DE69918136T2 - 6-Fluorobicyclo[3.1.0]Hexan-Derivate - Google Patents

6-Fluorobicyclo[3.1.0]Hexan-Derivate Download PDF

Info

Publication number
DE69918136T2
DE69918136T2 DE69918136T DE69918136T DE69918136T2 DE 69918136 T2 DE69918136 T2 DE 69918136T2 DE 69918136 T DE69918136 T DE 69918136T DE 69918136 T DE69918136 T DE 69918136T DE 69918136 T2 DE69918136 T2 DE 69918136T2
Authority
DE
Germany
Prior art keywords
group
hexane
fluoro
amino
pharmaceutically acceptable
Prior art date
Legal status (The legal status is an assumption and is not a legal conclusion. Google has not performed a legal analysis and makes no representation as to the accuracy of the status listed.)
Expired - Lifetime
Application number
DE69918136T
Other languages
English (en)
Other versions
DE69918136D1 (de
Inventor
Atsuro Nakazato
Toshihito Kumagai
Kazunari Sakagami
Kazuyuki Tomisawa
Current Assignee (The listed assignees may be inaccurate. Google has not performed a legal analysis and makes no representation or warranty as to the accuracy of the list.)
Taisho Pharmaceutical Co Ltd
Original Assignee
Taisho Pharmaceutical Co Ltd
Priority date (The priority date is an assumption and is not a legal conclusion. Google has not performed a legal analysis and makes no representation as to the accuracy of the date listed.)
Filing date
Publication date
Application filed by Taisho Pharmaceutical Co Ltd filed Critical Taisho Pharmaceutical Co Ltd
Publication of DE69918136D1 publication Critical patent/DE69918136D1/de
Application granted granted Critical
Publication of DE69918136T2 publication Critical patent/DE69918136T2/de
Anticipated expiration legal-status Critical
Expired - Lifetime legal-status Critical Current

Links

Classifications

    • CCHEMISTRY; METALLURGY
    • C07ORGANIC CHEMISTRY
    • C07DHETEROCYCLIC COMPOUNDS
    • C07D317/00Heterocyclic compounds containing five-membered rings having two oxygen atoms as the only ring hetero atoms
    • C07D317/08Heterocyclic compounds containing five-membered rings having two oxygen atoms as the only ring hetero atoms having the hetero atoms in positions 1 and 3
    • C07D317/72Heterocyclic compounds containing five-membered rings having two oxygen atoms as the only ring hetero atoms having the hetero atoms in positions 1 and 3 spiro-condensed with carbocyclic rings
    • CCHEMISTRY; METALLURGY
    • C07ORGANIC CHEMISTRY
    • C07CACYCLIC OR CARBOCYCLIC COMPOUNDS
    • C07C229/00Compounds containing amino and carboxyl groups bound to the same carbon skeleton
    • C07C229/46Compounds containing amino and carboxyl groups bound to the same carbon skeleton having amino or carboxyl groups bound to carbon atoms of rings other than six-membered aromatic rings of the same carbon skeleton
    • C07C229/50Compounds containing amino and carboxyl groups bound to the same carbon skeleton having amino or carboxyl groups bound to carbon atoms of rings other than six-membered aromatic rings of the same carbon skeleton with amino groups and carboxyl groups bound to carbon atoms being part of the same condensed ring system
    • CCHEMISTRY; METALLURGY
    • C07ORGANIC CHEMISTRY
    • C07DHETEROCYCLIC COMPOUNDS
    • C07D339/00Heterocyclic compounds containing rings having two sulfur atoms as the only ring hetero atoms
    • C07D339/02Five-membered rings
    • C07D339/06Five-membered rings having the hetero atoms in positions 1 and 3, e.g. cyclic dithiocarbonates
    • CCHEMISTRY; METALLURGY
    • C07ORGANIC CHEMISTRY
    • C07CACYCLIC OR CARBOCYCLIC COMPOUNDS
    • C07C2602/00Systems containing two condensed rings
    • C07C2602/02Systems containing two condensed rings the rings having only two atoms in common
    • C07C2602/14All rings being cycloaliphatic
    • C07C2602/18All rings being cycloaliphatic the ring system containing six carbon atoms

Landscapes

  • Chemical & Material Sciences (AREA)
  • Organic Chemistry (AREA)
  • Organic Low-Molecular-Weight Compounds And Preparation Thereof (AREA)
  • Acyclic And Carbocyclic Compounds In Medicinal Compositions (AREA)
  • Filling Or Discharging Of Gas Storage Vessels (AREA)
  • Fertilizers (AREA)
  • Pharmaceuticals Containing Other Organic And Inorganic Compounds (AREA)

Description

  • Technologisches Gebiet
  • Diese Erfindung betrifft 6-Fluorbicyclo[3.1.0]hexanderivate, die als Arzneimittel verwendbar sind. Insbesondere betrifft sie neue 2-Amino-6-fluorbicyclo[3.1.0]hexan-2,6-dicarbonsäurederivate, die zur Behandlung und Vorbeugung von psychiatrischen Störungen verwendbar sind, wie z.B. Schizophrenie, Angst und damit verbundene Krankheiten, Depression, bipolare Störung und Epilepsie; und neurologische Krankheiten wie Drogenabhängigkeit, kognitive Störungen, Alzheimer-Krankheit, Chorea Huntington, Parkinson-Krankheit, Dyskinesie, verbunden mit Muskelversteifung, zerebrale Ischämie, zerebrales Versagen, Myelopathie und Kopftrauma.
  • Stand der Technik
  • In letzten Jahren ist mit dem wiederholten Klonieren von Glutamatrezeptorgenen klar geworden, dass es überraschend viele Untertypen an Glutamatrezeptoren gibt. Gegenwärtig werden Glutamatrezeptoren grob in zwei Typen unterteilt: der "ionotrope Typ", in dem der Rezeptor eine Ionenkanalstruktur hat, und der "metabotrope Typ", in dem der Rezeptor an G-Proteine gekoppelt ist. Ionotrope Rezeptoren werden pharmakologisch in drei Typen unterteilt: N-Methyl-D-asparaginsäure (NMDA), α-Amino-3-hydroxy-5-methylisoxazol-4-propionat (AMPA) und Kynat (Science, 258, 597–603, 1992). Metabotrope Rezeptoren werden in acht Typen, Typ 1 bis Typ 8, unterteilt (J. Neurosci., 13, 1372–1378, 1993; Neuropharmacol., 34, 1–26, 1995).
  • Die metabotropen Glutamatrezeptoren werden pharmakologisch in drei Gruppen eingeteilt. Unter diesen bindet Gruppe 2 (mGluR2/mGluR3) mit Adenylcyclase und inhibiert die Akkumulierung der Forskolinstimulation von cyclischem Adenosinmonophosphat (cAMP) (Trends Pharmacol. Sci., 14, 13 (1993)), was darauf hinweist, dass Verbindungen, die auf metabotrope Glutamatrezeptoren der Gruppe 2 wirken, für die Behandlung oder Vorbeugung von akuten oder chronischen psychiatrischen und neurologischen Krankheiten nützlich sein sollten. Als Substanzen, die auf metabotrope Glutamatrezeptoren der Gruppe 2 wirken, wurde (+)-(1S,2S,5R,6S)-2-Aminobicyclo[3.1.0]hexan-2,6-dicarbonsäure in der ungeprüften Japanischen Patentveröffentlichung, 1. Veröffentlichungsnummer Hei 8-188561 [1996] offenbart. Und (1S*,2S*,5R*,6R*)-2-Amino-4-oxobicyclo[3.1.0]hexan-2,6-dicarbonsäure, (1S*,2S*,4S*,5R*,6R*)-2-Amino-4-hydroxybicyclo[3.1.0]hexan-2,6-dicarbonsäure und (1S*,2R*,4S*,5S*,6S*)-2-Amino-4-fluorbicyclo[3.1.0]hexan-2,6-dicarbonsäure wurden in EP-A-878,463 offenbart.
  • Fluoratome neigen dazu, stark elektronenanziehend zu sein und hohe Fettlöslichkeit zu verleihen, so dass Verbindungen, in denen Fluoratome eingebaut sind, ihre physikalischen Eigenschaften stark ändern. Daher kann der Einbau von Fluoratomen die Absorptionsfähigkeit, Stoffwechselstabilität und pharmakologischen Wirkungen einer Verbindung stark beeinflussen. Aber es ist keineswegs einfach, Fluoratome einzubauen. Tatsächlich diskutiert die ungeprüfte Japanische Patentveröffentlichung, 1. Veröffentlichungsnummer Hei 8-188561 [1996] nicht einmal den Einbau von Fluoratomen in (+)-(1S,2S,5R,6S)-2-Aminobicyclo[3.1.0]hexan-2,6-dicarbonsäure. Ferner wurde (1S*,2R*,4S*,5S*,6S*)-2-Amino-4-fluorbicyclo[3.1.0]hexan-2,6-dicarbonsäure, die in EP-A-O 878 463 offenbart wurde, durch lediglich eine Substituierung einer Hydroxylgruppe in (1S*,2S*,4S*,5R*,6R*)-2-Amino-4-hydroxybicyclo[3.1.0]hexan-2,6-dicarbonsäure mit einem Fluoratom unter Verwendung normaler Fluorierungsmittel hergestellt.
  • Offenbarung der Erfindung
  • Im Hinblick auf den oben genannten gegenwärtigen Stand der Technik ist der Zweck dieser Erfindung, Arzneimittel bereitzustellen, die für die Behandlung und Vorbeugung psychiatrischer Störungen wirksam sind, wie z.B. Schizophrenie, Angst und damit verbundene Krankheiten, Depression, bipolare Störung und Epilepsie; und neurologische Krankheiten wie Drogenabhängigkeit, kognitive Störungen, Alzheimer-Krankheit, Chorea Huntington, Parkinson-Krankheit, Dyskinesie, verbunden mit Muskelversteifung, zerebrale Ischämie, zerebrales Versagen, Myelopathie und Kopftrauma; insbesondere orale Arzneimittel, die auf metabotrope Glutamatrezeptoren der Gruppe 2 wirken.
  • Die Erfinder der vorliegenden Erfindung, die eine sorgfältige Studie an 2-Amino-6-fluorbicyclo[3.1.0]hexan-2,6-dicarbonsäurederivaten, worin ein Fluoratom in der 6-Position von (+)-(1S,2S,5R,6S)-2-Aminobicyclo[3.1.0]hexan-2,6-dicarbonsäure, (1S*,2S*,5R*,6R*)-2-Amino-4-oxobicyclo[3.1.0]hexan-2,6-dicarbonsäure und (1S*,2S*,4S*,5R*,6R*)-2-Amino-4-hydroxybicyclo[3.1.0]hexan-2,6-dicarbonsäure eingebaut ist, durchgeführt haben, haben neue 2-Amino-6-fluorbicyclo[3.1.0]hexan-2,6-dicarbonsäurederivate entdeckt, die, wenn sie oral eingenommen werden, metabotrope Glutamatrezeptoren der Gruppe 2 beeinflussen, wodurch diese Erfindung vollendet wurde.
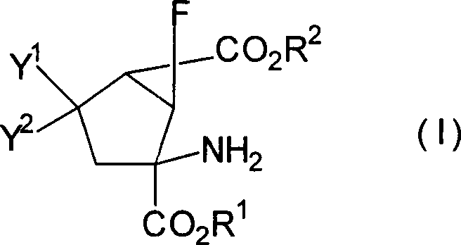
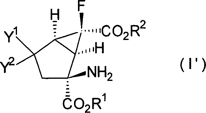
  • Das heißt, die vorliegende Erfindung betrifft 6-Fluorbicyclo[3.1.0]hexan-2,6-dicarbonsäurederivate, dargestellt durch die Formel [I]
    Figure 00030001
    [worin R1 und R2 gleich oder verschieden sind und jeweils ein Wasserstoffatom, eine C1-10-Alkylgruppe, eine C3-8-Cycloalkylgruppe oder eine C3-8-Cycloalkyl-C1-5-alkyl-Gruppe darstellen; Y1 und Y2 gleich oder verschieden sind und jeweils ein Wasserstoffatom, eine C1-10-Alkylthiogruppe, eine C3-8-Cycloalkylthiogruppe, eine C3-8-Cycloalkyl-C1-5-alkylthio-Gruppe, eine C1-5-Alkoxygruppe, eine C3-8-Cycloalkoxygruppe oder eine C3-8-Cycloalkyl-C1-5-alkoxy-Gruppe darstellen; oder eines ein Wasserstoffatom darstellt und das andere eine Hydroxylgruppe, eine C1-5-Alkoxygruppe, eine C3-8-Cycloalkoxygruppe oder eine C3-8-Cycloalkyl-C1-5-alkoxy-Gruppe darstellt; oder Y1 und Y2 zusammen ein Sauerstoffatom oder -X(CH2)nX-Gruppe darstellen (X bedeutet ein Sauerstoffatom oder ein Schwefelatom: n ist 2 oder 3)], ein pharmazeutisch annehmbares Salz davon oder Hydrate davon.
  • In der vorliegenden Erfindung bedeutet die C1-10-Alkylgruppe eine geradkettige oder verzweigte Alkylgruppe, deren Beispiele beinhalten eine Methylgruppe, eine Ethylgruppe, eine Propylgruppe, eine Isopropylgruppe, eine Butylgruppe, eine Isobutylgruppe, eine t-Butylgruppe, eine Pentylgruppe, eine Isopentylgruppe, eine 1-Ethylpropylgruppe, eine Hexylgruppe, eine Isohexylgruppe, eine 1-Ethylbutylgruppe, eine Heptylgruppe, eine Isoheptylgruppe, eine Octylgruppe, eine Nonylgruppe und eine Decylgruppe. Die C3-8-Cycloalkylgruppe bedeutet z.B. eine Cyclopropylgruppe, eine Cyclobutylgruppe, eine Cyclopentylgruppe, eine Cyclohexylgruppe, usw.. Die C3-8-Cycloalkyl-C1-5-alkyl-Gruppe bedeutet z.B. eine Cyclopropylmethylgruppe, eine Cyclobutylmethylgruppe, eine Cyclopentylmethylgruppe, eine Cyclohexylmethylgruppe, usw.. Die C1-10-Alkylthiogruppe bedeutet eine geradkettige oder verzweigte Alkylthiogruppe, deren Beispiele beinhalten eine Methylthiogruppe, eine Ethylthiogruppe, eine Propylthiogruppe, eine Isopropylgruppe, eine Butylthiogruppe, eine Isobutylthiogruppe, eine t-Butylthiogruppe, eine Pentylthiogruppe, eine Isopentylthiogruppe, eine 1-Ethylpropylthiogruppe, eine Hexylthiogruppe, eine Isohexylthiogruppe, eine 1-Ethylbutylthiogruppe, eine Heptylthiogruppe, eine Isoheptylthiogruppe, eine Octylthiogruppe, eine Nonylthiogruppe und eine Decylthiogruppe. Die C3-8-Cycloalkylthiogruppe bedeutet z.B. eine Cyclopropylthiogruppe, eine Cyclobutylthiogruppe, eine Cyclopentylthiogruppe, eine Cyclohexylthiogruppe, usw.. Die C3-8-Cycloalkyl-C1-5-alkylthio-Gruppe bedeutet z.B. eine Cyclopropylmethylthiogruppe, eine Cyclobutylmethylthiogruppe, eine Cyclopentylmethylthiogruppe, eine Cyclohexylmethylthiogruppe, usw.. Die C1-5-Alkoxygruppe bedeutet eine geradkettige oder verzweigte Alkoxygruppe, deren Beispiele beinhalten eine Methoxygruppe, eine Ethoxygruppe, eine Propoxygruppe, eine Isopropoxygruppe, eine Butoxygruppe, eine Isobutoxygruppe, eine t-Butoxygruppe, eine Pentoxygruppe, eine Isopentoxygruppe und eine 1-Ethylpropoxygruppe. Die C3-8-Cycloalkoxygruppe bedeutet z.B. eine Cyclopropoxygruppe, eine Cyclobutoxygruppe, eine Cyclopentoxygruppe, usw.. Die C3-8-Cycloalkyl-C1-5-alkoxygruppe bedeutet z.B. eine Cyclopropylmethoxygruppe, eine Cyclobutylmethoxygruppe, eine Cyclopropylethoxygruppe, usw..
  • Als pharmazeutisch annehmbares Salz in dieser Erfindung kann z.B. genannt werden ein Salz mit einer anorganischen Säure wie Schwefelsäure, Salzsäure und Phosphorsäure; ein Salz mit einer organischen Säure wie Essigsäure, Oxalsäure, Milchsäure, Weinsäure, Fumarsäure, Maleinsäure, Methansulfonsäure und Benzolsulfonsäure; ein Salz mit einem Amin wie Trimethylamin und Methylamin; oder ein Salz mit einem Metallion wie Natriumion, Kaliumion und Calciumion. Die Verbindungen der vorliegenden Erfindung können als unterschiedliche Solvate existieren, aber im Hinblick auf die Anwendbarkeit als Arzneimittel sind Hydrate bevorzugt.
  • In Verbindungen der Formel [I] sind, wenn sowohl Y1 als auch Y2 Wasserstoffatome oder zusammen ein Sauerstoffatom oder -X(CH2)nX- (X ist ein Sauerstoffatom oder ein Schwefelatom: n ist 2 oder 3), darstellen, oder wenn sowohl Y1 als auch Y2 eine C1-10-Alkylthiogruppe, eine C3-8-Cycloalkylthiogruppe, eine C3-8-Cycloalkyl-C1-5-alkylthiogruppe, eine C1-5-Alkoxygruppe, eine C3-8-Cycloalkoxygruppe oder eine C3-8-Cycloalkyl-C1-5-alkoxygruppe darstellen, asymmetrische Kohlenstoffatome in der 1, 2, 5 und 6 Position anwesend. Daher können die Verbindungen der vorliegenden Erfindung in den obigen Fällen als optisch aktive Substanzen, Enantiomere davon oder racemischer Stoff davon vorliegen.
  • Wenn ferner Y1 und Y2 unterschiedlich voneinander ein Wasserstoffatom, eine C1-10-Alkylthiogruppe, eine C3-8-Cycloalkylthiogruppe, eine C3-8-Cycloalkyl-C1-5-alkylthiogruppe, eine C1-5-Alkoxygruppe, eine C3-8-Cycloalkoxygruppe oder eine C3-8-Cycloalkyl-C1-5-alkoxygruppe darstellen, oder wenn eines von Y1 und Y2 ein Wasserstoffatom darstellt und das andere eine Hydroxylgruppe, eine C1-5-Alkoxygruppe, eine C3-8-Cycloalkoxygruppe oder eine C3-8-Cycloalkyl-C1-5-alkoxygruppe darstellt, sind asymmetrische Kohlenstoffatome in den Positionen 1, 2, 4, 5 und 6 vorhanden. Daher können die Verbindungen der vorliegenden Erfindung in den obigen Fällen optisch aktive Substanzen, Enantiomere davon, racemischer Stoff oder eine Mischung aus Diastereomeren, basierend auf Y1 und Y2 in der 4-Position, sein.
  • Es ist bevorzugt, dass die Verbindungen, dargestellt in der Formel [I], die folgende relative stereochemische Konfiguration aufweisen, die durch die Formel [I'] dargestellt ist:
    Figure 00050001
  • Eine (+)- oder (–)-(1R*,2S*,6S*)-2-Amino-6-fluor-4-substituiertebicyclo[3.1.0]hexan-2,6-dicarbonsäure kann als spezielles Beispiel für besonders bevorzugte Verbindungen der Formel [I'] genannt werden.
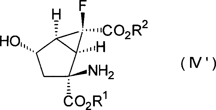
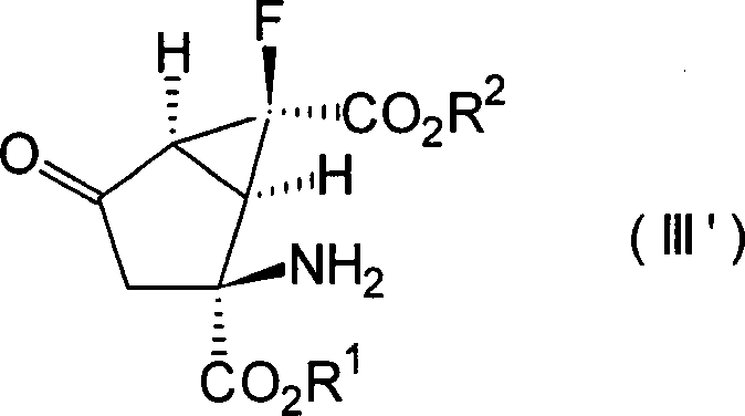
  • Die anderen bevorzugten Kombinationen von Y1 und Y2 in den Verbindungen, dargestellt durch die Formel [I], beinhalten die Fälle, in denen beide Wasserstoffatome darstellen, in denen sie zusammen ein Sauerstoffatom darstellen und worin eines von ihnen ein Wasserstoffatom darstellt und das andere eine Hydroxylgruppe darstellt, wobei diese durch die folgenden Formeln [II], [III] bzw. [IV] gezeigt werden können.
  • Figure 00050002
  • Figure 00060001
  • Ferner ist es noch bevorzugter, dass die Verbindungen der obigen Formeln [II], [III] und [IV] die folgenden relativen stereochemischen Konfigurationen aufweisen, die durch die Formeln [II'], [III'] bzw. [IV'] dargestellt sind.
  • Figure 00060002
  • (–)-(1R*,2S*,5R*,6R*)-2-Amino-6-fluorbicyclo[3.1.0]hexan-2,6-dicarbonsäure, (+)-(1R*,2S*,5S*,6S*)-2-Amino-6-fluor-4-oxobicyclo [3.1.0]hexan-2,6-dicarbonsäure und (+)- oder (–)-(1R*,2S*,4S*,5S*,6S*)-2-Amino-6-fluor-4-hydroxybicyclo[3.1.0]hexan-2,6-dicarbonsäure, die alle optisch aktive Substanzen sind, können als besonders bevorzugte Verbindungen unter den Verbindungen, die durch die Formeln [II'], [III'] bzw. [IV'] dargestellt sind, genannt werden.
  • Wenn in den Formeln [I], [II], [III] und [IV] (einschließlich der Fälle von [I'], [II'], [III'] und [IV']) ein oder beide von R1 und R2 etwas anderes als ein Wasserstoffatom darstellen, hat dies zur Folge, dass die Esterformen keine Wirkung auf die metabotropen Glutamatrezeptoren der Gruppe 2 haben werden. Aber diese Esterformen werden in vivo hydrolysiert und in eine Carbonsäure umgewandelt, die eine Wirkung auf die metabotropen Glutamatrezeptoren der Gruppe 2 hat. Auf diese Weise sind die Esterformen der Verbindungen, die von der vorliegenden Erfindung umfasst werden, sehr nützlich, weil sie als Pro-Arzneimittel wirken.
  • Die Verbindungen der Formel [I] können gemäß den folgenden Reaktionen hergestellt werden. In den folgenden Reaktionsformeln sind R1, R2, Y1 und Y2 dieselben wie oben, R3 und R4 stellen abgesehen von einem Wasserstoffatom R2 und R1 dar. X' stellt ein Chloratom, ein Bromatom oder ein Iodatom dar. Y3 und Y4 stellen zusammen -X(CH2)nX- dar (X stellt ein Sauerstoffatom oder ein Schwefelatom dar: n ist 2 oder 3), oder sie stellen identisch oder unterschiedlich voneinander eine C1-10-Alkylthiogruppe, eine C3-8-Cycloalkylthiogruppe, eine C3-8-Cycloalkyl-C1-5-alkylthiogruppe, eine C1-5-Alkoxygruppe, eine C3-8-Cycloalkoxygruppe oder eine C3-8-Cycloalkyl-C1-5-alkoxygruppe dar. Ar stellt eine Arylgruppe dar, wie eine Phenylgruppe, eine 4-Chlorphenylgruppe und eine 4-Methoxyphenylgruppe. Z1 stellt eine bekannte Schutzgruppe für eine Hydroxylgruppe dar. Z2 stellt eine bekannte Schutzgruppe für eine Hydroxylgruppe dar oder ist ein Wasserstoffatom. Z3 stellt eine bekannte Schutzgruppe für eine Aminogruppe dar. Bekannte Schutzgruppen für Hydroxyl- und Aminogruppen sind im Detail beschrieben in "Protective Groups in Organic Synthesis", von Theodora W. Greene und Peter G. M. Wuts, dessen Inhalte hiermit durch das Zitat eingeschlossen sind.
  • Figure 00080001
  • Wie in dem obigen Reaktionsschema gezeigt, kann das racemische Keton (3) oder (4) oder eine Mischung von Diastereomeren aus beiden erhalten werden durch zuerst Umwandeln eines Carbonsäurerests der Z-Form (1) oder E-Form (2) des obigen Fluoracrylsäurederivats oder einer Mischung aus beiden in eine aktive Form und dann Umsetzen mit Diazomethan, gefolgt von der Umsetzung in einem inerten Lösungsmittel in Gegenwart eines Metallkatalysators.
  • Die hier erwähnte aktive Form bedeutet ein Säurehalogenid oder ein gemischtes Anhydrid. Das Säurehalogenid kann erhalten werden durch Umsetzen bekannter Halogenierungsmittel für eine Hydroxylgruppe in einer Carbonsäure, wie z.B. Thionylchlorid, Oxalylchlorid und Carbontetrachloridtriphenylphosphin, mit der Z-Form (1) oder der E-Form (2) des Fluoracrylsäurederivats oder mit einer Mischung aus beiden. Das gemischte Anhydrid kann erhalten werden durch Umsetzen von Halocarbonaten, wie Isobutylchlorcarbonat und Ethylchlorcarbonat, oder organischen Anhydriden, wie Essigsäureanhydrid und Trifluoressigsäureanhydrid, mit der Z-Form (1) oder der E-Form (2) des Fluoracrylsäurederivats oder einer Mischung aus beiden, mit oder ohne Anwesenheit von organischen Basen, wie Triethylamin, N-Methylmorpholin, Diisopropylethylamin und Pyridin, oder anorganische Basen, wie Kaliumcarbonat, Natriumhydrogencarbonat und Natriumhydrid.
  • Der Metallkatalysator kann z.B. Kupferagenzien sein, wie Kupfer(I)-iodid, Kupfer(II)-sulfat, Kupfer(II)-acetat, Kupfer(II)-bis(acetylacetonat) und Kupfer(II)-bis(N-t-butylsalicylaldiimidat); Rhodiumagenzien, wie Rhodium(II)-acetat und Rhodium(II)-trifluoracetat; und Palladiumagenzien, wie Palladium(II)-acetat und Bis(benzonitril)dichlorpalladium(II).
  • Beispiele für das inerte Lösungsmittel können beinhalten Ether, wie Tetrahydrofuran, Dioxan und Diethylether; Kohlenwasserstoffe, wie Toluol und Benzol; Lösungsmittel vom Halogentyp, wie Methylenchlorid, Chloroform und 1,2-Dichlorethan; N,N-Dimethylformamid; und Acetonitril.
  • Das racemische Keton (3) oder das racemische Keton (4) kann direkt optisch getrennt werden durch die Anwendung des HPLC-Verfahrens, bei dem chirale Träger, wie Cellulosecarbamatderivate und Amylosecarbamatderivate, verwendet werden. Sie können auch optisch getrennt werden, indem sie in Salze mit optisch aktiven Aminen umgewandelt werden, wie (+)- oder (–)-1-Phenylethylamin, (+)- oder (–)-2-Amino-1-butanol, (+)- oder (–)-Alaninol, Brucin, Cinchonidin, Cinchonin, Chinin, Chinidin und Dehydroabiethylamin, nachdem ein Esterrest des racemischen Ketons (3) oder des racemischen Ketons (4) in eine Carbonsäure unter normalen Hydrolysebedingungen umgewandelt wurde. Ferner können sie getrennt werden, nachdem sie in Amidoformen durch die Verwendung eines primären oder sekundären optisch aktiven Amins, wie (+)- oder (–)-1-Phenylethylamin, (+)- oder (–)-2-Amino-1-butanol und (+)- oder (–)-Alaninol, und normalen Amidierungsmitteln wie Dicyclohexylcarbodiimid (DCC) umgewandelt wurden.
    Figure 00090001
  • Wie in dem obigen Reaktionsschema gezeigt, kann das Keton (3), das als eine optisch aktive Substanz, ein Enantiomer oder racemischer Stoff vorliegt, in das Enon (5) umgewandelt werden, das als eine optische aktive Substanz, ein Enantiomer oder racemischer Stoff vorliegt, durch seine Umsetzung mit z.B. Silylierungsmitteln in Gegenwart von Basen, wodurch der Silylenolether gebildet wird, gefolgt von seiner Umsetzung mit z.B. Palladium(II)-acetat. Das Enon (5) kann in den Keto-Alkohol (7), der eine optisch aktive Substanz, ein Enantiomer oder racemischer Stoff ist, umgewandelt werden, indem es zuerst in die Epoxyform (6) mittels der Umsetzung mit Peroxiden, wie t-Butylhydroperoxid und m-Chlorperoxybenzoesäure, geändert wird und dann mit z.B. Diphenyldiselenid in Gegenwart von Thiolen reduziert wird (J. Org. Chem. 59, 5179–5183 (1994)).
  • Hier können Amine, wie Triethylamin und Diisopropylethylamin, Amidbasen, wie Lithiumdiisopropylamid und Kaliumbis(trimethylsilyl)amid, und anorganische Basen, wie Natriumhydrid, als Basen verwendet werden. Silanverbindungen, wie Trimethylsilylchlorid, Trimethylsilyliodid und t-Butyldimethylsilylchlorid, können als Silylierungsmittel verwendet werden. Als Reaktionslösungsmittel können inerte Lösungsmittel, wie Benzol, Toluol, Tetrahydrofuran und Acetonitril, genannt werden.
  • Der Keto-Alkohol (7), der eine optisch aktive Substanz, ein Enantiomer oder ein racemischer Stoff ist, kann in die Verbindung (9) umgewandelt werden, indem er direkt oder wenn notwendig nach dem Schützen einer Hydroxylgruppe des Keto-Alkohols (7) mit einer bekannten Schutzgruppe für eine Hydroxylgruppe in die Ketonform (8), die eine optisch aktive Substanz, ein Enantiomer oder ein racemischer Stoff ist, geändert wird, gefolgt von seiner Umsetzung mit z.B. Alkohol oder Thiol in Gegenwart von Lewis-Säuren, wie Bortrifluorid-Diethylether-Komplex. Der Keto-Alkohol (7) und sein Hydroxylgruppe-geschützter Typ sind zusammen durch die Formel (8) dargestellt. Dann ist es möglich, ihn in das Ketal oder Thioketal (9), das eine optisch aktive Substanz, ein Enantiomer oder ein racemischer Stoff ist, zu ändern, wenn Z2 ein Wasserstoffatom ist, und durch Entschützen, wenn Z2 die bekannte Schutzgruppe für die Hydroxylgruppe ist. Das Ketal oder Thioketal (9) mit Z2 als Wasserstoffatom kann in die Verbindung (10), die eine optisch aktive Substanz, ein Enantiomer oder ein racemischer Stoff ist, durch Oxidation der Hydroxylgruppe umgewandelt werden.
  • Die Verfahren, die in "Protective Groups in Organic Synthesis", von Theodora W. G. Reene und Peter G. M. Wuts beschrieben sind, können zum Schützen und Entschützen der Hydroxylgruppe und Ketalierung und Thioketalierung der Carbonylgruppe verwendet werden. Oxidation bedeutet, dass mit z.B. Oxdationsmittel vom Chromtyp, verkörpert durch Jones- und Collins-Oxidationen; Oxidationsmittel vom Mangantyp, wie Kaliumpermanganat und Mangandioxid; Oxidationsmittel vom Dimethylsulfoxidtyp unter Verwendung von Oxalylchlorid, Essigsäureanhydrid, Phosphorpentoxid, Schwefeltrioxid-Pyridin, Dicyclohexylcarbodiimid (DCC) usw. als ein Aktivierungsmittel; Oxidationsmittel vom Certyp, wie Cerdiammoniumnitrat und Cersulfat; Oxidationsmittel vom Rutheniumtyp, wie Tetrapropylammoniumperrutheniumat und Rutheniumoxid; und ein Dess-Martin-Mittel (siehe "Oxidations in Organic Chemistry", American Chemical Society, Washington, D.C., 1990, Milos Hudlicky) oxidiert wird oder dass mit Sauerstoff in Gegenwart eines Katalysators, wie Palladium und Platin, oxidiert wird. Sie kann z.B. in inerten Lösungsmitteln, wie Ethern, wie Tetrahydrofuran und Diethylether, Kohlenwasserstoffen, wie Toluol und Benzol, Lösungsmitteln vom Halogentyp, wie Dichlormethan und Chloroform, Lösungsmitteln vom Ketontyp, wie Aceton und Ethylmethylketon, Acetonitril, N,N-Dimethylformamid, Essigsäure, Pyridin, Wasser und Mischungen davon, durchgeführt werden.
  • Die racemischen Stoffe (5), (6), (7), (8), (9) oder (10) können direkt optisch getrennt werden durch die Anwendung des HPLC-Verfahrens, bei dem chirale Träger, wie Cellulosecarbamatderivate und Amylosecarbamatderivate, verwendet werden. Sie können auch optisch getrennt werden, indem sie mit optisch aktiven Aminen, wie (+)- oder (–)-1-Phenylethylamin, (+)- oder (–)-2-Amino-1-butanol, (+)- oder (–)-Alaninol, Brucin, Cinchonidin, Cinchonin, Chinin, Chinidin und Dehydroabiethylamin, in Salze umgewandelt werden, nachdem ein Esterrest des racemischen Stoffes (5), (6), (7), (8), (9) oder (10) in eine Carbonsäure durch Hydrolyse unter normalen basischen oder sauren Esterhydrolysebedingungen überführt worden war. Ferner können sie getrennt werden, nachdem sie in Amidoformen durch die Verwendung von primären oder sekundären optisch aktiven Aminen, wie (+)- oder (–)-1-Phenylethylamin, (+)- oder (–)-2-Amino-1-butanol und (+)- oder (–)-Alaninol, und normalen Amidierungsmitteln, wie Dicyclohexylcarbodiimid (DCC), umgewandelt wurden.
  • Figure 00120001
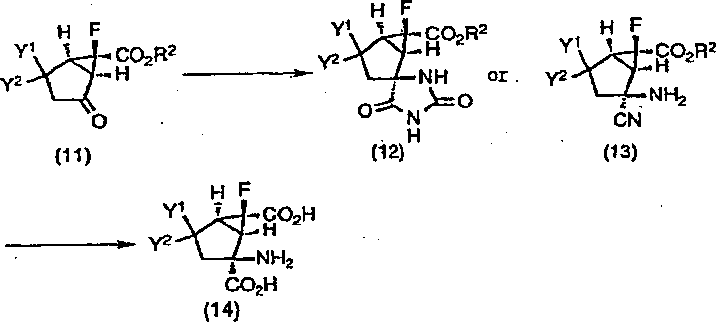
  • Die Ketone (11) einschließlich der Verbindungen (3), (7) und (10) sind nützlich als Intermediate, um die Verbindungen gemäß der vorliegenden Erfindung zu synthetisieren. Die Ketone (11), die optisch aktive Substanzen, Enantiomere oder racemische Stoffe sind, können in Hydantoinderivate (12) oder Aminocyanidderivate (13) durch die Strecker-Aminosäuresynthese (Ann., 75, 27 (1850); 91, 349 (1850)), die Bucherer-Bergs-Reaktion (J. Prakt. Chem., 140, 69 (1934)) oder Variationen davon umgesetzt werden. Die Hydantoinderivate (12) und die Aminocyanidderivate (13) können in die Verbindungen der vorliegenden Erfindung, die optisch aktive Substanzen, Enantiomere oder racemische Stoffe, 4-substituierte-2-Amino-6-fluorbicyclo[3.1.0]hexan-2,6-dicarbonsäuren (14), durch basische Hydrolyse mit z.B. Natriumhydroxid, Bariumhydroxid, usw. umgesetzt werden. Wenn z.B. Y1 und Y2 in den Hydantoinderivaten (12) oder den Cyanidderivaten (13) zusammen -S(CH2)nS- darstellen oder identisch oder unterschiedlich voneinander eine C1-10-Alkylthiogruppe, eine C3-8-Cycloalkylthiogruppe oder eine C3-8-Cycloalkyl-C1-5-alkylthiogruppe darstellen, kann eine der Verbindungen (14) gemäß der vorliegenden Erfindung, 2-Amino-6-fluor-4,4-dialkylthiobicyclo[3.1.0]hexan-2,6-dicarbonsäure, die eine optisch aktive Substanz, ein Enantiomer oder ein racemischer Stoff ist, hergestellt werden, indem für die Verbindungen (12) oder (13) basische Hydrolyse mit Natriumhydroxid, Bariumhydroxid usw. durchgeführt wird. Andererseits können aus den Hydantoinderivaten (12) und den Aminocyanidderivaten (13) durch Hydrolyse unter sauren Bedingungen unter Verwendung von z.B. Schwefelsäure oder dergleichen eine der Verbindungen (14) gemäß der vorliegenden Erfindung, 2-Amino-6-fluor-4-oxobicyclo[3.1.0]hexan-2,6-dicarbonsäure, die eine optisch aktive Substanz, ein Enantiomer oder ein racemischer Stoff ist, hergestellt werden. Ferner kann auch 2-Amino-6-fluor-4-oxobicyclo[3.1.0]hexan-2,6-dicarbonsäure, die eine optisch aktive Substanz, ein Enantiomer oder ein racemischer Stoff ist, erhalten werden durch Entfernen einer Dialkylthiogruppe aus 2-Amino-6-fluor-4,4-dialkylthiobicyclo[3.1.0]hexan-2,6-dicarbonsäure, die eine optisch aktive Substanz, ein Enantiomer oder ein racemischer Stoff ist (siehe "Protective Groups in organic Synthesis", Theodora W. Greene und Peter G. M. Wuts). Ferner kann 2-Amino-6-fluor-4-oxobicyclo[3.1.0]hexan-2,6-dicarbonsäure, die eine optisch aktive Substanz, ein Enantiomer oder ein racemischer Stoff ist, auch erhalten werden durch z.B. Oxidation einer Hydroxylgruppe von 2-Amino-6-fluor-4-hydroxybicyclo[3.1.0]hexan-2,6-dicarbonsäure, die eine optisch aktive Substanz, ein Enantiomer oder ein racemischer Stoff ist (siehe "Oxidation in Organic Chemistry", American Chemical Society, Washington D.C., 1990, Milos Hudlicky). Währendessen ist es bevorzugt, die Carboxyl- und Aminogruppen der Verbindungen (14), wenn notwendig, zu schützen (siehe "Protecting Groups in Organic Synthesis", Theodora W. Greene, John Wiley & Sons Inc.).
  • Figure 00130001
  • Der racemische Stoff der Formel (15) kann direkt optisch getrennt werden durch Anwendung des HPLC-Verfahrens, bei dem chirale Träger, wie Cellulosecarbamatderivate und Amylosecarbamatderivate, verwendet werden. Der racemische Stoff (15) kann auch optisch getrennt werden, indem er mit optisch aktiven Aminen, wie (+)- oder (–)-1-Phenylethylamin, (+)- oder (–)-2-Amino-1-butanol, (+)- oder (–)-Alaninol, Brucin, Cinchonidin, Cinchonin, Chinin, Chinidin und Dehydroabiethylamin, in Salze umgewandelt wird, nachdem ein Esterrest des racemischen Stoffes (15) durch Hydrolyse unter normal basischen oder sauren Esterhydrolysebedingungen hydrolysiert wurde, um eine Carbonsäure (16) zu bilden. Ferner kann er getrennt werden, nachdem er durch Verwendung von primären und sekundären optisch aktiven Aminen, wie (+)- oder (–)-1-Phenylethylamin, (+)- oder (–)-2-Amino-1-butanol und (+)- oder (–)-Alaninol, und normalen Amidationsmitteln, wie Dicyclohexylcarbodiimid (DCC), in eine Amidoform umgewandelt wurde.
  • Figure 00140001
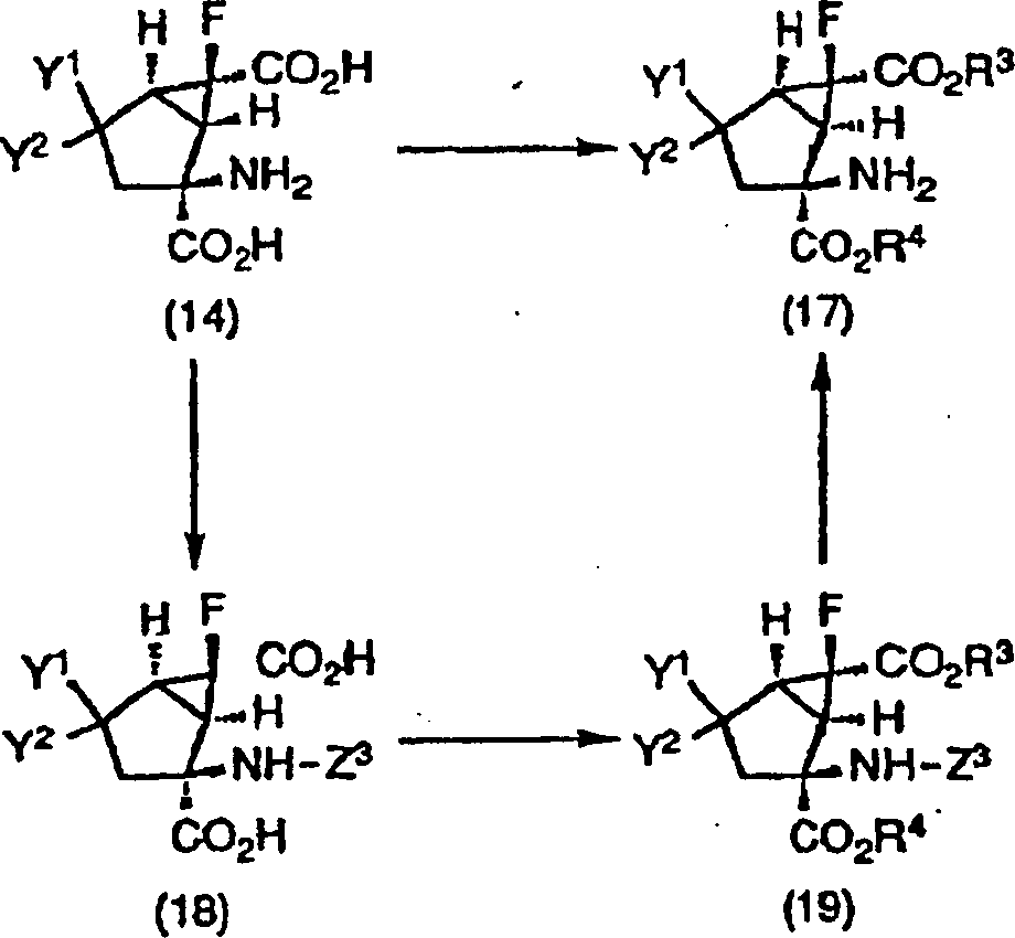
  • Wie in dem obigen Reaktionsschema gezeigt, kann die 4-substituierte-2-Amino-6-fluorbicyclo[3.1.0]hexan-2,6-dicarbonsäure (14), die eine Verbindung gemäß der vorliegenden Erfindung ist und als eine optisch aktive Substanz, ein Enantiomer oder racemischer Stoff vorliegt, in die Verbindung gemäß der vorliegenden Erfindung, dargestellt durch die Formel (17), der Esterform der 4-substituierten-2-Amino-6-fluorbicyclo[3.1.0]hexan-2,6-dicarbonsäure, die als eine optisch aktive Substanz, ein Enantiomer oder ein racemischer Stoff vorliegt, durch Veresterung mit bekannten Verfahren unter Verwendung von Alkoholen, dargestellt durch R3-OH oder R4-OH, umgewandelt werden; oder durch Umwandlung in die Verbindung der Formel (19) durch Veresterung mit bekannten Verfahren unter Verwendung von Alkylhalogeniden, dargestellt durch R3-X' oder R4-X' oder Alkoholen, dargestellt durch R3-OH oder R4-OH, nachdem sie in die Verbindung (18) durch Schützen einer Aminogruppe mit einer Schutzgruppe, dargestellt durch Z3, umgewandelt worden war, gefolgt von Entschützen der Schutzgruppe Z3 für die Aminogruppe.
  • Schützen, Verestern und Entschützen der Aminogruppe im obigen Fall kann gemäß normalen Verfahren durchgeführt werden ("Protective Groups in Organic Synthesis", von Theodora W. Greene und Peter G. M. Wuts).
  • Wenn die Verbindung (17) ein racemischer Stoff ist, kann er durch eine allgemeine optische Trennung unter Verwendung eines sauren chiralen Trennmittels optisch getrennt werden. Wenn die Verbindung (18) ein racemischer Stoff ist, kann er durch eine allgemeine optische Trennung unter Verwendung eines basischen chiralen Trennmittels optisch getrennt werden.
  • Hier kann man als das saure chirale Trennmittel optisch aktive organische Säuren, wie (+)- oder (–)-Di-p-Toluoylweinsäure, (+)- oder (–)-Dibenzoylweinsäure, (+)- oder (–)-Weinsäure, (+)- oder (–)-Mandelsäure, (+)- oder (–)-Camphersäure und (+)- oder (–)-Camphersulfonsäure, verwenden. Als das basische chirale Trennmittel kann man z.B. optisch aktive Amine, wie (+)- oder (–)-1-Phenylethylamin, (+)- oder (–)-2-Amino-1-butanol, (+)- oder (–)-Alaninol, Brucin, Cinchonidin, Cinchonin, Chinin, Chinidin, Dehydroabiethylamin, usw. verwenden.
  • Figure 00150001
  • Wie in dem obigen Reaktionsschema gezeigt, können die Z-Form (1) und E-Form (2) des Fluoracrylsäurederivats oder eine Mischung aus den Z- und E-Formen, dargestellt durch die Formel (23), erhalten werden, indem die Verbindung (22) durch die Umsetzung von γ-Butyrolactol (20) mit dem Phosphonoessigsäurederivat (21) hergestellt wird, gefolgt von Oxidation einer Hydroxylgruppe zu einer Carbonsäure, direkt oder nach Schützen der Hydroxylgruppe dargestellt.
  • Das Schützen der Hydroxylgruppe kann gemäß normalen Schutzverfahren für eine Hydroxylgruppe durchgeführt werden ("Protective Groups in Organic Synthesis", Theodora W. G. Greene und Peter G. M. Wuts). Als spezielle Ausführungsformen für die Oxidation können z.B. genannt werden die Direktoxidation zu einer Carbonsäure unter Verwendung von Oxidationsmitteln vom Chromtyp, wie Jones-Reagens, Pyridindichromat (PDC) oder Oxidationsmittel vom Mangantyp, wie Kaliumpermanganat; oder durch stufenweise Oxidation zu einer Carbonsäure durch z.B. Natriumchlorit usw. nach der Umwandlung in ein Aldehyd durch Oxidation mit z.B. Dimethylsulfoxid, wie Swern-Oxidation ("Oxidations in Organic Chemistry", American Chemical Society, Washington D.C., 1990, Milos Hudlicky).
  • Die Verbindungen (22), worin Z2 eine t-Butyldimethylsilylgruppe, eine t-Butyldiphenylsilylgruppe oder dergleichen ist, können in zwei Isomere der Z- und E-Form durch Anwendung von Silikagel-Säulenchromatographie usw. aufgetrennt werden.
  • Figure 00160001
  • Wie in dem obigen Reaktionsschema gezeigt, kann ferner die Z-Form (1) des Fluoracrylsäurederivats erhalten werden durch Oxidation mit oder ohne Entschützen der Schutzgruppe Z1 einer Hydroxylgruppe nach Herstellung der Verbindung (26) durch Umsetzung des Halogenids der Formel (24) und des Sulfoxidderivats (25).
  • Das Entschützen der Schutzgruppe Z1 kann gemäß normalen Verfahren durchgeführt werden (siehe "Protective Groups in Organic Synthesis", Theodora W. Greene und Peter G. M. Wuts). Als spezielle Ausführungsformen für die Oxidation können z.B. genannt werden Direktoxidation zu Carbonsäure unter Verwendung von Oxidationsmitteln vom Chromtyp, wie Jones-Reagens, Pyridindichromat (PDC) oder Oxidationsmitteln vom Mangantyp, wie Kaliumpermanganat; oder stufenweise Oxidation zu einer Carbonsäure durch z.B. Natriumchlorit usw. nach dem Umwandeln in ein Aldehyd durch Oxidation, wie z.B. Dimethylsulfoxid, wie Swern-Oxidation.
  • Aus den Verbindungen gemäß der vorliegenden Erfindung können pharmazeutische Präparate hergestellt werden, indem sie mit ein oder mehreren pharmazeutisch annehmbaren Trägern, Arzneistoffträgern oder Verdünnungsmitteln kombiniert werden. Beispiele für diese Träger, Arzneistoffträger und Verdünnungsmittel beinhalten Wasser, Lactose, Dextrose, Fructose, Saccharose, Sorbit, Mannit, Polyethylenglykol, Propylenglykol, Stärke, Gummi, Gelatine, Arginat, Calciumsilikat, Calciumphosphat, Cellulose, Wasser, Sirup, Methylcellulose, Polyvinylpyrrolidon, Alkylparahydroxybenzoat, Talk, Magnesiumstearat, Stearinsäure, Glycerin und Öle, wie Sesamöl, Olivenöl und Sojabohnenöl.
  • Die Verbindungen gemäß der vorliegenden Erfindung können, nachdem sie mit diesen Trägern, Arzneistoffträgern oder Verdünnungsmitteln und wenn notwendig mit Additiven, wie gewöhnlich verwendete Füllstoffe, Bindemittel, Abbaumittel, pH-Regulatoren und Lösungsvermittler, vermischt wurden, mittels gewöhnlicher Formulierungstechnologie als pharmazeutische Präparate zur oralen oder parenteralen Verabreichung, insbesondere als Präparate, die auf metabotrope Glutamatrezeptoren der Gruppe 2 wirken (metabotrope Glutamatrezeptoragonisten der Gruppe 2) und die psychiatrische oder neurologische Krankheiten verhindern oder behandeln, in solchen Formen, wie Tabletten, Pillen, Kapseln, Körner, Pulver, Flüssigkeiten, Emulsionen, Suspensionen, Salben, Injektionen und Hauptpflaster, hergestellt werden. Die Verbindungen gemäß dieser Erfindung können einem erwachsenen Patienten in einer Menge von 0,01 bis 500 mg als einzelne Dosis oder aufgeteilt in mehrere Dosen pro Tag oral oder parenteral verabreicht werden. Diese Dosis kann unter Berücksichtigung des zu behandelnden Krankheitstyps und des Alters, Gewicht und der Symptome des Patienten geeignet erhöht oder verringert werden.
  • Beste Weise zur Durchführung der Erfindung
  • Im Folgenden beschreiben wir diese Erfindung speziell durch die Darstellung von Arbeitsbeispielen und experimentellen Beispielen. Diese Erfindung ist jedoch dadurch nicht auf diese Beispiele limitiert.
  • Beispiel 1
  • Synthese von (1RS,5RS,6RS)Ethyl-6-fluor-2-oxobicyclo[3.1.0]hexan-6-carboxylat
  • (1) Unter einem Stickstofffluss mit Eiskühlung wurden 78,0 ml einer 1,00 M Tetrahydrofuranlösung aus Natrium-bis(trimethylsilyl)amid tropfenweise über 40 min zu einer Lösung aus 18,9 g Ethyldiethylphosphonofluoracetat in 75 ml Tetrahydrofuran zugetropft, und dann wurde die Mischung ferner für 45 min gerührt. Eine vorpräparierte Lösung aus γ-Butyrolactol (bei –78°C, unter einem Stickstofffluss, wurden 70,3 ml einer 1,01 M Toluollösung aus Aluminiumdiisobutylhydrid über 1,5 h tropfenweise zu 6,1 g γ-Butyrolacton in 75 ml Tetrahydrofuran zugegeben, und dann wurde die Mischung ferner bei dieser Temperatur für weitere 1,5 h gerührt) wurde tropfenweise über 30 min zu dieser Reaktionslösung zugegeben. Das Eisbad wurde nach der Zugabe weggenommen. Die Reaktionslösung wurde mit 120 ml 6 N Salzsäure gequencht, nachdem sie für 2 h bei Raumtemperatur und dann für 3 h bei 30°C gerührt worden war. Die Reaktionslösung wurde 2 Mal mit Ethylacetat extrahiert. Die erhaltenen organischen Schichten wurden vereinigt und über wasserfreiem Natriumsulfat getrocknet, nachdem sie mit einer gesättigten wässrigen Lösung aus Natriumchlorid gewaschen worden waren. Nach dem Abfiltrieren des Trocknungsmittels wurde die Konzentration des Filtrats unter reduziertem Druck durchgeführt. Der Rückstand wurde durch Säulenchromatographie gereinigt (Silikagel: Wako Gel C200 (hergestellt von Wako Pure Chemical Industries Ltd.), Eluent: Hexan-Ethylacetat = 4:1 bis 2:1), wodurch sich 7,9 g einer Mischung der Z- und E-Formen mit dem Verhältnis von etwa 1:3 von Ethyl-2-fluor-6-hydroxy-2-hexenoat ergaben.
  • Die Protonen-NMR-Daten der erhaltenen Verbindungen sind unten gezeigt.
    1H-NMR (CDCl3) δ (ppm): 1,34 (3H*1/4, t, J = 7,1 Hz), 1,36 (3H*3/4, t, J = 7,1 Hz), 1,73 (2H, quint., J = 6,6 Hz), 2,01 (1H, br. s), 2,30–2,41 (2H*1/4, m), 2,56–2,68 (2H*3/4, m), 3,63–3,73 (2H, m), 4,30 (2H*1/4, q, J = 7,1 Hz), 4,32 (2H*3/4, q, J = 7,1 Hz), 5,94 (1H*3/4, dt, J = 21,3, 8,7 Hz), 6,16 (1H*1/4, dt, J = 33,2, 8,1 Hz)
  • (2) 7,8 g der Mischung aus den Z- und E-Formen mit dem Verhältnis von etwa 1:3 von Ethyl-2-fluor-6-hydroxy-2-hexenoat und 14,6 g t-Butyldiphenylchlorsilan wurden in 40 ml N,N-Dimethylformamid gelöst, und dann wurden 4,5 g Imidazol unter Eiskühlung zugegeben. Die Reaktionslösung wurde auf Raumtemperatur erwärmt und dann mit Ethylacetat verdünnt. Nach dem aufeinanderfolgenden Waschen der organischen Schicht mit Wasser, einer gesättigten wässrigen Lösung von Ammoniumchlorid, einer gesättigten wässrigen Lösung von Natriumhydrogencarbonat und einer gesättigten wässrigen Lösung von Natriumchlorid wurde sie mit wasserfreiem Natriumsulfat getrocknet. Nach dem Abfiltrieren des Trocknungsmittels wurde Konzentration des Filtrats unter reduziertem Druck durchgeführt. Der Rückstand wurde in das jeweilige geometrische Isomer aufgetrennt und durch Säulenchromatographie gereinigt (Silikagel: MSG D-40-60A (hergestellt von Dokai Chemicals Ltd.), Eluent: Hexan-Ethylacetat = 50:1), wodurch sich 2,4 g Ethyl-2-fluor-6-t-butyldiphenylsilyloxy-2(Z)-hexenoat und 7,1 g Ethyl-2-fluor-6-t-butyldiphenylsilyloxy-2(E)-hexenoat ergaben.
  • Die Protonen-NMR- und massenspektroskopischen Daten von Ethyl-2-fluor-6-t-butyldiphenylsilyloxy-2(Z)-hexenoat sind unten gezeigt.
    1H-NMR (CDCl3) δ (ppm): 1,05 (9H, s), 1,33 (3H, t, J = 7,1 Hz), 1,61–1,76 (2H, m), 2,31–2,43 (2H, m), 3,68 (2H, t, J = 6,2 Hz), 4,27 (2H, q, J = 7,1 Hz), 6,14 (1H, dt, J = 33,4, 7,8 Hz), 7,33–7,48 (6H, m), 7,62–7,70 (4H, m), MS (Cl) (Pos) m/e: 415 (M++1), 357 (M+–57), 337 (M+–77, 100%)
  • Die Protonen-NMR- und massenspektroskopischen Daten von Ethyl-2-fluor-6-t-butyldiphenylsilyloxy-2(E)-hexanoat sind unten gezeigt.
    1H-NMR (CDCl3) δ (ppm): 1,05 (9H, s), 1,32 (3H, t, J = 7,1 Hz), 1,61–1,77 (2H, m), 2,56–2,69 (2H, m), 3,69 (2H, t, J = 6,3 Hz), 4,28 (2H, q, J = 7,1 Hz), 5,92 (1H, dt, J = 21,8, 8,1 Hz), 7,33–7,48 (6H, m), 7,62–7,70 (4H, m) MS (Cl) (Pos) m/e: 415 (M++1), 357 (M+–57), 337 (M+–77, 100%)
  • (3) 2,3 g Ethyl-2-fluor-6-t-butyldiphenylsilyloxy-2(Z)-hexenoat wurden in 12 ml Aceton gelöst, und dann wurden 9 ml 8 N Jones-Reagens unter Eiskühlung zugegeben. Nach dem Rühren der Reaktionslösung bei Raumtemperatur für 2,5 h wurde das überschüssige Reagens durch Zugabe von 2-Propanol zu der Reaktionslösung unter Eiskühlung gequencht. Die Reaktionsmischung wurde mit Ethylacetat verdünnt und dann mit Wasser gewaschen. Die wässrige Schicht wurde mit Ethylacetat extrahiert und die organische Schicht wurde insgesamt 2 Mal mit Wasser und mit einer gesättigten wässrigen Lösung von Natriumchlorid gewaschen, und dann wurde sie über wasserfreiem Natriumsulfat getrocknet. Nach dem Abfiltrieren des Trocknungsmittels wurde die Konzentration des Filtrats unter reduziertem Druck durchgeführt. Der Rückstand wurde durch Säulenchromatographie gereinigt (Silikagel: Wako Gel C200 (hergestellt von Wako Chemical Industries Ltd.), Eluent: Hexan-Ethylacetat = 3:1), wodurch sich 970 mg Ethyl-2-fluor-5-carboxy-2(Z)-pentenoat ergaben.
  • Die Protonen-NMR- und massenspektroskopischen Daten sind unten gezeigt.
    1H-NMR (CDCl3) δ (ppm): 1,34 (3H, t, J = 7,1 Hz), 2,46–2,60 (4H, m), 4,29 (2H, q, J = 7,1 Hz), 6,03–6,27 (1H, m)
    MS (Cl) (Pos) m/e: 191 (M++1, 100%).
  • Ebenso wurde Ethyl-2-fluor-5-carboxy-2(E)-pentenoat erhalten. Die Protonen-NMR- und massenspektroskopischen Daten sind unten gezeigt.
    1H-NMR (CDCl3) δ (ppm): 1,36 (3H, t, J = 7,1 Hz), 2,54 (2H, t, J = 7, 3 Hz), 2, 78–2,90 (2H, m), 4,32 (2H, q, J = 7,1 Hz), 5,98 (1H, dt, J = 20,5, 8,2 Hz)
    MS (Cl) (Pos) m/e: 191 (M++1), 173 (M+–17, 100%)
  • (4) 920 mg Ethyl-2-fluor-5-carboxy-2(Z)-pentenoat und 1,3 ml Oxalylchlorid wurden in Hexan unter Rückfluss für 3 h erwärmt. Die Reaktionslösung wurde unter reduziertem Druck konzentriert und unter Verwendung einer Vakuumpumpe getrocknet. Eine Etherlösung mit einem Überschuss an Diazomethan wurde tropfenweise zu dem erhaltenen Rückstand unter Eiskühlung zugegeben, dies wurde bei Raumtemperatur für 1 h gerührt. Nach Filtration der Reaktionslösung wurde das Filtrat unter reduziertem Druck konzentriert. Der erhaltene Rückstand wurde in 10 ml Benzol gelöst, und dies wurde tropfenweise über 30 min zu 120 ml Benzollösung von 40 mg Kupfer(II)-bis(N-t-butylsalicylaldiimidat) unter Wärmerefluxieren zugegeben. Die Reaktionslösung wurde auf Raumtemperatur abgekühlt und unter reduziertem Druck konzentriert. Der Rückstand wurde durch Säulenchromatographie gereinigt (Silikagel: Wako Gel C200 (hergestellt von Wako Chemical Industries Ltd.), Eluent: Hexan-Aceton = 9:1), wodurch sich 263 mg (1RS,5RS,6RS)-Ethyl-6-fluor-2-oxobicyclo[3.1.0]hexan-6-carboxylat ergaben.
  • Die Protonen-NMR- und massenspektroskopischen Daten sind unten gezeigt.
    1H-NMR (CDCl3) δ (ppm): 1,33 (3H, t, J = 7,1 Hz), 2,05–2,55 (4H, m), 2,59 (1H, d, J = 6,6 Hz), 2,70–2,77 (1H, m); 4,30 (2H, q, J = 7,1 Hz)
    MS (IonSpray) (Pos) m/e: 187 (M++1), 204 (M++18), 209 (M++23, 100%)
  • Genauso wurde (1RS,5RS,6RS)Ethyl-6-fluor-2-oxobicyclo[3.1.0]hexan-6-carboxylat erhalten. Die Protonen-NMR- und massenspektroskopischen Daten sind unten gezeigt.
    1H-NMR (CDCl3) δ (ppm): 1,36 (3H, t, J = 7,1 Hz), 2,00–2,80 (6H, m), 4,32 (2H, q, J = 7,1 Hz)
    MS (IonSpray) (Pos) m/e: 187 (M++1, 100%)
  • Beispiel 2
  • Synthese von (1RS,5RS,6RS)Ethyl-6-fluor-2-oxobicyclo[3.1.0]hexan-6-carboxylat
  • (1) 3,7 g 60%iges Natriumhydrid (ölig) wurden in 85 ml N,N-Dimethylformamid suspendiert und dann wurden 19,6 g Ethylphenylsulfinylfluoracetat in 35 ml N,N-Dimethylformamid tropfenweise über 30 min unter Eiskühlung zugegeben. Nach der Zugabe wurde das Rühren für 30 min unter Eiskühlung fortgesetzt, und dann wurde weiteres Rühren für 30 min bei Raumtemperatur fortgesetzt. Unter Eiskühlung wurden 20,2 g 1-Brom-4-tetrahydropyranyloxybutan auf einmal dazugegeben, und dann wurde das Rühren bei Raumtemperatur für 4 h und bei 95 bis 110°C für 1 h fortgesetzt. Nach dem Abkühlen der Reaktionslösung auf Raumtemperatur wurde sie in Eiswasser gefüllt und mit 10%igem Hexan-Ethylacetat extrahiert. Die erhaltenen organischen Schichten wurden über wasserfreiem Natriumsulfat getrocknet, nachdem sie mit Wasser und einer gesättigten wässrigen Natriumchlorid-Lösung gewaschen worden waren. Nach dem Abfiltrieren des Trocknungsmittels wurde Konzentration des Filtrats unter reduzierten Druck durchgeführt. Der Rückstand wurde durch Säulenchromatographie gereinigt (Silikagel: Wako Gel C200 (hergestellt von Wako Pure Chemical Industries Ltd.), Eluent: Hexan- Ethylacetat = 15:1) und (Silikagel: MSG D-40-60A (hergestellt von Dokai Chemicals Ltd.), Eluent: Hexan-Aceton = 20:1), wodurch sich 7,4 g Ethyl-2-fluor-6-tetrahydropyranyloxy-2(Z)-hexenoat ergaben.
  • Die Protonen-NMR- und massenspektroskopischen Daten sind unten gezeigt.
    1H-NMR (CDCl3) δ (ppm): 1,33 (3H, t, J = 7,1 Hz), 1,46–1,90 (8H, m), 2,30–2,41 (2H, m), 3,33–3,57 (2H, m), 3,72–3,90 (2H, m), 4,28 (2H, q, J = 7,1 Hz), 4,57–4,60 (1H, m), 6,17 (1H, dt, J = 33,3, 7,8 Hz)
    MS (CI) (Pos) m/e: 261 (M++1), 85 (M+–175, 100%)
  • (2) 4,7 g Ethyl-2-fluor-5-carboxy-2(Z)-pentenoat wurden gemäß Schritt (3) aus Beispiel 1 erhalten.
  • Die Protonen-NMR- und massenspektroskopischen Daten sind unten gezeigt.
    1H-NMR (CDCl3) δ (ppm): 1,34 (3H, t, J = 7,1 Hz), 2,46–2,60 (4H, m), 4,29 (2H, q, J = 7, 1 Hz), 6,03–6,27 (1H, m)
    MS (CI) (Pos) m/e: 191 (M++1, 100%)
  • (3) 2,8 g (1RS,5RS,6RS)Ethyl-6-fluor-2-oxobicyclo[3.1.0]hexan-6-carboxylat wurden gemäß Schritt (4) aus Beispiel 1 erhalten.
  • Die Protonen-NMR- und massenspektrometrischen Daten sind unten gezeigt.
    1H-NMR (CDCl3) δ (ppm): 1,33 (3H, t, J = 7,1 Hz), 2,05–2,55 (4H, m), 2,59 (1H, d, J = 6,6 Hz), 2,70–2,77 (1H, m), 4,30 (2H, q, J = 7,1 Hz)
    MS (IonSpray) (Pos) m/e: 187 (M++1), 204 (M++18), 209 (M++23, 100%)
  • Beispiel 3
  • Synthese von (1R*,5R*,6R*)Ethyl-6-fluor-2-oxobicyclo[3.1.0]hexan-6-carboxylat
  • 919 mg (1RS,5RS,6RS)Ethyl-6-fluor-2-oxobicyclo[3.1.0]hexan-6-carboxylat, das gemäß Schritt (4) aus Beispiel 1 erhalten wurde, wurde unter Verwendung von HPLC mit CHIRALPAK AD (hergestellt von Daicel Chemicals Industries Ltd., 2,0·25 cm, Eluent: n-Hexan/2-Propanol = 3:1, Flussrate: 5,0 ml/min, Temp.: Raumtemperatur, Nachweis: UV 210 nm) getrennt, wodurch sich 423 mg (+)-(1R*,5R*,6R*)Ethyl-6-fluor-2-oxobicyclo[3.1.0]hexan-6-carboxylat und 405 mg (–)-(1R*,5R*,6R*)Ethyl-6-fluor-2-oxobicyclo[3.1.0]hexan-6-carboxylat ergaben.
    (+)-(1R*,5R*,6R*)Ethyl-6-fluor-2-oxobicyclo[3.1.0]hexan-6-carboxylat
    1H-NMR (CDCl3) δ (ppm): 1,33 (3H, t, J = 7,1 Hz), 2,05–2,55 (4H, m), 2,59 (1H, d, J = 6,6 Hz), 2,70–2,77 (1H, m), 4,30 (2H, q, J = 7,1 Hz)
    MS (IonSpray) (Pos) m/e: 187 (M++1), 204 (M++18), 209 (M++23, 100%
    TR = 5,65 min (CHIRALPAK AD 0,46·25 cm, Eluent: n-Hexan/2-Propanol = 3:1, Flussrate: 1,0 ml/min, Temperatur: Raumtemperatur, Nachweis: UV 210 nm) [α]D 27 = +27,98 (c = 0,13, CHCl3) (–)-(1R*,5R*,6R*)Ethyl-6-fluor-2-oxobicyclo[3.1.0]hexan-6-carboxylat
    1H-NMR (CDCl3) δ (ppm): 1,33 (3H, t, J = 7,1 Hz), 2,05–2,55 (4H, m), 2,59 (1H, d, J = 6,6 Hz), 2,70–2,77 (1H, m), 4,30 (2H, q, J = 7,1 Hz)
    MS (IonSpray) (Pos) m/e: 187 (M++1), 204 (M++18), 209 (M++23, 100%
    TR = 9,13 min (CHIRALPAK AD 0,46·25 cm, Eluent: n-Hexan/2-Propanol = 3:1, Flussrate: 1,0 ml/min, Temperatur: Raumtemperatur, Nachweis: UV 210 nm)
    [α]D 27 = –30,33 (c = 0,16, CHCl3)
  • Beispiel 4
  • Synthese von (1RS,2SR,5RS,6RS)-2-Spiro-5'-hydantoin-6-fluorbicyclo[3.1.0]hexan-6-carbonsäure
  • 256 mg (1RS,5RS,6RS)Ethyl-6-fluor-2-oxobicyclo[3.1.0]hexan-6-carboxylat wurden in 2,5 ml Ethanol gelöst. 1,4 ml wässrige 1 N Natriumhydroxidlösung wurden tropfenweise unter Eiskühlung dazugegebe, und dann wurde das Rühren bei dieser Temperatur für 10 min fortgesetzt. Nach dem Ansäuern der Reaktionslösung mit 1 N Salzsäure (pH war fast gleich 1) wurde mit Ethylacetat verdünnt und mit einer gesättigten wässrigen Natriumchloridlösung gewaschen. Die wässrige Schicht wurde 2 Mal mit Ethylacetat extrahiert und die erhaltenen organischen Schichten wurden vereinigt, um sie über wasserfreiem Natriumsulfat zu trocknen. Nach dem Abfiltrieren des Trocknungsmittels wurde Konzentration des Filtrats unter reduziertem Druck durchgeführt. Der erhaltene Rückstand wurde in 2 ml einer Mischung aus Wasser und Ethanol (1:1) gelöst, und dann wurde er bei 55°C für 8,5 h gerührt, nachdem 796 mg Ammoniumcarbonat und 277 mg Kaliumcyanid dazugegeben worden waren. Die Reaktionsmischung wurde eisgekühlt und dann wurde sie durch Zugabe von konzentrierter Salzsäure neutralisiert. Sie wurde durch Ionenaustauschchromatographie gereinigt (AG50W-X8 Kationenaustauschharz (Bio-Rad), Eluent: Wasser), wodurch sich 320 mg (1RS,2SR,5RS,6RS)-2-Spiro-5'-hydantoin-6-fluorbicyclo[3.1.0]hexan-6-carbonsäure ergaben. Die Protonen-NMR- und massenspektroskopischen Daten sind unten gezeigt.
    1H-NMR (DMSO-d6) δ (ppm): 1,49–1,70 (1H, m), 1,93–2,40 (5H, m), 8,08 (1H, s), 10,71 (1H, s)
    MS (CI) (Pos) m/e: 229 (M++1, 100%)
  • Genauso wurden die folgenden Verbindungen erhalten. Die Daten der physikalischen Eigenschaften für jede sind unten zusammen gezeigt.
    (1RS,2SR,5RS,6SR)-2-Spiro-5'-hydantoin-6-fluorbicyclo[3.1.0]hexan-6-carbonsäure
    1H-NMR (DMSO-d6) δ (ppm): 1,80–2,38 (6H, m), 7,34 (1H, s), 10,74 (1H, s)
    MS (CI) (Pos) m/e: 229 (M++1, 100%)
    (+)-(1R*,2S*,6R*)-2-Spiro-5'-hydantoin-6-fluorbicyclo[3.1.0]hexan-6-carbonsäure
    1H-NMR (DMSO-d6) δ (ppm): 1,49–1,70 (1H, m), 1,93–2,40 (5H, m), 8,08 (1H, s), 10,71 (1H, s)
    MS (CI) (Pos) m/e: 229 (M++1, 100%)
    [α]D 25,5 = + 77,87 (c = 0,43, 1 N NaOH)
    (–)-(1R*,2S*,5R*,6R*)-2-Spiro-5'-hydantoin-6-fluorbicyclo[3.1.0]hexan-6-carbonsäure
    1H-NMR (DMSO-d6) δ (ppm): 1,49–1,70 (1H, m), 1,93–2,40 (5H, m), 8,08 (1H, s), 10,71 (1H, s)
    MS (CI) (Pos) m/e: 229 (M++1, 100%)
    [α]D 25,5 = –77,30 (c = 0,41, 1 N NaOH)
  • Beispiel 5
  • Synthese von (1RS,2SR,5RS,6RS)-2-Amino-6-fluorbicyclo[3.1.0]hexan-2,6-dicarbonsäure
  • 200 mg (1RS,2SR,5RS,6RS)-2-Spiro-5'-hydantoin-6-fluorbicyclo[3.1.0]hexan-6-carbonsäure wurden in 3,0 ml einer 60%igen Schwefelsäure bei 140°C für 6 Tage gerührt. Nach Eiskühlung und Neutralisierung der Reaktionslösung mit wässriger 5 N Natriumhydroxidlösung wurde sie durch Ionenaustauschchromatographie gereinigt (AG50W-X8 Kationenaustauschharz (Bio-Rad), Eluent: Wasser-50% THF/Wasser-10% Pyridin/Wasser), wodurch sich 61 mg (1RS,2SR,5RS,6RS)-2-Amino-6-fluorbicyclo[3.1.0]hexan-2,6-dicarbonsäure ergaben. Die Protonen-NMR- und massenspektroskopischen Daten sind unten gezeigt.
    1H-NMR (TFA-d) δ (ppm): 2,15–2,28 (1H, m), 2,57 (1H, dd, J = 13,5, 8,6 Hz), 2,67–2,94 (4H, m)
    MS (IonSpray) (Nega) m/e: 202 (M+–1, 100%)
  • Genauso wurden die folgenden Verbindungen erhalten. Die Daten der physikalischen Eigenschaften für jede sind zusammen gezeigt. (1RS,2SR,5RS,6SR)-2-Amino-6-fluorbicyclo[3.1.0]hexan-2,6-dicarbonsäure
    1H-NMR (TFA-d) δ (ppm): 2,36–2,54 (2H, m), 2,58–2,87 (4H, m)
    MS (CI) (IonSpray) (Nega) m/e: 202 (M+–1, 100%)
    (–)-(1R*,2S*,5R*,6R*)-2-Amino-6-fluorbicyclo[3.1.0]hexan-2,6-dicarbonsäure
    1H-NMR (TFA-d) δ (ppm): 2,15–2,28 (1H, m), 2,57 (1H, dd, J = 13,5, 8,6 Hz), 2,67–2,99 (4H, m)
    MS (IonSpray) (Nega) m/e: 202 (M+–1, 100%)
    [α]D 26 = –58,81 (c = 0,14, H2O)
    (+)-(1R*,2S*,5R*,6R*)-2-Amino-6-fluorbicyclo[3.1.0]hexan-2,6-dicarbonsäure
    1H-NMR (TFA-d) δ (ppm): 2,15–2,28 (1H, m), 2,57 (1H, dd, J = 13,5, 8,6 Hz), 2,67–2,94 (4H, m)
    MS (IonSpray) (Nega) m/e: 202 (M+–1, 100%)
    [α]D 26 = +57,49 (c = 0,16, H2O)
  • Beispiel 6
  • Synthese von (1RS,5RS,6RS)Ethyl-6-fluor-2-oxobicyco[3.1.0]hex-3-en-6-carboxylat
  • Unter einer Stickstoffatmosphäre wurden 19,5 g (1RS,5RS,6RS)Ethyl-6-fluor-2-oxobicyclo[3.1.0]hexan-6-carboxylat, gelöst in 230 ml Tetrahydrofuran, bei –78°C tropfenweise zu 230 ml einer Tetrahydrofuranlösung von Lithium-bis(trimethylsilyl)amid, die aus 78 ml n-Butyllithium (1,61 M Hexanlösung) und 20,3 g 1,1,1,3,3,3-Hexamethyldisilazan hergestellt wurde, zugegeben. Nach Rühren bei dieser Temperatur für 1 h wurden 19,8 ml Chlortrimethylsilan zugegeben, und dies wurde bei Raumtemperatur für 1,5 h gerührt. Nach dem Durchführen von Konzentration der Reaktionslösung unter reduziertem Druck wurde wasserfreies Hexan zu dem Rückstand zugegeben. Das resultierende anorganische Salz wurde abfiltriert und das Filtrat wurde weiter unter reduziertem Druck konzentriert. Nachdem der Rückstand in 240 ml Acetonitril gelöst worden war, wurden 25,9 g Palladiumacetat zugegeben, und dann wurde dies bei Raumtemperatur für 1 Tag gerührt. Die Reaktionslösung wurde mit 240 ml Diethylether verdünnt, das Palladium wurde unter Verwendung von Celite abfiltriert und das Filtrat wurde unter reduziertem Druck konzentriert. Der Rückstand wurde durch Säulenchromatographie (Silikagel: Wako Gel C200 (hergestellt von Wako Pure Chemical Industries Ltd.), Eluent: Hexan-Ethylacetat = 9:1 bis 5:1) gereinigt, wodurch sich 17,1 g (1RS,5RS,6RS)Ethyl-6-fluor-2-oxobicyclo[3.1.0]hex-3-en-6-carboxylat ergaben.
  • Die Protonen-NMR- und massenspektroskopischen Daten sind unten gezeigt.
    1H-NMR (CDCl3) δ (ppm): 1,39 (3H, t, J = 7,3 Hz), 2,78 (1H, dt, J = 0,6, 5,8 Hz), 3,22 (1H, dd, J = 2,9, 5,8 Hz), 4,31 (2H, q, J = 7,3 Hz), 6,07 (1H, dd, J = 0,6, 5,6 Hz), 7,42 (1H, ddd, J = 0,6, 2,9, 5,6 Hz)
    MS (CI) (Pos) m/e: 185 (M++1, 100%)
  • Beispiel 7
  • Synthese von (1RS,3RS,4RS,5SR,6RS)Ethyl-3,4-epoxy-6-fluor-2-oxobicyclo[3.1.0]hexan-6-carboxylat
  • 19,6 g (1RS,5RS,6RS)Ethyl-6-fluor-2-oxobicyco[3.1.0]hex-3-en-6-carboxylat wurden in 100 ml Toluol gelöst: 30,6 ml einer wässrigen 70%igen t-Butylhydroxyperoxidlösung und 11,5 ml einer 10%igen Benzyltrimethylammoniumhydroxid/Methanol-Lösung wurden dazugegeben, und dies wurde bei Raumtemperatur für 4 h gerührt. Nachdem die Reaktionslösung in Wasser gefüllt worden war, wurde sie 2 Mal mit Ethylacetat extrahiert. Die erhaltenen organischen Schichten wurden vereinigt, um sie mit einer gesättigten wässrigen Natriumchloridlösung zu waschen und wurden über wasserfreiem Natriumsulfat getrocknet. Nach dem Abfiltrieren des Trocknungsmittels wurde Konzentration des Filtrats unter reduziertem Druck durchgeführt. Der Rückstand wurde durch Säulenchromatographie (Silikagel: Wako Gel C200 (hergestellt von Wako Pure Chemical Industries Ltd.), Eluent: Hexan-Ethylacetat = 8:1 bis 6:1) gereinigt, wodurch sich 13,4 g (1RS,3RS,4RS,5SR,6RS)Ethyl-3,4-epoxy-6-fluor-2-oxobicyco[3.1.0]hexan-6-carboxylat ergaben.
  • Die Protonen-NMR- und massenspektroskopischen Daten sind unten gezeigt.
    1H-NMR (CDCl3) δ (ppm): 1,34 (3H, t, J = 7,3 Hz), 2,50 (1H, ddt, J = 0,8, 2,4 6,0 Hz), 3,19 (1H, dt, J = 0,8, 6,0 Hz), 3,53 (1H, dt, J = 0,8, 2,4 Hz), 4,02 (1H, tt, J = 0,8, 2,4 Hz), 4,32 (2H, q, J = 7,3 Hz)
    MS (EI) (Pos) m/e: 99 (M+–101, 100%), 200 (M+)
  • Beispiel 8
  • Synthese von (1RS,4SR,5SR,6RS)Ethyl-6-fluor-4-hydroxy-2-oxobicyclo[3.1.0]hexan-6-carboxylat
  • Unter einer Stickstoffatmosphäre wurden 23,2 g N-Acetyl-L-cystein, 54,3 g Natriumtetraboratdecahydrat und 0,7 g Diphenyldiselenid in 450 ml einer Wasser-Ethanol(1:1)-Mischlösung, die entgast worden war, suspendiert. 9,5 g (1RS,3RS,4RS,5SR,6RS)Ethyl-3,4-epoxy-6-fluor-2-oxobicyclo[3.1.0]hexan-6-carboxylat, gelöst in 225 ml Tetrahydrofuran, wurden dazugegeben, und dies wurde bei Raumtemperatur für 1 Tag bei 38°C für 12 h und bei 85°C für 5 h gerührt. Nachdem die Reaktionslösung auf Raumtemperatur abgekühlt worden war, wurde sie in Wasser gefüllt und 3 Mal mit Diethylether extrahiert. Die erhaltenen organischen Schichten wurden vereinigt und über wasserfreiem Natriumsulfat getrocknet. Nach Abfiltration des Trocknungsmittels wurde Konzentration des Filtrats unter reduziertem Druck durchgeführt. Der Rückstand wurde durch Säulenchromatographie (Silikagel: Wako Gel (hergestellt von Wako Pure Chemical Industries Ltd.), Eluent: Hexan-Ethylacetat = 3:1 bis 1:1) gereinigt, wodurch sich 3,9 g (1RS,4SR,5SR,6RS)Ethyl-6-fluor-4-hydroxy-2-oxobicyclo[3.1.0]hexan-6-carboxylat ergaben.
  • Die Protonen-NMR- und massenspektroskopischen Daten sind unten gezeigt.
    1-NMR (CDCl3) δ (ppm): 1,34 (3H, t, J = 7,1 Hz), 2,05 (1H, d, J = 5,1 Hz), 2,30 (1H, dd, J = 3,5, 19,2 Hz), 2,63 (1H, dt, J = 5,9, 19,2 Hz), 2,72 (1H, d, J = 5,9 Hz), 2,85 (1H, dd, J = 2,1, 5,9 Hz), 4,31 (2H, q, J = 7,1 Hz), 4,76 (1H, t, J = 5,1 Hz)
    MS (EI) (Pos) m/e: 129 (M+–73, 100%), 202 (M+)
  • Beispiel 9
  • Synthese von (1RS,4SR,5SR,6RS)Ethyl-6-fluor-4-t-butyldimethylsilyloxy-2-oxobicyclo[3.1.0]hexan-6-carboxylat
  • 2,8 g (1RS,4SR,5SR,6RS)Ethyl-6-fluor-4-hydroxy-2-oxobicyco[3.1.0]hexan-6-carboxylat und 2,5 g t-Butyldimethylchlorsilan wurden in 14 ml N,N-Dimethylformamid gelöst. 1,0 g Imidazol wurde ferner unter Eiskühlung dazugegeben, und dies wurde bei Raumtemperatur für 1 Tag gerührt. Die Reaktionslösung wurde in Wasser gefüllt und mit n-Hexan-Ethylacetat (1:9) extrahiert. Die erhaltene organische Schicht wurde nacheinander mit Wasser und einer gesättigten wässrigen Natriumchloridlösung gewaschen und dann über wasserfreiem Natriumsulfat getrocknet. Nach Abfiltration des Trocknungsmittels wurde Konzentration des Filtrats unter einem reduziertem Druck durchgeführt. Der Rückstand wurde durch Säulenchromatographie (Silikagel: Wako Gel (hergestellt von Wako Pure Chemical Industries Ltd.), Eluent: Hexan-Ethylacetat = 15:1) gereinigt, wodurch sich 3,8 g (1RS,4SR,5SR,6RS)Ethyl-6-fluor-4-t-butyldimethylsilyloxy-2-oxobicyclo[3.1.0]hexan-6-carboxylat ergaben. Die Protonen-NMR- und massenspektroskopischen Daten sind unten gezeigt.
    1-NMR (CDCl3) δ (ppm): 0,11 (3H, s), 0,13 (3H, s), 0,90 (9H, s), 1,33 (3H, t, J = 7,1 Hz), 2,21 (1H, dd, J = 9,0, 19,1 Hz), 2,57 (1H, dt, J = 5,6, 19,1 Hz), 2,60–2,72 (4H, m), 4,31 (2H, q, J = 7,1 Hz), 4,66 (1H, d, J = 5,6 Hz)
    MS (CI) (Pos) m/e: 259 (M+–57, 100%), 317 (M++1)
  • Beispiel 10
  • Synthese von (1RS,4RS,5RS,6SR)Ethyl-2,2-ethylendithio-6-fluor-4-hydroxybicyclo[3.1.0]hexan-6-carboxylat
  • 3,7 g (1RS,4SR,5SR,6RS)Ethyl-6-fluor-4-t-butyldimethylsilyloxy-2-oxobicyclo[3.1.0]hexan-6-carboxylat und 1,2 ml 1,2-Ethandithiol wurden in 37 ml Chloroform gelöst. Trifluorboran-Diethylether-Komplex wurde tropfenweise zugegeben, und dies wurde bei Raumtemperatur für 1 Tag gerührt. Die Reaktionslösung wurde nacheinander mit einer gesättigten wässrigen Natriumhydrogencarbonatlösung und einer gesättigten wässrigen Natriumchloridlösung gewaschen und dann über wasserfreiem Natriumsulfat getrocknet. Nach Abfiltration des Trocknungsmittels wurde Konzentration des Filtrats unter reduziertem Druck durchgeführt. Der Rückstand wurde durch Säulenchromatographie (Silikagel: Wako Gel (hergestellt von Wako Pure Chemical Industries Ltd.), Eluent: Hexan-Ethylacetat = 2:1) gereinigt, wodurch sich 3,2 g (1RS,4RS,5RS,6SR)Ethyl-2,2-ethylendithio-6-fluor-4-hydroxybicyclo[3.1.0]hexan-6-carboxylat ergaben. Die Protonen-NMR- und massenspektroskopischen Daten sind unten gezeigt.
    1-NMR (CDCl3) δ (ppm): 1,32 (3H, t, J = 7,1 Hz), 2,07 (1H, d, J = 7,1 Hz), 2,38–2,69 (4H, m), 3,33–3,45 (4H, m), 4,27 (2H, q, J = 7,1 Hz), 4,50 (1H, dd, J = 5,5, 7,1 Hz)
    MS (EI) (Pos) m/e: 131 (M+–147, 100%), 278 (M+)
  • Beispiel 11
  • Synthese von (1RS,5RS,6SR)Ethyl-4,4-ethylendithio-6-fluor-2-oxobicyclo[3.1.0]hexan-6-carboxylat
  • 3,1 g (1RS,4RS,5RS,6SR)Ethyl-2,2-ethylendithio-6-fluor-4-hydroxybicyclo[3.1.0]hexan-6-carboxylat und 9,0 g Dicyclohexylcarbodiimid wurden in 116 ml Dimethylsulfoxid gelöst. Nacheinander wurden 1,2 ml Pyridin und 0,6 ml Trifluoressigsäure tropfenweise zugegeben, und dies wurde bei Raumtemperatur für 1 Tag gerührt. Nach Abfiltration des resultierenden Harnstoffs wurde er mit Ethylacetat gewaschen. Das Filtrat wurde mit Ethylacetat verdünnt, 3 Mal mit Wasser und mit einer gesättigten wässrigen Natriumchloridlösung gewaschen und dann über wasserfreiem Natriumsulfat getrocknet. Nach Abfiltration des Trocknungsmittels wurde Konzentration des Filtrats unter reduziertem Druck durchgeführt. Der Rückstand wurde durch Säulenchromatographie (Silikagel: Wako Gel (hergestellt vgon Wako Pure Chemical Industries Ltd.), Eluent: Hexan-Ethylacetat = 5:1) gereinigt, wodurch sich 2,6 g (1RS,5RS,6SR)Ethyl-4,4- ethylendithio-6-fluor-2-oxobicyclo[3.1.0]hexan-6-carboxylat ergaben. Die Protonen-NMR- und massenspektroskopischen Daten sind unten gezeigt.
    1-NMR (CDCl3) δ (ppm): 1,35 (3H, t, J = 7,1 Hz), 2,79 (1H, d, J = 6,3 Hz), 2,86–3,08 (2H, m), 3,18 (1H, dd, J = 1,9, 6,3 Hz), 3,38–3,53 (4H, m), 4,31 (2H, q, J = 7,1 Hz)
    MS (EI) (Pos) m/e: 131 (M+–145, 100%), 276 (M+)
  • Beispiel 12
  • Synthese von (1R*,2S*,5R*,65*)-2-Spiro-5'-hydantoin-4,4-ethylendithio-6-fluor-N-((R)-1-phenylethyl)bicyclo[3.1.0]hexan-6-carboxyamid
  • (1) 1,3 g (1RS,5RS,6SR)Ethyl-4,4-ethylendithio-6-fluor-2-oxobicyclo[3.1.0]hexan-6-carboxylat wurden in 5,0 ml Ethanol gelöst. Unter Eiskühlung wurden 5,0 ml wässrige 1 N Natriumhydroxidlösung tropfenweise zugegeben, und dies wurde bei Raumtemperatur für 15 min gerührt. Nach Erwärmen der Reaktionslösung auf Raumtemperatur wurden 1,1 g Ammoniumcarbonat und 350 mg Kaliumcyanid zugegeben, und dann wurde dies bei 37°C für 3 Tage gerührt. Nach Eiskühlung und Einstellen des pHs der Reaktionsmischung auf 1 durch Zugabe von konzentrierter Salzsäure wurden 5 ml Ethanol zugegeben und Rühren bei dieser Temperatur für 1 h fortgesetzt. Nach Abfiltrieren der resultierenden Kristalle und Waschen mit einer Mischlösung aus Ethanol/Wasser (2:1) wurde dies bei 80°C getrocknet, wodurch sich 1,1 g (1RS,2SR,5RS,6SR)-2-Spiro-5'-hydantoin-4,4-ethylendithio-6-fluorbicyclo[3.1.0]hexan-6-carbonsäure ergaben. Die Protonen-NMR- und massenspektroskopischen Daten sind unten gezeigt.
    1H-NMR (DMSO-d6) δ (ppm): 2,37–2,50 (2H, m), 2,68 (1H, dd, J = 1,9, 6,9 Hz), 2,76 (1H, dd, J = 4,2, 15,4 Hz), 3,28–3,50 (4H, m), 8,10 (1H, s), 10,78 (1H, s).
    MS (ES) (Nega) m/e: 317 (M+–1, 100%)
  • (2) 5,7 g (1RS,2SR,5RS,6SR)-2-Spiro-5'-hydantoin-4,4-ethylendithio-6-fluorbicyclo[3.1.0]hexan-6-carbonsäure und 2,6 g (R)-(+)-1-Phenylethylamin wurden in 240 ml Dimethylformamid gelöst. 3,4 g 1-Hydroxybenzotriazol-Monohydrat und 4,1 g 1-Ethyl-3-(3-dimethylaminopropyl)carbodiimid-Hydrochlorid wurden unter Eiskühlung dazugegeben, und Rühren wurde bei Raumtemperatur für 1 Tag fortgesetzt. Nach Zugeben von 1 N Salzsäure zu der Reaktionslösung und 4-maligem Extrahieren mit Ethylacetat wurde sie über wasserfreiem Natriumsulfat getrocknet. Nach Abfiltrieren des Trocknungsmittels wurde Konzentration unter reduziertem Druck durchgeführt. Der Rückstand wurde durch Chromatographie behandelt (Silikagel: MSG D-40-60A (hergestellt von Dokai Chemicals Ltd.), Eluent: Chloroform-Methanol = 50:1), wodurch sich 3,5 g eines niedrigpolaren Diastereomers (1R*,2S*,5R*,6S*)-2-Spiro-5'-hydantoin-4,4-ethylendithio-6-fluor-N-((R)-1-phenylethyl)bicyclo[3.1.0]hexan-6-carboxyamid ergaben (Rf-Wert 0,74 (TLC: Silikagel 60 F254 (hergestellt von Merck), Eluent: Chloroform-Methanol = 9:1)), und 3,5 g eines polaren Diastereomers (1R*,2S*,5R*,6S*)-2-Spiro-5'-hydantoin-4,4-ethylendithio-6-fluor-N-((R)-1-phenylethyl)bicyclo[3.1.0]hexan-6-carboxyamid (Rf-Wert 0,69 (TLC: Silikagel 60 F254 (hergestellt von Merck), Eluent: Chloroform-Methanol = 9:1)). Der Schmelzpunkt und der spezifische optische Rotationswert jeder Verbindung sind unten gezeigt.
  • Das niedrigpolare Diastereomer
    Schmelzpunkt 288–289°C
    [α]D 26 = +62,55 (c = 0,21, MeOH)
  • Das polare Diastereomer
    Schmelzpunkt 315–316°C
    [α]D 26 = +52,58 (c = 0,24, MeOH)
  • Beispiel 13
  • Synthese von (1RS,2SR,5SR,6SR)-2-Amino-6-fluor-4-oxobicyclo[3.1.0]hexan-2,6-dicarbonsäure
  • 500 mg (1RS,2SR,5RS,6SR)-2-Spiro-5'-hydantoin-4,4-ethylendithio-6-fluorbicyclo[3.1.0]hexan-6-carbonsäure wurden in 12 ml 60%ige Schwefelsäure (W/V%) bei 145°C für 4 Tage gerührt. Nach Eiskühlung und Neutralisierung der Reaktionslösung mit wässriger 5 N Natriumhydroxidlösung wurde sie durch Ionenaustauschchromatographie gereinigt (AG50W-X8 Kationenaustauschharz (Bio-Rad), H+-Typ, Eluent: Wasser-50% THF/Wasser-Wasser-10% Pyridin/Wasser). Die erhaltenen Kristalle wurden mit einer Mischlösung aus Tetrahydrofuran-Wasser gewaschen, wodurch sich 41 mg (1RS,2SR,5SR,6SR)-2-Amino-6-fluor-4-oxobicylo[3.1.0]hexan-2,6-dicarbonsäure ergaben. Die Protonen-NMR- und massenspektroskopischen Daten sind unten gezeigt.
    1H-NMR (TFA-d) δ (ppm): 3,16 (1H, dd, J = 4,6, 19,5 Hz), 3,45 (1H, dd, J = 4,6, 19,5 Hz), 3,46 (1H, d, J = 6,6 Hz), 3,67 (1H, d, J = 6,6 Hz)
    MS (ES) (Nega) m/e): 216 (M+–1)
  • Genauso wurden die folgenden Verbindungen aus dem niedrigpolaren Diastereomer und dem polaren Diastereomer von (1R*,2S*,5R*,6S*)-2-Spiro-5'-hydantoin-4,4-ethylendithio-6-fluor-N-((R)-1-phenylethyl)bicyclo[3.1.0]hexan-6-carboxyamid erhalten. Die Daten der physikalischen Eigenschaften jeder Verbindung sind unten gezeigt.
    (–)-(1R*,2S*,5S*,6S*)-2-Amino-6-fluor-4-oxobicyclo[3.1.0]hexan-2,6-dicarbonsäure
    Schmelzpunkt 175°C (zersetzt)
    1H-NMR (TFA-d) δ (ppm): 3,16 (1H, dd, J = 4,6, 19,5 Hz), 3,45 (1H, dd, J = 4,6, 19,5 Hz), 3,46 (1H, d, J = 6,6 Hz), 3,67 (1H, d, J = 6,6 Hz)
    MS (ES) (Nega) m/e: 216 (M+–1)
    [α]D 26 = –97,01 (c = 0,16, H2O)
    (+)-(1R*,2S*,5S*,6S*)-2-Amino-6-fluor-4-oxobicyclo[3.1.0]hexan-2,6-dicarbonsäure
    Schmelzpunkt 175°C (zersetzt)
    1H-NMR (TFA-d) δ (ppm): 3,16 (1H, dd, J = 4,6, 19,5 Hz), 3,45 (1H, dd, J = 4,6, 19,5 Hz), 3,96 (1H, d, J = 6,6 Hz), 3,67 (1H, d, J = 6,6 Hz)
    MS (ES) (Nega) m/e: 216 (M+–1)
    [α]D 26 = +99,84 (c = 0,13, H2O)
  • Beispiel 14
  • Synthese von (1RS,2SR,5RS,6SR)-2-Amino-4,4-ethylendithio-6-fluorbicyclo[3.1.0]hexan-2,6-dicarbonsäure
  • 120 mg (1RS,2SR,5RS,6SR)-2-Spiro-5'-hydantoin-4,4-ethylendithio-6-fluorbicyclo[3.1.0]hexan-6-carbonsäure in 1,4 ml wässrige 2 N Natriumhydroxidlösung wurden unter Reflux für 1,5 Tage behandelt. Nachdem sie abgekühlt wurde, wurde sie durch Ionenaustauschchromatographie gereinigt (AG50W-X8 Kationenaustauschharz (Bio-Rad), H+-Typ, Eluent: Wasser-50% THF/Wasser-Wasser-10% Pyridin/Wasser), wodurch sich 75 mg (1RS,2SR,5RS,6SR)-2-Amino-4,4-ethylendithio-6-fluorbicyclo[3.1.0]hexan-2,6-dicarbonsäure ergaben. Die Daten der physikalischen Eigenschaften sind unten gezeigt.
    Schmelzpunkt 230°C (zersetzt)
    1H-NMR (TFA-d) δ (ppm): 3,07 (1H, dd, J = 5,5, 16,1 Hz), 3,16 (1H, d, J = 5,5 Hz), 3,25 (1H, dd, J = 2,7, 7,1 Hz), 3,38–3,51 (5H, m)
    MS (ES) (Nega) m/e: 292 (M+–1, 100%)
  • Beispiel 15
  • Synthese of (1RS,2SR,4SR,5SR,6SR)Ethyl-2-spiro-5'-hydantoin-6-fluor-4-hydroxybicyclo[3.1.0]hexan-6-carboxylat
  • 1,3 g (1RS,4SR,5SR,6RS)Ethyl-6-fluor-4-hydroxy-2-oxobicyclo[3.1.0]hexan-6-carboxylat wurden in 3,7 ml Ethanol gelöst. Unter Eiskühlung wurden 3,7 ml wässrige 1 N Natriumhydroxidlösung tropfenweise zugegeben, und Rühren wurde bei dieser Temperatur für 15 min fortgesetzt. Nach Erhöhen der Reaktionslösungstemperatur auf Raumtemperatur wurden 860 mg Ammoniumcarbonat und 260 mg Kaliumcyanid zugegeben, und dies wurde bei 37°C für 3 Tage gerührt. Nach Abkühlen der Reaktionsmischung wurde der pH auf 1 durch Zugeben von konzentrierter Salzsäure eingestellt. Diese Lösung wurde durch Ionenaustauschchromatographie behandelt (AG50W-X8 Kationenaustauschharz (Bio-Rad), H+-Typ, Eluent: Wasser), wodurch sich 450 mg rohe (1RS,2SR,4SR,5SR,6SR)-2-Spiro-5'-hydantoin-6-fluor-4-hydroxybicyclo[3.1.0]hexan-6-carbonsäure ergaben. 450 mg dieser (1RS,2SR,4SR,5SR,6SR)-2-Spiro-5'-hydantoin-6-fluor-hydroxybicyclo[3.1.0]-hexan-6-carbonsäure, 90 mg Ethanol und 20 mg 4-Dimethylaminopyridin wurden in 3,9 ml Dimethylformamid gelöst. Ferner wurden 380 mg 1-(3-dimethylaminopropyl)-3-ethylcarbodiimid-Hydrochlorid unter Eiskühlung zugegeben, und dies wurde für 1 Tag gerührt. Die Reaktionslösung wurde in 1 N Salzsäure gefüllt, mit Chloroform 6 Mal extrahiert und über wasserfreiem Natriumsulfat getrocknet, nachdem die erhaltenen organischen Schichten vereinigt worden waren. Nach Abfiltrieren des Trocknungsmittels wurde das Filtrat unter reduziertem Druck konzentriert. Der Rückstand wurde durch Säulenchromatographie (Silikagel: MSGD75-60A (hergestellt von Dokai Chemicals Ltd.), Eluent: Ethylacetat = 50:1) gereinigt, wodurch sich 198 mg (1RS,2SR,4SR,5SR,6SR)Ethyl-2-spiro-5'-hydantoin-6-fluor-4-hydroxybicyclo[3.1.0]hexan-6-carboxylat ergaben. Die Protonen-NMR- und massenspektroskopischen Daten sind unten gezeigt.
    1H-NMR (DMSO-d6) δ (ppm): 1,21 (3H, t, J = 7,2 Hz), 1,90–2,08 (2H, m), 2,26 (1H, dd, J = 1,8, 7,2 Hz), 2,45 (1H, dd, J = 1,8, 7, Hz), 4,17 (2H, q, J = 7,2 Hz), 4,33 (dd, J = 5,6, 8,8 Hz), 4,75 (1H, d, J = 8,8 Hz), 8,13 (1H, s), 11,00 (1H, s)
    MS (ES) (Nega) m/e: 271 (M+–1, 100%)
  • Beispiel 16
  • Synthese von (1RS,2SR,4SR,5SR,6SR)-2-Amino-6-fluor-4-hydroxybicyclo[3.1.0]hexan-2,6-dicarbonsäure
  • 140 mg (1RS,2SR,4SR,5SR,6SR)Ethyl-2-spiro-5'-hydantoin-6-fluor-4-hydroxybicyclo[3.1.0]hexan-6-carboxylat wurden in 4 ml 60%ige Schwefelsäure (W/V%) bei 145°C für 2,5 Tage gerührt. Nach Eiskühlung und Neutralisieren der Reaktionslösung mit wässriger 5 N Natriumhydroxidlösung wurde sie durch Ionenaustauschchromatographie (AG50W-X8 Kationenaustauschharz Bio-Rad), H+-Typ, Eluent: Wasser-50% THF/Wasser-Wasser-10% Pyridin/Wasser) gereinigt. Die erhaltenen Kristalle wurden mit einer gemischten Lösung aus Aceton-Tetrahydrofuran gewaschen, wodurch sich 17 mg (1RS,2SR,4SR,5SR,6SR)-2-Amino-6-fluor-4-hydroxybicyclo[3.1.0]hexan-2,6-dicarbonsäure ergaben. Die Daten der physikalischen Eigenschaften sind unten gezeigt.
    Schmelzpunkt 220°C (zersetzt)
    1H-NMR (Pyridin-d6/D2O = 1/1) δ (ppm): 2,56–2,75 (3H, m), 2,92 (1H, dd, J = 1,2, 6,9 Hz), 4,56 (1H, d, J = 5,9 Hz)
    MS (ES) (Nega) m/e: 218 (M+–1, 100%)
  • Experimentelle Beispiele (Wirkung von Testverbindungen auf cAMP-Akkumulation)
  • CHO-Zellen, die metabotrope Glutamatrezeptoren mGluR2 stabil exprimieren, wurden in eine 96-Wellplatte (1,26·104 Zellen/Vertiefung (0,32 cm2/150 μl) in einem Dulbecco-modifizierten Eagle-Medium [1% Prolin, 50 Einheiten/ml Penicillin, 50 μg/ml Streptomycin, 2 mM L-Glutamin (bei der Verwendung zugegeben)], das 10% dialysiertes fötales Rinderserum enthielt, ausgesät und für 2 Tage bei 37°C unter einer Atmosphäre von 5% CO2 kultiviert. Nachdem das Medium durch ein L-Glutamin-freies Medium ersetzt worden war, wurden es für 4 h kultiviert und die Überstandsflüssigkeit abgesaugt. Nach der Zugabe von 150 μl PBS(+)-IBMX (10 mM PBS(–), 1 mM MgCl2, 1 mM CaCl2, 1 mM IBMX) wurde die Inkubation bei 37°C in Gegenwart von 5% CO2 für 20 Minuten durchgeführt. Noch einmal wurde die Überstandsflüssigkeit abgesaugt, 60 μl 10–5 M Forskolin und PBS(+)-IBMX, die in den Proben in Tabelle 1 zwischen 10–10 und 10–4 M enthalten waren, wurden zugegeben, Inkubation wurde für 15 min bei 37°C in Gegenwart von 5% CO2 durchgeführt, und eine Untersuchung im Hinblick auf die Inhibitionswirkung der Agonisten auf die Forskolin-Stimulierungs-cAMP-Akkumulationsmenge wurde durchgeführt [zur Kontrolle wurden die Bedingungen auf Forskolin, ohne die Zugabe der Verbindungen eingestellt (Tanabe et al., Neuron 8, 169–179 (1992))]. Die Reaktionen wurden durch die Zugabe von 100 μl eisgekühltem Ethanol unterbrochen, die gesamte Menge der Überstandsflüssigkeit wurde in einer separaten Platte gesammelt, dann wurde sie bei Normaltemperatur mit einem Evaporator getrocknet und bei –20°C gehalten. In den getrockneten Proben wurde die Menge an cAMP unter Verwendung eines cAMP EIA-Kits (von der Amasham Company) gemessen. Der Kontrollwert wurde von jeder cAMP-Menge abgezogen. Der Konzentrationswert der Testverbindungen bei der cAMP-Akkumulation, der um 50% inhibiert wurde, wenn Stimulation durch 10–5 M Forskolin bewirkt wurde, wurde als ED50 bestimmt. Die Ergebnisse sind in Tabelle 1 dargestellt. Tabelle 1
    Figure 00330001
    • Komp. 1: (1RS,2SR,5RS,6RS)-2-Amino-6-fluorbicyclo[3.1.0]hexan-2,6-dicarbonsäure
    • Komp. 2: (–)-(1R*,2S*,5R*,6R*)-2-Amino-6-fluorbicyclo[3.1.0]hexan-2,6-dicarbonsäure
    • Komp. 3: (1RS,2SR,5SR,6SR)-2-Amino-6-fluorbicyclo[3.1.0]hexan-2,6-dicarbonsäure
    • Komp. 4: (+)-(1R*,2S*,5S*,6S*)-2-Amino-6-fluor-4-oxobicyclo[3.1.0]hexan-2,6-dicarbonsäure
    • Komp. 5: (1RS,2SR,45R,5SR,6SR)-2-Amino-6-fluor-4-hydroxybicyclo[3.1.0]hexan-2,6-dicarbonsäure
    • LY354740: (+)-(1S,2S,5R,6S)-2-Aminobicyclo[3.1.0]hexan-2,6-dicarbonsäure
    • DCG IV: (2S,1'R,2'R,3'R)-2-(2',3'-Dicarboxycyclopropyl)glycin
    • (1S,3R)-ACPD (1S,3R)-1-Aminocyclopentan-1,3-dicarbonsäure
    • L-CCG-I: (2S,1'S,2'S)-2-(Carboxycyclopropyl)glycin
  • Industrielle Anwendbarkeit
  • Die 6-Fluorbicyclo[3.1.0]hexan-Derivate gemäß der vorliegenden Erfindung sind als Arzneistoffe nützlich. Insbesondere sind sie als Agonisten nützlich, die auf metabotrope Glutamatrezeptoren wirken. Daher kann diese Erfindung zur Behandlung und Vorbeugung psychiatrischer Störungen, wie z.B. Schizophrenie, Angst, damit verbundene Krankheiten, Depression, bipolare Störung und Epilepsie sowie neurologische Krankheiten, wie z.B. Drogenabhängigkeit, kognitive Störung, Alzheimer-Krankheit, Chorea Huntington, Parkinson-Krankheit, Dyskinesie, verbunden mit Muskelversteifung, zerebrale Ischämie, zerbrales Versagen, Myelopathie und Kopftrauma verwendet werden.

Claims (16)

  1. 6-Fluorbicyclo[3.1.0]hexanderivat, dargestellt durch die Formel (I):
    Figure 00350001
    [worin R1 und R2 gleich oder verschieden sind und jeweils ein Wasserstoffatom, eine C1-10-Alkylgruppe, eine C3-8-Cycloalkylgruppe oder eine C3-8-Cycloalkyl-C1-5-alkyl-Gruppe darstellen; Y1 und Y2 gleich oder verschieden sind und jeweils ein Wasserstoffatom, eine C1-10-Alkylthiogruppe, eine C3-8-Cycloalkylthiogruppe, eine C3-8-Cycloalkyl-C1-5-alkylthio-Gruppe, eine C1-5-Alkoxygruppe, eine C3-8-Cycloalkoxygruppe oder eine C3-8-Cycloalkyl-C1-5-alkoxy-Gruppe darstellen; oder eines von Y1 und Y2 ein Wasserstoffatom darstellt und das andere eine Hydroxylgruppe, eine C1-5-Alkoxygruppe, eine C3-8-Cycloalkoxygruppe oder eine C3-8-Cycloalkyl-C1-5-alkoxy-Gruppe darstellt; oder Y1 und Y2 zusammen ein Sauerstoffatom oder -X(CH2)nX- darstellen (X bedeutet ein Sauerstoffatom oder ein Schwefelatom: n ist 2 oder 3)], ein pharmazeutisch annehmbares Salz davon oder ein Hydrat davon.
  2. Derivat gemäss Anspruch 1 mit einer relativen stereochemischen Konfiguration, dargestellt durch die Formel (I'):
    Figure 00350002
    [worin R1 und R2 sowie Y1 und Y2 dieselben sind wie im Fall der Formel (I)], das pharmazeutisch annehmbare Salz davon oder das Hydrat davon.
  3. Derivat gemäss Anspruch 2, das eine (+)- oder (–)-(1R*,2S*,6S*)-2-Amino-6-fluor-4-substituiertebicyclo[3.1.0]hexan-2,6-dicarbonsäure, das pharmazeutisch annehmbare Salz davon oder das Hydrat davon ist.
  4. Derivat gemäss Anspruch 1 mit einer relativen stereochemischen Konfiguration, dargestellt durch die Formel (II'):
    Figure 00360001
    [worin R1 und R2 dieselben sind wie im Fall der Formel (I)], das pharmazeutisch annehmbare Salz davon oder das Hydrat davon.
  5. Derivat gemäss Anspruch 4, das (–)-(1R*,2S*,5R*,6R*)-2-Amino-6-fluorbicyclo[3.1.0]hexan-2,6-dicarbonsäure, das pharmazeutisch annehmbare Salz davon oder das Hydrat davon ist.
  6. Derivat gemäss Anspruch 1 mit einer relativen stereochemischen Konfiguration, dargestellt durch die Formel (III'):
    Figure 00360002
    [worin R1 und R2 dieselben sind wie im Fall der Formel (I)], das pharmazeutisch annehmbare Salz davon oder das Hydrat davon.
  7. Derivat gemäss Anspruch 6, das (+)-(1R*,2S*,5S*,6S*)-2-Amino-6-fluor-4-oxobicyclo[3.1.0]hexan-2,6-dicarbonsäure, das pharmazeutisch annehmbare Salz davon oder das Hydrat davon ist.
  8. Derivat gemäss Anspruch 1 mit einer relativen stereochemischen Konfiguration, dargestellt durch die Formel (IV'):
    Figure 00370001
    [worin R1 und R2 dieselben sind wie im Fall der Formel (I)], das pharmazeutisch annehmbare Salz davon oder das Hydrat davon.
  9. Derivat gemäss Anspruch 8, das (+)- oder (–)-(1R*,2S*,4S*,5S*,6S*)-2-Amino-6-fluor-4-hydroxybicyclo[3.1.0]hexan-2,6-dicarbonsäure, das pharmazeutisch annehmbare Salz davon oder das Hydrat davon ist.
  10. Pharmazeutisches Mittel, das die Verbindung gemäss einem der Ansprüche 1 bis 9 in Kombination mit einem oder mehreren Bestandteilen, ausgewählt aus pharmazeutisch annehmbaren Trägern, Arzneistoffträger und Verdünnungsmittel, enthält.
  11. Arzneimittel, das die Verbindung gemäss einem der Ansprüche 1 bis 9 als Wirkstoff enthält.
  12. Arzneimittel gemäss Anspruch 11, das ein Agonist des metabotropen Glutamatrezeptors der Gruppe 2 ist.
  13. Arzneimittel gemäss Anspruch 11 oder 12, das ein Mittel zur Behandlung oder Verhinderung von psychiatrischen Störungen oder neurologischen Krankheiten ist.
  14. Verbindung gemäss einem der Ansprüche 1 bis 9 als Arzneimittel.
  15. Verwendung der Verbindung gemäss einem der Ansprüche 1 bis 9 zur Herstellung eines Agonisten des metabotropen Glutamatrezeptors der Gruppe 2.
  16. Verwendung der Verbindung gemäss einem der Ansprüche 1 bis 9 zur Herstellung eines Mittels zur Behandlung oder Verhinderung von psychiatrischen Störungen oder neurologischen Krankheiten.
DE69918136T 1998-08-31 1999-07-26 6-Fluorobicyclo[3.1.0]Hexan-Derivate Expired - Lifetime DE69918136T2 (de)

Applications Claiming Priority (5)

Application Number Priority Date Filing Date Title
JP24634398 1998-08-31
JP24634398 1998-08-31
JP8260799 1999-03-25
JP8260799 1999-03-25
PCT/JP1999/003984 WO2000012464A1 (en) 1998-08-31 1999-07-26 6-fluorobicyclo[3. 1.0]hexane derivatives

Publications (2)

Publication Number Publication Date
DE69918136D1 DE69918136D1 (de) 2004-07-22
DE69918136T2 true DE69918136T2 (de) 2005-07-07

Family

ID=26423636

Family Applications (1)

Application Number Title Priority Date Filing Date
DE69918136T Expired - Lifetime DE69918136T2 (de) 1998-08-31 1999-07-26 6-Fluorobicyclo[3.1.0]Hexan-Derivate

Country Status (12)

Country Link
US (1) US6333428B1 (de)
EP (1) EP1110943B1 (de)
KR (1) KR100469182B1 (de)
CN (1) CN1247527C (de)
AT (1) ATE269293T1 (de)
AU (1) AU746806B2 (de)
CA (1) CA2341865C (de)
DE (1) DE69918136T2 (de)
DK (1) DK1110943T3 (de)
ES (1) ES2222715T3 (de)
PT (1) PT1110943E (de)
WO (1) WO2000012464A1 (de)

Families Citing this family (48)

* Cited by examiner, † Cited by third party
Publication number Priority date Publication date Assignee Title
US6313159B1 (en) 1999-08-20 2001-11-06 Guilford Pharmaceuticals Inc. Metabotropic glutamate receptor ligand derivatives as naaladase inhibitors
WO2002000595A1 (en) * 2000-06-28 2002-01-03 Taisho Pharmaceutical Co., Ltd. Intermediate and process for producing fluorinated carboxylic acid derivative from the same
CA2411059A1 (en) 2000-06-28 2002-12-06 Taisho Pharmaceutical Co., Ltd. Novel dicarboxylic acid derivatives
WO2003006489A2 (en) * 2001-07-09 2003-01-23 Eli Lilly And Company Prodrugs of excitatory amino acids
EP1463713A1 (de) * 2001-11-23 2004-10-06 Eli Lilly And Company Medikamentenvorstufen von exitatorischen aminosäuren
AU2002361611A1 (en) * 2001-12-21 2003-07-24 Eli Lilly And Company Prodrugs of excitatory amino acids
NZ533699A (en) * 2001-12-27 2006-05-26 Taisho Pharmaceutical Co Ltd 6-fluorobicyclo[3.1.0]hexane derivatives
DK1517915T3 (da) * 2002-06-11 2009-03-16 Lilly Co Eli Promedikamenter af excitatoriske aminosyrer
AU2003242924A1 (en) * 2002-07-05 2004-01-23 Eli Lilly And Company Prodrugs of excitatory amino acids
RU2349580C2 (ru) * 2003-06-26 2009-03-20 Таишо Фармасьютикал Ко., Лтд Сложноэфирное производное 2-амино-бицикло[3.1.0]гексан-2,6-дикарбоновой кислоты, обладающее свойствами антагониста метаботропных глутаматных рецепторов ii группы
AU2004252017B2 (en) 2003-06-26 2009-10-08 Taisho Pharmaceutical Co., Ltd. 2-aminobicyclo[3.1.0]hexane-2,6-dicarboxylic ester derivative
WO2005047215A2 (en) * 2003-11-07 2005-05-26 Taisho Pharmaceutical Co., Ltd Processes for preparing bicyclo [3.1.0] hexane derivatives, and intermediates thereto
US20070043100A1 (en) 2005-08-16 2007-02-22 Hagen Eric J Novel polymorphs of azabicyclohexane
EP2258359A3 (de) 2005-08-26 2011-04-06 Braincells, Inc. Neurogenese durch Modulation des Muscarinrezeptors mit Sabcomelin
JP2009506069A (ja) 2005-08-26 2009-02-12 ブレインセルス,インコーポレイティド ムスカリン性受容体調節による神経発生
JP2009512711A (ja) 2005-10-21 2009-03-26 ブレインセルス,インコーポレイティド Pde阻害による神経新生の調節
EP2314289A1 (de) 2005-10-31 2011-04-27 Braincells, Inc. Gaba-rezeptor-vermittelte modulation von neurogenese
US20100216734A1 (en) 2006-03-08 2010-08-26 Braincells, Inc. Modulation of neurogenesis by nootropic agents
AR059898A1 (es) 2006-03-15 2008-05-07 Janssen Pharmaceutica Nv Derivados de 3-ciano-piridona 1,4-disustituida y su uso como moduladores alostericos de los receptores mglur2
US20080045725A1 (en) 2006-04-28 2008-02-21 Murry Jerry A Process For The Synthesis of (+) And (-)-1-(3,4-Dichlorophenyl)-3-Azabicyclo[3.1.0]Hexane
AU2007249399A1 (en) 2006-05-09 2007-11-22 Braincells, Inc. Neurogenesis by modulating angiotensin
CA2651862A1 (en) 2006-05-09 2007-11-22 Braincells, Inc. 5 ht receptor mediated neurogenesis
WO2008030651A1 (en) * 2006-09-08 2008-03-13 Braincells, Inc. Combinations containing a 4-acylaminopyridine derivative
US20100184806A1 (en) 2006-09-19 2010-07-22 Braincells, Inc. Modulation of neurogenesis by ppar agents
TW200900065A (en) 2007-03-07 2009-01-01 Janssen Pharmaceutica Nv 3-cyano-4-(4-pyridinyloxy-phenyl)-pyridin-2-one derivatives
TW200845978A (en) * 2007-03-07 2008-12-01 Janssen Pharmaceutica Nv 3-cyano-4-(4-tetrahydropyran-phenyl)-pyridin-2-one derivatives
ES2409215T3 (es) * 2007-09-14 2013-06-25 Janssen Pharmaceuticals, Inc. 4-fenil-1H-piridin-2-onas 1-3-disustituidas
BRPI0817101A2 (pt) 2007-09-14 2017-05-09 Addex Pharmaceuticals Sa 4-(aril-x-fenil)-1h-piridin-2-onas 1,3-dissubstituídas
SI2203439T1 (sl) 2007-09-14 2011-05-31 Ortho Mcneil Janssen Pharm 1',3'-disubstituirani 4-fenil-3,4,5,6-tetrahidro-2H-1'H-(1,4')bipiridinil-2'-oni
ES2637794T3 (es) * 2007-11-14 2017-10-17 Janssen Pharmaceuticals, Inc. Derivados de imidazo[1,2-A]piridina y su uso como moduladores alostéricos positivos de receptores MGLUR2
WO2009142184A1 (ja) 2008-05-21 2009-11-26 大正製薬株式会社 酵素を用いたビシクロ[3.1.0]ヘキサン誘導体の製造方法
ES2439291T3 (es) 2008-09-02 2014-01-22 Janssen Pharmaceuticals, Inc. Derivados de 3-azabiciclo[3.1.0]hexilo como moduladores de receptores de glutamato metabotrópicos
CA2738849C (en) 2008-10-16 2016-06-28 Addex Pharma S.A. Indole and benzomorpholine derivatives as modulators of metabotropic glutamate receptors
ES2401691T3 (es) 2008-11-28 2013-04-23 Ortho-Mcneil-Janssen Pharmaceuticals, Inc. Derivados de indol y de benzoxacina como moduladores de los receptores metabotrópicos de glutamato
US20100216805A1 (en) 2009-02-25 2010-08-26 Braincells, Inc. Modulation of neurogenesis using d-cycloserine combinations
WO2010111080A2 (en) 2009-03-27 2010-09-30 Eli Lilly And Company Optimized treatment of schizophrenia
ES2440001T3 (es) 2009-05-12 2014-01-27 Janssen Pharmaceuticals, Inc. Derivados de 1,2,4-triazolo[4,3-A]piridina y su uso para el tratamiento o prevención de trastornos neurológicos y psiquiátricos
MY153913A (en) 2009-05-12 2015-04-15 Janssen Pharmaceuticals Inc 7-aryl-1,2,4-triazolo[4,3-a]pyridine derivatives and their use as positive allosteric modulators of mglur2 receptors
SG176018A1 (en) 2009-05-12 2011-12-29 Janssen Pharmaceuticals Inc 1,2,4-triazolo[4,3-a]pyridine derivatives and their use as positive allosteric modulators of mglur2 receptors
CN103298809B (zh) 2010-11-08 2016-08-31 杨森制药公司 1,2,4-三唑并[4,3-a]吡啶衍生物及其作为MGLUR2受体的正变构调节剂的用途
CA2814998C (en) 2010-11-08 2019-10-29 Janssen Pharmaceuticals, Inc. 1,2,4-triazolo[4,3-a]pyridine derivatives and their use as positive allosteric modulators of mglur2 receptors
ES2552455T3 (es) 2010-11-08 2015-11-30 Janssen Pharmaceuticals, Inc. Derivados de 1,2,4-triazolo[4,3-a]piridina y su uso como moduladores alostéricos positivos de receptores mGluR2
JP5945592B2 (ja) 2011-06-17 2016-07-05 イーライ リリー アンド カンパニー Mglu2受容体アゴニストとしてのビシクロ(3.1.0)ヘキサン−2,6−ジカルボン酸誘導体
AR089718A1 (es) * 2012-02-01 2014-09-10 Lilly Co Eli AGONISTAS DE mGlu2/3
JO3368B1 (ar) 2013-06-04 2019-03-13 Janssen Pharmaceutica Nv مركبات 6، 7- ثاني هيدرو بيرازولو [5،1-a] بيرازين- 4 (5 يد)- اون واستخدامها بصفة منظمات تفارغية سلبية لمستقبلات ميجلور 2
JO3367B1 (ar) 2013-09-06 2019-03-13 Janssen Pharmaceutica Nv مركبات 2،1، 4- ثلاثي زولو [3،4-a] بيريدين واستخدامها بصفة منظمات تفارغية موجبة لمستقبلات ميجلور 2
IL279202B2 (en) 2014-01-21 2023-09-01 Janssen Pharmaceutica Nv Combinations containing positive allosteric modulators or orthosteric agonists of metabotropic glutamatergic subtype 2 receptor and their use
US10537573B2 (en) 2014-01-21 2020-01-21 Janssen Pharmaceutica Nv Combinations comprising positive allosteric modulators or orthosteric agonists of metabotropic glutamatergic receptor subtype 2 and their use

Family Cites Families (11)

* Cited by examiner, † Cited by third party
Publication number Priority date Publication date Assignee Title
US5750566A (en) 1994-08-12 1998-05-12 Eli Lilly And Company Synthetic excitatory amino acids
PL182285B1 (pl) 1994-08-12 2001-12-31 Lilly Co Eli Syntetyczne aminokwasy oraz ich estry i srodki farmaceutyczne je zawierajace PL PL PL PL PL PL PL
IL118727A (en) * 1995-06-29 2003-01-12 Lilly Co Eli (-)-2-spiro-5-hydantoinbicyclo [3.1.0] hexane-6-carboxylic acid, salts thereof and use thereof for the preparation of (+)-(2) aminobicyclo [3.1.0] hexane-2,6-dicarboxylic acid
US5912248A (en) * 1995-11-16 1999-06-15 Eli Lilly And Company Excitatory amino acid receptor antagonists
GB9605429D0 (en) * 1995-11-16 1996-05-15 Lilly Co Eli Excitatory amino acid receptor antagonists
WO1997017950A1 (en) 1995-11-16 1997-05-22 Eli Lilly And Company Shoulder prosthesis
ZA969485B (en) 1995-11-16 1998-05-12 Lilly Co Eli Excitatory amino acid receptor antagonists.
ZA983930B (en) 1997-05-14 1999-11-08 Lilly Co Eli Excitatory amino acid receptor modulators.
JP3727791B2 (ja) 1998-01-08 2005-12-14 ファイザー・プロダクツ・インク 二環式[3.1.0]ヘキサン及び関連化合物
JP4171549B2 (ja) * 1998-01-28 2008-10-22 大正製薬株式会社 含フッ素アミノ酸誘導体
EP1052246B1 (de) 1998-01-28 2003-04-02 Taisho Pharmaceutical Co., Ltd Fluorhaltige aminosäurederivate

Also Published As

Publication number Publication date
ES2222715T3 (es) 2005-02-01
HK1049996A1 (en) 2003-06-06
US6333428B1 (en) 2001-12-25
CA2341865A1 (en) 2000-03-09
PT1110943E (pt) 2004-08-31
AU4800799A (en) 2000-03-21
CN1247527C (zh) 2006-03-29
KR20010092268A (ko) 2001-10-24
DE69918136D1 (de) 2004-07-22
DK1110943T3 (da) 2004-10-11
EP1110943B1 (de) 2004-06-16
CN1383423A (zh) 2002-12-04
ATE269293T1 (de) 2004-07-15
EP1110943A4 (de) 2002-07-10
CA2341865C (en) 2006-01-17
AU746806B2 (en) 2002-05-02
WO2000012464A1 (en) 2000-03-09
KR100469182B1 (ko) 2005-02-02
EP1110943A1 (de) 2001-06-27

Similar Documents

Publication Publication Date Title
DE69918136T2 (de) 6-Fluorobicyclo[3.1.0]Hexan-Derivate
DE69906492T2 (de) Fluorhaltige aminosäurederivate
DE69208496T2 (de) Bernsteinsäurederivate
DE69908535T2 (de) Modulatoren von exzitatorischen Aminosäure Rezeptoren
DE2923815C2 (de)
JP4783967B2 (ja) 含フッ素アミノ酸誘導体を有効成分とする医薬
JP2000072731A (ja) 4−置換−2−アミノビシクロ[3.1.0]ヘキサン−2,6−ジカルボン酸誘導体及び製薬用組成物
DE3826439A1 (de) Sulfonamidothienylcarbonsaeureverbindungen
EP0571870B1 (de) Cyclopentan- und -penten-beta-Aminosäuren
DE69635886T2 (de) Exzitatorisch wirkende Aminosäurederivate
JP2000336071A (ja) 6−フルオロビシクロ[3.1.0]ヘキサン誘導体
EP0539803B1 (de) Triazaspirodecanon-Methyl-Chromane zur Bekämpfung von Erkrankungen des Zentralnervensystems
DE69804212T2 (de) Verfahren und zwischenprodukte zur herstellung substituierter indazolderivate
DE69202173T2 (de) Phenylethanolamino- und Phenylethanolaminomethyltetraline, Verfahren zu deren Herstellung Zwischenprodukte davon und diese enthaltende pharmazeutische Zusammensetzungen.
JPH11279129A (ja) 含フッ素アミノ酸誘導体
DE60112917T2 (de) Neue polyzyklische indanylimidazole mit alpha2 adrenergik aktivität
DE69919402T2 (de) Intermediate und verfahren zur herstellung fluorhaltiger aminosäurederivate durch deren verwendung
EP0083335A1 (de) Chirale, optisch aktive Verbindungen, Verfahren zu ihrer Herstellung und Verwendung dieser Verbindungen für den Schutz funktioneller -OH, -SH, -NH-Gruppen, zur Racemattrennung, zur Herstellung optisch aktiver Imidoesterhydrochloride sowie optisch aktiver Ester, zur Herstellung optisch angereicherter Alkohole und zur Herstellung optisch aktiver Verbindungen durch asymmetrische Induktion
EP0758648A1 (de) Substituierte 4H-Pyrane mit einer modulierende Wirkung auf Kaliumkanäle
DE60007599T2 (de) Verfahren zur Herstellung von zyklischen Piperidinylaminomethyl-trifluoromethyl-etherderivaten
EP1334086A1 (de) Phenoxyphenyl alkansulfonate
DE4134755A1 (de) Verwendung von teilweise bekannten substituierten tetrahydrothiophenen als arzneimittel, neue wirkstoffe und verfahren zu ihrer herstellung
EP0538692A1 (de) Verwendung von teilweise bekannten substituierten Pyrrolidinen als Arzneimittel, neue Wirkstoffe und Verfahren zu ihrer Herstellung
DE60214412T2 (de) Simplifizierte sarcodictyn-derivate als anti-tumor-mittel
EP1047685A1 (de) Substituierte beta,gamma-anellierte lactone

Legal Events

Date Code Title Description
8364 No opposition during term of opposition