JP2005255672A - ハロゲン化シアヌル誘導体、その製造法およびその使用 - Google Patents
ハロゲン化シアヌル誘導体、その製造法およびその使用 Download PDFInfo
- Publication number
- JP2005255672A JP2005255672A JP2005025429A JP2005025429A JP2005255672A JP 2005255672 A JP2005255672 A JP 2005255672A JP 2005025429 A JP2005025429 A JP 2005025429A JP 2005025429 A JP2005025429 A JP 2005025429A JP 2005255672 A JP2005255672 A JP 2005255672A
- Authority
- JP
- Japan
- Prior art keywords
- formula
- compound
- mmol
- reaction
- trialkyl
- Prior art date
- Legal status (The legal status is an assumption and is not a legal conclusion. Google has not performed a legal analysis and makes no representation as to the accuracy of the status listed.)
- Granted
Links
- 150000004820 halides Chemical class 0.000 title claims abstract description 23
- 238000004519 manufacturing process Methods 0.000 title claims description 20
- 239000007787 solid Substances 0.000 claims abstract description 41
- 238000006243 chemical reaction Methods 0.000 claims abstract description 34
- 239000003795 chemical substances by application Substances 0.000 claims abstract description 25
- 239000000243 solution Substances 0.000 claims abstract description 25
- 150000001412 amines Chemical class 0.000 claims abstract description 23
- 229920001223 polyethylene glycol Polymers 0.000 claims abstract description 12
- 239000007983 Tris buffer Substances 0.000 claims abstract description 5
- 125000005263 alkylenediamine group Chemical group 0.000 claims abstract description 5
- 150000001875 compounds Chemical class 0.000 claims description 118
- WYURNTSHIVDZCO-UHFFFAOYSA-N Tetrahydrofuran Chemical group C1CCOC1 WYURNTSHIVDZCO-UHFFFAOYSA-N 0.000 claims description 78
- SJRJJKPEHAURKC-UHFFFAOYSA-N N-Methylmorpholine Chemical group CN1CCOCC1 SJRJJKPEHAURKC-UHFFFAOYSA-N 0.000 claims description 46
- YLQBMQCUIZJEEH-UHFFFAOYSA-N tetrahydrofuran Natural products C=1C=COC=1 YLQBMQCUIZJEEH-UHFFFAOYSA-N 0.000 claims description 39
- RTZKZFJDLAIYFH-UHFFFAOYSA-N Diethyl ether Chemical compound CCOCC RTZKZFJDLAIYFH-UHFFFAOYSA-N 0.000 claims description 37
- UWHCKJMYHZGTIT-UHFFFAOYSA-N Tetraethylene glycol, Natural products OCCOCCOCCOCCO UWHCKJMYHZGTIT-UHFFFAOYSA-N 0.000 claims description 27
- 239000002904 solvent Substances 0.000 claims description 25
- -1 ethylene, propylene Chemical group 0.000 claims description 21
- 125000003277 amino group Chemical class 0.000 claims description 17
- MTHSVFCYNBDYFN-UHFFFAOYSA-N diethylene glycol Chemical compound OCCOCCO MTHSVFCYNBDYFN-UHFFFAOYSA-N 0.000 claims description 16
- 125000000217 alkyl group Chemical group 0.000 claims description 11
- 125000005843 halogen group Chemical group 0.000 claims description 9
- 229910052757 nitrogen Inorganic materials 0.000 claims description 7
- LYCAIKOWRPUZTN-UHFFFAOYSA-N Ethylene glycol Chemical group OCCO LYCAIKOWRPUZTN-UHFFFAOYSA-N 0.000 claims description 6
- 125000004433 nitrogen atom Chemical group N* 0.000 claims description 5
- 125000002947 alkylene group Chemical group 0.000 claims description 4
- 125000004103 aminoalkyl group Chemical group 0.000 claims description 4
- SBZXBUIDTXKZTM-UHFFFAOYSA-N diglyme Chemical compound COCCOCCOC SBZXBUIDTXKZTM-UHFFFAOYSA-N 0.000 claims description 4
- 238000000034 method Methods 0.000 claims description 4
- 125000004430 oxygen atom Chemical group O* 0.000 claims description 4
- 239000004210 ether based solvent Substances 0.000 claims description 2
- IIRDTKBZINWQAW-UHFFFAOYSA-N hexaethylene glycol Chemical compound OCCOCCOCCOCCOCCOCCO IIRDTKBZINWQAW-UHFFFAOYSA-N 0.000 claims description 2
- 125000000383 tetramethylene group Chemical group [H]C([H])([*:1])C([H])([H])C([H])([H])C([H])([H])[*:2] 0.000 claims description 2
- ZIBGPFATKBEMQZ-UHFFFAOYSA-N triethylene glycol Chemical compound OCCOCCOCCO ZIBGPFATKBEMQZ-UHFFFAOYSA-N 0.000 claims description 2
- 238000006482 condensation reaction Methods 0.000 abstract description 11
- MGNCLNQXLYJVJD-UHFFFAOYSA-N cyanuric chloride Chemical compound ClC1=NC(Cl)=NC(Cl)=N1 MGNCLNQXLYJVJD-UHFFFAOYSA-N 0.000 abstract description 8
- 239000007795 chemical reaction product Substances 0.000 abstract description 5
- 238000009833 condensation Methods 0.000 abstract description 2
- 230000005494 condensation Effects 0.000 abstract description 2
- 239000000460 chlorine Substances 0.000 description 38
- YMWUJEATGCHHMB-UHFFFAOYSA-N Dichloromethane Chemical compound ClCCl YMWUJEATGCHHMB-UHFFFAOYSA-N 0.000 description 33
- ZAMOUSCENKQFHK-UHFFFAOYSA-N Chlorine atom Chemical compound [Cl] ZAMOUSCENKQFHK-UHFFFAOYSA-N 0.000 description 31
- 229910052801 chlorine Inorganic materials 0.000 description 31
- KFZMGEQAYNKOFK-UHFFFAOYSA-N Isopropanol Chemical compound CC(C)O KFZMGEQAYNKOFK-UHFFFAOYSA-N 0.000 description 27
- 239000000203 mixture Substances 0.000 description 27
- 239000000047 product Substances 0.000 description 23
- CDBYLPFSWZWCQE-UHFFFAOYSA-L Sodium Carbonate Chemical compound [Na+].[Na+].[O-]C([O-])=O CDBYLPFSWZWCQE-UHFFFAOYSA-L 0.000 description 22
- 230000000694 effects Effects 0.000 description 22
- 238000002329 infrared spectrum Methods 0.000 description 20
- XLYOFNOQVPJJNP-UHFFFAOYSA-N water Substances O XLYOFNOQVPJJNP-UHFFFAOYSA-N 0.000 description 20
- 239000000706 filtrate Substances 0.000 description 19
- VGGSQFUCUMXWEO-UHFFFAOYSA-N Ethene Chemical group C=C VGGSQFUCUMXWEO-UHFFFAOYSA-N 0.000 description 18
- XEKOWRVHYACXOJ-UHFFFAOYSA-N Ethyl acetate Chemical compound CCOC(C)=O XEKOWRVHYACXOJ-UHFFFAOYSA-N 0.000 description 18
- 239000005977 Ethylene Substances 0.000 description 18
- JGFZNNIVVJXRND-UHFFFAOYSA-N N,N-Diisopropylethylamine (DIPEA) Chemical compound CCN(C(C)C)C(C)C JGFZNNIVVJXRND-UHFFFAOYSA-N 0.000 description 18
- XMIIGOLPHOKFCH-UHFFFAOYSA-N 3-phenylpropionic acid Chemical compound OC(=O)CCC1=CC=CC=C1 XMIIGOLPHOKFCH-UHFFFAOYSA-N 0.000 description 14
- VEXZGXHMUGYJMC-UHFFFAOYSA-N Hydrochloric acid Chemical compound Cl VEXZGXHMUGYJMC-UHFFFAOYSA-N 0.000 description 14
- CSNNHWWHGAXBCP-UHFFFAOYSA-L Magnesium sulfate Chemical compound [Mg+2].[O-][S+2]([O-])([O-])[O-] CSNNHWWHGAXBCP-UHFFFAOYSA-L 0.000 description 14
- OKKJLVBELUTLKV-UHFFFAOYSA-N Methanol Chemical compound OC OKKJLVBELUTLKV-UHFFFAOYSA-N 0.000 description 12
- 230000015572 biosynthetic process Effects 0.000 description 11
- 239000011541 reaction mixture Substances 0.000 description 11
- 229910000029 sodium carbonate Inorganic materials 0.000 description 11
- 238000003786 synthesis reaction Methods 0.000 description 10
- 238000005406 washing Methods 0.000 description 10
- 239000012074 organic phase Substances 0.000 description 9
- 238000003756 stirring Methods 0.000 description 9
- 238000005160 1H NMR spectroscopy Methods 0.000 description 7
- 150000001408 amides Chemical class 0.000 description 7
- FDSGHYHRLSWSLQ-UHFFFAOYSA-N dichloromethane;propan-2-one Chemical compound ClCCl.CC(C)=O FDSGHYHRLSWSLQ-UHFFFAOYSA-N 0.000 description 7
- 229910052943 magnesium sulfate Inorganic materials 0.000 description 7
- 235000019341 magnesium sulphate Nutrition 0.000 description 7
- 239000012299 nitrogen atmosphere Substances 0.000 description 7
- HPALAKNZSZLMCH-UHFFFAOYSA-M sodium;chloride;hydrate Chemical class O.[Na+].[Cl-] HPALAKNZSZLMCH-UHFFFAOYSA-M 0.000 description 7
- RQEUFEKYXDPUSK-UHFFFAOYSA-N 1-phenylethylamine Chemical compound CC(N)C1=CC=CC=C1 RQEUFEKYXDPUSK-UHFFFAOYSA-N 0.000 description 6
- 0 CCC(C)(*C)c1nc(*)nc(*)n1 Chemical compound CCC(C)(*C)c1nc(*)nc(*)n1 0.000 description 6
- LFQSCWFLJHTTHZ-UHFFFAOYSA-N Ethanol Chemical compound CCO LFQSCWFLJHTTHZ-UHFFFAOYSA-N 0.000 description 6
- 238000005481 NMR spectroscopy Methods 0.000 description 6
- ZMANZCXQSJIPKH-UHFFFAOYSA-N Triethylamine Chemical compound CCN(CC)CC ZMANZCXQSJIPKH-UHFFFAOYSA-N 0.000 description 6
- 238000010976 amide bond formation reaction Methods 0.000 description 6
- 238000006116 polymerization reaction Methods 0.000 description 6
- 229920006395 saturated elastomer Polymers 0.000 description 6
- 239000002585 base Substances 0.000 description 5
- 125000003178 carboxy group Chemical group [H]OC(*)=O 0.000 description 5
- 239000003153 chemical reaction reagent Substances 0.000 description 5
- 238000000746 purification Methods 0.000 description 5
- 238000000967 suction filtration Methods 0.000 description 5
- PIICEJLVQHRZGT-UHFFFAOYSA-N Ethylenediamine Chemical compound NCCN PIICEJLVQHRZGT-UHFFFAOYSA-N 0.000 description 4
- WPYMKLBDIGXBTP-UHFFFAOYSA-N benzoic acid Chemical compound OC(=O)C1=CC=CC=C1 WPYMKLBDIGXBTP-UHFFFAOYSA-N 0.000 description 4
- 125000004432 carbon atom Chemical group C* 0.000 description 4
- DQYBDCGIPTYXML-UHFFFAOYSA-N ethoxyethane;hydrate Chemical compound O.CCOCC DQYBDCGIPTYXML-UHFFFAOYSA-N 0.000 description 4
- OAYLNYINCPYISS-UHFFFAOYSA-N ethyl acetate;hexane Chemical compound CCCCCC.CCOC(C)=O OAYLNYINCPYISS-UHFFFAOYSA-N 0.000 description 4
- 238000001914 filtration Methods 0.000 description 4
- 238000005755 formation reaction Methods 0.000 description 4
- 239000011259 mixed solution Substances 0.000 description 4
- MXHTZQSKTCCMFG-UHFFFAOYSA-N n,n-dibenzyl-1-phenylmethanamine Chemical compound C=1C=CC=CC=1CN(CC=1C=CC=CC=1)CC1=CC=CC=C1 MXHTZQSKTCCMFG-UHFFFAOYSA-N 0.000 description 4
- DIAIBWNEUYXDNL-UHFFFAOYSA-N n,n-dihexylhexan-1-amine Chemical compound CCCCCCN(CCCCCC)CCCCCC DIAIBWNEUYXDNL-UHFFFAOYSA-N 0.000 description 4
- YWFWDNVOPHGWMX-UHFFFAOYSA-N n,n-dimethyldodecan-1-amine Chemical compound CCCCCCCCCCCCN(C)C YWFWDNVOPHGWMX-UHFFFAOYSA-N 0.000 description 4
- 238000000926 separation method Methods 0.000 description 4
- MBYLVOKEDDQJDY-UHFFFAOYSA-N tris(2-aminoethyl)amine Chemical compound NCCN(CCN)CCN MBYLVOKEDDQJDY-UHFFFAOYSA-N 0.000 description 4
- WEVYAHXRMPXWCK-UHFFFAOYSA-N Acetonitrile Chemical compound CC#N WEVYAHXRMPXWCK-UHFFFAOYSA-N 0.000 description 3
- BWLUMTFWVZZZND-UHFFFAOYSA-N Dibenzylamine Chemical compound C=1C=CC=CC=1CNCC1=CC=CC=C1 BWLUMTFWVZZZND-UHFFFAOYSA-N 0.000 description 3
- KEAYESYHFKHZAL-UHFFFAOYSA-N Sodium Chemical compound [Na] KEAYESYHFKHZAL-UHFFFAOYSA-N 0.000 description 3
- 125000002887 hydroxy group Chemical group [H]O* 0.000 description 3
- 239000012442 inert solvent Substances 0.000 description 3
- 229920000642 polymer Polymers 0.000 description 3
- 239000011734 sodium Substances 0.000 description 3
- 229910000104 sodium hydride Inorganic materials 0.000 description 3
- 239000012312 sodium hydride Substances 0.000 description 3
- 239000003447 supported reagent Substances 0.000 description 3
- PAMIQIKDUOTOBW-UHFFFAOYSA-N 1-methylpiperidine Chemical compound CN1CCCCC1 PAMIQIKDUOTOBW-UHFFFAOYSA-N 0.000 description 2
- XKRFYHLGVUSROY-UHFFFAOYSA-N Argon Chemical compound [Ar] XKRFYHLGVUSROY-UHFFFAOYSA-N 0.000 description 2
- 239000005711 Benzoic acid Substances 0.000 description 2
- QUSNBJAOOMFDIB-UHFFFAOYSA-N Ethylamine Chemical compound CCN QUSNBJAOOMFDIB-UHFFFAOYSA-N 0.000 description 2
- 239000003513 alkali Substances 0.000 description 2
- 150000003973 alkyl amines Chemical class 0.000 description 2
- 239000007864 aqueous solution Substances 0.000 description 2
- 235000010233 benzoic acid Nutrition 0.000 description 2
- 238000009835 boiling Methods 0.000 description 2
- MKUWVMRNQOOSAT-UHFFFAOYSA-N but-3-en-2-ol Chemical compound CC(O)C=C MKUWVMRNQOOSAT-UHFFFAOYSA-N 0.000 description 2
- 239000013078 crystal Substances 0.000 description 2
- BLEBFDYUDVZRFG-UHFFFAOYSA-N dichloromethane;propan-2-ol Chemical compound ClCCl.CC(C)O BLEBFDYUDVZRFG-UHFFFAOYSA-N 0.000 description 2
- 125000001891 dimethoxy group Chemical group [H]C([H])([H])O* 0.000 description 2
- 239000012153 distilled water Substances 0.000 description 2
- 238000001035 drying Methods 0.000 description 2
- 238000000921 elemental analysis Methods 0.000 description 2
- 239000011261 inert gas Substances 0.000 description 2
- 239000002198 insoluble material Substances 0.000 description 2
- 239000007788 liquid Substances 0.000 description 2
- 238000012746 preparative thin layer chromatography Methods 0.000 description 2
- 150000003141 primary amines Chemical class 0.000 description 2
- 230000009257 reactivity Effects 0.000 description 2
- 239000011347 resin Substances 0.000 description 2
- 229920005989 resin Polymers 0.000 description 2
- 238000010898 silica gel chromatography Methods 0.000 description 2
- SQGYOTSLMSWVJD-UHFFFAOYSA-N silver(1+) nitrate Chemical compound [Ag+].[O-]N(=O)=O SQGYOTSLMSWVJD-UHFFFAOYSA-N 0.000 description 2
- VWDWKYIASSYTQR-UHFFFAOYSA-N sodium nitrate Chemical compound [Na+].[O-][N+]([O-])=O VWDWKYIASSYTQR-UHFFFAOYSA-N 0.000 description 2
- 239000000725 suspension Substances 0.000 description 2
- 238000004448 titration Methods 0.000 description 2
- VHYBUUMUUNCHCK-UHFFFAOYSA-N 2,4,6-tribromo-1,3,5-triazine Chemical compound BrC1=NC(Br)=NC(Br)=N1 VHYBUUMUUNCHCK-UHFFFAOYSA-N 0.000 description 1
- RIRMMJBLWVZDJF-UHFFFAOYSA-N 2,4,6-triiodo-1,3,5-triazine Chemical compound IC1=NC(I)=NC(I)=N1 RIRMMJBLWVZDJF-UHFFFAOYSA-N 0.000 description 1
- GPIQOFWTZXXOOV-UHFFFAOYSA-N 2-chloro-4,6-dimethoxy-1,3,5-triazine Chemical compound COC1=NC(Cl)=NC(OC)=N1 GPIQOFWTZXXOOV-UHFFFAOYSA-N 0.000 description 1
- BMTZEAOGFDXDAD-UHFFFAOYSA-M 4-(4,6-dimethoxy-1,3,5-triazin-2-yl)-4-methylmorpholin-4-ium;chloride Chemical compound [Cl-].COC1=NC(OC)=NC([N+]2(C)CCOCC2)=N1 BMTZEAOGFDXDAD-UHFFFAOYSA-M 0.000 description 1
- IJGRMHOSHXDMSA-UHFFFAOYSA-N Atomic nitrogen Chemical compound N#N IJGRMHOSHXDMSA-UHFFFAOYSA-N 0.000 description 1
- VEXZGXHMUGYJMC-UHFFFAOYSA-M Chloride anion Chemical compound [Cl-] VEXZGXHMUGYJMC-UHFFFAOYSA-M 0.000 description 1
- 238000005033 Fourier transform infrared spectroscopy Methods 0.000 description 1
- DGAQECJNVWCQMB-PUAWFVPOSA-M Ilexoside XXIX Chemical compound C[C@@H]1CC[C@@]2(CC[C@@]3(C(=CC[C@H]4[C@]3(CC[C@@H]5[C@@]4(CC[C@@H](C5(C)C)OS(=O)(=O)[O-])C)C)[C@@H]2[C@]1(C)O)C)C(=O)O[C@H]6[C@@H]([C@H]([C@@H]([C@H](O6)CO)O)O)O.[Na+] DGAQECJNVWCQMB-PUAWFVPOSA-M 0.000 description 1
- YNAVUWVOSKDBBP-UHFFFAOYSA-N Morpholine Chemical class C1COCCN1 YNAVUWVOSKDBBP-UHFFFAOYSA-N 0.000 description 1
- LKJPYSCBVHEWIU-UHFFFAOYSA-N N-[4-cyano-3-(trifluoromethyl)phenyl]-3-[(4-fluorophenyl)sulfonyl]-2-hydroxy-2-methylpropanamide Chemical compound C=1C=C(C#N)C(C(F)(F)F)=CC=1NC(=O)C(O)(C)CS(=O)(=O)C1=CC=C(F)C=C1 LKJPYSCBVHEWIU-UHFFFAOYSA-N 0.000 description 1
- 229920000361 Poly(styrene)-block-poly(ethylene glycol) Polymers 0.000 description 1
- 238000010521 absorption reaction Methods 0.000 description 1
- 150000001298 alcohols Chemical class 0.000 description 1
- 125000001931 aliphatic group Chemical group 0.000 description 1
- 238000010640 amide synthesis reaction Methods 0.000 description 1
- 229910052786 argon Inorganic materials 0.000 description 1
- 125000003118 aryl group Chemical class 0.000 description 1
- 239000012298 atmosphere Substances 0.000 description 1
- 238000006664 bond formation reaction Methods 0.000 description 1
- 150000001718 carbodiimides Chemical class 0.000 description 1
- 238000004587 chromatography analysis Methods 0.000 description 1
- 238000004440 column chromatography Methods 0.000 description 1
- 238000007796 conventional method Methods 0.000 description 1
- 238000001816 cooling Methods 0.000 description 1
- VMKJWLXVLHBJNK-UHFFFAOYSA-N cyanuric fluoride Chemical compound FC1=NC(F)=NC(F)=N1 VMKJWLXVLHBJNK-UHFFFAOYSA-N 0.000 description 1
- 125000004122 cyclic group Chemical group 0.000 description 1
- 125000000753 cycloalkyl group Chemical group 0.000 description 1
- 230000018044 dehydration Effects 0.000 description 1
- 238000006297 dehydration reaction Methods 0.000 description 1
- 125000004177 diethyl group Chemical group [H]C([H])([H])C([H])([H])* 0.000 description 1
- 125000000118 dimethyl group Chemical group [H]C([H])([H])* 0.000 description 1
- 229910001873 dinitrogen Inorganic materials 0.000 description 1
- 238000004821 distillation Methods 0.000 description 1
- 150000002148 esters Chemical class 0.000 description 1
- 125000001495 ethyl group Chemical group [H]C([H])([H])C([H])([H])* 0.000 description 1
- 238000000605 extraction Methods 0.000 description 1
- 239000007789 gas Substances 0.000 description 1
- 230000026030 halogenation Effects 0.000 description 1
- 238000005658 halogenation reaction Methods 0.000 description 1
- 238000010438 heat treatment Methods 0.000 description 1
- SIAPCJWMELPYOE-UHFFFAOYSA-N lithium hydride Chemical compound [LiH] SIAPCJWMELPYOE-UHFFFAOYSA-N 0.000 description 1
- 229910000103 lithium hydride Inorganic materials 0.000 description 1
- 238000000816 matrix-assisted laser desorption--ionisation Methods 0.000 description 1
- 238000005259 measurement Methods 0.000 description 1
- 125000001570 methylene group Chemical group [H]C([H])([*:1])[*:2] 0.000 description 1
- GNVRJGIVDSQCOP-UHFFFAOYSA-N n-ethyl-n-methylethanamine Chemical compound CCN(C)CC GNVRJGIVDSQCOP-UHFFFAOYSA-N 0.000 description 1
- 239000004533 oil dispersion Substances 0.000 description 1
- JLFNLZLINWHATN-UHFFFAOYSA-N pentaethylene glycol Chemical compound OCCOCCOCCOCCOCCO JLFNLZLINWHATN-UHFFFAOYSA-N 0.000 description 1
- 238000010647 peptide synthesis reaction Methods 0.000 description 1
- 239000002675 polymer-supported reagent Substances 0.000 description 1
- NTTOTNSKUYCDAV-UHFFFAOYSA-N potassium hydride Chemical compound [KH] NTTOTNSKUYCDAV-UHFFFAOYSA-N 0.000 description 1
- 229910000105 potassium hydride Inorganic materials 0.000 description 1
- 238000002360 preparation method Methods 0.000 description 1
- 125000002924 primary amino group Chemical group [H]N([H])* 0.000 description 1
- 239000002994 raw material Substances 0.000 description 1
- 230000035484 reaction time Effects 0.000 description 1
- 238000001953 recrystallisation Methods 0.000 description 1
- 150000003335 secondary amines Chemical class 0.000 description 1
- 229910001961 silver nitrate Inorganic materials 0.000 description 1
- 229910052708 sodium Inorganic materials 0.000 description 1
- 235000010344 sodium nitrate Nutrition 0.000 description 1
- 239000004317 sodium nitrate Substances 0.000 description 1
- 125000001424 substituent group Chemical group 0.000 description 1
- 239000013076 target substance Substances 0.000 description 1
- 150000003512 tertiary amines Chemical class 0.000 description 1
- 238000001269 time-of-flight mass spectrometry Methods 0.000 description 1
Images
Landscapes
- Organic Low-Molecular-Weight Compounds And Preparation Thereof (AREA)
- Polyethers (AREA)
Abstract
【解決手段】塩化シアヌルを、(ポリ)エチレングリコールと強塩基の存在下に反応させて固体のハロゲン化シアヌル誘導体を得、必要であればさらにアルキレンジアミンまたはトリス(アミノアルキル)アミンを反応させて固体のハロゲン化シアヌル誘導体を得る。
【選択図】なし
Description
そして、通常、上記の縮合反応後の分離・精製には、反応に要する以上の時間、手間および溶媒などが必要である。
すなわち、本発明によれば、次の、式(I):
したがって、本発明による固体のハロゲン化シアヌル誘導体は、アミド形成反応における縮合剤として、特に有用である。
すなわち、本発明は、式(V):
で表されるハロゲン化シアヌルに、(ポリ)エチレングリコールを反応させて、式(I):
で表される化合物を得、この式(I)の化合物において、X1とX2の何れか一つまたは両方がトリアルキル置換アミノ基である化合物が所望されるときには、さらにトリアルキル置換アミンを反応させることを特徴とする、上記式(I)で表される、固体のハロゲン化シアヌル誘導体およびその製造方法に関する。
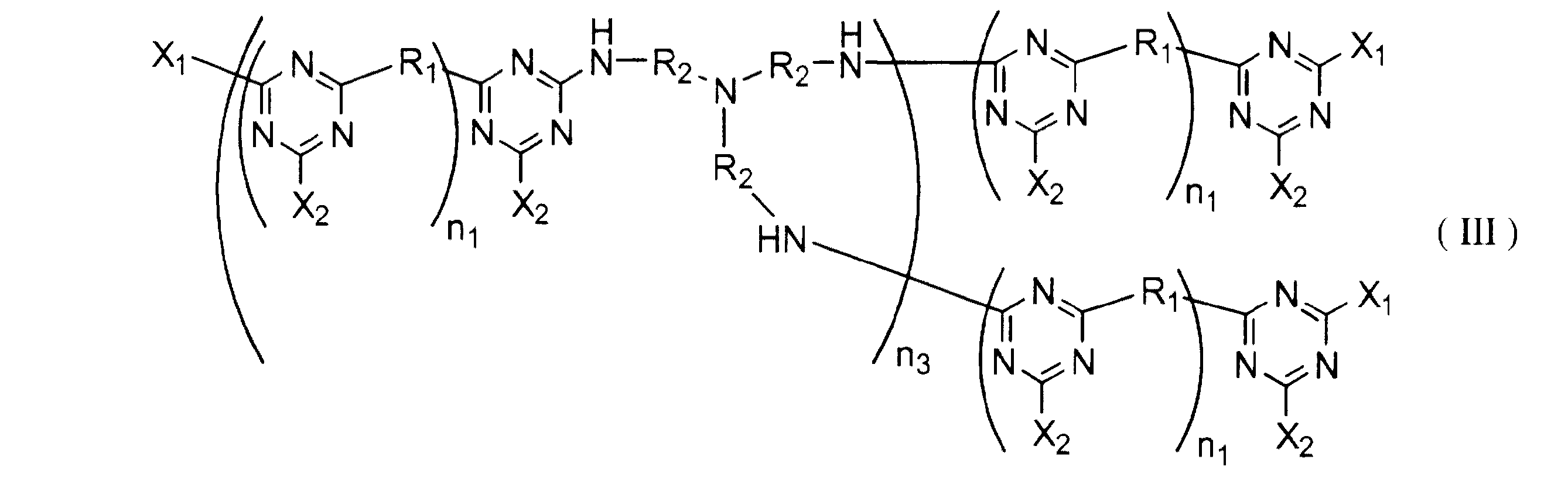
で表される、固体のハロゲン化シアヌル誘導体を得、上記の式(II)、式(III)および式(IV)の化合物において、X1とX2の何れか一つまたは両方がトリアルキル置換アミノ基である化合物が所望されるときには、さらにトリアルキル置換アミンを反応させることを特徴とする、これらの式(II)、式(III)または式(IV)で表される、固体のハロゲン化シアヌル誘導体およびその製造方法に関する。
式(I)の化合物の製造に用いられる溶媒としては、不活性な溶媒、エーテル系溶媒が挙げられる。なかでも入手の容易性などの点から、テトラヒドロフランおよびジエチレングリコールジメチルエーテルが好ましく、特にそれらの無水溶媒が好ましい。
この反応は、通常−78℃〜溶媒の沸点の間の温度で行うことができるが、強塩基の添加時および塩化シアヌルの添加時は、−78℃〜室温の間の温度で行うのが好ましく、その後は、50℃〜溶媒の沸点の間の温度で行うのが好ましい。
これら式(II)、式(III)および式(IV)の化合物の製造に用いられる溶媒としては、不活性な溶媒、エーテル系溶媒が挙げられる。なかでも入手の容易性などの点から、テトラヒドロフランおよびジエチレングリコールジメチルエーテルが好ましく、特にそれらの無水溶媒が好ましい。
なお、式(II)、式(III)および式(IV)の化合物の製造に用いられる塩基としては、前記の塩基以外に、トリエチルアミンまたはN,N-ジイソプロピルエチルアミン等を用いることができる。
上記のトリアルキル置換アミンとしては、脂肪族のトリアルキル置換アミン以外に、トリアルキル置換基のうち、その2つのアルキル基が、それらが結合するアミノ基と共に、かつ任意に窒素原子または酸素原子を介して環構造を形成していているトリアルキル環式アミンも挙げられる。
なかでも、入手の容易性および反応性などの観点から、N-メチルモルホリンが好ましい。
すなわち、1級または2級アミン化合物と3級アミン化合物との混合物に、上記の本発明によるシアヌル誘導体をアミン化合物の分離剤として用い、次いでアルカリ処理することにより、該アミン化合物の混合物から3級アミン化合物のみを効率よく単離できる。
なお、実施例では、特に記載のない限り、以下の測定装置を用いた。
赤外吸収測定装置:ニコレット社製、FT-IR AVATER360
核磁気共鳴測定装置:ブルッカー社製、DPX400スペクトロメーター
質量分析装置:島津/クレイトス社製、レーザーイオン化飛行時間型質量分析装置AXIMA-CFRplus
電位差滴定装置:メトローム社製、Metrohm 794 Basic Titrino
R1がテトラエチレングリコール基である式(I)の化合物の合成
テトラヒドロフラン(THF)で洗浄した水素化ナトリウム(60%オイル分散型;9.11 g,実質量5.74 g, 228 mmol)の無水THF(40 ml)懸濁液に、窒素雰囲気下0℃で、テトラエチレングリコール(23.2 g, 119 mmol)を滴下し、同温度で1時間、さらに室温で1時間撹拌した。得られた反応混合物を-78℃に冷却し、塩化シアヌル(20.0 g, 109 mmol)の無水THF(70 ml)溶液を滴下した。次に、混合物を-78℃、-40℃、0℃および室温でそれぞれ1時間ずつ撹拌した後、乾燥ジエチレングリコールジメチルエーテル(4 ml)を加えた。混合物を50℃で1時間撹拌した後、125℃まで加熱し(この間にTHFを留去した)、この温度で16時間撹拌を継続した。反応終了後、反応混合物を0℃に冷却して30分放置した後、固体の化合物を吸引ろ取し、THF、水、THFで順次洗浄した。ろ取物を減圧乾燥して、クリーム色の目的物(14.8 g)を収率45%で得た。
R1がテトラエチレングリコール残基である式(I)の化合物のIRスペクトルを図1に示す。
上記で得られた化合物(0.20 mmol, 62.0 mg)を蒸留水10mlに懸濁し、過剰量のN-メチルモルホリン(0.61 mmol, 61.6 mg)を加えて室温で1時間撹拌した。次に硝酸ナトリウム(1.01 mmol, 86.2 mg)を加えて室温で更に2時間撹拌した。得られた懸濁液に直接蒸留水40 mlを加えて0.01 mol/L硝酸銀水溶液により、電位差滴定装置を用いて滴定した。
結果:使用したポリマー(mol)=0.203 mmol
Cl (mol)=0.01 mol/L×f(1.00)×19.0 ml(滴定量) /1000=0.190 mmol
塩素量(%)=0.190/0.203×100=94%
有効塩素活性(mmol/g)=0.190 mmol/62 mg=3.07 mmol/g
であることが判った。
実施例1で得られた化合物によるアミド結合の形成反応(以下の表1における試験例1.3)
実施例1で得られた化合物(0.41 mmol、126 mg、有効塩素活性=3.07 mmol/gを基準にして2.1当量)に3-フェニルプロピオン酸(0.19 mmol、29.1 mg、1当量)、DL-1-フェニルエチルアミン(0.19 mmol、23.5 mg、1.0当量)およびN-メチルモルホリン(NMM、0.41 mmol、41.7 mg、ポリマー塩素量と等モル)の塩化メチレン溶液を加え、室温で21時間撹拌した。反応混合物を吸引ろ過し、ろ取物を塩化メチレン-アセトン(1:1)とメタノールで順次洗浄し、ろ液と洗液を合わせて濃縮した。濃縮残渣をエーテルに溶解し、水、飽和炭酸ナトリウム水溶液、1M塩酸、及び飽和食塩水で順次洗浄し、有機相を硫酸マグネシウムで乾燥後、溶媒を減圧留去した。得られた残渣を、ヘキサン-酢酸エチル(1:1)混液を展開溶媒とする分取用TLCで精製して、対応する酸アミド(N-DL-1-フェニルエチル-3-フェニルプロパンアミド)の無色結晶44.2 mgを、収率90%で得た。
mp 50-51℃;IR (KBr, cm-1) 3260、1646、1557;1H NMR (CDCl3) δ(ppm):1.40 (d, 3H)、2.46-2.50 (m, 2H)、2.97 (t, J=7.5 Hz)、5.10 (q, J=7.2 Hz)、7.16-7.32 (m, 10H);LC/MS (m/z)=254 [(M+1)+]
R1がジエチレングリコール残基であり、n1が1である式(I)の化合物の合成
塩化シアヌル(20.0 g、108.5 mmol)の無水THF(58 ml)溶液に、窒素雰囲気下0℃でジエチレングリコール(5.76 g、54.2 mmol)およびN,N-ジイソプロピルエチルアミン(14.0 g、108. 5mmol)の無水THF(7 ml)溶液を滴下した。同温度で20時間撹拌した後、不溶性の物質をろ別し、ろ液を濃縮した。残渣を酢酸エチルで抽出し、有機相を濃縮した。残渣をヘキサン-酢酸エチル(8:2)混液で溶出するシリカゲルカラムクロマトグラフィーで精製して、無色結晶の目的物(18.1 g)を収率83%で得た。
R1がジエチレングリコール残基であり、n1が1である式(I)の化合物のIRスペクトルを図2に示す。
R1がテトラエチレングリコール残基であり、n1が1である式(I)の化合物の合成
塩化シアヌル(17.0 g、92.2 mmol)の無水THF(50 ml)溶液に、窒素雰囲気下0℃で、テトラエチレングリコール(8.95 g、46.1 mmol)およびN,N-ジイソプロピルエチルアミン(11.9 g、92.2 mmol)のTHF(6 ml)溶液を滴下した。同温度で27時間撹拌した後、不溶性の物質をろ別し、ろ液を濃縮した。残渣を酢酸エチルで抽出し、有機相を合わせて乾燥後に減圧濃縮した。残渣をヘキサン-酢酸エチル(8:2)混液で溶出するシリカゲルカラムクロマトグラフィーで分離し、無色油状の目的物(18.8 g)を収率83%で得た。
元素分析 理論値(C14H16Cl4N6O5): C; 34.31, H; 3.29, N; 17.15, Cl; 28.93、実測値 C; 34.12, H; 3.39, N; 16.96, Cl; 28.72
R1がテトラエチレングリコール残基であり、n1が1である式(I)の化合物のIRスペクトルを図3に示す。
R1がジエチレングリコール残基であり、n1が1であり、R2がエチレン残基である式(II)の化合物の合成
実施例2で得られた化合物(2.97 g、7.38 mmol)の無水THF(7 ml)溶液に、窒素雰囲気下-40℃でエチレンジアミン(0.44 g、7.38 mmol)およびN,N-ジイソプロピルエチルアミン(2.86 g、22.1 mmol)の無水THF(3 ml)溶液を滴下し、同温度で2時間撹拌した。次いで、反応温度を-15℃前後に上げ24時間撹拌を継続した。得られた固体を吸引ろ取し、予め氷冷しておいた2-プロパノール、水、THFで順次洗浄し、減圧乾燥して、白色固体の目的物(1.68 g)を収率58%で得た。実施例1で得られた化合物と同様にして有効塩素活性を測定したところ、有効塩素活性は0.61 mmol/gであった。
R1がジエチレングリコール残基であり、R2がエチレン残基である式(II)の化合物のIRスペクトルを図4に示す。
R1がテトラエチレングリコール残基であり、n1が1であり、R2がエチレン残基である式(II)の化合物の合成
実施例3で得られた化合物(3.80 g、7.75 mmol)の無水THF(10 ml)溶液に、窒素雰囲気下-40℃で、エチレンジアミン(0.47 g、7.75 mmol)およびN,N-ジイソプロピルエチルアミン(3.00 g、23.3 mmol)の無水THF(4 ml)溶液を滴下し、同温度で2時間撹拌した。次いで、反応温度を-15℃前後に上げ42時間撹拌を継続した。得られた固体を吸引ろ取し、予め氷冷していた2-プロパノール、水、THFで順次洗浄し、減圧乾燥して、淡黄色固体の目的物(2.53 g)を収率68%で得た。実施例1で得られた化合物と同様にして有効塩素活性を測定したところ、有効塩素活性は1.26 mmol/gであった。
IR: 3416 (NH), 1637, 1560, 1333, 1290, 1134, 1065, 806 (cm-1)
R1がテトラエチレングリコール残基であり、n1が1であり、R2がエチレン残基である式(II)の化合物のIRスペクトルを図5に示す。
実施例5で得られた化合物の分子量測定
実施例5において、反応混合物をろ過したろ取物およびろ液について、マルディ トフマス(MALDI TOFMS)により分子量測定を行った。
ろ取物を、2-プロパノール、水、THFで順次洗浄し、塩化メチレンで抽出し、塩化メチレン可溶画分の分子量測定を行ったところ、以下の構造式に相当する477のユニットで連続したピークが観測され、重合度が6〜14であり、当該重合反応が逐次型交互重合によることが確認された。
上記の結果から、実施例5で得られた化合物は、重合度が少なくとも15以上であることが判明した。
実施例5で得られた化合物を用いたアミド結合の形成反応
実施例5で得られた化合物(0.49 mmol、391 mg)に3-フェニルプロピオン酸(0.16 mmol, 24.6 mg)、DL-1-フェニルエチルアミン(0.16 mmol、19.9 mg)およびN-メチルモルホリン(0.74 mmol、74.6 mg)の塩化メチレン溶液を加えて室温で21時間撹拌した。反応混合物を吸引ろ過し、ろ取物を塩化メチレン-アセトン(1:1)およびメタノールで洗浄し、ろ液と洗液を合わせて濃縮した。残渣をエーテルに溶解して、水、飽和炭酸ナトリウム水溶液、1M塩酸および飽和食塩水で順次洗浄し、有機相を硫酸マグネシウムで乾燥した後、溶媒を減圧留去した。得られた残渣を常法に従って、ヘキサン-酢酸エチル(1:1)混液を展開溶媒とする分取用TLCで精製して、対応する酸アミド(N-DL-1-フェニルエチル-3-フェニルプロパンアミド、30.5 mg)を収率74%で得た。
この化合物の1H-NMRを測定したところ標品と完全に一致した。
R1がジエチレングリコール残基であり、R2がエチレン残基である式(III)の化合物の合成
実施例2で得られた化合物(4.10 g、10.2 mmol)の無水THF(8 ml)溶液に、トリス(2-アミノエチル)アミン(1.00 g、6.8 mmol)およびN,N-ジイソプロピルエチルアミン(5.27 g、40.8 mmol)の無水THF(2 ml)溶液を-40℃で滴下し、そのまま1時間撹拌した。次いで、反応温度を0℃に上げ1.5時間撹拌し、更に室温で1.5時間撹拌した。得られた固体を吸引ろ過し、ろ取物をTHF、2-プロパノール、水、THFおよびジエチルエーテルで順次洗浄し、減圧乾燥して白色〜淡黄色固体である目的物(2.03 g)を収率47%で得た。試験例1と同様にして塩素量および有効塩素活性を測定したところ、塩素量が27%で、有効塩素活性が1.26 mmol/gであった。
R1がテトラエチレングリコール残基であり、R2がエチレン残基である式(III)の化合物のIRスペクトルを図6に示す。
R1がテトラエチレングリコール残基であり、R2がエチレン残基である式(III)の化合物の合成
実施例3で得られた化合物(3.07 g、6.26 mmol)の無水THF(4 ml)溶液に、トリス(2-アミノエチル)アミン(0.61 g、4.18 mmol)およびN,N-ジイソプロピルエチルアミン(3.24 g、25.1 mmol)の無水THF(2 ml)溶液を-40℃で滴下し、そのまま1時間撹拌した。次いで、反応温度を0℃に上げ1.5時間、更に室温で1.5時間それぞれ撹拌した。得られた固体を吸引ろ過し、ろ取物をTHF、2-プロパノール、水、THFおよびジエチルエーテルで順次洗浄し、減圧乾燥して白色〜淡黄色固体である目的物(2.18 g)を収率68%で得た。試験例1と同様にして塩素量および有効塩素活性を測定したところ、塩素量が75%で、有効塩素活性が2.91 mmol/gであった。
R1がテトラエチレングリコール残基であり、R2がエチレン残基である式(III)の化合物のIRスペクトルを図7に示す。
実施例7で得られた化合物を用いたアミド結合の形成反応
実施例7で得られた化合物(有効塩素活性で0.47 mmol、160 mg)に、3-フェニルプロピオン酸(23.3 mg、0.16 mmol)、DL-1-フェニルエチルアミン(18.8 mg、0.16 mmol)およびN-メチルモルホリン(47.1 mg、0.47 mmol)の塩化メチレン溶液を加え、室温で19時間撹拌した。反応混合物を吸引ろ過し、ろ取物を塩化メチレン-アセトン(1:1)混液で洗浄し、ろ液と洗液を合わせて濃縮した。残渣をエーテルに溶解して、水、炭酸ナトリウム水溶液、水、1M塩酸、水および飽和食塩水で順次洗浄した。有機相を硫酸マグネシウムで乾燥して溶媒を減圧留去した。得られた残渣を試験例1と同様に精製して、対応する酸アミド(N-DL-1-フェニルエチル-3-フェニルプロパンアミド、32.2 mg)を収率82%で得た。
この化合物の1H-NMRを測定したところ標品と完全に一致した。
R1がテトラエチレングリコール残基である式(I)の化合物とN-メチルモルホリンとの反応
実施例1で得られた化合物(有効塩素活性3.07mmol/g、402 mg、1.23 mmol)をTHF(10 mL)に懸濁し、N-メチルモルホリン(399 mg, 3.94 mmol, 3.2eq)を室温で加え、20分間撹拌した。反応混合物を吸引ろ過し、ろ取物をTHFおよびエチルエーテルで洗浄し、乾燥してN-メチルモルホリンの付加体432.5 mgを収率82%で得た。
R1がテトラエチレングリコール残基である式(I)の化合物とN-メチルモルホリンとの反応物のIRスペクトルを図8に示す。
実施例8で得られた化合物を用いたアミド結合の形成反応
実施例8で得られた化合物(0.285 mmol、121.7 mg、有効塩素活性基準で2.34 mmolとして計算)に、3-フェニルプロピオン酸(0.150 mmol、22.5 mg)とDL-1-フェニルエチルアミン(0.150 mmol、18.1 mg)の塩化メチレン溶液を加え、室温で19時間撹拌した。反応混合物を吸引濾過し、ろ取物を塩化メチレン-アセトンで洗浄し、ろ液と洗液を合わせて濃縮した。残渣をエーテルに溶解して、水、飽和炭酸ナトリウム水溶液、1M塩酸および飽和食塩水で順次洗浄した。有機相を硫酸マグネシウムで乾燥後、溶媒を減圧留去して、対応する酸アミド(N-DL-1-フェニルエチル-3-フェニルプロパンアミド) 21.4mgを収率56%で得た。この化合物の1H-NMRを測定したところ標品と完全に一致した。
R1がテトラエチレングリコール残基であり、R2がエチレン残基である式(IV) (n2:n3=1:1)の化合物の合成
実施例3で得られた化合物(4.00 g、8.16 mmol)の無水THF(4 ml)溶液に、窒素雰囲気下-40℃で、トリス(2-アミノエチル)アミン(0.48 g、3.26 mmol)、エチレンジアミン(0.20g、3.26 mmol)およびN,N-ジイソプロピルエチルアミン(3.24 g、25.1 mmol)の無水THF(10 ml)溶液を滴下し、そのまま1時間撹拌した。次いで、反応温度を0℃に上げ1.5時間、更に室温で1.5時間それぞれ撹拌した。得られた固体を吸引ろ過し、ろ取物を無水THF、2-プロパノール、水、THFおよびジエチルエーテルで順次洗浄し、減圧乾燥して白色固体である目的物(2.56 g)を収率63%で得た。試験例1と同様にして塩素量および有効塩素活性を測定したところ、塩素量が96%で、有効塩素活性が3.83 mmol/gであり、単位活性当たりの分子量は261であった。
R1がテトラエチレングリコール残基であり、R2がエチレン残基である式(IV) (n2:n3=1:1)の化合物のIRスペクトルを図9に示す。
R1がテトラエチレングリコール残基であり、R2がエチレン残基である式(IV) (n2:n3=3:1)の化合物の合成
実施例3で得られた化合物(2.00 g、4.08 mmol)の無水THF(2 ml)溶液に、窒素雰囲気下-40℃で、トリス(2-アミノエチル)アミン(0.13 g、0.91 mmol)、エチレンジアミン(0.16g、2.72 mmol)およびN,N-ジイソプロピルエチルアミン(1.05 g、8.16 mmol)の無水THF(5 ml)溶液を滴下し、そのまま1時間撹拌した。次いで、反応温度を0℃に上げ1.5時間、更に室温で1.5時間それぞれ撹拌した。得られた固体を吸引ろ過し、ろ取物を無水THF、2-プロパノール、水、THFおよびジエチルエーテルで順次洗浄し、減圧乾燥して淡黄色固体である目的物(1.40 g)を収率70%で得た。試験例1と同様にして塩素量および有効塩素活性を測定したところ、塩素量が81%で、有効塩素活性が4.08 mmol/gであり、単位活性当たりの分子量は303であった。
R1がテトラエチレングリコール残基であり、R2がエチレン残基である式(IV) (n2:n3=3:1)の化合物のIRスペクトルを図10に示す。
実施例9で得られた化合物を用いたアミド結合の形成反応
実施例9で得られた化合物(0.383 mmol、100 mg、有効塩素活性基準で3.83 mmolとして計算)に、3-フェニルプロピオン酸(0.191 mmol、28.7 mg)とDL-1-フェニルエチルアミン(0.191 mmol、23.2 mg)の塩化メチレン溶液を加え、室温で19時間撹拌した。反応混合物を吸引濾過し、ろ取物を塩化メチレン-アセトンで洗浄し、ろ液と洗液を合わせて濃縮した。残渣をエーテルに溶解して、水、飽和炭酸ナトリウム水溶液、1M塩酸および飽和食塩水で順次洗浄した。有機相を硫酸マグネシウムで乾燥後、溶媒を減圧留去して、対応する酸アミド(N-DL-1-フェニルエチル-3-フェニルプロパンアミド) 42.8 mgを収率88%で得た。この化合物の1H-NMRを測定したところ標品と完全に一致した。
実施例9で得られた化合物を用いたアミド結合の形成反応
実施例9で得られた化合物(0.383 mmol、100 mg、有効塩素活性基準で3.83 mmolとして計算)に、3-フェニルプロピオン酸(0.153 mmol、23.0 mg)とDL-1-フェニルエチルアミン(0.153 mmol、18.5 mg)の塩化メチレン溶液を加え、室温で19時間撹拌した。反応混合物を吸引濾過し、ろ取物を塩化メチレン-アセトンで洗浄し、ろ液と洗液を合わせて濃縮した。残渣をエーテルに溶解して、水、飽和炭酸ナトリウム水溶液、1M塩酸および飽和食塩水で順次洗浄した。有機相を硫酸マグネシウムで乾燥後、溶媒を減圧留去して、対応する酸アミド(N-DL-1-フェニルエチル-3-フェニルプロパンアミド) 34.1mgを収率88%で得た。この化合物の1H-NMRを測定したところ標品と完全に一致した。
実施例9で得られた化合物を用いたアミド結合の形成反応
実施例9で得られた化合物(0.383 mmol、100 mg、有効塩素活性基準で3.83 mmolとして計算)に、安息香酸(0.191 mmol、23.4 mg)とDL-1-フェニルエチルアミン(0.191 mmol、23.2 mg)の塩化メチレン溶液を加え、室温で19時間撹拌した。反応混合物を吸引濾過し、ろ取物を塩化メチレン-アセトンで洗浄し、ろ液と洗液を合わせて濃縮した。残渣をエーテルに溶解して、水、飽和炭酸ナトリウム水溶液、1M塩酸および飽和食塩水で順次洗浄した。有機相を硫酸マグネシウムで乾燥後、溶媒を減圧留去して、対応する酸アミド(N-DL-1-フェニルエチル安息香酸アミド) 34.3 mgを収率80%で得た。この化合物の1H-NMRを測定したところ標品と完全に一致した。
実施例9で得られた化合物を用いた、N,N-ジベンジルアミンおよびトリベンジルアミン混合物からの各アミンの分離
N,N-ジベンジルアミン(7.56 mg、38.3μmol)、トリベンジルアミン(11.01 mg、38.3μmol)、実施例9で得られた化合物(100 mg、0.383 mmol)および炭酸ナトリウム(40.6 mg、0.383 mmol)を用いたほかは、試験例9と同様にして、N,N-ジベンジルアミン(1.21 mg)を含むトリベンジルアミン(11.61 mg)を収率105%で単離した。
なお、ここで得られたトリベンジルアミンの純度をNMRで測定したところ純度90%であった。
実施例9で得られた化合物を用いた、N,N-ジメチルドデシルアミンおよびトリヘキシルアミン混合物からの各アミンの分離
N,N-ジメチルドデシルアミン(8.02 mg、37.6μmol)およびトリヘキシルアミン(10.1 mg、37.6μmol)の塩化メチレン-2-プロパノール(8:2、1 ml)混合溶液中に、実施例9で得られた化合物(100 mg、0.38 mmol)および炭酸ナトリウム(39.8 mg、0.38 mmol)を加え室温で3時間静置した。この混合物を吸引濾過に付し、得られたろ取物を塩化メチレン−2-プロパノール(8:2)混液および2-プロパノールで交互に3回ずつ洗浄した。合わせたろ液と洗液に炭酸ナトリウム(19.9 mg、0.19 mmol)を加え、10分間撹拌し、ろ過し、残渣をジエチルエーテルで洗浄し、ろ液を減圧濃縮し、減圧乾燥してトリヘキシルアミン(9.37 mg)を93%の収率で単離した。
なお、ここで得られたトリヘキシルアミンおよびN,N-ジメチルドデシルアミンの純度をNMRで測定したところそれぞれ純度100%であった。
Claims (11)
- 次の、式(I):
[式中、R1は(ポリ)エチレングリコール残基を表し、X1およびX2はそれぞれ独立してハロゲン原子またはトリアルキル置換アミノ基(ここで、その2つのアルキル基は、それらが結合するアミノ基と共に、窒素原子または酸素原子を介するか、介さずに環構造を形成していてもよい)を表し、n1は1〜10000の整数を表す]、
式(II):
[式中、R1、X1、X2およびn1は式(I)の化合物で定義したとおりであり、R2はアルキレン残基を表し、n2は1〜10000の整数を表す]、
式(III):
[式中、R1、X1、X2およびn1は式(I)の化合物で定義したとおりであり、R2は式(II)の化合物で定義したとおりであり、n3は1〜10000の整数を表す]
または、式(IV):
[式中、R1、X1、X2およびn1は式(I)の化合物で定義したとおりであり、R2およびn2は式(II)の化合物で定義したとおりであり、n3は式(III)の化合物で定義したとおりであり、n4は1〜10000の整数を表す]
で表される、固体のハロゲン化シアヌル誘導体。 - 請求項1に記載の式(I)、式(II)、式(III)および式(IV)中のR1の(ポリ)エチレングリコール残基が、ジエチレングリコール、トリエチレングリコール、テトラエチレングリコール、ペンタエチレングリコールまたはヘキサエチレングリコールの何れかであることを特徴とする、請求項1に記載の固体のハロゲン化シアヌル誘導体。
- 請求項1に記載の式(II)、式(III)および式(IV)中のR2のアルキレン残基がエチレン、プロピレンまたはブチレンの何れかであることを特徴とする、請求項1に記載の固体のハロゲン化シアヌル誘導体。
- トリアルキル置換アミノ基が、N−メチルモルホリニオ基である請求項1〜3のいずれか一つに記載の固体のハロゲン化シアヌル誘導体。
- X1およびX2がハロゲン原子である請求項5に記載の式(I)の化合物に、アルキレンジアミンまたはトリス(アミノアルキル)アミンを別々にまたは一緒に反応させて、式(II):
[式中、R1、R2、X1、X2、n1およびn2は上記で定義したとおりである]
式(III):
[式中、R1、R2、X1、X2、n1、n2およびn3は上記で定義したとおりである]
または、式(IV):
[式中、R1、R2、X1、X2、n1、n2、n3およびn4は上記で定義したとおりである]
で表されるハロゲン化シアヌル誘導体を得、これらの式(II)、式(III)および式(IV)の化合物において、X1とX2の何れか一つまたは両方がトリアルキル置換アミノ基である化合物が所望されるときには、さらにトリアルキル置換アミンを反応させることを特徴とする、請求項1に記載の固体のハロゲン化シアヌル誘導体の製造方法。 - トリアルキル置換アミンがN−メチルモルホリンである、請求項5または6に記載の固体のハロゲン化シアヌル誘導体の製造方法。
- ハロゲン化シアヌルに、(ポリ)エチレングリコールを反応させて式(I)の化合物を得る反応が、溶液反応である、請求項5に記載の製造方法。
- 固体のハロゲン化シアヌル誘導体の製造に用いられる溶媒が、エーテル系溶媒から選択される請求項5または6に記載の製造方法。
- エーテル系溶媒が、テトラヒドロフランまたはジエチレングリコールジメチルエーテルである請求項9に記載の製造方法。
- 縮合剤としての請求項1〜4の何れか一つに記載の化合物の使用。
Priority Applications (1)
| Application Number | Priority Date | Filing Date | Title |
|---|---|---|---|
| JP2005025429A JP4734587B2 (ja) | 2004-02-09 | 2005-02-01 | ハロゲン化シアヌル誘導体、その製造法およびその使用 |
Applications Claiming Priority (3)
| Application Number | Priority Date | Filing Date | Title |
|---|---|---|---|
| JP2004032253 | 2004-02-09 | ||
| JP2004032253 | 2004-02-09 | ||
| JP2005025429A JP4734587B2 (ja) | 2004-02-09 | 2005-02-01 | ハロゲン化シアヌル誘導体、その製造法およびその使用 |
Publications (2)
| Publication Number | Publication Date |
|---|---|
| JP2005255672A true JP2005255672A (ja) | 2005-09-22 |
| JP4734587B2 JP4734587B2 (ja) | 2011-07-27 |
Family
ID=35081752
Family Applications (1)
| Application Number | Title | Priority Date | Filing Date |
|---|---|---|---|
| JP2005025429A Expired - Fee Related JP4734587B2 (ja) | 2004-02-09 | 2005-02-01 | ハロゲン化シアヌル誘導体、その製造法およびその使用 |
Country Status (1)
| Country | Link |
|---|---|
| JP (1) | JP4734587B2 (ja) |
Cited By (1)
| Publication number | Priority date | Publication date | Assignee | Title |
|---|---|---|---|---|
| WO2014045921A1 (ja) * | 2012-09-19 | 2014-03-27 | 住友精化株式会社 | ポリロタキサンの製造方法 |
Citations (2)
| Publication number | Priority date | Publication date | Assignee | Title |
|---|---|---|---|---|
| US3454551A (en) * | 1963-06-05 | 1969-07-08 | Acna | Triazine containing azo dyestuffs |
| JPS5627135A (en) * | 1979-08-14 | 1981-03-16 | Konishiroku Photo Ind Co Ltd | Gelatin hardening method |
-
2005
- 2005-02-01 JP JP2005025429A patent/JP4734587B2/ja not_active Expired - Fee Related
Patent Citations (2)
| Publication number | Priority date | Publication date | Assignee | Title |
|---|---|---|---|---|
| US3454551A (en) * | 1963-06-05 | 1969-07-08 | Acna | Triazine containing azo dyestuffs |
| JPS5627135A (en) * | 1979-08-14 | 1981-03-16 | Konishiroku Photo Ind Co Ltd | Gelatin hardening method |
Cited By (6)
| Publication number | Priority date | Publication date | Assignee | Title |
|---|---|---|---|---|
| WO2014045921A1 (ja) * | 2012-09-19 | 2014-03-27 | 住友精化株式会社 | ポリロタキサンの製造方法 |
| JP5604610B2 (ja) * | 2012-09-19 | 2014-10-08 | 住友精化株式会社 | ポリロタキサンの製造方法 |
| KR20150058290A (ko) * | 2012-09-19 | 2015-05-28 | 스미또모 세이까 가부시키가이샤 | 폴리로탁산의 제조 방법 |
| US9487630B2 (en) | 2012-09-19 | 2016-11-08 | Sumitomo Seika Chemicals Co., Ltd. | Method for manufacturing polyrotaxane |
| CN104662066B (zh) * | 2012-09-19 | 2018-05-18 | 住友精化株式会社 | 聚轮烷的制造方法 |
| KR102049137B1 (ko) | 2012-09-19 | 2020-01-08 | 스미또모 세이까 가부시키가이샤 | 폴리로탁산의 제조 방법 |
Also Published As
| Publication number | Publication date |
|---|---|
| JP4734587B2 (ja) | 2011-07-27 |
Similar Documents
| Publication | Publication Date | Title |
|---|---|---|
| JP4115569B2 (ja) | 1,3,4,6−テトラアリルグリコールウリル化合物および該化合物の合成方法 | |
| JP4734587B2 (ja) | ハロゲン化シアヌル誘導体、その製造法およびその使用 | |
| WO2016108712A1 (ru) | Способ синтеза n,n-дизамещенных аминометилстиролов или альфа-аминометилстиролов | |
| JP2002020374A (ja) | トリアジン化合物の製造方法 | |
| JP5544892B2 (ja) | 2−シアノ−1,3−ジケトネート塩の製造法及びイオン液体 | |
| JPH11180974A (ja) | ビニレンカーボネートの製造方法 | |
| EP0370357B1 (en) | Process for producing 3-iminonitriles | |
| JP4604050B2 (ja) | 立体障害第二級アミノエーテルアルコールの合成 | |
| JPWO2006048935A1 (ja) | 2,2’−ビス(トリフルオロメチル)−4,4’−ジアミノビフェニルの製造方法 | |
| JP2007238472A (ja) | モノグリシジルイソシアヌル酸化合物 | |
| RU2732296C2 (ru) | Способ получения третичных аминов, содержащих этенилбензильные заместители | |
| US7566806B2 (en) | Alkylamino group-terminated fluoroether and process for producing the same | |
| KR100806326B1 (ko) | 시아노벤질아민 염의 제조방법 | |
| JP3567247B2 (ja) | アルキルモノアザチアクラウンエーテル及びアルキルモノアザオリゴチオエチレングリコール | |
| JPS6232188B2 (ja) | ||
| JP6920916B2 (ja) | 2−ナフタレンカルボン酸アミド化合物およびその製造方法 | |
| RU2120937C1 (ru) | Способ получения 1,2-бис(2-аминоэтокси)бензола | |
| KR100454090B1 (ko) | 3-클로로-2-(4-클로로-2-플루오로-5-히드록시페닐)-4,5,6,7-테트라히드로-2h-인다졸의 제조방법 | |
| JP2018145113A (ja) | トリアリールアミン類の製造方法 | |
| WO2017044043A1 (en) | Process for direct amidation of amines via rh(i)-catalyzed addition of boroxines | |
| JPH0253749A (ja) | カリックスアレーン誘導体の製造方法 | |
| JPH0138786B2 (ja) | ||
| JP2928856B2 (ja) | ビス(4―アリルオキシ―3,5―ジブロモフェニル)スルホンの製造を行う方法 | |
| JP2003119185A (ja) | N−メチルピペラジントルイル酸誘導体の製造方法 | |
| US20030060637A1 (en) | Cyclic aniline sulfide and process for preparing the same |
Legal Events
| Date | Code | Title | Description |
|---|---|---|---|
| A621 | Written request for application examination |
Free format text: JAPANESE INTERMEDIATE CODE: A621 Effective date: 20080125 |
|
| A521 | Request for written amendment filed |
Free format text: JAPANESE INTERMEDIATE CODE: A523 Effective date: 20080131 |
|
| A977 | Report on retrieval |
Free format text: JAPANESE INTERMEDIATE CODE: A971007 Effective date: 20100901 |
|
| A131 | Notification of reasons for refusal |
Free format text: JAPANESE INTERMEDIATE CODE: A131 Effective date: 20100914 |
|
| A521 | Request for written amendment filed |
Free format text: JAPANESE INTERMEDIATE CODE: A523 Effective date: 20101110 |
|
| A131 | Notification of reasons for refusal |
Free format text: JAPANESE INTERMEDIATE CODE: A131 Effective date: 20110105 |
|
| A521 | Request for written amendment filed |
Free format text: JAPANESE INTERMEDIATE CODE: A523 Effective date: 20110217 |
|
| TRDD | Decision of grant or rejection written | ||
| A01 | Written decision to grant a patent or to grant a registration (utility model) |
Free format text: JAPANESE INTERMEDIATE CODE: A01 Effective date: 20110308 |
|
| A61 | First payment of annual fees (during grant procedure) |
Free format text: JAPANESE INTERMEDIATE CODE: A61 Effective date: 20110404 |
|
| R150 | Certificate of patent or registration of utility model |
Ref document number: 4734587 Country of ref document: JP Free format text: JAPANESE INTERMEDIATE CODE: R150 Free format text: JAPANESE INTERMEDIATE CODE: R150 |
|
| FPAY | Renewal fee payment (event date is renewal date of database) |
Free format text: PAYMENT UNTIL: 20140513 Year of fee payment: 3 |
|
| S111 | Request for change of ownership or part of ownership |
Free format text: JAPANESE INTERMEDIATE CODE: R313113 |
|
| R350 | Written notification of registration of transfer |
Free format text: JAPANESE INTERMEDIATE CODE: R350 |
|
| R250 | Receipt of annual fees |
Free format text: JAPANESE INTERMEDIATE CODE: R250 |
|
| R250 | Receipt of annual fees |
Free format text: JAPANESE INTERMEDIATE CODE: R250 |
|
| R250 | Receipt of annual fees |
Free format text: JAPANESE INTERMEDIATE CODE: R250 |
|
| R250 | Receipt of annual fees |
Free format text: JAPANESE INTERMEDIATE CODE: R250 |
|
| R250 | Receipt of annual fees |
Free format text: JAPANESE INTERMEDIATE CODE: R250 |
|
| R250 | Receipt of annual fees |
Free format text: JAPANESE INTERMEDIATE CODE: R250 |
|
| R250 | Receipt of annual fees |
Free format text: JAPANESE INTERMEDIATE CODE: R250 |
|
| R250 | Receipt of annual fees |
Free format text: JAPANESE INTERMEDIATE CODE: R250 |
|
| R250 | Receipt of annual fees |
Free format text: JAPANESE INTERMEDIATE CODE: R250 |
|
| LAPS | Cancellation because of no payment of annual fees |
