DE69918662T2 - Bestandteile und katalysatoren für die olefinpolymerisation - Google Patents

Bestandteile und katalysatoren für die olefinpolymerisation Download PDF

Info

Publication number
DE69918662T2
DE69918662T2 DE69918662T DE69918662T DE69918662T2 DE 69918662 T2 DE69918662 T2 DE 69918662T2 DE 69918662 T DE69918662 T DE 69918662T DE 69918662 T DE69918662 T DE 69918662T DE 69918662 T2 DE69918662 T2 DE 69918662T2
Authority
DE
Germany
Prior art keywords
catalyst
group
alkyl
catalyst component
diethyl
Prior art date
Legal status (The legal status is an assumption and is not a legal conclusion. Google has not performed a legal analysis and makes no representation as to the accuracy of the status listed.)
Expired - Fee Related
Application number
DE69918662T
Other languages
English (en)
Other versions
DE69918662D1 (de
Inventor
Giampiero Morini
Giulio Balbontin
V. Yuri GULEVICH
Current Assignee (The listed assignees may be inaccurate. Google has not performed a legal analysis and makes no representation or warranty as to the accuracy of the list.)
Basell Poliolefine Italia SRL
Original Assignee
Basell Poliolefine Italia SRL
Priority date (The priority date is an assumption and is not a legal conclusion. Google has not performed a legal analysis and makes no representation as to the accuracy of the date listed.)
Filing date
Publication date
Application filed by Basell Poliolefine Italia SRL filed Critical Basell Poliolefine Italia SRL
Application granted granted Critical
Publication of DE69918662D1 publication Critical patent/DE69918662D1/de
Publication of DE69918662T2 publication Critical patent/DE69918662T2/de
Anticipated expiration legal-status Critical
Expired - Fee Related legal-status Critical Current

Links

Classifications

    • CCHEMISTRY; METALLURGY
    • C08ORGANIC MACROMOLECULAR COMPOUNDS; THEIR PREPARATION OR CHEMICAL WORKING-UP; COMPOSITIONS BASED THEREON
    • C08FMACROMOLECULAR COMPOUNDS OBTAINED BY REACTIONS ONLY INVOLVING CARBON-TO-CARBON UNSATURATED BONDS
    • C08F10/00Homopolymers and copolymers of unsaturated aliphatic hydrocarbons having only one carbon-to-carbon double bond
    • C08F10/04Monomers containing three or four carbon atoms
    • C08F10/06Propene
    • CCHEMISTRY; METALLURGY
    • C07ORGANIC CHEMISTRY
    • C07CACYCLIC OR CARBOCYCLIC COMPOUNDS
    • C07C69/00Esters of carboxylic acids; Esters of carbonic or haloformic acids
    • C07C69/62Halogen-containing esters
    • C07C69/63Halogen-containing esters of saturated acids
    • CCHEMISTRY; METALLURGY
    • C08ORGANIC MACROMOLECULAR COMPOUNDS; THEIR PREPARATION OR CHEMICAL WORKING-UP; COMPOSITIONS BASED THEREON
    • C08FMACROMOLECULAR COMPOUNDS OBTAINED BY REACTIONS ONLY INVOLVING CARBON-TO-CARBON UNSATURATED BONDS
    • C08F10/00Homopolymers and copolymers of unsaturated aliphatic hydrocarbons having only one carbon-to-carbon double bond
    • CCHEMISTRY; METALLURGY
    • C08ORGANIC MACROMOLECULAR COMPOUNDS; THEIR PREPARATION OR CHEMICAL WORKING-UP; COMPOSITIONS BASED THEREON
    • C08FMACROMOLECULAR COMPOUNDS OBTAINED BY REACTIONS ONLY INVOLVING CARBON-TO-CARBON UNSATURATED BONDS
    • C08F110/00Homopolymers of unsaturated aliphatic hydrocarbons having only one carbon-to-carbon double bond
    • C08F110/04Monomers containing three or four carbon atoms
    • C08F110/06Propene

Landscapes

  • Chemical & Material Sciences (AREA)
  • Organic Chemistry (AREA)
  • Health & Medical Sciences (AREA)
  • Chemical Kinetics & Catalysis (AREA)
  • Medicinal Chemistry (AREA)
  • Polymers & Plastics (AREA)
  • Transition And Organic Metals Composition Catalysts For Addition Polymerization (AREA)

Description

  • Die vorliegende Erfindung betrifft Katalysatorkomponenten für die Polymerisation von Olefinen, die daraus erhaltenen Katalysatoren und die Verwendung der Katalysatoren zur Polymerisation von Olefinen CH2=CHR, worin R für Wasserstoff oder einen Kohlenwasserstoffrest mit 1–12 Kohlenstoffatomen steht. Insbesondere betrifft die vorliegende Erfindung für die stereospezifische Polymerisation von Olefinen geeignete Katalysatorkomponenten, die Ti, Mg, Halogen und eine unter Estern von Malonsäuren (heteroatomhaltigen Malonsäureestern) ausgewählte Elektronendonatorverbindung enthalten. Mit den Katalysatorkomponenten kann man bei der Polymerisation von Olefinen und insbesondere von Propylen Polymere in hohen Ausbeuten und mit hohem isotaktischem Index, ausgedrückt in Form einer hohen Xylolunlöslichkeit, erhalten.
  • Die Verwendung einiger Malonsäureester als interne Elektronendonatoren in Katalysatoren für die Polymerisation von Propylen ist bereits aus dem Stand der Technik bekannt.
  • In der EP-A-45977 wird die Verwendung eines Malonsäureesters (2,2-Diisobutylmalonsäurediethylester) als interner Donator für einen Katalysator für die Polymerisation von Olefinen beschrieben. In der EP-A-86473 wird ein Katalysator für die Polymerisation von Olefinen beschrieben, der (a) eine Aluminiumalkylverbindung, (b) eine Elektronendonatorverbindung mit bestimmten Reaktivitätsmerkmalen gegenüber MgCl2 und (c) eine feste Katalysatorkomponente, enthaltend ein Titanhalogenid und einen unter vielen Klassen von Esterverbindungen einschließlich Malonsäureestern ausgewählten Elektronendonator auf MgCl2 geträgert, enthält. In keiner der oben zitierten Anmeldungen werden heteroatomhaltige Malonsäureester beschrieben. Das Gleiche gilt für die EP-A-86644, in der die Verwendung von 2-n-Butylmalonsäurediethylester und 2-Isopropylmalonsäurediethylester als interne Donatoren in magnesiumgeträgerten Katalysatoren für die Polymerisation von Propylen beschrieben wird.
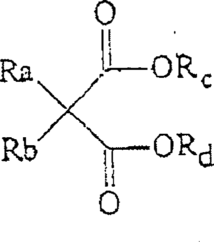
  • Aus der Analyse der in den obigen Anmeldungen angegebenen Polymerisationsergebnisse geht hervor, daß ein üblicher Nachteil bei der Verwendung der erwähnten Malonsäureester in einer immer noch ungenügenden Polymerisationsausbeute und/oder einem ungeeigneten isotaktischen Index des fertigen Polymers bestand. Dies wird auch durch die Offenbarung der JP-08157521 bestätigt. Diese Anmeldung betrifft ein Verfahren zur Herstellung einer festen Katalysatorkomponente für die Polymerisation von Olefinen, das dadurch gekennzeichnet ist, daß man eine durch Umsetzung einer Magnesiumverbindung, einer Titanverbindung und einer Halogenverbindung hergestellte feste Katalysatorkomponente mit einer oder mehreren Elektronendonatorverbindungen der allgemeinen Formel:
    Figure 00020001
    worin Rc und Rd gleich oder verschieden sind und für eine geradkettige oder verzweigtkettige Kohlenwasserstoffgruppe mit 1–10 Kohlenstoffatomen stehen und Ra und Rb gleich oder verschieden sind und für eine gesättigte oder cyclische gesättigte Kohlenwasserstoffgruppe mit einem oder mehreren sekundären oder tertiären Kohlenstoffatomen und 3–20 Kohlenstoffatomen stehen, in Kontakt bringt. Wenngleich eine Verbesserung der Ausbeuten und des isotaktischen Index gegenüber den oben zitierten Druckschriften erhalten wird, sind die Ergebnisse für eine wirtschaftliche Verwendung der dort beschriebenen Katalysatorkomponenten immer noch nicht zufriedenstellend.
  • Es wurde nun überraschenderweise gefunden, daß die Polymerisationsausbeuten und der isotaktische Index des Polymers durch Verwendung von Katalysatorkomponenten, die heteroatomhaltige Malonsäureester als interne Donatoren enthalten, verbessert werden können.
  • Gegenstand der Erfindung ist daher die Bereitstellung einer festen Katalysatorkomponente für die Polymerisation von Olefinen CH2=CHR, worin R für Wasserstoff oder einen Kohlenwasserstoffrest mit 1–12 Kohlenstoffatomen steht, enthaltend Mg, Ti, Halogen und einen heteroatomhaltigen Malonsäureester.
  • Unter dem Begriff Heteroatom ist jedes von C und H verschiedene Atom zusätzlich zu den von der Malonsäure stammenden Sauerstoffatomen zu verstehen.
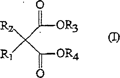
  • Insbesondere könnnen die Elektronendonatorverbindungen unter heteroatomhaltigen Malonsäureestern der Formel (I) ausgewählt sein:
    Figure 00030001
    worin R1 und R2 gleich oder voneinander verschieden sind und für H oder eine lineare oder verzweigte C1-C20-Alkyl-, -Alkenyl-, -Cycloalkyl-, -Aryl-, -Arylalkyl- oder -Alkylarylgruppe stehen und auch zu einem Ring verbunden sein können und R3 und R4 unabhängig voneinander unter linearen oder verzweigten C1-C20-Alkyl-, -Alkenyl-, -Cycloalkyl-, -Aryl-, -Arylalkyl- oder -Alkylarylgruppen ausgewählt sind und auch zu einem Ring verbunden sein können, mit der Maßgabe, daß mindestens eine der Gruppen R1 bis R4 mindestens ein Heteroatom aus der Gruppe bestehend aus Halogenen, N, Si, Ge, P und S enthält.
  • Die Heteroatome sind vorzugsweise unter F, Cl, Br und Si ausgewählt und nach einer bevorzugten Ausführungsform in den Gruppen R1 oder R2 enthalten.
  • R3 und R4 stehen vorzugsweise für primäre Alkyl-, Arylalkyl- oder Alkylarylgruppen mit 2 bis 8 Kohlenstoffatomen, die Heteroatome enthalten können. Besonders bevorzugt stehen sie für primäre verzweigte Alkylgruppen, die gegebenenfalls Heteroatome enthalten. Beispiele für geeignete Gruppen R3 und R4 ohne Heteroatome sind Methyl, Ethyl, n-Propyl, n-Butyl, Isobutyl, Neopentyl und 2-Ethylhexyl. Beispiele für geeignete Gruppen R3 und R4 mit Heteroatomen sind 2-Chlorethyl, 1-Trifluormethylethyl, 2-Trifluormethylpropyl, 2-Trimethylsilylethyl, 2-Bromethyl, 2-Trifluormethylpropyl, 4-Chlorbenzyl, 2-Fluorethyl und 3-Trimethylsilylallyl.
  • R2 steht vorzugsweise, und insbesonder für den Fall, daß R1 für H steht, für eine lineare oder verzweigte C3-C20-Alkyl-, -Cycloalkyl- oder -Arylalkylgruppe; besonders bevorzugt steht R2 für eine sekundäre C3-C20-Alkyl-, -Cycloalkyl- oder -Arylalkylgruppe. Besonders bevorzugt sind auch Verbindungen der Formel (I), worin R1 für H und R2 für eine lineare oder verzweigte primäre C5-C20-Alkylgruppe, eine C5-C20-Cycloalkylgruppe, eine C7-C20-Arylalkyl- oder eine C7-C20-Alkylarylgruppe steht. R2 enthält vorzugsweise mindestens ein Heteroatom. Beispiele für geeignete monosubstituierte Malonsäureesterverbindungen sind im einzelnen 2-(1-Trifluormethylethyl)malonsäurediethylester, 2-(1-Trifluormethylethyliden)malonsäurediethylester, 2-Isopropyl malonsäuredi(2-chlorethyl)ester, 2-(Trimethylsilylmethyl)malonsäurediethylester, 2-p-Chlorbenzylmalonsäurediethylester, 2-Piperidylmalonsäurediethylester, 2-(2-Ethylpiperidyl)malonsäurediethylester, 2-(1-Trifluormethyl-1-methylethyl)malonsäurediethylester, 2-α-Phenyl-p-(trifluormethyl)benzylmalonsäurediethylester, 2-Isopropylmalonsäuredi(2-fluorethyl)ester und 2-Ethylmalonsäuredi(2-fluorethyl)ester.
  • Unter disubstituierten Malonsäureestern sind diejenigen Verbindungen bevorzugt, in denen mindestens eine der Gruppen R1 und R2 für eine primäre C3-C20-Alkyl-, -Cycloalkyl- oder -Arylalkylgruppe steht.
  • Beispiele für geeignete disubstituierte Malonsäureesterverbindungen sind im einzelnen 2-(1-Trifluormethylethyl)-2-benzylmalonsäurediethylester, 2-(1-Trifluormethylethyl)-2-methylmalonsäurediethylester, 2-Methyltrimethylsilyl-2-methylmalonsäurediethylester, 2-p-Chlorbenzyl-2-isopropylmalonsäurediethylester, 2-Piperidyl-2-methylmalonsäurediethylester, 2-(1-Trifluormethyl-1-methylethyl)-2-methylmalonsäurediethylester, 2-Isopropyl-2-isobutylmalonsäuredi(2-trimethylsilylethyl)ester und 2-Cyclohexyl-2-methylmalonsäuredi(p-chlorbenzyl)ester.
  • Es wurde überraschenderweise gefunden, daß Katalysatorkomponenten, in denen es sich bei dem internen Donator um einen heteroatomhaltigen Malonsäureester handelt, hinsichtlich Ausbeuten und isotaktischem Index leistungsfähiger sind als Katalysatorkomponenten, die analoge Malonsäureester ohne Heteroatome enthalten.
  • Wie oben ausgeführt, enthalten erfindungsgemäße Katalysatorkomponenten neben dem obigen Elektronendonator Ti, Mg und Halogen. Insbesondere enthält die Katalysatorkomponente eine Titanverbindung mit mindestens einer Ti-Halogen-Bindung und die obige Elektronendonatorverbindung auf einem Mg-Halogenid geträgert. Bei dem Magnesiumhalogenid handelt es sich vorzugsweise um MgCl2 in aktiver Form, das aus der Patentliteratur als Träger für Ziegler-Natta-Katalysatoren weithin bekannt ist. Die Verwendung dieser Verbindungen bei der Ziegler-Natta-Katalyse wurde zuerst in den Patentschriften US 4,298,718 und US 4,495,338 beschrieben. Aus diesen Patentschriften ist bekannt, daß die als Träger oder Co-Träger in Komponenten von Katalysatoren für die Polymerisation von Olefinen verwendeten Magnesiumdihalogenide in aktiver Form durch Röntgenspektren gekennzeichnet sind, in denen die Intensität der intensivsten Beugungslinie, die im Spektrum des nicht aktiven Halogenids erscheint, verringert ist und durch ein Halo ersetzt ist, dessen maximale Intensität in bezug auf die intensivere Linie zu kleineren Winkeln hin verschoben ist.
  • Als Titanverbindungen verwendet man in der erfindungsgemäßen Katalysatorkomponente vorzugsweise TiCl4 und TiCl3; es können aber auch Ti-Halogenidalkoholate der Formel (Ti(OR)n-yXy, worin n für die Wertigkeit des Titans steht und y für eine Zahl zwischen 1 und n steht, eingesetzt werden.
  • Die feste Katalysatorkomponente kann nach mehreren Verfahren hergestellt werden.
  • Gemäß einem dieser Verfahren werden das Magnesiumdichlorid in wasserfreiem Zustand, die Titanverbindung und der heteroatomhaltige Malonsäureester unter Bedingungen vermahlen, unter denen die Aktivierung des Magnesiumdichlorids eintritt. Das so erhaltene Produkt kann ein- oder mehrmals bei einer Temperatur zwischen 80 und 135°C mit einem Überschuß an TiCl4 behandelt werden. Danach wird mit Kohlenwasserstofflösungsmitteln chloridionenfrei gewaschen. Gemäß einem weiteren Verfahren wird das durch gemeinsames Vermahlen des Magnesiumchlorids in wasserfreiem Zustand, der Titanverbindung und des heteroatomhaltigen Malonsäureesters erhaltene Produkt mit halogenierten Kohlenwasserstoffen, wie 1,2-Dichlorethan, Chlorbenzol, Dichlormethan usw., behandelt. Die Behandlung wird über einen Zeitraum zwischen 1 und 4 Stunden und bei einer Temperatur von 40°C bis zum Siedepunkt des halogenierten Kohlenwasserstoffs durchgeführt. Dann wird das erhaltene Produkt im allgemeinen mit inerten Kohlenwasserstofflösungsmitteln, wie Hexan, gewaschen.
  • Gemäß einem anderen Verfahren wird Magnesiumdichlorid nach gut bekannten Verfahren voraktiviert und dann bei einer Temperatur von etwa 80 bis 135°C mit einem Überschuß an TiCl4, der einen heteroatomhaltigen Malonsäureester in Lösung enthält, behandelt. Die Behandlung mit TiCl4 wird wiederholt und der Feststoff zur Abtrennung von jeglichem nicht umgesetztem TiCl4 mit Hexan gewaschen.
  • Bei einem weiteren Verfahren setzt man Magnesiumalkoholate oder -chloridalkoholate (insbesondere gemäß US-PS 4,220,554 hergestellte Magnesiumchloridalkoholate) bei einer Temperatur von etwa 80 bis 120°C mit einem Überschuß an TiCl4, der einen heteroatomhaltigen Malonsäureester in Lösung enthält, um.
  • Gemäß einem bevorzugten Verfahren kann man die feste Katalysatorkomponente herstellen, indem man eine Titanverbindung der Formel Ti(OR)n-yXy, worin n für die Wertigkeit des Titans steht und y für eine Zahl zwischen 1 und n steht, vorzugsweise TiCl4, mit einem Magnesiumchlorid, das sich von einem Addukt der Formel MgCl2·pROH, worin p für eine Zahl zwischen 0,1 und 6 steht und R für einen Kohlenwasserstoffrest mit 1-18 Kohlenstoffatomen steht, ableitet, umsetzt. Das Addukt kann zweckmäßigerweise in Kugelform hergestellt werden, indem man Alkohol und Magnesiumchlorid in Gegenwart eines inerten, mit dem Addukt nicht mischbaren Kohlenwasserstoffs vermischt, wobei man bei der Schmelztemperatur des Addukts (100–130°C) rührt. Dann wird die Emulsion schnell abgekühlt, wodurch das Addukt in Form von kugelförmigen Teilchen verfestigt wird. Beispiele für nach diesem Verfahren hergestellte kugelförmige Addukte werden in der US-PS 4,399,054 und der US-PS 4,469,648 beschrieben. Das so erhaltene Addukt kann direkt mit der Ti-Verbindung umgesetzt werden oder vorher noch einer kontrollierten thermischen Entalkoholisierung (80–130°C) unterworfen werden, wobei man ein Addukt erhält, in dem die Zahl der Mole Alkohol im allgemeinen unter 3 und vorzugsweise zwischen 0,1 und 2,5 liegt. Zur Umsetzung mit der Ti-Verbindung kann man das Addukt (entalkoholisiert oder als solches) in kaltem TiCl4 (im allgemeinen 0°C) suspendieren; die Mischung wird auf 80–130°C erhitzt und 0,5–2 Stunden bei dieser Temperatur gehalten. Die Behandlung mit TiCl4 kann ein- oder mehrmals durchgeführt werden. Der heteroatomhaltige Malonsäureester kann während der Behandlung mit TiCl4 zugegeben werden. Die Behandlung mit der Elektronendonatorverbindung kann ein- oder mehrmals wiederholt werden.
  • Die Herstellung von Katalysatorkomponenten in Kugelform wird beispielsweise in den europäischen Patentanmeldungen EP-A-395083, EP-A-553805, EP-A-553806, EP-A-601525 und der WO 98/44001 beschrieben.
  • Die nach dem obigen Verfahren erhaltenen festen Katalysatorkomponenten haben eine Oberfläche (nach der BET-Methode), die im allgemeinen zwischen 20 und 500 m2/g und vorzugsweise zwischen 50 und 400 m2/g liegt, und eine Gesamtporosität (nach der BET-Methode) von mehr als 0,2 cm3/g und vorzugsweise zwischen 0,2 und 0,6 cm3/g. Die durch Poren mit einem Radius bis zu 10000 Å bedingte Porosität (Hg-Methode) beträgt im allgemeinen 0,3 bis 1,5 cm3/g und vorzugsweise 0,45 bis 1 cm3/g.
  • Bei einem weiteren Verfahren zur Herstellung der erfindungsgemäßen festen Katalysatorkomponente werden Magnesiumdihydrocarbyloxidverbindungen, wie Magnesiumdialkoxid oder -diaryloxid, mit einer Lösung von TiCl4 in einem aromatischen Kohlenwasserstoff (wie Toluol, Xylol usw.) bei Temperaturen zwischen 80 und 130°C halogeniert. Die Behandlung mit TiCl4 in Lösung in aromatischem Kohlenwasserstoff kann ein- oder mehrmals wiederholt werden, und der heteroatomhaltige Malonsäureester wird während einer oder mehrerer dieser Behandlungen zugegeben.
  • Bei jedem dieser Herstellungsverfahren kann der heteroatomhaltige Malonsäureester als solcher zugegeben werden oder alternativ dazu auch durch Verwendung eines geeigneten Vorläufers, der beispielsweise mit Hilfe von bekannten chemischen Reaktionen, wie Veresterung, Umesterung usw., in die gewünschte Elektronendonatorverbindung umgewandelt werden kann, in situ hergestellt werden. Im allgemeinen wird der heteroatomhaltige Malonsäureester in einem Molverhältnis in bezug auf das MgCl2 von 0, 01 bis 1 und vorzugsweise von 0, 05 bis 0, 5 verwendet.
  • Die erfindungsgemäße feste Katalysatorkomponente wird durch Umsetzung mit Organoaluminiumverbindungen nach bekannten Verfahren in Katalysatoren für die Polymerisation von Olefinen umgewandelt.
  • Gegenstand der vorliegenden Erfindung ist insbesondere ein Katalysator für die Polymerisation von Olefinen CH2=CHR, worin R für Wasserstoff oder einen Kohlenwasserstoffrest mit 1–12 Kohlenstoffatomen steht, enthaltend das Produkt der Umsetzung zwischen:
    • (a) einer festen Katalysatorkomponente, die als wesentliche Elemente Mg, Ti und Halogen und einen heteroatomhaltigen Malonsäureester enthält;
    • (b) einer Alkylaluminiumverbindung und gegebenenfalls
    • (c) einer oder mehreren Elektronendonatorverbindungen (externer Donator).
  • Die Alkylaluminiumverbindung (b) wird vorzugsweise unter den Trialkylaluminiumverbindungen, wie beispielsweise Triethylaluminium, Triisobutylaluminum, Tri-n-butylaluminium, Tri-n-hexylaluminium und Tri-n-octylaluminium, ausgewählt. In Betracht kommen auch Gemische von Trialkylaluminiumverbindungen mit Alkylaluminiumhalogeniden, Alkylaluminiumhydriden oder Alkylaluminiumsesquichloriden, wie AlEt2Cl und Al2Et3Cl3.
  • Der externe Donator (c) kann von der gleichen Art sein oder sich von dem heteroatomhaltigen Malonsäureester unterscheiden. Geeignete externe Elektronendonatorverbindungen sind u.a. Siliciumverbindungen, Ether, Ester, wie 4-Ethoxybenzoesäureethylester, Amine, heterocyclische Verbindungen und insbesondere 2,2,6,6-Tetramethylpiperidin, Ketone und die 1,3-Diether der allgemeinen Formel (II):
    Figure 00100001
    worin RI, RII, RIII, RIV, RV und RVI gleich oder voneinander verschieden sind und für Wasserstoff oder Kohlenwasserstoffreste mit 1 bis 18 Kohlenstoffatomen stehen und RVII und RVIII gleich oder voneinander verschieden sind und die gleiche Bedeutung wie RI–RVI besitzen, aber nicht für Wasserstoff stehen können; und eine oder mehrere der Gruppen RI–RVIII zu einem Ring verknüpft sein kann bzw. können. Besonders bevorzugt sind die 1,3-Diether, in denen RVII und RVIII unter C1-C4-Alkylresten ausgewählt sind.
  • Eine andere Klasse bevorzugter externer Donatorverbindungen bilden Siliciumverbindungen der Formel Ra 5Rb 6Si(OR7)c, worin a und b für eine ganze Zahl von 0 bis 2 stehen, c für eine ganze Zahl von 1 bis 3 steht und die Summe (a + b + c) gleich 4 ist und R5, R6 und R7 für gegebenenfalls Heteroatome enthaltende Alkyl-, Cycloalkyl- oder Arylreste mit 1-18 Kohlenstoffatomen stehen. Besonders bevorzugt sind diejenigen Siliciumverbindungen, in den a für 1 steht, b für 1 steht, c für 2 steht, mindestens einer der Reste R5 und R6 unter verzweigten Alkyl-, Cycloalkyl- oder Arylgruppen mit 3–10 Kohlenstoffatomen und gegebenenfalls Heteroatomen ausgewählt ist und R7 für eine C1-C10-Alkylgruppe, insbesondere Methyl, steht. Beispiele für derartige bevorzugte Siliciumverbindungen sind Methylcyclohexyldimethoxysilan, Diphenyldimethoxysilan, Methyl-t-butyldimethoxysilan, Dicyclopentyldimethoxysilan, 2-Ethylpiperidinyl-2-t-butyldimethoxysilan und 1,1,1-Trifluorpropyl-2-ethylpiperidinyldimethoxysilan. Bevorzugt sind außerdem auch die Siliciumverbindungen, in denen a für 0 steht, c für 3 steht, R6 für eine verzweigte Alkyl- oder Cycloalkylgruppe, gegebenenfalls mit Heteroatomen, steht und R7 für Methyl steht. Beispiele für derartige bevorzugte Siliciumverbindungen sind Cyclohexyltrimethoxysilan, t-Butyltrimethoxysilan und Thexyltrimethoxysilan.
  • Die Elektronendonatorverbindung (c) wird in einer solchen Menge eingesetzt, daß sich ein Molverhältnis zwischen der Organoaluminiumverbindung und der Elektronendonatorverbindung (c) von 0,1 bis 500, vorzugsweise von 1 bis 300 und besonders bevorzugt von 3 bis 100 ergibt. Wie oben erwähnt, kann man mit den erfindungsgemäßen Katalysatoren bei der (Co)polymerisation von Olefinen und insbesondere von Propylen mit hohen Ausbeuten Polymere mit hohem isotaktischem Index (ausgedrückt durch eine hohe Xylolunlöslichkeit X.U.) erhalten. Daher zeigen die erfindungsgemäßen Katalysatoren ein hervorragendes Eigenschaftsprofil. Dies ist besonders überraschend, da die Verwendung von Malonsäureesterverbindungen ohne Heteroatome als interne Elektronendonatoren schlechtere Ergebnisse hinsichtlich Ausbeuten und/oder Xylolunlöslichkeit ergibt, wie aus den nachstehend aufgeführten Vergleichsbeispielen hervorgeht.
  • Einen weiteren Gegenstand der vorliegenden Erfindung bildet daher ein Verfahren zur (Co)polymerisation von Olefinen CH2=CHR, worin R für Wasserstoff oder einen Kohlenwasserstoffrest mit 1–12 Kohlenstoffatomen steht, das in Gegenwart eines Katalysators, enthaltend das Produkt der Umsetzung zwischen:
    • (a) einer festen Katalysatorkomponente, enthaltend Mg, Ti, Halogen und einen heteroatomhaltigen Malonsäureester, gemäß obiger Definition;
    • (b) einer Alkylaluminiumverbindung und gegebenenfalls
    • (c) einer oder mehreren Elektronendonatorverbindungen (externer Donator),
    durchgeführt wird.
  • Die Polymerisation kann nach einer bekannten Technik durchgeführt werden, beispielsweise als Suspensionspolymerisation unter Verwendung eines inerten Kohlenwasserstofflösungsmittels als Verdünnungsmittel, oder als Massepolymerisation unter Verwendung des flüssigen Monomers (beispielsweise Propylen) als Reaktionsmedium. Außerdem kann man die Polymerisation auch in der Gasphase durchführen, wobei man in einem oder mehreren Wirbelschichtreaktoren oder mechanisch gerührten Bettreaktoren arbeitet.
  • Die Polymerisation wird im allgemeinen bei einer Temperatur von 20 bis 120°C und vorzugsweise von 40 bis 80°C durchgeführt. Bei Durchführung der Polymerisation in der Gasphase liegt der Arbeitsdruck im allgemeinen zwischen 0,5 und 10 MPa und vorzugsweise zwischen 1 und 5 MPa. Bei der Massepolymerisation liegt der Arbeitsdruck im allgemeinen zwischen 1 und 6 MPa und vorzugsweise zwischen 1,5 und 4 MPa. Das Molekulargewicht des Polymers kann durch Verwendung von Wasserstoff oder anderen Verbindungen, die als Kettenübertragungsmittel wirken können, reguliert werden.
  • Ein weiterer Gegenstand der Erfindung ist die Verwendung der heteroatomhaltigen Malonsäureester der Formel (I) als Elektronendonatorverbindungen in Katalysatoren.
  • Die folgenden Beispiele sollen die Erfindung erläutern, ohne sie einzuschränken.
  • CHARAKTERISIERUNGEN
  • Die im Rahmen der vorliegenden Erfindung verwendeten Malonsäureester wurden durch Knoevenagel-Kondensation von halogenierten Ketonen mit Malonsäurediethylester, siehe Tetrahedron, 29, 635 (1973), und anschließende selektive Reduktion der Doppelbindung (J. March in „Advanced Organic Chemistry", IV. Auflage (1992), S. 771–781) hergestellt. Die Malonsäureester mit einer anderen Alkoholgruppierung als Ethyl wurden durch Umesterung des entsprechenden Malonsäurediethylesters wie in Beispiel 1 der DE 2822472 beschrieben durchgeführt.
  • Allgemeine Vorschrift für die Polymerisation von Propylen
  • In einem eine Stunde mit einem Stickstoffstrom bei 70°C gespülten 4-Liter-Autoklaven wurden in Propylenstrom bei 30°C 75 ml wasserfreies Hexan mit 800 mg AlEt3, 79,8 mg Dicyclopentyldimethoxysilan und 10 mg feste Katalysatorkomponente eingetragen. Nach Verschließen des Autoklaven wurden 1,5 Nl Wasserstoff zugegeben und dann unter Rühren 1,2 kg flüssiges Propylen eingespeist. Die Temperatur wurde innerhalb von 5 Minuten auf 70°C erhöht, und die Polymerisation wurde bei dieser Temperatur über einen Zeitraum von zwei Stunden durchgeführt. Nach Entfernung des nicht umgesetzten Propylens wurde das Polymer isoliert, drei Stunden bei 70°C unter Vakuum getrocknet und dann gewogen und zur Bestimmung des xylolunlöslichen Anteils (X.U.) mit o-Xylol fraktioniert.
  • Bestimmung des X.U.
  • 2,5 g Polymer wurden unter Rühren bei 135°C über einen Zeitraum von 30 Minuten in 250 ml o-Xylol gelöst. Dann wurde die Lösung auf 25°C abgekühlt, und nach 30 Minuten wurde das unlösliche Polymer abfiltriert. Die erhaltene Lösung wurde in einem Stickstoffstrom eingedampft, wonach der Rückstand getrocknet und gewogen wurde, um den Prozentanteil an löslichem Polymer und dann durch Differenzbildung den xylol-unlöslichen Anteil in % zu bestimmen.
  • BEISPIELE
  • Beispiele 1–5 und Vergleichsbeispiele 6–9
  • Herstellung fester Katalysatorkomponenten
  • In einen mit Stickstoff gespülten 500-ml-Vierhalskolben wurden bei 0°C 250 ml TiCl4 eingetragen. Unter Rühren wurden 10,0 g mikrokugelförmiges MgCl2·2,8C2H5OH (hergestellt nach dem Verfahren gemäß Bsp. 2 der US-PS 4,399,054, aber bei 3000 U/min anstelle von 10000 U/min) und 7,5 mmol Malonsäureester eingetragen. Die Temperatur wurde auf 100°C erhöht und 120 min beibehalten. Danach wurde der Rührer abgestellt, das feste Produkt absetzen gelassen und die überstehende Flüssigkeit abgehebert.
  • Nach Zugabe von 250 ml frischem TiCl4 wurde die Mischung unter Rühren 60 min bei 120°C umgesetzt, wonach die überstehende Flüssigkeit abgehebert wurde. Der Feststoff wurde sechsmal mit wasserfreiem Hexan (6 × 100 ml) bei 60°C gewaschen. Schließlich wurde der Feststoff unter Vakuum getrocknet und analysiert. Die Art und Menge von Malonsäureester (Gew.-%) und die Ti-Menge (Gew.-%) in der festen Katalysatorkomponente sind in Tabelle 1 aufgeführt. Die Polymerisationsergebnisse sind in Tabelle 2 aufgeführt. Tabelle 1
    Figure 00160001
    Tabelle 2
    Figure 00160002

Claims (26)

  1. Feste Katalysatorkomponente für die Polymerisation von Olefinen CH2=CHR, worin R für Wasserstoff oder einen Kohlenwasserstoffrest mit 1–12 Kohlenstoffatomen steht, enthaltend Mg, Ti, Halogen und einen heteroatomhaltigen Malonsäureester, ausgewählt unter denjenigen der Formel (I):
    Figure 00170001
    worin R1 und R2 gleich oder voneinander verschieden sind und für H oder eine lineare oder verzweigte C1-C20-Alkyl-, -Alkenyl-, -Cycloalkyl-, -Aryl-, -Arylalkyl- oder -Alkylarylgruppe stehen und auch zu einem Ring verbunden sein können und R3 und R4 unabhängig voneinander unter linearen oder verzweigten C1-C20-Alkyl-, -Alkenyl-, -Cycloalkyl-, -Aryl-, -Arylalkyl- oder -Alkylarylgruppen ausgewählt sind und auch zu einem Ring verbunden sein können, mit der Maßgabe, daß mindestens eine der Gruppen R1 bis R4 mindestens ein Heteroatom aus der Gruppe bestehend aus Halogenen, N, Si, Ge, P und S enthält.
  2. Katalysatorkomponente nach Anspruch 1, bei der die Heteroatome unter F, Cl, Br und Si ausgewählt sind.
  3. Katalysatorkomponente nach Anspruch 1, bei der R3 und R4 für primäre Alkyl-, Arylalkyl- oder Alkylarylgruppen mit 2 bis 8 Kohlenstoffatomen stehen.
  4. Katalysatorkomponente nach Anspruch 3, bei der R3 und R4 für primäre verzweigte Alkylgruppen stehen.
  5. Katalysatorkomponente nach einem der vorhergehenden Ansprüche, bei der R3 und/oder R4 Heteroatome enthalten.
  6. Katalysatorkomponente nach Anspruch 1, bei der R1 für H steht und R2 für eine lineare oder verzweigte C3-C20-Alkyl-, -Cycloalkyl- oder -Arylalkylgruppe steht.
  7. Katalysatorkomponente nach Anspruch 6, bei der R2 für eine sekundäre C3-C20-Alkyl-, -Cycloalkyl- oder -Arylalkylgruppe steht.
  8. Katalysatorkomponente nach Anspruch 1, bei der R1 für H steht und R2 für eine lineare oder verzweigte primäre C5-C20-Alkylgruppe, eine C5-C20-Cycloalkylgruppe, eine C7-C20-Arylalkyl- oder eine C7-C20-Alkylarylgruppe steht.
  9. Katalysatorkomponenten nach einem der Ansprüche 6–8, bei denen R2 ein Heteroatom enthält.
  10. Katalysatorkomponenten nach einem der vorhergehenden Ansprüche, bei denen der heteroatomhaltige Malonsäureester aus der Gruppe bestehend aus 2-(1-Trifluormethylethyl)malonsäurediethylester, 2-(1-Trifluormethylethyliden)malonsäurediethylester, 2-Isopropylmalonsäuredi(2-chlorethyl)ester, 2-(Trimethylsilylmethyl)malonsäurediethylester, 2-p-Chlorbenzylmalonsäurediethylester, 2-Piperidylmalonsäurediethylester, 2-(2-Ethylpiperidyl)malonsäurediethylester, 2-(1-Trifluormethyl-1-methylethyl)malonsäurediethylester, 2-α-Phenyl-p-(trifluormethyl)benzylmalonsäurediethylester, 2-Isopropylmalonsäuredi(2-fluor ethyl)ester und 2-Ethylmalonsäuredi(2-fluorethyl)ester ausgewählt ist.
  11. Katalysatorkomponenten nach Anspruch 1, bei denen sowohl R1 als auch R2 von H verschieden sind und mindestens eine der Gruppen R1 und R2 für eine primäre C3-C20-Alkyl-, -Cycloalkyl- oder -Arylalkylgruppe steht.
  12. Katalysatorkomponenten nach Anspruch 11, bei denen der heteroatomhaltige Malonsäureester aus der Gruppe bestehend aus 2-(1-Trifluormethylethyl)-2-benzylmalonsäurediethylester, 2-(1-Trifluormethylethyl)-2-methylmalonsäurediethylester, 2-Methyltrimethylsilyl-2-methylmalonsäurediethylester, 2-p-Chlorbenzyl-2-isopropylmalonsäurediethylester, 2-Piperidyl-2-methylmalonsäurediethylester, 2-(1-Trifluormethyl-1-methylethyl)-2-methylmalonsäurediethylester, 2-Isopropyl-2-isobutylmalonsäuredi(2-trimethylsilylethyl)ester und 2-Cyclohexyl-2-methylmalonsäuredi(p-chlorbenzyl)ester ausgewählt sind.
  13. Feste Katalysatorkomponente nach Anspruch 1, die eine Titanverbindung mit mindestens einer Ti-Halogen-Bindung und den heteroatomhaltigen Malonsäureester auf einem Mg-Halogenid in aktiver Form geträgert enthält.
  14. Feste Katalysatorkomponente nach Anspruch 13, bei der es sich bei der Titanverbindung um TiCl4 oder TiCl3 handelt.
  15. Feste Katalysatorkomponente nach Anspruch 1 mit Kugelform, einer Oberfläche (nach der BET-Methode) zwischen 20 und 500 m2/g und einer Gesamtporosität (nach der BET-Methode) von mehr als 0,2 cm3/g.
  16. Katalysator für die Polymerisation von Olefinen CH2=CHR, worin R für Wasserstoff oder einen Kohlenwasserstoffrest mit 1–12 Kohlenstoffatomen steht, enthaltend das Produkt der Umsetzung zwischen: (a) der festen Katalysatorkomponente nach einem der Ansprüche 1–15; (b) einer Alkylaluminiumverbindung und gegebenenfalls (c) einer oder mehreren Elektronendonatorverbindungen (externer Donator).
  17. Katalysator nach Anspruch 16, bei dem es sich bei der Alkylaluminiumverbindung (b) um eine Trialkylaluminiumverbindung handelt.
  18. Katalysator nach Anspruch 17, bei dem die Trialkylaluminiumverbindung aus der Gruppe bestehend aus Triethylaluminium, Triisobutylaluminium, Tri-n-butylaluminium, Tri-n-hexylaluminium und Tri-n-octylaluminium ausgewählt ist.
  19. Katalysator nach Anspruch 16, bei dem der externe Donator (c) unter den 1,3-Diethern der allgemeinen Formel (II)
    Figure 00200001
    worin RI und RII, RIII, RIV, RV und RVI gleich oder voneinander verschieden sind und für Wasserstoff oder Kohlenwasserstoffreste mit 1 bis 18 Kohlenstoffatomen stehen und RVII und RVIII gleich oder voneinander verschieden sind und die gleiche Bedeutung wie RI–RVI besitzen, aber nicht für Wasserstoff stehen können; und eine oder mehrere der Gruppen RI–RVIII zu einem Ring verknüpft sein kann bzw. können, ausgewählt ist.
  20. Katalysator nach Anspruch 16, bei dem es sich bei dem externen Donator (c) um eine Siliciumverbindung der Formel Ra 5Rb6Si(OR7)c, worin a und b für eine ganze Zahl von 0 bis 2 stehen, c für eine ganze Zahl von 1 bis 4 steht und die Summe (a + b + c) gleich 4 ist und R5, R6 und R7 für gegebenenfalls Heteroatome enthaltende Alkyl-, Cycloalkyl- oder Arylreste mit 1–18 Kohlenstoffatomen stehen, handelt.
  21. Katalysator nach Anspruch 20, bei dem a gleich 1 ist, b gleich 1 ist und c gleich 2 ist.
  22. Katalysator nach Anspruch 21, bei dem R5 und/oder R6 für gegebenenfalls Heteroatome enthaltende verzweigte Alkyl-, Cycloalkyl- oder Arylgruppen mit 3–10 Kohlenstoffatomen stehen und R7 für eine C1-C10-Alkylgruppe, insbesondere Methyl, steht.
  23. Katalysator nach Anspruch 20, bei dem a gleich 0 ist, c gleich 3 ist und R6 für eine verzweigte Alkyl- oder Cycloalkylgruppe steht und R7 für Methyl steht.
  24. Katalysator nach Anspruch 22 oder 23, bei dem die Siliciumverbindung aus der Gruppe bestehend aus Methylcyclohexyldimethoxysilan, Diphenyldimethoxysilan, Methyl-t-butyldimethoxysilan, Dicyclopentyldimethoxysilan, Cyclohexyltrimethoxysilan, t-Butyltrimethoxysilan, Thexyltrimethoxysilan, 2-Ethylpiperidinyl-2-t-butyldimethoxysilan und 1,1,1-Trifluorpropyl-2-ethylpiperidinyldimethoxysilan ausgewählt ist.
  25. Verfahren zur (Co)polymerisation von Olefinen CH2=CHR, worin R für Wasserstoff oder einen Kohlenwasserstoffrest mit 1–12 Kohlenstoffatomen steht, das in Gegenwart des Katalysators nach Anspruch 16 durchgeführt wird.
  26. Verwendung der heteroatomhaltigen Malonsäureester der Formel (I) als Elektronendonatorverbindungen in Katalysatoren für die Polymerisation von Olefinen.
DE69918662T 1998-11-04 1999-10-22 Bestandteile und katalysatoren für die olefinpolymerisation Expired - Fee Related DE69918662T2 (de)

Applications Claiming Priority (3)

Application Number Priority Date Filing Date Title
EP98203733 1998-11-04
EP98203733 1998-11-04
PCT/EP1999/008018 WO2000026259A1 (en) 1998-11-04 1999-10-22 Components and catalysts for the polymerization of olefins

Publications (2)

Publication Number Publication Date
DE69918662D1 DE69918662D1 (de) 2004-08-19
DE69918662T2 true DE69918662T2 (de) 2005-08-11

Family

ID=8234301

Family Applications (1)

Application Number Title Priority Date Filing Date
DE69918662T Expired - Fee Related DE69918662T2 (de) 1998-11-04 1999-10-22 Bestandteile und katalysatoren für die olefinpolymerisation

Country Status (14)

Country Link
US (4) US6605562B1 (de)
EP (1) EP1042372B1 (de)
JP (1) JP2002528606A (de)
KR (1) KR20010033872A (de)
CN (1) CN1146585C (de)
AT (1) ATE271072T1 (de)
AU (1) AU6342099A (de)
BR (1) BR9907140A (de)
CA (1) CA2315179A1 (de)
DE (1) DE69918662T2 (de)
ES (1) ES2224704T3 (de)
HU (1) HUP0104266A2 (de)
IL (1) IL136761A0 (de)
WO (1) WO2000026259A1 (de)

Families Citing this family (36)

* Cited by examiner, † Cited by third party
Publication number Priority date Publication date Assignee Title
KR20040014504A (ko) * 2001-04-23 2004-02-14 이데미쓰세끼유가가꾸가부시끼가이샤 올레핀 중합용 고체 촉매성분
CN1318457C (zh) * 2004-09-02 2007-05-30 中国石油化工股份有限公司 用于烯烃聚合反应的催化剂组分和催化剂
CN100338018C (zh) 2004-10-29 2007-09-19 中国石油化工股份有限公司 一种环戊酯类化合物及其合成方法和应用
WO2008120795A1 (ja) * 2007-03-30 2008-10-09 Toho Catalyst Co., Ltd. オレフィン類重合用固体触媒成分、重合用触媒およびこれを用いたオレフィン類重合体の製造方法
CN101735346B (zh) 2008-11-07 2012-05-30 中国石油天然气股份有限公司 一种丙烯均聚和共聚的催化剂及其制备方法和应用
US8088872B2 (en) 2008-11-25 2012-01-03 Dow Global Technologies Llc Procatalyst composition including silyl ester internal donor and method
EP2350143B1 (de) * 2008-11-25 2016-02-17 W.R. Grace & CO. - CONN. Prokatalysatorzusammensetzung mit multiplem internem donator mit silylester und verfahren
US8383540B2 (en) * 2010-12-21 2013-02-26 Dow Global Technologies Llc Catalyst composition with halo-malonate internal electron donor and polymer from same
BR112014000146B1 (pt) * 2011-07-06 2021-04-20 Toho Titanium Co. Ltd. componente de catalisador sólido para polimerização de olefinas, catalisador para polimerização de olefinas, e, método para a produção de um polímero de olefina
EP2679609A1 (de) 2012-06-28 2014-01-01 Lummus Novolen Technology Gmbh Steril anspruchsvolle Dialkoxydialkylsilane als externe Spender für Ziegler-Katalysatoren für die Polymerisation von Propylen
TWI639626B (zh) * 2013-09-30 2018-11-01 中國石油化工科技開發有限公司 Catalyst composition for olefin polymerization and application thereof
CN104513328B (zh) * 2013-09-30 2017-09-29 中国石油化工股份有限公司 用于烯烃聚合反应的催化剂组合物及其应用
CN104558292B (zh) * 2013-10-28 2017-05-31 中国石油化工股份有限公司 一种用于烯烃聚合催化剂制备方法
CN104558290B (zh) * 2013-10-28 2018-11-02 中国石油化工股份有限公司 一种用于烯烃聚合催化剂组分和催化剂
CN104610056B (zh) * 2013-11-01 2017-04-26 中国石油化工股份有限公司 一种化合物、含所述化合物的催化剂固体组分及催化剂
CN105566534B (zh) * 2014-10-13 2018-03-02 中国石油化工股份有限公司 一种烯烃聚合物及其制造方法
US9593184B2 (en) 2014-10-28 2017-03-14 Formosa Plastics Corporation, Usa Oxalic acid diamides as modifiers for polyolefin catalysts
WO2017070518A1 (en) 2015-10-23 2017-04-27 Navitor Pharmaceuticals, Inc. Modulators of sestrin-gator2 interaction and uses thereof
US9777084B2 (en) * 2016-02-19 2017-10-03 Formosa Plastics Corporation, Usa Catalyst system for olefin polymerization and method for producing olefin polymer
US11427660B2 (en) 2016-08-17 2022-08-30 Formosa Plastics Corporation, Usa Organosilicon compounds as electron donors for olefin polymerization catalysts and methods of making and using same
US9815920B1 (en) 2016-10-14 2017-11-14 Formosa Plastics Corporation, Usa Olefin polymerization catalyst components and process for the production of olefin polymers therewith
BR112019018488B1 (pt) 2017-03-06 2022-08-09 W.R. Grace & Co.-Conn Componente pré-catalisador sólido e sistema catalisador para uso na polimerização olefínica e processo para polimerização ou copolimerização de um ou mais monômeros de olefina
CN110809467B (zh) 2017-04-26 2023-03-10 纳维托制药有限公司 Sestrin-gator2相互作用的调节剂及其用途
US10822438B2 (en) 2017-05-09 2020-11-03 Formosa Plastics Corporation Catalyst system for enhanced stereo-specificity of olefin polymerization and method for producing olefin polymer
US10124324B1 (en) 2017-05-09 2018-11-13 Formosa Plastics Corporation, Usa Olefin polymerization catalyst components and process for the production of olefin polymers therewith
EP3870158A4 (de) 2018-10-24 2022-08-10 Navitor Pharmaceuticals, Inc. Polymorphe verbindungen und verwendungen davon
JP7106241B2 (ja) * 2019-01-09 2022-07-26 バーゼル・ポリオレフィン・イタリア・ソチエタ・ア・レスポンサビリタ・リミタータ オレフィンの重合用触媒成分
BR112022008287A2 (pt) 2019-11-01 2022-07-26 Navitor Pharm Inc Métodos de tratamento usando um modulador de mtorc1
FIU20244001U1 (fi) 2021-10-15 2024-01-04 Skechers Usa Inc Ii Kenkä
CN116041577B (zh) 2021-10-28 2024-12-06 中国石油化工股份有限公司 烯烃聚合催化剂组分、催化剂体系及应用和烯烃聚合方法
US20250066513A1 (en) 2023-08-23 2025-02-27 Formosa Plastics Corporation, U.S.A. Catalyst System For Enhanced Stereo-Specificity Of Olefin Polymerization
US20250066514A1 (en) 2023-08-24 2025-02-27 Formosa Plastics Corporation, U.S.A. Catalysts component and process for the production of polypropylene having high melt flow rate with high isotacticity
US20250109218A1 (en) 2023-09-29 2025-04-03 Formosa Plastics Corporation, U.S.A. Method for preparing catalyst component for polymerization of polyolefin without the use of internal electron donors
US20250115687A1 (en) 2023-10-06 2025-04-10 Formosa Plastics Corporation, U.S.A. Production method for solid catalyst component for polymerizing olefins, and catalyst for polymerizaing olefins
US20250115686A1 (en) 2023-10-09 2025-04-10 Formosa Plastics Corporation, U.S.A. Olefin polymerization catalyst components containing silane and process for the production of polypropylene having high isotacticity at high melt flow rate
US20250297039A1 (en) 2024-03-19 2025-09-25 Formosa Plastics Corporation, U.S.A. Olefin polymerization catalyst components containing diglycidylester components and its use for the production of polypropylene having high isotacticity at high melt flow rate

Family Cites Families (26)

* Cited by examiner, † Cited by third party
Publication number Priority date Publication date Assignee Title
SE363977B (de) 1968-11-21 1974-02-11 Montedison Spa
YU35844B (en) 1968-11-25 1981-08-31 Montedison Spa Process for obtaining catalysts for the polymerization of olefines
AR194578A1 (es) * 1970-11-09 1973-07-31 Kendall & Co Un procedimiento para preparar acidos 5-sustituidos-5-fenilalquil barbituricos y un compuesto intermedio obtenido durante dicho procedimiento
GB1572669A (en) 1977-05-26 1980-08-28 Ici Ltd Manufacture of esters
GB1603724A (en) 1977-05-25 1981-11-25 Montedison Spa Components and catalysts for the polymerisation of alpha-olefins
IT1096661B (it) 1978-06-13 1985-08-26 Montedison Spa Procedimento per la preparazione di prodotti in forma sferoidale solidi a temperatura ambiente
IT1098272B (it) 1978-08-22 1985-09-07 Montedison Spa Componenti,di catalizzatori e catalizzatori per la polimerizzazione delle alfa-olefine
IT1209255B (it) 1980-08-13 1989-07-16 Montedison Spa Catalizzatori per la polimerizzazione di olefine.
JPS58138706A (ja) 1982-02-12 1983-08-17 Mitsui Petrochem Ind Ltd オレフイン系重合体の製造方法
IT1190683B (it) 1982-02-12 1988-02-24 Montedison Spa Componenti e catalizzatori per la polimerizzazione di olefine
JPS58138720A (ja) * 1982-02-12 1983-08-17 Mitsui Petrochem Ind Ltd プロピレンランダム共重合体の製造方法
CA2004281A1 (en) * 1988-12-09 1990-06-09 Nun-Sian Tsai Etching of integrated-circuit device metallization and resulting device
US5066795A (en) * 1989-02-10 1991-11-19 Sagami Chemical Research Center Perfluoroalkyl-containing compound
IT1230134B (it) 1989-04-28 1991-10-14 Himont Inc Componenti e catalizzatori per la polimerizzazione di olefine.
IT1262935B (it) 1992-01-31 1996-07-22 Montecatini Tecnologie Srl Componenti e catalizzatori per la polimerizzazione di olefine
IT1262934B (it) 1992-01-31 1996-07-22 Montecatini Tecnologie Srl Componenti e catalizzatori per la polimerizzazione di olefine
IT1256648B (it) 1992-12-11 1995-12-12 Montecatini Tecnologie Srl Componenti e catalizzatori per la polimerizzazione delle olefine
US5459116A (en) * 1993-05-07 1995-10-17 Samsung General Chemicals Co., Ltd. Highly active catalyst for the polymerization of olefins and method for the preparation of the same
DE4326918C1 (de) 1993-08-11 1995-01-19 Huels Chemische Werke Ag Verfahren zur Herstellung von 2-Halogenethyl-malonsäure-dialkylestern
TW354792B (en) 1993-08-13 1999-03-21 Mitsui Petrochemical Ind Olefin polymerization catalyst and process for preparing polypropylene and propylene block copolymer
JP3385681B2 (ja) * 1993-11-26 2003-03-10 宇部興産株式会社 プロピレンブロック共重合体の製造方法
BR9510354A (pt) 1994-11-17 1997-12-23 Dow Chemical Co Componentes de catalisador suportado catalisador suportado processo para preparar um componente de catalisador suportado processo para preparar um catalisador suportado e processo de polimerização de adição
JP3489889B2 (ja) 1994-12-01 2004-01-26 昭和電工株式会社 オレフィン重合用固体触媒成分の製造方法、オレフィン重合用触媒及びオレフィン重合体の製造方法
AUPO591797A0 (en) 1997-03-27 1997-04-24 Commonwealth Scientific And Industrial Research Organisation High avidity polyvalent and polyspecific reagents
JP3552342B2 (ja) 1995-06-23 2004-08-11 住友化学工業株式会社 α−オレフィン重合用触媒ならびにα−オレフィン重合体の製造方法
JPH1160625A (ja) * 1997-08-22 1999-03-02 Idemitsu Petrochem Co Ltd オレフィン重合用固体触媒成分、オレフィン重合用触 媒及びオレフィン重合体の製造方法

Also Published As

Publication number Publication date
KR20010033872A (ko) 2001-04-25
US20030199388A1 (en) 2003-10-23
ATE271072T1 (de) 2004-07-15
EP1042372B1 (de) 2004-07-14
ES2224704T3 (es) 2005-03-01
JP2002528606A (ja) 2002-09-03
EP1042372A1 (de) 2000-10-11
US20030207754A1 (en) 2003-11-06
US6605562B1 (en) 2003-08-12
CN1292800A (zh) 2001-04-25
IL136761A0 (en) 2001-06-14
US20030207755A1 (en) 2003-11-06
US6699814B2 (en) 2004-03-02
US6689850B2 (en) 2004-02-10
AU6342099A (en) 2000-05-22
BR9907140A (pt) 2000-10-17
HUP0104266A2 (hu) 2002-03-28
CN1146585C (zh) 2004-04-21
WO2000026259A1 (en) 2000-05-11
DE69918662D1 (de) 2004-08-19
CA2315179A1 (en) 2000-05-11

Similar Documents

Publication Publication Date Title
DE69918662T2 (de) Bestandteile und katalysatoren für die olefinpolymerisation
DE60104238T2 (de) Komponente und katalysatoren für polymerisation von olefinen
DE60029399T2 (de) Komponente und katalysator für die polymerisation von olefinen
DE69802491T3 (de) Komponenten und katalysatoren für die polymerisation von olefinen
DE69802059T2 (de) Katalysatorkomponente und katalysatoren für die polymerisation von olefinen
DE69921918T2 (de) Vorpolymerisierte katalysatorbestandteile für die olefinpolymerisation
DE69914278T2 (de) Katalysatorbestandteile für die olefinpolymerisation
DE60224205T2 (de) Komponenten und katalysatoren für die polymerisation von olefinen
DE60015090T2 (de) Alpha-olefin enthaltendes polymerisationskatalysatorsystem, das ein aromatisches silan enthält
DE69813444T2 (de) Katalysatorkomponenten und katalysatoren für die polymerisation von olefinen
DE60029714T2 (de) Bestandteile und katalysatoren für die olefinpolymerisation
DE69809531T2 (de) Bestandteile und katalysatoren für die olefinpolymerisation
DE69125959T2 (de) Bestandteile und Katalysatoren für die Olefinpolymerisation
DE69731686T2 (de) Polymerisationskatalysator
DE60122018T2 (de) Aktiver nichtmetallocen-präkatalysator und verfahren zur taktischen katalytischen polymerisation von alpha-olefin-monomeren
DE69907785T2 (de) Mehrstufiges Verfahren zur Olefinpolymerisation
DE69133274T2 (de) Katalysatorbestandteile und Katalysatoren für die Olefinpolymerisation
DE2822783A1 (de) Komponenten und katalysatoren zur polymerisation von alpha-olefinen
DE2906769A1 (de) Katalysator und verfahren zur herstellung von hochstereospezifischen alpha- olefinpolymerisaten sowie deren verwendung
DE2451844A1 (de) Katalysator, verfahren zu seiner herstellung und seine verwendung zur polymerisation von olefinen
DE3124223A1 (de) "verfahren zur herstellung eines polyolefins und katalysator hierfuer"
DE69015912T2 (de) Organosilanverbindungen.
DE2111455A1 (de) Verfahren zur Herstellung von Polyolefinen
DE69109211T2 (de) Trifluoropropyl-substituierte Silanverbindungen enthaltende Katalysator für Alpha-Olefinpolymerisation.
DE3031573A1 (de) Verfahren zur herstellung von hochkristallinen (alpha)-olefin-polymerisaten und katalysator zur durchfuehrung des verfahrens

Legal Events

Date Code Title Description
8364 No opposition during term of opposition
8339 Ceased/non-payment of the annual fee