TWI791102B - 粒狀紫外線吸收劑及樹脂組成物 - Google Patents
粒狀紫外線吸收劑及樹脂組成物 Download PDFInfo
- Publication number
- TWI791102B TWI791102B TW108110824A TW108110824A TWI791102B TW I791102 B TWI791102 B TW I791102B TW 108110824 A TW108110824 A TW 108110824A TW 108110824 A TW108110824 A TW 108110824A TW I791102 B TWI791102 B TW I791102B
- Authority
- TW
- Taiwan
- Prior art keywords
- carbon atoms
- group
- sieve
- ultraviolet absorber
- branched
- Prior art date
Links
Images
Classifications
-
- C—CHEMISTRY; METALLURGY
- C09—DYES; PAINTS; POLISHES; NATURAL RESINS; ADHESIVES; COMPOSITIONS NOT OTHERWISE PROVIDED FOR; APPLICATIONS OF MATERIALS NOT OTHERWISE PROVIDED FOR
- C09K—MATERIALS FOR MISCELLANEOUS APPLICATIONS, NOT PROVIDED FOR ELSEWHERE
- C09K3/00—Materials not provided for elsewhere
-
- C—CHEMISTRY; METALLURGY
- C07—ORGANIC CHEMISTRY
- C07D—HETEROCYCLIC COMPOUNDS
- C07D251/00—Heterocyclic compounds containing 1,3,5-triazine rings
- C07D251/02—Heterocyclic compounds containing 1,3,5-triazine rings not condensed with other rings
- C07D251/12—Heterocyclic compounds containing 1,3,5-triazine rings not condensed with other rings having three double bonds between ring members or between ring members and non-ring members
- C07D251/14—Heterocyclic compounds containing 1,3,5-triazine rings not condensed with other rings having three double bonds between ring members or between ring members and non-ring members with hydrogen or carbon atoms directly attached to at least one ring carbon atom
- C07D251/24—Heterocyclic compounds containing 1,3,5-triazine rings not condensed with other rings having three double bonds between ring members or between ring members and non-ring members with hydrogen or carbon atoms directly attached to at least one ring carbon atom to three ring carbon atoms
-
- C—CHEMISTRY; METALLURGY
- C08—ORGANIC MACROMOLECULAR COMPOUNDS; THEIR PREPARATION OR CHEMICAL WORKING-UP; COMPOSITIONS BASED THEREON
- C08K—Use of inorganic or non-macromolecular organic substances as compounding ingredients
- C08K5/00—Use of organic ingredients
- C08K5/16—Nitrogen-containing compounds
- C08K5/34—Heterocyclic compounds having nitrogen in the ring
- C08K5/3467—Heterocyclic compounds having nitrogen in the ring having more than two nitrogen atoms in the ring
- C08K5/3477—Six-membered rings
- C08K5/3492—Triazines
-
- C—CHEMISTRY; METALLURGY
- C08—ORGANIC MACROMOLECULAR COMPOUNDS; THEIR PREPARATION OR CHEMICAL WORKING-UP; COMPOSITIONS BASED THEREON
- C08L—COMPOSITIONS OF MACROMOLECULAR COMPOUNDS
- C08L101/00—Compositions of unspecified macromolecular compounds
-
- C—CHEMISTRY; METALLURGY
- C09—DYES; PAINTS; POLISHES; NATURAL RESINS; ADHESIVES; COMPOSITIONS NOT OTHERWISE PROVIDED FOR; APPLICATIONS OF MATERIALS NOT OTHERWISE PROVIDED FOR
- C09D—COATING COMPOSITIONS, e.g. PAINTS, VARNISHES OR LACQUERS; FILLING PASTES; CHEMICAL PAINT OR INK REMOVERS; INKS; CORRECTING FLUIDS; WOODSTAINS; PASTES OR SOLIDS FOR COLOURING OR PRINTING; USE OF MATERIALS THEREFOR
- C09D7/00—Features of coating compositions, not provided for in group C09D5/00; Processes for incorporating ingredients in coating compositions
- C09D7/40—Additives
- C09D7/48—Stabilisers against degradation by oxygen, light or heat
Landscapes
- Chemical & Material Sciences (AREA)
- Organic Chemistry (AREA)
- Health & Medical Sciences (AREA)
- Chemical Kinetics & Catalysis (AREA)
- Medicinal Chemistry (AREA)
- Polymers & Plastics (AREA)
- Engineering & Computer Science (AREA)
- Materials Engineering (AREA)
- Life Sciences & Earth Sciences (AREA)
- Wood Science & Technology (AREA)
- Compositions Of Macromolecular Compounds (AREA)
Abstract
本發明之粒狀紫外線吸收劑含有三
Description
本發明係關於粒狀紫外線吸收劑及樹脂組成物。
迄今已開發出了各式各樣的紫外線吸收劑。此種技術已知有例如專利文獻1記載之技術。專利文獻1記載使用利用晶析獲得之三系化合物作為紫外線吸收劑(專利文獻1之段落0102等)。
[先前技術文獻]
[專利文獻]
[專利文獻1]日本特開2011-6517號公報
[發明欲解決之課題]
但是本案發明人檢討之後,認為上述專利文獻1記載之紫外線吸收劑中就粉體特性的方面仍有改善的餘地。
[解決課題之方式]
本案發明人進一步研究,發現針對含有三系化合物之粒狀紫外線吸收劑之粉體特性,藉由以依據過篩之粒度分布為指標能夠適當地控制。基於如此的知識見解進一步努力研究,發現藉由使孔目4.0mm篩、孔目2.8mm篩、孔目2.0mm篩、及孔目1.0mm篩之各篩餘物量成為預定的數值範圍內,則能改善上述粒狀紫外線吸收劑之粉體特性,乃完成本發明。
依本發明提供一種粒狀紫外線吸收劑,含有三系化合物,符合依下列篩餘物量之測定程序算出之粒度分布:
孔目4.0mm之篩上之篩餘物量為0.3wt%以上1.5wt%以下,
孔目2.8mm之篩上之篩餘物量為5.0wt%以上25.0wt%以下,
孔目2.0mm之篩上之篩餘物量為25.0wt%以上35.0wt%以下,
孔目1.0mm之篩上之篩餘物量為35.0wt%以上55.0wt%以下。
(篩餘物量之測定程序)
將預定量(g)之該粒狀紫外線吸收劑使用孔目4.0mm篩、孔目2.8mm篩、孔目2.0mm篩、及孔目1.0mm篩依序過篩,測定在各篩上殘留的該粒狀紫外線吸收劑的殘留重量(g),並算出前述殘留重量相對於前述預定量之重量比例(wt%)作為篩餘物量。
又,依照本發明,提供含有上述粒狀紫外線吸收劑之樹脂組成物。
[發明之效果]
依照本發明,提供粉體特性優異之粒狀紫外線吸收劑及使用了此粒狀紫外線吸收劑之樹脂組成物。
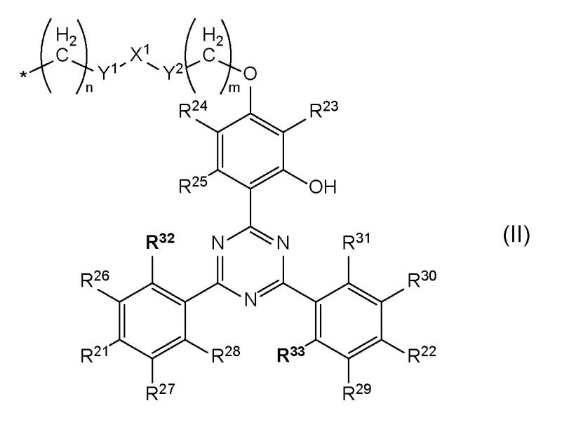
上述通式(I)中,
R1
表示有取代或無取代之直鏈或分支之碳原子數1~20之烷基、碳原子數3~20之環烷基、碳原子數6~20之芳基、碳原子數7~20之烷芳基、碳原子數7~20之芳烷基、碳原子數2~8之烯基、或下列通式(II)表示之取代基,
R2
及R3
各自獨立地表示氫原子、有取代或無取代之直鏈或分支之碳原子數1~20之烷基、或-O-R,此R表示有取代或無取代之直鏈或分支之碳原子數1~20之烷基、碳原子數3~20之環烷基、碳原子數6~20之芳基、碳原子數7~20之烷芳基、或碳原子數7~20之芳烷基,
R4
、R5
、R6
、R7
、R8
、R9
、R10
、R11
及R12
各自獨立地表示氫原子、鹵素原子、有取代或無取代之直鏈或分支之碳原子數1~8之烷基或直鏈或分支之碳原子數2~8之烯基,
R13
及R14
各自獨立地表示氫原子或羥基。
惟R1
、R2
、R3
及R表示之有取代或無取代之直鏈或分支之碳原子數1~20之烷基、R4
、R5
、R6
、R7
、R8
、R9
、R10
、R11
及R12
表示之有取代或無取代之直鏈或分支之碳原子數1~8之烷基中之亞甲基,也可經選自氧原子、硫原子、碳-碳雙鍵、-CO-、-CO-O-、-OC-O-、-CO-NH-、-NH-CO-、-CR01
=N-及-N=CR02
-中之至少一者以上之結構取代,前述結構中之R01
及R02
各自獨立地表示直鏈或分支之碳原子數1~8之烷基。
上述通式(II)中,
R21
及R22
各自獨立地表示氫原子、有取代或無取代之直鏈或分支之碳原子數1~20之烷基、或-O-R,此R表示有取代或無取代之直鏈或分支之碳原子數1~20之烷基、碳原子數3~20之環烷基、碳原子數6~20之芳基、碳原子數7~20之烷芳基、或碳原子數7~20之芳烷基,
R23
、R24
、R25
、R26
、R27
、R28
、R29
、R30
及R31
各自獨立地表示氫原子、鹵素原子、有取代或無取代之直鏈或分支之碳原子數1~8之烷基、或直鏈或分支之碳原子數2~8之烯基,
R32
及R33
各自獨立地表示氫原子或羥基,
X1
表示有取代或無取代之直鏈或分支之碳原子數8以上30以下之伸烷基,
Y1
及Y2
各自獨立地表示-CO-O-、-O-CO-、-L1
-、-O-L1
O-、-O-L1
-、-L1
-O-CO-、-L1
-CO-O-、-CO-CH=CH-、-CH=CH-CO-、-CH=CH-CO-O-、-CH=CH-O-CO-、-CO-O-CH=CH-,
L1
為直鏈或分支之碳原子數1~8之伸烷基,
m及n各自獨立地表示0~8之整數,
*表示和與式(I)中之R1
連結之氧原子間之鍵結手。
惟R21
、R22
及R表示之有取代或無取代之直鏈或分支之碳原子數1~20之烷基、R23
、R24
、R25
、R26
、R27
、R28
、R29
、R30
及R31
表示之有取代或無取代之直鏈或分支之碳原子數1~8之烷基及X1
表示之直鏈或分支之碳原子數8以上30以下之伸烷基中之亞甲基,也可經選自氧原子、硫原子、碳-碳雙鍵、-CO-、-CO-O-、-OC-O-、-CO-NH-、-NH-CO-、-CR03
=N-及-N=CR04
-中之至少一者以上之結構取代,R03
及R04
各自獨立地表示直鏈或分支之碳原子數1~8之烷基。
上述通式(I)中之R1
、R2
、R3
、上述通式(II)中之R21
、R22
及R表示之有取代或無取代之直鏈或分支之碳原子數1~20之烷基,例如:甲基、乙基、丙基、異丙基、丁基、異丁基、第二丁基、第三丁基、戊基、異戊基、第三戊基、己基、庚基、正辛基、異辛基、第三辛基、2-乙基己基、壬基、異壬基、癸基、十一基、十二基等直鏈或分支之烷基。
上述通式(I)中之R1
及R表示之碳原子數3~20之環烷基,例如:環丙基、環戊基、環己基、環庚基等。
上述通式(I)中之R1
及R表示之碳原子數6~20之芳基,例如:苯基、萘基、2-甲基苯基、3-甲基苯基、4-甲基苯基、4-乙烯基苯基、3-異丙基苯基、4-異丙基苯基、4-丁基苯基、4-異丁基苯基、4-第三丁基苯基、4-己基苯基、4-環己基苯基、4-辛基苯基、4-(2-乙基己基)苯基、2,3-二甲基苯基、2,4-二甲基苯基、2,5-二甲基苯基、2,6-二甲基苯基、3,4-二甲基苯基、3,5-二甲基苯基、2,4-二-第三丁基苯基、2,5-二-第三丁基苯基、2,6-二-第三丁基苯基、2,4-二-第三戊基苯基、2,5-二-第三戊基苯基、2,5-二-第三辛基苯基、聯苯基、2,4,5-三甲基苯基等。
上述通式(I)中之R1
及R表示之碳原子數7~20之芳烷基,例如:苄基、苯乙基、2-苯基丙烷-2-基、二苯基甲基等。
上述通式(I)中之R1
及R表示之碳原子數7~20之烷芳基可列舉上述烷基中的一個氫原子取代成芳基的基,芳基可列舉苯基、甲苯酚基、二甲苯基、2,6-二甲苯基、2,4,6-三甲基苯基、丁基苯基、壬基苯基、聯苯基、萘基、蒽基等。
上述通式(I)中之R4
、R5
、R6
、R7
、R8
、R9
、R10
、R11
及R12
及上述通式(II)中之R23
、R24
、R25
、R26
、R27
、R28
、R29
、R30
及R31
表示之鹵素原子,例如:氟、氯、溴、碘等。
上述通式(I)中之R4
、R5
、R6
、R7
、R8
、R9
、R10
、R11
及R12
及上述通式(II)中之R23
、R24
、R25
、R26
、R27
、R28
、R29
、R30
及R31
表示之有取代或無取代之直鏈或分支之碳原子數1~8之烷基,例如:甲基、乙基、丙基、異丙基、丁基、異丁基、第二丁基、第三丁基、戊基、異戊基、第三戊基、己基、庚基、正辛基、異辛基、第三辛基、2-乙基己基等。本實施形態之粒狀紫外線吸收劑中,碳原子數1~8之烷基為較佳。
上述通式(I)中之R1
、R4
、R5
、R6
、R7
、R8
、R9
、R10
、R11
及R12
及上述通式(II)中之R23
、R24
、R25
、R26
、R27
、R28
、R29
、R30
及R31
表示之直鏈或分支之碳原子數2~8之烯基,例如:不拘於不飽和鍵之位置,可列舉直鏈及分支之丙烯基、丁烯基、戊烯基、己烯基、庚烯基、辛烯基。
作為上述通式(II)中之X1
表示之有取代或無取代之直鏈或分支之碳原子數8以上30以下之伸烷基,表示有8個以上30個以下的亞甲基連結成的伸烷基、或一部分的亞甲基的氫原子取代成烷基的伸烷基。本實施形態之粒狀紫外線吸收劑中,碳原子數8以上20以下之伸烷基為較佳。
上述通式(II)中,L1
表示之直鏈或分支之碳原子數1~8之伸烷基,例如:亞甲基、甲基亞甲基、二甲基亞甲基、伸乙基、伸丙基、伸異丙基、伸丁基、伸異丁基、伸戊基等。
上述三系化合物也可包括上述通式(I)中之R5
、R6
、R8
、R9
、R11
及R12
為氫原子的化合物。
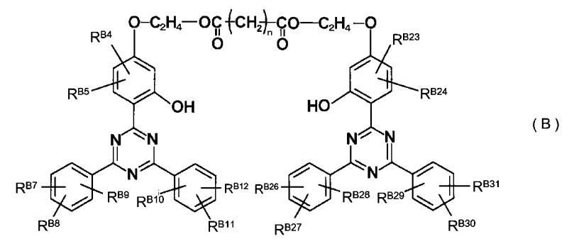
又,作為上述通式(I)表示之三系化合物之一例,可列舉下列通式(A)表示之化合物、或下列通式(B)表示之化合物。
又,本實施形態之粒狀紫外線吸收劑可以使用下列通式(A)表示之化合物。它們可以單獨使用也可組合使用2種以上。
上述通式(A)中,
RA1
表示直鏈或分支之碳原子數1~12之烷基、碳原子數3~8之環烷基、直鏈或分支之碳原子數3~8之烯基、碳原子數6~18之芳基、碳原子數7~18之烷芳基或碳原子數7~18之芳烷基,
RA2
及RA3
可彼此相同也可不同,表示氫原子、直鏈或分支之碳原子數1~12之烷基、或直鏈或分支之碳原子數1~12之烷氧基,
RA4
、RA7
、RA10
可彼此相同也可不同,表示氫原子、直鏈或分支之碳原子數1~8之烷基或直鏈或分支之碳原子數3~8之烯基。
RA13
及RA17
可彼此相同也可不同,表示氫原子或羥基。
惟RA1
、RA2
及RA3
表示之直鏈或分支之碳原子數1~12之烷基、RA2
及RA3
表示之直鏈或分支之碳原子數1~12之烷氧基中之亞甲基,也可經選自氧原子、硫原子、碳-碳雙鍵、-CO-、-CO-O-、-OC-O-、-CO-NH-、-NH-CO-、-CR05
=N-及-N=CR06
-中之至少一者以上之結構取代,前述結構中之R05
及R06
各自獨立地表示直鏈或分支之碳原子數1~8之烷基。
作為上述通式(A)之RA1
、RA2
及RA3
表示之直鏈或分支之碳原子數1~12之烷基,例如:甲基、乙基、丙基、異丙基、丁基、異丁基、第二丁基、第三丁基、戊基、異戊基、第三戊基、己基、庚基、正辛基、異辛基、第三辛基、2-乙基己基、壬基、異壬基、癸基、十一基、十二基等直鏈或分支之烷基。
作為上述通式(A)之RA2
及RA3
表示之直鏈或分支之碳原子數1~12之烷氧基,例如:甲氧基、乙氧基、異丙氧基、丁氧基、第二丁氧基、第三丁氧基、異丁氧基、戊氧基、異戊氧基、第三戊氧基、己氧基、2-己氧基、3-己氧基、環己氧基、4-甲基環己氧基、庚氧基、2-庚氧基、3-庚氧基、異庚氧基、第三庚氧基、1-辛氧基、異辛氧基、第三辛氧基等。
作為上述通式(A)之RA1
表示之碳原子數3~8之環烷基,例如:環丙基、環戊基、環己基、環庚基等。
作為上述通式(A)之RA1
表示之碳原子數6~18之芳基或碳原子7~18之烷芳基,例如:苯基、萘基、2-甲基苯基、3-甲基苯基、4-甲基苯基、4-乙烯基苯基、3-異丙基苯基、4-異丙基苯基、4-丁基苯基、4-異丁基苯基、4-第三丁基苯基、4-己基苯基、4-環己基苯基、4-辛基苯基、4-(2-乙基己基)苯基、2,3-二甲基苯基、2,4-二甲基苯基、2,5-二甲基苯基、2,6-二甲基苯基、3,4-二甲基苯基、3,5-二甲基苯基、2,4-二-第三丁基苯基、2,5-二-第三丁基苯基、2,6-二-第三丁基苯基、2,4-二-第三戊基苯基、2,5-二-第三戊基苯基、2,5-二-第三辛基苯基、聯苯基、2,4,5-三甲基苯基等,作為碳數7~18之芳烷基例如:苄基、苯乙基、2-苯基丙烷-2-基、二苯基甲基等。
作為上述通式(A)中之RA1
、RA4
、RA7
、及RA10
表示之直鏈或分支之碳原子數3~8之烯基,例如:不拘於不飽和鍵之位置,可列舉直鏈及分支之丙烯基、丁烯基、戊烯基、己烯基、庚烯基、辛烯基。
上述通式(A)中,RA4
、RA7
、RA10
表示之直鏈或分支之碳原子數1~8之烷基,例如:甲基、乙基、丙基、異丙基、丁基、第二丁基、第三丁基、異丁基、戊基、第三戊基、辛基、第三辛基等。其中甲基因紫外線吸收能力優異,較為理想。
又,本實施形態之粒狀紫外線吸收劑可以使用下列通式(B)表示之化合物。它們可以單獨使用也可組合使用2種以上。
上述通式(B)中,
RB4
、RB5
、RB7
~RB9
、RB10
~RB12
、RB23
、RB24
、RB26
~RB28
、RB29
~RB31
各自獨立地表示氫原子、羥基、鹵素原子、直鏈或分支之碳原子數1~8之烷基、直鏈或分支之碳原子數2~8之烯基、直鏈或分支之碳原子數1~20之烷氧基、碳原子數6~20之芳基,n表示8~14之整數。惟和三環連結之3個苯環當中,2個苯環的對位表示氫原子、直鏈或分支之碳原子數1~20之烷基、或直鏈或分支之碳原子數1~20之烷氧基,且鄰位中之一者表示氫原子或羥基。
上述通式(B)中,RB4
、RB5
、RB7
~RB9
、RB10
~RB12
、RB23
、RB24
、RB26
~RB28
、RB29
~RB31
表示之鹵素原子,例如:氟原子、氯原子、溴原子等。
作為上述通式(B)中之RB4
、RB5
、RB7
~RB9
、RB10
~RB12
、RB23
、RB24
、RB26
~RB28
、RB29
~RB31
表示之直鏈或分支之碳原子數1~20之烷基,可列舉甲基、乙基、丙基、2-丙炔基、丁基、異丁基、第二丁基、第三丁基、戊基、異戊基、己基、癸基、十二基、十八基等。
作為上述通式(B)中之RB4
、RB5
、RB7
~RB9
、RB10
~RB12
、RB23
、RB24
、RB26
~RB28
、RB29
~RB31
表示之直鏈或分支之碳原子數2~8之烯基,可列舉乙烯基、1-丙烯基、異丙烯基、2-甲基-1-丙烯基、1-丁烯基、2-丁烯基、3-丁烯基、2-乙基-1-丁烯基、1-戊烯基、2-戊烯基、3-戊烯基、4-戊烯基、4-甲基-3-戊烯基、1-己烯基、2-己烯基、3-己烯基、4-己烯基、5-己烯基等。
作為上述通式(B)中之RB4
、RB5
、RB7
~RB9
、RB10
~RB12
、RB23
、RB24
、RB26
~RB28
、RB29
~RB31
表示之直鏈或分支之碳原子數1~20之烷氧基,例如:甲氧基、乙氧基、異丙氧基、丁氧基、第二丁氧基、第三丁氧基、異丁氧基、戊氧基、異戊氧基、第三戊氧基、己氧基、2-己氧基、3-己氧基、環己氧基、4-甲基環己氧基、庚氧基、2-庚氧基、3-庚氧基、異庚氧基、第三庚氧基、1-辛氧基、異辛氧基、第三辛氧基等。
作為上述通式(B)中之RB4
、RB5
、RB7
~RB9
、RB10
~RB12
、RB23
、RB24
、RB26
~RB28
、RB29
~RB31
表示之碳原子數6~20之芳基,可列舉苯基、萘基、蒽基、菲基、茀基、茚基、2-甲基苯基、3-甲基苯基、4-甲基苯基、4-乙烯基苯基、3-異丙基苯基、4-異丙基苯基、4-丁基苯基、4-異丁基苯基、4-第三丁基苯基、4-己基苯基、4-環己基苯基、4-辛基苯基、4-(2-乙基己基)苯基、4-硬脂基苯基、2,3-二甲基苯基、2,4-二甲基苯基、2,5-二甲基苯基、2,6-二甲基苯基、3,4-二甲基苯基、3,5-二甲基苯基、2,4-二-第三丁基苯基、2,5-二-第三丁基苯基、2,6-二-第三丁基苯基、2,4-二-第三戊基苯基、2,5-二-第三戊基苯基、2,5-二-第三辛基苯基、2,4-二異丙苯基苯基、4-環己基苯基、(1,1’-聯苯)-4-基、2,4,5-三甲基苯基、二茂鐵基等。
上述化合物No.1B至化合物No.4B中,RA1
、RA2
、RB1
、RB2
、RC1
、RC2
、RD1
及RD2
可以彼此相同也可不同,表示氫原子、直鏈或分支之碳原子數1~4之烷基或直鏈或分支之碳原子數1~4之烷氧基。
上述三系化合物之合成方法不限制,有三結構之化合物之合成中通常使用之合成方法皆可。例如:使用三氯化鋁將苯酚衍生物或間苯二酚衍生物對於三聚氯化氰進行加成反應之方法。三環上以單鍵連結之苯環所具備之取代基,可於三結構形成後導入,也可於三結構形成前導入到苯酚化合物或間苯二酚衍生物。
作為上述三系化合物之合成方法之一例,例如:將2-[2-羥基-4-(2-羥基乙氧基)苯基]-4,6-二苯基-1,3,5-三作為醇成分,和該酯衍生性化合物(羧酸、羧醯鹵、羧酸酯)之酯化反應或酯交換反應,該等反應可為逐次反應也可為批次反應(batch reaction)。
上述醇成分可以列舉一元羧酸之酯衍生性化合物(一元羧酸、一元羧醯鹵或一元羧酸酯)、二元羧酸之酯衍生性化合物(二元羧酸、二元羧醯鹵或二元羧酸之酯等。
本實施形態之粒狀紫外線吸收劑之粒狀,係指粉末狀或顆粒狀。此粒狀紫外線吸收劑可直接使用粉末狀、顆粒狀的形態,也可加工成丸粒、團塊(briquet)、錠片等一定形狀後使用。
本實施形態之粒狀紫外線吸收劑具有以下列粒度分布規定的特性。
針對本實施形態之粒狀紫外線吸收劑,在各篩上之篩餘物量可依據以下測定程序算出。
將預定量(g)之該粒狀紫外線吸收劑使用孔目4.0mm篩、孔目2.8mm篩、孔目2.0mm篩、及孔目1.0mm篩,依序過篩,測定在各篩上殘留之該粒狀紫外線吸收劑之殘留重量(g),並算出殘留重量相對於預定量之重量比例(wt%)作為篩餘物量。
依本發明者之知見,了解藉由使用多個有適當孔目之篩的過篩條件,則針對粒徑分布為某個程度廣、含較大粒子之粉體,也能夠安定地測定粒度分布。
本實施形態中,孔目4.0mm篩之篩餘物量例如為0.3wt%以上1.5wt%以下,較佳為0.4wt%以上1.4wt%以下,更佳為0.4wt%以上1.3wt%以下。
孔目2.8mm之篩上之篩餘物量,例如為5.0wt%以上25.0wt%以下,較佳為5.5wt%以上24.5wt%以下,更佳為6.0wt%以上24.0wt%以下。
孔目2.0mm之篩上之篩餘物量,例如為25.0wt%以上35.0wt%以下,較佳為25.5wt%以上34.0wt%以下,更佳為26.0wt%以上33.0wt%以下。
孔目1.0mm之篩上之篩餘物量,例如為35.0wt%以上55.0wt%以下,較佳為36.0wt%以上54.0wt%以下,更佳為37.0wt%以上53.0wt%以下。
藉由如此的各篩的篩餘物量為上述數值範圍內,因在1mm以上的範圍有適度粒度分布,故能夠提高粉塵性、流動性及熔融混練性。故能達成粉體特性優良的粒狀紫外線吸收劑。
本實施形態之粒狀紫外線吸收劑,能使通過孔目5.0mm篩時之不通過成分量成為0wt%。藉由以此方式截留大型粒子,能達成粉體特性及紫外線吸收特性優良的粒狀紫外線吸收劑。又,也能提高熔融混練性。
又,本實施形態之粒狀紫外線吸收劑中,孔目1.0mm篩之通過成分量例如為1.0wt%以上15.0wt%以下,較佳為2.0wt%以上14.5wt%以下,更佳為3.0wt%以上14.0wt%以下。藉由為上述上限值以下,能提高粉塵性及流動性。
本實施形態之粒狀紫外線吸收劑中,上述孔目4.0mm篩、孔目2.8mm篩、孔目2.0mm篩、及孔目1.0mm篩之篩餘物量之合計值成為100wt%以下。又,上述孔目4.0mm篩、孔目2.8mm篩、孔目2.0mm篩、及孔目1.0mm篩之篩餘物量之合計值及孔目1mm篩之通過成分量之合計值,可成為100wt%。
本實施形態中,例如適當選擇三系化合物之種類、形狀、三系化合物之製備方法等,能控制上述各篩之篩餘物量。其中,例如適當採用熔融固化、粉碎分級等三系化合物之加工處理條件等,是為了上述各篩之篩餘物量成為期待數值範圍之要素之例。
又,本案發明人進一步探討,發現針對三系化合物、使用此三系化合物之粒狀紫外線吸收劑之粉體特性,藉由以X射線繞射分析圖案作為指標,可以適當控制。基於如此的知見進一步努力研究,結果發現藉由使粉末X射線繞射分析圖案中有極大峰部存在之繞射角2θ成為預定之數值範圍內,則能夠改善上述三系化合物、使用此三系化合物之粒狀紫外線吸收劑中的粉體特性。
本實施形態之三系化合物,能使粉末X射線繞射分析圖案之極大峰部成為在繞射角2θ係5.00°以上6.50°以下之範圍內,較佳為5.20°以上6.00°以下,更佳為5.40°以上5.80°以下。藉此,能夠提高進料性及壓縮造粒性,故可達成粉體特性優異之三系化合物、粒狀紫外線吸收劑。
在此,極大峰部,係指粉末X射線繞射測定的掃描範圍內(例如:繞射角2θ=3°~60°或3°~90°)獲得之X射線繞射圖案中,有最大峰部強度者。
又,上述三系化合物之粉末X射線繞射分析圖案中,上述極大峰部的半值幅為例如:0.05°以上0.20°以下,較佳為0.10°以上0.19°以下,更佳為0.15°以上0.18°以下。藉由適當設定極大峰部(最大峰部)之峰部寬,使成為如此的數值範圍內,能夠達成粉體特性及紫外線吸收特性優異之粒狀紫外線吸收劑。
又,上述三系化合物之粉末X射線繞射分析圖案中,係成為設上述極大峰部之相對強度為100時,在繞射角2θ為3.0°以上45.0°以下之範圍內,例如不存在相對強度30以上60以下,較佳為相對強度25以上60以下,更佳為相對強度22以上60以下之繞射峰部。亦即,藉由極大峰部值之峰部強度相對地高,能夠達成粉體特性及紫外線吸收特性優異之粒狀紫外線吸收劑。
又,上述三系化合物之粉末X射線繞射分析圖案中,係成為設極大峰部之相對強度為100時,該相對強度1以上5以下之繞射峰部不存在於例如:繞射角2θ為超過45.0°且60.0°以下,較佳為超過45.0°且90.0°以下之範圍內。亦即,藉由使微強度之峰部不存在的區域為適當的數值範圍內,能夠達成粉體特性及紫外線吸收特性優異之粒狀紫外線吸收劑。
本實施形態中,例如適當選擇三系化合物之種類、形狀、三系化合物之製備方法等,能夠控制上述極大峰部之繞射角2θ、極大峰部之半值寬等粉末X射線繞射分析圖案。該等之中,例如適當採用熔融固化、粉碎分級等三系化合物之加工處理條件等,是為了使上述極大峰部之繞射角2θ、極大峰部之半值寬等粉末X射線繞射分析圖案成為所望數值範圍之要素之例。
針對本實施形態之樹脂組成物說明。
上述樹脂組成物含有上述粒狀紫外線吸收劑。此樹脂組成物也可含有合成樹脂。
藉此,能獲得因應各種用途之期待之樹脂特性。
上述合成樹脂例如:熱塑性樹脂、熱硬化性樹脂、彈性體等。它們可以單獨使用也可組合使用2種以上。
上述合成樹脂之具體例可列舉如下。
上述熱塑性樹脂可列舉例如:聚丙烯、高密度聚乙烯、低密度聚乙烯、直鏈低密度聚乙烯、交聯聚乙烯、超高分子量聚乙烯、聚丁-1-烯、聚-3-甲基戊烯等α-烯烴聚合物或乙烯-乙酸乙烯酯共聚物、乙烯-丙烯酸乙酯共聚物、乙烯-丙烯共聚物等聚烯烴及該等之共聚物、聚氯乙烯、聚偏二氯乙烯、氯化聚乙烯、氯化聚丙烯、聚氟化亞乙烯、氯化橡膠、氯乙烯-乙酸乙烯酯共聚物、氯乙烯-乙烯共聚物、氯乙烯-偏二氯乙烯共聚物、氯乙烯-偏二氯乙烯-乙酸乙烯酯三元共聚物、氯乙烯-丙烯酸酯共聚物、氯乙烯-馬來酸酯共聚物、氯乙烯-環己基馬來醯亞胺共聚物等含鹵素樹脂;石油樹脂、香豆酮(coumarone)樹脂、聚苯乙烯、聚乙酸乙烯酯、丙烯酸樹脂、聚甲基丙烯酸甲酯、聚乙烯醇、聚乙烯基甲醛、聚乙烯基丁縮醛;聚對苯二甲酸乙二醇酯、聚對苯二甲酸丁二醇酯、聚對苯二甲酸環己烷二甲醇酯等聚對苯二甲酸亞烷基酯、聚萘二甲酸乙二醇酯、聚萘二甲酸丁二醇酯等聚萘二甲酸亞烷基酯等芳香族聚酯及聚對苯二甲酸四亞甲酯等直鏈聚酯;聚羥基丁酸酯、聚己內酯、聚琥珀酸丁二醇酯、聚琥珀酸乙二醇酯、聚乳酸樹脂、聚蘋果酸、聚甘醇酸、聚二㗁烷、聚(2-氧雜環丁酮)等分解性脂肪族聚酯;聚苯醚、聚己內醯胺及聚六亞甲基己二醯胺等聚醯胺、聚碳酸酯、分支聚碳酸酯、聚縮醛、聚苯硫醚、聚胺甲酸酯、纖維素系樹脂等。
作為上述熱硬化性樹脂例如:酚醛樹脂(phenolic resin)、脲樹脂、三聚氰胺樹脂、環氧樹脂、不飽和聚酯樹脂等。
又,作為上述彈性體例如:氟系樹脂、聚矽氧樹脂、聚矽氧橡膠聚醚碸、聚碸、聚苯醚、聚醚酮、聚醚醚酮、液晶聚合物等。又,可列舉異戊二烯橡膠、丁二烯橡膠、丙烯腈-丁二烯共聚合橡膠、苯乙烯-丁二烯共聚合橡膠、氟橡膠、聚矽氧橡膠等。
更具體的彈性體,例如:烯烴系熱塑性彈性體、苯乙烯系熱塑性彈性體、聚酯系熱塑性彈性體、腈系熱塑性彈性體、尼龍系熱塑性彈性體、氯乙烯系熱塑性彈性體、聚醯胺系熱塑性彈性體、聚胺甲酸乙酯系熱塑性彈性體等。
又,作為透明性優異之合成樹脂,例如:聚乙烯、聚丙烯、聚苯乙烯、聚乙烯與降莰烯等環烯烴之共聚物、聚丙烯酸、聚丙烯酸酯、聚乙酸乙烯酯、聚丙烯腈、聚氯乙烯、聚氟化乙烯基等乙烯基化合物及乙烯基化合物之加成聚合物、聚甲基丙烯酸、聚甲基丙烯酸酯、聚偏二氯乙烯、聚氟化亞乙烯、聚氰化亞乙烯、氟化亞乙烯/三氟乙烯共聚物、氟化亞乙烯/四氟乙烯共聚物、氰化亞乙烯/乙酸乙烯酯共聚物等乙烯基化合物或氟系化合物之共聚物、聚三氟乙烯、聚四氟乙烯、聚六氟丙烯等含氟化合物、尼龍6、尼龍66等聚醯胺、聚醯亞胺、聚胺甲酸酯、聚肽、聚對苯二甲酸丁二醇酯、聚對苯二甲酸乙二醇酯等聚酯、聚碳酸酯、聚甲醛、聚環氧乙烷、聚環氧丙烷等聚醚、環氧樹脂、聚乙烯醇、聚乙烯基丁縮醛等。
又,考量相容性及透明性之觀點,合成樹脂例如:聚碳酸酯樹脂、聚酯樹脂、丙烯酸樹脂、ABS樹脂等。
以上之合成樹脂可以單獨使用也可組合使用2種以上,也可合金化。
上述樹脂組成物中,粒狀紫外線吸收劑之摻合量相對於合成樹脂100質量份例如為0.001質量份~20質量份較理想,0.01~10質量份更佳,0.1~5質量份更理想。藉由為上述下限值以上,可獲得粒狀紫外線吸收劑之充分的效果。又,藉由為上述上限值以下,可改善粒狀紫外線吸收劑之添加效果而且可達成期待的樹脂物性。
本說明書中,「~」,若無特別指明,代表含蓋上限值及下限值之意。
本實施形態之樹脂組成物中,視需要可以含有上述成分以外之其他添加成分。其他添加成分,例如:抗氧化劑、本實施形態之三系化合物以外之紫外線吸收劑、受阻胺系光安定劑、近紅外線吸收劑、成核劑(透明化劑)、抗靜電劑、潤滑劑、塑化劑、光吸收性色素、填充劑(填料)、顏料、染料、金屬肥皂、加工助劑、阻燃劑、阻燃助劑、沸石化合物、發泡劑、(重)金屬失活劑、交聯劑、環氧系安定化劑、消光劑、防霧劑、剝落防止劑、表面處理劑、螢光增白劑、防黴劑、抗菌劑、脫模劑等。
上述抗氧化劑例如:苯酚系抗氧化劑、磷系抗氧化劑、硫系抗氧化劑等。
上述苯酚系抗氧化劑,例如:2,6-二-第三丁基對甲酚、2,6-二苯基-4-十八烷氧基苯酚、膦酸(3,5-二-第三丁基-4-羥基苄基)二硬脂酯、1,6-六亞甲基雙[(3,5-二-第三丁基-4-羥基苯基)丙醯胺]、4,4’-硫雙(6-第三丁基間甲酚)、2,2’-亞甲基雙(4-甲基-6-第三丁基苯酚)、2,2’-亞甲基雙(4-乙基-6-第三丁基苯酚)、4,4’-亞丁基雙(6-第三丁基間甲酚)、2,2’-亞乙基雙(4,6-二-第三丁基苯酚)、2,2’-亞乙基雙(4-第二丁基-6-第三丁基苯酚)、1,1,3-參(2-甲基-4-羥基-5-第三丁基苯基)丁烷、1,3,5-參(2,6-二甲基-3-羥基-4-第三丁基苄基)異氰尿酸酯、1,3,5-參(3,5-二-第三丁基-4-羥基苄基)異氰尿酸酯、1,3,5-參(3,5-二-第三丁基-4-羥基苄基)-2,4,6-三甲基苯、2-第三丁基-4-甲基-6-(2-丙烯醯氧基-3-第三丁基-5-甲基苄基)苯酚、丙酸(3,5-二-第三丁基-4-羥基苯基)硬脂酯、肆[3-(3,5-二-第三丁基-4-羥基苯基)丙酸甲基]甲烷、硫二乙二醇雙[(3,5-二-第三丁基-4-羥基苯基)丙酸酯]、1,6-六亞甲基雙[(3,5-二-第三丁基-4-羥基苯基)丙酸酯]、雙[3,3-雙(4-羥基-3-第三丁基苯基)丁酸]甘醇酯、雙[2-第三丁基-4-甲基-6-(2-羥基-3-第三丁基-5-甲基苄基)苯基]對苯二甲酸酯、1,3,5-參[(3,5-二-第三丁基-4-羥基苯基)丙醯氧基乙基]異氰尿酸酯、3,9-雙[1,1-二甲基-2-{(3-第三丁基-4-羥基-5-甲基苯基)丙醯氧基}乙基]-2,4,8,10-四氧雜螺[5,5]十一烷、三乙二醇雙[(3-第三丁基-4-羥基-5-甲基苯基)丙酸酯]等。
上述磷系抗氧化劑,例如:參壬基苯基亞磷酸酯、參[2-第三丁基-4-(3-第三丁基-4-羥基-5-甲基苯基硫)-5-甲基苯基]亞磷酸酯、亞磷酸十三烷酯、亞磷酸三異癸酯、亞磷酸三月桂酯、辛基二苯基亞磷酸酯、二(癸基)單苯基亞磷酸酯、二(十三基)新戊四醇二亞磷酸酯、二(壬基苯基)新戊四醇二亞磷酸酯、雙(2,4-二-第三丁基苯基)新戊四醇二亞磷酸酯、雙(2,6-二-第三丁基-4-甲基苯基)新戊四醇二亞磷酸酯、雙(2,4,6-三-第三丁基苯基)新戊四醇二亞磷酸酯、雙(2,4-二異丙苯基苯基)新戊四醇二亞磷酸酯、四(十三基)異亞丙基二苯酚二亞磷酸酯、四(十三基)-4,4’-正亞丁基雙(2-第三丁基-5-甲基苯酚)二亞磷酸酯、六(十三基)-1,1,3-參(2-甲基-4-羥基-5-第三丁基苯基)丁烷三亞磷酸酯、肆(2,4-二-第三丁基苯基)伸聯苯基二亞膦酸酯、9,10-二氫-9-氧雜-10-磷雜菲-10-氧化物、2,2’-亞甲基雙(4,6-第三丁基苯基)-2-乙基己基亞磷酸酯、2,2’-亞甲基雙(4,6-第三丁基苯基)-十八基亞磷酸酯、2,2’-亞乙基雙(4,6-二-第三丁基苯基)氟亞磷酸酯、參(2-[(2,4,8,10-肆-第三丁基二苯并[d,f][1,3,2]二氧雜磷雜庚英-6-基)氧]乙基)胺、2-乙基-2-丁基丙二醇與2,4,6-三-第三丁基苯酚之亞磷酸酯等。
上述硫系抗氧化劑,例如:硫二丙酸二月桂酯、硫二丙酸二豆蔻酯、硫二丙酸二硬脂酯等硫二丙酸二烷酯類、及新戊四醇四(β-烷基硫丙酸)酯類。
上述本實施形態之三系化合物以外之其他紫外線吸收劑,例如:2,4-二羥基二苯基酮、2-羥基-4-甲氧基二苯基酮、2-羥基-4-辛氧基二苯基酮、5,5’-亞甲基雙(2-羥基-4-甲氧基二苯基酮)等2-羥基二苯基酮類;2-(2’-羥基-5’-甲基苯基)苯并三唑、2-(2’-羥基-3’,5’-二-第三丁基苯基)-5-氯苯并三唑、2-(2’-羥基-3’-第三丁基-5’-甲基苯基)-5-氯苯并三唑、2-(2’-羥基-5’-第三辛基苯基)苯并三唑、2-(2’-羥基-3’,5’-二異丙苯基苯基)苯并三唑、2,2’-亞甲基雙(4-第三辛基-6-(苯并三唑基)苯酚)、2-(2’-羥基-3’-第三丁基-5’-羧基苯基)苯并三唑等2-(2’-羥基苯基)苯并三唑類;水楊酸苯酯、間苯二酚單苯甲酸酯、2,4-二-第三丁基苯基-3,5-二-第三丁基-4-羥基苯甲酸酯、2,4-二-第三戊基苯基-3,5-二-第三丁基-4-羥基苯甲酸酯、3,5-二-第三丁基-4-羥基苯甲酸十六酯等苯甲酸酯類;2-乙基-2’-乙氧基草醯替苯胺、2-乙氧基-4’-十二基草醯替苯胺等取代草醯替苯胺類;乙基-α-氰基-β、β-二苯基丙烯酸酯、甲基-2-氰基-3-甲基-3-(對甲氧基苯基)丙烯酸酯等氰基丙烯酸酯類。
上述受阻胺系光安定劑,例如:2,2,6,6-四甲基-4-哌啶基硬脂酸酯、1,2,2,6,6-五甲基-4-哌啶基硬脂酸酯、2,2,6,6-四甲基-4-哌啶基苯甲酸酯、雙(2,2,6,6-四甲基-4-哌啶基)癸二酸酯、雙(1,2,2,6,6-四甲基-4-哌啶基)癸二酸酯、雙(1-辛氧基-2,2,6,6-四甲基-4-哌啶基)癸二酸酯、肆(2,2,6,6-四甲基-4-哌啶基)-1,2,3,4-丁烷四羧酸酯、肆(1,2,2,6,6-五甲基-4-哌啶基)-1,2,3,4-丁烷四羧酸酯、雙(2,2,6,6-四甲基-4-哌啶基)・二(十三基)-1,2,3,4-丁烷四羧酸酯、雙(1,2,2,6,6-五甲基-4-哌啶基)・二(十三基)-1,2,3,4-丁烷四羧酸酯、雙(1,2,2,4,4-五甲基-4-哌啶基)-2-丁基-2-(3,5-二-第三丁基-4-羥基苄基)丙二酯、1-(2-羥基乙基)-2,2,6,6-四甲基-4-哌啶酯/琥珀酸二乙酯縮聚物、1,6-雙(2,2,6,6-四甲基-4-哌啶基胺基)己烷/2,4-二氯-6-啉代-s-三縮聚物、1,6-雙(2,2,6,6-四甲基-4-哌啶基胺基)己烷/2,4-二氯-6-第三辛胺基-s-三縮聚物、1,5,8,12-肆[2,4-雙(正丁基-N-(2,2,6,6-四甲基-4-哌啶基)胺基)-s-三-6-基]-1,5,8,12-四氮雜十二烷、1,5,8,12-肆[2,4-雙(正丁基-N-(1,2,2,6,6-五甲基-4-哌啶基)胺基)-s-三-6-基]-1,5,8-12-四氮雜十二烷、1,6,11-參[2,4-雙(正丁基-N-(2,2,6,6-四甲基-4-哌啶基)胺基)-s-三-6-基]胺基十一烷、1,6,11-參[2,4-雙(正丁基-N-(1,2,2,6,6-五甲基-4-哌啶基)胺基)-s-三-6-基]胺基十一烷等受阻胺化合物。
上述近紅外線吸收劑,例如:多甲川色素(花青色素)、二氫吲哚花青色素、酞花青系色素、萘醛花青苷系色素、萘酚金屬錯合物系色素、方酸菁色素、疊氮色素、二硫醇金屬錯鹽系色素、吡喃鎓色素、硫雜吡喃鎓色素、吲哚苯胺色素、偶氮蒽醌色素、萘醌色素、蒽醌色素、硫代雙烯(bis(dithiolene)色素、三苯基甲烷系色素、鋁(aluminum)系色素、二亞銨色素等色素,再者,也可使用無機系之近紅外線吸收劑,例如碳黑、摻雜了氧化銻或氧化銦之氧化錫、屬於周期表4A,5A或6A族之金屬之氧化物、碳化物或硼化物。
上述成核劑,例如:對第三丁基苯甲酸鋁、苯甲酸鈉等苯甲酸類之金屬鹽、雙(2,4-二-第三丁基苯基)磷酸酯鈉、亞甲基雙(2,4-二-第三丁基苯基)磷酸酯鈉、雙[亞甲基雙(2,4-二-第三丁基苯基)磷酸酯]羥基鋁等芳香族磷酸酯金屬鹽及芳香族磷酸酯金屬鹽與鹼金屬化合物之混合物、二亞苄基山梨醇、雙(甲基亞苄基)山梨醇、雙(對乙基亞苄基)山梨醇、雙(二甲基亞苄基山梨醇)等二亞苄基山梨醇類、胺基酸金屬鹽、松香酸金屬鹽、N,N’,N”-參[2-甲基環己基]-1,2,3-丙烷三羧醯胺、N,N’,N”-三環己基-1,3,5-苯三羧醯胺、N,N’-二環己基萘二羧醯胺、1,3,5-三(二甲基異丙醯胺基)苯等醯胺化合物等。
上述抗靜電劑,例如:脂肪酸第四級銨離子鹽、聚胺四級鹽等陽離子系抗靜電劑;高級醇磷酸酯鹽、高級醇EO加成物、聚乙二醇脂肪酸酯、陰離子型之烷基磺酸鹽、高級醇硫酸酯鹽、高級醇環氧乙烷加成物硫酸酯鹽、高級醇環氧乙烷加成物磷酸酯鹽等陰離子系抗靜電劑;多元醇脂肪酸酯、聚甘醇磷酸酯、聚氧乙烯烷基烯丙醚等非離子系抗靜電劑;烷基二甲胺基乙酸甜菜鹼等兩性型烷基甜菜鹼、咪唑啉型兩性活性劑等兩性抗靜電劑、離子聚合物、含有聚乙二醇作為親水部之嵌段聚合物之高分子型抗靜電劑。
上述潤滑劑,例如:流動烷烴、烷烴蠟、聚乙烯蠟等烴系潤滑劑;硬脂醇、硬脂酸、12-羥基硬脂酸等脂肪族系潤滑劑;硬脂醯胺、油醯胺、芥醯胺、亞甲基雙硬脂醯胺、乙烯硬脂醯胺等醯胺系潤滑劑;硬脂酸鈣、硬脂酸鋅、硬脂酸鎂、硬脂酸鉛、硬脂酸鋁、硬脂酸鋇、硬脂酸鋇/硬脂酸鋅複合體、硬脂酸鋅/硬脂酸鈣複合體等金屬肥皂系潤滑劑;硬化油脂、甘油單硬脂酸酯、硬脂酸丁酯、硬脂酸新戊四醇酯、硬脂酸硬脂酯等酯系潤滑劑。
上述塑化劑,例如:鄰苯二甲酸酯、二元酸酯、氯化烷烴、聚酯、環氧化酯、磷酸酯、偏苯三甲酸酯等。
上述光吸收性色素,例如:花青系、喹啉系、香豆素系、噻唑系、氧雜菁系、甘菊藍(azulene)系、方酸菁系、次甲基偶氮系、偶氮系、亞苄基(benzilidene)系、 系、酞花青系、二硫醇金屬錯合物系化合物等。
上述填充劑,例如:碳酸鈣、氧化鈣、氫氧化鈣、氫氧化鋅、碳酸鋅、硫化鋅、氧化鎂、氫氧化鎂、碳酸鎂、氧化鋁、氫氧化鋁、氧化鋁矽酸鈉、水鋁鈣石(hydrocalumite)、矽酸鋁、矽酸鎂、矽酸鈣、沸石等矽酸金屬鹽、活性白土、滑石、黏土、弁柄(bengala)、石棉、三氧化銻、二氧化矽、玻璃珠粒、雲母、絹雲母、玻璃屑片、矽灰石(wollastonite)、鈦酸鉀、PMF(礦物纖維)、石膏纖維、硬矽鈣石(xonotlite)、MOS(Magnesium Hydroxide Sulfate Hydrate,纖維狀鎂化合物),磷酸纖維、玻璃纖維、碳纖維、芳香族聚醯胺纖維、纖維素奈米纖維等。
上述顏料可使用例如:市售顏料,例如:顏料紅1、2、3、9、10、17、22、23、31、38、41、48、49、88、90、97、112、119、122、123、144、149、166、168、169、170、171、177、179、180、184、185、192、200、202、209、215、216、217、220、223、224、226、227、228、240、254;顏料橙13、31、34、36、38、43、46、48、49、51、52、55、59、60、61、62、64、65、71;顏料黃1、3、12、13、14、16、17、20、24、55、60、73、81、83、86、93、95、97、98、100、109、110、113、114、117、120、125、126、127、129、137、138、139、147、148、150、151、152、153、154、166、168、175、180、185;顏料綠7、10、36;顏料藍15、15:1、15:2、15:3、15:4、15:5、15:6、22、24、56、60、61、62、64;顏料紫1、19、23、27、29、30、32、37、40、50等。
上述染料,例如:偶氮染料、蒽醌染料、靛屬(indigoid)染料、三芳基甲烷染料、 染料、茜素(alizarin)染料、吖啶染料、二苯乙烯(stilbene)染料、噻唑染料、萘酚染料、喹啉染料、硝基染料、吲達胺(Indamine)染料、㗁染料、酞花青染料、花青染料等染料等。
上述金屬肥皂,可以使用例如鋰、鈉、鉀、鎂、鈣、鋁、羥基鋁、鋇、鋅等金屬與月桂酸、肉豆蔲酸、棕櫚酸、硬脂酸、二十二酸、油酸等飽和或不飽和脂肪酸之鹽。
上述加工助劑可以從公知之加工助劑之中適當選擇,丙烯酸系加工助劑較理想。加工助劑之例可列舉例如甲基丙烯酸甲酯、甲基丙烯酸乙酯、甲基丙烯酸丁酯等甲基丙烯酸烷酯之均聚物或共聚物;前述甲基丙烯酸烷酯、與甲基丙烯酸酯、丙烯酸乙酯、丙烯酸丁酯等丙烯酸烷酯之共聚物;前述甲基丙烯酸烷酯、與苯乙烯、α-甲基苯乙烯、乙烯基甲苯等芳香族乙烯基化合物之共聚物;前述甲基丙烯酸烷酯、與丙烯腈、甲基丙烯腈等乙烯基氰化合物等之共聚物等。
作為上述阻燃劑、上述阻燃助劑之例,可列舉下列含三環之化合物、金屬氫氧化物、其他無機磷、鹵素系阻燃劑、聚矽氧系阻燃劑、磷酸酯系阻燃劑、縮合磷酸酯系阻燃劑、泡沸(intumescent)系阻燃劑、三氧化銻等氧化銻、其他無機系阻燃助劑、有機系阻燃助劑等。
上述含三環之化合物,例如:三聚氰胺、三聚氰酸二醯胺(Ammeline)、苯并胍胺、乙醯基胍胺、酞二胍胺、三聚氰胺異氰酸酯、焦磷酸三聚氰胺、伸丁基二胍胺、降莰烯二胍胺、亞甲基二胍胺、乙烯二(三聚氰胺)、三亞甲基二(三聚氰胺)、四亞甲基二(三聚氰胺)、六亞甲基二(三聚氰胺)、1,3-伸己基二(三聚氰胺)等。
上述金屬氫氧化物可列舉氫氧化鎂、氫氧化鋁、氫氧化鈣、氫氧化鋇、氫氧化鋅、KISUMA 5A(氫氧化鎂:協和化學工業(股)製)等。
上述磷酸酯系阻燃劑之例,例如:磷酸三甲酯、磷酸三乙酯、磷酸三丁酯、磷酸三丁氧基乙酯、磷酸參氯乙酯、磷酸參二氯丙酯、磷酸三苯酯、磷酸三甲苯酚酯、磷酸甲苯酚基二苯酯、磷酸三(二甲苯)酯、磷酸辛基二苯酯、磷酸二甲基二苯酯、磷酸參異丙基苯酯、磷酸2-乙基己基二苯酯、磷酸第三丁基苯基二苯酯、雙(第三丁基苯基)苯基磷酸酯、參(第三丁基苯基)磷酸酯、磷酸異丙基苯基二苯酯、雙(異丙基苯基)二苯基磷酸酯、參(異丙基苯基)磷酸酯等。
上述縮合磷酸酯系阻燃劑之例可列舉1,3-伸苯基雙(二苯基磷酸酯)、1,3-伸苯基雙(二(二甲苯基)磷酸酯)、雙酚A雙(二苯基磷酸酯)等,泡沸(intumescent)系阻燃劑可略舉聚磷酸銨、聚磷酸三聚氰胺、聚磷酸哌、焦磷酸銨、焦磷酸三聚氰胺、焦磷酸哌等(聚)磷酸之銨鹽、胺鹽。
上述其他無機系阻燃助劑,例如:氧化鈦、氧化鋁、氧化鎂、滑石等無機化合物、及其表面處理品,可使用例如:TIPAQUE R-680(氧化鈦:石原產業(股)製)、KYOWAMAG 150(氧化鎂:協和化學工業(股)製)等各種市售品。
又,其他有機系阻燃助劑,例如:新戊四醇、二新戊四醇等。
上述沸石化合物係有獨特的三維的沸石結晶結構的鹼或鹼土類金屬的鋁矽酸鹽,其代表例可列舉A型、X型、Y型及P型沸石、絲光沸石(mordenite)、方沸石(analcite)、方鈉石(sodalite)族鋁矽酸鹽、斜髮沸石(clinoptilolite)、毛沸石(erionite)及菱沸石(chabazite)等,亦可為具有該等沸石化合物之結晶水(所謂沸石水)之含水物或已去除結晶水之無水物,可使用其粒徑為0.1~50μm者,尤其0.5~10μm者較佳。
上述發泡劑,例如:偶氮二碳醯胺、偶氮雙異丁腈、p,p’-氧雙苯磺醯基醯肼、n,n’-二亞硝基五亞甲基四胺、對甲苯磺醯基半卡肼、三伸肼基三等分解型有機發泡劑及重碳酸鈉、碳酸銨、重碳酸銨、亞硝酸銨、疊氮化物化合物、硼氫化鈉等分解型無機發泡劑。
上述(重)金屬不活化劑可列舉1,2,4-三唑-3-基水楊醯胺、雙水楊酸醯肼、十二烷二醯雙(2-(2-羥基苯甲醯基)醯肼)、雙(3-(3,5-二-第三丁基-4-羥基苯基)丙酸)醯肼等。
上述交聯劑可以列舉過氧化苯甲醯、二第三丁基過氧化物、過氧化二異丙苯、2,5-二甲基-2,5-二(第三丁基過氧化)己烷、2,5-二甲基-2,5-二(第三丁基過氧化)己炔、1,3-雙(第三丁基過氧化異丙基)苯-第三丁基-過氧化氫、異丙苯過氧化氫、聚碸疊氮化物、疊氮甲酸酯、四甲基間苯二甲醯基二第三丁基雙過氧化物、四甲基間苯二甲醯基二異丙苯基雙過氧化物、二乙醇胺、三乙醇胺等烷醇胺、六亞甲基二胺、4,4’-二胺基二苯基甲烷等。
上述環氧系安定劑可以列舉有脂肪族、芳香族、脂環族、芳香族脂肪族或雜環族結構且具有環氧基作為側鏈的化合物。環氧基較佳為以環氧丙基的形式利用醚或酯鍵而鍵結於分子之殘基、或雜環族胺、醯胺或醯亞胺之N-環氧丙基衍生物亦可。具體而言,環氧化大豆油、環氧化亞麻仁油、環氧化單酯等。環氧系安定劑之市售品,例如:ADEKA(股)公司製品名「ADEKASIZER O-130P」、「ADEKASIZER O-180A」、「ADEKASIZER D-32」、「ADEKASIZER EP-13」、「ADEKASIZER FEP-13」等。
上述消光劑宜為二氧化矽的微粒較佳。二氧化矽之微粒的例可列舉AerosilR972、R972V、R974、R812、200、200V、300、R202、OX50、TT600(以上為日本Aerosil(股)製),考量保持薄膜的霧度為低且降低磨擦係數的效果大的觀點,較佳為Aerosil200V、AerosilR972V、AerosilR812。
上述防霧劑,例如:甘油脂肪酸酯、烷基二乙醇胺、烷基二乙醇胺脂肪酸酯等。
上述剝落防止劑,例如:以二氧化矽、乙烯-飽和羧酸乙烯酯共聚物皂化物之環氧烷加成物作為有效成分者。
上述表面處理劑,例如:含有胺基矽烷化合物、環氧樹脂中之一種以上之表面處理劑較理想。
上述胺基矽烷化合物,例如:γ-胺基丙基三乙氧基矽烷、γ-胺基丙基三甲氧基矽烷及γ-(2-胺基乙基)胺基丙基三甲氧基矽烷等。
上述表面處理劑中含有的環氧樹脂,例如:酚醛清漆型環氧樹脂、雙酚型環氧樹脂等,宜使用酚醛清漆型環氧樹脂較理想。酚醛清漆型環氧樹脂可列舉苯酚酚醛清漆型環氧樹脂、甲酚酚醛清漆型環氧樹脂等多官能型環氧樹脂。
又,表面處理劑中除了上述胺基矽烷化合物、環氧樹脂以外,在不妨礙性質的範圍內也可以摻合胺甲酸酯樹脂、丙烯酸樹脂、抗靜電劑、潤滑劑、及撥水劑等成分。再者,就其他表面處理劑而言,可列舉酚醛清漆型及雙酚型以外之環氧樹脂、偶聯劑等。
上述螢光增白劑,係吸收太陽光、人工光的紫外線並將其利用變換為紫~藍色的可見光線而輻射的螢光作用以助長成形體的白色度、泛藍性的化合物。螢光增白劑可以列舉苯并㗁唑系化合物C.I.Fluorescent Brightner184;香豆素系化合物C.I.Fluorescent Brightner52;二胺基二苯乙烯二磺酸系化合物C.I.Fluorescent Brightner24、85、71等。
上述防黴劑,例如:含氮含硫系、有機溴系、含氮系、砷系等有機系防黴劑、銀化合物等無機系防黴劑等。
上述抗菌劑,例如:氯系、苯酚系、咪唑系或噻唑系之化合物、第四級銨化合物等有機系抗菌劑、保持含有銀、鋅等金屬的沸石系、磷灰石系、二氧化矽氧化鋁系、陶瓷系、磷酸鋯系、矽膠系、羥基磷灰石系或矽酸鈣系等無機系抗菌劑。
上述脫模劑,例如:二十八酸鈉、二十八酸鉀、二十八酸鈣、二十八酸鎂等。
本實施形態之樹脂組成物之製造方法無特殊限制,可以採用以往公知之任意的方法。
上述樹脂組成物之製造方法之一例,可列舉將本實施形態之粒狀紫外線吸收劑、上述合成樹脂、視需要之其他添加成分等各成分使用滾動機、亨舍爾混合機等各種混合機予以預先混合後,再使用班伯里混合機、輥、Brabender、單軸混練擠壓機、雙軸混練擠壓機、捏揉機等進行熔融混練的方法。
也可不將各成分預先混合、或僅將一部分成分預先混合,使用進料器對擠壓機供給並熔融混練,來製造樹脂組成物。進而,可藉由把將一部分成分予以預先混合,並對擠壓機供給並熔融混練而獲得之樹脂組成物作為母料,再和其他成分混合並熔融混練,以製造樹脂組成物。
又,上述混合混練步驟使用之合成樹脂,可為有粉狀、丸粒狀等預定形狀、或纖維狀者。
本實施形態之樹脂組成物在室溫可以為固體狀,形狀可為粉末狀、顆粒狀、丸粒、團塊、錠片等一定形狀、或片狀。
藉由將本實施形態之樹脂組成物成形,可獲得成形體。
成形方法無特殊限定,可列舉射出成形法、擠壓成形法、吹塑成形法、旋轉成形、真空成形法、膨發成形法、壓延成形法、滾壓成形法、浸漬成形法、發泡成形法等。
上述成形體,因應用途可以有各種之形態,例如可以有樹脂板、片、薄膜、容器(瓶、盤、袋)、纖維、各種成形品等各種形狀。
又,本實施形態之樹脂組成物,可為將本實施形態之粒狀紫外線吸收劑、作為黏結劑樹脂使用之上述合成樹脂、視需要之其他添加成分等各成分,溶解於溶劑而製成清漆樹脂(在室溫為液狀的清漆狀樹脂組成物)。溶劑可使用有機系溶劑、水系溶劑。視需要,可使用乳化劑,以分散了粉末狀之紫外線吸收劑之乳劑的形態使用樹脂清漆。
作為製備上述樹脂清漆之方法,各成分之混合順序無特殊限制,可將全部成分同時混合,也可在預先將本實施形態之粒狀紫外線吸收劑及其他添加成分混合獲得之混合物中混合合成樹脂,也可將預先製備好的多數成分和其他成分混合,或將已預先製備的多數成分彼此進一步混合。
上述樹脂清漆,也可使用例如澆鑄薄膜法而加工成薄膜、片。上述樹脂清漆,可作為用以在預定之基材上塗佈用的塗料材料。
本實施形態之樹脂組成物,能夠使用在電氣・電子・通訊、農林水產、礦業、建設、食品、纖維、衣類、醫療、煤、石油、橡膠、皮革、汽車、精密設備、木材、建材、土木、家具、印刷、樂器等廣泛的產業領域。
就更具體的用途而言,例如:印表機、個人電腦、文字處理機、鍵盤、PDA(小型資訊終端機)、電話機、影印機、傳真機、ECR(電子式金錢登錄機)、電子計算機、電子記事本、卡片、支架、文具等事務、OA設備、洗衣機、冰箱、掃地機、微波爐、照明器具、遊戲機、熨斗、炬燵等家電設備、TV、VTR、攝影機、卡式放音機、卡式錄音機、MD、CD播放機、擴音機、液晶顯示器等AV設備、連接器、繼電器、電容器、開關、印刷基板、線圈筒管、半導體密封材料、LED密封材料、電線、纜線、變壓器、偏向軛、分電盤、時鐘等電氣・電子零件及通訊設備、汽車用內外裝材、製版用薄膜、黏著薄膜、瓶、食品用容器、食品包裝用薄膜、製藥醫藥用綑包薄膜、製品包裝薄膜、農業用薄膜、農業用片、溫室用薄膜等。
又,具體用途可列舉座椅(填充物、外部材料等)、皮帶、天花板覆蓋物、兼容頂部、扶手、門飾板、後密封托盤、地毯、墊子、遮陽板、輪蓋、床墊套、氣囊、絕緣材、手拉環、手拉帶、電線覆蓋材料、電氣絕緣材、塗料、塗佈材料、覆蓋材料、地板材料、護角材料、地毯、壁紙、壁裝材、外裝材、內裝材、屋面材料、甲板材料、壁材、柱材、敷板、圍牆材料,框架及裝飾材,框架和門形材、杮板、牆板、臺地、陽台、隔音板、隔熱板、窗材等火車、車輛、船舶、飛機、建築物、住房和建築材料、土木工程材料、服裝、窗簾、床單、無紡布、膠合板、層壓板、絨毯、入口墊、片、桶、軟管、容器、眼鏡、包包、箱子、護目鏡、滑雪板、球拍、帳篷、樂器等生活用品、體育用品等各種用途。除此之外,還可以列舉塗料、化妝品等。
又,也可列舉醫藥品、維他命製劑、飲用劑、眼藥等藥品容器;化妝水、乳液、防曬品等化粧品的容器;食品容器、酒、葡萄酒、啤酒、果汁、軟性飲料、茶、紅茶、咖啡等飲料容器;洗髮精、淋洗、漱口液、牙膏、消毒液等日用品容器等用途。
又,本實施形態之樹脂組成物,無特殊限制,可成形為片、薄膜等而理想地作為光學薄膜、光學片等光學材料使用。作為光學材料例如:液晶顯示裝置(LCD)、電漿顯示器面板(PDP)、電致發光顯示器(ELD)、陰極管顯示裝置(CRT)、螢光顯示管、電場放射型顯示器等影像顯示裝置使用之光學薄膜或光學片有用,尤其作為顯示元件有使用有紫外線耐性之有機材料之液晶顯示裝置、有機EL顯示器之光學校正薄膜、發光體保護薄膜等光學薄膜為有用。液晶顯示裝置用途可列舉偏光板保護薄膜或保護片、相位差薄膜、視野角擴大薄膜、防眩薄膜、亮度增強薄膜、光擴散薄膜及光擴散片、透鏡薄膜及透鏡片、防霧薄膜、抗靜電薄膜、光學校正薄膜、抗反射薄膜、色調調整薄膜、導光板等,尤其適合作為接觸液晶顯示元件之偏光板之外表面側所設置之光學薄膜或光學片、或偏光板保護薄膜或光學片。
以上已針對本發明之實施形態敘述,但它們係本發明之例示,可以採用上述以外之各式各樣的構成。
[實施例]
以下針對本發明,參照實施例詳細說明,但本發明不限於該等實施例的記載。
[粒狀紫外線吸收劑之製備]
(實施例1)
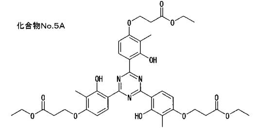
依照以下之程序,合成2,4,6-參[2-羥基-3-甲基-4-己氧基苯基]三。
於300ml的四口燒瓶中裝入2,4,6-參(2,4-二羥基-3-甲基苯基)三10.00g、氫氧化鈉22.68g、二甲基甲醯胺80.00g、1-溴己烷11.07g,升溫到80℃,使其反應9小時。使用鹽酸進行中和處理後,水洗並減壓脫溶劑,將殘渣從甲苯:異丙醇=1:1進行再結晶,以獲得結晶。之後,於金屬製板滴加已熔融的目的物(結晶)並冷卻,獲得屑片(熔融固化處理)。將獲得之屑片進行粗粉碎、分級,以獲得熔點145℃的淡黃色顆粒11.89g(產率76%)。
針對獲得之化合物(淡黃色顆粒),實施1
H-NMR測定。依下列分析結果,鑑別獲得之淡黃色顆粒係下式No.1表示之顆粒狀之化合物(粒狀紫外線吸收劑)。
(實施例2~5)
和實施例1同樣進行,獲得不同批次的顆粒狀的化合物No.1(粒狀紫外線吸收劑)。
(比較例1)
實施例1獲得之結晶不實施熔融固化處理而進行研鉢粉碎,以獲得上式No.1表示之粉狀之化合物(粒狀紫外線吸收劑)。
(比較例2)
收集實施例1分級時獲得之大型粒徑的化合物,獲得粒狀紫外線吸收劑。
針對依以上獲得之粒狀紫外線吸收劑,依據以下之評價項目實施評價。評價結果示於表1。
(粒徑分布)
使用多個篩來分篩獲得之粒狀紫外線吸收劑之粒徑分布,從在各篩上殘留者的重量算出殘留比例。具體如下。
首先將獲得之粒狀紫外線吸收劑約200g(全量)放在最上層的篩,依下列孔目之篩、振幅的條件,使用配備篩的振動過篩裝置(RETSCH製,AS300),振動3分鐘(過篩操作)。測定在各篩上殘留的粒狀紫外線吸收劑的重量(g),算出就該重量相對於導入之全量之重量比例(wt%),作為篩餘物量。
・孔目:4.0mm、2.8mm、2.0mm、1.0mm(從上開始按此順序設置)
・振幅:1.00mm、3min
表1中,篩餘物量代表利用過篩操作在篩上殘留之粒狀紫外線吸收劑之重量比例。通過分量代表通過(pass)孔目1.0mm之篩之粒狀紫外線吸收劑之重量比例。
獲得之粒狀紫外線吸收劑使用孔目5.0mm篩過篩時之孔目5.0mm篩上之篩餘物量(wt%)之結果,示於表1。
(粉塵性)
・操作性
相對於聚碳酸酯樹脂100質量份摻合獲得之粒狀紫外線吸收劑0.2質量份後,以亨舍爾混合機混合10分鐘,獲得混合物。基於下列的評價基準,來評價操作性。 ○:幾乎未觀察到飛粉塵。
×:觀察到大量的飛粉塵。
・作業環境性
使獲得之粒狀紫外線吸收劑從30cm上部掉落到托盤,測定承載在托盤的量。依據下列評價基準來評價作業環境性。
○:留在托盤的量較多。
×:留在托盤的量較少,多從托盤脫出。
(流動性)
相對於聚碳酸酯樹脂100質量份摻合獲得之粒狀紫外線吸收劑0.2質量份後,以亨舍爾混合機混合10分鐘,獲得混合物,從擠製機的料斗對於擠製機供給。在料斗的流動性依下列評價基準來評價。
◎:混合物之流動性良好,未發生進料不良
○:混合物較為流動,為實用上沒有問題的範圍,未發生進料不良。
×:混合物之流動性低,發生進料不良。
(熔融混練性)
相對於丙烯酸樹脂100質量份,以1質量份之摻合量摻合獲得之粒狀紫外線吸收劑,使用雙軸擠壓機(L/D=30)於250℃熔融混練並造粒,獲得丸粒。觀察排出量設為0.3kg/h時之丸粒,依據以下之評價基準來評價熔融混練性。
○:樹脂與粒狀紫外線吸收劑均勻地分散,並能熔融混練。
△:樹脂與粒狀紫外線吸收劑稍分離但能熔融混練。
×:樹脂與粒狀紫外線吸收劑分離,不能熔融混練。
又,針對獲得之實施例1、比較例1之粒狀紫外線吸收劑,實施X射線繞射分析。評價結果示於表2~4。
(X射線繞射)
對於獲得之粒狀紫外線吸收劑使用UltimaIV(Rigaku(股)公司),依下列測定條件實施粉末X射線繞射測定。
(測定條件)
X射線管球:CuKα線(CuKα1=1.540562埃、CuKα2=1.544398埃、CuKα2未除去)
管電壓/管電流:40kV/40mA
附件:多目的薄膜試樣台
單色計:固定
濾器:無
發散狹縫:2/3°
發散縱限制狹縫:10mm
散射狹縫:1.17mm
受光狹縫:0.3mm
掃描類型:連續掃描
掃描速度:4°/min
取樣幅度:0.02°
掃描軸:2θ/ω
掃描範圍:=3°~90°
實施例1之粒狀紫外線吸收劑之粉末X射線繞射分析之結果如圖1所示。圖1之各峰部所對應之繞射角2θ、d值、相對強度示於表3。表3中,deg代表度,峰部強度之閾值設為極大峰部之1/100。
比較例1之粒狀紫外線吸收劑之粉末X射線繞射分析之結果示於圖2。圖2之各峰部所對應之繞射角2θ、d值、相對強度示於表4。表4中,峰部強度之閾值設為1/100。
(進料性)
將獲得之粒狀紫外線吸收劑1kg投入到料斗內,使用重量式進料器(K-TRON公司製,縱:25cm×外徑:1.4cm、溝寬:2.0cm、溝深:0.3cm之扭轉螺旋(Twinspiral)式之雙軸螺桿),以進料器排出量:0.3kg/h之條件排出30分鐘(進料性試驗)。
・定量性
每隔10分鐘經時測定從重量式進料器排出的量(進料器量)。進料量的變異小時評為○,進料量的變異大時評為×。
・長期性
將排出時間之條件從30分鐘變更為3小時,除此以外同樣進行,實施上述進料試驗。連續排出3小時時評為○,經過3小時前運轉停止時評為×。
(壓縮造粒性)
使用輥壓實機(HOSOKAWA MICRON公司製,造粒機M-25型),以輥間歙:3.2mm、輥轉動速度:14rpm的條件,將獲得之粒狀紫外線吸收劑予以壓縮造粒,獲得板厚:4mm的板狀顆粒。將獲得之板狀顆粒粉碎,以5mesh的振動篩去除粗粉,然後以24mesh的振動篩去除微粉後(整粒),獲得留在24mesh的振動梳上的板狀造粒物。
針對獲得的造粒物實施外觀觀察,依下列基準評價造粒物之崩壞程度。
10個造粒物中10個觀察到皆未崩壞時評為○,10個中造粒物觀察到1個以上4個以下有一部分崩壞時評為△,10個造粒物中觀察到5個以上有一部分或全體崩壞時評為×。
[樹脂組成物之製備]
(薄膜之製作)
將相對於合成樹脂(聚碳酸酯樹脂:三菱工程塑膠(股)製,製品名E-2000)100質量份摻合了獲得之各實施例之粒狀紫外線吸收劑0.2質量份而得者溶於溶劑(甲苯/環己烷=9/1)230質量份,以製備樹脂組成物。用獲得之樹脂組成物利用澆鑄法來製作厚度40μm的薄膜,獲得1邊2cm的正方形的薄膜試驗片。
將獲得之薄膜試驗片以陽光測候儀(83℃、無雨、光源碳弧)測定240、360及480小時後之全光線透射率(%)之保持率(%),並評價耐光性。
由240、360及480小時後之保持率(%)顯示高值的結果,可知藉由使用各實施例之粒狀紫外線吸收劑,可達成優良的耐光性。
又,可知:就合成樹脂而言,將聚碳酸酯樹脂替換為使用甲基丙烯酸樹脂、降莰烯樹脂、聚對苯二甲酸乙二醇酯樹脂、或聚苯乙烯樹脂時,也能達成同樣優異之耐光性。
(容器之製作)
相對於聚對苯二甲酸乙二醇酯(固有黏度:0.8dL/g)100質量份添加獲得之各實施例之粒狀紫外線吸收劑0.3質量份並混合,獲得樹脂組成物。針對獲得之樹脂組成物,於160℃之吉爾式烘箱進行4小時乾燥後,以射出成形機,於射出溫度280℃之成形溫度將預成形體(口外徑25mm、重量23g)成形。然後,針對獲得之預成形體,以模具溫度130℃進行雙軸延伸吹塑成形,製得容量500mL、厚度0.7mm的塑膠瓶。針對獲得之塑膠瓶,測定波長500nm之可見光線之透射率、波長400nm之紫外線之透射率。由波長500nm之透射率高、波長400nm之透射率低的結果,可知獲得之塑膠瓶(容器),可有效吸收紫外線且能充分確保可見光線的透射性。
(塗覆材之製作)
・紫外線吸收層
相對於降莰烯樹脂(JSR(股)製,製品名:ARTON F5023)100質量份,混合獲得之各實施例之粒狀紫外線吸收劑0.5質量份、及作為溶劑之二氯甲烷2000質量份,獲得樹脂溶液(樹脂組成物)。將獲得之樹脂溶液使用塗佈棒流延在經表面研磨之玻璃板上,經過於50℃進行20分鐘的預備乾燥、於90℃進行30分鐘的乾燥,製作膜厚80~90μm之薄膜後,獲得1邊2cm的正方形的薄膜試驗片(紫外線吸收層)。
・NIR吸收層之製作
將由相對於降莰烯樹脂(JSR(股)製,製品名:ARTON F5023)100質量份,含有作為近紅外線吸收劑之二亞銨系化合物(日本化藥(股)製,製品名:IRG-068)0.3質量份、作為溶劑之二氯甲烷2000質量份構成的樹脂溶液,使用塗佈棒流延在經表面研磨之玻璃板上,經過於50℃進行20分鐘的預備乾燥、於90℃進行30分鐘的乾燥,製得膜厚50~60μm的薄膜後,獲得1邊2cm的正方形的薄膜試驗片。
對於重疊了獲得之NIR吸收層及紫外線吸收層而成的試驗片,以陽光測候儀(Suga試驗機(股)公司製;83℃、無雨、光源碳弧),以試驗光從紫外線吸收層側照射的方式,進行360(或540)小時的暴露。測定耐光試驗前後之NIR區之極大波長(NIR吸收層:1100nm)之透射率,利用透射率的衰減率(Δ透射率)來進行耐光性評價。
由各實施例中,Δ透射率能減小的結果可確認對於近紅外線吸收劑之光劣化顯示效果。藉此可知近紅外線吸收層之近紅外線吸收劑之光劣化防止效果優異。
實施例1~5之粒狀紫外線吸收劑,相較於比較例1,粉塵性、流動性優異,相較於比較例2,熔融混練性優異,故可知顯示了良好的粉體特性。又,實施例1~5之化合物,紫外線吸收特性優異,故可知能夠理想地利用於作為紫外線吸收劑。
本申請案基於2018年3月30日提申的日本申請案特願2018-067812號及2018年3月30日提申的日本申請案特願2018-067830號主張優先權,其揭示全部在此援用。
無
上述目的、及其他目的、特徵及優點,將由以下所述理想的實施形態、及附帶的下列圖示而更清楚。
[圖1]顯示實施例1之粒狀紫外線吸收劑之X射線繞射圖案。
[圖2]顯示比較例1之粒狀紫外線吸收劑之X射線繞射圖案。
Claims (13)
- 一種粒狀紫外線吸收劑,含有三系化合物,符合依據下列篩餘物量之測定程序算出的粒度分布:孔目4.0mm之篩上之篩餘物量為0.3wt%以上1.5wt%以下,孔目2.8mm之篩上之篩餘物量為5.0wt%以上25.0wt%以下,孔目2.0mm之篩上之篩餘物量為25.0wt%以上35.0wt%以下,孔目1.0mm之篩上之篩餘物量為35.0wt%以上55.0wt%以下;該三系化合物包括下列通式(I)表示之化合物;篩餘物量之測定程序:將預定量(g)的該粒狀紫外線吸收劑使用孔目4.0mm篩、孔目2.8mm篩、孔目2.0mm篩、及孔目1.0mm篩依序過篩,測定在各篩上殘留的該粒狀紫外線吸收劑的殘留重量(g),並算出該殘留重量相對於該預定量之重量比例(wt%)作為篩餘物量;
上述通式(I)中,R1表示有取代或無取代之直鏈或分支之碳原子數1~20之烷基、碳原子數3~20之環烷基、碳原子數6~20之芳基、碳原子數7~20之烷芳基、碳原子數7~20之芳烷基、碳原子數2~8之烯基、或下列通式(II)表示之取代基,R2及R3各自獨立地表示氫原子、有取代或無取代之直鏈或分支之碳原子數1~20之烷基、或-O-R,此R表示有取代或無取代之直鏈或分支之碳原子數1~20之烷基、碳原子數3~20之環烷基、碳原子數6~20之芳基、碳原子數7~20之烷芳基、或碳原子數7~20之芳烷基,R4、R5、R6、R7、R8、R9、R10、R11及R12各自獨立地表示氫原子、鹵素原子、有取代或無取代之直鏈或分支之碳原子數1~8之烷基或直鏈或分支之碳原子數2~8之烯基,R13及R14各自獨立地表示氫原子或羥基;惟R1、R2、R3及R表示之有取代或無取代之直鏈或分支之碳原子數1~20之烷基、R4、R5、R6、R7、R8、R9、R10、R11及R12表示之有取代或無取代之直鏈或分支之碳原子數1~8之烷基中之亞甲基,也可經選自氧原子、硫原子、碳-碳雙鍵、-CO-、-CO-O-、-OC-O-、-CO-NH-、-NH-CO-、-CR01=N-及-N=CR02-中之至少一者以上之結構取代,該結構中之R01及R02各自獨立地表示直鏈或分支之碳原子數1~8之烷基; 上述通式(II)中,R21及R22各自獨立地表示氫原子、有取代或無取代之直鏈或分支之碳原子數1~20之烷基、或-O-R,此R表示有取代或無取代之直鏈或分支之碳原子數1~20之烷基、碳原子數3~20之環烷基、碳原子數6~20之芳基、碳原子數7~20之烷芳基、或碳原子數7~20之芳烷基,R23、R24、R25、R26、R27、R28、R29、R30及R31各自獨立地表示氫原子、鹵素原子、有取代或無取代之直鏈或分支之碳原子數1~8之烷基、或直鏈或分支之碳原子數2~8之烯基,R32及R33各自獨立地表示氫原子或羥基,X1表示有取代或無取代之直鏈或分支之碳原子數8以上30以下之伸烷基,Y1及Y2各自獨立地表示-CO-O-、-O-CO-、-L1-、-O-L1O-、-O-L1-、-L1-O-CO-、-L1-CO-O-、-CO-CH=CH-、-CH=CH-CO-、-CH=CH-CO-O-、-CH=CH-O-CO-、-CO-O-CH=CH-,L1為直鏈或分支之碳原子數1~8之伸烷基, m及n各自獨立地表示0~8之整數,*表示與和式(I)中之R1連結之氧原子間之鍵結手;惟R21、R22及R表示之有取代或無取代之直鏈或分支之碳原子數1~20之烷基、R23、R24、R25、R26、R27、R28、R29、R30及R31表示之該有取代或無取代之直鏈或分支之碳原子數1~8之烷基及X1表示之直鏈或分支之碳原子數8以上30以下之伸烷基中之亞甲基,也可經選自氧原子、硫原子、碳-碳雙鍵、-CO-、-CO-O-、-OC-O-、-CO-NH-、-NH-CO-、-CR03=N-及-N=CR04-中之至少一者以上之結構取代,R03及R04各自獨立地表示直鏈或分支之碳原子數1~8之烷基。 - 如申請專利範圍第1項之粒狀紫外線吸收劑,其中,該三系化合物包括下列通式(A)表示之化合物;
上述通式(A)中,RA1表示直鏈或分支之碳原子數1~12之烷基、碳原子數3~8之環烷基、直鏈或分支之碳原子數3~8之烯基、碳原子數6~18之芳基、碳原子數7~18之烷芳基或碳原子數7~18之芳烷基, RA2及RA3可彼此相同也可不同,表示氫原子、直鏈或分支之碳原子數1~12之烷基、或直鏈或分支之碳原子數1~12之烷氧基,RA4、RA7、RA10可彼此相同也可不同,表示氫原子、直鏈或分支之碳原子數1~8之烷基或直鏈或分支之碳原子數3~8之烯基,RA13及RA17可彼此相同也可不同,表示氫原子或羥基,惟RA1、RA2及RA3表示之直鏈或分支之碳原子數1~12之烷基、RA2及RA3表示之直鏈或分支之碳原子數1~12之烷氧基中之亞甲基,也可經選自氧原子、硫原子、碳-碳雙鍵、-CO-、-CO-O-、-OC-O-、-CO-NH-、-NH-CO-、-CR05=N-及-N=CR06-中之至少一者以上之結構取代,該結構中之R05及R06各自獨立地表示直鏈或分支之碳原子數1~8之烷基。 - 如申請專利範圍第1項之粒狀紫外線吸收劑,其中,該粒狀紫外線吸收劑以孔目5.0mm篩過篩時之不通過成分量為0wt%。
- 如申請專利範圍第1項之粒狀紫外線吸收劑,實施該篩餘物量之測定程序時,該粒狀紫外線吸收劑之孔目1.0mm篩之通過成分量為1.0wt%以上15.0wt%以下。
- 一種樹脂組成物,含有如申請專利範圍第1至11項中任一項之粒狀紫外線吸收劑。
- 如申請專利範圍第12項之樹脂組成物,含有合成樹脂。
Applications Claiming Priority (4)
| Application Number | Priority Date | Filing Date | Title |
|---|---|---|---|
| JP2018067830 | 2018-03-30 | ||
| JP2018067812 | 2018-03-30 | ||
| JP2018-067812 | 2018-03-30 | ||
| JP2018-067830 | 2018-03-30 |
Publications (2)
| Publication Number | Publication Date |
|---|---|
| TW201942111A TW201942111A (zh) | 2019-11-01 |
| TWI791102B true TWI791102B (zh) | 2023-02-01 |
Family
ID=68060419
Family Applications (1)
| Application Number | Title | Priority Date | Filing Date |
|---|---|---|---|
| TW108110824A TWI791102B (zh) | 2018-03-30 | 2019-03-28 | 粒狀紫外線吸收劑及樹脂組成物 |
Country Status (5)
| Country | Link |
|---|---|
| JP (3) | JP6837149B2 (zh) |
| KR (1) | KR102705590B1 (zh) |
| CN (2) | CN112105704B (zh) |
| TW (1) | TWI791102B (zh) |
| WO (1) | WO2019188953A1 (zh) |
Families Citing this family (3)
| Publication number | Priority date | Publication date | Assignee | Title |
|---|---|---|---|---|
| CN111892548B (zh) * | 2020-07-24 | 2023-12-01 | 利安隆(中卫)新材料有限公司 | 制备2,4,6-三(2-羟基4-正己氧基芳基)-1,3,5-三嗪及其中间体的方法 |
| KR102258923B1 (ko) * | 2021-02-08 | 2021-05-31 | 박진희 | 중금속 무함유의 항균 및 항바이러스 조성물 및 이를 포함하는 필름 |
| CN115122712B (zh) * | 2022-07-25 | 2023-12-29 | 广西雄塑科技发展有限公司 | 一种改性ppr耐低温管道及其制备方法 |
Citations (2)
| Publication number | Priority date | Publication date | Assignee | Title |
|---|---|---|---|---|
| JP2003138265A (ja) * | 2001-10-30 | 2003-05-14 | Teijin Chem Ltd | 供給安定性に優れた粒状難燃剤 |
| WO2016093108A1 (ja) * | 2014-12-11 | 2016-06-16 | 株式会社Adeka | 新規トリアジン化合物及びこれを用いてなる合成樹脂組成物 |
Family Cites Families (18)
| Publication number | Priority date | Publication date | Assignee | Title |
|---|---|---|---|---|
| JPS5749643A (en) * | 1980-09-08 | 1982-03-23 | Dai Ichi Kogyo Seiyaku Co Ltd | Preparation of water-soluble acrylamide high polymeric composition |
| JPS598749A (ja) * | 1982-07-08 | 1984-01-18 | Nippon Carbide Ind Co Ltd | メラミン樹脂成形用粉末組成物 |
| IL77034A (en) * | 1985-11-13 | 1991-05-12 | Bromine Compounds Ltd | Method for imparting flame retardancy properties to flammable plastics materials |
| JPS6335621A (ja) * | 1986-07-31 | 1988-02-16 | Mitsubishi Gas Chem Co Inc | ポリカ−ボネ−ト樹脂粉状体の製造法 |
| KR100540154B1 (ko) * | 1997-04-15 | 2005-12-29 | 시바 스폐셜티 케미칼스 홀딩 인코포레이티드 | 저-분진 안정화제의 제조방법 |
| JP4070157B2 (ja) * | 1997-08-29 | 2008-04-02 | 株式会社Adeka | トリアジン系化合物および紫外線吸収剤 |
| JPH11116936A (ja) * | 1997-10-13 | 1999-04-27 | Shin Kobe Electric Mach Co Ltd | 透明樹脂シートおよび紫外線吸収剤 |
| JP2001055395A (ja) * | 1999-08-17 | 2001-02-27 | Asahi Denka Kogyo Kk | 新規な結晶構造を有するナトリウム−2,2’−メチレンビス(4,6−ジ第三ブチルフェニル)ホスフェート化合物、その製造方法、それを含有するポリオレフィン系高分子組成物 |
| JP2001323251A (ja) * | 2000-05-15 | 2001-11-22 | Asahi Denka Kogyo Kk | 顆粒状紫外線吸収剤の製造方法 |
| JP4169962B2 (ja) * | 2001-10-29 | 2008-10-22 | ケミプロ化成株式会社 | 2,2′−メチレンビス〔4−(1,1,3,3−テトラメチルブチル)−6−ベンゾトリアゾリルフェノール〕結晶、その製造方法および用途 |
| JP2004052576A (ja) * | 2002-07-16 | 2004-02-19 | Denso Corp | スクロール圧縮機 |
| JP4365565B2 (ja) * | 2002-07-22 | 2009-11-18 | ケミプロ化成株式会社 | 1,3,5−トリス(4−tert−ブチル−3−ヒドロキシ−2,6−ジ−メチルベンジル)−1,3,5−トリアジン−2,4,6−(1H,3H,5H)−トリオンの結晶粉末および用途 |
| KR101187002B1 (ko) * | 2003-03-24 | 2012-09-28 | 시바 홀딩 인코포레이티드 | 대칭 트리아진 유도체 |
| BRPI0819786A2 (pt) * | 2007-12-03 | 2015-05-05 | Basf Se | Forma crsitalina, processos para a preparação da forma cristalina e para estabilizar um material orgânico contra degradação induzida pela luz, mistura estabilizadora, composição, e, artigo feito de uma composição |
| JP5350013B2 (ja) * | 2009-02-27 | 2013-11-27 | ケミプロ化成株式会社 | 新規なトリアジン系化合物、その製造方法、それよりなる紫外線吸収剤およびそれを含む高分子組成物 |
| JP5422269B2 (ja) | 2009-06-23 | 2014-02-19 | 富士フイルム株式会社 | 紫外線吸収剤組成物及び樹脂組成物 |
| JP6647023B2 (ja) * | 2014-12-11 | 2020-02-14 | 株式会社Adeka | 新規トリアジン化合物及びこれを用いてなる合成樹脂組成物 |
| US10723686B2 (en) | 2016-03-10 | 2020-07-28 | New Japan Chemical Co., Ltd. | Powdery 1,4-cyclohexanedicarboxylic acid |
-
2019
- 2019-03-25 CN CN201980024442.0A patent/CN112105704B/zh active Active
- 2019-03-25 WO PCT/JP2019/012436 patent/WO2019188953A1/ja not_active Ceased
- 2019-03-25 KR KR1020207030518A patent/KR102705590B1/ko active Active
- 2019-03-25 JP JP2019538286A patent/JP6837149B2/ja active Active
- 2019-03-25 CN CN202310959051.6A patent/CN117143395A/zh active Pending
- 2019-03-28 TW TW108110824A patent/TWI791102B/zh not_active IP Right Cessation
-
2020
- 2020-12-01 JP JP2020199846A patent/JP7729719B2/ja active Active
-
2024
- 2024-01-25 JP JP2024009632A patent/JP2024036405A/ja not_active Withdrawn
Patent Citations (2)
| Publication number | Priority date | Publication date | Assignee | Title |
|---|---|---|---|---|
| JP2003138265A (ja) * | 2001-10-30 | 2003-05-14 | Teijin Chem Ltd | 供給安定性に優れた粒状難燃剤 |
| WO2016093108A1 (ja) * | 2014-12-11 | 2016-06-16 | 株式会社Adeka | 新規トリアジン化合物及びこれを用いてなる合成樹脂組成物 |
Also Published As
| Publication number | Publication date |
|---|---|
| WO2019188953A1 (ja) | 2019-10-03 |
| CN112105704B (zh) | 2023-08-22 |
| JP6837149B2 (ja) | 2021-03-03 |
| CN112105704A (zh) | 2020-12-18 |
| JP2024036405A (ja) | 2024-03-15 |
| JP7729719B2 (ja) | 2025-08-26 |
| JPWO2019188953A1 (ja) | 2020-04-30 |
| KR102705590B1 (ko) | 2024-09-10 |
| JP2021050345A (ja) | 2021-04-01 |
| KR20200138295A (ko) | 2020-12-09 |
| CN117143395A (zh) | 2023-12-01 |
| TW201942111A (zh) | 2019-11-01 |
Similar Documents
| Publication | Publication Date | Title |
|---|---|---|
| JP2024036405A (ja) | 粒状紫外線吸収剤および樹脂組成物 | |
| JP6067458B2 (ja) | 樹脂添加剤マスターバッチおよび該樹脂添加剤マスターバッチが配合されたポリオレフィン樹脂組成物 | |
| US20240026224A1 (en) | Flame retardant agent composition, flame-retardant resin composition, and molded body | |
| JP2024045320A (ja) | 粒状紫外線吸収剤および樹脂組成物 | |
| JP6837148B2 (ja) | 粒状紫外線吸収剤および樹脂組成物 | |
| WO2023112812A1 (ja) | 難燃剤組成物、難燃性樹脂組成物および成形品 |
Legal Events
| Date | Code | Title | Description |
|---|---|---|---|
| MM4A | Annulment or lapse of patent due to non-payment of fees |















































