DE69909616T2 - 2-phenyl-1-[-(2-aminoethoxy)-benzyl -indol und estrogen als kombinationpräparate - Google Patents

2-phenyl-1-[-(2-aminoethoxy)-benzyl -indol und estrogen als kombinationpräparate Download PDF

Info

Publication number
DE69909616T2
DE69909616T2 DE69909616T DE69909616T DE69909616T2 DE 69909616 T2 DE69909616 T2 DE 69909616T2 DE 69909616 T DE69909616 T DE 69909616T DE 69909616 T DE69909616 T DE 69909616T DE 69909616 T2 DE69909616 T2 DE 69909616T2
Authority
DE
Germany
Prior art keywords
alkyl
methyl
benzyl
pharmaceutically acceptable
nmr
Prior art date
Legal status (The legal status is an assumption and is not a legal conclusion. Google has not performed a legal analysis and makes no representation as to the accuracy of the status listed.)
Expired - Lifetime
Application number
DE69909616T
Other languages
English (en)
Other versions
DE69909616D1 (de
Inventor
Harrison James PICKAR
Samuel Barry KOMM
Current Assignee (The listed assignees may be inaccurate. Google has not performed a legal analysis and makes no representation or warranty as to the accuracy of the list.)
Wyeth LLC
Original Assignee
Wyeth LLC
Priority date (The priority date is an assumption and is not a legal conclusion. Google has not performed a legal analysis and makes no representation as to the accuracy of the date listed.)
Filing date
Publication date
Family has litigation
First worldwide family litigation filed litigation Critical https://patents.darts-ip.com/?family=22151320&utm_source=google_patent&utm_medium=platform_link&utm_campaign=public_patent_search&patent=DE69909616(T2) "Global patent litigation dataset” by Darts-ip is licensed under a Creative Commons Attribution 4.0 International License.
Application filed by Wyeth LLC filed Critical Wyeth LLC
Application granted granted Critical
Publication of DE69909616D1 publication Critical patent/DE69909616D1/de
Publication of DE69909616T2 publication Critical patent/DE69909616T2/de
Anticipated expiration legal-status Critical
Expired - Lifetime legal-status Critical Current

Links

Classifications

    • AHUMAN NECESSITIES
    • A61MEDICAL OR VETERINARY SCIENCE; HYGIENE
    • A61KPREPARATIONS FOR MEDICAL, DENTAL OR TOILETRY PURPOSES
    • A61K31/00Medicinal preparations containing organic active ingredients
    • A61K31/56Compounds containing cyclopenta[a]hydrophenanthrene ring systems; Derivatives thereof, e.g. steroids
    • A61K31/565Compounds containing cyclopenta[a]hydrophenanthrene ring systems; Derivatives thereof, e.g. steroids not substituted in position 17 beta by a carbon atom, e.g. estrane, estradiol
    • AHUMAN NECESSITIES
    • A61MEDICAL OR VETERINARY SCIENCE; HYGIENE
    • A61KPREPARATIONS FOR MEDICAL, DENTAL OR TOILETRY PURPOSES
    • A61K31/00Medicinal preparations containing organic active ingredients
    • A61K31/33Heterocyclic compounds
    • A61K31/395Heterocyclic compounds having nitrogen as a ring hetero atom, e.g. guanethidine or rifamycins
    • A61K31/40Heterocyclic compounds having nitrogen as a ring hetero atom, e.g. guanethidine or rifamycins having five-membered rings with one nitrogen as the only ring hetero atom, e.g. sulpiride, succinimide, tolmetin, buflomedil
    • AHUMAN NECESSITIES
    • A61MEDICAL OR VETERINARY SCIENCE; HYGIENE
    • A61PSPECIFIC THERAPEUTIC ACTIVITY OF CHEMICAL COMPOUNDS OR MEDICINAL PREPARATIONS
    • A61P15/00Drugs for genital or sexual disorders; Contraceptives
    • AHUMAN NECESSITIES
    • A61MEDICAL OR VETERINARY SCIENCE; HYGIENE
    • A61PSPECIFIC THERAPEUTIC ACTIVITY OF CHEMICAL COMPOUNDS OR MEDICINAL PREPARATIONS
    • A61P15/00Drugs for genital or sexual disorders; Contraceptives
    • A61P15/02Drugs for genital or sexual disorders; Contraceptives for disorders of the vagina
    • AHUMAN NECESSITIES
    • A61MEDICAL OR VETERINARY SCIENCE; HYGIENE
    • A61PSPECIFIC THERAPEUTIC ACTIVITY OF CHEMICAL COMPOUNDS OR MEDICINAL PREPARATIONS
    • A61P15/00Drugs for genital or sexual disorders; Contraceptives
    • A61P15/08Drugs for genital or sexual disorders; Contraceptives for gonadal disorders or for enhancing fertility, e.g. inducers of ovulation or of spermatogenesis
    • AHUMAN NECESSITIES
    • A61MEDICAL OR VETERINARY SCIENCE; HYGIENE
    • A61PSPECIFIC THERAPEUTIC ACTIVITY OF CHEMICAL COMPOUNDS OR MEDICINAL PREPARATIONS
    • A61P15/00Drugs for genital or sexual disorders; Contraceptives
    • A61P15/12Drugs for genital or sexual disorders; Contraceptives for climacteric disorders
    • AHUMAN NECESSITIES
    • A61MEDICAL OR VETERINARY SCIENCE; HYGIENE
    • A61PSPECIFIC THERAPEUTIC ACTIVITY OF CHEMICAL COMPOUNDS OR MEDICINAL PREPARATIONS
    • A61P19/00Drugs for skeletal disorders
    • A61P19/08Drugs for skeletal disorders for bone diseases, e.g. rachitism, Paget's disease
    • AHUMAN NECESSITIES
    • A61MEDICAL OR VETERINARY SCIENCE; HYGIENE
    • A61PSPECIFIC THERAPEUTIC ACTIVITY OF CHEMICAL COMPOUNDS OR MEDICINAL PREPARATIONS
    • A61P19/00Drugs for skeletal disorders
    • A61P19/08Drugs for skeletal disorders for bone diseases, e.g. rachitism, Paget's disease
    • A61P19/10Drugs for skeletal disorders for bone diseases, e.g. rachitism, Paget's disease for osteoporosis
    • AHUMAN NECESSITIES
    • A61MEDICAL OR VETERINARY SCIENCE; HYGIENE
    • A61PSPECIFIC THERAPEUTIC ACTIVITY OF CHEMICAL COMPOUNDS OR MEDICINAL PREPARATIONS
    • A61P43/00Drugs for specific purposes, not provided for in groups A61P1/00-A61P41/00
    • AHUMAN NECESSITIES
    • A61MEDICAL OR VETERINARY SCIENCE; HYGIENE
    • A61PSPECIFIC THERAPEUTIC ACTIVITY OF CHEMICAL COMPOUNDS OR MEDICINAL PREPARATIONS
    • A61P5/00Drugs for disorders of the endocrine system
    • AHUMAN NECESSITIES
    • A61MEDICAL OR VETERINARY SCIENCE; HYGIENE
    • A61PSPECIFIC THERAPEUTIC ACTIVITY OF CHEMICAL COMPOUNDS OR MEDICINAL PREPARATIONS
    • A61P5/00Drugs for disorders of the endocrine system
    • A61P5/24Drugs for disorders of the endocrine system of the sex hormones
    • AHUMAN NECESSITIES
    • A61MEDICAL OR VETERINARY SCIENCE; HYGIENE
    • A61PSPECIFIC THERAPEUTIC ACTIVITY OF CHEMICAL COMPOUNDS OR MEDICINAL PREPARATIONS
    • A61P5/00Drugs for disorders of the endocrine system
    • A61P5/24Drugs for disorders of the endocrine system of the sex hormones
    • A61P5/30Oestrogens
    • AHUMAN NECESSITIES
    • A61MEDICAL OR VETERINARY SCIENCE; HYGIENE
    • A61PSPECIFIC THERAPEUTIC ACTIVITY OF CHEMICAL COMPOUNDS OR MEDICINAL PREPARATIONS
    • A61P9/00Drugs for disorders of the cardiovascular system

Landscapes

  • Health & Medical Sciences (AREA)
  • Pharmacology & Pharmacy (AREA)
  • Veterinary Medicine (AREA)
  • Public Health (AREA)
  • General Health & Medical Sciences (AREA)
  • Animal Behavior & Ethology (AREA)
  • Chemical & Material Sciences (AREA)
  • Life Sciences & Earth Sciences (AREA)
  • Medicinal Chemistry (AREA)
  • General Chemical & Material Sciences (AREA)
  • Nuclear Medicine, Radiotherapy & Molecular Imaging (AREA)
  • Chemical Kinetics & Catalysis (AREA)
  • Organic Chemistry (AREA)
  • Bioinformatics & Cheminformatics (AREA)
  • Engineering & Computer Science (AREA)
  • Endocrinology (AREA)
  • Reproductive Health (AREA)
  • Physical Education & Sports Medicine (AREA)
  • Rheumatology (AREA)
  • Orthopedic Medicine & Surgery (AREA)
  • Diabetes (AREA)
  • Gynecology & Obstetrics (AREA)
  • Epidemiology (AREA)
  • Heart & Thoracic Surgery (AREA)
  • Cardiology (AREA)
  • Pregnancy & Childbirth (AREA)
  • Pharmaceuticals Containing Other Organic And Inorganic Compounds (AREA)
  • Indole Compounds (AREA)
  • Plural Heterocyclic Compounds (AREA)

Description

  • Die vorliegende Erfindung betrifft die Verwendung von neuartigen 2-Phenyl-1-[4-(2-aminoethoxy)-benzyl]-indolverbindungen, welche als östrogene Wirkstoffe, in Verbindung mit Östrogenen brauchbar sind, als auch pharmazeutische Zusammensetzungen.
  • Hintergrund der Erfindung
  • Die Verwendung von Hormonersatztherapie zur Knochenverlustverhinderung bei Frauen nach der Menopause ist wohl etabliert. Das normale Protokoll ruft nach einer Östrogenergänzung unter Verwendung von Formulierungen, welche Estron, Estriol, Ethinylestradiol, 17β-Estradiol, veresterte Östrogene oder konjugierte Östrogene, isoliert aus natürlichen Quellen (also Premarin® konjugierte Östrogene von Wyeth-Ayerst), oder synthetische Östrogene enthalten. Bei einigen Patienten kann die Therapie aufgrund proliferativer Wirkungen der nicht-opponierten Östrogene (Östrogene, welche nicht in Verbindung mit Progestinen gegeben werden) auf uterinäres Gewebe kontraindiziert sein. Diese Proliferation wird mit erhöhtem Risiko für Endometriose und/oder endometrialem Krebs in Verbindung gebracht. Die Wirkungen von nicht-opponierten Östrogenen auf Brustgewebe sind weniger klar, aber bereiten etwas Sorge. Der Bedarf an Östrogenen, welche die Knochen schonende Wirkung aufrecht erhalten können, während sie die proliferativen Wirkungen im Uterus und der Brust minimieren, ist offensichtlich. von bestimmten nicht-steroidalen Antiöstrogenen ist gezeigt worden, dass sie die Knochenmasse im ovarektomierten Rattenmodell, als auch in menschlichen klinischen Testes erhalten. Tamoxifen (verkauft als Marke Novadex® Tamoxifencitrat durch Zeneca Pharmaceuticals, Wilmington, Delaware) ist zum Beispiel ein brauchbares Palliativ zur Behandlung von Brustkrebs und hat gezeigt, dass es eine Östrogenagonist-ähnliche Wirkung auf den Knochen in Menschen ausübt. Jedoch ist es ebenfalls ein partieller Agonist im Uterus und dies bereitet etwas Sorge. Von Raloxifene, einem Benzothiophen-Antiöstrogen ist gezeigt worden, dass es das uterinäre Wachstum in einer ovarektomierten Ratte in geringerem Ausmaß stimuliert, als Tamoxifen, während es seine Fähigkeit bewahrt, Knochen zu schonen. Eine geeignete Übersicht über gewebeselektive Östrogene ist im Artikel „Tissue-Selective Actions Of Estrogen Analogs", Bone vol. 17, Nr. 4, Oktober 1995, 1815–1905 ersichtlich.
  • Von der Verwendung von Indolen als Östrogenantagonisten ist durch von Angerer, Chemical Abstracts, Vol. 99, Nr. 7 (1983), Abstrakt Nr. 53886u berichtet worden. Siehe auch J. Med. Chem. 1990, 33, 2635–2640; J. Med. Chem. 1987, 30, 131–136. Siehe ebenfalls Dt. Offen., DE 3821148 A1 891228 und WO 96/03375. Diese Verbindungen nach Stand der Technik teilen strukturelle Ähnlichkeiten mit den vorliegenden Verbindungen, aber sind funktionell unterschiedlich. Für Verbindungen, welche ein basisches Amin enthalten, gibt es keine Phenylgruppe, um die Seitenkette unbeweglich zu machen.
  • WO A 95 17383 (Karo Bio AB) beschreibt Indol-Antiöstrogene mit langen geraden Ketten. Ein weiteres verwandtes Patent WO A 93 10741 beschreibt 5-Hydroxyindole mit einer großen Bandbreite an Seitenketten. WO 93/23374 (Otsuka Pharmaceuticals, Japan) beschreibt Verbindungen, welche strukturelle Ähnlichkeiten mit jenen der vorliegenden Erfindung teilen, außer, dass die als R3 in den vorliegenden Formeln I und II unten bezeichnete Struktur, als Thioalkyl definiert wird, und der Verweis keine solchen Verbindungen mit Ketten aus dem Indolstickstoff mit der gleichen Struktur offenbart, wie jene, welche durch die vorliegende Erfindung vorgesehen werden.
  • In ihrem Artikel Postmenopausal Hormone replacement therapy with estrogen periodically supplemented with antiestrogen, Am. J. Obstet. Gynecol., Vol. 140, Nr. 7, 1981, pp. 787–792, beschreiben Kauppila et al. ihre Studie von postmenopausaler Östrogentherapie von siebenwöchigen Östrogen-Verordnungen, gefolgt von 10-tägigen Behandlungen mit dem Antiöstrogen Clomiphencitrat.
  • Ebenfalls beschreiben Kauppila et al. in ihrem Artikel Comparison of Megestrol Acetate and Clomiphene Citrate as Supplemental Medication in Postmenopausal Oestrogen Replacement Therapy, Arch. Gynecol. (1983) 234: 49–58 Kombinationstherapien bei Frauen nach der Menopause von Östrogen mit willkürlicher Ergänzung durch Megestrolacetat oder Clomiphencitrat.
  • US-Patent Nr. 4894373 (Young) lehrt die Verwendung von Antiöstrogenen, einschließlich Clomiphen und seinen Isomeren, Citraten und Derivaten in Abwesenheit von Östrogen zum Behandeln von menopausalen Symptomen und Behandeln oder Verhindern von Osteoporose. US-Patent Nr. 5552401 (Cullinan et al.) beschreibt Benzothiophenverbindungen als brauchbar für die Behandlung von verschiedenen medizinischen Indikationen in Verbindung mit postmenopausalem Syndrom und Uterus-Fibroid-Erkrankung, Endometriose und Glattmuskelzellenproliferation der Aorta, wobei die Verbindungen in pharmazeutischen Formulierungen verwendet werden, welche gegebenenfalls Östrogen oder Progestin enthalten. US-Patente Nr. 5646137 und 5591753 (beide erteilt an Black et al.) offenbaren Verfahren zum Behandeln von Osteoporose mit Formulierungen aus Raloxefin-artigen Arylbenzothiophenverbindungen in Verbindung mit einem Progestin, ausgewählt aus Medroxyprogesteron, Norethindron oder Norethynodrel, oder pharmazeutisch annehmbaren Salzen davon. US-Pat. Nr. 5550107 (Labrie) beansprucht eine Erfindung, welche die Behandlung von Brust- oder Endometrialkrebs mit einem Antiöstrogen zusammen mit mindestens einer Verbindung, ausgewählt aus der Gruppe von einem Androgen, einem Progestin, mindestens einem Hemmer von Sexualsteoridbildung, insbesondere 17β-Hydroxysteroid-dehydrogenase und Aromatasewirksamkeit, mindestens einem Hemmer von Prolactinsekretion, einem Hemmer von Wachstumshormonsekretion und einem Hemmer von ACTH-Sekretion umfasst. US-Pat. Nr. 5672609 (Bryant et al.) offenbart Pyridinverbindungen, welche beim Behandeln von postmenopausalem Syndrom brauchbar sind und Formulierungen, welche daher Östrogen oder Progestin enthalten. US-Pat. Nr. 5534527 (Black et al.) lehrt die Verwendung von Aroylbenzothiophenen und Östrogenen bei der Hemmung von Knochenverlust.
  • Beschreibung der Erfindung
  • Die vorliegende Erfindung sieht pharmazeutische Formulierungen vor und Verfahren, um diese zu verwenden, welche Verbindungen der Formeln (I) und (II) unten in Verbindung mit Östrogenen, vorzugsweise in Verbindung mit einem oder mehreren pharmazeutisch annehmbaren Trägern oder Exzipienten umfassen. Unter den Verwendungen der vorliegenden Formulierungen befinden sich Lindern der Symptome von postmenopausalem Syndrom in Frauen, einschließlich perimenopausalen und postmenopausalen Symptomen. Die vorliegenden Formulierungen und Behandlungen können verwendet werden, um unerwünschte Nebenwirkungen von Östrogenbehandlung oder Therapie zu minimieren und können verwendet werden, um die Mengen an Östrogen(en) zu minimieren, welche für eine bestimmte Verordnung notwendig ist.
  • Verbindungen des in Formeln (I) und (II) gezeigten, allge meinen Strukturtyps sind Östrogenagonisten/-antagonisten, welche für die Behandlung von Erkrankungen in Verbindung mit Östrogenmangel brauchbar sind, und werden in EP-A-0802183, veröffentlicht 22. Oktober 1997, offenbart. Die Verbindungen sind in der Lage, die Wirkungen von 17β-Estradiol zu antagonisieren, während sie wenig Uterusstimulation zeigen, wenn sie alleine dosiert werden.
  • Die vorliegende Erfindung schließt in Verbindung mit einem oder mehreren Östrogenen die Verwendung von Verbindungen der Formeln (I) oder (II) unten ein:
    Figure 00040001
    worin:
    R1 ausgewählt wird aus H, OH oder den C1-C12-Estern (geradkettig oder verzweigt) oder C1-C12 (geradkettig oder verzweigt oder cyclisch) Alkylethern davon, oder Halogenen; oder C1-C4 halogenierten Ethern, einschließlich Trifluormethylether und Trichlormethylether;
    R2, R3, R4, R5 und R6 unabhängig ausgewählt werden aus H, OH oder den C1-C12-Estern (geradkettig oder verzweigt) oder C1-C12-Alkylethern (geradkettig oder verzweigt oder cyclisch) davon, Halogenen oder C1-C4 halogenierten Ethern einschließlich Trifluormethylether und Trichlormethylether, Cyano, C1-C6-Alkyl (geradkettig oder verzweigt) oder Trifluormethyl, unter der Bedingung, dass, wenn R1 für H steht, R2 nicht OH darstellt;
    X ausgewählt wird aus H, C1-C6-Alkyl, Cyano, Nitro, Trifluormethyl, Halogen;
    n für 2 oder 3 steht;
    Y ausgewählt wird aus:
    • a) der Komponente:
      Figure 00050001
      worin R7 und R8 unabhängig ausgewählt werden aus H, C1-C6-Alkyl oder Phenyl, gegebenenfalls substituiert durch CN, C1-C6-Alkyl (geradkettig oder verzweigt), C1-C6-Alkoxy (geradkettig oder verzweigt), Halogen, -OH, -CF3 oder -OCF3; oder R7 und R8 zusammen als -(CH2)p- verkettet werden, worin p eine ganze Zahl von 2 bis 6 darstellt, vorzugsweise 4 bis 6, der so gebildete Ring gegebenenfalls mit 1–3 Substituenten substituiert ist, ausgewählt aus C1-C3-Alkyl, Trifluormethyl, Halogen, Wasserstoff, Phenyl, Nitro und -CN
    • b) einem fünfgliedrigen gesättigten, ungesättigten oder teilweise ungesättigten Heterocyclus, welcher bis zu zwei Heteroatome enthält, ausgewählt aus -O-, -NH-, -N(C1-C4-Alkyl)-, -N= und -S(O)m-, worin m eine ganze Zahl von 0–2 ist, gegebenenfalls substituiert mit 1–3 Substituenten, unabhängig ausgewählt aus Hydroxyl, Halogen, C1-C4-Alkyl, Trihalogenmethyl, C1-C4-Alkoxy, Trihalogenmethoxy, C1-C4-Acyloxy, C1-C4-Alkylthio, C1-C4-Alkylsulfinyl, C1-C4-Alkylsulfonyl, Hydroxy(C1-C4)-alkyl, -CO2H, -CN-, -CONHR1, -NH2, C1-C4-Alkylamino, Di-(C1-C4)-alkylamino, -NHSO2R1, -NHCOR1, -NO2 und Phenyl, gegebenenfalls substituiert mit 1–3 (C1-C4)-Alkyl, worin R1 wie oben definiert ist, oder C1-C6-Alkyl;
    • c) einem sechsgliedrigen gesättigten, ungesättigten oder teilweise ungesättigten Heterocyclus, welcher bis zu zwei Heteroatome enthält, ausgewählt aus -O-, -NH-, -N(C1-C4-Alkyl)-, -N= und -S(O)m-, worin m eine ganze Zahl von 0–2 ist, gegebenenfalls substituiert mit 1–3 Substituenten, unabhängig ausgewählt aus der Gruppe bestehend aus Wasserstoff, Hydroxyl, Halogen, C1-C4-Alkyl, Trihalogenmethyl, C1-C4-Alkoxy, Trihalogenmethoxy, C1-C4-Acyloxy, C1-C4-Alkylthio, C1-C4-Alkylsulfinyl, C1-C4-Alkylsulfonyl, Hydroxy(C1-C4)-alkyl, -CO2H, -CN-, -CONHR1, -NH2, C1-C4-Alkylamino, Di-(C1-C4)-alkylamino, -NHSO2R1, -NHCOR1, -NO2 und Phenyl, gegebenenfalls substituiert mit 1–3 (C1-C4)-Alkyl;
    • d) einem siebengliedrigen gesättigten, ungesättigten oder teilweise ungesättigten Heterocyclus, welcher bis zu zwei Heteroatome enthält, ausgewählt aus der Gruppe bestehend aus -O-, -NH-, -N(C1-C4-Alkyl)-, -N= und -S(O)m-, worin m eine ganze Zahl von 0–2 ist, gegebenenfalls substituiert mit 1–3 Substituenten, unabhängig ausgewählt aus der Gruppe bestehend aus Wasserstoff, Hydroxyl, Halogen, C1-C4-Alkyl, Trihalogenmethyl, C1-C4-Alkoxy, Trihalogenmethoxy, C1-C4-Acyloxy, C1-C4-Alkylthio, C1-C4-Alkylsulfinyl, C1-C4-Alkylsulfonyl, Hydroxy(C1-C4)-alkyl, -CO2H, -CN-, -CONHR1, -NH2, C1-C4-Alkylamino, Di-(C1-C4)-alkylamino, -NHSO2R1, -NHCOR1, -NO2 und Phenyl, gegebenenfalls substituiert mit 1–3 (C1-C4)-Alkyl; oder
    • e) einem bicyclischen Heterocyclus, welcher von 6–12 Kohlenstoffatome enthält, entweder verbrückt oder kondensiert und enthaltend bis zu zwei Heteroatome, ausgewählt aus der Gruppe bestehend aus -O-, -NH-, -N(C1-C4-Alkyl)- und -S(O)m-, worin m eine ganze Zahl von 0–2 darstellt, gegebenenfalls substituiert mit 1–3 Substituenten, unabhängig ausgewählt aus Wasserstoff, Hydroxyl, Halogen, C1-C4-Alkyl, Trihalogenmethyl, C1-C4-Alkoxy, Trihalogenmethoxy, C1-C4-Acyloxy, C1-C4-Alkylthio, C1-C4-Alkylsulfinyl, C1-C4-Alkylsulfonyl, Hydroxy(C1-C4)-alkyl, -CO2H, -CN-, -CONHR1-, -NH2, C1-C4-Alkylamino, Di-(C1-C4)-alkylamino, -NHSO2R1, -NHCOR1, -NO2 und Phenyl, gegebenenfalls substituiert mit 1–3 (C1-C4)-Alkyl; und dem pharmazeutisch annehmbaren Salzen davon.
  • Die bevorzugteren Formulierungen dieser Erfindung sind jene, welche neben einem oder mehreren pharmazeutischen Trägern oder Exzipienten
    • a) ein oder mehr Östrogene; und
    • b) eine oder mehrere Verbindungen, ausgewählt aus den allgemeinen Strukturen I oder II oben enthalten, worin: R1 ausgewählt wird aus H, OH oder den C1-C4-Estern oder Alkylethern davon, Halogen; R2, R3, R4, R5 und R6 unabhängig ausgewählt werden aus H, OH oder den C1-C4-Estern oder Alkylethern davon, Halogen, Cyano, C1-C6-Alkyl oder Trihalogenmethyl, vorzugsweise Trifluormethyl, unter der Bedingung, dass wenn R1 für H steht, R2 nicht OH darstellt; X ausgewählt wird aus H, C1-C6-Alkyl, Cyano, Nitro, Trifluormethyl, Halogen; Y die Komponente
      Figure 00060001
      darstellt; R7 und R8 unabhängig ausgewählt werden aus H, C1-C6-Alkyl oder verbunden sind durch -(CH2)p-, worin p eine ganze Zahl von 2 bis 6 darstellt, um einen Ring zu bilden, wobei der Ring gegebenenfalls substituiert ist durch bis zu drei Substituenten, ausgewählt aus der Gruppe von Wasserstoff, Hydroxyl, Halogen, C1-C4-Alkyl, Trihalogenmethyl, C1-C4-Alkoxy, Trihalogenmethoxy, C1-C4-Alkylthio, C1-C4-Alkylsulfinyl, C1-C4-Alkylsulfonyl, Hydroxy(C1-C4)-alkyl, -CO2H, -CN, -CONH(C1-C4)alkyl, -NH2, C1-C4-Alkylamino, Di-(C1-C4)-alkylamino, -NHSO2(C1-C4)alkyl, -NHCO(C1-C4)alkyl und -NO2; oder den pharmazeutisch annehmbaren Salzen davon.
  • Die oben erwähnten Ringe, welche durch verkettetes R7 und R8 gebildet werden, können Azidirin-, Azetidin-, Pyrrolidin-, Piperidin-, Hexamethylenamin- oder Heptamethylenamin-ringe einschließen, sind aber nicht darauf begrenzt.
  • Die am meisten bevorzugten Verbindungen der vorliegenden Formulierung sind jene mit den obigen Strukturformeln I oder II, worin R1 für OH steht; R2–R6 wie oben definiert sind; X ausgewählt wird aus der Gruppe von Cl, NO2, CN, CF3 oder CH3; Y die Komponente
    Figure 00070001
    darstellt; und R7 und R8 zusammen verkettet werden als -(CH2)r-, worin r eine ganze Zahl von 4 bis 6 ist, um einen Ring zu bilden, gegebenenfalls substituiert durch bis zu drei Substituenten, ausgewählt aus der Gruppe von Wasserstoff, Hydroxyl, Halogen, C1-C4-Alkyl, Trihalogenmethyl, C1-C4-Alkoxy, Trihalogenmethoxy, C1-C4-Alkylthio, C1-C4-Alkylsulfinyl, C1-C4-Alkylsulfonyl, Hydroxy(C1-C4)-alkyl, -CO2H, -CN, -CONH(C1-C4)alkyl, -NH2, C1-C4-Alkylamino, Di-(C1-C4)-alkylamino, -NHSO2(C1-C4)alkyl, -NHCO(C1-C4)-alkyl und -NO2;
    und die pharmazeutisch annehmbaren Salze davon.
  • In einer weiteren Ausführungsform dieser Erfindung, wenn R7 und R8 zusammen als -(CH2)p- verkettet werden, worin p eine ganze Zahl von 2 bis 6 darstellt, vorzugsweise 4 bis 6, wird der so gebildete Ring gegebenenfalls substituiert mit 1–3 Substituenten, ausgewählt aus C1-C3-Alkyl, Trifluormethyl, Halogen, Phenyl, Nitro und -CN.
  • Die Erfindung schließt Sulfat, Sulfamate und Sulfatester von Phenolgruppen ein. Sulfate können leicht durch Umsetzung der freien Phenolverbindung mit Schwefeltrioxid hergestellt werden, komplexiert mit einem Amin wie Pyridin, Trimethylamin, Triethylamin usw. Sulfamate können durch Behandeln der freien Phenolverbindung mit dem gewünschten Amino oder Alkylamino oder Dialkylamino-sulfamylchlorid in Gegenwart einer geeigneten Base wie Pyridin hergestellt werden. Sulfatester können durch Umsetzung des freien Phenols mit dem gewünschten Alkansulfonylchlorid in Gegenwart einer geeigneten Base wie Pyridin hergestellt werden. Zusätzlich schließt diese Erfindung Verbindungen ein, welche Phosphate an dem Phenol, als auch Dialkylphosphate enthalten. Phosphate können durch Umsetzung des Phenols mit dem passenden Chlorphosphat hergestellt werden. Die Dialkylphosphate können hydrolysiert werden, um die freien Phosphate zu ergeben. Phosphinate werden ebenfalls beansprucht, wo das Phenol mit dem gewünschten Dialkylphosphinisäurechlorid umgesetzt wird, um das gewünschte Dialkylphosphinat vom Phenol zu gewinnen.
  • Die Erfindung schließt annehmbare Salzformen ein, welche aus der Additionsumsetzung mit entweder anorganischen oder organischen Säuren gebildet werden. Anorganische Säuren wie Salzsäure, Bromwasserstoffsäure, Iodwasserstoffsäure, Schwefelsäure, Phosphorsäure, Salpetersäure sind brauchbar, als auch organische Säure wie Essigsäure, Propionsäure, Citronensäure, Maleinsäure, Äpfelsäure, Weinsäure, Phthalsäure, Bernsteinsäure, Methansulfonsäure, Toluolsulfonsäure, Naphthalinsulfonsäure, Kampfersulfonsäure, Benzolsulfonsäure sind brauchbar. Es ist bekannt, dass Verbindungen, welche einen basischen Stickstoff besitzen, mit vielen unterschiedlichen Säuren (sowohl protisch als auch nicht protisch) komplexiert werden können und üblicherweise wird es bevorzugt, eine Verbindung dieser Erfindung in Form eines Säureadditionssalzes zu verabreichen. Zusätzlich schließt diese Erfindung quaternäre Ammoniumsalze der Verbindungen hierin ein. Diese können durch Umsetzen der nucleophilen Amine der Seitenkette mit einem geeignet reaktiven Alkylierungsmittel wie einem Alkylhalogenid oder Benzylhalogenid hergestellt werden.
  • Die Verbindungen, welche in dieser Erfindung genutzt werden, werden durch ein Verfahren hergestellt, welches eines der fol genden Schritte umfasst:
    • a) Umsetzen einer Verbindung der Formel
      Figure 00090001
      worin n, R1-R6 und X wie oben definiert sind, und hal Chlor oder Brom darstellt, mit einer Verbindung der Formel: HNR7R8 worin R7 und R8 wie oben definiert sind, um eine entsprechende Verbindung der Formel I oder II zu ergeben; oder
    • b) Umsetzen einer Verbindung der Formel
      Figure 00090002
      worin C1-C4 und X wie oben definiert sind, in Gegenwart einer Base, z. B. NaH, mit einer Verbindung der Formel
      Figure 00090003
      worin n, R5, R6 und Y wie oben definiert sind und hal ein Halogen darstellt, z. B. Cl oder Br, um eine entsprechende Verbindung der Formel I zu ergeben; falls notwendig Schützen einer reaktiven Substituentengruppe während jedem obigen Verfahren und Entfernen derselben; und falls gewünscht Umwandeln einer vorhandenen Phenolgruppe zu einem Phosphat, Sulfat, Sulfamat oder Sulfatester; und ferner falls gewünscht, Umwandeln der Verbindung der Formel I oder II zu einem pharmazeutisch annehmbaren Salz.
  • Verfahren
  • Verbindungen dieser Erfindung können in einem allgemeinen Sinn gemäß dem Schema 1 unten synthetisiert werden.
  • Schema 1
    Figure 00100001
  • Die anfängliche Indolsynthese wird durch Erhitzen eines passend substituierten alpha-Bromketons (b) mit dem gewünschten Anilin (a) in DMF erreicht, um das Indol (c) zu bilden. Das Produkt wird dann mit einem Benzylchlorid (e) alkyliert, um das substituierte Indol (f) zu ergeben. Das Benzylchlorid (e) kann leicht aus dem Aldehyd (d) in 2 Schritten wie angegeben hergestellt werden. Produkt (g) kann aus (f) durch Reduktion des Esters, Umwandlung des Alkohols in ein Bromid, Ersetzen des Bromids mit dem gewünschten Amin in einem geeigneten Lösungsmittel wie THF oder DMF hergestellt werden, und zum Schluss Entschützen, falls notwendig. Entschützen ist notwendig, wenn entweder R1 oder R2 oder beides ein geschütztes Phenol ist. Die bevorzugte Schutzgruppe ist eine Benzylgruppe, welche durch mehrere herkömmliche Verfahren bequem entfernt werden kann, insbesondere Hydrolyse.
  • Zur Synthese von Verbindungen mit X=H, Halogen, Trifluormethyl, Cyano, Nitro kann eine alternative, in Schema 2 gezeigte Synthese bevorzugt werden. Die Bildung von Halogenen an der 3-Position kann leicht durch Reagenzien wie N-Chlorsuccinamid, N-Bromsuccinamid oder N-Iodsuccinamid durchgeführt werden. Eine erhaltene 3-Iodindolverbindung kann als Vorläufer zur 3-Trifluormethylverbindung durch eine Kopplungsumsetzung verwendet werden, welche einen Palladiumkatalysator und Bistrifluormethylquecksilber(II) nutzt. Eine Verbindung mit einer Cyanogruppe in der 3-Position kann durch elektrophile Cyanisierung hergestellt werden oder alternativ kann die 3-Position formyliert werden (mit einem Formyliminiumsalz zum Beispiel), dann wird die Formylgruppe in ein Oxim umgewandelt und nachfolgend zu einem Nitril dehydratisiert. Alternativ kann die 3-Cyanoverbindung durch Umsetzung des 3-unsubstituierten Indols mit Chlorsulfonylisocyanat, gefolgt von Triethylamin synthetisiert werden. Eine Verbindung mit der Nitrogruppe in der 3-Position kann durch Behandeln des Indols mit Natriumnitrit und Essigsäure hergestellt werden. Ein Fachmann erkennt, dass diese Wege nicht einschränkend sind und andere Wege ebenfalls verfügbar sind.
  • Schema 2
    Figure 00120001
  • Synthesen von ausgewählten repräsentativen Beispielen werden in den folgenden Schemata angegeben:
  • Schema 3
    Figure 00130001
  • Die Synthese von Analoga mit einer 3-Kohlenstoffkette (Beispiel Nr. 166) zwischen dem Sauerstoff und dem basischen Amin kann wie in Schema 4 gezeigt erreicht werden.
  • Schema 4
    Figure 00140001
  • Das in Schema 4 gezeigte synthetische Verfahren kann für Verbindungen mit zwei Kohlenstoffketten analog zu Beispiel Nr. 97 in Schema 3 verwendet werden. Dies wird in Schema 4a für die Synthese von Beispiel Nr. 127 gezeigt.
  • Schema 4a
    Figure 00150001
  • Diese Synthesen von Indolen mit alternativen Substituenten (CN, Cl) an der 3-Position des Indols nutzen beide das 3-unsubstituierte Indol Nr. 141 als Vorläufer. Das Indol wird durch das Fisher-Verfahren unter Nutzung des aus der Kondensation von 4-Benzyloxyacetophenon CAS Nr. [54696-05-8] und 4-Benzyloxyphenylhydrazin CAS Mr. [51145-58-5] abgeleiteten Hydrazon synthetisiert. Das Hydrazon Nr. 140 wird dann in Essigsäure unter Verwendung von Zinkchlorid cyclisiert, um das gewünschte Indol Nr. 141 zu ergeben. Diese Synthese kann in Schema 5 gesehen werden.
  • Schema 5
    Figure 00160001
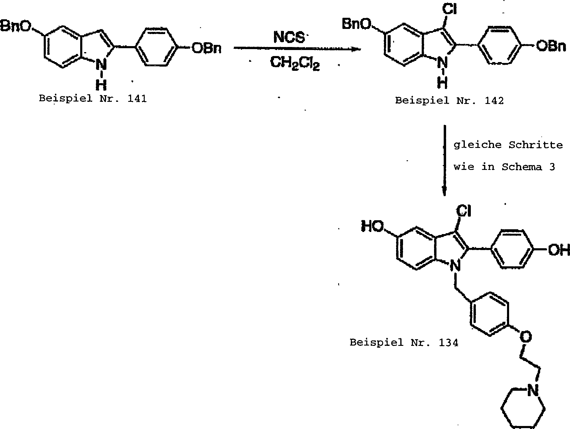
  • Die Synthese von 3-Chlorindolverbindungen wird für Beispiel Nr. 134 demonstriert und infra in Schema 6 gezeigt. Das Indol Nr. 141 von Schema 5 wird mit N-Chlorsuccinamid chloriert. Das so erhaltene 3-Chlorindol Nr. 142 wird auf zu der in Schema 3 gezeigten analogen Weise zum Endprodukt gebracht.
  • Schema 6
    Figure 00160002
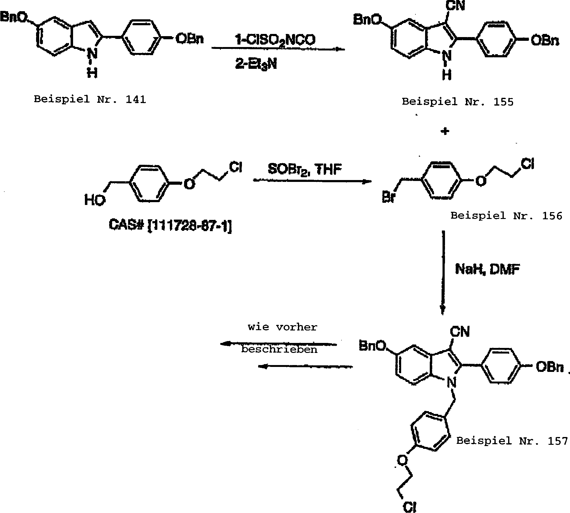
  • 3-Cyano-Analoga werden aus dem Vorläuferindol Nr. 141 wie in Schema 7 gezeigt synthetisiert. Umsetzung des Vorläuferindols Nr. 141 mit Chlorsulfonylisocyanat, gefolgt von Zugabe von Triethylamin ergibt das 3-Cyanoindol Nr. 155. Die Seitenkette wird durch die Umwandlung des Benzylalkohols von CAS Nr. [111728-87-1] in das Benzylbromid Nr. 156 unter Verwendung von Thionylbromid in THF gebildet. Das Indol wird durch die Seitenkette in DMF unter Verwendung von Natriumhydrid alkyliert, um die Zwischenverbindung Nr. 157 zu ergeben. Diese kann dann aus zu jener in Schema 4 gezeigten analogen Weise zu dem Endprodukt Nr. 138 gebracht werden:
  • Schema 7
    Figure 00170001
  • Die Verbindungen der Formeln (I) und (II) sind partielle Östrogenagonisten und zeigen hohe Affinität für den Östrogenrezeptor. Anders als viele Östrogene, verursachen diese Verbindungen jedoch keine Erhöhung des Uterus-Nassgewichts. Diese Verbindungen sind im Uterus antiöstrogen und können die trophischen Wirkungen von Östrogenagonisten im Uterusgewebe vollständig antagonisieren. Diese Verbindungen sind brauchbar beim Behandeln oder Verhindern von Krankheitszuständen oder Syndromen bei Säugetieren, welche durch einen Östrogenmangel verursacht oder damit in Verbindung gebracht werden. Diese Gewebeselektivität erlaubt ihre Verwendung für gewünschte östrogene Wirksamkeit in bestimmten Geweben wie Knochen, während sie die Wirksamkeit in anderen, wie Uterusgewebe begrenzt.
  • Östrogene, welche in den Formulierungen dieser Erfindung brauchbar sind, schließen ein: Estron, Estriol, Equilin, Estradien, Equilenin, Ethinylestradiol, 17β-Estradiol, 17α-Dihydroequilenin, 17β-Dihydroequilenin (US-Patent 2834712), 17α-Dihydroequilin, 17β-Dihydroequilin, Menstranol und konjugierte Östrogenhormone wie jene in Premarin®-Produkten von Wyeth-Ayerst Laboratories. Phytoöstrogene, wie Equol oder Enterolacton können ebenfalls in den vorliegenden Formulierungen und Verfahren verwendet werden. Eine bevorzugte Ausführungsform dieser Erfindung umfasst pharmazeutische Zusammensetzungen und Behandlungsverfahren unter Nutzung konjugierter Östrogenhormone wie jene in Premarin®-Produkten von Wyeth-Ayerst Laboratories mit einer oder mehreren Verbindungen der hierin aufgelisteten Formeln (I) oder (III). Veresterte Östrogene, wie jene, welche durch Solvay Pharmaceuticals Inc. unter dem Handelsnamen Estratab® verkauft werden, können ebenfalls mit den vorliegenden Formulierungen verwendet werden. Ebenfalls bevorzugt zur Verwendung mit der vorliegenden Erfindung sind die Salze der anwendbaren Östrogene, insbesondere bevorzugt die Natriumsalze. Beispiele für diese bevorzugten Salze sind Natriumestronsulfat, Natriumeduilinsulfat, Natrium-17alpha-dihydroequilinsulfat, Natrium-17alpha-estradiolsulfat, Natrium-delta8,9-dehydroestronsulfat, Natrium-equileninsulfat, Natrium-17beta-dihydroequilinsulfat, Natrium-17alpha-dihydroequileninsulfat, Natrium-17beta-estradiolsulfat, Natrium-17beta-dihydroequileninsulfat, Estron-3-natriumsulfat, Equilin-3-natriumsulfat, 17alpha-Dihydroequilin-3-natriumsulfat, 3beta-Hydroxy estra-5(10),7-dien-17-on-3-natriumsulfat, 5alpha-Pregnan-3-beta-20R-diol-20-natriumsulfat, 5alpha-Pregnan-3beta, 16alpha-diol-20-on-3-natriumsulfat, delta(8,9)-Dehydro-estron-3-natriumsulfat, Estra-3beta, 17alpha-diol-3-natriumsulfat, 3beta-Hydroxy-estr-5(10)-en-17-on-3-natriumsulfat oder 5alpha-Pregnan-3beta,16al-pha,20R-triol-3-natriumsulfat. Bevorzugte Salze von Estron schließen ein, aber sind nicht begrenzt auf Natrium- und Piperatsalze.
  • Die vorliegenden Verbindungen der Formeln (I) und (II) sind gewebeselektive Verbindungen mit der Fähigkeit, sich wie Östrogenagonisten zu verhalten, wie durch Senken von Cholesterin und Verhindern von Knochenverlust, oder wie Östrogenantagonisten. Daher sind diese Verbindungen in den vorliegenden Formulierungen brauchbar zum Behandeln von vielen Krankheiten, einschließlich Osteoporose, Prostatahypertrophie, Unfruchtbarkeit, Brustkrebs, endometrialer Hyperplasie, endometrialem Krebs, Endometriose, zystischer Glandula-Hyperplasie, Uterus-Hyperplasie, zervikaler Hyperplasie, gutartiger Prostata-Hyperplasie, kardiovaskulärer Erkrankung, Kontrazeption, Alzheimer-Erkrankung und Melanom. Die Formulierungen dieser Erfindung können ebenfalls zum Behandeln von Knochenverlust als Folge von sekundärer Osteoporose verwendet werden, einschließlich jenem, der von der Art her als endokrin kategorisiert ist, einschließlich jenem als Folge von Glucocorticoid-Überschuss, Hyperparathyroidismus, Hyperthyroidismus, Hypogonadismus, Hyperprolactinämie und Diabetes mellitus. Der Knochenverlust kann auch durch Drogen verursacht sein, wie jenem als Folge von Heparinbehandlungen, Alkoholkonsum oder der Verwendung von Tabak, Barbituraten oder Corticosteroiden. Der durch Arznei verursachte Knochenverlust kann auch von Behandlung mit Gonadotropin-abgebendem Hormon (GnRH oder LHRH) oder synthetischem GnRG-Antagonisten oder Agonisten stammen, wie dem Leuprolidacetat, welches injizierbar durch TAP Pharmaceuticals Inc. unter dem Handelsnamen LUPRON® verkauft wird oder dem Goserelinacetat-Implantat, welches durch Zeneca Pharmaceuticals unter dem Handelsnamen Zoladex® verkauft wird. Solch ein Knochenverlust kann auch Folge von Immobilisierung des Einzelnen, chronischem Nierenversagen, Malabsorptionssyndrom, Lebererkrankung, chronischer obstruktiver Lungenerkrankung, Rheumatoidarthritis oder Sarcoidose sein.
  • Zusätzlich können diese Formulierungen zur Hormonersatztherapie bei Frauen nach der Menopause verwendet werden oder bei anderen Zuständen mit Östrogenmangel, wo Östrogenergänzung zuträglich wäre. Die symbiotische Wirksamkeit der Verbindungen und Östrogen(e) des vorliegenden Behandlungsverfahrens sind insbesondere von Interesse beim Überwinden der ungewollten Folgen von Östrogentherapie wie Durchbruchblutung und/oder exzessive endometriale Stimulation, welche zu endometrialer Hyperplasie oder Endometriose führen kann. Diese Formulierungen können daher in Verfahren zum Behandeln oder Verhindern von überschüssiger, östrogener Uterusstimulation in einem Säuger verwendet werden.
  • Die Formulierungen dieser Erfindung können ebenfalls in Verfahren zum Behandeln von Knochenverlust verwendet werden, welcher sich aus einem Ungleichgewicht bei der Bildung von neuem Knochengewebe und der Resorption von altem Knochengewebe in einem Individuum ergibt, was zu einem Nettoverlust an Knochen führt. Solcher Knochenentzug ergibt sich bei einer Anzahl an Individuen, insbesondere bei Frauen nach der Menopause, Frauen, welche sich einer Hysterektomie/Oophorektomie unterzogen haben, solche welche ausgedehnte Corticosteroidtherapien erhalten oder erhalten haben, jene welche Gonadendisgenesie erfahren und jene, welche unter Cushing-Syndrom leiden. Spezielle Bedürfnisse für Knochenersatz können unter Verwendung dieser Verbindungen auch bei Individuen mit Knochenfrakturen, mangelhaften Knochenstrukturen und jenen adressiert werden, welche mit Knochen verbundene Chirurgie und/oder Implantation von Prothesen erhalten. Zusätzlich zu den oben beschriebenen Problemen können diese Formulierungen bei Behandlungen von Osteoarthritis, Paget-Erkrankung, Osteomaladie, Osteohalisterese, endometrialem Krebs, multiplem Myelom und anderen Formen von Krebs mit schädlichen Wirkungen auf Knochengewebe verwendet werden. Verfahren zum Behandeln der hierin aufgeführten Krankheiten werden so verstanden, dass sie Verabreichen einer pharmazeutisch wirksamen Menge von einer oder mehreren Verbindungen der Formeln (I) und (II) oder eines pharmazeutisch annehmbaren Salzes davon, in Verbindung mit einer therapeutisch wünschenswerten Menge eines Östrogens an ein Individuum einschließen, welches solch eine Behandlung braucht. Die Erfindung schließt auch pharmazeutische Zusammensetzungen ein, welche eine oder mehrere der vorliegenden Verbindungen verwen den, und/oder die pharmazeutisch annehmbaren Salze davon, zusammen mit einem oder mehreren pharmazeutisch annehmbaren Trägern, Arzneimittelträgern usw.
  • Östrogene regulieren eine Anzahl an physiologischen Verfahren. Die primären Zielgewebe für Östrogene schließen den Fortpflanzungstrakt (Eierstöcke, Uterus, Vagina), Brustgewebe, Skelett, kardiovaskuläreres System und das zentrale Nervensystem (CNS) ein. Die Verringerung des Zirkulierens von Östrogenen ergibt eine Anzahl an Veränderungen. Es gibt ein Einstellen der Fortpflanzungsfunktion mit einer verbundenen Amenorrhöe, Uterusatrophie und Steigerung vaginaler Trockenheit (Mangel an Keratinisation). Brustgewebe wird relativ ruhend. Es gibt einen Anstieg in der Rate von Verlust an Knochenmasse (2–7%) im Vergleich zu den normalen 0,5–1,0%/Jahr, den man in allen Individuen über dem Alter von 35 sieht. Eine Veränderung im Lipidprofil tritt mit Steigerungen im Low Density Lipoprotein (LDL) und Verringerungen in High Density Lipoprotein (HDL) auf, welche üblicherweise gemessen werden, und wird mit einem erhöhten Risiko für einen kardiovaskulären Vorfall (Herzanfall, Schlaganfall) in Verbindung gebracht. Veränderungen im zentralen Nervensystem schließen eine Erhöhung vasomotorischer Symptome (Hitzewallung) und potentielle Veränderungen in Kognition und Gedächtnis ein.
  • Östrogenersatztherapie (ERT) normalisiert einige dieser Veränderungen, insbesondere jene in Verbindung mit dem kardiovaskulären System (verringerte LDL, erhöhte HDL, verringertes Risiko eines Herzanfalls), dem Skelett (Aufrechterhaltung der Knochenmasse, reduziertes Frakturrisiko) und dem zentralen Nervensystem (Verringerung von Häufigkeit und Schwere von Hitzewallungen). Während der Fortpflanzungstrakt reagiert, ist dies nicht immer positiv. Auf der positiven Seite wird vaginale Trockenheit gemildert. Jedoch schließen negative Uterusreaktionen Hypertrophie und Hyperplasie ein, zusammen mit etwas Menstruations-ähnlicher Blutung. Die Brust ist ebenfalls betroffen und es gibt Daten, die exogene Östrogentherapie mit einem erhöhten Risiko an Brustkrebs korrelieren.
  • Gegenwärtig werden Frauen mit intaktem Uterus keine Östrogene allein verschreiben, sondern Östrogene in Kombination mit einem Progestin, um Uterusstimulation zu verringern. Während die Risiken von endometrialem Krebs auf einen Stand ohne Hormonbe handlung reduziert werden, verringern die anderen Nebenwirkungen von Progestinen die Willfährigkeit von Frauen gegenüber Hormonersatz.
  • Die Gewebe-selektiven Östrogen(TSE)verbindungen dieser Erfindung sehen positive Wirkungen auf das Skelett und kardiovaskuläre Wirkungen vor, ähnlich den Östrogenen, ohne die negativen Wirkungen in Verbindung mit dem Uterus und der Brust. Die Kombinationen aus TSEs und Östrogenen erhalten ihre positiven Wirkungen von Östrogenen auf das CNS, Knochen und kardiovaskuläre System, wobei die Kombination komplementäre oder zusätzliche Wirkungen auf die Knochen und kardiovaskulären Systeme vorsieht. Die Hauptvariable ist die Fähigkeit von TSEs, Östrogeneinfluss auf Uterus und Brust zu blockieren, was die zwei hauptsächlichen negativen Wirkungen von nicht opponierten Östrogenen sind.
  • Es versteht sich, dass die Dosierung, Verordnung und der Verabreichungsweg dieser Verbindungen der Formeln (I) und (II) entsprechend der Krankheit und des behandelten Individuums variieren werden und der Beurteilung des beteiligten Mediziners unterliegen werden. Es wird bevorzugt, dass die Verabreichung von einer oder mehreren Verbindungen hierin bei einer niedrigen Dosis beginnt und erhöht wird, bis die gewünschten Wirkungen erreicht werden. Ähnlich versteht es sich, dass die Dosierung(en) des/der Östrogen(e), welche in den vorliegenden Formulierungen genutzt werden, gemäß herkömmlichen Verfahren gewählt werden. Es wird insbesondere bevorzugt, dass die Dosierung überwacht werden wird, um das gewünschte Ergebnis mit dem notwenigen Minimum an Östrogen(en) zu erreichen.
  • Wirksame Verabreichung dieser Verbindungen der Formeln (I) und (II) kann bei einer Dosis von etwa 0,1 mg/Tag bis etwa 1000 mg/Tag gegeben werden. Vorzugsweise wird die Verabreichung von etwa 1 mg/Tag bis etwa 600 mg/Tag in einer einzelnen Dosis oder in zwei oder mehreren geteilten Dosen betragen. Insbesondere bevorzugt wird eine tägliche Dosis von zwischen etwa 1 mg/Tag und etwas 150 mg/Tag verabreicht werden. Solche Dosen können auf jede Weise verabreicht werden, die brauchbar ist, die Wirkstoffe hierin zum Empfänger zu leiten, einschließlich oral, parenteral (einschließlich intravenöser, intraperitonealer, und subkutaner Injektionen, Implantate usw.), intravaginal und transdermal. Zum Zwecke dieser Offenbarung verstehen sich transdermale Verabrei chungen so, dass sie alle Verabreichungen an der Körperoberfläche und der inneren Auskleidung von körperlichen Durchgängen einschließen, einschließlich epithelialer und mukosaler Gewebe. Solche Verabreichungen können unter Verwendung der vorliegenden Verbindungen oder pharmazeutisch annehmbarer Salze davon in Lotionen, Cremes, Schäumen, Pflastern, Suspensionen, Lösungen und Zäpfchen (rektal und vaginal) durchgeführt werden.
  • Orale Formulierungen, welche die wirksamen Verbindungen der Formeln (I) und (II) enthalten, können alle herkömmlich verwendeten, oralen Formen umfassen, einschließlich Tabletten, Kapseln, bukkale Formen, Pastillen, Rauten und orale Flüssigkeiten, Suspensionen oder Lösungen. Kapseln können Gemische der aktiven Verbindung(en) mit inerten Füllstoffen und/oder Verdünnungsmitteln enthalten, wie die pharmazeutisch annehmbaren Stärken (z. B. Mais-, Kartoffel- oder Tapiokastärke), Zucker, künstliche Süßstoffe, pulverisierte Zellulosen wie kristalline und mikrokristalline Cellulosen, Mehle, Gelatinen, Gummis usw. Brauchbare Tablettenformulierungen können durch herkömmliche Press-, Nassgranulierungs- oder Trockengranulierungsverfahren hergestellt werden und verwenden pharmazeutisch annehmbare Verdünnungsmittel, Bindemittel, Schmiermittel, Aufschlussmittel, Suspensions- oder Stabilisationsmittel einschließlich, aber nicht begrenzt auf Magnesiumstearat, Stearinsäure, Talk, Natriumlaurylsulfat, mikrokristalline Cellulose, Carboxymethylcellulosecalcium, Polyvinylpyrrolidon, Gelatine, Alginsäure, Akaziengummi, Xanthangummi, Natriumcitrat, Komplex-Silicate, Calciumcarbonat, Glycin, Dextrin, Sucrose, Sorbitol, Dicalciumphosphat, Calciumsulfat, Lactose, Kaolin, Mannitol, Natriumchlorid, Talk, trockene Stärken und pulverisierte Zucker. Orale Formulierungen hierin können Standardformulierungen mit Verzögerungs- oder Depotabgabe verwenden, um die Absorption des/der Wirkstoffs(-e) zu verändern. Zäpfchenformulierungen können aus herkömmlichen Materialien hergestellt werden, einschließlich Kakaobutter, mit oder ohne Zugabe von Wachsen, um den Schmelzpunkt des Zäpfchens zu verändern, und Glycerin. Wasserlösliche Zäpfchenbasen, wie Polyethylenglycole mit verschiedenen Molekulargewichten können ebenfalls verwendet werden.
  • Es versteht sich, dass die Östrogene der Erfindung in den Dosierungen herkömmlicher Verordnungen verabreicht werden, gemäß der Toleranz des Empfängers und der speziellen beabsichtigten Behandlung oder des Aufrechterhaltungsplans. Die Verbindungen der Formeln (I) und (II) hierin, werden in einer Menge verabreicht werden, welche notwendig ist, um das/die Östrogen(e) der Wirksamkeit der Formulierung im gewünschten Grad zu agonisieren oder antagonisieren. Wenn konjugierte Östrogene, USP, verwendet werden, wird es bevorzugt, dass die tägliche Dosierung von 0,1 mg bis 5,0 mg, vorzugsweise zwischen etwa 0,3 mg und etwa 2,5 mg, insbesondere bevorzugt zwischen etwa 0,3 und etwa 1,25 mg/ Tag beträgt. Für Mestranol oder Ethinylestradiol könnte eine tägliche Dosis von etwa 1 μg bis etwa 0,15 mg/Tag betragen und eine Dosierung von etwa 1 μg bis etwa 0,3 mg/Tag kann für Ethinylestradiol verwendet werden, vorzugsweise zwischen etwa 2 μg bis etwa 0,15 mg/Tag an Ethinylestradiol.
  • Die Verbindungen dieser Erfindung können rein oder mit einem pharmazeutisch annehmbaren Träger zur Verabreichung formuliert werden, dessen Anteil durch die Löslichkeit und chemische Beschaffenheit der Verbindung, dem Verabreichungsweg und pharmakologischer Standardpraxis bestimmt wird. Der pharmazeutische Träger kann fest oder flüssig sein.
  • Ein fester Träger kann eine oder mehrere Substanzen einschließen, welche auch als Geschmacksmittel, Schmiermittel, Aufschlussmittel, Suspensionsmittel, Füllstoffe, Gleitmittel, Kompressionshilfen, Bindemittel oder Tablettendesintegrationsmittel fungieren kann; es kann auch ein Einkapselungsmaterial sein. In Pulvern ist der Träger ein fein geteilter Feststoff, welcher sich in Vermischung mit dem fein geteilten Wirkstoff befindet. In Tabletten wird der Wirkstoff mit einem Träger mit den notwendigen Kompressionseigenschaften in geeigneten Anteilen gemischt und in die gewünschte Form und Größe gepresst. Die Pulver und Tabletten enthalten vorzugsweise bis zu 99% Wirkstoff. Geeignete feste Träger schließen zum Beispiel Calciumphosphat, Magnesiumstearat, Talk, Zucker, Lactose, Dextrin, Stärke, Gelatine, Cellulose, Methylcellulose, Natriumcarboxymethylcellulose, Polyvinylpyrrolidin, niedrig schmelzende Wachse und Ionenaustauschharze ein.
  • Flüssige Träger werden beim Herstellen von Lösungen, Suspensionen, Emulsionen, Sirupen, Elixieren und unter Druck gesetzten Zusammensetzungen verwendet. Der Wirkstoff kann in einem pharmazeutisch annehmbaren flüssigen Träger wie Wasser, einem organischen Lösungsmittel, einem Gemisch aus beiden oder pharmazeu tisch annehmbaren Ölen oder Fetten gelöst oder suspendiert sein. Der flüssige Träger kann weitere pharmazeutische Zusatzstoffe enthalten, wie Aufschlussmittel, Emulgatoren, Puffer, Konservierungsstoffe, Süßstoffe, Geschmacksmittel, Suspensionsmittel, Verdickungsmittel, Farbstoffe, Viskositätsregulatoren, Stabilisatoren oder Osmo-Regulatoren. Geeignete Beispiele für flüssige Träger zur oralen und parenteralen Verabreichung schließen Wasser (teilweise Zusatzstoffe wie oben enthaltend, z. B. Cellulosederivate, vorzugsweise Natriumcarboxymethylcelluloselösung), Alkohole (einschließlich einwertiger Alkohole und mehrwertiger Alkohole, z. B. Glycole) und ihre Derivate, Lecithine und Öle (z. B. fraktioniertes Kokosöl und Arachisöl) ein. Zur parenteralen Verabreichung kann der Träger auch ein öliger Ester sein, wie Ethyloleat und Isopropylmyristat. Sterile flüssige Träger sind brauchbar in Zusammensetzungen in steriler flüssiger Form zur parenteralen Verabreichung. Der flüssige Träger für unter Druck gesetzte Zusammensetzungen kann halogenierter Kohlenwasserstoff oder ein anderes pharmazeutisch annehmbares Treibmittel sein.
  • Flüssige pharmazeutische Zusammensetzungen, welche sterile Lösungen oder Suspensionen sind, können zum Beispiel für intramuskuläre, intraperitoneale oder subkutane Injektionen verwendet werden. Sterile Lösungen können auch intravenös verabreicht werden. Die Verbindungen dieser Erfindung können auch oral entweder in flüssiger oder fester Zusammensetzungsform verabreicht werden.
  • Die Verbindungen dieser Erfindung können rektal oder vaginal in Form eines herkömmlichen Zäpfchens, Cremes, Gels usw. verabreicht werden. Zur Verabreichung durch intranasale und intrabronchiale Inhalation oder Insufflation können die Verbindungen dieser Erfindung in eine wässerige oder teilweise wässerige Lösung formuliert werden, welche dann in Form eines Aerosols genutzt wird. Die Verbindungen dieser Erfindung können auch transdermal durch die Verwendung eines transdermalen Pflasters verwendet werden, welches die wirksame Verbindung und einen Träger enthält, der gegenüber der wirksamen Verbindung inert ist, nicht toxisch für die Haut ist und die Lieferung des Wirkstoffs für systemische Absorption in den Blutstrom durch die Haut ermöglicht. Der Träger kann eine Anzahl solcher Formen annehmen, wie Cremes und Salben, Pasten, Gels und Okklusionsmittel. Die Cremes und Salben können viskose, flüssige oder halbflüssige Emulsionen von entweder dem Typ Öl-in-Wasser oder Wasser-in-Öl sein. Pasten, welche absorptive Pulver, dispergiert in Petroleum oder hydrophilem Petroleum umfassen, welche den Wirkstoff enthalten, können ebenfalls geeignet sein. Eine Vielfalt solcher Okklusionsmittel kann verwendet werden, um den Wirkstoff in den Blutstrom abzugeben, wie eine semipermeable Membran, welche ein Reservoir bedeckt, welches den Wirkstoff mit oder ohne Träger enthält, oder eine Matrix, welche den Wirkstoff enthält. Weitere Okklusionsmittel sind in der Literatur bekannt.
  • Die Dosierungsanforderungen variieren mit den speziell eingesetzten Zusammensetzungen, dem Verabreichungsweg, der Schwere der vorhandenen Symptome und der speziellen zu behandelnden Person. Die Behandlung wird im Allgemeinen mit kleinen Dosierungen begonnen werden, die geringer sind, als die optimale Dosis der Verbindung. Danach wird die Dosierung erhöht, bis die optimale Wirkung unter den Umständen erreicht ist; genaue Dosierungen für orale, parenterale, transdermale, Rektal- oder Vaginalzäpfchen, nasale oder intrabronchiale und weitere Verabreichungen werden durch den behandelnden Arzt basierend auf den Erfahrungen mit der individuellen behandelten Person bestimmt werden. Vorzugsweise befindet sich die pharmazeutische Zusammensetzung in einer Einheitsdosierungsform, z. B. als Tabletten oder Kapseln. In solch einer Form wird die Zusammensetzung in Einheitsdosen unterteilt, welche angemessene Mengen an Wirkstoff enthalten; die Einheitsdosierungsform kann verpackte Zusammensetzungen sein, zum Beispiel verpackte Pulver, Vialen, Ampullen, vorgefüllte Spritzen oder Sachets, welche Flüssigkeiten enthalten. Die Einheitsdosierungsform kann zum Beispiel eine Kapsel oder Tablette selbst sein, oder die angemessene Anzahl einer jeder solchen Zusammensetzung in Verpackungsform.
  • Die Verbindung(en) der Formel(n) (I) und (II) und das/die Östrogen(e) der vorliegenden Formulierung können in getrennten Dosierungseinheiten verabreicht werden, wie getrennten Pillen, Tabletten, Pulvern usw., oder kombiniert in einer Formulierung. Wenn optimale Dosierungen für die Verbindungen der Formeln (I) und (II) und der Östrogene dieser Formulierungen bestimmt worden sind, kann es bevorzugt werden, beide zur Vereinfachung der Verabreichung in einer einzelnen Formulierung einzuschließen. Es versteht sich ebenfalls, dass die Formulierungen hierin weitere pharmazeutisch wirksame Verbindungen enthalten können oder nicht.
  • Lösungsmittel, welche für die hierin beschriebenen Umsetzungen verwendet wurden, waren wasserfreies Aldrich Sure Seal ohne weitere Reinigung. Die Reagenzien waren typischerweise Aldrich und wurden ohne weitere Reinigung verwendet. Alle Umsetzungen wurden unter einer Stickstoffatmosphäre durchgeführt. Chromatographie wurde unter Verwendung von 230–400 Masche Silicagel (Merck Grade 60, Aldrich Chemical Company) durchgeführt. Dünnschichtchromatographie wurde mit Silicagel 60 F254-Platten von EM-Science durchgeführt. 1H NMR Spektren wurden an einem Bruker AM-400 Instrument in DMSO erhalten und chemische Verschiebungen wurden in ppm genannt. Fließpunkte wurden an einem Thomas-Hoover Apparat bestimmt und sind nicht korrigiert. IR-Spektren wurden an einem Perkin-Elmer Diffraktionsgitter oder Perkin-Elmer 784 Spektrophotometern aufgezeichnet. Massenspektren wurden an einem Kratos MS 50 oder Finnigan 8230 Massenspektrometern aufgezeichnet. Elementaranalysen wurden mit einem Perkin-Elmer 2400 Elementaranalysator erhalten. Die genannten Analysewerte für Verbindungen mit CHN-Analyse waren innerhalb von 0,4% von theoretischen Werten.
  • Synthese von α-Bromketonen
  • Verfahren a
  • Die Synthese der alpha-Bromketone wird bequem einfach durch Lösen des Ausgangsphenylketons in Ethylether (0,05–0,10 M) und Zugeben von 1,1 Äquivalente Brom tropfenweise bei Raumtemperatur erreicht. Die Umsetzung kann durch TLC hinsichtlich des Verbrauchs der Ausgangsmaterialien überwacht werden. Die Umsetzung wird durch Waschen mit einer wässerigen Natriumbicarbonatlösung, gefolgt von einer 10% wässerigen Natriumsulfitlösung aufgearbeitet. Die Etherschicht wird mit Kochsalzlösung gewaschen und über Magnesiumsulfat getrocknet. Konzentration des Umsetzungsgemisches ergibt typischerweise die Bromketone in guter Ausbeute und Reinheit. Die Bromketone wurden „wie sie sind" (ohne Reinigung oder Kennzeichnung) zum nächsten Schritt gebracht.
  • 3-Methylindole Schema 8
    Figure 00280001
  • Tabelle 1
    Figure 00280002
  • Verfahren 1
  • Veranschaulicht für Beispiel Nr. 7
  • 5-Benzyloxy-2-(4-benzyloxy-phenyl)-3-methyl-1H-indol
  • Ein Kolben wurde mit 4-Benzyloxyanilin-hydrochlorid CAS Nr. [51145-58-5] (45 g, 0,23 mol), 4'-Benzyloxy-2-bromphenylpropiophenon CAS Nr. [66414-19-5] (21 g, 0,066 mol) und 50 ml DMF beschickt. Die Umsetzung wurde bei Rückfluss für 30 Minuten erhitzt und dann auf Raumtemperatur gekühlt und dann zwischen 250 ml EtOAc und 100 ml 1 N HCl (aq.) aufgeteilt. Das EtOAc wurde mit NaHCO3 (aq.) und Kochsalzlösung gewaschen, dann über MgSO4 getrocknet. Die Lösung wurde konzentriert und der Rückstand wurde in CH2Cl2 und Hexanen aufgenommen, um 25 g des rohen Feststoffs auszufällen. Der Feststoff wurde in CHaCl2 gelöst und auf Silicagel abgedampft und unter Verwendung von CH2Cl2/Hexan (1 : 5) chromatographiert, um 9,2 g eines gelbbraunen Feststoffs (33%) zu ergeben: Fp. = 150–152°C; 1H NMR (DMSO) 10,88 (s, 1H), 7,56 (d, 2H, J = 8,8 Hz), 7,48 (d, 4H, J = 7,9 Hz), 7,42–7,29 (m, 6H), 7,21 (d, 1H, J = 7,0 Hz), 7,13 (d, 2H, J = 8,8 Hz), 7,08 (d, 1H, J = 2,2 Hz), 6,94 (dd, 1H, J = 8,8, 2,4 Hz), 5,16 (s, 2H), 5,11 (s, 2H), 2,33 (s, 3H); IR (KBr) 3470, 2880, 2820, 1620 cm–1; MS eI m/z 419.
  • Verfahren 2 (in Schema 8 gezeigt)
  • Auch für Beispiel Nr. 7 veranschaulicht
  • Die verwendeten Reagenzien waren die gleichen wie in Verfahren 1, außer der zusätzlichen Verwendung von Triethylamin in diesem Verfahren. Das Bromketon CAS Nr. [66414-19-5] (50,0 g, 0,16 mol) in 200 ml DMF wurde mit dem Anilinhydrochlorid CAS Nr. [51145-58-5] (44 g, 0,22 mol) behandelt und die Umsetzung wurde für etwa 10 Minute mit Stickstoff gespült. Das Triethylamin (54,6 ml) wurde zugegeben und die Umsetzung wurde für 2 Stunden bei 120°C erhitzt. TLC-Analyse (EtOAc/Hexane) zeigt, dass das Ausgangsmaterial verschwunden ist bei Bildung eines polareren Flecks. Das Umsetzungsgemisch darf sich abkühlen und zusätzliche 48 g des Anilinhydrochlorids wurden zugegeben. Die Umsetzung wurde für 2 Stunden auf 150°C erhitzt. 5 zusätzliche Gramm des Anilinhydrochlorids wurden zugegeben und die Umsetzung wurde bei 150°C für 30 zusätzliche Minuten erhitzt. Das Umsetzungsgemisch darf sich auf Raumtemperatur abkühlen und wird dann in etwa 1,5 Liter Wasser gegossen und mit 2 Litern Ethylacetat extrahiert. Die Feststoffe werden mit zusätzlichem Ethylacetat wie erforderlich gelöst. Die Ethylacetatschicht wird mit 1 Liter 1 N NaOH Lösung aq., 1 Liter Wasser, Kochsalzlösung gewaschen, dann über Magnesiumsulfat getrocknet und filtriert. Die organischen Schichten wurden konzentriert, um einen rohen Feststoff zu ergeben, welcher mit 500 ml Methanol gerührt und filtriert wird. Dieser Feststoff wird dann mit 500 ml Ethylether gerührt und filtriert. Der Feststoff wird alternativ mit Methanol und Ether gerührt, bis er von weißlicher Farbe ist und einen Fließpunkt hat, welcher dem für Nr. 7 in Verfahren 1 beschriebenen ähnlich ist. Die Umsetzung ergibt 36 Gramm Produkt.
  • Physikalische Daten für Indole
  • Die folgenden 3-Methylindole (Nr. 1–Nr. 20) wurden gemäß dem in Schema 2 umrissenen Verfahren unter Verwendung von Verfahren 2 unter Verwendung der passend substituierten Bromketone (wie oben angegeben hergestellt) und Aniline (im Handel erhältlich; Aldrich) als Ausgangsmaterialien synthetisiert.
  • Beispiel Nr. 1: 2-Phenol-3-methyl-1H-indol
  • Fp. = 90–94°C; 1H NMR (DMSO) 11,13 (s, 1H), 7,68–7,64 (m, 2H), 7,54–7,46 (m, 3H), 7,37–7,32 (m, 2H), 7,12–7,06 (m, 1H), 7,03–6,97 (m, 1H), 2,40 (s, 3H); MS eI m/z 207 (M+).
  • Beispiel Nr. 1a: 5-Fluor-2-(4-benzyloxy-phenyl)-3-methyl-1H-indol
  • Fp. = 143–146°C.
  • Beispiel Nr. 2: 2-(4-Benzyloxy-phenyl)-3-methyl-1H-indol
  • Fp. = 118–120°C; 1H NMR (DMSO) 11,03 (s, 1H), 7,57 (dd, 2H, J = 2,0 Hz, 6,6 Hz), 7,48–7,46 (m, 3H), 7,44–7,28 (m, 4H), 7,18– 7,11 (m, 2H), 7,08–7,03 (m, 1H), 7,0–6,95 (m, 1H), 5,16 (s, 2H), 2,36 (s, 3H); MS eI m/z 313 (M+).
  • Beispiel Nr. 3: 5-Benzyloxy-2-phenyl-3-methyl-indol
  • Fp. = 141–144°C; 1H NMR(DMSO) 10,98 (s, 1H), 7,65–7,61 (m, 2H), 7,51–7,44 (m, 4H), 7,42–7,28 (m, 4H), 7,23 (d, 1H, J = 8,8 Hz), 7,10 (d, 1H, J = 2,5 Hz), 6,80 (d, 1H, J = 6,0 Hz), 5,10 (s, 2H), 2,36 (s, 3H); MS eI m/z 313 (M+).
  • Beispiel Nr. 4: 5-Benzyloxy-2-(4-methoxy-phenyl)-3-methyl-1H-indol
  • Fp. = 158°C; 1H NMR 10,85 (brs, 1H), 7,56 (d, 2H, J = 8,8 Hz), 7,48 (d, 2H, J = 8,3 Hz), 7,45–7,36 (m, 2H), 7,34–7,28 (m, 1H), 7,21 (d, 1H, J = 8,6 Hz), 7,09–7,04 (m, 3H), 6,79 (dd, 1H, J = 8,8 Hz), 5,11 (s, 2H), 3,80 (s, 3H), 2,33 (s, 3H); IR (KBr) 3400, 2900, 1610 cm–1; MS eI m/z 343 (M+); CHN berechnet für C23H21NO2 + 0,25 H2O.
  • Beispiel Nr. 5: 5-Methoxy-2-(4-methoxy-phenyl)-3-methyl-1H-indol
  • Fp. = 139–142°C; 1H NMR (DMSO) 10,85 (s, 1H), 7,57 (d, 2H, J = 8,8 Hz), 7,19 (d, 1H, J = 8,6 Hz), 7,04 (d, 2H, J = 6,8 Hz), 6,95 (d, 1H, J = 2,2 Hz), 6,71 (dd, 1H, J = 8,5 Hz, J = 2,4 Hz), 3,80 (s, 3H), 3,76 (s, 3H), 2,33 (s, 3H); MS eI m/z 267 (M+); CHN berechnet für C17H17NO2
  • Beispiel Nr. 6: 5-Benzyloxy-2-(4-ethoxy-phenyl)-3-methyl-1H-indol
  • Fp = 143–145°C; 1H NMR (DMSO) 10,86 (s, 1H), 7,54 (d, 2H, J = 8,5 Hz), 7,46 (d, 2H, J = 7,3 Hz), 7,41–7,37 (m, 2H), 7,32– 7,30 (m, 1H), 7,20 (d, 1H, J = 8,6 Hz), 7,05 (d, 1H), 7,03 (d, 2H, J = 8,8 Hz), 6,79 (dd, 1H, J = 8,6 Hz, J = 2,4 Hz), 5,10 (s, 2H), 4,07 (q, 2H, J = 6,8 Hz), 2,32 (s, 3H), 1,34 (t, 3H, J = 7,0 Hz); MS eI m/z 357 (M+).
  • Beispiel Nr. 8: 5-Benzyloxy-2-(4-fluor-phenyl)-3-methyl-1H-indol
  • Fp. = 132°C; 1H NMR (DMSO) 11,0 (s, 1H), 7,68–7,64 (m, 2H), 7,49–7,47 (m, 2H), 7,41–7,31 (m, 5H), 7,23 (d, 1H, J = 8,8 Hz), 7,10 (d, 1H, J = 2,4 Hz), 6,82 (dd, 1H, J = 8,8, 2,4 Hz), 5,11 (s, 2H), 2,34 (s, 3H); MS EI m/z 331; CHN berechnet für C22H18FNO.
  • Beispiel Nr. 9: 5-Benzyloxy-2-(4-benzyloxy-3-methoxy-phenyl)-3-methyl-1H-indol
  • Fp. = 155–158°C; 1H NMR (DMSO) 10,88 (s, 1H), 7,50–7,45 (m, 4H), 7,41–7,35 (m, 6H), 7,22–7,20 (m, 2H), 7,14 (s, 2H), 7,08 (d, 1H, J = 2,2 Hz), 6,78 (dd, 1H, J = 8,5 Hz, J = 2,4 Hz), 5,13 (s, 2H), 5,11 (s, 2H), 3,85 (s, 3H), 2,35 (s, 3H); MS eI m/z 449 (M+).
  • Beispiel Nr. 10: 2-Benzol[1,3]dioxol-5-yl-5-benzyloxl-3-methyl-1H-indol
  • Fp. = 142–145°C; 1H NMR (DMSO) 10,86 (s, 1H), 7,48 (d, 2H, J = 7,0 Hz), 7,40–7,30 (m, 3H), 7,20 (m, 2H), 7,10–7,05 (m, 3H), 6,78 (dd, 1H, J = 8,8 Hz, J = 2,4 Hz), 6,06 (s, 2H), 5,10 (s, 2H), 2,31 (s, 3H); MS eI m/z 357 (M+); CHN berechnet für C23H19NO3.
  • Beispiel Nr. 11: 5-Benzyloxy-2-(4-isopropoxy-phenyl)-3-methyl)-1H-indol
  • Fp. = 136–138°C; 1H NMR (DMSO) 10,86 (s, 1H), 7,55–7,51 (m, 2H), 7,50–7,47 (d, 2H, J = 7,3 Hz), 7,40–7,34 (m, 2H), 7,39–7,28 (m, 1H), 7,20 (d, 1H, J = 8,7 Hz), 7,06 (d, 1H, J = 2,2 Hz), 7,02 (d, 2H, J = 8,8 Hz), 6,77 (dd, 1H, J = 2,4 Hz, 8,8 Hz); 5,10 (s, 2H), 4,68–4,62 (m, 1H), 2,32 (s, 3H), 1,28 (d, 6H, J = 6,0 Hz); MS eI m/z 371 (M+).
  • Beispiel Nr. 12: 5-Benzyloxy-2-(4-cyclophenyloxy-phenyl)-3-methyl-1H-indol
  • Fp. = 161–167°C; 1H NMR (DMSO) 10,85 (s, 1H), 7,53 (d, 2H, J = 8,8 Hz), 7,47 (d, 2H, J = 8,4 Hz), 7,40–7,36 (m, 2H), 7,33– 7,28 (m, 1H), 7,20 (d, 1H, J = 8,6 Hz), 7,07 (d, 1H, J = 2,4 Hz), 7,01 (d, 2H, J = 8,8 Hz), 6,78 (dd, 1H, J = 8,6 Hz, 2,2 Hz), 5,10 (s, 2H), 4,88–4,84 (m, 1H), 2,32 (s, 3H), 1,99–1,88 (m, 2H), 1,78–1,69 (m, 4H), 1,64–1,52 (m, 2H); IR (KBr) 3400, 2920, 1600 cm–1; MS eI m/z 397 (M+); CHN berechnet für C27H27NO2 + 0,25 H2O.
  • Beispiel Nr. 13: 5-Benzyloxy-2-(4-trifluormethyl-phenyl)-3-methyl-1H-indol
  • 1H NMR (DMSO) 11,0 (br s, 1H), 7,87–7,82 (m, 4H), 7,48 (d, 2H, J = 8,8 Hz), 7,44–7,35 (m, 2H), 7,34–7,26 (m, 2H), 7,15 (d, 1H, J = 2,2 Hz), 6,87 (dd, 1H, J = 8,6 Hz, 2,4 Hz), 5,12 (s, 2H), 2,41 (s, 3H); CHN berechnet für C23H18F3NO.
  • Beispiel Nr. 14: 5-Benzyloxy-2-(4-methyl-phenyl)-3-methyl-1H-indole
  • Fp. = 144–146°C; 1H NMR (DMSO) 10,91 (s, 1H), 7,56–7,20 (m, 10H), 7,08 (d, 1H, J = 2,4 Hz), 6,80 (dd, 1H, J = 2,4 Hz, 8,6 Hz), 5,11 (s, 2H), 2,34 (s, 3H), 2,34 (s, 3H); MS eI m/z 327 (M+).
  • Beispiel Nr. 15: 5-Benzyloxy-2-(4-chlor-phenyl)-3-methyl-1H-indol
  • Fp. = 134–136°C; 1H NMR (DMSO) 11,04 (s, 1H), 7,65 (d, 2H, J = 8,3 Hz), 7,53 (d, 2H, J = 8,5 Hz), 7,47 (d, 2H, J = 6,8 Hz), 7,41–7,37 (m, 2H), 7,31–7,28 (m, 1H), 7,25 (d, 1H, J = 8,5 Hz), 7,11 (d, 1H, J = 2,4 Hz), 6,82 (dd, 1H, J = 8,8 Hz, J = 2,4 Hz), 5,11 (s, 2H), 2,35 (s, 3H); IR (KBr) 3380, 1210 cm–1, Ms eI m/z 347 (M+); CHN berechnet für C22H18ClNO2.
  • Beispiel Nr. 16: 5-Benzyloxy-2-(2,4-dimethoxy-phenyl)-3-methyl-1H-indol
  • Öl; 1H NMR (DMSO) 10,58 (s, 1H), 7,50–7,18 (m, 7H), 7,04 (d, 1H, J = 2,4 Hz), 6,76 (dd, 1H, J = 2,3 Hz, 8,6 Hz), 6,69–6,62 (m, 2H), 5,11 (s, 2H), 3,82 (s, 3H), 3,78 (s, 3H), 2,12 (s, 3H).
  • Beispiel Nr. 17: 5-Benzyloxy-2-(3-benzyloxy-phenyl)-3-methyl-1H-indol
  • Fp. = 83–86°C
  • Beispiel Nr. 18: 5-Benzyloxy-2-(4-benzyloxy-3-fluor-phenyl)-3-methyl-1H-indol
  • Fp. = 135–137°C; 1H NMR (DMSO) 10,94 (s, 1H), 7,50–7,31 (m, 13H), 7,22 (d, 1H, J = 8,6 Hz), 7,10 (d, 1H, J = 2,2 Hz), 6,81 (dd, 1H, J = 8,6 Hz, 2,2 Hz), 5,23 (s, 2H), 5,11 (s, 2H), 2,34 (s, 3H); MS eI m/Z 437 (M+); CHN berechnet für C29H24FNO2.
  • Beispiel Nr. 19: 5-Benzyloxy-2-(3-methoxy-phenyl)-3-methyl-1H-indol
  • Fp. = 107–109°C; 1H NMR (DMSO) 11,00 (s, 1H), 7,51–7,48 (m, 2H), 7,43–7,20 (m, 7H), 7,13–7,12 (d, 1H, J = 2,1 Hz), 6,93–6,90 (dd, 1H, J = 2,3 Hz, J = 5,7 Hz), 6,86–6,82 (dd, 1H, J = 2,3 Hz, J = 6,3 Hz), 5,12 (s, 2H), 3,83 (s, 3H), 2,38 (s, 3H); IR (KBr) 3400, 2900, 1600 cm–1; MS eI m/z 343 (M+); CHN berechnet für C23H21NO2.
  • Beispiel Nr. 20: 5-Benzyloxy-3-methyl-2-(4-trifluormethoxy-phenyl)-1H-indol
  • Fp. = 127–128°C; 1H NMR (DMSO) 11,07 (s, 1H), 7,77–7,74 (dd, 2H, J = 1,8 Hz, J = 5,0 Hz), 7,50–7,48 (d, 4H, J = 8,3 Hz), 7,42–7,25 (m, 4H), 7,14–7,13 (d, 1H, J = 2,2 Hz), 6,87–6,83 (dd, 1H, J = 2,3 Hz, J = 6,3 Hz), 5,13 (s, 2H), 2,37 (s, 3H); IR (KBr) 3360, 1600 cm–1; MS eI m/z 396 (m+); CHN berechnet für C23H18F3NO2.
  • 3-Methylindol-essigsäure-ethylester Schema 9
    Figure 00340001
  • Tabelle 2
    Figure 00340002
  • Experimentelles Verfahren zur 3-Methylindol-essigsäure-ethyl-estersynthese Verfahren 3
  • Veranschaulicht für Beispiel Nr. 26
  • {4-[5-Benzyloxy-2-(4-benzyloxy-phenyl)-3-methyl-indol-1-ylmethyl]-phenoxy}-essigsäure-ethylester
  • Eine Lösung aus 5-Benzyloxy-2-(4-benzyloxy-phenyl)-3-methyl-1H-indol (Indol Beispiel Nr. 7) (32 g, 77 mmol) in DMF (0,15 1) wurde auf 0°C gekühlt und mit Natriumhydrid (2,2 g, 89 mmol) behandelt. Die Umsetzung wurde für 20 Minuten gerührt und dann wurde das Benzylchlorid CAS Nr. [80494-75-3] (29 g, 127 mmol) zugegeben und die Umsetzung für 18 Stunden bei Raumtemperatur gerührt. Das Umsetzungsgemisch wurde in Wasser gegossen und mit Ethylacetat extrahiert. Das Ethylacetat wurde konzentriert und mit Ether pulverisiert, um 21 g eines weißen Feststoffs zu erhalten. Das Filtrat wurde konzentriert und mit Ether pulverisiert, um zusätzliche 7 g eines weißen Feststoffs für eine Gesamtausbeute von 28 g zu ergeben: Fp. = 129–131°C; 1H NMR (DMSO) 7,47 (d, 4H, J = 7,2 Hz), 7,39 (q, 4H, J = 7,9 Hz), 7,36–7,32 (m, 1H), 7,29 (d, 2H, J = 8,8 Hz), 7,19 (d, 1H, J = 9,0 Hz), 7,13–7,09 (m, 4H), 6,80 (dd, 1H, J = 8,8, 2,4 Hz), 6,73 (s, 4H), 5,16 (s, 2H), 5,13 (s, 2H), 5,11 (s, 2H), 4,66 (s, 2H), 4,11 (q, 2H, J = 7,2 Hz), 2,15 (s, 3H), 1,16 (t, 3H, J = 7,2 Hz); MS eI m/z 612.
  • Physikalische Daten für Indolethylester
  • Die folgenden Indolalkylierungsprodukte wurden gemäß Schema 9 unter Verwendung von Verfahren 3 mit dem passend substituierten 3-Methylindol, ausgewählt aus (Nr. 1–Nr. 16) als Ausgangsmaterial hergestellt.
  • Beispiel Nr. 21: {4-[2-Phenyl-3-methyl-indol-1-ylmethyl]-phenoxy}-essigsäure-ethylester
  • Öl; 1H NMR (DMSO) 7,57–7,30 (m, 7H), 7,13–7,02 (m, 2H), 6,77–6,70 (m, 4H), 5,22 (s, 2H), 4,65 (s, 2H), 4,09 (q, 2H, J = 7,2 Hz), 2,20 (s, 3H), 1,15 (t, 3H, J = 7,0 Hz); MS eI m/z 399 (M+).
  • Beispiel Nr. 22: {4-[5-Benzyloxy-2-phenyl-3-methyl-indol-1-ylmethyl]-phenoxy}-essigsäure-ethylester
  • Öl; 1H NMR (DMSO) 7,50–7,40 (m, 10H), 7,22 (d, 1H, J = 8,4 Hz), 7,14 (d, 1H J = 2,5 Hz), 6,83 (d, 1H, J = 2,5 Hz), 6,72 (s, 4H), 5,18 (s, 2H), 5,11 (s, 2H), 4,65 (s, 2H), 4,10 (q, 2H, J = 7,2 Hz), 2,16 (s, 3H), 1,14 (t, 3H, J = 7,0 Hz); MS eI m/z 505 (M+).
  • Beispiel Nr. 23: {4-[5-Benzyloxy-2-(4-methoxy-phenyl)-3-methyl-indol-1-ylmethyl-phenoxy}-essigsäure-ethylester
  • Fp. = 90–96°C; 1H NMR (DMSO) 7,47 (d, 2H, J = 6,8 Hz), 7,41– 7,37 (m, 2H), 7,33–7,27 (m, 3H), 7,19 (d, 1H, J = 8,8 Hz), 7,12 (d, 1H, J = 2,4 Hz), 7,03 (d, 2H, J = 8,8 Hz), 6,80 (dd, 1H, J = 8,8 Hz, 2,4 Hz), 6,74 (s, 4H), 5,16 (s, 2H), 5,11 (s, 2H), 4,65 (s, 2H), 4,11 (q, 2H, J = 7,0 Hz), 3,79 (s, 3H), 2,15 (s, 3H), 1,16 (t, 3H, J = 7,0 Hz); IR (KBr) 2990, 2900, 1760, 1610 cm–1; MS FAB m/z 536 (M+H+).
  • Beispiel Nr. 24: {4-[5-Methoxy-2-(4-methoxy-phenyl)-3-methyl-indol-1-ylmethyl]-phenoxy}-essigsäure-ethylester
  • Fp. = 109–113°C; 1H NMR (DMSO) 7,27 (d, 2H, J = 8,8 Hz), 7,17 (d, 1H, J = 8,8 Hz), 7,03 (d, 2H, J = 8,6 Hz), 6,99 (d, 1H, J = 2,5 Hz), 6,78–6,70 (m, 5H), 5,15 (s, 2H), 4,65 (s, 2H), 4,11 (q, 2H, J = 7,0 Hz), 3,78 (s, 3H), 3,76 (s, 3H), 2,15 (s, 3H), 1,15 (t, 3H, J = 7,1 Hz); MS eI m/z 459 (M+).
  • Beispiel Nr. 25: {4-[5-Benzyloxy-2-(4-ethoxy-phenyl)-3-methyl-indol-1-ylmethyl]-phenoxy}-essigsäure-ethylester
  • Fp. = 113–115°C; 1H NMR (DMSO) 7,45 (d, 2H, J = 7,3 Hz), 7,40–7,25 (m, 5H), 7,17 (d, 1H, J = 8,8 Hz), 7,11 (d, 1H, J = 2,2 Hz), 7,01 (d, 2H, J = 6,8 Hz), 6,78 (dd, 1H, J = 8,8 Hz, J = 2,4 Hz), 6,73 (s, 4H), 5,15 (s, 2H), 5,10 (s, 2H), 4,65 (s, 2H), 4,15–4,01 (m, 4H), 2,14 (s, 3H), 1,33 (t, 3H, J = 5,7 Hz), 1,16 (t, 3H, J = 7,1 Hz); MS eI m/z 549 (M+).
  • Beispiel Nr. 27: {4-[5-Benzyloxy-2-(4-fluor-phenyl)-3-methyl-indol-1-ylmethy]-phenoxy}-essigsäure-ethylester
  • 1H NMR (DMSO) 7,50–7,15 (m, 16H), 5,20 (s, 2H), 5,12 (s, 2H), 4,62 (s, 2H), 4,13 (q, 2H, J = 7,1 Hz), 2,18 (s, 3H), 1,20 (t, 3H, J = 7,1 Hz).
  • Beispiel Nr. 28: {4-[5-Benzyloxy-2-(3-methoxy-4-benzyloxy)-3-methyl-indol-1-ylmethyl]-phenoxy}-essigsäure-ethylester
  • Schaum; 1H NMR (DMSO) 7,50–7,30 (m, 10H), 7,22 (d, 2H, J = 9,1 Hz), 7,13 (d, 2H, J = 8,6 Hz), 6,85–6,70 (m, 6H), 5,17 (s, 2H), 5,13 (s, 2H), 5,11 (s, 2H), 4,66 (s, 2H), 4,14 (m, 2H), 3,61 (s, 3H), 2,17 (s, 3H), 1,16 (t, 3H, J = 7,0 Hz).
  • Beispiel Nr. 29: {4-[5-Benzyloxy-2-(4-isopropoxy-phenyl)-3-methyl-indol-1-ylmethyl]-phenoxy}-essigsäure-ethylester
  • Öl; 1H NMR (DMSO) 7,46 (d, 2H, J = 7,7 Hz), 7,42–7,28 (m, 3H), 7,25 (d, 2H, J = 8,7 Hz), 7,17 (d, 1H, J = 8,7 Hz), 7,11 (d, 1H, J = 2,4 Hz), 6,99 (d, 2H, J = 8,6 Hz), 6,79 (dd, 1H, J = 2,4 Hz, 8,8 Hz), 6,73 (s, 4H), 5,15 (s, 2H), 5,10 (s, 2H), 4,70– 4,60 (m, 3H), 4,10 (q, 2H, J = 7,0 Hz), 2,15 (s, 3H), 1,27 (d, 6H, J = 5,9 Hz), 1,16 (t, 3H, J = 7,1 Hz); MS eI m/z 563 (M+).
  • Beispiel Nr. 30: {4-{5-Benzyloxy-2-(3,4-methylendioxy-benzyloxy)-3-methyl-indol-1-ylmethyl]-phenoxy}-essigsäure-ethylester
  • Öl; 1H NMR (DMSO) 7,45 (d, 2H, J = 7,0 Hz), 7,37 (m, 2H), 7,32 (m, 1H), 7,19 (d, 1H, J = 8,8 Hz), 7,11 (d, 1H, J = 2,2 Hz), 7,00 (d, 1H, J = 7,9 Hz), 6,90 (d, 1H, 5,0 Hz), 6,82–6,75 (m, 6H), 6,07 (s, 2H), 5,16 (s, 2H), 5,10 (s, 2H), 4,65 (s, 2H), 4,10 (m, 2H), 2,15 (s, 3H), 1,15 (t, 3H, J = 7,0 Hz); MS eI m/z 549 (M+).
  • Beispiel Nr. 31: {4-[5-Benzyloxy-2-(4-cyclopentyloxy-phenyl)-3-methyl-indol-1-ylmethyl]-phenoxy}-essigsäure-ethylester
  • Fp. = 96–98°C; 1H NMR (DMSO) 7,47 (d, 1H, J = 7,2 Hz), 7,40– 7,36 (m, 2H), 7,33–7,30 (m, 1H), 7,26 (m, 2H), 7,18 (d, 1H, J = 8,8 Hz), 7,11 (d, 1H, J = 2,4 Hz), 6,98 (d, 2H, J = 8,8 Hz), 6,79 (dd, 1H, J = 8,8 Hz, 2,4 Hz), 6,74 (s, 5H), 5,15 (s, 2H), 5,11 (s, 2H), 4,86–4,80 (m, 1H), 4,66 (s, 2H), 4,13 (q, 2H, J = 7,2 Hz), 2,15 (s, 3H), 1,98–1,85 (m, 2H), 1,79–1,65 (m, 4H), 1,62–1,55 (m, 2H), 1,16 (t, 3H, J = 7,0 Hz); IR (KBr) 2950, 2910, 2890, 1760, 1610 cm–1; MS eI m/z 589 (M+);
    CHN berechnet für: C: 77,39; H: 6,67; N: 2,38
    Gefunden C: 76,76; H: 6,63; N: 2,27.
  • Beispiel Nr. 32: {4-[5-Benzyloxy-3-methyl-2-(4-trifluormethyl-phenyl)-indol-1-ylmethyl]-phenoxy}-essigsäure-ethylester
  • Fp. = 221°C; 1H NMR (DMSO) 7,83 (d, 2H, J = 8,1 Hz), 7,60 (d, 2H, J = 7,9 Hz), 7,48 (d, 2H, J = 8,4 Hz), 7,40–7,36 (m, 4H), 7,18 (d, 1H, J = 2,4 Hz), 6,86 (dd, 1H, J = 8,8 Hz, 2,4 Hz), 6,72 (s, 4H), 5,21 (s, 2H), 5,12 (s, 2H), 4,65 (s, 2H), 4,11 (q, 2H, J = 7,2 Hz), 2,20 (s, 3H), 1,16 (t, 3H, J = 7,0 Hz); IR (KBr) 2920, 1730 cm–1; MS eI m/z 573 (M+); CHN berechnet für C34H30F3NO4 + 0,25 H2O.
  • Beispiel Nr. 33: {4-[5-Benzyloxy-2-(4-chlorphenyl)-3-methyl-indol-1-ylmethyl]-phenoxy}-essigsäure-ethylester
  • Fp. = 99–101°C; 1H NMR (DMSO) 7,52 (d, 2H, J = 8,6 Hz), 7,46 (d, 2H, J = 6,8 Hz), 7,42–7,38 (m, 4H), 7,36 (m, 1H), 7,25 (d, 1H, J = 9,0 Hz), 7,14 (d, 1H, J = 2,4 Hz), 6,83 (dd, 1H, J = 8,8 Hz, J = 2,5 Hz), 6,72 (s, 4H), 5,18 (s, 2H), 5,11 (s, 2H), 4,65 (s, 2H), 4,11 (q, 2H, J = 7,2 Hz), 2,16 (s, 3H), 1,15 (t, 3H, J = 7,2 Hz); MS eI m/z 539 (M+); CHN berechnet für C33H30ClNO4.
  • Beispiel Nr. 34: {4-[5-Benzyloxy-2-(2,4-dimethoxy)-3-methyl-indol-1-ylmethyl]-phenoxy}-essigsäure-ethylester
  • Öl; 1H NMR (DMSO) 7,30–6,45 (m, 15H), 4,95 (s, 2H), 4,75– 4,65 (m, 2H), 4,50 (s, 2H), 3,97 (q, 2H, J = 7,1 Hz), 3,65 (s, 3H), 3,51 (s, 3H), 1,87 (3H), 1,01 (t, 3H, J = 7,1 Hz).
  • 3-Methylindol-phenylethanole Schema 10
    Figure 00380001
  • Tabelle 3
    Figure 00390001
  • Experimentelles Verfahren zur 3-Methylindol-phenethanolsynthese
  • Verfahren 4
  • Veranschaulicht für Beispiel Nr. 38
  • 2-{5-[5-Benzyloxy-2-(4-benzyloxy-phenyl)-3-methyl-indol-1-ylmethyl]-phenoxy}-ethanol
  • Eine Lösung aus Nr. 26 vom vorhergehenden Schritt (5,5 g, 8,8 mmol) in THF (50 ml) wurde auf 0°C gekühlt und eine Lösung aus LiAlH4 (10 ml, 1 M) in THF wurde tropfenweise zugegeben. Nach 30 Minuten bei 0°C wurde die Umsetzung vorsichtig mit Wasser gelöscht und zwischen EtOAc und 1 N HCl aufgeteilt. Das EtOAc wurde mit MgSO4 getrocknet, konzentriert und an Silicagel EtOAc/Hexan (2 : 3) chromatographiert, um 4,0 g von Nr. 38 als weißen Schaum zu ergeben: 1H NMR (DMSO) 7,48–7,46 (m, 4H), 7,42–7,27 (m, 8H), 7,20 (d, 1H, J = 8,8 Hz), 7,12–7,10 (m, 3H), 6,80 (dd, 1H, J = 8,8, 2,4 Hz), 6,73 (s, 4H), 5,15 (s, 2H), 5,13 (s, 2H), 5,11 (s, 2H), 4,80 (t, 1H, J = 5,5 Hz), 3,86 (t, 2H, J = 4,8 Hz), 3,63 (q, 2H, J = 5,3 Hz), 2,15 (s, 3H).
  • Physikalische Daten für Indol-phenethanole
  • Folgende Verbindungen wurden gemäß Schema 10 und Verfahren 4 unter Verwendung des passend substituierten Indolethylesters, ausgewählt aus Nr. 21–Nr. 34 hergestellt.
  • Beispiel Nr. 35: 2-{4-[2-Phenyl-3-methyl-indol-1-ylmethyl]-phenoxy}-ethanol
  • Öl; 1H NMR (DMSO) 7,57–7,32 (m, 7H), 7,13–7,02 (m, 2H), 6,74 (s, 4H), 5,21 (s, 2H), 4,80 (s, 1H), 3,86–3,83 (m, 2H), 3,62 (s, 2H), 2,20 (s, 3H); MS eI m/z 357 (M+).
  • Beispiel Nr. 36: 2-{4-[5-Methoxy-2-(4-methoxy-phenyl)-3-methyl-indol-1-ylmethyl]-phenoxy}-ethanol
  • Öl; 1H NMR (DMSO) 7,27 (d, 2H, J = 8,8 Hz), 7,17 (d, 1H, J = 8,8 Hz), 7,03 (d, 2H, J = 8,6 Hz), 6,99 (d, 1H, J = 2,5 Hz), 6,78–6,70 (m, 5H), 5,14 (s, 2H); 4,80 (brs, 1H), 3,85 (t, 2H, J = 5,0 Hz), 3,78 (s, 3H), 3,76 (s, 3H), 3,63 (t, 2H, J = 5,0 Hz), 2,16 (s, 3H); MS eI m/z 417 (M+).
  • Beispiel Nr. 37: 2-{4-[5-Benzyloxy-2-(4-ethoxy-phenyl)-3-methyl-indol-1-ylmethyl]-phenoxy}-ethanol
  • Schaum; 1H NMR (DMSO) 7,45 (d, 2H, J = 7,3 Hz), 7,40–7,25 (m, 5H), 7,17 (d, 1H, J = 8,8 Hz), 7,11 (d, 1H, J = 2,2 Hz), 7,01 (d, 2H, J = 6,8 Hz), 6,78 (dd, 1H, J = 8,8 Hz, J = 2,4 Hz), 6,73 (s, 4H), 5,15 (s, 2H), 5,10 (s, 2H), 4,80 (brs, 1H), 4,06 (q, 2H, J = 6,8 Hz), 3,85 (t, 2H, J = 5,0 Hz), 3,63 (t, 2H, J = 4,8 Hz), 2,14 (s, 3H), 1,33 (t, 3H, J = 6,9 Hz); MS eI m/z 507 (M+).
  • Beispiel Nr. 39: 2-{4-[5-Benzyloxy-2-(4-fluor-phenyl)-3-methyl-indol-1-ylmethyl]-phenoxy}-ethanol
  • 1H NMR (DMSO) 7,40–6,60 (m, 16H), 5,10 (s, 1H), 5,07 (s, 2H), 5,02 (s, 2H), 3,76 (t, 2H, J = 4,9 Hz), 3,53 (t, 2H, J = 5,0 Hz), 2,06 (s, 3H).
  • Beispiel Nr. 40: 2-{4-[5-Benzyloxy-2-(3,4-methylendioxy-phenyl)-3-methyl-indol-1-ylmethyl]-phenoxy}-ethanol
  • Öl; 1H NMR (DMSO) 7,45 (d, 2H, J = 7,0 Hz), 7,37 (m, 2H), 7,32 (m, 1H), 7,19 (d, 1H, J = 8,8 Hz), 7,11 (d, 1H, J = 2,2 Hz), 7,00 (d, 1H, J = 7,9 Hz), 6,90 (d, 1H, 5,0 Hz), 6,82–6,75 (m, 6H), 6,07 (s, 2H), 5,16 (s, 2H), 5,10 (s, 2H), 3,86 (t, 2H, J = 5,0 Hz), 3,63 (t, 2H, J = 5,0 Hz), 2,15 (s, 3H); MS eI m/z 507 (M+).
  • Beispiel Nr. 41: 2-{4-[5-Benzyloxy-2-(4-isopropoxy-phenyl)-3-methyl-indol-1-ylmethyl]-phenoxy}-ethanol
  • Schaum; 1H NMR (DMSO) 7,46 (d, 2H, J = 7,7 Hz), 7,42–7,28 (m, 3H), 7,25 (d, 2H, J = 8,7 Hz), 7,17 (d, 1H, J = 8,7 Hz), 7,11 (d, 1H, J = 2,4 Hz), 6,99 (d, 2H, J = 8,6 Hz), 6,79 (dd, 1H, J = 2,4 Hz, 8,8 Hz), 6,73 (s, 4H), 5,14 (s, 2H), 5,10 (s, 2H), 4,80 (bs, 1H), 4,70–4,60 (m, 1H), 3,85 (t, 2H, J = 4,8 Hz), 3,63 (t, 2H, J = 5,1 Hz), 2,13 (s, 3H), 1,30 (d, 6H, J = 5,9 Hz); MS eI m/z 521 (M+).
  • Beispiel Nr. 42: 2-{4-[5-Benzyloxy-2-(4-cyclopentyloxy-phenyl)-3-methyl-indol-1-ylmethyl]-phenoxy}-ethanol
  • Fp. = 129–131°C; 1H NMR (DMSO) 7,47 (d, 2H, J = 7,2 Hz), 7,38 (t, 2H, J = 7,2 Hz), 7,33–7,28 (m, 1H), 7,25 (d, 2H, J = 8,8 Hz), 7,18 (d, 1H, J = 8,8 Hz), 7,11 (d, 1H, J = 2,4 Hz), 6,98 (d, 2H, J = 8,8 Hz), 6,79 (dd, 1H, J = 8,8 Hz, 2,4 Hz), 6,74 (s, 4H), 5,15 (s, 2H), 5,11 (s, 2H), 4,84–4,80 (m, 1H), 4,79 (t, 1H, J = 5,7 Hz), 3,86 (t, 2H, J = 4,8 Hz), 3,63 (q, 2H, J = 5,1 Hz), 2,15 (s, 3H), 1,96–1,87 (m, 2H), 1,77–1,65 (m, 4H), 1,62–1,53 (m, 2H); IR (KBr) 3490 br, 2920, 1620 cm–1; MS eI m/Z 547 (M+).
  • Beispiel Nr. 43: 2-{4-[5-Benzyloxy-2-(4-trifluormethyl-phenyl)-3-methyl-indol-1-ylmethyl]-phenoxy}-ethanol
  • Schaum; 1H NMR (DMSO) 7,83 (d, 2H, J = 8,1 Hz), 7,59 (d, 2H, J = 7,9 Hz), 7,47 (d, 2H, J = 8,3 Hz), 7,42–7,36 (m, 2H), 7,35– 7,29 (m, 2H), 7,18 (d, 1H, J = 2,4 Hz), 6,87 (dd, 1H, J = 8,1 Hz, 2,4 Hz), 6,77–6,68 (m, 4H), 5,21 (s, 2H), 5,12 (s, 2H), 4,81 (br s, 1H), 3,85 (t, 2H, J = 5,1 Hz), 3,63 (t, 2H, J = 5,1 Hz), 2,19 (s, 3H); MS eI m/z 531.
  • Beispiel Nr. 44: 2-{4-[5-Benzyloxy-2-(4-methyl-phenyl)-3-methyl-indol-1-ylmethyl]-phenoxy}-ethanol
  • Öl; 1H NMR (DMSO) 7,46 (d, 2H, J = 7,2 Hz), 7,45–7,18 (m, 8H), 7,12 (d, 1H, J = 2,4 Hz), 6,81 (dd, 1H, J = 2,4 Hz, 8,6 Hz), 6,73 (s, 4H), 5,15 (s, 2H), 5,10 (s, 2H), 4,80 (bs, 1H), 3,85 (t, 2H, J = 4,8 Hz), 3,63 (t, 2H, J = 4,9 Hz), 2,34 (s, 3H), 2,15 (s, 3H); MS eI m/z 477 (M+).
  • Beispiel Nr. 45: 2-{4-[5-Benzyloxy-2-(4-chlor-phenyl)-3-methyl-indol-1-ylmethyl]-phenoxy}-ethanol
  • Fp. = 110–113°C; 1H NMR (DMSO) 7,52 (d, 2H, J = 8,6 Hz), 7,46 (d, 2H, J = 6,8 Hz), 7,38 (m, 4H), 7,42–7,37 (m, 1H), 7,25 (d, 1H, J = 9,0 Hz), 7,14 (d, 1H, J = 2,4 Hz), 6,83 (dd, 1H, J = 8,8 Hz, J = 2,5 Hz), 6,76–6,70 (m, 4H), 5,17 (s, 2H), 5,11 (s, 2H), 3,85 (t, 2H, J = 5,2 Hz), 3,63 (t, 2H, J = 5,0 Hz), 2,16 (s, 3H); MS eI m/z 497 (M+).
  • Beispiel Nr. 46: 2-{4-[5-Benzyloxy-2-(2,4-dimethoxy-phenyl)-3-methyl-indol-1-ylmethyl]-phenoxy}-ethanol
  • Öl; 1H NMR (DMSO) 7,46 (d, 2H, J = 7,5 Hz), 7,39–7,35 (m, 2H), 7,31–7,28 (m, 1H), 7,16–7,06 (m, 3H), 6,82–6,72 (m, 5H), 6,68 (d, 1H, J = 2,2 Hz), 6,61 (dd, 1H, J = 2,4 Hz, 8,3 Hz), 5,0 (s, 1H), 4,88 (s, 2H), 4,85 (d, 1H, J = 6,3 Hz), 4,69 (d, 1H, J = 6,3 Hz), 3,63 (t, 2H, J = 6,9 Hz), 3,58 (s, 3H), 3,46 (s, 3H), 3,40 (t, 2H, J = 6,9 Hz), 1,80 (s, 3H).
  • Daten für 3-Methylindol-phenylethyl-bromide Schema 11
    Figure 00420001
  • Tabelle 4
    Figure 00420002
  • Figure 00430001
  • Experimentelles verfahren zur 3-Methylindol-phenethyl-bromidsynthese
  • Verfahren 5
  • Veranschaulicht für Beispiel Nr. 50
  • Beispiel Nr. 50
  • 5-Benzyloxy-2-(4-benzyloxy-phenyl)-1-[4-(2-bromethoxy)-benzyl]-3-methyl-1H-indol
  • Zu einer Lösung aus Beispiel Nr. 38 (3,3 g, 5,8 mmol) in THF (50 ml) wurden CBra (2,9 g, 8,7 mmol) und PPHs (2,3 g, 8,7 mmol) zugegeben. Die Umsetzung wurde bei Raumtemperatur für 3 Std. gerührt und dann konzentriert und an Silicagel unter Verwendung einer Gradientelution aus EtOAc/Hexan (1 : 4) zu EtOAc chromatographiert, um 3,2 g eines weißen Feststoffs zu ergeben: Fp. = 131–134°C; 1H NMR (DMSO) 7,64–7,30 (m, 10H), 7,29 (d, 2H, J = 8,8 Hz), 7,20 (d, 1H, J = 8,8 Hz), 7,12–7,09 (m, 3H), 6,80 (dd, 1H, J = 8,8, 2,4 Hz), 6,77–6,73 (m, 4H), 5,16 (s, 2H), 5,13 (s, 2H), 5,11 (s, 2H), 4,20 (t, 2H, J = 5,3 Hz), 3,73 (t, 2H, J = 5,5 Hz), 2,15 (s, 3H); MS FAB 631/633 (M+H+, Br vorhanden).
  • Physikalische Daten für Indol-phenethylbromide
  • Die folgenden Verbindungen wurden gemäß Schema 11 wie in Verfahren 5 beschrieben unter Verwendung des passend substituierten Indols, ausgewählt aus Nr. 35–Nr. 45 hergestellt.
  • Beispiel Nr. 47: 1-[4-(2-Brom-ethoxy)-benzyl]-2-phenyl-3-methyl-1H-indol
  • Öl; 1H NMR (DMSO) 7,57–7,32 (m, 7H), 7,13–7,02 (m, 2H), 6,74 (s, 4H), 5,21 (s, 2H), 4,19 (t, 2H, J = 5,2 Hz), 3,71 (t, 2H, J = 5,5 Hz), 2,20 (s, 3H); MS eI m/z 419 (M+).
  • Beispiel Nr. 48: 5-Methoxy-2-(4-methoxy-phenyl)-1-[4-(2-brom-ethoxy)-benzyl]-3-methyl-1H-indol
  • Öl; 1H NMR (DMSO) 7,27 (d, 2H, J = 8,8 Hz), 7,17 (d, 1H, J = 8,8 Hz), 7,03 (d, 2H, J = 8,6 Hz), 6,99 (d, 1H, J = 2,5 Hz), 6,80–6,69 (m, 5H), 5,14 (s, 2H), 4,19 (t, 2H, J = 5,4 Hz), 3,78 (s, 3H), 3,76 (s, 3H), 3,72 (t, 2H, J = 5,5 Hz), 2,16 (s, 3H); MS eI m/z 479 (M+).
  • Beispiel Nr. 49: 5-Benzyloxy-2-(4-ethoxy-phenyl)-1-[4-(2-brom-ethoxy)-benzyl]-3-methyl-1H-indol
  • Fp. = 118–120°C; 1H NMR (DMSO) 7,45 (d, 2H, J = 7,3 Hz), 7,41–7,26 (m, 5H), 7,17 (d, 1H, J = 8,8 Hz), 7,11 (d, 1H, J = 2,2 Hz), 7,01 (d, 2H, J = 6,8 Hz), 6,78 (dd, 1H, J = 8,8 Hz, J = 2,4 Hz), 6,78–6,74 (m, 4H), 5,15 (s, 2H), 5,10 (s, 2H), 4,22– 4,18 (m, 2H), 4,04 (q, 2H, J = 6,8 Hz), 3,72 (t, 2H, J = 5,5 Hz), 2,14 (s, 3H), 1,33 (t, 3H, J = 7,0 Hz); MS eI m/z 569 (M+).
  • Beispiel Nr. 51: 5-Benzyloxy-1-[4-(2-brom-ethoxy)-benzyl]-2-(4-fluor-phenyl)-3-methyl-1H-indol
  • Fp. = 114–116°C; 1H NMR (DMSO) 7,47 (m, 2H), 7,45–7,20 (m, 8H), 7,14 (d, 1H, J = 2,4 Hz), 6,83 (dd, 1H, J = 2,7 Hz, 9,0 Hz), 6,80–6,70 (m, 4H), 5,16 (s, 2H), 5,11 (s, 2H), 4,19 (t, 2H, J = 5,27 Hz), 3,72 (t, 2H, J = 6,4 Hz), 2,15 (s, 3H); MS eI m/z 543 (M+); CHN berechnet für C31H27BrFNO2.
  • Beispiel Nr. 52: 2-Benzo[1,3]dioxyl-5-yl-5-benzyloxy-1-[4-(2-brom-ethoxy)-benzyl]-3-methyl-1H-indol
  • Fp. = 133–136°C; 1H NMR (DMSO) 7,45 (d, 2H, J = 7,0 Hz), 7,41–7,38 (m, 2H), 7,35–7,30 (m, 1H), 7,19 (d, 1H, J = 8,8 Hz), 7,11 (d, 1H, J = 2,2 Hz), 7,00 (d, 1H, J = 7,9 Hz), 6,90 (d, 1H, 1,4 Hz), 6,82–6,78 (m, 2H), 6,77 (s, 4H), 6,07 (s, 2H), 5,16 (s, 2H), 5,10 (s, 2H), 4,20 (t, 2H, J = 5,5 Hz), 3,73 (t, 2H, J = 5,2 Hz), 2,15 (s, 3H); MS eI m/z 569 (M+).
  • Beispiel Nr. 52A: 5-Benzyloxy-1-[4-(2-brom-ethoxy)-benzyl]-2-(3-methoxy-4-benzyloxy-phenyl)-3-methyl-1H-indol
  • Schaum; 1H NMR (DMSO) 7,47–7,42 (m, 4H), 7,40–7,30 (m, 6H), 7,20 (d, 1H, J = 8,8 Hz), 7,12–7,10 (m, 2H), 6,86–6,84 (m, 2H), 6,81 (dd, 1H, J = 8,8 Hz, 2,4 Hz), 6,78 (s, 4H), 5,17 (s, 2H), 5,11 (s, 2H), 5,10 (s, 2H), 4,20 (t, 2H, J = 5,0 Hz), 3,72 (t, 2H, J = 5,4 Hz), 3,63 (s, 3H), 2,17 (s, 3H); MS FAB m/z 662 (M+H+).
  • Beispiel Nr. 53: 5-Benzyloxy-1-[4-(2-brom-ethoxy)-benzyl]-2-(4-isopropoxy-phenyl)-3-methyl-indol
  • Fp. = 125–128°C; 1H NMR (DMSO) 7,46 (d, 2H, J = 7,7 Hz), 7,42–7,28 (m, 3H), 7,25 (d, 2H, J = 8,7 Hz), 7,17 (d, 1H, J = 8,7 Hz), 7,11 (d, 1H, J = 2,4 Hz), 6,99 (d, 2H, J = 8,6 Hz), 6,79 (dd, 1H, J = 2,4 Hz, 8,8 Hz), 6,73 (s, 4H), 5,14 (s, 2H), 5,10 (s, 2H), 4,70–4,60 (m, 1H), 4,19 (t, 2H, J = 5,3 Hz), 3,72 (t, 2H, J = 4,4 Hz), 2,13 (s, 3H), 1,30 (d, 6H, J = 5,9 Hz); MS eI m/z 583 (M+).
  • Beispiel Nr. 54: 5-Benzyloxy-1-[4-(2-brom-ethoxy)-benzyl]-2-(4-cyclopentyloxy-phenyl)-3-methyl-1H-indol
  • Fp. = 110–112°C; 7,47 (d, 2H, J = 7,0 Hz), 7,38 (t, 2H, J = 7,0 Hz), 7,35–7,28 (m, 1H), 7,25 (d, 2H, J = 8,8 Hz), 7,18 (d, 1H, J = 8,8 Hz), 7,11 (d, 1H, J = 2,4 Hz), 6,98 (d, 2H, J = 8,6 Hz), 6,79 (dd, 1H, J = 8,6 Hz, 2,4 Hz), 6,78–6,74 (m, 4H), 5,16 (s, 2H), 5,11 (s, 2H), 4,86–4,83 (m, 1H), 4,20 (t, 2H, J = 5,3 Hz), 3,73 (t, 2H, J = 5,5 Hz), 2,15 (s, 3H), 2,00–1,87 (m, 2H), 1,79–1,65 (m, 4H), 1,63–1,56 (m, 2H); IR (KBr) 2950, 2910, 1610 cm–1; MS eI m/z 609, 611 (M+, Br vorhanden).
  • Beispiel Nr. 55: 5-Benzyloxy-1-[4-(2-brom-ethoxy)-benzyl]-3-methyl-2-(4-trifluormethyl-phenyl)-1H-indol
  • Fp. = 106–109°C; 1H NMR (DMSO) 7,83 (d, 2H, J = 8,1 Hz), 7,60 (d, 2H, J = 7,9 Hz), 7,35–7,29 (m, 2H), 7,48 (d, 2H, J = 8,6 Hz), 7,39 (t, 2H, J = 7,0 Hz), 7,18 (d, 1H, J = 2,2 Hz), 6,87 (dd, 1H, J = 9,0 Hz, 2,6 Hz), 6,77–6,71 (m, 4H), 5,22 (s, 2H), 5,12 (s, 2H), 4,20 (t, 2H, J = 5,3 Hz), 3,72 (t, 2H, J = 5,3 Hz), 2,20 (s, 3H); IR (KBr) 2910, 2850, 1620 cm–1; MS eI m/z 595, 593 (M+).
  • Beispiel Nr. 56: 5-Benzyloxy-1-[4-(2-brom-ethoxy)-benzyl]-3-methyl-2-(4-methyl-phenyl)-1H-indol
  • Fp. = 82–95°C; 1H NMR (DMSO) 7,46 (d, 2H, J = 7,2 Hz), 7,45– 7,18 (m, 8H), 7,12 (d, 1H, J = 2,4 Hz), 6,81 (dd, 1H, J = 2,4 Hz, 8,6 Hz), 6,73 (s, 4H), 5,15 (s, 2H), 5,10 (s, 2H), 4,19 (t, 2H, J = 5,3 Hz), 3,72 (t, 2H, J = 4,4 Hz), 2,34 (s, 3H), 2,15 (s, 3H); MS eI m/z, 539 (M+).
  • Beispiel Nr. 57: 5-Benzyloxy-1-[4-(2-brom-ethoxy)-benzyl]-3-methyl-2-(4-chlor-phenyl)-1H-indol
  • 1H NMR (DMSO) 7,52 (d, 2H, J = 8,6 Hz), 7,46 (d, 2H, J = 6,8 Hz), 7,38 (m, 4H), 7,36 (m, 1H), 7,25 (d, 1H, J = 9,0 Hz), 7,14 (d, 1H, J = 2,4 Hz), 6,83 (dd, 1H, J = 8,8 Hz, J = 2,5 Hz), 6,72 (m, 4H), 5,17 (s, 2H), 5,11 (s, 2H), 4,19 (t, 2H, J = 5,5 Hz), 3,72 (t, 2H, J = 5,5 Hz), 2,16 (s, 3H); MS eI m/z 559 (M+).
  • Daten für einige 3-Methylindol-phenylethylchloride, welche als Zwischenverbindungen verwendet werden Schema 12
    Figure 00460001
  • Tabelle 5
    Figure 00460002
  • Experimentelles Verfahren zur 3-Methylindol-phenethylchloridsynthese
  • Verfahren 5a
  • Veranschaulicht für Beispiel Nr. 58
  • 5-Benzyloxy-2-(3-benzyloxy-chenyl)-1-[4-(2-chlor-ethoxy)-benzyl]-3-methyl-1H-indol
  • Zu einer Lösung aus 9,7 g (0,0231 mol) aus 5-Benzyloxy-3-methyl-2-(3-benzyloxy-phenyl)-1H-indol (Indol Beispiel Nr. 17) in 80 ml trockenem DMF wurden 0,85 g Natriumhydrid (60% in Mineralöl) zugegeben. Nachdem dieses Gemisch für 30 Minuten rühren durfte (bis keine Blasenbildung mehr angezeigt war), wurden 4,8 g 1-Chlormethyl-4-(2-chlor-ethoxy)-benzol CAS Nr. [99847-87-7] zugegeben. Das Umsetzungsgemisch durfte sich bei Raumtemperatur über Nacht umsetzen. 200 ml Ethylacetat wurden zu dem Umsetzungsgemisch zugegeben und es wurde dann mit Wasser (3 × 100 ml) gewaschen. Die organische Lösung wurde gesammelt, mit gesättigter Kochsalzlösung gewaschen, entfernt, über Magnesiumsulfat getrocknet, filtriert und in einem Rotationsverdampfer zu Trockenheit eingedampft. Das Produkt wurde in Ethylacetat umkristallisiert.
  • Fp. 125–127°C; 1H NMR (DMSO), 7,48–7,46 (d, 2H, J = 6,8 Hz), 7,40–7,35 (m, 7H), 7,33–7,28 (m, 2H), 7,23–7,21 (d, 1H, J = 8,8 Hz), 7,13–7,12 (d, 1H, J = 2,2 Hz), 7,07–7,04 (m, 1H), 6,94–6,92 (d, 2H, J = 6,1 Hz), 6,83–6,80 (dd, 1H, J = 2,5 Hz, J = 6,3 Hz), 6,78–6,72 (m, 4H), 5,14 (s, 2H), 5,11 (s, 2H), 5,04 (s, 2H), 4,13–4,10 (t, 2H, J = 5,1 Hz), 3,86–3,84 (t, 2H, J = 5,1 Hz), 2,14 (s, 3H); IR 3420, 2900, cm–1; MS eI m/z 587 (M+); CHN berechnet für C38H34ClNO3.
  • Physikalische Daten für Indol-phenethylchloride
  • Die folgenden Verbindungen wurden gemäß Schema 12 wie in Verfahren 5a beschrieben unter Verwendung der passend substituierten Indole Nr. 18, Nr. 20 hergestellt.
  • Beispiel Nr. 59: 5-Benzyloxy-2-(4-benzyloxy-3-fluor-phenyl)-1-[4-(2-chlor-ethoxy)-benzyl]-3-methyl-1H-indol
  • Fp. = 88–91°C; 1H NMR (DMSO) 7,49–7,43 (m, 4H), 7,43–7,28 (m, 7H), 7,26–7,21 (m, 2H), 7,13–7,09 (m, 2H), 6,88–6,72 (m, 5H), 5,21 (s, 2H), 5,18 (s, 2H), 5,11 (s, 2H), 4,13 (t, 2H, J = 5,2 Hz), 3,87 (t, 2H, J = 5,2 Hz), 2,16 (s, 3H); MS eI (m/Z 605 (M+); CHN berechnet für C38H33ClFNO3.
  • Beispiel Nr. 60: 5-Benzyloxy-1-[4-(2-chlor-ethoxy)-benzyl]-3-methyl-2-(4-trifluormethoxy-phenyl)-1H-indol
  • Fp. = 108–110°C; 1H NMR (DMSO) 7,49–7,48 (m, 6H), 7,40–7,25 (m, 4H), 7,17–7,16 (d, 1H, J = 2,9 Hz), 6,88–6,84 (m, 1H), 6,77– 6,72 (m, 4H), 5,20 (s, 2H), 5,14–5,13 (d, 2H, J = 2,3 Hz), 4,16 –4,11 (m, 2H), 3,89–3,84 (m, 2H), 2,19–2,17 (m, 3H); IR 3400, 2900, 1600 cm–1; MS eI m/z 566 (M+); CHN berechnet für C32H27ClF3NO3 + 0,25 H2O.
  • Aminoethoxyindole Schema 13
    Figure 00480001
  • Tabelle 6
    Figure 00490001
  • Tabelle 6 (fortgesetzt)
    Figure 00500001
  • Experimentelles Verfahren zur 3-Methyl-aminoethoxyindolsynthese
  • Verfahren 6
  • Veranschaulicht für Beispiel Nr. 63
  • Substitution des Bromids
  • 5-Benzyloxy-2-(4-benzyloxy-phenyl)-3-methyl-1-[4-(2-piperidin-1-yl-ethoxy)-benzyl]-1H-indol
  • Eine Lösung aus Beispiel Nr. 50 (3,2 g, 5,0 mmol) in THF (50 ml) wurde mit Piperidin (5,0 ml, 50 mmol) behandelt und auf Rückfluss erhitzt. Nach 5 Stunden wurde das Umsetzungsgemisch konzentriert und in EtOAc aufgenommen, mit gesättigtem NaHCO3 gewaschen, über MgSO4 getrocknet und an Silicagel unter Verwendung einer Gradientelution aus EtOAc/Hexan zu EtOAc chromatographiert. Das Produkt (2,7 g) war ein weißer Feststoff mit einem Fp. = 93–95°C; 1H NMR (DMSO) 7,48–7,46 (m, 4H), 7,42–7,38 (m, 4H), 7,38–7,32 (m, 2H), 7,29 (d, 2H, J = 8,8 Hz), 7,19 (d, 1H, J = 9,0 Hz), 7,12–7,10 (m, 3H), 6,80 (dd, 1H, J = 8,8, 2,4 Hz), 6,73 (s, 4H), 5,15 (s, 2H), 5,13 (s, 2H), 5,11 (s, 2H), 3,93 (t, 2H, J = 5,7 Hz), 2,60–2,50 (m, 2H), 2,41–2,30 (m, 4H), 2,15 (s, 3H), 1,47–1,42 (m, 4H), 1,36–1,32 (m, 2H); MS FAB 637 (M+H+).
  • Alternatives Verfahren
  • Verfahren 6a
  • Substitution von Chloriden
  • Synthese veranschaulicht für Produkt Nr 76
  • Beispiel Nr. 76: 5-Benzyloxy-2-(3-benzyloxy-phenyl)-3-methyl-1-[4-(2-piperidin-1-yl-ethoxy)-benzyl]-1H-indol
  • Zu einer Lösung aus 1,1 g (0,00953 mol) aus 5-Benzyloxy-2-(3-benzyloxy-phenyl-1-[4-(2-chlor-ethoxy)-benzyl]-3-methyl-1H-indol (Beispiel Nr. 58) in 10 ml DMF wurden 1,1 ml (0,0112 mol) Piperidin und 0,93 g (00561 mol) Kaliumiodid zugegeben. Das Umsetzungsgemisch wurde auf ~40–50°C für 4 Stunden erhitzt. Nach Kühlen des Umsetzungsgemisches auf Raumtemperatur wurden 150 ml Ethylacetat zugegeben und das Gemisch wurde mit Wasser (3 × 100 ml) gewaschen. Die organische Lösung wurde gesammelt, mit gesättigter Kochsalzlösung gewaschen, entfernt, über Magnesiumsulfat getrocknet, filtriert und eingedampft, um 1,0 g Produkt des Produkts nach Reinigung zu ergeben.
  • Fp. = 125–126°C; 1H NMR (DMSO) 7,48–7,45 (d, 2H, J = 7,2 Hz), 7,41–7,35 (m, 7H), 7,33–7,28 (m, 2H), 7,23–7,21 (d, 1H, J = 9,0 Hz), 7,13–7,12 (d, 1H, J = 2,4 Hz), 7,06–7,03 (m, 1H), 6,95– 6,91 (m, 2H), 6,83–6,80 (dd, 1H, J = 2,4 Hz, J = 6,3 Hz), 6,75– 6,70 (m, 4H), 5,13 (s, 2H), 5,11 (s, 2H), 5,02 (s, 2H), 3,93– 3,90 (t, 2H, J = 6,0 Hz), 2,56–2,53 (t, 2H, J = 5,9 Hz), 2,49– 2,48 (m, 4H), 2,14 (s, 3H), 1,46–1,40 (m, 4H), 1,35–1,31 (m, 2H); IR (KBr) 3400, 2900 cm–1; MS eI m/z 636 (M+); CHN berechnet für C43H44N2O3 + 0,25 H2O.
  • Physikalische Daten für die Amin-substituierten Verbindungen
  • Die folgenden Verbindungen wurden durch Schema 13 unter Verwendung von Verfahren 6 hergestellt, außer Beispiele Nr. 76– Nr. 84, welche unter Verwendung von Verfahren 6a hergestellt wurden.
  • Beispiel Nr. 61: 5-Benzyloxy-2-(4-ethoxy-phenyl)-3-methyl-1-[4-(2-piperidin-1-yl-ethoxy)-benzyl]-1H-indol
  • Fp. = 188–191°C; 1H NMR (DMSO) 7,45 (d, 2H, J = 7,3 Hz), 7,40–7,25 (m, 5H), 7,17 (d, 1H, J = 8,8 Hz), 7,11 (d, 1H, J = 2,2 Hz), 7,01 (d, 2H, J = 6,8 Hz), 6,78 (dd, 1H, J = 8,8 Hz, J = 2,4 Hz), 6,73 (s, 4H), 5,15 (s, 2H), 5,10 (s, 2H), 4,05 (q, 2H, J = 6,8 Hz), 3,93 (t, 2H, J = 6,0 Hz), 2,55 (t, 2H, J = 5,7 Hz), 2,41–2,35 (m, 4H), 2,14 (s, 3H), 1,46–1,40 (m, 4H), 1,38–1,30 (m, 5H); MS eI m/z 574(M+).
  • Beispiel Nr. 62: 5-Benzyloxy-2-phenyl-3-methyl-1-[4-(2-azepan-1-yl-ethoxy)-benzyl]-1H-indol
  • Öl; 1H NMR (DMSO) 7,50–7,43 (m, 4H), 7,42–7,37 (m, 5H), 7,33–7,30 (m, 1H), 7,22 (d, 1H, J = 8,8 Hz), 7,14 (d, 1H, J = 2,4 Hz), 6,81 (d, 1H, J = 6,6 Hz), 6,72 (s, 4H), 5,18 (s, 2H), 5,11 (s, 2H), 3,90 (t, 2H, J = 6,1 Hz), 2,81–2,75 (m, 2H), 2,68– 2,59 (m, 4H), 2,16 (s, 3H), 1,58–1,43 (m, 8H); MS eI m/z 544 (M+).
  • Beispiel Nr. 64: 5-Benzyloxy-2-(4-benzyloxy-phenyl)-3-methyl-1-[4-(2-azepan-1-yl-ethoxy)-benzyl]-1H-indol
  • Fp. = 106–107°C; 1H NMR (DMSO) 7,47 (d, 4H, J = 8,3 Hz), 7,41–7,36 (m, 4H), 7,36–7,30 (m, 2H), 7,29 (d, 2H, J = 8,8 Hz), 7,19 (d, 1H, J = 8,8 Hz), 7,14–7,10 (m, 3H), 6,80 (dd, 1H, J = 8,8 Hz), 6,73 (s, 4H), 5,15 (s, 2H), 5,13 (s, 2H), 5,11 (s, 2H), 3,90 (t, 2H, J = 5,9 Hz), 2,76 (t, 2H, J = 5,9 Hz), 2,64–2,56 (m, 4H), 2,15 (s, 3H), 1,58–1,44 (m, 8H); MS FAB m/z 651 (M+H+).
  • Beispiel Nr. 65: 5-Benzyloxy-2-(4-benzyloxy-phenyl)-3-methyl-1-[4-(2-diisopropylamino-1-yl-ethoxy)-benzyl]-1H-indol
  • Fp. = 148–150°C; 1H NMR (DMSO) 7,47 (d, 4H, J = 8,3 Hz), 7,41–7,36 (m, 4H), 7,36–7,32 (m, 2H), 7,28 (d, 2H, J = 8,8 Hz), 7,19 (d, 1H, J = 9,0 Hz), 7,13–7,08 (m, 3H), 6,80 (dd, 1H, J = 8,8 Hz, 2,4 Hz), 6,76–6,68 (m, 4H), 5,14 (s, 2H), 5,13 (s, 2H), 5,11 (s, 2H), 3,75 (t, 2H, J = 7,0 Hz), 2,95 (m, 2H), 2,67 (t, 2H, J = 7,0 Hz), 2,15 (s, 3H), 0,93 (d, 12H, J = 6,4 Hz); MS FAB m/z 653 (M+H+),
  • Beispiel Nr. 66: 5-Benzyloxy-2-(4-benzyloxy-phenyl)-3-methyl-1-[4-(2-butyl-methylamino-1-ylethoxy)-benzyl-1H-indol
  • Fp. = 101–104°C; 1H NMR (DMSO) 7,45 (d, 4H, J = 7,5 Hz), 7,40–7,25 (m, 8H), 7,19 (d, 1H, J = 8,8 Hz), 7,12–7,08 (m, 3H), 6,80 (dd, 1H, J = 6,5 Hz, J = 2,4 Hz), 6,72 (s, 4H), 5,14 (s, 2H), 5,13 (s, 2H), 5,10 (s, 2H), 3,91 (t, 2H, J = 5,9 Hz), 2,64– 2,59 (m, 2H), 2,35–2,29 (m, 2H), 2,17 (s, 3H), 2,14 (s, 3H), 1,40–1,31 (m, 2H), 1,25–1,19 (m, 2H), 0,83 (t, 3H, 7,2 Hz); MS eI m/z 638 (M+).
  • Beispiel Nr. 66a: 5-Benzyloxy-2-(4-benzyloxy-phenyl)-3-methyl-1-{4-dimethylamino)-ethoxy]-benzyl}-1H-indol
  • Fp. = 123–124°C
  • Beispiel Nr. 67: 5-Benzyloxy-2-(4-benzyloxy-phenyl)-3-methyl-1-{4-[2-(2-methyl-piperidin-1-yl)-ethoxy]-benzyl}-1H-indol
  • Fp. = 121°C
  • Beispiel Nr. 68: 5-Benzyloxy-2-(4-benzyloxy-phenyl)-3-methyl-1-[4-[2-(3-methyl-piperidin-1-yl)-ethoxy]-benzyl}-1H-indol
  • Fp. = 90°C
  • Beispiel Nr. 69: 5-Benzyloxy-2-(4-benzyloxy-phenyl)-3-methyl-1-{4-[2-(4-methyl-piperidin-1-yl)-ethoxy]-benzyl}-1H-indol
  • Fp. = 98°C; 1H NMR (DMSO) 7,46 (d, 4H, J = 7,2 Hz), 7,42– 7,36 (m, 4H), 7,36–7,31 (m, 2H), 7,28 (d, 2H, J = 8,6 Hz), 7,19 (d, 1H, J = 9,0 Hz), 7,12–7,10 (m, 3H), 6,80 (dd, 1H, J = 8,8 Hz, 2,4 Hz), 6,73 (s, 4H), 5,15 (s, 2H), 5,13 (s, 2H), 5,11 (s, 2H), 3,93 (t, 2H, J = 5,9 Hz), 2,85–2,78 (m, 2H), 2,62–2,56 (m, 2H), 2,15 (s, 3H), 1,97–1,87 (m, 2H), 1,55–1,47 (m, 2H), 1,30– 1,20 (m, 1H), 1,15–1,02 (m, 2H), 0,85 (d, 3H, J = 6,6 Hz); MS esI m/z 651 (M+1)+.
  • Beispiel Nr. 70: 5-Benzyloxy-2-(4-benzyloxy-phenyl)-3-methyl-1{4-[2-((cis)-2,6-dimethyl-piperidin-1-yl)-ethoxy]-benzyl}-1H-indol
  • Fp. = 106–107°C; 1H NMR (DMSO) 7,46 (d, 4H, J = 8,1 Hz), 7,42–7,36 (m, 4H), 7,37–7,31 (m, 2H), 7,29 (d, 2H, J = 8,8 Hz), 7,18 (d, 1H, J = 8,8 Hz), 7,14–7,09 (m, 3H), 6,80 (dd, 1H, J = 8,8 Hz, 2,4 Hz), 6,72 (s, 4H), 5,14 (s, 2H), 5,13 (s, 2H), 5,11 (s, 2H), 3,84 (t, 2H, J = 7,0 Hz), 2,84 (t, 2H, J = 6,6 Hz), 2,44–2,37 (m, 2H), 2,15 (s, 3H), 1,60–1,43 (m, 3H), 1,32–1,18 (m, 1H), 1,16–1,06 (m, 2H), 1,01 (d, 6H, J = 6,2 Hz).
  • Beispiel Nr. 71: 5-Benzyloxy-2-(4-benzyloxy-phenyl)-3-methyl-{4-[2-(1,3,3-trimethyl-6-aza-bicyclo[3,2,1]oct-6-yl)-ethoxy]-benzyl}-1H-indol
  • Fp. = 107°C; MS ESI m/z 705 (M+1)+.
  • Beispiel Nr. 71a: (1S,4R)-5-Benzyloxy-2-(4-benzyloxy-phenyl)-3-methyl{4-[2-(2-aza-bicyclo[2,2,1]hept-2-yl-ethoxy]-benzyl}-1H-indol
  • Das (1S,2R)-2-Aza-bicyclo[2,2,1]heptan, welches verwendet wurde, um das Bromid zu substituieren, wurde gemäß dem in syn. Comm. 26(3), 577–584 (1996) skizzierten Verfahren hergestellt.
  • Fp. = 95–100°C; 1H NMR (DMSO) 7,32–6,55 (m, 21H), 5,10–4,90 (m, 6H), 3,69 (t, 2H, J = 5,9 Hz), 2,65–2,5 (m, 3H), 2,10 (s, 2H), 2,0 (s, 3H), 1,50–1,0 (m, 7H).
  • Beispiel Nr. 72: 5-Benzyloxy-2-(4-fluor-phenyl)-3-methyl-1-[4-(2-azepan-1-yl-ethoxy)-benzyl]-1H-indol
  • Öl; 1H NMR (DMSO) 7,50–7,43 (m, 2H), 7,42–7,33 (m, 4H), 7,32–7,20 (m, 4H), 7,13 (d, 1H, J = 2,4 Hz), 6,83 (dd, 1H, J = 2,4 Hz, 6,7 Hz), 6,71 (s, 4H), 5,14 (s, 2H), 5,11 (s, 2H), 3,89 (t, 2H, J = 5,9 Hz), 3,20 (m, 4H), 2,74 (t, 2H, J = 6,0 Hz), 2,15 (s, 3H), 1,60–1,40 (m, 8H); MS eI m/z 562 (M+).
  • Beispiel Nr. 72a: 5-Benzyloxy-2-(4-fluor-phenyl)-3-methyl-1-[4-(2-piperidin-1-yl-ethoxy)-benzyl]-1H-indol
  • Öl; 1H NMR (DMSO) 7,32–6,53 (m, 16H), 5,00 (s, 2H), 4,96 (s, 2H), 3,77 (t, 2H, J = 5,8 Hz), 3,22–3,14 (m, 4H), 2,40 (t, 2H, J = 5,8 Hz), 2,0 (s, 3H), 1,29–1,17 (m, 6H).
  • Beispiel Nr. 72b: 5-Benzyloxy-2-(4-chlor-phenyl)-3-methyl-1-[4-(2-piperidin-1-yl-ethoxy)-benzyl]-1H-indol
  • Öl; 1H NMR (DMSO) 7,52 (d, 2H, J = 8,6 Hz), 7,46 (d, 2H, J = 6,8 Hz), 7,41–7,37 (m, 4H), 7,35–7,29 (m, 1H), 7,25 (d, 1H, J = 9,0 Hz), 7,14 (d, 1H, J = 2,4 Hz), 6,83 (dd, 1H, J = 8,8 Hz, 2,5 Hz), 6,72–6,65 (m, 4H), 5,16 (s, 2H), 5,11 (s, 2H), 3,90 (t, 2H, J = 5,9 Hz), 2,55 (t, 2H, J = 6,0 Hz), 2,41–2,26 (m, 4H), 2,16 (s, 3H), 1,44–1,39 (m, 4H), 1,38–1,29 (m, 2H); MS eI m/z 564 (M+).
  • Beispiel Nr. 73: 5-Benzyloxy-2-[3,4-methylendioxy-phenyl]-3-methyl-1-[4-(2-piperidin-1-yl-ethoxy)-benzyl]-1H-indol
  • Schaum; 1H NMR (DMSO) 7,45 (d, 2H J = 7,0 Hz), 7,41–7,37 (m, 2H), 7,33–7,29 (m, 1H), 7,19 (d, 1H, J = 8,8 Hz), 7,11 (d, 1H, J = 2,2 Hz), 7,00 (d, 1H, J = 7,9 Hz), 6,90 (d, 1H, 1,4 Hz), 6,82– 6,78 (m, 2H), 6,74 (s, 4H), 6,07 (s, 2H), 5,16 (s, 2H), 5,10 (s, 2H), 3,93(t, 2H, J = 6,0 Hz), 2,56 (t, 2H, J = 6,0 Hz), 2,41-2,35 (m, 4H), 2,15 (s, 3H), 1,48–1,41 (m, 4H), 1,38–1,28 (m, 2H); MS eI m/z 574 (M+).
  • Beispiel Nr. 74: 5-Benzyloxy-2-[4-isopropoxy-phenyl]-3-methyl-1-[4-(2-piperidin-1-yl-ethoxy)-benzyl]-1H-indol
  • Schaum; 1H NMR (DMSO) 7,46 (d, 2H, J = 7,7 Hz), 7,42–7,28 (m, 3H), 7,25 (d, 2H, J = 8,7 Hz), 7,17 (d, 1H, J = 8,7 Hz), 7,11 (d, 1H, J = 2,4 Hz), 6,99 (d, 2H, J = 8,6 Hz), 6,79 (dd, 1H, J = 2,4 Hz, 8,8 Hz), 6,73 (s, 4H), 5,14 (s, 2H), 5,10 (s, 2H), 4,70–4,60 (m, 1H), 3,92 (t, 2H, J = 5,7 Hz), 2,55 (t, 2H, 5,7 Hz), 2,40–2,30 (bs, 4H), 2,15 (s, 3H), 1,50–1,40 (m, 4H), 1,40–1,30 (m, 2H), 1,28 (d, 6H, J = 6,2 Hz); MS eI m/z 588 (M+).
  • Beispiel Nr. 75: 5-Benzyloxy-2-[4-methyl-phenyl]-3-methyl-1-[4-(2-piperidin-1-yl-ethoxy)-benzyl]-1H-indol
  • Öl; 1H NMR (DMSO) 7,46 (d, 2H, J = 7,2 Hz), 7,45–7,18 (m, 8H), 7,12 (d, 1H, J = 2,4 Hz), 6,81 (dd, 1H, J = 2,4 Hz, 8,6 Hz), 6,73 (s, 4H), 5,15 (s, 2H), 5,10 (s, 2H), 3,92 (t, 2H, J = 5,9 Hz), 2,55 (t, 2H, J = 5,9 Hz), 2,45–2,30 (m, 7H), 2,10 (s, 3H), 1,50–1,40 (m, 4H), 1,48–1,35 (m, 2H); MS eI m/z 544 (M+).
  • Beispiel Nr. 77: 1-[4-(2-Azepan-1-yl-ethoxy)-benzyl]-5-benzyloxy-2-(3-benzyloxy-phenyl)-3-methyl-1H-indol
  • Fp. = 103–105°C; 1H NMR (DMSO) 7,47–7,45 (d, 2H, J = 8,1 Hz), 7,41–7,35 (m, 7H), 7,32–7,29 (t, 2H, 7,0 Hz), 7,23–7,21 (d, 1H, J = 8,7 Hz), 7,13–7,12 (d, 1H, J = 2,1 Hz), 7,06–7,03 (m, 1H), 6,95–6,91 (m, 2H), 6,83–6,80 (m, 1H), 6,75–6,73 (m, 4H), 5,13 (s, 2H), 5,11 (s, 2H), 5,02 (s, 2H), 3,90–3,87 (t, 2H, J = 6,0 Hz), 2,76–2,73 (t, 2H, J = 6,0 Hz), 2,49–2,48 (m, 4H), 2,13 (s, 3H), 1,51 (s, 8H); IR 3400, 2900 cm–1; MS eI m/z 650 (M+); CHN berechnet für C44H46N2O3.
  • Beispiel Nr. 78: 5-Benzyloxy-2-(4-benzyloxy-3-fluor-phenyl)-3-methyl-1-[4-(2-piperidin-1-yl-ethoxy)-benzyl]-1H-indol
  • Fp. = 125–128°C; 1H NMR (DMSO) 7,50–7,45 (m, 4H), 7,43–7,28 (m, 7H), 7,26–7,20 (m, 2H), 7,14–7,09 (m, 2H), 6,82 (dd, 1H, J = 2,4 Hz, 8,8 Hz), 6,72 (s, 4H), 5,21 (s, 2H), 5,16 (s, 2H), 5,11 (s, 2H), 3,94 (t, 2H, J = 5,8 Hz), 2,62–2,56 (m, 2H), 2,41–2,36 (m, 4H), 2,15 (s, 3H), 1,45–1,40 (m, 4H), 1,40–1,31 (m, 2H); MS eI m/Z 654 (M+); CHN berechnet für C43H43FN2O3.
  • Beispiel Nr. 79: 5-Benzyloxy-2-(4-benzyloxy-3-fluor-phenyl)-3-methyl-1-[4-(2-azepan-1-yl-ethoxy)-benzyl]-1H-indol
  • Fp. = 122–124°C; 1H NMR (DMSO) 7,50–7,28 (m, 10H), 7,26–7,20 (m, 2H), 7,15–7,10 (m, 2H), 6,88–6,76 (m, 2H), 6,70 (s, 4H), 5,22 (s, 2H), 5,16 (s, 2H), 5,11 (s, 2H), 3,92–3,86 (m, 2H), 2,82–2,65 (m, 2H), 2,65–2,55 (m, 4H), 2,15 (s, 3H), 1,60–1,4 (m, 8H); MS eI m/Z 668 (M+); CHN berechnet für C44H45FN2O3.
  • Beispiel Nr. 80: 5-Benzyloxy-2-(3-methoxy-phenyl-1-[4-(2-piperidin-1-yl-ethoxy)-benzyl]-3-methyl-1H-indol
  • Fp. 86–87°C; 1H NMR (DMSO) 7,50–7,49 (m, 2H), 7,46–7,31 (m, 4H), 7,24–7,21 (d, 1H, J = 8,8 Hz), 7,15–7,14 (d, 1H, J = 2,3 Hz), 7,00–6,93 (m, 2H), 6,88–6,81 (m, 2H), 6,75 (s, 4H), 5,18 (s, 2H), 5,12 (s, 2H), 3,96–3,92 (t, 2H, J = 5,9 Hz), 3,71 (s, 3H), 2,59–2,55 (t, 2H, J = 5,8 Hz), 2,37 (s, 4H), 2,18 (s, 3H), 1,49–1,42 (m, 4H), 1,37–1,34 (m, 2H); MS eI m/z 561 (M+); CHN berechnet für C37H40N2O3 + 0,25 H2O.
  • Beispiel Nr. 81: 5-Benzyloxy-3-methyl-1-[4-(2-piperidin-1-yl-ethoxy)-benzyl]-2-(4-trifluormethoxy-phenyl)-1H-indol
  • Fp. = 107–108°C; 1H NMR (DMSO) 7,52–7,45 (m, 6H), 7,41–7,26 (m, 4H), 7,17–7,16 (d, 1H, J = 2,3 Hz), 6,87–6,84 (dd, 1 H, J = 2,3 Hz, J = 6,4 Hz), 6,75–6,68 (m, 4H), 5,18 (s, 2H), 5,13 (s, 2H), 3,95–3,91 (t, 2H, J = 5,9 Hz), 2,58–2,54 (t, 2H, J = 5,9 Hz), 2,38–2,34 (m, 4H), 2,17–2,15 (s, 3H), 1,49–1,42 (m, 4H), 1,35–1,34 (d, 2H, J = 4,9 Hz); IR 3400, 2900, 1600 cm–1; MS eI m/z 615 (M+); CHN berechnet für C37H37F3N2O3.
  • Beispiel Nr. 82: (2-{4-[5-Benzyloxy-2-(4-benzyloxy-phenyl)-3-methyl-indol-1-ylmethyl]-phenoxy}-ethyl)-cyclohexyl-amin
  • Fp. = 87–90°C; 1H NMR (DMSO) 7,46 (dd, 4H, J = 6,9 Hz, 0,6 Hz), 7,42–7,27 (m, 9H), 7,19 (d, 1H, J = 9 Hz), 7,14–7,08 (m, 3H), 6,80 (dd, 1H, J = 6,4 Hz, 2,4 Hz), 6,75–6,70 (m, 4H), 5,15 (s, 2H), 5,13 (s, 2H), 5,13 (s, 2H), 3,89 (t, 2H, J = 5,6), 2,84 (m, 2H), 2,48 (m, 1H), 2,14 (s, 3H), 1,80 (m, 2H), 1,65 (m, 2H), 1,61 (m, 1H), 0,96–1,19 (m, 5H); MS eI m/Z 650 (M+); CHN berech net für C44H46N2O4.
  • Beispiel Nr. 83: 5-Benzyloxy-2-(4-benzyloxy-phenyl)-3-methyl-1-{4-methylpiperazin-1-yl)-ethoxy]-benzyl}-1H-indol
  • Fp. = 88–91°C; 1H NMR (DMSO) 7,47 (m, 4H), 7,26–7,42 (m, 8H), 7,19 (d, 1H, J = 8,8), 7,10–1,12 (m, 3H), 6,80 (q, 1H, J = 6,3 Hz, 2,4 Hz), 6,73 (m, 4H), 5,15 (s, 2H), 5,13 (s, 2H), 5,11 (s, 2H), 3,94 (t, 2H, J = 5,9 Hz), 2,59 (t, 2H), 2,42 (m, 4H), 2,29 (m, 4H), 2,15 (s, 3H), 2,12 (s, 3H); MS eI m/Z 652 (M+); CHN berechnet für C43H45N3O3.
  • Beispiel Nr. 84: 1-[4-(2-Azepan-1-yl-ethoxy)-benzyl]-5-benzyloxy-2-(3-methoxy-phenyl)-3-methyl-1H-indol
  • Fp. = 103–105°C; 1H NMR (DMSO) 7,47–7,45 (d, 2H, J = 8,1 Hz), 7,41–7,35 (m, 7H), 7,32–7,29 (t, 2H, 7,0 Hz), 7,23–7,21 (d, 1H, J = 8,7 Hz), 7,13–7,12 (d, 1H, J = 2,1 Hz), 7,06–7,03 (m, 1H), 6,95–6,91 (m, 2H), 6,83–6,80 (m, 1H), 6,75–6,73 (m, 4H), 5,13 (s, 2H), 5,11 (s, 2H), 5,02 (s, 2H), 3,90–3,87 (t, 2H, J = 6,0 Hz), 2,76–2,73 (t, 2H, J = 6,0 Hz), 2,49–2,48 (m, 4H), 2,13 (s, 3H), 1,51 (s, 8H); IR 3400, 2900 cm–1; MS eI m/z 650 (M+); CHN berechnet für C44H46N2O3.
  • Daten und verfahren für Verbindungen aus Tabelle 11 (ER Rezeptordaten Tabelle, infra) vom Text
    Figure 00570001
  • Tabelle 7
    Figure 00570002
  • Tabelle 7 (fortgesetzt)
    Figure 00580001
  • Tabelle 7 (fortgesetzt)
    Figure 00590001
  • Tabelle 7 (fortgesetzt)
    Figure 00600001
  • Tabelle 7 (fortgesetzt)
    Figure 00610001
  • Hydrierung von Indolen, welche Benzylether enthalten
  • Verfahren 7
  • Veranschaulicht für Beispiel Nr. 97
  • 2-(4-Hydroxy-phenyl)-3-methyl-1-[4-(2-piperidin-1-yl)-ethoxy)-benzyl]-1H-indol-5-ol
  • Eine Suspension aus 10% Pd/C (1,1 g) in EtOH wurde mit einer Lösung aus Nr. 63 (2,2 g, 3,4 mmol) in THF/EtOH behandelt. Cyclohexadien (6,0 ml, 63 mmol) wurde zugegeben und das Umsetzungsgemisch wurde für 48 Stunden gerührt. Der Katalysator wurde durch Celite filtriert und das Umsetzungsgemisch wurde konzentriert und an Silicagel unter Verwendung einer Gradientelution aus McOH/CH2Cl2 (1 : 19 bis 1 : 10) chromatographiert, um 0,8 g des Produkts als einen weißen Feststoff zu ergeben. Fp. = 109–113°C CHN berechnet für C29H32N2O3 + 0,5 H2O; 1H NMR 9,64 (s, 1H), 8,67 (s, 1H), 7,14 (d, 2H, J = 8,6 Hz), 7,05 (d, 1H, J = 8,6 Hz), 6,84 (d, 2H, J = 8,8 Hz), 6,79 (d, 1H, J = 2,2 Hz), 6,74 (s, 4H), 6,56 (dd, 1H, J = 8,8, 2,4 Hz), 5,09 (s, 2H), 3,95–3,93 (m, 2H), 2,60–2,51 (m, 2H), 2,39–2,38 (m, 4H), 2,09 (s, 3H), 1,46– 1,45 (m, 4H), 1,35–1,34 (m, 2H); IR (KBr) 3350 (br), 2920, 1620, 1510 cm–1; MS (EI) m/z 456.
  • Alternativ können die Verbindungen in einer THF/EtOH-Lösung (oder einem anderen passenden Lösungsmittel) gelöst und mit Hz und 10% Pd/C unter Verwendung eines Ballon- oder Parr-Hydrators hydriert werden. Beide Verfahren sind wirksam. In vielen der Beispiele wurden die Verbindungen in Säureadditionssalze verarbeitet. Das Verfahren für die Herstellung eines HCl-Salzes wird unten angegeben (Verfahren 8).
  • Verfahren 8
  • 1,0 g von Beispiel Nr. 97 freie Base aus dem Hydrierungsverfahren oben in einem großen Testrohr wurden in 20 ml McOH gelöst. Dieses wurde mit langsamer Zugabe von 2,6 ml 1,0 N HCl und dann 4,0 ml entionisiertem Wasser behandelt. Die Röhre wurde teilweise gegenüber Atmosphäre geöffnet, um langsames Abdampfen der Lösungsmittel zu ermutigen. Nach etwa 10 Minuten begannen Kristalle zu erscheinen und nach 4 Stunden wurde die Lösung filtriert und die festen Kristalle wurden mit Wasser gewaschen. Das Produkt war als 0,42 g weiße kristalline Platten mit einem Fließpunkt von 184–185°C vorhanden. Die Stammflüssigkeit ergab eine zusätzliche Ernte von 0,30 g weißen Feststoff mit einem Fließpunkt von 177–182°C. CHN berechnet für C29H32N2O3 + HCL + 1 H2O.
  • Alternativ können die Verbindungen in quaternäre Ammoniumsalze verarbeitet werden. Ein beispielhaftes Verfahren für die Synthese von Beispiel Nr. 107 wird unten gegeben (Verfahren 9).
  • Verfahren 9
  • Beispiel Nr. 107: 2-(4-Hydroxy-phenyl)-3-methyl-1-[4-(2-piperidin-1-yl-ethoxy)benzyl]-1H-indol-5-ol-methiodid
  • 0,8 g von Beispiel Nr. 97 wurden in 18 ml THF gelöst und mit 2 ml Methyliodid behandelt. Die Lösung wurde für eine Stunde auf Rückfluss erhitzt. Die Umsetzung durfte Raumtemperatur erreichen und die Feststoffe wurden filtriert, um 0,72 g eines kristallinen Feststoffs zu erreichen.
  • Fp. = 214–217°C, CHN berechnet für C29H32N2O3 + CH3I + 0,5 H2O Beispiel Nr. 106: 2-(4-Hydroxy-phenyl)-3-methyl-1-[4-(2-dimethyl-1-yl-ethoxy)-benzyl]-1H-indol-5-ol-methiodid wurde ähnlich zu Nr. 106 hergestellt, außer, dass Nr. 100 als Ausgangsmaterial verwendet wurde: Fp = 245–250°C; 1H NMR (DMSO) 9,66 (s, 1H), 8,69 (s, 1H), 7,16 (d, 2H, J = 8,4 Hz), 7,05 (d, 1H, J = 8,8 Hz), 6,84 (d, 1H, J = 8,6 Hz), 6,81–6,75 (m, 6H), 6,56 (dd, 1H, J = 2,4 Hz, 8,7 Hz), 5,12 (s, 2H), 4,34 (m, 2H), 3,70 (t, 2H, J = 4,6 Hz), 3,11 (s, 9H), 2,09 (s, 3H); IF (KBr) 3250, 1500, 1250; MS eI m/ z 416 (M+); CHN berechnet für C26H28N2O3 + 1,09 CH3I + 0,8 H2O.
  • Physikalische Daten für endgültige, entschützte Verbindungen Die folgenden Verbindungen sind. entweder freie Basen, HCl-Salze oder Acetatsalze. Sie wurden gemäß dem in Verfahren 7 skizzierten Verfahren unter Verwendung des passenden Benzylethers als Vorläufer hergestellt. Wo eine Verbindung von Tabelle 1 keine freie phenolische Funktionalität enthält war es nicht notwendig, sie zu debenzylieren und Verfahren 7 wurde nicht angewendet. Die physikalischen Daten für diese Verbindungen (Nr. 85, Nr. 90–Nr. 91) werden dennoch unten gezeigt.
  • Beispiel Nr. 85: 4-{3-Methyl-1-[4-(2-piperidin-1-yl-ethoxy)-benzyl]-1H-indol} (HCl)
  • Fp. = 134–137°C; 1H NMR (DMSO) 10,33 (s, 1H), 7,56–7,38 (m, 6H), 7,32 (d, 1H, J = 8,1 Hz), 7,14–7,0 (m, 2H), 6,80 (s, 4H), 5,24 (s, 2H), 4,28 (t, 2H, J = 5,0 Hz), 3,50–3,40 (m, 4H), 3,0– 2,95 (m, 2H), 2,10 (s, 3H), 1,80–1,60 (m, 5H), 1,40–1,35 (m, 1H); IR 3400, 2900, 1510, 1250 cm–1; MS (+) FAB m/z 425 [M+H]+; CHN berechnet für C29H32N2O + 1,0 HCl + 1,0 H2O.
  • Beispiel Nr. 86: 4-{3-Methyl-1-[4-(2-piperidin-1-yl-ethoxy)-benzyl]-1H-indol-2-yl}-phenol-hydrochlorid (HCl)
  • Fp. = 192–194°C; 1H NMR (DMSO), 10,28 (s, 1H), 9,75 (s, 1H), 7,51–7,49 (m, 1H), 7,27 (dd, 1H, J = 7,0 Hz, 0,7 Hz), 7,18 (d, 2H, J = 7,6 Hz), 7,09–7,02 (m, 2H), 6,86 (d, 2H, J = 8,6 Hz), 6,80 (s, 4H), 5,20 (s, 2H), 4,28 (t, 2H, J = 4,9 Hz), 3,50–3,35 (m, 4H), 3,0–2,85 (m, 2H), 2,20 (s, 3H), 1,80–1,60 (m, 5H), 1,40 –1,30 (m, 1H); IR 3400, 3100, 2600, 1500, 1225 cm–1; MS eI m/z 440 (M+); CHN berechnet für C29H32N2O2 + 1 HCl.
  • Beispiel Nr. 87: 3-Methyl-2-phenyl-1-[4-(2-piperidin-1-yl-ethoxy)-benzyl]-1H-indol-5-ol (HCl)
  • Fp. = 228–230°C; 1H NMR 10,1 (brs, 1H), 8,76 (s, 1H), 7,55– 7,45 (m, 5H), 7,10 (d, 1H, J = 8,8 Hz), 6,85–6,80 (m, 5H), 6,61 (d, 1H, J = 8,8 Hz), 5,15 (s, 2H), 4,25 (t, 2H, J = 4,8 Hz), 3,47–3,35 (m, 4H), 2,96–2,87 (m, 2H), 2,12 (s, 3H), 1,75–1,65 (m, 5H), 1,31–1,28 (m, 1H); MS eI m/z 440 (M+); CHN berechnet für C29H32N2O2 + 1 HCl + 0,33 H2O; IR (KBr) 3200, 2500, 1450, 1200 cm–1.
  • Beispiel Nr. 88: 4-{5-Methoxy-3-methyl-1-{4-[2-(piperidin-1-yl)-ethoxy]-benzyl}-1H-indol-2-yl}-phenol
  • Fp. = 87–90°C; 1H NMR (DMSO) 9,67 (s, 1H), 7,16 (d, 2H, J = 8,6 Hz), 7,16 (1H vergraben), 6,98 (d, 1H, J = 2,4 Hz), 6,85 (d, 2H, J = 8,6 Hz), 6,73 (s, 4H), 6,69 (dd, 1H, J = 8,8, 2,4 Hz), 5,13 (s, 2H), 3,94 (t, 2H, J = 5,7 Hz), 3,76 (s, 3H), 2,63–2,50 (m, 2H), 2,43–2,31 (m, 4H), 2,15 (s, 3H), 1,49–1,40 (m, 4H), 1,39–1,25 (m, 2H); IR (KBr) 3400 (br), 2920, 1610, 1520 cm–1; MS eI m/z 470; CHN berechnet für C30H34N2O3 + 0,1 H2O.
  • Beispiel Nr. 89: 2-(4-Methoxy-phenyl)-3-methyl-1-{4-[2-(piperidin-1-yl)-ethoxy]-benzyl}-1H-indol-5-ol
  • Fp. = 188–189°C; 1H NMR (DMSO) 8,70 (s, 1H), 7,27 (d, 2H, J = 8,6 Hz), 7,06 (d, 1H, J = 8,6 Hz), 7,02 (d, 2H, J = 8,8 Hz), 6,81 (d, 1H, J = 2,2 Hz), 6,73 (s, 4H), 6,58 (dd, 1H, J = 8,8, 2,4 Hz), 5,10 (s, 2H), 3,93 (t, 2H, J = 5,9 Hz), 3,79 (s, 3H), 2,56 (t, 2H, J = 5,9 Hz), 2,41–2,32 (m, 4H), 2,10 (s, 3H), 1,47– 1,41 (m, 4H), 1,34–1,31 (m, 2H); MS eI m/z 470; CHN berechnet für C30H34N2O3 + 0,1 H2O.
  • Beispiel Nr. 90: 5-Methoxy-2-(4-methoxy-phenyl)-3-methyl-1-[4-(2-piperidin-1-yl-ethoxy)-benzyl]-1H-indol (HCl)
  • Fp. = 188–191°C; 1H NMR (DMSO) 10,35 (brs, 1H), 7,27 (d, 2H, J = 8,8 Hz), 7,17 (d, 1H, J = 8,8 Hz), 7,03 (d, 2H J = 8,6 Hz), 6,99 (d, 1H, J = 2,5 Hz), 6,82–6,78 (m, 4H), 6,71 (dd, 1H, J = 8,8 Hz, J = 2,5 Hz), 5,17, (s, 2H), 4,31–4,22 (m, 2H), 3,79 (s, 3H), 3,76 (s, 3H), 3,43–3,36 (m, 4H), 2,97–2,83 (m, 2H), 2,16 (s, 3H), 1,80–1,59 (m, 5H), 1,41–1,26 (m, 1H); IR (KBr) 2920, 1450, 1250 cm–1; MS eI m/z 484 (M+); CHN berechnet für C31H36N2O3 + 1 HCl.
  • Beispiel Nr. 91: 1-[4-(2-Azepan-1-yl-ethoxy)-benzyl]-5-methoxy-2-(4-methoxy-phenyl)-3-methyl-1H-indol (HCl)
  • Fp. = 161–163°C; 1H NMR (DMSO) 10,65 (brs, 1H), 7,27 (d, 2H, J = 8,8 Hz), 7,17 (d, 1H, J = 8,8 Hz), 7,03 (d, 2H J = 8,6 Hz), 6,99 (d, 1H, J = 2,5 Hz), 6,82–6,77 (m, 4H),6,71 (dd, 1H, J = 8,8 Hz, J = 2,5 Hz), 5,17 (s, 2H), 4,27 (m, 2H), 3,79 (s, 3H), 3,76 (s, 3H), 3,44–3,30 (m, 4H), 3,17 (m, 2H), 2,16 (s, 3H), 1,82–1,77 (m, 4H), 1,63–1,48 (m, 4H); MS eI m/z 499 (M+); CHN berechnet für C32H38N2O3 + 1 HCl.
  • Beispiel Nr. 92: 2-(4-Ethoxy-phenyl)-3-methyl-1-[4-(2-piperidin-1-yl-ethoxy)-benzyl]-1H-indol-5-ol
  • Fp. = 173–175°C; 1H NMR (DMSO) 8,69 (s, 1H), 7,25 (d, 2H, J = 8,8 Hz), 7,04 (d, 1H, J = 8,8 Hz), 6,99 (dd, 2H, J = 6,8 Hz, J = 2,0 Hz), 6,80 (d, 1H, J = 2,2 Hz), 6,73 (s, 4H), 6,59 (dd, 1H, J = 8,5 J = 2,2), 5,09 (s, 2H), 4,05 (q, 2H, J = 7,03 Hz), 3,93 (t, 2H, J = 6,0 Hz), 2,62–2,56 (m, 2H), 2,41–2,36 (m, 4H), 2,09 (s, 3H), 1,45–1,41 (m, 4H), 1,38–1,30 (m, 5H); MS eI m/z 484 (M+); CHN berechnet für C31H36N2O3 + 0,25 H2O.
  • Beispiel Nr. 93: 1-[4-(2-Azepan-1-yl-ethoxy)-benzyl]-2-(4-ethoxy-phenyl)-3-methyl-1H-indol-5-ol
  • Fp. = 133–135°C; 1H NMR (DMSO) 8,69 (s, 1H), 7,25 (d, 2H, J = 8,8 Hz), 7,04 (d, 1H, J = 8,8 Hz), 6,99 (dd, 2H, J = 6,8 Hz, J = 2,0 Hz), 6,80 (d, 1H, J = 2,2 Hz), 6,73 (s, 4H), 6,59 (dd, 1H, J = 8,5 Hz, J = 2,2 Hz), 5,09 (s, 2H), 4,05 (q, 2H, J = 7,03 Hz), 3,90 (t, 2H, J = 6,1 Hz), 2,75 (t, 2H, J = 6,0 Hz), 2,62– 2,58 (m, 4H), 2,09 (s, 3H), 1,58–1,44 (m, 8H), 1,33 (t, 3H, J = 7,0 Hz); IR (KBr) 2930, 1470, 1250 cm–1; MS eI m/z 498 (M+); CHN berechnet für C32H38N2O3.
  • Beispiel Nr. 94: 4-{5-Fluor-3-methyl-1-[4-(2-piperidin-1-yl-ethoxy)-benzyl]-1H-indol-2-yl-phenol (HCl)
  • Fp. = 223–225°C; 1H NMR (DMSO) 10,30 (br s, 1H), 7,27–7,23 (m, 2H), 7,17 (d, 2H, J = 8,6 Hz), 6,88–6,79 (m, 7H), 5,20 (s, 2H), 4,28 (t, 2H, J = 5,0 Hz), 3,42–3,35 (m, 4H), 3,00–2,85 (m, 2H), 2,14 (s, 3H), 1,78–1,70 (m, 4H), 1,67–1,59 (m, 1H), 1,40– 1,26 (m, 1H); MS eI m/z 458 (M+).
  • Beispiel Nr. 95: 1-[4-(2-Azepan-1-yl-ethoxy)-benzyl]-3-methyl-2-phenyl-1H-indol-5-ol (HCl)
  • Fp. = 203–204°C; 1H NMR (DMSO) 10,50 (brs, 1H), 8,80 (s, 1H), 7,50–7,38 (m, 5H); 7,10 (d, 1H, J = 8,8 Hz), 6,83–6,77 (m, 5H), 6,60 (d, 1H, J = 6,6 Hz), 5,15 (s, 2H), 4,26 (t, 2H, J = 5,2 Hz), 3,45–3,35 (m, 4H), 3,21–3,10 (m, 2H), 2,12 (s, 3H), 1,85–1,75 (m, 4H), 1,70–1,51 (m, 4H); MS eI m/z 454 (M+); CHN berechnet für C30H34N2O2 + 1 HCl.
  • Beispiel Nr. 96: 2-(4-Hydroxy-phenyl)-3-methyl-1-[4-(2-pyrrolidin-1-yl-ethoxy)-benzyl]-1H-indol-5-ol
  • Fp. = 105–110°C; CHN berechnet für C28H30N2O3 + 0,4 H2O; 1H NMR (DMSO) 9,65 (s, 1H), 8,67 (s, 1H), 7,15 (d, 2H, J = 8,6 Hz), 7,05 (d, 1H, J = 8,6 Hz), 6,84 (d, 2H, J = 2H), 6,79 (d, 1H, J = 2,4 Hz), 6,56 (dd, 1H, J = 8,6, 2,2 Hz), 6,74 (s, 4H), 5,09 (s, 2H), 3,95 (t, 2H, J = 5,7 Hz), 3,39–3,23 (m, 4H), 2,80–2,75 (m, 2H), 2,09 (s, 3H), 1,67–1,64 (m, 4H); IR (KBr) 3410 (br). 1620,1510 cm–1; MS (EI) m/z 442.
  • Beispiel Nr. 97: 1-[4-(2-Azepan-1-yl-ethoxy)-benzyl]-2-(4-hydroxy-phenyl)-3-methyl-1H-indol-5-ol (HCl)
  • Fp. = 168–171°C; 1H NMR (DMSO) 10,11 (br s, 1H), 9,70 (s, 1H), 8,71 (s, 1H); 7,15 (d, 2H, J = 8,6 Hz), 7,05 (d, 1H, J = 8,8 Hz), 6,85 (d, 2H, J = 8,8 Hz), 6,80–6,77 (m, 5H), 6,56 (dd, 1H, J = 8,8 Hz, 2,2 Hz), 5,11 (s, 2H), 4,26 (t, 2H, J = 4,6 Hz), 3,48–3,30 (m, 4H), 3,22–3,08 (m, 2H), 2,09 (s, 3H), 1,83–1,76 (m, 4H), 1,67–1,48 (m, 4H); IR (KBr) 3500 br, 3250 br, 2900, 1610; MS FAB m/z 471 (M+H+); CHN berechnet für C30H34N2O3 + 2,5 H2O + HCl.
  • Beispiel Nr. 98: Acetatsalz von Beispiel Nr. 97
  • Hergestellt durch Ausfällen der freien Base von Nr. 97 aus Aceton und Essigsäure.
  • Fp. 174–178°C.
  • Beispiel Nr. 99: 1-[4-(2-Azocan-1-yl-ethoxy)-benzyl]-2-(4-hydroxy-phenyl)-3-methyl-1H-indol-5-ol
  • Fp. = 98–102°C; 1H NMR (DMSO) 9,63 (s, 1H), 8,68 (s, 1H), 7,15–7,13 (m, 2H), 7,05 (d, 1H, J = 8,5 Hz), 6,83 (dd, 2H, J = 2,0 Hz, 6,6 Hz), 6,79 (d, 1H, J = 2,2 Hz), 6,73 (s, 4H), 6,55 (dd, 1H, J = 2,2 Hz, 8,6 Hz), 5,08 (s, 2H), 3,89 (t, 2H, J = 5,7 Hz), 2,74 (t, 2H, J = 5,4 Hz), 2,55 (bs, 4H), 2,08 (s, 3H), 1,55 (s, 2H), 1,46 (s, 8H); IR 3400, 2900, 1250 cm–1; MS eI m/z 484 (M+); CHN berechnet für C31H36N2O3 + 0,30 H2O.
  • Beispiel Nr. 100: 2-(4-Hydroxy-phenyl)-3-methyl-1-[4-(2-dimethyl-1-yl-ethoxy)-benzyl]-1H-indol-5-ol
  • Fp. = 95–105°C; IR (KBr) 3400 br, 2900, 1610 cm–1; MS eI m/z 416 (M+); CHN berechnet für C26H28N2O3 + 0,5 H2O.
  • Beispiel Nr. 101: 2-(4-hydroxy-phenyl)-3-methyl-1-[4-(2-diethyl-1-yl-ethoxy)-benzyl]-1H-indol-5-ol
  • Fp. = 100–107°C; CHN berechnet für C28H32N2O3 + 0,25 H2O; 1H NMR (DMSO) 9,64 (s, 1H), 8,67 (s, 1H), 7,14 (d, 2H, J = 8,6 Hz), 7,05 (d, 1H, J = 8,8 Hz), 6,84 (d, 2H, J = 8,6 Hz), 6,79 (d, 1H, 2,2 Hz), 6,74 (s, 4H), 6,56 (dd, 1H, J = 8,8, 2,4 Hz), 5,09 (s, 2H), 3,95–3,85 (m, 2H), 2,80–2,60 (m, 2H), 2,58–2,40 (m, 4H), 2,09 (s, 3H), 0,93 (t, 6H, J = 7,0 Hz); IR (KBr) 3410 (br), 2950, 1610, 1510 cm–1; MS FAB 445 (M+H+).
  • Beispiel Nr. 102: 1-[4-(2-Dipropylamino-ethoxy)-benzyl]-2-(4-hydroxy-phenyl-3-methyl-1H-indol-5-ol
  • Fp. = 83–86°C; 1H NMR (DMSO) 9,64 (s, 1H), 8,67 (s, 1H), 7,14 (d, 2H, J = 8,6), 7,04 (d, 1H, J = 8,6 Hz), 6,83 (d, 2H, J = 8,6 Hz), 6,78 (d, 1H, J = 2,2 Hz), 6,72 (m, 4H), 6,55 (dd, 1H, J = 2,4 Hz, 8,2 Hz), 5,08 (s, 2H), 3,88 (t, 2H, J = 6,0 Hz), 2,80–2,63 (m, 2H), 2,59–2,45 (m, 4H), 2,10 (s, 3H), 1,41–1,30 (m, 4H), 0,79 (t, 6H, J = 7,3 Hz); IR 3400, 2900, 1250; MS FAB m/z 473 [M+H+]; CHN berechnet für C30H36N2O3 + 0,20 H2O.
  • Beispiel Nr. 103: 1-[4-(2-Dibutylamino-ethoxy)-benzyl-2-(4-hydroxy-phenyl)-3-methyl-1H-indol-5-ol
  • Schaum; 1H NMR (DMSO) 9,63 (s, 1H), 8,66 (s, 1H), 7,15 (d, 2H, J = 8,6 Hz), 7,05 (d, 1H, J = 8,8 Hz), 6,83 (d, 2H, J = 8,6 Hz), 6,79 (d, 1H, J = 4,2 Hz), 6,78–6,71 (m, 4H), 6,55 (dd, 1H, J = 8,6 Hz, J = 2,4 Hz), 5,10 (s, 2H), 3,88 (t, 2H, J = 5,5 Hz), 2,68–2,62 (m, 2H), 2,42–2,34 (m, 4H), 2,08 (s, 3H), 1,38–1,19 (m, 8H), 0,82 (t, 6H, J = 7,2 Hz); IR (KBr) 3400, 1450 cm–1; MS eI m/z 501 (M+).
  • Beispiel Nr. 104: 1-[4-(2-Diisopropylamiao-ethoxy)-benzyl]-2-(4-hydroxy-phenyl)-3-methyl-1H-iadol-5-ol
  • Fp. = 96–102°C; 1H NMR (DMSO) 9,64 (s, 1H), 8,67 (s, 1H), 7,14 (d, 2H, J = 8,6 Hz), 7,04 (d, 1H, J = 8,6 Hz), 6,83 (d, 2H, J = 8,6 Hz), 6,79 (d, 1H, J = 2,4 Hz), 6,77–6,69 (m, 4H), 6,56 (dd, 1H, J = 8,6 Hz, 2,2 Hz), 5,08 (s, 2H), 3,75 (t, 2H, J = 7,0 Hz), 3,01–2,92 (m, 2H), 2,67 (t, 2H, J = 7,0 Hz), 2,09 (s, 3H), 0,93 (d, 12H, 6,6 Hz); IR (KBr) 3400 br, 2940, 1620 cm–1; MS FAB m/z 473 (M+H+); CHN berechnet für C30H36N2O3 + 0,5 H2O.
  • Beispiel Nr. 105: 1-{4-[2-(Butyl-methyl-amino)-ethoxy]-benzyl}-2-(4-hydroxy-phenyl)-3-methyl-1H-indol-5-ol
  • Fp. = 102–107°C; 1H NMR (DMSO) 9,60 (s, 1H), 8,67 (s, 1H), 7,14 (d, 2H, J = 8,4 Hz), 7,04 (d, 1H, J = 8,6 Hz), 6,82 (d, 2H, J = 8,8 Hz ), 6,78 (d, 1H, J = 2,3 Hz ), 6,73 (s, 4H), 6,55 (dd, 1H, J = 8,8 Hz, J = 2,4 Hz), 5,08 (s, 2H), 3,92 (t, 2H, J = 6,0 Hz), 2,64–2,59 (m, 2H), 2,38–2,29 (m, 2H), 2,20 (br s, 3H), 2,08 (s, 3H), 1,40–1,31 (m, 2H), 1,25–1,19 (m, 2H), 0,83 (t, 3H, 7,2 Hz); IR (KBr) 3420, 1460, 1230 cm–1; MS eI m/z 638 (M+).
  • Beispiel Nr. 108: 2-(4-Hydroxy-phenyl)-3-methyl-1-{4-[2-(2-methyl-piperidin-1-yl)-ethoxy]-benzyl}-1H-indol-5-ol
  • Fp. = 121–123°C; 1H NMR (DMSO) 9,65 (s, 1H), 8,68 (s, 1H), 7,14 (d, 2H, J = 8,6 Hz), 7,04 (d, 1H, J = 8,8 Hz), 6,84 (d, 2H, J = 8,6 Hz), 6,79 (d, 1H, J = 2,0 Hz), 6,74 (s, 4H), 6,56 (dd, 1H, J = 8,8 Hz, 2,4 Hz), 5,09 (s, 2H), 3,97–3,86 (m, 2H), 2,95– 2,73 (m, 2H), 2,62–2,53. (m, 1H), 2,36–2,14 (m, 2H), 2,09 (s, 3H), 1,61–1,30 (m, 4H), 1,28–1,09 (m, 2H), 0,98 (d, 3H, J = 5,1 Hz); IR (KBr) 3400, 2920, 2850, 1610 cm–1; CHN berechnet für C30H34N2O3 + 0,25 H2O.
  • Beispiel Nr. 109: 2-(4-Hydroxy-phenyl)-3-methyl-1-{4-[2-(3-methyl-piperidin-1-yl)-ethoxy]-benzyl}-1H-indol-5-ol
  • Fp. = 121–123°C; 1H NMR (DMSO) 9,64 (s, 1H), 8,67 (s, 1H), 7,14 (dd, 2H, J = 8,3 Hz, 1,4 Hz), 7,04 (dd, 1H, J = 8,6 Hz, 1,2 Hz), 6,84 (dd, 2H, J = 8,6 Hz, 1,7 Hz), 6,79 (s, 1H), 6,79 (s, 4H), 6,56 (d, 1H, J = 8,6 Hz), 5,08 (s, 2H), 3,94 (t, 2H, J = 5,0 Hz), 2,86–2,71 (m, 2H), 2,63–2,50 (m, 2H), 2,48 (s, 3H), 1,92–1,79 (m, 2H), 1,63–1,35 (m, 5H), 0,79 (d, 3H, J = 5,2 Hz); IR (KBr) 3400, 2910, 1625 cm–1; CHN berechnet für C30H34N34O3 + 0,25 H2O.
  • Beispiel Nr. 110: 2-(4-Hydroxy-phenyl)-3-methyl-1-{4-[2-(4-methyl-piperidin-1-yl)-ethoxy]-benzyl}-1H-indol-5-ol (HCl)
  • Fp. = 154–162°C; 1H NMR (DMSO) 10,00 (brs, 1H), 9,71 (s, 1H), 8,71 (s, 1H), 7,15 (d, 2H, J = 8,6 Hz), 7,05 (d, 1H, J = 8,6 Hz), 6,85 (d, 2H, J = 8,6 Hz), 6,83–6,77 (m, 4H), 6,57 (dd, 1H, J = 8,6 Hz, 2,2 Hz), 5,11 (s, 2H), 4,27 (t, 2H, J = 4,8 Hz), 3,51–3,35 (m, 4H), 3,01–2,87 (m, 2H), 2,09 (s, 3H), 1,74 (d, 2H, J = 13,4 Hz), 1,61–1,37 (m, 4H), 0,88 (d, 3H, J = 6,4 Hz); IR (KBr) 3410, 2910, 1620 cm–1; MS eI m/z 470 (M+H+); CHN berechnet für C30H34N2O3 + HCl + 2 H2O.
  • Beispiel Nr. 111: 1-{4-[2-(3,3-Dimethyl-piperidin-1-yl)-ethoxy]-benzyl}-2-(4-hydroxy-phenyl)-3-methyl-1H-indol-5-ol
  • Fp. = 100°C; 1H NMR (DMSO) 9,65 (s, 1H), 8,67 (s, 1H), 7,15 (d, 2H, J = 8,6 Hz), 7,05 (d, 1H, J = 8,8 Hz), 6,84 (d, 2H, J = 8,6 Hz), 6,79 (d, 1H, J = 2,4 Hz), 6,74 (s, 4H), 6,56 (dd, 1H, J = 8,8, 2,4 Hz), 5,09 (s, 2H), 3,93 (t, 2H, J = 5,7 Hz), 2,60– 2,50 (m, 2H), 2,37–2,25 (m, 2H), 2,09 (s, 3H), 2,10–1,99 (m, 2H), 1,46 (t, 2H, J = 5,9 Hz), 1,13 (t, 2H, J = 6,4 Hz), 0,86 (s, 6H); MS eI m/z 484.
  • Beispiel Nr. 112: 1-{4-[2-((cis)-2,6-Dimethyl-piperidin-1-yl)-ethoxy]-benzyl}-2-[4-hydroxy-phenyl)-3-methyl-1H-indol-5-ol
  • Fp. = 114–121°C; 1H (DMSO) 9,62 (s, 1H), 8,64 (s, 1H), 7,11 (d, 2H, J = 8,6 Hz), 7,01 (d, 1H, J = 8,6 Hz), 6,81 (d, 2H, J = 8,8 Hz), 6,76 (d, 1H, J = 2,2 Hz), 6,72–6,66 (m, 4H), 6,53 (dd, 1H, J = 8,6 Hz, 2,2 Hz), 5,06 (s, 2H), 3,86–3,72 (m, 2H), 2,86– 2,76 (m, 2H), 2,43–2,35 (m, 2H), 2,06 (s, 3H), 1,78–1,59 (m, 3H), 1,29–1,17 (m, 1H), 1,12–0,92 (m, 8H); IR (KBr) 3400 br, 2920, 1630 cm–1; MS FAB m/z 485 (M+H+); CHN berechnet für C31H36N2O3 + 0,1 Aceton + 0,75 H2O.
  • Beispiel Nr. 113: 2-(4-Hydroxy-phenyl)-1-{4-[2-(4-hydroxy-piperidin-1-yl)-ethoxy]-benzyl}-3-methyl-1H-indol-5-ol
  • Fp. = 80–90°C; 1H NMR (DMSO) 9,66 (s, 1H), 8,68 (s, 1H), 7,15 (d, 2H, J = 7,6 Hz), 7,04 (d, 1H, J = 8,8 Hz), 6,84 (dd, 2H, J = 2,0 Hz, 6,6 Hz), 6,78 (d, 1H, 2,2 Hz), 6,73 (s, 4H), 6,55 (dd, 1H, J = 2,2 Hz, 8,6 Hz), 5,09 (s, 2H), 4,50 (d, 1H, J = 4,2 Hz), 3,92 (t, 2H, J = 5,8 Hz), 3,40 (m, 2H), 2,72 (m, 2H), 2,60 (m, 2H), 2,10 (s, 3H), 2,15–2,05 (m, 1H), 1,75–1,63 (m, 2H), 1,42–1,28 (m, 2H); IR (KBr) 3400, 2900, 1250 cm–1; MS eI m/z 472 (M+); CHN berechnet für C29H32N2O4 + 0,11 CH2Cl2.
  • Beispiel Nr. 114: (1S,4R)-1-{4-[2-(2-Aza-bicyclo[2.2.1]hept-2-yl)-ethoxy]-benzyl}-2-(4-hydroxy-phenyl)-3-methyl-1H-indol-5-ol
  • Fp. = 125–130°C; 1H NMR (DMSO) 9,65 (s, 1H), 8,67 (s, 1H), 7,13 (d, 2H, J = 8,6 Hz), 7,04 (d, 1H, J = 8,5 Hz), 6,83 (dd, 2H, J = 2,0 Hz, 6,6 Hz), 6,78 (d, 1H, J = 2,2 Hz), 6,73 (s, 4H), 6,55 (dd, 1H, J = 2,2 Hz, 8,6 Hz), 5,08 (s, 2H), 3,95–3,8 (m, 2H), 2,90–2,70 (3H), 2,30–2,20 (m, 2H), 2,10 (s, 3H), 1,70–1,60 (m, 1H), 1,60–1,30 (m, 4H), 1,25–1,15 (m, 2H); IR (KBr) 3400, 2950, 1500; MS (+) FAB m/z 469 [M+H]+; CHN berechnet für C30H32N2O3 + 0,34 EtOAc.
  • Beispiel Nr. 115: 2-(4-hydroxy-phenyl)-3-methyl-1-{4-[2-(1.3.3-trimethyl-6-aza-bicyclo[3.2.1]oct-6-yl)-ethoxy]-benzyl}-1H-indol-5-ol
  • Fp. = 98–100°C; 1H NMR (DMSO) 9,64 (s, 1H), 8,67 (s, 1H), 7,14 (d, 2H, J = 8,6 Hz), 7,05 (d, 1H, J = 8,6 Hz), 6,84 (d, 2H, J = 8,6 Hz), 6,79 (d, 1H, J = 2,4 Hz), 6,75–6,69 (m, 4H), 6,56 (dd, 1H, J = 8,6 Hz, 2,4 Hz), 5,08 (s, 2H), 3,83 (t, 2H, J = 5,9 Hz), 3,12–3,07 (m, 1H), 2,94–2,87 (m, 1H), 2,85 (d, 1H, J = 9,2 Hz), 2,78–2,70 (m, 1H), 2,17 (d, 1H, J = 9,2 Hz), 2,09 (s, 3H), 1,55–1,42 (m, 2H), 1,29 (q, 2H, J = 13,6 Hz), 1,14 (s, 3H), 1,11–1,02 (m, 2H), 0,96 (s, 3H), 0,82 (s, 3H); IR (KBr) 3400 br, 2940, 2900, 1630 cm–1; MS ESI m/z 525 (M+H+); CHN berechnet für C34H40N2O3 + 0,5 H2O.
  • Beispiel Nr. 116: 2-(4-Fluor-phenyl)-3-methyl-1-[4-(2-piperidin-1-yl-ethoxy)-benzyl]-1H-indol-5-ol (HCl)
  • Fp. = 201–203°C; 1H NMR (DMSO) 10,22 (s, 1H), 8,78 (s, 1H), 7,45–7,35 (m, 2H), 7,34–7,25 (m, 2H), 7,11 (d, 1H, J = 8,6 Hz), 6,90–6,70 (m, 5H), 6,61 (dd, 1H, J = 2,4 Hz, 8,8 Hz), 5,15 (s, 2H), 4,27 (t, 2H, 4,8 Hz), 3,50–3,34 (m, 4H), 3,0–2,85 (m, 2H), 2,10 (s, 3H), 1,80 (m, 5H), 1,40–1,25 (m, 1H); MS eI m/z 458 (M+); CHN berechnet für C29H31FN2O2 + 1 HCl.
  • Beispiel Nr. 117 1-[4-(2-Azepan-1-yl-ethoxy)-benzyl]-2-(4-fluorphenyl)-3-methyl-1H-indol-5-ol
  • Fp. = 181–184°C; 1H NMR (DMSO) 10,68 (s, 1H), 8,80 (s, 1H), 7,50–7,36 (m, 2H), 7,34–7,26 (m, 2H), 7,12 (d, 1H, J = 8,8 Hz), 6,86–6,73 (m, 5H), 6,63 (dd, 1H, J = 2,2 Hz, 8,5 Hz), 5,13 (s, 2H), 4,29 (t, 2H, J = 5,2 Hz), 3,50–3,30 (m, 4H), 3,20–3,08 (m, 2H), 2,11 (s, 3H), 1,90–1,70 (m, 4H), 1,68–1,45 (m, 4H); IR (KBr) 3500, 3100, 2910, 1450, 1250 cm–1; MS e/I m/z 472 (M+); CHN berechnet für C30H33FN2O2 + 1 HCl.
  • Beispiel Nr. 118: 2-(3-Methoxy-4-hydroxy-phenyl)-3-methyl-1-[4-(2-piperidin-1-yl-ethoxy)-benzyl]-1H-indol-5-ol (HCl)
  • Fp. = 161–163°C; 1H NMR (DMSO) 10,12 (brs, 1H), 9,25 (s, 1H), 8,71 (s, 1H), 7,05 (d, 1H, J = 8,5 Hz), 6,85–6,79 (m, 8H), 6,57 (dd, 1H, J = 8,5 Hz, J = 2,2 Hz), 5,13 (s, 2H), 4,27 (t, 2H, J = 5,0 Hz), 3,64 (s, 3H), 3,44–3,37 (m, 4H), 2,93–2,85 (m, 2H), 2,11 (s, 3H), 1,80–1,60 (m, 5H), 1,40–1,25 (m, 1H); MS eI m/z 486 (M+); CHN berechnet für C30H34N2O4 + 1 HCl + 1 H2O; IR (KBr) 3190, 1470, 1230 cm–1.
  • Beispiel Nr. 119: 2-Benzo[1.3]dioxol-5-yl-3-methyl-1-[4-(2-piperidin-1-yl-ethoxy)-benzyl]-1H-indol-5-ol (HCl)
  • Fp. = 122–125°C; 1H NMR (DMSO) 9,80 (brs, 1H), 8,73 (s, 1H), 7,07 (d, 1H, J = 8,7 Hz), 7,02 (d, 1H, J = 8,0 Hz), 6,89 (d, 1H, J = 1,7 Hz), 6,80–6,75 (m, 6H), 6,58 (dd, 1H, J = 6,4 Hz, J = 2,2 Hz), 6,06 (s, 2H), 5,13 (s, 2H), 4,30–4,19 (m, 2H), 3,51– 3,30 (m, 4H), 2,99–2,85 (m, 2H), 2,10 (s, 3H), 1,81–1,59 (m, 5H), 1,41–1,26 (m, 1H); MS eI m/z 484(M+); CHN berechnet für C30H32N2O4 + HCl + 0,26 H2O.
  • Beispiel Nr. 120: 2-(4-Isopropoxy-phenyl-3-methyl-1-[4-(2-piperidin-1-yl-ethoxy)-benzyl]-1H-indol-5-ol (HCl)
  • Fp. = 120–125°C; 1H NMR (DMSO) 10,18 (s, 1H), 8,73 (s, 1H), 7,25 (d, 2H, J = 8,6 Hz), 7,04 (d, 1H, J = 8,8 Hz), 6,99 (d, 2H, J = 8,8 Hz), 6,82–6,80 (m, 5H), 6,59 (dd, 1H, J = 2,2 Hz, 8,6 Hz), 5,12 (s, 2H), 4,67–4,61 (m, 1H), 4,27 (t, 2H, J = 4,8 Hz), 3,50–3,35 (m, 4H), 3,0–2,85 (m, 2H), 2,10 (s, 3H), 1,80–1,60 (m, 5H), 1,40–1,25 (m, 7H); IR (KBr) 3400, 3000, 1500, 1250; MS eI m/z 498 (M+); CHN berechnet für C32H38N2O3 + 1,0 HCl + 0,70 H2O.
  • Beispiel Nr. 121: 1-[4-(2-Azepan-1-yl-ethoxy)-benzyl]-2-(4-isopropoxy-phenyl)-3-methyl-1H-indol-5-ol (HCl)
  • Fp. = 120–125°C; 1H NMR (DMSO) 10,36 (s, 1H), 8,73 (s, 1H), 7,26–7,23 (m, 2H), 7,05 (d, 1H, J = 8,8 Hz), 7,01–6,98 (m, 2H), 6,85–6,75 (m, 5H), 6,57 (dd, 1H, J = 2,2 Hz, 8,6 Hz), 5,12 (s, 2 H), 4,67–4,61 (m, 1H), 4,27 (t, 2H, J = 4,8 Hz), 3,50–3,30 (m, 4H), 3,20–3,10 (m, 2H), 2,10 (s, 3H), 1,85–1,75 (m, 4H), 1,65– 1,50 (m, 4H), 1,27 (d, 6H, J = 6,1 Hz); IR (KBr) 3400, 1500, 1250: MS eI m/z 512 (M+); Berechnet für C33H40N2O3 + 1,0 HCl + 0,5 H2O.
  • Beispiel Nr. 122: 2-(4-Cyclophenyloxy-phenyl)-3-methyl-1-[4-(2-piperidin-1-yl-ethoxy)-benzyl]-1H-indol-5-ol
  • Fp. = 121–135°C; 1H NMR (DMSO) 9,80 (br s, 1H), 8,72 (s, 1H), 7,24 (d, 2H, J = 8,8 Hz), 7,05 (d, 1H, J = 8,8 Hz), 6,98 (d, 2H, J = 8,8 Hz), 6,83–6,78 (m, 5H), 6,57 (dd, 1H, J = 8,8 Hz, 2,4 Hz), 5,13 (s, 2H), 4,86–4,82 (m, 1H), 4,25 (t, 2H, J = 4,8 Hz), 3,50–3,38 (m, 4H), 2,92 (q, 2H, J = 8,8 Hz), 2,11 (s, 3H), 1,98–1,85 (m, 2H), 1,81–1,56 (m, 11H), 1,41–1,29 (m, 1H); IR (KBr) 3400, 2920, 1620 cm–1; MS eI m/z 524 (M+); CHN berechnet für C34H40N2O3 + 0,5 H2O.
  • Beispiel Nr. 123: 3-Methyl-1-[4-(2-piperidin-1-yl-ethoxy)-benzyl]-2-(4-trifluormethyl-phenyl)-1H-indol-5-ol
  • Fp. = 174°C; 1H NMR (DMSO) 8, 8 (s, 1H), 7,82 (d, 2H, J = 8,1 Hz), 7,59 (d, 2H, J = 7,9 Hz), 7,17 (d, 1H, J = 8,6 Hz), 6,86 (d, 1H, J = 2,4 Hz), 6,75–6,68 (m, 4H), 6,65 (dd, 1H, J = 8,8 Hz, 2,4 Hz), 5,16 (s, 2H), 3,93 (t, 2H, J = 5,7 Hz), 2,62–2,56 (m, 2H), 2,42–2,32 (m, 4H), 2,15 (s, 3H), 1,48–1,40 (m, 4H), 1,39–1,29 (m, 2H); IR (KBr) 3410, 2910, 2850, 1620 cm–1; MS eI m/z 508 (M+); CHN berechnet für C30H31F3N2O2 + 0,25 H2O.
  • Beispiel Nr. 124: 3-Methyl-1-[4-(2-piperidin-1-yl-ethoxy)-benzyl]-2-p-tolyl-1H-indol-5-ol
  • Fp. = 162–164°C; 1H NMR (DMSO) 8,70 (s, 1H), 7,28–7,24 (m, 4H), 7,07 (d, 1H, J = 8,4 Hz), 6,81 (d, 1H, J = 2,2 Hz), 6,73 (s, 4H), 6,58 (dd, 1H, J = 2,4 Hz, 8,8 Hz), 5,11 (s, 2H), 3,92 (t, 2H, J = 5,9 Hz), 2,55 (t, 2H, J = 5,9 Hz), 2,45–2,30 (m, 7H), 2,10 (s, 3H), 1,50–1,40 (m, 4H), 1,48–1,35 (m, 2H); IR (KBr) 3400, 2900, 1200; MS eI m/z 454 (M+); CHN berechnet für C30H34N2O2.
  • Beispiel Nr. 125: 2-(4-Chlor-phenyl)-3-methyl-1-[4-(2-piperidin-1-y]-ethoxy)-benzyl]-1H-indol-5-ol (HCl)
  • Fp. = 161–164°C; 1H NMR (DMSO) 10,12 (brs, 1H), 8,80 (s, 1H), 7,53 (d, 2H, J = 8,3 Hz), 7,36 (d, 2H, J = 8,8 Hz), 7,12 (d, 1H, J = 8,8 Hz), 6,85–6,75 (m, 5H), 6,63 (dd, 1H, J = 8,8 Hz, J = 2,4 Hz), 5,14 (s, 2H), 4,29–4,22 (m, 2H), 3,45–3,36 (m, 4H), 2,97–2,84 (m, 2H), 2,11 (s, 3H), 1,83–1,61 (m, 5H), 1,37– 1,25 (m, 1H); MS eI m/z 475 (M+); CHN berechnet für C29H31ClN2O2 + HCl + 0,25 H2O.
  • Beispiel Nr. 126: 2-(2,4-Dimethoxy-phenyl)-3-methyl-1-[4-(2-piperidin-1-yl-ethoxy)-benzy]-1H-indol-5-ol
  • Fp. = 85–92°C; 1H NMR (DMSO) 8,62 (s, 1H), 7,10 (d, 1H, J = 8,4 Hz), 7,01 (d, 1H, J = 8,6 Hz), 6,80–6,70 (m, 5H), 6,69 (d, 1H, 2,2 Hz), 6,59 (dd, 1H, J = 2,4 Hz, 8,5 Hz), 6,52 (dd, 1H, J = 2,4 Hz, 8,8 Hz), 5,02 (d, 1H, J = 6,5 Hz), 4,83 (d, 1H, J = 6,3 Hz), 4,0–3,90 (m, 2H), 3,80 (s, 3H), 3,67 (s, 3H), 2,65–2,50 (m, 2H), 2,45–2,30 (m, 4H), 2,0 (s, 3H), 1,55–1,40 (m, 4H), 1,39–1,30 (m, 2H); IR (KBr) 3400, 2900, 1520, 1250; MS eI m/z 500 (M+); CHN berechnet für C31H36N2O4 + 0,05 CH2Cl2.
  • Beispiel Nr. 127: 2-(3-Hydroxy-phenyl)-3-methyl-1-[4-(2-piperidin-1-yl-ethoxy)-benzyl]-1H-indol-5-ol
  • Fp. = 115–118°C; 1H NMR (DMSO) 9,57 (s, 1H), 8,71 (s, 1H), 7,27–7,23 (t, 1H, J = 8,1 Hz), 7,06–7,04 (d, 1H, J = 8,8 Hz), 6,81–6,74 (m, 8H), 6,59–6,56 (dd, 1H, J = 2,3 Hz, J = 6,3 Hz), 5,12 (s, 2H), 3,94–3,91 (t, 2H, J = 5,9 Hz), 2,57–2,54 (t, 2H, J = 5,8 Hz), 2,36 (s, 4H), 2,11 (s, 3H), 1,45–1,41 (m, 4 H), 1,34– 1,33 (m, 2H); IR (KBr) 3400, 2900 cm–1; MS eI m/z 456 (M+); CHN berechnet für C29H32N2O3 + 1,0 H2O.
  • Beispiel Nr. 128: 1-[4-(2-Azepan-1-yl-ethoxy)-benzyl]-2-(3-hydroxy-phenyl)-3-methyl-1H-indol-5-ol
  • Fp. = 94–97°C; 1H NMR (DMSO) 9,58 (s, 1H), 8,71 (s, 1H), 7,27–7,23 (t, 1H, J = 7,9 Hz), 7,07–7,04 (d, 1H, J = 8,7 Hz), 6,81–6,74 (m, 8 H), 6,59–6,56 (dd, 1H, J = 2,4 Hz, J = 6,3 Hz), 5,12 (s, 2H), 3,9 (m, 2H), 2,80 (s, 2H), 2,65 (s, 4H), 2,11 (s, 3H), 1,54–1,50 (m, 8H); IR 3400, 2900 cm–1; MS eI m/z 470 (M+); CHN berechnet für C30H34N2O3 + 0,75 H2O + 0,23 Ethylacetat.
  • Beispiel Nr. 129: 2-(3-Fluor-4-hydroxy-phenyl)-3-methyl-1-[4-(2-piperidin-1-yl-ethoxy)-benzyl-1H-indol-5-ol
  • Fp. = 117–119°C; 1H NMR (DMSO) 10,1 (s, 1H), 8,71 (s, 1H), 7,10–6,95 (m, 4H), 6,80 (d, 1H, J = 2,2 Hz), 6,74 (s, 4H), 6,59 (dd, 1H, J = 2,2 Hz, 8,5 Hz), 5,1 (s, 2H), 3,93 (t, 2H, J = 5,9 Hz), 2,56 (t, 2H, J = 5,8 Hz), 2,44–2,30 (m, 4H), 2,10 (s, 3H), 1,45–1,40 (m, 4H), 1,36–1,32 (m, 2H); MS eI m/Z 475 (M+); (HN berechnet für C29H31FN2O3.
  • Beispiel Nr. 130: 2-(3-Fluor-4-hydroxy-phenyl)-3-methyl-1-[4-(azepan-1-yl-ethoxy)-benzyl]-1H-indol-5-ol
  • Fp. = 88–91°C; 1H NMR (DMSO) 10,10 (s, 1H), 8,71 (s, 1H), 7,12–6,94 (m, 4H), 6,80 (d, 1H, J = 2,2 Hz), 6,74 (s, 4H), 6,58 (dd, 1H, J = 2,2 Hz, 8,5 Hz), 5,10 (s, 2H), 3,91 (t, 2H, J = 5,9 Hz), 2,76 (t, 2H, J = 5,9), 2,62–2,60 (m, 4H), 2,10 (s, 3H), 1,70–1,40 (m, 8H); MS eI m/Z 488 (M+); CHN berechnet für C30H33FN2O3.
  • Beispiel Nr. 131: 2-(3-Methoxy-phenyl)-3-methyl-1-[4-(2-piperidin-1-yl-ethoxy)-benzyl]-1H-indol-5-ol
  • Fp. = 120–123°C; 1H NMR (DMSO) 8,76 (s, 1H), 7,42–7,46 (t, 1H, J = 7,9 Hz), 7,12–7,09 (d, 1H, J = 8,7 Hz), 6,99–6,92 (m, 2H), 6,86–6,83 (m, 2H), 6,76 (s, 4H), 6,63–6,60 (dd, 1H, J = 2,1 Hz, J = 6,5 Hz), 5,14 (s, 2H), 3,96–3,92 (t, 2H, J = 5,9 Hz), 3,70 (s, 3H), 2,59–2,55 (t, 2H, J = 5,9 Hz), 2,37 (s, 4H), 2,14 (s, 3H), 1,49–1,44 (m, 4H), 1,35–1,34 (m, 2H); IR 3400, 2950, 1600 cm–1; MS eI m/z 471 (M+); CHN berechnet für C30H34N2O3
  • Beispiel Nr. 132: 3-Methyl-1-[4-(2-piperidin-1-yl-ethoxy)-benzy]-2-(4-trifluormethoxy-phenyl)-1H-indol-5-ol
  • Fp. = 122–125°C; 1H NMR (DMSO) 8,80 (s, 1H), 7,51–7,45 (m, 4H), 7,17–7,14 (d, 1H, J = 8,7 Hz), 6,85–6,84 (d, 1H, J = 2,0 Hz), 6,75–6,69 (m, 4H), 6,66–6,62 (m, 1H), 5,14 (s, 2H), 3,95– 3,92 (t, 2H, J = 5,8 Hz), 2,59–2,55 (t, 2H, J = 5,6 Hz), 2,49– 2,38 (m, 4H), 2,13 (s, 3H), 1,47–1,44 (m, 4H), 1,36–1,34 (d, 2H, J = 4,8 Hz); IR 3400, 2900, 1600 cm–1; MS eI m/z 525 (M+); CHN berechnet für C30H31F3N2O3 + 0,25 H2O.
  • Synthetische verfahren und physikalische Daten für Verbindungen, substituiert mit Chlor-, Ethyl- oder Cyanogruppen an der 3-Position des Indols
    Figure 00740001
  • Tabelle 8
    Figure 00740002
  • Tabelle 8 (fortgesetzt)
    Figure 00750001
  • Synthese von 3-Chlorindol Nr. 133–Nr. 136 Schema 14 Synthese von 3-Chlorindol
    Figure 00750002
  • Beispiel Nr. 140: Bildung von Hydrazon
  • 4-Benzyloxyphenylhydrazin CAS Nr. [51145-58-5] (50,0 g, 233,4 mmol) wurde mit 4-Benzyloxyacetophenon CAS Nr. [54696-05-8] (63,0 g, 280,0 mmol) in reinem Ethanol (800 ml) gemischt. Eine analytische Menge an Essigsäure (5 Tropfen) wurde zugegeben. Die Umsetzung wurde für 2,5 Stunden auf Rückfluss erhitzt. Während des Verlaufs des Refluxierens verfestigte sich das kondensierte Produkt aus der heißen Lösung. Die Umsetzung wurde auf Raumtemperatur gekühlt. Das gewünschte Produkt wurde durch Vakuumfiltration als hellgelber Feststoff gesammelt (85 g, 86%). Fp. = 165–174°C; 1H NMR (DMSO) 8,91 (s, 1H), 7,68 (d, 2H), J = 8,8 Hz), 7,48–7,32 (m, 10H), 7,12 (d, 2H, J = 9 Hz), 7,00 (d, 2H, J = 8,8 Hz), 6,88 (d, 2H, J = 9, 0 Hz), 5,11 (s, 2H), 5,01 (s, 2H), 2,17 (s, 3H); MS eI m/z 422 (M+).
  • Beispiel Nr. 141: Bildung von Indol aus Hydrazon: 5-Benzyloxy-2-(4-benzyloxy-phenyl)-1H-indol
  • Ein Kolben wurde mit N-(4-Benzyloxy-phenyl)-N'-[1-(4-benzyloxy-phenyl)-ethyliden]-hydrazin (Nr. 140) (10,0 g, 23,7 mmol), ZnCl2 (8,06 g, 59,17 mmol), Essigsäure (70 ml) beschickt. Der Umsetzungskolben wurde für nicht mehr als 20 Min auf 105°C erhitzt. Während der Heizperiode wurde die Umsetzung sorgfältig durch TLC hinsichtlich des Verschwindens von Ausgangsmaterial überwacht. Der Fortschritt der Umsetzung konnte gezeigt werden, als sich das Produkt aus der Lösung während des Erhitzens verfestigte. Die Umsetzung wurde dann auf Raumtemperatur gekühlt und weitere Produktausfällung wurde beobachtet. Der Umsetzungsinhalt wurde in einem Trenntrichter gegossen, welcher Ether (100 ml) und H2O (200 ml) enthielt, welcher kräftig geschüttelt wurde. Der nicht lösliche Rückstand verblieb als das gewünschte Produkt in der Etherschicht, welche durch Vakuumfiltration gesammelt wurde. Das Produkt wurde durch Pulverisierung in Ether weiter gereinigt, um einen hellgrauen Feststoff zu ergeben (4,4 g, 46).
  • Fp. = 202–204°C; 1H NMR (DMSO) 11,24 (s, 1H), 7,73 (d, 2H, J = 8,8 Hz), 7,48–7,41 (m, 4H), 7,45–7,27 (m, 6H), 7,25 (d, 1H, J = 8,6 Hz), 7,12–7,04 (m, 3H), 6,77 (dd, 1H, J = 2,4 Hz, 8,6 Hz), 6,65 (d, 1H, J = 1,5 Hz), 5,14 (s, 2H), 5,08 (s, 2H); IR 3420, 3000, 1625 cm–1; MS eI m/z 405 (M+); CHN berechnet für C28H23NO2 + 0,40 H2O.
  • Beispiel Nr. 142: Chlorinierung von Indol, um 5-Benzyloxy-3-chlor-2-(4-benzyloxy-phenyl)-1H-indol zu erhalten
  • Ein Kolben wurde mit 5-Benzyloxy-2-(4-benzyloxy-phenyl)-1H-indol Nr. 141 (8,0 g, 20,0 mmol) und CH2Cl2 (50 ml) beschickt. Die Umsetzung wurde auf 0°C gekühlt und n-Chlorsuccinimid (2,9 g, 22 mmol) wurde zugegeben. Die Umsetzung wurde für 20 Min bei 0°C gerührt. Die Umsetzung wurde dann mit 10 Natriumsulfitlösung gewaschen, über MgSO4 getrocknet und konzentriert. Zu dem sich ergebenden braunen Feststoff wurde dann McOH zugegeben und das Gemisch wurde für 15 Min gerührt. Der Feststoff wurde filtriert, um 6,8 g eines gelbbraunen Feststoffs (78) zu ergeben.
  • Fp. = 157–160°C; 1H NMR (DMSO) 11,5 (s, 1H), 7,80 (d, 2H, J = 7,0 Hz), 7,42–7,28 (m, 11H), 7,17 (d, 2H, J = 8,7 Hz), 7,01 (d, 1H, J = 2,2 Hz), 6,88 (dd, 1H, J = 8,8 Hz, J = 2,4 Hz), 5,17 (s, 2H), 5,13 (s, 2H); MS eI m/z 439 (M+).
  • Beispiel Nr. 143: (5-Benzyloxy-3-chlor-2-(2-methyl-4-benzyloxy-phenyl)-1H-indol
  • Dieses Indol synthetisierte analog zum direkt vorhergehenden Indol Nr. 142: Fp. = 1H NMR (DMSO) 11,34 (s, 1H), 7,48–7,44 (m, 4H), 7,42–7,24 (m, 8H), 7,02 (dd, 2H, J = 9,3 Hz, J = 2,4 Hz), 6,95 (dd, 1H, J = 8,4 Hz, J = 2,6 Hz), 6,88 (dd, 1H, J = 8,8 Hz, J = 2,4 Hz), 5,16 (s, 2H), 5,14 (s, 2H), 2,23 (s, 3H); MS eI m/z 453 (M+).
  • Beispiel Nr. 144: Alkylierung von Indol, um {4-[5-Benzyloxy-2-(4-benzyloxy-phenyl)-3-chlorindol-1-ylmethyl]-phenoxy}-essigsäure-ethylester zu ergeben
  • Dieses Verfahren wurde analog zu dem für die Synthese von 3-Methylindol-essigsäure-ethylester, skizziert in Verfahren 3, durchgeführt.
  • Fp. = 90–94°C; 1H NMR (DMSO), 7,45 (d, 4H, J = 7,8 Hz), 7,41–7,26 (m, 9H), 7,14 (d, 2H, J = 8,7 Hz), 7,04 (d, 1H, J = 2,4 Hz), 6,91 (dd, 1H, J = 9,0 Hz, J = 2,5 Hz), 6,80–6,74 (m, 4H), 5,24 (s, 2H), 5,15 (s, 2H), 5,14 (s, 2H), 4,66 (s, 2H), 4,12 (q, 2H, J = 7,2 Hz), 1,16 (t, 3H, J = 7,5 Hz); MS eI m/z 631 (M+).
  • Beispiel Nr. 145: Reduktion von Nr. 144, um Nr. 145 2-{4-[5-Benzyloxy-2-(4-benzyloxy-phenyl)-3-chlor-indol-1-ylmethyl]-phenoxy}-ethanol zu erhalten
  • Diese Umsetzung wurde analog zu der für die Synthese von 3-Methylindolen in Verfahren 4 skizzierten Umsetzung durchgeführt. Die Verbindung wurde nicht gereinigt oder gekennzeichnet, sondern wie erhalten im nächsten Schritt verwendet.
  • Beispiel Nr. 146: Brominierung von Nr. 145, um Benzyloxy-2-(4-benzyloxy-phenyl)-1-[4-(2-brom-ethoxy)-benzyl]-3-chlor-1H-indol zu erhalten
  • Diese Umsetzung wurde analog zu jener durchgeführt, welche für die Synthese von 3-Methylindolen in Verfahren 5 skizziert wurde. Fp. = 155–158; 1H NMR (DMSO) 7,45 (d, 4H, J = 7,8 Hz), 7,41–7,25 (m, 9H), 7,14 (d, 2H, J = 8,7 Hz), 7,04 (d, 1H, J = 2,4 Hz), 6,91 (dd, 1H, J = 9,0 Hz, J = 2,5 Hz), 6,74 (s, 4H), 5,24 (s, 2H), 5,15 (s, 2H), 5,14 (s, 2H), 4,20 (t, 2H, J = 5,3 Hz), 3,74 (t, 2H, J = 5,3 Hz); MS eI m/z 651 (M+).
  • Beispiel Nr. 147: Substitution von Nr. 146 mit Piperidin, um 5-Benzyloxy-2-(4-benzyloxy-phenyl)-3-chlor-1-[4-(2-piperidin-1-yl-ethoxy)-benzyl]-1H-indol zu erhalten
  • Diese Umsetzung wurde analog zu jener durchgeführt, welche für die Synthese von 3-Methylindolen in Verfahren 6 skizziert wurde, unter Verwendung von Piperidin, um das Bromid zu ersetzen.
  • Fp. 96–98°C; 1H NMR (DMSO) 7,45 (d, 4H, J = 7,8 Hz), 7,40– 7,30 (m, 9H), 7,14 (d, 2H, J = 8,7 Hz), 7,04 (d, 1H, J = 2,4 Hz), 6,91 (dd, 1H, J = 9,0 Hz, J = 2,5 Hz), 6,74 (s, 4H), 5,24 (s, 2H), 5,15 (s, 2H), 5,14 (s, 2H), 3,93 (t, 2H, J = 6,0 Hz), 2,56 (t, 2H, J = 6,0 Hz), 2,41–2,32 (m, 4H), 1,48–1,39 (m, 4H), 1,38–1,31 (m, 2H).
  • Beispiel Nr. 148: 5-Benzyloxy-2-(4-benzyloxy-phenyl)-3-chlor-1-[4-(2-azepan-1-yl-ethoxy)-benzyl]-1H-indol
  • Die Umsetzung wurde wie oben durchgeführt, außer, dass das verwendete substituierende Amin Hexamethylenamin war.
  • Fp. = 94–97°C; 1H NMR (DMSO) 7,45 (d, 4H, J = 7,8 Hz), 7,42– 7,30 (m, 9H), 7,14 (d, 2H, J = 8,7 Hz), 7,04 (d, 1H, J = 2,4 Hz), 6,91 (dd, 1H, J = 9,0 Hz, J = 2,5 Hz), 6,74 (s, 4H), 5,24 (s, 2H), 5,15 (s, 2H), 5,14 (s, 2H), 3,93 (t, 2H, J = 6, 0 Hz), 2,75 (t, 2H, J = 6,0 Hz), 2,63–2,59 (m, 4H), 1,58–1,44 (m, 8H); MS eI m/z 671 (M+).
  • Beispiel Nr. 149: 5-Benzyloxy-2-(2-methyl-4-benzyloxy-phenyl)-3-chlor-1-[4-(2-piperidin-1-yl-ethoxy)-benzyl]-1H-indol
  • Die Umsetzungen, um diese Verbindungen herzustellen, waren analog zu jenen, welche verwendet wurden, um Nr. 147 herzustellen. Öl; 1H NMR (DMSO) 7,50–7,29 (m, 11H), 7,17 (d, 1H, J = 8,4 Hz), 7,05 (d, 1H, J = 2,4 Hz), 7,02 (d, 1H, J = 2,4 Hz), 6,93– 6,85 (m, 2H), 6,75–6,65 (m, 4H), 5,14 (s, 2H), 5,13 (s, 2H), 5,07 (m, 2H), 3,92 (t, 2H, J = 5,9 Hz), 2,55 (t, 2H, J = 5,9 Hz), 2,42–2,29 (m, 4H), 1,94 (s, 3H), 1,44–1,40 (m, 4H), 1,38– 1,34 (m, 2H).
  • Beispiel Nr. 133: 3-Chlor-2-(4-hydroxy-phenyl)-1-[4-(2-pyrrolidin-1-yl-ethoxy)-benzyl]-1H-indol-5-ol (HCl)
  • Synthetisiert, wie für Beispiel Nr. 134 beschrieben, Fp. = 233–235°C; 1H NMR (DMSO) 10,50 (s, 1H), 9,88 (s, 1H), 9,01 (s, 1H), 7,30–7,20 (m, 3H), 6,90–6,80 (m, 7H), 6,68 (dd, 1H, J = 2,4, Hz, 8,8 Hz), 5,20 (s, 2H), 4,22 (t, 2H, J = 4,8 Hz), 3,47 (t, 2H, J = 4,8 Hz), 3,10 (bm, 4H), 1,90 (s, 4H); IR (KBr) 3400, 1625, 1475, 825 cm–1; MS eI m/z 462 (M+); CHN berechnet für C27H27ClN2O3 + 1 HCl + 0,75 H2O.
  • Beispiel Nr. 134: Entfernung von Benzylethern, um 3-Chlor-2-(4-hydroxy-phenyl)-1-[4-(2-pieridin-1-yl-ethoxy)-benzyl]-1H-indol-5-ol (HCl) zu ergeben
  • Benzylether wurden analog zu dem für 3-Methylindole in Verfahren 7 skizzierten Verfahren entfernt. Diese Verbindung wurde dann wie vorher in Verfahren 8 beschrieben in das Hydrochloridsalz umgewandelt; Fp. = 207–1209°C; 1H NMR (DMSO) 10,10 (bs, 1H), 9,86 (s, 1H), 9,07 (s, 1H), 7,26 (d, 2H, J = 8,6 Hz), 7,22 (d, 1H, J = 8,8 Hz), 6,87 (d, 2H, J = 8,6 Hz), 6,81–6,78 (m, 5H), 6,65 (dd, 1H, J = 8,8 Hz, J = 2,2 Hz), 5,20 (s, 2H), 4,27 (t, 2H, J = 5,0 Hz), 3,44–3,37 (m, 4H), 3,00–2,85 (m, 2H), 1,81–11,60 (m, 5H), 1,41–1,26 (m, 1H); IR (KBr) 3350, 1470, 1250 cm–1; MS eI m/z 476 (M+); CHN berechnet für C28H29ClN2O3 + HCl + 1,5 H2O.
  • Beispiel Nr. 135: 3-Chlor-2-(4-hyrdroxy-phenyl)-1-[4-(2-azepan-1-yl-ethoxy)-benzyl]-1H-indol-5-ol (HCl)
  • Synthetisiert, wie für Nr. 134 beschrieben.
  • Fp. = 196–198°C; 1H NMR (DMSO) 10,10 (brs, 1H), 9,86 (s, 1H), 9,07 (s, 1H), 7,26 (d, 2H, J = 8,8 Hz), 7,22 (d, 1H, J = 9,0 Hz), 6,87 (d, 2H, J = 8,6 Hz), 6,84–6,78 (m, 5H), 6,65 (dd, 1H, J = 8,8 Hz, J = 2,2 Hz), 5,20 (s, 2H), 4,27 (t, 2H, J = 5,0 Hz), 3,45–3,30 (m, 4H), 3,21–3,10 (m, 2H), 1,82–1,76 (m, 4H), 1,65– 1,46 (m, 4H); MS eI m/z 491 (M+); CHN berechnet für C29H31ClN2O3 + 1 HCl + 0,37 H2O; IR (KBr) 3400, 3200, 1450, 1125.
  • Beispiel Nr. 136: 3-Chlor-2-(4-hydroxy-2-methyl-phenyl)-1-[4-(2-piperidin-1-yl-ethoxy)-benzyl]-1H-indol-5-ol
  • Synthetisiert, wie für Nr. 134 beschrieben, außer, dass die Verbindung nicht in ein Salz umgewandelt wurde.
  • Schaum; 1H NMR (DMSO) 9,64 (s, 1H), 9,01 (s, 1H), 7,25 (d, 1H, J = 8,8 Hz), 7,03 (d, 1H, J = 8,1 Hz), 6,79 (d, 1H, J = 2,4 Hz), 6,78–6,65 (m, 7H), 5,06–4,92 (m, 2H), 3,94 (t, 2H, J = 5,9 Hz), 2,62–2,57 (m, 2H), 2,42–2,32 (m, 4H), 1,90 (s, 3H), 1,48– 1,40 (m, 4H), 1,40–1,32 (m, 2H); MS eI m/z 490 (M+); IR (KBr) 3430, 2900, 1450 cm–1; CHN berechnet für C29H31ClN2O3 + 1,0 H2O.
  • Synthese für 3-Ethylindol analog Nr. 137
  • Diese Verbindung wurde in genauer Analogie zu dem für 3-Methylindole, supra, gegebenen Beispiel unter Verwendung der Verfahren a und 2–8 synthetisiert. Der einzige Unterschied ist, dass das verwendete Ausgangsmaterial 4-(Benzyloxy)-butyrophenon CAS Nr. [26945-71-1] anstelle von 4'-(Benzyloxy)-propiophenon ist. Die Daten für Zwischenverbindungen sind wie folgt.
  • Beispiel Nr. 150: 5-Benzyloxy-2-(4-benzyloxy-phenyl)-3-ethyl-1H-indol
  • Fp. = 101–108°C; MS eI m/z 433 (M+).
  • Beispiel Nr. 151: {4-[5-Benzyloxy-2-(4-benzyloxy-phenyl)-3-ethyl-indol-1-ylmethyl]-phenoxy}-essigsäure-ethylester
  • Fp. = 72–75°C; MS eI m/z 625 (M+).
  • Beispiel Nr. 152: 2-{4-[5-Benzyloxy-2-(4-benzyloxy-phenyl)-3-ethyl-indol-1-ylmethyl]-phenoxy}-ethanol
  • Fp. = 105–113°C; MS eI m/z 583 (M+).
  • Beispiel Nr. 153: Benzyloxy-2-(4-benzyloxy-phenyl)-1-[4-(2-brom-ethoxy)-benzyl]-3-ethyl-1H-indol
  • Fp. = 140°C (decomp.); MS eI m/z 647, 645 (M+, Br vorhanden).
  • Beispiel Nr. 154: 5-Benzyloxy-2-(4-benzyloxy-phenyl)-3-ethyl-1- [4-(2-piperidin-1-yl-ethoxy)-benzyl]-1H-indol
  • Fp. = 92–96°C; 1H NMR (DMSO) 7,47 (d, 4H, J = 7,2 Hz), 7,42– 7,39 (m, 4H, 7,36–7,30 (, 2H), 7,27 (c, 2H, J = 8,6 Hz), 7,18 (d, 1H, J = 8,8 Hz), 7,14 (d, 1H, J = 2,4 Hz), 7,10 (d, 2H, J = 8,8 Hz), 6,79 (dd, 1H, J = 8,8 Hz), 7,14 (d, 1H, J = 2,4 Hz), 7,10 (d, 2H, J = 8,8 Hz), 6,79 (dd, 1H, J = 8,8 Hz; 2,2 Hz), 6,73 (s, 4H), 5,13 (s, 2H), 5,11 (s, 4H), 3,93 (t, 2H, J = 5,9 Hz), 2,62–2,53 (m, 4H), 2,40–2,33 (m, 4H), 1,49–1,42 (m, 4H), 1,37–1,30 (m, 2H), 1,10 (t, 3H, J = 7,2 Hz); MS eI m/z 650 (M+H+).
  • Beispiel Nr. 137: 2(4-Hydroxy-phenyl)-3-ethyl-1-[4-(2-pieridin-1-yl-ethoxy)benzyl]-1H-indol-5-ol (HCl),
  • Fp. = 160–164°C; 1H NMR (DMSO) 9,78 (br s, 1H), 9,69 (s, 1H), 8,69 (s, 1H), 7,14 (d, 2H, J = 8,6 Hz), 7,05 (d, 1H, J = 8,6 Hz), 6,87–6,78 (m, 7H), 6,56 (dd, 1H, J = 8,8 Hz, 2,4 Hz), 5,08 (s, 2H), 4,25 (t, 2H, J = 4,4 Hz), 3,45–3,38 (m, 5H), 3,00– 2,86 (m, 2H), 2,57–2,50 (m, 2H), 1,83–1,59 (m, 5H), 1,41–1,28 (m, 1H), 1,10 (t, 2H, J = 7,5 Hz); IR (KBr) 3400 br, 3200 br, 2920, 1610 cm–1; MS eI m/z 470 (M+); CHN berechnet für C30H34N2O3 + HCl + 1,5 H2O.
  • Schema 15 Synthese von 3-Cyanoindol-Analoga
    Figure 00810001
  • Beispiel Nr. 155: 5-Benzyloxy-3-cyano-2-(4-benzyloxy-phenyl)-1H-indol
  • In einem Umsetzungskolben wurde 5-Benzyloxy-2-(4-benzyloxyphenyl)-1H-indol Nr. 141 (5,90 g, 14,6 mmol) mit CH2Cl2 (90 ml) gemischt und auf 0°C gekühlt (das Ausgangsmaterial löste sich nicht vollständig in CH2Cl2). Unter kräftigem Rühren wurde eine Lösung aus Chlorsulfonyl-isocyanat (2,26 g, 16,0 mmol) in CH2Cl2 (25 ml) tropfenweise über einen Zeitraum von 45 Min zugegeben. Die Umsetzung wurde bei 0°C für 2 Std. laufen gelassen, während durch TLC die Bildung der nicht löslichen N-Chlorsulfonylamidzwischenverbindung nachgewiesen wurde. Nach diesem Zeitraum wur de Et3N (1,47 g, 14,6 ml) in CH2Cl2 (25 ml) tropfenweise über 45 Min bei 0°C zugegeben. Der nicht lösliche Rückstand wurde in dem Umsetzungslösungsmittel löslich, als sich die Et3N-Zugabe dem Ende näherte. Die Umsetzung wurde für 1 zusätzliche Stunde bei 0°C und 2 Std, bei Raumtemperatur laufen gelassen. Der Fortschritt der Umsetzung konnte durch die Bildung des nicht löslichen Feststoffs des Produkts beobachtet werden, als die Umsetzungszeit verstrich. Das Lösungsmittel wurde gestrippt und der feste Rückstand durch Pulverisierung mit Methanol gereinigt, um (4,0 g, 63,8) zu ergeben. Fp. = 238–242°C; 1H NMR (DMSO) 12,31 (s, 1H), 7,88 (d, 2H, J = 8,8 Hz), 7,48 (d, 4H, J = 7,25 Hz), 7,55–7,30 (m, 7H), 7,23 (d, 2H, J = 8,8 Hz), 7,14 (d, 1H, J = 2,4 Hz), 6,97 (dd, 1H, J = 2,2 Hz, 8,8 Hz), 5,20 (s, 2H), 5,17 (s, 2H); MS eI m/z 430 (M+).
  • Beispiel Nr. 156: 4-(2-Chlorethoxy)benzylbromid
  • Zu 4-(2-Chlorethoxy)benzylalkohol CAS Nr. [111728-87-1] (6,4 g, 34,31 mmol) in Dioxan (100 ml) bei 0°C wurde langsam Thionylbromid (7,13 g, 34,31 mmol) zugegeben. Die Umsetzung wurde bei 0°C nach 5 Min laufen gelassen. Das Umsetzungsgemisch wurde mit Ether (200 ml) verdünnt und mit H2O (1 × 30 ml), dann NaHCO3 (2 × 25 ml) und Kochsalzlösung (30 ml) gewaschen. Das organische Extrakt wurde über MgSO4 getrocknet und konzentriert. Das Rohprodukt wurde durch Silicagel Chromatographie (15 EtOAc/Hex) gereinigt, um 5,0 g (58) des gewünschten Produkts zu ergeben. Fp. = 64–66°C; 1H NMR (DMSO) 7,37 (d, 2H, J = 8,8 Hz), 6,93 (d, 2H, J = 8,8 Hz), 4,68 (s, 2H), 4,24 (t, 2H, J = 5,05 Hz), 3,93 (t, 2H, J = 5,27 Hz); MS eI m/z 248 (M+).
  • Beispiel Nr. 157: Benzyloxy-2-(4-benzyloxy-phenyl)-1-[4-(2-chlorethoxy)-benzyl]-3-cyano-1H-indol
  • In einem Umsetzungskolben wurde das 3-Cyanoindol-Ausgangsmaterial Nr. 155 (2,86 g, 6,64 mmol) in DMF (25 ml) bei 0°C gelöst und NaH (191,2 mg, 8 mmol) wurde langsam zugegeben. Die Umsetzung wurde bei 0°C für 20 Min gerührt. In einem getrennten Umsetzungskolben, welcher 4-(2-Chlorethoxy)benzylbromid Nr. 156 (1,81 g, 7,28 mmol) in DMF (15 ml) bei 0°C enthielt, wurde die oben hergestellte, durch eine Spritze aufgenommene Indolanionlösung, langsam zugegeben. Die Umsetzung wurde bei 0°C für 20 Min gerührt und für 1 Std. zu Raumtemperatur geführt. Die Umsetzung wurde mit ein paar Tropfen H2O gelöscht. Das Umsetzungsgemisch wurde zwischen EtOAc (2 × 100 ml) und H2O (80 ml) aufgeteilt. Das organische Extrakt wurde mit Kochsalzlösung (80 ml) gewaschen, über MgSO4 getrocknet und konzentriert. Das Rohprodukt wurde durch Pulverisierung mit Ether gereinigt, um das Produkt als weißen Feststoff zu ergeben (2,80 g, 70,40. Fp. = 160–162°C; 1H NMR (DMSO) 7,53–47,28 (m, 13H), 7,23 (m, 3H), 6,97 (dd, 1H, J = 2,4 Hz, 9,0 Hz), 6,86–46,78 (m, 4H), 5,37 (s, 2H), 5,18 (s, 4H), 4,15 (t, 2H, J = 4,8 Hz), 3,87 (t, 2H, J = 5,3 Hz); MS eI m/z 598 (M+).
  • Beispiele Nr. 158 und 159
  • Substitution der Chlorgruppe mit Piperidin und Hexamethylenamin wurde analog zu dem in Verfahren 6 skizzierten Verfahren unter Verwendung von Nr. 157 als Ausgangsmaterial, supra, durchgeführt.
  • Beispiel Nr. 158: 5-Benzyloxy-2-(4-benzyloxy-phenyl)-3-cyano-1-[4-(2-piperidin-1-yl-ethoxy)-benzyl]-1H-indol
  • Fp. = 148–150°C; 1H NMR (DMSO) 7,54–7,30 (m, 13H), 7,25–7,18 (m, 3H), 6,98 (dd, 1H, J = 2,4 Hz, 9,0 Hz), 6,84–6,74 (m, 4H), 5,35 (s, 2H), 5,17 (s, 4H), 3,94 (t, 2H, 5,9 Hz), 2,55 (t, 2H, 5,7 Hz), 2,35 (bs, 4H), 1,50–1,40 (m, 4H), 1,38–1,25 (m, 2H); IR 3400, 2910, 2250, 1250 cm–1; MS FAB 648 [M+H]+.
  • Beispiel Nr. 159: 5-Benzyloxy-2-(4-benzyloxy-phenyl)-3-cyano-1-[4-(2-azepan-1-yl-ethoxy)-benzyl]-1H-indol
  • 1H NMR (DMSO) 8,60 (br s, 1H), 7,60–7,28 (m, 12H), 7,25–7,16 (m, 3H), 6,97 (dd, 1H, J = 2,4 Hz, 9,0 Hz), 6,88–6,75 (m, 4H), 5,35 (s, 2H), 5,17 (s, 4H), 3,92 (t, 2H, J = 6,2 Hz), 3,08–3,00 (m, 2H), 2,77 (t, 2H, J = 5,9 Hz), 2,63 (t, 4H, J = 4,8 Hz), 1,78–1,68 (m, 2H), 1,60–1,40 (m, 4H); MS eI m/z 661 (M+).
  • Beispiele Nr. 138 und Nr. 139
  • Die Benzylether wurden durch Wasserstofftransfer unter Verwendung von 1,4-Cyclohexadien und 10% Pd/C wie in Verfahren 7 beschrieben entfernt. Die Verbindungen wurden in ihre jeweiligen Hydrochloridsalze umgewandelt, wie in Verfahren 8 beschrieben.
  • Beispiel Nr. 138: 5-Hydroxy-2-(4-(hydroxy-phenyl)-1-[4-(2-piperidin-1-yl-ethoxy)-benzyl]-1H-indol-3-carbonitril (HCl)
  • Fp. = 173–175°C; 1H NMR (DMSO) 10,40 (s, 1H), 10,12 (s, 1H), 9,40 (s, 1H), 7,38 (m, 2H), 7,30 (d, 1H, J = 8,8 Hz), 7,02–6,90 (m, 3H), 6,88 (s, 4H), 6,75 (dd, 1H, J = 2,4 Hz, 9 Hz), 5,33 (s, 2H), 4,30 (t, 2H, J = 4,8 Hz), 3,51–3,38 (m, 4H), 2,92 (m, 2H), 1,85–1,73 (m, 4H), 1,68–1,59 (m, 1H), 1,26–1,21 (m, 1H); IR 3400, 2200, 1250 cm–1; MS eI m/z 467 (M+); CHN berechnet für C29H29N3O + 1,0 HCl + 1,0 H2O.
  • Beispiel Nr. 139: 1-[-(2-Azepan-1-yl-ethoxy)-benzyl]-5-hydroxy-2-(4-hydroxy-phenyl)-1H-indol-3-carbonitril (HCl)
  • Fp, = 160–163°C; 1H NMR (DMSO) 10,22 (s, 1H), 10,08 (s, 1H), 9,35 (s, 1H), 7,40–7,37 (m, 2H), 7,30 (d, 1H, 8,8 Hz), 7,0–6,90 (m, 3H), 6,87 (s, 4H), 6,74 (dd, 1H, J = 2,41 Hz, 9 Hz), 5,33 (s, 2H), 4,27 (t, 2H, J = 5,0 Hz), 3,50–3,30 (m, 4H), 3,20 (m, 2H), 1,85–1,70 (m, 4H), 1,65–1,50 (m, 4H); IR 3300, 2200, 1250 cm–1; MS eI m/z 481 (M+); CHN berechnet für C30H31N3O3 + 1 HCl + 1 H2O.
  • Ester von Indol Nr. 97 und 98
    Figure 00840001
  • Tabelle 9
    Figure 00840002
  • Verfahren 9
  • Beispiel Nr. 162: Di-pivalatester von 2-(4-Hydroxy-phenyl)-3-methyl-1-[4-(2-piperidin-1-yl-ethoxy-benzyl]-1H-indol-5-ol
  • Beispiel Nr. 97 freie Base wurde als Ausgangsmaterial für diese Synthese verwendet. Nr. 97 (1,0 g, 2,5 mmol) in 20 ml CH2Cl2 wurde mit Diisopropylethylamin (0,7 g, 6,3 mmol) und kata lytischem DMAP behandelt. Die Umsetzung wurde auf 0°C gekühlt und mit Pivaloylchlorid (0,7 mg, 5,6 mmol) behandelt und durfte sich auf Raumtemperatur abkühlen und über Nacht rühren. Die Umsetzung wurde durch Verdünnen mit CH2Cl2 und Waschen mit Wasser und Kochsalzlösung aufgearbeitet. Nach Trocknen über MgSO4 wurde die Lösung konzentriert und an Silicagel (MeOH/CH2Cl2, 1 : 19) chromatographiert, um das gewünschte Material als einen orangen Schaum zu ergeben (1,08 g). Dieses Material wurde dann in 15 ml Ethylacetat aufgenommen und mit 2,5 ml einer 1 M HCl/Et2O-Lösung behandelt. Hexan wurde zugegeben, bis die Lösung trübe wurde. Das Produkt fällte als HCl-Salz aus. Dieses Material wurde aus Ethylacetat/Hexan umkristallisiert, um 0,42 g an reinem Nr. 162 zu ergeben: Fp. = 182–185°C; CHN berechnet für C39H48N2O5 + HCl + 0,25 H2O.
  • Beispiel Nr. 160: Di-propionat von 1-[4-(2-Azepan-1-yl-ethoxy)-benzyl]-2-(4-hydroxy-phenyl)-3-methyl-1H-indol-5-ol (HCl)
  • Die Verbindung wurde analog zu Beispiel Nr. 162 hergestellt, außer, dass das verwendete Ausgangsmaterial Beispiel Nr. 98 war und das verwendete Acylierungsmittel Propionylchlorid: Fp. = 170,5–172°C; CHN berechnet für C36H42N2O5 + HCl + 0,75 H2O; MS FAB 605 (M+Na)+.
  • Beispiel Nr. 161: Di-pivalat von 1-[4-(2-Azepan-1-yl-ethoxy)-benzyl]-2-(4-hydroxy-phenyl)-3-methyl-1H-indol-5-ol (HCl)
  • Die Verbindung wurde analog zu Beispiel Nr. 162 hergestellt, außer, dass das verwendete Ausgangsmaterial Beispiel Nr. 98 war: Fp. = 143–151°C; CHN berechnet für C40H50N2O5 + HCl + 0,75 H2O.
  • Experimentell für Beispiel Nr. 166
    Figure 00850001
  • Schema 16 Synthese von Nr. 166
    Figure 00860001
  • Beispiel Nr. 166
  • 2-(4-Hydroxy-phenyl)-3-methyl-1-{4-[3-(piperidin-1-yl)-propoxy]-benzyl}-1H-indol-5-ol
  • Die Titelverbindung wurde gemäß Schema 16 und den unten vorgesehenen Schritten hergestellt:
  • Verfahren 11
  • Beispiel Nr. 163a: 4-(3-Chlorpropoxy)-benzylalkohol
  • Eine Lösung aus 4-Hydroxy-benzylalkohol CAS Nr. [623-05-2] (10 g, 80,5 mmol) in Ethanol (70 ml) wurde mit 1,3-Bromchlorpropan (16,0 g, 100 mmol) und Kaliumhydroxid (5,0 g, 89 mmol) behandelt und für 2 Stunden refluxiert. Die Lösung wurde gekühlt und filtriert und dann wurde das Filtrat konzentriert. Das Konzentrat wurde in Ether aufgenommen und mit Wasser, Kochsalzlösung gewaschen und über Magnesiumsulfat getrocknet. Das Material wurde an Silicagel unter Verwendung von Ethylacetat/Hexanen (3 : 7) chromatographiert, um 11,6 g Produkt als weißen Feststoff zu ergeben: Fp. = 65°C; 1H NMR (DMSO) 7,21 (d, 2H, J = 8,8 Hz), 6, 88 (d, 2H, J = 8,8 Hz), 5,03 (t, 1H, J = 5, 7 Hz), 4,40 (d, 2H, J = 5,5 Hz), 4,05 (t, 2H, J = 6,1 Hz), 3,77 (t, 2H, J = 6,4 Hz); MS eI m/z 200.
  • Verfahren 12
  • Beispiel Nr. 163b: 4-(3-Chlorpropoxy)-benzylbromid
  • Eine Lösung, bestehend aus 4-(3-Chlorpropoxy)-benzylalkohol Nr. 162 (10,6 g, 52,8 mmol) in Dioxan (0,125 l) wurde auf 0°C gekühlt und mit einer tropfenweisen Zugabe von Thionylbromid (12,0 g, 58,0 mmol) behandelt. Nach 10 Minuten war die Umsetzung vollständig. Das Dioxan wurde mit Ethylether verdünnt und mit Wasser, Kochsalzlösung gewaschen und dann über MgSO4 getrocknet. Das Material wurde konzentriert, um 15 g eines Öls zu ergeben: 1H NMR (DMSO) 7,36 (d, 2H, J = 8,8 Hz), 6,92 (d, 2H, J = 8,6 Hz), 4,68 (s, 2H), 4,08 (t, 2H, J = 5,9 Hz), 3,77 (t, 2H, J = 6,4 Hz); MS (FAB) 266 (M+H+).
  • Verfahren 13
  • Beispiel Nr. 164: 5-Benzyloxy-2-(4-benzyloxy-phenyl)-1-[4-(3-chlorpropoxy)-benzyl]-3-methyl-1H-indol
  • Eine Lösung, bestehend aus 5-Benzyloxy-2-(4-benzyloxy-phenyl)-3-methyl-1H-indol Nr. 7 (6,5 g, 15,5 mmol) in DMF (60 ml) wurde auf 0°C gekühlt und mit Zugabe von Natriumhydrid (0,68 g, 17,0 mmol) behandelt und für 20 Minuten gerührt. Eine Lösung aus 4-(3-Chlorpropoxy)-benzylbromid Nr. 163 in DMF (10 ml) wurde dann langsam zugegeben. Die Umsetzung durfte auf Raumtemperatur kommen und für 2 Stunden rühren. Die Umsetzung wurde in Wasser gegossen und mit Ethylacetat extrahiert. Das Ethylacetat wurde mit Wasser, Kochsalzlösung gewaschen, über Magnesiumsulfat getrocknet und konzentriert. Das Konzentrat wurde mit Methanol be handelt und 5 g des gewünschten Produkt fällten als weißer Feststoff mit einem Fließpunkt von 130–132°C aus.
  • Verfahren 14
  • Beispiel Nr. 165: 5-Benzyloxy-2-(-benzyloxy-phenyl)-1-[4-(3-piperidin-1-yl-propoxy)-benzyl]-3-methyl-1H-indol
  • Eine Lösung aus 5-Benzyloxy-2-(4-benzyloxy-phenyl)-1-[4-(3-chlor-propoxy)-benzyl]-3-methyl-1H-indol Nr. 164 (3 g, 5,1 mmol), Kaliumiodid (2,5 g, 15,3 mmol) und Piperidin (3,0 ml, 30,6 mmol) wurde in DMF (30 ml) bei 100°C für 18 Stunden erhitzt. Die Umsetzung wurde durch Gießen in Wasser und Extrahieren mit Ethylacetat aufgearbeitet. Die organische Schicht wurde mit Wasser, Kochsalzlösung gewaschen und über Magnesiumsulfat getrocknet. Die Lösung wurde zu einem Öl konzentriert und das Produkt fällte durch Zugabe von Methanol aus. Das Produkt wurde als weißer Feststoff erhalten: Fp. = 104–106°C; 1H NMR (DMSO) 7,47 (d, 4H, J = 7,5 Hz), 7,38 (q, 4H, J = 7,9 Hz), 7,36–7,30 (m, 1H), 7,28 (d, 2H, J = 8,3 Hz), 7,19 (d, 1H, J = 8,8 Hz), 7,12–7,10 (m, 4H), 6,80 (dd, 1H, J = 8,8, 2,0 Hz), 6,72 (s, 4H), 5,14 (s, 2H), 5,13 (s, 2H), 5,11 (s, 2H), 3,86 (t, 2H, J = 6,4 Hz), 2,35–2,20 (m, 6H), 2,14 (s, 3H), 1,78–1,75 (m, 2H), 1,47– 1,42 (m, 4H), 1,40–1,31 (m, 2H); MS eI m/z 650.
  • Verfahren 15
  • Beispiel Nr. 166: 2-(4-Hydroxy-phenyl)-3-methyl-1-{4-[3-(piperidin-1-yl)-propoxy]-benzyl}-1H-indol-5-ol
  • Eine Lösung aus 5-Benzyloxy-2-(4-benzyloxy-phenyl)-1-[4-(3-piperidin-1-yl-propoxy)-benzyl]-3-methyl-1H-indol Nr. 165 (2,35 g) in Tetrahydrofuran (25 ml) und Ethanol (25 ml) wurde zu 2,3 g von 10 Palladium auf Kohlenstoff zugegeben. Cyclohexadien (10 ml) wurde zugegeben und die Umsetzung durfte für 18 Stunden bei Raumtemperatur rühren. Der Katalysator wurde durch Celite filtriert und das Umsetzungsgemisch wurde konzentriert und unter Verwendung von Dichlormethan/Methanol (4 : 1) an Silicagel chromatographiert, um das Produkt (0,8 g) als weißen Schaum zu eluieren: Fp. = 125–130°C; 1H NMR 9,68 (s, 1H), 8,70 (s, 1H), 7,15 (d, 2H, J = 8,6 Hz), 7,05 (d, 1H, J = 8,8 Hz), 6,85 (d, 2H, J = 8,6 Hz), 6,80 (d, 1H, J = 2,4 Hz), 6,74 (d, 4H, J = 2,6 Hz), 6,57 (dd, 1H, J = 8,6, 2,2 Hz), 5,09 (s, 2H), 3,88 (t, 2H, J = 6,4 Hz), 3,60–3,15 (m, 2H), 2,62–2,38 (m, 4H), 2,09 (s, 3H), 1,92– 1,78 (m, 2H), 1,55–1,43 (m, 4H), 1,42–1,30 (m, 2H); IR (KBr) 3400 (br), 2900, 1620, 1515 cm–1; MS eI m/z 470.
  • Synthese von Nr. 167 und Nr. 168
    Figure 00890001
  • Tabelle 10
    Figure 00890002
  • Schema 17 Synthetisches Schema für Beispiele Nr. 167 und Nr. 168
    Figure 00900001
  • Synthese von Beispiel Nr. 167
  • 2-(4-Hydroxy-phenyl)-1-[3-methoxy-4-(2-piperidin-1-yl-ethoxy)-benzyl]-3-methyl-1H-indol-5-ol
  • Beispiel Nr. 169: 14-Formel-2-methoxy-phenoxy)-essigsäure-ethyl-ester
  • Ein Kolben, welcher Vanillin (20 g, 0,13 mol), Ethylbromacetat (28,4 g, 0,17 mol) und Kaliumcarbonat (32,7 g, 0,24 mol) und Aceton 200 ml enthielt, wurde für 3 Stunden auf Rückfluss erhitzt. Die Umsetzung durfte auf Raumtemperatur kommen. Das Aceton wurde abgezogen und der Rückstand wurde zwischen Wasser und Ethylacetat aufgeteilt. Das Ethylacetat wurde mit Kochsalzlösung gewaschen und über Magnesiumsulfat getrocknet. Die organische Schicht wurde konzentriert und der Feststoff mit Hexanen pulverisiert, um 28,4 Gramm von Beispiel Nr. 169 zu ergeben.
  • Fp. = 56–59°C; 1H NMR (DMSO) 9,83 (s, 1H), 7,50 (dd, 1H, J = 2,0 Hz, 8,3 Hz), 7,42 (d, 1H, J = 1,7 Hz), 7,07 (d, 1H, J = 8,4 Hz), 4,91 (s, 2H), 4,16 (q, 2H, J = 7,2 Hz), 3,84 (s, 3H), 1,20 (t, 3H, J = 7,1 Hz); MS eI m/z 238 (M+); CHN berechnet für C12H14O5.
  • Beispiel Nr. 170: (4-Chlormethyl-2-methoxy-phenoxy)-essigsäure-ethylester
  • Eine Lösung aus Beispiel Nr. 169 (28,8 g, 0,119 mol) in 600 ml EtOH/THF (1 : 1) wurde mit Natriumborhydrid (2,25 g, 0,06 mol) bei 0°C behandelt und für 45 Minuten gerührt. Die Lösungsmittel wurden abgedampft und das Umsetzungsgemisch wurde mit Ethylacetat verdünnt und mit 1 N HCl Lösung gewaschen. Das so als Öl erhaltene Produkt (14,2 g, 0,059 mol) wurde in 140 ml THF gelöst und auf 0°C gekühlt. Diese Lösung wurde dann mit tropfenweiser Zugabe von Thionylchlorid (7,38 g, 0,062 mol) bei)°C behandelt. Nach 1 Stunde wurde die Umsetzung in 400 ml Wasser gegossen und mit Ether extrahiert. Die Etherschicht wurde mit einer Natriumbicarbonatlösung gewaschen und über Magnesiumsulfat getrocknet. Dieses wurde konzentriert und durch Silicagel-Chromatographie unter Verwendung von Ethylacetat/Hexanen (1 : 9) chromatographiert. Das Produkt wurde als 10,5 g eines weißen Feststoffs erhalten. Fp. = 64–66°C; 1H NMR (DMSO) 7,06 (d, 1H, J = 2,0 Hz), 6,91 (dd, 1H, J = 2,0 Hz, 2,2 Hz), 6,83 (d, 1H, J = 2,1 Hz), 4,75 (s, 2H), 4,70 (s, 2H), 4,13 (q, 2H, J = 7,2 Hz), 3,77 (s, 3H), 1,19 (t, 3H, J = 7,1 Hz); MS eI m/z 258 (M+); CHN berechnet für C12H15ClO4.
  • Beispiel Nr. 171: {2-Methoxy-4-[5-benzyloxy-2-(4-benzyloxy-phenyl)-3-methyl-indol-1-ylmethyl]-phenoxy}-essigsäure-ethylester
  • Alkylierung des Indols Nr. 7 wurde wie vorher in Verfahren Nr. 3 beschrieben unter Verwendung von Beispiel Nr. 170 als Elektrophil durchgeführt.
  • Fp. = 120–1123°C; 1H NMR (DMSO) 7,48–17,20 (m, 13H), 7,18–17,10 (m, 3H), 6,80 (dd, 1H, J = 2,5 Hz, 8,8 Hz), 6,64 (d, 1H, J = 8,4 Hz), 6,52 (d, 1H, J = 2,0 Hz), 6,24 (dd, 1H, J = 1,9 Hz, 8,1 Hz), 5,13 (s, 4H), 5,10 (s, 2H), 4,61 (s, 2H), 4,10 (q, 2H, J = 7,0 Hz), 3,58 (s, 3H), 2,15 (s, 3H), 1,15 (t, 3H, J = 7,0 Hz); MS eI m/z 641 (M+).
  • Beispiel Nr. 172: 2-{2-Methoxy-4-[5-benzyloxy-2-(4-benzyloxy-phenyl)-3-methyl-indol-1-ylmethyl]-phenoxy}-ethanol
  • Reduktion des Esters Nr. 171 wurde wie vorher in Verfahren 4 beschrieben durchgeführt.
  • Fp. = 86–90°C; 1H NMR (DMSO) 7,48–7,20 (m, 13H), 7,18–7,10 (m, 3H), 6,80 (dd, 1H, J = 2,5 Hz, 8,8 Hz), 6,64 (d, 1H, J = 8,4 Hz), 6,52 (d, 1H, J = 2,0 Hz), 6,24 (dd, 1H, J = 1,9 Hz, 8,1 Hz), 5,13 (s, 4H), 5,10 (s, 2H), 4,76 (t, 1H, J = 5,5 Hz), 3,83 (t, 2H, J = 5,1 Hz), 3,63 (q, 2H, J = 5,3 Hz), 3,56 (s, 3H), 2,15 (s, 3H); MS eI m/z 599 (M+).
  • Beispiel Nr. 173: 5-Benzyloxy-2-(4-benzyloxy-phenyl)-1-[3-methoxy-4-(2-brom-ethoxy)-benzyl]-3-methyl-1H-indol
  • Umwandlung des Alkohols von Beispiel Nr. 172 in das Bromid wurde analog zu der in Verfahren 5 beschriebenen durchgeführt. Fp. = 150–152°C; 1H NMR (DMSO) 7,48–7,20 (m, 13H), 7,18–7,10 (m, 3H), 6,80 (dd, 1H, J = 2,5 Hz, 8,8 Hz), 6,64 (d, 1H, J = 8,4 Hz), 6,52 (d, 1H, J = 2,0 Hz), 6,24 (dd, 1H, J = 1,9 Hz, 8,1 Hz), 5,13 (s, 4H), 5,10 (s, 2H), 4,15 (t, 2H, J = 5,3 Hz), 3,70 (t, 2H, J = 5,7 Hz), 3,58 (s, 3H), 2,15 (s, 3H); MS eI m/z 661 (M+).
  • Beispiel Nr. 174: 5-Benzyloxy-2-(4-benzyloxy-phenyl)-3-methyl-1-[3-methoxy-4-(2-piperidin-1-yl-ethoxy)-benzyl]-1H-indol
  • Substitution des Bromids mit Piperidin wurde wie vorher in Verfahren 6 beschrieben durchgeführt.
  • (DMSO) 7,48–7,20 (m, 13H), 7,18–7,10 (m, 3H), 6,80 (dd, 1H, J = 2,5 Hz, 8,8 Hz), 6,64 (d, 1H, J = 8,4 Hz), 6,52 (d, 1H, J = 2,0 Hz), 6,24 (dd, 1H, J = 1,9 Hz, 8,1 Hz), 5,13 (s, 4H), 5,10 (s, 2H), 3,90 (t, 2H, J = 5,7 Hz), 3,55 (s, 3H), 2,62– 2,50 (bs, 2H), 2,45–2,30 (bs, 4H), 2,15 (s, 3H), 1,50–1,40 (m, 4H), 1,40–1,35 (m, 2H); MS FAB m/z 667 (M+H+).
  • Beispiel Nr. 175: 5-Benzyloxy-2-(4-benzyloxy-phenyl)-3-methyl-1-[2-methoxy-4-(2-azepan-1-yl-ethoxy)-benzyl]-1H-indol
  • Die Umsetzung wurde genau wie für Nr. 174 durchgeführt, außer, dass Hexamethylenamin verwendet wurde, um das Bromid zu ersetzen, statt Piperidin.
  • Schaum; 1H NMR (DMSO) 7,48–7,20 (m, 13H), 7,18–7,10 (m, 3H), 6,80 (dd, 1H, J = 2,5 Hz, 8,8 Hz), 6,64 (d, 1H, J = 8,4 Hz), 6,52 (d, 1H, J = 2,0 Hz), 6,24 (dd, 1H, J = 1,9 Hz, 8,1 Hz), 5,13 (s, 4H), 5,10 (s, 2H), 3,90 (t, 2H, J = 5,7 Hz), 3,55 (s, 3H), 2,85–2,70 (bs, 2H), 2,70–2,55 (s, 4H), 2,10 (s, 3H), 1,60– 1,15 (m, 8H); MS FAB m/z 681 (M+H+).
  • Beispiel Nr. 167: 2-(-Hydroxy-phenyl)-1-[3-methoxy-4-(2-piperidin-1-yl-ethoxy)-benzyl]-3-methyl-1H-indol-5-ol
  • Verbindung Nr. 173 wurde durch Transferhydrierung wie vorher in Verfahren 7 beschrieben hydriert. Die Verbindung wurde durch Lösen in Ether und Behandeln mit 1,2 Äquivalenten von 1 N Ether/ HCl-Lösung als das Hydrochloridsalz isoliert (dies ist eine Variation von Verfahren 8).
  • Fp. = 123–127°C; 1H NMR (DMSO) 10,20 (bs, 1H), 9,72 (s, 1H), 8,71 (s, 1H), 7,17 (d, 2H, J = 8,6 Hz), 7,11 (d, 1H, J = 8,8 Hz), 6,87 (d, 2H, J = 8,6 Hz), 6,79 (m, 2H), 6,57 (dd, 1H, J = 2,4 Hz, 8,8 Hz), 6,55 (d, 1H, J = 1,7 Hz), 6,33 (dd, 1H, J = 1,7 Hz, 8,1 Hz), 5,11 (s, 2H), 4,23 (t, 2H, J = 4,8 Hz), 3,60 (s, 3H), 3,45 (m, 2H), 3,35 (m, 2H), 2,95 (m, 2H), 2,10 (s, 3H), 1,70 (m, 5H), 1,35 (m, 1H); IR 3500, 1500, 1275 cm–1; MS (+) FAB m/z 487 (M+H)+; CHN berechnet für C30H34N2O4 + 1 HCl + 1,0 H2O.
  • Beispiel Nr. 168: 2-(4-Hydroxy-phenyl)-1-[3-methoxy-4-(2-azepan-1-yl-ethoxy)-benzyl]-3-methyl-1H-indol-5-ol
  • Hergestellt auf gleiche Weise, wie der für Beispiel Nr. 167 beschriebenen.
  • Fp. 142–146°C; 1H NMR (DMSO) 10,36 (s, 1H), 9,72 (s, 1H), 8,71 (s, 1H), 7,18 (d, 2H, J = 8,3 Hz), 7,11 (d, 1H, J = 8,6 Hz), 6,87 (d, 2H, J = 8,3 Hz), 6,82 (d, 1H, J = 8,1 Hz), 6,79 (d, 1H, J = 2,2 Hz), 6,57 (dd, 1H, J = 2,2 Hz, 8,6 Hz), 6,55 (d, 1H, J = 1,8 Hz), 6,33 (dd, 1H, J = 1,5 Hz, 8,1 Hz), 5,11 (s, 2H), 4,24 (t, 2H, J = 4,6 Hz), 3,60 (s, 3H), 3,40 (m, 4H), 3,20 (m, 2H), 2,10 (s, 3H), 1,75 (m, 4H), 1,55 (m, 4H); IR (KBr) 3300, 1500, 1270, 1200 cm–1; MS (+) FRB m/z 501 (m + H)+; CHN berechnet für C31H36N2O4 + 1,0 HCl + 0,12 CH3OH.
  • Biologische Daten
  • Verfahren 16
  • Östrogen-Rezeptor Bindungstest in vitro Rezeptorherstellung
  • CHO-Zellen, welche den Östrogenrezeptor überexprimieren, wurden in 150 mm2 Schalen in DMEM + mit 10 Dextran überzogener Aktivkohle, gestripptem fötalen Rinderserum wachsen gelassen. Die Platten wurden zweimal mit PBS und einmal mit 10 mM Tris-HCl, pH 7,4, 1 mM EDTA gewaschen. Die Zellen wurden durch Abkratzen der Oberfläche geerntet und dann wurde die Zellesuspensi on auf Eis platziert. Die Zellen wurden mit einer in der Hand gehaltenen, motorbetriebenen Gewebemühle unter Verwendung von zwei 10-sekündigen Ausbrüchen zerrissen. Das Rohpräparat wurde bei 12000 g für 20 Minuten zentrifugiert, gefolgt von einem 60-minütigen Spin bei 100000 g, um ein Ribosom-freies Cytosol herzustellen. Das Cytosol wurde dann gefroren und bei –80°C gelagert. Die Proteinkonzentration des Cytosols wurde unter Verwendung des BCA-Tests mit Referenz-Standardprotein bewertet.
  • Bindungstestbedingungen
  • Der Wettbewerbstest wurde in einer 96-Muldenschale (Polystyrol*) durchgeführt, welche < 2,0 des Gesamt-Inputs [3H]-17β-Estradiol bindet, und jeder Datenpunkt wurde in dreifacher Ausfertigung gesammelt. 100 μG/100 μl des Rezeptorpräparats wurden pro Mulde aliquotiert. Eine sättigende Dosis von 2,5 nM [3H]-17β-Estradiol + Wettbewerber (oder Puffer) in einem 50 μL Volumen wurden in dem einleitenden Wettbewerb zugegeben, wenn 100 × und 500 × Wettbewerber bewertet wurden, wurden nur 0,8 nM [3H]17β-Estradiol verwendet. Die Schale wurde bei Raumtemperatur für 2,5 Std. inkubiert. Am Ende dieses Inkubationszeitraums wurden 150 ml von eiskalter, mit Dextran überzogener Aktivkohle (5% Aktivkohle, überzogen mit 0,05% 69 K Dextran) zu jeder Mulde zugegeben und die Schale wurde sofort bei 99 g für 5 Minuten bei 4°C zentrifugiert. 200 μL der Flüssigkeitsüberstandslösung wurden dann für Szintillationszählung entfernt. Die Proben wurden auf 2 oder 10 Minuten gezählt, was auch immer zuerst auftrat. Weil Polystyrol eine geringe Menge an [3H]17β-Estradiol absorbiert, wurden Mulden, welche Radioaktivität und Cytosol enthielten, aber nicht mit Aktivkohle verarbeitet wurden, eingeschlossen, um Mengen an vorhandenem Isotop zu quantifizieren. Auch wurden Mulden, welche Radioaktivität, aber kein Cytosol enthielten, mit Aktivkohle verarbeitet, um nicht entfernbares DPM von [3H]17β-Estradiol zu schätzen. Es wurden Corning Nr. 25880-96, 96-Mulden-Schalen verwendet, weil sie bewiesen haben, dass sie die geringste Menge an Estradiol binden.
  • Analyse von Ergebnissen
  • Zählungen pro Minute (CPM) von Radioaktivität wurden automatisch in Zerfallen pro Minute (DPM) durch den Beckman LS 7500 Szintillationszähler unter Verwendung eines Sets von gelöschten Standards umgewandelt, um eine H-Nr. für jede Probe zu erzeugen. Um das von Estradiolbindung in Gegenwart von 100-fachem oder 500-fachem Wettbewerber zu errechnen, wurde die folgende Formel angewendet: ((DPM Probe – DPM, nicht durch Aktivkohle entfernt/(DPM Estradiol – DPM nicht durch Aktivkohle entfernt) × 100 = an Estradiolbindung
  • Für die Erzeugung von IC50-Kurven wird %-Bindung gegenüber Verbindung geplottet. IC50er werden für Verbindungen erzeugt, die >30% Wettbewerb bei 500 × Wettbewerberkonzentration zeigen. Für eine Beschreibung dieser Verfahren siehe Hulme, E. C. ed. 1992, Receptor-Ligand Interactions: A Practical Approach, IRL Press, New York (siehe insbesondere Kapitel 8).
  • Tabelle 11 Östrogen-Rezeptor Bindung
    Figure 00950001
  • Tabelle 11 (fortgesetzt)
    Figure 00960001
  • Tabelle 11 (fortgesetzt)
    Figure 00970001
  • Tabelle 11 (fortgesetzt)
    Figure 00980001
  • Tabelle 12 Östrogen-Rezeptor Bindung
    Figure 00990001
  • Tabelle 13 Östrogen-Rezeptor Bindung
    Figure 01000001
  • Tabelle 14 Östrogen-Rezeptor Bindung
    Figure 01000002
  • Figure 01010001
  • Tabelle 15 Östrogen-Rezeptor Bindung
    Figure 01010002
  • Verfahren 17
  • Ishikawa alkalischer Phosphatase-Zelltest Zellhaltung und Behandlung:
  • Ishikawa-Zellen wurden in DMEM/F12 (50 : 50) gehalten, welches Phenolrot + 10 fötales Rinderserum enthielt, und das Medium wurde mit 2 mM Glutamax, 1 Pen/Strap und 1 mM Natrium-pyruvat ergänzt. Fünf Tage vor Beginn eines jeden Versuchs (Behandlung von Zellen) wurde das Medium zu Phenolrot-freiem DMEM/F12 + 10% mit Dextran überzogener Aktivkohle gestripptem Serum gewechselt. Am Tag vor der Behandlung wurden Zellen unter Verwendung von 0,5 Trypsin/EDTA geerntet und bei einer Dichte von 5 × 104 Zellen/Mulde in 96-Mulden Gewebekulturschalen aufgetragen. Testver bindungen wurden bei 10–6, 10–7 und 10–8 M zusätzlich zu 10–6 M (Verbindung) + 10–9 M 17β-Estradiol dosiert, um die Fähigkeit der Verbindungen zu bewerten, als Antiöstrogene zu fungieren. Die Zellen wurden für 48 Std. vor dem Test behandelt. Jede 96-Mul-den-Schale enthielt eine 17β-Estradiolkontrolle. Die Probenpopulation für jede Dosis betrug n = 8.
  • Alkalischer Phosphatasetest:
  • Am Ende der 48 Std. wird das Medium abgesaugt und die Zellen werden dreimal mit Phosphat gepufferter Kochsalzlösung (PBS) gewaschen. 50 μl Lysispuffer (0,1 M Tris-HCl, pH 9,8, 0,2% Triton X-100) werden zu jeder Mulde zugegeben. Die Schalen werden für mindestens 15 Minuten –80°C ausgesetzt. Die Schalen werden bei 37°C getaut, gefolgt von der Zugabe von 150 μl von 0,1 M Tris-HCl, pH 9,8, welches 4 mM Para-nitrophenylphosphat (pNPP) enthielt, zu jeder Mulde (Endkonzentration 3 mM pNPP).
  • Extinktions- und Neigungsberechnungen wurden unter Verwendung des KineticCalc Application Programms (Bio-Tek Instruments, Inc., Winooski, VT) durchgeführt. Die Ergebnisse werden als das Mittel +/– S.D. der Rate der Enzymumsetzung (Neigung), gemittelt über dem linearen Anteil der kinetischen Umsetzungskurve (optische Dichteablesungen alle 5 Minuten für 30 Minuten Extinktionsablesung) ausgedrückt. Die Ergebnisse für die Verbindungen werden als Prozent Response bezogen auf 1 nM 17β-Estradiol zusammengefasst.
  • Verschiedene Verbindungen wurden auf östrogene Wirksamkeit durch das alkalische Phosphataseverfahren getestet und entsprechende ED50-Werte (95% C.I.) wurden berechnet. Die vier, welche im folgenden aufgelistet werden, wurden als Referenzstandards verwendet:
    17β-Estradiol 0,03 nM
    17α-Estradiol 1,42 nM
    Estriol 0,13 nM
    Estrone 0,36 nM
  • Eine Beschreibung dieser Verfahren wird durch Holinka, C. F., Hata, H., Kuramoto, H. und Gurpide, E. (1986), Effekts of steroid hormones and antisteroids on alkaline phosphatase activity in human endometrial cancer cells (Ishikawa Line), Cancer Research, 46: 2771–2774, und durch Littlefield, B. A., Gurpide, E., Markiewicz, L., McKinley, B. und Hochberg, R. B. (1990), A simple an sensitive microtiter plate estrogen bioassay based on stimulati on alkaline phosphatase in Ishikawa cells; Estrogen action of D5 adrenal steroids, Endocrinology, 6: 2757–2762 beschrieben. Ishikawa alkalischer Phosphatasetest
    Verbindung %-Aktivierung
    17β-Estradiol 100% Aktivität
    Tamoxifen 0% Aktivität (45% mit 1 nM 17β-Estradiol)
    Raloxifen 5% Aktivität (5% mit 1 nM 17β-Estradiol)
    Beispiel Nr. 98 1% Aktivität (1% mit 1 nM 17β-Estradiol)
  • Verfahren Nr. 18
  • 2X VIT ERE Infektionstest
  • Zellhaltung und Behandlung
  • Chinesische Hamster Eierstockzellen (CHO), welche stabil mit dem menschlichen Östrogenrezeptor transfiziert worden waren, wurden in DMEM + 10% fötalem Rinderserum (FBS) gehalten. 48 Std. vor der Behandlung wurde das Wachstumsmedium mit DMEM ohne Phenolrot + 10% mit Dextran überzogener Aktivkohle gestripptem FBS (Behandlungsmedium) ersetzt. Die Zellen wurden bei einer Dichte von 5000 Zellen/Mulde in 96-Mulden-Schalen aufgetragen, welche 200 μl Medium/Mulde enthielten.
  • Calciumphosrihat-Transfektion
  • Reporter-DNA (Promega plasmid pGL2, welche zwei Tandemkopien des Vitellogenin ERE vor dem minimalen Thymidinkinasepromotor enthielt, welches das Luciferasegen antreibt) wurde mit dem B-Galactosidase-Expressionsplasmid pCH110 (Pharmacia) und Träger-DNA (pTZ18U) im folgenden Verhältnis vereinigt:
    10 uG Reporter-DNA
    5 uG pCH110DNA
    5 uG pTZ18U
    20 uG DNA/1 ml Transfektionslösung
  • Die DNA (20 uG) wurde in 500 μL von 250 mM sterilem CaCl2 gelöst und tropfenweise zu 500 μL von 2 × HeBS (0,28 M NaCl, 50 mM HEPES, 1,5 mM Na2HPO4, pH 7,05) zugegeben und bei Raumtemperatur für 20 Minuten inkubiert. 20 μL dieses Gemisches wurden zu jeder Mulde mit Zellen zugegeben und verblieben für 16 Std. auf den Zellen. Am Ende dieser Inkubation wurde der Niederschlag entfernt, die Zellen wurden mit Medium gewaschen, frisches Behandlungsmedium wurde ersetzt und die Zellen wurden entweder mit Vehikel, 1 nM 17β-Estradiol, 1 μM Verbindung oder 1 mM Verbindung + 1 nM 17β-Estradiol (Tests für Östrogenantagonismus) behandelt.
  • Jede Behandlungsbedingung wurde an 8 Mulden (n = 8) durchgeführt, welche für 24 Std. vor dem Luciferasetest inkubiert wurden.
  • Luciferasetest
  • Nachdem es 24 Std. den Verbindungen ausgesetzt war, wurde das Medium entfernt und jede Mulde mit 2 × mit 125 μL PBS ohne Mg++ und Ca++ gewaschen. Nach Entfernen des PBS wurden 25 μL Promega-Lysispuffer zu jeder Mulde zugegeben und durfte bei Raumtemperatur für 15 Min. stehen, gefolgt von 15 Min bei –80°C und 15 Min. bei 37°C. 20 μL Lysat wurden auf eine undurchsichtige 96-Muldenschale zur Luciferase-Wirksamkeitsbewertung übertragen und das verbleibende Lysat (5 μL) wurde für die B-Galactosidase-Wirksamkeitsbewertung (Normalisierungstransfektion) verwendet.
  • Das Luciferansubstrat (Promega) wurde in 100 μL Aliquoten zu jeder Mulde automatisch durch den Luminometer zugegeben und das hergestellte Licht (relative Lichteinheiten) wurde 10 Sekunden nach Zugabe abgelesen. Infektionsluciferasetest (Standards)
    Verbindung %-Aktivierung
    17β-Estradiol 100 Wirksamkeit
    Estriol 38% Wirksamkeit
    Tamoxifen 0 Wirksamkeit (10 mit 1 nM 17β-Estradiol)
    Raloxifen Wirksamkeit (0 mit 1 nM 17β-Estradiol)
  • B-Galactosidasetest
  • Zu den verbleibenden 5 μL Lysat wurden 45 μL PBS zugegeben. Dann wurden 50 μL Promega B-Galactosidase 2X Testpuffer zugegeben, gut gemischt und bei 37°C für 1 Std. inkubiert. Eine Schale, welche eine Standardkurve enthielt (0,1 bis 1,5 Millieinheiten in dreifacher Ausführung) wurde für jeden Versuchslauf aufgestellt. Die Platten wurden an einem spektrophotometrischen Plattenleser von Molecular Devices bei 410 nm analysiert. Die optischen Dichten für das Unbekannte wurden durch mathematische Extrapolation aus der Standardkurve in Millieinheiten an Wirksamkeit umgewandelt.
  • Analyse von Ergebnissen
  • Die Luciferasedaten wurden als relative Lichteinheiten (RLUs) erzeugt, akkumuliert während einer 10-sekündigen Messung, und automatisch auf ein JMP (SAS Inc) File übertragen, wo Hintergrund-RLUs abgezogen wurden. Die B-Galactosidasewerte wurden automatisch in das File importiert und diese Werte wurden in die RLUs dividiert, um die Daten zu normalisieren. Das Mittel und die Standardabweichungen wurden aus einer n = 8 für jede Behandlung bestimmt. Die Wirksamkeit der Verbindungen wurde mit 17β-Estradiol für jede Platte verglichen. Der Prozentsatz an Wirksamkeit im Vergleich zu 17β-Estradiol wurde unter Verwendung der Formel % = ((Estradiol-Kontrolle)/(Verbindungswert)) × 100 berechnet. Diese Techniken werden durch Tzukerman, M. T., Esty, A., Santiso-Mere, D., Danielian, P., Parker, M. G., Stein, R. B., Pike; J. W. und McDonnel, D. P. (1994) beschrieben. Die menschliche Östrogenrezeptor-transaktivierende Kapazität wurde durch sowohl Zell-, als auch Promotorkontext bestimmt und durch zwei funktionell unterschiedliche Intramolekularregionen vermittelt (siehe Molecular Endocrinology, 8: 21–30).
  • Tabelle 16 Infektionsluciferasetest
    Figure 01050001
  • Tabelle 16 (fortgesetzt) Infektionsluciferasetest
    Figure 01060001
  • Tabelle 16 (fortgesetzt) Infektionsluciferasetest
    Figure 01070001
  • Verfahren 19
  • Uterotronher/anti-uterotropher Biotest bei Ratten
  • Die Östrogen- und Antiöstrogen-Eigenschaften der Verbindungen wurden in einem uterotrophen Test (4 Tage) bei unreifen Ratten bestimmt (wie vorher durch L. J. Black und R. L. Goode, Life Sciences, 26, 1453 (1980) beschrieben). Unreife Sprague-Dawley Ratten (weiblich, 18 Tage alt) wurden in Sechsergruppen getestet. Die Tiere wurden durch tägliche ip-Injektion mit 10 μG Verbindung, 100 μG Verbindung, (100 μG Verbindung + 1 μG 17β-Estradiol) um Antiöstrogenizität zu überprüfen und 1 μG 17β-Estradiol, mit 50% DMSO/50% Kochsalzlösung als Injektionsvehikel behandelt. Am Tag 4 wurden die Tiere durch CO2-Asphyxiation geopfert und ihre Uteri wurden entfernt und von überschüssigem Lipid befreit, alle Flüssigkeit entfernt und das Nassgewicht wurde bestimmt. Ein kleiner Abschnitt eines Vorsprungs wurde Histologie unterworfen und der Rest wurde verwendet, um Gesamt-RNA zu isolieren, um Komplement-Komponente 3 Genexpression zu bewerten.
  • Tabelle 17 3-Tägiger Uterustest von unreifes Ratten
    Figure 01080001
  • Verfahren 20
  • 6-Wochen ovarektomiertes Rattenmodell
  • Weibliche Sprague Dawley CD-Ratten, ovx oder Schein-ovx, wurden 1 Tag nach der Operation von Taconic Farm erhalten (Gewichtsbereich 240–275 g). Sie wurden bei 3 oder 4 Ratten/Käfig in einem Raum bei einem 14/10 (Licht/Dunkelheit)-Programm untergebracht und mit Nahrung (Purina 500 Rattenfutter) und Wasser ad libitum versorgt. Die Behandlung für alle Studien begann 1 Tag nachdem die Tiere angekommen waren und dosierte 5 oder 7 Tage pro Woche wie angezeigt für 6 Wochen. Eine Gruppe gleichaltriger scheinoperierter Ratten, welche keinerlei Behandlung erhielten, dienten als intakte, Östrogen-gesättigte Kontrollgruppe für jede Studie. Alle Behandlungen wurden in 1% Tween 80 in normaler Kochsalzlösung bei definierten Konzentrationen durchgeführt, so dass das Behandlungsvolumen 0,1 ml/100 g Körpergewicht betrug.
  • 17-beta-Estradiol wurde in Maisöl (20 μG/ml) gelöst und subkutan 0,1 ml/Ratte verabreicht. Alle Dosierungen wurden bei dreiwöchigen Intervallen gemäß den gemittelten Gewichtsmessungen der Gruppe angepasst.
  • Fünf Wochen nach dem Beginn der Behandlung und eine Woche vor Beendigung der Studie wurde jede Ratte bezüglich Knochenmineralstoffdichte (BMD) gemessen. Die BMDs der proximalen Tibiae (PT) und der vierten Lumbalvertebrae (L4) wurden in betäubten Ratten unter Verwendung eines Doppelenergie-Röntgenabsorptionsmessers (Eclipse XR-26, Norland Corp. Ft. Atkins, WI) gemessen. Die Doppelenergie-Röntgenabsorptionsmesser (DXA)-Messungen für jede Ratte wurde wie folgt durchgeführt: Fünfzehn Minuten vor den DXA-Messungen wurde die Ratte mit einer intraperitonealen Injektion von 100 mg/kg Ketamin (Bristol Laboratorien, Syracuse, NY) und 0,75 mg/kg Acepromazin (Aveco, Ft. Dodge, IA) betäubt. Die Ratte wurde auf einen Acryltisch unter den DXA-Scanner senkrecht zu seinem Verlauf platziert; die Gliedmaßen wurden ausgestreckt und mit Papierklebeband auf der Oberfläche des Tisches gesichert. Ein Vorscan wurde bei einer Scan-Geschwindigkeit von 50 mm/Sekunde mit einer Scan-Auflösung von 1,5 mm × 1,5 mm durchgeführt, um den Bereich von Interesse im PT und L4 zu bestimmen. Kleinobjekt-Software wurde bei einer Scan-Geschwindigkeit von 10 mm/Sekunde mit einer Auflösung von 0,5 mm × 0,5 mm für endgültige BMD-Messungen eingesetzt. Die Software erlaubt es dem Operator, einen 1,5 cm weiten Bereich zu definieren, um die gesamte Länge von L4 abzudecken. Die BMDs für die jeweiligen Stellen wurden durch die Software als eine Funktion der Abdämpfung des Doppelstrahl (46,8 KeV und 80 KeV) Röntgenstrahls per Computer verarbeitet, welche durch die Quelle unterhalb des Objekts und dem Detektor, welche entlang des definierten Bereichs über dem Objekt entlang wanderte, erzeugt wurde. Die Daten für die BMD-Werte (ausgedrückt in g/cm2) und einzelne Scann wurden zur statistischen Analyse aufbewahrt.
  • Eine Woche nach der BMD-Bewertung wurden die Ratten durch Kohlendioxid-Erstickung geopfert und Blut für Cholesterinbestimmung wurde gesammelt. Die Uteri wurden entfernt und die Gewichte ermittelt. Das Gesamtcholesterin wird unter Verwendung eines Boehringer-Mannheim Hitachi 911 klinischen Analysators unter Verwendung des Cholesterin/HP Kits bestimmt. Die Statistiken wurden unter Verwendung einer Einweg-Varianzanalyse mit Dunnet's Test verglichen.
  • Tabelle 18 6-Wochen Studie von Beispiel Nr. 98 an ovarektomierten Ratten
    Figure 01100001

Claims (12)

  1. Pharmazeutische Zusammensetzung, welche ein oder mehr Östrogene und eine Verbindung mit der Struktur:
    Figure 01110001
    umfasst, worin: R1 ausgewählt wird aus H, OH oder den C1-C12-Estern (gradkettig oder verzweigt) oder C1-C12 (gradkettig oder verzweigt oder cyclisch) Alkylethern davon, oder Halogenen; oder C1-C4 halogenierten Ethern, einschließlich Trifluormethylether und Trichlormethylether; R2, R3, R4, R5 und R6 unabhängig ausgewählt werden aus H, OH oder den C1-C12-Estern (gradkettig oder verzweigt) oder C1-C12-Alkylethern (gradkettig oder verzweigt oder cyclisch) davon, Halogenen oder C1-C4 halogenierten Ethern einschließlich Trifluormethylether und Trichlormethylether, Cyano, C1-C6-Alkyl (gradkettig oder verzweigt) oder Trifluormethyl, unter der Bedingung, dass wenn R1 für H steht, R2 nicht OH darstellt; X ausgewählt wird aus H, C1-C6-Alkyl, Cyano, Nitro, Trifluor-methyl, Halogen; n für 2 oder 3 steht; Y ausgewählt wird aus: a) der Komponente:
    Figure 01110002
    worin R7 und R8 unabhängig ausgewählt werden aus H, C1-C6-Alkyl oder Phenyl, gegebenenfalls substituiert durch CN, C1-C6-Alkyl (gradkettig oder verzweigt), C1-C6-Alkoxy (gradkettig oder ver zweigt), Halogen, -OH, -CF3 oder -OCF3; oder R7 und R8 zusammen als -(CH2)p- verkettet werden, worin p eine ganze Zahl von 2 bis 6 darstellt, vorzugsweise 4 bis 6, der so gebildete Ring gegebenenfalls mit 1–3 Substituenten substituiert ist, ausgewählt aus C1-C3-Alkyl, Trifluormethyl, Halogen, Wasserstoff, Phenyl, Nitro und -CN b) einem fünf-, sechs- oder siebengliedrigen gesättigten, ungesättigten oder teilweise ungesättigten Heterocyclus, welcher bis zu zwei Heteroatomen enthält, ausgewählt aus -O-, -NH-, -N(C1-C4-Alkyl)- -N= und -S(O)m-, worin m eine ganze Zahl von 0–2 ist, gegebenenfalls substituiert mit 1–3 Substituenten, unabhängig ausgewählt aus Hydroxyl, Halogen, C1-C4-Alkyl, Trihalogenmethyl, C1-C4-Alkoxy, Trihalogenmethoxy, C1-C4-Acyloxy, C1-C4-Alkylthio, C1-C4-Alkylsulfinyl, C1-C4-Alkylsulfonyl, Hydroxy(C1-C4)-alkyl, -CO2H, -CN, -CONHR1, -NH2, C1-C4-Alkylamino Di-(C1-C4)-alkylamino, -NHSO2R1, -NHCOR1, -NO2 und Phenyl, gegebenenfalls substituiert mit 1–3 (C1-C4)-Alkyl, worin R1 wie oben definiert ist, oder C1-C6-Alkyl; c) einem bicyclischen Heterocyclus, welcher von 6–12 Kohlenstoffatome enthält, entweder verbrückt oder kondensiert und enthaltend bis zu zwei Heteroatome, ausgewählt aus -O-, -NH-, -N(C1-C4-Alkyl)- und -S(O)m-, worin m eine ganze Zahl von 0–2 darstellt, gegebenenfalls substituiert mit 1–3 Substituenten, unabhängig ausgewählt aus Hydroxyl, Halogen, C1-C4-Alkyl, Trihalogenmethyl, C1-C4-Alkoxy, Trihalogenmethoxy, C1-C4-Acyloxy, C1-C4-Alkylthio, C1-C4-Alkylsulfinyl, C1-C4-Alkylsulfonyl, Hydroxy(C1-C4)-alkyl, -CO2H, -CN-, -CONHR1-, -NH2, C1-C4-Alkylamino, Di-(C1-C4)-alkylamino, -NHSO2R1, -NHCOR1, -NO2 und Phenyl, gegebenenfalls substituiert mit 1–3 (C1-C4)-Alkyl; oder ein pharmazeutisch annehmbares Salz davon und einen pharmazeutisch annehmbaren Träger oder Exzipienten umfasst.
  2. Pharmazeutische Zusammensetzung nach Anspruch 1, worin: R1 ausgewählt wird aus H, OH oder den C1-C4-Estern oder Alkylethern davon, Halogen; R2, R3, R4, R5 und R6 unabhängig ausgewählt werden aus H, OH oder den C1-C4-Estern oder Alkylethern davon, Halogen, Cyano, C1-C6-Alkyl oder Trifluormethyl, unter der Bedingung, dass wenn R1 für H steht, R2 nicht OH darstellt; X ausgewählt wird aus H, C1-C6-Alkyl, Cyano, Nitro, Triflu ormethyl, Halogen; Y die Komponente
    Figure 01130001
    darstellt; R7 und R8 unabhängig ausgewählt wer en aus H, C1-C6-Alkyl- oder verbunden sind durch -(CH2)p-, worin p eine ganze Zahl von 2 bis 6 darstellt, um einen Ring zu bilden, wobei der Ring gegebenenfalls substituiert ist durch bis zu drei Substituenten, ausgewählt aus Hydroxyl, Halogen, C1-C4-Alkyl, Trihalogenmethyl, C1-C4-Alkoxy, Trihalogenmethoxy, C1-C4-Alkylthio, C1-C4-Alkylsulfinyl, C1-C4-Alkylsulfonyl, Hydroxy(C1-C4)-alkyl, -CO2H, -CN, -CONH(C1-C4)alkyl, -NH2, C1-C4-Alkylamino, Di-(C1-C4)-alkylamino, -NHSO2(C1-C4)alkyl, -NHCO(C1-C4)alkyl und -NO2; oder ein pharmazeutisch annehmbares Salz davon und einen pharmazeutisch annehmbaren Träger oder Exzipienten.
  3. Pharmazeutische Zusammensetzung nach Anspruch 1, worin: R1 für OH steht; R2, R3, R4, R5 und R6 unabhängig ausgewählt werden aus H, OH oder den C1-C4-Estern oder Alkylethern davon, Halogen, Cyano, C1-C6-Alkyl oder Trifluormethyl, unter der Bedingung, dass wenn R1 für H steht, R2 nicht OH darstellt; X ausgewählt wird aus der Gruppe von Cl, NO2, CN, CF3 oder CH3; Y die Komponente
    Figure 01130002
    darstellt; und R7 und R8 zusammen verkettet werden als -(CH2)r-, worin r eine ganze Zahl von 4 bis 6 ist, um einen Ring zu bilden, gegebenenfalls substituiert durch bis zu drei Substituenten, ausgewählt aus Hydroxyl, Halogen, C1-C4-Alkyl, Trihalogenmethyl, C1-C4-Alkoxy, Trihalogenmethoxy, C1-C4-Alkylthio, C1-C4-Alkylsulfinyl, C1-C4-Alkylsulfonyl, Hydroxy(C1-C4)-alkyl, -CO2H, -CN, -CONH(C1-C4)alkyl, -NH2, C1-C4-Alkylamino, Di-(C1-C4)-alkylamino, -NHSO2(C1-C4)alkyl, -NHCO(C1-C4)alkyl und -NO2; oder ein pharmazeutisch annehmbares Salz davon und einen pharmazeutisch annehmbaren Träger oder Exzipienten.
  4. Pharmazeutische Zusammensetzung nach Anspruch 1, worin die Verbindung eine der folgenden ist: 5-Benzyloxy-2-(4-ethoxyphenyl)-3-methyl-1-[4-(2-piperidin-1 -yl-ethoxy)benzyl)-1H-indol oder ein pharmazeutisch annehmbares Salz davon; 1-[4-(2-Azepan-1-yl-ethoxy)benzyl]-2-(4-hydroxy-phenyl)-3-methyl-1H-indol-5-ol oder ein pharmazeutisch annehmbares Salz davon; 4-{3-Methyl-1-[4-(2-piperidin-1-yl-ethoxy)benzyl]-1H-indol} oder ein pharmazeutisch annehmbares Salz davon; 4-{5-Fluor-3-methyl-1-[4-(2-piperidin-1-yl-ethoxy)-benzyl]-1H-indol-2-yl}-phenol oder ein pharmazeutisch annehmbares Salz davon; 1-[4-(2-Azepan-1-yl-ethoxy)-benzyl]-2-(4-hydroxy-phenyl)-3-methyl-1H-indol-5-ol oder ein pharmazeutisch annehmbares Salz davon; 2-(4-Hydroxyphenyl)-3-methyl-1-[4-(2-dimethyl-1-yl-ethoxy)-benzyl]-1H-indol-5-ol oder ein pharmazeutisch annehmbares Salz davon; 2-(4-Hydroxyphenyl)-3-methyl-1-[4-(2-diethyl-1-yl-ethoxy)-benzyl]-1H-indol-5-ol oder ein pharmazeutisch annehmbares Salz davon; 2-(4-Cyclopenyloxyphenyl)-3-methyl-1-[4-(2-piperidin-1-yl-ethoxy)benzyl]-1H-indol-5-ol oder ein pharmazeutisch annehmbares Salz davon; 3-Methyl-1-[4-(2-piperidin-1-yl-ethoxy)benzyl]-2-(4-trifluormethylphenyl)-1H-indol-5-ol oder ein pharmazeutisch annehmbares Salz davon; 2-(4-Hydroxyphenyl)-1-[3-methoxy-4-(2-piperidin-1-ylethoxy)-benzyl]-3-methyl-1H-indol-5-ol oder ein pharmazeutisch annehmbares Salz davon; oder 2-(4-Hydroxyphenyl)-1-[3-methoxy-4-(2-azepan-1-yl-ethoxy)-benzyl]-3-methyl-1H-indol-5-ol oder ein pharmazeutisch annehmbares Salz davon.
  5. Pharmazeutische Zusammensetzung nach einem der Ansprüche 1 bis 4, worin das eine oder mehrere Östrogene ausgewählt werden aus Equilin, Equilenin, Estradien, Ethinyl-estradiol, 17β-Estradiol, 17alpha-Dihydroequilenin, 17β-Dihydroequilenin, Menstranol, konjugierten Östrogenen, Estrone, 17alpha-Estradiolsulfat, Delta8,9-Dehydroestrone, Equol oder Enterolacton; oder einem pharmazeutisch annehmbares Salz oder Ester davon.
  6. Pharmazeutische Zusammensetzung nach Anspruch 5, worin das pharmazeutisch annehmbare Salz von dem einen oder den mehreren Östrogenen ein Natriumsalz ist.
  7. Verwendung eines Östrogens und einer Verbindung nach einem der Ansprüche 1 bis 4 oder eines pharmazeutisch annehmbaren Salzes davon bei der Herstellung eines Medikaments zum Behandeln oder Verhindern von Knochenverlust in einem Säuger.
  8. Verwendung eines Östrogens und einer Verbindung nach einem der Ansprüche 1 bis 4 oder eines pharmazeutisch annehmbaren Salzes davon bei der Herstellung eines Medikaments zum Behandeln oder Verhindern von Krankheitszuständen oder Syndromen, welche von einem Östrogenmangel in einem Säuger verursacht oder damit in Verbindung gebracht werden.
  9. Verwendung von einem Östrogen und einer Verbindung nach einem der Ansprüche 1 bis 4 oder eines pharmazeutisch annehmbaren Salzes davon bei der Herstellung eines Medikaments zum Behandeln oder Verhindern von kardiovaskulärer Erkrankung in einem Säuger.
  10. Verwendung von einem Östrogen und einer Verbindung nach einem der Ansprüche 1 bis 4 oder eines pharmazeutisch annehmbaren Salzes davon bei der Herstellung eines Medikaments zum Behandeln oder Verhindern von Erkrankung in einem Säuger welche aus Proliferation oder abnormer Entwicklung, Wirkungen oder Wachstum von endometrialem oder endometrial-ähnlichem Gewebe resultiert.
  11. Verwendung gemäß Anspruch 10, wobei die Erkrankung Endometriose ist.
  12. Produkt, welches ein oder mehrere Östrogene und eine Verbindung mit der Struktur (I) oder (II) umfasst, wie in einem von 1 bis 4 beansprucht, als kombiniertes Präparat zur gleichzeitigen, getrennten oder aufeinanderfolgenden Verwendung bei der Behandlung oder Verhinderung von kardiovaskulärer Erkrankung oder einer Erkrankung in einem Säuger, welche aus Proliferation oder abnormer Entwicklung, Wirkungen oder Wachstum von endometrialem oder endometrial-ähnlichem Gewebe resultiert, oder Krankheitszuständen oder Syndromen, welche durch einen Östrogenmangel verursacht oder damit in Verbindung gebracht werden.
DE69909616T 1998-05-15 1999-05-11 2-phenyl-1-[-(2-aminoethoxy)-benzyl -indol und estrogen als kombinationpräparate Expired - Lifetime DE69909616T2 (de)

Applications Claiming Priority (3)

Application Number Priority Date Filing Date Title
US79561 1987-07-30
US7956198A 1998-05-15 1998-05-15
PCT/US1999/010217 WO1999059581A1 (en) 1998-05-15 1999-05-11 2-phenyl-1-[4-(2-aminoethoxy)-benzyl]-indole in combination with estrogens

Publications (2)

Publication Number Publication Date
DE69909616D1 DE69909616D1 (de) 2003-08-21
DE69909616T2 true DE69909616T2 (de) 2004-06-17

Family

ID=22151320

Family Applications (1)

Application Number Title Priority Date Filing Date
DE69909616T Expired - Lifetime DE69909616T2 (de) 1998-05-15 1999-05-11 2-phenyl-1-[-(2-aminoethoxy)-benzyl -indol und estrogen als kombinationpräparate

Country Status (41)

Country Link
EP (1) EP1076558B1 (de)
JP (3) JP2002515431A (de)
KR (1) KR100620772B1 (de)
CN (1) CN1230163C (de)
AP (1) AP1424A (de)
AR (1) AR020074A1 (de)
AT (1) ATE245026T1 (de)
AU (1) AU760378B2 (de)
BE (1) BE2015C026I2 (de)
BG (1) BG64783B1 (de)
BR (1) BR9911040A (de)
CA (1) CA2329530A1 (de)
CU (1) CU23241B7 (de)
CY (1) CY2015020I1 (de)
CZ (1) CZ299334B6 (de)
DE (1) DE69909616T2 (de)
DK (1) DK1076558T3 (de)
EA (1) EA005932B1 (de)
EE (1) EE04262B1 (de)
ES (1) ES2203131T3 (de)
FR (1) FR15C0035I2 (de)
GE (1) GEP20033079B (de)
HR (1) HRP20000778B1 (de)
HU (2) HU226587B1 (de)
ID (1) ID26890A (de)
IL (1) IL139130A (de)
IN (1) IN192220B (de)
LT (1) LTC1076558I2 (de)
LU (1) LU92699I2 (de)
NO (2) NO328129B1 (de)
NZ (1) NZ508200A (de)
OA (1) OA11552A (de)
PL (1) PL194750B1 (de)
PT (1) PT1076558E (de)
SI (1) SI1076558T1 (de)
SK (1) SK284666B6 (de)
TR (1) TR200003377T2 (de)
TW (1) TW565554B (de)
UA (1) UA66861C2 (de)
WO (1) WO1999059581A1 (de)
ZA (1) ZA200006959B (de)

Families Citing this family (26)

* Cited by examiner, † Cited by third party
Publication number Priority date Publication date Assignee Title
EE04262B1 (et) * 1998-05-15 2004-04-15 American Home Products Corporation Östrogeeni ja 2-fenüül-1-[4-(2-aminoetoksü)bensüül]indooli ühendit sisaldav farmatseutiline kompositsioon ja produkt
US7005428B1 (en) 1998-06-11 2006-02-28 Endorecherche, Inc. Medical uses of a selective estrogen receptor modulator in combination with sex steroid precursors
US6465445B1 (en) 1998-06-11 2002-10-15 Endorecherche, Inc. Medical uses of a selective estrogen receptor modulator in combination with sex steroid precursors
HU230543B1 (hu) 1999-07-06 2016-11-28 Endorecherche, Inc. Inzulinrezisztencia kezelésére és/vagy megakadályozására szolgáló gyógyszerkészítmények
US20020013327A1 (en) * 2000-04-18 2002-01-31 Lee Andrew G. Compositions and methods for treating female sexual dysfunction
WO2002003992A2 (en) * 2000-07-06 2002-01-17 Wyeth Use of substituted indole compounds for treating prosthesis-related bone degeneration
WO2002003976A2 (en) * 2000-07-06 2002-01-17 Wyeth Combinations of bisphosphonates, estrogenic agents and optionally estrogens
US6455568B2 (en) 2000-07-06 2002-09-24 Wyeth Combination therapy for inhibiting sphincter incontinence
AU2001271781A1 (en) * 2000-07-06 2002-01-21 Wyeth Use of substituted indole compounds for treating sphincter incontinence
JP2004502731A (ja) * 2000-07-06 2004-01-29 ワイス スタチン、エストロゲン剤および所望によるエストロゲンの組み合わせ
US6376486B1 (en) 2000-07-06 2002-04-23 American Home Products Corporation Methods of inhibiting sphincter incontinence
DE10117441A1 (de) * 2001-04-03 2002-10-10 Schering Ag 1-Indolylderivate, deren Verwendung zur Herstellung von Arzneimitteln, ein Verfahren zur Herstellung der 1-Indolylderivate sowie 1-Indolylderivate enthaltende pharmzeutische Präparate
CA2448235A1 (en) 2001-07-31 2003-02-13 Pfizer Products Inc. Pharmaceutical compositions, kits and methods comprising combinations of estrogen agonists/antagonists, estrogens and progestins
KR100470274B1 (ko) 2002-11-08 2005-02-05 진 장 덮개층을 이용한 비정질 물질의 상 변화 방법
US7781478B2 (en) 2004-07-14 2010-08-24 Ptc Therapeutics, Inc. Methods for treating hepatitis C
FR2880625B1 (fr) * 2005-01-07 2007-03-09 Sanofi Aventis Sa Derives de n-(heteroaryl)-1h-indole-2-carboxamides, leur preparation et leur application en therapeutique
DK2276732T3 (en) 2008-04-16 2015-08-17 Karobio Ab Novel østrogenreceptorligander
AR072297A1 (es) * 2008-06-27 2010-08-18 Novartis Ag Derivados de indol-2-il-piridin-3-ilo, composicion farmaceutica que los comprende y su uso en medicamentos para el tratamiento de enfermedades mediadas por la sintasa aldosterona.
GB201113538D0 (en) 2011-08-04 2011-09-21 Karobio Ab Novel estrogen receptor ligands
CN102690225B (zh) * 2012-04-11 2014-12-24 南京友杰医药科技有限公司 巴多昔芬的合成方法
CN103709090A (zh) * 2014-01-16 2014-04-09 江苏万特制药有限公司 醋酸巴多昔芬的制备方法及其关键中间体
CN103739540B (zh) * 2014-01-20 2016-05-04 华润赛科药业有限责任公司 一种醋酸巴多昔芬中间体的制备方法
CN105669518B (zh) * 2014-12-04 2019-06-04 上海医药集团股份有限公司 醋酸巴多昔芬及其a晶型的制备方法
JP7287964B2 (ja) 2017-12-15 2023-06-06 ブリストル-マイヤーズ スクイブ カンパニー 置換インドールエーテル化合物
IT201800006562A1 (it) * 2018-06-21 2019-12-21 Procedimento e intermedi utili per la preparazione di indoli
JP2023517393A (ja) * 2020-03-17 2023-04-25 メッドシャイン ディスカバリー インコーポレイテッド タンパク質分解調整剤およびその使用方法

Family Cites Families (13)

* Cited by examiner, † Cited by third party
Publication number Priority date Publication date Assignee Title
US4729999A (en) * 1984-10-12 1988-03-08 Bcm Technologies Antiestrogen therapy for symptoms of estrogen deficiency
CA2135160A1 (en) * 1992-05-08 1993-11-25 Masatoshi Inai Indole derivative
TW366342B (en) * 1992-07-28 1999-08-11 Lilly Co Eli The use of 2-phenyl-3-aroylbenzothiophenes in inhibiting bone loss
GB9326332D0 (en) * 1993-12-23 1994-02-23 Karo Bio Indole derivatives
DE4426625A1 (de) * 1994-07-27 1996-03-14 Schering Ag 2-Phenylindole, Verfahren zu deren Herstellung, diese enthaltende pharmazeutische Präparate sowie deren Verwendung zur Herstellung von Arzneimitteln
TW397821B (en) * 1996-04-19 2000-07-11 American Home Produits Corp 3-[4-(2-phenyl-indole-1-ylmethyl)-phenyl]-acrylamides and 2-phenyl-1-[4-(amino-1-yl-alk-1-ynyl)-benzyl]-1H-indol-5-ol as well as pharmaceutical compositions of estrogenic agents thereof
DK0802183T3 (da) * 1996-04-19 2002-02-04 American Home Prod Østrogenforbindelser
WO1998001443A1 (en) * 1996-07-09 1998-01-15 Smithkline Beecham S.P.A. Indole derivatives for the treatment of osteoporosis
US5672609A (en) * 1996-07-18 1997-09-30 Eli Lilly And Company Pyridine compounds, intermediates compositions and methods of use
PL198443B1 (pl) * 1997-10-15 2008-06-30 Wyeth Corp Nowe aryloksy-alkilo-dialkiloaminy oraz sposoby ich wytwarzania
WO1999021557A1 (en) * 1997-10-28 1999-05-06 Merck & Co., Inc. Antagonists of gonadotropin releasing hormone
UA68365C2 (en) * 1997-11-06 2004-08-16 Wyeth Corp Peroral contraception by combination of anti-estrogen and progestin
EE04262B1 (et) * 1998-05-15 2004-04-15 American Home Products Corporation Östrogeeni ja 2-fenüül-1-[4-(2-aminoetoksü)bensüül]indooli ühendit sisaldav farmatseutiline kompositsioon ja produkt

Also Published As

Publication number Publication date
SI1076558T1 (en) 2003-10-31
EP1076558A1 (de) 2001-02-21
NZ508200A (en) 2003-09-26
PT1076558E (pt) 2003-11-28
BG64783B1 (bg) 2006-04-28
FR15C0035I1 (de) 2015-06-26
SK17202000A3 (sk) 2001-07-10
TW565554B (en) 2003-12-11
DK1076558T3 (da) 2003-11-03
AU760378B2 (en) 2003-05-15
HUP0103096A2 (hu) 2002-05-29
NO20005770L (no) 2001-01-12
HRP20000778B1 (en) 2004-10-31
OA11552A (en) 2004-06-07
HUP0103096A3 (en) 2002-11-28
FR15C0035I2 (fr) 2015-08-28
KR20010043641A (ko) 2001-05-25
NO20005770D0 (no) 2000-11-14
PL194750B1 (pl) 2007-06-29
DE69909616D1 (de) 2003-08-21
BG104930A (en) 2001-07-31
HU226587B1 (en) 2009-04-28
JP2002515431A (ja) 2002-05-28
AU3894499A (en) 1999-12-06
AP1424A (en) 2005-06-06
UA66861C2 (uk) 2004-06-15
CZ20004254A3 (cs) 2001-12-12
AP2000001970A0 (en) 2000-12-31
HK1031691A1 (en) 2001-06-22
SK284666B6 (sk) 2005-08-04
JP5872624B2 (ja) 2016-03-01
AR020074A1 (es) 2002-04-10
NO328129B1 (no) 2009-12-14
ES2203131T3 (es) 2004-04-01
EA005932B1 (ru) 2005-08-25
HUS1500023I1 (hu) 2017-03-28
HRP20000778A2 (en) 2001-06-30
GEP20033079B (en) 2003-10-27
EA200001193A1 (ru) 2001-12-24
WO1999059581A1 (en) 1999-11-25
LU92699I2 (fr) 2015-06-24
ID26890A (id) 2001-02-15
BR9911040A (pt) 2001-02-13
NO2015015I2 (no) 2015-06-02
IN192220B (de) 2004-03-20
JP2009019042A (ja) 2009-01-29
PL345268A1 (en) 2001-12-03
ATE245026T1 (de) 2003-08-15
CN1326347A (zh) 2001-12-12
IL139130A (en) 2005-11-20
KR100620772B1 (ko) 2006-09-13
CZ299334B6 (cs) 2008-06-25
ZA200006959B (en) 2001-11-27
EP1076558B1 (de) 2003-07-16
CN1230163C (zh) 2005-12-07
LTC1076558I2 (lt) 2016-11-10
EE200000652A (et) 2002-04-15
NO2015015I1 (no) 2015-06-02
TR200003377T2 (tr) 2001-03-21
JP5607871B2 (ja) 2014-10-15
IL139130A0 (en) 2001-11-25
JP2014159472A (ja) 2014-09-04
EE04262B1 (et) 2004-04-15
CA2329530A1 (en) 1999-11-25
CY2015020I1 (el) 2020-05-29
BE2015C026I2 (en) 2018-08-24
CU23241B7 (es) 2007-10-17

Similar Documents

Publication Publication Date Title
DE69909616T2 (de) 2-phenyl-1-[-(2-aminoethoxy)-benzyl -indol und estrogen als kombinationpräparate
DE69707189T2 (de) Östrogene Verbindungen
US6479535B1 (en) 2-phenyl-1-[4-(2-aminoethoxy)-benzyl]-indole and estrogen formulations
US6787538B2 (en) 2-phenyl-1-[4-(2-aminoethoxy)-benzyl]-indoles as estrogenic agents
HK1031691B (en) 2-phenyl-1-[-(2-aminoethoxy)-benzyl -indole in combination with estrogens
MXPA00011178A (en) 2-phenyl-1-[4-(2-aminoethoxy)-benzyl]-indole in combination with estrogens

Legal Events

Date Code Title Description
R067 Examining division decision granting supplementary protection certificate

Free format text: PRODUCT NAME: BAZEDOXIFEN, GEGEBENENFALLS IN FORM EINES PHARMAZEUTISCH ANNEHMBAREN SALZES DAVON UND KONJUGIERTE ESTROGENE; REGISTRATION NO/DATE: EU/1/14/960 20141216

Spc suppl protection certif: 122015000035

Filing date: 20150508

Expiry date: 20190512

Extension date: 20240511

R069 Supplementary protection certificate granted

Free format text: PRODUCT NAME: BAZEDOXIFEN, GEGEBENENFALLS IN FORM EINES PHARMAZEUTISCH ANNEHMBAREN SALZES DAVON UND KONJUGIERTE ESTROGENE; REGISTRATION NO/DATE: EU/1/14/960 20141216

Spc suppl protection certif: 122015000035

Filing date: 20150508

Expiry date: 20190512

Extension date: 20240511