DE69917469T2 - Pyrimidin derivate - Google Patents

Pyrimidin derivate Download PDF

Info

Publication number
DE69917469T2
DE69917469T2 DE69917469T DE69917469T DE69917469T2 DE 69917469 T2 DE69917469 T2 DE 69917469T2 DE 69917469 T DE69917469 T DE 69917469T DE 69917469 T DE69917469 T DE 69917469T DE 69917469 T2 DE69917469 T2 DE 69917469T2
Authority
DE
Germany
Prior art keywords
alkyl
radical
branched
straight
formula
Prior art date
Legal status (The legal status is an assumption and is not a legal conclusion. Google has not performed a legal analysis and makes no representation as to the accuracy of the status listed.)
Expired - Lifetime
Application number
DE69917469T
Other languages
English (en)
Other versions
DE69917469D1 (de
Inventor
Hitoshi Fujita
Fujio Antoku
Norio Fujiwara
Kiyotaka Toyonaka-shi IWAI
Hiroshi Meguro-ku TANAKA
Hajime Kawakami
Current Assignee (The listed assignees may be inaccurate. Google has not performed a legal analysis and makes no representation or warranty as to the accuracy of the list.)
Sumitomo Pharma Co Ltd
Original Assignee
Sumitomo Pharmaceuticals Co Ltd
Priority date (The priority date is an assumption and is not a legal conclusion. Google has not performed a legal analysis and makes no representation as to the accuracy of the date listed.)
Filing date
Publication date
Application filed by Sumitomo Pharmaceuticals Co Ltd filed Critical Sumitomo Pharmaceuticals Co Ltd
Application granted granted Critical
Publication of DE69917469D1 publication Critical patent/DE69917469D1/de
Publication of DE69917469T2 publication Critical patent/DE69917469T2/de
Anticipated expiration legal-status Critical
Expired - Lifetime legal-status Critical Current

Links

Classifications

    • CCHEMISTRY; METALLURGY
    • C07ORGANIC CHEMISTRY
    • C07DHETEROCYCLIC COMPOUNDS
    • C07D405/00Heterocyclic compounds containing both one or more hetero rings having oxygen atoms as the only ring hetero atoms, and one or more rings having nitrogen as the only ring hetero atom
    • C07D405/02Heterocyclic compounds containing both one or more hetero rings having oxygen atoms as the only ring hetero atoms, and one or more rings having nitrogen as the only ring hetero atom containing two hetero rings
    • C07D405/04Heterocyclic compounds containing both one or more hetero rings having oxygen atoms as the only ring hetero atoms, and one or more rings having nitrogen as the only ring hetero atom containing two hetero rings directly linked by a ring-member-to-ring-member bond
    • AHUMAN NECESSITIES
    • A61MEDICAL OR VETERINARY SCIENCE; HYGIENE
    • A61PSPECIFIC THERAPEUTIC ACTIVITY OF CHEMICAL COMPOUNDS OR MEDICINAL PREPARATIONS
    • A61P37/00Drugs for immunological or allergic disorders
    • A61P37/02Immunomodulators
    • AHUMAN NECESSITIES
    • A61MEDICAL OR VETERINARY SCIENCE; HYGIENE
    • A61PSPECIFIC THERAPEUTIC ACTIVITY OF CHEMICAL COMPOUNDS OR MEDICINAL PREPARATIONS
    • A61P37/00Drugs for immunological or allergic disorders
    • A61P37/08Antiallergic agents
    • CCHEMISTRY; METALLURGY
    • C07ORGANIC CHEMISTRY
    • C07DHETEROCYCLIC COMPOUNDS
    • C07D405/00Heterocyclic compounds containing both one or more hetero rings having oxygen atoms as the only ring hetero atoms, and one or more rings having nitrogen as the only ring hetero atom
    • C07D405/02Heterocyclic compounds containing both one or more hetero rings having oxygen atoms as the only ring hetero atoms, and one or more rings having nitrogen as the only ring hetero atom containing two hetero rings
    • C07D405/12Heterocyclic compounds containing both one or more hetero rings having oxygen atoms as the only ring hetero atoms, and one or more rings having nitrogen as the only ring hetero atom containing two hetero rings linked by a chain containing hetero atoms as chain links
    • CCHEMISTRY; METALLURGY
    • C07ORGANIC CHEMISTRY
    • C07DHETEROCYCLIC COMPOUNDS
    • C07D405/00Heterocyclic compounds containing both one or more hetero rings having oxygen atoms as the only ring hetero atoms, and one or more rings having nitrogen as the only ring hetero atom
    • C07D405/14Heterocyclic compounds containing both one or more hetero rings having oxygen atoms as the only ring hetero atoms, and one or more rings having nitrogen as the only ring hetero atom containing three or more hetero rings

Landscapes

  • Organic Chemistry (AREA)
  • Chemical & Material Sciences (AREA)
  • Health & Medical Sciences (AREA)
  • Immunology (AREA)
  • Nuclear Medicine, Radiotherapy & Molecular Imaging (AREA)
  • Pharmacology & Pharmacy (AREA)
  • Engineering & Computer Science (AREA)
  • Chemical Kinetics & Catalysis (AREA)
  • General Chemical & Material Sciences (AREA)
  • Medicinal Chemistry (AREA)
  • Veterinary Medicine (AREA)
  • Bioinformatics & Cheminformatics (AREA)
  • Life Sciences & Earth Sciences (AREA)
  • Animal Behavior & Ethology (AREA)
  • General Health & Medical Sciences (AREA)
  • Public Health (AREA)
  • Pulmonology (AREA)
  • Pharmaceuticals Containing Other Organic And Inorganic Compounds (AREA)
  • Plural Heterocyclic Compounds (AREA)
  • Nitrogen Condensed Heterocyclic Rings (AREA)

Description

  • Die vorliegende Erfindung betrifft Pyrimidinderivate und medizinische Verwendungen davon. Im Einzelnen betrifft die vorliegende Erfindung Pyrimidinderivate mit Wirksamkeiten zur Unterdrückung von Immunantworten der Typ 2 T-Helferzelle (Th2) und die Erhöhung von Immunantworten der Typ 1 T-Helferzelle (Th1) und therapeutische Verfahren für Immunkrankheiten unter Verwendung der Pyrimidinderivate und therapeutische Zusammensetzungen, die die Pyrimidinderivate enthalten.
  • Als erstes wird von Mosmann et al. vorgeschlagen, dass Lymphocyten, genannt T-Helferzellen, die die zentrale Rolle bei Immunantworten spielen, in zwei Untergruppen klassifiziert werden. Sie klassifizierten T-Helferzellen (Th) von Mäusen in Th1 und Th2, abhängig von den Arten der gebildeten Cytokine (J. Immunol. 136, 2348–2357 (1986)).
  • Als Cytokine des Th1-Typs werden Interleukin 2 (IL-2), Interferon γ (IFN-γ) usw. veranschaulicht. Als Cytokine des Th2-Typs werden Interleukin 4 (IL-4), Interleukin 5 (IL-5), Interleukin 10 (IL-10), Interleukin 13 (IL-13) usw. veranschaulicht.
  • Heutzutage wird der Gedankengang der Klassifizierung in Th1/Th2 auf die Klassifizierung in Untergruppen von T-Helferzellen und auch in Bezug auf eine Reihe von Immunantworten im lebenden Körper unter dem Gesichtspunkt, welche Untergruppe von T-Helferzellen hauptsächlich teilnimmt, angewandt, die Immunantworten wurden als „Immunantworten auf Th1-Typ" bzw. „Immunantworten auf Th2-Typ" interpretiert.
  • Immunantworten auf Th1-Typ werden hauptsächlich durch Cytokine bewirkt, wie Interleukin 2 (IL-2), Interferon γ (IFN-γ) usw., die durch aktivierte Th1 gebildet werden. So ist bekannt, dass Th1-Cytokine an durch Zellen vermittelter Immunität, wie dem Schutz hauptsächlich vor Infektionen durch Viren, Bakterien usw., durch Aktivieren von Makrophagen, natürlichen Killerzellen usw. oder durch weitere Aktivierung von Th1 über IL-12 usw., gebildet durch die aktivierten Makrophagen, beteiligt sind.
  • Andererseits sind Immunantworten auf den Th2-Typ hauptsächlich durch Cytokine, wie IL-4, IL-5 usw., bewirkt, die durch aktivierte Th2 gebildet werden. So ist bekannt, dass Th2-Cytokine an der humoralen Immunität, wie der Bildung von Antikörpern (z. B. IgE-Klasse) aus B-Zellen, beteiligt sind.
  • Da Th2 Cytokine, wie IL-4 oder IL-5, bilden, die eine allergische Reaktion, wie nachstehend erwähnt, betreffen, wird vorgeschlagen, dass Th2 die verantwortlichen Zellen für eine allergische Reaktion sind. Zum Beispiel induziert IL-4, ein typisches Cytokin des Th2-Typs, die Bildung von IgE-Antikörpern aus B-Zellen. IL-4 induziert auch die Expression des VCAM-1 Gens, ein wichtiges Molekül, das funktioniert, wenn Eosinophile an den vasculären Endothelzellen haften und in das Gewebe infiltrieren (Farumashia, 29, 1123–1128 (1993). Vor kurzem wurde IL-4 Aufmerksamkeit als einem eine Differenzierung induzierenden Faktor für Th2 geschenkt. IL-5, ein anderes Cytokin des Th2-Typs, induziert eine Differenzierung, Wanderung und Aktivierung von Eosinophilen. Eine allergische Entzündung ist dadurch gekennzeichnet, dass sie durch Infiltration, Aktivierung und Degranulierung von Eosinophilen ausgelöst wird, wie eine typische chronische Atemwegsentzündung bei Asthma. So wird IL-5 als Faktor angesehen, der eine allergische Entzündung induziert.
  • Da Th2-Cytokine die vorstehenden Eigenschaften aufweisen, wird erkannt, dass Th2 sowohl allergische Reaktionen der „Reaktion des frühen Stadiums" durch IgE-Antikörper oder Mastzellen als auch „Reaktion des späten Stadiums" durch Eosinephile steuert, und daher sind Th2 die zentralen Zellen bei einer allergischen Entzündung. Und es wird angenommen, dass allergische Krankheiten durch die Überexpression von Immunantworten des Th2-Typs bewirkt werden. Diese Annahme wird auch durch die Feststellung des Vorhandenseins von Th2 oder der Bildung von Cytokinen des Th2-Typs, wie IL-4, IL-5 usw., bei dem erkrankten Teil bei allergischen Krankheiten, wie Luftweg oder Haut, unterstützt.
  • Daher wird angenommen, dass es wichtig ist, die Immunantworten von Th2 zu unterdrücken, um sowohl die Reaktionen im frühen Stadium als auch späten Stadium zu unterdrücken oder die allergische entzündliche Reaktion zu hemmen, die durch die Infiltration und Aktivierung von Eosinophilen in dem Stadium der fundamentalen Quelle gekennzeichnet sind, und allgemeine allergische Krankheiten therapeutisch und vorbeugend zu behandeln. D. h. wenn ein Arzneistoff zum Unterdrücken der Immunantworten des Th2-Typs entwickelt wird, wird der Arzneistoff ein ein therapeutisches und vorbeugendes Mittel für allergische Krankheiten sein.
  • Insbesondere bei ernstem chronischen Asthma oder atopischer Dermatitis unter den allergischen Krankheiten wird angenommen, dass die Reaktion im späten Stadium eine wichtige Rolle spielt. Jedoch basieren die heutzutage verwendeten antiallergischen Mittel hauptsächlich auf der Antihistamin-Wirksamkeit und hemmen nur die Reaktion im frühen Stadium und die klinische Wirkung davon ist nicht zufriedenstellend. Auch im Hinblick darauf war die Entwicklung eines Arzneistoffs erwünscht, der sowohl Reaktionen im frühen Stadium als auch späten Stadium durch Unterdrücken der Immunantworten von Th2 hemmt und therapeutisch und vorbeugend allgemeine allergische Krankheiten, wie vorstehend erwähnt, behandelt.
  • Außerdem ist von Bronchodilatoren, die durch Xanthinderivate oder β-Stimulantien repräsentiert werden, die als Asthmamittel für lange Jahre verwendet wurden, bekannt, dass sie unterdrückende Wirksamkeit des Zusammenziehens des glatten Bronchienmuskels durch verschiedene Stimulation aufweisen. Jedoch sind diese nicht wirksam gegenüber chronischer Atemwegsentzündung, die eine grundlegende Ursache für Asthma ist. Zusätzlich sind Nebenwirkungen von Xanthinderivaten oder β-Stimulantien gegenüber Kreislauforganen besorgniserregend. In der neueren Asthmatherapie, wie defininitiv in der Richtlinie der WHO gezeigt, wird Asthma als chronische Entzündung des Atemwegs angesehen, und es wurde zu einer Hauptaufgabe gemacht, die chronische Entzündung des Atemwegs zu behandeln. Die chronische Entzündung des Atemwegs bei Asthma wird durch die Infiltration, Aktivierung und Degranulierung von Eosinophilen getriggert und weist ein pathologisches charakteristisches Merkmal auf, das eine Hypertrophie und Fibrillierung des Atemwegepithels ergibt. Gemäß der vorstehenden Richtlinie werden die einzigen Steroid-Inhalationsmittel, die gegenüber chronischer Atemwegsentzündung wirksam sind, jetzt als zuerst gewähltes Arzneimittel für Asthma mit mehr als mittlerem Grad positioniert.
  • Als Ergebnis wurden Steroide häufig für ernstes Asthma und atopische Dermatitis verwendet, da sie als die einzig wirksamen Arzneistoffe angesehen werden. Jedoch wird es ein Problem, dass unter Verwendung solcher Steroide für lange Zeit verschiedene Nebenwirkungen (steroide Dermatitis, induzierte Infektionskrankheit, Dyscorticismus usw.) auftreten.
  • Ebenfalls im Hinblick darauf war erwünscht, den Arzneistoff zu entwickeln, der Immunantworten auf Th2 seletiv unterdrückt und Reaktionen sowohl im frühen als auch späten Stadium hemmt oder eine allergische entzündliche Reaktion hemmt, die durch eine Infiltration und Aktivierung von Eosinophilen im Stadium der fundamentalen Quelle gekennzeichnet ist und therapeutisch und vorbeugend für allgemeine allergische Krankheiten wirksam ist.
  • Außerdem scheint es, wenn geplant wird, therapeutische oder vorbeugende Arzneistoffe zu entwickeln, die weniger Nebenwirkungen aufweisen, dass die Arzneistoffe, die Immunantworten auf Th2 wie vorstehend erwähnt unterdrücken und Immunantworten auf Th1 gleichzeitig verstärken, als Arzneimittel stärker bevorzugt sind. Wie vorstehend erwähnt sind, da Th1 eine wichtige Rolle für den lebenden Körper spielt, d. h. Infektionsschutz gegen Viren und Bakterien hauptsächlich durch Produktion von IFN-γ, die Arnzeistoffe, die die Immunantworten auf Th2 unterdrücken und die Wirksamkeit von Th1 verstärken, sehr bevorzugt im Hinblick auf Nebenwirkungen. Zum Beispiel ist von Immunsuppressiva, z. B. Cyclosporin oder FK506, bekannt, dass sie in starkem Maße die Aktivierung von Th2 hemmen. Jedoch zeigen sowohl Cyclosporin als auch FK506 keine spezifische Unterdrückung gegenüber Immunantworten, d. h. sie hemmen nicht nur die Aktivierung von Th2, sondern hemmen auch stärker die Aktivierung von Th1. Daher waren ernste Nebenwirkungen, wie opportunistische Infektion oder Zunahme der carcinogenen Rate durch eine solche nicht spezifische Unterdrückung gegenüber Immunantworten ein Problem. Von anderen nicht spezifischen Immunsuppressiva wird angenommen, dass sie die gleichen Probleme aufweisen.
  • Wie vorstehend erwähnt ist der Arzneistoff, der die Immunantwort auf Th1, wiedergegeben durch die Produktion von IFN-γ, verstärkt und die Immunantworten auf Th2, wiedergegeben durch die Produktion von IL-4 und IL-5, gleichzeitig unterdrückt, ein therapeutisches und vorbeugendes Mittel für allergische Krankheiten mit weniger Nebenwirkungen.
  • Autoimmunkrankheiten in dem Zustand, dass die Bildung eines Antikörpers oder von humoraler Immunität abnorm erhöht ist, wie systemischer Lupus erythematosus, werden ebenfalls als im Zustand angesehen, dass Immunantworten auf Th2 abnorm verstärkt sind (Medical Immunology 15, 401 (1988)). Daher wird von dem Arzneistoff, der Immunantworten auf Th1 erhöht und Immunantworten von Th2 unterdrückt, erwartet, dass er ein therapeutisches Mittel für Autoimmunkrankheiten wird.
  • Pyrimidinderivate mit allgemeiner antiviraler Wirksamkeit sind in der japanischen Patentveröffentlichung A-9-301958 und der japanischen Patentveröffentlichung A 8-134044 offenbart. Jedoch gibt es keinen Vorschlag für Pyrimidinderivate der vorliegenden Erfindung, die Immunantworten von Th1 erhöhen und Immunantworten von Th2 unterdrücken.
  • WO 97/09325 offenbart Pyrimidinderivate mit immunschwächender Wirksamkeit usw. Jedoch sind diese Derivate strukturell verschieden zu den erfindungsgemäßen Pyrimidinderivaten.
  • Zusammenfassung der Erfindung
  • Unter solchen Umständen haben die in der vorliegenden Anmeldung genannten Erfinder verschiedene Verbindungen synthetisiert und sie auf die Wirkung auf Th1- und Th2-Immunantworten untersucht. Als Ergebnis wurde festgestellt, dass bestimmte Pyrimidinderivate die Th1-Immunantworten erhöhen und die Th2-Immunantworten unterdrücken, und daher das Gleichgewicht von Th1/Th2 in eine bevorzugte Richtung ändern.
  • D. h. die vorliegende Erfindung betrifft:
    • [1] ein Pyrimidinderivat der Formel (1) oder ein Salz davon;
      Figure 00050001
      wobei der Rest R1 durch eine Formel (2) wiedergegeben ist;
      Figure 00050002
      {in der Formel (2) ist der Ring A ein substituiertes oder unsubstituiertes C3-10-Cycloalkan, ein substituiertes oder unsubstituiertes C5-10-Cycloalken, ein substituiertes oder unsubstituiertes C7-10-Bicycloalkan oder ein heterocyclischer Ring, der ausgewählt ist aus Oxetan, Thietan (Trimethylensulfid), Thietan-1-oxid, Thiethan-1,1-Dioxid, Tetrahydrofuran, Tetrahydrothiophen, Tetrahydrothiophen-1-oxid, Tetrahydrothiophen-1,1-dioxid, Tetrahydro-4H-pyran, Thian (Pentamethylensulfid), Thian-1-oxid, Thian-1,1-dioxid, Oxepan (Hexamethylenoxid), Thiepan (Hexamethylensulfid), Thiepan-1-oxid, Thiepan-1,1-dioxid, 7-Oxabicyclo[2.2.1]heptan und 7-Oxabicyclo[2.2.1]hepta-5-en, oder wobei der heterocyclische Ring einen oder mehrere Substituenten, ausgewählt aus C1-3Alkyl, Hydroxy, C1-3-Alkoxycarbonyl, Carboxy, Carbamoyl und Oxo, aufweist, und die Substituenten an den benachbarten Kohlenstoffatomen am heterocyclischen Ring eine Tetramethylenbrücke bilden können, ist der Rest R4 ein geradkettiges oder verzweigtes C1-10-Alkyl, C2-6-Alkenyl, C3-6-Alkenyl, C3-6-Cycloalkyl, C4-10-Cycloalkylalkyl, oder OR8 (wobei der Rest R8 ein geradkettiges oder verzweigtes C1-10-Alkyl, C3-6-Alkenyl, C3-6-Alkinyl, C3-6-Cycloalkyl oder C4-10-Cycloalkylalkyl ist)}, oder durch eine Formel (3) wiedergegeben ist;
      Figure 00060001
      {in der Formel (3) ist der Rest R5 ein geradkettiges oder verzweigtes C1-10-Alkyl; C2-6-Alkenyl; C3-6-Alkinyl; ein geradkettiges oder verzweigtes C1-10-Alkyl, das mit Hydroxy, einem Halogenatom oder C1-4-Alkoxy substituiert ist; Phenyl; C3-8-Cycloalkyl; ein 5 bis 7 gliedriger gesättigter heterocyclischer Ring, der ein oder zwei Sauerstoffatome als Heteroatome enthält; oder C(=O)R9 (wobei der Rest R9 ein geradkettiges oder verzweigtes C1-10-Alkyl, C2-6-Alkenyl, C3-6-Alkinyl, C3-6-Cycloalkyl, C4-10-Cycloalkylalkyl oder OR10 ist (wobei der Rest R10 ein geradkettiges oder verzweigtes C1-10-Alkyl, C2-6-Alkenyl, C3-6-Alkinyl, C3-6-Cycloalkyl oder C4-10-Cycloalkylalkyl ist)), ist der Rest R6 ein Wasserstoffatom, ein geradkettiges oder verzweigtes C1-10-Alkyl, C6-10-Aryl, ein Halogenatom, C6-10-Aryl, das mit C1-4-Alkoxy oder C1-4-Alkyl, Carbamoyl, oder Hydroxymethyl substituiert ist, und ist der Rest R7 ein Wasserstoffatom oder ein geradkettiges oder verzweigtes C1-10-Alkyl}, ist der Rest R2 ein Wasserstoffatom oder ein geradkettiges oder verzweigtes C1-10-Alkyl, und ist der Rest R3 ein geradkettiges oder verzweigtes C1-10-Alkyl; C3-6-Cycloalkyl; ein geradkettiges oder verzweigtes C1-10-Alkyl, das mit C1-2-Alkylcarbamoyl, C2-4-Dialkylcarbamoyl, C1-4-Alkoxy, C1-4-Alkoxycarbonyl, C3-6-Cycloalkyl, Hydroxy, C1-4-Alkylcarbonyloxy, einem Halogenatom, Amino, C2-4-Acyl-substituiertem Amino, C1-4-Alkyl-substituiertem Sulfonylamino oder C1-5-Alkoxycarbonylamino substituiert ist; oder durch eine Formel (4) wiedergegeben ist; R11-(CH2)n- (4){in der Formel (4), ist der Rest R11 Phenyl, Pyridyl, Thienyl oder Furyl und jedes davon kann mit einem oder mehreren Substituenten, ausgewählt aus einem Halogenatom, Cyano, Carbamoyl, C1-4-Alkoxy und C1-4-Alkyl, substituiert werden. n stellt ganze Zahlen von 0–4 dar, mit der Maßgabe, dass n eine ganze Zahl von 1–4 ist, wenn der Rest R11 Phenyl ist.}, oder die Reste R2 und R3 zusammen C3-5-Alkylen oder genanntes Alkylen bilden, wobei Methylen mit einem O-Atom ersetzt ist, mit der Maßgabe dass, wenn der Rest R5 Phenyl ist und die Reste R6 und R7 ein Wasserstoffatom sind, die Reste R2 und R3 zusammen C4-5-Alkylen oder C3-5-Alkylen bilden, wobei Methylen mit einem O-Atom ersetzt ist,
    • [2] das Pyrimidinderivat oder sein Salz nach [1], wobei der Rest R3 ein geradkettiges oder verzweigtes C1-10-Alkyl; C3-6-Cycloalkyl; oder ein geradkettiges oder verzweigtes C1-10-Alkyl ist, das mit C1-2-Alkylcarbamoyl, C2-4-Dialkylcarbamoyl, C1-4-Alkoxy, C1-4-Alkoxycarbonyl, C3-6-Cycloalkyl, Hydroxy, C1-4-Alkylcarbonyloxy, einem Halogenatom, Amino, C2-4-Acyl-substituiertem Amino, C1-4-Alkyl-substituiertem Sulfonylamino oder C1-5-Alkoxycarbonylamino substituiert ist; oder die Reste R2 und R3 zusammen C3-5-Alkylen oder genanntes Alkylen bilden, wobei Methylen mit einem O-Atom ersetzt ist, mit der Maßgabe dass, wenn der Rest R5 Phenyl ist und die Reste R6 und R7 ein Wasserstoffatom sind, die Reste R2 und R3 zusammen C4-5-Alkylen oder C3-5-Alkylen bilden, wobei Methylen durch ein O-Atom ersetzt ist,
    • [3] das Pyrimidinderivat oder sein pharmazeutisch verträgliches Salz nach [1] oder [2], wobei die Reste R2 und R3 zusammen Trimethylen oder Tetramethylen sind, mit der Maßgabe dass, wenn der Rest R5 Phenyl ist und die Reste R6 und R7 ein Wasserstoffatom sind, die Reste R2 und R3 zusammen Tetramethylen sind,
    • [4] das Pyrimidinderivat oder sein pharmazeutisch verträgliches Salz nach [1] oder [2], wobei der Rest R3 ein geradkettiges oder verzweigtes C1-7-Alkyl ist,
    • [5] das Pyrimidinderivat oder sein pharmazeutisch verträgliches Salz nach [1], wobei der Rest R3 durch die Formel (4) wiedergegeben ist; R11-(CH2)n- (4)wobei der Rest R11 und n die gleiche vorstehend in [1] angegebene Bedeutung haben,
    • [6] das Pyrimidinderivat oder sein pharmazeutisch verträgliches Salz nach [1] oder [5], wobei der Rest R11 der Formel (4) Pyridyl, Thienyl oder Furyl ist,
    • [7] das Pyrimidinderivat oder sein pharmazeutisch verträgliches Salz nach [1], [5] oder [6], wobei n der Formel (4) eine ganze Zahl von 2–4 ist,
    • [8] das Pyrimidinderivat oder sein pharmazeutisch verträgliches Salz nach einem von [1] bis [7], wobei der Rest R1 durch die Formel (2) wiedergegeben ist;
      Figure 00080001
      wobei der Ring A und R4 die gleiche vorstehend in [1] angegebene Bedeutung haben,
    • [9] das Pyrimidinderivat oder sein pharmazeutisch verträgliches Salz nach einem von [1] bis [7], wobei der Rest R1 durch die Formel (3) wiedergegeben ist;
      Figure 00080002
      wobei die Reste R5, R6 und R7, die gleiche vorstehend in [1] angegebene Bedeutung haben,
    • [10] das Pyrimidinderivat oder sein pharmazeutisch verträgliches Salz nach einem von [1] bis [7] oder [9], wobei der Rest R5 ein geradkettiges C2-4-Alkyl oder ein geradkettiges C2-4-Alkyl ist, das mit Hydroxy substituiert ist,
    • [11] ein Immunmodulator, der die Immunantworten der Typ 2 T-Helferzelle unterdrückt und die Immunantworten der Typ 1 T-Helferzelle verstärkt, umfassend das Pyrimidinderivat oder sein pharmazeutisch verträgliches Salz nach einem von [1] bis [10] als einen Wirkstoff,
    • [12] ein therapeutisches oder vorbeugendes Mittel gegen Krankheiten in dem Stadium, in dem Immunantworten der T-Helferzelle von Typ 2 abnormal erhöht sind, umfassend das Pyrimidinderivat oder sein pharmazeutisch verträgliches Salz nach einem von [1] bis [10] als einen Wirkstoff,
    • [13] das therapeutische oder vorbeugende Mittel nach [12], wobei die Krankheit in dem Stadium, in dem die Immunantworten der Typ 2 T-Helferzelle abnormal erhöht sind, eine allergische Krankheit ist, und
    • [14] das therapeutische oder vorbeugende Mittel nach [13], wobei die allergische Krankheit Asthma, allergische Rinitis oder allergische Dermatitis ist.
  • DETAILLIERTE ERKLÄRUNG DER ERFINDUNG
  • Die vorliegende Erfindung wird nachstehend im Einzelnen erklärt.
  • Definition der Begriffe
  • Die „Substituenten R1, R2 und R3" am Pyrimidinring der vorliegenden Erfindung werden wie folgt erklärt:
    In Bezug auf den Rest R1
    sind Beispiele von C3-10-Cycloalkan im Ring A Cyclopropan, Cyclobutan, Cyclopentan, Cyclohexan, Cycloheptan, Cyclooctan usw. Beispiele von C5-10-Cycloalken sind Cyclopenten, Cyclohexen usw. Beispiele von C7-10-Bicycloalkan sind Bicyclo[2.2.1]heptan, Bicyclo[2.2.1]hepta-5-en, Bicyclo[2.2.2]octan, Bicyclo[2.2.2]octa-5-en usw. Beispiele des heterocyclischen Rings sind Oxetan, Thietan (Trimethylensulfid), Thietan-1-oxid (Trimethylensulfoxid), Thietan-1,1-dioxid (Trimethylensulfon), Tetrahydrofuran, Tetrahydrothiophen, Tetrahydrothiophen-1-oxid, Tetrahydrothiophen-1,1-dioxid, Tetrahydro- 4H-pyran, Thian (Pentamethylensulfid), Thian-1,1-dioxid (Pentamethylensulfon), Thian-1-oxid (Pentamethylensulfoxid), Oxepan (Hexamethylenoxid), Thiepan (Hexamethylensulfid), Thiepan-1-oxid (Hexamethylensulfoxid), Thiepan-1,1-dioxid (Hexamethylensulfon), 7-Oxabicyclo[2.2.1]heptan, 7-Oxabicyclo[2.2.1]hepta-5-en usw. und
    Beispiele der Substituenten von substituiertem Cycloalkan, substituiertem Cycloalken, substituiertem Bicycloalkan und substituiertem heterocyclischen Ring im Ring A sind C1-3-Alkyl, Hydroxy, C1-3-Alkoxycarbonyl, Carboxy, Carbamoyl usw., und die Substituenten an den benachbarten Kohlenstoffatomen können eine Tetramethylenbrücke bilden oder Kohlenstoffatom(e) im Ring können mit Carbonyl (C=O) substituiert sein. Der (die) Substituent(en) ist (sind) einer oder mehrere und gleich oder verschieden. Beispiele von C1-3-Alkyl sind Methyl, Ethyl, n-Propyl, 2-Propyl usw. Beispiele von C1-3-Alkoxycarbonyl sind Methoxycarbonyl, Ethoxycarbonyl, n-Propoxycarbonyl, 2-Propoxycarbonyl usw.
  • Beispiele von geradkettigem oder verzweigtem C1-10-Alkyl in den Resten R2, R3, R4, R5, R6, R7, R8, R9 und R10 sind Methyl, Ethyl, Propyl, 1-Methylethyl, Butyl, 1-Methylpropyl, 2-Methylpropyl, Pentyl, 1-Methylbutyl, 2-Methylbutyl, 3-Methylbutyl, 1-Ethylpropyl, Hexyl, 1-Methylpentyl, 2-Methylpentyl, 3-Methylpentyl, 4-Methylpentyl, 1-Ethylbutyl, 2-Ethylbutyl, Heptyl, Octyl, Nonyl, Decyl usw.
  • Beispiele von C2-6-Alkenyl in den Resten R4, R5, R8, R9 und R10 sind Vinyl, Allyl, Butenyl, Pentenyl, Hexenyl usw.
  • Beispiele von C3-6-Alkinyl in den Resten R4, R5, R8, R9 und R10 sind Propargyl, Butinyl, Pentinyl usw.
  • Beispiele von C3-8-Cycloalkyl in Substituenten des geradkettigen oder verzweigten C1-10-Alkyls in den Resten R3, R4, R5, R8, R9 und R10 sind Cyclopropyl, Cyclobutyl, Cyclopentyl, Cyclohexyl, Cycloheptyl, Cyclooctyl usw.
  • Beispiele von C4-10-Cycloalkylalkyl in den Resten R4, R8, R9 und R10 sind Cyclopropylmethyl, Cyclobutylmethyl, Cyclopentylethyl, Cyclohexylmethyl, Cyclohexylpropyl usw.
  • Beispiele der Halogenatome in den Resten R3, R5 und R6 sind ein Fluoratom, Chloratom, Bromatom oder Jodatom.
  • Beispiele von C1-4-Alkoxy in den Resten R3, R5 und R6 sind Methoxy, Ethoxy, Propoxy, Butoxy usw.
  • Bevorzugte Beispiele von geradkettigem oder verzweigtem C1-10-Alkyl im Rest R3 sind ein geradkettiges oder verzweigtes C1-7-Alkyl, z. B. Methyl, Ethyl, Propyl, 1-Methylethyl, Butyl, 1-Methylpropyl, 2-Methylpropyl, Pentyl, 1-Methylbutyl, 2-Methylbutyl, 3-Methylbutyl, 1-Ethylpropyl, Hexyl, Heptyl usw.
  • In Bezug auf die Substituenten des geradkettigen oder verzweigten C1-10-Alkyls im Rest R3 sind Beispiele von C1-2-Alkylcarbamoyl Methylcarbamoyl, Ethylcarbamoyl usw.; sind Beispiele von C2-4-Dialkylcarbamoyl Dimethylcarbamoyl, Methylethylcarbamoyl, Diethylcarbamoyl usw.; sind Beispiele von C1-4-Alkoxycarbonyl Methoxycarbonyl, Ethoxycarbonyl, Propoxycarbonyl, 2-Propoxycarbonyl usw.; sind Beispiele von C1-4-Alkylcarbonyloxy Acetoxy, Ethylcarbonyloxy, Propylcarbonyloxy usw., sind Beispiele von C2-4-Acyl-substituiertem Amino Acetylamino, Propanoylamino usw.; sind Beispiele von C1-4-Alkyl-substituiertem Sulfonylamino Methylsulfonylamino, Ethylsulfonylamino, Propylsulfonylamino, Butylsulfonylamino usw.; sind Beispiele von C1-5-Alkoxycarbonylamino Methoxycarbonylamino, Ethoxycarbonylamino, Propyloxycarbonylamino, Butoxycarbonylamino usw.
  • R11 in R3 bedeutet Phenyl, Pyridyl, Thienyl oder Furyl und jedes davon kann mit einem oder mehreren Substituenten substituiert sein. Phenyl und Pyridyl sind bevorzugt, und Phenyl ist besonders bevorzugt. Die Substituenten sind Halogenatome, wie F, Cl, Br usw., Cyano, Carbamoyl, C1-4-Alkoxy, wie Methoxy, Ethoxy, Propoxy usw., C1-4-Alkyl, wie Methyl, Ethyl, Propyl, Butyl usw. n ist eine ganze Zahl von 0–4, mit der Maßgabe, dass n eine ganze Zahl von 1–4 ist, wenn R11 Phenyl ist. n ist vorzugsweise eine ganze Zahl von 0–2, stärker bevorzugt 1 oder 2.
  • Beispiele eines 5- bis 7-gliedrigen gesättigten heterocyclischen Rings, der ein oder zwei Sauerstoffatome als Heteroatome enthält, in R5 sind Tetrahydrofuran, Oxan, 1,4-Dioxan, Oxepan usw.
  • Bevorzugte Substituenten des geradkettigen oder verzweigten C1-10-Alkyls in R5 sind Hydroxy, die bevorzugte Zahl ist ein oder mehrere, und seine bevorzugte Position ist 1 oder 2 (Position 2 oder 3 bei Zählen von der Aminogruppe des Pyridinrings). Wenn der Substituent des geradkettigen oder verzweigten C1-10-Alkyls in R5 Hydroxy ist, ist seine Position vorzugsweise nicht die Endposition der Alkylkette.
  • Beispiele von C6-10-Aryl in R6 sind Phenyl, Naphthyl usw.
  • Bevorzugte Beispiele von geradkettigem oder verzweigtem C1-10-Alkyl in R9 sind ein geradkettiger oder verzweigter C2-4-Alkyl, z. B. Ethyl, Propyl, 1-Methylethyl, Butyl usw. Beispiele von C3-5-Alkylen, das R2 und R3 zusammen bilden, sind Trimethylen, Tetramethylen, Pentamethylen usw. Sie werden durch die folgenden Formeln (4), (5) und (6) wiedergegeben;
  • Figure 00120001
  • Beispiele von C3-5-Alkylen, das R2 und R3 zusammen bilden, wobei Methylen mit einem O-Atom ersetzt ist, sind Oxybismethylen, Oxymethylenethylen, Oxybisethylen usw. Sie werden durch die folgenden Formeln (7), (8), (9), (10), (11) und (12) wiedergegeben;
  • Figure 00130001
  • Die Pyrimidinderivate der vorliegenden Erfindung, die Wirkstoffe als medizinische Arzneistoffe sind, werden zu pharmazeutisch verträglichen Salzen geformt. Als pharmazeutisch verträgliche Salze werden Säureadditionssalze und Basenadditionssalze veranschaulicht. Als Säureadditionssalze werden anorganische Säuresalze, wie Hydrochlorid, Hydrobromid, Sulfat oder Phosphat, oder organische Säuresalze, wie Citrat, Oxalat, Malat, Tartrat, Fumarat oder Maleat, veranschaulicht. Als Basenadditionssalze werden anorganische Basensalze, wie Natriumsalze oder Calciumsalze, oder organische Basensalze, wie Megluminsalz, Tris(hydroxymethyl)aminomethansalz, veranschaulicht. Die erfindungsgemäßen Pyrimidinderivate oder pharmazeutisch verträglichen Salze davon schließen auch Solvate, wie Hydrate usw., ein.
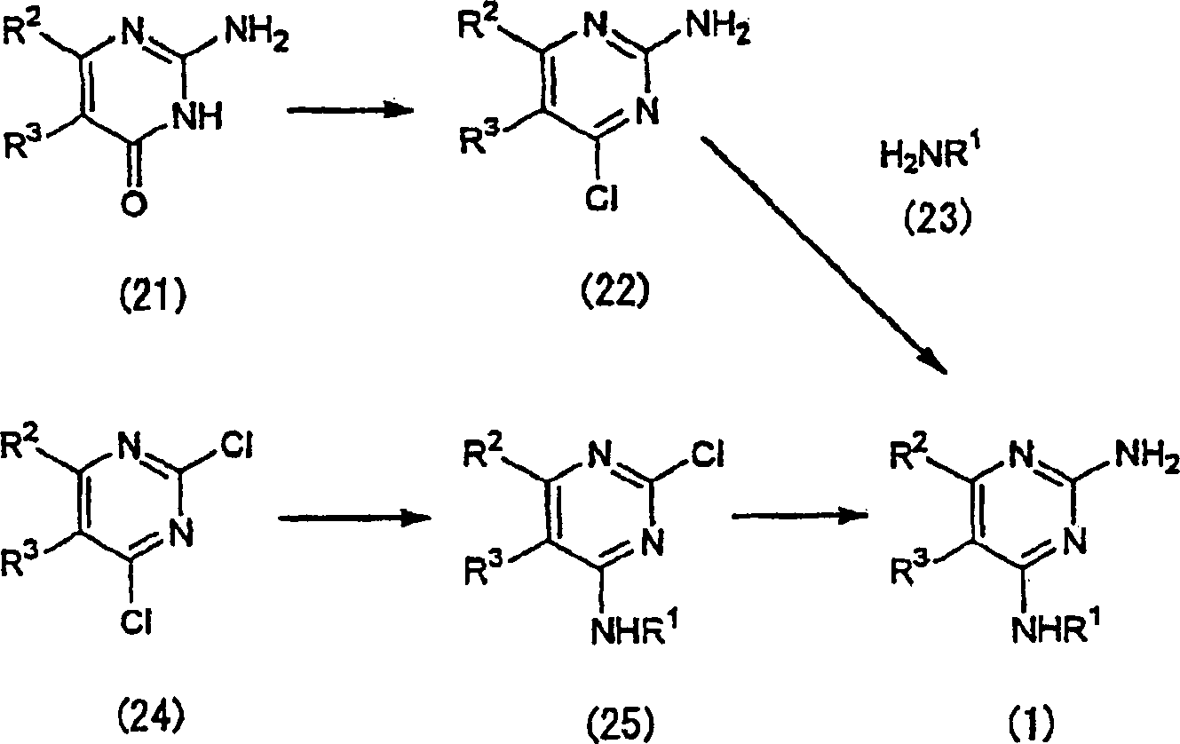
  • Die erfindungsgemäßen Verbindungen der Formel (1) können mit folgendem Verfahren oder gemäß folgendem Verfahren hergestellt werden.
    Figure 00140001
    wobei R1, R2 und R3 die gleiche vorstehend in Formel (1) angegebene Bedeutung haben.
  • Verfahren 1
  • Die Verbindung (22) wird durch Umsetzung der Verbindung (21) mit Phosphoroxychlorid hergestellt. Die Reaktion kann, falls erforderlich, in Gegenwart eines Lösungsmittels durchgeführt werden. Als Lösungsmittel werden aromatische Kohlenwasserstoffe, wie Toluol oder Xylol, aufgeführt. Die Reaktion kann in Gegenwart eines Reaktionsbeschleunigers, wie N,N-Dimethylaminopyridin, durchgeführt werden. Die Reaktionstemperatur wird zwischen Raumtemperatur und Rückflußtemperatur des Lösungsmittels gewählt.
  • Die erfindungsgemäße Verbindung (1) kann durch Umsetzung der Verbindung (22) mit der Verbindung (23) hergestellt werden. Als Lösungsmittel werden aromatische Kohlenwasserstoffe, wie Toluol oder Xylol, Ether, wie Tetrahydrofuran (THF) oder Dioxan, Alkohole, wie Ethanol, 2-Propanol oder Butanol, oder inerte Lösungsmittel, wie Dimethylformamid (DMF) oder Acetonitril, aufgeführt. Die Reaktion wird, falls erforderlich, in Gegenwart einer organischen Base, wie Triethylamin, oder einer anorganischen Base, wie Natriumcarbonat oder Kaliumcarbonat, durchgeführt. Die Reaktionstemperatur wird zwischen zum Beispiel Raumtemperatur und Rückflußtemperatur des Lösungsmittels gewählt.
  • Verfahren 2
  • Die Verbindung (25) kann durch Umsetzung der Verbindung (24) mit der Verbindung (23) hergestellt werden. Als Lösungsmittel werden aromatische Kohlenwasserstoffe, wie Toluol oder Xylol, Ether, wie Tetrahydrofuran (THF) oder Dioxan, Alkohole, wie Ethanol, 2- Propanol oder Butanol, oder inerte Lösungsmittel, wie Dimethylformamid (DMF) oder Acetonitril, aufgeführt. Die Reaktion kann, falls erforderlich, in Gegenwart einer organischen Base, wie Triethylamin, oder anorganischen Base, wie Natriumcarbonat oder Kaliumcarbonat, durchgeführt werden. Die Reaktionstemperatur wird zwischen zum Beispiel Raumtemperatur und Rückflußtemperatur des Lösungsmittels gewählt.
  • Die erfindungsgemäße Verbindung (1) kann durch Umsetzung der Verbindung (25) mit Ammoniak in einem Lösungsmittel hergestellt werden. Als Lösungsmittel werden Alkohole, wie Methanol oder Ethanol, Ether, wie Dioxan oder Ethylenglycoldimethylether, aufgeführt. Die Reaktion wird in einem Autoklaven bei Raumtemperatur bis etwa 200°C durchgeführt.
  • Die erfindungsgemäße Verbindung (1) kann auch durch Umsetzung der Verbindung (25) mit Natriumazid, gefolgt von Reduktion mit Triphenylphosphin, hergestellt werden. Die Umsetzung mit Natriumazid wird in einem inerten Lösungsmittel, wie DMF usw., durchgeführt. Die Reaktionstemperatur wird von etwa Raumtemperatur bis etwa dem Siedepunkt des Lösungsmittels gewählt. Die Reduktion durch Triphenylphosphin wird in einem Ether, wie THF usw., durchgeführt. Die Reaktionstemperatur wird von etwa Raumtemperatur bis etwa dem Siedepunkt des Lösungsmittels gewählt.
  • Die erfindungsgemäßen Verbindungen der Formel (1) und Zwischenprodukte zu ihrer Herstellung können mit üblichen Verfahren, wie Säulenchromatographie, Umkristallisation usw., gereinigt werden. Als Lösungsmittel zur Umkristallisation werden Alkohole, wie Methanol, Ethanol oder 2-Propanol, Ether, wie Diethylether, Ester, wie Essigsäureethylester, aromatische Kohlenwasserstoffe, wie Toluol, Ketone, wie Aceton, Kohlenwasserstoffe, wie Hexan, oder ein Gemisch davon aufgeführt.
  • Bei Durchführen der vorstehenden Umsetzungen können falls erforderlich Verfahren zum Schützen und zur Schutzgruppenabspaltung verwendet werden. Die Verfahren zum Schützen und zur Schutzgruppenabspaltung sind im Einzelnen in „Protecting Groups in Organic Synthesis" von T. W. Greene und P. G. M. Wuts (1991), JOHN WILEY & SONS INC. beschrieben.
  • Die erfindungsgemäßen Pyrimidinderivate oder pharmazeutisch verträglichen Salze davon können Solvate, wie Hydrate, bilden, und daher schließt die vorliegende Erfindung auch die Solvate ein.
  • Wenn die erfindungsgemäßen Verbindungen ein oder mehrere asymmetrische Kohlenstoffatom(e) aufweisen, existieren optische Isomere, und daher sind ein Gemisch davon und ein isoliertes optisches Isomer in die erfindungsgemäßen Verbindungen eingeschlossen. Zum Reinigen eines solchen optischen Isomers wird eine optische Trennung verwendet.
  • Als optische Trennung können die erfindungsgemäßen Verbindungen oder ihre Zwischenprodukte Salze mit einer optisch aktiven Säure (z. B. Monocarbonsäure, wie Mandelsäure, N-Benzyloxyalanin oder Milchsäure, Dicarbonsäure, wie Weinsäure, o-Diisopropylidenweinsäure oder Äpfelsäure, oder Sulfonsäuren, wie Camphersulfonsäure, Bromcamphersulfonsäure) in einem inerten Lösungsmittel (z. B. Alkohole, wie Methanol, Ethanol oder 2-Propanol, Ether, wie Diethylether, Ester, wie Essigsäureethylester, aromatische Kohlenwasserstoffe, wie Toluol, Acetonitril, oder ein Gemisch davon) bilden.
  • Wenn die erfindungsgemäßen Verbindungen oder Zwischenprodukte davon einen sauren Substituenten, wie eine Carboxygruppe usw., aufweisen, können sie auch Salze mit einem optisch aktiven Amin (z. B. einem organischen Amin, wie α-Phenethylamin, Chinin, Chinidin, Cinchonidin, Cinchonin, Strychnin usw.) bilden.
  • Die Salze bildende Temperatur beträgt Raumtemperatur bis zum Siedepunkt des Lösungsmittels. Um die optische Reinheit der Verbindung zu erhöhen, wird die Temperatur vorzugsweise einmal auf eine Temperatur um den Siedepunkt des Lösungsmittels erhöht. Die Ausbeute kann, falls erforderlich, durch Abkühlen des Lösungsmittels vor Filtrieren eines ausgefällten Salzes erhöht werden. Die Menge einer optisch aktiven Säure oder eines Amins beträgt etwa 0,5–2,0 Äquimole zum Substrat, vorzugsweise etwa 1 Äquimol. Falls erforderlich werden die Kristalle in einem inerten Lösungsmittel (z. B. Alkohole, wie Methanol, Ethanol oder 2-Propanol, Ether, wie Diethylether, Ester, wie Essigsäureethylester, aromatische Kohlenwasserstoffe, wie Toluol, Acetonitril, oder ein Gemisch davon) umkristallisiert, um ein optisch aktives Salz mit in hohem Maß optischer Reinheit zu erhalten.
  • Das erhaltene Salz wird falls erforderlich auf herkömmliche Weise mit einer Säure oder einer Base behandelt, wobei eine freie Verbindung erhalten wird.
  • Die erfindungsgemäßen Pyrimidinderivate können oral oder parenteral verabreicht werden. Bei oraler Verabreichung wird die Verbindung in der üblichen Verabreichungsform verabreicht. Bei parenteraler Verabreichung kann die Verbindung in topischen Verabreichungsformen, Injektionen, transdermalen Aufbringungsformen oder nasalen Aufbringungsformen verabreicht werden. Präparate für orale oder rektale Verabreichung schließen zum Beispiel Kapseln, Tabletten, Pillen, Pulver, Caches, Suppositorien, Lösungen usw. ein. Injektionen schließen zum Beispiel sterilisierte Lösungen oder Emulsionen usw. ein. Topische Verabreichungspräparate schließen zum Beispiel Cremes, Salben, Lotionen, transdermale Präparate (übliche Pflaster, Matrizen) usw. ein.
  • Die vorstehenden Präparate werden mit pharmazeutisch verträglichen Füllstoffen und Zusätzen mit dem üblichen Verfahren hergestellt. Pharmazeutisch verträgliche Füllstoffe und Zusätze schließen Träger, Bindemittel, Geschmacksstoffe, Puffermittel, Mittel zum Erhöhen der Viskosität, färbende Mittel, Stabilisationsmittel, Emulgatoren, Dispergiermittel, Suspendiermittel, Konservierungsstoffe usw. ein.
  • Pharmazeutisch verträgliche Träger schließen zum Beispiel Magnesiumcarbonat, Magnesiumstearat, Talkum, Zucker, Lactose, Pectin, Dextrin, Stärke, Gelatine, Traganth, Methylcellulose, Natriumcarboxymethylcellulose, Wachs (geringerer Schmelzpunkt), Kakaobutter usw. ein. Kapseln können durch Einbringen der erfindungsgemäßen Verbindung mit pharmazeutisch verträglichen Trägern hergestellt werden. Die erfindungsgemäße Verbindung wird mit den pharmazeutisch verträglichen Füllstoffen gemischt und das Gemisch in Kapseln gegeben oder die Verbindung ohne Füllstoff in Kapseln gegeben. Caches können mit dem gleichen Verfahren wie die Kapseln hergestellt werden.
  • Lösungen zur Injektion schließen zum Beispiel Lösungen, Suspensionen, Emulsionen usw., wie eine wässrige Lösung, Wasser-Propylenglycol-Lösung ein. Die Lösung kann Wasser enthalten und kann in Propylenglycol und/oder Propylenglycollösung hergestellt werden. Die für orale Verabreichung geeigneten Lösungen können durch Zugabe der erfindungsgemäßen Verbindung zu Wasser und falls erforderlich Zugabe eines färbenden Mittels, Geschmacksstoffs, Stabilisationsmittels, Süßstoffs, Mittels zum Löslichmachen, Mittels zum Erhöhen der Viskosität usw. hergestellt werden. Ebenfalls können die für orale Verabreichung geeigneten Lösungen durch Zugabe der erfindungsgemäßen Verbindung und eines Dispersionsmittels zu Wasser zum Bilden viskoser Lösungen hergestellt werden. Die Mittel zum Erhöhen der Viskosität schließen zum Beispiel natürlichen oder synthetischen Gummi, Harz, Methylcellulose, Natriumcarboxymethylcellulose oder bekannte Emulgatoren ein.
  • Die Präparate für topische Verabreichung schließen zum Beispiel die vorstehend genannten Lösungen, Cremes, Aerosole, Sprays, Pulver, Lotionen, Salben usw. ein. Die Präparate für topische Verabreichung können durch Mischen der erfindungsgemäßen Verbindung, pharmazeutisch verträglichen Verdünnungsmitteln und herkömmlich verwendeten Trägern hergestellt werden. Cremes und Salben können zum Beispiel durch Mischen von wässrigen oder Ölgrundstoffen und Mitteln zum Erhöhen der Viskosität und/oder Geliermitteln hergestellt werden. Die Grundstoffe schließen zum Beispiel Wasser, flüssiges Paraffin, Pflanzenöl (Erdnußöl, Rhizinusöl) usw. ein. Die Mittel zum Erhöhen der Viskosität schließen zum Beispiel weiches Paraffin, Aluminiumstearat, Cetostearylalkohol, Propylenglycol, Polyethylenglycol, Lanolin, hydriertes Lanolin, Bienenwachs usw. ein. Die Lotionen können durch Mischen von wässrigen oder Ölgrundstoffen und einem oder mehreren pharmazeutisch verträglichen Stabilisationsmitteln, Suspendiermitteln, Emulgatoren, Dispergiermitteln, Mitteln zum Erhöhen der Viskosität, färbenden Mitteln, Geschmacksstoffen usw. hergestellt werden.
  • Die Pulver werden mit pharmazeutisch verträglichen Pulvergrundstoffen hergestellt. Die Grundstoffe sind Talkum, Lactose, Stärke usw. Tropfen können mit wässrigen oder nicht wässrigen Grundstoffen und einem oder mehreren pharmazeutisch verträglichen Dispergiermitteln, Suspendiermitteln, Mitteln zum Löslichmachen usw. hergestellt werden.
  • Die Präparate für topische Verabreichung können, falls erforderlich, Konservierungsmittel, wie Hydroxybenzoesäuremethylester, Hydroxybenzoesäurepropylester, Chlorcresol, Benzalkoniumchlorid, und antibakterielle Mittel enthalten.
  • Flüssigkeiten für Spray, Pulver oder Tropfen, die die erfindungsgemäße Verbindung enthalten, können nasal verabreicht werden.
  • Die Dosierung und Zahl der Verabreichungen variieren mit einer zu behandelnden Krankheit, dem Alter, Körpergewicht, dem Weg der Verabreichung. Bei oraler Verabreichung wird ein Wirkstoff einem Erwachsenen im Allgemeinen mit etwa 1–500 mg pro Tag, vorzugsweise etwa 5–100 mg, ein- oder mehrmals verabreicht. Bei Injektionen wird ein Wirkstoff im Allgemeinen mit etwa 0,1–300 mg pro Tag, vorzugsweise etwa 1–100 mg, ein- oder mehrmals verabreicht.
  • Beispiele
  • Die vorliegende Erfindung wird im Einzelnen durch die Beispiele, Bezugsbeispiele und Tests erklärt, aber die vorliegende Erfindung sollte nicht auf sie beschränkt sein.
  • Beispiel 1 Ethyl-2-[(2-amino-5,6,7,8-tetrahydrochinazolin-4-yl)amino]acetat
    Figure 00190001
  • Zu einem Gemisch von 4-Chlor-5,6,7,8-tetrahydrochinazolin-2-yl-amin (100 mg, 0,545 mmol), Triethylamin (221 mg, 2,18 mmol) und Butanol (3 ml) wurde Glycinethylester-Hydrochlorid (152 mg, 1,10 mmol) bei Raumtemperatur gegeben. Nachdem das Gemisch 4 Stunden bei 90°C gerührt worden war, wurde das Reaktionsgemisch in Wasser gegossen und mit Chloroform extrahiert. Die organische Schicht wurde mit gesättigter Salzlösung gewaschen, über Natriumsulfat getrocknet, filtriert und das Lösungsmittel im Filtrat unter Vakuum entfernt. Der Rückstand wurde durch Kieselgelchromatographie (3% MeOH/CHCl3) gereinigt, wobei die gewünschte Verbindung (98,3 mg, 72,1%) erhalten wurde.
    1H-NMR (CDCl3): δ 1,30 (3H, t, J = 7,0 Hz), 1.78 (4H, m), 2,30 (2H, m), 2,55 (2H, m), 4,20 (2H, m), 4,24 (2H, q, J = 7.0 Hz), 4,76 (2H, bs), 5,13 (1H, bs).
  • Beispiel 2 N-(2-Amino-5,6,7,8-tetrahydrochinazolin-4-yl)-N-(cyclohexylmethyl)amin
    Figure 00200001
  • Ein Gemisch von 4-Chlor-5,6,7,8-tetrahydrochinazolin-2-yl-amin (107 mg, 0,58 mmol), Triethylamin (221 mg, 2,18 mmol), Cyclohexylmethylamin (132 mg, 1,17 mmol) und n-Butanol (3 ml) wurde 4 Stunden bei 80–90°C umgesetzt. Gemäß der Nachbehandlung von Beispiel 1 wurde die gewünschte Verbindung erhalten (102 mg, 67,9%).
    1H-NMR (CDCl3): δ 0,97 (2H, m), 1,22 (3H, m), 1,56 (1H, m), 1,76 (9H, m), 2,21 (2H, m), 2,55 (2H, m), 3,28 (2H, t, J = 6,8 Hz), 4,71 (1H, bt), 5,03 (2H, bs).
  • Beispiel 3 Ethyl-2-[(2-amino-5,6,7,8-tetrahydrochinazolin-4-yl)amino]-4-methylpentanoat
    Figure 00200002
  • Ein Gemisch von 4-Chlor-5,6,7,8-tetrahydrochinazolin-2-yl-amin (117 mg, 0,64 mmol), Triethylamin (259 mg, 2,56 mmol), d1-Leucinethylester-Hydrochlorid (250 mg, 1,28 mmol) und n-Butanol (2 ml) wurde 6 Stunden bei 80–90°C umgesetzt. Gemäß der Nachbehandlung von Beispiel 1 wurde die gewünschte Verbindung erhalten (104,3 mg, 72,1%).
    1H-NMR (CDCl3): δ 0,92 (6H, m), 1,30 (3H, t, J = 7,1 Hz), 1,60–1,70 (3H, m), 1,79 (4H, m), 2,29 (2H, m), 2,54 (2H, m), 4,18 (2H, q, J = 7,1 Hz), 4,80 (1H, m), 4,88 (2H, bs), 4,90 (1H, bs).
  • Beispiel 4 N-(2-Amino-5,6,7,8-tetrahydrochinazolin-4-yl)-N-(2-ethoxyethyl)amin
    Figure 00200003
  • Zu einem Gemisch von 4-Chlor-5,6,7,8-tetrahydrochinazolin-2-yl-amin (100 mg, 0,545 mmol), Triethylamin (221 mg, 2,18 mmol) und Dimethylformamid (2 ml) wurde Ethoxyethylamin (98 mg, 1,10 mmol) bei Raumtemperatur gegeben. Nachdem das Gemisch 2,5 Stunden bei 90°C gerührt worden war, wurde das Reaktionsgemisch in Wasser gegossen und mit Chloroform extrahiert. Die organische Schicht wurde mit gesättigter Salzlösung gewaschen, über Natriumsulfat getrocknet, filtriert und das Lösungsmittel im Filtrat unter Vakuum entfernt. Der Rückstand wurde durch präparative DC (10% MeOH/CHCl3) gereinigt, wobei die gewünschte Verbindung (41,7 mg, 32,4%) erhalten wurde.
    1H-NMR (CDCl3): δ 1,22 (3H, t, J = 6,8 Hz), 1,80 (4H, m), 2,23 (2H, m), 2,59 (2H, m), 3,53 (2H, q, J = 6,8 Hz), 3,62 (4H, m), 5,17 (4H, bt), 5,30 (2H, bs).
  • Beispiel 5 N-(2-Amino-5,6,7,8-tetrahydrochinazolin-4-yl)-N-butylamin
    Figure 00210001
  • Ein Gemisch von 4-Chlor-5,6,7,8-tetrahydrochinazolin-2-yl-amin (100 mg, 0,545 mmol) und Butylamin (2 ml) wurde 4 Stunden bei 90°C gerührt. Das Reaktionsgemisch wurde in Wasser gegossen und mit Chloroform extrahiert. Die organische Schicht wurde mit gesättigter Salzlösung gewaschen, über Natriumsulfat getrocknet, filtriert und das Lösungsmittel im Filtrat unter Vakuum entfernt. Der Rückstand wurde durch Säulenchromatographie (10% MeOH/CHCl3) gereinigt, wobei die gewünschte Verbindung erhalten wurde (94,5 mg, 78,9%).
    1H-NMR (CDCl3): δ 0,93 (3H, t, J = 7,0 Hz), 1,36 (2H, m), 1,63 (2H, m), 1,78 (4H, m), 2,31 (2H, m), 2,58 (2H, m), 3,47 (2H, q, J = 7,0 Hz), 6,00 (1H, bs), 6,03 (1H, t ähnlich), 7,34 (1H, bs).
  • Beispiel 6 N-(2-Amino-5,6,7,8-tetrahydrochinazolin-4-yl)-N-hexylamin
    Figure 00210002
  • Gemäß dem Verfahren von Beispiel 5 wurde die vorstehende Verbindung erhalten.
    1H-NMR (CDCl3): δ 0,89 (3H, m), 1,32 (6H, m), 1,59 (2H, m), 1,81 (4H, m), 2,21 (2H, m), 2,62 (2H, m), 3,44 (2H, q, J = 7,0 Hz), 4,99 (1H, bs), 5,73 (2H, brs).
  • Beispiel 7 Ethyl-2-[(2-amino-5,6,7,8-tetrahydrochinazolin-4-yl)amino]propanoat
    Figure 00220001
  • Zu einem Gemisch von 4-Chlor-5,6,7,8-tetrahydrochinazolin-2-yl-amin (100 mg, 0,545 mmol), Triethylamin (221 mg, 2,18 mmol) und Dimethylformamid (4 ml) wurde 2-Aminopropionsäureethylester-Hydrochlorid (167 mg, 1,09 mmol) bei Raumtemperatur gegeben. Nachdem das Gemisch 2,5 Stunden bei 100°C gerührt worden war, wurde das Reaktionsgemisch in Wasser gegossen und mit Chloroform extrahiert. Die organische Schicht wurde mit gesättigter Salzlösung gewaschen, über Natriumsulfat getrocknet, filtriert und das Lösungsmittel im Filtrat unter Vakuum entfernt. Der Rückstand wurde durch Kieselgelchromatographie (5% MeOH/CHCl3) gereinigt, wobei die gewünschte Verbindung (42,1 mg, 29,3%) erhalten wurde.
    1H-NMR (300 MHz, CDCl3): δ 5,07 (brd, 1H, J = 6,8 Hz), 4,79–4,69 (3H, m), 4,21 (q, 2H, J = 7,1 Hz), 2,56–2,53 (2H, m), 2,32–2,25 (2H, m), 1,85–1,73 (4H, m), 1,47 (d, 3H, J = 7,1 Hz), 1,29 (t, 3H, J = 7,1 Hz).
  • Beispiel 8 Ethyl-2-[(2-amino-5,6,7,8-tetrahydrochinazolin-4-yl)amino]-3-hydroxypropanoat
    Figure 00220002
  • Gemäß dem Verfahren von Beispiel 7 wurde die vorstehende Verbindung erhalten.
    1H-NMR (300 MHz, CDCl3): δ 5,63 (d, 1H, J = 6,2 Hz), 4,84–4,76 (3H, m), 4,26–4,20 (2H, m), 4,08 (dd, 1H, J = 11,0, 3,1 Hz), 3,94 (dd, 1H, J = 11,0, 1,9 Hz), 2,55–2,47 (2H, m), 2,32–2,25 (2H, m), 1,80–1,70 (4H, m), 1,31 (t, 3H, J = 7,1 Hz).
  • Beispiel 9 Methyl-2-[(2-amino-5,6,7,8-tetrahydrochinazolin-4-yl)amino]hexanoat
    Figure 00230001
  • Gemäß dem Verfahren von Beispiel 7 wurde die vorstehende Verbindung erhalten.
    1H-NMR (300 MHz, CDCl3): δ 4,94 (d, 1H, J = 7,7 Hz), 4,85–4,75 (1H, m), 4,74 (1H, brs), 3,74 (3H, s), 2,57–2,50 (2H, m), 2,30–2,50 (2H, m), 1,95–1,65 (6H, m), 1,40–1,25 (4H, m), 0,92–0,87 (3H, m).
  • Beispiel 10 2-[(2-Amino-5,6,7,8-tetrahydrochinazolin-4-yl)amino]hexan-1-ol
    Figure 00230002
  • Methyl-2-[(2-amino-5,6,7,8-tetrahydrochinazolin-2-yl)amino]hexanoat (122 mg, 0,417 mmol) wurde in THF (3 ml) gelöst. Zur Lösung wurde Lithiumaluminiumhydrid (15 mg, 0,417 mmol) bei 0°C gegeben und auf Raumtemperatur erwärmt. Das Reaktionsgemisch wurde, abgekühlt und THF (10 ml) zugetropft, gefolgt von Zutropfen von Wasser (1 ml). Dann wurde 1 M wässrige NaOH-Lösung zugegeben, bis sich ein Feststoff entwickelte. MgSO4 wurde zum Reaktionsgemisch gegeben und das Gemisch filtriert. Zum Filtrat wurden eine gesättigte wässrige Natriumhydrogencarbonatlösung und Chloroform gegeben und es extrahiert. Die organische Schicht wurde mit gesättigter Salzlösung gewaschen, über Natriumsulfat getrocknet, filtriert und das Lösungsmittel im Filtrat unter Vakuum entfernt. Der Rückstand wurde durch präparative DC (15% MeOH/CHCl3) gereinigt, wobei die gewünschte Verbindung (27 mg, 24,5%) erhalten wurde.
    1H-NMR (300 MHz, CDCl3): δ 5,46 (brs, 1H), 4,97 (d, 1H, J = 7,1 Hz), 4,50 (2H, brs), 4,20–4,10 (1H, m), 3,76 (dd, 1H, J = 11,0, 3,1 Hz), 3,62 (dd, 1H, J = 11,0, 6,6 Hz), 2,60–2,50 (2H, m), 2,35–2,15 (2H, m), 1,85–1,70 (4H, m), 1,70–1,45 (2H, m), 0,93–0,88 (3H, m).
  • Beispiel 11 1-[(2-Amino-5,6,7,8-tetrahydrochinazolin-4-yl)amino]pentan-2-ol
    Figure 00240001
  • Ein Gemisch von 4-Chlor-5,6,7,8-tetrahydrochinazolin-2-yl-amin (184 mg, 1 mmol), 2-Hydroxypentylamin-Hydrochlorid (140 mg, 1 mmol), Triethylamin (202 mg, 2 mmol) und DMF (1 ml) wurde 5 Stunden in einem Bad (Badtemperatur 90°C) erwärmt. Das Lösungsmittel im Filtrat wurde unter Vakuum entfernt und der Rückstand durch Kieselgelsäulenchromatographie (CHCl3 : MeOH : NH4OH wässr. = 100 : 10 : 0,4) gereinigt, wobei das Rohprodukt (210 mg) erhalten wurde. Zum Rohprodukt wurden wässrige Ammoniaklösung (5 ml) und Chloroform (30 ml) gegeben und es wurde extrahiert. Die organische Schicht wurde mit gesättigter Salzlösung (20 ml) gewaschen, über Natriumsulfat getrocknet, filtriert und das Lösungsmittel im Filtrat unter Vakuum entfernt, wobei die gewünschte Verbindung (128 mg, 51%) erhalten wurde.
    1H-NMR (300 MHz, CDCl3): δ 4,93 (1H, brm), 4,62 (2H, brs), 3,75–3,85 (1H, m), 3,55–3,65 (1H, m), 3,33–3,44 (1H, m), 2,50–2,54 (2H, m), 2,20–2,22 (2H, m), 1,77–1,79 (4H, m), 1,38–1,54 (4H, m), 0,95 (3H, t, J = 7,3 Hz).
  • Beispiel 12 1-[(2-Amino-5,6,7,8-tetrahydrochinazolin-4-yl)amino]pentan-2-on
    Figure 00240002
  • Zu einer Lösung von 1-[2-Amino-5,6,7,8-tetrahydrochinazolin-4-yl)amino]pentan-2-ol (120 mg, 0,479 mmol) in Dichlormethan (20 ml) wurde Pyridiniumchlorchromat (517 mg, 23,97 mmol) gegeben und das Gemisch 3,5 Stunden gerührt. Kieselgel (10 g) wurde zum Reaktionsgemisch gegeben und es wurde filtriert. Das Kieselgel wurde mit 5% MeOH/CHCl3 gewaschen. Die Filtrate wurden gesammelt und das Lösungsmittel unter Vakuum entfernt. Der Rückstand wurde durch Kieselgelchromatographie (CHCl3 : MeOH : NH4OH wässr. = 100 : 5 : 0,4) gereinigt, wobei die gewünschte Verbindung (32 mg, 26%) erhalten wurde.
    1H-NMR (300 MHz, CDCl3): δ 5,36 (1H, brs), 4,62 (2H, brs), 4,28 (2E, d, J = 4,0 Hz), 2,46–2,57 (4H, m), 2,30–2,32 (2H, m), 2,02 (1H, brm), 1,65–1,81 (6H, m), 0,96 (3H, t, J = 7,3 Hz).
  • Beispiel 13 N-(2-Amino-5,6,7,8-tetrahydrochinazolin-4-yl)-N-(tetrahydrofuran-2-yl-methyl)amin
    Figure 00250001
  • Ein Gemisch von 4-Chlor-5,6,7,8-tetrahydrochinazolin-2-yl-amin (184 mg, 1 mmol), Tetrahydrofurfurylamin (101 mg, 1 mmol) und Diethylenglycoldiethylether (1 ml) wurde 2 Stunden auf 100–110°C erwärmt gehalten. Das Reaktionsgemisch wurde mit Essigsäureethylester (50 ml) und gesättigtem wässrigem Natriumhydrogencarbonat (20 ml) extrahiert. Die organische Schicht wurde mit gesättigter Salzlösung gewaschen, über Natriumsulfat getrocknet, filtriert und das Lösungsmittel im Filtrat unter Vakuum entfernt. Der Rückstand wurde durch Säulenchromatographie (CHCl3 : MeOH : NH4OH wässr. = 100 : 10 : 0,4) gereinigt, wobei die gewünschte Verbindung (80 mg, 32,3%) erhalten wurde.
    1H-NMR (300 MHz, CDCl3): δ 4,98 (1H, brs), 4,87 (1H, brs), 4,01–4,11 (1H, m), 3,71–3,92 (3H, m), 3,29–3,38 (1H, m), 3,14 (1H, brm), 2,54–2,58 (2H, m), 2,22–2,24 (2H, m), 1,77–2,07 (8H, m).
  • Beispiel 14 N-(2-Amino-5-butyl-6-methylpyrimidin-4-yl)-N-pentylamin
    Figure 00250002
  • Ein Gemisch von 5-Butyl-4-chlor-6-methylpyrimidin-2-yl-amin (100 mg, 0,5 mmol) und Amylamin (2 ml) wurde 11 Stunden unter Rückfluß erhitzt. Das Reaktionsgemisch wurde abgekühlt und das Lösungsmittel unter Vakuum entfernt und der Rückstand durch Kieselgelsäulenchromatographie (MeOH : CHCl3 = 1 : 20) gereinigt, wobei die gewünschte Verbindung (98 mg, 78%) in Form eines Öls erhalten wurde.
    1H-NMR (CDCl3): δ 0,93 (6H, m), 1,37 (8H, brm), 1,60 (2H, m), 2,30 (3H, s), 2,32 (2H, m), 3,44 (2H, q-ähnlich), 4,96 (1H, br), 5,59 (2H, br).
  • Beispiel 15 N-(2-Amino-5-hexyl-6-methylpyrimidin-4-yl)-N-pentylamin
    Figure 00260001
  • Ein Gemisch von 4-Chlor-5-hexyl-6-methylpyrimidin-2-yl-amin (1,00 mg, 0,44 mmol) und Amylamin (2 ml) wurde 11 Stunden unter Rückfluß erhitzt. Das Reaktionsgemisch wurde abgekühlt und das Lösungsmittel unter Vakuum entfernt. Der Rückstand wurde durch Kieselgelsäulenchromatographie (MeOH : CHCl3 = 1 : 20) gereinigt, wobei die gewünschte Verbindung (107 mg, 87%) in Form eines Öls erhalten wurde.
    1H-NMR (TMS/CDCl3): δ 0,91 (6H, m), 1,36 (12H, brm), 1,60 (2H, m), 2,29 (3H, s), 2,31 (2H, m), 3,43 (2H, q-ähnlich), 4,90 (1H, br), 5,50 (2H, br).
  • Beispiel 16 N-(2-Amino-7,8-dihydro-5H-pyrano[4,3-d]pyrimidin-4-yl)-N-pentylamin
    Figure 00260002
  • Ein Gemisch von 4-Chlor-7,8-dihydro-5H-pyrano[4,3-d]pyrimidin-2-yl-amin (29,3 mg, 0,158 mmol) und Amylamin (1,0 ml) wurde 2,5 Stunden unter Rückfluß erhitzt. Nach der Umsetzung wurde das Verfahren gemäß der Vorbehandlung von Beispiel 7 durchgeführt, wobei die gewünschte Verbindung (22,3 mg, 59%) erhalten wurde.
    1H-NMR (300 MHz, CDCl3): δ 4,86 (2H, brs), 4,40 (2H, d, J = 1,1 Hz), 4,09 (1H, brs), 3,94 (2H, t, J = 5,6 Hz), 3,41 (2H, dt, J = 7,1, 5,4 Hz), 2,64 (2H, t, J = 5,6 Hz), 1,64–1,50 (2H, m), 1,42–1,25 (4H, m), 0,96–0,86 (3E, m).
  • Beispiel 17 N-(2-Amino-6-butyl-5-methylpyrimidin-4-yl)-N-pentylamin
    Figure 00270001
  • Ein Gemisch von 4-Butyl-6-chlor-5-methylpyrimidin-2-yl-amin (93,5 mg, 0,47 mmol) und Amylamin (1,5 ml) wurde 8 Stunden unter Rückfluß erhitzt. Nach der Umsetzung wurde das Verfahren gemäß der Vorbehandlung von Beispiel 7 durchgeführt, wobei die gewünschte Verbindung (50 mg, 42,7%) erhalten wurde.
    1H-NMR (CDCl3): δ 0,93 (6H, tx 2), 1,37 (6H, m), 1,57 (4H, m), 1,91 (3H, s), 2,51 (2H, t, J = 7,6 Hz), 3,40 (2H, q, J = 7,3 Hz), 4,61 (1H, bs), 4,98 (2H, bs).
  • Beispiel 18 N-(2-Amino-5,6-dimethylpyrimidin-4-yl)-N-pentylamin
    Figure 00270002
  • Ein Gemisch von N-(2-Chlor-5,6-dimethylpyrimidin-4-yl)-N-pentylamin (131 mg, 0,575 mmol) und 5 M Ammoniak-Ethanol (40 ml) wurde 10 Stunden auf 170°C gehalten. Das Reaktionsgemisch wurde unter Vakuum konzentriert, durch präparative DC (20% MeOH/CHCl3) gereinigt, wobei die gewünschte Verbindung (4,2 mg, 3,5%) erhalten wurde.
    1H-NMR (300 MHz, CDCl3): δ 5,17 (2H, brs), 4,56 (1H, brs), 3,82–3,44 (2H, m), 2,25 (3H, s), 1,90 (3H, s), 1,65–1,55 (2H, m), 1,37–1,32 (4H, m), 0,94–0,89 (3H, m).
  • Beispiel 19 N-(2-Amino-5,6,7,8-tetrahydrochinazolin-4-yl)-N-pentylamin
    Figure 00270003
  • Unter Verwendung von N-(2-Chlor-5,6,7,8-tetrahydrochinazolin-4-yl)-N-pentylamin als Ausgangssubstanz und gemäß dem Verfahren von Beispiel 18 wurde die gewünschte Verbindung erhalten.
    1H-NMR (300 MHz, CDCl3): δ 5,11 (2H, brs), 4,52 (1H, brs), 3,86–3,52 (2H, m), 2,57–2,54 (2H, m), 2,21–2,18 (2H, m), 1,83–1,75 (4H, m), 1,64–1,74 (2H, m), 1,40–1,30 (4H, m), 0,94–0.89 (3H, m).
  • Beispiel 20 N-(2-Amino-6,7-dihydro-5H-cyclopenta[d]pyrimidin-4-yl)-N-pentylamin
    Figure 00280001
  • Unter Verwendung von 2-Chlor-N-pentyl-6,7-dihydro-5H-cyclopenta[d]pyrimidin-4-amin als Ausgangssubstanz und gemäß dem Verfahren von Beispiel 18 wurde die gewünschte Verbindung erhalten.
    1H-NMR (300 MHz, CDCl3): δ 4,89 (2H, brs), 4,31 (1H, brs), 3,46–3,88 (2H, m), 2,75 (2H, t, J = 7,7 Hz), 2,55 (2H, t, J = 7,7 Hz), 2,07 (2H, tt, J = 7,7, 7,7 Hz), 1,64–1,54 (2H, m), 1,37–1,32 (4H, m), 0,94–0,89 (3H, m).
  • Beispiel 21 2-[(2-Amino-5,6,7,8-tetrahydrochinazolin-4-yl)amino]hexanamid
    Figure 00280002
  • Ein Gemisch von Methyl-2-[(2-amino-5,6,7,8-tetrahydrochinazolin-4-yl)amino]hexanoat (520 mg, 1,77 mmol) und 5 M Ammoniak-Ethanol (60 ml) wurde 24 Stunden auf 120°C gehalten. Das Reaktionsgemisch wurde unter Vakuum konzentriert, durch Kieselgelchromatographie (20% MeOH/CHCl3) gereinigt, wobei die gewünschte Verbindung (67,7 mg, 7,6%) erhalten wurde.
    1H-NMR (300 MHz, DMSO-d6): δ 7,26 (1H, brs), 7,01 (1H, brs), 5,80 (1H, d, J = 7,9 Hz), 5,58 (2H, brs), 4,46 (1H, dt, J = 8,1, 7,9 Hz), 2,43–2,21 (4H, m), 1,85–1,56 (6H, m), 1,34–1,13 (4H, m), 0,92–0,77 (3H, m).
  • Beispiel 22 N-(2-Amino-5-(2-methoxyethyl)-6-methylpyrimidin-4-yl)-N-pentylamin
    Figure 00290001
  • Ein Gemisch von 4-Chlor-5-(2-methoxyethyl)-6-methylpyrimidin-2-yl-amin (150 mg, 0,74 mmol), Amylamin (0,86 ml) und Dioxan (1,5 ml) wurde 7 Stunden auf 90°C gehalten. Das Reaktionsgemisch wurde im Vakuum konzentriert und der Rückstand mit Chloroform und einer gesättigten wässrigen NaHCO3-Lösung) extrahiert. Die organische Schicht wurde mit gesättigter Salzlösung gewaschen, über Natriumsulfat getrocknet, filtriert und das Filtrat unter Vakuum konzentriert. Der Rückstand wurde durch Säulenchromatographie (4% MeOH : CHCl3) gereinigt, wobei die gewünschte Verbindung (108 mg, 57,5%) erhalten wurde.
    1H-NMR (CDCl3): δ 0,92 (3H, t, J = 6,6), 1,40–1,32 (4H, m), 1,57 (2H, m), 2,21 (3H, s), 2,62 (2H, t, J = 5,9), 3,31–3,38 (5H, m), 3,50 (2H, t, J = 5,9), 4,72 (2H, brs), 5,62 (1H, m).
  • Beispiel 23 3-[2-Amino-4-methyl-6-(pentylamino)pyrimidin-5-yl]propannitril
    Figure 00290002
  • Ein Gemisch von 3-(2-Amino-4-chlor-6-methylpyrimidin-5-yl)propannitril (500 mg, 2,54 mmol), Amylamin (2,94 ml) und Dioxan (5 ml) wurde 8,5 Stunden auf 90°C gehalten. Das Verfahren gemäß der Vorbehandlung von Beispiel 23 wurde durchgeführt, wobei die gewünschte Verbindung (346 mg, 55,0%) erhalten wurde.
    1H-NMR (CDCl3): δ 0.92 (3H, t, J = 6,9), 1,35 (4H, m), 1,60 (2H, m), 2,25 (3H, s), 2,45 (2H, t, J = 7,9), 2,75 (2H, t, J = 7,9), 3,40 (2H, m), 4,45 (1H, m), 4,65 (2H, brs).
  • Beispiel 24 N-(2-Amino-5-ethyl-6-methylpyrimidin-4-yl)-N-pentylamin
    Figure 00300001
  • Ein Gemisch von 4-Chlor-5-ethyl-6-methylpyrimidin-2-yl-amin (400 mg, 33 mmol), Amylamin (1,35 ml) und Dioxan (5 ml) wurde 17 Stunden auf 95–100°C gehalten. Das Verfahren gemäß der Vorbehandlung von Beispiel 23 wurde durchgeführt, wobei die gewünschte Verbindung (301 mg, 58,1%) erhalten wurde.
    1H-NMR (CDCl3): δ 0,91 (3H, t, J = 6,9), 1,06 (3H, t, J = 7,6), 1,23–1,43 (4H, m), 1,59 (2H, m), 2,22 (3H, s), 2,35 (2H, q, J = 7,6), 3,40 (2H, m), 4,50 (1H, m), 4,61 (2H, brs).
  • Beispiel 25
  • Gemäß dem Verfahren von Beispiel 23 wurde die folgende Verbindung erhalten: 1-[(2-Amino-5-butyl-6-methylpyrimidin-4-yl)amino]pentan-2-ol
    Figure 00300002
    1H-NMR (CDCl3): δ 0,94 (6H, t), 1,45 (8H, m), 2,34 (3H, s), 2,37 (2H, m), 3,31 (1H, m), 3,48 (1H, s), 3,76 (2H, m), 6,10 (1H, brs), 6,32 (2H, brs).
  • Beispiel 26 N-(2-Amino-5-benzyl-6-methylpyrimidin-4-yl)-N-pentylamin
    Figure 00300003
  • Ein Gemisch von 5-Benzyl-4-chlor-6-methylpyrimidin-2-yl-amin (500 mg, 2,14 mmol), Amylamin (1,24 ml) und Dioxan (4 ml) wurde 19 Stunden auf 95–100°C gehalten. Das Reaktionsgemisch wurde unter Vakuum konzentriert und der Rückstand mit Chloroform und einer gesättigten wässrigen NaHCO3-Lösung extrahiert. Die organische Schicht wurde mit gesättigter Salzlösung gewaschen, über Natriumsulfat getrocknet und unter Vakuum konzentriert. Der Rückstand wurde durch Kieselgelsäulenchromatographie (2% MeOH/CHCl3) gereinigt, wobei die gewünschte Verbindung (546 mg, 89,7%) erhalten wurde.
    1H-NMR CDCl3): δ 0,81 (3H, t, J = 7,3), 1,05 (2H, m), 1,19 (2H, m), 1,35 (2H, m), 2,28 (3H, s), 3,27 (2H, m), 3,76 (2H, s), 4,30 (1H, m), 4,64 (2H, brs), 7,12–7,31 (5H, m), 0,94–0,89 (3H, m).
  • Beispiel 27 N-(2-Amino-5-benzylpyrimidin-4-yl)-N-pentylamin
    Figure 00310001
  • Ein Gemisch von 5-Benzyl-4-chlorpyrimidin-2-yl-amin (350 mg, 0,74 mmol), Amylamin (0,74 ml) und Dioxan (4 ml) wurde 8 Stunden auf 90–100°C gehalten. Das Reaktionsgemisch wurde unter Vakuum konzentriert und der Rückstand mit Ether und einer gesättigten wässrigen NaHCO3-Lösung extrahiert. Die organische Schicht wurde mit gesättigter Salzlösung gewaschen, über Natriumsulfat getrocknet, filtriert und konzentriert. Der Rückstand wurde durch Kieselgelsäulenchromatographie (MeOH : CHCl3 = 70 : 1) gereinigt, wobei die gewünschte Verbindung (355 mg, 82,2%) erhalten wurde.
    1H-NMR (CDCl3): δ 0.82 (3H, t, J = 6,9), 1,04 (2H, m), 1,21 (2H, m), 1,35 (2H, m), 3,26 (2H, m), 3,66 (2H, s), 4,26 (1H, m), 4,64 (2H, brs), 7,16–7,33 (5H, m), 7,68 (1H, s).
  • Beispiel 28 N-(2-Amino-5-phenethylpyrimidin-4-yl)-N-pentylamin
    Figure 00310002
  • Ein Gemisch von 4-Chlor-5-phenethylpyrimidin-2-yl-amin (234 mg, 1 mmol), Amylamin (0,58 ml) und Dioxan (2 ml) wurde 8,5 Stunden auf 95–100°C gehalten. Das Verfahren gemäß der Vorbehandlung von Beispiel 27 wurde durchgeführt, wobei die gewünschte Verbindung (227 mg, 79,7%) erhalten wurde.
    1H-NMR (CDCl3): δ 0,91 (3H, t, J = 6,9), 1,25–1,42 (4H, m), 1,50 (2H, m), 2,55 (2H, t, J = 7,3), 2,84 (2H, t, J = 7,3), 3,31 (2H, m), 4,27 (1H, m), 4,60 (2H, brs), 7,15–7,33 (5H, m), 7,56 (1H, s).
  • Beispiel 29 N-(2-Amino-5-benzyl-6-methylpyrimidin-4-yl)-N-pentan-2-ol
    Figure 00320001
  • Ein Gemisch von 5-Benzyl-4-chlor-6-methylpyrimidin-2-yl-amin (1,5 g, 6,42 mmol), 2-Hydroxypentylamin-Hydrochlorid (990 mg, 7,06 mmol), Triethylamin (1,4 g, 14,18 mmol) und Diethylenglycoldiethylether (5 ml) wurde 15 Stunden in einem Bad (Badtemperatur: 90–100°C) warmgehalten. Das Lösungsmittel wurde im Vakuum entfernt und der Rückstand durch Kieselgelsäulenchromatographie (CHCl3 : MeOH : NH4OH wässr. = 100 : 10 : 0,4) gereinigt, wobei die gewünschte Verbindung (800 mg, 41,5%) erhalten wurde.
    1H-NMR (TMS/CDCl3): δ 0,86 (3H, t, J = 6,9 Hz), 1,18–1,40 (4H, m), 2,27 (3H, s), 3,17–3,27 (1H, m), 3,60–3,71 (1H, m), 3,78 (2H, d, J = 6,6 Hz), 4,76 (3H, br), 7,23 (2H, d, J = 6,9 Hz), 7,28–7,33 (3H, m).
  • Beispiel 30
  • Die Verbindungen in der folgenden Tabelle können gemäß den Verfahren der vorstehenden Beispiele hergestellt werden.
  • Figure 00330001
  • Figure 00340001
  • Figure 00350001
  • Bezugsbeispiel 1 4-Chlor-5,6,7,8-tetrahydrochinazolin-2-ylamin (1-1) 2-Amino-5,6,7,8-tetrahydrochinazolin-4-ol
    Figure 00360001
  • Zu einer Lösung von Ethyl-2-oxocyclohexancarboxylat (41 g, 241 mmol) in Ethanol (200 ml) wurde Guanidincarbonat (26,0 g, 289 mmol) unter Rühren bei Raumtemperatur gegeben. Das Reaktionsgemisch wurde 1 Stunde unter Rückfluß erhitzt und dann auf Raumtemperatur abgekühlt. Die ausgefallenen Kristalle wurden filtriert und mit Wasser gewaschen, gefolgt von Methanol. Die Kristalle wurden im Vakuum getrocknet, wobei die gewünschte Verbindung (35,5 g, 89%) erhalten wurde.
    1H-NMR (300 MHz, DMSO-d6): δ 10,64 (1H, brs), 6,18 (2H, brs), 2,35–2,25 (2H, m), 2,23–2,15 (2H, m), 1,70–1,54 (4H, m).
  • (1-2) 4-Chlor-5,6,7,8-tetrahydrochinazolin-2-ylamin
    Figure 00360002
  • Zu einer Suspension von 2-Amino-5,6,7,8-tetrahydrochinazolin-4-ol (20,0 g, 121 mmol) in Toluol (150 ml) wurde Phosphoroxychlorid (55,7 g, 363 mmol) bei 90°C getropft. Das Gemisch wurde 1 Stunde gerührt und das Lösungsmittel im Vakuum entfernt. Der Rückstand wurde in 28%ige wässrige Ammoniaklösung bei 0°C gegossen. Der Feststoff wurde filtriert und durch Kieselgelsäulenchromatographie (3% MeOH/CHCl3) gereinigt, wobei die gewünschte Verbindung (13,5 g, 60%) erhalten wurde.
    1H-NMR (300 MHz, DMSO-d6): δ 6,69 (2H, brs), 2,60–2,52 (2H, m), 2,52–2,44 (2H, m), 1,76–1,66 (4H, m).
    13C NMR (75 Hz, DMSO-d6): δ 168,4, 161,0, 160,1, 114,8, 31,8, 24,3, 22,1, 21,7.
  • Bezugsbeispiel 2 5-Butyl-4-chlor-6-methylpyrimidin-2-ylamin (2-1) 2-Amino-5-butyl-6-methylpyrimidin-4-ol
    Figure 00370001
  • Ein Gemisch von Ethyl-2-acetylhexanoat (5,59 g, 30 mmol), Guanidincarbonat (6,49 g, 30 mmol) und Ethanol (20 ml) wurde 11 Stunden unter Rückfluß erhitzt und dann eisgekühlt. Die ausgefallenen Kristalle wurden filtriert, mit Ethanol gewaschen und unter Vakuum getrocknet, wobei 2-Amino-5-butyl-6-methylpyrimidin-4-ol (2,59 g, 47%) erhalten wurde.
  • (2-2) 5-Butyl-4-chlor-6-methylpyrimidin-2-ylamin
    Figure 00370002
  • 2-Amino-5-butyl-6-methylpyrimidin-4-ol (1,0 g, 5,52 mmol) und Phosphoroxychlorid (12 ml) wurden 3 Stunden unter Rückfluß erhitzt. Das Lösungsmittel wurde im Vakuum entfernt und der Rückstand durch Kieselgelsäulenchromatographie (n-Hexan : Essigsäureethylester = 2 : 1) gereinigt, wobei die gewünschte Verbindung (325 mg, 29%) erhalten wurde.
    1H-NMR (CDCl3): δ 0,96 (3H, t, J = 7,1 Hz), 1,37–1,50 (4H, m), 2,38 (3H, s), 2,60 (2H, m), 5,01 (2H, brs).
  • Bezugsbeispiel 3 4-Chlor-5-hexyl-6-methylpyrimidin-2-ylamin
    Figure 00370003
  • Unter Verwendung von Ethyl-2-acetyloctanoat (6,43 g, 30 mmol) als Ausgangssubstanz und gemäß dem Verfahren von Bezugsbeispiel 2 wurde 2-Amino-5-hexyl-6-methylpyrimidin-4-ol (4,70 g, 74%) erhalten. Durch Umsetzung des erhaltenen 2-Amino-5-hexyl-6- methylpyrimidin-4-ols (1 g, 4,78 mmol) und Phosphoroxychlorid (12 ml) wurde die gewünschte Verbindung (196 mg, 18%) erhalten
    1H-NMR (CDCl3): δ 0,90 (3H, t, J = 6,8 Hz), 1,31–1,52 (8H, m), 2,37 (3H, s), 2,59 (2H, m), 4,95 (2H, brs).
  • Bezugsbeispiel 4 4-Chlor-7,8-dihydro-5H-pyrano[4,3-d]pyrimidin-2-ylamin (4-1) 2-Amino-7,8-dihydro-5H-pyrano[4,3-d]pyrimidin-4-ol
    Figure 00380001
  • Unter Verwendung von Ethyl-4-oxotetrahydro-2H-pyran-3-carboxylat (600 mg, 3,49 mmol) als Ausgangssubstanz und gemäß dem Verfahren von Bezugsbeispiel 2 wurde 2-Amino-7,8-dihydro-5H-pyrano[4,3-d]pyrimidin-4-ol (230 mg, 39%) erhalten.
    1H-NMR (300 MHz, DMSO-d6): δ 10,78 (1H, brs), 6,34 (2H, brs), 4,24 (2H, brs), 3,78 (2H, t, J = 5,5 Hz), 2,36 (2H, t).
  • (4-2) 4-Chlor-7,8-dihydro-5H-pyrano[4,3-d]pyrimidin-2-ylamin
    Figure 00380002
  • Durch Umsetzung von 2-Amino-7,8-dihydro-5H-pyrano[4,3-d]pyrimidin-4-ol (562 mg, 3,36 mmol) und Phosphoroxychlorid (3 ml) wurde die gewünschte Verbindung (136 mg, 22%) erhalten.
    1H-NMR (300 MHz, CDCl3): δ 5,10 (1H, brs), 4,62 (2H, s), 3,99 (2H, t, J = 5,4 Hz), 2,78 (2H, t, J = 5,4 Hz).
  • Bezugsbeispiel 5 4-Butyl-6-chlor-5-methylpyrimidin-2-ylamin (5-1) 2-Amino-6-butyl-5-methylpyrimidin-4-ol
    Figure 00390001
  • Unter Verwendung von Ethyl-2-methyl-3-oxoheptanoat (1,06 g, 5,69 mmol) als Ausgangssubstanz und gemäß dem Verfahren von Bezugsbeispiel 2 wurde 2-Amino-6-butyl-5-methylpyrimidin-4-ol (420 mg) erhalten.
    1H-NMR (DMSO-d6): δ 0,88 (3H, t, J = 7,3 Hz), 1,30 (2H, m), 1,49 (2H, m), 1,78 (3H, s), 2,32 (2H, t, J = 7,3 Hz), 6,18 (2H, bs), 10,69 (1H, bs).
  • (5-2) 4-Butyl-6-chlor-5-methylpyrimidin-2-ylamin
    Figure 00390002
  • Durch Umsetzung von 2-Amino-6-butyl-5-methylpyrimidin-4-ol (0,82 g, 4,52 mmol) und Phosphoroxychlorid (10 ml) wurde die gewünschte Verbindung (720 mg) erhalten.
    1H-NMR (CDCl3): δ 0,93 (3H, t, J = 7,3 Hz), 1,40 (2H, m), 1,60 (2H, m), 2,20 (3H, s), 2,63 (2H, t, J = 7,3 Hz), 5,73 (2H, bs).
  • Bezugsbeispiel 6 4-Chlor-5-(2-methoxyethyl)-6-methylpyrimidin-2-ylamin (6-1) 2-Amino-5-(2-methoxyethyl)-6-methylpyrimidin-4-ol
    Figure 00390003
  • Ein Gemisch von Ethyl-2-(2-methoxyethyl)-3-oxobutanoat (4 g, 21 mmol), Guanidincarbonat (2,27 g, 16,3 mmol) und Ethanol (16 ml) wurde 9 Stunden unter Rückfluß erhitzt. Nach Abkühlen wurde der Niederschlag filtriert und mit Wasser, Ethanol und Ether in der Reihenfolge gewaschen, wobei die gewünschte Verbindung (1,24 g, 31,9%) erhalten wurde.
    1H-NMR (DMSO-d6): δ 2,06 (3H, s), 2,49–2,54 (4H (2H), m, überlappt mit DMSO), 3,22 (3H, s), 3,28 (2H, t, J = 7,3), 6,40 (2H, brs), 10.90 (1H, brs).
  • (6-2) 4-Chlor-5-(2-methoxyethyl)-6-methylpyrimidin-2-ylamin
    Figure 00400001
  • Ein Gemisch von 2-Amino-5-(2-methoxyethyl)-6-methylpyrimidin-4-ol (600 mg, 3,27 mmol) und Phosphoroxychlorid (6 ml) wurde 5,5 Stunden auf 90°C gehalten. Das Reaktionsgemisch wurde im Vakuum konzentriert. wurde zum Rückstand gegeben und eine wässrige Ammoniaklösung vorsichtig zugegeben. Das Gemisch wurde mit Chloroform extrahiert und die organische Schicht mit gesättigter Salzlösung gewaschen, über Natriumsulfat getrocknet und das Lösungsmittel konzentriert. Der Rückstand wurde durch Kieselgelsäulenchromatographie (Chloroform : Essigsäureethylester = 8 : 2) gereinigt, wobei die gewünschte Verbindung (200 mg, 30,3%) erhalten wurde.
    1H-NMR (CDCl3): δ 2,42 (3H, s), 2,91 (2H, t, J = 7,3), 3,34 (3H, s), 3,51 (2H, t, J = 7,3), 5,03 (2H, brs).
  • Bezugsbeispiel 7 3-(2-Amino-4-chlor-6-methylpyrimidin-5-yl)propannitril (7-1) 3-(2-Amino-4-hydoxy-6-methylpyrimidin-5-yl)propannitril
    Figure 00400002
  • Ein Gemisch von Ethyl-2-(2-cyanoethyl)-3-oxobutanoat (9 g, 49 mmol), Guanidincarbonat (5,30 g, 29,4 mmol) und Pyridin (49 ml) wurde 8 Stunden auf 100°C gehalten. Das Verfahren gemäß der Vorbehandlung von Bezugsbeispiel 6 wurde durchgeführt, wobei die gewünschte Verbindung (3,38 g, 38,6%) erhalten wurde.
    1H-NMR (DMSO-d6): δ 2,11 (3H, s), 2,58 (4H, s), 6,44 (2H, brs), 10,91 (1H, brs).
  • (7-2) 3-(2-Amino-4-chlor-6-methylpyrimidin-5-yl)propannitril
    Figure 00400003
  • Ein Gemisch von 3-(2-Amino-4-hydroxy-6-methylpyrimidin-5-yl)propannitril (2 g, 11,2 mmol) und Phosphoroxychlorid (13 ml) wurde 5 Stunden auf 90°C gehalten. Das Verfahren gemäß der Vorbehandlung von Bezugsbeispiel 6 wurde durchgeführt, wobei die gewünschte Verbindung (1,06 g, 48%) erhalten wurde.
    1H-NMR (CDCl3): δ 2,47 (3H, s), 2,61 (2H, t, J = 7,6), 3,02 (2H, t, J = 7,6), 5,11 (2H, brs).
  • Bezugsbeispiel 8 4-Brom-5,6,7,8-tetrahydrochinazolin-2-yl-amin
    Figure 00410001
  • Zu einer Suspension von 2-Amino-5,6,7,8-tetrahydrochinazolin-4-ol (1,65 g, 10 mmol) in Toluol (16,5 ml) wurde Phosphoroxybromid (3 g) gegeben und das Gemisch in einem Bad (Badtemperatur 90–100°C) 2 Stunden warmgehalten. Nach Bestätigen des Verschwindens der Ausgangssubstanzen wurde das Reaktionsgemisch in Eiswasser gegossen und mit Chloroform und einer gesättigten wässrigen NaHCO3-Lösung extrahiert. Die organische Schicht wurde mit gesättigter Salzlösung gewaschen, über Natriumsulfat getrocknet, filtriert und im Vakuum konzentriert. Der Rückstand wurde durch Kieselgelsäulenchromatographie (CHCl3) gereinigt, wobei die gewünschte Verbindung (1,7 g, 75%) erhalten wurde.
    1H-NMR (300 MHz, CDCl3): δ 5,13 (2H, brs), 2,66 (2H, brm), 2,57 (2H, brm), 1,77–1.82 (4H, m).
  • Bezugsbeispiel 9 2-Chlor-N-pentyl-6,7-dihydro-5H-cyclopenta[d]pyrimidin-4-amin (9-1) 2,4-Dichlor-6,7-dihydro-5H-cyclopenta[d]pyrimidin
    Figure 00410002
  • 6,7-Dihydro-5H-cyclopenta[d]pyrimidin-2,4-diol (359 mg) und Phosphoroxychlorid (5 ml) wurden 3 Stunden unter Rückfluß erhitzt. Nach der Umsetzung wurde das Gemisch unter Vakuum konzentriert. Der Rückstand wurde in Wasser gegossen und mit Chloroform extrahiert. Die organische Schicht wurde mit gesättigter Salzlösung gewaschen, über Natriumsulfat getrocknet und unter Vakuum konzentriert, wobei 2,4-Dichlor-6,7-dihydro-5H-cyclopenta[d]pyrimidin (410 mg) erhalten wurde.
  • (9-2) 2-Chlor-N-pentyl-6,7-dihydro-5H-cyclopenta[d]pyrimidin-4-amin
    Figure 00430001
  • Ein Gemisch von 2,4-Dichlor-6,7-dihydro-5H-cyclopenta[d]pyrimidin (410 mg) und Pentylamin (1 ml) wurde 8 Stunden bei Raumtemperatur gerührt. Das Reaktionsgemisch wurde in eine wässrige Ammoniumchloridlösung gegossen und die Lösung mit Chloroform extrahiert. Die organische Schicht wurde mit gesättigter Salzlösung gewaschen, über Natriumsulfat getrocknet und unter Vakuum konzentriert, wobei die gewünschte Verbindung (296 mg, 65%) erhalten wurde.
    1H-NMR (300 MHz, CDCl3): δ 4,56 (1H, brs), 3,52–3,46 (2H, m), 2,86 (2H, t, J = 7,5 Hz), 2,63 (2H, t, J = 7,5 Hz), 2,13 (2H, tt, J = 7,5, 7,5 Hz), 1,66–1,57 (2H, m), 1,40–1,33 (4H, m), 0,94–0,89 (3H, m).
  • Bezugsbeispiel 10
  • N-(2-Chlor-5,6,7,8-tetrahydrochinazolin-4-yl)-N-pentylamin
  • Die vorstehende Verbindung wurde gemäß dem Verfahren von Bezugsbeispiel 9 hergestellt.
    Figure 00430002
    1H-NMR (300 MHz, CDCl3): δ 4,64 (1H, brs), 3,51–3,45 (2H, m), 2,68–2,65 (2H, m), 2,27–2,23 (2H, m), 1,90–1,75 (4H, m), 1,70–1,55 (2H, m), 1,45–1,30 (4H, m), 0,93–0,89 (3H, m).
  • Bezugsbeispiel 11
  • N-(2-Chlor-5,6-dimethylpyrimidin-4-yl)-N-pentylamin
  • Die vorstehende Verbindung wurde gemäß dem Verfahren von Bezugsbeispiel 9 hergestellt.
    Figure 00430003
    1H-NMR (300 MHz, CDCl3): δ 4,65 (1H, brs), 3,51–3,44 (2H, m), 2,34 (3H, s), 1,97 (3H, s), 1,70–1,55 (2H, m), 1,45–1,30 (4H, m), 0,94–0.89 (3H, m).
  • Bezugsbeispiel 12 2-Amino-5-benzyl-6-methylpyrimidin-4-ol
    Figure 00440001
  • Ein Gemisch von Ethyl-2-benzyl-3-oxobutanoat (6 g, 27,2 mmol), Guanidincarbonat (2,94 g, 16,3 mmol) und Ethanol (20 ml) wurde 10 Stunden unter Rückfluß erhitzt. Nach Abkühlen wurde der Niederschlag filtriert und mit Wasser, Ethanol und Ether in der Reihenfolge gewaschen, wobei die gewünschte Verbindung (3,62 g, 61,7%) erhalten wurde.
    1H-NMR DMSO-d6): δ 2,01 (3H, s), 3,64 (2H, s), 6,39 (3H, brs), 7,10–7,26 (5H, m), 10,89 (1H, brs).
  • Bezugsbeispiel 13 5-Benzyl-4-chlor-6-methylpyrimidin-2-ylamin
    Figure 00440002
  • Ein Gemisch von 2-Amino-5-benzyl-6-methylpyrimidin-4-ol (1,2 g, 5,57 mmol) und Phosphoroxychlorid (9 ml) wurde 6 Stunden auf 90°C erwärmt gehalten. Das Reaktionsgemisch wurde im Vakuum konzentriert. Eiswasser wurde zum Rückstand gegeben und wässriges Ammoniak vorsichtig zugegeben. Die Lösung wurde mit Chloroform extrahiert. Die organische Schicht wurde mit gesättigter Salzlösung gewaschen, über Natriumsulfat getrocknet und im Vakuum konzentriert. Der Rückstand wurde durch Kieselgelsäulenchromatographie (Chloroform : Essigsäureethylester = 8 : 2) gereinigt, wobei die gewünschte Verbindung (700 mg, 53,7%) erhalten wurde.
    1H-NMR (CDCl3): δ 2,30 (3H, s), 4,05 (2H, s), 5,07 (2H, brs), 7,10–7,31 (5H, m).
  • Bezugsbeispiel 14 2-Amino-5-phenethylpyrimidin-4-ol
    Figure 00450001
  • Metallisches Natrium (966 mg, 42 mmol) wurde unter Stickstoffgas zu Ether (42 ml) gegeben. Dazu wurde ein Gemisch von 4-Phenylbuttersäureethylester (8 g, 42 mmol) und Ethylformiat (3,42 g, 42 mmol) unter Rühren bei Raumtemperatur während eines Zeitraums von 30 Minuten getropft. Das Gemisch wurde 10 Stunden gerührt, um eine Ketoesterverbindung herzustellen.
  • Dann wurde Natriumethoxid (3,14 g, 46,2 mmol) unter Stickstoffgas zu Ethanol (42 ml) gegeben. Dazu wurde Guanidin-Hydrochlorid (4,41 g, 46,2 mmol) gegeben und das Gemisch 30 Minuten gerührt. Das Salz wurde abfiltriert und das Filtrat zur vorher hergestellten Ketoesterverbindung in Ether gegeben. Das Reaktionsgemisch wurde 6 Stunden auf 80–90°C gehalten. Nach der Umsetzung wurde das Lösungsmittel unter Vakuum entfernt. Eine 10%ige wässrige Zitronensäurelösung wurde zum Rückstand gegeben, um den pH-Wert auf 8 einzustellen. Essigsäureethylester wurde zum Gemisch gegeben und die erhaltene unlösliche Substanz filtriert, mit Ethanol und Ether gewaschen, wobei die gewünschte Verbindung (853 mg, 9,5%) erhalten wurde.
    1H-NMR (DMSO-d6): δ 2,46 (2H, t, J = 7,3), 2,73 (2H, t, J = 7,3), 6,32 (2H, brs), 7,16–7,29 (5H, m), 10,88 (1R, brs).
  • Bezugsbeispiel 15 4-Chlor-5-phenethylpyrimidin-2-ylamin
    Figure 00450002
  • Ein Gemisch von 2-Amino-5-phenethylpyrimidin-4-ol (600 mg, 2,79 mmol) und Phosphoroxychlorid (5 ml) wurde 6 Stunden auf 90°C erwärmt gehalten. Das Reaktionsgemisch wurde unter Vakuum kondensiert. Eiswasser wurde zum Rückstand gegeben und wässriges Ammoniak vorsichtig zugegeben. Die Lösung wurde mit Chloroform extrahiert. Die organische Schicht wurde mit gesättigter Salzlösung gewaschen, über Natriumsulfat getrocknet und im Vakuum konzentriert. Der Rückstand wurde durch Kieselgelsäulenchromatographie (Chloroform : Essigsäureethylester = 8 : 2) gereinigt, wobei die gewünschte Verbindung (265 mg, 40,7%) erhalten wurde.
    1H-NMR (CDCl3): δ 2,87 (4H, s), 5,08 (2H, brs), 7,15–7,32 (5H, m), 7,90 (1H, s).
  • Bezugsbeispiel 16 5-Benzyl-4-chlorpyrimidin-2-ylamin
    Figure 00460001
  • Die vorstehende Verbindung wurde gemäß dem in J. Amer. Chem. Soc., 73, 3758–3762 (1951) beschriebenen Verfahren hergestellt.
  • Test 1
  • Wirksamkeit auf die Cytokinenbildung aus Mauslymphknotenzellen durch Verbindungen der Arbeitsbeispiele Experimentelles Verfahren
  • 1) Tiere
  • BALB/c Mäuse wurden von Japan Charlse River (Yokohama) erworben und 8 Wochen alte weibliche Mäuse wurden verwendet.
  • 2) Kulturmedium
  • D-MEM (hohe Glucosekonzentration)-Medium (Nikken Biomedical Research Lab. (Kyoto), Code Nr. CM4402), versetzt mit 20%igem durch Wärme inaktiviertem (56°C, 30 min) fötalem Rinderserum (charakterisiert, Code Nr. A-1115-L, HyClone Lab., Logan, Utah), 50 μM 2-Mercaptoethanol (Sigma, St. Louis, MO, Code Nr. M-6250), 100 Einheiten/ml Penicillin und 100 μg/ml Streptomycin (Penicillin-Streptomycin, Bibco-BRL, Code Nr. 15140-122) wurden für den Versuch verwendet.
  • 3) Testverbindungen
  • Jede Testverbindung, gelöst in DMSO (Nacalai Tesque (Kyoto) Code Nr. 11J) in einer Konzentration von 100 mM wurde auf die Endkonzentration mit dem Medium verdünnt.
  • 4) Sensibilisierung und Präparierung der Lymphknotenzellen
  • KLH (0,2 mg) wurde subcutan in den Mäusefuß mit Freund-vollständigem Hilfsmittel (Difco Lab., Detroit, Michigan, Code Nr. 3113-60-5) verabreicht. Acht Tage später wurde der Kniekehlen-Lymphknoten aufgenommen und seine Zellsuspension hergestellt.
  • 5) Bildung der Cytokine durch Stimulation mit einem Antigen
  • KLH (0,1 mg/ml) und die Testverbindung wurden zu Lymphknotenzellen (2,5 × 106 Zellen/ml) gegeben und das Gemisch bei 37°C unter 5% CO2 4 Tage inkubiert (Corning 25850, 0,15 ml/Mulde). Dann wurde die Menge an im Überstand gebildeten Cytokin mit gegenüber Cytokin spezifischen ELISA gemessen.
  • Die Mengen an Interleukin 4 (IL-4) und Interleukin 5 (IL-5) als typisches Th2-Typ Cytokin und die Mengen an Interferon γ (IFN-γ) als typisches Th1-Typ Cytokin wurden gemessen.
  • 6) Verfahren der Messung (ELISA)
  • Die Menge an IL-1 wurde mit ELISA wie nachstehend aufgeführt gemessen. Ein Ratten-Antimaus-IL-4-Antikörper (Pharmingen, San Diego, CA, Code Nr. 18031D, 0,5 mg/ml) als primärer Antikörper wurde 250fach mit Hydrogencarbonat-Puffer verdünnt und in eine Platte mit 96 Mulden (Falcon 3912, Becton Dickinson and Company, Flanklin Lakes, NJ) (50 μ/Mulde) angeimpft und jede Mulde über Nacht bei 4°C bedeckt. Dann wurde die Platte mit PBS (–) Lösung (phosphatgepufferte Salzlösung ohne Calciumchlorid und Magnesiumchlorid) blockiert, die 3% BSA (200 μl/Mulde) enthielt. Nach dreimaligem Spülen der Platte mit PBS (–) Lösung, die 0,05% Polyoxyethylensorbitanmonolaurat (Tween 20TM, Nacalai Tesque (Kyoto) Code Nr. 281-51) (PBST) enthielt, wurde der Überstand des Kulturmediums zu den Mulden (50 μl/Mulde) gegeben und 4 Stunden bei Raumtemperatur inkubiert. Rekombinantes Maus-IL-4 (Pharmingen, Code Nr. 19231 W) wurde zur Erstellung einer Kalibrierungskurve verwendet.
  • Nach dreimaligem Spülen der Platte mit PBST wurde ein mit Biotin markierter Ratten-Antimaus-IL-4-Antikörper (Pharmingen, Code Nr. 18042D, 0,5 mg/ml) als sekundärer Antikörper, der 500fach mit PBS (–) Lösung verdünnt war, die 0,1% BSA enthielt, in die Mulden (100 μl/Mulde) gegossen. Die Platte wurde eine Stunde bei Raumtemperatur inkubiert. Der an die Platte gebundene sekundäre Antikörper wurde mit Streptoabidin-Alkaliphosphatase (Kirkegaad & Perry Lab., Gaithersburg, MD, Code Nr. 15-30-00) (0,25 μg/ml, 100 μl/Mulde) nachgewiesen. Nach Inkubieren der Platte für eine Stunde bei 37°C und dreimaligem Spülen der Platte mit PBST wurde das Färben durch Zugabe von PNPP-Substrat (p-Nitrophenyldinatriumphosphat Substrat (Nacalai Tesque) (1 mg/ml, 100 μl/Mulde)) durchgeführt. Die Absorption bei 415 nm wurde mit einem Mikroplattenableser (MTP-120 Microplate reader, Corona Electric Co.) gemessen.
  • Die Messung der Menge des IFN-γ wurde mit dem gleichen Verfahren wie vorstehend genannt unter Verwendung eines Ratten-Antimaus-IFN-γ-Antikörpers (Pharmingen, San Diego, CA, Code Nr. 18181D, 0,5 mg/ml) als primärer Antikörper und eines Ratten-Antimaus-IL-5-Antikörpers, markiert mit Biotin (Pharmingen, Code Nr. 18112D, 0,5 mg/ml) als sekundärer Antikörper durchgeführt. Rekombinantes Maus-IFN-γ (Pharmingen, Code Nr. 19301U) wurde zur Erstellung einer Kalibrierungskurve verwendet.
  • Die Messung der Menge an IL-5 wurde mit dem gleichen Verfahren wie vorstehend genannt unter Verwendung eines Ratten-Antimaus-IL-5-Antikörpers (Pharmingen, San Diego, CA, Code Nr. 18051D, 0,5 mg/ml) als primärer Antikörper und eines Ratten Antimaus IL-5 Antikörpers, markiert mit Biotin (Pharmingen, Code Nr. 18062D, 0,5 mg/ml) als sekundärer Antikörper, durchgeführt. Der Test wurde dreimal durchgeführt und der Mittelwert berechnet.
  • 7) Ergebnisse
  • Die Verbindungen der Beispiele 10, 11, 14, 19 und 25 wurden als Testverbindungen in diesem Test verwendet.
  • Von jeder Verbindung wurde bestätigt, dass sie die Bildung von IL-4 und IL-5 hemmt und die Bildung von IFN-γ erhöht.
  • Test 2
  • Die Wirksamkeit auf die Cytokinbildung aus Lymphknotenzellen der Maus durch die Verbindungen der Arbeitsbeispiele
  • Experimentelles Verfahren
  • Wie in Test 1 wurde jede in DMSO (Nacalai Tesque (Kyoto) Code Nr. 11J) mit einer Konzentration von 100 mM gelöste Testverbindung auf die Endkonzentration mit dem Medium verdünnt. Die Sensibilisierung und Präparierung von Lymphknotenzellen, Bildung von Cytokinen durch Stimulation mit einem Antigen und Messung der Mengen der Cytokine wurden mit dem gleichen Verfahren wie in Test 1 durchgeführt.
  • Durch Messung des Hemmungsverhältnisses der Bildung von IL-4 bei verschiedenen Konzentrationen jeder Testverbindung und Verwendung einer Grafik, die die Konzentration der Verbindung und das Hemmungsverhältnis betrifft, wurde eine 50%ige Hemmungskonzentration (IC50) auf jede Testverbindung berechnet.
  • Die Ergebnisse sind in Tabelle 1 gezeigt.
  • Tabelle 1
    Figure 00490001
  • Test 3
  • Wirksamkeit auf die Cytokinbildung aus Lymphknotenzellen der Maus durch die Verbindungen der Arbeitsbeispiele
  • Experimentelles Verfahren und Ergebnisse
  • Wie im Test 1 wurde jede in DMSO (Nacalai Tesque (Kyoto) Code Nr. 11J) mit einer Konzentration von 100 mM gelöste Testverbindung auf die Endkonzentration mit dem Medium verdünnt. Die Sensibilisierung und Herstellung der Lymphknotenzellen, Bildung von Cytokinen durch Stimulation mit einem Antigen und Messung der Mengen der Cytokine wurden mit dem gleichen Verfahren wie in Test 1 durchgeführt.
  • Als Ergebnis wurde bestätigt, dass die Verbindungen der Beispiele 26, 27 und 28 die Bildung von IL-4 und IL-5 hemmen und die Bildung von IFN-γ erhöhen.
  • Test 4
  • Wirksamkeit auf Cytokinbildung aus Lymphknotenzellen der Maus durch die Verbindungen der Arbeitsbeispiele
  • Experimentelles Verfahren und Ergebnisse
  • Wie im Test 1 wurde jede in DMSO (Nacalai Tesque (Kyoto) Code Nr. 11J) mit einer Konzentration von 100 mM gelöste Testverbindung auf die Endkonzentration mit dem Medium verdünnt. Die Sensibilisierung und Herstellung der Lymphknotenzellen, Bildung von Cytokinen durch Stimulation mit einem Antigen und Messung der Mengen der Cytokine wurden mit dem gleichen Verfahren wie in Test 1 durchgeführt.
  • Durch Messung des Hemmungsverhältnisses der Bildung von IL-4 bei verschiedenen Konzentrationen jeder Testverbindung und Verwendung einer Grafik, die die Verbindungskonzentration und das Hemmungsverhältnis betrifft, wurde die 50% Hemmungskonzentration (IC50) auf jede Testverbindung berechnet.
  • Die Ergebnisse sind in Tabelle 2 gezeigt.
  • Tabelle 2
    Figure 00510001
  • Test 5
  • Wirksamkeit auf die IgE-Bildung aus der Maus in vivo durch Verbindungen der Arbeitsbeispiele Experimentelle Verfahren
  • 1) Tier
  • BALB/c Mäuse (8 Wochen alte weibliche Mäuse) wurden von Japan Charles River (Yokohama) erworben und nach Vorfüttern für 9 Tage wurden die Mäuse verwendet.
  • 2) Sensibilisierung mit Ovalbumin
  • Physiologische Salzlösung, die Ovalbumin (Sigma Chemical Co., St Louis, Mo) (4 μg/ml) enthält, und Aluminiumhydroxid·Hilfsmittel (Alu-Gel-S; Serva Feinbiochemica GmbH & Co., Code Nr. 12261) wurden in der gleichen Menge gemischt und das Gemisch einer Maus intraperitoneal verabreicht.
  • 3) Verabreichungsverfahren der Testverbindung
  • Die Testverbindung wurde in Methylcellulose suspendiert und die Suspension eine Stunde vor der Sensibilisierung mit Ovalbumin und einmal am Tag für 12 Tage nach der Verabreichung verabreicht. Methylcellulose wurde als Kontrolle verwendet.
  • 4) Entnahme von Blut und Herstellung von Serum
  • Am 13. Tag nach der Sensibilisierung wurde Blut aus dem orbitalen Venenplexus unter Anästhesie mit einer mit Heparin behandelten Kapillare entnommen und zentrifugiert, um ein Serum herzustellen.
  • 5) Messung von IgE im Blut
  • Die Messung von IgE im Blut wurde mit ELISA durchgeführt. Unter Verwendung eines monoclonalen Ratten-Antimaus-IgE-Antikörpers (Yamasa soy sauce Co., Chiba, Code Nr. 7627) als primären Antikörper und eines mit Biotin markierten monoclonalen Ratten- Antimaus-IgE-Antikörpers (Yamasa soy sauce Co., Chiba, Code Nr. 7617) wurde die Messung der Menge an IgE mit dem gleichen Verfahren wie in Test 2 durchgeführt. Der Assay wurde unter 500fachem Verwenden des Serums durchgeführt. Die Menge an IgE im Blut wurde unter Verwendung einer Standardkurve von Maus-IgE (Yamasa soy sauce Co., Chiba, Code Nr. 7626) berechnet.
  • 6) Statistische Behandlung
  • Das Ergebnis wurde statistisch mit t-Kalibrierung oder Welch-Kalibrierung behandelt.
  • Test 6
  • Wirksamkeit gegen Kontaktüberempfindlichkeitsreaktion, die durch TNCB induziert wird
  • Testverfahren
  • BALB/c Mäuse (6–8 Wochen alte weibliche Mäuse) wurden von Japan Charlse River (Yokohama) erworben. Vor Verwendung ließ man die Mäuse eine Woche aklimatisieren.
  • 2) Sensibilisierung
  • Das Haar am Mäusebauch wurde geschnitten und darauf 7%iges 2,4,6-Trinitrochlorbenzol (TNCB) in Aceton (0,1 ml/Maus) zum Sensibilisieren verteilt.
  • 3) Verfahren der Messung der Dicke der Aurikel
  • Sechs Tage nach der Sensibilisierung wurde 1%ige TNCB-Lösung in Aceton auf beiden Seiten der linken Aurikel für die Induktion verteilt. Vierundzwanzig Stunden später wurde die Dicke der Aurikel gemessen. Wert der Dicke des Aurikels = Dicke des linken Aurikels mit Verteilung – Dicke des rechten Aurikels ohne Verteilung
  • 4) Verabreichungsverfahren der Testverbindung
  • Die durch Lösen einer Testverbindung (0,4 mg) in Aceton (20 μl) hergestellte Lösung wurde auf dem linken Aurikel 1–2 Stunden vor Sensibilisierung verteilt.
  • Industrielle Anwendbarkeit
  • Die Pyrimidinderivate oder ihre Salze der vorliegenden Erfindung zeigen die Wirksamkeiten, die Immunantworten auf Th1 erhöhen und die Immunantworten auf Th2 gleichzeitig unterdrücken und weiter die Immunantworten durch Ändern des Gleichgewichts von Th1 und Th2 steuern. Zum Beispiel erhöhen sie die Produktion von Cytokinen des Th1-Typs, wie IFN-γ usw., und hemmen die Produktion von Cytokinen des Th2-Typs, wie IL-4, IL-5 usw. Durch diese Wirksamkeiten können sie als therapeutische und vorbeugende Mittel für allergische Krankheiten, Parasitismus, Autoimmunkrankheiten, wie systemischer Lupus erythemathosus, infektiöse Viren- oder Bakterienkrankheiten, malignen Tumor und erworbenes Immundefizienzsyndrom (AIDS), verwendet werden.

Claims (14)

  1. Pyrimidinderivat der Formel (1) oder sein Salz;
    Figure 00540001
    wobei der Rest R1 durch eine Formel (2) wiedergegeben ist;
    Figure 00540002
    {in der Formel (2) ist der Ring A ein substituiertes oder unsubstituiertes C3-10-Cycloalkan, ein substituiertes oder unsubstituiertes C5-10-Cycloalken, ein substituiertes oder unsubstituiertes C7-10-Bicycloalkan, oder ein heterocyclischer Ring, der ausgewählt ist aus Oxetan, Thietan (Trimethylensulfid), Thiethan-1-oxid, Thiethan-1,1-Dioxid, Tetrahydrofuran, Tetrahydrothiophen, Tetrahydrothiophen-1-oxid, Tetrahydrothiophen-1,1-dioxid, Tetrahydro-4H-pyran, Thian (Pentamethylensulfid), Thian-1-oxid, Thian-1,1-dioxid, Oxepan (Hexamethylenoxid), Thiepan (Hexamethylensulfid), Thiepan-1-oxid, Thiepan-1,1-dioxid, 7-Oxabicyclo[2.2.1]heptan, und 7-Oxabicyclo[2.2.1]hepta-5-en, oder wobei der heterocyclische Ring einen oder mehrere Substituenten, ausgewählt aus C1-3-Alkyl, Hydroxy, C1-3-Alkoxycarbonyl, Carboxy, Carbamoyl und Oxo, aufweist, und die Substituenten mit den benachbarten Kohlenstoffatomen am heterocyclischen Ring eine Tetramethylenbrücke bilden können, ist der Rest R4 ein geradkettiges oder verzweigtes C1-10-Alkyl, C2-6-Alkenyl, C3-6-Alkinyl, C3-6-Cycloalkyl, C4-10-Cycloalkylalkyl, oder OR8 (wobei der Rest R8 ein geradkettiges oder verzweigtes C1-10-Alkyl, C3-6-Alkenyl, C3-6-Alkinyl, C3-6-Cycloalkyl oder C4-10-Cycloalkylalkyl ist)}, oder durch eine Formel (3) wiedergeben ist;
    Figure 00550001
    {in der Formel (3) ist der Rest R5 ein geradkettiges oder verzweigtes C1-10-Alkyl; C2-6-Alkenyl; C3-6-Alkinyl; ein geradkettiges oder verzweigtes C1-10-Alkyl, das mit Hydroxy, einem Halogenatom oder C1-4-Alkoxy substituiert ist; Phenyl; C3-8-Cycloalkyl; ein 5 bis 7 gliedriger gesättigter heterocyclischer Ring, der ein oder zwei Sauerstoffatome als Heteroatome enthält; oder C(=O)R9 (wobei der Rest R9 ein geradkettiges oder verzweigtes C1-10-Alkyl, C2-6-Alkenyl, C3-6-Alkinyl, C3-6-Cycloalkyl, C4-10-Cycloalkylalkyl oder OR10 ist (wobei der Rest R10 ein geradkettiges oder verzweigtes C1-10-Alkyl, C2-6-Alkenyl, C3-6-Alkinyl, C3-6-Cycloalkyl oder C4-10-Cycloalkylalkyl ist)), ist der Rest R6 ein Wasserstoffatom, ein geradkettiges oder verzweigtes C1-10-Alkyl, C6-10-Aryl, ein Halogenatom, C6-10-Aryl, das mit C1-4-Alkoxy oder C1-4-Alkyl, Carbamoyl, oder Hydroxymethyl substituiert ist, und ist der Rest R7 ein Wasserstoffatom oder ein geradkettiges oder verzweigtes C1-10-Alkyl}, ist der Rest R2 ein Wasserstoffatom, ein geradkettiges oder verzweigtes C1-10-Alkyl, und ist der Rest R3 ein geradkettiges oder verzweigtes C1-10-Alkyl; C3-6-Cycloalkyl; ein geradkettiges oder verzweigtes C1-10-Alkyl, das mit C1-2-Alkylcarbamoyl, C2-4-Dialkylcarbamoyl, C1-4-Alkoxy, C1-4-Alkoxycarbonyl, C3-6-Cycloalkyl, Hydroxy, C1-4-Alkylcarbonyloxy, einem Halogenatom, Amino, C2-4-Acyl-substituiertem Amino, C1-4-Alkyl-substituiertem Sulfonylamino oder C1-5-Alkoxycarbonylamino substituiert ist; oder durch eine Formel (4) wiedergegeben ist; R11-(CH2)n- (4){in der Formel (4), ist der Rest R11 Phenyl, Pyridyl, Thienyl oder Furyl und jedes davon kann mit einem oder mehreren Substituenten, ausgewählt aus einem Halogenatom, Cyano, Carbamoyl, C1-4-Alkoxy und C2-4-Alkyl, substituiert werden. n stellt ganze Zahlen von 0–4 dar, mit der Maßgabe, dass n eine ganze Zahl von 1–4 ist, wenn der Rest R11 Phenyl ist.}, oder die Reste R2 und R3 zusammen C3-5-Alkylen oder Alkylen bilden, wobei Methylen mit einem O-Atom ersetzt ist mit der Maßgabe dass, wenn der Rest R5 Phenyl ist und die Reste R6 und R7 ein Wasserstoffatom sind, die Reste R2 und R3 zusammen C4-5-Alkylen oder C3-5-Alkylen bilden, wobei Methylen mit einem O-Atom ersetzt ist.
  2. Pyrimidinderivat oder sein Salz nach Anspruch 1, wobei der Rest R3 ein geradkettiges oder verzweigtes C1-10-Alkyl; C3-6-Cycloalkyl; oder ein geradkettiges oder verzweigtes C1-10-Alkyl ist, das mit C1-2-Alkylcarbamoyl, C2-4-Dialkylcarbamoyl, C1-4-Alkoxy, C1-4-Alkoxycarbonyl, C3-6-Cycloalkyl, Hydroxy, C1-4-Alkylcarbonyloxy, einem Halogenatom, Amino, C2-4-Acyl-substituiertem Amino, C1-4-Alkyl-substituiertem Sulfonylamino oder C1-5-Alkoxycarbonylamino substituiert ist; oder die Reste R2 und R3 zusammen C3-5-Alkylen oder Alkylen bilden, wobei Methylen mit einem O-Atom ersetzt ist, mit der Maßgabe dass, wenn der Rest R5 Phenyl ist und die Reste R6 und R7 ein Wasserstoffatom sind, die Reste R2 und R3 zusammen C4-5-Alkylen oder C3-5-Alkylen bilden, wobei Methylen durch ein O-Atom ersetzt ist.
  3. Pyrimidinderivat oder sein pharmazeutisch verträgliches Salz nach Anspruch 1 oder 2, wobei die Reste R2 und R3 zusammen Trimethylen oder Tetramethylen sind, mit der Maßgabe dass, wenn der Rest R5 Phenyl ist und die Reste R6 und R7 ein Wasserstoffatom sind, die Reste R2 und R3 zusammen Tetramethylen sind.
  4. Pyrimidinderivat oder sein pharmazeutisch verträgliches Salz nach Anspruch 1 oder 2, wobei der Rest R3 ein geradkettiges oder verzweigtes C1-7-Alkyl ist.
  5. Pyrimidinderivat oder sein pharmazeutisch verträgliches Salz nach Anspruch 1, wobei der Rest R3 durch die Formel (4) wiedergegeben ist; R11-(CH2)n- (4)wobei der Rest R11 und n die gleiche vorstehend in Anspruch 1 angegebene Bedeutung haben.
  6. Pyrimidinderivat oder sein pharmazeutisch verträgliches Salz nach Anspruch 1 oder 5, wobei der Rest R11 der Formel (4) Pyridyl, Thienyl oder Furyl ist.
  7. Pyrimidinderivat oder sein pharmazeutisch verträgliches Salz nach Anspruch 1, 5 oder 6, wobei n der Formel (4) eine ganze Zahl von 2–4 ist.
  8. Pyrimidinderivat oder sein pharmazeutisch verträgliches Salz nach einem der Ansprüche 1 bis 7, wobei der Rest R1 durch die Formel (2) wiedergegeben ist;
    Figure 00570001
    wobei der Ring A und der Rest R4 die gleiche vorstehend in Anspruch 1 angegebene Bedeutung haben.
  9. Pyrimidinderivat oder sein pharmazeutisch verträgliches Salz nach einem der Ansprüche 1 bis 7, wobei der Rest R1 durch die Formel (3) wiedergegeben ist;
    Figure 00570002
    wobei die Reste R3, R6 und R7 die gleiche vorstehend in Anspruch 1 angegebene Bedeutung haben.
  10. Pyrimidinderivat oder sein pharmazeutisch verträgliches Salz nach einem der Ansprüche 1 bis 7 oder 9, wobei der Rest R5 ein geradkettiges C2-4-Alkyl oder ein geradkettiges C2-4-Alkyl ist, das mit Hydroxy substituiert ist.
  11. Immunmodulator, der die Immunantworten der Typ 2 T-Helferzelle unterdrückt und die Immunantworten der Typ 1 T-Helferzelle erhöht, umfassend das Pyrimidinderivat oder sein pharmazeutisch verträgliches Salz nach einem der Ansprüche 1 bis 10 als einen Wirkstoff.
  12. Therapeutisches oder vorbeugendes Mittel gegen Krankheiten in dem Stadium, in dem Immunantworten der T-Helferzelle vom Typ 2 abnormal erhöht sind, umfassend das Pyrimidinderivat oder sein pharmazeutisch verträgliches Salz nach einem der Ansprüche 1 bis 10 als einen Wirkstoff.
  13. Therapeutisches oder vorbeugendes Mittel nach Anspruch 12, wobei die Krankheit in dem Stadium, in dem die Immunantworten der Typ 2 T-Helferzelle abnormal erhöht sind, eine allergische Krankheit ist.
  14. Therapeutisches oder vorbeugendes Mittel nach Anspruch 13, wobei die allergische Krankheit Asthma, allergische Rinitis, oder allergische Dermatitis ist.
DE69917469T 1998-08-27 1999-08-20 Pyrimidin derivate Expired - Lifetime DE69917469T2 (de)

Applications Claiming Priority (5)

Application Number Priority Date Filing Date Title
JP24184298 1998-08-27
JP24184298 1998-08-27
JP25350698 1998-09-08
JP25350698 1998-09-08
PCT/JP1999/004505 WO2000012487A1 (en) 1998-08-27 1999-08-20 Pyrimidine derivatives

Publications (2)

Publication Number Publication Date
DE69917469D1 DE69917469D1 (de) 2004-06-24
DE69917469T2 true DE69917469T2 (de) 2005-05-12

Family

ID=26535473

Family Applications (1)

Application Number Title Priority Date Filing Date
DE69917469T Expired - Lifetime DE69917469T2 (de) 1998-08-27 1999-08-20 Pyrimidin derivate

Country Status (8)

Country Link
US (2) US6458798B1 (de)
EP (1) EP1110951B1 (de)
JP (1) JP4497340B2 (de)
AT (1) ATE267175T1 (de)
CA (1) CA2341707C (de)
DE (1) DE69917469T2 (de)
ES (1) ES2221414T3 (de)
WO (1) WO2000012487A1 (de)

Families Citing this family (48)

* Cited by examiner, † Cited by third party
Publication number Priority date Publication date Assignee Title
US7772432B2 (en) 1991-09-19 2010-08-10 Astrazeneca Ab Amidobenzamide derivatives which are useful as cytokine inhibitors
WO2000020402A1 (en) 1998-10-01 2000-04-13 Astrazeneca Ab Chemical compounds
BR0009083B1 (pt) 1999-03-17 2011-11-01 derivado de amida compreendendo um núcleo de quinazolinona, processo para a preparação de um derivado de amida, composição farmacêutica, e, uso de um derivado de amida.
US7037916B2 (en) 1999-07-15 2006-05-02 Pharmacopeia Drug Discovery, Inc. Pyrimidine derivatives as IL-8 receptor antagonists
GB9924092D0 (en) 1999-10-13 1999-12-15 Zeneca Ltd Pyrimidine derivatives
GB0324790D0 (en) 2003-10-24 2003-11-26 Astrazeneca Ab Amide derivatives
US8012964B2 (en) 2004-03-26 2011-09-06 Dainippon Sumitomo Pharma Co., Ltd. 9-substituted 8-oxoadenine compound
WO2006006616A1 (ja) * 2004-07-13 2006-01-19 Taiho Pharmaceutical Co., Ltd. トシル酸スプラタスト結晶の均一性の評価方法並びに均一な結晶及びその製造方法
TW200801003A (en) * 2005-09-16 2008-01-01 Astrazeneca Ab Novel compounds
WO2008004948A1 (en) 2006-07-05 2008-01-10 Astrazeneca Ab 8-oxoadenine derivatives acting as modulators of tlr7
CA2656535C (en) * 2006-07-14 2011-08-23 Amgen Inc. Alkyne-substituted pyridone compounds and methods of use
TW200831105A (en) 2006-12-14 2008-08-01 Astrazeneca Ab Novel compounds
JP5480637B2 (ja) * 2007-03-19 2014-04-23 アストラゼネカ・アクチエボラーグ Toll様受容体(tlr7)モジュレーターとしての9−置換−8−オキソ−アデニン化合物
WO2008114006A1 (en) 2007-03-19 2008-09-25 Astrazeneca Ab 9-substituted-8-oxo-adenine compounds as toll-like receptor (tlr7) modulators
TW200902018A (en) * 2007-03-20 2009-01-16 Dainippon Sumitomo Pharma Co Novel adenine compound
WO2008114819A1 (ja) * 2007-03-20 2008-09-25 Dainippon Sumitomo Pharma Co., Ltd. 新規アデニン化合物
KR20100016289A (ko) 2007-05-08 2010-02-12 아스트라제네카 아베 면역-조정 특성의 이미다조퀴놀린
PE20091236A1 (es) * 2007-11-22 2009-09-16 Astrazeneca Ab Derivados de pirimidina como immunomoduladores de tlr7
PE20091156A1 (es) 2007-12-17 2009-09-03 Astrazeneca Ab Sales de (3-{[[3-(6-amino-2-butoxi-8-oxo-7,8-dihidro-9h-purin-9-il)propil](3-morfolin-4-ilpropil)amino]metil}fenil)acetato de metilo
WO2010022121A1 (en) * 2008-08-20 2010-02-25 Schering Corporation Substituted pyridine and pyrimidine derivatives and their use in treating viral infections
WO2010064705A1 (ja) * 2008-12-05 2010-06-10 大日本住友製薬株式会社 H4受容体アンタゴニスト作用を有する新規7位置換ジヒドロピラノピリミジン誘導体
CA2760766A1 (en) * 2009-05-21 2010-11-25 Nicholas James Bennett Novel pyrimidine derivatives and their use in the treatment of cancer and further diseases
GB0908772D0 (en) * 2009-05-21 2009-07-01 Astrazeneca Ab New salts 756
JP2013512859A (ja) * 2009-12-03 2013-04-18 大日本住友製薬株式会社 トール様受容体(tlr)を介して作用するイミダゾキノリン
JP5978225B2 (ja) 2010-12-16 2016-08-24 大日本住友製薬株式会社 治療に有用なイミダゾ[4,5−c]キノリン−1−イル誘導体
US8895570B2 (en) 2010-12-17 2014-11-25 Astrazeneca Ab Purine derivatives
PH12013502033A1 (en) 2011-04-08 2014-01-06 Janssen Sciences Ireland Uc Pyrimidine derivatives for the treatment of viral infections
EP2776439B1 (de) 2011-11-09 2018-07-04 Janssen Sciences Ireland UC Purinderivate zur behandlung von virusinfektionen
DK2812331T3 (en) * 2012-02-08 2019-04-08 Janssen Sciences Ireland Unlimited Co PIPERIDINOPYRIMIDINE DERIVATIVES FOR TREATING VIRUS INFECTIONS
AU2013261267B2 (en) 2012-05-18 2017-06-29 Sumitomo Pharma Co., Ltd. Carboxylic acid compounds
WO2014009509A1 (en) 2012-07-13 2014-01-16 Janssen R&D Ireland Macrocyclic purines for the treatment of viral infections
MX369417B (es) * 2012-08-10 2019-11-07 Janssen Sciences Ireland Uc Derivados de alquilpirimidina para el tratamiento de infecciones víricas y otras enfermedades.
NZ705360A (en) * 2012-10-05 2018-11-30 Janssen Sciences Ireland Uc Acylaminopyrimidine derivatives for the treatment of viral infections and further diseases
US9499549B2 (en) 2012-10-10 2016-11-22 Janssen Sciences Ireland Uc Pyrrolo[3,2-]pyrimidine derivatives for the treatment of viral infections and other diseases
UA118341C2 (uk) 2012-11-16 2019-01-10 ЯНССЕН САЙЄНСІЗ АЙРЛЕНД ЮСі Гетероциклічні заміщені похідні 2-амінохіназоліну для лікування вірусних інфекцій
UA118751C2 (uk) 2013-02-21 2019-03-11 ЯНССЕН САЙЄНСІЗ АЙРЛЕНД ЮСі Похідні 2-амінопіримідину для лікування вірусних інфекцій
BR112015024411B1 (pt) 2013-03-29 2022-02-22 Janssen Sciences Ireland Uc Desaza-purinonas macrocíclicas para o tratamento de infeções virais e composição farmacêutica que os compreende
AU2014270418B2 (en) 2013-05-24 2017-11-30 Janssen Sciences Ireland Uc Pyridone derivatives for the treatment of viral infections and further diseases
NO3030563T3 (de) 2013-06-27 2018-01-06
CA2913691C (en) 2013-07-30 2022-01-25 Janssen Sciences Ireland Uc Thieno[3,2-d]pyrimidines derivatives for the treatment of viral infections
TWI718188B (zh) 2015-10-07 2021-02-11 日商大日本住友製藥股份有限公司 嘧啶化合物
CN109476675B (zh) * 2016-07-01 2022-12-09 爱尔兰詹森科学公司 用于治疗病毒性感染的二氢吡喃并嘧啶衍生物
AU2017335205B2 (en) 2016-09-29 2021-11-04 Janssen Sciences Ireland Unlimited Company Pyrimidine prodrugs for the treatment of viral infections and further diseases
US10662161B2 (en) * 2017-01-30 2020-05-26 Regents Of The University Of Minnesota Pyrimidines and uses thereof
FI3603619T3 (fi) 2017-03-29 2025-09-25 Sumitomo Pharma Co Ltd Rokoteadjuvanttiformulaatio
RU2020124007A (ru) 2017-12-21 2022-01-21 Сумитомо Дайниппон Фарма Ко., Лтд. Комбинированный препарат, включающий агонист tlr7
TW202415645A (zh) 2018-03-01 2024-04-16 愛爾蘭商健生科學愛爾蘭無限公司 2,4-二胺基喹唑啉衍生物及其醫學用途
IL280332B2 (en) 2018-07-23 2025-05-01 Japan As Represented By Director General Of Nat Institute Of Infectious Diseases A preparation containing influenza vaccine

Family Cites Families (7)

* Cited by examiner, † Cited by third party
Publication number Priority date Publication date Assignee Title
US3185691A (en) * 1965-05-25 Gycloocteno-pyrimroines
GB152883A (en) 1919-11-26 1920-10-28 Carl Conrad Albin Perlich Improvements in means for controlling the supply of gas to gas cooking apparatus
US3034954A (en) * 1960-03-23 1962-05-15 Monsanto Chemicals Virus inhibitors
DE1470336A1 (de) * 1962-07-04 1969-03-20 Thomae Gmbh Dr K Neue Dihydrothieno-[3,4-d]-pyrimidine und Verfahren zu ihrer Herstellung
GB1152883A (en) * 1967-01-25 1969-05-21 Ucb Sa 4,5-Polymethylene-Pyrimidine Derivatives
JP2762430B2 (ja) 1991-01-18 1998-06-04 宇部興産株式会社 アラルキルアミノピリミジン類の製法
WO1997009325A1 (en) * 1995-09-01 1997-03-13 Signal Pharmaceuticals, Inc. Pyrimidine carboxylates and related compounds and methods for treating inflammatory conditions

Also Published As

Publication number Publication date
US6951866B2 (en) 2005-10-04
US6458798B1 (en) 2002-10-01
EP1110951A1 (de) 2001-06-27
WO2000012487A1 (en) 2000-03-09
ES2221414T3 (es) 2004-12-16
EP1110951A4 (de) 2002-01-02
JP4497340B2 (ja) 2010-07-07
CA2341707A1 (en) 2000-03-09
EP1110951B1 (de) 2004-05-19
US20030105323A1 (en) 2003-06-05
CA2341707C (en) 2010-02-16
DE69917469D1 (de) 2004-06-24
ATE267175T1 (de) 2004-06-15

Similar Documents

Publication Publication Date Title
DE69917469T2 (de) Pyrimidin derivate
JPWO2000012487A1 (ja) ピリミジン誘導体
JP4890723B2 (ja) TNFαインヒビターとして有用なクマリン誘導体
DE69930773T2 (de) Bicyclische heteroaromatische Verbindungen als Protein-Tyrosinekinase-Inhibitoren
DE69906554T2 (de) P38 inhibitoren
DE69130683T2 (de) PYRAZOLO[1,5-a]PYRIMIDINDERIVATE UND SIE ENTHALTENDE ANTIINFLAMMATORISCHE MITTEL
DE60110749T2 (de) Pyridinderivative als angiogenese- und/oder vegf-rezeptor-tyrosinkinase-inhibitoren
DE69531623T2 (de) Neue benzoxazole
DE69329574T2 (de) Pharmazeutisch wirksame bicyclisch heterocyclische amine
DE69934805T2 (de) Substituierte imidazole mit cytokin-inhibierender wirkung
DE60120138T2 (de) Amid-verbindungen und deren verwendung
DE69120581T2 (de) 1,8-Naphthyridin-2-on-Derivate
DE602004001397T2 (de) Spirosubstituierte pyrrolopyrimidine
JP4342007B2 (ja) キナゾリン誘導体
DE10013126A1 (de) Arzneimittel gegen virale Erkrankungen
DE69511240T2 (de) Derivate des hydroxamsäure als metalloproteinaseinhibitoren
DE69813605T2 (de) Benzofuranderivate
JPH08253466A (ja) N−(3−ベンゾフラニル)ウレア−誘導体
DE3331808A1 (de) Carbostyrilderivate, verfahren zu deren herstellung und arzneimittel, welche diese enthalten
EP0114270B1 (de) Acylderivate von 1,4:3,6-Dianhydro-hexiten, Verfahren zu ihrer Herstellung und ihre Verwendung als Arzneimittel
DE60222465T2 (de) Pyrazolopyridin-derivate als antiherpesmittel
DE69817810T2 (de) Cyanoguanidine als zellproliferation inhibitoren
WO2001068639A1 (de) Dihydropyrimidin-5-carbonsäureester und ihre verwendung als arzneimittel gegen virale erkrankungen
DE69128254T2 (de) Antihypertensive benzopyran-derivate
DE69630799T2 (de) Pyrimidinderivate

Legal Events

Date Code Title Description
8364 No opposition during term of opposition
8327 Change in the person/name/address of the patent owner

Owner name: DAINIPPON SUMITOMO PHARMA CO., LTD., OSAKA, JP