノ酸誘導体加熱溶解工程
を備えることを特徴とするゲル状組成物の製造方法。 - (a)上記一般式(1)で表されるアミノ酸誘導体と、(b)ベヘニルアルコール、オクチルドデカノール、イソステアリルアルコール、ベヘニン酸、ステアリン酸、オレイン酸、イソステアリン酸、ラウリン酸、12−ヒドロキシステアリン酸、ポリオキシエチレン(3)ラウリルエーテル、ポリオキシエチレン(2)セチルエーテル、ポリオキシエチレン(2)ステアリルエーテル、イソステアリン酸プロピレングリコール、ポリプロピレングリコール(3)ミリスチルエーテル、1−オクタノール、2−プロパノール、ジプロピレングリコール、1,3−ブチレングリコール、プロピレングリコール、エタノール、ラウリルアルコール、ミリスチルアルコール、セチルアルコール、ステアリルアルコール、ミリスチン酸、パルミチン酸、ラウリン酸プロピレングリコール、ステアリン酸エチレングリコール、ステアリン酸プロピレングリコールからなる群から選択される1種又は2種以上の有機溶媒とからなる混合物を、100℃以下の温度条件で加熱溶解する油ゲル化剤組成物調製工程と、
前記工程により得られた油ゲル化剤組成物と、油性基剤とを100℃以下の温度条件で混合する油性基剤混合工程と
を備えることを特徴とするゲル状組成物の製造方法。
Priority Applications (1)
| Application Number | Priority Date | Filing Date | Title |
|---|---|---|---|
| JP2004115365A JP2005298635A (ja) | 2004-04-09 | 2004-04-09 | ゲル状組成物及びその製造方法 |
Applications Claiming Priority (1)
| Application Number | Priority Date | Filing Date | Title |
|---|---|---|---|
| JP2004115365A JP2005298635A (ja) | 2004-04-09 | 2004-04-09 | ゲル状組成物及びその製造方法 |
Publications (1)
| Publication Number | Publication Date |
|---|---|
| JP2005298635A true JP2005298635A (ja) | 2005-10-27 |
Family
ID=35330573
Family Applications (1)
| Application Number | Title | Priority Date | Filing Date |
|---|---|---|---|
| JP2004115365A Pending JP2005298635A (ja) | 2004-04-09 | 2004-04-09 | ゲル状組成物及びその製造方法 |
Country Status (1)
| Country | Link |
|---|---|
| JP (1) | JP2005298635A (ja) |
Cited By (29)
| Publication number | Priority date | Publication date | Assignee | Title |
|---|---|---|---|---|
| WO2009139092A1 (ja) | 2008-05-12 | 2009-11-19 | 高級アルコール工業株式会社 | 使用感と保存安定性に優れた化粧料およびその製法 |
| JP2010100608A (ja) * | 2008-09-25 | 2010-05-06 | Kao Corp | スティック状油性口唇化粧料 |
| WO2010090354A1 (ja) * | 2009-02-09 | 2010-08-12 | 味の素株式会社 | 固形洗浄剤製造用増粘剤 |
| JP2010260834A (ja) * | 2009-05-11 | 2010-11-18 | Rohto Pharmaceut Co Ltd | 苦味の低減方法 |
| FR2975296A1 (fr) * | 2011-05-18 | 2012-11-23 | Oreal | Composition cosmetique fluide comprenant un polyester particulier, une huile siliconee non volatile et un organogelateur specifique |
| JP2013514352A (ja) * | 2009-12-17 | 2013-04-25 | エイボン プロダクツ インコーポレーテッド | 透明または半透明な組成物 |
| JP2013522226A (ja) * | 2010-03-10 | 2013-06-13 | ロレアル | 構造化された非水性ゲル状担体組成物 |
| JP2013522227A (ja) * | 2010-03-10 | 2013-06-13 | ロレアル | 二重機能製品 |
| WO2013093802A2 (en) | 2011-12-20 | 2013-06-27 | L'oreal | Composition comprising a polyamide resin, a gelling system, a polar oil and an apolar oil |
| WO2013093803A1 (en) | 2011-12-20 | 2013-06-27 | L'oreal | Composition comprising a fatty phase, a structuring agent and a hydrophilic compound and/or active agent |
| WO2013118921A1 (ja) | 2012-02-08 | 2013-08-15 | 味の素株式会社 | ゲル化剤 |
| WO2013190132A2 (en) | 2012-06-21 | 2013-12-27 | L'oreal | Cosmetic composition comprising an oil, hydrophobic silica aerogel particles and a hydrocarbon-based resin |
| WO2013190136A2 (en) | 2012-06-21 | 2013-12-27 | L'oreal | Cosmetic composition comprising an oil, hydrophobic silica aerogel particles, and a hydrocarbon-based block copolymer preferably obtained from at least one styrene monomer |
| WO2013190134A1 (en) | 2012-06-21 | 2013-12-27 | L'oreal | Liquid cosmetic composition comprising an oil, hydrophobic silica aerogel particles and a non-polymeric organogelling agent |
| WO2013190130A1 (en) | 2012-06-21 | 2013-12-27 | L'oreal | Anhydrous cosmetic composition comprising an oil, hydrophobic silica aerogel particles, a hydrophilic active agent and at least one surfactant |
| WO2013190131A2 (en) | 2012-06-21 | 2013-12-27 | L'oreal | Cosmetic composition comprising an oil, hydrophobic silica aerogel particles and a semi-crystalline polymer |
| WO2013190133A2 (en) | 2012-06-21 | 2013-12-27 | L'oreal | Liquid cosmetic composition comprising an oil, hydrophobic silica aerogel particles and a block ethylenic copolymer |
| WO2013190129A1 (en) | 2012-06-21 | 2013-12-27 | L'oreal | Liquid cosmetic composition comprising an oil, hydrophobic silica aerogel particles and a wax with a melting point of greater than 60°c |
| JP2014510136A (ja) * | 2011-04-05 | 2014-04-24 | エイボン プロダクツ インコーポレーテッド | 透明または半透明な組成物 |
| JP2014525818A (ja) * | 2011-08-31 | 2014-10-02 | フイルメニツヒ ソシエテ アノニム | カラギナンゲルの空気清浄剤 |
| US8952044B2 (en) | 2009-08-25 | 2015-02-10 | Pola Pharma Inc. | Antimycotic pharmaceutical composition |
| US9050271B2 (en) | 2009-04-09 | 2015-06-09 | Pola Pharma Inc. | Antimycotic pharmaceutical composition |
| KR101614086B1 (ko) * | 2014-06-30 | 2016-04-21 | 한국콜마주식회사 | 알코올을 함유하는 글루타마이드 복합 겔화제를 포함하는 고형 화장료 조성물 |
| JP2017214314A (ja) * | 2016-05-31 | 2017-12-07 | 味の素株式会社 | ゲル状組成物 |
| WO2018079568A3 (ja) * | 2016-10-24 | 2018-06-14 | 味の素株式会社 | ゲル状組成物 |
| JP2018154809A (ja) * | 2016-10-24 | 2018-10-04 | 味の素株式会社 | ゲル状組成物 |
| US10130610B2 (en) | 2009-04-09 | 2018-11-20 | Pola Pharma Inc. | Antimycotic pharmaceutical composition |
| WO2019054362A1 (ja) * | 2017-09-13 | 2019-03-21 | 株式会社資生堂 | 油性洗浄料 |
| JP2020029408A (ja) * | 2018-08-20 | 2020-02-27 | 日本エマルジョン株式会社 | 水性固形化粧料または外用剤、およびその製造方法 |
Citations (10)
| Publication number | Priority date | Publication date | Assignee | Title |
|---|---|---|---|---|
| JPS5119139A (ja) * | 1974-08-07 | 1976-02-16 | Ajinomoto Kk | Gerujokeshoryososeibutsu |
| JPH03262527A (ja) * | 1990-03-13 | 1991-11-22 | Ajinomoto Co Inc | 水溶液内包カプセル体及びその製造法 |
| JPH07506833A (ja) * | 1992-05-12 | 1995-07-27 | ザ、プロクター、エンド、ギャンブル、カンパニー | 発汗抑制ゲルスティック組成物 |
| JPH08283776A (ja) * | 1995-01-30 | 1996-10-29 | Tomoyuki Fukuda | 液体油固形化剤および液体油の固形化方法 |
| JPH10500405A (ja) * | 1994-05-06 | 1998-01-13 | ザ、プロクター、エンド、ギャンブル、カンパニー | キレート化剤を含む発汗抑制ゲル組成物 |
| JP2002316971A (ja) * | 2001-02-13 | 2002-10-31 | Ajinomoto Co Inc | 油性基剤のゲル化剤 |
| WO2003102104A1 (fr) * | 2002-06-03 | 2003-12-11 | Ajinomoto Co., Inc. | Gélifiant |
| WO2004105707A1 (ja) * | 2003-05-28 | 2004-12-09 | Ajinomoto Co. Inc. | 油ゲル状組成物 |
| JP2005298388A (ja) * | 2004-04-09 | 2005-10-27 | Shiseido Co Ltd | ゲル状組成物及びその製造方法 |
| JP2006525969A (ja) * | 2003-05-10 | 2006-11-16 | ユニリーバー・ナームローゼ・ベンノートシヤープ | スティック組成物 |
-
2004
- 2004-04-09 JP JP2004115365A patent/JP2005298635A/ja active Pending
Patent Citations (10)
| Publication number | Priority date | Publication date | Assignee | Title |
|---|---|---|---|---|
| JPS5119139A (ja) * | 1974-08-07 | 1976-02-16 | Ajinomoto Kk | Gerujokeshoryososeibutsu |
| JPH03262527A (ja) * | 1990-03-13 | 1991-11-22 | Ajinomoto Co Inc | 水溶液内包カプセル体及びその製造法 |
| JPH07506833A (ja) * | 1992-05-12 | 1995-07-27 | ザ、プロクター、エンド、ギャンブル、カンパニー | 発汗抑制ゲルスティック組成物 |
| JPH10500405A (ja) * | 1994-05-06 | 1998-01-13 | ザ、プロクター、エンド、ギャンブル、カンパニー | キレート化剤を含む発汗抑制ゲル組成物 |
| JPH08283776A (ja) * | 1995-01-30 | 1996-10-29 | Tomoyuki Fukuda | 液体油固形化剤および液体油の固形化方法 |
| JP2002316971A (ja) * | 2001-02-13 | 2002-10-31 | Ajinomoto Co Inc | 油性基剤のゲル化剤 |
| WO2003102104A1 (fr) * | 2002-06-03 | 2003-12-11 | Ajinomoto Co., Inc. | Gélifiant |
| JP2006525969A (ja) * | 2003-05-10 | 2006-11-16 | ユニリーバー・ナームローゼ・ベンノートシヤープ | スティック組成物 |
| WO2004105707A1 (ja) * | 2003-05-28 | 2004-12-09 | Ajinomoto Co. Inc. | 油ゲル状組成物 |
| JP2005298388A (ja) * | 2004-04-09 | 2005-10-27 | Shiseido Co Ltd | ゲル状組成物及びその製造方法 |
Cited By (40)
| Publication number | Priority date | Publication date | Assignee | Title |
|---|---|---|---|---|
| US8617525B2 (en) | 2008-05-12 | 2013-12-31 | Kokyu Alcohol Kogyo Co., Ltd. | Cosmetics having excellent usability and stability and a method for making the same |
| WO2009139094A1 (ja) | 2008-05-12 | 2009-11-19 | 高級アルコール工業株式会社 | 使用感と保存安定性に優れた化粧料およびその製法 |
| US8765109B2 (en) | 2008-05-12 | 2014-07-01 | Kokyu Alcohol Kogyo Co., Ltd. | Cosmetics having excellent usability and stability and a method for making the same |
| WO2009139092A1 (ja) | 2008-05-12 | 2009-11-19 | 高級アルコール工業株式会社 | 使用感と保存安定性に優れた化粧料およびその製法 |
| EP2286789A4 (en) * | 2008-05-12 | 2011-11-30 | Kokyu Alcohol Kogyo Co Ltd | COSMETIC MATERIAL WITH EXCELLENT APPLICATION FEEL AND STORAGE STABILITY AND METHOD FOR THE PRODUCTION THEREOF |
| JP2010100608A (ja) * | 2008-09-25 | 2010-05-06 | Kao Corp | スティック状油性口唇化粧料 |
| WO2010090354A1 (ja) * | 2009-02-09 | 2010-08-12 | 味の素株式会社 | 固形洗浄剤製造用増粘剤 |
| CN102307980A (zh) * | 2009-02-09 | 2012-01-04 | 味之素株式会社 | 制造固体清洗剂用增稠剂 |
| US10130610B2 (en) | 2009-04-09 | 2018-11-20 | Pola Pharma Inc. | Antimycotic pharmaceutical composition |
| US9050271B2 (en) | 2009-04-09 | 2015-06-09 | Pola Pharma Inc. | Antimycotic pharmaceutical composition |
| JP2010260834A (ja) * | 2009-05-11 | 2010-11-18 | Rohto Pharmaceut Co Ltd | 苦味の低減方法 |
| US8952044B2 (en) | 2009-08-25 | 2015-02-10 | Pola Pharma Inc. | Antimycotic pharmaceutical composition |
| JP2013514352A (ja) * | 2009-12-17 | 2013-04-25 | エイボン プロダクツ インコーポレーテッド | 透明または半透明な組成物 |
| JP2013522227A (ja) * | 2010-03-10 | 2013-06-13 | ロレアル | 二重機能製品 |
| JP2013522226A (ja) * | 2010-03-10 | 2013-06-13 | ロレアル | 構造化された非水性ゲル状担体組成物 |
| JP2014510136A (ja) * | 2011-04-05 | 2014-04-24 | エイボン プロダクツ インコーポレーテッド | 透明または半透明な組成物 |
| FR2975296A1 (fr) * | 2011-05-18 | 2012-11-23 | Oreal | Composition cosmetique fluide comprenant un polyester particulier, une huile siliconee non volatile et un organogelateur specifique |
| JP2014525818A (ja) * | 2011-08-31 | 2014-10-02 | フイルメニツヒ ソシエテ アノニム | カラギナンゲルの空気清浄剤 |
| WO2013093803A1 (en) | 2011-12-20 | 2013-06-27 | L'oreal | Composition comprising a fatty phase, a structuring agent and a hydrophilic compound and/or active agent |
| WO2013093802A2 (en) | 2011-12-20 | 2013-06-27 | L'oreal | Composition comprising a polyamide resin, a gelling system, a polar oil and an apolar oil |
| WO2013118921A1 (ja) | 2012-02-08 | 2013-08-15 | 味の素株式会社 | ゲル化剤 |
| US9522104B2 (en) | 2012-02-08 | 2016-12-20 | Ajinomoto Co., Inc. | Gelling agent |
| WO2013190129A1 (en) | 2012-06-21 | 2013-12-27 | L'oreal | Liquid cosmetic composition comprising an oil, hydrophobic silica aerogel particles and a wax with a melting point of greater than 60°c |
| WO2013190133A2 (en) | 2012-06-21 | 2013-12-27 | L'oreal | Liquid cosmetic composition comprising an oil, hydrophobic silica aerogel particles and a block ethylenic copolymer |
| WO2013190131A2 (en) | 2012-06-21 | 2013-12-27 | L'oreal | Cosmetic composition comprising an oil, hydrophobic silica aerogel particles and a semi-crystalline polymer |
| WO2013190130A1 (en) | 2012-06-21 | 2013-12-27 | L'oreal | Anhydrous cosmetic composition comprising an oil, hydrophobic silica aerogel particles, a hydrophilic active agent and at least one surfactant |
| WO2013190134A1 (en) | 2012-06-21 | 2013-12-27 | L'oreal | Liquid cosmetic composition comprising an oil, hydrophobic silica aerogel particles and a non-polymeric organogelling agent |
| WO2013190136A2 (en) | 2012-06-21 | 2013-12-27 | L'oreal | Cosmetic composition comprising an oil, hydrophobic silica aerogel particles, and a hydrocarbon-based block copolymer preferably obtained from at least one styrene monomer |
| WO2013190132A2 (en) | 2012-06-21 | 2013-12-27 | L'oreal | Cosmetic composition comprising an oil, hydrophobic silica aerogel particles and a hydrocarbon-based resin |
| KR101614086B1 (ko) * | 2014-06-30 | 2016-04-21 | 한국콜마주식회사 | 알코올을 함유하는 글루타마이드 복합 겔화제를 포함하는 고형 화장료 조성물 |
| JP2017214314A (ja) * | 2016-05-31 | 2017-12-07 | 味の素株式会社 | ゲル状組成物 |
| JP2018154809A (ja) * | 2016-10-24 | 2018-10-04 | 味の素株式会社 | ゲル状組成物 |
| WO2018079568A3 (ja) * | 2016-10-24 | 2018-06-14 | 味の素株式会社 | ゲル状組成物 |
| JP7047327B2 (ja) | 2016-10-24 | 2022-04-05 | 味の素株式会社 | ゲル状組成物 |
| US11446224B2 (en) | 2016-10-24 | 2022-09-20 | Ajinomoto Co., Inc. | Gel composition |
| WO2019054362A1 (ja) * | 2017-09-13 | 2019-03-21 | 株式会社資生堂 | 油性洗浄料 |
| JPWO2019054362A1 (ja) * | 2017-09-13 | 2020-10-15 | 株式会社 資生堂 | 油性洗浄料 |
| JP7222897B2 (ja) | 2017-09-13 | 2023-02-15 | 株式会社 資生堂 | 油性洗浄料 |
| JP2020029408A (ja) * | 2018-08-20 | 2020-02-27 | 日本エマルジョン株式会社 | 水性固形化粧料または外用剤、およびその製造方法 |
| JP7066181B2 (ja) | 2018-08-20 | 2022-05-13 | 日本エマルジョン株式会社 | 固形化粧料、およびその製造方法 |
Similar Documents
| Publication | Publication Date | Title |
|---|---|---|
| JP2005298635A (ja) | ゲル状組成物及びその製造方法 | |
| JP4174994B2 (ja) | 油性基剤のゲル化剤 | |
| JP2005298388A (ja) | ゲル状組成物及びその製造方法 | |
| CN102791247A (zh) | 乳化组合物 | |
| JP3501612B2 (ja) | シクロヘキサントリカルボキサミド誘導体を含有する組成物 | |
| EP3530711B1 (en) | Gel composition | |
| JP2015067571A (ja) | 油ゲル化剤、該油ゲル化剤を含有する油ゲル組成物 | |
| JP6292230B2 (ja) | ゲル化剤 | |
| JPH10226615A (ja) | アスパラギン酸フェニルアラニン環状ジペプタイド誘導体を含有する組成物 | |
| JP5347104B2 (ja) | ゲル化剤 | |
| JPWO2020166674A1 (ja) | 有機アンモニウム塩を含む組成物 | |
| JPH10245315A (ja) | シクロジペプタイド誘導体を含有する組成物 | |
| JP5092753B2 (ja) | ゲル化剤 | |
| JP4893381B2 (ja) | 増粘剤 | |
| JPH10237034A (ja) | ビス(アシルアミノ)シクロヘキサン誘導体を含有する組成物 | |
| JP6553923B2 (ja) | 脂肪酸アルカノールアミド誘導体及びそれを含有する化粧料 | |
| ES2305393T3 (es) | Geles emulsionante-cera de base acuosa. | |
| JP3555909B2 (ja) | パール光沢組成物の製造方法 | |
| JP2003176210A (ja) | 乳化型化粧料 | |
| JP2005298387A (ja) | 透明固型クレンジング料 | |
| JP5112673B2 (ja) | セラミド含有組成物及びこれを配合する皮膚外用剤 | |
| JP2005232107A (ja) | 外用剤組成物 | |
| JP4052546B2 (ja) | 皮膚外用剤 | |
| JP2017214314A (ja) | ゲル状組成物 | |
| JP4696534B2 (ja) | 油性基剤のゲル化剤 |
Legal Events
| Date | Code | Title | Description |
|---|---|---|---|
| A621 | Written request for application examination |
Free format text: JAPANESE INTERMEDIATE CODE: A621 Effective date: 20070215 |
|
| A711 | Notification of change in applicant |
Effective date: 20071017 Free format text: JAPANESE INTERMEDIATE CODE: A711 |
|
| RD04 | Notification of resignation of power of attorney |
Free format text: JAPANESE INTERMEDIATE CODE: A7424 Effective date: 20071019 |
|
| A521 | Written amendment |
Free format text: JAPANESE INTERMEDIATE CODE: A821 Effective date: 20071019 |
|
| A131 | Notification of reasons for refusal |
Effective date: 20100323 Free format text: JAPANESE INTERMEDIATE CODE: A131 |
|
| A02 | Decision of refusal |
Effective date: 20100727 Free format text: JAPANESE INTERMEDIATE CODE: A02 |
