DE69628019T2 - Chinolone und deren therapeutische verwendung - Google Patents

Chinolone und deren therapeutische verwendung Download PDF

Info

Publication number
DE69628019T2
DE69628019T2 DE69628019T DE69628019T DE69628019T2 DE 69628019 T2 DE69628019 T2 DE 69628019T2 DE 69628019 T DE69628019 T DE 69628019T DE 69628019 T DE69628019 T DE 69628019T DE 69628019 T2 DE69628019 T2 DE 69628019T2
Authority
DE
Germany
Prior art keywords
ethyl
dihydro
oxo
quinolinecarboxamide
pyridyl
Prior art date
Legal status (The legal status is an assumption and is not a legal conclusion. Google has not performed a legal analysis and makes no representation as to the accuracy of the status listed.)
Expired - Fee Related
Application number
DE69628019T
Other languages
English (en)
Other versions
DE69628019D1 (de
Inventor
Colin Steven BEASLEY
Gary John MONTANA
Joan Hazel DYKE
Findlay Alan HAUGHAN
Ann Karen RUNCIE
Thomas David MANALLACK
Martin George BUCKLEY
James Robert MAXEY
Jayne Hannah KENDALL
Douglas Andrew BAXTER
Current Assignee (The listed assignees may be inaccurate. Google has not performed a legal analysis and makes no representation or warranty as to the accuracy of the list.)
Darwin Discovery Ltd
Original Assignee
Darwin Discovery Ltd
Priority date (The priority date is an assumption and is not a legal conclusion. Google has not performed a legal analysis and makes no representation as to the accuracy of the date listed.)
Filing date
Publication date
Priority claimed from GBGB9515811.9A external-priority patent/GB9515811D0/en
Priority claimed from GBGB9526377.8A external-priority patent/GB9526377D0/en
Priority claimed from GBGB9605868.0A external-priority patent/GB9605868D0/en
Priority claimed from GBGB9611898.9A external-priority patent/GB9611898D0/en
Application filed by Darwin Discovery Ltd filed Critical Darwin Discovery Ltd
Application granted granted Critical
Publication of DE69628019D1 publication Critical patent/DE69628019D1/de
Publication of DE69628019T2 publication Critical patent/DE69628019T2/de
Anticipated expiration legal-status Critical
Expired - Fee Related legal-status Critical Current

Links

Classifications

    • AHUMAN NECESSITIES
    • A61MEDICAL OR VETERINARY SCIENCE; HYGIENE
    • A61KPREPARATIONS FOR MEDICAL, DENTAL OR TOILETRY PURPOSES
    • A61K31/00Medicinal preparations containing organic active ingredients
    • A61K31/33Heterocyclic compounds
    • A61K31/395Heterocyclic compounds having nitrogen as a ring hetero atom, e.g. guanethidine or rifamycins
    • A61K31/435Heterocyclic compounds having nitrogen as a ring hetero atom, e.g. guanethidine or rifamycins having six-membered rings with one nitrogen as the only ring hetero atom
    • A61K31/47Quinolines; Isoquinolines
    • AHUMAN NECESSITIES
    • A61MEDICAL OR VETERINARY SCIENCE; HYGIENE
    • A61KPREPARATIONS FOR MEDICAL, DENTAL OR TOILETRY PURPOSES
    • A61K31/00Medicinal preparations containing organic active ingredients
    • A61K31/33Heterocyclic compounds
    • A61K31/395Heterocyclic compounds having nitrogen as a ring hetero atom, e.g. guanethidine or rifamycins
    • A61K31/435Heterocyclic compounds having nitrogen as a ring hetero atom, e.g. guanethidine or rifamycins having six-membered rings with one nitrogen as the only ring hetero atom
    • A61K31/44Non condensed pyridines; Hydrogenated derivatives thereof
    • A61K31/4427Non condensed pyridines; Hydrogenated derivatives thereof containing further heterocyclic ring systems
    • A61K31/444Non condensed pyridines; Hydrogenated derivatives thereof containing further heterocyclic ring systems containing a six-membered ring with nitrogen as a ring heteroatom, e.g. amrinone
    • AHUMAN NECESSITIES
    • A61MEDICAL OR VETERINARY SCIENCE; HYGIENE
    • A61PSPECIFIC THERAPEUTIC ACTIVITY OF CHEMICAL COMPOUNDS OR MEDICINAL PREPARATIONS
    • A61P1/00Drugs for disorders of the alimentary tract or the digestive system
    • AHUMAN NECESSITIES
    • A61MEDICAL OR VETERINARY SCIENCE; HYGIENE
    • A61PSPECIFIC THERAPEUTIC ACTIVITY OF CHEMICAL COMPOUNDS OR MEDICINAL PREPARATIONS
    • A61P1/00Drugs for disorders of the alimentary tract or the digestive system
    • A61P1/04Drugs for disorders of the alimentary tract or the digestive system for ulcers, gastritis or reflux esophagitis, e.g. antacids, inhibitors of acid secretion, mucosal protectants
    • AHUMAN NECESSITIES
    • A61MEDICAL OR VETERINARY SCIENCE; HYGIENE
    • A61PSPECIFIC THERAPEUTIC ACTIVITY OF CHEMICAL COMPOUNDS OR MEDICINAL PREPARATIONS
    • A61P11/00Drugs for disorders of the respiratory system
    • AHUMAN NECESSITIES
    • A61MEDICAL OR VETERINARY SCIENCE; HYGIENE
    • A61PSPECIFIC THERAPEUTIC ACTIVITY OF CHEMICAL COMPOUNDS OR MEDICINAL PREPARATIONS
    • A61P11/00Drugs for disorders of the respiratory system
    • A61P11/06Antiasthmatics
    • AHUMAN NECESSITIES
    • A61MEDICAL OR VETERINARY SCIENCE; HYGIENE
    • A61PSPECIFIC THERAPEUTIC ACTIVITY OF CHEMICAL COMPOUNDS OR MEDICINAL PREPARATIONS
    • A61P17/00Drugs for dermatological disorders
    • AHUMAN NECESSITIES
    • A61MEDICAL OR VETERINARY SCIENCE; HYGIENE
    • A61PSPECIFIC THERAPEUTIC ACTIVITY OF CHEMICAL COMPOUNDS OR MEDICINAL PREPARATIONS
    • A61P19/00Drugs for skeletal disorders
    • AHUMAN NECESSITIES
    • A61MEDICAL OR VETERINARY SCIENCE; HYGIENE
    • A61PSPECIFIC THERAPEUTIC ACTIVITY OF CHEMICAL COMPOUNDS OR MEDICINAL PREPARATIONS
    • A61P19/00Drugs for skeletal disorders
    • A61P19/02Drugs for skeletal disorders for joint disorders, e.g. arthritis, arthrosis
    • AHUMAN NECESSITIES
    • A61MEDICAL OR VETERINARY SCIENCE; HYGIENE
    • A61PSPECIFIC THERAPEUTIC ACTIVITY OF CHEMICAL COMPOUNDS OR MEDICINAL PREPARATIONS
    • A61P19/00Drugs for skeletal disorders
    • A61P19/08Drugs for skeletal disorders for bone diseases, e.g. rachitism, Paget's disease
    • AHUMAN NECESSITIES
    • A61MEDICAL OR VETERINARY SCIENCE; HYGIENE
    • A61PSPECIFIC THERAPEUTIC ACTIVITY OF CHEMICAL COMPOUNDS OR MEDICINAL PREPARATIONS
    • A61P25/00Drugs for disorders of the nervous system
    • A61P25/14Drugs for disorders of the nervous system for treating abnormal movements, e.g. chorea, dyskinesia
    • A61P25/16Anti-Parkinson drugs
    • AHUMAN NECESSITIES
    • A61MEDICAL OR VETERINARY SCIENCE; HYGIENE
    • A61PSPECIFIC THERAPEUTIC ACTIVITY OF CHEMICAL COMPOUNDS OR MEDICINAL PREPARATIONS
    • A61P25/00Drugs for disorders of the nervous system
    • A61P25/28Drugs for disorders of the nervous system for treating neurodegenerative disorders of the central nervous system, e.g. nootropic agents, cognition enhancers, drugs for treating Alzheimer's disease or other forms of dementia
    • AHUMAN NECESSITIES
    • A61MEDICAL OR VETERINARY SCIENCE; HYGIENE
    • A61PSPECIFIC THERAPEUTIC ACTIVITY OF CHEMICAL COMPOUNDS OR MEDICINAL PREPARATIONS
    • A61P27/00Drugs for disorders of the senses
    • AHUMAN NECESSITIES
    • A61MEDICAL OR VETERINARY SCIENCE; HYGIENE
    • A61PSPECIFIC THERAPEUTIC ACTIVITY OF CHEMICAL COMPOUNDS OR MEDICINAL PREPARATIONS
    • A61P27/00Drugs for disorders of the senses
    • A61P27/02Ophthalmic agents
    • AHUMAN NECESSITIES
    • A61MEDICAL OR VETERINARY SCIENCE; HYGIENE
    • A61PSPECIFIC THERAPEUTIC ACTIVITY OF CHEMICAL COMPOUNDS OR MEDICINAL PREPARATIONS
    • A61P27/00Drugs for disorders of the senses
    • A61P27/16Otologicals
    • AHUMAN NECESSITIES
    • A61MEDICAL OR VETERINARY SCIENCE; HYGIENE
    • A61PSPECIFIC THERAPEUTIC ACTIVITY OF CHEMICAL COMPOUNDS OR MEDICINAL PREPARATIONS
    • A61P29/00Non-central analgesic, antipyretic or antiinflammatory agents, e.g. antirheumatic agents; Non-steroidal antiinflammatory drugs [NSAID]
    • AHUMAN NECESSITIES
    • A61MEDICAL OR VETERINARY SCIENCE; HYGIENE
    • A61PSPECIFIC THERAPEUTIC ACTIVITY OF CHEMICAL COMPOUNDS OR MEDICINAL PREPARATIONS
    • A61P3/00Drugs for disorders of the metabolism
    • AHUMAN NECESSITIES
    • A61MEDICAL OR VETERINARY SCIENCE; HYGIENE
    • A61PSPECIFIC THERAPEUTIC ACTIVITY OF CHEMICAL COMPOUNDS OR MEDICINAL PREPARATIONS
    • A61P3/00Drugs for disorders of the metabolism
    • A61P3/08Drugs for disorders of the metabolism for glucose homeostasis
    • A61P3/10Drugs for disorders of the metabolism for glucose homeostasis for hyperglycaemia, e.g. antidiabetics
    • AHUMAN NECESSITIES
    • A61MEDICAL OR VETERINARY SCIENCE; HYGIENE
    • A61PSPECIFIC THERAPEUTIC ACTIVITY OF CHEMICAL COMPOUNDS OR MEDICINAL PREPARATIONS
    • A61P31/00Antiinfectives, i.e. antibiotics, antiseptics, chemotherapeutics
    • AHUMAN NECESSITIES
    • A61MEDICAL OR VETERINARY SCIENCE; HYGIENE
    • A61PSPECIFIC THERAPEUTIC ACTIVITY OF CHEMICAL COMPOUNDS OR MEDICINAL PREPARATIONS
    • A61P31/00Antiinfectives, i.e. antibiotics, antiseptics, chemotherapeutics
    • A61P31/12Antivirals
    • AHUMAN NECESSITIES
    • A61MEDICAL OR VETERINARY SCIENCE; HYGIENE
    • A61PSPECIFIC THERAPEUTIC ACTIVITY OF CHEMICAL COMPOUNDS OR MEDICINAL PREPARATIONS
    • A61P35/00Antineoplastic agents
    • AHUMAN NECESSITIES
    • A61MEDICAL OR VETERINARY SCIENCE; HYGIENE
    • A61PSPECIFIC THERAPEUTIC ACTIVITY OF CHEMICAL COMPOUNDS OR MEDICINAL PREPARATIONS
    • A61P37/00Drugs for immunological or allergic disorders
    • AHUMAN NECESSITIES
    • A61MEDICAL OR VETERINARY SCIENCE; HYGIENE
    • A61PSPECIFIC THERAPEUTIC ACTIVITY OF CHEMICAL COMPOUNDS OR MEDICINAL PREPARATIONS
    • A61P37/00Drugs for immunological or allergic disorders
    • A61P37/08Antiallergic agents
    • AHUMAN NECESSITIES
    • A61MEDICAL OR VETERINARY SCIENCE; HYGIENE
    • A61PSPECIFIC THERAPEUTIC ACTIVITY OF CHEMICAL COMPOUNDS OR MEDICINAL PREPARATIONS
    • A61P43/00Drugs for specific purposes, not provided for in groups A61P1/00-A61P41/00
    • AHUMAN NECESSITIES
    • A61MEDICAL OR VETERINARY SCIENCE; HYGIENE
    • A61PSPECIFIC THERAPEUTIC ACTIVITY OF CHEMICAL COMPOUNDS OR MEDICINAL PREPARATIONS
    • A61P7/00Drugs for disorders of the blood or the extracellular fluid
    • AHUMAN NECESSITIES
    • A61MEDICAL OR VETERINARY SCIENCE; HYGIENE
    • A61PSPECIFIC THERAPEUTIC ACTIVITY OF CHEMICAL COMPOUNDS OR MEDICINAL PREPARATIONS
    • A61P7/00Drugs for disorders of the blood or the extracellular fluid
    • A61P7/12Antidiuretics, e.g. drugs for diabetes insipidus
    • AHUMAN NECESSITIES
    • A61MEDICAL OR VETERINARY SCIENCE; HYGIENE
    • A61PSPECIFIC THERAPEUTIC ACTIVITY OF CHEMICAL COMPOUNDS OR MEDICINAL PREPARATIONS
    • A61P9/00Drugs for disorders of the cardiovascular system
    • YGENERAL TAGGING OF NEW TECHNOLOGICAL DEVELOPMENTS; GENERAL TAGGING OF CROSS-SECTIONAL TECHNOLOGIES SPANNING OVER SEVERAL SECTIONS OF THE IPC; TECHNICAL SUBJECTS COVERED BY FORMER USPC CROSS-REFERENCE ART COLLECTIONS [XRACs] AND DIGESTS
    • Y02TECHNOLOGIES OR APPLICATIONS FOR MITIGATION OR ADAPTATION AGAINST CLIMATE CHANGE
    • Y02ATECHNOLOGIES FOR ADAPTATION TO CLIMATE CHANGE
    • Y02A50/00TECHNOLOGIES FOR ADAPTATION TO CLIMATE CHANGE in human health protection, e.g. against extreme weather
    • Y02A50/30Against vector-borne diseases, e.g. mosquito-borne, fly-borne, tick-borne or waterborne diseases whose impact is exacerbated by climate change

Landscapes

  • Health & Medical Sciences (AREA)
  • Life Sciences & Earth Sciences (AREA)
  • Medicinal Chemistry (AREA)
  • Veterinary Medicine (AREA)
  • Public Health (AREA)
  • General Health & Medical Sciences (AREA)
  • Animal Behavior & Ethology (AREA)
  • Pharmacology & Pharmacy (AREA)
  • Chemical & Material Sciences (AREA)
  • General Chemical & Material Sciences (AREA)
  • Organic Chemistry (AREA)
  • Chemical Kinetics & Catalysis (AREA)
  • Nuclear Medicine, Radiotherapy & Molecular Imaging (AREA)
  • Bioinformatics & Cheminformatics (AREA)
  • Engineering & Computer Science (AREA)
  • Diabetes (AREA)
  • Neurosurgery (AREA)
  • Hematology (AREA)
  • Epidemiology (AREA)
  • Neurology (AREA)
  • Physical Education & Sports Medicine (AREA)
  • Pulmonology (AREA)
  • Biomedical Technology (AREA)
  • Immunology (AREA)
  • Rheumatology (AREA)
  • Obesity (AREA)
  • Communicable Diseases (AREA)
  • Oncology (AREA)
  • Orthopedic Medicine & Surgery (AREA)
  • Cardiology (AREA)
  • Pain & Pain Management (AREA)
  • Virology (AREA)
  • Psychology (AREA)
  • Ophthalmology & Optometry (AREA)
  • Hospice & Palliative Care (AREA)
  • Psychiatry (AREA)
  • Heart & Thoracic Surgery (AREA)
  • Dermatology (AREA)
  • Endocrinology (AREA)
  • Emergency Medicine (AREA)

Description

  • Gebiet der Erfindung
  • Die vorliegende Erfindung betrifft die therapeutische Verwendung von Chinolonderivaten und bestimmte neue Verbindungen.
  • Hintergrund der Endung
  • Chinolonverbindungen sind vorwiegend als antibakterielle Mittel bekannt (vgl. JP-A-05025162, US-A-5037834, EP-A-0420069, WO-A-9410163, JP-A-02040379, EP-A-0343560, DE-A-3816119, EP-A-0304158 und DE-A-3641312) oder als antivirale Mittel (US-A-4959363), jedoch auch als Inhibitoren von 5-Lipoxygenase (JP-A-02124871), Kardiotonika und Vasodilatatoren (JP-A-01061461) und 5-HT3 Antagonisten zur Behandlung von peripheren Störungen, die mit Schmerzen verbunden sind (WO-A-9501793 und GB-A-2236751). Keine dieser Druckschriften beschreibt die Eignung als PDE IV-Inhibitoren.
  • Phosphodiesterasen regulieren die cyclischen AMP/GMP-Konzentrationen. Es wurde gezeigt, dass Phosphodiesterase IV (PDE IV) ein wichtiger Regulator von cyclischem AMP in der glatten Atemmuskulatur und in entzündlichen Zellen darstellt (vgl. Torphy und Cieslinski, Molecular Pharmacology, Bd. 37 (1990), S. 206; Dent et al., British Journal of Pharmacology, Bd. 90 (1990), S. 163). Inhibitoren von Phosphodiesterase IV wurden als Bronchodilatatoren und als prophylaktische Mittel bei Asthma, als Mittel zur Hemmung der Anreicherung von Eosinophilen und der Funktionsweise von Eosinophilen (vgl. z.B. Gembycz und Dent, Clinical and Experimental Allergy, Bd. 22 (1992), S.337) und zur Behandlung anderer Krankheiten und Zustände verwendet, die durch eine Ätiologie unter Einschluss einer morbiden Anreicherung von Eosinophilen gekennzeichnet sind oder eine derartige Ätiologie aufweisen. Inhibitoren von PDE IV werden auch bei der Behandlung von entzündlichen Erkrankungen, proliferativen Hautkrankheiten und Zuständen, die mit einer zerebralen Stoffwechselstörung verbunden sind, eingesetzt.
  • Beim Tumor-Nekrosefaktor (TNF) handelt es sich um ein Serum-Glycoprotein. Es wird angenommen, dass eine übermäßige oder ungeregelte TNF-Bildung bei der Vermittlung oder Verschärfung einer Anzahl von Krankheiten beteiligt ist: rheumatoide Arthritis, rheumatoide Spondylitis, Osteoarthritis gichtartige Arthritis und andere arthritische Zustände; Sepsis, septischer Schock, endotoxischer Schock, gram-negative Sepsis, toxisches Schocksyndrom, Atemnotsyndrom bei Erwachsenen, zerebrale Malaria, chronische Lungenentzündungen, Silikose, pulmonale Sarkoidose, Knochenresorptions krankheiten, Reperfusionsschädigungen, Graft-versus-Host-Reaktionen, Fremdtransplantatabstoßungen, Fieber und Myalgien aufgrund von Infektionen, wie Grippe, Kachexie infolge von Infektionen oder malignen Erscheinungen, Kachexie infolge des humanen Immunschwächesyndroms (AIDS), AIDS, ARG (AIDS- verwandter Komplex), Keloidbildung, Narbengewebebildung, Morbus Crohn, ulzerative Kolitis oder Pyrese, zusätzlich zu einer Anzahl von Autoimmunkrankheiten, wie Multiple Sklerose, autoimmuner Diabetes und systemischer Lupus erythematosus.
  • AIDS beruht auf der Infektion von T-Lymphozyten mit dem humanen Immunschwächevirus (HIV). Es wurden mindestens drei Typen oder Stämme von HIV identifiziert, d.h. HIV-1, HIV-2 und HIV-3. Als Folge einer HIV-Infektion wird eine durch T-Zellen vermittelte Immunität behindert und die infizierten Personen zeigen schwere opportunistische Infektionen und/oder unübliche Neoplasmen. Der Eintritt von HIV in die T-Lymphozyten erfordert die Aktivierung der T-Lymphozyten. Viren, wie HIV-1 oder HIV-2 infizieren T-Lymphozyten nach einer Aktivierung von T-Zellen. Eine derartige Expression und/oder Replikation von Virusprotein wird durch eine derartige Aktivierung von T-Zellen vermittelt oder aufrecht erhalten. Nachdem ein aktivierter T-Lymphozyt mit HIV infiziert ist, muss der T-Lymphozyt weiter in einem aktivierten Zustand gehalten werden, um eine HIV-Genexpression und/oder HIV-Replikation zu ermöglichen.
  • Cytokine, speziell TNF, sind an der durch aktivierte T-Zellen vermittelten HIV-Proteinexpression und/oder Virusreplikation beteiligt, indem sie eine Rolle bei der Aufrechterhaltung der Aktivierung von T-Lymphozyten spielen. Daher unterstützt eine Störung der Cytokin-Aktivität, z.B. durch Hemmung der Bildung von Cytokinen, insbesondere TNF, bei einer mit HIV infizierten Person eine Begrenzung der Aktivierung von T-Zellen, wodurch das Übergreifen der HIV-Infektivität auf vorher nicht-infizierte Zellen vermindert wird, was es ermöglicht, das Fortschreiten der durch die HIV-Infektion hervorgerufene Immun-Fehlfunktion zu verlangsamen oder zu beseitigen. Monozyten, Makrophagen und verwandte Zellen, wie Kupffer- und Gliazellen, sind ebenfalls bei der Aufrechterhaltung der HIV-Infektion beteiligt. Diese Zellen stellen ebenso wie T-Zellen Ziele der viralen Replikation dar. Der Grad der viralen Replikation hängt vom Aktivierungszustand der Zellen ab (vgl. Rosenberg et al., The Immunopathogenesis of HIV Infection, Advances in Immunology, Bd. 57, (1989)). Von Monokinen, wie TNF, wurde gezeigt, dass sie die HIV-Replikation in Monozyten und/oder Makrophagen aktivieren (vgl. Poli et al., Proc. Natl. Acad. Sci., Bd. 87 (1990), S. 782-784). Daher unterstützt eine Hemmung der Bildung oder Aktivität von Monokinen eine Begrenzung des HIV-Fortschreitens, wie vorstehend für T-Zellen ausgeführt wurde.
  • TNF ist auch in verschiedenen Rollen bei anderen viralen Infektionen beteiligt, z.B. bei Infektionen mit Cytomegalovirus (CMV), Influenzavirus, Adenovirus und Herpesvirus, und zwar aus ähnlichen Gründen, wie sie vorstehend aufgeführt wurden.
  • TNF ist auch bei Hefe- und Pilzinfektionen beteiligt. Speziell wurde von Candida albicans gezeigt, dass es in vitro die TNF-Bildung in humanen Monozyten und natürlichen Killerzellen induziert (vgl. Riipi et al., Infection and Immunity, Bd. 58 (9) (1990), S. 2750-2754; und Jafari et al., Journal of Infectious Diseases, Bd. 164 (1991), S. 389-395. Diesbezüglich wird auch auf Wasan et al., Antimicrobial Agents and Chemotherapy, Bd. 35 (10) (1991), S. 2046-2048, und Luke et al., Journal of Infectious Diseases, Bd. 162 (1990), S. 211-214, verwiesen).
  • Die Fähigkeit zur Bekämpfung der nachteiligen Wirkungen von TNF wird durch die Verwendung von Verbindungen mit Hemmwirkung gegen TNF bei Säugetieren, die einer derartigen Anwendung bedürfen, gefördert. Es besteht ein Bedürfnis nach Verbindungen, die sich zur Behandlung von durch TNF vermittelten Krankheitszuständen, die durch die übermäßige und/oder unregulierte Bildung von TNF verschärft oder verursacht werden, eignen.
  • US-A-4786644 beschreibt verschiedene Verbindungen, einschließlich Chinolon-3-carboxamide. Diese Verbindungen weisen ferner einen Arylsubstituenten in der 1-Stellung auf.
  • US-A-4621088 beschreibt 1-Ethylchinolon-3-carboxamide und heterocyclische Analoge davon mit einem Acylsubstituenten an der Carboxamidgruppe. Beim Acylsubstituenten kann es sich um Cyclohexylmethyl mit einer COOH-Gruppe handeln. Für diese Verbindungen wird eine antiallergische Wirkung angegeben.
  • US-A-3524858 und GB-A-1191443 beschreiben unter anderem 1-Alkylchinolon-3-carboxamide mit einem Aryl- oder Aralkylsubstituenten an der Carboxamidgruppe. Für diese Verbindungen wird eine antivirale Aktivität angegeben.
  • Es sind weitere Chinolon-3-carboxamide bekannt, bei denen sich ein gegebenenfalls substituierter Phenylsubstituent an der Carboxamidgruppe befindet. Keine dieser Druckschriften erwähnt die Eignung als PDE IV-Inhibitoren.
  • Zusammenfassende Darstellung der Erfindung
  • Die Erfindung betrifft Verbindungen (von denen zahlreiche neu sind), die erfindungsgemäß zur Behandlung von Krankheitszuständen verwendet werden können, z.B. von Krankheitszuständen, die mit Proteinen in Zusammenhang stehen, die eine zelluläre Aktivität vermitteln, indem sie beispielsweise den Tumor-Nekrosefaktor hemmen oder indem sie Phosphodiesterase IV hemmen. Erfindungsgemäß handelt es sich dabei um Verbindungen der Formel (I):
    Figure 00040001
    worin
    R1 C1–6-Alkyl, C1–6-Alkylcycloalkyl, C1–6-Alkylheterocyclo, C1–6-Alkylaryl oder C1–6-Alkylheteroaryl bedeutet, wobei jeder dieser Reste gegebenenfalls ein- oder mehrfach durch Substituenten substituiert ist, die unter Halogen, C1–6-Alkoxy, Hydroxy, CN, CO2H (oder C1–6-Alkylester oder C1–6-Alkylamide davon), C1–6-Alkyl, NR9R10 und SO2NR1R12 ausgewählt sind;
    R3 Phenyl, Pyridyl, Thienyl, Furyl, Pyrazinyl, Pyridazinyl, Pyrimidinyl oder C3–10-Cycloalkyl bedeutet, wobei an jeden dieser Reste gegebenenfalls ein zweiter carbocyclischer oder heterocyclischer Ring ankondensiert ist und wobei der oder die Ringe gegebenenfalls an einer beliebigen verfügbaren Position durch einen oder mehrere Substituenten substituiert sind, die unter Halogen, C1–6-Alkoxy, OH, CN, COOH (oder C1–6-Alkylester oder C1–6-Alkylamide davon), C1–6-Alkyl, C1–6-Halogenalkyl, NR9R10, SO2NR11 R12, Aryl, Heteroaryl, Cycloalkyl und Heterocyclo ausgewählt sind;
    Y die Bedeutung O oder S hat;
    R4, R5, R6 und R7 gleich oder verschieden sind und jeweils N, Halogen, C1–6-Alkoxy, Hydroxy, CN, CO2H (oder C1–6-Akylester oder C1–6-Alkylamide davon), NR9R10 oder C1–6-Alkyl bedeuten, wobei Alkyl gegebenenfalls durch Halogen, C1–6-Alkoxy, Hydroxy, CN, CO2H (oder C1–6-Alkylester oder C1–6-Alkylamide davon), NR9R10 oder SO2NR11R12 substituiert ist oder beliebige zwei benachbarte Gruppen R4 bis R7 und die C-Atome, an die sie gebunden sind, einen 5- oder 6-gliedrigen Ring mit 0, 1 oder 2 Heteroatomen bilden;
    R9 und R10 gleich oder verschieden sind und jeweils N, C1–6-Alkyl, Aryl, Heteroaryl, COCF3, SO2CF3, Cycloalkyl, C1–6-Alkylcarbonyl, Arylcarbonyl, C1–6-Alkoxycarbonyl, Arylsulfonyl oder C1–6-Alkylsulfonyl bedeuten; oder NR9R10 einen 5- oder 6-gliedrigen Ring, wie einen Pyrrolidin-, Piperidin-, Morpholin- oder Piperazinring bedeuten;
    R11 und R12 gleich oder verschieden sind und jeweils N, C1–6-Alkyl oder Cycloalkyl bedeuten; und
    n = 0–3;
    oder um ein pharmazeutisch verträgliches Salz, Solvat, Hydrat oder eine Kombination davon.
  • Verbindungen gemäß US-A-4621088 sind ausgenommen. Verbindungen gemäß US-A-3524858 und GB-A-1191443 sind von den Ansprüchen als Verbindungen an sich ausgenommen. Bekannte N-Arylchinolon-3-carboxamide sind ausgenommen, werden aber bezüglich ihrer ersten therapeutischen Verwendung beansprucht.
  • Beschreibung der Erfindung
  • Bestimmte Verbindungen der Formel I werden bevorzugt; vgl. beispielsweise den Anspruch 2 und dergleichen.
  • Zu geeigneten pharmazeutisch verträglichen Salzen gehören pharmazeutisch verträgliche Basensalze und pharmazeutisch verträgliche Säureadditionssalze. Bestimmte Verbindungen der Formel (I), die eine saure Gruppe enthalten, bilden Basensalze. Zu geeigneten, pharmazeutisch verträglichen Basensalzen gehören Metallsalze, wie Alkalimetallsalze, z.B. Natriumsalze, oder Salze mit organischen Aminen, z.B. mit Ethylendiamin.
  • Bestimmte Verbindungen der Formel (I), die eine Aminogruppe enthalten, bilden Säureadditionssalze. Zu geeigneten Säureadditionssalzen gehören pharmazeutisch verträgliche anorganische Salze, wie Sulfate, Nitrate, Phosphate, Borate, Hydrochloride und Hydrobromide, und Säureadditionssalze mit pharmazeutisch verträglichen organischen Säuren, wie Acetate, Tartrate, Maleate, Citrate, Succinate, Benzoate, Ascorbate, Methansulfate, α-Ketoglutarate, α-Glycerophosphate und Glucose-1-phosphate. Die pharmazeutisch verträglichen Salze der Verbindungen der Formel (I) werden unter Anwendung herkömmlicher Verfahrensweisen hergestellt.
  • Für den Fachmann ist es ersichtlich, dass einige der Verbindungen der Formel (I) in mehr als einer tautomeren Form vorliegen können. Die Erfindung umfasst sämtliche tautomeren Formen.
  • Es ist ersichtlich, dass einige der erfindungsgemäßen Verbindungen ein oder mehr asymmetrisch substituierte Kohlenstoff- und/oder Schwefelatome enthalten können. Das Vorliegen von einem oder mehreren asymmetrischen Zentren in einer Verbindung der Formel (I) kann zu Stereoisomeren führen. In sämtlichen Fällen ist die Erfindung so zu verstehen, dass sie alle diese Stereoisomeren umfasst, einschließlich die Enantiomeren und Diastereoisomeren sowie Gemische, die razemische Gemische davon umfassen.
  • Der hier verwendete Ausdruck "Alkyl" umfasst bei alleiniger Verwendung oder bei Verwendung als Teil einer weiteren Gruppe geradkettige und verzweigte Alkylgruppen mit etwa 1 bis etwa 6 Kohlenstoffatomen. Halogen bedeutet Fluor, Chlor, Brom oder Jod. Der Ausdruck Halogenalkyl bedeutet eine Alkylgruppe gemäß der vorstehenden Definition, die durch ein oder mehr Halogenatome (wobei Halogen die vorstehende definierte Bedeutung hat), substituiert ist. Cycloalkyl umfasst ein nicht-aromatisches, cyclisches oder multicyclisches Ringsystem mit etwa 3 bis 10 Kohlenstoffatomen. Der cyclisches Alkylrest kann gegebenenfalls teilweise ungesättigt sein. Alkylcycloalkyl bedeutet eine Alkylcycloalkylgruppe, wobei Alkyl und Cycloalkyl der vorstehenden Definition entsprechen. Alkoxy bedeutet eine Alkyl-O-gruppe, in der die Alkylgruppe der vorstehenden Definition entspricht. Alkylamid umfasst sowohl Monoalkyl- als auch Dialkylamide, bei denen die Alkylgruppen (gemäß der vorstehenden Definition) gleich oder verschieden sein können. Alkylcarbonyl bedeutet eine Alkyl-CO-gruppe, wobei die Alkylgruppe der vorstehenden Definition entspricht. Aryl bedeutet carbocyclische Reste mit einem Gehalt an etwa 6 bis 10 Kohlenstoffatomen. Alkylaryl bedeutet eine Alkylarylgruppe, wobei Aryl und Alkyl die vorstehend beschriebenen Bedeutungen haben. Heteroaryl bedeutet ein etwa 5- bis etwa 10-gliedriges aromatisches, monocyclisches oder multicyclisches Ringsystem, in dem ein oder mehr Atome im Ringsystem ein von Kohlenstoff abweichendes Element, das unter Stickstoff, Sauerstoff und Schwefel ausgewählt ist, bedeuten. Heterocyclo bedeutet ein etwa 5- bis etwa 10-gliedriges, gesättigtes oder teilweise gesättigtes, monocyclisches oder multicyclisches Ringsystem, wobei es sich bei einem oder mehreren der Atome im Ringsystem um ein von Kohlenstoff abweichendes Element, das unter Stickstoff, Sauerstoff und Schwefel ausgewählt ist, handelt. Ein carbocyclisches Ringsystem bedeutet ein monocyclisches oder multicyclisches Ringsystem mit etwa 5 bis etwa 10 Kohlenstoffatomen. Ein derartiger Ring kann gesättigt, teilweise gesättigt oder aromatisch sein. Alkylheteroaryl bedeutet eine Alkylheteroarylgruppe, wobei Alkyl und Heteroaryl die vorstehend beschriebenen Bedeutungen haben. Alkylheterocyclo bedeutet eine Alkylheterocyclogruppe, wobei Alkyl und Heterocyclo die vorstehend beschriebenen Bedeutungen haben. Arylcarbonyl bedeutet eine Aryl-CO-gruppe. Arylsulfonyl bedeutet eine Aryl-SO2-gruppe. Alkylsulfonyl bedeutet eine Alkyl-SO2-gruppe. Alkoxycarbonyl bedeutet eine Alkoxy-CO-gruppe.
  • In sämtlichen Fallen umfasst R1 eine Alkylkette. Die Kette ist gegebenenfalls durch Cycloalkyl; Heterocyclo, Aryl oder Heteroaryl substituiert. Die gesamte Gruppe R1 kann dann gegebenenfalls gemäß der vorstehenden Definition durch Halogen und dergleichen substituiert sein.
  • Durch "TNF vermittelte Krankheiten oder Krankheitszustände" bedeuten beliebige und sämtliche Krankheitszustände, bei denen TNF eine Rolle spielt, wobei entweder TNF selbst erzeugt wird oder TNF die Freisetzung eines weiteren Cytokins, z.B. (ohne Beschränkung hierauf) von IL-1 oder IL-6, hervorruft. Ein Krankheitszustand, bei dem beispielsweise IL-1 eine Hauptkomponente darstellt und deren Bildung oder Wirkung in Reaktion auf TNF verschärft wird oder dieses sezerniert wird, ist daher als ein durch TNF vermittelter Krankheitszustand anzusehen. Da TNF-β (auch als Lymphotoxin bekannt) eine strukturelle Homologie zu TNF-α (auch als Cachectin bekannt) aufweist und da diese beiden Produkte ähnliche biologische Reaktionen herbeiführen und an den gleichen zellulären Rezeptor binden, werden sowohl TNF-α als auch TNF-β durch die erfindungsgemäßen Verbindungen gehemmt und werden somit hier gemeinsam als "TNF" bezeichnet, sofern nichts anderes angegeben ist.
  • PDE IV-Inhibitoren eignen sich zur Behandlung einer Vielzahl von allergischen und entzündlichen Krankheiten, wozu folgende Krankheiten gehören: Asthma, chronische Bronchitis, atopische Dermatitis, atopische Ekzeme, allergische Rhinitis, allergische Konjunktivitis, Frühjahrskatarrh, Augenentzündung, allergische Augenreaktionen, eosinophiles Granulom, Psoriasis, Bechet-Krankheit, Erythematosis, anaphylaxieähnliche Purpura-Nephritis, Gelenkentzündungen, Arthritis, rheumatoide Arthritis und andere arthritische Zustände, wie rheumatoide Spondylitis und Osteoarthritis, septischer Schock, ulzerative Kolitis, Morbus Crohn, Reperfusionsschädigungen des Myokards und des Gehirns, chronische Glomerulonephritis, endotoxischer Schock und Atemnotsyndrom bei Erwachsenen. Ferner eigenen sich PDE IV-Inhibitoren zur Behandlung von Diabetes insipidus und Zuständen in Verbindungen mit einer zerebralen Stoffwechselhemmung, wie zerebrale Senilität, senile Demenz (Alzheimer-Krankheit), Gedächtnisstörungen bei Parkinson-Krankheit, Depressionen und Multiinfarkt-Demenz. PDE IV-Inhibitoren eignen sich auch bei Zuständen, die durch eine Neuroschutzwirkung gebessert werden, z.B, bei Herzstillstand, Schlaganfall und intermittierendem Hinken. Ferner können sich PDE IV-Inhibitoren als gastrische Schutzmittel eignen. Eine spezielle Ausführungsform der erfindungsgemäßen therapeutischen Verfahren besteht in der Behandlung von Asthma.
  • Bei Viren, deren Behandlung hier in Frage kommt, handelt es sich um Viren, die TNF infolge einer Infektion bilden oder die gegenüber einer Hemmung, z.B. aufgrund einer verminderten Replikation, in direkter oder indirekter Weise durch TNF-Inhibitoren der Formel (I) empfindlich sind. Zu derartigen Viren gehören (ohne Beschränkung hierauf) HIV-1, HIV-2 und HIV-3, Cytomegalovirus (CMV), Influenzavirus, Adenovirus und Viren der Herpes-Gruppe, z.B. (ohne Beschränkung hierauf) Herpes zoster und Herpes simplex.
  • Die erfindungsgemäßen Verbindungen können auch bei einer veterinärmedizinischen Behandlung von Tieren, die einer Hemmung der TNF-Bildung bedürfen, verwendet werden. Zu TNF-vermittelten Tierkrankheiten, die einer therapeutischen oder prophylaktischen Behandlung zugeführt werden können, gehören beispielsweise die vorerwähnten Krankheiten und insbesondere aber virale Infektionen. Zu Beispielen für derartige Viren gehören das feline Immunschwächevirus (FIV) oder andere infektiöse Retroviren, wie das infektiöse Pferdeanämievirus, das Arthritisvirus von Ziegen, das Visna-Virus, das Maedi-Virus und andere Lentiviren.
  • Die erfindungsgemäßen Verbindungen eigenen sich auch zur Behandlung von Parasiten-, Hefe- und Pilzinfektionen, wobei derartige Hefen und Pilze gegenüber einer Hochregelung durch TNF empfindlich sind oder in vivo eine TNF-Bildung hervorrufen. Ein bevorzugt zu behandelnder Krankheitszustand ist Pilz-Meningitis.
  • Die Verbindungen der Formel (I) liegen vorzugsweise in einer pharmazeutisch verträglichen Form vor. Unter einer pharmazeutisch verträglichen Form ist unter anderem ein pharmazeutisch verträglicher Reinheitsgrad unter Ausschluss von normalen pharmazeutischen Additiven, wie Verdünnungsmitteln und Trägern, zu verstehen, wobei keine Materialien enthalten sind, die in normalen Dosierungen als toxisch angesehen werden. Ein pharmazeutisch verträglicher Reinheitsgrad beträgt im allgemeinen mindestens 50% (unter Ausschluss von normalen pharmazeutischen Additiven), vorzugsweise 75%, insbesondere 90% und ganz besonders 95%.
  • Die Verbindungen der allgemeinen Formel (I) können nach einem beliebigen geeigneten, aus dem Stand der Technik bekannten Verfahren und/oder nach den folgenden Verfahren, die selbst Gegenstand der Erfindung sind, hergestellt werden.
  • Somit lassen sich beispielsweise erfindungsgemäße Verbindungen nach dem folgenden Verfahren herstellen. In der nachstehenden Beschreibung und in den nachstehenden Formeln haben die Gruppen R1 und dergleichen die vorstehend angegebenen Bedeutungen, sofern nichts anderes angegeben ist. Es ist darauf hinzuweisen, dass funktionelle Gruppen, wie Amino-, Hydroxyl- oder Carboxylgruppen, die, in verschiedenen der nachstehend beschriebenen Verbindungen vorhanden sind und deren Beibehaltung erwünscht ist, möglicherweise vor der Durchführung jeglicher Umsetzung in geschützten Formen vorliegen müssen. In derartigen Fällen kann es sich in einer speziellen Reaktionsfolge bei der letzten Stufe um eine Entfernung der Schutzgruppe handeln. Dem Fachmann sind geeignete Schutzgruppen für derartige funktionelle Gruppen geläufig. In Bezug auf Einzelheiten wird auf "Protective Groups In Organic Synthesis", Wiley Interscience, T.W. Green, P.G.M. Wuts, verwiesen. So umfasst das Verfahren zur Herstellung von Verbindungen der Formel (I), worin R4 eine CO2H-gruppe enthält, die Schutzgruppenentfernung (beispielsweise durch Hydrolyse) von einer Verbindung der Formel (I), worin R4 die Bedeutung CO2R hat, wobei R eine geeignete Schutzgruppe (z.B. Methyl) bedeutet.
  • Ein Verfahren zur Herstellung einer Verbindung der Formel (I) umfasst die Kupplung einer Säure der Formel (III)
    Figure 00090001

    oder eines aktivierten Derivats davon, mit einem Amin der Formel (IV)
    R3(CH2)nNHr2 (IV)
  • Amine der Formel (IV) stellen handelsübliche Verbindungen dar oder lassen sich leicht aus handelsüblichen Ausgangsmaterialien unter Anwendung von dem Fachmann geläufigen Verfahren erhalten. Einige der Amine der Formel (IV) werden zweckmäßigerweise durch reduktive Aminierung einer entsprechenden Carbonylverbindung mit einem geeigneten Amin hergestellt. Diese Aminierung kann unter beliebigen geeigneten standardmäßigen Bedingungen, die dem Fachmann geläufig sind, durchgeführt werden.
  • Zu aktiven Derivaten von Säuren der Formel (III) gehören beispielsweise Säureanhydride oder Säurehalogenide, wie Säurechloride.
  • Die Kupplungsreaktion kann unter Bedingungen, die für Aminierungsreaktionen dieses Typs üblich sind, durchgeführt werden. So kann die Umsetzung in einem Lösungsmittel, z.B. in einem inerten organischen Lösungsmittel, wie einem Ether, z.B. einem cyclischen Ether, wie Tetrahydrofuran, einem Amid, z.B. einem substituierten Amid, wie Dimethylformamid, oder einem halogenierten Kohlenwasserstoff, wie Dichlormethan, bei niedrigen Temperaturen, z.B. bei –30°C bis Umgebungstemperatur, beispielsweise bei –20 bis 0°C, gegebenenfalls in Gegenwart einer Base, z.B. einer organischen Base, wie einem Amin, z.B. Triethylamin oder einem cyclischen Amin, wie N-Methylmorpholin, durchgeführt werden. Bei Verwendung einer Säure der Formel (III) kann die Umsetzung zusätzlich in Gegenwart eines Kondensationsmittels, z.B. eines Diimids, wie N,N'-Dicyclohexylcarbodiimid, vorteilhafterweise in Gegenwart eines Triazols, wie 1-Hydroxybenzotriazol, durchgeführt werden. Alternativ kann die Säure mit einem Chlorameisensäureester, z.B. Chlorameisensäureethylester, vor der Umsetzung mit dem Amin der Formel (IV) umgesetzt werden.
  • Bei Säuren der allgemeinen Formel (III) handelt es sich entweder um handelsübliche Verbindungen oder diese lassen sich nach dem Fachmann geläufigen Verfahren herstellen, z.B. gemäß dem Verfahren von Kaminsky und Meltzer, J. Med. Chem., Bd. 11 (1968), S. 160-164. Dieses Verfahren umfasst die Hydrolyse des entsprechenden Ester der allgemeinen Formel (V)
    Figure 00100001

    worin R13 eine Alkylgruppe, z.B. Methyl, Ethyl, Benzyl oder tert.-Butyl bedeutet.
  • Verbindungen der Formel (V), in denen Y die Bedeutung S hat, lassen sich von entsprechenden Verbindungen, in denen Y die Bedeutung O hat, unter Anwendung üblicher Verfahren zur Sulfidierung derartiger Verbindungen ableiten. Geeignete Bedingungen umfassen beispielsweise die Umsetzung mit Phosphorpentasulfid (P4S10) in einem organischen Lösungsmittel, wie Pyridin, bei Umgebungstemperatur bis zur Rückflusstemperatur des Lösungsmittels. Die Rückflusstemperatur wird bevorzugt.
  • Ester der allgemeinen Formel (V), in denen Y die Bedeutung 0 hat, lassen sich durch Alkylierung einer Verbindung der Formel (VI)
    Figure 00100002

    mit einem Alkylierungsmittel der allgemeinen Formel (VII)
    R1X (VII)
    gemäß den Angaben von Kaminsky und Meltzer (a.a.O.), worin X eine geeignete austretende Gruppe bedeutet (z.B. ein Halogenid, wie ein Bromid oder einen Alkylsulfonatester, wie Trifluormethansulfonat), herstellen.
  • Verbindungen der allgemeinen Formel (VI) lassen sich durch Cyclisierung eines Esters der Formel (VIII)
    Figure 00110001

    unter geeigneten üblichen Bedingungen, die dem Fachmann geläufig sind, herstellen, z.B. gemäß den Angaben von Kaminsky und Meltzer, a.a.O. Zu geeigneten Bedingungen gehören beispielsweise das Erwärmen unter Rückfluss in einem eutectischen Gemisch aus Diphenylether und Biphenyl.
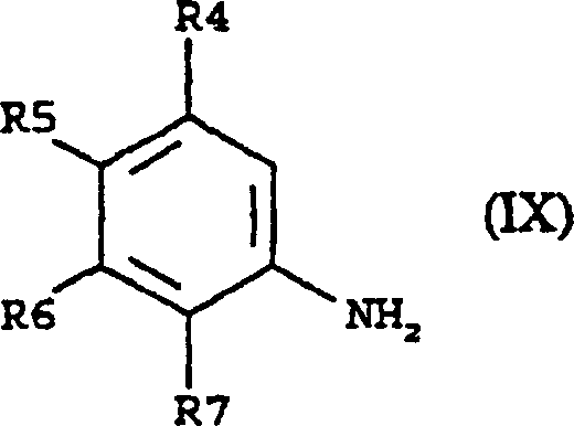
  • Verbindungen der Formel (VIII) lassen sich durch Umsetzung eines Anilins der allgemeinen Formel (IX)
    Figure 00110002

    mit einem Dialkylalkoxyethylidenmalonat der allgemeinen Formel (X)
    Figure 00110003

    worin R13 die vorstehend definierte Bedeutung hat und R14 einen niederen Alkylrest, z.B. Methyl oder Ethyl, bedeutet, herstellen. Die Umsetzung zwischen (IX) und (X) kann unter geeigneten üblichen Bedingungen, die dam Fachmann geläufig sind, durchgeführt werden, beispielsweise gemäß den Angaben von Kaminsky und Meltzer, a.a.O. Beispielsweise kann die Umsetzung bei einer erhöhten Temperatur, z.B. 80–150°C, in einem inerten Lösungsmittel (wie Xylol) oder in Abwesenheit eines Lösungsmittels durchgeführt werden, wobei vorzugsweise in Abwesenheit eines Lösungsmittels gearbeitet wird.
  • Zahlreiche Verbindungen der Formeln (VII), (IX) und (X) sind handelsüblich oder lassen sich leicht aus handelsüblichen Ausgangsmaterialien unter Anwendung von dem Fachmann geläufigen Verfahren herstellen.
  • Verbindungen der Formel (I) lassen sich auch durch Umwandlung anderer Verbindungen der Formel (I) herstellen. So lässt sich beispielsweise eine Verbindung der Formel (I), in der R4 eine C1–6-Alkoxygruppe bedeutet, durch eine entsprechende Alkylierung einer Verbindung der Formel (I), in der R4 eine Hydroxylgruppe bedeutet, herstellen.
  • Beliebige Gemische von erhaltenen Endprodukten oder Zwischenprodukten lassen sich auf der Grundlage der physiko-chemischen Unterschiede der Bestandteile auf an sich bekannte Weise zu den reinen Endprodukten oder Zwischenprodukten auftrennen, beispielsweise durch Chromatographie, Destillation, fraktionierende Kristallisation oder durch Bildung eines Salzes, sofern diese Maßnahmen unter den gegebenen Umständen zweckmäßig oder möglich sind. Es ist darauf hinzuweisen, dass dann, wenn ein spezielles Stereoisomeres der Formel (I) benötigt wird, dieses durch herkömmliche Auftrenntechniken, wie Hochleistungs-Flüssigchromatographie, erhalten werden kann. Gegebenenfalls können jedoch entsprechende homochirale Ausgangsmaterialien in der Reaktionsfolge zur Bildung eines speziellen Stereoisomeren der Formel (I) eingesetzt werden.
  • Eine Verbindung der Formel (I) oder gegebenenfalls ein pharmazeutisch verträgliches Salz davon und/oder ein pharmazeutisch verträgliches Solvat davon können als solche oder vorzugsweise in Form einer pharmazeutischen Zusammensetzung, die auch einen pharmazeutisch verträglichen Träger enthält, verabreicht werden.
  • Demzufolge wird erfindungsgemäß eine pharmazeutische Zusammensetzung bereitgestellt, die eine Verbindung der Formel (I) oder gegebenenfalls ein pharmazeutisch verträgliches Salz davon und/oder ein pharmazeutisch verträgliches Solvat davon sowie einen pharmazeutisch verträglichen Träger enthält.
  • Der Wirkstoff kann für einen beliebigen geeigneten Verabreichungsweg zubereitet werden, wobei der bevorzugte Weg von der behandlungsbedürftigen Störung abhängt. Vorzugsweise liegt die Verbindung in einer Einheitsdosierungsform oder in einer Form, die ein humaner Patient durch Selbstmedikation in einer einzigen Dosis einnehmen kann, vor. Vorteilhafterweise eignet sich die Zusammensetzung für die orale, rektale, topische oder parenterale Verabreichung oder zur Verabreichung durch den Atmungstrakt. Die Präparate können so konzipiert werden, dass sie eine langsame Freisetzung des Wirkstoffes ergeben.
  • Der hier verwendete Ausdruck "parenteral" umfasst subkutane, intravenöse, intramuskuläre oder intrasternale Injektions- oder Infusionstechniken. Zusätzlich zur Behandlung von Warmblütern, wie Mäusen, Ratten, Pferden, Rindern, Schafen, Hunden, Katzen und dergleichen, eignen sich die erfindungsgemäßen Verbindungen auch zur Behandlung des Menschen.
  • Die erfindungsgemäßen Zusammensetzungen können in Form von Tabletten, Kapseln, Tütchen, Ampullen, Pulvern, Granulaten, Pastillen, Suppositorien, rekonstituierbaren Pulvern oder flüssigen Präparationen, wie oralen oder sterilen parenteralen Lösungen oder Suspensionen, vorliegen. Gegebenenfalls kommen auch topische Zubereitungen in Frage.
  • Um eine konsistente Verabreichung zu erreichen, liegt die erfindungsgemäße Zusammensetzung vorzugsweise in Form einer Dosiseinheit vor. Dosiseinheitsformen für die orale Verabreichung können in Form von Tabletten und Kapseln vorliegen und können herkömmliche Zusatzstoffe enthalten, wie Bindemittel, z.B. Sirup, Gummi arabicum, Gelatine, Sorbit, Traganth oder Polyvinylpyrrolidon; Füllstoffe, z.B. Lactose, Zucker, Maisstärke, Calciumphosphat, Sorbit oder Glycin; Tablettengleitmittel, z.B. Magnesiumstearat; Sprengmittel, z.B. Stärke, Polyvinylpyrrolidon, Natriumstärkeglycolat oder mikrokristalline Cellulose; oder pharmazeutisch verträgliche Netzmittel, wie Natriumlaunlsulfat.
  • Die festen oralen Zusammensetzungen lassen sich nach herkömmlichen Verfahren zum Mischen, Füllen, Tablettieren oder dergleichen herstellen. Wiederholte Mischvorgänge können dazu herangezogen werden, den Wirkstoff in den gesamten Zusammensetzungen unter Verwendung großer Füllstoffmengen zu verteilen.
  • Bei derartigen Vorgängen handelt es sich selbstverständlich um herkömmliche Vorgänge. Die Tabletten können gemäß normaler pharmazeutischer Praxis mit einem Überzug versehen werden, z.B. mit einem erst im Darm löslichen Überzug.
  • Orale flüssige Präparate können beispielsweise in Form von Emulsionen, Sirups oder Elixieren vorliegen oder sie können als trockene Produkte dargereicht werden, die vor der Verwendung mit Wasser oder einem anderen geeigneten Träger zu rekonstituieren sind. Derartige flüssige Präparate können herkömmliche Additive enthalten, wie Suspendiermittel; z.B. Sorbit, Sirup, Methylcellulose, Gelatine, Hydroxyethylcellulose, Carboxymethylcellulose, Aluminiumstearatgel und hydrierte Speisefette; Emulgiermittel, z.B. Lecithin, Sorbitanmonooleat oder Gummi arabicum, nicht-wässrige Träger (die Speiseöle umfassen können), z.B. Mandelöl, fraktioniertes Kokosöl, ölige Ester, wie Ester von Glycerin, Propylenglycol oder Ethylalkohol; Konservierungsmittel, z.B. Methyl- oder Propyl-p-hydroxybenzoat oder Sorbinsäure; und gegebenenfalls herkömmliche Geschmacksstoffe oder Farbstoffe.
  • Die Zusammensetzungen können auch in geeigneter Weise zur Verabreichung durch den Atmungstrakt dargereicht werden, z.B. als Schnupfmittel oder als Aerosol oder Lösung für ein Zerstäubungsgerät, oder als ein mikrofeines Pulver zum Einblasen, allein oder in Kombination mit einem inerten Träger, wie Lactose. In einem derartigen Fall weisen die Wirkstoffteilchen in geeigneter Weise Durchmesser von weniger als 50 μm, z.B. 0,1 bis 50 μm, vorzugsweise weniger als 10 μm, z.B. 1 bis 10 μm, 1 bis 5 μm oder 2 bis 5 μm, auf. Gegebenenfalls können geringe Mengen anderer Antiasthmatika oder Bronchodilatatoren, z.B. sympathomimetische Amine, wie Isoprenalin, Isoetharin, Salbutamol, Phenylephrin oder Ephedrin; Corticosteroide, wie Prednisolon; und adrenaler Stimulantien, wie ACTH, zugesetzt werden.
  • Für die parenterale Verabreichung werden flüssige Dosiseinheitsformen hergestellt, indem man die Verbindung und einen sterilen Träger verwendet und je nach der eingesetzten Konzentration im Träger suspendiert oder löst. Bei der Herstellung von Lösungen kann die Verbindung in Wasser für Injektionszwecke gelöst und vor dem Abfüllen in geeignete Fläschchen oder Ampullen und vor dem Verschließen durch Filtration sterilisiert werden.
  • Vorteilhafterweise können Adjuvantien, wie Lokalanästhetika, Konservierungsmittel und Pufferungsmittel, im Träger gelöst werden. Zur Erhöhung der Stabilität kann die Zusammensetzung nach dem Abfüllen in das Fläschchen eingefroren werden, wonach das Wasser unter Vakuum entfernt wird. Parenterale Suspensionen werden im Wesentlichen auf die gleiche Weise hergestellt, mit der Ausnahme, dass die Verbindung im Träger suspendiert wird und nicht aufgelöst wird. Eine Sterilisation kann dabei nicht durch Filtration vorgenommen werden. Die Verbindung lässt sich sterilisieren, indem man sie vor dem Suspendieren im sterilen Träger mit Ethylenoxid behandelt. Vorzugsweise wird die Zusammensetzung mit einem oberflächenaktiven Mittel oder einem Netzmittel versetzt, um die gleichmäßige Verteilung der Verbindung zu erleichtern.
  • Die Zusammensetzungen können 0,1 bis 99 Gew.-% und vorzugsweise 10 bis 60 Gew.-% des Wirkstoffes. enthalten, und zwar je nach dem Verabreichungsweg.
  • Die Verbindungen der Formel (I) oder gegebenenfalls ein pharmazeutisch verträgliches Salz davon und/oder ein pharmazeutisch verträgliches Solvat davon können als topische Zubereitungen in Kombination mit herkömmlichen topischen Trägern verabreicht werden.
  • Topische Zubereitungen können beispielsweise in Form von Salben, Cremes, Lotionen, imprägnierten Verbänden, Gelen, Gelstiften, Sprays und Aerosolen dargereicht werden. Sie können herkömmliche Additive, wie Konservierungsmittel, Lösungsmittel zur Unterstützung der Arzneistoffpenetration sowie erweichende Mittel in Salben und Cremes enthalten. Die Zubereitungen können verträgliche herkömmliche Träger, wie Creme- oder Salbengrundlagen und Ethanol- oder Oleylalkohol für Lotionen, enthalten.
  • Geeignete Creme-, Lotion-, Gel-, Stift-, Salben-, Sprüh- oder Aerosolzubereitungen, die für die Verbindungen der Formel (I) oder gegebenenfalls für ein pharmazeutisch verträgliches Salz davon verwendet werden können, stellen herkömmliche, aus dem Stand der Technik bekannte Zubereitungen dar, wie sie beispielsweise in Standardwerken, wie Harry's Cosmeticology (erschienen bei Leonard Hill Books), Remington's Pharmaceutical Sciences und den Britischen und US-Pharmakopöen, beschrieben sind.
  • Geeigneterweise macht die Verbindung der Formel (I) oder gegebenenfalls ein pharmazeutisch verträgliches Salz davon etwa 0,5 bis 20 Gew.-% der Zubereitung und insbesondere etwa 1 bis 10%, beispielsweise 2 bis 5%, aus.
  • Die Dosis der bei der Behandlung verwendeten erfindungsgemäßen Verbindung variiert in üblicher Weise je nach Schwere der Störungen, dem Gewicht des zu behandelnden Subjekts und der relativen Wirksamkeit der Verbindung. Als allgemeine Richtlinie können geeignete Dosiseinheiten von 0,1 bis 1000 mg, z.B. 0,5 bis 200, 0,5 bis 100 oder 0,5 bis 10 mg, wie 0,5, 1, 2, 3, 4 oder 5 mg, betragen. Derartige Dosiseinheiten können mehr als ein MaI pro Tag, z.B. 2, 3, 4, 5 oder 6 mal täglich und vorzugsweise 1 oder 2 mal täglich verabreicht werden, so dass die gesamte tägliche Dosis bei einer erwachsenen Person von 70 kg im Bereich von etwa 0,1 bis 1000 mg liegt, d.h. im Bereich von etwa 0,001 bis 20 mg/kg/Tag, z.B. 0,007 bis 3, 0,007 bis 1,4, 0,007 bis 0,14 oder 0,01 bis 0,5 mg/kg/Tag, z.B. 0,01, 0,02, 0,04, 0,05, 0,06, 0,08, 0,1 oder 0,2 mg/kg/Tag. Eine derartige Therapie kann sich über Wochen oder Monate erstrecken.
  • Unter dem hier verwendeten Ausdruck "pharmazeutisch verträglich" sind Materialien zu verstehen, die sich sowohl für humanmedizinische als auch für veterinärmedizinische Zwecke eignen. Für die Verbindungen der Formel (I) wurden in den vorerwähnten Dosisbereichen keine toxischen Wirkungen festgestellt.
  • Die folgenden Ausführungen erläutern die Erfindung. "Kaminsky und Meltzer" bezieht sich auf J. Med. Chem., Bd. 11 (1968), S. 160.
  • Zwischenprodukt 1
  • Ethyl-1-ethyl-1,4-dihydro-4-oxo-3-chinolincarboxylat
  • Die Titelverbindung wurde gemäß dem Verfahren von Kaminsky und Meltzer hergestellt.
  • 1H-NMR (200 MHz, DMSO) 1,30 (t, 3H), 1,40 (t, 3H), 4,25 (q, 2H), 4,40 (q, 2H), 7,50 (m, 1H), 7,75 (m, 2H), 8,35 (dd, 1H), 8,75 (s, 1H)
  • Zwischenprodukt 2
  • 1-Ethyl-1,4-dihydro-4-oxo-3-chinolincarbonsäure
  • Eine Lösung des Zwischenprodukts 1 (5,0 g) in THF (50 ml) wurde mit Lithiumhydroxid-monohydrat (1,71 g) in Wasser (50 ml) versetzt. Das Gemisch wurde 4 Stunden gerührt. Sodann wurde das TNF unter Vakuum entfernt. Die verbleibende Lösung wurde mit konzentrierter Salzsäure angesäuert. Der erhaltene Niederschlag wurde abfiltriert. Man erhielt die Titelverbindung in Form eines weißen kristallinen Feststoffes (4,5 g).
  • 1N-NMR (200 MHz, DMSO) 1,85 (t, 3H), 5,00 (q, 2H), 8,05 (m, 1H), 8,40 (m, 2H), 8,80 (dd, 1H), 9,45 (s, 1H), 15,60 (s, 1H)
  • Zwischenprodukt 3
  • 1-Ethyl-1,4-dihydro-6-methyl-4-oxo-3-chinolincarbonsäure
  • Die Titelverbindung wurde gemäß dem Verfahren von Kaminsky und Meltzer hergestellt.
  • 1N-NMR (200 MHz, DMSO) 1,65 (t, 3H), 2,60 (s, 3H), 4,45 (q, 2H), 7,60 (d, 1H), 7,75 (dd, 1H), 8,40 (d, 1H), 8,82 (s, 1H)
  • Zwischenprodukt 4
  • Ethyl-6-fluor-1,4-dihydro-4-oxo-1-[(4-pyridyl)-methyl]-3-chinolincarboxylat
  • Die Titelverbindung wurde gemäß dem Verfahren von Kaminsky und Meltzer hergestellt.
  • TLC Rf = 0,45 (10% MeOH/CH2Cl2)
  • Zwischenprodukt 5
  • 6-Fluor-1,4-dihydro-4-oxo-1-[(4-pyridyl)-methyl]-3-chinolincarbonsäure
  • Eine Lösung des Zwischenprodukts 4 (0,5 g) in THF (12 ml) wurde mit Lithiumhydroxid-monohydrat (0,13 g) in Wasser (12 ml) versetzt. Das Gemisch wurde 4 Stunden gerührt. Sodann wurde das THF unter Vakuum entfernt. Die restliche Lösung wurde mit Wasser (50 ml) verdünnt und sodann mit konzentrierter Salzsäure angesäuert. Der erhaltene Niederschlag wurde abfiltriert. Man erhielt die Titelverbindung in Form eines hellbraunen kristallinen Feststoffes.
  • 1H-NMR (200 MHz, DMSO) 6,18 (s, 2H), 7,75 (m, 4H), 8,10 (dd, 1H), 8,80 (d, 2H), 9,32 (s, 1H)
  • Zwischenprodukt 6
  • Ethyl-1-ethyl-1,4-dihydro-6,7-dimethoxy-4-oxo-3-chinolincarboxylat
  • Die Titelverbindung wurde gemäß dem Verfahren von Kaminsky und Meltzer hergestellt.
  • 1H-NMR (200 MHz, DMSO) 1,45 (t, 3H), 1,65 (t, 3H), 4,05 (s, 3H), 4,15 (s, 3H), 4,40 (q, 2H), 6,95 (s, 1H), 7,85 (s, 1H), 8,45 (s, 1H)
  • Zwischenprodukt 7
  • 1-Ethyl-l,4-dihydro-6,7-dimethoxy-4-oxo-3-chinolincarbonsäure
  • Eine Lösung des Zwischenprodukts 6 (1,10 g) in THF (300 ml) wurde mit Lithiumhydroxid-monohydrat (3,0 g) in Wasser (300 ml) versetzt. Das Gemisch wurde 16 Stunden gerührt. Sodann wurde das THF unter Vakuum entfernt. Die verbleibende Lösung wurde mit konzentrierter Salzsäure angesäuert. Der erhaltene Niederschlag wurde abfiltriert. Man erhielt die Titelverbindung in Form eines hellbraunen kristallinen Feststoffes.
  • 1H-NMR (200 MHz, DMSO) 1,65 (t, 3H), 4,40 (q, 2H), 6,95 (s, 1H), 7,90 (s, 1H), 8,75 (s, 1H), 15,45 (s, 1H)
  • Zwischenprodukt 8
  • 3-Ethyl-[1-ethyl-1,4-dihydro-4-oxo-6-(trifluormethyl)-chinolin]-carboxylat
  • Die Titelverbindung wurde gemäß dem Verfahren von Kaminsky und Meltzer hergestellt.
  • TLC Rf = 0,53 (5% MeOH/CH2Cl2).
  • IR (Nujol)/cm–1 1729, 1692 (C=O).
  • Zwischenprodukt 9
  • 1-Ethyl-4-hydroxy-6-(trifluormethyl)-chinolin-3-carboxylat
  • Eine Lösung des Zwischenprodukts 8 (20 g) in THF (533 ml) wurde mit Lithiumhydroxid-monohydrat (5,24 g) in Wasser (533 ml) versetzt. Das Gemisch wurde 4 Stunden gerührt. Sodann wurde das THF unter Vakuum entfernt. Die verbleibende Suspension wurde mit Wasser verdünnt und mit konzentrierter Salzsäure angesäuert. Man erhielt einen gebrochen weißen festen Niederschlag. Dieser Feststoff wurde aus wässrigem DMF umkristallisiert. Man erhielt die Titelverbindung (13,65 g) in Form eines beigefarbenen kristallinen Feststoffes.
  • IR (Nujol)/cm–1 1725, 1614 (C=O).
  • F. = 211–213°C.
  • Zwischenprodukt 10
  • Ethyl-1-ethyl-1,4-dihydro-4-thiocarbonyl-6-(trifluormethyl)-3-chinolincarboxylat
  • Das Zwischenprodukt 8 (500 mg), Pyridin (5 ml) und Phosphorpentasulfid (463 mg) wurden unter einer Stickstoffatmosphäre vereinigt. Das Gemisch wurde 2 Stunden und 15 Minuten unter Rückfluss erwärmt. Sodann wurde das Gemisch in Wasser (50 ml) gegossen und mit einem Eisbad gekühlt. Der erhaltene braune Niederschlag wurde durch Filtration gewonnen und getrocknet. Man erhielt die Titelverbindung in Form eines braunen Feststoffes.
  • 1H-NMR (400 MHz, CDCl3) 1,4 (t, 3H), 1,6 (t, 3H), 4,3 (q, 2H), 4,4 (t, 2H), 7,6 (d, 1H), 7,9 (dd, 1H), 8,0 (s, 1H), 9,35 (br s, 1H)
  • Zwischenprodukt 11
  • 1-Ethyl-1,4-dihydro-4-thiocarbonyl-6-(trifluormethyl)-3-chinolincarbonsäure
  • Die Titelverbindung wurde aus dem Zwischenprodukt 10 auf ähnliche Weise wie das Zwischenprodukt 9 hergestellt.
  • 1 H-NMR (200 MHz, DMSO) 1,5 (t, 3H), 4,75 (q, 2H), 8,2–8,4 (m, 2H), 9,2 (br s, 1H), 9,3 (s, 1H)
  • Beispiel 1
  • 1-Ethyl-1,4-dihydro-4-oxo-N-[2-(4-pyridyl)-ethyl]-6-(trifluormethyl)-3-chinolincarboxamid
  • Das Zwischenprodukt 9 (0,5 g) und CH2Cl2 (16,3 ml) wurden unter Stickstoff vereinigt und auf 0°C gekühlt. Sodann wurden Triethylamin (0,27 ml). und hierauf Chlorameisensäureisopropenylester (0,21 ml) zugegeben. Das Gemisch wurde 1 Stunde gerührt. Sodann wurde 4-(2-Aminoethyl)-pyridin (0,23 ml) zugegeben. Nach 20-stündigem Rühren wurde das Reaktionsgemisch eingeengt und durch Flash-Chromatographie an Kieselgel gereinigt. Man erhielt die Titelverbindung (0,3 g) in Form eines gelben Feststoffes.
  • TLC Rf = 0,68 (10% MeOH/CH2Cl2).
  • F. = 167–169°C.
  • Beispiel 2
  • 1-Ethyl-1,4-dihydro-4-oxo-N-[2-(3-pyridyl)-ethyl]-6-(trifluormethyl)-3-chinolincarboxamid
  • Die Titelverbindung wurde aus dem Zwischenprodukt 9 auf ähnliche Weise wie in Beispiel 1 hergestellt.
  • TLC Rf = 0,56 (10% MeOH/CH2Cl2).
  • F. = 159–160°C.
  • Beispiel 3
  • 1-Ethyl-1,4-dihydro-4-oxo-N-(3-pyridylmethyl)-6-(trifluormethyl)-3-chinolincarboxamid
  • Die Titelverbindung wurde aus dem Zwischenprodukt 9 auf ähnliche Weise wie in Beispiel 1 hergestellt.
  • TLC Rf = 0,4 (1 : 9 MeOH/CH2Cl2).
  • F. = 155°C.
  • Beispiel 4
  • N-(2-Chlorbenzyl)-1-ethyl-1,4-dihydro-4-oxo-6-(trifluormethyl)-3-chinolincarboxamid
  • Die Titelverbindung wurde aus dem Zwischenprodukt 9 auf ähnliche Weise wie in Beispiel 1 hergestellt.
  • TLC Rf = 0,33 (5% MeOH/CH2Cl2).
  • F. = 199,6°C.
  • Beispiel 5
  • 1-Ethyl-1,4-dihydro-4-oxo-N-(2-pyridylmethyl)-6-(trifluormethyl)-3-chinolincarboxamid
  • Die Titelverbindung wurde aus dem Zwischenprodukt 9 auf ähnliche Weise wie in Beispiel 1 hergestellt.
  • TLC Rf = 0,43 (10% MeOH/CH2Cl2).
  • F. = 170°C.
  • Beispiel 6
  • N-[2-(2-Chlorphenyl)-ethyl]-1-ethyl-1,4-dihydro-4-oxo-6-(trifluormethyl)-3-chinolincarboxamid
  • Die Titelverbindung wurde aus dem Zwischenprodukt 9 auf ähnliche Weise wie in Beispiel 1 hergestellt.
  • IR (Nujol)/cm–1 3230,9 (NH), 1661,7 (C = O).
  • F. = 173–175°C.
  • Beispiel 7
  • 1-Ethyl-1,4-dihydro-4-oxo-N-(4-pyridylmethyl)-6-(trifluormethyl)-3-chinolincarboxamid
  • Die Titelverbindung wurde aus dem Zwischenprodukt 9 auf ähnliche Weise wie in Beispiel 1 hergestellt.
  • TLC Rf = 0,33 (10% MeOH/CH2Cl2).
  • F. = 175°C.
  • Beispiel 8
  • 1-Ethyl-1,4-dihydro-4-oxo-N-[2-(2-pyridyl)-ethyl]-6-(trifluormethyl)-3-chinolincarboxamid
  • Die Titelverbindung wurde aus dem Zwischenprodukt 9 auf ähnliche Weise wie in Beispiel 1 hergestellt.
  • TLC Rf = 0,51 (10% MeOH/CH2Cl2).
  • IR (Nujol)/cm–1 3258 (NH), 1661 (C = O).
  • Beispiel 9
  • 1-Ethyl-1,4-dihydro-4-oxo-N-[2-(phenyl)-ethyl]-6-(trifluormethyl)-3-chinolincarboxamid
  • Die Titelverbindung wurde aus dem Zwischenprodukt 9 auf ähnliche Weise wie in Beispiel 1 hergestellt.
  • TLC Rf = 0,25 (EtOAc).
  • F. = 185°C.
  • Beispiel 10
  • N-Benzyl-1-ethyl-1,4-dihydro-4-oxo-6-(trifluormethyl)-3-chinolincarboxamid
  • Die Titelverbindung wurde aus dem Zwischenprodukt 9 auf ähnliche Weise wie in Beispiel 1 hergestellt.
  • TLC Rf = 0,25 (EtOAc).
  • F. = 135°C.
  • Beispiel 11
  • 1-Ethyl-1,4-dihydro-4-oxo-N-(2-pyridylmethyl)-6-(trifluormethyl)-3-chinolincarboxamid-hydrochlorid
  • Eine Lösung der Verbindung von Beispiel 5 (200 mg) in CHCl3 (2 ml), wurde tropfenweise mit 1 M ätherischem HCl (0,53 ml) versetzt. Die erhaltene Lösung wurde 15 Minuten bei Raumtemperatur gerührt. Es bildete sich ein gebrochen weißer Niederschlag. Der Niederschlag wurde abfiltriert. Man erhielt die Titelverbindung.
  • IR (Nujol)/cm–1 3036,9 (NH), 1666,1 (C = O).
  • [M + H]+ = 376.
  • Beispiel 12
  • 1-Ethyl-1,4-dihydro-4-oxo-N-[2-(3-pyridyl)-ethyl]-6-(trifluormethyl)-3-chinolincarboxamid-hydrochlorid
  • Die Titelverbindung wurde aus dem Zwischenprodukt 9 auf ähnliche Weise wie in Beispiel 11 hergestellt.
  • IR (Nujol)/cm–1 3036,9 (NH), 1666,1 (C = O).
  • [M + H]+ = 390.
  • Beispiel 13
  • 1-Ethyl-1,4-dihydro-4-oxo-N-[3-(phenyl)-propyl]-6-(trifluormethyl)-3-chinolincarboxamid
  • Die Titelverbindung wurde aus dem Zwischenprodukt 9 auf ähnliche Weise wie in Beispiel 1 hergestellt.
  • TLC Rf = 0,23 (EtOAc).
  • F. = 120°C.
  • Beispiel 14
  • 5-Ethyl-5,8-dihydro-N-(1-indanyl)-8-oxo-1,3-dioxolo[4,5-g]chinolin-7-carboxamid
  • Die Titelverbindung wurde aus Oxolinsäure auf ähnliche Weise wie in Beispiel 1 hergestellt.
  • TLC Rf = 0,65 (10% MeOH/CH2Cl2).
  • F. = 300°C.
  • Beispiel 15
  • 5-Ethyl-5,8-dihydro-8-oxo-N-(1-tetralinyl)-1,3-dioxolo[4,5-g]chinolin-7-carboxamid
  • Die Titelverbindung wurde aus Oxolinsäure auf ähnliche Weise wie in Beispiel 1 hergestellt.
  • TLC Rf = 0,39 (5% MeOH/CH2Cl2).
  • IR (Nujol)/cm–1 1654 (C = O).
  • Beispiel 16
  • 5-Ethyl-5,8-dihydro-8-oxo-N-[2-(phenyl)-ethyl]-1,3-dioxolo[4,5-g]chinolin-7-carboxamid
  • Die Titelverbindung wurde aus Oxolinsäure auf ähnliche Weise wie in Beispiel 1 hergestellt.
  • TLC Rf = 0,40 (10% MeOH/CH2Cl2).
  • F. = 191°C.
  • Beispiel 17
  • 5-Ethyl-5,8-dihydro-N-(2-indanyl)-8-oxo-1,3-dioxolo[4,5-g]chinolin-7-carboxamid
  • Die Titelverbindung wurde aus Oxolinsäure auf ähnliche Weise wie in Beispiel 1 hergestellt.
  • TLC Rf = 0,46 (10% MeOH/CH2Cl2).
  • F. = 273°C.
  • Beispiel 18
  • 5-Ethyl-5,8-dihydro-8-oxo-N-(2-tetralinyl)-1,3-dioxolo[4,5-g]chinolin-7-carboxamid
  • Die Titelverbindung wurde aus Oxolinsäure auf ähnliche Weise wie in Beispiel 1 hergestellt.
  • TLC Rf = 0,59 (10% MeOH/CH2Cl2).
  • IR (Nujol)/cm–1 1654 (C = O).
  • Beispiel 19
  • 5-Ethyl-5,8-dihydro-N-[2-(3,4-dimethoxyphenyl)-ethyl]-8-oxo-1,3-dioxolo[4,5-g]chinolin-7-carboxamid
  • Die Titelverbindung wurde aus Oxolinsäure auf ähnliche Weise wie in Beispiel 1 hergestellt.
  • TLC Rf = 0,55 (10% MeOH/CH2Cl2).
  • IR (Nujon/cm–1 1656 (C = O).
  • Beispiel 20
  • 5-Ethyl-5,8-dihydro-8-oxo-N-[2-(2-pyridyl)-ethyl]-1,3-dioxolo[4,5-g]chinolin-7-carboxamid
  • Die Titelverbindung wurde aus Oxolinsäure auf ähnliche Weise wie in Beispiel 1 hergestellt.
  • TLC Rf = 0,22 (10% MeOH/CH2Cl2).
  • F. = 211,5°C.
  • Beispiel 21
  • 5-Ethyl-5,8-dihydro-8-oxo-N-[2-(4-pyridyl)-ethyl]-1,3-dioxolo[4,5-g]chinolin-7-carboxamid
  • Die Titelverbindung wurde aus der entsprechenden Säure auf ähnliche Weise wie in Beispiel 1 hergestellt.
  • TLC Rf = 0,50 (10% MOH/CH2Cl2).
  • F. = 154–155°C.
  • Beispiel 22
  • 1-Ethyl-1,4-dihydro-4-oxo-N-[2-(4-pyridyl)-ethyl]-7-(trifluormethyl)-3-chinolincarboxamid
  • Die Titelverbindung wurde aus der entsprechenden Säure auf ähnliche Weise wie in Beispiel 1 hergestellt.
  • TLC Rf = 0,50 (10% MeOH/CH2Cl2).
  • F. = 199–200°C.
  • Beispiel 23
  • 1-Ethyl-1,4-dihydro-4-oxo-N-[2-(4-pyridyl)-ethyl]-3-chinolincarboxamid
  • Die Titelverbindung wurde aus dem Zwischenprodukt 2 auf ähnliche Weise wie in Beispiel 1 hergestellt.
  • TLC Rf = 0,50 (10% MeOH/CH2Cl2).
  • F. = 154–155°C.
  • Beispiel 24
  • 5-Ethyl-5,8-dihydro-8-oxo-N-[2-(4-pyridyl)-ethyl]-1,3-dioxolo[4,5-g]chinolin-7-carboxamid-hydrochlorid
  • Die Titelverbindung wurde aus der Verbindung von Beispiel 21 auf ähnliche Weise wie in Beispiel 5 hergestellt.
  • IR (Nujol)/cm–1 3376,7 (NH), 1663,9 (C=O).
  • 1H-NMR (200 MHz, DMSO), 1,35 (t, 3H), 3,15 (t, 2H), 3,75 (t, 2H), 4,45 (q, 2H), 6,20 (s, 2H), 7,50 (s, 1H), 7,60 (s, 1H), 7,95 (d, 2H), 8,65 (s, 1 H), 8,85 (d, 2H), 10,20 (t, 1H)
  • Beispiel 25
  • 5-Ethyl-5,8-dihydro-N-(4-methoxyphenylmethyl)-8-oxo-1,3-dioxolo[4,5-g]chinolin-7-carboxamid
  • Die Titelverbindung wurde aus Oxolinsäure auf ähnliche Weise wie in Beispiel 1 hergestellt.
  • IR (Nujol)/cm–1 2923,0 (NH), 1658,4 (C=O).
  • TLC Rf = 0,40 (EtOAc).
  • Beispiel 26
  • 1-Ethyl-1,4-dihydro-N-[1-(5,6-dimethoxy)-indanyl]-4-oxo-6-(trifluormethyl)-3-chinolincarboxamid
  • Die Titelverbindung wurde aus dem Zwischenprodukt 9 auf ähnliche Weise wie in Beispiel 1 hergestellt.
  • F. = 207–208°C.
  • TLC Rf = 0,10 (10% MeOH/CH2Cl2).
  • Beispiel 27
  • 5-Ethyl-5,8-dihydro-N-[1-(5,6-dimethoxy)-indanyl]-8-oxo-1,3-dioxolo[4,5-g]chinolin-7-carboxamid
  • Die Titelverbindung wurde aus Oxolinsäure auf ähnliche Weise wie , in Beispiel 1 hergestellt.
  • F. = 239–240°C.
  • TLC Rf = 0,10 (5% MeOH/CH2Cl2).
  • Beispiel 28
  • 5-Ethyl-5,8-dihydro-N-[2-(2,3-dimethoxyphenyl)-ethyl]-8-oxo-1,3-dioxolo[4,5-g]chinolin-7-carboxamid
  • Die Titelverbindung wurde aus Oxolinsäure auf ähnliche Weise wie in Beispiel 1 hergestellt.
  • F. = 210–211°C.
  • TLC Rf = 0,60 (5% MeOH/CH2Cl2).
  • Beispiel 29
  • 5-Ethyl-5,8-dihydro-8-oxo-N-[5-(5,6,7,8-tetrahydrochinolin)]-1,3-dioxolo[4,5-g]chinolin-7-carboxamid
  • Die Titelverbindung wurde aus Oxolinsäure auf ähnliche Weise wie in Beispiel 1 hergestellt.
  • F. = 290°C.
  • TLC Rf = 0,40 (10% MeOH/CH2Cl2).
  • Beispiel 30
  • 1-Ethyl-1,4-dihydro-6,7-dimethoxy-4-oxo-N-[2-(4-pyridyl)-ethyl]-3-chinolincarboxamid
  • Die Titelverbindung wurde aus dem Zwischenprodukt 7 auf ähnliche Weise wie in Beispiel 1 hergestellt.
  • F. = 170°C.
  • TLC Rf = 0,40 (10% MeOH/CH2Cl2).
  • Beispiel 31
  • 1-Ethyl-1,4-dihydro-4-oxo-6-methyl-N-[2-(4-pyridyl)-ethyl]-3-chinolincarboxamid
  • Die Titelverbindung wurde aus dem Zwischenprodukt 3 auf ähnliche Weise wie in Beispiel 1 hergestellt.
  • F. = 174–176°C.
  • TLC Rf = 0,30 (5% MeOH/CH2Cl2).
  • Beispiel 32
  • 1-Ethyl-1,4-dihydro-4-oxo-6-methyl-N-[2-(4-pyridyl)-ethyl]-3-chinolincarboxamid-hydrochlorid
  • Die Titelverbindung wurde aus der Verbindung von Beispiel 31 auf ähnliche Weise wie in Beispiel 11 hergestellt.
  • F. = 257–259°C.
  • 1H-NMR (200 MHz, DMSO) 3,25 (t, 3H), 3,85 (q, 2H), 6,05 (s, 2H), 7,50 (d, 2H), 7,65 (dd, 2H), 8,00 (d, 3H), 8,70 (d, 2H), 9,10 (s, 1H), 9,95 (t, 1H)
  • Beispiel 33
  • 6-Fluor-1,4-dihydro-4-oxo-N-[2-(4-pyridyl)-ethyl]-1-[(4-pyridyl)-methyl]-3-chinolincarboxamid
  • Die Titelverbindung wurde aus dem Zwischenprodukt 5 auf ähnliche Weise wie in Beispiel 1 hergestellt.
  • F. = 246–247°C.
  • TLC Rf = 0,30 (10% MeOH/CH2Cl2).
  • Beispiel 34
  • 6-Fluor-l,4-dihydro-4-oxo-N-[2-(4-pyridyl)-ethyl]-1-[(4-pyridyl)-methyl]-3-chinolincarboxamid-dihydrochlorid
  • Die Titelverbindung wurde aus der Verbindung von Beispiel 35 auf ähnliche Weise wie in Beispiel 5 hergestellt.
  • F. = 230°C.
  • 1H-NMR (200 MHz, DMSO) 1,35 (t, 3H), 3,15 (t, 2H), 3,75 (m, 2H), 4,50 (q, 2H), 7,65 (dd, 1H), 7,80 (d, 1H), 7,95 (d, 2H), 8,15 (s, 1H), 8,85 (m, 3H), 10,15 (t, 1H)
  • Beispiel 35
  • 1-Ethyl-1,4-dihydro-4-oxo-N-[pyrindan-7-yl]-6-(trifluormethyl)-3-chinolincarboxamid
  • Die Titelverbindung wurde aus dem Zwischenprodukt 9 auf ähnliche Weise wie in Beispiel 1 hergestellt.
  • F = 168–170°C.
  • 1H-NMR (200 MHz, DMSO) 1,65 (t, 3H), 3,00 (m, 3H), 4,45 (q, 2H), 7,30 (m, 1H), 7,65 (m, 2H), 8,00 (dd, 1H), 8,55 (d, 1H), 8,85 (d, 1H), 8,95 (s, 1H), 10,45 (d, 1H)
  • Beispiel 36
  • 1-Ethyl-1,4-dihydro-N-[2-(2-methoxyphenyl)-ethyl]-4-oxo-6-(trifluormethyl)-3-chinolincarboxamid
  • Die Titelverbindung wurde aus dem Zwischenprodukt 9 auf ähnliche Weise wie in Beispiel 1 hergestellt.
  • F. = 157–158°C.
  • TLC Rf = 0,15 (EtOAc).
  • Beispiel 37
  • 1-Ethyl-1,4-dihydro-N-[2-(3-methoxyphenyl)-ethyl]-4-oxo-6-(trifluormethyl)-3-chinolincarboxamid
  • Die Titelverbindung wurde aus dem Zwischenprodukt 9 auf ähnliche Weise wie in Beispiel 1 hergestellt.
  • F. = 171–172°C.
  • TLC Rf = 0,18 (EtOAc).
  • Beispiel 38
  • 1-Ethyl-1,4-dihydro-N-[2-(4-methoxyphenyl)-ethyl]-4-oxo-6-(trifluormethyl)-3-chinolincarboxamid
  • Die Titelverbindung wurde aus dem Zwischenprodukt 9 auf ähnliche Weise wie in Beispiel 1 hergestellt.
  • F. = 137–138°C.
  • TLC Rf = 0,18 (EtOAc).
  • Beispiel 39
  • 1-Ethyl-1,4-dihydro-4-oxo-N-[pyrindan-7-yl]-6-(trifluormethyl)-3-chinolincarboxamid-hydrochlorid
  • Die Titelverbindung wurde aus der Verbindung von Beispiel 35 auf ähnliche Weise wie in Beispiel 11 hergestellt.
  • F. = 240–242°C.
  • 1H-NMR (200 MHz, DMSO) 1,4 (t, 3H), 2,6–3,2 (m, 4H), 4,6 (q, 2H), 5,6 (q, 1H), 7,55 (dd, 1H), 8,1 (d, 1H), 8,2 (br s, 2H), 8,5 (d, 1H), 8,6 (br s, 1H), 9,0 (s, 1H), 10,35 (d, 1H)
  • Beispiel 40
  • 1-Ethyl-1,4-dihydro-N-[2-(3,4-dimethoxyphenyl)-ethyl]-4-oxo-6-(trifluormethyl)-3-chinolincarboxamid
  • Die Titelverbindung wurde aus dem Zwischenprodukt 9 auf ähnliche Weise wie in Beispiel 1 hergestellt.
  • TLC Rf = 0,27 (5% MeOH/CH2Cl2).
  • F. = 168–170°C.
  • Beispiel 41
  • 1-Ethyl-6-fluor-1,4-dihydro-8-methoxy-4-oxo-N-[2-(4-pyridyl)-ethyl]-3-chinolincarboxamid
  • Die Titelverbindung wurde auf ähnliche Weise wie in Beispiel 1 hergestellt.
  • TLC Rf = 0,17 (5% MeOH/CH2Cl2).
  • F. = 177–179°C.
  • Beispiel 42
  • 1-Ethyl-1,4-dihydro-N-[2-(4-pyridyl)-ethyl]-4-thiocarbonyl-6-(trifluormethyl)-3-chinolincarboxamid
  • Die Titelverbindung wurde aus dem Zwischenprodukt 11 auf ähnliche Weise wie in Beispiel 1 hergestellt.
  • TLC Rf = 0,33 (10% MeOH/CH2Cl2).
  • [M + H]+ = 406.
  • Beispie1 43
  • 1-Ethyl-6-fluor-1,4-dihydro-8-methyl-4-oxo-N-[2-(4-pyridyl)-ethyl]-3-chinolincarboxamid
  • Die Titelverbindung wurde auf ähnliche Weise wie in Beispiel 1 hergestellt. TLC Rf = 0,3 (5% MeOH/CH2Cl2).
  • 1H-NMR (200 MHz, CDCl3) 1,5 (t, 3H), 2,8 (s, 3H), 3,05 (t, 2H), 3,8 (q, 2H), 4,55 (q, 2H), 7,2–7,4 (m, 3H), 8,15 (dd, 1H), 8,55 (d, 2H), 8,75 (s, 1H), 10,1 (t, 1H)
  • Beispiel 44
  • 1-Ethyl-6-fluor-1,4-dihydro-8-methyl-4-oxo-N-[2-(4-pyridyl)-ethyl]-3-chinolincarboxamid-hydrochlorid
  • Die Titelverbindung wurde aus der Verbindung von Beispiel 43 auf ähnliche Weise wie in Beispiel 11 hergestellt.
  • 1H-NMR (200 MHz, DMSO) 1,3 (t, 3H), 2,8 (s, 3H), 3,2 (t, 2H), 3,8 (q, 2H), 4,6 (q, 2H), 7,65 (dd, 1H), 7,9 (dd, 1H), 8,0 (d, 2H), 8,75 (s, 1 H), 8,8 (d, 2H), 9,9 (t, 1H)
  • F. = 243–245°C.
  • Beispiel 45
  • 1-Ethyl-1,4-dihydro-N-[1-(5-methoxy)-indanyl]-4-oxo-6-(trifluormethyl)-3-chinolincarboxamid
  • Die Titelverbindung wurde auf ähnliche Weise wie in Beispiel 1 hergestellt. TLC Rf = 0,36 (5% MeOH/CH2Cl2).
  • F. = 84–87°C.
  • Beispiel 46
  • 1,4-Dihydro-4-oxo-1-n-propyl-N-[2-(4-pyridyl)-ethyl]-6-(trifluormethyl)-3-chinolincarboxamid
  • Die Titelverbindung wurde auf ähnliche Weise wie in Beispiel 1 hergestellt. TLC Rf = 0,28 (5% MeOH/CH2Cl2).
  • 1H-NMR (200 MHz, CDCl3) 1,1 (t, 3H), 2,0 (q, 2H), 3,05 (t, 2H), 3,8 (q, 2H), 4,3 (t, 2H), 7,2 (d, 2H), 7,7 (d, 1H), 8,0 (dd, 1H), 8,6 (d, 2H), 8,85 (m, 2H), 10,05 (m, 1H)
  • Beispiel 47
  • 1,4-Dihydro-4-oxo-1-n-propyl-N-[2-(4-pyridyl)-ethyl]-6-(trifluormethyl)-3-chinolincarboxamid-hydrochlorid
  • Die Titelverbindung wurde aus der Verbindung von Beispiel 46 auf ähnliche Weise wie in Beispiel 11 hergestellt.
  • 1H-NMR (200 MHz, DMSO) 0,9 (t, 3H), 1,8 (q, 2H), 3,2 (t, 2H), 3,8 (q, 2H), 4,5 (t, 2H), 8,0 (d, 2H), 8,15 (s, 2H), 8,55 (br s, 1H), 8,9 (d, 2H), 9,0 (s, 1H), 9,85 (t, 1H)
  • F. = 249–250°C.
  • Beispiel 48
  • N-[1-(5-Acetamid)-indanyl]-1-ethyl-1,4-dihydro-4-oxo-6-(trifluormethyl)-3-chinolincarboxamid
  • Die Titelverbindung wurde auf ähnliche Weise wie in Beispiel 1 hergestellt. TLC Rf = 0,3 (10% MeOH/CH2Cl2).
  • F. = 185–188°C.
  • Testverfahren
  • Bei den eingesetzten Tests zur Bestätigung der Phosphodiesterase IV-Hemmwirkung der Verbindungen der Formel (I) handelt es sich um übliche Testverfahren gemäß der Beschreibung von Schilling et al., An. Biochem., Bd. 216 (1994), S. 154, Thompson und Strada, Adv. Cycl. Nucl. Res., Bd. 8 (1979), S. 119, und Gristwood und Owen, Br. J. Pharmacol. Bd. 87 (1985), S. 91 P. Die Verbindungen der Formel (I) wiesen eine Aktivität in Konzentrationen auf, für die man eine Eignung bei der Behandlung von mit Phosphodiesterase IV in Zusammenhang stehenden Krankheitszuständen annimmt.
  • Die Wirkungsstärke der Verbindungen der Formel (I) als Inhibitoren der Bildung von TNF wurde gemäß dem folgenden Verfahren bestimmt. Eine 1 mM Lösung des zu testenden Inhibitors oder Verdünnungen davon wurden bei 37°C in einer Atmosphäre mit 5% CO2 mit THP.1-Zellen in einer Dichte von 1 × 106/ml inkubiert und mit einer Endkonzentration von 5 mg/ml LPS, d.h. Lipopolysaccharid (Endotoxin), stimuliert. Nach 18 Stunden wurde der Überstand auf die TNF-Konzentrationen unter Verwendung handelsüblicher ELISA-Testpackungen (R and D Systems) getestet.

Claims (27)

  1. Verwendung einer Verbindung der Formel (I)
    Figure 00290001
    worin R1 C1–6-Alkyl, C1–6-Alkylcycloalkyl, C1–6-Alkylheterocyclo, C1–6-Alkylaryl oder C1–6-Alkylheteroaryl bedeutet, wobei jeder dieser Reste gegebenenfalls ein- oder mehrfach durch Substituenten substituiert ist, die unter Halogen, C1–6-Alkoxy, Hydroxy, CN, CO2H (oder C1–6-Alkylestern oder C1–6-Alkylamiden davon), C1–6-Alkyl, NR9R10 und SO2NR11 R12 ausgewählt sind; R3 Phenyl, Pyridyl, Thienyl, Furyl, Pyrazinyl, Pyridazinyl, Pyrimidinyl oder C3–10-Cycloalkyl bedeutet, wobei an jeden dieser Reste gegebenenfalls ein zweiter carbocyclischer oder heterocyclischer Ring ankondensiert ist und wobei der oder die Ringe gegebenenfalls an einer beliebigen verfügbaren Position durch einen oder mehrere Substituenten substituiert sind, die unter Halogen, C1–6-Alkoxy, OH, CN, COOH (oder C1–6-Alkylestern oder C1–6-Alkylamiden davon), C1–6-Alkyl, C1–6-Halogenalkyl, NR9R10, SO2NR11 R12, Aryl, Heteroaryl, Cycloalkyl und Heterocyclo ausgewählt sind; Y die Bedeutung O oder S hat; R4, R5, R6 und R7 gleich oder verschieden sind und jeweils H, Halogen, C1–6-Alkoxy, Hydroxy, CN, CO2H (oder C1–6-Akylester oder C1–6-Alkylamide davon), NR9R10 oder C1–6-Alkyl bedeuten, wobei Alkyl gegebenenfalls durch Halogen, C1–6-Alkoxy, Hydroxy, CN, CO2H (oder C1–6-Alkylester oder C1–6-Alkylamide davon), NR9R10 oder SO2NR11 R12 substituiert ist oder beliebige zwei benachbarte Gruppen R4 bis R7 und die C-Atome, an die sie gebunden sind, einen 5- oder 6-gliedrigen Ring mit 0, 1 oder 2 Heteroatomen bilden; R9 und R10 gleich oder verschieden sind und jeweils N, C1–6-Alkyl, Aryl, Heteroaryl, COCF3, SO2CF3, Cycloalkyl, C1–6-Alkylcarbonyl, Arylcarbonyl, C1–6- Alkoxycarbonyl, Arylsulfonyl oder C1–6-Alkylsulfonyl bedeuten; oder NR9R10 einen 5- oder 6-gliedrigen Ring, wie einen Pyrrolidin-, Piperidin-, Morpholin- oder Piperazinring bedeuten; R11 und R12 gleich oder verschieden sind und jeweils H, C1–6-Alkyl oder Cycloalkyl bedeuten; und n = 0–3; mit der Maßgabe, dass wenn R3 substituiertes Cyclohexyl bedeutet und n = 1, die Substituenten nicht COOH (oder Ester davon) umfassen; oder eines pharmazeutisch verträgliches Salzes, Solvats, Hydrats oder einer Kombination davon; zur Herstellung eines Arzneimittels zur Behandlung eines Krankheitszustands, der aus folgender Gruppe ausgewählt ist: allergische und entzündliche Krankheiten, Autoimmunkrankheiten, Diabetes insipidus und Zustände, die mit zerebralen Stoffwechselhemmungen verbunden sind, Zustände, die durch eine Neuroschutzwirkung gebessert werden können, tardive Dyskinesie, Zustände, bei denen ein Schutz des Magens erforderlich ist, und Pilz- und Hefeinfektionen.
  2. Verwendung nach Anspruch 1, wobei R1 keinen Alkylcycloalkylrest bedeutet.
  3. Verwendung nach Anspruch 2, wobei Y die Bedeutung 0 hat.
  4. Verwendung nach Anspruch 3, wobei R3 Phenyl, Thienyl, Furyl oder Cycloalkyl bedeutet, nicht zwei der Reste R4 bis R7 einen Ring bilden und weder R9 noch R10 Arzl, Heteroaryl, COCF3 oder SO2CF3 bedeuten.
  5. Verwendung nach Anspruch 3, wobei R3 Pyridyl bedeutet, nicht zwei der Reste R4 bis R7 einen Ring bilden und weder R9 noch R10 Aryl, Heteroaryl, COCF3 oder SO2CF3 bedeuten.
  6. Verwendung nach einem der vorstehenden Ansprüche, wobei n = 0–2.
  7. Verwendung nach einem der vorstehenden Ansprüche, wobei R3 Pyridyl, Phenyl, Pyrindanyl, Indanyl oder Tetralinyl bedeutet.
  8. Verwendung nach einem der vorstehenden Ansprüche, wobei R1 Alkyl bedeutet.
  9. Verwendung nach Anspruch 1, wobei die Verbindung ausgewählt ist unter: 1-Ethyl-1,4-dihydro-4-oxo-N-[2-(4-pyridyl)-ethyl]-6-(trifluormethyl)-3-chinolincarboxamid 1-Ethyl-1,4-dihydro-4-oxo-N-[2-(3-pyridyl)-ethyl]-6-(trifluormethyl)-3-chinolincarboxamid 1-Ethyl-1,4-dihydro-4-oxo-N-(3-pyridylmethyl)-6-(trifluormethyl)-3-chinolincarboxamid N-(2-Chlorbenzyl)-1-ethyl-1,4-dihydro-4-oxo-6-(trifluormethyl)-3-chinolincarboxamid 1-Ethyl-1,4-dihydro-4-oxo-N-(2-pyridylmethyl)-6-(trifluormethyl)-3-chinolincarboxamid N-[2-(2-Chlorphenyl)-ethyl]-1-ethyl-1,4-dihydro-4-oxo-6-(trifluormethyl)-3-chinolincarboxamid 1-Ethyl-l,4-dihydro-4-oxo-N-(4-pyridylmethyl)-6-(trifluormethyl)-3-chinolincarboxamid 1-Ethyl-1,4-dihydro-4-oxo-N-[2-(2-pyridyl)-ethyl]-6-(trifluormethyl)-3-chinolincarboxamid 1-Ethyl-1,4-dihydro-4-oxo-N-[2-(phenyl)-ethyl]-6-(trifluormethyl)-3-chinolincarboxamid N-Benzyl-1-ethyl-1,4-dihydro-4-oxo-6-(trifluormethyl)-3-chinolincarboxamid 1-Ethyl-1,4-dihydro-4-oxo-N-(2-pyridylmethyl)-6-(trifluormethyl)-3-chinolincarboxamid-hydrochlorid 1-Ethyl-1,4-dihydro-4-oxo-N-[2-(3-pyridyl)-ethyl]-6-(trifluormethyl)-3-chinolincarboxamid-hydrochlorid 1-Ethyl-1,4-dihydro-4-oxo-N-[3-(phenyl)-propyl]-6-(trifluormethyl)-3-chinolincarboxamid 5-Ethyl-5,8-dihydro-N-(1-indanyl)-8-oxo-1,3-dioxolo[4,5-g]chinolin-7-carboxamid 5-Ethyl-5,8-dihydro-8-oxo-N-(1-tetralinyl)-1,3-dioxolo[4,5-g]chinolin-7-carboxamid 5-Ethyl-5,8-dihydro-8-oxo-N-[2-(phenyl)-ethyl]-1,3-dioxolo[4,5-g]chinolin-7-carboxamid 5-Ethyl-5,8-dihydro-N-(2-indanyl)-8-oxo-1,3-dioxolo[4,5-g]chinolin-7-carboxamid 5-Ethyl-5,8-dihydro-8-oxo-N-(2-tetralinyl)-1,3-dioxolo[4,5-g]chinolin-7-carboxamid 5-Ethyl-5,8-dihydro-N-[2-(3,4-dimethoxyphenyl)-ethyl]-8-oxo-1,3-dioxolo[4,5-g]chinoliri-7-carboxamid 5-Ethyl-5,8-dihydro-8-oxo-N-[2-(2-pyridyl)-ethyl]-1,3-dioxolo[4,5-g]chinolin-7-carboxamid 5-Ethyl-5,8-dihydro-8-oxo-N-[2-(4-pyridyl)-ethyl]-1,3-dioxolo[4,5-g]chinolin-7-carboxamid und 1-Ethyl-1,4-dihydro-4-oxo-N-[2-(4-pyridyl)-ethyl]-7-(trifluormethyl)-3-chinolincarboxamid
  10. Verwendung nach Anspruch 1, wobei die Verbindung ausgewählt ist unter: 1-Ethyl-1,4-dihydro-4-oxo-N-[2-(4-pyridyl)-ethyl]-3-chinolincarboxamid 5-Ethyl-5,8-dihydro-8-oxo-N-[2-(4-pyridyl)-ethyl]-1,3-dioxolo[4,5-g]chinolin-7-carboxamid-hydrochlorid 5-Ethyl-5,8-dihydro-N-(4-methoxyphenylmethyl)-8-oxo-1,3-dioxolo[4,5-g]chinolin-7-carboxamid 1-Ethyl-1,4-dihydro-N-[1-(5,6-dimethoxy)-indanyl]-4-oxo-6-(trifluormethyl)-3-chinolincarboxamid 5-Ethyl-5,8-dihydro-N-[1-(5,6-dimethoxy)-indanyl]-8-oxo-1,3-dioxolo[4,5-g]chinolin-7-carboxamid 5-Ethyl-5,8-dihydro-N-[2-(2,3-dimethoxyphenyl)-ethyl]-8-oxo-1,3-dioxolo[4,5-g]chinolin-7-carboxamid 5-Ethyl-5,8-dihydro-8-oxo-N-[5-(5,6,7,8-tetrahydrochinolin)]-1,3-dioxolo[4,5-g]chinolin-7-carboxamid 1-Ethyl-1,4-dihydro-6,7-dimethoxy-4-oxo-N-[2-(4-pyridyl)-ethyl]-3-chinolincarboxamid 1-Ethyl-1,4-dihydro-4-oxo-6-methyl-N-[2-(4-pyridyl)-ethyl]-3-chinolincarboxamid 1-Ethyl-1,4-dihydro-4-oxo-6-methyl-N-[2-(4-pyridyl)-ethyl]-3-chinolincarboxamid-hydrochlorid 6-Fluor-1,4-dihydro-4-oxo-N-[2-(4-pyridyl)-ethyl]-1-[(4-pyridyl)-methyl]-3-chinolincarboxamid 6-Fluor-1,4-dihydro-4-oxo-N-[2-(4-pyridyl)-ethyl]-1-[(4-pyridyl)-methyl]-3-chinolincarboxamid-dihydrochlorid 1-Ethyl-1,4-dihydro-4-oxo-N-[pyrindan-7-yl]-6-(trifluormethyl)-3-chinolincarboxamid 1-Ethyl-1,4-dihydro-N-[2-(2-methoxyphenyl)-ethyl]-4-oxo-6-(trifluormethyl)-3-chinolincarboxamid 1-Ethyl-1,4-dihydro-N-[2-(3-methoxyphenyl)-ethyl]-4-oxo-6-(trifluormethyl)-3-chinolincarboxamid 1-Ethyl-1,4-dihydro-N-[2-(4-methoxyphenyl)-ethyl]-4-oxo-6-(trifluormethyl)-3-chinolincarboxamid 1-Ethyl-1,4-dihydro-4-oxo-N-[pyrindan-7-yl]-6-(trifluormethyl)-3-chinolincarboxamid-hydrochlorid 1-Ethyl-1,4-dihydro-N-[2-(3,4-dimethoxyphenyl)-ethyl]-4-oxo-6-(trifluormethyl)-3-chinolincarboxamid 1-Ethyl-6-fluor-1,4-dihydro-8-methoxy-4-oxo-N-[2-(4-pyridyl)-ethyl]-3-chinolincarboxamid 1-Ethyl-1,4-dihydro-N-[2-(4-pyridyl)-ethyl]-4-thiocarbonyl-6-(trifluormethyl)-3-chinolincarboxamid 1-Ethyl-6-fluor-1,4-dihydro-8-methyl-4-oxo-N-[2-(4-pyridyl)-ethyl]-3-chinolincarboxamid 1-Ethyl-6-fluor-1,4-dihydro-8-methyl-4-oxo-N-[2-(4-pyridyl)-ethyl]-3-chinolincarboxamid-hydrochlorid 1-Ethyl-1,4-dihydro-N-[1-(5-methoxy)-indanyl]-4-oxo-6-(trifluormethyl)-3-chinolincarboxamid 1,4-Dihydro-4-oxo-1-n-propyl-N-[2-(4-pyridyl)-ethyl]-6-(trifluormethyl)-3-chinolincarboxamid 1,4-Dihydro-4-oxo-1-n-propyl-N-[2-(4-pyridyl)-ethyl]-6-(trifluoromethyl)-3-chinolincarboxamid-hydrochlorid und N-[1-(5-Acetamido)-indanyl]-1-ethyl-1,4-dihydro-4-oxo-6-(trifluormethyl)-3-chinolincarboxamid
  11. Verwendung nach einem der vorstehenden Ansprüche, wobei die Verbindung in Form eines Enantiomeren oder eines Enantiomerengemisches vorliegt.
  12. Verbindung gemäß der Definition in einem der Ansprüche 1 bis 11 zur therapeutischen Verwendung, mit der Maßgabe, dass es sich nicht um eine Verbindung handelt, in der (i) R3-(CH2)n- die Bedeutung Benzyl, Pyridyl oder Furyl hat, Y die Bedeutung 0 hat, R1 Alkyl bedeutet, R4, R7 und R8 die Bedeutung N haben und R5 und R6 zusammen die Bedeutung -OCH2O- haben; und (ii) R3 Phenyl, Pyridyl oder Furyl bedeutet, R1 Alkyl oder Aralkyl bedeutet, Y die Bedeutung 0 hat und zwei der Reste R4-R7 und die C-Atome, an die sie gebunden sind, einen Furanring bilden, während die übrigen beide dieser Reste N bedeuten.
  13. Verbindung gemäß der Definition in einem der Ansprüche 1 bis 11, mit den Maßgaben von Anspruch 12 und mit der zusätzlichen Maßgabe, dass dann, wenn R3 an (CH2)n, das sich an einem aromatischen Atom befindet, gebunden ist, n = 1 – 3.
  14. Verbindung nach Anspruch 12 oder 13, wobei Y, R3, R4-R7, R9 und R10 der Definition in einem der Ansprüche 4 oder 5 entsprechen.
  15. Verwendung nach einem der Ansprüche 1 bis 11, wobei die Verbindung der Definition in einem der Ansprüche 12 bis 14 entspricht.
  16. Verwendung nach einem der Ansprüche 1 bis 11 und 15, wobei es sich beim Krankheitszustand um einen pathologischen Zustand handelt, der aus folgender Gruppe ausgewählt ist: Asthma, chronische Bronchitis, atopische Dermatitis, Nesselsucht, allergische Rhinitis, allergische Konjunktivitis, Frühjahrskatarrh, Augenentzündungen, allergische Augenreaktionen, eosinophiles Granulom, Psoriasis, rheumatoide Arthritis, gichtartige Arthritis und andere arthritische Zustände, ulzerative Kolitis, Morbus Crohn, Atemnotsyndrom bei Erwachsenen, Diabetes insipidus, Keratose, atopisches Ekzem, atopische Dermatitis, zerebrale Senilität, Multiinfarkt-Demenz, senile Demenz, Gedächtnisstörungen bei Parkinson-Krankheit, Depressionen, Herzstillstand, Schlaganfall und intermittierendes Hinken.
  17. Verwendung nach Anspruch 16, wobei der pathologische Zustand ausgewählt ist unter chronischer Bronchitis, allergischer Rhinitis und Atemnotsyndrom bei Erwachsenen.
  18. Verwendung nach einem der Ansprüche 1 bis 11 und 15, wobei es sich beim Krankheitszustand um eine entzündliche Erkrankung oder um eine Autoimmunerkrankung handelt.
  19. Verwendung nach Anspruch 18, wobei der Krankheitszustand aus folgender Gruppe ausgewählt ist: Gelenkentzündungen, Sepsis, septischer Schock, endotoxischer Schock, gram-negative Sepsis, toxisches Schocksyndrom, akutes Atemnotsyndrom, zerebrale Malaria, chronische Lungenentzündungen, pulmonale Sarkoidose, Knochenresorptionskrankheiten, Reperfusionsschädigungen, Graft-versus-Host-Reaktionen, Fremdtransplantatabstoßungen, Malaria, Myalgien, HIV, AIDS, ARC, Kachexie, Pyrese, systemischer Lupus erythematosus, Multiple Sklerose, Diabetes mellitus Typ I, Bechet-Krankheit, anaphylaxieähnliche Purpurs-Nephritis, chronische Glomerulonephritis, entzündliche Darmerkrankungen und Leukämie.
  20. Verwendung nach einem der Ansprüche 1 bis 11 und 15, wobei es sich beim Krankheitszustand um Asthma handelt.
  21. Verwendung nach einem der Ansprüche 1 bis 11 und 15, wobei es sich beim Krankheitszustand um akutes Atemnotsyndrom, Lungenentzündung oder pulmonale Sarkoidose handelt.
  22. Verwendung nach Anspruch 21, wobei es sich beim Krankheitszustand um eine Gelenkentzündung handelt.
  23. Verwendung nach einem der Ansprüche 1 bis 11 und 15, wobei es sich beim Krankheitszustand um tardive Dyskinesie handelt.
  24. Verwendung nach einem der Ansprüche 1 bis 11 und 15, wobei es sich beim Krankheitszustand um eine Hefe- oder Pilzinfektion handelt.
  25. Verwendung nach einem der Ansprüche 1 bis 11 und 15 zum Schutz des Magens.
  26. Verwendung nach einem der Ansprüche 1 bis 11 und 15, wobei es sich beim Krankheitszustand um eine virale Infektion handelt.
  27. Verwendung nach Anspruch 26, wobei es sich bei der viralen Infektion um eine Cytomegalovirus-, Influenza-, Adenovirus-, Herpes- oder Lentivirus-Infektion handelt.
DE69628019T 1995-08-02 1996-08-02 Chinolone und deren therapeutische verwendung Expired - Fee Related DE69628019T2 (de)

Applications Claiming Priority (9)

Application Number Priority Date Filing Date Title
GB9515811 1995-08-02
GBGB9515811.9A GB9515811D0 (en) 1995-08-02 1995-08-02 Novel compounds
GBGB9526377.8A GB9526377D0 (en) 1995-12-22 1995-12-22 Novel compounds
GB9526377 1995-12-22
GB9605868 1996-03-20
GBGB9605868.0A GB9605868D0 (en) 1996-03-20 1996-03-20 Novel compounds
GB9611898 1996-06-07
GBGB9611898.9A GB9611898D0 (en) 1996-06-07 1996-06-07 Quinolones and their therapeutic use
PCT/GB1996/001862 WO1997004779A1 (en) 1995-08-02 1996-08-02 Quinolones and their therapeutic use

Publications (2)

Publication Number Publication Date
DE69628019D1 DE69628019D1 (de) 2003-06-12
DE69628019T2 true DE69628019T2 (de) 2004-01-22

Family

ID=27451319

Family Applications (1)

Application Number Title Priority Date Filing Date
DE69628019T Expired - Fee Related DE69628019T2 (de) 1995-08-02 1996-08-02 Chinolone und deren therapeutische verwendung

Country Status (12)

Country Link
US (1) US5891878A (de)
EP (1) EP0841929B1 (de)
JP (1) JPH11513021A (de)
AT (1) ATE239477T1 (de)
AU (1) AU696390B2 (de)
CA (1) CA2225552A1 (de)
DE (1) DE69628019T2 (de)
DK (1) DK0841929T3 (de)
ES (1) ES2193252T3 (de)
MX (1) MX9800922A (de)
PT (1) PT841929E (de)
WO (1) WO1997004779A1 (de)

Families Citing this family (51)

* Cited by examiner, † Cited by third party
Publication number Priority date Publication date Assignee Title
US6077850A (en) * 1997-04-21 2000-06-20 G.D. Searle & Co. Substituted benzopyran analogs for the treatment of inflammation
IT1296985B1 (it) 1997-12-19 1999-08-03 Zambon Spa Derivati benzazinici inibitori della fosfodiesterasi 4
RU2220960C2 (ru) * 1997-12-22 2004-01-10 Фармация Энд Апджон Компани 4-гидрокси-3-хинолинкарбоксамиды и гидразиды, фармацевтическая композиция и способ лечения на их основе
IT1302677B1 (it) * 1998-10-15 2000-09-29 Zambon Spa Derivati benzazinici inibitori della fosfodiesterasi 4
US6248739B1 (en) * 1999-01-08 2001-06-19 Pharmacia & Upjohn Company Quinolinecarboxamides as antiviral agents
US6248736B1 (en) * 1999-01-08 2001-06-19 Pharmacia & Upjohn Company 4-oxo-1,4-dihydro-3-quinolinecarboxamides as antiviral agents
SK287231B6 (sk) 1999-08-21 2010-04-07 Nycomed Gmbh Liečivo zahŕňajúce PDE inhibítor a agonistu beta2 adrenoreceptora
US6436971B2 (en) * 2000-02-09 2002-08-20 Smithkline Beecham Corporation Use of PDE 4-specific inhibitors to reduce the severity of a bacterial infection after a respiratory viral infection
AU2001243241A1 (en) 2000-03-21 2001-10-03 Pharmacia And Upjohn Company Llc 4-hydroxy-1,8-naphthyridine-3-carboxamides as antiviral agents
SK12102002A3 (sk) 2000-03-21 2003-03-04 Pharmacia & Upjohn Company 4-oxo-1,4-dihydro-3-cinolínkarboxamidy ako antivírusové látky
JP2003529601A (ja) 2000-03-21 2003-10-07 ファルマシア・アンド・アップジョン・カンパニー 抗ウイルス剤としての4−オキソ−1,4−ジヒドロ[1,8]ナフチリジン−3−カルボキサミド
KR20020081480A (ko) 2000-03-21 2002-10-26 파마시아 앤드 업존 캄파니 항바이러스제로서의 4-히드록시신놀린-3-카르복시아미드
PE20011349A1 (es) * 2000-06-16 2002-01-19 Upjohn Co 1-aril-4-oxo-1,4-dihidro-3-quinolincarboxamidas como agentes antivirales
US6730682B2 (en) 2000-07-12 2004-05-04 Pharmacia & Upjohn Company Heterocycle carboxamides as antiviral agents
US6562822B2 (en) 2000-07-12 2003-05-13 Pharmacia & Upjohn Company Heterocyle carboxamides as antiviral agents
US6559145B2 (en) * 2000-07-12 2003-05-06 Pharmacia & Upjohn Company Heterocycle carboxamides as antiviral agents
TWI243164B (en) 2001-02-13 2005-11-11 Aventis Pharma Gmbh Acylated indanyl amines and their use as pharmaceuticals
PE20020856A1 (es) 2001-02-13 2002-11-11 Aventis Pharma Gmbh 1,2,3,4-tetrahidronaftil aminas aciladas
JP2004520424A (ja) 2001-03-01 2004-07-08 ファルマシア・アンド・アップジョン・カンパニー 抗ウイルス剤としての置換型キノリンカルボキサミド
CA2461132A1 (en) * 2001-09-26 2003-04-03 Bayer Pharmaceuticals Corporation 1, 8-naphthyridine derivatives as antidiabetics
US7300926B2 (en) * 2002-04-01 2007-11-27 University Of Florida Research Foundation, Inc. Steroidal quinols and their use for estrogen replacement therapy
EP1490392B1 (de) * 2002-04-01 2007-02-14 University Of Florida Research Foundation, Inc. Steroidische chinole als antioxidantien-vorstufen
US20070213310A1 (en) * 2002-04-01 2007-09-13 Laszlo Prokai Prodrugs for Use as Ophthalmic Agents
US7186707B2 (en) 2002-04-01 2007-03-06 University Of Florida Prodrugs for use as ophthalmic agents
EP1569648A4 (de) * 2002-12-09 2006-10-04 Univ Florida Prodrugs für ophthalmika
AU2004226353A1 (en) 2003-04-01 2004-10-14 Laboratoires Serono Sa Inhibitors of phosphodiesterases in infertility
MXPA06000675A (es) 2003-07-24 2006-04-19 Astellas Pharma Inc Derivado de quinolona o sal del mismo.
US7470706B2 (en) * 2004-01-31 2008-12-30 Sanofi-Aventis Deutschland Gmbh Cycloalkyl-substituted 7-amino-4-quinolone-3-carboxylic acid derivatives, process for their preparation and their use as medicaments
DE102004004971B3 (de) * 2004-01-31 2005-09-15 Aventis Pharma Deutschland Gmbh Cycloalkyl substituierte 7-Amino-4-chinolon-3-carbonsäure-Derivate, Verfahren zu ihrer Herstellung und ihre Verwendung als Arnzeimittel
JP4775259B2 (ja) 2004-03-31 2011-09-21 味の素株式会社 アニリン誘導体
EP2502914A3 (de) * 2004-06-24 2013-12-04 Vertex Pharmaceuticals Incorporated Modulatoren von Transportern der ATP-bindenden Kassette
RU2525115C2 (ru) * 2004-06-24 2014-08-10 Вертекс Фармасьютикалз Инкорпорейтед Способ модуляции транспортеров атф-связывающей кассеты
PL1773816T3 (pl) * 2004-06-24 2015-06-30 Vertex Pharma Modulatory transporterów posiadających kasetę wiążącą ATP
US8354427B2 (en) * 2004-06-24 2013-01-15 Vertex Pharmaceutical Incorporated Modulators of ATP-binding cassette transporters
DE102004035203A1 (de) 2004-07-21 2006-02-16 Bayer Healthcare Ag Substituierte Chinolone
DE102005030524A1 (de) 2005-06-30 2007-01-18 Aicuris Gmbh & Co. Kg Substituierte Chinolone II
EP1979367A2 (de) * 2005-12-24 2008-10-15 Vertex Pharmaceuticals Incorporated Chinolin-4-on-derivate als modulatoren von abc-transportern
WO2007075946A1 (en) * 2005-12-27 2007-07-05 Vertex Pharmaceuticals Incorporated Compounds useful in cftr assays and methods therewith
JP5409010B2 (ja) 2005-12-28 2014-02-05 バーテックス ファーマシューティカルズ インコーポレイテッド N−[2,4−ビス(1,1−ジメチルエチル)−5−ヒドロキシフェニル]−1,4−ジヒドロ−4−オキソキノリン−3−カルボキサミドの固体形態
DE102006005861A1 (de) 2006-02-09 2007-08-23 Aicuris Gmbh & Co. Kg Substituierte Chinolone III
EP2383271B1 (de) * 2006-03-13 2013-07-10 Kyorin Pharmaceutical Co., Ltd. Aminochinolone als GSK-3-Hemmer
US12458635B2 (en) 2008-08-13 2025-11-04 Vertex Pharmaceuticals Incorporated Pharmaceutical composition and administrations thereof
US20100074949A1 (en) 2008-08-13 2010-03-25 William Rowe Pharmaceutical composition and administration thereof
SI2349263T1 (sl) 2008-10-23 2014-09-30 Vertex Pharmaceuticals Incorporated Modulatorji cistiäśno-fibroznega transmembranskega regulatorja prevodnosti
MX361711B (es) 2009-03-20 2018-12-14 Vertex Pharmaceuticals Incorporated Star Proceso para producir moduladores del regulador de conductancia transmembrana de fibrosis quistica.
US8802700B2 (en) 2010-12-10 2014-08-12 Vertex Pharmaceuticals Incorporated Modulators of ATP-Binding Cassette transporters
CA2865519C (en) 2012-02-27 2018-01-02 Vertex Pharmaceuticals Incorporated Pharmaceutical compositions comprising a solid dispersion of n-[2,4-bis(1,1-dimethylethyl0-5-hydroxyphenyl-1]-1,4-dihydro-4-oxoquinolone-3-carboxamide for treating cystic fibrosis
GB201409044D0 (en) 2014-05-21 2014-07-02 Ucl Business Plc New compounds
EP3204358B1 (de) 2014-10-07 2018-09-19 Vertex Pharmaceuticals Incorporated Cokristalle von modulatoren des transmembrankonduktanzregulators bei zystischer fibrose
CN107998131B (zh) * 2017-12-27 2019-09-24 湖北工业大学 芳香酯类化合物用于制备抗adv-7病毒药物
CN111646941A (zh) * 2020-07-17 2020-09-11 天津科技大学 一种磺酰胺类衍生物及其制备方法和应用

Family Cites Families (5)

* Cited by examiner, † Cited by third party
Publication number Priority date Publication date Assignee Title
US3524558A (en) * 1967-03-30 1970-08-18 American Mach & Foundry Cargo loading means and method
US3524858A (en) * 1967-05-18 1970-08-18 Warner Lambert Pharmaceutical 1,4 - dihydro-1-substituted alkyl-6,7-methylenedioxy - 4 - oxoquinoline-3-carboxylic acid
FR2564832B1 (fr) * 1984-05-23 1987-05-15 Panmedica Sa Nouveaux n-acyl derives d'amino-acides et leurs esters, leur procede de preparation et medicaments les contenant
US4786644A (en) * 1987-11-27 1988-11-22 Hoechst-Roussel Pharmaceuticals Inc. 1-aryl-3-quinolinecarboxamide
JPH02124871A (ja) * 1988-07-27 1990-05-14 Dainippon Pharmaceut Co Ltd 1位が置換された複素環式カルボン酸アミド誘導体

Also Published As

Publication number Publication date
ES2193252T3 (es) 2003-11-01
MX9800922A (es) 1998-05-31
WO1997004779A1 (en) 1997-02-13
EP0841929A1 (de) 1998-05-20
DK0841929T3 (da) 2003-09-01
CA2225552A1 (en) 1997-02-13
EP0841929B1 (de) 2003-05-07
PT841929E (pt) 2003-09-30
AU6626396A (en) 1997-02-26
US5891878A (en) 1999-04-06
DE69628019D1 (de) 2003-06-12
AU696390B2 (en) 1998-09-10
ATE239477T1 (de) 2003-05-15
JPH11513021A (ja) 1999-11-09

Similar Documents

Publication Publication Date Title
DE69628019T2 (de) Chinolone und deren therapeutische verwendung
DE69631423T2 (de) Chinolone und deren therapeutische verwendung
DE69721526T2 (de) Benzofuran carboxamide und ihre therapeutische anwendung
DE69723863T2 (de) Chinoline und deren therapeutische verwendung
DE60006823T2 (de) Quinolin-derivate und deren verwendung als antibakterielle wirkstoffe
DE60111498T2 (de) Kondensierte imidazolderivate
DE69118388T2 (de) Substituierte bizyklische arylderivate mit selektiver leukotrien b4 antagonistischer wirkung
DE69110254T2 (de) Hydroxychinolonderivate.
DE69722656T2 (de) Bicyclische arylcarboxamide und ihre therapeutische verwendung
AU710876B2 (en) Quinolones and their therapeutic use
CZ296163B6 (cs) Karboxyamidy chinolinu jako inhibitory TNF a inhibitory PDE-IV
DE69722858T2 (de) Intimale verdickungsinhibitoren
DE69620458T2 (de) Benzofuran-carboxamide und -sulfonamide
DE69714265T2 (de) Tetrahydrochinolinderivate als eaa antagonisten
EP0129128A2 (de) 2-Pyrimidinyl-l-piperazin-Derivate, Verfahren zu ihrer Herstellung und diese enthaltende Arzneimittel
DE60016039T2 (de) Verfahren und verbindungen für die hemmung von mrp1
DE69816290T2 (de) Chinolin-4-carboxamidderivate als nk-2 und nk-3 rezeptor antagonisten
WO1997030999A1 (en) Quinolones and their therapeutic use
DE69622731T2 (de) Tetrahydrochinoline als nmda antagonisten
DE60107056T2 (de) Benzoxazolderivate als tnf und pde iv inhibitoren
US5792774A (en) Quinolones and their therapeutic use
DE69910568T2 (de) Furopyridinderivate und ihre therapeutische verwendung
DE69926776T2 (de) Quinalozinon-derivate
DE3542002A1 (de) 1-cyclopropyl-6-fluor-1,4-dihydro-4-oxo-7- (1-piperazinyl)-3-chinolincarbonsaeuren, verfahren zu ihrer herstellung sowie diese enthaltende antibakterielle mittel
EP0717043B1 (de) Verwendung von 1,2-überbrückten 1,4-Dihydropyridinen als selektive Kaliumkanalmodulatoren

Legal Events

Date Code Title Description
8364 No opposition during term of opposition
8339 Ceased/non-payment of the annual fee