DE69918177T2 - Polymerisationsverfahren durch dielektrische heizung von ungesättigten fettsäuren, von estern von ungesättigten fettsäuren, von ungesättigten kohlenwasserstoffen oder von ungesättigten derivaten dieser produkte - Google Patents
Polymerisationsverfahren durch dielektrische heizung von ungesättigten fettsäuren, von estern von ungesättigten fettsäuren, von ungesättigten kohlenwasserstoffen oder von ungesättigten derivaten dieser produkte Download PDFInfo
- Publication number
- DE69918177T2 DE69918177T2 DE69918177T DE69918177T DE69918177T2 DE 69918177 T2 DE69918177 T2 DE 69918177T2 DE 69918177 T DE69918177 T DE 69918177T DE 69918177 T DE69918177 T DE 69918177T DE 69918177 T2 DE69918177 T2 DE 69918177T2
- Authority
- DE
- Germany
- Prior art keywords
- unsaturated
- oil
- polymerization
- reagent
- fatty acids
- Prior art date
- Legal status (The legal status is an assumption and is not a legal conclusion. Google has not performed a legal analysis and makes no representation as to the accuracy of the status listed.)
- Expired - Lifetime
Links
- 238000000034 method Methods 0.000 title claims abstract description 54
- 238000010438 heat treatment Methods 0.000 title claims abstract description 35
- 238000006116 polymerization reaction Methods 0.000 title claims abstract description 32
- 235000021122 unsaturated fatty acids Nutrition 0.000 title claims abstract description 21
- 150000004670 unsaturated fatty acids Chemical class 0.000 title claims abstract description 13
- 229930195735 unsaturated hydrocarbon Natural products 0.000 title claims abstract description 12
- 229920000642 polymer Polymers 0.000 claims abstract description 37
- 239000003153 chemical reaction reagent Substances 0.000 claims abstract description 34
- 239000000203 mixture Substances 0.000 claims abstract description 17
- 230000008569 process Effects 0.000 claims abstract description 7
- 239000003921 oil Substances 0.000 claims description 36
- 235000019198 oils Nutrition 0.000 claims description 36
- PRAKJMSDJKAYCZ-UHFFFAOYSA-N dodecahydrosqualene Natural products CC(C)CCCC(C)CCCC(C)CCCCC(C)CCCC(C)CCCC(C)C PRAKJMSDJKAYCZ-UHFFFAOYSA-N 0.000 claims description 25
- TUHBEKDERLKLEC-UHFFFAOYSA-N squalene Natural products CC(=CCCC(=CCCC(=CCCC=C(/C)CCC=C(/C)CC=C(C)C)C)C)C TUHBEKDERLKLEC-UHFFFAOYSA-N 0.000 claims description 24
- YYGNTYWPHWGJRM-UHFFFAOYSA-N (6E,10E,14E,18E)-2,6,10,15,19,23-hexamethyltetracosa-2,6,10,14,18,22-hexaene Chemical compound CC(C)=CCCC(C)=CCCC(C)=CCCC=C(C)CCC=C(C)CCC=C(C)C YYGNTYWPHWGJRM-UHFFFAOYSA-N 0.000 claims description 23
- BHEOSNUKNHRBNM-UHFFFAOYSA-N Tetramethylsqualene Natural products CC(=C)C(C)CCC(=C)C(C)CCC(C)=CCCC=C(C)CCC(C)C(=C)CCC(C)C(C)=C BHEOSNUKNHRBNM-UHFFFAOYSA-N 0.000 claims description 22
- 229940031439 squalene Drugs 0.000 claims description 22
- 239000011541 reaction mixture Substances 0.000 claims description 20
- 239000004359 castor oil Substances 0.000 claims description 18
- 235000019438 castor oil Nutrition 0.000 claims description 18
- ZEMPKEQAKRGZGQ-XOQCFJPHSA-N glycerol triricinoleate Natural products CCCCCC[C@@H](O)CC=CCCCCCCCC(=O)OC[C@@H](COC(=O)CCCCCCCC=CC[C@@H](O)CCCCCC)OC(=O)CCCCCCCC=CC[C@H](O)CCCCCC ZEMPKEQAKRGZGQ-XOQCFJPHSA-N 0.000 claims description 18
- -1 unsaturated fatty acid esters Chemical class 0.000 claims description 17
- 239000003054 catalyst Substances 0.000 claims description 15
- 235000014113 dietary fatty acids Nutrition 0.000 claims description 15
- 239000000194 fatty acid Substances 0.000 claims description 15
- 229930195729 fatty acid Natural products 0.000 claims description 15
- 239000008158 vegetable oil Substances 0.000 claims description 15
- XLYOFNOQVPJJNP-UHFFFAOYSA-N water Chemical compound O XLYOFNOQVPJJNP-UHFFFAOYSA-N 0.000 claims description 12
- 239000002537 cosmetic Substances 0.000 claims description 11
- 238000010792 warming Methods 0.000 claims description 11
- 230000035484 reaction time Effects 0.000 claims description 10
- 235000015112 vegetable and seed oil Nutrition 0.000 claims description 10
- 235000019486 Sunflower oil Nutrition 0.000 claims description 9
- 239000002600 sunflower oil Substances 0.000 claims description 9
- 239000000654 additive Substances 0.000 claims description 8
- 239000010775 animal oil Substances 0.000 claims description 8
- 239000012298 atmosphere Substances 0.000 claims description 8
- 238000006243 chemical reaction Methods 0.000 claims description 8
- 150000004665 fatty acids Chemical class 0.000 claims description 8
- 235000013311 vegetables Nutrition 0.000 claims description 8
- 230000009467 reduction Effects 0.000 claims description 7
- 239000000314 lubricant Substances 0.000 claims description 6
- 238000002360 preparation method Methods 0.000 claims description 6
- 241001465754 Metazoa Species 0.000 claims description 5
- 150000001875 compounds Chemical class 0.000 claims description 5
- 230000000379 polymerizing effect Effects 0.000 claims description 5
- 229920002367 Polyisobutene Polymers 0.000 claims description 4
- QVGXLLKOCUKJST-UHFFFAOYSA-N atomic oxygen Chemical compound [O] QVGXLLKOCUKJST-UHFFFAOYSA-N 0.000 claims description 4
- 229920001971 elastomer Polymers 0.000 claims description 4
- 239000001301 oxygen Substances 0.000 claims description 4
- 229910052760 oxygen Inorganic materials 0.000 claims description 4
- 239000004033 plastic Substances 0.000 claims description 4
- 229920003023 plastic Polymers 0.000 claims description 4
- 150000003097 polyterpenes Chemical class 0.000 claims description 4
- 239000005060 rubber Substances 0.000 claims description 4
- 235000003222 Helianthus annuus Nutrition 0.000 claims description 3
- GUJOJGAPFQRJSV-UHFFFAOYSA-N dialuminum;dioxosilane;oxygen(2-);hydrate Chemical compound O.[O-2].[O-2].[O-2].[Al+3].[Al+3].O=[Si]=O.O=[Si]=O.O=[Si]=O.O=[Si]=O GUJOJGAPFQRJSV-UHFFFAOYSA-N 0.000 claims description 3
- 229930195733 hydrocarbon Natural products 0.000 claims description 3
- 239000002383 tung oil Substances 0.000 claims description 3
- AJBZENLMTKDAEK-UHFFFAOYSA-N 3a,5a,5b,8,8,11a-hexamethyl-1-prop-1-en-2-yl-1,2,3,4,5,6,7,7a,9,10,11,11b,12,13,13a,13b-hexadecahydrocyclopenta[a]chrysene-4,9-diol Chemical compound CC12CCC(O)C(C)(C)C1CCC(C1(C)CC3O)(C)C2CCC1C1C3(C)CCC1C(=C)C AJBZENLMTKDAEK-UHFFFAOYSA-N 0.000 claims description 2
- 240000002791 Brassica napus Species 0.000 claims description 2
- 235000004977 Brassica sinapistrum Nutrition 0.000 claims description 2
- 235000003880 Calendula Nutrition 0.000 claims description 2
- 240000001432 Calendula officinalis Species 0.000 claims description 2
- 244000068988 Glycine max Species 0.000 claims description 2
- 235000010469 Glycine max Nutrition 0.000 claims description 2
- 230000000996 additive effect Effects 0.000 claims description 2
- 150000001298 alcohols Chemical class 0.000 claims description 2
- 239000003795 chemical substances by application Substances 0.000 claims description 2
- 238000004332 deodorization Methods 0.000 claims description 2
- 150000002118 epoxides Chemical class 0.000 claims description 2
- 125000003055 glycidyl group Chemical group C(C1CO1)* 0.000 claims description 2
- 239000002638 heterogeneous catalyst Substances 0.000 claims description 2
- 239000002815 homogeneous catalyst Substances 0.000 claims description 2
- 150000002430 hydrocarbons Chemical class 0.000 claims description 2
- 150000004679 hydroxides Chemical class 0.000 claims description 2
- 229910052901 montmorillonite Inorganic materials 0.000 claims description 2
- 241000219104 Cucurbitaceae Species 0.000 claims 1
- 244000020551 Helianthus annuus Species 0.000 claims 1
- 238000004042 decolorization Methods 0.000 claims 1
- 238000006386 neutralization reaction Methods 0.000 claims 1
- 150000002148 esters Chemical class 0.000 abstract description 8
- 230000000694 effects Effects 0.000 abstract description 3
- 238000002474 experimental method Methods 0.000 description 6
- 238000004519 manufacturing process Methods 0.000 description 6
- LYCAIKOWRPUZTN-UHFFFAOYSA-N Ethylene glycol Chemical compound OCCO LYCAIKOWRPUZTN-UHFFFAOYSA-N 0.000 description 5
- 239000002253 acid Substances 0.000 description 5
- 230000008901 benefit Effects 0.000 description 5
- 238000003756 stirring Methods 0.000 description 5
- RRHGJUQNOFWUDK-UHFFFAOYSA-N Isoprene Chemical compound CC(=C)C=C RRHGJUQNOFWUDK-UHFFFAOYSA-N 0.000 description 4
- 239000003925 fat Substances 0.000 description 4
- 238000007670 refining Methods 0.000 description 4
- ZCYVEMRRCGMTRW-UHFFFAOYSA-N 7553-56-2 Chemical compound [I] ZCYVEMRRCGMTRW-UHFFFAOYSA-N 0.000 description 3
- 241000251730 Chondrichthyes Species 0.000 description 3
- LFQSCWFLJHTTHZ-UHFFFAOYSA-N Ethanol Chemical compound CCO LFQSCWFLJHTTHZ-UHFFFAOYSA-N 0.000 description 3
- PEDCQBHIVMGVHV-UHFFFAOYSA-N Glycerine Chemical compound OCC(O)CO PEDCQBHIVMGVHV-UHFFFAOYSA-N 0.000 description 3
- OKKJLVBELUTLKV-UHFFFAOYSA-N Methanol Chemical compound OC OKKJLVBELUTLKV-UHFFFAOYSA-N 0.000 description 3
- 235000019484 Rapeseed oil Nutrition 0.000 description 3
- 230000009286 beneficial effect Effects 0.000 description 3
- 235000019197 fats Nutrition 0.000 description 3
- 238000005984 hydrogenation reaction Methods 0.000 description 3
- 229910052740 iodine Inorganic materials 0.000 description 3
- 239000011630 iodine Substances 0.000 description 3
- 235000020778 linoleic acid Nutrition 0.000 description 3
- OYHQOLUKZRVURQ-HZJYTTRNSA-N linoleic acid group Chemical class C(CCCCCCC\C=C/C\C=C/CCCCC)(=O)O OYHQOLUKZRVURQ-HZJYTTRNSA-N 0.000 description 3
- 239000000944 linseed oil Substances 0.000 description 3
- 235000021388 linseed oil Nutrition 0.000 description 3
- 235000014593 oils and fats Nutrition 0.000 description 3
- 239000004006 olive oil Substances 0.000 description 3
- 235000008390 olive oil Nutrition 0.000 description 3
- UFTFJSFQGQCHQW-UHFFFAOYSA-N triformin Chemical compound O=COCC(OC=O)COC=O UFTFJSFQGQCHQW-UHFFFAOYSA-N 0.000 description 3
- CUXYLFPMQMFGPL-BGDVVUGTSA-N (9Z,11E,13Z)-octadecatrienoic acid Chemical compound CCCC\C=C/C=C/C=C\CCCCCCCC(O)=O CUXYLFPMQMFGPL-BGDVVUGTSA-N 0.000 description 2
- KAKZBPTYRLMSJV-UHFFFAOYSA-N Butadiene Chemical compound C=CC=C KAKZBPTYRLMSJV-UHFFFAOYSA-N 0.000 description 2
- OKTJSMMVPCPJKN-UHFFFAOYSA-N Carbon Chemical compound [C] OKTJSMMVPCPJKN-UHFFFAOYSA-N 0.000 description 2
- 241000208818 Helianthus Species 0.000 description 2
- MHAJPDPJQMAIIY-UHFFFAOYSA-N Hydrogen peroxide Chemical compound OO MHAJPDPJQMAIIY-UHFFFAOYSA-N 0.000 description 2
- VQTUBCCKSQIDNK-UHFFFAOYSA-N Isobutene Chemical compound CC(C)=C VQTUBCCKSQIDNK-UHFFFAOYSA-N 0.000 description 2
- 235000019483 Peanut oil Nutrition 0.000 description 2
- PPBRXRYQALVLMV-UHFFFAOYSA-N Styrene Chemical compound C=CC1=CC=CC=C1 PPBRXRYQALVLMV-UHFFFAOYSA-N 0.000 description 2
- RAHZWNYVWXNFOC-UHFFFAOYSA-N Sulphur dioxide Chemical compound O=S=O RAHZWNYVWXNFOC-UHFFFAOYSA-N 0.000 description 2
- 150000007513 acids Chemical class 0.000 description 2
- 239000000853 adhesive Substances 0.000 description 2
- 230000001070 adhesive effect Effects 0.000 description 2
- 150000001336 alkenes Chemical class 0.000 description 2
- 235000020661 alpha-linolenic acid Nutrition 0.000 description 2
- PYKYMHQGRFAEBM-UHFFFAOYSA-N anthraquinone Natural products CCC(=O)c1c(O)c2C(=O)C3C(C=CC=C3O)C(=O)c2cc1CC(=O)OC PYKYMHQGRFAEBM-UHFFFAOYSA-N 0.000 description 2
- 150000004056 anthraquinones Chemical class 0.000 description 2
- 230000000844 anti-bacterial effect Effects 0.000 description 2
- 230000000843 anti-fungal effect Effects 0.000 description 2
- 229940121375 antifungal agent Drugs 0.000 description 2
- YZXBAPSDXZZRGB-DOFZRALJSA-N arachidonic acid Chemical compound CCCCC\C=C/C\C=C/C\C=C/C\C=C/CCCC(O)=O YZXBAPSDXZZRGB-DOFZRALJSA-N 0.000 description 2
- 235000015278 beef Nutrition 0.000 description 2
- 230000015572 biosynthetic process Effects 0.000 description 2
- HVYWMOMLDIMFJA-DPAQBDIFSA-N cholesterol Chemical compound C1C=C2C[C@@H](O)CC[C@]2(C)[C@@H]2[C@@H]1[C@@H]1CC[C@H]([C@H](C)CCCC(C)C)[C@@]1(C)CC2 HVYWMOMLDIMFJA-DPAQBDIFSA-N 0.000 description 2
- 229920001577 copolymer Polymers 0.000 description 2
- 235000005687 corn oil Nutrition 0.000 description 2
- 239000002285 corn oil Substances 0.000 description 2
- 235000012343 cottonseed oil Nutrition 0.000 description 2
- 239000002385 cottonseed oil Substances 0.000 description 2
- 230000018044 dehydration Effects 0.000 description 2
- 238000006297 dehydration reaction Methods 0.000 description 2
- 150000001993 dienes Chemical class 0.000 description 2
- 239000003814 drug Substances 0.000 description 2
- 230000005672 electromagnetic field Effects 0.000 description 2
- HNRMPXKDFBEGFZ-UHFFFAOYSA-N ethyl trimethyl methane Natural products CCC(C)(C)C HNRMPXKDFBEGFZ-UHFFFAOYSA-N 0.000 description 2
- 238000009472 formulation Methods 0.000 description 2
- 239000004615 ingredient Substances 0.000 description 2
- JXTPJDDICSTXJX-UHFFFAOYSA-N n-Triacontane Natural products CCCCCCCCCCCCCCCCCCCCCCCCCCCCCC JXTPJDDICSTXJX-UHFFFAOYSA-N 0.000 description 2
- 239000003973 paint Substances 0.000 description 2
- SECPZKHBENQXJG-FPLPWBNLSA-N palmitoleic acid Chemical compound CCCCCC\C=C/CCCCCCCC(O)=O SECPZKHBENQXJG-FPLPWBNLSA-N 0.000 description 2
- 239000000312 peanut oil Substances 0.000 description 2
- 229920005862 polyol Polymers 0.000 description 2
- 150000003077 polyols Chemical class 0.000 description 2
- 239000010453 quartz Substances 0.000 description 2
- 230000004044 response Effects 0.000 description 2
- 150000003839 salts Chemical class 0.000 description 2
- 239000000523 sample Substances 0.000 description 2
- VYPSYNLAJGMNEJ-UHFFFAOYSA-N silicon dioxide Inorganic materials O=[Si]=O VYPSYNLAJGMNEJ-UHFFFAOYSA-N 0.000 description 2
- 235000012424 soybean oil Nutrition 0.000 description 2
- 239000003549 soybean oil Substances 0.000 description 2
- 229940032094 squalane Drugs 0.000 description 2
- 238000012360 testing method Methods 0.000 description 2
- 150000005671 trienes Chemical class 0.000 description 2
- 239000001993 wax Substances 0.000 description 2
- 239000010698 whale oil Substances 0.000 description 2
- 239000010497 wheat germ oil Substances 0.000 description 2
- DQGMPXYVZZCNDQ-KBPWROHVSA-N (8E,10E,12Z)-octadecatrienoic acid Chemical compound CCCCC\C=C/C=C/C=C/CCCCCCC(O)=O DQGMPXYVZZCNDQ-KBPWROHVSA-N 0.000 description 1
- DTRGDWOPRCXRET-UHFFFAOYSA-N (9Z,11E,13E)-4-Oxo-9,11,13-octadecatrienoic acid Natural products CCCCC=CC=CC=CCCCCC(=O)CCC(O)=O DTRGDWOPRCXRET-UHFFFAOYSA-N 0.000 description 1
- CUXYLFPMQMFGPL-UHFFFAOYSA-N (9Z,11E,13E)-9,11,13-Octadecatrienoic acid Natural products CCCCC=CC=CC=CCCCCCCCC(O)=O CUXYLFPMQMFGPL-UHFFFAOYSA-N 0.000 description 1
- OYHQOLUKZRVURQ-NTGFUMLPSA-N (9Z,12Z)-9,10,12,13-tetratritiooctadeca-9,12-dienoic acid Chemical compound C(CCCCCCC\C(=C(/C\C(=C(/CCCCC)\[3H])\[3H])\[3H])\[3H])(=O)O OYHQOLUKZRVURQ-NTGFUMLPSA-N 0.000 description 1
- DTRGDWOPRCXRET-SUTYWZMXSA-N (9e,11e,13e)-4-oxooctadeca-9,11,13-trienoic acid Chemical compound CCCC\C=C\C=C\C=C\CCCCC(=O)CCC(O)=O DTRGDWOPRCXRET-SUTYWZMXSA-N 0.000 description 1
- WRIDQFICGBMAFQ-UHFFFAOYSA-N (E)-8-Octadecenoic acid Natural products CCCCCCCCCC=CCCCCCCC(O)=O WRIDQFICGBMAFQ-UHFFFAOYSA-N 0.000 description 1
- LQJBNNIYVWPHFW-UHFFFAOYSA-N 20:1omega9c fatty acid Natural products CCCCCCCCCCC=CCCCCCCCC(O)=O LQJBNNIYVWPHFW-UHFFFAOYSA-N 0.000 description 1
- QSBYPNXLFMSGKH-UHFFFAOYSA-N 9-Heptadecensaeure Natural products CCCCCCCC=CCCCCCCCC(O)=O QSBYPNXLFMSGKH-UHFFFAOYSA-N 0.000 description 1
- 244000266618 Atriplex confertifolia Species 0.000 description 1
- 235000012137 Atriplex confertifolia Nutrition 0.000 description 1
- DKEBXOBYCJXZIE-VKXJIOIDSA-N CN/C(/CC/C=C(/CCC=C(NI)NI)\N=[IH])=C\CC/C=C(/CC/C=C(/CC/C=C(/NC)\NI)\N)\N[IH]C Chemical compound CN/C(/CC/C=C(/CCC=C(NI)NI)\N=[IH])=C\CC/C=C(/CC/C=C(/CC/C=C(/NC)\NI)\N)\N[IH]C DKEBXOBYCJXZIE-VKXJIOIDSA-N 0.000 description 1
- 241000252203 Clupea harengus Species 0.000 description 1
- 235000013162 Cocos nucifera Nutrition 0.000 description 1
- 244000060011 Cocos nucifera Species 0.000 description 1
- FBPFZTCFMRRESA-FSIIMWSLSA-N D-Glucitol Natural products OC[C@H](O)[C@H](O)[C@@H](O)[C@H](O)CO FBPFZTCFMRRESA-FSIIMWSLSA-N 0.000 description 1
- FBPFZTCFMRRESA-JGWLITMVSA-N D-glucitol Chemical compound OC[C@H](O)[C@@H](O)[C@H](O)[C@H](O)CO FBPFZTCFMRRESA-JGWLITMVSA-N 0.000 description 1
- DNXHEGUUPJUMQT-CBZIJGRNSA-N Estrone Chemical compound OC1=CC=C2[C@H]3CC[C@](C)(C(CC4)=O)[C@@H]4[C@@H]3CCC2=C1 DNXHEGUUPJUMQT-CBZIJGRNSA-N 0.000 description 1
- VGGSQFUCUMXWEO-UHFFFAOYSA-N Ethene Chemical compound C=C VGGSQFUCUMXWEO-UHFFFAOYSA-N 0.000 description 1
- 239000005977 Ethylene Substances 0.000 description 1
- 235000019487 Hazelnut oil Nutrition 0.000 description 1
- 239000005642 Oleic acid Substances 0.000 description 1
- ZQPPMHVWECSIRJ-UHFFFAOYSA-N Oleic acid Natural products CCCCCCCCC=CCCCCCCCC(O)=O ZQPPMHVWECSIRJ-UHFFFAOYSA-N 0.000 description 1
- 244000021150 Orbignya martiana Species 0.000 description 1
- 235000014643 Orbignya martiana Nutrition 0.000 description 1
- 235000019482 Palm oil Nutrition 0.000 description 1
- 235000021319 Palmitoleic acid Nutrition 0.000 description 1
- 241000283222 Physeter catodon Species 0.000 description 1
- 239000002202 Polyethylene glycol Substances 0.000 description 1
- 229920000297 Rayon Polymers 0.000 description 1
- 235000019774 Rice Bran oil Nutrition 0.000 description 1
- 241001125048 Sardina Species 0.000 description 1
- BUGBHKTXTAQXES-UHFFFAOYSA-N Selenium Chemical compound [Se] BUGBHKTXTAQXES-UHFFFAOYSA-N 0.000 description 1
- PWKWDCOTNGQLID-UHFFFAOYSA-N [N].[Ar] Chemical compound [N].[Ar] PWKWDCOTNGQLID-UHFFFAOYSA-N 0.000 description 1
- 239000003377 acid catalyst Substances 0.000 description 1
- 239000004480 active ingredient Substances 0.000 description 1
- CUXYLFPMQMFGPL-FWSDQLJQSA-N alpha-Eleostearic acid Natural products CCCCC=CC=C\C=C\CCCCCCCC(O)=O CUXYLFPMQMFGPL-FWSDQLJQSA-N 0.000 description 1
- 150000001408 amides Chemical class 0.000 description 1
- 238000004458 analytical method Methods 0.000 description 1
- 235000021342 arachidonic acid Nutrition 0.000 description 1
- 229940114079 arachidonic acid Drugs 0.000 description 1
- 230000004888 barrier function Effects 0.000 description 1
- 239000000440 bentonite Substances 0.000 description 1
- 229910000278 bentonite Inorganic materials 0.000 description 1
- SVPXDRXYRYOSEX-UHFFFAOYSA-N bentoquatam Chemical compound O.O=[Si]=O.O=[Al]O[Al]=O SVPXDRXYRYOSEX-UHFFFAOYSA-N 0.000 description 1
- 239000007844 bleaching agent Substances 0.000 description 1
- 238000007664 blowing Methods 0.000 description 1
- 238000009835 boiling Methods 0.000 description 1
- 235000021324 borage oil Nutrition 0.000 description 1
- 239000001273 butane Substances 0.000 description 1
- 235000019519 canola oil Nutrition 0.000 description 1
- 239000000828 canola oil Substances 0.000 description 1
- 150000001735 carboxylic acids Chemical class 0.000 description 1
- 230000003197 catalytic effect Effects 0.000 description 1
- 238000006555 catalytic reaction Methods 0.000 description 1
- 230000008859 change Effects 0.000 description 1
- 235000012000 cholesterol Nutrition 0.000 description 1
- SECPZKHBENQXJG-UHFFFAOYSA-N cis-palmitoleic acid Natural products CCCCCCC=CCCCCCCCC(O)=O SECPZKHBENQXJG-UHFFFAOYSA-N 0.000 description 1
- 239000004927 clay Substances 0.000 description 1
- 235000012716 cod liver oil Nutrition 0.000 description 1
- 239000003026 cod liver oil Substances 0.000 description 1
- 239000007957 coemulsifier Substances 0.000 description 1
- 230000000052 comparative effect Effects 0.000 description 1
- 229940108924 conjugated linoleic acid Drugs 0.000 description 1
- 230000021615 conjugation Effects 0.000 description 1
- 239000006071 cream Substances 0.000 description 1
- 238000004132 cross linking Methods 0.000 description 1
- 238000011161 development Methods 0.000 description 1
- 230000018109 developmental process Effects 0.000 description 1
- 230000004069 differentiation Effects 0.000 description 1
- IXLCRBHDOFCYRY-UHFFFAOYSA-N dioxido(dioxo)chromium;mercury(2+) Chemical compound [Hg+2].[O-][Cr]([O-])(=O)=O IXLCRBHDOFCYRY-UHFFFAOYSA-N 0.000 description 1
- 238000004821 distillation Methods 0.000 description 1
- 238000001035 drying Methods 0.000 description 1
- 230000005684 electric field Effects 0.000 description 1
- 238000005265 energy consumption Methods 0.000 description 1
- 238000006735 epoxidation reaction Methods 0.000 description 1
- 239000003822 epoxy resin Substances 0.000 description 1
- 230000032050 esterification Effects 0.000 description 1
- 238000005886 esterification reaction Methods 0.000 description 1
- 235000008524 evening primrose extract Nutrition 0.000 description 1
- 239000010475 evening primrose oil Substances 0.000 description 1
- 229940089020 evening primrose oil Drugs 0.000 description 1
- 239000000835 fiber Substances 0.000 description 1
- 238000001914 filtration Methods 0.000 description 1
- 235000020664 gamma-linolenic acid Nutrition 0.000 description 1
- 238000007429 general method Methods 0.000 description 1
- 239000008169 grapeseed oil Substances 0.000 description 1
- LNEPOXFFQSENCJ-UHFFFAOYSA-N haloperidol Chemical compound C1CC(O)(C=2C=CC(Cl)=CC=2)CCN1CCCC(=O)C1=CC=C(F)C=C1 LNEPOXFFQSENCJ-UHFFFAOYSA-N 0.000 description 1
- 239000010468 hazelnut oil Substances 0.000 description 1
- 239000001307 helium Substances 0.000 description 1
- 229910052734 helium Inorganic materials 0.000 description 1
- SWQJXJOGLNCZEY-UHFFFAOYSA-N helium atom Chemical compound [He] SWQJXJOGLNCZEY-UHFFFAOYSA-N 0.000 description 1
- 239000010460 hemp oil Substances 0.000 description 1
- 235000019514 herring Nutrition 0.000 description 1
- 238000011086 high cleaning Methods 0.000 description 1
- 238000004128 high performance liquid chromatography Methods 0.000 description 1
- 230000036571 hydration Effects 0.000 description 1
- 238000006703 hydration reaction Methods 0.000 description 1
- 229920006007 hydrogenated polyisobutylene Polymers 0.000 description 1
- 230000007062 hydrolysis Effects 0.000 description 1
- 238000006460 hydrolysis reaction Methods 0.000 description 1
- 125000002887 hydroxy group Chemical group [H]O* 0.000 description 1
- WGCNASOHLSPBMP-UHFFFAOYSA-N hydroxyacetaldehyde Natural products OCC=O WGCNASOHLSPBMP-UHFFFAOYSA-N 0.000 description 1
- 230000033444 hydroxylation Effects 0.000 description 1
- 238000005805 hydroxylation reaction Methods 0.000 description 1
- 230000003993 interaction Effects 0.000 description 1
- 239000003456 ion exchange resin Substances 0.000 description 1
- 229920003303 ion-exchange polymer Polymers 0.000 description 1
- 238000006317 isomerization reaction Methods 0.000 description 1
- QXJSBBXBKPUZAA-UHFFFAOYSA-N isooleic acid Natural products CCCCCCCC=CCCCCCCCCC(O)=O QXJSBBXBKPUZAA-UHFFFAOYSA-N 0.000 description 1
- 229940119170 jojoba wax Drugs 0.000 description 1
- 239000011133 lead Substances 0.000 description 1
- OYHQOLUKZRVURQ-IXWMQOLASA-N linoleic acid Natural products CCCCC\C=C/C\C=C\CCCCCCCC(O)=O OYHQOLUKZRVURQ-IXWMQOLASA-N 0.000 description 1
- 125000005481 linolenic acid group Chemical class 0.000 description 1
- 210000004185 liver Anatomy 0.000 description 1
- 238000005461 lubrication Methods 0.000 description 1
- 238000012423 maintenance Methods 0.000 description 1
- 230000014759 maintenance of location Effects 0.000 description 1
- 239000000463 material Substances 0.000 description 1
- 238000005259 measurement Methods 0.000 description 1
- 235000021281 monounsaturated fatty acids Nutrition 0.000 description 1
- IJDNQMDRQITEOD-UHFFFAOYSA-N n-butane Chemical compound CCCC IJDNQMDRQITEOD-UHFFFAOYSA-N 0.000 description 1
- OFBQJSOFQDEBGM-UHFFFAOYSA-N n-pentane Natural products CCCCC OFBQJSOFQDEBGM-UHFFFAOYSA-N 0.000 description 1
- SLCVBVWXLSEKPL-UHFFFAOYSA-N neopentyl glycol Chemical compound OCC(C)(C)CO SLCVBVWXLSEKPL-UHFFFAOYSA-N 0.000 description 1
- 229940117969 neopentyl glycol Drugs 0.000 description 1
- 150000002815 nickel Chemical class 0.000 description 1
- 239000012299 nitrogen atmosphere Substances 0.000 description 1
- 229910052756 noble gas Inorganic materials 0.000 description 1
- 150000002835 noble gases Chemical class 0.000 description 1
- 235000019488 nut oil Nutrition 0.000 description 1
- 239000010466 nut oil Substances 0.000 description 1
- ZQPPMHVWECSIRJ-KTKRTIGZSA-N oleic acid Chemical compound CCCCCCCC\C=C/CCCCCCCC(O)=O ZQPPMHVWECSIRJ-KTKRTIGZSA-N 0.000 description 1
- 230000003647 oxidation Effects 0.000 description 1
- 238000007254 oxidation reaction Methods 0.000 description 1
- 238000006213 oxygenation reaction Methods 0.000 description 1
- 238000010422 painting Methods 0.000 description 1
- 239000002540 palm oil Substances 0.000 description 1
- 239000012188 paraffin wax Substances 0.000 description 1
- WXZMFSXDPGVJKK-UHFFFAOYSA-N pentaerythritol Chemical compound OCC(CO)(CO)CO WXZMFSXDPGVJKK-UHFFFAOYSA-N 0.000 description 1
- 150000003904 phospholipids Chemical class 0.000 description 1
- 229920000647 polyepoxide Polymers 0.000 description 1
- 229920001223 polyethylene glycol Polymers 0.000 description 1
- 229920001155 polypropylene Polymers 0.000 description 1
- 235000020777 polyunsaturated fatty acids Nutrition 0.000 description 1
- 239000002243 precursor Substances 0.000 description 1
- 239000002994 raw material Substances 0.000 description 1
- 230000001105 regulatory effect Effects 0.000 description 1
- 239000008165 rice bran oil Substances 0.000 description 1
- 235000019512 sardine Nutrition 0.000 description 1
- 229920006395 saturated elastomer Polymers 0.000 description 1
- 210000002374 sebum Anatomy 0.000 description 1
- 229910052711 selenium Inorganic materials 0.000 description 1
- 239000011669 selenium Substances 0.000 description 1
- 235000011803 sesame oil Nutrition 0.000 description 1
- 239000008159 sesame oil Substances 0.000 description 1
- 239000000600 sorbitol Substances 0.000 description 1
- YYGNTYWPHWGJRM-AAJYLUCBSA-N squalene Chemical compound CC(C)=CCC\C(C)=C\CC\C(C)=C\CC\C=C(/C)CC\C=C(/C)CCC=C(C)C YYGNTYWPHWGJRM-AAJYLUCBSA-N 0.000 description 1
- 150000003421 squalenes Chemical class 0.000 description 1
- 238000001256 steam distillation Methods 0.000 description 1
- 239000000126 substance Substances 0.000 description 1
- 238000006277 sulfonation reaction Methods 0.000 description 1
- 239000003784 tall oil Substances 0.000 description 1
- 239000003760 tallow Substances 0.000 description 1
- 235000007586 terpenes Nutrition 0.000 description 1
- 239000002562 thickening agent Substances 0.000 description 1
- 150000003626 triacylglycerols Chemical class 0.000 description 1
- CUXYLFPMQMFGPL-UYWAGRGNSA-N trichosanic acid Natural products CCCCC=C/C=C/C=CCCCCCCCC(=O)O CUXYLFPMQMFGPL-UYWAGRGNSA-N 0.000 description 1
- 235000019871 vegetable fat Nutrition 0.000 description 1
- 239000002023 wood Substances 0.000 description 1
- 239000010457 zeolite Substances 0.000 description 1
Classifications
-
- C—CHEMISTRY; METALLURGY
- C08—ORGANIC MACROMOLECULAR COMPOUNDS; THEIR PREPARATION OR CHEMICAL WORKING-UP; COMPOSITIONS BASED THEREON
- C08F—MACROMOLECULAR COMPOUNDS OBTAINED BY REACTIONS ONLY INVOLVING CARBON-TO-CARBON UNSATURATED BONDS
- C08F20/00—Homopolymers and copolymers of compounds having one or more unsaturated aliphatic radicals, each having only one carbon-to-carbon double bond, and only one being terminated by only one carboxyl radical or a salt, anhydride, ester, amide, imide or nitrile thereof
- C08F20/62—Monocarboxylic acids having ten or more carbon atoms; Derivatives thereof
-
- C—CHEMISTRY; METALLURGY
- C08—ORGANIC MACROMOLECULAR COMPOUNDS; THEIR PREPARATION OR CHEMICAL WORKING-UP; COMPOSITIONS BASED THEREON
- C08F—MACROMOLECULAR COMPOUNDS OBTAINED BY REACTIONS ONLY INVOLVING CARBON-TO-CARBON UNSATURATED BONDS
- C08F36/00—Homopolymers and copolymers of compounds having one or more unsaturated aliphatic radicals, at least one having two or more carbon-to-carbon double bonds
- C08F36/22—Homopolymers and copolymers of compounds having one or more unsaturated aliphatic radicals, at least one having two or more carbon-to-carbon double bonds the radical having three or more carbon-to-carbon double bonds
-
- C—CHEMISTRY; METALLURGY
- C10—PETROLEUM, GAS OR COKE INDUSTRIES; TECHNICAL GASES CONTAINING CARBON MONOXIDE; FUELS; LUBRICANTS; PEAT
- C10M—LUBRICATING COMPOSITIONS; USE OF CHEMICAL SUBSTANCES EITHER ALONE OR AS LUBRICATING INGREDIENTS IN A LUBRICATING COMPOSITION
- C10M143/00—Lubricating compositions characterised by the additive being a macromolecular hydrocarbon or such hydrocarbon modified by oxidation
-
- C—CHEMISTRY; METALLURGY
- C10—PETROLEUM, GAS OR COKE INDUSTRIES; TECHNICAL GASES CONTAINING CARBON MONOXIDE; FUELS; LUBRICANTS; PEAT
- C10M—LUBRICATING COMPOSITIONS; USE OF CHEMICAL SUBSTANCES EITHER ALONE OR AS LUBRICATING INGREDIENTS IN A LUBRICATING COMPOSITION
- C10M145/00—Lubricating compositions characterised by the additive being a macromolecular compound containing oxygen
- C10M145/02—Macromolecular compounds obtained by reactions only involving carbon-to-carbon unsaturated bonds
- C10M145/10—Macromolecular compounds obtained by reactions only involving carbon-to-carbon unsaturated bonds containing monomers having an unsaturated radical bound to a carboxyl radical, e.g. acrylate
-
- C—CHEMISTRY; METALLURGY
- C10—PETROLEUM, GAS OR COKE INDUSTRIES; TECHNICAL GASES CONTAINING CARBON MONOXIDE; FUELS; LUBRICANTS; PEAT
- C10M—LUBRICATING COMPOSITIONS; USE OF CHEMICAL SUBSTANCES EITHER ALONE OR AS LUBRICATING INGREDIENTS IN A LUBRICATING COMPOSITION
- C10M2205/00—Organic macromolecular hydrocarbon compounds or fractions, whether or not modified by oxidation as ingredients in lubricant compositions
-
- C—CHEMISTRY; METALLURGY
- C10—PETROLEUM, GAS OR COKE INDUSTRIES; TECHNICAL GASES CONTAINING CARBON MONOXIDE; FUELS; LUBRICANTS; PEAT
- C10M—LUBRICATING COMPOSITIONS; USE OF CHEMICAL SUBSTANCES EITHER ALONE OR AS LUBRICATING INGREDIENTS IN A LUBRICATING COMPOSITION
- C10M2209/00—Organic macromolecular compounds containing oxygen as ingredients in lubricant compositions
- C10M2209/02—Macromolecular compounds obtained by reactions only involving carbon-to-carbon unsaturated bonds
- C10M2209/08—Macromolecular compounds obtained by reactions only involving carbon-to-carbon unsaturated bonds containing monomers having an unsaturated radical bound to a carboxyl radical, e.g. acrylate type
Landscapes
- Chemical & Material Sciences (AREA)
- Chemical Kinetics & Catalysis (AREA)
- Organic Chemistry (AREA)
- Health & Medical Sciences (AREA)
- Medicinal Chemistry (AREA)
- Polymers & Plastics (AREA)
- General Chemical & Material Sciences (AREA)
- Oil, Petroleum & Natural Gas (AREA)
- Cosmetics (AREA)
- Addition Polymer Or Copolymer, Post-Treatments, Or Chemical Modifications (AREA)
- Organic Low-Molecular-Weight Compounds And Preparation Thereof (AREA)
- Polymerisation Methods In General (AREA)
- Fats And Perfumes (AREA)
- Compositions Of Macromolecular Compounds (AREA)
- Lubricants (AREA)
- Macromonomer-Based Addition Polymer (AREA)
- Preparation Of Compounds By Using Micro-Organisms (AREA)
Description
- Die vorliegende Erfindung betrifft ein Verfahren zum Polymerisieren ungesättigter Fettsäuren, ungesättigter Fettsäureester, ungesättigter Kohlenwasserstoffe oder ungesättigter Derivate dieser Produkte durch dielektrische Erwärmung, das heißt, durch Einsatz von Mikrowellenfrequenzen oder Hochfrequenzen.
- Die durch Polymerisieren gewonnenen ungesättigten Fettsäuren oder ungesättigten Fettsäureester sind gut bekannt. Insbesondere sind die aus ungesättigten Pflanzenölen gewonnenen Polymere anzuführen. Die Polymerisierungsverfahren verwenden die Doppelverbindungen die Doppelbindungen von Fettsäuren oder, nach einer ersten Behandlung (Isomerisierung) die konjugierten Verbindungen.
- Die aktuellen Verfahren zur Herstellung dieser Polymere wie z.B. Blasöle oder Standöle sind gekennzeichnet durch die Verwendung von Wärme (thermisches Polymerisieren) in Gegenwart von Katalysatoren (homogener oder heterogener). Die Verwendung von Katalysatoren wie z.B. Sauerstoff oder Anthrachinon ermöglicht es, Polymere von hoher Viskosität zu erhalten, die aber nach ihrer Herstellung sehr reaktiv sind, was nur für Anwendungsbereiche wie Lackieren interessant ist, wo das Produkt trocknen muss (Vernetzungsphänomen).
- Hingegen werden in Bereichen wie Schmierung, Kosmetik oder Pharmazeutik eher Polymere gewünscht, die stabil gegenüber externen Beschränkungen (Sauerstoff, Wasser, ...) sind. In der Kosmetik und der Pharmazeutik kommt mitunter noch die Beschränkung hinzu, dass Spuren von Katalysatoren beseitigt werden müssen.
- Polymere sind auf diese Feststellung hin entwickelt worden: sie werden aus Triglyceriden hergestellt, von denen wenigstens eine Fettsäure wenigsten eine Ungesättigtheit (konjugiert oder nicht) aufweist, vorzugsweise ohne Katalysator und in einer sauerstofflosen Atmosphäre. Diese Entwicklungen verwenden die thermischen Verfahren wie z.B. die Heizgürtel, die Gilotherme oder die Widerstände, die viel Zeit erfordern, was allgemein verhindert, Polymere zu erhalten, die hohe Viskositäten aufweisen; im Übrigen sind sie aufgrund der erheblichen erforderlichen Investitionen teuer.
- Die Erfindung ermöglicht es, diese wesentlichen Nachteile zu beseitigen. Die Verwendung von Mikrowellen oder Hochfrequenzen ist von zweifachem Interesse: einerseits wechselwirkt die Mikrowellen- oder Hochfrequenzenergie sofort auf Molakularebene; andererseits wird weniger Energie benötigt (die Moleküle selbst, die durch die elektrischen Felder der Mikrowellen oder Hochfrequenzen polarisiert werden, wandeln die elektromagnetische Energie in Wärme um).
- Der Antragsteller hat gemäß einem ersten Aspekt der Erfindung entdeckt, dass das Polymerisieren ungesättigter Fettsäuren, ungesättigter Fettsäureester, ungesättigter Kohlenwasserstoffe, ungesättigter Derivate dieser Produkte oder deren Mischungen durch dielektrische Erwärmung, das heißt, mit Hilfe von Mikrowellenfrequenzen oder Hochfrequenzen, vorzugsweise Mikrowellen, es ermöglicht, Produkte von hoher Viskosität mit vorteilhafteren Reaktionszeiten zu erhalten.
- Die Erfindung betrifft also das allgemeine Verfahren des Polymerisierens ungesättigter Fettsäuren, ungesättigter Fettsäureester, ungesättigter Kohlenwasserstoffe, ungesättigter Derivate dieser Produkte oder deren verschiedener Mischungen und analoger Produkte durch dielektrische Erwärmung, das heißt, mit Hilfe von Mikrowellenfrequenzen oder Hochfrequenzen, vorzugsweise Mikrowellen.
- Die Verwendung von Mikrowellenenergie ist in der Industrie bereits bekannt, jedoch in einem anderen Bereich und um auf verschiedene Probleme einzugehen, insbesondere im Bereich der Epoxidharze und Ähnlichem.
- Die Mikrowellen oder Hochfrequenzen sind zum Polymerisieren der Produkte der oben beschriebenen Art und insbesondere von Squalen nicht beschrieben worden.
- Ebenso wenig ist beschrieben worden, dass das in der Kosmetik verwendete Squalen sehr vorteilhaft durch ein Squalenpolymer, das auf preiswerte Weise durch das Verfahren gemäß der Erfindung gewonnen wurde, ersetzt werden kann.
- Die Zeit- und Energiegewinne, kombiniert mit geringeren Investitionskosten, lassen den Beweis zu, dass das Verfahren durch dielektrische Erwärmung schneller und wirtschaftlicher ist.
- Die vorliegende Erfindung befasst sich mit dem Polymerisieren ungesättigter Fettsäuren, ungesättigter Fettsäureester, ungesättigter Kohlenwasserstoffe: pflanzliche Öle, tierische Öle und Fette sowie deren ungesättigte Derivate. Diese Produkte können in roher oder raffinierter Form verwendet werden, nachdem sie eventuell vorher einer Behandlung unterzogen wurden.
- Die Reaktion kann ein einziges Reagens oder ein Gemisch aus Reagenzien in variablem Verhältnis einsetzen.
- Das Polymerisieren erfolgt, indem das Reagens bzw. die Reagenzien einer dielektrischen Erwärmung unterzogen werden, das heißt, einer Erwärmung unter Frequenzen, die zwischen 30 GHz und ungefähr 3 MHz betragen. Die Mikrowellenfrequenzen, die bevorzugt werden, betragen zwischen ungefähr 30 GHz und ungefähr 300 MHz, vorzugsweise 2,45 GHz (zulässige Frequenz mit einer Toleranz von 2 %) oder 915 MHz (zulässige Frequenz mit einer Toleranz von 1,4 %). Die Hochfrequenzen betragen zwischen ungefähr 300 MHz und ungefähr 3 MHz, vorzugsweise 13,56 MHz (zulässige Frequenz mit einer Toleranz von 0,05 %) oder 27,12 MHz (zulässige Frequenz mit einer Toleranz von 0,6 %).
- Die Reaktionstemperaturen liegen zwischen 200 und 400 °C und besser noch 230 bis 350 °C, mit einer Temperaturanstiegszeit von drei bis sechzig Minuten, besser noch von drei bis zwanzig Minuten, während einer Gesamtreaktionsdauer von fünfzehn Minuten bis fünfzehn Stunden, vorzugsweise von fünfzehn bis dreihundertsechzig Minuten und besser noch von fünfzehn bis hundertzwanzig Minuten, mit oder ohne Katalysator, vorzugsweise ohne Katalysator, unter ständigem Rühren, unter inerter oder nicht inerter Atmosphäre, je nachdem, was man erhalten möchte.
- Für die vorliegenden Erfindungen können das Polymerisierungsreagens oder die Polymerisierungsreagenzien aus den tierischen oder pflanzlichen Ölen und Fetten und aus den Polyterpenen, von denen einige von diesen Ölen und Fetten stammen, ausgewählt werden.
- Als Öle oder Fette von tierischer Herkunft können unter anderem Pottwalöl, Delphinöl, Walöl, Seehundöl, Sardinenöl, Heringöl, Haifischöl, Lebertran, Rindsfußöl, Rinds-, Schweine-, Pferde-, Schafsfette (Talg) angeführt werden.
- Als Öle von pflanzlicher Herkunft können unter anderem Rapsöl, Sonnenblumenöl, Erdnussöl, Olivenöl, Nussöl, Maisöl, Sojaöl, Leinöl, Hanföl, Traubenkernöl, Kopraöl, Palmöl, Baumwollsamenöl, Babassuöl, Jojobaöl, Sesamöl, Rizinusöl, entwässertes Rizinusöl, Haselnussöl, Weizenkeimöl, Borretschöl, Nachtkerzenöl, Tallöl angeführt werden.
- Man kann ebenfalls Bestandteile tierischer oder pflanzlicher Öle verwenden, wie z.B. Squalen das aus unverseifbaren pflanzlichen Ölen (Olivenöl, Erdnussöl, Rapsöl, Maiskeimöl, Baumwollöl, Leinöl, Weizenkeimöl, Reiskleieöl) gewonnen wurde oder in großen Mengen in Haifischöl enthalten ist.
- Als ungesättigte Fettsäuren kann man, allein oder in Mischung, und als nicht einschränkende Beispiele eine oder mehrere einfach ungesättigte Fettsäuren wie zum Beispiel Oleinsäure, Palmitoleinsäure, Myristinsäure, Petroselensäure, Erucasäure usw.; eine oder mehrere mehrfach ungesättigte Fettsäuren wie zum Beispiel Linolsäure, Alpha- und Gamma-Linolensäuren, Arachidonsäure; eine oder mehrere Säuren, die konjugierte Diene oder konjugierte Triene wie zum Beispiel Licansäure oder die Isomere der Linol- oder Linolensäuren; eine oder mehrere Säuren, die eine oder mehrere Hydroxylgruppen umfassen, wie z.B. Rizinolensäure, verwenden.
- Als ungesättigte Fettsäureester kann man, allein oder in Mischung, und als nicht einschränkende Beispiele einen oder mehrere der Ester die durch Veresterung zwischen einem Monoalkohol und/oder einem Polyol (allein oder in Mischung) und wenigstens einer ungesättigten Fettsäure gewonnen wurden, verwenden. Als nicht einschränkende Beispiele kann man für Monoalkohol Methanol, Ethanol oder Butan; für Polyole Glycerol, Sorbitol, Neopentylglykol, Trimethylpropan, Pentaerythritol, Glykol, Ethylenglykol, Polyethylenglykol, anführen. Als Fettsäureester kann man auch die Wachse und die Phospholipide verwenden.
- Als ungesättigte Kohlenwasserstoffe kann man, allein oder in Mischung, und als nicht einschränkende Beispiele, ein Alken, zum Beispiel ein oder mehrere Terpenkohlenwasserstoffe, mit oder ohne Sauerstoffanreicherung, das heißt, ein oder mehrere Isoprenpolymere oder ein oder mehrere Isobuten-, Styren-, Ethylen-, Butadien-, Isopren-, Propenpolymere oder ein oder mehrere Copolymerisate dieser Alkene verwendet werden.
- Die ungesättigten Derivate dieser Verbindungen können beispielsweise durch Funktionalisieren der Restungesättigtheiten durch ein beliebiges, dem Fachmann bekanntes Verfahren gewonnen werden, zum Beispiel Hydrierung, Hydroxylierung, Epoxidierung oder Sulfonierung.
- Vorzugsweise verwendet man als Reagens oder Reaktionsgemisch einen oder mehrere ungesättigte Fettsäureester oder deren Derivate, die wenigstens eine Ungesättigtheit (Amide, teilweise hydrierte Fettsäureester, polyoxyethylenierte Fettsäureester usw.), allein oder in Mischung mit einem oder mehreren ungesättigten Kohlenwasserstoffen umfassen.
- Der Fachmann wird verstehen, dass die Erfindung auch auf analoge Zusammensetzungen anwendbar ist, das heißt, deren chemische Struktur dieselbe Funktionalität der Mikrowellen oder Hochfrequenzen in Bezug auf die Polymerisierung zulässt.
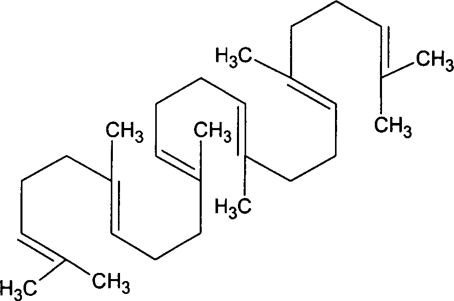
- Die Erfindung findet eine besonders interessante Anwendung im Hinblick auf Squalen oder Spinacene. Es handelt sich um einen Vorläufer von Cholesterin, der unter anderem in Haifischleber anzutreffen ist. Er ist für seine sehr erweichenden, antifungiziden und antibakteriellen Eigenschaften bekannt. Er fühlt sich außerdem nicht fettig an, was im Bereich kosmetischer Produkte einen echten Vorteil darstellt.
- Diesbezüglich ist die Patentschrift
bekannt, die durch Raffination von Paraffinen arbeitet. Ein weiteres bekanntes Herstellungsverfahren ist in der PatentschriftFR 2 576 303 EP 0 228 980 beschrieben. - Auch das Hydrieren der sechs Doppelbindungen von Squalen zur Herstellung des Squalen ist bekannt, was in der Kosmetologie nützlich ist. Dieses Verfahren ist jedoch von seiner Art her sehr kostspielig, was für die Industrie ein Problem ist.
- Schließlich ist bekannt, Unterprodukte, die aus der Raffination von Olivenöl stammen, zu lösen, um die Ester zu gewinnen, und die Ester zu destillieren, um das Squalen zu gewinnen, das man zurückgewinnen kann.
- Wie festzustellen ist, sind Squalen und seine Derivate gut untersucht worden, was dem Wert dieser Produkte für die Industrie angemessen ist.
- Wie oben angegeben sind diese Produkte von großem potenziellem Interesse in der Kosmetik. Wenn man jedoch das Squalen polymerisieren will, um ein kosmetisch verwendbares Polymer zu gewinnen, dann verwenden die zuvor beschriebenen Verfahren eine sehr kostspielige Erwärmung.
- Die Verwendung von Mikrowellen- oder Hochfrequenzen gemäß der Erfindung zum Polymerisieren des Squalen löst die oben beschriebenen Probleme.
- Es folgt eine ausführlichere Beschreibung der Anwendung der Erfindung auf diese Produkte.
-
- Menschliches Sebum enthält mehr als 10 % davon, daher sein Interesse in der Dermatologie und Kosmetologie. Squalen macht die Haut effektiv geschmeidiger (erweichende Eigenschaft) und trägt zu ihrem Schutz bei (antibakteriell, antifungizid). Es ist eine gute Trägersubstanz für Wirkstoffe (Anwendung in der Dermatologie). Die Kosmetologen verwenden jedoch lieber Squalan (hydriertes Squalen), weil es gesättigt und daher stabiler gegen Oxidation ist. Aber die Hydrierung von Squalen ist teuer und bringt wenig Differenzierung in Bezug auf die traditionellen Kohlenwasserstoffe wie z.B. die Paraffinöle und -wachse mit sich.
- Vorteilhafterweise und gemäß einem zweiten Aspekt der Erfindung schlägt der Antragsteller vor, das Squalen durch Squalen zu ersetzen, das mit Hilfe von Mikrowellenfrequenzen oder Hochfrequenzen, allein oder in Kombination mit einer oder mehreren ungesättigten Fettsäuren oder ungesättigten Fettsäureestern oder pflanzlichen oder tierischen Ölen oder sonstigen ungesättigten Kohlenwasserstoffen polymerisiert wurde. Weil das Squalan gelegentlich durch ein hydriertes Polyisobuten (ungesättigter Kohlenwasserstoff) ersetzt wird, kann man, ohne den Rahmen der vorliegenden Erfindung zu überschreiten, das Squalen durch ein Polyisobuten ersetzen.
- Diese Öle und Fette tierischer oder pflanzlicher Herkunft sowie deren Derivate können vorher einer Behandlung unterzogen werden, die sie reaktiver oder im Gegenteil weniger reaktiv machen soll. Die Erfindung betrifft sowohl ein einzelnes Reagens als auch ein Reaktionsgemisch, das zwei oder mehrere Bestandteile oder Reagenzien aufweist. Diese Reaktionsgemische können jeden Bestandteil in gleichem Verhältnis enthalten oder bestimmte Bestandteile können in der Mehrheit sein.
- Das Polymerisieren findet durch dielektrisches Erwärmen des Reagens oder des Reaktionsgemischs statt, das heißt, durch Erwärmen unter Mikrowellenfrequenzen oder Hochfrequenzen. Die gewählte Temperatur liegt vorzugsweise zwischen 200 und 400 °C, besser noch zwischen 220 und 350 °C.
- Die Verwendung von Mikrowellenfrequenzen oder Funkfrequenzen ermöglicht es, eine Temperaturanstiegszeit (das heißt, die Zeit um von der Umgebungszeit auf die Polymerisierungstemperatur zu kommen) vorzugeben, ausgewählt zwischen drei und sechzig Minuten und besser noch zwischen drei und zwanzig Minuten.
- Die Verminderung der Temperaturanstiegszeit ermöglicht es, schnell ideale Bedingungen für die Polymerisierung des Reagens zu schaffen und so die Gesamtreaktionszeit zu reduzieren, was jedoch eine erhebliche Energieleistung über eine kurze Dauer erfordert.
- Die Gesamtreaktionszeit hängt von dem Reagens oder den Reagenzien, das/die verwendet wird/werden, und von der Viskosität, die man erhalten möchte, ab und beträgt vorzugsweise zwischen fünfzehn Minuten und fünfzehn Stunden, vorzugsweise zwischen fünfzehn und dreihundertsechzig Minuten und besser noch zwischen fünfzehn und hundertzwanzig Minuten. Die Gesamtreaktionszeit kann durch die Verwendung einer höheren Temperatur reduziert werden. Allerdings können zu hohe Temperaturen zu einer Qualitätsminderung der Produkte führen.
- Man muss also ein Verhältnis Reaktionstemperatur/Gesamtreaktionszeit wählen, das eine optimale Polymerisierung in kurzer Zeit aber ohne übermäßigen Energieverbrauch und ohne Risiko eines Qualitätsverlusts des Produkts ermöglicht. Der Fachmann kann die Optimierung dieser Parameter anhand von Routineversuchen gemäß den soeben angegebenen Kriterien vornehmen.
- Die Polymerisierung kann mit oder ohne Katalysator stattfinden. Die Katalysatoren können homogen oder heterogen sein. Beispiele für einen homogenen Katalysator sind Anthrachinon, Schwefeldioxid oder lösliche Nickelsalze. Beispiele für einen heterogenen Katalysator sind Zeolithe oder Ionenaustauschharze in Säureform. Man verwendet vorzugsweise Katalysatoren, die besonders an Hochfrequenzen oder Mikrowellenfrequenzen angepasst sind, wie z.B. Ton vom Montmorillonit- oder Bentonittyp, die unter dielektrischer Erwärmung eine erhöhte molekulare Wechselwirkung bewirken.
- Man prüft, ob die Rührzeit ausreicht, um eine homogene Temperatur im Reaktor sicherzustellen.
- Die Polymerisierung kann unter normaler oder sauerstoffreicher Atmosphäre (zum Beispiel zur Herstellung von Blasölen) oder vorzugsweise unter inerter Atmosphäre (in Gegenwart von Argonstickstoff, Helium oder anderer Edelgase, allein oder in Mischung) stattfinden. Man arbeitet vorzugsweise unter reduziertem Druck und achtet darauf, dass die Atmosphäre regelmäßig erneuert wird.
- Im Fall von Squalen besteht die Erfindung darin, die Anzahl ungesättigter Verbindungen zu reduzieren, indem man diese allein oder in Mischung mit wenigstens einem der oben genannten Reagenzien mit Hilfe des oben beschriebenen Verfahrens polymerisiert, um ein oxidationsstabiles Polymer zu gewinnen, dessen Viskosität sich nach dem Polymerisierungsgrad richtet. Man versieht so das Squalen mit einer zweiten Funktionalität. So gewinnt man ein Polymer, das neben seiner erweichenden Eigenschaft ein Konsistenzmittel für die Rezepturen kosmetischer Produkte ist. Außerdem ist das oben beschriebene Polymerisierungsverfahren preiswerter als das Hydrierungsverfahren, das teure Katalysatoren verwendet.
- Die Polymerisierungsvorgänge können im "Batch" (diskontinuierlich) stattfinden, aber vorteilhafterweise verwendet man kontinuierliche Verfahren, um die Reaktionen zeitlich zu begrenzen.
- Um die Polymerisierung zu stoppen genügt es, die Temperatur des Reaktionsgemischs so zu senken, dass sie unter der Reaktionstemperatur liegt. Diese hängt im Wesentlichen vom Reaktionsgemisch ab. Es ist festzuhalten, dass die Verwendung von Mikrowellen oder Hochfrequenzen an dieser Stelle des Verfahrens besonders vorteilhaft ist, weil keine Trägheit aufgrund der Reaktorwände vorhanden ist.
- Eine Reihe zusätzlicher Schritte ermöglicht es, das Polymer je nach den Anforderungen der Endanwendung zu raffinieren. Man kann den Säuregrad des gewonnenen Polymers reduzieren, es desodorieren, seinen Wasseranteil reduzieren, es entfärben.
- Diese Raffinationsschritte sind dem Fachmann gut bekannt. Einige können angeführt werden.
- Die Reduzierung des Säuregrads, der die Anzahl der freien Carbonsäuren in dem Polymer wiedergibt, erfolgt durch übermäßiges Hinzufügen von Mitteln, ausgewählt aus Alkoholen, Epoxiden, Hydroxiden, Glycidilestern, allein oder in Kombination. Dann neutralisiert man die Säurestärke, indem man Ester, Salze, ... synthetisiert. Dazu genügt es, die Temperatur des Reaktionsgemischs bis auf die Reaktionstemperatur dieser Ester, Salze, ... herabzusetzen.
- Es ist festzuhalten, dass man bei diesem Schritt dank der Mikrowellenfrequenzen oder Hochfrequenzen Zeit gewinnt, denn die Reaktionszeiten betragen je nach Polymer zwischen drei Minuten und drei Stunden statt durchschnittlich dem Fünffachen wie bei den klassischen Erwärmungsverfahren.
- Die Desodorierung kann durch Dampfdestillation erfolgen. Dieser Vorgang findet bei Temperaturen zwischen 50 und 240 °C statt.
- Nach diesem Schritt reduziert man den Wasseranteil entweder durch traditionelle Erwärmungsverfahren (Erwärmung nach traditionellem Verfahren, um die Siedetemperatur von Wasser zu erreichen, und Destillation im Vakuum, oder Verwendung von Entfeuchtungszusammensetzungen) oder in vorteilhafter Weise durch Verwendung einer dielektrischen Erwärmung, das heißt, durch Verwendung von Mikrowellenfrequenzen oder Hochfrequenzen, die eine Reaktion der Wassermoleküle bewirken und hier einen weiteren Zeitgewinn bringen. Der Fachmann kann die geeignete Reduzierung des Wasseranteils je nach vorgesehener Anwendung ermitteln; zum Beispiel ist für Schmiermittel ein Gehalt unter 500 ppm wünschenswert.
- Falls der Wasseranteil des Reagens oder des anfänglichen Reaktionsgemischs als zu hoch erachtet wird, findet die Reduzierung des Wasseranteils vor dem Polymerisierungsschritt statt; wie oben beschrieben können traditionelle Erwärmungsverfahren oder vorteilhafterweise eine dielektrische Erwärmung verwendet werden. Zum Beispiel mildert man durch eine solche Vorgehensweise bei einem Reaktionsgemisch, das aus Estern besteht, signifikant die Hydrolysephänomene, die für einen hohen Säuregrad am Ende der Polymerisierung verantwortlich sind.
- Das Entfärben kann mit Hilfe von Wasserstoffperoxid oder durch Verwendung von entfärbender Erden oder durch Filtrieren des gewonnenen Polymers mittels Aktivkohlefiltern erfolgen.
- Die gewonnenen Polymere können beispielsweise und ohne Einschränkung verwendet werden:
- – zur Herstellung von Lacken, Klebern, Haftmitteln, wenn man Trockenreagenzien wie Leinöl (Herstellung von Standölen oder Blasölen) oder Trockenreaktionsgemische verwendet;
- – zur Herstellung von Schmiermitteln oder Performanzadditive für Schmiermittel, wenn man weniger trocknende Reagenzien wählt, wie zum Beispiel Sonnenblumenöl, Sojaöl oder Canolaöl;
- – zur Herstellung kosmetischer Produkte, wenn man ein Reaktionsgemisch wählt, das beispielsweise zwischen 0 und 100 Gew.-% Squalen oder Polyisobuten für 100 bis 0 % Fettsäureester oder ungesättigte Pflanzenöle (Sonnenblumen-, Soja-, Raps-, Rizinusöl usw.) umfasst;
- – zur Herstellung von Kunststoffen, Gummi, ... als Plastifizierungsadditive.
- Die folgenden Beispiele, die in keiner Weise einschränkend sind, veranschaulichen das Interesse und den Umfang der Erfindung. Sie sollen zeigen, dass die Verwendung von Mikrowellen oder Hochfrequenzen es ermöglicht, die Polymerisierungsgeschwindigkeit der Reagenzien in eindrucksvoller Weise zu beschleunigen. Darum wurden keine Raffinationsschritte hinzugefügt, die an sich zwar interessant sind aber zur Demonstration wenig beitragen.
- Wir haben Polymere unter Verwendung eines Mikrowellenherds Synthewave (TM) der Firma Prolabo hergestellt. Dieses Gerät ist mit einem Wellenleiter ausgestattet, der es ermöglicht, die Mikrowellenenergie auf die Reagenzien zu konzentrieren. Er liefert 300 W Energie für 600 W Leistungsaufnahme. Die Wellenlänge beträgt 2,45 GHz. 100 ml der Versuchsreagenzien wurden in einen Quarzreaktor von 250 ml eingebracht. Das Gerät wird so geregelt, dass der Temperaturanstieg mit dem im klassischen Verfahren beobachteten Temperaturanstieg übereinstimmt. So lässt sich nachweisen, dass die Mikrowellen eine katalytische Wirkung haben. Allerdings ist es im Fall der Mikrowellen möglich, die Temperaturanstiegszeit auf bis zu 80 % verglichen mit den traditionellen Erwärmungsverfahren zu reduzieren.
- Dasselbe Experiment wurde mit einer klassischen Erwärmung durchgeführt.
- 100 ml Versuchsreagenzien wurden in einen Reaktor von 250 ml, der von außen durch Widerstände erwärmt wurde, eingebracht.
- Die Rührgeschwindigkeit beträgt in beiden Fällen zwischen 60 und 100 U/Min. (Abweichung bei erhöhter Viskosität).
- Bei der angegebenen Temperatur handelt es sich um eine mittlere Temperatur nach dem Temperaturanstieg. Es ist festzuhalten, dass das bei der Erwärmung durch Mikrowellenfrequenzen beobachtete Temperaturgefälle umgekehrt zu dem Temperaturgefälle ist, das bei der Erwärmung auf klassischem Weg beobachtet wurde. Im ersten Fall liegt die Temperatur an den Wänden des Reaktors unter der Temperatur in der Mitte des Reaktionsgemischs. Im zweiten Fall ist es umgekehrt. Es ist also wichtig, eine mittlere Temperatur zu nehmen.
- Die Viskosität ist eine dynamische Viskosität von 40 °C, die Ergebnisse sind in Pa.s. Die Messungen erfolgten auf einem Rheometer Carry Mad (TM). Dies ist das Ergebnis, das die Bildung von Polymeren nachweist.
- Die Iodzahl ermöglicht es, die Ungesättigtheiten, die reagiert haben, zu messen. Die Norm NF ISO 3961 wurde verwendet.
- Es ist erkennbar, dass das Temperaturniveau des Reaktionsgemischs effektiv die Endviskosität des Produkts beeinflusst. In allen diesen Fällen stellen wir fest, dass die Verwendung von Mikrowellenfrequenzen eine signifikante Reduzierung der Reaktionszeiten ermöglicht.
- KOSMETISCHE ANWENDUNG
-
- Dies sind die Vorteile der veränderten Rezeptur:
- – sie ist weniger seifig bei der Anwendung;
- – sie ist erweichender (macht die Haut geschmeidig);
- – sie bildet eine Barriere zur Erhaltung der Hautfeuchtigkeit.
- Polymerisiertes Sonnenblumenöl ist vorteilhaft für den Rezepturhersteller kosmetischer Produkte, denn:
- – das Erweichungsvermögen der Rezeptur ist höher, während der Wasseranteil erhöht wurde;
- – das http hat eine Viskosewirkung;
- – das HTP ist ein Coemulgator (Verdicker).
- ANALYSE DER POLYMERE
- Wir haben durch Hochleistungs-Flüssigchromatographie (IUPAC 2.508) den Prozentsatz an Triglyceridpolymeren bei vier Proben von polymerisiertem Sonnenblumenöl mit derselben Viskosität (460 cSt bei 40 °C) aber hergestellt durch dielektrische Erwärmung (DE) gemäß der Erfindung oder durch traditionelle Erwärmung (TE) ermittelt.
- TRIGLYCERIDPOLYMERE JE CLHP
- Die Chromatogramme der Proben 107 und 163 weisen auf Höhe der Spitze der Retentionszeit TR = 6,65 Min.
- Das IUPAC 2.508-Verfahren, das zur Dosierung der Triglyceridpolymere verwendet wurde, ist perfekt auf Triglyceridpolymere, die mittels traditioneller Erwärmung hergestellt wurden, abgestimmt aber nicht auf jene, die mittels dielektrischer Erwärmung hergestellt wurden.
- Wir wiesen hier die Spezifizität der Polymere, die durch dieses neue Verfahren gewonnen wurden, nach.
- Die beigefügten
1 bis12 stellen die Chromatogramme dar, die durch Ablesung unter den Bedingungen erhalten wurden, die auf jeder der Figuren angegeben sind. - QUALITATIVER VORTEIL DES VERFAHRENS
- "Burn-up" vermeiden:
Bei traditioneller Erwärmung – durch Leitung also – wird eine Wand erwärmt, die ihrerseits das Produkt erwärmt. Zwischen der Wand und dem Mittelpunkt bestehen erhebliche Temperaturgefälle, die selbst unter Rühren zur Überhitzung der Moleküle an den Wänden führen. Der Burn-up (Beginn der Verkohlung, der im Fall von Fettkörpern in der Bildung einer Lackschicht bestehen kann) bei Fettkörpern tritt über dem Rußpunkt auf, der vom Produkttyp abhängt. Die Sonnenblume hat einen Rußpunkt von 150 °C. Bei der Polymerisierung pflanzlicher Öle kommt es also zu einer Verrußung des Reaktors, die einen hohen Reinigungsaufwand verursacht. Bei der Verwendung dielektrischer Erwärmung tritt dieses Phänomen nicht auf. Je mehr man bei der traditionellen Erwärmung versucht, die Temperaturanstiegszeit herabzusetzen, desto stärker wird die Verrußung des Reaktors. Dieses Phänomen ist bei der dielektrischen Erwärmung nicht zu beobachten. - Trägheit vermeiden:
Jede traditionelle Erwärmung weist eine Trägheit auf, die auf die Kapazität der Wände, Wärme zu speichern, zurückzuführen ist. Abschalten des Geräts führt nicht gleichzeitig zur Senkung der Reagenstemperatur. Es besteht eine Latenzzeit. Bei der dielektrischen Erwärmung bewirkt das Stoppen der Wellen ein sofortiges Sinken der Temperatur des Produkts. - VORTEIL DES VERFAHRENS
- Eines der Hauptinteressen der Verwendung dielektrischer Erwärmung im Fall der vorliegenden Erfindung liegt in einer erheblichen Reduzierung der Temperaturanstiegszeit ohne Auftreten des Burn-up-Phänomens.
- Folgendes Experiment wurde durchgeführt: 33 g Sonnenblumenöl werden unter Rühren in einen Quarztiegel von 40 mm Durchmesser gegeben, der in einen Wellenleiter positioniert wird. Mit Hilfe eines Generators von Mikrowellen mit einer Frequenz von 2,45 GHz wird die Probe einer Leistung von 1000 W ausgesetzt. 45 GHz. Man verwendet ein Fluoroptikthermometer (welches das Elektromagnetfeld nicht stört) und miss die Temperatur mit Hilfe einer Faseroptiksonde, die während der Mikrowellenerwärmung in das Öl eingetaucht wird. Das Öl braucht 75 s, um von 20° eine Temperatur von 320 °C zu erreichen.
- Im zweiten Experiment wird nur das Elektromagnetfeld durch einen Heißluftstrom ersetzt, der die Tiegelwand mit mehr als 400 °C (474 °C nach 3 Minuten) erreicht. Nicht nur braucht das Öl 7 Minuten um 320 °C zu erreichen, man stellt auch ein Verrußen der Tiegelwand fest. Dies ist darauf zurückzuführen, dass das Temperaturgefälle im Inneren des Tiegels sehr hoch ist. Das Experiment wird wiederholt, wobei 377 °C nicht überschritten werden. Dieses Mal braucht das Öl 24 Minuten, um 320 °C zu erreichen.
- SONSTIGE ROHSTOFFE, DIE VON INTERESSE SIND
- Je mehr das Pflanzenöl mehrfach ungesättigt ist, desto schneller erfolgt die Polymerisierungsreaktion des Öls. Ebenso kann es vorteilhaft sein, in Mischung mit einfach oder mehrfach ungesättigten Ölen, Öle zu verwenden, die einen hohen Anteil konjugierter Fettsäuren (zum Beispiel konjugierte Diene oder Triene) aufweisen, um die Reaktionszeit zu reduzieren. Unter diesen Ölen können wie Chinaholzöl oder Tung-Öl (die 70 bis 80 % α-Eleostearinsäure enthalten), Öle, deren Linolsäuren isomerisiert wurden (zum Beispiel Sonnenblumenöl, das durch basische Katalyse isomerisiert wurde), um einen hohen Anteil konjugierter Linolsäuren zu erhalten, Öle, die von Samen bestimmter Kürbisgewächse stammen (ungefähr 20 % Punicinsäure), Oiticiaöl (ungefähr 80 % Licansäure), Calendulaöl (enthält mehr als 55 % Calendulasäure (8t, 10t, 12c – 18 : 3)), oder dehydriertes Rizinusöl genannt werden.
- Dehydriertes Rizinusöl weist den Vorteil auf, das es aus einem Öl gewonnen wird, das zusätzlich zu seiner einfachen Beschaffung im Vergleich zur Konjugierung linolsäurereicher Öle, in großen Mengen im Handel erhältlich ist (die weltweite Produktion von Rizinusöl beträgt mehrere tausend Tonnen pro Jahr – Quelle: Oil World Annual).
- Dehydriertes Rizinusöl wird gewonnen, indem man das Rizinusöl auf Temperaturen im Bereich von 230-250 °C in Gegenwart von Säurekatalysatoren erwärmt.
- Der Antragsteller hat entdeckt, dass sich die Reaktionszeiten für die Dehydrierung von Rizinusöl durch dielektrische Erwärmung reduzieren lassen.
-
- Sie enthält eine Mehrheit von C 18:1(OH) oder Rizinussäure.
-
- Für das Vergleichsexperiment wurde ein Rizinusöl mit einer Iodzahl von 85 verwendet.
-
- 75 ml Rizinusöl Nr. 1 werden mit 4 Gew.-% Montmorillonit K10 gemischt. Die Rührgeschwindigkeit beträgt 120 U/Min. Die Umgebungstemperatur wird in 20 Minuten unter Stickstoffatmosphäre auf 230 °C erhöht, dann hält man die Temperatur auf 230 °C, und zwar 200 Minuten im Vakuum für die klassische Erwärmung und 80 Minuten für die dielektrische Erwärmung. Die gewonnenen Produkte werden filtriert und analysiert.
- Dehydriert man das Rizinusöl, nimmt die Viskosität ab, und die Iodzahl steigt. Dieses Experiment zeigt, das die Dehydrierung von Rizinusöl durch dielektrische Erwärmung schneller ist als durch traditionelle Erwärmung. Es wurden zwei Stunden Reaktionszeit gespart, für ein überragendes Ergebnis.
- Dieses Rizinusöl, das durch dielektrische Erwärmung dehydriert wurde, kann anschließend zum Polymerisieren mit einem ein- oder mehrfach ungesättigten pflanzlichen Öl wie zum Beispiel Rapsöl oder Sonnenblumenöl verwendet werden. So gewinnt man in einer Stunde unter inerter Atmosphäre Copolymerisate von sehr hoher Viskosität.
- Die Erfindung betrifft außerdem so gewonnene Polymere und deren Verwendung in der Dermatologie und Kosmetologie oder zur Herstellung von Additiven, insbesondere für Schmiermittel, Kunststoffe, Gummi und Ähnliches.
- Die Erfindung betrifft ebenfalls die so gewonnenen dermatologischen oder kosmetischen Produkte oder Produkte, die wenigstens ein solches Polymer enthalten, sowie die Additive, insbesondere für Schmiermittel, Kunststoffe, Gummi und Ähnliches.
- Die Erfindung betrifft schließlich die industriellen Produkte, die wenigstens ein solches Additiv enthalten.
- Die vorliegende Erfindung wurde erklärend und nicht einschränkend beschrieben. Es können selbstverständlich alle zweckdienlichen Änderungen an ihr vorgenommen werden, ohne den Rahmen zu überschreiten.
Claims (34)
- Verfahren zum Polymerisieren ungesättigter Fettsäuren, ungesättigter Fettsäureester, ungesättigter Kohlenwasserstoffe, ungesättigter Derivate dieser Verbindungen, allein oder in Mischung, dadurch gekennzeichnet, dass das Reagens oder das Reaktionsgemisch einer dielektrischen Erwärmung unterzogen wird, um die Polymerisierung durchzuführen.
- Verfahren nach Anspruch 1, dadurch gekennzeichnet, dass die Erwärmung durch Einsatz von Mikrowellenfrequenzen stattfindet.
- Verfahren nach Anspruch 1, dadurch gekennzeichnet, dass die Erwärmung durch Einsatz von Hochfrequenz stattfindet.
- Verfahren nach einem der vorhergehenden Ansprüche, dadurch gekennzeichnet, dass es mit oder ohne Katalysatoren bewerkstelligt wird.
- Verfahren nach einem der vorhergehenden Ansprüche, dadurch gekennzeichnet, dass das Reagens oder die Reagenzien Fettsäuren, Fettsäureester, pflanzliche oder tierische Öle, Kohlenwasserstoffe von der Art von Polyterpenen oder Polyisobuten oder auch Derivate dieser Produkte mit mindestens einer ungesättigten Stelle sind, die allein oder in Mischung verwendet werden.
- Verfahren nach einem der vorhergehenden Ansprüche, dadurch gekennzeichnet, dass das Reagens oder die Reagenzien aus ungesättigten pflanzlichen oder tierischen Ölen ausgewählt sind (Raps-, Sonnenblumen-, Soja-, Rizinusöl, etc.), deren ungesättigten Stellen konjugiert sind oder nicht.
- Verfahren nach einem der vorhergehenden Ansprüche, dadurch gekennzeichnet, dass dem Reagens oder dem Reaktionsgemisch heterogene oder homogene Katalysatoren beigegeben werden.
- Verfahren nach einem der vorhergehenden Ansprüche, dadurch gekennzeichnet, dass dem Reagens oder dem Reaktionsgemisch Katalysatoren wie Montmorillonit beigegeben werden, die auf Hochfrequenz oder auf Mikrowellenfrequenzen ansprechen.
- Verfahren nach einem der vorhergehenden Ansprüche, dadurch gekennzeichnet, dass das Reagens oder das Reaktionsgemisch, und gegebenenfalls der/die Katalysator/en, in einen Batch-Reaktor oder nicht kontinuierlich arbeitenden Reaktor eingebracht wird/werden, der dazu ausgelegt ist, Mikrowellen- oder Hochfrequenz zu empfangen.
- Verfahren nach einem der Ansprüche 1 bis 8, dadurch gekennzeichnet, dass das Reagens oder das Reaktionsgemisch, und gegebenenfalls der/die Katalysator/en, in einen Reaktor eingebracht wird/werden, der dazu ausgelegt ist, kontinuierlich Reaktionen ablaufen zu lassen.
- Verfahren nach Anspruch 2, dadurch gekennzeichnet, dass die Frequenzen ca. 30 GHz bis ca. 300 MHz betragen.
- Verfahren nach Anspruch 11, dadurch gekennzeichnet, dass die Frequenzen 2,45 GHz oder 915 MHz betragen.
- Verfahren nach Anspruch 3, dadurch gekennzeichnet, dass die Frequenzen ca. 300 MHz bis ca. 3 MHz betragen.
- Verfahren nach Anspruch 13, dadurch gekennzeichnet, dass die Frequenzen 13,56 MHz oder 27,12 MHz betragen.
- Verfahren nach einem der vorhergehenden Ansprüche, dadurch gekennzeichnet, dass die Temperatur, der das Reagens oder das Reaktionsgemisch und gegebenenfalls der/die Katalysator/en unterworfen wird/werden, 200 bis 400°C, vorzugsweise 220 bis 350°C beträgt.
- Verfahren nach einem der vorhergehenden Ansprüche, dadurch gekennzeichnet, dass die Temperaturanstiegszeit zwischen 3 und 60 Minuten, vorzugsweise zwischen 3 und 20 Minuten gewählt wird.
- Verfahren nach einem der vorhergehenden Ansprüche, dadurch gekennzeichnet, dass die Reaktionszeit 15 Minuten bis 15 Stunden, vorzugsweise 15 Minuten bis 360 Minuten, und noch bevorzugter 15 bis 120 Minuten beträgt.
- Verfahren nach einem der vorhergehenden Ansprüche, dadurch gekennzeichnet, dass die Polymerisierung unter normaler oder sauerstoffreicher oder vorzugsweise inerter Atmosphäre unter reduziertem Druck, vorzugsweise 50 bis 10 mm Hg stattfindet, indem die Atmosphäre regelmäßig erneuert wird.
- Verfahren nach einem der vorhergehenden Ansprüche, dadurch gekennzeichnet, dass die Polymerisierung angehalten wird, indem man das Reagens oder das Reaktionsgemisch auf eine Temperatur unter der Polymerisierungstemperatur abkühlen lässt oder abkühlt, und zwar je nach der Viskosität, die man erhalten möchte.
- Verfahren nach einem der vorhergehenden Ansprüche, dadurch gekennzeichnet, dass die Neutralisierung des Säuregehalts vorgenommen wird, indem ein Überschuss an Mitteln wie Alkoholen, Epoxiden, Glycidilestern, Hydroxiden, allein oder in Kombination, hinzugefügt wird.
- Verfahren nach einem der vorhergehenden Ansprüche, dadurch gekennzeichnet, dass eine Desodorisierung durch Austreiben mit Wasserdampf vorgenommen wird.
- Verfahren nach einem der vorhergehenden Ansprüche, dadurch gekennzeichnet, dass eine Reduzierung des Wassergehalts vor oder nach der Polymerisierung vorgenommen wird.
- Verfahren nach Anspruch 22, dadurch gekennzeichnet, dass der Wassergehalt durch dielektrische Erwärmung auf eine Temperatur von 100°C bis 220°C reduziert wird.
- Verfahren nach einem der vorhergehenden Ansprüche, dadurch gekennzeichnet, dass eine Entfärbung der erhaltenen Produkte vorgenommen wird.
- Verfahren nach einem der vorhergehenden Ansprüche, dadurch gekennzeichnet, dass Squalen polymerisiert wird.
- Polymere, die dadurch gekennzeichnet sind, dass sie durch das Verfahren nach einem der Ansprüche 1 bis 25 gewonnen werden.
- Polymere nach Anspruch 26, dadurch gekennzeichnet, dass sie durch die Polymerisierung nach dem Verfahren nach einem der Ansprüche 1 bis 25 aus Polyterpenen, alleine oder in Gemischen mit Fettsäuren, Fettsäureestern, pflanzlichen oder tierischen Ölen mit mindesten einer ungesättigten Stelle gewonnen werden.
- Polymere nach Anspruch 26, dadurch gekennzeichnet, dass sie durch die Polymerisierung nach einem der Ansprüche 1 bis 25 mindestens eines Squalens tierischen, pflanzlichen oder synthetischen Ursprungs gewonnen werden.
- Polymere nach Anspruch 26, dadurch gekennzeichnet, dass sie durch die Polymerisierung nach dem Verfahren nach einem der Ansprüche 1 bis 25 aus Polyisobutenen, alleine oder in Gemischen mit Fettsäuren, Fettsäureestern, pflanzlichen oder tierischen Ölen mit mindestens einer ungesättigten Stelle gewonnen werden.
- Polymere nach Anspruch 26, dadurch gekennzeichnet, dass sie durch die Polymerisierung nach einem der Ansprüche 1 bis 25 aus ungesättigten pflanzliche Ölen wie Sonnenblumenöl, Chinaholzöl oder „Tung-Öl", Ölen, deren Linolöle isomerisiert wurden, Kürbisgewächsölen, Oiticika-Öl, Calendulaöl und insbesondere dehydriertem Rizinusöl gewonnen werden.
- Dermatologische oder kosmetische Produkte, die mit den Polymeren nach einem der Ansprüche 26 bis 30 erhalten werden oder mindestens eines davon enthalten.
- Verwendung von Polymeren nach den Ansprüchen 26 bis 30 zur Herstellung von Additiven, insbesondere Schmiermitteln, Kunststoffen, Gummi.
- Additive nach Anspruch 32, dadurch gekennzeichnet, dass sie mindestens ein Polymer nach Anspruch 30 enthalten.
- Industrieprodukte, dadurch gekennzeichnet, dass sie mindestens ein Additiv nach Anspruch 33 enthalten.
Applications Claiming Priority (3)
| Application Number | Priority Date | Filing Date | Title |
|---|---|---|---|
| FR9813770 | 1998-10-30 | ||
| FR9813770A FR2785287B1 (fr) | 1998-10-30 | 1998-10-30 | Procede de polymerisation par chauffage dielectrique d'acides gras insatures, d'esters d'acides gras insatures, d'hydrocarbures insatures, ou de derives insatures de ces produits |
| PCT/FR1999/002646 WO2000026265A1 (fr) | 1998-10-30 | 1999-10-28 | Procede de polymerisation par chauffage dielectrique d'acides gras insatures, d'esters d'acides gras insatures, d'hydrocarbures insatures, ou de derives insatures de ces produits |
Publications (2)
| Publication Number | Publication Date |
|---|---|
| DE69918177D1 DE69918177D1 (de) | 2004-07-22 |
| DE69918177T2 true DE69918177T2 (de) | 2005-06-30 |
Family
ID=9532287
Family Applications (1)
| Application Number | Title | Priority Date | Filing Date |
|---|---|---|---|
| DE69918177T Expired - Lifetime DE69918177T2 (de) | 1998-10-30 | 1999-10-28 | Polymerisationsverfahren durch dielektrische heizung von ungesättigten fettsäuren, von estern von ungesättigten fettsäuren, von ungesättigten kohlenwasserstoffen oder von ungesättigten derivaten dieser produkte |
Country Status (12)
| Country | Link |
|---|---|
| US (1) | US6656980B1 (de) |
| EP (1) | EP1151018B1 (de) |
| JP (3) | JP2002528609A (de) |
| CN (1) | CN1178966C (de) |
| AT (1) | ATE269363T1 (de) |
| AU (1) | AU763651B2 (de) |
| BR (2) | BRPI9914947B8 (de) |
| CA (1) | CA2348722C (de) |
| DE (1) | DE69918177T2 (de) |
| ES (1) | ES2224708T3 (de) |
| FR (1) | FR2785287B1 (de) |
| WO (1) | WO2000026265A1 (de) |
Families Citing this family (14)
| Publication number | Priority date | Publication date | Assignee | Title |
|---|---|---|---|---|
| FR2785287B1 (fr) * | 1998-10-30 | 2000-12-29 | De Chily Pierre Charlier | Procede de polymerisation par chauffage dielectrique d'acides gras insatures, d'esters d'acides gras insatures, d'hydrocarbures insatures, ou de derives insatures de ces produits |
| FR2826659B1 (fr) * | 2001-07-02 | 2005-11-11 | Aldivia | Substitut de lanoline, son procede d'obtention et ses applications |
| FR2839067B1 (fr) * | 2002-04-25 | 2006-04-07 | Aldivia | Nouveau procede d'elimination des peroxydes et de leurs derives d'oxydation presents dans les composes insatures, seuls ou en melange |
| FR2849343B1 (fr) * | 2002-12-23 | 2009-01-23 | Aldivia | Synthese chimique comportant un traitement thermique par chauffage dielectrique intermittent, combine a un systeme de recirculation |
| DE102009019698B4 (de) * | 2009-05-05 | 2012-02-23 | Rhein-Chemie Rheinau Gmbh | Verwendung von Schmierleistungsadditiven als Schmierstoffe für Metallbearbeitungen oder als Schmierstoffe für Maschinen |
| US20110034990A1 (en) * | 2009-08-06 | 2011-02-10 | Alexander Borck | Biocorrodible implant with active coating |
| SG11201404228UA (en) | 2012-01-18 | 2014-10-30 | Univ Iowa State Res Found | Thermoplastic elastomers via atom transfer radical polymerization of plant oil |
| SG11201509408UA (en) * | 2013-05-20 | 2015-12-30 | Univ Iowa State Res Found | Thermoplastic elastomers via reversible addition-fragmentation chain transfer polymerization of triglycerides |
| US10596367B2 (en) | 2016-01-13 | 2020-03-24 | Setpoint Medical Corporation | Systems and methods for establishing a nerve block |
| FR3060330B1 (fr) | 2016-12-16 | 2019-05-24 | L'oreal | Composition comprenant au moins une huile et un polyester |
| CN115505082A (zh) * | 2021-06-22 | 2022-12-23 | 丰益油脂科技有限公司 | 生物基聚合油及其应用 |
| CN113429951B (zh) * | 2021-08-02 | 2023-02-28 | 浙江砉润科技有限公司 | 一种生物质无污染油田解堵剂 |
| JPWO2023027057A1 (de) * | 2021-08-24 | 2023-03-02 | ||
| CN114100191A (zh) * | 2021-12-07 | 2022-03-01 | 苏州汉浩分离技术有限公司 | 一种连续工业规模微波提取方法 |
Family Cites Families (18)
| Publication number | Priority date | Publication date | Assignee | Title |
|---|---|---|---|---|
| US3432413A (en) * | 1964-11-02 | 1969-03-11 | Dow Chemical Co | Method for carrying out chemical reactions using microwave energy |
| DE1543013A1 (de) * | 1965-07-10 | 1969-11-06 | Henkel & Cie Gmbh | Verfahren zur Dimerisierung von Fettverbindungen |
| FR2199754A5 (en) * | 1972-05-26 | 1974-04-12 | Schering Ag | Fatty acids polymn - in the absence of pressure and in high yields |
| JPS49133491A (de) * | 1973-04-25 | 1974-12-21 | ||
| US4020267A (en) * | 1974-12-16 | 1977-04-26 | The British Petroleum Company Limited | Removal of residual monomer in the presence of water by dielectric heating |
| US4207286A (en) * | 1978-03-16 | 1980-06-10 | Biophysics Research & Consulting Corporation | Seeded gas plasma sterilization method |
| JPS5614503A (en) * | 1979-07-13 | 1981-02-12 | Japan Synthetic Rubber Co Ltd | Measurement of forming rate of plasma-polymerized film and production |
| JPS60139765A (ja) * | 1983-12-27 | 1985-07-24 | Toray Ind Inc | 電子線および熱硬化性塗料組成物 |
| JPS60231821A (ja) * | 1984-04-25 | 1985-11-18 | Asahi Chem Ind Co Ltd | 炭素質繊維の製造法 |
| JPS6466927A (en) * | 1987-09-07 | 1989-03-13 | Matsushita Electric Industrial Co Ltd | Manufacture of ceramic green electrode sheet |
| JPH03281606A (ja) * | 1990-03-30 | 1991-12-12 | Victor Co Of Japan Ltd | マイクロ波加熱重合方法 |
| US5321357A (en) * | 1992-08-07 | 1994-06-14 | Yale University | Three-dimensional detection, dosimetry and imaging of an energy field by formation of a polymer in a gel |
| JPH07173399A (ja) * | 1993-12-13 | 1995-07-11 | Noritoshi Mise | 多成分反応性樹脂のワンパツク長期保存とその硬化方法 |
| IT1271311B (it) * | 1994-12-21 | 1997-05-27 | Enichem Spa | Composizioni reattive liquide termoindurenti e procedimento per la loro reticolazione |
| JPH0931115A (ja) * | 1995-07-13 | 1997-02-04 | Japan Atom Energy Res Inst | 光誘起蒸着重合法 |
| DK0872512T3 (da) * | 1997-04-14 | 2001-08-27 | Degussa | Fremgangsmåde til modificering af overfladen af polymersubstrater ved podningspolymerisation |
| US6049736A (en) * | 1997-09-03 | 2000-04-11 | Medtronic, Inc. | Implantable medical device with electrode lead having improved surface characteristics |
| FR2785287B1 (fr) * | 1998-10-30 | 2000-12-29 | De Chily Pierre Charlier | Procede de polymerisation par chauffage dielectrique d'acides gras insatures, d'esters d'acides gras insatures, d'hydrocarbures insatures, ou de derives insatures de ces produits |
-
1998
- 1998-10-30 FR FR9813770A patent/FR2785287B1/fr not_active Expired - Lifetime
-
1999
- 1999-10-28 BR BRPI9914947A patent/BRPI9914947B8/pt unknown
- 1999-10-28 JP JP2000579649A patent/JP2002528609A/ja active Pending
- 1999-10-28 DE DE69918177T patent/DE69918177T2/de not_active Expired - Lifetime
- 1999-10-28 EP EP99954038A patent/EP1151018B1/de not_active Expired - Lifetime
- 1999-10-28 CN CNB998127213A patent/CN1178966C/zh not_active Expired - Lifetime
- 1999-10-28 ES ES99954038T patent/ES2224708T3/es not_active Expired - Lifetime
- 1999-10-28 US US09/807,982 patent/US6656980B1/en not_active Expired - Lifetime
- 1999-10-28 AT AT99954038T patent/ATE269363T1/de not_active IP Right Cessation
- 1999-10-28 BR BR9914947-8A patent/BR9914947A/pt active IP Right Grant
- 1999-10-28 WO PCT/FR1999/002646 patent/WO2000026265A1/fr not_active Ceased
- 1999-10-28 CA CA2348722A patent/CA2348722C/en not_active Expired - Lifetime
- 1999-10-28 AU AU10503/00A patent/AU763651B2/en not_active Expired
-
2011
- 2011-05-17 JP JP2011110394A patent/JP5877654B2/ja not_active Expired - Lifetime
-
2015
- 2015-02-27 JP JP2015038103A patent/JP6043383B2/ja not_active Expired - Lifetime
Also Published As
| Publication number | Publication date |
|---|---|
| WO2000026265A1 (fr) | 2000-05-11 |
| AU763651B2 (en) | 2003-07-31 |
| BR9914947A (pt) | 2001-07-10 |
| JP6043383B2 (ja) | 2016-12-14 |
| AU1050300A (en) | 2000-05-22 |
| ES2224708T3 (es) | 2005-03-01 |
| EP1151018B1 (de) | 2004-06-16 |
| US6656980B1 (en) | 2003-12-02 |
| BRPI9914947B1 (pt) | 2018-07-31 |
| JP2002528609A (ja) | 2002-09-03 |
| CA2348722A1 (en) | 2000-05-11 |
| ATE269363T1 (de) | 2004-07-15 |
| JP2015129302A (ja) | 2015-07-16 |
| DE69918177D1 (de) | 2004-07-22 |
| JP2011190453A (ja) | 2011-09-29 |
| CN1334828A (zh) | 2002-02-06 |
| FR2785287A1 (fr) | 2000-05-05 |
| CA2348722C (en) | 2012-01-10 |
| FR2785287B1 (fr) | 2000-12-29 |
| EP1151018A1 (de) | 2001-11-07 |
| CN1178966C (zh) | 2004-12-08 |
| JP5877654B2 (ja) | 2016-03-08 |
| BRPI9914947B8 (pt) | 2018-10-09 |
Similar Documents
| Publication | Publication Date | Title |
|---|---|---|
| DE69918177T2 (de) | Polymerisationsverfahren durch dielektrische heizung von ungesättigten fettsäuren, von estern von ungesättigten fettsäuren, von ungesättigten kohlenwasserstoffen oder von ungesättigten derivaten dieser produkte | |
| DE69213930T2 (de) | Fettzubereitungen und ihre verwendung in emulsionsprodukten wie kosmetika and pharmazeutika | |
| EP0135018B1 (de) | Kosmetisch-pharmazeutische Ölkomponenten | |
| DE69517554T2 (de) | Formulierung einer Zubereitung aus Fett, Tensid und Parfüm | |
| US20040037859A1 (en) | Formulation containing wax-esters | |
| DE69408175T2 (de) | Verfahren zur Oligomerisierung von mehrfach ungesättigten Fettsäuren und Fettestern, die erhaltenen Produkte und ihre Anwendungen | |
| DE2241261A1 (de) | Wachsersatz oder wachsersatz enthaltende zusammensetzung | |
| DE2455287B2 (de) | Verfahren zur Herstellung von Wasserin-öl-Emulgatoren | |
| EP0088895B1 (de) | Synthetische flüssige Wachsester | |
| DE69225578T2 (de) | Verfahren zum Entfärben von Fettsäureester und Nahrungsmittel- oder kosmetische Zubereitung diesen enthaltend | |
| DE102018218270A1 (de) | Kosmetische Mittel zur temporären Umformung keratinhaltiger Fasern mit Filmbildner natürlichen Ursprungs | |
| DE4407015A1 (de) | Kosmetische und/oder pharmazeutische Zubereitungen | |
| EP1763331A1 (de) | O/w-gel-zusammensetzungen mit wachsen | |
| DE19630176A1 (de) | Stabile multiple Emulsionen des Typs W/O/W insbesondere für kosmetische Zwecke und Verfahren zur Herstellung derselben | |
| WO1996026710A1 (de) | Kosmetische und/oder pharmazeutische zubereitungen | |
| EP0513102A1 (de) | Verwendung von polymeren aus glykol- und/oder milchsäure und mehrwertigen alkoholen als beschichtungsmaterial für chirurgisches nahtmaterial | |
| DE2455327A1 (de) | Verfahren zur herstellung von polyglycerin | |
| EP0299295B1 (de) | Polyglycerinester der Wollfettsäure, Verfahren zu ihrer Herstellung und ihre Verwendung als Emulgatoren | |
| DE19905104C1 (de) | Verwendung von ethoxylierten Glyceridgemischen als Emulgatoren zur Herstellung von Paraffinkohlenwasserstoffemulsionen | |
| DE1247332B (de) | Verfahren zur Herstellung waessriger Emulsionen von OElen, Fetten und Wachsen | |
| DE102024123535A1 (de) | Biobasierte Olefine in Silikonen | |
| DE2160165C3 (de) | Umesterungskatalysator und dessen Verwendung | |
| EP4106713A1 (de) | Rasierhilfsmittel enthaltend hydroxyalkylcellulosen | |
| DE3310094A1 (de) | Hautcreme und verfahren zu deren herstellung | |
| DE2216593A1 (de) | Umesterungsverfahren |
Legal Events
| Date | Code | Title | Description |
|---|---|---|---|
| 8364 | No opposition during term of opposition |








