WO2017163603A1 - 椎間板治療用組成物 - Google Patents

椎間板治療用組成物 Download PDF

Info

Publication number
WO2017163603A1
WO2017163603A1 PCT/JP2017/002925 JP2017002925W WO2017163603A1 WO 2017163603 A1 WO2017163603 A1 WO 2017163603A1 JP 2017002925 W JP2017002925 W JP 2017002925W WO 2017163603 A1 WO2017163603 A1 WO 2017163603A1
Authority
WO
WIPO (PCT)
Prior art keywords
composition
nucleus pulposus
intervertebral disc
present
group
Prior art date
Legal status (The legal status is an assumption and is not a legal conclusion. Google has not performed a legal analysis and makes no representation as to the accuracy of the status listed.)
Ceased
Application number
PCT/JP2017/002925
Other languages
English (en)
French (fr)
Japanese (ja)
Inventor
英毅 須藤
武尊 辻本
倫政 岩崎
賢 清水
三津子 伊佐次
Current Assignee (The listed assignees may be inaccurate. Google has not performed a legal analysis and makes no representation or warranty as to the accuracy of the list.)
Hokkaido University NUC
Mochida Pharmaceutical Co Ltd
Original Assignee
Hokkaido University NUC
Mochida Pharmaceutical Co Ltd
Priority date (The priority date is an assumption and is not a legal conclusion. Google has not performed a legal analysis and makes no representation as to the accuracy of the date listed.)
Filing date
Publication date
Application filed by Hokkaido University NUC, Mochida Pharmaceutical Co Ltd filed Critical Hokkaido University NUC
Priority to JP2018507084A priority Critical patent/JP6487110B2/ja
Priority to EP23212370.3A priority patent/EP4374886A1/en
Priority to BR112018069060A priority patent/BR112018069060A2/pt
Priority to US16/086,081 priority patent/US12478636B2/en
Priority to BR122021024709-9A priority patent/BR122021024709B1/pt
Priority to EP17769650.7A priority patent/EP3434291B1/en
Priority to CN201780018143.7A priority patent/CN109069692A/zh
Priority to ES17769650T priority patent/ES2972523T3/es
Priority to CA3018152A priority patent/CA3018152A1/en
Publication of WO2017163603A1 publication Critical patent/WO2017163603A1/ja
Anticipated expiration legal-status Critical
Ceased legal-status Critical Current

Links

Images

Classifications

    • AHUMAN NECESSITIES
    • A61MEDICAL OR VETERINARY SCIENCE; HYGIENE
    • A61LMETHODS OR APPARATUS FOR STERILISING MATERIALS OR OBJECTS IN GENERAL; DISINFECTION, STERILISATION OR DEODORISATION OF AIR; CHEMICAL ASPECTS OF BANDAGES, DRESSINGS, ABSORBENT PADS OR SURGICAL ARTICLES; MATERIALS FOR BANDAGES, DRESSINGS, ABSORBENT PADS OR SURGICAL ARTICLES
    • A61L27/00Materials for grafts or prostheses or for coating grafts or prostheses
    • A61L27/50Materials characterised by their function or physical properties, e.g. injectable or lubricating compositions, shape-memory materials, surface modified materials
    • A61L27/54Biologically active materials, e.g. therapeutic substances
    • AHUMAN NECESSITIES
    • A61MEDICAL OR VETERINARY SCIENCE; HYGIENE
    • A61FFILTERS IMPLANTABLE INTO BLOOD VESSELS; PROSTHESES; DEVICES PROVIDING PATENCY TO, OR PREVENTING COLLAPSING OF, TUBULAR STRUCTURES OF THE BODY, e.g. STENTS; ORTHOPAEDIC, NURSING OR CONTRACEPTIVE DEVICES; FOMENTATION; TREATMENT OR PROTECTION OF EYES OR EARS; BANDAGES, DRESSINGS OR ABSORBENT PADS; FIRST-AID KITS
    • A61F2/00Filters implantable into blood vessels; Prostheses, i.e. artificial substitutes or replacements for parts of the body; Appliances for connecting them with the body; Devices providing patency to, or preventing collapsing of, tubular structures of the body, e.g. stents
    • A61F2/02Prostheses implantable into the body
    • A61F2/30Joints
    • A61F2/44Joints for the spine, e.g. vertebrae, spinal discs
    • A61F2/442Intervertebral or spinal discs, e.g. resilient
    • AHUMAN NECESSITIES
    • A61MEDICAL OR VETERINARY SCIENCE; HYGIENE
    • A61KPREPARATIONS FOR MEDICAL, DENTAL OR TOILETRY PURPOSES
    • A61K9/00Medicinal preparations characterised by special physical form
    • A61K9/14Particulate form, e.g. powders, Processes for size reducing of pure drugs or the resulting products, Pure drug nanoparticles
    • A61K9/19Particulate form, e.g. powders, Processes for size reducing of pure drugs or the resulting products, Pure drug nanoparticles lyophilised, i.e. freeze-dried, solutions or dispersions
    • AHUMAN NECESSITIES
    • A61MEDICAL OR VETERINARY SCIENCE; HYGIENE
    • A61LMETHODS OR APPARATUS FOR STERILISING MATERIALS OR OBJECTS IN GENERAL; DISINFECTION, STERILISATION OR DEODORISATION OF AIR; CHEMICAL ASPECTS OF BANDAGES, DRESSINGS, ABSORBENT PADS OR SURGICAL ARTICLES; MATERIALS FOR BANDAGES, DRESSINGS, ABSORBENT PADS OR SURGICAL ARTICLES
    • A61L27/00Materials for grafts or prostheses or for coating grafts or prostheses
    • A61L27/14Macromolecular materials
    • A61L27/20Polysaccharides
    • AHUMAN NECESSITIES
    • A61MEDICAL OR VETERINARY SCIENCE; HYGIENE
    • A61FFILTERS IMPLANTABLE INTO BLOOD VESSELS; PROSTHESES; DEVICES PROVIDING PATENCY TO, OR PREVENTING COLLAPSING OF, TUBULAR STRUCTURES OF THE BODY, e.g. STENTS; ORTHOPAEDIC, NURSING OR CONTRACEPTIVE DEVICES; FOMENTATION; TREATMENT OR PROTECTION OF EYES OR EARS; BANDAGES, DRESSINGS OR ABSORBENT PADS; FIRST-AID KITS
    • A61F2/00Filters implantable into blood vessels; Prostheses, i.e. artificial substitutes or replacements for parts of the body; Appliances for connecting them with the body; Devices providing patency to, or preventing collapsing of, tubular structures of the body, e.g. stents
    • A61F2/02Prostheses implantable into the body
    • A61F2/30Joints
    • A61F2/44Joints for the spine, e.g. vertebrae, spinal discs
    • A61F2/442Intervertebral or spinal discs, e.g. resilient
    • A61F2002/444Intervertebral or spinal discs, e.g. resilient for replacing the nucleus pulposus
    • AHUMAN NECESSITIES
    • A61MEDICAL OR VETERINARY SCIENCE; HYGIENE
    • A61KPREPARATIONS FOR MEDICAL, DENTAL OR TOILETRY PURPOSES
    • A61K31/00Medicinal preparations containing organic active ingredients
    • A61K31/70Carbohydrates; Sugars; Derivatives thereof
    • A61K31/715Polysaccharides, i.e. having more than five saccharide radicals attached to each other by glycosidic linkages; Derivatives thereof, e.g. ethers, esters
    • A61K31/734Alginic acid
    • AHUMAN NECESSITIES
    • A61MEDICAL OR VETERINARY SCIENCE; HYGIENE
    • A61LMETHODS OR APPARATUS FOR STERILISING MATERIALS OR OBJECTS IN GENERAL; DISINFECTION, STERILISATION OR DEODORISATION OF AIR; CHEMICAL ASPECTS OF BANDAGES, DRESSINGS, ABSORBENT PADS OR SURGICAL ARTICLES; MATERIALS FOR BANDAGES, DRESSINGS, ABSORBENT PADS OR SURGICAL ARTICLES
    • A61L2300/00Biologically active materials used in bandages, wound dressings, absorbent pads or medical devices
    • A61L2300/20Biologically active materials used in bandages, wound dressings, absorbent pads or medical devices containing or releasing organic materials
    • A61L2300/23Carbohydrates
    • A61L2300/232Monosaccharides, disaccharides, polysaccharides, lipopolysaccharides
    • AHUMAN NECESSITIES
    • A61MEDICAL OR VETERINARY SCIENCE; HYGIENE
    • A61LMETHODS OR APPARATUS FOR STERILISING MATERIALS OR OBJECTS IN GENERAL; DISINFECTION, STERILISATION OR DEODORISATION OF AIR; CHEMICAL ASPECTS OF BANDAGES, DRESSINGS, ABSORBENT PADS OR SURGICAL ARTICLES; MATERIALS FOR BANDAGES, DRESSINGS, ABSORBENT PADS OR SURGICAL ARTICLES
    • A61L2300/00Biologically active materials used in bandages, wound dressings, absorbent pads or medical devices
    • A61L2300/40Biologically active materials used in bandages, wound dressings, absorbent pads or medical devices characterised by a specific therapeutic activity or mode of action
    • A61L2300/412Tissue-regenerating or healing or proliferative agents
    • AHUMAN NECESSITIES
    • A61MEDICAL OR VETERINARY SCIENCE; HYGIENE
    • A61LMETHODS OR APPARATUS FOR STERILISING MATERIALS OR OBJECTS IN GENERAL; DISINFECTION, STERILISATION OR DEODORISATION OF AIR; CHEMICAL ASPECTS OF BANDAGES, DRESSINGS, ABSORBENT PADS OR SURGICAL ARTICLES; MATERIALS FOR BANDAGES, DRESSINGS, ABSORBENT PADS OR SURGICAL ARTICLES
    • A61L2400/00Materials characterised by their function or physical properties
    • A61L2400/06Flowable or injectable implant compositions
    • AHUMAN NECESSITIES
    • A61MEDICAL OR VETERINARY SCIENCE; HYGIENE
    • A61LMETHODS OR APPARATUS FOR STERILISING MATERIALS OR OBJECTS IN GENERAL; DISINFECTION, STERILISATION OR DEODORISATION OF AIR; CHEMICAL ASPECTS OF BANDAGES, DRESSINGS, ABSORBENT PADS OR SURGICAL ARTICLES; MATERIALS FOR BANDAGES, DRESSINGS, ABSORBENT PADS OR SURGICAL ARTICLES
    • A61L2430/00Materials or treatment for tissue regeneration
    • A61L2430/38Materials or treatment for tissue regeneration for reconstruction of the spine, vertebrae or intervertebral discs

Definitions

  • the present invention relates to a composition for treating an intervertebral disc, and particularly to a composition for supplementing the nucleus pulposus of an intervertebral disc.
  • the spine is a rod-like skeleton with a series of vertebrae and supports the trunk and head.
  • the vertebrae and vertebrae are connected by an intervertebral disc between the vertebrae.
  • the intervertebral disc is a disc-like avascular tissue, and has a structure in which an annulus fibrosus surrounds the nucleus pulposus and endplates are arranged above and below.
  • the nucleus pulposus of the intervertebral disc is composed of nucleus pulposus cells and the extracellular matrix thereof, and is a gel-like elastic structure containing a lot of water, and serves as a cushion for absorbing pressure applied between the vertebral bodies.
  • the annulus fibrosus consists of a layered structure of fibrocartilage and a layer of collagen surrounding it, limiting the rotational movement between the vertebral bodies.
  • the end plate is a hyaline cartilage tissue and firmly connects the intervertebral disc and the vertebral body.
  • the nucleus pulposus located at the center of the intervertebral disc has a characteristic composition compared to the annulus fibrosus, end plate, and other cartilage tissues. That is, the main components of the extracellular matrix of the nucleus pulposus are water (70-90%; decreases with aging), type II collagen (20% of dry weight), proteoglycan (50% of dry weight), Compared with other cartilage tissues such as plates and articular cartilage, the ratio of proteoglycan to collagen is high (Non-patent Document 1). On the other hand, the extracellular matrix of other cartilage tissues such as articular cartilage has a higher proportion of collagen than proteoglycan.
  • the function of the intervertebral disc as a shock absorber largely depends on its abundant water content. Such abundant water is maintained mainly by the negatively charged glycosaminoglycan bound to the proteoglycan core protein, which attracts water. Further, it is disclosed that the structure and size of proteoglycan present in the intervertebral disc is different from that of proteoglycan present in articular cartilage, and in particular, the difference in proteoglycan in nucleus pulposus was significant (Non-patent Document 2).
  • the nucleus pulposus, annulus fibrosus, and endplate of the intervertebral disc have different structures and functions, and are maintained by groups of cells having different phenotypes.
  • the nucleus pulposus cells present in the nucleus pulposus are round and create a proteoglycan-rich matrix. Cells present in the annulus are encased in a collagen fiber matrix.
  • Non-patent Document 1 it has been reported that cells in such intervertebral discs have different phenotypes, and there are also phenotypic differences compared to articular chondrocytes.
  • Intervertebral discs may be degenerated or damaged due to aging, trauma, disease, etc.
  • Intervertebral disc degeneration is a state in which the number of cells, water content, extracellular matrix (type II collagen, aggrecan, etc.), etc. of the intervertebral disc have decreased, and the function of the intervertebral disc as a shock absorber cannot be performed as it progresses.
  • Examples of intervertebral disc degeneration and intervertebral disc injury include intervertebral disc injuries due to intervertebral disc herniation, intervertebral disc disease, spinal degeneration, purulent intervertebral discitis, degenerative spondylosis, spinal stenosis, trauma, and the like.
  • the annulus covering the nucleus pulposus deforms or cracks to form a hernia and protrudes out of the intervertebral disc, and the protruding nucleus pulposus compresses the spinal nerve, causing pain, paralysis, and the like.
  • fibroblast-like cells may accumulate to form a tissue having different mechanical characteristics from the original nucleus pulposus. For this reason, the hernia recurrence rate is high after discectomy. Although the recurrence rate within 5 years after discectomy of the intervertebral disc is said to be about 4-15%, recent long-term data have shown that it will recur in the majority after 10 years.
  • the hernia recurs reoperation is required, but the spinal nerve is buried in scar tissue formed after the first operation, and it is difficult to confirm the position of the spinal nerve. Even if the position of the spinal nerve can be confirmed, since the scar is thick and hard, it is extremely difficult to separate the spinal nerve from the surrounding tissue. Reoperation requires extremely difficult techniques. For this reason, there is a need to establish a surgical method in which hernia does not recur and scarring after discectomy.
  • a treatment method that introduces polyelectrolyte materials into the disc space without removing the nucleus pulposus or annulus is proposed.
  • One example is alginate (Patent Document 1).
  • a method for enhancing the function of the intervertebral disc including injecting a cartilage protective material such as glycosaminoglycan into a site where it is required has been proposed.
  • a cartilage protective material such as glycosaminoglycan
  • the cartilage protective material is the parent of sodium alginate.
  • Amphic derivatives are mentioned (Patent Document 2).
  • a device for injecting an antacid into the intervertebral disc has been disclosed (Patent Document 3).
  • an intervertebral disc filler may be optionally injected, and one of many examples of fillers is alginate crosslinked with calcium or barium (Patent Document 3).
  • Patent Document 3 alginate crosslinked with calcium or barium
  • hydrogels such as alginate are being studied as a nucleus pulposus filling material.
  • hydrogels such as alginate As a nucleus pulposus filling material, its mechanical strength is a problem, and it is recommended that it retain its shape for a certain period of time when used in vivo.
  • an object of the present invention is to provide a nucleus pulposus composition that can promote the regeneration of nucleus pulposus of the intervertebral disc. It is another object of the present invention to provide a nucleus pulposus composition that is relatively easy to fill and has little risk of complications such as compression of the spinal nerve.
  • the present inventors examined the possibility of nucleus pulposus supplementation with a biocompatible material as a method for treating disc degeneration and disc damage.
  • a biocompatible material such as a nucleus pulposus filling material
  • the mechanical strength of hydrogels has been a problem, and when used in vivo It was also recommended that the shape be maintained for a certain period.
  • the present inventors conversely injected a composition containing low endotoxin sodium alginate into the nucleus pulposus site in a sol state, and contacted with a cross-linking agent at the filling port of the composition on the surface of the intervertebral disc to prevent leakage.
  • the present invention is as follows.
  • the composition is applied to the nucleus pulposus site through the filling port of the composition on the surface of the intervertebral disc, and a part of the composition is cured, and the cross-linking agent is brought into contact with the filling port of the composition on the intervertebral disc surface.
  • composition according to any one of [1] to [2] above wherein [4] The application of the composition to the nucleus pulposus site is performed by applying the composition to a nucleus pulposus defect formed by removing at least a part of the nucleus pulposus. [3] The composition according to any one of [3]. [5] The composition according to any one of [1] to [4] above, wherein the fluid composition has a viscosity of 100 mPa ⁇ s to 30000 mPa ⁇ s.
  • [6A] The monovalent metal salt of low endotoxin alginic acid according to any one of [1] to [5A] above, wherein the weight average molecular weight (absolute molecular weight) measured by GPC-MALS method is 80,000 or more.
  • [7] The composition according to any one of [1] to [6A] above, wherein the concentration of the monovalent metal salt of low endotoxin alginic acid is 0.5 w / v% to 5 w / v%. object.
  • [7A] The composition according to any one of [1] to [6A] above, wherein the concentration of the monovalent metal salt of low endotoxin alginic acid is 0.5 w / w% to 5 w / w%. object.
  • Composition Composition.
  • the crosslinking agent is a divalent or higher-valent metal ion compound.
  • composition according to [10] wherein the divalent or higher valent metal ion compound is at least one metal ion compound selected from the group consisting of Ca 2+ , Mg 2+ , Ba 2+ and Sr 2+ .
  • intervertebral disc degeneration and / or intervertebral disc injury is selected from the group consisting of intervertebral disc herniation, intervertebral disc disease, spinal degeneration, suppurative intervertebral discitis, degenerative spondylosis, spinal canal stenosis, and intervertebral disc injury.
  • a part of the composition is cured in vitro in a diameter of 6 mm according to Example 4 of the present specification using the same method and ratio of use of the cross-linking agent as filling the nucleus pulposus site.
  • the above test tube is filled with 500 ⁇ L of low endotoxin sodium alginate and a cross-linking agent, and after standing for 1 hour, at least 50% of the volume of the composition in the test tube can be aspirated with a syringe equipped with a 21G needle.
  • the composition having fluidity is any one of the above-mentioned [1] to [14A], wherein the composition has fluidity that can be injected with a 21G injection needle after the composition is allowed to stand at 20 ° C. for 1 hour.
  • An intervertebral disk nucleus pulposus replacement kit comprising at least the composition according to any one of [1] to [14B] above and a crosslinking agent.
  • a method for the treatment, prevention or suppression of recurrence of disc degeneration and / or disc damage A composition containing a monovalent metal salt of low endotoxin alginic acid and having fluidity is applied to the nucleus pulposus site of an intervertebral disc of a subject in need of the treatment, prevention or relapse suppression, Curing the portion of the applied composition.
  • the intervertebral disc degeneration and / or intervertebral disc injury is at least selected from the group consisting of intervertebral disc herniation, intervertebral disc disease, spinal degeneration, purulent intervertebral discitis, degenerative spondylosis, spinal canal stenosis, and intervertebral disc injury.
  • At least the intervertebral disc degeneration and / or intervertebral disc injury is selected from the group consisting of intervertebral disc herniation, intervertebral disc disease, spinal degeneration, suppurative intervertebral discitis, degenerative spondylosis, spinal canal stenosis, and intervertebral disc injury.
  • a composition containing a monovalent metal salt of low endotoxin alginic acid and having fluidity is applied to a nucleus pulposus site of an intervertebral disc in a subject in need of treatment, prevention or relapse suppression of disc degeneration and / or disc damage.
  • a monovalent metal salt of low endotoxin alginic acid for use in the treatment, prevention or relapse inhibition of disc degeneration and / or disc damage, which cures a portion of the applied composition.
  • the present invention provides a nucleus pulposus composition that can promote the regeneration of the nucleus pulposus of an intervertebral disc. According to the composition of the present invention, it is also possible to suppress degenerative changes in the entire intervertebral disc tissue including not only the intervertebral disc nucleus pulposus but also the annulus fibrosus. In addition, the composition of the present invention has an effect of increasing the proportion of type II collagen-positive hyaline cartilage-like cells in the nucleus pulposus.
  • the composition of the present invention is used as a nucleus pulposus replacement material in the prevention, treatment, or suppression of recurrence of a disease related to degenerative disc such as disc herniation or injured disc caused by trauma. Can do.
  • composition of a preferred embodiment of the present invention can be injected into the nucleus pulposus site using a syringe or the like in a sol state, and is not only under direct view but also percutaneous nucleusectomy (about 5 mm).
  • the spinal nerve may be compressed and damaged if it protrudes into the spinal canal, but the composition according to a more preferred embodiment of the present invention is limited to the surface. Because it gels, it is safe with less worry of such complications.
  • composition of a particularly preferred embodiment of the present invention can prevent hernia recurrence and scarring after discectomy (resection). Also, in one of the preferred embodiments of the present invention, the burden on the intervertebral disc adjacent to the treated intervertebral disc is reduced by applying the composition of the present invention to the intervertebral disc nucleus having disc degeneration and / or intervertebral disc damage. This makes it possible to prevent and / or reduce the degeneration of adjacent discs.
  • composition of the present invention satisfies any one or more of the above effects.
  • the viable cell rate after 6 hours and 48 hours after the start of serum starvation is shown.
  • Group A low endotoxin sodium alginate; and Group B: food grade sodium alginate.
  • the apoptotic cell rate after 6 hours and 48 hours after the start of serum starvation is shown.
  • Group A low endotoxin sodium alginate; and Group B: food grade sodium alginate.
  • Aspiration alone group and treatment group (Group A-1 and Group A-2). It is a graph which shows the histological evaluation result of the severity of intervertebral disc degeneration in 4 weeks after surgery. Normal control group, aspiration alone group, and treatment group (Group A-1 and Group A-2).
  • A A stained photograph of an intervertebral disc tissue specimen 4 weeks after surgery. Normal control group, aspiration alone group, and treatment group (Group A-2).
  • B shows a stained photograph of an intervertebral disc tissue specimen 12 weeks after the operation. Normal control group, aspiration alone group, and treatment group (Group A-2). It is a graph which shows the anti-Type IIcollagen antibody positive cell rate with respect to the number of cells in the disc tissue section at 4 weeks and 12 weeks after the operation.
  • Normal control group aspiration alone group, and treatment group (Group A-2). It is a graph which shows the evaluation result by the modified Boos classification
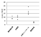
  • the ratio of sulfated glycosaminoglycan (GAG) to hydroxyproline (HYP) in the intervertebral disc nucleus at 4 weeks after the operation is shown.
  • GAG sulfated glycosaminoglycan
  • HEP hydroxyproline
  • composition of the present invention relates to a composition preferably used for nucleus pulposus replacement of an intervertebral disc.
  • the composition of the present invention contains a monovalent metal salt of low endotoxin alginic acid that is applied to a nucleus pulposus site of a subject and used to cure a portion after application and has fluidity when applied to the nucleus pulposus site.
  • a composition for intervertebral disc nucleus pulposus (sometimes referred to as “the composition of the present invention” in the present specification).
  • Low endotoxin and “monovalent metal salt of alginic acid” are as described below.
  • the intervertebral disc is a columnar tissue between the vertebrae connected to the spine.
  • the intervertebral disc is a disc-like avascular tissue, and has a structure in which an annulus fibrosus surrounds the nucleus pulposus and endplates are arranged above and below.
  • the nucleus pulposus is a gel-like tissue present in the center of the intervertebral disc, and mainly contains nucleus pulposus cells, an extracellular matrix mainly composed of proteoglycan and type II collagen, and water. The nucleus pulposus is thought to have little self-repairing / regenerating ability.
  • “Muscle nucleus replacement” means degeneration, reduction, or reduction of nucleus pulposus that has been degenerated, reduced, or removed by aging, trauma, infection, and surgical operations (eg, intervertebral discectomy (resection)). Compensation for the minute or removed part.
  • the term “nuclear nucleus filling” is used in the same meaning as “nuclear nucleus filling”, and the “nuclear nucleus filling composition” of the present invention has the same meaning as “nuclear nucleus filling composition”. is there.
  • “Muscle nucleus” refers to a site where the nucleus pulposus is present, a site where degeneration or reduction of the nucleus pulposus occurs, or a defect of the nucleus pulposus formed by removing at least a portion of the nucleus pulposus Including the peripheral part of the site where the nucleus pulposus is present.
  • a “subject” is a human or non-human organism, such as avian and non-human mammals (eg, cows, monkeys, cats, mice, rats, guinea pigs, hamsters, pigs, dogs, rabbits, sheep, and horses). is there.
  • avian and non-human mammals eg, cows, monkeys, cats, mice, rats, guinea pigs, hamsters, pigs, dogs, rabbits, sheep, and horses.
  • “Applying” means filling the nucleus pulposus site with a sufficient amount of the composition of the present invention to fill the degeneration, reduction, removal, defect, etc. of the nucleus pulposus site of the intervertebral disc.
  • Contains a monovalent metal salt of low endotoxin alginic acid means a monovalent metal salt of low endotoxin alginic acid in an amount sufficient to regenerate the nucleus pulposus at the site of the nucleus pulposus where the composition of the present invention is applied. Is contained.
  • Intervertebral disc degeneration and / or intervertebral disc damage and “treatment, prevention or suppression of recurrence” are as described later.
  • the composition of the present invention may be provided in a solution state using a solvent, or may be provided in a dry state such as a lyophilized body (in particular, a lyophilized powder).
  • a dry state the composition of the present invention is used in a state having fluidity such as a solution using a solvent at the time of application.
  • the solvent is not particularly limited as long as it is a solvent applicable to a living body.
  • water for injection purified water, distilled water, ion-exchanged water (or deionized water), milli-Q water, physiological saline, phosphate buffered physiological Examples include saline (PBS).
  • PBS saline
  • PBS saline
  • PBS water for injection, distilled water, physiological saline and the like that can be used for treatment of humans and animals.
  • Monovalent metal salt of alginic acid is a water-soluble substance formed by ion exchange of the hydrogen atom of the 6-position carboxylic acid of alginic acid with monovalent metal ions such as Na + and K + . Salt. Specific examples of the monovalent metal salt of alginic acid include sodium alginate and potassium alginate. In particular, sodium alginate that is commercially available is preferable. A solution of a monovalent metal salt of alginic acid forms a gel when mixed with a crosslinking agent.
  • Alginic acid used in the present invention is a biodegradable polymer polysaccharide, a polymer in which two types of uronic acids, D-mannuronic acid (M) and L-guluronic acid (G), are polymerized in a straight chain. It is. More specifically, D-mannuronic acid homopolymer fraction (MM fraction), L-guluronic acid homopolymer fraction (GG fraction), and D-mannuronic acid and L-guluronic acid are randomly arranged. This is a block copolymer in which the fractions (MG fraction) are bound arbitrarily.
  • the composition ratio (M / G ratio) of D-mannuronic acid and L-guluronic acid of alginic acid varies depending on the type of organism mainly derived from seaweed, etc. It ranges from a high G type with an M / G ratio of about 0.4 to a high M type with an M / G ratio of about 5.
  • Monovalent metal salt of alginic acid is a high molecular weight polysaccharide, and it is difficult to accurately determine the molecular weight. However, if the molecular weight is too low, the viscosity is low, and the adhesiveness of the applied site to the surrounding tissue may be weakened. In addition, when the molecular weight is too high, it is difficult to produce, the solubility is lowered, the viscosity is too high when handled in a solution state, the handling is bad, and the physical properties are difficult to maintain during long-term storage.
  • the weight average molecular weight is in the range of 10,000 to 10,000,000, preferably 20,000 to 8,000,000, more preferably 50,000 to 5,000,000.
  • a numerical range indicated using “to” indicates a range including the numerical values described before and after “to” as the minimum value and the maximum value, respectively.
  • the value may vary depending on the measurement method.
  • the weight average molecular weight measured by gel permeation chromatography (GPC) or gel filtration chromatography (also referred to as size exclusion chromatography) is preferably according to the effects shown in the examples of the present invention. It is 100,000 or more, more preferably 500,000 or more, and preferably 5 million or less, more preferably 3 million or less. The preferable range is 100,000 to 5,000,000, more preferably 500,000 to 3.5 million.
  • the absolute weight average molecular weight can be measured.
  • the weight average molecular weight (absolute molecular weight) measured by the GPC-MALS method is preferably 10,000 or more, more preferably 80,000 or more, and still more preferably 90,000 or more according to the effects shown in the examples of the present invention. It is preferably 1 million or less, more preferably 800,000 or less, further preferably 700,000 or less, and particularly preferably 500,000 or less.
  • the preferable range is 10,000 to 1,000,000, more preferably 80,000 to 800,000, still more preferably 90,000 to 700,000, and particularly preferably 90,000 to 500,000.
  • a measurement error of 10 to 20% or more may occur.
  • the value may vary in the range of about 32 to 480,000 for 400,000, 400,000 to 600,000 for 500,000, and about 800 to 1,200,000 for 1,000,000.
  • the molecular weight of the monovalent metal salt of alginic acid can be measured according to a conventional method. Typical conditions in the case of using gel permeation chromatography for molecular weight measurement are as described in the examples of the present specification. For example, GMPW-XL ⁇ 2 + G2500PW-XL (7.8 mm ID ⁇ 300 mm) can be used as the column.
  • the eluent can be, for example, a 200 mM sodium nitrate aqueous solution, and pullulan can be used as a molecular weight standard. Can be used.
  • GPC-MALS Typical conditions when GPC-MALS is used for molecular weight measurement are as described in the examples of this specification.
  • the detector for example, an RI detector and a light scattering detector (MALS) can be used.
  • the monovalent metal salt of alginic acid initially has a large molecular weight and a high viscosity when extracted from brown algae, but the molecular weight becomes small and the viscosity becomes low in the process of drying and purification by heat.
  • Monovalent metal salts of alginic acid having different molecular weights can be produced by controlling conditions such as temperature in the production process, selecting brown algae as a raw material, and fractionating molecular weight in the production process. Furthermore, it is possible to obtain a monovalent metal salt of alginic acid having a target molecular weight by mixing with a monovalent metal salt of alginic acid having a different molecular weight or viscosity.
  • the monovalent metal salt of alginic acid used in the present invention is preferably prepared by dissolving a monovalent metal salt of alginic acid in MilliQ water to give a solution having a concentration of 1 w / w%, and using a cone plate viscometer,
  • the apparent viscosity when the viscosity is measured under the conditions is preferably 40 mPa ⁇ s to 800 mPa ⁇ s, more preferably 50 mPa ⁇ s to 600 mPa ⁇ s. It is desirable that the apparent viscosity measurement conditions follow the conditions described below. In the present specification, the “apparent viscosity” may be simply referred to as “viscosity”.
  • the alginic acid used in the present invention may be naturally derived or synthetic, but is preferably naturally derived.
  • naturally occurring alginic acid include those extracted from brown algae.
  • brown alga containing alginic acid is nowadays in coastal areas around the world, seaweed that can actually be used as a raw material for alginic acid is limited, such as Lessonia in South America, Macrocystis in North America, Laminaria and Ascofilum in Europe, Australia Typical examples are Daviglia.
  • brown algae used as a raw material for alginic acid include, for example, the genus Lesonia, the genus Macrocystis, the genus Laminaria (comb), the genus Ascophyllum, the genus Durvillea, Examples include the genus Eisenia and the genus Ecklonia.
  • the monovalent metal salt of alginic acid used in the present invention is a monovalent metal salt of alginic acid with low endotoxin.
  • Low endotoxin refers to a low endotoxin level that does not substantially cause inflammation or fever. More preferably, it is a monovalent metal salt of alginic acid treated with low endotoxin.
  • the low endotoxin treatment can be performed by a known method or a method analogous thereto.
  • the method of Takada et al. See, for example, JP-A-9-32001 for purifying sodium hyaluronate
  • the method of Yoshida et al. Eg, JP-A-8-269102 for purifying ⁇ 1,3-glucan. Etc.
  • a method of William et al. for example, see JP-T-2002-530440, etc.
  • biopolymer salts such as alginate, gellan gum, etc.
  • James et al. For example, international publication for purifying polysaccharides, etc.
  • the low endotoxin treatment of the present invention is not limited thereto, but is washed, filtered with a filter (such as an endotoxin removal filter or a charged filter), ultrafiltration, a column (an endotoxin adsorption affinity column, a gel filtration column, a column with an ion exchange resin, etc.) ), Adsorption to hydrophobic substances, resin or activated carbon, organic solvent treatment (extraction with organic solvent, precipitation / precipitation by addition of organic solvent, etc.), surfactant treatment (for example, JP-A-2005-036036) It can be carried out by a known method such as a gazette) or a combination thereof. These processing steps may be appropriately combined with known methods such as centrifugation. It is desirable to select appropriately according to the type of alginic acid.
  • a filter such as an endotoxin removal filter or a charged filter
  • ultrafiltration such as an endotoxin removal filter or a charged filter
  • a column an endotoxin
  • the endotoxin level can be confirmed by a known method, and can be measured, for example, by a method using Limulus reagent (LAL), a method using Enspercy (registered trademark) ES-24S set (Seikagaku Corporation), or the like. .
  • LAL Limulus reagent
  • Enspercy registered trademark
  • ES-24S set Seikagaku Corporation
  • the method for treating the endotoxin of the monovalent metal salt of alginic acid contained in the composition of the present invention is not particularly limited.
  • the endotoxin content of the monovalent metal salt of alginic acid is measured by the endorsin assay using the Limulus reagent (LAL).
  • LAL Limulus reagent
  • Low endotoxin-treated sodium alginate is commercially available, for example, Sea Matrix (registered trademark) (Mochida Pharmaceutical Co., Ltd.), PRONOVA TM UP LVG (FMC BioPolymer).
  • composition of the present invention may be prepared using a solution of a monovalent metal salt of alginic acid.
  • a solution of a monovalent metal salt of alginic acid can be prepared by a known method or a method analogous thereto. That is, the monovalent metal salt of alginic acid used in the present invention can be produced by a known method such as an acid method or a calcium method using the aforementioned brown algae.
  • alginic acid can be obtained from these brown algae by extraction with an aqueous alkali solution such as an aqueous sodium carbonate solution and then adding an acid (for example, hydrochloric acid, sulfuric acid, etc.).
  • a salt of alginic acid can be obtained by ion exchange.
  • the solvent of the monovalent metal salt of alginic acid is not particularly limited as long as it is a solvent that can be applied to a living body.
  • purified water distilled water, ion exchange water, milli-Q water, physiological saline, phosphate buffered physiological saline (PBS).
  • PBS phosphate buffered physiological saline
  • Milli-Q water can be used after sterilizing by filtration.
  • composition of the present invention when the composition of the present invention is provided in a dry state such as a freeze-dried product, it can be prepared into a fluid solution using the above-mentioned solvent.
  • all operations for obtaining the composition of the present invention be performed in an environment with low endotoxin levels and bacterial levels.
  • the operation is preferably performed on a clean bench using a sterilizing instrument, and the instrument used may be treated with a commercially available endotoxin remover.
  • composition of some embodiments of the present invention is a fluid liquid, ie, a solution.
  • the composition of the present invention has fluidity when applied to the nucleus pulposus site.
  • the composition of the present invention has fluidity that can be injected with a 21 G needle after the composition has been allowed to stand at 20 ° C. for 1 hour.
  • the apparent viscosity of the composition of the present invention of this embodiment is not particularly limited as long as the effect of the present invention is obtained, but if the viscosity is too low, the adhesiveness to the surrounding tissue of the applied site may be weakened.
  • the preferred range of the composition of the present invention is 10 mPa ⁇ s to 50000 mPa ⁇ s, more preferably 100 mPa ⁇ s to 30000 mPa ⁇ s, more preferably 200 mPa ⁇ s to 20000 mPa ⁇ s, and even more preferably 500 mPa ⁇ s to 20000 mPa ⁇ s. S, particularly preferably 700 mPa ⁇ s to 20000 mPa ⁇ s.
  • composition of some embodiments of the present invention is a viscosity that can also be applied to a subject, such as with a syringe.
  • the apparent viscosity of a composition containing a monovalent metal salt of alginic acid such as an aqueous solution of alginic acid can be measured according to a conventional method.
  • a rotational viscometer method such as a coaxial double cylindrical rotational viscometer, a single cylindrical rotational viscometer (Brookfield viscometer), a cone-plate rotational viscometer (cone plate viscometer), etc.
  • a rotational viscometer method such as a coaxial double cylindrical rotational viscometer, a single cylindrical rotational viscometer (Brookfield viscometer), a cone-plate rotational viscometer (cone plate viscometer), etc.
  • the viscosity measurement is desirably performed at 20 ° C.
  • the apparent viscosity of the composition is the apparent viscosity in a state that does not contain cells or the like in order to accurately measure the viscosity. It is preferable.
  • the apparent viscosity of a composition containing a monovalent metal salt of alginic acid is particularly preferably measured using a cone plate viscometer.
  • a cone plate viscometer For example, it is desirable to measure under the following measurement conditions.
  • Sample solution is prepared using MilliQ water.
  • the measurement temperature is 20 ° C.
  • the rotational speed of the cone plate viscometer is 1 rpm when measuring a 1% solution of a monovalent metal alginate, and 0.5 rpm when measuring a 2% solution.
  • the reading time is measured for 2 minutes in the case of measuring a 1% solution of a monovalent metal salt of alginic acid, and is taken as an average value from 1 minute to 2 minutes from the start.
  • 2% solution measurement measure for 2.5 minutes and take the average value from the start 0.5 minutes to 2.5 minutes.
  • the test value is the average of three measurements.
  • the apparent viscosity of the composition of the present invention can be adjusted, for example, by controlling the concentration, molecular weight, M / G ratio, etc. of the monovalent metal salt of alginic acid.
  • the apparent viscosity of the monovalent metal salt solution of alginic acid is high when the concentration of the monovalent metal salt of alginic acid in the solution is high, and low when the concentration is low.
  • the viscosity is high when the molecular weight of the monovalent metal alginate is large, and the viscosity is low when the molecular weight is small.
  • the apparent viscosity of the monovalent metal salt solution of alginic acid is affected by the M / G ratio, for example, an alginic acid having a preferable M / G ratio can be selected depending on the viscosity of the solution.
  • the M / G ratio of alginic acid used in the present invention is about 0.1 to 5.0, preferably about 0.1 to 4.0, more preferably about 0.2 to 3.5.
  • the type of brown algae used as a raw material affects the viscosity of a monovalent metal salt solution of alginic acid.
  • the alginic acid used in the present invention is preferably derived from a brown algae of the genus Lessonia, Macrocystis, Laminaria, Ascofilum, Davilia, more preferably a brown alga of the genus Lessonia, particularly preferably Lessonia It is derived from Niscens (Lessonia nigrescens).
  • composition of the present invention is characterized by containing a monovalent metal salt of low endotoxin alginic acid as an active ingredient.
  • the present inventors have found for the first time that when a low endotoxin alginic acid monovalent metal salt is filled in a nucleus pulposus site of a living body, the monovalent metal salt of alginic acid itself exhibits a regeneration or therapeutic effect on nucleus pulposus tissue.
  • the monovalent metal salt of low endotoxin alginic acid is contained in an amount capable of exerting a regeneration or therapeutic effect on nucleus pulposus tissue when applied to the affected area.
  • the preferred monovalent metal salt concentration of alginic acid in the composition of the present invention is unclear because it is affected by the molecular weight, but preferably 0.5 w / v% to 5 w / v%, more preferably 1 w / v. It is v% to 5 w / v%, more preferably 1 w / v% to 3 w / v%, and particularly preferably 1.5 w / v% to 2.5 w / v%.
  • the concentration of monovalent metal salt of alginic acid in the composition of the present invention is preferably 0.5 w / w% to 5 w / w%, more preferably 1 w / w% to 5 w / w%. More preferably, it may be 1 w / w% to 3 w / w%, and particularly preferably 1.5 w / w% to 2.5 w / w%.
  • the endotoxin content of the composition is usually 500 EU / g or less, more preferably Is 300 EU / g or less, more preferably 150 EU / g or less, and particularly preferably 100 EU / g or less.
  • composition of the present invention does not contain cells.
  • the composition of some other embodiments of the present invention uses cells.
  • the cells include nucleus pulposus cells, stem cells, stromal cells, mesenchymal stem cells, bone marrow stromal cells, etc.
  • the origin is not particularly limited, but intervertebral disc nucleus pulposus, bone marrow, adipose tissue, umbilical cord blood, etc. Can be mentioned.
  • examples of cells include ES cells and iPS cells.
  • “Use cells” was prepared by collecting and concentrating target cells from the nucleus pulposus of the intervertebral disc, bone marrow, adipose tissue, umbilical cord blood, etc. It refers to adding cells to the composition of the present invention. Specifically, for example, 1 ⁇ 10 4 cells / ml or more, or 1 ⁇ 10 5 cells / ml or more, preferably 1 ⁇ 10 4 cells / ml to 1 ⁇ 10 7 cells / ml are used in the present invention. It is said to be contained in the composition. Cells may be obtained from the market and used.
  • the composition of the present invention may contain a factor that promotes cell growth.
  • factors include BMP, FGF, VEGF, HGF, TGF- ⁇ , IGF-1, PDGF, CDMP (cartilage-derived-morphogenetic protein), CSF, EPO, IL, PRP (Platelet® Rich® Plasma), Examples include SOX and IF.
  • BMP BMP
  • FGF vascular endothelial growth factor
  • VEGF vascular endothelial growth factor
  • HGF vascular endothelial growth factor
  • TGF- ⁇ TGF-1
  • PDGF vascular endothelial growth factor
  • CDMP cartilage-derived-morphogenetic protein
  • CSF CSF
  • EPO EPO
  • IL IL
  • PRP Platinum® Rich® Plasma
  • SOX and IF SOX and IF.
  • the composition of the present invention may contain a factor that suppresses cell death.
  • factors that cause cell death include Caspase and TNF ⁇ .
  • factors that suppress these include antibodies and siRNA. These factors that suppress cell death may be produced by recombinant methods or purified from protein compositions.
  • the composition of some aspects of this invention does not contain the factor which suppresses these cell deaths. Even in the absence of a factor that suppresses cell death, the regeneration of the nucleus pulposus is sufficiently good, and it is safer than the case of positively suppressing cell death.
  • the composition of the present invention does not contain any component that exerts a pharmacological action on the nucleus pulposus tissue of the intervertebral disc other than the monovalent metal salt of low endotoxin alginic acid. Even in a composition containing only a monovalent metal salt of low endotoxin alginic acid as an active ingredient, a sufficient nucleus pulposus regeneration or therapeutic effect can be exhibited.
  • composition of the present invention other pharmaceutically active ingredients, conventional stabilizers, emulsifiers, osmotic pressure adjusting agents, buffers, isotonic agents, preservatives, soothing agents, coloring may be used as necessary.
  • Ingredients usually used in medicine, such as an agent, can also be contained in the composition of the present invention.
  • Curing the composition of the present invention The composition of the present invention is used to cure a portion after application to the nucleus pulposus site. “Curing part” refers to bringing a cross-linking agent into contact with a part of the composition of the present invention having fluidity to gel and harden a part rather than the whole composition in contact with the cross-linking agent. Preferably, a part of the composition of the present invention is cured by bringing a crosslinking agent into contact with at least a part of the surface of the composition of the present invention having fluidity.
  • “partially harden the composition after application to the nucleus pulposus site” refers to the use of a cross-linking agent in the same manner as the filling to the nucleus pulposus site and the usage ratio.
  • at least 50% of the volume of the composition in the test tube was in vitro after filling a 6 mm diameter test tube with 500 ⁇ L of low endotoxin sodium alginate and a cross-linking agent and allowing to stand for 1 hour.
  • the non-gelled portion may be indicated by the fact that at least 50% of the volume of the composition in the test tube can be aspirated with a syringe with a 21G needle.
  • the composition does not deviate even when a compressive force is applied from the cranial to caudal side of the intervertebral disc after filling because the composition shows such properties even after filling the nucleus pulposus site.
  • “At least a portion of the surface of the composition” is, for example, an opening in the surface of the intervertebral disc leading to the nucleus pulposus, and preferably an opening in the surface of the disc used to apply the composition to the nucleus pulposus site, ie It is a filling port of the composition.
  • the filling port of the composition on the surface of the intervertebral disc is, for example, an opening used for filling the surface of the intervertebral disc with a syringe needle or a scalpel, or a disc surface prepared by a scalpel or the like at the time of disc herniation.
  • An opening is preferred.
  • the intervertebral disc in this embodiment is preferably an annulus fibrosus.
  • the composition of the present invention preferably does not contain an amount of a cross-linking agent that cures the composition prior to application to the target nucleus pulposus site.
  • the composition of the present invention may contain an amount of a crosslinking agent that does not cure the composition even after a certain period of time.
  • the fixed time is not particularly limited, but is preferably about 30 minutes to 12 hours.
  • “Not containing a crosslinking agent in an amount that cures the composition” may be indicated, for example, by allowing the composition to stand at 20 ° C. for 1 hour and then injecting with a syringe with a 21G needle.
  • the composition of some embodiments of the present invention does not include a crosslinker.
  • the crosslinking agent is not particularly limited as long as it can fix the surface of the monovalent metal salt of alginic acid by crosslinking.
  • the cross-linking agent include divalent or higher valent metal ion compounds such as Ca 2+ , Mg 2+ , Ba 2+ , and Sr 2+, and cross-linkable reagents having 2 to 4 amino groups in the molecule. More specifically, CaCl 2 , MgCl 2 , CaSO 4 , BaCl 2, etc. are used as divalent or higher valent metal ion compounds on the nitrogen atom as crosslinkable reagents having 2 to 4 amino groups in the molecule.
  • a diaminoalkane that may have a lysyl group (—COCH (NH 2 ) — (CH 2 ) 4 —NH 2 ), that is, the diaminoalkane and its amino group are substituted with a lysyl group to form a lysylamino group.
  • Specific examples include diaminoethane, diaminopropane, N- (lysyl) -diaminoethane, etc., but CaCl 2 solution is particularly preferred because of its availability and gel strength. Is preferable.
  • the timing of bringing the crosslinking agent into contact with the surface of the composition of the present invention is preferably after the composition of the present invention is applied to the nucleus pulposus site.
  • a method for bringing a crosslinking agent (for example, a metal ion having a valence of 2 or more) into contact with a part of the composition of the present invention is not particularly limited.
  • a metal ion having a valence of 2 or more can be used with a syringe or a sprayer.
  • a method of applying the solution to the surface of the composition can be used with a syringe or a sprayer.
  • the cross-linking agent may be slowly applied to the filling port of the composition formed on the intervertebral disc for several seconds to several tens of seconds. Thereafter, if necessary, a treatment for removing the cross-linking agent remaining in the vicinity of the filling port may be added.
  • the removal of the crosslinking agent may be, for example, washing of the application site with physiological saline or the like.
  • the amount of the cross-linking agent used is preferably adjusted as appropriate in consideration of the application amount of the composition of the present invention, the size of the filling port of the composition on the surface of the intervertebral disc, the size of the application site of the nucleus pulposus of the intervertebral disc, and the like. In order not to exert a strong influence on the tissue around the filling port of the composition, the amount of the crosslinking agent used is adjusted so as not to be excessive.
  • the amount of divalent or higher metal ion used is not particularly limited as long as it can solidify the surface of a composition containing a monovalent metal salt of alginic acid.
  • the amount of CaCl 2 solution used is preferably about 0.3 to 5.0 ml. More preferably, it is about 0.5 ml to 3.0 ml.
  • the amount of 100 mM CaCl 2 solution used is preferably about 0.3 to 10 ml, more Preferably, it is about 0.5 ml to 6.0 ml. It can be appropriately increased or decreased while observing the state of the composition of the present invention at the application site.
  • the concentration is preferably 25 mM to 200 mM, more preferably 50 mM to 150 mM. desirable.
  • the cross-linking agent remaining at the added site is removed by washing or the like.
  • the fixed time for standing is not particularly limited, but it is preferable that the surface of the composition is gelled by standing for about 1 minute or longer, more preferably about 4 minutes or longer. Alternatively, it is preferable to stand for about 1 minute to about 10 minutes, more preferably about 4 minutes to about 10 minutes, about 4 minutes to about 7 minutes, more preferably about 5 minutes. It is desirable to keep the composition and the crosslinking agent in contact for a certain period of time, and a crosslinking agent may be appropriately added so that the liquid level of the composition does not dry.
  • alginate beads are prepared by dropping a sodium alginate solution into a CaCl 2 solution and gelling it.
  • alginic acid beads need to be applied while being pressed against the application site, but it is necessary to prepare a bead that matches the size of the application site, which is technically difficult to use in actual clinical practice.
  • a CaCl 2 solution is used as a cross-linking agent, Ca ions on the surface of the beads come into contact with surrounding tissues, which causes a problem of calcium cytotoxicity.
  • the composition of the present invention is in the form of a solution, it can be easily applied to application sites of any shape, and the entire application site can be covered with the composition. Good adhesion to tissue.
  • the portion of the composition of the present invention that contacts the surrounding tissue can keep the calcium concentration low, and there are few problems of calcium cytotoxicity. Since the portion of the composition of the present invention that contacts the surrounding tissue is less affected by the cross-linking agent, the composition of the present invention can easily contact the cell or tissue at the application site.
  • the composition of the present invention fuses with a living tissue so that it cannot be identified at the applied site after about 4 weeks after being applied to the nucleus pulposus site, and has high affinity to the living body.
  • composition of the present invention When a composition of the present invention is applied to a nucleus pulposus site and partially gelated with a cross-linking agent, the composition of the present invention is partially cured at the affected area and localized in a state of being in close contact with the surrounding tissue. Leakage from the nuclear site can be prevented. In addition, when the composition of the present invention adheres to the surrounding tissue, the nucleus pulposus regeneration effect of the composition of the present invention is exerted more strongly.
  • the hardened gel when the hardened gel is filled into the nucleus pulposus site, the hardened gel may protrude into the spinal canal and cause a serious neurological disorder.
  • the solution-like composition of the present invention has such a low risk and a low risk of developing complications.
  • composition of the present invention can be applied to human or non-human organisms such as birds and non-human mammals (eg, cows, monkeys, cats, mice, rats, guinea pigs, hamsters, pigs, dogs). , Rabbits, sheep, and horses) and used to promote nucleus pulposus regeneration.
  • non-human mammals eg, cows, monkeys, cats, mice, rats, guinea pigs, hamsters, pigs, dogs.
  • Rabbits, sheep, and horses used to promote nucleus pulposus regeneration.
  • the form of the composition of the present invention is preferably a fluid liquid, that is, a solution.
  • “having fluidity” means having a property of changing its form into an indeterminate form, and does not need to have a property of constantly flowing, such as a solution.
  • the composition is allowed to stand at 20 ° C.
  • composition of the present invention When the composition of the present invention is provided in a dry state such as a freeze-dried product, it can be made into a fluid composition as described above using a solvent or the like at the time of application.
  • composition of the present invention in the form of a solution can be easily applied to the nucleus pulposus site of the intervertebral disc with a syringe, a gel pipette, a dedicated syringe, a dedicated injector, a filling device, or the like.
  • a syringe of a pressure type or an electric type may be used.
  • injecting with a syringe for example, it is preferable to use a 14G to 27G or 14G to 26G needle.
  • the method of applying the composition of the present invention to the nucleus pulposus site is not particularly limited.
  • the syringe is exposed after exposing the affected part directly under a known surgical technique, or under a microscope or an endoscope.
  • the composition of the present invention can be applied to the nucleus pulposus site using a filling device or the like.
  • a filling instrument needle or the like may be inserted from the annulus fibrosus surface toward the nucleus pulposus site, and the composition of the present invention may be applied.
  • the composition of the present invention is in the form of a solution, it can be adapted to any shape of nucleus pulposus, such as reduction of nucleus pulposus, cavity or defect of nucleus pulposus, and reduction of nucleus pulposus, cavity or defect.
  • the entire part can also be filled.
  • Reduction of nucleus pulposus, cavity or defect in nucleus pulposus site may have been caused by degeneration or damage of intervertebral disc, or by surgical removal or aspiration of at least part of nucleus pulposus It can be a thing.
  • the composition of the present invention is applied to a nucleus pulposus defect formed by removing at least part of the nucleus pulposus.
  • the removal of at least a portion of the nucleus pulposus is not particularly limited, and may be, for example, an intervertebral discectomy performed directly, percutaneously, microscopically, or endoscopically.
  • an incision of 2 cm to 10 cm is made on the back, the muscle is detached from the back surface of the posterior element of the spine called a vertebral arch, the ligament between the vertebral arches is removed, the nerve and disc herniation are confirmed, and the nerve is compressed
  • It may be a method of extracting a hernia (love method).
  • a method may be used in which the nucleus pulposus is irradiated with a laser to reduce the nucleus pulposus volume.
  • composition of the present invention After application of the composition of the present invention to the nucleus pulposus site, a part of the composition can be cured with a crosslinking agent as in the previous operation.
  • the application amount of the composition of the present invention may be determined according to the volume of the application site of the nucleus pulposus to be applied, and is not particularly limited. For example, 0.01 ml to 10 ml, more preferably 0.1 ml to 5 ml. More preferably, it is 0.2 ml to 3 ml.
  • the composition of the present invention is applied to a nucleus pulposus defect, it is preferably injected so as to sufficiently fill the defect volume at the nucleus pulposus site.
  • the frequency and frequency of application of the composition of the present invention can be increased or decreased according to symptoms and effects. For example, it may be applied only once, or may be continuously applied once a month to one year. Since alginic acid is a substance that does not originally exist in the animal body, the animal does not have an enzyme that specifically degrades alginic acid. Alginate is gradually degraded by normal hydrolysis in the animal body, but the degradation in the body is slower than that of polymers such as hyaluronic acid, and there are no blood vessels in the nucleus pulposus. When filled, long-lasting effects can be expected.
  • composition of the present invention is not provided together with the cells and growth factors as described above, when the composition of the present invention is applied to the nucleus pulposus site, the cells, growth factors, cell death inhibitory factors described later, Other drugs may be used in combination.
  • composition of the present invention exhibits an effect of promoting regeneration by suppressing degenerative changes in the entire intervertebral disc tissue and nucleus pulposus by applying it to the nucleus pulposus site. Therefore, the composition of the present invention is preferably used as a nucleus pulposus composition for intervertebral discs.
  • One of the preferable embodiments of the composition of the present invention is a composition for suppressing degeneration of the intervertebral disc, more preferably a composition for suppressing degeneration of the nucleus pulposus of the intervertebral disc.
  • “Degeneration of the intervertebral disc or nucleus pulposus” means that the number of intervertebral disc cells, water content, extracellular matrix (type II collagen, aggrecan, etc.), etc., decrease due to aging, etc., resulting in morphological changes and reduced function. This is a state in which it can be played, and when it progresses, it cannot function as a shock absorber of the intervertebral disc.
  • “inhibition of denaturation” does not necessarily mean a state without denaturation, as long as the denaturation change is suppressed as compared with the case of no treatment.
  • composition of the present invention is a composition for nucleus pulposus regeneration.
  • the nucleus pulposus regeneration is intended to prevent the accumulation of fibroblast-like cells and regenerate the nucleus pulposus with a high ratio of nucleus pulposus cells, and the nucleus pulposus tissue rich in type II collagen and proteoglycan is regenerated. Is intended.
  • the term nucleus pulposus regeneration also includes inhibiting degeneration of the nucleus pulposus.
  • it is desirable that the composition of the nucleus pulposus regenerated by applying the composition of the present invention is close to the composition of natural normal nucleus pulposus.
  • composition of a preferred embodiment of the present invention is used for the treatment, prevention or relapse suppression of disc degeneration and / or disc damage.
  • treatment, prevention or suppression of recurrence refers to treatment, prevention, suppression of recurrence, reduction, suppression, improvement, elimination, decrease in incidence, delay in onset, suppression of progression, reduction in severity, relapse rate Includes reduction, delay in recurrence, and relief of clinical symptoms.
  • Intervertebral disc degeneration and / or intervertebral disc injury is, for example, at least one selected from the group consisting of intervertebral disc herniation, spondylosis, spinal degeneration, purulent spondylitis, degenerative spondylosis, spinal stenosis, and intervertebral disc injury.
  • a condition or disease is, for example, at least one selected from the group consisting of intervertebral disc herniation, spondylosis, spinal degeneration, purulent spondylitis, degenerative spondylosis, spinal stenosis, and intervertebral disc injury.
  • the present invention provides a method for treating, preventing, or suppressing relapse of intervertebral disc degeneration and / or intervertebral disc injury using the composition of the present invention.
  • the treatment method of the present invention is a method for treatment, prevention or relapse suppression of intervertebral disc degeneration and / or intervertebral disc damage, comprising a monovalent metal salt of low endotoxin alginic acid and having fluidity Applying to the nucleus pulposus site of the subject's intervertebral disc in need of treatment, prevention or relapse inhibition, and curing a portion of the applied composition.
  • the treatment method of the present invention may include a step of removing at least a part of the nucleus pulposus before applying the composition of the present invention to the nucleus pulposus site.
  • the intervertebral disc degeneration and / or intervertebral disc damage is at least one selected from the group consisting of intervertebral disc herniation, intervertebral disc disease, spinal degeneration, suppurative intervertebral discitis, degenerative spondylosis, spinal stenosis, intervertebral disc injury, for example. Is a condition or disease.
  • the intervertebral disc degeneration and / or intervertebral disc injury is a herniated disc, in particular a lumbar disc herniation.
  • one of several aspects of the present invention provides a method for suppressing degenerative changes in the intervertebral disc using the composition of the present invention. Moreover, in one of the preferable aspects of this invention, the method of reproducing
  • a composition containing a monovalent metal salt of endotoxin alginic acid and having fluidity is applied to the nucleus pulposus site of a subject's intervertebral disc in need of inhibition of intervertebral disc degeneration or nucleus pulposus regeneration.
  • Curing a portion of The method may include removing at least a portion of the nucleus pulposus prior to applying the composition of the present invention to the nucleus pulposus site.
  • composition of the present invention The preferred embodiment of the composition of the present invention, the specific application method to the nucleus pulposus site of the intervertebral disc, the curing method of the composition, the meaning of the terms, etc. are as described above.
  • the therapeutic method of the present invention may be performed by appropriately combining other intervertebral disc therapeutic methods and therapeutic agents.
  • antibiotics such as streptomycin, penicillin, tobramycin, amikacin, gentamicin, neomycin, and amphotericin B, aspirin
  • nonsteroidal antipyretic Concomitant drugs such as analgesics (NSAIDs), anti-inflammatory drugs such as acetaminophen, proteolytic enzymes, corticosteroids, HMG-CoA reductase inhibitors such as simvastatin and lovastatin may be filled.
  • NSAIDs analgesics
  • anti-inflammatory drugs such as acetaminophen, proteolytic enzymes, corticosteroids, HMG-CoA reductase inhibitors such as simvastatin and lovastatin
  • simvastatin and lovastatin may be filled.
  • muscle relaxants, opioid analgesics, neuropathic pain relievers and the like may be administered orally or parenterally in combination as necessary.
  • the aforementioned cells may be applied to the nucleus pulposus site together with the composition of the present invention.
  • the aforementioned factor that promotes cell growth may be applied to the nucleus pulposus site together with the composition of the present invention.
  • an embodiment in which the composition of the present invention does not use a factor that promotes cell growth is also desirable.
  • the composition of the present invention can promote regeneration of nucleus pulposus even when these cells and factors are not used.
  • the present invention also relates to the use of a monovalent metal salt of low endotoxin alginic acid to produce the composition of the present invention.
  • the use of the present invention is the use of a monovalent metal salt of low endotoxin alginic acid for the manufacture of a composition for the treatment, prevention or relapse inhibition of disc degeneration and / or disc damage, wherein said composition comprises It is used to harden a part of the nucleus pulposus after application and has fluidity when applied to the nucleus pulposus site.
  • the present invention further provides a composition comprising a monovalent metal salt of low endotoxin alginic acid and having fluidity to the nucleus pulposus of an intervertebral disc of a subject in need of treatment, prevention or relapse suppression of disc degeneration and / or disc damage.
  • a monovalent metal salt of low endotoxin alginic acid for use in the treatment, prevention or relapse inhibition of disc degeneration and / or disc damage, applying to the site and curing a portion of the applied composition.
  • kits The present invention provides a nucleus pulposus replacement kit for an intervertebral disc.
  • the kit of the present invention can contain the composition of the present invention.
  • the composition of the present invention included in the kit of the present invention is in a solution state or a dry state, but is preferably in a dry state, more preferably a lyophilized body, and particularly preferably a lyophilized powder. .
  • a solvent for dissolution for example, water for injection
  • the kit of the present invention may further contain a crosslinking agent.
  • the kit of the present invention can further contain a cross-linking agent, a syringe, an injection needle, a gel pipette, a dedicated filler, an instruction manual, and the like.
  • kits include (1) a vial in which a lyophilized form of low endotoxin sodium alginate is enclosed (2) an ampoule in which a solvent such as water for injection is encapsulated as a solution, (3) a calcium chloride solution as a cross-linking agent, etc. 2
  • An ampoule or the like enclosing a metal ion compound having a valence higher than that in a single pack can be provided.
  • a monovalent metal salt of alginic acid is sealed in one chamber of a syringe composed of two chambers that are integrally molded and separated by a partition, and a solvent or a cross-linking agent as a solution is filled in the other chamber.
  • the kit is configured to enclose a solution containing it so that the partitions in both chambers can be easily opened at the time of use, and to mix and dissolve both at the time of use.
  • a monovalent metal salt solution of alginic acid is sealed in a prefilled syringe and used as a kit that can be filled as it is without any preparation operation at the time of use.
  • the alginic acid solution and the cross-linking agent are enclosed in separate syringes to form a kit bundled in one pack. Or it is good also as a kit containing the ampule etc. which filled the vial filled with the monovalent metal salt solution of alginic acid, and the crosslinking agent.
  • the “composition of the present invention”, “crosslinking agent”, “syringe” and the like are as described above.
  • This kit can be used, for example, for the treatment method of the present invention.
  • Example 1 Effect of low endotoxin sodium alginate on human intervertebral disc cells 1- (1) Isolation and culture of non-degenerative human intervertebral disc cells The nucleus pulposus tissue was removed from human non-degenerative intervertebral disc tissue and cultured in a DMEM (Dulbecco's modified Eagle's medium) medium containing 0.25% collagenase (Wako) at 37 ° C. After time treatment, nucleus pulposus cells were isolated.
  • DMEM Dynamic Eagle's medium
  • Wako collagenase
  • the nucleus pulposus cells obtained were treated with DMEM containing 1% penicillin / streptomycin, 1.25 ⁇ g / ml fungizone (fungizone, Invitrogen) and 10% FBS (fetal bovine serum) at 37 ° C., 5% CO 2 , 20%. Cells were cultured under O 2 conditions and passage 2 cells were used in the experiments.
  • DMEM fetal bovine serum
  • alginate beads (A) Sodium alginate treated with low endotoxin shown in Table 1 below, and (B) Food grade sodium alginate (Wako Pure Chemical Industries, Ltd.), 199 The human nucleus pulposus cells were cultured using two types of sodium alginate (Mochida Pharmaceutical Co., Ltd.).
  • a 2 w / v% sodium alginate solution was prepared using Milli-Q water.
  • the human nucleus pulposus cells 4.0 ⁇ 10 6 cells obtained in (1) above were suspended in 1.0 ml of these sodium alginate solutions.
  • This cell suspension was dropped into a 102 mM calcium chloride aqueous solution using a 22 gauge needle and allowed to stand for 10 minutes to prepare beads encapsulating nucleus pulposus cell-containing sodium alginate solution.
  • the obtained beads were washed twice with 0.9% physiological saline, and then placed in a DMEM culture solution containing 1% penicillin / streptomycin, 1.25 ⁇ g / ml fungizone, 10% FBS at 37 ° C., 5% CO2. 2. Three-dimensional (3D) culture under 20% O 2 conditions. Cells were collected 48 hours, 7 days, 14 days, and 28 days after the start of culture and used for the following evaluation.
  • Group A low endotoxin sodium alginate
  • Group B food grade sodium alginate
  • FITC + / PI ⁇ was an early apoptotic cell
  • FITC + / PI + was a late apoptotic cell
  • these were combined to make an apoptotic cell.
  • Group A low endotoxin sodium alginate
  • Group B food grade sodium alginate
  • Beads were collected on the 7th day of 1- (2) 3D culture, and the beads were washed twice with PBS. Serum starvation was induced by adding beads to DMEM without serum, 1% penicillin / streptomycin, 1.25 ⁇ g / ml fungizone medium and incubating at 37 ° C., 5% CO 2 , 20% O 2 . Cells were collected 6 hours and 48 hours after the start of serum starvation. As described above, evaluation using a confocal laser microscope and evaluation using a flow cytometer were performed.
  • group A low endotoxin sodium alginate
  • group B food grade sodium alginate
  • the induction of serum starvation in this study is a test that assumes the environment of the human nucleus pulposus nucleus in an avascular field and in a low-nutrition environment. It was suggested that cultures of nucleus pulposus cells with low endotoxin sodium alginate are more resistant to apoptosis under serum starvation induction compared to food grade sodium alginate. In other words, it was suggested that low endotoxin sodium alginate does not induce apoptosis of nucleus pulposus cells and retains cell viability when filled in the nucleus pulposus site of the intervertebral disc as compared with food grade sodium alginate.
  • Example 2 Application of low endotoxin sodium alginate solution to rabbit disc nucleus pulposus defect model Two types of low endotoxin sodium alginate solutions were filled in the rabbit intervertebral disc nucleus nucleus defect model, and the effects were evaluated.
  • a cone plate type rotational viscometer visco-viscoelasticity measuring device Rheostress RS600 (Thermo Haake GmbH) sensor: 35/1
  • the number of revolutions was 1 rpm when measuring a 1 w / w% sodium alginate solution and 0.5 rpm when measuring a 2 w / w% sodium alginate solution.
  • the reading time is 2 minutes when measuring 1 w / w% solution, and the average value from 1 minute to 2 minutes from the start, and 2.5 minutes when measuring 2 w / w% solution, and 0.5 minutes from the start.
  • the average value was up to 2.5 minutes.
  • the average value of three measurements was taken as the measurement value.
  • the measurement temperature was 20 ° C.
  • the weight average molecular weight of each sodium alginate was measured by two types of measurement methods, gel permeation chromatography (GPC) and GPC-MALS.
  • the measurement conditions are as follows.
  • Each low endotoxin sodium alginate was dissolved in milli-Q water to prepare a 2 w / v% solution.
  • An injection needle was inserted from the side of the intervertebral disc toward the nucleus pulposus, and 20 ⁇ l of a low endotoxin sodium alginate solution was injected into the nucleus pulposus defect.
  • a 102 mM calcium chloride aqueous solution was applied to the side of the intervertebral disc from which the injection needle had been removed (referred to as the A-1 group and A-2 group, respectively, and these are collectively referred to as the treatment group).
  • the group that performed only nucleus pulposus aspiration was designated as the aspiration alone group (aspiration alone group).
  • Group A-2 was also evaluated for 12 weeks after surgery. Eight cases were performed in each group.
  • the aspiration alone group and the treatment group were significantly compared with the normal control group at 4 weeks after the operation.
  • the score was high, indicating the degeneration of the disc.
  • the A-1 group had a significantly lower score than the aspiration alone group, and degeneration was suppressed.
  • the MRI index of the treatment group (Group A-1 and Group A-2) was significantly higher than that of the aspiration alone group, and the degenerative change was suppressed (FIG. 4).
  • the MRI index of the A-2 group was significantly higher than that of the aspiration alone group.
  • Grade 1 Mildly serpentine with rupture Grade 2: moderately serpentine with rupture Grade 3: severely serpentine with mildly reversed Grade 4: severely reversed contour Grade 5: Indistinct
  • the anti-Type I collagen antibody-positive cell ratio relative to the number of cells in the sections was 4 weeks after the operation in the normal control group, the suction alone group, and the treatment group (Group A-1 and Group A-2). There was no difference between them.
  • the anti-type II collagen antibody-positive cell rate was significantly lower in the aspiration alone group and the treatment group (Group A-1 and Group A-2) than the normal control group at 4 weeks after the operation.
  • the extracellular organ production seen in normal intervertebral disc tissue was reduced.
  • the treatment group (Groups A-1 and A-2) had a significantly higher anti-type II II collagen antibody-positive cell rate than the aspiration alone group.
  • FIG. 7 shows a graph of the anti-type II collagen antibody positive cell rate against the number of cells in the intervertebral disc nucleus pulposus tissue sections of the normal control group, the suction alone group, and the A-2 group at 4 weeks and 12 weeks after the operation.
  • Type II collagen antibody-positive cells indicate the presence of hyaline cartilage-like cells.
  • low endotoxin sodium alginate solution suppresses the degenerative change of the entire intervertebral disc tissue and nucleus pulposus and promotes regeneration by filling the nucleus pulposus defect part.
  • low endotoxin sodium alginate A-1 and A-2 showed the same degree of suppression and regeneration effect of intervertebral disc degeneration.
  • the 2% solution of A-2 has a higher viscosity than the 2% solution of A-1, so it is difficult to reversely flow from the filling part when filling the nucleus pulposus site. It had the advantage of being easy to stick. It was found that the 2% solution of A-2 had an appropriate viscosity for filling and excellent handleability.
  • Example 3 Examination of injection method of low endotoxin sodium alginate solution 3- (1) Examination of injection method of low endotoxin sodium alginate solution Low endotoxin sodium alginate solution was injected into sheep cadaver lumbar spine and evaluated by the following two injection methods (i) and (ii) .
  • Example 2 According to the description in Example 2, a 2% low endotoxin sodium alginate solution of A-2 described in Example 2 was injected into the part of the nucleus pulposus, and then 100 mM chloride was placed near the hole of the injection needle on the surface of the intervertebral disc. A method in which a calcium solution is brought into contact (sodium alginate is cured at the portion in contact with the calcium chloride solution). (Ii) A-2 low endotoxin sodium alginate solution 2% and 100 mM calcium chloride solution 1: 1 simultaneously filled into the part of the nucleus pulposus nucleus (the entire sodium alginate injected into the nucleus pulposus is cured) . (Ii) was carried out by placing a low endotoxin sodium alginate solution and a calcium chloride solution in separate syringes and simultaneously injecting them into the defect of the intervertebral disc nucleus with a 22G needle.
  • the technique (i) had no difficulty in the injection procedure when it was performed on a sheep cadaver disc.
  • the method (ii) was considered to have low reproducibility with respect to making the mixing ratio of the low endotoxin sodium alginate solution and the calcium chloride solution uniform.
  • the method (ii) after filling the disc nucleus pulposus site with the method (ii) and applying compressive force to the intervertebral disc from the caudal side, there is a phenomenon that the hardened gel deviates from the hole on the side of the disc where the gel was injected. It was. In the method (i), no deviation from the intervertebral disc was observed.
  • the method (i) has an advantage that the calcium concentration in the intervertebral disc can be reduced and the cytotoxicity can be reduced as compared with the method (ii). Further, the method (ii) has a risk of causing a serious neurological disorder when the cured gel protrudes into the spinal canal. However, the method (i) has a low risk.
  • the method (i) that is, the method in which the calcium chloride solution is applied to the intervertebral disc surface after injecting the low endotoxin sodium alginate solution into the nucleus pulposus nucleus site, is a method suitable for nucleus pulposus supplementation using low endotoxin sodium alginate. It was thought that.
  • the technique of hardening the vicinity of the injection port on the surface of the intervertebral disc with a cross-linking agent is the compressive force applied to the intervertebral disc by changing the posture or walking after filling with the sodium alginate solution. It was suggested that this is a filling method that can withstand the stretching force.
  • Example 4 Examination of properties after injection of low endotoxin sodium alginate solution After injecting a low endotoxin sodium alginate solution into the intervertebral disc nucleus, when the calcium chloride solution is brought into contact with the vicinity of the sodium alginate solution inlet on the surface of the intervertebral disc and the contact area is hardened, the injected low endotoxin sodium alginate solution becomes the intervertebral disc nucleus In order to predict what kind of property it is, the following examination was performed in vitro.
  • Example 4 Test method Put the sodium alginate solution into each of the micro test tubes (diameter 6mm, height 25mm) by the following three methods X, Y, and Z, and leave the test tubes beside. After 1 hour, 24 hours, 48 hours, and 1 week, the properties of the test substance in the test tube were evaluated. In the sheep internuclear disc nucleusectomy model of Example 5, the nucleus was removed by excising the annulus fibrosus at 5 mm x 3 mm. Therefore, the size is relatively close to this in vivo test, and manipulation in a test tube is possible. A 6 mm diameter micro test tube was selected as the possible size.
  • Example 2 A-2 low endotoxin sodium alginate was dissolved in physiological saline and used as a 2 w / v% solution. The test was performed at room temperature of 20 ° C.
  • the properties of Group X were almost the same from 1 hour to 1 week later. That is, the surface portion of the sodium alginate solution in the test tube having a surface portion of about 2 to 3 mm was in a gel state, but no lumps were observed except for the surface, and the solution was in a sol state. Most of the sol-like portion could be sucked with a syringe equipped with a 21G needle, but the viscosity was higher than that of the 2 w / v% sodium alginate solution, and it took time for suction.
  • the properties of the Y group were almost the same from 1 hour to 1 week later. That is, most of the inside of the test tube was gelled in a jelly shape, and a liquid such as water was slightly observed. It was speculated that this was a “separation” phenomenon where the gel contracted and the liquid separated and exuded. The gelled part could not be sucked with a syringe with a 21G needle.
  • the properties of the Z group were almost the same from 1 hour to 1 week later. That is, a white and turbid gelled mass having a diameter of about 5 mm was formed, and the other part became a liquid like water. This was also presumed to be a detachment phenomenon. The gelled part could not be sucked with a syringe with a 21G needle.
  • the method of group X is a method simulating the injection method into the intervertebral nucleus pulposus performed in the embodiment of the present invention, and the sodium alginate solution is sol-like even when the sodium alginate solution is injected into the intervertebral nucleus pulposus. It was predicted to exist at.
  • both the Y group and the Z group exist in a gel state, and as confirmed in Example 3 of the present invention, when compressive force is applied from the cranial and caudal side after the gel is filled in the intervertebral disc nucleus pulposus There was a concern that the cured gel could deviate from the side of the disc into which the gel was injected.
  • Example 5 Application of low endotoxin sodium alginate solution to sheep intervertebral disc nucleus pulposus defect model
  • a sheep endocrine nucleus pulposus defect model was filled with a low endotoxin sodium alginate solution and the effect was evaluated. The following evaluation was performed using L1 / 2, L2 / 3, L3 / 4, and L4 / 5 of 7 discs of sheep (male, Suffolk) weighing 40 kg to 60 kg.
  • the size of the excision of the annulus was examined at 5 mm ⁇ 3 mm and 10 mm ⁇ 3 mm, and 5 mm ⁇ 3 mm in which progression of intervertebral disc degeneration was observed was selected according to the amount of nucleus pulposus removal.
  • the amount of nucleus pulposus was examined in four types: 0.02 g, 0.05 g, 0.1 g, and 0.2 g.
  • the amount of ovine nucleus pulposus 0.1 g was 1.2 g when converted to humans, and since it was the closest to the amount of nucleus pulposus in human clinical practice, 0.1 g was selected as the amount of nucleus pulposus.
  • pentobarbital was overdose and euthanized, the lumbar spine was excised, and the disc tissue was collected.
  • the intervertebral disc height index is calculated by dividing the intervertebral disc height (the average value of the anterior, central and posterior disc heights) by the front and rear diameters of the disc (Eur Spine J. 2014, 23 (1): 19 -26.)
  • the intervertebral disc height index in the nucleus pulposus group was significantly lower than that in the normal control group.
  • the disc height index in the treatment group was not significantly different from that in the normal control group. From this, it was found that the decrease in the intervertebral disc height due to the nucleotomy was suppressed by filling the nucleus pulposus with the low endotoxin sodium alginate solution (FIG. 9).
  • the ratio of anti-Type ⁇ I collagen antibody-positive cells to the number of cells in the section at 4 weeks after the operation was 10% or less in the normal control group, whereas the nucleus pulposus group and the treatment group Showed significantly higher values.
  • the percentage of anti-Type I collagen antibody positive cells was significantly lower than in the nucleus pulposus group.
  • the ratio of anti-Type II collagen antibody positive cells to the number of cells in the sections was about 60% in the normal control group and the treatment group, and no difference was observed.
  • the nucleus pulposus group showed about 40%, and a significant difference was observed in comparison with the normal control group and in comparison with the treatment group (FIG. 10).
  • the proportion of anti-Type II collagen antibody-positive cells is lower than normal, but by filling with low endotoxin sodium alginate solution, it is comparable to the normal control group at 4 weeks after surgery. It was shown to recover.
  • the composition of the present invention can be preferably used particularly for filling of the nucleus pulposus after discectomy.
  • the decrease in the intervertebral disc height index due to the removal of the nucleus pulposus was suppressed, suggesting the possibility of preventing and / or reducing the degeneration of the intervertebral disc adjacent to the treated intervertebral disc.
  • Example 6 Examination of composition of sheep nucleus pulposus nucleus The main components of the extracellular matrix of the nucleus pulposus of the intervertebral disc are water, type II collagen, and proteoglycan, and it is said that the ratio of proteoglycan to collagen is higher than other cartilage tissues such as intervertebral disc endplate and articular cartilage .
  • the ovine intervertebral nucleus pulposus defect model was filled with a low endotoxin sodium alginate solution, and biochemical analysis of nucleus pulposus tissue was performed and evaluated at 4 weeks after the operation in accordance with the above literature.
  • the nucleus pulposus of the intervertebral disc and the left and right cartilage tissues (articular cartilage) of the femur were collected, and after pretreatment of the specimen, sulfated glycosaminoglycan (GAG) and hydroxyproline (HYP ) was measured.
  • GAG glycosaminoglycan
  • HEP hydroxyproline
  • Pretreatment of the sample is freeze-dried, and after dry weight measurement, 1 mL of pronase solution (20 mM HEPES buffer (pH 7.5) containing 1 mg / mL of pronase (Calbiochem)) is added to the dried sample. And digested at 60 ° C. for 3 hours with stirring every other hour. Centrifugation was performed at 8,000 ⁇ g for 10 minutes, and the obtained supernatant was used as a sample stock solution for measurement. Refrigerated until measurement.
  • GAG sulfated glycosaminoglycan
  • the measurement sample stock solution was diluted 100 times with purified water, and the resulting diluted solution was used as a measurement sample.
  • the blank sample was diluted 100 times with the pronase solution.
  • the measurement wavelength was 620 nm, and the amount of GAG in the sample was calculated using a calibration curve prepared using chondroitin-6-sulfate (CS-6) in the measurement kit as a standard.
  • Hydroxyproline was measured as follows. The measurement sample stock solution was diluted 100 times with purified water, and the resulting diluted solution was used as a measurement sample. The blank sample was diluted 100 times with the pronase solution. A sample for measurement of 50 ⁇ L was collected in a vial for hydrolysis, added with the same amount of concentrated hydrochloric acid, sealed, and then hydrolyzed at 120 ° C. for 16 hours. Three hydrolyzed samples were prepared per specimen. 20 ⁇ L of the hydrolyzed sample and 100 ⁇ L of the HYP standard solution were collected in a well plate, depressurized at 40 ° C. for 15 hours, and dried.
  • the average value of GAG / HYP in the normal control group was 17.8, which was higher than that of untreated articular cartilage 3.1.
  • the average value of GAG / HYP in the nucleus pulposus group and the treatment group was lower than that in the normal control group.
  • the average value of GAG / HYP tended to be slightly higher in the treatment group than in the nucleus pulposus group.
  • the nucleus pulposus nucleus has a higher sulfated glycosaminoglycan (GAG) / hydroxyproline (HYP) value than the articular cartilage, that is, the ratio of components constituting the tissue is different. It was suggested that the tissue characteristics were different from those of articular cartilage. It was considered that the composition of the present invention may restore such a characteristic composition of the nucleus pulposus.
  • GAG glycosaminoglycan
  • HEP hydroxyproline

Landscapes

  • Health & Medical Sciences (AREA)
  • Life Sciences & Earth Sciences (AREA)
  • Engineering & Computer Science (AREA)
  • Animal Behavior & Ethology (AREA)
  • General Health & Medical Sciences (AREA)
  • Public Health (AREA)
  • Veterinary Medicine (AREA)
  • Chemical & Material Sciences (AREA)
  • Medicinal Chemistry (AREA)
  • Biomedical Technology (AREA)
  • Epidemiology (AREA)
  • Transplantation (AREA)
  • Oral & Maxillofacial Surgery (AREA)
  • Pharmacology & Pharmacy (AREA)
  • Neurology (AREA)
  • Orthopedic Medicine & Surgery (AREA)
  • Molecular Biology (AREA)
  • Dermatology (AREA)
  • Cardiology (AREA)
  • Bioinformatics & Cheminformatics (AREA)
  • Heart & Thoracic Surgery (AREA)
  • Vascular Medicine (AREA)
  • Pharmaceuticals Containing Other Organic And Inorganic Compounds (AREA)
  • Materials For Medical Uses (AREA)
  • Medicinal Preparation (AREA)
  • Polysaccharides And Polysaccharide Derivatives (AREA)
  • Prostheses (AREA)
PCT/JP2017/002925 2016-03-23 2017-01-27 椎間板治療用組成物 Ceased WO2017163603A1 (ja)

Priority Applications (9)

Application Number Priority Date Filing Date Title
JP2018507084A JP6487110B2 (ja) 2016-03-23 2017-01-27 椎間板治療用組成物
EP23212370.3A EP4374886A1 (en) 2016-03-23 2017-01-27 Composition for treating intervertebral disc
BR112018069060A BR112018069060A2 (pt) 2016-03-23 2017-01-27 composição para tratar o disco intervertebral
US16/086,081 US12478636B2 (en) 2016-03-23 2017-01-27 Composition for treating intervertebral disc
BR122021024709-9A BR122021024709B1 (pt) 2016-03-23 2017-01-27 Composição e kit
EP17769650.7A EP3434291B1 (en) 2016-03-23 2017-01-27 Composition for treating intervertebral disc
CN201780018143.7A CN109069692A (zh) 2016-03-23 2017-01-27 椎间盘治疗用组合物
ES17769650T ES2972523T3 (es) 2016-03-23 2017-01-27 Composición para el tratamiento del disco intervertebral
CA3018152A CA3018152A1 (en) 2016-03-23 2017-01-27 Composition comprising a salt of alginic acid for treating intervertebral disc

Applications Claiming Priority (2)

Application Number Priority Date Filing Date Title
JP2016-058396 2016-03-23
JP2016058396 2016-03-23

Publications (1)

Publication Number Publication Date
WO2017163603A1 true WO2017163603A1 (ja) 2017-09-28

Family

ID=59901106

Family Applications (1)

Application Number Title Priority Date Filing Date
PCT/JP2017/002925 Ceased WO2017163603A1 (ja) 2016-03-23 2017-01-27 椎間板治療用組成物

Country Status (8)

Country Link
US (1) US12478636B2 (enExample)
EP (2) EP3434291B1 (enExample)
JP (5) JP6487110B2 (enExample)
CN (1) CN109069692A (enExample)
BR (2) BR122021024709B1 (enExample)
CA (1) CA3018152A1 (enExample)
ES (1) ES2972523T3 (enExample)
WO (1) WO2017163603A1 (enExample)

Cited By (7)

* Cited by examiner, † Cited by third party
Publication number Priority date Publication date Assignee Title
WO2018164128A1 (ja) * 2017-03-07 2018-09-13 持田製薬株式会社 アルギン酸液剤
WO2019182015A1 (ja) 2018-03-22 2019-09-26 持田製薬株式会社 非ステロイド性抗炎症性化合物結合アルギン酸誘導体
CN111867645A (zh) * 2018-01-31 2020-10-30 国立大学法人神户大学 椎间盘退变的治疗剂及椎间盘细胞培养材料
JPWO2021145325A1 (enExample) * 2020-01-14 2021-07-22
WO2022092298A1 (ja) * 2020-11-01 2022-05-05 雄平 島田 脊髄損傷の治療剤
WO2022102093A1 (ja) * 2020-11-13 2022-05-19 国立大学法人北海道大学 椎間板性疼痛抑制用組成物
JPWO2022163872A1 (enExample) * 2021-01-29 2022-08-04

Families Citing this family (4)

* Cited by examiner, † Cited by third party
Publication number Priority date Publication date Assignee Title
CN113195083B (zh) * 2018-12-26 2022-12-27 东丽株式会社 多孔膜、复合膜和多孔膜的制造方法
EP4072608A1 (en) 2019-12-12 2022-10-19 Instituto de Engenharia Biomédica (INEB) Fetal decellularized nucleus pulposus material and methods for obtaining pharmaceutic compositions to be used in the treatment of intervertebral disc degeneration and back pain
US20230080690A1 (en) * 2020-01-17 2023-03-16 National University Corporation Hokkaido University Cartilage damage treatment material utilizing bone marrow fluid
CN116115824B (zh) * 2022-10-04 2025-08-26 奥美医疗用品股份有限公司 一种注射型髓核修复产品及其制备方法

Citations (14)

* Cited by examiner, † Cited by third party
Publication number Priority date Publication date Assignee Title
WO1993013136A1 (en) 1991-12-20 1993-07-08 Howmedica Inc. Ultra-pure polysaccharide materials for medical use
JPH08269102A (ja) 1995-03-30 1996-10-15 Shiseido Co Ltd エンドトキシンフリーのβ1,3−グルカン及びその製造法並びに医療用ゲル素材
US5589591A (en) 1986-07-03 1996-12-31 Advanced Magnetics, Inc. Endotoxin-free polysaccharides
JPH09324001A (ja) 1996-04-02 1997-12-16 Kyowa Hakko Kogyo Co Ltd ヒアルロン酸ナトリウムの精製法
JPH10503667A (ja) * 1994-05-24 1998-04-07 スミス アンド ネフュー ピーエルシー 椎間板インプラント
JP2002530440A (ja) 1998-11-13 2002-09-17 シーピー ケルコ ユー.エス.インク. エンドトキシンレベルが低い生体高分子塩、その生体高分子組成物およびこれを製造する方法
US20030069639A1 (en) 2001-04-14 2003-04-10 Tom Sander Methods and compositions for repair or replacement of joints and soft tissues
JP2005036036A (ja) 2003-07-16 2005-02-10 Tanabe Seiyaku Co Ltd エンドトキシン除去方法
WO2006136905A2 (en) * 2005-06-20 2006-12-28 Giuseppe Calvosa Biocompatible composition for replacing/regenerating tissues
US20070150060A1 (en) 2005-12-27 2007-06-28 Sdgi Holdings, Inc Rehydration and restoration of intervertebral discs with polyelectrolytes
WO2008102855A1 (ja) 2007-02-21 2008-08-28 Mochida Pharmaceutical Co., Ltd. 軟骨疾患治療用組成物
JP2008543449A (ja) * 2005-06-17 2008-12-04 アボット・ラボラトリーズ 変性脊椎疾患の改良型治療方法
US20090082719A1 (en) 2005-05-03 2009-03-26 Yeung Jeffrey E Injection device for the intervertebral disc
WO2013027854A1 (ja) 2011-08-23 2013-02-28 持田製薬株式会社 軟骨再生用組成物

Family Cites Families (6)

* Cited by examiner, † Cited by third party
Publication number Priority date Publication date Assignee Title
JPH11253547A (ja) * 1998-03-11 1999-09-21 Kunio Ishikawa 細胞遮断膜
EP1448089A4 (en) 2001-11-01 2008-06-04 Spine Wave Inc DEVICES AND METHODS FOR SPINACH RECOVERY
EP2082755A1 (de) 2008-01-16 2009-07-29 CellMed AG Monolithische in-situ vernetzte Alginatimplantate
CN108135928B (zh) * 2015-09-07 2021-06-08 持田制药株式会社 藻酸冻结干燥制剂
JP6196283B2 (ja) 2015-12-10 2017-09-13 トヨタ自動車株式会社 燃料電池用電極、燃料電池用電極の製造方法、固体高分子形燃料電池、および触媒インクの製造方法
WO2018159768A1 (ja) 2017-03-02 2018-09-07 持田製薬株式会社 線維軟骨組織損傷治療用組成物

Patent Citations (14)

* Cited by examiner, † Cited by third party
Publication number Priority date Publication date Assignee Title
US5589591A (en) 1986-07-03 1996-12-31 Advanced Magnetics, Inc. Endotoxin-free polysaccharides
WO1993013136A1 (en) 1991-12-20 1993-07-08 Howmedica Inc. Ultra-pure polysaccharide materials for medical use
JPH10503667A (ja) * 1994-05-24 1998-04-07 スミス アンド ネフュー ピーエルシー 椎間板インプラント
JPH08269102A (ja) 1995-03-30 1996-10-15 Shiseido Co Ltd エンドトキシンフリーのβ1,3−グルカン及びその製造法並びに医療用ゲル素材
JPH09324001A (ja) 1996-04-02 1997-12-16 Kyowa Hakko Kogyo Co Ltd ヒアルロン酸ナトリウムの精製法
JP2002530440A (ja) 1998-11-13 2002-09-17 シーピー ケルコ ユー.エス.インク. エンドトキシンレベルが低い生体高分子塩、その生体高分子組成物およびこれを製造する方法
US20030069639A1 (en) 2001-04-14 2003-04-10 Tom Sander Methods and compositions for repair or replacement of joints and soft tissues
JP2005036036A (ja) 2003-07-16 2005-02-10 Tanabe Seiyaku Co Ltd エンドトキシン除去方法
US20090082719A1 (en) 2005-05-03 2009-03-26 Yeung Jeffrey E Injection device for the intervertebral disc
JP2008543449A (ja) * 2005-06-17 2008-12-04 アボット・ラボラトリーズ 変性脊椎疾患の改良型治療方法
WO2006136905A2 (en) * 2005-06-20 2006-12-28 Giuseppe Calvosa Biocompatible composition for replacing/regenerating tissues
US20070150060A1 (en) 2005-12-27 2007-06-28 Sdgi Holdings, Inc Rehydration and restoration of intervertebral discs with polyelectrolytes
WO2008102855A1 (ja) 2007-02-21 2008-08-28 Mochida Pharmaceutical Co., Ltd. 軟骨疾患治療用組成物
WO2013027854A1 (ja) 2011-08-23 2013-02-28 持田製薬株式会社 軟骨再生用組成物

Non-Patent Citations (19)

* Cited by examiner, † Cited by third party
Title
.: "Japanese Pharmacopoeia, 16th ed.", .
ACTA BIOMATERIA, vol. 10, 2014, pages 1646 - 1662
APPL. MICROBIOL. BIOTECHNOL., vol. 40, 1994, pages 638 - 643
EUR SPINE J, vol. 16, 2007, pages 1892 - 1898
EUR SPINE J., vol. 23, no. 1, 2014, pages 19 - 26
EUR SPINE J., vol. 23, no. 1, January 2014 (2014-01-01), pages 19 - 26
EUROPEAN CELLS AND MATERIALS, vol. 8, 2004, pages 58 - 64
JOURNAL OF ANATOMY, vol. 221, 2012, pages 480 - 496
JOURNAL OF ORTHOPAEDIC RESEARCH, vol. 7, 1989, pages 146 - 151
JOURNAL OF THE MECHANICAL BEHAVIOR OF BIOMEDICAL MATERIALS, vol. 29, 2014, pages 56 - 67
JOURNAL OF THE MECHANICAL BEHAVIOR OF BIOMEDICAL MATERIALS, vol. 4, 2011, pages 1196 - 1205
MATERIALS SCIENCE AND ENGINEERING, vol. 63, 2016, pages 198 - 210
NISHIMURA ET AL., SPINE (PHILA PA 1976, vol. 23, no. 14, 1998, pages 1531 - 8
OSTEOARTHRITIS AND CARTILAGE, vol. 17, 2009, pages 1377 - 1384
SPINE (PHILA PA 1976, vol. 26, no. 17, 2001, pages 1873 - 8
SPINE (PHILA PA 1976, vol. 30, no. 1, 1 January 2005 (2005-01-01), pages 15 - 24
SPINE J, vol. 13, no. 3, 2013, pages 243 - 262
SPINE, vol. 27, no. 23, 2002, pages 2631 - 2644
WOESSNER JF JR, ARCH BIOCHEM BIOPHYS, vol. 93, 1961, pages 440 - 447

Cited By (19)

* Cited by examiner, † Cited by third party
Publication number Priority date Publication date Assignee Title
WO2018164128A1 (ja) * 2017-03-07 2018-09-13 持田製薬株式会社 アルギン酸液剤
US11969437B2 (en) 2017-03-07 2024-04-30 Mochida Pharmaceutical Co., Ltd. Alginate liquid preparation
US11951231B2 (en) 2018-01-31 2024-04-09 Kinki University Therapeutic agent for intervertebral disc degeneration and material for culturing inter vertebral disc cells
CN111867645B (zh) * 2018-01-31 2022-05-27 国立大学法人神户大学 椎间盘退变的治疗剂及椎间盘细胞培养材料
CN111867645A (zh) * 2018-01-31 2020-10-30 国立大学法人神户大学 椎间盘退变的治疗剂及椎间盘细胞培养材料
WO2019182015A1 (ja) 2018-03-22 2019-09-26 持田製薬株式会社 非ステロイド性抗炎症性化合物結合アルギン酸誘導体
WO2021145325A1 (ja) * 2020-01-14 2021-07-22 持田製薬株式会社 アルギン酸塩を使用した対象の処置のための組合せ及び方法
JPWO2021145325A1 (enExample) * 2020-01-14 2021-07-22
US12491208B2 (en) 2020-01-14 2025-12-09 Mochida Pharmaceutical Co., Ltd. Combination and method for treating subject using alginate
JP7667747B2 (ja) 2020-01-14 2025-04-23 持田製薬株式会社 アルギン酸塩を使用した対象の処置のための組合せ及び方法
WO2022092298A1 (ja) * 2020-11-01 2022-05-05 雄平 島田 脊髄損傷の治療剤
JPWO2022092298A1 (enExample) * 2020-11-01 2022-05-05
JP7761941B2 (ja) 2020-11-01 2025-10-29 日本全薬工業株式会社 脊髄損傷の治療剤
WO2022102093A1 (ja) * 2020-11-13 2022-05-19 国立大学法人北海道大学 椎間板性疼痛抑制用組成物
JP2023139329A (ja) * 2020-11-13 2023-10-04 国立大学法人北海道大学 椎間板性疼痛抑制用組成物
US12478637B2 (en) 2020-11-13 2025-11-25 National University Corporation Hokkaido University Method for suppressing intervertebral disc pain
JP7620891B2 (ja) 2021-01-29 2025-01-24 国立大学法人北海道大学 椎間板再生用組成物
WO2022163872A1 (ja) * 2021-01-29 2022-08-04 国立大学法人北海道大学 椎間板再生用組成物
JPWO2022163872A1 (enExample) * 2021-01-29 2022-08-04

Also Published As

Publication number Publication date
CA3018152A1 (en) 2017-09-28
JP2021154163A (ja) 2021-10-07
JP6907254B2 (ja) 2021-07-21
JP2019088900A (ja) 2019-06-13
EP4374886A1 (en) 2024-05-29
JPWO2017163603A1 (ja) 2019-01-31
EP3434291A4 (en) 2019-10-23
EP3434291A1 (en) 2019-01-30
US12478636B2 (en) 2025-11-25
BR122021024709B1 (pt) 2023-01-03
EP3434291B1 (en) 2023-11-29
JP6487110B2 (ja) 2019-03-20
JP7314207B2 (ja) 2023-07-25
JP2023134610A (ja) 2023-09-27
CN109069692A (zh) 2018-12-21
JP2025160358A (ja) 2025-10-22
US20200289547A1 (en) 2020-09-17
BR112018069060A2 (pt) 2019-01-29
ES2972523T3 (es) 2024-06-13

Similar Documents

Publication Publication Date Title
JP7314207B2 (ja) 椎間板治療用組成物
JP5425134B2 (ja) 軟骨疾患治療用組成物
RU2698210C2 (ru) Состав fgf-18 в альгинатных/коллагеновых гидрогелях
JP5491866B2 (ja) 関節疾患治療用組成物
JP6116009B2 (ja) 軟骨再生用組成物
JP7191007B2 (ja) 線維軟骨組織損傷治療用組成物
JP2025031929A (ja) 椎間板再生用組成物
JP7607595B2 (ja) 骨髄液を用いた軟骨損傷治療材
TWI835690B (zh) 用於治療節段性骨缺損的可注射型水膠
US12478637B2 (en) Method for suppressing intervertebral disc pain

Legal Events

Date Code Title Description
WWE Wipo information: entry into national phase

Ref document number: 2018507084

Country of ref document: JP

ENP Entry into the national phase

Ref document number: 3018152

Country of ref document: CA

WWE Wipo information: entry into national phase

Ref document number: 122021015253

Country of ref document: BR

NENP Non-entry into the national phase

Ref country code: DE

REG Reference to national code

Ref country code: BR

Ref legal event code: B01A

Ref document number: 112018069060

Country of ref document: BR

WWE Wipo information: entry into national phase

Ref document number: 2017769650

Country of ref document: EP

ENP Entry into the national phase

Ref document number: 2017769650

Country of ref document: EP

Effective date: 20181023

121 Ep: the epo has been informed by wipo that ep was designated in this application

Ref document number: 17769650

Country of ref document: EP

Kind code of ref document: A1

ENP Entry into the national phase

Ref document number: 112018069060

Country of ref document: BR

Kind code of ref document: A2

Effective date: 20180919

WWG Wipo information: grant in national office

Ref document number: 16086081

Country of ref document: US