RU2012144355A - Новое металлоценовое соединение, содержащая его каталитическая композиция и способ получения полимеров на основе олефинов с ее применением - Google Patents
Новое металлоценовое соединение, содержащая его каталитическая композиция и способ получения полимеров на основе олефинов с ее применением Download PDFInfo
- Publication number
- RU2012144355A RU2012144355A RU2012144355/04A RU2012144355A RU2012144355A RU 2012144355 A RU2012144355 A RU 2012144355A RU 2012144355/04 A RU2012144355/04 A RU 2012144355/04A RU 2012144355 A RU2012144355 A RU 2012144355A RU 2012144355 A RU2012144355 A RU 2012144355A
- Authority
- RU
- Russia
- Prior art keywords
- group
- formula
- halogen
- metallocene compound
- radical
- Prior art date
Links
- 150000001875 compounds Chemical class 0.000 title claims abstract 21
- 230000003197 catalytic effect Effects 0.000 title claims abstract 3
- 150000001336 alkenes Chemical class 0.000 title claims 5
- 229920000642 polymer Polymers 0.000 title claims 3
- 238000004519 manufacturing process Methods 0.000 title 1
- 229910052736 halogen Inorganic materials 0.000 claims abstract 9
- 125000004435 hydrogen atom Chemical class [H]* 0.000 claims abstract 8
- -1 cationic Lewis base Chemical class 0.000 claims abstract 7
- 150000002367 halogens Chemical class 0.000 claims abstract 7
- 239000004215 Carbon black (E152) Substances 0.000 claims abstract 4
- 229910052739 hydrogen Inorganic materials 0.000 claims abstract 4
- 239000001257 hydrogen Substances 0.000 claims abstract 4
- 239000002879 Lewis base Substances 0.000 claims abstract 2
- 230000007935 neutral effect Effects 0.000 claims abstract 2
- 125000000026 trimethylsilyl group Chemical group [H]C([H])([H])[Si]([*])(C([H])([H])[H])C([H])([H])[H] 0.000 claims abstract 2
- JRZJOMJEPLMPRA-UHFFFAOYSA-N olefin Natural products CCCCCCCC=C JRZJOMJEPLMPRA-UHFFFAOYSA-N 0.000 claims 4
- 238000000034 method Methods 0.000 claims 3
- MYRTYDVEIRVNKP-UHFFFAOYSA-N 1,2-Divinylbenzene Chemical compound C=CC1=CC=CC=C1C=C MYRTYDVEIRVNKP-UHFFFAOYSA-N 0.000 claims 2
- ZGEGCLOFRBLKSE-UHFFFAOYSA-N 1-Heptene Chemical compound CCCCCC=C ZGEGCLOFRBLKSE-UHFFFAOYSA-N 0.000 claims 2
- AFFLGGQVNFXPEV-UHFFFAOYSA-N 1-decene Chemical compound CCCCCCCCC=C AFFLGGQVNFXPEV-UHFFFAOYSA-N 0.000 claims 2
- CRSBERNSMYQZNG-UHFFFAOYSA-N 1-dodecene Chemical compound CCCCCCCCCCC=C CRSBERNSMYQZNG-UHFFFAOYSA-N 0.000 claims 2
- GQEZCXVZFLOKMC-UHFFFAOYSA-N 1-hexadecene Chemical compound CCCCCCCCCCCCCCC=C GQEZCXVZFLOKMC-UHFFFAOYSA-N 0.000 claims 2
- LIKMAJRDDDTEIG-UHFFFAOYSA-N 1-hexene Chemical compound CCCCC=C LIKMAJRDDDTEIG-UHFFFAOYSA-N 0.000 claims 2
- KWKAKUADMBZCLK-UHFFFAOYSA-N 1-octene Chemical compound CCCCCCC=C KWKAKUADMBZCLK-UHFFFAOYSA-N 0.000 claims 2
- HFDVRLIODXPAHB-UHFFFAOYSA-N 1-tetradecene Chemical compound CCCCCCCCCCCCC=C HFDVRLIODXPAHB-UHFFFAOYSA-N 0.000 claims 2
- DCTOHCCUXLBQMS-UHFFFAOYSA-N 1-undecene Chemical compound CCCCCCCCCC=C DCTOHCCUXLBQMS-UHFFFAOYSA-N 0.000 claims 2
- WSSSPWUEQFSQQG-UHFFFAOYSA-N 4-methyl-1-pentene Chemical compound CC(C)CC=C WSSSPWUEQFSQQG-UHFFFAOYSA-N 0.000 claims 2
- PPBRXRYQALVLMV-UHFFFAOYSA-N Styrene Chemical compound C=CC1=CC=CC=C1 PPBRXRYQALVLMV-UHFFFAOYSA-N 0.000 claims 2
- 229930195733 hydrocarbon Natural products 0.000 claims 2
- 239000000178 monomer Substances 0.000 claims 2
- YWAKXRMUMFPDSH-UHFFFAOYSA-N pentene Chemical compound CCCC=C YWAKXRMUMFPDSH-UHFFFAOYSA-N 0.000 claims 2
- OJOWICOBYCXEKR-KRXBUXKQSA-N (5e)-5-ethylidenebicyclo[2.2.1]hept-2-ene Chemical compound C1C2C(=C/C)/CC1C=C2 OJOWICOBYCXEKR-KRXBUXKQSA-N 0.000 claims 1
- HMDQPBSDHHTRNI-UHFFFAOYSA-N 1-(chloromethyl)-3-ethenylbenzene Chemical compound ClCC1=CC=CC(C=C)=C1 HMDQPBSDHHTRNI-UHFFFAOYSA-N 0.000 claims 1
- HECLRDQVFMWTQS-RGOKHQFPSA-N 1755-01-7 Chemical compound C1[C@H]2[C@@H]3CC=C[C@@H]3[C@@H]1C=C2 HECLRDQVFMWTQS-RGOKHQFPSA-N 0.000 claims 1
- UDMMZSJNHAWYKX-UHFFFAOYSA-N 4-phenylbicyclo[2.2.1]hept-2-ene Chemical compound C1C(C=C2)CCC21C1=CC=CC=C1 UDMMZSJNHAWYKX-UHFFFAOYSA-N 0.000 claims 1
- INYHZQLKOKTDAI-UHFFFAOYSA-N 5-ethenylbicyclo[2.2.1]hept-2-ene Chemical compound C1C2C(C=C)CC1C=C2 INYHZQLKOKTDAI-UHFFFAOYSA-N 0.000 claims 1
- ZOXJGFHDIHLPTG-UHFFFAOYSA-N Boron Chemical compound [B] ZOXJGFHDIHLPTG-UHFFFAOYSA-N 0.000 claims 1
- XYLMUPLGERFSHI-UHFFFAOYSA-N alpha-Methylstyrene Chemical compound CC(=C)C1=CC=CC=C1 XYLMUPLGERFSHI-UHFFFAOYSA-N 0.000 claims 1
- XAGFODPZIPBFFR-UHFFFAOYSA-N aluminium Chemical compound [Al] XAGFODPZIPBFFR-UHFFFAOYSA-N 0.000 claims 1
- 229910052782 aluminium Inorganic materials 0.000 claims 1
- 229910052796 boron Inorganic materials 0.000 claims 1
- 239000003054 catalyst Substances 0.000 claims 1
- 229940069096 dodecene Drugs 0.000 claims 1
- TVMXDCGIABBOFY-UHFFFAOYSA-N n-Octanol Natural products CCCCCCCC TVMXDCGIABBOFY-UHFFFAOYSA-N 0.000 claims 1
- SJYNFBVQFBRSIB-UHFFFAOYSA-N norbornadiene Chemical compound C1=CC2C=CC1C2 SJYNFBVQFBRSIB-UHFFFAOYSA-N 0.000 claims 1
- JFNLZVQOOSMTJK-KNVOCYPGSA-N norbornene Chemical compound C1[C@@H]2CC[C@H]1C=C2 JFNLZVQOOSMTJK-KNVOCYPGSA-N 0.000 claims 1
- KHUXNRRPPZOJPT-UHFFFAOYSA-N phenoxy radical Chemical compound O=C1C=C[CH]C=C1 KHUXNRRPPZOJPT-UHFFFAOYSA-N 0.000 claims 1
- 238000006116 polymerization reaction Methods 0.000 claims 1
- 229910052795 boron group element Inorganic materials 0.000 abstract 1
- 239000003426 co-catalyst Substances 0.000 abstract 1
- 0 *C1=CC(*C2C(c3ccccc3)=CC3=C2CCCC3)C=C1 Chemical compound *C1=CC(*C2C(c3ccccc3)=CC3=C2CCCC3)C=C1 0.000 description 4
- CMSBJDCGORMAFG-UHFFFAOYSA-N CC1C(c(cc2)ccc2OC)=CC2=C1CCCC2 Chemical compound CC1C(c(cc2)ccc2OC)=CC2=C1CCCC2 CMSBJDCGORMAFG-UHFFFAOYSA-N 0.000 description 1
Classifications
-
- C—CHEMISTRY; METALLURGY
- C08—ORGANIC MACROMOLECULAR COMPOUNDS; THEIR PREPARATION OR CHEMICAL WORKING-UP; COMPOSITIONS BASED THEREON
- C08F—MACROMOLECULAR COMPOUNDS OBTAINED BY REACTIONS ONLY INVOLVING CARBON-TO-CARBON UNSATURATED BONDS
- C08F210/00—Copolymers of unsaturated aliphatic hydrocarbons having only one carbon-to-carbon double bond
- C08F210/16—Copolymers of ethene with alpha-alkenes, e.g. EP rubbers
-
- C—CHEMISTRY; METALLURGY
- C07—ORGANIC CHEMISTRY
- C07F—ACYCLIC, CARBOCYCLIC OR HETEROCYCLIC COMPOUNDS CONTAINING ELEMENTS OTHER THAN CARBON, HYDROGEN, HALOGEN, OXYGEN, NITROGEN, SULFUR, SELENIUM OR TELLURIUM
- C07F17/00—Metallocenes
-
- B—PERFORMING OPERATIONS; TRANSPORTING
- B01—PHYSICAL OR CHEMICAL PROCESSES OR APPARATUS IN GENERAL
- B01J—CHEMICAL OR PHYSICAL PROCESSES, e.g. CATALYSIS OR COLLOID CHEMISTRY; THEIR RELEVANT APPARATUS
- B01J31/00—Catalysts comprising hydrides, coordination complexes or organic compounds
- B01J31/02—Catalysts comprising hydrides, coordination complexes or organic compounds containing organic compounds or metal hydrides
- B01J31/12—Catalysts comprising hydrides, coordination complexes or organic compounds containing organic compounds or metal hydrides containing organo-metallic compounds or metal hydrides
-
- B—PERFORMING OPERATIONS; TRANSPORTING
- B01—PHYSICAL OR CHEMICAL PROCESSES OR APPARATUS IN GENERAL
- B01J—CHEMICAL OR PHYSICAL PROCESSES, e.g. CATALYSIS OR COLLOID CHEMISTRY; THEIR RELEVANT APPARATUS
- B01J31/00—Catalysts comprising hydrides, coordination complexes or organic compounds
- B01J31/16—Catalysts comprising hydrides, coordination complexes or organic compounds containing coordination complexes
- B01J31/22—Organic complexes
-
- C—CHEMISTRY; METALLURGY
- C08—ORGANIC MACROMOLECULAR COMPOUNDS; THEIR PREPARATION OR CHEMICAL WORKING-UP; COMPOSITIONS BASED THEREON
- C08F—MACROMOLECULAR COMPOUNDS OBTAINED BY REACTIONS ONLY INVOLVING CARBON-TO-CARBON UNSATURATED BONDS
- C08F10/00—Homopolymers and copolymers of unsaturated aliphatic hydrocarbons having only one carbon-to-carbon double bond
-
- B—PERFORMING OPERATIONS; TRANSPORTING
- B01—PHYSICAL OR CHEMICAL PROCESSES OR APPARATUS IN GENERAL
- B01J—CHEMICAL OR PHYSICAL PROCESSES, e.g. CATALYSIS OR COLLOID CHEMISTRY; THEIR RELEVANT APPARATUS
- B01J2231/00—Catalytic reactions performed with catalysts classified in B01J31/00
- B01J2231/10—Polymerisation reactions involving at least dual use catalysts, e.g. for both oligomerisation and polymerisation
- B01J2231/12—Olefin polymerisation or copolymerisation
-
- B—PERFORMING OPERATIONS; TRANSPORTING
- B01—PHYSICAL OR CHEMICAL PROCESSES OR APPARATUS IN GENERAL
- B01J—CHEMICAL OR PHYSICAL PROCESSES, e.g. CATALYSIS OR COLLOID CHEMISTRY; THEIR RELEVANT APPARATUS
- B01J2531/00—Additional information regarding catalytic systems classified in B01J31/00
- B01J2531/30—Complexes comprising metals of Group III (IIIA or IIIB) as the central metal
- B01J2531/31—Aluminium
-
- B—PERFORMING OPERATIONS; TRANSPORTING
- B01—PHYSICAL OR CHEMICAL PROCESSES OR APPARATUS IN GENERAL
- B01J—CHEMICAL OR PHYSICAL PROCESSES, e.g. CATALYSIS OR COLLOID CHEMISTRY; THEIR RELEVANT APPARATUS
- B01J2531/00—Additional information regarding catalytic systems classified in B01J31/00
- B01J2531/40—Complexes comprising metals of Group IV (IVA or IVB) as the central metal
- B01J2531/48—Zirconium
-
- C—CHEMISTRY; METALLURGY
- C08—ORGANIC MACROMOLECULAR COMPOUNDS; THEIR PREPARATION OR CHEMICAL WORKING-UP; COMPOSITIONS BASED THEREON
- C08F—MACROMOLECULAR COMPOUNDS OBTAINED BY REACTIONS ONLY INVOLVING CARBON-TO-CARBON UNSATURATED BONDS
- C08F4/00—Polymerisation catalysts
- C08F4/42—Metals; Metal hydrides; Metallo-organic compounds; Use thereof as catalyst precursors
- C08F4/44—Metals; Metal hydrides; Metallo-organic compounds; Use thereof as catalyst precursors selected from light metals, zinc, cadmium, mercury, copper, silver, gold, boron, gallium, indium, thallium, rare earths or actinides
- C08F4/60—Metals; Metal hydrides; Metallo-organic compounds; Use thereof as catalyst precursors selected from light metals, zinc, cadmium, mercury, copper, silver, gold, boron, gallium, indium, thallium, rare earths or actinides together with refractory metals, iron group metals, platinum group metals, manganese, rhenium technetium or compounds thereof
- C08F4/62—Refractory metals or compounds thereof
- C08F4/64—Titanium, zirconium, hafnium or compounds thereof
- C08F4/659—Component covered by group C08F4/64 containing a transition metal-carbon bond
- C08F4/65912—Component covered by group C08F4/64 containing a transition metal-carbon bond in combination with an organoaluminium compound
Landscapes
- Chemical & Material Sciences (AREA)
- Organic Chemistry (AREA)
- Chemical Kinetics & Catalysis (AREA)
- Health & Medical Sciences (AREA)
- Medicinal Chemistry (AREA)
- Polymers & Plastics (AREA)
- Engineering & Computer Science (AREA)
- Materials Engineering (AREA)
- Inorganic Chemistry (AREA)
- Transition And Organic Metals Composition Catalysts For Addition Polymerization (AREA)
Abstract
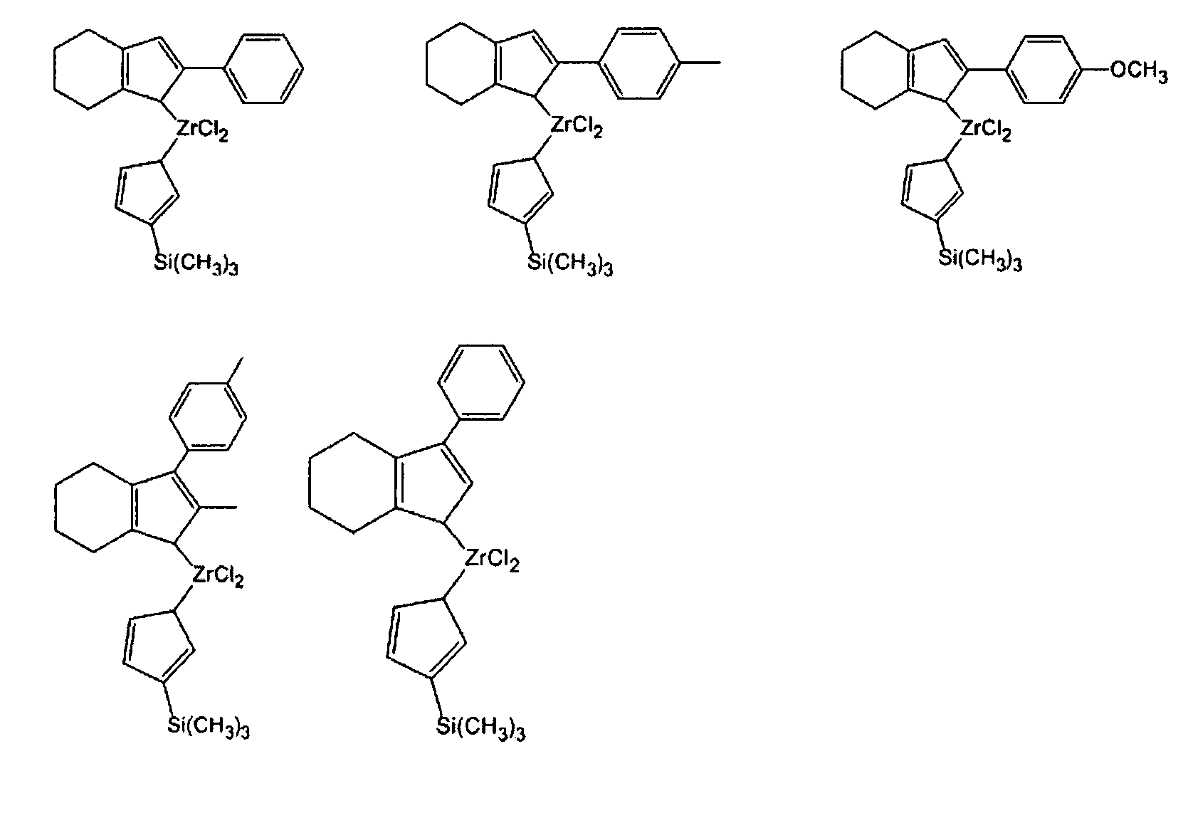
1. Металлоценовое соединение, представленное ниже формулой 1[формула 1]в которой Rи Rявляются одинаковыми или отличными друг от друга и независимо представляют собой водород, С1~С20-алкильную группу, С1~С20-алкоксигруппу, С2~С20-алкенильную группу, С6~С20-арильную группу, С7~С20-алкиларильную группу, С7~С20-арилалкильную группу или С7~С20-алкоксиарильную группу;Rпредставляет собой С1~С20-алкилсилильную группу;Qи Qявляются одинаковыми или отличными друг от друга и независимо представляют собой водород, С1~С20-алкильную группу или галоген; иМ представляет собой Zr, Ti или Hf.2. Металлоценовое соединение по п.1, у которого Rпредставляет собой триметилсилильную группу.3. Металлоценовое соединение по п.1, где соединение формулы 1 представлено любым соединением, выбранным из соединений следующих формул:4. Каталитическая композиция, содержащаяметаллоценовое соединение любого из соединений пп. 1-3; ипо меньшей мере одно соединение-сокатализатор, выбранное из группы, состоящей из соединений, представленных ниже формулами 2, 3 и 4:[формула 2]-[Al(R)-O]-,в которой Rпредставляет собой радикал галогена или С1~С20-углеводородный радикал, незамещенный или замещенный галогеном, иа равно целому числу 2 или больше;[формула 3]D(R),в которой D представляет собой алюминий или бор, иRпредставляет собой радикал галогена или С1~С20-углеводородный радикал, незамещенный или замещенный галогеном; и[формула 4][L-H][ZA]или [L][ZA],в которой L представляет собой нейтральное или катионное основание Льюиса,Н представляет собой атом водорода,Z представляет собой элемент группы 13, иА независимо представляет собой С6~С20-арильный или С1~С20-алкильный радикал, один или несколько атомов водород�
Claims (7)
1. Металлоценовое соединение, представленное ниже формулой 1
[формула 1]
в которой R1 и R2 являются одинаковыми или отличными друг от друга и независимо представляют собой водород, С1~С20-алкильную группу, С1~С20-алкоксигруппу, С2~С20-алкенильную группу, С6~С20-арильную группу, С7~С20-алкиларильную группу, С7~С20-арилалкильную группу или С7~С20-алкоксиарильную группу;
R3 представляет собой С1~С20-алкилсилильную группу;
Q1 и Q2 являются одинаковыми или отличными друг от друга и независимо представляют собой водород, С1~С20-алкильную группу или галоген; и
М представляет собой Zr, Ti или Hf.
2. Металлоценовое соединение по п.1, у которого R3 представляет собой триметилсилильную группу.
4. Каталитическая композиция, содержащая
металлоценовое соединение любого из соединений пп. 1-3; и
по меньшей мере одно соединение-сокатализатор, выбранное из группы, состоящей из соединений, представленных ниже формулами 2, 3 и 4:
[формула 2]
-[Al(R4)-O]a-,
в которой R4 представляет собой радикал галогена или С1~С20-углеводородный радикал, незамещенный или замещенный галогеном, и
а равно целому числу 2 или больше;
[формула 3]
D(R5)3,
в которой D представляет собой алюминий или бор, и
R5 представляет собой радикал галогена или С1~С20-углеводородный радикал, незамещенный или замещенный галогеном; и
[формула 4]
[L-H]+[ZA4]- или [L]+[ZA4]-,
в которой L представляет собой нейтральное или катионное основание Льюиса,
Н представляет собой атом водорода,
Z представляет собой элемент группы 13, и
А независимо представляет собой С6~С20-арильный или С1~С20-алкильный радикал, один или несколько атомов водорода которого замещены галогеном, С1~С20-углеводородным радикалом, С1~С20-алкокси или феноксирадикалом.
5. Способ получения полимера на основе олефина, включающий полимеризацию олефинового мономера в присутствии каталитической композиции по п.4.
6. Способ по п.5, в котором олефиновый мономер содержит один или несколько компонентов, выбранных из группы, состоящей из этилена, пропилена, 1-бутена, 1-пентена, 4-метил-1-пентена, 1-гексена, 1-гептена, 1-октена, 1-децена, 1-ундецена, 1-додецена, 1-тетрадецена, 1-гексадецена, 1-итоцена, норборнена, норборнадиена, этилиденнорборнена, фенилнорборнена, винилнорборнена, дициклопентадиена, 1,4-бутадиена, 1,5-пентадиена, 1,6-гексадиена, стирола, альфа-метилстирола, дивинилбензола и 3-хлорметилстирола.
7. Полимер на основе олефина, полученный при помощи способа по п.5.
Priority Applications (6)
| Application Number | Priority Date | Filing Date | Title |
|---|---|---|---|
| RU2012144355/04A RU2529020C2 (ru) | 2012-10-17 | 2012-10-17 | Новое металлоценовое соединение, содержащая его каталитическая композиция и способ получения полимеров на основе олефинов с ее применением |
| KR1020130069126A KR101619396B1 (ko) | 2012-10-17 | 2013-06-17 | 신규한 메탈로센 화합물, 이를 포함하는 촉매 조성물 및 이를 이용한 올레핀계 중합체의 제조방법 |
| PCT/KR2013/008490 WO2014061921A1 (ko) | 2012-10-17 | 2013-09-23 | 신규한 메탈로센 화합물, 이를 포함하는 촉매 조성물 및 이를 이용한 올레핀계 중합체의 제조방법 |
| EP13848006.6A EP2862865B1 (en) | 2012-10-17 | 2013-09-23 | Novel metallocene compound, catalyst composition comprising same, and olefinic polymer production method using same |
| US14/419,886 US20150225497A1 (en) | 2012-10-17 | 2013-09-23 | Novel metallocene compound, catalyst composition comprising the same, and method of preparing olefin-based polymers using the same (as amended) |
| JP2015524199A JP6093858B2 (ja) | 2012-10-17 | 2013-09-23 | 新規なメタロセン化合物、これを含む触媒組成物及びこれを用いたオレフィン系重合体の製造方法 |
Applications Claiming Priority (1)
| Application Number | Priority Date | Filing Date | Title |
|---|---|---|---|
| RU2012144355/04A RU2529020C2 (ru) | 2012-10-17 | 2012-10-17 | Новое металлоценовое соединение, содержащая его каталитическая композиция и способ получения полимеров на основе олефинов с ее применением |
Publications (2)
| Publication Number | Publication Date |
|---|---|
| RU2012144355A true RU2012144355A (ru) | 2014-04-27 |
| RU2529020C2 RU2529020C2 (ru) | 2014-09-27 |
Family
ID=50515167
Family Applications (1)
| Application Number | Title | Priority Date | Filing Date |
|---|---|---|---|
| RU2012144355/04A RU2529020C2 (ru) | 2012-10-17 | 2012-10-17 | Новое металлоценовое соединение, содержащая его каталитическая композиция и способ получения полимеров на основе олефинов с ее применением |
Country Status (6)
| Country | Link |
|---|---|
| US (1) | US20150225497A1 (ru) |
| EP (1) | EP2862865B1 (ru) |
| JP (1) | JP6093858B2 (ru) |
| KR (1) | KR101619396B1 (ru) |
| RU (1) | RU2529020C2 (ru) |
| WO (1) | WO2014061921A1 (ru) |
Families Citing this family (9)
| Publication number | Priority date | Publication date | Assignee | Title |
|---|---|---|---|---|
| KR101566328B1 (ko) * | 2014-06-03 | 2015-11-05 | 주식회사 엘지화학 | 메탈로센 화합물 및 그 제조방법 |
| KR101950462B1 (ko) | 2016-02-24 | 2019-02-20 | 주식회사 엘지화학 | 올레핀 중합체 및 이의 제조 방법 |
| WO2018064044A2 (en) * | 2016-09-30 | 2018-04-05 | Univation Technologies, Llc | Polymerization catalysts with improved ethylene enchainment |
| KR102140260B1 (ko) | 2016-12-22 | 2020-07-31 | 주식회사 엘지화학 | 올레핀 중합체 및 이의 제조 방법 |
| KR101751937B1 (ko) * | 2017-05-10 | 2017-06-28 | 김승배 | 의류 운송용 캐리어 |
| KR102656243B1 (ko) * | 2018-11-20 | 2024-04-08 | 주식회사 엘지화학 | 신규한 메탈로센 화합물, 이를 포함하는 촉매 조성물 및 이를 이용한 올레핀계 중합체의 제조방법 |
| RU2749716C2 (ru) * | 2019-09-05 | 2021-06-16 | Публичное акционерное общество "Нефтяная компания "Роснефть" (ПАО "НК "Роснефть") | Активатор катализатора для получения синтетических высоковязких базовых масел и способ его приготовления |
| CN112876519B (zh) * | 2021-01-15 | 2023-04-25 | 山东京博石油化工有限公司 | 一种桥连型含氮或磷杂环结构的茂金属化合物、其制备方法及应用 |
| CN115260343B (zh) * | 2022-08-02 | 2023-07-14 | 中国科学技术大学 | 含水杨醛亚胺配体的单茂金属催化剂及其制备方法和应用 |
Family Cites Families (19)
| Publication number | Priority date | Publication date | Assignee | Title |
|---|---|---|---|---|
| US5064802A (en) | 1989-09-14 | 1991-11-12 | The Dow Chemical Company | Metal complex compounds |
| JP2696635B2 (ja) * | 1992-01-24 | 1998-01-14 | チッソ株式会社 | オレフィン重合体の製造方法 |
| FI945959L (fi) * | 1993-12-21 | 1995-06-22 | Hoechst Ag | Metalloseenejä ja niiden käyttö katalyytteinä |
| GB9502870D0 (en) * | 1995-02-14 | 1995-04-05 | Zeneca Ltd | Chiral compounds |
| DE59507791D1 (de) * | 1995-08-30 | 2000-03-16 | Witco Gmbh | Unsymmetrisch substituierte, an einem Cyclopentadienylring funktionalisierte Metallocene und deren Darstellung |
| US5780659A (en) * | 1996-03-29 | 1998-07-14 | Phillips Petroleum Company | Substituted indenyl unbridged metallocenes |
| DE59807082D1 (de) * | 1997-07-28 | 2003-03-06 | Basell Polyolefine Gmbh | Verfahren zur herstellung von metallocenen |
| DE19804970A1 (de) * | 1998-02-07 | 1999-08-12 | Aventis Res & Tech Gmbh & Co | Katalysatorsystem |
| US6262201B1 (en) * | 1998-06-19 | 2001-07-17 | Phillips Petroleum Company | Aryl substituted metallocene catalysts and their use |
| AU783097B2 (en) * | 1999-12-28 | 2005-09-22 | Basell Technology Company B.V. | Heterocyclic metallocene compounds and use thereof in catalyst systems for producing olefin polymers |
| KR100691576B1 (ko) * | 2003-03-10 | 2007-03-12 | 아사히 가세이 케미칼즈 가부시키가이샤 | 초고분자량 에틸렌계 중합체 |
| EP1462464A1 (en) | 2003-03-25 | 2004-09-29 | Borealis Technology Oy | Metallocene catalysts and preparation of polyolefins therewith |
| US6911508B2 (en) * | 2003-06-05 | 2005-06-28 | Univation Technologies, Llc | Class of metallocenes and method of producing polyethylene |
| US7157531B2 (en) * | 2004-06-21 | 2007-01-02 | Univation Technologies, Llc | Methods for producing polymers with control over composition distribution |
| WO2007011459A1 (en) * | 2005-07-19 | 2007-01-25 | Exxonmobil Chemical Patents Inc. | Polyalpha-olefin compositions and processes to produce the same |
| KR100820542B1 (ko) | 2006-03-24 | 2008-04-08 | 주식회사 엘지화학 | 전이금속 화합물, 이를 포함하는 촉매 조성물 및 이를이용한 올레핀 중합 |
| JP5613416B2 (ja) * | 2006-07-19 | 2014-10-22 | エクソンモービル・ケミカル・パテンツ・インク | 高粘度流体の生成プロセス |
| KR100976131B1 (ko) * | 2007-01-10 | 2010-08-16 | 주식회사 엘지화학 | 전이금속 화합물의 제조 방법, 상기 방법으로 제조된전이금속 화합물 및 상기 전이금속 화합물을 포함하는 촉매조성물 |
| KR101050791B1 (ko) * | 2009-10-19 | 2011-07-20 | 주식회사 엘지화학 | 혼성 담지 메탈로센 촉매의 제조방법 및 이를 이용하여 제조된 혼성 담지 메탈로센 촉매 |
-
2012
- 2012-10-17 RU RU2012144355/04A patent/RU2529020C2/ru active
-
2013
- 2013-06-17 KR KR1020130069126A patent/KR101619396B1/ko active Active
- 2013-09-23 EP EP13848006.6A patent/EP2862865B1/en active Active
- 2013-09-23 WO PCT/KR2013/008490 patent/WO2014061921A1/ko not_active Ceased
- 2013-09-23 JP JP2015524199A patent/JP6093858B2/ja active Active
- 2013-09-23 US US14/419,886 patent/US20150225497A1/en not_active Abandoned
Also Published As
| Publication number | Publication date |
|---|---|
| KR20140049452A (ko) | 2014-04-25 |
| WO2014061921A1 (ko) | 2014-04-24 |
| EP2862865B1 (en) | 2018-08-15 |
| EP2862865A4 (en) | 2016-05-04 |
| US20150225497A1 (en) | 2015-08-13 |
| EP2862865A1 (en) | 2015-04-22 |
| RU2529020C2 (ru) | 2014-09-27 |
| JP2015524430A (ja) | 2015-08-24 |
| KR101619396B1 (ko) | 2016-05-10 |
| JP6093858B2 (ja) | 2017-03-08 |
Similar Documents
| Publication | Publication Date | Title |
|---|---|---|
| RU2012144355A (ru) | Новое металлоценовое соединение, содержащая его каталитическая композиция и способ получения полимеров на основе олефинов с ее применением | |
| KR101154507B1 (ko) | 메탈로센 화합물, 이를 포함하는 촉매 조성물 및 이를 이용하여 제조된 올레핀계 중합체 | |
| RU2019139095A (ru) | Композиция катализатора для полимеризации олефина, способ получения полиолефина и полиолефиновая смола | |
| CN111051367B (zh) | 双功能催化剂组合物 | |
| WO2012102572A2 (ko) | 올레핀 블록 공중합체 | |
| RU2013157566A (ru) | Новое циклопента[b]флуоренильное соединение переходного металла, каталитическая композиция, содержащая его, и способ получения гомополимера этилена или сополимера этилена и альфа-олефина при ее использовании | |
| JP2008540714A5 (ru) | ||
| RU2020116986A (ru) | Полимер на основе этилена, обладающий превосходными характеристиками длительного сопротивления при сжатии, и труба, в которой он применяется | |
| RU2015143202A (ru) | Бис(2-инденил)металлоценовый комплекс | |
| JP2018505946A5 (ru) | ||
| JP6499280B2 (ja) | メタロセン担持触媒およびこれを用いるポリオレフィンの製造方法 | |
| JP2006502260A5 (ru) | ||
| KR101743327B1 (ko) | 신규한 리간드 화합물 및 전이금속 화합물 | |
| KR101785764B1 (ko) | 신규한 리간드 화합물 및 전이금속 화합물의 제조방법 | |
| CN110036042B (zh) | 烯烃聚合催化剂用过渡金属化合物、包含其的烯烃聚合催化剂以及利用其来聚合的聚烯烃 | |
| WO2017111513A1 (ko) | 메탈로센 담지 촉매 및 이를 이용하는 폴리올레핀의 제조방법 | |
| KR20140006725A (ko) | 신규한 리간드 화합물 및 이를 포함하는 전이금속 화합물 | |
| KR20190053659A (ko) | 올레핀 중합 촉매용 전이금속 화합물, 이를 포함하는 올레핀 중합 촉매 및 이를 이용하여 중합된 폴리올레핀 | |
| WO2017095079A1 (ko) | 혼성 담지 메탈로센 촉매의 제조방법 및 이를 이용하여 제조된 혼성 담지 메탈로센 촉매 | |
| KR102455610B1 (ko) | 올레핀 중합 촉매용 전이금속 화합물 및 그 제조 방법 | |
| KR102251397B1 (ko) | 전이 금속 화합물, 이를 포함하는 메탈로센 담지 촉매 및 이를 이용한 올레핀 중합체의 제조 방법 | |
| KR101599011B1 (ko) | 올레핀 중합용 촉매 및 이를 이용한 폴리올레핀의 제조 방법 | |
| CN102464751A (zh) | 一种烯烃共聚物及其制备方法 | |
| KR102029447B1 (ko) | 전이 금속 화합물, 이를 포함하는 촉매 조성물 및 이를 이용한 올레핀 중합체의 제조 방법 | |
| KR102065161B1 (ko) | 신규한 전이금속 화합물의 제조방법 |

