EP3237407B1 - 3,5-diaminopyrazol-kinase-inhibitoren - Google Patents
3,5-diaminopyrazol-kinase-inhibitoren Download PDFInfo
- Publication number
- EP3237407B1 EP3237407B1 EP15825997.8A EP15825997A EP3237407B1 EP 3237407 B1 EP3237407 B1 EP 3237407B1 EP 15825997 A EP15825997 A EP 15825997A EP 3237407 B1 EP3237407 B1 EP 3237407B1
- Authority
- EP
- European Patent Office
- Prior art keywords
- amino
- compound
- carboxamide
- pyrazole
- phenyl
- Prior art date
- Legal status (The legal status is an assumption and is not a legal conclusion. Google has not performed a legal analysis and makes no representation as to the accuracy of the status listed.)
- Active
Links
- 0 *c1cc(CNc2c(C(N)=O)c(Nc3ccccc3)n[n]2)cc(*)c1O Chemical compound *c1cc(CNc2c(C(N)=O)c(Nc3ccccc3)n[n]2)cc(*)c1O 0.000 description 7
- VTZNRYGGDWYCJY-UHFFFAOYSA-N CC(C)N(CC1)CCN1c(cc1)ccc1Nc1n[nH]c(NCc(cc2C)cc(C)c2O)c1C(N)=O Chemical compound CC(C)N(CC1)CCN1c(cc1)ccc1Nc1n[nH]c(NCc(cc2C)cc(C)c2O)c1C(N)=O VTZNRYGGDWYCJY-UHFFFAOYSA-N 0.000 description 3
- JQRLMAXFRRUBFO-CALCHBBNSA-N C[C@H](C1)O[C@@H](C)CN1c(cc1)ccc1Nc1n[nH]c(NCc(cc2C)cc(C)c2O)c1C(N)=O Chemical compound C[C@H](C1)O[C@@H](C)CN1c(cc1)ccc1Nc1n[nH]c(NCc(cc2C)cc(C)c2O)c1C(N)=O JQRLMAXFRRUBFO-CALCHBBNSA-N 0.000 description 2
- CRLKNBUQRZOYSE-UHFFFAOYSA-N CC(C)N(CC1)CCN1c(cc1)ccc1N Chemical compound CC(C)N(CC1)CCN1c(cc1)ccc1N CRLKNBUQRZOYSE-UHFFFAOYSA-N 0.000 description 1
- VYYMOEPZXQHQHL-VLGSPTGOSA-N CC(C)N(CC1)CCN1c(cc1)ccc1N/C(/SC)=C(/C(N)=O)\C#N Chemical compound CC(C)N(CC1)CCN1c(cc1)ccc1N/C(/SC)=C(/C(N)=O)\C#N VYYMOEPZXQHQHL-VLGSPTGOSA-N 0.000 description 1
- ZFWYKDWSWWBBAV-RWPZCVJISA-N CC(C)N(CC1)CCN1c(cc1)ccc1Nc1n[nH]c(/N=C/c(cc2C)cc(C)c2O)c1C(N)=O Chemical compound CC(C)N(CC1)CCN1c(cc1)ccc1Nc1n[nH]c(/N=C/c(cc2C)cc(C)c2O)c1C(N)=O ZFWYKDWSWWBBAV-RWPZCVJISA-N 0.000 description 1
- SOVYCRPYNQLIIU-UHFFFAOYSA-N CC(C)N(CC1)CCN1c(cc1)ccc1Nc1n[nH]c(N)c1C(N)=O Chemical compound CC(C)N(CC1)CCN1c(cc1)ccc1Nc1n[nH]c(N)c1C(N)=O SOVYCRPYNQLIIU-UHFFFAOYSA-N 0.000 description 1
- NTKVAZCLZXUGBB-UHFFFAOYSA-N CC(C)N(CC1)CCN1c(ccc(Nc1n[nH]c(NCc(cc2)ccc2O)c1C(N)=O)c1)c1Cl Chemical compound CC(C)N(CC1)CCN1c(ccc(Nc1n[nH]c(NCc(cc2)ccc2O)c1C(N)=O)c1)c1Cl NTKVAZCLZXUGBB-UHFFFAOYSA-N 0.000 description 1
- MJIBTYUXZGZPHK-UHFFFAOYSA-N CCc(cc(CNc1c(C(N)=O)c(Nc(cc2)ccc2N(CC2)CCN2C(N2CCOCC2)=O)n[nH]1)cc1C)c1O Chemical compound CCc(cc(CNc1c(C(N)=O)c(Nc(cc2)ccc2N(CC2)CCN2C(N2CCOCC2)=O)n[nH]1)cc1C)c1O MJIBTYUXZGZPHK-UHFFFAOYSA-N 0.000 description 1
- OBWWHKPCEUOGCQ-UHFFFAOYSA-N CCc1cc(CNc2c(C(N)=O)c(Nc(cc3)cc4c3[nH]nc4)n[nH]2)cc(C)c1O Chemical compound CCc1cc(CNc2c(C(N)=O)c(Nc(cc3)cc4c3[nH]nc4)n[nH]2)cc(C)c1O OBWWHKPCEUOGCQ-UHFFFAOYSA-N 0.000 description 1
- ASRISBXJSAYCHP-UHFFFAOYSA-N CSC(SC)=C(C(N)=O)C#N Chemical compound CSC(SC)=C(C(N)=O)C#N ASRISBXJSAYCHP-UHFFFAOYSA-N 0.000 description 1
- LINPBIZAINPWOA-UHFFFAOYSA-N Cc(cc(CNc1c(C(N)=O)c(Nc2cc(C)c(N3CCN(C)CC3)nc2)n[nH]1)cc1C)c1O Chemical compound Cc(cc(CNc1c(C(N)=O)c(Nc2cc(C)c(N3CCN(C)CC3)nc2)n[nH]1)cc1C)c1O LINPBIZAINPWOA-UHFFFAOYSA-N 0.000 description 1
- UYGBSRJODQHNLQ-UHFFFAOYSA-N Cc1cc(C=O)cc(C)c1O Chemical compound Cc1cc(C=O)cc(C)c1O UYGBSRJODQHNLQ-UHFFFAOYSA-N 0.000 description 1
- WEYANMOJSWVBOP-UHFFFAOYSA-N Cc1cc(CNc2c(C(N)=O)c(Nc(cc3)ccc3-[n]3cccc3)n[nH]2)cc(CI)c1O Chemical compound Cc1cc(CNc2c(C(N)=O)c(Nc(cc3)ccc3-[n]3cccc3)n[nH]2)cc(CI)c1O WEYANMOJSWVBOP-UHFFFAOYSA-N 0.000 description 1
- KZFKXHUDYPSZFQ-UHFFFAOYSA-N Cc1cc(CNc2c(C(N)=O)c(Nc(cc3)ccc3-c3cnccc3)n[nH]2)cc(C)c1O Chemical compound Cc1cc(CNc2c(C(N)=O)c(Nc(cc3)ccc3-c3cnccc3)n[nH]2)cc(C)c1O KZFKXHUDYPSZFQ-UHFFFAOYSA-N 0.000 description 1
- XQIFZVZLDFEHMN-UHFFFAOYSA-N Cc1cc(CNc2c(C(N)=O)c(Nc(cc3)ccc3-c3n[nH]cc3)n[nH]2)cc(C)c1O Chemical compound Cc1cc(CNc2c(C(N)=O)c(Nc(cc3)ccc3-c3n[nH]cc3)n[nH]2)cc(C)c1O XQIFZVZLDFEHMN-UHFFFAOYSA-N 0.000 description 1
- XPLAUDGBUGMZCZ-UHFFFAOYSA-N Cc1cc(CNc2c(C(N)=O)c(Nc(cc3)ccc3N(CCOC3)C3=O)n[nH]2)cc(C)c1O Chemical compound Cc1cc(CNc2c(C(N)=O)c(Nc(cc3)ccc3N(CCOC3)C3=O)n[nH]2)cc(C)c1O XPLAUDGBUGMZCZ-UHFFFAOYSA-N 0.000 description 1
- BTHYTHNAYZLKNI-UHFFFAOYSA-N Cc1cc(CNc2c(C(N)=O)c(Nc(cc3)ccc3NC(c(cc3)ccc3OC)=O)n[nH]2)cc(C)c1O Chemical compound Cc1cc(CNc2c(C(N)=O)c(Nc(cc3)ccc3NC(c(cc3)ccc3OC)=O)n[nH]2)cc(C)c1O BTHYTHNAYZLKNI-UHFFFAOYSA-N 0.000 description 1
- DZJQFGKYXJGDBC-UHFFFAOYSA-N NC(c1c(NCc(cc2)ccc2O)[nH]nc1Nc(cc1)ccc1N1CCOCC1)=O Chemical compound NC(c1c(NCc(cc2)ccc2O)[nH]nc1Nc(cc1)ccc1N1CCOCC1)=O DZJQFGKYXJGDBC-UHFFFAOYSA-N 0.000 description 1
- IOBZZWIREXYZQC-UHFFFAOYSA-N NC(c1c(NCc(cc2)ccc2O)[nH]nc1Nc1ccc(CC#N)cc1)=O Chemical compound NC(c1c(NCc(cc2)ccc2O)[nH]nc1Nc1ccc(CC#N)cc1)=O IOBZZWIREXYZQC-UHFFFAOYSA-N 0.000 description 1
Classifications
-
- A—HUMAN NECESSITIES
- A61—MEDICAL OR VETERINARY SCIENCE; HYGIENE
- A61K—PREPARATIONS FOR MEDICAL, DENTAL OR TOILETRY PURPOSES
- A61K31/00—Medicinal preparations containing organic active ingredients
- A61K31/33—Heterocyclic compounds
- A61K31/395—Heterocyclic compounds having nitrogen as a ring hetero atom, e.g. guanethidine or rifamycins
- A61K31/41—Heterocyclic compounds having nitrogen as a ring hetero atom, e.g. guanethidine or rifamycins having five-membered rings with two or more ring hetero atoms, at least one of which being nitrogen, e.g. tetrazole
- A61K31/415—1,2-Diazoles
-
- A—HUMAN NECESSITIES
- A61—MEDICAL OR VETERINARY SCIENCE; HYGIENE
- A61K—PREPARATIONS FOR MEDICAL, DENTAL OR TOILETRY PURPOSES
- A61K31/00—Medicinal preparations containing organic active ingredients
- A61K31/33—Heterocyclic compounds
- A61K31/395—Heterocyclic compounds having nitrogen as a ring hetero atom, e.g. guanethidine or rifamycins
- A61K31/41—Heterocyclic compounds having nitrogen as a ring hetero atom, e.g. guanethidine or rifamycins having five-membered rings with two or more ring hetero atoms, at least one of which being nitrogen, e.g. tetrazole
- A61K31/415—1,2-Diazoles
- A61K31/4155—1,2-Diazoles non condensed and containing further heterocyclic rings
-
- A—HUMAN NECESSITIES
- A61—MEDICAL OR VETERINARY SCIENCE; HYGIENE
- A61K—PREPARATIONS FOR MEDICAL, DENTAL OR TOILETRY PURPOSES
- A61K31/00—Medicinal preparations containing organic active ingredients
- A61K31/33—Heterocyclic compounds
- A61K31/395—Heterocyclic compounds having nitrogen as a ring hetero atom, e.g. guanethidine or rifamycins
- A61K31/41—Heterocyclic compounds having nitrogen as a ring hetero atom, e.g. guanethidine or rifamycins having five-membered rings with two or more ring hetero atoms, at least one of which being nitrogen, e.g. tetrazole
- A61K31/415—1,2-Diazoles
- A61K31/416—1,2-Diazoles condensed with carbocyclic ring systems, e.g. indazole
-
- A—HUMAN NECESSITIES
- A61—MEDICAL OR VETERINARY SCIENCE; HYGIENE
- A61K—PREPARATIONS FOR MEDICAL, DENTAL OR TOILETRY PURPOSES
- A61K31/00—Medicinal preparations containing organic active ingredients
- A61K31/33—Heterocyclic compounds
- A61K31/395—Heterocyclic compounds having nitrogen as a ring hetero atom, e.g. guanethidine or rifamycins
- A61K31/41—Heterocyclic compounds having nitrogen as a ring hetero atom, e.g. guanethidine or rifamycins having five-membered rings with two or more ring hetero atoms, at least one of which being nitrogen, e.g. tetrazole
- A61K31/4164—1,3-Diazoles
- A61K31/4178—1,3-Diazoles not condensed 1,3-diazoles and containing further heterocyclic rings, e.g. pilocarpine, nitrofurantoin
-
- A—HUMAN NECESSITIES
- A61—MEDICAL OR VETERINARY SCIENCE; HYGIENE
- A61K—PREPARATIONS FOR MEDICAL, DENTAL OR TOILETRY PURPOSES
- A61K31/00—Medicinal preparations containing organic active ingredients
- A61K31/33—Heterocyclic compounds
- A61K31/395—Heterocyclic compounds having nitrogen as a ring hetero atom, e.g. guanethidine or rifamycins
- A61K31/41—Heterocyclic compounds having nitrogen as a ring hetero atom, e.g. guanethidine or rifamycins having five-membered rings with two or more ring hetero atoms, at least one of which being nitrogen, e.g. tetrazole
- A61K31/42—Oxazoles
- A61K31/422—Oxazoles not condensed and containing further heterocyclic rings
-
- A—HUMAN NECESSITIES
- A61—MEDICAL OR VETERINARY SCIENCE; HYGIENE
- A61K—PREPARATIONS FOR MEDICAL, DENTAL OR TOILETRY PURPOSES
- A61K31/00—Medicinal preparations containing organic active ingredients
- A61K31/33—Heterocyclic compounds
- A61K31/395—Heterocyclic compounds having nitrogen as a ring hetero atom, e.g. guanethidine or rifamycins
- A61K31/435—Heterocyclic compounds having nitrogen as a ring hetero atom, e.g. guanethidine or rifamycins having six-membered rings with one nitrogen as the only ring hetero atom
- A61K31/44—Non condensed pyridines; Hydrogenated derivatives thereof
- A61K31/4427—Non condensed pyridines; Hydrogenated derivatives thereof containing further heterocyclic ring systems
- A61K31/4439—Non condensed pyridines; Hydrogenated derivatives thereof containing further heterocyclic ring systems containing a five-membered ring with nitrogen as a ring hetero atom, e.g. omeprazole
-
- A—HUMAN NECESSITIES
- A61—MEDICAL OR VETERINARY SCIENCE; HYGIENE
- A61K—PREPARATIONS FOR MEDICAL, DENTAL OR TOILETRY PURPOSES
- A61K31/00—Medicinal preparations containing organic active ingredients
- A61K31/33—Heterocyclic compounds
- A61K31/395—Heterocyclic compounds having nitrogen as a ring hetero atom, e.g. guanethidine or rifamycins
- A61K31/435—Heterocyclic compounds having nitrogen as a ring hetero atom, e.g. guanethidine or rifamycins having six-membered rings with one nitrogen as the only ring hetero atom
- A61K31/44—Non condensed pyridines; Hydrogenated derivatives thereof
- A61K31/445—Non condensed piperidines, e.g. piperocaine
- A61K31/4523—Non condensed piperidines, e.g. piperocaine containing further heterocyclic ring systems
- A61K31/454—Non condensed piperidines, e.g. piperocaine containing further heterocyclic ring systems containing a five-membered ring with nitrogen as a ring hetero atom, e.g. pimozide, domperidone
-
- A—HUMAN NECESSITIES
- A61—MEDICAL OR VETERINARY SCIENCE; HYGIENE
- A61K—PREPARATIONS FOR MEDICAL, DENTAL OR TOILETRY PURPOSES
- A61K31/00—Medicinal preparations containing organic active ingredients
- A61K31/33—Heterocyclic compounds
- A61K31/395—Heterocyclic compounds having nitrogen as a ring hetero atom, e.g. guanethidine or rifamycins
- A61K31/435—Heterocyclic compounds having nitrogen as a ring hetero atom, e.g. guanethidine or rifamycins having six-membered rings with one nitrogen as the only ring hetero atom
- A61K31/44—Non condensed pyridines; Hydrogenated derivatives thereof
- A61K31/445—Non condensed piperidines, e.g. piperocaine
- A61K31/4523—Non condensed piperidines, e.g. piperocaine containing further heterocyclic ring systems
- A61K31/4545—Non condensed piperidines, e.g. piperocaine containing further heterocyclic ring systems containing a six-membered ring with nitrogen as a ring hetero atom, e.g. pipamperone, anabasine
-
- A—HUMAN NECESSITIES
- A61—MEDICAL OR VETERINARY SCIENCE; HYGIENE
- A61K—PREPARATIONS FOR MEDICAL, DENTAL OR TOILETRY PURPOSES
- A61K31/00—Medicinal preparations containing organic active ingredients
- A61K31/33—Heterocyclic compounds
- A61K31/395—Heterocyclic compounds having nitrogen as a ring hetero atom, e.g. guanethidine or rifamycins
- A61K31/495—Heterocyclic compounds having nitrogen as a ring hetero atom, e.g. guanethidine or rifamycins having six-membered rings with two or more nitrogen atoms as the only ring heteroatoms, e.g. piperazine or tetrazines
- A61K31/496—Non-condensed piperazines containing further heterocyclic rings, e.g. rifampin, thiothixene or sparfloxacin
-
- A—HUMAN NECESSITIES
- A61—MEDICAL OR VETERINARY SCIENCE; HYGIENE
- A61K—PREPARATIONS FOR MEDICAL, DENTAL OR TOILETRY PURPOSES
- A61K31/00—Medicinal preparations containing organic active ingredients
- A61K31/33—Heterocyclic compounds
- A61K31/395—Heterocyclic compounds having nitrogen as a ring hetero atom, e.g. guanethidine or rifamycins
- A61K31/495—Heterocyclic compounds having nitrogen as a ring hetero atom, e.g. guanethidine or rifamycins having six-membered rings with two or more nitrogen atoms as the only ring heteroatoms, e.g. piperazine or tetrazines
- A61K31/505—Pyrimidines; Hydrogenated pyrimidines, e.g. trimethoprim
- A61K31/506—Pyrimidines; Hydrogenated pyrimidines, e.g. trimethoprim not condensed and containing further heterocyclic rings
-
- A—HUMAN NECESSITIES
- A61—MEDICAL OR VETERINARY SCIENCE; HYGIENE
- A61K—PREPARATIONS FOR MEDICAL, DENTAL OR TOILETRY PURPOSES
- A61K31/00—Medicinal preparations containing organic active ingredients
- A61K31/33—Heterocyclic compounds
- A61K31/395—Heterocyclic compounds having nitrogen as a ring hetero atom, e.g. guanethidine or rifamycins
- A61K31/535—Heterocyclic compounds having nitrogen as a ring hetero atom, e.g. guanethidine or rifamycins having six-membered rings with at least one nitrogen and one oxygen as the ring hetero atoms, e.g. 1,2-oxazines
- A61K31/5375—1,4-Oxazines, e.g. morpholine
- A61K31/5377—1,4-Oxazines, e.g. morpholine not condensed and containing further heterocyclic rings, e.g. timolol
-
- A—HUMAN NECESSITIES
- A61—MEDICAL OR VETERINARY SCIENCE; HYGIENE
- A61K—PREPARATIONS FOR MEDICAL, DENTAL OR TOILETRY PURPOSES
- A61K31/00—Medicinal preparations containing organic active ingredients
- A61K31/33—Heterocyclic compounds
- A61K31/395—Heterocyclic compounds having nitrogen as a ring hetero atom, e.g. guanethidine or rifamycins
- A61K31/54—Heterocyclic compounds having nitrogen as a ring hetero atom, e.g. guanethidine or rifamycins having six-membered rings with at least one nitrogen and one sulfur as the ring hetero atoms, e.g. sulthiame
- A61K31/541—Non-condensed thiazines containing further heterocyclic rings
-
- A—HUMAN NECESSITIES
- A61—MEDICAL OR VETERINARY SCIENCE; HYGIENE
- A61K—PREPARATIONS FOR MEDICAL, DENTAL OR TOILETRY PURPOSES
- A61K31/00—Medicinal preparations containing organic active ingredients
- A61K31/63—Compounds containing para-N-benzenesulfonyl-N-groups, e.g. sulfanilamide, p-nitrobenzenesulfonyl hydrazide
- A61K31/635—Compounds containing para-N-benzenesulfonyl-N-groups, e.g. sulfanilamide, p-nitrobenzenesulfonyl hydrazide having a heterocyclic ring, e.g. sulfadiazine
-
- A—HUMAN NECESSITIES
- A61—MEDICAL OR VETERINARY SCIENCE; HYGIENE
- A61K—PREPARATIONS FOR MEDICAL, DENTAL OR TOILETRY PURPOSES
- A61K45/00—Medicinal preparations containing active ingredients not provided for in groups A61K31/00 - A61K41/00
- A61K45/06—Mixtures of active ingredients without chemical characterisation, e.g. antiphlogistics and cardiaca
-
- A—HUMAN NECESSITIES
- A61—MEDICAL OR VETERINARY SCIENCE; HYGIENE
- A61P—SPECIFIC THERAPEUTIC ACTIVITY OF CHEMICAL COMPOUNDS OR MEDICINAL PREPARATIONS
- A61P1/00—Drugs for disorders of the alimentary tract or the digestive system
-
- A—HUMAN NECESSITIES
- A61—MEDICAL OR VETERINARY SCIENCE; HYGIENE
- A61P—SPECIFIC THERAPEUTIC ACTIVITY OF CHEMICAL COMPOUNDS OR MEDICINAL PREPARATIONS
- A61P1/00—Drugs for disorders of the alimentary tract or the digestive system
- A61P1/04—Drugs for disorders of the alimentary tract or the digestive system for ulcers, gastritis or reflux esophagitis, e.g. antacids, inhibitors of acid secretion, mucosal protectants
-
- A—HUMAN NECESSITIES
- A61—MEDICAL OR VETERINARY SCIENCE; HYGIENE
- A61P—SPECIFIC THERAPEUTIC ACTIVITY OF CHEMICAL COMPOUNDS OR MEDICINAL PREPARATIONS
- A61P11/00—Drugs for disorders of the respiratory system
-
- A—HUMAN NECESSITIES
- A61—MEDICAL OR VETERINARY SCIENCE; HYGIENE
- A61P—SPECIFIC THERAPEUTIC ACTIVITY OF CHEMICAL COMPOUNDS OR MEDICINAL PREPARATIONS
- A61P11/00—Drugs for disorders of the respiratory system
- A61P11/02—Nasal agents, e.g. decongestants
-
- A—HUMAN NECESSITIES
- A61—MEDICAL OR VETERINARY SCIENCE; HYGIENE
- A61P—SPECIFIC THERAPEUTIC ACTIVITY OF CHEMICAL COMPOUNDS OR MEDICINAL PREPARATIONS
- A61P11/00—Drugs for disorders of the respiratory system
- A61P11/06—Antiasthmatics
-
- A—HUMAN NECESSITIES
- A61—MEDICAL OR VETERINARY SCIENCE; HYGIENE
- A61P—SPECIFIC THERAPEUTIC ACTIVITY OF CHEMICAL COMPOUNDS OR MEDICINAL PREPARATIONS
- A61P17/00—Drugs for dermatological disorders
-
- A—HUMAN NECESSITIES
- A61—MEDICAL OR VETERINARY SCIENCE; HYGIENE
- A61P—SPECIFIC THERAPEUTIC ACTIVITY OF CHEMICAL COMPOUNDS OR MEDICINAL PREPARATIONS
- A61P17/00—Drugs for dermatological disorders
- A61P17/02—Drugs for dermatological disorders for treating wounds, ulcers, burns, scars, keloids, or the like
-
- A—HUMAN NECESSITIES
- A61—MEDICAL OR VETERINARY SCIENCE; HYGIENE
- A61P—SPECIFIC THERAPEUTIC ACTIVITY OF CHEMICAL COMPOUNDS OR MEDICINAL PREPARATIONS
- A61P17/00—Drugs for dermatological disorders
- A61P17/04—Antipruritics
-
- A—HUMAN NECESSITIES
- A61—MEDICAL OR VETERINARY SCIENCE; HYGIENE
- A61P—SPECIFIC THERAPEUTIC ACTIVITY OF CHEMICAL COMPOUNDS OR MEDICINAL PREPARATIONS
- A61P17/00—Drugs for dermatological disorders
- A61P17/06—Antipsoriatics
-
- A—HUMAN NECESSITIES
- A61—MEDICAL OR VETERINARY SCIENCE; HYGIENE
- A61P—SPECIFIC THERAPEUTIC ACTIVITY OF CHEMICAL COMPOUNDS OR MEDICINAL PREPARATIONS
- A61P17/00—Drugs for dermatological disorders
- A61P17/10—Anti-acne agents
-
- A—HUMAN NECESSITIES
- A61—MEDICAL OR VETERINARY SCIENCE; HYGIENE
- A61P—SPECIFIC THERAPEUTIC ACTIVITY OF CHEMICAL COMPOUNDS OR MEDICINAL PREPARATIONS
- A61P19/00—Drugs for skeletal disorders
- A61P19/02—Drugs for skeletal disorders for joint disorders, e.g. arthritis, arthrosis
-
- A—HUMAN NECESSITIES
- A61—MEDICAL OR VETERINARY SCIENCE; HYGIENE
- A61P—SPECIFIC THERAPEUTIC ACTIVITY OF CHEMICAL COMPOUNDS OR MEDICINAL PREPARATIONS
- A61P25/00—Drugs for disorders of the nervous system
-
- A—HUMAN NECESSITIES
- A61—MEDICAL OR VETERINARY SCIENCE; HYGIENE
- A61P—SPECIFIC THERAPEUTIC ACTIVITY OF CHEMICAL COMPOUNDS OR MEDICINAL PREPARATIONS
- A61P27/00—Drugs for disorders of the senses
- A61P27/02—Ophthalmic agents
-
- A—HUMAN NECESSITIES
- A61—MEDICAL OR VETERINARY SCIENCE; HYGIENE
- A61P—SPECIFIC THERAPEUTIC ACTIVITY OF CHEMICAL COMPOUNDS OR MEDICINAL PREPARATIONS
- A61P27/00—Drugs for disorders of the senses
- A61P27/02—Ophthalmic agents
- A61P27/14—Decongestants or antiallergics
-
- A—HUMAN NECESSITIES
- A61—MEDICAL OR VETERINARY SCIENCE; HYGIENE
- A61P—SPECIFIC THERAPEUTIC ACTIVITY OF CHEMICAL COMPOUNDS OR MEDICINAL PREPARATIONS
- A61P29/00—Non-central analgesic, antipyretic or antiinflammatory agents, e.g. antirheumatic agents; Non-steroidal antiinflammatory drugs [NSAID]
-
- A—HUMAN NECESSITIES
- A61—MEDICAL OR VETERINARY SCIENCE; HYGIENE
- A61P—SPECIFIC THERAPEUTIC ACTIVITY OF CHEMICAL COMPOUNDS OR MEDICINAL PREPARATIONS
- A61P35/00—Antineoplastic agents
- A61P35/02—Antineoplastic agents specific for leukemia
-
- A—HUMAN NECESSITIES
- A61—MEDICAL OR VETERINARY SCIENCE; HYGIENE
- A61P—SPECIFIC THERAPEUTIC ACTIVITY OF CHEMICAL COMPOUNDS OR MEDICINAL PREPARATIONS
- A61P37/00—Drugs for immunological or allergic disorders
-
- A—HUMAN NECESSITIES
- A61—MEDICAL OR VETERINARY SCIENCE; HYGIENE
- A61P—SPECIFIC THERAPEUTIC ACTIVITY OF CHEMICAL COMPOUNDS OR MEDICINAL PREPARATIONS
- A61P37/00—Drugs for immunological or allergic disorders
- A61P37/02—Immunomodulators
-
- A—HUMAN NECESSITIES
- A61—MEDICAL OR VETERINARY SCIENCE; HYGIENE
- A61P—SPECIFIC THERAPEUTIC ACTIVITY OF CHEMICAL COMPOUNDS OR MEDICINAL PREPARATIONS
- A61P37/00—Drugs for immunological or allergic disorders
- A61P37/02—Immunomodulators
- A61P37/06—Immunosuppressants, e.g. drugs for graft rejection
-
- A—HUMAN NECESSITIES
- A61—MEDICAL OR VETERINARY SCIENCE; HYGIENE
- A61P—SPECIFIC THERAPEUTIC ACTIVITY OF CHEMICAL COMPOUNDS OR MEDICINAL PREPARATIONS
- A61P37/00—Drugs for immunological or allergic disorders
- A61P37/08—Antiallergic agents
-
- A—HUMAN NECESSITIES
- A61—MEDICAL OR VETERINARY SCIENCE; HYGIENE
- A61P—SPECIFIC THERAPEUTIC ACTIVITY OF CHEMICAL COMPOUNDS OR MEDICINAL PREPARATIONS
- A61P43/00—Drugs for specific purposes, not provided for in groups A61P1/00-A61P41/00
-
- A—HUMAN NECESSITIES
- A61—MEDICAL OR VETERINARY SCIENCE; HYGIENE
- A61P—SPECIFIC THERAPEUTIC ACTIVITY OF CHEMICAL COMPOUNDS OR MEDICINAL PREPARATIONS
- A61P9/00—Drugs for disorders of the cardiovascular system
-
- A—HUMAN NECESSITIES
- A61—MEDICAL OR VETERINARY SCIENCE; HYGIENE
- A61P—SPECIFIC THERAPEUTIC ACTIVITY OF CHEMICAL COMPOUNDS OR MEDICINAL PREPARATIONS
- A61P9/00—Drugs for disorders of the cardiovascular system
- A61P9/10—Drugs for disorders of the cardiovascular system for treating ischaemic or atherosclerotic diseases, e.g. antianginal drugs, coronary vasodilators, drugs for myocardial infarction, retinopathy, cerebrovascula insufficiency, renal arteriosclerosis
-
- C—CHEMISTRY; METALLURGY
- C07—ORGANIC CHEMISTRY
- C07D—HETEROCYCLIC COMPOUNDS
- C07D231/00—Heterocyclic compounds containing 1,2-diazole or hydrogenated 1,2-diazole rings
- C07D231/02—Heterocyclic compounds containing 1,2-diazole or hydrogenated 1,2-diazole rings not condensed with other rings
- C07D231/10—Heterocyclic compounds containing 1,2-diazole or hydrogenated 1,2-diazole rings not condensed with other rings having two or three double bonds between ring members or between ring members and non-ring members
- C07D231/14—Heterocyclic compounds containing 1,2-diazole or hydrogenated 1,2-diazole rings not condensed with other rings having two or three double bonds between ring members or between ring members and non-ring members with hetero atoms or with carbon atoms having three bonds to hetero atoms with at the most one bond to halogen, e.g. ester or nitrile radicals, directly attached to ring carbon atoms
-
- C—CHEMISTRY; METALLURGY
- C07—ORGANIC CHEMISTRY
- C07D—HETEROCYCLIC COMPOUNDS
- C07D231/00—Heterocyclic compounds containing 1,2-diazole or hydrogenated 1,2-diazole rings
- C07D231/02—Heterocyclic compounds containing 1,2-diazole or hydrogenated 1,2-diazole rings not condensed with other rings
- C07D231/10—Heterocyclic compounds containing 1,2-diazole or hydrogenated 1,2-diazole rings not condensed with other rings having two or three double bonds between ring members or between ring members and non-ring members
- C07D231/14—Heterocyclic compounds containing 1,2-diazole or hydrogenated 1,2-diazole rings not condensed with other rings having two or three double bonds between ring members or between ring members and non-ring members with hetero atoms or with carbon atoms having three bonds to hetero atoms with at the most one bond to halogen, e.g. ester or nitrile radicals, directly attached to ring carbon atoms
- C07D231/38—Nitrogen atoms
-
- C—CHEMISTRY; METALLURGY
- C07—ORGANIC CHEMISTRY
- C07D—HETEROCYCLIC COMPOUNDS
- C07D231/00—Heterocyclic compounds containing 1,2-diazole or hydrogenated 1,2-diazole rings
- C07D231/54—Heterocyclic compounds containing 1,2-diazole or hydrogenated 1,2-diazole rings condensed with carbocyclic rings or ring systems
- C07D231/56—Benzopyrazoles; Hydrogenated benzopyrazoles
-
- C—CHEMISTRY; METALLURGY
- C07—ORGANIC CHEMISTRY
- C07D—HETEROCYCLIC COMPOUNDS
- C07D401/00—Heterocyclic compounds containing two or more hetero rings, having nitrogen atoms as the only ring hetero atoms, at least one ring being a six-membered ring with only one nitrogen atom
- C07D401/02—Heterocyclic compounds containing two or more hetero rings, having nitrogen atoms as the only ring hetero atoms, at least one ring being a six-membered ring with only one nitrogen atom containing two hetero rings
- C07D401/12—Heterocyclic compounds containing two or more hetero rings, having nitrogen atoms as the only ring hetero atoms, at least one ring being a six-membered ring with only one nitrogen atom containing two hetero rings linked by a chain containing hetero atoms as chain links
-
- C—CHEMISTRY; METALLURGY
- C07—ORGANIC CHEMISTRY
- C07D—HETEROCYCLIC COMPOUNDS
- C07D401/00—Heterocyclic compounds containing two or more hetero rings, having nitrogen atoms as the only ring hetero atoms, at least one ring being a six-membered ring with only one nitrogen atom
- C07D401/14—Heterocyclic compounds containing two or more hetero rings, having nitrogen atoms as the only ring hetero atoms, at least one ring being a six-membered ring with only one nitrogen atom containing three or more hetero rings
-
- C—CHEMISTRY; METALLURGY
- C07—ORGANIC CHEMISTRY
- C07D—HETEROCYCLIC COMPOUNDS
- C07D403/00—Heterocyclic compounds containing two or more hetero rings, having nitrogen atoms as the only ring hetero atoms, not provided for by group C07D401/00
- C07D403/02—Heterocyclic compounds containing two or more hetero rings, having nitrogen atoms as the only ring hetero atoms, not provided for by group C07D401/00 containing two hetero rings
- C07D403/12—Heterocyclic compounds containing two or more hetero rings, having nitrogen atoms as the only ring hetero atoms, not provided for by group C07D401/00 containing two hetero rings linked by a chain containing hetero atoms as chain links
-
- C—CHEMISTRY; METALLURGY
- C07—ORGANIC CHEMISTRY
- C07D—HETEROCYCLIC COMPOUNDS
- C07D403/00—Heterocyclic compounds containing two or more hetero rings, having nitrogen atoms as the only ring hetero atoms, not provided for by group C07D401/00
- C07D403/14—Heterocyclic compounds containing two or more hetero rings, having nitrogen atoms as the only ring hetero atoms, not provided for by group C07D401/00 containing three or more hetero rings
-
- C—CHEMISTRY; METALLURGY
- C07—ORGANIC CHEMISTRY
- C07D—HETEROCYCLIC COMPOUNDS
- C07D405/00—Heterocyclic compounds containing both one or more hetero rings having oxygen atoms as the only ring hetero atoms, and one or more rings having nitrogen as the only ring hetero atom
- C07D405/14—Heterocyclic compounds containing both one or more hetero rings having oxygen atoms as the only ring hetero atoms, and one or more rings having nitrogen as the only ring hetero atom containing three or more hetero rings
-
- C—CHEMISTRY; METALLURGY
- C07—ORGANIC CHEMISTRY
- C07D—HETEROCYCLIC COMPOUNDS
- C07D413/00—Heterocyclic compounds containing two or more hetero rings, at least one ring having nitrogen and oxygen atoms as the only ring hetero atoms
- C07D413/02—Heterocyclic compounds containing two or more hetero rings, at least one ring having nitrogen and oxygen atoms as the only ring hetero atoms containing two hetero rings
- C07D413/12—Heterocyclic compounds containing two or more hetero rings, at least one ring having nitrogen and oxygen atoms as the only ring hetero atoms containing two hetero rings linked by a chain containing hetero atoms as chain links
-
- C—CHEMISTRY; METALLURGY
- C07—ORGANIC CHEMISTRY
- C07D—HETEROCYCLIC COMPOUNDS
- C07D417/00—Heterocyclic compounds containing two or more hetero rings, at least one ring having nitrogen and sulfur atoms as the only ring hetero atoms, not provided for by group C07D415/00
- C07D417/02—Heterocyclic compounds containing two or more hetero rings, at least one ring having nitrogen and sulfur atoms as the only ring hetero atoms, not provided for by group C07D415/00 containing two hetero rings
- C07D417/12—Heterocyclic compounds containing two or more hetero rings, at least one ring having nitrogen and sulfur atoms as the only ring hetero atoms, not provided for by group C07D415/00 containing two hetero rings linked by a chain containing hetero atoms as chain links
-
- C—CHEMISTRY; METALLURGY
- C12—BIOCHEMISTRY; BEER; SPIRITS; WINE; VINEGAR; MICROBIOLOGY; ENZYMOLOGY; MUTATION OR GENETIC ENGINEERING
- C12N—MICROORGANISMS OR ENZYMES; COMPOSITIONS THEREOF; PROPAGATING, PRESERVING, OR MAINTAINING MICROORGANISMS; MUTATION OR GENETIC ENGINEERING; CULTURE MEDIA
- C12N9/00—Enzymes; Proenzymes; Compositions thereof; Processes for preparing, activating, inhibiting, separating or purifying enzymes
- C12N9/10—Transferases (2.)
- C12N9/12—Transferases (2.) transferring phosphorus containing groups, e.g. kinases (2.7)
-
- A—HUMAN NECESSITIES
- A61—MEDICAL OR VETERINARY SCIENCE; HYGIENE
- A61K—PREPARATIONS FOR MEDICAL, DENTAL OR TOILETRY PURPOSES
- A61K2300/00—Mixtures or combinations of active ingredients, wherein at least one active ingredient is fully defined in groups A61K31/00 - A61K41/00
-
- C—CHEMISTRY; METALLURGY
- C12—BIOCHEMISTRY; BEER; SPIRITS; WINE; VINEGAR; MICROBIOLOGY; ENZYMOLOGY; MUTATION OR GENETIC ENGINEERING
- C12Y—ENZYMES
- C12Y207/00—Transferases transferring phosphorus-containing groups (2.7)
- C12Y207/11—Protein-serine/threonine kinases (2.7.11)
- C12Y207/11001—Non-specific serine/threonine protein kinase (2.7.11.1), i.e. casein kinase or checkpoint kinase
Definitions
- 3,5-diaminopyrazoles that are useful for modulating regulated-in-COPD kinase (RC kinase) activity, and pharmaceutical compositions thereof. Also provided herein are methods of their use for treating, preventing, or ameliorating one or more symptoms of a RC kinase-mediated disorder, disease, or condition.
- RC kinase is closely related to MAPKKK3, which directly regulates the pathways of stress-activated protein kinase (SAPK) and extracellular signal-regulated protein kinase (ERK) by activating SEK and MEK1/2, respectively. See, U.S. Pat. No. 7,829,685 .
- SAPK stress-activated protein kinase
- ERK extracellular signal-regulated protein kinase
- MKK4 leads to the phosphorylation of JNK-type MAP kinases, leading to the phosphorylation of c-Jun and thus the activation of the AP-1 transcription factor complex.
- interleukin-8 production is increased, leading to the recruitment of inflammatory cells, such as neutrophils.
- MKK6 leads to the phosphorylation of p38-type MAP kinases, which is important in the activation of the immune response and key regulators of inflammatory cytokine expression.
- the occurrence of cellular stresses, the activation of the transcription factor, and the overproduction of interleukin-8 are characteristic of numerous inflammatory diseases.
- the regulation of RC kinase activity can potentially be beneficial to patients with inflammatory diseases.
- RC kinase has been shown to be highly expressed in the lung and trachea. Some of the expressed sequence tags of human RC kinase are also expressed in the lung epithelial cells and in primary lung cystic fibrosis epithelial cells. Microarray analyses of patients with chronic obstructive pulmonary disease (COPD) show that RC kinase is upregulated in the lungs of COPD patients. On the cellular level, it has been shown that the expression of RC kinase is upregulated in response to hyperosmotic or oxidative stress. For example, the expression of RC kinase in cells increases significantly after exposure to potassium chloride or hydrogen peroxide. Potassium chloride subjects cells to a hyperosmotic stress.
- COPD chronic obstructive pulmonary disease
- Hydrogen peroxide subjects cells to an oxidative stress, which impairs the capacity of B cells to stimulate specific T cells.
- oxidative stress which impairs the capacity of B cells to stimulate specific T cells.
- Such upregulation of RC kinase in cells in response to hyperosmotic and oxidative stress suggests that higher expression of RC kinase in lungs of COPD patients may be the result of cellular stresses caused by the irritants in tobacco smoke or stresses caused by inflammatory response to those irritants.
- RC kinase inhibitors are potentially useful for the treatment of inflammatory diseases, including COPD.
- Janus Kinase is a family of intracellular, nonreceptor tyrosine kinases that transduce cytokine-mediated signals via the JAK/STAT signaling pathway.
- This family comprising JAK1, JAK2, JAK3 and TYK2 (tyrosine kinase 2), was first described more than 20 years ago, but the complexities underlying their activation, regulation and pleiotropic signaling functions are still being explored. See, e.g., Babon et al., Biochem J. 2014; 462(1), 1-13 . Disrupted or dysregulated JAK-STAT functionality may result in a variety of disorders, including immune deficiency syndromes and cancers.
- compositions comprising a compound disclosed herein, e.g., a compound of Formula II-a, including a stereoisomer, enantiomer, mixture of enantiomers, mixture of diastereomers, or isotopic variant thereof; or a pharmaceutically acceptable salt, solvate, or hydrate, thereof; and one or more pharmaceutically acceptable excipients.
- the pharmaceutical composition may be formulated for single dose administration.
- the pharmaceutical composition may be formulated as oral, parenteral, or intravenous dosage form.
- the oral dosage form may be a tablet or capsule.
- the pharmaceutical composition may further comprise a second therapeutic agent.
- a compound disclosed herein e.g., a compound of Formula II-a, including a stereoisomer, enantiomer, mixture of enantiomers, mixture of diastereomers, or isotopic variant thereof; or a pharmaceutically acceptable salt, solvate, or hydrate thereof for use in a method of treating, preventing, or ameliorating one or more symptoms of an eosinophil-related disorder, disease, or condition; a basophil-related disorder, disease, or condition; a mast cell-related disorder, disease, or condition; or an inflammatory disease in a subject.
- an in vitro method of modulating RC kinase activity comprising contacting a RC kinase with a compound disclosed herein, e.g., a compound of Formula II-a, including a stereoisomer, enantiomer, mixture of enantiomers, mixture of diastereomers, or isotopic variant thereof; or a pharmaceutically acceptable salt, solvate, or hydrate thereof.
- a compound disclosed herein e.g., a compound of Formula II-a, including a stereoisomer, enantiomer, mixture of enantiomers, mixture of diastereomers, or isotopic variant thereof; or a pharmaceutically acceptable salt, solvate, or hydrate thereof.
- subject refers to an animal, including, but not limited to, a primate (e.g ., human), cow, pig, sheep, goat, horse, dog, cat, rabbit, rat, or mouse.
- primate e.g ., human
- cow, pig, sheep, goat horse
- dog cat
- rabbit rat
- patient are used interchangeably herein in reference, for example, to a mammalian subject, such as a human subject, in one embodiment, a human.
- treat means to include alleviating or abrogating a disorder, disease, or condition, or one or more of the symptoms associated with the disorder, disease, or condition; or alleviating or eradicating the cause(s) of the disorder, disease, or condition itself.
- prevent are meant to include a method of delaying and/or precluding the onset of a disorder, disease, or condition, and/or its attendant symptoms; barring a subject from acquiring a disorder, disease, or condition; or reducing a subject's risk of acquiring a disorder, disease, or condition.
- therapeutically effective amount are meant to include the amount of a compound that, when administered, is sufficient to prevent development of, or alleviate to some extent, one or more of the symptoms of the disorder, disease, or condition being treated.
- therapeutically effective amount also refers to the amount of a compound that is sufficient to elicit the biological or medical response of a biological molecule (e.g., a protein, enzyme, RNA, or DNA), cell, tissue, system, animal, or human, which is being sought by a researcher, veterinarian, medical doctor, or clinician.
- a biological molecule e.g., a protein, enzyme, RNA, or DNA
- IC 50 or "EC 50” refers an amount, concentration, or dosage of a compound that is required for 50% inhibition of a maximal response in an assay that measures such response.
- CC 50 refers an amount, concentration, or dosage of a compound that results in 50% reduction of the viability of a host.
- the CC 50 of a compound is the amount, concentration, or dosage of the compound that is required to reduce the viability of cells treated with the compound by 50%, in comparison with cells untreated with the compound.
- pharmaceutically acceptable carrier refers to a pharmaceutically-acceptable material, composition, or vehicle, such as a liquid or solid filler, diluent, solvent, or encapsulating material.
- each component is “pharmaceutically acceptable” in the sense of being compatible with the other ingredients of a pharmaceutical formulation, and suitable for use in contact with the tissue or organ of humans and animals without excessive toxicity, irritation, allergic response, immunogenicity, or other problems or complications, commensurate with a reasonable benefit/risk ratio.
- the term “about” or “approximately” means an acceptable error for a particular value as determined by one of ordinary skill in the art, which depends in part on how the value is measured or determined. In certain embodiments, the term “about” or “approximately” means within 1, 2, 3, or 4 standard deviations. In certain embodiments, the term “about” or “approximately” means within 50%, 20%, 15%, 10%, 9%, 8%, 7%, 6%, 5%, 4%, 3%, 2%, 1%, 0.5%, or 0.05% of a given value or range.
- active ingredient and “active substance” refer to a compound, which is administered, alone or in combination with one or more pharmaceutically acceptable excipients, to a subject for treating, preventing, or ameliorating one or more symptoms of a disorder, disease, or condition,.
- active ingredient and active substance may be an optically active isomer or an isotopic variant of a compound described herein.
- drug refers to a compound, or a pharmaceutical composition thereof, which is administered to a subject for treating, preventing, or ameliorating one or more symptoms of a disorder, disease, or condition.
- alkyl refers to a linear or branched saturated monovalent hydrocarbon radical, wherein the alkyl is optionally substituted with one or more substituents Q as described herein.
- C 1-6 alkyl refers to a linear saturated monovalent hydrocarbon radical of 1 to 6 carbon atoms or a branched saturated monovalent hydrocarbon radical of 3 to 6 carbon atoms.
- the alkyl is a linear saturated monovalent hydrocarbon radical that has 1 to 20 (C 1-20 ), 1 to 15 (C 1-15 ), 1 to 10 (C 1-10 ), or 1 to 6 (C 1-6 ) carbon atoms, or branched saturated monovalent hydrocarbon radical of 3 to 20 (C 3-20 ), 3 to 15 (C 3-15 ), 3 to 10 (C 3-10 ), or 3 to 6 (C 3-6 ) carbon atoms.
- linear C 1-6 and branched C 3-6 alkyl groups are also referred as "lower alkyl.”
- alkyl groups include, but are not limited to, methyl, ethyl, propyl (including all isomeric forms), n -propyl, isopropyl, butyl (including all isomeric forms), n -butyl, isobutyl, sec -butyl, t -butyl, pentyl (including all isomeric forms), and hexyl (including all isomeric forms).
- alkenyl refers to a linear or branched monovalent hydrocarbon radical, which contains one or more, in one embodiment, one to five, in another embodiment, one, carbon-carbon double bond(s), wherein the alkenyl is optionally substituted with one or more substituents Q as described herein.
- alkenyl embraces radicals having a "cis” or “trans” configuration or a mixture thereof, or alternatively, a "Z” or “E” configuration or a mixture thereof, as appreciated by those of ordinary skill in the art.
- C 2-6 alkenyl refers to a linear unsaturated monovalent hydrocarbon radical of 2 to 6 carbon atoms or a branched unsaturated monovalent hydrocarbon radical of 3 to 6 carbon atoms.
- the alkenyl is a linear monovalent hydrocarbon radical of 2 to 20 (C 2-20 ), 2 to 15 (C 2-15 ), 2 to 10 (C 2-10 ), or 2 to 6 (C 2-6 ) carbon atoms, or a branched monovalent hydrocarbon radical of 3 to 20 (C 3-20 ), 3 to 15 (C 3-15 ), 3 to 10 (C 3-10 ), or 3 to 6 (C 3-6 ) carbon atoms.
- alkenyl groups include, but are not limited to, ethenyl, propen-1-yl, propen-2-yl, allyl, butenyl, and 4-methylbutenyl.
- alkynyl refers to a linear or branched monovalent hydrocarbon radical, which contains one or more, in one embodiment, one to five, in another embodiment, one, carbon-carbon triple bond(s), wherein the alkynyl is optionally substituted with one or more substituents Q as described herein.
- C 2-6 alkynyl refers to a linear unsaturated monovalent hydrocarbon radical of 2 to 6 carbon atoms or a branched unsaturated monovalent hydrocarbon radical of 3 to 6 carbon atoms.
- the alkynyl is a linear monovalent hydrocarbon radical of 2 to 20 (C 2-20 ), 2 to 15 (C 2-15 ), 2 to 10 (C 2-10 ), or 2 to 6 (C 2-6 ) carbon atoms, or a branched monovalent hydrocarbon radical of 3 to 20 (C 3-20 ), 3 to 15 (C 3-15 ), 3 to 10 (C 3-10 ), or 3 to 6 (C 3-6 ) carbon atoms.
- alkynyl groups include, but are not limited to, ethynyl (-C ⁇ CH), propynyl (including all isomeric forms, e.g ., 1-propynyl (-C ⁇ CCH 3 ) and propargyl (-CH 2 C ⁇ CH)), butynyl (including all isomeric forms, e.g., 1-butyn-1-yl and 2-butyn-1-yl), pentynyl (including all isomeric forms, e.g., 1-pentyn-1-yl and 1-methyl-2-butyn-1-yl), and hexynyl (including all isomeric forms, e.g., 1-hexyn-1-yl).
- ethynyl ethynyl
- propynyl including all isomeric forms, e.g ., 1-propynyl (-C ⁇ CCH 3 ) and propargyl (-CH 2 C ⁇ CH)
- cycloalkyl refers to a cyclic monovalent hydrocarbon radical, wherein the cycloalkyl is optionally substituted with one or more substituents Q as described herein.
- cycloalkyl groups may be saturated or unsaturated but non-aromatic, and/or spiro, and/or non-spiro, and/or bridged, and/or non-bridged, and/or fused bicyclic groups.
- the cycloalkyl has from 3 to 20 (C 3-20 ), from 3 to 15 (C 3-15 ), from 3 to 10 (C 3-10 ), or from 3 to 7 (C 3-7 ) carbon atoms.
- cycloalkyl groups include, but are not limited to, cyclopropyl, cyclobutyl, cyclopentyl, cyclopentenyl, cyclohexyl, cyclohexenyl, cyclohexadienyl, cycloheptyl, cycloheptenyl, bicyclo[2.1.1]hexyl, bicyclo[2.2.1]heptyl, decalinyl, and adamantyl.
- aryl refers to a monovalent monocyclic aromatic group and/or monovalent polycyclic aromatic group that contain at least one aromatic carbon ring, wherein the aryl is optionally substituted with one or more substituents Q as described herein.
- the aryl has from 6 to 20 (C 6-20 ), from 6 to 15 (C 6-15 ), or from 6 to 10 (C 6-10 ) ring atoms.
- Examples of aryl groups include, but are not limited to, phenyl, naphthyl, fluorenyl, azulenyl, anthryl, phenanthryl, pyrenyl, biphenyl, and terphenyl.
- Aryl also refers to bicyclic or tricyclic carbon rings, where one of the rings is aromatic and the others of which may be saturated, partially unsaturated, or aromatic, for example, dihydronaphthyl, indenyl, indanyl, or tetrahydronaphthyl (tetralinyl).
- aralkyl refers to a monovalent alkyl group substituted with one or more aryl groups, wherein the aralkyl or arylalkyl is optionally substituted with one or more substituents Q as described herein.
- the aralkyl has from 7 to 30 (C 7-30 ), from 7 to 20 (C 7-20 ), or from 7 to 16 (C 7-16 ) carbon atoms.
- Examples of aralkyl groups include, but are not limited to, benzyl, 2-phenylethyl, and 3-phenylpropyl.
- heteroaryl refers to a monovalent monocyclic aromatic group or monovalent polycyclic aromatic group that contain at least one aromatic ring, wherein at least one aromatic ring contains one or more heteroatoms independently selected from O, S, N, and P in the ring. Heteroaryl groups are bonded to the rest of a molecule through the aromatic ring.
- Each ring of a heteroaryl group can contain one or two O atoms, one or two S atoms, one to four N atoms, and/or one or two P atoms, provided that the total number of heteroatoms in each ring is four or less and each ring contains at least one carbon atom.
- the heteroaryl has from 5 to 20, from 5 to 15, or from 5 to 10 ring atoms.
- monocyclic heteroaryl groups include, but are not limited to, furanyl, imidazolyl, isothiazolyl, isoxazolyl, oxadiazolyl, oxadiazolyl, oxazolyl, pyrazinyl, pyrazolyl, pyridazinyl, pyridyl, pyrimidinyl, pyrrolyl, thiadiazolyl, thiazolyl, thienyl, tetrazolyl, triazinyl, and triazolyl.
- bicyclic heteroaryl groups include, but are not limited to, benzofuranyl, benzimidazolyl, benzoisoxazolyl, benzopyranyl, benzothiadiazolyl, benzothiazolyl, benzothienyl, benzotriazolyl, benzoxazolyl, furopyridyl, imidazopyridinyl, imidazothiazolyl, indolizinyl, indolyl, indazolyl, isobenzofuranyl, isobenzothienyl, isoindolyl, isoquinolinyl, isothiazolyl, naphthyridinyl, oxazolopyridinyl, phthalazinyl, pteridinyl, purinyl, pyridopyridyl, pyrrolopyridyl, quinolinyl, quinoxalinyl, quinazolinyl, thiadiazolopyrimi
- tricyclic heteroaryl groups include, but are not limited to, acridinyl, benzindolyl, carbazolyl, dibenzofuranyl, perimidinyl, phenanthrolinyl, phenanthridinyl, phenarsazinyl, phenazinyl, phenothiazinyl, phenoxazinyl, and xanthenyl.
- the heteroaryl is optionally substituted with one or more substituents Q as described herein.
- heteroarylkyl refers to a monovalent alkyl group substituted with one or more heteroaryl groups, wherein the alkyl and heteroaryl are each as defined herein.
- the heteroaralkyl is optionally substituted with one or more substituents Q as described herein.
- heterocyclyl refers to a monovalent monocyclic non-aromatic ring system or monovalent polycyclic ring system that contains at least one non-aromatic ring, wherein one or more of the non-aromatic ring atoms are heteroatoms independently selected from O, S, N, and P; and the remaining ring atoms are carbon atoms.
- the heterocyclyl or heterocyclic group has from 3 to 20, from 3 to 15, from 3 to 10, from 3 to 8, from 4 to 7, or from 5 to 6 ring atoms.
- Heterocyclyl groups are bonded to the rest of a molecule through the non-aromatic ring.
- the heterocyclyl is a monocyclic, bicyclic, tricyclic, or tetracyclic ring system, which may be spiro, fused, or bridged, and in which nitrogen or sulfur atoms may be optionally oxidized, nitrogen atoms may be optionally quaternized, and some rings may be partially or fully saturated, or aromatic.
- the heterocyclyl may be attached to the main structure at any heteroatom or carbon atom which results in the creation of a stable compound.
- heterocyclic groups include, but are not limited to, azepinyl, benzodioxanyl, benzodioxolyl, benzofuranonyl, benzopyranonyl, benzopyranyl, benzotetrahydrofuranyl, benzotetrahydrothienyl, benzothiopyranyl, benzoxazinyl, ⁇ -carbolinyl, chromanyl, chromonyl, cinnolinyl, coumarinyl, decahydroisoquinolinyl, dihydrobenzisothiazinyl, dihydrobenzisoxazinyl, dihydrofuryl, dihydroisoindolyl, dihydropyranyl, dihydropyrazolyl, dihydropyrazinyl, dihydropyridinyl, dihydropyrimidinyl, dihydropyrrolyl, dioxolanyl, 1,4-dithianyl
- heterocyclylalkyl refers to a monovalent alkyl group substituted with one or more heterocyclyl groups, wherein the alkyl and heterocyclyl are each as defined herein.
- the heteroaralkyl is optionally substituted with one or more substituents Q as described herein.
- alkoxy refers to -O-alkyl, wherein the alkyl is as defined herein.
- C 1-6 alkoxy refers to -O-C 1-6 alkyl.
- halogen refers to fluorine, chlorine, bromine, and/or iodine.
- each Q a is independently selected from the group consisting of (a) oxo, cyano, halo, nitro, and pentafluorosulfanyl (-SF 5 ); and (b) C 1-6 alkyl, C 2-6 alkenyl, C 2-6 alkynyl, C 3-10 cycloalkyl, C 6-14 aryl, C 7-15 aralkyl, heteroaryl, heteroaralkyl, heterocyclyl, and heterocyclylalkyl; and (c) -B(R e )OR g , -B(OR e )OR g , -C(O)R e , -C(O)OR e , -C(O)NR f R g , -C(NR e )NR f R g , -OR e , -OC(O)R e , -OC(O)OR e , -OC(O)NR f R
- optically active and “enantiomerically active” refer to a collection of molecules, which has an enantiomeric excess of no less than about 50%, no less than about 70%, no less than about 80%, no less than about 90%, no less than about 91%, no less than about 92%, no less than about 93%, no less than about 94%, no less than about 95%, no less than about 96%, no less than about 97%, no less than about 98%, no less than about 99%, no less than about 99.5%, or no less than about 99.8%.
- the compound comprises about 95% or more of one enantiomer and about 5% or less of the other enantiomer based on the total weight of the racemate in question.
- the prefixes R and S are used to denote the absolute configuration of the molecule about its chiral center(s).
- the (+) and (-) are used to denote the optical rotation of the compound, that is, the direction in which a plane of polarized light is rotated by the optically active compound.
- the (-) prefix indicates that the compound is levorotatory, that is, the compound rotates the plane of polarized light to the left or counterclockwise.
- the (+) prefix indicates that the compound is dextrorotatory, that is, the compound rotates the plane of polarized light to the right or clockwise.
- the sign of optical rotation, (+) and (-) is not related to the absolute configuration of the molecule, R and S.
- an “isotopic variant” of a compound contains unnatural proportions of one or more isotopes, including, but not limited to, hydrogen ( 1 H), deuterium ( 2 H), tritium ( 3 H), carbon-11 ( 11 C), carbon-12 ( 12 C), carbon-13 ( 13 C), carbon-14 ( 14 C), nitrogen-13 ( 13 N), nitrogen-14 ( 14 N), nitrogen-15 ( 15 N), oxygen-14 ( 14 O), oxygen-15 ( 15 O), oxygen-16 ( 16 O), oxygen-17 ( 17 O), oxygen-18 ( 18 O), fluorine-17 ( 17 F), fluorine-18 ( 18 F), phosphorus-31 ( 31 P), phosphorus-32 ( 32 P), phosphorus-33 ( 33 P), sulfur-32 ( 32 S), sulfur-33 ( 33 S), sulfur-34 ( 34 S), sulfur-35 ( 35 S), sulfur-36 ( 36 S), chlorine-35 ( 35 Cl
- an "isotopic variant" of a compound is in a stable form, that is, non-radioactive.
- an "isotopic variant” of a compound contains unnatural proportions of one or more isotopes, including, but not limited to, hydrogen ( 1 H), deuterium ( 2 H), carbon-12 ( 12 C), carbon-13 ( 13 C), nitrogen-14 ( 14 N), nitrogen-15 ( 15 N), oxygen-16 ( 16 O), oxygen-17 ( 17 O), oxygen-18 ( 18 O), fluorine-17 ( 17 F), phosphorus-31 ( 31 P), sulfur-32 ( 32 S), sulfur-33 ( 33 S), sulfur-34 ( 34 S), sulfur-36 ( 36 S), chlorine-35 ( 35 Cl), chlorine-37 ( 37 Cl), bromine-79 ( 79 Br), bromine-81 ( 81 Br), and iodine-127 ( 127 I).
- an "isotopic variant" of a compound is in an unstable form, that is, radioactive.
- an "isotopic variant” of a compound contains unnatural proportions of one or more isotopes, including, but not limited to, tritium ( 3 H), carbon-11 ( 11 C), carbon-14 ( 14 C), nitrogen-13 ( 13 N), oxygen-14 ( 14 O), oxygen-15 ( 15 O), fluorine-18 ( 18 F), phosphorus-32 ( 32 P), phosphorus-33 ( 33 P), sulfur-35 ( 35 S), chlorine-36 ( 36 Cl), iodine-123 ( 123 I), iodine-125 ( 125 I), iodine-129 ( 129 I), and iodine-131 ( 131 I).
- any hydrogen can be 2 H, as example, or any carbon can be 13 C, as example, or any nitrogen can be 15 N, as example, and any oxygen can be 18 O, as example, where feasible according to the judgment of one of skill in the art.
- an "isotopic variant" of a compound contains a unnatural proportion of deuterium.
- solvate refers to a complex or aggregate formed by one or more molecules of a solute, e.g., a compound provided herein, and one or more molecules of a solvent, which present in a stoichiometric or non-stoichiometric amount.
- Suitable solvents include, but are not limited to, water, MeOH, ethanol, n -propanol, isopropanol, and acetic acid.
- the solvent is pharmaceutically acceptable.
- the complex or aggregate is in a crystalline form.
- the complex or aggregate is in a noncrystalline form.
- the solvent is water
- the solvate is a hydrate. Examples of hydrates include, but are not limited to, a hemihydrate, monohydrate, dihydrate, trihydrate, tetrahydrate, and pentahydrate.
- naturally occurring or “native” when used in connection with biological materials such as nucleic acid molecules, polypeptides, host cells, and the like, refers to materials which are found in nature and are not manipulated by man.
- non-naturally occurring or “non-native” refers to a material that is not found in nature or that has been structurally modified or synthesized by man.
- RC kinase refers to regulated in COPD kinase or a variant thereof.
- RC kinase variants include proteins substantially homologous to a native RC kinase, i.e., proteins having one or more naturally or non-naturally occurring amino acid deletions, insertions, or substitutions ( e.g ., RC kinase derivatives, homologs and fragments), as compared to the amino acid sequence of a native RC kinase.
- the amino acid sequence of a RC kinase variant is at least about 80% identical, at least about 90% identical, or at least about 95% identical to a native RC kinase.
- RC kinase-mediated disorder, disease, or condition and "a disorder, disease, or condition mediated by RC kinase” refer to a disorder, disease, or condition, characterized by abnormal or dysregulated, e.g ., less than or greater than normal, RC kinase activity.
- Abnormal RC kinase functional activity might arise as the result of RC kinase overexpression in cells, expression of RC kinase in cells which normally do not express RC kinase, or dysregulation due to constitutive activation, caused, for example, by a mutation in RC kinase.
- a RC kinase-mediated disorder, disease, or condition may be completely or partially mediated by abnormal or dysregulated RC kinase activity.
- a RC kinase-mediated disorder, disease, or condition is one in which modulation of a RC kinase activity results in some effect on the underlying disorder, disease, or condition, e.g., a RC kinase inhibitor results in some improvement in at least some of patients being treated.
- a stereoisomer, enantiomer, mixture of enantiomers, mixture of diastereomers, or isotopic variant thereof; or a pharmaceutically acceptable salt, solvate, or hydrate thereof' has the same meaning as the phrase "a stereoisomer, enantiomer, mixture of enantiomers, mixture of diastereomers, or isotopic variant of the compound referenced therein; a pharmaceutically acceptable salt, solvate, or hydrate of the compound referenced therein; or a pharmaceutically acceptable salt, solvate, or hydrate of a stereoisomer, enantiomer, mixture of enantiomers, mixture of diastereomers, or isotopic variant of the compound referenced therein.”
- a 3,5-diaminopyrazole of Formula I or a stereoisomer, enantiomer, mixture of enantiomers, mixture of diastereomers, or isotopic variant thereof; or a pharmaceutically acceptable salt, solvate, hydrate, or prodrug thereof; wherein:
- a 3,5-diaminopyrazole of Formula I or a stereoisomer, enantiomer, mixture of enantiomers, mixture of diastereomers, or isotopic variant thereof; or a pharmaceutically acceptable salt, solvate, hydrate, or prodrug thereof; wherein:
- Also disclosed herein is a compound of Formula I, or a stereoisomer, enantiomer, mixture of enantiomers, mixture of diastereomers, or isotopic variant thereof; or a pharmaceutically acceptable salt, solvate, hydrate, or prodrug thereof; wherein:
- Also disclosed herein is a compound of Formula I, or a stereoisomer, enantiomer, mixture of enantiomers, mixture of diastereomers, or isotopic variant thereof; or a pharmaceutically acceptable salt, solvate, hydrate, or prodrug thereof; wherein:
- Also disclosed herein is a compound of Formula I, or a stereoisomer, enantiomer, mixture of enantiomers, mixture of diastereomers, or isotopic variant thereof; or a pharmaceutically acceptable salt, solvate, hydrate, or prodrug thereof; wherein:
- Also disclosed herein is a compound of Formula I, or a stereoisomer, enantiomer, mixture of enantiomers, mixture of diastereomers, or isotopic variant thereof; or a pharmaceutically acceptable salt, solvate, hydrate, or prodrug thereof; wherein:
- Also disclosed herein is a compound of Formula I, or a stereoisomer, enantiomer, mixture of enantiomers, mixture of diastereomers, or isotopic variant thereof; or a pharmaceutically acceptable salt, solvate, hydrate, or prodrug thereof; wherein:
- Also disclosed herein is a compound of Formula I, or a stereoisomer, enantiomer, mixture of enantiomers, mixture of diastereomers, or isotopic variant thereof; or a pharmaceutically acceptable salt, solvate, hydrate, or prodrug thereof; wherein:
- Also disclosed herein is a compound of Formula I, or a stereoisomer, enantiomer, mixture of enantiomers, mixture of diastereomers, or isotopic variant thereof; or a pharmaceutically acceptable salt, solvate, hydrate, or prodrug thereof; wherein:
- a 3,5-diaminopyrazole of Formula II or a stereoisomer, enantiomer, mixture of enantiomers, mixture of diastereomers, or isotopic variant thereof; or a pharmaceutically acceptable salt, solvate, hydrate, or prodrug thereof; wherein:
- a 3,5-diaminopyrazole of Formula II or a stereoisomer, enantiomer, mixture of enantiomers, mixture of diastereomers, or isotopic variant thereof; or a pharmaceutically acceptable salt, solvate, hydrate, or prodrug thereof; wherein:
- a 3,5-diaminopyrazole of Formula II or a stereoisomer, enantiomer, mixture of enantiomers, mixture of diastereomers, or isotopic variant thereof; or a pharmaceutically acceptable salt, solvate, hydrate, or prodrug thereof; wherein:
- R 2 is C 1-6 alkyl. In certain embodiments, R 2 is C 3-10 cycloalkyl. In certain embodiments, R 2 is methyl.
- R 3 is C 1-6 alkyl. In certain embodiments, R 3 is C 3-10 cycloalkyl. In certain embodiments, R 3 is methyl.
- R 4 is heteroaryl, optionally substituted with one or more C 1-6 alkyl. In certain embodiments, R 4 is heterocyclyl, optionally substituted with one or more C 1-6 alkyl.
- R 4 is heteroaryl, optionally substituted with one or more C 1-6 alkyl. In certain embodiments, R 4 is heterocyclyl, optionally substituted with one or more C 1-6 alkyl. In certain embodiments, R 4 is heterocyclyl, optionally substituted with one or more oxo.
- n is 0. In certain embodiments, n is 1. In certain embodiments, n is 2. In certain embodiments, n is 3. In certain embodiments, n is 4. In certain embodiments, n is 5.
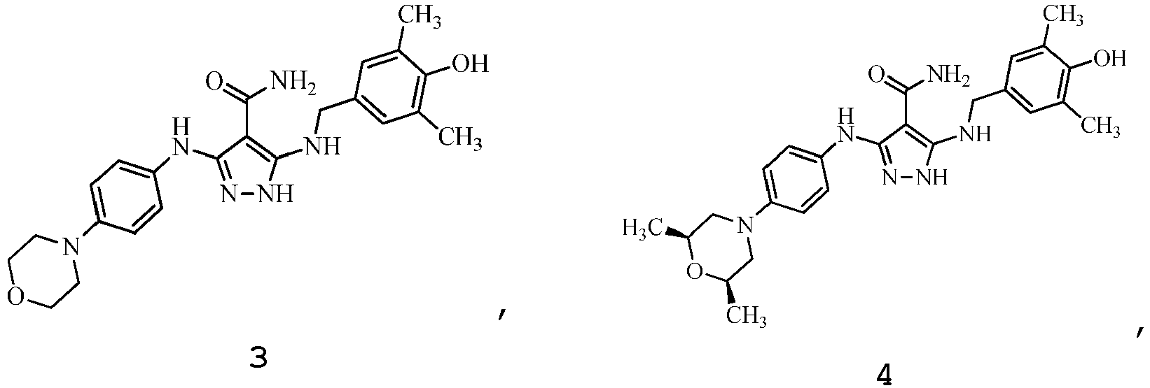
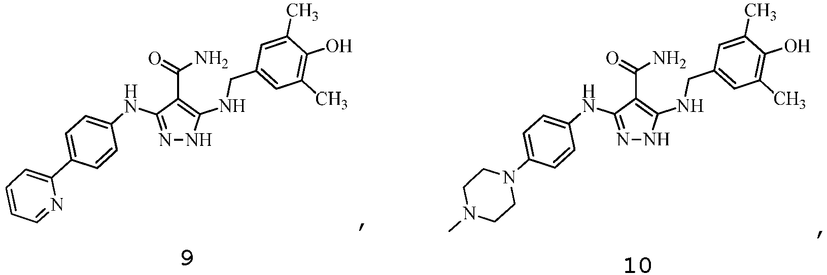
- the compound provided herein is selected from: and stereoisomers, enantiomers, mixtures of enantiomers, mixtures of diastereomers, and isotopic variants thereof; and pharmaceutically acceptable salts, solvates, and hydrates thereof.
- the compound provided herein is selected from: and stereoisomers, enantiomers, mixtures of enantiomers, mixtures of diastereomers, and isotopic variants thereof; and pharmaceutically acceptable salts, solvates, and hydrates thereof.
- the compounds provided herein are intended to encompass all possible stereoisomers, unless a particular stereochemistry is specified.
- the compound provided herein contains an alkenyl or alkenylene group
- the compound may exist as one or a mixture of geometric cis / trans (or Z/E) isomers.
- structural isomers are interconvertible
- the compound may exist as a single tautomer or a mixture of tautomers. This can take the form of proton tautomerism in the compound that contains, for example, an imino, keto, or oxime group; or so-called valence tautomerism in the compound that contain an aromatic moiety. It follows that a single compound may exhibit more than one type of isomerism.
- the compounds provided herein may be enantiomerically pure, such as a single enantiomer or a single diastereomer, or be stereoisomeric mixtures, such as mixture of enantiomers, e.g ., a racemic mixture of two enantiomers; or a mixture of two or more diastereomers.
- enantiomers e.g ., a racemic mixture of two enantiomers
- a mixture of two or more diastereomers e.g ., one of skill in the art will recognize that administration of a compound in its ( R ) form is equivalent, for compounds that undergo epimerization in vivo, to administration of the compound in its ( S ) form.
- Conventional techniques for the preparation/isolation of individual enantiomers include synthesis from a suitable optically pure precursor, asymmetric synthesis from achiral starting materials, or resolution of an enantiomeric mixture, for example, chiral chromatography, recrystallization, resolution, diastereomeric salt formation, or derivatization into diastereomeric adducts followed by separation.
- the compound provided herein may also be provided as a pharmaceutically acceptable salt. See, Berge et al., J. Pharm. Sci. 1977, 66, 1-19 ; and Handbook of Pharmaceutical Salts, Properties, and Use; Stahl and Wermuth, Ed.; Wiley-VCH and VHCA: Zurich, Switzerland, 2002 .
- Suitable acids for use in the preparation of pharmaceutically acceptable salts include, but are not limited to, acetic acid, 2,2-dichloroacetic acid, acylated amino acids, adipic acid, alginic acid, ascorbic acid, L-aspartic acid, benzenesulfonic acid, benzoic acid, 4-acetamidobenzoic acid, boric acid, (+)-camphoric acid, camphorsulfonic acid, (+)-(1 S )-camphor-10-sulfonic acid, capric acid, caproic acid, caprylic acid, cinnamic acid, citric acid, cyclamic acid, cyclohexanesulfamic acid, dodecylsulfuric acid, ethane-1,2-disulfonic acid, ethanesulfonic acid, 2-hydroxy-ethanesulfonic acid, formic acid, fumaric acid, galactaric acid, gentisic acid, glucoheptonic acid
- Suitable bases for use in the preparation of pharmaceutically acceptable salts including, but not limited to, inorganic bases, such as magnesium hydroxide, calcium hydroxide, potassium hydroxide, zinc hydroxide, or sodium hydroxide; and organic bases, such as primary, secondary, tertiary, and quaternary, aliphatic and aromatic amines, including L-arginine, benethamine, benzathine, choline, deanol, diethanolamine, diethylamine, dimethylamine, dipropylamine, diisopropylamine, 2-(diethylamino)-ethanol, ethanolamine, ethylamine, ethylenediamine, isopropylamine, N -methyl-glucamine, hydrabamine, 1 H -imidazole, L-lysine, morpholine, 4-(2-hydroxyethyl)-morpholine, methylamine, piperidine, piperazine, propylamine, pyrrolidine, 1-(2-hydroxyeth
- the compounds disclosed herein may also be provided as a prodrug, which is a functional derivative of the compound, for example, of Formula I, and is readily convertible into the parent compound in vivo.
- Prodrugs are often useful because, in some situations, they may be easier to administer than the parent compound. They may, for instance, be bioavailable by oral administration whereas the parent compound is not.
- the prodrug may also have enhanced solubility in pharmaceutical compositions over the parent compound.
- a prodrug may be converted into the parent drug by various mechanisms, including enzymatic processes and metabolic hydrolysis. See, Harper, Progress in Drug Research 1962, 4, 221-294 ; Morozowich et al. in Design of Biopharmaceutical Properties through Prodrugs and Analogs; Roche Ed., APHA Acad. Pharm.
- a compound of Formula I can be prepared as shown in Scheme I.
- Compound 1-1 is first converted to compound 1-2 by reacting with carbon disulfide and dimethylsulfate.
- Compound 1-2 then reacts with an amine, such as R 1 NH 2 , to form compound 1-3.
- Compound 1-3 may be made by reacting an isothiocyanate (R 1 NCS) with Compound 1-1 and methyl iodide.
- compound 1-3 reacts with hydrazine to form compound 1-4, which is then treated with a carbonyl compound, such as 4-hydroxy-3,5-dimethylbenzaldehyde, to form a compound of Formula I, e.g ., compound 1-5.
- the imine group of compound 1-5 can be reduced with a reducing agent, e.g ., sodium borohydride (NaBH 4 ) or sodium cyanoborohydride (NaB(CN)H 3 ), to form compound 1-6.
- a reducing agent e
- a compound of Formula I can be prepared as shown in Scheme II.
- Compound 1-7 reacts an amine, such as R 2 NH 2 , to form compound 1-8.
- compound 1-8 can be made by reacting an isothiocyanate (R 2 NCS) with malononitrile and methyl iodide.
- Compound 1-8 is then treated with hydrazine to form compound 1-9.
- the cyano group of compound 1-9 is converted to aminocarbonyl, e.g ., by reacting with hydrogen peroxide.
- Compound 1-4 can then be converted into compounds 1-5 and 1-6 as described herein.
- compositions comprising a compound provided herein, e.g., a compound of Formula II-a, as an active ingredient, including a stereoisomer, enantiomer, mixture of enantiomers, mixture of diastereomers, or isotopic variant thereof; or a pharmaceutically acceptable salt, solvate, or hydrate thereof; and a pharmaceutically excipient.
- Suitable excipients are well known to those skilled in the art, and non-limiting examples of suitable excipients are provided herein. Whether a particular excipient is suitable for incorporation into a pharmaceutical composition or dosage form depends on a variety of factors well known in the art, including, but not limited to, the method of administration. For example, oral dosage forms such as tablets may contain excipients not suited for use in parenteral dosage forms. The suitability of a particular excipient may also depend on the specific active ingredients in the dosage form. For example, the decomposition of some active ingredients may be accelerated by some excipients such as lactose, or when exposed to water. Active ingredients that comprise primary or secondary amines are particularly susceptible to such accelerated decomposition.
- lactose-free compositions comprise an active ingredient provided herein, a binder/filler, and a lubricant.
- lactose-free dosage forms comprise an active ingredient, microcrystalline cellulose, pre-gelatinized starch, and magnesium stearate.
- the compound provided herein may be administered alone, or in combination with one or more other compounds provided herein.
- the pharmaceutical compositions that comprise a compound provided herein, e.g., a compound of Formula II-a, including a stereoisomer, enantiomer, mixture of enantiomers, mixture of diastereomers, or isotopic variant thereof; or a pharmaceutically acceptable salt, solvate, or hydrate thereof, can be formulated in various dosage forms for oral, parenteral, and topical administration.
- the pharmaceutical compositions can also be formulated as modified release dosage forms, including delayed-, extended-, prolonged-, sustained-, pulsatile-, controlled-, accelerated-, fast-, targeted-, programmed-release, and gastric retention dosage forms.
- dosage forms can be prepared according to conventional methods and techniques known to those skilled in the art (see, Remington: The Science and Practice of Pharmacy, supra ; Modified-Release Drug Delivery Technology, 2nd ed.; Rathbone et al., Eds.; Marcel Dekker, Inc.: New York, NY, 2008 ).
- the pharmaceutical compositions are provided in a dosage form for oral administration, which comprise a compound provided herein, e.g., a compound of Formula II-a, including a stereoisomer, enantiomer, mixture of enantiomers, mixture of diastereomers, or isotopic variant thereof; or a pharmaceutically acceptable salt, solvate, or hydrate thereof; and one or more pharmaceutically acceptable excipients.
- a compound provided herein e.g., a compound of Formula II-a, including a stereoisomer, enantiomer, mixture of enantiomers, mixture of diastereomers, or isotopic variant thereof; or a pharmaceutically acceptable salt, solvate, or hydrate thereof; and one or more pharmaceutically acceptable excipients.
- compositions are provided in a dosage form for parenteral administration, which comprise a compound provided herein, e.g., a compound of Formula II-a, including a stereoisomer, enantiomer, mixture of enantiomers, mixture of diastereomers, or isotopic variant thereof; or a pharmaceutically acceptable salt, solvate, or hydrate thereof; and one or more pharmaceutically acceptable excipients.
- a compound provided herein e.g., a compound of Formula II-a, including a stereoisomer, enantiomer, mixture of enantiomers, mixture of diastereomers, or isotopic variant thereof; or a pharmaceutically acceptable salt, solvate, or hydrate thereof; and one or more pharmaceutically acceptable excipients.
- compositions are provided in a dosage form for topical administration, which comprise a compound provided herein, e.g., a compound of Formula II-a, including a stereoisomer, enantiomer, mixture of enantiomers, mixture of diastereomers, or isotopic variant thereof; or a pharmaceutically acceptable salt, solvate, or hydrate thereof; and one or more pharmaceutically acceptable excipients.
- a compound provided herein e.g., a compound of Formula II-a, including a stereoisomer, enantiomer, mixture of enantiomers, mixture of diastereomers, or isotopic variant thereof; or a pharmaceutically acceptable salt, solvate, or hydrate thereof; and one or more pharmaceutically acceptable excipients.
- compositions provided herein can be provided in a unit-dosage form or multiple-dosage form.
- a unit-dosage form refers to physically discrete a unit suitable for administration to a human and animal subject, and packaged individually as is known in the art. Each unit-dose contains a predetermined quantity of an active ingredient(s) sufficient to produce the desired therapeutic effect, in association with the required pharmaceutical carriers or excipients. Examples of a unit-dosage form include an ampoule, syringe, and individually packaged tablet and capsule. For example, a 100 mg unit dose contains about 100 mg of an active ingredient in a packaged tablet or capsule.
- a unit-dosage form may be administered in fractions or multiples thereof.
- a multiple-dosage form is a plurality of identical unit-dosage forms packaged in a single container to be administered in segregated unit-dosage form.
- Examples of a multiple-dosage form include a vial, bottle of tablets or capsules, or bottle of pints or gallons.
- compositions provided herein can be administered at once, or multiple times at intervals of time. It is understood that the precise dosage and duration of treatment may vary with the age, weight, and condition of the patient being treated, and may be determined empirically using known testing protocols or by extrapolation from in vivo or in vitro test or diagnostic data. It is further understood that for any particular individual, specific dosage regimens should be adjusted over time according to the individual need and the professional judgment of the person administering or supervising the administration of the formulations.
- oral administration can be provided in solid, semisolid, or liquid dosage forms for oral administration.
- oral administration also includes buccal, lingual, and sublingual administration.
- Suitable oral dosage forms include, but are not limited to, tablets, fastmelts, chewable tablets, capsules, pills, strips, troches, lozenges, pastilles, cachets, pellets, medicated chewing gum, bulk powders, effervescent or non-effervescent powders or granules, oral mists, solutions, emulsions, suspensions, wafers, sprinkles, elixirs, and syrups.
- the pharmaceutical compositions can contain one or more pharmaceutically acceptable carriers or excipients, including, but not limited to, binders, fillers, diluents, disintegrants, wetting agents, lubricants, glidants, coloring agents, dye-migration inhibitors, sweetening agents, flavoring agents, emulsifying agents, suspending and dispersing agents, preservatives, solvents, non-aqueous liquids, organic acids, and sources of carbon dioxide.
- pharmaceutically acceptable carriers or excipients including, but not limited to, binders, fillers, diluents, disintegrants, wetting agents, lubricants, glidants, coloring agents, dye-migration inhibitors, sweetening agents, flavoring agents, emulsifying agents, suspending and dispersing agents, preservatives, solvents, non-aqueous liquids, organic acids, and sources of carbon dioxide.
- Binders or granulators impart cohesiveness to a tablet to ensure the tablet remaining intact after compression.
- Suitable binders or granulators include, but are not limited to, starches, such as corn starch, potato starch, and pre-gelatinized starch ( e.g ., STARCH 1500); gelatin; sugars, such as sucrose, glucose, dextrose, molasses, and lactose; natural and synthetic gums, such as acacia, alginic acid, alginates, extract of Irish moss, panwar gum, ghatti gum, mucilage of isabgol husks, carboxymethylcellulose, methylcellulose, polyvinylpyrrolidone (PVP), Veegum, larch arabogalactan, powdered tragacanth, and guar gum; celluloses, such as ethyl cellulose, cellulose acetate, carboxymethyl cellulose calcium, sodium carboxymethyl cellulose, methyl cellulose, hydroxy
- Suitable fillers include, but are not limited to, talc, calcium carbonate, microcrystalline cellulose, powdered cellulose, dextrates, kaolin, mannitol, silicic acid, sorbitol, starch, pre-gelatinized starch, and mixtures thereof.
- the amount of a binder or filler in the pharmaceutical compositions provided herein varies upon the type of formulation, and is readily discernible to those of ordinary skill in the art.
- the binder or filler may be present from about 50 to about 99% by weight in the pharmaceutical compositions provided herein.
- Suitable diluents include, but are not limited to, dicalcium phosphate, calcium sulfate, lactose, sorbitol, sucrose, inositol, cellulose, kaolin, mannitol, sodium chloride, dry starch, and powdered sugar.
- Certain diluents, such as mannitol, lactose, sorbitol, sucrose, and inositol when present in sufficient quantity, can impart properties to some compressed tablets that permit disintegration in the mouth by chewing. Such compressed tablets can be used as chewable tablets.
- the amount of a diluent in the pharmaceutical compositions provided herein varies upon the type of formulation, and is readily discernible to those of ordinary skill in the art.
- Suitable disintegrants include, but are not limited to, agar; bentonite; celluloses, such as methylcellulose and carboxymethylcellulose; wood products; natural sponge; cation-exchange resins; alginic acid; gums, such as guar gum and Veegum HV; citrus pulp; cross-linked celluloses, such as croscarmellose; cross-linked polymers, such as crospovidone; cross-linked starches; calcium carbonate; microcrystalline cellulose, such as sodium starch glycolate; polacrilin potassium; starches, such as corn starch, potato starch, tapioca starch, and pre-gelatinized starch; clays; aligns; and mixtures thereof.
- the amount of a disintegrant in the pharmaceutical compositions provided herein varies upon the type of formulation, and is readily discernible to those of ordinary skill in the art.
- the pharmaceutical compositions provided herein may contain from about 0.5 to about 15% or from about 1 to about 5% by weight of a disintegrant.
- Suitable lubricants include, but are not limited to, calcium stearate; magnesium stearate; mineral oil; light mineral oil; glycerin; sorbitol; mannitol; glycols, such as glycerol behenate and polyethylene glycol (PEG); stearic acid; sodium lauryl sulfate; talc; hydrogenated vegetable oil, including peanut oil, cottonseed oil, sunflower oil, sesame oil, olive oil, corn oil, and soybean oil; zinc stearate; ethyl oleate; ethyl laureate; agar; starch; lycopodium; silica or silica gels, such as AEROSIL® 200 (W.R. Grace Co., Baltimore, MD) and CAB-O-SIL® (Cabot Co. of Boston, MA); and mixtures thereof.
- the pharmaceutical compositions provided herein may contain about 0.1 to about 5% by weight of a lubricant.
- Suitable glidants include, but are not limited to, colloidal silicon dioxide, CAB-O-SIL® (Cabot Co. of Boston, MA), and asbestos-free talc.
- Suitable coloring agents include, but are not limited to, any of the approved, certified, water soluble FD&C dyes, and water insoluble FD&C dyes suspended on alumina hydrate, and color lakes and mixtures thereof.
- a color lake is the combination by adsorption of a water-soluble dye to a hydrous oxide of a heavy metal, resulting in an insoluble form of the dye.
- Suitable flavoring agents include, but are not limited to, natural flavors extracted from plants, such as fruits, and synthetic blends of compounds which produce a pleasant taste sensation, such as peppermint and methyl salicylate.
- Suitable sweetening agents include, but are not limited to, sucrose, lactose, mannitol, syrups, glycerin, and artificial sweeteners, such as saccharin and aspartame.
- Suitable emulsifying agents include, but are not limited to, gelatin, acacia, tragacanth, bentonite, and surfactants, such as polyoxyethylene sorbitan monooleate (TWEEN® 20), polyoxyethylene sorbitan monooleate 80 (TWEEN® 80), and triethanolamine oleate.
- Suitable suspending and dispersing agents include, but are not limited to, sodium carboxymethylcellulose, pectin, tragacanth, Veegum, acacia, sodium carbomethylcellulose, hydroxypropyl methylcellulose, and polyvinylpyrrolidone.
- Suitable preservatives include, but are not limited to, glycerin, methyl and propylparaben, benzoic add, sodium benzoate and alcohol.
- Suitable wetting agents include, but are not limited to, propylene glycol monostearate, sorbitan monooleate, diethylene glycol monolaurate, and polyoxyethylene lauryl ether.
- Suitable solvents include, but are not limited to, glycerin, sorbitol, ethyl alcohol, and syrup.
- Suitable non-aqueous liquids utilized in emulsions include, but are not limited to, mineral oil and cottonseed oil.
- Suitable organic acids include, but are not limited to, citric and tartaric acid.
- Suitable sources of carbon dioxide include, but are not limited to, sodium bicarbonate and sodium carbonate.
- compositions provided herein for oral administration can be provided as compressed tablets, tablet triturates, chewable lozenges, rapidly dissolving tablets, multiple compressed tablets, or enteric-coating tablets, sugar-coated, or film-coated tablets.
- Enteric-coated tablets are compressed tablets coated with substances that resist the action of stomach acid but dissolve or disintegrate in the intestine, thus protecting the active ingredients from the acidic environment of the stomach.
- Enteric-coatings include, but are not limited to, fatty acids, fats, phenyl salicylate, waxes, shellac, ammoniated shellac, and cellulose acetate phthalates.
- Sugar-coated tablets are compressed tablets surrounded by a sugar coating, which may be beneficial in covering up objectionable tastes or odors and in protecting the tablets from oxidation.
- Film-coated tablets are compressed tablets that are covered with a thin layer or film of a water-soluble material.
- Film coatings include, but are not limited to, hydroxyethylcellulose, sodium carboxymethylcellulose, polyethylene glycol 4000, and cellulose acetate phthalate. Film coating imparts the same general characteristics as sugar coating.
- Multiple compressed tablets are compressed tablets made by more than one compression cycle, including layered tablets, and press-coated or dry-coated tablets.
- the tablet dosage forms can be prepared from the active ingredient in powdered, crystalline, or granular forms, alone or in combination with one or more carriers or excipients described herein, including binders, disintegrants, controlled-release polymers, lubricants, diluents, and/or colorants. Flavoring and sweetening agents are especially useful in the formation of chewable tablets and lozenges.
- the pharmaceutical compositions provided herein for oral administration can be provided as soft or hard capsules, which can be made from gelatin, methylcellulose, starch, or calcium alginate.
- the hard gelatin capsule also known as the dry-filled capsule (DFC)
- DFC dry-filled capsule
- the soft elastic capsule is a soft, globular shell, such as a gelatin shell, which is plasticized by the addition of glycerin, sorbitol, or a similar polyol.
- the soft gelatin shells may contain a preservative to prevent the growth of microorganisms.
- Suitable preservatives are those as described herein, including methyl- and propyl-parabens, and sorbic acid.
- the liquid, semisolid, and solid dosage forms provided herein may be encapsulated in a capsule.
- Suitable liquid and semisolid dosage forms include solutions and suspensions in propylene carbonate, vegetable oils, or triglycerides. Capsules containing such solutions can be prepared as described in U.S. Pat. Nos. 4,328,245 ; 4,409,239 ; and 4,410,545 .
- the capsules may also be coated as known by those of skill in the art in order to modify or sustain dissolution of the active ingredient.
- compositions provided herein for oral administration can be provided in liquid and semisolid dosage forms, including emulsions, solutions, suspensions, elixirs, and syrups.
- An emulsion is a two-phase system, in which one liquid is dispersed in the form of small globules throughout another liquid, which can be oil-in-water or water-in-oil.
- Emulsions may include a pharmaceutically acceptable non-aqueous liquid or solvent, emulsifying agent, and preservative.
- Suspensions may include a pharmaceutically acceptable suspending agent and preservative.
- Aqueous alcoholic solutions may include a pharmaceutically acceptable acetal, such as a di(lower alkyl) acetal of a lower alkyl aldehyde, e.g., acetaldehyde diethyl acetal; and a water-miscible solvent having one or more hydroxyl groups, such as propylene glycol and ethanol.
- Elixirs are clear, sweetened, and hydroalcoholic solutions.
- Syrups are concentrated aqueous solutions of a sugar, for example, sucrose, and may also contain a preservative.
- a solution in a polyethylene glycol may be diluted with a sufficient quantity of a pharmaceutically acceptable liquid carrier, e.g ., water, to be measured conveniently for administration.
- liquid and semisolid dosage forms include, but are not limited to, those containing the active ingredient(s) provided herein, and a dialkylated mono- or polyalkylene glycol, including, 1,2-dimethoxymethane, diglyme, triglyme, tetraglyme, polyethylene glycol-350-dimethyl ether, polyethylene glycol-550-dimethyl ether, polyethylene glycol-750-dimethyl ether, wherein 350, 550, and 750 refer to the approximate average molecular weight of the polyethylene glycol.
- a dialkylated mono- or polyalkylene glycol including, 1,2-dimethoxymethane, diglyme, triglyme, tetraglyme, polyethylene glycol-350-dimethyl ether, polyethylene glycol-550-dimethyl ether, polyethylene glycol-750-dimethyl ether, wherein 350, 550, and 750 refer to the approximate average molecular weight of the polyethylene glycol.
- These formulations can further comprise one or more antioxidants, such as butylated hydroxytoluene (BHT), butylated hydroxyanisole (BHA), propyl gallate, vitamin E, hydroquinone, hydroxycoumarins, ethanolamine, lecithin, cephalin, ascorbic acid, malic acid, sorbitol, phosphoric acid, bisulfite, sodium metabisulfite, thiodipropionic acid and its esters, and dithiocarbamates.
- antioxidants such as butylated hydroxytoluene (BHT), butylated hydroxyanisole (BHA), propyl gallate, vitamin E, hydroquinone, hydroxycoumarins, ethanolamine, lecithin, cephalin, ascorbic acid, malic acid, sorbitol, phosphoric acid, bisulfite, sodium metabisulfite, thiodipropionic acid and its esters, and dithiocarbamates.
- antioxidants such as
- compositions provided herein for oral administration can be also provided in the forms of liposomes, micelles, microspheres, or nanosystems.
- Micellar dosage forms can be prepared as described in U.S. Pat. No. 6,350,458 .
- compositions provided herein for oral administration can be provided as non-effervescent or effervescent, granules and powders, to be reconstituted into a liquid dosage form.
- Pharmaceutically acceptable carriers and excipients used in the non-effervescent granules or powders may include diluents, sweeteners, and wetting agents.
- Pharmaceutically acceptable carriers and excipients used in the effervescent granules or powders may include organic acids and a source of carbon dioxide.
- Coloring and flavoring agents can be used in all of the above dosage forms.
- compositions provided herein for oral administration can be formulated as immediate or modified release dosage forms, including delayed-, sustained, pulsed-, controlled, targeted-, and programmed-release forms.
- compositions provided herein can be administered parenterally by injection, infusion, or implantation, for local or systemic administration.
- Parenteral administration include intravenous, intraarterial, intraperitoneal, intrathecal, intraventricular, intraurethral, intrasternal, intracranial, intramuscular, intrasynovial, intravesical, and subcutaneous administration.
- compositions provided herein for parenteral administration can be formulated in any dosage forms that are suitable for parenteral administration, including solutions, suspensions, emulsions, micelles, liposomes, microspheres, nanosystems, and solid forms suitable for solutions or suspensions in liquid prior to injection.
- dosage forms can be prepared according to conventional methods known to those skilled in the art of pharmaceutical science ( see, Remington: The Science and Practice of Pharmacy, supra ).
- compositions intended for parenteral administration can include one or more pharmaceutically acceptable carriers and excipients, including, but not limited to, aqueous vehicles, water-miscible vehicles, non-aqueous vehicles, antimicrobial agents or preservatives against the growth of microorganisms, stabilizers, solubility enhancers, isotonic agents, buffering agents, antioxidants, local anesthetics, suspending and dispersing agents, wetting or emulsifying agents, complexing agents, sequestering or chelating agents, cryoprotectants, lyoprotectants, thickening agents, pH adjusting agents, and inert gases.
- aqueous vehicles water-miscible vehicles
- non-aqueous vehicles non-aqueous vehicles
- antimicrobial agents or preservatives against the growth of microorganisms stabilizers, solubility enhancers, isotonic agents, buffering agents, antioxidants, local anesthetics, suspending and dispersing agents, wetting or emuls
- Suitable aqueous vehicles include, but are not limited to, water, saline, physiological saline or phosphate buffered saline (PBS), sodium chloride injection, Ringers injection, isotonic dextrose injection, sterile water injection, dextrose and lactated Ringers injection.
- Suitable non-aqueous vehicles include, but are not limited to, fixed oils of vegetable origin, castor oil, corn oil, cottonseed oil, olive oil, peanut oil, peppermint oil, safflower oil, sesame oil, soybean oil, hydrogenated vegetable oils, hydrogenated soybean oil, and medium-chain triglycerides of coconut oil, and palm seed oil.
- Suitable water-miscible vehicles include, but are not limited to, ethanol, 1,3-butanediol, liquid polyethylene glycol (e.g ., polyethylene glycol 300 and polyethylene glycol 400), propylene glycol, glycerin, N -methyl-2-pyrrolidone, N,N -dimethylacetamide, and dimethyl sulfoxide.
- Suitable antimicrobial agents or preservatives include, but are not limited to, phenols, cresols, mercurials, benzyl alcohol, chlorobutanol, methyl and propyl p-hydroxybenzoates, thimerosal, benzalkonium chloride (e.g ., benzethonium chloride), methyl- and propyl-parabens, and sorbic acid.
- Suitable isotonic agents include, but are not limited to, sodium chloride, glycerin, and dextrose.
- Suitable buffering agents include, but are not limited to, phosphate and citrate.
- Suitable antioxidants are those as described herein, including bisulfite and sodium metabisulfite.
- Suitable local anesthetics include, but are not limited to, procaine hydrochloride.
- Suitable suspending and dispersing agents are those as described herein, including sodium carboxymethylcelluose, hydroxypropyl methylcellulose, and polyvinylpyrrolidone.
- Suitable emulsifying agents are those described herein, including polyoxyethylene sorbitan monolaurate, polyoxyethylene sorbitan monooleate 80, and triethanolamine oleate.
- Suitable sequestering or chelating agents include, but are not limited to EDTA.
- Suitable pH adjusting agents include, but are not limited to, sodium hydroxide, hydrochloric acid, citric acid, and lactic acid.
- Suitable complexing agents include, but are not limited to, cyclodextrins, including ⁇ -cyclodextrin, ⁇ -cyclodextrin, hydroxypropyl- ⁇ -cyclodextrin, sulfobutylether- ⁇ -cyclodextrin, and sulfobutylether 7- ⁇ -cyclodextrin (CAPTISOL®, CyDex, Lenexa, KS).
- cyclodextrins including ⁇ -cyclodextrin, ⁇ -cyclodextrin, hydroxypropyl- ⁇ -cyclodextrin, sulfobutylether- ⁇ -cyclodextrin, and sulfobutylether 7- ⁇ -cyclodextrin (CAPTISOL®, CyDex, Lenexa, KS).
- the multiple dosage parenteral formulations must contain an antimicrobial agent at bacteriostatic or fungistatic concentrations. All parenteral formulations must be sterile, as known and practiced in the art.
- the pharmaceutical compositions for parenteral administration are provided as ready-to-use sterile solutions.
- the pharmaceutical compositions are provided as sterile dry soluble products, including lyophilized powders and hypodermic tablets, to be reconstituted with a vehicle prior to use.
- the pharmaceutical compositions are provided as ready-to-use sterile suspensions.
- the pharmaceutical compositions are provided as sterile dry insoluble products to be reconstituted with a vehicle prior to use.
- the pharmaceutical compositions are provided as ready-to-use sterile emulsions.
- compositions provided herein for parenteral administration can be formulated as immediate or modified release dosage forms, including delayed-, sustained, pulsed-, controlled, targeted-, and programmed-release forms.
- compositions provided herein for parenteral administration can be formulated as a suspension, solid, semi-solid, or thixotropic liquid, for administration as an implanted depot.
- the pharmaceutical compositions provided herein are dispersed in a solid inner matrix, which is surrounded by an outer polymeric membrane that is insoluble in body fluids but allows the active ingredient in the pharmaceutical compositions diffuse through.
- Suitable inner matrixes include, but are not limited to, polymethylmethacrylate, polybutyl-methacrylate, plasticized or unplasticized polyvinylchloride, plasticized nylon, plasticized polyethylene terephthalate, natural rubber, polyisoprene, polyisobutylene, polybutadiene, polyethylene, ethylene-vinyl acetate copolymers, silicone rubbers, polydimethylsiloxanes, silicone carbonate copolymers, hydrophilic polymers, such as hydrogels of esters of acrylic and methacrylic acid, collagen, cross-linked polyvinyl alcohol, and cross-linked partially hydrolyzed polyvinyl acetate.
- Suitable outer polymeric membranes include but are not limited to, polyethylene, polypropylene, ethylene/propylene copolymers, ethylene/ethyl acrylate copolymers, ethylene/vinyl acetate copolymers, silicone rubbers, polydimethyl siloxanes, neoprene rubber, chlorinated polyethylene, polyvinylchloride, vinyl chloride copolymers with vinyl acetate, vinylidene chloride, ethylene and propylene, ionomer polyethylene terephthalate, butyl rubber epichlorohydrin rubbers, ethylene/vinyl alcohol copolymer, ethylene/vinyl acetate/vinyl alcohol terpolymer, and ethylene/vinyloxyethanol copolymer.
- compositions provided herein can be administered topically to the skin, orifices, or mucosa.
- topical administration includes (intra)dermal, conjunctival, intracorneal, intraocular, ophthalmic, auricular, transdermal, nasal, vaginal, urethral, respiratory, and rectal administration.
- compositions provided herein can be formulated in any dosage forms that are suitable for topical administration for local or systemic effect, including emulsions, solutions, suspensions, creams, gels, hydrogels, ointments, dusting powders, dressings, elixirs, lotions, suspensions, tinctures, pastes, foams, films, aerosols, irrigations, sprays, suppositories, bandages, and dermal patches.
- the topical formulation of the pharmaceutical compositions provided herein can also comprise liposomes, micelles, microspheres, nanosystems, and mixtures thereof.
- Pharmaceutically acceptable carriers and excipients suitable for use in the topical formulations provided herein include, but are not limited to, aqueous vehicles, water-miscible vehicles, non-aqueous vehicles, antimicrobial agents or preservatives against the growth of microorganisms, stabilizers, solubility enhancers, isotonic agents, buffering agents, antioxidants, local anesthetics, suspending and dispersing agents, wetting or emulsifying agents, complexing agents, sequestering or chelating agents, penetration enhancers, cryoprotectants, lyoprotectants, thickening agents, and inert gases.
- compositions can also be administered topically by electroporation, iontophoresis, phonophoresis, sonophoresis, or microneedle or needle-free injection, such as POWDERJECTTM (Chiron Corp., Emeryville, CA), and BIOJECTTM (Bioject Medical Technologies Inc., Tualatin, OR).
- electroporation iontophoresis, phonophoresis, sonophoresis, or microneedle or needle-free injection
- BIOJECTTM Bioject Medical Technologies Inc., Tualatin, OR
- Suitable ointment vehicles include oleaginous or hydrocarbon vehicles, including lard, benzoinated lard, olive oil, cottonseed oil, and other oils, white petrolatum; emulsifiable or absorption vehicles, such as hydrophilic petrolatum, hydroxystearin sulfate, and anhydrous lanolin; water-removable vehicles, such as hydrophilic ointment; water-soluble ointment vehicles, including polyethylene glycols of varying molecular weight; emulsion vehicles, either water-in-oil (W/O) emulsions or oil-in-water (O/W) emulsions, including cetyl alcohol, glyceryl monostearate, lanolin, and stearic acid ( see, Remington: The Science and Practice of Pharmacy, supra ). These vehicles are emollient but generally require addition of antioxidants
- Suitable cream base can be oil-in-water or water-in-oil.
- Suitable cream vehicles may be water-washable, and contain an oil phase, an emulsifier, and an aqueous phase.
- the oil phase is also called the "internal" phase, which is generally comprised of petrolatum and a fatty alcohol such as cetyl or stearyl alcohol.
- the aqueous phase usually, although not necessarily, exceeds the oil phase in volume, and generally contains a humectant.
- the emulsifier in a cream formulation may be a nonionic, anionic, cationic, or amphoteric surfactant.
- Gels are semisolid, suspension-type systems. Single-phase gels contain organic macromolecules distributed substantially uniformly throughout the liquid carrier.
- Suitable gelling agents include, but are not limited to, crosslinked acrylic acid polymers, such as carbomers, carboxypolyalkylenes, and CARBOPOL®; hydrophilic polymers, such as polyethylene oxides, polyoxyethylene-polyoxypropylene copolymers, and polyvinylalcohol; cellulosic polymers, such as hydroxypropyl cellulose, hydroxyethyl cellulose, hydroxypropyl methylcellulose, hydroxypropyl methylcellulose phthalate, and methylcellulose; gums, such as tragacanth and xanthan gum; sodium alginate; and gelatin.
- dispersing agents such as alcohol or glycerin can be added, or the gelling agent can be dispersed by trituration, mechanical mixing, and/or stirring.
- compositions provided herein can be administered rectally, urethrally, vaginally, or perivaginally in the forms of suppositories, pessaries, bougies, poultices or cataplasm, pastes, powders, dressings, creams, plasters, contraceptives, ointments, solutions, emulsions, suspensions, tampons, gels, foams, sprays, or enemas.
- These dosage forms can be manufactured using conventional processes as described in Remington: The Science and Practice of Pharmacy, supra .
- Rectal, urethral, and vaginal suppositories are solid bodies for insertion into body orifices, which are solid at ordinary temperatures but melt or soften at body temperature to release the active ingredient(s) inside the orifices.
- Pharmaceutically acceptable carriers utilized in rectal and vaginal suppositories include bases or vehicles, such as stiffening agents, which produce a melting point in the proximity of body temperature, when formulated with the pharmaceutical compositions provided herein; and antioxidants as described herein, including bisulfite and sodium metabisulfite.
- Suitable vehicles include, but are not limited to, cocoa butter (theobroma oil), glycerin-gelatin, carbowax (polyoxyethylene glycol), spermaceti, paraffin, white and yellow wax, and appropriate mixtures of mono-, di- and triglycerides of fatty acids, and hydrogels, such as polyvinyl alcohol, hydroxyethyl methacrylate, and polyacrylic acid;. Combinations of the various vehicles can also be used. Rectal and vaginal suppositories may be prepared by compressing or molding. The typical weight of a rectal and vaginal suppository is about 2 to about 3 g.
- compositions provided herein can be administered ophthalmically in the forms of solutions, suspensions, ointments, emulsions, gel-forming solutions, powders for solutions, gels, ocular inserts, and implants.
- the pharmaceutical compositions provided herein can be administered intranasally or by inhalation to the respiratory tract.
- the pharmaceutical compositions can be provided in the form of an aerosol or solution for delivery using a pressurized container, pump, spray, atomizer, such as an atomizer using electrohydrodynamics to produce a fine mist, or nebulizer, alone or in combination with a suitable propellant, such as 1,1,1,2-tetrafluoroethane or 1,1,1,2,3,3,3-heptafluoropropane.
- atomizer such as an atomizer using electrohydrodynamics to produce a fine mist, or nebulizer, alone or in combination with a suitable propellant, such as 1,1,1,2-tetrafluoroethane or 1,1,1,2,3,3,3-heptafluoropropane.
- a suitable propellant such as 1,1,1,2-tetrafluoroethane or 1,1,1,2,3,3,3-heptafluoropropane.
- Solutions or suspensions for use in a pressurized container, pump, spray, atomizer, or nebulizer can be formulated to contain ethanol, aqueous ethanol, or a suitable alternative agent for dispersing, solubilizing, or extending release of the active ingredient provided herein; a propellant as solvent; and/or a surfactant, such as sorbitan trioleate, oleic acid, or an oligolactic acid.
- compositions provided herein can be micronized to a size suitable for delivery by inhalation, such as about 50 micrometers or less, or about 10 micrometers or less.
- Particles of such sizes can be prepared using a comminuting method known to those skilled in the art, such as spiral jet milling, fluid bed jet milling, supercritical fluid processing to form nanoparticles, high pressure homogenization, or spray drying.
- Capsules, blisters, and cartridges for use in an inhaler or insufflator can be formulated to contain a powder mix of the pharmaceutical compositions provided herein; a suitable powder base, such as lactose or starch; and a performance modifier, such as l -leucine, mannitol, or magnesium stearate.
- the lactose may be anhydrous or in the form of the monohydrate.
- Other suitable excipients or carriers include, but are not limited to, dextran, glucose, maltose, sorbitol, xylitol, fructose, sucrose, and trehalose.
- the pharmaceutical compositions provided herein for inhaled/intranasal administration can further comprise a suitable flavor, such as menthol and levomenthol; and/or sweeteners, such as saccharin and saccharin sodium.
- compositions provided herein for topical administration can be formulated to be immediate release or modified release, including delayed-, sustained-, pulsed-, controlled-, targeted, and programmed release.
- modified release dosage forms can be formulated as a modified release dosage form.
- modified release dosage forms include, but are not limited to, delayed-, extended-, prolonged-, sustained-, pulsatile-, controlled-, accelerated- and fast-, targeted-, programmed-release, and gastric retention dosage forms.
- compositions in modified release dosage forms can be prepared using a variety of modified release devices and methods known to those skilled in the art, including, but not limited to, matrix controlled release devices, osmotic controlled release devices, multiparticulate controlled release devices, ion-exchange resins, enteric coatings, multilayered coatings, microspheres, liposomes, and combinations thereof.
- the release rate of the active ingredient(s) can also be modified by varying the particle sizes and polymorphorism of the active ingredient(s).
- modified release examples include, but are not limited to, those described in U.S. Pat. Nos.: 3,845,770 ; 3,916,899 ; 3,536,809 ; 3,598,123 ; 4,008,719 ; 5,674,533 ; 5,059,595 ; 5,591,767 ; 5,120,548 ; 5,073,543 ; 5,639,476 ; 5,354,556 ; 5,639,480 ; 5,733,566 ; 5,739,108 ; 5,891,474 ; 5,922,356 ; 5,958,458 ; 5,972,891 ; 5,980,945 ; 5,993,855 ; 6,045,830 ; 6,087,324 ; 6,113,943 ; 6,197,350 ; 6,248,363 ; 6,264,970 ; 6,267,981 ; 6,270,798 ; 6,375,987 ; 6,376,461 ; 6,419,961 ; 6,589,
- compositions provided herein in a modified release dosage form can be fabricated using a matrix controlled release device known to those skilled in the art. See, Takada et al. in Encyclopedia of Controlled Drug Delivery; Mathiowitz Ed.; Wiley: 1999; Vol 2 .
- the pharmaceutical compositions provided herein in a modified release dosage form is formulated using an erodible matrix device, which is water-swellable, erodible, or soluble polymers, including, but not limited to, synthetic polymers, and naturally occurring polymers and derivatives, such as polysaccharides and proteins.
- an erodible matrix device which is water-swellable, erodible, or soluble polymers, including, but not limited to, synthetic polymers, and naturally occurring polymers and derivatives, such as polysaccharides and proteins.
- Materials useful in forming an erodible matrix include, but are not limited to, chitin, chitosan, dextran, and pullulan; gum agar, gum arabic, gum karaya, locust bean gum, gum tragacanth, carrageenans, gum ghatti, guar gum, xanthan gum, and scleroglucan; starches, such as dextrin and maltodextrin; hydrophilic colloids, such as pectin; phosphatides, such as lecithin; alginates; propylene glycol alginate; gelatin; collagen; cellulosics, such as ethyl cellulose (EC), methylethyl cellulose (MEC), carboxymethyl cellulose (CMC), CMEC, hydroxyethyl cellulose (HEC), hydroxypropyl cellulose (HPC), cellulose acetate (CA), cellulose propionate (CP), cellulose butyrate (CB), cellulose acetate
- the pharmaceutical compositions provided herein are formulated with a non-erodible matrix device.
- the active ingredient(s) is dissolved or dispersed in an inert matrix and is released primarily by diffusion through the inert matrix once administered.
- Materials suitable for use as a non-erodible matrix device include, but are not limited to, insoluble plastics, such as polyethylene, polypropylene, polyisoprene, polyisobutylene, polybutadiene, polymethylmethacrylate, polybutylmethacrylate, chlorinated polyethylene, polyvinylchloride, methyl acrylate-methyl methacrylate copolymers, ethylene-vinyl acetate copolymers, ethylene/propylene copolymers, ethylene/ethyl acrylate copolymers, vinyl chloride copolymers with vinyl acetate, vinylidene chloride, ethylene and propylene, ionomer polyethylene terephthalate, butyl rubbers, epichlorohydr
- the desired release kinetics can be controlled, for example, via the polymer type employed, the polymer viscosity, the particle sizes of the polymer and/or the active ingredient(s), the ratio of the active ingredient(s) versus the polymer, and other excipients or carriers in the compositions.
- compositions provided herein in a modified release dosage form can be prepared by methods known to those skilled in the art, including direct compression, dry or wet granulation followed by compression, and melt-granulation followed by compression.
- compositions provided herein in a modified release dosage form can be fabricated using an osmotic controlled release device, including, but not limited to, one-chamber system, two-chamber system, asymmetric membrane technology (AMT), and extruding core system (ECS).
- an osmotic controlled release device including, but not limited to, one-chamber system, two-chamber system, asymmetric membrane technology (AMT), and extruding core system (ECS).
- AMT asymmetric membrane technology
- ECS extruding core system
- such devices have at least two components: (a) a core which contains an active ingredient; and (b) a semipermeable membrane with at least one delivery port, which encapsulates the core.
- the semipermeable membrane controls the influx of water to the core from an aqueous environment of use so as to cause drug release by extrusion through the delivery port(s).
- the core of the osmotic device optionally includes an osmotic agent, which creates a driving force for transport of water from the environment of use into the core of the device.
- osmotic agents water-swellable hydrophilic polymers, which are also referred to as “osmopolymers” and “hydrogels.”
- Suitable water-swellable hydrophilic polymers as osmotic agents include, but are not limited to, hydrophilic vinyl and acrylic polymers, polysaccharides such as calcium alginate, polyethylene oxide (PEO), polyethylene glycol (PEG), polypropylene glycol (PPG), poly(2-hydroxyethyl methacrylate), poly(acrylic) acid, poly(methacrylic) acid, polyvinylpyrrolidone (PVP), crosslinked PVP, polyvinyl alcohol (PVA), PVA/PVP copolymers, PVA/PVP copolymers with hydrophobic monomers such as methyl
- osmogens which are capable of imbibing water to affect an osmotic pressure gradient across the barrier of the surrounding coating.
- Suitable osmogens include, but are not limited to, inorganic salts, such as magnesium sulfate, magnesium chloride, calcium chloride, sodium chloride, lithium chloride, potassium sulfate, potassium phosphates, sodium carbonate, sodium sulfite, lithium sulfate, potassium chloride, and sodium sulfate; sugars, such as dextrose, fructose, glucose, inositol, lactose, maltose, mannitol, raffinose, sorbitol, sucrose, trehalose, and xylitol; organic acids, such as ascorbic acid, benzoic acid, fumaric acid, citric acid, maleic acid, sebacic acid, sorbic acid, adipic acid, edetic acid, gluta
- Osmotic agents of different dissolution rates can be employed to influence how rapidly the active ingredient(s) is initially delivered from the dosage form.
- amorphous sugars such as MANNOGEMTM EZ (SPI Pharma, Lewes, DE) can be used to provide faster delivery during the first couple of hours to promptly produce the desired therapeutic effect, and gradually and continually release of the remaining amount to maintain the desired level of therapeutic or prophylactic effect over an extended period of time.
- the active ingredient(s) is released at such a rate to replace the amount of the active ingredient metabolized and excreted.
- the core can also include a wide variety of other excipients and carriers as described herein to enhance the performance of the dosage form or to promote stability or processing.
- Materials useful in forming the semipermeable membrane include various grades of acrylics, vinyls, ethers, polyamides, polyesters, and cellulosic derivatives that are water-permeable and water-insoluble at physiologically relevant pHs, or are susceptible to being rendered water-insoluble by chemical alteration, such as crosslinking.
- Suitable polymers useful in forming the coating include plasticized, unplasticized, and reinforced cellulose acetate (CA), cellulose diacetate, cellulose triacetate, CA propionate, cellulose nitrate, cellulose acetate butyrate (CAB), CA ethyl carbamate, CAP, CA methyl carbamate, CA succinate, cellulose acetate trimellitate (CAT), CA dimethylaminoacetate, CA ethyl carbonate, CA chloroacetate, CA ethyl oxalate, CA methyl sulfonate, CA butyl sulfonate, CA p-toluene sulfonate, agar acetate, amylose triacetate, beta glucan acetate, beta glucan triacetate, acetaldehyde dimethyl acetate, triacetate of locust bean gum, hydroxylated ethylene-vinylacetate, EC, PEG, PPG, PEG/PPG copo
- Semipermeable membrane can also be a hydrophobic microporous membrane, wherein the pores are substantially filled with a gas and are not wetted by the aqueous medium but are permeable to water vapor, as disclosed in U.S. Pat. No. 5,798,119 .
- Such hydrophobic but water-vapor permeable membrane are typically composed of hydrophobic polymers such as polyalkenes, polyethylene, polypropylene, polytetrafluoroethylene, polyacrylic acid derivatives, polyethers, polysulfones, polyethersulfones, polystyrenes, polyvinyl halides, polyvinylidene fluoride, polyvinyl esters and ethers, natural waxes, and synthetic waxes.
- the delivery port(s) on the semipermeable membrane can be formed post-coating by mechanical or laser drilling. Delivery port(s) can also be formed in situ by erosion of a plug of water-soluble material or by rupture of a thinner portion of the membrane over an indentation in the core. In addition, delivery ports can be formed during coating process, as in the case of asymmetric membrane coatings of the type disclosed in U.S. Pat. Nos. 5,612,059 and 5,698,220 .
- the total amount of the active ingredient(s) released and the release rate can substantially by modulated via the thickness and porosity of the semipermeable membrane, the composition of the core, and the number, size, and position of the delivery ports.
- compositions in an osmotic controlled-release dosage form can further comprise additional conventional excipients or carriers as described herein to promote performance or processing of the formulation.
- the osmotic controlled-release dosage forms can be prepared according to conventional methods and techniques known to those skilled in the art. See, Remington: The Science and Practice of Pharmacy, supra ; Santus and Baker, J. Controlled Release 1995, 35, 1-21 ; Verma et al., Drug Development and Industrial Pharmacy 2000, 26, 695-708 ; and Verma et al., J. Controlled Release 2002, 79, 7-27 .
- the pharmaceutical compositions provided herein are formulated as AMT controlled-release dosage form, which comprises an asymmetric osmotic membrane that coats a core comprising the active ingredient(s) and other pharmaceutically acceptable excipients or carriers. See, U.S. Pat. No. 5,612,059 and International Publ. No. WO 2002/17918 .
- the AMT controlled-release dosage forms can be prepared according to conventional methods and techniques known to those skilled in the art, including direct compression, dry granulation, wet granulation, and a dip-coating method.
- the pharmaceutical compositions provided herein are formulated as ESC controlled-release dosage form, which comprises an osmotic membrane that coats a core comprising the active ingredient(s), a hydroxylethyl cellulose, and other pharmaceutically acceptable excipients or carriers.
- compositions provided herein in a modified release dosage form can be fabricated as a multiparticulate controlled release device, which comprises a multiplicity of particles, granules, or pellets, ranging from about 10 ⁇ m to about 3 mm, about 50 ⁇ m to about 2.5 mm, or from about 100 ⁇ m to about 1 mm in diameter.
- multiparticulates can be made by the processes known to those skilled in the art, including wet-and dry-granulation, extrusion/spheronization, roller-compaction, melt-congealing, and by spray-coating seed cores. See, for example, Multiparticulate Oral Drug Delivery; Ghebre-Sellassie Ed.; Marcel Dekker: 1994 ; and Pharmaceutical Pelletization Technology; Ghebre-Sellassie Ed.; Marcel Dekker: 1989 .
- excipients or carriers as described herein can be blended with the pharmaceutical compositions to aid in processing and forming the multiparticulates.
- the resulting particles can themselves constitute the multiparticulate device or can be coated by various film-forming materials, such as enteric polymers, water-swellable, and water-soluble polymers.
- the multiparticulates can be further processed as a capsule or a tablet.
- compositions provided herein can also be formulated to be targeted to a particular tissue, receptor, or other area of the body of the subject to be treated, including liposome-, resealed erythrocyte-, and antibody-based delivery systems. Examples include, but are not limited to, those disclosed in U.S. Pat. Nos.
- Disclosed herein is a method of treating, preventing, or ameliorating one or more symptoms of a RC kinase-mediated disorder, disease, or condition in a subject, comprising administering to the subject a compound provided herein, e.g., a compound of Formula I, including a stereoisomer, enantiomer, mixture of enantiomers, mixture of diastereomers, or isotopic variant thereof; or a pharmaceutically acceptable salt, solvate, hydrate, or prodrug thereof.
- a compound provided herein e.g., a compound of Formula I, including a stereoisomer, enantiomer, mixture of enantiomers, mixture of diastereomers, or isotopic variant thereof; or a pharmaceutically acceptable salt, solvate, hydrate, or prodrug thereof.
- Also disclosed herein is a method of treating, preventing, or ameliorating one or more symptoms of a disorder, disease, or condition responsive to the modulation of RC kinase activity in a subject, administering to the subject a compound provided herein, e.g., a compound of Formula I, including a stereoisomer, enantiomer, mixture of enantiomers, mixture of diastereomers, or isotopic variant thereof; or a pharmaceutically acceptable salt, solvate, hydrate, or prodrug thereof.
- a compound provided herein e.g., a compound of Formula I, including a stereoisomer, enantiomer, mixture of enantiomers, mixture of diastereomers, or isotopic variant thereof; or a pharmaceutically acceptable salt, solvate, hydrate, or prodrug thereof.
- Also disclosed herein is a method of treating, preventing, or ameliorating one or more symptoms of a disorder, disease, or condition responsive to the inhibition of RC kinase activity in a subject, administering to the subject a compound provided herein, e.g., a compound of Formula I, including a stereoisomer, enantiomer, mixture of enantiomers, mixture of diastereomers, or isotopic variant thereof; or a pharmaceutically acceptable salt, solvate, hydrate, or prodrug thereof.
- a compound provided herein e.g., a compound of Formula I, including a stereoisomer, enantiomer, mixture of enantiomers, mixture of diastereomers, or isotopic variant thereof; or a pharmaceutically acceptable salt, solvate, hydrate, or prodrug thereof.
- a compound provided herein e.g. a compound of Formula II-a, including a stereoisomer, enantiomer, mixture of enantiomers, mixture of diastereomers, or isotopic variant thereof; or a pharmaceutically acceptable salt, solvate, or hydrate thereof for use in a method for treating, preventing, or ameliorating one or more symptoms of an eosinophil-related disorder, disease, or condition in a subject.
- a compound provided herein e.g. a compound of Formula II-a, including a stereoisomer, enantiomer, mixture of enantiomers, mixture of diastereomers, or isotopic variant thereof; or a pharmaceutically acceptable salt, solvate, or hydrate thereof for use in a method for treating, preventing, or ameliorating one or more symptoms of a basophil-related disorder, disease, or condition in a subject.
- a compound provided herein e.g. a compound of Formula II-a, including a stereoisomer, enantiomer, mixture of enantiomers, mixture of diastereomers, or isotopic variant thereof; or a pharmaceutically acceptable salt, solvate, or hydrate thereof for use in a method for treating, preventing, or ameliorating one or more symptoms of a mast cell-related disorder, disease, or condition in a subject.
- a compound provided herein e.g. a compound of Formula II-a, including a stereoisomer, enantiomer, mixture of enantiomers, mixture of diastereomers, or isotopic variant thereof; or a pharmaceutically acceptable salt, solvate, or hydrate thereof for use in a method for treating, preventing, or ameliorating one or more symptoms of an inflammatory disease in a subject.
- the subject is a mammal. In another embodiment, the subject is a human.
- the disorders, diseases, or conditions treatable with a compound provided herein include, but are not limited to, (1) inflammatory or allergic diseases, including systemic anaphylaxis and hypersensitivity disorders, atopic dermatitis, urticaria, drug allergies, insect sting allergies, food allergies (including celiac disease and the like), and mastocytosis; (2) inflammatory bowel diseases, including Crohn's disease, ulcerative colitis, ileitis, and enteritis; (3) vasculitis, and Behcet's syndrome; (4) psoriasis and inflammatory dermatoses, including dermatitis, eczema, atopic dermatitis, allergic contact dermatitis, urticaria, viral
- the disorder, disease, or condition is selected from the group consisting of asthma, allergic asthma, exercise induced asthma, allergic rhinitis, perennial allergic rhinitis, seasonal allergic rhinitis, atopic dermatitis, contact hypersensitivity, contact dermatitis, conjunctivitis, allergic conjunctivitis, eosinophilic bronchitis, food allergies, eosinophilic gastroenteritis, inflammatory bowel disease, ulcerative colitis, Crohn's disease, mastocytosis, hyper IgE syndrome, systemic lupus erythematous, psoriasis, acne, multiple sclerosis, allograft rejection, reperfusion injury, chronic obstructive pulmonary disease (COPD), Churg-Strauss syndrome, sinusitis, basophilic leukemia, chronic urticaria, basophilic leukocytosis, eczema, arthritis, rheumatoid arthritis, psoriatic arthritis
- COPD
- the disorder, disease, or condition is asthma, exercise induced asthma, allergic rhinitis, atopic dermatitis, chronic obstructive plumonary disease, or allergic conjunctivitis.
- the disorder, disease, or condition is COPD.
- the compounds or pharmaceutical compositions provided herein can be administered by oral, parenteral (e.g ., intramuscular, intraperitoneal, intravenous, ICV, intracistemal injection or infusion, subcutaneous injection, or implant), inhalation, nasal, vaginal, rectal, sublingual, or topical (e.g. , transdermal or local) routes of administration and can be formulated, alone or together, in suitable dosage unit with pharmaceutically acceptable excipients, carriers, adjuvants, and vehicles appropriate for each route of administration. Also provided herein is administration of the compounds or pharmaceutical compositions provided herein in a depot formulation, in which the active ingredient is released over a predefined time period.
- an appropriate dosage level generally is ranging from about 0.001 to 100 mg per kg subject body weight per day (mg/kg per day), from about 0.01 to about 75 mg/kg per day, from about 0.1 to about 50 mg/kg per day, from about 0.5 to about 25 mg/kg per day, or from about 1 to about 20 mg/kg per day, which can be administered in single or multiple doses.
- the dosage can be ranging from about 0.005 to about 0.05, from about 0.05 to about 0.5, from about 0.5 to about 5.0, from about 1 to about 15, from about 1 to about 20, or from about 1 to about 50 mg/kg per day.
- the dosage level is ranging from about 0.001 to about 100 mg/kg per day. In certain embodiments, the dosage level is ranging from about 0.01 to about 75 mg/kg per day. In certain embodiments, the dosage level is ranging from about 0.1 to about 50 mg/kg per day. In certain embodiments, the dosage level is ranging from about 0.5 to about 25 mg/kg per day. In certain embodiments, the dosage level is ranging from about 1 to about 20 mg/kg per day.
- the pharmaceutical compositions provided herein can be formulated in the form of tablets containing from about 1.0 to about 1,000 mg of the active ingredient, in one embodiment, about 1, about 5, about 10, about 15, about 20, about 25, about 50, about 75, about 100, about 150, about 200, about 250, about 300, about 400, about 500, about 600, about 750, about 800, about 900, and about 1,000 mg of the active ingredient for the symptomatic adjustment of the dosage to the patient to be treated.
- the pharmaceutical compositions can be administered on a regimen of 1 to 4 times per day, including once, twice, three times, and four times per day.
- a RC kinase comprising contacting a RC kinase with a compound provided herein, e.g., a compound of Formula II-a, including a stereoisomer, enantiomer, mixture of enantiomers, mixture of diastereomers, or isotopic variant thereof; or a pharmaceutically acceptable salt, solvate, or hydrate thereof.
- a compound provided herein e.g., a compound of Formula II-a, including a stereoisomer, enantiomer, mixture of enantiomers, mixture of diastereomers, or isotopic variant thereof; or a pharmaceutically acceptable salt, solvate, or hydrate thereof.
- the RC kinase is expressed by a cell.
- the compounds provided herein e.g., a compound of Formula II-a, including a stereoisomer, enantiomer, mixture of enantiomers, mixture of diastereomers, or isotopic variant thereof; or a pharmaceutically acceptable salt, solvate, or hydrate thereof; can also be combined or used in combination with other agents useful in the treatment, prevention, or amelioration of one or more symptoms of the disorders, diseases, or conditions for which the compounds provided herein are useful, including, but not limited to, asthma, COPD, allergic rhinitis, eczema, psoriasis, atopic dermatitis, fever, sepsis, systemic lupus erythematosus, diabetes, rheumatoid arthritis, multiple sclerosis, atherosclerosis, transplant rejection, inflammatory bowel disease, cancer, infectious diseases, and those pathologies noted herein.
- the compounds provided herein can be combined with one or more steroidal drugs known in the art, including, but not limited to, aldosterone, beclometasone, betamethasone, deoxycorticosterone acetate, fludrocortisone, hydrocortisone (cortisol), prednisolone, prednisone, methylprednisolone, dexamethasone, and triamcinolone.
- aldosterone beclometasone
- betamethasone deoxycorticosterone acetate
- fludrocortisone hydrocortisone (cortisol)
- prednisolone prednisolone
- prednisone prednisone
- methylprednisolone dexamethasone
- triamcinolone triamcinolone
- the compounds provided herein can be combined with one or more antibacterial agents known in the art, including, but not limited to, amikacin, amoxicillin, ampicillin, arsphenamine, azithromycin, aztreonam, azlocillin, bacitracin, carbenicillin, cefaclor, cefadroxil, cefamandole, cefazolin, cephalexin, cefdinir, cefditorin, cefepime, cefixime, cefoperazone, cefotaxime, cefoxitin, cefpodoxime, cefprozil, ceftazidime, ceftibuten, ceftizoxime, ceftriaxone, cefuroxime, chloramphenicol, cilastin, ciprofloxacin, clarithromycin, clindamycin, cloxacillin, colistin, dalfopristin, demeclocycline, dicloxacill
- the compounds provided herein can be combined with one or more antifungal agents known in the art, including, but not limited to, amorolfine, amphotericin B, anidulafungin, bifonazole, butenafine, butoconazole, caspofungin, ciclopirox, clotrimazole, econazole, fenticonazole, filipin, fluconazole, isoconazole, itraconazole, ketoconazole, micafungin, miconazole, naftifine, natamycin, nystatin, oxyconazole, ravuconazole, posaconazole, rimocidin, sertaconazole, sulconazole, terbinafine, terconazole, tioconazole, and voriconazole.
- antifungal agents known in the art, including, but not limited to, amorolfine, amphotericin B, anidulafungin,
- the compounds provided herein can be combined with one or more anticoagulants known in the art, including, but not limited to, acenocoumarol, argatroban, bivalirudin, lepirudin, fondaparinux, heparin, phenindione, warfarin, and ximelagatran.
- anticoagulants known in the art, including, but not limited to, acenocoumarol, argatroban, bivalirudin, lepirudin, fondaparinux, heparin, phenindione, warfarin, and ximelagatran.
- the compounds provided herein can be combined with one or more thrombolytics known in the art, including, but not limited to, anistreplase, reteplase, t-PA (alteplase activase), streptokinase, tenecteplase, and urokinase.
- thrombolytics known in the art, including, but not limited to, anistreplase, reteplase, t-PA (alteplase activase), streptokinase, tenecteplase, and urokinase.
- the compounds provided herein can be combined with one or more non-steroidal anti-inflammatory agents known in the art, including, but not limited to, aceclofenac, acemetacin, amoxiprin, aspirin, azapropazone, benorilate, bromfenac, carprofen, celecoxib, choline magnesium salicylate, diclofenac, diflunisal, etodolac, etoricoxib, chloramine, fenbufen, fenoprofen, flurbiprofen, ibuprofen, indometacin, ketoprofen, ketorolac, lornoxicam, loxoprofen, lumiracoxib, meclofenamic acid, mefenamic acid, meloxicam, metamizole, methyl salicylate, magnesium salicylate, nabumetone, naproxen, nimesulide, oxyphenbutazone, parecoxib,
- the compounds provided herein can be combined with one or more antiplatelet agents known in the art, including, but not limited to, abciximab, cilostazol, clopidogrel, dipyridamole, ticlopidine, and tirofibin.
- the compounds provided herein can also be administered in combination with other classes of compounds, including, but not limited to, (1) alpha-adrenergic agents; (2) antiarrhythmic agents; (3) anti-atherosclerotic agents, such as ACAT inhibitors; (4) antibiotics, such as anthracyclines, bleomycins, mitomycin, dactinomycin, and plicamycin; (5) anticancer agents and cytotoxic agents, e.g ., alkylating agents, such as nitrogen mustards, alkyl sulfonates, nitrosoureas, ethylenimines, and triazenes; (6) anticoagulants, such as acenocoumarol, argatroban, bivalirudin, lepirudin, fondaparinux, heparin, phenindione, warfarin, and ximelagatran; (7) anti-diabetic agents, such as biguanides (e.g ., metformin), glucosi
- NEP neutral endopeptidase
- hormonal agents such as glucocorticoids (e.g ., cortisone), estrogens/antiestrogens, androgens/antiandrogens, progestins, and luteinizing hormone-releasing hormone antagonists, and octreotide acetate
- immunosuppressants such as mineralocorticoid receptor antagonists, such as spironolactone and eplerenone
- microtubule-disruptor agents such as ecteinascidins
- microtubule-stabilizing agents such as pacitaxel, docetaxel, and epothilones A-F
- MTP Inhibitors such as MTP Inhibitors; (37) niacin; (38)
- Such other agents, or drugs can be administered, by a route and in an amount commonly used therefor, simultaneously or sequentially with the compounds provided herein, e.g., a compound of Formula II-a, including a stereoisomer, enantiomer, mixture of enantiomers, mixture of diastereomers, or isotopic variant thereof; or a pharmaceutically acceptable salt, solvate, or hydrate thereof.
- a pharmaceutical composition containing such other drugs in addition to the compound provided herein can be utilized, but is not required.
- the pharmaceutical compositions provided herein include those that also contain one or more other active ingredients or therapeutic agents, in addition to a compound provided herein.
- the weight ratio of a compound provided herein to the second active ingredient can be varied, and will depend upon the effective dose of each ingredient. Generally, an effective dose of each will be used. Thus, for example, when a compound provided herein is combined with a NSAID, the weight ratio of the compound to the NSAID can range from about 1,000:1 to about 1:1,000, or about 200:1 to about 1:200. Combinations of a compound provided herein and other active ingredients will generally also be within the aforementioned range, but in each case, an effective dose of each active ingredient should be used.
- the compounds provided herein can also be provided as an article of manufacture using packaging materials well known to those of skill in the art. See, e.g., U.S. Pat. Nos. 5,323,907 ; 5,052,558 ; and 5,033,252 .
- packaging materials include, but are not limited to, blister packs, bottles, tubes, inhalers, pumps, bags, vials, containers, syringes, and any packaging material suitable for a selected formulation and intended mode of administration and treatment.
- kits which, when used by the medical practitioner, can simplify the administration of appropriate amounts of active ingredients to a subject.
- the kit provided herein includes a container and a dosage form of a compound provided herein, e.g., a compound of Formula I, including a stereoisomer, enantiomer, mixture of enantiomers, mixture of diastereomers, or isotopic variant thereof; or a pharmaceutically acceptable salt, solvate, hydrate, or prodrug thereof.
- the kit may include a container comprising a dosage form of the compound provided herein, e.g., a compound of Formula I, including a stereoisomer, enantiomer, mixture of enantiomers, mixture of diastereomers, or isotopic variant thereof; or a pharmaceutically acceptable salt, solvate, hydrate, or prodrug thereof, in a container comprising one or more other therapeutic agent(s) described herein.
- a dosage form of the compound provided herein e.g., a compound of Formula I, including a stereoisomer, enantiomer, mixture of enantiomers, mixture of diastereomers, or isotopic variant thereof; or a pharmaceutically acceptable salt, solvate, hydrate, or prodrug thereof, in a container comprising one or more other therapeutic agent(s) described herein.
- Kits provided herein can further include devices that are used to administer the active ingredients. Examples of such devices include, but are not limited to, syringes, needleless injectors drip bags, patches, and inhalers. The kits provided herein can also include condoms for administration of the active ingredients.
- Kits provided herein can further include pharmaceutically acceptable vehicles that can be used to administer one or more active ingredients.
- the kit can comprise a sealed container of a suitable vehicle in which the active ingredient can be dissolved to form a particulate-free sterile solution that is suitable for parenteral administration.
- Examples of pharmaceutically acceptable vehicles include, but are not limited to: aqueous vehicles, including, but not limited to, Water for Injection USP, Sodium Chloride Injection, Ringer's Injection, Dextrose Injection, Dextrose and Sodium Chloride Injection, and Lactated Ringer's Injection; water-miscible vehicles, including, but not limited to, ethyl alcohol, polyethylene glycol, and polypropylene glycol; and non-aqueous vehicles, including, but not limited to, corn oil, cottonseed oil, peanut oil, sesame oil, ethyl oleate, isopropyl myristate, and benzyl benzoate.
- aqueous vehicles including, but not limited to, Water for Injection USP, Sodium Chloride Injection, Ringer's Injection, Dextrose Injection, Dextrose and Sodium Chloride Injection, and Lactated Ringer's Injection
- water-miscible vehicles including, but not limited to,
- kinase-tagged T7 phage strains were prepared in an E. coli host derived from the BL21 strain. E. coli were grown to log-phase and infected with T7 phage and incubated with shaking at 32 °C until lysis. The lysates were centrifuged and filtered to remove cell debris. The remaining kinases were produced in HEK-293 cells and subsequently tagged with DNA for quantitative PCR (qPCR) detection.
- qPCR quantitative PCR
- Streptavidin-coated magnetic beads were treated with biotinylated small molecule ligands for 30 minutes at room temperature to generate affinity resins for kinase assays.
- the liganded beads were blocked with excess biotin and washed with blocking buffer (SeaBlock (Pierce), 1% BSA, 0.05% Tween 20, 1 mM DTT) to remove unbound ligand and to reduce nonspecific binding.
- Binding reactions were assembled by combining kinases, liganded affinity beads, and test compounds in 1x binding buffer (20% SeaBlock, 0.17x PBS, 0.05% Tween 20, 6 mM DTT).
- RCK:JAK2 selectivity as measured by the ratio K d (JAK2): K d (RCK) is represented as follows: A represents K d (JAK2): K d (RCK) >100; B represents 10 ⁇ K d (JAK2): K d (RCK) ⁇ 100; C represents 1 ⁇ K d (JAK2): K d (RCK) ⁇ 10; and D represents K d (JAK2): K d (RCK) ⁇ 1.
- RCK:JAK3 selectivity as measured by the ratio K d (JAK3): K d (RCK) is represented as follows: A represents K d (JAK3): K d (RCK) >100; B represents 10 ⁇ K d (JAK3): K d (RCK) ⁇ 100; C represents 1 ⁇ K d (JAK3): K d (RCK) ⁇ 10; and D represents K d (JAK3): K d (RCK) ⁇ 1.
Landscapes
- Health & Medical Sciences (AREA)
- Chemical & Material Sciences (AREA)
- Organic Chemistry (AREA)
- Life Sciences & Earth Sciences (AREA)
- General Health & Medical Sciences (AREA)
- Medicinal Chemistry (AREA)
- Veterinary Medicine (AREA)
- Pharmacology & Pharmacy (AREA)
- Public Health (AREA)
- Animal Behavior & Ethology (AREA)
- Epidemiology (AREA)
- Bioinformatics & Cheminformatics (AREA)
- Engineering & Computer Science (AREA)
- Nuclear Medicine, Radiotherapy & Molecular Imaging (AREA)
- Chemical Kinetics & Catalysis (AREA)
- General Chemical & Material Sciences (AREA)
- Zoology (AREA)
- Genetics & Genomics (AREA)
- Wood Science & Technology (AREA)
- Immunology (AREA)
- Pulmonology (AREA)
- Molecular Biology (AREA)
- Biomedical Technology (AREA)
- Biochemistry (AREA)
- General Engineering & Computer Science (AREA)
- Dermatology (AREA)
- Biotechnology (AREA)
- Microbiology (AREA)
- Cardiology (AREA)
- Ophthalmology & Optometry (AREA)
- Rheumatology (AREA)
- Heart & Thoracic Surgery (AREA)
- Oncology (AREA)
- Physical Education & Sports Medicine (AREA)
- Orthopedic Medicine & Surgery (AREA)
- Otolaryngology (AREA)
- Neurosurgery (AREA)
- Neurology (AREA)
- Pain & Pain Management (AREA)
- Transplantation (AREA)
Claims (21)
- Verbindung der Formel (II-a):
oder ein Stereoisomer, ein Enantiomer, eine Enantiomeremmischung, eine Diastereomerenmischung oder eine Isotopenvariante davon, oder ein pharmazeutisch unbedenkliches Salz, Solvat oder Hydrat davon, wobei:R2 und R3 jeweils unabhängig für C1-6-Alkyl oder C3-10-Cycloalkyl stehen,wobei Alkyl und Cycloalkyl jeweils gegebenenfalls durch ein oder mehrere Halogene substituiert sind,R4 jeweils unabhängig aus gegebenenfalls durch ein oder mehrere C1-6-Alkyl substituiertem Heteroaryl und gegebenenfalls durch ein oder mehrere C1-6-Alkyl oder Oxo substituiertem Heterocyclyl ausgewählt ist undn für 1, 2, 3, 4 oder 5 steht. - Verbindung nach Anspruch 1, wobei n für 1 steht.
- Verbindung nach Anspruch 1, wobei n für 2 steht.
- Verbindung nach einem der Ansprüche 1 bis 3, wobei R2 für C1-6-Alkyl steht.
- Verbindung nach einem der Ansprüche 1 bis 4, wobei R2 für Methyl steht.
- Verbindung nach einem der Ansprüche 1 bis 5, wobei R3 für C1-6-Alkyl steht.
- Verbindung nach einem der Ansprüche 1 bis 6, wobei R3 für Methyl steht.
- Pharmazeutische Zusammensetzung, umfassend die Verbindung nach einem der Ansprüche 1 bis 9 und einen oder mehrere pharmazeutisch unbedenkliche Exzipienten.
- Pharmazeutische Zusammensetzung nach Anspruch 10, wobei die Zusammensetzung für die Einzeldosisverabreichung formuliert ist.
- Pharmazeutische Zusammensetzung nach Anspruch 10, wobei die Zusammensetzung als orale, parenterale oder intravenöse Dosierungsform formuliert ist.
- Pharmazeutische Zusammensetzung nach Anspruch 12, wobei es sich bei der oralen Dosierungsform um eine Tablette oder Kapsel handelt.
- Pharmazeutische Zusammensetzung nach Anspruch 10, weiterhin umfassend ein zweites Therapeutikum.
- Verbindung nach einem der Ansprüche 1 bis 9 oder Zusammensetzung nach Anspruch 10 zur Verwendung in einem Verfahren zur Behandlung, Prävention oder Linderung eines oder mehrerer Symptome einer mit Eosinophilen in Zusammenhang stehenden Störung oder einer solchen Krankheit oder eines solchen Leidens in einem Subjekt.
- Verbindung nach einem der Ansprüche 1 bis 9 oder Zusammensetzung nach Anspruch 10 zur Verwendung in einem Verfahren zur Behandlung, Prävention oder Linderung eines oder mehrerer Symptome einer mit Basophilen in Zusammenhang stehenden Störung oder einer solchen Krankheit oder eines solchen Leidens in einem Subjekt.
- Verbindung nach einem der Ansprüche 1 bis 9 oder Zusammensetzung nach Anspruch 10 zur Verwendung in einem Verfahren zur Behandlung, Prävention oder Linderung eines oder mehrerer Symptome einer mit Mastzellen in Zusammenhang stehenden Störung oder einer solchen Krankheit oder eines solchen Leidens in einem Subjekt.
- Verbindung nach einem der Ansprüche 1 bis 9 oder Zusammensetzung nach Anspruch 10 zur Verwendung in einem Verfahren zur Behandlung, Prävention oder Linderung eines oder mehrerer Symptome einer entzündlichen Krankheit in einem Subjekt.
- Verbindung oder Zusammensetzung zur Verwendung nach Anspruch 18, wobei die Störung, die Krankheit bzw. das Leiden ausgewählt ist aus der Gruppe bestehend aus Asthma, allergischem Asthma, Belastungsasthma, allergischer Rhinitis, ganzjähriger allergischer Rhinitis, saisonaler allergischer Rhinitis, atopischer Dermatitis, Kontakthypersensibilität, Kontaktdermatitis, Konjunktivitis, allergischer Konjunktivitis, eosinophiler Bronchitis, Nahrungsmittelallergien, eosinophiler Gastroenteritis, entzündlicher Darmkrankheit, Colitis ulcerosa, Morbus Crohn, Mastozytose, Hyper-IgE-Syndrom, systemischem Lupus erythematodes, Psoriasis, Akne, multipler Sklerose, Allograftabstoßung, Reperfusionsverletzung, chronischer obstruktiver Lungenkrankheit, Churg-Strauss-Syndrom, Sinusitis, basophiler Leukämie, chronischer Nesselsucht, basophiler Leukozytose, Ekzem, Arthritis, rheumatoider Arthritis, Psoriasisarthritis, Osteoarthritis, Herz-Kreislauf-Erkrankungen und Fibrose, wobei es sich bei der Störung, der Krankheit bzw. dem Leiden vorzugsweise um Asthma, Belastungsasthma, allergische Rhinitis, atopische Dermatitis, chronische obstruktive Lungenkrankheit oder allergische Konjunktivitis handelt.
- Verbindung zur Verwendung nach einem der Ansprüche 15 bis 19, wobei die Verbindung in Kombination mit einem zweiten Therapeutikum verabreicht wird.
- In-vitro-Verfahren zum Modulieren der RC-Kinase-Aktivität, umfassend das Inkontaktbringen einer RC-Kinase mit der Verbindung nach einem der Ansprüche 1 bis 9 oder der Zusammensetzung nach Anspruch 10.
Applications Claiming Priority (2)
| Application Number | Priority Date | Filing Date | Title |
|---|---|---|---|
| US201462096308P | 2014-12-23 | 2014-12-23 | |
| PCT/US2015/067359 WO2016106309A1 (en) | 2014-12-23 | 2015-12-22 | 3,5-diaminopyrazole kinase inhibitors |
Publications (2)
| Publication Number | Publication Date |
|---|---|
| EP3237407A1 EP3237407A1 (de) | 2017-11-01 |
| EP3237407B1 true EP3237407B1 (de) | 2020-04-15 |
Family
ID=55174712
Family Applications (1)
| Application Number | Title | Priority Date | Filing Date |
|---|---|---|---|
| EP15825997.8A Active EP3237407B1 (de) | 2014-12-23 | 2015-12-22 | 3,5-diaminopyrazol-kinase-inhibitoren |
Country Status (20)
| Country | Link |
|---|---|
| US (2) | US9546163B2 (de) |
| EP (1) | EP3237407B1 (de) |
| JP (1) | JP6450010B2 (de) |
| KR (1) | KR102034202B1 (de) |
| CN (1) | CN107250116B (de) |
| AR (1) | AR103264A1 (de) |
| AU (1) | AU2015369690B2 (de) |
| DK (1) | DK3237407T3 (de) |
| EA (1) | EA032473B1 (de) |
| ES (1) | ES2805528T3 (de) |
| HU (1) | HUE049801T2 (de) |
| IL (1) | IL252986B (de) |
| MX (1) | MX373817B (de) |
| MY (1) | MY191736A (de) |
| NZ (1) | NZ733950A (de) |
| PH (1) | PH12017501334B1 (de) |
| SG (1) | SG11201705088VA (de) |
| TW (1) | TWI703133B (de) |
| UA (1) | UA118312C2 (de) |
| WO (1) | WO2016106309A1 (de) |
Families Citing this family (2)
| Publication number | Priority date | Publication date | Assignee | Title |
|---|---|---|---|---|
| CN112074505B (zh) | 2018-03-08 | 2024-04-05 | 因赛特公司 | 作为PI3K-γ抑制剂的氨基吡嗪二醇化合物 |
| US11046658B2 (en) | 2018-07-02 | 2021-06-29 | Incyte Corporation | Aminopyrazine derivatives as PI3K-γ inhibitors |
Family Cites Families (193)
| Publication number | Priority date | Publication date | Assignee | Title |
|---|---|---|---|---|
| US3536809A (en) | 1969-02-17 | 1970-10-27 | Alza Corp | Medication method |
| US3598123A (en) | 1969-04-01 | 1971-08-10 | Alza Corp | Bandage for administering drugs |
| US3845770A (en) | 1972-06-05 | 1974-11-05 | Alza Corp | Osmatic dispensing device for releasing beneficial agent |
| US3916899A (en) | 1973-04-25 | 1975-11-04 | Alza Corp | Osmotic dispensing device with maximum and minimum sizes for the passageway |
| US4008719A (en) | 1976-02-02 | 1977-02-22 | Alza Corporation | Osmotic system having laminar arrangement for programming delivery of active agent |
| US4328245A (en) | 1981-02-13 | 1982-05-04 | Syntex (U.S.A.) Inc. | Carbonate diester solutions of PGE-type compounds |
| US4410545A (en) | 1981-02-13 | 1983-10-18 | Syntex (U.S.A.) Inc. | Carbonate diester solutions of PGE-type compounds |
| US4409239A (en) | 1982-01-21 | 1983-10-11 | Syntex (U.S.A.) Inc. | Propylene glycol diester solutions of PGE-type compounds |
| KR890002631B1 (ko) | 1984-10-04 | 1989-07-21 | 몬산토 캄파니 | 생물학적으로 활성인 소마토트로핀을 지속적으로 유리하는 조성물 |
| IE58110B1 (en) | 1984-10-30 | 1993-07-14 | Elan Corp Plc | Controlled release powder and process for its preparation |
| US5052558A (en) | 1987-12-23 | 1991-10-01 | Entravision, Inc. | Packaged pharmaceutical product |
| US5033252A (en) | 1987-12-23 | 1991-07-23 | Entravision, Inc. | Method of packaging and sterilizing a pharmaceutical product |
| US5073543A (en) | 1988-07-21 | 1991-12-17 | G. D. Searle & Co. | Controlled release formulations of trophic factors in ganglioside-lipsome vehicle |
| US5612059A (en) | 1988-08-30 | 1997-03-18 | Pfizer Inc. | Use of asymmetric membranes in delivery devices |
| JPH072743B2 (ja) | 1988-10-21 | 1995-01-18 | 富士写真フイルム株式会社 | 1H−ピラゾロ〔5,1−c〕−1,2,4−トリアゾール類およびピラゾール誘導体の製造方法 |
| IT1229203B (it) | 1989-03-22 | 1991-07-25 | Bioresearch Spa | Impiego di acido 5 metiltetraidrofolico, di acido 5 formiltetraidrofolico e dei loro sali farmaceuticamente accettabili per la preparazione di composizioni farmaceutiche in forma a rilascio controllato attive nella terapia dei disturbi mentali organici e composizioni farmaceutiche relative. |
| PH30995A (en) | 1989-07-07 | 1997-12-23 | Novartis Inc | Sustained release formulations of water soluble peptides. |
| US5120548A (en) | 1989-11-07 | 1992-06-09 | Merck & Co., Inc. | Swelling modulated polymeric drug delivery device |
| US5585112A (en) | 1989-12-22 | 1996-12-17 | Imarx Pharmaceutical Corp. | Method of preparing gas and gaseous precursor-filled microspheres |
| IT1246382B (it) | 1990-04-17 | 1994-11-18 | Eurand Int | Metodo per la cessione mirata e controllata di farmaci nell'intestino e particolarmente nel colon |
| US5733566A (en) | 1990-05-15 | 1998-03-31 | Alkermes Controlled Therapeutics Inc. Ii | Controlled release of antiparasitic agents in animals |
| US5543390A (en) | 1990-11-01 | 1996-08-06 | State Of Oregon, Acting By And Through The Oregon State Board Of Higher Education, Acting For And On Behalf Of The Oregon Health Sciences University | Covalent microparticle-drug conjugates for biological targeting |
| SK44894A3 (en) | 1991-10-18 | 1995-04-12 | Monsanto Co | Trisubstituted aromatic compounds, method of their preparation and fungicidal agents |
| US5580578A (en) | 1992-01-27 | 1996-12-03 | Euro-Celtique, S.A. | Controlled release formulations coated with aqueous dispersions of acrylic polymers |
| US5294612A (en) | 1992-03-30 | 1994-03-15 | Sterling Winthrop Inc. | 6-heterocyclyl pyrazolo [3,4-d]pyrimidin-4-ones and compositions and method of use thereof |
| US5323907A (en) | 1992-06-23 | 1994-06-28 | Multi-Comp, Inc. | Child resistant package assembly for dispensing pharmaceutical medications |
| HRP921338B1 (en) | 1992-10-02 | 2002-04-30 | Monsanto Co | Fungicides for the control of take-all disease of plants |
| TW333456B (en) | 1992-12-07 | 1998-06-11 | Takeda Pharm Ind Co Ltd | A pharmaceutical composition of sustained-release preparation the invention relates to a pharmaceutical composition of sustained-release preparation which comprises a physiologically active peptide. |
| US5591767A (en) | 1993-01-25 | 1997-01-07 | Pharmetrix Corporation | Liquid reservoir transdermal patch for the administration of ketorolac |
| US6274552B1 (en) | 1993-03-18 | 2001-08-14 | Cytimmune Sciences, Inc. | Composition and method for delivery of biologically-active factors |
| US5985307A (en) | 1993-04-14 | 1999-11-16 | Emory University | Device and method for non-occlusive localized drug delivery |
| US5523092A (en) | 1993-04-14 | 1996-06-04 | Emory University | Device for local drug delivery and methods for using the same |
| US6087324A (en) | 1993-06-24 | 2000-07-11 | Takeda Chemical Industries, Ltd. | Sustained-release preparation |
| US6004534A (en) | 1993-07-23 | 1999-12-21 | Massachusetts Institute Of Technology | Targeted polymerized liposomes for improved drug delivery |
| DE4405207A1 (de) | 1994-02-18 | 1995-08-24 | Bayer Ag | N-Pyrazolylaniline und N-Pyrazolylaminopyridine |
| US5958458A (en) | 1994-06-15 | 1999-09-28 | Dumex-Alpharma A/S | Pharmaceutical multiple unit particulate formulation in the form of coated cores |
| ATE217865T1 (de) | 1994-06-24 | 2002-06-15 | Euro Celtique Sa | Verbindungen zur hemmung von phosphodiesrerase iv |
| US5922751A (en) | 1994-06-24 | 1999-07-13 | Euro-Celtique, S.A. | Aryl pyrazole compound for inhibiting phosphodiesterase IV and methods of using same |
| IT1270594B (it) | 1994-07-07 | 1997-05-07 | Recordati Chem Pharm | Composizione farmaceutica a rilascio controllato di moguisteina in sospensione liquida |
| US5759542A (en) | 1994-08-05 | 1998-06-02 | New England Deaconess Hospital Corporation | Compositions and methods for the delivery of drugs by platelets for the treatment of cardiovascular and other diseases |
| US5597826A (en) | 1994-09-14 | 1997-01-28 | Pfizer Inc. | Compositions containing sertraline and a 5-HT1D receptor agonist or antagonist |
| US5660854A (en) | 1994-11-28 | 1997-08-26 | Haynes; Duncan H | Drug releasing surgical implant or dressing material |
| US6316652B1 (en) | 1995-06-06 | 2001-11-13 | Kosta Steliou | Drug mitochondrial targeting agents |
| US5798119A (en) | 1995-06-13 | 1998-08-25 | S. C. Johnson & Son, Inc. | Osmotic-delivery devices having vapor-permeable coatings |
| CA2224381A1 (en) | 1995-06-27 | 1997-01-16 | Takeda Chemical Industries, Ltd. | Method of producing sustained-release preparation |
| TW448055B (en) | 1995-09-04 | 2001-08-01 | Takeda Chemical Industries Ltd | Method of production of sustained-release preparation |
| JP2909418B2 (ja) | 1995-09-18 | 1999-06-23 | 株式会社資生堂 | 薬物の遅延放出型マイクロスフイア |
| US6039975A (en) | 1995-10-17 | 2000-03-21 | Hoffman-La Roche Inc. | Colon targeted delivery system |
| US5980945A (en) | 1996-01-16 | 1999-11-09 | Societe De Conseils De Recherches Et D'applications Scientifique S.A. | Sustained release drug formulations |
| AU1735497A (en) | 1996-02-26 | 1997-09-10 | Sumitomo Pharmaceuticals Company, Limited | Sulfonylureidopyrazole derivatives |
| US5959109A (en) | 1996-05-15 | 1999-09-28 | Neurocrine Biosciences, Inc. | Compounds and methods for increasing endogenous levels of corticotropin-releasing factor |
| TW345603B (en) | 1996-05-29 | 1998-11-21 | Gmundner Fertigteile Gmbh | A noise control device for tracks |
| US6264970B1 (en) | 1996-06-26 | 2001-07-24 | Takeda Chemical Industries, Ltd. | Sustained-release preparation |
| US6419961B1 (en) | 1996-08-29 | 2002-07-16 | Takeda Chemical Industries, Ltd. | Sustained release microcapsules of a bioactive substance and a biodegradable polymer |
| US6375987B1 (en) | 1996-10-01 | 2002-04-23 | Gattefossé, S.A. | Process for the manufacture of pharmaceutical composition with modified release of active principle comprising the matrix |
| HUP0000116A3 (en) | 1996-10-01 | 2000-08-28 | Stanford Res Inst Int | Taste-masked microcapsule compositions and methods of manufacture |
| CA2217134A1 (en) | 1996-10-09 | 1998-04-09 | Sumitomo Pharmaceuticals Co., Ltd. | Sustained release formulation |
| CA2219698C (en) | 1996-10-31 | 2007-09-04 | Takeda Chemical Industries, Ltd. | Sustained-release preparation |
| US6131570A (en) | 1998-06-30 | 2000-10-17 | Aradigm Corporation | Temperature controlling device for aerosol drug delivery |
| DE19648576C2 (de) | 1996-11-23 | 1999-08-12 | Lohmann Therapie Syst Lts | Lutschtablette zur modifizierten Freisetzung von Wirkstoffen im Gastrointestinaltrakt |
| KR20000057693A (ko) | 1996-12-20 | 2000-09-25 | 다케다 야쿠힌 고교 가부시키가이샤 | 지효성 제제의 제조 방법 |
| US5891474A (en) | 1997-01-29 | 1999-04-06 | Poli Industria Chimica, S.P.A. | Time-specific controlled release dosage formulations and method of preparing same |
| US6120751A (en) | 1997-03-21 | 2000-09-19 | Imarx Pharmaceutical Corp. | Charged lipids and uses for the same |
| US6060082A (en) | 1997-04-18 | 2000-05-09 | Massachusetts Institute Of Technology | Polymerized liposomes targeted to M cells and useful for oral or mucosal drug delivery |
| US6350458B1 (en) | 1998-02-10 | 2002-02-26 | Generex Pharmaceuticals Incorporated | Mixed micellar drug deliver system and method of preparation |
| US6613358B2 (en) | 1998-03-18 | 2003-09-02 | Theodore W. Randolph | Sustained-release composition including amorphous polymer |
| US6048736A (en) | 1998-04-29 | 2000-04-11 | Kosak; Kenneth M. | Cyclodextrin polymers for carrying and releasing drugs |
| KR19990085365A (ko) | 1998-05-16 | 1999-12-06 | 허영섭 | 지속적으로 약물 조절방출이 가능한 생분해성 고분자 미립구 및그 제조방법 |
| US7169410B1 (en) | 1998-05-19 | 2007-01-30 | Sdg, Inc. | Targeted liposomal drug delivery system |
| CA2348871C (en) | 1998-11-02 | 2009-04-14 | John G. Devane | Multiparticulate modified release composition |
| US6248363B1 (en) | 1999-11-23 | 2001-06-19 | Lipocine, Inc. | Solid carriers for improved delivery of active ingredients in pharmaceutical compositions |
| US6271359B1 (en) | 1999-04-14 | 2001-08-07 | Musc Foundation For Research Development | Tissue-specific and pathogen-specific toxic agents and ribozymes |
| HN2000000051A (es) | 1999-05-19 | 2001-02-02 | Pfizer Prod Inc | Derivados heterociclicos utiles como agentes anticancerosos |
| ES2222919T3 (es) | 1999-08-27 | 2005-02-16 | Abbott Laboratories | Compuestos sulfonilfenilpirazoles utiles como inhibidores de cox-2. |
| US6472416B1 (en) | 1999-08-27 | 2002-10-29 | Abbott Laboratories | Sulfonylphenylpyrazole compounds useful as COX-2 inhibitors |
| US7393842B2 (en) | 2001-08-31 | 2008-07-01 | University Of Connecticut | Pyrazole analogs acting on cannabinoid receptors |
| US8084467B2 (en) | 1999-10-18 | 2011-12-27 | University Of Connecticut | Pyrazole derivatives as cannabinoid receptor antagonists |
| CA2387892A1 (en) | 1999-10-18 | 2001-04-26 | University Of Connecticut | Pyrazole derivatives as cannabinoid receptor antagonists |
| US7119108B1 (en) | 1999-10-18 | 2006-10-10 | University Of Connecticut | Pyrazole derivatives as cannabinoid receptor antagonists |
| AU3217501A (en) | 2000-03-03 | 2001-09-12 | Pfizer Prod Inc | Pyrazole ether derivatives as anti-inflammatory/analgesic agents |
| US6623756B1 (en) | 2000-04-27 | 2003-09-23 | Noveon Ip Holdings Corp. | Directly compressed solid dosage articles |
| AU2001276608A1 (en) | 2000-08-30 | 2002-03-13 | Pfizer Products Inc. | Sustained release formulations for growth hormone secretagogues |
| US6468338B1 (en) | 2000-10-12 | 2002-10-22 | Eastman Kodak Company | Dye for ink jet ink |
| US6464767B1 (en) | 2000-10-12 | 2002-10-15 | Eastman Kodak Company | Ink jet printing method |
| ATE354573T1 (de) | 2000-12-21 | 2007-03-15 | Vertex Pharma | ßPYRAZOLVERBINDUNGEN, DIE SICH ALS PROTEINKINASEINHIBITOREN EIGNENß |
| WO2002053160A1 (en) | 2000-12-29 | 2002-07-11 | Alteon, Inc. | Method for treating glaucoma ivb |
| DE10108480A1 (de) | 2001-02-22 | 2002-09-05 | Bayer Ag | Pyrazolylpyrimidine |
| GB0106661D0 (en) | 2001-03-16 | 2001-05-09 | Pfizer Ltd | Pharmaceutically active compounds |
| US6770645B2 (en) | 2001-03-16 | 2004-08-03 | Pfizer Inc. | Pharmaceutically active compounds |
| US6593349B2 (en) | 2001-03-19 | 2003-07-15 | Icagen, Inc. | Bisarylamines as potassium channel openers |
| JP2002309137A (ja) | 2001-04-12 | 2002-10-23 | Fuji Photo Film Co Ltd | インクジェット記録用インク組成物 |
| CA2444031C (en) | 2001-04-16 | 2012-02-21 | Schering Corporation | 3,4-di-substituted cyclobutene-1,2-diones as cxc-chemokine receptor ligands |
| US20040097547A1 (en) | 2001-04-16 | 2004-05-20 | Taveras Arthur G. | 3,4-Di-substituted cyclobutene-1,2-diones as CXC-chemokine receptor ligands |
| US20040106794A1 (en) | 2001-04-16 | 2004-06-03 | Schering Corporation | 3,4-Di-substituted cyclobutene-1,2-diones as CXC-chemokine receptor ligands |
| US7132445B2 (en) | 2001-04-16 | 2006-11-07 | Schering Corporation | 3,4-Di-substituted cyclobutene-1,2-diones as CXC-chemokine receptor ligands |
| CA2446756C (en) | 2001-06-01 | 2011-03-08 | Vertex Pharmaceuticals Incorporated | Thiazole compounds useful as inhibitors of protein kinase |
| MXPA03000985A (es) | 2001-07-27 | 2004-04-02 | Yamanouchi Pharma Co Ltd | Composicion que comprende particulas finas de liberacion sostenida para tabletas de desintegracion rapida en la cavidad bucal y metodo de fabricacion de la misma. |
| CA2457922A1 (en) | 2001-08-31 | 2003-03-13 | University Of Connecticut | Novel pyrazole analogs acting on cannabinoid receptors |
| EP1429745A2 (de) | 2001-09-28 | 2004-06-23 | McNEIL-PPC, INC. | Zusammengesetzte darreichungsformen mit einem eingelagerten anteil |
| CN1599734A (zh) | 2001-10-12 | 2005-03-23 | 先灵公司 | 作为cxc趋化因子受体拮抗剂的3,4-二取代的马来酰亚胺化合物 |
| EP1451160B1 (de) | 2001-11-01 | 2010-01-13 | Icagen, Inc. | Pyrazolamide zur anwendung in der behandlung von schmerz |
| WO2003037335A1 (en) | 2001-11-02 | 2003-05-08 | Pfizer Products Inc. | 5-heteroatom-substituted pyrazoles |
| WO2003037336A1 (en) | 2001-11-02 | 2003-05-08 | Pfizer Products Inc. | 1-(5-sulfonyl-pyridin-2-yl)-5-(methylidene-cycloalkylmethoxy)-1h-pyrazole-4-carbonitrile derivatives and other compounds as cyclooxygenase inhibitors for the treatment of arthritis, neurodegeneration and colon cancer |
| WO2003051340A1 (en) | 2001-12-19 | 2003-06-26 | Astrazeneca Ab | New film coating |
| SI1463506T1 (sl) | 2001-12-24 | 2010-01-29 | Astrazeneca Ab | Substituirani kinazolinski derivati kot inhibitorji kinaz Aurora |
| US20050113283A1 (en) | 2002-01-18 | 2005-05-26 | David Solow-Cordero | Methods of treating conditions associated with an EDG-4 receptor |
| US20040024085A1 (en) | 2002-01-30 | 2004-02-05 | Takahiro Ishizuka | Ink composition and inkjet recording method |
| JP2005524662A (ja) | 2002-02-28 | 2005-08-18 | ビオタ インコーポレーティッド | ヌクレオシド5’−一リン酸模倣物およびこれらのプロドラッグ |
| US6958161B2 (en) | 2002-04-12 | 2005-10-25 | F H Faulding & Co Limited | Modified release coated drug preparation |
| WO2003099266A2 (en) | 2002-05-23 | 2003-12-04 | Abbott Laboratories | Acetamides and benzamides that are useful in treating sexual dysfunction |
| US20040029887A1 (en) | 2002-05-23 | 2004-02-12 | Bhatia Pramila A. | Acetamides and benzamides that are useful in treating sexual dysfunction |
| US20060009461A1 (en) | 2002-05-23 | 2006-01-12 | Bhatia Pramila A | Acetamides and benzamides that are useful in treating sexual dysfunction |
| US20030232836A1 (en) | 2002-05-23 | 2003-12-18 | Stewart Andrew O. | Acetamides and benzamides that are useful in treating sexual dysfunction |
| US6989451B2 (en) | 2002-06-04 | 2006-01-24 | Valeant Research & Development | Heterocyclic compounds and uses thereof |
| WO2004047776A1 (fr) | 2002-11-20 | 2004-06-10 | L'oreal | Utilisation d’un compose pyrazolcarboxamide pour stimuler la pousse des fibres keratiniques et/ou freiner leur chute |
| FR2847160A1 (fr) | 2002-11-20 | 2004-05-21 | Oreal | Composition capillaire contenant un compose pyrasol-carboxamide, son utilisation pour stimuler la pousse des cheveux et/ou freiner leur chute |
| US7485322B2 (en) | 2002-12-24 | 2009-02-03 | Lek Pharmaceuticals D.D. | Modified release pharmaceutical composition |
| US20060270628A1 (en) | 2003-04-29 | 2006-11-30 | Jagattaran Das | Antiinfective 1,2,3-triazole derivatives, process for their preparation and pharmaceutical compositions containing them |
| WO2004101531A1 (en) | 2003-04-29 | 2004-11-25 | Dr. Reddy's Laboratories Ltd. | Antiinfective 1,2,3-triazole derivatives, process for their preparation and pharmaceutical compositions containing them |
| CA2525383C (en) | 2003-06-06 | 2012-03-06 | Arexis Ab | Use of heterocyclic compounds as scce inhibitors |
| PL1644493T3 (pl) | 2003-06-27 | 2010-11-30 | Axikin Pharmaceuticals Inc | Regulacja kinazy regulowanej w COPD (kinaza RC) |
| WO2005000309A2 (en) | 2003-06-27 | 2005-01-06 | Ionix Pharmaceuticals Limited | Chemical compounds |
| BRPI0412382A (pt) | 2003-07-08 | 2006-09-19 | Astrazeneca Ab | composto , método para a verificação de novos compostos medicinais que se ligam a e modulam a atividade, por agonismo , agonismo parcial, ou antagonismo, do receptor de acetilcolina nicotìnico alfa7, método de tratamento ou profilaxia de uma doença ou condição humana, método para tratamento de jetlag, induzindo interrupção de fumar, vìcio em nicotina, abstinência, dor, e para colite ulcerativa, composição farmacêutica, e, método de tratamento ou prevenção de uma condição ou distúrbio que surge da disfunção de neurotransmissão do receptor de acetilcolina nicotìnico em um mamìfero, e, uso de um composto |
| MY141220A (en) | 2003-11-17 | 2010-03-31 | Astrazeneca Ab | Pyrazole derivatives as inhibitors of receptor tyrosine kinases |
| KR100843526B1 (ko) | 2004-02-27 | 2008-07-03 | 에프. 호프만-라 로슈 아게 | 피라졸의 접합 유도체 |
| BRPI0508220A (pt) | 2004-02-27 | 2007-07-17 | Hoffmann La Roche | derivados de pirazol heteroarila fundidos |
| KR20050091462A (ko) | 2004-03-12 | 2005-09-15 | 한국과학기술연구원 | 푸로피리미딘 화합물 및 이를 포함하는 ddr2 티로신키나아제 활성 저해제 |
| KR101258504B1 (ko) | 2004-03-26 | 2013-04-26 | 메틸진 인코포레이티드 | 히스톤 데아세틸라제의 억제제 |
| US7253204B2 (en) | 2004-03-26 | 2007-08-07 | Methylgene Inc. | Inhibitors of histone deacetylase |
| JP4790703B2 (ja) | 2004-04-07 | 2011-10-12 | 武田薬品工業株式会社 | 環式化合物 |
| US7033425B2 (en) | 2004-04-15 | 2006-04-25 | Eastman Kodak Company | Ink jet ink set |
| JP2007533717A (ja) | 2004-04-21 | 2007-11-22 | アストラゼネカ アクチボラグ | 化合物 |
| US7399317B2 (en) | 2004-08-26 | 2008-07-15 | The Procter & Gamble Company | Keratin dyeing compounds, keratin dyeing compositions containing them, and use thereof |
| NZ552946A (en) | 2004-08-26 | 2010-09-30 | Pfizer | Pyrazole-substituted aminoheteroaryl compounds as protein kinase inhibitors |
| EP1789509B1 (de) | 2004-09-01 | 2010-05-05 | Dow Global Technologies Inc. | Haftvermittler |
| US7531560B2 (en) | 2004-11-10 | 2009-05-12 | Boehringer Ingelheim Pharmaceuticals, Inc. | Anti-cytokine heterocyclic compounds |
| MX2007005857A (es) | 2004-11-17 | 2007-10-10 | Mikana Therapeutics Inc | Inhibidores de cinasa. |
| NZ561145A (en) | 2005-02-04 | 2011-02-25 | Astrazeneca Ab | Pyrazolylaminopyridine derivatives useful as kinase inhibitors |
| WO2006087538A1 (en) | 2005-02-16 | 2006-08-24 | Astrazeneca Ab | Chemical compounds |
| AU2006215386B2 (en) | 2005-02-16 | 2009-06-11 | Astrazeneca Ab | Chemical compounds |
| US20090053455A1 (en) | 2005-03-29 | 2009-02-26 | Mitsubishi Kagaku Media Co., Ltd | Optical recording medium, metal complex compound and organic dye compound |
| JP2008540335A (ja) | 2005-04-27 | 2008-11-20 | アストラゼネカ・アクチエボラーグ | ピラゾリル・ピリミジン誘導体の疼痛治療における使用 |
| US20080194606A1 (en) | 2005-05-05 | 2008-08-14 | Astrazeneca | Pyrazolyl-Amino-Substituted Pyrimidines and Their Use in the Treatment of Cancer |
| US7718678B2 (en) | 2005-06-29 | 2010-05-18 | Schering Corporation | Di-substituted oxadiazoles as CXC-chemokine receptor ligands |
| CA2619517A1 (en) | 2005-08-18 | 2007-02-22 | Michael Mortimore | Pyrazine kinase inhibitors |
| WO2007023382A2 (en) | 2005-08-25 | 2007-03-01 | Pfizer Inc. | Pyrimidine amino pyrazole compounds, potent kinase inhibitors |
| JP2007056213A (ja) | 2005-08-26 | 2007-03-08 | Fujifilm Corp | 焼結含油軸受油用組成物、並びにそれを用いた軸受け装置及び摺動部材 |
| JP5249770B2 (ja) | 2005-11-03 | 2013-07-31 | バーテックス ファーマシューティカルズ インコーポレイテッド | キナーゼインヒビターとして有用なアミノピリジン |
| CA2629781A1 (en) | 2005-11-16 | 2007-05-24 | Vertex Pharmaceuticals Incorporated | Aminopyrimidines useful as kinase inhibitors |
| MX2008007049A (es) | 2005-11-30 | 2008-10-23 | Vertex Pharma | Inhibidores de c-met y usos de los mismos. |
| WO2007084868A2 (en) | 2006-01-17 | 2007-07-26 | Kalypsys, Inc. | Treatment of disorders by activation of the unfolded protein response |
| US7427414B2 (en) | 2006-01-18 | 2008-09-23 | Astron Research Limited | Modified release oral dosage form using co-polymer of polyvinyl acetate |
| US7868177B2 (en) | 2006-02-24 | 2011-01-11 | Amgen Inc. | Multi-cyclic compounds and method of use |
| GB0605691D0 (en) | 2006-03-21 | 2006-05-03 | Novartis Ag | Organic Compounds |
| WO2008028140A1 (en) | 2006-09-01 | 2008-03-06 | Cv Therapeutics, Inc. | Methods and compositions for increasing patient tolerability during myocardial imaging methods |
| US20090081120A1 (en) | 2006-09-01 | 2009-03-26 | Cv Therapeutics, Inc. | Methods and Compositions for Increasing Patient Tolerability During Myocardial Imaging Methods |
| WO2008030448A1 (en) | 2006-09-07 | 2008-03-13 | Millennium Pharmaceuticals, Inc. | Phenethylamide derivatives with kinase inhibitory activity |
| JP2010513232A (ja) | 2006-12-15 | 2010-04-30 | バイエル・シエーリング・ファーマ アクチエンゲゼルシャフト | 3−h−ピラゾロピリジン類及びそれらの塩類、それらを含んで成る医薬組成物類、それらの調製方法及びそれらの使用 |
| US8338437B2 (en) | 2007-02-28 | 2012-12-25 | Methylgene Inc. | Amines as small molecule inhibitors |
| US7947698B2 (en) | 2007-03-23 | 2011-05-24 | Rigel Pharmaceuticals, Inc. | Compositions and methods for inhibition of the JAK pathway |
| CN101679299A (zh) | 2007-04-19 | 2010-03-24 | 诺瓦提斯公司 | 作为代谢型谷氨酸受体-5调节剂的烟酸衍生物 |
| JP2010529193A (ja) | 2007-06-11 | 2010-08-26 | ミイカナ セラピューティクス インコーポレイテッド | 置換ピラゾール化合物 |
| WO2009032703A1 (en) | 2007-08-28 | 2009-03-12 | Irm Llc | 2- (het) arylamino-6-aminopyridine derivatives and fused forms thereof as anaplastic lymphoma kinase inhibitors |
| AU2008310097B2 (en) | 2007-10-09 | 2013-05-16 | Merck Patent Gmbh | Pyridine derivatives useful as glucokinase activators |
| WO2009046840A1 (en) | 2007-10-12 | 2009-04-16 | Merck Patent Gmbh | Method and agent for refolding proteins |
| GEP20125635B (en) | 2007-11-13 | 2012-09-10 | Icos Corp | Inhibitors of human phosphatidyl-inositol 3-kinase delta |
| US20090143451A1 (en) | 2007-11-14 | 2009-06-04 | Andrews William H | Compounds that increase telomerase reverse transcriptase (tert) expression and methods for using the same |
| EP2227233B1 (de) | 2007-11-30 | 2013-02-13 | Newlink Genetics | Ido-inhibitoren |
| US20100331338A1 (en) | 2008-02-25 | 2010-12-30 | Merck Patent Gmbh | Glucokinase Activators |
| JP5117885B2 (ja) | 2008-02-29 | 2013-01-16 | 富士フイルム株式会社 | 色素化合物、着色組成物、感熱転写記録用インクシート、感熱転写記録方法、カラートナー、インクジェット用インクおよびカラーフィルター |
| JP2011518769A (ja) | 2008-03-14 | 2011-06-30 | ビーエーエスエフ ソシエタス・ヨーロピア | 殺菌剤として使用するための置換ピラジニルメチルスルホンアミド |
| JP2009235122A (ja) | 2008-03-25 | 2009-10-15 | Fujifilm Corp | インク組成物、インクセット、及び画像記録方法 |
| EP2276746A1 (de) | 2008-04-10 | 2011-01-26 | Basf Se | Substituierte pyridazinylmethylsulfonamide |
| TW201012803A (en) | 2008-06-06 | 2010-04-01 | Organon Nv | Heterocyclic derivatives |
| US9334242B2 (en) | 2008-06-16 | 2016-05-10 | Gtx, Inc. | Compounds for treatment of cancer |
| LT2303021T (lt) | 2008-06-16 | 2019-06-25 | University Of Tennessee Research Foundation | Junginiai, skirti vėžio gydymui |
| MX2010014057A (es) | 2008-06-17 | 2011-03-21 | Astrazeneca Ab | Compuestos de piridina. |
| AU2009281747B2 (en) | 2008-08-15 | 2015-01-15 | Nivalis Therapeutics, Inc. | Novel pyrrole inhibitors of S-nitrosoglutathione reductase as therapeutic agents |
| WO2010048207A2 (en) | 2008-10-21 | 2010-04-29 | Metabolex, Inc. | Aryl gpr120 receptor agonists and uses thereof |
| US20110230536A1 (en) | 2008-10-24 | 2011-09-22 | Calcimedica, Inc. | Phenylpyrazole inhibitors of store operated calcium release |
| WO2010072696A2 (de) | 2008-12-22 | 2010-07-01 | Basf Se | Mischungen hydrophober und hydrophiler ionischer flüssigkeiten und ihre verwendung in flüssigkeitsringverdichtern |
| WO2010096314A1 (en) | 2009-02-18 | 2010-08-26 | Amgen Inc. | INDOLE/BENZIMIDAZOLE COMPOUNDS AS mTOR KINASE INHIBITORS |
| DK2403499T3 (da) | 2009-03-02 | 2019-12-09 | Stemsynergy Therapeutics Inc | Fremgangsmåder og sammensætninger til anvendelse i behandling af cancer og reduktion af wnt-medierede virkninger i en celle |
| FR2943057B1 (fr) | 2009-03-12 | 2011-06-03 | Centre Nat Rech Scient | DERIVES DE 10-AMINO-1,2,3,4-TETRAHYDROPYRIDO°2,1-a!ISOINDOL-6(10bH)- ONES, LEUR PROCEDE DE PREPARATION ET LEURS UTILISATIONS THERAPEUTIQUES |
| JP2012520886A (ja) | 2009-03-18 | 2012-09-10 | シェーリング コーポレイション | ジアシルグリセロールアシルトランスフェラーゼの阻害剤としての二環式化合物 |
| WO2010108115A1 (en) | 2009-03-20 | 2010-09-23 | Sanford-Burnham Medical Research Institute | Allosteric jnk inhibitors |
| GB0910003D0 (en) | 2009-06-11 | 2009-07-22 | Univ Leuven Kath | Novel compounds for the treatment of neurodegenerative diseases |
| WO2011050245A1 (en) | 2009-10-23 | 2011-04-28 | Yangbo Feng | Bicyclic heteroaryls as kinase inhibitors |
| WO2011056895A1 (en) | 2009-11-03 | 2011-05-12 | University Of Notre Dame Du Lac | Ionic liquids comprising heteraromatic anions |
| GB201010196D0 (en) | 2010-06-17 | 2010-07-21 | Respivert Ltd | Methods |
| WO2012154880A1 (en) | 2011-05-09 | 2012-11-15 | Proteostasis Therapeutics, Inc. | Proteostasis regulators for treating cystic fibrosis and other protein misfolding diseases |
| MX2014011115A (es) * | 2012-03-16 | 2015-03-13 | Axikin Pharmaceuticals Inc | Inhibidores de 3,5-diaminopirazol cinasa. |
| NZ631142A (en) | 2013-09-18 | 2016-03-31 | Axikin Pharmaceuticals Inc | Pharmaceutically acceptable salts of 3,5-diaminopyrazole kinase inhibitors |
-
2015
- 2015-12-22 MY MYPI2017000936A patent/MY191736A/en unknown
- 2015-12-22 UA UAA201707114A patent/UA118312C2/uk unknown
- 2015-12-22 KR KR1020177020665A patent/KR102034202B1/ko active Active
- 2015-12-22 HU HUE15825997A patent/HUE049801T2/hu unknown
- 2015-12-22 SG SG11201705088VA patent/SG11201705088VA/en unknown
- 2015-12-22 EA EA201791450A patent/EA032473B1/ru not_active IP Right Cessation
- 2015-12-22 AR ARP150104275A patent/AR103264A1/es not_active Application Discontinuation
- 2015-12-22 WO PCT/US2015/067359 patent/WO2016106309A1/en not_active Ceased
- 2015-12-22 EP EP15825997.8A patent/EP3237407B1/de active Active
- 2015-12-22 MX MX2017008526A patent/MX373817B/es active IP Right Grant
- 2015-12-22 AU AU2015369690A patent/AU2015369690B2/en active Active
- 2015-12-22 JP JP2017533525A patent/JP6450010B2/ja active Active
- 2015-12-22 DK DK15825997.8T patent/DK3237407T3/da active
- 2015-12-22 NZ NZ733950A patent/NZ733950A/en not_active IP Right Cessation
- 2015-12-22 CN CN201580076521.8A patent/CN107250116B/zh active Active
- 2015-12-22 ES ES15825997T patent/ES2805528T3/es active Active
- 2015-12-22 TW TW104143239A patent/TWI703133B/zh active
- 2015-12-22 US US14/979,294 patent/US9546163B2/en active Active
-
2016
- 2016-11-29 US US15/364,099 patent/US9730914B2/en active Active
-
2017
- 2017-06-18 IL IL25298617A patent/IL252986B/en active IP Right Grant
- 2017-07-24 PH PH12017501334A patent/PH12017501334B1/en unknown
Non-Patent Citations (1)
| Title |
|---|
| None * |
Also Published As
| Publication number | Publication date |
|---|---|
| AU2015369690B2 (en) | 2019-01-17 |
| HUE049801T2 (hu) | 2020-10-28 |
| SG11201705088VA (en) | 2017-07-28 |
| US9546163B2 (en) | 2017-01-17 |
| CN107250116B (zh) | 2020-10-27 |
| DK3237407T3 (da) | 2020-07-20 |
| MX2017008526A (es) | 2017-10-25 |
| ES2805528T3 (es) | 2021-02-12 |
| KR20180004702A (ko) | 2018-01-12 |
| EA032473B1 (ru) | 2019-05-31 |
| UA118312C2 (uk) | 2018-12-26 |
| WO2016106309A1 (en) | 2016-06-30 |
| PH12017501334B1 (en) | 2022-08-17 |
| KR102034202B1 (ko) | 2019-10-18 |
| EP3237407A1 (de) | 2017-11-01 |
| JP2018500339A (ja) | 2018-01-11 |
| TW201629019A (zh) | 2016-08-16 |
| JP6450010B2 (ja) | 2019-01-09 |
| US20170087131A1 (en) | 2017-03-30 |
| CN107250116A (zh) | 2017-10-13 |
| EA201791450A1 (ru) | 2017-12-29 |
| NZ733950A (en) | 2018-08-31 |
| TWI703133B (zh) | 2020-09-01 |
| IL252986A0 (en) | 2017-08-31 |
| AR103264A1 (es) | 2017-04-26 |
| AU2015369690A1 (en) | 2017-08-10 |
| US9730914B2 (en) | 2017-08-15 |
| MY191736A (en) | 2022-07-13 |
| US20160176857A1 (en) | 2016-06-23 |
| IL252986B (en) | 2019-11-28 |
| PH12017501334A1 (en) | 2017-12-18 |
| MX373817B (es) | 2020-03-23 |
Similar Documents
| Publication | Publication Date | Title |
|---|---|---|
| AU2013205240B2 (en) | 3,5-diaminopyrazole kinase inhibitors | |
| EP2547655B1 (de) | Arylsulfonamid-ccr-3-antagonisten | |
| AU2010239340B2 (en) | 2,5-disubstituted arylsulfonamide CCR3 antagonists | |
| EP2627635A1 (de) | Salze aus arylsulfonamid-ccr3-antagonisten | |
| EP2502921B1 (de) | Arylsulfonamid-CCR-3-Antagonisten | |
| EP3237407B1 (de) | 3,5-diaminopyrazol-kinase-inhibitoren | |
| US9637460B2 (en) | Isotopically enriched arylsulfonamide CCR3 antagonists | |
| EP2542542B1 (de) | Isotopisch angereicherte arylsulfonamid-ccr3-antagonisten | |
| EP3046918A1 (de) | Pharmazeutisch akzeptable salze von 3,5-diaminopyrazol-kinasehemmern | |
| AU2014324132A1 (en) | Pharmaceutically acceptable salts of 3,5-diaminopyrazole kinase inhibitors | |
| HK1180334B (en) | Isotopically enriched arylsulfonamide ccr3 antagonists |
Legal Events
| Date | Code | Title | Description |
|---|---|---|---|
| STAA | Information on the status of an ep patent application or granted ep patent |
Free format text: STATUS: THE INTERNATIONAL PUBLICATION HAS BEEN MADE |
|
| PUAI | Public reference made under article 153(3) epc to a published international application that has entered the european phase |
Free format text: ORIGINAL CODE: 0009012 |
|
| STAA | Information on the status of an ep patent application or granted ep patent |
Free format text: STATUS: REQUEST FOR EXAMINATION WAS MADE |
|
| 17P | Request for examination filed |
Effective date: 20170721 |
|
| AK | Designated contracting states |
Kind code of ref document: A1 Designated state(s): AL AT BE BG CH CY CZ DE DK EE ES FI FR GB GR HR HU IE IS IT LI LT LU LV MC MK MT NL NO PL PT RO RS SE SI SK SM TR |
|
| AX | Request for extension of the european patent |
Extension state: BA ME |
|
| RAP1 | Party data changed (applicant data changed or rights of an application transferred) |
Owner name: SMA THERAPEUTICS, INC. |
|
| DAV | Request for validation of the european patent (deleted) | ||
| DAX | Request for extension of the european patent (deleted) | ||
| STAA | Information on the status of an ep patent application or granted ep patent |
Free format text: STATUS: EXAMINATION IS IN PROGRESS |
|
| 17Q | First examination report despatched |
Effective date: 20190603 |
|
| GRAP | Despatch of communication of intention to grant a patent |
Free format text: ORIGINAL CODE: EPIDOSNIGR1 |
|
| STAA | Information on the status of an ep patent application or granted ep patent |
Free format text: STATUS: GRANT OF PATENT IS INTENDED |
|
| INTG | Intention to grant announced |
Effective date: 20191105 |
|
| GRAS | Grant fee paid |
Free format text: ORIGINAL CODE: EPIDOSNIGR3 |
|
| GRAA | (expected) grant |
Free format text: ORIGINAL CODE: 0009210 |
|
| STAA | Information on the status of an ep patent application or granted ep patent |
Free format text: STATUS: THE PATENT HAS BEEN GRANTED |
|
| AK | Designated contracting states |
Kind code of ref document: B1 Designated state(s): AL AT BE BG CH CY CZ DE DK EE ES FI FR GB GR HR HU IE IS IT LI LT LU LV MC MK MT NL NO PL PT RO RS SE SI SK SM TR |
|
| REG | Reference to a national code |
Ref country code: CH Ref legal event code: EP |
|
| REG | Reference to a national code |
Ref country code: DE Ref legal event code: R096 Ref document number: 602015050846 Country of ref document: DE |
|
| REG | Reference to a national code |
Ref country code: IE Ref legal event code: FG4D |
|
| REG | Reference to a national code |
Ref country code: AT Ref legal event code: REF Ref document number: 1257145 Country of ref document: AT Kind code of ref document: T Effective date: 20200515 |
|
| REG | Reference to a national code |
Ref country code: SE Ref legal event code: TRGR |
|
| REG | Reference to a national code |
Ref country code: DK Ref legal event code: T3 Effective date: 20200713 |
|
| REG | Reference to a national code |
Ref country code: NL Ref legal event code: FP |
|
| REG | Reference to a national code |
Ref country code: LT Ref legal event code: MG4D |
|
| REG | Reference to a national code |
Ref country code: HU Ref legal event code: AG4A Ref document number: E049801 Country of ref document: HU |
|
| PG25 | Lapsed in a contracting state [announced via postgrant information from national office to epo] |
Ref country code: IS Free format text: LAPSE BECAUSE OF FAILURE TO SUBMIT A TRANSLATION OF THE DESCRIPTION OR TO PAY THE FEE WITHIN THE PRESCRIBED TIME-LIMIT Effective date: 20200815 Ref country code: PT Free format text: LAPSE BECAUSE OF FAILURE TO SUBMIT A TRANSLATION OF THE DESCRIPTION OR TO PAY THE FEE WITHIN THE PRESCRIBED TIME-LIMIT Effective date: 20200817 Ref country code: LT Free format text: LAPSE BECAUSE OF FAILURE TO SUBMIT A TRANSLATION OF THE DESCRIPTION OR TO PAY THE FEE WITHIN THE PRESCRIBED TIME-LIMIT Effective date: 20200415 Ref country code: GR Free format text: LAPSE BECAUSE OF FAILURE TO SUBMIT A TRANSLATION OF THE DESCRIPTION OR TO PAY THE FEE WITHIN THE PRESCRIBED TIME-LIMIT Effective date: 20200716 Ref country code: NO Free format text: LAPSE BECAUSE OF FAILURE TO SUBMIT A TRANSLATION OF THE DESCRIPTION OR TO PAY THE FEE WITHIN THE PRESCRIBED TIME-LIMIT Effective date: 20200715 Ref country code: FI Free format text: LAPSE BECAUSE OF FAILURE TO SUBMIT A TRANSLATION OF THE DESCRIPTION OR TO PAY THE FEE WITHIN THE PRESCRIBED TIME-LIMIT Effective date: 20200415 |
|
| REG | Reference to a national code |
Ref country code: AT Ref legal event code: MK05 Ref document number: 1257145 Country of ref document: AT Kind code of ref document: T Effective date: 20200415 |
|
| PG25 | Lapsed in a contracting state [announced via postgrant information from national office to epo] |
Ref country code: BG Free format text: LAPSE BECAUSE OF FAILURE TO SUBMIT A TRANSLATION OF THE DESCRIPTION OR TO PAY THE FEE WITHIN THE PRESCRIBED TIME-LIMIT Effective date: 20200715 Ref country code: LV Free format text: LAPSE BECAUSE OF FAILURE TO SUBMIT A TRANSLATION OF THE DESCRIPTION OR TO PAY THE FEE WITHIN THE PRESCRIBED TIME-LIMIT Effective date: 20200415 Ref country code: RS Free format text: LAPSE BECAUSE OF FAILURE TO SUBMIT A TRANSLATION OF THE DESCRIPTION OR TO PAY THE FEE WITHIN THE PRESCRIBED TIME-LIMIT Effective date: 20200415 Ref country code: HR Free format text: LAPSE BECAUSE OF FAILURE TO SUBMIT A TRANSLATION OF THE DESCRIPTION OR TO PAY THE FEE WITHIN THE PRESCRIBED TIME-LIMIT Effective date: 20200415 |
|
| PG25 | Lapsed in a contracting state [announced via postgrant information from national office to epo] |
Ref country code: AL Free format text: LAPSE BECAUSE OF FAILURE TO SUBMIT A TRANSLATION OF THE DESCRIPTION OR TO PAY THE FEE WITHIN THE PRESCRIBED TIME-LIMIT Effective date: 20200415 |
|
| REG | Reference to a national code |
Ref country code: DE Ref legal event code: R097 Ref document number: 602015050846 Country of ref document: DE |
|
| PG25 | Lapsed in a contracting state [announced via postgrant information from national office to epo] |
Ref country code: AT Free format text: LAPSE BECAUSE OF FAILURE TO SUBMIT A TRANSLATION OF THE DESCRIPTION OR TO PAY THE FEE WITHIN THE PRESCRIBED TIME-LIMIT Effective date: 20200415 Ref country code: EE Free format text: LAPSE BECAUSE OF FAILURE TO SUBMIT A TRANSLATION OF THE DESCRIPTION OR TO PAY THE FEE WITHIN THE PRESCRIBED TIME-LIMIT Effective date: 20200415 Ref country code: SM Free format text: LAPSE BECAUSE OF FAILURE TO SUBMIT A TRANSLATION OF THE DESCRIPTION OR TO PAY THE FEE WITHIN THE PRESCRIBED TIME-LIMIT Effective date: 20200415 Ref country code: RO Free format text: LAPSE BECAUSE OF FAILURE TO SUBMIT A TRANSLATION OF THE DESCRIPTION OR TO PAY THE FEE WITHIN THE PRESCRIBED TIME-LIMIT Effective date: 20200415 Ref country code: CZ Free format text: LAPSE BECAUSE OF FAILURE TO SUBMIT A TRANSLATION OF THE DESCRIPTION OR TO PAY THE FEE WITHIN THE PRESCRIBED TIME-LIMIT Effective date: 20200415 |
|
| REG | Reference to a national code |
Ref country code: ES Ref legal event code: FG2A Ref document number: 2805528 Country of ref document: ES Kind code of ref document: T3 Effective date: 20210212 |
|
| PLBE | No opposition filed within time limit |
Free format text: ORIGINAL CODE: 0009261 |
|
| STAA | Information on the status of an ep patent application or granted ep patent |
Free format text: STATUS: NO OPPOSITION FILED WITHIN TIME LIMIT |
|
| PG25 | Lapsed in a contracting state [announced via postgrant information from national office to epo] |
Ref country code: PL Free format text: LAPSE BECAUSE OF FAILURE TO SUBMIT A TRANSLATION OF THE DESCRIPTION OR TO PAY THE FEE WITHIN THE PRESCRIBED TIME-LIMIT Effective date: 20200415 Ref country code: SK Free format text: LAPSE BECAUSE OF FAILURE TO SUBMIT A TRANSLATION OF THE DESCRIPTION OR TO PAY THE FEE WITHIN THE PRESCRIBED TIME-LIMIT Effective date: 20200415 |
|
| 26N | No opposition filed |
Effective date: 20210118 |
|
| PG25 | Lapsed in a contracting state [announced via postgrant information from national office to epo] |
Ref country code: SI Free format text: LAPSE BECAUSE OF FAILURE TO SUBMIT A TRANSLATION OF THE DESCRIPTION OR TO PAY THE FEE WITHIN THE PRESCRIBED TIME-LIMIT Effective date: 20200415 |
|
| PG25 | Lapsed in a contracting state [announced via postgrant information from national office to epo] |
Ref country code: MC Free format text: LAPSE BECAUSE OF FAILURE TO SUBMIT A TRANSLATION OF THE DESCRIPTION OR TO PAY THE FEE WITHIN THE PRESCRIBED TIME-LIMIT Effective date: 20200415 |
|
| PG25 | Lapsed in a contracting state [announced via postgrant information from national office to epo] |
Ref country code: LU Free format text: LAPSE BECAUSE OF NON-PAYMENT OF DUE FEES Effective date: 20201222 |
|
| PG25 | Lapsed in a contracting state [announced via postgrant information from national office to epo] |
Ref country code: TR Free format text: LAPSE BECAUSE OF FAILURE TO SUBMIT A TRANSLATION OF THE DESCRIPTION OR TO PAY THE FEE WITHIN THE PRESCRIBED TIME-LIMIT Effective date: 20200415 Ref country code: MT Free format text: LAPSE BECAUSE OF FAILURE TO SUBMIT A TRANSLATION OF THE DESCRIPTION OR TO PAY THE FEE WITHIN THE PRESCRIBED TIME-LIMIT Effective date: 20200415 Ref country code: CY Free format text: LAPSE BECAUSE OF FAILURE TO SUBMIT A TRANSLATION OF THE DESCRIPTION OR TO PAY THE FEE WITHIN THE PRESCRIBED TIME-LIMIT Effective date: 20200415 |
|
| PG25 | Lapsed in a contracting state [announced via postgrant information from national office to epo] |
Ref country code: MK Free format text: LAPSE BECAUSE OF FAILURE TO SUBMIT A TRANSLATION OF THE DESCRIPTION OR TO PAY THE FEE WITHIN THE PRESCRIBED TIME-LIMIT Effective date: 20200415 |
|
| PGFP | Annual fee paid to national office [announced via postgrant information from national office to epo] |
Ref country code: SE Payment date: 20231225 Year of fee payment: 9 Ref country code: NL Payment date: 20231220 Year of fee payment: 9 Ref country code: IE Payment date: 20231227 Year of fee payment: 9 Ref country code: HU Payment date: 20231221 Year of fee payment: 9 Ref country code: DK Payment date: 20231225 Year of fee payment: 9 |
|
| PGFP | Annual fee paid to national office [announced via postgrant information from national office to epo] |
Ref country code: BE Payment date: 20231220 Year of fee payment: 9 |
|
| PGFP | Annual fee paid to national office [announced via postgrant information from national office to epo] |
Ref country code: ES Payment date: 20240111 Year of fee payment: 9 |
|
| PGFP | Annual fee paid to national office [announced via postgrant information from national office to epo] |
Ref country code: CH Payment date: 20240101 Year of fee payment: 9 |
|
| PGFP | Annual fee paid to national office [announced via postgrant information from national office to epo] |
Ref country code: GB Payment date: 20241220 Year of fee payment: 10 |
|
| PGFP | Annual fee paid to national office [announced via postgrant information from national office to epo] |
Ref country code: FR Payment date: 20241226 Year of fee payment: 10 |
|
| PGFP | Annual fee paid to national office [announced via postgrant information from national office to epo] |
Ref country code: DE Payment date: 20241231 Year of fee payment: 10 |
|
| PGFP | Annual fee paid to national office [announced via postgrant information from national office to epo] |
Ref country code: IT Payment date: 20241227 Year of fee payment: 10 |
|
| REG | Reference to a national code |
Ref country code: DK Ref legal event code: EBP Effective date: 20241231 |
|
| REG | Reference to a national code |
Ref country code: SE Ref legal event code: EUG |
|
| REG | Reference to a national code |
Ref country code: CH Ref legal event code: PL |
|
| REG | Reference to a national code |
Ref country code: NL Ref legal event code: MM Effective date: 20250101 |
|
| PG25 | Lapsed in a contracting state [announced via postgrant information from national office to epo] |
Ref country code: NL Free format text: LAPSE BECAUSE OF NON-PAYMENT OF DUE FEES Effective date: 20250101 |
|
| PG25 | Lapsed in a contracting state [announced via postgrant information from national office to epo] |
Ref country code: HU Free format text: LAPSE BECAUSE OF NON-PAYMENT OF DUE FEES Effective date: 20241223 |
|
| REG | Reference to a national code |
Ref country code: BE Ref legal event code: MM Effective date: 20241231 |
|
| PG25 | Lapsed in a contracting state [announced via postgrant information from national office to epo] |
Ref country code: BE Free format text: LAPSE BECAUSE OF NON-PAYMENT OF DUE FEES Effective date: 20241231 |
|
| PG25 | Lapsed in a contracting state [announced via postgrant information from national office to epo] |
Ref country code: CH Free format text: LAPSE BECAUSE OF NON-PAYMENT OF DUE FEES Effective date: 20241231 |
|
| PG25 | Lapsed in a contracting state [announced via postgrant information from national office to epo] |
Ref country code: IE Free format text: LAPSE BECAUSE OF NON-PAYMENT OF DUE FEES Effective date: 20241222 |



















