WO2016092844A1 - 重合体、組成物、光学フィルム、および液晶表示装置 - Google Patents
重合体、組成物、光学フィルム、および液晶表示装置 Download PDFInfo
- Publication number
- WO2016092844A1 WO2016092844A1 PCT/JP2015/006141 JP2015006141W WO2016092844A1 WO 2016092844 A1 WO2016092844 A1 WO 2016092844A1 JP 2015006141 W JP2015006141 W JP 2015006141W WO 2016092844 A1 WO2016092844 A1 WO 2016092844A1
- Authority
- WO
- WIPO (PCT)
- Prior art keywords
- liquid crystal
- group
- compound
- layer
- polymer
- Prior art date
- Legal status (The legal status is an assumption and is not a legal conclusion. Google has not performed a legal analysis and makes no representation as to the accuracy of the status listed.)
- Ceased
Links
Images
Classifications
-
- C—CHEMISTRY; METALLURGY
- C08—ORGANIC MACROMOLECULAR COMPOUNDS; THEIR PREPARATION OR CHEMICAL WORKING-UP; COMPOSITIONS BASED THEREON
- C08F—MACROMOLECULAR COMPOUNDS OBTAINED BY REACTIONS ONLY INVOLVING CARBON-TO-CARBON UNSATURATED BONDS
- C08F222/00—Copolymers of compounds having one or more unsaturated aliphatic radicals, each having only one carbon-to-carbon double bond, and at least one being terminated by a carboxyl radical and containing at least one other carboxyl radical in the molecule; Salts, anhydrides, esters, amides, imides, or nitriles thereof
- C08F222/10—Esters
- C08F222/1006—Esters of polyhydric alcohols or polyhydric phenols
- C08F222/103—Esters of polyhydric alcohols or polyhydric phenols of trialcohols, e.g. trimethylolpropane tri(meth)acrylate
-
- C—CHEMISTRY; METALLURGY
- C08—ORGANIC MACROMOLECULAR COMPOUNDS; THEIR PREPARATION OR CHEMICAL WORKING-UP; COMPOSITIONS BASED THEREON
- C08F—MACROMOLECULAR COMPOUNDS OBTAINED BY REACTIONS ONLY INVOLVING CARBON-TO-CARBON UNSATURATED BONDS
- C08F20/00—Homopolymers and copolymers of compounds having one or more unsaturated aliphatic radicals, each having only one carbon-to-carbon double bond, and only one being terminated by only one carboxyl radical or a salt, anhydride, ester, amide, imide or nitrile thereof
- C08F20/02—Monocarboxylic acids having less than ten carbon atoms, Derivatives thereof
- C08F20/10—Esters
- C08F20/22—Esters containing halogen
- C08F20/24—Esters containing halogen containing perhaloalkyl radicals
-
- C—CHEMISTRY; METALLURGY
- C08—ORGANIC MACROMOLECULAR COMPOUNDS; THEIR PREPARATION OR CHEMICAL WORKING-UP; COMPOSITIONS BASED THEREON
- C08F—MACROMOLECULAR COMPOUNDS OBTAINED BY REACTIONS ONLY INVOLVING CARBON-TO-CARBON UNSATURATED BONDS
- C08F20/00—Homopolymers and copolymers of compounds having one or more unsaturated aliphatic radicals, each having only one carbon-to-carbon double bond, and only one being terminated by only one carboxyl radical or a salt, anhydride, ester, amide, imide or nitrile thereof
- C08F20/02—Monocarboxylic acids having less than ten carbon atoms, Derivatives thereof
- C08F20/10—Esters
- C08F20/26—Esters containing oxygen in addition to the carboxy oxygen
-
- C—CHEMISTRY; METALLURGY
- C08—ORGANIC MACROMOLECULAR COMPOUNDS; THEIR PREPARATION OR CHEMICAL WORKING-UP; COMPOSITIONS BASED THEREON
- C08F—MACROMOLECULAR COMPOUNDS OBTAINED BY REACTIONS ONLY INVOLVING CARBON-TO-CARBON UNSATURATED BONDS
- C08F220/00—Copolymers of compounds having one or more unsaturated aliphatic radicals, each having only one carbon-to-carbon double bond, and only one being terminated by only one carboxyl radical or a salt, anhydride ester, amide, imide or nitrile thereof
- C08F220/02—Monocarboxylic acids having less than ten carbon atoms; Derivatives thereof
- C08F220/10—Esters
- C08F220/22—Esters containing halogen
- C08F220/24—Esters containing halogen containing perhaloalkyl radicals
-
- C—CHEMISTRY; METALLURGY
- C08—ORGANIC MACROMOLECULAR COMPOUNDS; THEIR PREPARATION OR CHEMICAL WORKING-UP; COMPOSITIONS BASED THEREON
- C08F—MACROMOLECULAR COMPOUNDS OBTAINED BY REACTIONS ONLY INVOLVING CARBON-TO-CARBON UNSATURATED BONDS
- C08F220/00—Copolymers of compounds having one or more unsaturated aliphatic radicals, each having only one carbon-to-carbon double bond, and only one being terminated by only one carboxyl radical or a salt, anhydride ester, amide, imide or nitrile thereof
- C08F220/02—Monocarboxylic acids having less than ten carbon atoms; Derivatives thereof
- C08F220/10—Esters
- C08F220/26—Esters containing oxygen in addition to the carboxy oxygen
-
- C—CHEMISTRY; METALLURGY
- C08—ORGANIC MACROMOLECULAR COMPOUNDS; THEIR PREPARATION OR CHEMICAL WORKING-UP; COMPOSITIONS BASED THEREON
- C08F—MACROMOLECULAR COMPOUNDS OBTAINED BY REACTIONS ONLY INVOLVING CARBON-TO-CARBON UNSATURATED BONDS
- C08F222/00—Copolymers of compounds having one or more unsaturated aliphatic radicals, each having only one carbon-to-carbon double bond, and at least one being terminated by a carboxyl radical and containing at least one other carboxyl radical in the molecule; Salts, anhydrides, esters, amides, imides, or nitriles thereof
- C08F222/10—Esters
- C08F222/1006—Esters of polyhydric alcohols or polyhydric phenols
- C08F222/102—Esters of polyhydric alcohols or polyhydric phenols of dialcohols, e.g. ethylene glycol di(meth)acrylate or 1,4-butanediol dimethacrylate
-
- C—CHEMISTRY; METALLURGY
- C08—ORGANIC MACROMOLECULAR COMPOUNDS; THEIR PREPARATION OR CHEMICAL WORKING-UP; COMPOSITIONS BASED THEREON
- C08L—COMPOSITIONS OF MACROMOLECULAR COMPOUNDS
- C08L33/00—Compositions of homopolymers or copolymers of compounds having one or more unsaturated aliphatic radicals, each having only one carbon-to-carbon double bond, and only one being terminated by only one carboxyl radical, or of salts, anhydrides, esters, amides, imides or nitriles thereof; Compositions of derivatives of such polymers
- C08L33/04—Homopolymers or copolymers of esters
- C08L33/14—Homopolymers or copolymers of esters of esters containing halogen, nitrogen, sulfur, or oxygen atoms in addition to the carboxy oxygen
-
- C—CHEMISTRY; METALLURGY
- C09—DYES; PAINTS; POLISHES; NATURAL RESINS; ADHESIVES; COMPOSITIONS NOT OTHERWISE PROVIDED FOR; APPLICATIONS OF MATERIALS NOT OTHERWISE PROVIDED FOR
- C09K—MATERIALS FOR MISCELLANEOUS APPLICATIONS, NOT PROVIDED FOR ELSEWHERE
- C09K19/00—Liquid crystal materials
- C09K19/04—Liquid crystal materials characterised by the chemical structure of the liquid crystal components, e.g. by a specific unit
- C09K19/06—Non-steroidal liquid crystal compounds
- C09K19/34—Non-steroidal liquid crystal compounds containing at least one heterocyclic ring
- C09K19/3441—Non-steroidal liquid crystal compounds containing at least one heterocyclic ring having nitrogen as hetero atom
- C09K19/3477—Non-steroidal liquid crystal compounds containing at least one heterocyclic ring having nitrogen as hetero atom the heterocyclic ring being a five-membered aromatic ring containing at least one nitrogen atom
-
- C—CHEMISTRY; METALLURGY
- C09—DYES; PAINTS; POLISHES; NATURAL RESINS; ADHESIVES; COMPOSITIONS NOT OTHERWISE PROVIDED FOR; APPLICATIONS OF MATERIALS NOT OTHERWISE PROVIDED FOR
- C09K—MATERIALS FOR MISCELLANEOUS APPLICATIONS, NOT PROVIDED FOR ELSEWHERE
- C09K19/00—Liquid crystal materials
- C09K19/52—Liquid crystal materials characterised by components which are not liquid crystals, e.g. additives with special physical aspect: solvents, solid particles
- C09K19/54—Additives having no specific mesophase characterised by their chemical composition
-
- C—CHEMISTRY; METALLURGY
- C09—DYES; PAINTS; POLISHES; NATURAL RESINS; ADHESIVES; COMPOSITIONS NOT OTHERWISE PROVIDED FOR; APPLICATIONS OF MATERIALS NOT OTHERWISE PROVIDED FOR
- C09K—MATERIALS FOR MISCELLANEOUS APPLICATIONS, NOT PROVIDED FOR ELSEWHERE
- C09K19/00—Liquid crystal materials
- C09K19/52—Liquid crystal materials characterised by components which are not liquid crystals, e.g. additives with special physical aspect: solvents, solid particles
- C09K19/54—Additives having no specific mesophase characterised by their chemical composition
- C09K19/542—Macromolecular compounds
- C09K19/544—Macromolecular compounds as dispersing or encapsulating medium around the liquid crystal
-
- G—PHYSICS
- G02—OPTICS
- G02B—OPTICAL ELEMENTS, SYSTEMS OR APPARATUS
- G02B1/00—Optical elements characterised by the material of which they are made; Optical coatings for optical elements
- G02B1/04—Optical elements characterised by the material of which they are made; Optical coatings for optical elements made of organic materials, e.g. plastics
-
- G—PHYSICS
- G02—OPTICS
- G02B—OPTICAL ELEMENTS, SYSTEMS OR APPARATUS
- G02B5/00—Optical elements other than lenses
- G02B5/30—Polarising elements
-
- G—PHYSICS
- G02—OPTICS
- G02B—OPTICAL ELEMENTS, SYSTEMS OR APPARATUS
- G02B5/00—Optical elements other than lenses
- G02B5/30—Polarising elements
- G02B5/3016—Polarising elements involving passive liquid crystal elements
-
- G—PHYSICS
- G02—OPTICS
- G02F—OPTICAL DEVICES OR ARRANGEMENTS FOR THE CONTROL OF LIGHT BY MODIFICATION OF THE OPTICAL PROPERTIES OF THE MEDIA OF THE ELEMENTS INVOLVED THEREIN; NON-LINEAR OPTICS; FREQUENCY-CHANGING OF LIGHT; OPTICAL LOGIC ELEMENTS; OPTICAL ANALOGUE/DIGITAL CONVERTERS
- G02F1/00—Devices or arrangements for the control of the intensity, colour, phase, polarisation or direction of light arriving from an independent light source, e.g. switching, gating or modulating; Non-linear optics
- G02F1/01—Devices or arrangements for the control of the intensity, colour, phase, polarisation or direction of light arriving from an independent light source, e.g. switching, gating or modulating; Non-linear optics for the control of the intensity, phase, polarisation or colour
- G02F1/13—Devices or arrangements for the control of the intensity, colour, phase, polarisation or direction of light arriving from an independent light source, e.g. switching, gating or modulating; Non-linear optics for the control of the intensity, phase, polarisation or colour based on liquid crystals, e.g. single liquid crystal display cells
- G02F1/133—Constructional arrangements; Operation of liquid crystal cells; Circuit arrangements
- G02F1/1333—Constructional arrangements; Manufacturing methods
- G02F1/133365—Cells in which the active layer comprises a liquid crystalline polymer
-
- G—PHYSICS
- G02—OPTICS
- G02F—OPTICAL DEVICES OR ARRANGEMENTS FOR THE CONTROL OF LIGHT BY MODIFICATION OF THE OPTICAL PROPERTIES OF THE MEDIA OF THE ELEMENTS INVOLVED THEREIN; NON-LINEAR OPTICS; FREQUENCY-CHANGING OF LIGHT; OPTICAL LOGIC ELEMENTS; OPTICAL ANALOGUE/DIGITAL CONVERTERS
- G02F1/00—Devices or arrangements for the control of the intensity, colour, phase, polarisation or direction of light arriving from an independent light source, e.g. switching, gating or modulating; Non-linear optics
- G02F1/01—Devices or arrangements for the control of the intensity, colour, phase, polarisation or direction of light arriving from an independent light source, e.g. switching, gating or modulating; Non-linear optics for the control of the intensity, phase, polarisation or colour
- G02F1/13—Devices or arrangements for the control of the intensity, colour, phase, polarisation or direction of light arriving from an independent light source, e.g. switching, gating or modulating; Non-linear optics for the control of the intensity, phase, polarisation or colour based on liquid crystals, e.g. single liquid crystal display cells
- G02F1/133—Constructional arrangements; Operation of liquid crystal cells; Circuit arrangements
- G02F1/1333—Constructional arrangements; Manufacturing methods
- G02F1/1335—Structural association of cells with optical devices, e.g. polarisers or reflectors
-
- G—PHYSICS
- G02—OPTICS
- G02F—OPTICAL DEVICES OR ARRANGEMENTS FOR THE CONTROL OF LIGHT BY MODIFICATION OF THE OPTICAL PROPERTIES OF THE MEDIA OF THE ELEMENTS INVOLVED THEREIN; NON-LINEAR OPTICS; FREQUENCY-CHANGING OF LIGHT; OPTICAL LOGIC ELEMENTS; OPTICAL ANALOGUE/DIGITAL CONVERTERS
- G02F1/00—Devices or arrangements for the control of the intensity, colour, phase, polarisation or direction of light arriving from an independent light source, e.g. switching, gating or modulating; Non-linear optics
- G02F1/01—Devices or arrangements for the control of the intensity, colour, phase, polarisation or direction of light arriving from an independent light source, e.g. switching, gating or modulating; Non-linear optics for the control of the intensity, phase, polarisation or colour
- G02F1/13—Devices or arrangements for the control of the intensity, colour, phase, polarisation or direction of light arriving from an independent light source, e.g. switching, gating or modulating; Non-linear optics for the control of the intensity, phase, polarisation or colour based on liquid crystals, e.g. single liquid crystal display cells
- G02F1/133—Constructional arrangements; Operation of liquid crystal cells; Circuit arrangements
- G02F1/1333—Constructional arrangements; Manufacturing methods
- G02F1/1335—Structural association of cells with optical devices, e.g. polarisers or reflectors
- G02F1/1336—Illuminating devices
-
- C—CHEMISTRY; METALLURGY
- C09—DYES; PAINTS; POLISHES; NATURAL RESINS; ADHESIVES; COMPOSITIONS NOT OTHERWISE PROVIDED FOR; APPLICATIONS OF MATERIALS NOT OTHERWISE PROVIDED FOR
- C09K—MATERIALS FOR MISCELLANEOUS APPLICATIONS, NOT PROVIDED FOR ELSEWHERE
- C09K19/00—Liquid crystal materials
- C09K19/04—Liquid crystal materials characterised by the chemical structure of the liquid crystal components, e.g. by a specific unit
- C09K2019/0444—Liquid crystal materials characterised by the chemical structure of the liquid crystal components, e.g. by a specific unit characterized by a linking chain between rings or ring systems, a bridging chain between extensive mesogenic moieties or an end chain group
- C09K2019/0448—Liquid crystal materials characterised by the chemical structure of the liquid crystal components, e.g. by a specific unit characterized by a linking chain between rings or ring systems, a bridging chain between extensive mesogenic moieties or an end chain group the end chain group being a polymerizable end group, e.g. -Sp-P or acrylate
-
- C—CHEMISTRY; METALLURGY
- C09—DYES; PAINTS; POLISHES; NATURAL RESINS; ADHESIVES; COMPOSITIONS NOT OTHERWISE PROVIDED FOR; APPLICATIONS OF MATERIALS NOT OTHERWISE PROVIDED FOR
- C09K—MATERIALS FOR MISCELLANEOUS APPLICATIONS, NOT PROVIDED FOR ELSEWHERE
- C09K19/00—Liquid crystal materials
- C09K19/52—Liquid crystal materials characterised by components which are not liquid crystals, e.g. additives with special physical aspect: solvents, solid particles
- C09K2019/528—Surfactants
-
- G—PHYSICS
- G02—OPTICS
- G02F—OPTICAL DEVICES OR ARRANGEMENTS FOR THE CONTROL OF LIGHT BY MODIFICATION OF THE OPTICAL PROPERTIES OF THE MEDIA OF THE ELEMENTS INVOLVED THEREIN; NON-LINEAR OPTICS; FREQUENCY-CHANGING OF LIGHT; OPTICAL LOGIC ELEMENTS; OPTICAL ANALOGUE/DIGITAL CONVERTERS
- G02F1/00—Devices or arrangements for the control of the intensity, colour, phase, polarisation or direction of light arriving from an independent light source, e.g. switching, gating or modulating; Non-linear optics
- G02F1/01—Devices or arrangements for the control of the intensity, colour, phase, polarisation or direction of light arriving from an independent light source, e.g. switching, gating or modulating; Non-linear optics for the control of the intensity, phase, polarisation or colour
- G02F1/13—Devices or arrangements for the control of the intensity, colour, phase, polarisation or direction of light arriving from an independent light source, e.g. switching, gating or modulating; Non-linear optics for the control of the intensity, phase, polarisation or colour based on liquid crystals, e.g. single liquid crystal display cells
- G02F1/133—Constructional arrangements; Operation of liquid crystal cells; Circuit arrangements
- G02F1/1333—Constructional arrangements; Manufacturing methods
- G02F1/1335—Structural association of cells with optical devices, e.g. polarisers or reflectors
- G02F1/13363—Birefringent elements, e.g. for optical compensation
-
- G—PHYSICS
- G02—OPTICS
- G02F—OPTICAL DEVICES OR ARRANGEMENTS FOR THE CONTROL OF LIGHT BY MODIFICATION OF THE OPTICAL PROPERTIES OF THE MEDIA OF THE ELEMENTS INVOLVED THEREIN; NON-LINEAR OPTICS; FREQUENCY-CHANGING OF LIGHT; OPTICAL LOGIC ELEMENTS; OPTICAL ANALOGUE/DIGITAL CONVERTERS
- G02F2202/00—Materials and properties
- G02F2202/02—Materials and properties organic material
- G02F2202/022—Materials and properties organic material polymeric
- G02F2202/023—Materials and properties organic material polymeric curable
Definitions
- the present invention relates to a polymer, a composition, an optical film, and a liquid crystal display device.
- Polymer materials have been used in many fields in recent years. Accordingly, the properties of the polymer as a matrix and the properties of the coating film surface formed by adding the polymer and the interface of the laminated film when the coating film is laminated are also important in accordance with each field. For example, many semiconductor components, optical members, liquid crystal related members, and the like are produced by laminating coating films. In order to improve the wettability of the coating composition, the smoothness of the coating film surface, and the wettability when the upper composition is further applied to the coating film surface, a silicone-based or fluorine-based surfactant is added to the composition. May be added.
- the fluorosurfactant examples include a polymer (I) obtained by polymerizing, as an essential component, a fluorinated alkyl group-containing ethylenically unsaturated monomer (A) in Patent Document 1, and a specific amount of fluorinated alkyl.
- Fluorine-based surfactant comprising a group-containing ethylenically unsaturated monomer (A) and a polymer (II) obtained by polymerizing a hydrophilic structural unit-containing ethylenically unsaturated monomer (B) as essential components Agents have been proposed. According to this document, it is described that excellent wettability, homogeneous coatability, recoatability, and post-processing suitability such as developability can be achieved.
- Non-Patent Document 1 proposes an initiator-incorporated radical polymerization in which a monomer is polymerized in the presence of a high concentration radical polymerization initiator. It is described that the polymer produced by this method is highly branched, so that the melt viscosity and the melt viscosity are low and the solubility is high.
- fluorine-based surfactants and silicone-based surfactants reduce the surface tension of the coating film and improve coating properties well when coating, but are unevenly distributed on the coating film surface because of low surface energy. Tend. Since such a surface has high water and oil repellency, when an upper layer is further applied to form a laminated film, a so-called repellency occurs in which the coating liquid is not repelled and applied on the coated surface. As a method for preventing repellency, it is conceivable to suppress fluidity by increasing the viscosity of the coating solution. However, in general, it is difficult to form a uniform coating film when the viscosity is high.
- Fluorosurfactants are also used in coating films such as optical films for liquid crystal display devices (LCD).
- a part of the optical film may be produced by applying a material containing a liquid crystal compound containing a fluorosurfactant on a base film or alignment film.
- a fluorine-based interfacial agent is also added to the alignment film, repelling is likely to occur.
- repelling occurs, there is a problem in that the alignment regulating force of the alignment film is difficult to act on the interface that is not in contact with the alignment film, resulting in alignment defects.
- the present invention provides a polymer that, when used as a surfactant or a resin modifier added to a coating solution, improves the wettability of the coating solution and is less likely to cause repellency. This is the issue. It is another object of the present invention to provide a composition excellent in recoatability containing such a polymer.
- the present invention is an optical film having a surface that can function as a support film for producing a laminated film, hardly causes repelling of the coating liquid for forming the upper layer, has a good surface shape, and has reduced orientation defects. It is another object of the present invention to provide a liquid crystal display device including the optical film.
- the present inventors polymerized a monomer containing a bifunctional or polyfunctional compound and containing a hydroxyl group. It has been found that the compatibility with the agent is good, and aggregation and haze can be suppressed during the addition. Furthermore, when this polymer is added to the composition for optical functional film having a laminated structure and laminated on the base film or the optical functional layer, either when the lower layer is applied or when the upper layer is applied. However, no repelling occurred and the coating property was good. Further, the inventors found that the obtained film surface has no alignment defect and the film surface has a good surface shape, and has reached the present invention.
- the polymer of the present invention is obtained by polymerizing a monomer having two or more radical polymerizable double bonds and one or more hydroxyl groups.
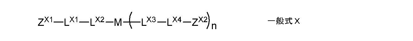
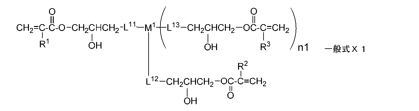
- the monomer is preferably represented by the following general formula X.
- Z X1, Z X2 each independently represent a group having a radically polymerizable double bond
- L X1, L X4 each independently represents an alkylene group having a single bond or a hydroxyl group
- L X 2 and L X 3 are each independently a single bond, or —O—, — (C ⁇ O) O—, —O (C ⁇ O) —, a divalent chain group, an alkylene group having a hydroxyl group
- 2 represents a divalent linking group composed of at least one selected from the group consisting of valent aliphatic cyclic groups
- M represents a single bond or a divalent to tetravalent linking group
- n represents 1 Represents an integer of ⁇ 3.
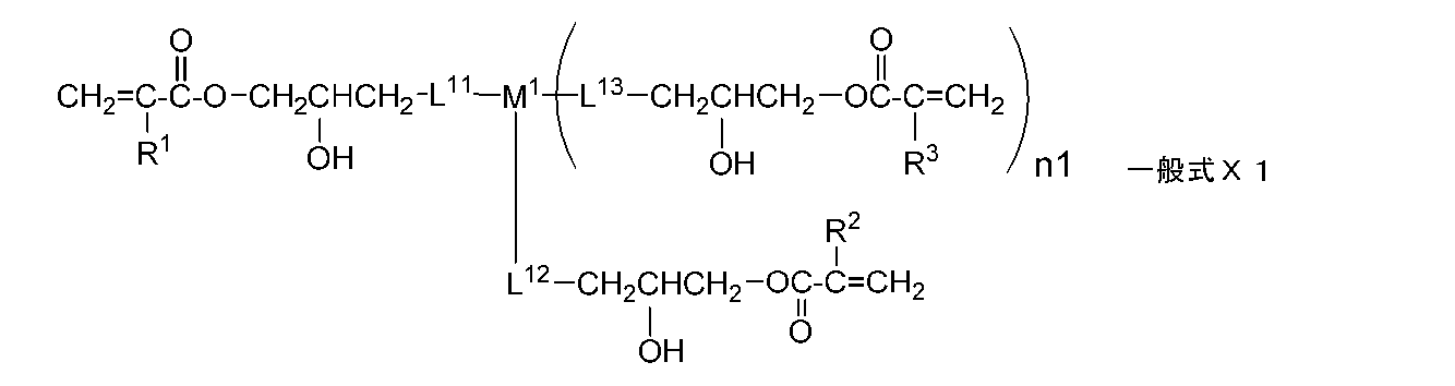
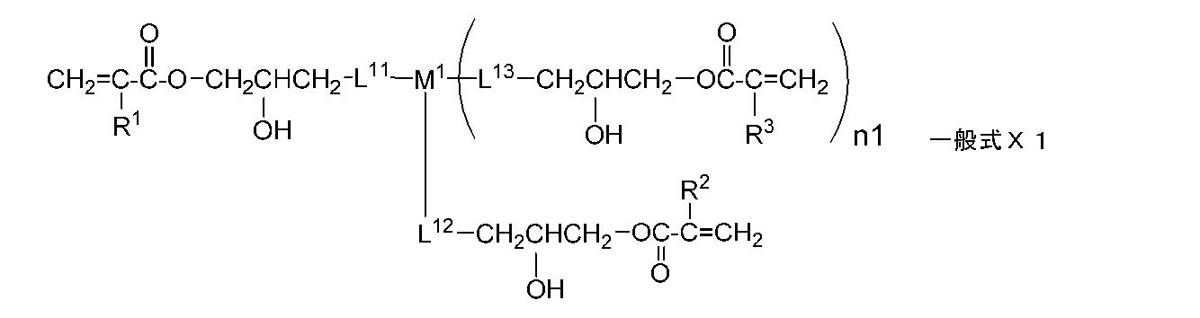
- the monomer is preferably represented by the following general formula X1.
- R 1 , R 2 , and R 3 each independently represent a hydrogen atom or an alkyl group having 1 to 20 carbon atoms
- n1 represents an integer of 0 to 2.
- the polymer of the present invention preferably has a partial structure obtained by polymerizing a compound having a fluorine atom.
- the compound having a fluorine atom is preferably represented by the following general formula a.
- R a1 represents a hydrogen atom or an alkyl group having 1 to 20 carbon atoms
- R a2 represents an alkyl group having 1 to 20 carbon atoms in which at least one carbon atom has a fluorine atom as a substituent.
- the weight average molecular weight of the polymer of the present invention is preferably 1,000 to 300,000 in terms of polystyrene by gel permeation chromatography.
- the weight average molecular weight of the polymer of the present invention is preferably 1,000 to 10,000 in terms of polystyrene by gel permeation chromatography.
- the polymer of the present invention preferably has a highly branched structure.
- composition of the present invention contains the polymer of the present invention.
- composition of the present invention may further contain a liquid crystal compound.
- the liquid crystal compound is preferably a polymerizable liquid crystal compound.
- the polymerizable liquid crystal compound is preferably at least one of a polymerizable rod-like liquid crystal compound and a polymerizable discotic liquid crystal compound.
- the optical film of the present invention comprises a cholesteric liquid crystal layer containing the polymer of the present invention.
- the optical film of the present invention may have a structure in which a plurality of cholesteric liquid crystal layers are laminated.
- the cholesteric liquid crystal layer means a layer in which the phase of the liquid crystal compound is fixed in cholesteric alignment by applying and drying a composition containing a liquid crystal compound and then curing the composition.
- one may be a cholesteric liquid crystal layer containing a rod-like liquid crystal compound, and the other may be a cholesteric liquid crystal layer containing a discotic liquid crystal compound.
- the cholesteric liquid crystal layer containing the rod-like liquid crystal compound and the cholesteric liquid crystal layer containing the discotic liquid crystal compound are in contact with each other.
- the liquid crystal display device of the present invention includes at least a backlight unit including the optical film of the present invention and a liquid crystal cell.
- the polymer of the present invention is obtained by polymerizing a monomer having two or more radical polymerizable double bonds and one or more hydroxyl groups.
- the compatibility with other materials is good, and furthermore, the polymer has polarity by having a hydroxyl group. Therefore, it has high affinity with the surface to be coated, wettability is improved, and repelling is unlikely to occur.
- the hydroxyl group is present on the surface of the coating film, the coating liquid does not easily repel even when the upper layer is laminated. That is, the recoatability is excellent.
- the optical film containing such a polymer has a surface with good surface shape and reduced orientation defects.
- a numerical range expressed using “to” means a range including numerical values described before and after “to” as a lower limit value and an upper limit value.
- (meth) acrylate means either one or both of acrylate and methacrylate.
- the polymer of the present invention is obtained by polymerizing a monomer having two or more radical polymerizable double bonds and one or more hydroxyl groups.
- a monomer having two or more radical polymerizable double bonds and one or more hydroxyl groups.
- Such a monomer is preferably represented by the following general formula X.
- Z X1, Z X2 each independently represent a group having a radically polymerizable double bond
- L X1, L X4 each independently represents an alkylene group having a single bond or a hydroxyl group
- L X 2 and L X 3 are each independently a single bond, or —O—, — (C ⁇ O) O—, —O (C ⁇ O) —, a divalent chain group, an alkylene group having a hydroxyl group
- 2 represents a divalent linking group composed of at least one selected from the group consisting of valent aliphatic cyclic groups
- M represents a single bond or a divalent to tetravalent linking group
- n represents 1 to An integer of 3 is represented.
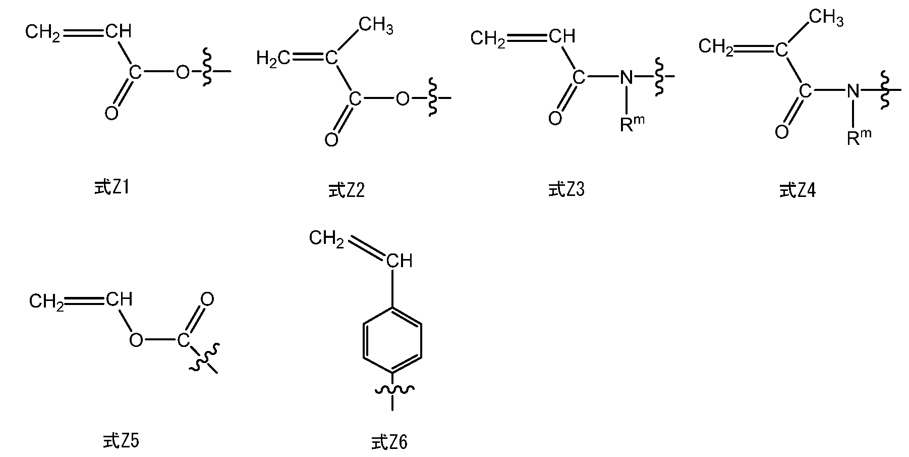
- Z X1 and Z X2 each independently represent a group having a radical polymerizable double bond. Examples of groups having a radical polymerizable double bond are shown below.
- Examples of the group having a radical polymerizable double bond include the following formulas Z1 to Z6.
- R m represents a hydrogen atom or an alkyl group having 1 to 20 carbon atoms, more preferably an alkyl group having 1 to 7 carbon atoms, and most preferably a hydrogen atom or a methyl group.
- the formula Z1 or Z2 is preferable, and the formula Z1 is more preferable.
- the polymer of the present invention Since the polymer of the present invention has a large number of branched structures in the molecule, there are few entanglements between the molecular chains of the polymer, and the solubility in various solvents and the compatibility with the matrix resin are high. Therefore, the coating film excellent in surface property can be formed by using the composition containing the polymer of the present invention.
- L x1 and L x4 each independently represent an alkylene group having a single bond or a hydroxyl group.
- L x1, and L x4 are each independently, -CH 2 CH (OH) CH 2 -, - CH 2 CH (CH 2 OH) - are preferred, -CH 2 CH (OH) CH 2 - is most preferred.
- L x1 and L x4 may be the same or different.
- L X2 and L X3 are each independently a single bond, —O—, — (C ⁇ O) O—, —O (C ⁇ O) —, a divalent chain group, an alkylene group having a hydroxyl group, or It represents a divalent aliphatic cyclic group or a combination thereof.
- the divalent chain group may be linear or branched.
- the alkylene group having a hydroxyl group, -CH 2 CH (OH) CH 2 -, - CH 2 CH (CH 2 OH) - are preferred, -CH 2 CH (OH) CH 2 - is more preferable. Examples of preferred combinations for L X2 and L X3 are shown below.
- Lx21 —O-2 valent chain group—
- Lx22 -O-2 valent aliphatic cyclic group -2 valent chain group-
- Lx23 —OC ( ⁇ O) -2 valent aliphatic cyclic group—
- Lx24: -valent aliphatic cyclic group-(C O) O- Lx25:-(O-2 valent chain group)
- Lx31 -valent chain group -O-
- Lx32 -bivalent chain group -bivalent aliphatic cyclic group -O-
- Lx33 a divalent aliphatic cyclic group —C ( ⁇ O) O—
- Lx34 —O (C ⁇ O) -2valent cyclic group—
- Lx35 -(divalent chain group -O-) n- Lx36: -alkylene group having a hydroxyl group -O-
- the divalent chain group means an alkylene group, a substituted alkylene group, an alkenylene group, a substituted alkenylene group, an alkynylene group, or a substituted alkynylene group.
- An alkylene group, a substituted alkylene group, an alkenylene group and a substituted alkenylene group are preferred, and an alkylene group and an alkenylene group are more preferred.
- the alkylene group may have a branch.
- the alkylene group preferably has 1 to 12 carbon atoms, more preferably 2 to 10 carbon atoms, and most preferably 2 to 8 carbon atoms.
- the alkylene part of the substituted alkylene group is the same as the above alkylene group.
- the substituent examples include a halogen atom.
- the alkenylene group may have a branch.
- the alkenylene group preferably has 2 to 12 carbon atoms, more preferably 2 to 10 carbon atoms, and most preferably 2 to 8 carbon atoms.
- the alkenylene part of the substituted alkenylene group is the same as the above alkenylene group.
- Examples of the substituent include a halogen atom.
- the alkynylene group may have a branch.
- the alkynylene group preferably has 2 to 12 carbon atoms, more preferably 2 to 10 carbon atoms, and most preferably 2 to 8 carbon atoms.
- the alkynylene part of the substituted alkynylene group is the same as the above alkynylene group.
- substituents include a halogen atom.
- divalent chain group include ethylene, trimethylene, propylene, tetramethylene, 2-methyl-tetramethylene, pentamethylene, hexamethylene, octamethylene, 2-butenylene, 2-butynylene and the like.
- the divalent aliphatic cyclic group in the general formula X is preferably a 5-membered ring, a 6-membered ring, or a 7-membered ring, more preferably a 5-membered ring or a 6-membered ring, and a 6-membered ring. Most preferred.
- the ring contained in the divalent aliphatic cyclic group may be either an aliphatic ring or a saturated heterocyclic ring.
- Examples of the aliphatic ring include a cyclohexane ring, a cyclopentane ring, and a norbornene ring.
- the divalent aliphatic cyclic group may have a substituent.
- substituents include a halogen atom, a cyano group, a nitro group, an alkyl group having 1 to 5 carbon atoms, a halogen-substituted alkyl group having 1 to 5 carbon atoms, an alkoxy group having 1 to 5 carbon atoms, and a carbon number Is an alkylthio group having 1 to 5 carbon atoms, an acyloxy group having 2 to 6 carbon atoms, an alkoxycarbonyl group having 2 to 6 carbon atoms, a carbamoyl group, an alkyl-substituted carbamoyl group having 2 to 6 carbon atoms, and 2 to 6 carbon atoms Of the acylamino group.
- an alkyl group having 1 to 5 carbon atoms and a halogen-substituted alkyl group having 1 to 5 carbon atoms are preferable.
- n represents an integer of 1 to 3.
- n is 2 or 3
- a plurality of L X3 and L X4 may be the same or different
- a plurality of Z x2 may be the same or different.
- n is preferably 1 or 2, and more preferably 1.
- M is a single bond or a divalent to tetravalent linking group.
- M when n is 1, it is a divalent linking group, when n is 2, it is a trivalent linking group, and when n is 3, it is a tetravalent linking group.
- M is preferably a divalent to tetravalent chain group, a group having an aliphatic cyclic group, or a group having an aromatic ring.
- the divalent to tetravalent chain group represents a saturated hydrocarbon group having 2 to 4 bonds.
- the saturated hydrocarbon group preferably has 1 to 40 carbon atoms, more preferably 1 to 20 carbon atoms, and still more preferably 1 to 10 carbon atoms.
- the saturated hydrocarbon group may be linear or branched.
- Examples of the group having an aliphatic cyclic group include a cyclohexane ring, a cyclopentane ring, and a norbornene ring.
- Examples of the group having an aromatic cyclic group include a phenyl group and a naphthalene group.
- the monomer represented by the general formula X is more preferably a monomer represented by the following general formula X1.
- R 1 , R 2 and R 3 each independently represent a hydrogen atom or an alkyl group having 1 to 20 carbon atoms
- L 11 , L 12 and L 13 each independently represents a single bond, or — At least selected from the group consisting of O—, — (C ⁇ O) O—, —O (C ⁇ O) —, a divalent chain group, an alkylene group having a hydroxyl group, and a divalent aliphatic cyclic group.
- 1 represents a divalent linking group composed of one
- M 1 represents a single bond or a divalent or trivalent linking group
- n1 represents an integer of 0 to 2.
- R 1 , R 2 and R 3 are each preferably a hydrogen atom or an alkyl group having 1 to 12 carbon atoms, more preferably an alkyl group having 1 to 6 carbon atoms, and most preferably a hydrogen atom or a methyl group.
- L 11 , L 12 and L 13 are synonymous with L x2 and L x3 in General Formula X, and preferred combinations are also the same.
- M is a divalent linking group
- a monomer represented by the following general formula X2 is preferable.
- R 1 and R 2 are preferably a hydrogen atom or a methyl group, and most preferably a hydrogen atom.
- L 11 and L 12 are * -O-**, * -O-CH 2 -**, * -OCH (CH 3 )-**, * -O-C 2 H 4 -**, * -O. —C 3 H 6 — ** and * —OCH 2 CH (OH) CH 2 — ** are preferred, and * —O—CH 2 — ** is more preferred.
- M 1 is a single bond, —C 6 H 10 —, —O (C ⁇ O) C 6 H 4 (C ⁇ O) O—, —O (C ⁇ O) C 6 H 10 (C ⁇ O) O —, —O—C 6 H 4 —C (CH 3 ) (CH 3 ) —C 6 H 4 —O— is preferable.
- the polymer of the present invention may have a partial structure obtained by polymerizing a compound having a fluorine atom.
- the partial structure formed by polymerizing a compound having a fluorine atom is preferably a structure obtained by radical polymerization of a compound having a fluorine atom represented by the general formula a.
- R a1 represents a hydrogen atom or an alkyl group having 1 to 20 carbon atoms
- R a2 represents an alkyl group having 1 to 20 carbon atoms or a carbon number of 2 having at least one carbon atom as a substituent.
- R a2 represents an alkyl having 1 to 10 carbon atoms in which at least one carbon atom has a fluorine atom as a substituent.
- Group or an alkenyl group having 2 to 10 carbon atoms is preferable, an alkyl group having 1 to 10 carbon atoms is more preferable, and it is particularly preferable that more than half of the carbon atoms contained in R a2 have a fluorine atom as a substituent.
- the partial structure formed by polymerizing a compound having a fluorine atom is more preferably a structure obtained by polymerizing the compound represented by the general formula b.
- R a1 represents a hydrogen atom or an alkyl group having 1 to 20 carbon atoms
- ma and na represent an integer of 0 or more
- X represents a hydrogen atom or a fluorine atom.
- ma is preferably an integer of 1 to 10
- na is preferably 4 to 12.
- the polymer of the present invention may be a copolymer of the above-described compound having a fluorine atom.
- the ratio of copolymerizing the compound having a fluorine atom in the polymer of the present invention is preferably a monomer 1 having two or more radical polymerizable double bonds and one or more hydroxyl groups from the viewpoint of reactivity and surface modification effect.
- the amount is preferably from 0.01 to 100 mol, more preferably from 0.1 to 50 mol, most preferably from 0.5 to 30 mol, based on mol.
- the polymer of the present invention may have a partial structure derived from a compound having a siloxane bond.
- the structure derived from the compound having a siloxane bond may have a repeating unit represented by —Si (R a3 ) (R a4 ) O— and may constitute at least a part of the molecule.
- the polymer of the present invention is preferably a graft copolymer in which a polysiloxane structure is introduced into the side chain of the polymer.
- the compound having a siloxane bond is preferably obtained by polymerizing a compound represented by the following general formula c in the general formula a, wherein R a2 preferably contains —Si (R a3 ) (R a4 ) O—.
- a structure is more preferable.
- R a3 and R a4 each represents an alkyl group, a haloalkyl group, or an aryl group.
- the alkyl group an alkyl group having 1 to 10 carbon atoms is preferable. Examples thereof include a methyl group, an ethyl group, and a hexyl group.
- the haloalkyl group is preferably a fluorinated alkyl group having 1 to 10 carbon atoms.
- a trifluoromethyl group and a pentafluoroethyl group can be exemplified.
- the aryl group preferably has 6 to 20 carbon atoms. For example, a phenyl group and a naphthyl group can be mentioned.
- R a3 and R a4 are preferably a methyl group, a trifluoromethyl group, or a phenyl group, and particularly preferably a methyl group.
- R a1 has the same meaning as R a1 in formula a, and the preferred range is also the same.
- R a5 is preferably an alkyl group having 1 to 12 carbon atoms, and more preferably 1 to 4 carbon atoms.
- nn is preferably 10 to 1000, more preferably 20 to 500, and still more preferably 30 to 200.
- the repeating unit may be a single unit or a plurality of repeating units.
- Compounds having a siloxane bond for graft copolymerization include polysiloxane macromers containing one terminal (meth) acryloyl group (for example, Silaplane 0721, 0725 (above, trade name, manufactured by Chisso Corporation), AK-5, AK.
- polysiloxane macromers containing one terminal (meth) acryloyl group for example, Silaplane 0721, 0725 (above, trade name, manufactured by Chisso Corporation), AK-5, AK.
- AK-32 (trade name, manufactured by Toagosei Co., Ltd.), KF-100T, X-22-169AS, KF-102, X-22-3701IE, X-22-164B, X-22 -164C, X-22-5002, X-22-173B, X-22-174D, X-22-167B, X-22-161AS (above, trade name, manufactured by Shin-Etsu Chemical Co., Ltd.) Can do.
- the ratio of copolymerizing the compound having a siloxane bond is 0. 1 mol per monomer having two or more polymerizable groups and one or more hydroxyl groups from the viewpoint of reactivity and surface modification effect. 1 to 50 mol is preferable, and 0.1 to 30 mol is particularly preferable.
- the polymerization initiator is preferably 1 to 15 molar equivalents, more preferably 1 to 10 molar equivalents, more preferably 2.0 to 10 moles per mole of the monomer having two or more radically polymerizable double bond groups and one or more hydroxyl groups. Is most preferred.
- composition of the present invention comprises the polymer of the present invention.
- the composition of the present invention may further contain a liquid crystal compound.
- the liquid crystal compound may be a polymerizable liquid crystal compound.
- the polymerizable liquid crystal compound is preferably at least one of a polymerizable rod-like liquid crystal compound and a polymerizable discotic liquid crystal compound.
- the composition of the present invention can be used for coating and forming an optically anisotropic layer, a liquid crystal layer, a retardation plate, an optical film, an optical compensation film, or the like containing a liquid crystal compound.
- the liquid crystal layer refers to a layer containing a liquid crystal compound and a polymerizable compound, a layer formed by curing a composition containing a liquid crystal compound and a polymerizable compound, a layer containing a polymerizable liquid crystal compound, or polymerization. Including a layer formed by curing of the liquid crystalline compound, both of which are hereinafter referred to as “liquid crystal layer”.
- the composition of the present invention preferably contains a solvent.
- the solvent may be a low surface tension solvent or a standard surface tension solvent.
- the composition for forming the liquid crystal layer preferably contains a low surface tension solvent.
- the surface tension of the low surface tension solvent is 10 to 22 mN / m (10 to 22 dyn / cm), preferably 15 to 21 mN / m, and more preferably 18 to 20 mN / m.
- the surface tension of the standard surface tension solvent is greater than 22 mN / m, preferably 23 to 50 mN / m, and more preferably 23 to 40 mN / m.
- the difference between the surface tension of the low surface tension solvent and the surface tension of the standard surface tension solvent is preferably 2 mN / m or more, more preferably 3 mN / m or more, and 4 to 20 mN / m. Further preferred is 5 to 15 mN / m.
- the surface tension of a solvent is a value as described in a solvent handbook (Kodansha, published in 1976).
- the surface tension of the solvent is a physical property value that can be measured by, for example, an automatic surface tension meter CBVP-A3 manufactured by Kyowa Interface Science Co., Ltd. The measurement may be performed at 25 ° C.
- an organic solvent is preferably used, and a low surface tension solvent and a standard surface tension solvent can be selected from these.
- organic solvents include alcohols (eg, ethanol, tert-butyl alcohol), amides (eg, N, N-dimethylformamide), sulfoxides (eg, dimethyl sulfoxide), heterocyclic compounds (eg, pyridine), hydrocarbons (Eg, heptane, cyclopentane, benzene, hexane, tetrafluoroethylene), alkyl halides (eg, chloroform, dichloromethane), esters (eg, methyl acetate, butyl acetate, isopropyl acetate), ketones (eg, acetone, methyl ethyl ketone, cyclohexanone) ), Ether (eg, tetrahydrofuran, 1,2-dimethoxyethane), and amine (eg, trie
- low surface tension solvents examples include tert-butyl alcohol (19.5 mN / m), tetrafluoroethylene (TFE, 20.6 mN / m), triethylamine (20.7 mN / m), cyclopentane (21.8 mN / m). m), heptane (19.6 mN / m), and a mixed solvent composed of a combination of any two or more of these solvents.
- TFE tetrafluoroethylene
- TFE tetrafluoroethylene
- TFE tetrafluoroethylene
- triethylamine 20.7 mN / m
- cyclopentane 21.8 mN / m
- heptane heptane (19.6 mN / m)
- a mixed solvent composed of a combination of any two or more of these solvents. The numerical value indicates the surface tension.
- tert-butyl alcohol tetrafluoroethylene, triethylamine, and cyclopentane are preferable from the viewpoint of safety, tert-butyl alcohol or tetrafluoroethylene is more preferable, and tert-butyl alcohol is more preferable.
- Examples of standard surface tension solvents include methyl ethyl ketone (MEK, 23.9 mN / m), methyl acetate (24.8 mN / m), methyl isobutyl ketone (MIBK, 25.4 mN / m), cyclohexanone (34.5 mN / m). ), Acetone (23.7 mN / m), isopropyl acetate (0.022.1 mN / m), and a mixed solvent composed of a combination of any two or more of these solvents.
- the numerical value indicates the surface tension.
- methyl ethyl ketone, a mixed solvent of cyclohexanone and another solvent, a mixed solvent of methyl acetate and methyl isobutyl ketone, and the like are preferable.
- the polymer of the present invention can be used in a composition for preparing a liquid crystal layer.
- the composition for producing a liquid crystal layer is a composition containing the polymer of the present invention and a liquid crystal compound, preferably a polymerizable liquid crystal compound.
- the polymer of the present invention provides a composition for preparing a liquid crystal layer that hardly causes repelling during coating. Furthermore, when a liquid crystal layer formed from such a composition for forming a liquid crystal layer is used as a lower layer and an upper layer is applied and formed on the surface, a liquid crystal layer that is less likely to cause repelling when the upper layer forming coating solution is applied is formed. It is possible to provide a composition for use.
- composition for producing a liquid crystal layer of the present invention When the composition for producing a liquid crystal layer of the present invention is used, an optical film having a liquid crystal layer that hardly causes repelling when the coating liquid for forming the upper layer is applied can be produced. Therefore, it is possible to produce a laminated film having various functions using the composition for producing a liquid crystal layer of the present invention.
- a laminated film examples include an optically anisotropic layer, a phase difference plate, an optical film, and an optical compensation film.
- the composition for preparing a liquid crystal layer using the polymer of the present invention contains a hydroxyl group.
- the hydroxyl group contained in the composition for preparing a liquid crystal layer is preferably 0.0001% by mass to 10% by mass with respect to the liquid crystal compound.
- the inventors of the present invention have found that a composition containing a hydroxyl group at a certain ratio as described above can produce a liquid crystal layer having a uniform film surface and no unevenness as well as being free from repelling during coating.
- repelling during upper layer formation which is a problem in the production of laminated films, can be suppressed.
- the mechanism is not clear, but is estimated as follows. That is, the polarity of the base material, especially the lower liquid crystal layer, is close at the time of application, and it is easy to spread and wetting can be prevented.
- the polymer of the present invention when the polymer of the present invention is made into a copolymer with a fluorine-containing monomer, the surface migration is improved, and the surface tension of the coating solution is reduced, so that the surface smoothing (leveling) function is achieved. It comes to express. In addition, it is considered that resistance to wind in the surrounding environment is improved, optical unevenness is less likely to occur, and repelling is further suppressed.
- the composition for liquid crystal layer preparation containing the polymer of this invention may contain the said solvent.
- the concentration of the solvent with respect to the total mass of the composition for preparing a liquid crystal layer is preferably 95 to 50% by mass, more preferably 93 to 60% by mass, and still more preferably 90 to 75% by mass.
- the solvent of the composition for preparing a liquid crystal layer is preferably removed by 95% by mass or more, more preferably by 98% by mass or more, based on the total amount of the solvent. It is more preferable to remove at least mass%, and it is particularly preferable to remove substantially 100 mass%.
- liquid crystal compound examples include a rod-like liquid crystal compound and a disk-like liquid crystal compound.
- the liquid crystal compound includes a low molecular liquid crystal compound.
- a low molecule refers to a polymer having a degree of polymerization of less than 100.
- the liquid crystal compound includes a rod-like liquid crystal compound and a disk-like liquid crystal compound.
- the polymerizable liquid crystal compound indicates a liquid crystal compound having a polymerizable group.
- the polymerizable group include an acryloyl group, a methacryloyl group, an epoxy group, and a vinyl group.
- rod-like liquid crystal compound examples include azomethines, azoxys, cyanobiphenyls, cyanophenyl esters, benzoic acid esters, cyclohexanecarboxylic acid phenyl esters, cyanophenylcyclohexanes, cyano-substituted phenylpyrimidines, alkoxy-substituted phenylpyrimidines, Phenyldioxanes, tolanes and alkenylcyclohexylbenzonitriles are preferably used.
- the rod-like liquid crystal compound which is a polymerizable liquid crystal compound Makromol. Chem.
- JP-A Nos. 0600, 98/23580, 98/52905, JP-A-1-272551, JP-A-6-16616, JP-A-7-110469, JP-A-11-80081, and Japanese Patent Application No. 2001-64627 Etc. can be used.
- the rod-like liquid crystal compound for example, those described in JP-A-11-513019 and JP-A-2007-279688 can be preferably used.
- discotic liquid crystal compound examples include compounds described in JP-A 2007-108732 and JP-A 2010-244038.
- the liquid crystal component may contain a polymerization initiator.
- the polymerization initiator include ⁇ -carbonyl compounds (described in US Pat. Nos. 2,367,661 and 2,367,670), acyloin ether (described in US Pat. No. 2,448,828), ⁇ -hydrocarbon substituted aromatics.
- An acyloin compound (described in US Pat. No. 2,722,512), a polynuclear quinone compound (described in US Pat. Nos.
- the liquid crystal layer formed from the composition for preparing a liquid crystal layer may be a layer in which a cholesteric liquid crystal phase is fixed.
- the composition preferably contains a chiral agent.
- the chiral agent various known chiral agents (for example, described in Liquid Crystal Device Handbook, Chapter 3-4-3, TN, chiral agent for STN, page 199, edited by Japan Society for the Promotion of Science, 42nd Committee, 1989) You can choose from.
- a chiral agent generally contains an asymmetric carbon atom, but an axially asymmetric compound or a planar asymmetric compound containing no asymmetric carbon atom can also be used as the chiral agent.
- Examples of the axial asymmetric compound or the planar asymmetric compound include binaphthyl, helicene, paracyclophane, and derivatives thereof.
- the chiral agent may have a polymerizable group.
- the rod-shaped liquid crystal compound used in combination also has a polymerizable group, it is derived from the rod-shaped liquid crystal compound by a polymerization reaction between the chiral agent having a polymerizable group and the polymerizable rod-shaped liquid crystal compound.
- a polymer having a repeating unit derived from a chiral agent is derived from the rod-shaped liquid crystal compound.
- the polymerizable group possessed by the chiral agent having a polymerizable group is preferably the same group as the polymerizable group possessed by the polymerizable rod-like liquid crystal compound. Therefore, the polymerizable group of the chiral agent is also preferably an unsaturated polymerizable group, an epoxy group or an aziridinyl group, more preferably an unsaturated polymerizable group, and an ethylenically unsaturated polymerizable group. Particularly preferred.
- the chiral agent may be a liquid crystal compound.
- Examples of the chiral agent exhibiting a strong twisting force include, for example, JP 2010-181852 A, JP 2003-287623 A, JP 2002-80851 A, JP 2002-80478 A, and JP 2002-302487 A.
- the chiral agent described in the publication can be mentioned and can be preferably used.
- isosorbide compounds having a corresponding structure can be used for the isosorbide compounds described in these publications, and isosorbide compounds having a corresponding structure can be used for the isomannide compounds described in these publications. It can also be used.
- the composition of the present invention may contain a fluorine-based surfactant and a silicone-based surfactant. It is preferable that content of the fluorine-type surfactant and silicone-type surfactant of the composition for liquid crystal layer preparation is 5 mass% or less with respect to the total mass of a composition.
- the fluorine-based surfactant is a compound containing fluorine and is unevenly distributed on the surface in the solvent used in the composition for producing a liquid crystal layer.
- the fluorosurfactant having a hydrophobic portion include those containing fluorine among compounds described as alignment control agents described in paragraphs 0028 to 0034 of JP2011-191582A, and Japanese Patent No. 2841611.
- Examples of commercially available fluorosurfactants include Surflon (registered trademark) manufactured by AGC Seimi Chemical Co., Ltd. and MegaFac (registered trademark) manufactured by DIC Corporation.
- the silicone-based surfactant is a compound containing silicone, and is a compound unevenly distributed on the surface in the solvent used in the composition for producing a liquid crystal layer.
- the silicone surfactant include polymethylphenylsiloxane, polyether-modified silicone oil, polyether-modified dimethylpolysiloxane, dimethylsilicone, diphenylsilicone, hydrogen-modified polysiloxane, vinyl-modified polysiloxane, hydroxy-modified polysiloxane, Amino modified polysiloxane, carboxyl modified polysiloxane, chloro modified polysiloxane, epoxy modified polysiloxane, methacryloxy modified polysiloxane, mercapto modified polysiloxane, fluorine modified polysiloxane, long chain alkyl modified polysiloxane, phenyl modified polysiloxane, silicone modified copolymer And low molecular weight compounds containing silicon atoms.
- silicone surfactants include KF-96, X-22-945 (above, manufactured by Shin-Etsu Chemical Co., Ltd.), Toray Silicone DC3PA, DC7PA, SH11PA, SH21PA, SH28PA, SH29PA, SH30PA, FS-1265-300 (above, manufactured by Toray Dow Corning Silicone Co., Ltd.), TSF-4300, -4440, -4445, -4446, -4442, -4460 (above, GE Toshiba Silicon Co., Ltd.), polysiloxane polymer KP341 (manufactured by Shin-Etsu Chemical Co., Ltd.), BYK-301, BYK-302, BYK-307, BYK-325, BYK-331, BYK-333 BYK-341, BYK-345, BYK-346, BYK-348, BYK-375 Above, manufactured by Big Chemie Japan Co., Ltd.), Aron GS-30 (above, manufactured by
- FIG. 1 is a schematic cross-sectional view of the optical film of the present embodiment.
- the optical film 10 includes a ⁇ / 4 layer 12, a liquid crystal layer 13 adjacent to each other, and a liquid crystal layer 14 on a support 11, and the liquid crystal layer 13 includes a liquid crystal compound and the polymer of the present invention.
- the liquid crystal layer contained or the liquid crystal layer formed by hardening of the composition containing a liquid crystal compound and the polymer of this invention is included.
- the optical film may be composed only of these liquid crystal layers, may further be provided with a liquid crystal layer, and may include other layers in addition to the liquid crystal layer. Examples of other layers include an alignment layer and a surface protective layer. Moreover, you may further have liquid crystal layers other than the liquid crystal layer formed from the composition containing the polymer of this invention.
- the optical film 10 preferably includes a layer formed by fixing a cholesteric liquid crystal phase, and the liquid crystal layer 13 is also preferably a layer formed by fixing a cholesteric liquid crystal phase.
- the optical film 10 comprises a composition comprising the polymer of the present invention, a liquid crystal component and a solvent, with a liquid crystal layer close to the support 11 as a lower layer (liquid crystal layer 13) and an upper layer on the surface. It is preferable to have a structure including a liquid crystal layer 13 formed by coating.
- the solvent of the composition at this time can be selected from the organic solvents exemplified above.
- a structure in which layers are further formed on the surface of the liquid crystal layer 13 is also preferable, and the optical film 10 may be a laminated film of 3 to 10 liquid crystal layers formed in the same manner.
- either one of the liquid crystal layer 13 and the liquid crystal layer 14 is a layer formed from a composition containing a rod-like liquid crystal compound, and the other is a layer formed from a composition containing a discotic liquid crystal compound. It is also preferable. Furthermore, one of the liquid crystal layer 13 and the liquid crystal layer 14 is a layer formed by curing a composition containing a polymerizable rod-like liquid crystal compound, and the other is cured of a composition containing a polymerizable discotic liquid crystal compound. It is also preferable that the layer is formed by. More preferably, the liquid crystal layer 13 is a layer containing a discotic liquid crystal compound, and the liquid crystal layer 14 is a layer containing a rod-like liquid crystal compound.
- optical film 10 is not particularly limited.
- the optical film include a retardation film, a reflective film, and a light absorbing film. More specifically, examples include an optical compensation film, a polarizing film, a brightness enhancement film, a heat shielding film, and a projection film used for a liquid crystal display device.
- the optical film produced using the polymer of the present invention may be a support film for producing a laminated film in addition to the aspect of the optical film 10 of the above embodiment.
- the support film includes the lower layer (liquid crystal layer 13). It is preferable that the support film includes the liquid crystal layer 13 as an outermost layer or includes only an easily peelable film such as a laminate film outside the liquid crystal layer 13.
- the liquid crystal layer 13 in the support film is preferably a liquid crystal layer.
- the liquid crystal layer 13 in the support film is more preferably a layer formed by curing a composition containing a polymerizable discotic liquid crystal compound.
- the support film may include layers such as a support, an alignment layer, and other liquid crystal layers.
- glass or a polymer film can be used as the support 11.
- polymer film materials used as the support include cellulose acylate films (for example, cellulose triacetate film (refractive index 1.48), cellulose diacetate film, cellulose acetate butyrate film, cellulose acetate propionate film).
- Polyolefins such as polyethylene and polypropylene, polyester resin films such as polyethylene terephthalate and polyethylene naphthalate, polyethersulfone films, polyacrylic resin films such as polymethyl methacrylate, polyurethane resin films, polyester films, polycarbonate films, polysulfone films , Polyether film, polymethylpentene film, polyetherketone film, (meth) a Lil nitrile film, polyolefin, cycloolefin polymer-based film ⁇ e.g., trade name "ARTON (registered trademark)", JSR Corporation, trade name "ZEONEX (registered trademark)", Nippon Zeon Co., Ltd., etc. ⁇ , and the like.
- the support may be a temporary support that is peeled off after formation of the liquid crystal layer and is not included in the optical film.
- the thickness of the support may be about 5 ⁇ m to 1000 ⁇ m, preferably 10 ⁇ m to 250 ⁇ m, more preferably 15 ⁇ m to 90 ⁇ m.
- the optical film may include an alignment layer.
- the alignment layer is used when forming a layer such as a liquid crystal layer, and is used for aligning the molecules of the liquid crystal compound contained in the composition for preparing a liquid crystal layer.
- an alignment layer may or may not be included.
- the alignment layer can be provided by means such as a rubbing treatment of an organic compound (preferably a polymer), oblique vapor deposition of an inorganic compound such as SiO, or formation of a layer having microgrooves. Furthermore, an alignment layer in which an alignment function is generated by application of an electric field, application of a magnetic field, or light irradiation is also known. Depending on the material of the lower layer such as a support or a liquid crystal layer, the lower layer can be made to function as an alignment layer by direct alignment treatment (for example, rubbing treatment) without providing an alignment layer.
- a lower layer support is polyethylene terephthalate (PET).
- the lower liquid crystal layer may act as an alignment layer, and the liquid crystal compound for manufacturing the upper layer may be aligned.
- the upper liquid crystal compound can be aligned without providing an alignment layer or without performing a special alignment process (for example, rubbing process).
- the polymer that can be used for the rubbing treatment oriented layer include, for example, a methacrylate copolymer, a styrene copolymer, a polyolefin, polyvinyl alcohol, and the like described in paragraph No. [0022] of JP-A-8-338913.
- Examples include modified polyvinyl alcohol, poly (N-methylolacrylamide), polyester, polyimide, vinyl acetate copolymer, carboxymethylcellulose, and polycarbonate.
- Silane coupling agents can be used as the polymer.
- Water-soluble polymers eg, poly (N-methylolacrylamide), carboxymethylcellulose, gelatin, polyvinyl alcohol, modified polyvinyl alcohol
- gelatin, polyvinyl alcohol and modified polyvinyl alcohol are more preferred, and polyvinyl alcohol and modified polyvinyl alcohol are most preferred.
- the aforementioned composition is applied to the rubbing-treated surface of the alignment layer to align the molecules of the liquid crystal compound. After that, if necessary, the alignment layer polymer and the polyfunctional monomer contained in the optically anisotropic layer are reacted, or the alignment layer polymer is crosslinked using a crosslinking agent, thereby the optical anisotropy described above.
- a layer can be formed.
- the film thickness of the alignment layer is preferably in the range of 0.1 to 10 ⁇ m.
- the surface of the alignment layer, the support, or other layer to which the composition for producing a liquid crystal layer is applied may be rubbed as necessary.
- the rubbing treatment can be generally performed by rubbing the surface of a film containing a polymer as a main component with paper or cloth in a certain direction.
- a general method of rubbing is described in, for example, “Liquid Crystal Handbook” (issued by Maruzen, October 30, 2000).
- a method for changing the rubbing density a method described in “Liquid Crystal Handbook” (published by Maruzen) can be used.
- the rubbing density L is quantified by the following formula A.
- N is the number of rubbing times
- 1 is the contact length of the rubbing roller
- r is the radius of the roller
- n is the number of rotations of the roller (rpm)
- v is the stage moving speed (speed per second).
- the number of rubbing operations should be increased, the contact length of the rubbing roller should be increased, the radius of the roller should be increased, the number of rotations of the roller should be increased, and the stage moving speed should be decreased.
- the reverse is necessary.
- the description in Japanese Patent No. 4052558 can also be referred to as conditions for the rubbing process.
- the photo-alignment layer formed from the above material is irradiated with linearly polarized light or non-polarized light to produce a photo-alignment layer.
- linearly polarized light irradiation is an operation for causing a photoreaction in a photo-alignment material.
- the wavelength of light used varies depending on the photo-alignment material used, and is not particularly limited as long as it is a wavelength necessary for the photoreaction.
- the peak wavelength of light used for light irradiation is 200 nm to 700 nm, and more preferably ultraviolet light having a peak wavelength of light of 400 nm or less.
- the light source used for light irradiation is a commonly used light source such as a tungsten lamp, a halogen lamp, a xenon lamp, a xenon flash lamp, a mercury lamp, a mercury xenon lamp, a carbon arc lamp, or various lasers (eg, semiconductor laser, helium). Neon laser, argon ion laser, helium cadmium laser, YAG laser), light emitting diode, cathode ray tube, and the like.
- a method using a polarizing plate eg, iodine polarizing plate, dichroic dye polarizing plate, wire grid polarizing plate
- reflection using a prism-based element eg, Glan-Thompson prism
- a prism-based element eg, Glan-Thompson prism
- Brewster angle A method using a type polarizer or a method using light emitted from a laser light source having polarization can be employed.
- a method of irradiating light from the top surface or the back surface to the alignment layer surface perpendicularly or obliquely with respect to the alignment layer is employed.
- the incident angle of light varies depending on the photo-alignment material, but is, for example, 0 ° to 90 °, preferably 40 ° to 90 °. In this case, 90 ° is the vertical direction.
- the non-polarized light is irradiated obliquely.
- the incident angle is 10 ° to 80 °, preferably 20 ° to 60 °, particularly preferably 30 ° to 50 °.
- the irradiation time is preferably 1 minute to 60 minutes, more preferably 1 minute to 10 minutes.
- the optical film can be produced by forming a liquid crystal layer on a support.
- the support may be peeled off after the liquid crystal layer is formed.
- the phrase “on the support” means “directly on the support surface” or “through another layer formed on the support surface”.
- the liquid crystal layer may be formed on the surface of another previously formed layer. It is also preferable to form a liquid crystal layer on the surface of the liquid crystal layer as described above. Since the liquid crystal layer formed from the composition for preparing a liquid crystal layer of the present invention hardly causes repelling, various laminated optical films can be prepared.
- the composition of the present invention is particularly preferably applied directly on the surface of the previously formed liquid crystal layer.
- the composition of the present invention is less likely to cause repellency when formed by coating, is excellent in surface shape, and can reduce orientation defects.
- the liquid crystal layer is formed from a coating film comprising the composition of the present invention.
- the liquid crystal layer may be, for example, a layer formed by applying the composition on a support and drying the obtained coating film, and is further formed by a curing process such as light irradiation or heating. It may be a layer.
- composition of the present invention can be performed by a method such as roll coating method, gravure printing method, spin coating method and the like. Furthermore, it can be performed by various methods such as a wire bar coating method, an extrusion coating method, a direct gravure coating method, a reverse gravure coating method, and a die coating method. Alternatively, the coating film can be formed by ejecting the composition from a nozzle using an inkjet apparatus.
- Drying may be performed by standing or may be performed by heating.
- an optical function derived from the liquid crystal component may be expressed.
- the liquid crystal phase may be formed in the process of removing the solvent by drying.
- the liquid crystal phase may be formed by setting the transition temperature to the liquid crystal phase by heating.
- the liquid crystal phase can be stably formed by heating to the temperature of the isotropic phase and then cooling to the liquid crystal phase transition temperature.
- the liquid crystal phase transition temperature is preferably in the range of 10 to 250 ° C., more preferably in the range of 10 to 150 ° C. from the viewpoint of production suitability and the like.
- a cooling step or the like may be required to lower the temperature to a temperature range exhibiting a liquid crystal phase.
- a high temperature is required to make the isotropic liquid state higher than the temperature range once exhibiting the liquid crystal phase, which is disadvantageous from waste of thermal energy, deformation of the substrate, and alteration.
- the composition contains a polymerizable compound
- the composition contains a polymerizable liquid crystal compound
- the alignment state of the molecules of the liquid crystal compound can be maintained and fixed by curing. Curing can be carried out by a polymerization reaction of a polymerizable group in the polymerizable compound.
- the polymerization reaction includes a thermal polymerization reaction using a thermal polymerization initiator and a photopolymerization reaction using a photopolymerization initiator.
- a photopolymerization reaction is preferred.
- the light irradiation for the polymerization of the polymerizable compound, particularly the polymerizable liquid crystal compound preferably uses ultraviolet rays. Irradiation energy is preferably 50mJ / cm 2 ⁇ 1000mJ / cm 2, further preferably 100 ⁇ 800mJ / cm 2. In order to accelerate the photopolymerization reaction, light irradiation may be performed under heating conditions.
- ultraviolet irradiation may be performed under heating conditions.
- the oxygen concentration in the atmosphere is related to the degree of polymerization, if the desired degree of polymerization is not reached in the air and the film strength is insufficient, the oxygen concentration in the atmosphere is reduced by a method such as nitrogen substitution. It is preferable.
- the preferable oxygen concentration is preferably 10% by volume or less, more preferably 7% by volume or less, and most preferably 3% by volume or less.
- the reaction rate of the curing reaction (for example, polymerization reaction) that proceeds by irradiation with ultraviolet rays is 60% or more from the viewpoint of maintaining the mechanical strength of the layer and suppressing unreacted substances from flowing out of the layer.
- the reaction rate is 70% or more, more preferably 80% or more.
- a method of increasing the irradiation amount of ultraviolet rays to be irradiated and polymerization under a nitrogen atmosphere or heating conditions are effective.
- polymerization temperature, and pushing a reaction further by thermal polymerization reaction, and the method of irradiating an ultraviolet-ray again can also be used.
- the reaction rate can be measured by comparing the absorption intensity of the infrared vibration spectrum of a reactive group (for example, a polymerizable group) before and after the reaction proceeds.
- the optical properties based on the orientation of the liquid crystal compound molecules of the liquid crystal layer using the liquid crystal compound as the liquid crystal component are sufficient if they are retained in the layer, and the cured liquid crystal layer
- the liquid crystal composition no longer needs to exhibit liquid crystallinity.
- the liquid crystal compound molecules may become high molecular weight due to a curing reaction and may no longer have liquid crystallinity.
- the liquid crystal layer is preferably a cholesteric liquid crystal layer in which the orientation of the cholesteric liquid crystal phase is fixed.
- cholesteric liquid crystal layer and the method for producing the cholesteric liquid crystal layer reference can be made, for example, to the descriptions in JP-A-1-133003, JP-A-3416302, JP-A-3363565, and JP-A-8-271731.
- FIG. 2 is a schematic diagram showing the configuration of the liquid crystal display device 20 according to an embodiment of the present invention.
- FIG. 3 is a schematic cross-sectional view of the backlight unit.
- the liquid crystal display device 20 includes a pair of polarizing plates (an upper polarizing plate 21 and a lower polarizing plate 28), a liquid crystal cell 30 sandwiched between them, and a liquid crystal of the lower polarizing plate 28.
- the liquid crystal cell 30 includes a liquid crystal 25 and a liquid crystal cell upper electrode substrate 23 and a liquid crystal cell lower electrode substrate 26 which are arranged above and below the liquid crystal cell 25. is doing.
- the backlight unit 40 includes a polarized light-emitting film, the lower polarizing plate 28 can be omitted.
- the upper polarizing plate 21 is a front side (viewing side) polarizing plate and the lower polarizing plate 28 is a rear side (backlight side) polarizing plate, which is not shown.
- 25 and the upper polarizing plate 21 is provided with a color filter.
- 22 and 29 indicate the directions of the absorption axes of the polarizing plates substantially orthogonal to each other, and 24 and 27 indicate the orientation control directions of the electrode substrates.
- the backlight unit 40 includes a light source 42 that emits primary light (blue light L B ), a light guide plate 43 that guides and emits primary light emitted from the light source 42, and a light guide.
- a wavelength conversion member 44 provided on the optical plate 43, a brightness enhancement film 45 disposed opposite to the light source 42 with the wavelength conversion member 44 interposed therebetween, and a reflection disposed opposite to the wavelength conversion member 44 with the light guide plate 43 interposed therebetween.
- a plate 41 is disposed opposite to the wavelength conversion member 44 with the light guide plate 43 interposed therebetween.
- Wavelength conversion member 44 at least a portion of the primary light L B emitted from the light source 42 and the fluorescence emitted as excitation light, the fluorescence consists secondary light (L G, L R) and transmitted through the wavelength conversion member 44 It emits the primary light L B.
- the brightness enhancement film 45 has the optical film 10 of the present invention.
- the wavelength conversion member 44 preferably includes at least quantum dots R that are excited by excitation light to emit red light and quantum dots G that emit green light.
- white light can be embodied by blue light emitted from the light source and transmitted through the wavelength conversion member, and red light and green light emitted from the wavelength conversion member.
- a light source that emits ultraviolet light having an emission center wavelength in a wavelength band of 300 nm to 430 nm, for example, an ultraviolet light emitting diode can be used.
- the wavelength conversion member 44 includes quantum dots B that are excited by excitation light and emit blue light together with the quantum dots R and G.
- white light can be embodied by red light, green light, and blue light emitted from the wavelength conversion member.
- a laser light source can be used instead of the light emitting diode.
- a light source at least one of blue light having an emission center wavelength in a wavelength band of 430 to 500 nm, green light having an emission center wavelength in a wavelength band of 500 to 600 nm, and an emission intensity peak in a wavelength band of 600 to 700 nm.
- a light source other than the above may be a white light source such as a white LED (Light Emitting Diode).
- the wavelength conversion member 44 is disposed on the path of light emitted from the light guide plate 43.
- the light guide plate 43 a known one can be used without any limitation.
- the backlight unit 40 can also be provided with a reflecting member at the rear part of the light source. There is no restriction
- the backlight unit 40 preferably further includes a known diffusion plate, diffusion sheet, prism sheet (for example, BEF series manufactured by Sumitomo 3M Limited), and a light guide.
- a known diffusion plate for example, BEF series manufactured by Sumitomo 3M Limited
- prism sheet for example, BEF series manufactured by Sumitomo 3M Limited
- a light guide for example, BEF series manufactured by Sumitomo 3M Limited
- Other members are also described in Japanese Patent No. 3416302, Japanese Patent No. 3363565, Japanese Patent No. 4091978, Japanese Patent No. 3448626, and the contents of these publications are incorporated in the present invention.
- the driving mode of the liquid crystal cell is not particularly limited, and twisted nematic (TN), super twisted nematic (STN), vertical alignment (VA), and in-plane switching.
- Various modes such as (IPS) and optically compensated bend cell (OCB) can be used.
- the liquid crystal cell is preferably VA mode, OCB mode, IPS mode, or TN mode, but is not limited thereto.
- the configuration shown in FIG. 2 of Japanese Patent Application Laid-Open No. 2008-262161 is given as an example.
- the specific configuration of the liquid crystal display device is not particularly limited, and a known configuration can be adopted.
- the wavelength conversion range of red and green is particularly widened, and a high brightness backlight and liquid crystal display device can be obtained.
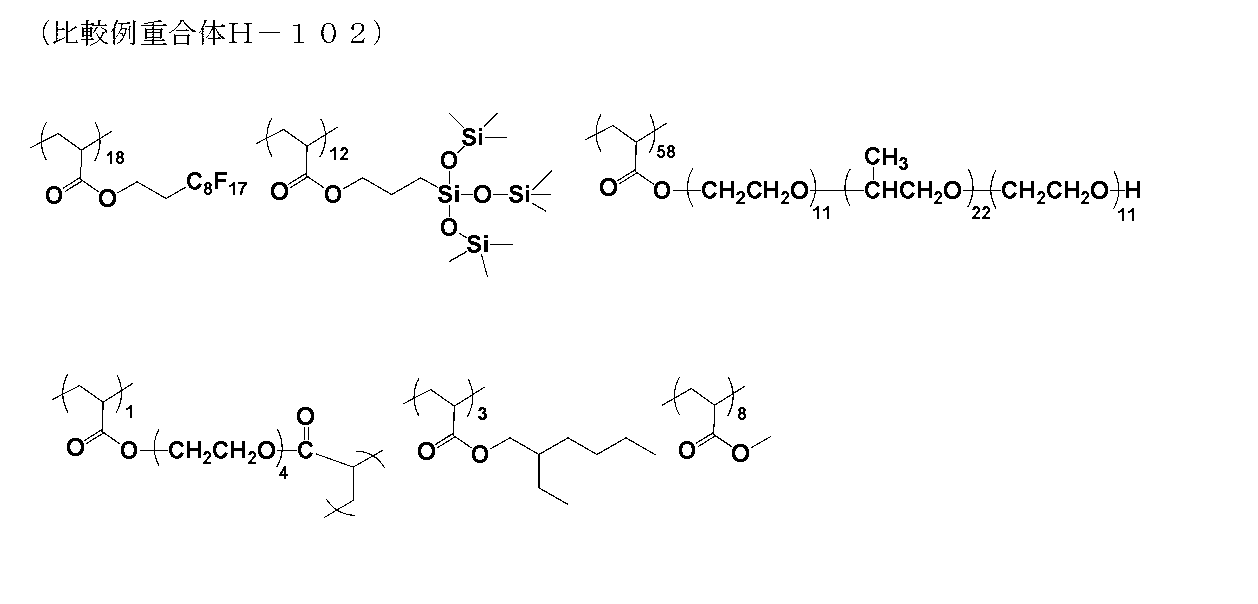
- the weight average molecular weight (Mw) of this polymer was 1,800.
- the weight average molecular weight (Mw) was calculated in terms of polystyrene by gel permeation chromatography (GPC). The columns used were TSKgel SuperHZM-H, TSKgel SuperHZ4000, TSKgel SuperHZ200 (manufactured by Tosoh Corporation). Table 1 shows the materials and contents of each synthesis example.
- Synthesis Examples 2 to 10 Polymers B-102 to B-110 of the present invention were synthesized in the same manner as in Synthesis Example 1, except that the monomers and composition ratios were changed as shown in Table 1.
- the weight average molecular weights (Mw) of Synthesis Examples 2 to 10 were 1,600 to 3,600.
- Table 1 shows materials, contents, and molecular weights of Synthesis Examples 1 to 10.
- the hydroxyl group-containing monomer represents a compound having two or more radical polymerizable double bonds and one or more hydroxyl groups
- the fluorine-containing monomer represents a compound having the above fluorine atom.
- C6FHA 1H, 1H, 7H-dodecafluoroheptyl acrylate
- C6FA 2- (perfluorohexyl) ethyl acrylate
- C8FA 2- (perfluorooctyl) ethyl acrylate
- C10FA 2- (perfluorodecyl) ethyl acrylate
- optical film ⁇ Preparation of optical film >> Using the polymers of B-101 to B-110 obtained above, optical films of Examples and Comparative Examples were produced.
- the optical film is formed by sequentially laminating an alignment layer, a ⁇ / 4 layer, an alignment layer, a liquid crystal layer 1 (hereinafter also referred to as a lower layer), and a liquid crystal layer 2 (hereinafter also referred to as an upper layer) on a support. Formed.
- a method for forming each layer and a coating solution will be described below.
- TD40UL A commercially available cellulose acylate film “TD40UL” (manufactured by FUJIFILM Corporation) was used as a support. Hereinafter, the support is described as TD40UL.
- an alignment layer coating solution having the following composition was continuously applied with a # 14 wire bar. Drying was performed with warm air of 60 ° C. for 60 seconds and further with warm air of 100 ° C. for 120 seconds. The obtained coating film was continuously rubbed to prepare an alignment layer. At this time, the longitudinal direction of the long film and the transport direction were parallel, and the rotation axis of the rubbing roller was 45 ° clockwise relative to the longitudinal direction of the film.
- the structural formula of the modified polyvinyl alcohol in the alignment layer coating solution is shown below.
- the ratio is a molar ratio.
- a coating liquid A1 containing a discotic liquid crystal compound having the following composition was continuously applied with a # 3.6 wire bar.
- the conveyance speed (V) of the film was 20 m / min.
- the coating liquid was heated with hot air at 60 ° C. for 90 seconds.
- UV irradiation was performed at 60 ° C. to fix the alignment of the liquid crystal compound, and a ⁇ / 4 layer was formed. At this time, the UV irradiation amount was 100 mJ / cm 2 .
- Discotic liquid crystal compound (Compound 101) 80 parts by weight Discotic liquid crystal compound (Compound 102) 20 parts by weight Alignment aid 1 0.9 parts by weight Alignment aid 2 0.1 parts by weight Polymerizable monomer 10 parts by weight Surfactant ( 0.12 parts by mass Polymerization initiator 1 3 parts by mass Acetone 192.1 parts by mass Tert-butanol 54.9 parts by mass Cyclohexanone 27.5 parts by mass
- the alignment aids 1 and 2 are a mixture of two kinds of compounds having different methyl group substitution positions in the trimethyl-substituted benzene ring.
- the mixing ratio of the two compounds is 50:50 by mass.
- coating liquid A2 containing a discotic liquid crystal compound having the following composition was continuously applied with a # 3.0 wire bar.
- the conveyance speed (V) of the film was 20 m / min.
- V conveyance speed
- UV irradiation was performed at 70 ° C. to fix the orientation of the liquid crystal compound and form a ⁇ / 4 layer.
- the UV irradiation amount was 200 mJ / cm 2 .
- Discotic liquid crystal compound (Compound 101) 80 parts by weight Discotic liquid crystal compound (Compound 102) 20 parts by weight Alignment aid 1 0.9 parts by weight Alignment aid 2 0.1 parts by weight Polymerizable monomer 10 parts by weight Surfactant ( 0.12 parts by mass Polymer B-101 of the present invention 0.03 parts by mass Polymerization initiator 1 3 parts by mass Methyl ethyl ketone 218.7 parts by mass Tert-butanol 62.5 parts by mass Cyclohexanone 31.2 Parts by mass
- coating liquid A3 containing a discotic liquid crystal compound having the following composition was continuously applied with a # 3.0 wire bar.
- the conveyance speed (V) of the film was 20 m / min.
- V conveyance speed
- UV irradiation was performed at 70 ° C. to fix the orientation of the liquid crystal compound and form a ⁇ / 4 layer.
- the UV irradiation amount was 200 mJ / cm 2 .
- Discotic liquid crystal compound (Compound 101) 80 parts by weight Discotic liquid crystal compound (Compound 102) 20 parts by weight Alignment aid 1 0.9 parts by weight Alignment aid 2 0.1 parts by weight Polymerizable monomer 10 parts by weight Compound B-101 0.05 parts by weight Polymerization initiator 1 3 parts by weight Methyl ethyl ketone 218.7 parts by weight tert-butanol 62.5 parts by weight Cyclohexanone 31.2 parts by weight
- the following coating solution was adjusted to a film thickness of 3 ⁇ m and continuously applied. Subsequently, the solvent was dried at 70 ° C. for 2 minutes, and after evaporating the solvent, heat aging was performed at 115 ° C. for 3 minutes to obtain a uniform alignment state. Thereafter, this coating film was kept at 50 ° C., and irradiated with ultraviolet rays using a high-pressure mercury lamp in a nitrogen atmosphere to form a cholesteric liquid crystal layer 1. At this time, the UV irradiation amount was 75 mJ / cm 2 .
- the chiral agent used for the composition of the liquid crystal layer B1 is shown below.
- the coating solutions B2 to B18 of the present invention and the comparative coating solutions BH-1 to BH- were prepared in the same manner as the coating solution B1, except that the addition amount and type of the polymer of the present invention were as shown in Table 1. 4 was prepared.
- the following coating liquid B19 was adjusted to a thickness of 3.1 ⁇ m and continuously applied to the surface of the alignment layer A2 formed on the surface of the ⁇ / 4 layer of TD40UL + ⁇ / 4. Subsequently, the solvent was dried at 70 ° C. for 1 minute, and after evaporating the solvent, heat aging was performed at 112 ° C. for 2 minutes to obtain a uniform alignment state. Thereafter, this coating film was held at 50 ° C., and irradiated with ultraviolet rays using a metal hydrolamp manufactured by Aigra Co. in a nitrogen atmosphere to form a cholesteric liquid crystal layer B19. Note that the nitrogen atmosphere refers to an environment having an oxygen concentration of 500 ppm or less. At this time, the UV irradiation amount was 130 mJ / cm 2 .
- the following coating liquid B20 was adjusted to a thickness of 3.1 ⁇ m and continuously applied to the surface of the alignment layer A2 formed on the surface of the ⁇ / 4 layer of TD40UL + ⁇ / 4. Subsequently, the solvent was dried at 70 ° C. for 1 minute, and after evaporating the solvent, heat aging was performed at 112 ° C. for 2 minutes to obtain a uniform alignment state. Thereafter, this coating film was kept at 50 ° C., and irradiated with ultraviolet rays using a metal hydrolamp manufactured by Aigra Co. under a nitrogen atmosphere to form a cholesteric liquid crystal layer B20. Note that the nitrogen atmosphere refers to an environment having an oxygen concentration of 500 ppm or less. At this time, the UV irradiation amount was 130 mJ / cm 2 .
- a coating liquid C1 containing a rod-shaped liquid crystal compound having the following composition was adjusted to a thickness of 5 ⁇ m and continuously applied.
- the conveyance speed of the film was 20 m / min.
- the coating liquid was heated with warm air of 95 ° C. for 180 seconds.
- UV irradiation was performed at 30 ° C. to fix the orientation of the liquid crystal compound and form an optically anisotropic layer (liquid crystal layer 2). At this time, the UV irradiation amount was 300 mJ / cm 2 .
- the liquid crystal layer 2 was similarly formed.
- Rod-like liquid crystal compound 201 83 parts by weight Rod-like liquid crystal compound 202 15 parts by weight Rod-like liquid crystal compound 203 2 parts by weight Polyfunctional monomer A-TMMT (manufactured by Shin-Nakamura Chemical Co., Ltd.) 1 part by weight Polymerization initiator IRGACURE819 (manufactured by BASF) 4 Parts by mass fluorinated compound 1 0.17 parts by mass chiral agent LC756 (manufactured by BASF) 6 parts by mass toluene 187.5 parts by mass cyclohexanone 9.9 parts by mass
- the weight average molecular weight (Mw) of this polymer was 1,500.
- the weight average molecular weight (Mw) was calculated in terms of polystyrene by gel permeation chromatography (GPC).
- the columns used were TSKgel SuperHZM-H, TSKgel SuperHZ4000, TSKgel SuperHZ200 (manufactured by Tosoh Corporation).
- ⁇ Repel> The number of repellency of the layer formed using each composition in the film of each Example and Comparative Example 15 cm ⁇ 20 cm was counted. Here, the area where the upper layer was not formed in the surface of the lower layer was counted as one repellency. Based on the results, evaluation was made according to the following criteria. If the evaluation standard is A or B, it is excellent in production efficiency and can be suitably used. The evaluation criterion is more preferably A. A: 1 or less repellent B: 1-3 repellent C: 4-9 repellent D: More than 10 repellent
- the evaluation standard is A or B, it is excellent in production efficiency and can be suitably used, and the evaluation standard is more preferably A.
- the superiority or inferiority of the liquid crystal alignment was determined according to the following criteria depending on the presence or absence of alignment defects when the film was observed with a deflection microscope (trade name “ECLIPSE”, manufactured by Nikon).
- the evaluation is preferably any one of evaluation criteria A to C. If it is evaluation standard A or B, it is excellent in production efficiency and can be used suitably, and it is more preferable that it is evaluation standard A.
- Liquid crystal display device A commercially available liquid crystal display device (trade name “TH-L42D2”, manufactured by Panasonic Corporation) was disassembled, and the brightness enhancement film in the backlight unit was changed to the optical film of the present invention to obtain the liquid crystal display device of the present invention. The performance was good.
- Examples 1 to 20 using the polymer of the present invention were able to obtain good results in all of repelling, planarity, and orientation.
- Examples 1 to 8 including a partial structure obtained by copolymerizing a polymer with a compound having a radically polymerizable double bond and a fluorine atom copolymerize the compound having a fluorine atom in the evaluation of the lower layer and the upper layer.
- Example 9 which was not, all were excellent with A evaluation.
- the polymer of the present invention is effective in improving repelling and the like even in the case of laminate coating.
- Examples 1 to 8, 11, 19, and 20 in which the addition amount of the polymer of the present invention was 0.03 to 0.1 parts by mass were excellent as A or more in all evaluation items of the lower layer and the upper layer.
- Examples 1, 2 and 4 in which the addition amount of the polymer of the present invention is 0.04 to 0.05 are the same as Example 14 in which the addition amount using the same polymer is 0.4 to 0.7 parts by mass. Compared with ⁇ 16, the orientation was excellent.
- Example 7 in which the addition amount of the polymer of the present invention was 0.04 was superior in evaluation of repelling compared to Example 18 in which the addition amount was 0.01 parts by mass.
- Comparative Examples 1 and 2 containing a polymer having no radically polymerizable double bond as compared with Comparative Examples 1 and 2 having no hydroxyl group and Comparative Example 3 containing a conventional fluorosurfactant are all evaluated as D. And inferior.
- the comparative example 4 which does not contain the polymer of this invention was inferior to D in the evaluation of repelling.
Landscapes
- Chemical & Material Sciences (AREA)
- Physics & Mathematics (AREA)
- Organic Chemistry (AREA)
- Chemical Kinetics & Catalysis (AREA)
- Polymers & Plastics (AREA)
- Medicinal Chemistry (AREA)
- Health & Medical Sciences (AREA)
- Crystallography & Structural Chemistry (AREA)
- General Physics & Mathematics (AREA)
- Optics & Photonics (AREA)
- Nonlinear Science (AREA)
- Engineering & Computer Science (AREA)
- Materials Engineering (AREA)
- Mathematical Physics (AREA)
- Addition Polymer Or Copolymer, Post-Treatments, Or Chemical Modifications (AREA)
- Liquid Crystal (AREA)
- Polarising Elements (AREA)
- Polymerisation Methods In General (AREA)
- Laminated Bodies (AREA)
- Compositions Of Macromolecular Compounds (AREA)
Abstract
Description
上記事情に鑑みて、本発明は、塗布液に添加する界面活性剤や樹脂改質剤等として用いられたときに、塗布液のぬれ性を改善してハジキを生じにくい、重合体を提供することを課題とする。またそのような重合体を含むリコート性に優れる組成物を提供することを課題とする。
さらに本発明は、積層フィルムを作製するための支持体フィルム等として機能できる、上層形成用の塗布液のハジキを生じさせにくく、面状が良好で、配向欠陥が低減された表面を有する光学フィルムおよびその光学フィルムを備えた液晶表示装置を提供することを課題とする。
ここで、コレステリック液晶層は、液晶化合物を含む組成物を塗布および乾燥させた後、硬化させることにより、液晶化合物の相がコレステリック配向に固定された層を意味する。
また、このような重合体を含む光学フィルムは、面状が良好で、配向欠陥が低減された表面を有する。
本発明の重合体は、2以上のラジカル重合性二重結合および1以上の水酸基を有するモノマーを重合させてなるものである。
このようなモノマーは、下記一般式Xで表されるものが好ましい。
上記式Z1~Z6の中でも、式Z1またはZ2が好ましく、式Z1がより好ましい。
LX2、およびLX3のそれぞれについて、好ましい組み合わせの例を以下に示す。
Lx21:-O-2価の鎖状基-
Lx22:-O-2価の脂肪族環状基-2価の鎖状基-
Lx23:-OC(=O)-2価の脂肪族環状基-
Lx24:-2価の脂肪族環状基-(C=O)O-
Lx25:-(O-2価の鎖状基)n-
Lx26:-O-水酸基を有するアルキレン基-
Lx31:-2価の鎖状基-O-
Lx32:-2価の鎖状基-2価の脂肪族環状基-O-
Lx33:-2価の脂肪族環状基-C(=O)O-
Lx34:-O(C=O)-2価の環状基-
Lx35:-(2価の鎖状基-O-)n-
Lx36:-水酸基を有するアルキレン基-O-
アルキレン基は、分岐を有していてもよい。アルキレン基の炭素数は1~12であることが好ましく、2~10であることがさらに好ましく、2~8であることが最も好ましい。
置換アルキレン基のアルキレン部分は、上記アルキレン基と同様である。置換基の例としてはハロゲン原子が含まれる。
アルケニレン基は、分岐を有していてもよい。アルケニレン基の炭素数は2~12であることが好ましく、2~10であることがさらに好ましく、2~8であることが最も好ましい。
置換アルケニレン基のアルケニレン部分は、上記アルケニレン基と同様である。置換基の例としてはハロゲン原子が含まれる。
アルキニレン基は、分岐を有していてもよい。アルキニレン基の炭素数は2~12であることが好ましく、2~10であることがさらに好ましく、2~8であることが最も好ましい。
置換アルキニレン基のアルキニレン部分は、上記アルキニレン基と同様である。置換基の例としてはハロゲン原子が含まれる。
2価の鎖状基の具体例としては、エチレン、トリメチレン、プロピレン、テトラメチレン、2-メチル-テトラメチレン、ペンタメチレン、ヘキサメチレン、オクタメチレン、2-ブテニレン、2-ブチニレンなどが上げられる。
Mは、2価~4価の鎖状基、脂肪族環状基を有する基、芳香族環を有する基であることが好ましい。2価~4価の鎖状基としては、結合手を2~4個有する飽和炭化水素基を表す。飽和炭化水素基の炭素数は、1~40が好ましく、1~20がより好ましく、1~10であることがさらに好ましい。飽和炭化水素基は、直鎖であっても分岐を有していてもよい。
脂肪族環状基を有する基としては、シクロヘキサン環、シクロペンタン環、ノルボルネン環が挙げられる。
芳香族環状基を有する基としては、フェニル基、ナフタレン基が挙げられる。
一般式X1中、R1、R2、R3は、それぞれ独立に水素原子または炭素数1~20のアルキル基を表し、L11、L12、L13は、それぞれ独立に単結合、または-O-、-(C=O)O-、-O(C=O)-、2価の鎖状基、水酸基を有するアルキレン基、および2価の脂肪族環状基からなる群より選択される少なくとも1つから構成される2価の連結基を表し、M1は、単結合または2価もしくは3価の連結基を表し、n1は、0~2の整数を表す。
L11、L12、L13は、一般式XにおけるLx2およびLx3と同義であり、好ましい組み合わせも同じである。
L11、L12は、*-O-**、*-O-CH2-**、*-OCH(CH3)-**、*-O-C2H4-**、*-O-C3H6-**、*-OCH2CH(OH)CH2-**が好ましく、*-O-CH2-**がより好ましい。*は一般式X2において水酸基を有するアルキル基側に結合し、**はM1に結合する。
M1は、単結合、-C6H10-、-O(C=O)C6H4(C=O)O-、-O(C=O)C6H10(C=O)O-、-O-C6H4-C(CH3)(CH3)-C6H4-O-であることが好ましい。
Ra1は一般式aにおけるRa1と同義であり、好ましい範囲も同じである。Ra5は、炭素数1~12のアルキル基が好ましく、炭素数1~4がより好ましい。
nnは、10~1000が好ましく、20~500がより好ましく、30~200がさらに好ましい。上記繰り返し単位は単一であっても複数により構成されていても良い。
本発明の組成物は、本発明の重合体を含む。本発明の組成物は、さらに液晶化合物を含んでもよい。液晶化合物は、重合性液晶化合物であってもよい。重合性液晶化合物は、重合性棒状液晶化合物および重合性円盤状液晶化合物の少なくとも1種であることが好ましい。
本発明の組成物は、液晶化合物を含有する光学異方性層、液晶層、位相差板、光学フィルム、または光学補償フィルムなどを塗布形成する場合に用いることができる。
ここで、液晶層とは、液晶化合物と重合性化合物とを含有する層、または液晶化合物と重合性化合物とを含む組成物の硬化により形成された層、重合性液晶化合物を含む層、または重合性液晶化合物の硬化により形成された層を含み、いずれも、以下、「液晶層」と記載することがある。
本発明の組成物は溶剤を含んでいることが好ましい。溶剤は低表面張力溶剤でも、標準表面張力溶剤でも良い。液晶層を形成するための組成物には、低表面張力溶剤を含有することが好ましい。
また、低表面張力溶剤の表面張力と標準表面張力溶剤の表面張力との差は、2mN/m以上であることが好ましく、3mN/m以上であることがより好ましく、4~20mN/mであることがさらに好ましく、5~15mN/mであることが特に好ましい。
本発明の重合体は、液晶層作製用の組成物に用いることができる。液晶層作製用組成物は、本発明の重合体と、液晶化合物、好ましくは重合性液晶化合物とを含む組成物である。
本発明の重合体により、塗布時にハジキを生じにくい液晶層作製用組成物が提供される。さらには、このような液晶層作製用組成物から形成された液晶層を下層として、その表面に上層を塗布成膜する際、上層形成用の塗布液の塗布時にハジキを生じさせにくい液晶層作製用組成物を提供することが可能である。本発明の液晶層作製用組成物を用いると、上層形成用の塗布液の塗布時にハジキを生じさせにくい液晶層を有する光学フィルムを製造することができる。そのため、本発明の液晶層作製用組成物を用いて、多様な機能を有する積層フィルムの製造が可能である。このような積層フィルムとして、光学異方性層、位相差板、光学フィルム、または光学補償フィルムを挙げることができる。
さらには、本発明の重合体を含フッ素モノマーとの共重合体とした際には、表面移行性が向上し、塗布液の表面張力が低下することで、面状平滑化(レベリング)機能を発現するようになる。また、周辺環境の風に対する耐性が向上し、光学ムラを生じにくくさせ、さらにはハジキを抑制できているものと考えられる。
液晶層形成の際の乾燥工程では、液晶層作製用組成物の溶剤は、溶剤全量に対して、95質量%以上除去されることが好ましく、98質量%以上除去されることがより好ましく、99質量%以上除去されることがさらに好ましく、実質的に100質量%除去されることが特に好ましい。
液晶化合物として、棒状液晶化合物、および円盤状液晶化合物を挙げることができる。液晶化合物には、低分子液晶化合物が含まれる。本発明において、低分子とは重合度が100未満のものを指す。また、液晶化合物としては、棒状液晶化合物および円盤状液晶化合物が含まれる。
重合性液晶化合物は、重合性基を有する液晶化合物を示す。重合性基としては、アクリロイル基、メタクリロイル基、エポキシ基、ビニル基等を挙げることができる。重合性液晶化合物を硬化させることにより、液晶化合物の配向を固定することができ、光学補償膜等に用いることができる。
重合性液晶化合物である棒状液晶化合物としては、Makromol.Chem.,190巻、2255頁(1989年)、Advanced Materials 5巻、107頁(1993年)、米国特許4683327号、同5622648号、同5770107号、WO95/22586号、同95/24455号、同97/00600号、同98/23580号、同98/52905号、特開平1-272551号、同6-16616号、同7-110469号、同11-80081号、および特願2001-64627号の各公報などに記載の化合物を用いることができる。さらに棒状液晶化合物としては、例えば、特表平11-513019号公報や特開2007-279688号公報に記載のものも好ましく用いることができる。
重合性化合物が重合することにより、組成物が硬化して液晶層が形成される場合などにおいて、液晶成分は重合開始剤を含んでいてもよい。
重合開始剤の例には、α-カルボニル化合物(米国特許第2367661号、同2367670号の各明細書記載)、アシロインエーテル(米国特許第2448828号明細書記載)、α-炭化水素置換芳香族アシロイン化合物(米国特許第2722512号明細書記載)、多核キノン化合物(米国特許第3046127号、同2951758号の各明細書記載)、トリアリールイミダゾールダイマーとp-アミノフェニルケトンとの組み合わせ(米国特許第3549367号明細書記載)、アクリジンおよびフェナジン化合物(特開昭60-105667号公報、米国特許第4239850号明細書記載)およびオキサジアゾール化合物(米国特許第4212970号明細書記載)、アシルフォスフィンオキシド化合物(特公昭63-40799号公報、特公平5-29234号公報、特開平10-95788号公報、特開平10-29997号公報記載)等が挙げられる。
液晶層作製用組成物から形成される液晶層はコレステリック液晶相を固定した層であってもよい。その場合、組成物はキラル剤を含むことが好ましい。
キラル剤は、公知の種々のキラル剤(例えば、液晶デバイスハンドブック、第3章4-3項、TN、STN用カイラル剤、199頁、日本学術振興会第一42委員会編、1989に記載)から選択することができる。キラル剤は、一般に不斉炭素原子を含むが、不斉炭素原子を含まない軸性不斉化合物あるいは面性不斉化合物もキラル剤として用いることができる。軸性不斉化合物または面性不斉化合物の例には、ビナフチル、ヘリセン、パラシクロファンおよびこれらの誘導体が含まれる。キラル剤は、重合性基を有していてもよい。キラル剤が重合性基を有するとともに、併用する棒状液晶化合物も重合性基を有する場合は、重合性基を有するキラル剤と重合性棒状液晶合物との重合反応により、棒状液晶化合物から誘導される繰り返し単位と、キラル剤から誘導される繰り返し単位とを有するポリマーを形成することができる。この態様では、重合性基を有するキラル剤が有する重合性基は、重合性棒状液晶化合物が有する重合性基と、同種の基であることが好ましい。従って、キラル剤の重合性基も、不飽和重合性基、エポキシ基またはアジリジニル基であることが好ましく、不飽和重合性基であることがさらに好ましく、エチレン性不飽和重合性基であることが特に好ましい。
また、キラル剤は、液晶化合物であってもよい。
本発明の組成物にはフッ素系界面活性剤およびシリコーン系界面活性剤を含んでいてもよい。液晶層作製用組成物のフッ素系界面活性剤およびシリコーン系界面活性剤の含有量が、組成物の総質量に対して5質量%以下であることが好ましい。
市販品のフッ素系界面活性剤としては、AGCセイミケミカル株式会社製のサーフロン(登録商標)や、DIC株式会社製のメガファック(登録商標)を挙げることができる。
シリコーン系界面活性剤としては、例えば、ポリメチルフェニルシロキサン、ポリエーテル変性シリコーンオイル、ポリエーテル変性ジメチルポリシロキサン、ジメチルシリコーン、ジフェニルシリコーン、ハイドロジェン変性ポリシロキサン、ビニル変性ポリシロキサン、ヒドロキシ変性ポリシロキサン、アミノ変性ポリシロキサン、カルボキシル変性ポリシロキサン、クロル変性ポリシロキサン、エポキシ変性ポリシロキサン、メタクリロキシ変性ポリシロキサン、メルカプト変性ポリシロキサン、フッ素変性ポリシロキサン、長鎖アルキル変性ポリシロキサン、フェニル変性ポリシロキサン、シリコーン変性コポリマーなどの珪素原子含有の低分子化合物が挙げられる。
図1を参照して、本発明に係る一実施形態の光学フィルムについて説明する。図1は本実施形態の光学フィルムの概略断面図である。図1では、視認しやすくするため各部の縮尺は適宜変更して示してある。光学フィルム10は、支持体11上に、λ/4層12と、互いに隣接する液晶層13と、液晶層14とを備えてなり、液晶層13は、液晶化合物と本発明の重合体とを含有する液晶層、または液晶化合物と本発明の重合体とを含む組成物の硬化により形成された液晶層を含む。光学フィルムはこれらの液晶層のみからなるものであってもよく、さらに液晶層を設けてもよく、液晶層の他に他の層を含むものであってもよい。他の層としては、配向層、表面保護層などが挙げられる。また、本発明の重合体を含む組成物から形成された液晶層以外の液晶層をさらに有していてもよい。
光学フィルム10は、図1に示されるように、支持体11に近い液晶層を下層(液晶層13)としてその表面に上層として、本発明の重合体と液晶成分と溶剤とを含む組成物を塗布して形成された液晶層13を備えた構造を有することが好ましい。このときの組成物の溶剤は上記で例示した有機溶剤から選択することができる。液晶層13の表面にさらに同様に層が形成された構造も好ましく、光学フィルム10は同様に形成された液晶層の3~10層の積層フィルムであってもよい。
支持体11としては、ガラスやポリマーフィルムを用いることができる。支持体として用いられるポリマーフィルムの材料の例には、セルロースアシレートフィルム(例えば、セルローストリアセテートフィルム(屈折率1.48)、セルロースジアセテートフィルム、セルロースアセテートブチレートフィルム、セルロースアセテートプロピオネートフィルム)、ポリエチレン、ポリプロピレン等のポリオレフィン、ポリエチレンテレフタレートやポリエチレンナフタレート等のポリエステル系樹脂フィルム、ポリエーテルスルホンフィルム、ポリメチルメタクリレート等のポリアクリル系樹脂フィルム、ポリウレタン系樹脂フィルム、ポリエステルフィルム、ポリカーボネートフィルム、ポリスルホンフィルム、ポリエーテルフィルム、ポリメチルペンテンフィルム、ポリエーテルケトンフィルム、(メタ)アクリルニトリルフィルム、ポリオレフィン、シクロオレフィンポリマー系フィルム{例えば、商品名「アートン(登録商標)」、JSR社製、商品名「ゼオネックス(登録商標)」、日本ゼオン社製など}、が挙げられる。このうちトリアセチルセルロース、ポリエチレンテレフタレート、脂環式構造を有するポリマーが好ましく、特にトリアセチルセルロースが好ましい。
支持体は液晶層の形成後剥離されて光学フィルムに含まれない仮支持体であってもよい。
支持体の膜厚としては、5μm~1000μm程度であればよく、好ましくは10μm~250μmであり、より好ましくは15μm~90μmである。
光学フィルムは配向層を含んでいてもよい。配向層は、液晶層などの層の形成の際に用いられ、液晶層作製用組成物中に含まれる液晶化合物の分子を配向させるために用いられる。
光学フィルムにおいては、配向層が含まれていてもいなくてもよい。
支持体、液晶層などの下層の材料によっては、配向層を設けなくても、下層を直接配向処理(例えば、ラビング処理)することで、配向層として機能させることもできる。そのような下層となる支持体の一例としては、ポリエチレンテレフタレート(PET)を挙げることができる。
また、液晶層の上に直接層を積層する場合、下層の液晶層が配向層として振舞い、上層の作製のための液晶化合物を配向させることができる場合もある。このような場合、配向層を設けなくても、また、特別な配向処理(例えば、ラビング処理)を実施しなくても上層の液晶化合物を配向することができる。
ラビング処理配向層に用いることができるポリマーの例には、例えば特開平8-338913号公報明細書中段落番号[0022]記載のメタクリレート系共重合体、スチレン系共重合体、ポリオレフィン、ポリビニルアルコールおよび変性ポリビニルアルコール、ポリ(N-メチロールアクリルアミド)、ポリエステル、ポリイミド、酢酸ビニル共重合体、カルボキシメチルセルロース、ポリカーボネート等が含まれる。シランカップリング剤をポリマーとして用いることができる。水溶性ポリマー(例、ポリ(N-メチロールアクリルアミド)、カルボキシメチルセルロース、ゼラチン、ポリビニルアルコール、変性ポリビニルアルコール)が好ましく、ゼラチン、ポリビニルアルコールおよび変性ポリビニルアルコールがさらに好ましく、ポリビニルアルコールおよび変性ポリビニルアルコールが最も好ましい。
配向層の膜厚は、0.1~10μmの範囲にあることが好ましい。
液晶層作製用組成物が塗布される、配向層、支持体、またはそのほかの層の表面は、必要に応じてラビング処理をしてもよい。ラビング処理は、一般にはポリマーを主成分とする膜の表面を、紙や布で一定方向に擦ることにより実施することができる。ラビング処理の一般的な方法については、例えば、「液晶便覧」(丸善社発行、平成12年10月30日)に記載されている。
式A L=Nl(1+2πrn/60v)
式A中、Nはラビング回数、lはラビングローラーの接触長、rはローラーの半径、nはローラーの回転数(rpm)、vはステージ移動速度(秒速)である。
光照射により形成される光配向層に用いられる光配向材料としては、多数の文献等に記載がある。例えば、特開2006-285197号公報、特開2007-76839号公報、特開2007-138138号公報、特開2007-94071号公報、特開2007-121721号公報、特開2007-140465号公報、特開2007-156439号公報、特開2007-133184号公報、特開2009-109831号公報、特許第3883848号、特許第4151746号に記載のアゾ化合物、特開2002-229039号公報に記載の芳香族エステル化合物、特開2002-265541号公報、特開2002-317013号公報に記載の光配向性単位を有するマレイミドおよび/またはアルケニル置換ナジイミド化合物、特許第4205195号、特許第4205198号に記載の光架橋性シラン誘導体、特表2003-520878号公報、特表2004-529220号公報、特許第4162850号に記載の光架橋性ポリイミド、ポリアミド、またはエステルが好ましい例として挙げられる。特に好ましくは、アゾ化合物、光架橋性ポリイミド、ポリアミド、またはエステルである。
本明細書において、「直線偏光照射」とは、光配向材料に光反応を生じせしめるための操作である。用いる光の波長は、用いる光配向材料により異なり、その光反応に必要な波長であれば特に限定されるものではない。好ましくは、光照射に用いる光のピーク波長が200nm~700nmであり、より好ましくは光のピーク波長が400nm以下の紫外光である。
非偏光を利用する場合には、斜めから非偏光を照射する。その入射角度は、10°~80°、好ましくは20°~60°、特に好ましくは30°~50°である。
照射時間は、好ましくは1分~60分、さらに好ましくは1分~10分である。
光学フィルムは支持体上に、液晶層を形成することにより製造することができる。支持体は液晶層の形成後剥離してもよい。本明細書において、「支持体上に」というとき、「支持体表面に直接」または「支持体表面に形成された他の層を介して」との意味を示す。液晶層は先に形成された他の層の表面に形成してもよい。
液晶層の表面にさらに上記のように液晶層を形成することも好ましい。本発明の液晶層作製用組成物から形成される液晶層はハジキを生じさせにくいため、様々な積層型の光学フィルムの作製が可能である。本発明の組成物は特に、先に形成された液晶層の表面上に直接塗布することが好ましい。本発明の組成物は塗布成膜される際、ハジキを生じにくく、面状に優れ、さらには配向欠陥も低減できる。
液晶層は本発明の組成物からなる塗膜から形成される。液晶層は、例えば、支持体上に組成物を塗布し、得られる塗膜を乾燥することにより形成された層であってもよく、さらに光照射または加熱などによる硬化工程に付して形成された層であってもよい。
紫外線照射によって進行される硬化反応(例えば重合反応)の反応率は、層の機械的強度の保持等や未反応物が層から流出するのを抑える等の観点から、60%以上であることが好ましく、70%以上であることがより好ましく、80%以上であることがよりさらに好ましい。反応率を向上させるためには照射する紫外線の照射量を増大する方法や窒素雰囲気下あるいは加熱条件下での重合が効果的である。また、一旦重合させた後に、重合温度よりも高温状態で保持して熱重合反応によって反応をさらに推し進める方法や、再度紫外線を照射する方法を用いることもできる。反応率の測定は反応性基(例えば重合性基)の赤外振動スペクトルの吸収強度を、反応進行の前後で比較することによって行うことができる。
本発明の光学フィルムは、液晶表紙装置のバックライトに用いる輝度向上フィルムとして用いることができる。以下、本発明の一実施形態である液晶表示装置について説明する。図2は、本発明にかかる一実施形態である液晶表示装置20の構成を示す概略図である。図3は、バックライトユニットの概略断面図である。
図2に示されるように、液晶表示装置20は、一対の偏光板(上側偏光板21,下側偏光板28)と、これらに挟持されてなる液晶セル30と、下側偏光板28の液晶セルとは反対の面側にバックライトユニット40とを有しており、液晶セル30は、液晶25とその上下に配置されてなる液晶セル上電極基板23と液晶セル下電極基板26とを有している。なお、バックライトユニット40に偏光発光フィルムを備えているので、下側偏光板28を省略することも可能である。
また他の態様では、発光ダイオードに替えてレーザー光源を使用することもできる。
(重合体B-101の合成例)
攪拌機、温度計、還流冷却管、及び窒素ガス導入管を備えた200ミリリットル三口フラスコに、t-アミルアルコール25.0gを仕込んで、120℃まで昇温した。次いで、2-(パーフルオロヘキシル)エチルアクリレート3.25g(7.8ミリモル)、下記に示されるモノマーAである3官能水酸基含有化合物2.26g(4.7ミリモル)、t-アミルアルコール25.0g及び重合開始剤「V-601」(和光純薬工業(株)製)6.0gからなる混合溶液を、30分で滴下が完了するように等速で滴下した。滴下完了後、さらに3.5時間攪拌を続けた後、溶媒を減圧溜去し、130℃にて減圧乾燥し、本発明の重合体B-101を7.7g得た。この重合体の重量平均分子量(Mw)は1,800であった。重量平均分子量(Mw)は、ゲルパーミエーションクロマトグラフィー(GPC)によりポリスチレン換算で算出した。使用カラムはTSKgel SuperHZM-H、TSKgel SuperHZ4000、TSKgel SuperHZ200(東ソー(株)製)であった。
表1に各合成例の材料および含有量を示す。
モノマー、組成比をそれぞれ、表1に示すように変更したこと以外は、合成例1と同様にして本発明の重合体B-102~B-110を合成した。合成例2~10の重量平均分子量(Mw)は1,600~3,600であった。
C6FHA:1H,1H,7H-ドデカフルオロヘプチルアクリレート
C6FA:2-(パーフルオロヘキシル)エチルアクリレート
C8FA:2-(パーフルオロオクチル)エチルアクリレート
C10FA:2-(パーフルオロデシル)エチルアクリレート
上記で得られたB-101~B-110までの重合体を用い実施例、および比較例の光学フィルムを作製した。光学フィルムは、支持体上に配向層、λ/4層、配向層、液晶層1(以下、下層とも記載する。)、および液晶層2(以下、上層とも記載する。)を順次積層して形成した。各層の形成方法および塗布液を以下に説明する。
支持体として市販のセルロースアシレートフィルム「TD40UL」(富士フイルム(株)製)を用いた。以下、支持体をTD40ULと記載する。
TD40ULの表面をアルカリ処理した後、配向層を形成した。
TD40ULを、温度60℃の誘電式加熱ロールを通過させ、フィルム表面温度を40℃に昇温した後に、フィルムの片面に下記に示す組成のアルカリ溶液を、バーコーターを用いて塗布量14ml/m2で塗布し、110℃に加熱した(株)ノリタケカンパニーリミテド製のスチーム式遠赤外ヒーターの下に、10秒間搬送した。続いて、同じくバーコーターを用いて、純水を3ml/m2塗布した。次いで、ファウンテンコーターによる水洗とエアナイフによる水切りを3回繰り返した後に、70℃の乾燥ゾーンに10秒間搬送して乾燥し、アルカリ鹸化処理したセルロースアシレートフィルムを作製した。
水酸化カリウム 4.7質量部
水 15.8質量部
イソプロパノール 63.7質量部
界面活性剤SF-1:C14H29O(CH2CH2O)20H 1.0質量部
プロピレングリコール 14.8質量部
上記のようにアルカリ鹸化処理した長尺状のセルロースアセテートフィルムに、下記の組成の配向層塗布液を#14のワイヤーバーで連続的に塗布した。60℃の温風で60秒、さらに100℃の温風で120秒乾燥した。得られた塗膜に連続的にラビング処理を施し、配向層を作製した。このとき、長尺状のフィルムの長手方向と搬送方向は平行であり、フィルム長手方向に対して、ラビングローラーの回転軸は時計回りに45°の方向とした。
下記の変性ポリビニルアルコール 10質量部
水 371質量部
メタノール 119質量部
グルタルアルデヒド 0.5質量部
光重合開始剤(イルガキュアー2959、BASF社製) 0.3質量部
上記作製した配向層上に、下記の組成の円盤状液晶化合物を含む塗布液A1を#3.6のワイヤーバーで連続的に塗布した。フィルムの搬送速度(V)は20m/minとした。塗布液の溶剤の乾燥および円盤状液晶化合物の配向熟成のために、60℃の温風で90秒間加熱した。続いて、60℃にてUV照射を行い、液晶化合物の配向を固定化し、λ/4層を形成した。このとき、UV照射量は100mJ/cm2とした。
円盤状液晶化合物(化合物101) 80質量部
円盤状液晶化合物(化合物102) 20質量部
配向助剤1 0.9質量部
配向助剤2 0.1質量部
重合性モノマー 10質量部
界面活性剤(DIC社製メガファックF444) 0.12質量部
重合開始剤1 3質量部
アセトン 192.1質量部
tert-ブタノール 54.9質量部
シクロヘキサノン 27.5質量部
円盤状液晶化合物(化合物101) 80質量部
円盤状液晶化合物(化合物102) 20質量部
配向助剤1 0.9質量部
配向助剤2 0.1質量部
重合性モノマー 10質量部
界面活性剤(DIC社製メガファックF444) 0.12質量部
本発明の重合体B-101 0.03質量部
重合開始剤1 3質量部
メチルエチルケトン 218.7質量部
tert-ブタノール 62.5質量部
シクロヘキサノン 31.2質量部
円盤状液晶化合物(化合物101) 80質量部
円盤状液晶化合物(化合物102) 20質量部
配向助剤1 0.9質量部
配向助剤2 0.1質量部
重合性モノマー 10質量部
本発明の重合体B-101 0.05質量部
重合開始剤1 3質量部
メチルエチルケトン 218.7質量部
tert-ブタノール 62.5質量部
シクロヘキサノン 31.2質量部
λ/4層の表面に上記と同様に配向層を形成した。
λ/4層上に形成した配向層の表面に、以下の塗布液を、3μmの膜厚になるように調整し、連続的に塗布した。続いて、溶剤を70℃、2分間乾燥し、溶剤を気化させた後に115℃で3分間加熱熟成を行って、均一な配向状態を得た。その後、この塗布膜を50℃に保持し、これに窒素雰囲気下で高圧水銀灯を用いて紫外線照射して、コレステリック液晶層1を形成した。このとき、UV照射量は75mJ/cm2とした。
-液晶層B1の組成物-
円盤状液晶化合物(化合物101) 80質量部
円盤状液晶化合物(化合物102) 20質量部
本発明の重合体B-101 0.05質量部
重合開始剤1 3質量部
キラル剤1 5.5質量部
メチルエチルケトン 6.7質量部
アセトン 112.6質量部
tert-ブタノール 38.8質量部
シクロヘキサノン 15質量部
本発明の重合体の添加量、種類を表1に記載のようにしたこと以外は、塗布液B1と同様にして本発明の塗布液B2~B18、および比較例塗布液BH-1~BH-4を調製した。
前述のTD40UL+λ/4のλ/4層の表面に形成した配向層A2の表面に、以下の塗布液B19を、3.1μmの膜厚になるように調整し、連続的に塗布した。続いて、溶剤を70℃、1分間乾燥し、溶剤を気化させた後に112℃で2分間加熱熟成を行って、均一な配向状態を得た。
その後、この塗布膜を50℃に保持し、これに窒素雰囲気下でアイグラ社製メタルハイドロランプを用いて紫外線照射して、コレステリック液晶層B19を形成した。なお、窒素雰囲気下とは、酸素濃度500ppm以下の環境を言う。このとき、UV照射量は130mJ/cm2とした。
円盤状液晶化合物(化合物101) 80質量部
円盤状液晶化合物(化合物102) 20質量部
界面活性剤(DIC社製メガファックF444) 0.18質量部
本発明の化合物B-101 0.03質量部
重合開始剤1 3質量部
キラル剤1 5.1質量部
メチルエチルケトン 125.2質量部
tert-ブタノール 38.5質量部
シクロヘキサノン 28.9質量部
前述のTD40UL+λ/4のλ/4層の表面に形成した配向層A2の表面に、以下の塗布液B20を、3.1μmの膜厚になるように調整し、連続的に塗布した。続いて、溶剤を70℃、1分間乾燥し、溶剤を気化させた後に112℃で2分間加熱熟成を行って、均一な配向状態を得た。
その後、この塗布膜を50℃に保持し、これに窒素雰囲気下でアイグラ社製メタルハイドロランプを用いて紫外線照射して、コレステリック液晶層B20を形成した。なお、窒素雰囲気下とは、酸素濃度500ppm以下の環境を言う。このとき、UV照射量は130mJ/cm2とした。
円盤状液晶化合物(化合物101) 80質量部
円盤状液晶化合物(化合物102) 20質量部
本発明の化合物B-101 0.05質量部
重合開始剤1 3質量部
キラル剤1 5.1質量部
メチルエチルケトン 125.2質量部
tert-ブタノール 38.5質量部
シクロヘキサノン 28.9質量部
上記塗布液B1から作製した液晶層1の表面上に、下記の組成の棒状液晶化合物を含む塗布液C1を5μmの膜厚になるように調整し、連続的に塗布した。フィルムの搬送速度は20m/minとした。塗布液の溶剤の乾燥および棒状液晶化合物の配向熟成のために、95℃の温風で180秒間加熱した。続いて、30℃にてUV照射を行い、液晶化合物の配向を固定化し光学異方性層(液晶層2)を形成した。このとき、UV照射量は300mJ/cm2とした。
実施例1~20および比較例1~4についても、同様に液晶層2を形成した。
棒状液晶化合物201 83質量部
棒状液晶化合物202 15質量部
棒状液晶化合物203 2質量部
多官能モノマーA-TMMT(新中村化学工業(株)製) 1質量部
重合開始剤IRGACURE819(BASF社製) 4質量部
含フッ素化合物1 0.17質量部
キラル剤LC756(BASF社製) 6質量部
トルエン 187.5質量部
シクロヘキサノン 9.9質量部
攪拌機、温度計、還流冷却管、及び窒素ガス導入管を備えた200ミリリットル三口フラスコに、トルエン25.0gを仕込んで、120℃まで昇温した。次いで、2-(パーフルオロヘキシル)エチルアクリレート3.25g(7.8ミリモル)、トリメチロールプロパントリアクリレート2.26g(5.3ミリモル)、トルエン25.0g及び重合開始剤「V-601」(和光純薬工業(株)製)4.7gからなる混合溶液を、30分で滴下が完了するように等速で滴下した。滴下完了後、さらに3.5時間攪拌を続けた後、溶媒を減圧溜去し、130℃にて減圧乾燥し、比較例重合体(H-101)7.5gを得た。この重合体の重量平均分子量(Mw)は1,500であった。重量平均分子量(Mw)は、ゲルパーミエーションクロマトグラフィー(GPC)によりポリスチレン換算で算出した。使用カラムはTSKgel SuperHZM-H、TSKgel SuperHZ4000、TSKgel SuperHZ200(東ソー社製)であった。
市販のフッ素系表面改質剤「メガファックF-552」(商品名,DIC(株)製)を用いた。
塗布液B1~B20、およびBH-1~BH-4ならびにC1につき、振動式粘度計(商品名「Vm-100」,セコニック社製)を使用して粘度を測定した。全て1.5~10mPa・sの範囲内であった。
各実施例および比較例のフィルム15cm×20cm中の、各組成物を用いて形成した層のハジキの個数を数えた。ここで、下層の表面中において上層が形成されていない領域をハジキ1個として数えた。その結果を元に、以下の基準で評価した。
評価基準がAまたはBであれば、生産効率に優れ、好適に用いることができる。評価基準はAであることがより好ましい。
A:ハジキが1個以下
B:ハジキが1~3個
C:ハジキが4~9個
D:ハジキが10個超
組成物を塗布し、乾燥させた後の層に関し、目視にて面状を確認した。
評価基準がAまたはBであれば、生産効率に優れ、好適に用いることができ、評価基準はAであることがより好ましい。
A:乾燥ムラやシワの無い面状である
B:乾燥ムラがわずかに見られるが問題なく使用できる
C:乾燥ムラや凹凸がBに比べ多いが問題なく使用できる
D:乾燥ムラに起因する明らかな凹凸が見られ、使用に適さない
液晶配向性の優劣は、偏向顕微鏡(商品名「ECLIPSE」,Nikon社製)によって膜を観察したときの配向欠陥の有無によって、以下の基準に従って決定した。評価基準A~Cのいずれかの評価であることが好ましい。評価基準AまたはBであれば、生産効率に優れ、好適に用いることができ、評価基準Aであることがより好ましい。
A:配向不良なし
B:配向不良ほとんどなし
C:一部に若干の配向不良が見られる
D:全面に配向不良あり
市販の液晶表示装置(商品名「TH-L42D2」,パナソニック社製)を分解し、そのバックライトユニットにある輝度向上フィルムを本発明の光学フィルムに変更し、本発明の液晶表示装置としたところ、性能は良好であった。
実施例19および20から、λ/4層に本発明の重合体を含有させて塗布し、その上に本発明の重合体を含有させた液晶層1を塗布した場合も、全ての性能においてA評価であった。本発明の重合体は、積層塗布をする場合においても、ハジキ等の改善に効果的であることがわかった。
本発明の重合体の添加量が0.03~0.1質量部の実施例1~8、11、19、および20は、下層および上層の全ての評価項目において、A以上と優れていた。
本発明の重合体の添加量が、0.04~0.05の実施例1、2、および4は、同じ重合体を用いた添加量が0.4~0.7質量部の実施例14~16と比較して、配向において優れていた。
本発明の重合体の添加量が0.04の実施例7は、添加量が0.01質量部の実施例18と比較して、ハジキの評価が優れていた。
実施例10のフッ素原子を有する化合物は、実施例1~3と比較して、フッ素原子の含有量が少ないため、表面張力が上がり性能が下がった。
一方、水酸基を有しない比較例1、2以上のラジカル重合性二重結合を有しない重合体を含む比較例2、従来のフッ素系界面活性剤を含む比較例3は、下層の評価はすべてDと劣った。本発明の重合体を含有しない比較例4はハジキの評価がDと劣った。
Claims (17)
- 2以上のラジカル重合性二重結合および1以上の水酸基を有するモノマーを重合させてなる重合体。
- フッ素原子を有する化合物を重合してなる部分構造を有する請求項1~3いずれか1項記載の重合体。
- 重量平均分子量が、ゲル浸透クロマトグラフィーによるポリスチレン換算で1,000~300,000である請求項1~5いずれか1項記載の重合体。
- 重量平均分子量が、ゲル浸透クロマトグラフィーによるポリスチレン換算で1,000~10,000である請求項6記載の重合体。
- 高分岐構造を有する請求項1~7いずれか1項記載の重合体。
- 請求項1~8いずれか1項記載の重合体を含む組成物。
- さらに液晶化合物を含む請求項9記載の組成物。
- 前記液晶化合物が、重合性液晶化合物である請求項10記載の組成物。
- 前記重合性液晶化合物が、重合性棒状液晶化合物および重合性円盤状液晶化合物の少なくとも1種である請求項11記載の組成物。
- 支持体上に、請求項1~8いずれか1項記載の重合体を含有するコレステリック液晶層を備えてなる光学フィルム。
- 複数の前記コレステリック液晶を積層した構造を有する請求項13記載の光学フィルム。
- 前記複数のコレステリック液晶層のうち、一方が棒状液晶化合物を含むコレステリック液晶層であり、他方が円盤状液晶化合物を含むコレステリック液晶層である請求項14記載の光学フィルム。
- 前記棒状液晶化合物を含むコレステリック液晶層と、前記円盤状液晶化合物を含むコレステリック液晶層とが互いに接している請求項15記載の光学フィルム。
- 請求項13~16のいずれか1項記載の光学フィルムを備えたバックライトユニットと液晶セルとを少なくとも含む液晶表示装置。
Priority Applications (4)
| Application Number | Priority Date | Filing Date | Title |
|---|---|---|---|
| JP2016563517A JP6423002B2 (ja) | 2014-12-12 | 2015-12-09 | 重合体、組成物、光学フィルム、および液晶表示装置 |
| KR1020177016077A KR101973877B1 (ko) | 2014-12-12 | 2015-12-09 | 중합체, 조성물, 광학 필름, 및 액정 표시 장치 |
| CN201580067490.XA CN107001512B (zh) | 2014-12-12 | 2015-12-09 | 聚合物、组合物、光学膜及液晶显示装置 |
| US15/618,725 US20170283701A1 (en) | 2014-12-12 | 2017-06-09 | Polymer, composition, optical film, and liquid crystal display device |
Applications Claiming Priority (2)
| Application Number | Priority Date | Filing Date | Title |
|---|---|---|---|
| JP2014-252480 | 2014-12-12 | ||
| JP2014252480 | 2014-12-12 |
Related Child Applications (1)
| Application Number | Title | Priority Date | Filing Date |
|---|---|---|---|
| US15/618,725 Continuation US20170283701A1 (en) | 2014-12-12 | 2017-06-09 | Polymer, composition, optical film, and liquid crystal display device |
Publications (1)
| Publication Number | Publication Date |
|---|---|
| WO2016092844A1 true WO2016092844A1 (ja) | 2016-06-16 |
Family
ID=56107056
Family Applications (1)
| Application Number | Title | Priority Date | Filing Date |
|---|---|---|---|
| PCT/JP2015/006141 Ceased WO2016092844A1 (ja) | 2014-12-12 | 2015-12-09 | 重合体、組成物、光学フィルム、および液晶表示装置 |
Country Status (5)
| Country | Link |
|---|---|
| US (1) | US20170283701A1 (ja) |
| JP (1) | JP6423002B2 (ja) |
| KR (1) | KR101973877B1 (ja) |
| CN (1) | CN107001512B (ja) |
| WO (1) | WO2016092844A1 (ja) |
Cited By (5)
| Publication number | Priority date | Publication date | Assignee | Title |
|---|---|---|---|---|
| WO2017010560A1 (ja) * | 2015-07-16 | 2017-01-19 | 富士フイルム株式会社 | 液晶組成物、フィルム、投映像表示用ハーフミラー、およびフィルムの製造方法 |
| WO2018173647A1 (ja) * | 2017-03-22 | 2018-09-27 | 富士フイルム株式会社 | 液晶組成物、光学異方性層、光学積層体および画像表示装置 |
| WO2018189068A1 (en) * | 2017-04-10 | 2018-10-18 | Merck Patent Gmbh | Composition for nanoencapsulation and nanocapsules comprising a liquid-crystalline medium |
| KR20190133731A (ko) | 2017-05-26 | 2019-12-03 | 후지필름 가부시키가이샤 | 중합성 액정 조성물, 광학 이방성층, 광학 적층체, 광학 적층체의 제조 방법 및 화상 표시 장치 |
| WO2023248719A1 (ja) | 2022-06-21 | 2023-12-28 | 富士フイルム株式会社 | 画像記録物及び画像記録物の製造方法、並びに、加飾成形体 |
Families Citing this family (3)
| Publication number | Priority date | Publication date | Assignee | Title |
|---|---|---|---|---|
| JP6945052B2 (ja) * | 2018-02-15 | 2021-10-06 | 富士フイルム株式会社 | バインダー組成物、バインダー層、光学積層体および画像表示装置 |
| JP7118153B2 (ja) | 2018-07-25 | 2022-08-15 | 富士フイルム株式会社 | 重合性液晶組成物、光学異方性膜、光学フィルム、偏光板および画像表示装置 |
| JP2020024357A (ja) * | 2018-08-02 | 2020-02-13 | 住友化学株式会社 | 光学フィルム |
Citations (6)
| Publication number | Priority date | Publication date | Assignee | Title |
|---|---|---|---|---|
| JPH09165459A (ja) * | 1995-12-18 | 1997-06-24 | Dainippon Ink & Chem Inc | 表面疎水性成形物の製造方法および表面疎水性成形物 |
| JP3295946B2 (ja) * | 1991-03-28 | 2002-06-24 | 大日本インキ化学工業株式会社 | 可とう性に優れる塗膜の形成方法 |
| JP2011221492A (ja) * | 2010-03-26 | 2011-11-04 | Dainippon Printing Co Ltd | プリズムシート、光学部材用活性エネルギー線硬化性樹脂組成物、面光源装置及び液晶表示装置 |
| JP4908102B2 (ja) * | 2006-08-09 | 2012-04-04 | 富士フイルム株式会社 | 位相差フィルム、偏光板及び液晶表示装置 |
| WO2014034607A1 (ja) * | 2012-08-30 | 2014-03-06 | 日産化学工業株式会社 | 含フッ素高分岐ポリマー及びそれを含む不飽和ポリエステル樹脂組成物 |
| JP5638184B2 (ja) * | 2005-12-02 | 2014-12-10 | 三井化学株式会社 | 単層膜およびこれからなる親水性材料 |
Family Cites Families (21)
| Publication number | Priority date | Publication date | Assignee | Title |
|---|---|---|---|---|
| JPS58105943A (ja) * | 1981-12-21 | 1983-06-24 | Tokuyama Soda Co Ltd | 含弗素不飽和カルボン酸エステル及びその製法 |
| US4507458A (en) * | 1983-04-14 | 1985-03-26 | Takeda Chemical Industries, Ltd. | Urethane acrylate compositions |
| JPS6032856A (ja) * | 1983-07-30 | 1985-02-20 | Dainippon Ink & Chem Inc | 自動車補修塗料用樹脂組成物 |
| JPH04221344A (ja) * | 1990-12-21 | 1992-08-11 | Tokuyama Soda Co Ltd | 含フッ素アクリレート化合物及びそれを用いた接着性組成物 |
| US5714289A (en) * | 1992-02-12 | 1998-02-03 | Fuji Photo Film Co., Ltd. | Method of preparation of electrophotographic printing plate |
| DE4390508T1 (de) * | 1992-02-12 | 1994-01-13 | Fuji Photo Film Co Ltd | Verfahren zur Herstellung einer elektrophotographischen Druckplatte |
| JP2000026692A (ja) * | 1998-07-08 | 2000-01-25 | Ube Nitto Kasei Co Ltd | 熱硬化性樹脂被覆粒子、その製造方法および該粒子からなるスペーサー |
| JP2000102727A (ja) | 1998-09-29 | 2000-04-11 | Dainippon Ink & Chem Inc | フッ素系界面活性剤及びその組成物 |
| JP2001091741A (ja) * | 1999-09-22 | 2001-04-06 | Fuji Photo Film Co Ltd | 位相差板および円偏光板 |
| JP4066318B2 (ja) * | 2001-02-23 | 2008-03-26 | 日本化薬株式会社 | 配向膜用紫外線硬化型樹脂組成物および液晶性化合物を有する高分子フィルムからなる位相差フィルム |
| JP2003131234A (ja) * | 2001-10-25 | 2003-05-08 | Canon Inc | 高分子分散型液晶素子 |
| JP2003202554A (ja) * | 2002-01-09 | 2003-07-18 | Canon Inc | 液晶素子 |
| JP2007332265A (ja) * | 2006-06-14 | 2007-12-27 | Dainippon Printing Co Ltd | 液晶組成物、これを用いたカラーフィルタ及び液晶表示装置 |
| WO2008081679A1 (ja) * | 2006-12-28 | 2008-07-10 | Konica Minolta Medical & Graphic, Inc. | 感光性平版印刷版用現像液及びそれを用いた平版印刷版の作製方法 |
| JP5016568B2 (ja) * | 2007-08-20 | 2012-09-05 | 富士フイルム株式会社 | 光学補償フィルム、その製造方法、並びにそれを用いた偏光板及び液晶表示装置 |
| JP2009057504A (ja) * | 2007-09-03 | 2009-03-19 | Toppan Printing Co Ltd | ハードコートフィルム |
| JP5667336B2 (ja) * | 2008-03-17 | 2015-02-12 | 積水化学工業株式会社 | マイクロパターン形成用硬化性組成物、マイクロパターン複合材及び微小3次元構造体の製造方法 |
| JP2011201087A (ja) * | 2010-03-24 | 2011-10-13 | Toppan Printing Co Ltd | タッチパネル用ハードコートフィルム及びタッチパネル |
| JP2012063428A (ja) * | 2010-09-14 | 2012-03-29 | Nippon Zeon Co Ltd | 光反射板用重合性組成物、及び光反射板 |
| JP2013047794A (ja) * | 2011-07-28 | 2013-03-07 | Fujifilm Corp | 液晶表示装置 |
| JP2013208882A (ja) * | 2012-03-30 | 2013-10-10 | Fujifilm Corp | 結晶性の高い液晶性化合物を含む積層フィルムの製造方法 |
-
2015
- 2015-12-09 CN CN201580067490.XA patent/CN107001512B/zh active Active
- 2015-12-09 WO PCT/JP2015/006141 patent/WO2016092844A1/ja not_active Ceased
- 2015-12-09 KR KR1020177016077A patent/KR101973877B1/ko active Active
- 2015-12-09 JP JP2016563517A patent/JP6423002B2/ja active Active
-
2017
- 2017-06-09 US US15/618,725 patent/US20170283701A1/en not_active Abandoned
Patent Citations (6)
| Publication number | Priority date | Publication date | Assignee | Title |
|---|---|---|---|---|
| JP3295946B2 (ja) * | 1991-03-28 | 2002-06-24 | 大日本インキ化学工業株式会社 | 可とう性に優れる塗膜の形成方法 |
| JPH09165459A (ja) * | 1995-12-18 | 1997-06-24 | Dainippon Ink & Chem Inc | 表面疎水性成形物の製造方法および表面疎水性成形物 |
| JP5638184B2 (ja) * | 2005-12-02 | 2014-12-10 | 三井化学株式会社 | 単層膜およびこれからなる親水性材料 |
| JP4908102B2 (ja) * | 2006-08-09 | 2012-04-04 | 富士フイルム株式会社 | 位相差フィルム、偏光板及び液晶表示装置 |
| JP2011221492A (ja) * | 2010-03-26 | 2011-11-04 | Dainippon Printing Co Ltd | プリズムシート、光学部材用活性エネルギー線硬化性樹脂組成物、面光源装置及び液晶表示装置 |
| WO2014034607A1 (ja) * | 2012-08-30 | 2014-03-06 | 日産化学工業株式会社 | 含フッ素高分岐ポリマー及びそれを含む不飽和ポリエステル樹脂組成物 |
Cited By (9)
| Publication number | Priority date | Publication date | Assignee | Title |
|---|---|---|---|---|
| WO2017010560A1 (ja) * | 2015-07-16 | 2017-01-19 | 富士フイルム株式会社 | 液晶組成物、フィルム、投映像表示用ハーフミラー、およびフィルムの製造方法 |
| WO2018173647A1 (ja) * | 2017-03-22 | 2018-09-27 | 富士フイルム株式会社 | 液晶組成物、光学異方性層、光学積層体および画像表示装置 |
| CN110235034A (zh) * | 2017-03-22 | 2019-09-13 | 富士胶片株式会社 | 液晶组合物、光学各向异性层、光学层叠体及图像显示装置 |
| JPWO2018173647A1 (ja) * | 2017-03-22 | 2019-11-07 | 富士フイルム株式会社 | 液晶組成物、光学異方性層、光学積層体および画像表示装置 |
| US11111437B2 (en) | 2017-03-22 | 2021-09-07 | Fujifilm Corporation | Liquid crystal composition, optically anisotropic layer, optical laminate, and image display device |
| WO2018189068A1 (en) * | 2017-04-10 | 2018-10-18 | Merck Patent Gmbh | Composition for nanoencapsulation and nanocapsules comprising a liquid-crystalline medium |
| KR20190133731A (ko) | 2017-05-26 | 2019-12-03 | 후지필름 가부시키가이샤 | 중합성 액정 조성물, 광학 이방성층, 광학 적층체, 광학 적층체의 제조 방법 및 화상 표시 장치 |
| US11186775B2 (en) | 2017-05-26 | 2021-11-30 | Fujifilm Corporation | Polymerizable liquid crystal composition, optically anisotropic layer, optical laminate, method for producing optical laminate, and image display device |
| WO2023248719A1 (ja) | 2022-06-21 | 2023-12-28 | 富士フイルム株式会社 | 画像記録物及び画像記録物の製造方法、並びに、加飾成形体 |
Also Published As
| Publication number | Publication date |
|---|---|
| JP6423002B2 (ja) | 2018-11-14 |
| KR101973877B1 (ko) | 2019-04-29 |
| US20170283701A1 (en) | 2017-10-05 |
| CN107001512A (zh) | 2017-08-01 |
| CN107001512B (zh) | 2020-03-03 |
| KR20170083128A (ko) | 2017-07-17 |
| JPWO2016092844A1 (ja) | 2017-09-21 |
Similar Documents
| Publication | Publication Date | Title |
|---|---|---|
| JP6423002B2 (ja) | 重合体、組成物、光学フィルム、および液晶表示装置 | |
| JP6445011B2 (ja) | 重合体、組成物、光学フィルムおよび液晶表示装置 | |
| JP6728581B2 (ja) | 光吸収異方性膜、3次元光吸収異方性膜及びその製造方法 | |
| JP2021140157A (ja) | 積層体 | |
| CN101416086B (zh) | 膜、膜的制造方法及其用途 | |
| JP6379443B2 (ja) | 光学フィルム、光学積層体、光学フィルムの製造方法、およびディスプレイ装置 | |
| WO2016136231A1 (ja) | 積層体及び光学フィルム | |
| JP6639521B2 (ja) | 光学機能性層作製用組成物、光学フィルム、および液晶表示装置 | |
| JP2024107027A (ja) | 積層体、光学装置および表示装置 | |
| JP2016197219A (ja) | 積層体及び光学フィルム | |
| US12486458B2 (en) | Liquid crystal composition, liquid crystal cured layer, optical film, polarizing plate, and image display device | |
| JP6571775B2 (ja) | 液晶組成物、フィルム、投映像表示用ハーフミラー、およびフィルムの製造方法 | |
| JP7271721B2 (ja) | 有機エレクトロルミネッセンス表示装置 | |
| JP2016184013A (ja) | 位相差フィルムとその製造方法および該位相差フィルムを有する光学部材 | |
| WO2020149343A1 (ja) | 積層体および画像表示装置 | |
| JP6335294B2 (ja) | 光学機能性層作製用組成物、光学機能性層を含む光学フィルムの製造方法、および光学フィルム | |
| JP6394592B2 (ja) | 光学異方性フィルム用配向層 | |
| WO2014168258A1 (ja) | 光学異方性フィルムの製造方法 | |
| WO2017002788A1 (ja) | バックライトユニット | |
| CN117980789A (zh) | 液晶组合物、液晶固化层、光学膜、偏振片及图像显示装置 |
Legal Events
| Date | Code | Title | Description |
|---|---|---|---|
| 121 | Ep: the epo has been informed by wipo that ep was designated in this application |
Ref document number: 15867072 Country of ref document: EP Kind code of ref document: A1 |
|
| ENP | Entry into the national phase |
Ref document number: 2016563517 Country of ref document: JP Kind code of ref document: A |
|
| ENP | Entry into the national phase |
Ref document number: 20177016077 Country of ref document: KR Kind code of ref document: A |
|
| NENP | Non-entry into the national phase |
Ref country code: DE |
|
| 122 | Ep: pct application non-entry in european phase |
Ref document number: 15867072 Country of ref document: EP Kind code of ref document: A1 |































