JP3804792B2 - リソグラフィー用反射防止膜形成組成物 - Google Patents
リソグラフィー用反射防止膜形成組成物 Download PDFInfo
- Publication number
- JP3804792B2 JP3804792B2 JP2002584088A JP2002584088A JP3804792B2 JP 3804792 B2 JP3804792 B2 JP 3804792B2 JP 2002584088 A JP2002584088 A JP 2002584088A JP 2002584088 A JP2002584088 A JP 2002584088A JP 3804792 B2 JP3804792 B2 JP 3804792B2
- Authority
- JP
- Japan
- Prior art keywords
- antireflection film
- resin
- formula
- group
- forming
- Prior art date
- Legal status (The legal status is an assumption and is not a legal conclusion. Google has not performed a legal analysis and makes no representation as to the accuracy of the status listed.)
- Expired - Lifetime
Links
- 239000000203 mixture Substances 0.000 title claims description 64
- 238000001459 lithography Methods 0.000 title claims description 12
- 229920005989 resin Polymers 0.000 claims description 55
- 239000011347 resin Substances 0.000 claims description 55
- 150000001875 compounds Chemical class 0.000 claims description 44
- 239000000758 substrate Substances 0.000 claims description 24
- ZFSLODLOARCGLH-UHFFFAOYSA-N isocyanuric acid Chemical compound OC1=NC(O)=NC(O)=N1 ZFSLODLOARCGLH-UHFFFAOYSA-N 0.000 claims description 20
- 238000000034 method Methods 0.000 claims description 20
- 239000003431 cross linking reagent Substances 0.000 claims description 14
- 229920002120 photoresistant polymer Polymers 0.000 claims description 13
- 239000007983 Tris buffer Substances 0.000 claims description 10
- 125000001997 phenyl group Chemical group [H]C1=C([H])C([H])=C(*)C([H])=C1[H] 0.000 claims description 10
- 239000004065 semiconductor Substances 0.000 claims description 10
- 125000000217 alkyl group Chemical group 0.000 claims description 9
- 230000003667 anti-reflective effect Effects 0.000 claims description 9
- 125000000391 vinyl group Chemical group [H]C([*])=C([H])[H] 0.000 claims description 9
- 238000004519 manufacturing process Methods 0.000 claims description 8
- 125000004432 carbon atom Chemical group C* 0.000 claims description 7
- 125000002768 hydroxyalkyl group Chemical group 0.000 claims description 7
- 125000000524 functional group Chemical group 0.000 claims description 6
- 239000004593 Epoxy Substances 0.000 claims description 5
- 238000004132 cross linking Methods 0.000 claims description 5
- 238000005530 etching Methods 0.000 claims description 5
- 125000005843 halogen group Chemical group 0.000 claims description 5
- 125000004435 hydrogen atom Chemical group [H]* 0.000 claims description 4
- 238000012546 transfer Methods 0.000 claims description 2
- 239000010408 film Substances 0.000 description 77
- -1 n-octyl Chemical group 0.000 description 45
- 239000000243 solution Substances 0.000 description 29
- 238000001312 dry etching Methods 0.000 description 18
- 239000002904 solvent Substances 0.000 description 16
- 230000015572 biosynthetic process Effects 0.000 description 14
- LZCLXQDLBQLTDK-UHFFFAOYSA-N ethyl 2-hydroxypropanoate Chemical compound CCOC(=O)C(C)O LZCLXQDLBQLTDK-UHFFFAOYSA-N 0.000 description 14
- 238000003786 synthesis reaction Methods 0.000 description 13
- 239000004698 Polyethylene Substances 0.000 description 12
- 238000006243 chemical reaction Methods 0.000 description 12
- 229920000573 polyethylene Polymers 0.000 description 12
- 239000011148 porous material Substances 0.000 description 12
- 239000010703 silicon Substances 0.000 description 12
- XUIMIQQOPSSXEZ-UHFFFAOYSA-N Silicon Chemical compound [Si] XUIMIQQOPSSXEZ-UHFFFAOYSA-N 0.000 description 11
- 229910052710 silicon Inorganic materials 0.000 description 11
- JOXIMZWYDAKGHI-UHFFFAOYSA-N toluene-4-sulfonic acid Chemical compound CC1=CC=C(S(O)(=O)=O)C=C1 JOXIMZWYDAKGHI-UHFFFAOYSA-N 0.000 description 10
- ARXJGSRGQADJSQ-UHFFFAOYSA-N 1-methoxypropan-2-ol Chemical compound COCC(C)O ARXJGSRGQADJSQ-UHFFFAOYSA-N 0.000 description 9
- PPBRXRYQALVLMV-UHFFFAOYSA-N Styrene Chemical compound C=CC1=CC=CC=C1 PPBRXRYQALVLMV-UHFFFAOYSA-N 0.000 description 8
- JHIVVAPYMSGYDF-UHFFFAOYSA-N cyclohexanone Chemical compound O=C1CCCCC1 JHIVVAPYMSGYDF-UHFFFAOYSA-N 0.000 description 8
- 125000002887 hydroxy group Chemical group [H]O* 0.000 description 8
- BNCADMBVWNPPIZ-UHFFFAOYSA-N 2-n,2-n,4-n,4-n,6-n,6-n-hexakis(methoxymethyl)-1,3,5-triazine-2,4,6-triamine Chemical compound COCN(COC)C1=NC(N(COC)COC)=NC(N(COC)COC)=N1 BNCADMBVWNPPIZ-UHFFFAOYSA-N 0.000 description 7
- 230000008033 biological extinction Effects 0.000 description 7
- 230000003287 optical effect Effects 0.000 description 7
- 229920000642 polymer Polymers 0.000 description 7
- KFZMGEQAYNKOFK-UHFFFAOYSA-N Isopropanol Chemical compound CC(C)O KFZMGEQAYNKOFK-UHFFFAOYSA-N 0.000 description 6
- ISWSIDIOOBJBQZ-UHFFFAOYSA-N Phenol Chemical compound OC1=CC=CC=C1 ISWSIDIOOBJBQZ-UHFFFAOYSA-N 0.000 description 6
- 239000002253 acid Substances 0.000 description 6
- HTZCNXWZYVXIMZ-UHFFFAOYSA-M benzyl(triethyl)azanium;chloride Chemical compound [Cl-].CC[N+](CC)(CC)CC1=CC=CC=C1 HTZCNXWZYVXIMZ-UHFFFAOYSA-M 0.000 description 6
- 239000003795 chemical substances by application Substances 0.000 description 6
- 238000000576 coating method Methods 0.000 description 6
- 229940116333 ethyl lactate Drugs 0.000 description 6
- BPXVHIRIPLPOPT-UHFFFAOYSA-N 1,3,5-tris(2-hydroxyethyl)-1,3,5-triazinane-2,4,6-trione Chemical compound OCCN1C(=O)N(CCO)C(=O)N(CCO)C1=O BPXVHIRIPLPOPT-UHFFFAOYSA-N 0.000 description 5
- VHSHLMUCYSAUQU-UHFFFAOYSA-N 2-hydroxypropyl methacrylate Chemical compound CC(O)COC(=O)C(C)=C VHSHLMUCYSAUQU-UHFFFAOYSA-N 0.000 description 5
- 229920003171 Poly (ethylene oxide) Polymers 0.000 description 5
- 239000011248 coating agent Substances 0.000 description 5
- 230000000052 comparative effect Effects 0.000 description 5
- 239000000178 monomer Substances 0.000 description 5
- 229910052757 nitrogen Inorganic materials 0.000 description 5
- 239000004094 surface-active agent Substances 0.000 description 5
- OUPZKGBUJRBPGC-UHFFFAOYSA-N 1,3,5-tris(oxiran-2-ylmethyl)-1,3,5-triazinane-2,4,6-trione Chemical compound O=C1N(CC2OC2)C(=O)N(CC2OC2)C(=O)N1CC1CO1 OUPZKGBUJRBPGC-UHFFFAOYSA-N 0.000 description 4
- CTQNGGLPUBDAKN-UHFFFAOYSA-N O-Xylene Chemical compound CC1=CC=CC=C1C CTQNGGLPUBDAKN-UHFFFAOYSA-N 0.000 description 4
- XSQUKJJJFZCRTK-UHFFFAOYSA-N Urea Natural products NC(N)=O XSQUKJJJFZCRTK-UHFFFAOYSA-N 0.000 description 4
- 239000003513 alkali Substances 0.000 description 4
- 239000002585 base Substances 0.000 description 4
- 238000004090 dissolution Methods 0.000 description 4
- 230000000694 effects Effects 0.000 description 4
- 238000001914 filtration Methods 0.000 description 4
- FQPSGWSUVKBHSU-UHFFFAOYSA-N methacrylamide Chemical class CC(=C)C(N)=O FQPSGWSUVKBHSU-UHFFFAOYSA-N 0.000 description 4
- 238000002156 mixing Methods 0.000 description 4
- 229920003986 novolac Polymers 0.000 description 4
- 229920000058 polyacrylate Polymers 0.000 description 4
- 239000000126 substance Substances 0.000 description 4
- WGTYBPLFGIVFAS-UHFFFAOYSA-M tetramethylammonium hydroxide Chemical compound [OH-].C[N+](C)(C)C WGTYBPLFGIVFAS-UHFFFAOYSA-M 0.000 description 4
- 239000008096 xylene Substances 0.000 description 4
- ZWEHNKRNPOVVGH-UHFFFAOYSA-N 2-Butanone Chemical compound CCC(C)=O ZWEHNKRNPOVVGH-UHFFFAOYSA-N 0.000 description 3
- CSCPPACGZOOCGX-UHFFFAOYSA-N Acetone Chemical compound CC(C)=O CSCPPACGZOOCGX-UHFFFAOYSA-N 0.000 description 3
- HRPVXLWXLXDGHG-UHFFFAOYSA-N Acrylamide Chemical compound NC(=O)C=C HRPVXLWXLXDGHG-UHFFFAOYSA-N 0.000 description 3
- XEKOWRVHYACXOJ-UHFFFAOYSA-N Ethyl acetate Chemical compound CCOC(C)=O XEKOWRVHYACXOJ-UHFFFAOYSA-N 0.000 description 3
- KWYUFKZDYYNOTN-UHFFFAOYSA-M Potassium hydroxide Chemical compound [OH-].[K+] KWYUFKZDYYNOTN-UHFFFAOYSA-M 0.000 description 3
- DNIAPMSPPWPWGF-UHFFFAOYSA-N Propylene glycol Chemical compound CC(O)CO DNIAPMSPPWPWGF-UHFFFAOYSA-N 0.000 description 3
- HEMHJVSKTPXQMS-UHFFFAOYSA-M Sodium hydroxide Chemical compound [OH-].[Na+] HEMHJVSKTPXQMS-UHFFFAOYSA-M 0.000 description 3
- 239000004147 Sorbitan trioleate Substances 0.000 description 3
- YXFVVABEGXRONW-UHFFFAOYSA-N Toluene Chemical compound CC1=CC=CC=C1 YXFVVABEGXRONW-UHFFFAOYSA-N 0.000 description 3
- ZMANZCXQSJIPKH-UHFFFAOYSA-N Triethylamine Chemical compound CCN(CC)CC ZMANZCXQSJIPKH-UHFFFAOYSA-N 0.000 description 3
- QYKIQEUNHZKYBP-UHFFFAOYSA-N Vinyl ether Chemical compound C=COC=C QYKIQEUNHZKYBP-UHFFFAOYSA-N 0.000 description 3
- NIXOWILDQLNWCW-UHFFFAOYSA-N acrylic acid group Chemical group C(C=C)(=O)O NIXOWILDQLNWCW-UHFFFAOYSA-N 0.000 description 3
- 125000001797 benzyl group Chemical group [H]C1=C([H])C([H])=C(C([H])=C1[H])C([H])([H])* 0.000 description 3
- 239000011230 binding agent Substances 0.000 description 3
- 238000001035 drying Methods 0.000 description 3
- 150000002148 esters Chemical class 0.000 description 3
- 238000010438 heat treatment Methods 0.000 description 3
- RAXXELZNTBOGNW-UHFFFAOYSA-N imidazole Natural products C1=CNC=N1 RAXXELZNTBOGNW-UHFFFAOYSA-N 0.000 description 3
- 125000005397 methacrylic acid ester group Chemical group 0.000 description 3
- 239000006254 rheological additive Substances 0.000 description 3
- 235000019337 sorbitan trioleate Nutrition 0.000 description 3
- 229960000391 sorbitan trioleate Drugs 0.000 description 3
- 150000003440 styrenes Chemical class 0.000 description 3
- 125000003944 tolyl group Chemical group 0.000 description 3
- YXIWHUQXZSMYRE-UHFFFAOYSA-N 1,3-benzothiazole-2-thiol Chemical compound C1=CC=C2SC(S)=NC2=C1 YXIWHUQXZSMYRE-UHFFFAOYSA-N 0.000 description 2
- UAJRSHJHFRVGMG-UHFFFAOYSA-N 1-ethenyl-4-methoxybenzene Chemical compound COC1=CC=C(C=C)C=C1 UAJRSHJHFRVGMG-UHFFFAOYSA-N 0.000 description 2
- OZAIFHULBGXAKX-UHFFFAOYSA-N 2-(2-cyanopropan-2-yldiazenyl)-2-methylpropanenitrile Chemical compound N#CC(C)(C)N=NC(C)(C)C#N OZAIFHULBGXAKX-UHFFFAOYSA-N 0.000 description 2
- XLLIQLLCWZCATF-UHFFFAOYSA-N 2-methoxyethyl acetate Chemical compound COCCOC(C)=O XLLIQLLCWZCATF-UHFFFAOYSA-N 0.000 description 2
- QTWJRLJHJPIABL-UHFFFAOYSA-N 2-methylphenol;3-methylphenol;4-methylphenol Chemical compound CC1=CC=C(O)C=C1.CC1=CC=CC(O)=C1.CC1=CC=CC=C1O QTWJRLJHJPIABL-UHFFFAOYSA-N 0.000 description 2
- NIXOWILDQLNWCW-UHFFFAOYSA-M Acrylate Chemical compound [O-]C(=O)C=C NIXOWILDQLNWCW-UHFFFAOYSA-M 0.000 description 2
- IJGRMHOSHXDMSA-UHFFFAOYSA-N Atomic nitrogen Chemical compound N#N IJGRMHOSHXDMSA-UHFFFAOYSA-N 0.000 description 2
- WKBOTKDWSSQWDR-UHFFFAOYSA-N Bromine atom Chemical group [Br] WKBOTKDWSSQWDR-UHFFFAOYSA-N 0.000 description 2
- MRABAEUHTLLEML-UHFFFAOYSA-N Butyl lactate Chemical compound CCCCOC(=O)C(C)O MRABAEUHTLLEML-UHFFFAOYSA-N 0.000 description 2
- KCXZNSGUUQJJTR-UHFFFAOYSA-N Di-n-hexyl phthalate Chemical compound CCCCCCOC(=O)C1=CC=CC=C1C(=O)OCCCCCC KCXZNSGUUQJJTR-UHFFFAOYSA-N 0.000 description 2
- NIQCNGHVCWTJSM-UHFFFAOYSA-N Dimethyl phthalate Chemical compound COC(=O)C1=CC=CC=C1C(=O)OC NIQCNGHVCWTJSM-UHFFFAOYSA-N 0.000 description 2
- QUSNBJAOOMFDIB-UHFFFAOYSA-N Ethylamine Chemical compound CCN QUSNBJAOOMFDIB-UHFFFAOYSA-N 0.000 description 2
- VZCYOOQTPOCHFL-OWOJBTEDSA-N Fumaric acid Chemical compound OC(=O)\C=C\C(O)=O VZCYOOQTPOCHFL-OWOJBTEDSA-N 0.000 description 2
- NQRYJNQNLNOLGT-UHFFFAOYSA-N Piperidine Chemical compound C1CCNCC1 NQRYJNQNLNOLGT-UHFFFAOYSA-N 0.000 description 2
- 229920002845 Poly(methacrylic acid) Polymers 0.000 description 2
- 229920001214 Polysorbate 60 Polymers 0.000 description 2
- 239000004793 Polystyrene Substances 0.000 description 2
- KAESVJOAVNADME-UHFFFAOYSA-N Pyrrole Chemical compound C=1C=CNC=1 KAESVJOAVNADME-UHFFFAOYSA-N 0.000 description 2
- VYPSYNLAJGMNEJ-UHFFFAOYSA-N Silicium dioxide Chemical compound O=[Si]=O VYPSYNLAJGMNEJ-UHFFFAOYSA-N 0.000 description 2
- CDBYLPFSWZWCQE-UHFFFAOYSA-L Sodium Carbonate Chemical compound [Na+].[Na+].[O-]C([O-])=O CDBYLPFSWZWCQE-UHFFFAOYSA-L 0.000 description 2
- 239000004115 Sodium Silicate Substances 0.000 description 2
- 229920002125 Sokalan® Polymers 0.000 description 2
- PRXRUNOAOLTIEF-ADSICKODSA-N Sorbitan trioleate Chemical compound CCCCCCCC\C=C/CCCCCCCC(=O)OC[C@@H](OC(=O)CCCCCCC\C=C/CCCCCCCC)[C@H]1OC[C@H](O)[C@H]1OC(=O)CCCCCCC\C=C/CCCCCCCC PRXRUNOAOLTIEF-ADSICKODSA-N 0.000 description 2
- GWEVSGVZZGPLCZ-UHFFFAOYSA-N Titan oxide Chemical compound O=[Ti]=O GWEVSGVZZGPLCZ-UHFFFAOYSA-N 0.000 description 2
- 150000003926 acrylamides Chemical class 0.000 description 2
- 238000004458 analytical method Methods 0.000 description 2
- 125000005428 anthryl group Chemical group [H]C1=C([H])C([H])=C2C([H])=C3C(*)=C([H])C([H])=C([H])C3=C([H])C2=C1[H] 0.000 description 2
- 239000007864 aqueous solution Substances 0.000 description 2
- WPYMKLBDIGXBTP-UHFFFAOYSA-N benzoic acid Chemical compound OC(=O)C1=CC=CC=C1 WPYMKLBDIGXBTP-UHFFFAOYSA-N 0.000 description 2
- 125000006267 biphenyl group Chemical group 0.000 description 2
- 229920001400 block copolymer Polymers 0.000 description 2
- 239000001191 butyl (2R)-2-hydroxypropanoate Substances 0.000 description 2
- 239000004202 carbamide Substances 0.000 description 2
- 125000003178 carboxy group Chemical group [H]OC(*)=O 0.000 description 2
- 229910052801 chlorine Inorganic materials 0.000 description 2
- 125000001309 chloro group Chemical group Cl* 0.000 description 2
- IJOOHPMOJXWVHK-UHFFFAOYSA-N chlorotrimethylsilane Chemical compound C[Si](C)(C)Cl IJOOHPMOJXWVHK-UHFFFAOYSA-N 0.000 description 2
- OEYIOHPDSNJKLS-UHFFFAOYSA-N choline Chemical compound C[N+](C)(C)CCO OEYIOHPDSNJKLS-UHFFFAOYSA-N 0.000 description 2
- 229960001231 choline Drugs 0.000 description 2
- 229930003836 cresol Natural products 0.000 description 2
- LDHQCZJRKDOVOX-NSCUHMNNSA-N crotonic acid Chemical class C\C=C\C(O)=O LDHQCZJRKDOVOX-NSCUHMNNSA-N 0.000 description 2
- BGTOWKSIORTVQH-UHFFFAOYSA-N cyclopentanone Chemical compound O=C1CCCC1 BGTOWKSIORTVQH-UHFFFAOYSA-N 0.000 description 2
- JQVDAXLFBXTEQA-UHFFFAOYSA-N dibutylamine Chemical compound CCCCNCCCC JQVDAXLFBXTEQA-UHFFFAOYSA-N 0.000 description 2
- 235000014113 dietary fatty acids Nutrition 0.000 description 2
- FLKPEMZONWLCSK-UHFFFAOYSA-N diethyl phthalate Chemical compound CCOC(=O)C1=CC=CC=C1C(=O)OCC FLKPEMZONWLCSK-UHFFFAOYSA-N 0.000 description 2
- 238000009792 diffusion process Methods 0.000 description 2
- MGWAVDBGNNKXQV-UHFFFAOYSA-N diisobutyl phthalate Chemical compound CC(C)COC(=O)C1=CC=CC=C1C(=O)OCC(C)C MGWAVDBGNNKXQV-UHFFFAOYSA-N 0.000 description 2
- RTZKZFJDLAIYFH-UHFFFAOYSA-N ether Substances CCOCC RTZKZFJDLAIYFH-UHFFFAOYSA-N 0.000 description 2
- 239000000194 fatty acid Substances 0.000 description 2
- 229930195729 fatty acid Natural products 0.000 description 2
- 229910052731 fluorine Inorganic materials 0.000 description 2
- 125000001153 fluoro group Chemical group F* 0.000 description 2
- 125000003055 glycidyl group Chemical group C(C1CO1)* 0.000 description 2
- FFUAGWLWBBFQJT-UHFFFAOYSA-N hexamethyldisilazane Chemical compound C[Si](C)(C)N[Si](C)(C)C FFUAGWLWBBFQJT-UHFFFAOYSA-N 0.000 description 2
- 125000000959 isobutyl group Chemical group [H]C([H])([H])C([H])(C([H])([H])[H])C([H])([H])* 0.000 description 2
- LVHBHZANLOWSRM-UHFFFAOYSA-N itaconic acid Chemical class OC(=O)CC(=C)C(O)=O LVHBHZANLOWSRM-UHFFFAOYSA-N 0.000 description 2
- 239000000463 material Substances 0.000 description 2
- 125000002496 methyl group Chemical group [H]C([H])([H])* 0.000 description 2
- 125000001624 naphthyl group Chemical group 0.000 description 2
- 239000002736 nonionic surfactant Substances 0.000 description 2
- QIQXTHQIDYTFRH-UHFFFAOYSA-N octadecanoic acid Chemical class CCCCCCCCCCCCCCCCCC(O)=O QIQXTHQIDYTFRH-UHFFFAOYSA-N 0.000 description 2
- KJIFKLIQANRMOU-UHFFFAOYSA-N oxidanium;4-methylbenzenesulfonate Chemical compound O.CC1=CC=C(S(O)(=O)=O)C=C1 KJIFKLIQANRMOU-UHFFFAOYSA-N 0.000 description 2
- NWVVVBRKAWDGAB-UHFFFAOYSA-N p-methoxyphenol Chemical compound COC1=CC=C(O)C=C1 NWVVVBRKAWDGAB-UHFFFAOYSA-N 0.000 description 2
- 239000004584 polyacrylic acid Substances 0.000 description 2
- 230000000379 polymerizing effect Effects 0.000 description 2
- 229920002223 polystyrene Polymers 0.000 description 2
- 125000001436 propyl group Chemical group [H]C([*])([H])C([H])([H])C([H])([H])[H] 0.000 description 2
- WGYKZJWCGVVSQN-UHFFFAOYSA-N propylamine Chemical compound CCCN WGYKZJWCGVVSQN-UHFFFAOYSA-N 0.000 description 2
- LLHKCFNBLRBOGN-UHFFFAOYSA-N propylene glycol methyl ether acetate Chemical compound COCC(C)OC(C)=O LLHKCFNBLRBOGN-UHFFFAOYSA-N 0.000 description 2
- 150000003242 quaternary ammonium salts Chemical class 0.000 description 2
- NTHWMYGWWRZVTN-UHFFFAOYSA-N sodium silicate Chemical compound [Na+].[Na+].[O-][Si]([O-])=O NTHWMYGWWRZVTN-UHFFFAOYSA-N 0.000 description 2
- 229910052911 sodium silicate Inorganic materials 0.000 description 2
- 239000007787 solid Substances 0.000 description 2
- 125000001424 substituent group Chemical group 0.000 description 2
- VZCYOOQTPOCHFL-UHFFFAOYSA-N trans-butenedioic acid Natural products OC(=O)C=CC(O)=O VZCYOOQTPOCHFL-UHFFFAOYSA-N 0.000 description 2
- 229920001567 vinyl ester resin Polymers 0.000 description 2
- 229920002554 vinyl polymer Polymers 0.000 description 2
- 125000005023 xylyl group Chemical group 0.000 description 2
- NAWXUBYGYWOOIX-SFHVURJKSA-N (2s)-2-[[4-[2-(2,4-diaminoquinazolin-6-yl)ethyl]benzoyl]amino]-4-methylidenepentanedioic acid Chemical compound C1=CC2=NC(N)=NC(N)=C2C=C1CCC1=CC=C(C(=O)N[C@@H](CC(=C)C(O)=O)C(O)=O)C=C1 NAWXUBYGYWOOIX-SFHVURJKSA-N 0.000 description 1
- WYTZZXDRDKSJID-UHFFFAOYSA-N (3-aminopropyl)triethoxysilane Chemical compound CCO[Si](OCC)(OCC)CCCN WYTZZXDRDKSJID-UHFFFAOYSA-N 0.000 description 1
- FFJCNSLCJOQHKM-CLFAGFIQSA-N (z)-1-[(z)-octadec-9-enoxy]octadec-9-ene Chemical compound CCCCCCCC\C=C/CCCCCCCCOCCCCCCCC\C=C/CCCCCCCC FFJCNSLCJOQHKM-CLFAGFIQSA-N 0.000 description 1
- ZORQXIQZAOLNGE-UHFFFAOYSA-N 1,1-difluorocyclohexane Chemical compound FC1(F)CCCCC1 ZORQXIQZAOLNGE-UHFFFAOYSA-N 0.000 description 1
- YBBLOADPFWKNGS-UHFFFAOYSA-N 1,1-dimethylurea Chemical compound CN(C)C(N)=O YBBLOADPFWKNGS-UHFFFAOYSA-N 0.000 description 1
- QMMJWQMCMRUYTG-UHFFFAOYSA-N 1,2,4,5-tetrachloro-3-(trifluoromethyl)benzene Chemical compound FC(F)(F)C1=C(Cl)C(Cl)=CC(Cl)=C1Cl QMMJWQMCMRUYTG-UHFFFAOYSA-N 0.000 description 1
- UDATXMIGEVPXTR-UHFFFAOYSA-N 1,2,4-triazolidine-3,5-dione Chemical compound O=C1NNC(=O)N1 UDATXMIGEVPXTR-UHFFFAOYSA-N 0.000 description 1
- XGQJGMGAMHFMAO-UHFFFAOYSA-N 1,3,4,6-tetrakis(methoxymethyl)-3a,6a-dihydroimidazo[4,5-d]imidazole-2,5-dione Chemical compound COCN1C(=O)N(COC)C2C1N(COC)C(=O)N2COC XGQJGMGAMHFMAO-UHFFFAOYSA-N 0.000 description 1
- MASDFXZJIDNRTR-UHFFFAOYSA-N 1,3-bis(trimethylsilyl)urea Chemical compound C[Si](C)(C)NC(=O)N[Si](C)(C)C MASDFXZJIDNRTR-UHFFFAOYSA-N 0.000 description 1
- YHMYGUUIMTVXNW-UHFFFAOYSA-N 1,3-dihydrobenzimidazole-2-thione Chemical compound C1=CC=C2NC(S)=NC2=C1 YHMYGUUIMTVXNW-UHFFFAOYSA-N 0.000 description 1
- OXFSTTJBVAAALW-UHFFFAOYSA-N 1,3-dihydroimidazole-2-thione Chemical compound SC1=NC=CN1 OXFSTTJBVAAALW-UHFFFAOYSA-N 0.000 description 1
- RWNUSVWFHDHRCJ-UHFFFAOYSA-N 1-butoxypropan-2-ol Chemical compound CCCCOCC(C)O RWNUSVWFHDHRCJ-UHFFFAOYSA-N 0.000 description 1
- FUWDFGKRNIDKAE-UHFFFAOYSA-N 1-butoxypropan-2-yl acetate Chemical compound CCCCOCC(C)OC(C)=O FUWDFGKRNIDKAE-UHFFFAOYSA-N 0.000 description 1
- KTZVZZJJVJQZHV-UHFFFAOYSA-N 1-chloro-4-ethenylbenzene Chemical compound ClC1=CC=C(C=C)C=C1 KTZVZZJJVJQZHV-UHFFFAOYSA-N 0.000 description 1
- NVZWEEGUWXZOKI-UHFFFAOYSA-N 1-ethenyl-2-methylbenzene Chemical compound CC1=CC=CC=C1C=C NVZWEEGUWXZOKI-UHFFFAOYSA-N 0.000 description 1
- VBICKXHEKHSIBG-UHFFFAOYSA-N 1-monostearoylglycerol Chemical compound CCCCCCCCCCCCCCCCCC(=O)OCC(O)CO VBICKXHEKHSIBG-UHFFFAOYSA-N 0.000 description 1
- IOVNHINTOHPELQ-UHFFFAOYSA-N 1-o-butyl 2-o-(8-methylnonyl) benzene-1,2-dicarboxylate Chemical compound CCCCOC(=O)C1=CC=CC=C1C(=O)OCCCCCCCC(C)C IOVNHINTOHPELQ-UHFFFAOYSA-N 0.000 description 1
- DMFAHCVITRDZQB-UHFFFAOYSA-N 1-propoxypropan-2-yl acetate Chemical compound CCCOCC(C)OC(C)=O DMFAHCVITRDZQB-UHFFFAOYSA-N 0.000 description 1
- BAXOFTOLAUCFNW-UHFFFAOYSA-N 1H-indazole Chemical compound C1=CC=C2C=NNC2=C1 BAXOFTOLAUCFNW-UHFFFAOYSA-N 0.000 description 1
- SBASXUCJHJRPEV-UHFFFAOYSA-N 2-(2-methoxyethoxy)ethanol Chemical compound COCCOCCO SBASXUCJHJRPEV-UHFFFAOYSA-N 0.000 description 1
- HIXDQWDOVZUNNA-UHFFFAOYSA-N 2-(3,4-dimethoxyphenyl)-5-hydroxy-7-methoxychromen-4-one Chemical compound C=1C(OC)=CC(O)=C(C(C=2)=O)C=1OC=2C1=CC=C(OC)C(OC)=C1 HIXDQWDOVZUNNA-UHFFFAOYSA-N 0.000 description 1
- JAHNSTQSQJOJLO-UHFFFAOYSA-N 2-(3-fluorophenyl)-1h-imidazole Chemical compound FC1=CC=CC(C=2NC=CN=2)=C1 JAHNSTQSQJOJLO-UHFFFAOYSA-N 0.000 description 1
- GOXQRTZXKQZDDN-UHFFFAOYSA-N 2-Ethylhexyl acrylate Chemical compound CCCCC(CC)COC(=O)C=C GOXQRTZXKQZDDN-UHFFFAOYSA-N 0.000 description 1
- XNWFRZJHXBZDAG-UHFFFAOYSA-N 2-METHOXYETHANOL Chemical compound COCCO XNWFRZJHXBZDAG-UHFFFAOYSA-N 0.000 description 1
- ZNQVEEAIQZEUHB-UHFFFAOYSA-N 2-ethoxyethanol Chemical compound CCOCCO ZNQVEEAIQZEUHB-UHFFFAOYSA-N 0.000 description 1
- SVONRAPFKPVNKG-UHFFFAOYSA-N 2-ethoxyethyl acetate Chemical compound CCOCCOC(C)=O SVONRAPFKPVNKG-UHFFFAOYSA-N 0.000 description 1
- FLFWJIBUZQARMD-UHFFFAOYSA-N 2-mercapto-1,3-benzoxazole Chemical compound C1=CC=C2OC(S)=NC2=C1 FLFWJIBUZQARMD-UHFFFAOYSA-N 0.000 description 1
- XLLXMBCBJGATSP-UHFFFAOYSA-N 2-phenylethenol Chemical compound OC=CC1=CC=CC=C1 XLLXMBCBJGATSP-UHFFFAOYSA-N 0.000 description 1
- 125000003903 2-propenyl group Chemical group [H]C([*])([H])C([H])=C([H])[H] 0.000 description 1
- OXYZDRAJMHGSMW-UHFFFAOYSA-N 3-chloropropyl(trimethoxy)silane Chemical compound CO[Si](OC)(OC)CCCCl OXYZDRAJMHGSMW-UHFFFAOYSA-N 0.000 description 1
- ZBSKZKPSSKTLNE-UHFFFAOYSA-N 4-methylpent-3-enoxysilane Chemical compound CC(=CCCO[SiH3])C ZBSKZKPSSKTLNE-UHFFFAOYSA-N 0.000 description 1
- XZIIFPSPUDAGJM-UHFFFAOYSA-N 6-chloro-2-n,2-n-diethylpyrimidine-2,4-diamine Chemical compound CCN(CC)C1=NC(N)=CC(Cl)=N1 XZIIFPSPUDAGJM-UHFFFAOYSA-N 0.000 description 1
- NWSGBTCJMJADLE-UHFFFAOYSA-N 6-o-decyl 1-o-octyl hexanedioate Chemical compound CCCCCCCCCCOC(=O)CCCCC(=O)OCCCCCCCC NWSGBTCJMJADLE-UHFFFAOYSA-N 0.000 description 1
- ZCYVEMRRCGMTRW-UHFFFAOYSA-N 7553-56-2 Chemical group [I] ZCYVEMRRCGMTRW-UHFFFAOYSA-N 0.000 description 1
- XGWFJBFNAQHLEF-UHFFFAOYSA-N 9-anthroic acid Chemical compound C1=CC=C2C(C(=O)O)=C(C=CC=C3)C3=CC2=C1 XGWFJBFNAQHLEF-UHFFFAOYSA-N 0.000 description 1
- 229920000178 Acrylic resin Polymers 0.000 description 1
- 239000004925 Acrylic resin Substances 0.000 description 1
- NLHHRLWOUZZQLW-UHFFFAOYSA-N Acrylonitrile Chemical compound C=CC#N NLHHRLWOUZZQLW-UHFFFAOYSA-N 0.000 description 1
- VHUUQVKOLVNVRT-UHFFFAOYSA-N Ammonium hydroxide Chemical compound [NH4+].[OH-] VHUUQVKOLVNVRT-UHFFFAOYSA-N 0.000 description 1
- 239000005711 Benzoic acid Substances 0.000 description 1
- DKPFZGUDAPQIHT-UHFFFAOYSA-N Butyl acetate Natural products CCCCOC(C)=O DKPFZGUDAPQIHT-UHFFFAOYSA-N 0.000 description 1
- PKMLOWOSLMJJJR-UHFFFAOYSA-N C(C=CC)(=O)O.OCC(O)CO Chemical compound C(C=CC)(=O)O.OCC(O)CO PKMLOWOSLMJJJR-UHFFFAOYSA-N 0.000 description 1
- 0 CC(C)(C)O*(CC(C)(C)C(C)(C)OCCN1C(N(CC(COc2ccccc2)O)C2=O)=O)CN2C1=O Chemical compound CC(C)(C)O*(CC(C)(C)C(C)(C)OCCN1C(N(CC(COc2ccccc2)O)C2=O)=O)CN2C1=O 0.000 description 1
- OKTJSMMVPCPJKN-UHFFFAOYSA-N Carbon Chemical compound [C] OKTJSMMVPCPJKN-UHFFFAOYSA-N 0.000 description 1
- 239000005046 Chlorosilane Substances 0.000 description 1
- IEPRKVQEAMIZSS-UHFFFAOYSA-N Di-Et ester-Fumaric acid Natural products CCOC(=O)C=CC(=O)OCC IEPRKVQEAMIZSS-UHFFFAOYSA-N 0.000 description 1
- XTJFFFGAUHQWII-UHFFFAOYSA-N Dibutyl adipate Chemical compound CCCCOC(=O)CCCCC(=O)OCCCC XTJFFFGAUHQWII-UHFFFAOYSA-N 0.000 description 1
- IEPRKVQEAMIZSS-WAYWQWQTSA-N Diethyl maleate Chemical compound CCOC(=O)\C=C/C(=O)OCC IEPRKVQEAMIZSS-WAYWQWQTSA-N 0.000 description 1
- RDOFJDLLWVCMRU-UHFFFAOYSA-N Diisobutyl adipate Chemical compound CC(C)COC(=O)CCCCC(=O)OCC(C)C RDOFJDLLWVCMRU-UHFFFAOYSA-N 0.000 description 1
- LFQSCWFLJHTTHZ-UHFFFAOYSA-N Ethanol Chemical compound CCO LFQSCWFLJHTTHZ-UHFFFAOYSA-N 0.000 description 1
- XXRCUYVCPSWGCC-UHFFFAOYSA-N Ethyl pyruvate Chemical compound CCOC(=O)C(C)=O XXRCUYVCPSWGCC-UHFFFAOYSA-N 0.000 description 1
- MZNHUHNWGVUEAT-XBXARRHUSA-N Hexyl crotonate Chemical compound CCCCCCOC(=O)\C=C\C MZNHUHNWGVUEAT-XBXARRHUSA-N 0.000 description 1
- PEEHTFAAVSWFBL-UHFFFAOYSA-N Maleimide Chemical compound O=C1NC(=O)C=C1 PEEHTFAAVSWFBL-UHFFFAOYSA-N 0.000 description 1
- 229920000877 Melamine resin Polymers 0.000 description 1
- CERQOIWHTDAKMF-UHFFFAOYSA-N Methacrylic acid Chemical compound CC(=C)C(O)=O CERQOIWHTDAKMF-UHFFFAOYSA-N 0.000 description 1
- GYCMBHHDWRMZGG-UHFFFAOYSA-N Methylacrylonitrile Chemical compound CC(=C)C#N GYCMBHHDWRMZGG-UHFFFAOYSA-N 0.000 description 1
- CNCOEDDPFOAUMB-UHFFFAOYSA-N N-Methylolacrylamide Chemical compound OCNC(=O)C=C CNCOEDDPFOAUMB-UHFFFAOYSA-N 0.000 description 1
- VCUFZILGIRCDQQ-KRWDZBQOSA-N N-[[(5S)-2-oxo-3-(2-oxo-3H-1,3-benzoxazol-6-yl)-1,3-oxazolidin-5-yl]methyl]-2-[[3-(trifluoromethoxy)phenyl]methylamino]pyrimidine-5-carboxamide Chemical compound O=C1O[C@H](CN1C1=CC2=C(NC(O2)=O)C=C1)CNC(=O)C=1C=NC(=NC=1)NCC1=CC(=CC=C1)OC(F)(F)F VCUFZILGIRCDQQ-KRWDZBQOSA-N 0.000 description 1
- UEEJHVSXFDXPFK-UHFFFAOYSA-N N-dimethylaminoethanol Chemical compound CN(C)CCO UEEJHVSXFDXPFK-UHFFFAOYSA-N 0.000 description 1
- YKFRUJSEPGHZFJ-UHFFFAOYSA-N N-trimethylsilylimidazole Chemical compound C[Si](C)(C)N1C=CN=C1 YKFRUJSEPGHZFJ-UHFFFAOYSA-N 0.000 description 1
- 229920002319 Poly(methyl acrylate) Polymers 0.000 description 1
- 229920001213 Polysorbate 20 Polymers 0.000 description 1
- OFOBLEOULBTSOW-UHFFFAOYSA-N Propanedioic acid Natural products OC(=O)CC(O)=O OFOBLEOULBTSOW-UHFFFAOYSA-N 0.000 description 1
- IYFATESGLOUGBX-YVNJGZBMSA-N Sorbitan monopalmitate Chemical compound CCCCCCCCCCCCCCCC(=O)OC[C@@H](O)[C@H]1OC[C@H](O)[C@H]1O IYFATESGLOUGBX-YVNJGZBMSA-N 0.000 description 1
- HVUMOYIDDBPOLL-XWVZOOPGSA-N Sorbitan monostearate Chemical compound CCCCCCCCCCCCCCCCCC(=O)OC[C@@H](O)[C@H]1OC[C@H](O)[C@H]1O HVUMOYIDDBPOLL-XWVZOOPGSA-N 0.000 description 1
- RTAQQCXQSZGOHL-UHFFFAOYSA-N Titanium Chemical compound [Ti] RTAQQCXQSZGOHL-UHFFFAOYSA-N 0.000 description 1
- NRTOMJZYCJJWKI-UHFFFAOYSA-N Titanium nitride Chemical compound [Ti]#N NRTOMJZYCJJWKI-UHFFFAOYSA-N 0.000 description 1
- GSEJCLTVZPLZKY-UHFFFAOYSA-N Triethanolamine Chemical compound OCCN(CCO)CCO GSEJCLTVZPLZKY-UHFFFAOYSA-N 0.000 description 1
- WGLPBDUCMAPZCE-UHFFFAOYSA-N Trioxochromium Chemical compound O=[Cr](=O)=O WGLPBDUCMAPZCE-UHFFFAOYSA-N 0.000 description 1
- 238000002835 absorbance Methods 0.000 description 1
- 239000006096 absorbing agent Substances 0.000 description 1
- 125000002252 acyl group Chemical group 0.000 description 1
- 150000001278 adipic acid derivatives Chemical class 0.000 description 1
- 230000002411 adverse Effects 0.000 description 1
- 150000001334 alicyclic compounds Chemical class 0.000 description 1
- 125000002723 alicyclic group Chemical group 0.000 description 1
- 125000003545 alkoxy group Chemical group 0.000 description 1
- 125000005250 alkyl acrylate group Chemical group 0.000 description 1
- 150000005215 alkyl ethers Chemical class 0.000 description 1
- XYLMUPLGERFSHI-UHFFFAOYSA-N alpha-Methylstyrene Chemical compound CC(=C)C1=CC=CC=C1 XYLMUPLGERFSHI-UHFFFAOYSA-N 0.000 description 1
- 150000001408 amides Chemical class 0.000 description 1
- UMGDCJDMYOKAJW-UHFFFAOYSA-N aminothiocarboxamide Natural products NC(N)=S UMGDCJDMYOKAJW-UHFFFAOYSA-N 0.000 description 1
- QGZKDVFQNNGYKY-UHFFFAOYSA-N ammonia Natural products N QGZKDVFQNNGYKY-UHFFFAOYSA-N 0.000 description 1
- 238000010539 anionic addition polymerization reaction Methods 0.000 description 1
- 239000006117 anti-reflective coating Substances 0.000 description 1
- 150000001491 aromatic compounds Chemical class 0.000 description 1
- 125000003118 aryl group Chemical group 0.000 description 1
- 235000010233 benzoic acid Nutrition 0.000 description 1
- QRUDEWIWKLJBPS-UHFFFAOYSA-N benzotriazole Chemical compound C1=CC=C2N[N][N]C2=C1 QRUDEWIWKLJBPS-UHFFFAOYSA-N 0.000 description 1
- 239000012964 benzotriazole Substances 0.000 description 1
- CJFLBOQMPJCWLR-UHFFFAOYSA-N bis(6-methylheptyl) hexanedioate Chemical compound CC(C)CCCCCOC(=O)CCCCC(=O)OCCCCCC(C)C CJFLBOQMPJCWLR-UHFFFAOYSA-N 0.000 description 1
- 238000009835 boiling Methods 0.000 description 1
- 238000012662 bulk polymerization Methods 0.000 description 1
- 125000004369 butenyl group Chemical group C(=CCC)* 0.000 description 1
- 229940043232 butyl acetate Drugs 0.000 description 1
- CQEYYJKEWSMYFG-UHFFFAOYSA-N butyl acrylate Chemical compound CCCCOC(=O)C=C CQEYYJKEWSMYFG-UHFFFAOYSA-N 0.000 description 1
- UTOVMEACOLCUCK-PLNGDYQASA-N butyl maleate Chemical compound CCCCOC(=O)\C=C/C(O)=O UTOVMEACOLCUCK-PLNGDYQASA-N 0.000 description 1
- 229910052799 carbon Inorganic materials 0.000 description 1
- 150000001732 carboxylic acid derivatives Chemical class 0.000 description 1
- 150000001735 carboxylic acids Chemical class 0.000 description 1
- 238000010538 cationic polymerization reaction Methods 0.000 description 1
- ITKVLPYNJQOCPW-UHFFFAOYSA-N chloro-(chloromethyl)-dimethylsilane Chemical compound C[Si](C)(Cl)CCl ITKVLPYNJQOCPW-UHFFFAOYSA-N 0.000 description 1
- XSDCTSITJJJDPY-UHFFFAOYSA-N chloro-ethenyl-dimethylsilane Chemical compound C[Si](C)(Cl)C=C XSDCTSITJJJDPY-UHFFFAOYSA-N 0.000 description 1
- OJZNZOXALZKPEA-UHFFFAOYSA-N chloro-methyl-diphenylsilane Chemical compound C=1C=CC=CC=1[Si](Cl)(C)C1=CC=CC=C1 OJZNZOXALZKPEA-UHFFFAOYSA-N 0.000 description 1
- KOPOQZFJUQMUML-UHFFFAOYSA-N chlorosilane Chemical class Cl[SiH3] KOPOQZFJUQMUML-UHFFFAOYSA-N 0.000 description 1
- 229910000423 chromium oxide Inorganic materials 0.000 description 1
- WBYWAXJHAXSJNI-UHFFFAOYSA-N cinnamic acid Chemical compound OC(=O)C=CC1=CC=CC=C1 WBYWAXJHAXSJNI-UHFFFAOYSA-N 0.000 description 1
- 238000013329 compounding Methods 0.000 description 1
- 229920001577 copolymer Polymers 0.000 description 1
- 238000007334 copolymerization reaction Methods 0.000 description 1
- 239000013078 crystal Substances 0.000 description 1
- 150000007973 cyanuric acids Chemical class 0.000 description 1
- 229960002887 deanol Drugs 0.000 description 1
- 238000011161 development Methods 0.000 description 1
- XSBSXJAYEPDGSF-UHFFFAOYSA-N diethyl 3,5-dimethyl-1h-pyrrole-2,4-dicarboxylate Chemical compound CCOC(=O)C=1NC(C)=C(C(=O)OCC)C=1C XSBSXJAYEPDGSF-UHFFFAOYSA-N 0.000 description 1
- HPNMFZURTQLUMO-UHFFFAOYSA-N diethylamine Chemical compound CCNCC HPNMFZURTQLUMO-UHFFFAOYSA-N 0.000 description 1
- XXJWXESWEXIICW-UHFFFAOYSA-N diethylene glycol monoethyl ether Chemical compound CCOCCOCCO XXJWXESWEXIICW-UHFFFAOYSA-N 0.000 description 1
- 229940075557 diethylene glycol monoethyl ether Drugs 0.000 description 1
- 229940031769 diisobutyl adipate Drugs 0.000 description 1
- AHUXYBVKTIBBJW-UHFFFAOYSA-N dimethoxy(diphenyl)silane Chemical compound C=1C=CC=CC=1[Si](OC)(OC)C1=CC=CC=C1 AHUXYBVKTIBBJW-UHFFFAOYSA-N 0.000 description 1
- PKTOVQRKCNPVKY-UHFFFAOYSA-N dimethoxy(methyl)silicon Chemical compound CO[Si](C)OC PKTOVQRKCNPVKY-UHFFFAOYSA-N 0.000 description 1
- FBSAITBEAPNWJG-UHFFFAOYSA-N dimethyl phthalate Natural products CC(=O)OC1=CC=CC=C1OC(C)=O FBSAITBEAPNWJG-UHFFFAOYSA-N 0.000 description 1
- YYLGKUPAFFKGRQ-UHFFFAOYSA-N dimethyldiethoxysilane Chemical compound CCO[Si](C)(C)OCC YYLGKUPAFFKGRQ-UHFFFAOYSA-N 0.000 description 1
- 239000012972 dimethylethanolamine Substances 0.000 description 1
- 229960001826 dimethylphthalate Drugs 0.000 description 1
- PQJYOOFQDXGDDS-ZCXUNETKSA-N dinonyl (z)-but-2-enedioate Chemical compound CCCCCCCCCOC(=O)\C=C/C(=O)OCCCCCCCCC PQJYOOFQDXGDDS-ZCXUNETKSA-N 0.000 description 1
- QYDYPVFESGNLHU-UHFFFAOYSA-N elaidic acid methyl ester Natural products CCCCCCCCC=CCCCCCCCC(=O)OC QYDYPVFESGNLHU-UHFFFAOYSA-N 0.000 description 1
- 238000007720 emulsion polymerization reaction Methods 0.000 description 1
- 125000003700 epoxy group Chemical group 0.000 description 1
- PZLGBVIKYPHZTH-UHFFFAOYSA-N ethene;2-nonylphenol Chemical compound C=C.CCCCCCCCCC1=CC=CC=C1O PZLGBVIKYPHZTH-UHFFFAOYSA-N 0.000 description 1
- YCUBDDIKWLELPD-UHFFFAOYSA-N ethenyl 2,2-dimethylpropanoate Chemical compound CC(C)(C)C(=O)OC=C YCUBDDIKWLELPD-UHFFFAOYSA-N 0.000 description 1
- WNMORWGTPVWAIB-UHFFFAOYSA-N ethenyl 2-methylpropanoate Chemical compound CC(C)C(=O)OC=C WNMORWGTPVWAIB-UHFFFAOYSA-N 0.000 description 1
- MEGHWIAOTJPCHQ-UHFFFAOYSA-N ethenyl butanoate Chemical compound CCCC(=O)OC=C MEGHWIAOTJPCHQ-UHFFFAOYSA-N 0.000 description 1
- CKSRFHWWBKRUKA-UHFFFAOYSA-N ethyl 2-ethoxyacetate Chemical compound CCOCC(=O)OCC CKSRFHWWBKRUKA-UHFFFAOYSA-N 0.000 description 1
- GFUIDHWFLMPAGY-UHFFFAOYSA-N ethyl 2-hydroxy-2-methylpropanoate Chemical compound CCOC(=O)C(C)(C)O GFUIDHWFLMPAGY-UHFFFAOYSA-N 0.000 description 1
- ZANNOFHADGWOLI-UHFFFAOYSA-N ethyl 2-hydroxyacetate Chemical compound CCOC(=O)CO ZANNOFHADGWOLI-UHFFFAOYSA-N 0.000 description 1
- BHXIWUJLHYHGSJ-UHFFFAOYSA-N ethyl 3-ethoxypropanoate Chemical compound CCOCCC(=O)OCC BHXIWUJLHYHGSJ-UHFFFAOYSA-N 0.000 description 1
- IJUHLFUALMUWOM-UHFFFAOYSA-N ethyl 3-methoxypropanoate Chemical compound CCOC(=O)CCOC IJUHLFUALMUWOM-UHFFFAOYSA-N 0.000 description 1
- 229940093499 ethyl acetate Drugs 0.000 description 1
- 125000001495 ethyl group Chemical group [H]C([H])([H])C([H])([H])* 0.000 description 1
- 229940117360 ethyl pyruvate Drugs 0.000 description 1
- 238000011049 filling Methods 0.000 description 1
- 238000010528 free radical solution polymerization reaction Methods 0.000 description 1
- 239000001530 fumaric acid Substances 0.000 description 1
- 239000007789 gas Substances 0.000 description 1
- 239000011521 glass Substances 0.000 description 1
- 229940075529 glyceryl stearate Drugs 0.000 description 1
- 125000001046 glycoluril group Chemical class [H]C12N(*)C(=O)N(*)C1([H])N(*)C(=O)N2* 0.000 description 1
- 229920000578 graft copolymer Polymers 0.000 description 1
- 229910052736 halogen Inorganic materials 0.000 description 1
- 150000002367 halogens Chemical class 0.000 description 1
- FUZZWVXGSFPDMH-UHFFFAOYSA-N hexanoic acid Chemical compound CCCCCC(O)=O FUZZWVXGSFPDMH-UHFFFAOYSA-N 0.000 description 1
- 125000006038 hexenyl group Chemical group 0.000 description 1
- LNMQRPPRQDGUDR-UHFFFAOYSA-N hexyl prop-2-enoate Chemical compound CCCCCCOC(=O)C=C LNMQRPPRQDGUDR-UHFFFAOYSA-N 0.000 description 1
- 229920001519 homopolymer Polymers 0.000 description 1
- 229910001853 inorganic hydroxide Inorganic materials 0.000 description 1
- 238000009434 installation Methods 0.000 description 1
- 230000010354 integration Effects 0.000 description 1
- 229910052740 iodine Inorganic materials 0.000 description 1
- 230000001678 irradiating effect Effects 0.000 description 1
- 125000001449 isopropyl group Chemical group [H]C([H])([H])C([H])(*)C([H])([H])[H] 0.000 description 1
- VZCYOOQTPOCHFL-UPHRSURJSA-N maleic acid Chemical compound OC(=O)\C=C/C(O)=O VZCYOOQTPOCHFL-UPHRSURJSA-N 0.000 description 1
- 239000011976 maleic acid Substances 0.000 description 1
- 150000002688 maleic acid derivatives Chemical class 0.000 description 1
- FPYJFEHAWHCUMM-UHFFFAOYSA-N maleic anhydride Chemical compound O=C1OC(=O)C=C1 FPYJFEHAWHCUMM-UHFFFAOYSA-N 0.000 description 1
- JDSHMPZPIAZGSV-UHFFFAOYSA-N melamine Chemical compound NC1=NC(N)=NC(N)=N1 JDSHMPZPIAZGSV-UHFFFAOYSA-N 0.000 description 1
- 150000007974 melamines Chemical class 0.000 description 1
- 125000005395 methacrylic acid group Chemical group 0.000 description 1
- VNWKTOKETHGBQD-UHFFFAOYSA-N methane Natural products C VNWKTOKETHGBQD-UHFFFAOYSA-N 0.000 description 1
- POPACFLNWGUDSR-UHFFFAOYSA-N methoxy(trimethyl)silane Chemical compound CO[Si](C)(C)C POPACFLNWGUDSR-UHFFFAOYSA-N 0.000 description 1
- HSDFKDZBJMDHFF-UHFFFAOYSA-N methyl 3-ethoxypropanoate Chemical compound CCOCCC(=O)OC HSDFKDZBJMDHFF-UHFFFAOYSA-N 0.000 description 1
- QYDYPVFESGNLHU-KHPPLWFESA-N methyl oleate Chemical compound CCCCCCCC\C=C/CCCCCCCC(=O)OC QYDYPVFESGNLHU-KHPPLWFESA-N 0.000 description 1
- 229940073769 methyl oleate Drugs 0.000 description 1
- CWKLZLBVOJRSOM-UHFFFAOYSA-N methyl pyruvate Chemical compound COC(=O)C(C)=O CWKLZLBVOJRSOM-UHFFFAOYSA-N 0.000 description 1
- 239000011259 mixed solution Substances 0.000 description 1
- 239000012046 mixed solvent Substances 0.000 description 1
- JESXATFQYMPTNL-UHFFFAOYSA-N mono-hydroxyphenyl-ethylene Natural products OC1=CC=CC=C1C=C JESXATFQYMPTNL-UHFFFAOYSA-N 0.000 description 1
- LGCYBCHJTSUDRE-UHFFFAOYSA-N n,2-dimethyl-n-phenylprop-2-enamide Chemical compound CC(=C)C(=O)N(C)C1=CC=CC=C1 LGCYBCHJTSUDRE-UHFFFAOYSA-N 0.000 description 1
- ICRMQJKSNVCQBG-UHFFFAOYSA-N n-(2-acetamidoethyl)-n-acetylprop-2-enamide Chemical compound CC(=O)NCCN(C(C)=O)C(=O)C=C ICRMQJKSNVCQBG-UHFFFAOYSA-N 0.000 description 1
- KJWDFJXMZXZWTC-UHFFFAOYSA-N n-(2-hydroxyethyl)-n,2-dimethylprop-2-enamide Chemical compound OCCN(C)C(=O)C(C)=C KJWDFJXMZXZWTC-UHFFFAOYSA-N 0.000 description 1
- 125000004108 n-butyl group Chemical group [H]C([H])([H])C([H])([H])C([H])([H])C([H])([H])* 0.000 description 1
- WIBFFTLQMKKBLZ-SEYXRHQNSA-N n-butyl oleate Chemical compound CCCCCCCC\C=C/CCCCCCCC(=O)OCCCC WIBFFTLQMKKBLZ-SEYXRHQNSA-N 0.000 description 1
- NIRIUIGSENVXCN-UHFFFAOYSA-N n-ethyl-2-methyl-n-phenylprop-2-enamide Chemical compound CC(=C)C(=O)N(CC)C1=CC=CC=C1 NIRIUIGSENVXCN-UHFFFAOYSA-N 0.000 description 1
- GNVRJGIVDSQCOP-UHFFFAOYSA-N n-ethyl-n-methylethanamine Chemical compound CCN(C)CC GNVRJGIVDSQCOP-UHFFFAOYSA-N 0.000 description 1
- IZXGMKHVTNJFAA-UHFFFAOYSA-N n-methyl-n-phenylprop-2-enamide Chemical compound C=CC(=O)N(C)C1=CC=CC=C1 IZXGMKHVTNJFAA-UHFFFAOYSA-N 0.000 description 1
- KAHVZNKZQFSBFW-UHFFFAOYSA-N n-methyl-n-trimethylsilylmethanamine Chemical compound CN(C)[Si](C)(C)C KAHVZNKZQFSBFW-UHFFFAOYSA-N 0.000 description 1
- 125000000740 n-pentyl group Chemical group [H]C([H])([H])C([H])([H])C([H])([H])C([H])([H])C([H])([H])* 0.000 description 1
- 239000012299 nitrogen atmosphere Substances 0.000 description 1
- 125000002347 octyl group Chemical group [H]C([*])([H])C([H])([H])C([H])([H])C([H])([H])C([H])([H])C([H])([H])C([H])([H])C([H])([H])[H] 0.000 description 1
- 150000002888 oleic acid derivatives Chemical class 0.000 description 1
- 239000003960 organic solvent Substances 0.000 description 1
- 125000005375 organosiloxane group Chemical group 0.000 description 1
- GIPDEPRRXIBGNF-KTKRTIGZSA-N oxolan-2-ylmethyl (z)-octadec-9-enoate Chemical compound CCCCCCCC\C=C/CCCCCCCC(=O)OCC1CCCO1 GIPDEPRRXIBGNF-KTKRTIGZSA-N 0.000 description 1
- 150000003021 phthalic acid derivatives Chemical class 0.000 description 1
- 230000000704 physical effect Effects 0.000 description 1
- 229920000314 poly p-methyl styrene Polymers 0.000 description 1
- 229920002401 polyacrylamide Polymers 0.000 description 1
- 229920002239 polyacrylonitrile Polymers 0.000 description 1
- 229920000120 polyethyl acrylate Polymers 0.000 description 1
- 229920000197 polyisopropyl acrylate Polymers 0.000 description 1
- 229920001444 polymaleic acid Polymers 0.000 description 1
- 239000002952 polymeric resin Substances 0.000 description 1
- 239000003505 polymerization initiator Substances 0.000 description 1
- 238000006116 polymerization reaction Methods 0.000 description 1
- 229920000259 polyoxyethylene lauryl ether Polymers 0.000 description 1
- 239000000256 polyoxyethylene sorbitan monolaurate Substances 0.000 description 1
- 235000010486 polyoxyethylene sorbitan monolaurate Nutrition 0.000 description 1
- 239000001818 polyoxyethylene sorbitan monostearate Substances 0.000 description 1
- 235000010989 polyoxyethylene sorbitan monostearate Nutrition 0.000 description 1
- 239000001816 polyoxyethylene sorbitan tristearate Substances 0.000 description 1
- 235000010988 polyoxyethylene sorbitan tristearate Nutrition 0.000 description 1
- 229920001451 polypropylene glycol Polymers 0.000 description 1
- 229920000915 polyvinyl chloride Polymers 0.000 description 1
- 239000004800 polyvinyl chloride Substances 0.000 description 1
- 150000003141 primary amines Chemical class 0.000 description 1
- 238000012545 processing Methods 0.000 description 1
- 238000003672 processing method Methods 0.000 description 1
- 125000004368 propenyl group Chemical group C(=CC)* 0.000 description 1
- 230000001681 protective effect Effects 0.000 description 1
- HBCQSNAFLVXVAY-UHFFFAOYSA-N pyrimidine-2-thiol Chemical compound SC1=NC=CC=N1 HBCQSNAFLVXVAY-UHFFFAOYSA-N 0.000 description 1
- 230000005855 radiation Effects 0.000 description 1
- 238000010526 radical polymerization reaction Methods 0.000 description 1
- 229920005604 random copolymer Polymers 0.000 description 1
- 239000002994 raw material Substances 0.000 description 1
- 239000011541 reaction mixture Substances 0.000 description 1
- 238000001953 recrystallisation Methods 0.000 description 1
- 125000002914 sec-butyl group Chemical group [H]C([H])([H])C([H])([H])C([H])(*)C([H])([H])[H] 0.000 description 1
- 150000003335 secondary amines Chemical class 0.000 description 1
- 239000000377 silicon dioxide Substances 0.000 description 1
- 235000012239 silicon dioxide Nutrition 0.000 description 1
- 229910052814 silicon oxide Inorganic materials 0.000 description 1
- 229910000029 sodium carbonate Inorganic materials 0.000 description 1
- 235000019795 sodium metasilicate Nutrition 0.000 description 1
- 229940035044 sorbitan monolaurate Drugs 0.000 description 1
- 239000001593 sorbitan monooleate Substances 0.000 description 1
- 235000011069 sorbitan monooleate Nutrition 0.000 description 1
- 229940035049 sorbitan monooleate Drugs 0.000 description 1
- 235000011071 sorbitan monopalmitate Nutrition 0.000 description 1
- 239000001570 sorbitan monopalmitate Substances 0.000 description 1
- 229940031953 sorbitan monopalmitate Drugs 0.000 description 1
- 239000001587 sorbitan monostearate Substances 0.000 description 1
- 235000011076 sorbitan monostearate Nutrition 0.000 description 1
- 229940035048 sorbitan monostearate Drugs 0.000 description 1
- 238000004544 sputter deposition Methods 0.000 description 1
- 238000003756 stirring Methods 0.000 description 1
- 238000010557 suspension polymerization reaction Methods 0.000 description 1
- 229920003002 synthetic resin Polymers 0.000 description 1
- 125000000999 tert-butyl group Chemical group [H]C([H])([H])C(*)(C([H])([H])[H])C([H])([H])[H] 0.000 description 1
- 150000003512 tertiary amines Chemical class 0.000 description 1
- 238000012360 testing method Methods 0.000 description 1
- 229940073455 tetraethylammonium hydroxide Drugs 0.000 description 1
- LRGJRHZIDJQFCL-UHFFFAOYSA-M tetraethylazanium;hydroxide Chemical compound [OH-].CC[N+](CC)(CC)CC LRGJRHZIDJQFCL-UHFFFAOYSA-M 0.000 description 1
- 229940072958 tetrahydrofurfuryl oleate Drugs 0.000 description 1
- 239000010409 thin film Substances 0.000 description 1
- ZEMGGZBWXRYJHK-UHFFFAOYSA-N thiouracil Chemical compound O=C1C=CNC(=S)N1 ZEMGGZBWXRYJHK-UHFFFAOYSA-N 0.000 description 1
- 229950000329 thiouracil Drugs 0.000 description 1
- 229910052719 titanium Inorganic materials 0.000 description 1
- 239000010936 titanium Substances 0.000 description 1
- 239000004408 titanium dioxide Substances 0.000 description 1
- LDHQCZJRKDOVOX-UHFFFAOYSA-N trans-crotonic acid Natural products CC=CC(O)=O LDHQCZJRKDOVOX-UHFFFAOYSA-N 0.000 description 1
- GQIUQDDJKHLHTB-UHFFFAOYSA-N trichloro(ethenyl)silane Chemical compound Cl[Si](Cl)(Cl)C=C GQIUQDDJKHLHTB-UHFFFAOYSA-N 0.000 description 1
- QQQSFSZALRVCSZ-UHFFFAOYSA-N triethoxysilane Chemical compound CCO[SiH](OCC)OCC QQQSFSZALRVCSZ-UHFFFAOYSA-N 0.000 description 1
- BPSIOYPQMFLKFR-UHFFFAOYSA-N trimethoxy-[3-(oxiran-2-ylmethoxy)propyl]silane Chemical compound CO[Si](OC)(OC)CCCOCC1CO1 BPSIOYPQMFLKFR-UHFFFAOYSA-N 0.000 description 1
- 239000005051 trimethylchlorosilane Substances 0.000 description 1
- 239000006097 ultraviolet radiation absorber Substances 0.000 description 1
- 150000003672 ureas Chemical class 0.000 description 1
- 238000001771 vacuum deposition Methods 0.000 description 1
- 239000005050 vinyl trichlorosilane Substances 0.000 description 1
- 230000004304 visual acuity Effects 0.000 description 1
Classifications
-
- G—PHYSICS
- G03—PHOTOGRAPHY; CINEMATOGRAPHY; ANALOGOUS TECHNIQUES USING WAVES OTHER THAN OPTICAL WAVES; ELECTROGRAPHY; HOLOGRAPHY
- G03F—PHOTOMECHANICAL PRODUCTION OF TEXTURED OR PATTERNED SURFACES, e.g. FOR PRINTING, FOR PROCESSING OF SEMICONDUCTOR DEVICES; MATERIALS THEREFOR; ORIGINALS THEREFOR; APPARATUS SPECIALLY ADAPTED THEREFOR
- G03F7/00—Photomechanical, e.g. photolithographic, production of textured or patterned surfaces, e.g. printing surfaces; Materials therefor, e.g. comprising photoresists; Apparatus specially adapted therefor
- G03F7/004—Photosensitive materials
- G03F7/09—Photosensitive materials characterised by structural details, e.g. supports, auxiliary layers
- G03F7/11—Photosensitive materials characterised by structural details, e.g. supports, auxiliary layers having cover layers or intermediate layers, e.g. subbing layers
-
- H—ELECTRICITY
- H01—ELECTRIC ELEMENTS
- H01L—SEMICONDUCTOR DEVICES NOT COVERED BY CLASS H10
- H01L21/00—Processes or apparatus adapted for the manufacture or treatment of semiconductor or solid state devices or of parts thereof
- H01L21/02—Manufacture or treatment of semiconductor devices or of parts thereof
- H01L21/027—Making masks on semiconductor bodies for further photolithographic processing not provided for in group H01L21/18 or H01L21/34
- H01L21/0271—Making masks on semiconductor bodies for further photolithographic processing not provided for in group H01L21/18 or H01L21/34 comprising organic layers
- H01L21/0273—Making masks on semiconductor bodies for further photolithographic processing not provided for in group H01L21/18 or H01L21/34 comprising organic layers characterised by the treatment of photoresist layers
- H01L21/0274—Photolithographic processes
- H01L21/0276—Photolithographic processes using an anti-reflective coating
-
- C—CHEMISTRY; METALLURGY
- C08—ORGANIC MACROMOLECULAR COMPOUNDS; THEIR PREPARATION OR CHEMICAL WORKING-UP; COMPOSITIONS BASED THEREON
- C08G—MACROMOLECULAR COMPOUNDS OBTAINED OTHERWISE THAN BY REACTIONS ONLY INVOLVING UNSATURATED CARBON-TO-CARBON BONDS
- C08G18/00—Polymeric products of isocyanates or isothiocyanates
- C08G18/06—Polymeric products of isocyanates or isothiocyanates with compounds having active hydrogen
- C08G18/70—Polymeric products of isocyanates or isothiocyanates with compounds having active hydrogen characterised by the isocyanates or isothiocyanates used
- C08G18/72—Polyisocyanates or polyisothiocyanates
- C08G18/77—Polyisocyanates or polyisothiocyanates having heteroatoms in addition to the isocyanate or isothiocyanate nitrogen and oxygen or sulfur
- C08G18/78—Nitrogen
- C08G18/79—Nitrogen characterised by the polyisocyanates used, these having groups formed by oligomerisation of isocyanates or isothiocyanates
- C08G18/791—Nitrogen characterised by the polyisocyanates used, these having groups formed by oligomerisation of isocyanates or isothiocyanates containing isocyanurate groups
-
- C—CHEMISTRY; METALLURGY
- C08—ORGANIC MACROMOLECULAR COMPOUNDS; THEIR PREPARATION OR CHEMICAL WORKING-UP; COMPOSITIONS BASED THEREON
- C08G—MACROMOLECULAR COMPOUNDS OBTAINED OTHERWISE THAN BY REACTIONS ONLY INVOLVING UNSATURATED CARBON-TO-CARBON BONDS
- C08G73/00—Macromolecular compounds obtained by reactions forming a linkage containing nitrogen with or without oxygen or carbon in the main chain of the macromolecule, not provided for in groups C08G12/00 - C08G71/00
- C08G73/06—Polycondensates having nitrogen-containing heterocyclic rings in the main chain of the macromolecule
- C08G73/0622—Polycondensates containing six-membered rings, not condensed with other rings, with nitrogen atoms as the only ring hetero atoms
- C08G73/0638—Polycondensates containing six-membered rings, not condensed with other rings, with nitrogen atoms as the only ring hetero atoms with at least three nitrogen atoms in the ring
- C08G73/065—Preparatory processes
- C08G73/0655—Preparatory processes from polycyanurates
-
- C—CHEMISTRY; METALLURGY
- C09—DYES; PAINTS; POLISHES; NATURAL RESINS; ADHESIVES; COMPOSITIONS NOT OTHERWISE PROVIDED FOR; APPLICATIONS OF MATERIALS NOT OTHERWISE PROVIDED FOR
- C09D—COATING COMPOSITIONS, e.g. PAINTS, VARNISHES OR LACQUERS; FILLING PASTES; CHEMICAL PAINT OR INK REMOVERS; INKS; CORRECTING FLUIDS; WOODSTAINS; PASTES OR SOLIDS FOR COLOURING OR PRINTING; USE OF MATERIALS THEREFOR
- C09D179/00—Coating compositions based on macromolecular compounds obtained by reactions forming in the main chain of the macromolecule a linkage containing nitrogen, with or without oxygen, or carbon only, not provided for in groups C09D161/00 - C09D177/00
- C09D179/04—Polycondensates having nitrogen-containing heterocyclic rings in the main chain; Polyhydrazides; Polyamide acids or similar polyimide precursors
-
- G—PHYSICS
- G03—PHOTOGRAPHY; CINEMATOGRAPHY; ANALOGOUS TECHNIQUES USING WAVES OTHER THAN OPTICAL WAVES; ELECTROGRAPHY; HOLOGRAPHY
- G03F—PHOTOMECHANICAL PRODUCTION OF TEXTURED OR PATTERNED SURFACES, e.g. FOR PRINTING, FOR PROCESSING OF SEMICONDUCTOR DEVICES; MATERIALS THEREFOR; ORIGINALS THEREFOR; APPARATUS SPECIALLY ADAPTED THEREFOR
- G03F7/00—Photomechanical, e.g. photolithographic, production of textured or patterned surfaces, e.g. printing surfaces; Materials therefor, e.g. comprising photoresists; Apparatus specially adapted therefor
- G03F7/004—Photosensitive materials
- G03F7/09—Photosensitive materials characterised by structural details, e.g. supports, auxiliary layers
- G03F7/091—Photosensitive materials characterised by structural details, e.g. supports, auxiliary layers characterised by antireflection means or light filtering or absorbing means, e.g. anti-halation, contrast enhancement
Landscapes
- Chemical & Material Sciences (AREA)
- Engineering & Computer Science (AREA)
- Organic Chemistry (AREA)
- Chemical Kinetics & Catalysis (AREA)
- General Physics & Mathematics (AREA)
- Physics & Mathematics (AREA)
- Health & Medical Sciences (AREA)
- Polymers & Plastics (AREA)
- Medicinal Chemistry (AREA)
- Structural Engineering (AREA)
- Architecture (AREA)
- Life Sciences & Earth Sciences (AREA)
- Wood Science & Technology (AREA)
- Materials Engineering (AREA)
- Condensed Matter Physics & Semiconductors (AREA)
- Manufacturing & Machinery (AREA)
- Computer Hardware Design (AREA)
- Microelectronics & Electronic Packaging (AREA)
- Power Engineering (AREA)
- Exposure Of Semiconductors, Excluding Electron Or Ion Beam Exposure (AREA)
- Paints Or Removers (AREA)
- Compositions Of Macromolecular Compounds (AREA)
Description
本発明は、ArFエキシマレーザを用いるリソグラフィープロセスにおいて、下地基板からの反射による悪影響の低減に有効な反射防止膜形成組成物、並びに該反射防止膜形成組成物を用いるレジストパターン形成法に関するものである。
背景技術
従来から半導体デバイスの製造において、フォトレジスト組成物を用いたリソグラフィーによる微細加工が行われている。前記微細加工はシリコンウエハーの上にフォトレジスト組成物の薄膜を形成し、その上に半導体デバイスのパターンが描かれたマスクパターンを介して紫外線等の活性光線を照射し、現像し、得られたレジストパターンを保護膜としてシリコンウエハーをエッチング処理することにより、デバイス表面に、前記パターンに対応する微細凹凸を形成する加工法である。ところが、近年、半導体デバイスの高集積度化が進み、使用される活性光線もKrFエキシマレーザ(248nm)からArFエキシマレーザ(193nm)へと短波長化される傾向にある。これに伴い活性光線の基板からの乱反射や定在波の影響が大きな問題となってきた。そこで、この問題を解決すべく、フォトレジストと基板の間に反射防止膜(Bottom Anti−Reflective Coating、BARC)を設ける方法が広く検討されている。
かかる反射防止膜としては、一般的に、チタン、二酸化チタン、窒化チタン、酸化クロム、カーボン、α−シリコン等の無機反射防止膜と、吸光性物質と高分子化合物とからなる有機反射防止膜とが知られている。前者は膜形成に真空蒸着装置、CVD装置、スパッタリング装置等の設備を必要とするのに対し、後者は特別の設備を必要としない点で有利とされ数多くの検討が行われている。例えば、米国特許第5919599号明細書に記載された、架橋反応により作られるヒドロキシル基と吸光基を同一分子内に有するアクリル樹脂型反射防止膜、米国特許第5693691号明細書に記載された、同じく架橋反応により形成されるヒドロキシル基と吸光基を同一分子内に有するノボラック樹脂型反射防止膜等が提案されている。
有機反射防止膜用材料の要求される、もしくは望まれる物性には、光や放射線に対して大きな吸光度を有すること、レジスト層とのインターミキシングが起こらないこと(レジスト溶剤に不溶であること)、塗布時又は加熱乾燥時に反射防止膜から上塗りレジスト中への低分子物質の拡散が生じないこと、レジストに比べて大きなドライエッチング速度を有すること等があり、それらは例えばProc.SPIE,Vol.3678,174−185(1999)や、Proc.SPIE,Vol.2195,225−229(1994)に記載されている。
一方、特開平11−279523号には、芳香族化合物乃至脂環式化合物で置換されたトリス(ヒドロキシアルキル)イソシアヌレートを広域紫外線吸収剤に用いるという技術が記載されている。
発明の開示
本発明は、特に193nmの波長の照射光を微細加工に使用する際に効果的に反射を防止し、更にその後の除去プロセスの際に迅速に除去することができ、反射防止膜として大変有用な反射防止膜形成組成物を提供するものである。すなわち、本発明の目的は、反射光防止効果が高く、レジスト層とのインターミキシングが起こらず、優れたレジストパターンが得られ、レジストに比較して大きなドライエッチング速度を有するリソグラフィー用反射防止膜を提供すること、並びに該反射防止膜形成組成物を用いたレジストパターンの形成法を提供することにある。
本発明は第1の観点として、シアヌル酸若しくはその誘導体又はこれらから誘導される構造単位を含む樹脂を成分とする半導体装置製造のリソグラフィープロセスに用いる反射防止膜形成組成物、
第2の観点として、式(1):
(式中、各R1、R2、及びR3はそれぞれ独立で、水素原子、ハロゲン原子、置換若しくは非置換の炭素数1〜10のアルキル基、ベンゼン誘導体基、ビニル誘導体基、又はエポキシ誘導体基である。)で表されるシアヌル酸又はその誘導体を成分とする第1観点に記載の反射防止膜形成組成物、
第3の観点として、式(1)の化合物から誘導される構造単位を主鎖に含む樹脂、該構造単位を側鎖に含む樹脂、又は該構造単位を主鎖及び側鎖の双方に含む樹脂が成分である第1観点に記載の反射防止膜形成組成物、
第4の観点として、式(1)の化合物がトリス(ヒドロキシアルキル)イソシアヌレートである第2観点又は第3観点に記載の反射防止膜形成組成物、
第5の観点として、少なくとも2個の架橋形成官能基を有する架橋剤を更に含む第1観点乃至第4観点のいずれか一つに記載の反射防止膜形成組成物、
第6の観点として、第1観点乃至第5観点のいずれか一つに記載の反射防止膜形成組成物を基板上に塗布し、そして焼成することからなる半導体装置製造のリソグラフィープロセスに用いる反射防止膜の形成方法、
第7の観点として、第1観点乃至第5観点のいずれか一つに記載の反射防止膜形成組成物を基板上に塗布し、焼成して反射防止膜を形成し、次いで該反射防止膜上にフォトレジストを被覆し、続いて該基板を露光し、現像し、エッチングを為すことにより基板上に画像を転写して集積回路素子を形成することからなる、半導体装置の製造方法に関する。
発明を実施するための最良の形態
本発明はシアヌル酸若しくはその誘導体又はこれらから誘導される構造単位を含む樹脂を成分とする半導体装置製造のリソグラフィープロセスに用いる反射防止膜形成組成物である。
本発明に用いられるシアヌル酸若しくはその誘導体の分子量は、129〜1000、好ましくは129〜600である。また、シアヌル酸又はその誘導体から誘導される構造単位を含む樹脂は、使用する塗布溶剤、溶液粘度、膜形状等により変動するが、重量平均分子量200〜1000000、好ましくは1000〜1000000の樹脂である。
本発明の反射防止膜形成組成物の固形分は、0.1〜50重量%である。そして、シアヌル酸若しくはその誘導体又はこれらから誘導される構造単位を含む樹脂の含有量は、全組成物100重量部に対して0.1〜50重量部、好ましくは1〜30重量部である。
シアヌル酸又はその誘導体の成分は紫外光、特に193nmの紫外線の吸収により反射防止機能を発現するものである。
シアヌル酸又はその誘導体としては式(1)で表される化合物を用いることができる。式(1)で表されるシアヌル酸又はその誘導体からなる成分を樹脂と混合し溶媒に溶解することにより反射防止膜形成組成物として用いることができる。また、式(1)の化合物から誘導される構造単位を主鎖に含む樹脂、同構造単位を側鎖に含む樹脂、又は同構造単位を主鎖及び側鎖の双方に含む樹脂を溶媒に溶解することにより反射防止膜形成組成物として用いることができる。
式(1)の化合物において、各R1、R2、及びR3はそれぞれ独立で、水素原子、ハロゲン原子、置換若しくは非置換の炭素数1〜10のアルキル基、ベンゼン誘導体基、ビニル誘導体基、又はエポキシ誘導体基を表す。ハロゲン原子としては、フッ素原子、塩素原子、臭素原子、ヨウ素原子が例示される。アルキル基としてはメチル基、エチル基、プロピル基、イソプロピル基、n−ブチル基、イソブチル基、sec−ブチル基、tert−ブチル基、n−ペンチル基、n−オクチル基、n−ドデシル基が例示される。ベンゼン誘導体基としてはフェニル基、ベンジル基、トリル基、メトキシフェニル基、キシリル基、ビフェニル基、ナフチル基、アントリル基が例示される。ビニル誘導体基としてはエテニル基、プロペニル基、ブテニル基、ブタジエニル基、ヘキセニル基、オクタジエニル基が例示される。エポキシ誘導体基としては、グリシジル基、β−メチル−グリシジル基が例示される。
これらアルキル基、ベンゼン誘導体基、及びビニル誘導体基は、未置換の基の他、置換されていてもよく、その置換基としては、塩素原子、臭素原子、フッ素原子等のハロゲン原子、水酸基、アルコキシ基、アシル基が例示される。特に好ましい置換基として水酸基が挙げられる。
式(1)の化合物としては、式(2)で表されるトリス(ヒドロキシアルキル)イソシアヌレート:
式(3):
で表される化合物、及び式(4):
で表される化合物が挙げられる。
式(2)中のR4及びR5は水素原子、炭素数1〜12のアルキル基、フェニル基、ベンジル基、トリル基等の炭素数6〜14の芳香族基を表す。好ましいトリス(ヒドロキシアルキル)イソシアヌレートには、トリス(2−ヒドロキシエチル)イソシアヌレート、トリス(2−ヒドロキシプロピル)イソシアヌレート、トリス(2−ヒドロキシブチル)イソシアヌレート、トリス(α−メチル−β−ヒドロキシプロピル)イソシアヌレート等が例示される。
また、式(3)及び式(4)中のR6はフェニル基、ベンジル基、トリル基、メトキシフェニル基、キシリル基、ビフェニル基、ナフチル基、アントリル基等を表す。また、式(4)中のxの値は1〜1000である。式(4)中のY及びZはそれぞれ、
を表す。式(4)の化合物は、例えばトリス−(2,3−エポキシプロピル)−イソシアヌレートとフェノールを原料に重合して製造することができる。
式(1)の化合物としては、特に式(2)で示されるトリス(ヒドロキシアルキル)イソシアヌレートを用いることが好ましい。
式(1)の化合物は樹脂との混合物の形態にて、或いは該化合物を化学結合させた樹脂の形態にて用いることができる。
本発明の反射防止膜形成組成物において、ケース1として樹脂と式(1)の化合物を混合して用いる場合は、基板への塗布、その乾燥、及び焼成により反射防止膜を形成する際に、式(1)の化合物と樹脂が、架橋剤を介して或いは直接に結合を生じる。
また、本発明の反射防止膜形成組成物においては、式(1)の化合物を化学結合によって含ませた樹脂を含有させることができる。その場合、上記樹脂は式(1)の化合物から誘導される構造単位を樹脂の主鎖に含む樹脂でもよく、又は該構造単位を樹脂の主鎖と結合する側鎖に含む樹脂であってもよい。
ケース2として式(1)の化合物から誘導される構造単位を前記樹脂の主鎖に含む場合は、式(1)の化合物中に存在するビニル基やエポキシ基によって、式(1)の化合物をモノマーとして重合することにより得られる。また、ケース3として式(1)の化合物と重合体を形成し得るモノマーとを共重合させた場合も、式(1)の化合物を樹脂の主鎖に形成させることもできる。
ケース4として式(1)の化合物から誘導される構造単位を、樹脂の主鎖と結合する側鎖に含む場合は、式(1)の化合物中の官能基(例えば水酸基)と、樹脂中の官能基(例えば、水酸基やカルボキシル基)との反応により式(1)の化合物と樹脂を結合させることができる。
また、ケース1、ケース2、ケース3及びケース4を組み合わせることもできる。
上記ケース2の場合は、式(1)の化合物のみで樹脂が構成されることもある。ケース1、ケース2、ケース3及びケース4の場合は、式(1)の化合物と樹脂との割合は、重量比で式(1)の化合物:樹脂=1:99〜99:1に調整することができる。式(1)の化合物の導入量の増大に伴い、反射防止膜として用いたときのドライエッチング速度が増加する。
上記ケース1〜4において式(1)の化合物と共に用いられる樹脂は、架橋剤と結合するために水酸基やカルボキシル基を有していることが好ましい。
この樹脂としては、単独重合体であってもよいし、複数の共重合体であってもよい。そのモノマー種として次のものが挙げられる。スチレン類としては、ポリヒドロキシスチレン、ポリα−メチルスチレン、ポリp−メチルスチレン、ポリo−メチルスチレン、ポリp−メトキシスチレン、ポリp−クロロスチレン、ポリビニル安息香酸等が挙げられ、また、アクリル酸又はメタクリル酸或いはそれらの誘導体としては、ポリアクリル酸、ポリメタクリル酸、ポリマレイン酸、ポリフマル酸等のカルボン酸類、ポリアクリル酸メチル、ポリアクリル酸エチル、ポリアクリル酸プロピル、ポリアクリル酸イソプロピル、ポリアクリル酸n−ブチル、ポリアクリル酸イソブチル、ポリアクリル酸n−ヘキシル、ポリアクリル酸オクチル、ポリアクリル酸2−エチルヘキシル、ポリアクリル酸ラウリル、ポリアクリル酸2−ヒドロキシプロピル、ポリアクリル酸グリシジルエステル等のアクリル酸エステル及び相当するメタクリル酸エステル、ポリアクリルアミド、ポリ−N−メチロールアクリルアミド、ポリジアセトンアクリルアミド等のアミド及び相当するメタクリル酸アミド、またポリアクリロニトリル、ポリ塩化ビニル、ポリエチルビニルエーテル等が挙げられる。特に、水酸基を有したポリアクリル酸2−ヒドロキシプロピル及びそれに相当するメタクリル酸エステル並びにカルボン酸を有したポリアクリル酸、ポリメタクリル酸が好ましい。
本発明における樹脂は、ランダム共重合体、ブロック共重合体或いはグラフト共重合体のいずれであってもよい。本発明の反射防止膜を形成する樹脂は、ラジカル重合、アニオン重合、カチオン重合等の方法により合成することができる。その形態は溶液重合、懸濁重合、乳化重合、塊状重合等、種々の方法が可能である。
本発明では上記樹脂以外に非架橋性のモノマーを共重合することも可能であり、これによりドライエッチング速度、反射率等の微調整が行える。このような共重合モノマーとしては以下のものが挙げられる。例えば、アクリル酸エステル類、アクリルアミド類、メタクリル酸エステル類、メタクリルアミド類、アリル化合物、ビニルエーテル類、ビニルエステル類、スチレン類、クロトン酸エステル類等から選ばれる付加重合性不飽和結合を少なくとも1個有する化合物である。
アクリル酸エステル類としては、例えばアルキル基の炭素数が1〜10のアルキルアクリレートが挙げられる。
メタクリル酸エステル類としては、例えばアルキル基の炭素数が1〜10のアルキルメタクリレートが挙げられる。
アクリルアミド類としては、アクリルアミドや、N−アルキルアクリルアミド、N−アリールアクリルアミド、N,N−ジアルキルアクリルアミド、N,N−ジアリールアクリルアミド、N−メチル−N−フェニルアクリルアミド、N−ヒドロキシエチル−N−メチルアクリルアミド、N−2−アセトアミドエチル−N−アセチルアクリルアミド等が挙げられる。
メタクリルアミド類としては、例えばメタクリルアミド、N−アルキルメタクリルアミド、N−アリールメタクリルアミド、N,N−ジアルキルメタクリルアミド、N,N−ジアリールメタクリルアミド、N−ヒドロキシエチル−N−メチルメタクリルアミド、N−メチル−N−フェニルメタクリルアミド、N−エチル−N−フェニルメタクリルアミド等が挙げられる。
ビニルエーテル類としては、例えばアルキルビニルエーテル、ビニルアリールエーテルが挙げられる。
ビニルエステル類としては、例えばビニルブチレート、ビニルイソブチレート、ビニルトリメチルアセテートが挙げられる。
スチレン類としては、例えばスチレン、アルキルスチレン、アルコキシスチレン、ハロゲンスチレン、ヒドロキシスチレン、カルボキシスチレンが挙げられる。
クロトン酸エステル類としては、例えばクロトン酸ブチル、クロトン酸ヘキシル、グリセリンモノクロトネート等のクロトン酸アルキルが挙げられる。
並びに、イタコン酸ジアルキル類、マレイン酸或いはフマール酸のジアルキルエステル類又はモノアルキルエステル類、クロトン酸、イタコン酸、無水マレイン酸、マレイミド、アクリロニトリル、メタクリロニトリル、マレイロニトリル等が挙げられる。一般的には前記式(1)で示される化合物、又はそれと結合した樹脂と共重合可能である付加重合性不飽和化合物であれば用いることができる。
本発明の反射防止膜形成組成物は、少なくとも2個の架橋形成官能基をもつ架橋剤を含有することができる。そのような架橋剤としては、メラミン系、置換尿素系、エポキシ基を含有するポリマー系等の架橋剤が挙げられる。好ましくは、メトキシメチル化グリコールウリル、又はメトキシメチル化メラミン等の化合物であり、特に好ましくは、テトラメトキシメチルグリコールウリル、又はヘキサメトキシメチルメラミンである。架橋剤の添加量は、使用する塗布溶剤、使用する下地基板、要求される溶液粘度、要求される膜形状等により変動するが、全組成物100重量部に対して0.001〜20重量部、好ましくは0.01〜10重量部、更に好ましくは0.1〜5.0重量部である。
本発明の反射防止膜形成組成物は、上記以外に必要に応じて更なる吸光剤、レオロジー調整剤、接着補助剤、界面活性剤等を添加することができる。
レオロジー調整剤は、主に反射防止膜形成組成物の流動性を向上させ、特にベーク工程において、ホール内部への反射防止膜形成組成物の充填性を高めるという目的で添加される。その具体例としては、ジメチルフタレート、ジエチルフタレート、ジイソブチルフタレート、ジヘキシルフタレート、ブチルイソデシルフタレート等のフタル酸誘導体、ジノルマルブチルアジペート、ジイソブチルアジペート、ジイソオクチルアジペート、オクチルデシルアジペート等のアジピン酸誘導体、ジノルマルブチルマレート、ジエチルマレート、ジノニルマレート等のマレイン酸誘導体、メチルオレート、ブチルオレート、テトラヒドロフルフリルオレート等のオレイン酸誘導体、又はノルマルブチルステアレート、グリセリルステアレート等のステアリン酸誘導体が挙げられる。これらのレオロジー調整剤は、全組成物100重量部に対して通常30重量部未満の割合で配合される。
接着補助剤は、主に基板或いはレジストと反射防止膜形成組成物の密着性を向上させ、特に現像においてレジストが剥離しないようにするという目的で添加される。その具体例としては、トリメチルクロロシラン、ジメチルビニルクロロシラン、メチルジフエニルクロロシラン、クロロメチルジメチルクロロシラン等のクロロシラン類、トリメチルメトキシシラン、ジメチルジエトキシシラン、メチルジメトキシシラン、ジメチルビニルエトキシシラン、ジフェニルジメトキシシラン、フェニルトリエトキシシラン等のアルコキシシラン類、ヘキサメチルジシラザン、N,N’−ビス(トリメチルシリル)ウレア、ジメチルトリメチルシリルアミン、トリメチルシリルイミダゾール等のシラザン類、ビニルトリクロロシラン、γ−クロロプロピルトリメトキシシラン、γ−アミノプロピルトリエトキシシラン、γ−グリシドキシプロピルトリメトキシシラン等のシラン類、ベンゾトリアゾール、ベンズイミダゾール、インダゾール、イミダゾール、2−メルカプトベンズイミダゾール、2−メルカプトベンゾチアゾール、2−メルカプトベンゾオキサゾール、ウラゾール、チオウラシル、メルカプトイミダゾール、メルカプトピリミジン等の複素環状化合物や、1,1−ジメチルウレア、1,3−ジメチルウレア等の尿素、又はチオ尿素化合物が挙げられる。これらの接着補助剤は、全組成物100重量部に対して通常5重量部未満、好ましくは2重量部未満の割合で配合される。
本発明の反射防止膜形成組成物は、ピンホールやストレーション等の発生がなく、表面むらに対する塗布性を更に向上させるために、界面活性剤を配合することができる。そのような界面活性剤としては、例えばポリオキシエチレンラウリルエーテル、ポリオキシエチレンステアリルエーテル、ポリオキシエチレンセチルエーテル、ポリオキシエチレンオレイルエーテル等のポリオキシエチレンアルキルエーテル類、ポリオキシエチレンオクチルフェノールエーテル、ポリオキシエチレンノニルフェノールエーテル等のポリオキシエチレンアルキルアリルエーテル類、ポリオキシエチレン・ポリオキシプロピレンブロックコポリマー類、ソルビタンモノラウレート、ソルビタンモノパルミテート、ソルビタンモノステアレート、ソルビタンモノオレエート、ソルビタントリオレエート、ソルビタントリステアレート等のソルビタン脂肪酸エステル類、ポリオキシエチレンソルビタンモノラウレート、ポリオキシエチレンソルビタンモノパルミテート、ポリオキシエチレンソルビタンモノステアレート、ポリオキシエチレンソルビタントリオレエート、ポリオキシエチレンソルビタントリステアレート等のポリオキシエチレンソルビタン脂肪酸エステル類等のノニオン系界面活性剤、エフトップEF301、EF303、EF352((株)トーケムプロダクツ製)、メガファックF171、F173(大日本インキ(株)製)、フロラードFC430、FC431(住友スリーエム(株)製)、アサヒガードAG710、サーフロンS−382、SC101、SC102、SC103、SC104、SC105、SC106(旭硝子(株)製)等のフッ素系界面活性剤、オルガノシロキサンポリマーKP341(信越化学工業(株)製)等が挙げられる。これらの界面活性剤の配合量は、本発明の全組成物100重量部当たり通常0.2重量部以下、好ましくは0.1重量部以下である。これらの界面活性剤は単独で添加してもよいし、また2種以上の組合せで添加することもできる。
本発明において、上記樹脂を溶解させる溶剤としては、エチレングリコールモノメチルエーテル、エチレングリコールモノエチルエーテル、メチルセロソルブアセテート、エチルセロソルブアセテート、ジエチレングリコールモノメチルエーテル、ジエチレングリコールモノエチルエーテル、プロピレングリコール、プロピレングリコールモノメチルエーテル、プロピレングリコールモノメチルエーテルアセテート、プロピレングリコールプロピルエーテルアセテート、トルエン、キシレン、メチルエチルケトン、シクロペンタノン、シクロヘキサノン、2−ヒドロキシプロピオン酸エチル、2−ヒドロキシ−2−メチルプロピオン酸エチル、エトキシ酢酸エチル、ヒドロキシ酢酸エチル、2−ヒドロキシ−3−メチルブタン酸メチル、3−メトキシプロピオン酸メチル、3−メトキシプロピオン酸エチル、3−エトキシプロピオン酸エチル、3−エトキシプロピオン酸メチル、ピルビン酸メチル、ピルビン酸エチル、酢酸エチル、酢酸ブチル、乳酸エチル、乳酸ブチル、シクロヘキサノン等が用いられる。これらの有機溶剤は単独で、又は2種以上の組合せで使用される。
更に、プロピレングリコールモノブチルエーテル、プロピレングリコールモノブチルエーテルアセテート等の高沸点溶剤を混合して使用することができる。
これらの溶剤の中でプロピレングリコールモノメチルエーテル、プロピレングリコールモノメチルエーテルアセテート、乳酸エチル、乳酸ブチル、及びシクロヘキサノンがレベリング性の向上のために好ましい。
本発明の反射防止膜形成組成物を使用して形成したリソグラフィー用反射防止膜の上層として塗布されるレジストはネガ型、ポジ型のいずれも使用でき、その具体例としてはノボラック樹脂と1,2−ナフトキノンジアジドスルホン酸エステルとからなるポジ型レジスト、光酸発生剤と酸により分解してアルカリ溶解速度を上昇させる基を有するバインダーとからなる化学増幅型レジスト、アルカリ可溶性バインダーと光酸発生剤と酸により分解してレジストのアルカリ溶解速度を上昇させる低分子化合物とからなる化学増幅型レジスト、光酸発生剤と酸により分解してアルカリ溶解速度を上昇させる基を有するバインダーと酸により分解してレジストのアルカリ溶解速度を上昇させる低分子化合物とからなる化学増幅型レジスト等がある。
上記のポジ型フォトレジストの現像液としては、水酸化ナトリウム、水酸化カリウム、炭酸ナトリウム、ケイ酸ナトリウム、メタケイ酸ナトリウム、アンモニア水等の無機アルカリ類、エチルアミン、n−プロピルアミン等の第一アミン類、ジエチルアミン、ジ−n−ブチルアミン等の第二アミン類、トリエチルアミン、メチルジエチルアミン等の第三アミン類、ジメチルエタノールアミン、トリエタノールアミン等のアルコールアミン類、テトラメチルアンモニウムヒドロキシド、テトラエチルアンモニウムヒドロキシド、コリン等の第四アンモニウム塩、ピロール、ピペリジン等の環状アミン類等のアルカリ類の水溶液を使用することができる。更に、上記アルカリ類の水溶液にイソプロピルアルコール等のアルコール類、ノニオン系等の界面活性剤を適当量添加して使用することもできる。これらの中で好ましい現像液は第四級アンモニウム塩、更に好ましくはテトラメチルアンモニウムヒドロオキシド及びコリンである。
次に本発明の反射防止膜形成組成物を用いるレジストパターン形成法について説明すると、精密集積回路素子の製造に使用される基板(例えばシリコン/二酸化シリコン被覆、ガラス基板、ITO基板等の透明基板)上にスピナー、コーター等の適当な塗布方法により反射防止膜形成組成物を塗布した後、ベークして硬化させ反射防止膜を作成する。ここで、反射防止膜の膜厚としては0.01〜3.0μmが好ましい。また塗布後ベークする条件としては例えば80〜250℃で1〜120分間である。その後フォトレジストを塗布し、所定のマスクを通して露光し、続いて現像、リンス、乾燥をすることにより良好なレジストを得ることができる。必要に応じて露光後加熱(PEB:Post Exposure Bake)を行うこともできる。
実施例
以下、本発明の実施例を示すが、本発明の内容がこれらに限定されるものではない。
合成例1(樹脂の合成)
2−ヒドロキシプロピルメタクリレート90gをプロピレングリコールモノメチルエーテル455gに溶解させた後、反応液を70℃に加温し、同時に反応液中に窒素を流した。その後、重合開始剤としてアゾビスイソブチロニトリル(純正化学(株)製品)0.9gを添加した。窒素雰囲気下で24時間撹拌した後、重合停止剤として4−メトキシフェノール(東京化成(株)製品)0.1gを添加した。得られた樹脂のGPC分析を行ったところ、標準ポリスチレン換算にて得られた樹脂の重量平均分子量は71300であった。溶液中の固形分は20%であった。
合成例2
クレゾールノボラック樹脂(旭チバ(株)製品、商品名ECN1299、重量平均分子量3900、構造を式(5)に示す。)を準備した。
上記クレゾールノボラック樹脂10gをプロピレングリコールモノメチルエーテル80gに添加し溶解させた。この溶解液に、9−アントラセンカルボン酸9.7gとベンジルトリエチルアンモニウムクロリド0.26gを添加した後、105℃で24時間反応させた。得られた高分子樹脂のGPC分析を行ったところ、標準ポリスチレン換算にてその重量平均分子量は5600であった。得られた樹脂の構造を式(6)に示す。
合成例3
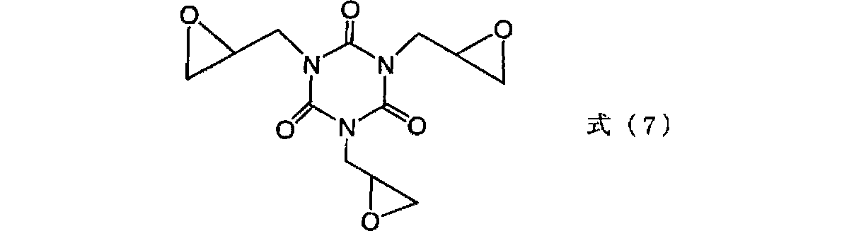
トリス−(2,3−エポキシプロピル)−イソシアヌレート(日産化学工業(株)製品、商品名テピック、構造を式(7)に示す。)を準備した。
上記トリス−(2,3−エポキシプロピル)−イソシアヌレート3.0gをキシレン7.0gに添加し溶解させた。この溶解液に、フェノール2.8gとベンジルトリエチルアンモニウムクロリド0.17gを添加した後、140℃で24時間反応させた。反応後放冷し、析出してきた結晶を濾過した後、イソプロピルアルコール/アセトン=9/1の混合溶媒で再結晶を行うことにより精製した。得られた化合物の構造を式(8)に示す。
合成例4
トリス−(2,3−エポキシプロピル)−イソシアヌレート10.0gをキシレン24.0に添加し溶解させた。この溶解液に、フェノール3.2gとベンジルトリエチルアンモニウムクロリド0.57gを添加した後、140℃で24時間反応させた。反応後放冷し、析出してきたポリマーを濾過した後、キシレンで洗浄し、その後乾燥させた。得られたポリマー化合物の構造を式(9)に示す。このポリマーの重量平均分子量は3000であった。
合成例5
トリス(2−ヒドロキシエチル)イソシアヌレート(日産化学工業(株)製品、商品名タナック、構造を式(10)に示す。)を準備した。
実施例1
0.4gのトリス(2−ヒドロキシエチル)イソシアヌレート、合成例1で得た1.2gのポリ2−ヒドロキシプロピルメタクリレート樹脂を含む反応液6g、架橋剤として0.4gのヘキサメトキシメチルメラミン、及び硬化剤として0.04gのp−トルエンスルホン酸を混合し、更に溶媒のプロピレングリコールモノメチルエーテル30gを加えた後、この混合液を孔径0.10μmのポリエチレン製ミクロフィルターを用いて濾過し、次に、孔径0.05μmのポリエチレン製ミクロフィルターを用いて濾過して反射防止膜形成組成物を溶液の形態で調製した。この溶液をスピナーを用いて、シリコンウエハー上に塗布した。これをホットプレート上で205℃で1分間加熱し、反射防止膜(膜厚0.08μm)を形成した。この反射防止膜を分光エリプソメーターで測定した結果、193nmでの屈折率nは1.76であり、光学吸光係数kは0.11であった。
実施例2
0.8gのトリス(2−ヒドロキシエチル)イソシアヌレート、合成例1で得た0.8gのポリ2−ヒドロキシプロピルメタクリレート樹脂を含む反応液4g、架橋剤として0.4gのヘキサメトキシメチルメラミン、及び硬化剤として0.04gのp−トルエンスルホン酸を混合し、更に溶媒のプロピレングリコールモノメチルエーテル30gを加えた後、この混合液を孔径0.10μmのポリエチレン製ミクロフィルターを用いて濾過し、次に、孔径0.05μmのポリエチレン製ミクロフィルターを用いて濾過して反射防止膜形成組成物を溶液の形態で調製した。この溶液をスピナーを用いて、シリコンウエハー上に塗布した。これをホットプレート上で205℃で1分間加熱し、反射防止膜(膜厚0.08μm)を形成した。この反射防止膜を分光エリプソメーターで測定した結果、193nmでの屈折率nは1.76であり、光学吸光係数kは0.17であった。
実施例3
1.2gのトリス(2−ヒドロキシエチル)イソシアヌレート、合成例1で得た0.4gのポリ2−ヒドロキシプロピルメタクリレート樹脂を含む反応液2g、架橋剤として0.4gのヘキサメトキシメチルメラミン、及び硬化剤として0.04gのp−トルエンスルホン酸を混合し、更に溶媒のプロピレングリコールモノメチルエーテル30gを加えた後、この混合液を孔径0.10μmのポリエチレン製ミクロフィルターを用いて濾過し、次に、孔径0.05μmのポリエチレン製ミクロフィルターを用いて濾過して反射防止膜形成組成物を溶液の形態で調製した。この溶液をスピナーを用いて、シリコンウエハー上に塗布した。これをホットプレート上で205℃で1分間加熱し、反射防止膜(膜厚0.08μm)を形成した。この反射防止膜を分光エリプソメーターで測定した結果、193nmでの屈折率nは1.87であり、光学吸光係数kは0.23であった。
実施例4
合成例1で得た0.8gのポリ2−ヒドロキシプロピルメタクリレート樹脂を含む反応液4.0g、合成例3で得た化合物を0.8g、架橋剤として0.4gのヘキサメトキシメチルメラミン、及び硬化剤として0.04gのp−トルエンスルホン酸を混合し、更に溶媒の乳酸エチルを35gを加えた後、この混合液を孔径0.10μmのポリエチレン製ミクロフィルターを用いて濾過し、次に、孔径0.05μmのポリエチレン製ミクロフィルターを用いて濾過して反射防止膜形成組成物を溶液の形態で調製した。この溶液をスピナーを用いて、シリコンウエハー上に塗布した。これをホットプレート上で205℃で1分間加熱し、反射防止膜(膜厚0.08μm)を形成した。この反射防止膜を分光エリプソメーターで測定した結果、193nmでの屈折率nは1.80であり、光学吸光係数kは0.38であった。
実施例5
合成例4で得た化合物を1.6g、架橋剤として0.4gのヘキサメトキシメチルメラミン、及び硬化剤として0.04gのp−トルエンスルホン酸を混合し、更に溶媒の乳酸エチルを35gを加えた後、この混合液を孔径0.10μmのポリエチレン製ミクロフィルターを用いて濾過し、次に、孔径0.05μmのポリエチレン製ミクロフィルターを用いて濾過して反射防止膜形成組成物を溶液の形態で調製した。この溶液をスピナーを用いて、シリコンウエハー上に塗布した。これをホットプレート上で205℃で1分間加熱し、反射防止膜(膜厚0.08μm)を形成した。この反射防止膜を分光エリプソメーターで測定した結果、193nmでの屈折率nは1.96であり、光学吸光係数kは0.65であった。
比較例1
上記合成例2で得た2gの樹脂を有する溶液10g、架橋剤として0.53gのヘキサメトキシメチルメラミン、及び硬化剤として0.05gのp−トルエンスルホン酸1水和物を混合し、更に溶媒の14.3gの乳酸エチル、1.13gのプロピレングリコールモノメチルエーテル、及び2.61gのシクロヘキサノンに溶解させ9%溶液とした後、この混合液を孔径0.10μmのポリエチレン製ミクロフィルターを用いて濾過し、次に、孔径0.05μmのポリエチレン製ミクロフィルターを用いて濾過して反射防止膜形成組成物を溶液の形態で調製した。この溶液をスピナーを用いて、シリコンウエハー上に塗布した。これをホットプレート上で205℃で1分間加熱し、反射防止膜(膜厚0.23μm)を形成した。この反射防止膜を分光エリプソメーターで測定した結果、193nmでの屈折率nは1.60であり、光学吸光係数kは0.47であった。
試験例1
実施例1〜5、及び比較例1で得た溶液をスピナーにより、シリコンウエハー上に塗布した。これをホットプレート上で205℃で1分間加熱し、反射防止膜(膜厚0.23μm)を形成した。この反射防止膜をレジストに使用する溶剤、例えば乳酸エチル、並びにプロピレングリコールモノメチルエーテルに浸漬し、その溶剤に不溶であることを確認した。
実施例1〜5、及び比較例1で得た溶液をスピナーにより、シリコンウエハー上に塗布した。ホットプレート上で205℃で1分間加熱し、反射防止膜(膜厚0.23μm)を形成し、その膜厚を測定した。このリソグラフィー用反射防止膜の上層として、市販のレジスト溶液(住友化学社製、PAR710等)をスピナーにより塗布した。これをホットプレート上で130℃で1分間加熱し、次いでレジストを露光した後、そのポストイクスポージャベークを130℃で1.5分間行った。レジストを現像させた後、反射防止膜の膜厚を測定し、実施例1〜3、及び比較例1で得たリソグラフィー用反射防止膜とレジスト層とのインターミキシングが起こらないことを確認した。
そしてこれらを同一条件下でドライエッチングを行った。ドライエッチング選択性は、フォトレジストのドライエッチング速度を1.00としたときの、反射防止膜のドライエッチング速度を示したものである。
ドライエッチングに使用されるガス組成はCF4で行った。実施例1の反射防止膜形成組成物から得られた反射防止膜のエッチング特性は、比較例1の既存の反射防止膜に比較して高く、特に実施例3ではシアヌル酸誘導体の導入量の増大に伴いエッチングの速度が増加することを確認した。
反射防止膜のドライエッチング速度がフォトレジストのドライエッチング速度よりも高いことの必要性は、反射防止膜上に形成されたフォトレジストを現像し、その後でドライエッチングにより基板の下地を露出させる工程において、反射防止膜のドライエッチングの方がフォトレジストのドライエッチングよりもより速く進行することにより、フォトレジストの膜減りを抑え、効率的に反射防止膜を除去することができ、従って、現像されたフォトレジストのパターンを正確に基板に転写することができる点にある。この点で実用的な屈折率と光学吸光係数を有し、しかも高いドライエッチング速度を保持する反射防止膜を得るためには、本発明の組成よりなる反射防止膜形成組成物の使用が大変有効である。特に式(1)の化合物の中でフェニル基や脂環構造等の官能基を分子内に含まないトリス(ヒドロキシアルキル)イソシアヌレートは高いドライエッチング速度を得る点でとりわけ有効である。
産業上の利用分野
本発明により、高いドライエッチング速度を有する反射防止膜を形成することができる組成物が提供される。得られた反射防止膜は、反射防止効果が高いだけでなく、下地基板のドライエッチングプロセス時における迅速な除去が可能である。
本発明により、レジスト層と比較して大きなドライエッチング速度を有し、高い反射光防止効果を持ち、更にレジスト層とのインターミキシングが起こらず、加熱乾燥時にレジスト中への拡散物がなく、高解像力及びレジスト膜厚依存性に優れた反射防止膜材料用組成物を得ることができ、かつ該組成物の使用により優れたレジストパターンを基板上に形成することができる。
Claims (7)
- シアヌル酸若しくはその誘導体又はこれらから誘導される構造単位を含む樹脂を成分とする半導体装置製造のリソグラフィープロセスに用いる反射防止膜形成組成物。
- 式(1)の化合物から誘導される構造単位を主鎖に含む樹脂、該構造単位を側鎖に含む樹脂、又は該構造単位を主鎖及び側鎖の双方に含む樹脂を成分とする請求項1に記載の反射防止膜形成組成物。
- 式(1)の化合物がトリス(ヒドロキシアルキル)イソシアヌレートである請求項2又は請求項3に記載の反射防止膜形成組成物。
- 少なくとも2個の架橋形成官能基を有する架橋剤を更に含む請求項1乃至請求項4のいずれか1項に記載の反射防止膜形成組成物。
- 請求項1乃至請求項5のいずれか1項に記載の反射防止膜形成組成物を基板上に塗布し、そして焼成することからなる半導体装置製造のリソグラフィープロセスに用いる反射防止膜の形成方法。
- 請求項1乃至請求項5のいずれか1項に記載の反射防止膜形成組成物を基板上に塗布し、焼成して反射防止膜を形成し、次いで該反射防止膜上にフォトレジストを被覆し、続いて該基板を露光し、現像し、エッチングを為すことにより基板上に画像を転写して集積回路素子を形成することからなる、半導体装置の製造方法。
Applications Claiming Priority (3)
| Application Number | Priority Date | Filing Date | Title |
|---|---|---|---|
| JP2001111230 | 2001-04-10 | ||
| JP2001111230 | 2001-04-10 | ||
| PCT/JP2002/003576 WO2002086624A1 (fr) | 2001-04-10 | 2002-04-10 | Composition servant a former un film antireflet pour procede lithographique |
Publications (2)
| Publication Number | Publication Date |
|---|---|
| JPWO2002086624A1 JPWO2002086624A1 (ja) | 2004-08-12 |
| JP3804792B2 true JP3804792B2 (ja) | 2006-08-02 |
Family
ID=18962867
Family Applications (1)
| Application Number | Title | Priority Date | Filing Date |
|---|---|---|---|
| JP2002584088A Expired - Lifetime JP3804792B2 (ja) | 2001-04-10 | 2002-04-10 | リソグラフィー用反射防止膜形成組成物 |
Country Status (7)
| Country | Link |
|---|---|
| US (2) | US7332266B2 (ja) |
| EP (1) | EP1378796A4 (ja) |
| JP (1) | JP3804792B2 (ja) |
| KR (1) | KR100872674B1 (ja) |
| CN (1) | CN1257435C (ja) |
| TW (1) | TWI225187B (ja) |
| WO (1) | WO2002086624A1 (ja) |
Cited By (2)
| Publication number | Priority date | Publication date | Assignee | Title |
|---|---|---|---|---|
| JPWO2004034148A1 (ja) * | 2002-10-09 | 2006-02-09 | 日産化学工業株式会社 | リソグラフィー用反射防止膜形成組成物 |
| US11698587B2 (en) | 2018-06-11 | 2023-07-11 | Samsung Sdi Co., Ltd. | Resist underlayer composition, and method of forming patterns using the composition |
Families Citing this family (66)
| Publication number | Priority date | Publication date | Assignee | Title |
|---|---|---|---|---|
| TW591341B (en) | 2001-09-26 | 2004-06-11 | Shipley Co Llc | Coating compositions for use with an overcoated photoresist |
| US8012670B2 (en) | 2002-04-11 | 2011-09-06 | Rohm And Haas Electronic Materials Llc | Photoresist systems |
| US7323289B2 (en) * | 2002-10-08 | 2008-01-29 | Brewer Science Inc. | Bottom anti-reflective coatings derived from small core molecules with multiple epoxy moieties |
| KR20040044368A (ko) | 2002-11-20 | 2004-05-28 | 쉬플리 캄파니, 엘.엘.씨. | 다층 포토레지스트 시스템 |
| JP2004206082A (ja) | 2002-11-20 | 2004-07-22 | Rohm & Haas Electronic Materials Llc | 多層フォトレジスト系 |
| CN101560323B (zh) | 2003-04-02 | 2012-07-04 | 日产化学工业株式会社 | 含有环氧化合物和羧酸化合物的光刻用形成下层膜的组合物 |
| JP4105036B2 (ja) * | 2003-05-28 | 2008-06-18 | 信越化学工業株式会社 | レジスト下層膜材料ならびにパターン形成方法 |
| TWI358612B (en) | 2003-08-28 | 2012-02-21 | Nissan Chemical Ind Ltd | Polyamic acid-containing composition for forming a |
| JP4702559B2 (ja) * | 2004-04-09 | 2011-06-15 | 日産化学工業株式会社 | 縮合系ポリマーを有する半導体用反射防止膜 |
| WO2006040918A1 (ja) * | 2004-10-12 | 2006-04-20 | Nissan Chemical Industries, Ltd. | 含窒素芳香環構造を含むリソグラフィー用反射防止膜形成組成物 |
| JP4687910B2 (ja) * | 2004-10-12 | 2011-05-25 | 日産化学工業株式会社 | 硫黄原子を含むリソグラフィー用反射防止膜形成組成物 |
| JP4525940B2 (ja) * | 2004-10-14 | 2010-08-18 | 日産化学工業株式会社 | 芳香族スルホン酸エステル化合物及び光酸発生剤を含む下層反射防止膜形成組成物 |
| US7595144B2 (en) | 2004-11-01 | 2009-09-29 | Nissan Chemical Industries, Ltd. | Sulfonate-containing anti-reflective coating forming composition for lithography |
| KR101137812B1 (ko) * | 2004-12-20 | 2012-04-18 | 주식회사 동진쎄미켐 | 유기 반사방지막 형성용 유기 중합체 및 이를 포함하는유기 조성물 |
| EP1691238A3 (en) * | 2005-02-05 | 2009-01-21 | Rohm and Haas Electronic Materials, L.L.C. | Coating compositions for use with an overcoated photoresist |
| EP1705519B1 (en) * | 2005-03-20 | 2016-07-06 | Rohm and Haas Electronic Materials, L.L.C. | Method of treating a microelectronic substrate |
| US7829638B2 (en) * | 2005-05-09 | 2010-11-09 | Cheil Industries, Inc. | Antireflective hardmask composition and methods for using same |
| KR100655064B1 (ko) * | 2005-05-27 | 2006-12-06 | 제일모직주식회사 | 반사방지성을 갖는 하드마스크 조성물 |
| KR100662542B1 (ko) * | 2005-06-17 | 2006-12-28 | 제일모직주식회사 | 반사방지 하드마스크 조성물 및 이를 이용하여 기판 상에패턴화된 재료 형상을 형성시키는 방법 |
| US8557351B2 (en) * | 2005-07-22 | 2013-10-15 | Molecular Imprints, Inc. | Method for adhering materials together |
| US8846195B2 (en) * | 2005-07-22 | 2014-09-30 | Canon Nanotechnologies, Inc. | Ultra-thin polymeric adhesion layer |
| US8808808B2 (en) * | 2005-07-22 | 2014-08-19 | Molecular Imprints, Inc. | Method for imprint lithography utilizing an adhesion primer layer |
| KR100665758B1 (ko) * | 2005-09-15 | 2007-01-09 | 제일모직주식회사 | 반사방지성을 갖는 하드마스크 조성물 |
| KR100697979B1 (ko) * | 2005-09-26 | 2007-03-23 | 제일모직주식회사 | 반사방지 하드마스크 조성물 |
| CN103838086B (zh) * | 2005-09-27 | 2017-10-20 | 日产化学工业株式会社 | 含有异氰脲酸化合物与苯甲酸化合物的反应生成物的形成防反射膜的组合物 |
| KR101226050B1 (ko) * | 2005-09-27 | 2013-01-24 | 닛산 가가쿠 고교 가부시키 가이샤 | 이소시아눌산 화합물과 안식향산 화합물의 반응 생성물을 포함하는 반사방지막 형성 조성물 |
| KR100802768B1 (ko) * | 2006-06-26 | 2008-02-12 | 현대자동차주식회사 | 에폭시기가 도입된 신규 항균물질 |
| US20080131812A1 (en) * | 2006-11-30 | 2008-06-05 | Konica Minolta Medical & Graphic, Inc. | Resin for printing plate material and lithographic printing plate material by use thereof |
| JP5152532B2 (ja) * | 2007-09-11 | 2013-02-27 | 日産化学工業株式会社 | 窒素含有シリル基を含むポリマーを含有するレジスト下層膜形成組成物 |
| KR20090035970A (ko) * | 2007-10-08 | 2009-04-13 | 주식회사 동진쎄미켐 | 고 굴절률을 갖는 유기반사방지막 형성용 중합체 및 이를포함하는 조성물 |
| GB2460825A (en) * | 2008-06-06 | 2009-12-16 | Delphi Tech Inc | Reagent dosing system |
| US8221965B2 (en) * | 2008-07-08 | 2012-07-17 | Az Electronic Materials Usa Corp. | Antireflective coating compositions |
| US8329387B2 (en) * | 2008-07-08 | 2012-12-11 | Az Electronic Materials Usa Corp. | Antireflective coating compositions |
| US20100092894A1 (en) * | 2008-10-14 | 2010-04-15 | Weihong Liu | Bottom Antireflective Coating Compositions |
| US8361546B2 (en) * | 2008-10-30 | 2013-01-29 | Molecular Imprints, Inc. | Facilitating adhesion between substrate and patterned layer |
| KR101766796B1 (ko) * | 2008-11-27 | 2017-08-09 | 닛산 가가쿠 고교 가부시키 가이샤 | 아웃가스 발생이 저감된 레지스트 하층막 형성 조성물 |
| US9244352B2 (en) | 2009-05-20 | 2016-01-26 | Rohm And Haas Electronic Materials, Llc | Coating compositions for use with an overcoated photoresist |
| US8501383B2 (en) * | 2009-05-20 | 2013-08-06 | Rohm And Haas Electronic Materials Llc | Coating compositions for use with an overcoated photoresist |
| US20110165412A1 (en) * | 2009-11-24 | 2011-07-07 | Molecular Imprints, Inc. | Adhesion layers in nanoimprint lithograhy |
| US8507192B2 (en) * | 2010-02-18 | 2013-08-13 | Az Electronic Materials Usa Corp. | Antireflective compositions and methods of using same |
| EP2472328B1 (en) * | 2010-12-31 | 2013-06-19 | Rohm and Haas Electronic Materials LLC | Coating compositions for use with an overcoated photoresist |
| CN102820298B (zh) * | 2011-06-08 | 2016-03-23 | 无锡华润上华科技有限公司 | 包括多个mos管的ic及其铝线的光刻方法、制备方法 |
| KR20140060331A (ko) * | 2011-09-08 | 2014-05-19 | 닛산 가가쿠 고교 가부시키 가이샤 | 중합체 및 그것을 포함하는 조성물 그리고 접착제용 조성물 |
| US9170494B2 (en) | 2012-06-19 | 2015-10-27 | Az Electronic Materials (Luxembourg) S.A.R.L. | Antireflective compositions and methods of using same |
| KR101993472B1 (ko) * | 2012-09-12 | 2019-09-30 | 주식회사 동진쎄미켐 | 레지스트 패턴의 하부막 형성용 화합물, 조성물 및 이를 이용한 하부막의 형성방법 |
| CN103320001A (zh) * | 2013-06-24 | 2013-09-25 | 丹阳市佳美化工有限公司 | 双组份pu涂料 |
| JP6349943B2 (ja) * | 2014-05-13 | 2018-07-04 | 三菱ケミカル株式会社 | 化合物の精製方法、及び高分子化合物の製造方法 |
| TWI592760B (zh) * | 2014-12-30 | 2017-07-21 | 羅門哈斯電子材料韓國有限公司 | 與經外塗佈之光致抗蝕劑一起使用之塗層組合物 |
| KR101590608B1 (ko) * | 2015-08-12 | 2016-02-01 | 로움하이텍 주식회사 | 신규한 이소시아누레이트 화합물 및 이를 포함하는 반사방지막 조성물 |
| KR102516390B1 (ko) | 2016-01-05 | 2023-03-31 | 에스케이이노베이션 주식회사 | 신규한 티오바르비투르산 유도체, 이로부터 유도되는 반복 단위를 포함하는 중합체, 이를 포함하는 바닥반사방지막용 조성물 및 이를 이용한 레지스트 패턴의 형성 방법 |
| US11262656B2 (en) * | 2016-03-31 | 2022-03-01 | Rohm And Haas Electronic Materials Korea Ltd. | Coating compositions for use with an overcoated photoresist |
| WO2018034323A1 (ja) * | 2016-08-19 | 2018-02-22 | 日産化学工業株式会社 | アルコキシ基を含む置換基を1つ有するイソシアヌル酸誘導体及びその製造方法 |
| US10203602B2 (en) * | 2016-09-30 | 2019-02-12 | Rohm And Haas Electronic Materials Korea Ltd. | Coating compositions for use with an overcoated photoresist |
| US20180364575A1 (en) * | 2017-06-15 | 2018-12-20 | Rohm And Haas Electronic Materials Korea Ltd. | Coating compositions for use with an overcoated photoresist |
| KR102487404B1 (ko) | 2017-07-26 | 2023-01-12 | 에스케이이노베이션 주식회사 | 바닥반사 방지막 형성용 중합체 및 이를 포함하는 바닥반사 방지막 형성용 조성물 |
| KR102414150B1 (ko) | 2017-10-17 | 2022-06-29 | 에스케이이노베이션 주식회사 | 바닥반사방지막 형성용 중합체, 이를 포함하는 바닥반사방지막 형성용 조성물 및 이를 이용한 바닥반사방지막의 형성방법 |
| JP7116356B2 (ja) * | 2017-11-28 | 2022-08-10 | 日産化学株式会社 | トリアジン-2,4-ジオン誘導体及びその製造方法 |
| KR102215333B1 (ko) * | 2017-12-26 | 2021-02-10 | 삼성에스디아이 주식회사 | 레지스트 하층막용 조성물 및 이를 이용한 패턴형성방법 |
| KR102215332B1 (ko) * | 2017-12-26 | 2021-02-10 | 삼성에스디아이 주식회사 | 레지스트 하층막용 조성물 및 이를 이용한 패턴 형성 방법 |
| CN108203502B (zh) * | 2018-01-13 | 2020-04-21 | 宏峰行化工(深圳)有限公司 | 一种水溶性交联剂及其在水性树脂中的应用 |
| KR102548136B1 (ko) | 2019-03-01 | 2023-06-27 | 닛산 가가쿠 가부시키가이샤 | N-(탄화수소)이소시아누르산의 제조방법 |
| KR102348675B1 (ko) | 2019-03-06 | 2022-01-06 | 삼성에스디아이 주식회사 | 레지스트 하층막용 조성물 및 이를 이용한 패턴 형성 방법 |
| KR102751329B1 (ko) * | 2019-03-28 | 2025-01-07 | 삼성전자주식회사 | 반사방지막 형성용 폴리머 및 조성물과 반사방지막을 이용하는 집적회로 소자의 제조 방법 |
| KR102400603B1 (ko) | 2019-03-29 | 2022-05-19 | 삼성에스디아이 주식회사 | 레지스트 하층막용 조성물 및 이를 이용한 패턴 형성 방법 |
| CN120584309A (zh) | 2023-03-24 | 2025-09-02 | 日产化学株式会社 | 光学衍射体制造用抗蚀剂下层膜形成用组合物 |
| WO2024225092A1 (ja) * | 2023-04-28 | 2024-10-31 | 東レ株式会社 | エポキシ樹脂組成物、プリプレグおよび繊維強化複合材料並びにエポキシ樹脂組成物の製造方法 |
Family Cites Families (21)
| Publication number | Priority date | Publication date | Assignee | Title |
|---|---|---|---|---|
| JPS5649524A (en) | 1979-09-28 | 1981-05-06 | Fujitsu Ltd | Manufacture of semiconductor device |
| JPS5649548A (en) | 1979-09-28 | 1981-05-06 | Fujitsu Ltd | Semiconductor device |
| JPS58190946A (ja) | 1982-04-30 | 1983-11-08 | Sharp Corp | ホトレジスト |
| JPS61114203A (ja) * | 1984-11-09 | 1986-05-31 | Toray Ind Inc | 反射防止性を有する複合膜の製造方法 |
| JP2627416B2 (ja) | 1987-10-29 | 1997-07-09 | タキロン株式会社 | 塩素含有樹脂成型品 |
| EP0355728A3 (en) | 1988-08-19 | 1990-12-19 | Hysol Limited | An ultraviolet ray transmissive protection or support material for an ultraviolet ray sensitive or transmissive element |
| US5332647A (en) | 1992-08-26 | 1994-07-26 | Tokyo Ohka Kogyo Co., Ltd. | Positive-working quinone diazide composition containing N,N',N"-substituted isocyanurate compound and associated article |
| JPH08198932A (ja) * | 1994-11-24 | 1996-08-06 | Toray Ind Inc | プラスチックレンズ |
| US5693691A (en) | 1995-08-21 | 1997-12-02 | Brewer Science, Inc. | Thermosetting anti-reflective coatings compositions |
| JP3674210B2 (ja) * | 1997-01-24 | 2005-07-20 | Jsr株式会社 | 光学部品製造用硬化性組成物 |
| JPH11133207A (ja) | 1997-03-27 | 1999-05-21 | Toray Ind Inc | 光学薄膜および反射防止性物品 |
| JPH10332902A (ja) * | 1997-05-27 | 1998-12-18 | Nippon Ee R C Kk | プラスチックレンズとその製造方法及びプライマー組成物 |
| US5919599A (en) | 1997-09-30 | 1999-07-06 | Brewer Science, Inc. | Thermosetting anti-reflective coatings at deep ultraviolet |
| JPH11218920A (ja) * | 1998-02-04 | 1999-08-10 | Tokyo Ohka Kogyo Co Ltd | 高感度ネガ型レジスト組成物 |
| JP3998105B2 (ja) | 1998-02-04 | 2007-10-24 | 東京応化工業株式会社 | 化学増幅型ネガ型レジスト組成物及びそれを用いたパターン形成方法 |
| JPH11279523A (ja) | 1998-03-26 | 1999-10-12 | Kyodo Chem Co Ltd | 広域紫外線の吸収剤 |
| US6271326B1 (en) * | 1998-04-30 | 2001-08-07 | Jsr Corporation | Olefin polymer, process for manufacturing the same, curable resin composition, and antireflection coating |
| JP2000047003A (ja) * | 1998-07-31 | 2000-02-18 | Seiko Epson Corp | プラスチックレンズの製造方法 |
| JP3900506B2 (ja) * | 1998-11-06 | 2007-04-04 | Jsr株式会社 | 液状硬化性樹脂組成物、その硬化物および反射防止膜 |
| JP2000177381A (ja) * | 1998-12-11 | 2000-06-27 | Nippon Sheet Glass Co Ltd | 車両の低反射前窓 |
| TW591341B (en) * | 2001-09-26 | 2004-06-11 | Shipley Co Llc | Coating compositions for use with an overcoated photoresist |
-
2002
- 2002-04-10 JP JP2002584088A patent/JP3804792B2/ja not_active Expired - Lifetime
- 2002-04-10 KR KR1020037013178A patent/KR100872674B1/ko not_active Expired - Lifetime
- 2002-04-10 CN CNB028079418A patent/CN1257435C/zh not_active Expired - Lifetime
- 2002-04-10 TW TW091107247A patent/TWI225187B/zh not_active IP Right Cessation
- 2002-04-10 WO PCT/JP2002/003576 patent/WO2002086624A1/ja not_active Ceased
- 2002-04-10 EP EP02717099A patent/EP1378796A4/en not_active Withdrawn
- 2002-04-10 US US10/472,695 patent/US7332266B2/en not_active Expired - Lifetime
-
2006
- 2006-06-01 US US11/444,392 patent/US7425403B2/en not_active Expired - Lifetime
Cited By (2)
| Publication number | Priority date | Publication date | Assignee | Title |
|---|---|---|---|---|
| JPWO2004034148A1 (ja) * | 2002-10-09 | 2006-02-09 | 日産化学工業株式会社 | リソグラフィー用反射防止膜形成組成物 |
| US11698587B2 (en) | 2018-06-11 | 2023-07-11 | Samsung Sdi Co., Ltd. | Resist underlayer composition, and method of forming patterns using the composition |
Also Published As
| Publication number | Publication date |
|---|---|
| CN1257435C (zh) | 2006-05-24 |
| US20060216652A1 (en) | 2006-09-28 |
| WO2002086624A1 (fr) | 2002-10-31 |
| CN1502062A (zh) | 2004-06-02 |
| EP1378796A4 (en) | 2004-07-14 |
| TWI225187B (en) | 2004-12-11 |
| JPWO2002086624A1 (ja) | 2004-08-12 |
| US20040110096A1 (en) | 2004-06-10 |
| KR20040030570A (ko) | 2004-04-09 |
| US7332266B2 (en) | 2008-02-19 |
| EP1378796A1 (en) | 2004-01-07 |
| US7425403B2 (en) | 2008-09-16 |
| KR100872674B1 (ko) | 2008-12-10 |
Similar Documents
| Publication | Publication Date | Title |
|---|---|---|
| JP3804792B2 (ja) | リソグラフィー用反射防止膜形成組成物 | |
| EP2343597B1 (en) | Use of an underlayer coating forming composition for lithography | |
| JP4038688B2 (ja) | 反射防止膜形成組成物 | |
| JP3918942B2 (ja) | リソグラフィー用反射防止膜形成組成物 | |
| KR100838000B1 (ko) | 리소그래피용 반사 방지막 형성 조성물 | |
| JP3852593B2 (ja) | 反射防止膜形成組成物 | |
| JPWO2003017002A1 (ja) | リソグラフィー用反射防止膜形成組成物 | |
| JP5737526B2 (ja) | レジスト下層膜形成組成物及びそれを用いたレジストパターンの形成方法 | |
| JP4221610B2 (ja) | アクリル系ポリマーを含有するリソグラフィー用ギャップフィル材形成組成物 | |
| JPWO2008105266A1 (ja) | 電子線リソグラフィー用レジスト下層膜形成組成物 | |
| JP2004126161A (ja) | 反射防止膜形成組成物 | |
| JP4051538B2 (ja) | リソグラフィー用反射防止膜形成組成物 | |
| JP4164638B2 (ja) | 反射防止膜形成組成物 | |
| JP4207115B2 (ja) | リン系有機基含有高分子を含む反射防止膜形成組成物 | |
| JP2002333717A (ja) | リソグラフィー用反射防止膜形成組成物 | |
| JP4840554B2 (ja) | 反射防止膜の表面エネルギーの調整方法 |
Legal Events
| Date | Code | Title | Description |
|---|---|---|---|
| A621 | Written request for application examination |
Free format text: JAPANESE INTERMEDIATE CODE: A621 Effective date: 20050225 |
|
| TRDD | Decision of grant or rejection written | ||
| A01 | Written decision to grant a patent or to grant a registration (utility model) |
Free format text: JAPANESE INTERMEDIATE CODE: A01 Effective date: 20060419 |
|
| A61 | First payment of annual fees (during grant procedure) |
Free format text: JAPANESE INTERMEDIATE CODE: A61 Effective date: 20060502 |
|
| R151 | Written notification of patent or utility model registration |
Ref document number: 3804792 Country of ref document: JP Free format text: JAPANESE INTERMEDIATE CODE: R151 |
|
| FPAY | Renewal fee payment (event date is renewal date of database) |
Free format text: PAYMENT UNTIL: 20090519 Year of fee payment: 3 |
|
| FPAY | Renewal fee payment (event date is renewal date of database) |
Free format text: PAYMENT UNTIL: 20100519 Year of fee payment: 4 |
|
| FPAY | Renewal fee payment (event date is renewal date of database) |
Free format text: PAYMENT UNTIL: 20110519 Year of fee payment: 5 |
|
| FPAY | Renewal fee payment (event date is renewal date of database) |
Free format text: PAYMENT UNTIL: 20120519 Year of fee payment: 6 |
|
| FPAY | Renewal fee payment (event date is renewal date of database) |
Free format text: PAYMENT UNTIL: 20130519 Year of fee payment: 7 |
|
| FPAY | Renewal fee payment (event date is renewal date of database) |
Free format text: PAYMENT UNTIL: 20130519 Year of fee payment: 7 |
|
| S531 | Written request for registration of change of domicile |
Free format text: JAPANESE INTERMEDIATE CODE: R313531 |
|
| S533 | Written request for registration of change of name |
Free format text: JAPANESE INTERMEDIATE CODE: R313533 |
|
| R350 | Written notification of registration of transfer |
Free format text: JAPANESE INTERMEDIATE CODE: R350 |
|
| EXPY | Cancellation because of completion of term |
