DE69918695T2 - Sauerstoffhaltige heterocyclische verbindungen - Google Patents

Sauerstoffhaltige heterocyclische verbindungen Download PDF

Info

Publication number
DE69918695T2
DE69918695T2 DE69918695T DE69918695T DE69918695T2 DE 69918695 T2 DE69918695 T2 DE 69918695T2 DE 69918695 T DE69918695 T DE 69918695T DE 69918695 T DE69918695 T DE 69918695T DE 69918695 T2 DE69918695 T2 DE 69918695T2
Authority
DE
Germany
Prior art keywords
substituted
unsubstituted
compound
hydrogen atom
mmol
Prior art date
Legal status (The legal status is an assumption and is not a legal conclusion. Google has not performed a legal analysis and makes no representation as to the accuracy of the status listed.)
Expired - Lifetime
Application number
DE69918695T
Other languages
English (en)
Other versions
DE69918695D1 (de
Inventor
Etsuo Nagareyama-shi OHSHIMA
Koji Sunto-gun YANAGAWA
Haruhiko Sunto-gun MANABE
Ichiro Sunto-gun MIKI
Yoshiaki Sunto-gun MASUDA
Current Assignee (The listed assignees may be inaccurate. Google has not performed a legal analysis and makes no representation or warranty as to the accuracy of the list.)
Kyowa Kirin Co Ltd
Original Assignee
Kyowa Hakko Kogyo Co Ltd
Priority date (The priority date is an assumption and is not a legal conclusion. Google has not performed a legal analysis and makes no representation as to the accuracy of the date listed.)
Filing date
Publication date
Application filed by Kyowa Hakko Kogyo Co Ltd filed Critical Kyowa Hakko Kogyo Co Ltd
Publication of DE69918695D1 publication Critical patent/DE69918695D1/de
Application granted granted Critical
Publication of DE69918695T2 publication Critical patent/DE69918695T2/de
Anticipated expiration legal-status Critical
Expired - Lifetime legal-status Critical Current

Links

Classifications

    • CCHEMISTRY; METALLURGY
    • C07ORGANIC CHEMISTRY
    • C07DHETEROCYCLIC COMPOUNDS
    • C07D405/00Heterocyclic compounds containing both one or more hetero rings having oxygen atoms as the only ring hetero atoms, and one or more rings having nitrogen as the only ring hetero atom
    • C07D405/02Heterocyclic compounds containing both one or more hetero rings having oxygen atoms as the only ring hetero atoms, and one or more rings having nitrogen as the only ring hetero atom containing two hetero rings
    • C07D405/04Heterocyclic compounds containing both one or more hetero rings having oxygen atoms as the only ring hetero atoms, and one or more rings having nitrogen as the only ring hetero atom containing two hetero rings directly linked by a ring-member-to-ring-member bond
    • AHUMAN NECESSITIES
    • A61MEDICAL OR VETERINARY SCIENCE; HYGIENE
    • A61PSPECIFIC THERAPEUTIC ACTIVITY OF CHEMICAL COMPOUNDS OR MEDICINAL PREPARATIONS
    • A61P11/00Drugs for disorders of the respiratory system
    • A61P11/06Antiasthmatics
    • AHUMAN NECESSITIES
    • A61MEDICAL OR VETERINARY SCIENCE; HYGIENE
    • A61PSPECIFIC THERAPEUTIC ACTIVITY OF CHEMICAL COMPOUNDS OR MEDICINAL PREPARATIONS
    • A61P13/00Drugs for disorders of the urinary system
    • A61P13/02Drugs for disorders of the urinary system of urine or of the urinary tract, e.g. urine acidifiers
    • AHUMAN NECESSITIES
    • A61MEDICAL OR VETERINARY SCIENCE; HYGIENE
    • A61PSPECIFIC THERAPEUTIC ACTIVITY OF CHEMICAL COMPOUNDS OR MEDICINAL PREPARATIONS
    • A61P13/00Drugs for disorders of the urinary system
    • A61P13/04Drugs for disorders of the urinary system for urolithiasis
    • AHUMAN NECESSITIES
    • A61MEDICAL OR VETERINARY SCIENCE; HYGIENE
    • A61PSPECIFIC THERAPEUTIC ACTIVITY OF CHEMICAL COMPOUNDS OR MEDICINAL PREPARATIONS
    • A61P13/00Drugs for disorders of the urinary system
    • A61P13/12Drugs for disorders of the urinary system of the kidneys
    • AHUMAN NECESSITIES
    • A61MEDICAL OR VETERINARY SCIENCE; HYGIENE
    • A61PSPECIFIC THERAPEUTIC ACTIVITY OF CHEMICAL COMPOUNDS OR MEDICINAL PREPARATIONS
    • A61P17/00Drugs for dermatological disorders
    • A61P17/06Antipsoriatics
    • AHUMAN NECESSITIES
    • A61MEDICAL OR VETERINARY SCIENCE; HYGIENE
    • A61PSPECIFIC THERAPEUTIC ACTIVITY OF CHEMICAL COMPOUNDS OR MEDICINAL PREPARATIONS
    • A61P25/00Drugs for disorders of the nervous system
    • A61P25/24Antidepressants
    • AHUMAN NECESSITIES
    • A61MEDICAL OR VETERINARY SCIENCE; HYGIENE
    • A61PSPECIFIC THERAPEUTIC ACTIVITY OF CHEMICAL COMPOUNDS OR MEDICINAL PREPARATIONS
    • A61P25/00Drugs for disorders of the nervous system
    • A61P25/28Drugs for disorders of the nervous system for treating neurodegenerative disorders of the central nervous system, e.g. nootropic agents, cognition enhancers, drugs for treating Alzheimer's disease or other forms of dementia
    • AHUMAN NECESSITIES
    • A61MEDICAL OR VETERINARY SCIENCE; HYGIENE
    • A61PSPECIFIC THERAPEUTIC ACTIVITY OF CHEMICAL COMPOUNDS OR MEDICINAL PREPARATIONS
    • A61P29/00Non-central analgesic, antipyretic or antiinflammatory agents, e.g. antirheumatic agents; Non-steroidal antiinflammatory drugs [NSAID]
    • AHUMAN NECESSITIES
    • A61MEDICAL OR VETERINARY SCIENCE; HYGIENE
    • A61PSPECIFIC THERAPEUTIC ACTIVITY OF CHEMICAL COMPOUNDS OR MEDICINAL PREPARATIONS
    • A61P3/00Drugs for disorders of the metabolism
    • A61P3/08Drugs for disorders of the metabolism for glucose homeostasis
    • A61P3/10Drugs for disorders of the metabolism for glucose homeostasis for hyperglycaemia, e.g. antidiabetics
    • AHUMAN NECESSITIES
    • A61MEDICAL OR VETERINARY SCIENCE; HYGIENE
    • A61PSPECIFIC THERAPEUTIC ACTIVITY OF CHEMICAL COMPOUNDS OR MEDICINAL PREPARATIONS
    • A61P31/00Antiinfectives, i.e. antibiotics, antiseptics, chemotherapeutics
    • A61P31/12Antivirals
    • A61P31/14Antivirals for RNA viruses
    • A61P31/18Antivirals for RNA viruses for HIV
    • AHUMAN NECESSITIES
    • A61MEDICAL OR VETERINARY SCIENCE; HYGIENE
    • A61PSPECIFIC THERAPEUTIC ACTIVITY OF CHEMICAL COMPOUNDS OR MEDICINAL PREPARATIONS
    • A61P37/00Drugs for immunological or allergic disorders
    • A61P37/02Immunomodulators
    • AHUMAN NECESSITIES
    • A61MEDICAL OR VETERINARY SCIENCE; HYGIENE
    • A61PSPECIFIC THERAPEUTIC ACTIVITY OF CHEMICAL COMPOUNDS OR MEDICINAL PREPARATIONS
    • A61P37/00Drugs for immunological or allergic disorders
    • A61P37/08Antiallergic agents
    • AHUMAN NECESSITIES
    • A61MEDICAL OR VETERINARY SCIENCE; HYGIENE
    • A61PSPECIFIC THERAPEUTIC ACTIVITY OF CHEMICAL COMPOUNDS OR MEDICINAL PREPARATIONS
    • A61P43/00Drugs for specific purposes, not provided for in groups A61P1/00-A61P41/00
    • AHUMAN NECESSITIES
    • A61MEDICAL OR VETERINARY SCIENCE; HYGIENE
    • A61PSPECIFIC THERAPEUTIC ACTIVITY OF CHEMICAL COMPOUNDS OR MEDICINAL PREPARATIONS
    • A61P9/00Drugs for disorders of the cardiovascular system
    • A61P9/04Inotropic agents, i.e. stimulants of cardiac contraction; Drugs for heart failure
    • AHUMAN NECESSITIES
    • A61MEDICAL OR VETERINARY SCIENCE; HYGIENE
    • A61PSPECIFIC THERAPEUTIC ACTIVITY OF CHEMICAL COMPOUNDS OR MEDICINAL PREPARATIONS
    • A61P9/00Drugs for disorders of the cardiovascular system
    • A61P9/10Drugs for disorders of the cardiovascular system for treating ischaemic or atherosclerotic diseases, e.g. antianginal drugs, coronary vasodilators, drugs for myocardial infarction, retinopathy, cerebrovascula insufficiency, renal arteriosclerosis
    • CCHEMISTRY; METALLURGY
    • C07ORGANIC CHEMISTRY
    • C07DHETEROCYCLIC COMPOUNDS
    • C07D317/00Heterocyclic compounds containing five-membered rings having two oxygen atoms as the only ring hetero atoms
    • C07D317/08Heterocyclic compounds containing five-membered rings having two oxygen atoms as the only ring hetero atoms having the hetero atoms in positions 1 and 3
    • C07D317/44Heterocyclic compounds containing five-membered rings having two oxygen atoms as the only ring hetero atoms having the hetero atoms in positions 1 and 3 ortho- or peri-condensed with carbocyclic rings or ring systems
    • C07D317/46Heterocyclic compounds containing five-membered rings having two oxygen atoms as the only ring hetero atoms having the hetero atoms in positions 1 and 3 ortho- or peri-condensed with carbocyclic rings or ring systems condensed with one six-membered ring
    • CCHEMISTRY; METALLURGY
    • C07ORGANIC CHEMISTRY
    • C07DHETEROCYCLIC COMPOUNDS
    • C07D319/00Heterocyclic compounds containing six-membered rings having two oxygen atoms as the only ring hetero atoms
    • C07D319/101,4-Dioxanes; Hydrogenated 1,4-dioxanes
    • C07D319/141,4-Dioxanes; Hydrogenated 1,4-dioxanes condensed with carbocyclic rings or ring systems
    • C07D319/161,4-Dioxanes; Hydrogenated 1,4-dioxanes condensed with carbocyclic rings or ring systems condensed with one six-membered ring
    • C07D319/201,4-Dioxanes; Hydrogenated 1,4-dioxanes condensed with carbocyclic rings or ring systems condensed with one six-membered ring with substituents attached to the hetero ring
    • CCHEMISTRY; METALLURGY
    • C07ORGANIC CHEMISTRY
    • C07DHETEROCYCLIC COMPOUNDS
    • C07D407/00Heterocyclic compounds containing two or more hetero rings, at least one ring having oxygen atoms as the only ring hetero atoms, not provided for by group C07D405/00
    • C07D407/02Heterocyclic compounds containing two or more hetero rings, at least one ring having oxygen atoms as the only ring hetero atoms, not provided for by group C07D405/00 containing two hetero rings
    • C07D407/04Heterocyclic compounds containing two or more hetero rings, at least one ring having oxygen atoms as the only ring hetero atoms, not provided for by group C07D405/00 containing two hetero rings directly linked by a ring-member-to-ring-member bond
    • CCHEMISTRY; METALLURGY
    • C07ORGANIC CHEMISTRY
    • C07DHETEROCYCLIC COMPOUNDS
    • C07D407/00Heterocyclic compounds containing two or more hetero rings, at least one ring having oxygen atoms as the only ring hetero atoms, not provided for by group C07D405/00
    • C07D407/02Heterocyclic compounds containing two or more hetero rings, at least one ring having oxygen atoms as the only ring hetero atoms, not provided for by group C07D405/00 containing two hetero rings
    • C07D407/08Heterocyclic compounds containing two or more hetero rings, at least one ring having oxygen atoms as the only ring hetero atoms, not provided for by group C07D405/00 containing two hetero rings linked by a carbon chain containing alicyclic rings

Landscapes

  • Organic Chemistry (AREA)
  • Chemical & Material Sciences (AREA)
  • Health & Medical Sciences (AREA)
  • Life Sciences & Earth Sciences (AREA)
  • Engineering & Computer Science (AREA)
  • Bioinformatics & Cheminformatics (AREA)
  • Medicinal Chemistry (AREA)
  • General Chemical & Material Sciences (AREA)
  • Veterinary Medicine (AREA)
  • Nuclear Medicine, Radiotherapy & Molecular Imaging (AREA)
  • Chemical Kinetics & Catalysis (AREA)
  • Pharmacology & Pharmacy (AREA)
  • Animal Behavior & Ethology (AREA)
  • General Health & Medical Sciences (AREA)
  • Public Health (AREA)
  • Urology & Nephrology (AREA)
  • Diabetes (AREA)
  • Neurosurgery (AREA)
  • Cardiology (AREA)
  • Pulmonology (AREA)
  • Immunology (AREA)
  • Neurology (AREA)
  • Biomedical Technology (AREA)
  • Virology (AREA)
  • Heart & Thoracic Surgery (AREA)
  • Hospice & Palliative Care (AREA)
  • Psychiatry (AREA)
  • Pain & Pain Management (AREA)
  • Emergency Medicine (AREA)
  • Hematology (AREA)
  • Tropical Medicine & Parasitology (AREA)
  • Communicable Diseases (AREA)
  • Oncology (AREA)
  • AIDS & HIV (AREA)
  • Obesity (AREA)
  • Molecular Biology (AREA)
  • Endocrinology (AREA)
  • Vascular Medicine (AREA)
  • Rheumatology (AREA)
  • Dermatology (AREA)

Description

  • Gebiet der Erfindung
  • Die vorliegende Erfindung bezieht sich auf sauerstoffhaltige heterocyclische Verbindungen, welche Hemmaktivität für Phosphodiesterase (PDE) IV haben, und welche brauchbar sind als ein therapeutisches Mittel für allergische Entzündungszustände wie Bronchialasthma, allergische Rhinitis, atopische Dermatitis und Nephritis; Autoimmunkrankheiten wie chronische obstruktive Lungenkreislaufkrankheit, Rheumatismus, Multiple Sclerose, Crohnsche Krankheit, Psoriasis und systemische Lupus Erythematosus; Krankheiten des zentralen Nervensystems wie Depression, Amnesie und Demens; Organopathie, verbunden mit ischämischem Reflux, hervorgerufen durch Herzversagen, Schock und cerebrovaskuläre Krankheit und dergleichen; insulinresistente Diabetes; Wunden, AIDS, Osteoporose, Harnstein, Harninkontinenz und dergleichen; sowie als ein Wiederherstellungsmittel bei Ermüdungszuständen, Unwohlsein und dergleichen.
  • Stand der Technik
  • Bislang ist es bekannt, daß die Funktionen von zahlreichen Hormonen und Neurotransmittern durch eine Zunahme der Konzentration von Adenosin-3',5'-cyclischem Monophosphat (cAMP) oder Guanosin-3',5'-cyclischem Monophosphat (cGMP) ausgedrückt werden, welche beide die sekundären Messenger in Zellen sind. Die Zellkonzentrationen von cAMP und cGMP werden durch die Erzeugung und Zersetzung hiervon gesteuert, und ihre Zersetzung wird durch Phosphodiesterase (PDE) bewirkt. Wenn daher PDE gehemmt wird, steigen die Konzentrationen dieser sekundären Zellmessenger an. Bislang wurden acht Arten von PDE-Isozymen gefunden, und es wird erwartet, daß die Isozym-selektiven PDE-Inhibitoren pharmazeutischen Effekt, basierend auf ihrer physiologischen Signifikanz und Zerteilung in vivo zeigen [TiPS, 11,150 (1990), ibid. 12, 19 (1991) und Biochemical & Biophysical Research Communications, 250, 751 (1998)].
  • Es ist bekannt, daß die Aktivierung von inflammatorischen Leukocyten durch Erhöhung der Konzentration des Zell-cAMP unterdrückt werden kann. Die außerordentliche Aktivierung von Leukocyten bewirkt die Sekretion von inflammatorischen Cytokinen wie dem Tumornecrosefaktor (TNF) und die Expression von Zellhaftmolekülen wie interzellulären Haftmolekülen (ICAM), gefolgt von zellulärer Infiltration [J. Mol. Cell. Cariol., 12 (Suppl. II), S61 (1989)].
  • Es ist bekannt, daß die Kontraktion der glatten Atmungsmuskeln durch Erhöhung der Konzentration des Zell-cAMP unterdrückt werden kann (T. J. Torphy in Directions for New Anti-Asthma Drugs, Herausgeber S.R. O'Donell und C. G. A. Persson, 1988, 37, Birkhauser-Verlag). Die außergewöhnliche Kontraktion eines glatten Atmungsmuskels ist ein Hauptsymptom von Bronchialasthma. Infiltration von inflammatorischen Leukocyten wie Neutrophilen wird bei Schädigungen von Organopathie, verbunden mit ischämischem Reflux wie myocardialer Ischämie beobachtet. Es wurde gefunden, daß der Typ IV PDE (PDE IV) hauptsächlich bei der Zersetzung von cAMP in diesen inflammatorischen Zellen und in trachealen glatten Muskelzellen teilnimmt. Daher wird erwartet, daß die für PDE IV selektiven Inhibitoren thermapeutischen und/oder präventiven Effekt auf Entzündungskrankheiten, obstruktive Atmungskrankheiten und ischämische Krankheiten haben.
  • Es wird erwartet, daß die PDE IV-Inhibitoren den Fortschritt und die Ausbreitung der inflammatorischen Reaktion, welche durch inflammatorische Cytokine wie TNFα und Interleukin (IL)-8 übertragen werden, hemmen, weil die PDE IV-Inhibitoren die Sekretion dieser Cytokine durch Erhöhung der Konzentration von cAMP unterdrücken. Beispielsweise ist angegeben, daß TNFα ein Faktor von insulinresistenter Diabetes ist, da es den phosphorylierenden Mechanismus von Insulinrezeptoren in Muskeln und Fettzellen herabsetzt [J. Clin. Invest., 94, 1543 (1994)]. In gleicher Weise wird angenommen, daß die PDE IV-Inhibitoren für Autoimmunkrankheiten nützlich sein könnten, wie für rheumatoide Arthritis, Multiple Sclerose und Chrohnsche Krankheiten, da TNFα bei dem Start und dem Fortschreiten dieser Krankheiten teilnimmt [Nature Medicine, 1, 211 (1995) und ibid. 1, 244 (1995)].
  • Ebenfalls wurde die Teilnahme von TNFα bei dem Ermüdungsgefühl nach Dialyse und demjenigen von an Krebs leidenden Patienten ebenfalls berichtet [International Journal of Artificial Organs, 21, 83 (1998) und Oncology Nursing Forum, 19, 419 (1992)]. Daher ist zu erwarten, daß ein PDE IV-Inhibitor effektiv bei der Verbesserung von Ermüdungszuständen, Unwohlsein und dergleichen ist.
  • Es wurde angegeben, daß ein Wirkstoff, welcher cAMP erhöht, die Heilung von Wunden fördert [The 68th Annual Meeting of Japan Pharmacological Society (in Nagoya), Presentation P3-116 (1995)].
  • PDE-IV-Inhibitoren zeigen einen therapeutischen Effekt gegenüber karcinomatösen Osteopenia-Modell, Ischiasnerv-Excisionsmodell oder Ovarialmodell, welche Tiermodelle für Osteoporose sind, und ihre Möglichkeit als ein therapeutisches Mittel für Osteoporose wird vorgeschlagen [Jpn. J. Pharmacol., 79, 477 (1999)].
  • Es ist bekannt, daß Relaxation des Harnleiters die Exkretion von Blasensteinen fördert, während ein PDE IV-Inhibitor die vermikuläre Bewegung des Harnleiters unterdrückt, und daher gibt es eine Annahme für die Wahrscheinlichkeit, daß er für die Therapie und/oder Verhütung von Harnsteinen wirksam ist [J. Urol., 160, 920 (1998)].
  • Die japanischen veröffentlichten nicht-geprüften Patentanmeldungen Nr. 95/242543 und 95/242655 beschreiben 1,4-Benzodioxanderivate als ein therapeutisches Mittel für Hepatitiskrankheiten. Die WO 92/10494 beschreibt, daß 1,4-Benzodioxanderivate eine antagonistische Wirkung gegen Serotonin-(5HAT)3-rezeptoren haben.
  • In der US 5 166 367 sind 1,4-Benzodioxanderivate beschrieben, welche eine Anti-Halluzinationswirkung haben.
  • In der japanischen veröffentlichten nicht-geprüften Patentanmeldung Nr. 88/179868 sind 1,4-Benzodioxanderivate beschrieben, welche vasodilatierende Wirkung haben.
  • Die AU 521 225 beschreibt 1,4-Benzodioxanderivate als Zwischenprodukte für die Synthese von Cinnamoylpiperazin.
  • Die WO 98/22455 beschreibt 1,4-Benzodioxanderivate, welche Hemmaktivität für PDE IV haben.
  • Beschreibung der Erfindung
  • Es wird erwartet, daß neue und nützliche PDE IV-Inhibitoren einen präventiven oder therapeutischen Effekt für Krankheiten eines breiten Bereiches haben. Eine Aufgabe der vorliegenden Erfindung ist die Bereitstellung von neuen sauerstoffhaltigen heterocyclischen Verbindungen, welche eine bronchodilatierende oder anti-inflammatorische Wirkung als Folge des Vorhandenseins einer selektiven Hemmwirkung für PDE IV haben, so daß cAMP-Konzentrationen in Zellen erhöht werden.
  • Die vorliegende Erfindung bezieht sich auf sauerstoffhaltige heterocyclische Verbindungen, wiedergegeben durch die folgende Formel (I):
    Figure 00040001
    worin:
    m eine ganze Zahl von 0 bis 4 darstellt;
    R1, R2, R3 und R4 unabhängig darstellen: ein Wasserstoffatom, substituiertes oder unsubstituiertes Niederalkyl, substituiertes oder unsubstituiertes Cycloalkyl, Polycycloalkyl, substituiertes oder unsubstituiertes Niederalkoxycarbonyl, substituiertes oder unsubstituiertes Niederalkanoyl, substituiertes oder unsubstituiertes Niederalkanoyloxy, Cyano, Hydroxy, substituiertes oder unsubstituiertes Niederalkoxy, substituiertes oder unsubstituiertes Niederalkenyl, substituiertes oder unsubstituiertes Cycloalkenyl, substituiertes oder unsubstituiertes Aryl, eine substituierte oder unsubstituierte aromatische heterocyclische Gruppe oder substituiertes oder unsubstituiertes Aralkyl; zwei Gruppen, die an demselben Kohlenstoffatom von R1, R2, R3 und R4 vorhanden sind, kombiniert sind, um einen gesättigten Spiro-Kohlenstoffring zusammen mit diesem Kohlenstoffatom zu bilden; zwei Gruppen, die an den benachbarten Kohlenstoffatomen von R1, R2, R3 und R4 vorhanden sind, kombiniert sind, um einen gesättigten Kohlenstoffring zusammen mit diesen benachbarten zwei Kohlenstoffatomen zu bilden; zwei Gruppen, die an den benachbarten Kohlenstoffatomen unter R1, R2, R3 und R4 vorhanden sind, kombiniert sind, um eine Einzelbindung (bildend eine Doppelbindung zusammen mit der bereits vorhandenen Bindung) zu bilden; oder R1, R2, R3 und R4 unabhängig darstellen: -CONR7R8 (worin R7 und R8 unabhängig darstellen: ein Wasserstoffatom, substituiertes oder unsubstituiertes Niederalkyl, substituiertes oder unsubstituiertes Niederalkanoyl, substituiertes oder unsubstituiertes Cycloalkyl, substituiertes oder unsubstituiertes Aryl, eine substituierte oder unsubstituierte aromatische heterocyclische Gruppe oder substituiertes oder unsubstituiertes Aralkyl, oder R7 und R8 miteinander kombiniert sind, um eine substituierte oder unsubstituierte heterocyclische Gruppe zusammen mit dem benachbarten Stickstoffatom darzustellen);
    R5 darstellt: Hydroxy oder substituiertes oder unsubstituiertes Niederalkoxy;
    R6 darstellt: ein Wasserstoffatom oder Halogen;
    Y darstellt: die folgende Formel (II):
    Figure 00060001
    worin R9 darstellt: Cyano, Ethinyl oder Carbamoyl, und R10 darstellt: ein Wasserstoffatom, oder R9 und R10 kombiniert sind, um eine Einzelbindung (bildend eine Doppelbindung zusammen mit der bereits existierenden Bindung) darzustellen, R11 darstellt: Hydroxy, Formyl, substituiertes oder unsubstituiertes Niederalkoxy, substituiertes oder unsubstituiertes Tetrazolyl, -NR13R14 (worin R13 und R14 unabhängig darstellen: ein Wasserstoffatom, substituiertes oder unsubstituiertes Niederalkyl, substituiertes oder unsubstituiertes Niederalkanoyl, substituiertes oder unsubstituiertes Cycloalkyl, substituiertes oder unsubstituiertes Aryl, eine substituierte oder unsubstituierte aromatische heterocyclische Gruppe oder substituiertes oder unsubstituiertes Aralkyl, oder R13 und R14 kombiniert sind, um eine substituierte oder unsubstituierte heterocyclische Gruppe zusammen mit dem benachbarten Stickstoffatom darzustellen), -COOR15 (worin R5 darstellt: ein Wasserstoffatom oder substituiertes oder unsubstituiertes Niederalkyl), -CONR16R17 (worin R16 und R17 unabhängig darstellen: ein Wasserstoffatom, substituiertes oder unsubstituiertes Niederalkyl, substituiertes oder unsubstituiertes Niederalkanoyl, substituiertes oder unsubstituiertes Cycloalkyl, substituiertes oder unsubstituiertes Aryl, eine substituierte oder unsubstituierte aromatische heterocyclische Gruppe oder substituiertes oder unsubstituiertes Aralkyl, oder R16 und R17 kombiniert sind, um eine substituierte oder unsubstituierte heterocyclische Gruppe zusammen mit dem benachbarten Stickstoffatom darzustellen), oder -CH2COOR18 (worin R18 darstellt: ein Wasserstoffatom oder substituiertes oder unsubstituiertes Niederalkyl), R12 darstellt: ein Wasserstoffatom, oder substituiertes oder unsubstituiertes Niederalkoxy, oder R11 und R12 miteinander kombiniert sind, um darzustellen: -OCH2(CH2)PO- (worin p eine ganze Zahl von 1 bis 3 darstellt), -CR19R20O- (worin R19 und R20 unabhängig darstellen: ein Wasserstoffatom oder Cyano), =CHOR21 (worin R21 darstellt: substituiertes oder unsubstituiertes Niederalkyl, substituiertes oder unsubstituiertes Niederalkenyl oder substituiertes oder unsubstituiertes Aralkyl), =CHCOOR22 (worin R22 darstellt: ein Wasserstoffatom oder substituiertes oder unsubstituiertes Niederalkyl) oder =O; oder
    pharmazeutisch annehmbare Salze hiervon.
  • Die vorliegende Erfindung bezieht sich auf sauerstoffhaltige heterocyclische Verbindungen, in denen Y in der Formel (I) die Formel (II) ist, oder auf pharmazeutisch annehmbare Salze hiervon. Unter den oben genannten sind sauerstoffhaltige heterocyclische Verbindungen, worin R9 Cyano ist, oder pharmazeutisch annehmbare Salze hiervon bevorzugt.
  • In der vorliegenden Erfindung sind ebenfalls bevorzugte Beispiele sauerstoffhaltige heterocyclische Verbindungen, worin m = 0 oder 1 in der Formel (I) ist, oder pharmazeutisch annehmbare Salze hiervon, sauerstoffhaltige heterocyclische Verbindungen, in denen alle Gruppen R1, R2, R3 und R4 Wasserstoffatome sind, oder pharmazeutisch annehmbare Salze hiervon, sowie sauerstoffhaltige heterocyclische Verbindungen, in denen eine Gruppe von R1, R2, R3 und R4 substituiertes oder unsubstituiertes Niederalkyl ist, während die anderen drei Gruppen Wasserstoffatome sind, oder pharmazeutisch annehmbare Salze hiervon.
  • Weiterhin sind bei der Gruppe der oben genannten Verbindungen sauerstoffhaltige heterocyclische Verbindungen, in de nen R11 Carboxy oder Hydroxy darstellt, oder R11 und R12 miteinander kombiniert sind, um =O darzustellen, oder pharmazeutisch annehmbare Salze hiervon ebenfalls bevorzugt.
  • Die vorliegende Erfindung bezieht sich weiterhin auf eine pharmazeutische Zusammensetzung, welche wenigstens eine sauerstoffhaltige heterocyclische Verbindung, wiedergegeben durch die Formel (I), oder pharmazeutisch annehmbare Salze hiervon enthält.
  • Die vorliegende Erfindung bezieht sich weiterhin auf einen Phosphodiesterase-(PDE)-IV-inhibitor, welcher wenigstens eine sauerstoffhaltige heterocyclische Verbindung, wiedergegeben durch die Formel (I), oder pharmazeutisch annehmbare Salze hiervon enthält.
  • Im folgenden werden Verbindungen, welche durch die Formel (I) wiedergegeben werden, als eine Verbindung (I) bezeichnet. Dasselbe gilt für Verbindungen der anderen Formelzahlen.
  • In den Definitionen der Gruppen in der Formel (I) schließen die Niederalkyl- und Niederalkyleinheit von Niederalkoxy, das Niederalkanoyl, das Niederalkanoyloxy- und das Niederakoxycarbonyl geradkettige oder verzweigtkettige Alkylgruppen mit 1 bis 8 Kohlenstoffatomen ein, wie Methyl, Ethyl, Propyl, Isopropyl, Butyl, Isobutyl, sec-Butyl, tert-Butyl, Pentyl, Hexyl, Heptyl und Octyl; das Cycloalkyl schließt Cycloalkylgruppen mit 3 bis 10 Kohlenstoffatomen ein wie Cyclopropyl, Cyclobutyl, Cyclopentyl, Cyclohexyl, Cycloheptyl, Cyclooctyl, Cyclononyl und Cyclodecyl; und das Polycycloalkyl schließt Polycycloalkylgruppen mit 5 bis 12 Kohlenstoffatomen ein wie Bicyclo[3.2.1]octyl, Bicyclo[4.3.2]undecyl, Adamantyl und Noradamantyl. Das Niederalkenyl schließt geradkettige oder verzweigtkettige Alkenylgruppen mit 2 bis 8 Kohlenstoffatomen ein wie Vinyl, 1-Propenyl, Allyl, Methacryl, 1-Butenyl, Crotyl, Pentenyl, Isoprepyl, Hexenyl, Heptenyl und Octenyl; und das Cycloalkenyl schließt Cycloalkenylgruppen mit 4 bis 10 Kohlenstoffatomen ein wie Cyclobutenyl, Cyclo pentenyl, Cyclohexenyl, Cycloheptenyl, Cyclooctenyl, Cyclononenyl und Cyclodecenyl. Das Aryl schließt beispielsweise Phenyl und Naphthyl ein; und das Aralkyl schließt Aralkylgruppen mit 7 bis 15 Kohlenstoffatomen ein wie Benzyl, Phenethyl, Benzhydryl und Naphthylmethyl. Die aromatische heterocyclische Gruppe schließt ein: 5- oder 6-gliedrige monocyclische aromatische heterocyclische Gruppen mit 1 bis 2 Sauerstoffatom/en, 5- oder 6-gliedrige monocyclische aromatische heterocyclische Gruppen mit 1 bis 2 Schwefelatom/en, 5- oder 6-gliedrige monocyclische aromatische heterocyclische Gruppen mit 1 bis 4 Stickstoffatom/en, kondensierte bicyclische aromatische heterocyclische Gruppen, bestehend aus 5- und 6-gliedrigen Ringen, und kondensierte bicyclische aromatische heterocyclische Gruppen, bestehend aus 6- und 6-gliedrigen Ringen ein, worin Sauerstoff, Schwefel und Stickstoff gemischt hierin vorhanden sein können. Spezifische Beispiele hiervon schließen ein: Furyl, Thienyl, Pyridyl, Pyrazinyl, Pyrimidinyl, Pyridazinyl, Chinolyl, Isochinolyl, Phthalazinyl, Chinazolinyl, Chinoxalinyl, Naphthylidinyl, Pyrrolyl, Pyrazolyl, Imidazolyl, Triazolyl, Tetrazolyl, Thiazolyl, Oxazolyl, Indolyl, Indazolyl, Benzimidazolyl, Benzotriazolyl und Purinyl.
  • Die heterocyclische Gruppe, welche zusammen mit dem benachbarten Stickstoffatom gebildet wird, schließt ein: 5-, 6- oder 7-gliedrige monocyclische heterocyclische Gruppen und kondensierte heterocyclische Gruppen, bestehend aus 6- und 6-gliedrigen Ringen, wie Pyrrolidinyl, Piperidino, Piperazinyl, Morpholino, Thiomorpholino, Homopiperidino, Homopiperazinyl, Tetrahydropyridyl, Tetrahydrochinolyl und Tetrahydroisochinolyl.
  • Der gesättigte Spirokohlenstoffring, welcher durch zwei Gruppen, die an demselben Kohlenstoffatom vorhanden sind, zusammen mit diesem Kohlenstoffatom gebildet wird, und der gesättigte Kohlenstoffring, welcher durch zwei Gruppen, die an benachbarten Kohlenstoffatomen vorliegen, zusammen mit diesen zwei Kohlenstoffatomen gebildet wird, schließen solche mit 3 bis 10 Kohlenstoffatomen ein wie Cyclopropan, Cyclobutan, Cyclopentan, Cyclohexan, Cycloheptan, Cyclooctan, Cyclononan und Cyclodecan. Halogen schließt Fluor-, Chlor-, Brom- und Jodatome ein.
  • Die Substituenten in dem substituierten Niederalkyl, dem substituierten Niederalkoxy, dem substituierten Niederalkoxycarbonyl, dem substituierten Niederalkanoyl, dem substituierten Niederalkanoyloxy, dem substituierten Niederalkenyl, dem substituierten Cycloalkyl und dem substituierten Cycloalkenyl sind dieselben oder unterschiedliche 1 bis 3 Substituent/en, wie Niederalkyl, Niederalkenyl, Cyano, Cycloalkyl, Cycloalkenyl, Hydroxy, Niederalkoxy, Carboxy und Halogen, worin das Niederalkyl, das Niederalkenyl, das Cycloalkyl, das Cycloalkenyl, das Niederalkoxy und das Halogen dieselben Bedeutungen, wie oben definiert, haben.
  • Die Substituenten in dem substituierten Aryl, dem substituierten Tetrazolyl, der substituierten aromatischen heterocyclischen Gruppe, der substituierten heterocyclischen Gruppe, welche zusammen mit dem benachbarten Stickstoffatom gebildet wird, und dem substituierten Aralkyl sind dieselben oder unterschiedlichen 1 bis 3 Substituent/en, wie substituiertes oder unsubstituiertes Niederalkyl, Hydroxy, Niederalkoxy, Niederalkanoyl, Niederalkoxycarbonyl, Carboxy, Carbamoyl, Trifluormethyl, Amino, mono- oder di-niederalkyl-substituiertes Amino, Cyano, Nitro und Halogen. Das Niederalkyl, die Niederalkyleinheit des Niederalkoxy, das Niederalkanoyl, das Niederalkoxycarbonyl und das mono- oder di-niederalkylsubstituierte Amino und das Halogen haben dieselben Bedeutungen, wie oben definiert, wo der/die Substituent/en in dem substituierten Niederalkyl dieselbe Bedeutung/en, wie oben definiert, hat/haben.
  • Die pharmazeutisch annehmbaren Salze der Verbindung (I) schließen pharmazeutisch annehmbare Säureadditionssalze, Me tallsalze, Ammoniumsalze und Additionssalze mit organischem Amin ein.
  • Die pharmazeutisch annehmbaren Säureadditionssalze der Verbindung (I) schließen anorganische Säureadditionssalze wie ein Hydrochlorid, ein Sulfat, ein Nitrat und ein Phosphat, sowie organische Säureadditionssalze wie ein Acetat, ein Maleat, ein Fumarat und ein Citrat ein; die pharmazeutisch annehmbaren Metallsalze schließen Alkalimetallsalze wie ein Natriumsalz und ein Kaliumsalz, Erdalkalimetallsalze wie ein Magnesiumsalz und ein Calciumsalz, ein Aluminiumsalz und ein Zinksalz ein; die pharmazeutisch annehmbaren Ammoniumsalze schließen Ammonium und Tetramethylammonium ein; und die pharmazeutisch annehmbaren Säureadditionssalze mit organischem Amin schließen ein Additionssalz mit Morpholin oder Piperidin ein.
  • Verfahren zur Herstellung der Verbindung (I) werden im folgenden beschrieben.
  • Herstellungsmethode: Die Verbindung (I) kann nach dem folgenden Verfahren erhalten werden.
  • Verfahren 1
    Figure 00110001
  • (In den Formeln haben m, R1, R2, R3, R4, R5 und R6 dieselben Bedeutungen wie oben definiert.)
  • Die Ausgangsverbindung (V) kann nach einer bekannten Methode [Khimiya Geterotsiklicheskikh Soedinenii, 12, 1614 (1982), etc.] oder nach einer hierzu vergleichbaren Methode erhalten werden.
  • Nachdem die Formylgruppe der Verbindung (V) direkt in das entsprechende halogenierte Methylderivat umgewandelt wor den ist, oder nachdem die Formylgruppe der Verbindung (V) reduziert wurde und das resultierende Hydroxymethylderivat zu dem entsprechenden Halogenid- oder Sulfonatderivat umgewandelt worden ist, wird es mit Metallcyanid umgesetzt, woraufhin die Verbindung (VI) erhalten werden kann.
  • Die Verbindung (V) wird mit einem Äquivalent bis zu einem großen Überschuß von Trialkylsilanhalogenid oder Triarylsilanhalogenid oder mit einem Äquivalent bis zu einem großen Überschuß eines halogenierten Salzes und einem Äquivalent bis zu einem großen Überschuß von Trimethylsilylchlorid in einem inerten Lösungsmittel bei der Temperatur zwischen –50°C und dem Siedepunkt des verwendeten Lösungsmittels für 5 Minuten bis 5 Stunden hergestellt, gefolgt von der Behandlung mit einem Äquivalent bis zu einem großen Überschuß von einem reduzierenden Mittel bei der Temperatur zwischen –50°C und dem Siedepunkt des verwendeten Lösungsmittels für 5 Minuten bis 48 Stunden, woraufhin das entsprechende Halogenid erhalten werden kann.
  • Alternativ wird die Verbindung (V) mit einem Äquivalent bis zu einem großen Überschuß eines reduzierenden Mittels in einem inerten Lösungsmittel bei der Temperatur zwischen –50°C und dem Siedepunkt des verwendeten Lösungsmittels für 5 Minuten bis 48 Stunden behandelt, woraufhin das entsprechende Hydroxylmethylderivat erhalten wird. Das resultierende Hydroxylmethylderivat wird mit einem Äquivalent bis zu einem großen Überschuß von einem halogenierenden Mittel in einem inerten Lösungsmittel bei der Temperatur zwischen –30°C und dem Siedepunkt des verwendeten Lösungsmittels für 5 Minuten bis 120 Stunden umgesetzt, um das entsprechende Halogenid zu erhalten.
  • Alternativ wird das resultierende Hydroxymethylderivat zur Reaktion mit einem Äquivalent bis zu einem großen Überschuß eines Alkylsulfonylchlorids oder eines Arylsulfonylchlorids in Anwesenheit von einem Äquivalent bis zu einem großen Überschuß einer Base in einem inerten Lösungsmittel bei der Temperatur zwischen –30°C und dem Siedepunkt des verwendeten Lösungsmittels für 5 Minuten bis 120 Stunden gebracht, woraufhin das entsprechende Sulfonatderivat erhalten wird.
  • Das resultierende Halogenid- oder Sulfonatderivat wird zur Reaktion mit einem Äquivalent bis zu einem großen Überschuß eines Metallcyanids in einem inerten Lösungsmittel bei der Temperatur zwischen –30°C und dem Siedepunkt des verwendeten Lösungsmittels für 5 Minuten bis 120 Stunden gebracht, woraufhin die Verbindung (VI) erhalten werden kann.
  • Beispiele des Trialkylsilanhalogenids oder des Triarylsilanhalogenids sind: Trimethylsilylchlorid, Trimethylsilylbromid, Trimethylsilyljodid, Triethylsilylchlorid, Dimethylethylsilylchlorid und Triphenylsilylchlorid.
  • Beispiele des halogenierten Salzes sind Lithiumbromid, Natriumbromid, Kaliumbromid, Lithiumchlorid, Natriumchlorid, Kaliumchlorid, Lithiumjodid, Natriumjodid und Kaliumjodid.
  • Beispiele des reduzierenden Mittels sind 1,1,3,3-Tetramethyldis loxan, Triethylsilan, Natriumborhydrid, Natriumcyanoborhydrid, Triacetoxyborhydrid und Lithiumaluminiumhydrid.
  • Beispiele des halogenierenden Mittels sind Chlorwasserstoffsäure, Bromwasserstoff, Jodwasserstoff, Thionylchlorid, Phosphoroxychlorid und Phosphortribromid.
  • Beispiele der Base sind Triethylamin, Diisopropylethylamin, 1,8-Diazabicyclo[5.4.0]-7-undecen (im folgenden als DBU abgekürzt), Kaliumcarbonat und Natriumhydrid.
  • Beispiele des Alkylsulfonylchlorids oder Arylsulfonylchlorids sind Methansulfonylchlorid, p-Toluolsulfonylchlorid und Benzolsulfonylchlorid.
  • Beispiele des Metallcyanids sind Natriumcyanid, Kaliumcyanid und Kupfercyanid.
  • Beispiele des inerten Lösungsmittels sind Tetrahydrofuran (im folgenden abgekürzt als THF), Dioxan, 1,2-Dimethoxyethan, Diethylether, Acetonitril, Dimethylformamid (im folgenden abgekürzt als DMF), Dimethylsulfoxid (im folgenden ab gekürzt als DMSO), Methanol, Ethanol, Propanol, Dichlormethan, Chloroform, Benzol, Toluol, Pyridin und Ethylacetat.
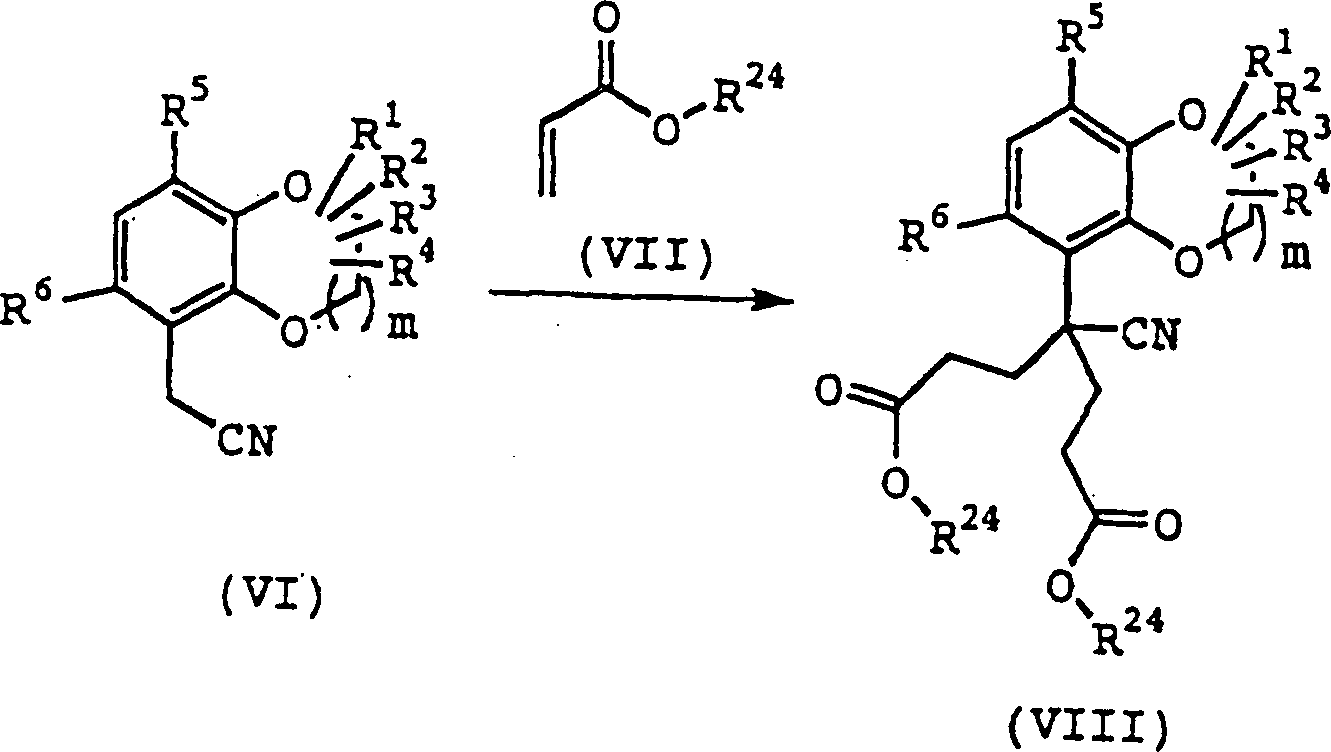
  • Verfahren 2
    Figure 00140001
  • (In den Formeln haben m, R1, R2, R3, R4, R5 und R6 dieselben Bedeutungen wie oben definiert, und R24 steht für das Niederalkyl, welches dieselbe Bedeutung wie oben definiert hat.)
  • Die Verbindung (VIII) kann nach der folgenden Methode erhalten werden.
  • Die Verbindung (VI) wird zur Reaktion mit der Verbindung (VII) in einem inerten Lösungsmittel in Anwesenheit einer katalytischen Menge bis zu einer großen Überschußmenge einer Base bei der Temperatur zwischen 0°C und dem Siedepunkt des verwendeten Lösungsmittels für 5 Minuten bis 48 Stunden gebracht, woraufhin die Verbindung (VIII) erhalten werden kann.
  • Beispiele der Base sind Benzyltrimethylammoniumhydroxid (Triton B), Natriumhydroxid, Kaliumhydroxid, Natriumhydrid, Kaliumhydrid, Natriummethoxid, Lithiumdiisopropylamid (im folgenden abgekürzt als LDA), Pyridin, Kalium-tert-butoxid, DBU, Triethylamin und Diisopropylethylamin.
  • Beispiele des inerten Lösungsmittels sind THF, Dioxan, Diethylether, Methanol, Ethanol, 1-Propanol, 2-Propanol, n-Butanol, tert-Butylalkohol, Pyridin, Acetonitril, DMF, DMSO, 1,2-Dimethoxyethan, Diethylenglycolmethylether, Dichlormethan, Chloroform, Benzol und Toluol.
  • Verfahren 3
    Figure 00150001
  • (In den Formeln haben m, R1, R2, R3, R4, R5, R6 und R24 dieselben Bedeutungen wie oben definiert.)
  • Die Verbindung (IX) kann nach der folgenden Methode aus der Verbindung (VIII) erhalten werden.
  • Die Verbindung (VIII) wird zur Reaktion in einem inerten Lösungsmittel in Anwesenheit von einem Äquivalent bis zu einem großen Überschuß einer Base bei der Temperatur zwischen 0°C und dem Siedepunkt des verwendeten Lösungsmittels für 5 Minuten bis 48 Stunden gebracht, woraufhin die Verbindung (IX) erhalten werden kann.
  • Beispiele der Base sind Natriumhydrid, Kaliumhydrid, Natriumhydroxid, Kaliumhydroxid, Natriummethoxid, Natriumethoxid, LDA, Pyridin, Kalium-tert-butoxid, DBU, Triethylamin und Diisopropylethylamin.
  • Beispiele des inerten Lösungsmittels sind THF, Dioxan, Pyridin, Diethylether, Methanol, Ethanol, 1-Propanol, 2-Propanol, 1-Butanol, tert-Butylalkohol, Acetonitril, DMF, DMSO, 1,2-Dimethoxyethan, Diethylenglycolmethylether, Dichlormethan, Chloroform, Benzol und Toluol.
  • Verfahren 4
    Figure 00160001
  • (In den Formeln haben m, R1, R2, R3, R4, R5, R6 und R24 dieselben Bedeutungen wie oben definiert.)
  • Die Verbindung (Ia) kann entsprechend der folgenden Reaktionsstufe erhalten werden.
  • Die Verbindung (IX) wird in einem inerten Lösungsmittel in Anwesenheit von einem Äquivalent bis zu einem großen Überschuß von Wasser bei der Temperatur zwischen 60°C und dem Siedepunkt des verwendeten Lösungsmittels für 5 Minuten bis 120 Stunden behandelt, woraufhin die Verbindung (Ia) erhalten werden kann. Erforderlichenfalls kann eine katalytische Menge bis zu einer Überschußmenge eines Salzes wie Natriumchlorid, Lithiumchlorid, Natriumjodid, Lithiumjodid oder Natriumcyanid hinzugesetzt werden.
  • Beispiele des inerten Lösungsmittels sind Dioxan, Toluol, DMF, DMSO, tert-Butylalkohol, Acetonitril, 1,2-Dimethoxyethan, Diethylenglycolmethylether, Ethylenglycol, Triethylenglycol und Wasser.
  • Verfahren 5
    Figure 00170001
  • (In den Formeln haben m, R1, R2, R3, R4, R5 und R6 dieselben Bedeutungen wie oben definiert.)
  • Die Verbindung (X) kann entsprechend der folgenden Reaktionsstufe erhalten werden.
  • 2-Trimethylsilyl-1,3-dithian wird mit einer Base in einem inerten Lösungsmittel bei der Temperatur zwischen –100°C und 0°C behandelt, gefolgt von der Reaktion mit der Verbindung (Ia) bei der Temperatur zwischen –100°C und 30°C für 1 Minute bis 12 Stunden, woraufhin die Verbindung (X) erhalten werden kann.
  • Beispiele der Base sind Natriumhydrid, Kaliumhydrid, Natriumhydroxid, Kaliumhydroxid, Natriummethoxid, Butyllithium, LDA, Lithium-bistrimethylsilylamid, Natrium-bistrimethylsilylamid, Kalium-bistrimethylsilylamid, Kalium-tert-butoxid, DBU, Triethylamin, Diisopropylethylamin und Ethylmagnesiumbromid.
  • Beispiele des inerten Lösungsmittels sind THF, Dioxan, Diethylether, 1,2-Dimethoxyethan und Diisopropylether.
  • Verfahren 6
    Figure 00180001
  • (In den Formeln haben m, R1, R2, R3, R4, R5 und R6 dieselben Bedeutungen wie oben definiert, und R25 stellt dasselbe Niederalkyl wie oben definiert dar.)
  • Die Verbindung (Ib) kann entsprechend der folgenden Reaktionsstufe erhalten werden.
  • Die Verbindung (X) wird in einem Lösungsmittel [mit Bezug auf dieses Lösungsmittel wird ein niederer Alkohol später erwähnt, der alleine oder als Mischlösungsmittel, welches den niederen Alkohol (Dioxan/niederen Alkohol, THF/niederen Alkohol und dergleichen) enthält, eingesetzt werden, und dieser niedere Alkohol wirkt ebenfalls als ein Reagens für die Veresterung der Carboxylgruppe, welche durch die Reaktion erhalten wird] in Anwesenheit von einem Äquivalent bis zu einer Überschußmenge eines zweiwertigen Quecksilbersalzes und einer Säure bei der Temperatur zwischen 0°C und dem Siedepunkt des verwendeten Lösungsmittels für 5 Minuten bis 48 Stunden behandelt, woraufhin die Verbindung (Ib) erhalten werden kann.
  • Beispiele des zweiwertigen Quecksilbersalzes sind Quecksilberchlorid (HgCl2) und Quecksilberacetat [Hg(OCOCH3)2]. Beispiele der Säure sind Perchlorsäure, Schwefelsäure, Salzsäure, Trifluoressigsäure, p-Toluolsulfonsäure, Methansulfonsäure und Bortrifluorid.
  • Beispiele des Lösungsmittels sind niedere Alkohole (Methanol, Ethanol, 1-Propanol, 2-Propanol, 1-Butanol, 2-Methyl-1-propanol, 2-Butanol, tert-Butylalkohol, 1-Pentanol, 1-Hexanol, 1-Heptanol, 1-Octanol und dergleichen), ein Mischlösungsmittel von Dioxan/einem niederen Alkohol (wobei der niedere Alkohol dieselbe Bedeutung wie oben definiert besitzt) und ein Mischlösungsmittel von THF/einem niederen Alkohol (worin der niedere Alkohol dieselbe Bedeutung wie oben definiert besitzt).
  • Verfahren 7
    Figure 00190001
  • (In den Formeln haben m, R1, R2, R3, R4, R5, R6 und R25 dieselben Bedeutungen wie oben definiert.)
  • Die Verbindung (Ic) kann entsprechend der folgenden Reaktionsstufe erhalten werden.
  • Die Verbindung (Ib) wird zur Reaktion mit einer wässrigen Lösung eines Alkali in einem inerten Lösungsmittel bei der Temperatur zwischen 0°C und dem Siedepunkt des verwendeten Lösungsmittels für 5 Minuten bis 48 Stunden gebracht, woraufhin die Verbindung (Ic) erhalten werden kann.
  • Beispiele der wässrigen Lösung eines Alkalis sind wässrige Lösungen von Natriumhydroxid, Kaliumhydroxid und Lithiumhydroxid, während Beispiele des inerten Lösungsmittels Ethanol, Dioxan, Methanol, THF, ein Mischlösungsmittel von Et hanol/THF, ein Mischlösungsmittel von Methanol/THF und DMSO sind.
  • Verfahren 8
    Figure 00200001
  • (In den Formeln haben m, R1, R2, R3, R4, R5 und R6 dieselben Bedeutungen wie oben definiert.)
  • Die Verbindung (Id) kann entsprechend der folgenden Reaktionsstufe erhalten werden.
  • Ein Äquivalent bis zu einer Überschußmenge von Methoxymethyltriphenylphosphoniumchlorid wird mit einem Äquivalent bis zu einer Überschußmenge einer Base in einem inerten Lösungsmittel bei der Temperatur zwischen –100°C und dem Siedepunkt des verwendeten Lösungsmittels behandelt, gefolgt von der Reaktion mit der Verbindung (Ia) bei der Temperatur zwischen –100°C und dem Siedepunkt des verwendeten Lösungsmittels für 5 Minuten bis 12 Stunden, woraufhin die Verbindung (Id) erhalten werden kann.
  • Beispiele der Base sind Natriumhydrid, Kaliumhydrid, Natriumhydroxid, Kaliumhydroxid, Natriummethoxid, Butyllithium, LDA, Lithium-bistrimethylsilylamid, Natrium-bistrimethylsilylamid, Kalium-bistrimethylsilylamid, Kalium-tert-butoxid, DBU, Natriumamid und Natriumethoxid.
  • Beispiele des inerten Lösungsmittels sind THF, Dioxan, Diethylether, 1,2-Dimethoxyethan, DMF und Diisopropylether.
  • Verfahren 9
    Figure 00210001
  • (In den Formeln haben m, R1, R2, R3, R4, R5 und R6 dieselben Bedeutungen wie oben definiert.)
  • Die Verbindung (Ie) kann entsprechend der folgenden Reaktionsstufe erhalten werden.
  • Die Verbindung (Id) wird zur Reaktion mit einer katalytischen Menge bis zu einer Überschußmenge einer Säure bei Abwesenheit eines Lösungsmittels oder in einem inerten Lösungsmittel bei der Temperatur zwischen 0°C und dem Siedepunkt des verwendeten Lösungsmittels für 5 Minuten bis 48 Stunden gebracht, woraufhin die Verbindung (Ie) erhalten werden kann.
  • Beispiele der Säure sind Salzsäure, Schwefelsäure, Essigsäure, Trifluoressigsäure, p-Toluolsulfonsäure, Methansulfonsäure, 10-Kampfersulfonsäure, Bortrifluorid und Aluminiumchlorid.
  • Beispiele des inerten Lösungsmittels sind THF, Aceton, Acetonitril, Methanol, Ethanol, Dioxan und ein Mischlösungsmittel wie ein inertes Lösungsmittel mit Wasser.
  • Verfahren 10
    Figure 00220001
  • (In den Formeln haben m, R1, R2, R3, R4, R5 und R6 dieselben Bedeutungen wie oben definiert.)
  • Die Verbindung (If) kann entsprechend der folgenden Reaktionsstufe erhalten werden.
  • Die Verbindung (Ia) wird zur Reaktion mit einem Äquivalent bis zu einem großen Überschuß von Trimethylsulfoxoniumjodid oder Trimethylsulfoniumjodid in Anwesenheit von einem Äquivalent bis zu einem großen Überschuß einer Base in einem inerten Lösungsmittel bei der Temperatur zwischen –30°C und dem Siedepunkt des verwendeten Lösungsmittels für 5 Minuten bis 48 Stunden gebracht, woraufhin die Verbindung (If) erhalten werden kann.
  • Beispiele der Base sind Natriumhydrid, Kaliumhydrid, Natriumhydroxid, Kaliumhydroxid, Natriummethoxid, Butyllithium, LDA, Lithium-bistrimethylsilylamid, Natrium-bistrimethylsilylamid, Kalium-bistrimethylsilylamid, Kalium-tert-butoxid, DBU, Natriumamid und Natriumethoxid.
  • Beispiele des inerten Lösungsmittels sind THF, Dioxan, Diethylether, 1,2-Dimethoxyethan, DMF und Diisopropylether.
  • Verfahren 11
    Figure 00230001
  • (In den Formeln haben m, R1, R2, R3, R4, R5 und R6 dieselben Bedeutungen wie oben definiert.)
  • Die Verbindung (Ie) kann entsprechend der folgenden Reaktionsstufe erhalten werden.
  • Die Verbindung (If) wird zur Reaktion mit einem Äquivalent bis zu einer Überschußmenge einer Säure bei Fehlen eines Lösungsmittels oder in einem inerten Lösungsmittel bei der Temperatur zwischen 0°C und dem Siedepunkt des verwendeten Lösungsmittels für 5 Minuten bis 48 Stunden gebracht, woraufhin die Verbindung (Ie) erhalten werden kann.
  • Beispiele der Säure sind Salzsäure, Schwefelsäure, Bromidwasserstoff, Magnesiumchlorid, Magnesiumbromid, Lithiumbromid, Trifluoressigsäure, Lithiumperchlorat, p-Toluolsulfonsäure, Methansulfonsäure, 10-Kampfersulfonsäure, Bortrifluorid, Aluminiumchlorid und Silikagel.
  • Beispiele des inerten Lösungsmittels sind THF, Aceton, Acetonitril, Methanol, Ethanol und Dioxan.
  • Verfahren 12
    Figure 00240001
  • (In den Formeln haben m, R1, R2, R3, R4, R5 und R6 dieselben Bedeutungen wie oben definiert.)
  • Die Verbindung (Ic) kann entsprechend der folgenden Reaktionsstufe erhalten werden.
  • Die Verbindung (Ie) wird zur Reaktion mit einem Äquivalent bis zu einer Überschußmenge eines Oxidationsmittels in einem inerten Lösungsmittel bei der Temperatur zwischen 0°C und dem Siedepunkt des verwendeten Lösungsmittels für 5 Minuten bis 48 Stunden gebracht, woraufhin die Verbindung (Ic) erhalten werden kann.
  • Beispiele des Oxidationsmittels sind chlorige Säure, Kaliumpermanganat und Wasserstoffperoxid.
  • Wenn die chlorige Säure als ein Oxidationsmittel verwendet wird, können ein Äquivalent bis zu einer Überschußmenge von 2-Methyl-2-buten, Sulfaminsäure, DMSO, einer wässrigen Lösung von Wasserstoffperoxid oder dergleichen zugesetzt werden, falls erforderlich, oder weiterhin kann ein Äquivalent bis zu einer Überschußmenge von Natriumdihydrogenphosphat hinzugesetzt werden.
  • Beispiele des inerten Lösungsmittels sind tert-Butylalkohol, Essigsäure, DMSO, Aceton und Acetonitril.
  • Verfahren 13
    Figure 00250001
  • (In den Formeln haben m, R1, R2, R3, R4, R5 und R6 dieselben Bedeutungen wie oben definiert.)
  • Die Verbindung (Ig) kann entsprechend der folgenden Reaktionsstufe erhalten werden.
  • Die Verbindung (Ia) wird zur Reaktion mit einem Äquivalent bis zu einem großen Überschuß von Chloracetonitril in Anwesenheit von einem Äquivalent bis zu einem großen Überschuß einer Base in einem inerten Lösungsmittel bei der Temperatur zwischen –10°C und dem Siedepunkt des verwendeten Lösungsmittels für 5 Minuten bis 48 Stunden gebracht, woraufhin die Verbindung (Ig) erhalten werden kann. Erforderlichenfalls kann eine katalytische Menge bis zu einer Überschußmenge eines Salzes, wie Benzyltriethylammoniumchlorid, Benzyltriethylammoniumbromid, Benzyltrimethylammoniumchlorid, Benzyltrimethylammoniumbromid; Tetrabutylammoniumchlorid, Tetrabutylammoniumbromid, Tetraethylammoniumchlorid oder Triethylmethylammoniumbromid hinzugesetzt werden.
  • Beispiele der Base sind Kaliumcarbonat, Natriumcarbonat, Natriumhydrid, Kaliumhydrid, Lithiumhydroxid, Natriumhydroxid, Kaliumhydroxid, Calciumhydroxid, Natriummethoxid, Butyllithium, Kalium-tert-butoxid, DBU und Natriumethoxid.
  • Beispiele des inerten Lösungsmittels sind Methanol, Ethanol, 1-Propanol, 2-Propanol, tert-Butylalkohol, Ethylace tat, Toluol, THF, 1,2-Dimethoxyethan, DMF, DMSO und Diisopropylether.
  • Verfahren 14
    Figure 00260001
  • (In den Formeln haben m, R1, R2, R3, R4, R5 und R6 dieselben Bedeutungen wie oben definiert.)
  • Die Verbindung (Ic) kann entsprechend der folgenden Reaktionsstufe erhalten werden.
  • Die Verbindung (Ig) wird zur Reaktion mit einem Äquivalent bis zu einer Überschußmenge von Magnesiumbromid oder Lithiumbromid bei Fehlen eines Lösungsmittels oder in einem inerten Lösungsmittel in Anwesenheit von einem Äquivalent bis zu einer Überschußmenge von Wasser bei der Temperatur zwischen 0°C und dem Siedepunkt des verwendeten Lösungsmittels für 5 Minuten bis 48 Stunden gebracht, woraufhin die Verbindung (Ic) erhalten werden kann.
  • Beispiele des inerten Lösungsmittels sind THF, DMF, Aceton, Acetonitril, Methanol, Ethanol, Dioxan und ein Mischlösungsmittel von DMF/Acetonitril.
  • Verfahren 15
    Figure 00270001
  • (In den Formeln haben m, R1, R2, R3, R4, R5, R6, R11 und R12 jeweils dieselben Bedeutungen wie oben definiert, und L1 stellt Chlor, Brom oder Jod dar.)
  • Die Verbindung (XIII) kann entsprechend der folgenden Reaktionsstufe erhalten werden.
  • Die Ausgangsverbindung (XI) kann entsprechend einem bekannten Verfahren (WO 98/22455) oder einem hiermit vergleichbaren Verfahren erhalten werden. Eine kommerziell erhältliche Verbindung kann als Verbindung (XII) verwendet werden.
  • Die Verbindung (XI) wird mit einem Äquivalent bis zu einer Überschußmenge einer Base in einem inerten Lösungsmittel bei der Temperatur zwischen –100°C und Zimmertemperatur für 5 Minuten bis 10 Stunden behandelt, gefolgt von der Reaktion mit einem Äquivalent bis zu einer Überschußmenge der Verbindung (XII) bei der Temperatur zwischen –100°C und Zimmertemperatur für 5 Minuten bis 30 Stunden, woraufhin die Verbindung (XIII) erhalten werden kann. Erforderlichenfalls können Tetramethylethylendiamin, Cerchlorid oder dergleichen hinzugesetzt werden.
  • Beispiele der Base sind Lithium, Magnesium, Methyllithium, Methylmagnesiumbromid, Ethylmagnesiumbromid und Butyllithium.
  • Beispiele des inerten Lösungsmittels sind THF, Dioxan, Diethylether, 1,2-Dimethoxyethan, Diethylenglycoldimethylether, Benzol, Toluol und Hexan.
  • Verfahren 16
    Figure 00280001
  • (In den Formeln haben m, R1, R2, R3, R4, R5, R6, R11 und R12 dieselben Bedeutungen wie oben definiert.)
  • Die Verbindung (Ih) kann entsprechend der folgenden Reaktionsstufe erhalten werden.
  • Die Verbindung (XIII) wird zur Reaktion mit einem Äquivalent bis zu einer Überschußmenge einer Säure bei Fehlen eines Lösungsmittels oder in einem inerten Lösungsmittel bei der Temperatur zwischen 0°C und dem Siedepunkt des verwendeten Lösungsmittels für 5 Minuten bis 48 Stunden gebracht, woraufhin die Verbindung (Ih) erhalten werden kann. Erforderlichenfalls kann Wasser hinzugegeben werden.
  • Beispiele der Säure sind Salzsäure, Schwefelsäure, 10-Kampfersulfonsäure, Essigsäure, Ameisensäure, Trifluoressigsäure, p-Toluolsulfonsäure, Methansulfonsäure, Bortrifluorid und Aluminiumchlorid.
  • Beispiele des inerten Lösungsmittels sind THF, Aceton, Acetonitril, Toluol, Xylol, Methanol, Ethanol, 1-Propanol, 2-Propanol, 1-Butanol, 2-Butanol, tert-Butylalkohol, 1-Pentanol, 1-Hexanol, 1-Heptanol, 1-Octanol und Dioxan.
  • Verfahren 17
    Figure 00290001
  • (In den Formeln haben m, R1, R2, R3, R4, R5, R6, R11 und R12 dieselben Bedeutungen wie oben definiert.)
  • Die Verbindung (Ii) kann entsprechend der folgenden Reaktionsstufe erhalten werden.
  • Die Verbindung (XIII) wird zur Reaktion mit einem Äquivalent bis zu einer Überschußmenge eines Cyanids in Anwesenheit von einem Äquivalent bis zu einer Überschußmenge einer Säure in einem inerten Lösungsmittel bei der Temperatur zwischen –100°C und dem Siedepunkt des verwendeten Lösungsmittels für 5 Minuten bis 48 Stunden gebracht, woraufhin die Verbindung (Ii) erhalten werden kann.
  • Beispiele der Säure sind Salzsäure, Schwefelsäure, 10-Kampfersulfonsäure, Essigsäure, Ameisensäure, Trifluoressigsäure, p-Toluolsulfonsäure, Methansulfonsäure, Titantetrachlorid, Bortrifluorid und Aluminiumchlorid.
  • Beispiele des Cyanids sind Trimerthylsilylcyanid, Natriumcyanid und Kaliumcyanid.
  • Beispiele des inerten Lösungsmittels sind THF, Dioxan, Diethylether, 1,2-Dimethoxyethan, Methanol, Ethanol, Acetonitril, Dichlormethan, 1,2-Dichlorethan, Chloroform und Toluol.
  • Verfahren 18
    Figure 00300001
  • (In den Formeln haben m, p, R1, R2, R3, R4, R5 und R6 dieselben Bedeutungen wie oben definiert.)
  • Die Verbindung (Ia) kann entsprechend der folgenden Reaktionsstufe erhalten werden.
  • Die Ausgangsverbindung (Iia) kann in einer solchen Weise synthetisiert werden, daß eine Verbindung (XIII), worin R11 und R12 eine Ketalstruktur haben, unter Verwendung einer Verbindung (XII), worin R11 und R12 eine Ketalstruktur haben, als ein Ausgangsmaterial im Verfahren 15 erhalten wird, und eine in Verfahren 17 erwähnte Methode wird angewandt, wobei die Verbindung (XIII), worin R11 und R12 eine Ketalstruktur haben, als ein Ausgangsmaterial verwendet wird.
  • Die Verbindung (Iia) wird zur Reaktion mit einem Äquivalent bis zu einer Überschußmenge einer Säure bei Abwesenheit eines Lösungsmittels oder in einem inerten Lösungsmittel bei der Temperatur zwischen 0°C und dem Siedepunkt des verwendeten Lösungsmittels für 5 Minuten bis 48 Stunden gebracht, woraufhin die Verbindung (Ia) erhalten werden kann.
  • Beispiele der Säure sind Salzsäure, Schwefelsäure, 10-Kampfersulfonsäure, Essigsäure, Ameisensäure, Trifluoressigsäure, p-Toluolsulfonsäure, Methansulfonsäure, Bortrifluorid und Aluminiumchlorid.
  • Beispiele des inerten Lösungsmittels sind THF, Aceton, Acetonitril, Toluol, Methanol, Ethanol, 1-Propanol, 2- Propanol, 1-Butanol, 2-Butanol, tert-Butylalkohol, 1-Pentanol, 1-Hexanol, 1-Heptanol, 1-Octanol, Dioxan und ein Mischlösungsmittel eines solchen inerten Lösungsmittels mit Wasser.
  • Verfahren 19
    Figure 00310001
  • (In den Formeln haben m, R1, R2, R3, R4, R5 und R6 dieselben Bedeutungen wie oben definiert.)
  • Die Verbindung (Ij) kann entsprechend der folgenden Reaktionsstufe erhalten werden.
  • Die Verbindung (Ia) wird zur Reaktion mit einem Äquivalent bis zu einer Überschußmenge eines Reduktionsmittels in einem inerten Lösungsmittel bei der Temperatur zwischen –100°C und dem Siedepunkt des verwendeten Lösungsmittels für 5 Minuten bis 48 Stunden gebracht, woraufhin die Verbindung (Ij) erhalten werden kann.
  • Beispiele des Reduktionsmittels sind 1,1,3,3-Tetramethyldisiloxan, Triethylsilan, Natriumborhydrid, Natriumcyanoborhydrid, Triacetoxyborhydrid und Lithiumaluminiumhydrid.
  • Beispiele des inerten Lösungsmittels sind Methanol, Ethanol, 1-Propanol, 2-Propanol, 1-Butanol, 2-Butanol, tert-Butylalkohol, 1-Pentanol, 1-Hexanol, 1-Heptanol, 1-Octanol und Dioxan.
  • Verfahren 20
    Figure 00320001
  • (In den Formeln haben m, n, R1, R2, R3, R4, R5, R6, L1 und X jeweils dieselben Bedeutungen wie oben definiert, und L2 stellt Chlor, Brom, Jod oder eine Trifluormethansulfonatgruppe dar.)
  • Die Verbindung (Ik) kann entsprechend der folgenden Reaktionsstufe erhalten werden.
  • Mit Bezug auf die Verbindung (XIV) kann die kommerziell erhältliche Verbindung verwendet werden, oder sie kann entsprechend einer bekannten Methode [Tetrahedron Lett., 30, 5499 (1992)] erhalten werden.
  • Nachdem die Verbindung (XI) mit einer Base in einem inerten Lösungsmittel bei der Temperatur zwischen –100°C und Zimmertemperatur für 5 Minuten bis 10 Stunden behandelt worden ist, wird die resultierende Verbindung zur Reaktion mit einem Metallhalogenid oder einer Borverbindung bei der Temperatur zwischen –100°C und dem Siedepunkt des verwendeten Lösungsmittels für 5 Minuten bis 30 Stunden gebracht, gefolgt von weiterer Reaktion mit der Verbindung (XIV) in einem inerten Lösungsmittel bei Anwesenheit einer katalytischen Menge bis zu einer Überschußmenge eines Palladiumkomplexes bei der Temperatur zwischen Zimmertemperatur und dem Siedepunkt des verwendeten Lösungsmittels für 5 Minuten bis 30 Stunden, woraufhin die Verbindung (Ik) erhalten werden kann. Gegebenenfalls kann bei der oben genannten Reaktion, welche bei Anwesenheit einer katalytischen Menge bis zu einer Überschußmenge eines Palladiumkomplexes durchgeführt wird, ein Salz wie Lithiumchlorid oder Silberoxid erforderlichenfalls zugegeben werden.
  • Beispiele der Base sind Lithium, Magnesium, Methyllithium, Methylmagnesiumbromid, Ethylmagnesiumbromid und Butyllithium.
  • Beispiele des Metallhalogenids sind halogenierte Alkylzinnderivate wie Chlortributylzinn und Chlortrimethylzinn und halogenierte Zinkderivate wie Zinkchlorid, Zinkbromid und Zinkjodid, während Beispiele der Borverbindung Trimethoxybor, Phenylborsäure und Borsäure sind.
  • Beispiele des Palladiumkomplexes sind:
    Tetrakis(triphenylphosphin)palladium,
    Dichlor-bis(triphenylphosphin)palladium,
    Dichlor-bis(acetonitril)palladium,
    [1,1'-Bis(diphenylphosphino)ferrocen]dichlorpalladium und
    Palladiumacetat.
  • Beispiele des bei der Reaktion verwendeten Lösungsmittels mit einem Metallhalogenid oder einer Borverbindung sind THF, Dioxan, Diethylether, 1,2-Dimethoxyethan, Diethylenglycoldimethylether, Benzol, Toluol und Hexan.
  • Beispiele des bei der Reaktion in Anwesenheit eines Palladiumkomplexes verwendeten inerten Lösungsmittels sind THF, Dioxan, Diethylether, Ethylenglycol, Triethylenglycol, 1,2-Dimethoxyethan, Diethylenglycoldimethylether, Methanol, Ethanol, 1-Butanol, 2-Propanol, Dichlormethan, Chloroform, Acetonitril, Benzol, Toluol, Dimethylacetamid, DMF und DMSO.
  • Verfahren 21
    Figure 00340001
  • (In den Formeln haben m, R1, R2, R3, R4, R5, R6, L1 und Z1-Z2-Z3 jeweils dieselben Bedeutungen wie oben definiert, Z4 stellt ein Sauerstoffatom oder ein Schwefelatom dar, und L3 und L4 stellen Chlor, Brom, Jod oder eine Trifluormethansulfonatgruppe dar.)
  • Die Verbindung (Im) und die Verbindung (In) können entsprechend der folgenden Reaktionsstufe erhalten werden.
  • Im Hinblick auf die Verbindung (XV) und die Verbindung (XVI) können die kommerziell erhältlichen Verbindungen verwendet werden, oder sie können entsprechend bekannten Methoden erhalten werden [J.Chem.Soc., Perkin Trans. 1, 1954 (1973); J. Org. Chem., 60(7), 1936 (1995; Tetrahedron Lett., 30(42), 7719 (1994); Chem. Pharm. Bull., 40(10), 2597 (1992); J. Heterocyclic Chem, 7, 815 (1970): J. Chem. Soc. Chem. Comm., 1183 (1985); etc.].
  • Die Verbindung (XI) wird mit einer Base in einem inerten Lösungsmittel bei der Temperatur zwischen –100°C und Zimmertemperatur für 5 Minuten bis 10 Stunden behandelt, gefolgt von Reaktion mit einem Metallhalogenid oder einer Borverbindung bei der Temperatur zwischen –100°C und dem Siedepunkt des verwendeten Lösungsmittels für 5 Minuten bis 30 Stunden. Die resultierende Verbindung wird zur Reaktion mit der Verbindung (XV) in einem inerten Lösungsmittels bei Anwesenheit einer katalytischen Menge bis zu einer Überschußmenge eines Palladiumkomplexes oder eines Nickelkomplexes bei der Temperatur zwischen Zimmertemperatur und dem Siedepunkt des verwendeten Lösungsmittels für 5 Minuten bis 30 Stunden gebracht, woraufhin die Verbindung (Im) erhalten werden kann. Gegebenenfalls, wenn die Verbindung (XVI) anstelle der Verbindung (XV) verwendet wird, und dieselbe Reaktion wie im Fall der Verbindung (XV) durchgeführt wird, wird die Verbindung (In) erhalten.
  • Bei der oben genannten Reaktion, welche in Anwesenheit einer katalytischen Menge bis zu einer Überschußmenge eines Palladiumkomplexes oder eines Nickelkomplexes durchgeführt wird, kann ein Salz wie Lithiumchlorid oder Silberoxid erforderlichenfalls hinzugesetzt werden.
  • Beispiele der Base sind Lithium, Magnesium, Methyllithium, Methylmagnesiumbromid, Ethylmagnesiumbromid und Butyllithium.
  • Beispiele des Metallhalogenids sind halogenierte Alkylzinnderivate wie Chlortributylzinn und Chlortrimethylzinn und halogenierte Zinkderivate wie Zinkchlorid, Zinkbromid und Zinkjodid, während Beispiele der Borverbindung Trimethoxybor, Phenylborsäure und Borsäure sind.
  • Beispiele des Palladiumkomplexes sind:
    Tetrakis(triphenylphosphin)palladium,
    Dichlor-bis(triphenylphosphin)palladium,
    Dichlor-bis(acetonitril)palladium,
    [1,1'-Bis(diphenylphosphino)ferocen]dichlorpalladium und
    Palladiumacetat.
  • Beispiele des Nickelkomplexes sind [1,1'-Bis(diphenylphosphino)ferrocen]dichlornickel und Dichlor-bis(triphenylphosphin)nickel.
  • Beispiele des bei der Reaktion mit einem Metallhalogenid oder einer Borverbindung verwendeten inerten Lösungsmittels sind THF, Dioxan, Diethylether, 1,2-Dimethoxyethan, Diethylenglycoldimethylether, Benzol, Toluol und Hexan.
  • Beispiele des bei der Reaktion in Anwesenheit eines Palladiumkomplexes oder eines Nickelkatalysators verwendeten inerten Lösungsmittels sind THF, Dioxan, Diethylether, Ethylenglycol, Triethylenglycol, 1,2-Dimethoxyethan, Diethylenglycoldimethylether, Methanol, Ethanol, 1-Butanol, 2-Propanol, Dichlormethan, Chloroform, Acetonitril, Benzol, Toluol, Dimethylacetamid, DMF und DMSO.
  • Die Verbindung (Ima), welche die Verbindung (Im) ist, worin Z1-Z2-Z3 = C(=O)-NH-C(=O) ist, kann ebenfalls in einer solchen Weise erhalten werden, daß eine Reaktion ähnlich zu der im Verfahren 21 erwähnten durchgeführt wird, wobei die Verbindung (XI) und ein halogeniertes Diethylphthalat wie Diethylbromphthalat verwendet wird, gefolgt von Hydrolyse, und das hierdurch erhaltene Produkt zur Reaktion mit Harnstoff gebracht wird.
  • Die Verbindung (I), worin R9 Carbamoyl ist, kann unter Verwendung der Verbindung (I), worin R9 = Cyano ist, entsprechend einer bekannten Methode ["Jikken Kagaku Koza (Handbook of Experimental Chemistry)", 4. Aufl., herausgegeben von der Chemischen Gesellschaft von Japan, 22, 151-154 (1992)] oder einer hierzu vergleichbaren Methode erhalten werden.
  • Die Verbindung (I), worin R9 = Cyano ist, wird zu der Verbindung umgewandelt, worin die R9 entsprechende Einheit ein Aldehyd ist, entsprechend einer bekannten Methode ["Jikken Kagaku Koza (Handbook of Experimental Chemistry)", 4.Aufl., herausgegeben von der Chemischen Gesellschaft von Japan, 21, 89-94 (1992)] oder einer hierzu ähnlichen Methode umgewandelt, und dann kann die Verbindung (I), worin R9 = Ethinyl ist, entsprechend einer bekannten Methode erhalten werden ["Jikken Kagaku Koza (Handbook of Experimental Chemistry)", 4.Aufl., herausgegeben von der Chemischen Gesellschaft von Japan, 19, 306-307 (1992)] oder einer hiermit ähnlichen Methode erhalten werden.
  • Die Zwischenprodukte und die gewünschten Verbindungen in jedem der oben genannten Verfahren können mittels Trennungs- und Reinigungsmethoden isoliert und gereinigt werden, wie sie konventionellerweise in der synthetischen organischen Chemie angewandt werden, wie durch Filtration, Extraktion, Waschen, Trocknen, Konzentrieren, Umkristallisation und verschiedene Arten der Chromatographie. Die Zwischenprodukte können der nachfolgenden Reaktion ohne besondere Reinigung unterworfen werden.
  • Wenn es gewünscht wird, ein Salz der Verbindung (I) zu erhalten, wird die Verbindung (I) in einem geeigneten Lösungsmittel aufgelöst oder suspendiert, dann wird eine Säure oder eine Base hinzugegeben, und das resultierende Salz kann isoliert und gereinigt werden.
  • Weiterhin können die Verbindung (I) und pharmazeutisch annehmbare Salze hiervon ebenfalls in Form von Addukten mit Wasser und verschiedenen Lösungsmitteln existieren, welche ebenfalls im Umfang der vorliegenden Erfindung liegen.
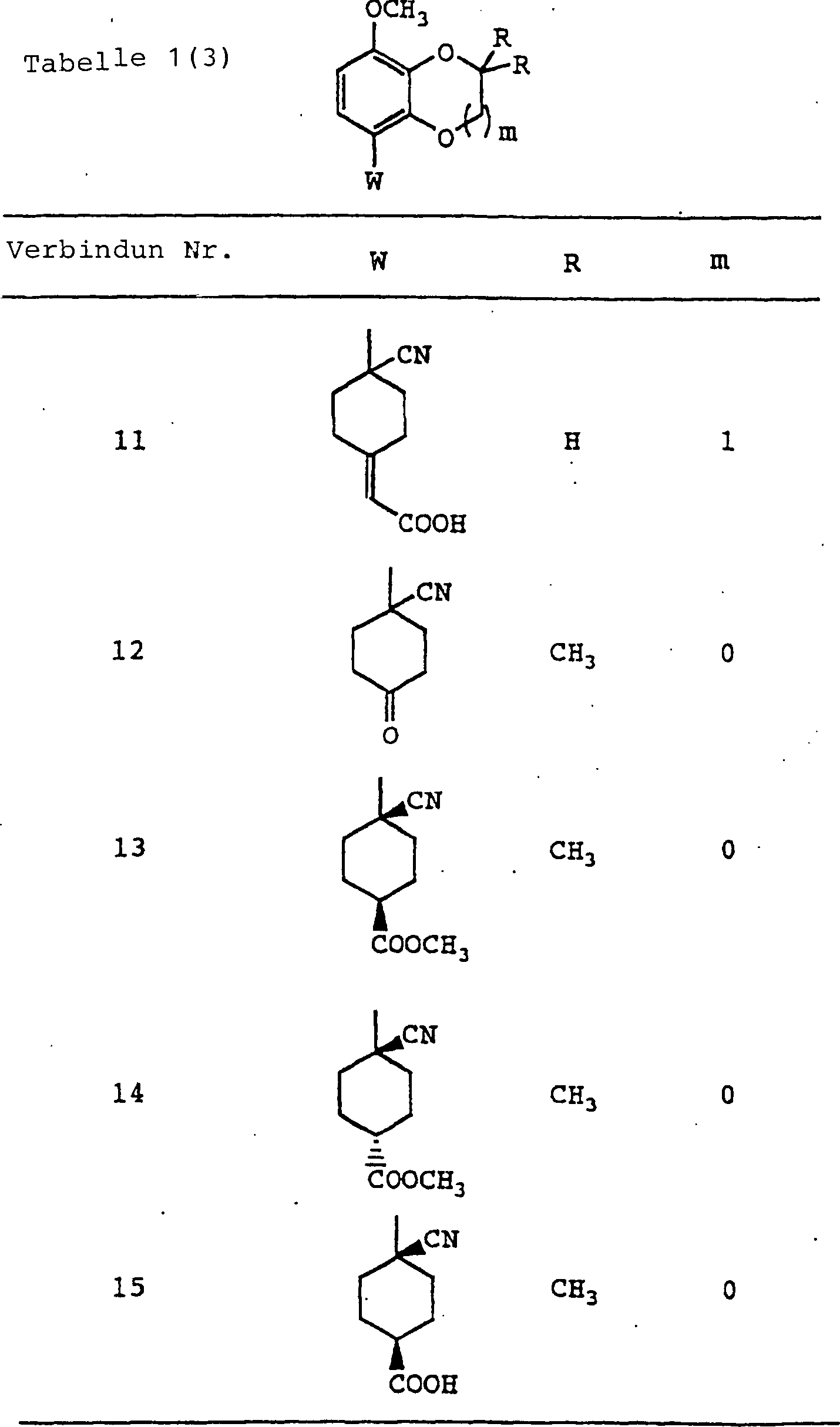
  • Spezifische Beispiele der Verbindung (I), erhalten entsprechend der vorliegenden Erfindung, sind in Tabelle 1 gezeigt.
  • Tabelle 1(1)
    Figure 00380001
  • Figure 00390001
  • Figure 00400001
  • Figure 00410001
  • Figure 00420001
  • Die pharmakologischen Aktivitäten einer der repräsentativen Verbindungen (I) sind mehr im einzelnen anhand eines Testbeispiels beschrieben.
  • Testbeispiel 1: Hemmtest auf rekombinantes menschliches PDE-IV-Enzym
  • Menschliche Phosphodiesterase cDNA (HSPDE4A) wurde aus Hoden isoliert. Ihre vorhergesagte Aminosäuresequenz ist identisch mit der Sequenz (HSPDE4A5), die von Bolger, G. et al. (Mol. Cell. Biol., 6558 (1993)) berichtet wurde, ausgenommen, daß 223 Aminosäuren vom N-Ende hiervon entfernt worden waren. Dieses rekombinante Protein wurde durch ein E. coli Expressionsplasmid exprimiert und dann gereinigt. Die PDE-Aktivität wurde in dem folgenden 2-Stufenprozeß entsprechend der Methode von Kincaid, R. und Manganiello, V. [Method. Enzymol., 159, 457 (1988)] gemessen. Das verwendete Substrat war [3H]cAMP (Endkonzentration: 1 μMol/Liter) und die Reaktion wurde in einer Standardmischung durchgeführt, welche N,N-Bis(2-hydroxyethyl)-2-aminoethansulfonsäure (50 mMol/Liter, pH 7,2), MgCl2 (1 mMol/Liter) und Sojabohnentrypsininhibitor (0,1 mg/ml) enthielt. Die Reaktion wurde durch Zugabe des Enzyms hierzu initiiert, und das Gemisch wurde bei 30°C für 10 bis 30 Minuten inkubiert. Die Reaktion wurde mit Salzsäure abgebrochen, und das gebildete 5'-AMP wurde vollständig mit 5'-Nucleosidase zersetzt. Diese Probe wurde der Chromatographie auf DEAE-Sephadex A-25 unterzogen und das eluierte [3H]Adenosin wurde mit einem Szintillationszähler ausgezählt. Die Testverbindung wurde zugesetzt, nachdem sie in DMSO (Konzentration: 1,7%) aufgelöst worden war.
  • Bei dieser Untersuchung zeigte Verbindung 5 Einzymhemmaktivität von mehr als 87% bei einer Wirkstoffkonzentration von 1 μMol/Liter.
  • Obwohl die Verbindung (I) oder pharmazeutisch annehmbare Salze hiervon ebenfalls als solche appliziert werden können, ist es üblicherweise erwünscht, sie in Form von verschiedenen pharmazeutischen Präparationen bereitzustellen. Solche pharmazeutischen Präparationen können für Tiere und Menschen verwendet werden.
  • Die pharmazeutischen Präparationen gemäß der vorliegenden Erfindung können die Verbindung (I) oder ein pharmazeutisch annehmbares Salz hiervon als einen aktiven Inhaltsstoff, alleine oder als Mischung mit anderen therapeutisch wirksamen Komponenten, enthalten. Weiterhin werden solche pharmazeutischen Präparationen mittels beliebiger Einrichtungen, welche auf dem technischen Gebiet der Arzneimittel wohlbekannt sind, nach dem Mischen des aktiven Inhaltsstoffes mit einem oder mehreren pharmazeutisch annehmbaren Trägern erhalten.
  • Beispiele des effektiven Inhaltsstoffes, welcher hiermit gemischt werden soll, sind ein Serotonin-(5HAT)3-Rezeptorantagonist, ein Serotonin-(5HAT)4-Rezeptoragonist, ein Serotonin-(5HAT)1A-Rezeptoragonist, ein Dopamin-(D)2-Rezeptorantagonist, ein Histamin-(H)1-Rezeptorantagonist, ein Muscarin-Rezeptorantagonist, ein Neurokinin-(NK)1-Rezeptorantagonist und ein Endothelin-(ET)A-Rezeptorantagonist.
  • Es ist erwünscht, den Applikationsweg anzuwenden, welcher am effektivsten in der Therapie ist, wie orale Applikation und parenterale Applikation, wobei diese intrabukale, intratracheale, intrarektale, subkutane, intramuskuläre und intravenöse Applikation einschließen.
  • Die Applikationsform schließt Sprays, Kapseln, Tabletten, Granulen, Sirupprodukte, Emulsionen, Suppositorien, Injektionen, Salben und Pflaster ein.
  • Flüssige Präparationen wie Emulsionen und Sirupprodukte, welche für die orale Applikation geeignet sind, können unter Verwendung von Wasser, Zuckern wie Saccharose, Sorbit und Fructose, Glycolen wie Polyethylenglycol und Propylenglycol, Ölen wie Sesamöl, Olivenöl und Sojabohnenöl, Konservierungsstoffen wie p-Hydroxybenzoat und Aromastoffen wie Erdbeer und Pfefferminze erhalten werden. Kapseln, Tabletten, Pulver und Granulen können unter Verwendung von Verdünnungsstoffen wie Lactose, Glucose, Saccharose und Mannit, Verteilungshilfsmitteln wie Stärke und Natriumalginat, Gleitmitteln wie Magnesiumstearat und Talk, Bindemitteln wie Polyvinylalkohol, Hydroxypropylcellulose und Gelatine, Tensiden, wie Fettsäureestern und Weichmachern wie Glycerin erhalten werden.
  • Für die parenterale Applikation geeignete Präparationen umfassen ein sterilisiertes wässriges Mittel, welches die aktive Verbindung enthält, wobei dies bevorzugt für das Blut eines Patienten isotonisch ist. Beispielsweise wird eine Lösung für die Injektion unter Verwendung eines Trägers wie einer Salzlösung, einer Glucoselösung oder einer Mischung einer Salzlösung und einer Glucoselösung hergestellt. Präparationen für die intrarektale Applikation werden unter Verwendung eines Trägers wie Kakaofett, hydriertem Fett und hydrierter Carbonsäure hergestellt und als Suppositorien geliefert. Sprays werden unter Verwendung einer aktiven Verbindung selbst oder einer aktiven Verbindung mit einem Träger, welcher die aktive Verbindung als feine Teilchen zur Erleichterung der Absorption ohne Stimulierung von oraler oder den Atemweg betreffenden Schleimbildung dispergiert, hergestellt. Beispiele solcher Träger sind Lactose und Glycerin. Präparationen wie Aerosol und trockenes Pulver können in Abhängigkeit von den Eigenschaften der verwendeten aktiven Verbindung und der Träger angewandt werden.
  • Diese parenteralen Präparationen können ebenfalls einen oder mehrere Hilfskomponenten enthalten, ausgewählt aus Verdünnungsmitteln, Aromastoffen, Konservierungsstoffen, Verdünnungsmitteln, Desintegratoren, Gleitmitteln, Bindemitteln, Tensiden und Weichmachern, die alle oben bei den oralen Präparationen erwähnt wurden.
  • Die effektive Dosis und das Applikationsprogramm der Verbindung (I) oder eines pharmazeutisch annehmbaren Salzes hiervon kann in Abhängigkeit von der Form der Applikation, dem Alter und dem Körpergewicht eines Patienten und dem Typ oder dem Ausmaß des zu behandelnden Leidens variieren, jedoch wird im Fall von oraler Applikation die Verbindung (I) oder ein pharmazeutisch annehmbares Salz hiervon in einer Dosis von 0,01 mg bis 1 g/Erwachsenem/Tag, bevorzugt 0,05 bis 50 mg/Erwachsenem/Tag appliziert, entweder auf einmal oder in mehreren Teilmengen. Im Fall von parenteraler Applikation wie intravenöser Applikation wird die Verbindung (I) oder ein pharmazeutisch annehmbares Salz hiervon in einer Dosis von 0,001 bis 100 mg/Erwachsenem/Tag, bevorzugt 0,01 bis 10 mg/Erwachsenem/Tag appliziert, entweder auf einmal oder in mehreren Teilmengen. Diese Dosiswerte variieren in Abhängigkeit von den verschiedenen oben beschriebenen Bedingungen.
  • Im folgenden wird die Ausführung der vorliegenden Erfindung anhand von Beispielen beschrieben.
  • Beispiel 1. 4-Cyano-4-(8-methoxy-1,4-benzodioxan-5-yl)-cyclohexanon (Verbindung 1)
  • (Stufe A) Synthese von 2-(8-Methoxy-1,4-benzodioxan-5-yl)-acetonitril (Verbindung 1a)
  • Zu einer Lösung von 12 g (62 mMol) von 8-Methoxy-1,4-benzodioxan-5-carbaldehyd in 140 ml Acetonitril wurden 12 g (110 mMol) Lithiumbromid zugesetzt, und dann wurden 12 ml (95 mMol) Trimethylsilylchlorid tropfenweise hinzugegeben. Nach 15 Minuten wurde das Gemisch in Eis gekühlt und 19 ml (110 mMol) von 1,1,3,3-Tetramethyldisiloxan wurden tropfenweise hinzugegeben, gefolgt von Rühren bei Zimmertemperatur für 2 Stunden. Das Gemisch wurde mit Methylenchlorid verdünnt, und dann wurde es durch Celite filtriert. Das Lösungsmittel wurde im Vakuum von dem Filtrat abgedampft, um eine blaßgelbe ölige Substanz zu ergeben. Zu einer Lösung des erhaltenen rohen 5-Brommethyl-8-methoxy-1,4-benzodioxan in 180 ml DMF wurden 9,2 g (190 mMol) Natriumcyanid zugesetzt, gefolgt von Rühren bei Zimmertemperatur für 60 Stunden. Zu dem Gemisch wurde Wasser unter Eiskühlung zugegeben, und ein hieraus abgeschiedener Feststoff wurde durch Filtration gesammelt, um 6,8 g (53%) von Verbindung 1a als einen Feststoff mit Aschefarbe zu erhalten.
    Schmelzpunkt: 121–125°C
    1H-NMR (CDCl3, δ, ppm) 3,60 (s, 2H), 3,88 (s, 3H), 4,33 (s, 4H), 6,50 (d, J = 8 Hz, 1H), 6,86 (d, J = 8 Hz, 1H).
    MASS (m/z) 205 (M+).
  • (Stufe B) Synthese von Dimethyl-4-cyano-4-(8-methoxy-1,4-benzodioxan-5-yl)-pimelat (Verbindung 1b)
  • Zu einer Lösung von 6,2 g (30 mMol) von Verbindung 1a, erhalten in Stufe A, in 94 ml Acetonitril wurden 1,4 ml (3,0 mMol) einer 40%igen methanolischen Lösung von Triton B und 27 ml (300 mMol) von Methylacrylat zugegeben, gefolgt von Erhitzen unter Rückfluß für 5 Stunden. Das Gemisch wurde zum Abkühlen stehengelassen, und dann in Wasser eingegossen, gefolgt von Extraktion mit Ethylacetat. Die organische Schicht wurde mit Salzlösung gewaschen und über Natriumsulfat getrocknet, und das Lösungsmittel wurde im Vakuum abgedampft. Der Rückstand wurde mittels Kieselgel-Säulenchromatographie (eluiert mit Hexan/Ethylacetat = 2/1) gereinigt, um 6,4 g (56%) von Verbindung 1b als eine blaßgelbe ölige Substanz zu erhalten.
    1H-NMR (CDCl3, δ, ppm) 2,05-2,37 (m, 4H), 2,39-2,59 (m, 2H), 2,62-2,82 (m, 2H), 3,60 (s, 6H), 3,87 (s, 3H), 4,20-4,40 (m, 4H), 6,48 (d, J = 9 Hz, 1H), 7,01 (d, J = 9 Hz, 1H).
    MASS (m/z) 377 (M+).
  • (Stufe C) Synthese von 4-Cyano-4-(8-methoxy-1,4-benzodioxan-5-yl)-2-methoxycarbonylcyclohexanon (Verbindung 1c)
  • Zu einer Lösung von 6,4 g (17 mMol) von Verbindung 1b, erhalten in Stufe B, in 96 ml 1,2-Dimethoxyethan wurden 2,0 g (50 mMol) von 60%igen Natriumhydrid zugesetzt. Nach Erhitzen unter Rückfluß für 3 Stunden wurde das Gemisch zum Abkühlen stehengelassen, in Eiswasser eingegossen, mit einer 6 Mol/Liter wässrigen Salzsäure angesäuert und mit Ethylacetat extrahiert. Die organische Schicht wurde mit Salzlösung gewaschen und über Natriumsulfat getrocknet, und das Lösungsmittel wurde abgedampft. Der Rückstand wurde durch Kieselgel-Säulenchromatographie (eluiert mit Hexan/Ethylacetat = 2/1) gereinigt, um 5,0 g (86%) von Verbindung 1c als weißen Feststoff zu erhalten.
    Schmelzpunkt: 129–132°C
    1H-NMR (CDCl3, δ, ppm) 2,21-2,50 (m, 3H), 2,61-2,89 (m, 2H), 3,11 (d, J = 15 Hz, 1H, 3,79 (s, 3H), 3,89 (s, 3H), 4,37 (s, 4H), 6,49 (d, J = 9 Hz, 1H), 6,84 (d, J = 9 Hz, 1H), 12,2 (s, 1H).
    MASS (m/z) 345 (M+).
  • (Stufe D) Synthese von Verbindung 1
  • Eine Mischung von 5,0 g (15 mMol) von Verbindung 1c, erhalten in Stufe C, 50 ml DMSO, 5 ml Wasser und 5,0 g Natriumchlorid wurde bei 150°C für 5 Stunden gerührt. Das Gemisch wurde zum Abkühlen stehengelassen, und Wasser wurde hinzugesetzt, gefolgt von Extraktion mit Ethylacetat. Die organische Schicht wurde mit Salzlösung gewaschen und über Natriumsulfat getrocknet, und das Lösungsmittel wurde im Vakuum abgedampft. Der Rückstand wurde durch Kieselgel-Säulenchromatographie (eluiert mit Hexan/Ethylacetat = 3/1) gereinigt, um 3,6 g (86%) von Verbindung 1 als weißen Feststoff zu erhalten.
    Schmelzpunkt: 157–161°C
    1H-NMR (CDCl3, δ, ppm) 2,21-2,41 (m, 2H), 2,45-2,72 (m, 4H), 2, 81-3,00 (m, 2H), 3,89 (s, 3H), 4,37 (s, 4H), 6,51 (d, J = 9 Hz, 1H), 6,88 (d, J = 9 Hz, 1H).
    MASS (m/z) 287 (M+).
  • Beispiel 2. 4-Cyano-4-(8-methoxy-1,4-benzodioxan-5-yl)-cyclohexanonethylenketal (Verbindung 2)
  • (Stufe A) Synthese von 4-Hydroxy-4-(8-methoxy-1,4-benzodioxan-5-yl)cyclohexanonethylenketal (Verbindung 2a)
  • In 65 ml THF wurden 10 g (41 mMol) 5-Brom-8-methoxy-1,4-benzodioxan aufgelöst, und 28 ml (45 mMol) einer 1,59 Mol/Liter Lösung von n-Butyllithium in Hexan wurde tropfenweise bei –78°C hinzugesetzt. Nach 15 Minuten wurde eine Lösung von 9,6 g (61 mMol) 1,4-Cyclohexadionmonoethylenketal in 50 ml THF tropfenweise hinzugegeben. Das Gemisch wurde für 1 Stunde gerührt, gefolgt von Rühren bei Zimmertemperatur für 20 Minuten. Es wurde Wasser hinzugegeben, das Gemisch wurde mit Ethylacetat extrahiert, und der Extrakt wurde mit Salzlösung gewaschen und über Natriumsulfat getrocknet. Das Lösungsmittel wurde hieraus abgedampft, und der Rückstand wurde durch Kieselgel-Säulenchromatographie (eluiert mit Hexan/Ethylacetat = 1/1) gereinigt, um 9,0 g (68%) von Verbindung 2a als weißen Feststoff zu erhalten.
    Schmelzpunkt: 94–96°C
    1H-NMR (CDCl3, δ, ppm) 1,58-1,72 (m, 2H), 1,88-2,28 (m, 6H), 3,57 (s, 1H), 3,86 (s, 3H), 3,90-4,07 (m, 4H), 4,35 (s, 4H), 6,46 (d, J = 9 Hz, 1H), 6,82 (d, J = 9 Hz, 1H).
    MASS (m/z) 322 (M+).
  • (Stufe B) Synthese von Verbindung 2
  • In 4,9 ml Methylenchlorid wurden 0,49 g (1,5 mMol) von Verbindung 2a, erhalten in Stufe A, aufgelöst, 0,26 ml (1,9 mMol) Trimethylsilylcyanid wurden bei –78°C hinzugegeben, dann wurden 0,20 ml (1,6 mMol) eines Bortrifluorid-Ethyletherkomplexes tropfenweise hinzugefügt, und das Gemisch wurde für 10 Minuten gerührt, gefolgt von Rühren bei Zimmertemperatur für 10 Minuten. Eine gesättigte wässrige Lösung von Natriumbicarbonat wurde hinzugegeben, und das Gemisch wurde mit Ethylacetat extrahiert. Der Extrakt wurde mit Salzlösung gewaschen und über Natriumsulfat getrocknet, und das Lösungsmittel wurde abgedampft. Der Rückstand wurde durch Kieselgel-Säulenchromatographie (eluiert mit Hexan/Ethylacetat = 2/1) gereinigt, um 0,30 g (61%) von Verbindung 2 als farblose ölige Substanz zu erhalten.
    1H-NMR (CDCl3, δ, ppm) 1,79-1,95 (m, 2H), 2,06-2,20 (m, 4H), 2,30-2,46 (m, 2H), 3,87 (s, 3H), 3,90-4,07 (m, 4H), 4,36 (s, 4H), 6,48 (d, J = 9 Hz, 1H), 6,82 (d, J = 9 Hz, 1H).
    MASS (m/z) 331 (M+).
  • Beispiel 3. Verbindung 1
  • In 2,9 ml Aceton wurden 0,29 g (0,87 mMol) von Verbindung 2, erhalten in Beispiel 2, aufgelöst, 1,2 ml (7,2 mMol) einer 6 Mol/Liter wässrigen Salzsäure wurden hinzugegeben, und das Gemisch wurde unter Rückfluß für 3 Stunden erhitzt. Das Gemisch wurde zum Abkühlen stehengelassen und in eine gesättigte wässrige Lösung von Natriumbicarbonat gegossen, das Gemisch wurde mit Ethylacetat extrahiert, und der Extrakt wurde mit Salzlösung gewaschen. Das Gemisch wurde über Natriumsulfat getrocknet, und das Lösungsmittel wurde verdampft, um 0,23 g (92%) von Verbindung 1 als einen weißen Feststoff zu erhalten.
  • Beispiel 4. Methyl-cis-4-cyano-4-(8-methoxy-1,4-benzodioxan-5-yl)-cyclohexancarboxylat (Verbindung 3) und Methyl-trans-4-cyano-4-(8-methoxy-1,4-benzodioxan-5-yl)-cyclohexancarboxylat (Verbindung 4)
  • (Stufe A) Synthese von 2-[4-Cyano-4-(8-methoxy-1,4-benzodioxan-5-yl)-cyclohexyliden]-1,3-dithian (Verbindung 3a)
  • Zu einer Lösung von 5,0 ml (25 mMol) von 2-Trimethylsilyl-1,3-dithian in 50 ml THF wurden tropfenweise 17 ml (26 mMol) einer 1,54 Mol/Liter Lösung von n-Butyllithium in Hexan unter Eiskühlung hinzugegeben. Nach 10 Minuten wurde das Gemisch auf –78°C abgekühlt, und eine Lösung von 3,6 g (13 mMol) von Verbindung 1, erhalten in Beispiel 1, in 40 ml THF wurde tropfenweise hinzugegeben. Nach 10 Minuten wurde zu dem Gemisch Salzlösung zugesetzt, gefolgt von Zugabe von Wasser bei Zimmertemperatur. Das Gemisch wurde mit Ethylacetat extrahiert, der Extrakt wurde über Natriumsulfat getrocknet, und das Lösungsmittel wurde abgedampft. Der Rückstand wurde mittels Kieselgel-Säulenchromatographie (eluiert mit Hexan/Ethylacetat = 4/1) gereinigt, um 3,9 g (79%) von Verbindung 3a als weißen Feststoff zu erhalten.
    Schmelzpunkt: 164–166°C
    1H-NMR (CDCl3, δ, ppm) 1,70-1,92 (m, 2H), 2,05-2,24 (m, 2H), 2,28-2,53 (m, 4H), 2,89 (t, J = 6 Hz, 4H), 3,18-3,38 (m, 2H), 3,87 (s, 3H), 4,36 (s, 4H), 6,47 (d, J = 9 Hz, 1H), 6,79 (d, J = 9 Hz, 1H).
    MASS (m/z) 389 (M+).
  • (Stufe B) Synthese von Verbindung 3 und von Verbindung 4
  • In 120 ml Methanol wurden 3,9 g (10 mMol) von Verbindung 3a, erhalten in Stufe A, suspendiert, 1,7 ml (20 mMol) von 70%iger Perchlorsäure und 4,3 g (16 mMol) von Quecksilberchlorid (HgCl2) wurden hinzugegeben, und das Gemisch wurde für 4 Stunden gerührt. Das Gemisch wurde mit Methylenchlorid verdünnt und durch Celite filtriert, das Filtrat wurde in ei ne gesättigte wässrige Lösung von Natriumbicarbonat eingegossen, und das Gemisch wurde mit Methylenchlorid extrahiert. Die organische Schicht wurde mit Salzlösung gewaschen und über Natriumsulfat getrocknet, und das Lösungsmittel wurde abgedampft. Der Rückstand wurde mittels Kieselgel-Säulenchromatographie (eluiert mit Hexan/Ethylacetat = 1/1) gereinigt, um die rohe Verbindung 3 als weißen Feststoff zu erhalten und weiterhin 0,18 g (5,5%) von Verbindung 4 als eine farblose transparente ölige Substanz zu erhalten. Verbindung 3 wurde weiter aus Ethylacetat umkristallisiert, um 0,57 g (17%) von weißen Kristallen zu ergeben.
  • Verbindung 3
    • Schmelzpunkt: 123–124°C
    • 1H-NMR (CDCl3, δ, ppm) 1,75-2,22 (m, 6H), 2,27-2,51 (m, 3H), 3,71 (s, 3H), 3,88 (s, 3H), 4,36 (s, 4H), 6,48 (d, J = 9 Hz, 1H), 6,84 (d, J = 9 Hz, 1H).
    • MASS (m/z) 331 (M+).
  • Verbindung 4
    • 1H-NMR (CDCl3, δ, ppm) 1,92-2,38 (m, 8H), 2,70-2,88 (m, 1H), 3,69 (s, 3H), 3,87 (s, 3H), 4,36 (s, 4H), 6,48 (d, J = 9 Hz, 1H), 6,81 (d, J = 9 Hz, 1H).
    • MASS (m/z) 331 (M+).
  • Beispiel 5. Cis-4-Cyano-4-(8-methoxy-1,4-benzodioxan-5-yl)-cyclohexancarbonsäure (Verbindung 5)
  • Zu einer Mischung von 0,55 g (1,7 mMol) von Verbindung 3, erhalten in Beispiel 4, und 3,3 ml Methanol wurden 3,3 ml THF zum Auflösen hiervon zugesetzt. Zu dem Gemisch wurden tropfenweise 2,6 ml einer 1,3 Mol/Liter wässrige Lösung von Kaliumhydroxid zugegeben, gefolgt von Rühren bei Zimmertemperatur für 1 Stunde. Das Gemisch wurde in Wasser eingegossen, Ethylacetat wurde hinzugefügt, und eine wässrige Schicht wurde extrahiert. Die wässrige Schicht wurde mit einer 1 Mol/ Liter wässrigen Salzsäure angesäuert, und der ausgefällte Feststoff wurde durch Filtration gesammelt und mit Ethanol erneut aufgeschlämmt, um 0,45 g (86%) von Verbindung 5 als weißen Feststoff zu erhalten.
    Schmelzpunkt: 228–230°C
    1H-NMR (DMSO-d6, δ, ppm) 1,59-1,90 (m, 4H), 1,94-2,10 (m, 2H), 2,20-2,45 (m, 3H), 3,75 (s, 3H), 4,27 (dd, J = 5, 12 Hz, 4H), 6,60 (d, J = 9 Hz, 1H), 6,79 (d, J = 9 Hz, 1H), 12,2 (br s, 1H).
    MASS (m/z) 317 (M+). Elementaranalyse : C17J19NO5
    Gefunden (%) C : 64,09, H : 6,01, N : 4,51
    Berechnet (%) C : 64,34, H : 6,03, N : 4,41
  • Beispiel 6. 1-(8-Methoxy-1,4-benzodioxan-5-yl)-4-methoxy-methylencyclohexancarbonitril (Verbindung 6)
  • In 320 ml THF wurden 34 g (99 mMol) von Methoxymethyltriphenylphosphoniumchlorid suspendiert, und 11 g (99 mMol) Kalium-tert-butoxid wurden hinzugegeben. Das Gemisch wurde bei Zimmertemperatur für 15 Minuten gerührt, und eine Lösung von 15 g (52 mMol) von Verbindung 1, erhalten in Beispiel 1, in 150 ml THF wurde tropfenweise hinzugegeben, gefolgt von Rühren bei Zimmertemperatur für 45 Minuten. Das Reaktionsgemisch wurde zu Wasser zugesetzt, und das Gemisch wurde mit Ethylacetat extrahiert. Die organische Schicht wurde mit Salzlösung gewaschen und über Natriumsulfat getrocknet. Das Lösungsmittel wurde im Vakuum abgedampft, und der Rückstand wurde mittels Kieselgel-Säulenchromatographie (eluiert mit Hexan/Ethylacetat = 3/1) gereinigt, um 14 g (82%) von Verbindung 6 als einen weißen Feststoff zu erhalten.
    Schmelzpunkt: 112–113°C
    1H-NMR (CDCl3, δ, ppm) 1,67-1,82 (m, 2H), 2,08-2,60 (m, 5H), 2,82-2,98 (m, 1H), 3,57 (s, 3H), 3,87 (s, 3H), 4,36 (s, 4H), 5,84 (s, 1H), 6,47 (d, J = 9 Hz, 1H), 6,80 (d, J = 9 Hz, 1H).
    MASS (m/z) 315 (M+).
  • Beispiel 7. Cis-4-Cyano-4-(8-methoxy-1,4-benzodioxan-5-yl)-cyclohexancarbaldehyd (Verbindung 7) und trans-4-Cyano-4-(8-methoxy-1,4-benzodioxan-5-yl)-cyclohexancarbaldehyd (Verbindung 8)
  • In 100 ml Aceton wurden 10 g (32 mMol) von Verbindung 6, erhalten in Beispiel 6, aufgelöst, 210 ml einer 6 Mol/Liter wässrigen Salzsäure wurden tropfenweise hinzugegeben, und das Gemisch wurde bei Zimmertemperatur für 2 Stunden gerührt, durch Zugabe einer 5 Mol/Liter wässrigen Lösung von Natriumhydroxid neutralisiert und mit Ethylacetat extrahiert. Die organische Schicht wurde mit einer gesättigten wässrigen Lösung von Natriumbicarbonat und dann mit Salzlösung gewaschen. Das Gemisch wurde über Magnesiumsulfat getrocknet, das Lösungsmittel wurde im Vakuum abgedampft, und der Rückstand wurde mittels Kieselgel-Säulenchromatographie (eluiert mit Hexan/Ethylacetat = 2/1) gereinigt, um 7,7 g (0%) von Verbindung 7 und 1,7 g (18%) von Verbindung 8 zu erhalten, wovon jede eine farblose ölige Substanz war.
  • Verbindung 7
    • 1H-NMR (CDCl3, δ, ppm) 1,80-2,35 (m, 7H), 2,38-2,57 (m, 2H), 3,88 (s, 3H), 4,36 (s, 4H), 6,49 (d, J = 9 Hz, 1H), 6,85 (d, J = 9 Hz, 1H), 9,68 (s, 1H).
    • MASS (m/z) 301 (M+).
  • Verbindung 8
    • 1H-NMR (CDCl3, δ, ppm) 1,75-1,96 (m, 2H), 2,06-2,37 (m, 6H), 2,56-2,65 (m, 1H), 3,87 (s, 3H), 4,33 (s, 4H), 6,46 (d, J = 9 Hz, 1H), 6,78 (d, J = 9 Hz, 1H), 9,73 (s, 1H).
    • MASS (m/z) 301 (M+).
  • Beispiel 8. Cis-4-Cyano-4-(8-methoxy-1,4-benzodioxan-5-yl)-cyclohexancarbonsäure (Verbindung 5)
  • In 155 ml tert-Butylalkohol wurden 7,7 g (26 mMol) von Verbindung 7, erhalten in Beispiel 7, aufgelöst, 3,1 g (26 mMol) von Natriumdihydrogenphosphat und 12 ml (120 mMol) von 2-Methyl-2-buten, 46 ml einer 80%igen wässrigen Lösung von 3,2 g (28 mMol) chlorige Säure wurden tropfenweise unter Eiskühlung hinzugesetzt, und das Gemisch wurde bei Zimmertemperatur für 1 Stunde gerührt. Zu dem Gemisch wurden 5,3 g (51 mMol) Natriumhydrogensulfit zugesetzt, gefolgt von Rühren für 15 Minuten, eine 2 Mol/ml wässrige Lösung von Natriumhydroxid wurde hinzugesetzt, und das resultierende Gemisch wurde mit Ethylacetat gewaschen. Das Gemisch wurde auf pH 3,5 mit einer 6 Mol/Liter wässrigen Salzsäure eingestellt, und der hieraus ausgeschiedene Feststoff wurde durch Filtration gesammelt und aus Ethanol umkristallisiert, um 5,5 g (67%) von Verbindung 5 als weiße Kristalle zu ergeben.
  • Beispiel 9. Cis-4-Cyano-4-(8-methoxy-1,4-benzodioxan-5-yl)-cyclohexanol (Verbindung 9)
  • In 8,4 ml Methanol wurden 0,42 g (1,5 mMol) von Verbindung 1 (erhalten in Beispiel 1) aufgelöst, und 0,11 g (3,0 mMol) Natriumborhydrid wurden unter Eiskühlung hinzugesetzt. Das Gemisch wurde bei Zimmertemperatur für 1 Stunde gerührt, 0,057 g (1,5 mMol) Natriumborhydrid wurden erneut unter Eiskühlung zugesetzt, gefolgt von Rühren bei Zimmertemperatur für 30 Minuten, eine 1 Mol/Liter wässrige Salzsäure wurde unter Eiskühlung hinzugegeben, und das Gemisch wurde mit Ethylacetat extrahiert. Die organische Schicht wurde mit Salzlösung gewaschen und über Natriumsulfat getrocknet, und das Lösungsmittel wurde im Vakuum abgedampft. Der Rückstand wurde mittels Kieselgel-Säulenchromatographie (eluiert mit Hexan/ Ethylacetat = 1/2) gereinigt, gefolgt von Umkristallisation aus Ethanol, um 0,20 g (48%) von Verbindung 9 als weiße Kristalle zu ergeben.
    Schmelzpunkt: 137–138°C
    1H-NMR (CDCl3, δ, ppm) 1,75-1,99 (m, 4H), 2,01-2,22 (m, 2H), 2,30-2,54 (m, 2H), 3,56-3,79 (m, 1H), 3,87 (s, 3H), 4,38 (s, 4H), 6,48 (d, J = 8 Hz, 1H), 6,83 (d, J = 8 Hz, 1H).
    MASS (m/z) 289 (M+).
    Elementaranalyse : C16H19NO4·0,1 H2O
    Gefunden (%) C : 66,21, H : 6,94, N : 4,82
    Berechnet (%) C : 66,01, H : 6,65, N : 4,81
  • Beispiel 10. Ethyl-4-cyano-4-(8-methoxy-1,4-benzodioxan-5-yl)-cyclohexanylidenacetat (Verbindung 10)
  • In 9,4 ml THF wurden 0,72 ml (3,6 mMol) von Triethylphosphonoacetat aufgelöst, und 0,15 g (3,6 mMol) von 60%igem Natriumhydrid wurde hierzu unter Eiskühlung zugegeben. Das Gemisch wurde bei Zimmertemperatur für 15 Minuten gerührt, 0,94 g (3,3 mMol) von Verbindung 1, erhalten in Beispiel 1, wurden unter Eiskühlung hinzugegeben, und das Gemisch wurde bei Zimmertemperatur für 30 Minuten gerührt. Dann wurde Wasser unter Eiskühlung hinzugegeben, das Gemisch wurde mit Ethylacetat extrahiert, und die organische Schicht wurde mit Salzlösung gewaschen und über Natriumsulfat getrocknet. Das Lösungsmittel wurde im Vakuum abgedampft, und der Rückstand wurde mittels Kieselgel-Säulenchromatographie (eluiert mit Hexan/Ethylacetat = 2/1) gereinigt, um 1,4 g (97%) von Verbindung 10 als weißen Feststoff zu erhalten.
    Schmelzpunkt: 110–112°C
    1H-NMR (CDCl3 δ, ppm) 1,28 (t, J = 7 Hz, 3H), 1,85-2,10 (m, 2H), 2,31-2,60 (m, 4H), 2,67-2,89 (m, 1H), 3,87 (s, 3H), 3,92-4,12 (m, 1H), 4,16 (q, J = 7 Hz, 2H), 4,36 (s, 4H), 5,71 (s, 1H), 6,48 (d, J = 9 Hz, 1H), 6,81 (d, J = 9 Hz, 1H).
    MASS (m/z) 357 (M+).
  • Beispiel 11. 4-Cyano-4-(8-methoxy-1,4-benzodioxan-5-yl)-cyclohexanylidenessigsäure (Verbindung 11)
  • In 3,1 ml Ethanol und 3,1 ml THF wurden 0,31 g (0,87 mMol) von Verbindung 10, erhalten in Beispiel 10, suspendiert, dann wurden 0,65 ml (1,3 mMol) einer 2 Mol/Liter wässrigen Lösung von Natriumhydroxid hinzugegeben, das Gemisch wurde bei 70°C für 1 Stunde gerührt, und dann wurden 0,65 ml (1,3 mMol) einer 2 Mol/Liter wässrigen Lösung von Natriumhydroxid weiter hinzugegeben, gefolgt von Rühren bei 70°C für 1 Stunde. Eine 1 Mol/Liter wässrige Salzsäurelösung wurde tropfenweise unter Eiskühlung hinzugegeben, und das Gemisch wurde mit Ethylacetat extrahiert. Die organische Schicht wurde mit Salzlösung gewaschen und über Natriumsulfat getrocknet, das Lösungsmittel wurde im Vakuum abgedampft, und der Rückstand wurde mit Ethanol verrieben, um 0,23 g (82%) von Verbindung 11 als weißen Feststoff zu ergeben.
    Schmelzpunkt: 203–204°C
    1H-NMR (DMSO-d6, δ, ppm) 1,75-2,00 (m, 2H), 2,05-2,67 (m, 5H), 3,74 (s, 3H), 3,80-4,00 (m, 1H), 4,15-4,43 (m, 4H), 5,69 (s, 1H), 6,59 (d, J = 9 Hz, 1H), 6,81 (d, J = 9 Hz, 1H), 12,1 (br s, 1H).
    MASS (m/z) 329 (M+).
    Elementaranalyse : C18H19NO5·0,1 H2O
    Gefunden (%) C : 65,30, H : 6,09, N : 4,19
    Berechnet (%) C : 65,29, H : 5,84, N : 4,23
  • Beispiel 12. 4-Cyano-4-(2,2-dimethyl-7-methoxy-1,3-benzodioxol-4-yl)-cyclohexanon (Verbindung 12)
  • (Stufe A) Synthese von 2-(2,2-Dimethyl-7-methoxy-1,3-benzodioxol-4-yl)-acetonitril (Verbindung 12a)
  • Zu einer Lösung von 9,3 g (45 mMol) von 2,2-Dimethyl-7-methoxy-1,3-benzodioxol-4-carbaldehyd, erhalten nach der in der japanischen veröffentlichten nicht-geprüften Patentanmeldung Nr. 98/147585 erwähnten Methode und nach einer hiermit ähnlichen Methode, in 47 ml Acetonitril wurden 8,9 g (85 mMol) Lithiumbromid zugesetzt, und dann wurden 8,5 ml (67 mMol) Trimethylsilylchlorid tropfenweise hinzugegeben. Nach 15 Minuten wurde das Gemisch eisgekühlt, und 13 ml (76 mMol) von 1,1,3,3-Tetramethyldisiloxan wurden tropfenweise hinzugegeben, gefolgt von Rühren bei Zimmertemperatur für 2 Stunden. Das resultierende Gemisch wurde mit Toluol verdünnt und durch Celite filtriert. Das Lösungsmittel wurde im Vakuum von dem Filtrat abgedampft, um eine blaßgelbe ölige Substanz zu ergeben. Zu einer Lösung dieses rohen 7-Brommethyl-2,2-dimethyl-4-methoxy-1,3-benzodioxols in 73 ml DMF wurden 5,0 g (102 mMol) Natriumcyanid hinzugesetzt, und das Gemisch wurde bei Zimmertemperatur für 18 Stunden gerührt. Unter Eiskühlung wurde Wasser hinzugegeben, und das Gemisch wurde mit Ethylacetat extrahiert. Die organische Schicht wurde mit Salzlösung gewaschen und über Natriumsulfat getrocknet, und das Lösungsmittel wurde im Vakuum abgedampft. Der Rückstand wurde mittels Kieselgel-Säulenchromatographie (eluiert mit Hexan/Ethylacetat = 5/1) gereinigt, um 9,1 g (92%) von Verbindung 12a als einen Feststoff mit Aschefärbung zu erhalten.
    Schmelzpunkt: 58–59°C
    1H-NMR (CDCl3, δ, ppm) 1,71 (s, 6H), 3,60 (s, 2H), 3,88 (s, 3H), 6,50 (d, J = 9 Hz, 1H), 6,76 (d, J = 9 Hz, 1H).
    MASS (m/z) 219 (M+).
  • (Stufe B) Synthese von Dimethyl-4-cyano-4-(2,2-dimethyl-7-methoxy-1,3-benzodioxol-4-yl)-pimelat (Verbindung 12b)
  • Zu einer Lösung von 9,0 g (41 mMol) von Verbindung 12a, erhalten in Stufe A, in 135 ml Acetonitril wurden 1,9 ml (4,1 mMol) einer 40%igen methanolischen Lösung von Triton B und 37 ml (410 mMol) Methylacrylat zugesetzt, und das Gemisch wurde bei Zimmertemperatur für 30 Minuten gerührt. Wasser und eine 1 Mol/Liter wässrige Salzsäure wurden hinzugegeben, gefolgt von Extraktion mit Ethylacetat. Die organische Schicht wurde mit Salzlösung gewaschen und über Natriumsulfat getrocknet, und das Lösungsmittel wurde im Vakuum abgedampft. Der Rückstand wurde mittels Kieselgel-Säulenchromatographie (eluiert mit Hexan/Ethylacetat = 5/2) gereinigt, um 11 g (68%) von Verbindung 12b als blaßgelbe ölige Substanz zu erhalten.
    1H-NMR (CDCl3, δ, ppm) 1,69 (s, 6H), 2,05-2,31 (m, 4H), 2,40-2,64 (m, 4H), 3,60 (s, 6H), 3,89 (s, 3H), 6,49 (d, J = 9 Hz, 1H), 6,88 (d, J = 9 Hz, 1H).
    MASS (m/z) 391 (M+).
  • (Stufe C) Synthese von 4-Cyano-4-(2,2-dimethyl-7-methoxy-1,3-benzodioxol-4-yl)-2-methoxycarbonylcyclohexanon (Verbindung 12c)
  • Zu einer Lösung von 11 g (27 mMol) von Verbindung 12b, erhalten in Stufe B, in 161 ml 1,2-Dimethoxyethan wurden 3,3 g (83 mMol) 60%iges Natriumhydrid zugegeben. Nach Erhitzen unter Rückfluß für 3 Stunden wurde das Gemisch zum Abkühlen stehengelassen und in Eiswasser eingegossen, und das Gemisch wurde mit einer 6 Mol/Liter wässrigen Salzsäure angesäuert und mit Ethylacetat extrahiert. Die organische Schicht wurde mit Salzlösung gewaschen und über Natriumsulfat getrocknet, und das Lösungsmittel wurde abgedampft. Der Rückstand wurde mittels Kieselgel-Säulenchromatographie (eluiert mit Hexan/Ethylacetat = 3/1) gereinigt, um 8,4 g (86%) von Verbindung 12c als weißen Feststoff zu erhalten.
    Schmelzpunkt: 146–147°C
    1H-NMR (CDCl3, δ, ppm) 1,71 (s, 3H), 1,73 (s, 3H), 2,12-2,27 (m, 1H), 2,32-2,55 (m, 2H), 2,67-3,00 (m, 3H), 3,78 (s, 3H), 3,89 (s, 3H), 6,51 (d, J = 9 Hz, 1H), 6,92 (d, J = 9 Hz, 1H), 12,2 (s, 1H).
    MASS (m/z) 359 (M+).
  • (Stufe D) Synthese von Verbindung 12
  • Ein Gemisch von 8,3 g (23 mMol) von Verbindung 12c, erhalten in der Stufe C, 83 ml DMSO, 8,3 ml Wasser und 8,3 g Natriumchlorid wurde bei 150°C für 12 Stunden gerührt. Das Gemisch wurde zum Abkühlen stehengelassen, Wasser wurde hinzugefügt, gefolgt von Extraktion mit Ethylacetat. Die organische Schicht wurde mit Salzlösung gewaschen und über Natriumsulfat getrocknet, und das Lösungsmittel wurde abgedampft. Der Rückstand wurde mittels Kieselgel-Säulenchromatographie (eluiert mit Hexan/Ethylacetat = 3/1) gereinigt, um 5,6 g (81%) von Verbindung 12 als einen weißen Feststoff zu erhalten.
    Schmelzpunkt: 153–154°C
    1H-NMR (CDCl3, δ, ppm) 1,72 (s, 6H), 2,35-2,61 (m, 6H), 2,77-2,97 (m, 2H), 3,90 (s, 3H), 6,53 (d, J = 9 Hz, 1H), 6,97 (d, J = 9 Hz, 1H).
    MASS (m/z) 301 (M+).
  • Beispiel 13. Methyl-cis-4-cyano-4-(2,2-dimethyl-7-methoxy-1,3-benzodioxol-4-yl)-cyclohexancarboxylat (Verbindung 13) und trans-4-Cyano-4-(2,2-dimethyl-7-methoxy-1,3-benzodioxol-4-yl)-cyclohexancarboxylat (Verbindung 14)
  • (Stufe A) Synthese von 2-[4-Cyano-4-(2,2-dimethyl-7-methoxy-1,3-benzodioxol-4-yl)-cyclohexyliden]-1,3-dithian (Verbindung 13a)
  • Zu einer Lösung von 0,56 ml (3,0 mMol) von 2-Trimethylsilyl-1,3-dithian in 5,6 ml THF wurden tropfenweise 1,9 ml (3,0 mMol) einer Lösung von 1,54 Mol/Liter von Butyllithium in Hexan unter Eiskühlung hinzugegeben. Nach 15 Minuten wurde das Gemisch auf –78°C abgekühlt, und eine Lösung von 0,42 g (1,4 mMol) von Verbindung 12, erhalten in Beispiel 12, in 0,6 ml THF wurde tropfenweise hinzugefügt. Nach 20 Minuten wurde Salzlösung hinzugegeben und dann wurde bei Zimmertemperatur Wasser hinzugegeben. Das Gemisch wurde mit Ethylacetat extrahiert, der Extrakt wurde über Natriumsulfat getrocknet, und das Lösungsmittel wurde abgedampft. Der Rückstand wurde mittels Kieselgel-Säulenchromatographie (eluiert mit Hexan/Ethylacetat = 6/1) gereinigt, um 0,53 g (93%) von Verbindung 13a als weißen Feststoff zu erhalten.
    Schmelzpunkt: 194–197°C
    1H-NMR (CDCl3, δ, ppm) 1,72 (s, 6H), 1,86-2,53 (m, 8H), 2,90 (t, J = 6 Hz, 4H), 3,17-3,33 (m, 2H), 3,88 (s, 3H), 6,48 (d, J = 9 Hz, 1H), 6,86 (d, J = 9 Hz, 1H).
    MASS (m/z) 403 (M+).
  • (Stufe B) Synthese von Verbindung 13 und Verbindung 14
  • In 105 ml Methanol wurden 3,0 g (7,4 mMol) von Verbindung 13a, erhalten in Stufe A, suspendiert, dann wurden 1,3 ml (15 mMol) von 70%iger Perchlorsäure und 3,2 g (12 mMol) von Quecksilberchlorid (HgCl2) hinzugegeben, und das Gemisch wurde bei 60°C für 1 Stunde gerührt. Das Gemisch wurde mit Methylenchlorid verdünnt und durch Celite filtriert, und das Filtrat wurde in gesättigtes wässriges Natriumbicarbonat eingegossen, gefolgt von Extraktion mit Methylenchlorid. Die organische Schicht wurde mit Salzlösung gewaschen und über Natriumsulfat getrocknet, und das Lösungsmittel wurde abgedampft. Der Rückstand wurde mittels Kieselgel-Säulenchromatographie (eluiert mit Hexan/Ethylacetat = 3/1) gereinigt, um 1,4 g (53%) von Verbindung 13 als einen weißen Feststoff und 0,31 g (12%) von Verbindung 14 als eine farblose transparente ölige Substanz zu ergeben.
  • Verbindung 13
    • Schmelzpunkt: 79–80°C
    • 1H-NMR (CDCl3, δ, ppm) 1,72 (s, 6H), 1,87-2,27 (m, 8H), 2,30-2,43 (m, 1H), 3,71 (s, 3H), 3,88 (s, 3H), 6,49 (d, J = 9 Hz, 1H), 6,92 (d, J = 9 Hz, 1H).
    • MASS (m/z) 345 (M+).
  • Verbindung 14
    • 1H-NMR (CDCl3, δ, ppm) 1,71 (s, 6H), 1,90-2,26 (m, 8H), 2,72-2,80 (m, 1H), 3,70 (s, 3H), 3,88 (s, 3H), 6,48 (d, J = 9 Hz, 1H), 6,83 (d, J = 9 Hz, 1H).
    • MASS (m/z) 345 (M+).
  • Beispiel 14. Cis-4-Cyano-4-(2,2-dimethyl-7-methoxy-1,3-benzodioxol-4-yl)-cyclohexancarbonsäure (Verbindung 15)
  • Zu einem Gemisch von 1,7 g (5,0 mMol) von Verbindung 13, erhalten in Beispiel 13, und 10 ml Methanol wurden 5,2 ml THF zum Auflösen hiervon zugesetzt. Zu dem Gemisch wurden tropfenweise 7,7 ml (10 mMol) einer 1,3 Mol/Liter wässrigen Lösung von Kaliumhydroxid zugegeben, gefolgt von Rühren bei Zimmertemperatur für 2 Stunden. Es wurde Wasser hinzugegeben, das Gemisch wurde mit Ethylacetat gewaschen, und die wässrige Schicht wurde mit einer 1 Mol/Liter wässrigen Salzsäure angesäuert. Das Gemisch wurde mit Ethylacetat extrahiert, und der Extrakt wurde mit Salzlösung gewaschen und über Natriumsulfat getrocknet. Das Lösungsmittel wurde abgedampft, und der Rückstand wurde aus Ethanol umkristallisiert, um 1,1 g (64%) von Verbindung 15 als weiße Kristalle zu ergeben.
    Schmelzpunkt: 195–198°C
    1H-NMR (DMSO-d6, δ, ppm) 1,50-1,78 (m, 8H), 1,79-2,13 (m, 4H), 2,15-2,37 (m, 3H), 3,79 (s, 3H), 6,64 (d, J = 9 Hz, 1H), 6,81 (d, J = 9 Hz, 1H), 12,3 (br s, 1H).
    MASS (m/z) 331 (M+).
    Elementaranalyse : C18H21NO5
    Gefunden (%) C : 65,33, H : 6,40, N : 4,27
    Berechnet (%) C : 65,24, H : 6,39, N : 4,23
  • Beispiel 15. 4-(8-Methoxy-1,4-benzodioxan-5-yl)-3-cyclohexenon (Verbindung 16)
  • Zu 1,2 g (3,6 mMol) von Verbindung 2a, erhalten in Stufe A von Beispiel 2, und 1,2 mg (0,0063 mMol) p-Toluolsulfonsäuremonohydrat wurden 70 ml Wasser und 140 ml Toluol zugegeben, gefolgt von Erhitzen unter Rückfluß für 4 Stunden. Das Gemisch wurde zum Abkühlen stehengelassen, das Gemisch wurde mit Toluol extrahiert, und der Extrakt wurde mit gesättigtem wässrigem Natriumbicarbonat und dann mit Salzlösung gewaschen. Das Gemisch wurde über Natriumsulfat getrocknet, das Lösungsmittel wurde mittels Kieselgel-Säulenchromatographie (eluiert mit Hexan/Ethylacetat = 2/1) gereinigt, um 0,88 g (94%) von Verbindung 16 als blaßgelben Feststoff zu ergeben.
    Schmelzpunkt: 56–59°C
    1H-NMR (CDCl3, δ, ppm) 2,59 (t, J = 7 Hz, 2H), 2,75-2,85 (m, 2H), 2,97-3,10 (m, 2H), 3,88 (s, 3H), 4,25-4,37 (m, 4H), 5,83 (t, J = 4 Hz, 1H), 6,48 (d, J = 8 Hz, 1H), 6,81 (d, J = 8 Hz, 1H).
    MASS (m/z) 260 (M+).
  • Beispiel 16. 5-(8-Methoxy-1,4-benzodioxan-5-yl)-1-indanon (Verbindung 17) (keine Verbindung gemäß der Erfindung)
  • Zu einem Gemisch von 0,30 g (1,8 mMol) von Verbindung A, erhalten in Vergleichsbeispiel 1, und 0,39 g (1,8 mMol) von kommerziell erhältlichem 5-Brom-1-indanon wurden 3,0 ml DMF unter einer Stickstoffatmosphäre zu ihrer Auflösung hinzugesetzt, und dann wurden 0,39 g (3,7 mMol) Natriumcarbonat und 0,020 g (0,090 mMol) Palladiumacetat hinzugegeben. Das Ge misch wurde bei 100°C für 2 Stunden gerührt, gefolgt von Rühren bei 110°C für 0,9 Stunden. Ethylacetat wurde zu dem Reaktionsgemisch zugegeben, der Feststoff wurde abfiltriert, und die resultierende Lösung wurde der Verteilung unterzogen. Die organische Schicht wurde mit Salzlösung gewaschen und über Natriumsulfat getrocknet. Nachdem der Feststoff abfiltriert worden war, wurde das Filtrat im Vakuum konzentriert, und das Konzentrat wurde mittels Kieselgel-Säulenchromatographie (eluiert mit Hexan/Ethylacetat = 3/1) gereinigt und aus Aceton umkristallisiert, um 0,15 g (28%) von Verbindung 17 als weißen Feststoff zu ergeben.
    Schmelzpunkt: 168°C
    1H-NMR (CDCl3, δ, ppm) 2,70-2,74 (m, 2H), 3,18 (br t, 2H), 3,93 (s, 3H), 4,28-4,32 (m, 2H), 4,36-4,39 (m, 2H), 6,61 (d, J = 9 Hz, 1H), 6,90 (d, J = 9 Hz, 1H), 7,53 (dd, J = 2, 8 Hz, 1H), 7,61 (d, J = 2 Hz, 1H), 7,78 (d, J = 8 Hz, 1H).
    MASS (m/z) 296 (M+).
  • Beispiel 17. 6-(8-Methoxy-1,4-benzodioxan-5-yl)-1-tetralon (Verbindung 18) (keine Verbindung gemäß der Erfindung)
  • Zu einem Gemisch von 0,37 g (1,7 mMol) von Verbindung A, erhalten in Vergleichsbeispiel 1, und 0,51 g (1,7 mMol) von 6-Trifluormethansulfonyl-1-tetralon [Synthetic Communication, 23(21), 2965 (1993) etc.] wurden 3,7 ml DMF zu ihrer Auflösung unter einer Stickstoffatmosphäre zugesetzt, und dann wurden 0,37 g (3,5 mMol) Natriumcarbonat und 0,020 g (0,090 mMol) Palladiumacetat hinzugegeben. Das Gemisch wurde bei 100°C für 1,5 Stunden gerührt, gefolgt von Rühren bei 120°C für 2,3 Stunden. Ethylacetat wurde zu dem Reaktionsgemisch zugesetzt, der Feststoff wurde abfiltriert, und die resultierende Lösung wurde mit Wasser und mit Salzlösung gewaschen und über Natriumsulfat getrocknet. Der Feststoff wurde abfiltriert, das Filtrat wurde im Vakuum eingeengt, und das Kon zentrat wurde mittels Kieselgel-Säulenchromatographie (eluiert mit Hexan/Ethylacetat = 3/1) gereinigt und aus Aceton und dann aus Ethanol umkristallisiert, um 0,070 g (8,0%) von Verbindung 18 als einen weißen Feststoff zu ergeben. Schmelzpunkt: 156–158°C
    1H-NMR (CDCl3, δ, ppm) 2,12-2,21 (m, 2H), 2,67 (t, J = 7 Hz, 2H), 3,01 (t, J = 6 Hz, 2H), 3,93 (s, 3H), 4,28-4,31 (m, 2H), 4,36-4,38 (m, 2H), 6,59 (d, J = 9 Hz, 1H), 6,88 (d, J = 9 Hz, 1H), 7,39 (d, J = 1 Hz, 1H), 7,46 (dd, J = 2, 8 Hz, 1H), 8,06 (d, J = 8 Hz, 1H).
    MASS (m/z) 310 (M+).
  • Beispiel 18. 7-(8-Methoxy-1,4-benzodioxan-5-yl)-1-benzosuberon (Verbindung 19) (keine Verbindung gemäß der Erfindung)
  • Zu einem Gemisch von 0,37 g (1,6 mMol) von Verbindung A, erhalten in Vergleichsbeispiel 1, und 0,38 g (1,6 mMol) von 7-Brom-1-benzosuberon wurden 3,3 ml DMF unter einer Stickstoffatmosphäre zur Auflösung hiervon zugegeben, und 0,33 g (3,1 mMol) Natriumcarbonat und 0,020 g (0,080 mMol) Palladiumacetat wurden hinzugefügt. Das Gemisch wurde bei 100°C für 6,5 Stunden gerührt, Ethylacetat wurde zu dem Reaktionsgemisch zugegeben, und der Feststoff wurde abfiltriert. Die resultierende Lösung wurde mit Wasser und mit Salzlösung gewaschen und über Natriumsulfat getrocknet. Der Feststoff wurde abfiltriert, das Filtrat wurde im Vakuum konzentriert, und das Konzentrat wurde mittels Kieselgel-Säulenchromatographie (eluiert mit Hexan/Ethylacetat = 3/1) gereinigt und aus Ethanol und dann aus Aceton umkristallisiert, um 0,16 g (32%) von Verbindung 19 als einen weißen Feststoff zu ergeben.
    Schmelzpunkt: 124–126°C
    1H-NMR (CDCl3, δ, ppm) 1,83-1,94 (m, 4H), 2,74-2,78 (m, 2H), 2,96-3,01 (m, 2H), 3,93 (s, 3H), 4,28-4,31 (m, 2H), 4,36-4,39 (m, 2H), 6,59 (d, J = 9 Hz, 1H), 6,89 (d, J = 9 Hz, 1H), 7,36 (d, J = 2 Hz, 1H), 7,47 (dd, J = 2,8 Hz, 1H), 7,79 (d, J = 8 Hz, 1H).
    MASS (m/z) 324 (M+).
  • Beispiel 19. Ethyl-2-[4-cyano-4-(8-methoxy-1,4-benzodioxan-5-yl)-cyclohexan-1-yl]-acetat (Verbindung 20)
  • In 5,5 ml Ethanol und 8,0 ml Aceton wurden 0,55 g (1,5 mMol) von Verbindung 10, erhalten in Beispiel 10, aufgelöst, 0,11 g von 10% Palladium-Kohle (enthaltend 50% Wasser) wurde hinzugefügt und das Gemisch wurde einer Hydrierungsreaktion bei Zimmertemperatur und üblichem Druck für 3 Stunden unterworfen. Nach Entfernung des Katalysators wurde das Lösungsmittel im Vakuum aus dem Filtrat abgedampft, um 0,54 g (100) von Verbindung 20 als ein Gemisch von Isomeren in Form einer blaßgelben öligen Substanz zu ergeben.
    NMR (CDCl3, δ, ppm) 1,18-1,33 (m, 3H), 1,45-1,73 (m, 3H), 1,77-1,97 (m, 4H), 2,25-2,42 (m, 4H), 3,87 und 3,88 (jeweils s, insgesamt 3H), 4,04-4,27 (m, 2H), 4,35 (s, 4H), 6,48 und 6,49 (jeweils d, J = 9 Hz, insgesamt 1H), 6,84 und 6,88 (jeweils d, J = 9 Hz, insgesamt 1H).
    MASS (m/z) 359 (M+).
  • Beispiel 20. 2-[4-Cyano-4-(8-methoxy-1,4-benzodioxan-5-yl)-cyclohexan-1-yl]-essigsäure (Verbindung 21)
  • In 4,1 ml Ethanol wurden 0,41 g (1,1 mMol) von Verbindung 20, erhalten in Beispiel 19, aufgelöst, 1,1 ml einer 2 Mol/Liter wässrigen Lösung von Natriumhydroxid wurde hinzugegeben, und das Gemisch wurde bei Zimmertemperatur für 1 Stunde gerührt und dann bei 60°C für 20 Minuten gerührt. Das Gemisch wurde zum Abkühlen stehengelassen, und Wasser und Ethylacetat wurden hinzugegeben, gefolgt von Trennen in eine organische Schicht und eine wässrige Schicht. Die wässrige Schicht wurde mit einer 6 Mol/Liter wässrigen Salzsäure angesäuert und mit Ethylacetat extrahiert, und der Extrakt wurde mit Salzlösung gewaschen und über Natriumsulfat getrocknet. Das Lösungsmittel wurde im Vakuum abgedampft, Toluol wurde zu dem Rückstand hinzugesetzt, und das Lösungsmittel wurde im Vakuum abgedampft. Zu dem Rückstand wurde Diisopropylether zugesetzt, und dann wurde der ausgefällte Feststoff durch Filtration gesammelt und aus Ethanol umkristallisiert, um 0,13 g (36%) von Verbindung 21 als eine Mischung von Isomeren in Form von weißen Kristallen zu ergeben.
    Schmelzpunkt: 149–150°C
    NMR (DMSO-d6, δ, ppm) 1,25-1,57 (m, 2H), 1,63-1,95 (m, 5H), 2,08-2,35 (m, 4H), 3,74 (s, 3H), 4,15-4,42 (m, 4H), 6,59 (d, J = 9 Hz, 1H), 6,81 und 6,86 (jeweils d, J = 9 Hz, insgesamt 1H), 12,1 (s, 1H).
    MASS (m/z) 359 (M+).
  • Beispiel 21. 4-(8-Methoxy-1,4-benzodioxan-5-yl)-1(3H)-isobenzofuranon (Verbindung 22) (keine Verbindung gemäß der Erfindung)
  • Zu 0,61 g Ethyl-4-(8-methoxy-1,4-benzodioxan-5-yl)-2-acetoxymethylbenzoat, welches durch Behandlung von 0,40 g (1,9 mMol) von in Vergleichsbeispiel 1 erhaltener Verbindung A erhalten worden war, und 0,57 g (1,9 mMol) von in Vergleichsbeispiel 3 erhaltener Verbindung C, in derselben Weise wie in Beispiel 17, wurden 6,0 ml Ethanol und 1,2 ml einer 5 Mol/Liter Lösung von Kaliumhydroxid zugesetzt, das Gemisch wurde bei Zimmertemperatur für 35 Minuten gerührt, und das Lösungsmittel wurde im Vakuum abgedampft, und Wasser wurde zu dem Rückstand zugesetzt. Zu der erhaltenen Lösung wurden 6 Mol/Liter Salzsäure zur Einstellung hiervon auf pH 2 zugegeben, und der ausgefallene Feststoff wurde durch Filtration gesammelt und im Vakuum getrocknet, um 0,46 g eines weißen Feststoffes zu ergeben.
  • Zu diesem Feststoff wurden 4,2 ml Essigsäure zugesetzt, gefolgt von Rühren bei 90°C. Eine gesättigte wässrige Lösung von Natriumbicarbonat wurde zu dem Reaktionsgemisch zugesetzt, so daß Essigsäure neutralisiert wurde, und Ethylacetat wurde hierzu zur Verteilung zugegeben. Die organische Schicht wurde mit einer gesättigten wässrigen Lösung von Natriumbicarbonat und Salzlösung gewaschen und über Magnesiumsulfat getrocknet. Der Feststoff wurde abfiltriert, das Filtrat wurde im Vakuum konzentriert, und das Konzentrat wurde mittels Kieselgel-Säulenchromatographie (eluiert mit Hexan/Ethylacetat = 3/2) gereinigt und aus Ethanol umkristallisiert, um 0,33 g (70%) von Verbindung 22 als einen weißen Feststoff zu ergeben.
    Schmelzpunkt: 158–160°C
    NMR (CDCl3 δ, ppm) 3,94 (s, 3H), 4,28-4,32 (m, 2H), 4,37-4,40 (m, 2H), 5,35 (s, 2H), 6,62 (d, J = 8,6 Hz, 2H), 6,89 (d, J = 8,6 Hz, 2H), 7,62 (s, 1H), 7,67 (d, J = 8,3 Hz, 1H), 7,93 (d, J = 8,3 Hz, 1H).
    MASS (m/z) 298 (M+).
    Elementaranalyse : C17H14O5
    Gefunden (%) C : 68,55, H : 4,61
    Berechnet (%) C : 68,45, H : 4,73
  • Beispiel 22. 4-(8-Methoxy-1,4-benzodioxan-5-yl)-phthalimid (Verbindung 23) (keine Verbindung gemäß der Erfindung)
  • Zu 0,12 g (0,4 mMol) von Verbindung B, erhalten in Vergleichsbeispiel 2, wurden 0,6 ml Ethylenglycol und 0,02 g (0,4 mMol) Harnstoff in einer Argonströmung zugegeben, gefolgt von Rühren bei 150°C für 5,3 Stunden. Ethanol wurde zu dem Reaktionsgemisch bei Zimmertemperatur zugesetzt, und der hieraus abgetrennte Feststoff wurde durch Filtration gesammelt und im Vakuum getrocknet, um 0,08 g (73%) von Verbindung 23 als einen gelben Feststoff zu ergeben.
    Schmelzpunkt: 285–287°C
    NMR (CDCl3, δ, ppm) 3,94 (s, 3H), 4,29-4,32 (m, 2H), 4,37-4,40 (m, 2H), 6,62 (d, J = 8,6 Hz, 1H), 6,91 (d, J = 8,6 Hz, 1H), 7,27 (br s, 1H), 7,84-7,88 (br t, 2H), 8,04 (s, 1H).
    MASS (m/z) 311 (M+).
    Elementaranalyse : C17H13NO5
    Gefunden (%) C: 65,49, H: 4,25, N: 4,22
    Berechnet (%) C: 65,59, H: 4,21, N: 4,50
  • Vergleichsbeispiel 1. (8-Methoxy-1,4-benzodioxan-5-yl)-borsäure (Verbindung A)
  • Zu 7,4 g (30 mMol) von 5-Brom-8-methoxy-1,4-benzodioxan wurden 74 ml THF zu seiner Auflösung zugesetzt, und nach Abkühlen des Gemisches auf –78°C wurden 23 ml (35 mMol) einer 1,54 Mol/Liter Lösung von n-Butyllithium in Hexan tropfenweise zugegeben, gefolgt von Rühren bei –78°C für 0,5 Stunden.
  • Zu diesem Reaktionsgemisch wurde eine Lösung von 4,8 ml (42 mMol) Trimethylborat in 15 ml THF bei –78°C zugegeben, und das Gemisch wurde für 1,7 Stunden gerührt, gefolgt von Rühren für weitere 1,8 Stunden bei Zimmertemperatur. Salzsäure wurde zur Einstellung des Gemisches auf pH 1 hinzugegeben, das Gemisch wurde mit Ethylacetat extrahiert, und der Extrakt wurde mit Wasser und Salzlösung gewaschen und über Magnesiumsulfat getrocknet. Der Feststoff wurde abfiltriert, und das Lösungsmittel wurde im Vakuum aus der resultierenden Lösung abgedampft, gefolgt von Umkristallisation aus Toluol, um 4,35 g (68%) von Verbindung A als einen milchig weißen Feststoff zu ergeben.
    Schmelzpunkt: > 300°C
    1H-NMR (CDCl3, δ, ppm) 3,91 (s, 3H), 4,34-4,41 (m, 4H), 5,73 (s, 2H), 6,59 (d, J = 8 Hz, 1H), 7,37 (d, J = 8 Hz, 1H).
    MASS (m/z) 210 (M+).
  • Vergleichsbeispiel 2. 4-(8-Methoxy-1,4-benzodioxan-5-yl)-phthalsäure (Verbindung B)
  • Zu 0,69 g (1,8 mMol) von Diethyl-4-(8-methoxy-1,4-benzodioxan-5-yl)-phthalat, erhalten durch Behandlung von 0,70 g (3,3 mMol) von in Vergleichsbeispiel 1 erhaltener Verbindung A und 1,00 g (3,3 mMol) von bekanntem Diethyl-4-bromphthalat nach derselben Reaktion wie in Beispiel 17, wurden 7,0 ml Ethanol und 1,4 ml einer 6 Mol/Liter wässrigen Lösung von Kaliumhydroxid zugegeben, das Gemisch wurde bei Zimmertemperatur für 2 Stunden gerührt, und Ethanol wurde im Vakuum abgedampft. Wasser wurde zu der resultierenden Lösung zugegeben, das Gemisch wurde auf pH 2 mit einer 6 Mol/Liter Salzsäure eingestellt, und die hieraus abgetrennten Kristalle wurden durch Filtration gesammelt und im Vakuum getrocknet, um 0,55 g (94%) von Verbindung B als einen weißen Feststoff zu erhalten.
    Schmelzpunkt: 192–196°C
    NMR (DMSO-d6, δ, ppm) 3,79 (s, 3H), 4,26 (s, 4H), 4,37-4,40 (m, 2H), 6,69 (d, J = 8,6 Hz, 1H), 6,89 (d, J = 8,6 Hz, 1H), 7,63-7,72 (m, 3H), 13,07 (br s, 1H).
    MASS (m/e) 312 (M+-18).
  • Vergleichsbeispiel 3. Ethyl-2-acetoxymethyl-4-brombenzoat (Verbindung C)
  • (Stufe A) Ethyl-4-brom-2-brommethylbenzoat (Verbindung Ca)
  • Zu 10,0 g (41 mMol) von Ethyl-4-brom-2-methylbenzoat wurden 300 ml von α,α,α-Trifluortoluol, 7,54 g (42 mMol) N-Bromsuccinimid und 2,0 g (12 mMol) Azobisisobutyronitril zugegeben, gefolgt von Rühren bei 80°C für 5,5 Stunden. Wasser wurde zu dem Reaktionsgemisch für die Verteilung zugegeben, und die organische Schicht wurde mit Wasser und Salzlösung gewaschen und über Magnesiumsulfat getrocknet. Der Feststoff wurde abfiltriert, das Filtrat wurde im Vakuum konzentriert, und das Konzentrat wurde mittels Kieselgel-Säulenchromatographie (eluiert mit Hexan/Ethylacetat = 20/1) gereinigt, gefolgt von Umkristallisation aus Hexan, um 4,07 g (31%) von Verbindung Ca als weißen Feststoff zu ergeben.
    Schmelzpunkt: 56,0–57,0°C
    NMR (CDCl3, δ, ppm) 1, 42 (t, J = 7, 1 Hz, 3H), 4, 40 (q, J = 7,1 Hz, 2H), 4,89 (s, 2H), 7,50 (dd, J = 2,0, 8,4 Hz, 1H), 7,62 (d, J = 2, 0 Hz, 1H), 7,84 (d, J = 8, 4 Hz, 1H).
    MASS (m/e) 300 (M+).
  • (Stufe B) Verbindung C
  • Zu 1,0 g (3,2 mMol) von Verbindung Ca wurden 10 ml Essigsäure und 4,0 g (49 mMol) Natriumacetat zugegeben, gefolgt von Rühren bei 120°C für 0,5 Stunden. Eine gesättigte wässrige Lösung von Natriumbicarbonat wurde zu dem Reaktionsgemisch zugegeben, so daß die Essigsäure neutralisiert wurde, und dann wurde Ethylacetat hierzu für die Verteilung zugegeben. Die organische Schicht wurde mit einer gesättigten wässrigen Lösung von Natriumbicarbonat und dann mit Salzlösung gewaschen und über Magnesiumsulfat getrocknet. Der Feststoff wurde abfiltriert, das Filtrat wurde im Vakuum konzentriert, und das Konzentrat wurde mittels Kieselgel-Säulenchromatographie (eluiert mit Hexan/Ethylacetat = 25/1) gereinigt, um 0,69 g (71%) von Verbindung C als einen weißen Feststoff zu ergeben.
    Schmelzpunkt: 51,5–52,5°C
    NMR (CDCl3, δ, ppm) 1,39 (t, J = 7,1 Hz, 3H), 2,17 (s, 3H), 4,36 (q, J = 7,1 Hz, 2H), 5,50 (s, 2H), 7,51 (dd, J = 2,0, 8,4 Hz, 1H), 7,65 (d, J = 2,0 Hz, 1H), 7,87 (d, J = 8, 4 Hz, 1H).
    MASS (m/e) 300 (M+).
  • Industrielle Anwendbarkeit
  • Gemäß der vorliegenden Erfindung können sauerstoffhaltige heterocyclische Verbindungen geliefert werden, welche Hemmaktivität für Phosphodiesterase-(PDE)-IV besitzen, und welche brauchbar sind als ein therapeutisches Mittel für: inflammatorische allergische Krankheiten wie Bronchialasthma, allergische Rhinitis, atopische Dermatitis und Nephritis; Autoimmunkrankheiten wie chronisches obstruktives Lungenleiden, Rheumatismus, Multiple Sclerose, Crohnsche Krankheit, Psoriasis und systematische Lupuserythematose; Krankheiten des zentralen Nervensystems wie Depression, Amnesie und Demens; Organopathie, verbunden mit ischämischem Reflux, hervorgerufen durch Herzversagen, Schock und cerebrovaskuläres Leiden und dergleichen; insulinresistente Diabetes; Wunden, AIDS, Osteoporose; Harnstein, Harninkontinenz und dergleichen; oder als ein Erholungsmittel bei Ermüdung, Unwohlsein und dergleichen.

Claims (8)

  1. Sauerstoffhaltige heterocyclische Verbindung, wiedergegeben durch die folgende Formel (I):
    Figure 00730001
    worin: m eine ganze Zahl von 0 bis 4 darstellt; R1, R2, R3 und R4 unabhängig darstellen: ein Wasserstoffatom, substituiertes oder unsubstituiertes C1-8-Alkyl, substituiertes oder unsubstituiertes Cycloalkyl, Polycycloalkyl, substituiertes oder unsubstituiertes C2-9-Alkoxycarbonyl, substituiertes oder unsubstituiertes C2-9-Alkanoyl, substituiertes oder unsubstituiertes C2-9-Alkanoyloxy, Cyano, Hydroxy, substituiertes oder unsubstituiertes C1-8-Alkoxy, substituiertes oder unsubstituiertes C2-8-Alkenyl, substituiertes oder unsubstituiertes Cycloalkenyl, substituiertes oder unsubstituiertes Aryl, eine substituierte oder unsubstituierte aromatische heterocyclische Gruppe, substituiertes oder unsubstituiertes Aralkyl oder -CONR7R8 (worin R7 und R8 unabhängig darstellen: ein Wasserstoffatom, substituiertes oder unsubstituiertes C1-8-Alkyl, substituiertes oder unsubstituiertes C2-9-Alkanoyl, substituiertes oder unsubstituiertes Cycloalkyl, substituiertes oder unsubstituiertes Aryl, eine substituierte oder unsubstituierte aromatische heterocyclische Gruppe oder substituiertes oder unsubstituiertes Aralkyl, oder R7 und R8 kombiniert sind, um eine substituierte oder unsubstituierte heterocyclische Gruppe zusammen mit dem benachbarten Stickstoffatom darzustellen); zwei Gruppen von R1, R2, R3 und R4, die an demselben Kohlenstoffatom vorliegen, kombiniert sind, um einen gesättigten Spiro-Kohlenstoffring zusammen mit diesem Kohlenstoffatom zu bilden, zwei Gruppen von R1, R2, R3 und R4, die an benachbarten Kohlenstoffatomen vorliegen, kombiniert sind, um einen gesättigten Kohlenstoffring zusammen mit diesen zwei benachbarten Kohlenstoffatomen zu bilden, zwei Gruppen von R1, R2, R3 und R4, die an benachbarten Kohlenstoffatomen vorliegen, kombiniert sind, um eine Einzelbindung zu bilden (bildend eine Doppelbindung zusammen mit der bereits vorliegenden Bindung); R5 darstellt: Hydroxy oder substituiertes oder unsubstituiertes C1-8-Alkoxy; R6 darstellt: ein Wasserstoffatom oder Halogen; Y darstellt: die folgernde Formel (II):
    Figure 00740001
    worin R9 darstellt: Cyano, Ethinyl oder Carbamoyl, und R10 darstellt: ein Wasserstoffatom, R11 darstellt: Hydroxy, Formyl, substituiertes oder unsubstituiertes C1-8-Alkoxy, substituiertes oder unsubstituiertes Tetrazolyl, -R13R14 (worin R13 und R14 unabhängig darstellen: ein Wasserstoffatom, substituiertes oder unsubstituiertes C1-8-Alkyl substituiertes oder unsubstituiertes C2-9-Alkanoyl, substituiertes oder unsubstituiertes Cycloalkyl, substituiertes oder unsubstituiertes Aryl, eine substituierte oder unsubstituierte aromatische heterocyclische Gruppe oder substituiertes oder unsubstituiertes Aralkyl, oder R13 und R14 kombiniert sind, um eine substituierte oder unsubstituierte heterocyclische Gruppe zusammen mit dem benachbarten Stickstoffatom darzustellen), -COOR15 (worin R15 darstellt: ein Wasserstoffatom oder substituiertes oder unsubstituiertes C1-8-Alkyl), -CONR16R17 (worin R16 und R17 unabhängig darstellen: ein Wasserstoffatom, substituiertes oder unsubstituiertes C1-8-Alkyl, substituier tes oder unsubstituiertes C2-9-Alkanoyl, substituiertes oder unsubstituiertes Cycloalkyl, substituiertes oder unsubstituiertes Aryl, eine substituierte oder unsubstituierte aromatische heterocyclische Gruppe oder substituiertes oder unsubstituiertes Aralkyl, oder R16 und R17 kombiniert sind, um eine substituierte oder unsubstituierte heterocyclische Gruppe zusammen mit dem benachbarten Stickstoffatom darzustellen) oder -CH2COOR18 (worin R18 darstellt: ein Wasserstoffatom oder substituiertes oder unsubstituiertes C1-8-Alkyl), R12 darstellt: ein Wasserstoffatom oder substituiertes oder unsubstituiertes C1-8-Alkoxy oder R11 und R12 zusammen kombiniert sind, um darzustellen: -OCH2(CH2)pO- (worin p eine ganze Zahl von 1 bis 3 darstellt), -CR19R20O- (worin R19 und R20 unabhängig darstellen: ein Wasserstoffatom oder Cyano), =CHOR21 (worin R21 darstellt: substituiertes oder unsubstituiertes C1-8-Alkyl, substituiertes oder unsubstituiertes C2-8-Alkenyl oder substituiertes oder unsubstituiertes Aralkyl), =CHCOOR22 (worin R22 darstellt: ein Wasserstoffatom oder substituiertes oder unsubstituiertes C1-8-Alkyl) oder =O; oder ein pharmazeutisch annehmbares Salz hiervon.
  2. Sauerstoffhaltige heterocyclische Verbindung nach Anspruch 1, bei welcher R9 Cyano ist, oder ein pharmazeutisch annehmbares Salz hiervon.
  3. Sauerstoffhaltige heterocyclische Verbindung nach Anspruch 1 oder 2, bei welcher m = 0 oder 1 ist, oder ein pharmazeutisch annehmbares Salz hiervon.
  4. Sauerstoffhaltige heterocyclische Verbindung nach irgendeinem der Ansprüche 1 bis 3, bei welcher alle von R1, R2, R3 und R4 Wasserstoffatome sind, oder eine Gruppe von R1, R2, R3 und R4 substituiertes oder unsubstituiertes C1-8-Alkyl ist, während die anderen drei Gruppen Wasserstoffatome sind, oder ein pharmazeutisch annehmbares Salz hiervon.
  5. Sauerstoffhaltige heterocyclische Verbindung nach irgendeinem der Ansprüche 1 bis 4, bei welcher R11 Carboxy oder Hydroxy darstellt, oder R11 und R12 zusammen kombiniert sind, um =O darzustellen, oder ein pharmazeutisch annehmbares Salz hiervon.
  6. Pharmazeutische Zusammensetzung, welche wenigstens eine sauerstoffhaltige heterocyclische Verbindung nach irgendeinem der Ansprüche 1 bis 5 oder ein pharmazeutisch annehmbares Salz hiervon enthält.
  7. Phosphodiesterase-(PDE)-IV-Inhibitor, welcher wenigstens eine sauerstoffhaltige heterocyclische Verbindung nach irgendeinem der Ansprüche 1 bis 5 oder ein pharmazeutisch annehmbares Salz hiervon enthält.
  8. Verwendung der sauerstoffhaltigen heterocyclischen Verbindung nach irgendeinem der Ansprüche 1 bis 5 oder eines pharmazeutisch annehmbaren Salzes hiervon für die Herstellung eines Phosphodiesterase-(PDE)-IV-Inhibitors.
DE69918695T 1998-09-03 1999-09-03 Sauerstoffhaltige heterocyclische verbindungen Expired - Lifetime DE69918695T2 (de)

Applications Claiming Priority (5)

Application Number Priority Date Filing Date Title
JP24968598 1998-09-03
JP24968598 1998-09-03
JP8275899 1999-03-26
JP8275899 1999-03-26
PCT/JP1999/004788 WO2000014085A1 (en) 1998-09-03 1999-09-03 Oxygenic heterocyclic compounds

Publications (2)

Publication Number Publication Date
DE69918695D1 DE69918695D1 (de) 2004-08-19
DE69918695T2 true DE69918695T2 (de) 2005-07-21

Family

ID=26423777

Family Applications (1)

Application Number Title Priority Date Filing Date
DE69918695T Expired - Lifetime DE69918695T2 (de) 1998-09-03 1999-09-03 Sauerstoffhaltige heterocyclische verbindungen

Country Status (15)

Country Link
US (1) US6376535B2 (de)
EP (1) EP1110961B1 (de)
JP (1) JP3589985B2 (de)
KR (1) KR20010073099A (de)
CN (1) CN1109029C (de)
AT (1) ATE271045T1 (de)
AU (1) AU756878B2 (de)
BR (1) BR9913405A (de)
CA (1) CA2341890C (de)
DE (1) DE69918695T2 (de)
EA (1) EA004138B1 (de)
ES (1) ES2224747T3 (de)
HU (1) HUP0103896A3 (de)
MX (1) MXPA01002102A (de)
WO (1) WO2000014085A1 (de)

Families Citing this family (21)

* Cited by examiner, † Cited by third party
Publication number Priority date Publication date Assignee Title
AU2001236048A1 (en) * 2000-03-02 2001-09-12 Kyowa Hakko Kogyo Co. Ltd. Oxygen-containing heterocyclic compounds
EP1362853A4 (de) * 2001-01-26 2004-05-12 Kyowa Hakko Kogyo Kk Styrolderivate und verfahren zu deren herstellung
US20080085858A1 (en) * 2004-10-13 2008-04-10 Kyowa Hakko Kogyo Co., Ltd. Pharmaceutical Composition
CA2584169A1 (en) * 2004-10-13 2006-04-20 Kyowa Hakko Kogyo Co., Ltd. Remedies/preventives for chronic skin disease
WO2006123726A1 (ja) * 2005-05-18 2006-11-23 Kyowa Hakko Kogyo Co., Ltd. 医薬組成物
WO2007025177A2 (en) 2005-08-26 2007-03-01 Braincells, Inc. Neurogenesis by muscarinic receptor modulation
EP2258359A3 (de) 2005-08-26 2011-04-06 Braincells, Inc. Neurogenese durch Modulation des Muscarinrezeptors mit Sabcomelin
EP2377530A3 (de) 2005-10-21 2012-06-20 Braincells, Inc. Modulation von Neurogenese durch PDE-Hemmung
EP1942879A1 (de) 2005-10-31 2008-07-16 Braincells, Inc. Gaba-rezeptor-vermittelte modulation von neurogenese
US20100216734A1 (en) 2006-03-08 2010-08-26 Braincells, Inc. Modulation of neurogenesis by nootropic agents
EP2021000A2 (de) 2006-05-09 2009-02-11 Braincells, Inc. Neurogenese mittels angiotensin-modulation
MX2008014320A (es) 2006-05-09 2009-03-25 Braincells Inc Neurogenesis mediada por el receptor de 5-hidroxitriptamina.
BRPI0716604A2 (pt) 2006-09-08 2013-04-09 Braincells Inc combinaÇÕes contendo um derivado de 4-acilaminopiridina
US20100184806A1 (en) 2006-09-19 2010-07-22 Braincells, Inc. Modulation of neurogenesis by ppar agents
EP2348018A4 (de) * 2008-09-25 2012-04-25 Kyorin Seiyaku Kk Heterocyclisches biarylderivat und dieses als wirkstoff enthaltender pde-hemmer
WO2010099217A1 (en) 2009-02-25 2010-09-02 Braincells, Inc. Modulation of neurogenesis using d-cycloserine combinations
WO2011134468A1 (en) * 2010-04-28 2011-11-03 Leo Pharma A/S Biaryl phosphodiesterase inhibitors
US20150119399A1 (en) 2012-01-10 2015-04-30 President And Fellows Of Harvard College Beta-cell replication promoting compounds and methods of their use
US10052326B1 (en) 2017-10-12 2018-08-21 King Saud University Antihepatotoxic agents
CN108341807B (zh) * 2018-02-08 2020-07-28 平顶山学院 含苯并二噁烷骨架的哌嗪酰胺类化合物及其制备方法和应用
CN110698466B (zh) * 2019-05-20 2022-07-22 暨南大学 一种炭皮苯酞类化合物、组合物、制备方法及其用途

Family Cites Families (15)

* Cited by examiner, † Cited by third party
Publication number Priority date Publication date Assignee Title
AU521225B2 (en) 1977-04-19 1982-03-25 Delalande S.A. Alkylenedioxy phenyl derivatives
BR8704044A (pt) 1986-08-08 1988-04-05 Mitsui Toatsu Chemicals Pelicula de cobertura resinica inseticida
JPS63179868A (ja) 1987-01-21 1988-07-23 Eisai Co Ltd 1,4−ベンゾジオキサン誘導体及びその製法
GB9027098D0 (en) 1990-12-13 1991-02-06 Beecham Group Plc Pharmaceuticals
US5166367A (en) 1991-06-21 1992-11-24 American Home Products Corporation Antipsychotic benzodioxan derivatives
JPH07242655A (ja) 1994-03-03 1995-09-19 Taiho Yakuhin Kogyo Kk 1,4−ベンゾジオキサン誘導体
JPH07242543A (ja) 1994-03-03 1995-09-19 Taiho Yakuhin Kogyo Kk 肝疾患治療剤
ES2258775T3 (es) 1995-05-19 2006-09-01 Kyowa Hakko Kogyo Co., Ltd. Compuestos heterociclicos que contienen oxigeno.
JPH10147585A (ja) * 1996-11-19 1998-06-02 Kyowa Hakko Kogyo Co Ltd 含酸素複素環化合物
CZ132798A3 (cs) 1995-10-30 1999-02-17 Smithkline Beecham Corporation Inhibitory proteázy
WO1998015532A1 (en) 1996-10-09 1998-04-16 Novartis Ag Solid phase synthesis of heterocyclic compounds
PT839810E (pt) 1996-11-04 2003-01-31 Bayer Cropscience Sa 1-poliarilpirazois como pesticidas
AU4967697A (en) * 1996-11-19 1998-06-10 Kyowa Hakko Kogyo Co. Ltd. Oxygenic heterocyclic compounds
JPH1149755A (ja) 1997-07-30 1999-02-23 Nippon Kayaku Co Ltd 新規含窒素ヘテロ環誘導体およびそれを有効成分とする殺虫殺ダニ組成物
AU9281298A (en) * 1997-10-01 1999-04-23 Kyowa Hakko Kogyo Co. Ltd. Benzodioxole derivatives

Also Published As

Publication number Publication date
US20010056117A1 (en) 2001-12-27
CN1317002A (zh) 2001-10-10
AU756878B2 (en) 2003-01-23
JP3589985B2 (ja) 2004-11-17
MXPA01002102A (es) 2003-02-24
EA004138B1 (ru) 2004-02-26
US6376535B2 (en) 2002-04-23
ES2224747T3 (es) 2005-03-01
DE69918695D1 (de) 2004-08-19
EP1110961B1 (de) 2004-07-14
EA200100310A1 (ru) 2001-10-22
WO2000014085A1 (en) 2000-03-16
EP1110961A1 (de) 2001-06-27
CA2341890A1 (en) 2000-03-16
HUP0103896A3 (en) 2003-01-28
AU2251100A (en) 2000-03-27
HUP0103896A2 (hu) 2002-04-29
BR9913405A (pt) 2001-10-02
EP1110961A4 (de) 2001-12-12
ATE271045T1 (de) 2004-07-15
KR20010073099A (ko) 2001-07-31
CN1109029C (zh) 2003-05-21
CA2341890C (en) 2006-07-18

Similar Documents

Publication Publication Date Title
DE69918695T2 (de) Sauerstoffhaltige heterocyclische verbindungen
DE69636086T2 (de) Sauerstoff enthaltende heterocyclische verbindungen
DE60305446T4 (de) Desazapurine und deren verwendung
EP0298452B1 (de) In 4-Stellung durch Aryl oder N-Heteroaryl substituierte 2H-1-Benzopyran-Derivate
KR102480410B1 (ko) 항박테리아 화합물 및 그의 용도
JPWO2000014085A1 (ja) 含酸素複素環化合物
CH644116A5 (de) Imidazolderivate.
DE60007745T2 (de) Heterocyclische aminopyrrolidon-derivate als melatonergene wirkstoffe
DE60317684T4 (de) SUBSTITUIERTE 2,4-DIHYDROPYRROLOc3,4BÜCHINOLIN-9-ONDERIVATE, DIE SICH ALS PHOSPHODIESTERASEINHIBITOREN EIGNEN
EP0943613A1 (de) Sauerstoff enthaltende heterocyclische verbindungen
EP0346724A1 (de) Chromanderivate
DE60201590T2 (de) Antidepressiv wirksame azaheterocyclymethyl-derivative von oxaheterocycyl-anellierten (1,4)-benzodioxanen
DE3918041A1 (de) Chromanderivate
EP0406656B1 (de) Chromanderivate
EP0161218A2 (de) Benzo-(pyrano und thiopyrano)-pyridine
EP0363883A1 (de) Chromanderivate
EP0819688A1 (de) 4-substituierte Benzofurane
DE69128254T2 (de) Antihypertensive benzopyran-derivate
DE4038752A1 (de) Chromanderivate
DE69330283T2 (de) Neue 4-(3-benzofuranyl) piperidinyl und 4-(3-benzothienyl) piperidinyl-derivate und diese enthaltende pharmazeutische zusammenstellungen
EP0900212A1 (de) Chirale phenyldihydrofuranone als pde-iv inhibitoren
DE60209937T4 (de) Chemokinrezeptor-Antagonisten und Methoden zu ihrer Verwendung
EP0217092A2 (de) 3-Desmethyl-mevalonsäurederivate, Verfahren zu ihrer Herstellung, pharmazeutische Präparate auf Basis dieser Verbindungen, ihre Verwendung sowie Zwischenprodukte
US20030100772A1 (en) Oxygen-containing heterocyclic compounds
EP0586405B1 (de) NEUE IN 4-STELLUNG DURCH ARYL ODER N-HETEROARYL SUBSTITUIERTE 2H-BENZO[b]PYRAN-DERIVATE, VERFAHREN ZU IHRER HERSTELLUNG UND IHRE VERWENDUNG SOWIE DIE VERBINDUNGEN ENTHALTENDE ZUBEREITUNGEN

Legal Events

Date Code Title Description
8364 No opposition during term of opposition
8327 Change in the person/name/address of the patent owner

Owner name: KYOWA HAKKO KIRIN CO., LTD., TOKYO, JP