JP5118024B2 - 有機化合物の合成方法 - Google Patents
有機化合物の合成方法 Download PDFInfo
- Publication number
- JP5118024B2 JP5118024B2 JP2008515881A JP2008515881A JP5118024B2 JP 5118024 B2 JP5118024 B2 JP 5118024B2 JP 2008515881 A JP2008515881 A JP 2008515881A JP 2008515881 A JP2008515881 A JP 2008515881A JP 5118024 B2 JP5118024 B2 JP 5118024B2
- Authority
- JP
- Japan
- Prior art keywords
- lower alkyl
- phenyl
- formula
- metal
- methyl
- Prior art date
- Legal status (The legal status is an assumption and is not a legal conclusion. Google has not performed a legal analysis and makes no representation as to the accuracy of the status listed.)
- Active
Links
Classifications
-
- C—CHEMISTRY; METALLURGY
- C07—ORGANIC CHEMISTRY
- C07D—HETEROCYCLIC COMPOUNDS
- C07D401/00—Heterocyclic compounds containing two or more hetero rings, having nitrogen atoms as the only ring hetero atoms, at least one ring being a six-membered ring with only one nitrogen atom
- C07D401/02—Heterocyclic compounds containing two or more hetero rings, having nitrogen atoms as the only ring hetero atoms, at least one ring being a six-membered ring with only one nitrogen atom containing two hetero rings
- C07D401/04—Heterocyclic compounds containing two or more hetero rings, having nitrogen atoms as the only ring hetero atoms, at least one ring being a six-membered ring with only one nitrogen atom containing two hetero rings directly linked by a ring-member-to-ring-member bond
-
- A—HUMAN NECESSITIES
- A61—MEDICAL OR VETERINARY SCIENCE; HYGIENE
- A61P—SPECIFIC THERAPEUTIC ACTIVITY OF CHEMICAL COMPOUNDS OR MEDICINAL PREPARATIONS
- A61P35/00—Antineoplastic agents
-
- A—HUMAN NECESSITIES
- A61—MEDICAL OR VETERINARY SCIENCE; HYGIENE
- A61P—SPECIFIC THERAPEUTIC ACTIVITY OF CHEMICAL COMPOUNDS OR MEDICINAL PREPARATIONS
- A61P35/00—Antineoplastic agents
- A61P35/02—Antineoplastic agents specific for leukemia
-
- C—CHEMISTRY; METALLURGY
- C07—ORGANIC CHEMISTRY
- C07D—HETEROCYCLIC COMPOUNDS
- C07D401/00—Heterocyclic compounds containing two or more hetero rings, having nitrogen atoms as the only ring hetero atoms, at least one ring being a six-membered ring with only one nitrogen atom
- C07D401/14—Heterocyclic compounds containing two or more hetero rings, having nitrogen atoms as the only ring hetero atoms, at least one ring being a six-membered ring with only one nitrogen atom containing three or more hetero rings
Landscapes
- Organic Chemistry (AREA)
- Chemical & Material Sciences (AREA)
- Health & Medical Sciences (AREA)
- General Health & Medical Sciences (AREA)
- Veterinary Medicine (AREA)
- Nuclear Medicine, Radiotherapy & Molecular Imaging (AREA)
- General Chemical & Material Sciences (AREA)
- Pharmacology & Pharmacy (AREA)
- Life Sciences & Earth Sciences (AREA)
- Animal Behavior & Ethology (AREA)
- Chemical Kinetics & Catalysis (AREA)
- Public Health (AREA)
- Medicinal Chemistry (AREA)
- Hematology (AREA)
- Oncology (AREA)
- Plural Heterocyclic Compounds (AREA)
- Pharmaceuticals Containing Other Organic And Inorganic Compounds (AREA)
- Organic Low-Molecular-Weight Compounds And Preparation Thereof (AREA)
- Pyridine Compounds (AREA)
- Nitrogen Condensed Heterocyclic Rings (AREA)
- Low-Molecular Organic Synthesis Reactions Using Catalysts (AREA)
- Steroid Compounds (AREA)
Description
本発明は式(I):
R1は置換または非置換アリールであり;
R2は水素、低級アルキルまたはアリールであり;
R4は水素、低級アルキルまたはハロゲンであり;そして
R3は低級アルキル、フェニル、フェニル−低級アルキルまたは置換フェニルである。〕。
本発明の一般的反応スキームは、以下の通り説明できる:
R1は置換または非置換アリールであり;
R2は水素、低級アルキルまたはアリールであり;
R4は水素、低級アルキルまたはハロゲンであり;そして
R3は低級アルキル、フェニル、フェニル−低級アルキルまたは置換フェニルである。〕。
1H NMR 300 MHz, DMSO-d6), δ 10.5(s, 1H), 9.15(s, 1H), 9.05(s, 1H), 8.60(s, 1H), 8.45(d, 1H), 8.35(d, 1H), 8.22(d, 2H), 8.10(d, 2H), 7.65(m, 2H), 7.45(m, 4H), 2.25(s, 3H), 2.05(s, 3H)。
Claims (5)
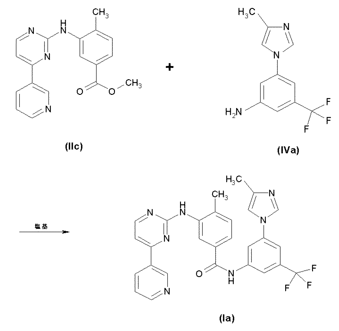
- 式(I)
の化合物の製造方法であって、化合物:
と、構造式(IVa):
を有する5−(4−メチル−1H−イミダゾル−1−イル)−3−(トリフルオロメチル)−ベンゼンアミン
〔式中、
R1は5−(4−メチル−1H−イミダゾル−1−イル)−3−(トリフルオロメチル)−フェニルであり;
R2は水素であり;
R4は水素、低級アルキルまたはハロゲンであり;そして
R3は低級アルキル、フェニル、フェニル−低級アルキルまたは置換フェニルである。〕
を反応させることを含み、そして有機溶媒中、金属水素化物、嵩高いアルキルリチウム、金属アルコキシド、金属ビス(トリメチルシリル)アミドおよびリチウムジアルキルアミドから成る群から選択される塩基により触媒される、方法。 - 金属がリチウム、ナトリウムおよびカリウムから成る群から選択される、請求項1または2記載の方法。
- 塩基がカリウムtert−ブトキシドである、請求項3記載の方法。
- 有機溶媒がテトラヒドロフラン、ジメチルホルムアミド、トルエンおよびN−メチルピロリドンから成る群から選択される、請求項3に記載の方法。
Applications Claiming Priority (5)
| Application Number | Priority Date | Filing Date | Title |
|---|---|---|---|
| US68897705P | 2005-06-09 | 2005-06-09 | |
| US60/688,977 | 2005-06-09 | ||
| US70559005P | 2005-08-04 | 2005-08-04 | |
| US60/705,590 | 2005-08-04 | ||
| PCT/US2006/022155 WO2006135641A2 (en) | 2005-06-09 | 2006-06-07 | PROCESS FOR THE SYNTHESIS OF 5- (METHYL-lH-IMIDAZOL-l-YL) -3- (TRI FLUOROME TH YL) -BENZENEAMINE |
Publications (3)
| Publication Number | Publication Date |
|---|---|
| JP2008545786A JP2008545786A (ja) | 2008-12-18 |
| JP2008545786A5 JP2008545786A5 (ja) | 2009-07-23 |
| JP5118024B2 true JP5118024B2 (ja) | 2013-01-16 |
Family
ID=37091153
Family Applications (1)
| Application Number | Title | Priority Date | Filing Date |
|---|---|---|---|
| JP2008515881A Active JP5118024B2 (ja) | 2005-06-09 | 2006-06-07 | 有機化合物の合成方法 |
Country Status (31)
| Country | Link |
|---|---|
| US (2) | US8124763B2 (ja) |
| EP (1) | EP1924574B1 (ja) |
| JP (1) | JP5118024B2 (ja) |
| KR (3) | KR20120066067A (ja) |
| AR (1) | AR053890A1 (ja) |
| AT (1) | ATE487709T1 (ja) |
| AU (1) | AU2006258051B2 (ja) |
| BR (1) | BRPI0611663A2 (ja) |
| CA (1) | CA2610105C (ja) |
| CY (1) | CY1111428T1 (ja) |
| DE (1) | DE602006018156D1 (ja) |
| DK (1) | DK1924574T3 (ja) |
| EC (1) | ECSP077982A (ja) |
| EG (1) | EG25039A (ja) |
| GT (1) | GT200600217A (ja) |
| IL (1) | IL187421A (ja) |
| JO (1) | JO2636B1 (ja) |
| MA (1) | MA29599B1 (ja) |
| MX (1) | MX2007015423A (ja) |
| MY (1) | MY147436A (ja) |
| NO (1) | NO340743B1 (ja) |
| NZ (1) | NZ563740A (ja) |
| PE (1) | PE20070015A1 (ja) |
| PL (1) | PL1924574T3 (ja) |
| PT (1) | PT1924574E (ja) |
| RU (1) | RU2444520C2 (ja) |
| SA (1) | SA06270147B1 (ja) |
| SI (1) | SI1924574T1 (ja) |
| TN (1) | TNSN07463A1 (ja) |
| TW (1) | TWI430999B (ja) |
| WO (1) | WO2006135641A2 (ja) |
Families Citing this family (17)
| Publication number | Priority date | Publication date | Assignee | Title |
|---|---|---|---|---|
| GT200600316A (es) * | 2005-07-20 | 2007-04-02 | Sales de 4-metilo-n-(3-(4-metilo-imidazol-1-ilo)-5-trifluorometilo-fenilo)-3-(4-piridina-3-ilo-pirimidina-2-iloamino)- benzamida. | |
| TWI433677B (zh) | 2007-06-04 | 2014-04-11 | Avila Therapeutics Inc | 雜環化合物及其用途 |
| US20100016590A1 (en) * | 2008-07-17 | 2010-01-21 | Teva Pharmaceutical Industries Ltd. | Nilotinib intermediates and preparation thereof |
| EP2530081A3 (en) | 2008-11-05 | 2013-04-10 | Teva Pharmaceutical Industries, Ltd. | Nilotinib HCI crystalline forms |
| WO2010060074A1 (en) * | 2008-11-24 | 2010-05-27 | Teva Pharmaceutical Industries Ltd. | Preparation of nilotinib and intermediates thereof |
| US20110053968A1 (en) | 2009-06-09 | 2011-03-03 | Auspex Pharmaceuticals, Inc. | Aminopyrimidine inhibitors of tyrosine kinase |
| JO3634B1 (ar) | 2009-11-17 | 2020-08-27 | Novartis Ag | طريقة لعلاج اضطرابات تكاثرية وحالات مرضية أخرى متوسطة بنشاط كيناز bcr-abl، c-kit، ddr1، ddr2، أو pdgf-r |
| WO2012135651A1 (en) | 2011-03-31 | 2012-10-04 | The Procter & Gamble Company | Systems, models and methods for identifying and evaluating skin-active agents effective for treating dandruff/seborrheic dermatitis |
| AR086913A1 (es) * | 2011-06-14 | 2014-01-29 | Novartis Ag | 4-metil-3-[[4-(3-piridinil)-2-pirimidinil]-amino]-n-[5-(4-metil-1h-imidazol-1-il)-3-(trifluoro-metil)-fenil]-benzamida amorfa, forma de dosificacion que la contiene y metodo para prepararlas |
| WO2013120852A1 (en) | 2012-02-13 | 2013-08-22 | Grindeks, A Joint Stock Company | Intermediates for a novel process of preparing imatinib and related tyrosine kinase inhibitors |
| US9920357B2 (en) | 2012-06-06 | 2018-03-20 | The Procter & Gamble Company | Systems and methods for identifying cosmetic agents for hair/scalp care compositions |
| WO2015092624A1 (en) | 2013-12-16 | 2015-06-25 | Ranbaxy Laboratories Limited | Nilotinib mono-oxalate and its crystalline form |
| CN103694176B (zh) | 2014-01-07 | 2015-02-18 | 苏州立新制药有限公司 | 尼洛替尼中间体的制备方法 |
| EP3095782A1 (en) | 2015-05-18 | 2016-11-23 | Esteve Química, S.A. | New method for preparing 3-(4-methyl-1h-imidazol-1-yl)-5-(trifluoromethyl)benzenamine |
| EP3749697A4 (en) | 2018-02-05 | 2021-11-03 | Bio-Rad Laboratories, Inc. | CHROMATOGRAPHY RESIN WITH LIGAND MIXED MODE ANIONIC / HYDROPHOBIC EXCHANGE |
| EP3806858A4 (en) | 2018-06-15 | 2022-03-09 | Handa Pharmaceuticals, Inc. | KINA INHIBITOR SALTS AND COMPOSITIONS THEREOF |
| JP2020007240A (ja) * | 2018-07-04 | 2020-01-16 | 住友化学株式会社 | ベンズアミド化合物の製造方法 |
Family Cites Families (31)
| Publication number | Priority date | Publication date | Assignee | Title |
|---|---|---|---|---|
| US5136082A (en) * | 1990-08-03 | 1992-08-04 | Himont Incorporated | Process for preparing organic esters and amides and catalyst system therefor |
| AU5539294A (en) | 1992-12-24 | 1994-07-19 | Hemagen/Pfc | Fluorocarbon emulsions |
| TW406020B (en) | 1993-09-29 | 2000-09-21 | Bristol Myers Squibb Co | Stabilized pharmaceutical composition and its method for preparation and stabilizing solvent |
| US5597829A (en) | 1994-05-09 | 1997-01-28 | Bionumerik Pharmaceuticals, Inc. | Lactone stable formulation of camptothecin and methods for uses thereof |
| US5726181A (en) | 1995-06-05 | 1998-03-10 | Bionumerik Pharmaceuticals, Inc. | Formulations and compositions of poorly water soluble camptothecin derivatives |
| US6323366B1 (en) | 1997-07-29 | 2001-11-27 | Massachusetts Institute Of Technology | Arylamine synthesis |
| AR013261A1 (es) | 1997-08-01 | 2000-12-13 | Smithkline Beecham Corp | Formulaciones farmaceuticas para analogos de camptotecina en capsula de gelatina |
| US20030059465A1 (en) | 1998-05-11 | 2003-03-27 | Unger Evan C. | Stabilized nanoparticle formulations of camptotheca derivatives |
| US6395916B1 (en) * | 1998-07-10 | 2002-05-28 | Massachusetts Institute Of Technology | Ligands for metals and improved metal-catalyzed processes based thereon |
| EP1044977B1 (en) | 1999-03-09 | 2002-05-02 | Sigma-Tau Industrie Farmaceutiche Riunite S.p.A. | Camptothecin derivatives having antitumor activity |
| IT1306129B1 (it) | 1999-04-13 | 2001-05-30 | Sigma Tau Ind Farmaceuti | Esteri della l-carnitina o di alcanoil l-carnitine utilizzabili comelipidi cationici per l'immissione intracellulare di composti |
| DE19926056B4 (de) | 1999-06-08 | 2004-03-25 | Gkss-Forschungszentrum Geesthacht Gmbh | Einrichtung zur Analyse atomarer und/oder molekularer Elemente mittels wellenlängendispersiver, röntgenspektrometrischer Einrichtungen |
| GB9918885D0 (en) | 1999-08-10 | 1999-10-13 | Pharmacia & Upjohn Spa | Pharmaceutical formulations in hydroxypropymethycellulose capsules |
| GB9925127D0 (en) | 1999-10-22 | 1999-12-22 | Pharmacia & Upjohn Spa | Oral formulations for anti-tumor compounds |
| US20040009229A1 (en) | 2000-01-05 | 2004-01-15 | Unger Evan Charles | Stabilized nanoparticle formulations of camptotheca derivatives |
| US20020150615A1 (en) | 2001-02-12 | 2002-10-17 | Howard Sands | Injectable pharmaceutical composition comprising microdroplets of a camptothecin |
| US6629598B2 (en) | 2001-08-10 | 2003-10-07 | Vinod K. Narula | Flexible ribbed splint system |
| US6653319B1 (en) | 2001-08-10 | 2003-11-25 | University Of Kentucky Research Foundation | Pharmaceutical formulation for poorly water soluble camptothecin analogues |
| WO2003032906A2 (en) | 2001-10-15 | 2003-04-24 | Crititech, Inc. | Delivery of poorly soluble drugs |
| AU2002353118A1 (en) | 2001-12-11 | 2003-07-24 | Dor Biopharma, Inc. | Lipid particles and suspensions and uses thereof |
| JP2003267891A (ja) | 2002-03-13 | 2003-09-25 | Mitsubishi-Kagaku Foods Corp | W/o/w型エマルション製剤 |
| FR2840303B1 (fr) * | 2002-05-31 | 2005-07-15 | Rhodia Chimie Sa | Procede d'arylation ou de vinylation ou d'alcylynation d'un compose nucleophile |
| CZ294371B6 (cs) | 2002-06-10 | 2004-12-15 | Pliva - Lachema, A. S. | Stabilizovaná farmaceutická kompozice na bázi polyoxyethylovaného ricinového oleje a způsob její přípravy |
| EP1393719A1 (en) | 2002-08-23 | 2004-03-03 | Munich Biotech AG | Camptothecin-carboxylate formulations |
| GB0215676D0 (en) * | 2002-07-05 | 2002-08-14 | Novartis Ag | Organic compounds |
| JP4426749B2 (ja) | 2002-07-11 | 2010-03-03 | 株式会社産学連携機構九州 | O/w型エマルション製剤 |
| US20040171560A1 (en) | 2002-12-23 | 2004-09-02 | Dabur Research Foundation | Stabilized pharmaceutical composition |
| JP2006199590A (ja) | 2003-09-04 | 2006-08-03 | Nano Career Kk | 水溶性の塩基性薬物内包ナノ粒子含有組成物 |
| CA2543722C (en) | 2003-10-29 | 2011-01-04 | Sonus Pharmaceuticals, Inc. | Tocopherol-modified therapeutic drug compounds |
| CA2548078C (en) | 2003-12-17 | 2009-05-12 | Bionumerik Pharmaceuticals, Inc. | Pharmaceutical formulations of camptothecins and process for making same |
| GT200500310A (es) | 2004-11-19 | 2006-06-19 | Compuestos organicos |
-
2006
- 2006-05-23 SA SA06270147A patent/SA06270147B1/ar unknown
- 2006-05-24 GT GT200600217A patent/GT200600217A/es unknown
- 2006-05-31 MY MYPI20062507A patent/MY147436A/en unknown
- 2006-06-06 JO JO2006166A patent/JO2636B1/en active
- 2006-06-07 AT AT06772448T patent/ATE487709T1/de active
- 2006-06-07 JP JP2008515881A patent/JP5118024B2/ja active Active
- 2006-06-07 WO PCT/US2006/022155 patent/WO2006135641A2/en not_active Ceased
- 2006-06-07 MX MX2007015423A patent/MX2007015423A/es active IP Right Grant
- 2006-06-07 PT PT06772448T patent/PT1924574E/pt unknown
- 2006-06-07 US US11/915,671 patent/US8124763B2/en active Active
- 2006-06-07 KR KR1020127011980A patent/KR20120066067A/ko not_active Ceased
- 2006-06-07 SI SI200630903T patent/SI1924574T1/sl unknown
- 2006-06-07 DE DE602006018156T patent/DE602006018156D1/de active Active
- 2006-06-07 PL PL06772448T patent/PL1924574T3/pl unknown
- 2006-06-07 CA CA2610105A patent/CA2610105C/en active Active
- 2006-06-07 AR ARP060102369A patent/AR053890A1/es not_active Application Discontinuation
- 2006-06-07 KR KR1020137025659A patent/KR101514593B1/ko active Active
- 2006-06-07 BR BRPI0611663-9A patent/BRPI0611663A2/pt not_active Application Discontinuation
- 2006-06-07 EP EP06772448A patent/EP1924574B1/en active Active
- 2006-06-07 NZ NZ563740A patent/NZ563740A/en not_active IP Right Cessation
- 2006-06-07 RU RU2007148231/04A patent/RU2444520C2/ru active
- 2006-06-07 KR KR1020077028638A patent/KR101216249B1/ko active Active
- 2006-06-07 PE PE2006000631A patent/PE20070015A1/es not_active Application Discontinuation
- 2006-06-07 DK DK06772448.4T patent/DK1924574T3/da active
- 2006-06-07 AU AU2006258051A patent/AU2006258051B2/en active Active
- 2006-06-08 TW TW095120302A patent/TWI430999B/zh not_active IP Right Cessation
-
2007
- 2007-11-15 IL IL187421A patent/IL187421A/en active IP Right Grant
- 2007-12-05 EC EC2007007982A patent/ECSP077982A/es unknown
- 2007-12-07 TN TNP2007000463A patent/TNSN07463A1/en unknown
- 2007-12-09 EG EGNA2007001382 patent/EG25039A/xx active
- 2007-12-26 MA MA30505A patent/MA29599B1/fr unknown
-
2008
- 2008-01-09 NO NO20080157A patent/NO340743B1/no unknown
-
2011
- 2011-02-04 CY CY20111100134T patent/CY1111428T1/el unknown
-
2012
- 2012-01-19 US US13/353,434 patent/US8946416B2/en active Active
Also Published As
Similar Documents
| Publication | Publication Date | Title |
|---|---|---|
| US8946416B2 (en) | Process for the synthesis of 5-(methyl-1H-imidazol-1-yl)-3-(trifluoromethyl)-benzeneamine | |
| TWI283667B (en) | Selective synthesis of CF3-substituted pyrimidines | |
| TWI426074B (zh) | 5-(2-胺基-嘧啶-4-基)-2-芳基-1h-吡咯-3-羧醯胺之製造方法 | |
| CN103857672A (zh) | 用于制备1-(4-(4-(3,4-二氯-2-氟苯氨基)-7-甲氧基喹唑啉-6-基氧基)哌啶-1-基)-丙-2-烯-1-酮盐酸盐的方法及其中使用的中间产物 | |
| CN117203200A (zh) | 黄嘌呤氧化酶抑制剂的制备方法 | |
| CN101184748B (zh) | 合成5-(甲基-1h-咪唑-1-基)-3-(三氟甲基)苯胺的方法 | |
| WO2014063631A1 (zh) | 酪氨酸激酶不可逆抑制剂及其制备方法和用途 | |
| JP4501015B2 (ja) | アミノピリミジン化合物の製造方法 | |
| JP3223090B2 (ja) | フェニルベンズイミダゾール誘導体 | |
| CN115141180A (zh) | 一种鲁索替尼中间体的制备方法 | |
| HK1117524B (en) | Process for the syntesis of 5-(methyl-1h-imidazol-1-yl)-3-(tri fluorome th yl)-benzeneamine | |
| CN112341344B (zh) | 一种激酶抑制剂中间体的制备方法 | |
| JP5004643B2 (ja) | N−(2−アミノ−1,2−ジシアノビニル)ホルムアミジンの製造方法 | |
| JPH069638A (ja) | ピラゾロピリミジン誘導体 | |
| CN109503555A (zh) | 一种高纯度苹果酸舒尼替尼的制备方法 | |
| JP2006001847A (ja) | 2,5−ジアミノ−4,6−ジクロロピリミジンの製造方法 | |
| HK1140486A (en) | Process for the preparation of n-phenyl-2-pyrimidine-amine derivatives |
Legal Events
| Date | Code | Title | Description |
|---|---|---|---|
| A521 | Request for written amendment filed |
Free format text: JAPANESE INTERMEDIATE CODE: A523 Effective date: 20090604 |
|
| A621 | Written request for application examination |
Free format text: JAPANESE INTERMEDIATE CODE: A621 Effective date: 20090604 |
|
| A131 | Notification of reasons for refusal |
Free format text: JAPANESE INTERMEDIATE CODE: A131 Effective date: 20120522 |
|
| A601 | Written request for extension of time |
Free format text: JAPANESE INTERMEDIATE CODE: A601 Effective date: 20120817 |
|
| A602 | Written permission of extension of time |
Free format text: JAPANESE INTERMEDIATE CODE: A602 Effective date: 20120824 |
|
| A521 | Request for written amendment filed |
Free format text: JAPANESE INTERMEDIATE CODE: A523 Effective date: 20120830 |
|
| TRDD | Decision of grant or rejection written | ||
| A01 | Written decision to grant a patent or to grant a registration (utility model) |
Free format text: JAPANESE INTERMEDIATE CODE: A01 Effective date: 20120925 |
|
| A01 | Written decision to grant a patent or to grant a registration (utility model) |
Free format text: JAPANESE INTERMEDIATE CODE: A01 |
|
| A61 | First payment of annual fees (during grant procedure) |
Free format text: JAPANESE INTERMEDIATE CODE: A61 Effective date: 20121018 |
|
| R150 | Certificate of patent or registration of utility model |
Ref document number: 5118024 Country of ref document: JP Free format text: JAPANESE INTERMEDIATE CODE: R150 Free format text: JAPANESE INTERMEDIATE CODE: R150 |
|
| FPAY | Renewal fee payment (event date is renewal date of database) |
Free format text: PAYMENT UNTIL: 20151026 Year of fee payment: 3 |
|
| R250 | Receipt of annual fees |
Free format text: JAPANESE INTERMEDIATE CODE: R250 |
|
| R250 | Receipt of annual fees |
Free format text: JAPANESE INTERMEDIATE CODE: R250 |
|
| R250 | Receipt of annual fees |
Free format text: JAPANESE INTERMEDIATE CODE: R250 |
|
| R250 | Receipt of annual fees |
Free format text: JAPANESE INTERMEDIATE CODE: R250 |
|
| R250 | Receipt of annual fees |
Free format text: JAPANESE INTERMEDIATE CODE: R250 |
|
| R250 | Receipt of annual fees |
Free format text: JAPANESE INTERMEDIATE CODE: R250 |
|
| R250 | Receipt of annual fees |
Free format text: JAPANESE INTERMEDIATE CODE: R250 |
|
| R250 | Receipt of annual fees |
Free format text: JAPANESE INTERMEDIATE CODE: R250 |
|
| R250 | Receipt of annual fees |
Free format text: JAPANESE INTERMEDIATE CODE: R250 |
|
| R250 | Receipt of annual fees |
Free format text: JAPANESE INTERMEDIATE CODE: R250 |
|
| R250 | Receipt of annual fees |
Free format text: JAPANESE INTERMEDIATE CODE: R250 |
