RU2012144332A - Циклоалкил-замещенное производное имидазола - Google Patents
Циклоалкил-замещенное производное имидазола Download PDFInfo
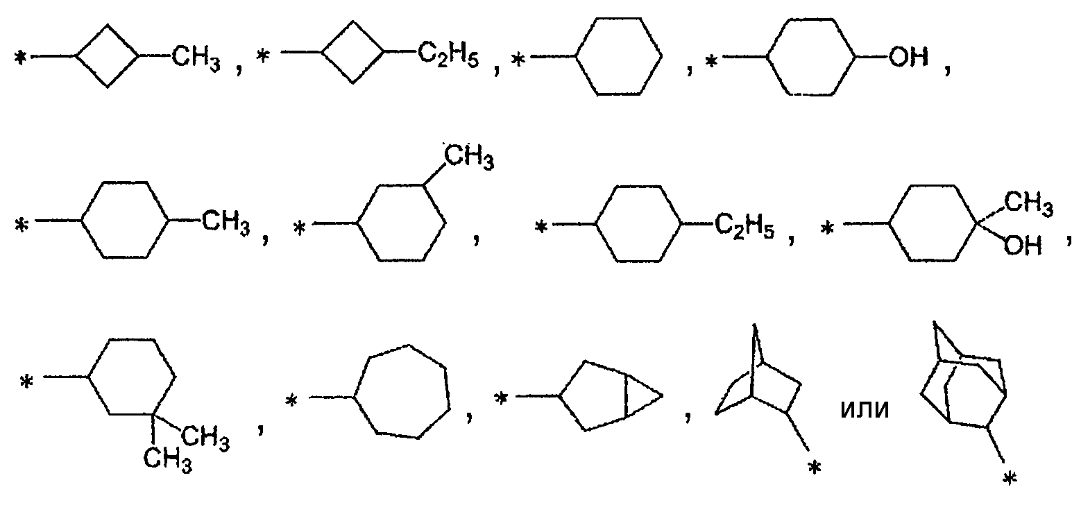
- Publication number
- RU2012144332A RU2012144332A RU2012144332/04A RU2012144332A RU2012144332A RU 2012144332 A RU2012144332 A RU 2012144332A RU 2012144332/04 A RU2012144332/04 A RU 2012144332/04A RU 2012144332 A RU2012144332 A RU 2012144332A RU 2012144332 A RU2012144332 A RU 2012144332A
- Authority
- RU
- Russia
- Prior art keywords
- group
- acceptable salt
- pharmacologically acceptable
- hydrogen atom
- substituted
- Prior art date
Links
- 150000002460 imidazoles Chemical class 0.000 title 1
- 150000003839 salts Chemical class 0.000 claims abstract 84
- 150000001875 compounds Chemical class 0.000 claims abstract 79
- 125000004435 hydrogen atom Chemical group [H]* 0.000 claims abstract 78
- 125000004169 (C1-C6) alkyl group Chemical group 0.000 claims abstract 60
- -1 bicyclo [3.1.0] hexyl group Chemical group 0.000 claims abstract 59
- 125000004191 (C1-C6) alkoxy group Chemical group 0.000 claims abstract 31
- 229940002612 prodrug Drugs 0.000 claims abstract 26
- 239000000651 prodrug Chemical group 0.000 claims abstract 26
- 125000000113 cyclohexyl group Chemical group [H]C1([H])C([H])([H])C([H])([H])C([H])(*)C([H])([H])C1([H])[H] 0.000 claims abstract 22
- 125000002887 hydroxy group Chemical group [H]O* 0.000 claims abstract 22
- 125000001995 cyclobutyl group Chemical group [H]C1([H])C([H])([H])C([H])(*)C1([H])[H] 0.000 claims abstract 10
- 125000000582 cycloheptyl group Chemical group [H]C1([H])C([H])([H])C([H])([H])C([H])([H])C([H])(*)C([H])([H])C1([H])[H] 0.000 claims abstract 10
- 125000005073 adamantyl group Chemical group C12(CC3CC(CC(C1)C3)C2)* 0.000 claims abstract 9
- 238000006467 substitution reaction Methods 0.000 claims abstract 9
- 125000004104 aryloxy group Chemical group 0.000 claims abstract 8
- 125000005844 heterocyclyloxy group Chemical group 0.000 claims abstract 8
- 125000001153 fluoro group Chemical group F* 0.000 claims abstract 7
- 125000002496 methyl group Chemical group [H]C([H])([H])* 0.000 claims 22
- 125000003118 aryl group Chemical group 0.000 claims 21
- 239000004480 active ingredient Substances 0.000 claims 16
- 125000005913 (C3-C6) cycloalkyl group Chemical group 0.000 claims 14
- 125000004423 acyloxy group Chemical group 0.000 claims 14
- 125000005708 carbonyloxy group Chemical group [*:2]OC([*:1])=O 0.000 claims 14
- 125000004043 oxo group Chemical group O=* 0.000 claims 14
- 125000001495 ethyl group Chemical group [H]C([H])([H])C([H])([H])* 0.000 claims 12
- 208000037265 diseases, disorders, signs and symptoms Diseases 0.000 claims 11
- 208000009190 disseminated intravascular coagulation Diseases 0.000 claims 10
- 208000004476 Acute Coronary Syndrome Diseases 0.000 claims 9
- 206010002383 Angina Pectoris Diseases 0.000 claims 9
- 208000031104 Arterial Occlusive disease Diseases 0.000 claims 9
- 206010051055 Deep vein thrombosis Diseases 0.000 claims 9
- 208000005189 Embolism Diseases 0.000 claims 9
- 206010040047 Sepsis Diseases 0.000 claims 9
- 206010047249 Venous thrombosis Diseases 0.000 claims 9
- 125000003277 amino group Chemical group 0.000 claims 9
- 208000021328 arterial occlusion Diseases 0.000 claims 9
- 125000002915 carbonyl group Chemical group [*:2]C([*:1])=O 0.000 claims 9
- 206010008118 cerebral infarction Diseases 0.000 claims 9
- 208000026106 cerebrovascular disease Diseases 0.000 claims 9
- 201000010099 disease Diseases 0.000 claims 9
- 208000010125 myocardial infarction Diseases 0.000 claims 9
- 230000002093 peripheral effect Effects 0.000 claims 9
- 208000005069 pulmonary fibrosis Diseases 0.000 claims 9
- 208000011580 syndromic disease Diseases 0.000 claims 9
- 208000010378 Pulmonary Embolism Diseases 0.000 claims 8
- 125000003178 carboxy group Chemical group [H]OC(*)=O 0.000 claims 8
- 125000002252 acyl group Chemical group 0.000 claims 7
- 125000001797 benzyl group Chemical group [H]C1=C([H])C([H])=C(C([H])=C1[H])C([H])([H])* 0.000 claims 7
- 125000003917 carbamoyl group Chemical group [H]N([H])C(*)=O 0.000 claims 7
- 125000005843 halogen group Chemical group 0.000 claims 7
- 125000000623 heterocyclic group Chemical group 0.000 claims 7
- 125000004415 heterocyclylalkyl group Chemical group 0.000 claims 7
- 238000002347 injection Methods 0.000 claims 7
- 239000007924 injection Substances 0.000 claims 7
- 239000008194 pharmaceutical composition Substances 0.000 claims 7
- 229940126585 therapeutic drug Drugs 0.000 claims 7
- NQPDZGIKBAWPEJ-UHFFFAOYSA-N valeric acid Chemical compound CCCCC(O)=O NQPDZGIKBAWPEJ-UHFFFAOYSA-N 0.000 claims 7
- PXGOKWXKJXAPGV-UHFFFAOYSA-N Fluorine Chemical compound FF PXGOKWXKJXAPGV-UHFFFAOYSA-N 0.000 claims 6
- 208000007536 Thrombosis Diseases 0.000 claims 6
- 229910052731 fluorine Inorganic materials 0.000 claims 6
- 239000011737 fluorine Substances 0.000 claims 6
- 229940079593 drug Drugs 0.000 claims 5
- 239000003814 drug Substances 0.000 claims 5
- 238000001356 surgical procedure Methods 0.000 claims 5
- AEHFUSPLVGWEEP-YDHLFZDLSA-N C1C[C@@H](C)CC[C@@H]1N1C=C(C[C@H](CCCN)C(O)=O)N=C1 Chemical compound C1C[C@@H](C)CC[C@@H]1N1C=C(C[C@H](CCCN)C(O)=O)N=C1 AEHFUSPLVGWEEP-YDHLFZDLSA-N 0.000 claims 4
- 229940043274 prophylactic drug Drugs 0.000 claims 4
- 230000000069 prophylactic effect Effects 0.000 claims 4
- JOXIMZWYDAKGHI-UHFFFAOYSA-N toluene-4-sulfonic acid Chemical group CC1=CC=C(S(O)(=O)=O)C=C1 JOXIMZWYDAKGHI-UHFFFAOYSA-N 0.000 claims 4
- 206010028980 Neoplasm Diseases 0.000 claims 3
- 208000001435 Thromboembolism Diseases 0.000 claims 3
- 125000000405 phenylalanyl group Chemical group 0.000 claims 3
- 125000006239 protecting group Chemical group 0.000 claims 3
- 208000002815 pulmonary hypertension Diseases 0.000 claims 3
- AEHFUSPLVGWEEP-UHFFFAOYSA-N 5-amino-2-[[1-(4-methylcyclohexyl)imidazol-4-yl]methyl]pentanoic acid Chemical compound C1CC(C)CCC1N1C=C(CC(CCCN)C(O)=O)N=C1 AEHFUSPLVGWEEP-UHFFFAOYSA-N 0.000 claims 2
- RYGMFSIKBFXOCR-UHFFFAOYSA-N Copper Chemical compound [Cu] RYGMFSIKBFXOCR-UHFFFAOYSA-N 0.000 claims 2
- 102000009123 Fibrin Human genes 0.000 claims 2
- 108010073385 Fibrin Proteins 0.000 claims 2
- BWGVNKXGVNDBDI-UHFFFAOYSA-N Fibrin monomer Chemical group CNC(=O)CNC(=O)CN BWGVNKXGVNDBDI-UHFFFAOYSA-N 0.000 claims 2
- 206010016654 Fibrosis Diseases 0.000 claims 2
- XPSZWCPZYFODRH-UDZZXWHYSA-N O.CC1=CC=C(S(O)(=O)=O)C=C1.C1C[C@@H](C)CC[C@@H]1N1C=C(C[C@H](CCCN)C(O)=O)N=C1 Chemical compound O.CC1=CC=C(S(O)(=O)=O)C=C1.C1C[C@@H](C)CC[C@@H]1N1C=C(C[C@H](CCCN)C(O)=O)N=C1 XPSZWCPZYFODRH-UDZZXWHYSA-N 0.000 claims 2
- SRSXLGNVWSONIS-UHFFFAOYSA-M benzenesulfonate Chemical compound [O-]S(=O)(=O)C1=CC=CC=C1 SRSXLGNVWSONIS-UHFFFAOYSA-M 0.000 claims 2
- 229940077388 benzenesulfonate Drugs 0.000 claims 2
- 201000011510 cancer Diseases 0.000 claims 2
- 208000019425 cirrhosis of liver Diseases 0.000 claims 2
- 229910052802 copper Inorganic materials 0.000 claims 2
- 239000010949 copper Substances 0.000 claims 2
- 230000008021 deposition Effects 0.000 claims 2
- 206010012601 diabetes mellitus Diseases 0.000 claims 2
- 208000035475 disorder Diseases 0.000 claims 2
- 230000001747 exhibiting effect Effects 0.000 claims 2
- 229950003499 fibrin Drugs 0.000 claims 2
- 230000020764 fibrinolysis Effects 0.000 claims 2
- 239000003112 inhibitor Substances 0.000 claims 2
- 210000004072 lung Anatomy 0.000 claims 2
- 238000004519 manufacturing process Methods 0.000 claims 2
- 238000000034 method Methods 0.000 claims 2
- 201000008383 nephritis Diseases 0.000 claims 2
- 210000000056 organ Anatomy 0.000 claims 2
- 238000000634 powder X-ray diffraction Methods 0.000 claims 2
- 230000005855 radiation Effects 0.000 claims 2
- 239000000126 substance Substances 0.000 claims 2
- 230000002792 vascular Effects 0.000 claims 2
- MYFSJRVPQSXHMT-UHFFFAOYSA-N 2-(2-aminoethoxy)-3-[1-(4-methylcyclohexyl)imidazol-4-yl]propanoic acid Chemical compound C1CC(C)CCC1N1C=C(CC(OCCN)C(O)=O)N=C1 MYFSJRVPQSXHMT-UHFFFAOYSA-N 0.000 claims 1
- SXFRUTCVXKOOAP-ISELTILSSA-N 2-[(2r)-1-aminopropan-2-yl]oxy-3-[1-(4-methylcyclohexyl)imidazol-4-yl]propanoic acid Chemical compound C1=NC(CC(O[C@@H](CN)C)C(O)=O)=CN1C1CCC(C)CC1 SXFRUTCVXKOOAP-ISELTILSSA-N 0.000 claims 1
- WSBZOSHMXZRDKY-UHFFFAOYSA-N 2-[[1-(2-adamantyl)imidazol-4-yl]methyl]-5-aminopentanoic acid Chemical compound C1=NC(CC(CCCN)C(O)=O)=CN1C1C(C2)CC3CC2CC1C3 WSBZOSHMXZRDKY-UHFFFAOYSA-N 0.000 claims 1
- SOSZIDHLTYALRP-UHFFFAOYSA-N 2-[[1-(4-methylcyclohexyl)imidazol-4-yl]methyl]-5-[1-(2-methylpropanoyloxy)ethoxycarbonylamino]pentanoic acid Chemical compound C1=NC(CC(CCCNC(=O)OC(C)OC(=O)C(C)C)C(O)=O)=CN1C1CCC(C)CC1 SOSZIDHLTYALRP-UHFFFAOYSA-N 0.000 claims 1
- MTKDYJGCJYLATD-UHFFFAOYSA-N 5-[1-(2,2-dimethylpropanoyloxy)ethoxycarbonylamino]-2-[[1-(4-methylcyclohexyl)imidazol-4-yl]methyl]pentanoic acid Chemical compound C1=NC(CC(CCCNC(=O)OC(C)OC(=O)C(C)(C)C)C(O)=O)=CN1C1CCC(C)CC1 MTKDYJGCJYLATD-UHFFFAOYSA-N 0.000 claims 1
- ZJFZGDDSKVVKNV-UHFFFAOYSA-N 5-[1-(cyclohexanecarbonyloxy)ethoxycarbonylamino]-2-[[1-(4-methylcyclohexyl)imidazol-4-yl]methyl]pentanoic acid Chemical compound C1CCCCC1C(=O)OC(C)OC(=O)NCCCC(C(O)=O)CC(N=C1)=CN1C1CCC(C)CC1 ZJFZGDDSKVVKNV-UHFFFAOYSA-N 0.000 claims 1
- FNFACZYHQHRMSK-UHFFFAOYSA-N 5-amino-2-[(1-cyclohexylimidazol-4-yl)methyl]pentanoic acid Chemical compound C1=NC(CC(CCCN)C(O)=O)=CN1C1CCCCC1 FNFACZYHQHRMSK-UHFFFAOYSA-N 0.000 claims 1
- ZALSOORDNKVPOI-UHFFFAOYSA-N 5-amino-2-[[1-(4-phenoxycyclohexyl)imidazol-4-yl]methyl]pentanoic acid Chemical compound C1=NC(CC(CCCN)C(O)=O)=CN1C1CCC(OC=2C=CC=CC=2)CC1 ZALSOORDNKVPOI-UHFFFAOYSA-N 0.000 claims 1
- 206010001052 Acute respiratory distress syndrome Diseases 0.000 claims 1
- 206010002388 Angina unstable Diseases 0.000 claims 1
- 206010003210 Arteriosclerosis Diseases 0.000 claims 1
- AEHFUSPLVGWEEP-FFAOXRCVSA-N C1C[C@@H](C)CC[C@@H]1N1C=C(CC(CCCN)C(O)=O)N=C1 Chemical compound C1C[C@@H](C)CC[C@@H]1N1C=C(CC(CCCN)C(O)=O)N=C1 AEHFUSPLVGWEEP-FFAOXRCVSA-N 0.000 claims 1
- BEUWOXSXOMMLGF-HZPCBCDKSA-N CC1=CC=C(S(O)(=O)=O)C=C1.C1C[C@@H](C)CC[C@@H]1N1C=C(C[C@H](CCCN)C(O)=O)N=C1 Chemical compound CC1=CC=C(S(O)(=O)=O)C=C1.C1C[C@@H](C)CC[C@@H]1N1C=C(C[C@H](CCCN)C(O)=O)N=C1 BEUWOXSXOMMLGF-HZPCBCDKSA-N 0.000 claims 1
- 208000026151 Chronic thromboembolic pulmonary hypertension Diseases 0.000 claims 1
- 206010014522 Embolism venous Diseases 0.000 claims 1
- 102000004190 Enzymes Human genes 0.000 claims 1
- 108090000790 Enzymes Proteins 0.000 claims 1
- 206010018364 Glomerulonephritis Diseases 0.000 claims 1
- 206010018366 Glomerulonephritis acute Diseases 0.000 claims 1
- 206010018367 Glomerulonephritis chronic Diseases 0.000 claims 1
- 206010061216 Infarction Diseases 0.000 claims 1
- 206010061218 Inflammation Diseases 0.000 claims 1
- 208000019693 Lung disease Diseases 0.000 claims 1
- 206010027476 Metastases Diseases 0.000 claims 1
- ZGFDZMAHHHSFJG-HZPCBCDKSA-N OS(=O)(=O)C1=CC=CC=C1.C1C[C@@H](C)CC[C@@H]1N1C=C(C[C@H](CCCN)C(O)=O)N=C1 Chemical compound OS(=O)(=O)C1=CC=CC=C1.C1C[C@@H](C)CC[C@@H]1N1C=C(C[C@H](CCCN)C(O)=O)N=C1 ZGFDZMAHHHSFJG-HZPCBCDKSA-N 0.000 claims 1
- 208000018262 Peripheral vascular disease Diseases 0.000 claims 1
- 206010038470 Renal infarct Diseases 0.000 claims 1
- 208000013616 Respiratory Distress Syndrome Diseases 0.000 claims 1
- 208000007718 Stable Angina Diseases 0.000 claims 1
- 208000034841 Thrombotic Microangiopathies Diseases 0.000 claims 1
- 208000007814 Unstable Angina Diseases 0.000 claims 1
- 231100000851 acute glomerulonephritis Toxicity 0.000 claims 1
- 208000011341 adult acute respiratory distress syndrome Diseases 0.000 claims 1
- 201000000028 adult respiratory distress syndrome Diseases 0.000 claims 1
- 238000002399 angioplasty Methods 0.000 claims 1
- 230000003510 anti-fibrotic effect Effects 0.000 claims 1
- 229940121363 anti-inflammatory agent Drugs 0.000 claims 1
- 239000002260 anti-inflammatory agent Substances 0.000 claims 1
- 239000003146 anticoagulant agent Substances 0.000 claims 1
- 229940127219 anticoagulant drug Drugs 0.000 claims 1
- 239000002220 antihypertensive agent Substances 0.000 claims 1
- 229940127088 antihypertensive drug Drugs 0.000 claims 1
- 239000002246 antineoplastic agent Substances 0.000 claims 1
- 229940041181 antineoplastic drug Drugs 0.000 claims 1
- 229940127218 antiplatelet drug Drugs 0.000 claims 1
- 208000011775 arteriosclerosis disease Diseases 0.000 claims 1
- 239000008280 blood Substances 0.000 claims 1
- 210000004369 blood Anatomy 0.000 claims 1
- 230000017531 blood circulation Effects 0.000 claims 1
- 210000000748 cardiovascular system Anatomy 0.000 claims 1
- 230000012292 cell migration Effects 0.000 claims 1
- 230000007882 cirrhosis Effects 0.000 claims 1
- 125000001301 ethoxy group Chemical group [H]C([H])([H])C([H])([H])O* 0.000 claims 1
- 208000030533 eye disease Diseases 0.000 claims 1
- 230000004761 fibrosis Effects 0.000 claims 1
- 125000002485 formyl group Chemical group [H]C(*)=O 0.000 claims 1
- 238000001631 haemodialysis Methods 0.000 claims 1
- 201000005787 hematologic cancer Diseases 0.000 claims 1
- 208000024200 hematopoietic and lymphoid system neoplasm Diseases 0.000 claims 1
- 230000000322 hemodialysis Effects 0.000 claims 1
- 208000006454 hepatitis Diseases 0.000 claims 1
- 231100000283 hepatitis Toxicity 0.000 claims 1
- 238000011540 hip replacement Methods 0.000 claims 1
- 125000004029 hydroxymethyl group Chemical group [H]OC([H])([H])* 0.000 claims 1
- 239000003018 immunosuppressive agent Substances 0.000 claims 1
- 229940124589 immunosuppressive drug Drugs 0.000 claims 1
- 230000007574 infarction Effects 0.000 claims 1
- 230000004054 inflammatory process Effects 0.000 claims 1
- 239000004615 ingredient Substances 0.000 claims 1
- 201000004332 intermediate coronary syndrome Diseases 0.000 claims 1
- 125000005928 isopropyloxycarbonyl group Chemical group [H]C([H])([H])C([H])(OC(*)=O)C([H])([H])[H] 0.000 claims 1
- 210000003734 kidney Anatomy 0.000 claims 1
- 208000017169 kidney disease Diseases 0.000 claims 1
- 238000013150 knee replacement Methods 0.000 claims 1
- 208000019423 liver disease Diseases 0.000 claims 1
- 125000000956 methoxy group Chemical group [H]C([H])([H])O* 0.000 claims 1
- 230000018341 negative regulation of fibrinolysis Effects 0.000 claims 1
- 230000004768 organ dysfunction Effects 0.000 claims 1
- 201000008158 rapidly progressive glomerulonephritis Diseases 0.000 claims 1
- 238000002271 resection Methods 0.000 claims 1
- 230000000250 revascularization Effects 0.000 claims 1
- 239000007787 solid Substances 0.000 claims 1
- 208000024891 symptom Diseases 0.000 claims 1
- 238000002054 transplantation Methods 0.000 claims 1
- 208000004043 venous thromboembolism Diseases 0.000 claims 1
Classifications
-
- A—HUMAN NECESSITIES
- A61—MEDICAL OR VETERINARY SCIENCE; HYGIENE
- A61K—PREPARATIONS FOR MEDICAL, DENTAL OR TOILETRY PURPOSES
- A61K31/00—Medicinal preparations containing organic active ingredients
- A61K31/33—Heterocyclic compounds
- A61K31/395—Heterocyclic compounds having nitrogen as a ring hetero atom, e.g. guanethidine or rifamycins
- A61K31/41—Heterocyclic compounds having nitrogen as a ring hetero atom, e.g. guanethidine or rifamycins having five-membered rings with two or more ring hetero atoms, at least one of which being nitrogen, e.g. tetrazole
- A61K31/4164—1,3-Diazoles
- A61K31/417—Imidazole-alkylamines, e.g. histamine, phentolamine
-
- A—HUMAN NECESSITIES
- A61—MEDICAL OR VETERINARY SCIENCE; HYGIENE
- A61K—PREPARATIONS FOR MEDICAL, DENTAL OR TOILETRY PURPOSES
- A61K31/00—Medicinal preparations containing organic active ingredients
- A61K31/33—Heterocyclic compounds
- A61K31/395—Heterocyclic compounds having nitrogen as a ring hetero atom, e.g. guanethidine or rifamycins
- A61K31/41—Heterocyclic compounds having nitrogen as a ring hetero atom, e.g. guanethidine or rifamycins having five-membered rings with two or more ring hetero atoms, at least one of which being nitrogen, e.g. tetrazole
- A61K31/4164—1,3-Diazoles
- A61K31/4172—Imidazole-alkanecarboxylic acids, e.g. histidine
-
- A—HUMAN NECESSITIES
- A61—MEDICAL OR VETERINARY SCIENCE; HYGIENE
- A61K—PREPARATIONS FOR MEDICAL, DENTAL OR TOILETRY PURPOSES
- A61K31/00—Medicinal preparations containing organic active ingredients
- A61K31/33—Heterocyclic compounds
- A61K31/395—Heterocyclic compounds having nitrogen as a ring hetero atom, e.g. guanethidine or rifamycins
- A61K31/41—Heterocyclic compounds having nitrogen as a ring hetero atom, e.g. guanethidine or rifamycins having five-membered rings with two or more ring hetero atoms, at least one of which being nitrogen, e.g. tetrazole
- A61K31/4164—1,3-Diazoles
- A61K31/4178—1,3-Diazoles not condensed 1,3-diazoles and containing further heterocyclic rings, e.g. pilocarpine, nitrofurantoin
-
- A—HUMAN NECESSITIES
- A61—MEDICAL OR VETERINARY SCIENCE; HYGIENE
- A61K—PREPARATIONS FOR MEDICAL, DENTAL OR TOILETRY PURPOSES
- A61K31/00—Medicinal preparations containing organic active ingredients
- A61K31/33—Heterocyclic compounds
- A61K31/395—Heterocyclic compounds having nitrogen as a ring hetero atom, e.g. guanethidine or rifamycins
- A61K31/435—Heterocyclic compounds having nitrogen as a ring hetero atom, e.g. guanethidine or rifamycins having six-membered rings with one nitrogen as the only ring hetero atom
- A61K31/44—Non condensed pyridines; Hydrogenated derivatives thereof
- A61K31/4427—Non condensed pyridines; Hydrogenated derivatives thereof containing further heterocyclic ring systems
- A61K31/4439—Non condensed pyridines; Hydrogenated derivatives thereof containing further heterocyclic ring systems containing a five-membered ring with nitrogen as a ring hetero atom, e.g. omeprazole
-
- A—HUMAN NECESSITIES
- A61—MEDICAL OR VETERINARY SCIENCE; HYGIENE
- A61K—PREPARATIONS FOR MEDICAL, DENTAL OR TOILETRY PURPOSES
- A61K45/00—Medicinal preparations containing active ingredients not provided for in groups A61K31/00 - A61K41/00
- A61K45/06—Mixtures of active ingredients without chemical characterisation, e.g. antiphlogistics and cardiaca
-
- A—HUMAN NECESSITIES
- A61—MEDICAL OR VETERINARY SCIENCE; HYGIENE
- A61K—PREPARATIONS FOR MEDICAL, DENTAL OR TOILETRY PURPOSES
- A61K47/00—Medicinal preparations characterised by the non-active ingredients used, e.g. carriers or inert additives; Targeting or modifying agents chemically bound to the active ingredient
- A61K47/30—Macromolecular organic or inorganic compounds, e.g. inorganic polyphosphates
- A61K47/36—Polysaccharides; Derivatives thereof, e.g. gums, starch, alginate, dextrin, hyaluronic acid, chitosan, inulin, agar or pectin
- A61K47/38—Cellulose; Derivatives thereof
-
- A—HUMAN NECESSITIES
- A61—MEDICAL OR VETERINARY SCIENCE; HYGIENE
- A61K—PREPARATIONS FOR MEDICAL, DENTAL OR TOILETRY PURPOSES
- A61K9/00—Medicinal preparations characterised by special physical form
- A61K9/0012—Galenical forms characterised by the site of application
- A61K9/0014—Skin, i.e. galenical aspects of topical compositions
-
- A—HUMAN NECESSITIES
- A61—MEDICAL OR VETERINARY SCIENCE; HYGIENE
- A61K—PREPARATIONS FOR MEDICAL, DENTAL OR TOILETRY PURPOSES
- A61K9/00—Medicinal preparations characterised by special physical form
- A61K9/0012—Galenical forms characterised by the site of application
- A61K9/0019—Injectable compositions; Intramuscular, intravenous, arterial, subcutaneous administration; Compositions to be administered through the skin in an invasive manner
-
- A—HUMAN NECESSITIES
- A61—MEDICAL OR VETERINARY SCIENCE; HYGIENE
- A61K—PREPARATIONS FOR MEDICAL, DENTAL OR TOILETRY PURPOSES
- A61K9/00—Medicinal preparations characterised by special physical form
- A61K9/06—Ointments; Bases therefor; Other semi-solid forms, e.g. creams, sticks, gels
-
- A—HUMAN NECESSITIES
- A61—MEDICAL OR VETERINARY SCIENCE; HYGIENE
- A61K—PREPARATIONS FOR MEDICAL, DENTAL OR TOILETRY PURPOSES
- A61K9/00—Medicinal preparations characterised by special physical form
- A61K9/08—Solutions
-
- A—HUMAN NECESSITIES
- A61—MEDICAL OR VETERINARY SCIENCE; HYGIENE
- A61K—PREPARATIONS FOR MEDICAL, DENTAL OR TOILETRY PURPOSES
- A61K9/00—Medicinal preparations characterised by special physical form
- A61K9/10—Dispersions; Emulsions
-
- A—HUMAN NECESSITIES
- A61—MEDICAL OR VETERINARY SCIENCE; HYGIENE
- A61K—PREPARATIONS FOR MEDICAL, DENTAL OR TOILETRY PURPOSES
- A61K9/00—Medicinal preparations characterised by special physical form
- A61K9/20—Pills, tablets, discs, rods
- A61K9/2004—Excipients; Inactive ingredients
- A61K9/2022—Organic macromolecular compounds
- A61K9/205—Polysaccharides, e.g. alginate, gums; Cyclodextrin
- A61K9/2054—Cellulose; Cellulose derivatives, e.g. hydroxypropyl methylcellulose
-
- A—HUMAN NECESSITIES
- A61—MEDICAL OR VETERINARY SCIENCE; HYGIENE
- A61K—PREPARATIONS FOR MEDICAL, DENTAL OR TOILETRY PURPOSES
- A61K9/00—Medicinal preparations characterised by special physical form
- A61K9/20—Pills, tablets, discs, rods
- A61K9/2004—Excipients; Inactive ingredients
- A61K9/2022—Organic macromolecular compounds
- A61K9/205—Polysaccharides, e.g. alginate, gums; Cyclodextrin
- A61K9/2059—Starch, including chemically or physically modified derivatives; Amylose; Amylopectin; Dextrin
-
- A—HUMAN NECESSITIES
- A61—MEDICAL OR VETERINARY SCIENCE; HYGIENE
- A61K—PREPARATIONS FOR MEDICAL, DENTAL OR TOILETRY PURPOSES
- A61K9/00—Medicinal preparations characterised by special physical form
- A61K9/48—Preparations in capsules, e.g. of gelatin, of chocolate
- A61K9/4841—Filling excipients; Inactive ingredients
- A61K9/4866—Organic macromolecular compounds
-
- A—HUMAN NECESSITIES
- A61—MEDICAL OR VETERINARY SCIENCE; HYGIENE
- A61K—PREPARATIONS FOR MEDICAL, DENTAL OR TOILETRY PURPOSES
- A61K9/00—Medicinal preparations characterised by special physical form
- A61K9/48—Preparations in capsules, e.g. of gelatin, of chocolate
- A61K9/4841—Filling excipients; Inactive ingredients
- A61K9/4875—Compounds of unknown constitution, e.g. material from plants or animals
-
- A—HUMAN NECESSITIES
- A61—MEDICAL OR VETERINARY SCIENCE; HYGIENE
- A61P—SPECIFIC THERAPEUTIC ACTIVITY OF CHEMICAL COMPOUNDS OR MEDICINAL PREPARATIONS
- A61P1/00—Drugs for disorders of the alimentary tract or the digestive system
- A61P1/16—Drugs for disorders of the alimentary tract or the digestive system for liver or gallbladder disorders, e.g. hepatoprotective agents, cholagogues, litholytics
-
- A—HUMAN NECESSITIES
- A61—MEDICAL OR VETERINARY SCIENCE; HYGIENE
- A61P—SPECIFIC THERAPEUTIC ACTIVITY OF CHEMICAL COMPOUNDS OR MEDICINAL PREPARATIONS
- A61P11/00—Drugs for disorders of the respiratory system
-
- A—HUMAN NECESSITIES
- A61—MEDICAL OR VETERINARY SCIENCE; HYGIENE
- A61P—SPECIFIC THERAPEUTIC ACTIVITY OF CHEMICAL COMPOUNDS OR MEDICINAL PREPARATIONS
- A61P13/00—Drugs for disorders of the urinary system
- A61P13/12—Drugs for disorders of the urinary system of the kidneys
-
- A—HUMAN NECESSITIES
- A61—MEDICAL OR VETERINARY SCIENCE; HYGIENE
- A61P—SPECIFIC THERAPEUTIC ACTIVITY OF CHEMICAL COMPOUNDS OR MEDICINAL PREPARATIONS
- A61P27/00—Drugs for disorders of the senses
- A61P27/02—Ophthalmic agents
-
- A—HUMAN NECESSITIES
- A61—MEDICAL OR VETERINARY SCIENCE; HYGIENE
- A61P—SPECIFIC THERAPEUTIC ACTIVITY OF CHEMICAL COMPOUNDS OR MEDICINAL PREPARATIONS
- A61P3/00—Drugs for disorders of the metabolism
- A61P3/08—Drugs for disorders of the metabolism for glucose homeostasis
- A61P3/10—Drugs for disorders of the metabolism for glucose homeostasis for hyperglycaemia, e.g. antidiabetics
-
- A—HUMAN NECESSITIES
- A61—MEDICAL OR VETERINARY SCIENCE; HYGIENE
- A61P—SPECIFIC THERAPEUTIC ACTIVITY OF CHEMICAL COMPOUNDS OR MEDICINAL PREPARATIONS
- A61P31/00—Antiinfectives, i.e. antibiotics, antiseptics, chemotherapeutics
-
- A—HUMAN NECESSITIES
- A61—MEDICAL OR VETERINARY SCIENCE; HYGIENE
- A61P—SPECIFIC THERAPEUTIC ACTIVITY OF CHEMICAL COMPOUNDS OR MEDICINAL PREPARATIONS
- A61P31/00—Antiinfectives, i.e. antibiotics, antiseptics, chemotherapeutics
- A61P31/04—Antibacterial agents
-
- A—HUMAN NECESSITIES
- A61—MEDICAL OR VETERINARY SCIENCE; HYGIENE
- A61P—SPECIFIC THERAPEUTIC ACTIVITY OF CHEMICAL COMPOUNDS OR MEDICINAL PREPARATIONS
- A61P35/00—Antineoplastic agents
-
- A—HUMAN NECESSITIES
- A61—MEDICAL OR VETERINARY SCIENCE; HYGIENE
- A61P—SPECIFIC THERAPEUTIC ACTIVITY OF CHEMICAL COMPOUNDS OR MEDICINAL PREPARATIONS
- A61P35/00—Antineoplastic agents
- A61P35/02—Antineoplastic agents specific for leukemia
-
- A—HUMAN NECESSITIES
- A61—MEDICAL OR VETERINARY SCIENCE; HYGIENE
- A61P—SPECIFIC THERAPEUTIC ACTIVITY OF CHEMICAL COMPOUNDS OR MEDICINAL PREPARATIONS
- A61P35/00—Antineoplastic agents
- A61P35/04—Antineoplastic agents specific for metastasis
-
- A—HUMAN NECESSITIES
- A61—MEDICAL OR VETERINARY SCIENCE; HYGIENE
- A61P—SPECIFIC THERAPEUTIC ACTIVITY OF CHEMICAL COMPOUNDS OR MEDICINAL PREPARATIONS
- A61P43/00—Drugs for specific purposes, not provided for in groups A61P1/00-A61P41/00
-
- A—HUMAN NECESSITIES
- A61—MEDICAL OR VETERINARY SCIENCE; HYGIENE
- A61P—SPECIFIC THERAPEUTIC ACTIVITY OF CHEMICAL COMPOUNDS OR MEDICINAL PREPARATIONS
- A61P7/00—Drugs for disorders of the blood or the extracellular fluid
- A61P7/02—Antithrombotic agents; Anticoagulants; Platelet aggregation inhibitors
-
- A—HUMAN NECESSITIES
- A61—MEDICAL OR VETERINARY SCIENCE; HYGIENE
- A61P—SPECIFIC THERAPEUTIC ACTIVITY OF CHEMICAL COMPOUNDS OR MEDICINAL PREPARATIONS
- A61P9/00—Drugs for disorders of the cardiovascular system
-
- A—HUMAN NECESSITIES
- A61—MEDICAL OR VETERINARY SCIENCE; HYGIENE
- A61P—SPECIFIC THERAPEUTIC ACTIVITY OF CHEMICAL COMPOUNDS OR MEDICINAL PREPARATIONS
- A61P9/00—Drugs for disorders of the cardiovascular system
- A61P9/02—Non-specific cardiovascular stimulants, e.g. drugs for syncope, antihypotensives
-
- A—HUMAN NECESSITIES
- A61—MEDICAL OR VETERINARY SCIENCE; HYGIENE
- A61P—SPECIFIC THERAPEUTIC ACTIVITY OF CHEMICAL COMPOUNDS OR MEDICINAL PREPARATIONS
- A61P9/00—Drugs for disorders of the cardiovascular system
- A61P9/04—Inotropic agents, i.e. stimulants of cardiac contraction; Drugs for heart failure
-
- A—HUMAN NECESSITIES
- A61—MEDICAL OR VETERINARY SCIENCE; HYGIENE
- A61P—SPECIFIC THERAPEUTIC ACTIVITY OF CHEMICAL COMPOUNDS OR MEDICINAL PREPARATIONS
- A61P9/00—Drugs for disorders of the cardiovascular system
- A61P9/10—Drugs for disorders of the cardiovascular system for treating ischaemic or atherosclerotic diseases, e.g. antianginal drugs, coronary vasodilators, drugs for myocardial infarction, retinopathy, cerebrovascula insufficiency, renal arteriosclerosis
-
- C—CHEMISTRY; METALLURGY
- C07—ORGANIC CHEMISTRY
- C07D—HETEROCYCLIC COMPOUNDS
- C07D233/00—Heterocyclic compounds containing 1,3-diazole or hydrogenated 1,3-diazole rings, not condensed with other rings
- C07D233/54—Heterocyclic compounds containing 1,3-diazole or hydrogenated 1,3-diazole rings, not condensed with other rings having two double bonds between ring members or between ring members and non-ring members
- C07D233/64—Heterocyclic compounds containing 1,3-diazole or hydrogenated 1,3-diazole rings, not condensed with other rings having two double bonds between ring members or between ring members and non-ring members with substituted hydrocarbon radicals attached to ring carbon atoms, e.g. histidine
-
- C—CHEMISTRY; METALLURGY
- C07—ORGANIC CHEMISTRY
- C07D—HETEROCYCLIC COMPOUNDS
- C07D233/00—Heterocyclic compounds containing 1,3-diazole or hydrogenated 1,3-diazole rings, not condensed with other rings
- C07D233/54—Heterocyclic compounds containing 1,3-diazole or hydrogenated 1,3-diazole rings, not condensed with other rings having two double bonds between ring members or between ring members and non-ring members
- C07D233/66—Heterocyclic compounds containing 1,3-diazole or hydrogenated 1,3-diazole rings, not condensed with other rings having two double bonds between ring members or between ring members and non-ring members with hetero atoms or with carbon atoms having three bonds to hetero atoms with at the most one bond to halogen, e.g. ester or nitrile radicals, directly attached to ring carbon atoms
- C07D233/90—Carbon atoms having three bonds to hetero atoms with at the most one bond to halogen, e.g. ester or nitrile radicals
-
- C—CHEMISTRY; METALLURGY
- C07—ORGANIC CHEMISTRY
- C07D—HETEROCYCLIC COMPOUNDS
- C07D401/00—Heterocyclic compounds containing two or more hetero rings, having nitrogen atoms as the only ring hetero atoms, at least one ring being a six-membered ring with only one nitrogen atom
- C07D401/02—Heterocyclic compounds containing two or more hetero rings, having nitrogen atoms as the only ring hetero atoms, at least one ring being a six-membered ring with only one nitrogen atom containing two hetero rings
- C07D401/06—Heterocyclic compounds containing two or more hetero rings, having nitrogen atoms as the only ring hetero atoms, at least one ring being a six-membered ring with only one nitrogen atom containing two hetero rings linked by a carbon chain containing only aliphatic carbon atoms
-
- C—CHEMISTRY; METALLURGY
- C07—ORGANIC CHEMISTRY
- C07D—HETEROCYCLIC COMPOUNDS
- C07D401/00—Heterocyclic compounds containing two or more hetero rings, having nitrogen atoms as the only ring hetero atoms, at least one ring being a six-membered ring with only one nitrogen atom
- C07D401/02—Heterocyclic compounds containing two or more hetero rings, having nitrogen atoms as the only ring hetero atoms, at least one ring being a six-membered ring with only one nitrogen atom containing two hetero rings
- C07D401/12—Heterocyclic compounds containing two or more hetero rings, having nitrogen atoms as the only ring hetero atoms, at least one ring being a six-membered ring with only one nitrogen atom containing two hetero rings linked by a chain containing hetero atoms as chain links
-
- C—CHEMISTRY; METALLURGY
- C07—ORGANIC CHEMISTRY
- C07D—HETEROCYCLIC COMPOUNDS
- C07D403/00—Heterocyclic compounds containing two or more hetero rings, having nitrogen atoms as the only ring hetero atoms, not provided for by group C07D401/00
- C07D403/02—Heterocyclic compounds containing two or more hetero rings, having nitrogen atoms as the only ring hetero atoms, not provided for by group C07D401/00 containing two hetero rings
- C07D403/06—Heterocyclic compounds containing two or more hetero rings, having nitrogen atoms as the only ring hetero atoms, not provided for by group C07D401/00 containing two hetero rings linked by a carbon chain containing only aliphatic carbon atoms
-
- C—CHEMISTRY; METALLURGY
- C07—ORGANIC CHEMISTRY
- C07D—HETEROCYCLIC COMPOUNDS
- C07D405/00—Heterocyclic compounds containing both one or more hetero rings having oxygen atoms as the only ring hetero atoms, and one or more rings having nitrogen as the only ring hetero atom
- C07D405/02—Heterocyclic compounds containing both one or more hetero rings having oxygen atoms as the only ring hetero atoms, and one or more rings having nitrogen as the only ring hetero atom containing two hetero rings
- C07D405/12—Heterocyclic compounds containing both one or more hetero rings having oxygen atoms as the only ring hetero atoms, and one or more rings having nitrogen as the only ring hetero atom containing two hetero rings linked by a chain containing hetero atoms as chain links
-
- C—CHEMISTRY; METALLURGY
- C07—ORGANIC CHEMISTRY
- C07D—HETEROCYCLIC COMPOUNDS
- C07D413/00—Heterocyclic compounds containing two or more hetero rings, at least one ring having nitrogen and oxygen atoms as the only ring hetero atoms
- C07D413/02—Heterocyclic compounds containing two or more hetero rings, at least one ring having nitrogen and oxygen atoms as the only ring hetero atoms containing two hetero rings
- C07D413/06—Heterocyclic compounds containing two or more hetero rings, at least one ring having nitrogen and oxygen atoms as the only ring hetero atoms containing two hetero rings linked by a carbon chain containing only aliphatic carbon atoms
Landscapes
- Health & Medical Sciences (AREA)
- Chemical & Material Sciences (AREA)
- Organic Chemistry (AREA)
- Life Sciences & Earth Sciences (AREA)
- Medicinal Chemistry (AREA)
- Veterinary Medicine (AREA)
- Public Health (AREA)
- General Health & Medical Sciences (AREA)
- Animal Behavior & Ethology (AREA)
- Pharmacology & Pharmacy (AREA)
- Epidemiology (AREA)
- Nuclear Medicine, Radiotherapy & Molecular Imaging (AREA)
- General Chemical & Material Sciences (AREA)
- Chemical Kinetics & Catalysis (AREA)
- Bioinformatics & Cheminformatics (AREA)
- Engineering & Computer Science (AREA)
- Cardiology (AREA)
- Heart & Thoracic Surgery (AREA)
- Dermatology (AREA)
- Oncology (AREA)
- Diabetes (AREA)
- Hematology (AREA)
- Dispersion Chemistry (AREA)
- Inorganic Chemistry (AREA)
- Zoology (AREA)
- Botany (AREA)
- Urology & Nephrology (AREA)
- Communicable Diseases (AREA)
- Gastroenterology & Hepatology (AREA)
- Hospice & Palliative Care (AREA)
- Emergency Medicine (AREA)
- Vascular Medicine (AREA)
- Ophthalmology & Optometry (AREA)
- Obesity (AREA)
- Endocrinology (AREA)
- Pulmonology (AREA)
- Pharmaceuticals Containing Other Organic And Inorganic Compounds (AREA)
- Plural Heterocyclic Compounds (AREA)
- Organic Low-Molecular-Weight Compounds And Preparation Thereof (AREA)
- Medicines That Contain Protein Lipid Enzymes And Other Medicines (AREA)
Abstract
1. Соединение, представленное общей формулой (I), или его фармакологически приемлемая соль:где А представляет собой С3-С12циклоалкильную группу, которая может быть замещена одной-тремя одинаковыми или различными группами, выбранными из группы фтора, гидроксигруппы, С1-С6алкильной группы, С1-С6алкоксигруппы, арилоксигруппы и гетероциклилоксигруппы; R, Rи Rкаждый независимо представляет собой атом водорода, группу фтора или С1-С6алкильную группу; Rпредставляет собой атом водорода или группу пролекарства; и Y представляет собой группу: -СН-CHR-CH-NHR(где Rпредставляет собой атом водорода, С1-С6алкильную группу или С1-С6алкоксигруппу, и Rпредставляет собой атом водорода или группу пролекарства), -O-CHR-CH-NHR(где Rпредставляет собой атом водорода, С1-С6алкильную группу или С1-С6алкоксигруппу, и Rпредставляет собой атом водорода или группу пролекарства) или(где Rпредставляет собой атом водорода или группу пролекарства, и * представляет собой положение для замещения).2. Соединение по п.1 или его фармакологически приемлемая соль, где А представляет собой циклобутильную группу, циклогексильную группу, циклогептильную группу, бицикло[3.1.0]гексильную группу, бицикло[2.2.1]гептильную группу или адамантильную группу, каждая из которых может быть замещена одной-тремя одинаковыми или различными группами, выбранными из группы фтора, гидроксигруппы, С1-С6алкильной группы, С1-С6алкоксигруппы, арилоксигруппы и гетероциклилоксигруппы.3. Соединение по п.1 или его фармакологически приемлемая соль, где А представляет собой циклобутильную группу, циклогексильную группу, циклогептильную группу, бицикло[3.1.0]гексильную группу, бицикло[2.2.1]гептильную группу или
Claims (86)
1. Соединение, представленное общей формулой (I), или его фармакологически приемлемая соль:
[Формула 1]
где А представляет собой С3-С12циклоалкильную группу, которая может быть замещена одной-тремя одинаковыми или различными группами, выбранными из группы фтора, гидроксигруппы, С1-С6алкильной группы, С1-С6алкоксигруппы, арилоксигруппы и гетероциклилоксигруппы; R1, R2 и R3 каждый независимо представляет собой атом водорода, группу фтора или С1-С6алкильную группу; R4 представляет собой атом водорода или группу пролекарства; и Y представляет собой группу: -СН2-CHR5-CH2-NHR6 (где R5 представляет собой атом водорода, С1-С6алкильную группу или С1-С6алкоксигруппу, и R6 представляет собой атом водорода или группу пролекарства), -O-CHR7-CH2-NHR8 (где R7 представляет собой атом водорода, С1-С6алкильную группу или С1-С6алкоксигруппу, и R8 представляет собой атом водорода или группу пролекарства) или
[Формулу 2]
(где R9 представляет собой атом водорода или группу пролекарства, и * представляет собой положение для замещения).
2. Соединение по п.1 или его фармакологически приемлемая соль, где А представляет собой циклобутильную группу, циклогексильную группу, циклогептильную группу, бицикло[3.1.0]гексильную группу, бицикло[2.2.1]гептильную группу или адамантильную группу, каждая из которых может быть замещена одной-тремя одинаковыми или различными группами, выбранными из группы фтора, гидроксигруппы, С1-С6алкильной группы, С1-С6алкоксигруппы, арилоксигруппы и гетероциклилоксигруппы.
3. Соединение по п.1 или его фармакологически приемлемая соль, где А представляет собой циклобутильную группу, циклогексильную группу, циклогептильную группу, бицикло[3.1.0]гексильную группу, бицикло[2.2.1]гептильную группу или адамантильную группу, каждая из которых может быть замещена одной-тремя одинаковыми или различными группами, выбранными из гидроксигруппы, метильной группы и этильной группы.
4. Соединение по п.1 или его фармакологически приемлемая соль, где А представляет собой циклогексильную группу, которая может быть замещена одной-тремя одинаковыми или различными группами, выбранными из группы фтора, гидроксигруппы, С1-С6алкильной группы, С1-С6алкоксигруппы, арилоксигруппы и гетероциклилоксигруппы.
5. Соединение по п.1 или его фармакологически приемлемая соль, где А представляет собой С3-С12циклоалкильную группу, замещенную одной или двумя одинаковыми или различными С1-С6алкильными группами.
6. Соединение по п.1 или его фармакологически приемлемая соль, где А представляет собой С3-С12циклоалкильную группу, замещенную метильной группой или этильной группой.
7. Соединение по п.1 или его фармакологически приемлемая соль, где А представляет собой циклогексильную группу, замещенную одной или двумя одинаковыми или различными С1-С6алкильными группами.
8. Соединение по п.1 или его фармакологически приемлемая соль, где А представляет собой циклогексильную группу, замещенную метильной группой или этильной группой.
13. Соединение по п.1 или его фармакологически приемлемая соль, где Y представляет собой группу: -СН2-CHR5-CH2-NHR6 (где R5 представляет собой атом водорода, С1-С6алкильную группу или С1-С6алкоксигруппу, и R6 представляет собой атом водорода или группу пролекарства).
14. Соединение по п.13 или его фармакологически приемлемая соль, где R5 представляет собой атом водорода.
15. Соединение по п.13 или его фармакологически приемлемая соль, где R6 представляет собой атом водорода.
16. Соединение по п.13 или его фармакологически приемлемая соль, где R6 представляет собой группу пролекарства.
17. Соединение по п.16 или его фармакологически приемлемая соль, где группа пролекарства, представленная R6, представляет собой С1-С6алканоильную группу, которая может быть замещена одной-тремя одинаковыми или различными группами, выбранными из аминогруппы, группы галогена, гидроксигруппы, карбоксигруппы, карбамоильной группы, С1-С6алкоксигруппы, арильной группы и гетероциклильной группы; (С1-С6алкокси)карбонильную группу, которая может быть замещена одной-тремя одинаковыми или различными группами, выбранными из С1-С6алкильной группы, С2-С6алканоилоксигруппы, (С3-С6циклоалкил)карбонилоксигруппы и арильной группы; или гетероциклилалкилоксикарбонильную группу, которая может быть замещена одной-тремя одинаковыми или различными группами, выбранными из оксогруппы и С1-С6алкильной группы.
18. Соединение по п.16 или его фармакологически приемлемая соль, где группа пролекарства, представленная R6, представляет собой фенилаланильную группу, L-норлейцильную группу,
[(5-метил-2-оксо-1,3-диоксол-4-ил)метокси]карбонильную группу,
[1-(изобутирилокси)этокси]карбонильную группу,
[1-(2,2-диметилпропаноилокси)этокси]карбонильную группу,
({1-[(циклогексилкарбонил)окси]этокси}карбонильную группу или
(1-ацетоксиэтокси)карбонильную группу.
19. Соединение по п.1 или его фармакологически приемлемая соль, где Y представляет собой группу: -O-CHR7-CH2-NHR8 (где R7 представляет собой атом водорода, С1-С6алкильную группу или С1-С6алкоксигруппу, и R8 представляет собой атом водорода или группу пролекарства).
20. Соединение по п.19 или его фармакологически приемлемая соль, где R7 представляет собой атом водорода.
21. Соединение по п.19 или его фармакологически приемлемая соль, где R8 представляет собой атом водорода.
22. Соединение по п.19 или его фармакологически приемлемая соль, где R8 представляет собой группу пролекарства.
23. Соединение по п.22 или его фармакологически приемлемая соль, где группа пролекарства, представленная R8, представляет собой С1-С6алканоильную группу, которая может быть замещена одной-тремя одинаковыми или различными группами, выбранными из аминогруппы, группы галогена, гидроксигруппы, карбоксигруппы, карбамоильной группы, С1-С6алкоксигруппы, арильной группы и гетероциклильной группы; (С1-С6алкокси)карбонильную группу, которая может быть замещена одной-тремя одинаковыми или различными группами, выбранными из С1-С6алкильной группы, С2-С6алканоилоксигруппы, (С3-С6циклоалкил)карбонилоксигруппы и арильной группы; или гетероциклилалкилоксикарбонильную группу, которая может быть замещена одной-тремя одинаковыми или различными группами, выбранными из оксогруппы и С1-С6алкильной группы.
27. Соединение по п.1 или его фармакологически приемлемая соль, где все из R1, R2 и R3 представляют собой атом водорода.
28. Соединение по п.1 или его фармакологически приемлемая соль, где R4 представляет собой атом водорода.
29. Соединение по п.1 или его фармакологически приемлемая соль, где R4 представляет собой группу пролекарства.
30. Соединение по п.29 или его фармакологически приемлемая соль, где группа пролекарства, представленная R4, представляет собой С1-С6алкильную группу, которая может быть замещена одной-тремя одинаковыми или различными группами, выбранными из С2-С6алканоилоксигруппы, (С3-С6циклоалкил)карбонилоксигруппы и арильной группы; или гетероциклилалкильную группу, которая может быть замещена одной-тремя одинаковыми или различными группами, выбранными из оксогруппы и С1-С6алкильной группы.
31. Соединение по п.29 или его фармакологически приемлемая соль, где группа пролекарства, представленная R4, представляет собой бензильную группу или [(изопропоксикарбонил)окси]этильную группу.
32. Соединение, представленное общей формулой (I-1), или его фармакологически приемлемая соль:
[Формула 10]
где А представляет собой С3-С12циклоалкильную группу, которая может быть замещена одной-тремя одинаковыми или различными группами, выбранными из группы фтора, гидроксигруппы, С1-С6алкильной группы, С1-С6алкоксигруппы, арилоксигруппы и гетероциклилоксигруппы; R1, R2 и R3 каждый независимо представляет собой атом водорода, группу фтора или С1-С6алкильную группу; R4 представляет собой атом водорода или группу пролекарства; R5 представляет собой атом водорода, С1-С6алкильную группу или С1-С6алкоксигруппу, и R6 представляет собой атом водорода или группу пролекарства.
33. Соединение по п.32 или его фармакологически приемлемая соль, где А представляет собой циклобутильную группу, циклогексильную группу, циклогептильную группу, бицикло[3.1.0]гексильную группу, бицикло[2.2.1]гептильную группу или адамантильную группу, каждая из которых может быть замещена одной-тремя одинаковыми или различными группами, выбранными из гидроксигруппы, метильной группы и этильной группы; все из R1, R2 и R3 представляют собой атом водорода; R4 представляет собой атом водорода; С1-С6алкильную группу, которая может быть замещена одной-тремя одинаковыми или различными группами, выбранными из С2-С6алканоилоксигруппы, (С3-С6циклоалкил)карбонилоксигруппы и арильной группы; или гетероциклилалкильную группу, которая может быть замещена одной-тремя одинаковыми или различными группами, выбранными из оксогруппы и С1-С6алкильной группы; R5 представляет собой атом водорода; и R6 представляет собой атом водорода; С1-С6алканоильную группу, которая может быть замещена одной-тремя одинаковыми или различными группами, выбранными из аминогруппы, группы галогена, гидроксигруппы, карбоксигруппы, карбамоильной группы, С1-С6алкоксигруппы, арильной группы и гетероциклильной группы; (С1-С6алкокси)карбонильную группу, которая может быть замещена одной-тремя одинаковыми или различными группами, выбранными из С1-С6алкильной группы, С2-С6алканоилоксигруппы, (С3-С6циклоалкил)карбонилоксигруппы и арильной группы; или гетероциклилалкилоксикарбонильную группу, которая может быть замещена одной-тремя одинаковыми или различными группами, выбранными из оксогруппы и С1-С6алкильной группы.
34. Соединение по п.32 или его фармакологически приемлемая соль, где А представляет собой циклогексильную группу, замещенную одной или двумя одинаковыми или различными С1-С6алкильными группами; все из R1, R2 и R3 представляют собой атом водорода; R4 представляет собой атом водорода, бензильную группу или [(изопропоксикарбонил)окси]этильную группу; R5 представляет собой атом водорода; и R6 представляет собой атом водорода, фенилаланильную группу, L-норлейцильную группу,
[(5-метил-2-оксо-1,3-диоксол-4-ил)метокси]карбонильную группу,
[1-(изобутирилокси)этокси]карбонильную группу,
[1-(2,2-диметилпропаноилокси)этокси]карбонильную группу, ({1-[(циклогексилкарбонил)окси]этокси}карбонильную группу или
(1-ацетоксиэтокси)карбонильную группу.
35. Соединение, представленное общей формулой (I-1а), или его фармакологически приемлемая соль:
[Формула 11]
где А представляет собой циклобутильную группу, циклогексильную группу, циклогептильную группу, бицикло[3.1.0]гексильную группу, бицикло[2.2.1]гептильную группу или адамантильную группу, каждая из которых может быть замещена одной-тремя одинаковыми или различными группами, выбранными из гидроксигруппы, метильной группы и этильной группы; R4 представляет собой атом водорода; С1-С6алкильную группу, которая может быть замещена одной-тремя одинаковыми или различными группами, выбранными из С2-С6алканоилоксигруппы, (С3-С6циклоалкил)карбонилоксигруппы и арильной группы; или гетероциклилалкильную группу, которая может быть замещена одной-тремя одинаковыми или различными группами, выбранными из оксогруппы и С1-С6алкильной группы; R5 представляет собой атом водорода, С1-С6алкильную группу или С1-С6алкоксигруппу; и R6 представляет собой атом водорода; С1-С6алканоильную группу, которая может быть замещена одной-тремя одинаковыми или различными группами, выбранными из аминогруппы, группы галогена, гидроксигруппы, карбоксигруппы, карбамоильной группы, С1-С6алкоксигруппы, арильной группы и гетероциклильной группы; (С1-С6алкокси)карбонильную группу, которая может быть замещена одной-тремя одинаковыми или различными группами, выбранными из С1-С6алкильной группы, С2-С6алканоилоксигруппы, (С3-С6циклоалкил)карбонилоксигруппы и арильной группы; или гетероциклилалкилоксикарбонильную группу, которая может быть замещена одной-тремя одинаковыми или различными группами, выбранными из оксогруппы и С1-С6алкильной группы.
36. Соединение по п.35 или его фармакологически приемлемая соль, где А представляет собой циклогексильную группу, замещенную одной или двумя одинаковыми или различными С1-С6алкильными группами; все из R1, R2 и R3 представляют собой атом водорода; R4 представляет собой атом водорода, бензильную группу или [(изопропоксикарбонил)окси]этильную группу; R5 представляет собой атом водорода; и R6 представляет собой атом водорода, фенилаланильную группу, L-норлейцильную группу,
[(5-метил-2-оксо-1,3-диоксол-4-ил)метокси]карбонильную группу,
[1-(изобутирилокси)этокси]карбонильную группу,
[1-(2,2-диметилпропаноилокси)этокси]карбонильную группу,
({1-[(циклогексилкарбонил)окси]этокси}карбонильную группу или
(1-ацетоксиэтокси)карбонильную группу.
37. Соединение по п.35 или его фармакологически приемлемая соль, где А представляет собой циклогексильную группу, замещенную метильной группой или этильной группой; все из R4, R5 и R6 представляют собой атом водорода.
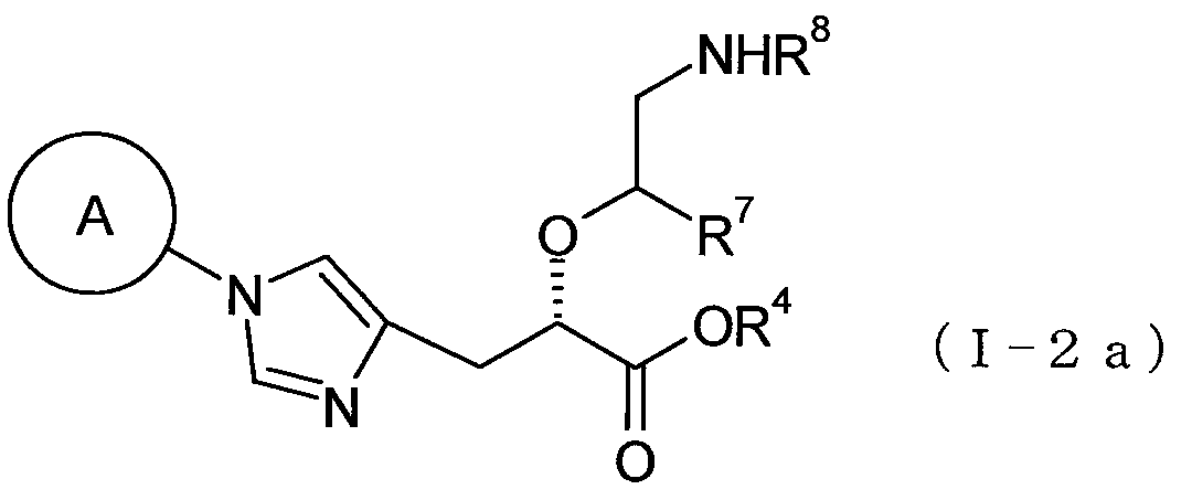
38. Соединение, представленное общей формулой (I-2), или его фармакологически приемлемая соль:
[Формула 12]
где А представляет собой С3-С12циклоалкильную группу, которая может быть замещена одной-тремя одинаковыми или различными группами, выбранными из группы фтора, гидроксигруппы, С1-С6алкильной группы, С1-С6алкоксигруппы, арилоксигруппы и гетероциклилоксигруппы; R1, R2 и R3 каждый независимо представляет собой атом водорода, группу фтора или С1-С6алкильную группу; R4 представляет собой атом водорода или группу пролекарства; R7 представляет собой атом водорода, С1-С6алкильную группу или С1-С6алкоксигруппу, и R8 представляет собой атом водорода или группу пролекарства.
39. Соединение по п.38 или его фармакологически приемлемая соль, где А представляет собой циклобутильную группу, циклогексильную группу, циклогептильную группу, бицикло[3.1.0]гексильную группу, бицикло[2.2.1]гептильную группу или адамантильную группу, каждая из которых может быть замещена одной-тремя одинаковыми или различными группами, выбранными из гидроксигруппы, метильной группы и этильной группы; все из R1, R2 и R3 представляют собой атом водорода; R4 представляет собой атом водорода; С1-С6алкильную группу, которая может быть замещена одной-тремя одинаковыми или различными группами, выбранными из С2-С6алканоилоксигруппы, (С3-С6циклоалкил)карбонилоксигруппы и арильной группы; или гетероциклилалкильную группу, которая может быть замещена одной-тремя одинаковыми или различными группами, выбранными из оксогруппы и С1-С6алкильной группы; R7 представляет собой атом водорода; и R8 представляет собой атом водорода; С1-С6алканоильную группу, которая может быть замещена одной-тремя одинаковыми или различными группами, выбранными из аминогруппы, группы галогена, гидроксигруппы, карбоксигруппы, карбамоильной группы, С1-С6алкоксигруппы, арильной группы и гетероциклильной группы; (С1-С6алкокси)карбонильную группу, которая может быть замещена одной-тремя одинаковыми или различными группами, выбранными из С1-С6алкильной группы, С2-С6алканоилоксигруппы, (С3-С6циклоалкил)карбонилоксигруппы и арильной группы; или гетероциклилалкилоксикарбонильную группу, которая может быть замещена одной-тремя одинаковыми или различными группами, выбранными из оксогруппы и С1-С6алкильной группы.
40. Соединение по п.38 или его фармакологически приемлемая соль, где А представляет собой циклогексильную группу, замещенную одной или двумя одинаковыми или различными С1-С6алкильными группами; все из R1, R2 и R3 представляют собой атом водорода; R4 представляет собой атом водорода, бензильную группу или [(изопропоксикарбонил)окси]этильную группу; и оба из R7 и R8 представляют собой атом водорода.
41. Соединение, представленное общей формулой (I-2а), или его фармакологически приемлемая соль:
[Формула 13]
где А представляет собой циклобутильную группу, циклогексильную группу, циклогептильную группу, бицикло[3.1.0]гексильную группу, бицикло[2.2.1]гептильную группу или адамантильную группу, каждая из которых может быть замещена одной-тремя одинаковыми или различными группами, выбранными из гидроксигруппы, метильной группы и этильной группы; R4 представляет собой атом водорода; С1-С6алкильную группу, которая может быть замещена одной-тремя одинаковыми или различными группами, выбранными из С2-С6алканоилоксигруппы, (С3-С6циклоалкил)карбонилоксигруппы и арильной группы; или гетероциклилалкильную группу, которая может быть замещена одной-тремя одинаковыми или различными группами, выбранными из оксогруппы и С1-С6алкильной группы; R7 представляет собой атом водорода и С1-С6алкильную группу; и R8 представляет собой атом водорода или группу пролекарства.
42. Соединение по п.41 или его фармакологически приемлемая соль, где А представляет собой циклогексильную группу, замещенную одной или двумя одинаковыми или различными С1-С6алкильными группами; все из R1, R2 и R3 представляют собой атом водорода; R4 представляет собой атом водорода, бензильную группу или [(изопропоксикарбонил)окси]этильную группу; R7 представляет собой атом водорода; и R8 представляет собой атом водорода; С1-С6алканоильную группу, которая может быть замещена одной-тремя одинаковыми или различными группами, выбранными из аминогруппы, группы галогена, гидроксигруппы, карбоксигруппы, карбамоильной группы, С1-С6алкоксигруппы, арильной группы и гетероциклильной группы; (С1-С6алкокси)карбонильную группу, которая может быть замещена одной-тремя одинаковыми или различными группами, выбранными из С1-С6алкильной группы, С2-С6алканоилоксигруппы, (С3-С6циклоалкил)карбонилоксигруппы и арильной группы, или гетероциклилалкилоксикарбонильную группу, которая может быть замещена одной-тремя одинаковыми или различными группами, выбранными из оксогруппы и С1-С6алкильной группы.
43. Соединение по п.41 или его фармакологически приемлемая соль, где А представляет собой циклогексильную группу, замещенную метильной группой или этильной группой; все из R4, R7 и R8 представляют собой атом водорода.
44. Соединение, представленное общей формулой (I-3), или его фармакологически приемлемая соль:
[Формула 14]
где А представляет собой С3-С12циклоалкильную группу, которая может быть замещена одной-тремя одинаковыми или различными группами, выбранными из группы фтора, гидроксигруппы, С1-С6алкильной группы, С1-С6алкоксигруппы, арилоксигруппы и гетероциклилоксигруппы; R1, R2 и R3 каждый независимо представляет собой атом водорода, группу фтора или С1-С6алкильную группу; R4 представляет собой атом водорода или группу пролекарства; и R9 представляет собой атом водорода или группу пролекарства.
45. Соединение по п.44 или его фармакологически приемлемая соль, где А представляет собой циклобутильную группу, циклогексильную группу, циклогептильную группу, бицикло[3.1.0]гексильную группу, бицикло[2.2.1]гептильную группу или адамантильную группу, каждая из которых может быть замещена одной-тремя одинаковыми или различными группами, выбранными из гидроксигруппы, метильной группы и этильной группы; все из R1, R2 и R3 представляют собой атом водорода; R4 представляет собой атом водорода; С1-С6алкильную группу, которая может быть замещена одной-тремя одинаковыми или различными группами, выбранными из С2-С6алканоилоксигруппы, (С3-С6циклоалкил)карбонилоксигруппы и арильной группы; или гетероциклилалкильную группу, которая может быть замещена одной-тремя одинаковыми или различными группами, выбранными из оксогруппы и С1-С6алкильной группы; и R9 представляет собой атом водорода; С1-С6алканоильную группу, которая может быть замещена одной-тремя одинаковыми или различными группами, выбранными из аминогруппы, группы галогена, гидроксигруппы, карбоксигруппы, карбамоильной группы, С1-С6алкоксигруппы, арильной группы и гетероциклильной группы; (С1-С6алкокси)карбонильную группу, которая может быть замещена одной-тремя одинаковыми или различными группами, выбранными из С1-С6алкильной группы, С2-С6алканоилоксигруппы, (С3-С6циклоалкил)карбонилоксигруппы и арильной группы, или гетероциклилалкилоксикарбонильную группу, которая может быть замещена одной-тремя одинаковыми или различными группами, выбранными из оксогруппы и С1-С6алкильной группы.
46. Соединение по п.44 или его фармакологически приемлемая соль, где А представляет собой циклогексильную группу, замещенную одной или двумя одинаковыми или различными С1-С6алкильными группами; все из R1, R2 и R3 представляют собой атом водорода; R4 представляет собой атом водорода, бензильную группу или [(изопропоксикарбонил)окси]этильную группу; и R9 представляет собой атом водорода.
47. Соединение, представленное общей формулой (I-3а), или его фармакологически приемлемая соль:
[Формула 15]
где А представляет собой циклобутильную группу, циклогексильную группу, циклогептильную группу, бицикло[3.1.0]гексильную группу, бицикло[2.2.1]гептильную группу или адамантильную группу, каждая из которых может быть замещена одной-тремя одинаковыми или различными группами, выбранными из гидроксигруппы, метильной группы и этильной группы; и R4 представляет собой атом водорода; С1-С6алкильную группу, которая может быть замещена одной-тремя одинаковыми или различными группами, выбранными из С2-С6алканоилоксигруппы, (С3-С6циклоалкил)карбонилоксигруппы и арильной группы; или гетероциклилалкильную группу, которая может быть замещена одной-тремя одинаковыми или различными группами, выбранными из оксогруппы и С1-С6алкильной группы.
48. Соединение по п.47 или его фармакологически приемлемая соль, где А представляет собой циклогексильную группу, замещенную одной или двумя одинаковыми или различными С1-С6алкильными группами; все из R1, R2 и R3 представляют собой атом водорода; и R4 представляет собой атом водорода, бензильную группу или [(изопропоксикарбонил)окси]этильную группу.
49. Соединение по п.48 или его фармакологически приемлемая соль, где А представляет собой циклогексильную группу, замещенную метильной группой или этильной группой; и R4 представляет собой атом водорода.
50. Соединение по п.1 или его фармакологически приемлемая соль, где соединение выбирают из группы, состоящей из
5-амино-2-[(1-циклогексил-1Н-имидазол-4-ил)метил]валериановой кислоты,
5-амино-2-{[1-(4-метилциклогексил)-1Н-имидазол-4-ил]метил}валериановой кислоты,
5-амино-2-{[(1-(4-этилциклогексил)-1Н-имидазол-4-ил]метил}валериановой кислоты,
5-амино-2-{[(1-(3-этилциклобутил)-1Н-имидазол-4-ил]метил}валериановой кислоты,
5-амино-2-{[(1-(3-метилциклобутил)-1Н-имидазол-4-ил]метил}валериановой кислоты,
5-амино-2-({1-[(1R,3s,5S)-бицикло[3.1.0]гексан-3-ил]-1Н-имидазол-4-ил}метил)валериановой кислоты,
5-амино-2-{[(1-(4-гидроксициклогексил)-1Н-имидазол-4-ил]метил}валериановой кислоты,
5-амино-2-{[(1-(4-гидрокси-4-метилциклогексил)-1Н-имидазол-4-ил]метил}валериановой кислоты,
5-амино-2-{[(1-(3-метилциклогексил)-1Н-имидазол-4-ил]метил}валериановой кислоты,
5-амино-2-[(1-циклогептил-1Н-имидазол-4-ил)метил]валериановой кислоты,
5-амино-2-({1-[экзо-бицикло[2.2.1]гепт-2-ил]-1Н-имидазол-4-ил}метил]валериановой кислоты,
5-амино-2-({1-[эндо-бицикло[2.2.1]гепт-2-ил]-1Н-имидазол-4-ил}метил]валериановой кислоты,
2-[(1-адамантан-2-ил-1Н-имидазол-4-ил)метил]-5-аминовалериановой кислоты,
5-амино-2-{[1-(4-феноксициклогексил)-1Н-имидазол-4-ил]метил}валериановой кислоты,
бензил-5-амино-2-{[1-(4-метилциклогексил)-1Н-имидазол-4-ил]метил}валерата,
2-{[1-(4-метилциклогексил)-1Н-имидазол-4-ил]метил}-5-(L-фенилаланиламино)валериановой кислоты,
2-{[1-(4-метилциклогексил)-1Н-имидазол-4-ил]метил}-5-(L-норлейциламино)валериановой кислоты,
2-{[1-(4-метилциклогексил)-1Н-имидазол-4-ил]метил}-5-({[(5-метил-2-оксо-1,3-диоксол-4-ил)метокси]карбонил}амино)валериановой кислоты,
5-({[1-(изобутирилокси)этокси]карбонил}амино)-2-{[1-(4-метилциклогексил)-1Н-имидазол-4-ил]метил}валериановой кислоты,
1-[(изопропоксикарбонил)окси]этил-5-({[1-(изобутирилокси)этокси]карбонил}амино)-2-{[1-(4-метилциклогексил)-1Н-имидазол-4-ил]метил}валерата,
5-({[1-(2,2-диметилпропаноилокси)этокси]карбонил}амино)-2-{[1-(4-метилциклогексил)-1Н-имидазол-4-ил]метил}валериановой кислоты,
5-[({1-[(циклогексилкарбонил)окси]этокси}карбонил)амино]-2-{[1-(4-метилциклогексил)-1Н-имидазол-4-ил]метил}валериановой кислоты,
2-(2-аминоэтокси)-3-[1-(4-метилциклогексил)-1Н-имидазол-4-ил]пропионовой кислоты,
2-[(1R)-2-амино-1-метилэтокси]-3-[1-(4-метилциклогексил)-1Н-имидазол-4-ил]пропионовой кислоты и
2-[(3S)-3-аминопирролидинил-1-ил]-3-[1-(4-метилциклогексил)-1Н-имидазол-4-ил]пропионовой кислоты.
51. 5-амино-2-{[1-(4-метилциклогексил)-1Н-имидазол-4-ил]метил}валериановая кислота или ее фармакологически приемлемая соль.
52. 5-амино-2-{[1-(транс-4-метилциклогексил)-1Н-имидазол-4-ил]метил}валериановая кислота или ее фармакологически приемлемая соль.
53. (2S)-5-амино-2-{[1-(транс-4-метилциклогексил)-1Н-имидазол-4-ил]метил}валериановая кислота или ее фармакологически приемлемая соль.
54. Фармакологически приемлемая соль соединения по п.1, где фармакологически приемлемая соль представляет собой п-толуолсульфонат или бензолсульфонат.
55. (2S)-5-амино-2-{[1-(транс-4-метилциклогексил)-1Н-имидазол-4-ил]метил}валериановая кислота.
56. Бензолсульфонат (2S)-5-амино-2-{[1-(транс-4-метилциклогексил)-1Н-имидазол-4-ил]метил}валериановой кислоты.
57. п-Толуолсульфонат (2S)-5-амино-2-{[1-(транс-4-метилциклогексил)-1Н-имидазол-4-ил]метил}валериановой кислоты.
58. Ангидрат п-толуолсульфоната (2S)-5-амино-2-{[1-(транс-4-метилциклогексил)-1Н-имидазол-4-ил]метил}валериановой кислоты.
59. Ангидрат п-толуолсульфоната (2S)-5-амино-2-{[1-(транс-4-метилциклогексил)-1Н-имидазол-4-ил]метил}валериановой кислоты по п.58, который находится в кристаллической форме, проявляющей основные пики при межплоскостных расстояниях d, равных 23,9, 11,9, 4,5, 4,3 и 3,6 ангстрем, при порошковой рентгеновской дифракции, полученной посредством излучения Кα меди.
60. Моногидрат п-толуолсульфоната (2S)-5-амино-2-{[1-(транс-4-метилциклогексил)-1Н-имидазол-4-ил]метил}валериановой кислоты.
61. Моногидрат п-толуолсульфоната (2S)-5-амино-2-{[1-(транс-4-метилциклогексил)-1Н-имидазол-4-ил]метил}валериановой кислоты по п.60, который находится в кристаллической форме, проявляющей основные пики при межплоскостных расстояниях d, равных 22,9, 5,0, 4,9, 4,7 и 4,0 ангстрем, при порошковой рентгеновской дифракции, полученной посредством излучения Кα меди.
62. Фармакологически приемлемая соль соединения по любому из пп.1-53, где фармакологически приемлемая соль представляет собой п-толуолсульфонат или бензолсульфонат.
63. Фармацевтическое лекарственное средство, содержащее соединение по любому из пп.1-61 или его фармакологически приемлемую соль в качестве активного ингредиента.
64. Ингибитор TAFIa, содержащий соединение по любому из пп.1-61 или его фармакологически приемлемую соль в качестве активного ингредиента.
65. Промотор фибринолиза, содержащий соединение по любому из пп.1-61 или его фармакологически приемлемую соль в качестве активного ингредиента.
66. Профилактическое или терапевтическое лекарственное средство против заболевания, вызываемого посредством ингибирования фибринолиза, содержащее соединение по любому из пп.1-61 или его фармакологически приемлемую соль в качестве активного ингредиента.
67. Профилактическое или терапевтическое лекарственное средство против тромбоза или эмболии, или их последствий, включающих: острый коронарный синдром, такой как инфаркт миокарда и стенокардия (стабильная стенокардия и нестабильная стенокардия); венозную тромбоэмболию, такую как тромбоз глубоких вен и тромбоэмболию легких; тромбоз или эмболию, происходящих в сердечно-сосудистой системе после хирургической операции, такой как реваскуляризация сосудов, ангиопластика, установка стента и шунтирующая хирургия; тромбоз или эмболию после операции по замене искусственного сустава, такой как операция замены коленного сустава и операция замены тазобедренного сустава; относящееся к воспалению внутрисосудистое заболевание, такое как сепсис и синдром диссеминированной внутрисосудистой коагуляции (DIC); периферическое сосудистое нарушение, являющееся производным от или относящееся к заболеванию, такое как периферическая артериальная окклюзия (РАО), артериосклероз и сахарный диабет; заболевание, относящееся к опухолевому, такого как солидный рак и рак крови; и нарушение органа, приписываемое тромбу или эмболу, такое как тромбоэмболия легких, инфаркт головного мозга и инфаркт почки, содержащее соединение по любому из пп.1-61 или его фармакологически приемлемую соль в качестве активного ингредиента.
68. Профилактическое или терапевтическое лекарственное средство против тромбоза или эмболии, включающих: заболевание, вызванное контактом с инородным веществом в организме, инородным веществом, включающим медицинское устройство, такое как протез сустава, применяемый при замене сустава, сосудистый катетер, протез в кровотоке, стент в кровотоке и протез клапана; и заболевание, вызванное контактом между кровью и медицинским устройством вне организма, медицинским устройством, включающим насосный оксигенатор, применяемый при операции на сердце, и медицинским устройством, применяемым при гемодиализе, содержащее соединение по любому из пп.1-61 или его фармакологически приемлемую соль в качестве активного ингредиента.
69. Профилактическое или терапевтическое лекарственное средство против заболевания, относящегося к тромбозу или эмболии, или сопровождающегося отложением фибрина или фиброзом, включающего: заболевание легких, такое как легочная гипертензия, респираторный дистресс-синдром взрослых, фиброз легких и хроническая тромбоэмболическая легочная гипертензия; заболевание почек, такое как гломерулонефрит (включая острый гломерулонефрит, хронический гломерулонефрит, нефротический нефрит и быстро прогрессирующий гломерулонефрит), инфаркт почек и диабетический нефрит; заболевание печени, такое как фиброз печени, гепатит и цирроз печени; глазное заболевание, ассоциированное с отложением фибрина в глазе; дисфункцию органа после трансплантации или резекции органа; нарушение микроциркуляции, вызванное микротромбом, включая тромботическую микроангиопатию; и заболевание или симптомы, ассоциированные с миграцией раковых клеток или метастазами, содержащее соединение по любому из пп.1-61 или его фармакологически приемлемую соль в качестве активного ингредиента.
70. Терапевтическое лекарственное средство против инфаркта миокарда, стенокардии, острого коронарного синдрома, инфаркта головного мозга, тромбоза глубоких вен, тромбоэмболии легких, периферической артериальной окклюзии, сепсиса, синдрома диссеминированной внутрисосудистой коагуляции или фиброза легких, содержащее соединение по любому из пп.1-61 или его фармакологически приемлемую соль в качестве активного ингредиента.
71. Фармацевтическая композиция, содержащая соединение по любому из пп.1-61 или его фармакологически приемлемую соль и фармакологически приемлемый носитель.
72. Способ лечения инфаркта миокарда, стенокардии, острого коронарного синдрома, инфаркта головного мозга, тромбоза глубоких вен, тромбоэмболии легких, периферической артериальной окклюзии, сепсиса, синдрома диссеминированной внутрисосудистой коагуляции или фиброза легких, включающий введение фармацевтической композиции, содержащей соединение по любому из пп.1-61 или его фармакологически приемлемую соль в качестве активного ингредиента.
73. Применение фармацевтической композиции, содержащей соединение по любому из пп.1-61 или его фармакологически приемлемую соль в качестве активного ингредиента, в производстве лекарственного средства для лечения инфаркта миокарда, стенокардии, острого коронарного синдрома, инфаркта головного мозга, тромбоза глубоких вен, тромбоэмболии легких, периферической артериальной окклюзии, сепсиса, синдрома диссеминированной внутрисосудистой коагуляции или фиброза легких.
74. Соединение по любому из пп.1-61 или его фармакологически приемлемая соль для применения при лечении инфаркта миокарда, стенокардии, острого коронарного синдрома, инфаркта головного мозга, тромбоза глубоких вен, тромбоэмболии легких, периферической артериальной окклюзии, сепсиса, синдрома диссеминированной внутрисосудистой коагуляции или фиброза легких.
75. Фармацевтическое лекарственное средство для инъекции, содержащее соединение по любому из пп.1-61 или его фармакологически приемлемую соль в качестве активного ингредиента.
76. Ингибитор TAFIa для инъекции, содержащий соединение по любому из пп.1-61 или его фармакологически приемлемую соль в качестве активного ингредиента.
77. Терапевтическое лекарственное средство для инъекции против инфаркта миокарда, стенокардии, острого коронарного синдрома, инфаркта головного мозга, тромбоза глубоких вен, тромбоэмболии легких, периферической артериальной окклюзии, сепсиса, синдрома диссеминированной внутрисосудистой коагуляции или фиброза легких, содержащее соединение по любому из пп.1-61 или его фармакологически приемлемую соль в качестве активного ингредиента.
78. Терапевтическое лекарственное средство против заболевания, происходящего вследствие тромбоэмболии, содержащее соединение по любому из пп.1-61 или его фармакологически приемлемую соль в качестве активного ингредиента.
79. Фармацевтическая композиция для инъекции, содержащая соединение по любому из пп.1-61 или его фармакологически приемлемую соль и фармакологически приемлемый носитель.
80. Способ лечения инфаркта миокарда, стенокардии, острого коронарного синдрома, инфаркта головного мозга, тромбоза глубоких вен, тромбоэмболии легких, периферической артериальной окклюзии, сепсиса, синдрома диссеминированной внутрисосудистой коагуляции или фиброза легких, включающий введение фармацевтической композиции для инъекции, содержащей соединение по любому из пп.1-61 или его фармакологически приемлемую соль в качестве активного ингредиента.
81. Применение фармацевтической композиции для инъекции, содержащей соединение по любому из пп.1-61 или его фармакологически приемлемую соль в качестве активного ингредиента в производстве лекарственного средства для лечения инфаркта миокарда, стенокардии, острого коронарного синдрома, инфаркта головного мозга, тромбоза глубоких вен, тромбоэмболии легких, периферической артериальной окклюзии, сепсиса, синдрома диссеминированной внутрисосудистой коагуляции или фиброза легких.
82. Соединение по любому из пп.1-61 или его фармакологически приемлемая соль для применения при лечении инфаркта миокарда, стенокардии, острого коронарного синдрома, инфаркта головного мозга, тромбоза глубоких вен, тромбоэмболии легких, периферической артериальной окклюзии, сепсиса, синдрома диссеминированной внутрисосудистой коагуляции или фиброза легких посредством инъекции.
83. Фармацевтическая композиция, содержащая соединение по любому из пп.1-61 или его фармакологически приемлемую соль и одно или два, или более лекарственных средств, выбранных из антикоагулянта, антитромбоцитарного средства, фермента, имеющего отношение к фибринолизу, противоракового лекарственного средства, противовоспалительного средства, антифиброзного лекарственного средства, гипотензивного лекарственного средства, лекарственного средства против легочной гипертензии и иммуносуппрессорного лекарственного средства в качестве активных ингредиентов.
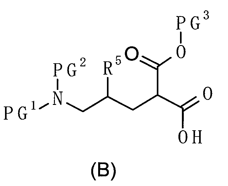
85. Соединение, представленное следующей общей формулой, или его соль:
[Формула 17]
где R5 является таким, как определено выше; PG1 представляет собой защитную группу для аминогруппы; PG2 представляет собой атом водорода или защитную группу для аминогруппы; и PG3 представляет собой защитную группу для карбоксигруппы.
Applications Claiming Priority (3)
| Application Number | Priority Date | Filing Date | Title |
|---|---|---|---|
| JP2010-062155 | 2010-03-18 | ||
| JP2010062155 | 2010-03-18 | ||
| PCT/JP2011/055953 WO2011115064A1 (ja) | 2010-03-18 | 2011-03-14 | シクロアルキル基で置換されたイミダゾール誘導体 |
Publications (2)
| Publication Number | Publication Date |
|---|---|
| RU2012144332A true RU2012144332A (ru) | 2014-04-27 |
| RU2572814C2 RU2572814C2 (ru) | 2016-01-20 |
Family
ID=44649149
Family Applications (1)
| Application Number | Title | Priority Date | Filing Date |
|---|---|---|---|
| RU2012144332/04A RU2572814C2 (ru) | 2010-03-18 | 2011-03-14 | ЦИКЛОАЛКИЛ-ЗАМЕЩЕННОЕ ПРОИЗВОДНОЕ ИМИДАЗОЛА, ОБЛАДАЮЩЕЕ ИНГИБИРУЮЩЕЙ АКТИВНОСТЬЮ В ОТНОШЕНИИ TAFIa |
Country Status (29)
| Country | Link |
|---|---|
| US (2) | US8609710B2 (ru) |
| EP (1) | EP2548871B1 (ru) |
| JP (3) | JP5807006B2 (ru) |
| KR (2) | KR101706885B1 (ru) |
| CN (2) | CN102803226B (ru) |
| AU (1) | AU2011228237B2 (ru) |
| BR (1) | BR112012017474A2 (ru) |
| CA (1) | CA2791505C (ru) |
| CO (1) | CO6511269A2 (ru) |
| CY (1) | CY1119423T1 (ru) |
| DK (1) | DK2548871T3 (ru) |
| ES (1) | ES2643132T3 (ru) |
| HR (1) | HRP20171560T1 (ru) |
| HU (1) | HUE035072T2 (ru) |
| IL (1) | IL221903B (ru) |
| LT (1) | LT2548871T (ru) |
| MX (1) | MX358628B (ru) |
| NZ (1) | NZ601658A (ru) |
| PH (1) | PH12012501473A1 (ru) |
| PL (1) | PL2548871T3 (ru) |
| PT (1) | PT2548871T (ru) |
| RS (1) | RS56445B1 (ru) |
| RU (1) | RU2572814C2 (ru) |
| SG (2) | SG10201502026XA (ru) |
| SI (1) | SI2548871T1 (ru) |
| SM (1) | SMT201700455T1 (ru) |
| TW (1) | TWI609857B (ru) |
| WO (1) | WO2011115064A1 (ru) |
| ZA (1) | ZA201206968B (ru) |
Families Citing this family (15)
| Publication number | Priority date | Publication date | Assignee | Title |
|---|---|---|---|---|
| LT2548871T (lt) * | 2010-03-18 | 2017-09-25 | Daiichi Sankyo Company, Limited | Cikloalkilpakeistieji imidazolo dariniai |
| EP2548872B1 (en) | 2010-03-18 | 2016-09-28 | Daiichi Sankyo Company, Limited | Cyclopropanecarboxylic acid derivative |
| WO2013000275A1 (zh) | 2011-06-25 | 2013-01-03 | 山东轩竹医药科技有限公司 | C-糖苷衍生物 |
| WO2013039202A1 (ja) * | 2011-09-15 | 2013-03-21 | 第一三共株式会社 | 新規アクリル酸誘導体 |
| US9315438B2 (en) | 2014-01-03 | 2016-04-19 | Xuanzhu Pharma Co., Ltd | Optically pure benzyl-4-chlorophenyl-C-glucoside derivative |
| CN106349201B (zh) * | 2014-01-03 | 2018-09-18 | 山东轩竹医药科技有限公司 | 光学纯的苄基-4-氯苯基的c-糖苷衍生物 |
| CA2958246C (en) * | 2014-09-18 | 2019-09-10 | Daiichi Sankyo Company, Limited | Method for producing optically active valeric acid derivative |
| TW201617321A (zh) * | 2014-09-18 | 2016-05-16 | 第一三共股份有限公司 | 光學活性吉草酸衍生物之製法 |
| US20170368037A1 (en) * | 2014-12-26 | 2017-12-28 | Daiichi Sankyo Company, Limited | Pharmaceutical composition for promotion of fibrinolysis |
| HK1254154A1 (en) * | 2015-06-17 | 2019-07-12 | Daiichi Sankyo Company, Limited | Combination of tafia inhibitor with plasminogen activator |
| US10308612B2 (en) | 2015-06-26 | 2019-06-04 | Daiichi Sankyo Company, Limited | Method for producing 1-(acyloxy)alkyl carbamate derivative |
| WO2017155025A1 (ja) * | 2016-03-10 | 2017-09-14 | 第一三共株式会社 | 酵素による光学分割を用いた光学活性吉草酸誘導体の製造方法 |
| US20190117624A1 (en) * | 2016-03-29 | 2019-04-25 | Daiichi Sankyo Company, Limited | Therapeutic agent for inflammatory bowel diseases |
| TW201822637A (zh) | 2016-11-07 | 2018-07-01 | 德商拜耳廠股份有限公司 | 用於控制動物害蟲的經取代磺醯胺類 |
| WO2020191503A1 (en) * | 2019-03-27 | 2020-10-01 | Algernon Pharmaceuticals Inc. | Methods and uses of bromantane and derivatives thereof for treating lung disease, fatty liver disease, and kidney disorders |
Family Cites Families (19)
| Publication number | Priority date | Publication date | Assignee | Title |
|---|---|---|---|---|
| ES2165857T3 (es) * | 1992-05-20 | 2002-04-01 | Univ Northwestern | Analogos de gaba y acido l-glutamico para el tratamiento de trastornos del sistema nervioso central. |
| ES2334101T3 (es) * | 2000-08-17 | 2010-03-05 | Pfizer Limited | Imidazoles sustituidos como inhibidores de tafia. |
| US6949577B2 (en) * | 2000-09-13 | 2005-09-27 | Pfizer, Inc. | Pharmaceuticals |
| WO2003013526A1 (en) | 2001-08-08 | 2003-02-20 | Merck & Co. Inc. | Anticoagulant compounds |
| US6897208B2 (en) * | 2001-10-26 | 2005-05-24 | Aventis Pharmaceuticals Inc. | Benzimidazoles |
| IL162677A0 (en) * | 2002-01-22 | 2005-11-20 | Pfizer | 3-(Imidazolyl)-2-alkoxypropanoic acids as tafia inhibitors |
| US6713496B2 (en) * | 2002-01-22 | 2004-03-30 | Pfizer Inc | 3-(imidazolyl)-2-alkoxypropanoic acids |
| EP1467732A1 (en) | 2002-01-22 | 2004-10-20 | Pfizer Limited | 3-(imidazolyl)-2-aminopropanoic acids for use as tafi-a inhibitors for the treatment of thrombotic diseases |
| CN100572736C (zh) | 2003-08-27 | 2009-12-23 | 株式会社梅泰柯 | 帘装置 |
| JP4927563B2 (ja) | 2003-12-30 | 2012-05-09 | ゼノポート,インコーポレイティド | アシルオキシアルキルカルバメートプロドラッグ及び中間体の合成 |
| DE102004020186A1 (de) | 2004-04-22 | 2005-11-17 | Aventis Pharma Deutschland Gmbh | Heterocyclylessigsäuren als Inhibitoren von TAFla |
| US8710232B2 (en) * | 2004-04-22 | 2014-04-29 | Sanofi-Aventis Deutschland Gmbh | Imidazole derivatives used as TAFIa inhibitors |
| CN100443173C (zh) * | 2004-11-22 | 2008-12-17 | 中国科学院化学研究所 | 甲醇合成乙酸或乙酸甲酯合成乙酐的催化剂体系及应用 |
| DE102005049385A1 (de) | 2005-10-15 | 2007-04-19 | Sanofi-Aventis Deutschland Gmbh | Imidazolderivate als Inhibitoren von TAFIa |
| WO2008078330A1 (en) | 2006-12-27 | 2008-07-03 | Hetero Drugs Limited | Improved process for eprosartan |
| NZ592764A (en) * | 2008-10-29 | 2012-08-31 | Taisho Pharmaceutical Co Ltd | Compound having tafia inhibitory activity |
| MY157304A (en) * | 2009-05-15 | 2016-05-31 | Sanofi Sa | Process for the preparation of a compound useful as an inhibator of tafia |
| EP2548872B1 (en) | 2010-03-18 | 2016-09-28 | Daiichi Sankyo Company, Limited | Cyclopropanecarboxylic acid derivative |
| LT2548871T (lt) | 2010-03-18 | 2017-09-25 | Daiichi Sankyo Company, Limited | Cikloalkilpakeistieji imidazolo dariniai |
-
2011
- 2011-03-14 LT LTEP11756249.6T patent/LT2548871T/lt unknown
- 2011-03-14 CN CN201180014536.3A patent/CN102803226B/zh not_active Expired - Fee Related
- 2011-03-14 WO PCT/JP2011/055953 patent/WO2011115064A1/ja not_active Ceased
- 2011-03-14 SG SG10201502026XA patent/SG10201502026XA/en unknown
- 2011-03-14 PL PL11756249T patent/PL2548871T3/pl unknown
- 2011-03-14 SM SM20170455T patent/SMT201700455T1/it unknown
- 2011-03-14 MX MX2012008372A patent/MX358628B/es active IP Right Grant
- 2011-03-14 RS RS20171019A patent/RS56445B1/sr unknown
- 2011-03-14 HR HRP20171560TT patent/HRP20171560T1/hr unknown
- 2011-03-14 AU AU2011228237A patent/AU2011228237B2/en not_active Ceased
- 2011-03-14 CA CA2791505A patent/CA2791505C/en not_active Expired - Fee Related
- 2011-03-14 CN CN201610239073.5A patent/CN105801489B/zh not_active Expired - Fee Related
- 2011-03-14 JP JP2012505676A patent/JP5807006B2/ja not_active Expired - Fee Related
- 2011-03-14 PH PH1/2012/501473A patent/PH12012501473A1/en unknown
- 2011-03-14 HU HUE11756249A patent/HUE035072T2/en unknown
- 2011-03-14 BR BR112012017474A patent/BR112012017474A2/pt not_active Application Discontinuation
- 2011-03-14 KR KR1020157035984A patent/KR101706885B1/ko not_active Expired - Fee Related
- 2011-03-14 SI SI201131274T patent/SI2548871T1/sl unknown
- 2011-03-14 SG SG2012055893A patent/SG182767A1/en unknown
- 2011-03-14 ES ES11756249.6T patent/ES2643132T3/es active Active
- 2011-03-14 KR KR1020127018653A patent/KR101704095B1/ko not_active Expired - Fee Related
- 2011-03-14 EP EP11756249.6A patent/EP2548871B1/en active Active
- 2011-03-14 RU RU2012144332/04A patent/RU2572814C2/ru active
- 2011-03-14 PT PT117562496T patent/PT2548871T/pt unknown
- 2011-03-14 NZ NZ601658A patent/NZ601658A/en not_active IP Right Cessation
- 2011-03-14 DK DK11756249.6T patent/DK2548871T3/da active
- 2011-03-18 TW TW100109253A patent/TWI609857B/zh not_active IP Right Cessation
-
2012
- 2012-07-16 US US13/550,366 patent/US8609710B2/en active Active
- 2012-07-18 CO CO12121222A patent/CO6511269A2/es unknown
- 2012-09-11 IL IL221903A patent/IL221903B/en active IP Right Grant
- 2012-09-17 ZA ZA2012/06968A patent/ZA201206968B/en unknown
-
2013
- 2013-12-16 US US14/107,043 patent/US9340531B2/en not_active Expired - Fee Related
-
2015
- 2015-06-26 JP JP2015129154A patent/JP6153971B2/ja not_active Expired - Fee Related
-
2017
- 2017-04-14 JP JP2017080427A patent/JP2017122128A/ja active Pending
- 2017-10-06 CY CY20171101044T patent/CY1119423T1/el unknown
Also Published As
Similar Documents
| Publication | Publication Date | Title |
|---|---|---|
| RU2012144332A (ru) | Циклоалкил-замещенное производное имидазола | |
| JP2015164972A5 (ru) | ||
| JP5470046B2 (ja) | Pai−1産生抑制剤 | |
| US20090062239A1 (en) | Thrombin receptor antagonists as prophylaxis to complications from cardiopulmonary surgery | |
| US20080108656A1 (en) | Compositions and methods for inhibiting tgf-beta | |
| JP2013121919A (ja) | 血漿カリクレイン阻害剤 | |
| JP2020510015A5 (ru) | ||
| JP2011520967A5 (ru) | ||
| JP2004532250A (ja) | 線維性疾患又は他の適応症の治療方法 | |
| JP2021523887A (ja) | XIIa因子インヒビター | |
| JP6262225B2 (ja) | オキサビシクロヘプタン類、および再灌流障害の治療のためのオキサビシクロヘプタン類 | |
| JP2004504389A (ja) | シアノメチル置換化チアゾリウム及びイミダゾリウム、並びにタンパク質老化と関連する疾患の治療 | |
| EA015942B1 (ru) | Замещенные имидазолы, композиция на их основе, способ профилактики или лечения нежелательного тромбообразования с их помощью и способ ингибирования коагуляции образцов крови | |
| JP2003535132A (ja) | うっ血性心不全治療用プロスタグランジン化合物 | |
| RU2014106999A (ru) | Замещенные производные 3-тиазолоаминопропионовой кислоты и их применение в качестве фармацевтических препаратов | |
| ES2694375T3 (es) | Composiciones para el tratamiento de la hipertensión y/o de la fibrosis | |
| AU2002341618B2 (en) | Methods of treating pulmonary disease | |
| US20090239868A1 (en) | Inhibitor of pai-1 production | |
| JP2008517955A (ja) | 抗血小板剤としてのアリールスルホンピリドキシン | |
| JP2004532862A (ja) | 線維性疾患又は他の適応症の治療方法 | |
| EP0682947A1 (en) | Medicament for therapeutic and prophylactic treatment of diseases caused by smooth muscle cell hyperplasia | |
| RU2014151360A (ru) | Производные пиразола и их применение в качестве lpar5 антагонистов | |
| JP2008519826A5 (ru) | ||
| CA3089970A1 (en) | Therapeutic compounds and compositions | |
| JP4175887B2 (ja) | 新規血管狭窄治療剤または予防剤 |
















