WO2012161026A1 - ドライエッチング方法及びデバイス製造方法 - Google Patents

ドライエッチング方法及びデバイス製造方法 Download PDF

Info

Publication number
WO2012161026A1
WO2012161026A1 PCT/JP2012/062368 JP2012062368W WO2012161026A1 WO 2012161026 A1 WO2012161026 A1 WO 2012161026A1 JP 2012062368 W JP2012062368 W JP 2012062368W WO 2012161026 A1 WO2012161026 A1 WO 2012161026A1
Authority
WO
WIPO (PCT)
Prior art keywords
gas
dry etching
electrode
etching
conductive material
Prior art date
Legal status (The legal status is an assumption and is not a legal conclusion. Google has not performed a legal analysis and makes no representation as to the accuracy of the status listed.)
Ceased
Application number
PCT/JP2012/062368
Other languages
English (en)
French (fr)
Japanese (ja)
Inventor
高橋 秀治
Current Assignee (The listed assignees may be inaccurate. Google has not performed a legal analysis and makes no representation or warranty as to the accuracy of the list.)
Fujifilm Corp
Original Assignee
Fujifilm Corp
Priority date (The priority date is an assumption and is not a legal conclusion. Google has not performed a legal analysis and makes no representation as to the accuracy of the date listed.)
Filing date
Publication date
Application filed by Fujifilm Corp filed Critical Fujifilm Corp
Priority to CN201280024495.0A priority Critical patent/CN103548122A/zh
Publication of WO2012161026A1 publication Critical patent/WO2012161026A1/ja
Priority to US14/082,756 priority patent/US20140076842A1/en
Anticipated expiration legal-status Critical
Ceased legal-status Critical Current

Links

Images

Classifications

    • HELECTRICITY
    • H10SEMICONDUCTOR DEVICES; ELECTRIC SOLID-STATE DEVICES NOT OTHERWISE PROVIDED FOR
    • H10NELECTRIC SOLID-STATE DEVICES NOT OTHERWISE PROVIDED FOR
    • H10N30/00Piezoelectric or electrostrictive devices
    • H10N30/01Manufacture or treatment
    • H10N30/09Forming piezoelectric or electrostrictive materials
    • H10N30/093Forming inorganic materials
    • BPERFORMING OPERATIONS; TRANSPORTING
    • B41PRINTING; LINING MACHINES; TYPEWRITERS; STAMPS
    • B41JTYPEWRITERS; SELECTIVE PRINTING MECHANISMS, i.e. MECHANISMS PRINTING OTHERWISE THAN FROM A FORME; CORRECTION OF TYPOGRAPHICAL ERRORS
    • B41J2/00Typewriters or selective printing mechanisms characterised by the printing or marking process for which they are designed
    • B41J2/005Typewriters or selective printing mechanisms characterised by the printing or marking process for which they are designed characterised by bringing liquid or particles selectively into contact with a printing material
    • B41J2/01Ink jet
    • B41J2/135Nozzles
    • B41J2/16Production of nozzles
    • B41J2/1607Production of print heads with piezoelectric elements
    • B41J2/161Production of print heads with piezoelectric elements of film type, deformed by bending and disposed on a diaphragm
    • BPERFORMING OPERATIONS; TRANSPORTING
    • B41PRINTING; LINING MACHINES; TYPEWRITERS; STAMPS
    • B41JTYPEWRITERS; SELECTIVE PRINTING MECHANISMS, i.e. MECHANISMS PRINTING OTHERWISE THAN FROM A FORME; CORRECTION OF TYPOGRAPHICAL ERRORS
    • B41J2/00Typewriters or selective printing mechanisms characterised by the printing or marking process for which they are designed
    • B41J2/005Typewriters or selective printing mechanisms characterised by the printing or marking process for which they are designed characterised by bringing liquid or particles selectively into contact with a printing material
    • B41J2/01Ink jet
    • B41J2/135Nozzles
    • B41J2/16Production of nozzles
    • B41J2/1621Manufacturing processes
    • B41J2/1626Manufacturing processes etching
    • B41J2/1628Manufacturing processes etching dry etching
    • BPERFORMING OPERATIONS; TRANSPORTING
    • B41PRINTING; LINING MACHINES; TYPEWRITERS; STAMPS
    • B41JTYPEWRITERS; SELECTIVE PRINTING MECHANISMS, i.e. MECHANISMS PRINTING OTHERWISE THAN FROM A FORME; CORRECTION OF TYPOGRAPHICAL ERRORS
    • B41J2/00Typewriters or selective printing mechanisms characterised by the printing or marking process for which they are designed
    • B41J2/005Typewriters or selective printing mechanisms characterised by the printing or marking process for which they are designed characterised by bringing liquid or particles selectively into contact with a printing material
    • B41J2/01Ink jet
    • B41J2/135Nozzles
    • B41J2/16Production of nozzles
    • B41J2/1621Manufacturing processes
    • B41J2/164Manufacturing processes thin film formation
    • B41J2/1642Manufacturing processes thin film formation thin film formation by CVD [chemical vapor deposition]
    • BPERFORMING OPERATIONS; TRANSPORTING
    • B41PRINTING; LINING MACHINES; TYPEWRITERS; STAMPS
    • B41JTYPEWRITERS; SELECTIVE PRINTING MECHANISMS, i.e. MECHANISMS PRINTING OTHERWISE THAN FROM A FORME; CORRECTION OF TYPOGRAPHICAL ERRORS
    • B41J2/00Typewriters or selective printing mechanisms characterised by the printing or marking process for which they are designed
    • B41J2/005Typewriters or selective printing mechanisms characterised by the printing or marking process for which they are designed characterised by bringing liquid or particles selectively into contact with a printing material
    • B41J2/01Ink jet
    • B41J2/135Nozzles
    • B41J2/16Production of nozzles
    • B41J2/1621Manufacturing processes
    • B41J2/164Manufacturing processes thin film formation
    • B41J2/1645Manufacturing processes thin film formation thin film formation by spincoating
    • BPERFORMING OPERATIONS; TRANSPORTING
    • B41PRINTING; LINING MACHINES; TYPEWRITERS; STAMPS
    • B41JTYPEWRITERS; SELECTIVE PRINTING MECHANISMS, i.e. MECHANISMS PRINTING OTHERWISE THAN FROM A FORME; CORRECTION OF TYPOGRAPHICAL ERRORS
    • B41J2/00Typewriters or selective printing mechanisms characterised by the printing or marking process for which they are designed
    • B41J2/005Typewriters or selective printing mechanisms characterised by the printing or marking process for which they are designed characterised by bringing liquid or particles selectively into contact with a printing material
    • B41J2/01Ink jet
    • B41J2/135Nozzles
    • B41J2/16Production of nozzles
    • B41J2/1621Manufacturing processes
    • B41J2/164Manufacturing processes thin film formation
    • B41J2/1646Manufacturing processes thin film formation thin film formation by sputtering
    • HELECTRICITY
    • H01ELECTRIC ELEMENTS
    • H01LSEMICONDUCTOR DEVICES NOT COVERED BY CLASS H10
    • H01L21/00Processes or apparatus adapted for the manufacture or treatment of semiconductor or solid state devices or of parts thereof
    • H01L21/02Manufacture or treatment of semiconductor devices or of parts thereof
    • H01L21/04Manufacture or treatment of semiconductor devices or of parts thereof the devices having potential barriers, e.g. a PN junction, depletion layer or carrier concentration layer
    • H01L21/18Manufacture or treatment of semiconductor devices or of parts thereof the devices having potential barriers, e.g. a PN junction, depletion layer or carrier concentration layer the devices having semiconductor bodies comprising elements of Group IV of the Periodic Table or AIIIBV compounds with or without impurities, e.g. doping materials
    • H01L21/30Treatment of semiconductor bodies using processes or apparatus not provided for in groups H01L21/20 - H01L21/26
    • H01L21/31Treatment of semiconductor bodies using processes or apparatus not provided for in groups H01L21/20 - H01L21/26 to form insulating layers thereon, e.g. for masking or by using photolithographic techniques; After treatment of these layers; Selection of materials for these layers
    • H01L21/3205Deposition of non-insulating-, e.g. conductive- or resistive-, layers on insulating layers; After-treatment of these layers
    • H01L21/321After treatment
    • H01L21/3213Physical or chemical etching of the layers, e.g. to produce a patterned layer from a pre-deposited extensive layer
    • H01L21/32133Physical or chemical etching of the layers, e.g. to produce a patterned layer from a pre-deposited extensive layer by chemical means only
    • H01L21/32135Physical or chemical etching of the layers, e.g. to produce a patterned layer from a pre-deposited extensive layer by chemical means only by vapour etching only
    • H01L21/32136Physical or chemical etching of the layers, e.g. to produce a patterned layer from a pre-deposited extensive layer by chemical means only by vapour etching only using plasmas
    • HELECTRICITY
    • H10SEMICONDUCTOR DEVICES; ELECTRIC SOLID-STATE DEVICES NOT OTHERWISE PROVIDED FOR
    • H10NELECTRIC SOLID-STATE DEVICES NOT OTHERWISE PROVIDED FOR
    • H10N30/00Piezoelectric or electrostrictive devices
    • H10N30/01Manufacture or treatment
    • H10N30/06Forming electrodes or interconnections, e.g. leads or terminals
    • HELECTRICITY
    • H10SEMICONDUCTOR DEVICES; ELECTRIC SOLID-STATE DEVICES NOT OTHERWISE PROVIDED FOR
    • H10NELECTRIC SOLID-STATE DEVICES NOT OTHERWISE PROVIDED FOR
    • H10N30/00Piezoelectric or electrostrictive devices
    • H10N30/20Piezoelectric or electrostrictive devices with electrical input and mechanical output, e.g. functioning as actuators or vibrators
    • H10N30/204Piezoelectric or electrostrictive devices with electrical input and mechanical output, e.g. functioning as actuators or vibrators using bending displacement, e.g. unimorph, bimorph or multimorph cantilever or membrane benders
    • H10N30/2047Membrane type

Definitions

  • the present invention relates to a dry etching method and a device manufacturing method, and in particular, a dry etching technique suitable for patterning a metal material in a laminated structure in which a metal material is laminated on a dielectric material, and an actuator, a sensor, etc.
  • the present invention relates to a device manufacturing technique for manufacturing various circuit elements.
  • Patent Document 1 discloses a technique for patterning an iridium (Ir) -based conductive film, particularly an IrO 2 film, by dry etching using a resist mask (etching-resistant mask layer), and a reaction product having a low vapor pressure is applied to the side wall of the pattern.
  • a resist mask etching-resistant mask layer
  • a reaction product having a low vapor pressure is applied to the side wall of the pattern.
  • Patent Document 2 discloses that a dry etching method of patterning an iridium metal thin film using a resist mask uses an etching gas containing an active gas and a fluorine-based gas.
  • Patent Document 3 applies a low-frequency bias power to a film containing a noble metal in a high vacuum, high-density plasma, using a mixed gas of a halogen gas and an inert gas as an etching gas in a dry etching method for a film containing a noble metal.
  • a dry etching method without side wall adhesion is provided.
  • a piezoelectric body used for a piezoelectric element and a noble metal used for an electrode thereof are said to be difficult to etch materials and are difficult to process by dry etching.
  • Such materials are generally etched using a mixed gas of halogen gas or inert gas as described in Patent Documents 2 and 3, but (1) the etching rate is slow.
  • problems such as (2) low mask selection ratio of resist or the like, and (3) low selection ratio with the underlying film.
  • this laminated upper electrode When patterning is performed, there is a problem that the selection ratio to the piezoelectric body is low and the etching rate is slow.
  • Patent Document 1 there is no description regarding the selection ratio with respect to the dielectric as a base film.
  • the etching is stopped by emission spectroscopic analysis (OES: Optical Emission Spectroscopy) at the time of Ir etching.
  • OES emission spectroscopic analysis
  • shape defects occur.
  • the dielectric layer is cut, the device characteristics deteriorate.
  • Patent Documents 2 and 3 there is no mention of the selection ratio with the base film.
  • the above-mentioned problem is common not only for piezoelectric elements but also for a structure in which a metal material is laminated on a dielectric material.
  • the present invention has been made in view of such circumstances, and a dry etching method capable of increasing the selection ratio between a metal material and a dielectric serving as a base thereof and improving the etching rate (etching rate), and
  • An object is to provide an applied device manufacturing method.
  • One embodiment of the present invention is a dry etching method for etching a conductive material stacked on a dielectric material, using a mixed gas containing a halogen gas and an oxygen gas as an etching gas, and mixing the oxygen gas in the mixed gas
  • the ratio is 30% or more and 60% or less, and when the mixed gas is supplied into the chamber to generate plasma, the gas pressure in the chamber is set in the range of 1 Pa or more and less than 5 Pa, and the dielectric material has the conductivity.
  • the present invention relates to a dry etching method characterized in that etching is performed by applying a bias voltage having a frequency of 800 kHz or more and less than 4 MHz as a bias voltage to a material to be etched.
  • the conductive material is patterned by etching using the dry etching method described above, and a device having a structure in which an electrode made of the conductive material and the dielectric material are stacked is manufactured.
  • the present invention relates to a device manufacturing method.
  • Another aspect of the present invention includes a first electrode forming step of forming a first electrode made of a first conductive material on a substrate, and a dielectric layer forming step of laminating a dielectric material on the first electrode.
  • the present invention it is possible to perform an etching process with a high etching rate and a high selection ratio with respect to the dielectric material as the underlayer.
  • Example of manufacturing process of piezoelectric element a manufacturing process of the piezoelectric element will be exemplified, and a dry etching method according to an embodiment of the present invention and an upper electrode patterning process using the dry etching method will be described.
  • FIG. 1 is an explanatory view showing a manufacturing process of a piezoelectric element.
  • Step 1 Substrate Preparation Step First, as shown in FIG. 1A, a silicon (Si) substrate 10 is prepared.
  • Step 2 Insulating Film Formation Step Next, an insulating film (for example, an oxide film such as SiO 2 ) 12 is formed on the silicon substrate 10 (FIG. 1B).
  • a silicon oxide film is formed by CVD (Chemical Vapor Deposition), sputtering, vapor deposition, thermal oxidation method, or the like.
  • Step 3 Lower electrode formation step Next, an adhesion layer (for example, a Ti layer) 14 is formed on the insulating film 12, and a noble metal film corresponding to the lower electrode 16 is formed on the adhesion layer 14 ( FIG. 1 (c)).
  • the lower electrode 16 is made of a noble metal material such as Pt (platinum), Ir (iridium), Ru (ruthenium), or an oxide film thereof.
  • the lower electrode 16 can be formed by sputtering or CVD.
  • a piezoelectric body 18 is formed on the lower electrode 16.
  • the piezoelectric body 18 can be formed of a ferroelectric material such as lead zirconate titanate (PZT), and can be formed by a sputtering method, a CVD method, a sol-gel method, or the like. Not only PZT but also lead lanthanum zirconate titanate (PLZT) or “PZTN” in which a part of Ti of PZT is replaced by Nb can be used as the material of the piezoelectric body 18.
  • PZT lead lanthanum zirconate titanate
  • Nb sol-gel method
  • Step 5 Upper electrode forming step Next, a noble metal film corresponding to the upper electrode 20 is formed on the piezoelectric body 18 (FIG. 1E).
  • the upper electrode 20 can be formed of Pt, Ir, Ru or an oxide film thereof (PtOx, IrOx, RuOx), and can be formed by a sputtering method or a CVD method.
  • PtOx is a generic name for platinum oxide, and “x” represents a positive number indicating the ratio of Pt and O. The same applies to IrOx and RuOx.
  • IrOx is a general term for oxides of iridium
  • RuOx is a general term for oxides of ruthenium.
  • a hard mask 22 that covers the upper electrode 20 is formed (FIG. 1F).
  • the hard mask 22 can be formed using a silicon oxide film, a silicon nitride film, an organic SOG (Spin on Glass) film, an inorganic SOG film, or a metal such as Ti, Cr, Al, or Ni.
  • a silicon oxide film is formed by TEOS (Tetra Ethyl Ortho Silicate) -CVD method.
  • Step 7 Resist Mask Forming Step Next, a resist 24 is formed on the hard mask 22 layer by spin coating or the like, followed by soft baking, exposure and development, and then post baking. In addition, you may perform the hardening process (UV cure) by ultraviolet irradiation instead of post-baking. Thus, the resist 24 for patterning the upper electrode is patterned (FIG. 1G).
  • Step 8 Hard Mask Patterning Step
  • the hard mask 22 is a silicon oxide film
  • the hard mask 22 is patterned by a dry etching method (FIG. 1H).
  • Step 9) Resist removal step Thereafter, the resist 24 used in the patterning step of the hard mask 22 is removed using an ashing method or a special stripping solution (FIG. 1 (i)).
  • Step 10 Upper electrode patterning step Patterning of the upper electrode 20 is performed by a dry etching method to which one embodiment of the present invention is applied (FIG. 1 (j)).
  • the important points in dry etching of the upper electrode 20 are that the etching rate is high, the mask selection ratio and the selection ratio with the dielectric (which is PZT in this example) are high, and the etching shape is It is good. In particular, there is a problem that the base film selection ratio decreases when the etching rate is increased.
  • the dry etching method according to this embodiment is a dry etching method that has a high etching rate and can sufficiently ensure a selection ratio with the base film.
  • FIG. 2 is a configuration diagram of a dry etching apparatus using the dry etching method according to the present embodiment.
  • the dry etching apparatus 110 for example, an inductive coupling plasma (ICP) apparatus is used.
  • ICP inductive coupling plasma
  • methods using plasma sources such as Helicon Wave Plasma (HWP), Electron Cyclotron Resonance (ECR) plasma, Surface Wave Plasma (SWP), etc. It is also possible to apply to the dry etching apparatus 110.
  • HWP Helicon Wave Plasma
  • ECR Electron Cyclotron Resonance
  • SWP Surface Wave Plasma
  • the dry etching apparatus 110 includes a process gas supply unit 114 that supplies a process gas (etching gas) into the chamber 112 (vacuum vessel), an exhaust unit 116 that exhausts the gas in the chamber 112, and a pressure adjustment in the chamber 112. And a pressure adjusting unit (not shown) for performing.
  • the pressure in the chamber 112 is adjusted by exhausting from the exhaust unit 116 while supplying the process gas from the process gas supply unit 114 into the chamber 112.
  • a mixed gas of chlorine gas and oxygen gas is used as a process gas (etching gas).
  • a dielectric window 118 is hermetically attached to the upper surface of the chamber 112, and a loop coil antenna 120 is installed above the dielectric window 118 (atmosphere side).
  • a high frequency power source (RF power source) 124 for generating plasma is connected to the antenna 120 via a matching circuit (matching unit) 122.
  • the frequency of the high frequency power supply 124 can use a frequency band of 13.56 MHz or more and 60 MHz or less, for example, 13.56 MHz. Further, the high frequency power supply 124 may be pulse-driven.
  • a stage 126 is installed in the chamber 112.
  • the stage 126 is provided with a substrate cooling mechanism (not shown) provided with an electrostatic chuck or a clamp, and a substrate 128 to be etched is placed on the stage 126.
  • a low frequency power supply 132 for applying a bias is connected to the stage 126 via a matching circuit 130.
  • the frequency of the low frequency power supply 132 is 800 kHz or more and 4 MHz or less.
  • the frequency of the low frequency power supply 132 is 900 kHz or more and 2 MHz or less.
  • a frequency around 1 MHz is preferable as the frequency of the low-frequency power source 132.
  • pulse driving means may be provided in the bias power source.
  • the bias power source is used by pulse driving, means for synchronizing the pulse period of the power source (high frequency power source 124) of the antenna 120 (for plasma generation) and the bias power source (low frequency power source 132) is used. do it.
  • the substrate (the stacked structure shown in FIG. 1 (i)) as the material to be etched is placed on the stage 126 in the chamber 112 of the dry etching apparatus 110 shown in FIG.
  • the exhaust gas is exhausted by supplying the mixed gas of chlorine gas and oxygen gas as the etching gas from the process gas supply unit 114, and the inside of the chamber 112 has a predetermined gas pressure (
  • the pressure is adjusted so as to be a predetermined value within a range of 1 Pa to 5 Pa, which is 3 Pa in this example.
  • required power for example, 500 W power
  • high-frequency power source 124 for example, 500 W power
  • high-density plasma is generated in the chamber 112.
  • a predetermined power for example, a power of 200 W
  • the power of the antenna RF power source (high frequency power source 124) is 500 W
  • the power of the bias power source (low frequency power source 132) is 200 W
  • the power condition is common.
  • the addition amount of oxygen gas to the chlorine gas of etching gas (mixing ratio of oxygen gas to the whole) is variable, and the etching rate of Ir and the base film are set.
  • the selectivity was determined from the etching rate of PZT.
  • FIG. 3 summarizes the results of Comparative Examples 1 to 3 and Examples.
  • Comparative Example 1 a condition of 600 kHz was used as the frequency of the bias power source (low frequency power source 132).
  • the degree of vacuum (gas pressure) in the chamber 112 was 0.5 Pa
  • the oxygen flow rate ratio in the etching gas mixed gas of chlorine and oxygen
  • Ir on the PZT film was etched.
  • the conditions of the bias frequency and the gas pressure in Comparative Example 1 are generally used as etching conditions for noble metal materials such as Ir and Pt.
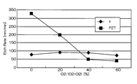
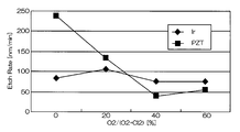
  • FIG. 4 and 5 are graphs showing the results when Ir was etched under the conditions of Comparative Example 1.
  • FIG. FIG. 4 is a graph showing the relationship between the mixing ratio of oxygen gas in the mixed gas and the etching rates of Ir and PZT.
  • the horizontal axis represents the mixing ratio of oxygen gas in the mixed gas of chlorine gas and oxygen gas
  • the vertical axis represents the etching rate.
  • FIG. 5 is a graph showing the relationship between the mixing ratio of oxygen gas in the mixed gas and the selection ratio (Ir / PZT).
  • the horizontal axis represents the mixing ratio of oxygen gas in the mixed gas of chlorine gas and oxygen gas
  • the vertical axis represents the selection ratio.
  • the etching rate is relatively high as 70 to 105 nm / min, but the selection ratio with respect to PZT as the base film is 0.2 to 1
  • the etching rate at that time was 75 nm / min. That is, according to the conditions of Comparative Example 1, the etching rate is as high as 75 nm / min, but the selectivity is as low as 2 or less.
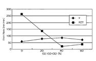
  • Comparative Example 2 In Comparative Example 2, the degree of vacuum was set to 3.0 Pa, and Ir was etched under the same conditions as Comparative Example 1 except for other conditions. 6 and 7 are graphs showing the results when Ir was etched under the conditions of Comparative Example 2.
  • FIG. FIG. 6 is a graph showing the relationship between the mixing ratio of oxygen gas in the mixed gas and the etching rates of Ir and PZT
  • FIG. 7 shows the relationship between the mixing ratio of oxygen gas in the mixed gas and the selection ratio (Ir / PZT). It is a graph.
  • the etching rate is 70 to 95 nm / min, which is relatively high, but the selectivity with respect to PZT as the base film is 0.2 to 1.
  • the etching rate at that time was 75 nm / min. That is, according to the conditions of Comparative Example 2, the etching rate is as high as 75 nm / min, but the selectivity is as low as 2 or less.
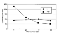
  • Comparative Example 3 In Comparative Example 3, the frequency of the bias power supply was set to 1 MHz, and Ir was etched under the same conditions as in Comparative Example 1 under other conditions. 8 and 9 are graphs showing the results when Ir etching was performed under the conditions of Comparative Example 3.
  • FIG. FIG. 8 is a graph showing the relationship between the mixing ratio of oxygen gas in the mixed gas and the etching rates of Ir and PZT
  • FIG. 9 shows the relationship between the mixing ratio of oxygen gas in the mixed gas and the selection ratio (Ir / PZT). It is a graph.
  • the etching rate is relatively high, 60 to 80 nm / min, but the selection ratio with respect to PZT as the base film is 0.2 to 1.
  • the etching rate at that time was 82 nm / min. That is, according to the conditions of Comparative Example 3, the etching rate is as high as 75 nm / min, but the selectivity is as low as 2 or less.
  • the frequency of the bias power source is 1 MHz
  • the degree of vacuum is 3.0 Pa
  • a mixed gas of chlorine and oxygen is used, the flow rate ratio is changed
  • the high frequency (RF) power source 500 W
  • the bias (low frequency) power source Ir was etched under the condition of 200W.
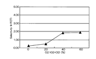
  • FIG. 10 and FIG. 11 are graphs showing the results when Ir was etched under the conditions of this example.
  • FIG. 10 is a graph showing the relationship between the mixing ratio of oxygen gas in the mixed gas and the etching rates of Ir and PZT
  • FIG. 11 shows the relationship between the mixing ratio of oxygen gas and the selection ratio (Ir / PZT) in the mixed gas. It is a graph. As shown in FIGS.
  • the etching rate is relatively high, 55 to 85 nm / min.
  • the selection ratio with PZT as the base film includes a high value of about 0.2 to 4.25. The highest value was 4.25, and the etching rate at that time was 85 nm / min.
  • the mixing ratio of oxygen gas when the mixing ratio of oxygen gas is in the range of 30% to 60%, a high selection ratio of 2 or more can be realized, and the Ir etching rate is also high (see FIG. 10).
  • the best condition is when the mixing ratio of oxygen gas is 40%.
  • the etching rate is as fast as 85 nm / min, but the selectivity is as high as 4 or more.
  • Bias frequency contributes to the amount of ion energy.
  • the bias frequency is lower than 800 kHz as in Comparative Example 1, the ion energy is high and the etching of the ferroelectric (PZT) as the base film proceeds, so that a sufficient selection ratio cannot be obtained.
  • the bias frequency is 4 MHz or more, the ion energy is low and the noble metal material cannot be etched at high speed.
  • the bias frequency is desirably 800 kHz or more and less than 4 MHz, and more desirably approximately 1 MHz.
  • a range of “substantially” in the case of approximately 1 MHz an appropriate allowable range can be set within a range in which a corresponding operation effect can be obtained. For example, assuming that ⁇ 15% ( ⁇ 150 kHz) is an allowable range, approximately 1 MHz is a range of 850 kHz to 1.15 MHz, and ⁇ 10% ( ⁇ 100 kHz) is a range of 900 kHz to 1.1 MHz, Further, if ⁇ 5% ( ⁇ 50 kHz) is an allowable range, the range is 950 kHz to 1.05 MHz.
  • etching pressure When the etching pressure is less than 1 Pa, the ion energy is high, the etching rate of the ferroelectric film (PZT) as the base film is fast, and a sufficient selection ratio cannot be obtained. On the other hand, when the pressure is 5 Pa or more, a large amount of radicals are generated, the amount of ions is small and the ion energy is low, and the noble metal material cannot be etched sufficiently. From the above, the etching pressure (also referred to as “processing pressure”) is preferably 1 Pa or more and less than 5 Pa, and more preferably about 3 Pa.
  • an appropriate allowable range can be set within a range in which a corresponding effect can be obtained. For example, when ⁇ 0.5 Pa is an allowable range, approximately 3 Pa is a range of 3 Pa ⁇ 0.5 Pa, and ⁇ 10% is a range of 3 Pa ⁇ 0.3 Pa when an allowable range is ⁇ 10%.
  • Etching gas As the etching gas, a mixed gas of chlorine and oxygen is used. In the case of only chlorine, the etching rate of the ferroelectric film (for example, PZT) which is the base film is fast and the selection ratio cannot be obtained.
  • the oxidation reaction of the etchant is performed by adding oxygen gas. That is, Ir, which is a noble metal material, is oxidized to produce oxide IrOx, and the etching rate is improved.
  • IrOx is a generic name for oxides of iridium, and “x” represents a positive number indicating the ratio of Ir to O.
  • the etching rate of oxides such as ferroelectrics is reduced by the addition of oxygen gas.
  • the effect is drastically exhibited at an oxygen addition ratio (oxygen partial pressure) of 30% or more (see FIG. 11).
  • oxygen addition ratio oxygen partial pressure
  • the amount of oxygen added exceeds 60%, the amount of chlorine as the main etchant decreases, and the Ir etching rate decreases.
  • the addition amount (oxygen partial pressure) when adding oxygen to chlorine is 30 to 60%. More preferably, from the viewpoint of realizing a substrate selection ratio of 3 or more, the oxygen addition amount (oxygen partial pressure) is preferably 35% to 50%, and particularly preferably about 40%.
  • the range of “substantially” in the case of about 40% an appropriate allowable range can be set within a range in which a corresponding action and effect can be obtained. For example, if ⁇ 5% is an allowable range, approximately 40% is in the range of 35% to 45%.
  • the “substantially” range may be determined from the graph of FIG. 11 from the viewpoint of the amount of oxygen added with a selection ratio of 4 or more.
  • the desired good etching result can be obtained by the combination of the bias frequency, gas pressure, and etching gas conditions described in [1] to [3] above.
  • the bias frequency is about 1 MHz
  • oxygen is added to chlorine as an etching gas
  • the oxygen partial pressure is 40%
  • the degree of vacuum is about 3 Pa
  • the Ir etching rate is high and the underlying film is used.
  • Etching can be performed while ensuring a sufficient selection ratio of 4 or more with PZT.
  • the piezoelectric element manufactured by the process described in FIG. 1 (i) can be used for various applications such as an actuator and a sensor.
  • a pressure chamber ink chamber
  • a unimorph piezoelectric actuator is configured by a structure in which the lower electrode 16, the piezoelectric body 18, and the upper electrode 20 are laminated on the diaphragm. That is, FIG. 1 can be grasped as an actuator manufacturing process.
  • the present invention is not limited to a unimoful type actuator, and can be applied to the manufacture of various types of actuators such as a bimorph actuator.
  • the scope of application of the present invention is not limited to the piezoelectric devices exemplified above, and can be widely applied to various devices having a structure in which a dielectric and a conductive material (electrode) are laminated.
  • Such devices include various devices such as capacitors, acceleration sensors, temperature sensors, memory devices, pyroelectric devices and the like.
  • a dry etching method for etching a conductive material laminated on a dielectric material wherein a mixed gas containing a halogen gas and an oxygen gas is used as an etching gas, and a mixing ratio of oxygen gas in the mixed gas is 30% or more and 60%
  • An etching target in which the gas pressure in the chamber when supplying the mixed gas into the chamber to generate plasma is in a range of 1 Pa to less than 5 Pa, and the conductive material is stacked on the dielectric material.
  • Etching is performed by applying a bias voltage having a frequency of 800 kHz or more and less than 4 MHz as a bias voltage to the material.
  • etching gas It is preferable to use a mixed gas of chlorine gas and oxygen gas as the etching gas.
  • the dry etching method of this aspect is a means capable of satisfactorily etching the noble metal material in a structure in which the noble metal material is laminated on the ferroelectric material.
  • PZT As the dielectric material, PZT, PLZT, or PZTN can be used.
  • the conductive material is any one of Ru, Ir, and Pt, or any of RuOx, IrOx, and PtOx that is an oxide thereof.
  • the dry etching method of this aspect is a means for satisfactorily etching a noble metal such as Ru, Ir, or Pt or a metal oxide thereof.
  • Such an embodiment is particularly effective in that both a high etching rate and a sufficient selection ratio can be achieved.
  • the electrode conductive material
  • the occurrence of a shape defect or the like is suppressed.
  • the device with the stable characteristic can be manufactured.
  • This embodiment is an effective means for manufacturing an actuator.
  • the second electrode second conductive material
  • the occurrence of a shape defect or the like is suppressed.

Landscapes

  • Engineering & Computer Science (AREA)
  • Manufacturing & Machinery (AREA)
  • Physics & Mathematics (AREA)
  • Chemical & Material Sciences (AREA)
  • Condensed Matter Physics & Semiconductors (AREA)
  • General Chemical & Material Sciences (AREA)
  • Chemical Kinetics & Catalysis (AREA)
  • General Physics & Mathematics (AREA)
  • Plasma & Fusion (AREA)
  • Computer Hardware Design (AREA)
  • Microelectronics & Electronic Packaging (AREA)
  • Power Engineering (AREA)
  • Inorganic Chemistry (AREA)
  • Drying Of Semiconductors (AREA)
PCT/JP2012/062368 2011-05-20 2012-05-15 ドライエッチング方法及びデバイス製造方法 Ceased WO2012161026A1 (ja)

Priority Applications (2)

Application Number Priority Date Filing Date Title
CN201280024495.0A CN103548122A (zh) 2011-05-20 2012-05-15 干法蚀刻方法及器件制造方法
US14/082,756 US20140076842A1 (en) 2011-05-20 2013-11-18 Dry etching method and device manufacturing method

Applications Claiming Priority (2)

Application Number Priority Date Filing Date Title
JP2011113627A JP5766027B2 (ja) 2011-05-20 2011-05-20 ドライエッチング方法及びデバイス製造方法
JP2011-113627 2011-05-20

Related Child Applications (1)

Application Number Title Priority Date Filing Date
US14/082,756 Continuation US20140076842A1 (en) 2011-05-20 2013-11-18 Dry etching method and device manufacturing method

Publications (1)

Publication Number Publication Date
WO2012161026A1 true WO2012161026A1 (ja) 2012-11-29

Family

ID=47217106

Family Applications (1)

Application Number Title Priority Date Filing Date
PCT/JP2012/062368 Ceased WO2012161026A1 (ja) 2011-05-20 2012-05-15 ドライエッチング方法及びデバイス製造方法

Country Status (4)

Country Link
US (1) US20140076842A1 (enExample)
JP (1) JP5766027B2 (enExample)
CN (1) CN103548122A (enExample)
WO (1) WO2012161026A1 (enExample)

Families Citing this family (3)

* Cited by examiner, † Cited by third party
Publication number Priority date Publication date Assignee Title
JP6703979B2 (ja) * 2015-03-24 2020-06-03 住友化学株式会社 ニオブ酸系強誘電体薄膜素子の製造方法
JP2016184692A (ja) * 2015-03-26 2016-10-20 住友化学株式会社 強誘電体薄膜素子の製造方法
JP6610883B2 (ja) * 2015-12-17 2019-11-27 セイコーエプソン株式会社 超音波センサー用の圧電デバイス

Citations (5)

* Cited by examiner, † Cited by third party
Publication number Priority date Publication date Assignee Title
JP2002537653A (ja) * 1999-02-17 2002-11-05 アプライド マテリアルズ インコーポレイテッド 異方性プロファイルのためのイリジウムエッチング方法
JP2006060203A (ja) * 2004-08-20 2006-03-02 Sharp Corp FeRAM用途のためのPt/PGOエッチングプロセス
JP2007266466A (ja) * 2006-03-29 2007-10-11 Tokyo Electron Ltd プラズマエッチング方法、プラズマエッチング装置、コンピュータ記憶媒体及び処理レシピが記憶された記憶媒体
JP2009231405A (ja) * 2008-03-21 2009-10-08 Fujifilm Corp 圧電素子及びその製造方法
JP2010219153A (ja) * 2009-03-13 2010-09-30 Fujifilm Corp 圧電素子及びその製造方法並びにインクジェットヘッド

Family Cites Families (4)

* Cited by examiner, † Cited by third party
Publication number Priority date Publication date Assignee Title
KR100413649B1 (ko) * 1996-01-26 2004-04-28 마츠시타 덴끼 산교 가부시키가이샤 반도체장치의제조방법
JP2002009046A (ja) * 2000-06-19 2002-01-11 Matsushita Electric Ind Co Ltd ドライエッチング方法及びそれを用いた容量形成方法
US6942813B2 (en) * 2003-03-05 2005-09-13 Applied Materials, Inc. Method of etching magnetic and ferroelectric materials using a pulsed bias source
US7985603B2 (en) * 2008-02-04 2011-07-26 Texas Instruments Incorporated Ferroelectric capacitor manufacturing process

Patent Citations (5)

* Cited by examiner, † Cited by third party
Publication number Priority date Publication date Assignee Title
JP2002537653A (ja) * 1999-02-17 2002-11-05 アプライド マテリアルズ インコーポレイテッド 異方性プロファイルのためのイリジウムエッチング方法
JP2006060203A (ja) * 2004-08-20 2006-03-02 Sharp Corp FeRAM用途のためのPt/PGOエッチングプロセス
JP2007266466A (ja) * 2006-03-29 2007-10-11 Tokyo Electron Ltd プラズマエッチング方法、プラズマエッチング装置、コンピュータ記憶媒体及び処理レシピが記憶された記憶媒体
JP2009231405A (ja) * 2008-03-21 2009-10-08 Fujifilm Corp 圧電素子及びその製造方法
JP2010219153A (ja) * 2009-03-13 2010-09-30 Fujifilm Corp 圧電素子及びその製造方法並びにインクジェットヘッド

Also Published As

Publication number Publication date
JP2012243992A (ja) 2012-12-10
US20140076842A1 (en) 2014-03-20
JP5766027B2 (ja) 2015-08-19
CN103548122A (zh) 2014-01-29

Similar Documents

Publication Publication Date Title
US8053955B2 (en) Piezoelectric device and method of production thereof
CN109219867B (zh) 蚀刻方法
US20030077843A1 (en) Method of etching conductive layers for capacitor and semiconductor device fabrication
JP5595134B2 (ja) ドライエッチング装置及びドライエッチング方法
JP4999185B2 (ja) ドライエッチング方法及びドライエッチング装置
JP5766027B2 (ja) ドライエッチング方法及びデバイス製造方法
JP2009226660A (ja) ドライエッチングによるパターニング方法及びそれに用いるモールド並びにインクジェットヘッドの製造方法
WO2003012851A2 (en) Method of etching ferroelectric layers
US20130284701A1 (en) Method of manufacturing dielectric device and ashing method
JP5733943B2 (ja) 誘電体デバイスの製造方法
JP2012243992A5 (enExample)
JP2011100865A (ja) プラズマ処理方法
JP5800710B2 (ja) 圧電素子の製造方法
JP2014060210A (ja) ドライエッチング方法および圧電デバイスの製造方法
JP2012114156A (ja) 圧電素子の製造方法
JP6059875B2 (ja) 圧電素子の製造方法
JP2006060203A (ja) FeRAM用途のためのPt/PGOエッチングプロセス
WO2012057127A1 (ja) 誘電体デバイスの製造方法
JP4350120B2 (ja) ダイヤモンドのエッチング方法
JP5731313B2 (ja) プラズマエッチング装置、及び誘電体デバイスの製造方法
KR20250107206A (ko) 압전 디바이스 제조를 위한 압전 박막들 상의 고전력 시드 층 패터닝
JPH113881A (ja) アッシング方法及び装置
JP2005310828A (ja) 半導体装置の製造方法
JP2012156348A (ja) 誘電体デバイスの製造方法及びエッチング方法

Legal Events

Date Code Title Description
121 Ep: the epo has been informed by wipo that ep was designated in this application

Ref document number: 12789394

Country of ref document: EP

Kind code of ref document: A1

NENP Non-entry into the national phase

Ref country code: DE

122 Ep: pct application non-entry in european phase

Ref document number: 12789394

Country of ref document: EP

Kind code of ref document: A1