KR900008552B1 - 비닐티오 아세트아미도 옥사세팔로스포린 유도체의 제조방법 - Google Patents

비닐티오 아세트아미도 옥사세팔로스포린 유도체의 제조방법 Download PDF

Info

Publication number
KR900008552B1
KR900008552B1 KR1019830004623A KR830004623A KR900008552B1 KR 900008552 B1 KR900008552 B1 KR 900008552B1 KR 1019830004623 A KR1019830004623 A KR 1019830004623A KR 830004623 A KR830004623 A KR 830004623A KR 900008552 B1 KR900008552 B1 KR 900008552B1
Authority
KR
South Korea
Prior art keywords
compound
mixture
acid
yield
dissolved
Prior art date
Legal status (The legal status is an assumption and is not a legal conclusion. Google has not performed a legal analysis and makes no representation as to the accuracy of the status listed.)
Expired
Application number
KR1019830004623A
Other languages
English (en)
Other versions
KR840006252A (ko
Inventor
와따루 나가다
미쓰루 오시오까
야스히로 니시따니
쓰또무 아오끼
도시로 고노이께
다다또시 구보다
Original Assignee
시오노기세이야꾸 가부시끼가이샤
요시또시 가즈오
Priority date (The priority date is an assumption and is not a legal conclusion. Google has not performed a legal analysis and makes no representation as to the accuracy of the date listed.)
Filing date
Publication date
Priority claimed from JP57172907A external-priority patent/JPS5962596A/ja
Priority claimed from JP58128116A external-priority patent/JPS6019791A/ja
Application filed by 시오노기세이야꾸 가부시끼가이샤, 요시또시 가즈오 filed Critical 시오노기세이야꾸 가부시끼가이샤
Publication of KR840006252A publication Critical patent/KR840006252A/ko
Application granted granted Critical
Publication of KR900008552B1 publication Critical patent/KR900008552B1/ko
Expired legal-status Critical Current

Links

Classifications

    • CCHEMISTRY; METALLURGY
    • C07ORGANIC CHEMISTRY
    • C07FACYCLIC, CARBOCYCLIC OR HETEROCYCLIC COMPOUNDS CONTAINING ELEMENTS OTHER THAN CARBON, HYDROGEN, HALOGEN, OXYGEN, NITROGEN, SULFUR, SELENIUM OR TELLURIUM
    • C07F9/00Compounds containing elements of Groups 5 or 15 of the Periodic Table
    • C07F9/02Phosphorus compounds
    • C07F9/28Phosphorus compounds with one or more P—C bonds
    • C07F9/535Organo-phosphoranes
    • C07F9/5352Phosphoranes containing the structure P=C-
    • AHUMAN NECESSITIES
    • A61MEDICAL OR VETERINARY SCIENCE; HYGIENE
    • A61KPREPARATIONS FOR MEDICAL, DENTAL OR TOILETRY PURPOSES
    • A61K31/00Medicinal preparations containing organic active ingredients
    • A61K31/33Heterocyclic compounds
    • A61K31/395Heterocyclic compounds having nitrogen as a ring hetero atom, e.g. guanethidine or rifamycins
    • A61K31/535Heterocyclic compounds having nitrogen as a ring hetero atom, e.g. guanethidine or rifamycins having six-membered rings with at least one nitrogen and one oxygen as the ring hetero atoms, e.g. 1,2-oxazines
    • AHUMAN NECESSITIES
    • A61MEDICAL OR VETERINARY SCIENCE; HYGIENE
    • A61PSPECIFIC THERAPEUTIC ACTIVITY OF CHEMICAL COMPOUNDS OR MEDICINAL PREPARATIONS
    • A61P31/00Antiinfectives, i.e. antibiotics, antiseptics, chemotherapeutics
    • A61P31/04Antibacterial agents
    • CCHEMISTRY; METALLURGY
    • C07ORGANIC CHEMISTRY
    • C07CACYCLIC OR CARBOCYCLIC COMPOUNDS
    • C07C309/00Sulfonic acids; Halides, esters, or anhydrides thereof
    • CCHEMISTRY; METALLURGY
    • C07ORGANIC CHEMISTRY
    • C07CACYCLIC OR CARBOCYCLIC COMPOUNDS
    • C07C323/00Thiols, sulfides, hydropolysulfides or polysulfides substituted by halogen, oxygen or nitrogen atoms, or by sulfur atoms not being part of thio groups
    • CCHEMISTRY; METALLURGY
    • C07ORGANIC CHEMISTRY
    • C07DHETEROCYCLIC COMPOUNDS
    • C07D241/00Heterocyclic compounds containing 1,4-diazine or hydrogenated 1,4-diazine rings
    • C07D241/02Heterocyclic compounds containing 1,4-diazine or hydrogenated 1,4-diazine rings not condensed with other rings
    • C07D241/06Heterocyclic compounds containing 1,4-diazine or hydrogenated 1,4-diazine rings not condensed with other rings having one or two double bonds between ring members or between ring members and non-ring members
    • C07D241/08Heterocyclic compounds containing 1,4-diazine or hydrogenated 1,4-diazine rings not condensed with other rings having one or two double bonds between ring members or between ring members and non-ring members with oxygen atoms directly attached to ring carbon atoms
    • CCHEMISTRY; METALLURGY
    • C07ORGANIC CHEMISTRY
    • C07DHETEROCYCLIC COMPOUNDS
    • C07D339/00Heterocyclic compounds containing rings having two sulfur atoms as the only ring hetero atoms
    • CCHEMISTRY; METALLURGY
    • C07ORGANIC CHEMISTRY
    • C07DHETEROCYCLIC COMPOUNDS
    • C07D505/00Heterocyclic compounds containing 5-oxa-1-azabicyclo [4.2.0] octane ring systems, i.e. compounds containing a ring system of the formula:, e.g. oxacephalosporins; Such ring systems being further condensed, e.g. 2,3-condensed with an oxygen-, nitrogen- or sulfur-containing hetero ring
    • YGENERAL TAGGING OF NEW TECHNOLOGICAL DEVELOPMENTS; GENERAL TAGGING OF CROSS-SECTIONAL TECHNOLOGIES SPANNING OVER SEVERAL SECTIONS OF THE IPC; TECHNICAL SUBJECTS COVERED BY FORMER USPC CROSS-REFERENCE ART COLLECTIONS [XRACs] AND DIGESTS
    • Y02TECHNOLOGIES OR APPLICATIONS FOR MITIGATION OR ADAPTATION AGAINST CLIMATE CHANGE
    • Y02PCLIMATE CHANGE MITIGATION TECHNOLOGIES IN THE PRODUCTION OR PROCESSING OF GOODS
    • Y02P20/00Technologies relating to chemical industry
    • Y02P20/50Improvements relating to the production of bulk chemicals
    • Y02P20/55Design of synthesis routes, e.g. reducing the use of auxiliary or protecting groups

Landscapes

  • Chemical & Material Sciences (AREA)
  • Organic Chemistry (AREA)
  • Health & Medical Sciences (AREA)
  • General Health & Medical Sciences (AREA)
  • Life Sciences & Earth Sciences (AREA)
  • Molecular Biology (AREA)
  • Biochemistry (AREA)
  • Veterinary Medicine (AREA)
  • Medicinal Chemistry (AREA)
  • Public Health (AREA)
  • Pharmacology & Pharmacy (AREA)
  • Animal Behavior & Ethology (AREA)
  • Chemical Kinetics & Catalysis (AREA)
  • Nuclear Medicine, Radiotherapy & Molecular Imaging (AREA)
  • General Chemical & Material Sciences (AREA)
  • Epidemiology (AREA)
  • Oncology (AREA)
  • Communicable Diseases (AREA)
  • Cephalosporin Compounds (AREA)
  • Pharmaceuticals Containing Other Organic And Inorganic Compounds (AREA)
  • Organic Low-Molecular-Weight Compounds And Preparation Thereof (AREA)
  • Nitrogen And Oxygen Or Sulfur-Condensed Heterocyclic Ring Systems (AREA)

Abstract

내용 없음.

Description

비닐티오 아세트아미도 옥사세팔로스포린 유도체의 제조방법
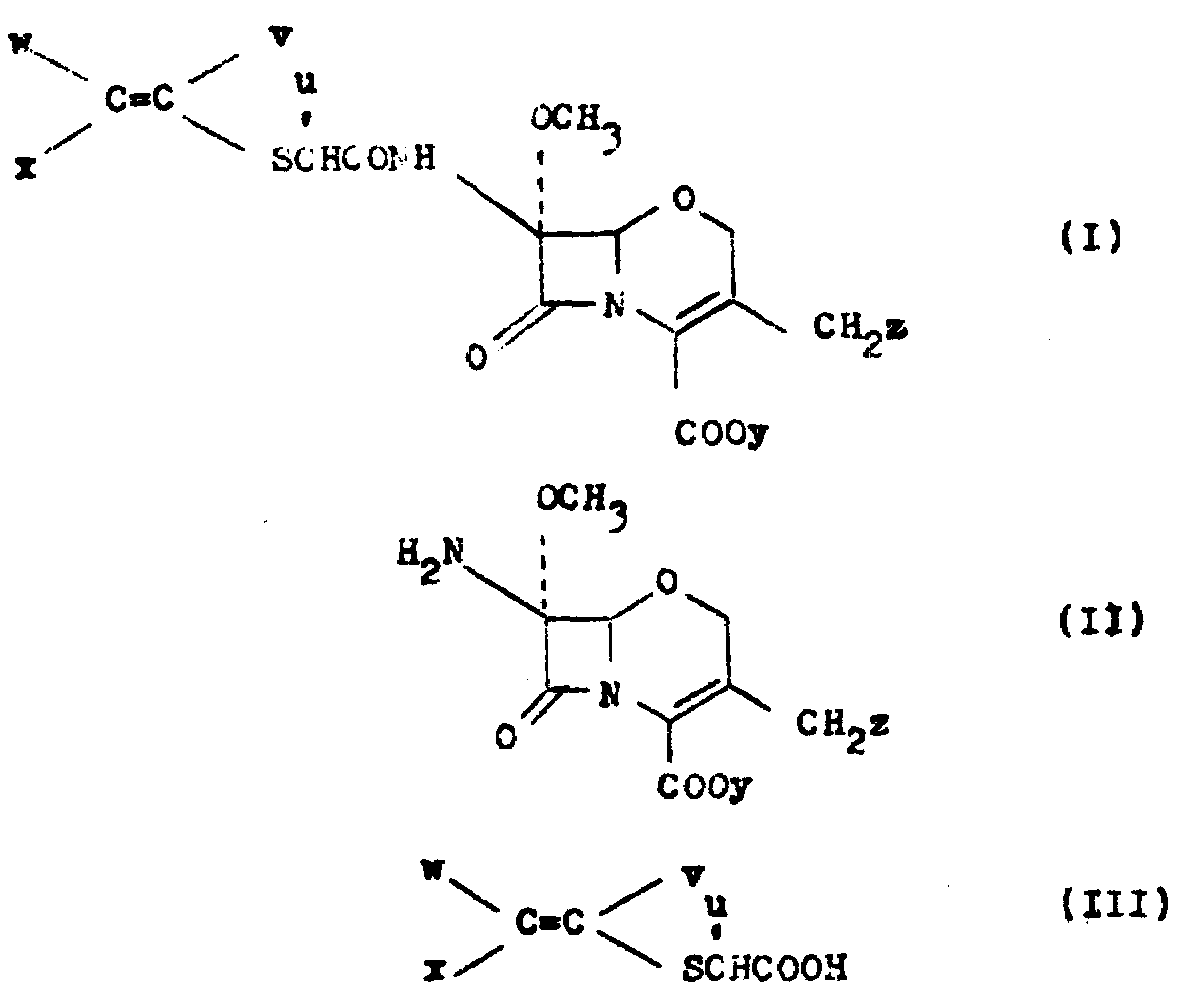
본 발명은 일반식(Ⅰ)의 7β-치환된 비틸디오 아세트아미도-7α-메톡시-3-치환된 메틸-1-데리아-1-옥사-3-세펨-4-카르복실산 유도체의 제조방법에 관한 것이다.
Figure kpo00001
(상기 식중에서 u는 수소, 카르복사미도, N-히드록시 카르복사미도, 카르복시, 아지도, C6∼C12아실 아미노, 보호된 카르복시 또는 N-C1∼C5-알콕시카르복사미도를 나타내거나, v와 함께 -S- 또는 -CH2S-를 나타낼 수 있으며; v는 수소, 할로겐, 시아노 또는 C1∼C5알킬티오를 나타내거나, u와 함께 -S- 또는 -CH2S-를 나타내거나, w와 함께 -(CH2)3CO-를 나타낼 수 있으며; w는 수소, 카르바모일, 시아노, 카르복시, N-C1∼C5-알킬카르바모일, C1∼C5아킬, C6∼C12아릴, 보호된 카르복시 또는 5 또는 6원의 질소-, 산소- 또는 황-함유 복소환를 나타내거나, v와 함께 -(CH2)3CO-를 나타낼 수 있으며; x는 할로겐, 트리플루오로메틸, C1∼C5알킬티오 또는 C6∼C12아릴티오를 나타내며; y는 수소, 경금속 또는 카르복실산 보호기를 나타내고; z는 C1∼C12아실옥시 또는 상기와 같은 복소환-티오를 나타낸다).
u, v, w, x, y 및 z의 기호로 표시되는 상기의 각 기들은 할로겐 또는 탄소-, 질소-, 산소- 또는 황-함유 관능기에 의해 임의로 치환될 수 있다.
본 명세서에서, 용어의 바람직한 범위는 하기와 같다.
"알킬"이라는 용어는 히드록시, 할로겐, 시아노, 카르복사미도, 카르바모일, 옥소, C1∼C5알킬, C1∼C5알콕시, C1∼C12아실옥시, 아미노, C1∼C12아실 아미노, 디-C1∼C5- 알킬 아미노, 포르밀이미도일 아미노 또는 보호된 카르복시에 의해 임의 치환된 직쇄 C1∼C5알킬, 또는 상치 치환체의 어떤 것에 의해 임의 치환된 C4∼C7시클로알킬을 나타낸다. 이들 치환체는 이후 "보통 치환체"로 한다.
"아실"이라는 용어는 질소, 산소 또는 황에서 선택된 복소원을 환에 임의로 함유하는 직쇄 또는 측쇄 C1∼C7알카노일, C4∼C7시클로알킬 카르보닐, 모노시클릭 또는 비시클릭 C7∼C13아로일, C8∼C14아르알카노일 또는 C9∼C15아릴알케노일, C1∼C5알킬술포닐, C6∼C12아릴술포닐, 카르바모일, 카르보 -C1∼C5- 알콕시, 카르보 -C7∼C13- 아르알콕시 또는 술포를 나타낸다. 이들 아실기는 상술한 하나 이상의 보통 치혼체를 임의로 포함할 수 있다.
"아릴"이라는 용어는 상술한 하나 이상의 보통 치환체를 임의로 운반하는 5 또는 6원 모노 또는 비시클릭 C5∼C12아릴기를 나타낸다.
"복소환"이라는 용어는 하나의 산소원자 또는 하나의 황원자 및/또는 1∼4질소원자를 갖는 5 또는 6원 모노 또는 비시클릭 복소환기를 나타낸다. 복소환의 예로는 푸릴, 티에닐, 피로닐, 티오피로닐, 피롤릴, 피라졸릴, 옥사졸릴, 티아졸릴, 이미다졸릴, 옥사디아졸릴, 옥사트리아졸릴, 티아디아졸릴, 트리아졸릴, 옥사트리아졸릴, 티이트리아졸릴, 테트라졸릴, 피리딜, 피리미딜, 피라디닐, 피리다지닐, 트리아지닐, 인돌릴, 벤조피로닐, 벤조푸릴, 벤조티에닐, 테트라졸로 피라다지닐, 푸리닐, 이소퀴놀릴, 퀴놀릴, 피리미도피리딜 등이 있다. 이들 복소환은 임의로 보호된 히드록시에틸, 카르바모일메틸, 알킬 카르바모일메틸 및 "알킬"기의 설명에서 언급된 보통 치환체 중에서 선택된 하나 이상의 치환체를 운반할 수 있다. 히드록시 에틸에 대한 보호기의 예를 들면 아르알킬; 카르보닐 아실, 알카노일, 아르알카노일, 아로일과 같은 아실레이트 형성기; 메톡시메틸, 테트라히드로피라닐과 같은 아세탈 형성기가 있다.
보호기 중에서, 분자의 다른 부분에 역 효과없이 화합물(Ⅰ)로부터 도입 또는 탈보호 될 수 있는 것이 바람직하다.
카르복시 보호기는 β-락탐환에 역 효과를 주지않고 3-또는 4-카르복실기를 보호하기 위해 페니실린-세팔로스포린 기술에 일반적으로 사용되는 것이다. 이들 보호기의 예로는 예를들면 벤질, 메틸 벤질, 디메틸 벤질, 메톡시 벤질, 에톡시 벤질, 니트로 벤질, 아미노 벤질, 디페닐메틸, 프탈리딜 또는 펜아실과 같은 C7∼C14아르알킬; 트리클로로에틸, t-부틸 또는 알릴과 같은 치환된 C1∼C5알킬; 텐타 클로로페닐 또는 인다닐과 같은 C6∼C12아릴; 아세톤옥심, 아세토페논옥심, 아세트알독심 또는 N-히도록시프탈이미드로 형성된 에스테를 잔기; 탄산 또는 C1∼C14카르복실산으로 형성된 산무수물 잔기가있다. 또한 보호기는 아미드 잔기, 바람직하게는 히드록시아미드 또는 알콕시아미드 잔기, 아미드 잔기 및 히드라지드 잔기가 있다. 보호기는 "알킬"기의 설명에 언급된 하나 이상의 보통 치환체를 함유할 수 있다.
여기서 사용된 "카르복시보호기"는 약학적으로 활성인 에스테르 형성기이다. "약학적으로 활성인 에스테르"는 경구 또는 비경구 투여 하였을때 항균 활성을 나타내는 일반식(Ⅰ)의 에스테르를 나타낸다.
약학적으로 활성인 에스테르 형성기는 페니실린-세팔로 스포린 기술에서 공지이다. 이들 기의 전형적인 예는 알카노일옥시알킬, 알콕시포르밀옥시알킬, 메톡시메틸, 테트라히드로피라닐 및 2-옥소-1, 3-디옥소레닐메틸과 같은 치환된 알킬기; 펜아실 및 프탈리딜과 같은 치환된 아르알킬기; 페닐, 크실릴 및 인다닐과 같은 치환된 아릴기; 및 상술한 하나 이상의 보통 치환체에 의해 치환된 상기의 기가 있다.
"경금속"이라는 용어는 체액에 생리적으로 무독인 이온을 제공하는 주기율표 Ⅰ∼Ⅲ족의 2∼4주기에 속하는 금속이다. 대표적인 경금속은 리튬, 소듐, 포타슘, 마그네슘, 칼슘 및 알루미늄이다.
이후의 설명에서 경금속, 및 경금속의 염 또는 염기의 간단히 하기 위해 "금속", "염" 또는 "염기"로 약칭하기로 한다.
본 발명의 화합물(Ⅰ)은 각종 미생물에 강한 항균 활성 및 다른 항생물질에 대한 저항성을 나타낸다.
포유동물에 투여되었을 때, 화합물(Ⅰ)은 어떤 부작용도 없이 흡수, 역할, 대사 및 분비되는 관점에서 우수한 약학적 특성을 나타낸다. 또한 화합물(Ⅰ)은 화학적으로 안정하기 때문에 장기간 저항될 수 있다.
그러므로, 화합물(Ⅰ)은 각종 그람 양성 및 음성 박테리아에 대한 우수한 항생물질이며, 인체 및 가축용 약제로써 사용될 수 있다. 이것은 그람 양성 박테리아 〔즉, 스타필로코쿠스 아우레우스(Staphylococcus aureus), 스트랩토코쿠스 피오게네스(Streptococcus pyogenes), 바실루스 서브틸리스(Bacillus subtilis), 바실루스 세레우스(Bacillus cereus), 디플로코쿠스 뉴모니아(Diplococcus pneumoniae), 코리네박테리움 디프테리아(Corynebacterium diphtheriae)〕 및 그람 음성 박테리아 〔즉, 에스케리키아 콜리(Escherichia coli), 클렙시엘라 뉴모니아(Klebsiella pneumoniae), 프로테우스 미라빌리스(Proteus mirabilis), 프로테우스 불가리스(Proteus vulgaris), 프로테우스 레트게리(Proteus rettgeri), 프로테우스 모르가니(Proteus morganii), 엔테로박터 클로아카에(Enterobacter cloacae), 시겔라숀네이(Shigella sonnei), 살로넬라 파라티피(Salmonella paratyphi), 살모넬라 티피(Salmonella typhi), 세라타아 마르세센스(Serratia marsescens)〕에 의해 일어나는 감염을 치료 또는 예방하기 위해 사용될 수 있으며, 어떤 것은 혐기성 박테리아 〔즉, 박테로이테스 프라질리스(Bacteroides fragilis), 유박테리움 렌툼(Eubacte-rium lentum)〕에 대해서도 활성을 나타낸다. 이 화합물은 부패가 쉬운 물질 및 사료 첨가제의 부패를 막거나 위생 물질의 박테리아 성장을 방해하기 위한 감염 방지제로써 사용될 수 있다.
화합물(Ⅰ)은 단독으로 또는 다른 공동 작용 물질과 혼합하여 각종의 경구 또는 비경구 투여형태로 사용될 수 있다. 약학적 조성물은 0.01∼99%의 화합물(Ⅰ)과 이 화합물이 용해, 분산 또는 현탁될 수 있는 고체 또는 액체의 담체의 혼합물일 수 있다. 이것은 단위 투여 형태일 수 있다. 고체 조성물은 정제, 분말, 건조시럽, 트로키 과립, 캡슐, 필, 좌약 또는 기타 고체 제제의 형태로 취해질 수 있다. 액체 조성물은 주사액, 연고, 분산액, 흡입제, 현탁액, 용액, 유제, 시럽 또는 엘릭시트의 형태로 취해질 수 있다. 이들은 풍미되거나 색을 나타낼 수 있으며, 정제, 과립 및 캡슐은 코우팅될 수 있다.
모든 희석제(예를들면 녹말, 슈크로오즈, 락토오즈, 탄산칼슘, 카올린); 벌킹제(예를들면 락토오즈, 설탕, 염, 글리신, 녹말, 탄산칼슘, 인산칼슘, 카올린, 벤토나이트, 활석, 소르비톨); 결합제(예를들면 녹말, 아카시아, 젤라틴, 글로코오즈, 소듐 알기네이트, 트라가칸트, 카르복시메틸 셀루로오즈, 시럽, 소르비톨, 폴리비닐 피롤리돈); 분해제(예를들면 녹말, 한천, 카르보네이트, 소듐, 라우필 셀페이트); 윤활제(예를들면 스테아르산, 활석, 피라핀, 보르산, 실리카, 벤조산 나트륨, 폴리에틸렌 글리콜, 카카오유, 마그네슘 스테아레이트); 유화제(예를들면 레시틴, 소르비탄 모노올레이트, 아카시아); 현탁제(예를들면 소르비톨, 메틸 셀룰로오즈, 글루코오즈 또는 설탕 시럽, 젤라틴, 히드록시 에틸 셀룰로오즈, 카르복시메틸 셀루로오즈, 알루미늄 스테아레이트 겔, 경화 지방); 용매(예를들면 물, 완충액, 피닛유, 참깨유, 메틸올레이트); 보존재(예를들면 메틸 또는 에틸 p-히드록시벤조에이트, 소르브산); 식용 색소, 방향족 물질, 용해제, 완충액, 안정제, 강장제, 분산제, 수화제, 산화방지제 등은 화합물에 역효과를 나타내지 않는다면 공지의 방법에 따라 사용될 수 있다.
카르복신산염기를 갖는 화합물(Ⅰ)은 물에 용해되며, 공지방법에 따라 정맥내, 근육내 도는 피하 주사용 용액으로써 편리하게 사용된다. 이 화합물은 수성 또는 유성 용매에 용해된 엠푸울 주사용액일 수 있으며, 일반적으로 결정, 분말, 미세 결정 또는 화합물(Ⅰ)의 가수분해물을 함유한 바이알 제제로 만들어져 저장기간을 길게할 수 있으며, 사용전에 상기 용매에 용해 또는 현탁시켜서 사용한다.
이 제제는 바람직하게는 상기 보존재를 함유할 수 있다. 바이알 제제 또는 주사액은 감염된 박테리아, 환자의 조건 및 투여 간격에 따라 일일 0.2∼5g 양으로 환자에게 투여된다.
약학적으로 무독인 에스테르(에를들면 인다닐, 아세톡시메틸, 피발로옥시메틸, 에톡시카르보닐옥시에틸, 펜아실, 프틸리딜, 페닐, 톨릴, 크실릴, 메톡시페닐에스테르)인 화합물(Ⅰ)은 소화관을 통해 어느 정도 흡수될 수 있으며, 분말, 정제, 과립, 캡슐, 건조 시럽, 유제, 용액, 현탁액 및 기타 경구 제제로써 인체 또는 가축에 투여될 수 있다.
이들은 순수 화합물 또는 화합물(Ⅰ) 및 상기 약학적 담체를 함유한 조성물일 수 있다. 제제는 공지의 방법에 따라 제조될 수 있으며 환자의 조건 및 질병에 따라 일일 1∼2g의 양으로 환자에게 투여될 수 있다.
또한, 화합물(Ⅰ)은 공지의 방법에 따라 제조할 수 있는 좌약, 국부 또는 시각용 연고, 국부용 분말 및 기타 제제의 형태로 사용될 수 있다. 제제는 0.01∼99%의 화합물(Ⅰ)과 함께 필요한 량의 상기 약학적 담체를 함유할 수 있다. 제제의 필요한 량, 즉 1㎛∼1mg을 필요한 부위에 사용할 수 있다.
본 발명은 또한 인체 또는 동물에 유효량, 즉 주사시 일일 0.2∼5g 또는 경구투여시 일일 1∼2g, 또는 국부사용시 1㎛∼1mg의 화합물(Ⅰ)을 3∼12시간 간격으로 투여함을 특징으로 하는 인체 또는 가축 박테리아 감염의 치료 또는 예방 방법을 제공한다.
이 방법은 화합물(Ⅰ)에 민감한 박테이라에 의해 야기되는 질병, 즉 폐렴, 기관지염, 페질환, 축농증, 비인두염, 편도염, 비염, 피부염, 농포증, 궤양, 결여증, 상처 및 연조직 감염, 귀감염, 골수염, 폐혈증, 위장염, 장염, 요로감염 및 신우신염의 치료 및 예방을 위해 사용될 수 있다.
화합물(Ⅰ)은 약학적 제제의 형태, 예를 들면 분말, 건조시럽, 정제, 트라키, 과립, 캡슐, 필, 좌약, 주사제, 연고, 분산제, 흡입제, 현탁액, 용액, 유제, 시럽 및 엘릭시르 형태로 환자에게 투여된다. 이들은 단위 투여 형태, 예를들면 분리된 용기 또는 포장의 정제, 트로키, 캡슐, 주사제, 바이알, 과립 또는 분말일 수 있다.
상기에 기재된 모든 약학적 제제는 공지의 방법으로 제조될 수 있다.
화합물(Ⅰ)이 살균제 또는 항균제로 사용될 수 있다는 것은 공지의 기술에서 이해될 수 있다. 또한 이 화합물은 일반식(Ⅰ)의 다른 화합물을 제조하기 위한 출발 물질로서 및 미생물 감수성 시험을 위한 항생제로서 유용하다.
본 발명의 바람직한 화합물(Ⅰ)은 x가 트리플루오로메틸, 할로겐 또는 알킬티오인 것이다. 그들 중에서, x가 할로겐, 특히 플루오르 또는 염소이고, w가 카르바모일 또는 알킬카르바모일이며, z가 치환된 테트라졸릴티오인 화합물(Ⅰ)이 특히 바람직하다.
일반식(Ⅰ)의 화합물은 하기의 각종 방법에 의해 제조될 수 있다.
[1) 염의 제조]
y가 수소인 화합물(Ⅰ)이 염기 또는 약카르복실산의 염과 반응하면 y가 경금속인 화합물(Ⅰ)이 생성된다. 이 반응은 공지의 방법에 따라 수행된다. 바람직한 방법은 유리산(Ⅰ)을 중탄산 금속으로 중화하는 것이다.
또 다른 방법은 유리산(Ⅰ)을 극성 유기 용매에서 저급 카르복실산의 염과 교환 반응시키고 필요한 염(Ⅰ)이 용해되도록 용매를 가하는 방법이다.
상기 반응은 50℃ 이하의 온도에서 수행될 때 1∼10분후에 완결된다. 필요하다면, 어떤 부반응이 일어나지 않는다는 조건하에 더 오랜 시간 동안 반응 혼합물을 유지할 수 있다.
[2) 카르복실산 보호기의 제거]
하기에 기재된 어떤 탈보호 반응에 따라, y가 카르복시 보호기인 일반식(Ⅰ)의 화합물 y가 수소인 화합물(Ⅰ)로 전환시킬 수 있다.
하기의 설명에서, 카르복실산 보호기는 설명의 복잡성을 피하기 위해 카르복실산과 카르복실산을 보호하는 화합물 사이의 반응에 의해 생성된 기에 해당하는 이름으로 표시될 수 있다. 그러므로, 일반식 -COOR 또는 -CONHR의 분자체에 포함된 보호기 "R" 또는 "NHR"은 각각 "에스테르" 또는 "아미드"로 명명될 수 있다.
a) 높은 반응성의 에스테르, 아미드 및 무수물과 같은 높은 반응성의 보호기를 갖는 화합물(Ⅰ)은 수용액에서 산, 염기, 완충액 또는 이온 교환수지와 접속시킴으로써 탈보호될 수 있다. 트리클로로에틸 또는 p-니트로벤질과 같은 반응성이 적은 보호기는 금속 및 산의 배합물 또는 디티오네이트로 처리하거나 촉매적 환원시킴으로써 제거될 수 있다.
b) 아르알킬 에스테르는 촉매로써 예를들면 백금, 팔라듐 또는 니켈을 사용하여 수소화 함으로써 제거될 수 있다.
c) 아르알킬 에스테르, 시클로프로필 메틸 에스테르 및 술포닐에틸 에스테르는 무기산, 염화 알루미늄, 염화 주석 및 사염화티탄과 같은 루이스산, 메탄술폰산 및 트리플루오로 메탄술폰산과 같은 술폰산, 또는 트리플루오로아세트산과 같은 강한 카르복실산을 사용하여 필요하다면 양이온 스카벤저 존재하 기용매 분해시킴으로써 제조될 수 있다.
d) 펜아실 에스테르, 알케닐 에스테르 및 히드록시 아르알킬 에스테르는 염기 또는 친핵성 물질의 작용에 의해 제거될 수 있다. 광화학적으로 활성인 펜아실 에스테르는 빛의 조사에 의해 제거될 수 있다.
e) 2-알카닐 에스테르는 알칼리 금속 알카노에이트 및 팔라듐 트리페닐포스핀과의 반응에 의해 알칼리 금속염으로 전환될 수 있다.
f) 카르복시보호기를 탈보호하는 기타 공지의 방법이 본 발명에 사용될 수 있다.
[3) z기의 도입]
z가 이탈기인 화합물(Ⅰ)을 임의로 치환된 복소환티올 또는 그의 반응성 유도체와 반응시킴으로써, z가 임의로 치환된 복소환-티오기인 화합물(Ⅰ)을 수득한다.
바람직한 이탈기는 할로겐, 술포닐옥시, 알카노일옥시, 디할로아세톡시, 트리할로아세톡시 등이다. 복소환-티올의 바람직한 반응성 유도체은 티올의 알칼리 금속염, 암모늄염 및 카르복실레이트이다.
이 반응은 0∼60℃에서 무수물 또는 수성 유기 용매중에서 수행된다. 탈수제 또는 포스포릴 클로라이드는 반응을 촉진시킨다.
[4) 아미드화]
일반식(Ⅰ)의 화합물은 일반식(Ⅱ)의 화합물 또는 그의 반응성 유도체를 일반식(Ⅲ)의 치환된 비닐티오 아세트산 또는 그의 반응성 유도체와 반응시킴으로써 제조될 수 있다.
Figure kpo00002
(식중, y, z, u, v, w, x는 상술한 바와 같다)
아민(Ⅱ)의 전형적인 반응성 유도체는 7위치의 아미노기가 트리메틸실릴, 메톡시 디메틸실릴 또는 t-부틸 디메틸실릴과 같은 실릴기; 트리메틸스타닐과 같은 스타닐기; 알데히드, 아세톤, 아세틸아세톤, 아세토아세틱 에스테르, 아세토아세토니트닐, 아세토아세트아닐리드, 시클로펜타디온 또는 아세틸부티롤아세톤과 같은 엔아민-형성 화합물의 엔아미노 형성 알킬렌기; 1-할로알킬리덴, 1-할로아르알킬리덴, 1-알콕시알킬리덴, 1-알콕시아르알킬리덴, 1-알콕시-1-페녹시 알킬리덴, 알킬리덴 또는 아르알킬리덴과 같은 알킬리덴기 : 무기산, 카르복실산 또는 술폰산과 같은 산(아미노기와 함게 염을 형성하는 산); 또는 알카노일과 같은 이탈이 쉬운 아실기에 의해 활성화 된 것이다.
화합물(Ⅱ)의 7위치의 아미노기를 활성화시키는 상기의 기는 "알킬"의 용어 설명에서 언급된 보통 치환체의 어떤 것을 운반할 수 있다.
치환된 비닐티오 아세트산(Ⅲ)의 반응성 유도체는 무수물, 할라이드, 활성화 에스테르, 활성화 아미드 및 아지드와 같은 공지의 산의 아실화 유도체이다.
화합물(Ⅱ) 및 화합물(Ⅲ) 사이의 반응은 반응물의 성질에 따라 하기에 설명된 것과 같이 다른 방법으로 수행된다.
[1) 유리산]
1몰의 아민(Ⅱ)를 유기용매, 바람직하게는 할로겐화 탄화수소, 니트릴, 에테르, 아미드 또는 그의 혼합물과 같은 극성 비양자성 유기 용매 중에서 1∼2몰의 축합제 존재하 1∼2몰의 산(Ⅲ)과 반응시킨다. 적당한 축합제는, 예를들면 N, N'-디에틸 카르보디이미드 및 N, N'-디시클로헥실카르보디이미드와 같은 카르보디이미드; 카르보닐디이미다졸과 같은 카르보닐 화합물; 이속사졸륨염; 2-에톡시-에톡시카르보닐-1, 2-디히드로퀴놀린과 같은 아실 아미노 화합물; 아미드화를 위한 효소 등이 있다.
[b) 산무수물 유도체]
화합물(Ⅲ)의 산무수물 유도체 1∼2몰을 0∼1몰의 산 스카벤저 존재하 유기 용매, 바람직하게는 할로겐화 탄화수소, 니트릴, 에테르, 아미드 또는 그의 혼합물과 같은 극성 비양자성 유기용매 중에서, 또는 쇼텐-바우멘(Schotten-baumann) 반응조건하 수성 매질에서 1몰의 아민(Ⅱ)과 반응시킨다.
반응에 사용된 산 무수물은 산(Ⅲ)의 대칭적 무수물; 산(Ⅲ)과 인산, 황산 또는 세미카르보네이트와 같은 무기산 또는 알칸산, 아르알칸산 또는 술폰산과 같은 유기산과의 혼합 무수물; 케톤 및 이소시아네이트와 같은 분자내 무수물 등이 있다.
하기의 화합물은 본 반응에서 사용된 산 스카벤저로써 특히 유용하다 : 알칼리 금속 또는 알칼리 토금속의 산화물, 수산화물, 탄산염 및 중탄산염과 같은 무기 염기; 3차 아민 및 방향족 아민과 같은 유기 염기; 알킬렌 산화물 및 아르알킬렌 산화물과 가은 옥시란; 트리피리디늄 트리아진 트리클로라이드와 같은 피리디늄염; 셀라이트와 같은 흡착제 등.
[c) 산 할라이드 유도체]
화합물(Ⅲ)의 산 할라이드 유도체 1∼2몰을 상기 b)에서 언급된 산 스카벤저 1∼10몰 존재하 할로겐화 탄화수소, 니트릴, 에테르 에스테르, 케톤, 디알킬아미드, 수성 매질 또는 그의 혼합물과 같은 용매 중에서, 또는 쇼텐-바우맨 반응 조건하 수성 매질에서 1몰의 아민(Ⅱ) 또는 그의 반응성 유도체를 반응시킨다.
[d) 활성화 에스테르 유도체]
화합물(Ⅲ)의 활성화 에스테르 유도체 1∼2몰을 유기용매, 바람직하게는 할로겐화 탄화수소, 에테르, 케톤, 니트릴, 에스테르, 아미드 또는 그의 혼합물과 같은 극성 비양자성 유기용매 중에서 -20℃∼40℃의 온도에서 1∼5시간 동안 아민(Ⅱ) 또는 그의 반응성 유도체와 반응시킨다.
이 반응에 사용된 활성화 에스테르의 예를들면 비닐 에스테르 및 이소프로페닐 에스테르와 같은 에놀 에스테르; 페닐에스테르, 할로페닐 에스테르 및 니트로페닐 에스테르와 같은 아릴 에스테르; 피리딜 에스테르 및 벤조트리아졸릴 에스테르와 같은 복소환 에스테르; N-히드록시 화합물로 형성된 에스테르; N-히드록시 숙신이미드 및 N-히드록시프탈이미드와 같은 디아실 히드록실아민으로 형성된 에스테르; 아르알킬 에스테르 및 테트라졸릴티올 에스테르와 같은 티올 에스테르; 및 기타 공지의 활성화 에스테르가 있다.
효소적으로 활성인 화합물(Ⅲ)의 저급알킬 에스테르를 수성매질에서 공지방법에 따른 아미드화 효소 존재하아민(Ⅱ)와 반응시킬 수 있다.
[e) 활성화 아미드 유도체]
화합물(Ⅲ)의 활성화 아미드 유도체를 상기의 활성화 에스테르와 같은 방법으로 아민(Ⅱ) 또는 그의 반응성 유도체와 반응시킨다. 이 반응에 사용된 아미드 유도체는 이미다졸, 트리아졸, 2-에톡시-1, 2-디히드로퀴놀린 등과 같은 방향족 화합물과 형성된 것이 있다.
포름 아미노 화합물(예를들면, N, N-디메틸포름이미노 에스테르 할라이드)과 같은 화합물(Ⅲ)의 기타 반응성 유도체가 아미드화 반응에 사용될 수 있다.
[5) 메톡시기의 도입]
화합물(Ⅰ)은 7-위치의 메톡시가 수소에 대치된 화합물(Ⅰ)에 해당되는 출발 화합물을 N-할로겐화제 및 계속해서 탈수소 할로겐화제 및 메탄올과 반응 시킴으로써 제조될 수 있다. 이 반응은 출발물질의 4-위치의 수소원자의 배열에 상관없이 7β-아미도-7α-메톡시 화합물(Ⅰ)을 생성한다. 이 반응은 하기의 어떤 방법에 따라 수행될 수 있다.
a) 출발 화합물을 메탄올 중에서 알킬 히포클로라이트(예를들면 t-부틸 히포클로라이트) 및 알칼리 금속 메톡시드(예를들면 리듐 메톡시드, 소듐 메톡시드)와 반응시켰다.
b) 출발 화합물을 메탄올 중에서 할로겐 분자 및 금속알콕시드(예를들면 리튬 메톡시드, 소듐 메톡시드, 마그네슘 메톡시드), 1,5-디아자비시클로〔5,4,0〕-5-운데켄(DBU), 트리에틸아민, 피콜린 등과 같은 염기와 반응시킨다.
c) 출발 화합물을 N-할로겐화제(예를들면 히포할로겐산, N-할로아미드, N-할로아미드) 및 탈수소할로겐화제(예를 들면 알칼리금속 알콕시드, 아릴 알칼리금속), 및 계속해서 메틸알콜과 반응시킨다.
메톡시기의 도입을 위해 기타 공지의 방법을 이용할 수 있다.
[6) 아실 분자체의 변형]
7위치 측쇄의 아실 분자체가 본 발명의 화합물(Ⅰ)과 다른 화합물(Ⅰ)에 해당하는 각종 화합물을 아실 분자체의 하기 변형 방법에 의해 화합물(Ⅰ)로 전환시킬 수 있다.
단지 아실분자체만 화합물(Ⅰ)과 다른 출발 화합물을 편리를 위해 "전-화합물(Ⅰ)"로 표시한다.
[a) 환원 제거]
1'- 및 2'-위치의 이탈기를 갖는 에틸티오기에 의해 치환된 아세트아미도기를 갖는 전-화합물(Ⅰ)을 환원제(예를들면 금속 및 산, 보로하이드라이드착제)로 처리하여 7-위치에 비닐티오아세트아미드기를 갖는 화합물(Ⅰ)을 수득한다. 이탈기로써 할로겐, 알킬티오, 술피닐, 히드록시, 아실옥시 등이 예시될 수 있다.
이 반응은 불활성 용매에 수행될 수 있다.
b) 제거
1'- 또는 2'-위치에 이탈기 및 다른 위치에 수소기를 갖는 에틸티오기에 의해 치환된 아세트아미도기를 갖는 전-화합물(Ⅰ)을 염기와 반응시켜 비닐티오아세트아미도기를 갖는 화합물(Ⅰ)을 수득한다. 이탈기는 상기와 같을 수 있다. 이 반응에 사용된 염기의 예를들면 DBU, 1,5-디아자비시클로〔4,3,0〕-5-노넨(DBN), 3차 염기, 방향족 염기 등이 있다.
이탈기가 할로겐일때, 리튬 할라이드 및 디메틸포름아미드의 배합물과 같은 공지의 탈수소 할로겐화제가 편리하게 사용될 수 있다. 이탈기가 히드록시 일때, 티오닐클로라이드 및 염기의 배합물과 같은 탈수제가 사용될 수 있다.
또한 전-화합물(Ⅰ)을 피롤리시스에 의해 화합물(Ⅰ)로 전환시킬 수 있다. 중금속 촉매의 첨가는 전환을 가속화 할 수도 있다.
[c) 첨가반응]
7β-위치에 할로티오아세트아미도기를 갖는 전-화합물(Ⅰ)과 에티닐 화합물 사이의 반응은 할로비닐티오아세트아미도기를 갖는 상응하는 화합물(Ⅰ)을 생성한다. 마찬가지로, 메르캅토 아세트아미도기를 갖는 전-화합물(Ⅰ)은 할로에티닐 화합물과의 반응에 의해 할로비닐티오아세트아미도기를 갖는 화합물(Ⅰ)을 제공한다. 에티닐티오아세트아미도기를 갖는 전-화합물(Ⅰ)에 알킬 메르갑탄 또는 수소할라이드를 가함으로써 상응하는 일반식(Ⅰ)의 화합물을 수득할 수 있다.
[d) 치환 및 축합]
7β-위치에 포르밀메틸티오아세트아미도기를 갖는 전-화합물(Ⅰ)을 포스포러스 펜타할로게니드, 포스포러스 옥시할로게니드, 알킬메르캅탄 등을 사용하여 에놀-치환 반응을 시켜 비닐티오아세트아미도기를 갖는 최종 생성물(Ⅰ)을 수득한다.
메르캅토아세트아미도기를 갖는 전-화합물(Ⅰ)은 피콜린과 같은 방향족 염기 존재하 비닐렌디할라이드와의 반응에 의해 일반식(Ⅰ)의 할로비닐티오아세트 아미드 화합물로 전환될 수 있다.
일반식(Ⅰ)의 할로비닐티오아세트 아미드 화합물은 7β-위치에 할로아세트아미도기를 갖는 전-화합물(Ⅰ)을 염기 존재하 할로티오아세트 알데히드와 반응시킴으로써 수득될 수 있다. 같은 방법으로, 트리플루오로메틸티오아세트 알데히드 또는 알킬티오 아세트 알데히드를 할로아세트아미도 전-화합물(Ⅰ)과 반응시켜 상응하는 일반식(Ⅰ)의 비닐티오아세트아미드 화합물을 수득할 수 있다.
보호 카르복시메틸렌 디티에탄 카르복사미도 또는 트리 알킬실릴-치환 보호 카르복시메틸렌 디티에탄카르복사미도기를 갖는 전-화합물(Ⅰ)을 할로겐화제로 처리하여 상응하는 일반식(Ⅰ)의 보호 카르복시할로메틸렌디티에탄 카르복사미드를 수득한다.
6-a)∼6-d)에 기재된 반응에 사용된 각 출발물질을 일반식(Ⅱ)에 상술한 아민을 상응하는 아실기를 함유한 카르복실산의 반응 시킴으로써 수득될 수 있다.
화합물(Ⅰ)의 7β-위치에 아실아미노기를 구성하는 아실기는 공지의 방법, 예를들면 하기에서 선택된 방법에 따라 공지의 화합물로부터 제조될 수 있다 :
ⅰ) 제거 반응
1, 2-이 치환된 에틸티오아세트산 유도체를 제거반응에 의해 상응하는 비틸티오아세트산 유도체로 전환시킨다. 치환체로써 할로겐, 알킬티오, 아실옥시, 히드록시, 포스포늄 등이 예시될 수 있다. 제거반응은 보통이 치환된 에틸티오 아세트산 유도체를 불활성 용매중에서 금속 및 산의 배합물 또는 보로하이드라이드착제 및 산의 배합물과 같은 환원제와 반응시킴으로써 수행된다.
1'- 또는 2'-위치에 할로겐, 아실옥시, 알콕시 또는 히드록시와 같은 이탈기 및 다른 위치에 수소원자를 갖는 에틸티오아세트산 유도체는 염기로 처리함으로써 상응하는 비닐티오아세트산 유도체로 전환될 수 있다. 염기는 DBU, DBN, 3차 아민등과 같은 강염기 및 피리딘, 피콜린 등과 같은 약염기로부터 다양하게 선택될 수 있다.
제거 반응에서, 염화리튬 및 디메틸 포름아미드의 배합물과 같은 탈수소 염소화제, 및 염화티오닐 및 염기의 배합물과 같은 탈수제가 사용될 수 있다. 또한 제거를 위해 피롤리시스가 이용될 수도 있다.
ⅱ) 첨가
에티닐티오 화합물 또는 그의 유도체를 염기, 바람직하게는 방향족 염기와 같은 약염기 존재하에 알킬 메르캅탄과 반응시키면 알킬티오 비닐티오아세트산 또는 그의 유도체가 수득된다. 에티닐 화합물을 티오글리콜산 또는 반응성 유도체와 반응시킴으로써 비닐티오아세트산 또는 그의 유도체를 얻을 수 있다.
ⅲ) 치환
티오글리콜산 유도체를 이탈기에 의해 치환된 비닐 화합물과 반응시킬때, 비닐티오아세트산 유도체가 수득될 수 있다. 이런류의 반응은 전체 반응을 생각할때 치환 반응에 해당되지만 첨가-제거 반응이다.
ⅳ) 이와 같이 제조된 비닐티오 아세트산 또는 그의 유도체가 분자내에 관능기 또는 기들을 가질 때, 공지의 방법에 따라 관능기 또는 기들을 변형시킴으로써 다른 비닐티오아세트산 또는 그의 유도체로 전환시킬 수 있다.
[7) 카르복실산 및 기타 반응성 관능기의 보호]
이후 각종 반응을 수행하거나 화합물(Ⅰ)을 다른 화합물(Ⅰ)로 전환시키는데 있어서, 반응에 포함된 반응기 이외의 반응성 관능기를 보호할 필요가 있다.
이 목적을 위해, 보호를 위한 각종 공지의 기술이 본 발명의 방법에 사용될 수 있다. 이 기술은 예를 들면, J.F.W. 맥오미 판, "Protective Groups in Organic Chemistry" pp183. PLEUM 출판사, 뉴욕 1973; S. 파타이 판, "The Chemistry of Functional Groups", pp505, 인터사이언스 퍼블릭, 존월리 & 손스 Ltd. 런던, 1969; 및 플라인 판, "Cephalosporins and Penicillins", 아카데믹 프레스, 뉴욕 1972와 같은 문헌에 기재되어 있는 것이다. 반응성 관능기의 보호에 대한 전형적인 예는 히드록실기의 아실화 및 에스테르화, 아미노기의 아실화, 엔아민화 및 실릴화 및 카르복실산의 에스테르화, 아미드화, 산 무수물화가 있다.
[8) 반응 조건]
상기 1)∼7)에 기재된 대부분의 반응은 보통 -30∼100℃의, 특히 -20∼50℃의 온도에서 10분∼10시간 동안 적당한 용매중에서, 필요하다면 무수의 조건하 수행된다.
본 발명의 방법에 사용될 수 있는 용매의 예를 들면 하기와 같다 : 탄화수소(예를 들면, 펜탄, 헥산 옥탄, 벤젠, 톨루엔, 크실렌), 할로겐화 탄화수소(예를 들면, 디클로로메탄, 클로로포름, 사염화탄소, 디클로로에탄, 트리클로로에탄, 클로로벤젠), 에테르(예를 들면 디에틸에테르, 메틸이소부틸 에테르, 디옥산, 테트라히드로푸란), 케논(예를 들면, 아세톤, 메틸에틸케톤, 시클로헥사논), 에스테르(예를 들면 에틸 아세테이트, 이소부틸 아세테이트, 메틸벤조에이트), 니트로 탄화수소(예르 들면, 니트로메탄, 니트로벤젠), 니트릴(예를 들면, 아세토니트릴, 벤조니트릴), 아미드(예를 들면, 포름아미드, 아세트아미드, 디메틸포름아미드, 디메틸아세트아미드, 헥사메틸포스포로트리아미드), 술폭시드(예를 들면, 디메틸술폭시드), 카르복실산(예를 들면, 포름산, 아세트산, 프로피온산), 유기염기(예를 들면, 디에틸아민, 트리에틸아민, 피리딘, 피콜린, 콜리딘, 퀴놀린), 알콜(예를 들면, 메탄올, 에탄올, 프로판올, 헥산올, 옥탄올, 벤질알콜), 물 기타 공업적으로 유용한 용매, 및 그의 혼합물.
[a) 완성 과정]
흡수, 용출, 증류, 침전, 농축, 크로마토그래피 등과 같은 공지의 방법 또는 그의 배합에 의해 반응 혼합물로부터 본 발명의 최종 생성물(Ⅰ)을 분리한 후 추출, 증발, 세척, 여과, 건조 등과 같은 공지의 방법에 의해 출발물질, 부산물 및 용매와 같은 불순물을 제거한다.
본 발명의 실제적이고 바람직한 예를 하기 실시예 및 제법에 나타내며, 여기서, 생성물의 물리-화학적 데이타는 모두 표 Ⅰ∼Ⅲ에 기재되어 있다. 부 및 %는 다른 지시가 없는 한 모두 중량에 의한 것이다. IR 및 NMR 데이타는 각각 υ(cm-1) 및 δ(ppm) 값(결합상수 J는 Hz)으로 표시되며, 하기의 약자가 사용된다. Me(=메틸), Et(=에틸), Ph(=페닐), Ms(=메탄술포닐), STetCH3(1-메틸-테트라졸-5-일), THF(=테트라히드로푸란), DMF(=디메틸포름아미드), Het(=복소환기).
[제법 1]
Figure kpo00003
ⅰ) 벤젠(200ml)에 용해된 클로랄(2)(25g), 트리에틸아민(0.7ml) 및 에틸 테오클리콜레이트(1)(18.6ml)를 1.5시간 동안 교반한다. 트리에틸아민(1.5ml) 및 메틸이소티오시아네이트(10.2ml)를 상기 용액에 가하고 혼합물을 3시간 동안 교반한다. 반응 혼합물을 물에 가하고, 에틸 아세테이트로 추출한다. 추출물을 수세하고, 증발 건조시켜 에틸 2-(2, 2, 2-트리클로로-1-티오카르바모일에틸) 티오아세테이트(3)을 수득한다.
수율 : 10.4g.
NMR(CDCl3) : 6.47.
ⅱ) 에틸티오아세테이트(3)(10.9g), 아세트산(45ml) 및 아연분말(10g)을 혼합물을 실온에서 20분간 교반한다. 반응 혼합물을 여과하고, 여과액을 진공 증발시킨다. 잔류물을 디클로로메탄에 용해시키고, 생성된 용액을 수세 및 건조시킨다. 용매를 증발시켜 에틸 클로로비닐티오아세테이트(4)를수득한다. 수율 : 3g.
IR(CHCl3) : 1725cm-1
ⅲ) 아세톤에 용해된 티오아세테이트(4)(1.08g)을 2N NaOH 용액(5ml)를 가하면서 30분간 가수분해 한다. 혼합물을 물로 희석하고, 에틸 아세테이트로 세척한 후, 산성화하고, 에틸 아세테이트로 추출하여 디클로로비닐티오아세트산(5)을 수득한다. 수율 : 1.1g.
NMR(CDCl3) : 3.43(s, 2H), 6.43(s, 1H), 10.17(s, 1H).
[제법 2]
Figure kpo00004
ⅰ) 물(120ml)에 메르캅토에틸알콜(1)(30.8g) 및 K2CO3(54.5g)을 녹인 용액에 에틸 아세테이트(80ml) 및 테트리부틸암모늄 브로마이드(0.7g)을 가한다. 메틸 모노클로로아세테이트(2)(38ml)를 교반하면서 혼합물에 적가한다. 140분간 더 교반한 후, 유기층을 소금물로 세척하고 건조시킨 후, 진공 증발시켜 메틸 히드록시에틸티오아세테이트(3)를 오일로써 수득한다. 수율 : 51.4g, b.p. 126∼127℃/1mmHg.
ⅱ) 티오닐 클로라이드(25ml)를 에스테르(3)(47.6g)에 적가한다. 30℃에서 30분 후, 혼합물을 진공에서 증류한다(b.p. 104∼105℃/7mmHg 수율 : 43g). 증류물에 벤젠(82ml) 및 DBU(42ml)를 가하고, 혼합물을 환류하 1.5시간 동안 가열한다. 반응 혼합물을 수세하고 진공에서 증류시켜 메틸 비닐티오아세테이트(4)를 수득한다. 수율 : 24.7g, b.p. 59∼65.5℃/4-5mmHg.
ⅲ) 비닐에스테르(4)(11.7g)을 메틸렌 클로라이드중에서 -60℃에 CCl4(75ml)에 녹인 1.25N 염소 용액으로 반응시킨다. 15분 후, 혼합물을 아황산나트륨 용액 및 물로 세척하고 농축한다. 디메틸포름아미드(50ml) 및 염화리튬(10g)을 잔류물과 혼합하고, 생성된 혼합물을 70℃에서 3시간 가온한다. 혼합물을 물로 희석하고, 에틸 아세테이트로 추출한다. 추출물을 수세하고 진공 증류시켜 메틸클로로비닐티오아세테이트(5)를 수득한다. 수율 : 11.8g, b.p. 75∼85℃/2mmHg.
ⅳ) 메탄올에 용해된 클로로비닐티오아세테이트(5)(6.7g)을 3N NaOH 수용액을 가하여 가수분해한다. 반응 혼합물을 산성화하고 에틸 아세테이트로 추출하여 상응하는 카로복실산(6)을 수득한다. 수율 : 4.2g, m.p. 65∼66℃(벤젠/헥산으로 재결정).
[제법 3]
Figure kpo00005
ⅰ) 트리클로로에탄(1)(20ml), N,N-디메틸포름아미드(DMF)(20ml), 에틸티오글리콜레이트(12ml) 및 트리에틸아민(15ml)의 혼합물을 70℃에서 90분간 반응시킨다. 반응 혼합물을 물에 붓고, 에틸 아세테이트로 추출한다. 추출물을 5% NaOH 용액 및 물로 세척하고, 건조 농축한다. 잔류물을 진공에서 증류시켜 에킬 디클로로 에틸티오아세테이트(2)를 수득한다. 수율 : 5.7g, b.p. 87∼94℃/2mmHg.
ⅱ) 에틸에스테르(2)(2.17g) 및 DBU(1.36g)를 벤젠(10ml)에서 80℃로 30분간 반응시킨다. 혼합물을 묽은 HCl 및 소금물로 세척하고 진공에서 농축한 후, 실리카겔로 크로마토그래피하여 비닐 화합물(3)을 수득한다. 수율 : 0.45g.
IR(CHCl3) : 1725cm-1.
ⅲ) 아세톤(10ml)에 용해된 비닐 화합물(3)(1.15g)에 2N NaOH 수용액(4.4ml)을 가하여 실온에서 20분간 가수분해시킨다. 제법 2와 같은 방법으로 반응 혼합물로부터 상응하는 카르복실산을 수득한다. 수율 : 1.2g.
IR(CHCl3) : 1710cm-1.
[제법 4]
Figure kpo00006
모노클로로아세트알데히드(7.1ml)의 50% 수용액 및 메틸티오 글리콜레이트(4.5ml)의 혼합물을 빙냉하면서 HCl 기체로 포화시킨다. 4시간 후, 반응 혼합물을 디클로로 메탄으로 추출한다. 추출물을 수세, 건조 및 농축하여 메틸(1,2-디클로로에틸) 티오아세테이트(7.19g)를 수득하며, 이것을 N,N-디메틸포름아미드(22ml)에 용해시킨다. 수득된 용액에 염화리튬(5g)을 가하고, 혼합물을 80∼90℃에서 한시간 교반한 후 에틸 아세테이트 및 물의 혼합물에 붓는다. 유기층을 분리하여 수세, 건조시키고 진공 농축한다. 진공에서 잔류물을 증류한 후, 메틸(2-클로로비닐) 티오아세테이트를 수득한다. 수율 : 3.21g, b.p. 75∼85℃/7mmHg.
[제법 5]
Figure kpo00007
클로로아세트알데히드 디메틸아세탈(14.9ml), 메틸티오글리콜레이트(10.6g), p-톨루엔 술폰산 모노히드레이트(2g) 및 벤젠(150ml)의 혼합물을 분자체로 가득찬 딘-스타크(Dean-Stark) 수 분리기를 사용하여 환류하 4시간 동안 가열한다. 반응 혼합물을 물에 부은 후, 유기층을 분리하여 건조시키고, 진공 농축한다. 잔류물을 진공 증류하여 메틸 2-클로로비닐티오아세테이트를 수득한다. 수율 : 1.93g, b.p. 75∼85℃/2mmHg.
[제법 6]
Figure kpo00008
N,N-디메틸포름아미드(50ml)에 용해된 에틸티오글리콜레이트(5.5ml)에 2-디클로로에틸렌(21ml) 및 DBU(7.5ml)를 N2대기하 가한다. 혼합물을 실온에서 24시간 방치한 후 물에 붓고, 에틸 아세테이트로 추출한다.
추출물을 묽은 HCl, 5% K2CO3용액 및 포화 NaCl 용액으로 세척한 후, 건조시키고 진공 증발시킨다. 잔류물(7.54g)을 감압하 증류하여 에틸 2-클로로비닐티오아세테이트를 수득한다. 수율 : 3.67g(40.8%), b,p, 93℃/3mmHg.
NMR(CDCl3) : 1.28(t, 3H, J=7Hz), 3.42(s, 2H), 4.21(q, 2H, J=7Hz), 6.12(d, 1H, J=6Hz), 6.50(d, 1H, J=6Hz).
[제법 7]
Figure kpo00009
ⅰ) 에틸 에테르(300ml)에 녹인 메틸트리페닐포스포늄 브로마이드(22.4g) 및 헥산(44ml)에 녹인 1.4N 부틸리튬 용액을 -70℃에서 교반하고 0℃로 30분간 가온한다. -60℃에서 에틸 트리플루오로아세테이트(7.1ml)를 가하고, 혼합물을 다시 15℃로 20분간 가온한다. 반응 혼합물을 2% HCl에 붓고 트리페닐포스포라닐리덴 화합물(2)의 침전된 결정을 여과한다. 수세한 후 유기층을 증발시켜 제2생성물을 수득한다. 총 수율 : 8.5g.
IR(CHCl3) : 1580cm-1.
ⅱ) 디(에톡시카르보닐메틸) 디설파이드(1.2g)를 용매로써 THF중 CCl4(4ml)에 녹인 1.25N 염소 용액과 -20℃에서 10분간 반응시킴으로써 수득된 에틸 클로로티오아세테이트와 상기에 수득된 생성물(2)(3.7g)을 0℃에서 10분간 반응시킨다. 반응 혼합물을 NaHCO3용액에 붓고, 디클로로메탄으로 추출한다. 추출물을 수세하고, 용매를 증발시킨다. 잔류물을 디클로로메탄 및 에틸 에테르의 혼합물로 재결정하여 에틸 트리플루오로아세틸 트리페닐포스포라닐리덴 메틸티오아세테이트(3)를 수득한다. 수율 : 4g.
IR(CHCl3) : 1720, 1555cm-1.
ⅲ) 상기에 수득된 생성물(3)(3g) 및 소듐 시아노보로하이드라이드(3g)의 혼합물을 아세트산(30ml)중 실온에서 4시간 교반한다. 용매를 증발시킨 후, 잔류물을 NaHCO3용액에 붓고, 에틸 아세테이트로 추출한다. 추출물을 수세 및 건조시키고 증발하여 용매를 제거하고, 에틸 트리플루오로 메틸비닐티오아세테이트(4)를 수득한다. 수율 : 370mg.
IR(CHCl3) : 1725, 1615cm-1.
ⅳ) 메탄올(2ml)에 용해된 비닐티오아세테이트(4)(370mg)을 실온에서 20분간 1N NaOH 용액으로 처리한다. 반응 혼합물을 공지 방법으로 처리하여 트리플루오로 메틸비닐오아세트산(5)을 수득한다. 수율 : 278mg.
NMR(CDCl3) : 3.47(s, 2H), 5.63(dq. 1H. J=11.9Hz), 6.77(d. 1H, J=11Hz), 10.93(s, 1H).
[제법 8]
Figure kpo00010
ⅰ) CCl4(67ml)에 녹인 프로피올산(1)(1.4g) 및 1.48N 염소의 혼합물을 빙냉하면서 텅스텐램프로 조사한다. 30분 후, 혼합물을 감압하 농축하여 디클로로아크릴산(2)를 통해 생성된 테트라클로로피로피온산(3)을 수득한다. 수율 : 4.3g.
NMR(CCl4) : 6.27(s, 1H), 10.67(s, 1H).
ⅱ) 프로피온산(3)(15.3g), 디페닐메탄올(16g), 피리딘(21ml), 메탄술포닐클로라이드(9.95ml) 및 디클로로메탄(100ml)를 0℃에서 혼합하고 2시간 교반한다. 반응 혼합물을 물에 붓고, 에틸아세테이트로 추출한다. 추출물을 수세하고 증발시켜 용매를 제거한다. 잔류물을 실리카겔 크로마토그래피에 의해 정제하여 순수 디페닐메틸 에스테르 화합물(4)을 수득한다. 수율 : 21g. m.p 101∼103℃(에틸 에테르/펜탄으로 재결정).
ⅲ) 디페닐메틸 에스테르(4)(1.53g), 티오글리콜산(0.7ml), 피리딘(1.6ml), THF(20ml) 및 트리메틸실릴 클로라이드(1.3ml)의 혼합물을 빙냉하면서 30분간 및 실온에서 20시간 교반한다. 반응 혼합물을 물에 붓고 에틸 아세테이트로 추출한다. 추출물을 감압하 농축하고 잔류물을 디클로로메탄에 용해시킨다. 유기 용액을 수세하고 증발 건조시켜 디페닐메톡시카르보닐 클로로비닐티오아세트산(5)를 수득한다. 수율 : 1.49g.
IR(CHCl3) : 3300∼3100, 1710cm-1.
[제법 9]
Figure kpo00011
클로로비닐티오아세트산(1.4g), 메탄올에 녹인 메탄티올 30% 용액(2.08ml), 4.6N 소듐 메틸레이트 용액(5.65ml) 및 물(2ml)의 혼합물을 환류하 40분간 가열한다. 반응 혼합물을 묽은 HCl에 붓고 에틸 아세테이트로 추출한다.
추출물을 수세하고 증발시켜 용매를 제거하고 메틸티오비닐티오아세트산(3)을 수득한다. 수율 : 1.3g.
NMR(CDCl3) : 2.32(s, 3H), 3.43(s, 2H), 6.15(s, 2H), 11.23(s, 1H).
[제법 10]
Figure kpo00012
ⅰ) 트리클로로에틸렌(1)(35ml), 에틸티오글리콜레이트(9ml) 및 소듐 에틸레이트(8g)를 에탄올(20ml)에 용해시킨다. 혼합물을 환류하 90분간 가열하여 디클로로아세틸렌(2)를 통해 생성된 에틸 디클로로 비닐티오 아세테이트(3)를 수득한다. 수율 : 11.4g.
IR(CHCl3) : 1725cm-1.
ⅱ) 아세톤(8ml)에 용해된 에틸에스테르(3)(0.8g)에 2N NaOH 용액(2.5ml)을 가한다. 혼합물을 실온에서 15분간 교반하고, 중성 부분을 혼합물로부터 제거한다. 1, 2-디클로로 비닐티오아세트산(4)을 산성 부분으로부터 수득한다. 수율 : 0.72g.
NMR(CDCl3) : 3.68(s, 2H), 6.40(s, 1H), 10.10(s, 1H).
[제법 11]
Figure kpo00013
ⅰ) 메틸(2-카르복시-2-클로로비닐) 티오아세테이트(1)(1.48g), 피리딘(0.65ml), 및 에틸 클로로카르보네이트(0.6ml)의 혼합물 THF중 -30℃에서 5분간 및 0℃에서 10분간 교반한다. 수듐 보로하이드라이드(0.8g)을 가하고, 혼합물을 0℃에서 2시간 교반한다. 반응 혼합물을 묽은 HCl에 붓고 에틸 아세테이트로 추출한다. 에틸 아세테이트 추출물을 수세하고, 진공에서 농축한 후 실리카겔 크로마토그래피하여 메틸(2-히드록시메틸-2-클로로비닐) 티오아세테이트(2)를 수득한다. 수율 : 492mg.
IR(CHCl3) : 3580, 3460. 1730cm-1.
ⅱ) 수득된 히드록시메틸 화합물(2)(490mg)을 디히드로피란(0.25ml) 및 디클로로메탄(10ml)에 녹인 p-톨루엔 술폰산 모노히드레이트(5mg)과 혼합하고, 혼합물을 실온에서 30분간 교반한다. 반응 혼합물을 NaHCO3 용액에 붓고 에틸 아세테이트로 추출한다. 추출물을 농축하여 아세톤에 용해된 잔류물을 수득한다. 아세톤 용액을 1N NaOH 용액(2.6ml)를 가하면서 실온에서 20분간 교반한다. 수용액을 물로 희석하고 인산으로 산성화한 후, 에틸 아세테이트로 추출한다. 추출물을 진공 증발시켜 필요한 테트라히드로피라닐옥시 화합물(3)을 수득한다. 수율 : 500mg.
Rf(에틸 아세테이트) : 0.15(유리산), Rf(벤젠/에틸 아세테이트=4/1) : 0.7(메틸 에스테르).
[제법 12]
Figure kpo00014
메틸(2-카르복시-2-클로로비닐) 티오아세테이트(1)(1g), 트리에틸아민(0.78ml) 및 에틸클로로 카르보네이트(0.46ml)의 혼합물을 -30℃에서 20분간 디클로로메탄에서 교반한다. 혼합물에 NH3(1g)을 가하고 -30℃∼0℃에서 교반한다. 반응 혼합물을 물에 붓고 에틸 아세테이트로 추출한다. 추출물을 묽은 HCl로 세척하고 진공 농축한다. 생성된 잔류물(786ml)을 70% 메탄올에 용해하고, Na2CO3(644mg)을 가하여 실온에서 5시간 가수분해한다. 혼합물을 물에 붓고 에틸 아세테이트로 세척하여 중성 물질을 제거한다. 수층을 HCl로 산성화하고 메탄올을 함유한 에틸 아세테이트로 추출한다. 추출물을 진공 증발시키고, 잔류물을 에틸에테르로 세척한다. 카르바모일클로로 비닐티오아세트산(2)을 수득한다. 수율 : 568mg.
m.p 205∼206℃.
[제법 13]
Figure kpo00015
ⅰ) 메틸 (2-클로로비닐) 티오아세테이트 (1)(2g) 및 리튬디이소프로필아미드(1.08g)을 THF(2ml)중 -60℃에서 15분간 교반한다. 드라이아이스(5g)을 가한후, 혼합물을 30분간 교반하고 실온으로 가온한다. 반응 혼합물을 물에 붓고 에틸아세테이트로 세척하여 중성 물질을 제거한다. 남아있는 수용액을 HCl로 산성화하고 에틸아세테이트로 추출한다. 추출물을 수세하고 진공증발시켜 필요한 말론산 에스테르(2)를 수득한다. 수율 : 747mg.
IR(CHCl3) : 1725cm-1
ⅱ) 말론산 에스테르 (2)(747mg), N,N-디메틸 포름아미드(75mg) 및 옥살릴 클로라이드(370μl)의 혼합물을 실온에서 20분간 벤젠중에서 교반한다. 반응 혼합물을 진공 농축하고, 생성된 잔류물을 디클로로메탄(15ml)에 용해시킨다. 액체 암모니아(1ml)를 가한후 디클로로메탄용액을 15분간 교반한다. 혼합물을 진공 증발시키고, 수득된 잔류물을 에틸 아세테이트에 용해시킨다. 에틸아세테이트용액을 수세하고 건조시켜 아미드에스테르(최종 화합물(3)의 메틸에스테르의 해당)를 수득한다. 수율 : 450mg.
Ir(CHCl3) : 3480, 3370, 1725, 1690cm-1.
ⅲ) 상기에서 수득된 아미드 에스테르(200ml)를 메탄올(3ml)에 용해시키고, 1N NaOH용액(2ml)를 가하면서 35℃에서 1시간 가수분해한다. 반응 혼합물을 진공 농축하고, 생성된 잔류물을 물 및 에틸아세테이트 사이에 분배한다. 수층을 HCl로 산성화하고 에틸아세테이트로 추출한다. 추출물을 수세하고 농축하여 (2-클로로비닐) 티오카르바모일아세트산(3)을 수득한다. 수율 : 100mg.
[제법 14]
Figure kpo00016
ⅰ) 메틸 2-(2-클로로비닐)티오-2-카르복시 아세테이트 (1)(1몰), t-부탄올(1.2몰), 피리딘(2.3몰) 및 메탄술포닐 클로라이드(1.2몰)의 혼합물을 0℃에서 3시간동안 디클로로메탄(출발물질 (1)의 5중량부)에서 반응시킨다. 산성 부분을 반응 혼합물로부터 분리하고 정제하여 t-부틸 메틸(2-클로로비닐) 티오말로네이트(필요한 생성물(2)의 메틸에스테르에 상응)를 수득한다. 수율 73%
NMR(CDCl3) : 1.5(s, 9H), 3.81(s, 3H), 4.28(s, 1H), 6.21(d, 1H, J=7Hz), 6.64(d, 1H, J=7Hz).
ⅱ) 수성 메탄올에 용해된 상기에서 수득된 t-부틸메틸 (2-클로로비닐) 티오말로네이트(1.2몰)을 KOH(1.2몰)을 가하면서 0℃에서 4시간 가수분해한다. 중성부분을 반응 혼합물로부터 제거하고, 산성물질을 정제하여 2-(2-클로로비닐) 티오-2-t-부톡시카르보닐아세트산(3)을 수득한다. 수율 : 94%.
NMR(CDCl3) : 1.51(s, 9H), 4.30(s, 1H), 6.18(d, 1H, J=7Hz), 6.63(d, 1H, J=7Hz), 10.49(s, 1H).
[제법 15]
Figure kpo00017
ⅰ) 메틸 2-(2-클로로비닐) 티오-2-카르복시아세테이트(1) (450mg), 옥살릴클로라이드(325mg) 및 디메틸포름아미드(50mg)의 혼합물을 실온에서 30분간 디클로로메탄(2ml)에서 교반한다. 아세톤(2ml) 및 물(2ml)에 용해된 소듐아지드(550ml)의 용액을 혼합물에 가한다. 혼합물을 30분간 교반하고, 디클로로메탄으로 희석한후, 물로 희석하고 진공 농축하여 아지드(2)를 수득한다. 수율 : 430mg.
NMR(CDCl3) : 3.80(s, 3H), 4.40(s, 1H), 6.23(d, 1H, J=7Hz), 6.63(d, 1H, J=7Hz).
ⅱ) 수득된 아지드(20)(510mg)을 1-에틸-2, 3-디옥소피페라진(750mg) 및 THF(10ml)와 혼합하고, 혼합물을 환류하 4시간동안 가열한다. 반응 혼합물을 진공 증발시켜 우레이도 에스테르(3)를 수득한다. 수율 : 400mg.
IR(CHCl3) : 3250, 1720, 1690cm-1.
ⅲ) 아세트산(2ml)에 용해된 우레이도에스테르(3)(400mg)을 6N HCl(2ml)를 가하면서 50℃∼60℃에서 3시간동안 가수분해하고 진공 농축한다. 잔류물을 에틸아세테이트에 용해시키고, 에틸아세테이트 용액을 수세한다. 산성 물질을 용액으로부터 분리하여 상기와 같은 방법으로 정제하고 우레이도 카르복실산(4)을 수득한다. 수율 : 136mg.
IR(누졸) : 3250, 1700, 1650cm-1.
[제법 16]
Figure kpo00018
ⅰ) 메틸 2-브로모아세테이트(7.6g), 메르캅토에탄올(2.25ml) 및 소듐금속(1.5g)의 혼합물을 메탄올(30ml)중 0℃에서 40분간 교반한다. 반응 혼합물을 HCl/메탄올로 중화하고 진공 증발시킨다. 디클로로메탄을 잔류물에 가하고, 침전된 고체를 여거한다. 여과액을 감압하 증발 건조시켜 히드록시에틸 화합물(2)을 수득한다. 수율 : 6g.
NMR(CDCl3) : 2.22(s, 1H), 2.73(t. 2H, J=6Hz), 3.70(t, 2H, J=6Hz), 3.73(t, 3H), 4.67(s, 1H), 7.23∼7.60(m, 5H).
ⅱ) 히드록시에틸 화합물(2)(2.9g)을 티오닐클로라이드(1.1ml)와 합하고, 혼합물을 -5℃∼실온에서 교반하고, 감압하 증발 시킨다. 생성된 잔류물을 실리카겔 크로마토그래피에 의해 정제하여 클로로에틸 화합물(3)을 수득한다. 수율 : 2.6g.
NMR(CDCl3) : 2.85(t, 2H, J=7Hz), 3.53(t, 2H, J=7Hz), 3.72(s, 3H), 4.65(s, 1H), 7.23∼7.60(m, 5H).
ⅲ) 클로로에틸 화합물 (3)(1.75g) 및 DBU(1.25g)을 벤젠(5ml)에서 2시간동안 환류한다. 반응 혼합물을 수세하고 진공 농축한다. 잔류물을 크로마토그래피로 정제하여 비닐티오화합물(4)을 수득한다. 수율 : 640mg.
NMR(CDCl3) : 3.72(s, 3H), 4.78(s, 1H), 5.12(d, 1H, J=4Hz), 5.33(d, 1H, J=4Hz), 6.17, 6.43(dd, 1H, J=10Hz), 7.17∼7.58(m, 5H).
ⅳ) 비닐티오 화합물(4)(640mg)을 디클로로메탄(10ml) 및 CCl4(2.1ml)에 녹인 1.48M 염소 용액과 혼합하고, 혼합물을 -40∼-45℃에서 1시간 교반한다. 반응 혼합물을 소듐티오설페이트 용액 및 물로 세척하고 진공 농축한다. 디케닐포름아미드(3ml)에 용해된 잔류물을 염화리륨(500ml)을 가하면서 65∼70℃에서 30분간 가온한다. 혼합물을 물로 희석하고, 에틸아세테이트로 추출한다. 계속 세척, 건조하고 추출물을 증발시켜, 클로로비닐티오 화합물(5)을 수득한다. 수율 : 390mg.
NMR(CDCl3) : 3.75(s, 3H), 4,82(s, 1H), 6.05(d, 1H, J=6Hz), 6.32(d, 1H, J=6Hz), 7.17∼7.77(m, 5H).
ⅴ) 메탄올에 용해된 클로로비닐티오 화합물(5)(390mg)을 1N NaOH 용액(2ml)을 가하면서 5∼10℃에서 3.5시간동안 가수분해하여 필요한 카르복실산(6)을 수득한다. 수율 : 260mg.
NMR(CDCl3) : 4.82(s, 1H), 6.07(d, 1H, J=6Hz), 6.35(d, 1H, J=6Hz), 7.20∼7.73(m, 5H), 10.53(s, 1H)
[제법 17]
Figure kpo00019
ⅰ) t-부틸 트리메틸실릴아세테이트 (1)(9.42g), N-시클로헥실-N-이소프로필아민(10ml), 헥산에 녹인 n-부틸리듐의 1.68N 용액(33ml) 및 디메톡시에탄(400ml)의 혼합물을 -70℃에서 30분간 교반한다. 이황화탄소(3.3ml) 교반하면서 30분간 가하고, 혼합물을 20분 더 교반한다. 헥산에 녹인 n-부틸 리튬 용액(33ml)을 1시간 적가하고, 30분간 교반을 계속한다. 이 혼합물에 석유에 녹인 50% 소듐하이드라이드(2.4g) 및 디메톡시에탄(75ml)에 녹인 요오드아세트산(15.59g)을 반응시킴으로써 수득된 소듐요오드 아세테이트를 가한다. 실온에서 1시간 교반한후, 반응 혼합물을 진공 증발 시키고, 생성된 잔류물을 합한 후, 에틸 에테르(300ml) 및 4N HCl(32ml)와 함께 교반한다. 에테르층을 증발 건조시켜 트리메틸실릴 화합물(2)을 수득한다.
NMR(CCl4) : 4.95(s, 4H), 3.87(s, 3H), 1.52(s, 9H), 0.22(s, 9H).
트리메틸실릴 화합물(2)을 묽은 HCl로 처리하고, 반응 혼합물을 공지의 방법으로 처리하여 메틸렌 카르복실산(3)을 수득한다. 수율 : 10.13g.
ⅱ) 카르복실산 (3)(5.9g)을 디클로로메탄(30ml)에 용해시키고 과량의 디아조메탄으로 에스테르화 한다. 수득된 에스테르를 디클로로메탄에 용해시키고, 피리딘(3.80ml) 및 CCl4에 녹인 1.19M 염소용액(27ml)과 함께 -78℃에서 합한다. 반응 혼합물을 소듐티오설페이트 용액으로 세척하고 진공 농축한다. 생성된 잔류물을 실리카겔 크로마토그래피로 정제하여 클로로에틸화합물(최종 생성물(4)의 메틸에스테르에 상당)을 수득한다. 수율 : 4g.
ⅲ) 클로로에틸 화합물을 NaOH 용액으로 가수분해하여 상응하는 카르복실산(4)를 정량적 수율로 수득한다. 또한 디티에탄 화합물(2)을 디아조메탄으로 메틸에스테르화하고, 생성된 에스테르를 상기 ⅱ)와 같이 염소로 처리한 후, 염소화된 화합물을 가수분해함으로써 카르복실산(4)을 수득한다. 수율 : 38%.
NMR(CDCl3) : 8.17(s, 1H), 4.85(s, 1H), 1.50(s, 9H).
[제법 18]
Figure kpo00020
ⅰ) 시클로헥산-1,3-디온 (1)(3.42g), 에틸 티오글리콜레이트(2.4g) 및 p-톨루엔술폰산 모노히드레이트(40ml)의 혼합물로 환류하 톨루엔(20ml)에서 2.5시간 가열한다. 반응 혼합물을 공지의 방법으로 처리하여 에틸 3-옥소-1-시클로헥세닐티오아세테이트 (2)를 수득한다. 수율 : 2.8g.
NMR(CDCl3) : 1.27(t, 3H, J=8Hz), 1.95∼2.18(m, 2H), 2.33∼2.57(m, 4H), 3.63(s, 2H), 4.23(q, 2H, J=8Hz), 5.88(bs, 1H).
ⅱ) 수득된 아세테이트 (2)(214mg)을 프로필렌옥시드(200μl) 및 디클로로메탄(5ml)에 녹인염소 (아세테이트와 비교해서 1.2몰 당량)와 -70℃에서 합한다. 반응 혼합물을 진공 증발시키고, 잔류물을 실리카겔 크로마토그래피에 의해 정제하여 클로로카르복실산 화합물(3)의 에틸에스테르를 수득한다. 수율 : 120mg, m.p.96℃.
에탄올에 용해된 에틸에스테르를 1N NaOH 용액(1ml)를 가하면서 실온에서 15분간 가수분해하여 3-옥소-2-클로로-1-시클로헥산-1-일-티오아세트산(3)을 수득한다. 수율 : 70mg, m.p.190℃.
[제법 19]
Figure kpo00021
ⅰ) 메틸 2-(t-부톡시카르보닐메틸렌)-1,3-디티에탄-4-카르복실레이트(614mg). 피리딘(300μl) 및 메탄술페닐클로라이드(카르복실레이트의 당량)의 혼합물을 출발 카르복실레이트가 검출되지 않을때까지 디클로로메탄으로 반응시킨다. 반응 혼합물을 5% 소듐티오설페이트 용액 및 10% HCl로 세척하고, 에틸아세테이트로 추출한다. 추출물을 수세, 건조하고 진공 증발시켜 메틸 2-(1-t-부톡시카르보닐-1-메틸티오메틸렌)-1, 3-디티에탄-4-카르복실레이트를 수득한다. 수율 : 653mg(91%)
IR(CHCl3) : 1745, 1700, 1660, 1525cm-1
NMR(CDCl3) : 1.50(s, 9H), 2.21(s, 3H), 3.86(s, 3H), 4.74(s, 1H).
ⅱ) 수득된 카르복실레이트(495mg)을 아세톤(6ml)에 용해시키고, 빙냉하면서 1N NaOH용액(1.9ml)와 15분간 반응시킨다. 1N HCl(2ml)를 가한후, 반응 혼합물을 에틸아세테이트로 추출한다. 추출물을 수세, 건조하고, 감압하 증발시켜 2-(1-t-부톡시카르보닐-1-메틸티오메틸렌)-1, 3-디티에탄-4-카르복실산을 수득한다. 수율 : 538mg.
IR(CHCl3) : 1725, 1700, 1660, 1545cm-1
NMR(CDCl3) : 1.51(s, 9H), 2.21(s, 3H), 4.77(s, 1H), 8.7(브로드, 1H).
[제법 20]
Figure kpo00022
ⅰ) 메틸 2-(t-부톡시카르보닐메틸렌)-1, 3-디티에탄-4-카르복실레이트(689mg), 피리딘(430μl) 및 벤젠술페닐클로라이드의 혼합물을 출발 카르복실레이트가 검출되지 않을때까지 0℃에서 메틸렌클로라이드중에서 반응시킨다. 반응 혼합물을 수세, 건조하고, 진공 증발시켜 메틸 2-(1-t-부톡시카르보닐-1-페닐티오메틸렌)-1, 3-디티에탄-4-카르복실레이트를 수득한다. 수율 : 713mg(73%).
IR(CHCl3) : 1740, 1705, 1660, 1535cm-1
NMR(CDCl3) : 1.38(s, 9H), 3.58(s, 3H), 4.76(s, 1H), 7.26(s, 5H).
ⅱ) 수득된 메틸에스테르(635mg)를 아세톤에 용해시키고 1N NaOH용액(2ml)로 0℃에서 37분간 반응시킨다. 1N HCl(2.2ml)를 가한후, 반응 혼합물을 에틸아세테이트로 추출한다. 추출물을 수세, 건조시키고, 증발시켜 2-(1-t-부톡시카르보닐-1-페닐티오메틸렌)-1, 3-디타에탄-4-카르복실산을 수득한다 수득율 : 649mg.
IR(CHCl3) : 3400, 1730, 1710, 1660, 1530cm-1
NMR(CDCl3) : 1.40(s, 9H), 4.78(s, 1H), 7.25(s, 5H).
[제법 21]
Figure kpo00023
ⅰ) 메틸 2-(t-부톡시카르보닐메틸렌)-1,3-디티에탄-4-카르복실레이트(1.05g)을 반응 혼합물에 출발 카르복실레이트가 검출되지 않을때까지 피리딘(0.65ml) 존재하 실온에서 디틀로로메탄(5ml)중에서 디플루오로메틸벤질티오에테르(1.74g) 및 염소로부터 합성된 디플루오로메틸술페닐클로라이드와 반응시킨다. 혼합물을 5% 티오황산나트륨용액 및 10% HCl로 세척하고 건조시킨 후, 진공 농축하여 메틸 2-(1-t-부톡시카르보닐-1-디플루오로메틸티오메틸렌)-1,3-디티에탄-4-카르복실레이트를 수득한다. 수율 : 1.08g(78%).
IR(CHCl3) : 1745, 1710, 1665, 1535cm-1
NMR(CDCl3) : 1.51(s, 9H), 3.87(s, 3H), 4.79(s, 1H), 6.68(t, 1H, J=59Hz).
ⅱ) 수득된 생성물(511mg)을 아세톤(2ml)에 용해시키고, 0℃에서 10분간 1N NaOH용액(1.6ml)과 반응시킨다. 반응 혼합물을 1N HCl로 산성화하고, 에틸아세테이트로 추출한다. 추출물을 수세하고 건조하여 2-(1-t-부톡시카르보닐-1-디플루오로메틸티오메틸렌)-1, 3-디티에탄-4-카로복실산을 수득한다. 수율 : 503mg.
NMR(CDCl3) : 1.51(s, 9H), 4.83(s, 1H), 6.68(t, 1H, J=58Hz).
[제법 22]
Figure kpo00024
ⅰ) 메틸 2-(1-카르복시-1-클로로메틸렌)-1,3-디티에탄-4-카르복실레이트(1.29g) 및 옥살릴클로라이드(700μl)를 N,N-디메틸포름아미드(50μl) 존재하 에틸에테르에서 반응시키고, 반응 혼합물을 감압하 농축한다. 2-(1-클로로카르보닐-1-클로로메틸렌)-1, 3-디티에탄-4-카르복실레이트를 함유하는 상기 잔류물 THF(70ml)에 용해시키고, -78℃에서 30분동안 리튬 트리-t-부톡시알미늄 하이드라이드(1.36g)과 반응시킨다. 반응 혼합물을 에틸아세테이트 및 묽은 HCl의 혼합물로 희석하고, 거세게 교반한 후 유기층을 분리한다. 분리된 유기층을 건조시키고 진공 농축한 후 실리카겔 크로마토그래피로 정제하여 메틸 2-(1-클로로-1-포르밀메틸렌)-1, 3-디티에탄-4-카르복실레이트를 수득한다. 수율 : 328mg(27%)
IR(CHCl3) : 1740cm-1
NMR(CDCl3) : 3.88(s, 3H), 5.20(s, 1H), 9.27(s, 1H).
ⅱ) 상기에 수득된 카르복실레이트(262mg)을 아세톤에 용해시키고 1N NaOH 용액(0.8ml)를 가하면서 가수분해하여 2-(1-클로로-1-포르밀 메틸렌)-1, 3-디티에탄-4-카르복실산을 수득한다.
수율 : 252mg
NMR(CDCl3); 5.35(s, 1H), 8.98(s, 1H), 9.20(s, 1H).
[제법 23]
Figure kpo00025
ⅰ) DMF(30ml)에 용해된 칼륨염(1)(3.50g)에 메탄술포닐클로라이드(1.55ml)를 실온에서 가하고 20분간 교반한다. 반응 완결한 후, 혼합물을 물에 붓고 에틸아세테이트로 추출한다. 추출물을 수세하고 증발시켜 용매를 제거한다. 잔류물을 실리카겔 크로마토그래피로 정제하여 유성 화합물(2)을 수득한다. 수율 : 2.21g
IR(CHCl3) : 1730, 1680cm-1
NMR(CDCl3) : 1.33(t, 3H, J=7Hz), 3.23(s, 3H), 4.32(q, 2H, J=7Hz), 7.40(d, 1H, J=16Hz).
ⅱ) 상기의 수득된 화합물(2)(2.0g)을 DMF(10ml)에 용해시키고, 피리딘(1.5ml) 및 메틸 메르캅토아세테이트(1.3ml)를 가한다. 혼합물을 실온에서 밤새 교반한 후, 빙수에 붓고 에틸아세테이트로 추출한다. 추출물을 실리카켈 크로마토그래피로 정제하여 화합물(3)을 수득한다. 수율 : 1.38g
NMR(CDCl3) : 1.32(t, 3H, J=7Hz), 3.52(s, 2H), 3.77(s, 3H), 4.27(q, 2H, J=7Hz), 6.93(d, 1H, J=32Hz).
ⅲ) 아세톤(7ml)에 용해된 상기 생성물(3)(1.38g)의 용액에 1N NaOH 용액(6ml)를 가하고 -15∼-5℃에서 40분간 교반한다. 반응 혼합물을 물에 붓고, 에틸아세테이트로 세척하여 중성물질을 제거한다. 수층을 HCl로 산성화하고, 에틸 아세테이트로 두번 추출한다. 추출물을 수세하고 증발 건조시켜 화합물(4)를 수득한다.
NMR(CDCl3) : 1.33(t, 3H, J=7Hz), 3.62(s, 2H), 4.30(q, 2H, J=7Hz), 6.98(d, 1H, J=32Hz), 10.45(brs, 1H).
ⅳ) 또한 화합물(4)는 화합물(2)(1몰)과 티오글리클산(1몰)을 DMF(화합물(2)의 5중량부)중에서 트리에틸아민(2몰) 존재하 0∼5℃에서 1시간 반응시킴으로써 수득될 수 있다. 화합물(4)를 통상의 방법에 따라 반응 혼합물로부터 회수한다. 수율 : 80%
ⅴ) 수득된 화합물(4)(0.54g)을 28% NH4OH용액(2ml)에 용해시키고, 용액을 실온에서 밤새 방치한다. 용액을 진공에서 1ml로 농축하고 농 HCl로 산성화 한후, 화합물(5)의 침전된 결정을 여과에 의해 수집한다. 수율 0.44g, 융점 : 204-6℃
IR(누졸) : 3430, 3210, 1710, 1660, 1640, 1610, 1580cm-1.
NMR(DMSO-d6) : 3.72(s, 2H), 6.90(d, 1H, J=36Hz), 7.40-8.10(m, 2H).
[제법 24]
ⅰ) 2-아미노 에탄올 (7g)을 N2 대기하 메틸렌 클로라이드(35ml)에 용해시키고, 피리딘(7.5ml) 및 디메틸아미노피리딘(283mg)을 10℃에서 가한다. 벤질 클로로포르메이트(11.2ml)를 교반하면서 생성된 혼합물에 가한다. 혼합물을 실온에서 30분간 교반하고, 빙-묽은 HCl에 부은후, 디클로로메탄으로 추출한다. 추출물을 NaHCO3용액 및 물로 세척하고 건조시킨후 감압하 농축한다.
생성된 잔류물을 디클로로메탄 및 에틸에테르의 혼합물로 결정화하여 메틸 N-(2-벤질옥시카르보닐옥시에틸)크산테이트를 수득한다. 수율 : 10g(76%), 융점 : 54-56℃.
Figure kpo00026
: 252nm(ε=10, 500), 271nm(ε=1, 800).
IR(CHCl3) : 3385, 1747cm-1.
NMR(CDCl3) : 2.62(s, 3H), 4.05(t, 2H, J=5.0Hz), 4.38(t, 2H, J=5.0Hz), 5.17(s, 2H), 7.33(s, 6H).
ⅱ) 수득된 크산테이트(2.85g) 및 소듐아지드(650mg)을 아세토니트릴(20ml)에서 환류하 110분간 가열한다. 반응 혼합물을 약 10ml로 농축하고, NaHCO3용액에 붓고 에틸아세테이트로 세척한다.
HCl로 수층의 pH를 2로 맞추고, 에틸 아세테이트로 추출한다. 추출물을 수세하고, 건조시킨후, 진공 증발시킨다. 잔류물을 실리카겔 크로마토그래피로 정제하여 1-(벤질옥시카르보닐옥시에틸)-1H-테트라졸-5-티올을 수득한다.
Figure kpo00027
: 247nm(ε=8,500)
IR(CHCl3) : 3683, 3423, 1748, 1600cm-1
NMR(CD3COCD3) : 4.63(s, 4H), 5.13(s, 2H), 7.38(s, 5H).
[실시예 1]
Figure kpo00028
7β-클로로비닐티오아세트아미도-7α-메톡시-3-(1-디메틸아미노에틸-5-테트라졸릴)티오메틸-1-데티아-1-옥사-3-세펨-4-카르복실산 (1몰) 및 메탄올에 녹인 소듐 2-에틸 헥사노에이트의 1.8M 용액(2.6몰)의 혼합물을 메탄올(출발산의 7중량부)중 실온에서 10분간 반응시킨다. 에틸아세테이트를 반응 혼합물에 가하고, 생성된 침전물을 여과하고 세척하여 상응하는 소듐염을 수득한다. 수율 : 90-98%.
[실시예 2]
Figure kpo00029
7β-클로로비닐 티오아세트아미드-7α-메톡시-3-(1-히드록시에틸-5-테트라졸릴)티오메틸-1-데티아-1-옥사-3-세펨-4-카르복실산(4g)을 NaHCO3수용액(24g)에 용해시킨다. 용액의 pH를 6.5로 맞추고 탈염하기 위해 스티렌-디비닐 벤젠 공중합체로 채워진 컬럼을 통과시킨다. 용출액을 4바이알로 나우고, 공지의 방법으로 동결 건조시킨다. 상응하는 소듐염을 수득한다.
[실시예 3]
Figure kpo00030
7β-(2카르바모일-2-플루오로)비닐티오 아세트아미도-7α-메톡시-3-(1-카르바모일 메틸-5-테트라졸릴)티오메틸-1-데티아-1-옥사-3-세펨-4-카르복실산(1g)을 0.5% NaHCO3수용액(5ml)에 용해시킨다. HCl로 수용액의 pH를 7로 맞추고, 에틸 아세테이트로 세척하고, 탈염한 후 10ml바이알에 채우고 공지의 방법으로 동결 건조시킨다. 상응하는 소듐염을 수득한다.
실시예 1, 2 또는 3과 같은 방법으로, 표Ⅱ에 기재된 화합물(Ⅰ)의 각종 경금속염을 수득한다.
실시예 2에서 수득된 소듐 7β-(2-카르바모일-2-플루오로)비닐티오아세트아미도-7α-메톡시-3-(1-카르바모일메틸-5-테트라졸릴)티오메틸-1-테티아-1-옥사-3-세펨-4-카르복실레이트를 살균 조건하 주사용 증류수(4g)에 용해시킨다. 용액을 하루에 2번 정맥내 투여하여 스타필로코쿠스 아우레우스로 간염된 환자를 치료한다.
이 염의 스트랩토코쿠스 피오게네스 C-203 및 에스케리키아 콜리 JC-2에 대한 최소 억제 농도치는 니뽕 가가꾸 료호 가까이의 표준방법(Japan Society of Chemotherapy)에 따라 측정하였을 때 각각 0.1㎍/ml 및 0.1㎍/ml이상이다.
[실시예 4]
Figure kpo00031
디페닐메틸 7β-비닐티오아세트아미도-7α-메톡시-3-(1-메틸-5-테트라졸릴)티오메틸-1-데티아-1-옥사-3-세펨-4-카르복실레이트(1부), 아니솔(1부) 및 트리플루오로 아세트산(0.5부)를 디클로로메탄(5부)에 용해시키고, 혼합물을 빙냉하면서 30∼120분간 교반한다. 반응 혼합물에 감압하 농축한다. 잔류물을 에틸 에테르와 혼합하고 교반하여 상응하는 카르복실산을 침전시킨다.
또는, 반응 혼합물을 NaHCO3용액에 붓고 에틸아세테이트로 세척한 후, 산성화하고 에틸아세테이트로 추출한다. 추출물을 진공 증발시키고, 생성된 잔류물을 에테르에서 교반하여 카르복실산을 침전시킨다. 수율 80-90%.
상기와 같은 일반적 방법에 따라 표Ⅱ에 기재된 유리산(Ⅰ)을 수득한다.
[실시예 5]
Figure kpo00032
Figure kpo00033
디페닐 메틸 7β-클로로비닐티오아세트아미도-7α-메톡시-3-클로로메틸-1-데티아-1-옥사-3-세펨-4-카르복실레이트(1부), 복소환 티올의 소듐염(1.2몰 당량) 및 DMF(3∼5부)의 혼합물을 30분간 교반한다. 반응 혼합물을 물에 붓고 에틸아세테이트로 추출한다. 추출물을 수세하고 진공 증발시킨다. 생성된 잔류물을 실리카겔 크로마토 그래피에 의해 정제하여 상응하는 디페닐메틸 7β-클로로비닐티오아세트아미도-7α-메톡시-3-복소환 티오메틸-1-데티아-1-옥사-3-세펨-4-카르복실레이트를 수득한다. 수득율 : 80∼90%
[실시예 6]
Figure kpo00034
디페닐메틸 7β-클로로비닐티오아세트아미도-7α-메톡시-3-클로로메틸-1-데티아-1-옥사-3-세펨-4-카르복실레이트(1부), 복소환 티올의 소듐염(1.2몰 당량) 및 디클로로메탄(10∼20부)의 혼합물을 촉매량의 테트라부틸암모늄 브로마이드 존재하 실온에서 30분∼2시간 교반한다. 유기층을 수세하고 건조시킨후, 감압하 농축한다. 잔류물을 실리카겔 크로마토그래피하여 필요한 디페닐메틸 7β-클로로비닐티오아세트아미도-7α-메톡시-3-복소환 티오메틸-1-데티아-1-옥사-3-세펨-4-카르복실레이트를 수득한다. 수율 : 80∼90%
상기 실시예 5 및 6에 기재된 방법에 의해 제조된 본 발명의 화합물(Ⅰ)은 표 Ⅲ에 기재되어 있다.
[실시예 7]
Figure kpo00035
Figure kpo00036
디페닐메틸 7α-(2-메탈카르바모일-2-플루오로)비닐티오아세트아미도-3-(1-카르바모일메틸-5-테트라졸릴)티오메틸-1-데티아-1-옥사-3-세펨-4-카르복실레이트(1부)를 디클로로메탄(10부)에 용해시킨다. t-부틸히포클로라이드(1.1몰당량)을 가한 후, 혼합물을 -20℃에서 3시간 방치한다. 메탄올에 용해된 리튬 메톡사이드(1.2몰 당량)을 가하고, 혼합물을 30분간 반응시킨다.
반응 혼합물을 아세트산으로 산성화하고 디클로로메탄으로 희석한다. 희석된 혼합물을 세척, 건조하고 진공 농축하여 상응하는 디페닐메틸 7β-(2-메틸카르바모일-2-플루오로)비닐티오아세트아미도-7α-메톡시-3-(1-카르바모일메틸-5-테트라졸릴)티오메틸-1-데티아-1-옥사-3-세펨-4-카르복실레이트를 수득한다. 수율 : 40∼85%
상기 방법에 따라, 표 Ⅲ에 기재된 화합물(Ⅰ)이 수득된다.
[실시예 8]
Figure kpo00037
(Y=CHPh2, z'=CH3) :
디페닐메틸 7β-아미노-7α-메톡시-3-(1-메틸-5-테트라졸릴)티오메틸-1-데티아-1-옥사-3-세펨-4-카르복실레이트(Ⅱ)(1부), 피리딘(2몰 당량), 포스포러스옥시클로라이드(1.1몰 당량) 및 일반식(Ⅲ)의 카르복실산(1.1몰 당량)을 디클로로메탄(10∼15부)에 용해시키고, 빙냉하 30분간 반응시킨다.
반응 혼합물을 수세하고 Na2SO4로 건조시킨 후 감압하 농축한다. 잔류물을 실리카겔 크로마토그래피하여 상응하는 디페닐메틸 7β-아세트아미도-7α-메톡시-3-(1-메틸-5-테트라졸릴)티오메틸-1-데티아-1-옥사-3-세펨-4-카르복실레이트(Ⅰ)를 수득한다. 수율 : 70∼95%
하기의 방법에 따라 일반식(Ⅱ)의 아민을 일반식(Ⅲ)의 카르복실산 또는 그의 반응성 유도체와 반응시킴으로써 본 발명의 화합물(Ⅰ)을 수득한다. 하기 1)∼27)항에서, 부는 출발아민(Ⅱ)의 중량에 대한 부피에 의한 것이다.
1) Y가 H인 아민(Ⅱ)(1몰)을 NaHCO3(2.5몰)함유 물(10부)에 용해시킨다. 화합물(Ⅲ)의 산 클로라이드 유도체(1.1몰)을 적가하고, 혼합물을 -5℃∼실온에서 30분∼2시간 동안 반응시킨다.
2) Y가 H인 아민(Ⅱ)(1몰)을 트리에틸아민(1.2몰)존재하에 트리메틸실릴클로라이드(1.2몰)와 반응시킨다. 수득된 화합물(Ⅱ)의 실릴 에스테르를 화합물(Ⅲ)의 산클로라이드(1.1몰) 및 피리딘(4몰)과 함께 -30℃에서 합하고, 혼합물을 30분∼2시간 동안 반응시킨다. 실릴 에스테르를 산으로 가수분해한다.
3) 아민(Ⅱ)(1몰) 및 화합물(Ⅲ)의 산클로라이드(1.2몰)을 디클로로메탄(20부)에서 피콜린(4몰) 존재하 -30∼0℃에서 30분∼2시간 동안 교반한다.
4) 아민(Ⅱ)(1몰), 화합물(Ⅲ)의 산클로라이드(1.1몰), 에틸아세테이트(10부) 및 트리에틸아민(1.1몰)의 혼합물을 0∼-20℃에서 30분∼3시간 교반한다.
5) 아민(Ⅱ)(1몰), 이소부톡시포름산(1몰)과 함께 생성된 화합물(Ⅲ)의 혼합 무수물(1몰), 클로로포름(10부), 디메톡시에탄(10부) 및 피리딘(1.5몰)의 혼합물을 -5∼10℃에서 30분∼6시간 교반한다.
6) 아민(Ⅱ)(1몰), 화합물(Ⅲ)의 비스 무수물(1.1몰), 에틸아세테이트(10부), 1, 2-디클로로메탄(10부) 및 N-메틸모르폴린(1.5몰)의 혼합물을 환류하 10분∼2시간 동안 가열한다.
7) 아민(Ⅱ)(1몰), 메탄술폰산으로 생성된 화합물(Ⅲ)의 혼합 무수물(1.1몰) 및 피리딘(1.5몰)을 0℃에서 실온으로 상승되는 온도에서 1∼3시간 동안 교반한다.
8) DMF(5부)에 녹인 아민(Ⅱ)(1몰)을 디메틸아닐린(1.3몰)존재하에 카르복실산(Ⅲ) 및 DMF를 함유한 빌스데이에 시약과 함께 실온에서 1∼5시간 반응시킨다.
9) 아민(Ⅱ)(1몰)을 에틸아세이트(10부)에서 피리딘(1.5몰) 존재하에 디에틸포스페이트로 형성된 화합물(Ⅲ)의 혼합 무수물(1.5몰)과 0∼10℃에서 1∼5시간 동안 반응시킨다.
10) 아민(Ⅱ)(1몰)을 에틸아세테이트(7부), 디클로로메탄(10부) 및 피리딘(1몰)존재하에 이염화인으로 형성된 화합물(Ⅲ)의 혼합 무수물(1.1몰)과 0℃∼실온에서 1∼3시간 동안 반응시킨다.
11) 아민(Ⅱ)(1몰), 루티딘(1.5몰), 디클로로메탄(10ml) 및 모노클로로포스포러스 디메틸아미드와 함께 형성된 화합물(Ⅲ)의 혼합 무수물(1.1∼2몰)의 혼합물을 0∼30℃에서 1∼4시간 동안 교반한다.
12) 아민(Ⅱ)(1몰), 카르보닐디이미다졸(1.1몰), THF(10부), 디메틸아세트아미드(5부) 및 카르복실산(Ⅲ)(1.1몰)의 혼합물을 0℃∼실온에서 1∼5시간 동안 교반한다.
13) 아민(Ⅱ)(1몰), 디클로로메탄(10부), DMF(5부), N, N'-디시클로헥실카르보디이미드(1.1몰), 피콜린(1.2몰) 및 카르복실산(Ⅲ)(1.1몰)의 혼합물을 2∼24시간 동안 가열한다.
14) 아민(Ⅱ)(1몰), 디클로로메탄(10부), 2-에톡시-1-에톡시카르보닐-1, 2-디히드로퀴놀린(1.1몰), N, N'-디시클로헥실카르보디이미드(1.1몰), 피리딘(1.5몰) 및 카르복실산(1.1몰)의 혼합물을 0℃∼실온에서 1∼6시간 동안 교반한다.
15) 아민(Ⅱ)(1몰), 디클로로메탄(30부), 시아누릭 클로라이드(1.1몰), 피리딘(4몰) 및 카르복실산(1.1몰)의 혼합물을 -30∼10℃에서 30분∼2시간 동안 교반한다.
16) 아민(Ⅱ)(1몰), 디클로로메탄(3부), 포스포러스 옥시클로라이드(1.1몰) 피리딘(1.5몰) 및 카르복실산(1.1몰)의 혼합물을 -10∼10℃에서 20분∼2시간 동안 교반한다.
17) 아민(Ⅱ)(1몰)을 트리메틸실릴 클로라이드와 반응시켜 상응하는 N-트리메틸실릴아민을 제조한다. N-실릴화화합물(1몰)을 포스포러스 옥시클로라이드(1.5몰), 카르복실산(Ⅲ)(1.2몰), 피리딘(4몰) 및 디클로로메탄(5부)의 혼합물로 0℃∼실온에서 30분∼2시간 동안 처리한다.
18) 아민(Ⅱ)(1몰), 디클로로메탄(8부), 티오닐클로라이드(1.5몰), 피리딘(2.5몰) 및 카르복실산(1.1몰)의 혼합물을 -30∼0℃에서 1∼5시간 동안 교반한다.
19) 아민(Ⅱ), (1몰), 디클로로메탄(20부), 1-히도록시벤즈트리아졸(2.1몰), N, N'-디시클로헥실카르보디이미드(2.5몰) 및 카르복실산(Ⅲ)(2몰)의 혼합물을 실온에서 1∼15시간 동안 교반한다.
20) 아민(Ⅱ)(1몰), 디클로로메탄(5부), 트리플루오로아세트산 무수물(1.5몰), 피리딘(3몰) 및 카르복실산(1.5몰)의 혼합물을 0℃∼실온에서 1∼5시간 동안 교반한다.
21) 아민(Ⅱ)(1몰), 디(2-피리딜)설파이드(1.1몰), 트리페닐포스핀(1.1몰) 및 카르복실산(Ⅲ)(1.1몰)의 혼합물을 10∼50℃에서 2∼6시간 동안 교반한다.
22) 아민(Ⅱ)(1몰), 디클로로메탄(3부), 1, 3, 5-트리피리디늄트리아진 트리클로라이드(4몰) 및 카르복실산(Ⅲ)(1.1몰)의 혼합물을 -10∼10℃에서 1∼5시간 동안 교반한다.
23) 아민(Ⅱ)(1몰), CCl4(30부), N-메틸 모르폴린(1.5몰), 트리스디에틸아미노포스핀(1.1몰) 및 카르복실산(Ⅲ)(1.1몰)의 혼합물을 -20∼10℃에서 1∼5시간 동안 방치한다.
24) 아민(Ⅱ)(1몰), 디옥산(10부), N, N'-디시클로헥실카르보디이미드(2몰) 및 카르복실산(Ⅲ)의 프탈이미드(2몰) 혼합물을 10∼50℃에서 2∼8시간 동안 교반한다.
25) 아민(Ⅱ)(1몰), 메틸이소부틸케톤(10부), N, N'-디시클로헥실카르보디이미드(1.5몰) 및 화합물(Ⅲ)의 숙신이미드(1.5몰)의 혼합물을 0∼40℃에서 2∼9시간 동안 교반한다.
26) 아민(Ⅱ)(1몰), 디클로로메탄(20부), 피리딘(3몰), N, N'-디시클로헥실카르보디이미드(3몰) 및 카르복실산(Ⅲ)의 1-옥사벤즈 트리아졸 에스테르(3몰)의 혼합물을 10∼50℃에서 5∼30시간 동안 교반한다.
27) 아민(Ⅱ)(1몰), 클로로포름(3부), 톨루엔(1부), 피콜린(2몰), 옥살릴클로라이드(1몰) 및 카르복실산(1.1몰)의 혼합물을 -50∼10℃에서 10분∼2시간 동안 교반한다.
상기 방법에 따라 제조된 화합물(Ⅰ)의 표 Ⅱ 및 Ⅲ에 기재되어 있다.
[실시예 9]
Figure kpo00038
디페닐 메틸 7β-(2,2-디클로로-1-티오카르바모일옥시에틸)티오아세트아미도-7α-메톡시-3-[1-(히드록시에틸)-5-테트라졸릴]티오메틸-1-데티아-1-옥사-3-세펨-4-카르복실레이트(1.5g)을 아연 분말(0.75g), 디옥산(5ml) 및 아세트산(1ml)와 합하고, 혼합물을 실온에서 20분간 교반한다. 반응 혼합물을 여과 한다. 여과액을 디클로로메탄으로 희석하고, 수세한 후, 진공농축하여 디페닐메틸 7β-클로로비닐티오 아세트아미도-7α-메톡시-3-[1-(히드록시에틸)-5-테트라졸릴]티오메틸-1-데티아-1-옥사-3-세펨-4-카르복실레이트를 수득한다. 수율 : 40%
[실시예 10]
Figure kpo00039
디페닐메틸 7β-(1,2-디클로로에틸)티오아세트아미도-7α-메톡시-3-(1-시아노메틸-5-테트라졸릴)티오메틸-1-데티아-1-옥사-3-세펨-4-카르복실레이트(4.2g), 염화리튬(3g) 및 DMF(20ml)의 혼합물을 70∼75℃에서 3시간 동안 가열한다.
반응 혼합물을 빙수로 희석하고, 에틸아세테이트로 추출한다. 추출물을 수세 및 건조시키고, 감압하 농축하여 디페닐 메틸 7β-클로로비닐티오 아세트아미도-7α-메톡시-3-(1-시아노에틸-5-테트라졸릴)티오메틸-1-데티아-1-옥사-3-세펨-4-카르복실레이트를 수득한다. 수율 : 2.5g
[실시예 11]
Figure kpo00040
메틸술포닐에틸 7β-메르캅토아세트아미도-7α-메톡시-3-(1-메틸-5-테트라졸릴)티오메틸-1-데티아-1-옥사-3-세펨-4-카르복실레이트를 디클로로메탄에 용해시킨다.
이 용액을 과량의 클로로아세틸렌을 함유한 에테르용액과 함께 -70℃에서 합한다.
반응 혼합물의 온도를 3시간에 걸쳐 실온으로 상승시키고 수세한 후 진공 증발시켜 메탄술포닐에틸 7β-클로로비닐티오아세트아미도-7α-메톡시-3-(1-메틸-5-테트라졸릴)티오메틸-1-데티아-1-옥사-3-세펨-4-카르복실레이트를 수득한다. 수율 : 63%
[실시예 12]
Figure kpo00041
Figure kpo00042
A. [x=H-]
ⅰ) 디페닐메틸 7β-트리메틸실릴아미노-7α-메톡시-3-(1-메틸-5-테트라졸릴)티오메틸-1-데티아-1-옥사-3-세펨-4-카르복실레이트(1)(1부), 포스포러스옥시클로라이드(1.5몰), t-부톡시카르보닐메틸렌-1,3-디에탄카르복실산(1.2몰) 및 r-피콜린(1.5몰)의 혼합물을 디클로로메탄(5부)중에 0℃에서 30분간 교반한다.
반응 혼합물을 수세하고 건조시킨 후, 진공증발시켜 디페닐메틸 7β-t-부톡시카르보닐메틸렌디티에탄카르보닐아미노-7α-메톡시-3-(1-메틸-5-테트라졸릴)티오메틸-1-데티아-1-옥사-3-세펨-4-카르복실레이트(2)를 수득한다. 수율 60.7%
ⅱ) 상기에 수득된 생성물(1부)를 디클로로메탄(20부)에 용해시킨다. -50℃로 냉각된 디클로로메탄 용액에 CCl4(2.5몰) 및 피리딘(2몰)에 녹인 1.2M 염소용액을 가한다. 30분 교반후, 반응 혼합물을 실온으로 가온하고, 티오황산나트륨 수용액으로 세척한 후 감압하 농축한다. 잔류물을 실리카겔크로마토 그래피에 의해 정제하여 디페닐메틸 7β-t-부톡시카르보닐 클로로메틸렌-1,3-디티에탄카르보닐아미노-7α-메톡시-3-(1-메틸-5-테트라졸릴)티오메틸-1-데티아-1-옥사-3-세펨-4-카르복실레이트(3) Hal=Cl)을 수득한다. 수율 57%
ⅲ) 상기 반응에서 염소 대신 브롬을 사용할 때, 상응하는 7β-t-부톡시-카르보닐브로모메틸렌 화합물((3), Hal=Br)을 수득한다. 수율 : 87%
ⅳ) 상기 ⅰ)에서 생성물(1부)를 피리딘(2몰), 헥사메틸포스포로트리아미드(2몰) 및 N-요오도숙신이미드(3몰)과 혼합한다. 혼합물을 실온에서 교반하고 수세한 후, 진공농축한다. 잔류물을 실리카겔크로마토그래피에 의해 정제하여 디페닐메틸 7β-t-부톡시카르보닐요오도메틸렌디티에탄카르복시아미노-7α-메톡시-3-(1-메틸-5-테트라졸릴)티오메틸-1-데티아-1-옥사-3-세펨-4-카르복실레이트((3) Hal=I)를 수득한다. 수율 80%
ⅴ) 상기와 같은 방법으로, N-요오드숙신아미드 대신 각각 N-브로모숙신아미드 또는 N-클로로숙신이미드를 사용하여 브로모메틸렌((3) Hal-Br) 또는 클로로메틸렌 화합물((3) Hal-Cl)을 수득한다.
B. [x-(CH3)3Si-]
상기 A. ⅰ)∼A. ⅴ)와 같은 방법으로 트리메틸실릴 메틸렌 화합물(2b)로부터 할로메틸렌 화합물을 제조한다.
상기 실시예 9∼12에 기재된 방법에 의해 제조된 화합물(Ⅰ)은 표 Ⅱ 및 Ⅲ에 기재되어 있다.
[실시예 13]
Figure kpo00043
ⅰ) 포타슘 7β-(2-카르바모일-2-플루오로)비닐 티오아세트아미도-7α-메톡시-3-(1-히드록시에틸-5-테트라졸리)티오메틸-1-데티아-1-옥사-3-세펨-4-카르복실레이트(1밀리몰)을 DMF (2∼5부)에 용해시킨다.
이 용액에 요오도메틸피발레이트(1∼2밀리몰)를 빙냉하면서 가하고, 혼합물을 15분∼2시간 교반한다. 반응 혼합물을 에틸아세테이트로 희석하고, 방수 및 NaHCO3용액으로 세척한 후, 건조시키고 감압하 증발시킨다. 생성된 잔류물을 에틸아세테이트로 결정화하여 피발로일옥시메틸 7β-(2-카르바모일-2-플루오로)비닐티오아세트아미도-7α-메톡시-3-(1-히드록시에틸-5-테트라졸릴)티오메틸-1-데티아-1-옥사-3-세펨-4-카르복실레이트를 수득한다.
ⅱ) 상기와 같은 방법으로, 포타슘염 대신 소듐염을 사용하여 상기에 수득된 피발로일옥시메틸 에스테르를 제조한다.
ⅲ) 피발로옥시메틸에스테르(250g), 옥수수전분(150g) 및 마그네슘스테아레이트(5g)를 균일하게 혼합하고, 과립화한 후, 공지의 방법으로한 캡슐에 25mg의 피발로일옥시메틸에스테르가 포함되도록 젤라틴 캡슐에 채운다.
스트렙토코쿠스피오게네스 감염을 치료하기 위해 상기 캡슐을 환자에게 경구 투여한다. 일일용량은 3∼9캡슐이며 보통 3번에 나누어서 투여한다.
[실시예 14]
5ml 바이알에 든 7β-클로로비닐티오아세트아미도-7α-메톡시-3-(1-디메틸아미노에틸-5-테트라졸릴)티오메틸-1-데티아-1-옥사-3-세펨-4-카르복실산의 소듐염(100mg)을 사용전 주사용 멸균수(1ml)에 용해시키고, 이것을 신우염 성인 환자에게 정맥주사를 통해 투여한다.
[실시예 15]
7β-(2-카르바모일-2-플루오로)비닐티오아세트아미도-7α-메톡시-3-(1-히드록시-5-테트라졸릴)티오메틸-1-데티아-1-옥사-3-세펨-4-카르복실산을 탄산수소나트륨에 의해 pH 7.0으로 중화한 후의 동결건조물(1g)을 150ml바이알에 넣는다.
동결건조물을 주사용 살균수(100ml)에 용해시키고, 수술후의 박테리아 감염을 예방 및 치료하기 위해 암의 외과 수술 동안 또는 수술후 즉시 성인 환자에게 정맥내 투여한다.
[실시예 16]
5ml바이알에든 7β-(2-카르바모일-2-플루오로)비닐티오아세트아미도-7α-메톡시-3-(1-카르바모일메틸-5-테트라졸릴)티오메틸-1-데티아-1-옥사-3-세펨-4-카르복실산(200mg)미세결정을 2ml의 프로카인(2ml)를 함유한 주사용 멸균수에 현탁시키고, 스타필로코쿠스 아우레우스로 인한 화농성염증 환자에게 근육내 투여한다.
[실시예 17]
결정성 피발로일옥시메틸 7-(2-카르바모일-2-플루오로)비닐티오아세트아미도-7-메톡시-3-(1-히드록시에틸-5-테트라졸릴)티오메틸-1-데티아-1-옥사-3-세펨-4-카르복실레이트(200mg)을 참기름(0.25ml)에 용해시키고, 딱딱한 젤라틴캡슐에 채운다. 이 캡슐을 스트렙토코쿠스 피오게네스에 의한 순환기 감염 환자에게 4시간 간격으로 경구 투여한다.
[실시예 18]
분말상 7-클로로비닐티오아세트아미도-7-메톡시-3-(1-히드록시에틸-5-테트라졸릴)티오메틸-1-데티아-1-옥사-3-세펨-4-카르복실산(100mg)을 옥수수전분(150mg) 및 활석(100mg)과 잘 혼합하여 분말화하고 딱딱한 젤라틴 캡슐(250mg 부피)에 채운다. 각 캡슐을 에스케리키아 콜리에 의해 요로 감염된 성인 환자에게 3시간 간격으로 경구 투여한다.
[실시예 19]
피발로일옥시 메틸 7β-(2-카르바모일-2-플로오로)비닐티오아세트아미도-7α-메톡시-3-(1-히드록시에틸-5-테트라졸릴)티오메틸-1-데티아-1-옥사-3-세펨-4-카르복실레이트(10g), 락토오즈(50g), 옥수수전분(2g), 마그네슘 스테아레이트(0.3g), 슈크로오즈(10g), 및 필요량의 아카시아 및 활석의 혼합 분말을 과립화 한다. 사용전에 과립을 물과 혼합하여 현탁액을 만들고 1티스푼량의 현탁액을 크랩시엘라 뉴모니아에 의한 폐렴에 걸린 유아에게 경구투여한다.
[표 1]
Figure kpo00044
Figure kpo00045
[표 2a]
Figure kpo00046
Figure kpo00047
[표 2b]
Figure kpo00048
[표 2c]
Figure kpo00049
[표 2d]
Figure kpo00050
[표 2e]
Figure kpo00051
[표 2f]
Figure kpo00052
[표 2g]
Figure kpo00053
[표 2h]
Figure kpo00054
[표 2i]
Figure kpo00055
[표 2j]
Figure kpo00056
[표 2k]
Figure kpo00057
[표 2l]
Figure kpo00058
[표 2m]
Figure kpo00059
[표 2n]
Figure kpo00060
[표 2o]
Figure kpo00061
[표 2p]
Figure kpo00062
[표 2q]
Figure kpo00063
[표 2r]
Figure kpo00064
[표 2s]
Figure kpo00065
[표 3a]
Figure kpo00066
Figure kpo00067
[표 3b]
Figure kpo00068
[표 3c]
Figure kpo00069
[표 3d]
Figure kpo00070
[표 3e]
Figure kpo00071
[표 3f]
Figure kpo00072
[표 3g]
Figure kpo00073
[표 3h]
Figure kpo00074
[표 3i]
Figure kpo00075
[표 3j]
Figure kpo00076
[표 3k]
Figure kpo00077
[표 3l]
Figure kpo00078
[표 3m]
Figure kpo00079
[표 3n]
Figure kpo00080
[표 3o]
Figure kpo00081
[표 3p]
Figure kpo00082
[표 3q]
Figure kpo00083
[표 3r]
Figure kpo00084
[표 3s]
Figure kpo00085
[표 3t]
Figure kpo00086
[표 3u]
Figure kpo00087
[표 3v]
Figure kpo00088

Claims (1)

  1. 하기 일반식(Ⅱ)의 화합물 또는 그의 반응 유도체를 하기 일반식(Ⅲ)의 카르복살산 또는 그의 반응 유도체와 반응시킴을 특징으로 하는 하기 일반식(Ⅰ)의 화합물의 제조방법.
    Figure kpo00089
    (상기 식중 u는 수소, 카르복사미도, N-히드록시카르복사미도, 카르복시, 아지도, 아릴, 아실아미노, 보호된 카르복시 또는 N-알콕카르복사미도를 나타내거나, v와 함께 -S- 또는 -CH2S-를 나타낼 수 있으며; v는 수소, 할로겐, 시아노 또는 알킬티오를 나타내거나, u와 함께 -S- 또는 -CH2S-, 또는 w와 함께 -(CH2)3CO-를 나타낼 수 있으며; w는 수소, 카르바모일, 시아노, 카르복시, N-알킬카르바모일, 알킬, 보호된 카르복시 또는 복소환을 나타내거나, v와 함께 -(CH2)3CO-를 나타낼 수 있으며; x는 할로겐, 트리플루오로메틸, 알킬티오 또는 아릴티오를 나타내며; y는 수소, 경금속 또는 카르복실산 보호기를 나타내며; z는 아실옥시 또는 복소환-티오를 나타내고, u, v, w, x, y 및 z로 표시되는 상기의 각기는 할로겐 또는 탄소-, 질소-, 산소- 또는 황-함유 관능기에 의해 임의 치환될 수 있다.)
KR1019830004623A 1982-09-30 1983-09-29 비닐티오 아세트아미도 옥사세팔로스포린 유도체의 제조방법 Expired KR900008552B1 (ko)

Applications Claiming Priority (5)

Application Number Priority Date Filing Date Title
JP172907/1982 1982-09-30
JP57172907A JPS5962596A (ja) 1982-09-30 1982-09-30 ビニルチオ化オキサセフアロスポリン誘導体
JP172907 1982-09-30
JP58128116A JPS6019791A (ja) 1983-07-13 1983-07-13 フルオロビニルチオオキサセフアロスポリン類
JP128116 1983-07-13

Publications (2)

Publication Number Publication Date
KR840006252A KR840006252A (ko) 1984-11-22
KR900008552B1 true KR900008552B1 (ko) 1990-11-24

Family

ID=26463879

Family Applications (1)

Application Number Title Priority Date Filing Date
KR1019830004623A Expired KR900008552B1 (ko) 1982-09-30 1983-09-29 비닐티오 아세트아미도 옥사세팔로스포린 유도체의 제조방법

Country Status (13)

Country Link
US (1) US4529721A (ko)
EP (1) EP0107928B1 (ko)
KR (1) KR900008552B1 (ko)
AU (1) AU558772B2 (ko)
CA (1) CA1219866A (ko)
DE (1) DE3375141D1 (ko)
DK (1) DK163000C (ko)
ES (1) ES8600311A1 (ko)
FI (1) FI74015C (ko)
GB (2) GB2168349B (ko)
IE (1) IE55977B1 (ko)
NO (1) NO168478C (ko)
PH (2) PH20013A (ko)

Families Citing this family (9)

* Cited by examiner, † Cited by third party
Publication number Priority date Publication date Assignee Title
JPS61130223A (ja) * 1984-11-28 1986-06-18 Shionogi & Co Ltd 抗菌性凍結乾燥製剤
DK123488A (da) * 1987-03-09 1988-09-10 Otsuka Pharma Co Ltd 2-oxa-isocephemforbindelser, praeparater indeholdende dem, og fremgangsmaader til fremstilling af dem
WO1991011503A1 (en) * 1990-01-12 1991-08-08 The Dow Chemical Company Composition and use of substituted 3-thio-2-propynenitriles as an industrial antimicrobial
US5198445A (en) * 1990-01-12 1993-03-30 The Dow Chemical Company Composition and use of substituted 3-thio-2-propynenitriles as industrial antimicrobials
US5126349A (en) * 1990-01-12 1992-06-30 The Dow Chemical Company Composition and use of substituted 3-thio-2-propynenitriles as an industrial antimicrobial
US5157051A (en) * 1992-03-05 1992-10-20 The Dow Chemical Company Composition and use of 3-thiocyano-2-halo-2-propenenitriles as antimicrobial agents
US5155119A (en) * 1992-03-05 1992-10-13 The Dow Chemical Company 3-(2-pyridinylthio)-N-oxide, 2-halo-2-propenenitrile compounds useful as antimicrobials
US5206227A (en) * 1992-06-02 1993-04-27 The Dow Chemical Company Composition and use of phosphonic acid, (2-halo-2-cyanoethenyl)-dialkyl esters as antimicrobials
US5958462A (en) * 1997-05-23 1999-09-28 Mclean; Linsey Therapeutic bath salts and method of use

Family Cites Families (7)

* Cited by examiner, † Cited by third party
Publication number Priority date Publication date Assignee Title
GB1604738A (en) * 1977-07-28 1981-12-16 Yamanouchi Pharma Co Ltd 1,3-dithietane-2-carboxylic acid derivatives and the preparation thereof
DE2821639A1 (de) * 1978-05-18 1979-11-22 Hoechst Ag Neue thioenolaether, verfahren zu ihrer herstellung sowie ihre verwendung
GB2045233B (en) * 1979-03-23 1983-05-11 Erba Farmitalia Unsaturated 3-heterocyclylthiomethyl-7a-methoxy-7-acylamido-3-cephem-4-carboxylic acid derivatives
JPS5690088A (en) * 1979-11-02 1981-07-21 Meiji Seika Kaisha Ltd Novel cephalosporin analog compound
JPS56103185A (en) * 1980-01-22 1981-08-18 Shionogi & Co Ltd Malonamidoxa-dethia-cephem compound
IL63965A (en) * 1980-10-10 1985-01-31 Sparamedica Ag 7-(2-(2-amino-4-selenazoyl)acetamido)cephalosporin derivatives,and intermediates therefor,their preparation and pharmaceutical compositions containing them
FR2496666A1 (fr) * 1980-12-22 1982-06-25 Ici Pharma Nouveaux derives de cephalosporine et composition pharmaceutique les contenant

Also Published As

Publication number Publication date
PH20224A (en) 1986-10-23
FI74015C (fi) 1987-12-10
ES526130A0 (es) 1985-10-01
AU1975283A (en) 1984-04-05
ES8600311A1 (es) 1985-10-01
FI833348A7 (fi) 1984-03-31
DK163000C (da) 1992-06-01
EP0107928A1 (en) 1984-05-09
GB2127825A (en) 1984-04-18
FI74015B (fi) 1987-08-31
GB2127825B (en) 1987-03-11
CA1219866A (en) 1987-03-31
IE832310L (en) 1984-03-30
NO168478C (no) 1992-02-26
KR840006252A (ko) 1984-11-22
AU558772B2 (en) 1987-02-05
NO168478B (no) 1991-11-18
FI833348A0 (fi) 1983-09-20
GB2168349B (en) 1987-03-11
DK426683D0 (da) 1983-09-19
GB8601753D0 (en) 1986-02-26
GB8326244D0 (en) 1983-11-02
DK426683A (da) 1984-03-31
GB2168349A (en) 1986-06-18
DE3375141D1 (en) 1988-02-11
NO833521L (no) 1984-04-02
US4529721A (en) 1985-07-16
PH20013A (en) 1986-08-28
EP0107928B1 (en) 1988-01-07
DK163000B (da) 1992-01-06
IE55977B1 (en) 1991-03-13

Similar Documents

Publication Publication Date Title
KR880002376B1 (ko) 카르복시 알켄아미도 세팔로스포린의 제조방법
CA1085392A (en) Arylmalonamido-1-oxadethiacephalosporins
US4201782A (en) Thiadiazolyl cephalosporin analogs
JP2969283B2 (ja) ピペラジニオセファロスポリン
JP2618119B2 (ja) チオアルキルチオセファロスポリン誘導体
KR900008552B1 (ko) 비닐티오 아세트아미도 옥사세팔로스포린 유도체의 제조방법
US4254119A (en) 3-Unsubstituted-3-cephem compounds
KR930004015B1 (ko) 알킬카르바모일옥시메틸세펨 화합물의 제조방법
EP0114752B1 (en) Beta-lactam antibacterial agents
EP0111421B1 (en) Oxacephalosporin derivatives, their preparation and use
EP0287734A1 (en) 2-Beta-substituted methyl-penam derivatives
US4629726A (en) Penem carboxylic acids
JPS59231090A (ja) フルオロメチルチオオキサセフアロスポリン
US5362724A (en) Thioalkylthio carbacephalosporin derivatives
US4835150A (en) Cephem compounds
EP0117143A2 (en) Cephalosporin hydroxamic acids, their preparation, antibacterial formulations comprising the same, and their use in combating bacteria
US4661480A (en) Formamido oxacephems
IE47929B1 (en) Substituted imidazolidinyl-3-chloro-3-cephem-4-carboxylic acids
JPH0359073B2 (ko)
EP0131611A1 (en) $g(b)-LACTAM ANTIBACTERIAL AGENTS
JP2566680B2 (ja) ビニルチオ酢酸誘導体
EP0115969A1 (en) Penem compounds, their preparation , formulations containing the same and their use in combating bacteria
GB2151615A (en) Malonyl-oxacephemcarboxylic acid derivatives
JPS60197689A (ja) オキサセフアロスポリンのビニルチオ誘導体
IE46627B1 (en) Haloarylmalonamidooxacephalosporins

Legal Events

Date Code Title Description
PA0109 Patent application

St.27 status event code: A-0-1-A10-A12-nap-PA0109

R17-X000 Change to representative recorded

St.27 status event code: A-3-3-R10-R17-oth-X000

PG1501 Laying open of application

St.27 status event code: A-1-1-Q10-Q12-nap-PG1501

A201 Request for examination
P11-X000 Amendment of application requested

St.27 status event code: A-2-2-P10-P11-nap-X000

P13-X000 Application amended

St.27 status event code: A-2-2-P10-P13-nap-X000

PA0201 Request for examination

St.27 status event code: A-1-2-D10-D11-exm-PA0201

E902 Notification of reason for refusal
PE0902 Notice of grounds for rejection

St.27 status event code: A-1-2-D10-D21-exm-PE0902

P11-X000 Amendment of application requested

St.27 status event code: A-2-2-P10-P11-nap-X000

P13-X000 Application amended

St.27 status event code: A-2-2-P10-P13-nap-X000

G160 Decision to publish patent application
PG1605 Publication of application before grant of patent

St.27 status event code: A-2-2-Q10-Q13-nap-PG1605

E701 Decision to grant or registration of patent right
PE0701 Decision of registration

St.27 status event code: A-1-2-D10-D22-exm-PE0701

GRNT Written decision to grant
PR0701 Registration of establishment

St.27 status event code: A-2-4-F10-F11-exm-PR0701

PR1002 Payment of registration fee

St.27 status event code: A-2-2-U10-U11-oth-PR1002

Fee payment year number: 1

PR1001 Payment of annual fee

St.27 status event code: A-4-4-U10-U11-oth-PR1001

Fee payment year number: 4

FPAY Annual fee payment

Payment date: 19941019

Year of fee payment: 5

PR1001 Payment of annual fee

St.27 status event code: A-4-4-U10-U11-oth-PR1001

Fee payment year number: 5

LAPS Lapse due to unpaid annual fee
PC1903 Unpaid annual fee

St.27 status event code: A-4-4-U10-U13-oth-PC1903

Not in force date: 19951125

Payment event data comment text: Termination Category : DEFAULT_OF_REGISTRATION_FEE

PC1903 Unpaid annual fee

St.27 status event code: N-4-6-H10-H13-oth-PC1903

Ip right cessation event data comment text: Termination Category : DEFAULT_OF_REGISTRATION_FEE

Not in force date: 19951125

PN2301 Change of applicant

St.27 status event code: A-5-5-R10-R13-asn-PN2301

St.27 status event code: A-5-5-R10-R11-asn-PN2301

P22-X000 Classification modified

St.27 status event code: A-4-4-P10-P22-nap-X000