KR20180118828A - Dmd를 위한 다중 엑손 스키핑 조성물 - Google Patents
Dmd를 위한 다중 엑손 스키핑 조성물 Download PDFInfo
- Publication number
- KR20180118828A KR20180118828A KR1020187030954A KR20187030954A KR20180118828A KR 20180118828 A KR20180118828 A KR 20180118828A KR 1020187030954 A KR1020187030954 A KR 1020187030954A KR 20187030954 A KR20187030954 A KR 20187030954A KR 20180118828 A KR20180118828 A KR 20180118828A
- Authority
- KR
- South Korea
- Prior art keywords
- sequence
- seq
- exon
- nos
- dna
- Prior art date
- Legal status (The legal status is an assumption and is not a legal conclusion. Google has not performed a legal analysis and makes no representation as to the accuracy of the status listed.)
- Ceased
Links
- 239000000203 mixture Substances 0.000 title claims description 114
- 230000000692 anti-sense effect Effects 0.000 claims abstract description 720
- 101001053946 Homo sapiens Dystrophin Proteins 0.000 claims abstract description 666
- 238000000034 method Methods 0.000 claims abstract description 73
- 201000000585 muscular atrophy Diseases 0.000 claims abstract description 4
- 150000001875 compounds Chemical class 0.000 claims description 119
- 108020004999 messenger RNA Proteins 0.000 claims description 93
- 108090000765 processed proteins & peptides Proteins 0.000 claims description 82
- 108010069091 Dystrophin Proteins 0.000 claims description 73
- 108090000623 proteins and genes Proteins 0.000 claims description 49
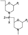
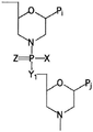
- 125000004573 morpholin-4-yl group Chemical group N1(CCOCC1)* 0.000 claims description 39
- 229910052698 phosphorus Inorganic materials 0.000 claims description 30
- OAICVXFJPJFONN-UHFFFAOYSA-N Phosphorus Chemical compound [P] OAICVXFJPJFONN-UHFFFAOYSA-N 0.000 claims description 29
- 229910052799 carbon Inorganic materials 0.000 claims description 29
- 239000011574 phosphorus Substances 0.000 claims description 29
- 108700024394 Exon Proteins 0.000 claims description 28
- 239000004475 Arginine Substances 0.000 claims description 27
- ODKSFYDXXFIFQN-UHFFFAOYSA-N arginine Natural products OC(=O)C(N)CCCNC(N)=N ODKSFYDXXFIFQN-UHFFFAOYSA-N 0.000 claims description 27
- 238000012545 processing Methods 0.000 claims description 26
- OKTJSMMVPCPJKN-UHFFFAOYSA-N Carbon Chemical compound [C] OKTJSMMVPCPJKN-UHFFFAOYSA-N 0.000 claims description 23
- MHCMWGPPLOSCJY-UHFFFAOYSA-N 4-$l^{1}-azanylmorpholine Chemical compound [N]N1CCOCC1 MHCMWGPPLOSCJY-UHFFFAOYSA-N 0.000 claims description 18
- 230000000295 complement effect Effects 0.000 claims description 18
- 108091027305 Heteroduplex Proteins 0.000 claims description 15
- 238000004519 manufacturing process Methods 0.000 claims description 9
- 206010003694 Atrophy Diseases 0.000 claims 1
- 229940126062 Compound A Drugs 0.000 claims 1
- 102100024108 Dystrophin Human genes 0.000 claims 1
- NLDMNSXOCDLTTB-UHFFFAOYSA-N Heterophylliin A Natural products O1C2COC(=O)C3=CC(O)=C(O)C(O)=C3C3=C(O)C(O)=C(O)C=C3C(=O)OC2C(OC(=O)C=2C=C(O)C(O)=C(O)C=2)C(O)C1OC(=O)C1=CC(O)=C(O)C(O)=C1 NLDMNSXOCDLTTB-UHFFFAOYSA-N 0.000 claims 1
- 230000037444 atrophy Effects 0.000 claims 1
- 230000002183 duodenal effect Effects 0.000 claims 1
- 108020004414 DNA Proteins 0.000 description 641
- 210000004027 cell Anatomy 0.000 description 73
- 102000001039 Dystrophin Human genes 0.000 description 65
- -1 1-piperazinyl Chemical group 0.000 description 50
- 206010013801 Duchenne Muscular Dystrophy Diseases 0.000 description 42
- 239000002502 liposome Substances 0.000 description 42
- 239000002585 base Substances 0.000 description 40
- UCMIRNVEIXFBKS-UHFFFAOYSA-N beta-alanine Chemical compound NCCC(O)=O UCMIRNVEIXFBKS-UHFFFAOYSA-N 0.000 description 33
- 229940024606 amino acid Drugs 0.000 description 32
- 230000000694 effects Effects 0.000 description 32
- 235000001014 amino acid Nutrition 0.000 description 29
- 150000001413 amino acids Chemical class 0.000 description 29
- 108010068380 arginylarginine Proteins 0.000 description 29
- OMLWNBVRVJYMBQ-YUMQZZPRSA-N Arg-Arg Chemical compound NC(N)=NCCC[C@H](N)C(=O)N[C@@H](CCCN=C(N)N)C(O)=O OMLWNBVRVJYMBQ-YUMQZZPRSA-N 0.000 description 28
- 108091034117 Oligonucleotide Proteins 0.000 description 27
- 239000003814 drug Substances 0.000 description 27
- 150000007523 nucleic acids Chemical group 0.000 description 27
- 229920001223 polyethylene glycol Polymers 0.000 description 26
- 102000004169 proteins and genes Human genes 0.000 description 25
- 201000009410 rhabdomyosarcoma Diseases 0.000 description 25
- SLXKOJJOQWFEFD-UHFFFAOYSA-N 6-aminohexanoic acid Chemical compound NCCCCCC(O)=O SLXKOJJOQWFEFD-UHFFFAOYSA-N 0.000 description 24
- 235000018102 proteins Nutrition 0.000 description 24
- 238000009472 formulation Methods 0.000 description 23
- 102000039446 nucleic acids Human genes 0.000 description 23
- 108020004707 nucleic acids Proteins 0.000 description 23
- 229920000642 polymer Polymers 0.000 description 23
- 239000002202 Polyethylene glycol Substances 0.000 description 22
- 229940079593 drug Drugs 0.000 description 21
- 108091032973 (ribonucleotides)n+m Proteins 0.000 description 20
- 239000000074 antisense oligonucleotide Substances 0.000 description 20
- 238000012230 antisense oligonucleotides Methods 0.000 description 20
- 201000006938 muscular dystrophy Diseases 0.000 description 19
- 150000003839 salts Chemical class 0.000 description 19
- 238000011282 treatment Methods 0.000 description 19
- 239000013598 vector Substances 0.000 description 19
- 230000001939 inductive effect Effects 0.000 description 18
- 125000005647 linker group Chemical group 0.000 description 18
- 230000035772 mutation Effects 0.000 description 18
- 210000001519 tissue Anatomy 0.000 description 18
- 125000000217 alkyl group Chemical group 0.000 description 17
- 239000012528 membrane Substances 0.000 description 17
- 102000004196 processed proteins & peptides Human genes 0.000 description 17
- XLYOFNOQVPJJNP-UHFFFAOYSA-N water Substances O XLYOFNOQVPJJNP-UHFFFAOYSA-N 0.000 description 17
- 229940000635 beta-alanine Drugs 0.000 description 16
- 102000040430 polynucleotide Human genes 0.000 description 16
- 108091033319 polynucleotide Proteins 0.000 description 16
- 239000002157 polynucleotide Substances 0.000 description 16
- 238000010521 absorption reaction Methods 0.000 description 15
- 229960002684 aminocaproic acid Drugs 0.000 description 15
- 125000002091 cationic group Chemical group 0.000 description 15
- 239000000463 material Substances 0.000 description 15
- 229920000858 Cyclodextrin Polymers 0.000 description 14
- 230000014509 gene expression Effects 0.000 description 14
- 239000008194 pharmaceutical composition Substances 0.000 description 14
- 239000004094 surface-active agent Substances 0.000 description 14
- 201000006935 Becker muscular dystrophy Diseases 0.000 description 13
- PEDCQBHIVMGVHV-UHFFFAOYSA-N Glycerine Chemical compound OCC(O)CO PEDCQBHIVMGVHV-UHFFFAOYSA-N 0.000 description 13
- 239000004480 active ingredient Substances 0.000 description 13
- 150000002632 lipids Chemical class 0.000 description 13
- 210000002363 skeletal muscle cell Anatomy 0.000 description 13
- 108010078791 Carrier Proteins Proteins 0.000 description 12
- ODKSFYDXXFIFQN-BYPYZUCNSA-P L-argininium(2+) Chemical compound NC(=[NH2+])NCCC[C@H]([NH3+])C(O)=O ODKSFYDXXFIFQN-BYPYZUCNSA-P 0.000 description 12
- 238000006243 chemical reaction Methods 0.000 description 12
- 239000000562 conjugate Substances 0.000 description 12
- 201000010099 disease Diseases 0.000 description 12
- 208000037265 diseases, disorders, signs and symptoms Diseases 0.000 description 12
- 239000000693 micelle Substances 0.000 description 12
- 230000007935 neutral effect Effects 0.000 description 12
- 238000007781 pre-processing Methods 0.000 description 12
- 239000000243 solution Substances 0.000 description 12
- 239000000126 substance Substances 0.000 description 12
- 239000003795 chemical substances by application Substances 0.000 description 11
- 229940097362 cyclodextrins Drugs 0.000 description 11
- 239000002552 dosage form Substances 0.000 description 11
- 229910052739 hydrogen Inorganic materials 0.000 description 11
- 125000002496 methyl group Chemical group [H]C([H])([H])* 0.000 description 11
- 239000002773 nucleotide Substances 0.000 description 11
- 229910052760 oxygen Inorganic materials 0.000 description 11
- 230000008569 process Effects 0.000 description 11
- 208000024891 symptom Diseases 0.000 description 11
- 230000001225 therapeutic effect Effects 0.000 description 11
- IJGRMHOSHXDMSA-UHFFFAOYSA-N Atomic nitrogen Chemical compound N#N IJGRMHOSHXDMSA-UHFFFAOYSA-N 0.000 description 10
- LFQSCWFLJHTTHZ-UHFFFAOYSA-N Ethanol Chemical compound CCO LFQSCWFLJHTTHZ-UHFFFAOYSA-N 0.000 description 10
- JLCPHMBAVCMARE-UHFFFAOYSA-N [3-[[3-[[3-[[3-[[3-[[3-[[3-[[3-[[3-[[3-[[3-[[5-(2-amino-6-oxo-1H-purin-9-yl)-3-[[3-[[3-[[3-[[3-[[3-[[5-(2-amino-6-oxo-1H-purin-9-yl)-3-[[5-(2-amino-6-oxo-1H-purin-9-yl)-3-hydroxyoxolan-2-yl]methoxy-hydroxyphosphoryl]oxyoxolan-2-yl]methoxy-hydroxyphosphoryl]oxy-5-(5-methyl-2,4-dioxopyrimidin-1-yl)oxolan-2-yl]methoxy-hydroxyphosphoryl]oxy-5-(6-aminopurin-9-yl)oxolan-2-yl]methoxy-hydroxyphosphoryl]oxy-5-(6-aminopurin-9-yl)oxolan-2-yl]methoxy-hydroxyphosphoryl]oxy-5-(6-aminopurin-9-yl)oxolan-2-yl]methoxy-hydroxyphosphoryl]oxy-5-(6-aminopurin-9-yl)oxolan-2-yl]methoxy-hydroxyphosphoryl]oxyoxolan-2-yl]methoxy-hydroxyphosphoryl]oxy-5-(5-methyl-2,4-dioxopyrimidin-1-yl)oxolan-2-yl]methoxy-hydroxyphosphoryl]oxy-5-(4-amino-2-oxopyrimidin-1-yl)oxolan-2-yl]methoxy-hydroxyphosphoryl]oxy-5-(5-methyl-2,4-dioxopyrimidin-1-yl)oxolan-2-yl]methoxy-hydroxyphosphoryl]oxy-5-(5-methyl-2,4-dioxopyrimidin-1-yl)oxolan-2-yl]methoxy-hydroxyphosphoryl]oxy-5-(6-aminopurin-9-yl)oxolan-2-yl]methoxy-hydroxyphosphoryl]oxy-5-(6-aminopurin-9-yl)oxolan-2-yl]methoxy-hydroxyphosphoryl]oxy-5-(4-amino-2-oxopyrimidin-1-yl)oxolan-2-yl]methoxy-hydroxyphosphoryl]oxy-5-(4-amino-2-oxopyrimidin-1-yl)oxolan-2-yl]methoxy-hydroxyphosphoryl]oxy-5-(4-amino-2-oxopyrimidin-1-yl)oxolan-2-yl]methoxy-hydroxyphosphoryl]oxy-5-(6-aminopurin-9-yl)oxolan-2-yl]methoxy-hydroxyphosphoryl]oxy-5-(4-amino-2-oxopyrimidin-1-yl)oxolan-2-yl]methyl [5-(6-aminopurin-9-yl)-2-(hydroxymethyl)oxolan-3-yl] hydrogen phosphate Polymers Cc1cn(C2CC(OP(O)(=O)OCC3OC(CC3OP(O)(=O)OCC3OC(CC3O)n3cnc4c3nc(N)[nH]c4=O)n3cnc4c3nc(N)[nH]c4=O)C(COP(O)(=O)OC3CC(OC3COP(O)(=O)OC3CC(OC3COP(O)(=O)OC3CC(OC3COP(O)(=O)OC3CC(OC3COP(O)(=O)OC3CC(OC3COP(O)(=O)OC3CC(OC3COP(O)(=O)OC3CC(OC3COP(O)(=O)OC3CC(OC3COP(O)(=O)OC3CC(OC3COP(O)(=O)OC3CC(OC3COP(O)(=O)OC3CC(OC3COP(O)(=O)OC3CC(OC3COP(O)(=O)OC3CC(OC3COP(O)(=O)OC3CC(OC3COP(O)(=O)OC3CC(OC3COP(O)(=O)OC3CC(OC3COP(O)(=O)OC3CC(OC3CO)n3cnc4c(N)ncnc34)n3ccc(N)nc3=O)n3cnc4c(N)ncnc34)n3ccc(N)nc3=O)n3ccc(N)nc3=O)n3ccc(N)nc3=O)n3cnc4c(N)ncnc34)n3cnc4c(N)ncnc34)n3cc(C)c(=O)[nH]c3=O)n3cc(C)c(=O)[nH]c3=O)n3ccc(N)nc3=O)n3cc(C)c(=O)[nH]c3=O)n3cnc4c3nc(N)[nH]c4=O)n3cnc4c(N)ncnc34)n3cnc4c(N)ncnc34)n3cnc4c(N)ncnc34)n3cnc4c(N)ncnc34)O2)c(=O)[nH]c1=O JLCPHMBAVCMARE-UHFFFAOYSA-N 0.000 description 10
- 239000002253 acid Substances 0.000 description 10
- 125000000623 heterocyclic group Chemical group 0.000 description 10
- 230000001965 increasing effect Effects 0.000 description 10
- 230000003834 intracellular effect Effects 0.000 description 10
- 229910052757 nitrogen Inorganic materials 0.000 description 10
- 125000003729 nucleotide group Chemical group 0.000 description 10
- 108010051109 Cell-Penetrating Peptides Proteins 0.000 description 9
- 102000020313 Cell-Penetrating Peptides Human genes 0.000 description 9
- DNIAPMSPPWPWGF-UHFFFAOYSA-N Propylene glycol Chemical compound CC(O)CO DNIAPMSPPWPWGF-UHFFFAOYSA-N 0.000 description 9
- 125000003545 alkoxy group Chemical group 0.000 description 9
- 125000003282 alkyl amino group Chemical group 0.000 description 9
- QVGXLLKOCUKJST-UHFFFAOYSA-N atomic oxygen Chemical compound [O] QVGXLLKOCUKJST-UHFFFAOYSA-N 0.000 description 9
- 230000015572 biosynthetic process Effects 0.000 description 9
- KRKNYBCHXYNGOX-UHFFFAOYSA-N citric acid Chemical compound OC(=O)CC(O)(C(O)=O)CC(O)=O KRKNYBCHXYNGOX-UHFFFAOYSA-N 0.000 description 9
- 238000002474 experimental method Methods 0.000 description 9
- 239000002609 medium Substances 0.000 description 9
- 239000003921 oil Substances 0.000 description 9
- 239000001301 oxygen Substances 0.000 description 9
- 239000000546 pharmaceutical excipient Substances 0.000 description 9
- 230000008685 targeting Effects 0.000 description 9
- 125000005309 thioalkoxy group Chemical group 0.000 description 9
- 108020000948 Antisense Oligonucleotides Proteins 0.000 description 8
- 230000003321 amplification Effects 0.000 description 8
- 125000004429 atom Chemical group 0.000 description 8
- 238000012217 deletion Methods 0.000 description 8
- 230000037430 deletion Effects 0.000 description 8
- 239000001257 hydrogen Substances 0.000 description 8
- 239000007924 injection Substances 0.000 description 8
- 238000002347 injection Methods 0.000 description 8
- 235000019198 oils Nutrition 0.000 description 8
- 238000003757 reverse transcription PCR Methods 0.000 description 8
- 125000000547 substituted alkyl group Chemical group 0.000 description 8
- 229910052717 sulfur Inorganic materials 0.000 description 8
- 239000000725 suspension Substances 0.000 description 8
- 238000012360 testing method Methods 0.000 description 8
- 230000014616 translation Effects 0.000 description 8
- KDCGOANMDULRCW-UHFFFAOYSA-N 7H-purine Chemical compound N1=CNC2=NC=NC2=C1 KDCGOANMDULRCW-UHFFFAOYSA-N 0.000 description 7
- 241001465754 Metazoa Species 0.000 description 7
- CDBYLPFSWZWCQE-UHFFFAOYSA-L Sodium Carbonate Chemical compound [Na+].[Na+].[O-]C([O-])=O CDBYLPFSWZWCQE-UHFFFAOYSA-L 0.000 description 7
- 238000007792 addition Methods 0.000 description 7
- 239000000969 carrier Substances 0.000 description 7
- 238000000576 coating method Methods 0.000 description 7
- 230000002950 deficient Effects 0.000 description 7
- 239000003937 drug carrier Substances 0.000 description 7
- 230000006870 function Effects 0.000 description 7
- 239000000499 gel Substances 0.000 description 7
- 210000003205 muscle Anatomy 0.000 description 7
- 239000000843 powder Substances 0.000 description 7
- RMAQACBXLXPBSY-UHFFFAOYSA-N silicic acid Chemical compound O[Si](O)(O)O RMAQACBXLXPBSY-UHFFFAOYSA-N 0.000 description 7
- 235000000346 sugar Nutrition 0.000 description 7
- 239000003826 tablet Substances 0.000 description 7
- CIWBSHSKHKDKBQ-JLAZNSOCSA-N Ascorbic acid Chemical compound OC[C@H](O)[C@H]1OC(=O)C(O)=C1O CIWBSHSKHKDKBQ-JLAZNSOCSA-N 0.000 description 6
- AEMRFAOFKBGASW-UHFFFAOYSA-N Glycolic acid Chemical compound OCC(O)=O AEMRFAOFKBGASW-UHFFFAOYSA-N 0.000 description 6
- 208000026350 Inborn Genetic disease Diseases 0.000 description 6
- NBIIXXVUZAFLBC-UHFFFAOYSA-N Phosphoric acid Chemical compound OP(O)(O)=O NBIIXXVUZAFLBC-UHFFFAOYSA-N 0.000 description 6
- NINIDFKCEFEMDL-UHFFFAOYSA-N Sulfur Chemical group [S] NINIDFKCEFEMDL-UHFFFAOYSA-N 0.000 description 6
- ISAKRJDGNUQOIC-UHFFFAOYSA-N Uracil Chemical compound O=C1C=CNC(=O)N1 ISAKRJDGNUQOIC-UHFFFAOYSA-N 0.000 description 6
- 239000013543 active substance Substances 0.000 description 6
- 239000002775 capsule Substances 0.000 description 6
- 235000010980 cellulose Nutrition 0.000 description 6
- 229920002678 cellulose Polymers 0.000 description 6
- 230000008859 change Effects 0.000 description 6
- 230000021615 conjugation Effects 0.000 description 6
- OPTASPLRGRRNAP-UHFFFAOYSA-N cytosine Chemical compound NC=1C=CNC(=O)N=1 OPTASPLRGRRNAP-UHFFFAOYSA-N 0.000 description 6
- 208000016361 genetic disease Diseases 0.000 description 6
- UYTPUPDQBNUYGX-UHFFFAOYSA-N guanine Chemical compound O=C1NC(N)=NC2=C1N=CN2 UYTPUPDQBNUYGX-UHFFFAOYSA-N 0.000 description 6
- 230000002209 hydrophobic effect Effects 0.000 description 6
- 239000004615 ingredient Substances 0.000 description 6
- 239000007788 liquid Substances 0.000 description 6
- 210000000663 muscle cell Anatomy 0.000 description 6
- 210000001087 myotubule Anatomy 0.000 description 6
- 231100000252 nontoxic Toxicity 0.000 description 6
- 230000003000 nontoxic effect Effects 0.000 description 6
- 238000003199 nucleic acid amplification method Methods 0.000 description 6
- 150000007524 organic acids Chemical group 0.000 description 6
- 230000007170 pathology Effects 0.000 description 6
- 108010082406 peptide permease Proteins 0.000 description 6
- 230000006461 physiological response Effects 0.000 description 6
- 125000002924 primary amino group Chemical group [H]N([H])* 0.000 description 6
- 239000011593 sulfur Substances 0.000 description 6
- 238000013519 translation Methods 0.000 description 6
- 239000003981 vehicle Substances 0.000 description 6
- GUBGYTABKSRVRQ-XLOQQCSPSA-N Alpha-Lactose Chemical compound O[C@@H]1[C@@H](O)[C@@H](O)[C@@H](CO)O[C@H]1O[C@@H]1[C@@H](CO)O[C@H](O)[C@H](O)[C@H]1O GUBGYTABKSRVRQ-XLOQQCSPSA-N 0.000 description 5
- 229920002134 Carboxymethyl cellulose Polymers 0.000 description 5
- 108010010803 Gelatin Proteins 0.000 description 5
- 108091092195 Intron Proteins 0.000 description 5
- GUBGYTABKSRVRQ-QKKXKWKRSA-N Lactose Natural products OC[C@H]1O[C@@H](O[C@H]2[C@H](O)[C@@H](O)C(O)O[C@@H]2CO)[C@H](O)[C@@H](O)[C@H]1O GUBGYTABKSRVRQ-QKKXKWKRSA-N 0.000 description 5
- CZMRCDWAGMRECN-UGDNZRGBSA-N Sucrose Chemical compound O[C@H]1[C@H](O)[C@@H](CO)O[C@@]1(CO)O[C@@H]1[C@H](O)[C@@H](O)[C@H](O)[C@@H](CO)O1 CZMRCDWAGMRECN-UGDNZRGBSA-N 0.000 description 5
- 229930006000 Sucrose Natural products 0.000 description 5
- 125000003342 alkenyl group Chemical group 0.000 description 5
- 125000000539 amino acid group Chemical group 0.000 description 5
- 239000003963 antioxidant agent Substances 0.000 description 5
- 235000006708 antioxidants Nutrition 0.000 description 5
- 239000012736 aqueous medium Substances 0.000 description 5
- 230000008901 benefit Effects 0.000 description 5
- WPYMKLBDIGXBTP-UHFFFAOYSA-N benzoic acid Chemical compound OC(=O)C1=CC=CC=C1 WPYMKLBDIGXBTP-UHFFFAOYSA-N 0.000 description 5
- 235000010948 carboxy methyl cellulose Nutrition 0.000 description 5
- 230000001413 cellular effect Effects 0.000 description 5
- 239000001913 cellulose Substances 0.000 description 5
- 239000011248 coating agent Substances 0.000 description 5
- 125000004122 cyclic group Chemical group 0.000 description 5
- 235000019441 ethanol Nutrition 0.000 description 5
- 238000011156 evaluation Methods 0.000 description 5
- 239000000194 fatty acid Substances 0.000 description 5
- 239000012634 fragment Substances 0.000 description 5
- 239000008273 gelatin Substances 0.000 description 5
- 229920000159 gelatin Polymers 0.000 description 5
- 235000019322 gelatine Nutrition 0.000 description 5
- 235000011852 gelatine desserts Nutrition 0.000 description 5
- 235000011187 glycerol Nutrition 0.000 description 5
- 229920001477 hydrophilic polymer Polymers 0.000 description 5
- 230000001976 improved effect Effects 0.000 description 5
- 239000008101 lactose Substances 0.000 description 5
- QIQXTHQIDYTFRH-UHFFFAOYSA-N octadecanoic acid Chemical compound CCCCCCCCCCCCCCCCCC(O)=O QIQXTHQIDYTFRH-UHFFFAOYSA-N 0.000 description 5
- 239000002674 ointment Substances 0.000 description 5
- 239000002245 particle Substances 0.000 description 5
- 125000004193 piperazinyl group Chemical group 0.000 description 5
- 229920001184 polypeptide Polymers 0.000 description 5
- 239000003755 preservative agent Substances 0.000 description 5
- 150000003254 radicals Chemical group 0.000 description 5
- 239000007787 solid Substances 0.000 description 5
- 238000007920 subcutaneous administration Methods 0.000 description 5
- 125000001424 substituent group Chemical group 0.000 description 5
- 125000005415 substituted alkoxy group Chemical group 0.000 description 5
- 239000005720 sucrose Substances 0.000 description 5
- 239000000829 suppository Substances 0.000 description 5
- 239000000454 talc Substances 0.000 description 5
- 229910052623 talc Inorganic materials 0.000 description 5
- 235000012222 talc Nutrition 0.000 description 5
- HZAXFHJVJLSVMW-UHFFFAOYSA-N 2-Aminoethan-1-ol Chemical compound NCCO HZAXFHJVJLSVMW-UHFFFAOYSA-N 0.000 description 4
- XPSGESXVBSQZPL-SRVKXCTJSA-N Arg-Arg-Arg Chemical compound NC(N)=NCCC[C@H](N)C(=O)N[C@@H](CCCN=C(N)N)C(=O)N[C@@H](CCCN=C(N)N)C(O)=O XPSGESXVBSQZPL-SRVKXCTJSA-N 0.000 description 4
- VTYYLEPIZMXCLO-UHFFFAOYSA-L Calcium carbonate Chemical compound [Ca+2].[O-]C([O-])=O VTYYLEPIZMXCLO-UHFFFAOYSA-L 0.000 description 4
- FBPFZTCFMRRESA-FSIIMWSLSA-N D-Glucitol Natural products OC[C@H](O)[C@H](O)[C@@H](O)[C@H](O)CO FBPFZTCFMRRESA-FSIIMWSLSA-N 0.000 description 4
- FBPFZTCFMRRESA-JGWLITMVSA-N D-glucitol Chemical compound OC[C@H](O)[C@@H](O)[C@H](O)[C@H](O)CO FBPFZTCFMRRESA-JGWLITMVSA-N 0.000 description 4
- KCXVZYZYPLLWCC-UHFFFAOYSA-N EDTA Chemical compound OC(=O)CN(CC(O)=O)CCN(CC(O)=O)CC(O)=O KCXVZYZYPLLWCC-UHFFFAOYSA-N 0.000 description 4
- UGQMRVRMYYASKQ-KQYNXXCUSA-N Inosine Chemical compound O[C@@H]1[C@H](O)[C@@H](CO)O[C@H]1N1C2=NC=NC(O)=C2N=C1 UGQMRVRMYYASKQ-KQYNXXCUSA-N 0.000 description 4
- 229930010555 Inosine Natural products 0.000 description 4
- 239000000232 Lipid Bilayer Substances 0.000 description 4
- KDXKERNSBIXSRK-UHFFFAOYSA-N Lysine Natural products NCCCCC(N)C(O)=O KDXKERNSBIXSRK-UHFFFAOYSA-N 0.000 description 4
- 108091027974 Mature messenger RNA Proteins 0.000 description 4
- 108091028043 Nucleic acid sequence Proteins 0.000 description 4
- 229920000954 Polyglycolide Polymers 0.000 description 4
- CZPWVGJYEJSRLH-UHFFFAOYSA-N Pyrimidine Chemical compound C1=CN=CN=C1 CZPWVGJYEJSRLH-UHFFFAOYSA-N 0.000 description 4
- 229920002472 Starch Polymers 0.000 description 4
- 235000021355 Stearic acid Nutrition 0.000 description 4
- 238000010171 animal model Methods 0.000 description 4
- 150000001483 arginine derivatives Chemical class 0.000 description 4
- 125000003118 aryl group Chemical group 0.000 description 4
- 229920002988 biodegradable polymer Polymers 0.000 description 4
- 239000004621 biodegradable polymer Substances 0.000 description 4
- 230000004071 biological effect Effects 0.000 description 4
- 239000000872 buffer Substances 0.000 description 4
- 230000015556 catabolic process Effects 0.000 description 4
- 229920006184 cellulose methylcellulose Polymers 0.000 description 4
- 238000012710 chemistry, manufacturing and control Methods 0.000 description 4
- 229920001577 copolymer Polymers 0.000 description 4
- 239000006071 cream Substances 0.000 description 4
- GHVNFZFCNZKVNT-UHFFFAOYSA-N decanoic acid Chemical compound CCCCCCCCCC(O)=O GHVNFZFCNZKVNT-UHFFFAOYSA-N 0.000 description 4
- 238000006731 degradation reaction Methods 0.000 description 4
- 235000014113 dietary fatty acids Nutrition 0.000 description 4
- 239000003995 emulsifying agent Substances 0.000 description 4
- 239000000839 emulsion Substances 0.000 description 4
- 229930195729 fatty acid Natural products 0.000 description 4
- 239000008187 granular material Substances 0.000 description 4
- 125000001072 heteroaryl group Chemical group 0.000 description 4
- 125000005842 heteroatom Chemical group 0.000 description 4
- IPCSVZSSVZVIGE-UHFFFAOYSA-N hexadecanoic acid Chemical compound CCCCCCCCCCCCCCCC(O)=O IPCSVZSSVZVIGE-UHFFFAOYSA-N 0.000 description 4
- 229930195733 hydrocarbon Natural products 0.000 description 4
- 125000004435 hydrogen atom Chemical group [H]* 0.000 description 4
- 239000007943 implant Substances 0.000 description 4
- 230000006872 improvement Effects 0.000 description 4
- 229960003786 inosine Drugs 0.000 description 4
- JVTAAEKCZFNVCJ-UHFFFAOYSA-N lactic acid Chemical compound CC(O)C(O)=O JVTAAEKCZFNVCJ-UHFFFAOYSA-N 0.000 description 4
- 239000000314 lubricant Substances 0.000 description 4
- HQKMJHAJHXVSDF-UHFFFAOYSA-L magnesium stearate Chemical compound [Mg+2].CCCCCCCCCCCCCCCCCC([O-])=O.CCCCCCCCCCCCCCCCCC([O-])=O HQKMJHAJHXVSDF-UHFFFAOYSA-L 0.000 description 4
- 239000011159 matrix material Substances 0.000 description 4
- 239000004005 microsphere Substances 0.000 description 4
- 150000007522 mineralic acids Chemical class 0.000 description 4
- 239000000178 monomer Substances 0.000 description 4
- 230000004220 muscle function Effects 0.000 description 4
- OQCDKBAXFALNLD-UHFFFAOYSA-N octadecanoic acid Natural products CCCCCCCC(C)CCCCCCCCC(O)=O OQCDKBAXFALNLD-UHFFFAOYSA-N 0.000 description 4
- 238000007911 parenteral administration Methods 0.000 description 4
- 239000006072 paste Substances 0.000 description 4
- 230000000149 penetrating effect Effects 0.000 description 4
- 239000006187 pill Substances 0.000 description 4
- 239000013612 plasmid Substances 0.000 description 4
- BASFCYQUMIYNBI-UHFFFAOYSA-N platinum Chemical compound [Pt] BASFCYQUMIYNBI-UHFFFAOYSA-N 0.000 description 4
- 239000011148 porous material Substances 0.000 description 4
- 230000009467 reduction Effects 0.000 description 4
- 230000010076 replication Effects 0.000 description 4
- 229920006395 saturated elastomer Polymers 0.000 description 4
- HFHDHCJBZVLPGP-UHFFFAOYSA-N schardinger α-dextrin Chemical compound O1C(C(C2O)O)C(CO)OC2OC(C(C2O)O)C(CO)OC2OC(C(C2O)O)C(CO)OC2OC(C(O)C2O)C(CO)OC2OC(C(C2O)O)C(CO)OC2OC2C(O)C(O)C1OC2CO HFHDHCJBZVLPGP-UHFFFAOYSA-N 0.000 description 4
- 235000010356 sorbitol Nutrition 0.000 description 4
- 239000000600 sorbitol Substances 0.000 description 4
- 239000007921 spray Substances 0.000 description 4
- 239000008107 starch Substances 0.000 description 4
- 235000019698 starch Nutrition 0.000 description 4
- 229940032147 starch Drugs 0.000 description 4
- 239000008117 stearic acid Substances 0.000 description 4
- 125000005017 substituted alkenyl group Chemical group 0.000 description 4
- 150000008163 sugars Chemical class 0.000 description 4
- 238000003786 synthesis reaction Methods 0.000 description 4
- RWQNBRDOKXIBIV-UHFFFAOYSA-N thymine Chemical compound CC1=CNC(=O)NC1=O RWQNBRDOKXIBIV-UHFFFAOYSA-N 0.000 description 4
- VZCYOOQTPOCHFL-UHFFFAOYSA-N trans-butenedioic acid Natural products OC(=O)C=CC(O)=O VZCYOOQTPOCHFL-UHFFFAOYSA-N 0.000 description 4
- 239000001993 wax Substances 0.000 description 4
- 239000000080 wetting agent Substances 0.000 description 4
- JNYAEWCLZODPBN-JGWLITMVSA-N (2r,3r,4s)-2-[(1r)-1,2-dihydroxyethyl]oxolane-3,4-diol Chemical compound OC[C@@H](O)[C@H]1OC[C@H](O)[C@H]1O JNYAEWCLZODPBN-JGWLITMVSA-N 0.000 description 3
- RYCNUMLMNKHWPZ-SNVBAGLBSA-N 1-acetyl-sn-glycero-3-phosphocholine Chemical class CC(=O)OC[C@@H](O)COP([O-])(=O)OCC[N+](C)(C)C RYCNUMLMNKHWPZ-SNVBAGLBSA-N 0.000 description 3
- IIZPXYDJLKNOIY-JXPKJXOSSA-N 1-palmitoyl-2-arachidonoyl-sn-glycero-3-phosphocholine Chemical compound CCCCCCCCCCCCCCCC(=O)OC[C@H](COP([O-])(=O)OCC[N+](C)(C)C)OC(=O)CCC\C=C/C\C=C/C\C=C/C\C=C/CCCCC IIZPXYDJLKNOIY-JXPKJXOSSA-N 0.000 description 3
- 102220527261 40S ribosomal protein SA_H53A_mutation Human genes 0.000 description 3
- QTBSBXVTEAMEQO-UHFFFAOYSA-N Acetic acid Chemical compound CC(O)=O QTBSBXVTEAMEQO-UHFFFAOYSA-N 0.000 description 3
- 229930024421 Adenine Natural products 0.000 description 3
- GFFGJBXGBJISGV-UHFFFAOYSA-N Adenine Chemical compound NC1=NC=NC2=C1N=CN2 GFFGJBXGBJISGV-UHFFFAOYSA-N 0.000 description 3
- 229920001817 Agar Polymers 0.000 description 3
- NCQMBSJGJMYKCK-ZLUOBGJFSA-N Ala-Ser-Ser Chemical compound [H]N[C@@H](C)C(=O)N[C@@H](CO)C(=O)N[C@@H](CO)C(O)=O NCQMBSJGJMYKCK-ZLUOBGJFSA-N 0.000 description 3
- 241000416162 Astragalus gummifer Species 0.000 description 3
- 239000004215 Carbon black (E152) Substances 0.000 description 3
- 108091026890 Coding region Proteins 0.000 description 3
- FEWJPZIEWOKRBE-JCYAYHJZSA-N Dextrotartaric acid Chemical compound OC(=O)[C@H](O)[C@@H](O)C(O)=O FEWJPZIEWOKRBE-JCYAYHJZSA-N 0.000 description 3
- IAZDPXIOMUYVGZ-UHFFFAOYSA-N Dimethylsulphoxide Chemical compound CS(C)=O IAZDPXIOMUYVGZ-UHFFFAOYSA-N 0.000 description 3
- 108010069440 Dystrophin-Associated Protein Complex Proteins 0.000 description 3
- XEKOWRVHYACXOJ-UHFFFAOYSA-N Ethyl acetate Chemical compound CCOC(C)=O XEKOWRVHYACXOJ-UHFFFAOYSA-N 0.000 description 3
- VZCYOOQTPOCHFL-OWOJBTEDSA-N Fumaric acid Chemical compound OC(=O)\C=C\C(O)=O VZCYOOQTPOCHFL-OWOJBTEDSA-N 0.000 description 3
- VEXZGXHMUGYJMC-UHFFFAOYSA-N Hydrochloric acid Chemical compound Cl VEXZGXHMUGYJMC-UHFFFAOYSA-N 0.000 description 3
- UFHFLCQGNIYNRP-UHFFFAOYSA-N Hydrogen Chemical compound [H][H] UFHFLCQGNIYNRP-UHFFFAOYSA-N 0.000 description 3
- KFZMGEQAYNKOFK-UHFFFAOYSA-N Isopropanol Chemical compound CC(C)O KFZMGEQAYNKOFK-UHFFFAOYSA-N 0.000 description 3
- OXKYZSRZKBTVEY-ZPFDUUQYSA-N Leu-Asn-Ile Chemical compound [H]N[C@@H](CC(C)C)C(=O)N[C@@H](CC(N)=O)C(=O)N[C@@H]([C@@H](C)CC)C(O)=O OXKYZSRZKBTVEY-ZPFDUUQYSA-N 0.000 description 3
- 240000007472 Leucaena leucocephala Species 0.000 description 3
- 235000010643 Leucaena leucocephala Nutrition 0.000 description 3
- AFVFQIVMOAPDHO-UHFFFAOYSA-N Methanesulfonic acid Chemical compound CS(O)(=O)=O AFVFQIVMOAPDHO-UHFFFAOYSA-N 0.000 description 3
- MUBZPKHOEPUJKR-UHFFFAOYSA-N Oxalic acid Chemical compound OC(=O)C(O)=O MUBZPKHOEPUJKR-UHFFFAOYSA-N 0.000 description 3
- NQRYJNQNLNOLGT-UHFFFAOYSA-N Piperidine Chemical compound C1CCNCC1 NQRYJNQNLNOLGT-UHFFFAOYSA-N 0.000 description 3
- 229920002732 Polyanhydride Polymers 0.000 description 3
- 239000004793 Polystyrene Substances 0.000 description 3
- FAPWRFPIFSIZLT-UHFFFAOYSA-M Sodium chloride Chemical compound [Na+].[Cl-] FAPWRFPIFSIZLT-UHFFFAOYSA-M 0.000 description 3
- DBMJMQXJHONAFJ-UHFFFAOYSA-M Sodium laurylsulphate Chemical compound [Na+].CCCCCCCCCCCCOS([O-])(=O)=O DBMJMQXJHONAFJ-UHFFFAOYSA-M 0.000 description 3
- 229920001615 Tragacanth Polymers 0.000 description 3
- 102000011856 Utrophin Human genes 0.000 description 3
- 108010075653 Utrophin Proteins 0.000 description 3
- 241000700605 Viruses Species 0.000 description 3
- 230000001594 aberrant effect Effects 0.000 description 3
- 230000002159 abnormal effect Effects 0.000 description 3
- 150000007513 acids Chemical class 0.000 description 3
- 229960000643 adenine Drugs 0.000 description 3
- 239000008272 agar Substances 0.000 description 3
- 235000010419 agar Nutrition 0.000 description 3
- 235000010443 alginic acid Nutrition 0.000 description 3
- 229920000615 alginic acid Polymers 0.000 description 3
- 125000000304 alkynyl group Chemical group 0.000 description 3
- 235000008206 alpha-amino acids Nutrition 0.000 description 3
- 229910000147 aluminium phosphate Inorganic materials 0.000 description 3
- 125000000129 anionic group Chemical group 0.000 description 3
- 125000003710 aryl alkyl group Chemical group 0.000 description 3
- 235000010323 ascorbic acid Nutrition 0.000 description 3
- 239000011668 ascorbic acid Substances 0.000 description 3
- 229960005070 ascorbic acid Drugs 0.000 description 3
- 239000000440 bentonite Substances 0.000 description 3
- 229910000278 bentonite Inorganic materials 0.000 description 3
- SVPXDRXYRYOSEX-UHFFFAOYSA-N bentoquatam Chemical compound O.O=[Si]=O.O=[Al]O[Al]=O SVPXDRXYRYOSEX-UHFFFAOYSA-N 0.000 description 3
- 150000001721 carbon Chemical group 0.000 description 3
- 229910002091 carbon monoxide Inorganic materials 0.000 description 3
- 210000000349 chromosome Anatomy 0.000 description 3
- 235000015165 citric acid Nutrition 0.000 description 3
- 239000003086 colorant Substances 0.000 description 3
- 238000013270 controlled release Methods 0.000 description 3
- 235000018417 cysteine Nutrition 0.000 description 3
- 229940104302 cytosine Drugs 0.000 description 3
- 230000006378 damage Effects 0.000 description 3
- 239000003085 diluting agent Substances 0.000 description 3
- 239000006185 dispersion Substances 0.000 description 3
- 238000004090 dissolution Methods 0.000 description 3
- 150000002148 esters Chemical class 0.000 description 3
- 238000001125 extrusion Methods 0.000 description 3
- 239000000945 filler Substances 0.000 description 3
- 229940093915 gynecological organic acid Drugs 0.000 description 3
- 238000000265 homogenisation Methods 0.000 description 3
- 239000000017 hydrogel Substances 0.000 description 3
- 238000000338 in vitro Methods 0.000 description 3
- 238000001727 in vivo Methods 0.000 description 3
- 239000003701 inert diluent Substances 0.000 description 3
- 210000000936 intestine Anatomy 0.000 description 3
- 238000001990 intravenous administration Methods 0.000 description 3
- 229940070765 laurate Drugs 0.000 description 3
- 235000010445 lecithin Nutrition 0.000 description 3
- 239000000787 lecithin Substances 0.000 description 3
- 229940067606 lecithin Drugs 0.000 description 3
- 239000006210 lotion Substances 0.000 description 3
- 210000004962 mammalian cell Anatomy 0.000 description 3
- 230000007246 mechanism Effects 0.000 description 3
- 230000001404 mediated effect Effects 0.000 description 3
- 230000004048 modification Effects 0.000 description 3
- 238000012986 modification Methods 0.000 description 3
- 125000002950 monocyclic group Chemical group 0.000 description 3
- 125000004433 nitrogen atom Chemical group N* 0.000 description 3
- QJGQUHMNIGDVPM-UHFFFAOYSA-N nitrogen group Chemical group [N] QJGQUHMNIGDVPM-UHFFFAOYSA-N 0.000 description 3
- 229940049964 oleate Drugs 0.000 description 3
- 239000004006 olive oil Substances 0.000 description 3
- 235000008390 olive oil Nutrition 0.000 description 3
- 235000005985 organic acids Nutrition 0.000 description 3
- 125000001997 phenyl group Chemical group [H]C1=C([H])C([H])=C(*)C([H])=C1[H] 0.000 description 3
- 239000004417 polycarbonate Substances 0.000 description 3
- 229920000515 polycarbonate Polymers 0.000 description 3
- 238000002360 preparation method Methods 0.000 description 3
- 230000002265 prevention Effects 0.000 description 3
- 229960004063 propylene glycol Drugs 0.000 description 3
- 230000002441 reversible effect Effects 0.000 description 3
- 235000012239 silicon dioxide Nutrition 0.000 description 3
- 235000019333 sodium laurylsulphate Nutrition 0.000 description 3
- 239000002904 solvent Substances 0.000 description 3
- 230000002269 spontaneous effect Effects 0.000 description 3
- 210000002784 stomach Anatomy 0.000 description 3
- 125000004426 substituted alkynyl group Chemical group 0.000 description 3
- 125000003107 substituted aryl group Chemical group 0.000 description 3
- 239000000375 suspending agent Substances 0.000 description 3
- 238000007910 systemic administration Methods 0.000 description 3
- 230000000699 topical effect Effects 0.000 description 3
- 235000010487 tragacanth Nutrition 0.000 description 3
- 239000000196 tragacanth Substances 0.000 description 3
- 229940116362 tragacanth Drugs 0.000 description 3
- 229940035893 uracil Drugs 0.000 description 3
- 229910052727 yttrium Inorganic materials 0.000 description 3
- YBJHBAHKTGYVGT-ZKWXMUAHSA-N (+)-Biotin Chemical compound N1C(=O)N[C@@H]2[C@H](CCCCC(=O)O)SC[C@@H]21 YBJHBAHKTGYVGT-ZKWXMUAHSA-N 0.000 description 2
- PUPZLCDOIYMWBV-UHFFFAOYSA-N (+/-)-1,3-Butanediol Chemical compound CC(O)CCO PUPZLCDOIYMWBV-UHFFFAOYSA-N 0.000 description 2
- VBICKXHEKHSIBG-UHFFFAOYSA-N 1-monostearoylglycerol Chemical compound CCCCCCCCCCCCCCCCCC(=O)OCC(O)CO VBICKXHEKHSIBG-UHFFFAOYSA-N 0.000 description 2
- 102100027271 40S ribosomal protein SA Human genes 0.000 description 2
- 102000007469 Actins Human genes 0.000 description 2
- 108010085238 Actins Proteins 0.000 description 2
- QGZKDVFQNNGYKY-UHFFFAOYSA-N Ammonia Chemical compound N QGZKDVFQNNGYKY-UHFFFAOYSA-N 0.000 description 2
- NLXLAEXVIDQMFP-UHFFFAOYSA-N Ammonia chloride Chemical compound [NH4+].[Cl-] NLXLAEXVIDQMFP-UHFFFAOYSA-N 0.000 description 2
- 239000005711 Benzoic acid Substances 0.000 description 2
- 239000004322 Butylated hydroxytoluene Substances 0.000 description 2
- NLZUEZXRPGMBCV-UHFFFAOYSA-N Butylhydroxytoluene Chemical compound CC1=CC(C(C)(C)C)=C(O)C(C(C)(C)C)=C1 NLZUEZXRPGMBCV-UHFFFAOYSA-N 0.000 description 2
- OYPRJOBELJOOCE-UHFFFAOYSA-N Calcium Chemical compound [Ca] OYPRJOBELJOOCE-UHFFFAOYSA-N 0.000 description 2
- 241000282472 Canis lupus familiaris Species 0.000 description 2
- 239000005632 Capric acid (CAS 334-48-5) Substances 0.000 description 2
- FBPFZTCFMRRESA-KVTDHHQDSA-N D-Mannitol Chemical compound OC[C@@H](O)[C@@H](O)[C@H](O)[C@H](O)CO FBPFZTCFMRRESA-KVTDHHQDSA-N 0.000 description 2
- LVGKNOAMLMIIKO-UHFFFAOYSA-N Elaidinsaeure-aethylester Natural products CCCCCCCCC=CCCCCCCCC(=O)OCC LVGKNOAMLMIIKO-UHFFFAOYSA-N 0.000 description 2
- 239000001856 Ethyl cellulose Substances 0.000 description 2
- ZZSNKZQZMQGXPY-UHFFFAOYSA-N Ethyl cellulose Chemical compound CCOCC1OC(OC)C(OCC)C(OCC)C1OC1C(O)C(O)C(OC)C(CO)O1 ZZSNKZQZMQGXPY-UHFFFAOYSA-N 0.000 description 2
- QUSNBJAOOMFDIB-UHFFFAOYSA-N Ethylamine Chemical compound CCN QUSNBJAOOMFDIB-UHFFFAOYSA-N 0.000 description 2
- PXGOKWXKJXAPGV-UHFFFAOYSA-N Fluorine Chemical compound FF PXGOKWXKJXAPGV-UHFFFAOYSA-N 0.000 description 2
- WQZGKKKJIJFFOK-GASJEMHNSA-N Glucose Natural products OC[C@H]1OC(O)[C@H](O)[C@@H](O)[C@@H]1O WQZGKKKJIJFFOK-GASJEMHNSA-N 0.000 description 2
- WHUUTDBJXJRKMK-UHFFFAOYSA-N Glutamic acid Natural products OC(=O)C(N)CCC(O)=O WHUUTDBJXJRKMK-UHFFFAOYSA-N 0.000 description 2
- DHMQDGOQFOQNFH-UHFFFAOYSA-N Glycine Chemical compound NCC(O)=O DHMQDGOQFOQNFH-UHFFFAOYSA-N 0.000 description 2
- WHUUTDBJXJRKMK-VKHMYHEASA-N L-glutamic acid Chemical compound OC(=O)[C@@H](N)CCC(O)=O WHUUTDBJXJRKMK-VKHMYHEASA-N 0.000 description 2
- ZDXPYRJPNDTMRX-VKHMYHEASA-N L-glutamine Chemical compound OC(=O)[C@@H](N)CCC(N)=O ZDXPYRJPNDTMRX-VKHMYHEASA-N 0.000 description 2
- COLNVLDHVKWLRT-QMMMGPOBSA-N L-phenylalanine Chemical compound OC(=O)[C@@H](N)CC1=CC=CC=C1 COLNVLDHVKWLRT-QMMMGPOBSA-N 0.000 description 2
- 239000004472 Lysine Substances 0.000 description 2
- FYYHWMGAXLPEAU-UHFFFAOYSA-N Magnesium Chemical compound [Mg] FYYHWMGAXLPEAU-UHFFFAOYSA-N 0.000 description 2
- 229930195725 Mannitol Natural products 0.000 description 2
- YNAVUWVOSKDBBP-UHFFFAOYSA-N Morpholine Chemical compound C1COCCN1 YNAVUWVOSKDBBP-UHFFFAOYSA-N 0.000 description 2
- 241000699670 Mus sp. Species 0.000 description 2
- GXCLVBGFBYZDAG-UHFFFAOYSA-N N-[2-(1H-indol-3-yl)ethyl]-N-methylprop-2-en-1-amine Chemical compound CN(CCC1=CNC2=C1C=CC=C2)CC=C GXCLVBGFBYZDAG-UHFFFAOYSA-N 0.000 description 2
- 229910019142 PO4 Inorganic materials 0.000 description 2
- 235000021314 Palmitic acid Nutrition 0.000 description 2
- 235000019483 Peanut oil Nutrition 0.000 description 2
- ISWSIDIOOBJBQZ-UHFFFAOYSA-N Phenol Chemical compound OC1=CC=CC=C1 ISWSIDIOOBJBQZ-UHFFFAOYSA-N 0.000 description 2
- GLUUGHFHXGJENI-UHFFFAOYSA-N Piperazine Chemical compound C1CNCCN1 GLUUGHFHXGJENI-UHFFFAOYSA-N 0.000 description 2
- RVGRUAULSDPKGF-UHFFFAOYSA-N Poloxamer Chemical compound C1CO1.CC1CO1 RVGRUAULSDPKGF-UHFFFAOYSA-N 0.000 description 2
- 239000004952 Polyamide Substances 0.000 description 2
- ATUOYWHBWRKTHZ-UHFFFAOYSA-N Propane Chemical compound CCC ATUOYWHBWRKTHZ-UHFFFAOYSA-N 0.000 description 2
- ZTHYODDOHIVTJV-UHFFFAOYSA-N Propyl gallate Chemical compound CCCOC(=O)C1=CC(O)=C(O)C(O)=C1 ZTHYODDOHIVTJV-UHFFFAOYSA-N 0.000 description 2
- 108020005067 RNA Splice Sites Proteins 0.000 description 2
- 102000015097 RNA Splicing Factors Human genes 0.000 description 2
- 108010039259 RNA Splicing Factors Proteins 0.000 description 2
- QAOWNCQODCNURD-UHFFFAOYSA-N Sulfuric acid Chemical compound OS(O)(=O)=O QAOWNCQODCNURD-UHFFFAOYSA-N 0.000 description 2
- FEWJPZIEWOKRBE-UHFFFAOYSA-N Tartaric acid Natural products [H+].[H+].[O-]C(=O)C(O)C(O)C([O-])=O FEWJPZIEWOKRBE-UHFFFAOYSA-N 0.000 description 2
- 229920002807 Thiomer Polymers 0.000 description 2
- IQFYYKKMVGJFEH-XLPZGREQSA-N Thymidine Chemical compound O=C1NC(=O)C(C)=CN1[C@@H]1O[C@H](CO)[C@@H](O)C1 IQFYYKKMVGJFEH-XLPZGREQSA-N 0.000 description 2
- 102000004142 Trypsin Human genes 0.000 description 2
- 108090000631 Trypsin Proteins 0.000 description 2
- 108020000999 Viral RNA Proteins 0.000 description 2
- XLOMVQKBTHCTTD-UHFFFAOYSA-N Zinc monoxide Chemical compound [Zn]=O XLOMVQKBTHCTTD-UHFFFAOYSA-N 0.000 description 2
- 238000009825 accumulation Methods 0.000 description 2
- NIXOWILDQLNWCW-UHFFFAOYSA-M acrylate group Chemical group C(C=C)(=O)[O-] NIXOWILDQLNWCW-UHFFFAOYSA-M 0.000 description 2
- 230000009471 action Effects 0.000 description 2
- 239000002671 adjuvant Substances 0.000 description 2
- 125000003295 alanine group Chemical group N[C@@H](C)C(=O)* 0.000 description 2
- 239000000783 alginic acid Substances 0.000 description 2
- 229960001126 alginic acid Drugs 0.000 description 2
- 150000004781 alginic acids Chemical class 0.000 description 2
- 229910052784 alkaline earth metal Inorganic materials 0.000 description 2
- 125000002947 alkylene group Chemical group 0.000 description 2
- 150000001370 alpha-amino acid derivatives Chemical class 0.000 description 2
- WNROFYMDJYEPJX-UHFFFAOYSA-K aluminium hydroxide Chemical compound [OH-].[OH-].[OH-].[Al+3] WNROFYMDJYEPJX-UHFFFAOYSA-K 0.000 description 2
- 150000001412 amines Chemical group 0.000 description 2
- 238000000137 annealing Methods 0.000 description 2
- 239000003242 anti bacterial agent Substances 0.000 description 2
- 239000007864 aqueous solution Substances 0.000 description 2
- 235000010233 benzoic acid Nutrition 0.000 description 2
- SESFRYSPDFLNCH-UHFFFAOYSA-N benzyl benzoate Chemical compound C=1C=CC=CC=1C(=O)OCC1=CC=CC=C1 SESFRYSPDFLNCH-UHFFFAOYSA-N 0.000 description 2
- 125000001797 benzyl group Chemical group [H]C1=C([H])C([H])=C(C([H])=C1[H])C([H])([H])* 0.000 description 2
- WQZGKKKJIJFFOK-VFUOTHLCSA-N beta-D-glucose Chemical compound OC[C@H]1O[C@@H](O)[C@H](O)[C@@H](O)[C@@H]1O WQZGKKKJIJFFOK-VFUOTHLCSA-N 0.000 description 2
- 239000011230 binding agent Substances 0.000 description 2
- 229920000249 biocompatible polymer Polymers 0.000 description 2
- 239000006172 buffering agent Substances 0.000 description 2
- 235000010354 butylated hydroxytoluene Nutrition 0.000 description 2
- 229940095259 butylated hydroxytoluene Drugs 0.000 description 2
- 210000004899 c-terminal region Anatomy 0.000 description 2
- 239000011575 calcium Substances 0.000 description 2
- 229910052791 calcium Inorganic materials 0.000 description 2
- 229910000019 calcium carbonate Inorganic materials 0.000 description 2
- 125000004432 carbon atom Chemical group C* 0.000 description 2
- 125000002915 carbonyl group Chemical group [*:2]C([*:1])=O 0.000 description 2
- 239000001768 carboxy methyl cellulose Substances 0.000 description 2
- 239000012876 carrier material Substances 0.000 description 2
- 150000001768 cations Chemical class 0.000 description 2
- 238000004113 cell culture Methods 0.000 description 2
- 230000036755 cellular response Effects 0.000 description 2
- OSASVXMJTNOKOY-UHFFFAOYSA-N chlorobutanol Chemical compound CC(C)(O)C(Cl)(Cl)Cl OSASVXMJTNOKOY-UHFFFAOYSA-N 0.000 description 2
- HVYWMOMLDIMFJA-DPAQBDIFSA-N cholesterol Chemical compound C1C=C2C[C@@H](O)CC[C@]2(C)[C@@H]2[C@@H]1[C@@H]1CC[C@H]([C@H](C)CCCC(C)C)[C@@]1(C)CC2 HVYWMOMLDIMFJA-DPAQBDIFSA-N 0.000 description 2
- 238000003776 cleavage reaction Methods 0.000 description 2
- 229940110456 cocoa butter Drugs 0.000 description 2
- 235000019868 cocoa butter Nutrition 0.000 description 2
- 230000001268 conjugating effect Effects 0.000 description 2
- 238000007796 conventional method Methods 0.000 description 2
- 235000005687 corn oil Nutrition 0.000 description 2
- 239000002285 corn oil Substances 0.000 description 2
- 235000012343 cottonseed oil Nutrition 0.000 description 2
- 239000002385 cottonseed oil Substances 0.000 description 2
- 229960002433 cysteine Drugs 0.000 description 2
- XUJNEKJLAYXESH-UHFFFAOYSA-N cysteine Natural products SCC(N)C(O)=O XUJNEKJLAYXESH-UHFFFAOYSA-N 0.000 description 2
- 230000007850 degeneration Effects 0.000 description 2
- 230000003111 delayed effect Effects 0.000 description 2
- 238000001514 detection method Methods 0.000 description 2
- ZBCBWPMODOFKDW-UHFFFAOYSA-N diethanolamine Chemical compound OCCNCCO ZBCBWPMODOFKDW-UHFFFAOYSA-N 0.000 description 2
- XBDQKXXYIPTUBI-UHFFFAOYSA-N dimethylselenoniopropionate Natural products CCC(O)=O XBDQKXXYIPTUBI-UHFFFAOYSA-N 0.000 description 2
- ZUOUZKKEUPVFJK-UHFFFAOYSA-N diphenyl Chemical compound C1=CC=CC=C1C1=CC=CC=C1 ZUOUZKKEUPVFJK-UHFFFAOYSA-N 0.000 description 2
- 239000007884 disintegrant Substances 0.000 description 2
- 239000002270 dispersing agent Substances 0.000 description 2
- POULHZVOKOAJMA-UHFFFAOYSA-N dodecanoic acid Chemical compound CCCCCCCCCCCC(O)=O POULHZVOKOAJMA-UHFFFAOYSA-N 0.000 description 2
- 210000002472 endoplasmic reticulum Anatomy 0.000 description 2
- 238000005516 engineering process Methods 0.000 description 2
- 239000003623 enhancer Substances 0.000 description 2
- 239000002702 enteric coating Substances 0.000 description 2
- 238000009505 enteric coating Methods 0.000 description 2
- 235000019325 ethyl cellulose Nutrition 0.000 description 2
- 229920001249 ethyl cellulose Polymers 0.000 description 2
- MMXKVMNBHPAILY-UHFFFAOYSA-N ethyl laurate Chemical compound CCCCCCCCCCCC(=O)OCC MMXKVMNBHPAILY-UHFFFAOYSA-N 0.000 description 2
- LVGKNOAMLMIIKO-QXMHVHEDSA-N ethyl oleate Chemical compound CCCCCCCC\C=C/CCCCCCCC(=O)OCC LVGKNOAMLMIIKO-QXMHVHEDSA-N 0.000 description 2
- 229940093471 ethyl oleate Drugs 0.000 description 2
- 150000004665 fatty acids Chemical class 0.000 description 2
- 239000000835 fiber Substances 0.000 description 2
- 239000000796 flavoring agent Substances 0.000 description 2
- 229910052731 fluorine Inorganic materials 0.000 description 2
- 239000011737 fluorine Substances 0.000 description 2
- 235000003599 food sweetener Nutrition 0.000 description 2
- 125000000524 functional group Chemical group 0.000 description 2
- 210000001035 gastrointestinal tract Anatomy 0.000 description 2
- 230000002068 genetic effect Effects 0.000 description 2
- 239000008103 glucose Substances 0.000 description 2
- 125000002791 glucosyl group Chemical group C1([C@H](O)[C@@H](O)[C@H](O)[C@H](O1)CO)* 0.000 description 2
- 150000002334 glycols Chemical class 0.000 description 2
- 229910052736 halogen Inorganic materials 0.000 description 2
- 150000002367 halogens Chemical class 0.000 description 2
- BXWNKGSJHAJOGX-UHFFFAOYSA-N hexadecan-1-ol Chemical compound CCCCCCCCCCCCCCCCO BXWNKGSJHAJOGX-UHFFFAOYSA-N 0.000 description 2
- 125000002887 hydroxy group Chemical group [H]O* 0.000 description 2
- 235000010979 hydroxypropyl methyl cellulose Nutrition 0.000 description 2
- 239000001866 hydroxypropyl methyl cellulose Substances 0.000 description 2
- 229920003088 hydroxypropyl methyl cellulose Polymers 0.000 description 2
- UFVKGYZPFZQRLF-UHFFFAOYSA-N hydroxypropyl methyl cellulose Chemical compound OC1C(O)C(OC)OC(CO)C1OC1C(O)C(O)C(OC2C(C(O)C(OC3C(C(O)C(O)C(CO)O3)O)C(CO)O2)O)C(CO)O1 UFVKGYZPFZQRLF-UHFFFAOYSA-N 0.000 description 2
- FDGQSTZJBFJUBT-UHFFFAOYSA-N hypoxanthine Chemical compound O=C1NC=NC2=C1NC=N2 FDGQSTZJBFJUBT-UHFFFAOYSA-N 0.000 description 2
- 230000004941 influx Effects 0.000 description 2
- 238000001802 infusion Methods 0.000 description 2
- 150000007529 inorganic bases Chemical class 0.000 description 2
- 230000002452 interceptive effect Effects 0.000 description 2
- 238000007918 intramuscular administration Methods 0.000 description 2
- 235000014655 lactic acid Nutrition 0.000 description 2
- 239000004310 lactic acid Substances 0.000 description 2
- 239000008297 liquid dosage form Substances 0.000 description 2
- 210000004185 liver Anatomy 0.000 description 2
- 239000011777 magnesium Substances 0.000 description 2
- 229910052749 magnesium Inorganic materials 0.000 description 2
- 235000019359 magnesium stearate Nutrition 0.000 description 2
- VZCYOOQTPOCHFL-UPHRSURJSA-N maleic acid Chemical compound OC(=O)\C=C/C(O)=O VZCYOOQTPOCHFL-UPHRSURJSA-N 0.000 description 2
- 235000010355 mannitol Nutrition 0.000 description 2
- 239000000594 mannitol Substances 0.000 description 2
- 230000004060 metabolic process Effects 0.000 description 2
- 229910052751 metal Inorganic materials 0.000 description 2
- 239000002184 metal Substances 0.000 description 2
- 239000004530 micro-emulsion Substances 0.000 description 2
- 238000000465 moulding Methods 0.000 description 2
- 210000003098 myoblast Anatomy 0.000 description 2
- WQEPLUUGTLDZJY-UHFFFAOYSA-N n-Pentadecanoic acid Natural products CCCCCCCCCCCCCCC(O)=O WQEPLUUGTLDZJY-UHFFFAOYSA-N 0.000 description 2
- 239000002088 nanocapsule Substances 0.000 description 2
- 239000002105 nanoparticle Substances 0.000 description 2
- 125000001624 naphthyl group Chemical group 0.000 description 2
- 239000013642 negative control Substances 0.000 description 2
- 239000012457 nonaqueous media Substances 0.000 description 2
- 210000000056 organ Anatomy 0.000 description 2
- 150000007530 organic bases Chemical class 0.000 description 2
- 229940056211 paraffin Drugs 0.000 description 2
- 239000012188 paraffin wax Substances 0.000 description 2
- 239000000312 peanut oil Substances 0.000 description 2
- 230000002093 peripheral effect Effects 0.000 description 2
- 239000000825 pharmaceutical preparation Substances 0.000 description 2
- 230000003285 pharmacodynamic effect Effects 0.000 description 2
- 239000012071 phase Substances 0.000 description 2
- NBIIXXVUZAFLBC-UHFFFAOYSA-K phosphate Chemical compound [O-]P([O-])([O-])=O NBIIXXVUZAFLBC-UHFFFAOYSA-K 0.000 description 2
- 239000010452 phosphate Substances 0.000 description 2
- 229910052697 platinum Inorganic materials 0.000 description 2
- 229920001983 poloxamer Polymers 0.000 description 2
- 229920000747 poly(lactic acid) Polymers 0.000 description 2
- 229920000058 polyacrylate Polymers 0.000 description 2
- 229920002647 polyamide Polymers 0.000 description 2
- 229920000728 polyester Polymers 0.000 description 2
- 229920002704 polyhistidine Polymers 0.000 description 2
- 229920005862 polyol Polymers 0.000 description 2
- 150000003077 polyols Chemical class 0.000 description 2
- 229920001296 polysiloxane Polymers 0.000 description 2
- 235000013855 polyvinylpyrrolidone Nutrition 0.000 description 2
- 239000001267 polyvinylpyrrolidone Substances 0.000 description 2
- 229920000036 polyvinylpyrrolidone Polymers 0.000 description 2
- BWHMMNNQKKPAPP-UHFFFAOYSA-L potassium carbonate Chemical compound [K+].[K+].[O-]C([O-])=O BWHMMNNQKKPAPP-UHFFFAOYSA-L 0.000 description 2
- 239000002243 precursor Substances 0.000 description 2
- 239000003380 propellant Substances 0.000 description 2
- 230000000069 prophylactic effect Effects 0.000 description 2
- 125000000719 pyrrolidinyl group Chemical group 0.000 description 2
- 102000005962 receptors Human genes 0.000 description 2
- 108020003175 receptors Proteins 0.000 description 2
- 230000002829 reductive effect Effects 0.000 description 2
- 238000011160 research Methods 0.000 description 2
- 238000012552 review Methods 0.000 description 2
- YGSDEFSMJLZEOE-UHFFFAOYSA-N salicylic acid Chemical compound OC(=O)C1=CC=CC=C1O YGSDEFSMJLZEOE-UHFFFAOYSA-N 0.000 description 2
- 230000007017 scission Effects 0.000 description 2
- 229910000029 sodium carbonate Inorganic materials 0.000 description 2
- GEHJYWRUCIMESM-UHFFFAOYSA-L sodium sulfite Chemical compound [Na+].[Na+].[O-]S([O-])=O GEHJYWRUCIMESM-UHFFFAOYSA-L 0.000 description 2
- 239000007909 solid dosage form Substances 0.000 description 2
- 239000008247 solid mixture Substances 0.000 description 2
- PFNFFQXMRSDOHW-UHFFFAOYSA-N spermine Chemical compound NCCCNCCCCNCCCN PFNFFQXMRSDOHW-UHFFFAOYSA-N 0.000 description 2
- 125000005346 substituted cycloalkyl group Chemical group 0.000 description 2
- 238000006467 substitution reaction Methods 0.000 description 2
- 238000013268 sustained release Methods 0.000 description 2
- 239000003765 sweetening agent Substances 0.000 description 2
- 239000006188 syrup Substances 0.000 description 2
- 235000020357 syrup Nutrition 0.000 description 2
- 235000002906 tartaric acid Nutrition 0.000 description 2
- 239000011975 tartaric acid Substances 0.000 description 2
- 125000004632 tetrahydrothiopyranyl group Chemical group S1C(CCCC1)* 0.000 description 2
- 229940113082 thymine Drugs 0.000 description 2
- 238000013518 transcription Methods 0.000 description 2
- 230000035897 transcription Effects 0.000 description 2
- 230000026683 transduction Effects 0.000 description 2
- 238000010361 transduction Methods 0.000 description 2
- 238000002054 transplantation Methods 0.000 description 2
- 239000012588 trypsin Substances 0.000 description 2
- 230000003827 upregulation Effects 0.000 description 2
- 230000002792 vascular Effects 0.000 description 2
- 235000015112 vegetable and seed oil Nutrition 0.000 description 2
- 239000008158 vegetable oil Substances 0.000 description 2
- 239000013603 viral vector Substances 0.000 description 2
- QAOHCFGKCWTBGC-QHOAOGIMSA-N wybutosine Chemical compound C1=NC=2C(=O)N3C(CC[C@H](NC(=O)OC)C(=O)OC)=C(C)N=C3N(C)C=2N1[C@@H]1O[C@H](CO)[C@@H](O)[C@H]1O QAOHCFGKCWTBGC-QHOAOGIMSA-N 0.000 description 2
- QAOHCFGKCWTBGC-UHFFFAOYSA-N wybutosine Natural products C1=NC=2C(=O)N3C(CCC(NC(=O)OC)C(=O)OC)=C(C)N=C3N(C)C=2N1C1OC(CO)C(O)C1O QAOHCFGKCWTBGC-UHFFFAOYSA-N 0.000 description 2
- XOOUIPVCVHRTMJ-UHFFFAOYSA-L zinc stearate Chemical compound [Zn+2].CCCCCCCCCCCCCCCCCC([O-])=O.CCCCCCCCCCCCCCCCCC([O-])=O XOOUIPVCVHRTMJ-UHFFFAOYSA-L 0.000 description 2
- QIJRTFXNRTXDIP-UHFFFAOYSA-N (1-carboxy-2-sulfanylethyl)azanium;chloride;hydrate Chemical compound O.Cl.SCC(N)C(O)=O QIJRTFXNRTXDIP-UHFFFAOYSA-N 0.000 description 1
- MTCFGRXMJLQNBG-REOHCLBHSA-N (2S)-2-Amino-3-hydroxypropansäure Chemical compound OC[C@H](N)C(O)=O MTCFGRXMJLQNBG-REOHCLBHSA-N 0.000 description 1
- QVVDVENEPNODSI-BTNSXGMBSA-N (2s)-2-[[(2s)-2-[[(2s)-2-[[(2s)-2-[[(2s)-2-[[(2s)-2-amino-5-(diaminomethylideneamino)pentanoyl]amino]-5-(diaminomethylideneamino)pentanoyl]amino]-5-(diaminomethylideneamino)pentanoyl]amino]-5-(diaminomethylideneamino)pentanoyl]amino]-5-(diaminomethylidene Chemical compound NC(N)=NCCC[C@H](N)C(=O)N[C@@H](CCCN=C(N)N)C(=O)N[C@@H](CCCN=C(N)N)C(=O)N[C@@H](CCCN=C(N)N)C(=O)N[C@@H](CCCN=C(N)N)C(=O)N[C@@H](CCCN=C(N)N)C(O)=O QVVDVENEPNODSI-BTNSXGMBSA-N 0.000 description 1
- VEVRNHHLCPGNDU-MUGJNUQGSA-N (2s)-2-amino-5-[1-[(5s)-5-amino-5-carboxypentyl]-3,5-bis[(3s)-3-amino-3-carboxypropyl]pyridin-1-ium-4-yl]pentanoate Chemical compound OC(=O)[C@@H](N)CCCC[N+]1=CC(CC[C@H](N)C(O)=O)=C(CCC[C@H](N)C([O-])=O)C(CC[C@H](N)C(O)=O)=C1 VEVRNHHLCPGNDU-MUGJNUQGSA-N 0.000 description 1
- GVJHHUAWPYXKBD-IEOSBIPESA-N (R)-alpha-Tocopherol Natural products OC1=C(C)C(C)=C2O[C@@](CCC[C@H](C)CCC[C@H](C)CCCC(C)C)(C)CCC2=C1C GVJHHUAWPYXKBD-IEOSBIPESA-N 0.000 description 1
- BJEPYKJPYRNKOW-REOHCLBHSA-N (S)-malic acid Chemical compound OC(=O)[C@@H](O)CC(O)=O BJEPYKJPYRNKOW-REOHCLBHSA-N 0.000 description 1
- UWYVPFMHMJIBHE-OWOJBTEDSA-N (e)-2-hydroxybut-2-enedioic acid Chemical compound OC(=O)\C=C(\O)C(O)=O UWYVPFMHMJIBHE-OWOJBTEDSA-N 0.000 description 1
- LKUDPHPHKOZXCD-UHFFFAOYSA-N 1,3,5-trimethoxybenzene Chemical compound COC1=CC(OC)=CC(OC)=C1 LKUDPHPHKOZXCD-UHFFFAOYSA-N 0.000 description 1
- 229940058015 1,3-butylene glycol Drugs 0.000 description 1
- NEOJKYRRLHDYII-TURQNECASA-N 1-[(2r,3r,4s,5r)-3,4-dihydroxy-5-(hydroxymethyl)oxolan-2-yl]-5-(2-oxopropyl)pyrimidine-2,4-dione Chemical compound O=C1NC(=O)C(CC(=O)C)=CN1[C@H]1[C@H](O)[C@H](O)[C@@H](CO)O1 NEOJKYRRLHDYII-TURQNECASA-N 0.000 description 1
- SGKGZYGMLGVQHP-ZOQUXTDFSA-N 1-[(2r,3r,4s,5r)-3,4-dihydroxy-5-(hydroxymethyl)oxolan-2-yl]-6-methylpyrimidine-2,4-dione Chemical compound CC1=CC(=O)NC(=O)N1[C@H]1[C@H](O)[C@H](O)[C@@H](CO)O1 SGKGZYGMLGVQHP-ZOQUXTDFSA-N 0.000 description 1
- JRLOEMCOOZSCQP-UHFFFAOYSA-N 1-[3-(2-quinolinylmethoxy)phenyl]-1-hexanol Chemical compound CCCCCC(O)C1=CC=CC(OCC=2N=C3C=CC=CC3=CC=2)=C1 JRLOEMCOOZSCQP-UHFFFAOYSA-N 0.000 description 1
- LDMOEFOXLIZJOW-UHFFFAOYSA-N 1-dodecanesulfonic acid Chemical class CCCCCCCCCCCCS(O)(=O)=O LDMOEFOXLIZJOW-UHFFFAOYSA-N 0.000 description 1
- GFYLSDSUCHVORB-IOSLPCCCSA-N 1-methyladenosine Chemical compound C1=NC=2C(=N)N(C)C=NC=2N1[C@@H]1O[C@H](CO)[C@@H](O)[C@H]1O GFYLSDSUCHVORB-IOSLPCCCSA-N 0.000 description 1
- WJNGQIYEQLPJMN-IOSLPCCCSA-N 1-methylinosine Chemical compound C1=NC=2C(=O)N(C)C=NC=2N1[C@@H]1O[C@H](CO)[C@@H](O)[C@H]1O WJNGQIYEQLPJMN-IOSLPCCCSA-N 0.000 description 1
- WNWHHMBRJJOGFJ-UHFFFAOYSA-N 16-methylheptadecan-1-ol Chemical class CC(C)CCCCCCCCCCCCCCCO WNWHHMBRJJOGFJ-UHFFFAOYSA-N 0.000 description 1
- 229930182834 17alpha-Estradiol Natural products 0.000 description 1
- VOXZDWNPVJITMN-SFFUCWETSA-N 17α-estradiol Chemical compound OC1=CC=C2[C@H]3CC[C@](C)([C@@H](CC4)O)[C@@H]4[C@@H]3CCC2=C1 VOXZDWNPVJITMN-SFFUCWETSA-N 0.000 description 1
- IQZWKGWOBPJWMX-UHFFFAOYSA-N 2-Methyladenosine Natural products C12=NC(C)=NC(N)=C2N=CN1C1OC(CO)C(O)C1O IQZWKGWOBPJWMX-UHFFFAOYSA-N 0.000 description 1
- LBLYYCQCTBFVLH-UHFFFAOYSA-N 2-Methylbenzenesulfonic acid Chemical compound CC1=CC=CC=C1S(O)(=O)=O LBLYYCQCTBFVLH-UHFFFAOYSA-N 0.000 description 1
- OIQOAYVCKAHSEJ-UHFFFAOYSA-N 2-[2,3-bis(2-hydroxyethoxy)propoxy]ethanol;hexadecanoic acid;octadecanoic acid Chemical compound OCCOCC(OCCO)COCCO.CCCCCCCCCCCCCCCC(O)=O.CCCCCCCCCCCCCCCCCC(O)=O OIQOAYVCKAHSEJ-UHFFFAOYSA-N 0.000 description 1
- UYZFIFAQZNYZNT-VUBKMPIKSA-N 2-[[2-[(2r,3s,4r,5r)-3,4-dihydroxy-5-(4-oxo-2-sulfanylidenepyrimidin-1-yl)oxolan-2-yl]-2-hydroxyethyl]amino]acetic acid Chemical compound O[C@@H]1[C@H](O)[C@@H](C(CNCC(O)=O)O)O[C@H]1N1C(=S)NC(=O)C=C1 UYZFIFAQZNYZNT-VUBKMPIKSA-N 0.000 description 1
- TWJNQYPJQDRXPH-UHFFFAOYSA-N 2-cyanobenzohydrazide Chemical compound NNC(=O)C1=CC=CC=C1C#N TWJNQYPJQDRXPH-UHFFFAOYSA-N 0.000 description 1
- JNODDICFTDYODH-UHFFFAOYSA-N 2-hydroxytetrahydrofuran Chemical compound OC1CCCO1 JNODDICFTDYODH-UHFFFAOYSA-N 0.000 description 1
- IQZWKGWOBPJWMX-IOSLPCCCSA-N 2-methyladenosine Chemical compound C12=NC(C)=NC(N)=C2N=CN1[C@@H]1O[C@H](CO)[C@@H](O)[C@H]1O IQZWKGWOBPJWMX-IOSLPCCCSA-N 0.000 description 1
- WLJVXDMOQOGPHL-PPJXEINESA-N 2-phenylacetic acid Chemical compound O[14C](=O)CC1=CC=CC=C1 WLJVXDMOQOGPHL-PPJXEINESA-N 0.000 description 1
- RHFUOMFWUGWKKO-XVFCMESISA-N 2-thiocytidine Chemical compound S=C1N=C(N)C=CN1[C@H]1[C@H](O)[C@H](O)[C@@H](CO)O1 RHFUOMFWUGWKKO-XVFCMESISA-N 0.000 description 1
- GJTBSTBJLVYKAU-XVFCMESISA-N 2-thiouridine Chemical compound O[C@@H]1[C@H](O)[C@@H](CO)O[C@H]1N1C(=S)NC(=O)C=C1 GJTBSTBJLVYKAU-XVFCMESISA-N 0.000 description 1
- NOPKOJDDVCBPTP-DJSZNTTKSA-N 23739-88-0 Chemical compound CC(=O)OC[C@H]([C@H]([C@H]([C@@H]1OC(C)=O)OC(C)=O)O[C@H]2O[C@@H]([C@@H](O[C@H]3O[C@H](COC(C)=O)[C@H]([C@H]([C@@H]3OC(C)=O)OC(C)=O)O[C@H]3O[C@H](COC(C)=O)[C@H]([C@H]([C@@H]3OC(C)=O)OC(C)=O)O[C@H]3O[C@H](COC(C)=O)[C@H]([C@H]([C@@H]3OC(C)=O)OC(C)=O)O[C@H]3O[C@H](COC(C)=O)[C@H]([C@H]([C@@H]3OC(C)=O)OC(C)=O)O3)[C@@H](OC(C)=O)[C@@H]2OC(C)=O)COC(=O)C)O[C@@H]1O[C@H]1[C@@H](OC(C)=O)[C@H](OC(C)=O)[C@@H]3O[C@@H]1COC(C)=O NOPKOJDDVCBPTP-DJSZNTTKSA-N 0.000 description 1
- RDPUKVRQKWBSPK-UHFFFAOYSA-N 3-Methylcytidine Natural products O=C1N(C)C(=N)C=CN1C1C(O)C(O)C(CO)O1 RDPUKVRQKWBSPK-UHFFFAOYSA-N 0.000 description 1
- BMYNFMYTOJXKLE-UHFFFAOYSA-N 3-azaniumyl-2-hydroxypropanoate Chemical compound NCC(O)C(O)=O BMYNFMYTOJXKLE-UHFFFAOYSA-N 0.000 description 1
- RDPUKVRQKWBSPK-ZOQUXTDFSA-N 3-methylcytidine Chemical compound O=C1N(C)C(=N)C=CN1[C@H]1[C@H](O)[C@H](O)[C@@H](CO)O1 RDPUKVRQKWBSPK-ZOQUXTDFSA-N 0.000 description 1
- VPLZGVOSFFCKFC-UHFFFAOYSA-N 3-methyluracil Chemical compound CN1C(=O)C=CNC1=O VPLZGVOSFFCKFC-UHFFFAOYSA-N 0.000 description 1
- ZLOIGESWDJYCTF-UHFFFAOYSA-N 4-Thiouridine Natural products OC1C(O)C(CO)OC1N1C(=O)NC(=S)C=C1 ZLOIGESWDJYCTF-UHFFFAOYSA-N 0.000 description 1
- XWHHYOYVRVGJJY-UHFFFAOYSA-N 4-fluorophenylalanine Chemical compound OC(=O)C(N)CC1=CC=C(F)C=C1 XWHHYOYVRVGJJY-UHFFFAOYSA-N 0.000 description 1
- GCNTZFIIOFTKIY-UHFFFAOYSA-N 4-hydroxypyridine Chemical compound OC1=CC=NC=C1 GCNTZFIIOFTKIY-UHFFFAOYSA-N 0.000 description 1
- ZLOIGESWDJYCTF-XVFCMESISA-N 4-thiouridine Chemical compound O[C@@H]1[C@H](O)[C@@H](CO)O[C@H]1N1C(=O)NC(=S)C=C1 ZLOIGESWDJYCTF-XVFCMESISA-N 0.000 description 1
- UVGCZRPOXXYZKH-QADQDURISA-N 5-(carboxyhydroxymethyl)uridine Chemical compound O[C@@H]1[C@H](O)[C@@H](CO)O[C@H]1N1C(=O)NC(=O)C(C(O)C(O)=O)=C1 UVGCZRPOXXYZKH-QADQDURISA-N 0.000 description 1
- VSCNRXVDHRNJOA-PNHWDRBUSA-N 5-(carboxymethylaminomethyl)uridine Chemical compound O[C@@H]1[C@H](O)[C@@H](CO)O[C@H]1N1C(=O)NC(=O)C(CNCC(O)=O)=C1 VSCNRXVDHRNJOA-PNHWDRBUSA-N 0.000 description 1
- ZAYHVCMSTBRABG-UHFFFAOYSA-N 5-Methylcytidine Natural products O=C1N=C(N)C(C)=CN1C1C(O)C(O)C(CO)O1 ZAYHVCMSTBRABG-UHFFFAOYSA-N 0.000 description 1
- AGFIRQJZCNVMCW-UAKXSSHOSA-N 5-bromouridine Chemical compound O[C@@H]1[C@H](O)[C@@H](CO)O[C@H]1N1C(=O)NC(=O)C(Br)=C1 AGFIRQJZCNVMCW-UAKXSSHOSA-N 0.000 description 1
- RJUNHHFZFRMZQQ-FDDDBJFASA-N 5-methoxyaminomethyl-2-thiouridine Chemical compound S=C1NC(=O)C(CNOC)=CN1[C@H]1[C@H](O)[C@H](O)[C@@H](CO)O1 RJUNHHFZFRMZQQ-FDDDBJFASA-N 0.000 description 1
- ZXIATBNUWJBBGT-JXOAFFINSA-N 5-methoxyuridine Chemical compound O=C1NC(=O)C(OC)=CN1[C@H]1[C@H](O)[C@H](O)[C@@H](CO)O1 ZXIATBNUWJBBGT-JXOAFFINSA-N 0.000 description 1
- SNNBPMAXGYBMHM-JXOAFFINSA-N 5-methyl-2-thiouridine Chemical compound S=C1NC(=O)C(C)=CN1[C@H]1[C@H](O)[C@H](O)[C@@H](CO)O1 SNNBPMAXGYBMHM-JXOAFFINSA-N 0.000 description 1
- ZXQHKBUIXRFZBV-FDDDBJFASA-N 5-methylaminomethyluridine Chemical compound O=C1NC(=O)C(CNC)=CN1[C@H]1[C@H](O)[C@H](O)[C@@H](CO)O1 ZXQHKBUIXRFZBV-FDDDBJFASA-N 0.000 description 1
- ZAYHVCMSTBRABG-JXOAFFINSA-N 5-methylcytidine Chemical compound O=C1N=C(N)C(C)=CN1[C@H]1[C@H](O)[C@H](O)[C@@H](CO)O1 ZAYHVCMSTBRABG-JXOAFFINSA-N 0.000 description 1
- LRSASMSXMSNRBT-UHFFFAOYSA-N 5-methylcytosine Chemical compound CC1=CNC(=O)N=C1N LRSASMSXMSNRBT-UHFFFAOYSA-N 0.000 description 1
- FHVDTGUDJYJELY-UHFFFAOYSA-N 6-{[2-carboxy-4,5-dihydroxy-6-(phosphanyloxy)oxan-3-yl]oxy}-4,5-dihydroxy-3-phosphanyloxane-2-carboxylic acid Chemical compound O1C(C(O)=O)C(P)C(O)C(O)C1OC1C(C(O)=O)OC(OP)C(O)C1O FHVDTGUDJYJELY-UHFFFAOYSA-N 0.000 description 1
- OGHAROSJZRTIOK-KQYNXXCUSA-O 7-methylguanosine Chemical compound C1=2N=C(N)NC(=O)C=2[N+](C)=CN1[C@@H]1O[C@H](CO)[C@@H](O)[C@H]1O OGHAROSJZRTIOK-KQYNXXCUSA-O 0.000 description 1
- QTBSBXVTEAMEQO-UHFFFAOYSA-M Acetate Chemical compound CC([O-])=O QTBSBXVTEAMEQO-UHFFFAOYSA-M 0.000 description 1
- 102000010825 Actinin Human genes 0.000 description 1
- 108010063503 Actinin Proteins 0.000 description 1
- IPWKGIFRRBGCJO-IMJSIDKUSA-N Ala-Ser Chemical compound C[C@H]([NH3+])C(=O)N[C@@H](CO)C([O-])=O IPWKGIFRRBGCJO-IMJSIDKUSA-N 0.000 description 1
- 239000005995 Aluminium silicate Substances 0.000 description 1
- PVSNBTCXCQIXSE-JYJNAYRXSA-N Arg-Arg-Phe Chemical compound NC(=N)NCCC[C@H](N)C(=O)N[C@@H](CCCNC(N)=N)C(=O)N[C@H](C(O)=O)CC1=CC=CC=C1 PVSNBTCXCQIXSE-JYJNAYRXSA-N 0.000 description 1
- BSYNRYMUTXBXSQ-UHFFFAOYSA-N Aspirin Chemical compound CC(=O)OC1=CC=CC=C1C(O)=O BSYNRYMUTXBXSQ-UHFFFAOYSA-N 0.000 description 1
- 241000894006 Bacteria Species 0.000 description 1
- DWRXFEITVBNRMK-UHFFFAOYSA-N Beta-D-1-Arabinofuranosylthymine Natural products O=C1NC(=O)C(C)=CN1C1C(O)C(O)C(CO)O1 DWRXFEITVBNRMK-UHFFFAOYSA-N 0.000 description 1
- BVKZGUZCCUSVTD-UHFFFAOYSA-M Bicarbonate Chemical compound OC([O-])=O BVKZGUZCCUSVTD-UHFFFAOYSA-M 0.000 description 1
- LSNNMFCWUKXFEE-UHFFFAOYSA-M Bisulfite Chemical compound OS([O-])=O LSNNMFCWUKXFEE-UHFFFAOYSA-M 0.000 description 1
- 108091003079 Bovine Serum Albumin Proteins 0.000 description 1
- 125000001433 C-terminal amino-acid group Chemical group 0.000 description 1
- BVKZGUZCCUSVTD-UHFFFAOYSA-L Carbonate Chemical compound [O-]C([O-])=O BVKZGUZCCUSVTD-UHFFFAOYSA-L 0.000 description 1
- 102000009193 Caveolin Human genes 0.000 description 1
- 108050000084 Caveolin Proteins 0.000 description 1
- 241000700198 Cavia Species 0.000 description 1
- 229920001661 Chitosan Polymers 0.000 description 1
- 108010009685 Cholinergic Receptors Proteins 0.000 description 1
- 108091062157 Cis-regulatory element Proteins 0.000 description 1
- KRKNYBCHXYNGOX-UHFFFAOYSA-K Citrate Chemical compound [O-]C(=O)CC(O)(CC([O-])=O)C([O-])=O KRKNYBCHXYNGOX-UHFFFAOYSA-K 0.000 description 1
- 108020004705 Codon Proteins 0.000 description 1
- 229920002261 Corn starch Polymers 0.000 description 1
- 229920002785 Croscarmellose sodium Polymers 0.000 description 1
- 229920001651 Cyanoacrylate Polymers 0.000 description 1
- QNAYBMKLOCPYGJ-UHFFFAOYSA-N D-alpha-Ala Natural products CC([NH3+])C([O-])=O QNAYBMKLOCPYGJ-UHFFFAOYSA-N 0.000 description 1
- HMFHBZSHGGEWLO-SOOFDHNKSA-N D-ribofuranose Chemical compound OC[C@H]1OC(O)[C@H](O)[C@@H]1O HMFHBZSHGGEWLO-SOOFDHNKSA-N 0.000 description 1
- 102000053602 DNA Human genes 0.000 description 1
- 102000016911 Deoxyribonucleases Human genes 0.000 description 1
- 108010053770 Deoxyribonucleases Proteins 0.000 description 1
- YZCKVEUIGOORGS-OUBTZVSYSA-N Deuterium Chemical compound [2H] YZCKVEUIGOORGS-OUBTZVSYSA-N 0.000 description 1
- 235000019739 Dicalciumphosphate Nutrition 0.000 description 1
- 241000168726 Dictyostelium discoideum Species 0.000 description 1
- 206010059866 Drug resistance Diseases 0.000 description 1
- 239000006144 Dulbecco’s modified Eagle's medium Substances 0.000 description 1
- 102000007623 Dystroglycans Human genes 0.000 description 1
- 108010071885 Dystroglycans Proteins 0.000 description 1
- 241000196324 Embryophyta Species 0.000 description 1
- LYCAIKOWRPUZTN-UHFFFAOYSA-N Ethylene glycol Chemical class OCCO LYCAIKOWRPUZTN-UHFFFAOYSA-N 0.000 description 1
- PIICEJLVQHRZGT-UHFFFAOYSA-N Ethylenediamine Chemical compound NCCN PIICEJLVQHRZGT-UHFFFAOYSA-N 0.000 description 1
- 108010037362 Extracellular Matrix Proteins Proteins 0.000 description 1
- 102000010834 Extracellular Matrix Proteins Human genes 0.000 description 1
- 239000001116 FEMA 4028 Substances 0.000 description 1
- 241000282326 Felis catus Species 0.000 description 1
- 229920001917 Ficoll Polymers 0.000 description 1
- 241001123946 Gaga Species 0.000 description 1
- KWUSGAIFNHQCBY-DCAQKATOSA-N Gln-Arg-Arg Chemical compound NC(=O)CC[C@H](N)C(=O)N[C@@H](CCCN=C(N)N)C(=O)N[C@@H](CCCN=C(N)N)C(O)=O KWUSGAIFNHQCBY-DCAQKATOSA-N 0.000 description 1
- 239000004471 Glycine Substances 0.000 description 1
- 108010043121 Green Fluorescent Proteins Proteins 0.000 description 1
- 102000004144 Green Fluorescent Proteins Human genes 0.000 description 1
- 239000004705 High-molecular-weight polyethylene Substances 0.000 description 1
- 241000282412 Homo Species 0.000 description 1
- CPELXLSAUQHCOX-UHFFFAOYSA-N Hydrogen bromide Chemical compound Br CPELXLSAUQHCOX-UHFFFAOYSA-N 0.000 description 1
- 239000004354 Hydroxyethyl cellulose Substances 0.000 description 1
- 229920000663 Hydroxyethyl cellulose Polymers 0.000 description 1
- LCWXJXMHJVIJFK-UHFFFAOYSA-N Hydroxylysine Natural products NCC(O)CC(N)CC(O)=O LCWXJXMHJVIJFK-UHFFFAOYSA-N 0.000 description 1
- PMMYEEVYMWASQN-DMTCNVIQSA-N Hydroxyproline Chemical compound O[C@H]1CN[C@H](C(O)=O)C1 PMMYEEVYMWASQN-DMTCNVIQSA-N 0.000 description 1
- 206010020751 Hypersensitivity Diseases 0.000 description 1
- UGQMRVRMYYASKQ-UHFFFAOYSA-N Hypoxanthine nucleoside Natural products OC1C(O)C(CO)OC1N1C(NC=NC2=O)=C2N=C1 UGQMRVRMYYASKQ-UHFFFAOYSA-N 0.000 description 1
- DGAQECJNVWCQMB-PUAWFVPOSA-M Ilexoside XXIX Chemical compound C[C@@H]1CC[C@@]2(CC[C@@]3(C(=CC[C@H]4[C@]3(CC[C@@H]5[C@@]4(CC[C@@H](C5(C)C)OS(=O)(=O)[O-])C)C)[C@@H]2[C@]1(C)O)C)C(=O)O[C@H]6[C@@H]([C@H]([C@@H]([C@H](O6)CO)O)O)O.[Na+] DGAQECJNVWCQMB-PUAWFVPOSA-M 0.000 description 1
- SNDPXSYFESPGGJ-BYPYZUCNSA-N L-2-aminopentanoic acid Chemical compound CCC[C@H](N)C(O)=O SNDPXSYFESPGGJ-BYPYZUCNSA-N 0.000 description 1
- PMGDADKJMCOXHX-UHFFFAOYSA-N L-Arginyl-L-glutamin-acetat Natural products NC(=N)NCCCC(N)C(=O)NC(CCC(N)=O)C(O)=O PMGDADKJMCOXHX-UHFFFAOYSA-N 0.000 description 1
- AHLPHDHHMVZTML-BYPYZUCNSA-N L-Ornithine Chemical compound NCCC[C@H](N)C(O)=O AHLPHDHHMVZTML-BYPYZUCNSA-N 0.000 description 1
- ONIBWKKTOPOVIA-BYPYZUCNSA-N L-Proline Chemical compound OC(=O)[C@@H]1CCCN1 ONIBWKKTOPOVIA-BYPYZUCNSA-N 0.000 description 1
- 239000011786 L-ascorbyl-6-palmitate Substances 0.000 description 1
- QAQJMLQRFWZOBN-LAUBAEHRSA-N L-ascorbyl-6-palmitate Chemical compound CCCCCCCCCCCCCCCC(=O)OC[C@H](O)[C@H]1OC(=O)C(O)=C1O QAQJMLQRFWZOBN-LAUBAEHRSA-N 0.000 description 1
- RHGKLRLOHDJJDR-BYPYZUCNSA-N L-citrulline Chemical compound NC(=O)NCCC[C@H]([NH3+])C([O-])=O RHGKLRLOHDJJDR-BYPYZUCNSA-N 0.000 description 1
- GGLZPLKKBSSKCX-YFKPBYRVSA-N L-ethionine Chemical compound CCSCC[C@H](N)C(O)=O GGLZPLKKBSSKCX-YFKPBYRVSA-N 0.000 description 1
- 229930182816 L-glutamine Natural products 0.000 description 1
- FFFHZYDWPBMWHY-VKHMYHEASA-N L-homocysteine Chemical compound OC(=O)[C@@H](N)CCS FFFHZYDWPBMWHY-VKHMYHEASA-N 0.000 description 1
- SNDPXSYFESPGGJ-UHFFFAOYSA-N L-norVal-OH Natural products CCCC(N)C(O)=O SNDPXSYFESPGGJ-UHFFFAOYSA-N 0.000 description 1
- LRQKBLKVPFOOQJ-YFKPBYRVSA-N L-norleucine Chemical compound CCCC[C@H]([NH3+])C([O-])=O LRQKBLKVPFOOQJ-YFKPBYRVSA-N 0.000 description 1
- 125000000174 L-prolyl group Chemical group [H]N1C([H])([H])C([H])([H])C([H])([H])[C@@]1([H])C(*)=O 0.000 description 1
- AYFVYJQAPQTCCC-GBXIJSLDSA-N L-threonine Chemical compound C[C@@H](O)[C@H](N)C(O)=O AYFVYJQAPQTCCC-GBXIJSLDSA-N 0.000 description 1
- JVTAAEKCZFNVCJ-UHFFFAOYSA-M Lactate Chemical compound CC(O)C([O-])=O JVTAAEKCZFNVCJ-UHFFFAOYSA-M 0.000 description 1
- 239000005639 Lauric acid Substances 0.000 description 1
- WHXSMMKQMYFTQS-UHFFFAOYSA-N Lithium Chemical compound [Li] WHXSMMKQMYFTQS-UHFFFAOYSA-N 0.000 description 1
- 108060001084 Luciferase Proteins 0.000 description 1
- 239000005089 Luciferase Substances 0.000 description 1
- ZJWIXBZTAAJERF-IHRRRGAJSA-N Lys-Lys-Arg Chemical compound NCCCC[C@H](N)C(=O)N[C@@H](CCCCN)C(=O)N[C@H](C(O)=O)CCCN=C(N)N ZJWIXBZTAAJERF-IHRRRGAJSA-N 0.000 description 1
- 241000124008 Mammalia Species 0.000 description 1
- 240000003183 Manihot esculenta Species 0.000 description 1
- 235000016735 Manihot esculenta subsp esculenta Nutrition 0.000 description 1
- 208000036626 Mental retardation Diseases 0.000 description 1
- DBTDEFJAFBUGPP-UHFFFAOYSA-N Methanethial Chemical compound S=C DBTDEFJAFBUGPP-UHFFFAOYSA-N 0.000 description 1
- 229920000168 Microcrystalline cellulose Polymers 0.000 description 1
- 102000002151 Microfilament Proteins Human genes 0.000 description 1
- 108010040897 Microfilament Proteins Proteins 0.000 description 1
- 208000034819 Mobility Limitation Diseases 0.000 description 1
- 101001053945 Mus musculus Dystrophin Proteins 0.000 description 1
- 101000973497 Mus musculus E3 ubiquitin-protein ligase MIB2 Proteins 0.000 description 1
- 208000010428 Muscle Weakness Diseases 0.000 description 1
- 206010028289 Muscle atrophy Diseases 0.000 description 1
- 206010028372 Muscular weakness Diseases 0.000 description 1
- 235000021360 Myristic acid Nutrition 0.000 description 1
- TUNFSRHWOTWDNC-UHFFFAOYSA-N Myristic acid Natural products CCCCCCCCCCCCCC(O)=O TUNFSRHWOTWDNC-UHFFFAOYSA-N 0.000 description 1
- RSPURTUNRHNVGF-IOSLPCCCSA-N N(2),N(2)-dimethylguanosine Chemical compound C1=NC=2C(=O)NC(N(C)C)=NC=2N1[C@@H]1O[C@H](CO)[C@@H](O)[C@H]1O RSPURTUNRHNVGF-IOSLPCCCSA-N 0.000 description 1
- SLEHROROQDYRAW-KQYNXXCUSA-N N(2)-methylguanosine Chemical compound C1=NC=2C(=O)NC(NC)=NC=2N1[C@@H]1O[C@H](CO)[C@@H](O)[C@H]1O SLEHROROQDYRAW-KQYNXXCUSA-N 0.000 description 1
- VQAYFKKCNSOZKM-IOSLPCCCSA-N N(6)-methyladenosine Chemical compound C1=NC=2C(NC)=NC=NC=2N1[C@@H]1O[C@H](CO)[C@@H](O)[C@H]1O VQAYFKKCNSOZKM-IOSLPCCCSA-N 0.000 description 1
- WHNWPMSKXPGLAX-UHFFFAOYSA-N N-Vinyl-2-pyrrolidone Chemical compound C=CN1CCCC1=O WHNWPMSKXPGLAX-UHFFFAOYSA-N 0.000 description 1
- 125000000729 N-terminal amino-acid group Chemical group 0.000 description 1
- 229910002651 NO3 Inorganic materials 0.000 description 1
- VQAYFKKCNSOZKM-UHFFFAOYSA-N NSC 29409 Natural products C1=NC=2C(NC)=NC=NC=2N1C1OC(CO)C(O)C1O VQAYFKKCNSOZKM-UHFFFAOYSA-N 0.000 description 1
- RHGKLRLOHDJJDR-UHFFFAOYSA-N Ndelta-carbamoyl-DL-ornithine Natural products OC(=O)C(N)CCCNC(N)=O RHGKLRLOHDJJDR-UHFFFAOYSA-N 0.000 description 1
- 206010028980 Neoplasm Diseases 0.000 description 1
- NHNBFGGVMKEFGY-UHFFFAOYSA-N Nitrate Chemical compound [O-][N+]([O-])=O NHNBFGGVMKEFGY-UHFFFAOYSA-N 0.000 description 1
- GRYLNZFGIOXLOG-UHFFFAOYSA-N Nitric acid Chemical compound O[N+]([O-])=O GRYLNZFGIOXLOG-UHFFFAOYSA-N 0.000 description 1
- 101710163270 Nuclease Proteins 0.000 description 1
- AHLPHDHHMVZTML-UHFFFAOYSA-N Orn-delta-NH2 Natural products NCCCC(N)C(O)=O AHLPHDHHMVZTML-UHFFFAOYSA-N 0.000 description 1
- UTJLXEIPEHZYQJ-UHFFFAOYSA-N Ornithine Natural products OC(=O)C(C)CCCN UTJLXEIPEHZYQJ-UHFFFAOYSA-N 0.000 description 1
- 241000283973 Oryctolagus cuniculus Species 0.000 description 1
- 229940049937 Pgp inhibitor Drugs 0.000 description 1
- ABLZXFCXXLZCGV-UHFFFAOYSA-N Phosphorous acid Chemical compound OP(O)=O ABLZXFCXXLZCGV-UHFFFAOYSA-N 0.000 description 1
- 229920003171 Poly (ethylene oxide) Polymers 0.000 description 1
- 229920002730 Poly(butyl cyanoacrylate) Polymers 0.000 description 1
- 239000004698 Polyethylene Substances 0.000 description 1
- 229920001710 Polyorthoester Polymers 0.000 description 1
- 239000004743 Polypropylene Substances 0.000 description 1
- 239000004372 Polyvinyl alcohol Substances 0.000 description 1
- ZLMJMSJWJFRBEC-UHFFFAOYSA-N Potassium Chemical compound [K] ZLMJMSJWJFRBEC-UHFFFAOYSA-N 0.000 description 1
- 241000288906 Primates Species 0.000 description 1
- ONIBWKKTOPOVIA-UHFFFAOYSA-N Proline Natural products OC(=O)C1CCCN1 ONIBWKKTOPOVIA-UHFFFAOYSA-N 0.000 description 1
- OFOBLEOULBTSOW-UHFFFAOYSA-N Propanedioic acid Natural products OC(=O)CC(O)=O OFOBLEOULBTSOW-UHFFFAOYSA-N 0.000 description 1
- 102000007327 Protamines Human genes 0.000 description 1
- 108010007568 Protamines Proteins 0.000 description 1
- 229940079156 Proteasome inhibitor Drugs 0.000 description 1
- 235000014443 Pyrus communis Nutrition 0.000 description 1
- 238000002123 RNA extraction Methods 0.000 description 1
- 241000700159 Rattus Species 0.000 description 1
- 108700008625 Reporter Genes Proteins 0.000 description 1
- PYMYPHUHKUWMLA-LMVFSUKVSA-N Ribose Natural products OC[C@@H](O)[C@@H](O)[C@@H](O)C=O PYMYPHUHKUWMLA-LMVFSUKVSA-N 0.000 description 1
- 240000004808 Saccharomyces cerevisiae Species 0.000 description 1
- 235000019485 Safflower oil Nutrition 0.000 description 1
- 102000006308 Sarcoglycans Human genes 0.000 description 1
- 108010083379 Sarcoglycans Proteins 0.000 description 1
- 108091081021 Sense strand Proteins 0.000 description 1
- 238000012300 Sequence Analysis Methods 0.000 description 1
- KCNSGAMPBPYUAI-CIUDSAMLSA-N Ser-Leu-Asn Chemical compound [H]N[C@@H](CO)C(=O)N[C@@H](CC(C)C)C(=O)N[C@@H](CC(N)=O)C(O)=O KCNSGAMPBPYUAI-CIUDSAMLSA-N 0.000 description 1
- 244000061456 Solanum tuberosum Species 0.000 description 1
- 235000002595 Solanum tuberosum Nutrition 0.000 description 1
- 102000005890 Spectrin Human genes 0.000 description 1
- 108010019965 Spectrin Proteins 0.000 description 1
- 108091081024 Start codon Proteins 0.000 description 1
- 108010090804 Streptavidin Proteins 0.000 description 1
- KDYFGRWQOYBRFD-UHFFFAOYSA-N Succinic acid Natural products OC(=O)CCC(O)=O KDYFGRWQOYBRFD-UHFFFAOYSA-N 0.000 description 1
- QAOWNCQODCNURD-UHFFFAOYSA-L Sulfate Chemical compound [O-]S([O-])(=O)=O QAOWNCQODCNURD-UHFFFAOYSA-L 0.000 description 1
- 108010006785 Taq Polymerase Proteins 0.000 description 1
- RYYWUUFWQRZTIU-UHFFFAOYSA-N Thiophosphoric acid Chemical class OP(O)(S)=O RYYWUUFWQRZTIU-UHFFFAOYSA-N 0.000 description 1
- GSEJCLTVZPLZKY-UHFFFAOYSA-N Triethanolamine Chemical compound OCCN(CCO)CCO GSEJCLTVZPLZKY-UHFFFAOYSA-N 0.000 description 1
- FMRLDPWIRHBCCC-UHFFFAOYSA-L Zinc carbonate Chemical compound [Zn+2].[O-]C([O-])=O FMRLDPWIRHBCCC-UHFFFAOYSA-L 0.000 description 1
- 239000002250 absorbent Substances 0.000 description 1
- 230000002745 absorbent Effects 0.000 description 1
- 239000003655 absorption accelerator Substances 0.000 description 1
- 229940022663 acetate Drugs 0.000 description 1
- DPXJVFZANSGRMM-UHFFFAOYSA-N acetic acid;2,3,4,5,6-pentahydroxyhexanal;sodium Chemical compound [Na].CC(O)=O.OCC(O)C(O)C(O)C(O)C=O DPXJVFZANSGRMM-UHFFFAOYSA-N 0.000 description 1
- 102000034337 acetylcholine receptors Human genes 0.000 description 1
- 230000002378 acidificating effect Effects 0.000 description 1
- NIXOWILDQLNWCW-UHFFFAOYSA-N acrylic acid group Chemical group C(C=C)(=O)O NIXOWILDQLNWCW-UHFFFAOYSA-N 0.000 description 1
- 239000000654 additive Substances 0.000 description 1
- 230000002411 adverse Effects 0.000 description 1
- 235000004279 alanine Nutrition 0.000 description 1
- 150000001298 alcohols Chemical class 0.000 description 1
- 229940072056 alginate Drugs 0.000 description 1
- 125000001931 aliphatic group Chemical group 0.000 description 1
- 239000003513 alkali Substances 0.000 description 1
- 125000004183 alkoxy alkyl group Chemical group 0.000 description 1
- 208000030961 allergic reaction Diseases 0.000 description 1
- 125000003275 alpha amino acid group Chemical group 0.000 description 1
- 229940087168 alpha tocopherol Drugs 0.000 description 1
- HMFHBZSHGGEWLO-UHFFFAOYSA-N alpha-D-Furanose-Ribose Natural products OCC1OC(O)C(O)C1O HMFHBZSHGGEWLO-UHFFFAOYSA-N 0.000 description 1
- HSFWRNGVRCDJHI-UHFFFAOYSA-N alpha-acetylene Natural products C#C HSFWRNGVRCDJHI-UHFFFAOYSA-N 0.000 description 1
- BJEPYKJPYRNKOW-UHFFFAOYSA-N alpha-hydroxysuccinic acid Natural products OC(=O)C(O)CC(O)=O BJEPYKJPYRNKOW-UHFFFAOYSA-N 0.000 description 1
- AZDRQVAHHNSJOQ-UHFFFAOYSA-N alumane Chemical class [AlH3] AZDRQVAHHNSJOQ-UHFFFAOYSA-N 0.000 description 1
- 229910052782 aluminium Inorganic materials 0.000 description 1
- XAGFODPZIPBFFR-UHFFFAOYSA-N aluminium Chemical compound [Al] XAGFODPZIPBFFR-UHFFFAOYSA-N 0.000 description 1
- 235000012211 aluminium silicate Nutrition 0.000 description 1
- 150000001408 amides Chemical class 0.000 description 1
- 239000002647 aminoglycoside antibiotic agent Substances 0.000 description 1
- 229910021529 ammonia Inorganic materials 0.000 description 1
- 235000019270 ammonium chloride Nutrition 0.000 description 1
- BFNBIHQBYMNNAN-UHFFFAOYSA-N ammonium sulfate Chemical compound N.N.OS(O)(=O)=O BFNBIHQBYMNNAN-UHFFFAOYSA-N 0.000 description 1
- 229910052921 ammonium sulfate Inorganic materials 0.000 description 1
- 235000011130 ammonium sulphate Nutrition 0.000 description 1
- 238000004458 analytical method Methods 0.000 description 1
- 230000002491 angiogenic effect Effects 0.000 description 1
- 125000002178 anthracenyl group Chemical group C1(=CC=CC2=CC3=CC=CC=C3C=C12)* 0.000 description 1
- 230000000844 anti-bacterial effect Effects 0.000 description 1
- 239000012984 antibiotic solution Substances 0.000 description 1
- 239000003429 antifungal agent Substances 0.000 description 1
- 229940121375 antifungal agent Drugs 0.000 description 1
- 239000000427 antigen Substances 0.000 description 1
- 108091007433 antigens Proteins 0.000 description 1
- 102000036639 antigens Human genes 0.000 description 1
- 238000013459 approach Methods 0.000 description 1
- 229920006187 aquazol Polymers 0.000 description 1
- 239000008365 aqueous carrier Substances 0.000 description 1
- 239000008346 aqueous phase Substances 0.000 description 1
- 239000007900 aqueous suspension Substances 0.000 description 1
- 125000000637 arginyl group Chemical group N[C@@H](CCCNC(N)=N)C(=O)* 0.000 description 1
- 108010008355 arginyl-glutamine Proteins 0.000 description 1
- 125000006615 aromatic heterocyclic group Chemical group 0.000 description 1
- 150000005840 aryl radicals Chemical class 0.000 description 1
- 235000010385 ascorbyl palmitate Nutrition 0.000 description 1
- 239000000022 bacteriostatic agent Substances 0.000 description 1
- 239000011324 bead Substances 0.000 description 1
- 125000003785 benzimidazolyl group Chemical group N1=C(NC2=C1C=CC=C2)* 0.000 description 1
- 125000000499 benzofuranyl group Chemical group O1C(=CC2=C1C=CC=C2)* 0.000 description 1
- 229960004365 benzoic acid Drugs 0.000 description 1
- 125000001164 benzothiazolyl group Chemical group S1C(=NC2=C1C=CC=C2)* 0.000 description 1
- 125000004196 benzothienyl group Chemical group S1C(=CC2=C1C=CC=C2)* 0.000 description 1
- 125000004541 benzoxazolyl group Chemical group O1C(=NC2=C1C=CC=C2)* 0.000 description 1
- 229960002903 benzyl benzoate Drugs 0.000 description 1
- IQFYYKKMVGJFEH-UHFFFAOYSA-N beta-L-thymidine Natural products O=C1NC(=O)C(C)=CN1C1OC(CO)C(O)C1 IQFYYKKMVGJFEH-UHFFFAOYSA-N 0.000 description 1
- 229960004853 betadex Drugs 0.000 description 1
- 125000002619 bicyclic group Chemical group 0.000 description 1
- 125000002618 bicyclic heterocycle group Chemical group 0.000 description 1
- 239000003613 bile acid Substances 0.000 description 1
- 239000000227 bioadhesive Substances 0.000 description 1
- 230000003115 biocidal effect Effects 0.000 description 1
- 230000033228 biological regulation Effects 0.000 description 1
- 229960002685 biotin Drugs 0.000 description 1
- 235000020958 biotin Nutrition 0.000 description 1
- 239000011616 biotin Substances 0.000 description 1
- 235000010290 biphenyl Nutrition 0.000 description 1
- 239000004305 biphenyl Substances 0.000 description 1
- 210000004369 blood Anatomy 0.000 description 1
- 239000008280 blood Substances 0.000 description 1
- 230000008499 blood brain barrier function Effects 0.000 description 1
- 230000023555 blood coagulation Effects 0.000 description 1
- 210000001218 blood-brain barrier Anatomy 0.000 description 1
- 230000036760 body temperature Effects 0.000 description 1
- 230000037396 body weight Effects 0.000 description 1
- 238000006664 bond formation reaction Methods 0.000 description 1
- 210000000988 bone and bone Anatomy 0.000 description 1
- 239000008366 buffered solution Substances 0.000 description 1
- 239000004067 bulking agent Substances 0.000 description 1
- 244000309464 bull Species 0.000 description 1
- 239000001273 butane Substances 0.000 description 1
- 235000019437 butane-1,3-diol Nutrition 0.000 description 1
- KDYFGRWQOYBRFD-NUQCWPJISA-N butanedioic acid Chemical compound O[14C](=O)CC[14C](O)=O KDYFGRWQOYBRFD-NUQCWPJISA-N 0.000 description 1
- 125000004369 butenyl group Chemical group C(=CCC)* 0.000 description 1
- 125000000484 butyl group Chemical group [H]C([*])([H])C([H])([H])C([H])([H])C([H])([H])[H] 0.000 description 1
- 235000019282 butylated hydroxyanisole Nutrition 0.000 description 1
- 125000000480 butynyl group Chemical group [*]C#CC([H])([H])C([H])([H])[H] 0.000 description 1
- 235000010216 calcium carbonate Nutrition 0.000 description 1
- FATUQANACHZLRT-KMRXSBRUSA-L calcium glucoheptonate Chemical compound [Ca+2].OC[C@@H](O)[C@@H](O)[C@H](O)[C@@H](O)C(O)C([O-])=O.OC[C@@H](O)[C@@H](O)[C@H](O)[C@@H](O)C(O)C([O-])=O FATUQANACHZLRT-KMRXSBRUSA-L 0.000 description 1
- 239000001506 calcium phosphate Substances 0.000 description 1
- 239000000378 calcium silicate Substances 0.000 description 1
- 229910052918 calcium silicate Inorganic materials 0.000 description 1
- CJZGTCYPCWQAJB-UHFFFAOYSA-L calcium stearate Chemical compound [Ca+2].CCCCCCCCCCCCCCCCCC([O-])=O.CCCCCCCCCCCCCCCCCC([O-])=O CJZGTCYPCWQAJB-UHFFFAOYSA-L 0.000 description 1
- 235000013539 calcium stearate Nutrition 0.000 description 1
- 239000008116 calcium stearate Substances 0.000 description 1
- OYACROKNLOSFPA-UHFFFAOYSA-N calcium;dioxido(oxo)silane Chemical compound [Ca+2].[O-][Si]([O-])=O OYACROKNLOSFPA-UHFFFAOYSA-N 0.000 description 1
- 239000004202 carbamide Substances 0.000 description 1
- 125000003178 carboxy group Chemical group [H]OC(*)=O 0.000 description 1
- 150000001732 carboxylic acid derivatives Chemical class 0.000 description 1
- 239000008112 carboxymethyl-cellulose Substances 0.000 description 1
- 239000004359 castor oil Substances 0.000 description 1
- 235000019438 castor oil Nutrition 0.000 description 1
- 210000000170 cell membrane Anatomy 0.000 description 1
- 239000006285 cell suspension Substances 0.000 description 1
- 230000004700 cellular uptake Effects 0.000 description 1
- 229920002301 cellulose acetate Polymers 0.000 description 1
- 210000003169 central nervous system Anatomy 0.000 description 1
- 239000000919 ceramic Substances 0.000 description 1
- 239000011153 ceramic matrix composite Substances 0.000 description 1
- 229960000541 cetyl alcohol Drugs 0.000 description 1
- 239000002738 chelating agent Substances 0.000 description 1
- 239000003153 chemical reaction reagent Substances 0.000 description 1
- 229960004926 chlorobutanol Drugs 0.000 description 1
- 150000005827 chlorofluoro hydrocarbons Chemical class 0.000 description 1
- 235000012000 cholesterol Nutrition 0.000 description 1
- OEYIOHPDSNJKLS-UHFFFAOYSA-N choline Chemical compound C[N+](C)(C)CCO OEYIOHPDSNJKLS-UHFFFAOYSA-N 0.000 description 1
- 229960001231 choline Drugs 0.000 description 1
- 230000002759 chromosomal effect Effects 0.000 description 1
- 125000000259 cinnolinyl group Chemical group N1=NC(=CC2=CC=CC=C12)* 0.000 description 1
- 229960002173 citrulline Drugs 0.000 description 1
- 235000013477 citrulline Nutrition 0.000 description 1
- 239000004927 clay Substances 0.000 description 1
- 230000009918 complex formation Effects 0.000 description 1
- 238000010668 complexation reaction Methods 0.000 description 1
- 239000007891 compressed tablet Substances 0.000 description 1
- 238000007906 compression Methods 0.000 description 1
- 230000006835 compression Effects 0.000 description 1
- 230000037020 contractile activity Effects 0.000 description 1
- 230000001276 controlling effect Effects 0.000 description 1
- 239000008120 corn starch Substances 0.000 description 1
- 229960000913 crospovidone Drugs 0.000 description 1
- 239000003431 cross linking reagent Substances 0.000 description 1
- 235000010947 crosslinked sodium carboxy methyl cellulose Nutrition 0.000 description 1
- 239000001767 crosslinked sodium carboxy methyl cellulose Substances 0.000 description 1
- 239000013078 crystal Substances 0.000 description 1
- 210000004748 cultured cell Anatomy 0.000 description 1
- 150000001912 cyanamides Chemical class 0.000 description 1
- 125000004093 cyano group Chemical group *C#N 0.000 description 1
- NLCKLZIHJQEMCU-UHFFFAOYSA-N cyano prop-2-enoate Chemical group C=CC(=O)OC#N NLCKLZIHJQEMCU-UHFFFAOYSA-N 0.000 description 1
- 125000000753 cycloalkyl group Chemical group 0.000 description 1
- 125000001995 cyclobutyl group Chemical group [H]C1([H])C([H])([H])C([H])(*)C1([H])[H] 0.000 description 1
- 125000000582 cycloheptyl group Chemical group [H]C1([H])C([H])([H])C([H])([H])C([H])([H])C([H])(*)C([H])([H])C1([H])[H] 0.000 description 1
- 125000000113 cyclohexyl group Chemical group [H]C1([H])C([H])([H])C([H])([H])C([H])(*)C([H])([H])C1([H])[H] 0.000 description 1
- 125000000640 cyclooctyl group Chemical group [H]C1([H])C([H])([H])C([H])([H])C([H])([H])C([H])(*)C([H])([H])C([H])([H])C1([H])[H] 0.000 description 1
- 125000001511 cyclopentyl group Chemical group [H]C1([H])C([H])([H])C([H])([H])C([H])(*)C1([H])[H] 0.000 description 1
- 229960001305 cysteine hydrochloride Drugs 0.000 description 1
- 150000001945 cysteines Chemical class 0.000 description 1
- 210000004292 cytoskeleton Anatomy 0.000 description 1
- 230000001086 cytosolic effect Effects 0.000 description 1
- 238000000354 decomposition reaction Methods 0.000 description 1
- 230000007423 decrease Effects 0.000 description 1
- 230000003247 decreasing effect Effects 0.000 description 1
- 230000007547 defect Effects 0.000 description 1
- 239000003405 delayed action preparation Substances 0.000 description 1
- YSMODUONRAFBET-UHFFFAOYSA-N delta-DL-hydroxylysine Natural products NCC(O)CCC(N)C(O)=O YSMODUONRAFBET-UHFFFAOYSA-N 0.000 description 1
- 210000004262 dental pulp cavity Anatomy 0.000 description 1
- 230000001419 dependent effect Effects 0.000 description 1
- 229910052805 deuterium Inorganic materials 0.000 description 1
- 238000000502 dialysis Methods 0.000 description 1
- ANCLJVISBRWUTR-UHFFFAOYSA-N diaminophosphinic acid Chemical compound NP(N)(O)=O ANCLJVISBRWUTR-UHFFFAOYSA-N 0.000 description 1
- NEFBYIFKOOEVPA-UHFFFAOYSA-K dicalcium phosphate Chemical compound [Ca+2].[Ca+2].[O-]P([O-])([O-])=O NEFBYIFKOOEVPA-UHFFFAOYSA-K 0.000 description 1
- 229940038472 dicalcium phosphate Drugs 0.000 description 1
- 229910000390 dicalcium phosphate Inorganic materials 0.000 description 1
- 229940043237 diethanolamine Drugs 0.000 description 1
- HPNMFZURTQLUMO-UHFFFAOYSA-N diethylamine Chemical compound CCNCC HPNMFZURTQLUMO-UHFFFAOYSA-N 0.000 description 1
- 238000009792 diffusion process Methods 0.000 description 1
- ZPTBLXKRQACLCR-XVFCMESISA-N dihydrouridine Chemical compound O[C@@H]1[C@H](O)[C@@H](CO)O[C@H]1N1C(=O)NC(=O)CC1 ZPTBLXKRQACLCR-XVFCMESISA-N 0.000 description 1
- UGMCXQCYOVCMTB-UHFFFAOYSA-K dihydroxy(stearato)aluminium Chemical compound CCCCCCCCCCCCCCCCCC(=O)O[Al](O)O UGMCXQCYOVCMTB-UHFFFAOYSA-K 0.000 description 1
- 238000007865 diluting Methods 0.000 description 1
- 125000005982 diphenylmethyl group Chemical group [H]C1=C([H])C([H])=C(C([H])=C1[H])C([H])(*)C1=C([H])C([H])=C([H])C([H])=C1[H] 0.000 description 1
- VKFAUCPBMAGVRG-UHFFFAOYSA-N dipivefrin hydrochloride Chemical compound [Cl-].C[NH2+]CC(O)C1=CC=C(OC(=O)C(C)(C)C)C(OC(=O)C(C)(C)C)=C1 VKFAUCPBMAGVRG-UHFFFAOYSA-N 0.000 description 1
- 238000009826 distribution Methods 0.000 description 1
- PMMYEEVYMWASQN-UHFFFAOYSA-N dl-hydroxyproline Natural products OC1C[NH2+]C(C([O-])=O)C1 PMMYEEVYMWASQN-UHFFFAOYSA-N 0.000 description 1
- POULHZVOKOAJMA-UHFFFAOYSA-M dodecanoate Chemical compound CCCCCCCCCCCC([O-])=O POULHZVOKOAJMA-UHFFFAOYSA-M 0.000 description 1
- 230000003828 downregulation Effects 0.000 description 1
- 238000009509 drug development Methods 0.000 description 1
- 238000001962 electrophoresis Methods 0.000 description 1
- 230000009881 electrostatic interaction Effects 0.000 description 1
- 230000008030 elimination Effects 0.000 description 1
- 238000003379 elimination reaction Methods 0.000 description 1
- 239000012149 elution buffer Substances 0.000 description 1
- 230000001804 emulsifying effect Effects 0.000 description 1
- 230000002255 enzymatic effect Effects 0.000 description 1
- 230000008029 eradication Effects 0.000 description 1
- YSMODUONRAFBET-UHNVWZDZSA-N erythro-5-hydroxy-L-lysine Chemical compound NC[C@H](O)CC[C@H](N)C(O)=O YSMODUONRAFBET-UHNVWZDZSA-N 0.000 description 1
- AFAXGSQYZLGZPG-UHFFFAOYSA-N ethanedisulfonic acid Chemical compound OS(=O)(=O)CCS(O)(=O)=O AFAXGSQYZLGZPG-UHFFFAOYSA-N 0.000 description 1
- 229940031098 ethanolamine Drugs 0.000 description 1
- BEFDCLMNVWHSGT-UHFFFAOYSA-N ethenylcyclopentane Chemical compound C=CC1CCCC1 BEFDCLMNVWHSGT-UHFFFAOYSA-N 0.000 description 1
- RTZKZFJDLAIYFH-UHFFFAOYSA-N ether Substances CCOCC RTZKZFJDLAIYFH-UHFFFAOYSA-N 0.000 description 1
- 125000001301 ethoxy group Chemical group [H]C([H])([H])C([H])([H])O* 0.000 description 1
- 229940093499 ethyl acetate Drugs 0.000 description 1
- 125000001495 ethyl group Chemical group [H]C([H])([H])C([H])([H])* 0.000 description 1
- 125000002534 ethynyl group Chemical group [H]C#C* 0.000 description 1
- 230000029142 excretion Effects 0.000 description 1
- 210000002744 extracellular matrix Anatomy 0.000 description 1
- 206010016256 fatigue Diseases 0.000 description 1
- 239000012091 fetal bovine serum Substances 0.000 description 1
- 238000001914 filtration Methods 0.000 description 1
- 239000010419 fine particle Substances 0.000 description 1
- GNBHRKFJIUUOQI-UHFFFAOYSA-N fluorescein Chemical compound O1C(=O)C2=CC=CC=C2C21C1=CC=C(O)C=C1OC1=CC(O)=CC=C21 GNBHRKFJIUUOQI-UHFFFAOYSA-N 0.000 description 1
- 125000001153 fluoro group Chemical group F* 0.000 description 1
- 239000006260 foam Substances 0.000 description 1
- 235000013355 food flavoring agent Nutrition 0.000 description 1
- 239000003205 fragrance Substances 0.000 description 1
- 230000037433 frameshift Effects 0.000 description 1
- 239000012458 free base Substances 0.000 description 1
- 239000012737 fresh medium Substances 0.000 description 1
- 239000001530 fumaric acid Substances 0.000 description 1
- 230000005714 functional activity Effects 0.000 description 1
- 230000007849 functional defect Effects 0.000 description 1
- 125000002541 furyl group Chemical group 0.000 description 1
- 238000001502 gel electrophoresis Methods 0.000 description 1
- 239000007903 gelatin capsule Substances 0.000 description 1
- 235000021472 generally recognized as safe Nutrition 0.000 description 1
- 235000013922 glutamic acid Nutrition 0.000 description 1
- 239000004220 glutamic acid Substances 0.000 description 1
- 229960002989 glutamic acid Drugs 0.000 description 1
- 125000005456 glyceride group Chemical group 0.000 description 1
- YQEMORVAKMFKLG-UHFFFAOYSA-N glycerine monostearate Natural products CCCCCCCCCCCCCCCCCC(=O)OC(CO)CO YQEMORVAKMFKLG-UHFFFAOYSA-N 0.000 description 1
- SVUQHVRAGMNPLW-UHFFFAOYSA-N glycerol monostearate Natural products CCCCCCCCCCCCCCCCC(=O)OCC(O)CO SVUQHVRAGMNPLW-UHFFFAOYSA-N 0.000 description 1
- ZEMPKEQAKRGZGQ-XOQCFJPHSA-N glycerol triricinoleate Natural products CCCCCC[C@@H](O)CC=CCCCCCCCC(=O)OC[C@@H](COC(=O)CCCCCCCC=CC[C@@H](O)CCCCCC)OC(=O)CCCCCCCC=CC[C@H](O)CCCCCC ZEMPKEQAKRGZGQ-XOQCFJPHSA-N 0.000 description 1
- 239000002748 glycoprotein P inhibitor Substances 0.000 description 1
- 229920000578 graft copolymer Polymers 0.000 description 1
- 239000005090 green fluorescent protein Substances 0.000 description 1
- 125000002795 guanidino group Chemical group C(N)(=N)N* 0.000 description 1
- 230000036541 health Effects 0.000 description 1
- 210000003709 heart valve Anatomy 0.000 description 1
- IPCSVZSSVZVIGE-UHFFFAOYSA-M hexadecanoate Chemical compound CCCCCCCCCCCCCCCC([O-])=O IPCSVZSSVZVIGE-UHFFFAOYSA-M 0.000 description 1
- 125000005980 hexynyl group Chemical group 0.000 description 1
- HNDVDQJCIGZPNO-UHFFFAOYSA-N histidine Natural products OC(=O)C(N)CC1=CN=CN1 HNDVDQJCIGZPNO-UHFFFAOYSA-N 0.000 description 1
- 238000009396 hybridization Methods 0.000 description 1
- 230000036571 hydration Effects 0.000 description 1
- 238000006703 hydration reaction Methods 0.000 description 1
- 150000002430 hydrocarbons Chemical class 0.000 description 1
- 150000002431 hydrogen Chemical class 0.000 description 1
- QAOWNCQODCNURD-UHFFFAOYSA-M hydrogensulfate Chemical compound OS([O-])(=O)=O QAOWNCQODCNURD-UHFFFAOYSA-M 0.000 description 1
- XLYOFNOQVPJJNP-UHFFFAOYSA-M hydroxide Chemical compound [OH-] XLYOFNOQVPJJNP-UHFFFAOYSA-M 0.000 description 1
- QJHBJHUKURJDLG-UHFFFAOYSA-N hydroxy-L-lysine Natural products NCCCCC(NO)C(O)=O QJHBJHUKURJDLG-UHFFFAOYSA-N 0.000 description 1
- 235000019447 hydroxyethyl cellulose Nutrition 0.000 description 1
- 229920003063 hydroxymethyl cellulose Polymers 0.000 description 1
- 229940031574 hydroxymethyl cellulose Drugs 0.000 description 1
- 229960002591 hydroxyproline Drugs 0.000 description 1
- 125000002883 imidazolyl group Chemical group 0.000 description 1
- 239000012729 immediate-release (IR) formulation Substances 0.000 description 1
- 230000002779 inactivation Effects 0.000 description 1
- 238000010348 incorporation Methods 0.000 description 1
- 125000001041 indolyl group Chemical group 0.000 description 1
- 230000002401 inhibitory effect Effects 0.000 description 1
- 230000005764 inhibitory process Effects 0.000 description 1
- 102000006495 integrins Human genes 0.000 description 1
- 108010044426 integrins Proteins 0.000 description 1
- 230000003993 interaction Effects 0.000 description 1
- 230000000968 intestinal effect Effects 0.000 description 1
- 238000001361 intraarterial administration Methods 0.000 description 1
- 238000010255 intramuscular injection Methods 0.000 description 1
- 239000007927 intramuscular injection Substances 0.000 description 1
- 238000007912 intraperitoneal administration Methods 0.000 description 1
- 238000007913 intrathecal administration Methods 0.000 description 1
- 238000007914 intraventricular administration Methods 0.000 description 1
- 230000007794 irritation Effects 0.000 description 1
- 125000000959 isobutyl group Chemical group [H]C([H])([H])C([H])(C([H])([H])[H])C([H])([H])* 0.000 description 1
- RGXCTRIQQODGIZ-UHFFFAOYSA-O isodesmosine Chemical compound OC(=O)C(N)CCCC[N+]1=CC(CCC(N)C(O)=O)=CC(CCC(N)C(O)=O)=C1CCCC(N)C(O)=O RGXCTRIQQODGIZ-UHFFFAOYSA-O 0.000 description 1
- 125000000555 isopropenyl group Chemical group [H]\C([H])=C(\*)C([H])([H])[H] 0.000 description 1
- 125000001449 isopropyl group Chemical group [H]C([H])([H])C([H])(*)C([H])([H])[H] 0.000 description 1
- 125000001786 isothiazolyl group Chemical group 0.000 description 1
- 239000007951 isotonicity adjuster Substances 0.000 description 1
- 125000000842 isoxazolyl group Chemical group 0.000 description 1
- 230000009191 jumping Effects 0.000 description 1
- NLYAJNPCOHFWQQ-UHFFFAOYSA-N kaolin Chemical compound O.O.O=[Al]O[Si](=O)O[Si](=O)O[Al]=O NLYAJNPCOHFWQQ-UHFFFAOYSA-N 0.000 description 1
- 229940099584 lactobionate Drugs 0.000 description 1
- JYTUSYBCFIZPBE-AMTLMPIISA-N lactobionic acid Chemical compound OC(=O)[C@H](O)[C@@H](O)[C@@H]([C@H](O)CO)O[C@@H]1O[C@H](CO)[C@H](O)[C@H](O)[C@H]1O JYTUSYBCFIZPBE-AMTLMPIISA-N 0.000 description 1
- 230000003902 lesion Effects 0.000 description 1
- 239000003446 ligand Substances 0.000 description 1
- 230000000670 limiting effect Effects 0.000 description 1
- 239000006194 liquid suspension Substances 0.000 description 1
- 229910052744 lithium Inorganic materials 0.000 description 1
- 238000011068 loading method Methods 0.000 description 1
- 230000007774 longterm Effects 0.000 description 1
- 239000007937 lozenge Substances 0.000 description 1
- 210000004324 lymphatic system Anatomy 0.000 description 1
- 125000003588 lysine group Chemical group [H]N([H])C([H])([H])C([H])([H])C([H])([H])C([H])([H])C([H])(N([H])[H])C(*)=O 0.000 description 1
- 239000012139 lysis buffer Substances 0.000 description 1
- VTHJTEIRLNZDEV-UHFFFAOYSA-L magnesium dihydroxide Chemical compound [OH-].[OH-].[Mg+2] VTHJTEIRLNZDEV-UHFFFAOYSA-L 0.000 description 1
- 239000000347 magnesium hydroxide Substances 0.000 description 1
- 229910001862 magnesium hydroxide Inorganic materials 0.000 description 1
- 238000012423 maintenance Methods 0.000 description 1
- 239000011976 maleic acid Substances 0.000 description 1
- 239000001630 malic acid Substances 0.000 description 1
- 235000011090 malic acid Nutrition 0.000 description 1
- 239000003550 marker Substances 0.000 description 1
- 238000002844 melting Methods 0.000 description 1
- 230000008018 melting Effects 0.000 description 1
- 230000034217 membrane fusion Effects 0.000 description 1
- 150000002734 metacrylic acid derivatives Chemical group 0.000 description 1
- FQPSGWSUVKBHSU-UHFFFAOYSA-N methacrylamide Chemical compound CC(=C)C(N)=O FQPSGWSUVKBHSU-UHFFFAOYSA-N 0.000 description 1
- 125000005395 methacrylic acid group Chemical group 0.000 description 1
- 229940098779 methanesulfonic acid Drugs 0.000 description 1
- 125000000956 methoxy group Chemical group [H]C([H])([H])O* 0.000 description 1
- 244000005700 microbiome Species 0.000 description 1
- 229940016286 microcrystalline cellulose Drugs 0.000 description 1
- 235000019813 microcrystalline cellulose Nutrition 0.000 description 1
- 239000008108 microcrystalline cellulose Substances 0.000 description 1
- 239000011859 microparticle Substances 0.000 description 1
- 238000002156 mixing Methods 0.000 description 1
- 239000003607 modifier Substances 0.000 description 1
- 230000003020 moisturizing effect Effects 0.000 description 1
- 239000007932 molded tablet Substances 0.000 description 1
- CQDGTJPVBWZJAZ-UHFFFAOYSA-N monoethyl carbonate Chemical compound CCOC(O)=O CQDGTJPVBWZJAZ-UHFFFAOYSA-N 0.000 description 1
- 235000021281 monounsaturated fatty acids Nutrition 0.000 description 1
- 125000002757 morpholinyl group Chemical group 0.000 description 1
- 238000010172 mouse model Methods 0.000 description 1
- 239000002324 mouth wash Substances 0.000 description 1
- 210000003365 myofibril Anatomy 0.000 description 1
- LNOPIUAQISRISI-UHFFFAOYSA-N n'-hydroxy-2-propan-2-ylsulfonylethanimidamide Chemical compound CC(C)S(=O)(=O)CC(N)=NO LNOPIUAQISRISI-UHFFFAOYSA-N 0.000 description 1
- IJDNQMDRQITEOD-UHFFFAOYSA-N n-butane Chemical compound CCCC IJDNQMDRQITEOD-UHFFFAOYSA-N 0.000 description 1
- 125000001280 n-hexyl group Chemical group C(CCCCC)* 0.000 description 1
- OFBQJSOFQDEBGM-UHFFFAOYSA-N n-pentane Natural products CCCCC OFBQJSOFQDEBGM-UHFFFAOYSA-N 0.000 description 1
- 125000000740 n-pentyl group Chemical group [H]C([H])([H])C([H])([H])C([H])([H])C([H])([H])C([H])([H])* 0.000 description 1
- 239000002077 nanosphere Substances 0.000 description 1
- 125000005487 naphthalate group Chemical group 0.000 description 1
- 238000007857 nested PCR Methods 0.000 description 1
- 230000001537 neural effect Effects 0.000 description 1
- 229910017604 nitric acid Inorganic materials 0.000 description 1
- 150000002829 nitrogen Chemical class 0.000 description 1
- 108091027963 non-coding RNA Proteins 0.000 description 1
- 102000042567 non-coding RNA Human genes 0.000 description 1
- 231100000344 non-irritating Toxicity 0.000 description 1
- 239000002736 nonionic surfactant Substances 0.000 description 1
- 239000002777 nucleoside Substances 0.000 description 1
- 150000003833 nucleoside derivatives Chemical class 0.000 description 1
- 229940060184 oil ingredients Drugs 0.000 description 1
- ZQPPMHVWECSIRJ-KTKRTIGZSA-N oleic acid Chemical compound CCCCCCCC\C=C/CCCCCCCC(O)=O ZQPPMHVWECSIRJ-KTKRTIGZSA-N 0.000 description 1
- 229920001542 oligosaccharide Polymers 0.000 description 1
- 230000014207 opsonization Effects 0.000 description 1
- 150000002895 organic esters Chemical class 0.000 description 1
- 239000003960 organic solvent Substances 0.000 description 1
- 230000008520 organization Effects 0.000 description 1
- 229960003104 ornithine Drugs 0.000 description 1
- 235000006408 oxalic acid Nutrition 0.000 description 1
- 125000002971 oxazolyl group Chemical group 0.000 description 1
- 125000003566 oxetanyl group Chemical group 0.000 description 1
- 125000000466 oxiranyl group Chemical group 0.000 description 1
- 125000004043 oxo group Chemical group O=* 0.000 description 1
- 230000000242 pagocytic effect Effects 0.000 description 1
- FJKROLUGYXJWQN-UHFFFAOYSA-N papa-hydroxy-benzoic acid Natural products OC(=O)C1=CC=C(O)C=C1 FJKROLUGYXJWQN-UHFFFAOYSA-N 0.000 description 1
- 230000036961 partial effect Effects 0.000 description 1
- 235000010603 pastilles Nutrition 0.000 description 1
- 230000001575 pathological effect Effects 0.000 description 1
- MCYTYTUNNNZWOK-LCLOTLQISA-N penetratin Chemical compound C([C@H](NC(=O)[C@H](CC=1C2=CC=CC=C2NC=1)NC(=O)[C@H]([C@@H](C)CC)NC(=O)[C@H](CCCCN)NC(=O)[C@@H](NC(=O)[C@H](CCC(N)=O)NC(=O)[C@@H](N)CCCNC(N)=N)[C@@H](C)CC)C(=O)N[C@@H](CCC(N)=O)C(=O)N[C@@H](CC(N)=O)C(=O)N[C@@H](CCCNC(N)=N)C(=O)N[C@@H](CCCNC(N)=N)C(=O)N[C@@H](CCSC)C(=O)N[C@@H](CCCCN)C(=O)N[C@@H](CC=1C2=CC=CC=C2NC=1)C(=O)N[C@@H](CCCCN)C(=O)N[C@@H](CCCCN)C(N)=O)C1=CC=CC=C1 MCYTYTUNNNZWOK-LCLOTLQISA-N 0.000 description 1
- 108010043655 penetratin Proteins 0.000 description 1
- 230000035515 penetration Effects 0.000 description 1
- 150000002972 pentoses Chemical class 0.000 description 1
- 125000005981 pentynyl group Chemical group 0.000 description 1
- 239000000863 peptide conjugate Substances 0.000 description 1
- WVDDGKGOMKODPV-ZQBYOMGUSA-N phenyl(114C)methanol Chemical compound O[14CH2]C1=CC=CC=C1 WVDDGKGOMKODPV-ZQBYOMGUSA-N 0.000 description 1
- COLNVLDHVKWLRT-UHFFFAOYSA-N phenylalanine Natural products OC(=O)C(N)CC1=CC=CC=C1 COLNVLDHVKWLRT-UHFFFAOYSA-N 0.000 description 1
- 108010073025 phenylalanylphenylalanine Proteins 0.000 description 1
- RYIOLWQRQXDECZ-UHFFFAOYSA-N phosphinous acid Chemical compound PO RYIOLWQRQXDECZ-UHFFFAOYSA-N 0.000 description 1
- 150000003904 phospholipids Chemical class 0.000 description 1
- 235000011007 phosphoric acid Nutrition 0.000 description 1
- 125000004437 phosphorous atom Chemical group 0.000 description 1
- 125000002743 phosphorus functional group Chemical group 0.000 description 1
- 125000003386 piperidinyl group Chemical group 0.000 description 1
- 229960000502 poloxamer Drugs 0.000 description 1
- 229920001306 poly(lactide-co-caprolactone) Polymers 0.000 description 1
- 239000002745 poly(ortho ester) Substances 0.000 description 1
- 229920001281 polyalkylene Polymers 0.000 description 1
- 229920002721 polycyanoacrylate Polymers 0.000 description 1
- 125000003367 polycyclic group Polymers 0.000 description 1
- 229920000573 polyethylene Polymers 0.000 description 1
- 239000004633 polyglycolic acid Substances 0.000 description 1
- 239000004626 polylactic acid Substances 0.000 description 1
- 229940117828 polylactic acid-polyglycolic acid copolymer Drugs 0.000 description 1
- 229920000656 polylysine Polymers 0.000 description 1
- 235000010482 polyoxyethylene sorbitan monooleate Nutrition 0.000 description 1
- 239000000244 polyoxyethylene sorbitan monooleate Substances 0.000 description 1
- 229920001155 polypropylene Polymers 0.000 description 1
- 229920001282 polysaccharide Polymers 0.000 description 1
- 239000005017 polysaccharide Substances 0.000 description 1
- 150000004804 polysaccharides Chemical class 0.000 description 1
- 229920000136 polysorbate Polymers 0.000 description 1
- 229940068968 polysorbate 80 Drugs 0.000 description 1
- 229920000053 polysorbate 80 Polymers 0.000 description 1
- 229920002223 polystyrene Polymers 0.000 description 1
- 229920002635 polyurethane Polymers 0.000 description 1
- 239000004814 polyurethane Substances 0.000 description 1
- 229920002451 polyvinyl alcohol Polymers 0.000 description 1
- 235000013809 polyvinylpolypyrrolidone Nutrition 0.000 description 1
- 229920000523 polyvinylpolypyrrolidone Polymers 0.000 description 1
- 239000011591 potassium Substances 0.000 description 1
- 229910052700 potassium Inorganic materials 0.000 description 1
- 229910000027 potassium carbonate Inorganic materials 0.000 description 1
- 229920001592 potato starch Polymers 0.000 description 1
- 230000002028 premature Effects 0.000 description 1
- 150000003141 primary amines Chemical class 0.000 description 1
- 230000000750 progressive effect Effects 0.000 description 1
- 125000001500 prolyl group Chemical group [H]N1C([H])(C(=O)[*])C([H])([H])C([H])([H])C1([H])[H] 0.000 description 1
- 230000001737 promoting effect Effects 0.000 description 1
- 239000001294 propane Substances 0.000 description 1
- 125000004368 propenyl group Chemical group C(=CC)* 0.000 description 1
- 238000011321 prophylaxis Methods 0.000 description 1
- 235000019260 propionic acid Nutrition 0.000 description 1
- 239000000473 propyl gallate Substances 0.000 description 1
- 235000010388 propyl gallate Nutrition 0.000 description 1
- 229940075579 propyl gallate Drugs 0.000 description 1
- 125000001436 propyl group Chemical group [H]C([*])([H])C([H])([H])C([H])([H])[H] 0.000 description 1
- 235000013772 propylene glycol Nutrition 0.000 description 1
- 125000002568 propynyl group Chemical group [*]C#CC([H])([H])[H] 0.000 description 1
- 229950008679 protamine sulfate Drugs 0.000 description 1
- 239000003207 proteasome inhibitor Substances 0.000 description 1
- 230000006337 proteolytic cleavage Effects 0.000 description 1
- 238000000746 purification Methods 0.000 description 1
- IGFXRKMLLMBKSA-UHFFFAOYSA-N purine Chemical compound N1=C[N]C2=NC=NC2=C1 IGFXRKMLLMBKSA-UHFFFAOYSA-N 0.000 description 1
- 125000003373 pyrazinyl group Chemical group 0.000 description 1
- 125000003226 pyrazolyl group Chemical group 0.000 description 1
- PBMFSQRYOILNGV-UHFFFAOYSA-N pyridazine Chemical compound C1=CC=NN=C1 PBMFSQRYOILNGV-UHFFFAOYSA-N 0.000 description 1
- 125000002098 pyridazinyl group Chemical group 0.000 description 1
- UBQKCCHYAOITMY-UHFFFAOYSA-N pyridin-2-ol Chemical compound OC1=CC=CC=N1 UBQKCCHYAOITMY-UHFFFAOYSA-N 0.000 description 1
- 125000004076 pyridyl group Chemical group 0.000 description 1
- 125000000714 pyrimidinyl group Chemical group 0.000 description 1
- 125000000168 pyrrolyl group Chemical group 0.000 description 1
- 238000011002 quantification Methods 0.000 description 1
- 238000004445 quantitative analysis Methods 0.000 description 1
- 150000003856 quaternary ammonium compounds Chemical class 0.000 description 1
- 150000003242 quaternary ammonium salts Chemical class 0.000 description 1
- 125000002294 quinazolinyl group Chemical group N1=C(N=CC2=CC=CC=C12)* 0.000 description 1
- IUVKMZGDUIUOCP-BTNSXGMBSA-N quinbolone Chemical compound O([C@H]1CC[C@H]2[C@H]3[C@@H]([C@]4(C=CC(=O)C=C4CC3)C)CC[C@@]21C)C1=CCCC1 IUVKMZGDUIUOCP-BTNSXGMBSA-N 0.000 description 1
- 125000002943 quinolinyl group Chemical group N1=C(C=CC2=CC=CC=C12)* 0.000 description 1
- 239000011541 reaction mixture Substances 0.000 description 1
- 210000000664 rectum Anatomy 0.000 description 1
- 230000001105 regulatory effect Effects 0.000 description 1
- 230000003362 replicative effect Effects 0.000 description 1
- 230000004044 response Effects 0.000 description 1
- 230000001177 retroviral effect Effects 0.000 description 1
- 238000010839 reverse transcription Methods 0.000 description 1
- RHFUOMFWUGWKKO-UHFFFAOYSA-N s2C Natural products S=C1N=C(N)C=CN1C1C(O)C(O)C(CO)O1 RHFUOMFWUGWKKO-UHFFFAOYSA-N 0.000 description 1
- 235000005713 safflower oil Nutrition 0.000 description 1
- 239000003813 safflower oil Substances 0.000 description 1
- 229960001860 salicylate Drugs 0.000 description 1
- YGSDEFSMJLZEOE-UHFFFAOYSA-M salicylate Chemical compound OC1=CC=CC=C1C([O-])=O YGSDEFSMJLZEOE-UHFFFAOYSA-M 0.000 description 1
- 229960004889 salicylic acid Drugs 0.000 description 1
- 235000003441 saturated fatty acids Nutrition 0.000 description 1
- 150000003335 secondary amines Chemical class 0.000 description 1
- 238000000926 separation method Methods 0.000 description 1
- 238000007493 shaping process Methods 0.000 description 1
- 150000004760 silicates Chemical class 0.000 description 1
- 238000004513 sizing Methods 0.000 description 1
- 239000011734 sodium Substances 0.000 description 1
- 229910052708 sodium Inorganic materials 0.000 description 1
- WBHQBSYUUJJSRZ-UHFFFAOYSA-M sodium bisulfate Chemical compound [Na+].OS([O-])(=O)=O WBHQBSYUUJJSRZ-UHFFFAOYSA-M 0.000 description 1
- 229910000342 sodium bisulfate Inorganic materials 0.000 description 1
- 229940100996 sodium bisulfate Drugs 0.000 description 1
- 235000019812 sodium carboxymethyl cellulose Nutrition 0.000 description 1
- 229920001027 sodium carboxymethylcellulose Polymers 0.000 description 1
- 239000011780 sodium chloride Substances 0.000 description 1
- 239000001509 sodium citrate Substances 0.000 description 1
- NLJMYIDDQXHKNR-UHFFFAOYSA-K sodium citrate Chemical compound O.O.[Na+].[Na+].[Na+].[O-]C(=O)CC(O)(CC([O-])=O)C([O-])=O NLJMYIDDQXHKNR-UHFFFAOYSA-K 0.000 description 1
- CSMWJXBSXGUPGY-UHFFFAOYSA-L sodium dithionate Chemical compound [Na+].[Na+].[O-]S(=O)(=O)S([O-])(=O)=O CSMWJXBSXGUPGY-UHFFFAOYSA-L 0.000 description 1
- RYYKJJJTJZKILX-UHFFFAOYSA-M sodium octadecanoate Chemical compound [Na+].CCCCCCCCCCCCCCCCCC([O-])=O RYYKJJJTJZKILX-UHFFFAOYSA-M 0.000 description 1
- 239000008109 sodium starch glycolate Substances 0.000 description 1
- 229940079832 sodium starch glycolate Drugs 0.000 description 1
- 229920003109 sodium starch glycolate Polymers 0.000 description 1
- 235000010265 sodium sulphite Nutrition 0.000 description 1
- 238000010532 solid phase synthesis reaction Methods 0.000 description 1
- 239000011537 solubilization buffer Substances 0.000 description 1
- 238000000527 sonication Methods 0.000 description 1
- 235000010199 sorbic acid Nutrition 0.000 description 1
- 239000004334 sorbic acid Substances 0.000 description 1
- 229940075582 sorbic acid Drugs 0.000 description 1
- 239000003549 soybean oil Substances 0.000 description 1
- 235000012424 soybean oil Nutrition 0.000 description 1
- 229940063675 spermine Drugs 0.000 description 1
- 210000000952 spleen Anatomy 0.000 description 1
- 210000000130 stem cell Anatomy 0.000 description 1
- 238000009168 stem cell therapy Methods 0.000 description 1
- 238000009580 stem-cell therapy Methods 0.000 description 1
- 239000008174 sterile solution Substances 0.000 description 1
- 239000008223 sterile water Substances 0.000 description 1
- 239000003206 sterilizing agent Substances 0.000 description 1
- 238000003756 stirring Methods 0.000 description 1
- 229960005322 streptomycin Drugs 0.000 description 1
- 238000010254 subcutaneous injection Methods 0.000 description 1
- 239000007929 subcutaneous injection Substances 0.000 description 1
- KDYFGRWQOYBRFD-UHFFFAOYSA-L succinate(2-) Chemical compound [O-]C(=O)CCC([O-])=O KDYFGRWQOYBRFD-UHFFFAOYSA-L 0.000 description 1
- 230000002459 sustained effect Effects 0.000 description 1
- 239000012730 sustained-release form Substances 0.000 description 1
- 238000010189 synthetic method Methods 0.000 description 1
- 229940095064 tartrate Drugs 0.000 description 1
- ISIJQEHRDSCQIU-UHFFFAOYSA-N tert-butyl 2,7-diazaspiro[4.5]decane-7-carboxylate Chemical compound C1N(C(=O)OC(C)(C)C)CCCC11CNCC1 ISIJQEHRDSCQIU-UHFFFAOYSA-N 0.000 description 1
- 125000000999 tert-butyl group Chemical group [H]C([H])([H])C(*)(C([H])([H])[H])C([H])([H])[H] 0.000 description 1
- 150000003512 tertiary amines Chemical class 0.000 description 1
- 125000003718 tetrahydrofuranyl group Chemical group 0.000 description 1
- 125000001412 tetrahydropyranyl group Chemical group 0.000 description 1
- 125000004853 tetrahydropyridinyl group Chemical group N1(CCCC=C1)* 0.000 description 1
- 125000003507 tetrahydrothiofenyl group Chemical group 0.000 description 1
- 238000002560 therapeutic procedure Methods 0.000 description 1
- 230000004797 therapeutic response Effects 0.000 description 1
- 125000000335 thiazolyl group Chemical group 0.000 description 1
- 239000002562 thickening agent Substances 0.000 description 1
- 125000001544 thienyl group Chemical group 0.000 description 1
- 125000003396 thiol group Chemical group [H]S* 0.000 description 1
- 150000003587 threonine derivatives Chemical class 0.000 description 1
- 229940104230 thymidine Drugs 0.000 description 1
- AOBORMOPSGHCAX-DGHZZKTQSA-N tocofersolan Chemical compound OCCOC(=O)CCC(=O)OC1=C(C)C(C)=C2O[C@](CCC[C@H](C)CCC[C@H](C)CCCC(C)C)(C)CCC2=C1C AOBORMOPSGHCAX-DGHZZKTQSA-N 0.000 description 1
- 229960000984 tocofersolan Drugs 0.000 description 1
- JOXIMZWYDAKGHI-UHFFFAOYSA-N toluene-4-sulfonic acid Chemical compound CC1=CC=C(S(O)(=O)=O)C=C1 JOXIMZWYDAKGHI-UHFFFAOYSA-N 0.000 description 1
- 231100000331 toxic Toxicity 0.000 description 1
- 230000002588 toxic effect Effects 0.000 description 1
- 231100000419 toxicity Toxicity 0.000 description 1
- 230000001988 toxicity Effects 0.000 description 1
- 230000002103 transcriptional effect Effects 0.000 description 1
- 238000012546 transfer Methods 0.000 description 1
- 230000005945 translocation Effects 0.000 description 1
- 125000004306 triazinyl group Chemical group 0.000 description 1
- ZIBGPFATKBEMQZ-UHFFFAOYSA-N triethylene glycol Chemical group OCCOCCOCCO ZIBGPFATKBEMQZ-UHFFFAOYSA-N 0.000 description 1
- 229960004418 trolamine Drugs 0.000 description 1
- 231100000402 unacceptable toxicity Toxicity 0.000 description 1
- 241000701161 unidentified adenovirus Species 0.000 description 1
- 241001529453 unidentified herpesvirus Species 0.000 description 1
- 241001515965 unidentified phage Species 0.000 description 1
- 239000002691 unilamellar liposome Substances 0.000 description 1
- 238000011144 upstream manufacturing Methods 0.000 description 1
- RVCNQQGZJWVLIP-VPCXQMTMSA-N uridin-5-yloxyacetic acid Chemical compound O[C@@H]1[C@H](O)[C@@H](CO)O[C@H]1N1C(=O)NC(=O)C(OCC(O)=O)=C1 RVCNQQGZJWVLIP-VPCXQMTMSA-N 0.000 description 1
- 229940070710 valerate Drugs 0.000 description 1
- NQPDZGIKBAWPEJ-UHFFFAOYSA-N valeric acid Chemical compound CCCCC(O)=O NQPDZGIKBAWPEJ-UHFFFAOYSA-N 0.000 description 1
- 235000019871 vegetable fat Nutrition 0.000 description 1
- 108700026220 vif Genes Proteins 0.000 description 1
- 125000000391 vinyl group Chemical group [H]C([*])=C([H])[H] 0.000 description 1
- 229920002554 vinyl polymer Polymers 0.000 description 1
- 239000011534 wash buffer Substances 0.000 description 1
- 230000029663 wound healing Effects 0.000 description 1
- WCNMEQDMUYVWMJ-JPZHCBQBSA-N wybutoxosine Chemical compound C1=NC=2C(=O)N3C(CC([C@H](NC(=O)OC)C(=O)OC)OO)=C(C)N=C3N(C)C=2N1[C@@H]1O[C@H](CO)[C@@H](O)[C@H]1O WCNMEQDMUYVWMJ-JPZHCBQBSA-N 0.000 description 1
- 239000011667 zinc carbonate Substances 0.000 description 1
- 235000004416 zinc carbonate Nutrition 0.000 description 1
- 229910000010 zinc carbonate Inorganic materials 0.000 description 1
- UGZADUVQMDAIAO-UHFFFAOYSA-L zinc hydroxide Chemical compound [OH-].[OH-].[Zn+2] UGZADUVQMDAIAO-UHFFFAOYSA-L 0.000 description 1
- 229940007718 zinc hydroxide Drugs 0.000 description 1
- 229910021511 zinc hydroxide Inorganic materials 0.000 description 1
- 239000011787 zinc oxide Substances 0.000 description 1
- 239000002076 α-tocopherol Substances 0.000 description 1
- 235000004835 α-tocopherol Nutrition 0.000 description 1
- DGVVWUTYPXICAM-UHFFFAOYSA-N β‐Mercaptoethanol Chemical compound OCCS DGVVWUTYPXICAM-UHFFFAOYSA-N 0.000 description 1
Images
Classifications
-
- C—CHEMISTRY; METALLURGY
- C12—BIOCHEMISTRY; BEER; SPIRITS; WINE; VINEGAR; MICROBIOLOGY; ENZYMOLOGY; MUTATION OR GENETIC ENGINEERING
- C12N—MICROORGANISMS OR ENZYMES; COMPOSITIONS THEREOF; PROPAGATING, PRESERVING, OR MAINTAINING MICROORGANISMS; MUTATION OR GENETIC ENGINEERING; CULTURE MEDIA
- C12N15/00—Mutation or genetic engineering; DNA or RNA concerning genetic engineering, vectors, e.g. plasmids, or their isolation, preparation or purification; Use of hosts therefor
- C12N15/09—Recombinant DNA-technology
- C12N15/11—DNA or RNA fragments; Modified forms thereof; Non-coding nucleic acids having a biological activity
- C12N15/113—Non-coding nucleic acids modulating the expression of genes, e.g. antisense oligonucleotides; Antisense DNA or RNA; Triplex- forming oligonucleotides; Catalytic nucleic acids, e.g. ribozymes; Nucleic acids used in co-suppression or gene silencing
-
- A—HUMAN NECESSITIES
- A61—MEDICAL OR VETERINARY SCIENCE; HYGIENE
- A61K—PREPARATIONS FOR MEDICAL, DENTAL OR TOILETRY PURPOSES
- A61K48/00—Medicinal preparations containing genetic material which is inserted into cells of the living body to treat genetic diseases; Gene therapy
-
- A—HUMAN NECESSITIES
- A61—MEDICAL OR VETERINARY SCIENCE; HYGIENE
- A61P—SPECIFIC THERAPEUTIC ACTIVITY OF CHEMICAL COMPOUNDS OR MEDICINAL PREPARATIONS
- A61P21/00—Drugs for disorders of the muscular or neuromuscular system
-
- A—HUMAN NECESSITIES
- A61—MEDICAL OR VETERINARY SCIENCE; HYGIENE
- A61P—SPECIFIC THERAPEUTIC ACTIVITY OF CHEMICAL COMPOUNDS OR MEDICINAL PREPARATIONS
- A61P21/00—Drugs for disorders of the muscular or neuromuscular system
- A61P21/04—Drugs for disorders of the muscular or neuromuscular system for myasthenia gravis
-
- C—CHEMISTRY; METALLURGY
- C12—BIOCHEMISTRY; BEER; SPIRITS; WINE; VINEGAR; MICROBIOLOGY; ENZYMOLOGY; MUTATION OR GENETIC ENGINEERING
- C12N—MICROORGANISMS OR ENZYMES; COMPOSITIONS THEREOF; PROPAGATING, PRESERVING, OR MAINTAINING MICROORGANISMS; MUTATION OR GENETIC ENGINEERING; CULTURE MEDIA
- C12N15/00—Mutation or genetic engineering; DNA or RNA concerning genetic engineering, vectors, e.g. plasmids, or their isolation, preparation or purification; Use of hosts therefor
- C12N15/09—Recombinant DNA-technology
- C12N15/11—DNA or RNA fragments; Modified forms thereof; Non-coding nucleic acids having a biological activity
- C12N15/111—General methods applicable to biologically active non-coding nucleic acids
-
- C—CHEMISTRY; METALLURGY
- C12—BIOCHEMISTRY; BEER; SPIRITS; WINE; VINEGAR; MICROBIOLOGY; ENZYMOLOGY; MUTATION OR GENETIC ENGINEERING
- C12N—MICROORGANISMS OR ENZYMES; COMPOSITIONS THEREOF; PROPAGATING, PRESERVING, OR MAINTAINING MICROORGANISMS; MUTATION OR GENETIC ENGINEERING; CULTURE MEDIA
- C12N2310/00—Structure or type of the nucleic acid
- C12N2310/10—Type of nucleic acid
- C12N2310/11—Antisense
-
- C—CHEMISTRY; METALLURGY
- C12—BIOCHEMISTRY; BEER; SPIRITS; WINE; VINEGAR; MICROBIOLOGY; ENZYMOLOGY; MUTATION OR GENETIC ENGINEERING
- C12N—MICROORGANISMS OR ENZYMES; COMPOSITIONS THEREOF; PROPAGATING, PRESERVING, OR MAINTAINING MICROORGANISMS; MUTATION OR GENETIC ENGINEERING; CULTURE MEDIA
- C12N2310/00—Structure or type of the nucleic acid
- C12N2310/30—Chemical structure
- C12N2310/32—Chemical structure of the sugar
- C12N2310/321—2'-O-R Modification
-
- C—CHEMISTRY; METALLURGY
- C12—BIOCHEMISTRY; BEER; SPIRITS; WINE; VINEGAR; MICROBIOLOGY; ENZYMOLOGY; MUTATION OR GENETIC ENGINEERING
- C12N—MICROORGANISMS OR ENZYMES; COMPOSITIONS THEREOF; PROPAGATING, PRESERVING, OR MAINTAINING MICROORGANISMS; MUTATION OR GENETIC ENGINEERING; CULTURE MEDIA
- C12N2310/00—Structure or type of the nucleic acid
- C12N2310/30—Chemical structure
- C12N2310/32—Chemical structure of the sugar
- C12N2310/323—Chemical structure of the sugar modified ring structure
- C12N2310/3233—Morpholino-type ring
-
- C—CHEMISTRY; METALLURGY
- C12—BIOCHEMISTRY; BEER; SPIRITS; WINE; VINEGAR; MICROBIOLOGY; ENZYMOLOGY; MUTATION OR GENETIC ENGINEERING
- C12N—MICROORGANISMS OR ENZYMES; COMPOSITIONS THEREOF; PROPAGATING, PRESERVING, OR MAINTAINING MICROORGANISMS; MUTATION OR GENETIC ENGINEERING; CULTURE MEDIA
- C12N2310/00—Structure or type of the nucleic acid
- C12N2310/30—Chemical structure
- C12N2310/33—Chemical structure of the base
- C12N2310/331—Universal or degenerate base
-
- C—CHEMISTRY; METALLURGY
- C12—BIOCHEMISTRY; BEER; SPIRITS; WINE; VINEGAR; MICROBIOLOGY; ENZYMOLOGY; MUTATION OR GENETIC ENGINEERING
- C12N—MICROORGANISMS OR ENZYMES; COMPOSITIONS THEREOF; PROPAGATING, PRESERVING, OR MAINTAINING MICROORGANISMS; MUTATION OR GENETIC ENGINEERING; CULTURE MEDIA
- C12N2310/00—Structure or type of the nucleic acid
- C12N2310/30—Chemical structure
- C12N2310/33—Chemical structure of the base
- C12N2310/334—Modified C
- C12N2310/3341—5-Methylcytosine
-
- C—CHEMISTRY; METALLURGY
- C12—BIOCHEMISTRY; BEER; SPIRITS; WINE; VINEGAR; MICROBIOLOGY; ENZYMOLOGY; MUTATION OR GENETIC ENGINEERING
- C12N—MICROORGANISMS OR ENZYMES; COMPOSITIONS THEREOF; PROPAGATING, PRESERVING, OR MAINTAINING MICROORGANISMS; MUTATION OR GENETIC ENGINEERING; CULTURE MEDIA
- C12N2310/00—Structure or type of the nucleic acid
- C12N2310/30—Chemical structure
- C12N2310/35—Nature of the modification
- C12N2310/351—Conjugate
- C12N2310/3513—Protein; Peptide
-
- C—CHEMISTRY; METALLURGY
- C12—BIOCHEMISTRY; BEER; SPIRITS; WINE; VINEGAR; MICROBIOLOGY; ENZYMOLOGY; MUTATION OR GENETIC ENGINEERING
- C12N—MICROORGANISMS OR ENZYMES; COMPOSITIONS THEREOF; PROPAGATING, PRESERVING, OR MAINTAINING MICROORGANISMS; MUTATION OR GENETIC ENGINEERING; CULTURE MEDIA
- C12N2320/00—Applications; Uses
- C12N2320/30—Special therapeutic applications
-
- C—CHEMISTRY; METALLURGY
- C12—BIOCHEMISTRY; BEER; SPIRITS; WINE; VINEGAR; MICROBIOLOGY; ENZYMOLOGY; MUTATION OR GENETIC ENGINEERING
- C12N—MICROORGANISMS OR ENZYMES; COMPOSITIONS THEREOF; PROPAGATING, PRESERVING, OR MAINTAINING MICROORGANISMS; MUTATION OR GENETIC ENGINEERING; CULTURE MEDIA
- C12N2320/00—Applications; Uses
- C12N2320/30—Special therapeutic applications
- C12N2320/33—Alteration of splicing
Landscapes
- Health & Medical Sciences (AREA)
- Engineering & Computer Science (AREA)
- Life Sciences & Earth Sciences (AREA)
- Genetics & Genomics (AREA)
- Biomedical Technology (AREA)
- Chemical & Material Sciences (AREA)
- Organic Chemistry (AREA)
- Bioinformatics & Cheminformatics (AREA)
- Biotechnology (AREA)
- Molecular Biology (AREA)
- Wood Science & Technology (AREA)
- Zoology (AREA)
- General Engineering & Computer Science (AREA)
- General Health & Medical Sciences (AREA)
- Physics & Mathematics (AREA)
- Biochemistry (AREA)
- Microbiology (AREA)
- Plant Pathology (AREA)
- Biophysics (AREA)
- Veterinary Medicine (AREA)
- Public Health (AREA)
- Pharmacology & Pharmacy (AREA)
- Medicinal Chemistry (AREA)
- Animal Behavior & Ethology (AREA)
- Nuclear Medicine, Radiotherapy & Molecular Imaging (AREA)
- Physical Education & Sports Medicine (AREA)
- Orthopedic Medicine & Surgery (AREA)
- Neurology (AREA)
- General Chemical & Material Sciences (AREA)
- Chemical Kinetics & Catalysis (AREA)
- Epidemiology (AREA)
- Pharmaceuticals Containing Other Organic And Inorganic Compounds (AREA)
- Medicines That Contain Protein Lipid Enzymes And Other Medicines (AREA)
- Medicinal Preparation (AREA)
- Peptides Or Proteins (AREA)
- Medicines Containing Material From Animals Or Micro-Organisms (AREA)
Applications Claiming Priority (3)
| Application Number | Priority Date | Filing Date | Title |
|---|---|---|---|
| US10841608P | 2008-10-24 | 2008-10-24 | |
| US61/108,416 | 2008-10-24 | ||
| PCT/US2009/061960 WO2010048586A1 (en) | 2008-10-24 | 2009-10-23 | Multiple exon skipping compositions for dmd |
Related Parent Applications (1)
| Application Number | Title | Priority Date | Filing Date |
|---|---|---|---|
| KR1020117011326A Division KR20110082576A (ko) | 2008-10-24 | 2009-10-23 | Dmd를 위한 다중 엑손 스키핑 조성물 |
Publications (1)
| Publication Number | Publication Date |
|---|---|
| KR20180118828A true KR20180118828A (ko) | 2018-10-31 |
Family
ID=41510869
Family Applications (6)
| Application Number | Title | Priority Date | Filing Date |
|---|---|---|---|
| KR1020247039132A Pending KR20250016146A (ko) | 2008-10-24 | 2009-10-23 | Dmd를 위한 다중 엑손 스키핑 조성물 |
| KR1020237003636A Ceased KR20230025924A (ko) | 2008-10-24 | 2009-10-23 | Dmd를 위한 다중 엑손 스키핑 조성물 |
| KR1020187002313A Ceased KR20180011364A (ko) | 2008-10-24 | 2009-10-23 | Dmd를 위한 다중 엑손 스키핑 조성물 |
| KR1020187030954A Ceased KR20180118828A (ko) | 2008-10-24 | 2009-10-23 | Dmd를 위한 다중 엑손 스키핑 조성물 |
| KR1020197018519A Ceased KR20190079702A (ko) | 2008-10-24 | 2009-10-23 | Dmd를 위한 다중 엑손 스키핑 조성물 |
| KR1020117011326A Ceased KR20110082576A (ko) | 2008-10-24 | 2009-10-23 | Dmd를 위한 다중 엑손 스키핑 조성물 |
Family Applications Before (3)
| Application Number | Title | Priority Date | Filing Date |
|---|---|---|---|
| KR1020247039132A Pending KR20250016146A (ko) | 2008-10-24 | 2009-10-23 | Dmd를 위한 다중 엑손 스키핑 조성물 |
| KR1020237003636A Ceased KR20230025924A (ko) | 2008-10-24 | 2009-10-23 | Dmd를 위한 다중 엑손 스키핑 조성물 |
| KR1020187002313A Ceased KR20180011364A (ko) | 2008-10-24 | 2009-10-23 | Dmd를 위한 다중 엑손 스키핑 조성물 |
Family Applications After (2)
| Application Number | Title | Priority Date | Filing Date |
|---|---|---|---|
| KR1020197018519A Ceased KR20190079702A (ko) | 2008-10-24 | 2009-10-23 | Dmd를 위한 다중 엑손 스키핑 조성물 |
| KR1020117011326A Ceased KR20110082576A (ko) | 2008-10-24 | 2009-10-23 | Dmd를 위한 다중 엑손 스키핑 조성물 |
Country Status (22)
| Country | Link |
|---|---|
| US (15) | US8871918B2 (enExample) |
| EP (7) | EP2762567B1 (enExample) |
| JP (10) | JP5864257B2 (enExample) |
| KR (6) | KR20250016146A (enExample) |
| CN (4) | CN119242631A (enExample) |
| AU (1) | AU2009308167B2 (enExample) |
| BR (3) | BR122020021379B1 (enExample) |
| CA (2) | CA3066050A1 (enExample) |
| CY (1) | CY1122369T1 (enExample) |
| DK (1) | DK3133160T3 (enExample) |
| ES (2) | ES2955539T3 (enExample) |
| HR (1) | HRP20190387T1 (enExample) |
| HU (1) | HUE042979T2 (enExample) |
| IL (6) | IL304042A (enExample) |
| LT (1) | LT3133160T (enExample) |
| PL (1) | PL3133160T3 (enExample) |
| PT (1) | PT3133160T (enExample) |
| SI (1) | SI3133160T1 (enExample) |
| SM (1) | SMT201900159T1 (enExample) |
| TR (1) | TR201902952T4 (enExample) |
| TW (7) | TWI689587B (enExample) |
| WO (1) | WO2010048586A1 (enExample) |
Families Citing this family (141)
| Publication number | Priority date | Publication date | Assignee | Title |
|---|---|---|---|---|
| CA2524255C (en) * | 2003-03-21 | 2014-02-11 | Academisch Ziekenhuis Leiden | Modulation of exon recognition in pre-mrna by interfering with the secondary rna structure |
| EP2351844B1 (en) | 2003-04-29 | 2014-06-11 | Sarepta Therapeutics, Inc. | Compositions for enhancing transport and antisense efficacy of nucleic acid analog into cells |
| WO2005072527A2 (en) * | 2004-01-23 | 2005-08-11 | Avi Biopharma, Inc. | Antisense oligomers and methods for inducing immune tolerance and immunosuppression |
| US20050288246A1 (en) | 2004-05-24 | 2005-12-29 | Iversen Patrick L | Peptide conjugated, inosine-substituted antisense oligomer compound and method |
| USRE48960E1 (en) | 2004-06-28 | 2022-03-08 | The University Of Western Australia | Antisense oligonucleotides for inducing exon skipping and methods of use thereof |
| ATE498685T1 (de) | 2004-06-28 | 2011-03-15 | Univ Western Australia | Antisense-oligonukleotide zur induktion von exon- skipping sowie verfahren zur verwendung davon |
| AU2006213686A1 (en) | 2005-02-09 | 2006-08-17 | Avi Bio Pharma, Inc. | Antisense composition and method for treating muscle atrophy |
| US8067571B2 (en) | 2005-07-13 | 2011-11-29 | Avi Biopharma, Inc. | Antibacterial antisense oligonucleotide and method |
| US20100016215A1 (en) | 2007-06-29 | 2010-01-21 | Avi Biopharma, Inc. | Compound and method for treating myotonic dystrophy |
| JP5864100B2 (ja) * | 2007-06-29 | 2016-02-17 | サレプタ セラピューティクス インコーポレイテッド | 組織特異的ペプチドコンジュゲートおよび方法 |
| PT2203173E (pt) * | 2007-10-26 | 2016-03-15 | Academisch Ziekenhuis Leiden | Resumo |
| EP2235034B1 (en) | 2007-12-28 | 2016-11-23 | Sarepta Therapeutics, Inc. | Immunomodulatory agents and methods of use |
| EP2119783A1 (en) | 2008-05-14 | 2009-11-18 | Prosensa Technologies B.V. | Method for efficient exon (44) skipping in Duchenne Muscular Dystrophy and associated means |
| TR201902952T4 (tr) | 2008-10-24 | 2019-03-21 | Sarepta Therapeutics Inc | Dmd için ekson atlama bileşimleri. |
| DK2344637T4 (en) * | 2008-10-27 | 2018-04-23 | Biomarin Tech Bv | Methods and means for efficiently skipping exon 45 in Duchenne muscular dystrophy pre-mRNA |
| NZ595955A (en) | 2009-04-24 | 2012-10-26 | Prosensa Technologies Bv | Oligonucleotide comprising an inosine for treating dmd |
| US20110269665A1 (en) | 2009-06-26 | 2011-11-03 | Avi Biopharma, Inc. | Compound and method for treating myotonic dystrophy |
| CA2780563C (en) * | 2009-11-12 | 2025-05-06 | Univ Western Australia | Antisense Molecules and Methods for Treating Pathologies |
| EP2576574A2 (en) | 2010-05-28 | 2013-04-10 | Sarepta Therapeutics, Inc. | Oligonucleotide analogues having modified intersubunit linkages and/or terminal groups |
| TWI541024B (zh) | 2010-09-01 | 2016-07-11 | 日本新藥股份有限公司 | 反義核酸 |
| WO2012031243A2 (en) | 2010-09-03 | 2012-03-08 | Avi Biopharma, Inc. | dsRNA MOLECULES COMPRISING OLIGONUCLEOTIDE ANALOGS HAVING MODIFIED INTERSUBUNIT LINKAGES AND/OR TERMINAL GROUPS |
| WO2012109296A1 (en) * | 2011-02-08 | 2012-08-16 | The Charlotte-Mecklenburg Hospital Authority D/B/A Carolinas Medical Center | Antisense oligonucleotides |
| KR102183273B1 (ko) * | 2011-05-05 | 2020-11-27 | 사렙타 쎄러퓨틱스, 인코퍼레이티드 | 펩타이드 올리고뉴클레오타이드 접합체 |
| US9161948B2 (en) | 2011-05-05 | 2015-10-20 | Sarepta Therapeutics, Inc. | Peptide oligonucleotide conjugates |
| US20140080896A1 (en) * | 2011-08-30 | 2014-03-20 | The Regents Of The University Of California | Identification of small molecules that facilitate therapeutic exon skipping |
| US20130085139A1 (en) | 2011-10-04 | 2013-04-04 | Royal Holloway And Bedford New College | Oligomers |
| CN108864192A (zh) * | 2011-11-18 | 2018-11-23 | 萨勒普塔医疗公司 | 功能改性的寡核苷酸及其亚单元 |
| WO2013086441A2 (en) | 2011-12-08 | 2013-06-13 | Sarepta Therapeutics, Inc. | Oligonucleotide analogues targeting human lmna |
| CN107881175B (zh) * | 2011-12-28 | 2022-05-13 | 日本新药株式会社 | 反义核酸 |
| NZ627896A (en) | 2012-01-27 | 2016-11-25 | Biomarin Technologies B V | Rna modulating oligonucleotides with improved characteristics for the treatment of duchenne and becker muscular dystrophy |
| JP6928025B2 (ja) * | 2012-01-27 | 2021-09-01 | バイオマリン テクノロジーズ ベー.フェー. | デュシェンヌ型及びベッカー型筋ジストロフィーの治療のための改善された特徴を有するrna調節オリゴヌクレオチド |
| WO2013119955A1 (en) | 2012-02-09 | 2013-08-15 | Novus International Inc. | Functionalized polymer compositions |
| US9920085B2 (en) | 2012-03-20 | 2018-03-20 | Sarepta Therapeutics, Inc. | Boronic acid conjugates of oligonucleotide analogues |
| DE102012103041A1 (de) | 2012-04-10 | 2013-10-10 | Eberhard-Karls-Universität Tübingen Universitätsklinikum | Behandlung der dilativen Kardiomyopathie mittels Antisense-Oligonucleotiden |
| WO2013163628A2 (en) | 2012-04-27 | 2013-10-31 | Duke University | Genetic correction of mutated genes |
| EP3608407A1 (en) * | 2012-07-03 | 2020-02-12 | BioMarin Technologies B.V. | Oligonucleotide for the treatment of muscular dystrophy patients |
| CN107753462B (zh) | 2012-07-12 | 2021-01-08 | 诺华丝国际股份有限公司 | 用于保护生物活性剂的基质和层组合物 |
| WO2014100714A1 (en) * | 2012-12-20 | 2014-06-26 | Sarepta Therapeutics, Inc. | Improved exon skipping compositions for treating muscular dystrophy |
| HUE042218T2 (hu) * | 2013-03-14 | 2019-06-28 | Sarepta Therapeutics Inc | Exonátugrást elõsegítõ készítmények izomdisztrófia kezelésére |
| NZ775701A (en) * | 2013-03-14 | 2022-08-26 | Sarepta Therapeutics Inc | Exon skipping compositions for treating muscular dystrophy |
| NZ732507A (en) * | 2013-03-15 | 2018-08-31 | Sarepta Therapeutics Inc | Improved compositions for treating muscular dystrophy |
| US9828582B2 (en) | 2013-03-19 | 2017-11-28 | Duke University | Compositions and methods for the induction and tuning of gene expression |
| UA117768C2 (uk) | 2013-12-24 | 2018-09-25 | Сентісс Фарма Прайвет Лімітед | Офтальмологічний розчин тартрату бримонідину для місцевого застосування |
| TR201901939T4 (tr) * | 2014-03-12 | 2019-03-21 | Nat Center Neurology & Psychiatry | Antisens nükleik asit. |
| MX381946B (es) | 2014-05-23 | 2025-03-13 | Genzyme Corp | Restos oligonucleotidicos multiples sobre soporte peptidico. |
| EP3159409B1 (en) * | 2014-06-17 | 2019-12-04 | Nippon Shinyaku Co., Ltd. | Antisense nucleic acid for use in the treatment of duchenne's muscular dystrophy |
| EP3180034B1 (en) * | 2014-08-11 | 2022-04-20 | The Board of Regents of The University of Texas System | Prevention of muscular dystrophy by crispr/cas9-mediated gene editing |
| WO2016037163A1 (en) | 2014-09-07 | 2016-03-10 | Selecta Biosciences, Inc. | Methods and compositions for attenuating gene therapy anti-viral transfer vector immune responses |
| EP3256487A4 (en) | 2015-02-09 | 2018-07-18 | Duke University | Compositions and methods for epigenome editing |
| MA41795A (fr) | 2015-03-18 | 2018-01-23 | Sarepta Therapeutics Inc | Exclusion d'un exon induite par des composés antisens dans la myostatine |
| EP3085785A1 (en) * | 2015-04-22 | 2016-10-26 | Université de Strasbourg | Dynamin 2 inhibitor for the treatment of duchenne's muscular dystrophy |
| NZ737757A (en) | 2015-05-19 | 2023-07-28 | Sarepta Therapeutics Inc | Peptide oligonucleotide conjugates |
| US11020417B2 (en) | 2015-06-04 | 2021-06-01 | Sarepta Therapeutics, Inc | Methods and compounds for treatment of lymphocyte-related diseases and conditions |
| CA2988486A1 (en) * | 2015-06-10 | 2016-12-15 | Association Institut De Myologie | Combined therapy for duchenne muscular dystrophy |
| SMT202000379T1 (it) | 2015-09-15 | 2020-09-10 | Nippon Shinyaku Co Ltd | Acido nucleico antisenso |
| BR112018006445A2 (pt) * | 2015-09-30 | 2018-12-11 | Sarepta Therapeutics Inc | métodos para tratar distrofia muscular |
| SG10201912902TA (en) | 2015-10-09 | 2020-02-27 | Wave Life Sciences Ltd | Oligonucleotide compositions and methods thereof |
| MA45819A (fr) | 2015-10-09 | 2018-08-15 | Sarepta Therapeutics Inc | Compositions et méthodes pour traiter la dystrophie musculaire de duchenne et troubles associés |
| EP4089175A1 (en) | 2015-10-13 | 2022-11-16 | Duke University | Genome engineering with type i crispr systems in eukaryotic cells |
| MX2018005377A (es) | 2015-11-30 | 2018-11-09 | Univ Duke | Dianas terapeuticas para la correccion del gen de la distrofina humana por edicion genica y metodos de uso. |
| GB2545898B (en) | 2015-12-21 | 2019-10-09 | Sutura Therapeutics Ltd | Improved drug delivery by conjugating oligonucleotides to stitched/stapled peptides |
| MA45328A (fr) | 2016-04-01 | 2019-02-06 | Avidity Biosciences Llc | Compositions acide nucléique-polypeptide et utilisations de celles-ci |
| WO2017180915A2 (en) | 2016-04-13 | 2017-10-19 | Duke University | Crispr/cas9-based repressors for silencing gene targets in vivo and methods of use |
| US11472824B2 (en) | 2016-05-24 | 2022-10-18 | Sarepta Therapeutics, Inc. | Processes for preparing phosphorodiamidate morpholino oligomers |
| EP3464305B1 (en) | 2016-05-24 | 2024-08-21 | Sarepta Therapeutics, Inc. | Processes for preparing oligomers |
| IL263044B2 (en) | 2016-05-24 | 2024-06-01 | Sarepta Therapeutics Inc | Processes for preparing phosphorodiamidate morpholino oligomers |
| KR20190024977A (ko) | 2016-06-30 | 2019-03-08 | 사렙타 쎄러퓨틱스 인코퍼레이티드 | 근육 이상증에 대한 엑손 스킵핑 올리고머 |
| EP3487523B1 (en) * | 2016-07-19 | 2023-09-06 | Duke University | Therapeutic applications of cpf1-based genome editing |
| CA3044531A1 (en) * | 2016-11-28 | 2018-05-31 | The Board Of Regents Of The University Of Texas System | Prevention of muscular dystrophy by crispr/cpf1-mediated gene editing |
| KR20240006057A (ko) | 2016-12-19 | 2024-01-12 | 사렙타 쎄러퓨틱스 인코퍼레이티드 | 근육 이상증에 대한 엑손 스킵핑 올리고머 결합체 |
| WO2018118627A1 (en) * | 2016-12-19 | 2018-06-28 | Sarepta Therapeutics, Inc. | Exon skipping oligomer conjugates for muscular dystrophy |
| MD3554553T2 (ro) | 2016-12-19 | 2022-10-31 | Sarepta Therapeutics Inc | Conjugați de oligomeri de omitere a exonului, pentru distrofie musculară |
| WO2018129384A1 (en) | 2017-01-06 | 2018-07-12 | Avidity Biosciences Llc | Nucleic acid-polypeptide compositions and methods of inducing exon skipping |
| KR102758434B1 (ko) * | 2017-03-30 | 2025-01-21 | 고쿠리츠 다이가쿠 호진 교토 다이가쿠 | 게놈 편집에 의한 엑손 스키핑 유도 방법 |
| EP4403171A3 (en) | 2017-06-19 | 2024-09-11 | University of Maryland, Baltimore | Microtubule polymerization inhibitor prodrugs and methods of using the same |
| EP3655534B1 (en) | 2017-07-18 | 2025-07-16 | CSL Behring Gene Therapy, Inc. | Compositions and methods for treating beta-hemoglobinopathies |
| GB201711809D0 (en) | 2017-07-21 | 2017-09-06 | Governors Of The Univ Of Alberta | Antisense oligonucleotide |
| CA3106738C (en) * | 2017-07-25 | 2025-02-11 | Shanghai Inst Biological Sciences Cas | METHOD FOR MODULATING RNA SPLICING BY INDUCING A BASE MUTATION AT A SPLICE SITE OR A BASE SUBSTITUTION IN A POLYPYRIMIDIN REGION |
| US10584306B2 (en) | 2017-08-11 | 2020-03-10 | Board Of Regents Of The University Of Oklahoma | Surfactant microemulsions |
| EA201991450A1 (ru) | 2017-09-22 | 2019-12-30 | Сарепта Терапьютикс, Инк. | Конъюгаты олигомеров для пропуска экзона при мышечной дистрофии |
| KR20250065737A (ko) * | 2017-09-22 | 2025-05-13 | 어비디티 바이오사이언시스 인크. | 핵산-폴리펩티드 조성물 및 엑손 스키핑을 유도하는 방법 |
| WO2019075360A1 (en) | 2017-10-13 | 2019-04-18 | Selecta Biosciences, Inc. | METHODS AND COMPOSITIONS FOR MITIGATING ANTI-VECTOR VIRAL TRANSFER IGM RESPONSES |
| US11555189B2 (en) * | 2017-10-18 | 2023-01-17 | Sarepta Therapeutics, Inc. | Antisense oligomer compounds |
| CN118667812A (zh) | 2017-12-06 | 2024-09-20 | 艾维迪提生物科学公司 | 治疗肌萎缩和强直性肌营养不良的组合物和方法 |
| BR112020015617A2 (pt) * | 2018-01-31 | 2021-01-05 | The Board Of Regents Of The University Of Texas System | Composições e métodos para correção de mutações da distrofina em cardiomiócitos humanos |
| EP3780952A4 (en) | 2018-04-16 | 2022-03-09 | The Trustees of the University of Pennsylvania | COMPOSITIONS AND METHODS OF TREATMENT OF DUCHENNE MUSCULAR DYSTROPHY |
| WO2019209764A2 (en) * | 2018-04-26 | 2019-10-31 | Sarepta Therapeutics, Inc. | Exon skipping oligomers and oligomer conjugates for muscular dystrophy |
| US10765760B2 (en) * | 2018-05-29 | 2020-09-08 | Sarepta Therapeutics, Inc. | Exon skipping oligomer conjugates for muscular dystrophy |
| US20220251551A1 (en) * | 2018-06-13 | 2022-08-11 | Sarepta Therapeutics, Inc. | Exon skipping oligomers for muscular dystrophy |
| MX2020013880A (es) | 2018-06-26 | 2021-03-09 | Nippon Shinyaku Co Ltd | Composición que comprende el oligonucleótido antisentido y su uso para el tratamiento de la distrofia muscular de duchenne. |
| JP2021533200A (ja) | 2018-08-02 | 2021-12-02 | ダイン セラピューティクス, インコーポレーテッドDyne Therapeutics, Inc. | 顔面・肩甲・上腕筋ジストロフィーを処置するための筋標的化複合体およびそれらの使用 |
| US12370264B1 (en) | 2018-08-02 | 2025-07-29 | Dyne Therapeutics, Inc. | Complexes comprising an anti-transferrin receptor antibody linked to an oligonucleotide and method of delivering oligonucleotide to a subject |
| US12097263B2 (en) | 2018-08-02 | 2024-09-24 | Dyne Therapeutics, Inc. | Muscle targeting complexes and uses thereof for treating myotonic dystrophy |
| US20210308273A1 (en) | 2018-08-02 | 2021-10-07 | Dyne Therapeutics, Inc. | Muscle targeting complexes and uses thereof for treating dystrophinopathies |
| US11911484B2 (en) | 2018-08-02 | 2024-02-27 | Dyne Therapeutics, Inc. | Muscle targeting complexes and uses thereof for treating myotonic dystrophy |
| US11168141B2 (en) | 2018-08-02 | 2021-11-09 | Dyne Therapeutics, Inc. | Muscle targeting complexes and uses thereof for treating dystrophinopathies |
| US12018087B2 (en) | 2018-08-02 | 2024-06-25 | Dyne Therapeutics, Inc. | Muscle-targeting complexes comprising an anti-transferrin receptor antibody linked to an oligonucleotide and methods of delivering oligonucleotide to a subject |
| GB201812972D0 (en) | 2018-08-09 | 2018-09-26 | Univ Oxford Innovation Ltd | Cell-penetrating peptides |
| GB201812980D0 (en) | 2018-08-09 | 2018-09-26 | Univ Oxford Innovation Ltd | Cell-penetrating peptides |
| WO2020089325A1 (en) * | 2018-11-02 | 2020-05-07 | Biomarin Technologies B.V. | Bispecific antisense oligonucleotides for dystrophin exon skipping |
| CA3122200A1 (en) | 2018-12-07 | 2020-06-11 | Oxford University Innovation Limited | Linkers |
| IL318474A (en) * | 2018-12-13 | 2025-03-01 | Sarepta Therapeutics Inc | Axon-skipping oligomer complexes for muscular dystrophy |
| CN113543848A (zh) | 2018-12-23 | 2021-10-22 | 美国杰特贝林生物制品有限公司 | 具有杀伤开关的供体t细胞 |
| WO2020139796A1 (en) | 2018-12-23 | 2020-07-02 | Csl Behring L.L.C. | Haematopoietic stem cell-gene therapy for wiskott-aldrich syndrome |
| CN113677374A (zh) * | 2019-04-08 | 2021-11-19 | 国立大学法人东京医科齿科大学 | 肌疾病治疗用药物组合物 |
| CA3137715A1 (en) * | 2019-04-25 | 2020-10-29 | Avidity Biosciences, Inc. | Nucleic acid compositions and methods of multi-exon skipping |
| US20200390718A1 (en) | 2019-05-28 | 2020-12-17 | Selecta Biosciences, Inc. | Methods and compositions for attenuated anti-viral transfer vector immune response |
| US20220288218A1 (en) * | 2019-07-09 | 2022-09-15 | The Governors Of The University Of Alberta | Exons 45-55 skipping using mutation-tailored cocktails of antisense morpholinos in the dmd gene |
| KR20220038771A (ko) * | 2019-08-02 | 2022-03-29 | 더 리서치 인스티튜트 앳 네이션와이드 칠드런스 하스피탈 | 엑손 44-표적화된 핵산 및 상기 핵산을 포함하는 디스트로핀-기반 근병증 치료용 재조합 아데노-관련 바이러스 |
| EP4079329A4 (en) | 2019-12-19 | 2024-04-17 | Nippon Shinyaku Co., Ltd. | Antisense nucleic acid enabling exon skipping |
| CN118109468A (zh) | 2019-12-26 | 2024-05-31 | 日本新药株式会社 | 诱导外显子50的跳读的反义核酸 |
| KR20220145865A (ko) | 2020-02-28 | 2022-10-31 | 니뽄 신야쿠 가부시키가이샤 | 엑손 51의 스키핑을 유도하는 안티센스 핵산 |
| EP4121063A4 (en) | 2020-03-19 | 2024-07-03 | Avidity Biosciences, Inc. | COMPOSITIONS AND METHODS FOR TREATING FACIO-SCAPULO-HUMERAL MUSCULAR DYSTROPHY |
| CN115997015A (zh) | 2020-06-26 | 2023-04-21 | 美国杰特贝林生物制品有限公司 | 具有杀伤开关的供体t细胞 |
| EP3978608A1 (en) * | 2020-10-05 | 2022-04-06 | SQY Therapeutics | Oligomeric compound for dystrophin rescue in dmd patients throughout skipping of exon-51 |
| CA3211038A1 (en) | 2021-02-12 | 2022-08-18 | Oxford University Innovation Limited | Cell-penetrating peptide conjugates and methods of their use |
| WO2022241408A1 (en) | 2021-05-10 | 2022-11-17 | Entrada Therapeutics, Inc. | Compositions and methods for modulating tissue distribution of intracellular therapeutics |
| MX2023011612A (es) | 2021-03-31 | 2023-12-15 | Entrada Therapeutics Inc | Peptidos de penetracion celular ciclicos. |
| EP4342498A4 (en) | 2021-05-13 | 2025-01-08 | National University Corporation Chiba University | ANTISENSE OLIGOMER |
| CA3221758A1 (en) * | 2021-05-28 | 2022-12-01 | Sumitomo Pharma Co., Ltd. | Antisense nucleic acid |
| JP7522079B2 (ja) | 2021-06-16 | 2024-07-24 | 株式会社神戸製鋼所 | 積層計画作成方法 |
| US12378267B2 (en) | 2021-06-17 | 2025-08-05 | Entrada Therapeutics, Inc. | Synthesis of FMOC-protected morpholino monomers and oligomers |
| AU2022298028A1 (en) | 2021-06-23 | 2023-12-21 | National Center Of Neurology And Psychiatry | Combination of antisense oligomers |
| US11771776B2 (en) | 2021-07-09 | 2023-10-03 | Dyne Therapeutics, Inc. | Muscle targeting complexes and uses thereof for treating dystrophinopathies |
| US11633498B2 (en) | 2021-07-09 | 2023-04-25 | Dyne Therapeutics, Inc. | Muscle targeting complexes and uses thereof for treating myotonic dystrophy |
| US11969475B2 (en) | 2021-07-09 | 2024-04-30 | Dyne Therapeutics, Inc. | Muscle targeting complexes and uses thereof for treating facioscapulohumeral muscular dystrophy |
| US11648318B2 (en) | 2021-07-09 | 2023-05-16 | Dyne Therapeutics, Inc. | Anti-transferrin receptor (TFR) antibody and uses thereof |
| EP4366784A1 (en) | 2021-07-09 | 2024-05-15 | Dyne Therapeutics, Inc. | Muscle targeting complexes and formulations for treating dystrophinopathies |
| US11638761B2 (en) | 2021-07-09 | 2023-05-02 | Dyne Therapeutics, Inc. | Muscle targeting complexes and uses thereof for treating Facioscapulohumeral muscular dystrophy |
| KR20240055874A (ko) | 2021-09-16 | 2024-04-29 | 어비디티 바이오사이언시스 인크. | 안면견갑상완 근이영양증을 치료하는 조성물 및 방법 |
| US20230141563A1 (en) | 2021-10-12 | 2023-05-11 | Selecta Biosciences, Inc. | Methods and compositions for attenuating anti-viral transfer vector igm responses |
| JPWO2023127918A1 (enExample) | 2021-12-27 | 2023-07-06 | ||
| EP4215614A1 (en) | 2022-01-24 | 2023-07-26 | Dynacure | Combination therapy for dystrophin-related diseases |
| WO2023172624A1 (en) | 2022-03-09 | 2023-09-14 | Selecta Biosciences, Inc. | Immunosuppressants in combination with anti-igm agents and related dosing |
| US12071621B2 (en) | 2022-04-05 | 2024-08-27 | Avidity Biosciences, Inc. | Anti-transferrin receptor antibody-PMO conjugates for inducing DMD exon 44 skipping |
| KR20250004770A (ko) | 2022-04-15 | 2025-01-08 | 다인 세라퓨틱스, 인크. | 근긴장성 이영양증을 치료하기 위한 근육 표적화 복합체 및 제제 |
| WO2023205451A1 (en) | 2022-04-22 | 2023-10-26 | Entrada Therapeutics, Inc. | Cyclic peptides for delivering therapeutics |
| WO2023250511A2 (en) | 2022-06-24 | 2023-12-28 | Tune Therapeutics, Inc. | Compositions, systems, and methods for reducing low-density lipoprotein through targeted gene repression |
| CN120529923A (zh) * | 2022-11-21 | 2025-08-22 | 肽世代公司 | 细胞穿透肽、其缀合物及其使用方法 |
| WO2025072246A1 (en) * | 2023-09-26 | 2025-04-03 | Entrada Therapeutics, Inc. | Compounds and methods for skipping exon 50 in duchenne muscular dystrophy |
| WO2025072886A1 (en) * | 2023-09-28 | 2025-04-03 | Wave Life Sciences Ltd. | Oligonucleotide compositions and methods thereof |
Family Cites Families (134)
| Publication number | Priority date | Publication date | Assignee | Title |
|---|---|---|---|---|
| CH445129A (fr) | 1964-04-29 | 1967-10-15 | Nestle Sa | Procédé pour la préparation de composés d'inclusion à poids moléculaire élevé |
| US3459731A (en) | 1966-12-16 | 1969-08-05 | Corn Products Co | Cyclodextrin polyethers and their production |
| US3426011A (en) | 1967-02-13 | 1969-02-04 | Corn Products Co | Cyclodextrins with anionic properties |
| US3453257A (en) | 1967-02-13 | 1969-07-01 | Corn Products Co | Cyclodextrin with cationic properties |
| US3453259A (en) | 1967-03-22 | 1969-07-01 | Corn Products Co | Cyclodextrin polyol ethers and their oxidation products |
| US4235871A (en) | 1978-02-24 | 1980-11-25 | Papahadjopoulos Demetrios P | Method of encapsulating biologically active materials in lipid vesicles |
| US4458066A (en) * | 1980-02-29 | 1984-07-03 | University Patents, Inc. | Process for preparing polynucleotides |
| DE3100514A1 (de) | 1981-01-10 | 1982-08-05 | Robert Bosch Gmbh, 7000 Stuttgart | Vorrichtung zur steuerung eines durchflussquerschnittes in einer steuerleitung |
| US5190931A (en) | 1983-10-20 | 1993-03-02 | The Research Foundation Of State University Of New York | Regulation of gene expression by employing translational inhibition of MRNA utilizing interfering complementary MRNA |
| DE3687030T2 (de) | 1985-03-15 | 1993-03-11 | Eugene Stirchak | Stereoregulare polynukleotiden bindende polymere. |
| US5521063A (en) * | 1985-03-15 | 1996-05-28 | Antivirals Inc. | Polynucleotide reagent containing chiral subunits and methods of use |
| US5506337A (en) | 1985-03-15 | 1996-04-09 | Antivirals Inc. | Morpholino-subunit combinatorial library and method |
| US5034506A (en) * | 1985-03-15 | 1991-07-23 | Anti-Gene Development Group | Uncharged morpholino-based polymers having achiral intersubunit linkages |
| US5185444A (en) | 1985-03-15 | 1993-02-09 | Anti-Gene Deveopment Group | Uncharged morpolino-based polymers having phosphorous containing chiral intersubunit linkages |
| US5217866A (en) | 1985-03-15 | 1993-06-08 | Anti-Gene Development Group | Polynucleotide assay reagent and method |
| US5166315A (en) | 1989-12-20 | 1992-11-24 | Anti-Gene Development Group | Sequence-specific binding polymers for duplex nucleic acids |
| US4737323A (en) | 1986-02-13 | 1988-04-12 | Liposome Technology, Inc. | Liposome extrusion method |
| KR0166088B1 (ko) | 1990-01-23 | 1999-01-15 | . | 수용해도가 증가된 시클로덱스트린 유도체 및 이의 용도 |
| US5149797A (en) * | 1990-02-15 | 1992-09-22 | The Worcester Foundation For Experimental Biology | Method of site-specific alteration of rna and production of encoded polypeptides |
| US5138045A (en) | 1990-07-27 | 1992-08-11 | Isis Pharmaceuticals | Polyamine conjugated oligonucleotides |
| US20020123476A1 (en) * | 1991-03-19 | 2002-09-05 | Emanuele R. Martin | Therapeutic delivery compositions and methods of use thereof |
| US5869252A (en) * | 1992-03-31 | 1999-02-09 | Abbott Laboratories | Method of multiplex ligase chain reaction |
| DE69329641T2 (de) | 1992-03-31 | 2001-06-21 | Abbott Laboratories, Abbott Park | Verfahren zur mehrfachen ligase-kettenreaktion |
| US6806084B1 (en) * | 1992-06-04 | 2004-10-19 | The Regents Of The University Of California | Methods for compositions for in vivo gene delivery |
| EP0786522A2 (en) | 1992-07-17 | 1997-07-30 | Ribozyme Pharmaceuticals, Inc. | Enzymatic RNA molecules for treatment of stenotic conditions |
| US5985558A (en) | 1997-04-14 | 1999-11-16 | Isis Pharmaceuticals Inc. | Antisense oligonucleotide compositions and methods for the inibition of c-Jun and c-Fos |
| PT698092E (pt) | 1993-05-11 | 2007-10-29 | Univ North Carolina | Oligonucleótidos complementares de uma cadeia codificadora que combatem splicing aberrante e métodos para a sua utilização |
| US5801154A (en) * | 1993-10-18 | 1998-09-01 | Isis Pharmaceuticals, Inc. | Antisense oligonucleotide modulation of multidrug resistance-associated protein |
| US6391636B1 (en) | 1994-05-31 | 2002-05-21 | Isis Pharmaceuticals, Inc. | Antisense oligonucleotide modulation of raf gene expression |
| US5753613A (en) | 1994-09-30 | 1998-05-19 | Inex Pharmaceuticals Corporation | Compositions for the introduction of polyanionic materials into cells |
| US5885613A (en) | 1994-09-30 | 1999-03-23 | The University Of British Columbia | Bilayer stabilizing components and their use in forming programmable fusogenic liposomes |
| US5820873A (en) | 1994-09-30 | 1998-10-13 | The University Of British Columbia | Polyethylene glycol modified ceramide lipids and liposome uses thereof |
| IL115849A0 (en) | 1994-11-03 | 1996-01-31 | Merz & Co Gmbh & Co | Tangential filtration preparation of liposomal drugs and liposome product thereof |
| GB9510718D0 (en) * | 1995-05-26 | 1995-07-19 | Sod Conseils Rech Applic | Antisense oligonucleotides |
| ES2221039T3 (es) | 1996-02-14 | 2004-12-16 | Isis Pharmaceuticals, Inc. | Oligonucleotidos abiertos modificados con azucar. |
| AU2585197A (en) | 1996-03-20 | 1997-10-10 | Regents Of The University Of California, The | Antisense approach to gene inhibition |
| US6153436A (en) * | 1997-01-10 | 2000-11-28 | The Board Of Trustees Of The University Of Arkansas | Method of gene delivery using wildtype adeno associated viral (AAV) vectors with insertions |
| WO1999042091A2 (en) | 1998-02-19 | 1999-08-26 | Massachusetts Institute Of Technology | Use of polycations as endosomolytic agents |
| US20030114401A1 (en) | 2001-12-06 | 2003-06-19 | Isis Pharmaceuticals Inc. | Antisense modulation of Ship-1 expression |
| GB9819999D0 (en) | 1998-09-14 | 1998-11-04 | Univ London | Treatment of cancer |
| US6210892B1 (en) | 1998-10-07 | 2001-04-03 | Isis Pharmaceuticals, Inc. | Alteration of cellular behavior by antisense modulation of mRNA processing |
| WO2000028980A2 (en) | 1998-11-13 | 2000-05-25 | Eli Lilly And Company | Combination of duloxetine with non-steroidal antiinflammatory drug for treating pain |
| EP1173561A2 (en) | 1999-01-29 | 2002-01-23 | Avi Biopharma, Inc. | Non-invasive method for detecting target rna |
| US20020049173A1 (en) | 1999-03-26 | 2002-04-25 | Bennett C. Frank | Alteration of cellular behavior by antisense modulation of mRNA processing |
| JP2000325085A (ja) | 1999-05-21 | 2000-11-28 | Masafumi Matsuo | デュシェンヌ型筋ジストロフィー治療剤 |
| JP2003500418A (ja) * | 1999-05-24 | 2003-01-07 | エイブイアイ バイオファーマ, インコーポレイテッド | 多発性嚢胞腎疾患の処置のためのc−mycに対するアンチセンス |
| AU768904B2 (en) | 1999-06-21 | 2004-01-08 | Murdoch Childrens Research Institute, The | A method for the prophylaxis and/or treatment of medical disorders |
| EP1242052A4 (en) * | 1999-12-29 | 2003-07-02 | A James Mixson | HISTIDIN COPOLYMER AND METHODS OF USE THEREOF |
| US7070807B2 (en) * | 1999-12-29 | 2006-07-04 | Mixson A James | Branched histidine copolymers and methods for using same |
| EP1248813A2 (en) | 2000-01-04 | 2002-10-16 | Avi Biopharma, Inc. | Antisense antibacterial cell division composition and method |
| JP2004509604A (ja) | 2000-03-28 | 2004-04-02 | アイシス・ファーマシューティカルス・インコーポレーテッド | mRNAプロセッシングのアンチセンスモジュレーションによる、細胞行動の改変 |
| US6653467B1 (en) | 2000-04-26 | 2003-11-25 | Jcr Pharmaceutical Co., Ltd. | Medicament for treatment of Duchenne muscular dystrophy |
| CN100422320C (zh) | 2000-04-28 | 2008-10-01 | 肖啸 | 编码抗肌萎缩蛋白小基因的dna序列及其使用方法 |
| PT1278761E (pt) | 2000-05-01 | 2005-08-31 | Hybridon Inc | Modulacao da estimulacao imunitaria mediada por oligonucleotidos de cpg, por modificacao posicional de nucleosidos |
| JP2003533986A (ja) | 2000-05-04 | 2003-11-18 | エイブイアイ バイオファーマ, インコーポレイテッド | スプライス領域アンチセンス組成物および方法 |
| US6727355B2 (en) * | 2000-08-25 | 2004-04-27 | Jcr Pharmaceuticals Co., Ltd. | Pharmaceutical composition for treatment of Duchenne muscular dystrophy |
| JP4836366B2 (ja) | 2000-08-25 | 2011-12-14 | 雅文 松尾 | デュシェンヌ型筋ジストロフィー治療剤 |
| US7264925B2 (en) | 2000-08-30 | 2007-09-04 | Avi Biopharma, Inc. | Method for analysis of oligonucleotide analogs |
| US20070037165A1 (en) * | 2000-09-08 | 2007-02-15 | Applera Corporation | Polymorphisms in known genes associated with human disease, methods of detection and uses thereof |
| US6559279B1 (en) * | 2000-09-08 | 2003-05-06 | Isis Pharmaceuticals, Inc. | Process for preparing peptide derivatized oligomeric compounds |
| WO2002024717A1 (en) * | 2000-09-20 | 2002-03-28 | Isis Pharmaceuticals, Inc. | Antisense modulation of flip-c expression |
| EP1191097A1 (en) * | 2000-09-21 | 2002-03-27 | Leids Universitair Medisch Centrum | Induction of exon skipping in eukaryotic cells |
| US6689615B1 (en) | 2000-10-04 | 2004-02-10 | James Murto | Methods and devices for processing blood samples |
| JP3781687B2 (ja) | 2001-02-23 | 2006-05-31 | 松下電器産業株式会社 | 遺伝子診断装置及び遺伝子診断方法 |
| US6656732B1 (en) * | 2001-05-18 | 2003-12-02 | Isis Pharmaceuticals, Inc. | Antisense inhibition of src-c expression |
| US20030224353A1 (en) * | 2001-10-16 | 2003-12-04 | Stein David A. | Antisense antiviral agent and method for treating ssRNA viral infection |
| US7655785B1 (en) * | 2002-11-14 | 2010-02-02 | Rosetta Genomics Ltd. | Bioinformatically detectable group of novel regulatory oligonucleotides and uses thereof |
| DK2284266T3 (da) | 2002-11-14 | 2014-01-13 | Thermo Fisher Scient Biosciences Inc | sIRNA-MOLEKYLE MOD TP53 |
| US7314750B2 (en) * | 2002-11-20 | 2008-01-01 | Affymetrix, Inc. | Addressable oligonucleotide array of the rat genome |
| US7250289B2 (en) * | 2002-11-20 | 2007-07-31 | Affymetrix, Inc. | Methods of genetic analysis of mouse |
| EP2135948B1 (en) * | 2002-11-25 | 2014-09-17 | Masafumi Matsuo | ENA nucleic acid drugs modifying splicing in mRNA precursor |
| CA2524255C (en) * | 2003-03-21 | 2014-02-11 | Academisch Ziekenhuis Leiden | Modulation of exon recognition in pre-mrna by interfering with the secondary rna structure |
| EP2351844B1 (en) * | 2003-04-29 | 2014-06-11 | Sarepta Therapeutics, Inc. | Compositions for enhancing transport and antisense efficacy of nucleic acid analog into cells |
| ES2302898T3 (es) | 2003-07-11 | 2008-08-01 | Lbr Medbiotech B.V. | Transferencia de genes a celulas musculares mediada por el receptor de manosa-6-fosfato. |
| ATE491791T1 (de) | 2003-08-05 | 2011-01-15 | Avi Biopharma Inc | Oligonukleotidanalog und verfahren zur behandlung von flavivirusinfektionen |
| US20050048495A1 (en) | 2003-08-29 | 2005-03-03 | Baker Brenda F. | Isoform-specific targeting of splice variants |
| WO2005027833A2 (en) * | 2003-09-12 | 2005-03-31 | Avi Biopharma, Inc. | Compound and method for treating androgen-independent prostate cancer |
| US20050171044A1 (en) | 2003-12-24 | 2005-08-04 | Stein David A. | Oligonucleotide compound and method for treating nidovirus infections |
| US20050288246A1 (en) | 2004-05-24 | 2005-12-29 | Iversen Patrick L | Peptide conjugated, inosine-substituted antisense oligomer compound and method |
| ATE498685T1 (de) | 2004-06-28 | 2011-03-15 | Univ Western Australia | Antisense-oligonukleotide zur induktion von exon- skipping sowie verfahren zur verwendung davon |
| FR2874384B1 (fr) | 2004-08-17 | 2010-07-30 | Genethon | Vecteur viral adeno-associe pour realiser du saut d'exons dans un gene codant une proteine a domaines dispensables |
| US8129352B2 (en) | 2004-09-16 | 2012-03-06 | Avi Biopharma, Inc. | Antisense antiviral compound and method for treating ssRNA viral infection |
| US20060148740A1 (en) * | 2005-01-05 | 2006-07-06 | Prosensa B.V. | Mannose-6-phosphate receptor mediated gene transfer into muscle cells |
| US20120122801A1 (en) * | 2005-01-05 | 2012-05-17 | Prosensa B.V. | Mannose-6-phosphate receptor mediated gene transfer into muscle cells |
| AU2006213686A1 (en) | 2005-02-09 | 2006-08-17 | Avi Bio Pharma, Inc. | Antisense composition and method for treating muscle atrophy |
| US20090312532A1 (en) * | 2005-04-22 | 2009-12-17 | Van Deutekom Judith Christina | Modulation of exon recognition in pre-mrna by interfering with the binding of sr proteins and by interfering with secodary rna structure |
| US8067571B2 (en) * | 2005-07-13 | 2011-11-29 | Avi Biopharma, Inc. | Antibacterial antisense oligonucleotide and method |
| WO2007028065A2 (en) | 2005-08-30 | 2007-03-08 | Isis Pharmaceuticals, Inc. | Chimeric oligomeric compounds for modulation of splicing |
| US8524676B2 (en) | 2005-09-08 | 2013-09-03 | Sarepta Therapeutics, Inc. | Method for treating enterovirus or rhinovirus infection using antisense antiviral compounds |
| US8501704B2 (en) | 2005-11-08 | 2013-08-06 | Sarepta Therapeutics, Inc. | Immunosuppression compound and treatment method |
| KR101789603B1 (ko) | 2005-11-10 | 2017-11-21 | 더 유니버시티 오브 노쓰 캐롤라이나 엣 채플 힐 | Tnf 수퍼패밀리 수용체에 대한 스플라이스 스위칭올리고머 및 염증성 질환 치료용 약제학적 조성물 |
| US20090011004A1 (en) | 2005-12-30 | 2009-01-08 | Philadelphia Health & Education Corp., D/B/A/ Drexel University Of College Of Medicine | Improved carriers for delivery of nucleic acid agents to cells and tissues |
| ES2645410T3 (es) * | 2006-05-10 | 2017-12-05 | Sarepta Therapeutics, Inc. | Análogos de oligonucleótidos que tienen enlaces intersubunitarios catiónicos |
| US8785407B2 (en) | 2006-05-10 | 2014-07-22 | Sarepta Therapeutics, Inc. | Antisense antiviral agent and method for treating ssRNA viral infection |
| US20070265215A1 (en) | 2006-05-11 | 2007-11-15 | Iversen Patrick L | Antisense restenosis composition and method |
| EP1857548A1 (en) | 2006-05-19 | 2007-11-21 | Academisch Ziekenhuis Leiden | Means and method for inducing exon-skipping |
| US20100016215A1 (en) * | 2007-06-29 | 2010-01-21 | Avi Biopharma, Inc. | Compound and method for treating myotonic dystrophy |
| JP5864100B2 (ja) * | 2007-06-29 | 2016-02-17 | サレプタ セラピューティクス インコーポレイテッド | 組織特異的ペプチドコンジュゲートおよび方法 |
| PT2203173E (pt) * | 2007-10-26 | 2016-03-15 | Academisch Ziekenhuis Leiden | Resumo |
| WO2009101399A1 (en) | 2008-02-12 | 2009-08-20 | Isis Innovation Limited | Treatment of muscular dystrophy using peptide nucleic acid ( pna) |
| EP2119783A1 (en) | 2008-05-14 | 2009-11-18 | Prosensa Technologies B.V. | Method for efficient exon (44) skipping in Duchenne Muscular Dystrophy and associated means |
| US8084601B2 (en) * | 2008-09-11 | 2011-12-27 | Royal Holloway And Bedford New College Royal Holloway, University Of London | Oligomers |
| TR201902952T4 (tr) | 2008-10-24 | 2019-03-21 | Sarepta Therapeutics Inc | Dmd için ekson atlama bileşimleri. |
| DK2344637T4 (en) | 2008-10-27 | 2018-04-23 | Biomarin Tech Bv | Methods and means for efficiently skipping exon 45 in Duchenne muscular dystrophy pre-mRNA |
| WO2010080554A1 (en) | 2008-12-17 | 2010-07-15 | Avi Biopharma, Inc. | Antisense compositions and methods for modulating contact hypersensitivity or contact dermatitis |
| WO2010115993A1 (en) | 2009-04-10 | 2010-10-14 | Association Institut De Myologie | Tricyclo-dna antisense oligonucleotides, compositions, and methods for the treatment of disease |
| NZ595955A (en) | 2009-04-24 | 2012-10-26 | Prosensa Technologies Bv | Oligonucleotide comprising an inosine for treating dmd |
| WO2010136417A1 (en) | 2009-05-25 | 2010-12-02 | Università Degli Studi Di Roma "La Sapienza" | miR-31 IN DUCHENNE MUSCULAR DYSTROPHY THERAPY |
| EP2258863A1 (en) | 2009-05-25 | 2010-12-08 | Universita'Degli Studi di Roma "La Sapienza" | miRNA biomarkers for the diagnosis of duchenne muscular dystrophy progression, for monitoring therapeutic interventions, and as therapeutics |
| ITTO20090487A1 (it) | 2009-06-26 | 2010-12-27 | Univ Ferrara | Oligonucleotidi antisenso atti ad indurre lo skipping esonico e loro impiego come medicamento per il trattamento della distrofia muscolare di duchenne (dmd) |
| US20110269665A1 (en) | 2009-06-26 | 2011-11-03 | Avi Biopharma, Inc. | Compound and method for treating myotonic dystrophy |
| EP2473607A2 (en) * | 2009-08-31 | 2012-07-11 | INSERM - Institut National de la Santé et de la Recherche Médicale | Exon skipping therapy for functional amelioration of semi functional dystrophin in becker and duchenne muscular dystrophy |
| IT1397011B1 (it) | 2009-10-14 | 2012-12-20 | Univ Ferrara | Nanoparticella del tipo core-shell idonea per la veicolazione di oligonucleotidi terapeutici in tessuti bersaglio e suo impiego per la preparazione di un medicamento per il trattamento della distrofia muscolare di duchenne. |
| CA2780563C (en) | 2009-11-12 | 2025-05-06 | Univ Western Australia | Antisense Molecules and Methods for Treating Pathologies |
| WO2011060320A1 (en) | 2009-11-13 | 2011-05-19 | Avi Biopharma, Inc. | Antisense antiviral compound and method for treating influenza viral infection |
| US9050373B2 (en) | 2010-05-13 | 2015-06-09 | The Charlotte-Mecklenburg Hospital Authority | Pharmaceutical compositions comprising antisense oligonucleotides and methods of using same |
| EP2576574A2 (en) | 2010-05-28 | 2013-04-10 | Sarepta Therapeutics, Inc. | Oligonucleotide analogues having modified intersubunit linkages and/or terminal groups |
| CN106994124A (zh) | 2010-06-28 | 2017-08-01 | 萩原正敏 | 遗传性疾病的预防/改善剂 |
| TWI541024B (zh) | 2010-09-01 | 2016-07-11 | 日本新藥股份有限公司 | 反義核酸 |
| HUE030292T2 (en) | 2010-09-30 | 2017-04-28 | Nippon Shinyaku Co Ltd | Morpholino-nucleic acid derivatives |
| WO2012109296A1 (en) | 2011-02-08 | 2012-08-16 | The Charlotte-Mecklenburg Hospital Authority D/B/A Carolinas Medical Center | Antisense oligonucleotides |
| KR102183273B1 (ko) | 2011-05-05 | 2020-11-27 | 사렙타 쎄러퓨틱스, 인코퍼레이티드 | 펩타이드 올리고뉴클레오타이드 접합체 |
| US9161948B2 (en) | 2011-05-05 | 2015-10-20 | Sarepta Therapeutics, Inc. | Peptide oligonucleotide conjugates |
| US20140080896A1 (en) | 2011-08-30 | 2014-03-20 | The Regents Of The University Of California | Identification of small molecules that facilitate therapeutic exon skipping |
| EP2750715B1 (en) | 2011-08-30 | 2018-10-31 | The Regents of The University of California | Identification of small molecules that enhance therapeutic exon skipping |
| DK2581448T3 (en) | 2011-10-13 | 2015-04-27 | Ass Inst De Myologie | Tricyclo-DNA phosphorothioate |
| CN107881175B (zh) | 2011-12-28 | 2022-05-13 | 日本新药株式会社 | 反义核酸 |
| NZ627896A (en) | 2012-01-27 | 2016-11-25 | Biomarin Technologies B V | Rna modulating oligonucleotides with improved characteristics for the treatment of duchenne and becker muscular dystrophy |
| EP3608407A1 (en) | 2012-07-03 | 2020-02-12 | BioMarin Technologies B.V. | Oligonucleotide for the treatment of muscular dystrophy patients |
| US10071013B2 (en) | 2012-07-20 | 2018-09-11 | Thomas R. Allen | Massager and method of making the same |
| WO2014100714A1 (en) | 2012-12-20 | 2014-06-26 | Sarepta Therapeutics, Inc. | Improved exon skipping compositions for treating muscular dystrophy |
| NZ775701A (en) | 2013-03-14 | 2022-08-26 | Sarepta Therapeutics Inc | Exon skipping compositions for treating muscular dystrophy |
| HUE042218T2 (hu) | 2013-03-14 | 2019-06-28 | Sarepta Therapeutics Inc | Exonátugrást elõsegítõ készítmények izomdisztrófia kezelésére |
| NZ732507A (en) | 2013-03-15 | 2018-08-31 | Sarepta Therapeutics Inc | Improved compositions for treating muscular dystrophy |
-
2009
- 2009-10-23 TR TR2019/02952T patent/TR201902952T4/tr unknown
- 2009-10-23 KR KR1020247039132A patent/KR20250016146A/ko active Pending
- 2009-10-23 KR KR1020237003636A patent/KR20230025924A/ko not_active Ceased
- 2009-10-23 IL IL304042A patent/IL304042A/en unknown
- 2009-10-23 IL IL313162A patent/IL313162A/en unknown
- 2009-10-23 LT LTEP16172354.9T patent/LT3133160T/lt unknown
- 2009-10-23 HU HUE16172354A patent/HUE042979T2/hu unknown
- 2009-10-23 ES ES21155461T patent/ES2955539T3/es active Active
- 2009-10-23 AU AU2009308167A patent/AU2009308167B2/en active Active
- 2009-10-23 KR KR1020187002313A patent/KR20180011364A/ko not_active Ceased
- 2009-10-23 EP EP14157806.2A patent/EP2762567B1/en active Active
- 2009-10-23 KR KR1020187030954A patent/KR20180118828A/ko not_active Ceased
- 2009-10-23 KR KR1020197018519A patent/KR20190079702A/ko not_active Ceased
- 2009-10-23 PL PL16172354T patent/PL3133160T3/pl unknown
- 2009-10-23 EP EP21155461.3A patent/EP3875587B1/en active Active
- 2009-10-23 CN CN202411390806.6A patent/CN119242631A/zh active Pending
- 2009-10-23 US US12/605,276 patent/US8871918B2/en active Active
- 2009-10-23 EP EP16172354.9A patent/EP3133160B1/en active Active
- 2009-10-23 SI SI200931943T patent/SI3133160T1/sl unknown
- 2009-10-23 SM SM20190159T patent/SMT201900159T1/it unknown
- 2009-10-23 CN CN200980142321.2A patent/CN102203253B/zh active Active
- 2009-10-23 EP EP09752572.9A patent/EP2350281B1/en active Active
- 2009-10-23 KR KR1020117011326A patent/KR20110082576A/ko not_active Ceased
- 2009-10-23 PT PT16172354T patent/PT3133160T/pt unknown
- 2009-10-23 DK DK16172354.9T patent/DK3133160T3/en active
- 2009-10-23 EP EP18180576.3A patent/EP3404100A1/en not_active Withdrawn
- 2009-10-23 WO PCT/US2009/061960 patent/WO2010048586A1/en not_active Ceased
- 2009-10-23 BR BR122020021379-5A patent/BR122020021379B1/pt active IP Right Grant
- 2009-10-23 JP JP2011533392A patent/JP5864257B2/ja active Active
- 2009-10-23 CA CA3066050A patent/CA3066050A1/en active Pending
- 2009-10-23 ES ES16172354T patent/ES2714787T3/es active Active
- 2009-10-23 CA CA2740328A patent/CA2740328A1/en active Pending
- 2009-10-23 BR BR122020021368-0A patent/BR122020021368B1/pt active IP Right Grant
- 2009-10-23 EP EP18187962.8A patent/EP3428278A1/en not_active Withdrawn
- 2009-10-23 EP EP22186770.8A patent/EP4174178A1/en active Pending
- 2009-10-23 BR BRPI0920276-5A patent/BRPI0920276B1/pt active IP Right Grant
- 2009-10-23 CN CN201610137572.3A patent/CN105779453A/zh active Pending
- 2009-10-23 CN CN202011089976.2A patent/CN112574988A/zh active Pending
- 2009-10-26 TW TW107120221A patent/TWI689587B/zh active
- 2009-10-26 TW TW111117662A patent/TW202309285A/zh unknown
- 2009-10-26 TW TW098136375A patent/TWI488965B/zh active
- 2009-10-26 TW TW113110982A patent/TW202500744A/zh unknown
- 2009-10-26 TW TW103141650A patent/TWI563086B/zh active
- 2009-10-26 TW TW109105707A patent/TW202043473A/zh unknown
- 2009-10-26 TW TW105129379A patent/TWI639700B/zh active
-
2011
- 2011-04-14 IL IL212386A patent/IL212386A/en active IP Right Grant
-
2013
- 2013-03-14 US US13/830,253 patent/US8865883B2/en active Active
- 2013-03-14 US US13/829,545 patent/US20140094500A1/en not_active Abandoned
-
2014
- 2014-10-21 JP JP2014214204A patent/JP2015017131A/ja not_active Withdrawn
- 2014-10-24 US US14/523,610 patent/US20150152415A1/en not_active Abandoned
-
2015
- 2015-09-11 US US14/852,257 patent/US9234198B1/en active Active
- 2015-09-11 US US14/852,264 patent/US9434948B2/en active Active
- 2015-09-17 US US14/857,590 patent/US9453225B2/en active Active
- 2015-09-17 US US14/857,569 patent/US9447416B2/en active Active
- 2015-09-18 US US14/858,416 patent/US9447417B2/en active Active
-
2016
- 2016-07-10 IL IL246697A patent/IL246697B/en active IP Right Grant
- 2016-08-30 JP JP2016167575A patent/JP6429285B2/ja active Active
- 2016-11-11 US US15/349,778 patent/US20170292125A1/en not_active Abandoned
-
2017
- 2017-02-17 JP JP2017028390A patent/JP2017086087A/ja not_active Withdrawn
- 2017-10-20 US US15/789,862 patent/US20180066259A1/en not_active Abandoned
-
2018
- 2018-04-25 JP JP2018084126A patent/JP6406782B2/ja active Active
- 2018-09-28 US US16/146,328 patent/US20190284556A1/en not_active Abandoned
-
2019
- 2019-01-09 US US16/243,926 patent/US20190127738A1/en not_active Abandoned
- 2019-02-28 HR HRP20190387TT patent/HRP20190387T1/hr unknown
- 2019-03-05 CY CY20191100269T patent/CY1122369T1/el unknown
- 2019-06-28 JP JP2019121399A patent/JP2019178163A/ja not_active Withdrawn
- 2019-09-25 IL IL26966419A patent/IL269664A/en unknown
-
2020
- 2020-06-12 US US16/899,802 patent/US20210180060A1/en not_active Abandoned
- 2020-11-18 IL IL278833A patent/IL278833A/en unknown
-
2021
- 2021-03-01 JP JP2021031641A patent/JP2021088595A/ja not_active Withdrawn
- 2021-04-09 JP JP2021066507A patent/JP2021100439A/ja active Pending
-
2023
- 2023-02-10 JP JP2023019132A patent/JP2023055956A/ja not_active Withdrawn
- 2023-03-30 JP JP2023055590A patent/JP2023073441A/ja active Pending
-
2024
- 2024-07-19 US US18/778,132 patent/US20250154507A1/en active Pending
Also Published As
Similar Documents
| Publication | Publication Date | Title |
|---|---|---|
| EP2350281B1 (en) | Multiple exon skipping compositions for dmd | |
| AU2021204232A1 (en) | Multiple exon skipping compositions for DMD | |
| HK1234441B (en) | Exon skipping compositions for dmd | |
| HK1200868B (en) | Multiple exon skipping compositions for dmd | |
| HK40000673A (en) | Multiple exon skipping compositions for dmd | |
| HK1234441A1 (en) | Exon skipping compositions for dmd |
Legal Events
| Date | Code | Title | Description |
|---|---|---|---|
| A107 | Divisional application of patent | ||
| PA0104 | Divisional application for international application |
Comment text: Divisional Application for International Patent Patent event code: PA01041R01D Patent event date: 20181025 Application number text: 1020117011326 Filing date: 20110518 |
|
| PG1501 | Laying open of application | ||
| PA0201 | Request for examination |
Patent event code: PA02012R01D Patent event date: 20181123 Comment text: Request for Examination of Application |
|
| E902 | Notification of reason for refusal | ||
| PE0902 | Notice of grounds for rejection |
Comment text: Notification of reason for refusal Patent event date: 20190221 Patent event code: PE09021S01D |
|
| E601 | Decision to refuse application | ||
| PE0601 | Decision on rejection of patent |
Patent event date: 20220303 Comment text: Decision to Refuse Application Patent event code: PE06012S01D Patent event date: 20190221 Comment text: Notification of reason for refusal Patent event code: PE06011S01I |