JP7450488B2 - ポリアミック酸樹脂、ポリイミド樹脂およびこれらを含む樹脂組成物 - Google Patents
ポリアミック酸樹脂、ポリイミド樹脂およびこれらを含む樹脂組成物 Download PDFInfo
- Publication number
- JP7450488B2 JP7450488B2 JP2020129085A JP2020129085A JP7450488B2 JP 7450488 B2 JP7450488 B2 JP 7450488B2 JP 2020129085 A JP2020129085 A JP 2020129085A JP 2020129085 A JP2020129085 A JP 2020129085A JP 7450488 B2 JP7450488 B2 JP 7450488B2
- Authority
- JP
- Japan
- Prior art keywords
- resin
- polyimide resin
- group
- compound
- terminal
- Prior art date
- Legal status (The legal status is an assumption and is not a legal conclusion. Google has not performed a legal analysis and makes no representation as to the accuracy of the status listed.)
- Active
Links
- 229920001721 polyimide Polymers 0.000 title claims description 124
- 239000009719 polyimide resin Substances 0.000 title claims description 119
- 229920005989 resin Polymers 0.000 title claims description 61
- 239000011347 resin Substances 0.000 title claims description 61
- 239000011342 resin composition Substances 0.000 title claims description 53
- 229920005575 poly(amic acid) Polymers 0.000 title claims description 37
- 150000001875 compounds Chemical class 0.000 claims description 56
- 239000003822 epoxy resin Substances 0.000 claims description 27
- 229920000647 polyepoxide Polymers 0.000 claims description 27
- 125000003277 amino group Chemical group 0.000 claims description 25
- PEEHTFAAVSWFBL-UHFFFAOYSA-N Maleimide Chemical compound O=C1NC(=O)C=C1 PEEHTFAAVSWFBL-UHFFFAOYSA-N 0.000 claims description 22
- 239000000047 product Substances 0.000 claims description 21
- 125000005439 maleimidyl group Chemical group C1(C=CC(N1*)=O)=O 0.000 claims description 20
- 239000002253 acid Substances 0.000 claims description 15
- -1 aminophenol compound Chemical class 0.000 claims description 15
- 150000004985 diamines Chemical class 0.000 claims description 15
- GTDPSWPPOUPBNX-UHFFFAOYSA-N ac1mqpva Chemical compound CC12C(=O)OC(=O)C1(C)C1(C)C2(C)C(=O)OC1=O GTDPSWPPOUPBNX-UHFFFAOYSA-N 0.000 claims description 13
- 125000002887 hydroxy group Chemical group [H]O* 0.000 claims description 12
- 125000002496 methyl group Chemical group [H]C([H])([H])* 0.000 claims description 12
- 125000001931 aliphatic group Chemical group 0.000 claims description 11
- 125000003118 aryl group Chemical group 0.000 claims description 11
- ISWSIDIOOBJBQZ-UHFFFAOYSA-N phenol group Chemical group C1(=CC=CC=C1)O ISWSIDIOOBJBQZ-UHFFFAOYSA-N 0.000 claims description 11
- 125000001495 ethyl group Chemical group [H]C([H])([H])C([H])([H])* 0.000 claims description 10
- 239000000539 dimer Substances 0.000 claims description 9
- 125000004435 hydrogen atom Chemical group [H]* 0.000 claims description 9
- 239000000463 material Substances 0.000 claims description 9
- FPYJFEHAWHCUMM-UHFFFAOYSA-N maleic anhydride Chemical compound O=C1OC(=O)C=C1 FPYJFEHAWHCUMM-UHFFFAOYSA-N 0.000 claims description 8
- 125000005647 linker group Chemical group 0.000 claims description 7
- 125000004430 oxygen atom Chemical group O* 0.000 claims description 7
- 125000002023 trifluoromethyl group Chemical group FC(F)(F)* 0.000 claims description 6
- 239000007795 chemical reaction product Substances 0.000 claims description 5
- NAWXUBYGYWOOIX-SFHVURJKSA-N (2s)-2-[[4-[2-(2,4-diaminoquinazolin-6-yl)ethyl]benzoyl]amino]-4-methylidenepentanedioic acid Chemical compound C1=CC2=NC(N)=NC(N)=C2C=C1CCC1=CC=C(C(=O)N[C@@H](CC(=C)C(O)=O)C(O)=O)C=C1 NAWXUBYGYWOOIX-SFHVURJKSA-N 0.000 claims description 3
- 150000001338 aliphatic hydrocarbons Chemical class 0.000 claims description 2
- 125000004432 carbon atom Chemical group C* 0.000 claims description 2
- YXFVVABEGXRONW-UHFFFAOYSA-N Toluene Chemical compound CC1=CC=CC=C1 YXFVVABEGXRONW-UHFFFAOYSA-N 0.000 description 54
- ZMANZCXQSJIPKH-UHFFFAOYSA-N Triethylamine Chemical compound CCN(CC)CC ZMANZCXQSJIPKH-UHFFFAOYSA-N 0.000 description 21
- 238000006243 chemical reaction Methods 0.000 description 20
- 230000000052 comparative effect Effects 0.000 description 17
- 230000015572 biosynthetic process Effects 0.000 description 16
- 238000003786 synthesis reaction Methods 0.000 description 16
- XLYOFNOQVPJJNP-UHFFFAOYSA-N water Substances O XLYOFNOQVPJJNP-UHFFFAOYSA-N 0.000 description 16
- QQGYZOYWNCKGEK-UHFFFAOYSA-N 5-[(1,3-dioxo-2-benzofuran-5-yl)oxy]-2-benzofuran-1,3-dione Chemical compound C1=C2C(=O)OC(=O)C2=CC(OC=2C=C3C(=O)OC(C3=CC=2)=O)=C1 QQGYZOYWNCKGEK-UHFFFAOYSA-N 0.000 description 14
- XUSNPFGLKGCWGN-UHFFFAOYSA-N 3-[4-(3-aminopropyl)piperazin-1-yl]propan-1-amine Chemical compound NCCCN1CCN(CCCN)CC1 XUSNPFGLKGCWGN-UHFFFAOYSA-N 0.000 description 12
- RYGMFSIKBFXOCR-UHFFFAOYSA-N Copper Chemical compound [Cu] RYGMFSIKBFXOCR-UHFFFAOYSA-N 0.000 description 12
- 239000011889 copper foil Substances 0.000 description 12
- JHIVVAPYMSGYDF-UHFFFAOYSA-N cyclohexanone Chemical compound O=C1CCCCC1 JHIVVAPYMSGYDF-UHFFFAOYSA-N 0.000 description 12
- ZUOUZKKEUPVFJK-UHFFFAOYSA-N diphenyl Chemical group C1=CC=CC=C1C1=CC=CC=C1 ZUOUZKKEUPVFJK-UHFFFAOYSA-N 0.000 description 12
- 239000002904 solvent Substances 0.000 description 12
- 239000011248 coating agent Substances 0.000 description 11
- 238000000576 coating method Methods 0.000 description 11
- 238000000034 method Methods 0.000 description 11
- JUJWROOIHBZHMG-UHFFFAOYSA-N Pyridine Chemical compound C1=CC=NC=C1 JUJWROOIHBZHMG-UHFFFAOYSA-N 0.000 description 10
- 239000000853 adhesive Substances 0.000 description 10
- 230000001070 adhesive effect Effects 0.000 description 10
- 238000007334 copolymerization reaction Methods 0.000 description 9
- 239000010949 copper Substances 0.000 description 9
- 238000010438 heat treatment Methods 0.000 description 8
- 150000008065 acid anhydrides Chemical class 0.000 description 7
- 239000004305 biphenyl Substances 0.000 description 7
- 239000003054 catalyst Substances 0.000 description 7
- ZWEHNKRNPOVVGH-UHFFFAOYSA-N 2-Butanone Chemical compound CCC(C)=O ZWEHNKRNPOVVGH-UHFFFAOYSA-N 0.000 description 6
- BCJIMAHNJOIWKQ-UHFFFAOYSA-N 4-[(1,3-dioxo-2-benzofuran-4-yl)oxy]-2-benzofuran-1,3-dione Chemical compound O=C1OC(=O)C2=C1C=CC=C2OC1=CC=CC2=C1C(=O)OC2=O BCJIMAHNJOIWKQ-UHFFFAOYSA-N 0.000 description 6
- ZMXDDKWLCZADIW-UHFFFAOYSA-N N,N-Dimethylformamide Chemical compound CN(C)C=O ZMXDDKWLCZADIW-UHFFFAOYSA-N 0.000 description 6
- SECXISVLQFMRJM-UHFFFAOYSA-N N-Methylpyrrolidone Chemical compound CN1CCCC1=O SECXISVLQFMRJM-UHFFFAOYSA-N 0.000 description 6
- ATUOYWHBWRKTHZ-UHFFFAOYSA-N Propane Chemical compound CCC ATUOYWHBWRKTHZ-UHFFFAOYSA-N 0.000 description 6
- 235000010290 biphenyl Nutrition 0.000 description 6
- 238000011156 evaluation Methods 0.000 description 6
- 238000006798 ring closing metathesis reaction Methods 0.000 description 6
- XMNIXWIUMCBBBL-UHFFFAOYSA-N 2-(2-phenylpropan-2-ylperoxy)propan-2-ylbenzene Chemical compound C=1C=CC=CC=1C(C)(C)OOC(C)(C)C1=CC=CC=C1 XMNIXWIUMCBBBL-UHFFFAOYSA-N 0.000 description 5
- KMKWGXGSGPYISJ-UHFFFAOYSA-N 4-[4-[2-[4-(4-aminophenoxy)phenyl]propan-2-yl]phenoxy]aniline Chemical compound C=1C=C(OC=2C=CC(N)=CC=2)C=CC=1C(C)(C)C(C=C1)=CC=C1OC1=CC=C(N)C=C1 KMKWGXGSGPYISJ-UHFFFAOYSA-N 0.000 description 5
- 239000004593 Epoxy Substances 0.000 description 5
- 239000003999 initiator Substances 0.000 description 5
- 238000004519 manufacturing process Methods 0.000 description 5
- VNWKTOKETHGBQD-UHFFFAOYSA-N methane Chemical compound C VNWKTOKETHGBQD-UHFFFAOYSA-N 0.000 description 5
- 125000001997 phenyl group Chemical group [H]C1=C([H])C([H])=C(*)C([H])=C1[H] 0.000 description 5
- UMJSCPRVCHMLSP-UHFFFAOYSA-N pyridine Natural products COC1=CC=CN=C1 UMJSCPRVCHMLSP-UHFFFAOYSA-N 0.000 description 5
- 150000003254 radicals Chemical class 0.000 description 5
- 238000003756 stirring Methods 0.000 description 5
- 239000000126 substance Substances 0.000 description 5
- UFHFLCQGNIYNRP-UHFFFAOYSA-N Hydrogen Chemical compound [H][H] UFHFLCQGNIYNRP-UHFFFAOYSA-N 0.000 description 4
- 239000003795 chemical substances by application Substances 0.000 description 4
- 239000000835 fiber Substances 0.000 description 4
- NAQMVNRVTILPCV-UHFFFAOYSA-N hexane-1,6-diamine Chemical compound NCCCCCCN NAQMVNRVTILPCV-UHFFFAOYSA-N 0.000 description 4
- 239000001257 hydrogen Substances 0.000 description 4
- 229910052739 hydrogen Inorganic materials 0.000 description 4
- 108091063785 miR-3000 stem-loop Proteins 0.000 description 4
- 239000000843 powder Substances 0.000 description 4
- 239000002994 raw material Substances 0.000 description 4
- 230000009257 reactivity Effects 0.000 description 4
- 230000002194 synthesizing effect Effects 0.000 description 4
- YEJRWHAVMIAJKC-UHFFFAOYSA-N 4-Butyrolactone Chemical compound O=C1CCCO1 YEJRWHAVMIAJKC-UHFFFAOYSA-N 0.000 description 3
- XEKOWRVHYACXOJ-UHFFFAOYSA-N Ethyl acetate Chemical compound CCOC(C)=O XEKOWRVHYACXOJ-UHFFFAOYSA-N 0.000 description 3
- LYCAIKOWRPUZTN-UHFFFAOYSA-N Ethylene glycol Chemical compound OCCO LYCAIKOWRPUZTN-UHFFFAOYSA-N 0.000 description 3
- 229920000106 Liquid crystal polymer Polymers 0.000 description 3
- 239000004977 Liquid-crystal polymers (LCPs) Substances 0.000 description 3
- OKKJLVBELUTLKV-UHFFFAOYSA-N Methanol Chemical compound OC OKKJLVBELUTLKV-UHFFFAOYSA-N 0.000 description 3
- 239000004642 Polyimide Substances 0.000 description 3
- DNIAPMSPPWPWGF-UHFFFAOYSA-N Propylene glycol Chemical compound CC(O)CO DNIAPMSPPWPWGF-UHFFFAOYSA-N 0.000 description 3
- VYPSYNLAJGMNEJ-UHFFFAOYSA-N Silicium dioxide Chemical compound O=[Si]=O VYPSYNLAJGMNEJ-UHFFFAOYSA-N 0.000 description 3
- 239000000654 additive Substances 0.000 description 3
- 125000004429 atom Chemical group 0.000 description 3
- 239000012024 dehydrating agents Substances 0.000 description 3
- 230000018044 dehydration Effects 0.000 description 3
- 238000006297 dehydration reaction Methods 0.000 description 3
- 238000001035 drying Methods 0.000 description 3
- 125000003700 epoxy group Chemical group 0.000 description 3
- 239000011888 foil Substances 0.000 description 3
- LNEPOXFFQSENCJ-UHFFFAOYSA-N haloperidol Chemical compound C1CC(O)(C=2C=CC(Cl)=CC=2)CCN1CCCC(=O)C1=CC=C(F)C=C1 LNEPOXFFQSENCJ-UHFFFAOYSA-N 0.000 description 3
- 238000010030 laminating Methods 0.000 description 3
- 229910052751 metal Inorganic materials 0.000 description 3
- 239000002184 metal Substances 0.000 description 3
- 239000000203 mixture Substances 0.000 description 3
- 238000000465 moulding Methods 0.000 description 3
- VLKZOEOYAKHREP-UHFFFAOYSA-N n-Hexane Chemical compound CCCCCC VLKZOEOYAKHREP-UHFFFAOYSA-N 0.000 description 3
- 239000003960 organic solvent Substances 0.000 description 3
- 239000001294 propane Substances 0.000 description 3
- 229920001187 thermosetting polymer Polymers 0.000 description 3
- 239000002966 varnish Substances 0.000 description 3
- HXVNBWAKAOHACI-UHFFFAOYSA-N 2,4-dimethyl-3-pentanone Chemical compound CC(C)C(=O)C(C)C HXVNBWAKAOHACI-UHFFFAOYSA-N 0.000 description 2
- KECOIASOKMSRFT-UHFFFAOYSA-N 2-amino-4-(3-amino-4-hydroxyphenyl)sulfonylphenol Chemical compound C1=C(O)C(N)=CC(S(=O)(=O)C=2C=C(N)C(O)=CC=2)=C1 KECOIASOKMSRFT-UHFFFAOYSA-N 0.000 description 2
- SYBYTAAJFKOIEJ-UHFFFAOYSA-N 3-Methylbutan-2-one Chemical compound CC(C)C(C)=O SYBYTAAJFKOIEJ-UHFFFAOYSA-N 0.000 description 2
- VPWNQTHUCYMVMZ-UHFFFAOYSA-N 4,4'-sulfonyldiphenol Chemical compound C1=CC(O)=CC=C1S(=O)(=O)C1=CC=C(O)C=C1 VPWNQTHUCYMVMZ-UHFFFAOYSA-N 0.000 description 2
- KIFDSGGWDIVQGN-UHFFFAOYSA-N 4-[9-(4-aminophenyl)fluoren-9-yl]aniline Chemical compound C1=CC(N)=CC=C1C1(C=2C=CC(N)=CC=2)C2=CC=CC=C2C2=CC=CC=C21 KIFDSGGWDIVQGN-UHFFFAOYSA-N 0.000 description 2
- ZHBXLZQQVCDGPA-UHFFFAOYSA-N 5-[(1,3-dioxo-2-benzofuran-5-yl)sulfonyl]-2-benzofuran-1,3-dione Chemical compound C1=C2C(=O)OC(=O)C2=CC(S(=O)(=O)C=2C=C3C(=O)OC(C3=CC=2)=O)=C1 ZHBXLZQQVCDGPA-UHFFFAOYSA-N 0.000 description 2
- IJGRMHOSHXDMSA-UHFFFAOYSA-N Atomic nitrogen Chemical compound N#N IJGRMHOSHXDMSA-UHFFFAOYSA-N 0.000 description 2
- 102100031503 Barrier-to-autointegration factor-like protein Human genes 0.000 description 2
- VTYYLEPIZMXCLO-UHFFFAOYSA-L Calcium carbonate Chemical compound [Ca+2].[O-]C([O-])=O VTYYLEPIZMXCLO-UHFFFAOYSA-L 0.000 description 2
- 229920000049 Carbon (fiber) Polymers 0.000 description 2
- IAZDPXIOMUYVGZ-UHFFFAOYSA-N Dimethylsulphoxide Chemical compound CS(C)=O IAZDPXIOMUYVGZ-UHFFFAOYSA-N 0.000 description 2
- PEDCQBHIVMGVHV-UHFFFAOYSA-N Glycerine Chemical compound OCC(O)CO PEDCQBHIVMGVHV-UHFFFAOYSA-N 0.000 description 2
- 101000729827 Homo sapiens Barrier-to-autointegration factor-like protein Proteins 0.000 description 2
- UQSXHKLRYXJYBZ-UHFFFAOYSA-N Iron oxide Chemical compound [Fe]=O UQSXHKLRYXJYBZ-UHFFFAOYSA-N 0.000 description 2
- XINCECQTMHSORG-UHFFFAOYSA-N Isoamyl isovalerate Chemical compound CC(C)CCOC(=O)CC(C)C XINCECQTMHSORG-UHFFFAOYSA-N 0.000 description 2
- FFOPEPMHKILNIT-UHFFFAOYSA-N Isopropyl butyrate Chemical compound CCCC(=O)OC(C)C FFOPEPMHKILNIT-UHFFFAOYSA-N 0.000 description 2
- NTIZESTWPVYFNL-UHFFFAOYSA-N Methyl isobutyl ketone Chemical compound CC(C)CC(C)=O NTIZESTWPVYFNL-UHFFFAOYSA-N 0.000 description 2
- UIHCLUNTQKBZGK-UHFFFAOYSA-N Methyl isobutyl ketone Natural products CCC(C)C(C)=O UIHCLUNTQKBZGK-UHFFFAOYSA-N 0.000 description 2
- FXHOOIRPVKKKFG-UHFFFAOYSA-N N,N-Dimethylacetamide Chemical compound CN(C)C(C)=O FXHOOIRPVKKKFG-UHFFFAOYSA-N 0.000 description 2
- CTQNGGLPUBDAKN-UHFFFAOYSA-N O-Xylene Chemical compound CC1=CC=CC=C1C CTQNGGLPUBDAKN-UHFFFAOYSA-N 0.000 description 2
- JKRZOJADNVOXPM-UHFFFAOYSA-N Oxalic acid dibutyl ester Chemical compound CCCCOC(=O)C(=O)OCCCC JKRZOJADNVOXPM-UHFFFAOYSA-N 0.000 description 2
- KKEYFWRCBNTPAC-UHFFFAOYSA-N Terephthalic acid Chemical compound OC(=O)C1=CC=C(C(O)=O)C=C1 KKEYFWRCBNTPAC-UHFFFAOYSA-N 0.000 description 2
- WYURNTSHIVDZCO-UHFFFAOYSA-N Tetrahydrofuran Chemical compound C1CCOC1 WYURNTSHIVDZCO-UHFFFAOYSA-N 0.000 description 2
- YRKCREAYFQTBPV-UHFFFAOYSA-N acetylacetone Chemical compound CC(=O)CC(C)=O YRKCREAYFQTBPV-UHFFFAOYSA-N 0.000 description 2
- 125000004018 acid anhydride group Chemical group 0.000 description 2
- PNEYBMLMFCGWSK-UHFFFAOYSA-N aluminium oxide Inorganic materials [O-2].[O-2].[O-2].[Al+3].[Al+3] PNEYBMLMFCGWSK-UHFFFAOYSA-N 0.000 description 2
- RDOXTESZEPMUJZ-UHFFFAOYSA-N anisole Chemical compound COC1=CC=CC=C1 RDOXTESZEPMUJZ-UHFFFAOYSA-N 0.000 description 2
- QUKGYYKBILRGFE-UHFFFAOYSA-N benzyl acetate Chemical compound CC(=O)OCC1=CC=CC=C1 QUKGYYKBILRGFE-UHFFFAOYSA-N 0.000 description 2
- WKDNYTOXBCRNPV-UHFFFAOYSA-N bpda Chemical compound C1=C2C(=O)OC(=O)C2=CC(C=2C=C3C(=O)OC(C3=CC=2)=O)=C1 WKDNYTOXBCRNPV-UHFFFAOYSA-N 0.000 description 2
- XUPYJHCZDLZNFP-UHFFFAOYSA-N butyl butanoate Chemical compound CCCCOC(=O)CCC XUPYJHCZDLZNFP-UHFFFAOYSA-N 0.000 description 2
- 239000004917 carbon fiber Substances 0.000 description 2
- 239000011203 carbon fibre reinforced carbon Substances 0.000 description 2
- 238000004891 communication Methods 0.000 description 2
- 238000009833 condensation Methods 0.000 description 2
- 230000005494 condensation Effects 0.000 description 2
- 238000004132 cross linking Methods 0.000 description 2
- BGTOWKSIORTVQH-UHFFFAOYSA-N cyclopentanone Chemical compound O=C1CCCC1 BGTOWKSIORTVQH-UHFFFAOYSA-N 0.000 description 2
- SWXVUIWOUIDPGS-UHFFFAOYSA-N diacetone alcohol Chemical compound CC(=O)CC(C)(C)O SWXVUIWOUIDPGS-UHFFFAOYSA-N 0.000 description 2
- LZCLXQDLBQLTDK-UHFFFAOYSA-N ethyl 2-hydroxypropanoate Chemical compound CCOC(=O)C(C)O LZCLXQDLBQLTDK-UHFFFAOYSA-N 0.000 description 2
- MTZQAGJQAFMTAQ-UHFFFAOYSA-N ethyl benzoate Chemical compound CCOC(=O)C1=CC=CC=C1 MTZQAGJQAFMTAQ-UHFFFAOYSA-N 0.000 description 2
- FKRCODPIKNYEAC-UHFFFAOYSA-N ethyl propionate Chemical compound CCOC(=O)CC FKRCODPIKNYEAC-UHFFFAOYSA-N 0.000 description 2
- RMBPEFMHABBEKP-UHFFFAOYSA-N fluorene Chemical compound C1=CC=C2C3=C[CH]C=CC3=CC2=C1 RMBPEFMHABBEKP-UHFFFAOYSA-N 0.000 description 2
- MLFHJEHSLIIPHL-UHFFFAOYSA-N isoamyl acetate Chemical compound CC(C)CCOC(C)=O MLFHJEHSLIIPHL-UHFFFAOYSA-N 0.000 description 2
- PQLMXFQTAMDXIZ-UHFFFAOYSA-N isoamyl butyrate Chemical compound CCCC(=O)OCCC(C)C PQLMXFQTAMDXIZ-UHFFFAOYSA-N 0.000 description 2
- QQVIHTHCMHWDBS-UHFFFAOYSA-N isophthalic acid Chemical compound OC(=O)C1=CC=CC(C(O)=O)=C1 QQVIHTHCMHWDBS-UHFFFAOYSA-N 0.000 description 2
- QPJVMBTYPHYUOC-UHFFFAOYSA-N methyl benzoate Chemical compound COC(=O)C1=CC=CC=C1 QPJVMBTYPHYUOC-UHFFFAOYSA-N 0.000 description 2
- OSWPMRLSEDHDFF-UHFFFAOYSA-N methyl salicylate Chemical compound COC(=O)C1=CC=CC=C1O OSWPMRLSEDHDFF-UHFFFAOYSA-N 0.000 description 2
- UAEPNZWRGJTJPN-UHFFFAOYSA-N methylcyclohexane Chemical compound CC1CCCCC1 UAEPNZWRGJTJPN-UHFFFAOYSA-N 0.000 description 2
- 238000002156 mixing Methods 0.000 description 2
- 125000001624 naphthyl group Chemical group 0.000 description 2
- NIHNNTQXNPWCJQ-UHFFFAOYSA-N o-biphenylenemethane Natural products C1=CC=C2CC3=CC=CC=C3C2=C1 NIHNNTQXNPWCJQ-UHFFFAOYSA-N 0.000 description 2
- XNLICIUVMPYHGG-UHFFFAOYSA-N pentan-2-one Chemical compound CCCC(C)=O XNLICIUVMPYHGG-UHFFFAOYSA-N 0.000 description 2
- FDPIMTJIUBPUKL-UHFFFAOYSA-N pentan-3-one Chemical compound CCC(=O)CC FDPIMTJIUBPUKL-UHFFFAOYSA-N 0.000 description 2
- 239000002798 polar solvent Substances 0.000 description 2
- 229920001296 polysiloxane Polymers 0.000 description 2
- 238000003825 pressing Methods 0.000 description 2
- 239000012783 reinforcing fiber Substances 0.000 description 2
- 238000007363 ring formation reaction Methods 0.000 description 2
- 238000012360 testing method Methods 0.000 description 2
- 125000006158 tetracarboxylic acid group Chemical group 0.000 description 2
- RIOQSEWOXXDEQQ-UHFFFAOYSA-N triphenylphosphine Chemical compound C1=CC=CC=C1P(C=1C=CC=CC=1)C1=CC=CC=C1 RIOQSEWOXXDEQQ-UHFFFAOYSA-N 0.000 description 2
- 239000008096 xylene Substances 0.000 description 2
- OLQWMCSSZKNOLQ-ZXZARUISSA-N (3s)-3-[(3r)-2,5-dioxooxolan-3-yl]oxolane-2,5-dione Chemical compound O=C1OC(=O)C[C@H]1[C@@H]1C(=O)OC(=O)C1 OLQWMCSSZKNOLQ-ZXZARUISSA-N 0.000 description 1
- RUEBPOOTFCZRBC-UHFFFAOYSA-N (5-methyl-2-phenyl-1h-imidazol-4-yl)methanol Chemical compound OCC1=C(C)NC(C=2C=CC=CC=2)=N1 RUEBPOOTFCZRBC-UHFFFAOYSA-N 0.000 description 1
- WRIDQFICGBMAFQ-UHFFFAOYSA-N (E)-8-Octadecenoic acid Natural products CCCCCCCCCC=CCCCCCCC(O)=O WRIDQFICGBMAFQ-UHFFFAOYSA-N 0.000 description 1
- NSGXIBWMJZWTPY-UHFFFAOYSA-N 1,1,1,3,3,3-hexafluoropropane Chemical compound FC(F)(F)CC(F)(F)F NSGXIBWMJZWTPY-UHFFFAOYSA-N 0.000 description 1
- WZCQRUWWHSTZEM-UHFFFAOYSA-N 1,3-phenylenediamine Chemical compound NC1=CC=CC(N)=C1 WZCQRUWWHSTZEM-UHFFFAOYSA-N 0.000 description 1
- CBCKQZAAMUWICA-UHFFFAOYSA-N 1,4-phenylenediamine Chemical compound NC1=CC=C(N)C=C1 CBCKQZAAMUWICA-UHFFFAOYSA-N 0.000 description 1
- IPJGAEWUPXWFPL-UHFFFAOYSA-N 1-[3-(2,5-dioxopyrrol-1-yl)phenyl]pyrrole-2,5-dione Chemical compound O=C1C=CC(=O)N1C1=CC=CC(N2C(C=CC2=O)=O)=C1 IPJGAEWUPXWFPL-UHFFFAOYSA-N 0.000 description 1
- XQUPVDVFXZDTLT-UHFFFAOYSA-N 1-[4-[[4-(2,5-dioxopyrrol-1-yl)phenyl]methyl]phenyl]pyrrole-2,5-dione Chemical compound O=C1C=CC(=O)N1C(C=C1)=CC=C1CC1=CC=C(N2C(C=CC2=O)=O)C=C1 XQUPVDVFXZDTLT-UHFFFAOYSA-N 0.000 description 1
- HNAGHMKIPMKKBB-UHFFFAOYSA-N 1-benzylpyrrolidine-3-carboxamide Chemical compound C1C(C(=O)N)CCN1CC1=CC=CC=C1 HNAGHMKIPMKKBB-UHFFFAOYSA-N 0.000 description 1
- DURPTKYDGMDSBL-UHFFFAOYSA-N 1-butoxybutane Chemical compound CCCCOCCCC DURPTKYDGMDSBL-UHFFFAOYSA-N 0.000 description 1
- RWNUSVWFHDHRCJ-UHFFFAOYSA-N 1-butoxypropan-2-ol Chemical compound CCCCOCC(C)O RWNUSVWFHDHRCJ-UHFFFAOYSA-N 0.000 description 1
- PAOHAQSLJSMLAT-UHFFFAOYSA-N 1-butylperoxybutane Chemical compound CCCCOOCCCC PAOHAQSLJSMLAT-UHFFFAOYSA-N 0.000 description 1
- RRQYJINTUHWNHW-UHFFFAOYSA-N 1-ethoxy-2-(2-ethoxyethoxy)ethane Chemical compound CCOCCOCCOCC RRQYJINTUHWNHW-UHFFFAOYSA-N 0.000 description 1
- HQUVLOKKTRUQNI-UHFFFAOYSA-N 1-ethoxy-3-methylbutane Chemical compound CCOCCC(C)C HQUVLOKKTRUQNI-UHFFFAOYSA-N 0.000 description 1
- ARXJGSRGQADJSQ-UHFFFAOYSA-N 1-methoxypropan-2-ol Chemical compound COCC(C)O ARXJGSRGQADJSQ-UHFFFAOYSA-N 0.000 description 1
- HFZLSTDPRQSZCQ-UHFFFAOYSA-N 1-pyrrolidin-3-ylpyrrolidine Chemical compound C1CCCN1C1CNCC1 HFZLSTDPRQSZCQ-UHFFFAOYSA-N 0.000 description 1
- VOZKAJLKRJDJLL-UHFFFAOYSA-N 2,4-diaminotoluene Chemical compound CC1=CC=C(N)C=C1N VOZKAJLKRJDJLL-UHFFFAOYSA-N 0.000 description 1
- 150000003923 2,5-pyrrolediones Chemical class 0.000 description 1
- OZAIFHULBGXAKX-UHFFFAOYSA-N 2-(2-cyanopropan-2-yldiazenyl)-2-methylpropanenitrile Chemical compound N#CC(C)(C)N=NC(C)(C)C#N OZAIFHULBGXAKX-UHFFFAOYSA-N 0.000 description 1
- PTTPXKJBFFKCEK-UHFFFAOYSA-N 2-Methyl-4-heptanone Chemical compound CC(C)CC(=O)CC(C)C PTTPXKJBFFKCEK-UHFFFAOYSA-N 0.000 description 1
- QQZOPKMRPOGIEB-UHFFFAOYSA-N 2-Oxohexane Chemical compound CCCCC(C)=O QQZOPKMRPOGIEB-UHFFFAOYSA-N 0.000 description 1
- WYGWHHGCAGTUCH-UHFFFAOYSA-N 2-[(2-cyano-4-methylpentan-2-yl)diazenyl]-2,4-dimethylpentanenitrile Chemical compound CC(C)CC(C)(C#N)N=NC(C)(C#N)CC(C)C WYGWHHGCAGTUCH-UHFFFAOYSA-N 0.000 description 1
- FUIQBJHUESBZNU-UHFFFAOYSA-N 2-[(dimethylazaniumyl)methyl]phenolate Chemical compound CN(C)CC1=CC=CC=C1O FUIQBJHUESBZNU-UHFFFAOYSA-N 0.000 description 1
- UTYHQSKRFPHMQQ-UHFFFAOYSA-N 2-amino-4-(3-amino-4-hydroxyphenoxy)phenol Chemical compound C1=C(O)C(N)=CC(OC=2C=C(N)C(O)=CC=2)=C1 UTYHQSKRFPHMQQ-UHFFFAOYSA-N 0.000 description 1
- KZLDGFZCFRXUIB-UHFFFAOYSA-N 2-amino-4-(3-amino-4-hydroxyphenyl)phenol Chemical group C1=C(O)C(N)=CC(C=2C=C(N)C(O)=CC=2)=C1 KZLDGFZCFRXUIB-UHFFFAOYSA-N 0.000 description 1
- RJXCKTOPYYVHIM-UHFFFAOYSA-N 2-amino-4-[1-(3-amino-4-hydroxyphenyl)ethyl]phenol Chemical compound C=1C=C(O)C(N)=CC=1C(C)C1=CC=C(O)C(N)=C1 RJXCKTOPYYVHIM-UHFFFAOYSA-N 0.000 description 1
- UHIDYCYNRPVZCK-UHFFFAOYSA-N 2-amino-4-[2-(3-amino-4-hydroxyphenyl)propan-2-yl]phenol Chemical compound C=1C=C(O)C(N)=CC=1C(C)(C)C1=CC=C(O)C(N)=C1 UHIDYCYNRPVZCK-UHFFFAOYSA-N 0.000 description 1
- QGLVWTFUWVTDEQ-UHFFFAOYSA-N 2-chloro-3-methoxyphenol Chemical compound COC1=CC=CC(O)=C1Cl QGLVWTFUWVTDEQ-UHFFFAOYSA-N 0.000 description 1
- PQAMFDRRWURCFQ-UHFFFAOYSA-N 2-ethyl-1h-imidazole Chemical compound CCC1=NC=CN1 PQAMFDRRWURCFQ-UHFFFAOYSA-N 0.000 description 1
- WOYWLLHHWAMFCB-UHFFFAOYSA-N 2-ethylhexyl acetate Chemical compound CCCCC(CC)COC(C)=O WOYWLLHHWAMFCB-UHFFFAOYSA-N 0.000 description 1
- LXBGSDVWAMZHDD-UHFFFAOYSA-N 2-methyl-1h-imidazole Chemical compound CC1=NC=CN1 LXBGSDVWAMZHDD-UHFFFAOYSA-N 0.000 description 1
- ZPVFWPFBNIEHGJ-UHFFFAOYSA-N 2-octanone Chemical compound CCCCCCC(C)=O ZPVFWPFBNIEHGJ-UHFFFAOYSA-N 0.000 description 1
- LQJBNNIYVWPHFW-UHFFFAOYSA-N 20:1omega9c fatty acid Natural products CCCCCCCCCCC=CCCCCCCCC(O)=O LQJBNNIYVWPHFW-UHFFFAOYSA-N 0.000 description 1
- JRBJSXQPQWSCCF-UHFFFAOYSA-N 3,3'-Dimethoxybenzidine Chemical compound C1=C(N)C(OC)=CC(C=2C=C(OC)C(N)=CC=2)=C1 JRBJSXQPQWSCCF-UHFFFAOYSA-N 0.000 description 1
- NUIURNJTPRWVAP-UHFFFAOYSA-N 3,3'-Dimethylbenzidine Chemical compound C1=C(N)C(C)=CC(C=2C=C(C)C(N)=CC=2)=C1 NUIURNJTPRWVAP-UHFFFAOYSA-N 0.000 description 1
- NDXGRHCEHPFUSU-UHFFFAOYSA-N 3-(3-aminophenyl)aniline Chemical group NC1=CC=CC(C=2C=C(N)C=CC=2)=C1 NDXGRHCEHPFUSU-UHFFFAOYSA-N 0.000 description 1
- CKOFBUUFHALZGK-UHFFFAOYSA-N 3-[(3-aminophenyl)methyl]aniline Chemical compound NC1=CC=CC(CC=2C=C(N)C=CC=2)=C1 CKOFBUUFHALZGK-UHFFFAOYSA-N 0.000 description 1
- FGWQCROGAHMWSU-UHFFFAOYSA-N 3-[(4-aminophenyl)methyl]aniline Chemical compound C1=CC(N)=CC=C1CC1=CC=CC(N)=C1 FGWQCROGAHMWSU-UHFFFAOYSA-N 0.000 description 1
- LJMPOXUWPWEILS-UHFFFAOYSA-N 3a,4,4a,7a,8,8a-hexahydrofuro[3,4-f][2]benzofuran-1,3,5,7-tetrone Chemical compound C1C2C(=O)OC(=O)C2CC2C(=O)OC(=O)C21 LJMPOXUWPWEILS-UHFFFAOYSA-N 0.000 description 1
- WECDUOXQLAIPQW-UHFFFAOYSA-N 4,4'-Methylene bis(2-methylaniline) Chemical compound C1=C(N)C(C)=CC(CC=2C=C(C)C(N)=CC=2)=C1 WECDUOXQLAIPQW-UHFFFAOYSA-N 0.000 description 1
- YBRVSVVVWCFQMG-UHFFFAOYSA-N 4,4'-diaminodiphenylmethane Chemical compound C1=CC(N)=CC=C1CC1=CC=C(N)C=C1 YBRVSVVVWCFQMG-UHFFFAOYSA-N 0.000 description 1
- MITHMOYLTXMLRB-UHFFFAOYSA-N 4-(4-aminophenyl)sulfinylaniline Chemical compound C1=CC(N)=CC=C1S(=O)C1=CC=C(N)C=C1 MITHMOYLTXMLRB-UHFFFAOYSA-N 0.000 description 1
- HLBLWEWZXPIGSM-UHFFFAOYSA-N 4-Aminophenyl ether Chemical compound C1=CC(N)=CC=C1OC1=CC=C(N)C=C1 HLBLWEWZXPIGSM-UHFFFAOYSA-N 0.000 description 1
- NWIVYGKSHSJHEF-UHFFFAOYSA-N 4-[(4-amino-3,5-diethylphenyl)methyl]-2,6-diethylaniline Chemical compound CCC1=C(N)C(CC)=CC(CC=2C=C(CC)C(N)=C(CC)C=2)=C1 NWIVYGKSHSJHEF-UHFFFAOYSA-N 0.000 description 1
- OMHOXRVODFQGCA-UHFFFAOYSA-N 4-[(4-amino-3,5-dimethylphenyl)methyl]-2,6-dimethylaniline Chemical compound CC1=C(N)C(C)=CC(CC=2C=C(C)C(N)=C(C)C=2)=C1 OMHOXRVODFQGCA-UHFFFAOYSA-N 0.000 description 1
- LMQUUAKBJYIBFE-UHFFFAOYSA-N 4-[(4-amino-3,5-dipropylphenyl)methyl]-2,6-dipropylaniline Chemical compound CCCC1=C(N)C(CCC)=CC(CC=2C=C(CCC)C(N)=C(CCC)C=2)=C1 LMQUUAKBJYIBFE-UHFFFAOYSA-N 0.000 description 1
- CBEVWPCAHIAUOD-UHFFFAOYSA-N 4-[(4-amino-3-ethylphenyl)methyl]-2-ethylaniline Chemical compound C1=C(N)C(CC)=CC(CC=2C=C(CC)C(N)=CC=2)=C1 CBEVWPCAHIAUOD-UHFFFAOYSA-N 0.000 description 1
- ZYEDGEXYGKWJPB-UHFFFAOYSA-N 4-[2-(4-aminophenyl)propan-2-yl]aniline Chemical compound C=1C=C(N)C=CC=1C(C)(C)C1=CC=C(N)C=C1 ZYEDGEXYGKWJPB-UHFFFAOYSA-N 0.000 description 1
- NUXMNYLOPKHECO-UHFFFAOYSA-N 4-[2-[3-[2-(4-aminophenoxy)phenyl]phenyl]phenoxy]aniline Chemical compound C1=CC(N)=CC=C1OC1=CC=CC=C1C1=CC=CC(C=2C(=CC=CC=2)OC=2C=CC(N)=CC=2)=C1 NUXMNYLOPKHECO-UHFFFAOYSA-N 0.000 description 1
- VGVHNLRUAMRIEW-UHFFFAOYSA-N 4-methylcyclohexan-1-one Chemical compound CC1CCC(=O)CC1 VGVHNLRUAMRIEW-UHFFFAOYSA-N 0.000 description 1
- VQVIHDPBMFABCQ-UHFFFAOYSA-N 5-(1,3-dioxo-2-benzofuran-5-carbonyl)-2-benzofuran-1,3-dione Chemical compound C1=C2C(=O)OC(=O)C2=CC(C(C=2C=C3C(=O)OC(=O)C3=CC=2)=O)=C1 VQVIHDPBMFABCQ-UHFFFAOYSA-N 0.000 description 1
- JYCTWJFSRDBYJX-UHFFFAOYSA-N 5-(2,5-dioxooxolan-3-yl)-3a,4,5,9b-tetrahydrobenzo[e][2]benzofuran-1,3-dione Chemical compound O=C1OC(=O)CC1C1C2=CC=CC=C2C(C(=O)OC2=O)C2C1 JYCTWJFSRDBYJX-UHFFFAOYSA-N 0.000 description 1
- MQAHXEQUBNDFGI-UHFFFAOYSA-N 5-[4-[2-[4-[(1,3-dioxo-2-benzofuran-5-yl)oxy]phenyl]propan-2-yl]phenoxy]-2-benzofuran-1,3-dione Chemical compound C1=C2C(=O)OC(=O)C2=CC(OC2=CC=C(C=C2)C(C)(C=2C=CC(OC=3C=C4C(=O)OC(=O)C4=CC=3)=CC=2)C)=C1 MQAHXEQUBNDFGI-UHFFFAOYSA-N 0.000 description 1
- ULKLGIFJWFIQFF-UHFFFAOYSA-N 5K8XI641G3 Chemical compound CCC1=NC=C(C)N1 ULKLGIFJWFIQFF-UHFFFAOYSA-N 0.000 description 1
- UWLZEGRKCBALET-UHFFFAOYSA-N 6-(2,5-dioxooxolan-3-yl)-4-methyl-4,5,6,7-tetrahydro-2-benzofuran-1,3-dione Chemical compound C1C(C(OC2=O)=O)=C2C(C)CC1C1CC(=O)OC1=O UWLZEGRKCBALET-UHFFFAOYSA-N 0.000 description 1
- LPEKGGXMPWTOCB-UHFFFAOYSA-N 8beta-(2,3-epoxy-2-methylbutyryloxy)-14-acetoxytithifolin Natural products COC(=O)C(C)O LPEKGGXMPWTOCB-UHFFFAOYSA-N 0.000 description 1
- QSBYPNXLFMSGKH-UHFFFAOYSA-N 9-Heptadecensaeure Natural products CCCCCCCC=CCCCCCCCC(O)=O QSBYPNXLFMSGKH-UHFFFAOYSA-N 0.000 description 1
- QTBSBXVTEAMEQO-UHFFFAOYSA-M Acetate Chemical compound CC([O-])=O QTBSBXVTEAMEQO-UHFFFAOYSA-M 0.000 description 1
- AXPZDYVDTMMLNB-UHFFFAOYSA-N Benzyl ethyl ether Chemical compound CCOCC1=CC=CC=C1 AXPZDYVDTMMLNB-UHFFFAOYSA-N 0.000 description 1
- DKPFZGUDAPQIHT-UHFFFAOYSA-N Butyl acetate Natural products CCCCOC(C)=O DKPFZGUDAPQIHT-UHFFFAOYSA-N 0.000 description 1
- MRABAEUHTLLEML-UHFFFAOYSA-N Butyl lactate Chemical compound CCCCOC(=O)C(C)O MRABAEUHTLLEML-UHFFFAOYSA-N 0.000 description 1
- 244000025254 Cannabis sativa Species 0.000 description 1
- OKTJSMMVPCPJKN-UHFFFAOYSA-N Carbon Chemical compound [C] OKTJSMMVPCPJKN-UHFFFAOYSA-N 0.000 description 1
- YYLLIJHXUHJATK-UHFFFAOYSA-N Cyclohexyl acetate Chemical compound CC(=O)OC1CCCCC1 YYLLIJHXUHJATK-UHFFFAOYSA-N 0.000 description 1
- ZAFNJMIOTHYJRJ-UHFFFAOYSA-N Diisopropyl ether Chemical compound CC(C)OC(C)C ZAFNJMIOTHYJRJ-UHFFFAOYSA-N 0.000 description 1
- JGFBQFKZKSSODQ-UHFFFAOYSA-N Isothiocyanatocyclopropane Chemical compound S=C=NC1CC1 JGFBQFKZKSSODQ-UHFFFAOYSA-N 0.000 description 1
- IMYZQPCYWPFTAG-UHFFFAOYSA-N Mecamylamine Chemical compound C1CC2C(C)(C)C(NC)(C)C1C2 IMYZQPCYWPFTAG-UHFFFAOYSA-N 0.000 description 1
- RJUFJBKOKNCXHH-UHFFFAOYSA-N Methyl propionate Chemical compound CCC(=O)OC RJUFJBKOKNCXHH-UHFFFAOYSA-N 0.000 description 1
- WRQNANDWMGAFTP-UHFFFAOYSA-N Methylacetoacetic acid Chemical compound COC(=O)CC(C)=O WRQNANDWMGAFTP-UHFFFAOYSA-N 0.000 description 1
- 239000005642 Oleic acid Substances 0.000 description 1
- ZQPPMHVWECSIRJ-UHFFFAOYSA-N Oleic acid Natural products CCCCCCCCC=CCCCCCCCC(O)=O ZQPPMHVWECSIRJ-UHFFFAOYSA-N 0.000 description 1
- 206010034972 Photosensitivity reaction Diseases 0.000 description 1
- 239000004952 Polyamide Substances 0.000 description 1
- 239000005062 Polybutadiene Substances 0.000 description 1
- 239000004698 Polyethylene Substances 0.000 description 1
- 239000004793 Polystyrene Substances 0.000 description 1
- XBDQKXXYIPTUBI-UHFFFAOYSA-M Propionate Chemical compound CCC([O-])=O XBDQKXXYIPTUBI-UHFFFAOYSA-M 0.000 description 1
- BLRPTPMANUNPDV-UHFFFAOYSA-N Silane Chemical compound [SiH4] BLRPTPMANUNPDV-UHFFFAOYSA-N 0.000 description 1
- DHXVGJBLRPWPCS-UHFFFAOYSA-N Tetrahydropyran Chemical compound C1CCOCC1 DHXVGJBLRPWPCS-UHFFFAOYSA-N 0.000 description 1
- ATJFFYVFTNAWJD-UHFFFAOYSA-N Tin Chemical compound [Sn] ATJFFYVFTNAWJD-UHFFFAOYSA-N 0.000 description 1
- GWEVSGVZZGPLCZ-UHFFFAOYSA-N Titan oxide Chemical compound O=[Ti]=O GWEVSGVZZGPLCZ-UHFFFAOYSA-N 0.000 description 1
- GKXVJHDEWHKBFH-UHFFFAOYSA-N [2-(aminomethyl)phenyl]methanamine Chemical compound NCC1=CC=CC=C1CN GKXVJHDEWHKBFH-UHFFFAOYSA-N 0.000 description 1
- VZTQQYMRXDUHDO-UHFFFAOYSA-N [2-hydroxy-3-[4-[2-[4-(2-hydroxy-3-prop-2-enoyloxypropoxy)phenyl]propan-2-yl]phenoxy]propyl] prop-2-enoate Chemical compound C=1C=C(OCC(O)COC(=O)C=C)C=CC=1C(C)(C)C1=CC=C(OCC(O)COC(=O)C=C)C=C1 VZTQQYMRXDUHDO-UHFFFAOYSA-N 0.000 description 1
- QLBRROYTTDFLDX-UHFFFAOYSA-N [3-(aminomethyl)cyclohexyl]methanamine Chemical compound NCC1CCCC(CN)C1 QLBRROYTTDFLDX-UHFFFAOYSA-N 0.000 description 1
- FDLQZKYLHJJBHD-UHFFFAOYSA-N [3-(aminomethyl)phenyl]methanamine Chemical compound NCC1=CC=CC(CN)=C1 FDLQZKYLHJJBHD-UHFFFAOYSA-N 0.000 description 1
- ISKQADXMHQSTHK-UHFFFAOYSA-N [4-(aminomethyl)phenyl]methanamine Chemical compound NCC1=CC=C(CN)C=C1 ISKQADXMHQSTHK-UHFFFAOYSA-N 0.000 description 1
- UUQQGGWZVKUCBD-UHFFFAOYSA-N [4-(hydroxymethyl)-2-phenyl-1h-imidazol-5-yl]methanol Chemical compound N1C(CO)=C(CO)N=C1C1=CC=CC=C1 UUQQGGWZVKUCBD-UHFFFAOYSA-N 0.000 description 1
- KXKVLQRXCPHEJC-UHFFFAOYSA-N acetic acid trimethyl ester Natural products COC(C)=O KXKVLQRXCPHEJC-UHFFFAOYSA-N 0.000 description 1
- 125000000217 alkyl group Chemical group 0.000 description 1
- ZIXLDMFVRPABBX-UHFFFAOYSA-N alpha-methylcyclopentanone Natural products CC1CCCC1=O ZIXLDMFVRPABBX-UHFFFAOYSA-N 0.000 description 1
- XAGFODPZIPBFFR-UHFFFAOYSA-N aluminium Chemical compound [Al] XAGFODPZIPBFFR-UHFFFAOYSA-N 0.000 description 1
- 150000001408 amides Chemical class 0.000 description 1
- 150000001412 amines Chemical class 0.000 description 1
- 229940072049 amyl acetate Drugs 0.000 description 1
- PGMYKACGEOXYJE-UHFFFAOYSA-N anhydrous amyl acetate Natural products CCCCCOC(C)=O PGMYKACGEOXYJE-UHFFFAOYSA-N 0.000 description 1
- 150000001491 aromatic compounds Chemical class 0.000 description 1
- 239000003849 aromatic solvent Substances 0.000 description 1
- 239000010425 asbestos Substances 0.000 description 1
- 239000012298 atmosphere Substances 0.000 description 1
- HFACYLZERDEVSX-UHFFFAOYSA-N benzidine Chemical compound C1=CC(N)=CC=C1C1=CC=C(N)C=C1 HFACYLZERDEVSX-UHFFFAOYSA-N 0.000 description 1
- UDEWPOVQBGFNGE-UHFFFAOYSA-N benzoic acid n-propyl ester Natural products CCCOC(=O)C1=CC=CC=C1 UDEWPOVQBGFNGE-UHFFFAOYSA-N 0.000 description 1
- 239000012965 benzophenone Substances 0.000 description 1
- 229940007550 benzyl acetate Drugs 0.000 description 1
- BKDVBBSUAGJUBA-UHFFFAOYSA-N bicyclo[2.2.2]oct-7-ene-2,3,5,6-tetracarboxylic acid Chemical compound C1=CC2C(C(O)=O)C(C(=O)O)C1C(C(O)=O)C2C(O)=O BKDVBBSUAGJUBA-UHFFFAOYSA-N 0.000 description 1
- XQBSPQLKNWMPMG-UHFFFAOYSA-N bicyclo[2.2.2]octane-2,3,5,6-tetracarboxylic acid Chemical compound C1CC2C(C(O)=O)C(C(=O)O)C1C(C(O)=O)C2C(O)=O XQBSPQLKNWMPMG-UHFFFAOYSA-N 0.000 description 1
- AEWGGPYHSLODJJ-UHFFFAOYSA-N bis(3-amino-4-hydroxyphenyl)methanone Chemical compound C1=C(O)C(N)=CC(C(=O)C=2C=C(N)C(O)=CC=2)=C1 AEWGGPYHSLODJJ-UHFFFAOYSA-N 0.000 description 1
- MYMCSQDRHUQQDW-UHFFFAOYSA-N bis(4-amino-3-methylphenyl)methanone Chemical compound C1=C(N)C(C)=CC(C(=O)C=2C=C(C)C(N)=CC=2)=C1 MYMCSQDRHUQQDW-UHFFFAOYSA-N 0.000 description 1
- ZLSMCQSGRWNEGX-UHFFFAOYSA-N bis(4-aminophenyl)methanone Chemical compound C1=CC(N)=CC=C1C(=O)C1=CC=C(N)C=C1 ZLSMCQSGRWNEGX-UHFFFAOYSA-N 0.000 description 1
- OBNCKNCVKJNDBV-UHFFFAOYSA-N butanoic acid ethyl ester Natural products CCCC(=O)OCC OBNCKNCVKJNDBV-UHFFFAOYSA-N 0.000 description 1
- 239000001191 butyl (2R)-2-hydroxypropanoate Substances 0.000 description 1
- 229940043232 butyl acetate Drugs 0.000 description 1
- PWLNAUNEAKQYLH-UHFFFAOYSA-N butyric acid octyl ester Natural products CCCCCCCCOC(=O)CCC PWLNAUNEAKQYLH-UHFFFAOYSA-N 0.000 description 1
- 239000006227 byproduct Substances 0.000 description 1
- 229910000019 calcium carbonate Inorganic materials 0.000 description 1
- 239000006229 carbon black Substances 0.000 description 1
- CREMABGTGYGIQB-UHFFFAOYSA-N carbon carbon Chemical compound C.C CREMABGTGYGIQB-UHFFFAOYSA-N 0.000 description 1
- 125000003178 carboxy group Chemical group [H]OC(*)=O 0.000 description 1
- 239000004927 clay Substances 0.000 description 1
- 229910052570 clay Inorganic materials 0.000 description 1
- 239000003086 colorant Substances 0.000 description 1
- 229920001577 copolymer Polymers 0.000 description 1
- PMHQVHHXPFUNSP-UHFFFAOYSA-M copper(1+);methylsulfanylmethane;bromide Chemical compound Br[Cu].CSC PMHQVHHXPFUNSP-UHFFFAOYSA-M 0.000 description 1
- XCJYREBRNVKWGJ-UHFFFAOYSA-N copper(II) phthalocyanine Chemical compound [Cu+2].C12=CC=CC=C2C(N=C2[N-]C(C3=CC=CC=C32)=N2)=NC1=NC([C]1C=CC=CC1=1)=NC=1N=C1[C]3C=CC=CC3=C2[N-]1 XCJYREBRNVKWGJ-UHFFFAOYSA-N 0.000 description 1
- 239000007822 coupling agent Substances 0.000 description 1
- 238000005520 cutting process Methods 0.000 description 1
- 239000004643 cyanate ester Chemical class 0.000 description 1
- FWFSEYBSWVRWGL-UHFFFAOYSA-N cyclohex-2-enone Chemical compound O=C1CCCC=C1 FWFSEYBSWVRWGL-UHFFFAOYSA-N 0.000 description 1
- 125000004427 diamine group Chemical group 0.000 description 1
- 125000006159 dianhydride group Chemical group 0.000 description 1
- WYACBZDAHNBPPB-UHFFFAOYSA-N diethyl oxalate Chemical compound CCOC(=O)C(=O)OCC WYACBZDAHNBPPB-UHFFFAOYSA-N 0.000 description 1
- 229940019778 diethylene glycol diethyl ether Drugs 0.000 description 1
- SBZXBUIDTXKZTM-UHFFFAOYSA-N diglyme Chemical compound COCCOCCOC SBZXBUIDTXKZTM-UHFFFAOYSA-N 0.000 description 1
- USIUVYZYUHIAEV-UHFFFAOYSA-N diphenyl ether Natural products C=1C=CC=CC=1OC1=CC=CC=C1 USIUVYZYUHIAEV-UHFFFAOYSA-N 0.000 description 1
- POLCUAVZOMRGSN-UHFFFAOYSA-N dipropyl ether Chemical compound CCCOCCC POLCUAVZOMRGSN-UHFFFAOYSA-N 0.000 description 1
- ODQWQRRAPPTVAG-GZTJUZNOSA-N doxepin Chemical compound C1OC2=CC=CC=C2C(=C/CCN(C)C)/C2=CC=CC=C21 ODQWQRRAPPTVAG-GZTJUZNOSA-N 0.000 description 1
- 238000005516 engineering process Methods 0.000 description 1
- 239000004210 ether based solvent Substances 0.000 description 1
- 229940093499 ethyl acetate Drugs 0.000 description 1
- XYIBRDXRRQCHLP-UHFFFAOYSA-N ethyl acetoacetate Chemical compound CCOC(=O)CC(C)=O XYIBRDXRRQCHLP-UHFFFAOYSA-N 0.000 description 1
- 229940116333 ethyl lactate Drugs 0.000 description 1
- 239000000945 filler Substances 0.000 description 1
- ANSXAPJVJOKRDJ-UHFFFAOYSA-N furo[3,4-f][2]benzofuran-1,3,5,7-tetrone Chemical compound C1=C2C(=O)OC(=O)C2=CC2=C1C(=O)OC2=O ANSXAPJVJOKRDJ-UHFFFAOYSA-N 0.000 description 1
- 239000000499 gel Substances 0.000 description 1
- 239000011521 glass Substances 0.000 description 1
- 239000003365 glass fiber Substances 0.000 description 1
- 230000009477 glass transition Effects 0.000 description 1
- 235000011187 glycerol Nutrition 0.000 description 1
- 239000010439 graphite Substances 0.000 description 1
- 229910002804 graphite Inorganic materials 0.000 description 1
- MNWFXJYAOYHMED-UHFFFAOYSA-M heptanoate Chemical compound CCCCCCC([O-])=O MNWFXJYAOYHMED-UHFFFAOYSA-M 0.000 description 1
- FUZZWVXGSFPDMH-UHFFFAOYSA-N hexanoic acid Chemical compound CCCCCC(O)=O FUZZWVXGSFPDMH-UHFFFAOYSA-N 0.000 description 1
- 150000002430 hydrocarbons Chemical class 0.000 description 1
- 150000002460 imidazoles Chemical class 0.000 description 1
- 239000011256 inorganic filler Substances 0.000 description 1
- 229910003475 inorganic filler Inorganic materials 0.000 description 1
- 238000009413 insulation Methods 0.000 description 1
- GJRQTCIYDGXPES-UHFFFAOYSA-N iso-butyl acetate Natural products CC(C)COC(C)=O GJRQTCIYDGXPES-UHFFFAOYSA-N 0.000 description 1
- 229940117955 isoamyl acetate Drugs 0.000 description 1
- 229940094941 isoamyl butyrate Drugs 0.000 description 1
- FGKJLKRYENPLQH-UHFFFAOYSA-M isocaproate Chemical compound CC(C)CCC([O-])=O FGKJLKRYENPLQH-UHFFFAOYSA-M 0.000 description 1
- QXJSBBXBKPUZAA-UHFFFAOYSA-N isooleic acid Natural products CCCCCCCC=CCCCCCCCCC(O)=O QXJSBBXBKPUZAA-UHFFFAOYSA-N 0.000 description 1
- JMMWKPVZQRWMSS-UHFFFAOYSA-N isopropanol acetate Natural products CC(C)OC(C)=O JMMWKPVZQRWMSS-UHFFFAOYSA-N 0.000 description 1
- 229940011051 isopropyl acetate Drugs 0.000 description 1
- GWYFCOCPABKNJV-UHFFFAOYSA-N isovaleric acid Chemical compound CC(C)CC(O)=O GWYFCOCPABKNJV-UHFFFAOYSA-N 0.000 description 1
- OQAGVSWESNCJJT-UHFFFAOYSA-N isovaleric acid methyl ester Natural products COC(=O)CC(C)C OQAGVSWESNCJJT-UHFFFAOYSA-N 0.000 description 1
- 150000002576 ketones Chemical class 0.000 description 1
- 229940018564 m-phenylenediamine Drugs 0.000 description 1
- 238000002844 melting Methods 0.000 description 1
- 230000008018 melting Effects 0.000 description 1
- 150000002736 metal compounds Chemical class 0.000 description 1
- UZKWTJUDCOPSNM-UHFFFAOYSA-N methoxybenzene Substances CCCCOC=C UZKWTJUDCOPSNM-UHFFFAOYSA-N 0.000 description 1
- IMXBRVLCKXGWSS-UHFFFAOYSA-N methyl 2-cyclohexylacetate Chemical compound COC(=O)CC1CCCCC1 IMXBRVLCKXGWSS-UHFFFAOYSA-N 0.000 description 1
- 229940095102 methyl benzoate Drugs 0.000 description 1
- 229940057867 methyl lactate Drugs 0.000 description 1
- 229940017219 methyl propionate Drugs 0.000 description 1
- OLXYLDUSSBULGU-UHFFFAOYSA-N methyl pyridine-4-carboxylate Chemical compound COC(=O)C1=CC=NC=C1 OLXYLDUSSBULGU-UHFFFAOYSA-N 0.000 description 1
- 229960001047 methyl salicylate Drugs 0.000 description 1
- GYNNXHKOJHMOHS-UHFFFAOYSA-N methyl-cycloheptane Natural products CC1CCCCCC1 GYNNXHKOJHMOHS-UHFFFAOYSA-N 0.000 description 1
- 239000010445 mica Substances 0.000 description 1
- 229910052618 mica group Inorganic materials 0.000 description 1
- 238000010295 mobile communication Methods 0.000 description 1
- 230000004048 modification Effects 0.000 description 1
- 238000012986 modification Methods 0.000 description 1
- 239000006082 mold release agent Substances 0.000 description 1
- YKYONYBAUNKHLG-UHFFFAOYSA-N n-Propyl acetate Natural products CCCOC(C)=O YKYONYBAUNKHLG-UHFFFAOYSA-N 0.000 description 1
- UUIQMZJEGPQKFD-UHFFFAOYSA-N n-butyric acid methyl ester Natural products CCCC(=O)OC UUIQMZJEGPQKFD-UHFFFAOYSA-N 0.000 description 1
- 229910052757 nitrogen Inorganic materials 0.000 description 1
- 125000002347 octyl group Chemical group [H]C([*])([H])C([H])([H])C([H])([H])C([H])([H])C([H])([H])C([H])([H])C([H])([H])C([H])([H])[H] 0.000 description 1
- 239000003921 oil Substances 0.000 description 1
- ZQPPMHVWECSIRJ-KTKRTIGZSA-N oleic acid Chemical compound CCCCCCCC\C=C/CCCCCCCC(O)=O ZQPPMHVWECSIRJ-KTKRTIGZSA-N 0.000 description 1
- 230000002093 peripheral effect Effects 0.000 description 1
- 150000002978 peroxides Chemical class 0.000 description 1
- 239000003208 petroleum Substances 0.000 description 1
- 150000003003 phosphines Chemical class 0.000 description 1
- 230000036211 photosensitivity Effects 0.000 description 1
- IEQIEDJGQAUEQZ-UHFFFAOYSA-N phthalocyanine Chemical compound N1C(N=C2C3=CC=CC=C3C(N=C3C4=CC=CC=C4C(=N4)N3)=N2)=C(C=CC=C2)C2=C1N=C1C2=CC=CC=C2C4=N1 IEQIEDJGQAUEQZ-UHFFFAOYSA-N 0.000 description 1
- 229920002647 polyamide Polymers 0.000 description 1
- 229920002857 polybutadiene Polymers 0.000 description 1
- 229920000728 polyester Polymers 0.000 description 1
- 229920000573 polyethylene Polymers 0.000 description 1
- 229920000642 polymer Polymers 0.000 description 1
- 229920001955 polyphenylene ether Polymers 0.000 description 1
- 229920002223 polystyrene Polymers 0.000 description 1
- 125000002924 primary amino group Chemical group [H]N([H])* 0.000 description 1
- 230000001737 promoting effect Effects 0.000 description 1
- 229940090181 propyl acetate Drugs 0.000 description 1
- LLHKCFNBLRBOGN-UHFFFAOYSA-N propylene glycol methyl ether acetate Chemical compound COCC(C)OC(C)=O LLHKCFNBLRBOGN-UHFFFAOYSA-N 0.000 description 1
- 239000010453 quartz Substances 0.000 description 1
- 230000035484 reaction time Effects 0.000 description 1
- 238000001226 reprecipitation Methods 0.000 description 1
- 238000009774 resonance method Methods 0.000 description 1
- 229910052895 riebeckite Inorganic materials 0.000 description 1
- 239000004065 semiconductor Substances 0.000 description 1
- 229910000077 silane Inorganic materials 0.000 description 1
- 239000000377 silicon dioxide Substances 0.000 description 1
- 229920002545 silicone oil Polymers 0.000 description 1
- 239000007787 solid Substances 0.000 description 1
- 239000000758 substrate Substances 0.000 description 1
- HXJUTPCZVOIRIF-UHFFFAOYSA-N sulfolane Chemical compound O=S1(=O)CCCC1 HXJUTPCZVOIRIF-UHFFFAOYSA-N 0.000 description 1
- 150000003457 sulfones Chemical class 0.000 description 1
- 239000000454 talc Substances 0.000 description 1
- 229910052623 talc Inorganic materials 0.000 description 1
- 238000011191 terminal modification Methods 0.000 description 1
- NUMQCACRALPSHD-UHFFFAOYSA-N tert-butyl ethyl ether Chemical compound CCOC(C)(C)C NUMQCACRALPSHD-UHFFFAOYSA-N 0.000 description 1
- 150000003512 tertiary amines Chemical class 0.000 description 1
- YLQBMQCUIZJEEH-UHFFFAOYSA-N tetrahydrofuran Natural products C=1C=COC=1 YLQBMQCUIZJEEH-UHFFFAOYSA-N 0.000 description 1
- 150000003568 thioethers Chemical class 0.000 description 1
- OGIDPMRJRNCKJF-UHFFFAOYSA-N titanium oxide Inorganic materials [Ti]=O OGIDPMRJRNCKJF-UHFFFAOYSA-N 0.000 description 1
- 235000021122 unsaturated fatty acids Nutrition 0.000 description 1
- 150000004670 unsaturated fatty acids Chemical class 0.000 description 1
- NQPDZGIKBAWPEJ-UHFFFAOYSA-N valeric acid Chemical compound CCCCC(O)=O NQPDZGIKBAWPEJ-UHFFFAOYSA-N 0.000 description 1
- 238000004804 winding Methods 0.000 description 1
Classifications
-
- C—CHEMISTRY; METALLURGY
- C08—ORGANIC MACROMOLECULAR COMPOUNDS; THEIR PREPARATION OR CHEMICAL WORKING-UP; COMPOSITIONS BASED THEREON
- C08G—MACROMOLECULAR COMPOUNDS OBTAINED OTHERWISE THAN BY REACTIONS ONLY INVOLVING UNSATURATED CARBON-TO-CARBON BONDS
- C08G73/00—Macromolecular compounds obtained by reactions forming a linkage containing nitrogen with or without oxygen or carbon in the main chain of the macromolecule, not provided for in groups C08G12/00 - C08G71/00
- C08G73/06—Polycondensates having nitrogen-containing heterocyclic rings in the main chain of the macromolecule
- C08G73/10—Polyimides; Polyester-imides; Polyamide-imides; Polyamide acids or similar polyimide precursors
- C08G73/1067—Wholly aromatic polyimides, i.e. having both tetracarboxylic and diamino moieties aromatically bound
-
- C—CHEMISTRY; METALLURGY
- C08—ORGANIC MACROMOLECULAR COMPOUNDS; THEIR PREPARATION OR CHEMICAL WORKING-UP; COMPOSITIONS BASED THEREON
- C08F—MACROMOLECULAR COMPOUNDS OBTAINED BY REACTIONS ONLY INVOLVING CARBON-TO-CARBON UNSATURATED BONDS
- C08F22/00—Homopolymers and copolymers of compounds having one or more unsaturated aliphatic radicals each having only one carbon-to-carbon double bond, and at least one being terminated by a carboxyl radical and containing at least one other carboxyl radical in the molecule; Salts, anhydrides, esters, amides, imides or nitriles thereof
- C08F22/36—Amides or imides
- C08F22/40—Imides, e.g. cyclic imides
-
- C—CHEMISTRY; METALLURGY
- C08—ORGANIC MACROMOLECULAR COMPOUNDS; THEIR PREPARATION OR CHEMICAL WORKING-UP; COMPOSITIONS BASED THEREON
- C08G—MACROMOLECULAR COMPOUNDS OBTAINED OTHERWISE THAN BY REACTIONS ONLY INVOLVING UNSATURATED CARBON-TO-CARBON BONDS
- C08G59/00—Polycondensates containing more than one epoxy group per molecule; Macromolecules obtained by polymerising compounds containing more than one epoxy group per molecule using curing agents or catalysts which react with the epoxy groups
- C08G59/18—Macromolecules obtained by polymerising compounds containing more than one epoxy group per molecule using curing agents or catalysts which react with the epoxy groups ; e.g. general methods of curing
- C08G59/40—Macromolecules obtained by polymerising compounds containing more than one epoxy group per molecule using curing agents or catalysts which react with the epoxy groups ; e.g. general methods of curing characterised by the curing agents used
-
- C—CHEMISTRY; METALLURGY
- C08—ORGANIC MACROMOLECULAR COMPOUNDS; THEIR PREPARATION OR CHEMICAL WORKING-UP; COMPOSITIONS BASED THEREON
- C08G—MACROMOLECULAR COMPOUNDS OBTAINED OTHERWISE THAN BY REACTIONS ONLY INVOLVING UNSATURATED CARBON-TO-CARBON BONDS
- C08G59/00—Polycondensates containing more than one epoxy group per molecule; Macromolecules obtained by polymerising compounds containing more than one epoxy group per molecule using curing agents or catalysts which react with the epoxy groups
- C08G59/18—Macromolecules obtained by polymerising compounds containing more than one epoxy group per molecule using curing agents or catalysts which react with the epoxy groups ; e.g. general methods of curing
- C08G59/40—Macromolecules obtained by polymerising compounds containing more than one epoxy group per molecule using curing agents or catalysts which react with the epoxy groups ; e.g. general methods of curing characterised by the curing agents used
- C08G59/4007—Curing agents not provided for by the groups C08G59/42 - C08G59/66
- C08G59/4014—Nitrogen containing compounds
- C08G59/4042—Imines; Imides
-
- C—CHEMISTRY; METALLURGY
- C08—ORGANIC MACROMOLECULAR COMPOUNDS; THEIR PREPARATION OR CHEMICAL WORKING-UP; COMPOSITIONS BASED THEREON
- C08G—MACROMOLECULAR COMPOUNDS OBTAINED OTHERWISE THAN BY REACTIONS ONLY INVOLVING UNSATURATED CARBON-TO-CARBON BONDS
- C08G73/00—Macromolecular compounds obtained by reactions forming a linkage containing nitrogen with or without oxygen or carbon in the main chain of the macromolecule, not provided for in groups C08G12/00 - C08G71/00
- C08G73/06—Polycondensates having nitrogen-containing heterocyclic rings in the main chain of the macromolecule
- C08G73/10—Polyimides; Polyester-imides; Polyamide-imides; Polyamide acids or similar polyimide precursors
-
- C—CHEMISTRY; METALLURGY
- C08—ORGANIC MACROMOLECULAR COMPOUNDS; THEIR PREPARATION OR CHEMICAL WORKING-UP; COMPOSITIONS BASED THEREON
- C08G—MACROMOLECULAR COMPOUNDS OBTAINED OTHERWISE THAN BY REACTIONS ONLY INVOLVING UNSATURATED CARBON-TO-CARBON BONDS
- C08G73/00—Macromolecular compounds obtained by reactions forming a linkage containing nitrogen with or without oxygen or carbon in the main chain of the macromolecule, not provided for in groups C08G12/00 - C08G71/00
- C08G73/06—Polycondensates having nitrogen-containing heterocyclic rings in the main chain of the macromolecule
- C08G73/10—Polyimides; Polyester-imides; Polyamide-imides; Polyamide acids or similar polyimide precursors
- C08G73/1042—Copolyimides derived from at least two different tetracarboxylic compounds or two different diamino compounds
-
- C—CHEMISTRY; METALLURGY
- C08—ORGANIC MACROMOLECULAR COMPOUNDS; THEIR PREPARATION OR CHEMICAL WORKING-UP; COMPOSITIONS BASED THEREON
- C08L—COMPOSITIONS OF MACROMOLECULAR COMPOUNDS
- C08L63/00—Compositions of epoxy resins; Compositions of derivatives of epoxy resins
-
- C—CHEMISTRY; METALLURGY
- C08—ORGANIC MACROMOLECULAR COMPOUNDS; THEIR PREPARATION OR CHEMICAL WORKING-UP; COMPOSITIONS BASED THEREON
- C08L—COMPOSITIONS OF MACROMOLECULAR COMPOUNDS
- C08L79/00—Compositions of macromolecular compounds obtained by reactions forming in the main chain of the macromolecule a linkage containing nitrogen with or without oxygen or carbon only, not provided for in groups C08L61/00 - C08L77/00
- C08L79/04—Polycondensates having nitrogen-containing heterocyclic rings in the main chain; Polyhydrazides; Polyamide acids or similar polyimide precursors
- C08L79/08—Polyimides; Polyester-imides; Polyamide-imides; Polyamide acids or similar polyimide precursors
-
- H—ELECTRICITY
- H05—ELECTRIC TECHNIQUES NOT OTHERWISE PROVIDED FOR
- H05K—PRINTED CIRCUITS; CASINGS OR CONSTRUCTIONAL DETAILS OF ELECTRIC APPARATUS; MANUFACTURE OF ASSEMBLAGES OF ELECTRICAL COMPONENTS
- H05K1/00—Printed circuits
- H05K1/02—Details
- H05K1/03—Use of materials for the substrate
-
- C—CHEMISTRY; METALLURGY
- C09—DYES; PAINTS; POLISHES; NATURAL RESINS; ADHESIVES; COMPOSITIONS NOT OTHERWISE PROVIDED FOR; APPLICATIONS OF MATERIALS NOT OTHERWISE PROVIDED FOR
- C09D—COATING COMPOSITIONS, e.g. PAINTS, VARNISHES OR LACQUERS; FILLING PASTES; CHEMICAL PAINT OR INK REMOVERS; INKS; CORRECTING FLUIDS; WOODSTAINS; PASTES OR SOLIDS FOR COLOURING OR PRINTING; USE OF MATERIALS THEREFOR
- C09D179/00—Coating compositions based on macromolecular compounds obtained by reactions forming in the main chain of the macromolecule a linkage containing nitrogen, with or without oxygen, or carbon only, not provided for in groups C09D161/00 - C09D177/00
- C09D179/04—Polycondensates having nitrogen-containing heterocyclic rings in the main chain; Polyhydrazides; Polyamide acids or similar polyimide precursors
- C09D179/08—Polyimides; Polyester-imides; Polyamide-imides; Polyamide acids or similar polyimide precursors
Landscapes
- Chemical & Material Sciences (AREA)
- Health & Medical Sciences (AREA)
- Chemical Kinetics & Catalysis (AREA)
- Medicinal Chemistry (AREA)
- Polymers & Plastics (AREA)
- Organic Chemistry (AREA)
- Engineering & Computer Science (AREA)
- Microelectronics & Electronic Packaging (AREA)
- Macromolecular Compounds Obtained By Forming Nitrogen-Containing Linkages In General (AREA)
- Epoxy Resins (AREA)
- Macromonomer-Based Addition Polymer (AREA)
- Non-Metallic Protective Coatings For Printed Circuits (AREA)
- Organic Insulating Materials (AREA)
- Paints Or Removers (AREA)
Description
また、近年では高速で大容量の次世代高周波無線用のプリント配線板の開発が行われており、上記の諸特性に加え、樹脂材料には低伝送損失であること、即ち低誘電・低誘電正接であることが求められている。
しかしながら、特許文献1のポリイミド樹脂は低誘電正接の点で優れるものの、接着性と機械特性に劣るものであった。
即ち本発明は、
(1)アミノフェノール化合物(a)、脂肪族ジアミノ化合物(b)、四塩基酸二無水物(c)及び芳香族ジアミノ化合物(d)の反応物であるポリアミック酸樹脂であって、両末端にアミノ基を有するポリアミック酸樹脂、
(2)アミノフェノール化合物(a)が、下記式(1)
(3)脂肪族ジアミノ化合物(b)が、アミノ基を二つ有する炭素数6乃至36の脂肪族炭化水素である前項(1)又は(2)に記載のポリアミック酸樹脂、
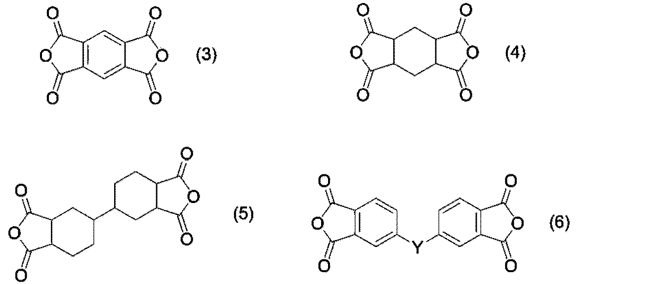
(4)四塩基酸二無水物(c)が、下記式(3)乃至(6)
からなる群より選択される化合物である前項(1)乃至(3)のいずれか一項に記載のポリアミック酸樹脂、
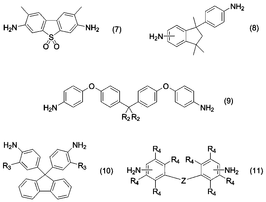
(5)芳香族ジアミノ化合物(d)が、下記式(7)乃至(11)
からなる群より選択される化合物である前項(1)乃至(4)のいずれか一項に記載のポリアミック酸樹脂、
(6)アミノフェノール化合物(a)のモル数MA、脂肪族ジアミノ化合物(b)のモル数MB、四塩基酸二無水物(c)のモル数MC及び芳香族ジアミノ化合物(d)のモル数MDが、1.0<(MA+MB+MD)/MC<1.5の関係を満たす前項(1)乃至(5)のいずれか一項に記載のポリアミック酸樹脂、
(7)前項(1)乃至(6)のいずれか一項に記載のポリアミック酸樹脂のイミド化物であるポリイミド樹脂、
(8)前項(7)に記載のポリイミド樹脂と、無水マレイン酸との反応物である末端変性ポリイミド樹脂、
(9)前項(7)に記載のポリイミド樹脂又は前項(8)に記載の末端変性ポリイミド樹脂と、アミノ基及び/又はマレイミド基と反応し得る化合物とを含有する樹脂組成物、
(10)アミノ基及び/又はマレイミド基と反応し得る化合物が、マレイミド樹脂である前項(9)に記載の樹脂組成物、
(11)アミノ基及び/又はマレイミド基と反応し得る化合物が、エポキシ樹脂である前項(9)に記載の樹脂組成物、
(12)前項(9)乃至(11)のいずれか一項に記載の樹脂組成物の硬化物、及び
(13)前項(12)に記載の硬化物を有する基材、
に関する。
尚、本明細書におけるフェノール性水酸基当量はJIS K-0070に準じた方法で測定した値を意味する。
例えば、合成に用いる(a)乃至(d)成分を溶剤に溶解させた後、窒素等の不活性雰囲気下、10乃至80℃で加熱撹拌することによってジアミン類と四塩基酸二無水物類との共重合反応が起こり、本発明のポリアミック酸樹脂溶液が得られる。
また、前記で得られたポリアミック酸樹脂溶液に必要により脱水剤や触媒を加え、100乃至300℃で加熱撹拌することによってイミド化反応(脱水を伴う閉環反応)が起こり、本発明のポリイミド樹脂溶液が得られる。脱水剤としてはトルエン及びキシレン等が、触媒としてはピリジン及びトリエチルアミン等が挙げられる。尚、ポリアミック酸樹脂及びポリイミド樹脂を合成する際の反応時間は反応温度により大きく影響されるが、反応の進行に伴う粘度上昇が平衡に達し、最大の分子量が得られるまで反応を行うことが好ましく、通常数分間乃至20時間である。
また、上記で得られたポリアミック酸樹脂溶液又はポリイミド樹脂溶液を、メタノール及びヘキサン等の貧溶媒中に投じて生成重合体を分離した後、再沈殿法によって精製を行って副生成物を除去することにより、高純度のポリアミック酸樹脂又はポリイミド樹脂を得ることもできる。
末端変性ポリイミド樹脂溶液は、上記で得られたポリイミド樹脂溶液に必要量の無水マレイン酸を添加した後、150乃至250℃で加熱撹拌するだけで得られるが、上記イミド化反応の際に生成した水が反応系内に残存している場合には、これを除去しながら共重合反応を行うことが好ましい。
末端変性の際には、ポリイミド樹脂1モルに対して2モルを若干超える程度の無水マレイン酸を用いることが好ましい。ポリイミド樹脂1モルに対する無水マレイン酸の量が2モル以下又は過剰な場合には、末端変性ポリイミド樹脂が高分子量化して取扱いが困難になる可能性がある。
反応性化合物は、アミノ基及び/又はマレイミド基と反応し得る反応性基を一分子中に二つ以上有する化合物(樹脂)であれば特に限定されない。
反応性化合物の具体例としては、MIR-3000(日本化薬株式会社製)、BMI-70、BMI-80(いずれもケイ・アイ化成株式会社製)、BMI-1000、BMI-3000(いずれも大和化成工業株式会社製)、jER828(三菱ケミカル株式会社製)、NC-3000、XD-1000(いずれも日本化薬株式会社製)、イソフタル酸、テレフタル酸、カレンズMT PE1(昭和電工株式会社製)、ヘキサメチレンジアミン、KAYARAD R-115(日本化薬株式会社製)等が挙げられ、マレイミド樹脂又はエポキシ樹脂が好ましい。
本発明の末端変性ポリイミド樹脂を含有する樹脂組成物における反応性化合物の含有量は、末端変性ポリイミド樹脂のマレイミド基1当量に対する反応性化合物の反応性基当量が0.1乃至500当量となる量が好ましい。尚、反応性化合物の反応性基がフェノール性水酸基との反応性を有する場合は、前記のマレイミド基1当量に対する反応性化合物の反応性基当量が0.1乃至500当量となる反応性化合物の含有量に、ポリイミド樹脂のフェノール性水酸基1当量に対する反応性化合物の反応性基当量が0.1乃至500当量となる量の反応性化合物を追加することができる。
マレイミド樹脂は、ポリイミド樹脂の末端アミノ基又は末端変性ポリイミド樹脂の末端マレイミド基と反応させることを目的に加えられ、これにより硬化物の架橋密度が増加し、極性溶剤への耐性が向上すると共に、基材への密着性や耐熱性が向上する。
マレイミド樹脂を含有する樹脂組成物の硬化温度は、150乃至250℃が好ましい。硬化時間は硬化温度に依存するが、概ね数分間乃至数時間程度である。
末端変性ポリイミド樹脂とマレイミド樹脂を含有する本発明の樹脂組成物におけるマレイミド樹脂の含有量は、末端変性ポリイミド樹脂のマレイミド基1当量に対するマレイミド樹脂のマレイミド基当量が0.1乃至500当量となる量が好ましい。
尚、ここでいう当量は、ポリイミド樹脂又は末端変性ポリイミド樹脂を合成する際の各原料の使用量から算出した値を意味する。
マレイミド樹脂を含有する本発明の樹脂組成物におけるラジカル開始剤の添加量は、マレイミド樹脂に対して0.1乃至10質量%である。
エポキシ樹脂は、ポリイミド樹脂の末端アミノ基又は末端変性ポリイミド樹脂の末端マレイミド基と反応させることを目的に加えられ、これにより硬化物の架橋密度が増加し、極性溶剤への耐性が向上すると共に、基材への密着性や耐熱性が向上する。
エポキシ樹脂を含有する樹脂組成物の硬化温度は、150乃至250℃が好ましい。硬化時間は硬化温度に依存するが、概ね数分間乃至数時間程度である。
末端変性ポリイミド樹脂とエポキシ樹脂を含有する本発明の樹脂組成物におけるエポキシ樹脂の含有量は、末端変性ポリイミド樹脂の両末端マレイミド基1当量に対するエポキシ樹脂のエポキシ当量が0.1乃至500当量となる量が好ましい。尚、エポキシ樹脂の有するエポキシ基はフェノール性水酸基との反応性を有するため、末端変性ポリイミド樹脂のフェノール性水酸基1当量に対するエポキシ樹脂のエポキシ当量が0.1乃至500当量となる量のエポキシ樹脂を必要に応じて追加するのは好ましい態様である。
尚、ここでいう当量は、ポリイミド樹脂又は末端変性ポリイミド樹脂を合成する際の各原料の使用量から算出した値を意味する。
エポキシ樹脂を含有する本発明の樹脂組成物における熱硬化触媒の添加量は、エポキシ樹脂に対して0.1乃至10質量%である。
有機溶剤は、ワニス中の有機溶剤を除く固形分濃度が通常10乃至80質量%、好ましくは20乃至70質量%となる範囲で使用する。
上記のプリプレグを所望の形に裁断、必要により銅箔などと積層後、積層物にプレス成形法やオートクレーブ成形法、シートワインディング成形法などで圧力をかけながら樹脂組成物を加熱硬化させることにより電気電子用積層板(プリント配線板)や炭素繊維強化材等の本発明の基材を得ることができる。
また、銅箔に樹脂組成物を塗工し溶媒を乾燥させた後、ポリイミドフィルムもしくはLCP(液晶ポリマー)を積層させ、熱プレス後、加熱硬化することにより本発明の基材を得ることもできる。場合によりポリイミドフィルムもしくはLCP側に樹脂組成物を塗工し、銅箔と積層することで本発明の基材を得ることもできる。
温度計、還流冷却器、ディーンスターク装置、粉体導入口、窒素導入装置及び撹拌装置を取り付けた300mlの反応器に、BAPP(2,2-ビス[4-(4-アミノフェノキシ)フェニル]プロパン、和歌山精化工業株式会社製、分子量410.52g/mol)16.40部、PRIAMINE1075(クローダジャパン株式会社製、分子量534.38g/mol)10.87部、ABPS(3,3’-ジアミノ-4,4’-ジヒドロキシジフェニルスルホン、日本化薬株式会社製、分子量280.30g/mol)0.32部及びNMP(N-メチルピロリドン)106.47部を入れて70℃に加熱した。次いで、ODPA(オキシジフタル酸無水物、マナック株式会社製、分子量310.22g/mol)18.04部、ピリジン0.92部及びトルエン23.77部を加え、アミック酸の閉環に伴い生成した水をトルエンとの共沸で除去しながら180℃で4時間反応させた。水の生成が止まった後、残留するピリジンとトルエンを引き続き180℃で除去することによりポリイミド樹脂溶液(A-1)(不揮発分31.2%)を得た。実施例1で用いたジアミン成分((a)成分、(b)成分及び(d)成分)と酸無水物成分((c)成分)のモル比(ジアミン成分のモル数/酸無水物成分のモル数)は1.05であった。
温度計、還流冷却器、ディーンスターク装置、粉体導入口、窒素導入装置及び撹拌装置を取り付けた300mlの反応器に、BAPP(2,2-ビス[4-(4-アミノフェノキシ)フェニル]プロパン、和歌山精化工業株式会社製、分子量410.52g/mol)16.40部、PRIAMINE1075(クローダジャパン株式会社製、分子量534.38g/mol)10.87部、ABPS(3,3’-ジアミノ-4,4’-ジヒドロキシジフェニルスルホン、日本化薬株式会社製、分子量280.30g/mol)0.32部及びNMP(N-メチルピロリドン)106.47部を入れて70℃に加熱した。次いで、ODPA(オキシジフタル酸無水物、マナック株式会社製、分子量310.22g/mol)18.04部、ピリジン0.92部及びトルエン23.77部を加え、アミック酸の閉環に伴い生成した水をトルエンとの共沸で除去しながら180℃で4時間反応させた。水の生成が止まった後、無水マレイン酸(分子量98.1g/mol)0.57部を加え、アミック酸の閉環に伴い生成した水をトルエンとの共沸で除去しながら180℃で2時間反応させてポリイミド樹脂の末端アミノ基をマレイミド基に変性した。水の生成が止まった後、残留するピリジンとトルエンを引き続き180℃で除去することによって末端変性ポリイミド樹脂溶液(A-2)(不揮発分31.0%)を得た。実施例2で用いたジアミン成分と酸無水物成分のモル比は1.05であった。
撹拌機、分水器、温度計及び窒素ガス導入管を備えた反応容器に、9,9’-ビス[4-(3,4-ジカルボキシフェノキシ)フェニル]フルオレン酸二無水物(商品名「BPF-PA」、JFEケミカル株式会社製)290.00部、シクロヘキサノン980.20部、及びメチルシクロヘキサン196.04部を仕込み、60℃まで加熱した。次いで、市販のダイマージアミン(商品名「PRIAMINE1075」、クローダジャパン(株)製)236.60部を滴下した後、140℃で12時間かけてイミド化反応させることにより、比較用のポリイミド溶液(R-1)(不揮発分31.6%)を得た。比較例1で用いたジアミン成分と酸無水物成分のモル比は0.97であった。
実施例1で得られたポリイミド樹脂溶液(A-1)、実施例2で得られた末端変性ポリイミド樹脂溶液(A-2)、比較例1で得られた比較用のポリイミド樹脂溶液(R-1)、マレイミド樹脂として日本化薬株式会社製 MIR-3000(ビフェニル骨格含有マレイミド樹脂)、ラジカル開始剤としてジクミルパーオキサイド(DCP)、エポキシ樹脂として日本化薬株式会社製 NC-3000(ビフェニル骨格含有エポキシ樹脂、エポキシ当量277g/eq、軟化点60℃)、エポキシ樹脂硬化剤として日本化薬株式会社製 GPH-65(ビフェニル骨格含有フェノール硬化剤、水酸基当量198g/eq.)及び硬化促進剤として四国化成工業株式会社製 C11Z-Aを、表1に示す配合量(単位は「部」)で混合し、本発明の樹脂組成物及び比較用の樹脂組成物を得た。
実施例1乃至6及び比較例1乃至3で得られた(末端変性)ポリイミド樹脂溶液及び樹脂組成物を用いて、ポリイミド樹脂、末端変性ポリイミド樹脂及び樹脂組成物の銅箔に対する接着強度を評価した。
福田金属箔粉工業株式会社製の銅箔CF-T9FZ-HTEのシャイン面(以下、「Cu鏡面」と記載する)、CF-T9FZ-HTEのマット面(以下、「Cu粗面」と記載する)又は福田金属箔粉工業株式会社製の銅箔CF-T4X-SU-18(以下、「T4X」と記載する)の表面に、オートマチックアプリケータを用いて前記のポリイミド樹脂溶液、末端変性ポリイミド樹脂又は樹脂組成物をそれぞれ塗布し、130℃で10分間加熱乾燥した。乾燥後の塗膜の厚さは30μmであった。このようにして得られた銅箔上の塗膜にCu粗面を重ね合わせ、樹脂組成物は200℃で、それ以外は180℃で、60分間、3MPaの条件で真空プレスした。得られた試験片を10mm幅に切り出し、オートグラフAGS-X-500N(株式会社島津製作所製)を用いて、銅箔間の90°引きはがし強さ(引き剥がし速度は50mm/min)を測定し、銅箔の接着強度を評価した。
尚、試験後のサンプルを目視で確認したところ、Cu鏡面及びT4Xの表面に塗膜を形成したものは全てCu鏡面又はT4Xの表面と塗膜との界面で剥離が起こっており、またCu粗面に塗膜を形成したものは全てCu粗面と塗膜との界面で剥離が起こっていた。
結果を表2、表3及び表4に示した。
上記の「接着強度の評価」と同じ方法で、Cu鏡面上に厚さ30μmの塗膜をそれぞれ形成した。また、オートマチックアプリケータの塗工厚を変更した以外は上記の「接着強度の評価」と同じ方法で、Cu鏡面上に厚さ100μmの塗膜をそれぞれ形成した。このようにして得られた銅箔上の塗膜を、マレイミド樹脂を含む樹脂組成物は200℃で、それ以外は180℃で60分間加熱した後、液比重45ボーメ度の塩化鉄(III)溶液で銅箔をエッチングし、イオン交換水で洗浄後、105℃で10分間乾燥することでフィルム状の硬化物をそれぞれ得た。フィルム状の硬化物について、オートグラフAGS-X-500N(株式会社島津製作所製)を用いて引張強度(破断点応力及び破断点伸度)と弾性率を測定し、動的粘弾性測定装置EXSTAR6000(セイコーエプソン株式会社製)を用いてガラス転移温度を測定し、またネットワークアナライザー8719ET(アジレントテクノロジー製)を用いて空洞共振法によって10GHzにおける誘電正接を測定した。
結果を表2、表3及び表4に示した。
温度計、還流冷却器、ディーンスターク装置、粉体導入口、窒素導入装置及び撹拌装置を取り付けた300mlの反応器に、BAPP(2,2-ビス[4-(4-アミノフェノキシ)フェニル]プロパン、和歌山精化工業株式会社製、分子量410.52g/mol)11.01部、PRIAMINE1075(クローダジャパン株式会社製、分子量534.38g/mol)20.49部、BAFA(2,2-ビス(3-アミノ-4-ヒドロキシフェニル)ヘキサフルオロプロパン、日本化薬株式会社製、分子量366.26g/mol)1.59部及びシクロヘキサノン119.35部を入れて70℃に加熱した。次いで、ODPA(オキシジフタル酸無水物、マナック株式会社製、分子量310.22g/mol)20.53部、トリエチルアミン1.34部及びトルエン25.69部を加え、アミック酸の閉環に伴い生成した水をトルエンとの共沸で除去しながら140℃で4時間反応させた。水の生成が止まった後、残留するトリエチルアミンとトルエンを引き続き140℃で除去することによりポリイミド樹脂溶液(A-7)(不揮発分30.0%)を得た。実施例7で用いたジアミン成分と酸無水物成分のモル比は1.05であった。
温度計、還流冷却器、ディーンスターク装置、粉体導入口、窒素導入装置及び撹拌装置を取り付けた300mlの反応器に、BAFL(9,9-ビス(4-アミノフェニル)フルオレン、JFEケミカル株式会社製、分子量348.45g/mol)9.88部、PRIAMINE1075(クローダジャパン株式会社製、分子量534.38g/mol)20.42部、BAFA(2,2-ビス(3-アミノ-4-ヒドロキシフェニル)ヘキサフルオロプロパン、日本化薬株式会社製、分子量366.26g/mol)1.67部及びシクロヘキサノン119.30部を入れて70℃に加熱した。次いで、ODPA(オキシジフタル酸無水物、マナック株式会社製、分子量310.22g/mol)21.63部、トリエチルアミン1.41部及びトルエン25.69部を加え、アミック酸の閉環に伴い生成した水をトルエンとの共沸で除去しながら140℃で4時間反応させた。水の生成が止まった後、残留するトリエチルアミンとトルエンを引き続き140℃で除去することによりポリイミド樹脂溶液(A-8)(不揮発分30.0%)を得た。実施例8で用いたジアミン成分と酸無水物成分のモル比は1.02であった。
温度計、還流冷却器、ディーンスターク装置、粉体導入口、窒素導入装置及び撹拌装置を取り付けた300mlの反応器に、BAFL(9,9-ビス(4-アミノフェニル)フルオレン、JFEケミカル株式会社製、分子量348.45g/mol)6.10部、PRIAMINE1075(クローダジャパン株式会社製、分子量534.38g/mol)11.38部、及びシクロヘキサノン119.30部を入れて70℃に加熱した。次いで、ODPA(オキシジフタル酸無水物、マナック株式会社製、分子量310.22g/mol)12.41部、トリエチルアミン0.81部及びトルエン18.75部を加え、アミック酸の閉環に伴い生成した水をトルエンとの共沸で除去しながら140℃で4時間反応させた。水の生成が止まった後、残留するトリエチルアミンとトルエンを引き続き140℃で除去することによりポリイミド樹脂溶液(R-2)(不揮発分30.0%)を得た。比較例4で用いたジアミン成分と酸無水物成分のモル比は0.97であった。
実施例7及び8で得られたポリイミド樹脂溶液(A-7)及び(A-8)、比較例4で得られた比較用のポリイミド樹脂溶液(R-2)、マレイミド樹脂として日本化薬製 MIR-3000(ビフェニル骨格含有マレイミド樹脂)及びラジカル開始剤としてジクミルパーオキサイド(DCP)を、表5に示す配合量(単位は「部」)で混合し、本発明の樹脂組成物及び比較用の樹脂組成物を得た。
実施例7乃至10、比較例4及び5で得られたポリイミド樹脂溶液及び樹脂組成物を用いて、上記した実施例1乃至6及び比較例1乃至3で得られたポリイミド樹脂溶液、末端変性ポリイミド樹脂溶液及び樹脂組成物の評価に準じた方法で、ポリイミド樹脂及び樹脂組成物の銅箔に対する接着強度、機械特性、熱特性及び誘電正接を評価した。
結果を表6及び7に示した。
Claims (10)
- 一分子中に少なくとも二個のアミノ基と少なくとも一個のフェノール性水酸基を有するアミノフェノール化合物(a)、アミノ基を二つ有する炭素数6乃至36の脂肪族炭化水素である脂肪族ジアミノ化合物(b)、四塩基酸二無水物(c)及び芳香族ジアミノ化合物(d)の反応物であるポリアミック酸樹脂であって、両末端にアミノ基を有するポリアミック酸樹脂のイミド化物であるポリイミド樹脂と、無水マレイン酸との反応物である末端変性ポリイミド樹脂であって、
前記脂肪族ジアミノ化合物(b)としてダイマージアミンを含有する、末端変性ポリイミド樹脂。 - 前記アミノフェノール化合物(a)のモル数MA、前記脂肪族ジアミノ化合物(b)のモル数MB、前記四塩基酸二無水物(c)のモル数MC及び前記芳香族ジアミノ化合物(d)のモル数MDが、1.0<(MA+MB+MD)/MC<1.5の関係を満たす請求項1乃至4のいずれか一項に記載の末端変性ポリイミド樹脂。
- 請求項1乃至5のいずれか一項に記載の末端変性ポリイミド樹脂と、マレイミド基と反応し得る化合物とを含有する樹脂組成物。
- 前記マレイミド基と反応し得る化合物が、マレイミド樹脂である請求項6に記載の樹脂組成物。
- 前記マレイミド基と反応し得る化合物が、エポキシ樹脂である請求項6に記載の樹脂組成物。
- 請求項6乃至8のいずれか一項に記載の樹脂組成物の硬化物。
- 請求項9に記載の硬化物を有する基材。
Applications Claiming Priority (3)
| Application Number | Priority Date | Filing Date | Title |
|---|---|---|---|
| JP2019047862 | 2019-03-15 | ||
| JP2019047862 | 2019-03-15 | ||
| JP2020535005A JP6872081B2 (ja) | 2019-03-15 | 2020-03-07 | ポリアミック酸樹脂、ポリイミド樹脂およびこれらを含む樹脂組成物 |
Related Parent Applications (1)
| Application Number | Title | Priority Date | Filing Date |
|---|---|---|---|
| JP2020535005A Division JP6872081B2 (ja) | 2019-03-15 | 2020-03-07 | ポリアミック酸樹脂、ポリイミド樹脂およびこれらを含む樹脂組成物 |
Publications (2)
| Publication Number | Publication Date |
|---|---|
| JP2020172667A JP2020172667A (ja) | 2020-10-22 |
| JP7450488B2 true JP7450488B2 (ja) | 2024-03-15 |
Family
ID=72520306
Family Applications (2)
| Application Number | Title | Priority Date | Filing Date |
|---|---|---|---|
| JP2020535005A Active JP6872081B2 (ja) | 2019-03-15 | 2020-03-07 | ポリアミック酸樹脂、ポリイミド樹脂およびこれらを含む樹脂組成物 |
| JP2020129085A Active JP7450488B2 (ja) | 2019-03-15 | 2020-07-30 | ポリアミック酸樹脂、ポリイミド樹脂およびこれらを含む樹脂組成物 |
Family Applications Before (1)
| Application Number | Title | Priority Date | Filing Date |
|---|---|---|---|
| JP2020535005A Active JP6872081B2 (ja) | 2019-03-15 | 2020-03-07 | ポリアミック酸樹脂、ポリイミド樹脂およびこれらを含む樹脂組成物 |
Country Status (6)
| Country | Link |
|---|---|
| US (1) | US12247104B2 (ja) |
| JP (2) | JP6872081B2 (ja) |
| KR (1) | KR102808317B1 (ja) |
| CN (1) | CN113474380A (ja) |
| TW (1) | TWI822976B (ja) |
| WO (1) | WO2020189354A1 (ja) |
Families Citing this family (16)
| Publication number | Priority date | Publication date | Assignee | Title |
|---|---|---|---|---|
| CN116406390A (zh) * | 2020-11-06 | 2023-07-07 | 日本化药株式会社 | 感光性树脂组合物、其硬化物及多层材料 |
| US20220204697A1 (en) * | 2020-12-31 | 2022-06-30 | Industrial Technology Research Institute | Polymer and resin composition thereof |
| JP7191276B1 (ja) * | 2021-03-25 | 2022-12-16 | 日本化薬株式会社 | 樹脂組成物、硬化物、樹脂シート、プリプレグ、金属箔張積層板、多層プリント配線板、封止用材料、繊維強化複合材料、接着剤及び半導体装置 |
| US12486371B2 (en) | 2021-03-25 | 2025-12-02 | Nippon Kayaku Kabushiki Kaisha | Thermally curable resin composition, cured object, resin sheet, prepreg, metal-clad laminate, multilayered printed wiring board, sealing material, fiber-reinforced composite material, adhesive, and semiconductor device |
| JP7628461B2 (ja) | 2021-04-19 | 2025-02-10 | 日東電工株式会社 | 金属層積層板 |
| EP4079509A1 (en) | 2021-04-19 | 2022-10-26 | Nitto Denko Corporation | Porous polyimide film |
| US20240343865A1 (en) * | 2021-08-03 | 2024-10-17 | Nippon Kayaku Kabushiki Kaisha | Polyimide Resin, Resin Composition Comprising Polyimide Resin and Cured Product Thereof |
| JP7698563B2 (ja) * | 2021-11-19 | 2025-06-25 | 日本化薬株式会社 | 樹脂付き銅箔及び銅張積層板 |
| JP7156494B1 (ja) | 2021-12-13 | 2022-10-19 | 東洋インキScホールディングス株式会社 | 熱硬化性組成物、接着シート、プリント配線板および電子機器 |
| JP2023147328A (ja) * | 2022-03-30 | 2023-10-13 | 藤森工業株式会社 | 接着剤付金属基材及び積層体 |
| JP2023147329A (ja) * | 2022-03-30 | 2023-10-13 | 藤森工業株式会社 | 接着剤付金属基材及び積層体 |
| CN119095899A (zh) * | 2022-04-25 | 2024-12-06 | 日本化药株式会社 | 双马来酰亚胺化合物、使用其的树脂组合物、其硬化物及半导体元件 |
| JP7710806B2 (ja) * | 2022-08-19 | 2025-07-22 | 信越化学工業株式会社 | 熱硬化性ビスマレイミド樹脂組成物 |
| TWI869848B (zh) * | 2023-05-10 | 2025-01-11 | 上緯創新育成股份有限公司 | 聚醯亞胺寡聚物、其製備方法及其製備之具低介電特性的固化物 |
| WO2025100369A1 (ja) * | 2023-11-06 | 2025-05-15 | 株式会社レゾナック | マレイミド樹脂、樹脂組成物、硬化物、シート、積層体、及びプリント配線板 |
| KR20250095104A (ko) * | 2023-12-19 | 2025-06-26 | 주식회사 두산 | 폴리아믹산 조성물, 이를 이용한 폴리이미드 필름 및 금속적층판 |
Citations (8)
| Publication number | Priority date | Publication date | Assignee | Title |
|---|---|---|---|---|
| JP2002053818A (ja) | 2000-08-04 | 2002-02-19 | Kanegafuchi Chem Ind Co Ltd | 接着剤組成物 |
| JP2004156012A (ja) | 2002-11-07 | 2004-06-03 | Samsung Electronics Co Ltd | 感光性ポリイミド前駆体用可溶性ポリイミドおよびこれを含む感光性ポリイミド前駆体組成物 |
| JP2008074927A (ja) | 2006-09-20 | 2008-04-03 | Sumitomo Metal Mining Co Ltd | 成形体及びその製造方法 |
| JP2008156603A (ja) | 2006-12-01 | 2008-07-10 | Toray Ind Inc | 熱硬化性樹脂組成物 |
| JP2009203414A (ja) | 2008-02-29 | 2009-09-10 | Toray Ind Inc | 熱硬化性樹脂組成物 |
| JP2011175163A (ja) | 2010-02-25 | 2011-09-08 | Hitachi Chem Co Ltd | 感光性樹脂組成物、永久レジスト用感光性フィルム、レジストパターンの形成方法、プリント配線板及びその製造方法、表面保護膜並びに層間絶縁膜 |
| WO2017170032A1 (ja) | 2016-03-28 | 2017-10-05 | 東レ株式会社 | 感光性フィルム |
| JP2018021184A (ja) | 2016-07-20 | 2018-02-08 | ユニチカ株式会社 | 末端マレイミド化オリゴイミドの製造方法 |
Family Cites Families (19)
| Publication number | Priority date | Publication date | Assignee | Title |
|---|---|---|---|---|
| JPH05255564A (ja) * | 1991-10-22 | 1993-10-05 | Toray Ind Inc | マレイミド樹脂組成物、プリプレグおよび繊維強化プラスチック |
| JP2001261825A (ja) * | 2000-03-17 | 2001-09-26 | Hitachi Cable Ltd | ポリイミドの製造方法および感光性ポリイミド樹脂組成物 |
| EP1826230A1 (en) * | 2004-12-16 | 2007-08-29 | Nippon Kayaku Kabushiki Kaisha | Unsaturated group-containing polyimide resin, photosensitive resin composition containing same, and cured product thereof |
| WO2007046405A1 (ja) | 2005-10-21 | 2007-04-26 | Nippon Kayaku Kabushiki Kaisha | 熱硬化性樹脂組成物並びにその用途 |
| JP2008094927A (ja) * | 2006-10-11 | 2008-04-24 | Kaneka Corp | 新規な熱硬化性樹脂組成物 |
| JP5320639B2 (ja) * | 2008-02-13 | 2013-10-23 | 日立電線株式会社 | 絶縁電線 |
| WO2010047271A1 (ja) | 2008-10-20 | 2010-04-29 | 日本化薬株式会社 | ポリイミド樹脂及びその組成物 |
| JP2013083958A (ja) * | 2011-09-26 | 2013-05-09 | Nippon Steel & Sumikin Chemical Co Ltd | 感光性樹脂組成物、それを用いた硬化物及び半導体素子 |
| JP2015117278A (ja) | 2013-12-17 | 2015-06-25 | 株式会社ティ−アンドケイ東華 | 官能基化ポリイミド樹脂及びそれを含むエポキシ樹脂組成物 |
| US11130320B2 (en) | 2014-07-11 | 2021-09-28 | Samsung Electronics Co., Ltd. | Transparent polymer film and electronic device including the same |
| JP2016127429A (ja) * | 2014-12-27 | 2016-07-11 | 新日鉄住金化学株式会社 | シールド用複合体及び高周波伝送部材 |
| JP6473028B2 (ja) * | 2015-03-31 | 2019-02-20 | 日鉄ケミカル&マテリアル株式会社 | 銅張積層板、プリント配線板及びその使用方法 |
| CN104760368B (zh) * | 2015-04-14 | 2016-08-24 | 东华大学 | 一种环氧-亚胺树脂基覆铜箔板及其制备方法 |
| JPWO2016171101A1 (ja) * | 2015-04-20 | 2018-02-15 | 宇部興産株式会社 | ポリイミド、硬化性樹脂組成物、硬化物 |
| JP6487829B2 (ja) * | 2015-11-20 | 2019-03-20 | 株式会社巴川製紙所 | 熱伝導性熱硬化型接着剤組成物及び熱伝導性熱硬化型接着シート |
| JP7106863B2 (ja) * | 2016-06-16 | 2022-07-27 | 東レ株式会社 | 有機el表示装置用感光性樹脂組成物 |
| TWI582136B (zh) * | 2016-07-25 | 2017-05-11 | Chin Yee Chemical Industres Co Ltd | Thermosetting resin and its composition, use |
| JP2018168369A (ja) | 2017-03-29 | 2018-11-01 | 荒川化学工業株式会社 | ポリイミド、接着剤、フィルム状接着材、接着層、接着シート、樹脂付銅箔、銅張積層板、プリント配線板、並びに多層配線板及びその製造方法 |
| JP6917027B2 (ja) | 2017-08-24 | 2021-08-11 | 宇部興産株式会社 | ポリイミド繊維およびその製造方法 |
-
2020
- 2020-03-07 WO PCT/JP2020/009894 patent/WO2020189354A1/ja not_active Ceased
- 2020-03-07 US US17/437,894 patent/US12247104B2/en active Active
- 2020-03-07 CN CN202080016632.0A patent/CN113474380A/zh active Pending
- 2020-03-07 KR KR1020217031467A patent/KR102808317B1/ko active Active
- 2020-03-07 JP JP2020535005A patent/JP6872081B2/ja active Active
- 2020-03-12 TW TW109108198A patent/TWI822976B/zh active
- 2020-07-30 JP JP2020129085A patent/JP7450488B2/ja active Active
Patent Citations (8)
| Publication number | Priority date | Publication date | Assignee | Title |
|---|---|---|---|---|
| JP2002053818A (ja) | 2000-08-04 | 2002-02-19 | Kanegafuchi Chem Ind Co Ltd | 接着剤組成物 |
| JP2004156012A (ja) | 2002-11-07 | 2004-06-03 | Samsung Electronics Co Ltd | 感光性ポリイミド前駆体用可溶性ポリイミドおよびこれを含む感光性ポリイミド前駆体組成物 |
| JP2008074927A (ja) | 2006-09-20 | 2008-04-03 | Sumitomo Metal Mining Co Ltd | 成形体及びその製造方法 |
| JP2008156603A (ja) | 2006-12-01 | 2008-07-10 | Toray Ind Inc | 熱硬化性樹脂組成物 |
| JP2009203414A (ja) | 2008-02-29 | 2009-09-10 | Toray Ind Inc | 熱硬化性樹脂組成物 |
| JP2011175163A (ja) | 2010-02-25 | 2011-09-08 | Hitachi Chem Co Ltd | 感光性樹脂組成物、永久レジスト用感光性フィルム、レジストパターンの形成方法、プリント配線板及びその製造方法、表面保護膜並びに層間絶縁膜 |
| WO2017170032A1 (ja) | 2016-03-28 | 2017-10-05 | 東レ株式会社 | 感光性フィルム |
| JP2018021184A (ja) | 2016-07-20 | 2018-02-08 | ユニチカ株式会社 | 末端マレイミド化オリゴイミドの製造方法 |
Also Published As
| Publication number | Publication date |
|---|---|
| CN113474380A (zh) | 2021-10-01 |
| KR102808317B1 (ko) | 2025-05-14 |
| US20220169791A1 (en) | 2022-06-02 |
| TWI822976B (zh) | 2023-11-21 |
| KR20210138632A (ko) | 2021-11-19 |
| JPWO2020189354A1 (ja) | 2021-04-01 |
| US12247104B2 (en) | 2025-03-11 |
| JP6872081B2 (ja) | 2021-05-19 |
| TW202041572A (zh) | 2020-11-16 |
| JP2020172667A (ja) | 2020-10-22 |
| WO2020189354A1 (ja) | 2020-09-24 |
Similar Documents
| Publication | Publication Date | Title |
|---|---|---|
| JP7450488B2 (ja) | ポリアミック酸樹脂、ポリイミド樹脂およびこれらを含む樹脂組成物 | |
| JP7734667B2 (ja) | イソシアネート変性ポリイミド樹脂、樹脂組成物及びその硬化物 | |
| JP7704622B2 (ja) | ポリイミド樹脂、該ポリイミド樹脂含有する樹脂組成物及びその硬化物 | |
| JP2022097398A (ja) | 熱硬化性マレイミド樹脂組成物 | |
| JP7736546B2 (ja) | ポリイミド樹脂、該ポリイミド樹脂含有する樹脂組成物及びその硬化物 | |
| JP7726754B2 (ja) | ポリイミド樹脂、該ポリイミド樹脂を含有する樹脂組成物及びその硬化物 | |
| TWI892019B (zh) | 聚醯亞胺樹脂、含有該聚醯亞胺樹脂之樹脂組成物及其硬化物 | |
| JP7698563B2 (ja) | 樹脂付き銅箔及び銅張積層板 | |
| JP2024139792A (ja) | ポリイミド樹脂組成物及びその硬化物 | |
| JP2024110549A (ja) | ポリイミド樹脂組成物及びその硬化物 | |
| JP2021105146A (ja) | 樹脂組成物及び樹脂フィルム | |
| JP7682113B2 (ja) | ポリイミド樹脂、該ポリイミド樹脂含有する樹脂組成物及びその硬化物 | |
| EP1616898A1 (en) | Polyamic acids, polyimide films and polyimide-metal laminates and methods for making same | |
| TW202449049A (zh) | 聚醯亞胺樹脂組成物及其硬化物 | |
| TW202523772A (zh) | 含有聚醯亞胺樹脂之組成物及其硬化物 | |
| JP2000228114A (ja) | 熱硬化性低誘電樹脂組成物、それを用いたプリプレグ及び積層板 |
Legal Events
| Date | Code | Title | Description |
|---|---|---|---|
| A521 | Request for written amendment filed |
Free format text: JAPANESE INTERMEDIATE CODE: A523 Effective date: 20200730 |
|
| A621 | Written request for application examination |
Free format text: JAPANESE INTERMEDIATE CODE: A621 Effective date: 20220916 |
|
| A977 | Report on retrieval |
Free format text: JAPANESE INTERMEDIATE CODE: A971007 Effective date: 20230605 |
|
| A131 | Notification of reasons for refusal |
Free format text: JAPANESE INTERMEDIATE CODE: A131 Effective date: 20230614 |
|
| A521 | Request for written amendment filed |
Free format text: JAPANESE INTERMEDIATE CODE: A523 Effective date: 20230809 |
|
| A131 | Notification of reasons for refusal |
Free format text: JAPANESE INTERMEDIATE CODE: A131 Effective date: 20231106 |
|
| A521 | Request for written amendment filed |
Free format text: JAPANESE INTERMEDIATE CODE: A523 Effective date: 20231225 |
|
| TRDD | Decision of grant or rejection written | ||
| A01 | Written decision to grant a patent or to grant a registration (utility model) |
Free format text: JAPANESE INTERMEDIATE CODE: A01 Effective date: 20240228 |
|
| A61 | First payment of annual fees (during grant procedure) |
Free format text: JAPANESE INTERMEDIATE CODE: A61 Effective date: 20240305 |
|
| R150 | Certificate of patent or registration of utility model |
Ref document number: 7450488 Country of ref document: JP Free format text: JAPANESE INTERMEDIATE CODE: R150 |























