DE69918013T2 - Verfahren zur herstellung von copolymeren aus ethylen und alpha-olefinen - Google Patents

Verfahren zur herstellung von copolymeren aus ethylen und alpha-olefinen Download PDF

Info

Publication number
DE69918013T2
DE69918013T2 DE69918013T DE69918013T DE69918013T2 DE 69918013 T2 DE69918013 T2 DE 69918013T2 DE 69918013 T DE69918013 T DE 69918013T DE 69918013 T DE69918013 T DE 69918013T DE 69918013 T2 DE69918013 T2 DE 69918013T2
Authority
DE
Germany
Prior art keywords
formula
alkyl
atoms
substituents
aryl
Prior art date
Legal status (The legal status is an assumption and is not a legal conclusion. Google has not performed a legal analysis and makes no representation as to the accuracy of the status listed.)
Expired - Fee Related
Application number
DE69918013T
Other languages
English (en)
Other versions
DE69918013D1 (de
Inventor
Tiziano Dall'occo
Luigi Resconi
Current Assignee (The listed assignees may be inaccurate. Google has not performed a legal analysis and makes no representation or warranty as to the accuracy of the list.)
Basell Polyolefine GmbH
Original Assignee
Basell Polyolefine GmbH
Priority date (The priority date is an assumption and is not a legal conclusion. Google has not performed a legal analysis and makes no representation as to the accuracy of the date listed.)
Filing date
Publication date
Application filed by Basell Polyolefine GmbH filed Critical Basell Polyolefine GmbH
Publication of DE69918013D1 publication Critical patent/DE69918013D1/de
Application granted granted Critical
Publication of DE69918013T2 publication Critical patent/DE69918013T2/de
Anticipated expiration legal-status Critical
Expired - Fee Related legal-status Critical Current

Links

Classifications

    • CCHEMISTRY; METALLURGY
    • C08ORGANIC MACROMOLECULAR COMPOUNDS; THEIR PREPARATION OR CHEMICAL WORKING-UP; COMPOSITIONS BASED THEREON
    • C08FMACROMOLECULAR COMPOUNDS OBTAINED BY REACTIONS ONLY INVOLVING CARBON-TO-CARBON UNSATURATED BONDS
    • C08F10/00Homopolymers and copolymers of unsaturated aliphatic hydrocarbons having only one carbon-to-carbon double bond
    • C08F10/02Ethene
    • CCHEMISTRY; METALLURGY
    • C08ORGANIC MACROMOLECULAR COMPOUNDS; THEIR PREPARATION OR CHEMICAL WORKING-UP; COMPOSITIONS BASED THEREON
    • C08FMACROMOLECULAR COMPOUNDS OBTAINED BY REACTIONS ONLY INVOLVING CARBON-TO-CARBON UNSATURATED BONDS
    • C08F210/00Copolymers of unsaturated aliphatic hydrocarbons having only one carbon-to-carbon double bond
    • C08F210/16Copolymers of ethene with alpha-alkenes, e.g. EP rubbers
    • CCHEMISTRY; METALLURGY
    • C08ORGANIC MACROMOLECULAR COMPOUNDS; THEIR PREPARATION OR CHEMICAL WORKING-UP; COMPOSITIONS BASED THEREON
    • C08FMACROMOLECULAR COMPOUNDS OBTAINED BY REACTIONS ONLY INVOLVING CARBON-TO-CARBON UNSATURATED BONDS
    • C08F4/00Polymerisation catalysts
    • C08F4/42Metals; Metal hydrides; Metallo-organic compounds; Use thereof as catalyst precursors
    • C08F4/44Metals; Metal hydrides; Metallo-organic compounds; Use thereof as catalyst precursors selected from light metals, zinc, cadmium, mercury, copper, silver, gold, boron, gallium, indium, thallium, rare earths or actinides
    • C08F4/60Metals; Metal hydrides; Metallo-organic compounds; Use thereof as catalyst precursors selected from light metals, zinc, cadmium, mercury, copper, silver, gold, boron, gallium, indium, thallium, rare earths or actinides together with refractory metals, iron group metals, platinum group metals, manganese, rhenium technetium or compounds thereof
    • C08F4/62Refractory metals or compounds thereof
    • C08F4/64Titanium, zirconium, hafnium or compounds thereof
    • C08F4/659Component covered by group C08F4/64 containing a transition metal-carbon bond
    • C08F4/65912Component covered by group C08F4/64 containing a transition metal-carbon bond in combination with an organoaluminium compound

Landscapes

  • Chemical & Material Sciences (AREA)
  • Health & Medical Sciences (AREA)
  • Chemical Kinetics & Catalysis (AREA)
  • Medicinal Chemistry (AREA)
  • Polymers & Plastics (AREA)
  • Organic Chemistry (AREA)
  • Transition And Organic Metals Composition Catalysts For Addition Polymerization (AREA)

Description

  • Die vorliegende Erfindung betrifft ein Verfahren zur Herstellung von Copolymeren von Ethylen mit alpha-Olefinen.
  • Metallocenverbindungen mit zwei verbrückten Cyclopentadienylgruppen sind als Katalysatorkomponenten für die Homo- und Copolymerisationsreaktion von Olefinen bekannt.
  • So wird beispielsweise in der US-PS 5,001,205 die Herstellung von Copolymeren von Ethylen mit alpha-Olefinen in Gegenwart eines katalytischen Systems, das eine Biscyclopentadienylverbindung von Zr, Ti und Hf und Methylalumoxan (MAO) als Cokatalysator enthält, beschrieben. Von den Ausführungsbeispielen wird die Copolymerisation von Ethylen mit Propylen in Gegenwart von verbrücktem oder unverbrücktem (Tetrahydroindenyl)zirconiumdichlorid beschrieben.
  • Die Homogenität der alpha-Olefinverteilung in der Kette ist zwar gegenüber aus herkömmlichen Katalysatoren vom Ziegler-Natta-Typ auf Titan- oder Vanadiumbasis erhaltenen Copolymeren verbessert, jedoch immer noch nicht zufriedenstellend, so daß eine weitere Verbesserung höchst wünschenswert ist.
  • Metallocenverbindungen mit zwei Cyclopentadienylgruppierungen, die über ein einziges Atom verbrückt sind, sind ebenfalls bekannt.
  • So wird beispielsweise in der PCT-Anmeldung WO 96/22995 eine Klasse von über ein einziges Kohlenstoffatom verbrückten Metallocenen und deren Verwendung in Katalysatoren für die Polymerisation von Olefinen, insbesondere von Propylen, beschrieben. Bei der Klasse von Metallocenverbindungen, die zur Verwendung bei Propylenpolymerisationen besonders gut geeignet sein soll, handelt es sich um diejenige der über ein einziges Kohlenstoffatom verbrückten Bisindenyle, bei denen die Indenylgruppierungen in 3-Stellung mit Kohlenstoff-, Silicium- oder Germaniumatomen mit drei Kohlenwasserstoffsubstituenten substituiert sind. Es werden aber weder Beispiele für Copolymerisationen von Ethylen mit einem alpha-Olefin noch irgendwelche Informationen über die Eigenschaften der erhältlichen Ethylen-Copolymere angegeben. Insbesondere finden sich keine Angaben über die Comonomerverteilung entlang der Polymerkette.
  • Wünschenswert wäre die Wahl von Katalysatoren, mit denen Ethylen-Copolymere mit verbesserter Homogenität der Verteilung der Comonomereinheiten entlang der Polymerkette erhältlich sind. Es wurde nun unerwarteterweise gefunden, daß man auf Ethylen basierende Copolymere mit hohem Molekulargewicht und extrem homogener Verteilung der Comonomereinheiten in der Polymerkette bei Temperaturen von technischem Interesse herstellen kann, indem man die Polymerisationsreaktion von Ethylen in Gegenwart von Metallocenkatalysatoren durchführt, die spezielle einatomig verbrückte Bisindenylverbindungen enthalten, die in der 3-Stellung der Indenylgruppe substituiert sind.
  • Gegenstand der vorliegenden Erfindung ist daher nach einer ersten Ausgestaltung ein Verfahren zur Herstellung von Ethylen-Copolymeren mit mehr als 50 Mol-% von Ethylen abgeleiteten Einheiten, bei dem man Ethylen in Gegenwart eines Katalysators, der durch Inberührungbringen
    • (A) einer Metallocenverbindung der Formel (I):
      Figure 00020001
      worin die Substituenten R1 für Wasserstoffatome oder C1-C20-Alkylgruppen stehen, die Substituenten R2 für CHR10R11-, SiR12R13R14- oder GeR15R16R17-Gruppen stehen, wobei R10, R11, R12 und R15 für Wasserstoffatome, C1-C20-Alkyl-, C3-C20-Cycloalkyl-, C2-C20-Alkenyl-, C6-C20-Aryl-, C7-C20-Alkylaryl- oder C7-C20-Arylalkylreste, die gegebenenfalls Silicium- oder Germaniumatome enthalten, stehen, R13, R14, R16 und R17 für C1-C20-Alkyl-, C3-C20-Cycloalkyl-, C2-C20-Alkenyl-, C6-C20-Aryl-, C7-C20-Alkylaryl- oder C7-C20-Arylalkylreste, die gegebenenfalls Silicium- oder Germaniumatome enthalten, stehen, R3 und R4 gleich oder verschieden sind und für Wasserstoffatome oder -CHR5R6-Gruppen stehen, R3 und R4 einen gegebenenfalls Heteroatome enthaltenden Ring mit 3 bis 8 Kohlenstoffatomen bilden können, R5 und R6 gleich oder verschieden sind und für Wasserstoffatome, C1-C20-Alkyl-, C3-C20-Cycloalkyl-, C2-C20-Alkenyl-, C6-C20-Aryl-, C7-C20-Alkylaryl- oder C7-C20-Arylalkylreste, die einen gegebenenfalls Heteroatome enthaltenden Ring mit 3 bis 8 Kohlenstoffatomen bilden können, stehen, die Substituenten R7 gleich oder verschieden sind und für C1-C20-Alkyl-, C3-C20-Cycloalkyl-C2-C20-Alkenyl-, C6-C20-Aryl-, C7-C20-Alkylaryl- oder C7-C20-Arylalkylreste, die gegebenenfalls Silicium- oder Germaniumatome enthalten, stehen und zwei benachbarte Substituenten R7 einen Ring mit 5 bis 8 Kohlenstoffatomen bilden können, wobei n für eine ganze Zahl von 0 bis 4 steht, M für ein Übergangsmetall aus der Gruppe 3, 4, 5 oder 6 oder der Lanthaniden- oder Actinidengruppe des Periodensystems der Elemente (neue IUPAC-Version) steht, X gleich oder verschieden ist und für einen monoanionischen Liganden, wie ein Wasserstoffatom, ein Halogenatom oder eine R8-, -OR8-, -OSO2CF3-, -OCOR8-, -SR8-, -NR8 2- oder -PR8 2-Gruppe, worin die Substituenten R8 für einen C1-C20-Alkyl-, C3-C20-Cycloalkyl-, C2-C20-Alkenyl-, C6-C20-Aryl-, C7-C20-Alkylaryl- oder C7-C20-Arylalkylrest, der gegebenenfalls Silicium- oder Germaniumatome enthält, stehen, steht, p für eine ganze Zahl von 0 bis 3 steht, die gleich der Oxidationsstufe des Metalls M minus zwei ist; mit
    • (B) einem Alumoxan und/oder einer zur Bildung eines Alkylmetallocenkations befähigten Verbindung erhältlich ist, mit mindestens einem unter alpha-Olefinen, Cycloolefinen und Polyenen ausgewählten Comonomer polymerisiert.
  • Das Übergangsmetall M wird vorzugsweise unter Titan, Zirconium und Hafnium ausgewählt.
  • Die Substituenten X stehen vorzugsweise für Chloratome oder Methylgruppen.
  • Der Substituent R1 steht vorzugsweise für ein Wasserstoffatom.
  • Als Beispiele für Metallocenverbindungen, die zur Verwendung bei dem erfindungsgemäßen Verfahren geeignet sind, seien genannt:
    Methylenbis(3-methylindenyl)zirconiumdichlorid und -dimethyl;
    Isopropylidenbis(3-methylindenyl)zirconiumdichlorid und -dimethyl;
    Methylenbis(3-ethylindenyl)zirconiumdichlorid und -dimethyl;
    Isopropylidenbis(3-ethylindenyl)zirconiumdichlorid und -dimethyl;
    Methylenbis(3-dimethylsilylindenyl)zirconiumdichlorid und -dimethyl;
    Isopropylidenbis(3-dimethylsilylindenyl)zirconiumdichlorid und -dimethyl;
    Methylenbis(3-dimethylgermylindenyl)zirconiumdichlorid und -dimethyl;
    Isopropylidenbis(3-dimethylgermylindenyl)zirconiumdichlorid und -dimethyl;
    Methylenbis(3-trimethylsilylindenyl)zirconiumdichlorid und -dimethyl;
    Isopropylidenbis(3-trimethylsilylindenyl)zirconiumdichlorid und -dimethyl;
    Methylenbis(3-triethylsilylindenyl)zirconiumdichlorid und -dimethyl;
    Isopropylidenbis(3-triethylsilylindenyl)zirconiumdichlorid und -dimethyl;
    Methylenbis(3-trimethylgermylindenyl)zirconiumdichlorid und -dimethyl;
    Isopropylidenbis(3-trimethylgermylindenyl)zirconiumdichlorid und -dimethyl;
    Methylenbis(3-diphenylsilylindenyl)zirconiumdichlorid und -dimethyl;
    Isopropylidenbis(3-diphenylsilylindenyl)zirconiumdichlorid und -dimethyl;
    Methylenbis(3-diethylsilylindenyl)zirconiumdichlorid und -dimethyl;
    Isopropylidenbis(3-diethylsilylindenyl)zirconiumdichlorid und -dimethyl;
    Methylenbis(2-methyl-3-trimethylsilylindenyl)zirconiumdichlorid und -dimethyl;
    Isopropylidenbis(2-methyl-3-trimethylsilylindenyl)zirconiumdichlorid und -dimethyl;
    Methylenbis(2-methyl-3-diethylsilylindenyl)zirconiumdichlorid und -dimethyl;
    Isopropylidenbis(2-methyl-3-diethylsilylindenyl)zirconiumdichlorid und -dimethyl;
    Methylenbis(3-benzylsilylindenyl)zirconiumdichlorid und -dimethyl;
    Isopropylidenbis(3-benzylsilylindenyl)zirconiumdichlorid und -dimethyl;
    Methylenbis(3-cyclopentylsilylindenyl)zirconiumdichlorid und -dimethyl;
    Isopropylidenbis(3-cyclopentylsilylindenyl)zirconiumdichlorid und -dimethyl;
    Methylenbis(2-ethyl-3-diethylsilylindenyl)zirconiumdichlorid und -dimethyl;
    Isopropylidenbis(2-ethyl-3-diethylsilylindenyl)zirconiumdichlorid und -dimethyl.
  • In den Metallocenverbindungen der Formel (I), in der R2 für eine CHR10R11-Gruppe steht, steht R10 vorzugsweise nicht für ein Wasserstoffatom. Besonders bevorzugt stehen weder R10 noch R11 für ein Wasserstoffatom.
  • Für die Verwendung bei dem erfindungsgemäßen Verfahren sind diejenigen Metallocene der Formel (I) besonders interessant, in denen R1 für ein Wasserstoffatom und R2 für eine CHR10R11-Gruppe steht.
  • Beispiele, die zu dieser Klasse gehören, sind u.a.:
    Methylenbis(3-isopropylindenyl)zirconiumdichlorid und -dimethyl;
    Isopropylidenbis(3-isopropylindenyl)zirconiumdichlorid und -dimethyl;
    Methylenbis(3-isobutylindenyl)zirconiumdichlorid und -dimethyl;
    Isopropylidenbis(3-isobutylindenyl)zirconiumdichlorid und -dimethyl;
    Methylenbis(3-isopentylindenyl)zirconiumdichlorid und -dimethyl;
    Isopropylidenbis(3-isopentylindenyl)zirconiumdichlorid und -dimethyl;
    Methylenbis(3-diphenylmethylindenyl)zirconiumdichlorid und -dimethyl;
    Isopropylidenbis(3-diphenylmethylindenyl)zirconiumdichlorid und -dimethyl;
    Methylenbis(3-biscyclohexylmethylindenyl)zirconiumdichlorid und -dimethyl;
    Isopropylidenbis(3-biscyclohexylmethylindenyl)zirconiumdichlorid und -dimethyl.
  • Ganz besonders bevorzugt handelt es sich bei den Metallocenverbindungen der Formel (I) um Methylenbis(3-isopropylindenyl)zirconiumdichlorid und Isopropylidenbis(3-isopropylindenyl)zirconiumdichlorid.
  • Die Metallocenverbindungen der Formel (I) können durch Umsetzen der entsprechenden Indenylliganden mit einer zur Bildung eines delokalisierten Anions am Cyclopentadienylring befähigten Verbindung und mit einer Verbindung der Formel MXp+2, worin M, X und p die oben angegebene Bedeutung besitzen, hergestellt werden.
  • Die Liganden der Formel (I) können nach verschiedenen Verfahren hergestellt werden. Ein besonders gut geeignetes Verfahren zur Herstellung der Liganden der Formel (I), worin R3 und R4 für Wasserstoffatome stehen, wird in der eigenen europäischen Patentanmeldung 97200933.6 beschrieben. Ein besonders gut geeignetes Verfahren zur Herstellung der Liganden der Formel (I), worin die Substituenten R3 und R4 nicht für Wasserstoffatome stehen, wird in der EP-A 0 722 949 beschrieben.
  • In dem Fall, daß mindestens ein Substituent X in der herzustellenden Metallocenverbindung der Formel (I) nicht für Halogen steht, muß man mindestens einen Substituenten X in dem erhaltenen Metallocen durch mindestens einen Substituenten X, bei dem es sich nicht um ein Halogen handelt, substituieren. Die Reaktion zur Substitution von Substituenten X durch Substituenten X, bei denen es sich nicht um Halogen handelt, wird nach allgemein angewandten Verfahren durchgeführt. So kann man beispielsweise dann, wenn es sich bei den gewünschten Substituenten X um Alkylgruppen handelt, die Metallocene mit Alkylmagnesiumhalogeniden (Grignard-Reagentien) oder mit Alkyllithiumverbindungen zur Reaktion bringen.
  • In dem bei dem erfindungsgemäßen Verfahren verwendeten Katalysator können sowohl die Metallocenverbindungen der Formel (I) als auch das Alumoxan als Produkte der Umsetzung mit einer metallorganischen Aluminiumverbindung der Formel AlR9 3 oder Al2R9 6, worin die Substituenten R9 gleich oder voneinander verschieden sind und die gleiche Bedeutung wie die Substituenten R besitzen oder für Halogenatome stehen, vorliegen. Die bei dem erfindungsgemäßen Verfahren verwendeten Alumoxane sind durch Inberührungbringen von Wasser mit einer metallorganischen Aluminiumverbindung der Formel AlR9 3 oder Al2R9 6, worin die Substituenten R9 gleich oder voneinander verschieden sind und die gleiche Bedeutung wie oben besitzen, mit der Maßgabe, daß mindestens ein Substituent R9 nicht für Halogen steht, erhältlich. Das Molverhältnis zwischen dem Aluminium und dem Wasser liegt im Bereich von 1:1 bis 100:1.
  • Als Beispiele für Aluminiumverbindungen der Formel AlR9 3 oder Al2R9 6 seien genannt:
    Al(Me)3, Al(Et)3, AlH(Et)2, Al(iBu)2, AlH(iBu)2, Al(iHex)3, Al(iOct)3, AlH(iOct)2, Al(C6H5)3, Al(CH2C6H5)3, Al(CH2CMe3)3, Al(CH2SiMe3)3, Al(Me)2iBu, Al(Me)2Et, AlMe(Et)2, AlMe(iBu)2, Al(CH2-CH(Me)CH(Me)2)3, Al(Me)2iBu, Al(Me)2Cl, Al(Et)2Cl, AlEtCl2 und Al2(Et)3Cl3, worin Me = Methyl, Et = Ethyl, iBu = Isobutyl, iHex = Isohexyl, iOct = 2,4,4-Trimethylpentyl.
  • Unter den obigen Aluminiumverbindungen sind Trimethylaluminium (TMA), Triisobutylaluminium (TIBAL) und Tris(2,4,4-trimethylpentyl)pentyl)aluminium (TIOA) bevorzugt.
  • Die in dem erfindungsgemäßen Katalysator verwendeten Alumoxane werden als lineare, verzweigte oder cyclische Verbindungen erachtet, die mindestens eine Gruppe des folgenden Typs enthalten:
    Figure 00060001
    worin die Substituenten R18 gleich oder verschieden sind und für gegebenenfalls Wasserstoffatome, Silicium- oder Germaniumatome enthaltende C1-C20-Alkyl-, C3-C20-Cycloalkyl-, C2-C20-Alkenyl-, C6-C20-Aryl-, C7-C20-Alkylaryl- oder C7-C20-Arylalkylreste oder eine -O-Al(R18)2-Gruppe stehen und gegebenenfalls einige Substituenten R18 für Halogenatome stehen können.
  • Insbesondere kann man im Fall von linearen Verbindungen Alumoxane der Formel:
    Figure 00070001
    worin n für 0 oder eine ganze Zahl von 1 bis 40 steht und die Substituenten R18 die oben angegebene Bedeutung besitzen, oder im Fall von cyclischen Verbindungen Alumoxane der Formel:
    Figure 00070002
    worin n für eine ganze Zahl von 2 bis 40 steht und die Substituenten R18 die oben angegebene Bedeutung besitzen, verwenden.
  • Die Substituenten R18 stehen vorzugsweise für Ethyl-, Isobutyl- oder 2,4,4-Trimethylpentylgruppen.
  • Als Beispiele für Alumoxane, die zur erfindungsgemäßen Verwendung geeignet sind, seien Methylalumoxan (MAO), Isobutylalumoxan (TIBAO), 2,4,4-Trimethylpentylalumoxan (TIOAO) und 2,3-Dimethylbutylalumoxan genannt.
  • Das Molverhältnis zwischen dem Aluminium und dem Metall der Metallocenverbindung liegt im allgemeinen zwischen 10:1 und 20 000:1 und vorzugsweise zwischen 100:1 und 5000:1.
  • Beispiele für zur Bildung eines Alkylmetallocenkations befähigte Verbindungen sind u.a. Verbindungen der Formel Y+Z, worin Y+ für eine zur Abgabe eines Protons und zur irreversiblen Reaktion mit einem Substituenten X der Verbindung der Formel (I) befähigte Brönsted-Säure steht und Z für ein kompatibles nichtkoordinierendes Anion, das die bei der Reaktion der beiden Verbindungen entstehende aktive katalytische Spezies stabilisieren kann, und so labil ist, daß es durch ein Olefinsubstrat verdrängt werden kann, steht. Vorzugsweise besteht das Anion Z aus einem oder mehreren Boratomen.
  • Besonders bevorzugt handelt es sich bei dem Anion Z um ein Anion der Formel BAr4 (–), worin die Substituenten Ar gleich oder verschieden sein können und für Arylreste, wie Phenyl, Pentafluorphenyl, oder Bis(trifluormethyl)phenyl, stehen. Tetrakispentafluorphenylborat ist besonders bevorzugt. Außerdem können zweckmäßigerweise Verbindungen der Formel BAr3 verwendet werden. Verbindungen dieser Art werden beispielsweise in der veröffentlichten internationalen Patentanmeldung WO 92/00333 beschrieben.
  • Die erfindungsgemäßen Katalysatoren können auch geträgert verwendet werden. Hierzu wird die Metallocenverbindung (A) bzw. das Produkt der Umsetzung davon mit der Komponente (B) bzw. zunächst die Komponente (B) und dann die Metallocenverbindung (A) auf Trägern, wie beispielsweise Siliciumoxid, Aluminiumoxid, Magnesiumhalogeniden, Styrol/Divinylbenzol-Copolymeren, Polyethylen oder Polypropylen, abgeschieden.
  • Eine geeignete Klasse von verwendbaren Trägern bilden poröse organische Träger, die mit aktive Wasserstoffatome enthaltenden Gruppen funktionalisiert sind. Besonders gut sind diejenigen geeignet, bei denen es sich bei dem organischen Träger um ein teilvernetztes Styrolpolymer handelt. Träger dieser Art werden in der europäischen Anmeldung EP-633 272 beschrieben.
  • Eine andere Klasse von inerten Trägern, die zur erfindungsgemäßen Verwendung besonders gut geeignet sind, bilden die porösen Olefinpräpolymere und insbesondere die porösen Propylenpräpolymere gemäß der internationalen Patentanmeldung WO 95/26369.
  • Eine weitere Klasse von inerten Trägern zur erfindungsgemäßen Verwendung bilden die porösen Magnesiumhalogenide, wie z.B. diejenigen gemäß der internationalen Patentanmeldung WO 95/32995.
  • Die so erhaltene feste Verbindung kann in Kombination mit der weiteren Zugabe der Alkylaluminiumverbindung, entweder als solche oder gegebenenfalls nach vorheriger Umsetzung mit Wasser, bei der Gasphasenpolymerisation eingesetzt werden.
  • Durch Polymerisation von Ethylen mit alpha-Olefinen in Gegenwart der obigen speziellen Metallocene kann man in hohen Ausbeuten bei Temperaturen von technischem Interesse (d.h. über 50°C) Ethylen-Copolymere mit extrem homogener Verteilung der Comonomere in der Polymerkette erhalten, d.h. die Zahl der Sequenzen aus zwei oder mehr aufeinanderfolgenden Einheiten der von dem alpha-Olefin abgeleiteten Einheiten ist sehr klein. Die Analyse der Verteilung der alpha-Olefine in den erfindungsgemäßen Copolymeren wurde mittels 13C-NMR-Spektroskopie durchgeführt. Die Zuordnungen wurden im Fall von Ethylen/1-Hexen-Copolymeren gemäß J. C. Randall, Macromol. Chem. Phys. (1989), 29, 201, vorgenommen.
  • Das erfindungsgemäße Verfahren zur Polymerisation von Olefinen kann in der Flüssigphase, gegebenenfalls in Gegenwart von inerten Kohlenwasserstofflösungsmitteln, oder in der Gasphase durchgeführt werden. Das Kohlenwasserstofflösungsmittel kann entweder aromatisch, wie Toluol, oder aliphatisch, wie Propan, Hexen, Heptan, Isobutan oder Cyclohexan, sein.
  • Die Polymerisationstemperatur liegt im allgemeinen zwischen –100°C und +100°C und insbesondere zwischen 10°C und +90°C. Der Polymerisationsdruck liegt im allgemeinen zwischen 0,5 und 100 bar.
  • Je niedriger die Polymerisationstemperatur, desto höher sind die resultierenden Molekulargewichte der erhaltenen Polymere.
  • Da die Polymerisationsausbeuten von der Reinheit der Metallocenverbindung des Katalysators abhängen, können die nach dem erfindungsgemäßen Verfahren erhaltenen Metallocenverbindungen als solche verwendet oder Reinigungsbehandlungen unterworfen werden.
  • Die Komponenten des Katalysators können schon vor der Polymerisation miteinander in Berührung gebracht werden. Die Vorkontaktkonzentrationen für die Metallocenkomponente (A) liegen im allgemeinen zwischen 10 und 10–8 mol/l und für die Komponente (B) im allgemeinen zwischen 10 und 10–8 mol/l. Die Vorkontaktierung erfolgt im allgemeinen in Gegenwart eines Kohlenwasserstofflösungsmittels und gegebenenfalls in Gegenwart von geringen Monomermengen. Bei der Vorkontaktierung kann man auch ein nichtpolymerisierbares Olefin, wie Isobuten, 2-Buten und dergleichen, verwenden.
  • Die nach dem erfindungsgemäßen Verfahren erhältlichen Copolymere enthalten mehr als 50 mol-% und vorzugsweise zwischen 80 und 99 mol-% von Ethylen abgeleitete Einheiten.
  • Der Gehalt an von alpha-Olefin abgeleiteten Einheiten liegt vorzugsweise bei bis zu weniger als 50 mol-% und besonders bevorzugt zwischen 1 und 20 mol-%.
  • Der Gehalt an von Polyen abgeleiteten Einheiten liegt vorzugsweise zwischen 0 und 4% und besonders bevorzugt zwischen 0 und 3%.
  • Beispiele für alpha-Olefine, die bei dem erfindungsgemäßen Verfahren als Comonomere verwendet werden können, sind u.a. Propylen, 1-Buten, 1-Penten, 4-Methyl-1-penten, 1-Hexen, 1-Octen, 4,6-Dimethyl-1-hepten, 1-Decen, 1-Dodecen, 1-Tetradecen, 1-Hexadecen, 1-Octadecen, 1-Eicosen und Allylcyclohexan.
  • Beispiele für cyclische Olefine, die bei dem erfindungsgemäßen Verfahren als Comonomere verwendet werden können, sind u.a. Cyclopenten, Cyclohexen und Norbornen.
  • Die erfindungsgemäßen Copolymere können auch von Polyenen abgeleitete Einheiten enthalten.
  • Die Polyene, die in den erfindungsgemäßen Copolymeren als Comonomere verwendet werden können, gehören zu den folgenden Klassen:
    • – cyclopolymerisierbare nichtkonjugierte Diolefine, wie beispielsweise 1,5-Hexadien, 1,6-Heptadien und 2-Methyl-1,5-hexadien;
    • – zur Lieferung ungesättigter monomerer Einheiten befähigte Diene, insbesondere konjugierte Diene, wie beispielsweise Butadien und Isopren, und lineare nichtkonjugierte Diene, wie beispielsweise trans-1,4-Hexadien, cis-1,4-Hexadien, 6-Methyl-1,5-heptadien, 3,7-Dimethyl-1,6-octadien und 11-Methyl-1,10-dodecadien.
  • Polyene, bei denen es sich nicht um nichtkonjugierte alpha-omega-Diolefine mit 6 oder mehr Kohlenstoffatomen handelt, werden vorzugsweise in Mengen zwischen 0 und 3 mol-% als zweites alpha-Olefin-Comonomer verwendet.
  • Eine besonders interessante Ausführungsform der vorliegenden Erfindung besteht aus Copolymeren von Ethylen mit 1-Hexen oder höheren alpha-Olefinen.
  • Die erfindungsgemäßen Copolymere sind durch eine extrem homogene Verteilung der Comonomere und genauer gesagt dadurch, daß sie eine extrem kleine Zahl von Sequenzen aus zwei oder mehr aufeinanderfolgenden alpha-Olefin-Einheiten enthalten, gekennzeichnet.
  • Die Analyse der Verteilung der Comonomereinheiten in den erfindungsgemäßen Copolymeren wurde mittels 13C-NMR-Spektroskopie durchgeführt. Die Zuordnungen wurden gemäß Randall, Macromol. Chem. Phys. 1989, 29, 201, vorgenommen. Im Fall von Ethylen/1-Hexen wird die Triadenverteilung mit Hilfe der folgenden Beziehung berechnet: HHH = Tββ EHE = Tδδ HHE = Tβδ HEH = Sββ HHE=Sβδ EEE = 0,5(Sδδ + 0,5Sγδ)worin EHE, HHE und HHH die Sequenz Ethylen/1-Hexen/Ethylen, 1-Hexen/1-Hexen/Ethylen bzw. 1-Hexen/1-Hexen/1-Hexen im Copolymer bedeuten. Für die NMR-Nomenklatur siehe H. Carmen, R. A. Harrington, C. E. Wilkes, Macromolecules, 10, 537 (1977). Die Werte sind normalisiert. Je höher die Zahl isolierter 1-Hexen-Einheiten in der Polymerkette, desto näher liegen die Werte des Verhältnisses EHE/(EHE + HHE + HHH) an eins.
  • Die Zahl der 1-Hexen-Sequenzen scheint eine Funktion der Menge der in der Kette vorliegenden 1-Hexeneinheiten zu sein.
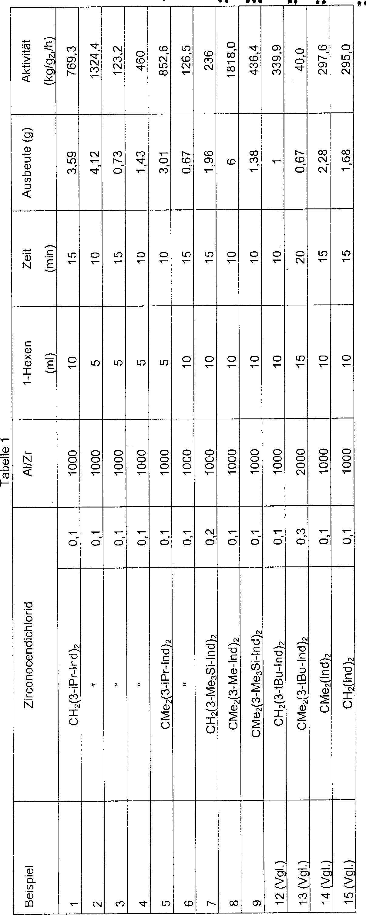
  • Die Tabellen 2 und 3 beziehen sich auf nach einem erfindungsgemäßen Verfahren erhaltene Ethylen/1-Hexen-Copolymere.
  • Insbesondere sind in Tabelle 2 die Verhältnisse EHE/(EHE + HHE + HHH) als Funktion des Molprozentanteils von 1-Hexen in der Kette für nach einem erfindungsgemäßen Verfahren in Gegenwart der oben angegebenen Metallocenverbindungen erhaltene Ethylen/1-Hexen-Copolymere angegeben. Bei gleichen Mengen von 1-Hexen-Einheiten sind die Werte für das Verhältnis EHE/(EHE + HHE + HHH) für die erfindungsgemäßen Copolymere immer höher als diejenigen für die mit in den Vergleichsbeispielen verwendeten Metallocenen erhaltenen Copolymere, was die verbesserte Verteilung von 1-Hexen-Einheiten in der Kette reflektiert.
  • In den erfindungsgemäßen Copolymeren scheint das Produkt der Reaktivitätsverhältnisse r1·r2, worin r1 für die relative Reaktivität des Comonomers gegenüber Ethylen und r2 für die relative Reaktivität von Ethylen gegenüber dem Comonomer steht, sehr klein zu sein. Insbesondere ist es im allgemeinen kleiner als 0,30, vorzugsweise kleiner als 0,20 und besonders bevorzugt kleiner als 0,15. Die Diaden wurden aus der Triadenverteilung berechnet.
  • Im Fall von Ethylen/1-Hexen wird das Produkt der Reaktivitätsverhältnisse r1·r2 gemäß J. Uozomi, K. Soga, Mak. Chemie, 193, 823, (1992), nach der folgenden Formel berechnet: r1 = 2EE/(EH)X r1·r2 = 4(EE·HH)/EH2, worinX = Monomeren-Molverhältnis [E]/[H] im Polymerisationsbad.
  • Insbesondere erfüllt das Verhältnis EHE/(EHE + HHE + HHH) die folgenden Beziehung: EHE/(EHE + HHE + HHH) ≥ 0,75vorzugsweise: EHE/(EHE + HHE + HHH) ≥ 0,85besonders bevorzugt EHE/(EHE + HHE + HHH) ≥ 0,9.
  • Die intrinsische Viskosität (I.V.) der erfindungsgemäßen Copolymere liegt im allgemeinen über 0,5 dl/g und vorzugsweise über 1,0 dl/g. Die intrinsische Viskosität kann Werte von 3,0 dl/g und noch höher erreichen.
  • Das Molekulargewicht der Polymere kann auch durch Variation der Art oder Konzentration der Katalysatorkomponenten oder durch Verwendung von Molekulargewichtsreglern, wie beispielsweise Wasserstoff, variiert werden.
  • Die erfindungsgemäßen Copolymere zeichnen sich im allgemeinen durch eine enge Molekulargewichtsverteilung aus. Die Molekulargewichtsverteilung wird durch das Verhältnis Mw/Mn repräsentiert, das für die erfindungsgemäßen Copolymere bei Verwendung des Metallocens in Form eines reinen Isomers im allgemeinen unter 4, vorzugsweise unter 3,5 und besonders bevorzugt unter 3 liegt.
  • Die Molekulargewichtsverteilung kann durch Verwendung von Mischungen verschiedener Metallocenverbindungen oder durch Durchführung der Polymerisation in mehreren Stufen bei verschiedenen Polymerisationstemperaturen und/oder verschiedenen Konzentrationen der Molekulargewichtsregler variiert werden.
  • Die erfindungsgemäßen Copolymere können durch herkömmliche Verarbeitung thermoplastischer Materialien (Abformen, Extrusion, Spritzguß usw.) in Formkörper umgewandelt werden.
  • Die folgenden Beispiele sollen die Erfindung erläutern, ohne ihren Schutzbereich einzuschränken.
  • ALLGEMEINE VORSCHRIFTEN UND CHARAKTERISIERUNGEN
  • Es werden folgende Abkürzungen verwendet:
  • THF
    = Tetrahydrofuran
    Et2O
    = Ethylether
    NaOEt
    OEt = Natriumethoxid
    tBuOK
    = Kalium-tert.-butoxid
    DMSO
    = Dimethylsulfoxid
    DMF
    = N,N-Dimethylformamid
    BuLi
    = Butyllithium
  • Alle Arbeiten wurden unter Stickstoff nach herkömmlichen Schlenktechniken durchgeführt. Lösungsmittel wurden über blauem Natriumbenzophenonketyl (Et2O), CaH2 (CH2Cl2) bzw. AliBu3 (Kohlenwasserstoffe) destilliert und unter Stickstoff aufbewahrt. BuLi (Aldrich) wurde in Lieferform verwendet.
  • Die 1H-NMR-Analysen der Metallocene wurden auf einem Spektrometer der Bauart DPX 200 von Bruker durchgeführt (CD2Cl2, bezogen auf das mittlere Signal des Tripletts von restlichem CHDCl2 bei 5,35 ppm). Alle NMR-Lösungsmittel wurde vor Gebrauch über P2O5 getrocknet und destilliert. Die Proben wurden unter Stickstoff nach standardmäßigen Inertatmosphärentechniken hergestellt.
  • Die 13C-NMR- und 1H-NMR-Analysen der Polymere wurden auf einem Spektrometer der Bauart DPX 400 von Bruker mit einer Betriebsfrequenz von 400,13 MHz bzw. 100,61 MHz durchgeführt. Die Proben wurden als Lösungen in Tetrachlordideuteroethan bei 120°C analysiert.
  • Die intrinsische Viskosität (I.V.) wurde bei 135°C in Tetralin gemessen.
  • Die Schmelzpunkte der Polymere (Tm) wurden mittels Differentialkalorimetrie (D.S.C.) auf einem DSC-Instrument von Mettler folgendermaßen gemessen. Etwa 10 mg einer aus der Polymerisation erhaltenen Probe wurden auf –25°C abgekühlt und danach mit einer Scangeschwindigkeit von 20°C/Minute auf 200°C erhitzt. Die Probe wurde 5 Minuten bei 200°C gehalten und danach mit einer Scangeschwindigkeit von 20°C/Minute auf 0°C abgekühlt. Danach wurde ein zweiter Scan mit einer Scangeschwindigkeit von 10°C/Minute durchgeführt. Die angegebenen Werte wurden beim zweiten Scan erhalten.
  • Die Molekulargewichtsverteilung wurde mittels GPC auf einem Instrument WATERS 150 in ortho-Dichlorbenzol bei 135°C bestimmt.
  • HERSTELLUNG DER METALLOCENE
  • Die Synthese von rac-Isopropylidenbis(3-isopropylindenyl)zirconiumdichlorid (rac-CMe2(3-iPr-Ind)ZrCl2), rac-Isopropylidenbis(3-trimethylsilylindenyl)zirconiumdichlorid (rac-CMe2(3-Me3Si-Ind)2ZrCl2), rac-Isopropylidenbis(3-methylindenyl)zirconiumdichlorid (rac-CMe2(3-Me-Ind)2ZrCl2), rac-Isopropylidenbis(3-tert.-butylindenyl)zirconiumdichlorid (rac-CMe2(3-tBu-Ind)2ZrCl2) wurde gemäß WO 96/22995 durchgeführt.
  • Synthese von rac-Methylenbis(3-t-butyl-1-indenyl)zirconiumdichlorid
  • (a) Synthese von t-Butylinden
  • 42,0 g Inden (technisch, 94%ig gemäß GC, 39,5 g, 340 mmol), 50 gew.-%iges wäßriges KOH (308 g in 308 ml) und 15,8 g Adogen (Aldrich, 34 mmol) als Lösung in 139,7 g tert.-Butylbromid (1019,6 mmol) wurden bei Raumtemperatur in dieser Reihenfolge in einen ummantelten 1-l-Glasreaktor mit mechanischem Rührer (Büchi) gegeben. Die organische Phase färbt sich grün. Die Mischung wird auf 60°C erhitzt und zwei Stunden kräftig gerührt (wobei ein Druckanstieg auf 2,5 bar Überdruck beobachtet wird) und dann auf Raumtemperatur abgekühlt. Die Gesamtreaktionszeit beträgt 3 h. Die organische Phase wird mit technischem Hexan (3 × 200 ml) extrahiert und mittels GC analysiert. Umsatz: 74,5 Gew.-% 3-tert.-Butylinden und 1,8% 1-tert.-Butylinden, nicht umgesetztes Inden 13,7 Gew.-%. Nach Eindampfen der Lösung unter vermindertem Druck (Rotationsverdampfer) wurde die erhaltene dunkelbraune viskose Flüssigkeit bei 1 mm Hg destilliert, wobei die zwischen 70 und 80°C siedende Fraktion aufgefangen wurde (40 g, 76,8% 3-tert.-Butylinden und 19,5% 1-tert.-Butylinden, kein Inden.
  • (b) Synthese von Bis(3-t-butylindenyl)methan
  • In einem 1-l-Dreihalskolben mit Rührstab wurden in der angegebenen Reihenfolge 10,32 g BuOK (92 mmol), 400 ml DMF und 80,6 g tert.-Butylinden (98,2%ig gemäß GC, 460 mmol) vorgelegt wonach über einen Zeitraum von 15 min 18,6 ml wäßrige Formaldehydlösung (37%ig, 6,9 g, 230 mmol) tropfenweise zugetropft wurden. Es wird eine leicht exotherme Reaktion beobachtet, und die Lösung färbt sich rot. Die Mischung wurde 2 Stunden bei Raumtemperatur gerührt, wonach die Reaktion durch Gießen der Mischung auf Eis und NH4Cl gequencht, mit Et2O (2 × 250 ml) extrahiert und unter vermindertem Druck aufkonzentriert wurde, was ein oranges öliges Produkt mit der folgenden Zusammensetzung gemäß GC ergab: 0,3% 1-tBulnd; 2,8% 3-tBulnd; 78,3%; Zielprodukt Rest Nebenprodukt. Rohproduktausbeute: 83,6 g, was einer Ausbeute von 79,9% entspricht. Das orange ölige Produkt kristallisierte beim Stehen (etwa 1 h). Dieses Produkt wurde durch Waschen mit Pentan weiter gereinigt, wobei Bis(1-tert.-butyl-3-indenyl)methan in Form eines hellgelben Pulvers mit einer GC-Reinheit von 99,8% zurückbleibt.
  • (c) Synthese von Methylenbis(3-t-butyl-1-indenyl)zirconiumdichlorid
  • In einem 250-ml-Schlenkrohr wurden 11,0 g reines Bis(1-tert.-butyl-3-indenyl)methan (30,9 mmol) in 200 ml Et2O gelöst, wonach die Lösung auf –15°C abgekühlt wurde. Dann wurden über einen Zeitraum von 15 min unter Rühren 40 ml 1,6 M BuLi in Hexan (63,3 mmol) zugetropft. Die Lösung wird auf Raumtemperatur kommen gelassen und 4,5 Stunden gerührt. Es entwickelt sich eine zunehmende Trübung, und schließlich bildet sich eine gelbe Suspension. 7,2 g ZrCl4 (30,9 mmol) wurden in 200 ml Pentan aufgeschlämmt. Die beiden Mischungen wurden beide auf –80°C abgekühlt, wonach die Lithiumsalzlösung in Et2O schnell zu der ZrCl4-Aufschlämmung in Pentan gegeben wurde. Das Kühlbad wird weggenommen. Nach 20 min schlägt die Farbe der Aufschlämmung von gelb nach rot um. Die Reaktionsmischung wurde über Nacht bei Raumtemperatur gerührt und dann unter vermindertem Druck bis zur Trockne eingedampft. Das rote Pulver wurde in 200 ml Pentan aufgeschlämmt und in eine Filtrationsapparatur mit das System ober- und unterhalb der Fritte verbindendem Seitenarm (zur Ermöglichung des Refluxierens von Lösungsmittel), einem Auffangkolben am unteren Ende und einem Blasenkühler am oberen Ende überführt. Der rote Feststoff wurde etwa 3,5 Stunden mit refluxierendem Pentan extrahiert. Das Filtrat wurde unter vermindertem Druck bis zur Trockne eingedampft, was eine rote Paste ergab, die rac-CH2(3-tBu-Ind)2ZrCl2 enthielt, das von seinem meso-Isomer frei war, aber polymere Nebenprodukte enthielt. Die Paste wurde zweimal mit Et2O (20 + 10 ml) gewaschen, was 1 g reines Produkt ergab. Der rote Feststoff auf der Fritte wurde mit CH2Cl2 weiter extrahiert, bis das Filtrat hellorange war (6 Stunden), und getrocknet. Gemäß 1H-NMR liegt reines rac-CH2(3-tBu-Ind)2ZrCl2 (7,25 g) vor. Die Gesamtausbeute (8,25 g rotes Pulver) von rac-CH2(3-tBu-Ind)2ZrCl2 beträgt 52%. 1H-NMR (CDCl3, d, ppm): s, 1,41, tBu, 18H; s, 4,78, CH2, 2H; s, 5,79, 2H, Cp-H; m, 7,15, 2H, m, 7,36, 2H; m, 7,47, 2H; m, 7,78, 2H.
  • Synthese von Methylenbis(3-isopropyl-1-indenyl)ZrCl2
  • (a) Synthese von 3-Isopropyl-1-inden
  • In einem 0,5-l-Kolben wurden 25 g Inden (Aldrich, 94,4%ig) in 140 ml Et2O vorgelegt, auf –20°C abgekühlt und in etwa 30 min tropfenweise mit 141 ml n-BuLi (1,6 M in Hexan, 226 mmol) versetzt. Die Reaktionsmischung wurde auf Raumtemperatur kommen gelassen und dann 5 Stunden gerührt (braunorange Lösung). Diese Lösung wurde dann langsam zu einer bei 0°C gehaltenen Lösung von 101 ml i-PrBr (Aldrich, MW 123 g/mol, d = 1,31 g/ml, 1,07 mol) in 140 ml Et2O gegeben. Es wurde unter Rühren 72 Stunden bei Raumtemperatur umgesetzt. Proben für die GC-Analyse wurden nach 24 h (Inden = 12,1%, i-PrInd = 56,5%, (i-Pr)2Ind = 18,8%), 48 h (Inden = 4,6%, i-PrInd = 66,8%, (i-Pr)2Ind = 16,5%) und am Ende (Inden = 4,8%, i-PrInd = 65,3%, (i-Pr)2Ind = 16,8%) entnommen. Die Mischung wurde auf 300 g Eis gegossen, wonach die Wasserschicht mit Et2O (3 × 200 ml) extrahiert wurde und die Et2O-Waschlösung mit der organischen Schicht vereinigt, über MgSO4 getrocknet und nach Filtratrion unter Vakuum vom Lösungsmittel befreit wurde, was 30,9 g eines gelben Öls ergab (Ausbeute gemäß GC-Analyse 62%). 18 g dieses Öls wurden (unter Zugabe von NaOH-Plätzchen zur Verhinderung von Polymerisation mit einer 20-cm-Vigreux-Kolonne), destilliert, wobei die bei 10 mmHg bei 95–105°C siedende Fraktion aufgefangen wurde, 10 g, GC: i-Prlnd (2 Isomere) = 92,1%, (i-Pr)Ind = 6,7%. 1H-NMR (CDCl3, d, ppm): d: 1,45, 1,47, 6H; m, 3,47, CH, 1H; s, 3,47, 2H, CH2; s, 6,35, 1H; m, 7,47, 2H; m, 7,3–7,74H. Das Hauptisomer ist 3-i-Pr-Inden.
  • (b) Synthese von Bis(3-isopropylindenyl)methan
  • In einem 500-ml-Dreihalskolben mit Rührstab wurden in der angegebenen Reihenfolge 10 g i-Pr-Inden (92%ig, MG 158, 58,3 mmol) als Lösung in 250 ml DMSO und 1,42 g t-BuOK (MG 112,82, 12,6 mmol) vorgelegt. Die gelbe Lösung wird grün. Dann werden in 15 min 2,56 ml wäßrige Formaldehydlösung (37%ig, MG 30,03, 31,6 mmol) in 70 ml DMSO zugegeben. Es wird eine schwach exotherme Reaktion beobachtet, und die. Lösung färbt sich dunkelbraun. Nach beendeter Zugabe wurde die Reaktionsmischung 16 h bei Raumtemperatur gerührt. Dann wurde die Reaktion durch Gießen der Mischung auf 200 g Eis mit 0,3 g NH4Cl gequencht. Das organische Produkt wurde mit Et2O extrahiert, wonach die Wasserschicht mit Et2O (3 × 100 ml) gewaschen wurde und die organischen Schichten vereinigt, über MgSO4 getrocknet, filtriert und aufkonzentriert wurden, was 13,65 g gelbes Öl ergab, das gemäß GC-Analyse 32% des gewünschten Produkts enthielt.
  • (c) Synthese von Methylenbis(3-isopropylindenyl)ZrCl2
  • In einem 250-ml-Schlenkrohr wurden 13,6 g rohes Bis(3-isopropyl-1-indenyl)methan in 200 ml Et2O gelöst, wonach die Lösung auf –80°C abgekühlt wurde. Über einen Zeitraum von 15 min wurden unter Rühren 33,3 ml 2,5 M BuLi in Hexan (83,2 mmol) zugetropft. Die Lösung wurde auf Raumtemperatur kommen gelassen und 5 Stunden gerührt. Es entwickelt sich eine zunehmende Trübung, und schließlich bildet sich ein oranger Niederschlag. Nach Abziehen von Et2O unter Vakuum wurden 200 ml Toluol zugegeben. 9,7 g ZrCl4 (MG 233,03, 41,62 mmol) wurden in 200 ml Toluol aufgeschlämmt. Die beiden Mischungen wurden beide auf –80°C abgekühlt, wonach die ZrCl4-Aufschlämmung in Toluol schnell zu der Lithiumsalzlösung in Toluol gegeben wurde. Das Kühlbad wird entfernt. Die Reaktionsmischung wird über Nacht bei Raumtemperatur gerührt. Filtration: Der Rückstand war eine klebrige Masse (verworfen). Das Filtrat wurde unter vermindertem Druck auf 25 ml eingeengt, wonach der ausgefallene Feststoff abfiltriert wurde: 1H-NMR (CD2Cl2, d, ppm): 92% meso; ps-t, 1,31, i-Pr, 12H; Quintett, 3,32, CH, 2H; Quartett, 4,84, 4,91, 5,01, 5,08, 2H, CH2-Brücke; s, 5,81, 2H, Cp-H; t, 6,9–7,0, 2H; t, 7,06–7,15, 2H; m, 7,47–755, 4H.
  • Das Filtrat wurde getrocknet, was einen roten klebrigen Feststoff (5,8 g) ergab, der in 30 ml Et2O und 2 ml CH2Cl2 dispergiert und bei 0°C filtriert wurde. Der Rückstand wurde getrocknet, was 1 g rotes Pulver ergab. Gemäß 1H-NMR liegt chemisch reines CH2(3-i-PrInd)2ZrCl2 (80% racemisch, 20% meso) vor. 1H-NMR (CD2Cl2, d, ppm): 1,17, 1,21, CH3, 6H; d, 1,31, 1,34, CH3, 6H; Quintett, 3,13–3,20, CH, 2H; s, 4,82, 2H, CH2-Brücke; s, 5,78, 2H, Cp-H; t, 7,07–7,13, 2H; t, 7,25–7,30, 2H; d, 7,47–7,52, 2H; d, 7,60–7,65, 2H.
  • Synthese von Methylenbis(3-trimethylsilyl-1-indenyl)zirconiumdichlorid
  • (a) Synthese von Bis(1-trimethylsilyl-3-indenyl)methan
  • In einem 250-ml-Schlenkrohr wurden 9,56 g wie in Synthese 10 beschrieben erhaltenes Bis(1-indenyl)methan (39,1 mmol) in 70 ml Et2O gelöst, wonach die Lösung auf –78°C abgekühlt wurde. Über einen Zeitraum von 30 Minuten wurden unter Rühren 33,0 ml 2,5 M BuLi in Hexan (82,5 mmol) zugetropft. Die erhaltene Lösung wurde auf Raumtemperatur kommen gelassen und dann 3 Stunden gerührt, was eine dunkelbraune, leicht trübe Lösung ergab. 10,5 ml Chlortrimethylsilan (82,7 mmol) wurden in 50 ml Et2O gelöst. Die beiden Mischungen wurden beide auf –78°C abgekühlt, wonach die Lithiumsalzlösung in Et2O über einen Zeitraum von 20 Minuten zu der Chlortrimethylsilanlösung in Et2O gegeben wurde; die Farbe der Lösung schlug von braun nach rötlichbraun um. Nach Wegnehmen des Kühlbads wurde die Reaktionsmischung über Nacht bei Raumtemperatur gerührt. Nach 20 Stunden wurde die etwas klarere Lösung mit einigen ml MeOH gequencht, filtriert und aufkonzentriert, was 11,28 g Bis(1-trimethylsilyl-3-indenyl)methan in Form eines dunkelbraunen Öls ergab (74,2% Ausbeute, meso/rac = 1/1).
    1H-NMR (CDCl3, δ, ppm): –0,04 bis –0,03 (s, 18H, CH3); 3,35–3,45 (m, 2H, CH oder CH2-Brücke); 3,93–4,00 (bs, 2H, CH2-Brücke oder CH); 6,30–6,40 (m, 2H, Cp-H); 7,10–7,50 (m, 8H).
  • (b) Synthese von Methylenbis(3-trimethylsilyl-1-indenyl)zirconiumdichlorid CH2(3-Me3Si-Ind)2ZrCl2
  • In einem 250-ml-Schlenkrohr wurden 4,90 g wie oben angegeben erhaltenes Bis(1-trimethylsilyl-3-indenyl)methan (12,6 mmol) in 70 ml Et2O gelöst, wonach die Lösung auf –70°C abgekühlt wurde. Dann wurden unter Rühren 10,6 ml 2,5 M BuLi in Hexan (26,5 mmol) zugetropft. Die Lösung wurde auf Raumtemperatur kommen gelassen und 3 Stunden gerührt. Es entwickelte sich eine zunehmende Trübung, und schließlich bildete sich eine dunkelbraune Suspension. 2,94 g ZrCl4 (12,6 mmol) wurden in 50 ml Pentan aufgeschlämmt. Die beiden Mischungen wurden beide auf –70°C abgekühlt, wonach die Lithiumsalzlösung in Et2O schnell zu der ZrCl4-Aufschlämmung in Pentan gegeben wurde; dann wurde das Kühlbad weggenommen. Die Reaktionsmischung wurde über Nacht bei Raumtemperatur gerührt, wobei die Farbe der Suspension nach rötlichbraun umschlug. Nach Filtrieren wurde der Rückstand aufkonzentriert und dann mit Toluol extrahiert, was ein rosarotes Pulver ergab. Gemäß 1H-NMR-Analyse lag meso/rac-CH2(3-Me3Si-1-Ind)2ZrCl2 im Verhältnis 75/25 vor. Das Filtrat wurde getrocknet, was einen dunkelbraunen klebrigen Feststoff ergab, und mit Pentan versetzt; die erhaltene Mischung wurde 1 Stunde bei Raumtemperatur gerührt und dann filtriert. Der Rückstand wurde schließlich getrocknet, was 1,87 g eines orangen Pulvers ergab. Gemäß 1H-NMR-Analyse lag rac/meso-CH2(3-Me3Si-1-Ind)2ZrCl2 in einem Verhältnis von 81/19 vor (27,0% Ausbeute).
    1H-NMR (CD2Cl2, δ, ppm): 0,22 (s, 6H, CH3); 0,34 (s, 6H, CH3); 4,79 (s, CH2-Brücke, 2H); 4,93 (q, CH2-Brücke, 2H); 6,47 (s, Cp-H, 2H); 6,57 (s, Cp-H, 2H); 7,06–7,72 (m, 16H).
  • POLYMERISATION
  • Methylalumoxan (MAO)
  • Eine im Handel (von Witco) erhältliche 10%ige Toluollösung wurde im Vakuum zu einer festen, glasartigen Substanz getrocknet, die fein zerstoßen und im Vakuum von allen flüchtigen Bestandteilen befreit wurde (4–6 Stunden, 0,1 mmHg, 50°C), was ein weißes, freifließendes Pulver ergab.
  • Tris(2,4,4-trimethylgentyl)aluminium (TIOA)
  • Eine im Handel (von Witco) erhältliche Probe wurde in dem angegebenen Lösungsmittel zu einer 1 M Lösung verdünnt.
  • BEISPIEL 1
  • Ethylen/1-hexencopolymerisation
  • Ein 200-ml-Glasautoklav mit Magnetrührer, Temperaturanzeigeeinrichtung und Ethylenzufuhrleitung wurde gereinigt und bei 35°C mit Ethylen gespült. Bei Raumtemperatur wurden 90 ml Heptan und 10 ml 1-Hexen eingetragen. Das Katalysatorsystem wurde separat in 10 ml Heptan hergestellt, indem nacheinander 0,22 ml 1 M Toluollösung von MAO und 0,1 mg (2,04 × 10–6 mol) Methylenbis(3-isopropyl-1-indenyl)zirconiumdichlorid in der kleinstmöglichen Menge Toluol gelöst eingetragen wurden. Nach 5 Minuten Rühren wurde die Lösung unter Ethylenstrom in den Autoklaven eingetragen, wonach der Reaktor geschlossen, die Temperatur auf 70°C erhöht und der Reaktor bis zu einem Druck von 4,5 bar mit Ethylen beaufschlagt wurde. Der Gesamtdruck wurde durch Zufuhr von Ethylen konstant gehalten. Nach 15 Minuten wurde die Polymerisation durch Abkühlen, Entgasen des Reaktors und Eintragen von 1 ml Methanol beendet. Das Produkt wurde mit saurem Methanol und dann mit Methanol gewaschen und schließlich im Ofen bei 60°C unter Vakuum getrocknet. Die Ausbeute betrug 3,59 g, was einer Aktivität von 769,3 kg/gZr.h entspricht. Die intrinsische Viskosität des Polymers betrug 1,22 dl/g.
  • Die Charakterisierungsdaten des so erhaltenen Copolymers sind in Tabelle 2 aufgeführt.
  • BEISPIEL 2
  • Beispiel 1 wurde wiederholt, jedoch mit der Abwandlung, daß anstelle von 10 ml 1-Hexen 5 ml 1-Hexen eingetragen wurden.
  • Die Polymerisationsbedingungen sind in Tabelle 1 aufgeführt.
  • Die Charakterisierungsdaten des so erhaltenen Copolymers sind in Tabelle 2 aufgeführt.
  • BEISPIEL 3
  • Beispiel 1 wurde wiederholt, jedoch mit dem Unterschied, daß anstelle von MAO 0,27 mmol TIOA/H2O (Molverhältnis Al/H2O = 2,11) verwendet wurden. Die Ausbeute betrug 0,73 g, was einer Aktivität von 123,2 kg/gZr.h entspricht. Die intrinsische Viskosität des Polymers betrug 2,58 dl/g.
  • Die Polymerisationsbedingungen sind in Tabelle 1 aufgeführt.
  • Die Charakterisierungsdaten des erhaltenen Copolymers sind in Tabelle 2 aufgeführt.
  • BEISPIEL 4
  • Beispiel 1 wurde wiederholt, jedoch unter Verwendung von 0,22 mmol einer Mischung von TIOA-O/MAO im Verhältnis 9:1. TIOA-O wurde bei einem Molverhältnis Al/H2O von 2,07 erhalten.
  • Die Polymerisationsbedingungen sind in Tabelle 1 aufgeführt.
  • Die Charakterisierungsdaten des erhaltenen Copolymers sind in Tabelle 2 aufgeführt.
  • BEISPIEL 5
  • Beispiel 1 wurde wiederholt, jedoch mit der Abwandlung, daß 0,12 mg Me2C(3-iPrInd)2ZrCl2 und 0,24 mmol MAO verwendet wurden.
  • Die Polymerisationsbedingungen sind in Tabelle 1 aufgeführt.
  • Die Charakterisierungsdaten des erhaltenen Copolymers sind in Tabelle 2 aufgeführt.
  • BEISPIEL 6
  • Beispiel 1 wurde wiederholt, jedoch unter Verwendung von 0,12 mg CMe2(3-i-PrInd)2ZrCl2 und 0,24 mmol einer Mischung von TIOA-O/MAO im Verhältnis 9:1. TIOA-O wurde bei einem Molverhältnis Al/H2O von 2,07 erhalten.
  • Die Polymerisationsbedingungen sind in Tabelle 1 aufgeführt.
  • Die Charakterisierungsdaten des erhaltenen Copolymers sind in Tabelle 2 aufgeführt.
  • BEISPIEL 7
  • Beispiel 1 wurde wiederholt, jedoch mit der Abwandlung, daß 0,2 mg H2C(3-Me3Si-Ind)2ZrCl2 verwendet wurden.
  • Die Polymerisationsbedingungen sind in Tabelle 1 aufgeführt.
  • Die Charakterisierungsdaten des erhaltenen Copolymers sind in Tabelle 2 aufgeführt.
  • BEISPIEL 8
  • Beispiel 1 wurde wiederholt, jedoch unter Verwendung von 0,1 mg CMe2(3-Me-Ind)2ZrCl2 und 0,23 mmol TIOA/H2O (Molverhältnis Al/H2O = 2,07) und ohne MAO.
  • Die Polymerisationsbedingungen sind in Tabelle 1 aufgeführt.
  • Die Charakterisierungsdaten des erhaltenen Copolymers sind in Tabelle 2 aufgeführt.
  • BEISPIEL 9
  • Beispiel 1 wurde wiederholt, jedoch mit der Abwandlung, daß 0,12 mg Me2C(3-Me3Si-Ind)2ZrCl2 verwendet wurden.
  • Die Polymerisationsbedingungen sind in Tabelle 1 aufgeführt.
  • Die Charakterisierungsdaten des erhaltenen Copolymers sind in Tabelle 2 aufgeführt.
  • BEISPIEL 10
  • Ethylen/1-octen-Copolymerisation
  • Ein 260 ml Glasautoklav mit Magnetrührer, Temperaturanzeigeeinrichtung und Ethylenzufuhrleitung wurde gereinigt und bei 35°C mit Ethylen gespült. Bei Raumtemperatur wurden 86 ml Heptan und 4,1 ml über LiAlH4 destilliertes 1-Octen eingetragen. Das Katalysatorsystem wurde separat hergestellt, indem nacheinander MAO (0,21 mmol in Form einer 1 M Toluollösung) und 0,1 mg (0,000205 mg.at.Zr) des Metallocens gemäß Beispiel 1 in (der kleinstmöglichen Menge) Toluol gelöst eingetragen wurden. Nach 5 Minuten Rühren wurde die Lösung mit Heptan auf 10 ml verdünnt und unter Ethylen strom in den Autoklaven eingetragen, wonach der Reaktor geschlossen, die Temperatur auf 70°C erhöht und mit einem Druck von 4 bar beaufschlagt wurde. Der Gesamtdruck wurde durch Zufuhr von Ethylen 20 Minuten konstant gehalten. Die Polymerisation wurde durch Abkühlen, Entgasen des Reaktors und Eintragen von 1 ml Methanol beendet. Das erhaltene Polymer wurde mit saurem Methanol und dann mit Methanol gewaschen und im Ofen bei 60°C unter Vakuum getrocknet. Es wurden 1,68 g Polymer (270 kg/gZr/h) mit den folgenden Eigenschaften erhalten: I.V. = 1,82 dl/g; 1-Octen = 5,73 mol-%,
    Tm = 92,5°C; ΔH = 63 J/g;
    Triadenverteilung in mol-%: [EXE] = 5,73; [XXX] = 0; [EXE]/Xmt = 1, wobei X für 1-Octen steht.
  • BEISPIEL 11
  • Ethylen/1-decen-Polymerisation
  • Ein 200 ml Glasautoklav mit Magnetrührer, Temperaturanzeigeeinrichtung und Ethylenzufuhrleitung wurde gereinigt und bei 35°C mit Ethylen gespült. Bei Raumtemperatur wurden 85 ml Heptan und 5 ml über LiAlH4 destilliertes 1-Octen eingetragen. Das Katalysatorsystem wurde hergestellt, indem nacheinander MAO (0,22 mmol in Form einer 1 M Toluollösung und 0,1 mg (0,000205 mg.at.Zr) des Metallocens gemäß Beispiel 1 in (der kleinstmöglichen Menge) Toluol gelöst eingetragen wurden. Nach 5 Minuten Rühren wurde die Lösung mit Heptan auf 10 ml verdünnt und unter Ethylenstrom in den Autoklaven eingetragen, wonach der Reaktor geschlossen, die Temperatur auf 70°C erhöht und mit einem Druck von 4 bar beaufschlagt wurde. Der Gesamtdruck wurde durch Zufuhr von Ethylen 10 Minuten konstant gehalten. Die Polymerisation wurde durch Abkühlen, Entgasen des Reaktors und Eintragen von 1 ml Methanol beendet. Das erhaltene Polymer wurde mit saurem Methanol und dann mit Methanol gewaschen und im Ofen bei 60°C unter Vakuum getrocknet. Es wurden 3,2 g Polymer (1045 kg/gZr/h) mit den folgenden Eigenschaften erhalten: I.V. = 2,01 dl/g; 1-Decen = 7,48 mol-%,
    Tm = 72,8°C; ΔH = 63 J/g;
    Triadenverteilung in mol-%: [EXE] = 7,48; [XXX] = 0; [XXE] = 0; [EXE]/Xtot = 1, wobei X für 1-Decen steht.
  • BEISPIEL 12 (zum Vergleich)
  • Beispiel 1 wurde wiederholt, jedoch unter Verwendung von rac-CH2(3-tBu-Ind)2ZrCl2.
  • Die Polymerisationsbedingungen sind in Tabelle 1 aufgeführt.
  • Die Charakterisierungsdaten des erhaltenen Copolymers sind in Tabelle 2 aufgeführt.
  • BEISPIEL 13 (zum Vergleich)
  • Beispiel 1 wurde wiederholt, jedoch unter Verwendung von 0,3 mg rac-CMe2(3-tBu-Ind)2ZrCl2 und 1,15 mmol TIOA/H2O (Molverhältnis Al/H2O = 4,18) und 15 ml 1-Hexen.
  • Die Polymerisationsbedingungen sind in Tabelle 1 aufgeführt.
  • Die Charakterisierungsdaten des erhaltenen Copolymers sind in Tabelle 2 aufgeführt.
  • BEISPIEL 14 (zum Vergleich)
  • Beispiel 1 wurde wiederholt, jedoch unter Verwendung von rac-CMe2(Ind)2ZrCl2. Die Polymerisationsbedingungen sind in Tabelle 1 aufgeführt.
  • Die Charakterisierungsdaten des erhaltenen Copolymers sind in Tabelle 2 aufgeführt.
  • BEISPIEL 15 (zum Vergleich)
  • Beispiel 1 wurde wiederholt, jedoch unter Verwendung von rac-CH2(Ind)2ZrCl2.
  • Die Polymerisationsbedingungen sind in Tabelle 1 aufgeführt.
  • Die Charakterisierungsdaten des erhaltenen Copolymers sind in Tabelle 2 aufgeführt.
  • Figure 00240001
  • Figure 00250001

Claims (15)

  1. Verfahren zur Herstellung von Ethylen-Copolymeren mit mehr als 50 Mol-% von Ethylen abgeleiteten Einheiten, bei dem man Ethylen in Gegenwart eines Katalysators, der durch Inberührungbringen (A) einer Metallocenverbindung der Formel (I):
    Figure 00260001
    worin die Substituenten R1 für Wasserstoffatome oder C1-C20-Alkylgruppen stehen, die Substituenten R2 für CHR10R11-, SiR12R13R14- oder GeR15R16R17-Gruppen stehen, wobei R10, R11, R12 und R15 für Wasserstoffatome, C1-C20-Alkyl-, C3-C20-Cycloalkyl-, C2-C20-Alkenyl-, C6-C20-Aryl-, C7-C20-Alkylaryl- oder C7-C20-Arylalkylreste, die gegebenenfalls Silicium- oder Germaniumatome enthalten, stehen, R13, R14, R16 und R17 für C1-C20-Alkyl-, C3-C20-Cycloalkyl-, C2-C20-Alkenyl-, C6-C20-Aryl-, C7-C20-Alkylaryl- oder C7-C20-Arylalkylreste, die gegebenenfalls Silicium- oder Germaniumatome enthalten, stehen, R3 und R4 gleich oder verschieden sind und für Wasserstoffatome oder -CHR5R6-Gruppen stehen, R3 und R4 einen gegebenenfalls Heteroatome enthaltenden Ring mit 3 bis 8 Kohlenstoffatomen bilden können, R5 und R6 gleich oder verschieden sind und für Wasserstoffatome, C1-C20-Alkyl-, C3-C20-Cycloalkyl-, C2-C20-Alkenyl-, C6-C20-Aryl-, C7-C20-Alkylaryl- oder C7-C20-Arylalkylreste, die einen gegebenenfalls Heteroatome enthaltenden Ring mit 3 bis 8 Kohlenstoffatomen bilden können, stehen, die Substituenten R7 gleich oder verschieden sind und für C1-C20-Alkyl-, C3-C20-Cycloalkyl-, C2-C20-Alkenyl-, C6-C20-Aryl-, C7-C20-Alkylaryl- oder C7-C20-Arylalkylreste, die gegebenenfalls Silicium- oder Germaniumatome enthalten, stehen und zwei benachbarte Substituenten R7 einen Ring mit 5 bis 8 Kohlenstoffatomen bilden können, wobei n für eine ganze Zahl von 0 bis 4 steht, M für ein Übergangsmetall aus der Gruppe 3, 4, 5 oder 6 oder der Lanthaniden- oder Actinidengruppe des Periodensystems der Elemente (neue IUPAC-Version) steht, X gleich oder verschieden ist und für einen monoanionischen Liganden, wie ein Wasserstoffatom, ein Halogenatom oder eine R8-, -OR8-, -OSO2CF3-, -OCOR8-, -SR8-, -NR8 2- oder -PR8 2-Gruppe, worin die Substituenten R8 für einen C1-C20-Alkyl-, C3-C20-Cycloalkyl-, C2-C20-Alkenyl-, C6-C20-Aryl-, C7-C20-Alkylaryl- oder C7-C20-Arylalkylrest, der gegebenenfalls Silicium- oder Germaniumatome enthält, stehen, steht, p für eine ganze Zahl von 0 bis 3 steht, die gleich der Oxidationsstufe des Metalls M minus zwei ist; mit (B) einem Alumoxan und/oder einer zur Bildung eines Alkylmetallocenkations befähigten Verbindung erhältlich ist, mit mindestens einem alpha-Olefin und gegebenenfalls einem oder mehreren Polyenen polymerisiert.
  2. Verfahren nach Anspruch 1, bei dem das Alumoxan durch Inberührungbringen von Wasser mit einer Organoaluminiumverbindung der Formel AlR9 3 oder Al2R9 6, worin die Substitunten R9 gleich oder voneinander verschieden sind und die gleiche Bedeutung wie R1 besitzen, erhalten wird.
  3. Verfahren nach Anspruch 2, bei dem das Molverhältnis zwischen dem Aluminium und dem Wasser im Bereich von 1:1 bis 100:1 liegt.
  4. Verfahren nach einem der Ansprüche 1 bis 3, bei dem es sich bei dem Alumoxan um MAO, TIBAO und TIOAO und bei der Organoaluminiumverbindung um TIOA, TMA und/oder TIBA handelt.
  5. Verfahren nach Anspruch 1, bei dem es sich bei der zur Bildung eines Alkylmetallocenkations befähigten Verbindung um eine Verbindung der Formel Y+Z, worin Y+ für eine zur Lieferung eines Protons und zur irreversiblen Reaktion mit einem Substituenten X des Metallocens der Formel (I) befähigte Brönsted-Säure steht und Z für ein kompatibles Anion der Formel BAr4(), worin B für ein Boratom steht und die Substituenten Ar gleich oder verschieden sein können und für Arylreste stehen, steht, handelt.
  6. Verfahren nach Anspruch 5, bei dem das Anion Z ein oder mehrere Boratome enthält.
  7. Verfahren nach einem der Ansprüche 1 bis 6, bei dem man in der Metallocenverbindung der Formel (I) das Übergangsmetall M unter Titan, Zirconium und Hafnium auswählt.
  8. Verfahren nach einem der Ansprüche 1 bis 7, bei dem in der Metallocenverbindung der Formel (I) der Substituent R1 für ein Wasserstoffatom steht.
  9. Verfahren nach Anspruch 8, bei dem in der Metallocenverbindung der Formel (I) die Substituenten R2 für Kohlenstoff-, Silicium- oder Germaniumatome, die mit zwei Alkyl-, Cycloalkyl-, Aryl-, Alkylaryl- oder Arylalkylgruppen mit 1 bis 10 Kohlenstoffatomen substituiert sind, stehen.
  10. Verfahren nach einem der Ansprüche 1 bis 9, bei dem in der Metallocenverbindung der Formel (I) die Substituenten X für Chloratome oder Methylgruppen stehen.
  11. Verfahren nach einem der Ansprüche 1 bis 10, bei dem es sich bei der Metallocenverbindung der Formel (I) um Methylenbis(3-isopropylindenyl)zirconiumdichlorid oder Isopropylidenbis(3-isopropylindenyl)zirconiumdichlorid handelt.
  12. Verfahren nach einem der Ansprüche 1 bis 11, das man bei einer Temperatur zwischen –100 und +100°C und bei einem Druck zwischen 0,5 und 100 bar durchführt.
  13. Verfahren nach einem der Ansprüche 1 bis 12, bei dem das Molverhältnis zwischen dem Aluminium und dem Metall der Metallocenverbindung zwischen 10:1 und 20.000:1 liegt.
  14. Verfahren nach einem der Ansprüche 1 bis 13, bei dem man das alpha-Olefin aus der Gruppe Propylen, 1-Buten, 1-Penten, 1-Hexen, 4-Methyl-1-penten, 1-Octen, 1-Decen und 1-Dodecen auswählt.
  15. Verfahren nach einem der Ansprüche 1 bis 14, bei dem man als alpha-Olefin 1-Hexen verwendet.
DE69918013T 1998-04-21 1999-04-13 Verfahren zur herstellung von copolymeren aus ethylen und alpha-olefinen Expired - Fee Related DE69918013T2 (de)

Applications Claiming Priority (3)

Application Number Priority Date Filing Date Title
EP98201287 1998-04-21
EP98201287 1998-04-21
PCT/EP1999/002644 WO1999054369A1 (en) 1998-04-21 1999-04-13 Process for the preparation of copolymers of ethylene with alpha-olefins

Publications (2)

Publication Number Publication Date
DE69918013D1 DE69918013D1 (de) 2004-07-22
DE69918013T2 true DE69918013T2 (de) 2005-07-14

Family

ID=8233628

Family Applications (1)

Application Number Title Priority Date Filing Date
DE69918013T Expired - Fee Related DE69918013T2 (de) 1998-04-21 1999-04-13 Verfahren zur herstellung von copolymeren aus ethylen und alpha-olefinen

Country Status (9)

Country Link
US (1) US6448350B1 (de)
EP (1) EP0991677B1 (de)
JP (1) JP2002505713A (de)
KR (1) KR20010014072A (de)
CN (1) CN1272852A (de)
CA (1) CA2294239A1 (de)
DE (1) DE69918013T2 (de)
ES (1) ES2221744T3 (de)
WO (1) WO1999054369A1 (de)

Families Citing this family (31)

* Cited by examiner, † Cited by third party
Publication number Priority date Publication date Assignee Title
ATE304556T1 (de) * 1998-07-02 2005-09-15 Basell Polyolefine Gmbh Verfahren zur herstellung von amorphen alpha- olefinpolymeren, diese enthaltende zusammensetzungen und verfahren zur herstellung von verbrückten liganden
DE60233961D1 (de) * 2001-06-12 2009-11-19 Basell Polyolefine Gmbh Verfahren zur Polymerisation von Buten-1
JP4571798B2 (ja) * 2001-06-12 2010-10-27 バーゼル・ポリオレフィン・ゲーエムベーハー 1−ブテンの重合方法
US7534848B2 (en) * 2002-12-04 2009-05-19 Basell Polyolefine Gmbh 1-butene copolymers and process for preparing them
US7589160B2 (en) * 2002-12-04 2009-09-15 Basell Polyolefine Gmbh Process for preparing 1-butene polymers
ATE423797T1 (de) * 2004-12-03 2009-03-15 Repsol Quimica Sa Katalysatorzusammensetzungen für die polymerisation und copolymerisation von alpha- olefinen
WO2007002585A1 (en) * 2005-06-28 2007-01-04 Shell Internationale Research Maatschappij B.V. Copolymers of c10+ alpha olefins with other alpha olefins and method for copolymerization
DE102005040812A1 (de) * 2005-08-27 2007-03-15 Few Fahrzeugelektrikwerk Gmbh & Co. Kg Elektrischer Anschluss sowie Verfahren zu dessen Verbindung mit der Scheibe eines Kraftfahrzeugs
US8399725B2 (en) 2008-06-20 2013-03-19 Exxonmobil Chemical Patents Inc. Functionalized high vinyl terminated propylene based oligomers
US8372930B2 (en) 2008-06-20 2013-02-12 Exxonmobil Chemical Patents Inc. High vinyl terminated propylene based oligomers
US8283419B2 (en) 2008-06-20 2012-10-09 Exxonmobil Chemical Patents Inc. Olefin functionalization by metathesis reaction
US8283428B2 (en) 2008-06-20 2012-10-09 Exxonmobil Chemical Patents Inc. Polymacromonomer and process for production thereof
US8802797B2 (en) 2008-06-20 2014-08-12 Exxonmobil Chemical Patents Inc. Vinyl-terminated macromonomer oligomerization
US8426659B2 (en) 2011-03-25 2013-04-23 Exxonmobil Chemical Patents Inc. Vinyl terminated higher olefin polymers and methods to produce thereof
US8399724B2 (en) 2011-03-25 2013-03-19 Exxonmobil Chemical Patents Inc. Vinyl terminated higher olefin copolymers and methods to produce thereof
US8940839B2 (en) 2011-03-25 2015-01-27 Exxonmobil Chemical Patents Inc. Diblock copolymers prepared by cross metathesis
US8501894B2 (en) 2011-03-25 2013-08-06 Exxonmobil Chemical Patents Inc. Hydrosilyation of vinyl macromers with metallocenes
US8841397B2 (en) 2011-03-25 2014-09-23 Exxonmobil Chemical Patents Inc. Vinyl terminated higher olefin polymers and methods to produce thereof
US8669326B2 (en) 2011-03-25 2014-03-11 Exxonmobil Chemical Patents Inc. Amine functionalized polyolefin and methods for preparation thereof
US8623974B2 (en) 2011-03-25 2014-01-07 Exxonmobil Chemical Patents Inc. Branched vinyl terminated polymers and methods for production thereof
US8455597B2 (en) * 2011-03-25 2013-06-04 Exxonmobil Chemical Patents Inc. Catalysts and methods of use thereof to produce vinyl terminated polymers
US8785562B2 (en) 2011-03-25 2014-07-22 Exxonmobil Chemical Patents Inc. Amphiphilic block polymers prepared by alkene metathesis
US8669330B2 (en) 2011-03-25 2014-03-11 Exxonmobil Chemical Patents Inc. Olefin triblock polymers via ring-opening metathesis polymerization
US8835563B2 (en) 2011-03-25 2014-09-16 Exxonmobil Chemical Patents Inc. Block copolymers from silylated vinyl terminated macromers
US8604148B2 (en) 2011-11-29 2013-12-10 Exxonmobil Chemical Patents Inc. Functionalization of vinyl terminated polymers by ring opening cross metathesis
US8796376B2 (en) 2012-03-26 2014-08-05 Exxonmobil Chemical Patents Inc. Functionalized polymers and oligomers
CN106543304B (zh) * 2016-11-21 2020-03-31 中国科学院上海高等研究院 一种茂金属催化剂的合成方法
MY191910A (en) * 2016-12-05 2022-07-18 Exxonmobil Chemical Patents Inc Broad orthogonal distribution metallocene polyethylenes for films
KR102073252B1 (ko) 2016-12-05 2020-02-04 주식회사 엘지화학 올레핀 공중합체 합성용 촉매 조성물 및 올레핀 공중합체의 제조 방법
US10882925B2 (en) 2017-11-29 2021-01-05 Exxonmobil Chemical Patents Inc. Catalysts that produce polyethylene with broad, bimodal molecular weight distribution
US10889663B2 (en) 2017-11-29 2021-01-12 Exxonmobil Chemical Patents Inc. Asymmetric ANSA-metallocene catalyst compounds for producing polyolefins having a broad molecular weight distribution

Family Cites Families (16)

* Cited by examiner, † Cited by third party
Publication number Priority date Publication date Assignee Title
US5001205A (en) 1988-06-16 1991-03-19 Exxon Chemical Patents Inc. Process for production of a high molecular weight ethylene α-olefin elastomer with a metallocene alumoxane catalyst
DE3916555A1 (de) * 1989-05-20 1990-11-22 Hoechst Ag Verfahren zur herstellung von ethylenpolymeren
WO1992000333A2 (en) 1990-06-22 1992-01-09 Exxon Chemical Patents Inc. Aluminum-free monocyclopentadienyl metallocene catalysts for olefin polymerization
EP0537686B1 (de) * 1991-10-15 2005-01-12 Basell Polyolefine GmbH Verfahren zur Herstellung eines Olefinpolymers unter Verwendung von Metallocenen mit speziell substituierten Indenylliganden
JPH06192274A (ja) * 1992-12-25 1994-07-12 Mitsui Toatsu Chem Inc アルミノキサンの製造方法
IT1264680B1 (it) 1993-07-07 1996-10-04 Spherilene Srl Catalizzatori supportati per la polimerizzazione delle olefine
IT1269931B (it) 1994-03-29 1997-04-16 Spherilene Srl Componenti e catalizzatori per la polimerizzazione di olefine
IT1269837B (it) 1994-05-26 1997-04-15 Spherilene Srl Componenti e catalizzatori per la polimerizzazione delle olefine
US5742634A (en) * 1994-08-24 1998-04-21 Imar Technology Co. Picosecond laser
DE69533310T2 (de) * 1994-12-20 2005-07-21 Mitsui Chemicals, Inc. Verfahren zur herstellung von ethylenpolymer und ethylenpolymer
IT1272924B (it) 1995-01-23 1997-07-01 Spherilene Srl Procedimento per la preparazione di composti ciclopentadienilici e composti cosi' ottenibili
IT1272923B (it) * 1995-01-23 1997-07-01 Spherilene Srl Composti metallocenici,procedimento per la loro preparazione,e loro utilizzo in catalizzatori per la polimerizzazione delle olefine
IT1272922B (it) * 1995-01-23 1997-07-01 Spherilene Srl Procedimento per la preparazione di composti metallocenici
AU7758198A (en) 1997-03-29 1998-10-22 Montell Technology Company B.V. Metallocenes and catalysts for polymerization of olefins
DE69803652T2 (de) 1997-03-29 2002-08-14 Basell Technology Co. B.V., Hoofddorp Verfahren zur herstellung von cyclopentadienylverbindungen
CA2283880A1 (en) * 1998-01-14 1999-07-22 Montell Technology Company B.V. Process for the preparation of metallocene compounds

Also Published As

Publication number Publication date
US20020156209A1 (en) 2002-10-24
US6448350B1 (en) 2002-09-10
DE69918013D1 (de) 2004-07-22
WO1999054369A1 (en) 1999-10-28
JP2002505713A (ja) 2002-02-19
ES2221744T3 (es) 2005-01-01
KR20010014072A (ko) 2001-02-26
EP0991677B1 (de) 2004-06-16
CA2294239A1 (en) 1999-10-28
EP0991677A1 (de) 2000-04-12
CN1272852A (zh) 2000-11-08

Similar Documents

Publication Publication Date Title
DE69918013T2 (de) Verfahren zur herstellung von copolymeren aus ethylen und alpha-olefinen
DE69816936T2 (de) Metallocene und katalysatoren zur polymerisation von olefinen
DE69432040T2 (de) Verfahren zur Herstellung von Ethylenpolymeren und daraus erhaltene Produkte
US6211108B1 (en) Metallocene compounds and use thereof in catalysts for the polymerization of olefins
DE69810894T2 (de) Metallocene und katalysatoren zur olefinpolymerisation
DE69501720T2 (de) Katalysatoren und verfahren zur polymerisierung von olefinen
DE69927234T2 (de) Verfahren zur herstellung von amorphen alpha-olefinpolymeren, diese enthaltende zusammensetzungen und verfahren zur herstellung von verbrückten liganden
DE69617543T3 (de) Metallocenverbindungen, verfahren zu ihrer herstellung und ihre verwendung in katalysatoren für die olefinpolymerisierung
DE60003936T2 (de) Katalysatorsystem unf verfahren zur polymerisierung von olefine
DE69909757T2 (de) Ethylencopolymerisationsverfahren
DE69329170T2 (de) Katalysator zur Olefinpolymerisation
DE60029464T2 (de) Verfahren zur herstellung von ethylen polymeren
DE69629227T2 (de) Verfahren zur Herstellung ataktischer Copolymeren aus Propylene mit Ethylen
DE69926339T2 (de) Verbrückte metallocene, herstellung und verwendung als olefinpolymerisationskatalysator
DE69905011T2 (de) Bis(tetrahydro-indenyl) metallocene, und diesen enthaltende olefinpolymerisationskatalysatoren
DE69904521T2 (de) Verbrückte Zirconocene, deren Herstellung und deren Verwendung als Katalysatorkomponente für die Polymerisation von Olefinen
DE69609186T2 (de) Verbrückte metallocenverbindungen, verfahren zu deren herstellung und deren verwendung als olefinpolymerisationskatalysator
DE60104253T2 (de) Herstellung thermoplastischer Zusammensetzungen aus Hoch- und minderisotaktischem Polypropylen
DE60024595T2 (de) Verfahren zur Herstellung von Ethylenpolymeren
DE60210089T2 (de) Metallocene, verwendung in katalysatoren für olefinpolymerisation
DE69907721T2 (de) Methylen-verbrückte metallocene als olefin-polymerisationskatalysatorkomponente
EP1087982B1 (de) Übergangsmetallkomplexe
DE69826633T2 (de) Katalysatoren für die polymerisation von olefinen und verfahren zur herstellung derselben

Legal Events

Date Code Title Description
8364 No opposition during term of opposition
8339 Ceased/non-payment of the annual fee