JP2005290190A - エポキシ樹脂組成物、コイル体及びインダクタ - Google Patents
エポキシ樹脂組成物、コイル体及びインダクタ Download PDFInfo
- Publication number
- JP2005290190A JP2005290190A JP2004106809A JP2004106809A JP2005290190A JP 2005290190 A JP2005290190 A JP 2005290190A JP 2004106809 A JP2004106809 A JP 2004106809A JP 2004106809 A JP2004106809 A JP 2004106809A JP 2005290190 A JP2005290190 A JP 2005290190A
- Authority
- JP
- Japan
- Prior art keywords
- epoxy resin
- resin composition
- group
- urethane
- carbodiimide
- Prior art date
- Legal status (The legal status is an assumption and is not a legal conclusion. Google has not performed a legal analysis and makes no representation as to the accuracy of the status listed.)
- Pending
Links
- 239000003822 epoxy resin Substances 0.000 title claims abstract description 160
- 229920000647 polyepoxide Polymers 0.000 title claims abstract description 160
- 239000000203 mixture Substances 0.000 title claims abstract description 59
- 229920005989 resin Polymers 0.000 claims abstract description 47
- 239000011347 resin Substances 0.000 claims abstract description 47
- 150000001718 carbodiimides Chemical class 0.000 claims abstract description 40
- 239000011342 resin composition Substances 0.000 claims description 10
- 125000000962 organic group Chemical group 0.000 claims description 9
- 239000000696 magnetic material Substances 0.000 claims description 7
- 238000004804 winding Methods 0.000 claims description 7
- 229920001187 thermosetting polymer Polymers 0.000 claims description 4
- 239000000945 filler Substances 0.000 claims description 2
- 230000001747 exhibiting effect Effects 0.000 abstract 1
- -1 diisocyanate compound Chemical class 0.000 description 28
- 239000000853 adhesive Substances 0.000 description 20
- IISBACLAFKSPIT-UHFFFAOYSA-N bisphenol A Chemical compound C=1C=C(O)C=CC=1C(C)(C)C1=CC=C(O)C=C1 IISBACLAFKSPIT-UHFFFAOYSA-N 0.000 description 19
- LNEPOXFFQSENCJ-UHFFFAOYSA-N haloperidol Chemical compound C1CC(O)(C=2C=CC(Cl)=CC=2)CCN1CCCC(=O)C1=CC=C(F)C=C1 LNEPOXFFQSENCJ-UHFFFAOYSA-N 0.000 description 19
- 230000001070 adhesive effect Effects 0.000 description 17
- 239000012790 adhesive layer Substances 0.000 description 13
- 239000003795 chemical substances by application Substances 0.000 description 12
- PXKLMJQFEQBVLD-UHFFFAOYSA-N bisphenol F Chemical compound C1=CC(O)=CC=C1CC1=CC=C(O)C=C1 PXKLMJQFEQBVLD-UHFFFAOYSA-N 0.000 description 11
- 238000000034 method Methods 0.000 description 11
- 239000000463 material Substances 0.000 description 10
- 239000004593 Epoxy Substances 0.000 description 9
- 238000005259 measurement Methods 0.000 description 9
- IQPQWNKOIGAROB-UHFFFAOYSA-N isocyanate group Chemical group [N-]=C=O IQPQWNKOIGAROB-UHFFFAOYSA-N 0.000 description 7
- GHMLBKRAJCXXBS-UHFFFAOYSA-N resorcinol Chemical compound OC1=CC=CC(O)=C1 GHMLBKRAJCXXBS-UHFFFAOYSA-N 0.000 description 7
- JOYRKODLDBILNP-UHFFFAOYSA-N urethane group Chemical group NC(=O)OCC JOYRKODLDBILNP-UHFFFAOYSA-N 0.000 description 7
- 229930185605 Bisphenol Natural products 0.000 description 6
- RTZKZFJDLAIYFH-UHFFFAOYSA-N Diethyl ether Chemical compound CCOCC RTZKZFJDLAIYFH-UHFFFAOYSA-N 0.000 description 6
- DNIAPMSPPWPWGF-UHFFFAOYSA-N Propylene glycol Chemical compound CC(O)CO DNIAPMSPPWPWGF-UHFFFAOYSA-N 0.000 description 6
- YCIMNLLNPGFGHC-UHFFFAOYSA-N catechol Chemical compound OC1=CC=CC=C1O YCIMNLLNPGFGHC-UHFFFAOYSA-N 0.000 description 6
- 238000006243 chemical reaction Methods 0.000 description 6
- 150000001875 compounds Chemical class 0.000 description 6
- 238000003860 storage Methods 0.000 description 6
- 230000000052 comparative effect Effects 0.000 description 5
- 125000002887 hydroxy group Chemical group [H]O* 0.000 description 5
- 238000004519 manufacturing process Methods 0.000 description 5
- OKTJSMMVPCPJKN-UHFFFAOYSA-N Carbon Chemical group [C] OKTJSMMVPCPJKN-UHFFFAOYSA-N 0.000 description 4
- PEDCQBHIVMGVHV-UHFFFAOYSA-N Glycerine Chemical compound OCC(O)CO PEDCQBHIVMGVHV-UHFFFAOYSA-N 0.000 description 4
- 125000004432 carbon atom Chemical group C* 0.000 description 4
- 125000005702 oxyalkylene group Chemical group 0.000 description 4
- 229960001755 resorcinol Drugs 0.000 description 4
- 229910000077 silane Inorganic materials 0.000 description 4
- 125000005373 siloxane group Chemical group [SiH2](O*)* 0.000 description 4
- ISWSIDIOOBJBQZ-UHFFFAOYSA-N Phenol Chemical compound OC1=CC=CC=C1 ISWSIDIOOBJBQZ-UHFFFAOYSA-N 0.000 description 3
- 125000002947 alkylene group Chemical group 0.000 description 3
- 150000001412 amines Chemical class 0.000 description 3
- 125000003118 aryl group Chemical group 0.000 description 3
- VPKDCDLSJZCGKE-UHFFFAOYSA-N carbodiimide group Chemical group N=C=N VPKDCDLSJZCGKE-UHFFFAOYSA-N 0.000 description 3
- 230000000694 effects Effects 0.000 description 3
- RAXXELZNTBOGNW-UHFFFAOYSA-N imidazole Natural products C1=CNC=N1 RAXXELZNTBOGNW-UHFFFAOYSA-N 0.000 description 3
- 239000010410 layer Substances 0.000 description 3
- 230000002093 peripheral effect Effects 0.000 description 3
- 238000005191 phase separation Methods 0.000 description 3
- 150000002989 phenols Chemical class 0.000 description 3
- 239000000843 powder Substances 0.000 description 3
- 230000035882 stress Effects 0.000 description 3
- ZCUJYXPAKHMBAZ-UHFFFAOYSA-N 2-phenyl-1h-imidazole Chemical compound C1=CNC(C=2C=CC=CC=2)=N1 ZCUJYXPAKHMBAZ-UHFFFAOYSA-N 0.000 description 2
- VPWNQTHUCYMVMZ-UHFFFAOYSA-N 4,4'-sulfonyldiphenol Chemical compound C1=CC(O)=CC=C1S(=O)(=O)C1=CC=C(O)C=C1 VPWNQTHUCYMVMZ-UHFFFAOYSA-N 0.000 description 2
- FJKROLUGYXJWQN-UHFFFAOYSA-N 4-hydroxybenzoic acid Chemical compound OC(=O)C1=CC=C(O)C=C1 FJKROLUGYXJWQN-UHFFFAOYSA-N 0.000 description 2
- KAKZBPTYRLMSJV-UHFFFAOYSA-N Butadiene Chemical compound C=CC=C KAKZBPTYRLMSJV-UHFFFAOYSA-N 0.000 description 2
- VTYYLEPIZMXCLO-UHFFFAOYSA-L Calcium carbonate Chemical compound [Ca+2].[O-]C([O-])=O VTYYLEPIZMXCLO-UHFFFAOYSA-L 0.000 description 2
- RYGMFSIKBFXOCR-UHFFFAOYSA-N Copper Chemical compound [Cu] RYGMFSIKBFXOCR-UHFFFAOYSA-N 0.000 description 2
- BRLQWZUYTZBJKN-UHFFFAOYSA-N Epichlorohydrin Chemical compound ClCC1CO1 BRLQWZUYTZBJKN-UHFFFAOYSA-N 0.000 description 2
- UFWIBTONFRDIAS-UHFFFAOYSA-N Naphthalene Chemical compound C1=CC=CC2=CC=CC=C21 UFWIBTONFRDIAS-UHFFFAOYSA-N 0.000 description 2
- BLRPTPMANUNPDV-UHFFFAOYSA-N Silane Chemical compound [SiH4] BLRPTPMANUNPDV-UHFFFAOYSA-N 0.000 description 2
- VYPSYNLAJGMNEJ-UHFFFAOYSA-N Silicium dioxide Chemical compound O=[Si]=O VYPSYNLAJGMNEJ-UHFFFAOYSA-N 0.000 description 2
- KKEYFWRCBNTPAC-UHFFFAOYSA-N Terephthalic acid Chemical compound OC(=O)C1=CC=C(C(O)=O)C=C1 KKEYFWRCBNTPAC-UHFFFAOYSA-N 0.000 description 2
- GWEVSGVZZGPLCZ-UHFFFAOYSA-N Titan oxide Chemical compound O=[Ti]=O GWEVSGVZZGPLCZ-UHFFFAOYSA-N 0.000 description 2
- 150000008065 acid anhydrides Chemical class 0.000 description 2
- 239000000654 additive Substances 0.000 description 2
- 125000003545 alkoxy group Chemical group 0.000 description 2
- MWPLVEDNUUSJAV-UHFFFAOYSA-N anthracene Chemical compound C1=CC=CC2=CC3=CC=CC=C3C=C21 MWPLVEDNUUSJAV-UHFFFAOYSA-N 0.000 description 2
- 125000005577 anthracene group Chemical group 0.000 description 2
- 229910052799 carbon Inorganic materials 0.000 description 2
- 239000003054 catalyst Substances 0.000 description 2
- 239000003086 colorant Substances 0.000 description 2
- 238000013329 compounding Methods 0.000 description 2
- 239000010949 copper Substances 0.000 description 2
- 229910052802 copper Inorganic materials 0.000 description 2
- 239000007822 coupling agent Substances 0.000 description 2
- 238000004132 cross linking Methods 0.000 description 2
- GYZLOYUZLJXAJU-UHFFFAOYSA-N diglycidyl ether Chemical compound C1OC1COCC1CO1 GYZLOYUZLJXAJU-UHFFFAOYSA-N 0.000 description 2
- 235000011187 glycerol Nutrition 0.000 description 2
- 150000002460 imidazoles Chemical class 0.000 description 2
- 239000011256 inorganic filler Substances 0.000 description 2
- 229910003475 inorganic filler Inorganic materials 0.000 description 2
- 239000011810 insulating material Substances 0.000 description 2
- 238000002156 mixing Methods 0.000 description 2
- 239000003607 modifier Substances 0.000 description 2
- 125000001624 naphthyl group Chemical group 0.000 description 2
- 125000006353 oxyethylene group Chemical group 0.000 description 2
- 125000004430 oxygen atom Chemical group O* 0.000 description 2
- XNGIFLGASWRNHJ-UHFFFAOYSA-N phthalic acid Chemical compound OC(=O)C1=CC=CC=C1C(O)=O XNGIFLGASWRNHJ-UHFFFAOYSA-N 0.000 description 2
- 229920001223 polyethylene glycol Polymers 0.000 description 2
- 239000012744 reinforcing agent Substances 0.000 description 2
- 239000003566 sealing material Substances 0.000 description 2
- 150000005846 sugar alcohols Polymers 0.000 description 2
- 125000000383 tetramethylene group Chemical group [H]C([H])([*:1])C([H])([H])C([H])([H])C([H])([H])[*:2] 0.000 description 2
- 230000000930 thermomechanical effect Effects 0.000 description 2
- MUTGBJKUEZFXGO-OLQVQODUSA-N (3as,7ar)-3a,4,5,6,7,7a-hexahydro-2-benzofuran-1,3-dione Chemical compound C1CCC[C@@H]2C(=O)OC(=O)[C@@H]21 MUTGBJKUEZFXGO-OLQVQODUSA-N 0.000 description 1
- SSUJUUNLZQVZMO-UHFFFAOYSA-N 1,2,3,4,8,9,10,10a-octahydropyrimido[1,2-a]azepine Chemical compound C1CCC=CN2CCCNC21 SSUJUUNLZQVZMO-UHFFFAOYSA-N 0.000 description 1
- NNOZGCICXAYKLW-UHFFFAOYSA-N 1,2-bis(2-isocyanatopropan-2-yl)benzene Chemical compound O=C=NC(C)(C)C1=CC=CC=C1C(C)(C)N=C=O NNOZGCICXAYKLW-UHFFFAOYSA-N 0.000 description 1
- FKTHNVSLHLHISI-UHFFFAOYSA-N 1,2-bis(isocyanatomethyl)benzene Chemical compound O=C=NCC1=CC=CC=C1CN=C=O FKTHNVSLHLHISI-UHFFFAOYSA-N 0.000 description 1
- MUVQKFGNPGZBII-UHFFFAOYSA-N 1-anthrol Chemical compound C1=CC=C2C=C3C(O)=CC=CC3=CC2=C1 MUVQKFGNPGZBII-UHFFFAOYSA-N 0.000 description 1
- FBHPRUXJQNWTEW-UHFFFAOYSA-N 1-benzyl-2-methylimidazole Chemical compound CC1=NC=CN1CC1=CC=CC=C1 FBHPRUXJQNWTEW-UHFFFAOYSA-N 0.000 description 1
- MCMFEZDRQOJKMN-UHFFFAOYSA-N 1-butylimidazole Chemical compound CCCCN1C=CN=C1 MCMFEZDRQOJKMN-UHFFFAOYSA-N 0.000 description 1
- KJCVRFUGPWSIIH-UHFFFAOYSA-N 1-naphthol Chemical compound C1=CC=C2C(O)=CC=CC2=C1 KJCVRFUGPWSIIH-UHFFFAOYSA-N 0.000 description 1
- YUQUHJGNZFFDAA-UHFFFAOYSA-N 1-phenyl-2,3-dihydro-1$l^{5}-phosphole 1-oxide Chemical compound C=1C=CC=CC=1P1(=O)CCC=C1 YUQUHJGNZFFDAA-UHFFFAOYSA-N 0.000 description 1
- VILCJCGEZXAXTO-UHFFFAOYSA-N 2,2,2-tetramine Chemical compound NCCNCCNCCN VILCJCGEZXAXTO-UHFFFAOYSA-N 0.000 description 1
- KCAMLFCTSSYIFW-UHFFFAOYSA-N 2,4,6-tris(dimethylamino)phenol Chemical compound CN(C)C1=CC(N(C)C)=C(O)C(N(C)C)=C1 KCAMLFCTSSYIFW-UHFFFAOYSA-N 0.000 description 1
- JYSWKGRLUCOUFN-UHFFFAOYSA-N 2-ethyl-1-propylimidazole Chemical compound CCCN1C=CN=C1CC JYSWKGRLUCOUFN-UHFFFAOYSA-N 0.000 description 1
- PQAMFDRRWURCFQ-UHFFFAOYSA-N 2-ethyl-1h-imidazole Chemical compound CCC1=NC=CN1 PQAMFDRRWURCFQ-UHFFFAOYSA-N 0.000 description 1
- YTWBFUCJVWKCCK-UHFFFAOYSA-N 2-heptadecyl-1h-imidazole Chemical compound CCCCCCCCCCCCCCCCCC1=NC=CN1 YTWBFUCJVWKCCK-UHFFFAOYSA-N 0.000 description 1
- LXBGSDVWAMZHDD-UHFFFAOYSA-N 2-methyl-1h-imidazole Chemical compound CC1=NC=CN1 LXBGSDVWAMZHDD-UHFFFAOYSA-N 0.000 description 1
- QTWJRLJHJPIABL-UHFFFAOYSA-N 2-methylphenol;3-methylphenol;4-methylphenol Chemical compound CC1=CC=C(O)C=C1.CC1=CC=CC(O)=C1.CC1=CC=CC=C1O QTWJRLJHJPIABL-UHFFFAOYSA-N 0.000 description 1
- ZXTHWIZHGLNEPG-UHFFFAOYSA-N 2-phenyl-4,5-dihydro-1,3-oxazole Chemical compound O1CCN=C1C1=CC=CC=C1 ZXTHWIZHGLNEPG-UHFFFAOYSA-N 0.000 description 1
- LLEASVZEQBICSN-UHFFFAOYSA-N 2-undecyl-1h-imidazole Chemical compound CCCCCCCCCCCC1=NC=CN1 LLEASVZEQBICSN-UHFFFAOYSA-N 0.000 description 1
- SESYNEDUKZDRJL-UHFFFAOYSA-N 3-(2-methylimidazol-1-yl)propanenitrile Chemical compound CC1=NC=CN1CCC#N SESYNEDUKZDRJL-UHFFFAOYSA-N 0.000 description 1
- SZUPZARBRLCVCB-UHFFFAOYSA-N 3-(2-undecylimidazol-1-yl)propanenitrile Chemical compound CCCCCCCCCCCC1=NC=CN1CCC#N SZUPZARBRLCVCB-UHFFFAOYSA-N 0.000 description 1
- ALKYHXVLJMQRLQ-UHFFFAOYSA-N 3-Hydroxy-2-naphthoate Chemical compound C1=CC=C2C=C(O)C(C(=O)O)=CC2=C1 ALKYHXVLJMQRLQ-UHFFFAOYSA-N 0.000 description 1
- UPMLOUAZCHDJJD-UHFFFAOYSA-N 4,4'-Diphenylmethane Diisocyanate Chemical compound C1=CC(N=C=O)=CC=C1CC1=CC=C(N=C=O)C=C1 UPMLOUAZCHDJJD-UHFFFAOYSA-N 0.000 description 1
- 229940090248 4-hydroxybenzoic acid Drugs 0.000 description 1
- RIAHASMJDOMQER-UHFFFAOYSA-N 5-ethyl-2-methyl-1h-imidazole Chemical compound CCC1=CN=C(C)N1 RIAHASMJDOMQER-UHFFFAOYSA-N 0.000 description 1
- 239000004229 Alkannin Substances 0.000 description 1
- 229920000049 Carbon (fiber) Polymers 0.000 description 1
- RPNUMPOLZDHAAY-UHFFFAOYSA-N Diethylenetriamine Chemical compound NCCNCCN RPNUMPOLZDHAAY-UHFFFAOYSA-N 0.000 description 1
- UFHFLCQGNIYNRP-UHFFFAOYSA-N Hydrogen Chemical compound [H][H] UFHFLCQGNIYNRP-UHFFFAOYSA-N 0.000 description 1
- 229920000106 Liquid crystal polymer Polymers 0.000 description 1
- 239000004977 Liquid-crystal polymers (LCPs) Substances 0.000 description 1
- 239000004640 Melamine resin Substances 0.000 description 1
- 229920000877 Melamine resin Polymers 0.000 description 1
- UEEJHVSXFDXPFK-UHFFFAOYSA-N N-dimethylaminoethanol Chemical compound CN(C)CCO UEEJHVSXFDXPFK-UHFFFAOYSA-N 0.000 description 1
- 229910018605 Ni—Zn Inorganic materials 0.000 description 1
- LGRFSURHDFAFJT-UHFFFAOYSA-N Phthalic anhydride Natural products C1=CC=C2C(=O)OC(=O)C2=C1 LGRFSURHDFAFJT-UHFFFAOYSA-N 0.000 description 1
- 239000005062 Polybutadiene Substances 0.000 description 1
- 239000004283 Sodium sorbate Substances 0.000 description 1
- 229910021536 Zeolite Inorganic materials 0.000 description 1
- 238000010521 absorption reaction Methods 0.000 description 1
- 125000003668 acetyloxy group Chemical group [H]C([H])([H])C(=O)O[*] 0.000 description 1
- 239000002253 acid Substances 0.000 description 1
- 229920000800 acrylic rubber Polymers 0.000 description 1
- 125000002252 acyl group Chemical group 0.000 description 1
- 230000000996 additive effect Effects 0.000 description 1
- XAGFODPZIPBFFR-UHFFFAOYSA-N aluminium Chemical compound [Al] XAGFODPZIPBFFR-UHFFFAOYSA-N 0.000 description 1
- 229910052782 aluminium Inorganic materials 0.000 description 1
- PNEYBMLMFCGWSK-UHFFFAOYSA-N aluminium oxide Inorganic materials [O-2].[O-2].[O-2].[Al+3].[Al+3] PNEYBMLMFCGWSK-UHFFFAOYSA-N 0.000 description 1
- 150000008064 anhydrides Chemical class 0.000 description 1
- 125000000732 arylene group Chemical group 0.000 description 1
- 125000000751 azo group Chemical group [*]N=N[*] 0.000 description 1
- 125000002529 biphenylenyl group Chemical group C1(=CC=CC=2C3=CC=CC=C3C12)* 0.000 description 1
- JHIWVOJDXOSYLW-UHFFFAOYSA-N butyl 2,2-difluorocyclopropane-1-carboxylate Chemical compound CCCCOC(=O)C1CC1(F)F JHIWVOJDXOSYLW-UHFFFAOYSA-N 0.000 description 1
- 229910000019 calcium carbonate Inorganic materials 0.000 description 1
- 239000003990 capacitor Substances 0.000 description 1
- 239000006229 carbon black Substances 0.000 description 1
- 239000004917 carbon fiber Substances 0.000 description 1
- BVKZGUZCCUSVTD-UHFFFAOYSA-N carbonic acid Chemical compound OC(O)=O BVKZGUZCCUSVTD-UHFFFAOYSA-N 0.000 description 1
- 125000002915 carbonyl group Chemical group [*:2]C([*:1])=O 0.000 description 1
- 239000011248 coating agent Substances 0.000 description 1
- 238000000576 coating method Methods 0.000 description 1
- 238000006482 condensation reaction Methods 0.000 description 1
- 238000001816 cooling Methods 0.000 description 1
- 229920001577 copolymer Polymers 0.000 description 1
- 230000007797 corrosion Effects 0.000 description 1
- 238000005260 corrosion Methods 0.000 description 1
- 229930003836 cresol Natural products 0.000 description 1
- 125000004093 cyano group Chemical group *C#N 0.000 description 1
- KQWGXHWJMSMDJJ-UHFFFAOYSA-N cyclohexyl isocyanate Chemical compound O=C=NC1CCCCC1 KQWGXHWJMSMDJJ-UHFFFAOYSA-N 0.000 description 1
- 229960002887 deanol Drugs 0.000 description 1
- 238000006114 decarboxylation reaction Methods 0.000 description 1
- QGBSISYHAICWAH-UHFFFAOYSA-N dicyandiamide Chemical compound NC(N)=NC#N QGBSISYHAICWAH-UHFFFAOYSA-N 0.000 description 1
- 125000005442 diisocyanate group Chemical group 0.000 description 1
- XXBDWLFCJWSEKW-UHFFFAOYSA-N dimethylbenzylamine Chemical compound CN(C)CC1=CC=CC=C1 XXBDWLFCJWSEKW-UHFFFAOYSA-N 0.000 description 1
- 239000012972 dimethylethanolamine Substances 0.000 description 1
- HNPSIPDUKPIQMN-UHFFFAOYSA-N dioxosilane;oxo(oxoalumanyloxy)alumane Chemical compound O=[Si]=O.O=[Al]O[Al]=O HNPSIPDUKPIQMN-UHFFFAOYSA-N 0.000 description 1
- 239000000975 dye Substances 0.000 description 1
- 229920001971 elastomer Polymers 0.000 description 1
- 238000010292 electrical insulation Methods 0.000 description 1
- 125000003700 epoxy group Chemical group 0.000 description 1
- 125000004185 ester group Chemical group 0.000 description 1
- 150000002148 esters Chemical class 0.000 description 1
- 125000001033 ether group Chemical group 0.000 description 1
- TZCLGKMVKFOLDH-UHFFFAOYSA-N ethyl-dimethoxy-[4-(oxiran-2-ylmethoxy)butoxy]silane Chemical compound C(C1CO1)OCCCCO[Si](OC)(OC)CC TZCLGKMVKFOLDH-UHFFFAOYSA-N 0.000 description 1
- 125000000816 ethylene group Chemical group [H]C([H])([*:1])C([H])([H])[*:2] 0.000 description 1
- 239000003365 glass fiber Substances 0.000 description 1
- 230000020169 heat generation Effects 0.000 description 1
- 238000010438 heat treatment Methods 0.000 description 1
- RRAMGCGOFNQTLD-UHFFFAOYSA-N hexamethylene diisocyanate Chemical compound O=C=NCCCCCCN=C=O RRAMGCGOFNQTLD-UHFFFAOYSA-N 0.000 description 1
- 229920001519 homopolymer Polymers 0.000 description 1
- 150000002430 hydrocarbons Chemical group 0.000 description 1
- 229910052739 hydrogen Inorganic materials 0.000 description 1
- 239000001257 hydrogen Substances 0.000 description 1
- 125000004435 hydrogen atom Chemical group [H]* 0.000 description 1
- 125000005462 imide group Chemical group 0.000 description 1
- 125000000879 imine group Chemical group 0.000 description 1
- 229910010272 inorganic material Inorganic materials 0.000 description 1
- 239000011147 inorganic material Substances 0.000 description 1
- 239000012948 isocyanate Substances 0.000 description 1
- 239000007788 liquid Substances 0.000 description 1
- FPYJFEHAWHCUMM-UHFFFAOYSA-N maleic anhydride Chemical compound O=C1OC(=O)C=C1 FPYJFEHAWHCUMM-UHFFFAOYSA-N 0.000 description 1
- VNWKTOKETHGBQD-UHFFFAOYSA-N methane Chemical compound C VNWKTOKETHGBQD-UHFFFAOYSA-N 0.000 description 1
- HAMGRBXTJNITHG-UHFFFAOYSA-N methyl isocyanate Chemical compound CN=C=O HAMGRBXTJNITHG-UHFFFAOYSA-N 0.000 description 1
- 239000010445 mica Substances 0.000 description 1
- 229910052618 mica group Inorganic materials 0.000 description 1
- NXPPAOGUKPJVDI-UHFFFAOYSA-N naphthalene-1,2-diol Chemical compound C1=CC=CC2=C(O)C(O)=CC=C21 NXPPAOGUKPJVDI-UHFFFAOYSA-N 0.000 description 1
- 125000004433 nitrogen atom Chemical group N* 0.000 description 1
- 125000003544 oxime group Chemical group 0.000 description 1
- 125000005704 oxymethylene group Chemical group [H]C([H])([*:2])O[*:1] 0.000 description 1
- 239000005011 phenolic resin Substances 0.000 description 1
- DGTNSSLYPYDJGL-UHFFFAOYSA-N phenyl isocyanate Chemical compound O=C=NC1=CC=CC=C1 DGTNSSLYPYDJGL-UHFFFAOYSA-N 0.000 description 1
- 125000000843 phenylene group Chemical group C1(=C(C=CC=C1)*)* 0.000 description 1
- 229920000058 polyacrylate Polymers 0.000 description 1
- 229920002857 polybutadiene Polymers 0.000 description 1
- 229920005672 polyolefin resin Polymers 0.000 description 1
- 239000004302 potassium sorbate Substances 0.000 description 1
- 238000002360 preparation method Methods 0.000 description 1
- 230000001737 promoting effect Effects 0.000 description 1
- 125000004805 propylene group Chemical group [H]C([H])([H])C([H])([*:1])C([H])([H])[*:2] 0.000 description 1
- 230000000630 rising effect Effects 0.000 description 1
- 239000005060 rubber Substances 0.000 description 1
- 239000004065 semiconductor Substances 0.000 description 1
- 239000000377 silicon dioxide Substances 0.000 description 1
- 229920002379 silicone rubber Polymers 0.000 description 1
- 239000004945 silicone rubber Substances 0.000 description 1
- 125000004469 siloxy group Chemical group [SiH3]O* 0.000 description 1
- 125000003808 silyl group Chemical group [H][Si]([H])([H])[*] 0.000 description 1
- 239000011343 solid material Substances 0.000 description 1
- 239000000126 substance Substances 0.000 description 1
- 125000000472 sulfonyl group Chemical group *S(*)(=O)=O 0.000 description 1
- 239000004149 tartrazine Substances 0.000 description 1
- 230000008646 thermal stress Effects 0.000 description 1
- 125000000101 thioether group Chemical group 0.000 description 1
- 125000003396 thiol group Chemical group [H]S* 0.000 description 1
- 235000010215 titanium dioxide Nutrition 0.000 description 1
- OGIDPMRJRNCKJF-UHFFFAOYSA-N titanium oxide Inorganic materials [Ti]=O OGIDPMRJRNCKJF-UHFFFAOYSA-N 0.000 description 1
- DVKJHBMWWAPEIU-UHFFFAOYSA-N toluene 2,4-diisocyanate Chemical compound CC1=CC=C(N=C=O)C=C1N=C=O DVKJHBMWWAPEIU-UHFFFAOYSA-N 0.000 description 1
- RUELTTOHQODFPA-UHFFFAOYSA-N toluene 2,6-diisocyanate Chemical compound CC1=C(N=C=O)C=CC=C1N=C=O RUELTTOHQODFPA-UHFFFAOYSA-N 0.000 description 1
- 125000005628 tolylene group Chemical group 0.000 description 1
- 230000007704 transition Effects 0.000 description 1
- JXUKBNICSRJFAP-UHFFFAOYSA-N triethoxy-[3-(oxiran-2-ylmethoxy)propyl]silane Chemical compound CCO[Si](OCC)(OCC)CCCOCC1CO1 JXUKBNICSRJFAP-UHFFFAOYSA-N 0.000 description 1
- 239000013638 trimer Substances 0.000 description 1
- BPSIOYPQMFLKFR-UHFFFAOYSA-N trimethoxy-[3-(oxiran-2-ylmethoxy)propyl]silane Chemical compound CO[Si](OC)(OC)CCCOCC1CO1 BPSIOYPQMFLKFR-UHFFFAOYSA-N 0.000 description 1
- 150000003673 urethanes Chemical class 0.000 description 1
- 239000011800 void material Substances 0.000 description 1
- XLYOFNOQVPJJNP-UHFFFAOYSA-N water Substances O XLYOFNOQVPJJNP-UHFFFAOYSA-N 0.000 description 1
- 125000006839 xylylene group Chemical group 0.000 description 1
- 239000010457 zeolite Substances 0.000 description 1
- 229910000859 α-Fe Inorganic materials 0.000 description 1
Images
Landscapes
- Compositions Of Macromolecular Compounds (AREA)
- Epoxy Resins (AREA)
Abstract
【課題】 エポキシ樹脂とカルボジイミド樹脂との相溶性に優れるエポキシ樹脂組成物を提供すること。
【解決手段】 ウレタン変性エポキシ樹脂及びカルボジイミド樹脂を含有することを特徴とするエポキシ樹脂組成物。
【選択図】 なし
【解決手段】 ウレタン変性エポキシ樹脂及びカルボジイミド樹脂を含有することを特徴とするエポキシ樹脂組成物。
【選択図】 なし
Description
本発明は、エポキシ樹脂組成物、コイル体及びインダクタに関する。
エポキシ樹脂組成物は、一般に多官能性エポキシ化合物と硬化剤とから構成されており、フェノール樹脂やメラミン樹脂と同様に熱硬化性を有する。このエポキシ樹脂組成物は、接着剤の他、接着性、強靭性、耐熱性、電気絶縁性、耐食性などの特性を生かして広範な産業分野に使用されている。
しかし、上述したエポキシ樹脂組成物は保存安定性が不十分となる傾向にある。そこで、この保存安定性に加え耐熱性や接着性等の向上を意図して、エポキシ樹脂とポリカルボジイミド樹脂とからなるエポキシ樹脂組成物が提案されている(例えば、特許文献1参照)。
特開平5−320611号公報
しかしながら、上記従来のエポキシ樹脂とカルボジイミド樹脂とからなるエポキシ樹脂組成物から得られる硬化物においては、機械的強度が低下し、また、ボイドが発生するという問題が生ずる。
本発明者は上記問題を解決することを目的として、かかる硬化物の機械的強度の低下やボイドの発生の要因を検討したところ、その要因がエポキシ樹脂とカルボジイミド樹脂との相分離によるものであることを見出した。更に、本発明者はかかる相分離の要因を詳細に検討したところ、その要因がエポキシ樹脂とカルボジイミド樹脂との相溶性が不十分であることに起因することを見出した。
本発明は、かかる知見に基づいてなされたものであり、エポキシ樹脂とカルボジイミド樹脂との相溶性に優れるエポキシ樹脂組成物、並びにこれを用いて形成されたコイル体及びインダクタを提供することを目的とする。
本発明者らは、上記知見に基づいて鋭意研究を重ねた結果、特定構造を有するエポキシ樹脂とカルボジイミド樹脂とを組み合わせることで上記課題が解決されることを見出し、本発明を完成させた。
すなわち、本発明のエポキシ樹脂組成物は、ウレタン変性エポキシ樹脂及びカルボジイミド樹脂を含有することを特徴とする。
本発明によれば、エポキシ樹脂にウレタン結合を導入することで、カルボジイミド樹脂との親和性を高めることができる。したがって、エポキシ樹脂とカルボジイミド樹脂との相溶性に優れるエポキシ樹脂組成物を得ることができる。なお、本発明者は、DMA(動的熱機械分析装置)分析により得られるtanδ(損失弾性率/貯蔵弾性率)の転移点を示すピーク形状から、本発明のエポキシ樹脂組成物を構成するエポキシ樹脂及びカルボジイミド樹脂が相溶性に優れることを確認している。ここで、ウレタン変性エポキシ樹脂とは、当該エポキシ樹脂を構成する分子鎖のなかで最長の分子鎖を有する主鎖にウレタン基が結合したものをいう。
さらに、本発明者は、かかるDMA分析から、本発明のエポキシ樹脂組成物の硬化物は、室温時において柔軟性があり、高温時(175℃)において高い弾性率を有することを確認している。したがって、本発明のエポキシ樹脂組成物から得られる硬化物は、上記従来のエポキシ樹脂組成物に比して、優れた機械的強度及び耐熱性を有し、また、相溶性に優れる樹脂組成物となるのでボイドの発生を防止することができる。
なお、本発明により上述の効果が得られる原因は必ずしも明確ではないが、本発明者は以下の通り推察する。すなわち、本発明のエポキシ樹脂組成物に含有されるウレタン変性エポキシ樹脂はN原子を含むウレタン基を有するために、カルボジイミド樹脂のカルボジイミド基(N=C=N基)との親和性が高められ、その結果、エポキシ樹脂とカルボジイミド樹脂との相溶性が優れるようになると考えられる。このため、本発明のエポキシ樹脂組成物においては、エポキシ樹脂とカルボジイミド樹脂との界面で十分な結合力が得られるようになる。その結果、本発明のエポキシ樹脂組成物から得られる硬化物は、機械的強度が向上し、また、相溶性に優れる樹脂組成物となるのでボイドの発生が防止されるものと推察される。
また、本発明のエポキシ樹脂組成物においては、ウレタン変性エポキシ樹脂以外のエポキシ樹脂を更に含有することができる。これにより、エポキシ樹脂組成物中でウレタン変性エポキシ樹脂がいわゆる相溶化剤として機能することができるため、本来非相溶性のエポキシ樹脂及びカルボジイミド樹脂が優れた相溶性を有することができる。なお、このことについて本発明者は、DMAのtanδ分析により確認している(実施例参照)。
さらに、上記ウレタン変性エポキシ樹脂は、下記一般式(1)で表される樹脂を含有することが好ましい。
上記一般式(1)中、R1及びR2は2価の有機基を示し、mは正の数を示す。なお、mで表される繰り返し数は、平均値である。
上記一般式(1)で表されるウレタン変性エポキシ樹脂を用いると、上述した効果が一層顕著に発現することができる。
またさらに、上記エポキシ樹脂は、ウレタン変性エポキシ樹脂以外の可撓性エポキシ樹脂を含有することができる。これにより、さらに低応力なエポキシ樹脂組成物を得ることができる。
さらにまた、上記エポキシ樹脂は、シラン変性エポキシ樹脂を含有していてもよい。これにより、エポキシ樹脂組成物の硬化物の耐熱性を一層高めることができる。
また、当該エポキシ樹脂組成物に含まれるエポキシ樹脂の全質量に対して、上記ウレタン変性エポキシ樹脂を20質量%以上含有することが好ましい。これにより、エポキシ樹脂とカルボジイミド樹脂との相溶性が一層高められるので、上記効果を顕著に発現することができる。
さらに、当該エポキシ樹脂組成物に含まれるエポキシ樹脂100質量部に対して、上記カルボジイミド樹脂を30〜70質量部含有することが好ましい。これにより、エポキシ樹脂組成物の硬化物の耐熱性を一層高めることができる。
本発明のエポキシ樹脂組成物は、上述の優れた特性を有することから、例えば、接着剤、封止材料として使用することができる。このような用途に使用することで、耐熱性に優れ、機械的強度が高い硬化物を提供することができる。
本発明はさらに、磁性材料からなる本体コアと、該本体コアに捲回された巻線と、を備えるコイル体の少なくとも一部が、加水分解性基を有する熱硬化性樹脂と、多孔質フィラ−と、を含有する樹脂組成物からなる硬化物で被覆されていることを特徴とするコイル体を提供する。かかる硬化物は上述した本発明の樹脂組成物から得られるものであるため、加熱冷却に伴う膨張収縮に起因した応力が十分に緩和されている。したがって、本発明のコイル体は、その被覆面に剥離やクラックが抑制された強固な硬化物を形成することができる。なお、本発明のコイル体としては、例えば、コイル部品が挙げられ、この場合の本体コアは磁心となる。ここで、「硬化物」とは、本発明の接着剤を硬化させて得られる固体材料を意味し、その形状は特に限定されず、膜状であっても、板状であってもよい。
さらに、本発明のインダクタは、磁性材料からなる有底筒体と、該有底筒体内に収容されたコイル体と、磁性材料からなる蓋体と、ウレタン変性エポキシ樹脂とカルボジイミド樹脂と、を含有するエポキシ樹脂組成物の硬化物とを備え、上記有底筒体及び上記蓋体が、上記硬化物で接着されていることを特徴とする。
有底筒体及び蓋体の接着面は、本発明の接着剤を硬化させた硬化物で構成されている。かかる硬化物は、十分な機械的強度及び耐熱性を有し、また、ボイドの発生が防止されている。このため、かかる接着剤の硬化物により、有底筒体及び蓋体は十分に密着される。したがって、本発明のインダクタは、コイル体を気密封止することができるので、インダクタンスの著しい低下が防止される。
本発明によれば、エポキシ樹脂とカルボジイミド樹脂との相溶性に優れるエポキシ樹脂組成物を提供することができる。本発明はまた、このエポキシ樹脂組成物を用いて形成されたコイル体及びインダクタを提供することが可能になる。
以下、必要に応じて図面を参照しつつ、本発明の好適な実施形態について詳細に説明する。なお、図面中、同一要素には同一符号を付すこととし、重複する説明は省略する。また、上下左右等の位置関係は、特に断らない限り、図面に示す位置関係に基づくものとする。更に、図面の寸法比率は図示の比率に限られるものではない。
(エポキシ樹脂組成物)
本実施形態にかかるエポキシ樹脂組成物は、ウレタン変性エポキシ樹脂及びカルボジイミド樹脂を含有するものである。
本実施形態にかかるエポキシ樹脂組成物は、ウレタン変性エポキシ樹脂及びカルボジイミド樹脂を含有するものである。
まず、ウレタン変性エポキシ樹脂について説明する。ウレタン変性エポキシ樹脂は、上述のように当該エポキシ樹脂を構成する分子鎖のなかで最長の分子鎖を有する主鎖に、ウレタン基を有するものである。このようなウレタン変性エポキシ樹脂は、例えば、以下の(a)又は(b)の方法により得ることができる。
(a)エポキシ基と水酸基とを有する化合物と、末端にイソシアネート基を有する化合物とを反応させる方法。
(b)ジオール化合物にジイソシアネート化合物を反応させて末端に未反応のイソシアネート基を有するウレタンプレポリマーを得、次いで、このウレタンプレポリマーと分子中に水酸基を有するエポキシ樹脂とを反応させる方法。なお、分子中に水酸基を有するエポキシ樹脂は、例えば、ビスフェノールA等のジオール化合物とエピクロロヒドリンとを反応させて得られる。
(a)エポキシ基と水酸基とを有する化合物と、末端にイソシアネート基を有する化合物とを反応させる方法。
(b)ジオール化合物にジイソシアネート化合物を反応させて末端に未反応のイソシアネート基を有するウレタンプレポリマーを得、次いで、このウレタンプレポリマーと分子中に水酸基を有するエポキシ樹脂とを反応させる方法。なお、分子中に水酸基を有するエポキシ樹脂は、例えば、ビスフェノールA等のジオール化合物とエピクロロヒドリンとを反応させて得られる。
上記一般式(1)中、R1は2価の有機基を示す。R1としては、5員環骨格、6員環骨格、ナフタレン骨格又はアントラセン骨格を有する2価の有機基が好適である。R1の好適な具体例としては、例えば、ビスフェノールA、ビスフェノールF、ビスフェノールS、ビスフェノールADから水素原子を除いた残基が挙げられる。
上記一般式(1)中、R2は2価の有機基を示す。R2としては、上記(b)の方法で使用するジイソシアネート化合物からイソシアネート基を除いた残基、上述したウレタンプレポリマーからイソシアネート基を除いた残基が挙げられる。なお、ジイソシアネート化合物からイソシアネート基を除いた残基としては、例えば、トリレン基、キシリレン基、ビフェニレン基が挙げられる。
また、上記一般式(1)中、mは正の数を示す。mは好ましくは1〜2、より好ましくは1〜1.5である。
なお、上記一般式(1)で表されるウレタン変性エポキシ樹脂は商業的に入手することも可能であり、例えば、EPU−78−13S、その他EPUシリーズ(以上商品名、旭電化製)が挙げられる。
ウレタン変性エポキシ樹脂のエポキシ当量(g/eq)としては、好ましくは100〜400、より好ましくは150〜300、更に好ましくは150〜250である。かかるエポキシ当量が100未満であると、吸水率の増加等により耐湿性が低下する傾向にあり、一方、400を超えると、硬化性等のハンドリング性が低下する傾向にある。
なお、上述したウレタン変性エポキシ樹脂は、単独で又は2種以上を組み合わせて使用することができる。
本実施形態にかかるエポキシ樹脂組成物は、上述したウレタン変性エポキシ樹脂以外のエポキシ樹脂を更に含有することができる。かかるエポキシ樹脂としては、特に限定されるものではなく従来公知のエポキシ樹脂を使用することができる。中でも、かかるエポキシ樹脂としては、低応力性の向上や耐熱性の向上の観点から、ウレタン変性エポキシ樹脂以外の可撓性エポキシ樹脂、シラン変性エポキシ樹脂が好適に使用される。
ウレタン変性エポキシ樹脂以外の可撓性エポキシ樹脂としては、当該エポキシ樹脂を構成する分子鎖のなかで最長の分子鎖を有する主鎖に、オキシアルキレン基、アルキレン基、シロキサン基、エチレン性不飽和二重結合基、イミド基及びエステル基からなる群より選ばれる少なくとも1種を有するエポキシ樹脂が挙げられる。具体的には、エーテル型のエポキシ樹脂、ゴム変性エポキシ樹脂、シリコーン変性エポキシ樹脂、エポキシ化ポリオレフィン樹脂、ポリチオール系のエポキシ樹脂、ポリエステル系のエポキシ樹脂が挙げられる。
上記一般式(2)及び(3)中、R3は2価の有機基を示す。R3としては、下記一般式(4)で示される2価の有機基が好ましい。
−O−Ar1−X−Ar2−O− …(4)
−O−Ar1−X−Ar2−O− …(4)
ここで、Ar1及びAr2は、同一であっても異なっていてもよく、5員環骨格、6員環骨格、ナフタレン骨格若又はアントラセン骨格を有する2価の有機基を示し、Xは、2価の炭化水素基、スルホニル基、スルフィド基、エーテル基を示す。このように−R4−R3−R5−基が2価の芳香族基を有する場合には、可撓性エポキシ樹脂の主鎖を構成する−R4−R3−R5−基は、当該芳香族基の炭素原子数を除いた炭素原子数が2以上であることが好ましい。一方、かかる−R4−R3−R5−基が2価の芳香族基を有しない場合には、−R4−R3−R5−基を構成する炭素原子数の合計+が4以上(例えば、−R4−R3−R5−基がテトラメチレン基であるもの)であることが好ましい。
Ar1及びAr2の好ましい具体例としては、フェニレン基を代表とする、ナフタレン型、アントラセン型のアリーレン基が挙げられる。
Xの具体例としては、−C(CH3)2−、−CH2−、−CH(CH3)−、−SO2−、−O−、−S−等が挙げられる。
R3の好適な具体例としては、ビスフェノールA化合物、ビスフェノールF化合物、ビスフェノールS化合物、ビスフェノールAD化合物等から水酸基を除いた残基が挙げられる。
また、R4及びR5は2価の有機基を示し、かつ、R2及びR3の少なくとも一方が、オキシアルキレン基、アルキレン基、シロキサン基、シアノ基を含んでいてもよいエチレン基、ブタジエン基、チオール基、アゾ基(例えば、−N=N−)、イミン基(例えば、−CH=N−)、カルボニル基及びアシル基からなる群より選ばれる1種以上の基を含むものである。
これらの中でR4及びR5としては、−(O−A)n−又は−(A−O)n−で表されるオキシアルキレン基が好ましい。Aは炭素数が1〜8のアルキレン基を示し、nは1〜3の整数を示す。このようなオキシアルキレン基としては、例えば、オキシメチレン基、オキシエチレン基、オキシプロピレン基、オキシブチレン基、テトラメチレン基、オキシペンチレン基、オキシへキシレン基が挙げられる。これらの中でも、オキシエチレン基、オキシプロピレン基が好ましい。なお、オキシプロピレン基としては、プロピレン基の2級炭素が酸素原子に結合していてもよく、1級炭素が酸素原子に結合していてもよい。
このような可撓性エポキシ樹脂は、例えば、以下のようにして得ることができる。エーテル型の可撓性エポキシ樹脂の製造方法としては、例えば、グリセリン、(ポリ)エチレングリコール、(ポリ)プロピレングリコール等の多価アルコールとエピクリルヒドリンとを反応させてグリシジルエーテルを得、次いで、このグリシジルエーテルに、ビスフェノールA、ビスフェノールF、ビスフェノールAD、カテコール、レゾルシノール等の多価フェノールを反応させる方法が挙げられる。また、ビスフェノールA、ビスフェノールF、ビスフェノールAD、カテコール、レゾルシノール等の多価フェノールとグリセリン、(ポリ)エチレングリコール、(ポリ)プロピレングリコール等の多価アルコールとを反応させた後、エピクリルヒドリンを更に反応させてもエーテル型の可撓性エポキシ樹脂を得ることができる。一方、エステル型の可撓性エポキシ樹脂の製造方法としては、例えば、p−ヒドロキシ安息香酸やβ−ヒドロキシナフトエ酸等のヒドロキシカルボン酸とエピクリルヒドリンとを反応させてグリシジルエーテルエステルを得、或いは、フタル酸やテレフタル酸等のポリカルボン酸とエピクリルヒドリンとを反応させてポリグリシジルエステルを得、次いで、これらのエステル化合物のうちの少なくとも1種にビスフェノールA、ビスフェノールF、ビスフェノールAD、カテコール、レゾルシノール等の多価フェノールを反応させる方法が挙げられる。
なお、上記式(5)又は(6)で表される可撓性エポキシ樹脂は商業的に入手することも可能である。上記式(4)で表される可撓性エポキシ樹脂としては、例えば、EP4000S(商品名、旭電化製)が挙げられ、上記式(5)で表される可撓性エポキシ樹脂としては、例えば、ZX−1627(商品名、東都化成製)が挙げられる。
ウレタン変性エポキシ樹脂以外の可撓性エポキシ樹脂のエポキシ当量(g/eq)としては、好ましくは200〜600、より好ましくは200〜400、更に好ましくは250〜300である。かかるエポキシ当量が200未満であると、可撓性が不十分となる傾向にあり、一方、600を超えると、硬化性等のハンドリング性が低下する傾向にある。
なお、ウレタン変性エポキシ樹脂以外の可撓性エポキシ樹脂は、単独で又は2種以上を組み合わせて使用することができる。
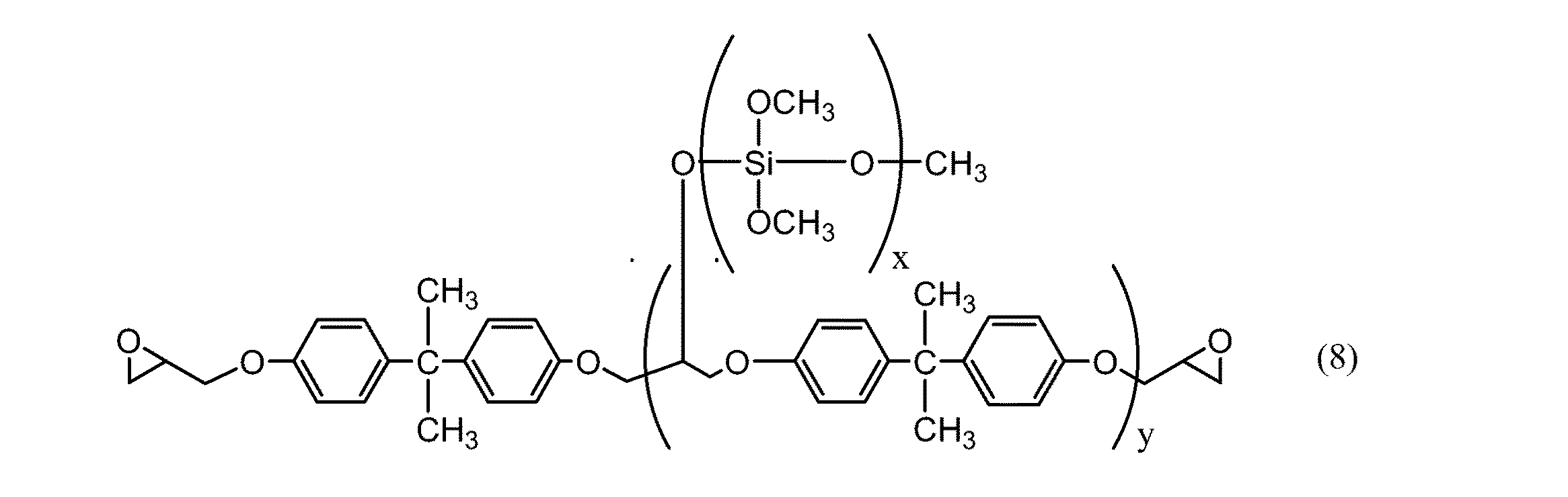
また、本実施形態にかかるエポキシ樹脂組成物においては、シラン変性エポキシ樹脂を含有していてもよい。このシラン変性エポキシ樹脂は、加水分解性を有することが好ましい。このシラン変性エポキシ樹脂は、例えば、以下の方法により得ることができる。ビスフェノールA、ビスフェノールF、ビスフェノールS、ビスフェノールAD、クレゾール、レゾルシン、ナフトール、ヒドロキシアントラセンからなる群より選ばれる少なくとも1種の化合物と、エピクロロヒドリンとを反応させてエポキシ樹脂を得、次いで、このエポキシ樹脂の側鎖に存在する水酸基に、加水分解性を有するシラン化合物、例えば、アルキルトリアルコキシシラン又はテトラアルコキシシランを縮合反応させる方法が挙げられる。なお、加水分解性を有するシラン化合物の代わりにその部分加水分解物を用いることにより、エポキシ樹脂の側差に加水分解性を有するシロキサン基(シロキシ基)を導入することができる。
このような方法で得られるシラン変性エポキシ樹脂は、主鎖を構成するエポキシ樹脂の熱的に弱い部位にシリル基又はシロキサン基を導入した構造を有しており、且つソル・ゲル反応により架橋可能な加水分解性基を有しているために、優れた耐熱性を有することができる。
上記一般式(7)及び(8)中、R6、R7及びR8はそれぞれ独立に、アルコキシ基、アセトキシ基、オキシム基、プロぺノキシ基を示し、アルコキシ基が好ましい。また、上記一般式(7)及び(8)中、x及びyはそれぞれ正の整数を示す。xは好ましくは1〜10、より好ましくは1〜7であり、yは好ましくは1〜5、より好ましくは1〜2である。
シラン変性エポキシ樹脂のエポキシ当量(g/eq)は、好ましくは100〜500、より好ましくは100〜400、更に好ましくは100〜300である。なお、かかるエポキシ樹脂は、商業的に入手することができ、例えば、コンポセランE201、コンポセランE202、コンポセランE102、コンポセランE103(以上、荒川化学工業(株)製、商品名)が挙げられる。
なお、上述したシラン変性エポキシ樹脂は、単独で又は2種以上を組み合わせて使用することができる。
また、ウレタン変性エポキシ樹脂の含有量は、当該エポキシ樹脂組成物に含まれるエポキシ樹脂の全質量に対して、好ましくは20質量%以上、より好ましくは50質量%以上、更に好ましくは70質量%以上である。かかる含有量が20質量%未満であると、エポキシ樹脂組成物の相溶性が不十分となる傾向にある。
次に、本実施形態にかかるカルボジイミド樹脂について説明する。
カルボジイミド樹脂は、―R9−N=C=N−で示される少なくとも1種の繰り返し単位を含有する単独重合体又は共重合体である。なお、R9は後述するジイソシアネート化合物のイソシアネート基を除いた残基である。
カルボジイミド樹脂は、―R9−N=C=N−で示される少なくとも1種の繰り返し単位を含有する単独重合体又は共重合体である。なお、R9は後述するジイソシアネート化合物のイソシアネート基を除いた残基である。
かかるカルボジイミド樹脂は、例えば、触媒存在下、少なくとも1種のジイソシアネート化合物のイソシアネート基を脱炭酸縮合反応によりカルボジイミド化させることによって得ることができる。ジイソシアネート化合物としては、例えば、脂肪族系ジイソシアネート化合物、脂環式系ジイソシアネート化合物、芳香族系ジイソシアネート化合物、芳香−脂肪族系ジイソシアネート化合物が挙げられる。これらのジイソシアネート化合物は単独で又は2種以上を組み合わせて使用することができる。
ジイソシアネート化合物としては、例えば、2,4−トリレンジイソシアネート、2,6−トリレンジイソシアネート、4,4’,4”−トリフェニルメチレントリイソシアネート、キシリレンジイソシアネート、ヘキサメチレン−1,6−ジイソシアネート、テトラメチルキシリレンジイソシアネート、4,4’−ビフェニレンジイソシアネート、ジフェニルメタンジイソシアネート、3,3’−ジメチルフェニルメタン−4,4’−ジイソシアネート、3,3’−ジメチルジフェニル−4,4’−ジイソシアネートが挙げられ、これらの混合物を使用してもよい。
また、硬化触媒としては、例えば、1−フェニル−2−ホスホレン−1−オキシド、3−メチル−2−ホスホロン−1−オキシドが挙げられる。
さらに、カルボジイミド樹脂を製造する際に、フェニルイソシアネート、トリルイソシアネート、シクロヘキシルイソシアネート、メチルイソシアネート等のモノイソシアネート化合物を併用して、カルボジイミド樹脂の末端を封止し分子量を調整してもよい。
このようなカルボジイミド樹脂は商業的に入手するも可能であり、例えば、10M−SP、IM−25P(以上、商品名、日清紡製)、9010(商品名)が挙げられる。
また、カルボジイミド樹脂のカルボジイミド基は、エポキシ樹脂組成物を硬化させる際に下記式(9)に示す自己架橋反応により3量体を形成することができる。これにより、エポキシ樹脂組成物の硬化物のTgが向上し、高耐熱性を発現することができる。
さらに、カルボジイミド樹脂のカルボジイミド基は、無機材料の活性水素と反応することが可能であるため、電子部品等の部材との密着性が高められる。
カルボジイミド樹脂の含有量は、当該エポキシ樹脂組成物に含まれるエポキシ樹脂100質量部に対して、好ましくは30〜70質量部、より好ましくは30〜50質量部、更に好ましくは40〜50質量部である。カルボジイミド樹脂の含有量が30質量部未満であると、エポキシ樹脂組成物の耐熱性が不十分となる傾向にある。一方、かかる含有量が70質量部を超えると、硬化時の過大な発熱による熱応力で接着力が低下する傾向にある。また、同時に樹脂組成物のポットライフ等のハンドリング性が低下する可能性がある。
本実施形態にかかるエポキシ樹脂組成物は、ウレタン変性エポキシ樹脂とカルボジイミド樹脂とを必須成分とするものであるが、当該エポキシ樹脂組成物の粘度やポットライフに影響を与えない範囲で、必要に応じて硬化剤、その他添加剤を含有することができる。
硬化剤としては、従来公知の硬化剤を配合することができ、例えば、イミダゾール類(その誘導体を含む)、フェノール類、ジシアンジアミド、アミン類、酸無水物類が挙げられる。これらのうちの少なくとも1種の硬化剤を配合することで、熱硬化性樹脂の硬化反応を促進することができる。
イミダゾール類としては、例えば、2−メチルイミダゾール、2−エチルイミダーゾール、2−フェニルイミダゾール、2−ウンデシルイミダゾール、2−ヘプタデシルイミダゾール、2−メチル−4−エチルイミダゾール、2−フェニル−4−メチルイミダゾール、1−ブチルイミダゾール、1−プロピル−2−イチルイミダゾール、1−ベンジル−2−メチルイミダゾール、1−シアノエチル−2−メチルイミダゾール、1−シアノエチル−2−ウンデシルイミダゾール、1−シアノエチル−2−フエニルイミダゾール、1−アジン−2−メチルイミダゾール、1−アジン−2−ウンデシルイミダゾールが挙げられる。フェノール類としては、例えば、ザイロック型フェノール、ジヒドロキシナフタレンが挙げられる。アミン類としては、例えば、ジエチレントリアミン、トリエチレンテトラアミン、ジメチルエタノールアミン、ジメチルベンジルアミン、2,4,6−トリス(ジメチルアミノ)フェノール、1,8ジアザビシクロ〔5,4,0〕ウンデセンが挙げられる。酸無水物としては、例えば、無水マレイン酸、無水フタル酸、無水ヘキサヒドロフタル酸、無水ピロペリット酸が挙げられる。
硬化剤の含有量は、エポキシ樹脂100質量部に対して、好ましくは5〜50質量部、より好ましくは5〜40質量部、更に好ましくは5〜30質量部である。硬化剤の含有量が5質量部未満であると、エポキシ樹脂組成物の硬化反応が不十分となり架橋密度が低下する傾向がある。一方、かかる含有量が50質量部を超えると、含有量に見合うだけの硬化反応の促進効果が得られず経済的に不利になる傾向がある。
また、添加剤としては、例えば、カップリング剤、改質剤、補強剤、無機フィラー、着色剤を含有することができる。カップリング剤としては、グリシドキシプロピルトリメトキシシラン、グリシドキシプロピルトリエトキシシラン、グリシドキシプロピルエチルトリメトキシシラン等が挙げられる。改質剤としては、液状ゴム、シリコーン系ゴムパウダー、アクリル系ゴムパウダー、ブタジエン系ゴムパウダー等が挙げられる。補強剤としては、ガラス繊維、液晶ポリマー、炭素繊維等が挙げられる。無機フィラーとしては、シリカ、アルミナ、炭酸カルシウム、酸化チタン、マイカ、ゼオライト、活性炭等が挙げられる。着色剤としては、カーボンブラック、チタン白、有機系染料等が挙げられる。
(接着剤)
本実施形態にかかる接着剤は、上述したエポキシ樹脂組成物からなるものである。かかる接着剤は、ウレタン変性エポキシ樹脂を含有することでカルボジイミド樹脂との相溶性に優れるので、樹脂組成物中における相分離が防止される。このため、かかる接着剤から得られる硬化物は、従来に比して機械的強度が向上するとともに、ボイドの発生が防止される。したがって、電子部品の接着を目的としてかかる接着剤を使用すれば、電子部品の部材間の隙間を十分な密着性をもって気密封止することができる。
本実施形態にかかる接着剤は、上述したエポキシ樹脂組成物からなるものである。かかる接着剤は、ウレタン変性エポキシ樹脂を含有することでカルボジイミド樹脂との相溶性に優れるので、樹脂組成物中における相分離が防止される。このため、かかる接着剤から得られる硬化物は、従来に比して機械的強度が向上するとともに、ボイドの発生が防止される。したがって、電子部品の接着を目的としてかかる接着剤を使用すれば、電子部品の部材間の隙間を十分な密着性をもって気密封止することができる。
(インダクタ及びコイル体)
次に、インダクタについて説明する。図1は、本実施形態にかかるインダクタの概略斜視図である。図2は、本実施形態にかかるインダクタのI−I方向に沿ってとられた断面図である。本実施形態にかかるインダクタ10は、蓋体1と、有底筒体3と、コイル体5と、接着層7とを備える。蓋体1及び有底筒体3は、磁性材料であるNi−Zn系のフェライト材から構成されている。接着層7は、ウレタン変性エポキシ樹脂及びカルボジイミド樹脂を含有する樹脂組成物からなる接着剤の硬化物で構成されている。接着層7の側面には、蓋体1の外周部が接着している。また、接着層7の底面には、有底筒体3の開口端が接着している。接着層7の膜厚は、特に限定されないが、例えば、1mm程度である。このように、蓋体1及び有底筒体3の開口端は接着層7を介して接着されており、有底筒体3の開口が接着層7及び蓋体1で密封されている。
次に、インダクタについて説明する。図1は、本実施形態にかかるインダクタの概略斜視図である。図2は、本実施形態にかかるインダクタのI−I方向に沿ってとられた断面図である。本実施形態にかかるインダクタ10は、蓋体1と、有底筒体3と、コイル体5と、接着層7とを備える。蓋体1及び有底筒体3は、磁性材料であるNi−Zn系のフェライト材から構成されている。接着層7は、ウレタン変性エポキシ樹脂及びカルボジイミド樹脂を含有する樹脂組成物からなる接着剤の硬化物で構成されている。接着層7の側面には、蓋体1の外周部が接着している。また、接着層7の底面には、有底筒体3の開口端が接着している。接着層7の膜厚は、特に限定されないが、例えば、1mm程度である。このように、蓋体1及び有底筒体3の開口端は接着層7を介して接着されており、有底筒体3の開口が接着層7及び蓋体1で密封されている。
また、蓋体1と有底筒体3との接着形態としては、特に限定されず、図3に示すように蓋体1と有底筒体3とが当接することなく接着層7を介して接着されていてもよい。この場合、蓋体1の底部と有底筒体3の開口端とが接着層7を介して接着されていてもよく、また、蓋体1の底部と有底筒体3の内周壁とが接着層7を介して接着されていてもよく、さらに、蓋体1の底部と有底筒体3の外周壁とが接着剤層7を介して接着されていてもよい。
図4(a)、(b)は、それぞれ本実施形態にかかるコイル体の例を示す断面図である。図4(a)に示すコイル体5は、絶縁材料が被覆された銅からなる巻線2がドラム型の本体コア4に捲回されたものである。図4(b)に示すコイル体5は、絶縁材料が被覆された銅からなる巻線2が筒状の本体コア4に捲回されたものである。なお、コイル体の構造は、図4(a)、(b)に限定されるものではない。また、巻線2は、これを本体コア4に固定するために上述した本実施形態の樹脂組成物からなる硬化物で被覆されていてもよい。
このように本実施形態にかかるインダクタ10は、蓋体1及び有抵筒体3が接着層7を介して接着されている。インダクタ10は、接着層7を構成する硬化物の機械的強度及び耐熱性が向上するとともに、ボイドの発生が抑制されている。したがって、蓋体1及び有底筒体3は十分な密着性をもって接着されているので、インダクタ10のインダクタンスの低下が防止される。
次に、インダクタ10の製造方法を説明する。まず、蓋体1、有底筒体3、コイル体5及び接着剤を準備する。接着剤としては、ウレタン変性エポキシ樹脂及びカルボジイミド樹脂を含有するエポキシ樹脂組成物を使用する。次いで、有抵筒体3にコイル体5を収容した後、有底筒体3に蓋体1を載置する。次に、蓋体1及び有底筒体3の隙間に接着剤を塗布し、熱硬化させる。これにより、熱硬化された接着剤は、接着層7を形成する。なお、接着剤の塗布には、ディスペンサー等を使用することができる。このようして、インダクタ10が製造される。
上記実施形態においては、インダクタ10の蓋体1及び有底筒体3の接着に本発明の接着剤を使用する場合を説明した。本実施形態の接着剤は、比較的膜厚の厚い接着層7を形成することを目的に使用することもできる。また、本実施形態の接着剤は、インダクタ以外の他の電子部品、例えば、コネクタ、リレー、コンデンサ、スイッチ、トランス等に備えられる各部材の接着に使用することができる。また、半導体素子の封止材料としても適用可能である。さらに、上記実施形態においては、インダクタ10の有底筒体3内に収容されたコイル体5として、当該コイル体の少なくとも一部が上述した本実施形態の樹脂組成物からなる硬化物により被覆されたものを用いてもよい。
以下、実施例及び比較例に基づき本発明をさらに具体的に説明するが、本発明は以下の実施例に何ら限定されるものではない。
(実施例1)
(エポキシ樹脂組成物の調製)
可撓性エポキシ樹脂80質量部(EP4000S、旭電化(株)製)、ウレタン変性エポキシ樹脂(EPU−78−13S)、カルボジイミド樹脂(10M−SP、日清紡製)、及び硬化剤25質量部(PN23、味の素ファインテクノ(株)製)を混合容器に秤量して、常温で1分間手混合した後、自公転方式のミキサー(ハイブリッドミキサーHM500、キーエンス製)で30分間混合した。次いで、自公転方式のミキサーで2分間脱泡を行い、実施例1のエポキシ樹脂組成物を得た。
(エポキシ樹脂組成物の調製)
可撓性エポキシ樹脂80質量部(EP4000S、旭電化(株)製)、ウレタン変性エポキシ樹脂(EPU−78−13S)、カルボジイミド樹脂(10M−SP、日清紡製)、及び硬化剤25質量部(PN23、味の素ファインテクノ(株)製)を混合容器に秤量して、常温で1分間手混合した後、自公転方式のミキサー(ハイブリッドミキサーHM500、キーエンス製)で30分間混合した。次いで、自公転方式のミキサーで2分間脱泡を行い、実施例1のエポキシ樹脂組成物を得た。
(実施例2〜3及び比較例1)
各材料及び配合量を表1に記載のものに代えたこと以外は、実施例1と同様の方法により実施例2〜3及び比較例1のエポキシ樹脂組成物をそれぞれ調製した。なお、表1中のカルボジイミド樹脂及び硬化剤の配合量は、エポキシ樹脂100質量部に対する質量(質量部)を意味する。
ウレタン変性エポキシ樹脂以外の可撓性エポキシ樹脂:EP4000S、エポキシ当量(g/eq)260、旭電化(株)製、商品名、
ウレタン変性エポキシ樹脂:EPU−78−13S、エポキシ当量(g/eq)210、旭電化(株)製、商品名、
カルボジイミド樹脂:10M−SP、日清紡製、商品名、
イミダゾール系潜在性硬化剤:、PN23、味の素ファインテクノ(株)製、商品名、
アミン系潜在性硬化剤:、MY24、味の素ファインテクノ(株)製、商品名。
各材料及び配合量を表1に記載のものに代えたこと以外は、実施例1と同様の方法により実施例2〜3及び比較例1のエポキシ樹脂組成物をそれぞれ調製した。なお、表1中のカルボジイミド樹脂及び硬化剤の配合量は、エポキシ樹脂100質量部に対する質量(質量部)を意味する。
ウレタン変性エポキシ樹脂:EPU−78−13S、エポキシ当量(g/eq)210、旭電化(株)製、商品名、
カルボジイミド樹脂:10M−SP、日清紡製、商品名、
イミダゾール系潜在性硬化剤:、PN23、味の素ファインテクノ(株)製、商品名、
アミン系潜在性硬化剤:、MY24、味の素ファインテクノ(株)製、商品名。
(Tg、貯蔵弾性率の測定)
以下のようにしてDMA(動的熱機械分析装置)分析により、Tg及び貯蔵弾性率を測定した。まず、アルミ製の容器(φ3cm×高さ1cm)に、実施例1〜3及び比較例1で得たエポキシ樹脂組成物20gをそれぞれ投入し、130℃/30分で加熱硬化させた。次に、得られた硬化物を40mm×5mm×0.4mmの大きさに切削加工して、DMA測定用サンプルを作製した。次に、得られたDMA測定用の各サンプルについて、DMS6100(セイコーインストルメンツ社製)を用いて動的粘弾性を測定し硬化物のTg、並びに室温及び175℃における貯蔵弾性率を求めた。測定結果を表2に示す。なお、測定条件は、温度領域30〜250℃、昇温速度5℃/分、荷重64.5gf、引っ張りモードとした。また、このDMA分析から硬化物のtanδの温度依存性についても検討を行った。その結果を図5に示す。なお、図5中、Aは実施例1、Bは実施例2、Cは実施例3、Dは比較例1の測定結果をそれぞれ示す。
以下のようにしてDMA(動的熱機械分析装置)分析により、Tg及び貯蔵弾性率を測定した。まず、アルミ製の容器(φ3cm×高さ1cm)に、実施例1〜3及び比較例1で得たエポキシ樹脂組成物20gをそれぞれ投入し、130℃/30分で加熱硬化させた。次に、得られた硬化物を40mm×5mm×0.4mmの大きさに切削加工して、DMA測定用サンプルを作製した。次に、得られたDMA測定用の各サンプルについて、DMS6100(セイコーインストルメンツ社製)を用いて動的粘弾性を測定し硬化物のTg、並びに室温及び175℃における貯蔵弾性率を求めた。測定結果を表2に示す。なお、測定条件は、温度領域30〜250℃、昇温速度5℃/分、荷重64.5gf、引っ張りモードとした。また、このDMA分析から硬化物のtanδの温度依存性についても検討を行った。その結果を図5に示す。なお、図5中、Aは実施例1、Bは実施例2、Cは実施例3、Dは比較例1の測定結果をそれぞれ示す。
1…蓋体、3…有底筒体、5…コイル体、7…接着層、10…インダクタ。
Claims (7)
- ウレタン変性エポキシ樹脂及びカルボジイミド樹脂を含有することを特徴とするエポキシ樹脂組成物。
- ウレタン変性エポキシ樹脂以外のエポキシ樹脂を更に含有することを特徴とする請求項1又は2記載のエポキシ樹脂組成物。
- 当該エポキシ樹脂組成物に含まれるエポキシ樹脂の全質量に対して、前記ウレタン変性エポキシ樹脂を20質量%以上含有することを特徴とする請求項3記載のエポキシ樹脂組成物。
- 当該エポキシ樹脂組成物に含まれるエポキシ樹脂100質量部に対して、前記カルボジイミド樹脂を30〜70質量部含有することを特徴とする請求項1〜4のいずれか一項に記載のエポキシ樹脂組成物。
- 磁性材料からなる本体コアと、該本体コアに捲回された巻線と、を備えるコイル体の少なくとも一部が、加水分解性基を有する熱硬化性樹脂と、多孔質フィラ−と、を含有する樹脂組成物からなる硬化物で被覆されていることを特徴とするコイル体。
- 磁性材料からなる有底筒体と、
該有底筒体内に収容されたコイル体と、
磁性材料からなる蓋体と、
ウレタン変性エポキシ樹脂と、カルボジイミド樹脂と、を含有するエポキシ樹脂組成物の硬化物と、
を備え、
前記有底筒体及び前記蓋体が、前記硬化物で接着されていることを特徴とするインダクタ。
Priority Applications (1)
| Application Number | Priority Date | Filing Date | Title |
|---|---|---|---|
| JP2004106809A JP2005290190A (ja) | 2004-03-31 | 2004-03-31 | エポキシ樹脂組成物、コイル体及びインダクタ |
Applications Claiming Priority (1)
| Application Number | Priority Date | Filing Date | Title |
|---|---|---|---|
| JP2004106809A JP2005290190A (ja) | 2004-03-31 | 2004-03-31 | エポキシ樹脂組成物、コイル体及びインダクタ |
Publications (1)
| Publication Number | Publication Date |
|---|---|
| JP2005290190A true JP2005290190A (ja) | 2005-10-20 |
Family
ID=35323494
Family Applications (1)
| Application Number | Title | Priority Date | Filing Date |
|---|---|---|---|
| JP2004106809A Pending JP2005290190A (ja) | 2004-03-31 | 2004-03-31 | エポキシ樹脂組成物、コイル体及びインダクタ |
Country Status (1)
| Country | Link |
|---|---|
| JP (1) | JP2005290190A (ja) |
Cited By (5)
| Publication number | Priority date | Publication date | Assignee | Title |
|---|---|---|---|---|
| JP2007031556A (ja) * | 2005-07-26 | 2007-02-08 | Matsushita Electric Works Ltd | エポキシ樹脂組成物及び半導体装置 |
| JP2010507709A (ja) * | 2006-10-24 | 2010-03-11 | シーカ・テクノロジー・アーゲー | 誘導体化された固体エポキシ樹脂およびその使用 |
| JP2017513965A (ja) * | 2014-03-04 | 2017-06-01 | エフアールエックス ポリマーズ、インク. | エポキシ組成物 |
| JP2018148035A (ja) * | 2017-03-06 | 2018-09-20 | 新日鐵住金株式会社 | 積鉄心を備える変圧器 |
| JP2019149158A (ja) * | 2018-02-26 | 2019-09-05 | エイアールエム リミテッド | 回路機器 |
Citations (11)
| Publication number | Priority date | Publication date | Assignee | Title |
|---|---|---|---|---|
| JPH03286512A (ja) * | 1990-04-03 | 1991-12-17 | Tdk Corp | ケース入りインダクタの製造方法 |
| JPH0559347A (ja) * | 1991-09-03 | 1993-03-09 | Honda Motor Co Ltd | 高強度シーリング材組成物 |
| JPH05156227A (ja) * | 1991-12-03 | 1993-06-22 | Sunstar Eng Inc | 構造用接着剤 |
| JPH06200122A (ja) * | 1992-12-28 | 1994-07-19 | Nippon Zeon Co Ltd | エポキシ樹脂組成物およびウレタン変性エポキシ系接着剤 |
| JPH11116772A (ja) * | 1997-10-16 | 1999-04-27 | Jsr Corp | 熱硬化性樹脂組成物およびその硬化物 |
| JPH11195539A (ja) * | 1998-01-07 | 1999-07-21 | Murata Mfg Co Ltd | 巻線型インダクタおよびその製造方法 |
| JP2000212504A (ja) * | 1999-01-26 | 2000-08-02 | Somar Corp | コイル被覆用塗膜 |
| JP2001123043A (ja) * | 1999-10-26 | 2001-05-08 | Matsushita Electric Works Ltd | エポキシ樹脂組成物、プリプレグ、樹脂付き金属箔及び積層板 |
| JP2003171611A (ja) * | 2001-12-07 | 2003-06-20 | Chugoku Marine Paints Ltd | 高伸び率を有する塗膜を形成可能なエポキシ樹脂組成物、防食塗料組成物、その塗膜、その塗膜で被覆された基材、並びに基材の防食方法 |
| JP2005109181A (ja) * | 2003-09-30 | 2005-04-21 | Tdk Corp | 巻線型電子部品 |
| JP2005290215A (ja) * | 2004-03-31 | 2005-10-20 | Tdk Corp | エポキシ樹脂組成物、コイル体及びインダクタ |
-
2004
- 2004-03-31 JP JP2004106809A patent/JP2005290190A/ja active Pending
Patent Citations (11)
| Publication number | Priority date | Publication date | Assignee | Title |
|---|---|---|---|---|
| JPH03286512A (ja) * | 1990-04-03 | 1991-12-17 | Tdk Corp | ケース入りインダクタの製造方法 |
| JPH0559347A (ja) * | 1991-09-03 | 1993-03-09 | Honda Motor Co Ltd | 高強度シーリング材組成物 |
| JPH05156227A (ja) * | 1991-12-03 | 1993-06-22 | Sunstar Eng Inc | 構造用接着剤 |
| JPH06200122A (ja) * | 1992-12-28 | 1994-07-19 | Nippon Zeon Co Ltd | エポキシ樹脂組成物およびウレタン変性エポキシ系接着剤 |
| JPH11116772A (ja) * | 1997-10-16 | 1999-04-27 | Jsr Corp | 熱硬化性樹脂組成物およびその硬化物 |
| JPH11195539A (ja) * | 1998-01-07 | 1999-07-21 | Murata Mfg Co Ltd | 巻線型インダクタおよびその製造方法 |
| JP2000212504A (ja) * | 1999-01-26 | 2000-08-02 | Somar Corp | コイル被覆用塗膜 |
| JP2001123043A (ja) * | 1999-10-26 | 2001-05-08 | Matsushita Electric Works Ltd | エポキシ樹脂組成物、プリプレグ、樹脂付き金属箔及び積層板 |
| JP2003171611A (ja) * | 2001-12-07 | 2003-06-20 | Chugoku Marine Paints Ltd | 高伸び率を有する塗膜を形成可能なエポキシ樹脂組成物、防食塗料組成物、その塗膜、その塗膜で被覆された基材、並びに基材の防食方法 |
| JP2005109181A (ja) * | 2003-09-30 | 2005-04-21 | Tdk Corp | 巻線型電子部品 |
| JP2005290215A (ja) * | 2004-03-31 | 2005-10-20 | Tdk Corp | エポキシ樹脂組成物、コイル体及びインダクタ |
Cited By (6)
| Publication number | Priority date | Publication date | Assignee | Title |
|---|---|---|---|---|
| JP2007031556A (ja) * | 2005-07-26 | 2007-02-08 | Matsushita Electric Works Ltd | エポキシ樹脂組成物及び半導体装置 |
| JP2010507709A (ja) * | 2006-10-24 | 2010-03-11 | シーカ・テクノロジー・アーゲー | 誘導体化された固体エポキシ樹脂およびその使用 |
| JP2017513965A (ja) * | 2014-03-04 | 2017-06-01 | エフアールエックス ポリマーズ、インク. | エポキシ組成物 |
| JP2018148035A (ja) * | 2017-03-06 | 2018-09-20 | 新日鐵住金株式会社 | 積鉄心を備える変圧器 |
| JP2019149158A (ja) * | 2018-02-26 | 2019-09-05 | エイアールエム リミテッド | 回路機器 |
| JP7343281B2 (ja) | 2018-02-26 | 2023-09-12 | アーム・リミテッド | 回路機器 |
Similar Documents
| Publication | Publication Date | Title |
|---|---|---|
| AU692890B2 (en) | Epoxy resin casting composition | |
| CN104629262B (zh) | 电子部件用液体状树脂组合物及电子部件装置 | |
| JP7689496B2 (ja) | 硬化性組成物、それからなる物品、並びにその製造及び使用方法 | |
| JP3874108B2 (ja) | エポキシ樹脂組成物 | |
| JP2020145424A (ja) | 炭化ケイ素、酸化ガリウム、窒化ガリウム及びダイヤモンド素子封止用成形材料組成物、並びに電子部品装置 | |
| CN108192293A (zh) | 电子部件用液体状树脂组合物及电子部件装置 | |
| JP2020132779A (ja) | 液状エポキシ樹脂組成物及びそれを硬化させて得られる硬化物 | |
| CN103539923B (zh) | 单组分环氧树脂组合物及使用该组合物的电动机或发电机 | |
| JP2005290215A (ja) | エポキシ樹脂組成物、コイル体及びインダクタ | |
| JP4577716B2 (ja) | 加熱硬化型エポキシ樹脂組成物及びその硬化接着層を有する物品 | |
| CN111527123A (zh) | 树脂组合物及其固化物、电子零部件用粘接剂、半导体装置、以及电子零部件 | |
| JP2005290190A (ja) | エポキシ樹脂組成物、コイル体及びインダクタ | |
| JPH10298405A (ja) | エポキシ樹脂組成物および硬化物複合体 | |
| JP2020026450A (ja) | 半導体封止用熱硬化性樹脂組成物及び半導体装置 | |
| JP2006022146A (ja) | 硬化性樹脂組成物 | |
| JPH0797434A (ja) | エポキシ樹脂組成物 | |
| JP4540997B2 (ja) | 2液性注形用エポキシ樹脂組成物および電気・電子部品装置 | |
| JP7404127B2 (ja) | エポキシ樹脂組成物 | |
| JPS6072957A (ja) | 硬化性組成物 | |
| JP4720095B2 (ja) | 樹脂組成物、電子部品、コイル体及びインダクタ | |
| US9018282B2 (en) | Homogenous dispensing process for an epoxy-composition with high filler content | |
| JP6374714B2 (ja) | エポキシ樹脂組成物、接着剤、硬化物及び電子部材 | |
| JP7720178B2 (ja) | エポキシ樹脂組成物、及びエポキシ樹脂組成物製品 | |
| JP6867894B2 (ja) | 組成物、エポキシ樹脂硬化剤、エポキシ樹脂組成物、熱硬化性組成物、硬化物、半導体装置、および層間絶縁材料 | |
| KR102349081B1 (ko) | 구조용 접착제 조성물, 및 이를 이용한 구조용 접착 필름 및 자동차 내외장재 |
Legal Events
| Date | Code | Title | Description |
|---|---|---|---|
| A621 | Written request for application examination |
Effective date: 20070222 Free format text: JAPANESE INTERMEDIATE CODE: A621 |
|
| A977 | Report on retrieval |
Free format text: JAPANESE INTERMEDIATE CODE: A971007 Effective date: 20091126 |
|
| A131 | Notification of reasons for refusal |
Effective date: 20100126 Free format text: JAPANESE INTERMEDIATE CODE: A131 |
|
| A02 | Decision of refusal |
Free format text: JAPANESE INTERMEDIATE CODE: A02 Effective date: 20100622 |
