JP7702004B2 - ヒトインテグリンα4β7の阻害 - Google Patents

ヒトインテグリンα4β7の阻害 Download PDF

Info

Publication number
JP7702004B2
JP7702004B2 JP2024018866A JP2024018866A JP7702004B2 JP 7702004 B2 JP7702004 B2 JP 7702004B2 JP 2024018866 A JP2024018866 A JP 2024018866A JP 2024018866 A JP2024018866 A JP 2024018866A JP 7702004 B2 JP7702004 B2 JP 7702004B2
Authority
JP
Japan
Prior art keywords
substituted
unsubstituted
alkyl
compound
alkoxy
Prior art date
Legal status (The legal status is an assumption and is not a legal conclusion. Google has not performed a legal analysis and makes no representation as to the accuracy of the status listed.)
Active
Application number
JP2024018866A
Other languages
English (en)
Other versions
JP2024054296A (ja
Inventor
ジー. バーサヴィッチ,マシュー
クイ,ダン
イー. ダウリング,ジェームズ
エヌ. ハーン,クリストファー
エー. ハリソン,ブライス
リン,フー-ヤン
エス. リッパ,ブレイズ
エヌ. ロジャース,ブルース
エム. トロースト,ドーン
ジョン,チェン
ディー. コンゼ,カイル
アイ. ゲラシュト,アレクセイ
キム,ビュンチャン
ラフィ,サルマ
デイ,タイラー
ヒッキー,ユージーン
ホウアン,エヴリン
ザーラー,ロバート
Original Assignee
モーフィック セラピューティック,インコーポレイテッド
Priority date (The priority date is an assumption and is not a legal conclusion. Google has not performed a legal analysis and makes no representation as to the accuracy of the date listed.)
Filing date
Publication date
Application filed by モーフィック セラピューティック,インコーポレイテッド filed Critical モーフィック セラピューティック,インコーポレイテッド
Publication of JP2024054296A publication Critical patent/JP2024054296A/ja
Application granted granted Critical
Publication of JP7702004B2 publication Critical patent/JP7702004B2/ja
Active legal-status Critical Current
Anticipated expiration legal-status Critical

Links

Images

Classifications

    • CCHEMISTRY; METALLURGY
    • C07ORGANIC CHEMISTRY
    • C07DHETEROCYCLIC COMPOUNDS
    • C07D401/00Heterocyclic compounds containing two or more hetero rings, having nitrogen atoms as the only ring hetero atoms, at least one ring being a six-membered ring with only one nitrogen atom
    • C07D401/02Heterocyclic compounds containing two or more hetero rings, having nitrogen atoms as the only ring hetero atoms, at least one ring being a six-membered ring with only one nitrogen atom containing two hetero rings
    • C07D401/06Heterocyclic compounds containing two or more hetero rings, having nitrogen atoms as the only ring hetero atoms, at least one ring being a six-membered ring with only one nitrogen atom containing two hetero rings linked by a carbon chain containing only aliphatic carbon atoms
    • AHUMAN NECESSITIES
    • A61MEDICAL OR VETERINARY SCIENCE; HYGIENE
    • A61KPREPARATIONS FOR MEDICAL, DENTAL OR TOILETRY PURPOSES
    • A61K31/00Medicinal preparations containing organic active ingredients
    • A61K31/33Heterocyclic compounds
    • A61K31/395Heterocyclic compounds having nitrogen as a ring hetero atom, e.g. guanethidine or rifamycins
    • A61K31/435Heterocyclic compounds having nitrogen as a ring hetero atom, e.g. guanethidine or rifamycins having six-membered rings with one nitrogen as the only ring hetero atom
    • A61K31/44Non condensed pyridines; Hydrogenated derivatives thereof
    • A61K31/4412Non condensed pyridines; Hydrogenated derivatives thereof having oxo groups directly attached to the heterocyclic ring
    • AHUMAN NECESSITIES
    • A61MEDICAL OR VETERINARY SCIENCE; HYGIENE
    • A61KPREPARATIONS FOR MEDICAL, DENTAL OR TOILETRY PURPOSES
    • A61K31/00Medicinal preparations containing organic active ingredients
    • A61K31/33Heterocyclic compounds
    • A61K31/395Heterocyclic compounds having nitrogen as a ring hetero atom, e.g. guanethidine or rifamycins
    • A61K31/435Heterocyclic compounds having nitrogen as a ring hetero atom, e.g. guanethidine or rifamycins having six-membered rings with one nitrogen as the only ring hetero atom
    • A61K31/44Non condensed pyridines; Hydrogenated derivatives thereof
    • A61K31/4427Non condensed pyridines; Hydrogenated derivatives thereof containing further heterocyclic ring systems
    • AHUMAN NECESSITIES
    • A61MEDICAL OR VETERINARY SCIENCE; HYGIENE
    • A61KPREPARATIONS FOR MEDICAL, DENTAL OR TOILETRY PURPOSES
    • A61K31/00Medicinal preparations containing organic active ingredients
    • A61K31/33Heterocyclic compounds
    • A61K31/395Heterocyclic compounds having nitrogen as a ring hetero atom, e.g. guanethidine or rifamycins
    • A61K31/435Heterocyclic compounds having nitrogen as a ring hetero atom, e.g. guanethidine or rifamycins having six-membered rings with one nitrogen as the only ring hetero atom
    • A61K31/44Non condensed pyridines; Hydrogenated derivatives thereof
    • A61K31/4427Non condensed pyridines; Hydrogenated derivatives thereof containing further heterocyclic ring systems
    • A61K31/4439Non condensed pyridines; Hydrogenated derivatives thereof containing further heterocyclic ring systems containing a five-membered ring with nitrogen as a ring hetero atom, e.g. omeprazole
    • AHUMAN NECESSITIES
    • A61MEDICAL OR VETERINARY SCIENCE; HYGIENE
    • A61PSPECIFIC THERAPEUTIC ACTIVITY OF CHEMICAL COMPOUNDS OR MEDICINAL PREPARATIONS
    • A61P1/00Drugs for disorders of the alimentary tract or the digestive system
    • AHUMAN NECESSITIES
    • A61MEDICAL OR VETERINARY SCIENCE; HYGIENE
    • A61PSPECIFIC THERAPEUTIC ACTIVITY OF CHEMICAL COMPOUNDS OR MEDICINAL PREPARATIONS
    • A61P1/00Drugs for disorders of the alimentary tract or the digestive system
    • A61P1/04Drugs for disorders of the alimentary tract or the digestive system for ulcers, gastritis or reflux esophagitis, e.g. antacids, inhibitors of acid secretion, mucosal protectants
    • AHUMAN NECESSITIES
    • A61MEDICAL OR VETERINARY SCIENCE; HYGIENE
    • A61PSPECIFIC THERAPEUTIC ACTIVITY OF CHEMICAL COMPOUNDS OR MEDICINAL PREPARATIONS
    • A61P29/00Non-central analgesic, antipyretic or antiinflammatory agents, e.g. antirheumatic agents; Non-steroidal antiinflammatory drugs [NSAID]
    • CCHEMISTRY; METALLURGY
    • C07ORGANIC CHEMISTRY
    • C07DHETEROCYCLIC COMPOUNDS
    • C07D213/00Heterocyclic compounds containing six-membered rings, not condensed with other rings, with one nitrogen atom as the only ring hetero atom and three or more double bonds between ring members or between ring members and non-ring members
    • C07D213/02Heterocyclic compounds containing six-membered rings, not condensed with other rings, with one nitrogen atom as the only ring hetero atom and three or more double bonds between ring members or between ring members and non-ring members having three double bonds between ring members or between ring members and non-ring members
    • C07D213/04Heterocyclic compounds containing six-membered rings, not condensed with other rings, with one nitrogen atom as the only ring hetero atom and three or more double bonds between ring members or between ring members and non-ring members having three double bonds between ring members or between ring members and non-ring members having no bond between the ring nitrogen atom and a non-ring member or having only hydrogen or carbon atoms directly attached to the ring nitrogen atom
    • C07D213/60Heterocyclic compounds containing six-membered rings, not condensed with other rings, with one nitrogen atom as the only ring hetero atom and three or more double bonds between ring members or between ring members and non-ring members having three double bonds between ring members or between ring members and non-ring members having no bond between the ring nitrogen atom and a non-ring member or having only hydrogen or carbon atoms directly attached to the ring nitrogen atom with hetero atoms or with carbon atoms having three bonds to hetero atoms with at the most one bond to halogen, e.g. ester or nitrile radicals, directly attached to ring carbon atoms
    • C07D213/62Oxygen or sulfur atoms
    • C07D213/63One oxygen atom
    • C07D213/64One oxygen atom attached in position 2 or 6

Landscapes

  • Chemical & Material Sciences (AREA)
  • Health & Medical Sciences (AREA)
  • Organic Chemistry (AREA)
  • Life Sciences & Earth Sciences (AREA)
  • Veterinary Medicine (AREA)
  • Public Health (AREA)
  • General Health & Medical Sciences (AREA)
  • Animal Behavior & Ethology (AREA)
  • Medicinal Chemistry (AREA)
  • Pharmacology & Pharmacy (AREA)
  • Nuclear Medicine, Radiotherapy & Molecular Imaging (AREA)
  • General Chemical & Material Sciences (AREA)
  • Chemical Kinetics & Catalysis (AREA)
  • Engineering & Computer Science (AREA)
  • Bioinformatics & Cheminformatics (AREA)
  • Epidemiology (AREA)
  • Rheumatology (AREA)
  • Pain & Pain Management (AREA)
  • Pharmaceuticals Containing Other Organic And Inorganic Compounds (AREA)
  • Plural Heterocyclic Compounds (AREA)
  • Pyridine Compounds (AREA)
  • Medicines That Contain Protein Lipid Enzymes And Other Medicines (AREA)
  • Steroid Compounds (AREA)
  • Organic Low-Molecular-Weight Compounds And Preparation Thereof (AREA)
  • Acyclic And Carbocyclic Compounds In Medicinal Compositions (AREA)
  • Hydrogenated Pyridines (AREA)
  • Medicines Containing Material From Animals Or Micro-Organisms (AREA)
  • Heterocyclic Carbon Compounds Containing A Hetero Ring Having Nitrogen And Oxygen As The Only Ring Hetero Atoms (AREA)
  • Radio Relay Systems (AREA)
  • Air Conditioning Control Device (AREA)

Description

関連出願
本出願は、2019年10月16日に出願された米国仮特許出願第62/916,062号明細書の優先の利益を主張するものである。
αβインテグリンの阻害に有用な新規化合物、および関連方法が開示される。本明細書に開示される化合物および方法は、例えば炎症性腸疾患(IBD)、潰瘍性大腸炎(UC)、およびクローン病(CD)などのαβインテグリン介在性の病態の治療のための医薬品の開発に適用可能である。
インテグリンは多くの細胞プロセスに関与する非共有結合的に関連付けられたα/βヘテロ二量体の細胞表面受容体である。インテグリンの差次的な発現によって、細胞の接着特性が調節され、様々な炎症性シグナルに応答して特定の器官に様々な白血球集団をリクルートさせることが可能になる。αβを含むαインテグリンは、消化管全体でリンパ球の遊走に関与している。Bリンパ球およびTリンパ球を含むほとんどの白血球上で当該インテグリンは発現されており、その一次リガンドであるmucosal addressin cell adhesion molecule(MadCAM)への選択的結合を介して細胞接着を介在する。αβインテグリンを発現するメモリーTリンパ球はmucosal vascular addressin cell adhesion molecule 1(MAdCAM-1)への安定的な接着を介して消化管内に優先的に遊走する。
特定のインテグリン-リガンド相互作用の阻害剤が、様々な疾患の治療に使用されている。例えば、αβに高い結合アフィニティを呈するモノクローナル抗体は、例えばクローン病や潰瘍性大腸炎などの消化管の自己炎症性/自己免疫性の疾患に対する治療効果を示している。しかしながら、これらの治療法は、患者に対して、ある望ましくない特性も有している。モノクローナル抗体のαβインテグリン阻害剤は非経口投与により投与され、長い半減期を有しており、暴露を速やかに変えることはできず、抗薬剤抗体の形成によって活性が低下する。モノクローナル抗体療法は、低分子治療剤と比較して製造が難しい場合もある。それに加えて、αβを阻害する一部の治療剤は、αβインテグリン-リガンドの相互作用にも干渉してしまうため、患者に危険な副作用を生じさせる。免疫抑制状態の患者において、αβインテグリンの活性は、生命を脅かす進行性の脳感染症である進行性多巣性白質脳症(PML)の発生に関与している。
例えば、炎症性腸疾患(IBD)、潰瘍性大腸炎(UC)、およびクローン病(CD)などのαβインテグリン介在性の病態に対する治療用薬品類に対する重要な追加品として、有効で安全な経口αβインテグリン阻害剤に対する医学的ニーズがいまだ存在する。
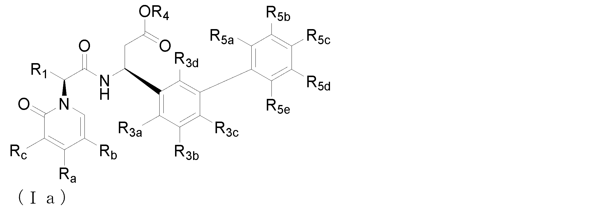
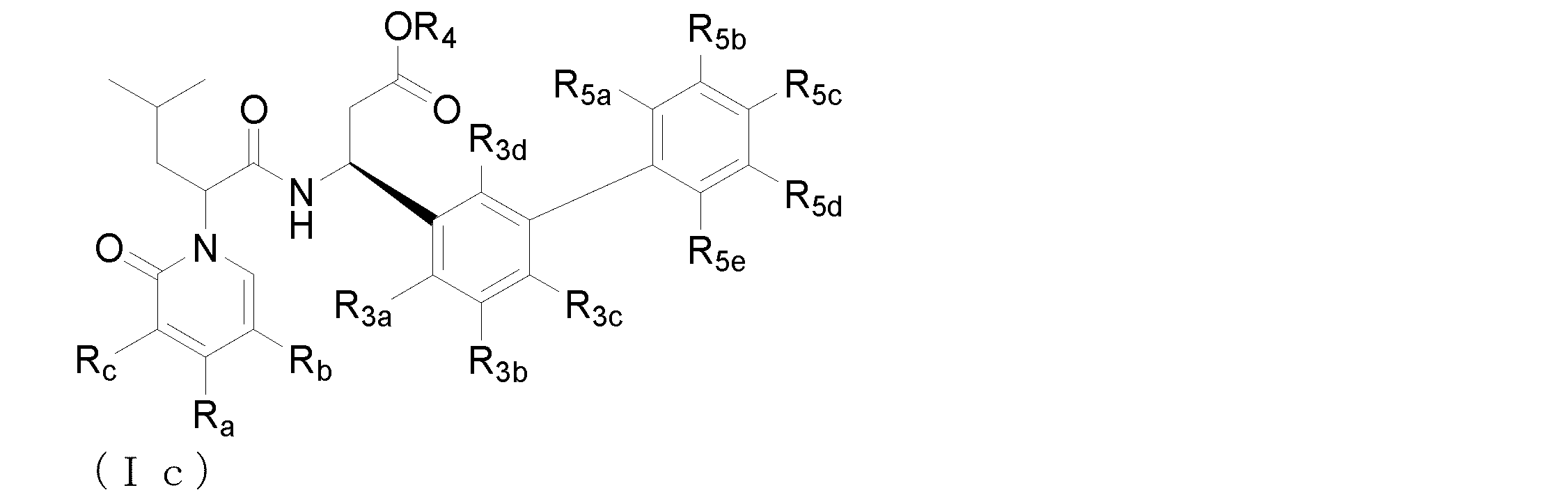
特定の実施形態において、本発明は、以下の式(I)の化合物またはその薬学的に許容可能な塩に関連する:
Figure 0007702004000001
式中、
、RおよびRは独立して、H、Me、ハロゲン化物、CF、C(H)F、C(F)H、-CN、-OCF、置換または非置換の(C-C)-アルキル、置換または非置換の(C-C)-アルコキシ、-CHCF3、および置換または非置換の-(C1-)アルキレン-N-(R)(R)からなる群から選択されるが、ただし、R、R、およびRのうちの少なくとも一つは、-(C1-)アルキレン-N-(R)(R)であり;
およびRは独立して、Hおよび置換または非置換の(C-C)-アルキルからなる群から選択されるか、またはRおよびRは、それらが結合するNと共に4~6員の環を形成し;
は、置換もしくは非置換の(C-C)-アルキル、置換もしくは非置換の(C-C)-アルキレン-(C-C)-シクロアルキル、または置換もしくは非置換の(C-C)-アルキレン-(C-C)-アルコキシであり;
は、
Figure 0007702004000002
であり;
3aおよびR3bは独立して、H、置換または非置換の(C-C)-アルキル、置換または非置換の(C-C)-シクロアルキル、置換または非置換の3~6員のヘテロシクロアルキル、-OH、-CN、ハロゲン化物、CF、C(H)F、C(F)H2、-(C-C)-アルコキシ、-OCFおよび置換または非置換の(C-C)-アルキレン-(C-C)-アルコキシからなる群から選択されるが、ただし、R3aおよびR3bの両方ともがHであることはないものとし;
3cは、H、置換または非置換の(C-C)-アルキル、置換または非置換の(C-C)-シクロアルキル、置換または非置換の3~6員のヘテロシクロアルキル、ヒドロキシル、ハロゲン化物、CF、C(H)F、C(F)H、-(C-C)-アルコキシ、-OCF-CN、および置換または非置換の(C-C)-アルキレン-(C-C)-アルコキシからなる群から選択され;
3dは、H、置換または非置換の(C-C)-アルキル、ヒドロキシル、ハロゲン化物、および-(C-C)-アルコキシからなる群から選択され;
は、H、または置換もしくは非置換の(C-C)アルキルであり;
5aおよびR5eは独立して、H、CN、ハロゲン化物、CF、C(H)F、C(F)H、-CHCF3、置換または非置換の(C-C)-シクロアルキル、置換または非置換の(C-C)-アルキル、置換または非置換の3~6員のヘテロシクロアルキルヒドロキシル、および(C-C)-アルコキシからなる群から選択され;ならびに
5b、R5c、およびR5dは独立して、H、CN、ハロゲン化物、CF、C(H)F、C(F)H、-CHCF、置換または非置換の(C-C)-アルキル、置換または非置換の(C-C)-シクロアルキル、置換または非置換の3~6員のヘテロシクロアルキル、ヒドロキシル、および(C-C)-アルコキシからなる群から選択される。
本発明の一部の態様では、式(I)の化合物は、R、R、およびRのうちのただ一つが、置換または非置換の-(C-C)アルキレン-N-(R)(R)であり;Rは、(C-C)アルキル(例えば、イソブチル)であり;R3aおよびR3bは独立して、H、(C-C)-アルキル(例えば、メチル)、ハロゲン化物、(例えば、FまたはCl)、CF、C(H)F、およびC(F)Hからなる群から選択されるが、ただし、R3aおよびR3bの両方ともがHであることはないものとし;ならびにRは、Hである、化合物であってもよい。
一部の例では、式(I)の化合物は、R、R、およびRのうちのただ一つが、置換または非置換の-(C-C)アルキレン-N-(R)(R)であり;RおよびRは各々独立して、非置換の(C-C)-アルキル(例えば、メチル)であるか、またはRおよびRはそれらが結合するNとともに置換または非置換の4~6員のヘテロシクリル環を形成し;Rは、非置換の(C-C)アルキル(例えば、イソブチル)であり;R3aおよびR3bは独立して、H、非置換の(C-C)-アルキル(例えば、メチル、エチルなど)、ハロゲン化物(例えば、FまたはCl)、CF、C(H)F、およびC(F)Hからなる群から選択されるが、ただしR3aおよびR3bの両方ともがHであることはないものとし;R3cは、H、F、Cl、ヒドロキシル、置換または非置換の(C-C)-アルキル(例えば、メチル)、置換または非置換の(C-C)-シクロアルキル(例えば、シクロプロピル)、(C-C)-アルコキシ(例えば、メトキシ)からなる群から選択され;R3dは、H、ハロゲン化物(例えば、FまたはCl)、置換または非置換の(C-C)-アルキル(例えば、メチル)およびヒドロキシルからなる群から選択され;ならびにRは、Hである化合物であってもよい。一部の例では、式(I)、式(Ia)および/または式(Ib)の化合物は、R、R、およびRのうちのただ一つが、置換または非置換の-(C-C)アルキレン-N-(R)(R)であり;RおよびRは各々独立して、非置換のメチルであるか、またはRおよびRはそれらが結合するNとともに置換または非置換の4~6員のヘテロシクリル環を形成し;Rは、イソブチルであり;R3aおよびR3bは独立して、非置換の(C-C)-アルキル(例えば、メチルなど)、ハロゲン化物(例えば、FまたはCl)、CF、C(H)F、およびC(F)Hからなる群から選択され、R3cおよびR3dは両方がHであり;ならびにRは、Hである、化合物であってもよい。例えば、式(I)、式(Ia)および/または式(Ib)の化合物は、Rは、イソブチルであり;R3aおよびR3bは独立して、非置換の(C-C)-アルキル(例えば、メチル)、ハロゲン化物(例えば、FまたはCl)、CF、C(H)F、およびC(F)Hからなる群から選択され;R3cおよびR3dは両方がHであり;RはHであり;ならびにR5aおよびR5eはそれぞれ置換または非置換の(C-C)-アルキル(例えば、メチル)である、化合物であってもよい。式(I)の化合物は、R、R、およびRのうちのただ一つが、置換または非置換の-(C-C)アルキレン-N-(R)(R)であり;RおよびRは各々独立して、非置換のメチルであるか、またはRおよびRはそれらが結合するNとともに、ハロゲン化物(例えば、F)で任意で置換される4~6員のヘテロシクリル環を形成し;Rは、イソブチルであり;R3aおよびR3bは独立して、非置換の(C-C)-アルキル(例えば、メチル)、ハロゲン化物(例えば、FまたはCl)、CF、C(H)F、およびC(F)Hからなる群から選択され;R3cおよびR3dは両方がHであり;Rは、Hであり;R5aおよびR5eはそれぞれ置換または非置換の(C-C)-アルキル(例えば、メチル)であり、ならびにR5b、R5c、およびR5dは各々独立して、H、CN、ハロゲン化物(例えば、F、Cl)、CF、C(H)F、C(F)H、(C-C)-アルキル、ヒドロキシル、および(C-C)-アルコキシからなる群から選択される、化合物であってもよい。特定の実施形態では、本発明は、例えばクローン病および潰瘍性大腸炎などの自己炎症性/自己免疫性の疾患を治療する方法に関連し、当該方法は、その必要のある対象に、本明細書に記載される化合物のいずれか一つの治療有効量を投与する工程を含む。
一部の実施形態では、式(I)の化合物は、式(Ia)の化合物:
Figure 0007702004000003
またはその薬学的に許容可能な塩であってもよく、式(Ia)において、R、R、R、R、R3a、R3b、R3c、R3d、R5a、R5b、R5c、R5d、R5eおよびRは各々独立して、式(I)に関して上記と同様に規定される。
Figure 0007702004000004
またはその薬学的に許容可能な塩であってもよく、式(Ia)において、R、R、R、R、R3a、R3b、R3c、R3d、R5a、R5b、R5c、R5d、R5eおよびRは各々独立して、式(I)に関して上記と同様に規定される。
式(I)、式(Ia)および/または式(Ib)の化合物を作製および単離する方法も本明細書に提供される。
図1は、例示的な化合物によるαβインテグリンのインビトロ阻害を要約する表(表1)である(すなわち、データは、実施例5の蛍光偏光アッセイおよび実施例6のリガンド結合アッセイから取得された)。 同上。 同上。 同上。 同上。 同上。 同上。 同上。 同上。 同上。 同上。 同上。 同上。 同上。 同上。 同上。 同上。 同上。 同上。 同上。 同上。 同上。 同上。 同上。 同上。 同上。 同上。 同上。 同上。 同上。 同上。 同上。 同上。 同上。 同上。 同上。 同上。 同上。 同上。 同上。 同上。 図2は、追加の例示的化合物を提示する表(表2)である。 同上。 同上。 同上。 同上。 同上。 図3は、例示的な化合物によるαβインテグリンのインビトロ阻害を要約する表(表5)である(すなわち、データは、実施例5の蛍光偏光アッセイおよび実施例6のリガンド結合アッセイから取得された)。 同上。 同上。 同上。 同上。 同上。 同上。 同上。 同上。 同上。 同上。 図4は、例示的な化合物によるαβインテグリンのインビトロ阻害を要約する表(表6)である(すなわち、データは、実施例5の蛍光偏光アッセイおよび実施例6のリガンド結合アッセイから取得された)。 同上。 同上。 同上。 同上。 同上。 同上。 同上。 同上。 同上。 同上。 同上。 同上。 同上。 同上。 同上。 同上。 同上。 同上。 同上。 同上。 同上。 同上。 同上。 同上。 同上。 同上。 同上。 同上。
特定の実施形態では、本発明は、αβインテグリンをアンタゴナイズする化合物に関する。化合物は、αβインテグリンの阻害によって治療可能な疾患(例えば、クローン病(CD)、および潰瘍性大腸炎(UC))の治療に有用である。
定義
簡便性を目的として、本発明を詳述する前に、本明細書、実施例および添付の請求の範囲に採用される特定の用語を、ここに収集する。これらの定義は、本開示の残りの部分と、当業者による理解を踏まえた上で読み取られるべきである。別段に定義がない限り、本明細書で使用されるすべての技術用語および科学用語は、当業者によって一般的に理解される意味と同じ意味を有する。
本発明がより容易に理解されるように、特定の用語および文言を、以下および本明細書全体を通じて定義する。
冠詞「a」および「an」は、本開示において、冠詞の文法上の目的語の一つまたは複数(すなわち、少なくとも一つ)を指すために使用される。一例として、「要素」は一つの要素または一つを超える要素を意味する。
本明細書および請求の範囲において使用される場合、「および/または」という文言は、そのように併せられる要素の「いずれか、または両方」を意味するものと理解されたい。すなわち、要素は、一部の例では、接続して存在し、別の例では分離して存在する。「および/または」で列挙される複数の要素は、同じ様式であると解釈されるべきである。すなわち、そのように結合された要素の「一つ以上」で解釈されるべきである。具体的に特定された要素と関連または非関連であるかにかかわらず、任意で、「および/または」の文言により具体的に特定される要素以外の他の要素が存在してもよい。したがって、非限定的な例として、例えば「含む」などのオープンエンドの言語と併せて使用されたとき、「Aおよび/またはB」という言及は、一つの実施形態では、Aのみ(任意でB以外の要素を含む)を指す場合があり、別の実施形態では、Bのみ(任意でA以外の要素を含む)を指す場合があり、さらに別の実施形態では、AおよびBの両方(任意で他の要素を含む)を指す場合がある。
明細書および請求の範囲において使用される場合、「または」は、上記に定義される「および/または」と同じ意味を有すると理解されたい。例えばリストにおいて項目を分けるとき、「または」または「および/または」は、包含であると解釈されるべきである。すなわち、要素の数またはリストのうちの少なくとも一つの包含であるが、複数も含み、そして任意で追加のリストにない項目も含む。反対であると明白に示された用語のみ、例えば、「~のうちのただ一つ」もしくは「~のうちの厳密に一つ」、または特許請求の範囲において使用するときの「~から成る」は、要素の数またはリストうちの厳密に一つの要素の包含を指す。概して、本明細書で使用される場合、「または」という用語は、例えば、「いずれか」、「~のうちの一つ」、「~のうちの一つのみ」、または「~のうちの厳密に一つ」などの排他的な用語が先行するときには、排他的な選択肢(すなわち、「一方または他方であるが、両方ではない」)を示すとのみ解釈されるものとする。特許請求の範囲において使用される場合、「本質的に~からなる」とは、特許法の分野で使用される通常の意味を有するものとする。
明細書および請求の範囲において使用される場合、一つ以上の要素のリストに関連した「少なくとも一つ」という文言は、当該要素のリスト中の要素のうちのいずれか一つ以上から選択される少なくとも一つの要素を意味すると理解されるものとする。しかし当該要素のリスト内に具体的に列記される各要素および全要素のうちの少なくとも一つを必ずしも含むものではなく、当該要素のリスト中の要素のいずれか組み合わせを除外するものではないと理解されるものとする。この定義はさらに、当該文言の「少なくとも一つ」が言及する要素のリスト内で具体的に特定される要素以外の要素が、当該具体的に特定される要素に関連であるか、または非関連であるかに関わらず、任意で存在し得ることも許容する。ゆえに非限定的な例として、「AおよびBのうちの少なくとも一つ」(または同等に、「AまたはBのうちの少なくとも一つ」または同等に、「Aおよび/またはBのうちの少なくとも一つ」)とは、一つの実施形態では、任意で複数のAを含み、Bが無い(および任意でB以外の要素を含む)、少なくとも一つを指す場合がある。別の実施形態では、任意で複数のBを含み、Aが無い(および任意でA以外の要素を含む)、少なくとも一つを指す場合がある。さらに別の実施形態では、任意で複数のAを含む少なくとも一つ、および任意で複数のBを含む(および任意で他の要素を含む)少なくとも一つを指す場合がある。
反対であることが明白に示されない限り、複数の工程または行為を含む、本明細書において特許請求される任意の方法において、当該方法の工程および行為の順序は、当該方法の工程および行為が列挙される順序に必ずしも限定されないことを理解されたい。
特許請求の範囲ならびに上述の明細書において、例えば「含有する」、「含む」、「持つ」、「有する」、「包含する」、「伴う」、「保持する」、「~から構成される」などの全ての移行句は、制限がないと理解されたい。すなわち、以下を含むがそれらに限定されないことを意味すると理解されたい。「~からなる」および「本質的に~からなる」という移行句のみがそれぞれ制限的または半制限的な移行句であるものとし、このことについては米国特許庁の米国特許審査便覧、セクション2111.03に記載されている。
本発明の組成物中に含有される特定の化合物は、特定の幾何学的形態または立体異性体の形態で存在し得る。さらに、本発明のポリマーは、光学的に活性であり得る。本発明は、シス異性体およびトランス異性体、R-エナンチオマーおよびS-エナンチオマー、ジアステレオマー、(D)-異性体、(L)-異性体、それらのラセミ混合物、ならびにそれらの他の混合物を含む、すべてのかかる化合物を本発明の範囲内にあるとして予期する。追加的な不斉炭素原子は、例えばアルキル基などの置換基中に存在してもよい。全てのかかる異性体、ならびにそれらの混合物は、本発明に含まれることが意図される。
例えば、本発明の化合物の特定のエナンチオマーが望ましい場合、不斉合成により、またはキラル補助基を用いた誘導体化により調製されてもよく、得られるジアステレオマー混合物は分離され、補助基が切断されて、純粋な所望のエナンチオマーが生成される。あるいは分子が例えばアミノなどの塩基性官能基、または例えばカルボキシルなどの酸性官能基を含む場合、ジアステレオマー塩は、適切な光学活性の酸または塩基とともに形成され、次いで当分野に公知の分別結晶法またはクロマトグラフィー法により形成されたジアステレオマーの分割が行われて、その後に純粋なエナンチオマーが収集される。
本明細書で示される構造は、一つ以上の同位体濃縮原子が存在することでのみ異なる化合物を含むことも意図される。例えば、水素を重水素またはトリチウムで置換することによって生成された化合物、または炭素を13Cもしくは14Cが富化された炭素で置換することによって生成された化合物は、本発明の範囲内である。
本明細書で使用される場合、「α4β7」、「a4B7」、「a4b7」、「アルファ-4 ベータ-7」および「アルファ4 ベータ7」などの用語はすべて、αβを指す。
本明細書で使用される場合、「薬学的に許容可能な賦形剤」または「薬学的に許容可能な担体」という文言は、例えば液状もしくは固形の充填剤、希釈剤、賦形剤、溶媒または封入材料などの薬学的に許容可能な物質、組成物またはビヒクルを意味し、それらは対象化合物を、身体の一つの器官または一部から、身体の別の器官または一部への運搬または輸送に関与する。各担体は、製剤の他の成分との適合性があり、患者に有害ではなく、そして実質的に発熱活性が無いという意味で「許容可能」でなければならない。薬学的に許容可能な担体としての役割を果たし得る物質のいくつかの例としては、(1)糖類、例えば、ラクトース、グルコース、およびスクロース、(2)デンプン、例えば、コーンスターチおよびジャガイモデンプン、(3)セルロースおよびその誘導体、例えば、カルボキシメチルセルロースナトリウム、エチルセルロース、および酢酸セルロース、(4)粉末トラガカント、(5)麦芽、(6)ゼラチン、(7)滑石、(8)賦形剤、例えば、ココアバター、(9)油、例えば、落花生油、綿実油、紅花油、胡麻油、オリーブ油、コーン油、および大豆油、(10)グリコール、例えばプロピレングリコール、(11)ポリオール、例えば、グリセリン、ソルビトール、マンニトール、およびポリエチレングリコール、(12)エステル、例えば、オレイン酸エチルおよびラウリン酸エチル、(13)寒天、(14)緩衝剤、例えば、水酸化マグネシウムおよび水酸化アルミニウム、(15)アルギン酸、(16)発熱性物質除去蒸留水、(17)等張食塩水、(18)リンゲル溶液、(19)エチルアルコール、(20)リン酸緩衝溶液、ならびに(21)医薬製剤に採用される他の非毒性で適合性がある物質が挙げられる。特定の実施形態では、本発明の医薬組成物は、非発熱性である。すなわち、患者に投与されたときに顕著な温度上昇を誘導しない。
「薬学的に許容可能な塩」という用語は、化合物の比較的非毒性の無機塩基付加塩や有機塩基付加塩を指す。これらの塩は、化合物の最終的な単離と精製の間に原位置で調製されてもよく、またはその遊離形態にある精製化合物を適切な有機酸または無機酸と別々に反応させ、形成された塩を単離することによって、調製されてもよい。代表的な塩としては、臭化水素酸塩、塩酸塩、硫酸塩、重硫酸塩、リン酸塩、硝酸塩、酢酸塩、吉草酸塩、オレイン酸塩、パルミチン酸塩、ステアリン酸塩、ラウリル酸塩、安息香酸塩、乳酸塩、リン酸塩、トシル酸塩、クエン酸塩、マレイン酸塩、フマル酸炎、コハク酸塩、酒石酸塩、ナフチル酸塩(naphthylate)、メシル酸塩、グルコヘプトン酸塩、ラクトビオン酸塩、およびラウリルスルホン酸塩などが挙げられる。(例えば、Berge et al.(1977)“Pharmaceutical Salts”,J.Pharm.Sci.66:1-19を参照のこと)。
他の例では、本発明の方法において有用な化合物は、一つ以上の酸性官能基を含有してもよく、それに伴い、薬学的に許容可能な塩基と薬学的に許容可能な塩を形成することができる。これらの例において、「薬学的に許容可能な塩」という用語は、化合物の比較的非毒性の無機塩基付加塩や有機塩基付加塩を指す。これらの塩も同様に、化合物の最終的な単離および精製の間に原位置で調製されてもよく、または遊離酸型の精製化合物と、例えば薬学的に許容可能な金属カチオンの水酸化物、炭酸塩もしくは重炭酸塩などの適切な塩基、アンモニア、または薬学的に許容可能な有機一級アミン、二級アミンもしくは三級アミンとを別個に反応させることにより、調製されてもよい。代表的なアルカリ塩またはアルカリ土類塩としては、リチウム、ナトリウム、カリウム、カルシウム、マグネシウムおよびアルミニウムの塩などが挙げられる。塩基付加塩の形成に有用な代表的な有機アミンとしては、エチルアミン、ジエチルアミン、エチレンジアミン、エタノールアミン、ジエタノールアミン、ピペラジンなどが挙げられる(例えば、上記のBergeらを参照のこと)。
治療での使用に関して、化合物の「治療有効量」(または「有効量」)とは、望ましい投薬レジメンの一部として、または美容目的に対し、(哺乳動物、好ましくはヒトに)投与されたときに、任意の医学的処置に関して適用可能な合理的な利益/リスクの比率で、治療される障害または状態に関して臨床的に受容されている標準に従い、症状を軽減する、状態を改善する、または疾患状態の発生を遅らせる調製物中の化合物の量を指す。
「予防的または治療的」な処置という用語は、当分野で認識され、対象の組成物のうちの一つ以上の宿主への投与を含む。望ましくない状態(例えば、疾患、または宿主動物の他の望ましくない状態)の臨床兆候の前に投与される場合、処置は、予防的である(すなわち、望ましくない状態の発現から宿主を保護する)。一方で、望ましくない状態の発現後に投与される場合、処置は、治療的である(すなわち、すでに存在する望ましくない状態、またはその副作用を減少、改善、または安定化することが意図される)。
「患者」という用語は、特定の処置を必要とする哺乳動物を指す。特定の実施形態では、患者は、霊長類、イヌ、ネコ、またはウマである。特定の実施形態では、患者は、ヒトである。
脂肪族鎖は、以下に定義されるアルキル、アルケニル、およびアルキニルのクラスを含む。直鎖状脂肪族鎖は、非分岐型の炭素鎖部分に限定される。本明細書で使用される場合、「脂肪族基」という用語は、直鎖、分岐鎖、または環状の脂肪族炭化水素基を指し、例えばアルキル基、アルケニル基、またはアルキニル基などの飽和脂肪族基および不飽和脂肪族基を含む。
「アルキル」とは、指定の数の炭素原子を有する、または指定がない場合には1~30個の炭素原子を有する、完全に飽和した環状もしくは非環状の分岐または非分岐の炭素鎖部分を指す。例えば、1~8個の炭素原子のアルキルは、メチル、エチル、プロピル、ブチル、ペンチル、ヘキシル、ヘプチル、およびオクチルなどの部分、ならびにこれらの部分の位置異性体である部分を指す。10~30個の炭素原子のアルキルには、デシル、ウンデシル、ドデシル、トリデシル、テトラデシル、ペンタデシル、ヘキサデシル、ヘプタデシル、オクタデシル、ノナデシル、エイコシル、ヘンエイコシル、ドコシル、トリコシル、およびテトラコシルが含まれる。特定の実施形態では、直鎖または分岐鎖のアルキルは、その骨格に30個以下の炭素原子(例えば、直鎖についてはC-C30、分岐鎖についてはC-C30)を有し、より好ましくは20個以下である。アルキル基は、置換または非置換であってもよい。本明細書で使用される場合、「Me」および-CHは両方ともメチルを指す。
本明細書で使用される場合、「アルキレン」という用語は、例えば、2~12個の炭素原子など、指定される数の炭素を有し、その最も長い炭素鎖上に、化合物の残りの部分に対する二つの付着点を含むアルキル基を指す。アルキレン基の非限定的な例としては、メチレン-(CH)-、エチレン-(CHCH)-、n-プロピレン-(CHCHCH)-、イソプロピレン-(CHCH(CH))-などが挙げられる。アルキレン基は、環状または非環状、分岐または非分岐の炭素鎖部分であってもよく、任意で一つ以上の置換基で置換されていてもよい。
「シクロアルキル」とは、単環式または二環式または架橋型またはスピロ環式、または多環式の飽和炭素環式の環を意味し、各々が3~12個の炭素原子を有する。同様に、好ましいシクロアルキルは、その環状構造中に3~10個の炭素原子を有し、より好ましくは、環状構造中に3~6個の炭素を有する。シクロアルキル基は、置換または非置換であってもよい。
炭素数が別途指定されない限り、本明細書で使用される場合、「低級アルキル」とは、上記で定義されるアルキル基を意味するが、その骨格構造中に1~10個の炭素原子、より好ましくは1~6個の炭素原子を有し、例えばメチル、エチル、n-プロピル、イソプロピル、n-ブチル、イソブチル、sec-ブチル、およびtert-ブチルなどが挙げられる。同様に、「低級アルケニル」および「低級アルキニル」も、同じような鎖長を有する。本出願全体を通して、好ましいアルキル基は、低級アルキルである。特定の実施形態では、本明細書でアルキルとして指定される置換基は、低級アルキルである。
本明細書で使用される場合、「アリール」という用語は、3~12員の置換または非置換の単環式芳香族基を含み、当該環の各原子は、炭素である(すなわち炭素環式アリール)か、または一つ以上の原子がヘテロ原子である(すなわちヘテロアリール)。好ましくは、アリール基は、5~12員の環を含み、より好ましくは6~10員の環を含む。「アリール」という用語はまた、二つ以上の環式の環を有する多環式の環系を含み、当該環系では二つ以上の炭素が、二つの隣接する環に共有され、当該環のうちの少なくとも一つは芳香族であり、例えば、他の環式の環は、シクロアルキル、シクロアルケニル、シクロアルキニル、アリール、ヘテロアリール、および/または複素環である。炭素環式アリール基には、ベンゼン、ナフタレン、フェナントレン、フェノール、アニリンなどが含まれる。ヘテロアリール基は、置換または非置換の芳香族の3~12員の環構造、より好ましくは5~12員の環、より好ましくは5~10員の環を含み、その環構造は1~4個のヘテロ原子を含む。ヘテロアリール基としては例えば、ピロール、フラン、チオフェン、イミダゾール、オキサゾール、チアゾール、トリアゾール、ピラゾール、ピリジン、ピラジン、ピリダジン、およびピリミジンなどが挙げられる。アリールおよびヘテロアリールは、単環式、二環式、または多環式であってもよい。
本明細書で使用される場合、「ハロ」、「ハロゲン化物」、または「ハロゲン」という用語は、ハロゲンを意味し、例えばそれに限定されないが、放射性および非放射性の両方の形態のフルオロ、クロロ、ブロモ、ヨードなどを含む。好ましい実施形態では、ハロは、フルオロ、クロロおよびブロモからなる群から選択される。
「ヘテロシクリル」または「複素環基」という用語は、3~12員の環構造、より好ましくは5~12員の環、より好ましくは5~10員の環を指し、その環構造は1~4個のヘテロ原子を含む。複素環は、単環式、二環式、スピロ環式、または多環式であってもよい。ヘテロシクリル基としては例えば、チオフェン、チアントレン、フラン、ピラン、イソベンゾフラン、クロメン、キサンテン、フェノキサチイン、ピロール、イミダゾール、ピラゾール、イソチアゾール、イソキサゾール、ピリジン、ピラジン、ピリミジン、ピリダジン、インドリジン、イソインドール、インドール、インダゾール、プリン、キノリジン、イソキノリン、キノリン、フタラジン、ナフチリジン、キノキサリン、キナゾリン、シノリン、プテリジン、カルバゾール、カルボリン、フェナントリジン、アクリジン、ピリミジン、フェナントロリン、フェナジン、フェナルサジン、フェノチアジン、フラザン、フェノキサジン、ピロリジン、オキソラン、チオラン、オキサゾール、ピペリジン、ピペラジン、モルホリン、ラクトン、ラクタム、例えばアゼチジノンおよびピロリジノン、スルタム、スルトンなどが挙げられる。複素環式の環は、一つ以上の位置で、上述のように、例えばハロゲン、アルキル、アラルキル、アルケニル、アルキニル、シクロアルキル、ヒドロキシル、アミノ、ニトロ、スルフヒドリル、イミノ、アミド、リン酸塩、ホスホン酸塩、ホスフィン酸塩、カルボキシル、シリル、スルファモイル、スルフィニル、エーテル、アルキルチオ、スルホニル、ケトン、アルデヒド、エステル、ヘテロシクリル、芳香族部分またはヘテロ芳香族部分、-CF、-CNなどのような置換基と置換されてもよい。
「カルボニル」という用語は、当分野で認識されており、以下の式によって表され得るような部分を含む:
Figure 0007702004000005
式中、X’は、結合であるか、または酸素もしくは硫黄を表し、R15は、水素、アルキル、アルケニル、-(CH-R10、または薬学的に許容可能な塩を表し、R16は、水素、アルキル、アルケニル、または-(CH-R10を現し、mおよびR10は、上記に定義されるとおりである。X’が酸素であり、R15またはR16が水素ではない場合、式は、「エステル」を表す。X’が酸素であり、R15が上記に定義されるとおりである場合、当該部分は本明細書においてカルボキシル基と呼称され、特にR15が水素である場合、式は「カルボン酸」を表す。X’が酸素であり、R16が水素である場合、式は、「ギ酸塩」を表す。他方でX’が結合であり、R15は水素ではない場合、上記の式は、「ケトン」基を表す。X’が結合であり、R15は水素ではない場合、上記の式は、「アルデヒド」基を表す。
本明細書で使用される場合、「置換された」という用語は、有機化合物の全ての許容可能な置換基を含むことが予期される。広範な態様では、許容可能な置換基は、有機化合物の非環状および環状、分岐および非分岐、炭素環式および複素環式、芳香族および非芳香族の置換基を含む。例示的置換基としては例えば、上記に記載されるもの、および例えば、アルキル、シクロアルキル、ヘテロシクリルアシル、ハロゲン、OH、OMe、C(H)F、C(F)H、CF、C(H)CF、SF、CHFCHアミン、CHアミン、およびCNから選択される一つ以上の置換基で置換されるものが挙げられる。許容される置換基は、適切な有機化合物に対して、一つ以上であってもよく、および同一または異なってもよい。本発明の目的に対し、例えば窒素などのヘテロ原子は、当該ヘテロ原子の価数を満たす水素置換基、および/または本明細書に記載される有機化合物の任意の許容される置換基を有し得る。本発明は、有機化合物の許容される置換基により、いかなる様式でも制限されることを意図するものではない。「置換」または「~で置換された」とは、そのような置換が、置換される原子および置換基の許容される価数に従っていること、および当該置換が、安定的な化合物、例えば、再構成、環化、除去などによる自発的な変換を行わない化合物を生じさせること、という暗黙的な条件を含む。
本明細書で使用される場合、「ニトロ」という用語は、-NOを意味する。「ハロゲン」という用語は、-F、-Cl、-Br、または-Iを示す。「ヒドロキシル」という用語は、-OHを意味する。「シアノ」という用語は、-CNを意味する。
本明細書で使用される場合、各表現の定義、例えば、アルキル、m、nなどは、任意の構造において複数回存在するとき、同じ構造内の別の場所でのその定義からは独立していることが意図される。
本明細書で使用される場合、「プロドラッグ」という用語は、生理学的条件下において、治療的に活性な剤に変換される化合物を包含する。プロドラッグを作製するための一般的な方法は、生理学的条件下で加水分解され、所望の分子を露呈させる選択部分を含むことである。他の実施形態では、プロドラッグは、宿主動物の酵素活性によって変換される。
本発明の目的に対し、Periodic Table of the Elements,CAS version,Handbook of Chemistry and Physics,67th Ed.,1986-87のカバーの内側に従って特定される。
例示的な化合物
一部の実施形態では、本発明は、式(I)、式(Ia)、もしくは式(Ib)の化合物、またはそれらの薬学的に許容可能な塩に関連する。
Figure 0007702004000006
式中、
、RおよびRは独立して、H、Me、ハロゲン化物、CF、C(H)F、C(F)H、-CN、-OCF、置換または非置換の(C-C)-アルキル、置換または非置換の(C-C)-アルコキシ、-CHCF3、および置換または非置換の-(C1-)アルキレン-N-(R)(R)からなる群から選択されるが、ただし、R、R、およびRのうちの少なくとも一つは、-(C1-)アルキレン-N-(R)(R)であり;
およびRは独立して、Hおよび置換または非置換の(C-C)-アルキルからなる群から選択されるか、またはRおよびRは、それらが結合するNと共に4~6員の環を形成し;
は、置換もしくは非置換の(C-C)-アルキル、置換もしくは非置換の(C-C)-アルキレン-(C-C)-シクロアルキル、または置換もしくは非置換の(C-C)-アルキレン-(C-C)-アルコキシであり;
は、
Figure 0007702004000007
であり;
3aおよびR3bは独立して、H、置換または非置換の(C-C)-アルキル、置換または非置換の(C-C)-シクロアルキル、置換または非置換の3~6員のヘテロシクロアルキル、-OH、-CN、ハロゲン化物、CF、C(H)F、C(F)H2、-(C-C)-アルコキシ、-OCFおよび置換または非置換の(C-C)-アルキレン-(C-C)-アルコキシからなる群から選択されるが、ただし、R3aおよびR3bの両方ともがHであることはないものとし;
3cは、H、置換または非置換の(C-C)-アルキル、置換または非置換の(C-C)-シクロアルキル、置換または非置換の3~6員のヘテロシクロアルキル、ヒドロキシル、ハロゲン化物、CF、C(H)F、C(F)H、-(C-C)-アルコキシ、-OCF-CN、および置換または非置換の(C-C)-アルキレン-(C-C)-アルコキシからなる群から選択され;
3dは、H、置換または非置換の(C-C)-アルキル、ヒドロキシル、ハロゲン化物、および-(C-C)-アルコキシからなる群から選択され;
は、H、または置換もしくは非置換の(C-C)アルキルであり;
5aおよびR5eは独立して、H、CN、ハロゲン化物、CF、C(H)F、C(F)H、-CHCF3、置換または非置換の(C-C)-シクロアルキル、置換または非置換の(C-C)-アルキル、置換または非置換の3~6員のヘテロシクロアルキルヒドロキシル、および(C-C)-アルコキシからなる群から選択され;ならびに
5b、R5c、およびR5dは独立して、H、CN、ハロゲン化物、CF、C(H)F、C(F)H、-CHCF、置換または非置換の(C-C)-アルキル、置換または非置換の(C-C)-シクロアルキル、置換または非置換の3~6員のヘテロシクロアルキル、ヒドロキシル、および(C-C)-アルコキシからなる群から選択される。
一部の実施形態では、式(Ia)の化合物は、以下のとおりである化合物、またはその薬学的に許容可能な塩であってもよい:Rは、Meであり;Rは、置換または非置換の-(C1-)アルキレン-N-(R)(R)であり;RおよびRは独立して、Hおよび置換または非置換の(C-C)-アルキルからなる群から選択されるか;またはRおよびRはそれらが結合するNとともに4~6員の環を形成し;RはHであり;Rは、(C-C)-アルキルであり;R3aは、ハロゲン化物であり;R3bは、(C-C)-アルキルであり;R3cは、Hであり;R3dは、Hであり;Rは、Hであり;R5aおよびR5eは、(C-C)-アルキルであり;ならびにR5b、R5c、およびR5dは独立して、H、CN、ハロゲン化物、CF、C(H)F、C(F)H、-CHCF、置換または非置換の(C-C)-アルキル、置換または非置換の(C-C)-シクロアルキル、置換または非置換の3~6員のヘテロシクロアルキル、ヒドロキシル、および(C-C)-アルコキシからなる群から選択される。
一部の実施形態では、式(Ia)の化合物は、以下のとおりである化合物、またはその薬学的に許容可能な塩であってもよい:Rは、Meであり;Rは、置換または非置換の-(C1-)アルキレン-N-(R)(R)であり;RおよびRは独立して、Hおよび置換または非置換の(C-C)-アルキルからなる群から選択されるか;またはRおよびRはそれらが結合するNとともに4~6員の環を形成し;RはHであり;Rは、(C-C)-アルキルであり;R3aは、ハロゲン化物であり;R3bは、ハロゲン化物であり;R3cは、Hであり;R3dは、Hであり;Rは、Hであり;R5aおよびR5eは、(C-C)-アルキルであり;ならびにR5b、R5c、およびR5dは独立して、H、CN、ハロゲン化物、CF、C(H)F、C(F)H、-CHCF、置換または非置換の(C-C)-アルキル、置換または非置換の(C-C)-シクロアルキル、置換または非置換の3~6員のヘテロシクロアルキル、ヒドロキシル、および(C-C)-アルコキシからなる群から選択される。
一部の実施形態では、式(Ia)の化合物は、以下のとおりである化合物、またはその薬学的に許容可能な塩であってもよい:Rは、Hであり;Rは、置換または非置換の-(C1-)アルキレン-N-(R)(R)であり;RおよびRは独立して、Hおよび置換または非置換の(C-C)-アルキルからなる群から選択されるか;またはRおよびRはそれらが結合するNとともに4~6員の環を形成し;Rは、CH(F)であり;Rは、(C-C)-アルキルであり;R3aは、ハロゲン化物であり;R3bは、(C-C)-アルキルであり;R3cは、Hであり;R3dは、Hであり;Rは、Hであり;R5aおよびR5eは、(C-C)-アルキルであり;ならびにR5b、R5c、およびR5dは独立して、H、CN、ハロゲン化物、CF、C(H)F、C(F)H、-CHCF、置換または非置換の(C-C)-アルキル、置換または非置換の(C-C)-シクロアルキル、置換または非置換の3~6員のヘテロシクロアルキル、ヒドロキシル、および(C-C)-アルコキシからなる群から選択される。
一部の実施形態では、式(Ia)の化合物は、以下のとおりである化合物、またはその薬学的に許容可能な塩であってもよい:Rは、Hであり;Rは、置換または非置換の-(C1-)アルキレン-N-(R)(R)であり;RおよびRは独立して、Hおよび置換または非置換の(C-C)-アルキルからなる群から選択されるか;またはRおよびRはそれらが結合するNとともに4~6員の環を形成し;Rは、ハロゲン化物であり;Rは、(C-C)-アルキルであり;R3aは、ハロゲン化物であり;R3bは、(C-C)-アルキルであり;R3cは、Hであり;R3dは、Hであり;Rは、Hであり;R5aおよびR5eは、(C-C)-アルキルであり;ならびにR5b、R5c、およびR5dは独立して、H、CN、ハロゲン化物、CF、C(H)F、C(F)H、-CHCF、置換または非置換の(C-C)-アルキル、置換または非置換の(C-C)-シクロアルキル、置換または非置換の3~6員のヘテロシクロアルキル、ヒドロキシル、および(C-C)-アルコキシからなる群から選択される。
一部の実施形態では、式(Ia)の化合物は、以下のとおりである化合物、またはその薬学的に許容可能な塩であってもよい:Rは、CFであり;Rは、置換または非置換の-(C1-)アルキレン-N-(R)(R)であり;RおよびRは独立して、Hおよび置換または非置換の(C-C)-アルキルからなる群から選択されるか;またはRおよびRはそれらが結合するNとともに4~6員の環を形成し;Rは、Hであり;Rは、(C-C)-アルキルであり;R3aは、ハロゲン化物であり;R3bは、(C-C)-アルキルであり;R3cは、Hであり;R3dは、Hであり;Rは、Hであり;R5aおよびR5eは、(C-C)-アルキルであり;ならびにR5b、R5c、およびR5dは独立して、H、CN、ハロゲン化物、CF、C(H)F、C(F)H、-CHCF、置換または非置換の(C-C)-アルキル、置換または非置換の(C-C)-シクロアルキル、置換または非置換の3~6員のヘテロシクロアルキル、ヒドロキシル、および(C-C)-アルコキシからなる群から選択される。
一部の実施形態では、式(Ia)の化合物は、以下のとおりである化合物、またはその薬学的に許容可能な塩であってもよい:Rは、CFであり;Rは、置換または非置換の-(C1-)アルキレン-N-(R)(R)であり;RおよびRは独立して、Hおよび置換または非置換の(C-C)-アルキルからなる群から選択されるか;またはRおよびRはそれらが結合するNとともに4~6員の環を形成し;Rは、Hであり;Rは、(C-C)-アルキルであり;R3aは、ハロゲン化物であり;R3bは、CFであり;R3cは、Hであり;R3dは、Hであり;Rは、Hであり;R5aおよびR5eは、(C-C)-アルキルであり;ならびにR5b、R5c、およびR5dは独立して、H、CN、ハロゲン化物、CF、C(H)F、C(F)H、-CHCF、置換または非置換の(C-C)-アルキル、置換または非置換の(C-C)-シクロアルキル、置換または非置換の3~6員のヘテロシクロアルキル、ヒドロキシル、および(C-C)-アルコキシからなる群から選択される。
一部の実施形態では、式(Ia)の化合物は、以下のとおりである化合物、またはその薬学的に許容可能な塩であってもよい:Rは、CFであり;Rは、置換または非置換の-(C1-)アルキレン-N-(R)(R)であり;RおよびRは独立して、Hおよび置換または非置換の(C-C)-アルキルからなる群から選択されるか;またはRおよびRはそれらが結合するNとともに4~6員の環を形成し;Rは、Hであり;Rは、(C-C)-アルキルであり;R3aは、ハロゲン化物であり;R3bは、ハロゲン化物であり;R3cは、Hであり;R3dは、Hであり;Rは、Hであり;R5aおよびR5eは、(C-C)-アルキルであり;ならびにR5b、R5c、およびR5dは独立して、H、CN、ハロゲン化物、CF、C(H)F、C(F)H、-CHCF、置換または非置換の(C-C)-アルキル、置換または非置換の(C-C)-シクロアルキル、置換または非置換の3~6員のヘテロシクロアルキル、ヒドロキシル、および(C-C)-アルコキシからなる群から選択される。
一部の実施形態では、式(Ia)の化合物は、以下のとおりである化合物、またはその薬学的に許容可能な塩であってもよい:Rは、CFであり;Rは、置換または非置換の-(C1-)アルキレン-N-(R)(R)であり;RおよびRは独立して、Hおよび置換または非置換の(C-C)-アルキルからなる群から選択されるか;またはRおよびRはそれらが結合するNとともに4~6員の環を形成し;Rは、Hであり;Rは、(C-C)-アルキルであり;R3aは、ハロゲン化物であり;R3bは、(C-C)-シクロアルキルであり;R3cは、Hであり;R3dは、ハロゲン化物であり;Rは、Hであり;R5aおよびR5eは、(C-C)-アルキルであり;ならびにR5b、R5c、およびR5dは独立して、H、CN、ハロゲン化物、CF、C(H)F、C(F)H、-CHCF、置換または非置換の(C-C)-アルキル、置換または非置換の(C-C)-シクロアルキル、置換または非置換の3~6員のヘテロシクロアルキル、ヒドロキシル、および(C-C)-アルコキシからなる群から選択される。
一部の実施形態では、式(Ia)の化合物は、以下のとおりである化合物、またはその薬学的に許容可能な塩であってもよい:Rは、CFであり;Rは、置換または非置換の-(C1-)アルキレン-N-(R)(R)であり;RおよびRは独立して、Hおよび置換または非置換の(C-C)-アルキルからなる群から選択されるか;またはRおよびRはそれらが結合するNとともに4~6員の環を形成し;Rは、Hであり;Rは、(C-C)-アルキルであり;R3aは、ハロゲン化物であり;R3bは、CFであり;R3cは、Hであり;R3dは、ハロゲン化物であり;Rは、Hであり;R5aおよびR5eは、(C-C)-アルキルであり;ならびにR5b、R5c、およびR5dは独立して、H、CN、ハロゲン化物、CF、C(H)F、C(F)H、-CHCF、置換または非置換の(C-C)-アルキル、置換または非置換の(C-C)-シクロアルキル、置換または非置換の3~6員のヘテロシクロアルキル、ヒドロキシル、および(C-C)-アルコキシからなる群から選択される。
一部の実施形態では、式(Ia)の化合物は、以下のとおりである化合物、またはその薬学的に許容可能な塩であってもよい:Rは、CFであり;Rは、置換または非置換の-(C1-)アルキレン-N-(R)(R)であり;RおよびRは独立して、Hおよび置換または非置換の(C-C)-アルキルからなる群から選択されるか;またはRおよびRはそれらが結合するNとともに4~6員の環を形成し;Rは、Hであり;Rは、(C-C)-アルキルであり;R3aは、ハロゲン化物であり;R3bは、(C-C)-アルキルであり;R3cは、Hであり;R3dは、ハロゲン化物であり;Rは、Hであり;R5aおよびR5eは、(C-C)-アルキルであり;ならびにR5b、R5c、およびR5dは独立して、H、CN、ハロゲン化物、CF、C(H)F、C(F)H、-CHCF、置換または非置換の(C-C)-アルキル、置換または非置換の(C-C)-シクロアルキル、置換または非置換の3~6員のヘテロシクロアルキル、ヒドロキシル、および(C-C)-アルコキシからなる群から選択される。
一部の実施形態では、式(Ia)の化合物は、R5aが、ハロゲン化物または(C-C)-アルキルであり;R5bは、H、ハロゲン化物、または置換もしくは非置換の(C-C)-アルキルであり;R5cは、H、ハロゲン化物、置換もしくは非置換の(C-C)-アルキル、または置換もしくは非置換の(C-C)-シクロアルキルであり;ならびにR5dは、H、ハロゲン化物、CF、C(H)F、C(F)H、-CHCF、置換または非置換の(C-C)-アルキル、置換または非置換の(C-C)-シクロアルキル、置換または非置換の3~6員のヘテロシクロアルキル、ヒドロキシル、および(C-C)-アルコキシからなる群から選択され;ならびにR5eは、ハロゲン化物または(C-C)-アルキルである、化合物であってもよい。
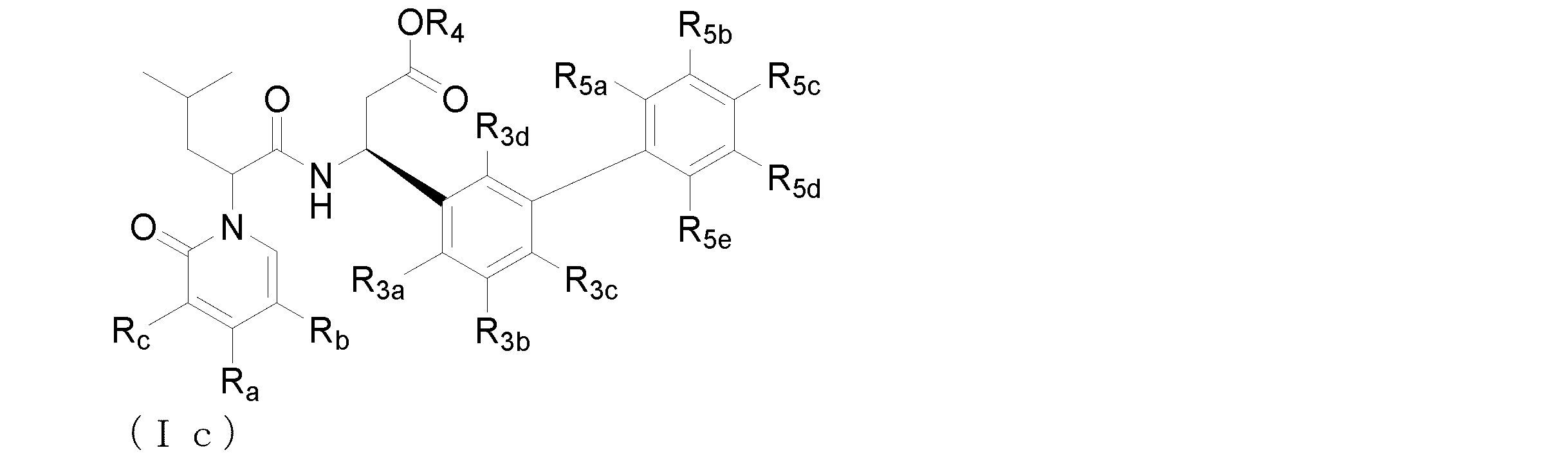
一部の実施形態では、式(I)の化合物は、式(Ia)の化合物、式(Ib)の化合物、式(Ic)の化合物、および/または式(Id)の化合物であってもよく:
Figure 0007702004000008
式(Ia)、式(Ib)、式(Ic)および式(Id)において、R、R、R、R、R3a、R3b、R3c、R3d、R5a、R5b、R5c、R5d、R5eおよびRは各々独立して、式(I)に関して上記と同様に規定される。
一部の実施形態では、式(I)の化合物は、式(IIa)、式(IIb)、または式(IIc)の化合物を含む、式(II)の化合物であってもよい。
Figure 0007702004000009
Figure 0007702004000010
式中、R、R、R3a、R3b、R3c、R3d、R5a、R5b、R5c、R5d、およびR5eは、式(I)に記載されるとおりであり;pは、1、2、または3であり;qは、0、1、2、または3であり;rは、0、1、2、3、または4であり;sは、0、1、2、3、4、または5であり;ならびに各Rは独立して、ハロゲン化物、(C-C)-アルキル、(C-C)-アルコキシ、-CF、-C(H)F、-OCF、および-CNからなる群から選択される。一部の実施形態では、Rの少なくとも一つの例は、FまたはClである。一部の実施形態では、Rの少なくとも一つの例は、メチルである。一部の実施形態では、Rの少なくとも一つの例は、メトキシである。特定の実施形態では、本発明は、式(IIa)の前述の化合物のうちのいずれか一つに関するものであり、式中、qは、1である。特定の実施形態では、本発明は、式(IIb)の前述の化合物のうちのいずれか一つに関するものであり、式中、rは、1である。特定の実施形態では、本発明は、式(IIc)の前述の化合物のうちのいずれか一つに関するものであり、式中、sは、1である。
特定の実施形態では、本発明は、前述の化合物のうちのいずれか一つに関するものであり、式中、Rは、非置換の(C-C)アルキルである。特定の実施形態では、本発明は、前述の化合物のうちのいずれか一つに関するものであり、式中、Rは、置換された(C-C)アルキルである。特定の実施形態では、本発明は、前述の化合物のうちのいずれか一つに関するものであり、式中、Rは、置換または非置換の(C-C)アルキルである。特定の実施形態では、Rは、メチル、エチル、イソプロピル、n-プロピル、i-ブチル、n-ブチル、sec-ブチル、またはt-ブチルである。特定の実施形態では、本発明は、前述の化合物のいずれか一つに関するものであり、式中、Rは、
Figure 0007702004000011
からなる群から選択される。特定の実施形態では、本発明は、前述の化合物のうちのいずれか一つに関するものであり、式中、Rは、置換された(C-C)-アルキレン-(C-C)-シクロアルキルである。特定の実施形態では、本発明は、前述の化合物のうちのいずれか一つに関するものであり、式中、Rは、非置換の(C-C)-アルキレン-(C-C)-シクロアルキルである。特定の実施形態では、Rは、
Figure 0007702004000012
である。特定の実施形態では、本発明は、前述の化合物のうちのいずれか一つに関するものであり、式中、Rは、置換された(C-C)-アルキレン-(C-C)-アルコキシである。特定の実施形態では、本発明は、前述の化合物のうちのいずれか一つに関するものであり、式中、Rは、非置換の(C-C)-アルキレン-(C-C)-アルコキシである。特定の実施形態では、Rは、
Figure 0007702004000013
である。特定の実施形態では、本発明は、前述の化合物のうちのいずれか一つに関するものであり、式中、Rは、
Figure 0007702004000014
である。特定の実施形態では、本発明は、前述の化合物のうちのいずれか一つに関するものであり、式中、Rは、
Figure 0007702004000015
である。
特定の実施形態では、本発明は、前述の化合物のいずれか一つに関するものであり、式中、R3aは、Hであり;ただしR3aおよびR3bの両方ともがHであることはないものとする。特定の実施形態では、本発明は、前述の化合物のいずれか一つに関するものであり、式中、R3aは、非置換の(C-C)アルキルである。特定の実施形態では、本発明は、前述の化合物のうちのいずれか一つに関するものであり、式中、R3aは、置換された(C-C)アルキルである。特定の実施形態では、置換された(C-C)アルキルは、ハロゲンで置換される。特定の実施形態では、ハロゲンは、ClまたはFである。特定の実施形態では、R3aは、メチル、エチル、イソプロピル、n-プロピル、i-ブチル、n-ブチル、またはt-ブチルである。特定の実施形態では、本発明は、前述の化合物のうちのいずれか一つに関するものであり、式中、R3aは、置換された(C-C)シクロアルキルである。特定の実施形態では、本発明は、前述の化合物のうちのいずれか一つに関するものであり、式中、R3aは、置換または非置換の(C-C)シクロアルキルである。特定の実施形態では、本発明は、前述の化合物のうちのいずれか一つに関するものであり、式中、R3aは、シクロプロピルである。特定の実施形態では、本発明は、前述の化合物のうちのいずれか一つに関するものであり、式中、R3aは、ハロゲン化物である。一部の実施形態では、ハロゲン化物は、ClまたはFである。特定の実施形態では、本発明は、前述の化合物のうちのいずれか一つに関するものであり、式中、R3aは、CFである。特定の実施形態では、本発明は、前述の化合物のうちのいずれか一つに関するものであり、式中、R3aは、C(H)Fである。特定の実施形態では、本発明は、前述の化合物のうちのいずれか一つに関するものであり、式中、R3aは、C(F)Hである。特定の実施形態では、本発明は、前述の化合物のうちのいずれか一つに関するものであり、式中、R3aは、置換された(C-C)-アルコキシである。特定の実施形態では、本発明は、前述の化合物のうちのいずれか一つに関するものであり、式中、R3aは、非置換の(C-C)-アルコキシである。特定の実施形態では、本発明は、前述の化合物のうちのいずれか一つに関するものであり、式中、R3aは、-OCFである。特定の実施形態では、本発明は、前述の化合物のうちのいずれか一つに関するものであり、式中、R3aは、置換された(C-C)-アルキレン-(C-C)-アルコキシである。特定の実施形態では、本発明は、前述の化合物のうちのいずれか一つに関するものであり、式中、R3aは、非置換の(C-C)-アルキレン-(C-C)-アルコキシである。特定の実施形態では、(C-C)-アルキレン-(C-C)-アルコキシは、-CHOMeである。特定の実施形態では、本発明は、前述の化合物のうちのいずれか一つに関するものであり、式中、R3aは、Fである。
特定の実施形態では、本発明は、前述の化合物のいずれか一つに関するものであり、式中、R3bは、Hであり;ただしR3aおよびR3bの両方ともがHであることはないものとする。特定の実施形態では、本発明は、前述の化合物のいずれか一つに関するものであり、式中、R3bは、非置換の(C-C)アルキルである。特定の実施形態では、本発明は、前述の化合物のうちのいずれか一つに関するものであり、式中、R3bは、置換された(C-C)アルキルである。特定の実施形態では、置換された(C-C)アルキルは、ハロゲンで置換される。特定の実施形態では、ハロゲンは、ClまたはFである。特定の実施形態では、R3bは、メチル、エチル、イソプロピル、n-プロピル、i-ブチル、n-ブチル、またはt-ブチルである。特定の実施形態では、本発明は、前述の化合物のうちのいずれか一つに関するものであり、式中、R3bは、置換された(C-C)シクロアルキルである。特定の実施形態では、本発明は、前述の化合物のうちのいずれか一つに関するものであり、式中、R3bは、置換または非置換の(C-C)シクロアルキルである。特定の実施形態では、本発明は、前述の化合物のうちのいずれか一つに関するものであり、式中、R3bは、シクロプロピルである。特定の実施形態では、本発明は、前述の化合物のうちのいずれか一つに関するものであり、式中、R3bは、ハロゲン化物である。一部の実施形態では、ハロゲン化物は、ClまたはFである。特定の実施形態では、本発明は、前述の化合物のうちのいずれか一つに関するものであり、式中、R3bは、CFである。特定の実施形態では、本発明は、前述の化合物のうちのいずれか一つに関するものであり、式中、R3bは、C(H)Fである。特定の実施形態では、本発明は、前述の化合物のうちのいずれか一つに関するものであり、式中、R3bは、C(F)Hである。特定の実施形態では、本発明は、前述の化合物のうちのいずれか一つに関するものであり、式中、R3bは、置換された(C-C)-アルコキシである。特定の実施形態では、本発明は、前述の化合物のうちのいずれか一つに関するものであり、式中、R3bは、非置換の(C-C)-アルコキシである。特定の実施形態では、本発明は、前述の化合物のうちのいずれか一つに関するものであり、式中、R3bは、-OCFである。特定の実施形態では、本発明は、前述の化合物のうちのいずれか一つに関するものであり、式中、R3bは、置換された(C-C)-アルキレン-(C-C)-アルコキシである。特定の実施形態では、本発明は、前述の化合物のうちのいずれか一つに関するものであり、式中、R3bは、非置換の(C-C)-アルキレン-(C-C)-アルコキシである。特定の実施形態では、(C-C)-アルキレン-(C-C)-アルコキシは、-CHOMeである。特定の実施形態では、本発明は、前述の化合物のうちのいずれか一つに関するものであり、式中、R3bは、一つ以上のハロゲン化物で任意で置換される(C-C)-アルキレン、および(C-C)-シクロアルキルからなる群から選択される。特定の実施形態では、本発明は、前述の化合物のいずれか一つに関するものであり、式中、R3bは、メチル、シクロプロピル、およびCFからなる群から選択される。特定の実施形態では、本発明は、前述の化合物のうちのいずれか一つに関するものであり、式中、R3bは、メチルである。特定の実施形態では、本発明は、前述の化合物のうちのいずれか一つに関するものであり、式中、R3bは、ハロゲン化物、一つ以上のハロゲン化物で任意で置換される(C-C)-アルキレン、および(C-C)-シクロアルキルからなる群から選択される。特定の実施形態では、本発明は、前述の化合物のいずれか一つに関するものであり、式中、R3bは、F、Cl、メチル、およびCFからなる群から選択される。特定の実施形態では、本発明は、前述の化合物のうちのいずれか一つに関するものであり、式中、R3bは、メチルである。特定の実施形態では、本発明は、前述の化合物のいずれか一つに関するものであり、式中、R3bは、Fである。特定の実施形態では、本発明は、前述の化合物のいずれか一つに関するものであり、式中、R3bは、Clである。特定の実施形態では、本発明は、前述の化合物のうちのいずれか一つに関するものであり、式中、R3bは、CFである。
特定の実施形態では、R3aおよびR3bは独立して、H、(C-C)-アルキル、ハロゲン化物、CF、C(H)F、およびC(F)Hからなる群から選択され;ただし、R3aおよびR3bの両方ともがHであることはないものとする。例えば、R3aおよびR3bは独立して、H、メチル、Cl、F、CF、C(H)F、およびC(F)Hからなる群から選択されてもよく;ただし、R3aおよびR3bの両方ともがHであることはないものとする。特定の実施形態では、R3aは、ハロゲン化物であり、R3bは、一つ以上のハロゲン化物で任意で置換される(C-C)-アルキレン、および(C-C)-シクロアルキルからなる群から選択される。特定の実施形態では、R3aは、Fであり、R3bは、一つ以上のハロゲン化物で任意で置換される(C-C)-アルキレン、および(C-C)-シクロアルキルからなる群から選択される。特定の実施形態では、R3aは、Fであり、R3bは、メチル、シクロプロピル、およびCFからなる群から選択される。特定の実施形態では、R3aは、Fであり、R3bは、F、Cl、メチル、およびCFからなる群から選択される。特定の実施形態では、R3aは、Fであり、R3bは、F、Cl、メチル、シクロプロピル、およびCFからなる群から選択される。
特定の実施形態では、本発明は、前述の化合物のいずれか一つに関するものであり、式中、R3cは、以下からなる群から選択される:H、置換または非置換の(C-C)-アルキル、置換または非置換のシクロプロピル、ヒドロキシル、メトキシ、ハロゲン化物、CF、C(H)F、C(F)H、および-CN。特定の実施形態では、本発明は、前述の化合物のいずれか一つに関するものであり、式中、R3cは、Hである。特定の実施形態では、本発明は、前述の化合物のいずれか一つに関するものであり、式中、R3cは、非置換の(C-C)アルキルである。特定の実施形態では、本発明は、前述の化合物のうちのいずれか一つに関するものであり、式中、R3cは、置換された(C-C)アルキルである。特定の実施形態では、置換された(C-C)アルキルは、ハロゲンで置換される。特定の実施形態では、ハロゲンは、ClまたはFである。特定の実施形態では、R3cは、メチル、エチル、イソプロピル、n-プロピル、i-ブチル、n-ブチル、またはt-ブチルである。特定の実施形態では、本発明は、前述の化合物のうちのいずれか一つに関するものであり、式中、R3cは、置換された(C-C)シクロアルキルである。特定の実施形態では、本発明は、前述の化合物のうちのいずれか一つに関するものであり、式中、R3cは、置換または非置換の(C-C)シクロアルキルである。特定の実施形態では、本発明は、前述の化合物のうちのいずれか一つに関するものであり、式中、R3cは、シクロプロピルである。特定の実施形態では、本発明は、前述の化合物のうちのいずれか一つに関するものであり、式中、R3cは、ハロゲン化物である。一部の実施形態では、ハロゲン化物は、ClまたはFである。特定の実施形態では、本発明は、前述の化合物のうちのいずれか一つに関するものであり、式中、R3cは、CFである。特定の実施形態では、本発明は、前述の化合物のうちのいずれか一つに関するものであり、式中、R3cは、C(H)Fである。特定の実施形態では、本発明は、前述の化合物のうちのいずれか一つに関するものであり、式中、R3cは、C(F)Hである。特定の実施形態では、本発明は、前述の化合物のうちのいずれか一つに関するものであり、式中、R3cは、置換された(C-C)-アルコキシである。特定の実施形態では、本発明は、前述の化合物のうちのいずれか一つに関するものであり、式中、R3cは、非置換の(C-C)-アルコキシである。特定の実施形態では、本発明は、前述の化合物のうちのいずれか一つに関するものであり、式中、R3cは、-OCFである。特定の実施形態では、本発明は、前述の化合物のうちのいずれか一つに関するものであり、式中、R3cは、置換された(C-C)-アルキレン-(C-C)-アルコキシである。特定の実施形態では、本発明は、前述の化合物のうちのいずれか一つに関するものであり、式中、R3cは、非置換の(C-C)-アルキレン-(C-C)-アルコキシである。特定の実施形態では、(C-C)-アルキレン-(C-C)-アルコキシは、-CHOMeである。
特定の実施形態では、本発明は、前述の化合物のうちのいずれか一つに関連するものであり、式中、R3cは、Hであり、R3aはハロゲン化物であり;R3bは、一つ以上のハロゲン化物で任意に置換される(C-C)-アルキレン、および(C-C)-シクロアルキルからなる群から選択される。特定の実施形態では、R3cは、Hであり、R3aは、Fであり;およびR3bは、一つ以上のハロゲン化物で任意に置換される(C-C)-アルキレン、および(C-C)-シクロアルキルからなる群から選択される。特定の実施形態では、R3cは、Hであり;R3aは、Fであり;R3bは、メチル、シクロプロピル、およびCFからなる群から選択される。特定の実施形態では、R3cは、Hであり;R3aは、Fであり;R3bは、F、Cl、メチル、およびCFからなる群から選択される。特定の実施形態では、R3cは、Hであり;R3aは、Fであり;R3bは、F、Cl、メチル、シクロプロピル、およびCFからなる群から選択される。特定の実施形態では、本発明は、前述の化合物のいずれか一つに関連するものであり、式中、R3dは、H、置換または非置換の(C-C)-アルキル、ヒドロキシル、ハロゲン化物、メトキシ、ハロゲン化物、CF、C(H)F、およびC(F)Hからなる群から選択される。特定の実施形態では、本発明は、前述の化合物のいずれか一つに関するものであり、式中、R3dは、Hである。特定の実施形態では、本発明は、前述の化合物のいずれか一つに関するものであり、式中、R3dは、非置換の(C-C)アルキルである。特定の実施形態では、本発明は、前述の化合物のうちのいずれか一つに関するものであり、式中、R3dは、置換された(C-C)アルキルである。特定の実施形態では、置換された(C-C)アルキルは、ハロゲンで置換される。特定の実施形態では、ハロゲンは、Fである。特定の実施形態では、R3dは、メチルである。特定の実施形態では、本発明は、前述の化合物のうちのいずれか一つに関するものであり、式中、R3dは、置換された(C-C)シクロアルキルである。特定の実施形態では、本発明は、前述の化合物のうちのいずれか一つに関するものであり、式中、R3cは、置換または非置換の(C-C)シクロアルキルである。特定の実施形態では、本発明は、前述の化合物のうちのいずれか一つに関するものであり、式中、R3dは、シクロプロピルである。特定の実施形態では、本発明は、前述の化合物のうちのいずれか一つに関するものであり、式中、R3dは、ハロゲン化物である。一部の実施形態では、ハロゲン化物は、ClまたはFである。特定の実施形態では、本発明は、前述の化合物のうちのいずれか一つに関するものであり、式中、R3dは、CFである。特定の実施形態では、本発明は、前述の化合物のうちのいずれか一つに関するものであり、式中、R3dは、C(H)Fである。特定の実施形態では、本発明は、前述の化合物のうちのいずれか一つに関するものであり、式中、R3dは、C(F)Hである。特定の実施形態では、本発明は、前述の化合物のうちのいずれか一つに関するものであり、式中、R3dは、置換された(C-C)-アルコキシである。特定の実施形態では、本発明は、前述の化合物のうちのいずれか一つに関するものであり、式中、R3dは、非置換の(C-C)-アルコキシである。特定の実施形態では、-(C-C)-アルコキシは、メトキシである。特定の実施形態では、本発明は、前述の化合物のうちのいずれか一つに関するものであり、式中、R3dは、-OCFである。特定の実施形態では、本発明は、前述の化合物のうちのいずれか一つに関するものであり、式中、R3dは、置換された(C-C)-アルキレン-(C-C)-アルコキシである。特定の実施形態では、本発明は、前述の化合物のうちのいずれか一つに関するものであり、式中、R3dは、非置換の(C-C)-アルキレン-(C-C)-アルコキシである。特定の実施形態では、(C-C)-アルキレン-(C-C)-アルコキシは、-CHOMeである。
一部の実施形態では、R3cおよびR3dは、同一である。一部の実施形態では、R3cおよびR3dは、両方ともHである。一部の実施形態では、R3cおよびR3dは、異なっている。一部の実施形態では、R3cは、Hであり、R3dは、Hまたはハロゲン化物である。一部の実施形態では、R3cは、Hであり、R3dは、Fである。
特定の実施形態では、本発明は、前述の化合物のうちのいずれか一つに関連するものであり、式中、R3cおよびR3dは、両方ともHであり;R3aは、ハロゲン化物であり;およびR3bは、一つ以上のハロゲン化物で任意で置換される(C-C)-アルキレン、および(C-C)-シクロアルキルからなる群から選択される。特定の実施形態では、R3cおよびR3dは、両方ともHであり;R3aは、Fであり;およびR3bは、一つ以上のハロゲン化物で任意で置換される(C-C)-アルキレン、および(C-C)-シクロアルキルからなる群から選択される。特定の実施形態では、R3cおよびR3dは、両方ともHであり;R3aは、Fであり;およびR3bは、メチル、シクロプロピル、およびCFからなる群から選択される。特定の実施形態では、R3cおよびR3dは、両方ともHであり;R3aは、Fであり;R3bは、F、Cl、メチル、およびCFからなる群から選択される。特定の実施形態では、R3cおよびR3dは、両方ともHであり;R3aは、Fであり;R3bは、F、Cl、メチル、シクロプロピル、およびCFからなる群から選択される。
特定の実施形態では、本発明は、前述の化合物のうちのいずれか一つに関連するものであり、式中、R3cは、Hであり;R3dは、Fであり;R3aは、ハロゲン化物であり;およびR3bは、一つ以上のハロゲン化物で任意で置換される(C-C)-アルキレン、および(C-C)-シクロアルキルからなる群から選択される。特定の実施形態では、R3cは、Hであり;R3dは、Fであり;R3aは、Fであり;およびR3bは、一つ以上のハロゲン化物で任意で置換される(C-C)-アルキレン、および(C-C)-シクロアルキルからなる群から選択される。特定の実施形態では、R3cは、Hであり;R3dは、Fであり;R3aは、Fであり;およびR3bは、メチル、シクロプロピル、およびCFからなる群から選択される。特定の実施形態では、R3cは、Hであり;R3dは、Fであり;R3aは、Fであり;R3bは、F、Cl、メチル、およびCFからなる群から選択される。特定の実施形態では、R3cは、Hであり;R3dは、Fであり;R3aは、Fであり;R3bは、F、Cl、メチル、シクロプロピル、およびCFからなる群から選択される。
特定の実施形態では、本発明は、前述の化合物のいずれか一つに関するものであり、式中、Rは、Hである。特定の実施形態では、本発明は、前述の化合物のいずれか一つに関するものであり、式中、Rは、置換された(C-C)アルキルである。特定の実施形態では、本発明は、前述の化合物のうちのいずれか一つに関するものであり、式中、Rは、非置換の(C-C)アルキルである。特定の実施形態では、本発明は、前述の化合物のうちのいずれか一つに関するものであり、式中、Rは、メチル、エチル、n-プロピル、またはi-プロピルである。特定の実施形態では、本発明は、前述の化合物のうちのいずれか一つに関するものであり、式中、Rは、メチル、またはエチルである。
特定の実施形態では、Rは、Hである。特定の実施形態では、本発明は前述の化合物のいずれか一つに関連するものであり、式中、R5aは、置換または非置換の(C-C)アルキルである。特定の実施形態では、本発明は、前述の化合物のうちのいずれか一つに関するものであり、式中、R5aは、非置換の(C-C)アルキルである。特定の実施形態では、本発明は、前述の化合物のうちのいずれか一つに関するものであり、式中、R5aは、置換された(C-C)アルキルである。特定の実施形態では、置換された(C-C)アルキルは、一つ以上のハロゲンで置換される。特定の実施形態では、ハロゲンは、ClまたはFである。特定の実施形態では、R5aは、メチル、エチル、イソプロピル、n-プロピル、i-ブチル、n-ブチル、またはt-ブチルである。特定の実施形態では、R5aは、メチルである。特定の実施形態では、本発明は、前述の化合物のうちのいずれか一つに関するものであり、式中、R5aは、ハロゲン化物である。一部の実施形態では、ハロゲン化物は、ClまたはFである。特定の実施形態では、R5aは、置換された(C3-)-シクロアルキルである。特定の実施形態では、R5aは、非置換の(C3-)シクロアルキルである。一部の実施形態では、(C-C)-シクロアルキルは、シクロプロピルである。特定の実施形態では、本発明は、前述の化合物のうちのいずれか一つに関するものであり、式中、R5aは、CFである。特定の実施形態では、本発明は、前述の化合物のうちのいずれか一つに関するものであり、式中、R5aは、C(H)Fである。特定の実施形態では、本発明は、前述の化合物のうちのいずれか一つに関するものであり、式中、R5aは、C(F)Hである。特定の実施形態では、本発明は、前述の化合物のうちのいずれか一つに関するものであり、式中、R5aは、(C-C)-アルコキシである。一部の実施形態では、(C-C)-アルコキシは、メトキシである。特定の実施形態では、本発明は、前述の化合物のうちのいずれか一つに関するものであり、式中、R5aは、メトキシである。特定の実施形態では、本発明は、前述の化合物のうちのいずれか一つに関するものであり、式中、R5aは、ヒドロキシルである。特定の実施形態では、本発明は、前述の化合物のうちのいずれか一つに関するものであり、式中、R5aは、-OCFである。特定の実施形態では、R5aは、CNである。特定の実施形態では、本発明は、前述の化合物のうちのいずれか一つに関するものであり、式中、R5aは、置換された(C-C)-アルキレン-(C-C)-アルコキシである。特定の実施形態では、本発明は、前述の化合物のうちのいずれか一つに関するものであり、式中、R5aは、非置換の(C-C)-アルキレン-(C-C)-アルコキシである。特定の実施形態では、(C-C)-アルキレン-(C-C)-アルコキシは、-CHOMeである。特定の実施形態では、R5aは、CHOHである。
特定の実施形態では、本発明は、前述の化合物のうちのいずれか一つに関するものであり、式中、R5bは、CNである。特定の実施形態では、本発明は、前述の化合物のうちのいずれか一つに関するものであり、式中、R5bは、非置換の(C-C)アルキルである。特定の実施形態では、本発明は、前述の化合物のうちのいずれか一つに関するものであり、式中、R5bは、置換された(C-C)アルキルである。特定の実施形態では、置換された(C-C)アルキルは、ハロゲンで置換される。特定の実施形態では、ハロゲンは、ClまたはFである。特定の実施形態では、R5bは、メチル、エチル、イソプロピル、n-プロピル、i-ブチル、n-ブチル、またはt-ブチルである。特定の実施形態では、R5aは、メチルである。特定の実施形態では、本発明は、前述の化合物のうちのいずれか一つに関するものであり、式中、R5bは、ハロゲン化物である。一部の実施形態では、ハロゲン化物は、ClまたはFである。特定の実施形態では、R5bは、置換された(C3-)-シクロアルキルである。特定の実施形態では、R5bは、非置換の(C3-)シクロアルキルである。特定の実施形態では、本発明は、前述の化合物のうちのいずれか一つに関するものであり、式中、R5bは、CFである。特定の実施形態では、本発明は、前述の化合物のうちのいずれか一つに関するものであり、式中、R5bは、C(H)Fである。特定の実施形態では、本発明は、前述の化合物のうちのいずれか一つに関するものであり、式中、R5bは、C(F)Hである。特定の実施形態では、本発明は、前述の化合物のうちのいずれか一つに関するものであり、式中、R5bは、(C-C)-アルコキシである。特定の実施形態では、本発明は、前述の化合物のうちのいずれか一つに関するものであり、式中、R5bは、メトキシである。特定の実施形態では、本発明は、前述の化合物のうちのいずれか一つに関するものであり、式中、R5bは、ヒドロキシルである。特定の実施形態では、本発明は、前述の化合物のうちのいずれか一つに関するものであり、式中、R5bは、-OCFである。特定の実施形態では、本発明は、前述の化合物のうちのいずれか一つに関するものであり、式中、R5bは、置換された(C-C)-アルキレン-(C-C)-アルコキシである。特定の実施形態では、本発明は、前述の化合物のうちのいずれか一つに関するものであり、式中、R5bは、非置換の(C-C)-アルキレン-(C-C)-アルコキシである。特定の実施形態では、(C-C)-アルキレン-(C-C)-アルコキシは、-CHOMeである。特定の実施形態では、本発明は、前述の化合物のうちのいずれか一つに関するものであり、式中、R5bは、水素である。
特定の実施形態では、本発明は、前述の化合物のうちのいずれか一つに関するものであり、式中、R5cは、CNである。特定の実施形態では、本発明は、前述の化合物のうちのいずれか一つに関するものであり、式中、R5cは、非置換の(C-C)アルキルである。特定の実施形態では、本発明は、前述の化合物のうちのいずれか一つに関するものであり、式中、R5cは、置換された(C-C)アルキルである。特定の実施形態では、置換された(C-C)アルキルは、ハロゲンで置換される。特定の実施形態では、ハロゲンは、ClまたはFである。特定の実施形態では、R5cは、メチル、エチル、イソプロピル、n-プロピル、i-ブチル、n-ブチル、またはt-ブチルである。特定の実施形態では、R5cは、メチルである。特定の実施形態では、本発明は、前述の化合物のうちのいずれか一つに関するものであり、式中、R5cは、ハロゲン化物である。一部の実施形態では、ハロゲン化物は、ClまたはFである。特定の実施形態では、R5cは、置換された(C3-)-シクロアルキルである。特定の実施形態では、R5cは、シクロプロピルである。特定の実施形態では、R5cは、非置換の(C3-)シクロアルキルである。特定の実施形態では、本発明は、前述の化合物のうちのいずれか一つに関するものであり、式中、R5cは、CFである。特定の実施形態では、本発明は、前述の化合物のうちのいずれか一つに関するものであり、式中、R5cは、C(H)Fである。特定の実施形態では、本発明は、前述の化合物のうちのいずれか一つに関するものであり、式中、R5cは、C(F)Hである。特定の実施形態では、本発明は、前述の化合物のうちのいずれか一つに関するものであり、式中、R5cは、(C-C)-アルコキシである。特定の実施形態では、本発明は、前述の化合物のうちのいずれか一つに関するものであり、式中、R5cは、メトキシである。特定の実施形態では、本発明は、前述の化合物のうちのいずれか一つに関するものであり、式中、R5cは、ヒドロキシルである。特定の実施形態では、本発明は、前述の化合物のうちのいずれか一つに関するものであり、式中、R5cは、-OCFである。特定の実施形態では、本発明は、前述の化合物のうちのいずれか一つに関するものであり、式中、R5cは、置換された(C-C)-アルキレン-(C-C)-アルコキシである。特定の実施形態では、本発明は、前述の化合物のうちのいずれか一つに関するものであり、式中、R5cは、非置換の(C-C)-アルキレン-(C-C)-アルコキシである。特定の実施形態では、(C-C)-アルキレン-(C-C)-アルコキシは、-CHOMeである。特定の実施形態では、本発明は、前述の化合物のうちのいずれか一つに関するものであり、式中、R5cは、水素である。
特定の実施形態では、本発明は、前述の化合物のうちのいずれか一つに関するものであり、式中、R5dは、CNである。特定の実施形態では、本発明は、前述の化合物のうちのいずれか一つに関するものであり、式中、R5dは、非置換の(C-C)アルキルである。特定の実施形態では、本発明は、前述の化合物のうちのいずれか一つに関するものであり、式中、R5dは、置換された(C-C)アルキルである。特定の実施形態では、置換された(C-C)アルキルは、ハロゲンで置換される。特定の実施形態では、ハロゲンは、ClまたはFである。特定の実施形態では、R5dは、メチル、エチル、イソプロピル、n-プロピル、i-ブチル、n-ブチル、またはt-ブチルである。特定の実施形態では、R5dは、メチルである。特定の実施形態では、本発明は、前述の化合物のうちのいずれか一つに関するものであり、式中、R5dは、ハロゲン化物である。一部の実施形態では、ハロゲン化物は、ClまたはFである。特定の実施形態では、R5dは、置換された(C3-)-シクロアルキルである。特定の実施形態では、R5dは、非置換の(C3-)シクロアルキルである。特定の実施形態では、本発明は、前述の化合物のうちのいずれか一つに関するものであり、式中、R5dは、CFである。特定の実施形態では、本発明は、前述の化合物のうちのいずれか一つに関するものであり、式中、R5dは、C(H)Fである。特定の実施形態では、本発明は、前述の化合物のうちのいずれか一つに関するものであり、式中、R5dは、C(F)Hである。特定の実施形態では、本発明は、前述の化合物のうちのいずれか一つに関するものであり、式中、R5dは、(C-C)-アルコキシである。特定の実施形態では、本発明は、前述の化合物のうちのいずれか一つに関するものであり、式中、R5dは、メトキシである。特定の実施形態では、本発明は、前述の化合物のうちのいずれか一つに関するものであり、式中、R5dは、ヒドロキシルである。特定の実施形態では、本発明は、前述の化合物のうちのいずれか一つに関するものであり、式中、R5dは、-OCFである。特定の実施形態では、本発明は、前述の化合物のうちのいずれか一つに関するものであり、式中、R5dは、置換された(C-C)-アルキレン-(C-C)-アルコキシである。特定の実施形態では、本発明は、前述の化合物のうちのいずれか一つに関するものであり、式中、R5dは、非置換の(C-C)-アルキレン-(C-C)-アルコキシである。特定の実施形態では、(C-C)-アルキレン-(C-C)-アルコキシは、-CHOMeである。特定の実施形態では、本発明は、前述の化合物のうちのいずれか一つに関するものであり、式中、R5dは、水素である。
特定の実施形態では、本発明は、前述の化合物のうちのいずれか一つに関するものであり、式中、R5eは、CNである。特定の実施形態では、本発明は、前述の化合物のうちのいずれか一つに関するものであり、式中、R5eは、非置換の(C-C)アルキルである。特定の実施形態では、本発明は、前述の化合物のうちのいずれか一つに関するものであり、式中、R5eは、置換された(C-C)アルキルである。特定の実施形態では、置換された(C-C)アルキルは、ハロゲンで置換される。特定の実施形態では、ハロゲンは、ClまたはFである。特定の実施形態では、R5eは、メチル、エチル、イソプロピル、n-プロピル、i-ブチル、n-ブチル、またはt-ブチルである。特定の実施形態では、R5eは、メチルである。特定の実施形態では、本発明は、前述の化合物のうちのいずれか一つに関するものであり、式中、R5eは、ハロゲン化物である。一部の実施形態では、ハロゲン化物は、ClまたはFである。特定の実施形態では、R5eは、置換された(C3-)-シクロアルキルである。特定の実施形態では、R5eは、非置換の(C3-)シクロアルキルである。特定の実施形態では、本発明は、前述の化合物のうちのいずれか一つに関するものであり、式中、R5eは、CFである。特定の実施形態では、本発明は、前述の化合物のうちのいずれか一つに関するものであり、式中、R5eは、C(H)Fである。特定の実施形態では、本発明は、前述の化合物のうちのいずれか一つに関するものであり、式中、R5eは、C(F)Hである。特定の実施形態では、本発明は、前述の化合物のうちのいずれか一つに関するものであり、式中、R5eは、(C-C)-アルコキシである。特定の実施形態では、本発明は、前述の化合物のうちのいずれか一つに関するものであり、式中、R5eは、メトキシである。特定の実施形態では、本発明は、前述の化合物のうちのいずれか一つに関するものであり、式中、R5eは、ヒドロキシルである。特定の実施形態では、本発明は、前述の化合物のうちのいずれか一つに関するものであり、式中、R5eは、-OCFである。特定の実施形態では、本発明は、前述の化合物のうちのいずれか一つに関するものであり、式中、R5eは、置換された(C-C)-アルキレン-(C-C)-アルコキシである。特定の実施形態では、本発明は、前述の化合物のうちのいずれか一つに関するものであり、式中、R5eは、非置換の(C-C)-アルキレン-(C-C)-アルコキシである。特定の実施形態では、(C-C)-アルキレン-(C-C)-アルコキシは、-CHOMeである。特定の実施形態では、本発明は、前述の化合物のうちのいずれか一つに関するものであり、式中、R5eは、水素である。
特定の実施形態では、R5bは、Hである。特定の実施形態では、本発明は前述の化合物のいずれか一つに関連するものであり、式中、R5bは、置換または非置換の(C-C)アルキルである。特定の実施形態では、本発明は、前述の化合物のうちのいずれか一つに関するものであり、式中、R5bは、非置換の(C-C)アルキルである。特定の実施形態では、本発明は、前述の化合物のうちのいずれか一つに関するものであり、式中、R5bは、置換された(C-C)アルキルである。特定の実施形態では、置換された(C-C)アルキルは、一つ以上のハロゲンで置換される。特定の実施形態では、ハロゲンは、ClまたはFである。特定の実施形態では、R5bは、メチル、エチル、イソプロピル、n-プロピル、i-ブチル、n-ブチル、またはt-ブチルである。特定の実施形態では、本発明は、前述の化合物のうちのいずれか一つに関するものであり、式中、R5bは、ハロゲン化物である。一部の実施形態では、ハロゲン化物は、ClまたはFである。特定の実施形態では、R5bは、置換された(C3-)-シクロアルキルである。特定の実施形態では、R5bは、非置換の(C3-)シクロアルキルである。一部の実施形態では、(C-C)-シクロアルキルは、シクロプロピルである。特定の実施形態では、本発明は、前述の化合物のうちのいずれか一つに関するものであり、式中、R5bは、CFである。特定の実施形態では、本発明は、前述の化合物のうちのいずれか一つに関するものであり、式中、R5bは、C(H)Fである。特定の実施形態では、本発明は、前述の化合物のうちのいずれか一つに関するものであり、式中、R5bは、C(F)Hである。特定の実施形態では、本発明は、前述の化合物のうちのいずれか一つに関するものであり、式中、R5aは、(C-C)-アルコキシである。一部の実施形態では、(C-C)-アルコキシは、メトキシである。特定の実施形態では、本発明は、前述の化合物のうちのいずれか一つに関するものであり、式中、R5bは、メトキシである。特定の実施形態では、本発明は、前述の化合物のうちのいずれか一つに関するものであり、式中、R5bは、ヒドロキシルである。特定の実施形態では、本発明は、前述の化合物のうちのいずれか一つに関するものであり、式中、R5bは、-OCFである。特定の実施形態では、R5bは、CNである。特定の実施形態では、本発明は、前述の化合物のうちのいずれか一つに関するものであり、式中、R5bは、置換された(C-C)-アルキレン-(C-C)-アルコキシである。特定の実施形態では、本発明は、前述の化合物のうちのいずれか一つに関するものであり、式中、R5bは、非置換の(C-C)-アルキレン-(C-C)-アルコキシである。特定の実施形態では、(C-C)-アルキレン-(C-C)-アルコキシは、-CHOMeである。特定の実施形態では、R5bは、CHOHである。
特定の実施形態では、R5cは、Hである。特定の実施形態では、本発明は前述の化合物のいずれか一つに関連するものであり、式中、R5cは、置換または非置換の(C-C)アルキルである。特定の実施形態では、本発明は、前述の化合物のうちのいずれか一つに関するものであり、式中、R5aは、非置換の(C-C)アルキルである。特定の実施形態では、本発明は、前述の化合物のうちのいずれか一つに関するものであり、式中、R5cは、置換された(C-C)アルキルである。特定の実施形態では、置換された(C-C)アルキルは、一つ以上のハロゲンで置換される。特定の実施形態では、ハロゲンは、ClまたはFである。特定の実施形態では、R5cは、メチル、エチル、イソプロピル、n-プロピル、i-ブチル、n-ブチル、またはt-ブチルである。特定の実施形態では、本発明は、前述の化合物のうちのいずれか一つに関するものであり、式中、R5cは、ハロゲン化物である。一部の実施形態では、ハロゲン化物は、ClまたはFである。特定の実施形態では、R5cは、置換された(C3-)-シクロアルキルである。特定の実施形態では、R5cは、非置換の(C3-)シクロアルキルである。一部の実施形態では、(C-C)-シクロアルキルは、シクロプロピルである。特定の実施形態では、本発明は、前述の化合物のうちのいずれか一つに関するものであり、式中、R5cは、CFである。特定の実施形態では、本発明は、前述の化合物のうちのいずれか一つに関するものであり、式中、R5cは、C(H)Fである。特定の実施形態では、本発明は、前述の化合物のうちのいずれか一つに関するものであり、式中、R5cは、C(F)Hである。特定の実施形態では、本発明は、前述の化合物のうちのいずれか一つに関するものであり、式中、R5cは、(C-C)-アルコキシである。一部の実施形態では、(C-C)-アルコキシは、メトキシである。特定の実施形態では、本発明は、前述の化合物のうちのいずれか一つに関するものであり、式中、R5cは、メトキシである。特定の実施形態では、本発明は、前述の化合物のうちのいずれか一つに関するものであり、式中、R5cは、ヒドロキシルである。特定の実施形態では、本発明は、前述の化合物のうちのいずれか一つに関するものであり、式中、R5cは、-OCFである。特定の実施形態では、R5cは、CNである。特定の実施形態では、本発明は、前述の化合物のうちのいずれか一つに関するものであり、式中、R5aは、置換された(C-C)-アルキレン-(C-C)-アルコキシである。特定の実施形態では、本発明は、前述の化合物のうちのいずれか一つに関するものであり、式中、R5cは、非置換の(C-C)-アルキレン-(C-C)-アルコキシである。特定の実施形態では、(C-C)-アルキレン-(C-C)-アルコキシは、-CHOMeである。特定の実施形態では、R5cは、CHOHである。
特定の実施形態では、R5dは、Hである。特定の実施形態では、本発明は前述の化合物のいずれか一つに関連するものであり、式中、R5dは、置換または非置換の(C-C)アルキルである。特定の実施形態では、本発明は、前述の化合物のうちのいずれか一つに関するものであり、式中、R5dは、非置換の(C-C)アルキルである。特定の実施形態では、本発明は、前述の化合物のうちのいずれか一つに関するものであり、式中、R5dは、置換された(C-C)アルキルである。特定の実施形態では、置換された(C-C)アルキルは、一つ以上のハロゲンで置換される。特定の実施形態では、ハロゲンは、ClまたはFである。特定の実施形態では、R5dは、メチル、エチル、イソプロピル、n-プロピル、i-ブチル、n-ブチル、またはt-ブチルである。特定の実施形態では、本発明は、前述の化合物のうちのいずれか一つに関するものであり、式中、R5dは、ハロゲン化物である。一部の実施形態では、ハロゲン化物は、ClまたはFである。特定の実施形態では、R5dは、置換された(C3-)-シクロアルキルである。特定の実施形態では、R5dは、非置換の(C3-)シクロアルキルである。一部の実施形態では、(C-C)-シクロアルキルは、シクロプロピルである。特定の実施形態では、本発明は、前述の化合物のうちのいずれか一つに関するものであり、式中、R5dは、CFである。特定の実施形態では、本発明は、前述の化合物のうちのいずれか一つに関するものであり、式中、R5dは、C(H)Fである。特定の実施形態では、本発明は、前述の化合物のうちのいずれか一つに関するものであり、式中、R5dは、C(F)Hである。特定の実施形態では、本発明は、前述の化合物のうちのいずれか一つに関するものであり、式中、R5dは、(C-C)-アルコキシである。一部の実施形態では、(C-C)-アルコキシは、メトキシである。特定の実施形態では、本発明は、前述の化合物のうちのいずれか一つに関するものであり、式中、R5dは、メトキシである。特定の実施形態では、本発明は、前述の化合物のうちのいずれか一つに関するものであり、式中、R5dは、ヒドロキシルである。特定の実施形態では、本発明は、前述の化合物のうちのいずれか一つに関するものであり、式中、R5dは、-OCFである。特定の実施形態では、R5dは、CNである。特定の実施形態では、本発明は、前述の化合物のうちのいずれか一つに関するものであり、式中、R5dは、置換された(C-C)-アルキレン-(C-C)-アルコキシである。特定の実施形態では、本発明は、前述の化合物のうちのいずれか一つに関するものであり、式中、R5dは、非置換の(C-C)-アルキレン-(C-C)-アルコキシである。特定の実施形態では、(C-C)-アルキレン-(C-C)-アルコキシは、-CHOMeである。特定の実施形態では、R5dは、CHOHである。
特定の実施形態では、R5eは、Hである。特定の実施形態では、本発明は前述の化合物のいずれか一つに関連するものであり、式中、R5eは、置換または非置換の(C-C)アルキルである。特定の実施形態では、本発明は、前述の化合物のうちのいずれか一つに関するものであり、式中、R5eは、非置換の(C-C)アルキルである。特定の実施形態では、本発明は、前述の化合物のうちのいずれか一つに関するものであり、式中、R5eは、置換された(C-C)アルキルである。特定の実施形態では、置換された(C-C)アルキルは、一つ以上のハロゲンで置換される。特定の実施形態では、ハロゲンは、ClまたはFである。特定の実施形態では、R5eは、メチル、エチル、イソプロピル、n-プロピル、i-ブチル、n-ブチル、またはt-ブチルである。特定の実施形態では、本発明は、前述の化合物のうちのいずれか一つに関するものであり、式中、R5eは、ハロゲン化物である。一部の実施形態では、ハロゲン化物は、ClまたはFである。特定の実施形態では、R5eは、置換された(C3-)-シクロアルキルである。特定の実施形態では、R5eは、非置換の(C3-)シクロアルキルである。一部の実施形態では、(C-C)-シクロアルキルは、シクロプロピルである。特定の実施形態では、本発明は、前述の化合物のうちのいずれか一つに関するものであり、式中、R5eは、CFである。特定の実施形態では、本発明は、前述の化合物のうちのいずれか一つに関するものであり、式中、R5eは、C(H)Fである。特定の実施形態では、本発明は、前述の化合物のうちのいずれか一つに関するものであり、式中、R5eは、C(F)Hである。特定の実施形態では、本発明は、前述の化合物のうちのいずれか一つに関するものであり、式中、R5eは、(C-C)-アルコキシである。一部の実施形態では、(C-C)-アルコキシは、メトキシである。特定の実施形態では、本発明は、前述の化合物のうちのいずれか一つに関するものであり、式中、R5eは、メトキシである。特定の実施形態では、本発明は、前述の化合物のうちのいずれか一つに関するものであり、式中、R5eは、ヒドロキシルである。特定の実施形態では、本発明は、前述の化合物のうちのいずれか一つに関するものであり、式中、R5eは、-OCFである。特定の実施形態では、R5eは、CNである。特定の実施形態では、本発明は、前述の化合物のうちのいずれか一つに関するものであり、式中、R5eは、置換された(C-C)-アルキレン-(C-C)-アルコキシである。特定の実施形態では、本発明は、前述の化合物のうちのいずれか一つに関するものであり、式中、R5eは、非置換の(C-C)-アルキレン-(C-C)-アルコキシである。特定の実施形態では、(C-C)-アルキレン-(C-C)-アルコキシは、-CHOMeである。特定の実施形態では、R5eは、CHOHである。
一部の実施形態では、R5aおよびR5eは、同一である。例えば、R5aおよびR5eは両方とも、置換または非置換の(C-C)-アルキルであってもよい。一部の実施例では、R5aおよびR5eは両方とも、非置換の(C-C)-アルキル(例えば、メチル)である。一部の実施例では、R5aおよびR5eは両方とも、非置換メチルである。
一部の実施形態では、R5bおよびR5dは、同一である。例えば、R5aおよびR5eの両方ともが水素であってもよい。
一部の実施形態では、R5aおよびR5eは両方とも置換され、ならびにR5bおよびR5dは両方とも水素である。例えば、R5aおよびR5eは両方とも(同一でも異なってもよく)、置換または非置換の(C-C)-アルキルであってもよい。一部の実施例では、R5aおよびR5eは両方とも非置換の(C-C)-アルキル(例えば、メチル)であってもよく、R5bおよびR5dは両方とも水素である。一部の実施形態では、R5aおよびR5eは両方とも非置換のメチルであり、ならびにR5bおよびR5dは両方とも水素である。一部の実施形態では、R5aおよびR5eは独立して、H、CN、ハロゲン化物、CF、C(H)F、C(F)H、(C-C)-アルキル、ヒドロキシル、および(C-C)-アルコキシからなる群から選択される。
一部の実施形態では、R5cは、水素、ハロゲン化物(例えば、F)、置換もしくは非置換の(C-C)-アルコキシ(例えば、メトキシ)、または置換もしくは非置換の(C-C)アルキル(例えば、メチル)である。
一部の実施形態では、R5aおよびR5eは両方とも置換もしくは非置換の(C-C)アルキルであり、R5bおよびR5dは両方とも水素であり、ならびにR5cは、水素、ハロゲン化物(例えば、F)、置換もしくは非置換の(C-C)アルコキシ(例えば、メトキシ)、または置換もしくは非置換の(C-C)アルキル(例えば、メチル)である。例えば、R5aおよびR5eは両方ともメチルであってもよく;R5bおよびR5dは両方とも水素であり;ならびにR5cは、水素、ハロゲン化物(例えば、F)、置換または非置換の(C-C)-アルコキシ(例えば、メトキシ)、および置換または非置換の(C-C)アルキル(例えば、メチル)からなる群から選択される。一部の例では、R5aおよびR5eは両方ともメチルであってもよく;R5bおよびR5dは両方とも水素であり;ならびにR5cは、水素、F、Cl、メトキシ、およびメチルからなる群から選択される。一部の例では、R5a、R5c、およびR5eはそれぞれメチルであり;ならびにR5bおよびR5dは両方とも水素である。一部の実施形態では、R5b、R5c、およびR5dは独立して、H、CN、ハロゲン化物、CF、C(H)F、C(F)H、(C-C)-アルキル、ヒドロキシル、および(C-C)-アルコキシからなる群から選択される。
特定の実施形態では、本発明は、前述の化合物のうちのいずれか一つに関するものであり、式中、R、RおよびRは、荷電アミンを含む。R、RおよびRのうちの少なくとも一つは、置換または非置換の(C-C)アルキレン-N-(R)(R)であってもよく;式中、RおよびRは独立して、H、置換もしくは非置換の(C-C)-アルキル、または置換もしくは非置換の(C-C)-アルキレン-(C-C)-アルコキシからなる群から選択されるか:またはRおよびRは、それらが結合するNとともに置換または非置換の4~6員のヘテロシクリル環を形成する。
特定の実施形態では、本発明は、前述の化合物のいずれか一つに関するものであり、式中、R、RおよびRのうちのただ一つのみが、置換または非置換の-(C-C)アルキレン-N-(R)(R)であり;式中、RおよびRは独立して、H、置換もしくは非置換の(C-C)-アルキル、または置換もしくは非置換の(C-C)-アルキレン-(C-C)-アルコキシからなる群から選択される。特定の実施形態では、本発明は、前述の化合物のいずれか一つに関するものであり、式中、R、RおよびRのうちのただ一つのみが、置換または非置換の-(C-C)アルキレン-N-(R)(R)であり;式中、RおよびRは独立して、置換もしくは非置換の(C-C)-アルキル、または置換もしくは非置換の(C-C)-アルキレン-(C-C)-アルコキシからなる群から選択される。特定の実施形態では、本発明は、前述の化合物のいずれか一つに関するものであり、式中、R、RおよびRのうちのただ一つのみが、置換または非置換の-(C-C)アルキレン-N-(R)(R)であり;式中、RおよびRは独立して、置換または非置換の(C-C)-アルキルからなる群から選択される。
特定の実施形態では、本発明は、前述の化合物のいずれか一つに関するものであり、式中、R、RおよびRのうちのただ一つのみが、置換または非置換の-(C-C)アルキレン-N-(R)(R)であり;式中、RおよびRは、それらが結合するNとともに、置換または非置換の4~6員のヘテロシクリル環を形成する。特定の実施形態では、本発明は、前述の化合物のいずれか一つに関するものであり、式中、R、RおよびRのうちのただ一つのみが、置換または非置換の-(C-C)アルキレン-N-(R)(R)であり;式中、RおよびRは、それらが結合するNとともに、一つ以上のハロゲン化物(例えば、F、Cl)で任意で置換される4~6員のヘテロシクリル環を形成する。
一部の実施形態では、R、RおよびRは独立して、H、置換または非置換の(C-C)-アルキル、ハロゲン化物、CF、C(H)F、C(F)H、置換または非置換の(C-C)-アルコキシ、-OCF、からなる群から選択され、ならびにR、RおよびRのうちの少なくとも一つは、--(C-C)アルキレン-N-(R)(R)であり、式中、RおよびRは独立して、H、および(C-C)-アルキルからなる群から選択されるか;またはRおよびRは、それらが結合するNとともに、一つ以上のハロゲン化物(例えば、FまたはCl)で任意で置換される4~6員のヘテロシクリル環を形成する。
一部の実施形態では、R、RおよびRは独立して、H、置換または非置換の(C-C)-アルキル、ハロゲン化物、CF、C(H)F、C(F)H、置換または非置換の(C-C)-アルコキシ、-OCF、からなる群から選択され、ならびにR、RおよびRのうちの少なくとも一つは、--(C-C)アルキレン-N-(R)(R)であり、式中、RおよびRは独立して、(C-C)-アルキル(例えば、メチル)からなる群から選択されるか;またはRおよびRは、それらが結合するNとともに、一つ以上のハロゲン化物(例えば、FまたはCl)で任意で置換される4~6員のヘテロシクリル環を形成する。
特定の実施形態では、本発明は、前述の化合物のいずれか一つに関するものであり、式中、R、RおよびRのうちのただ一つが、
Figure 0007702004000016
からなる群から選択される。特定の実施形態では、本発明は、前述の化合物のいずれか一つに関するものであり、式中、R、RおよびRのうちのただ一つが、
Figure 0007702004000017
からなる群から選択される。特定の実施形態では、本発明は、前述の化合物のいずれか一つに関するものであり、式中、R、RおよびRのうちのただ一つが、
Figure 0007702004000018
からなる群から選択される。
特定の実施形態では、本発明は、前述の化合物のいずれか一つに関するものであり、式中、Rは、H、置換または非置換の(C-C)-アルキル、ハロゲン化物、CF、C(H)F、C(F)H、置換または非置換の(C-C)-アルコキシ、および-OCFからなる群から選択される。特定の実施形態では、本発明は、前述の化合物のいずれか一つに関するものであり、式中、Rは、H、置換または非置換の(C-C)-アルキル、ハロゲン化物、CF、C(H)F、C(F)H、置換または非置換の(C-C)-アルコキシ、および-OCFからなる群から選択され;ならびにRおよびRのうちの一つは、置換または非置換の-(C-C)アルキレン-N-(R)(R)であり;式中、RおよびRは独立して、H、置換もしくは非置換の(C-C)-アルキル、または置換もしくは非置換の(C-C)-アルキレン-(C-C)-アルコキシからなる群から選択されるか;またはRおよびRは、それらが結合するNとともに、置換または非置換の4~6員のヘテロシクリル環を形成する。
特定の実施形態では、本発明は、前述の化合物のいずれか一つに関するものであり、式中、Rは、Hである。特定の実施形態では、本発明は、前述の化合物のいずれか一つに関するものであり、式中、Rは、Meである。特定の実施形態では、本発明は、前述の化合物のうちのいずれか一つに関するものであり、式中、Rは、ハロゲン化物である。一部の実施形態では、ハロゲン化物は、ClまたはFである。特定の実施形態では、本発明は、前述の化合物のうちのいずれか一つに関するものであり、式中、Rは、CFである。特定の実施形態では、本発明は、前述の化合物のうちのいずれか一つに関するものであり、式中、Rは、C(H)Fである。特定の実施形態では、本発明は、前述の化合物のうちのいずれか一つに関するものであり、式中、Rは、C(F)Hである。特定の実施形態では、本発明は、前述の化合物のうちのいずれか一つに関するものであり、式中、Rは、置換された(C-C)-アルコキシである。特定の実施形態では、本発明は、前述の化合物のうちのいずれか一つに関するものであり、式中、Rは、非置換の(C-C)アルコキシである。一部の実施形態では、(C-C)-アルコキシは、メトキシである。特定の実施形態では、本発明は、前述の化合物のうちのいずれか一つに関するものであり、式中、Rは、-OCFである。特定の実施形態では、本発明は、前述の化合物のうちのいずれか一つに関するものであり、式中、Rは、置換された-(C-C)アルキレン-N-(R)(R)である。特定の実施形態では、本発明は、前述の化合物のうちのいずれか一つに関するものであり、式中、Rは、非置換の-(C-C)アルキレン-N-(R)(R)である。一部の実施形態では、-(C-C)アルキレン-N-(R)(R)の-(C-C)アルキレンは、一つ以上のハロゲン化物、または-(C-C)アルキルで置換される。特定の実施形態では、本発明は、前述の化合物のいずれか一つに関するものであり、式中、--(C-C)アルキレン-N-(R)(R)は、--(C-C)アルキレン-N-(R)(R)である。
一部の実施形態では、Rは、置換された(C-C)-アルキル、置換された(C-C)-アルコキシ、または置換された-(C-C)アルキレン-N-(R)(R)であり、この場合において、置換された、とは、ハロゲン化物または(C-C)-アルコキシで置換されたことを意味する。一部の実施形態では、Rは、置換された(C-C)-アルキル、置換された(C-C)-アルコキシ、または置換された-(C-C)アルキレン-N-(R)(R)であり、この場合において、置換された、とは、Fまたはメトキシで置換されたことを意味する。一部の実施形態では、Rは、
Figure 0007702004000019
からなる群から選択される。一部の実施形態では、Rは、
Figure 0007702004000020
である。一部の実施形態では、Rは、
Figure 0007702004000021
である。一部の実施形態では、Rは、CFである。
特定の実施形態では、本発明は、前述の化合物のいずれか一つに関するものであり、式中、Rは、H、置換または非置換の(C-C)-アルキル、ハロゲン化物、CF、C(H)F、C(F)H、置換または非置換の(C-C)-アルコキシ、および-OCFからなる群から選択され;ならびにRは、置換または非置換の-(C-C)アルキレン-N-(R)(R)であり;式中、RおよびRは独立して、H、置換もしくは非置換の(C-C)-アルキル、または置換もしくは非置換の(C-C)-アルキレン-(C-C)-アルコキシからなる群から選択されるか;またはRおよびRは、それらが結合するNとともに、置換または非置換の4~6員のヘテロシクリル環を形成する。
特定の実施形態では、本発明は、前述の化合物のいずれか一つに関するものであり、式中、Rは、Hである。特定の実施形態では、本発明は、前述の化合物のいずれか一つに関するものであり、式中、Rは、Meである。特定の実施形態では、本発明は、前述の化合物のうちのいずれか一つに関するものであり、式中、Rは、ハロゲン化物である。一部の実施形態では、ハロゲン化物は、ClまたはFである。特定の実施形態では、本発明は、前述の化合物のうちのいずれか一つに関するものであり、式中、Rは、CFである。特定の実施形態では、本発明は、前述の化合物のうちのいずれか一つに関するものであり、式中、Rは、C(H)Fである。特定の実施形態では、本発明は、前述の化合物のうちのいずれか一つに関するものであり、式中、Rは、C(F)Hである。特定の実施形態では、本発明は、前述の化合物のうちのいずれか一つに関するものであり、式中、Rは、置換された(C-C)-アルコキシである。特定の実施形態では、本発明は、前述の化合物のうちのいずれか一つに関するものであり、式中、Rは、非置換の(C-C)アルコキシである。一部の実施形態では、(C-C)-アルコキシは、メトキシである。特定の実施形態では、本発明は、前述の化合物のうちのいずれか一つに関するものであり、式中、Rは、-OCFである。特定の実施形態では、本発明は、前述の化合物のうちのいずれか一つに関するものであり、式中、Rは、置換された-(C-C)アルキレン-N-(R)(R)である。特定の実施形態では、本発明は、前述の化合物のうちのいずれか一つに関するものであり、式中、Rは、非置換の-(C-C)アルキレン-N-(R)(R)である。一部の実施形態では、-(C-C)アルキレン-N-(R)(R)の-(C-C)アルキレンは、一つ以上のハロゲン化物、または-(C-C)アルキルで置換される。特定の実施形態では、本発明は、前述の化合物のいずれか一つに関するものであり、式中、--(C-C)アルキレン-N-(R)(R)は、--(C-C)アルキレン-N-(R)(R)である。
一部の実施形態では、Rは、置換された(C-C)-アルキル、置換された(C-C)-アルコキシ、または置換された-(C-C)アルキレン-N-(R)(R)であり、この場合において、置換された、とは、ハロゲン化物または(C-C)-アルコキシで置換されたことを意味する。一部の実施形態では、Rは、置換された(C-C)-アルキル、置換された(C-C)-アルコキシ、または置換された-(C-C)アルキレン-N-(R)(R)であり、この場合において、置換された、とは、Fまたはメトキシで置換されたことを意味する。一部の実施形態では、Rは、-(C-C)アルキレン-N-(R)(R)であり、式中、RおよびRは各々メチルであるか、またはRおよびRは、それらが結合するNとともに、一つ以上のハロゲン化物(例えば、FまたはCl)で任意で置換される4~6員のヘテロシクリル環を形成する。一部の実施形態では、Rは、-(C-C)アルキレン-N-(R)(R)であり、式中、RおよびRは各々メチルであるか、またはRおよびRは、それらが結合するNとともに、一つ以上のハロゲン化物(例えば、FまたはCl)で任意で置換される4~6員のヘテロシクリル環を形成する。一部の実施形態では、Rは、-(C-C)アルキレン-N-(R)(R)であり、式中、RおよびRは各々メチルであるか、またはRおよびRは、それらが結合するNとともに、一つ以上のハロゲン化物(例えば、FまたはCl)で任意で置換される4員のヘテロシクリル環を形成する。一部の実施形態では、Rは、-(C-C)アルキレン-N-(R)(R)であり、式中、RおよびRは各々メチルであるか、またはRおよびRは、それらが結合するNとともに、一つ以上のハロゲン化物(例えば、FまたはCl)で任意で置換される4~6員のヘテロシクリル環を形成する。一部の実施形態では、Rは、-(C-C)アルキレン-N-(R)(R)であり、式中、RおよびRは各々メチルであるか、またはRおよびRは、それらが結合するNとともに、一つ以上のハロゲン化物(例えば、FまたはCl)で任意で置換される4員のヘテロシクリル環を形成する。
特定の実施形態では、本発明は、前述の化合物のいずれか一つに関するものであり、Rは、
Figure 0007702004000022
であり、式中、xは、1または2であり;Rは、Hであり、R’は、一つ以上のハロゲン化物(例えば、CF)で任意で置換される(C-C)アルキルであるか、またはRおよびR’は、共同して置換または非置換の3~6員のシクロアルキルまたはヘテロシクロアルキルを形成する。特定の実施形態では、本発明は、前述の化合物のいずれか一つに関するものであり、Rは、
Figure 0007702004000023
であり、式中、xは、1または2であり;Rは、Hであり、R’は、一つ以上のハロゲン化物(例えば、CF)で任意で置換される(C-C)アルキルであるか、またはRおよびR’は共同して、ハロゲン化物(例えば、F)、(C-C)アルキル(例えば、メチル)、(C-C)アルコキシ(例えば、メトキシ)、(C-C)シクロアルキル(例えば、スピロシクロプロピル)、または(C-C)ヘテロシクロアルキル(例えば、アザスピロ[3.3]ヘプチル)で任意で置換される3~6員のシクロアルキルまたはヘテロシクロアルキルを形成する。一部の実施形態では、Rは、
Figure 0007702004000024
からなる群から選択される。一部の実施形態では、Rは、
Figure 0007702004000025
である。特定の実施形態では、本発明は、前述の化合物のいずれか一つに関するものであり、式中、Rは、
Figure 0007702004000026
からなる群から選択される。一部の実施形態では、Rは、
Figure 0007702004000027
である。特定の実施形態では、本発明は、前述の化合物のいずれか一つに関するものであり、式中、Rは、
Figure 0007702004000028
Figure 0007702004000029
からなる群から選択される。
特定の実施形態では、本発明は、前述の化合物のいずれか一つに関するものであり、式中、Rは、Hである。特定の実施形態では、本発明は、前述の化合物のいずれか一つに関するものであり、式中、Rは、Meである。特定の実施形態では、本発明は、前述の化合物のうちのいずれか一つに関するものであり、式中、Rは、ハロゲン化物である。一部の実施形態では、ハロゲン化物は、ClまたはFである。特定の実施形態では、本発明は、前述の化合物のうちのいずれか一つに関するものであり、式中、Rは、CFである。特定の実施形態では、本発明は、前述の化合物のうちのいずれか一つに関するものであり、式中、Rは、C(H)Fである。特定の実施形態では、本発明は、前述の化合物のうちのいずれか一つに関するものであり、式中、Rは、C(F)Hである。特定の実施形態では、本発明は、前述の化合物のうちのいずれか一つに関するものであり、式中、Rは、置換された(C-C)-アルコキシである。一部の実施形態では、(C-C)-アルコキシは、メトキシである。特定の実施形態では、本発明は、前述の化合物のうちのいずれか一つに関するものであり、式中、Rは、非置換の(C-C)アルコキシである。特定の実施形態では、本発明は、前述の化合物のうちのいずれか一つに関するものであり、式中、Rは、-OCFである。特定の実施形態では、本発明は、前述の化合物のうちのいずれか一つに関するものであり、式中、Rは、置換された-(C-C)アルキレン-N-(R)(R)である。特定の実施形態では、本発明は、前述の化合物のうちのいずれか一つに関するものであり、式中、Rは、非置換の-(C-C)アルキレン-N-(R)(R)である。一部の実施形態では、-(C-C)アルキレン-N-(R)(R)の-(C-C)アルキレンは、一つ以上のハロゲン化物、または-(C-C)アルキルで置換される。特定の実施形態では、本発明は、前述の化合物のいずれか一つに関するものであり、式中、--(C-C)アルキレン-N-(R)(R)は、--(C-C)アルキレン-N-(R)(R)である。
一部の実施形態では、Rは、置換された(C-C)-アルキル、置換された(C-C)-アルコキシ、または置換された-(C-C)アルキレン-N-(R)(R)であり、この場合において、置換された、とは、ハロゲン化物または(C-C)-アルコキシで置換されたことを意味する。一部の実施形態では、Rは、置換された(C-C)-アルキル、置換された(C-C)-アルコキシ、または置換された-(C-C)アルキレン-N-(R)(R)であり、この場合において、置換された、とは、Fまたはメトキシで置換されたことを意味する。
一部の実施形態では、Rは、
Figure 0007702004000030
からなる群から選択される。一部の実施形態では、Rは、
Figure 0007702004000031
である。
一部の実施形態では、R、RおよびRのうちの少なくとも一つは、Hである。
一部の実施形態では、R、RおよびRのうちの少なくとも一つは、荷電アミンであり、ならびにR、RおよびRのうちの少なくとも一つは、Hである。
特定の実施形態では、本発明は、前述の化合物のいずれか一つに関するものであり、式中、Rは、Hである。特定の実施形態では、本発明は、前述の化合物のいずれか一つに関するものであり、式中、Rは、置換された(C-C)アルキルである。特定の実施形態では、本発明は、前述の化合物のうちのいずれか一つに関するものであり、式中、Rは、非置換の(C-C)アルキルである。特定の実施形態では、本発明は、前述の化合物のうちのいずれか一つに関するものであり、式中、Rは、置換された(C-C)アルキルである。一部の実施形態では、(C-C)-アルキルは、OMe、CNまたはハロゲン化物で置換される。特定の実施形態では、本発明は、前述の化合物のうちのいずれか一つに関するものであり、式中、Rは、非置換の(C-C)アルキルである。特定の実施形態では、本発明は、前述の化合物のうちのいずれか一つに関するものであり、式中、Rは、(C-C)-アルキレン-(C-C)-アルコキシである。一部の実施形態では、(C-C)-アルキレン-(C-C)-アルコキシは、-(CHOMeである。特定の実施形態では、本発明は、前述の化合物のうちのいずれか一つに関するものであり、式中、Rは、Meである。
特定の実施形態では、本発明は、前述の化合物のいずれか一つに関するものであり、式中、Rは、Hである。特定の実施形態では、本発明は、前述の化合物のいずれか一つに関するものであり、式中、Rは、置換された(C-C)アルキルである。特定の実施形態では、本発明は、前述の化合物のうちのいずれか一つに関するものであり、式中、Rは、非置換の(C-C)アルキルである。特定の実施形態では、本発明は、前述の化合物のうちのいずれか一つに関するものであり、式中、Rは、置換された(C-C)アルキルである。一部の実施形態では、(C-C)-アルキルは、OMe、CNまたはハロゲン化物で置換される。特定の実施形態では、本発明は、前述の化合物のうちのいずれか一つに関するものであり、式中、Rは、非置換の(C-C)アルキルである。特定の実施形態では、本発明は、前述の化合物のうちのいずれか一つに関するものであり、式中、Rは、(C-C)-アルキレン-(C-C)-アルコキシである。一部の実施形態では、(C-C)-アルキレン-(C-C)-アルコキシは、-(CHOMeである。特定の実施形態では、本発明は、前述の化合物のうちのいずれか一つに関するものであり、式中、Rは、Meである。
特定の実施形態では、本発明は、前述の化合物のうちのいずれか一つに関するものであり、式中、Rは、Meであり;Rは、Meである。
特定の実施形態では、本発明は、前述の化合物のうちのいずれか一つに関するものであり、RおよびRは、それらが結合するNとともに、置換または非置換の4~6員の環を形成する。一部の実施形態では、4~6員の環は、置換または非置換のヘテロシクロアルキルである。一部の実施形態では、置換された4~6員のヘテロシクロアルキルは、(C-C)アルキルのハロゲン化物で置換される。一部の実施形態では、4~6員の環は、置換または非置換のヘテロアリールである。一部の実施形態では、置換された4~6員のヘテロアリールは、(C-C)アルキルのハロゲン化物で置換される。一部の実施形態では、4~6員の環は、
Figure 0007702004000032
から選択される。一部の実施形態では、RおよびRは、それらが結合するNとともに、
Figure 0007702004000033
を形成する。一部の実施形態では、RおよびRは、それらが結合するNとともに、式
Figure 0007702004000034
の置換または非置換の4~6員の環を形成し、式中、yは、0、1または2であり、Rは、H、ハロゲン化物、アルコキシ、スピロ環式3~5員シクロアルキル、およびスピロ環式3~5員ヘテロシクロアルキルである。
一部の実施形態では、Rは、ハロゲン化物で任意で置換される(C-C)アルキルであり;Rは、-(C-C)アルキレン-N-(R)(R)であり、式中、RおよびRは各々メチルであるか、またはRおよびRは、それらが結合するNとともに、一つ以上のハロゲン化物またはアルコキシ(例えば、メトキシ)で任意で置換される4~5員のヘテロシクリル環を形成し;およびRは、水素、ハロゲン化物、またはハロゲン化物で任意で置換される(C-C)-アルキルである。一部の実施形態では、Rは、ハロゲン化物で任意で置換されるメチル;Rは、-(C-C)アルキレン-N-(R)(R)であり、式中、RおよびRは各々メチルであるか、またはRおよびRは、それらが結合するNとともに、一つ以上のハロゲン化物(例えば、F)で任意で置換される4~5員のヘテロシクリル環を形成し;およびRは、水素、ハロゲン化物、またはハロゲン化物で任意で置換されるメチルである。一部の実施形態では、Rは、メチルまたはCFであり;Rは、-(C-C)アルキレン-N-(R)(R)であり、式中、RおよびRは各々メチルであるか、またはRおよびRは、それらが結合するNとともに、一つ以上のFまたはメトキシで任意で置換される4~5員のヘテロシクリル環を形成し;およびRは、水素、F、CHF、CHF、CFである。
特定の実施形態では、本発明は、式(Ia)または(Ib)の化合物に関するものであり:
Figure 0007702004000035
式中、
、R3c、R3d、R5a、R5b、R5c、R5d、R5e、R、R、およびRは、式(I)に関して上記に規定される通りであり;
は、Hであり;ならびに
、RおよびRのうちの少なくとも一つは、-(C-C)アルキレン-N(R)(R)であり;
およびRは独立して、Hおよびメチルからなる群から選択されるか;またはRおよびRは、それらが結合するNとともに4~6員の環を形成し;および
3aおよびR3bはそれぞれ独立して、メチルおよびFからなる群から選択される。
特定の実施形態では、本発明は、図1に描写される化合物のいずれか一つに関する。特定の実施形態では、本発明は、図2に描写される化合物のいずれか一つに関する。特定の実施形態では、本発明は、図3に描写される化合物のいずれか一つに関する。特定の実施形態では、本発明は、図4に描写される化合物のいずれか一つに関する。
特定の実施形態では、化合物は、図1に図示した化合物ではない式(I)の化合物である。特定の実施形態では、化合物は、図2に図示した化合物ではない式(I)の化合物である。特定の実施形態では、化合物は、図3に図示した化合物ではない式(I)の化合物である。特定の実施形態では、化合物は、図4に図示した化合物ではない式(I)の化合物である。特定の実施形態では、化合物は、図2、図3または図4に図示した化合物ではない式(I)の化合物である。
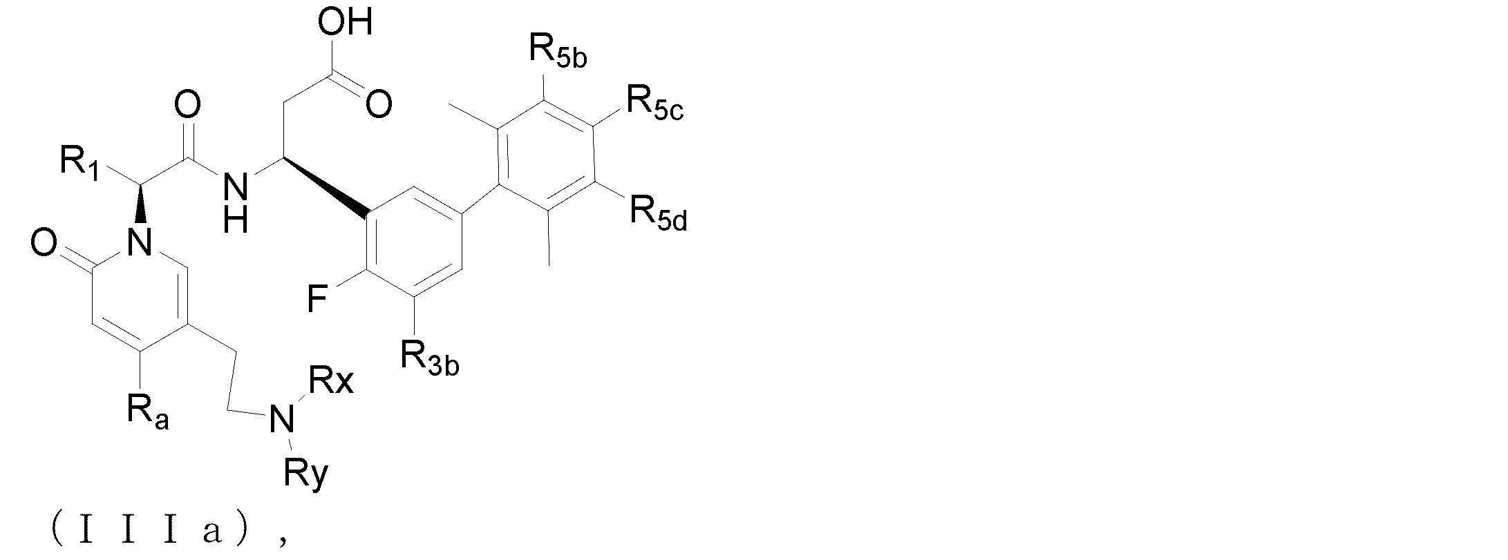
特定の実施形態では、本発明は、式(IIIa)の化合物に関するものであり:
Figure 0007702004000036
式中、R、R、R、R、R3b、R5b、R5c、R5dは、式(I)に関して上記に規定される通りである。
特定の実施形態では、本発明は、式(IVa)の化合物に関するものであり:
Figure 0007702004000037
式中、R、R、R、R、R3b、R5b、R5c、R5dは、式(I)に関して上記に規定される通りである。
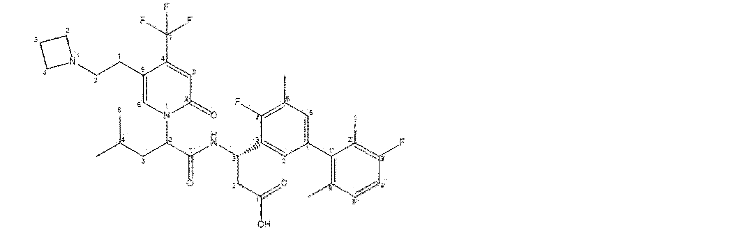
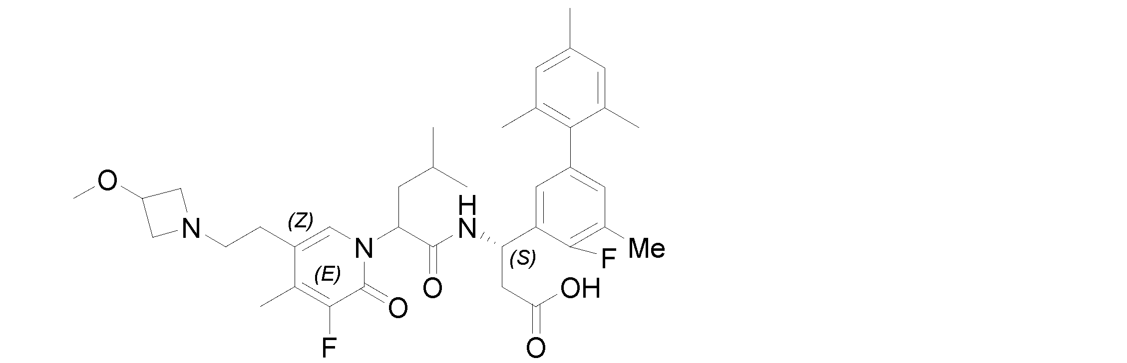
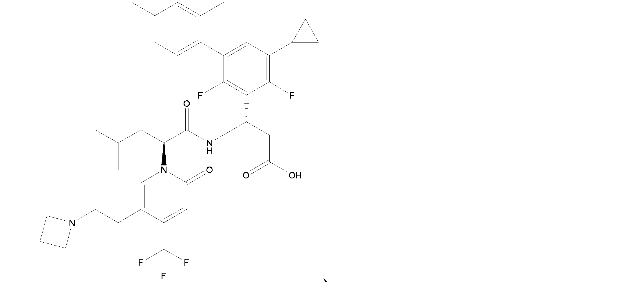
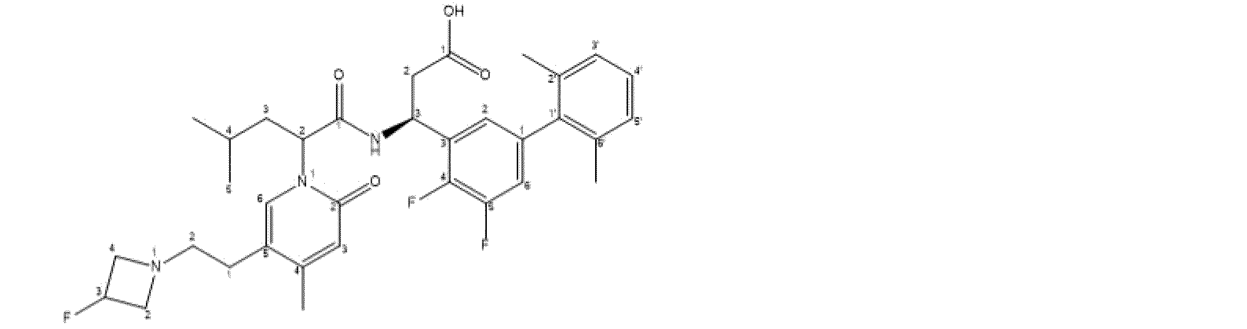
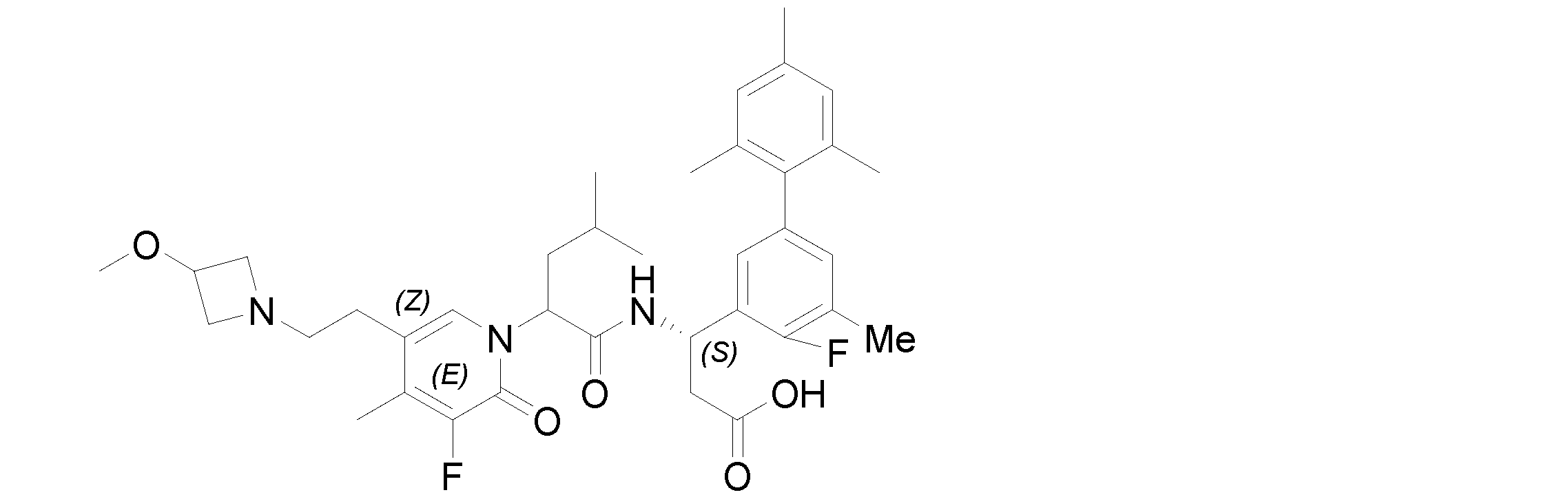
特定の実施形態では、本発明は、以下からなる群から選択される化合物またはその薬学的に許容可能な塩に関する:
(3S)-3-(4,5-ジフルオロ-2’,6’-ジメチルビフェニル-3-イル)-3-(2-(5-(2-(3-フルオロアゼチジン-1-イル)エチル)-4-メチル-2-オキソピリジン-1(2H)-イル)-4-メチルペンタンアミド)プロパン酸;
(3S)-3-(2-(5-(2-(アゼチジン-1-イル)エチル)-2-オキソ-4-(トリフルオロメチル)ピリジン-1(2H)-イル)-4-メチルペンタンアミド)-3-(4-フルオロ-2’,6’-ジメチル-5-(トリフルオロメチル)ビフェニル-3-イル)プロパン酸;
(3S)-3-(2-(5-(2-(アゼチジン-1-イル)エチル)-2-オキソ-4-(トリフルオロメチル)ピリジン-1(2H)-イル)-4-メチルペンタンアミド)-3-(3’,4-ジフルオロ-2’,5,6’-トリメチル-[1,1’-ビフェニル]-3-イル)プロパン酸;
(3S)-3-(2-(5-(2-(アゼチジン-1-イル)エチル)-2-オキソ-4-(トリフルオロメチル)ピリジン-1(2H)-イル)-4-メチルペンタンアミド)-3-(4-フルオロ-3’-メトキシ-2’,5,6’-トリメチル-[1,1’-ビフェニル]-3-イル)プロパン酸;
(3S)-3-(4,4’-ジフルオロ-2’,5,6’-トリメチル-[1,1’-ビフェニル]-3-イル)-3-(2-(5-(2-(ジメチルアミノ)エチル)-2-オキソ-4-(トリフルオロメチル)ピリジン-1(2H)-イル)-4-メチルペンタンアミド)プロパン酸;
(3S)-3-(5-クロロ-4-フルオロ-2’,6’-ジメチル-[1,1’-ビフェニル]-3-イル)-3-(2-(5-(2-(3-メトキシアゼチジン-1-イル)エチル)-2-オキソ-4-(トリフルオロメチル)ピリジン-1(2H)-イル)-4-メチルペンタンアミド)プロパン酸;
(3S)-3-(2-(5-(2-(ジメチルアミノ)エチル)-2-オキソ-4-(トリフルオロメチル)ピリジン-1(2H)-イル)-4-メチルペンタンアミド)-3-(4-フルオロ-2’,4’,5,6’-テトラメチルビフェニル-3-イル)プロパン酸;
(3S)-3-(4,4’-ジフルオロ-2’,5,6’-トリメチル-[1,1’-ビフェニル]-3-イル)-3-(2-(3-(ジフルオロメチル)-5-(2-(ジメチルアミノ)エチル)-2-オキソピリジン-1(2H)-イル)-4-メチルペンタンアミド)プロパン酸;
(3S)-3-(2-(5-(2-(ジメチルアミノ)エチル)-4-メチル-2-オキソピリジン-1(2H)-イル)-5-メチルヘキサンアミド)-3-(4-フルオロ-2’,5,6’-トリメチルビフェニル-3-イル)プロパン酸;
(3S)-3-(4-フルオロ-2’,5,6’-トリメチル-[1,1’-ビフェニル]-3-イル)-3-(2-(3-フルオロ-5-(2-(3-フルオロアゼチジン-1-イル)エチル)-2-オキソピリジン-1(2H)-イル)-4-メチルペンタンアミド)プロパン酸;および
(3S)-3-(4-フルオロ-2’,5,6’-トリメチル-[1,1’-ビフェニル]-3-イル)-3-(2-(3-フルオロ-5-(2-((R)-3-フルオロピロリジン-1-イル)エチル)-2-オキソピリジン-1(2H)-イル)-4-メチルペンタンアミド)プロパン酸。
特定の実施形態では、本発明は、以下からなる群から選択される化合物またはその薬学的に許容可能な塩に関する:
Figure 0007702004000038
Figure 0007702004000039
特定の実施形態では、本発明は、以下からなる群から選択される化合物またはその薬学的に許容可能な塩に関する:
Figure 0007702004000040
Figure 0007702004000041
特定の実施形態では、本発明は、以下からなる群から選択される化合物またはその薬学的に許容可能な塩に関する:
(S)-3-(4,5-ジフルオロ-2’,6’-ジメチル-[1,1’-ビフェニル]-3-イル)-3-((S)-2-(5-(2-(3-フルオロアゼチジン-1-イル)エチル)-4-メチル-2-オキソピリジン-1(2H)-イル)-4-メチルペンタンアミド)プロパン酸;
(S)-3-((S)-2-(5-(2-(アゼチジン-1-イル)エチル)-2-オキソ-4-(トリフルオロメチル)ピリジン-1(2H)-イル)-4-メチルペンタンアミド)-3-(4-フルオロ-2’,6’-ジメチル-5-(トリフルオロメチル)-[1,1’-ビフェニル]-3-イル)プロパン酸;
(S)-3-((S)-2-(5-(2-(アゼチジン-1-イル)エチル)-2-オキソ-4-(トリフルオロメチル)ピリジン-1(2H)-イル)-4-メチルペンタンアミド)-3-(3’,4-ジフルオロ-2’,5,6’-トリメチル-[1,1’-ビフェニル]-3-イル)プロパン酸;
(S)-3-((S)-2-(5-(2-(アゼチジン-1-イル)エチル)-2-オキソ-4-(トリフルオロメチル)ピリジン-1(2H)-イル)-4-メチルペンタンアミド)-3-(4-フルオロ-3’-メトキシ-2’,5,6’-トリメチル-[1,1’-ビフェニル]-3-イル)プロパン酸;
(S)-3-(4,4’-ジフルオロ-2’,5,6’-トリメチル-[1,1’-ビフェニル]-3-イル)-3-((S)-2-(5-(2-(ジメチルアミノ)エチル)-2-オキソ-4-(トリフルオロメチル)ピリジン-1(2H)-イル)-4-メチルペンタンアミド)プロパン酸;
(S)-3-(5-クロロ-4-フルオロ-2’,6’-ジメチル-[1,1’-ビフェニル]-3-イル)-3-((S)-2-(5-(2-(3-メトキシアゼチジン-1-イル)エチル)-2-オキソ-4-(トリフルオロメチル)ピリジン-1(2H)-イル)-4-メチルペンタンアミド)プロパン酸;
(S)-3-((S)-2-(5-(2-(ジメチルアミノ)エチル)-2-オキソ-4-(トリフルオロメチル)ピリジン-1(2H)-イル)-4-メチルペンタンアミド)-3-(4-フルオロ-2’,4’,5,6’-テトラメチル-[1,1’-ビフェニル]-3-イル)プロパン酸;
(S)-3-(4,4’-ジフルオロ-2’,5,6’-トリメチル-[1,1’-ビフェニル]-3-イル)-3-((S)-2-(3-(ジフルオロメチル)-5-(2-(ジメチルアミノ)エチル)-2-オキソピリジン-1(2H)-イル)-4-メチルペンタンアミド)プロパン酸;
(S)-3-((S)-2-(5-(2-(ジメチルアミノ)エチル)-4-メチル-2-オキソピリジン-1(2H)-イル)-5-メチルヘキサンアミド)-3-(4-フルオロ-2’,5,6’-トリメチル-[1,1’-ビフェニル]-3-イル)プロパン酸;
(S)-3-(4-フルオロ-2’,5,6’-トリメチル-[1,1’-ビフェニル]-3-イル)-3-((S)-2-(3-フルオロ-5-(2-(3-フルオロアゼチジン-1-イル)エチル)-2-オキソピリジン-1(2H)-イル)-4-メチルペンタンアミド)プロパン酸;および
(S)-3-(4-フルオロ-2’,5,6’-トリメチル-[1,1’-ビフェニル]-3-イル)-3-((S)-2-(3-フルオロ-5-(2-((R)-3-フルオロピロリジン-1-イル)エチル)-2-オキソピリジン-1(2H)-イル)-4-メチルペンタンアミド)プロパン酸。
特定の実施形態では、本発明は、以下からなる群から選択される化合物またはその薬学的に許容可能な塩に関する:
Figure 0007702004000042
Figure 0007702004000043
特定の実施形態では、本発明は、上記の化合物のうちのいずれか一つに関するものであり、当該化合物は、薬学的に許容される塩の形態である。
特定の実施形態では、本発明は、以下からなる群から選択される化合物に関する:
Figure 0007702004000044
Figure 0007702004000045
Figure 0007702004000046
Figure 0007702004000047
例示的な医薬組成物
式(I)の化合物は、様々な医薬組成物において、製剤化されることができる。式(I)の化合物(本明細書に提供される式(Ia)および式(Ib)の化合物を含む)、ならびにその薬学的に許容可能な塩は、一つ以上の他の成分と組み合わされて、製剤原料の医薬組成物を形成する医薬品有効成分(API)であってもよい。製剤原料(DS)の医薬組成物は、API(すなわち、式(I)の化合物またはその薬学的に許容可能な塩)、ならびに一つ以上の薬学的に許容可能な担体、希釈剤、および/または賦形剤を含むことができる。担体、希釈剤、または賦形剤は、製剤の他の成分と適合性があり、意図された治療法に対して適切に安全で効果的であるように選択されることができる。医薬品有効成分(API)としての式(I)の化合物の望ましい重量濃度は、製剤バッチにおいて製剤原料(DS)を形成する他の不活性成分と組み合わせられることができる。薬学的に許容可能な組成物は、例えば、単位剤形での経口送達(カプセルまたは錠剤としてを含む)による経路などの適切な経路による投与に対して、製剤化されることができる。かかる組成物は、式(I)の化合物を含む医薬品有効成分(API)を、担体または賦形剤と関連付けることによって調製されてもよい。
特定の実施形態では、本発明は、αβインテグリン阻害剤の経口送達のために製剤化された医薬組成物を提供するものであり、当該組成物は、αβインテグリン阻害剤化合物の経口治療用投与のために製剤化される、APIとして式(I)のαβインテグリン阻害剤化合物および薬学的に許容可能な担体を含む。
特定の実施形態では、本発明は、医薬品有効成分(API)として、式(I)の化合物、またはその薬学的に許容可能な塩を含む医薬組成物を提供する。
特定の実施形態では、本発明は、医薬品有効成分(API)として、式(Ia)の化合物、またはその薬学的に許容可能な塩を含む医薬組成物を提供する。
特定の実施形態では、本発明は、医薬品有効成分(API)として、式(Ib)の化合物、またはその薬学的に許容可能な塩を含む医薬組成物を提供する。
特定の実施形態では、本発明は、医薬品有効成分(API)として、化合物(3S)-3-(4,5-ジフルオロ-2’,6’-ジメチルビフェニル-3-イル)-3-(2-(5-(2-(3-フルオロアゼチジン-1-イル)エチル)-4-メチル-2-オキソピリジン-1(2H)-イル)-4-メチルペンタンアミド)プロパン酸、またはその薬学的に許容可能な塩を含む医薬組成物を提供する。
特定の実施形態では、本発明は、医薬品有効成分(API)として、化合物(3S)-3-(2-(5-(2-(アゼチジン-1-イル)エチル)-2-オキソ-4-(トリフルオロメチル)ピリジン-1(2H)-イル)-4-メチルペンタンアミド)-3-(4-フルオロ-2’,6’-ジメチル-5-(トリフルオロメチル)ビフェニル-3-イル)プロパン酸、またはその薬学的に許容可能な塩を含む医薬組成物を提供する。
特定の実施形態では、本発明は、医薬品有効成分(API)として、化合物(3S)-3-(2-(5-(2-(アゼチジン-1-イル)エチル)-2-オキソ-4-(トリフルオロメチル)ピリジン-1(2H)-イル)-4-メチルペンタンアミド)-3-(3’,4-ジフルオロ-2’,5,6’-トリメチル-[1,1’-ビフェニル]-3-イル)プロパン酸、またはその薬学的に許容可能な塩を含む医薬組成物を提供する。
特定の実施形態では、本発明は、医薬品有効成分(API)として、化合物(3S)-3-(2-(5-(2-(アゼチジン-1-イル)エチル)-2-オキソ-4-(トリフルオロメチル)ピリジン-1(2H)-イル)-4-メチルペンタンアミド)-3-(4-フルオロ-3’-メトキシ-2’,5,6’-トリメチル-[1,1’-ビフェニル]-3-イル)プロパン酸、またはその薬学的に許容可能な塩を含む医薬組成物を提供する。
特定の実施形態では、本発明は、医薬品有効成分(API)として、化合物(3S)-3-(4,4’-ジフルオロ-2’,5,6’-トリメチル-[1,1’-ビフェニル]-3-イル)-3-(2-(5-(2-(ジメチルアミノ)エチル)-2-オキソ-4-(トリフルオロメチル)ピリジン-1(2H)-イル)-4-メチルペンタンアミド)プロパン酸、またはその薬学的に許容可能な塩を含む医薬組成物を提供する。
特定の実施形態では、本発明は、医薬品有効成分(API)として、化合物(3S)-3-(5-クロロ-4-フルオロ-2’,6’-ジメチル-[1,1’-ビフェニル]-3-イル)-3-(2-(5-(2-(3-メトキシアゼチジン-1-イル)エチル)-2-オキソ-4-(トリフルオロメチル)ピリジン-1(2H)-イル)-4-メチルペンタンアミド)プロパン酸、またはその薬学的に許容可能な塩を含む医薬組成物を提供する。
特定の実施形態では、本発明は、医薬品有効成分(API)として、化合物(3S)-3-(2-(5-(2-(ジメチルアミノ)エチル)-2-オキソ-4-(トリフルオロメチル)ピリジン-1(2H)-イル)-4-メチルペンタンアミド)-3-(4-フルオロ-2’,4’,5,6’-テトラメチルビフェニル-3-イル)プロパン酸、またはその薬学的に許容可能な塩を含む医薬組成物を提供する。
特定の実施形態では、本発明は、医薬品有効成分(API)として、化合物(3S)-3-(4,4’-ジフルオロ-2’,5,6’-トリメチル-[1,1’-ビフェニル]-3-イル)-3-(2-(3-(ジフルオロメチル)-5-(2-(ジメチルアミノ)エチル)-2-オキソピリジン-1(2H)-イル)-4-メチルペンタンアミド)プロパン酸、またはその薬学的に許容可能な塩を含む医薬組成物を提供する。
特定の実施形態では、本発明は、医薬品有効成分(API)として、化合物(3S)-3-(2-(5-(2-(ジメチルアミノ)エチル)-4-メチル-2-オキソピリジン-1(2H)-イル)-5-メチルヘキサンアミド)-3-(4-フルオロ-2’,5,6’-トリメチルビフェニル-3-イル)プロパン酸、またはその薬学的に許容可能な塩を含む医薬組成物を提供する。
特定の実施形態では、本発明は、医薬品有効成分(API)として、化合物(3S)-3-(4-フルオロ-2’,5,6’-トリメチル-[1,1’-ビフェニル]-3-イル)-3-(2-(3-フルオロ-5-(2-(3-フルオロアゼチジン-1-イル)エチル)-2-オキソピリジン-1(2H)-イル)-4-メチルペンタンアミド)プロパン酸、またはその薬学的に許容可能な塩を含む医薬組成物を提供する。
特定の実施形態では、本発明は、医薬品有効成分(API)として、化合物(3S)-3-(4-フルオロ-2’,5,6’-トリメチル-[1,1’-ビフェニル]-3-イル)-3-(2-(3-フルオロ-5-(2-((R)-3-フルオロピロリジン-1-イル)エチル)-2-オキソピリジン-1(2H)-イル)-4-メチルペンタンアミド)プロパン酸、またはその薬学的に許容可能な塩を含む医薬組成物を提供する。
特定の実施形態では、本発明は、医薬品有効成分(API)として、化合物(S)-3-(4,5-ジフルオロ-2’,6’-ジメチル-[1,1’-ビフェニル]-3-イル)-3-((S)-2-(5-(2-(3-フルオロアゼチジン-1-イル)エチル)-4-メチル-2-オキソピリジン-1(2H)-イル)-4-メチルペンタンアミド)プロパン酸、またはその薬学的に許容可能な塩を含む医薬組成物を提供する。
特定の実施形態では、本発明は、医薬品有効成分(API)として、化合物(S)-3-((S)-2-(5-(2-(アゼチジン-1-イル)エチル)-2-オキソ-4-(トリフルオロメチル)ピリジン-1(2H)-イル)-4-メチルペンタンアミド)-3-(4-フルオロ-2’,6’-ジメチル-5-(トリフルオロメチル)-[1,1’-ビフェニル]-3-イル)プロパン酸、またはその薬学的に許容可能な塩を含む医薬組成物を提供する。
特定の実施形態では、本発明は、医薬品有効成分(API)として、化合物(S)-3-((S)-2-(5-(2-(アゼチジン-1-イル)エチル)-2-オキソ-4-(トリフルオロメチル)ピリジン-1(2H)-イル)-4-メチルペンタンアミド)-3-(3’,4-ジフルオロ-2’,5,6’-トリメチル-[1,1’-ビフェニル]-3-イル)プロパン酸、またはその薬学的に許容可能な塩を含む医薬組成物を提供する。
特定の実施形態では、本発明は、医薬品有効成分(API)として、化合物(S)-3-((S)-2-(5-(2-(アゼチジン-1-イル)エチル)-2-オキソ-4-(トリフルオロメチル)ピリジン-1(2H)-イル)-4-メチルペンタンアミド)-3-(4-フルオロ-3’-メトキシ-2’,5,6’-トリメチル-[1,1’-ビフェニル]-3-イル)プロパン酸、またはその薬学的に許容可能な塩を含む医薬組成物を提供する。
特定の実施形態では、本発明は、医薬品有効成分(API)として、化合物(S)-3-(4,4’-ジフルオロ-2’,5,6’-トリメチル-[1,1’-ビフェニル]-3-イル)-3-((S)-2-(5-(2-(ジメチルアミノ)エチル)-2-オキソ-4-(トリフルオロメチル)ピリジン-1(2H)-イル)-4-メチルペンタンアミド)プロパン酸、またはその薬学的に許容可能な塩を含む医薬組成物を提供する。
特定の実施形態では、本発明は、医薬品有効成分(API)として、化合物(S)-3-((S)-2-(5-(2-(ジメチルアミノ)エチル)-2-オキソ-4-(トリフルオロメチル)ピリジン-1(2H)-イル)-4-メチルペンタンアミド)-3-(4-フルオロ-2’,4’,5,6’-テトラメチル-[1,1’-ビフェニル]-3-イル)プロパン酸、またはその薬学的に許容可能な塩を含む医薬組成物を提供する。
特定の実施形態では、本発明は、医薬品有効成分(API)として、化合物(S)-3-(4,4’-ジフルオロ-2’,5,6’-トリメチル-[1,1’-ビフェニル]-3-イル)-3-((S)-2-(3-(ジフルオロメチル)-5-(2-(ジメチルアミノ)エチル)-2-オキソピリジン-1(2H)-イル)-4-メチルペンタンアミド)プロパン酸、またはその薬学的に許容可能な塩を含む医薬組成物を提供する。
特定の実施形態では、本発明は、医薬品有効成分(API)として、化合物(S)-3-((S)-2-(5-(2-(ジメチルアミノ)エチル)-4-メチル-2-オキソピリジン-1(2H)-イル)-5-メチルヘキサンアミド)-3-(4-フルオロ-2’,5,6’-トリメチル-[1,1’-ビフェニル]-3-イル)プロパン酸、またはその薬学的に許容可能な塩を含む医薬組成物を提供する。
特定の実施形態では、本発明は、医薬品有効成分(API)として、化合物(S)-3-(4-フルオロ-2’,5,6’-トリメチル-[1,1’-ビフェニル]-3-イル)-3-((S)-2-(3-フルオロ-5-(2-(3-フルオロアゼチジン-1-イル)エチル)-2-オキソピリジン-1(2H)-イル)-4-メチルペンタンアミド)プロパン酸、またはその薬学的に許容可能な塩を含む医薬組成物を提供する。
特定の実施形態では、本発明は、医薬品有効成分(API)として、化合物(S)-3-(4-フルオロ-2’,5,6’-トリメチル-[1,1’-ビフェニル]-3-イル)-3-((S)-2-(3-フルオロ-5-(2-((R)-3-フルオロピロリジン-1-イル)エチル)-2-オキソピリジン-1(2H)-イル)-4-メチルペンタンアミド)プロパン酸、またはその薬学的に許容可能な塩を含む医薬組成物を提供する。
特定の実施形態では、本発明は、以下からなる群から選択される化合物を含む医薬組成物に関する:
Figure 0007702004000048
Figure 0007702004000049
特定の実施形態では、本発明は、医薬品有効成分(API)として、以下からなる群から選択化合物、またはその薬学的に許容可能な塩を含む医薬組成物に関する:
Figure 0007702004000050
Figure 0007702004000051
Figure 0007702004000052
Figure 0007702004000053
Figure 0007702004000054
式(I)の化合物を含む薬学的に許容可能な組成物は、様々な手順によって調製することができる。例えば、式(I)の化合物は、適切な賦形剤、希釈剤、または担体を用いて製剤化され、錠剤、またはカプセル、および他の適切な剤形に形成されることができる。
医薬組成物は、単位用量当たりで式(I)の化合物を含む、所定量のAPIを含有する単位剤形で提供されることができる。そのような単位は、治療される状態、投与経路、ならびに患者の年齢、体重、および状態に応じた、望ましい量の式(I)の化合物またはその薬学的に許容可能な塩を含有してもよい。したがって、そのような単位用量は、望ましい投与間隔で投与されてもよい。薬剤組成物中の活性化合物の濃度は、例えば薬剤の吸収、不活化、および排泄の速度、ならびに当業者に公知の他の因子などの様々な適用パラメータおよび検討事項に依存する。用量の値も、緩和される状態の重症度によって変化することに留意されたい。任意の特定の対象について、個々の必要性および組成物の投与を実施または監督する者の専門的判断に従って特定の投薬レジメンは経時的に調整されるべきであり、本明細書に記載の濃度範囲は単なる例示であって、特許請求される組成物の範囲または実施を限定するものではないことがさらに理解される。活性成分は一度に投与されてもよく、または多数の小さな投与量に分割されて、様々な間隔をあけて投与されてもよい。
特定の実施形態では、活性化合物の投与様式は、経口である。経口組成物は概して、不活性希釈剤、または食用担体を含む。経口組成物は、ゼラチンカプセルに封入されてもよく、または錠剤に圧縮されてもよい。経口治療用投与の目的に対し、活性化合物は、賦形剤と組み込まれて、錠剤、トローチ、またはカプセルの形態で使用されてもよい。薬学的に適合性のある結合剤、および/またはアジュバント物質を、組成物の一部として含有してもよい。経口送達用に製剤化された式(I)の化合物を含む医薬組成物は、単位剤形、例えば、式(I)の化合物の望ましい用量強度のカプセルなどで、調製されてもよい。液状形態での経口投与については、経口薬剤成分は、例えばエタノール、グリセロール、水などの任意の経口用の非毒性で薬学的に許容可能な不活性担体と組み合わされてもよい。錠剤またはカプセルの形態での経口投与については、式(I)の化合物は、経口用の非毒性で薬学的に許容可能な不活性担体と組み合わされてもよい。そのような製剤に適した賦形剤、希釈剤、および担体の他の例としては、例えばデンプンおよび糖類などの充填剤ならびに増量剤;ならびに例えばセルロース誘導体などの結合剤が挙げられる。さらに、望ましい場合、または必要な場合には、適切な結合剤、潤滑剤、崩壊剤、および着色剤が混合物に組み込まれてもよい。適切な結合剤としては、デンプン、天然糖、天然ゴムおよび合成ゴムなどが挙げられる。これらの剤形で潤滑剤および/または流動促進剤が使用されてもよい。
錠剤、丸薬、カプセル、トローチなどは、以下の成分、または類似した性質の化合物のいずれかを含有してもよい:例えば微結晶性セルロース、トラガカントガムもしくはゼラチンなどの結合剤;例えばデンプンもしくはラクトースなどの賦形剤、例えばアルギン酸、Primogel、もしくはコーンスターチなどの崩壊剤;例えばステアリン酸マグネシウムもしくはSterotesなどの潤滑剤;例えばコロイド状二酸化ケイ素などの流動促進剤;例えばスクロースもしくはサッカリンなどの甘味剤;または例えばペパーミント、サリチル酸メチルもしくはオレンジ香味料などの香味剤。投与単位形態がカプセルである場合、上記のタイプの物質に加えて、例えば脂肪油などの液状担体を含有してもよい。さらに、単位剤形は、例えば、糖コーティング、または他の腸溶剤などの、投与単位の物理的形態を改変する様々な他の物質を含有してもよい。
化合物は、エリキシル、懸濁液、シロップ、ウエハースの構成要素として投与されてもよい。シロップは、活性化合物に加えて、甘味剤としてスクロースまたは甘味料、ならびに特定の防腐剤、染料、ならびに着色剤および香味剤を含有してもよい。
化合物は、非経口投与、例えば、筋肉内経路、皮下経路または静脈内経路による非経口投与に適した溶液として製剤化されてもよい。例えば、式(I)の化合物は、適切な緩衝液中に溶解されてもよい。式(I)の化合物の所望の濃度を含む医薬組成物は、(例えば、前臨床動物試験において有用な)注射薬液として製剤化されてもよい。
例示的な方法
αβを阻害する化合物は、潰瘍性大腸炎およびクローン病の患者を治療するための薬剤の開発に有用である。潰瘍性大腸炎(UC)およびクローン病(CD)の患者は、消化管に自己免疫性炎症を患っており、これらの患者の多くは、CD4メモリーT細胞が腸内において周辺免疫細胞や周辺組織に影響を及ぼす炎症促進性のエフェクターサイトカインを分泌することにより、疾患の進行と悪化を誘発している。これらの疾患状態の進行および悪化は、インテグリン関連機序を介して、UCおよびCDにおいて見出される炎症性状態を導く、T細胞が血液を離れて腸内組織に入るための溢出を含むと考えられている。αβの阻害は、この機序を破壊し、それによってT細胞が組織に局在することを妨げ、例えばUCおよびCDなどの疾患を効果的に治療および予防することができる。腸へのT細胞のホーミングは、インテグリンαβおよびケモカイン受容体CCR9の表面発現を必要とする。CCR9は、小腸で発現されるCCL25の勾配に対して細胞が遊走するのに利用される。一方で、αβは、リガンドであるmucosal addressin cell adhesion molecule 1(MAdCAM-1)に結合するテザリング分子である。インテグリンαβは高いアフィニティでMAdCAM-1に結合し、細胞の回転と安定的な接着を促進し、次いで組織内への溢出を生じさせる。
医薬組成物は、炎症細胞がmucosal addressin cell adhesion molecule-1(MAdCAM-1)へと接着することを可能にする炎症細胞上のαβインテグリンを阻害し、そして炎症細胞が腸粘膜固有層および腸関連リンパ組織へと入ることを阻害または妨げる化合物を含み得る。
式(I)の化合物は、実施例5に記載されるように、蛍光偏光(FP)アッセイを使用して評価された。FPアッセイを使用して、精製タンパク質に対する化合物の効力を評価する。FPアッセイは、サロゲートリガンドもしくは短縮型リガンドへの精製インテグリンαβヘテロ二量体外部ドメインまたはヘッドピースの結合の測定からなる。式(I)の例示的化合物に関するFPアッセイの結果を本明細書に提供する。
式(I)の化合物は、実施例6に記載されるようなリガンド結合アッセイ(LBA)を使用してさらに評価され、細胞上に発現された受容体への遊離リガンド結合に関する化合物の効力が検証された。MAdCAMリガンド結合アッセイは、フローサイトメトリーを使用して、Mn++の存在下でのRPMI8866細胞に対する、蛍光標識MAdCAM-1-Fcの結合を測定する。このアッセイは、細胞表面上の天然全長受容体への化合物の結合を評価する。MAdCAMリガンド結合アッセイの利点の一つは、FPアッセイの機能的感度限界〔Mn中、約10nM〕を超えるような強力な化合物の活性を定量し、識別する能力である。リガンド結合アッセイ(LBA)を使用して、細胞上に発現された受容体に対する遊離リガンド結合に関する化合物の効力および選択性を検証する。
一部の実施形態では、本発明の化合物は、以下の番号付けされた実施形態のうちの一つ以上から選択されてもよい:
1.
式(I)の化合物、またはその薬学的に許容可能な塩:
Figure 0007702004000055
式中、
、R、およびRは独立して、H、Me、ハロゲン化物、CF、C(H)F、C(F)H、および-(C1-)アルキレン-N-(R)(R)からなる群から選択されるが;ただし、R、R、およびRのうちの少なくとも一つは、-(C1-)アルキレン-N-(R)(R)であり;
およびRは独立して、Hおよび置換または非置換の(C-C)-アルキルからなる群から選択されるか、またはRおよびRは、それらが結合するNと共に4~6員の環を形成し;
は、置換もしくは非置換の(C-C)-アルキル、置換もしくは非置換の(C-C)-アルキレン-(C-C)-シクロアルキル、または置換もしくは非置換の(C-C)-アルキレン-(C-C)-アルコキシであり;
は、
Figure 0007702004000056
であり;
3aおよびR3bは独立して、H、置換または非置換の(C-C)-アルキル、置換または非置換の(C-C)-シクロアルキル、置換または非置換の3~6員のヘテロシクロアルキル、-OH、-CN、ハロゲン化物、CF、C(H)F、C(F)H2、-(C-C)-アルコキシ、-OCFおよび置換または非置換の(C-C)-アルキレン-(C-C)-アルコキシからなる群から選択されるが、ただし、R3aおよびR3bの両方ともがHであることはないものとし;
3cおよびR3dは、Hであり;
は、H、または置換もしくは非置換の(C-C)アルキルであり;
5aおよびR5eは独立して、H、CN、ハロゲン化物、CF、C(H)F、C(F)H、置換または非置換の(C-C)-シクロアルキル、置換または非置換の(C-C)-アルキル、ヒドロキシル、および(C-C)-アルコキシからなる群から選択され;ならびに
5b、R5cおよびR5dは独立して、H、CN、ハロゲン化物、CF、C(H)F、C(F)H、置換または非置換の(C-C)-アルキル、置換または非置換の(C-C)-シクロアルキル、置換または非置換の3~6員のヘテロシクロアルキルヒドロキシル、ヒドロキシル、および(C-C)-アルコキシからなる群から選択される。
2.
は、メチル、エチル、n-プロピル、イソ-プロピル、n-ブチル、イソ-ブチル、sec-ブチル、またはt-ブチルである、実施形態1に記載の化合物。
3.
は、イソ-ブチルである、実施形態2に記載の化合物。
4.
は、
Figure 0007702004000057
である、実施形態1に記載の化合物。
5.
は、
Figure 0007702004000058
である、実施形態1に記載の化合物。
6.
3aおよびR3eは独立して、ハロゲン化物、置換または非置換の(C-C)-アルキル、置換または非置換の(C-C)-シクロアルキル、置換または非置換の(C-C)-アルコキシ、CF、C(H)FおよびC(F)Hからなる群から選択される、実施形態1~5のいずれか一つに記載の化合物。
7.
3aおよびR3bは独立して、ハロゲン化物および(C-C)アルキルからなる群から選択される、実施形態6に記載の化合物。
8.
ハロゲン化物は、ClまたはFである、実施形態7に記載の化合物。
9.
(C-C)-アルキルは、メチルである、実施形態7または8に記載の化合物。
10.
3aは、メチルであり;およびR3bは、Fである、実施形態1~7のいずれか一つに記載の化合物。
11.
3aは、Fであり;およびR3bは、メチルである、実施形態1~7のいずれか一つに記載の化合物。
12.
は、Hである、実施形態1~11のいずれか一つに記載の化合物。
13.
は、メチル、エチル、n-プロピル、イソ-プロピルである、実施形態1~11のいずれか一つに記載の化合物。
14.
5aおよびR5eは独立して、ハロゲン化物、CF、C(H)F、C(F)H、および置換または非置換の(C-C)-アルキルからなる群から選択される、実施形態1~13のいずれか一つに記載の化合物。
15.
5aは、ハロゲン化物である、実施形態1~14のいずれか一つに記載の化合物。
16.
5aは、FまたはClである、実施形態15に記載の化合物。
17.
5aは、CFである、実施形態1~14のいずれか一つに記載の化合物。
18.
5aは、C(H)Fである、実施形態1~14のいずれか一つに記載の化合物。
19.
5aは、C(F)Hである、実施形態1~14のいずれか一つに記載の化合物。
20.
5aは、非置換の(C-C)-アルキルである、実施形態1~14のいずれか一つに記載の化合物。
21.
5aは、メチルである、実施形態20に記載の化合物。
22.
5aは、少なくとも一つのハロゲン化物で置換される(C-C)-アルキルである、実施形態1~14のいずれか一つに記載の化合物。
23.
5aは、非置換の(C-C)-アルコキシである、実施形態1~14のいずれか一つに記載の化合物。
24.
5aは、OMeである、実施形態23に記載の化合物。
25.
5eは、ハロゲン化物である、実施形態1~24のいずれか一つに記載の化合物。
26.
5eは、FまたはClである、実施形態25に記載の化合物。
27.
5eは、CFである、実施形態1~24のいずれか一つに記載の化合物。
28.
5eは、C(H)Fである、実施形態1~24のいずれか一つに記載の化合物。
29.
5eは、C(F)Hである、実施形態1~24のいずれか一つに記載の化合物。
30.
5eは、非置換の(C-C)-アルキルである、実施形態1~24のいずれか一つに記載の化合物。
31.
5eは、メチルである、実施形態30に記載の化合物。
32.
5eは、少なくとも一つのハロゲン化物で置換される(C-C)-アルキルである、実施形態1~24のいずれか一つに記載の化合物。
33.
5eは、非置換の(C-C)-アルコキシである、実施形態1~24のいずれか一つに記載の化合物。
34.
5eは、OMeである、実施形態33に記載の化合物。
35.
5b、R5cおよびR5dは独立して、H、ハロゲン化物、CF、C(H)F、C(F)H、置換または非置換の(C-C)-アルキル、および置換または非置換の(C-C)-アルコキシからなる群から選択される、実施形態1~34のいずれか一つに記載の化合物。
36.
5bは、Hである、実施形態1~35のいずれか一つに記載の化合物。
37.
5bは、ハロゲン化物である、実施形態1~35のいずれか一つに記載の化合物。
38.
5bは、ClまたはFである、実施形態37に記載の化合物。
39.
5bは、CFである、実施形態1~35のいずれか一つに記載の化合物。
40.
5bは、C(H)Fである、実施形態1~35のいずれか一つに記載の化合物。
41.
5bは、C(F)Hである、実施形態1~35のいずれか一つに記載の化合物。
42.
5bは、非置換の(C-C)-アルキルである、実施形態1~35のいずれか一つに記載の化合物。
43.
5bは、メチルである、実施形態37に記載の化合物。
44.
5bは、非置換の(C-C)-アルコキシである、実施形態1~35のいずれか一つに記載の化合物。
45.
5bは、OMeである、実施形態44に記載の化合物。
46.
5bは、非置換の(C-C)-シクロアルキルである、実施形態1~35のいずれか一つに記載の化合物。
47.
5bは、シクロプロピルである、実施形態46に記載の化合物。
48.
5cは、Hである、実施形態1~47のいずれか一つに記載の化合物。
49.
5cは、ハロゲン化物である、実施形態1~47のいずれか一つに記載の化合物。
50.
5cは、ClまたはFである、実施形態49に記載の化合物。
51.
5cは、CFである、実施形態1~47のいずれか一つに記載の化合物。
52.
5cは、C(H)Fである、実施形態1~47のいずれか一つに記載の化合物。
53.
5cは、C(F)Hである、実施形態1~47のいずれか一つに記載の化合物。
54.
5cは、非置換の(C-C)-アルキルである、実施形態1~47のいずれか一つに記載の化合物。
55.
5cは、メチルである、実施形態54に記載の化合物。
56.
5cは、非置換の(C-C)-アルコキシである、実施形態1~47のいずれか一つに記載の化合物。
57.
5cは、OMeである、実施形態56に記載の化合物。
58.
5cは、非置換の(C-C)-シクロアルキルである、実施形態1~47のいずれか一つに記載の化合物。
59.
5bは、シクロプロピルである、実施形態58に記載の化合物。
60.
5dは、Hである、実施形態1~59のいずれか一つに記載の化合物。
61.
5dは、ハロゲン化物である、実施形態1~59のいずれか一つに記載の化合物。
62.
5dは、ClまたはFである、実施形態61に記載の化合物。
63.
5dは、CFである、実施形態1~59のいずれか一つに記載の化合物。
64.
5dは、C(H)Fである、実施形態1~59のいずれか一つに記載の化合物。
65.
5dは、C(F)Hである、実施形態1~59のいずれか一つに記載の化合物。
66.
5dは、非置換の(C-C)-アルキルである、実施形態1~59のいずれか一つに記載の化合物。
67.
5dは、メチルである、実施形態66に記載の化合物。
68.
5dは、非置換の(C-C)-アルコキシである、実施形態1~67のいずれか一つに記載の化合物。
69.
5dは、OMeである、実施形態68に記載の化合物。
70.
5dは、非置換の(C-C)-シクロアルキルである、実施形態1~67のいずれか一つに記載の化合物。
71.
5dは、シクロプロピルである、実施形態70に記載の化合物。
72.
5bおよびR5dは、それぞれHである、実施形態1~35のいずれか一つに記載の化合物。
73.
は、Hである、実施形態1~72のいずれか一つに記載の化合物。
74.
は、Meである、実施形態1~72のいずれか一つに記載の化合物。
75.
は、ハロゲン化物である、実施形態1~72のいずれか一つに記載の化合物。
76.
は、ClまたはFである、実施形態75に記載の化合物。
77.
は、CFである、実施形態1~72のいずれか一つに記載の化合物。
78.
は、C(H)Fである、実施形態1~72のいずれか一つに記載の化合物。
79.
は、C(F)Hである、実施形態1~72のいずれか一つに記載の化合物。
80.
は、非置換の-(C-C)アルキレン-N-(R)(R)である、実施形態1~72のいずれか一つに記載の化合物。
81.
は、FまたはOMeで置換される、置換-(C-C)アルキレン-N-(R)(R)である、実施形態1~72のいずれか一つに記載の化合物。
82.
は、Hである、実施形態1~81のいずれか一つに記載の化合物。
83.
は、Meである、実施形態1~81のいずれか一つに記載の化合物。
84.
は、ハロゲン化物である、実施形態1~81のいずれか一つに記載の化合物。
85.
は、ClまたはFである、実施形態84に記載の化合物。
86.
は、CFである、実施形態1~81のいずれか一つに記載の化合物。
87.
は、C(H)Fである、実施形態1~81のいずれか一つに記載の化合物。
88.
は、C(F)Hである、実施形態1~81のいずれか一つに記載の化合物。
89.
は、非置換の-(C-C)アルキレン-N-(R)(R)である、実施形態1~81のいずれか一つに記載の化合物。
90.
は、FまたはOMeで置換される、置換-(C-C)アルキレン-N-(R)(R)である、実施形態1~81のいずれか一つに記載の化合物。
91.
は、Hである、実施形態1~90のいずれか一つに記載の化合物。
92.
は、Meである、実施形態1~90のいずれか一つに記載の化合物。
93.
は、ハロゲン化物である、実施形態1~90のいずれか一つに記載の化合物。
94.
は、ClまたはFである、実施形態93に記載の化合物。
95.
は、CFである、実施形態1~90のいずれか一つに記載の化合物。
96.
は、C(H)Fである、実施形態1~90のいずれか一つに記載の化合物。
97.
は、C(F)Hである、実施形態1~90のいずれか一つに記載の化合物。
98.
は、非置換の-(C-C)アルキレン-N-(R)(R)である、実施形態1~90のいずれか一つに記載の化合物。
99.
は、FまたはOMeで置換される、置換-(C-C)アルキレン-N-(R)(R)である、実施形態1~90のいずれか一つに記載の化合物。
100.
は、Hである、実施形態1~99のいずれか一つに記載の化合物。
101.
は、非置換の(C-C)-アルキルである、実施形態1~99のいずれか一つに記載の化合物。
102.
は、Hである、実施形態1~100のいずれか一つに記載の化合物。
103.
は、非置換の(C-C)-アルキルである、実施形態1~100のいずれか一つに記載の化合物。
104.
およびRは、それらが結合するNとともに非置換の4~6員の環を形成する、実施形態1~72、80~81、89~90、および98~99のいずれか一つに記載の化合物。
105.
およびRは、それらが結合するNとともに、少なくとも一つのハロゲン化物、置換もしくは非置換の(C-C)アルキル、またはOMeで置換される、置換された4~6員の環を形成する、実施形態1~72、80~81、89~90、および98~99のいずれか一つに記載の化合物。
106.
4~6員の環は、3~6員のヘテロシクロアルキルである、実施形態104または105に記載の化合物。
107.
4~6員の環は、4~5員のヘテロシクロアルキルである、実施形態104または105に記載の化合物。
108.
化合物が、以下の式(Ia)の化合物である、実施形態1に記載の化合物:
Figure 0007702004000059
式中、
、RおよびRのうちの少なくとも一つは、-(C-C)アルキレン-N(R)(R)であり;
およびRは独立して、Hおよびメチルからなる群から選択されるか;またはRおよびRは、それらが結合するNとともに置換または非置換の4~6員の環を形成し;および
3aおよびR3bはそれぞれ独立して、メチルおよびFからなる群から選択される。
109.
5aおよびR5eは独立して、非置換の(C-C)アルキルである、実施形態108に記載の化合物。
110.
は、非置換の-(C-C)アルキレン-N(R)(R)である、実施形態108または109に記載の化合物。
111.
は、H、C(H)F、CFおよびMeからなる群から選択される、実施形態1または108に記載の化合物。
112.
は、
Figure 0007702004000060
からなる群から選択される、実施形態1または108に記載の化合物。
113.
は、
Figure 0007702004000061
からなる群から選択される、実施形態1または108に記載の化合物。
114.
は、HまたはFである、実施形態1または108に記載の化合物。
115.
は、
Figure 0007702004000062
からなる群から選択される、実施形態1または108~114のいずれか一つに記載の化合物。
116.
5aは、CFである、実施形態108~115のいずれか一つに記載の化合物。
117.
5aは、C(H)Fである、実施形態108~115のいずれか一つに記載の化合物。
118.
5aは、C(F)Hである、実施形態108~115のいずれか一つに記載の化合物。
119.
5aは、メチルである、実施形態108~115のいずれか一つに記載の化合物。
120.
5aは、OMeである、実施形態108~115のいずれか一つに記載の化合物。
121.
5aは、FまたはClである、実施形態108~115のいずれか一つに記載の化合物。
122.
5bは、Hである、実施形態108~121のいずれか一つに記載の化合物。
123.
5bは、CFである、実施形態108~121のいずれか一つに記載の化合物。
124.
5bは、C(H)Fである、実施形態108~121のいずれか一つに記載の化合物。
125.
5bは、C(F)Hである、実施形態108~121のいずれか一つに記載の化合物。
126.
5bは、メチルである、実施形態108~121のいずれか一つに記載の化合物。
127.
5bは、OMeである、実施形態108~121のいずれか一つに記載の化合物。
128.
5bは、FまたはClである、実施形態108~121のいずれか一つに記載の化合物。
129.
5cは、Hである、実施形態108~128のいずれか一つに記載の化合物。
130.
5cは、CFである、実施形態108~128のいずれか一つに記載の化合物。
131.
5cは、C(H)Fである、実施形態108~128のいずれか一つに記載の化合物。
132.
5cは、C(F)Hである、実施形態108~128のいずれか一つに記載の化合物。
133.
5cは、メチルである、実施形態108~128のいずれか一つに記載の化合物。
134.
5cは、OMeである、実施形態108~128のいずれか一つに記載の化合物。
135.
5cは、FまたはClである、実施形態108~128のいずれか一つに記載の化合物。
136.
5dは、Hである、実施形態108~135のいずれか一つに記載の化合物。
137.
5dは、CFである、実施形態108~135のいずれか一つに記載の化合物。
138.
5dは、C(H)Fである、実施形態108~135のいずれか一つに記載の化合物。
139.
5dは、C(F)Hである、実施形態108~135のいずれか一つに記載の化合物。
140.
5dは、メチルである、実施形態108~135のいずれか一つに記載の化合物。
141.
5dは、OMeである、実施形態108~135のいずれか一つに記載の化合物。
142.
5dは、FまたはClである、実施形態108~135のいずれか一つに記載の化合物。
143.
5eは、CFである、実施形態108~142のいずれか一つに記載の化合物。
144.
5eは、C(H)Fである、実施形態108~142のいずれか一つに記載の化合物。
145.
5eは、C(F)Hである、実施形態108~142のいずれか一つに記載の化合物。
146.
5eは、メチルである、実施形態108~142のいずれか一つに記載の化合物。
147.
5eは、OMeである、実施形態108~142のいずれか一つに記載の化合物。
148.
5eは、FまたはClである、実施形態108~142のいずれか一つに記載の化合物。
149.
5b、R5cおよびR5dのうちの少なくとも一つは、Hである、実施形態1、および108~121のいずれか一つに記載の化合物。
150.
5b、R5cおよびR5dのうちの少なくとも二つは、Hである、実施形態1、および108~121のいずれか一つに記載の化合物。
151.
5b、R5cおよびR5dは、Hである、実施形態1、および108~121のいずれか一つに記載の化合物。
152.
3aは、Hである、実施形態1、および108~151のいずれか一つに記載の化合物。
153.
3aは、メチルである、実施形態1、および108~151のいずれか一つに記載の化合物。
154.
3aは、ハロゲン化物である、実施形態1、および108~151のいずれか一つに記載の化合物。
155.
3aは、CFである、実施形態1および108~151のいずれか一つに記載の化合物。
156.
3aは、C(H)Fである、実施形態1および108~151のいずれか一つに記載の化合物。
157.
3aは、C(F)Hである、実施形態1および108~151のいずれか一つに記載の化合物。
158.
3aは、OMeである、実施形態1、および108~151のいずれか一つに記載の化合物。
159.
3bは、Hである、実施形態1、および108~158のいずれか一つに記載の化合物。
160.
3bは、メチルである、実施形態1、および108~158のいずれか一つに記載の化合物。
161.
3bは、ハロゲン化物である、実施形態1、および108~158のいずれか一つに記載の化合物。
162.
3bは、CFである、実施形態1および108~158のいずれか一つに記載の化合物。
163.
3bは、C(H)Fである、実施形態1および108~158のいずれか一つに記載の化合物。
164.
3bは、C(F)Hである、実施形態1および108~158のいずれか一つに記載の化合物。
165.
3bは、OMeである、実施形態1および108~158のいずれか一つに記載の化合物。
166.
3bは、OCFである、実施形態1および108~158のいずれか一つに記載の化合物。
167.
3bは、シクロプロピルである、実施形態1、および108~158のいずれか一つに記載の化合物。
168.
3aは、メチルであり、およびR3bは、Fである、実施形態108~151のいずれか一つに記載の化合物。
169.
3aは、Fであり、およびR3bは、メチルである、実施形態108~151のいずれか一つに記載の化合物。
170.
化合物が、図1の化合物のうちのいずれか一つ、またはそのエナンチオマーから選択される、実施形態1に記載の化合物。
171.
化合物が、以下の式(Ic)の化合物、またはその薬学的に許容可能な塩である、実施形態1に記載の化合物:
Figure 0007702004000063
式中、
、RおよびRは独立して、H、置換または非置換の(C-C)-アルキル、ハロゲン化物、CF、C(H)F、C(F)H、置換または非置換の(C-C)-アルコキシ、-OCF、および置換または非置換の-(C-C)アルキレン-N-(R)(R)からなる群から選択されるが;ただし、R、RおよびRのうち一つは、-(C-C)アルキレン-N-(R)(R)であり;
およびRは独立して、H、置換または非置換の(C-C)-アルキル、または置換または非置換の(C-C)-アルキレン-(C-C)-アルコキシからなる群から選択されるか;またはRおよびRはそれらが結合するNとともに、置換または非置換の4~6員のヘテロシクリル環を形成し;
3aおよびR3bは独立して、H、置換または非置換の(C-C)-アルキル、置換または非置換の(C-C)-シクロアルキル、置換または非置換の3~6員のヘテロシクロアルキル、-OH、-CN、ハロゲン化物、CF、C(H)F、C(F)H2、-(C-C)-アルコキシ、-OCFおよび置換または非置換の(C-C)-アルキレン-(C-C)-アルコキシからなる群から選択されるが、ただし、R3aおよびR3bの両方ともがHであることはないものとし;
3cは、H、置換または非置換の(C-C)-アルキル、置換または非置換の(C-C)-シクロアルキル、置換または非置換の3~6員のヘテロシクロアルキル、ヒドロキシル、ハロゲン化物、CF、C(H)F、C(F)H、-(C-C)-アルコキシ、-OCF-CN、および置換または非置換の(C-C)-アルキレン-(C-C)-アルコキシからなる群から選択され;
3dは、H、置換または非置換の(C-C)-アルキル、ヒドロキシル、ハロゲン化物、および-(C-C)-アルコキシからなる群から選択され;
5aおよびR5eは独立して、H、CN、ハロゲン化物、CF、C(H)F、C(F)H、置換または非置換の(C-C)-アルキル、ヒドロキシル、および(C-C)-アルコキシからなる群から選択され;および
5b、R5c、およびR5dは独立して、H、CN、ハロゲン化物、CF、C(H)F、C(F)H、置換または非置換の(C-C)-アルキル、ヒドロキシル、および(C-C)-アルコキシからなる群から選択される。
172.
以下からなる群から選択される化合物、またはその薬学的に許容可能な塩:
(3S)-3-(4,5-ジフルオロ-2’,6’-ジメチルビフェニル-3-イル)-3-(2-(5-(2-(3-フルオロアゼチジン-1-イル)エチル)-4-メチル-2-オキソピリジン-1(2H)-イル)-4-メチルペンタンアミド)プロパン酸;
(3S)-3-(2-(5-(2-(アゼチジン-1-イル)エチル)-2-オキソ-4-(トリフルオロメチル)ピリジン-1(2H)-イル)-4-メチルペンタンアミド)-3-(4-フルオロ-2’,6’-ジメチル-5-(トリフルオロメチル)ビフェニル-3-イル)プロパン酸;
(3S)-3-(2-(5-(2-(アゼチジン-1-イル)エチル)-2-オキソ-4-(トリフルオロメチル)ピリジン-1(2H)-イル)-4-メチルペンタンアミド)-3-(3’,4-ジフルオロ-2’,5,6’-トリメチル-[1,1’-ビフェニル]-3-イル)プロパン酸;
(3S)-3-(2-(5-(2-(アゼチジン-1-イル)エチル)-2-オキソ-4-(トリフルオロメチル)ピリジン-1(2H)-イル)-4-メチルペンタンアミド)-3-(4-フルオロ-3’-メトキシ-2’,5,6’-トリメチル-[1,1’-ビフェニル]-3-イル)プロパン酸;
(3S)-3-(4,4’-ジフルオロ-2’,5,6’-トリメチル-[1,1’-ビフェニル]-3-イル)-3-(2-(5-(2-(ジメチルアミノ)エチル)-2-オキソ-4-(トリフルオロメチル)ピリジン-1(2H)-イル)-4-メチルペンタンアミド)プロパン酸;
(3S)-3-(5-クロロ-4-フルオロ-2’,6’-ジメチル-[1,1’-ビフェニル]-3-イル)-3-(2-(5-(2-(3-メトキシアゼチジン-1-イル)エチル)-2-オキソ-4-(トリフルオロメチル)ピリジン-1(2H)-イル)-4-メチルペンタンアミド)プロパン酸;
(3S)-3-(2-(5-(2-(ジメチルアミノ)エチル)-2-オキソ-4-(トリフルオロメチル)ピリジン-1(2H)-イル)-4-メチルペンタンアミド)-3-(4-フルオロ-2’,4’,5,6’-テトラメチルビフェニル-3-イル)プロパン酸;
(3S)-3-(4,4’-ジフルオロ-2’,5,6’-トリメチル-[1,1’-ビフェニル]-3-イル)-3-(2-(3-(ジフルオロメチル)-5-(2-(ジメチルアミノ)エチル)-2-オキソピリジン-1(2H)-イル)-4-メチルペンタンアミド)プロパン酸;
(3S)-3-(2-(5-(2-(ジメチルアミノ)エチル)-4-メチル-2-オキソピリジン-1(2H)-イル)-5-メチルヘキサンアミド)-3-(4-フルオロ-2’,5,6’-トリメチルビフェニル-3-イル)プロパン酸;
(3S)-3-(4-フルオロ-2’,5,6’-トリメチル-[1,1’-ビフェニル]-3-イル)-3-(2-(3-フルオロ-5-(2-(3-フルオロアゼチジン-1-イル)エチル)-2-オキソピリジン-1(2H)-イル)-4-メチルペンタンアミド)プロパン酸;
(3S)-3-(4-フルオロ-2’,5,6’-トリメチル-[1,1’-ビフェニル]-3-イル)-3-(2-(3-フルオロ-5-(2-((R)-3-フルオロピロリジン-1-イル)エチル)-2-オキソピリジン-1(2H)-イル)-4-メチルペンタンアミド)プロパン酸;および
(3S)-3-(5-クロロ-4-フルオロ-2’,6’-ジメチル-[1,1’-ビフェニル]-3-イル)-3-(2-(5-(2-(3-メトキシアゼチジン-1-イル)エチル)-2-オキソ-4-(トリフルオロメチル)ピリジン-1(2H)-イル)-4-メチルペンタンアミド)プロパン酸。
173.
化合物が、以下の化合物またはその薬学的に許容可能な塩である、実施形態1に記載の化合物:
Figure 0007702004000064
174.
化合物が、以下の化合物またはその薬学的に許容可能な塩である、実施形態1に記載の化合物:
Figure 0007702004000065
175.
化合物が、以下の化合物またはその薬学的に許容可能な塩である、実施形態1に記載の化合物:
Figure 0007702004000066
176.
化合物が、以下の化合物またはその薬学的に許容可能な塩である、実施形態1に記載の化合物:
Figure 0007702004000067
177.
化合物が、以下の化合物またはその薬学的に許容可能な塩である、実施形態1に記載の化合物:
Figure 0007702004000068
178.
化合物が、以下の化合物またはその薬学的に許容可能な塩である、実施形態1に記載の化合物:
Figure 0007702004000069
179.
化合物が、以下の化合物またはその薬学的に許容可能な塩である、実施形態1に記載の化合物:
Figure 0007702004000070
180.
化合物が、以下の化合物またはその薬学的に許容可能な塩である、実施形態1に記載の化合物:
Figure 0007702004000071
181.
化合物が、以下の化合物またはその薬学的に許容可能な塩である、実施形態1に記載の化合物:
Figure 0007702004000072
182.
化合物が、以下の化合物またはその薬学的に許容可能な塩である、実施形態1に記載の化合物:
Figure 0007702004000073
183.
化合物が、以下の化合物またはその薬学的に許容可能な塩である、実施形態1に記載の化合物:
Figure 0007702004000074
184.
化合物が、以下の化合物またはその薬学的に許容可能な塩である、実施形態1に記載の化合物:
Figure 0007702004000075
185.
化合物が、(3S)-3-(4,5-ジフルオロ-2’,6’-ジメチルビフェニル-3-イル)-3-(2-(5-(2-(3-フルオロアゼチジン-1-イル)エチル)-4-メチル-2-オキソピリジン-1(2H)-イル)-4-メチルペンタンアミド)プロパン酸、またはその薬学的に許容可能な塩である、実施形態1に記載の化合物。
186.
化合物が、(3S)-3-(2-(5-(2-(アゼチジン-1-イル)エチル)-2-オキソ-4-(トリフルオロメチル)ピリジン-1(2H)-イル)-4-メチルペンタンアミド)-3-(4-フルオロ-2’,6’-ジメチル-5-(トリフルオロメチル)ビフェニル-3-イル)プロパン酸、またはその薬学的に許容可能な塩である、実施形態1に記載の化合物。
187.
化合物が、(3S)-3-(2-(5-(2-(アゼチジン-1-イル)エチル)-2-オキソ-4-(トリフルオロメチル)ピリジン-1(2H)-イル)-4-メチルペンタンアミド)-3-(3’,4-ジフルオロ-2’,5,6’-トリメチル-[1,1’-ビフェニル]-3-イル)プロパン酸、またはその薬学的に許容可能な塩である、実施形態1に記載の化合物。
188.
化合物が、(3S)-3-(2-(5-(2-(アゼチジン-1-イル)エチル)-2-オキソ-4-(トリフルオロメチル)ピリジン-1(2H)-イル)-4-メチルペンタンアミド)-3-(4-フルオロ-3’-メトキシ-2’,5,6’-トリメチル-[1,1’-ビフェニル]-3-イル)プロパン酸、またはその薬学的に許容可能な塩である、実施形態1に記載の化合物。
189.
化合物が、(3S)-3-(4,4’-ジフルオロ-2’,5,6’-トリメチル-[1,1’-ビフェニル]-3-イル)-3-(2-(5-(2-(ジメチルアミノ)エチル)-2-オキソ-4-(トリフルオロメチル)ピリジン-1(2H)-イル)-4-メチルペンタンアミド)プロパン酸、またはその薬学的に許容可能な塩である、実施形態1に記載の化合物。
190.
化合物が、(3S)-3-(5-クロロ-4-フルオロ-2’,6’-ジメチル-[1,1’-ビフェニル]-3-イル)-3-(2-(5-(2-(3-メトキシアゼチジン-1-イル)エチル)-2-オキソ-4-(トリフルオロメチル)ピリジン-1(2H)-イル)-4-メチルペンタンアミド)プロパン酸、またはその薬学的に許容可能な塩である、実施形態1に記載の化合物。
191.
化合物が、(3S)-3-(2-(5-(2-(ジメチルアミノ)エチル)-2-オキソ-4-(トリフルオロメチル)ピリジン-1(2H)-イル)-4-メチルペンタンアミド)-3-(4-フルオロ-2’,4’,5,6’-テトラメチルビフェニル-3-イル)プロパン酸、またはその薬学的に許容可能な塩である、実施形態1に記載の化合物。
192.
化合物が、(3S)-3-(4,4’-ジフルオロ-2’,5,6’-トリメチル-[1,1’-ビフェニル]-3-イル)-3-(2-(3-(ジフルオロメチル)-5-(2-(ジメチルアミノ)エチル)-2-オキソピリジン-1(2H)-イル)-4-メチルペンタンアミド)プロパン酸、またはその薬学的に許容可能な塩である、実施形態1に記載の化合物。
193.
化合物が、(3S)-3-(2-(5-(2-(ジメチルアミノ)エチル)-4-メチル-2-オキソピリジン-1(2H)-イル)-5-メチルヘキサンアミド)-3-(4-フルオロ-2’,5,6’-トリメチルビフェニル-3-イル)プロパン酸、またはその薬学的に許容可能な塩である、実施形態1に記載の化合物。
194.
化合物が、(3S)-3-(4-フルオロ-2’,5,6’-トリメチル-[1,1’-ビフェニル]-3-イル)-3-(2-(3-フルオロ-5-(2-(3-フルオロアゼチジン-1-イル)エチル)-2-オキソピリジン-1(2H)-イル)-4-メチルペンタンアミド)プロパン酸、またはその薬学的に許容可能な塩である、実施形態1に記載の化合物。
195.
化合物が、(3S)-3-(4-フルオロ-2’,5,6’-トリメチル-[1,1’-ビフェニル]-3-イル)-3-(2-(3-フルオロ-5-(2-((R)-3-フルオロピロリジン-1-イル)エチル)-2-オキソピリジン-1(2H)-イル)-4-メチルペンタンアミド)プロパン酸、またはその薬学的に許容可能な塩である、実施形態1に記載の化合物。
196.
化合物が、(3S)-3-(5-クロロ-4-フルオロ-2’,6’-ジメチル-[1,1’-ビフェニル]-3-イル)-3-(2-(5-(2-(3-メトキシアゼチジン-1-イル)エチル)-2-オキソ-4-(トリフルオロメチル)ピリジン-1(2H)-イル)-4-メチルペンタンアミド)プロパン酸、またはその薬学的に許容可能な塩である、実施形態1に記載の化合物。
197.
化合物が、(S)-3-(4,5-ジフルオロ-2’,6’-ジメチル-[1,1’-ビフェニル]-3-イル)-3-((S)-2-(5-(2-(3-フルオロアゼチジン-1-イル)エチル)-4-メチル-2-オキソピリジン-1(2H)-イル)-4-メチルペンタンアミド)プロパン酸、またはその薬学的に許容可能な塩である、実施形態1に記載の化合物。
198.
化合物が、(S)-3-((S)-2-(5-(2-(アゼチジン-1-イル)エチル)-2-オキソ-4-(トリフルオロメチル)ピリジン-1(2H)-イル)-4-メチルペンタンアミド)-3-(4-フルオロ-2’,6’-ジメチル-5-(トリフルオロメチル)-[1,1’-ビフェニル]-3-イル)プロパン酸、またはその薬学的に許容可能な塩である、実施形態1に記載の化合物。
199.
化合物が、(S)-3-((S)-2-(5-(2-(アゼチジン-1-イル)エチル)-2-オキソ-4-(トリフルオロメチル)ピリジン-1(2H)-イル)-4-メチルペンタンアミド)-3-(3’,4-ジフルオロ-2’,5,6’-トリメチル-[1,1’-ビフェニル]-3-イル)プロパン酸、またはその薬学的に許容可能な塩である、実施形態1に記載の化合物。
200.
化合物が、(S)-3-((S)-2-(5-(2-(アゼチジン-1-イル)エチル)-2-オキソ-4-(トリフルオロメチル)ピリジン-1(2H)-イル)-4-メチルペンタンアミド)-3-(4-フルオロ-3’-メトキシ-2’,5,6’-トリメチル-[1,1’-ビフェニル]-3-イル)プロパン酸、またはその薬学的に許容可能な塩である、実施形態1に記載の化合物。
201.
化合物が、(S)-3-(4,4’-ジフルオロ-2’,5,6’-トリメチル-[1,1’-ビフェニル]-3-イル)-3-((S)-2-(5-(2-(ジメチルアミノ)エチル)-2-オキソ-4-(トリフルオロメチル)ピリジン-1(2H)-イル)-4-メチルペンタンアミド)プロパン酸、またはその薬学的に許容可能な塩である、実施形態1に記載の化合物。
202.
化合物が、(S)-3-(5-クロロ-4-フルオロ-2’,6’-ジメチル-[1,1’-ビフェニル]-3-イル)-3-((S)-2-(5-(2-(3-メトキシアゼチジン-1-イル)エチル)-2-オキソ-4-(トリフルオロメチル)ピリジン-1(2H)-イル)-4-メチルペンタンアミド)プロパン酸、またはその薬学的に許容可能な塩である、実施形態1に記載の化合物。
203.
化合物が、(S)-3-((S)-2-(5-(2-(ジメチルアミノ)エチル)-2-オキソ-4-(トリフルオロメチル)ピリジン-1(2H)-イル)-4-メチルペンタンアミド)-3-(4-フルオロ-2’,4’,5,6’-テトラメチル-[1,1’-ビフェニル]-3-イル)プロパン酸、またはその薬学的に許容可能な塩である、実施形態1に記載の化合物。
204.
化合物が、(S)-3-(4,4’-ジフルオロ-2’,5,6’-トリメチル-[1,1’-ビフェニル]-3-イル)-3-((S)-2-(3-(ジフルオロメチル)-5-(2-(ジメチルアミノ)エチル)-2-オキソピリジン-1(2H)-イル)-4-メチルペンタンアミド)プロパン酸、またはその薬学的に許容可能な塩である、実施形態1に記載の化合物。
205.
化合物が、(S)-3-((S)-2-(5-(2-(ジメチルアミノ)エチル)-4-メチル-2-オキソピリジン-1(2H)-イル)-5-メチルヘキサンアミド)-3-(4-フルオロ-2’,5,6’-トリメチル-[1,1’-ビフェニル]-3-イル)プロパン酸、またはその薬学的に許容可能な塩である、実施形態1に記載の化合物。
206.
化合物が、(S)-3-(4-フルオロ-2’,5,6’-トリメチル-[1,1’-ビフェニル]-3-イル)-3-((S)-2-(3-フルオロ-5-(2-(3-フルオロアゼチジン-1-イル)エチル)-2-オキソピリジン-1(2H)-イル)-4-メチルペンタンアミド)プロパン酸、またはその薬学的に許容可能な塩である、実施形態1に記載の化合物。
207.
化合物が、(S)-3-(4-フルオロ-2’,5,6’-トリメチル-[1,1’-ビフェニル]-3-イル)-3-((S)-2-(3-フルオロ-5-(2-((R)-3-フルオロピロリジン-1-イル)エチル)-2-オキソピリジン-1(2H)-イル)-4-メチルペンタンアミド)プロパン酸、またはその薬学的に許容可能な塩である、実施形態1に記載の化合物。
208.
化合物が、(S)-3-(5-クロロ-4-フルオロ-2’,6’-ジメチル-[1,1’-ビフェニル]-3-イル)-3-((S)-2-(5-(2-(3-メトキシアゼチジン-1-イル)エチル)-2-オキソ-4-(トリフルオロメチル)ピリジン-1(2H)-イル)-4-メチルペンタンアミド)プロパン酸、またはその薬学的に許容可能な塩である、実施形態1に記載の化合物。
209.
実施形態1~208のいずれか一つに記載の化合物、および薬学的に許容可能な賦形剤を含む、医薬組成物。
210.
細胞において、αβインテグリンを阻害する方法であって、MAdCAM-1への細胞の接着を低下させるのに有効な条件下で、実施形態1~208のいずれか一つに記載の化合物と、細胞とを接触させることを含む、方法。
211.
αβインテグリンを含む細胞のMAdCAM-1への接着を低下させる方法であって、MAdCAM-1への細胞の接着を低下させるのに有効な条件下で、実施形態1~208のいずれか一つに記載の化合物と、細胞とを接触させることを含む、方法。
212.
炎症性腸疾患、潰瘍性大腸炎、またはクローン病を治療する方法であって、その必要のある対象に、実施形態1~208のいずれか一つに記載の化合物の治療有効量を投与することを含む、方法。
一部の実施形態では、本発明の化合物は、以下の式(I)の化合物またはその薬学的に許容可能な塩であってもよい:
Figure 0007702004000076
式中、
、R、およびRは独立して、H、Me、ハロゲン化物、CF、C(H)F、C(F)H、および-(C1-)アルキレン-N-(R)(R)からなる群から選択されるが;ただし、R、R、およびRのうちの少なくとも一つは、-(C1-)アルキレン-N-(R)(R)であり;
およびRは独立して、Hおよび置換または非置換の(C-C)-アルキルからなる群から選択されるか、またはRおよびRは、それらが結合するNと共に4~6員の環を形成し;
は、メチル、エチル、n-プロピル、イソ-プロピル、n-ブチル、イソ-ブチル、sec-ブチル、またはt-ブチルであり;
は、
Figure 0007702004000077
であり;
3aおよびR3eは独立して、ハロゲン化物、置換または非置換の(C-C)-アルキル、置換または非置換の(C-C)-シクロアルキル、置換または非置換の(C-C)-アルコキシ、CF、C(H)FおよびC(F)Hからなる群から選択され;
3cおよびR3dは、Hであり;
は、Hであり;
5aは、メチルであり;
5bは、H、CN、ハロゲン化物、CF、C(H)F、C(F)H、置換または非置換の(C-C)-アルキル、置換または非置換の(C-C)-シクロアルキル、置換または非置換の3-6員ヘテロシクロアルキル、ヒドロキシル、および(C-C)アルコキシからなる群から選択され;
5cは、メチルであり;
5dは、Hであり;
5eは、H、CN、ハロゲン化物、CF、C(H)F、C(F)H、置換または非置換の(C-C)-シクロアルキル、置換または非置換の(C-C)-アルキル、ヒドロキシル、および(C-C)-アルコキシからなる群から選択される。
一部の実施形態では、本発明の化合物は、以下の式(Ia)の化合物またはその薬学的に許容可能な塩であってもよい:
Figure 0007702004000078
式中、
、R、およびRは独立して、H、Me、ハロゲン化物、CF、C(H)F、C(F)H、および-(C1-)アルキレン-N-(R)(R)からなる群から選択されるが;ただし、R、R、およびRのうちの少なくとも一つは、-(C1-)アルキレン-N-(R)(R)であり;
、RおよびRのうちの少なくとも一つは、-(C-C)アルキレン-N(R)(R)であり;
およびRは独立して、Hおよびメチルからなる群から選択されるか;またはRおよびRは、それらが結合するNとともに置換または非置換の4~6員の環を形成し;
は、置換もしくは非置換の(C-C)-アルキル、置換もしくは非置換の(C-C)-アルキレン-(C-C)-シクロアルキル、または置換もしくは非置換の(C-C)-アルキレン-(C-C)-アルコキシであり;
は、
Figure 0007702004000079
であり;
3aおよびR3bはそれぞれ独立して、メチルおよびFからなる群から選択され、およびR3aは、ハロゲン化物であり;
3cおよびR3dは、Hであり;
は、H、または置換もしくは非置換の(C-C)アルキルであり;
5aは、H、CN、ハロゲン化物、CF、C(H)F、C(F)H、置換または非置換の(C-C)-シクロアルキル、置換または非置換の(C-C)-アルキル、ヒドロキシル、および(C-C)-アルコキシからなる群から選択され;およびR5bおよびR5cは独立して、H、CN、ハロゲン化物、CF、C(H)F、C(F)H、置換または非置換の(C-C)-アルキル、置換または非置換の(C-C)-シクロアルキル、置換または非置換の3~6員のヘテロシクロアルキル、ヒドロキシル、および(C-C)-アルコキシからなる群から選択され;および
5dは、Hであり;
5eは、メチルである。
一部の実施形態では、本発明の化合物は、以下の式(Ic)の化合物またはその薬学的に許容可能な塩であってもよい:
Figure 0007702004000080
式中、
、RおよびRは独立して、H、置換または非置換の(C-C)-アルキル、ハロゲン化物、CF、C(H)F、C(F)H、置換または非置換の(C-C)-アルコキシ、-OCF、および置換または非置換の-(C-C)アルキレン-N-(R)(R)からなる群から選択されるが;ただし、R、RおよびRのうち一つは、-(C-C)アルキレン-N-(R)(R)であり;
およびRは独立して、H、置換または非置換の(C-C)-アルキル、または置換または非置換の(C-C)-アルキレン-(C-C)-アルコキシからなる群から選択されるか;またはRおよびRはそれらが結合するNとともに、置換または非置換の4~6員のヘテロシクリル環を形成し;
3aは、ハロゲン化物であり、およびR3bは、H、置換または非置換の(C-C)-アルキル、置換または非置換の(C-C)-シクロアルキル、置換または非置換の3~6員のヘテロシクロアルキル、-OH、-CN、ハロゲン化物、CF、C(H)F、C(F)H、-(C-C)-アルコキシ、-OCF、および置換または非置換の(C-C)-アルキレン-(C-C)-アルコキシからなる群から選択され;
3cは、H、置換または非置換の(C-C)-アルキル、置換または非置換の(C-C)-シクロアルキル、置換または非置換の3~6員のヘテロシクロアルキル、ヒドロキシル、ハロゲン化物、CF、C(H)F、C(F)H、-(C-C)-アルコキシ、-OCF-CN、および置換または非置換の(C-C)-アルキレン-(C-C)-アルコキシであり;
3dは、H、置換または非置換の(C-C)-アルキル、ヒドロキシル、ハロゲン化物、および-(C-C)-アルコキシからなる群から選択され;
5aおよびR5eは独立して、H、CN、ハロゲン化物、CF、C(H)F、C(F)H、置換または非置換の(C-C)-アルキル、ヒドロキシル、および(C-C)-アルコキシからなる群から選択され;および
5b、R5c、およびR5dは独立して、H、CN、ハロゲン化物、CF、C(H)F、C(F)H、置換または非置換の(C-C)-アルキル、ヒドロキシル、および(C-C)-アルコキシからなる群から選択される。
一部の実施形態では、本発明の化合物は、化合物(3S)-3-(2-(5-(2-(ジメチルアミノ)エチル)-2-オキソ-4-(トリフルオロメチル)ピリジン-1(2H)-イル)-4-メチルペンタンアミド)-3-(2-フルオロ-3-メチル-5-((S)-2-メチルピペリジン-1-イル)フェニル)プロパン酸、またはその薬学的に許容可能な塩であってもよい。
Figure 0007702004000081
またはその薬学的に許容可能な塩である。
特定の実施形態では、本発明は、前述の方法のうちのいずれか一つに関するものであり、対象は、哺乳動物である。特定の実施形態では、本発明は、前述の方法のうちのいずれか一つに関するものであり、対象は、ヒトである。
本発明は、本明細書において概略的に記載されており、単に本発明の特定の態様および実施形態の例示として含まれており、本発明を限定することは意図されていない以下の実施例を参照することにより、さらに容易に理解されるであろう。
実施例1~4は、式(Ia)および式(Ib)の化合物を含む、図1に提示される特定の化合物の合成について記載する。図1の化合物は、(3S)構造(すなわち、カルボン酸部分の立体中心ベータで)を有するジアステレオマー化合物(例えば、実施例1~4に開示される)の混合物として調製されてもよく、および式(I)のピリドン環窒素原子に共有結合したキラル中心でのジアステレオマー(例えば、式(Ib)に示される)の混合物として調製されてもよい。
図1において、実施例5の蛍光偏光(FP)アッセイでより高い活性を有する化合物が、式(Ia)の立体化学図と共に示されている。実施例5は、蛍光偏光(FP)アッセイについて記載する。実施例6は、リガンド結合(LB)アッセイについて記載する。実施例7は、細胞接着(CA)アッセイについて記載する。
追加的な実施形態
一部の実施形態では、化合物は、以下に提示される、列挙される実施形態のうちの一つ以上から選択されてもよい:
1.
式(I)の化合物、またはその薬学的に許容可能な塩:
Figure 0007702004000082
式中、
、R、およびRは独立して、H、Me、ハロゲン化物、CF、C(H)F、C(F)H、および-(C1-)アルキレン-N-(R)(R)からなる群から選択されるが;ただし、R、R、およびRのうちの少なくとも一つは、-(C1-)アルキレン-N-(R)(R)であり;
およびRは独立して、Hおよび置換または非置換の(C-C)-アルキルからなる群から選択されるか、またはRおよびRは、それらが結合するNと共に4~6員の環を形成し;
は、置換もしくは非置換の(C-C)-アルキル、置換もしくは非置換の(C-C)-アルキレン-(C-C)-シクロアルキル、または置換もしくは非置換の(C-C)-アルキレン-(C-C)-アルコキシであり;
は、
Figure 0007702004000083
であり;
3aおよびR3bは独立して、H、置換または非置換の(C-C)-アルキル、置換または非置換の(C-C)-シクロアルキル、置換または非置換の3~6員のヘテロシクロアルキル、-OH、-CN、ハロゲン化物、CF、C(H)F、C(F)H2、-(C-C)-アルコキシ、-OCFおよび置換または非置換の(C-C)-アルキレン-(C-C)-アルコキシからなる群から選択されるが、ただし、R3aおよびR3bの両方ともがHであることはないものとし;
3cおよびR3dは、Hであり;
は、H、または置換もしくは非置換の(C-C)アルキルであり;
5aおよびR5eは独立して、H、CN、ハロゲン化物、CF、C(H)F、C(F)H、置換または非置換の(C-C)-シクロアルキル、置換または非置換の(C-C)-アルキル、ヒドロキシル、および(C-C)-アルコキシからなる群から選択され;ならびに
5b、R5cおよびR5dは独立して、H、CN、ハロゲン化物、CF、C(H)F、C(F)H、置換または非置換の(C-C)-アルキル、置換または非置換の(C-C)-シクロアルキル、置換または非置換の3~6員のヘテロシクロアルキルヒドロキシル、ヒドロキシル、および(C-C)-アルコキシからなる群から選択される。
2.
は、メチル、エチル、n-プロピル、イソ-プロピル、n-ブチル、イソ-ブチル、sec-ブチル、またはt-ブチルである、実施形態1に記載の化合物。
3.
は、イソ-ブチルである、実施形態2に記載の化合物。
4.
は、
Figure 0007702004000084
である、実施形態1に記載の化合物。
5.
は、
Figure 0007702004000085
である、実施形態1に記載の化合物。
6.
3aおよびR3eは独立して、ハロゲン化物、置換または非置換の(C-C)-アルキル、置換または非置換の(C-C)-シクロアルキル、置換または非置換の(C-C)-アルコキシ、CF、C(H)FおよびC(F)Hからなる群から選択される、実施形態1~5のいずれか一つに記載の化合物。
7.
3aおよびR3bは独立して、ハロゲン化物および(C-C)アルキルからなる群から選択される、実施形態6に記載の化合物。
8.
ハロゲン化物は、ClまたはFである、実施形態7に記載の化合物。
9.
(C-C)-アルキルは、メチルである、実施形態7または8に記載の化合物。
10.
3aは、メチルであり;およびR3bは、Fである、実施形態1~7のいずれか一つに記載の化合物。
11.
3aは、Fであり;およびR3bは、メチルである、実施形態1~7のいずれか一つに記載の化合物。
12.
は、Hである、実施形態1~11のいずれか一つに記載の化合物。
13.
は、メチル、エチル、n-プロピル、イソ-プロピルである、実施形態1~11のいずれか一つに記載の化合物。
14.
5aおよびR5eは独立して、ハロゲン化物、CF、C(H)F、C(F)H、および置換または非置換の(C-C)-アルキルからなる群から選択される、実施形態1~13のいずれか一つに記載の化合物。
15.
5aは、ハロゲン化物である、実施形態1~14のいずれか一つに記載の化合物。
16.
5aは、FまたはClである、実施形態15に記載の化合物。
17.
5aは、CFである、実施形態1~14のいずれか一つに記載の化合物。
18.
5aは、C(H)Fである、実施形態1~14のいずれか一つに記載の化合物。
19.
5aは、C(F)Hである、実施形態1~14のいずれか一つに記載の化合物。
20.
5aは、非置換の(C-C)-アルキルである、実施形態1~14のいずれか一つに記載の化合物。
21.
5aは、メチルである、実施形態20に記載の化合物。
22.
5aは、少なくとも一つのハロゲン化物で置換される(C-C)-アルキルである、実施形態1~14のいずれか一つに記載の化合物。
23.
5aは、非置換の(C-C)-アルコキシである、実施形態1~14のいずれか一つに記載の化合物。
24.
5aは、OMeである、実施形態23に記載の化合物。
25.
5eは、ハロゲン化物である、実施形態1~24のいずれか一つに記載の化合物。
26.
5eは、FまたはClである、実施形態25に記載の化合物。
27.
5eは、CFである、実施形態1~24のいずれか一つに記載の化合物。
28.
5eは、C(H)Fである、実施形態1~24のいずれか一つに記載の化合物。
29.
5eは、C(F)Hである、実施形態1~24のいずれか一つに記載の化合物。
30.
5eは、非置換の(C-C)-アルキルである、実施形態1~24のいずれか一つに記載の化合物。
31.
5eは、メチルである、実施形態30に記載の化合物。
32.
5eは、少なくとも一つのハロゲン化物で置換される(C-C)-アルキルである、実施形態1~24のいずれか一つに記載の化合物。
33.
5eは、非置換の(C-C)-アルコキシである、実施形態1~24のいずれか一つに記載の化合物。
34.
5eは、OMeである、実施形態33に記載の化合物。
35.
5b、R5cおよびR5dは独立して、H、ハロゲン化物、CF、C(H)F、C(F)H、置換または非置換の(C-C)-アルキル、および置換または非置換の(C-C)-アルコキシからなる群から選択される、実施形態1~34のいずれか一つに記載の化合物。
36.
5bは、Hである、実施形態1~35のいずれか一つに記載の化合物。
37.
5bは、ハロゲン化物である、実施形態1~35のいずれか一つに記載の化合物。
38.
5bは、ClまたはFである、実施形態37に記載の化合物。
39.
5bは、CFである、実施形態1~35のいずれか一つに記載の化合物。
40.
5bは、C(H)Fである、実施形態1~35のいずれか一つに記載の化合物。
41.
5bは、C(F)Hである、実施形態1~35のいずれか一つに記載の化合物。
42.
5bは、非置換の(C-C)-アルキルである、実施形態1~35のいずれか一つに記載の化合物。
43.
5bは、メチルである、実施形態37に記載の化合物。
44.
5bは、非置換の(C-C)-アルコキシである、実施形態1~35のいずれか一つに記載の化合物。
45.
5bは、OMeである、実施形態44に記載の化合物。
46.
5bは、非置換の(C-C)-シクロアルキルである、実施形態1~35のいずれか一つに記載の化合物。
47.
5bは、シクロプロピルである、実施形態46に記載の化合物。
48.
5cは、Hである、実施形態1~47のいずれか一つに記載の化合物。
49.
5cは、ハロゲン化物である、実施形態1~47のいずれか一つに記載の化合物。
50.
5cは、ClまたはFである、実施形態49に記載の化合物。
51.
5cは、CFである、実施形態1~47のいずれか一つに記載の化合物。
52.
5cは、C(H)Fである、実施形態1~47のいずれか一つに記載の化合物。
53.
5cは、C(F)Hである、実施形態1~47のいずれか一つに記載の化合物。
54.
5cは、非置換の(C-C)-アルキルである、実施形態1~47のいずれか一つに記載の化合物。
55.
5cは、メチルである、実施形態54に記載の化合物。
56.
5cは、非置換の(C-C)-アルコキシである、実施形態1~47のいずれか一つに記載の化合物。
57.
5cは、OMeである、実施形態56に記載の化合物。
58.
5cは、非置換の(C-C)-シクロアルキルである、実施形態1~47のいずれか一つに記載の化合物。
59.
5bは、シクロプロピルである、実施形態58に記載の化合物。
60.
5dは、Hである、実施形態1~59のいずれか一つに記載の化合物。
61.
5dは、ハロゲン化物である、実施形態1~59のいずれか一つに記載の化合物。
62.
5dは、ClまたはFである、実施形態61に記載の化合物。
63.
5dは、CFである、実施形態1~59のいずれか一つに記載の化合物。
64.
5dは、C(H)Fである、実施形態1~59のいずれか一つに記載の化合物。
65.
5dは、C(F)Hである、実施形態1~59のいずれか一つに記載の化合物。
66.
5dは、非置換の(C-C)-アルキルである、実施形態1~59のいずれか一つに記載の化合物。
67.
5dは、メチルである、実施形態66に記載の化合物。
68.
5dは、非置換の(C-C)-アルコキシである、実施形態1~67のいずれか一つに記載の化合物。
69.
5dは、OMeである、実施形態68に記載の化合物。
70.
5dは、非置換の(C-C)-シクロアルキルである、実施形態1~67のいずれか一つに記載の化合物。
71.
5dは、シクロプロピルである、実施形態70に記載の化合物。
72.
5bおよびR5dは、それぞれHである、実施形態1~35のいずれか一つに記載の化合物。
73.
は、Hである、実施形態1~72のいずれか一つに記載の化合物。
74.
は、Meである、実施形態1~72のいずれか一つに記載の化合物。
75.
は、ハロゲン化物である、実施形態1~72のいずれか一つに記載の化合物。
76.
は、ClまたはFである、実施形態75に記載の化合物。
77.
は、CFである、実施形態1~72のいずれか一つに記載の化合物。
78.
は、C(H)Fである、実施形態1~72のいずれか一つに記載の化合物。
79.
は、C(F)Hである、実施形態1~72のいずれか一つに記載の化合物。
80.
は、非置換の-(C-C)アルキレン-N-(R)(R)である、実施形態1~72のいずれか一つに記載の化合物。
81.
は、FまたはOMeで置換される、置換-(C-C)アルキレン-N-(R)(R)である、実施形態1~72のいずれか一つに記載の化合物。
82.
は、Hである、実施形態1~81のいずれか一つに記載の化合物。
83.
は、Meである、実施形態1~81のいずれか一つに記載の化合物。
84.
は、ハロゲン化物である、実施形態1~81のいずれか一つに記載の化合物。
85.
は、ClまたはFである、実施形態84に記載の化合物。
86.
は、CFである、実施形態1~81のいずれか一つに記載の化合物。
87.
は、C(H)Fである、実施形態1~81のいずれか一つに記載の化合物。
88.
は、C(F)Hである、実施形態1~81のいずれか一つに記載の化合物。
89.
は、非置換の-(C-C)アルキレン-N-(R)(R)である、実施形態1~81のいずれか一つに記載の化合物。
90.
は、FまたはOMeで置換される、置換-(C-C)アルキレン-N-(R)(R)である、実施形態1~81のいずれか一つに記載の化合物。
91.
は、Hである、実施形態1~90のいずれか一つに記載の化合物。
92.
は、Meである、実施形態1~90のいずれか一つに記載の化合物。
93.
は、ハロゲン化物である、実施形態1~90のいずれか一つに記載の化合物。
94.
は、ClまたはFである、実施形態93に記載の化合物。
95.
は、CFである、実施形態1~90のいずれか一つに記載の化合物。
96.
は、C(H)Fである、実施形態1~90のいずれか一つに記載の化合物。
97.
は、C(F)Hである、実施形態1~90のいずれか一つに記載の化合物。
98.
は、非置換の-(C-C)アルキレン-N-(R)(R)である、実施形態1~90のいずれか一つに記載の化合物。
99.
は、FまたはOMeで置換される、置換-(C-C)アルキレン-N-(R)(R)である、実施形態1~90のいずれか一つに記載の化合物。
100.
は、Hである、実施形態1~99のいずれか一つに記載の化合物。
101.
は、非置換の(C-C)-アルキルである、実施形態1~99のいずれか一つに記載の化合物。
102.
は、Hである、実施形態1~100のいずれか一つに記載の化合物。
103.
は、非置換の(C-C)-アルキルである、実施形態1~100のいずれか一つに記載の化合物。
104.
およびRは、それらが結合するNとともに非置換の4~6員の環を形成する、実施形態1~72、80~81、89~90、および98~99のいずれか一つに記載の化合物。
105.
およびRは、それらが結合するNとともに、少なくとも一つのハロゲン化物、置換もしくは非置換の(C-C)アルキル、またはOMeで置換される、置換された4~6員の環を形成する、実施形態1~72、80~81、89~90、および98~99のいずれか一つに記載の化合物。
106.
4~6員の環は、3~6員のヘテロシクロアルキルである、実施形態104または105に記載の化合物。
107.
4~6員の環は、4~5員のヘテロシクロアルキルである、実施形態104または105に記載の化合物。
108.
化合物が、以下の式(Ia)の化合物である、実施形態1に記載の化合物:
Figure 0007702004000086
式中、
、RおよびRのうちの少なくとも一つは、-(C-C)アルキレン-N(R)(R)であり;
およびRは独立して、Hおよびメチルからなる群から選択されるか;またはRおよびRは、それらが結合するNとともに置換または非置換の4~6員の環を形成し;および
3aおよびR3bはそれぞれ独立して、メチルおよびFからなる群から選択される。
109.
5aおよびR5eは独立して、非置換の(C-C)アルキルである、実施形態108に記載の化合物。
110.
は、非置換の-(C-C)アルキレン-N(R)(R)である、実施形態108または109に記載の化合物。
111.
は、H、C(H)F、CFおよびMeからなる群から選択される、実施形態1または108に記載の化合物。
112.
は、
Figure 0007702004000087
からなる群から選択される、実施形態1または108に記載の化合物。
113.
は、
Figure 0007702004000088
からなる群から選択される、実施形態1または108に記載の化合物。
114.
は、HまたはFである、実施形態1または108に記載の化合物。
115.
は、
Figure 0007702004000089
からなる群から選択される、実施形態1または108~114のいずれか一つに記載の化合物。
116.
5aは、CFである、実施形態108~115のいずれか一つに記載の化合物。
117.
5aは、C(H)Fである、実施形態108~115のいずれか一つに記載の化合物。
118.
5aは、C(F)Hである、実施形態108~115のいずれか一つに記載の化合物。
119.
5aは、メチルである、実施形態108~115のいずれか一つに記載の化合物。
120.
5aは、OMeである、実施形態108~115のいずれか一つに記載の化合物。
121.
5aは、FまたはClである、実施形態108~115のいずれか一つに記載の化合物。
122.
5bは、Hである、実施形態108~121のいずれか一つに記載の化合物。
123.
5bは、CFである、実施形態108~121のいずれか一つに記載の化合物。
124.
5bは、C(H)Fである、実施形態108~121のいずれか一つに記載の化合物。
125.
5bは、C(F)Hである、実施形態108~121のいずれか一つに記載の化合物。
126.
5bは、メチルである、実施形態108~121のいずれか一つに記載の化合物。
127.
5bは、OMeである、実施形態108~121のいずれか一つに記載の化合物。
128.
5bは、FまたはClである、実施形態108~121のいずれか一つに記載の化合物。
129.
5cは、Hである、実施形態108~128のいずれか一つに記載の化合物。
130.
5cは、CFである、実施形態108~128のいずれか一つに記載の化合物。
131.
5cは、C(H)Fである、実施形態108~128のいずれか一つに記載の化合物。
132.
5cは、C(F)Hである、実施形態108~128のいずれか一つに記載の化合物。
133.
5cは、メチルである、実施形態108~128のいずれか一つに記載の化合物。
134.
5cは、OMeである、実施形態108~128のいずれか一つに記載の化合物。
135.
5cは、FまたはClである、実施形態108~128のいずれか一つに記載の化合物。
136.
5dは、Hである、実施形態108~135のいずれか一つに記載の化合物。
137.
5dは、CFである、実施形態108~135のいずれか一つに記載の化合物。
138.
5dは、C(H)Fである、実施形態108~135のいずれか一つに記載の化合物。
139.
5dは、C(F)Hである、実施形態108~135のいずれか一つに記載の化合物。
140.
5dは、メチルである、実施形態108~135のいずれか一つに記載の化合物。
141.
5dは、OMeである、実施形態108~135のいずれか一つに記載の化合物。
142.
5dは、FまたはClである、実施形態108~135のいずれか一つに記載の化合物。
143.
5eは、CFである、実施形態108~142のいずれか一つに記載の化合物。
144.
5eは、C(H)Fである、実施形態108~142のいずれか一つに記載の化合物。
145.
5eは、C(F)Hである、実施形態108~142のいずれか一つに記載の化合物。
146.
5eは、メチルである、実施形態108~142のいずれか一つに記載の化合物。
147.
5eは、OMeである、実施形態108~142のいずれか一つに記載の化合物。
148.
5eは、FまたはClである、実施形態108~142のいずれか一つに記載の化合物。
149.
5b、R5cおよびR5dのうちの少なくとも一つは、Hである、実施形態1、および108~121のいずれか一つに記載の化合物。
150.
5b、R5cおよびR5dのうちの少なくとも二つは、Hである、実施形態1、および108~121のいずれか一つに記載の化合物。
151.
5b、R5cおよびR5dは、Hである、実施形態1、および108~121のいずれか一つに記載の化合物。
152.
3aは、Hである、実施形態1、および108~151のいずれか一つに記載の化合物。
153.
3aは、メチルである、実施形態1、および108~151のいずれか一つに記載の化合物。
154.
3aは、ハロゲン化物である、実施形態1、および108~151のいずれか一つに記載の化合物。
155.
3aは、CFである、実施形態1および108~151のいずれか一つに記載の化合物。
156.
3aは、C(H)Fである、実施形態1および108~151のいずれか一つに記載の化合物。
157.
3aは、C(F)Hである、実施形態1および108~151のいずれか一つに記載の化合物。
158.
3aは、OMeである、実施形態1、および108~151のいずれか一つに記載の化合物。
159.
3bは、Hである、実施形態1、および108~158のいずれか一つに記載の化合物。
160.
3bは、メチルである、実施形態1、および108~158のいずれか一つに記載の化合物。
161.
3bは、ハロゲン化物である、実施形態1、および108~158のいずれか一つに記載の化合物。
162.
3bは、CFである、実施形態1および108~158のいずれか一つに記載の化合物。
163.
3bは、C(H)Fである、実施形態1および108~158のいずれか一つに記載の化合物。
164.
3bは、C(F)Hである、実施形態1および108~158のいずれか一つに記載の化合物。
165.
3bは、OMeである、実施形態1および108~158のいずれか一つに記載の化合物。
166.
3bは、OCFである、実施形態1および108~158のいずれか一つに記載の化合物。
167.
3bは、シクロプロピルである、実施形態1、および108~158のいずれか一つに記載の化合物。
168.
3aは、メチルであり、およびR3bは、Fである、実施形態108~151のいずれか一つに記載の化合物。
169.
3aは、Fであり、およびR3bは、メチルである、実施形態108~151のいずれか一つに記載の化合物。
170.
化合物が、図1の化合物のうちのいずれか一つ、またはそのエナンチオマーから選択される、実施形態1に記載の化合物。
171.
化合物が、以下の式(Ic)の化合物、またはその薬学的に許容可能な塩である、実施形態1に記載の化合物:
Figure 0007702004000090
式中、
、RおよびRは独立して、H、置換または非置換の(C-C)-アルキル、ハロゲン化物、CF、C(H)F、C(F)H、置換または非置換の(C-C)-アルコキシ、-OCF、および置換または非置換の-(C-C)アルキレン-N-(R)(R)からなる群から選択されるが;ただし、R、RおよびRのうち一つは、-(C-C)アルキレン-N-(R)(R)であり;
およびRは独立して、H、置換または非置換の(C-C)-アルキル、または置換または非置換の(C-C)-アルキレン-(C-C)-アルコキシからなる群から選択されるか;またはRおよびRはそれらが結合するNとともに、置換または非置換の4~6員のヘテロシクリル環を形成し;
3aおよびR3bは独立して、H、置換または非置換の(C-C)-アルキル、置換または非置換の(C-C)-シクロアルキル、置換または非置換の3~6員のヘテロシクロアルキル、-OH、-CN、ハロゲン化物、CF、C(H)F、C(F)H2、-(C-C)-アルコキシ、-OCFおよび置換または非置換の(C-C)-アルキレン-(C-C)-アルコキシからなる群から選択されるが、ただし、R3aおよびR3bの両方ともがHであることはないものとし;
3cは、H、置換または非置換の(C-C)-アルキル、置換または非置換の(C-C)-シクロアルキル、置換または非置換の3~6員のヘテロシクロアルキル、ヒドロキシル、ハロゲン化物、CF、C(H)F、C(F)H、-(C-C)-アルコキシ、-OCF-CN、および置換または非置換の(C-C)-アルキレン-(C-C)-アルコキシからなる群から選択され;
3dは、H、置換または非置換の(C-C)-アルキル、ヒドロキシル、ハロゲン化物、および-(C-C)-アルコキシからなる群から選択され;
5aおよびR5eは独立して、H、CN、ハロゲン化物、CF、C(H)F、C(F)H、置換または非置換の(C-C)-アルキル、ヒドロキシル、および(C-C)-アルコキシからなる群から選択され;および
5b、R5c、およびR5dは独立して、H、CN、ハロゲン化物、CF、C(H)F、C(F)H、置換または非置換の(C-C)-アルキル、ヒドロキシル、および(C-C)-アルコキシからなる群から選択される。
172.
以下からなる群から選択される化合物、またはその薬学的に許容可能な塩:
(3S)-3-(4,5-ジフルオロ-2’,6’-ジメチルビフェニル-3-イル)-3-(2-(5-(2-(3-フルオロアゼチジン-1-イル)エチル)-4-メチル-2-オキソピリジン-1(2H)-イル)-4-メチルペンタンアミド)プロパン酸;
(3S)-3-(2-(5-(2-(アゼチジン-1-イル)エチル)-2-オキソ-4-(トリフルオロメチル)ピリジン-1(2H)-イル)-4-メチルペンタンアミド)-3-(4-フルオロ-2’,6’-ジメチル-5-(トリフルオロメチル)ビフェニル-3-イル)プロパン酸;
(3S)-3-(2-(5-(2-(アゼチジン-1-イル)エチル)-2-オキソ-4-(トリフルオロメチル)ピリジン-1(2H)-イル)-4-メチルペンタンアミド)-3-(3’,4-ジフルオロ-2’,5,6’-トリメチル-[1,1’-ビフェニル]-3-イル)プロパン酸;
(3S)-3-(2-(5-(2-(アゼチジン-1-イル)エチル)-2-オキソ-4-(トリフルオロメチル)ピリジン-1(2H)-イル)-4-メチルペンタンアミド)-3-(4-フルオロ-3’-メトキシ-2’,5,6’-トリメチル-[1,1’-ビフェニル]-3-イル)プロパン酸;
(3S)-3-(4,4’-ジフルオロ-2’,5,6’-トリメチル-[1,1’-ビフェニル]-3-イル)-3-(2-(5-(2-(ジメチルアミノ)エチル)-2-オキソ-4-(トリフルオロメチル)ピリジン-1(2H)-イル)-4-メチルペンタンアミド)プロパン酸;
(3S)-3-(5-クロロ-4-フルオロ-2’,6’-ジメチル-[1,1’-ビフェニル]-3-イル)-3-(2-(5-(2-(3-メトキシアゼチジン-1-イル)エチル)-2-オキソ-4-(トリフルオロメチル)ピリジン-1(2H)-イル)-4-メチルペンタンアミド)プロパン酸;
(3S)-3-(2-(5-(2-(ジメチルアミノ)エチル)-2-オキソ-4-(トリフルオロメチル)ピリジン-1(2H)-イル)-4-メチルペンタンアミド)-3-(4-フルオロ-2’,4’,5,6’-テトラメチルビフェニル-3-イル)プロパン酸;
(3S)-3-(4,4’-ジフルオロ-2’,5,6’-トリメチル-[1,1’-ビフェニル]-3-イル)-3-(2-(3-(ジフルオロメチル)-5-(2-(ジメチルアミノ)エチル)-2-オキソピリジン-1(2H)-イル)-4-メチルペンタンアミド)プロパン酸;
(3S)-3-(2-(5-(2-(ジメチルアミノ)エチル)-4-メチル-2-オキソピリジン-1(2H)-イル)-5-メチルヘキサンアミド)-3-(4-フルオロ-2’,5,6’-トリメチルビフェニル-3-イル)プロパン酸;
(3S)-3-(4-フルオロ-2’,5,6’-トリメチル-[1,1’-ビフェニル]-3-イル)-3-(2-(3-フルオロ-5-(2-(3-フルオロアゼチジン-1-イル)エチル)-2-オキソピリジン-1(2H)-イル)-4-メチルペンタンアミド)プロパン酸;
(3S)-3-(4-フルオロ-2’,5,6’-トリメチル-[1,1’-ビフェニル]-3-イル)-3-(2-(3-フルオロ-5-(2-((R)-3-フルオロピロリジン-1-イル)エチル)-2-オキソピリジン-1(2H)-イル)-4-メチルペンタンアミド)プロパン酸;および
(3S)-3-(5-クロロ-4-フルオロ-2’,6’-ジメチル-[1,1’-ビフェニル]-3-イル)-3-(2-(5-(2-(3-メトキシアゼチジン-1-イル)エチル)-2-オキソ-4-(トリフルオロメチル)ピリジン-1(2H)-イル)-4-メチルペンタンアミド)プロパン酸。
173.
化合物が、以下の化合物またはその薬学的に許容可能な塩である、実施形態1に記載の化合物:
Figure 0007702004000091
174.
化合物が、以下の化合物またはその薬学的に許容可能な塩である、実施形態1に記載の化合物:
Figure 0007702004000092
175.
化合物が、以下の化合物またはその薬学的に許容可能な塩である、実施形態1に記載の化合物:
Figure 0007702004000093
176.
化合物が、以下の化合物またはその薬学的に許容可能な塩である、実施形態1に記載の化合物:
Figure 0007702004000094
177.
化合物が、以下の化合物またはその薬学的に許容可能な塩である、実施形態1に記載の化合物:
Figure 0007702004000095
178.
化合物が、以下の化合物またはその薬学的に許容可能な塩である、実施形態1に記載の化合物:
Figure 0007702004000096
179.
化合物が、以下の化合物またはその薬学的に許容可能な塩である、実施形態1に記載の化合物:
Figure 0007702004000097
180.
化合物が、以下の化合物またはその薬学的に許容可能な塩である、実施形態1に記載の化合物:
Figure 0007702004000098
181.
化合物が、以下の化合物またはその薬学的に許容可能な塩である、実施形態1に記載の化合物:
Figure 0007702004000099
182.
化合物が、以下の化合物またはその薬学的に許容可能な塩である、実施形態1に記載の化合物:
Figure 0007702004000100
183.
化合物が、以下の化合物またはその薬学的に許容可能な塩である、実施形態1に記載の化合物:
Figure 0007702004000101
184.
化合物が、以下の化合物またはその薬学的に許容可能な塩である、実施形態1に記載の化合物:
Figure 0007702004000102
185.
化合物が、(3S)-3-(4,5-ジフルオロ-2’,6’-ジメチルビフェニル-3-イル)-3-(2-(5-(2-(3-フルオロアゼチジン-1-イル)エチル)-4-メチル-2-オキソピリジン-1(2H)-イル)-4-メチルペンタンアミド)プロパン酸、またはその薬学的に許容可能な塩である、実施形態1に記載の化合物。
186.
化合物が、(3S)-3-(2-(5-(2-(アゼチジン-1-イル)エチル)-2-オキソ-4-(トリフルオロメチル)ピリジン-1(2H)-イル)-4-メチルペンタンアミド)-3-(4-フルオロ-2’,6’-ジメチル-5-(トリフルオロメチル)ビフェニル-3-イル)プロパン酸、またはその薬学的に許容可能な塩である、実施形態1に記載の化合物。
187.
化合物が、(3S)-3-(2-(5-(2-(アゼチジン-1-イル)エチル)-2-オキソ-4-(トリフルオロメチル)ピリジン-1(2H)-イル)-4-メチルペンタンアミド)-3-(3’,4-ジフルオロ-2’,5,6’-トリメチル-[1,1’-ビフェニル]-3-イル)プロパン酸、またはその薬学的に許容可能な塩である、実施形態1に記載の化合物。
188.
化合物が、(3S)-3-(2-(5-(2-(アゼチジン-1-イル)エチル)-2-オキソ-4-(トリフルオロメチル)ピリジン-1(2H)-イル)-4-メチルペンタンアミド)-3-(4-フルオロ-3’-メトキシ-2’,5,6’-トリメチル-[1,1’-ビフェニル]-3-イル)プロパン酸、またはその薬学的に許容可能な塩である、実施形態1に記載の化合物。
189.
化合物が、(3S)-3-(4,4’-ジフルオロ-2’,5,6’-トリメチル-[1,1’-ビフェニル]-3-イル)-3-(2-(5-(2-(ジメチルアミノ)エチル)-2-オキソ-4-(トリフルオロメチル)ピリジン-1(2H)-イル)-4-メチルペンタンアミド)プロパン酸、またはその薬学的に許容可能な塩である、実施形態1に記載の化合物。
190.
化合物が、(3S)-3-(5-クロロ-4-フルオロ-2’,6’-ジメチル-[1,1’-ビフェニル]-3-イル)-3-(2-(5-(2-(3-メトキシアゼチジン-1-イル)エチル)-2-オキソ-4-(トリフルオロメチル)ピリジン-1(2H)-イル)-4-メチルペンタンアミド)プロパン酸、またはその薬学的に許容可能な塩である、実施形態1に記載の化合物。
191.
化合物が、(3S)-3-(2-(5-(2-(ジメチルアミノ)エチル)-2-オキソ-4-(トリフルオロメチル)ピリジン-1(2H)-イル)-4-メチルペンタンアミド)-3-(4-フルオロ-2’,4’,5,6’-テトラメチルビフェニル-3-イル)プロパン酸、またはその薬学的に許容可能な塩である、実施形態1に記載の化合物。
192.
化合物が、(3S)-3-(4,4’-ジフルオロ-2’,5,6’-トリメチル-[1,1’-ビフェニル]-3-イル)-3-(2-(3-(ジフルオロメチル)-5-(2-(ジメチルアミノ)エチル)-2-オキソピリジン-1(2H)-イル)-4-メチルペンタンアミド)プロパン酸、またはその薬学的に許容可能な塩である、実施形態1に記載の化合物。
193.
化合物が、(3S)-3-(2-(5-(2-(ジメチルアミノ)エチル)-4-メチル-2-オキソピリジン-1(2H)-イル)-5-メチルヘキサンアミド)-3-(4-フルオロ-2’,5,6’-トリメチルビフェニル-3-イル)プロパン酸、またはその薬学的に許容可能な塩である、実施形態1に記載の化合物。
194.
化合物が、(3S)-3-(4-フルオロ-2’,5,6’-トリメチル-[1,1’-ビフェニル]-3-イル)-3-(2-(3-フルオロ-5-(2-(3-フルオロアゼチジン-1-イル)エチル)-2-オキソピリジン-1(2H)-イル)-4-メチルペンタンアミド)プロパン酸、またはその薬学的に許容可能な塩である、実施形態1に記載の化合物。
195.
化合物が、(3S)-3-(4-フルオロ-2’,5,6’-トリメチル-[1,1’-ビフェニル]-3-イル)-3-(2-(3-フルオロ-5-(2-((R)-3-フルオロピロリジン-1-イル)エチル)-2-オキソピリジン-1(2H)-イル)-4-メチルペンタンアミド)プロパン酸、またはその薬学的に許容可能な塩である、実施形態1に記載の化合物。
196.
化合物が、(3S)-3-(5-クロロ-4-フルオロ-2’,6’-ジメチル-[1,1’-ビフェニル]-3-イル)-3-(2-(5-(2-(3-メトキシアゼチジン-1-イル)エチル)-2-オキソ-4-(トリフルオロメチル)ピリジン-1(2H)-イル)-4-メチルペンタンアミド)プロパン酸、またはその薬学的に許容可能な塩である、実施形態1に記載の化合物。
197.
化合物が、(S)-3-(4,5-ジフルオロ-2’,6’-ジメチル-[1,1’-ビフェニル]-3-イル)-3-((S)-2-(5-(2-(3-フルオロアゼチジン-1-イル)エチル)-4-メチル-2-オキソピリジン-1(2H)-イル)-4-メチルペンタンアミド)プロパン酸、またはその薬学的に許容可能な塩である、実施形態1に記載の化合物。
198.
化合物が、(S)-3-((S)-2-(5-(2-(アゼチジン-1-イル)エチル)-2-オキソ-4-(トリフルオロメチル)ピリジン-1(2H)-イル)-4-メチルペンタンアミド)-3-(4-フルオロ-2’,6’-ジメチル-5-(トリフルオロメチル)-[1,1’-ビフェニル]-3-イル)プロパン酸、またはその薬学的に許容可能な塩である、実施形態1に記載の化合物。
199.
化合物が、(S)-3-((S)-2-(5-(2-(アゼチジン-1-イル)エチル)-2-オキソ-4-(トリフルオロメチル)ピリジン-1(2H)-イル)-4-メチルペンタンアミド)-3-(3’,4-ジフルオロ-2’,5,6’-トリメチル-[1,1’-ビフェニル]-3-イル)プロパン酸、またはその薬学的に許容可能な塩である、実施形態1に記載の化合物。
200.
化合物が、(S)-3-((S)-2-(5-(2-(アゼチジン-1-イル)エチル)-2-オキソ-4-(トリフルオロメチル)ピリジン-1(2H)-イル)-4-メチルペンタンアミド)-3-(4-フルオロ-3’-メトキシ-2’,5,6’-トリメチル-[1,1’-ビフェニル]-3-イル)プロパン酸、またはその薬学的に許容可能な塩である、実施形態1に記載の化合物。
201.
化合物が、(S)-3-(4,4’-ジフルオロ-2’,5,6’-トリメチル-[1,1’-ビフェニル]-3-イル)-3-((S)-2-(5-(2-(ジメチルアミノ)エチル)-2-オキソ-4-(トリフルオロメチル)ピリジン-1(2H)-イル)-4-メチルペンタンアミド)プロパン酸、またはその薬学的に許容可能な塩である、実施形態1に記載の化合物。
202.
化合物が、(S)-3-(5-クロロ-4-フルオロ-2’,6’-ジメチル-[1,1’-ビフェニル]-3-イル)-3-((S)-2-(5-(2-(3-メトキシアゼチジン-1-イル)エチル)-2-オキソ-4-(トリフルオロメチル)ピリジン-1(2H)-イル)-4-メチルペンタンアミド)プロパン酸、またはその薬学的に許容可能な塩である、実施形態1に記載の化合物。
203.
化合物が、(S)-3-((S)-2-(5-(2-(ジメチルアミノ)エチル)-2-オキソ-4-(トリフルオロメチル)ピリジン-1(2H)-イル)-4-メチルペンタンアミド)-3-(4-フルオロ-2’,4’,5,6’-テトラメチル-[1,1’-ビフェニル]-3-イル)プロパン酸、またはその薬学的に許容可能な塩である、実施形態1に記載の化合物。
204.
化合物が、(S)-3-(4,4’-ジフルオロ-2’,5,6’-トリメチル-[1,1’-ビフェニル]-3-イル)-3-((S)-2-(3-(ジフルオロメチル)-5-(2-(ジメチルアミノ)エチル)-2-オキソピリジン-1(2H)-イル)-4-メチルペンタンアミド)プロパン酸、またはその薬学的に許容可能な塩である、実施形態1に記載の化合物。
205.
化合物が、(S)-3-((S)-2-(5-(2-(ジメチルアミノ)エチル)-4-メチル-2-オキソピリジン-1(2H)-イル)-5-メチルヘキサンアミド)-3-(4-フルオロ-2’,5,6’-トリメチル-[1,1’-ビフェニル]-3-イル)プロパン酸、またはその薬学的に許容可能な塩である、実施形態1に記載の化合物。
206.
化合物が、(S)-3-(4-フルオロ-2’,5,6’-トリメチル-[1,1’-ビフェニル]-3-イル)-3-((S)-2-(3-フルオロ-5-(2-(3-フルオロアゼチジン-1-イル)エチル)-2-オキソピリジン-1(2H)-イル)-4-メチルペンタンアミド)プロパン酸、またはその薬学的に許容可能な塩である、実施形態1に記載の化合物。
207.
化合物が、(S)-3-(4-フルオロ-2’,5,6’-トリメチル-[1,1’-ビフェニル]-3-イル)-3-((S)-2-(3-フルオロ-5-(2-((R)-3-フルオロピロリジン-1-イル)エチル)-2-オキソピリジン-1(2H)-イル)-4-メチルペンタンアミド)プロパン酸、またはその薬学的に許容可能な塩である、実施形態1に記載の化合物。
208.
化合物が、(S)-3-(5-クロロ-4-フルオロ-2’,6’-ジメチル-[1,1’-ビフェニル]-3-イル)-3-((S)-2-(5-(2-(3-メトキシアゼチジン-1-イル)エチル)-2-オキソ-4-(トリフルオロメチル)ピリジン-1(2H)-イル)-4-メチルペンタンアミド)プロパン酸、またはその薬学的に許容可能な塩である、実施形態1に記載の化合物。
209.
実施形態1~208のいずれか一つに記載の化合物、および薬学的に許容可能な賦形剤を含む、医薬組成物。
210.
細胞において、αβインテグリンを阻害する方法であって、MAdCAM-1への細胞の接着を低下させるのに有効な条件下で、実施形態1~208のいずれか一つに記載の化合物と、細胞とを接触させることを含む、方法。
211.
αβインテグリンを含む細胞のMAdCAM-1への接着を低下させる方法であって、MAdCAM-1への細胞の接着を低下させるのに有効な条件下で、実施形態1~208のいずれか一つに記載の化合物と、細胞とを接触させることを含む、方法。
212.
炎症性腸疾患、潰瘍性大腸炎、またはクローン病を治療する方法であって、その必要のある対象に、実施形態1~208のいずれか一つに記載の化合物の治療有効量を投与することを含む、方法。
一部の実施形態では、以下の式(I)の化合物:
Figure 0007702004000103
式中、
、R、およびRは独立して、H、Me、ハロゲン化物、CF、C(H)F、C(F)H、および-(C1-)アルキレン-N-(R)(R)からなる群から選択されるが;ただし、R、R、およびRのうちの少なくとも一つは、-(C1-)アルキレン-N-(R)(R)であり;
およびRは独立して、Hおよび置換または非置換の(C-C)-アルキルからなる群から選択されるか、またはRおよびRは、それらが結合するNと共に4~6員の環を形成し;
は、メチル、エチル、n-プロピル、イソ-プロピル、n-ブチル、イソ-ブチル、sec-ブチル、またはt-ブチルであり;
は、
Figure 0007702004000104
であり;
3aおよびR3bは独立して、H、(C-C)-アルキル、(C-C)-シクロアルキル、置換または非置換の3~6員のヘテロシクロアルキル、-OH、-CN、ハロゲン化物、CF、C(H)F、C(F)H2、-(C-C)-アルコキシ、-OCFおよび置換または非置換の(C-C)-アルキレン-(C-C)-アルコキシからなる群から選択されるが;ただし、R3aおよびR3bの両方ともがHであることはないものとし;
3cおよびR3dは、Hであり;
は、Hであり;
5aおよびR5eは、独立してメチルであり;
5bおよびR5cは独立して、H、CN、ハロゲン化物、CF、C(H)F、C(F)H、置換または非置換の(C-C)-アルキル、置換または非置換の(C-C)-シクロアルキル、置換または非置換の3~6員のヘテロシクロアルキル、ヒドロキシル、および(C-C)-アルコキシからなる群から選択され;
5dは、Hであり;および
式(I)の化合物は、以下からなる群、またはその薬学的に許容可能な塩から選択される:
a.(S)-3-(4,5-ジフルオロ-2’,6’-ジメチル-[1,1’-ビフェニル]-3-イル)-3-((S)-2-(5-(2-(3-フルオロアゼチジン-1-イル)エチル)-4-メチル-2-オキソピリジン-1(2H)-イル)-4-メチルペンタンアミド)プロパン酸;
b.(S)-3-((S)-2-(5-(2-(アゼチジン-1-イル)エチル)-2-オキソ-4-(トリフルオロメチル)ピリジン-1(2H)-イル)-4-メチルペンタンアミド)-3-(4-フルオロ-2’,6’-ジメチル-5-(トリフルオロメチル)-[1,1’-ビフェニル]-3-イル)プロパン酸;
c.(S)-3-((S)-2-(5-(2-(アゼチジン-1-イル)エチル)-2-オキソ-4-(トリフルオロメチル)ピリジン-1(2H)-イル)-4-メチルペンタンアミド)-3-(3’,4-ジフルオロ-2’,5,6’-トリメチル-[1,1’-ビフェニル]-3-イル)プロパン酸;
d.(S)-3-((S)-2-(5-(2-(アゼチジン-1-イル)エチル)-2-オキソ-4-(トリフルオロメチル)ピリジン-1(2H)-イル)-4-メチルペンタンアミド)-3-(4-フルオロ-3’-メトキシ-2’,5,6’-トリメチル-[1,1’-ビフェニル]-3-イル)プロパン酸;
e.(S)-3-(4,4’-ジフルオロ-2’,5,6’-トリメチル-[1,1’-ビフェニル]-3-イル)-3-((S)-2-(5-(2-(ジメチルアミノ)エチル)-2-オキソ-4-(トリフルオロメチル)ピリジン-1(2H)-イル)-4-メチルペンタンアミド)プロパン酸;
f.(S)-3-(5-クロロ-4-フルオロ-2’,6’-ジメチル-[1,1’-ビフェニル]-3-イル)-3-((S)-2-(5-(2-(3-メトキシアゼチジン-1-イル)エチル)-2-オキソ-4-(トリフルオロメチル)ピリジン-1(2H)-イル)-4-メチルペンタンアミド)プロパン酸;
g.(S)-3-((S)-2-(5-(2-(ジメチルアミノ)エチル)-2-オキソ-4-(トリフルオロメチル)ピリジン-1(2H)-イル)-4-メチルペンタンアミド)-3-(4-フルオロ-2’,4’,5,6’-テトラメチル-[1,1’-ビフェニル]-3-イル)プロパン酸;
h.(S)-3-(4,4’-ジフルオロ-2’,5,6’-トリメチル-[1,1’-ビフェニル]-3-イル)-3-((S)-2-(3-(ジフルオロメチル)-5-(2-(ジメチルアミノ)エチル)-2-オキソピリジン-1(2H)-イル)-4-メチルペンタンアミド)プロパン酸;
i.(S)-3-((S)-2-(5-(2-(ジメチルアミノ)エチル)-4-メチル-2-オキソピリジン-1(2H)-イル)-5-メチルヘキサンアミド)-3-(4-フルオロ-2’,5,6’-トリメチル-[1,1’-ビフェニル]-3-イル)プロパン酸;
j.(S)-3-(4-フルオロ-2’,5,6’-トリメチル-[1,1’-ビフェニル]-3-イル)-3-((S)-2-(3-フルオロ-5-(2-(3-フルオロアゼチジン-1-イル)エチル)-2-オキソピリジン-1(2H)-イル)-4-メチルペンタンアミド)プロパン酸;および
k.(S)-3-(4-フルオロ-2’,5,6’-トリメチル-[1,1’-ビフェニル]-3-イル)-3-((S)-2-(3-フルオロ-5-(2-((R)-3-フルオロピロリジン-1-イル)エチル)-2-オキソピリジン-1(2H)-イル)-4-メチルペンタンアミド)プロパン酸。
一部の実施形態では、化合物は、(S)-3-(4,5-ジフルオロ-2’,6’-ジメチル-[1,1’-ビフェニル]-3-イル)-3-((S)-2-(5-(2-(3-フルオロアゼチジン-1-イル)エチル)-4-メチル-2-オキソピリジン-1(2H)-イル)-4-メチルペンタンアミド)プロパン酸、またはその薬学的に許容可能な塩である。
一部の実施形態では、化合物は、(S)-3-((S)-2-(5-(2-(アゼチジン-1-イル)エチル)-2-オキソ-4-(トリフルオロメチル)ピリジン-1(2H)-イル)-4-メチルペンタンアミド)-3-(4-フルオロ-2’,6’-ジメチル-5-(トリフルオロメチル)-[1,1’-ビフェニル]-3-イル)プロパン酸、またはその薬学的に許容可能な塩である。
一部の実施形態では、化合物は、(S)-3-((S)-2-(5-(2-(アゼチジン-1-イル)エチル)-2-オキソ-4-(トリフルオロメチル)ピリジン-1(2H)-イル)-4-メチルペンタンアミド)-3-(3’,4-ジフルオロ-2’,5,6’-トリメチル-[1,1’-ビフェニル]-3-イル)プロパン酸、またはその薬学的に許容可能な塩である。
一部の実施形態では、化合物は、(S)-3-((S)-2-(5-(2-(アゼチジン-1-イル)エチル)-2-オキソ-4-(トリフルオロメチル)ピリジン-1(2H)-イル)-4-メチルペンタンアミド)-3-(4-フルオロ-3’-メトキシ-2’,5,6’-トリメチル-[1,1’-ビフェニル]-3-イル)プロパン酸、またはその薬学的に許容可能な塩である。
一部の実施形態では、化合物は、(S)-3-(4,4’-ジフルオロ-2’,5,6’-トリメチル-[1,1’-ビフェニル]-3-イル)-3-((S)-2-(5-(2-(ジメチルアミノ)エチル)-2-オキソ-4-(トリフルオロメチル)ピリジン-1(2H)-イル)-4-メチルペンタンアミド)プロパン酸、またはその薬学的に許容可能な塩である。
一部の実施形態では、化合物は、(S)-3-(5-クロロ-4-フルオロ-2’,6’-ジメチル-[1,1’-ビフェニル]-3-イル)-3-((S)-2-(5-(2-(3-メトキシアゼチジン-1-イル)エチル)-2-オキソ-4-(トリフルオロメチル)ピリジン-1(2H)-イル)-4-メチルペンタンアミド)プロパン酸、またはその薬学的に許容可能な塩である。
一部の実施形態では、化合物は、(S)-3-((S)-2-(5-(2-(ジメチルアミノ)エチル)-2-オキソ-4-(トリフルオロメチル)ピリジン-1(2H)-イル)-4-メチルペンタンアミド)-3-(4-フルオロ-2’,4’,5,6’-テトラメチル-[1,1’-ビフェニル]-3-イル)プロパン酸、またはその薬学的に許容可能な塩である。
一部の実施形態では、化合物は、(S)-3-(4,4’-ジフルオロ-2’,5,6’-トリメチル-[1,1’-ビフェニル]-3-イル)-3-((S)-2-(3-(ジフルオロメチル)-5-(2-(ジメチルアミノ)エチル)-2-オキソピリジン-1(2H)-イル)-4-メチルペンタンアミド)プロパン酸、またはその薬学的に許容可能な塩である。
一部の実施形態では、化合物は、(S)-3-((S)-2-(5-(2-(ジメチルアミノ)エチル)-4-メチル-2-オキソピリジン-1(2H)-イル)-5-メチルヘキサンアミド)-3-(4-フルオロ-2’,5,6’-トリメチル-[1,1’-ビフェニル]-3-イル)プロパン酸、またはその薬学的に許容可能な塩である。
一部の実施形態では、化合物は、(S)-3-(4-フルオロ-2’,5,6’-トリメチル-[1,1’-ビフェニル]-3-イル)-3-((S)-2-(3-フルオロ-5-(2-(3-フルオロアゼチジン-1-イル)エチル)-2-オキソピリジン-1(2H)-イル)-4-メチルペンタンアミド)プロパン酸、またはその薬学的に許容可能な塩である。
一部の実施形態では、化合物は、(S)-3-(4-フルオロ-2’,5,6’-トリメチル-[1,1’-ビフェニル]-3-イル)-3-((S)-2-(3-フルオロ-5-(2-((R)-3-フルオロピロリジン-1-イル)エチル)-2-オキソピリジン-1(2H)-イル)-4-メチルペンタンアミド)プロパン酸、またはその薬学的に許容可能な塩である。
一部の実施形態では、式(I)の化合物を医薬品有効成分として含有する医薬組成物:
Figure 0007702004000105
式中、
、R、およびRは独立して、H、Me、ハロゲン化物、CF、C(H)F、C(F)H、および-(C1-)アルキレン-N-(R)(R)からなる群から選択されるが;ただし、R、R、およびRのうちの少なくとも一つは、-(C1-)アルキレン-N-(R)(R)であり;
およびRは独立して、Hおよび置換または非置換の(C-C)-アルキルからなる群から選択されるか、またはRおよびRは、それらが結合するNと共に4~6員の環を形成し;
は、メチル、エチル、n-プロピル、イソ-プロピル、n-ブチル、イソ-ブチル、sec-ブチル、またはt-ブチルであり;
は、
Figure 0007702004000106
であり;
3aおよびR3bは独立して、H、置換または非置換の(C-C)-アルキル、置換または非置換の(C-C)-シクロアルキル、置換または非置換の3~6員のヘテロシクロアルキル、-OH、-CN、ハロゲン化物、CF、C(H)F、C(F)H2、-(C-C)-アルコキシ、-OCFおよび置換または非置換の(C-C)-アルキレン-(C-C)-アルコキシからなる群から選択されるが、ただし、R3aおよびR3bの両方ともがHであることはないものとし;
3cおよびR3dは、Hであり;
は、Hであり;
5aおよびR5eは、独立してメチルであり;
5bおよびR5cは独立して、H、CN、ハロゲン化物、CF、C(H)F、C(F)H、置換または非置換の(C-C)-アルキル、置換または非置換の(C-C)-シクロアルキル、置換または非置換の3~6員のヘテロシクロアルキル、ヒドロキシル、および(C-C)-アルコキシからなる群から選択され;
5dは、Hであり;および
式(I)の化合物が、以下からなる群またはその薬学的に許容可能な塩から選択される:
Figure 0007702004000107
一部の実施形態では、化合物は、
Figure 0007702004000108
またはその薬学的に許容可能な塩である。
一部の実施形態では、化合物は、
Figure 0007702004000109
またはその薬学的に許容可能な塩である。
一部の実施形態では、化合物は、
Figure 0007702004000110
またはその薬学的に許容可能な塩である。
一部の実施形態では、化合物は、
Figure 0007702004000111
またはその薬学的に許容可能な塩である。
一部の実施形態では、化合物は、
Figure 0007702004000112
またはその薬学的に許容可能な塩である。
一部の実施形態では、化合物は、
Figure 0007702004000113
またはその薬学的に許容可能な塩である。
一部の実施形態では、化合物は、
Figure 0007702004000114
またはその薬学的に許容可能な塩である。
一部の実施形態では、化合物は、
Figure 0007702004000115
またはその薬学的に許容可能な塩である。
一部の実施形態では、化合物は、
Figure 0007702004000116
またはその薬学的に許容可能な塩である。
一部の実施形態では、化合物は、
Figure 0007702004000117
またはその薬学的に許容可能な塩である。
一部の実施形態では、化合物は、
Figure 0007702004000118
またはその薬学的に許容可能な塩である。
一部の実施形態では、以下の式(Ia)の化合物:
Figure 0007702004000119
式中、
は、CFであり;
は、置換または非置換の-(C1-)アルキレン-N-(R)(R)であり;
およびRは独立して、置換または非置換の(C-C)-アルキルであるか;またはRおよびRは、それらが結合するNと共に4~6員の環を形成し;
は、Hであり;
は、置換または非置換の(C-C)アルキルであり;
は、
Figure 0007702004000120
であり;
3aおよびR3bは独立して、H、置換または非置換の(C-C)-アルキル、置換または非置換の(C-C)-シクロアルキル、置換または非置換の3~6員のヘテロシクロアルキル、-OH、-CN、ハロゲン化物、CF、C(H)F、C(F)H2、-(C-C)-アルコキシ、-OCFおよび置換または非置換の(C-C)-アルキレン-(C-C)-アルコキシからなる群から選択されるが、ただし、R3aおよびR3bの両方ともがHであることはないものとし;
3cは、Hであり;
3dは、ハロゲン化物であり;
は、Hであり;
5aおよびR5eはそれぞれ独立して、(C-C)-アルキルから選択され;および
5b、R5c、およびR5dは独立して、H、CN、ハロゲン化物、CF、C(H)F、C(F)H、-CHCF、置換または非置換の(C-C)-アルキル、置換または非置換の(C-C)-シクロアルキル、置換または非置換の3~6員のヘテロシクロアルキル、ヒドロキシル、および(C-C)-アルコキシからなる群から選択され;
式(I)の化合物は、以下からなる群から選択される:
Figure 0007702004000121
Figure 0007702004000122
Figure 0007702004000123
Figure 0007702004000124
Figure 0007702004000125
一部の実施形態では、化合物は、
Figure 0007702004000126
またはその薬学的に許容可能な塩である。
一部の実施形態では、化合物は、
Figure 0007702004000127
またはその薬学的に許容可能な塩である。
一部の実施形態では、化合物は、
Figure 0007702004000128
またはその薬学的に許容可能な塩である。
一部の実施形態では、化合物は、
Figure 0007702004000129
またはその薬学的に許容可能な塩である。
一部の実施形態では、化合物は、
Figure 0007702004000130
またはその薬学的に許容可能な塩である。
一部の実施形態では、化合物は、
Figure 0007702004000131
またはその薬学的に許容可能な塩である。
一部の実施形態では、化合物は、
Figure 0007702004000132
またはその薬学的に許容可能な塩である。
当該化合物が、
Figure 0007702004000133
またはその薬学的に許容可能な塩である、請求項25に記載の化合物。
当該化合物が、
Figure 0007702004000134
またはその薬学的に許容可能な塩である、請求項25に記載の化合物。
一部の実施形態では、化合物は、
Figure 0007702004000135
またはその薬学的に許容可能な塩である。
一部の実施形態では、化合物は、
Figure 0007702004000136
またはその薬学的に許容可能な塩である。
一部の実施形態では、医薬組成物は、医薬品有効成分として、本出願の化合物、またはその薬学的に許容可能な塩を含む。一部の実施形態では、本発明は、式(I)、式(Ia)、もしくは式(Ib)の化合物、またはそれらの薬学的に許容可能な塩に関連する:
Figure 0007702004000137
式中、
、RおよびRは独立して、H、Me、ハロゲン化物、CF、C(H)F、C(F)H、-CN、-OCF、置換または非置換の(C-C)-アルキル、(C-C)-アルコキシ、-CHCF3、および置換または非置換の-(C1-)アルキレン-N-(R)(R)からなる群から選択されるが、ただし、R、R、およびRのうちの少なくとも一つは、-(C1-)アルキレン-N-(R)(R)であり、
式中、置換される(C-C)-アルキルは、ハロゲン化物、アミノ、または(C-C)-アルキルアミノで置換され;および置換される-(C1-)アルキレン-N-(R)(R)は、ハロゲン化物または(C-C)-アルコキシで置換され;
およびRは独立して、Hおよび(C-C)-アルキルからなる群から選択されるか、またはRおよびRは、それらが結合するNと共に4~6員の環を形成し;
は(C-C)-アルキル、(C-C)-アルキレン-(C-C)-シクロアルキル、または(C-C)-アルキレン-(C-C)--アルコキシであり;
は、
Figure 0007702004000138
であり;
3aおよびR3bは独立して、H、(C-C)-アルキル、(C-C)-シクロアルキル、3~6員のヘテロシクロアルキル、-OH、-CN、ハロゲン化物、CF、C(H)F、C(F)H2、-(C-C)-アルコキシ、-OCFおよび(C-C)-アルキレン-(C-C)-アルコキシからなる群から選択されるが;ただし、R3aおよびR3bの両方ともがHであることはないものとし;
3cは、H、(C-C)-アルキル、(C-C)-シクロアルキル、3~6員のヘテロシクロアルキル、ヒドロキシル、ハロゲン化物、CF、C(H)F、C(F)H、-(C-C)-アルコキシ、-OCF-CN、および(C-C)-アルキレン-(C-C)-アルコキシからなる群から選択され;
3dは、H、(C-C)-アルキル、ヒドロキシル、ハロゲン化物、および-(C-C)-アルコキシからなる群から選択され;
は、Hまたは(C-C)-アルキルであり;
5aおよびR5eは独立して、H、CN、ハロゲン化物、CF、C(H)F、C(F)H、-CHCF3、(C-C)-シクロアルキル、(C-C)-アルキル、3~6員のヘテロシクロアルキル、ヒドロキシル、および(C-C)-アルコキシからなる群から選択され;ならびに
5b、R5c、およびR5dは独立して、H、CN、ハロゲン化物、CF、C(H)F、C(F)H、-CHCF、(C-C)-アルキル、(C-C)-シクロアルキル、3~6員のヘテロシクロアルキル、ヒドロキシル、および(C-C)-アルコキシからなる群から選択される。
上記の式(Ib)の一つの実施形態では、化合物は、図1に列挙される化合物ではない。
上記の式(Ib)の一つの実施形態では、化合物は、図2および/または図3に列挙される化合物である。
一部の実施形態では、本発明は、式(I)、式(Ia)、もしくは式(Ib)の化合物、またはそれらの薬学的に許容可能な塩に関連する:
Figure 0007702004000139
Figure 0007702004000140
式中、
、RおよびRは独立して、H、Me、ハロゲン化物、CF、C(H)F、C(F)H、-CN、-OCF、置換または非置換の(C-C)-アルキル、(C-C)-アルコキシ、-CHCF3、および置換または非置換の-(C1-)アルキレン-N-(R)(R)からなる群から選択されるが、ただし、R、R、およびRのうちの少なくとも一つは、-(C1-)アルキレン-N-(R)(R)であり、
式中、置換される(C-C)-アルキルは、ハロゲン化物、アミノまたは(C-C)-アルキルアミノで置換され;および置換される-(C1-)アルキレン-N-(R)(R)は、ハロゲン化物、(C-C)-アルキル、(C-C)-アルキル-OCH、(C-C)-ハロアルキル、(C-C)-シクロアルキル、(C-C)-アルコキシ、またはヘテロシクリルで置換され;
およびRは独立して、Hおよび(C-C)-アルキルからなる群から選択されるか、またはRおよびRは、それらが結合するNと共に4~6員の環を形成し;
は、置換または非置換の(C-C)-アルキル、(C-C)-アルキレン-(C-C)-シクロアルキル、または(C-C)-アルキレン-(C-C)-アルコキシであり、
式中、置換される(C-C)-アルキルは、ハロゲン化物または(C-C)-シクロアルキルで置換され;
は、
Figure 0007702004000141
であり;
3aおよびR3bは独立して、(C-C)-アルキル、(C-C)-シクロアルキル、3~6員のヘテロシクロアルキル、-OH、-CN、ハロゲン化物、CF、C(H)F、C(F)H2、-(C-C)-アルコキシ、-OCFおよび(C-C)-アルキレン-(C-C)-アルコキシからなる群から選択されるが;ただし、R3aおよびR3bの両方ともがHであることはないものとし;
3cは、H、(C-C)-アルキル、(C-C)-シクロアルキル、3~6員のヘテロシクロアルキル、ヒドロキシル、ハロゲン化物、CF、C(H)F、C(F)H、-(C-C)-アルコキシ、-OCF-CN、および置換または非置換の(C-C)-アルキレン-(C-C)-アルコキシからなる群から選択され;
3dは、H、(C-C)-アルキル、ヒドロキシル、ハロゲン化物、および-(C-C)-アルコキシからなる群から選択され;
は、Hまたは(C-C)-アルキルであり;
5aおよびR5eは独立して、H、CN、ハロゲン化物、CF、C(H)F、C(F)H、-CHCF3、(C-C)-シクロアルキル、(C-C)-アルキル、3~6員のヘテロシクロアルキル、ヒドロキシル、および(C-C)-アルコキシからなる群から選択され;ならびに
5b、R5c、およびR5dは独立して、H、CN、ハロゲン化物、CF、C(H)F、C(F)H、-CHCF、(C-C)-アルキル、(C-C)-シクロアルキル、3~6員のヘテロシクロアルキル、ヒドロキシル、および(C-C)-アルコキシからなる群から選択される。
上記の式(Ib)の一つの実施形態では、化合物は、図1に列挙される化合物ではない。
上記の式(Ib)の一つの実施形態では、化合物は、図2および/または図3に列挙される化合物である。
一部の実施形態では、式(I)の化合物は、式(Ib)の化合物であってもよい:
Figure 0007702004000142
式中、
は、水素、およびハロゲン化物で任意で置換される(C-C)-アルキルからなる群から選択され;
は、-(C1-)アルキレン-N-(R)(R)であり;
およびRは独立して、(C-C)-アルキルからなる群から選択されるか;またはRおよびRは、それらが結合するNとともに、ハロゲン化物または(C-C)アルコキシで任意で置換される4~6員の環を形成し;
は、水素、およびハロゲン化物で任意で置換される(C-C)-アルキルからなる群から選択され;
は、(C-C)-アルキルであり;
3aは、ハロゲン化物であり;
3bは、ハロゲン化物で任意で置換される(C-C)-アルキル、および(C-C)-シクロアルキルからなる群から選択され;
3cは、水素であり;
3dは、Hおよびハロゲン化物からなる群から選択され;
は、水素であり;
5aおよびR5eはそれぞれ、(C-C)-アルキルであり;ならびに
5b、R5c、およびR5dは独立して、H、CN、ハロゲン化物、ハロゲン化物(例えば、CF、C(H)F、C(F)H、-CHCF)で任意で置換される(C-C)-アルキル、(C-C)-シクロアルキル、3~6員のヘテロシクロアルキル、ヒドロキシル、および(C-C)-アルコキシからなる群から選択される。
一部の実施形態では、式(I)の化合物は、式(Ia)の化合物であってもよい:
Figure 0007702004000143
式中、
は、水素、およびハロゲン化物で任意で置換されるメチルからなる群から選択され;Rは、-(C1-)アルキレン-N-(R)(R)であり;
およびRは独立して、メチルおよびエチルからなる群から選択されるか;またはRおよびRは、それらが結合するNとともに、Fまたはメトキシで任意で置換される4~5員の環を形成し;
は、水素、およびハロゲン化物で任意で置換されるメチルからなる群から選択され;Rは、イソブチルおよびイソペンチルからなる群から選択され;
3aは、Fであり;
3bは、Fで任意で置換される(C-C)-アルキル、および(C-C)-シクロアルキルからなる群から選択され;
3cは、水素であり;
3dは、HおよびFからなる群から選択され;
は、水素であり;
5aおよびR5eは、それぞれメチルであり;
5bおよびR5dは独立して、H、F、メチルおよびメトキシからなる群から選択され;
5cは、F、メチルおよびシクロプロピルからなる群から選択される。
一部の実施形態では、式(I)の化合物は、式(Ia)の化合物であってもよい:
Figure 0007702004000144
式中、
は、水素、およびハロゲン化物で任意で置換されるメチルからなる群から選択され;Rは、-(C1-)アルキレン-N-(R)(R)であり;
およびRはメチルであるか;またはRおよびRは、それらが結合するNとともに、Fまたはメトキシで任意で置換される4~5員の環を形成し;
は、水素、およびハロゲン化物で任意で置換されるメチルからなる群から選択され;Rは、イソブチルおよびイソペンチルからなる群から選択され;
3aは、Fであり;
3bは、Fで任意で置換される(C-C)-アルキル、および(C-C)-シクロアルキルからなる群から選択され;
3cは、水素であり;
3dは、Fであり;
は、水素であり;
5aおよびR5eは、それぞれメチルであり;
5bおよびR5dは独立して、H、F、メチルおよびメトキシからなる群から選択され;
5cは、F、メチルおよびシクロプロピルからなる群から選択される。
一部の実施形態では、式(I)の化合物は、式(Ia)の化合物:
Figure 0007702004000145
またはその薬学的に許容可能な塩であってもよく、式(Ia)において、R、R、R、R、R3a、R3b、R3c、R3d、R5a、R5b、R5c、R5d、R5eおよびRは各々独立して、式(I)に関して上記と同様に規定されるが、ただし、式(Ia)の化合物は、以下からなる群から選択される化合物ではないものとする:
Figure 0007702004000146
Figure 0007702004000147
Figure 0007702004000148
一部の実施形態では、式(I)の化合物は、式(Ib)の化合物:
Figure 0007702004000149
またはその薬学的に許容可能な塩であってもよく、式(Ia)において、R、R、R、R、R3a、R3b、R3c、R3d、R5a、R5b、R5c、R5d、R5eおよびRは各々独立して、式(I)に関して上記と同様に規定されるが、ただし、式(Ia)の化合物は、以下からなる群から選択される化合物ではないものとする:
Figure 0007702004000150
Figure 0007702004000151
一部の実施形態では、化合物は、式(I)の化合物またはその薬学的に許容可能な塩であってもよい:
Figure 0007702004000152
式中、
、R、およびRは独立して、H、Me、ハロゲン化物、CF、C(H)F、C(F)H、および-(C1-)アルキレン-N-(R)(R)からなる群から選択されるが;ただし、R、R、およびRのうちの少なくとも一つは、-(C1-)アルキレン-N-(R)(R)であり;
およびRは独立して、Hおよび置換または非置換の(C-C)-アルキルからなる群から選択されるか、またはRおよびRは、それらが結合するNと共に4~6員の環を形成し;
は、メチル、エチル、n-プロピル、イソ-プロピル、n-ブチル、イソ-ブチル、sec-ブチル、またはt-ブチルであり;
は、
Figure 0007702004000153
であり;
3aおよびR3bは独立して、H、(C-C)-アルキル、(C-C)-シクロアルキル、置換または非置換の3~6員のヘテロシクロアルキル、-OH、-CN、ハロゲン化物、CF、C(H)F、C(F)H2、-(C-C)-アルコキシ、-OCFおよび置換または非置換の(C-C)-アルキレン-(C-C)-アルコキシからなる群から選択されるが;ただし、R3aおよびR3bの両方ともがHであることはないものとし;
3cおよびR3dは、Hであり;
は、Hであり;
5aおよびR5eは、独立してメチルであり;
5bおよびR5cは独立して、H、CN、ハロゲン化物、CF、C(H)F、C(F)H、置換または非置換の(C-C)-アルキル、置換または非置換の(C-C)-シクロアルキル、置換または非置換の3~6員のヘテロシクロアルキル、ヒドロキシル、および(C-C)-アルコキシからなる群から選択され;
5dは、Hであり;および
式(I)の化合物は、以下からなる群から選択される化合物ではないものとする:
a.(S)-3-(4,5-ジフルオロ-2’,6’-ジメチル-[1,1’-ビフェニル]-3-イル)-3-((S)-2-(5-(2-(3-フルオロアゼチジン-1-イル)エチル)-4-メチル-2-オキソピリジン-1(2H)-イル)-4-メチルペンタンアミド)プロパン酸;
b.(S)-3-((S)-2-(5-(2-(アゼチジン-1-イル)エチル)-2-オキソ-4-(トリフルオロメチル)ピリジン-1(2H)-イル)-4-メチルペンタンアミド)-3-(4-フルオロ-2’,6’-ジメチル-5-(トリフルオロメチル)-[1,1’-ビフェニル]-3-イル)プロパン酸;
c.(S)-3-((S)-2-(5-(2-(アゼチジン-1-イル)エチル)-2-オキソ-4-(トリフルオロメチル)ピリジン-1(2H)-イル)-4-メチルペンタンアミド)-3-(3’,4-ジフルオロ-2’,5,6’-トリメチル-[1,1’-ビフェニル]-3-イル)プロパン酸;
d.(S)-3-((S)-2-(5-(2-(アゼチジン-1-イル)エチル)-2-オキソ-4-(トリフルオロメチル)ピリジン-1(2H)-イル)-4-メチルペンタンアミド)-3-(4-フルオロ-3’-メトキシ-2’,5,6’-トリメチル-[1,1’-ビフェニル]-3-イル)プロパン酸;
e.(S)-3-(4,4’-ジフルオロ-2’,5,6’-トリメチル-[1,1’-ビフェニル]-3-イル)-3-((S)-2-(5-(2-(ジメチルアミノ)エチル)-2-オキソ-4-(トリフルオロメチル)ピリジン-1(2H)-イル)-4-メチルペンタンアミド)プロパン酸;
f.(S)-3-(5-クロロ-4-フルオロ-2’,6’-ジメチル-[1,1’-ビフェニル]-3-イル)-3-((S)-2-(5-(2-(3-メトキシアゼチジン-1-イル)エチル)-2-オキソ-4-(トリフルオロメチル)ピリジン-1(2H)-イル)-4-メチルペンタンアミド)プロパン酸;
g.(S)-3-((S)-2-(5-(2-(ジメチルアミノ)エチル)-2-オキソ-4-(トリフルオロメチル)ピリジン-1(2H)-イル)-4-メチルペンタンアミド)-3-(4-フルオロ-2’,4’,5,6’-テトラメチル-[1,1’-ビフェニル]-3-イル)プロパン酸;
h.(S)-3-(4,4’-ジフルオロ-2’,5,6’-トリメチル-[1,1’-ビフェニル]-3-イル)-3-((S)-2-(3-(ジフルオロメチル)-5-(2-(ジメチルアミノ)エチル)-2-オキソピリジン-1(2H)-イル)-4-メチルペンタンアミド)プロパン酸;
i.(S)-3-((S)-2-(5-(2-(ジメチルアミノ)エチル)-4-メチル-2-オキソピリジン-1(2H)-イル)-5-メチルヘキサンアミド)-3-(4-フルオロ-2’,5,6’-トリメチル-[1,1’-ビフェニル]-3-イル)プロパン酸;
j.(S)-3-(4-フルオロ-2’,5,6’-トリメチル-[1,1’-ビフェニル]-3-イル)-3-((S)-2-(3-フルオロ-5-(2-(3-フルオロアゼチジン-1-イル)エチル)-2-オキソピリジン-1(2H)-イル)-4-メチルペンタンアミド)プロパン酸;および
k.(S)-3-(4-フルオロ-2’,5,6’-トリメチル-[1,1’-ビフェニル]-3-イル)-3-((S)-2-(3-フルオロ-5-(2-((R)-3-フルオロピロリジン-1-イル)エチル)-2-オキソピリジン-1(2H)-イル)-4-メチルペンタンアミド)プロパン酸。
一部の実施形態では、化合物は、式(Ia)の化合物またはその薬学的に許容可能な塩であってもよい:
Figure 0007702004000154
式中、
は、CFであり;
は、置換または非置換の-(C1-)アルキレン-N-(R)(R)であり;
およびRは独立して、置換または非置換の(C-C)-アルキルであるか;またはRおよびRは、それらが結合するNと共に4~6員の環を形成し;
は、Hであり;
は、置換または非置換の(C-C)アルキルであり;
3aおよびR3bは独立して、H、置換または非置換の(C-C)-アルキル、置換または非置換の(C-C)-シクロアルキル、置換または非置換の3~6員のヘテロシクロアルキル、-OH、-CN、ハロゲン化物、CF、C(H)F、C(F)H2、-(C-C)-アルコキシ、-OCFおよび置換または非置換の(C-C)-アルキレン-(C-C)-アルコキシからなる群から選択されるが、ただし、R3aおよびR3bの両方ともがHであることはないものとし;
3cは、Hであり;
3dは、ハロゲン化物であり;
は、Hであり;
5aおよびR5eはそれぞれ独立して、(C-C)-アルキルから選択され;および
5b、R5c、およびR5dは独立して、H、CN、ハロゲン化物、CF、C(H)F、C(F)H、-CHCF、置換または非置換の(C-C)-アルキル、置換または非置換の(C-C)-シクロアルキル、置換または非置換の3~6員のヘテロシクロアルキル、ヒドロキシル、および(C-C)-アルコキシからなる群から選択され;
式(Ia)の化合物は、以下からなる群から選択されないものとする:
Figure 0007702004000155
一部の実施形態では、化合物は、式(Ib)の化合物またはその薬学的に許容可能な塩であってもよい:
Figure 0007702004000156
式中、
は、CFであり;
は、置換または非置換の-(C1-)アルキレン-N-(R)(R)であり;
およびRは独立して、置換または非置換の(C-C)-アルキルであるか;またはRおよびRは、それらが結合するNと共に4~6員の環を形成し;
は、Hであり;
は、置換または非置換の(C-C)アルキルであり;
3aおよびR3bは独立して、H、置換または非置換の(C-C)-アルキル、置換または非置換の(C-C)-シクロアルキル、置換または非置換の3~6員のヘテロシクロアルキル、-OH、-CN、ハロゲン化物、CF、C(H)F、C(F)H2、-(C-C)-アルコキシ、-OCFおよび置換または非置換の(C-C)-アルキレン-(C-C)-アルコキシからなる群から選択されるが、ただし、R3aおよびR3bの両方ともがHであることはないものとし;
3cは、Hであり;
3dは、ハロゲン化物であり;
は、Hであり;
5aおよびR5eはそれぞれ独立して、(C-C)-アルキルから選択され;および
5b、R5c、およびR5dは独立して、H、CN、ハロゲン化物、CF、C(H)F、C(F)H、-CHCF、置換または非置換の(C-C)-アルキル、置換または非置換の(C-C)-シクロアルキル、置換または非置換の3~6員のヘテロシクロアルキル、ヒドロキシル、および(C-C)-アルコキシからなる群から選択され;
式(Ib)の化合物は、以下からなる群から選択されないものとする:
Figure 0007702004000157
実施例1.α4β7阻害剤合成に関する一般的なスキーム
β-アミノ酸の合成
β-アミノ酸の合成は、例えば限定されないが、“Enantioselective Synthesis of β‐Amino Acids,”Second Edition,Editors:Eusebio Juaristi,Vadim A.Soloshonok,First published:27 January 2005, John Wiley&Sons,Inc.;Ellman et. Al Acc.Chem. Res.2002.35,984-995;Franklin A.Davis and Bang-Chi Chen Chem.Soc.Rev.,1998,27,13-18;Jacobsen,M.F.;Skrydstrup,T.J.Org. Chem.2003,68,7122;Tang,T.P.;Ellman,J. A.J. Org. Chem.2002,67,7819;and Tang,T.P.;Ellman,J.A.J.Org.Chem.1999,64,12などの文献中に記載される公知の手順を使用して実施することができる。
還元的アミノ化
Figure 0007702004000158
手順A:アミン(1当量)、アルデヒド(1.2当量)のDCM(1~2mL/mmolアミン)の混合液を、室温で30分間攪拌した。次いでNaBH(OAc)(1.5当量)を数回に分けて加えて、室温で一晩攪拌した。溶媒を真空中で濃縮し、残留物をシリカゲルクロマトグラフィーにより精製して、所望のアミンを得た。
手順B:アルデヒド(1当量)、アミン(1.05~2当量)のDCE(3~4mL/mmolのアルデヒド)の混合液を室温で10~30分間攪拌した。次いで、NaBH(OAc)(3~4当量)を数回に分けて加え、LC/MSが完了するまで室温1~16で攪拌した。溶媒を真空中で濃縮し、残留物をシリカゲルクロマトグラフィーにより精製して、所望のアミンを得た。
手順C:アルデヒド(1当量)、AcOH(1.2当量)、アミン(1.05~2当量)のDCM(2~3mL/mmolアルデヒド)と、MeOH(0.5mL/mmolアルデヒド)の混合液を、室温で15~30分間攪拌した。次いでNaBH(OAc)(2当量)を数回に分けて加えて、LC/MSが完了するまで室温1~16で攪拌した。溶媒を真空中で濃縮し、残留物をシリカゲルクロマトグラフィーで精製して、所望のアミンを得た。
アルキル化
Figure 0007702004000159
手順A:アミン(1当量)のMeCN溶液(3~4mL/mmolアミン)に、メシル酸塩(1.5当量)およびKCO(3当量)を加えた。反応混合液を80℃で16時間攪拌した。反応混合液を真空中で濃縮し、残留物を逆相HPLCにより精製して、アルキル化生成物を得た。
Figure 0007702004000160
手順B:アミン(1当量)のMeCN溶液(3~4mL/mmolアミン)に、臭化アルキル(2当量)およびKCO(2当量)を加えた。反応混合液を80℃で16時間攪拌した。反応混合液を真空中で濃縮し、残留物を逆相HPLCにより精製して、アルキル化生成物を得た。
フェノール脱保護
Figure 0007702004000161
44%のHBr/AcOH(10mL/mmolの基質)中のメトキシピリジン(1当量)の混合液を、LCMSにより完了するまで55~75℃で5~16時間、加熱した。反応液を真空中で濃縮し、残留物を逆相HPLCにより精製して、フェノール生成物を得た。
ウィティッヒ反応
Figure 0007702004000162
手順A:(メトキシメチル)トリフェニルホスホニウムクロリド(1.5当量)、t-BuOK(2.5当量)のジオキサン(2mL/mmol ホスホニウム塩)の混合液を、室温で15分間攪拌した。次いで、アルデヒド(1当量)のTHF(1mL/mmolアルデヒド)の溶液を加えた。混合液を室温で2~16時間攪拌した。反応混合液を完成させ(水で希釈し、EtOAcで抽出した;一つにまとめた抽出物をNaSOで乾燥させ、濾過し、濃縮した)、シリカゲルクロマトグラフィーで精製して、エノールエーテル生成物を得た。
手順B:(メトキシメチル)トリフェニルホスホニウムクロリド(1.1当量)、t-BuOK(2.5当量)のTHF(4mL/mmol ホスホニウム塩)の混合液を、0℃で1時間攪拌した。次いで、アルデヒド(1当量)のTHF(2mL/mmolアルデヒド)溶液を加えた。混合液を室温で16時間攪拌した。反応混合液を完成させ(水で希釈し、EtOAcで抽出した;一つにまとめた抽出物をNaSOで乾燥させ、濾過し、濃縮した)、シリカゲルクロマトグラフィーで精製して、エノールエーテル生成物を得た。
エノールエーテルからアルデヒド
Figure 0007702004000163

手順A:エノールエーテル(1当量)を、TFA(2mL/mmol)を用いて室温で4時間処理した。溶媒を真空中で除去して、所望のアルデヒドを得た。
手順B:エノールエーテル(1当量)を、HCOOH(2mL/mmol)を用いて70℃で2時間処理した。溶媒を真空中で除去して、所望のアルデヒドを得た。
手順C:エノールエーテル(1当量)のDCM溶液(15mL/mmolエノールエーテル)に、TFA(2mL/mmol)および水(0.25mL/mmolエノールエーテル)を加えた。反応混合液を45℃で18時間攪拌した。反応液を完成させ(NaHCOでクエンチし、DCMで抽出した;一つにまとめた抽出物をNaSOで乾燥させ、ろ過および濃縮した)、所望のアルデヒドを得た。
スティル反応
Figure 0007702004000164
下、臭化アリール(1当量)およびアリルスタンナン(1.2当量)のDMF溶液(3mL/mmol 臭化アリール)に、Pd(PPh(0.1当量)を添加した。反応液を、100℃で16時間攪拌した。反応液を真空中で濃縮し、次いでEtOAcで希釈し、20%KF水溶液に注ぎ、1時間攪拌して抽出した。一つにまとめた有機層をNaSOで乾燥させ、ろ過および濃縮し、シリカゲルクロマトグラフィーにより精製して、所望の生成物を得た。
アルケンからアルデヒド
Figure 0007702004000165
0℃のアルケン(1当量)のTHF/HO(1:1)溶液(10mL/mmolのアルケン)に、KOsO-2HO(0.01当量)を加えた。混合液を0℃で5分間攪拌し、次いでNaIO(3当量)のHO溶液(1mL/mmolアルケン)を滴下して加えて、0℃で1時間攪拌し、次いで室温まで加温し、LCMSにより完了するまで攪拌した。反応液を完成させ(水で希釈し、EtOAcで抽出した;一つにまとめた有機層をNaSOで乾燥させ、ろ過および濃縮した)、所望のアルデヒドを得た。
エステルから酸
Figure 0007702004000166
エステル(1当量)を、LiOH-HO(3~5当量)のMeOH(1~3mL/mmol エステル)および水(1~3mL/mmol エステル)の溶液を用いて、室温で1~5時間処理した。反応液を、1N HClを用いてpH=3に酸性化し、濃縮した。残留物を、分取HPLCにより精製し、所望のカルボン酸生成物を得た。
アミン保護
Figure 0007702004000167
アミン(1当量)、DIEA(3当量)、およびBocO(2当量)の混合物を、DCM(5mL/mmol アミン)中、LCMSにより完了されるまで、室温で16時間攪拌した。反応液を完成させ(0.5N HCl、飽和NaHCO、ブラインで洗浄し、DCMで抽出した;一つにまとめた有機層を、NaSOで乾燥させ、ろ過および濃縮した)、シリカゲルクロマトグラフィーにより精製した。
アリールボランの調製
Figure 0007702004000168
臭化アリール(1当量)、Bpin(1.2当量)、Pd(dppf)Cl(0.05当量)、およびKOAc(3当量)のジオキサン混合液(10mL/mmol臭化アリール)を、N下、LCMSにより完了するまで2~5時間、110℃で攪拌した。反応液を濾過し、真空中で濃縮して、シリカゲルクロマトグラフィーにより精製して、所望の臭化アリールを得た。
スズキカップリング
“Palladium-Catalyzed Cross-Coupling Reactions of Organoboron Compounds”N.Miyaura;A.Suzuki Chem.Rev.1995,957,2457-2483。
Figure 0007702004000169
手順A:アリールボラン(1当量)のジオキサン溶液(10mL/mmol アリールボラン)に、臭化アリール(1.2当量)、Pd(dppf)Cl(0.1当量)、KCO(2当量)、および水(2mL/mmol)を加えた。反応物液、N下、110℃で3時間攪拌した。反応を完成させ(ブラインで洗浄し、EtOAcで抽出した;一つにまとめた抽出物をNaSOで乾燥させ、濾過し、濃縮した)、シリカゲルクロマトグラフィーで精製して、所望のビアリール生成物を得た。
Figure 0007702004000170
手順B:臭化アリール(1当量)およびアリールボラン(1.1当量)のジオキサン溶液(10mL/mmol 臭化アリール)に、KCO(2当量)の水溶液(2mL/mmol)およびPd(dppf)Cl(0.1当量)を添加した。反応物液、N下、110℃で2時間攪拌した。反応を完成させ(ブラインで洗浄し、EtOAcで抽出した;一つにまとめた抽出物をNaSOで乾燥させ、濾過し、濃縮した)、シリカゲルクロマトグラフィーで精製して、所望のビアリール生成物を得た。
Figure 0007702004000171
手順C:臭化アリール(1当量)、アリールボラン(2.0当量)、KCO(3当量)、およびPd(dppf)Cl(0.05当量)のジオキサン(10mL/mmol 臭化アリール)と水(1mL/mmol)の混合液を、LCMSにより完了されるまで、N下、110℃で2時間攪拌した。反応を完成させ(ブラインで洗浄し、EtOAcで抽出した;一つにまとめた抽出物をNaSOで乾燥させ、濾過し、濃縮した)、シリカゲルクロマトグラフィーで精製して、所望のビアリール生成物を得た。
Boc脱保護
Figure 0007702004000172
Boc保護アミン(1当量)のDCM溶液(4mL/mmol アミン)を、4M HCl-ジオキサン(12当量)に添加した。反応液を、LCMSにより完了されるまで、1~2時間攪拌した。反応液を真空中で濃縮して、所望のアミンを得た。
t-ブチルスルフィニル脱保護
Figure 0007702004000173
t-ブチルスルフィニルアミン(1当量)のDCM溶液(0.5mL/mmol)に、4MのHCl-ジオキサン(1.7当量)を加えた。反応液を、LCMSにより完了されるまで、0.5~1時間攪拌した。反応液を濃縮して、分取HPLCにより精製し、所望のアミンを得た。
アミド結合形成
“Peptide Coupling Reagents,More than a Letter Soup”A.El-Faham,F.Albericio Chem.Rev.2011,111,11,6557-6602;“Amide bond formation and peptide coupling”C.A.G.N.Montalbetti;V. Falque Tetrahedron 2005,61,10827-10852。
Figure 0007702004000174
アミン(1当量)、カルボン酸(1当量)、TCFH(2当量)、およびNMI(4当量)のCHCN(10mL/mmol アミン)での混合液を、LCMSにより完了されるまで、室温で1~2時間攪拌した。反応液を真空中で濃縮し、シリカゲルクロマトグラフィーにより精製して、所望のアミン生成物を得た。
エステル加水分解
Figure 0007702004000175
エステル(1当量)を、LiOH-HO(3~5当量)のMeOH(1~3mL/mmol エステル)および水(1~3mL/mmol エステル)の溶液を用いて、室温で1~5時間処理した。反応液を、1N HClを用いてpH=4~5に酸性化し、濃縮した。残留物を、分取HPLCにより精製し、所望のカルボン酸生成物を得た。
分析方法
LCMS分析方法
最終化合物を、214nmおよび254nmのUV検出器のモニタリング、およびESI+イオン化モードで110~800amuをスキャンする質量分析でのLC/MS条件を使用して分析した。
LC/MS A:カラム:XBridge C18、4.6 X 50mm、3.5μm、移動相:A 水(10mMの炭酸水素アンモニウム)、B CHCN;勾配:1.4分で5%~95%B、次いで、1.6分間保持;流速:1.8mL/分;オーブン温度 50℃。
LC/MS B:カラム:SunFire C18、4.6 X 50mm、3.5μm;移動相:A 水(0.01% TFA)、B CHCN;勾配:1.5分で5%~95%B、次いで、1.5分間保持;流速:2.0mL/分;オーブン温度 50℃。
LC/MS C:カラム:XBridge C18、4.6 X 50mm、3.5μm、移動相:A 水(10mMの炭酸水素アンモニウム)、B CH3CN;勾配:1.5分で5%~95%B、次いで、1.5分間保持;流速:1.8mL/分;オーブン温度 50℃。
LC/MS D:カラム:Poroshell 120 EC-C138、4.6 X 30mm、2.7μm;移動相:A 水(0.01% TFA)、B CHCN(0.01% TFA);勾配:1.2分で5%~95%B、次いで、1.8分間保持;流速:2.2mL/分;オーブン温度50℃。
実施例2A.中間体の調製
(S)-3-(5-ブロモ-2-フルオロ-3-メチルフェニル)-3-((tert-ブトキシカルボニル)アミノ)プロパン酸エチルの調製
工程1:5-ブロモ-2-フルオロ-3-メチルベンズアルデヒド
Figure 0007702004000176
窒素雰囲気下、-78℃で、4-ブロモ-1-フルオロ-2-メチルベンゼン(10.0g、52.9mmol、1.0当量)の無水THF溶液(100.0mL)に、リチウムジイソプロピルアミド(2.0M、39.7mL、79.4mmol、1.5当量)を滴下して10分間にわたり加え、1時間、-78℃で攪拌した。DMF(15.0mL)を滴下して加え、混合液を-78℃で2時間攪拌した。LCMSは、反応が完了したことを示した。反応混合液を飽和NHCl水溶液(100mL)を用いて0℃でクエンチし、EtOAc(100mLx2)を用いて抽出した。有機層をブライン(100mL)で洗浄し、無水NaSOで乾燥させ、濾過し、真空中で濃縮した。得られた残留物を、シリカゲルカラム(石油エーテル:EtOAc 9:1)により精製し、白色固形物として、5-ブロモ-2-フルオロ-3-メチルベンズアルデヒド(8.0g)を得た。収率70%(ESI 218.9[M+H])。
工程2:(R,E)-N-(5-ブロモ-2-フルオロ-3-メチルベンジリデン)-2-メチルプロパン-2-スルフィンアミド
Figure 0007702004000177
窒素雰囲気下、5-ブロモ-2-フルオロ-3-メチルベンズアルデヒド(8.0g、36.9mmol、1.00当量)および(R)-2-メチルプロパン-2-スルフィンアミド(5.4g、44.3mmol、1.2当量)の無水THF(80mL)の混合液に、Ti(OEt)(12.6g、55.4mmol、1.50当量)を30℃未満に温度を維持しながら室温で滴下して加えた。反応混合液を40℃に加温し、1時間攪拌した。LCMSは、反応が完了したことを示した。水(80mL)およびEtOAc(80mL)を混合液に加え、室温で5分間攪拌した。混合液を濾過し、EtOAc(50mL)で洗浄した。ろ過液を分離させた。有機層を水(100mL)およびブライン(100mL)で洗浄し、無水NaSOで乾燥させ、ろ過、および真空中で濃縮し、粗生成物の(R,E)-N-(5-ブロモ-2-フルオロ-3-メチルベンジリデン)-2-メチルプロパン-2-スルフィンアミド(12.0g、粗)を黄色固形物として得て、これをさらに精製することなく次の工程に使用した。収率100%(ESI 320.0[M+H])。
工程3:(S)-3-(5-ブロモ-2-フルオロ-3-メチルフェニル)-3-(((R)-tert-ブチルスルフィニル)アミノ)プロパン酸エチル
Figure 0007702004000178
窒素雰囲気下、Zn(12.2g、187.5mmol、5.0当量)のTHF混合液(200mL)に、クロロトリメチルシラン(0.8g、7.5mmol、0.2当量)を室温で滴下して加えた。混合液を窒素雰囲気下、60℃で1時間攪拌し、20~30℃に冷却した。2-ブロモ酢酸エチル(1.57g、9.4mmol、0.25当量)を20~30℃で滴下して加えた。反応混合液が発熱し始めたら、残りの2-ブロモ酢酸エチル(14.4g、86.3mmol、2.3当量)を滴下して加えて、その間、反応混合液を50~60℃に維持した。添加完了後、反応混合液を、窒素雰囲気下、60℃で1時間攪拌した。反応混合液を0℃に冷却し、(R,E)-N-(5-ブロモ-2-フルオロ-3-メチルベンジリデン)-2-メチルプロパン-2-スルフィンアミド(12.0g、37.5mmol)の無水THF(30mL)の溶液を滴下して加え、25℃で1時間攪拌した。LCMSは、反応が完了したことを示した。MTBE(150mL)およびクエン酸(3g)の水溶液(100mL)を、混合液に加えた。混合物を分離させた。水層を、MTBE(150mLx2)で抽出した。一つにまとめた有機層をブライン(200mL)で洗浄し、無水NaSOで乾燥させ、ろ過し、真空中で濃縮した。残留物を、シリカゲルカラム(石油エーテル:EtOAc 3:1)により精製して、(S)-3-(5-ブロモ-2-フルオロ-3-メチルフェニル)-3-(((R)-tert-ブチルスルフィニル)アミノ)プロパン酸エチル(9.0g)を得た。収率59%(ESI 408.0[M+H])。
工程4:(S)-3-アミノ-3-(5-ブロモ-2-フルオロ-3-メチルフェニル)プロパン酸エチル
Figure 0007702004000179
(S)-3-(5-ブロモ-2-フルオロ-3-メチルフェニル)-3-(((R)-tert-ブチルスルフィニル)アミノ)プロパン酸エチル(8.0g、19.6mmol、1.00当量)のDCM溶液(20mL)に、HCl-ジオキサン(4M、20mL、80.0mmol、4.08当量)を加え、室温で4時間攪拌した。LCMSは、反応が完了したことを示した。混合液をろ過し、真空中で濃縮して、粗生成物の(S)-3-アミノ-3-(5-ブロモ-2-フルオロ-3-メチルフェニル)プロパン酸エチル(8.0g)を黄色油状物として得て、これを次の工程にさらに精製することなく使用した。収率100%(ESI 304.2[M+H])。
工程5:エチル(S)-エチル3-(5-ブロモ-2-フルオロ-3-メチルフェニル)-3-(tert-ブトキシカルボニルアミノ)プロパン酸塩
Figure 0007702004000180
(S)-3-アミノ-3-(5-ブロモ-2-フルオロ-3-メチルフェニル)プロパン酸エチル(8.0g、19.6mmol、1.00当量)のDCM溶液(100mL)に、DIEA(7.6g、59.0mmol、3.00当量)およびBocO(8.6g、39.2mmol、2.00当量)を加えた。反応混合物を室温で16時間攪拌した。LCMSは、反応が完了したことを示した。反応混合液をDCM(200mL)で希釈し、0.5N HCl(50mL×3)、飽和NaHCO(50mL)、およびブライン(50mL)で洗浄した。有機層をNaSOで乾燥させ、ろ過し、真空中で濃縮した。残留物を、シリカゲルカラム(石油エーテル:EtOAc 3:1)により精製して、(S)-3-(5-ブロモ-2-フルオロ-3-メチルフェニル)-3-((tert-ブトキシカルボニル)アミノ)プロパン酸エチル(6.0g)を褐色油状物として得た。収率75%(ESI 404.1(M+H))。
(S)-3-((tert-ブトキシカルボニル)アミノ)-3-(2-フルオロ-3-メチル-5-(4,4,5,5-テトラメチル-1,3,2-ジオキサボロラン-2-イル)フェニル)プロパン酸エチルの調製
Figure 0007702004000181
(S)-3-(5-ブロモ-2-フルオロ-3-メチルフェニル)-3-((tert-ブトキシカルボニル)アミノ)プロパン酸エチル(1.0g、2.48mmol、1.0当量)、ビス(ピナコラート)ジボロン(756.28mg、2.98mmol、1.2当量)、Pd(dppf)Cl(90.65mg、0.13mmol、0.05当量)およびKOAc(729.12mg、7.44mmol、3.0当量)の1,4-ジオキサン(20mL)の混合液を、110℃で3時間、窒素雰囲気下で攪拌した。反応混合液を室温に冷却し、ろ過し、真空中で濃縮した。残留物をシリカゲルカラム(石油エーテル:EtOAc 2:1)により精製して、(S)-エチル3-(tert-ブトキシカルボニルアミノ)-3-(2-フルオロ-3-メチル-5-(4,4,5,5-テトラメチル-1,3,2-ジオキサボロラン-2-イル)フェニル)プロパン酸塩(1.0g)を無色油状物として得た。収率89%(ESI 452.2(M+H))。
(S)-3-アミノ-3-(2’,4-ジフルオロ-5,6’-ジメチル-[1,1’-ビフェニル]-3-イル)プロパン酸エチルの調製
工程1:(S)-3-((tert-ブトキシカルボニル)アミノ)-3-(2’,4-ジフルオロ-5,6’-ジメチル-[1,1’-ビフェニル]-3-イル)プロパン酸エチル
Figure 0007702004000182
(S)-3-((tert-ブトキシカルボニル)アミノ)-3-(2-フルオロ-3-メチル-5-(4,4,5,5-テトラメチル-1,3,2-ジオキサボロラン-2-イル)フェニル)プロパン酸エチル(300mg、0.66mmol、1.0当量)のジオキサン溶液(5mL)に、2-ブロモ-1-フルオロ-3-メチルベンゼン(150mg、0.79mmol、1.2当量)、Pd(dppf)Cl(48mg、0.066mmol、0.1当量)、KCO(182mg、1.32mmol、2.0当量)および水(1mL)を加えた。反応混合液を、窒素雰囲気下、110℃で3時間攪拌した。水(10mL)を加え、溶液をEtOAc(20mL×3)で抽出した。一つにまとめた有機層をブライン(100mL)で洗浄し、無水NaSOで乾燥させ、ろ過し、真空中で濃縮した。残留物を、シリカゲルカラム(石油エーテル:EtOAc 8:1)により精製して、(S)-3-((tert-ブトキシカルボニル)アミノ)-3-(2’,4-ジフルオロ-5,6’-ジメチル-[1,1’-ビフェニル]-3-イル)プロパン酸エチル(210mg)を無色油状物として得た。収率73%(ESI 334.1[M+H-100])。
工程2:(S)-3-アミノ-3-(2’,4-ジフルオロ-5,6’-ジメチル-[1,1’-ビフェニル]-3-イル)プロパン酸エチル
Figure 0007702004000183
(S)-3-((tert-ブトキシカルボニル)アミノ)-3-(2’,4-ジフルオロ-5,6’-ジメチル-[1,1’-ビフェニル]-3-イル)プロパン酸エチル(210mg、0.48mmol、1.0当量)のDCM(2mL)の攪拌溶液に、HCl-ジオキサン(4M、3.0mL、6.0mmol、12.5当量)を加えた。混合液を室温で2時間攪拌した。LCMSは、反応が完了したことを示した。混合液を真空中で濃縮して、無色油状物として、(S)-3-アミノ-3-(2’,4-ジフルオロ-5,6’-ジメチル-[1,1’-ビフェニル]-3-イル)プロパン酸エチル(160mg)を得た。収率99%((ESI 334.1[M+H])。
(S)-3-アミノ-3-(2’-シアノ-4-フルオロ-5,6’-ジメチル-[1,1’-ビフェニル]-3-イル)プロパン酸エチル塩酸塩の調製
工程1:(S)-3-((tert-ブトキシカルボニル)アミノ)-3-(2’-シアノ-4-フルオロ-5,6’-ジメチル-[1,1’-ビフェニル]-3-イル)プロパン酸エチル
Figure 0007702004000184
(S)-3-((tert-ブトキシカルボニル)アミノ)-3-(2-フルオロ-3-メチル-5-(4,4,5,5-テトラメチル-1,3,2-ジオキサボロラン-2-イル)フェニル)プロパン酸エチル(350mg、0.77mmol、1.0当量)のジオキサン溶液(10mL)に、2-ブロモ-3-メチルベンゾニトリル(226mg、1.16mmol、1.5当量)、Pd(dppf)Cl(56mg、0.077mmol)、KCO(193mg、1.4mmol、1.8当量)および水(2mL)を加えた。反応混合液を、窒素雰囲気下、110℃で3時間攪拌した。水(20mL)を加え、溶液をEtOAc(20mL×3)で抽出した。一つにまとめた有機相をブライン(50mL)で洗浄し、無水NaSOで乾燥させ、ろ過し、真空中で濃縮した。残留物を、シリカゲルカラム(石油エーテル:EtOAc 4:1)により精製して、無色油状物として、(S)-3-((tert-ブトキシカルボニル)アミノ)-3-(2’-シアノ-4-フルオロ-5,6’-ジメチル-[1,1’-ビフェニル]-3-イル)プロパン酸エチル(260mg)を得た。収率76%(ESI 341.1[M+H-100])。
工程2:(S)-3-アミノ-3-(2’-シアノ-4-フルオロ-5,6’-ジメチル-[1,1’-ビフェニル]-3-イル)プロパン酸エチル塩酸塩
Figure 0007702004000185
(S)-3-((tert-ブトキシカルボニル)アミノ)-3-(2’-シアノ-4-フルオロ-5,6’-ジメチル-[1,1’-ビフェニル]-3-イル)プロパン酸エチル(230mg、0.52mmol、1.0当量)のDCM溶液(2mL)に、HCl-ジオキサン(4M、2.0mL、4.0mmol、7.7当量)を加えた。混合液を室温で1時間攪拌した。LCMSは、反応が完了したことを示した。混合液を真空中で濃縮して、黄色油状物として、(S)-3-アミノ-3-(2’-シアノ-4-フルオロ-5,6’-ジメチル-[1,1’-ビフェニル]-3-イル)プロパン酸エチル塩酸塩(180mg)を得た。収率91%(ESI 341.1[M+H])。
(S)-3-アミノ-3-(2’-クロロ-4-フルオロ-5,6’-ジメチル-[1,1’-ビフェニル]-3-イル)プロパン酸エチルの調製
工程1:(S)-3-((tert-ブトキシカルボニル)アミノ)-3-(2’-クロロ-4-フルオロ-5,6’-ジメチル-[1,1’-ビフェニル]-3-イル)プロパン酸エチル
Figure 0007702004000186
(S)-3-((tert-ブトキシカルボニル)アミノ)-3-(2-フルオロ-3-メチル-5-(4,4,5,5-テトラメチル-1,3,2-ジオキサボロラン-2-イル)フェニル)プロパン酸エチル(1.0g、2.22mmol、1.00当量)、2-ブロモ-1-クロロ-3-メチルベンゼン(543mg、2.66mmol、1.20当量)、KCO(613mg、4.44mmol、2.0当量)およびPd(dppf)Cl(81mg、0.11mmol、0.05当量)のジオキサン(10mL)とHO(2mL)の混合液を、窒素雰囲気下、110℃で2時間攪拌した。水(30mL)を加え、溶液をEtOAc(30mL×3)で抽出した。一つにまとめた有機層をブライン(100mL)で洗浄し、無水NaSOで乾燥させ、ろ過し、真空中で濃縮した。残留物を、シリカゲルカラム(石油エーテル:EtOAc 2:1)により精製して、無色油状物として、(S)-3-((tert-ブトキシカルボニル)アミノ)-3-(2’-クロロ-4-フルオロ-5,6’-ジメチル-[1,1’-ビフェニル]-3-イル)プロパン酸エチル(800mg)を得た。収率80%(ESI 450.18[M+H])。
工程2:(S)-3-アミノ-3-(2’-クロロ-4-フルオロ-5,6’-ジメチル-[1,1’-ビフェニル]-3-イル)プロパン酸エチル
Figure 0007702004000187
(S)-3-((tert-ブトキシカルボニル)アミノ)-3-(2’-クロロ-4-フルオロ-5,6’-ジメチル-[1,1’-ビフェニル]-3-イル)プロパン酸エチル(300mg、0.67mmol、1.00当量)のDCM溶液(9mL)に、HCl-ジオキサン(4M、9.0mL、36.0mmol、53.73当量)を加え、室温で1時間攪拌した。LCMSは、反応が完了したことを示した。混合液を真空中で濃縮して、(S)-3-アミノ-3-(2’-クロロ-4-フルオロ-5,6’-ジメチル-[1,1’-ビフェニル]-3-イル)プロパン酸エチル(200mg)を白色固形物として得て、これをさらに精製することなく次の反応に直接使用した。収率86%(ESI 350.1[M+H])。
(S)-3-アミノ-3-(2’-シクロプロピル-4-フルオロ-5,6’-ジメチル-[1,1’-ビフェニル]-3-イル)プロパン酸エチルの調製
工程1:(S)-3-((tert-ブトキシカルボニル)アミノ)-3-(2’-シクロプロピル-4-フルオロ-5,6’-ジメチル-[1,1’-ビフェニル]-3-イル)プロパン酸エチル
Figure 0007702004000188
(S)-3-((tert-ブトキシカルボニル)アミノ)-3-(2’-クロロ-4-フルオロ-5,6’-ジメチル-[1,1’-ビフェニル]-3-イル)プロパン酸エチル(500mg、1.12mmol、1.00当量)、シクロプロピルボロン酸(116mg、1.35mmol、1.20当量)、KPO(475mg、2.24mmol、2.00当量)、PCy(31mg、0.11mmol、0.10当量)およびPd(OAc)(11mg、0.11mmol、0.10当量)のジオキサン(10mL)とHO(2mL)の混合液を、窒素雰囲気下、110℃で36時間攪拌した。水(30mL)を加え、溶液をEtOAc(30mL×3)で抽出した。一つにまとめた有機相をブライン(20mL)で洗浄し、無水NaSOで乾燥させ、ろ過し、真空中で濃縮した。残留物を、シリカゲルカラム(石油エーテル:EtOAc 2:1)により精製して、無色油状物として、(S)-3-((tert-ブトキシカルボニル)アミノ)-3-(2’-シクロプロピル-4-フルオロ-5,6’-ジメチル-[1,1’-ビフェニル]-3-イル)プロパン酸エチル(400mg)を得た。収率79%(ESI 456.2[M+H])。
工程2:(S)-3-アミノ-3-(2’-シクロプロピル-4-フルオロ-5,6’-ジメチル-[1,1’-ビフェニル]-3-イル)プロパン酸エチル
Figure 0007702004000189
(S)-3-((tert-ブトキシカルボニル)アミノ)-3-(2’-シクロプロピル-4-フルオロ-5,6’-ジメチル-[1,1’-ビフェニル]-3-イル)プロパン酸エチル(400mg、0.88mmol、1.0当量)のDCM(9mL)の混合液、HCl-ジオキサン(4M、9.0mL、36.0mmol、40.9当量)を加え、室温で1時間攪拌した。LCMSは、反応が完了したことを示した。混合液を真空中で濃縮して、(S)-3-アミノ-3-(2’-シクロプロピル-4-フルオロ-5,6’-ジメチル-[1,1’-ビフェニル]-3-イル)プロパン酸エチル(300mg)を白色固形物として得て、これをさらに精製することなく次の反応に直接使用した。収率96%(ESI 356.2 [M+H])。
(S)-3-アミノ-3-(4-フルオロ-4’-メトキシ-2’,5,6’-トリメチル-[1,1’-ビフェニル]-3-イル)プロパン酸エチル塩酸塩の調製
工程1:(S)-3-アミノ-3-(2’-エチル-4-フルオロ-5,6’-ジメチル-[1,1’-ビフェニル]-3-イル)プロパン酸エチル塩酸塩
Figure 0007702004000190
(S)-3-((tert-ブトキシカルボニル)アミノ)-3-(2-フルオロ-3-メチル-5-(4,4,5,5-テトラメチル-1,3,2-ジオキサボロラン-2-イル)フェニル)プロパン酸エチル(350mg、0.77mmol、1.0当量)のジオキサン溶液(10mL)に、1-エチル-2-ヨード-3-メチルベンゼン(286mg、1.16mmol、1.5当量)、Pd(dppf)Cl(56mg、0.077mmol、0.1当量)、KCO(193mg、1.4mmol、1.8当量)と水(2mL)を加えた。反応混合液を、窒素雰囲気下、110℃で3時間攪拌した。水(10mL)を加え、溶液をEtOAc(20mL×3)で抽出した。一つにまとめた有機相をブライン(60mL)で洗浄し、無水NaSOで乾燥させ、ろ過し、真空中で濃縮した。残留物を、シリカゲルカラム(石油エーテル:EtOAc 4:1)により精製して、無色油状物として、(S)-3-((tert-ブトキシカルボニル)アミノ)-3-(2’-エチル-4-フルオロ-5,6’-ジメチル-[1,1’-ビフェニル]-3-イル)プロパン酸エチル(240mg)を得た。収率70%(ESI 344.2[M+H-100])。
工程2:(S)-3-アミノ-3-(2’-エチル-4-フルオロ-5,6’-ジメチル-[1,1’-ビフェニル]-3-イル)プロパン酸エチル塩酸塩
Figure 0007702004000191
(S)-3-((tert-ブトキシカルボニル)アミノ)-3-(2’-エチル-4-フルオロ-5,6’-ジメチル-[1,1’-ビフェニル]-3-イル)プロパン酸エチル(210mg、0.47mmol、1.0当量)のDCM(2mL)の攪拌溶液に、HCl-ジオキサン(4M、3.0mL、6.0mmol、12.8当量)を加えた。混合液を室温で1時間攪拌した。LCMSは、反応が完了したことを示した。混合液を真空中で濃縮して、無色油状物として、(S)-3-アミノ-3-(2’-エチル-4-フルオロ-5,6’-ジメチル-[1,1’-ビフェニル]-3-イル)プロパン酸エチル塩酸塩(170mg)を得た。収率94%(ESI 344.1 [M+H])。
(S)-エチル 3-アミノ-3-(4-フルオロ-2’-メトキシ-5,6’-ジメチルビフェニル-3-イル)プロパン酸塩の調製
工程1:(S)-3-(((R)-tert-ブチルスルフィニル)アミノ)-3-(4-フルオロ-2’,4’,5,6’-テトラメチル-[1,1’-ビフェニル]-3-イル)プロパン酸エチル
Figure 0007702004000192
(S)-エチル3-(tert-ブトキシカルボニルアミノ)-3-(2-フルオロ-3-メチル-5-(4,4,5,5-テトラメチル-1,3,2-ジオキサボロラン-2-イル)フェニル)プロパン酸塩(1g、2.22mmol、1.0当量)、2-ブロモ-1-メトキシ-3-メチルベンゼン(666mg、3.33mmol、1.5当量)、KCO(919mg、6.66mmol、3.0当量)およびPd(dppf)Cl(162mg、0.222mmol、0.1当量)のジオキサン(15mL)とHO(1.5mL)の混合液を、窒素雰囲気下、100℃で3時間攪拌した。LCMSは、反応が完了したことを示した。反応混合液を室温まで冷却した。水(50mL)を加え、混合液をEtOAc(50mL×3)で抽出した。混合有機層をブライン(100mL)で洗浄し、NaSOで乾燥させ、ろ過し、真空中で濃縮した。残留物を、シリカゲルカラム(石油エーテル:EtOAc 2:1)により精製して、(S)-エチル3-(tert-ブトキシカルボニルアミノ)-3-(4-フルオロ-2’-メトキシ-5,6’-ジメチルビフェニル-3-イル)プロパン酸塩(0.96g)を黄色油状物として得た。収率97%(ESI 346.1 [M+H])。
工程2:(S)-エチル3-アミノ-3-(4-フルオロ-2’-メトキシ-5,6’-ジメチルビフェニル-3-イル)プロパン酸塩
Figure 0007702004000193
(S)-エチル3-(tert-ブトキシカルボニルアミノ)-3-(4-フルオロ-2’-メトキシ-5,6’-ジメチルビフェニル-3-イル)プロパン酸塩(0.96g、2.15mmol、1.0当量)のDCM(7mL)の攪拌溶液に、HCl-ジオキサン(4M、2.15mL、4当量)を加え、25℃で2時間攪拌した。LCMSは、反応が完了したことを示した。混合液を真空中で濃縮し、残留物を、C18/40gカラムでの逆相HPLC(A:水 10mM NHHCO、B:MeOH、0~100%)により精製して、(S)-エチル3-アミノ-3-(4-フルオロ-2’-メトキシ-5,6’-ジメチルビフェニル-3-イル)プロパン酸塩(0.6g)を黄色油状物として得た。収率81%(ESI 346.1[M+H])。
(S)-エチル3-アミノ-3-(4-フルオロ-2’-メトキシ-5-メチル-6’-(トリフルオロメチル)ビフェニル-3-イル)プロパン酸塩の調製
工程1:1-メトキシ-2-ニトロ-3-(トリフルオロメチル)ベンゼン
Figure 0007702004000194
2-ニトロ-3-(トリフルオロメチル)フェノール(1.5g、7.25mmol、1.0当量)のアセトン(20mL)の混合液に、KCO(3g、21.75mmol、3当量)およびCHI(5.15g、36.25mmol、5当量)を加え、室温で16時間攪拌した。LCMSは、反応が完了したことを示した。反応混合液をろ過し、EtOAc(20mL)で洗浄した。ろ過液を真空中で濃縮し、残留物をシリカゲルカラム(石油エーテル:EtOAc 2:1)により精製して、1-メトキシ-2-ニトロ-3-(トリフルオロメチル)ベンゼン(1.3g)を白色固形物として得た。収率81%。
工程2:2-メトキシ-6-(トリフルオロメチル)アニリン
Figure 0007702004000195
1-メトキシ-2-ニトロ-3-(トリフルオロメチル)ベンゼン(1.3g、5.88mmol、1.0当量)のEtOH(20mL)の混合液に、10% Pd/C(700mg)を加え、H雰囲気下(2L、1atm)、室温で16時間攪拌した。LCMSは、反応が完了したことを示した。反応混合液をろ過し、濾過液を真空中で濃縮して、2-メトキシ-6-(トリフルオロメチル)アニリン(0.75g)を白色固形物として得た。収率67%(ESI 192.1[M+H])。
工程3:2-ブロモ-1-メトキシ-3-(トリフルオロメチル)ベンゼン
Figure 0007702004000196
2-メトキシ-6-(トリフルオロメチル)アニリン(700mg、3.66mmol、1.0当量)のMeCN(15mL)の混合液に、t-BuONO(565mg、5.49mmol、1.5当量)およびCuBr(628mg、4.39mmol、1.2当量)を加えた。混合物を60℃で2時間攪拌した。LCMSは、反応が完了したことを示した。反応混合液を真空中で濃縮し、残留物をシリカゲルカラム(石油エーテル:EtOAc 10:1)により精製して、2-ブロモ-1-メトキシ-3-(トリフルオロメチル)ベンゼン(400mg)を無色油状物として得た。収率43%。
工程4:(S)-エチル3-(tert-ブトキシカルボニルアミノ)-3-(4-フルオロ-2’-メトキシ-5-メチル-6’-(トリフルオロメチル)ビフェニル-3-イル)プロパン酸塩
Figure 0007702004000197
2-ブロモ-1-メトキシ-3-(トリフルオロメチル)ベンゼン(400mg、1.57mmol、1.00当量、(S)-エチル3-(tert-ブトキシカルボニルアミノ)-3-(2-フルオロ-3-メチル-5-(4,4,5,5-テトラメチル-1,3,2-ジオキサボロラン-2-イル)フェニル)プロパン酸塩(708mg、1.57mmol、1.0当量)、KCO(650mg、4.71mmol、3.0当量)およびPd(dppf)Cl(115mg、0.157mmol、0.1当量)のジオキサン(8mL)およびH2O(0.8mL)の混合液を、窒素雰囲気下、110℃で4時間攪拌した。LCMSは、反応が完了したことを示した。混合液を室温まで冷却した。水(30mL)を加え、混合液をEtOAc(30mL×3)で抽出した。一つにまとめた有機相をブライン(30mL)で洗浄し、無水NaSOで乾燥させ、ろ過し、真空中で濃縮した。残留物を、シリカゲルカラム(石油エーテル:EtOAc 10:1)により精製して、無色油状物として、(S)-エチル3-(tert-ブトキシカルボニルアミノ)-3-(4-フルオロ-2’-メトキシ-5-メチル-6’-(トリフルオロメチル)ビフェニル-3-イル)プロパン酸塩(400mg)を得た。収率51%(ESI 400.1[M-Boc])。
工程5:(S)-エチル3-アミノ-3-(4-フルオロ-2’-メトキシ-5-メチル-6’-(トリフルオロメチル)ビフェニル-3-イル)プロパン酸塩
Figure 0007702004000198
(S)-エチル3-(tert-ブトキシカルボニルアミノ)-3-(4-フルオロ-2’-メトキシ-5-メチル-6’-(トリフルオロメチル)ビフェニル-3-イル)プロパン酸塩(400mg、0.8mmol、1.00当量)のDCM(6mL)の攪拌溶液に、HCl-ジオキサン(4M、0.8mL、3.2mmol、4当量)を加え、室温で2時間攪拌した。LCMSは、反応が完了したことを示した。混合液を真空中で濃縮し、残留物を、C18/120gカラムでの逆相HPLC(A:水 10mM NHHCO、B:MeOH、0~100%)により精製して、(S)-エチル3-アミノ-3-(4-フルオロ-2’-メトキシ-5-メチル-6’-(トリフルオロメチル)ビフェニル-3-イル)プロパン酸塩(280mg)を無色油状物として得た。収率87%(ESI 400.1[M+H])。
(S)-エチル3-アミノ-3-(2’,6’-ジクロロ-4-フルオロ-5-メチルビフェニル-3-イル)プロパン酸塩
工程1:(S)-エチル3-(tert-ブトキシカルボニルアミノ)-3-(2’,6’-ジクロロ-4-フルオロ-5-メチルビフェニル-3-イル)プロパン酸塩
Figure 0007702004000199
メチル(S)-エチル3-(5-ブロモ-2-フルオロ-3-メチルフェニル)-3-(tert-ブトキシカルボニルアミノ)プロパン酸塩(0.5g、1.29mmol、1当量)および2,6-ジクロロフェニルボロン酸(0.26g、1.36mmol、1.1当量)のジオキサン(10mL)の混合液に、KCO(0.34g、2.48mmol、2当量)のHO(2mL)とPd(dppf)Cl(90mg、0.124mmol、0.1当量)の溶液を加えた。混合液を、窒素雰囲気下、110℃で2時間加熱した。混合液を室温まで冷却した。水(20mL)を加え、溶液をEtOAc(20mL×3)で抽出した。一つにまとめた有機層を真空中で濃縮し、残留物をシリカゲルカラム(石油エーテル:EtOAc 1:1)により精製して、無色油状物として、(S)-エチル3-(tert-ブトキシカルボニルアミノ)-3-(2’,6’-ジクロロ-4-フルオロ-5-メチルビフェニル-3-イル)プロパン酸塩(0.550g)を得た。収率94%(ESI 470.4[M+H])。
工程2:(S)-メチル3-アミノ-3-(2’,6’-ジクロロ-4-フルオロ-5-メチルビフェニル-3-イル)プロパン酸塩
Figure 0007702004000200
メチル(S)-エチル3-(tert-ブトキシカルボニルアミノ)-3-(2’,6’-ジクロロ-4-フルオロ-5-メチルビフェニル-3-イル)プロパン酸塩(0.55g、1.21mmol、1当量)のDCM(6mL)の混合液に、HCl-ジオキサン(4M、3mL、12mmol、10当量)を加えた。混合液を室温で1時間攪拌した。LCMSは、反応が完了したことを示した。混合液を真空中で濃縮して、粗生成物の(S)-エチル3-アミノ-3-(2’,6’-ジクロロ-4-フルオロ-5-メチルビフェニル-3-イル)プロパン酸塩(0.42g)を白色固形物として得て、これをさらに精製することなく次の反応に直接使用した。収率98%(ESI 370.3[M+H])。
(S)-3-アミノ-3-(2’,4-ジフルオロ-4’,5,6’-トリメチル-[1,1’-ビフェニル]-3-イル)プロパン酸エチルの調製
工程1:2-フルオロ-4,6-ジメチルアニリン
Figure 0007702004000201
2,4-ジブロモ-6-フルオロアニリン(5.0g、18.59mmol、1.0当量)、2,4,6-トリメチル-1,3,5,2,4,6-トリオキサトリボリナン(TFH中、3.5M、21.2mL、74.36mmol、4.0当量)、Pd(dppf)Cl(680mg、0.93mmol、0.05当量)およびKCO(7.71g、55.78mmol、3.0当量)のジオキサン(60mL)とHO(8mL)の混合物を、窒素雰囲気下、110℃で12時間攪拌した。混合液を室温まで冷却した。水(30mL)を加え、溶液をEtOAc(35mL×3)で抽出した。一つにまとめた有機相をブライン(20mL)で洗浄し、無水NaSOで乾燥させ、ろ過し、真空中で濃縮した。残留物をシリカゲルカラム(石油エーテル:EtOAc 20:1)により精製し、黄色油状物として、2-フルオロ-4,6-ジメチルアニリン(2.16g)を得た。収率83.5%(ESI 140.2[M+H])。
工程2:2-ブロモ-1-フルオロ-3,5-ジメチルベンゼン
Figure 0007702004000202
2-フルオロ-4,6-ジメチルアニリン(1.0g、7.2mmol、1.0当量)およびCuBr(4.8g、21.6mmol、3.0当量)のMeCN(7mL)の攪拌溶液に、tert-ブチル 亜硝酸塩(1.68g、14.4mmol、2.0当量)を加え、窒素雰囲気下、60℃で1時間攪拌した。LCMSは、反応が完了したことを示した。混合物をろ過し、真空中で濃縮した。残留物をシリカゲルカラム(石油エーテル)により精製し、2-ブロモ-1-フルオロ-3,5-ジメチルベンゼン(560mg)を黄色油状物として得た。収率38%。
工程3:(S)-3-((tert-ブトキシカルボニル)アミノ)-3-(2’,4-ジフルオロ-4’,5,6’-トリメチル-[1,1’-ビフェニル]-3-イル)プロパン酸エチル
Figure 0007702004000203
(S)-3-((tert-ブトキシカルボニル)アミノ)-3-(2-フルオロ-3-メチル-5-(4,4,5,5-テトラメチル-1,3,2-ジオキサボロラン-2-イル)フェニル)プロパン酸エチル(556mg、1.23mmol、1.0当量)、2-ブロモ-1-フルオロ-3,5-ジメチルベンゼン(250mg、1.23mmol、1.0当量)、Pd(dppf)Cl(45mg、0.062mmol、0.05当量)およびKCO(510mg、3.69mmol、3.0当量)のジオキサン(6mL)と水(2mL)の混合液を、窒素雰囲気下、110℃で2時間攪拌した。水(35mL)を加え、溶液をEtOAc(25mL×3)で抽出した。一つにまとめた有機相をブライン(50mL)で洗浄し、無水NaSOで乾燥させ、ろ過し、真空中で濃縮した。残留物を、シリカゲルカラム(石油エーテル:EtOAc 7:1)により精製して、(S)-3-((tert-ブトキシカルボニル)アミノ)-3-(2’,4-ジフルオロ-4’,5,6’-トリメチル-[1,1’-ビフェニル]-3-イル)プロパン酸エチル(365mg)を黄色油状物として得た。収率66%(ESI 348.1[M+H-100])。
工程4:(S)-3-アミノ-3-(2’,4-ジフルオロ-4’,5,6’-トリメチル-[1,1’-ビフェニル]-3-イル)プロパン酸エチル
Figure 0007702004000204
(S)-3-((tert-ブトキシカルボニル)アミノ)-3-(2’,4-ジフルオロ-4’,5,6’-トリメチル-[1,1’-ビフェニル]-3-イル)プロパン酸エチル(720mg、1.29mmol、1.0当量)のDCM(2mL)の攪拌溶液に、HCl-ジオキサン(4M、2.0mL、4.0mmol、3.1当量)を加え、室温で1時間攪拌した。LCMSは、反応が完了したことを示した。混合液を真空中で濃縮して、黄色油状物として、(S)-3-アミノ-3-(2’,4-ジフルオロ-4’,5,6’-トリメチル-[1,1’-ビフェニル]-3-イル)プロパン酸エチル(450mg)を得た。収率93%(ESI 348.1[M+H])。
(S)-エチル3-アミノ-3-(2’,6’-ジクロロ-4-フルオロ-4’,5-ジメチルビフェニル-3-イル)プロパン酸塩の調製
工程1:1,3-ジクロロ-2-ヨード-5-メチルベンゼン
Figure 0007702004000205
2,6-ジクロロ-4-メチルアニリン(2.5g、14.3mmol、1.0当量)のアセトニトリル(10mL)と水(1mL)の混合液に、4-メチルベンゼンスルホン酸(9.8g、57.1mmol、4当量)を加え、0℃で10分間攪拌した。NaNO(2.0g、28.6mmol、2当量)のHO(2mL)溶液を、滴下して加え、混合液を0℃で30分間攪拌した。次いで、ヨウ化カリウム(3.0g、17.9mmol、1.5当量)のHO(2mL)の溶液を加え、窒素雰囲気下、50℃で2時間加熱した。水(20mL)を加え、溶液をEtOAc(20mL×3)で抽出した。一つにまとめた有機層を真空中で濃縮し、残留物をシリカゲルカラム(石油エーテル:EtOAc 1:1)により精製して、無色油状物として、1,3-ジクロロ-2-ヨード-5-メチルベンゼン(1.8g)を得た。収率44.2%(ESI 286.9[M+H]+)。
工程2:(S)-エチル3-(tert-ブトキシカルボニルアミノ)-3-(2’,6’-ジクロロ-4-フルオロ-4’,5-ジメチルビフェニル-3-イル)プロパン酸塩
Figure 0007702004000206
メチル(S)-エチル3-(tert-ブトキシカルボニルアミノ)-3-(2-フルオロ-3-メチル-5-(4,4,5,5-テトラメチル-1,3,2-ジオキサボロラン-2-イル)フェニル)プロパン酸塩(1.5g、3.43mmol、1当量)および1,3-ジクロロ-2-ヨード-5-メチルベンゼン(2.0g、6.86mmol、2当量)のジオキサン(10mL)の混合液に、KCO(1.9g、13.72mmol、4当量)のHO(2mL)溶液と、Pd(dppf)Cl(250mg、0.343mmol、0.1当量)を加えた。混合液を、窒素雰囲気下、110℃で2時間加熱した。水(20mL)を加え、溶液をEtOAc(20mL×3)で抽出した。一つにまとめた有機層を真空中で濃縮し、残留物をシリカゲルカラム(石油エーテル:EtOAc 1:1)により精製して、無色油状物として、メチル(S)-エチル3-(tert-ブトキシカルボニルアミノ)-3-(2’,6’-ジクロロ-4-フルオロ-4’,5-ジメチルビフェニル-3-イル)プロパン酸(1.3g)を得た。収率78.3%(ESI 484.4 [M+H])。
工程3:(S)-エチル3-アミノ-3-(2’,6’-ジクロロ-4-フルオロ-4’,5-ジメチルビフェニル-3-イル)プロパン酸塩
Figure 0007702004000207
メチル(S)-エチル3-(tert-ブトキシカルボニルアミノ)-3-(2’,6’-ジクロロ-4-フルオロ-4’,5-ジメチルビフェニル-3-イル)プロパン酸塩(1.3g、2.76mmol、4当量)のDCM(6mL)の混合液に、HCl-ジオキサン(4M、3mL、12mmol、4.3当量)を加えた。混合液を室温で1時間攪拌した。LCMSは、反応が完了したことを示した。混合液を真空中で濃縮して、粗生成物の(S)-エチル3-アミノ-3-(2’,6’-ジクロロ-4-フルオロ-4’,5-ジメチルビフェニル-3-イル)プロパン酸塩(1.0g)を白色固形物として得て、これをさらに精製することなく次の反応に直接使用した。収率91%(ESI 384.3[M+H])。
(S)-3-アミノ-3-(4-フルオロ-2’,5,6’-トリメチル-[1,1’-ビフェニル]-3-イル)プロパン酸エチルの調製
工程1:(S)-3-(((R)-tert-ブチルスルフィニル)アミノ)-3-(4-フルオロ-2’,5,6’-トリメチル-[1,1’-ビフェニル]-3-イル)プロパン酸エチル
Figure 0007702004000208
(S)-3-(5-ブロモ-2-フルオロ-3-メチルフェニル)-3-(((R)-tert-ブチルスルフィニル)アミノ)プロパン酸エチル(4.0g、9.8mmol、1.00当量)、(2,6-ジメチルフェニル)ボロン酸(2.9g、19.6mmol、2.00当量)、KCO(4.1g、29.4mmol、3.0当量)、Pd(dppf)Cl(717mg、0.98mmol、0.05当量)のジオキサン(24mL)とHO(9mL)の混合液を、窒素雰囲気下、110℃で2時間攪拌した。LCMSは、反応が完了したことを示した。混合液を室温まで冷却した。水(30mL)を加え、溶液をEtOAc(30mL×3)で抽出した。一つにまとめた有機相をブライン(30mL)で洗浄し、無水NaSOで乾燥させ、ろ過し、真空中で濃縮した。残留物を、シリカゲルカラム(石油エーテル:EtOAc 1:1)により精製して、(S)-3-(((R)-tert-ブチルスルフィニル)アミノ)-3-(4-フルオロ-2’,5,6’-トリメチル-[1,1’-ビフェニル]-3-イル)プロパン酸エチル(4.0g)を黄色油状物として得た。収率94%(ESI 434.1[M+H])。
工程2:(S)-3-アミノ-3-(4-フルオロ-2’,5,6’-トリメチル-[1,1’-ビフェニル]-3-イル)プロパン酸エチル
Figure 0007702004000209
(S)-3-(((R)-tert-ブチルスルフィニル)アミノ)-3-(4-フルオロ-2’,5,6’-トリメチル-[1,1’-ビフェニル]-3-イル)プロパン酸エチル(4.0g、9.2mmol、1.00当量)のDCM(6mL)の攪拌溶液に、HCl-ジオキサン(4M、4mL、16.0mmol、1.7当量)を加えた。混合物を、室温で30分間攪拌した。LCMSは、反応が完了したことを示した。混合液を真空中で濃縮し、残留物を、C18/120gカラムでの逆相HPLC(A:水 10mM NHHCO、B:MeOH、0~100%)により精製して、(S)-3-アミノ-3-(4-フルオロ-2’,5,6’-トリメチル-[1,1’-ビフェニル]-3-イル)プロパン酸エチル(2.0g)を無色油状物として得た。収率61%(ESI 330.1 [M+H])。
(S)-3-アミノ-3-(4,4’-ジフルオロ-2’,5,6’-トリメチル-[1,1’-ビフェニル]-3-イル)プロパン酸エチルの調製
工程1:(S)-3-(((R)-tert-ブチルスルフィニル)アミノ)-3-(4,4’-ジフルオロ-2’,5,6’-トリメチル-[1,1’-ビフェニル]-3-イル)プロパン酸エチル
Figure 0007702004000210
(S)-3-(5-ブロモ-2-フルオロ-3-メチルフェニル)-3-(((R)-tert-ブチルスルフィニル)アミノ)プロパン酸エチル(6.0g、14.7mmol、1.00当量)、(4-フルオロ-2,6-ジメチルフェニル)ボロン酸(3.7g、22.1mmol、1.5当量)、KCO(6.1g、44.1mmol、3.0当量)およびPd(dppf)Cl(1.1g、1.47mmol、0.01当量)のジオキサン(50mL)とHO(5mL)の混合液を、窒素雰囲気下、110℃で1時間攪拌した。LCMSは、反応が完了したことを示した。混合液を室温まで冷却した。水(50mL)を加え、溶液をEtOAc(50mL×3)で抽出した。一つにまとめた有機相をブライン(30mL)で洗浄し、無水NaSOで乾燥させ、ろ過し、真空中で濃縮した。残留物を、シリカゲルカラム(石油エーテル:EtOAc 1:1)により精製して、(S)-3-(((R)-tert-ブチルスルフィニル)アミノ)-3-(4,4’-ジフルオロ-2’,5,6’-トリメチル-[1,1’-ビフェニル]-3-イル)プロパン酸エチル(5.5g)を黄色油状物として得た。収率83%(ESI 452.0(M+H)
工程2:(S)-3-アミノ-3-(4,4’-ジフルオロ-2’,5,6’-トリメチル-[1,1’-ビフェニル]-3-イル)プロパン酸エチル
Figure 0007702004000211
(S)-3-(((R)-tert-ブチルスルフィニル)アミノ)-3-(4,4’-ジフルオロ-2’,5,6’-トリメチル-[1,1’-ビフェニル]-3-イル)プロパン酸エチル(5.5g、12.2mmol、1.00当量)のDCM(6mL)の溶液に、HCl-ジオキサン(4M、6mL、24.0mmol、1.97当量)を加え、室温で1時間攪拌した。混合液を真空中で濃縮し、残留物を、C18/120gカラムでの逆相HPLC(A:水/0.01%TFA、B:MeOH、0~100%)により精製して、(S)-3-アミノ-3-(4,4’-ジフルオロ-2’,5,6’-トリメチル-[1,1’-ビフェニル]-3-イル)プロパン酸エチル(4.0g)を黄色固形物として得た。収率95%(ESI 348.1(M+H))。
(S)-3-アミノ-3-(4’-クロロ-4-フルオロ-2’,5,6’-トリメチル-[1,1’-ビフェニル]-3-イル)プロパン酸エチルの調製
工程1:2-(4-クロロ-2,6-ジメチルフェニル)-4,4,5,5-テトラメチル-1,3,2-ジオキサボロラン
Figure 0007702004000212
窒素雰囲気下、2-ブロモ-5-クロロ-1,3-ジメチルベンゼン(4.0g、18.2mmol、1.0当量)の無水THF(40mL)の溶液に、n-BuLi(2N、11.0mL、22.0mmol、1.2当量)を-78℃で加えた。反応混合液を-78℃で40分間攪拌し、2-イソプロポキシ-4,4,5,5-テトラメチル-1,3,2-ジオキサボロラン(5.1g、27.5mmol、1.5当量)の無水THF(40mL)溶液を加え、-78℃で3時間攪拌した。完了後、飽和NHCl水溶液(100mL)を加えた。混合物を、EtOAc(100mL×3)で抽出した。一つにまとめた有機層をブライン(50mL)で洗浄し、無水NaSOで乾燥させ、ろ過し、真空中で濃縮した。得られた残留物をシリカゲル(石油エーテル:EtOAc 2:1)により精製し、所望の2-(4-クロロ-2,6-ジメチルフェニル)-4,4,5,5-テトラメチル-1,3,2-ジオキサボロラン(4.4g)を白色固形物として得た。収率90%。
工程2:(S)-3-アミノ-3-(4’-クロロ-4-フルオロ-2’,5,6’-トリメチル-[1,1’-ビフェニル]-3-イル)プロパン酸エチル
Figure 0007702004000213
(S)-3-アミノ-3-(5-ブロモ-2-フルオロ-3-メチルフェニル)プロパン酸エチル(500mg、1.7mmol、1.0当量)、2-(4-クロロ-2,6-ジメチルフェニル)-4,4,5,5-テトラメチル-1,3,2-ジオキサボロラン(544mg、2.04mmol、1.2当量)、Pd(dppf)Cl(62mg、0.085mmol、0.05当量)およびKCO(704mg、5.1mmol、3.0当量)の1,4-ジオキサン(10mL)と水(2mL)の混合液を、窒素雰囲気下、110℃で2時間攪拌した。水(20mL)を加え、溶液をEtOAc(30mL×3)で抽出した。一つにまとめた有機層をブライン(20mL)で洗浄し、無水NaSOで乾燥させ、ろ過し、真空中で濃縮した。残留物を、シリカゲルカラム(石油エーテル:EtOAc 1:2)により精製して、無色油状物として、(S)-3-アミノ-3-(4’-クロロ-4-フルオロ-2’,5,6’-トリメチル-[1,1’-ビフェニル]-3-イル)プロパン酸エチル(250mg)を得た。収率41%(ESI 364.2[M+H])。
(S)-3-アミノ-3-(4-フルオロ-2’,4’,5,6’-テトラメチル-[1,1’-ビフェニル]-3-イル)プロパン酸エチルの調製
工程1:(S)-3-(((R)-tert-ブチルスルフィニル)アミノ)-3-(4-フルオロ-2’,4’,5,6’-テトラメチル-[1,1’-ビフェニル]-3-イル)プロパン酸エチル
Figure 0007702004000214
(S)-3-(5-ブロモ-2-フルオロ-3-メチルフェニル)-3-(((R)-tert-ブチルスルフィニル)アミノ)プロパン酸エチル(3.8g、9.3mmol、1.0当量)、メシチルボロン酸(3.05g、18.6mmol、2.0当量)、KCO(3.85g、27.9mmol、3.0当量)およびPd(dppf)Cl(340mg、0.465mmol、0.05当量)のジオキサン(30mL)とHO(5mL)の混合液を、窒素雰囲気下、110℃で2時間攪拌した。LCMSは、反応が完了したことを示した。反応混合液を室温まで冷却した。水(80mL)を加え、混合液をEtOAc(100mL×3)で抽出した。一つにまとめた有機層をブライン(150mL)で洗浄し、NaSOで乾燥させ、ろ過し、真空中で濃縮した。残留物を、シリカゲルカラム(石油エーテル:EtOAc 1:1)により精製して、(S)-3-(((R)-tert-ブチルスルフィニル)アミノ)-3-(4-フルオロ-2’,4’,5,6’-テトラメチル-[1,1’-ビフェニル]-3-イル)プロパン酸エチル(3.1g)を黄色油状物として得た。収率75%(ESI 448.2[M+H])。
工程2:(S)-3-アミノ-3-(4-フルオロ-2’,4’,5,6’-テトラメチル-[1,1’-ビフェニル]-3-イル)プロパン酸エチル
Figure 0007702004000215
(S)-3-(((R)-tert-ブチルスルフィニル)アミノ)-3-(4-フルオロ-2’,4’,5,6’-テトラメチル-[1,1’-ビフェニル]-3-イル)プロパン酸エチル(3.1g、6.94mmol、1.0当量)のDCM(7mL)の攪拌溶液に、HCl-ジオキサン(4M、6.8mL、3.9当量)を加え、25℃で2時間攪拌した。LCMSは、反応が完了したことを示した。混合液を真空中で濃縮し、残留物を、C18/40gカラムでの逆相HPLC(A:水 10mM NHHCO、B:MeOH、0~100%)により精製して、(S)-エチル3-アミノ-3-(4-フルオロ-2’,4’,5,6’-テトラメチルビフェニル-3-イル)プロパン酸塩(1.6g)を黄色油状物として得た。収率67%(ESI 344.2[M+H])。
実施例:(S)-3-アミノ-3-(4-フルオロ-2’,5,6’-トリメチル-4’-(トリフルオロメチル)-[1,1’-ビフェニル]-3-イル)プロパン酸エチル塩酸塩の調製
工程1:2,6-ジメチル-4-(トリフルオロメチル)アニリン
Figure 0007702004000216
2,6-ジブロモ-4-(トリフルオロメチル)アニリン(638mg、2.00mmol、1.0当量)、2,4,6-トリメチル-1,3,5,2,4,6-トリオキサトリボリナン(TFH中、3.5M、3.43mL、12.00mmol、6.0当量)、KCO(1.10g、7.96mmol、3.98当量)およびPd(dppf)Cl(245mg、0.30mmol、0.15当量)のジオキサン(6mL)と水(1mL)の混合液を、窒素雰囲気下、90℃で8時間攪拌した。混合液を、セライト床を通してろ過し、酢酸エチル(100mL)で洗浄し、濾過液を真空中で濃縮した。残留物をシリカゲルカラム(石油エーテル:EtOAc 20:1)により精製し、2,6-ジメチル-4-(トリフルオロメチル)アニリン(1.63g)を無色油状物として得た。収率48%(ESI 190.1(M+H))。
工程2:2-ブロモ-1,3-ジメチル-5-(トリフルオロメチル)ベンゼン
Figure 0007702004000217
2,6-ジメチル-4-(トリフルオロメチル)アニリン(793mg、4.19mmol、1.0当量)、tert-ブチル 亜硝酸塩(0.94mL、7.84mmol、1.9当量)および臭化銅(I)(794mg、5.53mmol、1.3当量)の無水アセトニトリル(16mL)の混合液を、窒素雰囲気下、60℃で2時間攪拌した。LCMSは、反応が完了したことを示した。混合液を、セライト床を通してろ過し、ろ過液を真空中で濃縮した。残留物をシリカゲルカラム(石油エーテル:EtOAc 6:1)により精製し、2-ブロモ-1,3-ジメチル-5-(トリフルオロメチル)ベンゼン(975mg)を無色油状物として得た。収率46%。H NMR(400MHz,DMSO-d)δ:7.55(s,2H),2.42(s,6H)。
工程3:(S)-3-((tert-ブトキシカルボニル)アミノ)-3-(4-フルオロ-2’,5,6’-トリメチル-4’-(トリフルオロメチル)-[1,1’-ビフェニル]-3-イル)プロパン酸エチル
Figure 0007702004000218
(S)-3-((tert-ブトキシカルボニル)アミノ)-3-(2-フルオロ-3-メチル-5-(4,4,5,5-テトラメチル-1,3,2-ジオキサボロラン-2-イル)フェニル)プロパン酸エチル(519mg、1.15mmol、1.0当量)のジオキサン(36mL)の溶液に、2-ブロモ-1,3-ジメチル-5-(トリフルオロメチル)ベンゼン(306mg、1.21mmol、1.1当量)、Pd(dppf)Cl(188mg、0.23mmol、0.2当量)、KCO(477mg、3.45mmol、3.0当量)および水(3.6mL)を加えた。反応混合液を、窒素雰囲気下、110℃で18時間攪拌した。混合物をろ過し、真空中で濃縮した。残留物を、シリカゲルカラム(石油エーテル:EtOAc 6:1)により精製して、明褐色油状物として、(S)-3-((tert-ブトキシカルボニル)アミノ)-3-(4-フルオロ-2’,5,6’-トリメチル-4’-(トリフルオロメチル)-[1,1’-ビフェニル]-3-イル)プロパン酸エチル(308mg)を得た。収率54%。(ESI 398.1[M+H-100])。
高低5:(S)-3-アミノ-3-(4-フルオロ-2’,5,6’-トリメチル-4’-(トリフルオロメチル)-[1,1’-ビフェニル]-3-イル)プロパン酸エチル塩酸塩
Figure 0007702004000219
(S)-3-((tert-ブトキシカルボニル)アミノ)-3-(4-フルオロ-2’,5,6’-トリメチル-4’-(トリフルオロメチル)-[1,1’-ビフェニル]-3-イル)プロパン酸エチル(308mg、0.62mmol、1.0当量)のDCM(4mL)の攪拌溶液に、HCl-ジオキサン(4M、4.0mL、16.0mmol、25.8当量)を加えた。混合液を室温で2時間攪拌した。LCMSは、反応が完了したことを示した。混合液を真空中で濃縮して、黄色油状物として、(S)-3-アミノ-3-(4-フルオロ-2’,5,6’-トリメチル-4’-(トリフルオロメチル)-[1,1’-ビフェニル]-3-イル)プロパン酸エチル塩酸塩(260mg)を得た。収率97%(ESI 398.1 [M+H])。
(S)-3-アミノ-3-(4’-シクロプロピル-4-フルオロ-2’,5,6’-トリメチル-[1,1’-ビフェニル]-3-イル)プロパン酸エチルの調製
高低1:4-シクロプロピル-2,6-ジメチルアニリン
Figure 0007702004000220
窒素雰囲気下、4-ブロモ-2,6-ジメチルアニリン(2.0g、10.0mmol、1.0当量)、シクロプロピルボロン酸(1.03g、12.0mmol、1.2当量)のトルエン(15mL)の混合液に、KPO(4.2g、20.0mmol、2.0当量)のHO(3mL)溶液、PCy(280.0mg、1.0mmol、0.1当量)およびPd(OAc)(224.0mg、1.0mmol、0.1当量)を加えた。混合液を、窒素雰囲気下、100℃で4時間攪拌した。水(30mL)を加え、溶液をEtOAc(30mL×3)で抽出した。一つにまとめた有機層をブライン(50mL)で洗浄し、無水NaSOで乾燥させ、ろ過し、真空中で濃縮した。残留物をシリカゲルカラム(石油エーテル:EtOAc 2:1)により精製して、4-シクロプロピル-2,6-ジメチルアニリン(0.8g)を得て、これをさらに精製することなく次の工程に使用した。収率93%(ESI 162.2[M+H])。
工程2:2-ブロモ-5-シクロプロピル-1,3-ジメチルベンゼン
Figure 0007702004000221
4-シクロプロピル-2,6-ジメチルアニリン(800.0mg、4.9mmol、1.0当量)のACN(10mL)およびHO(1mL)の混合液に、p-トルエンスルホン酸(3.4g、19.8 mmo,4.0当量)を加えた。混合液を、窒素雰囲気下、0℃で10分間攪拌した。NaNO(685.0mg、9.93mmol、2.0当量)のHO(2mL)溶液を滴下して加え、混合液を0℃で30分間攪拌した。CuBr(4.4g、19.8mmol、4.0当量)を反応混合液に加え、室温で4時間攪拌した。水(50mL)を加え、溶液をDCM(50mL×3)で抽出した。一つにまとめた有機層をブライン(50mL)で洗浄し、無水NaSOで乾燥させ、ろ過し、真空中で濃縮した。残留物をシリカゲルカラム(石油エーテル:EtOAc 19:1)により精製して、黄色油状物として2-ブロモ-5-シクロプロピル-1,3-ジメチルベンゼン(800.0mg)を得て、これをさらに精製することなく次の工程に使用した。収率49%(ESI 225.1(M+H),227.1(M+H))。
工程3:(S)-3-((tert-ブトキシカルボニル)アミノ)-3-(4’-シクロプロピル-4-フルオロ-2’,5,6’-トリメチル-[1,1’-ビフェニル]-3-イル)プロパン酸エチル
Figure 0007702004000222
窒素雰囲気下、2-ブロモ-5-シクロプロピル-1,3-ジメチルベンゼン(800mg、3.6mmol、1.0当量)および(S)-3-((tert-ブトキシカルボニル)アミノ)-3-(2-フルオロ-3-メチル-5-(4,4,5,5-テトラメチル-1,3,2-ジオキサボロラン-2-イル)フェニル)プロパン酸エチル(1.6g、3.6mmol、1.0当量)の1,4-ジオキサン(10mL)の混合液に、KCO(1.0g、7.2mmol、2.0当量)のHO(1mL)溶液、およびPd(dppf)Cl(260mg、0.36mmol、0.1当量)を加えた。混合液を、窒素雰囲気下、110℃で2時間攪拌した。水(30mL)を加え、溶液をEtOAc(50mL×3)で抽出した。一つにまとめた有機相をブライン(50mL)で洗浄し、無水NaSOで乾燥させ、ろ過し、真空中で濃縮した。残留物を、シリカゲルカラム(石油エーテル:EtOAc 19:1)により精製して、褐色油状物として、(S)-3-((tert-ブトキシカルボニル)アミノ)-3-(4’-シクロプロピル-4-フルオロ-2’,5,6’-トリメチル-[1,1’-ビフェニル]-3-イル)プロパン酸エチル(500mg)を得た。収率30%(ESI 370.1[M-100+H])。
工程4:(S)-3-アミノ-3-(4’-シクロプロピル-4-フルオロ-2’,5,6’-トリメチル-[1,1’-ビフェニル]-3-イル)プロパン酸エチル塩酸塩
Figure 0007702004000223
(S)-3-((tert-ブトキシカルボニル)アミノ)-3-(4’-シクロプロピル-4-フルオロ-2’,5,6’-トリメチル-[1,1’-ビフェニル]-3-イル)プロパン酸エチル(900mg、1.91mmol、1.0当量)のDCM(5mL)の攪拌溶液に、HCl-ジオキサン(4M、5.0mL、20.0mmol、10.47当量)を加え、室温で1時間攪拌した。LCMSは、反応が完了したことを示した。混合液を真空中で濃縮して、緑黄色泡状物として、(S)-3-アミノ-3-(4’-シクロプロピル-4-フルオロ-2’,5,6’-トリメチル-[1,1’-ビフェニル]-3-イル)プロパン酸エチル塩酸塩(710mg)を得た。収率91%(ESI 370.[M+H])。
(S)-3-アミノ-3-(4-フルオロ-4’-メトキシ-2’,5,6’-トリメチル-[1,1’-ビフェニル]-3-イル)プロパン酸エチル塩酸塩の調製
工程1:(S)-3-((tert-ブトキシカルボニル)アミノ)-3-(4-フルオロ-4’-メトキシ-2’,5,6’-トリメチル-[1,1’-ビフェニル]-3-イル)プロパン酸エチル
Figure 0007702004000224
(S)-3-((tert-ブトキシカルボニル)アミノ)-3-(2-フルオロ-3-メチル-5-(4,4,5,5-テトラメチル-1,3,2-ジオキサボロラン-2-イル)フェニル)プロパン酸エチル(350mg、0.77mmol、1.0当量)のジオキサン溶液(10mL)に、2-ブロモ-5-メトキシ-1,3-ジメチルベンゼン(166mg、0.77mmol、1.0当量)、Pd(dppf)Cl(56mg、0.077mmol、0.1当量)、KCO(213mg、1.54mmol、2.0当量)および水(2mL)を加えた。反応混合液を、窒素雰囲気下、110℃で3時間攪拌した。水(10mL)を加え、溶液をEtOAc(20mL×3)で抽出した。一つにまとめた有機層をブライン(60mL)で洗浄し、無水NaSOで乾燥させ、ろ過し、真空中で濃縮した。残留物を、シリカゲルカラム(石油エーテル:EtOAc 7:1)により精製して、無色油状物として、(S)-3-((tert-ブトキシカルボニル)アミノ)-3-(4-フルオロ-4’-メトキシ-2’,5,6’-トリメチル-[1,1’-ビフェニル]-3-イル)プロパン酸エチル(230mg)を得た。収率65%(ESI 360.2[M+H-100])。
工程2:(S)-3-アミノ-3-(4-フルオロ-4’-メトキシ-2’,5,6’-トリメチル-[1,1’-ビフェニル]-3-イル)プロパン酸エチル塩酸塩
Figure 0007702004000225
(S)-3-((tert-ブトキシカルボニル)アミノ)-3-(4-フルオロ-4’-メトキシ-2’,5,6’-トリメチル-[1,1’-ビフェニル]-3-イル)プロパン酸エチル(200mg、0.43mmol、1.0当量)のDCM(7mL)の攪拌溶液に、HCl-ジオキサン(4M、2.0mL、4.0mmol、9.3当量)を加えた。混合液を室温で1時間攪拌した。LCMSは、反応が完了したことを示した。混合液を真空中で濃縮して、黄色油状物として、(S)-3-アミノ-3-(4-フルオロ-4’-メトキシ-2’,5,6’-トリメチル-[1,1’-ビフェニル]-3-イル)プロパン酸エチル塩酸塩(160mg)を得た。収率93%(ESI 360.2[M+H])。
(S)-3-アミノ-3-(4’-シアノ-4-フルオロ-2’,5,6’-トリメチル-[1,1’-ビフェニル]-3-イル)プロパン酸エチルの調製
工程1:(S)-3-((tert-ブトキシカルボニル)アミノ)-3-(4’-シアノ-4-フルオロ-2’,5,6’-トリメチル-[1,1’-ビフェニル]-3-イル)プロパン酸エチル
Figure 0007702004000226
(S)-3-((tert-ブトキシカルボニル)アミノ)-3-(2-フルオロ-3-メチル-5-(4,4,5,5-テトラメチル-1,3,2-ジオキサボロラン-2-イル)フェニル)プロパン酸エチル(450mg、1mmol、1.0当量)、4-ブロモ-3,5-ジメチルベンゾニトリル(316mg、1.5mmol、1.5当量)、Pd(dppf)Cl(37mg、0.05mmol、0.05当量)およびKCO(414mg、3mmol、3.0当量)の1,4-ジオキサン(8mL)と水(2mL)の混合液を、窒素雰囲気下、110℃で2時間攪拌した。水(10mL)を加え、溶液をEtOAc(20mL×3)で抽出した。一つにまとめた有機層をブライン(20mL)で洗浄し、無水NaSOで乾燥させ、ろ過し、真空中で濃縮した。残留物を、シリカゲルカラム(石油エーテル:EtOAc 1:1)により精製して、無色油状物として、(S)-3-((tert-ブトキシカルボニル)アミノ)-3-(4’-シアノ-4-フルオロ-2’,5,6’-トリメチル-[1,1’-ビフェニル]-3-イル)プロパン酸エチル(320mg)を得た。収率70%(ESI 455.2 [M+H])。
工程2:(S)-3-アミノ-3-(4’-シアノ-4-フルオロ-2’,5,6’-トリメチル-[1,1’-ビフェニル]-3-イル)プロパン酸エチル
Figure 0007702004000227
(S)-3-((tert-ブトキシカルボニル)アミノ)-3-(4’-シアノ-4-フルオロ-2’,5,6’-トリメチル-[1,1’-ビフェニル]-3-イル)プロパン酸エチル(320mg、0.7mmol、1.0当量)のDCM(2mL)の攪拌溶液に、HCl-ジオキサン(4M、2.0mL、4.0mmol、5.7当量)を加えた。混合液を室温で2時間攪拌した。LCMSは、反応が完了したことを示した。混合液を真空中で濃縮して、無色油状物として、(S)-3-アミノ-3-(4’-シアノ-4-フルオロ-2’,5,6’-トリメチル-[1,1’-ビフェニル]-3-イル)プロパン酸エチル(250mg)を得た。収率100%(ESI 355.1[M+H])。
(S)-3-アミノ-3-(4’-((ジメチルアミノ)メチル)-4-フルオロ-2’,5,6’-トリメチル-[1,1’-ビフェニル]-3-イル)プロパン酸エチルの調製
工程1:(S)-3-((tert-ブトキシカルボニル)アミノ)-3-(4-フルオロ-4’-ホルミル-2’,5,6’-トリメチル-[1,1’-ビフェニル]-3-イル)プロパン酸エチル
Figure 0007702004000228
(S)-3-((tert-ブトキシカルボニル)アミノ)-3-(2-フルオロ-3-メチル-5-(4,4,5,5-テトラメチル-1,3,2-ジオキサボロラン-2-イル)フェニル)プロパン酸エチル(465mg、1.03mmol、1.1当量)、4-ブロモ-3,5-ジメチルベンズアルデヒド(200mg、0.93mmol、1.0当量)、KCO(259mg、1.87mmol、2.0当量)および1,1’-ビス(ジフェニルホスフィノ)フェロセン-パラジウム(II)ジクロリドジクロロメタン錯体(68mg、0.09mmol、0.1当量)のジオキサン(10mL)およびHO(1mL)の混合液を、窒素雰囲気下、80℃で3時間攪拌した。LCMSは、反応が完了したことを示した。混合液を室温まで冷却した。水(50mL)を加え、溶液をEtOAc(50mL×3)で抽出した。一つにまとめた有機層をブライン(100mL)で洗浄し、無水NaSOで乾燥させ、ろ過し、真空中で濃縮した。残留物を、シリカゲルカラム(石油エーテル:EtOAc 1:3)により精製して、黄色油状物として、(S)-3-((tert-ブトキシカルボニル)アミノ)-3-(4-フルオロ-4’-ホルミル-2’,5,6’-トリメチル-[1,1’-ビフェニル]-3-イル)プロパン酸エチル(300mg)を得た。収率64%(ESI 358.1[M+H-100])。
工程2:(S)-3-((tert-ブトキシカルボニル)アミノ)-3-(4’-((ジメチルアミノ)メチル)-4-フルオロ-2’,5,6’-トリメチル-[1,1’-ビフェニル]-3-イル)プロパン酸エチル
Figure 0007702004000229
(S)-3-((tert-ブトキシカルボニル)アミノ)-3-(4-フルオロ-4’-ホルミル-2’,5,6’-トリメチル-[1,1’-ビフェニル]-3-イル)プロパン酸エチル(1.3g、2.8mmol、1.0当量)およびジメチルアミン塩酸塩(233mg、2.9mmol、1.05当量)のDCE(10mL)の混合液を、30分間、室温で攪拌した。トリアセトキシ水素化ホウ素ナトリウム(1.2g、5.6mmol、2.0当量)を加え、室温で16時間攪拌した。溶媒を真空中で除去し、残留物をシリカゲルカラム(DCM:MeOH 9:1)により精製して、黄色油状物として、(S)-3-((tert-ブトキシカルボニル)アミノ)-3-(4’-((ジメチルアミノ)メチル)-4-フルオロ-2’,5,6’-トリメチル-[1,1’-ビフェニル]-3-イル)プロパン酸エチル(800mg)を得た。収率58.7%(ESI 487.2(M+H))。
工程3:(S)-3-アミノ-3-(4’-((ジメチルアミノ)メチル)-4-フルオロ-2’,5,6’-トリメチル-[1,1’-ビフェニル]-3-イル)プロパン酸エチル
Figure 0007702004000230
(S)-3-((tert-ブトキシカルボニル)アミノ)-3-(4’-((ジメチルアミノ)メチル)-4-フルオロ-2’,5,6’-トリメチル-[1,1’-ビフェニル]-3-イル)プロパン酸エチル(800mg、1.64mmol、1.0当量)のDCM(10mL)の攪拌溶液に、HCl-ジオキサン(4M、3mL、12.0mmol)を加え、室温で1時間攪拌した。LCMSは、反応が完了したことを示した。混合液を真空中で濃縮し、残留物を、C18/40gカラムでの逆相(A:水 10mM NHHCO、B:MeOH、0~100%)により精製して、白色固形物として、(S)-3-アミノ-3-(4’-((ジメチルアミノ)メチル)-4-フルオロ-2’,5,6’-トリメチル-[1,1’-ビフェニル]-3-イル)プロパン酸エチル(600mg)を得た。収率94%(ESI 387.2(M+H))。
(S)-3-アミノ-3-(4-フルオロ-4’-((3-フルオロアゼチジン-1-イル)メチル)-2’,5,6’-トリメチル-[1,1’-ビフェニル]-3-イル)プロパン酸エチルの調製
工程1:(S)-3-((tert-ブトキシカルボニル)アミノ)-3-(4-フルオロ-4’-((3-フルオロアゼチジン-1-イル)メチル)-2’,5,6’-トリメチル-[1,1’-ビフェニル]-3-イル)プロパン酸エチル
Figure 0007702004000231
(S)-3-((tert-ブトキシカルボニル)アミノ)-3-(4-フルオロ-4’-ホルミル-2’,5,6’-トリメチル-[1,1’-ビフェニル]-3-イル)プロパン酸エチル(1.3g、2.8mmol、1.0当量)および3-フルオロアゼチジン塩酸塩(233mg、2.9mmol、1.05当量)のDCM(10mL)の混合液を、30分間、室温で攪拌した。トリアセトキシ水素化ホウ素ナトリウム(1.2g、5.6mmol、2.0当量)を加え、室温で16時間攪拌した。溶媒を真空中で除去し、残留物をシリカゲルカラム(DCM:MeOH 9:1)により精製して、黄色油状物として、(S)-3-(((R)-tert-ブチルスルフィニル)アミノ)-3-(4-フルオロ-4’-((3-フルオロシクロブチル)メチル)-2’,5,6’-トリメチル-[1,1’-ビフェニル]-3-イル)プロパン酸エチル(800mg)を得た。収率54.7%(ESI 517.2[M+H])。
工程2:(S)-3-アミノ-3-(4-フルオロ-4’-((3-フルオロアゼチジン-1-イル)メチル)-2’,5,6’-トリメチル-[1,1’-ビフェニル]-3-イル)プロパン酸エチル
Figure 0007702004000232
(S)-3-((tert-ブトキシカルボニル)アミノ)-3-(4-フルオロ-4’-((3-フルオロアゼチジン-1-イル)メチル)-2’,5,6’-トリメチル-[1,1’-ビフェニル]-3-イル)プロパン酸エチル(800mg、1.5mmol、1.0当量)のDCM溶液(10mL)に、HCl-ジオキサン(4M、10.0mL、40.0mmol、26.7当量)を加え、室温で1時間攪拌した。混合液を真空中で濃縮し、残留物を、C18/120gカラムでの逆相HPLC(A:水/0.01%TFA、B:MeOH、0~100%)により精製して、白色固形物として、(S)-3-アミノ-3-(4-フルオロ-4’-((3-フルオロアゼチジン-1-イル)メチル)-2’,5,6’-トリメチル-[1,1’-ビフェニル]-3-イル)プロパン酸エチル(500mg)を得た。収率78%(ESI 417.1[M+H])。
(S)-3-アミノ-3-(2’-シクロプロピル-4-フルオロ-4’,5,6’-トリメチル-[1,1’-ビフェニル]-3-イル)プロパン酸エチルの調製
工程1:2-ブロモ-1-クロロ-3,5-ジメチルベンゼン
Figure 0007702004000233
2-クロロ-4,6-ジメチルアニリン(3.0g、19.3mmol、1.00当量)およびCuBr(21.5g、96.5mmol、5.00当量)のACN(50mL)の混合液に、t-BuONO(5.96g、58.9mmol、3.00当量)を加え、窒素雰囲気下、60℃で2時間攪拌した。混合液を、セライト床を通してろ過し、ろ過液を真空中で濃縮した。残留物を、シリカゲルカラム(石油エーテル100%)により精製して、無色油状物として、2-ブロモ-1-クロロ-3,5-ジメチルベンゼン(2.8g)を得た。収率:67%(ESI 220[M+H]+)。
工程2:(S)-3-((tert-ブトキシカルボニル)アミノ)-3-(2’-クロロ-4-フルオロ-4’,5,6’-トリメチル-[1,1’-ビフェニル]-3-イル)プロパン酸エチル
Figure 0007702004000234
窒素雰囲気下、2-ブロモ-1-クロロ-3,5-ジメチルベンゼン(483mg、2.2mmol、1.10当量)、(S)-3-((tert-ブトキシカルボニル)アミノ)-3-(2-フルオロ-3-メチル-5-(4,4,5,5-テトラメチル-1,3,2-ジオキサボロラン-2-イル)フェニル)プロパン酸エチル(902mg、2.0mmol、1.00当量)のジオキサン(10mL)の混合液に、KCO(552mg、4.0mmol、2.00当量)のHO(5mL)溶液およびPd(dppf)Cl(146mg、0.2mmol、0.10当量)を加えた。混合液を、窒素雰囲気下、100℃で2時間攪拌した。水(30mL)を加え、溶液をEtOAc(30mL×3)で抽出した。一つにまとめた有機層をブライン(70mL)で洗浄し、無水NaSOで乾燥させ、ろ過し、真空中で濃縮した。残留物を、シリカゲルカラム(石油エーテル:EtOAc 10:1)により精製して、無色油状物として、(S)-3-((tert-ブトキシカルボニル)アミノ)-3-(2’-クロロ-4-フルオロ-4’,5,6’-トリメチル-[1,1’-ビフェニル]-3-イル)プロパン酸エチル(880mg)を得た。収率95%(ESI 364[M-100+H])。
工程3:(S)-3-((tert-ブトキシカルボニル)アミノ)-3-(2’-シクロプロピル-4-フルオロ-4’,5,6’-トリメチル-[1,1’-ビフェニル]-3-イル)プロパン酸エチル
Figure 0007702004000235
窒素雰囲気下、(S)-3-((tert-ブトキシカルボニル)アミノ)-3-(2’-クロロ-4-フルオロ-4’,5,6’-トリメチル-[1,1’-ビフェニル]-3-イル)プロパン酸エチル(880mg、1.9mmol、1.00当量)、シクロプロピルボロン酸(327mg、3.8mmol、2.00当量)のトルエン溶液(10mL)に、KPO(807mg、3.8mmol、2.00当量)のHO(2mL)溶液、Pd(OAc)(43mg、0.19mmol、0.10当量)、およびPCy(107mg、0.38mmol、0.20当量)を加えた。混合液を、窒素雰囲気下、110℃で36時間攪拌した。水(30mL)を加え、溶液をEtOAc(30mL×3)で抽出した。一つにまとめた有機層をブライン(70mL)で洗浄し、無水NaSOで乾燥させ、ろ過し、真空中で濃縮した。残留物を、シリカゲルカラム(石油エーテル:EtOAc 2:1)により精製して、灰色固形物として、(S)-3-((tert-ブトキシカルボニル)アミノ)-3-(2’-シクロプロピル-4-フルオロ-4’,5,6’-トリメチル-[1,1’-ビフェニル]-3-イル)プロパン酸エチル(625mg)を得た。収率70%(ESI 370 [M-100+H])。
工程4:(S)-3-アミノ-3-(2’-シクロプロピル-4-フルオロ-4’,5,6’-トリメチル-[1,1’-ビフェニル]-3-イル)プロパン酸エチル塩酸塩
Figure 0007702004000236
(S)-3-((tert-ブトキシカルボニル)アミノ)-3-(2’-シクロプロピル-4-フルオロ-4’,5,6’-トリメチル-[1,1’-ビフェニル]-3-イル)プロパン酸エチル(250mg、0.53mmol、1.00当量)の1,4-ジオキサン溶液(6mL)に、HCl-ジオキサン(4M4.0mL、16.0mmol、30.2当量)を加えた。混合液を室温で1時間攪拌した。LCMSは、反応が完了したことを示した。混合液を真空中で濃縮して、白色固形物として、(S)-3-アミノ-3-(2’-シクロプロピル-4-フルオロ-4’,5,6’-トリメチル-[1,1’-ビフェニル]-3-イル)プロパン酸エチル塩酸塩(215mg)を得て、これをさらに精製することなく次の工程に直接使用した。収率100%(ESI 370 [M+H])。
(S)-3-アミノ-3-(3’,4-ジフルオロ-2’,5,6’-トリメチル-[1,1’-ビフェニル]-3-イル)プロパン酸エチルの調製
工程1:2-ブロモ-6-フルオロ-3-メチルベンズアルデヒド
Figure 0007702004000237
窒素雰囲気下、2-ブロモ-4-フルオロ-1-メチルベンゼン(5.0g、26.5mmol、1.00当量)の無水THF(50mL)の混合液に、リチウムジイソプロピルアミド(2.0M、14.6mL、29.2mmol、1.10当量)を-78℃で加えて、1時間、-78℃で攪拌した。DMF(3.87g、53mmol、2.00当量)を反応混合液に-78℃で加えて、0.5時間、-78℃で攪拌し、その後ゆっくりと室温まで加温し、2時間攪拌した。反応を水(20mL)でクエンチし、EtOAc(50mL×3)で抽出した。一つにまとめた有機層を、ブライン(20mL×3)で洗浄し、無水NaSOで乾燥させて、ろ過して真空中で濃縮し、粗生成物の2-ブロモ-6-フルオロ-3-メチルベンズアルデヒド(4.2g)を褐色液状物として得た。収率73%。H NMR(400MHz,MeOD)δ 10.02(s,1H),7.45-7.17(m,1H),7.05-7.00(m,1H),2.26(s,3H)。
工程2:(2-ブロモ-6-フルオロ-3-メチルフェニル)メタノール
Figure 0007702004000238
窒素雰囲気下、2-ブロモ-6-フルオロ-3-メチルベンズアルデヒド(3.0g、13.8mmol、1.00当量)のMeOH(30mL)の混合液に、NaBH(1.5g、41.4mmol、3.00当量)を0℃で加え、室温で2時間攪拌した。混合液を水(50mL)でクエンチし、EtOAc(50mL×3)で抽出した。一つにまとめた有機層をブライン(80mL)で洗浄し、無水NaSOで乾燥させ、ろ過し、真空中で濃縮した。残留物を、シリカゲルカラム(石油エーテル:EtOAc 10:1)により精製し、(2-ブロモ-6-フルオロ-3-メチルフェニル)メタノール(2.7g)を白色固形物として得た。収率90%
工程3:(2-ブロモ-3-(ブロモメチル)-4-フルオロ-1-メチルベンゼン
Figure 0007702004000239
窒素雰囲気下、(2-ブロモ-6-フルオロ-3-メチルフェニル)メタノール(3.2g、14.6mmol、1.00当量)のTHF(50mL)の混合液に、PBr(3mL、29.2mmol、2.00当量)を室温で加え、1時間攪拌した。反応混合液を真空中で濃縮し、残留物をシリカゲルカラム(石油エーテル:EtOAc 99:1)により精製して、白色固形物として、2-ブロモ-3-(ブロモメチル)-4-フルオロ-1-メチルベンゼン(3.58g)を得た。収率90% H NMR(400MHz,MeOD)δ 7.33-7.30(m,1H),7.09-7.04(m,1H),4.72(d,J=2.0Hz,2H),2.40(s,3H)。
工程4:2-ブロモ-4-フルオロ-1,3-ジメチルベンゼン
Figure 0007702004000240
2-ブロモ-3-(ブロモメチル)-4-フルオロ-1-メチルベンゼン(2.0g、7.09mmol、1.00当量)のDMF(20mL)の混合液に、NaBH(0.536g、14.18mmol、2.00当量)およびAgNO(2.4g、14.18mmol、2.00当量)を室温で加えた。反応液を室温で0.5時間攪拌した。混合液を水(50mL)でクエンチし、EtOAc(50mL×3)で抽出した。一つにまとめた有機層をブライン(100mL)で洗浄し、無水NaSOで乾燥させ、ろ過し、真空中で濃縮した。残留物をシリカゲルカラム(DCM 100%)により精製し、無色油状物として、2-ブロモ-4-フルオロ-1,3-ジメチルベンゼン(1.00g)を得た。収率69% H NMR(400MHz,CDCl)δ 7.09-7.01(m,1H),6.90(t,J=8.7Hz,1H),2.37(s,3H),2.34(d,J=2.4Hz,3H)。
工程5:(S)-3-((tert-ブトキシカルボニル)アミノ)-3-(3’,4-ジフルオロ-2’,5,6’-トリメチル-[1,1’-ビフェニル]-3-イル)プロパン酸エチル
Figure 0007702004000241
窒素雰囲気下、2-ブロモ-4-フルオロ-1,3-ジメチルベンゼン(800mg、3.93mmol、1.00当量)、(S)-3-((tert-ブトキシカルボニル)アミノ)-3-(2-フルオロ-3-メチル-5-(4,4,5,5-テトラメチル-1,3,2-ジオキサボロラン-2-イル)フェニル)プロパン酸エチル(1.77g、3.93mmol、1.00当量)のジオキサン(12mL)の混合液に、KCO(1.08g、7.86mmol、2.00当量)のHO(2mL)溶液、およびPd(dppf)Cl(658mg、0.39mmol、0.10当量)を加えた。混合液を、窒素雰囲気下、100℃で2時間攪拌した。水(30mL)を加え、溶液をEtOAc(30mL×3)で抽出した。一つにまとめた有機層をブライン(70mL)で洗浄し、無水NaSOで乾燥させ、ろ過し、真空中で濃縮した。残留物を、C18/40gカラムでの逆相HPLC(A:水 10mM NHHCO、B:MeOH、0~100%)により精製して、無色油状物として、(S)-3-((tert-ブトキシカルボニル)アミノ)-3-(3’,4-ジフルオロ-2’,5,6’-トリメチル-[1,1’-ビフェニル]-3-イル)プロパン酸エチル(1.2g)を得た。収率68%(ESI 348.1[M-100+H])。
工程6:(S)-3-アミノ-3-(3’,4-ジフルオロ-2’,5,6’-トリメチル-[1,1’-ビフェニル]-3-イル)プロパン酸エチル塩酸塩
Figure 0007702004000242
(S)-3-((tert-ブトキシカルボニル)アミノ)-3-(3’,4-ジフルオロ-2’,5,6’-トリメチル-[1,1’-ビフェニル]-3-イル)プロパン酸エチル(1.2g、2.68mmol、1.00当量)の1,4-ジオキサン(6mL)の混合液に、HCl-ジオキサン(4M 4.0mL、16.0mmol、5.97当量)を加えた。混合液を室温で1時間攪拌した。LCMSは、反応が完了したことを示した。混合液を真空中で濃縮して、(S)-3-アミノ-3-(3’,4-ジフルオロ-2’,5,6’-トリメチル-[1,1’-ビフェニル]-3-イル)プロパン酸エチル塩酸塩(1.0g、粗)を得て、これをさらに精製することなく次の工程に直接使用した。(ESI 348.2[M+H])。
(S)-エチル 3-アミノ-3-(4-フルオロ-3’-メトキシ-2’,5,6’-トリメチルビフェニル-3-イル)プロパン酸塩の調製
工程1:1-ブロモ-2,4-ジメチル-3-ニトロベンゼン
Figure 0007702004000243
1,3-ジメチル-2-ニトロベンゼン(10g、66mmol、1.0当量)のDCM(100mL)の混合液に、FeBr(390mg、211.32mmol、0.02当量)およびFe(1.12g、20mmol、0.3当量)を加えた。Br(11.6g、72.6mmol、1.1当量)を滴下して加え、60℃で16時間攪拌した。反応混合液を真空中で濃縮し、残留物をシリカゲルカラム(石油エーテル)により精製して、白色固形物として、1-ブロモ-2,4-ジメチル-3-ニトロベンゼン(10g)を得た。収率66%。
工程2:1-メトキシ-2,4-ジメチル-3-ニトロベンゼン
Figure 0007702004000244
1-ブロモ-2,4-ジメチル-3-ニトロベンゼン(8g、35mmol、1.0当量)のMeOH(80mL)とDMF(80mL)の混合液に、NaOCH(5.67g、105mmol、3当量)およびCuBr(1g、7mmol、0.2当量)を室温で加えた。混合液を110℃で16時間攪拌した。反応混合液を濾過した。ろ過液を水(100mL)で希釈し、EtOAc(100mLx3)で抽出した。一つにまとめた有機層をブライン(100mL)で洗浄し、無水NaSOで乾燥させ、ろ過し、真空中で濃縮した。残留物をシリカゲルカラム(100%石油エーテル)により精製し、無色油状物として、1-メトキシ-2,4-ジメチル-3-ニトロベンゼン(5.8g)を得た。収率91%(ESI 182.2[M+H])。
工程3:3-メトキシ-2,6-ジメチルアニリン
Figure 0007702004000245
0℃の1-メトキシ-2,4-ジメチル-3-ニトロベンゼン(5.8g、32mmol、1.0当量)のMeOH(60mL)とHO(6mL)の混合液に、NHCl(5.18g、96mmol、3.0当量)およびZn(20.8g、320mmol、10当量)を加えた。混合液を室温で4時間攪拌した。LCMSは、反応が完了したことを示した。反応混合液をろ過し、真空中で濃縮した。残留物をシリカゲルカラム(石油エーテル:EtOAc 1:1)により精製し、黄色油状物として、3-メトキシ-2,6-ジメチルアニリン(2.8g)を得た。収率58%(ESI 152.2[M+H])。
工程4:2-ブロモ-4-メトキシ-1,3-ジメチルベンゼン
Figure 0007702004000246
3-メトキシ-2,6-ジメチルアニリン(2g、13.24mmol、1.0当量)のMeCN(30mL)の混合液に、t-BuONO(2.06g、20mmol、1.5当量)を0℃で加え、次いでCuBr(2.27g、15.89mmol、1.2当量)を加えた。混合物を60℃で2時間攪拌した。LCMSは、反応が完了したことを示した。反応混合液を真空中で濃縮し、シリカゲルカラム(石油エーテル)により精製して、無色油状物として、2-ブロモ-4-メトキシ-1,3-ジメチルベンゼン(800mg)を得た。収率28%。
工程5:(S)-エチル 3-(tert-ブトキシカルボニルアミノ)-3-(4-フルオロ-3’-メトキシ-2’,5,6’-トリメチルビフェニル-3-イル)プロパン酸塩
Figure 0007702004000247
2-ブロモ-4-メトキシ-1,3-ジメチルベンゼン(700mg、3.27mmol、1.00当量)、(S)-エチル 3-(tert-ブトキシカルボニルアミノ)-3-(2-フルオロ-3-メチル-5-(4,4,5,5-テトラメチル-1,3,2-ジオキサボロラン-2-イル)フェニル)プロパン酸塩(1.47g、3.27mmol、1.0当量)、KCO(1.35g、9.81mmol、3当量)およびPd(dppf)Cl(239mg、0.327mmol、0.1当量)のジオキサン(10mL)とHO(1mL)の混合液を、110℃で4時間、窒素雰囲気下で攪拌した。LCMSは、反応が完了したことを示した。混合液を室温まで冷却した。水(30mL)を加え、溶液をEtOAc(30mL×3)で抽出した。一つにまとめた有機層をブライン(30mL)で洗浄し、無水NaSOで乾燥させ、ろ過し、真空中で濃縮した。残留物を、シリカゲルカラム(石油エーテル:EtOAc 5:1)により精製して、無色油状物として、(S)-エチル 3-(tert-ブトキシカルボニルアミノ)-3-(4-フルオロ-3’-メトキシ-2’,5,6’-トリメチルビフェニル-3-イル)プロパン酸塩(1g)を得た。収率67%(ESI 360.1[M-Boc+1])。
工程6:(S)-エチル 3-アミノ-3-(4-フルオロ-3’-メトキシ-2’,5,6’-トリメチルビフェニル-3-イル)プロパン酸塩
Figure 0007702004000248
(S)-エチル 3-(tert-ブトキシカルボニルアミノ)-3-(4-フルオロ-3’-メトキシ-2’,5,6’-トリメチルビフェニル-3-イル)プロパン酸塩(1g、2.18mmol、1.00当量)のDCM(8mL)の攪拌溶液に、HCl-ジオキサン(4M、2.18mL、8.72mmol、4当量)を加えた。混合液を室温で2時間攪拌した。LCMSは、反応が完了したことを示した。混合液を真空中で濃縮し、残留物を、C18/80gカラムでの逆相HPLC(A:水 10mM NHHCO、B:MeOH、0~100%)により精製して、無色油状物として、(S)-エチル 3-アミノ-3-(4-フルオロ-3’-メトキシ-2’,5,6’-トリメチルビフェニル-3-イル)プロパン酸塩(600mg)を得た。収率77%(ESI 360.1 [M+H])。
(S)-3-アミノ-3-(6’-シアノ-4-フルオロ-2’,3’,5-トリメチル-[1,1’-ビフェニル]-3-イル)プロパン酸エチルの調製
工程1:(S)-3-(((R)-tert-ブチルスルフィニル)アミノ)-3-(6’-シアノ-4-フルオロ-2’,3’,5-トリメチル-[1,1’-ビフェニル]-3-イル)プロパン酸エチル
Figure 0007702004000249
(S)-3-(((R)-tert-ブチルスルフィニル)アミノ)-3-(2-フルオロ-3-メチル-5-(4,4,5,5-テトラメチル-1,3,2-ジオキサボロラン-2-イル)フェニル)プロパン酸エチル(1.7g、3.6mmol、2.0当量)、2-クロロ-3,4-ジメチルベンゾニトリル(300mg、1.8mmol、1.0当量)、KPO(1.2g、5.4mmol、3.0当量)およびXPhosPdG2(140mg、0.18mmol、0.1当量)のジオキサン(30mL)とHO(3mL)の混合液を、窒素雰囲気下、80℃で2時間攪拌した。LCMSは、反応が完了したことを示した。混合液を室温まで冷却した。水(20mL)を加え、溶液をEtOAc(20mL×3)で抽出した。一つにまとめた有機層をブライン(50mL)で洗浄し、無水NaSOで乾燥させ、ろ過し、真空中で濃縮した。残留物を、シリカゲルカラム(石油エーテル:EtOAc 1:1)により精製して、黄色油状物として、(S)-3-(((R)-tert-ブチルスルフィニル)アミノ)-3-(6’-シアノ-4-フルオロ-2’,3’,5-トリメチル-[1,1’-ビフェニル]-3-イル)プロパン酸エチル(500mg)を得た。収率60%(ESI 459.3 [M+H])。
工程2:(S)-3-アミノ-3-(6’-シアノ-4-フルオロ-2’,3’,5-トリメチル-[1,1’-ビフェニル]-3-イル)プロパン酸エチルの調製
Figure 0007702004000250
(S)-3-(((R)-tert-ブチルスルフィニル)アミノ)-3-(6’-シアノ-4-フルオロ-2’,3’,5-トリメチル-[1,1’-ビフェニル]-3-イル)プロパン酸エチル(500mg、1.1mmol、1.0当量)のDCM(10mL)の攪拌溶液に、HCl-ジオキサン(4M、10mL、40.0mmol、36.4当量)を加えた。混合液を室温で1時間攪拌した。LCMSは、反応が完了したことを示した。混合液を真空中で濃縮し、残留物を、C18/40gカラムでの逆相HPLC(A:水 10mM NHHCO、B:MeOH、0~100%)により精製して、無色油状物として、(S)-3-アミノ-3-(6’-シアノ-4-フルオロ-2’,3’,5-トリメチル-[1,1’-ビフェニル]-3-イル)プロパン酸エチル(200mg)を得た。収率51.8%(ESI 355.2 [M+H])。
(S)-エチル3-アミノ-3-(3’,4-ジフルオロ-2’,4’,5,6’-テトラメチルビフェニル-3-イル)プロパン酸塩の調製
工程1:(S)-エチル3-(tert-ブトキシカルボニルアミノ)-3-(3’,4-ジフルオロ-2’,4’,5,6’-テトラメチルビフェニル-3-イル)プロパン酸塩
Figure 0007702004000251
(S)-エチル3-(tert-ブトキシカルボニルアミノ)-3-(2-フルオロ-3-メチル-5-(4,4,5,5-テトラメチル-1,3,2-ジオキサボロラン-2-イル)フェニル)プロパン酸塩(500mg、1.14mmol、1当量)および2-ブロモ-4-フルオロ-1,3,5-トリメチルベンゼン(309mg、1.43mmol、1.2当量)のジオキサン(10mL)の混合液に、KCO(314.6mg、2.28mmol、2当量)のHO(2mL)溶液と、Pd(dppf)Cl(80mg、0.11mmol、0.1当量)を加えた。混合液を、窒素雰囲気下、110℃で2時間加熱した。水(20mL)を加え、溶液をEtOAc(20mL×3)で抽出した。一つにまとめた有機層を真空中で濃縮し、残留物をシリカゲルカラム(石油エーテル:EtOAc 1:1)により精製して、無色油状物として、メチル(S)-エチル3-(tert-ブトキシカルボニルアミノ)-3-(3’,4-ジフルオロ-2’,4’,5,6’-テトラメチルビフェニル-3-イル)プロパン酸塩(500mg)を得た。収率97.8%(ESI 461.5 [M+H])。
工程2:(S)-エチル3-アミノ-3-(3’,4-ジフルオロ-2’,4’,5,6’-テトラメチルビフェニル-3-イル)プロパン酸塩
Figure 0007702004000252
メチル(S)-メチル3-(tert-ブトキシカルボニルアミノ)-3-(3’,4-ジフルオロ-2’,4’,5,6’-テトラメチルビフェニル-3-イル)プロパン酸塩(500mg、1.12mmol、1当量)のDCM(6mL)の混合液に、HCl-ジオキサン(4M、3mL、12mmol、10当量)を加えた。混合液を室温で1時間攪拌した。LCMSは、反応が完了したことを示した。混合液を真空中で濃縮して、粗生成物の(S)-エチル3-アミノ-3-(3’,4-ジフルオロ-2’,4’,5,6’-テトラメチルビフェニル-3-イル)プロパン酸塩(300mg)を白色固形物として得て、これをさらに精製することなく次の反応に直接使用した。収率77%(ESI 361.4s [M+H])。
(S)-3-(5-ブロモ-3-クロロ-2-フルオロフェニル)-3-(((R)-tert-ブチルスルフィニル)アミノ)プロパン酸エチルの調製
工程1:(R,E)-N-(5-ブロモ-3-クロロ-2-フルオロベンジリデン)-2-メチルプロパン-2-スルフィンアミド
Figure 0007702004000253
窒素雰囲気下、5-ブロモ-3-クロロ-2-フルオロベンズアルデヒド(10.0g、42.2mmol、1.00当量)および(R)-2-メチルプロパン-2-スルフィンアミド(5.6g、46.4mmol、1.1当量)の無水THF(100mL)の混合液に、Ti(OEt)(14.4g、63.3mmol、1.50当量)を室温で滴下して加え、30℃未満に温度を維持した。反応混合液を35℃に加温し、1時間攪拌した。LCMSは、反応が完了したことを示した。水(100mL)およびEtOAc(100mL)を混合液に加え、室温で5分間攪拌した。混合液を濾過し、EtOAc(50mL)で洗浄した。ろ過液を分離させた。有機層をブライン(100mL)で洗浄し、無水NaSOで乾燥させ、ろ過して真空中で濃縮した。残留物をシリカゲルカラム(石油エーテル:EtOAc 4:1)により精製して、黄色油状物として、(R,E)-N-(5-ブロモ-3-クロロ-2-フルオロベンジリデン)-2-メチルプロパン-2-スルフィンアミド(14.0g)を得た。収率98%(ESI 341.9(M+H))。
工程2:(S)-3-(5-ブロモ-3-クロロ-2-フルオロフェニル)-3-(((R)-tert-ブチルスルフィニル)アミノ)プロパン酸エチル
Figure 0007702004000254
窒素雰囲気下、Zn(13.0g、205.5mmol、5.00当量)の無水THF(200mL)の混合液に、クロロトリメチルシラン(888mg、8.22mmol、0.2当量)を室温で滴下して加え、窒素雰囲気下、50℃で1時間攪拌した。混合液を、20~30℃に冷却した。2-ブロモ酢酸エチル(17.1g、102.7mmol、2.50当量)を窒素雰囲気下、室温で滴下して加え、60℃で1時間攪拌した。反応混合液を室温まで冷却した。(R,E)-N-(5-ブロモ-3-クロロ-2-フルオロベンジリデン)-2-メチルプロパン-2-スルフィンアミド(14.0g、41.1mmol、1.00当量)の無水THF溶液(20mL)を、窒素雰囲気下、室温で混合液に滴下して加え、室温で1時間攪拌した。LCMSは、反応が完了したことを示した。水(100mL)およびEtOAc(100mL)を混合液に加え、室温で5分間攪拌した。混合液を濾過した。濾過液をEtOAc(100mL)で抽出した。一つにまとめた有機層を水(30mL)およびブライン(30mL)で洗浄し、無水NaSOで乾燥させ、濾過して真空中で濃縮した。残留物を、シリカゲルカラム(石油エーテル:EtOAc 4:1)により精製して、黄色油状物として、(S)-3-(5-ブロモ-3-クロロ-2-フルオロフェニル)-3-(((R)-tert-ブチルスルフィニル)アミノ)プロパン酸エチル(12.0g)を得た。収率73%(ESI 429.9(M+H))。
(S)-3-アミノ-3-(5-クロロ-4-フルオロ-2’,6’-ジメチル-[1,1’-ビフェニル]-3-イル)プロパン酸エチルの調製
工程1:(S)-3-(((R)-tert-ブチルスルフィニル)アミノ)-3-(5-クロロ-4-フルオロ-2’,6’-ジメチル-[1,1’-ビフェニル]-3-イル)プロパン酸エチル
Figure 0007702004000255
(S)-3-(5-ブロモ-3-クロロ-2-フルオロフェニル)-3-(((R)-tert-ブチルスルフィニル)アミノ)プロパン酸エチル(4.0g、9.6mmol、1.00当量)、KCO(8.0g、57.6mmol、2.0当量)Pd(dppf)Cl(1.4g、1.9mmol、0.1当量)および(2,6-ジメチルフェニル)ボロン酸(2.8g、19.2mmol、2.00当量)のジオキサン(40mL)とHO(4mL)の混合液を、窒素雰囲気下、80℃で16時間攪拌した。反応混合液を室温まで冷却した後、水50mLに注いで、EtOAc(50mLx3)で抽出した。一つにまとめた有機層をブライン(100mL)で洗浄し、無水NaSOで乾燥させ、ろ過し、真空中で濃縮した。残留物を、シリカゲルカラム(石油エーテル:EtOAc 10:1)により精製して、黄色油状物として、(S)-3-(((R)-tert-ブチルスルフィニル)アミノ)-3-(5-クロロ-4-フルオロ-2’,6’-ジメチル-[1,1’-ビフェニル]-3-イル)プロパン酸エチル(3.0g)を得た。収率71%(ESI 454.1(M+H))。
工程2:(S)-3-アミノ-3-(5-クロロ-4-フルオロ-2’,6’-ジメチル-[1,1’-ビフェニル]-3-イル)プロパン酸エチル
Figure 0007702004000256
(S)-3-(((R)-tert-ブチルスルフィニル)アミノ)-3-(5-クロロ-4-フルオロ-2’,6’-ジメチル-[1,1’-ビフェニル]-3-イル)プロパン酸エチル(3.0g、43.66mmol、1.0当量)のDCM(20mL)の混合液に、HCl-ジオキサン(4M、20mL、80mmol、1.8当量)を加えた。混合液を室温で1時間攪拌した。LCMSは、反応が完了したことを示した。混合液を真空中で濃縮し、残留物を、C18/120gカラムでの逆相HPLC(A:水 10mM NHHCO、B:MeOH、0~100%)により精製して、白色固形物として、(S)-3-アミノ-3-(5-クロロ-4-フルオロ-2’,6’-ジメチル-[1,1’-ビフェニル]-3-イル)プロパン酸エチル(1.8g)を得た。収率78%(ESI 350.0 [M+H])。
(S)-3-アミノ-3-(5-クロロ-4,4’-ジフルオロ-2’,6’-ジメチル-[1,1’-ビフェニル]-3-イル)プロパン酸エチルの調製
工程1:(S)-3-(((R)-tert-ブチルスルフィニル)アミノ)-3-(5-クロロ-4,4’-ジフルオロ-2’,6’-ジメチル-[1,1’-ビフェニル]-3-イル)プロパン酸エチル
Figure 0007702004000257
(S)-3-(5-ブロモ-3-クロロ-2-フルオロフェニル)-3-(((R)-tert-ブチルスルフィニル)アミノ)プロパン酸エチル(2.0g、4.66mmol、1.0当量)および(4-フルオロ-2,6-ジメチルフェニル)ボロン酸(940mg、5.59mmol、1.2当量)のジオキサン(20mL)の混合液に、KCO(1.3g、9.32mmol、2.0当量)のHO(2mL)とPd(dppf)Cl(341mg、0.47mmol、0.1当量)の溶液を加えた。混合液を、窒素雰囲気下、110℃で2時間加熱した。反応混合液を室温まで冷却した後、水(50mL)に注いで、EtOAc(50mLx3)で抽出した。一つにまとめた有機層をブライン(100mL)で洗浄し、無水NaSOで乾燥させ、ろ過し、真空中で濃縮した。残留物を、シリカゲルカラム(石油エーテル:EtOAc 1:1)により精製して、無色油状物として、(S)-3-(((R)-tert-ブチルスルフィニル)アミノ)-3-(5-クロロ-4,4’-ジフルオロ-2’,6’-ジメチル-[1,1’-ビフェニル]-3-イル)プロパン酸エチル(1.2g)を得た。収率54%(ESI 472.1 [M+H])。
工程2:(S)-3-アミノ-3-(5-クロロ-4,4’-ジフルオロ-2’,6’-ジメチル-[1,1’-ビフェニル]-3-イル)プロパン酸エチル
Figure 0007702004000258
(S)-3-(((R)-tert-ブチルスルフィニル)アミノ)-3-(5-クロロ-4,4’-ジフルオロ-2’,6’-ジメチル-[1,1’-ビフェニル]-3-イル)プロパン酸エチル(1.2g、2.54mmol、1.0当量)のDCM(6mL)の混合液に、HCl-ジオキサン(4M、3mL、12mmol、4.7当量)を加えた。混合液を室温で1時間攪拌した。LCMSは、反応が完了したことを示した。混合液を真空中で濃縮し、残留物を、C18/80gカラムでの逆相HPLC(A:水 0.01% TFA、B:MeOH、0~100%)により精製して、白色固形物として、(S)-3-アミノ-3-(5-クロロ-4,4’-ジフルオロ-2’,6’-ジメチル-[1,1’-ビフェニル]-3-イル)プロパン酸エチル(900mg)を得た。収率96%(ESI 368.1 [M+H])。
(S)-3-アミノ-3-(5-クロロ-4-フルオロ-2’,4’,6’-トリメチル-[1,1’-ビフェニル]-3-イル)プロパン酸エチルの調製
工程1:(S)-3-(((R)-tert-ブチルスルフィニル)アミノ)-3-(5-クロロ-4-フルオロ-2’,4’,6’-トリメチル-[1,1’-ビフェニル]-3-イル)プロパン酸エチル
Figure 0007702004000259
(S)-3-(5-ブロモ-3-クロロ-2-フルオロフェニル)-3-(((R)-tert-ブチルスルフィニル)アミノ)プロパン酸エチル(2.0g、4.66mmol、1.0当量)、メシチルボロン酸(1.5g、9.33mmol、2.0当量)、KCO(1.29g、9.32mmol、2.0当量)およびPd(dppf)Cl(341mg、0.466mmol、0.1当量)のジオキサン(20mL)とHO(2mL)の混合液を、窒素雰囲気下、110℃で一晩攪拌した。完了し、室温まで冷却した後、反応混合液を水(50mL)の中へと注ぎ、EtOAc(50mL×3)で抽出した。一つにまとめた有機層をブライン(100mL)で洗浄し、無水NaSOで乾燥させ、ろ過し、真空中で濃縮した。残留物を、シリカゲルカラム(石油エーテル:EtOAc 1:1)により精製して、黄色油状物として、(S)-3-(((R)-tert-ブチルスルフィニル)アミノ)-3-(5-クロロ-4-フルオロ-2’,4’,6’-トリメチル-[1,1’-ビフェニル]-3-イル)プロパン酸エチル(1.9g)を得た。収率87%(ESI 468(M+H))。
工程2:(S)-3-アミノ-3-(5-クロロ-4-フルオロ-2’,4’,6’-トリメチル-[1,1’-ビフェニル]-3-イル)プロパン酸エチル
Figure 0007702004000260
(S)-3-(((R)-tert-ブチルスルフィニル)アミノ)-3-(5-クロロ-4-フルオロ-2’,4’,6’-トリメチル-[1,1’-ビフェニル]-3-イル)プロパン酸エチル(1.9g、4.06mmol、1.0当量)のDCM(20mL)の混合液に、HCl-ジオキサン(4M、3mL、12mmol、3.0当量)を加えた。混合液を室温で1時間攪拌した。LCMSは、反応が完了したことを示した。混合液を真空中で濃縮し、残留物を、C18/120gカラムでの逆相HPLC(A:水 10mM NHHCO、B:MeOH、0~100%)により精製して、白色固形物として、(S)-3-アミノ-3-(5-クロロ-4-フルオロ-2’,4’,6’-トリメチル-[1,1’-ビフェニル]-3-イル)プロパン酸エチル(1.3g)を得た。収率88%(ESI 364.1(M+H))。
(S)-3-(5-ブロモ-2,3-ジフルオロフェニル)-3-(((R)-tert-ブチルスルフィニル)アミノ)プロパン酸エチルの調製
工程1:(R,E)-N-(5-ブロモ-2,3-ジフルオロベンジリデン)-2-メチルプロパン-2-スルフィンアミド
Figure 0007702004000261
窒素雰囲気下、5-ブロモ-2,3-ジフルオロベンズアルデヒド(4.5g、20.36mmol、1.0当量)および(R)-2-メチルプロパン-2-スルフィンアミド(2.7g、22.40mmol、1.1当量)の無水THF(50mL)の混合液に、Ti(OEt)(9.3g、40.72mmol、2.0当量)を室温で滴下して加えながら、温度を30℃未満に維持した。反応混合液を35℃に加温し、1時間攪拌した。LCMSは、反応が完了したことを示した。水(50mL)およびEtOAc(50mL)を混合液に加え、室温で10分間攪拌した。混合液を濾過し、EtOAc(50mL)で洗浄した。ろ過液を分離させた。有機層を水(70mL)およびブライン(70mL)で洗浄し、無水NaSOで乾燥させ、ろ過して真空中で濃縮した。残留物をシリカゲルカラム(石油エーテル:EtOAc 4:1)により精製して、黄色油状物として、(R,E)-N-(5-ブロモ-2,3-ジフルオロベンジリデン)-2-メチルプロパン-2-スルフィンアミド(6.0g)を得た。収率91%(ESI 325.9(M+H))。
工程2:(S)-3-(5-ブロモ-2,3-ジフルオロフェニル)-3-(((R)-tert-ブチルスルフィニル)アミノ)プロパン酸エチル
Figure 0007702004000262
窒素雰囲気下、Zn(3.2g、49.2mmol、4.00当量)の無水THF(20mL)の混合液に、クロロトリメチルシラン(267mg、2.46mmol、0.2当量)を室温で滴下して加えた。混合液を窒素雰囲気下、50℃で1時間攪拌し、20~30℃に冷却した。2-ブロモ酢酸エチル(5.1g、30.75mmol、2.50当量)を窒素雰囲気下、室温で滴下して加え、次いで窒素雰囲気下、60℃で1時間攪拌した。反応混合液を室温まで冷却した。(R,E)-N-(5-ブロモ-2,3-ジフルオロベンジリデン)-2-メチルプロパン-2-スルフィンアミド(4.0g、12.3mmol、1.00当量)の無水THF溶液(5mL)を、窒素雰囲気下、室温で混合液に滴下して加え、室温で1時間攪拌した。LCMSは、反応が完了したことを示した。水(150mL)およびEtOAc(150mL)を混合液に加え、室温で10分間攪拌した。混合液を濾過し、EtOAc(50mL)で洗浄した。ろ過液を分離させた。有機層を水(100mL)およびブライン(100mL)で洗浄し、無水NaSOで乾燥させ、濾過し、真空中で濃縮した。残留物を、シリカゲルカラム(石油エーテル:EtOAc 3:1)により精製して、無色油状物として、(S)-3-(5-ブロモ-2,3-ジフルオロフェニル)-3-(((R)-tert-ブチルスルフィニル)アミノ)プロパン酸エチル(2.7g)を得た。収率53%(ESI 412.0(M+H))。
(S)-3-アミノ-3-(4,5-ジフルオロ-2’,6’-ジメチル-[1,1’-ビフェニル]-3-イル)プロパン酸エチルの調製
工程1:(S)-3-(((R)-tert-ブチルスルフィニル)アミノ)-3-(4,5-ジフルオロ-2’,6’-ジメチル-[1,1’-ビフェニル]-3-イル)プロパン酸エチル
Figure 0007702004000263
(S)-3-(5-ブロモ-2,3-ジフルオロフェニル)-3-(((R)-tert-ブチルスルフィニル)アミノ)プロパン酸エチル(1.0g、2.4mmol、1.00当量)、KCO(664mg、4.8mmol、2.0当量)、Pd(dppf)Cl(175mg、0.24mmol、0.1当量)および(2,6-ジメチルフェニル)ボロン酸(720mg、4.8mmol、2.00当量)のジオキサン(12mL)とHO(1.2mL)の混合液を、窒素雰囲気下、110℃で2時間攪拌した。LCMSは、反応が完了したことを示した。反応混合物を、50mLの水の中に注いで、EtOAc(50mL×3)で抽出した。一つにまとめた有機層をブライン(100mL)で洗浄し、無水NaSOで乾燥させ、ろ過し、真空中で濃縮した。残留物を、シリカゲルカラム(石油エーテル:EtOAc 2:1)により精製して、黄色油状物として、(S)-3-(((R)-tert-ブチルスルフィニル)アミノ)-3-(4,5-ジフルオロ-2’,6’-ジメチル-[1,1’-ビフェニル]-3-イル)プロパン酸エチル(900mg)を得た。収率85%(ESI 438.1(M+H))。
工程2:(S)-3-アミノ-3-(4,5-ジフルオロ-2’,6’-ジメチル-[1,1’-ビフェニル]-3-イル)プロパン酸エチル
Figure 0007702004000264
(S)-3-(((R)-tert-ブチルスルフィニル)アミノ)-3-(4,5-ジフルオロ-2’,6’-ジメチル-[1,1’-ビフェニル]-3-イル)プロパン酸エチル(900mg、2.06mmol、1.0当量)のDCM(4mL)の混合液に、HCl-ジオキサン(4M、2mL、8.0mmol、3.88当量)を加えた。混合液を室温で1時間攪拌した。LCMSは、反応が完了したことを示した。混合液を真空中で濃縮し、残留物を、C18/40gカラムでの逆相HPLC(A:水/0.01% TFA、B:MeOH、0~100%)により精製して、明黄色固形物として、(S)-3-アミノ-3-(4,5-ジフルオロ-2’,6’-ジメチル-[1,1’-ビフェニル]-3-イル)プロパン酸エチル(800mg)を得た。収率90%(ESI 334.1[M+H])。
(S)-3-アミノ-3-(4,4’,5-トリフルオロ-2’,6’-ジメチル-[1,1’-ビフェニル]-3-イル)プロパン酸エチルの調製
工程1:(S)-3-(((R)-tert-ブチルスルフィニル)アミノ)-3-(4,4’,5-トリフルオロ-2’,6’-ジメチル-[1,1’-ビフェニル]-3-イル)プロパン酸エチル
Figure 0007702004000265
(S)-3-(5-ブロモ-2,3-ジフルオロフェニル)-3-(((R)-tert-ブチルスルフィニル)アミノ)プロパン酸エチル(1.1g、2.68mmol、1.00当量)、KPO(1.7g、8.04mmol、3.00当量)、X-Phos Pd G2(212mg、0.27mmol、0.10当量)および(4-フルオロ-2,6-ジメチルフェニル)ボロン酸(900mg、5.36mmol、2.00当量)のTHF(10mL)とHO(2mL)の混合液を、窒素雰囲気下、50℃で2時間攪拌した。LCMSは、反応が完了したことを示した。反応混合物を、50mLの水の中に注いで、EtOAc(50mL×3)で抽出した。一つにまとめた有機層をブライン(100mL)で洗浄し、無水NaSOで乾燥させ、ろ過し、真空中で濃縮した。残留物を、シリカゲルカラム(石油エーテル:EtOAc 1:1)により精製して、褐色油状物として、(S)-3-(((R)-tert-ブチルスルフィニル)アミノ)-3-(4,4’,5-トリフルオロ-2’,6’-ジメチル-[1,1’-ビフェニル]-3-イル)プロパン酸エチル(1g)を得た。収率82%(ESI 456.1(M+H)
工程2:(S)-3-アミノ-3-(4,4’,5-トリフルオロ-2’,6’-ジメチル-[1,1’-ビフェニル]-3-イル)プロパン酸エチル
Figure 0007702004000266
(S)-3-(((R)-tert-ブチルスルフィニル)アミノ)-3-(4,4’,5-トリフルオロ-2’,6’-ジメチル-[1,1’-ビフェニル]-3-イル)プロパン酸エチル(1.0g、2.2mmol、1.0当量)のDCM(4mL)の混合液に、HCl-ジオキサン(4M、2mL、4.0mmol、1.8当量)を加えた。混合液を室温で1時間攪拌した。LCMSは、反応が完了したことを示した。混合液を真空中で濃縮し、残留物を、C18/80gカラムでの逆相HPLC(A:水 10mM NHHCO、B:MeOH、0~100%)により精製して、白色固形物として、(S)-3-アミノ-3-(4,4’,5-トリフルオロ-2’,6’-ジメチル-[1,1’-ビフェニル]-3-イル)プロパン酸エチル(750mg)を得た。収率97%(ESI 352.1 [M+H])。
(S)-3-アミノ-3-(4,5-ジフルオロ-2’,4’,6’-トリメチル-[1,1’-ビフェニル]-3-イル)プロパン酸エチルの調製
スキーム:
Figure 0007702004000267
工程1:(S)-3-(((R)-tert-ブチルスルフィニル)アミノ)-3-(4,5-ジフルオロ-2’,4’,6’-トリメチル-[1,1’-ビフェニル]-3-イル)プロパン酸エチル
Figure 0007702004000268
(S)-3-(5-ブロモ-2,3-ジフルオロフェニル)-3-(((R)-tert-ブチルスルフィニル)アミノ)プロパン酸エチル(1.5g、3.65mmol、1.0当量)、メシチルボロン酸(1.2g、7.30mmol、2.0当量)、KCO(1.5g、10.95mmol、3.0当量)およびPd(dppf)Cl(267mg、0.365mmol、0.1当量)のジオキサン(10mL)とHO(1mL)の混合液を、窒素雰囲気下、110℃で1時間攪拌した。LCMSは、反応が完了したことを示した。混合物を室温に冷却し、水(30mL)に注ぎ、EtOAc(30mL×3)で抽出した。一つにまとめた有機層をブライン(100mL)で洗浄し、無水NaSOで乾燥させ、ろ過し、真空中で濃縮した。残留物を、シリカゲルカラム(石油エーテル:EtOAc 2:1)により精製して、黄色油状物として、(S)-3-(((R)-tert-ブチルスルフィニル)アミノ)-3-(4,5-ジフルオロ-2’,4’,6’-トリメチル-[1,1’-ビフェニル]-3-イル)プロパン酸エチル(1.4g)を得た。収率85%(ESI 452.2(M+H))。
工程2:(S)-3-アミノ-3-(4,5-ジフルオロ-2’,4’,6’-トリメチル-[1,1’-ビフェニル]-3-イル)プロパン酸エチル
Figure 0007702004000269
(S)-3-(((R)-tert-ブチルスルフィニル)アミノ)-3-(4,5-ジフルオロ-2’,4’,6’-トリメチル-[1,1’-ビフェニル]-3-イル)プロパン酸エチル(1.4g、3.1mmol、1.0当量)のDCM(20mL)の混合液に、HCl-ジオキサン(4M、2mL、8.0mmol、2.58当量)を加えた。混合液を室温で1時間攪拌した。LCMSは、反応が完了したことを示した。混合液を真空中で濃縮し、残留物を、C18/120gカラムでの逆相HPLC(A:水/0.01% TFA、B:MeOH、0~100%)により精製して、明黄色固形物として、(S)-3-アミノ-3-(4,5-ジフルオロ-2’,4’,6’-トリメチル-[1,1’-ビフェニル]-3-イル)プロパン酸エチル(1.0g)を得た。収率93%(ESI 348.1(M+H))。
(S)-3-(5-ブロモ-2-フルオロ-3-(トリフルオロメチル)フェニル)-3-(((R)-tert-ブチルスルフィニル)アミノ)プロパン酸エチルの調製
工程1:5-ブロモ-2-フルオロ-3-(トリフルオロメチル)ベンズアルデヒド
Figure 0007702004000270
-78℃の窒素雰囲気下、4-ブロモ-1-フルオロ-2-(トリフルオロメチル)ベンゼン(10.0g、41.15mmol、1.00当量)の無水THF溶液(50mL)に、リチウムジイソプロピルアミド(2.0M、30.9mL、61.73mmol、1.50当量)を滴下して加え、窒素雰囲気下、-78℃で1時間攪拌した。DMF(15mL)を滴下して加え、混合液を-78℃で1時間攪拌した。混合液を1M HCl水溶液(30mL)でクエンチし、EtOAc(30mL×3)で抽出した。一つにまとめた有機層をブライン(50mL)で洗浄し、無水NaSOで乾燥させ、ろ過し、真空中で濃縮した。得られた残留物を、シリカゲルカラム(石油エーテル:EtOAc 20:1)により精製し、白色固形物として、5-ブロモ-2-フルオロ-3-(トリフルオロメチル)ベンズアルデヒド(8.0g)を得た。収率72%。H NMR(400MHz,CDCl)δ 10.34(s,1H),8.19(dd,J=5.4,2.4Hz,1H),7.98(dd,J=6.1,2.5Hz,1H)。
工程2:(R,E)-N-(5-ブロモ-2-フルオロ-3-(トリフルオロメチル)ベンジリデン)-2-メチルプロパン-2-スルフィンアミド
Figure 0007702004000271
窒素雰囲気下、5-ブロモ-2-フルオロ-3-(トリフルオロメチル)ベンズアルデヒド(8.0g、29.50mmol、1.00当量)および(R)-2-メチルプロパン-2-スルフィンアミド(3.9g、32.45mmol、1.1当量)の無水THF(100mL)の混合液に、Ti(OEt)(13.0g、59.00mmol、2.00当量)を室温で滴下して加え、温度を30℃未満に維持した。反応混合液を、窒素雰囲気下、室温で1時間攪拌した。LCMSは、反応が完了したことを示した。水(100mL)およびEtOAc(100mL)を混合液に加え、室温で5分間攪拌した。混合液を濾過し、EtOAc(50mL)で洗浄した。ろ過液を分離させた。有機層を水(50mL)およびブライン(50mL)で洗浄し、無水NaSOで乾燥させ、ろ過して真空中で濃縮した。残留物をシリカゲルカラム(石油エーテル:EtOAc 5:1)により精製して、黄色油状物として(R,E)-N-(5-ブロモ-2-フルオロ-3-(トリフルオロメチル)ベンジリデン)-2-メチルプロパン-2-スルフィンアミド(8.0g)を得た。収率72%((ESI 373.9(M+H))。
工程3:(S)-3-(5-ブロモ-2-フルオロ-3-(トリフルオロメチル)フェニル)-3-(((R)-tert-ブチルスルフィニル)アミノ)プロパン酸エチル
Figure 0007702004000272
窒素雰囲気下、Zn(5.6g、85.6mmol、4.00当量)の無水THF(100mL)の混合液に、クロロトリメチルシラン(465mg、4.28mmol、0.2当量)を室温で滴下して加えた。混合液を窒素雰囲気下、45℃で1時間攪拌し、20~30℃に冷却した。2-ブロモ酢酸エチル(8.9g、53.5mmol、2.50当量)を室温で滴下して加えた。反応混合液を窒素雰囲気下、50℃で1時間攪拌し、次いで室温に冷却した。(R,E)-N-(5-ブロモ-2-フルオロ-3-(トリフルオロメチル)ベンジリデン)-2-メチルプロパン-2-スルフィンアミド(8.0g、21.4mmol、1.00当量)の無水THF溶液(10mL)を窒素雰囲気下、室温で滴下して混合液に加えた。混合液を室温で1時間攪拌した。LCMSは、反応が完了したことを示した。水(100mL)およびEtOAc(100mL)を混合液に加え、室温で5分間攪拌した。混合液を濾過し、EtOAc(100mL)で洗浄した。ろ過液を分離させた。有機層を水(100mL)およびブライン(100mL)で洗浄し、無水NaSOで乾燥させ、濾過し、真空中で濃縮した。残留物を、シリカゲルカラム(石油エーテル:EtOAc 4:1)により精製して、無色油状物として、(S)-3-(5-ブロモ-2-フルオロ-3-(トリフルオロメチル)フェニル)-3-(((R)-tert-ブチルスルフィニル)アミノ)プロパン酸エチル(6.3g)を得た。収率64%(ESI 462.0(M+H))。
エチル(S)-エチル3-アミノ-3-(4-フルオロ-2’,6’-ジメチル-5-(トリフルオロメチル)ビフェニル-3-イル)プロパン酸塩の調製
工程1:(S)-3-(((R)-tert-ブチルスルフィニル)アミノ)-3-(4-フルオロ-2’,6’-ジメチル-5-(トリフルオロメチル)-[1,1’-ビフェニル]-3-イル)プロパン酸エチル
Figure 0007702004000273
(S)-3-(5-ブロモ-2-フルオロ-3-(トリフルオロメチル)フェニル)-3-(((R)-tert-ブチルスルフィニル)アミノ)プロパン酸エチル(3g、6.49mmol)および(2,6-ジメチルフェニル)ボロン酸(1.46g、9.73mmol)のジオキサン溶液(24mL)に、Cs2CO3(4.23g、12.98mmol)の水溶液(8mL)を加えた。反応液を、N2で5分間パージし、続いてPdCl2(dppf)(0.712g、0.973mmol)を添加し、さらにN2パージを1分間行った。反応液を70℃で4時間攪拌した。反応混合液を、250mLのEtOAcで希釈し、次いで1NのHCl(250mL)、飽和 NaHCO3溶液(205mL)およびブライン(250mL)で洗浄した。残留物を濃縮し、シリカゲルカラムクロマトグラフィーで精製して、(S)-3-(((R)-tert-ブチルスルフィニル)アミノ)-3-(4-フルオロ-2’,6’-ジメチル-5-(トリフルオロメチル)-[1,1’-ビフェニル]-3-イル)プロパン酸エチル(2.71g)を得た。収率86%(ESI 488(M+H)+)。
工程2:(S)-エチル3-アミノ-3-(4-フルオロ-2’,6’-ジメチル-5-(トリフルオロメチル)ビフェニル-3-イル)プロパン酸塩
Figure 0007702004000274
(S)-エチル3-((R)-1,1-ジメチルエチルスルフィンアミド)-3-(4-フルオロ-2’,6’-ジメチル-5-(トリフルオロメチル)ビフェニル-3-イル)プロパン酸塩(0.93g、1.9mmol、1.00当量)のDCM溶液(8mL)に、HCl-ジオキサン(4M,1.9mL、7.6mmol、4当量)を加え、室温で2時間攪拌した。混合液を真空中で濃縮し、残留物を、C18/120gカラムでの逆相HPLC(A:水/0.01%TFA、B:MeOH、0~100%)により精製して、黄色固形物として、(R)-エチル3-アミノ-3-(4-フルオロ-2’,6’-ジメチル-5-(トリフルオロメチル)ビフェニル-3-イル)プロパン酸塩(0.6g)を得た。収率82%(ESI 384.1(M+H))。
(S)-3-アミノ-3-(4,4’-ジフルオロ-2’,6’-ジメチル-5-(トリフルオロメチル)-[1,1’-ビフェニル]-3-イル)プロパン酸エチルの調製
工程1:(S)-3-(((R)-tert-ブチルスルフィニル)アミノ)-3-(4,4’-ジフルオロ-2’,6’-ジメチル-5-(トリフルオロメチル)-[1,1’-ビフェニル]-3-イル)プロパン酸エチル
Figure 0007702004000275
(S)-3-(5-ブロモ-2-フルオロ-3-(トリフルオロメチル)フェニル)-3-(((R)-tert-ブチルスルフィニル)アミノ)プロパン酸エチル(2.0g、4.3mmol、1.00当量)、KCO(1.8g、12.9mmol、3.00当量)、Pd(dppf)Cl(315mg、0.43mmol、0.10当量)、および(4-フルオロ-2,6-ジメチルフェニル)ボロン酸(1.1g、6.45mmol、1.50当量)のジオキサン(50mL)とHO(5mL)の混合液を、窒素雰囲気下、110℃で2時間攪拌した。LCMSは、反応が完了したことを示した。反応混合物を、50mLの水の中に注いで、EtOAc(50mL×3)で抽出した。一つにまとめた有機層をブライン(15mL)で洗浄し、無水NaSOで乾燥させ、ろ過し、真空中で濃縮した。残留物を、シリカゲルカラム(石油エーテル:EtOAc 3:1)により精製して、無色油状物として、(S)-3-(((R)-tert-ブチルスルフィニル)アミノ)-3-(4,4’-ジフルオロ-2’,6’-ジメチル-5-(トリフルオロメチル)-[1,1’-ビフェニル]-3-イル)プロパン酸エチル(1.4g)を得た。収率64%(ESI 506.0(M+H)
工程2:(S)-3-アミノ-3-(4,4’-ジフルオロ-2’,6’-ジメチル-5-(トリフルオロメチル)-[1,1’-ビフェニル]-3-イル)プロパン酸エチル
Figure 0007702004000276
(S)-3-(((R)-tert-ブチルスルフィニル)アミノ)-3-(4,4’-ジフルオロ-2’,6’-ジメチル-5-(トリフルオロメチル)-[1,1’-ビフェニル]-3-イル)プロパン酸エチル(1.4g、2.77mmol、1.0当量)のDCM(10mL)の混合液に、HCl-ジオキサン(4M、6mL、24.0mmol、8.66当量)を加えた。混合液を室温で1時間攪拌した。LCMSは、反応が完了したことを示した。混合液を真空中で濃縮し、残留物を、C18/120gカラムでの逆相HPLC(A:水/0.01%TFA、B:MeOH、0~100%)により精製して、無色油状物として、(S)-3-アミノ-3-(4,4’-ジフルオロ-2’,6’-ジメチル-5-(トリフルオロメチル)-[1,1’-ビフェニル]-3-イル)プロパン酸エチル(880mg)を得た。収率79%(ESI 402.1 [M+H])。
(S)-エチル3-アミノ-3-(4-フルオロ-2’,3’,5,6’-テトラメチルビフェニル-3-イル)プロパン酸塩の調製
工程1:(S)-エチル3-(tert-ブトキシカルボニルアミノ)-3-(4-フルオロ-2’,3’,5,6’-テトラメチルビフェニル-3-イル)プロパン酸塩
Figure 0007702004000277
(S)-エチル3-(tert-ブトキシカルボニルアミノ)-3-(2-フルオロ-3-メチル-5-(4,4,5,5-テトラメチル-1,3,2-ジオキサボロラン-2-イル)フェニル)プロパン酸塩(3.0g、6.7mmol)、2,3,6-トリメチルフェニルトリフルオロメタンスルホン酸塩(2.2g、8.0mmol)およびKPO(4.3g、20.1mmol)のジオキサン(30mL)とHO(3mL)の混合液に、X-Phos Pd G2(550mg、0.7mmol)を加えた。混合液を、窒素雰囲気下、110℃で1時間加熱した。水(50mL)を加え、溶液をEtOAc(60mL×3)で抽出した。一つにまとめた有機層を真空中で濃縮し、残留物をシリカゲルカラム(石油エーテル:EtOAc 2:1)により精製して、暗色固形物として、(S)-エチル3-(tert-ブトキシカルボニルアミノ)-3-(4-フルオロ-2’,3’,5,6’-テトラメチルビフェニル-3-イル)プロパン酸塩(1.7g)を得た。収率57%(ESI 344.1 [M+H-100])。
工程2:(S)-エチル3-アミノ-3-(4-フルオロ-2’,3’,5,6’-テトラメチルビフェニル-3-イル)プロパン酸塩
Figure 0007702004000278
(S)-エチル3-(tert-ブトキシカルボニルアミノ)-3-(4-フルオロ-2’,3’,5,6’-テトラメチルビフェニル-3-イル)プロパン酸塩(1.7g、3.8mmol)のDCM(2mL)の混合液に、HCl-ジオキサン(4M,5mL、20.0mmol)を加え、混合液を室温で30分間攪拌した。混合液を真空中で濃縮し、残留物を、C18/120gカラムでの逆相HPLC(A:水 10mM NHHCO、B:CHCN、0~100%)により精製して、無色油状物として、(S)-エチル3-アミノ-3-(4-フルオロ-2’,3’,5,6’-テトラメチルビフェニル-3-イル)プロパン酸塩(1.0g)を得た。収率76%(ESI 344.1 [M+H])。
(S)-3-アミノ-3-(4-フルオロ-2’,4’,6’-トリメチル-5-(トリフルオロメチル)-[1,1’-ビフェニル]-3-イル)プロパン酸エチルの調製
工程1:(S)-3-(((R)-tert-ブチルスルフィニル)アミノ)-3-(2-フルオロ-5-(4,4,5,5-テトラメチル-1,3,2-ジオキサボロラン-2-イル)-3-(トリフルオロメチル)フェニル)プロパン酸エチル
Figure 0007702004000279
(S)-3-(5-ブロモ-2-フルオロ-3-(トリフルオロメチル)フェニル)-3-(((R)-tert-ブチルスルフィニル)アミノ)プロパン酸エチル(2.8g、6.1mmol)、KOAc(1.8g、18.3mmol)、Pd(dppf)Cl(446mg、0.61mmol)、および(4,4,4’,4’,5,5,5’,5’-オクタメチル-2,2’-ビ(1,3,2-ジオキサボロラン)(2.3g、9.15mmol)のジオキサン(30mL)の混合液を、窒素雰囲気下、100℃で2時間攪拌した。反応混合液を50mLの水に注ぎ、EtOAc(20mL x 3)で抽出した。一つにまとめた有機層をブライン(10mL)で洗浄し、無水NaSOで乾燥させ、ろ過して真空中で濃縮した。残留物をシリカゲルカラム(石油エーテル:EtOAc 3:1)により精製して、無色油状物として、(S)-3-(((R)-tert-ブチルスルフィニル)アミノ)-3-(2-フルオロ-5-(4,4,5,5-テトラメチル-1,3,2-ジオキサボロラン-2-イル)-3-(トリフルオロメチル)フェニル)プロパン酸エチル(2.6g)を得た。収率84%(ESI 510.1(M+H))。
工程2:(S)-3-(((R)-tert-ブチルスルフィニル)アミノ)-3-(3’,4-ジフルオロ-2’,6’-ジメチル-5-(トリフルオロメチル)-[1,1’-ビフェニル]-3-イル)プロパン酸エチル
Figure 0007702004000280
(S)-3-(((R)-tert-ブチルスルフィニル)アミノ)-3-(2-フルオロ-5-(4,4,5,5-テトラメチル-1,3,2-ジオキサボロラン-2-イル)-3-(トリフルオロメチル)フェニル)プロパン酸エチル(600mg、1.2mmol)、KCO(497mg,3.6mmol)、Pd(dppf)Cl(88mg、0.12mmol)、および2-ブロモ-4-フルオロ-1,3-ジメチルベンゼン(363.6mg、1.8mmol)のジオキサン(6mL)とHO(0.6mL)の混合液を、窒素雰囲気下、110℃で2時間攪拌した。反応混合物を、20mLの水の中に注いで、EtOAc(20mL×3)で抽出した。一つにまとめた有機層をブライン(5mL)で洗浄し、無水NaSOで乾燥させ、ろ過し、ろ過液を真空中で濃縮した。残留物を、シリカゲルカラム(石油エーテル:EtOAc 3:1)により精製して、無色油状物として、(S)-3-(((R)-tert-ブチルスルフィニル)アミノ)-3-(3’,4-ジフルオロ-2’,6’-ジメチル-5-(トリフルオロメチル)-[1,1’-ビフェニル]-3-イル)プロパン酸エチル(460mg)を得た。収率77%(ESI 506.1(M+H)
工程3:(S)-3-アミノ-3-(3’,4-ジフルオロ-2’,6’-ジメチル-5-(トリフルオロメチル)-[1,1’-ビフェニル]-3-イル)プロパン酸エチル
Figure 0007702004000281
(S)-3-(((R)-tert-ブチルスルフィニル)アミノ)-3-(3’,4-ジフルオロ-2’,6’-ジメチル-5-(トリフルオロメチル)-[1,1’-ビフェニル]-3-イル)プロパン酸エチル(460mg、0.91mmol)のEtOH(5mL)の混合液に、HCl-ジオキサン(4M、2mL、8.0mmol)を加えた。混合液を室温で1時間攪拌した。混合液を真空中で濃縮し、残留物を、C18/40gカラムでの逆相HPLC(A:水/0.05%TFA、B:MeOH、0~100%)により精製して、無色油状物として、(S)-3-アミノ-3-(3’,4-ジフルオロ-2’,6’-ジメチル-5-(トリフルオロメチル)-[1,1’-ビフェニル]-3-イル)プロパン酸エチル(230mg)を得た。収率63%(ESI 402.1 [M+H])。
(S)-3-アミノ-3-(4-フルオロ-2’,4’,6’-トリメチル-5-(トリフルオロメチル)-[1,1’-ビフェニル]-3-イル)プロパン酸エチルの調製
工程1:((S)-エチル 3-((R)-1,1-ジメチルエチルスルフィンアミド)-3-(4-フルオロ-3’-メトキシ-2’,6’-ジメチル-5-(トリフルオロメチル)ビフェニル-3-イル)プロパン酸塩
Figure 0007702004000282
(S)-エチル 3-((R)-1,1-ジメチルエチルスルフィンアミド)-3-(2-フルオロ-5-(4,4,5,5-テトラメチル-1,3,2-ジオキサボロラン-2-イル)-3-(トリフルオロメチル)フェニル)プロパン酸塩(600mg、1.18mmol)、KCO(488mg、3.54mmol)、Pd(dppf)Cl(43mg、0.06mmol)、および2-ブロモ-4-メトキシ-1,3-ジメチルベンゼン(300mg、1.42mmol)のジオキサン(10mL)とHO(1mL)の混合液を、窒素雰囲気下、110℃で1時間攪拌した。反応混合物を、50mLの水の中に注いで、EtOAc(50mL×3)で抽出した。一つにまとめた有機層をブライン(100mL)で洗浄し、無水NaSOで乾燥させ、ろ過し、ろ過液を真空中で濃縮した。残留物を、シリカゲルカラム(石油エーテル:EtOAc 3:2)により精製して、無色油状物として、(S)-エチル 3-((R)-1,1-ジメチルエチルスルフィンアミド)-3-(4-フルオロ-3’-メトキシ-2’,6’-ジメチル-5-(トリフルオロメチル)ビフェニル-3-イル)プロパン酸塩(400mg)を得た。収率65%(ESI 518.3(M+H)
工程2:(S)-エチル 3-アミノ-3-(4-フルオロ-3’-メトキシ-2’,6’-ジメチル-5-(トリフルオロメチル)ビフェニル-3-イル)プロパン酸塩
Figure 0007702004000283
(S)-エチル 3-((R)-1,1-ジメチルエチルスルフィンアミド)-3-(4-フルオロ-3’-メトキシ-2’,6’-ジメチル-5-(トリフルオロメチル)ビフェニル-3-イル)プロパン酸塩(400mg、0.77mmol)のDCM(2mL)の混合液に、HCl-ジオキサン(4M、1mL、4.0mmol)を加えた。混合液を室温で1時間攪拌した。混合液を真空中で濃縮し、残留物を、C18/40gカラムでの逆相HPLC(A:水 10mM NHHCO、B:CHCN、0~100%)により精製して、(S)-エチル 3-アミノ-3-(4-フルオロ-3’-メトキシ-2’,6’-ジメチル-5-(トリフルオロメチル)ビフェニル-3-イル)プロパン酸塩(200mg)を得た。収率63%(ESI 414.1 [M+H])。
(S)-3-アミノ-3-(4-フルオロ-2’,4’,6’-トリメチル-5-(トリフルオロメチル)-[1,1’-ビフェニル]-3-イル)プロパン酸エチルの調製
工程1:2,3,6-トリメチルフェニル トリフルオロメタンスルホン酸塩
Figure 0007702004000284
2,3,6-トリメチルフェノール(5g、36.8mmol)、NEt3(9.3g、92.0mmol)のDCM(100mL)の混合液に、TfO(15.6g、55.2mmol)を0℃で滴下して加え、室温で3時間攪拌した。反応混合物を、100mLの水の中に注いで、DCM(100 x 3mL x 3)で抽出した。一つにまとめた有機層をブライン(100mL)で洗浄し、無水NaSOで乾燥させ、ろ過し、ろ過液を真空中で濃縮した。残留物をシリカゲルカラム(石油エーテル)により精製し、2,3,6-トリメチルフェニル トリフルオロメタンスルホン酸塩(8g)を無色油状物として得た。収率80%(ESI 269.3(M+H))。
工程2:(S)-エチル 3-((R)-1,1-ジメチルエチルスルフィンアミド)-3-(4-フルオロ-2’,3’,6’-トリメチル-5-(トリフルオロメチル)ビフェニル-3-イル)プロパン酸塩
Figure 0007702004000285
(S)-エチル 3-((R)-1,1-ジメチルエチルスルフィンアミド)-3-(2-フルオロ-5-(4,4,5,5-テトラメチル-1,3,2-ジオキサボロラン-2-イル)-3-(トリフルオロメチル)フェニル)プロパン酸塩(400mg、0.79mmol)、2,3,6-トリメチルフェニル トリフルオロメタンスルホン酸塩(253mg、0.94mmol)、およびKPO(502mg、2.37mmol)のジオキサン(10mL)とHO(1mL)の混合液に、Xphos Pd G2(63mg、0.08mmol)を加えた。混合液を、窒素雰囲気下、110℃で30分間加熱した。水(20mL)を加え、溶液をEtOAc(20mL×3)で抽出した。一つにまとめた有機層を真空中で濃縮し、残留物をシリカゲルカラム(石油エーテル:EtOAc 2:1)により精製して、暗色固形物として、(S)-エチル 3-((R)-1,1-ジメチルエチルスルフィンアミド)-3-(4-フルオロ-2’,3’,6’-トリメチル-5-(トリフルオロメチル)ビフェニル-3-イル)プロパン酸塩(300mg)を得た。収率76%(ESI 502.1 [M-100+H])。
工程3:(S)-エチル 3-アミノ-3-(4-フルオロ-2’,3’,6’-トリメチル-5-(トリフルオロメチル)ビフェニル-3-イル)プロパン酸塩
Figure 0007702004000286
(S)-エチル 3-((R)-1,1-ジメチルエチルスルフィンアミド)-3-(4-フルオロ-2’,3’,6’-トリメチル-5-(トリフルオロメチル)ビフェニル-3-イル)プロパン酸塩(300mg、0.6mmol)のDCM(1mL)の混合液に、HCl-ジオキサン(4N、1mL、2.5mmol)を加え、混合液を室温で0.5時間攪拌した。混合液を真空中で濃縮し、残留物を、C18/40gカラムでの逆相HPLC(A:水 10mM NHHCO、B:CHCN、0~100%)により精製して、無色油状物として、(S)-エチル 3-アミノ-3-(4-フルオロ-2’,3’,6’-トリメチル-5-(トリフルオロメチル)ビフェニル-3-イル)プロパン酸塩(170mg)を得た。収率71%(ESI 398.1(M+H))。
(S)-3-アミノ-3-(4-フルオロ-2’,4’,6’-トリメチル-5-(トリフルオロメチル)-[1,1’-ビフェニル]-3-イル)プロパン酸エチルの調製
工程1:(S)-エチル 3-((R)-1,1-ジメチルエチルスルフィンアミド)-3-(4-フルオロ-2’,4’,6’-トリメチル-5-(トリフルオロメチル)ビフェニル-3-イル)プロパン酸塩
Figure 0007702004000287
(S)-エチル 3-(5-ブロモ-2-フルオロ-3-(トリフルオロメチル)フェニル)-3-((R)-1,1-ジメチルエチルスルフィンアミド)プロパン酸塩(461mg、1.0mmol)、メシチルボロン酸(197mg、1.2mmol)およびKCO(414mg、3.0mmol)のジオキサン(10mL)とHO(1mL)の混合液に、Pd(dppf)Cl(73mg、0.1mmol)を加えた。混合液を、窒素雰囲気下、110℃で2時間加熱した。水(20mL)を加え、混合液をEtOAc(20mL×3)で抽出した。一つにまとめた有機層を真空中で濃縮し、残留物をシリカゲルカラム(石油エーテル:EtOAc 2:1)により精製して、暗色固形物として、(S)-エチル 3-((R)-1,1-ジメチルエチルスルフィンアミド)-3-(4-フルオロ-2’,4’,6’-トリメチル-5-(トリフルオロメチル)ビフェニル-3-イル)プロパン酸塩(400mg)を得た。収率80%(ESI 502.1 [M-100+H])。
工程2:(S)-エチル 3-アミノ-3-(4-フルオロ-2’,4’,6’-トリメチル-5-(トリフルオロメチル)ビフェニル-3-イル)プロパン酸塩
Figure 0007702004000288
(S)-エチル 3-((R)-1,1-ジメチルエチルスルフィンアミド)-3-(4-フルオロ-2’,4’,6’-トリメチル-5-(トリフルオロメチル)ビフェニル-3-イル)プロパン酸塩(400mg、0.8mmol)のDCM(1mL)とEtOH(2mL)の混合液に、HCl-ジオキサン(4M、2mL、8mmol)を加え、室温で0.5時間攪拌した。混合液を真空中で濃縮して、黄色油状物(350mg、粗)として生成物を得た。(ESI 398.1[M+H])。
(3S)-3-アミノ-3-(2,4,4’-トリフルオロ-2’,3’,6’-トリメチル-5-(トリフルオロメチル)-[1,1’-ビフェニル]-3-イル)プロパン酸エチルの調製
工程1:2,6-ジブロモ-4-フルオロ-3-メチルアニリン
Figure 0007702004000289
4-フルオロ-3-メチルアニリン(50.0g、400mmol)のMeOH(120mL)とDCM(120mL)の混合液に、ブロミン(52mL、1.0 mol)を室温で1.5時間かけて滴下して加え、室温で4時間攪拌した。1N Na水溶液(300mL)および酢酸エチル(500mL)を加え、10分間攪拌し、次いで1N NaCO水溶液(300mL)を用いて注意深く塩基性化した。有機層を分離させ、水層を酢酸エチル(2×100mL)で抽出した。一つにまとめた有機層を、1N Na水溶液(300mL)およびブライン(200mL)で洗浄し、NaSOで乾燥させ、ろ過して真空中で濃縮し、白色固形物として、2,6-ジブロモ-4-フルオロ-3-メチルアニリン(80g)を得た。収率70.7%(ESI 284.0[M+H])。
工程2:4-フルオロ-2,3,6-トリメチルアニリン
Figure 0007702004000290
エチル 2,6-ジブロモ-4-フルオロ-3-メチルアニリン(50.0g、273mmol)のジオキサン(500.0mL)と水(50mL)の溶液に、メチルボロン酸(49.0g、819mmol)、KCO(111.0g、819mmol)、および1,1’-ビス(ジフェニルホスフィノ)フェロセン-パラジウム(II)ジクロリド ジクロロメタン錯体(10.0g、13.65mmol)を加えた。混合液を、110℃で一晩攪拌した。反応液を水(500mL)中へと注ぎ、酢酸エチル(500mL)で抽出した。一つにまとめた有機層を無水硫酸ナトリウム上で乾燥させ、ろ過し、真空中で濃縮した。残留物をシリカゲルカラム(石油エーテル:EtOAc 1:5)により精製し、無色油状物として、4-フルオロ-2,3,6-トリメチルアニリン(20.0g)を得た。収率47.6%(ESI 154.3(M+H)
工程3:2-ブロモ-5-フルオロ-1,3,4-トリメチルベンゼン
Figure 0007702004000291
4-フルオロ-2,3,6-トリメチルアニリン(3.8g、24.8mmol)のMeCN(30mL)の混合液に、t-BuONO(3.8g、37.2mmol)を0℃で加え、次いでCuBr(4.3g、29.7mmol)を加えた。混合物を60℃で2時間攪拌した。反応混合液を真空中で濃縮し、残留物をシリカゲルカラム(石油エーテル)により精製して、無色油状物として、2-ブロモ-5-フルオロ-1,3,4-トリメチルベンゼン(1.3g)を得た。収率33.9 %
工程4:(3S)-3-(((R)-tert-ブチルスルフィニル)アミノ)-3-(2,4,4’-トリフルオロ-2’,3’,6’-トリメチル-5-(トリフルオロメチル)-[1,1’-ビフェニル]-3-イル)プロパン酸エチル
Figure 0007702004000292
(3-((S)-1-(((R)-tert-ブチルスルフィニル)アミノ)-3-エトキシ-3-オキソプロピル)-2,4-ジフルオロ-5-(トリフルオロメチル)フェニル)ボロン酸(1.5g、3.3mmol)、2-ブロモ-5-フルオロ-1,3,4-トリメチルベンゼン(950mg、4.3mmol)、KPO(2.1g、9.9mmol)、X-Phos Pd G2(285mg、0.33mmol)のジオキサン(10mL)とHO(2mL)の混合液を、N2雰囲気下、110℃で2時間攪拌した。混合液を水(100mL)中に注いで、EtOAc(100mL×3)で抽出した。一つにまとめた有機層を無水硫酸ナトリウム上で乾燥させ、ろ過し、真空中で濃縮した。残留物を、シリカゲルカラム(石油エーテル:EtOAc 1:1)により精製して、黄色油状物として、(3S)-3-(((R)-tert-ブチルスルフィニル)アミノ)-3-(2,4,4’-トリフルオロ-2’,3’,6’-トリメチル-5-(トリフルオロメチル)-[1,1’-ビフェニル]-3-イル)プロパン酸エチル(380mg)を得た。収率21.3%( ESI 538.0(M+H))。
工程5:(3S)-3-アミノ-3-(2,4,4’-トリフルオロ-2’,3’,6’-トリメチル-5-(トリフルオロメチル)-[1,1’-ビフェニル]-3-イル)プロパン酸エチル
Figure 0007702004000293
(3S)-3-(((R)-tert-ブチルスルフィニル)アミノ)-3-(2,4,4’-トリフルオロ-2’,3’,6’-トリメチル-5-(トリフルオロメチル)-[1,1’-ビフェニル]-3-イル)プロパン酸エチル(380mg、0.70mmol)のDCM溶液(5mL)に、HCl-ジオキサン(4M、5mL)を加え、室温で1時間攪拌した。混合液を真空中で濃縮して、黄色油状物として、(3S)-3-アミノ-3-(2,4,4’-トリフルオロ-2’,3’,6’-トリメチル-5-(トリフルオロメチル)-[1,1’-ビフェニル]-3-イル)プロパン酸エチル(340mg)を得て、これをさらに精製することなく次の工程に直接使用した。収率100%(ESI 434.2 [M+H] )。
(3S)-3-アミノ-3-(3’-シクロプロピル-2,4-ジフルオロ-2’,6’-ジメチル-5-(トリフルオロメチル)-[1,1’-ビフェニル]-3-イル)プロパン酸エチルの調製
工程1:3-ブロモ-2,6-ジメチルアニリン
Figure 0007702004000294
0℃の1-ブロモ-2,4-ジメチル-3-ニトロベンゼン(3.0g、13.0mmol)のMeOH(30mL)とHO(3mL)の混合液に、NHCl(2.1g、39.0mmol)、およびZn(8.5g、130.0mmol)を加えた。混合液を室温で20時間攪拌した。反応混合液を濾過し、ろ過液を真空中で濃縮した。残留物をシリカゲルカラム(石油エーテル:EtOAc 3:2)により精製し、褐色固形物として、3-ブロモ-2,6-ジメチルアニリン(2.0g)を得た。収率 77%(ESI 200.1 [M+H])。
工程2:3-シクロプロピル-2,6-ジメチルアニリン
Figure 0007702004000295
3-ブロモ-2,6-ジメチルアニリン(1.5g、7.5mmol)、シクロプロピルボロン酸(3.2g、37.5mmol)、X-Phos(357.5mg、0.75mmol)、Pd(dba)(343.4mg、0.38mmol)およびKPO(4.8g、22.5mmol)の1,4-ジオキサン(10mL)と水(1mL)の混合液を、窒素雰囲気下、110℃で一晩攪拌した。反応混合液を室温に冷却し、セライト床を通してろ過し、ろ過液を真空中で濃縮した。残留物をシリカゲルカラム(石油エーテル:EtOAc 5:1)により精製し、無色油状物として、3-シクロプロピル-2,6-ジメチルアニリン(1.1g)を得た。収率91%(ESI 162.2[M+H])。
工程3:1-シクロプロピル-3-ヨード-2,4-ジメチルベンゼン
Figure 0007702004000296
3-シクロプロピル-2,6-ジメチルアニリン(1.1g、6.8mmol)のCHCN(10mL)とHO(1mL)の混合液に、p-トルエンスルホン酸(5.9g、34.0 mmo)を加えた。混合液を、窒素雰囲気下、0℃で10分間攪拌した。NaNO(703.8mg、10.2mmol)のHO溶液(2mL)を滴下して加え、混合液を0℃で1時間攪拌した。次いで、KI(3.4g、20.4mmol)を反応混合液に加え、0℃で2時間攪拌した。完了後、水(20mL)を加え、溶液をEtOAc(20mL×3)で抽出した。一つにまとめた有機相をブライン(20mL)で洗浄し、無水NaSOで乾燥させ、ろ過し、真空中で濃縮した。残留物をシリカゲルカラム(石油エーテル)により精製して、無色油状物として、1-シクロプロピル-3-ヨード-2,4-ジメチルベンゼン(240mg)を得て、これをさらに精製することなく使用した。収率13%。H NMR(400MHz,CDCl)δ 6.98(d,J=7.8Hz,1H),6.93(d,J=7.8Hz,1H),2.63(s,3H),2.44(s,3H),1.94-1.85(m,1H),0.95-0.86(m,2H),0.62-0.55(m,2H)。
工程4:(3S)-3-(((R)-tert-ブチルスルフィニル)アミノ)-3-(3’-シクロプロピル-2,4-ジフルオロ-2’,6’-ジメチル-5-(トリフルオロメチル)-[1,1’-ビフェニル]-3-イル)プロパン酸エチル
Figure 0007702004000297
(3-((S)-1-(((R)-tert-ブチルスルフィニル)アミノ)-3-エトキシ-3-オキソプロピル)-2,4-ジフルオロ-5-(トリフルオロメチル)フェニル)ボロン酸(350mg、0.79mmol)、1-シクロプロピル-3-ヨード-2,4-ジメチルベンゼン(240mg、0.88mmol)、X-Phos Pd G2(62.1mg、0.08mmol)、およびKPO(503.1mg、2.37mmol)の1,4-ジオキサン(10mL)と水(1mL)の混合液を、105℃で1時間、窒素雰囲気下で攪拌した。反応混合液を室温に冷却し、セライト床を通してろ過し、ろ過液を真空中で濃縮した。残留物を、シリカゲルカラム(石油エーテル:EtOAc 3:2)により精製して、褐色油状物として、(3S)-3-(((R)-tert-ブチルスルフィニル)アミノ)-3-(3’-シクロプロピル-2,4-ジフルオロ-2’,6’-ジメチル-5-(トリフルオロメチル)-[1,1’-ビフェニル]-3-イル)プロパン酸エチル(270mg)を得た。収率 63%(ESI 546.2[M+H])。
工程5:(3S)-3-アミノ-3-(3’-シクロプロピル-2,4-ジフルオロ-2’,6’-ジメチル-5-(トリフルオロメチル)-[1,1’-ビフェニル]-3-イル)プロパン酸エチル
Figure 0007702004000298
(3S)-3-(((R)-tert-ブチルスルフィニル)アミノ)-3-(3’-シクロプロピル-2,4-ジフルオロ-2’,6’-ジメチル-5-(トリフルオロメチル)-[1,1’-ビフェニル]-3-イル)プロパン酸エチル(270.0mg、049mmol)のEtOH(2mL)の混合液に、HCl-ジオキサン(4M、2mL、8.0mmol)を加えた。混合液を室温で1時間攪拌した。混合液を真空中で濃縮して、無色油状物として、(3S)-3-アミノ-3-(3’-シクロプロピル-2,4-ジフルオロ-2’,6’-ジメチル-5-(トリフルオロメチル)-[1,1’-ビフェニル]-3-イル)プロパン酸エチル(210.0mg)を得て、これをさらに精製することなく使用した。収率 96%(ESI 442.2[M+H])。
(3S)-エチル 3-アミノ-3-(3’-シクロプロポキシ-2,4-ジフルオロ-2’,6’-ジメチル-5-(トリフルオロメチル)ビフェニル-3-イル)プロパン酸塩の調製
工程1:2-ブロモ-4-シクロプロポキシ-1,3-ジメチルベンゼン
Figure 0007702004000299
3-ブロモ-2,4-ジメチルフェノール(1.0g、4.98mmol)、ブロモシクロプロパン(3.0g、24.8mmol)、およびCsCO(4.9g、14.9mmol)のNMP(20mL)の混合液を、140℃で20時間攪拌した。混合液を室温まで冷却し、NHCl水溶液(20mL)中に注いだ。溶液をEtOAc(200mL×3)で抽出した。一つにまとめた有機層をブライン(20mL x 2)で洗浄し、無水NaSOで乾燥させ、ろ過および真空中で濃縮した。残留物をシリカゲルカラム(石油エーテル)により精製し、無色油状物として、2-ブロモ-4-シクロプロポキシ-1,3-ジメチルベンゼン(1.0g)として得た。収率83%。H NMR(400MHz,CDCl)δ 7.07(d,J=8.4Hz,1H),7.04(d,J=8.6Hz,1H),3.75-3.65(m,1H),2.35(s,3H),2.27(s,3H),0.79-0.73(m,4H)。
工程2:(3S)-エチル 3-(3’-シクロプロポキシ-2,4-ジフルオロ-2’,6’-ジメチル-5-(トリフルオロメチル)ビフェニル-3-イル)-3-((R)-1,1-ジメチルエチルスルフィンアミド)プロパン酸塩
Figure 0007702004000300
3-((S)-1-((R)-1,1-ジメチルエチルスルフィンアミド)-3-エトキシ-3-オキソプロピル)-2,4-ジフルオロ-5-(トリフルオロメチル)フェニルボロン酸(400mg、0.9mmol)、2-ブロモ-4-シクロプロポキシ-1,3-ジメチルベンゼン(260mg、1.1mmol)、およびKPO(636mg、3.0mmol)のジオキサン(5mL)とHO(0.5mL)の混合液に、X-Phos Pd G2(79mg、0.1mmol)を加えた。混合液を、窒素雰囲気下、110℃で1時間加熱した。水(10mL)を加え、溶液をEtOAc(20mL×3)で抽出した。一つにまとめた有機層を真空中で濃縮し、残留物をシリカゲルカラム(石油エーテル:EtOAc 2:1)により精製して、暗色固形物として、(3S)-エチル 3-(3’-シクロプロポキシ-2,4-ジフルオロ-2’,6’-ジメチル-5-(トリフルオロメチル)ビフェニル-3-イル)-3-((R)-1,1-ジメチルエチルスルフィンアミド)プロパン酸塩(300mg)を得た。収率 59%(ESI 562.1[M+H])。
工程3:(3S)-エチル 3-アミノ-3-(3’-シクロプロポキシ-2,4-ジフルオロ-2’,6’-ジメチル-5-(トリフルオロメチル)ビフェニル-3-イル)プロパン酸塩
Figure 0007702004000301
(3S)-エチル 3-(3’-シクロプロポキシ-2,4-ジフルオロ-2’,6’-ジメチル-5-(トリフルオロメチル)ビフェニル-3-イル)-3-((R)-1,1-ジメチルエチルスルフィンアミド)プロパン酸塩(300mg、0.53mmol)のDCM(1mL)の混合液に、4M HCl-ジオキサン(0.5mL、2.0mmol)を加えた。混合物を室温で0.5時間攪拌した。混合液を真空中で濃縮し、残留物を、C18/120gカラムでの逆相(A:水 10mM NHHCO、B:CHCN、0~100%)により精製して、無色油状物として、(3S)-エチル 3-アミノ-3-(3’-シクロプロポキシ-2,4-ジフルオロ-2’,6’-ジメチル-5-(トリフルオロメチル)ビフェニル-3-イル)プロパン酸塩(150mg)を得た。収率 62 %(ESI 458.1 [M+H])。
(S)-3-アミノ-3-(2,4-ジフルオロ-2’,6’-ジメチル-4’,5-ビス(トリフルオロメチル)-[1,1’-ビフェニル]-3-イル)プロパン酸エチルの調製
工程1:(S)-3-(((R)-tert-ブチルスルフィニル)アミノ)-3-(2,4-ジフルオロ-2’,6’-ジメチル-4’,5-ビス(トリフルオロメチル)-[1,1’-ビフェニル]-3-イル)プロパン酸エチル
Figure 0007702004000302
(3-((S)-1-(((R)-tert-ブチルスルフィニル)アミノ)-3-エトキシ-3-オキソプロピル)-2,4-ジフルオロ-5-(トリフルオロメチル)フェニル)ボロン酸(900mg、2.0mmol)、KPO(1.06g、5.0mmol)、X-Phos Pd G2(157mg、0.2mmol)、および2-ブロモ-1,3-ジメチル-5-(トリフルオロメチル)ベンゼン(607mg、2.4mmol)のジオキサン(20mL)とHO(2mL)の混合液を、窒素雰囲気下、100℃で2時間攪拌した。反応混合液を、50mLの水の中に注いで、EtOAc(50 x 3mL x 3)で抽出した。一つにまとめた有機層をブライン(100mL)で洗浄し、無水NaSOで乾燥させ、ろ過し、ろ過液を真空中で濃縮した。残留物を、シリカゲルカラム(石油エーテル:EtOAc 3:2)により精製して、黄色固形物として、(S)-3-(((R)-tert-ブチルスルフィニル)アミノ)-3-(2,4-ジフルオロ-2’,6’-ジメチル-4’,5-ビス(トリフルオロメチル)-[1,1’-ビフェニル]-3-イル)プロパン酸エチル(730mg)を得た。収率 63.6%(ESI 574.2(M+H)
工程2:(S)-3-アミノ-3-(2,4-ジフルオロ-2’,6’-ジメチル-4’,5-ビス(トリフルオロメチル)-[1,1’-ビフェニル]-3-イル)プロパン酸エチルの調製
Figure 0007702004000303
(S)-3-(((R)-tert-ブチルスルフィニル)アミノ)-3-(2,4-ジフルオロ-2’,6’-ジメチル-4’,5-ビス(トリフルオロメチル)-[1,1’-ビフェニル]-3-イル)プロパン酸エチル(730mg、1.27mmol)のDCM(4mL)の混合液に、HCl-ジオキサン(4M、1mL、4.0mmol)を加えた。混合液を室温で1時間攪拌した。混合液を真空中で濃縮し、残留物を、C18/40gカラムでの逆相HPLC(A:水 10mM NHHCO、B:CHCN、0~100%)により精製して、(S)-3-アミノ-3-(2,4-ジフルオロ-2’,6’-ジメチル-4’,5-ビス(トリフルオロメチル)-[1,1’-ビフェニル]-3-イル)プロパン酸エチル(280mg)を得た。収率 47%(ESI 470.0[M+H])。
(S)-3-(3-ブロモ-5-シクロプロピル-2,6-ジフルオロフェニル)-3-(((R)-tert-ブチルスルフィニル)アミノ)プロパン酸エチルの調製
工程1:5-シクロプロピル-2,4-ジフルオロアニリン
Figure 0007702004000304
窒素雰囲気下、室温で、5-ブロモ-2,4-ジフルオロアニリン(15.0g、72.1mmol)のトルエン(50mL)とHO(55mL)の溶液に、X-phos(1.7g、3.6mmol)、Pddba(3.3g、3.6mmol)、シクロプロピルボロン酸(12.4g、144.2mmol)、およびKPO(30.9g、144.2mmol)を加え、窒素雰囲気下、100℃で16時間攪拌した。反応液をろ過し、EtOAc(50mL)で洗浄した。ろ過液を真空中で濃縮し、残留物をシリカゲルカラム(石油エーテル:EtOAc 10:1)により精製して、白色固形物として、5-シクロプロピル-2,4-ジフルオロアニリン(12.0g)を得た。収率 92 %(ESI 170.2(M+H))。
工程2:1-ブロモ-5-シクロプロピル-2,4-ジフルオロベンゼン
Figure 0007702004000305
0℃の5-シクロプロピル-2,4-ジフルオロアニリン(12.0g、71.0mmol)およびCuBr(25.5g、177.5mmol)のACN(200mL)とHO(40mL)の混合液に、p-トルエンスルホン酸(54.0g、284.0mmol)を加え、次いで1時間攪拌した。混合液に、NaNO(7.3g、106.5mmol)のHO(20mL)の溶液を滴下して加えた。混合液を、EtOAc(80mL×3)で抽出した。有機層をブラインで洗浄し、NaSOで乾燥させ、ろ過および真空中で濃縮した。残留物をシリカゲルカラム(石油エーテル)により精製し、無色油状物として、1-ブロモ-5-シクロプロピル-2,4-ジフルオロベンゼン(7.0g、収率:42%)を得た。
工程3:3-ブロモ-5-シクロプロピル-2,6-ジフルオロベンズアルデヒド
Figure 0007702004000306
-78℃の1-ブロモ-5-シクロプロピル-2,4-ジフルオロベンゼン(7.0g、30.0mmol)のTHF溶液(50mL)に、LDA(22.6mL、45.2mmol)を滴下して加え、-78℃で1時間攪拌した。次いでDMF(5mL)を滴下し、-78℃でさらに1時間攪拌した。反応混合液を室温に加温し、飽和NHCl(20mL)水溶液でクエンチして、室温で30分間攪拌した。混合液をEtOAc(100mL x 3)で抽出した。有機層をブラインで洗浄し、NaSOで乾燥させ、ろ過および真空中で濃縮して、黄色油状物として、3-ブロモ-5-シクロプロピル-2,6-ジフルオロベンズアルデヒド(6.5g、収率:88%)を得て、これをさらに精製することなく使用した。
工程4:(R,E)-N-(3-ブロモ-5-シクロプロピル-2,6-ジフルオロベンジリデン)-2-メチルプロパン-2-スルフィンアミド
Figure 0007702004000307
窒素雰囲気下、3-ブロモ-5-シクロプロピル-2,6-ジフルオロベンズアルデヒド(7.3g、29.4mmol)および(R)-2-メチルプロパン-2-スルフィンアミド(4.3g、35.3mmol)の無水THF(50mL)の混合液に、Ti(OEt)(10.0g、44.1mmol)を滴下して室温で加えた。その間、温度を30℃未満に維持した。反応混合液を、窒素雰囲気下、室温で1時間攪拌した。水(100mL)およびEtOAc(100mL)を混合液に加え、室温で5分間攪拌した。混合液を濾過し、EtOAc(50mL)で洗浄した。有機層を水(50mL)およびブライン(50mL)で洗浄し、無水NaSOで乾燥させ、ろ過して真空中で濃縮した。残留物をシリカゲルカラム(石油エーテル:EtOAc 5:1)により精製して、黄色油状物として、(R,E)-N-(3-ブロモ-5-シクロプロピル-2,6-ジフルオロベンジリデン)-2-メチルプロパン-2-スルフィンアミド(6.3g)を得た。収率 61%(ESI 364.0(M+H),366.0(M+2+H))。
工程5:(S)-3-(3-ブロモ-5-シクロプロピル-2,6-ジフルオロフェニル)-3-(((R)-tert-ブチルスルフィニル)アミノ)プロパン酸エチル
Figure 0007702004000308
窒素雰囲気下、Zn(10.0g、149.3mmol)の無水THF(100mL)の混合液に、クロロトリメチルシラン(1.0g、9.8mmol)を室温で滴下して加えた。混合液を、窒素雰囲気下、50℃で1時間攪拌した。次いでこの混合液を、20~30℃に冷却した。2-ブロモ酢酸塩(12.4g、74.3mmol)を室温で滴下して加え、混合液を窒素雰囲気下、50℃で1時間攪拌した。反応混合液を室温まで冷却した。(R,E)-N-(3-ブロモ-5-シクロプロピル-2,6-ジフルオロベンジリデン)-2-メチルプロパン-2-スルフィンアミド(9.0g、24.7mmol)の無水THF溶液(10mL)を、混合液に室温で滴下して加え、混合液を室温で1時間攪拌した。水(100mL)およびEtOAc(100mL)を混合液に加え、室温で5分間攪拌した。混合液を濾過し、EtOAc(100mL x 2)で洗浄した。有機層を水(100mL)およびブライン(100mL)で洗浄し、無水NaSOで乾燥させ、濾過し、ろ過液を真空中で濃縮した。残留物を、シリカゲルカラム(石油エーテル:EtOAc 2:1)により精製して、無色油状物として、(S)-3-(3-ブロモ-5-シクロプロピル-2,6-ジフルオロフェニル)-3-(((R)-tert-ブチルスルフィニル)アミノ)プロパン酸エチル(7.1g)を得た。収率 78 %(ESI 452.0(M+H),454.0(M+2+H))。
(S)-3-アミノ-3-(5-シクロプロピル-2,4-ジフルオロ-2’,6’-ジメチル-[1,1’-ビフェニル]-3-イル)プロパン酸エチルの調製
工程1:(S)-3-(((R)-tert-ブチルスルフィニル)アミノ)-3-(5-シクロプロピル-2,4-ジフルオロ-2’,6’-ジメチル-[1,1’-ビフェニル]-3-イル)プロパン酸エチル
Figure 0007702004000309
(S)-3-(3-ブロモ-5-シクロプロピル-2,6-ジフルオロフェニル)-3-(((R)-tert-ブチルスルフィニル)アミノ)プロパン酸エチル(800.0mg、1.77mmol)、(2,6-ジメチルフェニル)ボロン酸(380.0mg、2.3mmol)、X-Phos Pd G2(133.0mg、0.17mmol)、およびKPO(1.1g、5.31mmol)のトルエン(7mL)とHO(0.7mL)の混合液を、窒素雰囲気下、100℃で4時間攪拌した。反応液を真空中で濃縮し、残留物をシリカゲルカラム(石油エーテル:EtOAc=3:1)により精製して、明黄色泡状物として、(S)-3-(((R)-tert-ブチルスルフィニル)アミノ)-3-(5-シクロプロピル-2,4-ジフルオロ-2’,6’-ジメチル-[1,1’-ビフェニル]-3-イル)プロパン酸エチル(700.0mg、収率83%)を得た(ESI 478.2 [M+H])。
工程2:(S)-3-アミノ-3-(5-シクロプロピル-2,4-ジフルオロ-2’,6’-ジメチル-[1,1’-ビフェニル]-3-イル)プロパン酸エチル
Figure 0007702004000310
(S)-3-(((R)-tert-ブチルスルフィニル)アミノ)-3-(5-シクロプロピル-2,4-ジフルオロ-2’,6’-ジメチル-[1,1’-ビフェニル]-3-イル)プロパン酸エチル(700.0mg、1.47mmol)のDCM溶液(8mL)に、HCl-ジオキサン(4M,1.9mL、7.6mmol)を加え、室温で1時間攪拌した。混合液を真空中で濃縮し、残留物を、C18/120gカラムでの逆相HPLC(A:水/0.01%TFA、B:MeOH、0~100%)により精製して、黄色固形物として、(S)-3-アミノ-3-(5-シクロプロピル-2,4-ジフルオロ-2’,6’-ジメチル-[1,1’-ビフェニル]-3-イル)プロパン酸エチル塩酸塩(500mg)を得た。収率 91%( ESI 374.2(M+H))。
(S)-3-アミノ-3-(5-シクロプロピル-2,4-ジフルオロ-2’,4’,6’-トリメチル-[1,1’-ビフェニル]-3-イル)プロパン酸エチルの調製
工程1:(S)-エチル 3-(5-シクロプロピル-2,4-ジフルオロ-2’,4’,6’-トリメチルビフェニル-3-イル)-3-((R)-1,1-ジメチルエチルスルフィンアミド)プロパン酸塩
Figure 0007702004000311
(S)-エチル 3-(3-ブロモ-5-シクロプロピル-2,6-ジフルオロフェニル)-3-((R)-1,1-ジメチルエチルスルフィンアミド)プロパン酸塩(600mg、1.3mmol)、メシチルボロン酸(246mg、1.5mmol)およびKPO(848mg、43.0mmol)のジオキサン(10mL)とHO(1mL)の混合液に、X-Phos Pd G2(79mg、0.1mmol)を加えた。混合液を、窒素雰囲気下、110℃で2時間加熱した。水(20mL)を加え、溶液をEtOAc(20mL×3)で抽出した。一つにまとめた有機層を真空中で濃縮し、残留物をシリカゲルカラム(石油エーテル:EtOAc 2:1)により精製して、暗色固形物として、(S)-エチル 3-(5-シクロプロピル-2,4-ジフルオロ-2’,4’,6’-トリメチルビフェニル-3-イル)-3-((R)-1,1-ジメチルエチルスルフィンアミド)プロパン酸塩(400mg)を得た。収率 80%(ESI 492.1[M-100+H])。
工程2:(S)-3-アミノ-3-(5-シクロプロピル-2,4-ジフルオロ-2’,4’,6’-トリメチル-[1,1’-ビフェニル]-3-イル)プロパン酸エチルの調製
Figure 0007702004000312
(S)-エチル 3-(5-シクロプロピル-2,4-ジフルオロ-2’,4’,6’-トリメチルビフェニル-3-イル)-3-((R)-1,1-ジメチルエチルスルフィンアミド)プロパン酸塩(550mg、1.12mmol)のDCM(1mL)とEtOH(2mL)の混合液に、4M HCl-ジオキサン(2mL、5.0mmol)を加え、混合液を室温で0.5時間攪拌した。次いで混合液を真空中で濃縮して、黄色油状物として、(S)-3-アミノ-3-(5-シクロプロピル-2,4-ジフルオロ-2’,4’,6’-トリメチル-[1,1’-ビフェニル]-3-イル)プロパン酸エチル(360mg、粗)を得て、これを次の反応に直接使用した。(ESI 388.1(M+H))。
(S)-3-アミノ-3-(5-シクロプロピル-2,4,4’-トリフルオロ-2’,6’-ジメチル-[1,1’-ビフェニル]-3-イル)プロパン酸エチルの調製
工程1:(S)-3-(((R)-tert-ブチルスルフィニル)アミノ)-3-(5-シクロプロピル-2,4,4’-トリフルオロ-2’,6’-ジメチル-[1,1’-ビフェニル]-3-イル)プロパン酸エチル
Figure 0007702004000313
(S)-3-(3-ブロモ-5-シクロプロピル-2,6-ジフルオロフェニル)-3-(((R)-tert-ブチルスルフィニル)アミノ)プロパン酸エチル(700mg、1.55mmol)、4-フルオロ-2,6-ジメチルフェニルボロン酸(260mg、1.55mmol)、およびKPO(657mg、3.1mmol)の1,4-ジオキサン(5mL)と水(0.5mL)の混合液に、X-Phos Pd G2(117mg、0.16mmol)を加えた。混合液を、90℃で1時間攪拌した。溶媒を真空中で濃縮し、残留物を、シリカゲルカラム(石油エーテル:EtOAc 5:1)により精製して、淡黄色油状物として、(S)-3-(((R)-tert-ブチルスルフィニル)アミノ)-3-(5-シクロプロピル-2,4,4’-トリフルオロ-2’,6’-ジメチル-[1,1’-ビフェニル]-3-イル)プロパン酸エチル(420.0mg)を得た。収率 54.6%(ESI 496.2(M+H))。
工程2:(S)-3-アミノ-3-(5-シクロプロピル-2,4,4’-トリフルオロ-2’,6’-ジメチル-[1,1’-ビフェニル]-3-イル)プロパン酸エチル
Figure 0007702004000314
(S)-3-(((R)-tert-ブチルスルフィニル)アミノ)-3-(5-シクロプロピル-2,4,4’-トリフルオロ-2’,6’-ジメチル-[1,1’-ビフェニル]-3-イル)プロパン酸エチル(420mg、0.85mmol)のHCl-ジオキサン(4M、3mL、12mmol)の混合液を、室温で1時間攪拌した。混合液を真空中で濃縮して、無色油状物として、(S)-エチル 3-アミノ-3-(5-シクロプロピル-2,4,4’-トリフルオロ-2’,6’-ジメチルビフェニル-3-イル)プロパン酸エチル(290mg)を得て、これをさらに精製することなく使用した。収率 87.4%(ESI 392.1 [M+H])。
(3S)-3-アミノ-3-(5-シクロプロピル-2,3’,4-トリフルオロ-2’,6’-ジメチル-[1,1’-ビフェニル]-3-イル)プロパン酸エチルの調製
工程1:(S)-3-(((R)-tert-ブチルスルフィニル)アミノ)-3-(3-シクロプロピル-2,6-ジフルオロ-5-(4,4,5,5-テトラメチル-1,3,2-ジオキサボロラン-2-イル)フェニル)プロパン酸エチル
Figure 0007702004000315
(S)-3-(3-ブロモ-5-シクロプロピル-2,6-ジフルオロフェニル)-3-(((R)-tert-ブチルスルフィニル)アミノ)プロパン酸エチル(800mg、1.8mmol)、KOAc(529mg、5.4mmol)、 Xphos-PdG(142mg、0.18mmol)、および4,4,4’,4’,5,5,5’,5’-オクタメチル-2,2’-ビ(1,3,2-ジオキサボロラン)(686mg、2.7mmol)のジオキサン(10mL)の混合液を、窒素雰囲気下、110℃で2時間攪拌した。反応混合液を、15mLの水の中に注いで、EtOAc(15 x 3mL x 3)で抽出した。一つにまとめた有機層をブライン(5mL)で洗浄し、無水NaSOで乾燥させ、ろ過し、ろ過液を真空中で濃縮した。残留物を、シリカゲルカラム(石油エーテル:EtOAc 3:1)により精製して、無色油状物として、(S)-3-(((R)-tert-ブチルスルフィニル)アミノ)-3-(3-シクロプロピル-2,6-ジフルオロ-5-(4,4,5,5-テトラメチル-1,3,2-ジオキサボロラン-2-イル)フェニル)プロパン酸エチル(500mg)を得た。収率 56 %(ESI 500.2(M+H)
工程2:(3S)-3-(((R)-tert-ブチルスルフィニル)アミノ)-3-(5-シクロプロピル-2,3’,4-トリフルオロ-2’,6’-ジメチル-[1,1’-ビフェニル]-3-イル)プロパン酸エチル
Figure 0007702004000316
(S)-3-(((R)-tert-ブチルスルフィニル)アミノ)-3-(3-シクロプロピル-2,6-ジフルオロ-5-(4,4,5,5-テトラメチル-1,3,2-ジオキサボロラン-2-イル)フェニル)プロパン酸エチル(500mg、1.0mmol)、KPO(636mg、3.0mmol)、 Xphos-PdG(78.7mg、0.1mmol)、および2-ブロモ-4-フルオロ-1,3-ジメチルベンゼン(263mg、1.3mmol)のジオキサン(10mL)とHO(1mL)の混合液を、窒素雰囲気下、110℃で2時間攪拌した。反応混合液を、15mLの水の中に注いで、EtOAc(15 x 3mL x 3)で抽出した。一つにまとめた有機層をブライン(5mL)で洗浄し、無水NaSOで乾燥させ、ろ過し、ろ過液を真空中で濃縮した。残留物を、シリカゲルカラム(石油エーテル:EtOAc 3:1)により精製して、無色油状物として、(3S)-3-(((R)-tert-ブチルスルフィニル)アミノ)-3-(5-シクロプロピル-2,3’,4-トリフルオロ-2’,6’-ジメチル-[1,1’-ビフェニル]-3-イル)プロパン酸エチル(200mg)を得た。収率 40 %(ESI 496.2(M+H)
工程3:(3S)-3-アミノ-3-(5-シクロプロピル-2,3’,4-トリフルオロ-2’,6’-ジメチル-[1,1’-ビフェニル]-3-イル)プロパン酸エチル
Figure 0007702004000317
(3S)-3-(((R)-tert-ブチルスルフィニル)アミノ)-3-(5-シクロプロピル-2,3’,4-トリフルオロ-2’,6’-ジメチル-[1,1’-ビフェニル]-3-イル)プロパン酸エチル(200mg、0.4mmol)のEtOH(2mL)の混合液に、HCl-ジオキサン(4M、2mL、8.0mmol)を加えた。混合液を室温で1時間攪拌した。混合液を真空中で濃縮し、残留物を、C18/40gカラムでの逆相HPLC(A:水/0.01%TFA、B:MeOH、0~100%)により精製して、(3S)-3-アミノ-3-(5-シクロプロピル-2,3’,4-トリフルオロ-2’,6’-ジメチル-[1,1’-ビフェニル]-3-イル)プロパン酸エチルの油状物(120mg)を得た。収率 76%(ESI 392.2 [M+H])。
実施例2B.中間体の調製
2-(5-((ジメチルアミノ)メチル)-2-オキソピリジン-1(2H)-イル)-4-メチルペンタン酸の調製
工程1:5-((ジメチルアミノ)メチル)ピリジン-2(1H)-オン
Figure 0007702004000318
6-オキソ-1,6-ジヒドロピリジン-3-カルボアルデヒド(2g、16.2mmol)、ジメチルアミン(THF中、2M、4mL)のDCM(10mL)の混合液を、室温で30分間攪拌した。次いでNaBH(OAc)(5.2g、24.39mmol)を数回に分けて加え、室温で一晩攪拌した。溶媒を真空中で濃縮し、残留物を逆相HPLC(溶離液A:水 10mM NHHCO3、溶離液B:MeOH、勾配A->B 0~100%)により精製して、黄色油状物として、5-((ジメチルアミノ)メチル)ピリジン-2(1H)-オン(1g)を得た。収率 41%(ESI 153(M+H))。
工程2:2-(5-((ジメチルアミノ)メチル)-2-オキソピリジン-1(2H)-イル)-4-メチルペンタン酸エチル
Figure 0007702004000319
5-((ジメチルアミノ)メチル)ピリジン-2(1H)-オン(500mg、3.28mmol)、KCO(1.36g、9.86mmol)、および4-メチル-2-(メチルスルホニルオキシ)ペンタン酸エチル(1.17g、4.93mmol)のCHCN(20mL)の混合液を、70℃で一晩攪拌した。溶媒を真空中で濃縮し、残留物をシリカゲルカラム(石油エーテル:EtOAc 1:2)により精製して、黄色油状物として、2-(5-((ジメチルアミノ)メチル)-2-オキソピリジン-1(2H)-イル)-4-メチルペンタン酸エチル(300mg)を得た。収率 31%(ESI 295(M+H))。
工程3:2-(5-((ジメチルアミノ)メチル)-2-オキソピリジン-1(2H)-イル)-4-メチルペンタン酸
Figure 0007702004000320
2-(5-((ジメチルアミノ)メチル)-2-オキソピリジン-1(2H)-イル)-4-メチルペンタン酸エチル(300mg、1.02mmol)を、LiOH-HO(120mg、3.02mmol)のメタノール(2mL)と水(1mL)の溶液を用いて、室温で2時間、処理した。反応液を、1N HClを用いてpH=3に酸性化した。溶媒を真空中で除去し、残留物を分取HPLC A条件(30~80% MeCN)により精製して、白色固形物として、2-(5-((ジメチルアミノ)メチル)-2-オキソピリジン-1(2H)-イル)-4-メチルペンタン酸(100mg)を得た。収率 37%(ESI 267(M+H))。
2-(4-((ジメチルアミノ)メチル)-2-オキソピリジン-1(2H)-イル)-4-メチルペンタン酸の調製
工程1:2-オキソ-2,3-ジヒドロピリジン-4-カルボアルデヒド
Figure 0007702004000321
4-メチルピリジン-2-オール(3g、27.5mmol)およびSeO(4g、35.8mmol)のジオキサン(40mL)の混合液を、N雰囲気下で一晩還流させ、ろ過した。ろ過液を真空中で除去し、残留物をシリカゲルカラム(DCM:MeOH=1:10)により精製して、黄色油状物として、2-オキソ-2,3-ジヒドロピリジン-4-カルボアルデヒド(300mg)を得た。収率 9%(ESI 124(M+H)
工程2:4-((ジメチルアミノ)メチル)ピリジン-2(1H)-オン
Figure 0007702004000322
2-オキソ-2,3-ジヒドロピリジン-4-カルボアルデヒド(300mg、2.4mmol)、ジメチルアミン(THF中、2M、6mL)のDCM(5mL)の混合液を、室温で30分間、攪拌した。NaBH(OAc)(775.6mg、3.65mmol)を数回に分けて加え、室温で一晩攪拌した。溶媒を真空中で濃縮し、残留物を逆相HPLC(溶離液A:水 10mM NHHCO、溶離液B:MeOH、勾配A->B 0~100%)により精製して、黄色油状物として、4-((ジメチルアミノ)メチル)ピリジン-2(1H)-オン(150mg)を得た。収率 41%(ESI 153(M+H))。
工程3:2-(4-((ジメチルアミノ)メチル)-2-オキソピリジン-1(2H)-イル)-4-メチルペンタン酸エチル
Figure 0007702004000323
4-((ジメチルアミノ)メチル)ピリジン-2(1H)-オン(150mg、0.98mmol)、KCO(409mg、2.96mmol)、および4-メチル-2-(メチルスルホニルオキシ)ペンタン酸エチル(350mg、1.47mmol)のCHCN(5mL)の混合液を、70℃で一晩攪拌した。溶媒を真空中で濃縮し、残留物をシリカゲルカラム(石油エーテル:EtOAc 1:2)により精製して、黄色油状物として、2-(4-((ジメチルアミノ)メチル)-2-オキソピリジン-1(2H)-イル)-4-メチルペンタン酸エチル(100mg)を得た。収率35%(ESI 295(M+H)).
工程4:2-(4-((ジメチルアミノ)メチル)-2-オキソピリジン-1(2H)-イル)-4-メチルペンタン酸
Figure 0007702004000324
2-(4-((ジメチルアミノ)メチル)-2-オキソピリジン-1(2H)-イル)-4-メチルペンタン酸エチル(100mg、0.33mmol)を、LiOH-HO(40mg、1.01mmol)のメタノール(2mL)と水(1mL)の溶液を用いて、室温で2時間処理した。溶媒を真空中で除去し、残留物を分取HPLC A(30~80% MeCN)により精製して、白色固形物として、2-(4-((ジメチルアミノ)メチル)-2-オキソピリジン-1(2H)-イル)-4-メチルペンタン酸(80mg)を得た。収率 90%(ESI 267(M+H)).
酸3:2-(5-((3,3-ジフルオロアゼチジン-1-イル)メチル)-2-オキソピリジン-1(2H)-イル)-4-メチルペンタン酸の調製
工程1:5-((3,3-ジフルオロアゼチジン-1-イル)メチル)ピリジン-2(1H)-オン
Figure 0007702004000325
6-オキソ-1,6-ジヒドロピリジン-3-カルボアルデヒド(153mg、1.24mmol)および3,3-ジフルオロアゼチジン塩酸塩(193mg、1.49mmol)のMeOH(3mL)の混合液を、室温で30分間攪拌した。NaBHCN(231mg、3.73mmol)を加え、室温で1時間攪拌した。溶媒を真空中で除去し、粗生成物の5-((3,3-ジフルオロアゼチジン-1-イル)メチル)ピリジン-2(1H)-オン(248mg)を白色固形物として得た。(ESI 201.1(M+H))。
工程2:2-(5-((3,3-ジフルオロアゼチジン-1-イル)メチル)-2-オキソピリジン-1(2H)-イル)-4-メチルペンタン酸エチル
Figure 0007702004000326
5-((3,3-ジフルオロアゼチジン-1-イル)メチル)ピリジン-2(1H)-オン(248mg、1.24mmol)、4-メチル-2-(メチルスルホニルオキシ)ペンタン酸エチル(443mg、1.86mmol)and KCO(514mg、3.72mmol)のMeCN(5mL)の混合液を、80℃で一晩攪拌した。混合液をろ過し、MeCN(5mL)で洗浄した。ろ過液を真空中で濃縮し、残留物をシリカゲルカラム(石油エーテル:EtOAc 2:1)により精製して、無色油状物として、2-(5-((3,3-ジフルオロアゼチジン-1-イル)メチル)-2-オキソピリジン-1(2H)-イル)-4-メチルペンタン酸エチル(150mg)を得た。収率 36%(ESI 343.1(M+H))。
工程3:2-(5-((3,3-ジフルオロアゼチジン-1-イル)メチル)-2-オキソピリジン-1(2H)-イル)-4-メチルペンタン酸
Figure 0007702004000327
2-(5-((3,3-ジフルオロアゼチジン-1-イル)メチル)-2-オキソピリジン-1(2H)-イル)-4-メチルペンタン酸エチル(151mg、0.44mmol)を、LiOH-HO(28mg、0.66mmol)のTHF(3mL)とHO(0.5mL)の溶液を用いて室温で30分間処理した。混合液を、1N HClを用いてpH4~5に酸性化した。混合液を真空中で濃縮し、白色固形物として、2-(5-((3,3-ジフルオロアゼチジン-1-イル)メチル)-2-オキソピリジン-1(2H)-イル)-4-メチルペンタン酸(138mg)を得て、これをさらに精製することなく使用した。収率 100%(ESI 315.1(M+H))。
4-メチル-2-(5-(モルホリノメチル)-2-オキソピリジン-1(2H)-イル)ペンタン酸の調製
工程1:2-(5-ホルミル-2-オキソピリジン-1(2H)-イル)-4-メチルペンタン酸エチル
Figure 0007702004000328
6-オキソ-1,6-ジヒドロピリジン-3-カルボアルデヒド(400mg、3.2mmol)、4-メチル-2-(メチルスルホニルオキシ)ペンタン酸エチル(1g、4.2mmol)およびKCO(1.1g、8mmol)のMeCN(10mL)の混合液を、一晩、80℃で攪拌した。混合液をろ過し、MeCN(5mL)で洗浄した。ろ過液を真空中で濃縮し、シリカゲルカラム(石油エーテル:EtOAc 4:1)により精製して、無色油状物として、2-(5-ホルミル-2-オキソピリジン-1(2H)-イル)-4-メチルペンタン酸エチル(650mg)を得た。収率 70%(ESI 266.3(M+H))。
工程2:2-(5-((3-フルオロアゼチジン-1-イル)メチル)-2-オキソピリジン-1(2H)-イル)-4-メチルペンタン酸エチル
Figure 0007702004000329
2-(5-ホルミル-2-オキソピリジン-1(2H)-イル)-4-メチルペンタン酸エチル(300mg、1.13mmol)、および3-フルオロアゼチジン塩酸塩(251mg、2.26mmol)のDCE(4mL)の混合液を、室温で30分間攪拌した。トリアセトキシ水素化ホウ素ナトリウム(959mg、4.52mmol)を加え、室温で一晩攪拌した。混合液を真空中で濃縮し、シリカゲルカラム(DCM:MeOH 10:1)により精製して、無色油状物として、2-(5-((3-フルオロアゼチジン-1-イル)メチル)-2-オキソピリジン-1(2H)-イル)-4-メチルペンタン酸エチル(264mg)を得た。収率 72%(ESI 325.2(M+H))。
工程3:2-(5-((3-フルオロアゼチジン-1-イル)メチル)-2-オキソピリジン-1(2H)-イル)-4-メチルペンタン酸
Figure 0007702004000330
2-(5-((3-フルオロアゼチジン-1-イル)メチル)-2-オキソピリジン-1(2H)-イル)-4-メチルペンタン酸エチル(264mg、0.81mmol)を、LiOH-HO(171mg、4mmol)のEtOH(4mL)とHO(1mL)の溶液を用いて、室温で2時間処理した。混合液を、1N HClを用いてpH4~5に酸性化した。混合液を真空中で濃縮し、シリカゲルカラム(DCM:MeOH 10:1)により精製して、白色固形物として、2-(5-((3-フルオロアゼチジン-1-イル)メチル)-2-オキソピリジン-1(2H)-イル)-4-メチルペンタン酸(217mg)を得た。収率 90%(ESI 297.1(M+H))。
4-メチル-2-(5-(モルホリノメチル)-2-オキソピリジン-1(2H)-イル)ペンタン酸の調製
工程1:4-メチル-2-(5-(モルホリノメチル)-2-オキソピリジン-1(2H)-イル)ペンタン酸エチル
Figure 0007702004000331
2-(5-ホルミル-2-オキソピリジン-1(2H)-イル)-4-メチルペンタン酸エチル(300mg、1.13mmol)、およびモルホリン(147mg、1.70mmol)のDCE(5mL)の混合液を、室温で30分間攪拌した。NaBH(OAc)(715mg、3.39mmol)を加え、室温で1時間攪拌した。溶媒を真空中で除去し、残留物をシリカゲルカラム(DCM:MeOH 2:1)により精製して、黄色油状物として、4-メチル-2-(5-(モルホリノメチル)-2-オキソピリジン-1(2H)-イル)ペンタン酸エチル(150mg)を得た。収率 39%(ESI 337.2(M+H))。
工程2:4-メチル-2-(5-(モルホリノメチル)-2-オキソピリジン-1(2H)-イル)ペンタン酸
Figure 0007702004000332
4-メチル-2-(5-(モルホリノメチル)-2-オキソピリジン-1(2H)-イル)ペンタン酸エチル(150mg、0.45mmol)を、LiOH-HO(56mg、1.34mmol)のTHF(3mL)とHO(0.5mL)の溶液を用いて室温で2時間処理した。混合液を、1N HClを用いてpH4~5に酸性化した。混合液を真空中で濃縮し、残留物をC18/40gカラムでの逆相HPLC(A:水 10mM NHHCO、B:MeOH、0~100%)により精製して、白色固形物として、4-メチル-2-(5-(モルホリノメチル)-2-オキソピリジン-1(2H)-イル)ペンタン酸(110mg)を得た。収率 80%(ESI 309.3(M+H))。
2-(5-(2-(ジメチルアミノ)エチル)-2-オキソピリジン-1(2H)-イル)-4-メチルペンタン酸の調製
工程1:2-(5-(((R)-3-フルオロピロリジン-1-イル)メチル)-2-オキソピリジン-1(2H)-イル)-4-メチルペンタン酸エチル
Figure 0007702004000333
2-(5-ホルミル-2-オキソピリジン-1(2H)-イル)-4-メチルペンタン酸エチル(300mg、1.13mmol)、(R)-3-フルオロピロリジン塩酸塩(284mg、2.26mmol)、およびトリエチルアミン(0.31mL、2.26mmol)のDCE(10mL)の混合液を、室温で30分間攪拌した。トリアセトキシ水素化ホウ素ナトリウム(959mg、4.52mmol)を加え、室温で一晩攪拌した。混合液を真空中で濃縮し、シリカゲルカラム(DCM:MeOH 10:1)により精製して、無色油状物として、2-(5-(((R)-3-フルオロピロリジン-1-イル)メチル)-2-オキソピリジン-1(2H)-イル)-4-メチルペンタン酸エチル(237mg)を得た。収率 62%(ESI 339.2(M+H))。
工程2:2-(5-(((R)-3-フルオロピロリジン-1-イル)メチル)-2-オキソピリジン-1(2H)-イル)-4-メチルペンタン酸
Figure 0007702004000334
2-(5-(((R)-3-フルオロピロリジン-1-イル)メチル)-2-オキソピリジン-1(2H)-イル)-4-メチルペンタン酸エチル(426mg、1.13mmol)を、LiOH-HO(237mg、5.65mmol)のEtOH(6mL)とHO(0.6mL)の溶液を用いて室温で2時間処理した。混合液を、1N HClを用いてpH4~5に酸性化した。混合液を真空中で濃縮し、残留物をシリカゲルカラム(DCM:MeOH 10:1)により精製して、白色固形物として、2-(5-(((R)-3-フルオロピロリジン-1-イル)メチル)-2-オキソピリジン-1(2H)-イル)-4-メチルペンタン酸(348mg)を得た。収率 99%(ESI 311.1(M+H))。
2-(5-(3-(ジメチルアミノ)アゼチジン-1-イル)-4-メチル-2-オキソピリジン-1(2H)-イル)-4-メチルペンタン酸の調製
工程1:2-(5-ブロモ-4-メチル-2-オキソピリジン-1(2H)-イル)-4-メチルペンタン酸エチル
Figure 0007702004000335
5-ブロモ-4-メチルピリジン-2(1H)-オン(3.0g、16mmol、1.0当量)、KCO(4.4g、32mmol、2.0当量)、および4-メチル-2-((メチルスルホニル)オキシ)ペンタン酸エチル(5.7g、24mmol、1.5当量)のCHCN(50mL)の混合液を、80℃で16時間攪拌した。LCMSは、反応が完了したことを示した。混合液を濾過し、CHCN(20mL)で洗浄した。ろ過液を真空中で濃縮し、残留物をシリカゲルカラム(石油エーテル:EtOAc 3:1)により精製して、黄色油状物として、2-(5-ブロモ-4-メチル-2-オキソピリジン-1(2H)-イル)-4-メチルペンタン酸エチル(4.5g)を得た。収率 85%(ESI 330(M+H))。H NMR(500MHz,CDCl)δ 7.46(s,1H),6.49(d,J=0.6Hz,1H),5.67(dd,J=10.6,5.3Hz,1H),4.20(qd,J=7.1,0.8Hz,2H),2.24(d,J=0.8Hz,3H),1.97-1.93(m,1H),1.87-1.80(m,1H),1.51-1.43(m,1H),1.27(t,J=7.1Hz,3H),0.95(t,J=6.3Hz,6H)。
工程2:2-(5-(3-(ジメチルアミノ)アゼチジン-1-イル)-4-メチル-2-オキソピリジン-1(2H)-イル)-4-メチルペンタン酸エチル
Figure 0007702004000336
雰囲気下、2-(5-ブロモ-4-メチル-2-オキソピリジン-1(2H)-イル)-4-メチルペンタン酸エチル(2.0g、6.06mmol、1.0当量)、N,N-ジメチルアゼチジン-3-アミンジヒドロクロリド(1.57g、9.07mmol、1.5当量)、およびCsCO(8.0g、24.5mmol、4.0当量)のトルエン溶液(50mL)に、BINAP(376mg、0.606mmol、0.1当量)、およびPddba(250mg、0.27mmol、0.05当量)を加え、120℃で3時間加熱した。LCMSは、反応が完了したことを示した。混合液をろ過し、EtOAc(20mL)とEtOH(20mL)の両方を用いて洗浄した。ろ過液を真空中で濃縮し、残留物をシリカゲルカラム(石油エーテル:EtOAc 1:1)により精製して、2-(5-(3-(ジメチルアミノ)アゼチジン-1-イル)-4-メチル-2-オキソピリジン-1(2H)-イル)-4-メチルペンタン酸エチル(1.4g)を得た。収率 66%(ESI 350(M+H))。
工程3:2-(5-(3-(ジメチルアミノ)アゼチジン-1-イル)-4-メチル-2-オキソピリジン-1(2H)-イル)-4-メチルペンタン酸
Figure 0007702004000337
2-(5-(3-(ジメチルアミノ)アゼチジン-1-イル)-4-メチル-2-オキソピリジン-1(2H)-イル)-4-メチルペンタン酸エチル(1.4g、4.0mmol、1.0当量)を、LiOH-HO(840mg、20.0mmol、5.0当量)のTHF(20mL)と水(6mL)の溶液を用いて室温で2時間処理した。MeOHを除去し、水性物質を1N HClでpH4まで酸性化した。混合液を、中性条件(A:水B:MeOH、60%B)にて逆相HPLCにより精製し、白色固形物として、2-(5-(3-(ジメチルアミノ)アゼチジン-1-イル)-4-メチル-2-オキソピリジン-1(2H)-イル)-4-メチルペンタン酸(800mg)を得た。収率 62%(ESI 322(M+H))。1H-NMR(400MHz,MeOD)δ 6.75(s,1H),6.31(s,1H),5.45-5.38(m,1H),3.87-3.28(m,2H),3.24(s,3H),3.17-2.42(m,6H),2.19-2.06(m,3H),1.24-1.19(m,1H),0.85-0.74(m,6H)。
2-(5-((ジメチルアミノ)メチル)-2-オキソ-4-(トリフルオロメチル)ピリジン-1(2H)-イル)-4-メチルペンタン酸
工程1:1-(6-メトキシ-4-(トリフルオロメチル)ピリジン-3-イル)-N,N-ジメチルメタンアミン
Figure 0007702004000338
6-メトキシ-4-(トリフルオロメチル)ニコチンアルデヒド(0.5g、2.44mmol)、ジメチルアミン(THF中、2.0M、1.5mL、2.92mmol)のDCE(10mL)の混合液を、室温で15分間攪拌した。NaBH(OAc)(1.03g、4.88mmol)を加え、室温で3時間攪拌した。溶媒を真空中で除去し、残留物をシリカゲルカラム(DCM:MeOH 10:1)により精製して、黄色油状物として、1-(6-メトキシ-4-(トリフルオロメチル)ピリジン-3-イル)-N,N-ジメチルメタンアミン(220mg)を得た。収率 38%(ESI 235.1(M+H))。
工程2:5-((ジメチルアミノ)メチル)-4-(トリフルオロメチル)ピリジン-2-オール
Figure 0007702004000339
1-(6-メトキシ-4-(トリフルオロメチル)ピリジン-3-イル)-N,N-ジメチルメタンアミン(220mg、0.94mmol)の33% HBr/AcOH(10mL)の混合液を、75℃で16時間加熱した。溶媒を真空中で除去し、残留物をC18/40gカラムでの逆相HPLC(A:水 10mM NHHCO3、B:MeOH、0~100%)により精製して、赤色固形物として、5-((ジメチルアミノ)メチル)-4-(トリフルオロメチル)ピリジン-2-オール(180mg)を得た。収率87%(ESI 221.1(M+H))。
工程3:2-(5-((ジメチルアミノ)メチル)-2-オキソ-4-(トリフルオロメチル)ピリジン-1(2H)-イル)-4-メチルペンタン酸エチル
Figure 0007702004000340
5-((ジメチルアミノ)メチル)-4-(トリフルオロメチル)ピリジン-2-オール(150mg、0.68mmol)、4-メチル-2-(メチルスルホニルオキシ)ペンタン酸エチル(194mg、0.816mmol)、およびKCO(281.5mg、2.04mmol)のMeCN(10mL)の混合液を、80℃で一晩攪拌した。溶媒を真空中で除去し、残留物をC18/40gカラムでの逆相HPLC(A:水 10mM NHHCO、B:MeOH、0~100%)により精製して、2-(5-((ジメチルアミノ)メチル)-2-オキソ-4-(トリフルオロメチル)ピリジン-1(2H)-イル)-4-メチルペンタン酸エチル(170mg)を得た。収率 68%(ESI 363.1(M+H))。
工程4:2-(5-((ジメチルアミノ)メチル)-2-オキソ-4-(トリフルオロメチル)ピリジン-1(2H)-イル)-4-メチルペンタン酸
Figure 0007702004000341
2-(5-((ジメチルアミノ)メチル)-2-オキソ-4-(トリフルオロメチル)ピリジン-1(2H)-イル)-4-メチルペンタン酸エチル(170mg、0.47mmol)を、LiOH-HO(98.7mg、2.35mmol)のMeOH(10mL)とHO(2mL)の溶液を用いて室温で2時間処理した。混合液を、1N HClを用いてpH4~5に酸性化し、C18/40gカラムでの逆相HPLC(A:水 10mM NHHCO3、B:MeOH、0~100%)により精製して、白色固形物として、2-(5-((ジメチルアミノ)メチル)-2-オキソ-4-(トリフルオロメチル)ピリジン-1(2H)-イル)-4-メチルペンタン酸(120mg)を得た。収率 76%(ESI 335.2(M+H))。
2-(5-(2-(ジメチルアミノ)エチル)-2-オキソピリジン-1(2H)-イル)-4-メチルペンタン酸の調製
工程1:5-(2-メトキシビニル)ピリジン-2(1H)-オン
Figure 0007702004000342
(メトキシメチル)トリフェニルホスホニウムクロリド(12.5g、36.6mmol)、t-BuOK(6.83g、61mmol)のジオキサン(60mL)の混合液を、室温で15分間攪拌した。次いで、6-オキソ-1,6-ジヒドロピリジン-3-カルボアルデヒド(3g、24.4mmol)の20mL THF溶液を加えた。混合液を室温で16時間攪拌した。反応混合液に、80mLの水を加えた。混合液を、EtOAc(80mL×2)で抽出し、水層を真空中で濃縮した。残留物を逆相HPLC(溶離液A:水 10mM NHHCO3、溶離液B:MeOH、勾配A->B 0~100%)により精製して、赤色油状物として、5-(2-メトキシビニル)ピリジン-2(1H)-オン(1.3g)を得た。収率 35%(ESI 152.2(M+H))。
工程2:2-(6-オキソ-1,6-ジヒドロピリジン-3-イル)アセトアルデヒド
Figure 0007702004000343

5-(2-メトキシビニル)ピリジン-2(1H)-オン(1.2g、7.95mmol)を、HCOOH(20mL)を用いて70℃で2時間処理した。溶媒を真空中で除去し、粗生成物の2-(6-オキソ-1,6-ジヒドロピリジン-3-イル)アセトアルデヒド(0.8g、粗)を赤色油状物として得た。(ESI 138.3(M+H))。
工程3:5-(2-(ジメチルアミノ)エチル)ピリジン-2(1H)-オン
Figure 0007702004000344
メチル 2-(6-オキソ-1,6-ジヒドロピリジン-3-イル)アセトアルデヒド(750mg、5.47mmol)、AcOH(394mg、6.56mmol)、およびジメチルアミン(40% 水溶液)(1.23g、10.94mmol)のDCM(10mL)とMeOH(2.5mL)の混合液を室温で30分間攪拌し、次いでNaBH(OAc)(2.32g、10.94mmol)を加えた。混合物を室温で一晩攪拌させた。溶媒を真空中で除去し、残留物をシリカゲルカラム(DCM:MeOH 2:1)により精製して、黄色油状物として、5-(2-(ジメチルアミノ)エチル)ピリジン-2(1H)-オン(500mg)を得た。収率 55%(ESI 167.2(M+H))。
工程4:2-(5-(2-(ジメチルアミノ)エチル)-2-オキソピリジン-1(2H)-イル)-4-メチルペンタン酸エチル
Figure 0007702004000345
メチル 5-(2-(ジメチルアミノ)エチル)ピリジン-2(1H)-オン(500mg、3mmol)、4-メチル-2-(メチルスルホニルオキシ)ペンタン酸エチル(1.07g、4.5mmol)、およびKCO(828mg、6mmol)のMeCN(15mL)の混合液を、70℃で一晩攪拌した。溶媒を真空中で除去し、残留物をシリカゲルカラム(DCM:MeOH 1:2)により精製して、白色固形物として、メチルエチル 2-(5-(2-(ジメチルアミノ)エチル)-2-オキソピリジン-1(2H)-イル)-4-メチルペンタン酸塩(100mg)を得た。収率 11%(ESI 309.2(M+H))。
工程5:2-(5-(2-(ジメチルアミノ)エチル)-2-オキソピリジン-1(2H)-イル)-4-メチルペンタン酸
Figure 0007702004000346
2-(5-(2-(ジメチルアミノ)エチル)-2-オキソピリジン-1(2H)-イル)-4-メチルペンタン酸エチル(100mg、0.32mmol)を、LiOH-HO(54mg、1.28mmol)のEtOH(3mL)とHO(1mL)の溶液を用いて室温で2時間処理した。反応混合液を、1N HClを用いてpH4~5に酸性化した。溶媒を真空中で濃縮し、残留物を逆相HPLC(溶離液A:水 10mM NHHCO、溶離液B:MeOH、勾配A->B 0~100%)により精製して、白色固形物として、2-(5-(2-(ジメチルアミノ)エチル)-2-オキソピリジン-1(2H)-イル)-4-メチルペンタン酸(70mg)を得た。収率 78%(ESI 281.2(M+H))。
2-(4-(2-(ジメチルアミノ)エチル)-2-オキソピリジン-1(2H)-イル)-4-メチルペンタン酸の調製
工程1:2-(4-ブロモ-2-オキソピリジン-1(2H)-イル)-4-メチルペンタン酸エチル
Figure 0007702004000347
4-ブロモピリジン-2(1H)-オン(1.2g、6.94mmol)、KCO(1.92g、13.88mmol)、および4-メチル-2-(メチルスルホニルオキシ)ペンタン酸エチル(1.98g、8.33mmol)のCHCN(20mL)の混合液を、80℃で一晩攪拌した。溶媒を真空中で濃縮し、残留物をシリカゲルカラム(石油エーテル:EtOAc 1:1)により精製して、黄色油状物として、2-(4-ブロモ-2-オキソピリジン-1(2H)-イル)-4-メチルペンタン酸エチル(1.6g)を得た。収率 73%(ESI 316.1(M+H))。
工程2:2-(4-(2-(ベンジルオキシカルボニルアミノ)エチル)-2-オキソピリジン-1(2H)-イル)-4-メチルペンタン酸エチル
Figure 0007702004000348
2-(4-ブロモ-2-オキソピリジン-1(2H)-イル)-4-メチルペンタン酸エチル(1.6g、5.0mmol)、カリウム ベンジル N-[2-(トリフルオロボラリ)エチル]カルバミン酸塩(1.71g、6mmol)、Pd(dppf)Cl(366mg、0.5mmol)、およびNaCO(1.06g、10mmol)の1,4-ジオキサン(20mL)とHO(10mL)の混合液を、N下、90℃で4時間攪拌した。反応液を濃縮し、C18/40gカラムでの逆相HPLC(A:水/0.01%TFAB:MeOH、0~100%)により精製して、黄色油状物として、2-(4-(2-(ベンジルオキシカルボニルアミノ)エチル)-2-オキソピリジン-1(2H)-イル)-4-メチルペンタン酸エチル(700mg)を得た。収率 35%(ESI 415.1(M+H))。
工程3:2-(4-(2-アミノエチル)-2-オキソピリジン-1(2H)-イル)-4-メチルペンタン酸エチル
Figure 0007702004000349
2-(4-(2-(ベンジルオキシカルボニルアミノ)エチル)-2-オキソピリジン-1(2H)-イル)-4-メチルペンタン酸エチル(0.7g、1.7mmol)を、TFA(10mL)を用いて50℃で4時間処理した。溶媒を真空中で除去し、残留物をC18/40gカラムでの逆相HPLC(A:水 10mM NHHCO、B:MeOH、0~100%)により精製して、赤色油状物として、2-(4-(2-アミノエチル)-2-オキソピリジン-1(2H)-イル)-4-メチルペンタン酸エチル(0.4g)を得た。収率84%。(ESI 281.2(M+H))。
工程4:2-(4-(2-(ジメチルアミノ)エチル)-2-オキソピリジン-1(2H)-イル)-4-メチルペンタン酸エチル
Figure 0007702004000350
2-(4-(2-アミノエチル)-2-オキソピリジン-1(2H)-イル)-4-メチルペンタン酸エチル(400mg、1.43mmol)のMeOH(10mL)の混合液に、HCHO(37%水溶液、1mL)を加え、室温で5分間攪拌した。NaBH(OAc)3(1.21g、5.72mmol)を加え、室温で1時間攪拌した。溶媒を真空中で除去し、残留物をC18/40gカラムでの逆相HPLC(A:水 10mM NHHCO、B:MeOH、0~100%)により精製して、黄色油状物として、2-(4-(2-(ジメチルアミノ)エチル)-2-オキソピリジン-1(2H)-イル)-4-メチルペンタン酸エチル(400mg)を得た。収率 91%(ESI 309.2(M+H))。
工程5:2-(4-(2-(ジメチルアミノ)エチル)-2-オキソピリジン-1(2H)-イル)-4-メチルペンタン酸
Figure 0007702004000351
2-(4-(2-(ジメチルアミノ)エチル)-2-オキソピリジン-1(2H)-イル)-4-メチルペンタン酸エチル(400mg、1.3mmol)を、LiOH-HO(218mg、5.2mmol)のMeOH(4mL)とHO(1mL)の溶液を用いて室温で1時間処理した。混合液を、1N HClを用いてpH4~5に酸性化した。混合液を真空中で濃縮し、残留物を、C18/40gカラムでの逆相HPLC(A:水/0.01%TFA、B:MeOH、0~100%)により精製して、白色固形物として、2-(4-(2-(ジメチルアミノ)エチル)-2-オキソピリジン-1(2H)-イル)-4-メチルペンタン酸(310mg)を得た。収率 85%(ESI 281.2(M+H))。
2-(3-(2-(ジメチルアミノ)エチル)-2-オキソピリジン-1(2H)-イル)-4-メチルペンタン酸の調製
工程1:2-(3-ブロモ-2-オキソピリジン-1(2H)-イル)-4-メチルペンタン酸エチル
Figure 0007702004000352
3-ブロモピリジン-2(1H)-オン(1g、5.78mmol)、KCO(1.6g、11.56mmol)、および4-メチル-2-(メチルスルホニルオキシ)ペンタン酸エチル(1.65g、6.94mmol)のCHCN(20mL)の混合液を、80℃で一晩攪拌した。溶媒を真空中で濃縮し、シリカゲルカラム(石油エーテル:EtOAc 1:1)により精製して、白色固形物として、2-(3-ブロモ-2-オキソピリジン-1(2H)-イル)-4-メチルペンタン酸エチル(1.6g)を得た。収率 88%(ESI 316.1(M+H))。
工程2:2-(3-(2-(ベンジルオキシカルボニルアミノ)エチル)-2-オキソピリジン-1(2H)-イル)-4-メチルペンタン酸エチル
Figure 0007702004000353
2-(3-ブロモ-2-オキソピリジン-1(2H)-イル)-4-メチルペンタン酸エチル(1g、3.17mmol)、カリウム ベンジル N-[2-(トリフルオロボリル)エチル]カルバミン酸塩(1.08g、3.8mmol)、Pd(dppf)Cl(36mg、0.16mmol)、CsCO(2g、6.34mmol)、およびRuPhos(144mg、0.32mmol)の1,4-ジオキサン(20mL)とHO(10mL)の混合液を、110℃で2時間攪拌した。反応液を濃縮し、C18/40gカラムでの逆相HPLC(A:水/0.01%TFA、B:MeOH、0~100%)により精製して、黄色油状物として、2-(3-(2-(ベンジルオキシカルボニルアミノ)エチル)-2-オキソピリジン-1(2H)-イル)-4-メチルペンタン酸エチル(1.1g)を得た。収率 84%(ESI 415.2(M+H))。
工程3:2-(3-(2-アミノエチル)-2-オキソピリジン-1(2H)-イル)-4-メチルペンタン酸エチル
Figure 0007702004000354
2-(3-(2-(ベンジルオキシカルボニルアミノ)エチル)-2-オキソピリジン-1(2H)-イル)-4-メチルペンタン酸エチル(1.07g、2.58mmol)を、TFA(20mL)を用いて50℃で4時間処理した。溶媒を真空中で除去し、残留物をC18/40gカラムでの逆相HPLC(A:水 10mM NH4HCO、B:MeOH、0~100%)により精製して、黄色油状物として、2-(3-(2-アミノエチル)-2-オキソピリジン-1(2H)-イル)-4-メチルペンタン酸エチル(0.6g)を得た。収率83%。(ESI 281.2(M+H))。
工程4:2-(3-(2-(ジメチルアミノ)エチル)-2-オキソピリジン-1(2H)-イル)-4-メチルペンタン酸エチル
Figure 0007702004000355
2-(3-(2-アミノエチル)-2-オキソピリジン-1(2H)-イル)-4-メチルペンタン酸エチル(600mg、2.14mmol)のMeOH(10mL)の混合液に、HCHO(37%水溶液、1mL)を加えた。混合液を、室温で5分間攪拌した。NaBH(OAc)3(1.81g、8.56mmol)を加え、室温で1時間攪拌した。溶媒を真空中で除去し、残留物をC18/40gカラムでの逆相HPLC(A:水 10mM NH4HCO、B:MeOH、0~100%)により精製して、黄色油状物として、2-(3-(2-(ジメチルアミノ)エチル)-2-オキソピリジン-1(2H)-イル)-4-メチルペンタン酸エチル(600mg)を得た。収率 91%(ESI 309.2(M+H))。
工程5:2-(3-(2-(ジメチルアミノ)エチル)-2-オキソピリジン-1(2H)-イル)-4-メチルペンタン酸
Figure 0007702004000356
2-(3-(2-(ジメチルアミノ)エチル)-2-オキソピリジン-1(2H)-イル)-4-メチルペンタン酸エチル(600mg、1.95mmol)を、LiOH一水和物(328mg、7.8mmol)のEtOH(4mL)とHO(1mL)の溶液を用いて室温で1時間処理した。混合液を、1N HCl水溶液を用いてpH4~5に酸性化した。混合液を真空中で濃縮し、残留物を、C18/40gカラムでの逆相HPLC(A:水/0.01%TFA、B:MeOH、0~100%)により精製して、白色固形物として、2-(3-(2-(ジメチルアミノ)エチル)-2-オキソピリジン-1(2H)-イル)-4-メチルペンタン酸(500mg)を得た。収率 92%(ESI 281.2(M+H))。
酸9:2-(5-(2-(3-フルオロアゼチジン-1-イル)エチル)-2-オキソピリジン-1(2H)-イル)-4-メチルペンタン酸の調製
工程1:5-(2-(アゼチジン-1-イル)エチル)ピリジン-2(1H)-オン
Figure 0007702004000357
メチル 2-(6-オキソ-1,6-ジヒドロピリジン-3-イル)アセトアルデヒド(1.0g、7.29mmol)およびアゼチジン(416mg、7.30mmol)のMeOH(10mL)の混合液を室温で30分間攪拌した。NaBH(OAc)3(4.6g、21.9mmol)を加え、室温で1時間攪拌した。溶媒を真空中で除去し、残留物をシリカゲルカラム(DCM:MeOH 2:1)により精製して、黄色油状物として、5-(2-(アゼチジン-1-イル)エチル)ピリジン-2(1H)-オン(800mg)を得た。収率 62%(ESI 179.1(M+H))。
工程2:2-(5-(2-(アゼチジン-1-イル)エチル)-2-オキソピリジン-1(2H)-イル)-4-メチルペンタン酸エチル
Figure 0007702004000358
5-(2-(アゼチジン-1-イル)エチル)ピリジン-2(1H)-オン(800mg、4.49mmol)、4-メチル-2-(メチルスルホニルオキシ)ペンタン酸エチル(2.2g、6.74mmol)、およびKCO(1.8g、13.47mmol)のMeCN(40mL)の混合液を、80℃で一晩攪拌した。混合液をろ過し、MeCN(5mL)で洗浄した。ろ過液を真空中で濃縮し、残留物をC18/80gカラムでの逆相HPLC(A:水/0.01%TFA、B:MeOH、0~100%)により精製して、無色油状物として、2-(5-(2-(アゼチジン-1-イル)エチル)-2-オキソピリジン-1(2H)-イル)-4-メチルペンタン酸エチル(600mg)を得た。収率 42%(ESI 321.2(M+H))。
工程3:2-(5-(2-(アゼチジン-1-イル)エチル)-2-オキソピリジン-1(2H)-イル)-4-メチルペンタン酸
Figure 0007702004000359
2-(5-(2-(アゼチジン-1-イル)エチル)-2-オキソピリジン-1(2H)-イル)-4-メチルペンタン酸エチル(600mg、1.88mmol)を、LiOH-HO(394mg、9.40mmol)のTHF(10mL)とHO(2mL)の溶液を用いて室温で1時間処理した。混合液を、1N HClを用いてpH4~5に酸性化した。混合液を真空中で濃縮し、残留物をC18/40gカラムでの逆相HPLC(A:水 10mM NHHCO、B:MeOH、0~100%)により精製して、赤色固形物として、2-(5-(2-(アゼチジン-1-イル)エチル)-2-オキソピリジン-1(2H)-イル)-4-メチルペンタン酸(150mg)を得た。収率27%(ESI 293.2(M+H))。
2-(5-(2-(3-フルオロアゼチジン-1-イル)エチル)-2-オキソピリジン-1(2H)-イル)-4-メチルペンタン酸の調製
工程1:5-(2-(3-フルオロアゼチジン-1-イル)エチル)ピリジン-2(1H)-オン
Figure 0007702004000360
2-(6-オキソ-1,6-ジヒドロピリジン-3-イル)アセトアルデヒド(1.5g、11mmol)、AcOH(0.8g、13.2mmol)、および3-フルオロアゼチジン塩酸塩(1.47g、13.2mmol)のMeOH(30mL)の混合液を室温で30分間攪拌した。NaBH(OAc)(4.66g、22mmol)を加え、室温で3時間攪拌した。溶媒を真空中で除去し、残留物をC18/120gカラムでの逆相HPLC(A:水 10mM NHHCO、B:MeOH、0~100%)により精製して、黄色油状物として、5-(2-(3-フルオロアゼチジン-1-イル)エチル)ピリジン-2(1H)-オン(2g、粗)を得た。(ESI 197.2(M+H))。
工程2:2-(5-(2-(3-フルオロアゼチジン-1-イル)エチル)-2-オキソピリジン-1(2H)-イル)-4-メチルペンタン酸エチル
Figure 0007702004000361
5-(2-(3-フルオロアゼチジン-1-イル)エチル)ピリジン-2(1H)-オン(1.9g、9.7mmol)、4-メチル-2-(メチルスルホニルオキシ)ペンタン酸エチル(3.45g、14.5mmol)、およびCsCO(9.5g、29.1mmol)のトルエン(40mL)の混合液を110℃で一晩攪拌した。溶媒を真空中で除去し、残留物をC18/120gカラムでの逆相HPLC(A:水 10mM NHHCO、B:MeOH、0~100%)により精製して、黄色油状物として、 2-(5-(2-(3-フルオロアゼチジン-1-イル)エチル)-2-オキソピリジン-1(2H)-イル)-4-メチルペンタン酸エチル(650mg)を得た。収率 20%(ESI 339.1(M+H))。
工程3:2-(5-(2-(3-フルオロアゼチジン-1-イル)エチル)-2-オキソピリジン-1(2H)-イル)-4-メチルペンタン酸
Figure 0007702004000362
2-(5-(2-(3-フルオロアゼチジン-1-イル)エチル)-2-オキソピリジン-1(2H)-イル)-4-メチルペンタン酸エチル(650mg、1.92mmol)を、LiOH-HO(322mg、7.68mmol)のMeOH(10mL)とHO(2.5mL)の溶液を用いて室温で2時間処理した。混合液を、1N HClを用いてpH4~5に酸性化し、C18/40gカラムでの逆相HPLC(A:水 10mM NHHCO3、B:MeOH、0~100%)により精製して、白色固形物として、2-(5-(2-(3-フルオロアゼチジン-1-イル)エチル)-2-オキソピリジン-1(2H)-イル)-4-メチルペンタン酸(350mg)を得た。収率 59%(ESI 311.2(M+H))。
3-シクロプロピル-2-(5-(2-(3-フルオロアゼチジン-1-イル)エチル)-2-オキソピリジン-1(2H)-イル)プロパン酸の調製
工程1:(S)-2-ブロモ-3-シクロプロピルプロパン酸
Figure 0007702004000363
(S)-2-アミノ-3-シクロプロピルプロパン酸(5.0g、38.7mmol)のHO(50mL)溶液に、40% HBr(60mL)を加えた。反応混合液を0℃で10分間攪拌した。 亜硝酸ナトリウム(4.5g、24mmol)のHO(10mL)溶液を添加した。反応混合液を0℃で30分間攪拌し、室温に一晩加温した。反応混合物を、EtOAc(100mL×3)で抽出した。有機層をブライン(100mL)で洗浄し、NaSOで乾燥させ、ろ過して真空中で濃縮し、無色油状物として、(S)-2-ブロモ-3-シクロプロピルプロパン酸(5.0g)を得て、これをさらに精製することなく次の反応に直接使用した。収率 74%(ESI 194(M+H))。
工程2:(S)-2-ブロモ-3-シクロプロピルプロパン酸エチル
Figure 0007702004000364
(S)-2-ブロモ-3-シクロプロピルプロパン酸(1g、5.2mmol)のEtOH溶液(20mL)に、SOCl(1.8g、15.6mmol)を加え、室温で2時間攪拌した。溶媒を真空中で除去し、白色固形物として、2-ブロモ-3-シクロプロピルプロパン酸エチル(1.2g、粗)を得て、これを次の工程で直接使用した。(ESI 221.0(M+H))。
工程3:3-シクロプロピル-2-(5-(2-(3-フルオロアゼチジン-1-イル)エチル)-2-オキソピリジン-1(2H)-イル)プロパン酸エチル
Figure 0007702004000365
2-ブロモ-3-シクロプロピルプロパン酸エチル(800mg、3.64mmol)、5-(2-(3-フルオロアゼチジン-1-イル)エチル)ピリジン-2(1H)-オン(1.07g、5.46mmol)、およびKCO(1.5g、10.92mmol)のMeCN(10mL)の混合液を80℃で一晩攪拌した。混合液をろ過し、MeCN(10mL)で洗浄した。ろ過液を真空中で濃縮し、残留物をシリカゲルカラム(石油エーテル:EtOAc 2:1)により精製して、無色油状物として、3-シクロプロピル-2-(5-(2-(3-フルオロアゼチジン-1-イル)エチル)-2-オキソピリジン-1(2H)-イル)プロパン酸エチル(400mg)を得た。収率 32%(ESI 337.2(M+H))。
工程4:3-シクロプロピル-2-(5-(2-(3-フルオロアゼチジン-1-イル)エチル)-2-オキソピリジン-1(2H)-イル)プロパン酸
Figure 0007702004000366
3-シクロプロピル-2-(5-(2-(3-フルオロアゼチジン-1-イル)エチル)-2-オキソピリジン-1(2H)-イル)プロパン酸エチル(400mg、1.20mmol)を、LiOH-HO(201mg、4.80mmol)のEtOH(4mL)とHO(1mL)の溶液を用いて室温で2時間処理した。混合液を、1N HClを用いてpH4~5に酸性化した。混合液を真空中で濃縮し、残留物をシリカゲルカラム(DCM:MeOH 10:1)により精製して、白色固形物として、3-シクロプロピル-2-(5-(2-(3-フルオロアゼチジン-1-イル)エチル)-2-オキソピリジン-1(2H)-イル)プロパン酸(310mg)を得た。収率 85%(ESI 309.15(M+H))。
2-(5-(2-((R)-3-フルオロピロリジン-1-イル)エチル)-2-オキソピリジン-1(2H)-イル)-4-メチルペンタン酸の調製
工程1:2-(5-ブロモ-2-オキソピリジン-1(2H)-イル)-4-メチルペンタン酸エチル
Figure 0007702004000367
5-ブロモピリジン-2-オール(12.0g、69.0mmol)、KCO(19.1g、138.0mmol)、および4-メチル-2-(メチルスルホニルオキシ)ペンタン酸エチル(18.5 g,77.7mmol)のCHCN(230mL)の混合液を、80℃で一晩攪拌した。溶媒を真空中で濃縮し、残留物をシリカゲルカラム(石油エーテル:EtOAc 1:2)により精製して、黄色油状物として、2-(5-ブロモ-2-オキソピリジン-1(2H)-イル)-4-メチルペンタン酸エチル(13.0g)を得た。収率 60%(ESI 316.0(M+H))。
工程2:2-(5-アリル-2-オキソピリジン-1(2H)-イル)-4-メチルペンタン酸エチル
Figure 0007702004000368
2-(5-ブロモ-2-オキソピリジン-1(2H)-イル)-4-メチルペンタン酸エチル(13.0g、41.1mmol)、アリルトリブチルスタンナン(14.9g、45.1mmol)、Pddba(1.8g、2.06mmol)、PCy(1.1g、4.11mmol)、およびCsF(12.5g、82.2mmol)の無水ジオキサン(50mL)の混合液を、N下、100℃で16時間攪拌した。混合液を室温に冷却し、飽和NHCl溶液(100mL)でクエンチし、EtOAc(100mL)で抽出した。水層を、EtOAc(200mLx2)で抽出した。一つにまとめた有機層をブライン(100mL)で洗浄し、無水NaSOで乾燥させ、ろ過し、真空中で濃縮した。残留物を、シリカゲルカラム(石油エーテル:EtOAc 19:1)により精製し、黄色固形物として、2-(5-アリル-2-オキソピリジン-1(2H)-イル)-4-メチルペンタン酸エチル(7.1g)を得た。収率 62%(ESI 278.1(M+H))。
工程3:4-メチル-2-(2-オキソ-5-(2-オキソエチル)ピリジン-1(2H)-イル)ペンタン酸エチル
Figure 0007702004000369
2-(5-アリル-2-オキソピリジン-1(2H)-イル)-4-メチルペンタン酸エチル(7.1g、25.6mmol)のTHF/HO(80mL/30mL)の溶液に、KOsO-2HO(94.0mg、0.26mmol)のHO(4mL)の溶液を加え、室温で1時間攪拌した。NaIO(10.8g、51.2mmol)のHO(20mL)溶液を加え、室温で2時間攪拌した。LCMSは、反応が完了したことを示した。反応混合液を100mLの水で希釈し、EtOAc(120mL×3)で抽出した。一つにまとめた有機層を無水NaSOで乾燥させ、ろ過および真空中で濃縮して、粗生成物の4-メチル-2-(2-オキソ-5-(2-オキソエチル)ピリジン-1(2H)-イル)ペンタン酸エチル(7.0g、粗)を黄色油状物として得て、これをさらに精製することなく次の反応に直接使用した。(ESI 280.3(M+H))。
工程4:2-(5-(2-((R)-3-フルオロピロリジン-1-イル)エチル)-2-オキソピリジン-1(2H)-イル)-4-メチルペンタン酸エチル
Figure 0007702004000370
25℃の4-メチル-2-(2-オキソ-5-(2-オキソエチル)ピリジン-1(2H)-イル)ペンタン酸エチル(7.0g、25.0mmol)のDCE(70mL)の混合液に、(R)-3-フルオロピロリジン塩酸塩(2.7g、25.0mmol)を加え、25℃で30分間攪拌した。次いでNaBH(OAc)(10.6g、50.0mmol)を5℃で加え、25℃で16時間攪拌した。混合液を真空中で濃縮し、残留物をシリカゲルカラム(DCM:MeOH 19:1)により精製して、化合物2-(5-(2-((R)-3-フルオロピロリジン-1-イル)エチル)-2-オキソピリジン-1(2H)-イル)-4-メチルペンタン酸エチル(1.3g)を黄色油状物として得た。収率:15%(ESI 353.2(M+H))。
工程5:2-(5-(2-((R)-3-フルオロピロリジン-1-イル)エチル)-2-オキソピリジン-1(2H)-イル)-4-メチルペンタン酸
Figure 0007702004000371
2-(5-(2-((R)-3-フルオロピロリジン-1-イル)エチル)-2-オキソピリジン-1(2H)-イル)-4-メチルペンタン酸エチル(1.3g、3.69mmol)を、LiOH-HO(775.0mg、18.4mmol)のMeOH(12mL)と水(5mL)の溶液を用いて室温で2時間処理した。MeOHを真空中で除去し、1N HClを用いてpH=5に酸性化した。残留物をC18/120gカラムでの逆相HPLC(A:水、B:MeOH、0~100%)により精製して、白色固形物として、2-(5-(2-((R)-3-フルオロピロリジン-1-イル)エチル)-2-オキソピリジン-1(2H)-イル)-4-メチルペンタン酸(1.03g)を得た。収率 86%(ESI 325.1(M+H))。
2-(5-(2-(ジメチルアミノ)エチル)-4-メチル-2-オキソピリジン-1(2H)-イル)-4-メチルペンタン酸の調製
工程1:(E)-2-メトキシ-5-(2-メトキシビニル)-4-メチルピリジン
Figure 0007702004000372
(メトキシメチル)トリフェニルホスホニウムクロリド(8.5g、24.8mmol)およびt-BuOK(4.6g、41.3mmol)のTHF(40mL)の混合液を室温で20分間攪拌した。6-メトキシ-4-メチルニコチンアルデヒド(2.5g、16.5mmol)の10mLのTHF溶液を加え、混合液を室温で2時間攪拌した。反応混合物を、40mLの水の中に注いで、EtOAc(50mL×2)で抽出した。有機層を真空中で濃縮し、残留物を、C18/40gカラムでの逆相HPLC(A:水 10mM NHHCO、B:MeOH、0~100%)により精製して、無色油状物として、(E)-2-メトキシ-5-(2-メトキシビニル)-4-メチルピリジン(1.8g)を得た。収率 61%(ESI 180.1(M+H))。
工程2:2-(6-メトキシ-4-メチルピリジン-3-イル)アセトアルデヒド
Figure 0007702004000373
(E)-2-メトキシ-5-(2-メトキシビニル)-4-メチルピリジン(1.8g、10mmol)を、TFA(20mL)を用いて室温で4時間処理した。溶媒を真空中で除去し、赤色油状物として、2-(6-メトキシ-4-メチルピリジン-3-イル)アセトアルデヒド(1.5g、粗)を得て、さらに精製することなく使用した。(ESI 166.1(M+H))。
工程3:2-(6-メトキシ-4-メチルピリジン-3-イル)-N,N-ジメチルエタンアミン
Figure 0007702004000374
2-(6-メトキシ-4-メチルピリジン-3-イル)アセトアルデヒド(1.45g、8.78mmol)、ジメチルアミン(TFH中、2M、17.5mL、35.72mmol)およびAcOH(0.8g、13.2mmol)のDCE(30mL)の混合液を、室温で15分間攪拌した。NaBH(OAc)(3.71g、17.5mmol)を加え、室温で3時間攪拌した。溶媒を真空中で除去し、残留物をシリカゲルカラム(DCM:MeOH 10:1)により精製して、黄色油状物として、2-(6-メトキシ-4-メチルピリジン-3-イル)-N,N-ジメチルエタンアミン(850mg)を得た。収率 50%(ESI 195.1(M+H))。
工程4:5-(2-(ジメチルアミノ)エチル)-4-メチルピリジン-2-オール
Figure 0007702004000375
2-(6-メトキシ-4-メチルピリジン-3-イル)-N,N-ジメチルエチルアミン(850mg、4.38mmol)のHBr/AcOH(20mL)の混合液を、75℃で16時間加熱した。溶媒を真空中で除去し、残留物をC18/40gカラムでの逆相HPLC(A:水 10mM NHHCO3、B:MeOH、0~100%)により精製して、赤色固形物として、5-(2-(ジメチルアミノ)エチル)-4-メチルピリジン-2-オール(650mg)を得た。収率 82%(ESI 181.1(M+H))。
工程5:2-(5-(2-(ジメチルアミノ)エチル)-4-メチル-2-オキソピリジン-1(2H)-イル)-4-メチルペンタン酸エチル
Figure 0007702004000376
5-(2-(ジメチルアミノ)エチル)-4-メチルピリジン-2-オール(650g、3.6mmol)、4-メチル-2-(メチルスルホニルオキシ)ペンタン酸エチル(1.71g、7.2mmol)、およびKCO(1.49g、10.8mmol)のMeCN(20mL)の混合液を、80℃で一晩攪拌した。溶媒を真空中で除去し、残留物をC18/40gカラムでの逆相HPLC(A:水 10mM NHHCO、B:MeOH、0~100%)により精製して、2-(5-(2-(ジメチルアミノ)エチル)-4-メチル-2-オキソピリジン-1(2H)-イル)-4-メチルペンタン酸エチル(500mg)を得た。収率 43%(ESI 323.2(M+H))。
工程6:2-(5-(2-(ジメチルアミノ)エチル)-4-メチル-2-オキソピリジン-1(2H)-イル)-4-メチルペンタン酸
Figure 0007702004000377
2-(5-(2-(ジメチルアミノ)エチル)-4-メチル-2-オキソピリジン-1(2H)-イル)-4-メチルペンタン酸エチル(500mg、1.55mmol)を、LiOH-HO(260mg、6.2mmol)のMeOH(10mL)とHO(2mL)の溶液を用いて室温で2時間処理した。混合液を、1N HClを用いてpH4~5に酸性化し、C18/40gカラムでの逆相HPLC(A:水 10mM NHHCO3、B:MeOH、0~100%)により精製して、白色固形物として、2-(5-(2-(ジメチルアミノ)エチル)-4-メチル-2-オキソピリジン-1(2H)-イル)-4-メチルペンタン酸(420mg)を得た。収率 92%(ESI 295.2(M+H))。
2-(5-(2-(ジメチルアミノ)エチル)-4-メチル-2-オキソピリジン-1(2H)-イル)-5-メチルヘキサン酸の調製
工程1:(R)-2-ブロモ-5-メチルヘキサン酸
Figure 0007702004000378
0℃の(R)-2-アミノ-5-メチルヘキサン酸(30g、207mmol)の40% HBr(200mL)とHO(200mL)の混合液に、NaNO(17g、248mmol)のHO(15mL)溶液を滴下して加えた。混合物を室温で一晩攪拌させた。混合液をDCM(200mL)で抽出した。有機層をブライン(200mL)で洗浄し、NaSOで乾燥あせ、真空中で濃縮して、黄色油状物として、(R)-2-ブロモ-5-メチルヘキサン酸(30g)を得た。収率70%(ESI 211.1(M+H))。
工程2:2-ブロモ-5-メチルヘキサン酸エチル
Figure 0007702004000379
0℃の(R)-2-ブロモ-5-メチルヘキサン酸(30g、144mmol)のEtOH(200mL)のオン号役に、SOCl(86g、720mmol)を加えた。混合液を室温で4時間攪拌した。溶媒を真空中で除去し、無色油状物として、2-ブロモ-5-メチルヘキサン酸エチル(35g、粗)を得た。(ESI 239.1(M+H))。
工程3:2-(5-ブロモ-4-メチル-2-オキソピリジン-1(2H)-イル)-5-メチルヘキサン酸エチル
Figure 0007702004000380
5-ブロモ-4-メチルピリジン-2(1H)-オン(8g、42.78mmol)、CsCO(27.9g、85.56mmol)、および2-ブロモ-5-メチルヘキサン酸エチル(15g、64.17mmol)のトルエン(160mL)の混合液を、110℃で4時間攪拌した。溶媒を真空中で濃縮し、残留物をシリカゲルカラム(石油エーテル:EtOAc 4:1)により精製して、無色油状物として、2-(5-ブロモ-4-メチル-2-オキソピリジン-1(2H)-イル)-5-メチルヘキサン酸エチル(6.5g)を得た。収率 44%(ESI 346.1(M+H))。
工程4:(E)-エチル 2-(5-(2-エトキシビニル)-4-メチル-2-オキソピリジン-1(2H)-イル)-5-メチルヘキサン酸塩
Figure 0007702004000381
2-(5-ブロモ-4-メチル-2-オキソピリジン-1(2H)-イル)-5-メチルヘキサン酸エチル(5.4g、15.7mmol)、(E)-2-(2-エトキシビニル)-4,4,5,5-テトラメチル-1,3,2-ジオキサボロラン(6.22g、31.4mmol)、Pd(PPh(912mg、0.79mmol)およびKCO(4.33g、31.4mmol)の1,4-ジオキサン(70mL)と水(7mL)の混合液を、N下、70℃で20時間攪拌した。反応混合液を100mLの水で希釈し、EtOAc(100mL×2)で抽出した。一つにまとめた有機層をブライン(150mL)で洗浄し、無水NaSOで乾燥させ、ろ過し、真空中で濃縮した。残留物を、シリカゲルカラム(石油エーテル:EtOAc 1:1)により精製し、黄色油状物として、(E)-エチル 2-(5-(2-エトキシビニル)-4-メチル-2-オキソピリジン-1(2H)-イル)-5-メチルヘキサン酸塩(3.8g)を得た。収率 72%(ESI 336.2(M+H))。
工程5:5-メチル-2-(4-メチル-2-オキソ-5-(2-オキソエチル)ピリジン-1(2H)-イル)ヘキサン酸エチル
Figure 0007702004000382
(E)-エチル 2-(5-(2-エトキシビニル)-4-メチル-2-オキソピリジン-1(2H)-イル)-5-メチルヘキサン酸塩(3.8g、11.34mmol)を、TFA(40mL)を用いて室温で1時間処理した。溶媒を真空中で濃縮し、残留物をシリカゲルカラム(EtOAc)により精製して、無色油状物として、5-メチル-2-(4-メチル-2-オキソ-5-(2-オキソエチル)ピリジン-1(2H)-イル)ヘキサン酸エチル(2g)を得た。収率 57%(ESI 308.2(M+H))。
工程6:2-(5-(2-(ジメチルアミノ)エチル)-4-メチル-2-オキソピリジン-1(2H)-イル)-5-メチルヘキサン酸エチル
Figure 0007702004000383
5-メチル-2-(4-メチル-2-オキソ-5-(2-オキソエチル)ピリジン-1(2H)-イル)ヘキサン酸エチル(2g、6.51mmol)のDCM(30mL)の混合液に、ジメチルアミン(2M)(6.5mL、13.02mmol)を加え、室温で20分間攪拌した。次いでNaBH(OAc)(2.76g、13.02mmol)を加え、室温で4時間攪拌した。溶媒を真空中で除去し、残留物をシリカゲルカラム(DCM:MeOH 10:1)により精製して、無色油状物として、2-(5-(2-(ジメチルアミノ)エチル)-4-メチル-2-オキソピリジン-1(2H)-イル)-5-メチルヘキサン酸エチル(1.4g)を得た。収率 64%(ESI 337.3(M+H))。
工程7:2-(5-(2-(ジメチルアミノ)エチル)-4-メチル-2-オキソピリジン-1(2H)-イル)-5-メチルヘキサン酸
Figure 0007702004000384
2-(5-(2-(ジメチルアミノ)エチル)-4-メチル-2-オキソピリジン-1(2H)-イル)-5-メチルヘキサン酸エチル(1.4g、4.17mmol)を、LiOH-HO(700mg、16.68mmol)のMeOH(20mL)とHO(4mL)の溶液を用いて室温で2時間処理した。反応混合液を、1N HClを用いてpH4~5に酸性化した。溶媒を真空中で除去し、残留物をC18/40gカラムでの逆相HPLC(A:水 10mM NHHCO、B:MeOH、0~100%)により精製して、白色固形物として、2-(5-(2-(ジメチルアミノ)エチル)-4-メチル-2-オキソピリジン-1(2H)-イル)-5-メチルヘキサン酸(900mg)を得た。収率 70%(ESI 309.2(M+H))。
2-(5-(2-(3-フルオロアゼチジン-1-イル)エチル)-4-メチル-2-オキソピリジン-1(2H)-イル)-4-メチルペンタン酸の調製
工程1:5-(2-(3-フルオロアゼチジン-1-イル)エチル)-4-メチルピリジン-2-オール
Figure 0007702004000385
2-(6-ヒドロキシ-4-メチルピリジン-3-イル)アセトアルデヒド(2g、13.2mmol)、3-フルオロアゼチジン塩酸塩(2.2g、19.8mmol)のMeOH(20mL)の混合液を、室温で30分間攪拌した。NaBH(OAc)(5.6g、26.4mmol)を加え、室温で2時間攪拌した。溶媒を真空中で除去し、残留物をシリカゲルカラム(DCM:MeOH 2:1)により精製して、黄色油状物として、5-(2-(3-フルオロアゼチジン-1-イル)エチル)-4-メチルピリジン-2-オール(1g)を得た。収率 36%(ESI 211.1(M+H))。
工程2:2-(5-(2-(3-フルオロアゼチジン-1-イル)エチル)-4-メチル-2-オキソピリジン-1(2H)-イル)-4-メチルペンタン酸エチル
Figure 0007702004000386
メチル 5-(2-(ジメチルアミノ)エチル)ピリジン-2(1H)-オン(1g、4.76mmol)、4-メチル-2-(メチルスルホニルオキシ)ペンタン酸エチル(1.36g、5.71mmol)およびKCO(1.97g、14.28mmol)のMeCN(20mL)の混合液を、85℃で一晩攪拌した。溶媒を真空中で除去し、残留物をシリカゲルカラム(DCM:MeOH 1:2)により精製して、白色固形物として、白色固形物として、2-(5-(2-(3-フルオロアゼチジン-1-イル)エチル)-4-メチル-2-オキソピリジン-1(2H)-イル)-4-メチルペンタン酸エチル(500mg)を得た。収率 30%(ESI 353.2(M+H))。
工程3:2-(5-(2-(3-フルオロアゼチジン-1-イル)エチル)-4-メチル-2-オキソピリジン-1(2H)-イル)-4-メチルペンタン酸
Figure 0007702004000387
2-(5-(2-(3-フルオロアゼチジン-1-イル)エチル)-4-メチル-2-オキソピリジン-1(2H)-イル)-4-メチルペンタン酸エチル(500mg、1.42mmol)を、LiOH-HO(298mg、7.1mmol)のMeOH(10mL)とHO(2.5mL)を用いて室温で2時間処理した。混合液を、1N HClを用いてpH4~5に酸性化し、C18/40gカラムでの逆相HPLC(A:水 10mM NHHCO3、B:MeOH、0~100%)により精製して、白色固形物として、2-(5-(2-(3-フルオロアゼチジン-1-イル)エチル)-4-メチル-2-オキソピリジン-1(2H)-イル)-4-メチルペンタン酸(360mg)を得た。収率 78%(ESI 325.1(M+H))。
2-(5-(2-((R)-3-フルオロピロリジン-1-イル)エチル)-4-メチル-2-オキソピリジン-1(2H)-イル)-4-メチルペンタン酸の調製
工程1:2-(5-アリル-4-メチル-2-オキソピリジン-1(2H)-イル)-4-メチルペンタン酸エチル
Figure 0007702004000388
2-(5-ブロモ-4-メチル-2-オキソピリジン-1(2H)-イル)-4-メチルペンタン酸エチル(2.9g、8.78mmol)、アリルトリブチルスタンナン(3.5g、10.54mmol)、Pddba(402mg、0.44mmol)、PCy(247mg、0.88mmol)およびCsF(2.7g、17.56mmol)の無水ジオキサン(100mL)の混合液を、100℃で16時間攪拌した。混合液を室温まで冷却した。混合液をろ過し、ジオキサン(20mL)で洗浄した。ろ過液を真空中で濃縮し、残留物をシリカゲルカラム(石油エーテル:EtOAc 3:1)により精製して、黄色油状物として、2-(5-アリル-4-メチル-2-オキソピリジン-1(2H)-イル)-4-メチルペンタン酸エチル(1.6g)を得た。収率 60%(ESI 292(M+H))。
工程2:4-メチル-2-(4-メチル-2-オキソ-5-(2-オキソエチル)ピリジン-1(2H)-イル)ペンタン酸エチル
Figure 0007702004000389
2-(5-アリル-4-メチル-2-オキソピリジン-1(2H)-イル)-4-メチルペンタン酸エチル(1.6g、5.49mmol)のTHF/HO(20mL/10mL)の溶液に、KOsO-2HO(20mg、0.055mmol)のHO(1mL)の溶液を滴下して加え、室温で1時間攪拌した。NaIO(2.3g、10.98mmol)のHO(5mL)溶液を滴下して加え、室温で3時間攪拌した。LCMSは、反応が完了したことを示した。反応混合液を水(40mL)で希釈し、EtOAc(50mL×3)で抽出した。一つにまとめた有機層を無水NaSOで乾燥させ、ろ過および真空中で濃縮して、褐色油状物として、4-メチル-2-(4-メチル-2-オキソ-5-(2-オキソエチル)ピリジン-1(2H)-イル)ペンタン酸エチルを得て、これをさらに精製することなく次の工程に使用した。(ESI 294(M+H))。
工程3:2-(5-(2-((R)-3-フルオロピロリジン-1-イル)エチル)-4-メチル-2-オキソピリジン-1(2H)-イル)-4-メチルペンタン酸エチル
Figure 0007702004000390
4-メチル-2-(4-メチル-2-オキソ-5-(2-オキソエチル)ピリジン-1(2H)-イル)ペンタン酸エチル(950mg、3.24mmol)および(R)-3-フルオロピロリジン塩酸塩(814mg、6.48mmol)のDCE(20mL)の混合液を室温で1時間攪拌した。次いでNaBH(OAc)(2.1g、9.72mmol)を加え、室温で2時間攪拌した。混合液を真空中で濃縮し、残留物をC18/40gカラムでの逆相HPLC(A:水/10mM NHHCO、B:MeOH、0~100%)により精製して、黄色油状物として、2-(5-(2-((R)-3-フルオロピロリジン-1-イル)エチル)-4-メチル-2-オキソピリジン-1(2H)-イル)-4-メチルペンタン酸エチル(550mg)を得た。収率 46%(ESI 367(M+H))。
工程4:2-(5-(2-((R)-3-フルオロピロリジン-1-イル)エチル)-4-メチル-2-オキソピリジン-1(2H)-イル)-4-メチルペンタン酸
Figure 0007702004000391
2-(5-(2-((R)-3-フルオロピロリジン-1-イル)エチル)-4-メチル-2-オキソピリジン-1(2H)-イル)-4-メチルペンタン酸エチル(550mg、1.50mmol)を、LiOH-HO(120mg、4.50mmol)のTHF(6mL)と水(2mL)の溶液を用いて室温で2時間処理した。反応液を、1N HClを用いてpH=8に酸性化した。溶媒を真空中で除去し、残留物をC18/40gカラムでの逆相HPLC(A:水/10mM NHHCO、B:MeOH、0~100%)により精製して、白色固形物として、2-(5-(2-((R)-3-フルオロピロリジン-1-イル)エチル)-4-メチル-2-オキソピリジン-1(2H)-イル)-4-メチルペンタン酸(270mg)を得た。収率 53%(ESI 339(M+H))。
2-(5-(2-(アゼチジン-1-イル)エチル)-2-オキソ-4-(トリフルオロメチル)ピリジン-1(2H)-イル)-4-メチルペンタン酸の調製
工程1:(E)-2-メトキシ-5-(2-メトキシビニル)-4-(トリフルオロメチル)ピリジン
Figure 0007702004000392
0℃の(メトキシメチル)トリフェニルホスホニウムクロリド(1.0g、2.95mmol)のTHF溶液(13.406mL)に、カリウム tert-ブトキシド(376mg、3.35mmol)を加えた。0℃で1時間攪拌した後、6-メトキシ-4-(トリフルオロメチル)ニコチンアルデヒド(550mg、2.68mmol)のTHF溶液(6.5mL)を加えた。反応液を室温で一晩攪拌し、NHCl溶液を用いてクエンチした。混合液を抽出し(EtOAc×3)、濃縮して、シリカゲルクロマトグラフィー(0~100 酢酸エチル:ヘキサン)により精製して、(E)-2-メトキシ-5-(2-メトキシビニル)-4-(トリフルオロメチル)ピリジン(450 mgs)を得た。収率 72%(ESI 234.2(M+H))。
工程2:2-(6-メトキシ-4-(トリフルオロメチル)ピリジン-3-イル)アセトアルデヒド
Figure 0007702004000393
(E)-2-メトキシ-5-(2-メトキシビニル)-4-(トリフルオロメチル)ピリジン(450mg、1.930mmol)のDCM溶液(29.689mL)に、TFA(0.595mL、7.72mmol)と水(0.591mL、32.8mmol)を加えた。反応液を、45℃で18時間攪拌した。反応液をDCMで希釈し、NaHCOを用いてクエンチした。混合液を水で洗浄し、NaSOで乾燥させて、ろ過および濃縮して、2-(6-メトキシ-4-(トリフルオロメチル)ピリジン-3-イル)アセトアルデヒド(343mgs)を得て、さらに精製することなく使用した。収率 81%(ESI 220.18(M+H))。
工程3:5-(2-(アゼチジン-1-イル)エチル)-2-メトキシ-4-(トリフルオロメチル)ピリジン
Figure 0007702004000394
2-(6-メトキシ-4-(トリフルオロメチル)ピリジン-3-イル)アセトアルデヒド(4g、18.1mmol)のDCE溶液(50mL)に、アゼチジン塩酸塩(3.4g、36.2mmol)を加えた。反応混合物を、室温で20分間攪拌した。NaBH(OAc)(7.7g、36.2mmol)を加え、室温で16時間攪拌した。反応混合物を、MeOH(20mL)を加えることによりクエンチして、ろ過した。ろ過液を真空中で除去し、残留物をC18/80gカラムでの逆相HPLC(A:水 10mM NHHCO、B:MeOH、0~100%)により精製して、黄色油状物として、5-(2-(アゼチジン-1-イル)エチル)-2-メトキシ-4-(トリフルオロメチル)ピリジン(3g)を得た。収率 63%(ESI 261.2(M+H))。
工程4:5-(2-(アゼチジン-1-イル)エチル)-4-(トリフルオロメチル)ピリジン-2(1H)-オン
Figure 0007702004000395
5-(2-(アゼチジン-1-イル)エチル)-2-メトキシ-4-(トリフルオロメチル)ピリジン(2.95g、11.3mmol)のHBr/AcOH(20mL)の混合液を50℃で5時間攪拌した。反応混合液を真空中で除去し、残留物をC18/80gカラムでの逆相HPLC(A:水 10mM NHHCO、B:MeOH、0~100%)により精製して、黄色油状物として、5-(2-(アゼチジン-1-イル)エチル)-4-(トリフルオロメチル)ピリジン-2(1H)-オン(710mg)を得た。収率 25%(ESI 247.1(M+H))。
工程5:2-(5-(2-(アゼチジン-1-イル)エチル)-2-オキソ-4-(トリフルオロメチル)ピリジン-1(2H)-イル)-4-メチルペンタン酸エチル
Figure 0007702004000396
5-(2-(アゼチジン-1-イル)エチル)-4-(トリフルオロメチル)ピリジン-2(1H)-オン(710mg、2.9mmol)のMeCN溶液(10mL)に、4-メチル-2-(メチルスルホニルオキシ)ペンタン酸エチル(1.1g、4.4mmol)およびKCO(1.2g、8.7mmol)を加えた。反応混合液を80℃で16時間攪拌した。反応混合液を真空中で除去し、残留物をC18/40gカラムでの逆相HPLC(A:水 10mM NHHCO、B:MeOH、0~100%)により精製して、黄色油状物として、2-(5-(2-(アゼチジン-1-イル)エチル)-2-オキソ-4-(トリフルオロメチル)ピリジン-1(2H)-イル)-4-メチルペンタン酸エチル(500mg)を得た。収率 44%(ESI 389.2(M+H))。
工程6:2-(5-(2-(アゼチジン-1-イル)エチル)-2-オキソ-4-(トリフルオロメチル)ピリジン-1(2H)-イル)-4-メチルペンタン酸
Figure 0007702004000397
2-(5-(2-(アゼチジン-1-イル)エチル)-2-オキソ-4-(トリフルオロメチル)ピリジン-1(2H)-イル)-4-メチルペンタン酸エチル(500mg、1.3mmol)を、LiOH-HO(270mg、6.5mmol)のEtOH(5mL)と水(1mL)の溶液を用いて室温で2時間処理した。反応混合液を、2N HClで中和し、真空中で濃縮した。残留物をC18/40gカラムでの逆相HPLC(A:水 10mM NHHCO、B:MeOH、0~100%)により精製して、黄色油状物として、2-(5-(2-(アゼチジン-1-イル)エチル)-2-オキソ-4-(トリフルオロメチル)ピリジン-1(2H)-イル)-4-メチルペンタン酸(410mg)を得た。収率 88%(ESI 361.2(M+H))。
2-(5-(2-(ジメチルアミノ)エチル)-2-オキソ-4-(トリフルオロメチル)ピリジン-1(2H)-イル)-4-メチルペンタン酸の調製
工程1:2-(6-メトキシ-4-(トリフルオロメチル)ピリジン-3-イル)-N,N-ジメチルエタン-1-アミン
Figure 0007702004000398
2-(6-メトキシ-4-(トリフルオロメチル)ピリジン-3-イル)アセトアルデヒド(0.34g、1.6mmol)のDCE溶液(7.8mL)に、ジメチルアミン(3.9mL、7.8mmol)および酢酸(0.05mL、0.78mmol)を加え、1時間攪拌した。溶液に、トリアセトキシ水素化ホウ素ナトリウム(0.6g、3.1mmol)を加えた。反応液を12時間攪拌し、その後濃縮して、シリカゲルクロマトグラフィー(0~35% DCM(1% TEA):MeOH 0~30%)により精製して、2-(6-メトキシ-4-(トリフルオロメチル)ピリジン-3-イル)-N,N-ジメチルエタン-1-アミン(305mg)を得た。収率 79%(ESI 249.27(M+H))。
工程2:5-(2-(ジメチルアミノ)エチル)-4-(トリフルオロメチル)ピリジン-2(1H)-オン
Figure 0007702004000399
HBr(酢酸中、33%)(4.04mL、24.57mmol)を、2-(6-メトキシ-4-(トリフルオロメチル)ピリジン-3-イル)-N,N-ジメチルエタン-1-アミン(0.305g、1.229mmol)に加え、圧力容器中、75℃に加熱した。4時間後、溶媒を除去し、残留物をシリカゲルクロマトグラフィー(0~25% DCM:MeOH 改変剤として1% TEAを含む)により精製して、5-(2-(ジメチルアミノ)エチル)-4-(トリフルオロメチル)ピリジン-2(1H)-オン(219mg)を得た。収率 76%(ESI 235.15(M+H))。H NMR(400MHz,MeOD)δ 7.56(s,1H),6.85(s,1H),2.76(m,2H),2.61(m,1H),2.37(m,6H)
工程3:2-(5-(2-(ジメチルアミノ)エチル)-2-オキソ-4-(トリフルオロメチル)ピリジン-1(2H)-イル)-4-メチルペンタン酸エチル
Figure 0007702004000400
5-(2-(ジメチルアミノ)エチル)-4-(トリフルオロメチル)ピリジン-2(1H)-オン(685mg、2.92mmol)、KCO(1.60g、11.55mmol)および4-メチル-2-(メチルスルホニルオキシ)ペンタン酸エチル(1.60g、6.70mmol)のCHCN(60mL)の混合液を85℃で一晩攪拌した。溶媒を真空中で濃縮し、残留物をシリカゲルカラム(DCM:MeOH 2:1)により精製して、褐色油状物として、2-(5-(2-(ジメチルアミノ)エチル)-2-オキソ-4-(トリフルオロメチル)ピリジン-1(2H)-イル)-4-メチルペンタン酸エチル(390mg)を得た。収率35%(ESI 377.2(M+H))。 H NMR(500MHz,MeOD)δ 7.84(s,1H),6.68(s,1H),5.51(dd,J=11.0,5.0Hz,1H),4.23(q,J=7.0Hz,2H),2.77(t,J=8.0Hz,2H),2.53(t,J=8.0Hz,2H),2.33(s,6H),2.18-2.12(m,1H),2.08-2.02(m,1H),1.46-1.38(m,1H),1.27(t,J=7.0Hz,3H),0.97(t,J=7.0Hz,6H).
工程4:2-(5-(2-(ジメチルアミノ)エチル)-2-オキソ-4-(トリフルオロメチル)ピリジン-1(2H)-イル)-4-メチルペンタン酸
Figure 0007702004000401
2-(5-(2-(ジメチルアミノ)エチル)-2-オキソ-4-(トリフルオロメチル)ピリジン-1(2H)-イル)-4-メチルペンタン酸エチル(390mg、1.0mmol)を、LiOH一水和物(435mg、10.36mmol)のEtOH(10mL)とHO(1mL)の溶液を用いて室温で1時間処理した。混合液を、1N HCl水溶液を用いてpH4~5に酸性化した。混合液を真空中で濃縮し、シリカゲルカラム(MeOH:EtOAc 1:2)により精製して、油状物として、2-(5-(2-(ジメチルアミノ)エチル)-2-オキソ-4-(トリフルオロメチル)ピリジン-1(2H)-イル)-4-メチルペンタン酸(358mg)を得た。収率 99%(ESI 349.1(M+H))。
2-(5-(2-(ジメチルアミノ)エチル)-2-オキソ-4-(トリフルオロメチル)ピリジン-1(2H)-イル)-3-メチルブタン酸の調製
工程1:2-(5-(2-(ジメチルアミノ)エチル)-2-オキソ-4-(トリフルオロメチル)ピリジン-1(2H)-イル)-3-メチルブタン酸エチル
Figure 0007702004000402
5-(2-(ジメチルアミノ)エチル)-4-(トリフルオロメチル)ピリジン-2(1H)-オン(2.4g、10.2mmol)のMeCN溶液(40mL)に、2-ブロモ-3-メチルブタン酸エチル(4.3g、20.4mmol)およびKCO(2.8g、20.4mmol)を加えた。反応混合液を80℃で16時間攪拌した。反応混合液を真空中で除去し、残留物をC18/40gカラムでの逆相HPLC(A:水 10mM NHHCO、B:MeOH、0~100%)により精製して、黄色油状物として、2-(5-(2-(ジメチルアミノ)エチル)-2-オキソ-4-(トリフルオロメチル)ピリジン-1(2H)-イル)-3-メチルブタン酸エチル(2.6g)を得た。収率 69%(ESI 363.2(M+H))。
工程2:2-(5-(2-(ジメチルアミノ)エチル)-2-オキソ-4-(トリフルオロメチル)ピリジン-1(2H)-イル)-3-メチルブタン酸
Figure 0007702004000403
2-(5-(2-(ジメチルアミノ)エチル)-2-オキソ-4-(トリフルオロメチル)ピリジン-1(2H)-イル)-3-メチルブタン酸エチル(2.6g、7.1mmol)を、LiOH-HO(1.47g、35mmol)のEtOH(15mL)と水(3mL)の溶液を用いて室温で2時間処理した。反応混合液を2N HClを用いて中性化し、真空中で濃縮して、残留物をC18/40gカラムでの逆相HPLC(A:水 10mM NHHCO、B:MeOH、0~100%)により精製して、黄色油状物として、2-(5-(2-(ジメチルアミノ)エチル)-2-オキソ-4-(トリフルオロメチル)ピリジン-1(2H)-イル)-3-メチルブタン酸(1.8g)を得た。収率 75%(ESI 335.2(M+H))。
3-シクロプロピル-2-(5-(2-(ジメチルアミノ)エチル)-2-オキソ-4-(トリフルオロメチル)ピリジン-1(2H)-イル)プロパン酸の調製
工程1:2-(5-ブロモ-2-オキソ-4-(トリフルオロメチル)ピリジン-1(2H)-イル)-3-シクロプロピルプロパン酸エチル
Figure 0007702004000404
5-ブロモ-4-(トリフルオロメチル)ピリジン-2-オール(2.5g、10.33mmol)、CsCO(6.7g、20.66mmol)および2-ブロモ-3-シクロプロピルプロパン酸エチル(3.4g、15.50mmol)のトルエン(100mL)の混合液を、110℃で16時間攪拌した。LCMSは、反応が完了したことを示した。混合液を濾過し、EtOAc(20mL)で洗浄した。ろ過液を真空中で濃縮し、残留物をシリカゲルカラム(石油エーテル:EtOAc 10:1)により精製して、無色油状物として、2-(5-ブロモ-2-オキソ-4-(トリフルオロメチル)ピリジン-1(2H)-イル)-3-シクロプロピルプロパン酸エチル(1.5g)を得た。収率 38%(ESI 384.0(M+H))。
工程2:2-(5-アリル-2-オキソ-4-(トリフルオロメチル)ピリジン-1(2H)-イル)-3-シクロプロピルプロパン酸エチル
Figure 0007702004000405
窒素雰囲気下、2-(5-ブロモ-2-オキソ-4-(トリフルオロメチル)ピリジン-1(2H)-イル)-3-シクロプロピルプロパン酸エチル(2.3g、6.02mmol)およびアリルトリブチルスタンナン(2.4g、7.22mmol)のジオキサン(50mL)の溶液に、Pddba(348mg、0.30mmol)、PCy(168mg、0.60mmol)、CsF(1.8g、12.04mmol)を加え、100℃で16時間攪拌した。混合液を室温まで冷却した。飽和NHCl溶液(100mL)およびEtOAc(100mL)を混合液に加え、水層をEtOAc(100mL×2)で抽出した。一つにまとめた有機相をブライン(100mL)で洗浄し、無水NaSOで乾燥させ、ろ過し、真空中で濃縮した。残留物を、シリカゲルカラム(石油エーテル:EtOAc 10:1)により精製し、無色油状物として、2-(5-アリル-2-オキソ-4-(トリフルオロメチル)ピリジン-1(2H)-イル)-3-シクロプロピルプロパン酸エチル(1.5g)を得た。収率 72%(ESI 344.0(M+H))。
工程3:3-シクロプロピル-2-(2-オキソ-5-(2-オキソエチル)-4-(トリフルオロメチル)ピリジン-1(2H)-イル)プロパン酸エチル
Figure 0007702004000406
2-(5-アリル-2-オキソ-4-(トリフルオロメチル)ピリジン-1(2H)-イル)-3-シクロプロピルプロパン酸エチル(1.5g、4.37mmol)のTHF/HO(20mL/20mL)の溶液に、KOsO-2HO(16.0mg、0.0437mmol)のHO(3mL)の溶液を加え、室温で1時間攪拌した。NaIO(1.8g、8.74mmol)のHO(10mL)溶液を滴下して加え、混合液をさらに1時間、室温で攪拌した。LCMSは、反応が完了したことを示した。反応混合液を水(40mL)で希釈し、EtOAc(50mL×3)で抽出した。一つにまとめた有機層を無水NaSOで乾燥させ、ろ過および真空中で濃縮して、3-シクロプロピル-2-(2-オキソ-5-(2-オキソエチル)-4-(トリフルオロメチル)ピリジン-1(2H)-イル)プロパン酸エチル(1.5g、粗)を褐色油状物として得て、さらに精製することなく次の反応に直接使用した。(ESI 346.1(M+H))。
工程4:3-シクロプロピル-2-(5-(2-(ジメチルアミノ)エチル)-2-オキソ-4-(トリフルオロメチル)ピリジン-1(2H)-イル)プロパン酸エチル
Figure 0007702004000407
25℃の3-シクロプロピル-2-(2-オキソ-5-(2-オキソエチル)-4-(トリフルオロメチル)ピリジン-1(2H)-イル)プロパン酸エチル(1.5g、4.34mmol)のDCE(20mL)の混合液に、ジメチルアミン塩酸塩(708mg、8.68mmol)を加え、1時間攪拌した。NaBH(OAc)(2.8g、13.02mmol)を5℃で加え、25℃で16時間攪拌した。混合液を真空中で濃縮し、残留物をシリカゲルカラム(DCM:MeOH 10:1)により精製して、無色油状物として、3-シクロプロピル-2-(5-(2-(ジメチルアミノ)エチル)-2-オキソ-4-(トリフルオロメチル)ピリジン-1(2H)-イル)プロパン酸エチル(400mg)を得た。収率25%(ESI 375.1 [M+H])。
工程5:3-シクロプロピル-2-(5-(2-(ジメチルアミノ)エチル)-2-オキソ-4-(トリフルオロメチル)ピリジン-1(2H)-イル)プロパン酸
Figure 0007702004000408
3-シクロプロピル-2-(5-(2-(ジメチルアミノ)エチル)-2-オキソ-4-(トリフルオロメチル)ピリジン-1(2H)-イル)プロパン酸エチル(400mg、1.07mmol)を、LiOH-HO(224mg、5.35mmol)のEtOH(5mL)と水(2mL)の溶液を用いて処理し、混合液を室温で30分間攪拌した。混合液を、1N HClを用いてpH5~6に酸性化し、C18/120gカラムでの逆相HPLC(A:水/10mM NHHCO、B:MeOH、0~100%)により精製して、白色固形物として、3-シクロプロピル-2-(5-(2-(ジメチルアミノ)エチル)-2-オキソ-4-(トリフルオロメチル)ピリジン-1(2H)-イル)プロパン酸(150mg)を得た。収率 41%(ESI 347.0(M+H))。
2-(5-(2-(ジメチルアミノ)エチル)-2-オキソ-4-(トリフルオロメチル)ピリジン-1(2H)-イル)-5-メチルヘキサン酸の調製
工程1:2-(5-ブロモ-2-オキソ-4-(トリフルオロメチル)ピリジン-1(2H)-イル)-5-メチルヘキサン酸エチル
Figure 0007702004000409
5-ブロモ-2-ヒドロキシ-4-(トリフルオロメチル)ピリジン(6.00g、24.79mmol)、2-ブロモ-5-メチルヘキサン酸エチル(8.82g、37.19mmol)、およびCsCO(24.24g、74.38mmol)の無水トルエン(120mL)の混合液を、窒素雰囲気下、110℃で3時間加熱した。溶媒を真空中で濃縮し、残留物をシリカゲルカラム(石油エーテル:EtOAc 23:1)により精製して、褐色油状物として、2-(5-ブロモ-2-オキソ-4-(トリフルオロメチル)ピリジン-1(2H)-イル)-5-メチルヘキサン酸エチル(5.9g)を得た。収率59%。(ESI 400.0(M+H),ESI 422.0(M+Na))。
工程2:(E)-エチル 2-(5-(2-エトキシビニル)-2-オキソ-4-(トリフルオロメチル)ピリジン-1(2H)-イル)-5-メチルヘキサン酸塩
Figure 0007702004000410
無水1,4-ジオキサン(140mL)と水(14mL)の共溶媒中、2-(5-ブロモ-2-オキソ-4-(トリフルオロメチル)ピリジン-1(2H)-イル)-5-メチルヘキサン酸エチル(5.56g、13.97mmol)、(E)-1-エトキシエテン-2-ボロン酸 ピナコールエステル(4.15g、20.95mmol)、テトラキス(トリフェニルホスフィン)パラジウム(0)(2.42g、2.10mmol)、およびKCO(5.79g、41.91mmol)を、窒素雰囲気下、70℃で20時間加熱した。溶媒を真空中で濃縮し、残留物をシリカゲルカラム(石油エーテル:EtOAc 10:1)により精製して、褐色油状物として、(E)-エチル 2-(5-(2-エトキシビニル)-2-オキソ-4-(トリフルオロメチル)ピリジン-1(2H)-イル)-5-メチルヘキサン酸塩(3.4g)を得た。収率63%。(ESI 390.1(M+H))。
工程3:5-メチル-2-(2-オキソ-5-(2-オキソエチル)-4-(トリフルオロメチル)ピリジン-1(2H)-イル)ヘキサン酸エチル
Figure 0007702004000411
トリフルオロ酢酸(32mL、430.80mmol)を、(E)-エチル 2-(5-(2-エトキシビニル)-2-オキソ-4-(トリフルオロメチル)ピリジン-1(2H)-イル)-5-メチルヘキサン酸塩(5.2g、13.35mmol)のDCM(64mL)の攪拌溶液に加え、反応混合液を室温で1時間攪拌した。溶媒を真空中で除去し、褐色油状物として、5-メチル-2-(2-オキソ-5-(2-オキソエチル)-4-(トリフルオロメチル)ピリジン-1(2H)-イル)ヘキサン酸エチル(5.2g、粗)を得た。(ESI 362.1(M+H))。
工程4:2-(5-(2-(ジメチルアミノ)エチル)-2-オキソ-4-(トリフルオロメチル)ピリジン-1(2H)-イル)-5-メチルヘキサン酸エチル
Figure 0007702004000412
5-メチル-2-(2-オキソ-5-(2-オキソエチル)-4-(トリフルオロメチル)ピリジン-1(2H)-イル)ヘキサン酸エチル(1.6g、4.45mmol)およびジメチルアミン(60mL、2M in THF,120mmol)の1,2-ジクロロエタン(43mL)の混合液を、室温で1時間攪拌した。トリアセトキシ水素化ホウ素ナトリウム(14.91g、70.34mmol)を一度に加え、室温で18時間攪拌した。溶媒を真空中で濃縮し、残留物をシリカゲルカラム(DCM:MeOH 3:1)により精製して、褐色油状物として、2-(5-(2-(ジメチルアミノ)エチル)-2-オキソ-4-(トリフルオロメチル)ピリジン-1(2H)-イル)-5-メチルヘキサン酸エチル(1.2g)を得た。収率72%。(ESI 391.1(M+H))。
工程5:2-(5-(2-(ジメチルアミノ)エチル)-2-オキソ-4-(トリフルオロメチル)ピリジン-1(2H)-イル)-5-メチルヘキサン酸
Figure 0007702004000413
2-(5-(2-(ジメチルアミノ)エチル)-2-オキソ-4-(トリフルオロメチル)ピリジン-1(2H)-イル)-5-メチルヘキサン酸エチル(925mg、2.37mmol)を、LiOH一水和物(298mg、7.11mmol)のEtOH(10mL)とHO(0.7mL)の溶液を用いて室温で3時間処理した。反応混合液を、1N HClを用いてpH4~5に酸性化した。溶媒を真空中で除去し、残留物をC18/40gカラムでの逆相HPLC(A:水 10mM NHHCO、B:MeOH、0~80%)により精製して、黄色固形物として、2-(5-(2-(ジメチルアミノ)エチル)-2-オキソ-4-(トリフルオロメチル)ピリジン-1(2H)-イル)-5-メチルヘキサン酸(617mg)を得た。収率 72%(ESI 363.1(M+H))。
(3R)-2-(5-(2-(ジメチルアミノ)エチル)-2-オキソ-4-(トリフルオロメチル)ピリジン-1(2H)-イル)-3-メチルペンタン酸の調製
工程1:(3R)-2-ブロモ-3-メチルペンタン酸エチル
Figure 0007702004000414
0℃の(2R,3R)-2-ブロモ-3-メチルペンタン酸(5g、25.6mmol)のEtOH(50mL)の混合液に、SOCl(6.1g、51.2mmol)を加えた。混合液を室温で4時間攪拌した。溶媒を真空中で除去し、黄色油状物として、(3R)-2-ブロモ-3-メチルペンタン酸エチル(5.3、粗)を得た。(ESI 223(M+H))。
工程2:(3R)-2-(5-ブロモ-2-オキソ-4-(トリフルオロメチル)ピリジン-1(2H)-イル)-3-メチルペンタン酸エチル
Figure 0007702004000415
5-ブロモ-4-(トリフルオロメチル)ピリジン-2(1H)-オン(3.50g、14.52mmol)および(3R)-2-ブロモ-3-メチルペンタン酸エチル(3.54g、15.97mmol)のトルエン(50mL)の攪拌溶液に、CsCO(5.38g、16.58mmol)を加え、110℃で2時間攪拌した。反応液を室温まで冷却し、ろ過して、20mLのEtOAcで洗浄した。ろ過液を真空中で濃縮し、残留物をシリカゲルカラム(石油エーテル:EtOAc 20:1)により精製して、白色固形物として、(3R)-2-(5-ブロモ-2-オキソ-4-(トリフルオロメチル)ピリジン-1(2H)-イル)-3-メチルペンタン酸エチル(2.2g)を得た。収率 40%(ESI 384.0(M+H))。
工程3:(3R)-2-(5-アリル-2-オキソ-4-(トリフルオロメチル)ピリジン-1(2H)-イル)-3-メチルペンタン酸エチル
Figure 0007702004000416
雰囲気下、(3R)-2-(5-ブロモ-2-オキソ-4-(トリフルオロメチル)ピリジン-1(2H)-イル)-3-メチルペンタン酸エチル(2.2g、5.74mmol)、およびアリルトリブチルスタンナン(2.28g、6.89mmol)のDMF溶液(15mL)に、Pd(PPh(0.67g、0.58mmol)を加え、100℃で16時間攪拌した。反応混合液を真空中で濃縮した。残留物を、50mLのEtOAcで希釈し、20% KF水溶液(100mL)に注ぎ、20℃で1時間攪拌して、次いで濾過して、100mLのEtOAcで洗浄した。ろ過液をEA(100mL×3)で抽出した。一つにまとめた有機層をブライン(200mL)で洗浄し、無水NaSOで乾燥させ、ろ過および真空中で濃縮して、残留物をシリカゲルカラム(石油エーテル:EtOAc 20:1)により精製して、無色油状物として、(3R)-2-(5-アリル-2-オキソ-4-(トリフルオロメチル)ピリジン-1(2H)-イル)-3-メチルペンタン酸エチル(1.51g)を得た。収率 76%(ESI 346(M+H))。
工程4:(3R)-3-メチル-2-(2-オキソ-5-(2-オキソエチル)-4-(トリフルオロメチル)ピリジン-1(2H)-イル)ペンタン酸エチル
Figure 0007702004000417
0℃の(3R)-2-(5-アリル-2-オキソ-4-(トリフルオロメチル)ピリジン-1(2H)-イル)-3-メチルペンタン酸エチル(1.51g、4.36mmol)のTHF(15mL)とHO(10mL)の混合液に、KOsO-2HO(130mg、0.345mmol)を加え、0℃で5分間攪拌した。次いで、NaIO(2.80g、13.08mmol)のHO(5mL)の溶液を滴下して加え、0℃で2時間攪拌し、次いで25℃で2時間攪拌した。混合液を飽和Na溶液(50mL)でクエンチし、混合液をEA(60mL×3)で抽出した。一つにまとめた有機層をブライン(30mL×3)で洗浄し、無水NaSOで乾燥させ、ろ過および真空中で濃縮して、黄色油状物として、粗生成物の(3R)-3-メチル-2-(2-オキソ-5-(2-オキソエチル)-4-(トリフルオロメチル)ピリジン-1(2H)-イル)ペンタン酸エチル(1.5g、粗)を得た。(ESI 348(M+H))。
工程5:(3R)-2-(5-(2-(ジメチルアミノ)エチル)-2-オキソ-4-(トリフルオロメチル)ピリジン-1(2H)-イル)-3-メチルペンタン酸エチル
Figure 0007702004000418
25℃の(3R)-3-メチル-2-(2-オキソ-5-(2-オキソエチル)-4-(トリフルオロメチル)ピリジン-1(2H)-イル)ペンタン酸エチル(1g、2.87mmol)のDCE(10mL)の混合液に、ジメチルアミン塩酸塩(700mg、8.62mmol)を加え、25℃で10分間攪拌した。次いでNaBH(OAc)(1.22g、5.74mmol)を加え、25℃で2時間攪拌した。混合液を真空中で濃縮し、残留物をシリカゲルカラム(DCM:MeOH 10:1)により精製して、黄色油状物として、(3R)-2-(5-(2-(ジメチルアミノ)エチル)-2-オキソ-4-(トリフルオロメチル)ピリジン-1(2H)-イル)-3-メチルペンタン酸エチル(550mg)を得た。収率 51%(ESI 377(M+H))。
工程6:(3R)-2-(5-(2-(ジメチルアミノ)エチル)-2-オキソ-4-(トリフルオロメチル)ピリジン-1(2H)-イル)-3-メチルペンタン酸
Figure 0007702004000419
(3R)-2-(5-(2-(ジメチルアミノ)エチル)-2-オキソ-4-(トリフルオロメチル)ピリジン-1(2H)-イル)-3-メチルペンタン酸エチル(550mg、1.46mmol)を、LiOH-HO(240mg、5.84mmol)のMeOH(5mL)と水(1mL)の溶液を用いて室温で1時間処理した。MeOHを除去し、水性物質を1N HClでpH4まで酸性化した。混合液を、C18/40gカラムでの逆相HPLC(A:水 10mM NHHCO3、B:MeOH、0~100%)により精製して、黄色油状物として、(3R)-2-(5-(2-(ジメチルアミノ)エチル)-2-オキソ-4-(トリフルオロメチル)ピリジン-1(2H)-イル)-3-メチルペンタン酸(400mg)を得た。収率 78.5%(ESI 349(M+H))。
2-(5-(2-(ジメチルアミノ)エチル)-2-オキソ-4-(トリフルオロメチル)ピリジン-1(2H)-イル)ペンタン酸の調製
工程1:2-(5-ブロモ-2-オキソ-4-(トリフルオロメチル)ピリジン-1(2H)-イル)ペンタン酸エチル
Figure 0007702004000420
5-ブロモ-4-(トリフルオロメチル)ピリジン-2(1H)-オン(2g、8.29mmol)および2-ブロモ-4-メチルペンタン酸メチル(2.24g、10.78mmol)のトルエン(40mL)の攪拌溶液に、CsCO(5.38g、16.58mmol)を数回に分けて加え、110℃で2時間攪拌した。反応混合液を50mLのEtOAcで希釈し、ろ過して、20mLのEtOAcで洗浄した。ろ過液を真空中で濃縮し、残留物をシリカゲルカラム(石油エーテル:EtOAc 20:1)により精製して、白色固形物として、2-(5-ブロモ-2-オキソ-4-(トリフルオロメチル)ピリジン-1(2H)-イル)ペンタン酸エチル(2.3g)を得た。収率 65%(ESI 372.0(M+H))。
工程2:(E)-2-(5-(2-エトキシビニル)-2-オキソ-4-(トリフルオロメチル)ピリジン-1(2H)-イル)ペンタン酸エチル
Figure 0007702004000421
2-(5-ブロモ-2-オキソ-4-(トリフルオロメチル)ピリジン-1(2H)-イル)ペンタン酸エチル(2.2g、5.96mmol)、(E)-2-(2-エトキシビニル)-4,4,5,5-テトラメチル-1,3,2-ジオキサボロラン(1.35g、6.85mmol)、Pd(PPh(206mg、0.17mmol)およびKCO(1.64g、11.92mmol)の1,4-ジオキサン(30mL)と水(3mL)の混合液を、N下、70℃で20時間攪拌した。反応混合液を100mLの水に注いで、EA(50mL×3)で抽出した。一つにまとめた有機層をブライン(150mL)で洗浄し、無水NaSOで乾燥させ、ろ過および真空中で濃縮して、シリカゲルカラム(石油エーテル:EtOAc 10:1)により精製して、白色固形物として、(E)-2-(5-(2-エトキシビニル)-2-オキソ-4-(トリフルオロメチル)ピリジン-1(2H)-イル)ペンタン酸エチル(1g)を得た。収率 46%(ESI 362.1(M+H))。
工程3:2-(2-オキソ-5-(2-オキソエチル)-4-(トリフルオロメチル)ピリジン-1(2H)-イル)ペンタン酸エチル
Figure 0007702004000422
(E)-2-(5-(2-エトキシビニル)-2-オキソ-4-(トリフルオロメチル)ピリジン-1(2H)-イル)ペンタン酸塩(920mg、2.55mmol)のDCM(20mL)の混合液に、TFA(10mL)を加えた。混合液を室温で4時間攪拌した。LCMSは、反応が完了したことを示した。混合液を真空中で濃縮して、黄色油状物として、粗生成物の2-(2-オキソ-5-(2-オキソエチル)-4-(トリフルオロメチル)ピリジン-1(2H)-イル)ペンタン酸エチル(800mg)を得て、さらに精製することなく次の反応に直接使用した。収率 94%(ESI 334.1 [M+H])。
工程4:2-(5-(2-(ジメチルアミノ)エチル)-2-オキソ-4-(トリフルオロメチル)ピリジン-1(2H)-イル)ペンタン酸エチル
Figure 0007702004000423
25℃の2-(2-オキソ-5-(2-オキソエチル)-4-(トリフルオロメチル)ピリジン-1(2H)-イル)ペンタン酸エチル(750mg、2.25mmol)のDCE(10mL)の混合液に、ジメチルアミン(TFH中、2M、1.7mL、3.4mmol)を加え、25℃で10分間攪拌した。NaBH(OAc)(950mg、4.5mmol)を加え、25℃で2時間攪拌した。混合液を真空中で濃縮し、残留物をシリカゲルカラム(DCM:MeOH 10:1)により精製して、黄色油状物として、2-(5-(2-(ジメチルアミノ)エチル)-2-オキソ-4-(トリフルオロメチル)ピリジン-1(2H)-イル)ペンタン酸エチル(630mg)を得た。収率 77%(ESI 363.1(M+H))。
工程5:2-(5-(2-(ジメチルアミノ)エチル)-2-オキソ-4-(トリフルオロメチル)ピリジン-1(2H)-イル)ペンタン酸
Figure 0007702004000424
2-(5-(2-(ジメチルアミノ)エチル)-2-オキソ-4-(トリフルオロメチル)ピリジン-1(2H)-イル)ペンタン酸エチル(630g、1.74mmol)を、LiOH-HO(142mg、3.48mmol)のMeOH(6mL)と水(3mL)の溶液を用いて20℃で1時間処理した。MeOHを除去し、残りの水性物質を1N HClでpH=4まで酸性化した。混合液を、C18/40gカラムでの逆相HPLC(A:水 10mM NHHCO、B:MeOH、0~100%)により精製して、黄色油状物として、2-(5-(2-(ジメチルアミノ)エチル)-2-オキソ-4-(トリフルオロメチル)ピリジン-1(2H)-イル)ペンタン酸(430mg)を得た。収率 73%(ESI 335.1(M+H))。
2-(5-(2-(3-メトキシアゼチジン-1-イル)エチル)-2-オキソ-4-(トリフルオロメチル)ピリジン-1(2H)-イル)-4-メチルペンタン酸
工程1:2(E)-エチル 2-(5-(2-エトキシビニル)-2-オキソ-4-(トリフルオロメチル)ピリジン-1(2H)-イル)-4-メチルペンタン酸塩
Figure 0007702004000425
2-(5-ブロモ-2-オキソ-4-(トリフルオロメチル)ピリジン-1(2H)-イル)-4-メチルペンタン酸エチル(12g、31mmol)の1,4-ジオキサン(150mL)と水(15mL)の溶液に、(E)-2-(2-エトキシビニル)-4,4,5,5-テトラメチル-1,3,2-ジオキサボロラン(9.3g、45.5mmol)、KCO(12.8g、93mmol)、およびPd(PPh(1.8g、1.55mmol)を加えた。反応混合液を70℃で20時間攪拌した。反応混合液を室温まで冷却した後、EtOAc(300mL)で希釈し、ブラインで洗浄し、NaSOで乾燥させて真空中で濃縮した。残留物を、シリカゲルカラム(石油エーテル:EtOAc 1:2)により精製し、黄色油状物として、(E)-エチル 2-(5-(2-エトキシビニル)-2-オキソ-4-(トリフルオロメチル)ピリジン-1(2H)-イル)-4-メチルペンタン酸塩(9g)を得た。収率 76%(ESI 376.1(M+H))。
工程2:4-メチル-2-(2-オキソ-5-(2-オキソエチル)-4-(トリフルオロメチル)ピリジン-1(2H)-イル)ペンタン酸エチル
Figure 0007702004000426
(E)-エチル 2-(5-(2-エトキシビニル)-2-オキソ-4-(トリフルオロメチル)ピリジン-1(2H)-イル)-4-メチルペンタン酸塩(9g、24mmol)のTFA(25mL)とDCM(25mL)の混合液を室温で16時間攪拌した。反応混合液を真空中で濃縮して、黄色油状物として、粗生成物の4-メチル-2-(2-オキソ-5-(2-オキソエチル)-4-(トリフルオロメチル)ピリジン-1(2H)-イル)ペンタン酸エチル(9g)を得た。収率100%(粗)(ESI 348.1(M+H))。
工程3:2-(5-(2-(3-メトキシアゼチジン-1-イル)エチル)-2-オキソ-4-(トリフルオロメチル)ピリジン-1(2H)-イル)-4-メチルペンタン酸エチル
Figure 0007702004000427
4-メチル-2-(2-オキソ-5-(2-オキソエチル)-4-(トリフルオロメチル)ピリジン-1(2H)-イル)ペンタン酸エチル(10g、粗、24mmol)のDCE溶液(100mL)に、3-メトキシアゼチジン塩酸塩(5.9g、48mmol)を加え、室温で20分間攪拌した。NaBH(OAc)(10.1g、48mmol)を加え、室温で1時間攪拌した。反応液を、MeOH(30mL)でクエンチし、ろ過した。ろ過液を真空中で濃縮し、残留物をC18/120gカラムでの逆相HPLC(A:水 10mM NHHCO、B:MeOH、0~100%)により精製して、黄色油状物として、2-(5-(2-(3-メトキシアゼチジン-1-イル)エチル)-2-オキソ-4-(トリフルオロメチル)ピリジン-1(2H)-イル)-4-メチルペンタン酸エチル(8g)を得た。収率 79%(ESI 419.2(M+H))。
工程4:2-(5-(2-(3-メトキシアゼチジン-1-イル)エチル)-2-オキソ-4-(トリフルオロメチル)ピリジン-1(2H)-イル)-4-メチルペンタン酸
Figure 0007702004000428
2-(5-(2-(3-メトキシアゼチジン-1-イル)エチル)-2-オキソ-4-(トリフルオロメチル)ピリジン-1(2H)-イル)-4-メチルペンタン酸エチル(8g、19mmol)を、LiOH-HO(2.4g、57mmol)のEtOH(60mL)と水(12mL)の溶液を用いて室温で2時間処理した。反応混合液を2N HClで中和し、真空中で濃縮した。残留物をC18/120gカラムでの逆相HPLC(A:水 10mM NHHCO、B:MeOH、0~100%)により精製して、黄色固形物として、2-(5-(2-(3-メトキシアゼチジン-1-イル)エチル)-2-オキソ-4-(トリフルオロメチル)ピリジン-1(2H)-イル)-4-メチルペンタン酸(6g)を得た。収率 80%(ESI 391.1(M+H))。
2-(5-(2-(ジメチルアミノ)エチル)-3-メチル-2-オキソピリジン-1(2H)-イル)-4-メチルペンタン酸の調製
工程1:2-(5-ブロモ-3-メチル-2-オキソピリジン-1(2H)-イル)-4-メチルペンタン酸エチル
Figure 0007702004000429
5-((ジメチルアミノ)メチル)ピリジン-2(1H)-オン(500mg、3.28mmol)、KCO(1.36g、9.86mmol)、および4-メチル-2-(メチルスルホニルオキシ)ペンタン酸エチル(1.17g、4.93mmol)のCHCN(20mL)の混合液を、80℃で一晩攪拌した。溶媒を真空中で除去し、残留物をシリカゲルカラム(石油エーテル:EtOAc 1:2)により精製して、黄色油状物として、2-(5-((ジメチルアミノ)メチル)-2-オキソピリジン-1(2H)-イル)-4-メチルペンタン酸エチル(300mg)を得た。収率 31%(ESI 330(M+H))。
工程2:2-(5-アリル-3-メチル-2-オキソピリジン-1(2H)-イル)-4-メチルペンタン酸エチル
Figure 0007702004000430
雰囲気下、2-(5-ブロモ-3-メチル-2-オキソピリジン-1(2H)-イル)-4-メチルペンタン酸エチル(2.5g、7.57mmol)およびアリルトリブチルスタンナン(2.5g、7.57mmol)のジオキサン溶液(25mL)に、Pd(dba)(0.3g、0.38mmol)およびCsF(2.3 g,15.1mmol)およびPCy(212.0mg、0.76mmol)を加え、100℃で5時間攪拌した。混合液を室温まで冷却し、ろ過して、EtOAcで洗浄した。ろ過液を真空中で濃縮し、残留物をシリカゲルカラム(石油エーテル:EtOAc 20:1)により精製して、無色油状物として、2-(5-アリル-3-メチル-2-オキソピリジン-1(2H)-イル)-4-メチルペンタン酸エチル(1.61g)を得た。収率 73%(ESI 292(M+H))。
工程3:4-メチル-2-(3-メチル-2-オキソ-5-(2-オキソエチル)ピリジン-1(2H)-イル)ペンタン酸エチル
Figure 0007702004000431
2-(5-アリル-3-メチル-2-オキソピリジン-1(2H)-イル)-4-メチルペンタン酸エチル(1.61g、5.53mmol)のTHF/HO(24mL/12mL)の溶液に、KOsO-2HO(21mg、0.058mmol)のHO(4mL)の溶液を加え、室温で1時間攪拌した。NaIO(2.37g、11.1mmol)のHO(20mL)溶液を加え、室温で2時間攪拌した。LCMSは、反応が完了したことを示した。反応混合液を100mLの水で希釈し、EtOAc(100mL×3)で抽出した。一つにまとめた有機層を無水NaSOで乾燥させ、ろ過および真空中で濃縮して、黄色油状物として、粗生成物の4-メチル-2-(3-メチル-2-オキソ-5-(2-オキソエチル)ピリジン-1(2H)-イル)ペンタン酸エチル(1.6g、粗)を得て、次の反応に直接使用した。(ESI 294.1(M+H))。
工程4:2-(5-(2-(ジメチルアミノ)エチル)-3-メチル-2-オキソピリジン-1(2H)-イル)-4-メチルペンタン酸エチル
Figure 0007702004000432
4-メチル-2-(3-メチル-2-オキソ-5-(2-オキソエチル)ピリジン-1(2H)-イル)ペンタン酸エチル(2g、16.2mmol)、ジメチルアミン(TFH中、2M)(41mL)のDCE(10mL)の混合液を室温で30分間攪拌した。次いでNaBH(OAc)(5.2g、24.39mmol)を加え、室温で一晩攪拌した。反応混合液を真空中で除去し、残留物をC18/40gカラムでの逆相HPLC(A:水 10mM NHHCO、B:MeOH、0~100%)により精製して、黄色油状物として、2-(5-(2-(ジメチルアミノ)エチル)-3-メチル-2-オキソピリジン-1(2H)-イル)-4-メチルペンタン酸エチル(1g)を得た。収率 46%(ESI 323.2(M+H))。
工程5:2-(5-(2-(ジメチルアミノ)エチル)-3-メチル-2-オキソピリジン-1(2H)-イル)-4-メチルペンタン酸
Figure 0007702004000433
2-(5-((ジメチルアミノ)メチル)-2-オキソピリジン-1(2H)-イル)-4-メチルペンタン酸エチル(606mg、1.88mmol)を、LiOH-HO(395mg、9.4mmol)のTHF(8mL)と水(3mL)の溶液を用いて室温で2時間処理した。反応液を、1N HClを用いてpH=3~4に酸性化した。溶媒を真空中で除去し、残留物を分取HPLC A(30~80% MeCN)により精製して、白色固形物として、2-(5-(2-(ジメチルアミノ)エチル)-3-メチル-2-オキソピリジン-1(2H)-イル)-4-メチルペンタン酸(480mg)を得た。収率 87%(ESI 295(M+H))。
2-(3-(ジフルオロメチル)-5-(2-(ジメチルアミノ)エチル)-2-オキソピリジン-1(2H)-イル)-4-メチルペンタン酸
工程1:5-ブロモ-3-(ジフルオロメチル)-2-メトキシピリジン
Figure 0007702004000434
下、0℃の5-ブロモ-2-メトキシニコチンアルデヒド(10.0g、46.3mmol)の無水DCM(100mL)の混合液に、
DAST(29.8g、185.2mmol)を加え、0℃で2日間攪拌した。反応液を100mLの飽和NaHCO3溶液でクエンチした。水層を、DCM(100mLx3)で抽出した。一つにまとめた有機層を、NaHCO(飽和、100mL)およびブライン(100mL)で洗浄し、無水NaSOで乾燥させて、ろ過および真空中で濃縮して、黄色油状物として、5-ブロモ-3-(ジフルオロメチル)-2-メトキシピリジン(11.0g)を得た。収率 100%(ESI 238.1(M+H))。
工程2:5-ブロモ-3-(ジフルオロメチル)ピリジン-2-オール
Figure 0007702004000435
5-ブロモ-3-(ジフルオロメチル)-2-メトキシピリジン(11.0g、46.2mmol)のHBr(酢酸中、33%、100mL)の混合液を、室温で5時間攪拌し、次いで40度で75分間攪拌した。混合液を濃縮し、飽和NaHCO溶液100mL中に注いで、DCMで抽出した。一つにまとめた有機層をNaSOで乾燥しさせ、真空中で濃縮して、白色固形物として、5-ブロモ-3-(ジフルオロメチル)ピリジン-2-オール(8.5g)を得て、さらに精製することなく使用した。収率 73.2%(ESI 226.0(M+H))。
工程3:エチル 2-(5-ブロモ-3-(ジフルオロメチル)-2-オキソピリジン-1(2H)-イル)-4
Figure 0007702004000436
5-ブロモ-3-(ジフルオロメチル)ピリジン-2-オール(7.0g、31.2mmol)、4-メチル-2-((メチルスルホニル)オキシ)ペンタン酸エチル(14.0g、37.4mmol)、およびKCO(14.0g、62.5mmol)のACN(100mL)の混合液を80℃で一晩攪拌した。混合液をろ過し、ACN(20mL)で洗浄した。ろ過液を真空中で濃縮し、残留物をシリカゲルカラム(石油エーテル:EtOAc 4:1)により精製して、白色固形物として、エチル 2-(5-ブロモ-3-(ジフルオロメチル)-2-オキソピリジン-1(2H)-イル)-4(10.0g)を得た。収率 80.3%(ESI 366.0(M+H))。
工程4:2-(5-アリル-3-(ジフルオロメチル)-2-オキソピリジン-1(2H)-イル)-4-メチルペンタン酸エチル
Figure 0007702004000437
エチル 2-(5-ブロモ-3-(ジフルオロメチル)-2-オキソピリジン-1(2H)-イル)-4(6.0g、16.2mmol)、アリルトリブチルスタンナン(7.0g、19.2mmol)、CsF(5.0g、32.4mmol)、Pd(dba)(720mg、1.62mmol)およびPCy(450mg、0.135mmol)のジオキサン(100mL)の混合液を100℃で一晩攪拌した。混合液を水(200mL)中に注いで、EtOAc(100mL×3)で抽出した。混合有機層をブライン(200mL)で洗浄し、NaSOで乾燥させ、ろ過し、真空中で濃縮した。残留物を、シリカゲルカラム(石油エーテル:EtOAc 4:1)により精製し、白色固形物として、エチル 2-(5-アリル-3-(ジフルオロメチル)-2-オキソピリジン-1(2H)-イル)-4(3.0g)を得た。収率 71.6%(ESI 328.1(M+H)+)。
工程5:2-(3-(ジフルオロメチル)-2-オキソ-5-(2-オキソエチル)ピリジン-1(2H)-イル)-4-メチルペンタン酸エチル
Figure 0007702004000438
エチル 2-(5-アリル-3-(ジフルオロメチル)-2-オキソピリジン-1(2H)-イル)-4(3.0g、9.1mmol)のTHF/HO(2/1,100mL)の混合液に、KOsO(33.7mg、0.09mmol)を加え、室温で1時間攪拌した。NaIO(3.9,18.3mmol)を加え、混合液を2時間攪拌した。混合液を水(200mL)中に注いで、EtOAc(100mL×3)で抽出した。一つにまとめた有機層をブライン(200mL)で洗浄し、NaSOで乾燥させ、ろ過および真空中で濃縮して、黄色油状物として、2-(3-(ジフルオロメチル)-2-オキソ-5-(2-オキソエチル)ピリジン-1(2H)-イル)-4-メチルペンタン酸エチル(3.0g、粗)を得て、さらに精製することなく使用した。(ESI 330.1(M+H)+)。
工程6:2-(3-(ジフルオロメチル)-5-(2-(ジメチルアミノ)エチル)-2-オキソピリジン-1(2H)-イル)-4-メチルペンタン酸エチル
Figure 0007702004000439
2-(3-(ジフルオロメチル)-2-オキソ-5-(2-オキソエチル)ピリジン-1(2H)-イル)-4-メチルペンタン酸エチル(3.0g、9.1mmol)、ジメチルアミン(THF中、2M、14mL、28mmol)のDCE(50mL)の混合液を室温で30分間攪拌した。NaBH(OAc)(3.8g、18.2mmol)を数回に分けて加え、反応液を室温で一晩攪拌した。溶媒を真空中で濃縮し、残留物をC18/120gカラムでの逆相HPLC(A:水/10mM NHHCO、B:MeOH、0~100%)により精製して、黄色油状物として、2-(3-(ジフルオロメチル)-5-(2-(ジメチルアミノ)エチル)-2-オキソピリジン-1(2H)-イル)-4-メチルペンタン酸エチル(2.0g)を得た。収率 33.6%(ESI 359.2(M+H))。
工程7:2-(3-(ジフルオロメチル)-5-(2-(ジメチルアミノ)エチル)-2-オキソピリジン-1(2H)-イル)-4-メチルペンタン酸
Figure 0007702004000440
2-(3-(ジフルオロメチル)-5-(2-(ジメチルアミノ)エチル)-2-オキソピリジン-1(2H)-イル)-4-メチルペンタン酸エチル(2.0g、5.5mmol)の混合液を、LiOH-HO(40mg、1.01mmol)のTHF(20mL)と水(10mL)の溶液を用いて室温で2時間処理した。溶媒を真空中で除去し、残留物をC18/120gカラムでの逆相HPLC(A:水 10mM NHHCO、B:MeOH、0~100%)により精製して、白色固形物として、2-(3-(ジフルオロメチル)-5-(2-(ジメチルアミノ)エチル)-2-オキソピリジン-1(2H)-イル)-4-メチルペンタン酸(1.2g)を得た。収率 85.6%(ESI 331.1(M+H))。
2-(5-(2-(ジメチルアミノ)エチル)-3-フルオロ-2-オキソピリジン-1(2H)-イル)-4-メチルペンタン酸の調製
工程1:2-(5-ブロモ-3-フルオロ-2-オキソピリジン-1(2H)-イル)-4-メチルペンタン酸エチル
Figure 0007702004000441
5-ブロモ-3-フルオロピリジン-2-オール(5.0g、15.6mmol)、KCO(7.36g、53.3mmol)および4-メチル-2-(メチルスルホニルオキシ)ペンタン酸エチル(9.9g、23.4mmol)のCHCN(180mL)の混合液を80℃で一晩攪拌した。溶媒を真空中で濃縮し、残留物をシリカゲルカラム(石油エーテル:EtOAc 1:2)により精製して、黄色油状物として、2-(5-ブロモ-3-フルオロ-2-オキソピリジン-1(2H)-イル)-4-メチルペンタン酸エチル(6.5g)を得た。収率 81%(ESI 334.0(M+H))。
工程2:2-(5-アリル-3-フルオロ-2-オキソピリジン-1(2H)-イル)-4-メチルペンタン酸エチル
Figure 0007702004000442
2-(5-ブロモ-3-フルオロ-2-オキソピリジン-1(2H)-イル)-4-メチルペンタン酸エチル(5.0g、7.6mmol)、アリルトリブチルスタンナン(6.0g、9.1mmol)、Pddba(240.0mg、0.76mmol)、PCy(450mg、0.76 mmo)、CsF(4.6g、15.1mmol)の無水ジオキサン(100mL)の混合液を、N下、100℃で16時間攪拌した。混合液を室温に冷却し、飽和NHCl溶液(100mL)およびEtOAc(100mL)で希釈した。混合液を分離させ、水層を、EtOAc(100mLx2)で抽出した。一つにまとめた有機相をブライン(100mL)で洗浄し、無水NaSOで乾燥させ、ろ過し、真空中で濃縮した。残留物を、シリカゲルカラム(石油エーテル:EtOAc 4:1)により精製し、黄色固形物として、2-(5-アリル-3-フルオロ-4-メチル-2-オキソピリジン-1(2H)-イル)-4-メチルペンタン酸エチル(3.0g)を得た。収率 69%(ESI 296.2(M+H))。
工程3:2-(3-フルオロ-2-オキソ-5-(2-オキソエチル)ピリジン-1(2H)-イル)-4-メチルペンタン酸エチル
Figure 0007702004000443
2-(5-アリル-3-フルオロ-4-メチル-2-オキソピリジン-1(2H)-イル)-4-メチルペンタン酸エチル(5.5g、18.6mmol)のTHF/HO(60mL/20mL)の溶液に、KOsO-2HO(60.0mg、0.16mmol)のHO(4mL)の溶液を加え、室温で1時間攪拌した。NaIO(7.8g、37.2mmol)のHO(20mL)溶液を加え、室温で2時間攪拌した。LCMSは、反応が完了したことを示した。反応混合液を100mLの水で希釈し、EtOAc(120mL×3)で抽出した。一つにまとめた有機層を無水NaSOで乾燥させ、ろ過および真空中で濃縮して、黄色油状物として、粗生成物の2-(3-フルオロ-2-オキソ-5-(2-オキソエチル)ピリジン-1(2H)-イル)-4-メチルペンタン酸エチル(5.0g、粗)を得て、これをさらに精製することなく次の反応に直接使用した。(ESI 298.1(M+H))。
工程4:2-(5-(2-(ジメチルアミノ)エチル)-3-フルオロ-2-オキソピリジン-1(2H)-イル)-4-メチルペンタン酸エチル
Figure 0007702004000444
25℃の2-(3-フルオロ-2-オキソ-5-(2-オキソエチル)ピリジン-1(2H)-イル)-4-メチルペンタン酸エチル(1.2g、4.0mmol)のDCE(50mL)の混合液に、ジメチルアミン(THF中、2.0M、8.0mL、16.0mmol)を加え、25℃で30分間攪拌した。NaBH(OAc)(1.7g、8.0mmol)を、5℃で加え、25℃で16時間攪拌した。混合液を真空中で濃縮し、残留物をシリカゲルカラム(DCM:MeOH 10:1)により精製して、無色油状物として、2-(5-(2-(ジメチルアミノ)エチル)-3-フルオロ-2-オキソピリジン-1(2H)-イル)-4-メチルペンタン酸エチル(800mg)を得た。収率 60%(ESI 327.1(M+H))。
工程5:2-(5-(2-(ジメチルアミノ)エチル)-3-フルオロ-2-オキソピリジン-1(2H)-イル)-4-メチルペンタン酸
Figure 0007702004000445
2-(5-(2-(ジメチルアミノ)エチル)-3-フルオロ-2-オキソピリジン-1(2H)-イル)-4-メチルペンタン酸エチル(800mg、2.45mmol)を、LiOH-HO(310.0mg、7.35mmol)のTHF(4mL)と水(1mL)の溶液を用いて室温で2時間処理した。THFを除去し、水性物質を1N HClでpH=5~6まで酸性化した。残留物を、C18/120gカラムでの逆相HPLC(A:水 10mM NHHCO、B:MeOH、0~100%)により精製して、白色固形物として、2-(5-(2-(ジメチルアミノ)エチル)-3-フルオロ-2-オキソピリジン-1(2H)-イル)-4-メチルペンタン酸(700mg)を得た。収率 88%(ESI 299.2(M+H))。
2-(3-フルオロ-5-(2-(3-フルオロアゼチジン-1-イル)エチル)-2-オキソピリジン-1(2H)-イル)-4-メチルペンタン酸の調製
工程1:2-(3-フルオロ-5-(2-(3-フルオロアゼチジン-1-イル)エチル)-2-オキソピリジン-1(2H)-イル)-4-メチルペンタン酸エチル
Figure 0007702004000446
25℃の2-(3-フルオロ-2-オキソ-5-(2-オキソエチル)ピリジン-1(2H)-イル)-4-メチルペンタン酸エチル(5g、15mmol)のDCE(70mL)の混合液に、 3-フルオロアゼチジン塩酸塩(1.8g、22.5mmol)を加え、25℃で10分間攪拌した。 NaBH(OAc)(6.4g、30mmol)を5℃で加え、25℃で2時間攪拌した。混合液を真空中で濃縮し、残留物をシリカゲルカラム(DCM:MeOH 10:1)により精製して、黄色油状物として、2-(3-フルオロ-5-(2-(3-フルオロアゼチジン-1-イル)エチル)-2-オキソピリジン-1(2H)-イル)-4-メチルペンタン酸エチル(3.8g)を得た。収率:63%(ESI 357.2(M+H))。
工程2:2-(3-フルオロ-5-(2-(3-フルオロアゼチジン-1-イル)エチル)-2-オキソピリジン-1(2H)-イル)-4-メチルペンタン酸
Figure 0007702004000447
メチルエチル 2-(3-フルオロ-5-(2-(3-フルオロアゼチジン-1-イル)エチル)-2-オキソピリジン-1(2H)-イル)-4-メチルペンタン酸塩(86mg、0.24mmol)を、LiOH一水和物(50mg、1.2mmol)のTHF(3mL)とHO(0.5mL)の溶液を用いて室温で1時間処理した。反応混合液を、1N HClを用いてpH4~5に酸性化した。残留物を、C18/120gカラムでの逆相HPLC(A:水 10mM NHHCO、B:MeOH、0~100%)により精製して、白色固形物として、2-(3-フルオロ-5-(2-(3-フルオロアゼチジン-1-イル)エチル)-2-オキソピリジン-1(2H)-イル)-4-メチルペンタン酸(55mg)を得た。収率 70%(ESI 329.1(M+H))。
2-(3-フルオロ-5-(2-(3-フルオロアゼチジン-1-イル)エチル)-2-オキソピリジン-1(2H)-イル)ペンタン酸の調製
工程1:2-(5-ブロモ-3-フルオロ-2-オキソピリジン-1(2H)-イル)ペンタン酸エチル
Figure 0007702004000448
5-ブロモ-3-フルオロピリジン-2(1H)-オン(2.1g、11.0mmol)、2-ブロモペンタン酸エチル(3.43g、16.5mmol)およびCsCO(7.17g、22.0mmol)のトルエン(50mL)の混合液を110℃で一晩攪拌した。反応混合液を濾過し、EtOAcで洗浄して真空中で濃縮した。残留物を、シリカゲルカラム(石油エーテル:EtOAc 2:1)により精製し、白色固形物として、2-(5-ブロモ-3-フルオロ-2-オキソピリジン-1(2H)-イル)ペンタン酸エチル(2.9g)を得た。収率 82%(ESI 320.02(M+H))。
工程2:2-(5-アリル-3-フルオロ-2-オキソピリジン-1(2H)-イル)ペンタン酸エチル
Figure 0007702004000449
2-(5-ブロモ-3-フルオロ-2-オキソピリジン-1(2H)-イル)ペンタン酸エチル(2.9g、13.2mmol)、2-アリル-4,4,5,5-テトラメチル-1,3,2-ジオキサボロラン(2.66g、15.8mmol)、Pd(dppf)Cl(482.5mg、0.66mmol)、およびKPO(5.60g、26.4mmol)の1,4-ジオキサン(30mL)とHO(5mL)の混合液を80℃で2時間攪拌した。反応混合液を50mLの水で希釈し、EtOAc(60mL×2)で抽出した。一つにまとめた有機層をブライン(100mL)で洗浄し、無水NaSOで乾燥させ、ろ過および真空中で濃縮して、残留物をシリカゲルカラム(石油エーテル:EtOAc 1:2)により精製して、白色油状物として、2-(5-アリル-3-フルオロ-2-オキソピリジン-1(2H)-イル)ペンタン酸エチル(1.9g)を得た。収率 75%(ESI 282.24(M+H))。
工程3:2-(3-フルオロ-2-オキソ-5-(2-オキソエチル)ピリジン-1(2H)-イル)ペンタン酸エチル
Figure 0007702004000450
エチル エチル 2-(5-アリル-3-フルオロ-2-オキソピリジン-1(2H)-イル)ペンタン酸塩(1.9g、6.7mmol)のTHF(20mL)とHO(30mL)の混合液に、KOsO(25.8mg、0.07mmol)を加え、室温で1時間攪拌した。NaIO(3.9、13.4mmol)を加え、混合液を室温で2時間攪拌した。混合液を水(100mL)中に注いで、EtOAc(50mL×3)で抽出した。一つにまとめた有機層をブライン(100mL)で洗浄し、NaSOで乾燥させ、ろ過および真空中で濃縮して、黄色油状物として、2-(3-フルオロ-2-オキソ-5-(2-オキソエチル)ピリジン-1(2H)-イル)ペンタン酸エチル(1.7g、粗)を得て、次の反応に直接使用した。(ESI 284.12(M+H)+)。
工程4:2-(3-フルオロ-5-(2-(3-フルオロアゼチジン-1-イル)エチル)-2-オキソピリジン-1(2H)-イル)ペンタン酸エチル
Figure 0007702004000451
2-(3-フルオロ-2-オキソ-5-(2-オキソエチル)ピリジン-1(2H)-イル)ペンタン酸エチル(1.7g、6mmol)、AcOH(0.44g、7.2mmol)および3-フルオロアゼチジン塩酸塩(1.0g、9.0mmol)のMeOH(30mL)の混合液を、室温で30分間攪拌した。NaBH(OAc)(2.54g、12mmol)を加え、室温で2時間攪拌した。溶媒を真空中で濃縮し、残留物をシリカゲルカラム(石油エーテル:EtOAc 4:1)により精製して、黄色油状物として、2-(3-フルオロ-5-(2-(3-フルオロアゼチジン-1-イル)エチル)-2-オキソピリジン-1(2H)-イル)ペンタン酸エチル(700mg)を得た。収率 40%(ESI 343.18(M+H))。
工程5:2-(3-フルオロ-5-(2-(3-フルオロアゼチジン-1-イル)エチル)-2-オキソピリジン-1(2H)-イル)ペンタン酸
Figure 0007702004000452
2-(3-フルオロ-5-(2-(3-フルオロアゼチジン-1-イル)エチル)-2-オキソピリジン-1(2H)-イル)ペンタン酸エチル(700mg、2.05mmol)を、LiOH-HO(344mg、8.2mmol)のEtOH(4mL)とHO(1mL)の溶液を用いて室温で2時間処理した。混合液を、1N HClを用いてpH4~5に酸性化した。反応混合液を真空中で濃縮し、残留物をC18/40gカラムでの逆相HPLC(A:水 10mM NHHCO、B:MeOH、20%)により精製して、黄色固形物として、2-(3-フルオロ-5-(2-(3-フルオロアゼチジン-1-イル)エチル)-2-オキソピリジン-1(2H)-イル)ペンタン酸(500mg)を得た。収率 78%(ESI 315.14(M+H))。
(3R)-2-(3-フルオロ-5-(2-(3-フルオロアゼチジン-1-イル)エチル)-2-オキソピリジン-1(2H)-イル)-3-メチルペンタン酸の調製
工程1:(2R,3R)-2-ブロモ-3-メチルペンタン酸
Figure 0007702004000453
D-イソロイシン(10.0g、76.23mmol)のHO(50mL)の溶液に、40% HBr水溶液(100mL)を加えた。反応物を0℃に冷却した。亜硝酸ナトリウム(7.9g、114.35mmol)のHO溶液(10mL)を、滴下して加えた。次いで反応混合物を室温で3時間攪拌した。反応混合物を、EtOAc(100mL×3)で抽出した。有機層をブライン(50mL)で洗浄し、無水NaSOで乾燥させ、ろ過して真空中で濃縮し、褐色油状物として、(2R,3R)-2-ブロモ-3-メチルペンタン酸(14.0g)を得て、これをさらに精製することなく次の反応に直接使用した。収率 95%(ESI 195.1(M+H))。
工程2:(3R)-2-ブロモ-3-メチルペンタン酸メチル
Figure 0007702004000454
(2R,3R)-2-ブロモ-3-メチルペンタン酸(12.6g、64.60mmol)のMeOH/CHCl(30mL/90mL)の混合液を、0℃まで冷却した。(ジアゾメチル)トリメチルシラン(ヘキサン中、2.0M、64.6mL、129.20mmol)を滴下して加えた。混合液を室温で1時間攪拌した。LCMSは、反応が完了したことを示した。混合液を真空中で濃縮して、黄色油状物として、(3R)-2-ブロモ-3-メチルペンタン酸メチル(12.0g)を得て、さらに精製することなく次の反応に直接使用した。収率 89%(ESI 209.1(M+H))。
工程3:(3R)-2-(5-ブロモ-3-フルオロ-2-オキソピリジン-1(2H)-イル)-3-メチルペンタン酸メチル
Figure 0007702004000455
5-ブロモ-3-フルオロピリジン-2(1H)-オン(3.1g、16.15mmol)、CsCO(10.5g、32.3mmol)、および(3R)-2-ブロモ-3-メチルペンタン酸メチル(5.06g、24.23mmol)のジオキサン(100mL)の混合液を、110℃で16時間攪拌した。LCMSは、反応が完了したことを示した。混合液を濾過し、EtOAc(20mL)で洗浄した。ろ過液を真空中で濃縮し、残留物をシリカゲルカラム(石油エーテル:EtOAc 10:1)により精製して、無色油状物として、(3R)-2-(5-ブロモ-3-フルオロ-2-オキソピリジン-1(2H)-イル)-3-メチルペンタン酸メチル(2.2g)を得た。収率 43%(ESI 322.0(M+H))。
工程4:(3R)-2-(5-アリル-3-フルオロ-2-オキソピリジン-1(2H)-イル)-3-メチルペンタン酸メチル
Figure 0007702004000456
(3R)-2-(5-ブロモ-3-フルオロ-2-オキソピリジン-1(2H)-イル)-3-メチルペンタン酸メチル(2.2g、6.87mmol)、2-アリル-4,4,5,5-テトラメチル-1,3,2-ジオキサボロラン(3.5g、20.61mmol)、Pd(dppf)Cl(251mg、0.34mmol)、およびKPO(2.9g、13.74mmol、2.0当量)のジオキサン(100mL)とHO(10mL)の混合液を、窒素雰囲気下、80℃で16時間攪拌した。混合液を真空中で濃縮し、残留物をシリカゲルカラム(石油エーテル:EtOAc 10:1)により精製して、黄色油状物として、(3R)-2-(5-アリル-3-フルオロ-2-オキソピリジン-1(2H)-イル)-3-メチルペンタン酸メチル(1.2g)を得た。収率 55%(ESI 282.1(M+H))。
工程5:(3R)-2-(3-フルオロ-2-オキソ-5-(2-オキソエチル)ピリジン-1(2H)-イル)-3-メチルペンタン酸メチル
Figure 0007702004000457
(3R)-2-(5-アリル-3-フルオロ-2-オキソピリジン-1(2H)-イル)-3-メチルペンタン酸メチル(1.2g、4.27mmol)のTHF/HO(20mL/20mL)の溶液に、KOsO-2HO(15.7mg、0.043mmol)のHO(3mL)の溶液を加え、室温で1時間攪拌した。次いでNaIO(1.8g、8.54mmol)のHO(10mL)溶液を滴下して加え、混合液を2時間、室温で攪拌した。LCMSは、反応が完了したことを示した。反応混合液をHO(50mL)で希釈し、EtOAc(50mL×3)で抽出した。一つにまとめた有機層を無水NaSOで乾燥させ、ろ過および真空中で濃縮して、無色油状物として、(3R)-2-(3-フルオロ-2-オキソ-5-(2-オキソエチル)ピリジン-1(2H)-イル)-3-メチルペンタン酸メチル(1.3g、粗)を得て、これをさらに精製することなく次の反応に直接使用した。(ESI 284.1(M+H))。
工程6:(3R)-2-(3-フルオロ-5-(2-(3-フルオロアゼチジン-1-イル)エチル)-2-オキソピリジン-1(2H)-イル)-3-メチルペンタン酸メチル
Figure 0007702004000458
25℃の(3R)-2-(3-フルオロ-2-オキソ-5-(2-オキソエチル)ピリジン-1(2H)-イル)-3-メチルペンタン酸メチル(1.3g、4.59mmol)のDCE(20mL)の混合液に、3-フルオロアゼチジン塩酸塩(768mg、6.89mmol)を加え、25℃で1時間攪拌した。次いでNaBH(OAc)3(2.9g、13.77mmol)を5℃で加え、25℃で16時間攪拌した。混合液を真空中で濃縮し、残留物をシリカゲルカラム(DCM:MeOH 20:1)により精製して、褐色油状物として、(3R)-2-(3-フルオロ-5-(2-(3-フルオロアゼチジン-1-イル)エチル)-2-オキソピリジン-1(2H)-イル)-3-メチルペンタン酸メチル(800mg)を得た。収率 51%(ESI 343.1 [M+H])。
工程7:(3R)-2-(3-フルオロ-5-(2-(3-フルオロアゼチジン-1-イル)エチル)-2-オキソピリジン-1(2H)-イル)-3-メチルペンタン酸
Figure 0007702004000459
(3R)-2-(3-フルオロ-5-(2-(3-フルオロアゼチジン-1-イル)エチル)-2-オキソピリジン-1(2H)-イル)-3-メチルペンタン酸メチル(800mg、2.34mmol)を、LiOH-HO(491mg、11.7mmol)のEtOH(5mL)と水(2mL)の溶液を用いて処理し、混合液を室温で30分間攪拌した。混合液を、1N HClを用いてpH5~6に酸性化し、濃縮して、C18/40gカラムでの逆相HPLC(A:水/0.01% TFA、B:MeOH、0~100%)により精製して、白色固形物として、(3R)-2-(3-フルオロ-5-(2-(3-フルオロアゼチジン-1-イル)エチル)-2-オキソピリジン-1(2H)-イル)-3-メチルペンタン酸(600mg)を得た。収率 78%(ESI 329.2(M+H))。
3-シクロプロピル-2-(3-フルオロ-5-(2-(3-フルオロアゼチジン-1-イル)エチル)-2-オキソピリジン-1(2H)-イル)プロパン酸の調製
工程1:2-(5-ブロモ-3-フルオロ-2-オキソピリジン-1(2H)-イル)-3-シクロプロピルプロパン酸エチル
Figure 0007702004000460
5-ブロモ-3-フルオロピリジン-2(1H)-オン(2.0g、10.4mmol)、CsCO(6.5g、20.8mmol)および2-ブロモ-3-シクロプロピルプロパン酸エチル(2.7g、12.4mmol)のトルエン(50mL)の混合液を110℃で16時間攪拌した。LCMSは、反応が完了したことを示した。混合液を濾過し、EtOAc(20mL)で洗浄した。ろ過液を真空中で濃縮し、残留物をシリカゲルカラム(石油エーテル:EtOAc 4:1)により精製して、黄色油状物として、2-(5-ブロモ-3-フルオロ-2-オキソピリジン-1(2H)-イル)-3-シクロプロピルプロパン酸エチル(2.0g)を得た。収率 58%(ESI 333(M+H))。
工程2:2-(5-アリル-3-フルオロ-2-オキソピリジン-1(2H)-イル)-3-シクロプロピルプロパン酸エチル
Figure 0007702004000461
2-(5-ブロモ-3-フルオロ-2-オキソピリジン-1(2H)-イル)-3-シクロプロピルプロパン酸エチル(1.5g、4.5mmol)、アリルトリブチルスタンナン(1.5g、5.4mmol)、CsF(1.4g、9mmol)、Pd(dba)(126mg、0.45mmol)、およびPCy(206mg、0.225mmol)のジオキサン(100mL)の混合液を、100℃で一晩攪拌した。混合液を水(200mL)中に注いで、EtOAc(100mL×3)で抽出した。混合有機層をブライン(100mL)で洗浄し、NaSOで乾燥させ、ろ過し、真空中で濃縮した。残留物を、シリカゲルカラム(石油エーテル:EtOAc 4:1)により精製し、黄色油状物として、2-(5-アリル-3-フルオロ-2-オキソピリジン-1(2H)-イル)-3-シクロプロピルプロパン酸エチル(1.0g)を得た。収率 83%(ESI 294(M+H)+)。
工程3:3-シクロプロピル-2-(3-フルオロ-2-オキソ-5-(2-オキソエチル)ピリジン-1(2H)-イル)プロパン酸エチル
Figure 0007702004000462
2-(5-アリル-3-フルオロ-2-オキソピリジン-1(2H)-イル)-3-シクロプロピルプロパン酸エチル(800mg、2.7mmol)のTHF/HO(60mL/20mL)の溶液に、KOsO-2HO(10mg、0.027mmol)のHO(4mL)の溶液を加え、室温で1時間攪拌した。次いでNaIO(1.1g、5.4mmol)のHO(20mL)溶液を加え、室温で2時間攪拌した。LCMSは、反応が完了したことを示した。反応混合液を100mLの水で希釈し、EtOAc(100mL×3)で抽出した。一つにまとめた有機層を無水NaSOで乾燥させ、ろ過および真空中で濃縮して、黄色油状物として、3-シクロプロピル-2-(3-フルオロ-2-オキソ-5-(2-オキソエチル)ピリジン-1(2H)-イル)プロパン酸エチル(820mg、粗)を得て、これをさらに精製することなく次の反応に直接使用した。(ESI 296(M+H))。
工程4:3-シクロプロピル-2-(3-フルオロ-5-(2-(3-フルオロアゼチジン-1-イル)エチル)-2-オキソピリジン-1(2H)-イル)プロパン酸エチル
Figure 0007702004000463
3-シクロプロピル-2-(3-フルオロ-2-オキソ-5-(2-オキソエチル)ピリジン-1(2H)-イル)プロパン酸エチル(500mg、1.7mmol)および3-フルオロアゼチジン塩酸塩(188mg、1.7mmol)のDCE(20mL)の混合液を、室温で10分間攪拌した。NaBH(OAc)(530g、1.5mmol)を加え、室温で2時間攪拌した。混合液を水(50mL)で希釈し、DCM(50mLx3)で抽出した。一つにまとめた有機層を、無水NaSOで乾燥させ、ろ過および真空中で濃縮して、残留物をC18/40gカラムでの逆相HPLC(A:水 10mM NHHCO、B:MeOH、0~100%)により精製して、黄色油状物として、3-シクロプロピル-2-(3-フルオロ-5-(2-(3-フルオロアゼチジン-1-イル)エチル)-2-オキソピリジン-1(2H)-イル)プロパン酸エチル(300mg)を得た。収率 31%(ESI 355(M+H))。
工程5:3-シクロプロピル-2-(3-フルオロ-5-(2-(3-フルオロアゼチジン-1-イル)エチル)-2-オキソピリジン-1(2H)-イル)プロパン酸
Figure 0007702004000464
3-シクロプロピル-2-(3-フルオロ-5-(2-(3-フルオロアゼチジン-1-イル)エチル)-2-オキソピリジン-1(2H)-イル)プロパン酸エチル(300mg、0.84mmol)を、LiOH-HO(178mg、4.20mmol)のTHF(10mL)と水(5mL)の溶液を用いて室温で2時間処理した。反応混合液を、1N HClを用いてpH5に酸性化し、濃縮した。混合液をC18/40gカラムでの逆相HPLC(A:水、B:MeOH、0~100%)により精製して、白色固形物として、2-(3-フルオロ-5-(2-(3-フルオロアゼチジン-1-イル)エチル)-4-メチル-2-オキソピリジン-1(2H)-イル)-4-メチルペンタン酸(200mg)を得た。収率 86%(ESI 327(M+H))。
2-(3-フルオロ-5-(2-(3-フルオロアゼチジン-1-イル)エチル)-2-オキソピリジン-1(2H)-イル)-3-メチルブタン酸の調製
工程1:2-(5-ブロモ-3-フルオロ-2-オキソピリジン-1(2H)-イル)-3-メチルブタン酸エチル
Figure 0007702004000465
5-ブロモ-3-フルオロピリジン-2(1H)-オン(5.0g、26.2mmol、1.0当量)、KCO(7.2g、52.4mmol、2.0当量)、および2-ブロモ-3-メチルブタン酸エチル(6.5g、31.4mmol、1.2当量)のACN(100mL)の混合液を80℃で16時間攪拌した。LCMSは、反応が完了したことを示した。混合液を濾過し、EtOAc(20mL)で洗浄した。ろ過液を真空中で濃縮し、残留物をシリカゲルカラム(石油エーテル:EtOAc 4:1)により精製して、黄色油状物として、2-(5-ブロモ-3-フルオロ-2-オキソピリジン-1(2H)-イル)-3-メチルブタン酸エチル(3.0g)を得た。収率 36%(ESI 320.1(M+H))。
工程2:2-(5-アリル-3-フルオロ-2-オキソピリジン-1(2H)-イル)-3-メチルブタン酸エチル
Figure 0007702004000466
2-(5-ブロモ-3-フルオロ-2-オキソピリジン-1(2H)-イル)-3-メチルブタン酸エチル(3.0g、9.4mmol、1当量)、2-アリル-4,4,5,5-テトラメチル-1,3,2-ジオキサボロラン(1.9g、11.3mmol、1.2当量)、Pd(dppf)Cl(343.6mg、0.47mmol、0.05当量)、およびKPO(4.0g、18.8mmol、2.0当量)のジオキサン(100mL)とHO(10mL)の混合液を100℃で一晩攪拌した。水(200mL)を加え、溶液をEtOAc(100mL×3)で抽出した。一つにまとめた有機層をブライン(100mL)で洗浄し、無水NaSOで乾燥させ、ろ過し、真空中で濃縮した。残留物を、シリカゲルカラム(石油エーテル:EtOAc 4:1)により精製し、黄色油状物として、2-(5-アリル-3-フルオロ-2-オキソピリジン-1(2H)-イル)-3-メチルブタン酸エチル(2.4g)を得た。収率 92%(ESI 282.0(M+H)+)。
工程3:2-(3-フルオロ-2-オキソ-5-(2-オキソエチル)ピリジン-1(2H)-イル)-3-メチルブタン酸エチル
Figure 0007702004000467
2-(5-アリル-3-フルオロ-2-オキソピリジン-1(2H)-イル)-3-メチルブタン酸エチル(2.4g、8.6mmol、1.0当量)のTHF(100mL)とHO(30mL)の溶液に、KOsO-2HO(32mg、0.086mmol、0.01当量)のHO溶液(4mL)を加えた。混合液を室温で1時間攪拌した。次いでNaIO(3.7g、17.2mmol、2.0当量)のHO溶液(20mL)を加え、室温で2時間攪拌した。LCMSは、反応が完了したことを示した。水(100mL)を加え、溶液をEtOAc(100mL×3)で抽出した。一つにまとめた有機層をブライン(50mL)で洗浄し、無水NaSOで乾燥させ、ろ過および真空中で濃縮して、黄色油状物として、2-(3-フルオロ-2-オキソ-5-(2-オキソエチル)ピリジン-1(2H)-イル)-3-メチルブタン酸エチル(1.6g、粗)を得て、これをさらに精製することなく次の反応に直接使用した。(ESI 284.1(M+H))。
工程4:2-(3-フルオロ-5-(2-(3-フルオロアゼチジン-1-イル)エチル)-2-オキソピリジン-1(2H)-イル)-3-メチルブタン酸エチル
Figure 0007702004000468
2-(3-フルオロ-2-オキソ-5-(2-オキソエチル)ピリジン-1(2H)-イル)-3-メチルブタン酸エチル(1.6g、5.7mmol、1.0当量)および3-フルオロアゼチジン塩酸塩(427.5mg、5.7mmol、1.0当量)のMeOH(20mL)の混合液を、室温で10分間攪拌した。NaBH(OAc)(1.8g、8.6mmol、1.5当量)を加え、室温で2時間攪拌した。LCMSは、反応が完了したことを示した。溶媒を真空中で濃縮し、残留物をシリカゲルカラム(石油エーテル:EtOAc 1:1)により精製して、黄色油状物として、2-(3-フルオロ-5-(2-(3-フルオロアゼチジン-1-イル)エチル)-2-オキソピリジン-1(2H)-イル)-3-メチルブタン酸エチル(700mg)を得た。2工程に対し収率24%(ESI 343.1(M+H))。
工程5:2-(3-フルオロ-5-(2-(3-フルオロアゼチジン-1-イル)エチル)-2-オキソピリジン-1(2H)-イル)-3-メチルブタン酸
Figure 0007702004000469
2-(3-フルオロ-5-(2-(3-フルオロアゼチジン-1-イル)エチル)-2-オキソピリジン-1(2H)-イル)-3-メチルブタン酸エチル(700mg、2.0mmol、1.0当量)を、LiOH-HO(336mg、8.0mmol、4.0当量)のMeOH(10mL)と水(5mL)の溶液を用いて室温で2時間処理した。反応混合液を、1N HClを用いてpH5に酸性化し、濃縮した。混合液をC18/40gカラムでの逆相HPLC(A:水 10mM NHHCO、B:MeOH、0~100%)により精製して、白色固形物として、2-(3-フルオロ-5-(2-(3-フルオロアゼチジン-1-イル)エチル)-2-オキソピリジン-1(2H)-イル)-3-メチルブタン酸(500mg)を得た。収率 78%(ESI 315.1(M+H))。
2-(3-フルオロ-5-(2-((R)-3-フルオロピロリジン-1-イル)エチル)-2-オキソピリジン-1(2H)-イル)-4-メチルペンタン酸の調製
工程1:2-(3-フルオロ-5-(2-((R)-3-フルオロピロリジン-1-イル)エチル)-2-オキソピリジン-1(2H)-イル)-4-メチルペンタン酸エチル
Figure 0007702004000470
25℃の2-(3-フルオロ-2-オキソ-5-(2-オキソエチル)ピリジン-1(2H)-イル)-4-メチルペンタン酸エチル(3.3g、11.2mmol)のDCE(70mL)の混合液に、(R)-3-フルオロピロリジン塩酸塩(1.4g、11.2mmol)を加え、25℃で30分間攪拌した。NaBH(OAc)(4.6g、22.4mmol)を5℃で加え、25℃で16時間攪拌した。混合液を真空中で濃縮し、残留物をシリカゲルカラム(DCM:MeOH 10:1)により精製して、黄色油状物として、化合物2-(3-フルオロ-5-(2-((R)-3-フルオロピロリジン-1-イル)エチル)-2-オキソピリジン-1(2H)-イル)-4-メチルペンタン酸エチル(1.7g)を得た。収率 41%(ESI 371.2(M+H))。
工程2:2-(3-フルオロ-5-(2-((R)-3-フルオロピロリジン-1-イル)エチル)-2-オキソピリジン-1(2H)-イル)-4-メチルペンタン酸
Figure 0007702004000471
2-(3-フルオロ-5-(2-((R)-3-フルオロピロリジン-1-イル)エチル)-2-オキソピリジン-1(2H)-イル)-4-メチルペンタン酸エチル(1.7g、4.59mmol)を、LiOH-HO(960.0mg、23.0mmol、5.0当量)のMeOH(12mL)と水(5mL)の溶液を用いて室温で2時間処理した。MeOHを除去し、水性物質を1N HClでpH=5まで酸性化した。残留物を、C18/40gカラムでの逆相HPLC(A:水 10mM NHHCO、B:MeOH、0~100%)により精製して、白色固形物として、2-(3-フルオロ-5-(2-((R)-3-フルオロピロリジン-1-イル)エチル)-2-オキソピリジン-1(2H)-イル)-4-メチルペンタン酸(1.1g)を得た。収率 70%(ESI 343.1(M+H))。
2-(5-(2-(ジメチルアミノ)エチル)-3-フルオロ-4-メチル-2-オキソピリジン-1(2H)-イル)-4-メチルペンタン酸の調製
工程1:3-フルオロ-4-メチルピリジン-2(1H)-オン
Figure 0007702004000472
4-メチルピリジン-2(1H)-オン(10g、92mmol、1.0当量)およびセレクトフルオル(16g、46mmol、0.5当量)のCHCl(100mL)と水(100mL)の混合液を35℃で16時間攪拌した。反応混合液を飽和NaCl溶液(100mL)で希釈し、DCM(100mL×3)で抽出した。一つにまとめた有機層を無水NaSOで乾燥させ、ろ過し、真空中で濃縮した。残留物をシリカゲルカラム(EtOAc:DCM:MeOH 100:10:6)により精製し、白色固形物として、3-フルオロ-4-メチルピリジン-2(1H)-オン(2.4g)を得た。収率21%(ESI 128(M+H))。H NMR(400MHz,CDCl)δ 13.53(s,1H),7.20(dd,J=6.6,0.6Hz,1H),6.14(t,J=6.1Hz,1H),2.24(d,J=2.5Hz,3H). 19F NMR(376MHz,CDCl)δ-140.20.
工程2:5-ブロモ-3-フルオロ-4-メチルピリジン-2(1H)-オン
Figure 0007702004000473
3-フルオロ-4-メチルピリジン-2(1H)-オン(2.4g、18.9mmol、1.0当量)のDMF溶液(20mL)に、NBS(3.7g、20.8mmol、1.1当量)を加え、30℃で1時間攪拌した。反応混合液を逆相HPLC(A:水(0.01%TFA);B ACN、Bの45%)により精製して、白色固形物として、5-ブロモ-3-フルオロ-4-メチルピリジン-2(1H)-オン(3g)を得た。収率 77%(ESI 206(M+H))。H NMR(500MHz,CDCl)δ 7.42(d,J=1.3Hz,1H),2.31(d,J=3.0Hz,3H)。
工程3:2-(5-ブロモ-3-フルオロ-4-メチル-2-オキソピリジン-1(2H)-イル)-4-メチルペンタン酸エチル
Figure 0007702004000474
5-ブロモ-3-フルオロ-4-メチルピリジン-2(1H)-オン(3.0g、14.6mmol、1.0当量)、KCO(4g、29.3mmol、2.0当量)、および4-メチル-2-((メチルスルホニル)オキシ)ペンタン酸エチル(7g、29.3mmol、2当量)のCHCN(50mL)の混合液を80℃で16時間攪拌した。LCMSは、反応が完了したことを示した。混合液を濾過し、CHCN(20mL)で洗浄した。ろ過液を真空中で濃縮し、残留物をシリカゲルカラム(石油エーテル:EtOAc 4:1)により精製して、黄色油状物として、2-(5-ブロモ-3-フルオロ-4-メチル-2-オキソピリジン-1(2H)-イル)-4-メチルペンタン酸エチル(4.5g)を得た。収率 89%(ESI 348(M+H))。
工程4:2-(5-アリル-3-フルオロ-4-メチル-2-オキソピリジン-1(2H)-イル)-4-メチルペンタン酸エチル
Figure 0007702004000475
2-(5-ブロモ-3-フルオロ-4-メチル-2-オキソピリジン-1(2H)-イル)-4-メチルペンタン酸エチル(4.5g、13mmol、1.0当量)、アリルトリブチルスタンナン(35.6g、16.9mmol、1.3当量)、Pddba(595mg、0.65mmol、0.05当量)、PCy(364mg、1.3mmol、0.1当量)、およびCsF(4g、26mmol、2.0当量)の無水ジオキサン(100mL)の混合液を、N下、100℃で16時間攪拌した。混合液を室温まで冷却した。飽和NH4Cl溶液(100mL)を加え、溶液をEtOAc(100mL×3)で抽出した。一つにまとめた有機層をブライン(100mL)で洗浄し、無水NaSOで乾燥させ、ろ過し、真空中で濃縮した。残留物を、シリカゲルカラム(石油エーテル:EtOAc 4:1)により精製し、黄色固形物として、2-(5-アリル-3-フルオロ-4-メチル-2-オキソピリジン-1(2H)-イル)-4-メチルペンタン酸エチル(2g)を得た。収率50%(ESI 310(M+H))。 H NMR(400MHz,CDCl)δ 6.86(s,1H),5.93-5.84(m,1H),5.77-5.73(m,1H),5.18-5.03(m,2H),4.20(q,J=8Hz,2H),3.18-3.14(m,2H),2.13(d,J=2.8Hz,3H),2.01-1.94(m,1H),1.90-1.84(m,1H),1.45-1.37(m,1H),1.26(t,J=8Hz,2H),0.98-0.91(m,6H).
工程5:2-(3-フルオロ-4-メチル-2-オキソ-5-(2-オキソエチル)ピリジン-1(2H)-イル)-4-メチルペンタン酸エチル
Figure 0007702004000476
2-(5-アリル-3-フルオロ-4-メチル-2-オキソピリジン-1(2H)-イル)-4-メチルペンタン酸エチル(1.8g、5.8mmol、1.0当量)のTHF/HO(60mL/20mL)の溶液に、KOsO-2HO(21mg、0.058mmol、0.01当量)のHO溶液(4mL)を加え、室温で1時間攪拌した。次いでNaIO(1.25g、11.7mmol、2.0当量)のHO溶液(20mL)を加え、室温で2時間攪拌した。LCMSは、反応が完了したことを示した。反応混合液を100mLの水で希釈し、EtOAc(100mL×3)で抽出した。一つにまとめた有機層を無水NaSOで乾燥させ、ろ過および真空中で濃縮して、黄色油状物として、2-(3-フルオロ-4-メチル-2-オキソ-5-(2-オキソエチル)ピリジン-1(2H)-イル)-4-メチルペンタン酸エチル(2g、粗)を得て、これをさらに精製することなく次の反応に直接使用した。(ESI 312(M+H))。
工程6:2-(5-(2-(ジメチルアミノ)エチル)-3-フルオロ-4-メチル-2-オキソピリジン-1(2H)-イル)-4-メチルペンタン酸エチル
Figure 0007702004000477
2-(3-フルオロ-4-メチル-2-オキソ-5-(2-オキソエチル)ピリジン-1(2H)-イル)-4-メチルペンタン酸エチル(2.0g、6.42mmol)およびジメチルアミン(9.64mL、19.27mmol)(2.0 M)のTHFの混合液を、DCE(32.1mL)中に加え、室温で10分間攪拌した。NaBH(OAc)3(4.08g、19.3mmol、3.0当量)を反応混合液に加え、室温で2時間攪拌した。混合液を水(50mL)で希釈し、DCM(50mLx3)で抽出した。合わせた有機層を無水NaSOで乾燥させた。溶媒を真空中で除去し、残留物をNHHCO条件での逆相HPLC(A:水 10mM NHHCO、B:MeOH、0~100%)により精製して、黄色油状物として、2-(5-(2-(ジメチルアミノ)エチル)-3-フルオロ-4-メチル-2-オキソピリジン-1(2H)-イル)-4-メチルペンタン酸エチル(1.41g、4.14mmol、収率64.5%)を得た。(ESI 341(M+H))。
工程7:2-(5-(2-(ジメチルアミノ)エチル)-3-フルオロ-4-メチル-2-オキソピリジン-1(2H)-イル)-4-メチルペンタン酸
Figure 0007702004000478
2-(5-(2-(ジメチルアミノ)エチル)-3-フルオロ-4-メチル-2-オキソピリジン-1(2H)-イル)-4-メチルペンタン酸エチル(1.41g、4.14mmol)を、水酸化リチウム(0.496g、20.71mmol)のMeOH(10mL)と水(5mL)の溶液を用いて室温で2時間処理した。MeOHを除去し、水性物質を1N HClでpH=5まで酸性化した。残留物を中性条件での逆相HPLC(A:水B:MeOH、0~100%)により精製し、2-(5-(2-(ジメチルアミノ)エチル)-3-フルオロ-4-メチル-2-オキソピリジン-1(2H)-イル)-4-メチルペンタン酸(1.21g、3.87mmol、収率94%)を得た。(ESI 313(M+H))。
2-(3-フルオロ-5-(2-(3-フルオロアゼチジン-1-イル)エチル)-4-メチル-2-オキソピリジン-1(2H)-イル)-4-メチルペンタン酸の調製工程1:2-(3-フルオロ-5-(2-(3-フルオロアゼチジン-1-イル)エチル)-4-メチル-2-オキソピリジン-1(2H)-イル)-4-メチルペンタン酸エチル
Figure 0007702004000479
2-(3-フルオロ-4-メチル-2-オキソ-5-(2-オキソエチル)ピリジン-1(2H)-イル)-4-メチルペンタン酸エチル(2g、6.4mmol)および3-フルオロアゼチジン塩酸塩(2.1g、19.3mmol、3.0当量)のDCE(20mL)の混合液を室温で10分間攪拌した。NaBH(OAc)3(4.2g、19.3mmol、3.0当量)を反応混合液に加え、室温で2時間攪拌した。混合液を水(50mL)で希釈し、DCM(50mLx3)で抽出した。一つにまとめた有機層を、無水NaSOで乾燥させ、ろ過および真空中で濃縮して、残留物を逆相HPLC(A:水 10mM NHHCO、B:MeOH、70%B)により精製して、黄色油状物として、2-(3-フルオロ-5-(2-(3-フルオロアゼチジン-1-イル)エチル)-4-メチル-2-オキソピリジン-1(2H)-イル)-4-メチルペンタン酸エチル(1g)を得た。収率 42%(ESI 371(M+H))。
工程2:2-(3-フルオロ-5-(2-(3-フルオロアゼチジン-1-イル)エチル)-4-メチル-2-オキソピリジン-1(2H)-イル)-4-メチルペンタン酸
Figure 0007702004000480
2-(3-フルオロ-5-(2-(3-フルオロアゼチジン-1-イル)エチル)-4-メチル-2-オキソピリジン-1(2H)-イル)-4-メチルペンタン酸エチル(1g、2.7mmol、1.0当量)を、LiOH-HO(567mg、13.5mmol、5.0当量)のMeOH(10mL)と水(5mL)の溶液を用いて室温で2時間処理した。反応混合液を、1N HClを用いてpH5に酸性化し、濃縮した。混合液を、中性条件(A:水B:MeOH、60%B)にて逆相HPLCにより精製し、白色固形物として、2-(3-フルオロ-5-(2-(3-フルオロアゼチジン-1-イル)エチル)-4-メチル-2-オキソピリジン-1(2H)-イル)-4-メチルペンタン酸(800mg)を得た。収率 86%(ESI 343(M+H))。
2-(3-フルオロ-5-(2-(3-メトキシアゼチジン-1-イル)エチル)-4-メチル-2-オキソピリジン-1(2H)-イル)-4-メチルペンタン酸の調製
工程1:2-(3-フルオロ-5-(2-(3-メトキシアゼチジン-1-イル)エチル)-4-メチル-2-オキソピリジン-1(2H)-イル)-4-メチルペンタン酸エチル
Figure 0007702004000481
2-(3-フルオロ-4-メチル-2-オキソ-5-(2-オキソエチル)ピリジン-1(2H)-イル)-4-メチルペンタン酸エチル(4.5g、14.4mmol)および3-メトキシアゼチジン塩酸塩(2.7g、21.7mmol)のDCE(20mL)の混合液を室温で1時間攪拌した。NaBH(OAc)(6.2g、29.2mmol)を加え、室温で2時間攪拌した。混合液を水(50mL)で希釈し、DCM(50mLx3)で抽出した。一つにまとめた有機層を、無水NaSOで乾燥させ、ろ過および真空中で濃縮して、残留物をC18/120gカラムでの逆相HPLC(A:水 10mM NHHCO、B:MeOH、0~100%)により精製して、黄色油状物として、2-(3-フルオロ-5-(2-(3-メトキシアゼチジン-1-イル)エチル)-4-メチル-2-オキソピリジン-1(2H)-イル)-4-メチルペンタン酸エチル(2.7g)を得た。収率 49%(ESI 383.1(M+H))。
工程2:2-(3-フルオロ-5-(2-(3-メトキシアゼチジン-1-イル)エチル)-4-メチル-2-オキソピリジン-1(2H)-イル)-4-メチルペンタン酸
Figure 0007702004000482
2-(3-フルオロ-5-(2-(3-メトキシアゼチジン-1-イル)エチル)-4-メチル-2-オキソピリジン-1(2H)-イル)-4-メチルペンタン酸エチル(3.0g、7.9mmol)を、LiOH-HO(1.6g、39.3mmol)のEtOH(20mL)と水(5mL)の溶液を用いて室温で2時間処理した。EtOHを除去し、水性物質を1N HClでpH=5まで酸性化し、濃縮した。混合液をC18/120gカラムでの逆相HPLC(A:水、B:MeOH、0~100%)により精製して、白色固形物として、2-(3-フルオロ-5-(2-(3-フルオロアゼチジン-1-イル)エチル)-4-メチル-2-オキソピリジン-1(2H)-イル)-4-メチルペンタン酸(2.4g)を得た。収率 86%(ESI 355.3(M+H))。
2-(5-(2-(ジメチルアミノ)エチル)-3-フルオロ-2-オキソ-4-(トリフルオロメチル)ピリジン-1(2H)-イル)-4-メチルペンタン酸の調製
工程1:5-ブロモ-3-フルオロ-4-(トリフルオロメチル)ピリジン-2-オール
Figure 0007702004000483
3-フルオロ-4-(トリフルオロメチル)ピリジン-2-オール(16.0g、88.35mmol)およびNBS(23.5g、132.53mmol)のTFA(32mL)とMeCN(320mL)の混合液を80℃で24時間攪拌した。LCMSは、反応が完了したことを示した。反応液を真空中で濃縮し、残留物をシリカゲルカラム(石油エーテル:EtOAc 1:1)により精製して、白色固形物として、5-ブロモ-3-フルオロ-4-(トリフルオロメチル)ピリジン-2-オール(19.7g)を得た。収率 86%(ESI 259.9(M+H))。
工程2:2-(5-ブロモ-3-フルオロ-2-オキソ-4-(トリフルオロメチル)ピリジン-1(2H)-イル)-4-メチルペンタン酸エチル
Figure 0007702004000484
5-ブロモ-3-フルオロ-4-(トリフルオロメチル)ピリジン-2-オール(19.7g、75.77mmol)、CsCO(49.3g、151.54mmol)および4-メチル-2-((メチルスルホニル)オキシ)ペンタン酸エチル(23.5g、98.5mmol)のトルエン(100mL)の混合液を110℃で2時間攪拌した。LCMSは、反応が完了したことを示した。混合液を濾過し、EtOAc(20mL)で洗浄した。ろ過液を真空中で濃縮し、残留物をシリカゲルカラム(石油エーテル:EtOAc 10:1)により精製して、白色固形物として、2-(5-ブロモ-3-フルオロ-2-オキソ-4-(トリフルオロメチル)ピリジン-1(2H)-イル)-4-メチルペンタン酸エチル(12.4g)を得た。収率 41%(ESI 402.0(M+H))。
工程3:(E)-2-(5-(2-エトキシビニル)-3-フルオロ-2-オキソ-4-(トリフルオロメチル)ピリジン-1(2H)-イル)-4-メチルペンタン酸エチル
Figure 0007702004000485
2-(5-ブロモ-3-フルオロ-2-オキソ-4-(トリフルオロメチル)ピリジン-1(2H)-イル)-4-メチルペンタン酸エチル(9.7g、24.12mmol)、(E)-2-(2-エトキシビニル)-4,4,5,5-テトラメチル-1,3,2-ジオキサボロラン(5.7g、28.94mmol)、Pd(PPh(832mg、0.72mmol)およびKCO(6.7g、48.24mmol)の1,4-ジオキサン(100mL)と水(10mL)の混合液を、N下、70℃で20時間攪拌した。反応混合物を、100mLの水の中に注いで、EtOAc(100mL×2)で抽出した。一つにまとめた有機層をブライン(30mL)で洗浄し、無水NaSOで乾燥させ、ろ過し、真空中で濃縮した。残留物を、シリカゲルカラム(石油エーテル:EtOAc 10:1)により精製し、(E)-2-(5-(2-エトキシビニル)-3-フルオロ-2-オキソ-4-(トリフルオロメチル)ピリジン-1(2H)-イル)-4-メチルペンタン酸エチル(6.0g)を得た。収率 63%(ESI 394.1(M+H))。
工程4:2-(3-フルオロ-2-オキソ-5-(2-オキソエチル)-4-(トリフルオロメチル)ピリジン-1(2H)-イル)-4-メチルペンタン酸エチル
Figure 0007702004000486
(E)-2-(5-(2-エトキシビニル)-3-フルオロ-2-オキソ-4-(トリフルオロメチル)ピリジン-1(2H)-イル)-4-メチルペンタン酸エチル(6.0g、15.25mmol)のDCM(50mL)の混合液に、TFA(5mL)を加えた。混合液を室温で3時間攪拌した。LCMSは、反応が完了したことを示した。混合物を真空中で濃縮した。残留物をEtOAc(100mL)に溶解させ、飽和NaHCO(30mL)およびブライン(30mL)で洗浄し、無水NaSOで乾燥させて、ろ過および真空中で濃縮して、無色油状物として、粗生成物の2-(3-フルオロ-2-オキソ-5-(2-オキソエチル)-4-(トリフルオロメチル)ピリジン-1(2H)-イル)-4-メチルペンタン酸エチル(5.5g)を得て、これをさらに精製することなく次の反応に直接使用した。収率 99%(ESI 366.1 [M+H])。
工程5:2-(5-(2-(ジメチルアミノ)エチル)-3-フルオロ-2-オキソ-4-(トリフルオロメチル)ピリジン-1(2H)-イル)-4-メチルペンタン酸エチル
Figure 0007702004000487
25℃の2-(3-フルオロ-2-オキソ-5-(2-オキソエチル)-4-(トリフルオロメチル)ピリジン-1(2H)-イル)-4-メチルペンタン酸エチル(5.5g、15.06mmol)のDCE(100mL)の混合液に、ジメチルアミン塩酸塩(2.5g、30.12mmol)を加え、1時間攪拌した。NaBH(OAc)(6.4g、30.12mmol)を5℃で加え、25℃で16時間攪拌した。混合液を真空中で濃縮し、残留物をシリカゲルカラム(DCM:MeOH 10:1)により精製して、褐色油状物として、2-(5-(2-(ジメチルアミノ)エチル)-3-フルオロ-2-オキソ-4-(トリフルオロメチル)ピリジン-1(2H)-イル)-4-メチルペンタン酸エチル(4.5g)を得た。収率76%(ESI 395.1 [M+H])。
工程6:2-(5-(2-(ジメチルアミノ)エチル)-3-フルオロ-2-オキソ-4-(トリフルオロメチル)ピリジン-1(2H)-イル)-4-メチルペンタン酸
Figure 0007702004000488
2-(5-(2-(ジメチルアミノ)エチル)-3-フルオロ-2-オキソ-4-(トリフルオロメチル)ピリジン-1(2H)-イル)-4-メチルペンタン酸エチル(4.5g、11.41mmol)を、LiOH-HO(2.4g、57.05mmol)のEtOH(10mL)と水(2mL)の溶液を用いて処理し、混合液を室温で1時間攪拌した。混合液を、1N HClを用いてpH5~6に酸性化し、濃縮し、C18/40gカラムでの逆相HPLC(A:水 10mM NHHCO、B:MeOH、0~100%)により精製して、白色固形物として、2-(5-(2-(ジメチルアミノ)エチル)-3-フルオロ-2-オキソ-4-(トリフルオロメチル)ピリジン-1(2H)-イル)-4-メチルペンタン酸(3.7g)を得た。収率 89%(ESI 367.1(M+H))。
4-メチル-2-(5-(2-(3-メチルアゼチジン-1-イル)エチル)-2-オキソ-4-(トリフルオロメチル)ピリジン-1(2H)-イル)ペンタン酸の調製
工程1:4-メチル-2-(5-(2-(3-メチルアゼチジン-1-イル)エチル)-2-オキソ-4-(トリフルオロメチル)ピリジン-1(2H)-イル)ペンタン酸エチル
Figure 0007702004000489
25℃の4-メチル-2-(2-オキソ-5-(2-オキソエチル)-4-(トリフルオロメチル)ピリジン-1(2H)-イル)ペンタン酸エチル(16.0g、36.8mmol、1.00当量)のDCE(100mL)の混合液に、3-メチルアゼチジン(2.62g、36.8mmol、1.00当量、HCl)、およびトリアセトキシ水素化ホウ素ナトリウム(15.6g、73.7mmol、2.00当量)を加えた。混合液を0℃で10分間攪拌し、次いで25℃で12時間攪拌した。混合液をHO(100mL)で希釈し、DCM(50.0mL×2)で抽出した。一つにまとめた有機層をブライン(100mL)で洗浄し、NaSOで乾燥させ、ろ過および減圧下で濃縮した。カラムクロマトグラフィー(SiO、石油エーテル:酢酸エチル=100:1~0:1)による精製により、黄色油状物として、4-メチル-2-(5-(2-(3-メチルアゼチジン-1-イル)エチル)-2-オキソ-4-(トリフルオロメチル)ピリジン-1(2H)-イル)ペンタン酸エチル(9.00g、22.3mmol、収率61%)を得た。1H NMR:(400MHz,MeOD)δ 7.86(s,1H),6.90(s,1H),5.52-5.56(m,1H),4.08-4.12(m,2H),3.73-3.74(m,4H),3.59-3.61(m,2H),3.81-3.20(m,2H),2.79-2.81(m,3H),2.05-2.09(m,2H),1.86-1.89(m,4H),1.30-1.50(m,7H),1.25-1.29(m,6H),0.95-0.98(m,6H).
工程2:4-メチル-2-(5-(2-(3-メチルアゼチジン-1-イル)エチル)-2-オキソ-4-(トリフルオロメチル)ピリジン-1(2H)-イル)ペンタン酸
Figure 0007702004000490
4-メチル-2-(5-(2-(3-メチルアゼチジン-1-イル)エチル)-2-オキソ-4-(トリフルオロメチル)ピリジン-1(2H)-イル)ペンタン酸エチル(9.00g、19.0mmol、1.00当量)のTHF(80.0mL)とHO(8.00mL)の溶液に、LiOH.HO(2.39g、57.0mmol、3.00当量)を0℃で加えた。混合液を20℃で12時間攪拌した。反応混合液を1M HCl水溶液を用いてpH=7に調整し、減圧下で濃縮した。得られた残留物を分取HPLC(カラム:Phenomenex luna c18 250mm*100mm*10um、移動相:〔水(0.05%HCl)-ACN〕、B%:9%~39%、20分)により精製し、減圧下で濃縮し、次いで凍結乾燥させて、白色固形物として、4-メチル-2-(5-(2-(3-メチルアゼチジン-1-イル)エチル)-2-オキソ-4-(トリフルオロメチル)ピリジン-1(2H)-イル)ペンタン酸(4.70g、12.0mmol、収率64%)を得た。1H NMR:(400MHz,MeOD)δ 7.79(s,1H),6.87(s,1H),5.60-5.64(m,1H),4.20-4.30(m,2H),3.75-3.85(m,2H),3.35-3.40(m,2H),2.85-2.89(m,3H),2.02-2.09(m,2H),1.26-1.35(m,4H),0.92-0.96(m,6H).
2-(5-(2-(3-(フルオロメチル)アゼチジン-1-イル)エチル)-2-オキソ-4-(トリフルオロメチル)ピリジン-1(2H)-イル)-4-メチルペンタン酸の調製
工程1:2-(5-(2-(3-(フルオロメチル)アゼチジン-1-イル)エチル)-2-オキソ-4-(トリフルオロメチル)ピリジン-1(2H)-イル)-4-メチルペンタン酸エチル
Figure 0007702004000491
25℃の4-メチル-2-(2-オキソ-5-(2-オキソエチル)-4-(トリフルオロメチル)ピリジン-1(2H)-イル)ペンタン酸塩(12.0g、24.1mmol、1.00当量)のDCE(100mL)の混合液に、3-(フルオロメチル)アゼチジン(3.04g、24.1mmol、1.00当量、HCl)およびDIPEA(6.25g、48.3mmol、8.42mL、2.00当量)を加え、0℃で10分間攪拌した。トリアセトキシ水素化ホウ素ナトリウム(10.2g、48.3mmol、2 .00当量)を5℃で加え、次いで25℃で12時間攪拌した。混合液をH2O(100mL)で希釈し、DCM(50.0mL×2)で抽出した。一つにまとめた有機層をブライン(100mL)で洗浄し、NaSOで乾燥させ、ろ過および減圧下で濃縮して、黄色油状物として、2-(5-(2-(3-(フルオロメチル)アゼチジン-1-イル)エチル)-2-オキソ-4-(トリフルオロメチル)ピリジン-1(2H)-イル)-4-メチルペンタン酸エチル(10.1g、24.0mmol、収率99.3%)を得て、さらに精製することなく使用した。
工程2:2-(5-(2-(3-(フルオロメチル)アゼチジン-1-イル)エチル)-2-オキソ-4-(トリフルオロメチル)ピリジン-1(2H)-イル)-4-メチルペンタン酸
Figure 0007702004000492
2-(5-(2-(3-(フルオロメチル)アゼチジン-1-イル)エチル)-2-オキソ-4-(トリフルオロメチル)ピリジン-1(2H)-イル)-4-メチルペンタン酸エチル(10.1g、24.0mmol、1.00当量)のTHF(80.0mL)とHO(10.0mL)の溶液に、LiOH.HO(3.02g、72.0mmol、3.00当量)を0℃で加えた。混合液を20℃で12時間攪拌した。反応混合液を1M HCl水溶液を用いて(pH=7)に調整し、減圧下で濃縮した。残留物を分取HPLC(カラム:Phenomenex luna c18 250mm*100mm*10um、移動相:〔水(0.05%HCl)-ACN〕、B%:6%~36%、20分)により精製し、減圧下で濃縮し、次いで凍結乾燥させて、白色固形物として、2-(5-(2-(3-(フルオロメチル)アゼチジン-1-イル)エチル)-2-オキソ-4-(トリフルオロメチル)ピリジン-1(2H)-イル)-4-メチルペンタン酸(4.50g、11.4mmol、収率47.7%)を得た。1H NMR:(400MHz,MeOD)δ 7.82(s,1H),6.89(s,1H),5.59-5.63(m,1H),4.50-4.62(m,2H),4.3-4.32(m,2H),4.11-4.14(m,2H),3.37-3.41(m,6H),2.86-2.90(m,2H),2.06-2.10(m,2H),1.53-1.55(m,1H),0.93-0.97(m,6H).
2-(5-(2-(3-(メトキシメチル)アゼチジン-1-イル)エチル)-2-オキソ-4-(トリフルオロメチル)ピリジン-1(2H)-イル)-4-メチルペンタン酸工程1:2-(5-(2-(3-(メトキシメチル)アゼチジン-1-イル)エチル)-2-オキソ-4-(トリフルオロメチル)ピリジン-1(2H)-イル)-4-メチルペンタン酸エチル
Figure 0007702004000493
25℃の4-メチル-2-(2-オキソ-5-(2-オキソエチル)-4-(トリフルオロメチル)ピリジン-1(2H)-イル)ペンタン酸エチル(11.0g、22.1mmol、1.00当量)のDCE(100mL)の混合液に、3-(メトキシメチル)アゼチジン塩酸塩(3.05g、22.1mmol、1.00当量)およびDIPEA(5.73g、44.3mmol、7.72mL、2.00当量)を加え、0℃で10分間攪拌した。トリアセトキシ水素化ホウ素ナトリウム(9.40g、44.3mmol、2.00当量)を5℃で加え、25℃で12時間攪拌した。混合液をHO(100mL)で希釈し、DCM(50.0mL×2)で抽出した。一つにまとめた有機層をブライン(100mL)で洗浄し、NaSOで乾燥させ、ろ過および減圧下で濃縮して、黄色油状物として、2-(5-(2-(3-(メトキシメチル)アゼチジン-1-イル)エチル)-2-オキソ-4-(トリフルオロメチル)ピリジン-1(2H)-イル)-4-メチルペンタン酸エチル(9.50g、21.9mmol、収率99.0%)を得て、さらに精製することなく使用した。
工程2:2-(5-(2-(3-(メトキシメチル)アゼチジン-1-イル)エチル)-2-オキソ-4-(トリフルオロメチル)ピリジン-1(2H)-イル)-4-メチルペンタン酸
Figure 0007702004000494
2-(5-(2-(3-(メトキシメチル)アゼチジン-1-イル)エチル)-2-オキソ-4-(トリフルオロメチル)ピリジン-1(2H)-イル)-4-メチルペンタン酸エチル(9.50g、21.9mmol、1.00当量)のTHF(80.0mL)とHO(10.0mL)の溶液に、LiOH.HO(1.84g、43.9mmol、2.00当量)を0℃で加えた。混合液を20℃で12時間攪拌した。反応混合液を1M HCl水溶液を用いて(pH=7)に調整し、減圧下で濃縮した。残留物を分取HPLC(カラム:Phenomenex luna c18 250mm*100mm*10um、移動相:〔水(0.05%HCl)-ACN〕、B%:6%~36%、20分)により精製し、減圧下で濃縮し、次いで凍結乾燥させて、黄色固形物として、2-(5-(2-(3-(メトキシメチル)アゼチジン-1-イル)エチル)-2-オキソ-4-(トリフルオロメチル)ピリジン-1(2H)-イル)-4-メチルペンタン酸(5.10g、12.6mmol、収率57.4%)を得た。1H NMR:(400MHz,MeOD)δ 7.86(s,1H),6.89(s,1H),5.58-5.62(m,1H),4.07-4.26(m,4H),3.36-3.49(m,7H),3.07(s,1H),2.84-2.88(m,2H),2.07-2.11(m,2H),1.37-1.41(m,1H),0.94-0.97(m,6H)。
2-(5-(2-(3,3-ジメチルアゼチジン-1-イル)エチル)-2-オキソ-4-(トリフルオロメチル)ピリジン-1(2H)-イル)-4-メチルペンタン酸の調製
工程1:2-(5-(2-(3,3-ジメチルアゼチジン-1-イル)エチル)-2-オキソ-4-(トリフルオロメチル)ピリジン-1(2H)-イル)-4-メチルペンタン酸エチル
Figure 0007702004000495
25℃の4-メチル-2-(2-オキソ-5-(2-オキソエチル)-4-(トリフルオロメチル)ピリジン-1(2H)-イル)ペンタン酸エチル(20g、46.1mmol)のDCE(140mL)の混合液に、3,3-ジメチルアゼチジン塩酸塩(6.16g、50.7mmol、HCl)およびDIPEA(11.9g、92.1mmol、16.1mL)を加えた。10℃で10分間攪拌した後、NaBH(OAc)(19.5g、92.1mmol)を5℃で加え、25℃で12時間攪拌した。混合液をHO(200mL)で希釈し、混合液をDCM(200mL×2)で抽出した。一つにまとめた有機層をブライン(200mL)で洗浄し、NaSOで乾燥させ、ろ過および減圧下で濃縮して、黄色油状物として、2-(5-(2-(3,3-ジメチルアゼチジン-1-イル)エチル)-2-オキソ-4-(トリフルオロメチル)ピリジン-1(2H)-イル)-4-メチルペンタン酸エチル(20g)を得て、さらに精製することなく使用した。
工程2:2-(5-(2-(3,3-ジメチルアゼチジン-1-イル)エチル)-2-オキソ-4-(トリフルオロメチル)ピリジン-1(2H)-イル)-4-メチルペンタン酸
Figure 0007702004000496
2-(5-(2-(3,3-ジメチルアゼチジン-1-イル)エチル)-2-オキソ-4-(トリフルオロメチル)ピリジン-1(2H)-イル)-4-メチルペンタン酸エチル(20g、48.0mmol)のTHF(100mL)とHO(20mL)の混合液に、N下、15℃で一度にLiOH.HO(4.03g、96.0mmol)を加えた。混合物を、15℃で2時間攪拌した。反応混合液を1M HClを用いて(pH=6)に調整し、次いで減圧下で濃縮した。残留物を分取HPLC(HCl条件)により精製し、減圧下で濃縮し、次いで凍結乾燥させて、ピンク色の固形物として、2-(5-(2-(3,3-ジメチルアゼチジン-1-イル)エチル)-2-オキソ-4-(トリフルオロメチル)ピリジン-1(2H)-イル)-4-メチルペンタン酸(6.55g、16.7mmol、収率28%)を得た。 1H NMR:(400MHz,MeOD)δ 7.94(s,1H),6.91(s,1H),5.59-5.63(dd,J=4.0Hz,12Hz,1H),4.02-4.04(m,2H),3.85-3.92(m,2H),3.34-3.49(m,2H),2.83-2.96(m,2H),2.04-2.20(m,2H),1.39-1.48(m,4H),1.32(s,3H),0.95-0.97(d,J=8.0Hz,6H)
2-(5-(2-(2-アザスピロ[3.3]ヘプタン-2-イル)エチル)-2-オキソ-4-(トリフルオロメチル)ピリジン-1(2H)-イル)-4-メチルペンタン酸の調製
工程1:2-(5-(2-(3-(メトキシメチル)アゼチジン-1-イル)エチル)-2-オキソ-4-(トリフルオロメチル)ピリジン-1(2H)-イル)-4-メチルペンタン酸エチル
Figure 0007702004000497
25℃の4-メチル-2-(2-オキソ-5-(2-オキソエチル)-4-(トリフルオロメチル)ピリジン-1(2H)-イル)ペンタン酸エチル(11.0g、22.1mmol、純度70.0%、1.00当量)のDCE(100mL)の混合液に、2-アザスピロ[3.3]ヘプタン(2.96g、22.1mmol、1.00当量、HCl)およびDIPEA(5.73g、44.3mmol、7.72mL、2.00当量)を加えた。0℃で10分間攪拌した後、トリアセトキシ水素化ホウ素ナトリウム(9.40g、44.3mmol、2.00当量)を5℃で加え、25℃で12時間攪拌した。混合液をHO(100mL)で希釈し、DCM(50.0mL×2)で抽出した。一つにまとめた有機層をブライン(100mL)で洗浄し、NaSOで乾燥させ、ろ過および減圧下で濃縮して、黄色油状物として、2-(5-(2-(2-アザスピロ[3.3]ヘプタン-2-イル)エチル)-2-オキソ-4-(トリフルオロメチル)ピリジン-1(2H)-イル)-4-メチルペンタン酸エチル(9.49g、22.1mmol、収率99.9%)を得て、さらに精製することなく使用した。
工程2:2-(5-(2-(2-アザスピロ[3.3]ヘプタン-2-イル)エチル)-2-オキソ-4-(トリフルオロメチル)ピリジン-1(2H)-イル)-4-メチルペンタン酸
Figure 0007702004000498
2-(5-(2-(2-アザスピロ[3.3]ヘプタン-2-イル)エチル)-2-オキソ-4-(トリフルオロメチル)ピリジン-1(2H)-イル)-4-メチルペンタン酸エチル(9.50g、22.1mmol、1.00当量)のTHF(80.0mL)とHO(10.0mL)の溶液に、LiOH.HO(1.86g、44.3mmol、2.00当量)を0℃で加えた。混合液を20℃で12時間攪拌した。反応混合液を1M HCl水溶液を用いて(pH=7)に調整し、減圧下で濃縮した。残留物を分取HPLC(カラム:Phenomenex luna c18 250mm*100mm*10um、移動相:〔水(0.05%HCl)-ACN〕、B%:6%~36%、20分)により精製し、減圧下で濃縮し、次いで凍結乾燥させて、白色固形物として、2-(5-(2-(2-アザスピロ[3.3]ヘプタン-2-イル)エチル)-2-オキソ-4-(トリフルオロメチル)ピリジン-1(2H)-イル)-4-メチルペンタン酸(5.50g、13.3mmol、収率60.0%)を得た。1H NMR:(400MHz,MeOD)δ 7.86(s,1H),6.90(s,1H),5.60-5.64(m,1H),4.11-4.25(m,4H),3.32-3.36(m,2H),2.83-2.87(m,2H),2.07-2.11(m,6H),1.86-1.90(m,1H),1.37-1.39(m,1H),0.94-0.97(m,6H).
2-(5-(2-(5-アザスピロ[2.3]ヘキサン-5-イル)エチル)-2-オキソ-4-(トリフルオロメチル)ピリジン-1(2H)-イル)-4-メチルペンタン酸の調製
工程1:2-(5-(2-(5-アザスピロ[2.3]ヘキサン-5-イル)エチル)-2-オキソ-4-(トリフルオロメチル)ピリジン-1(2H)-イル)-4-メチルペンタン酸エチル
Figure 0007702004000499
25℃の4-メチル-2-(2-オキソ-5-(2-オキソエチル)-4-(トリフルオロメチル)ピリジン-1(2H)-イル)ペンタン酸エチル(10.0g、20.1mmol、純度70.0%、1.00当量)のDCE(100mL)の混合液に、5-アザスピロ[2.3]ヘキサン(2.05g、17.1mmol、0.85当量、HCl)を加えた。0℃で10分間攪拌した後、トリアセトキシ水素化ホウ素ナトリウム(8.54g、40.3mmol、2.00当量)を加え、混合液を25℃で12時間攪拌した。混合液をHO(100mL)で希釈し、DCM(50.0mL×2)で抽出した。一つにまとめた有機層をブライン(100mL)で洗浄し、NaSOで乾燥させ、ろ過および減圧下で濃縮して残留物を得た。残留物をカラムクロマトグラフィー(SiO、石油エーテル:酢酸エチル=100:1~0:1)により精製して、黄色油状物として、2-(5-(2-(5-アザスピロ[2.3]ヘキサン-5-イル)エチル)-2-オキソ-4-(トリフルオロメチル)ピリジン-1(2H)-イル)-4-メチルペンタン酸エチル(5.10g、12.3mmol、収率61.0%)を得た。
工程2:2-(5-(2-(5-アザスピロ[2.3]ヘキサン-5-イル)エチル)-2-オキソ-4-(トリフルオロメチル)ピリジン-1(2H)-イル)-4-メチルペンタン酸
Figure 0007702004000500
2-(5-(2-(5-アザスピロ[2.3]ヘキサン-5-イル)エチル)-2-オキソ-4-(トリフルオロメチル)ピリジン-1(2H)-イル)-4-メチルペンタン酸エチル(5.10g、12.3mmol、1.00当量)のTHF(30.0mL)とHO(3.00mL)の溶液に、LiOH.HO(1.55g、36.9mmol、3.00当量)を0℃で加えた。混合液を20℃で12時間攪拌した。反応混合液を1M HCl水溶液を用いて(pH=7)に調整し、減圧下で濃縮した。残留物を分取HPLC(カラム:Phenomenex luna c18 250mm*100mm*10um、移動相:〔水(0.05%HCl)-ACN〕、B%:10%~40%、25分)により精製し、減圧下で濃縮し、次いで凍結乾燥させて、白色固形物として、2-(5-(2-(5-アザスピロ[2.3]ヘキサン-5-イル)エチル)-2-オキソ-4-(トリフルオロメチル)ピリジン-1(2H)-イル)-4-メチルペンタン酸(2.40g、5.53mmol、収率44.9%)を得た。1H NMR:(400MHz,MeOD)δ 7.86(s,1H),6.89(s,1H),5.62(t,J=7.2Hz,1H),4.27(s,4H),3.47-3.55(m,2H),2.90-2.94(m,2H),2.06-2.12(m,2H),1.34-1.39(m,1H),0.94-0.97(m,6H),0.81(s,4H).
2-(5-(3-(ジメチルアミノ)プロピル)-2-オキソ-4-(トリフルオロメチル)ピリジン-1(2H)-イル)-4-メチルペンタン酸の調製
工程1:2-(5-(3-(ジメチルアミノ)プロパ-1-イン-1-イル)-2-オキソ-4-(トリフルオロメチル)ピリジン-1(2H)-イル)-4-メチルペンタン酸エチル
Figure 0007702004000501
2-(5-ブロモ-2-オキソ-4-(トリフルオロメチル)ピリジン-1(2H)-イル)-4-メチルペンタン酸エチル(68.0g、177mmol、1.00当量)のTHF溶液(408mL)に、N,N-ジメチルプロパ-2-イン-1-アミン(19.1g、230mmol、24.4mL、1.3当量)、CuI(3.37g、17.7mmol、0.10当量)、Pd(PPhCl(6.21g、8.85mmol、0.05当量)、およびTEA(358g、3.54mol、493mL、20当量)を加えた。反応混合液を25℃で12時間攪拌した。反応液を酢酸エチルで希釈し、飽和塩化アンモニウム溶液で2回およびブラインで1回洗浄した。一つにまとめた有機層を硫酸ナトリウムで乾燥させ、ろ過し、減圧下で濃縮した。粗生成物をシリカゲルクロマトグラフィー(石油エーテル:酢酸エチル=3:1)により精製して、黄色油状物として、2-(5-(3-(ジメチルアミノ)プロパ-1-イン-1-イル)-2-オキソ-4-(トリフルオロメチル)ピリジン-1(2H)-イル)-4-メチルペンタン酸エチル(20.0g、51.8mmol、収率29.2%)を得た。
工程2:2-(5-(3-(ジメチルアミノ)プロピル)-2-オキソ-4-(トリフルオロメチル)ピリジン-1(2H)-イル)-4-メチルペンタン酸エチル
Figure 0007702004000502
2-(5-(3-(ジメチルアミノ)プロパ-1-イン-1-イル)-2-オキソ-4-(トリフルオロメチル)ピリジン-1(2H)-イル)-4-メチルペンタン酸エチル(20.0g、51.8mmol、1当量)のEtOH溶液(200mL)に、Pd/C(6.00g、2.59mmol、純度5%、0.05当量)を加えた。混合物を、H(50psi)下、15℃で24時間攪拌した。反応混合液を濾過し、ろ過液を濃縮して、黄色油状物として、2-(5-(3-(ジメチルアミノ)プロピル)-2-オキソ-4-(トリフルオロメチル)ピリジン-1(2H)-イル)-4-メチルペンタン酸エチル(19.7g、44.4mmol、収率85.7%)を得た。
工程3:2-(5-(3-(ジメチルアミノ)プロピル)-2-オキソ-4-(トリフルオロメチル)ピリジン-1(2H)-イル)-4-メチルペンタン酸
Figure 0007702004000503
2-(5-(3-(ジメチルアミノ)プロピル)-2-オキソ-4-(トリフルオロメチル)ピリジン-1(2H)-イル)-4-メチルペンタン酸エチル(19.7g、50.4mmol、1当量)のTHF(98.0mL)とHO(20.0mL)の溶液に、LiOH.HO(4.23g、101mmol、2.00当量)を0℃で加えた。反応混合液を20℃に加温し、20℃で12時間攪拌した。反応混合液を、1N HCl水溶液を用いてpH=7に調整し、真空下で濃縮して、粗生成物を得た。粗生成物を分取HPLC(カラム:Phenomenex luna C18(250*70mm、10um);移動相:〔水(0.05% HCl)-ACN〕;B%:15%~45%、20分)により精製して、白色固形物として、2-(5-(3-(ジメチルアミノ)プロピル)-2-オキソ-4-(トリフルオロメチル)ピリジン-1(2H)-イル)-4-メチルペンタン酸(5.40g、13.5mmol、収率26.8%、HCl)を得た。H NMR:400MHz DO δ:7.71(s,1H),7.00(s,1H),5.40-5.45(d,J=20Hz,1H),3.13-3.17(m,2H),2.84(s,6H),2.65-2.67(m,2H),1.95-1.99(m,4H),1.25-1.30(m,1H),0.86(s,9H)
2-(5-(2-(ジメチルアミノ)エチル)-2-オキソ-4-(トリフルオロメチル)ピリジン-1(2H)-イル)-4-フルオロ-4-メチルペンタン酸の調製
工程1:2-フルオロ-2-メチルプロピル トリフルオロメタンスルホン酸塩
Figure 0007702004000504
アルコール(100g、1.09 mol,1.00当量)および2,6-ルチジン(151g、1.41mol、164mL、1.30当量)のDCM溶液(1.20 L)に、TfO(398g、1.41mol、233mL、1.30当量)を0℃で滴下して加えた。溶液を0℃で1時間攪拌した。反応混合液を、1N HCl(2×1.00L)および飽和NaHCO(2×1.00L)で洗浄した。一つにまとめた有機層をNaSOで乾燥させ、ろ過および真空中で濃縮して(150mbar、25℃)、明黄色油状物として、2-フルオロ-2-メチルプロピル トリフルオロメタンスルホン酸塩(214g)を得て、さらに精製することなく使用した。
工程2:2-((ジフェニルメチレン)アミノ)-4-フルオロ-4-メチルペンタン酸エチル
Figure 0007702004000505
KOtBu(97.0g、864mmol、1.05当量)のDMF溶液(1.10L)に、2-((ジフェニルメチレン)アミノ)酢酸エチル(220g、823mmol、1.00当量)を0℃で加えた。0.5時間攪拌した後、2-フルオロ-2-メチルプロピル トリフルオロメタンスルホン酸塩(214g、955mmol、1.16当量)を加えた。反応溶液を25℃に加温し、12時間攪拌した。反応液を5% NHCl水溶液(0.80L)に注いで、EtOAc(2.00Lおよび1.00L)で抽出した。一つにまとめた有機層をブラインで洗浄し、NaSOで乾燥させ、真空中で濃縮して粗生成物を得た。粗生成物をカラムクロマトグラフィー(SiO、石油エーテル:酢酸エチル=100:1~0:1)により精製して、明黄色油状物として、2-((ジフェニルメチレン)アミノ)-4-フルオロ-4-メチルペンタン酸エチル(220g)を得た。
工程3:2-アミノ-4-フルオロ-4-メチルペンタン酸
Figure 0007702004000506
2-((ジフェニルメチレン)アミノ)-4-フルオロ-4-メチルペンタン酸エチル(220g、644mmol、1.00当量)のEtOH溶液(1.32 L)に、KOH(72.3g、1.29mol、2.00当量)のHO(660mL)溶液を25℃で加えた。反応溶液を25℃で1時間攪拌した。反応液をHCl(1M)を用いてpH=7に調整した。反応溶液をEtOAc(0.80L×2)で抽出し、一つにまとめた水層を減圧下で濃縮して、白色固形物として、2-アミノ-4-フルオロ-4-メチルペンタン酸(203g、純度48%、HCl)を得て、さらに精製することなく使用した。1H NMR 400MHz CDCl δ:4.00-4.03(m,1H),2.19-2.23(m,2H),1.43-1.50(m,6H).
工程4:2-ブロモ-4-フルオロ-4-メチルペンタン酸
Figure 0007702004000507
2-アミノ-4-フルオロ-4-メチルペンタン酸(203g、1.09mol、1.00当量、HCl)のHBr溶液(4M、1.29L、純度40%、4.72当量)に、NaNO(151g、2.19mol、2.00当量)のHO(608mL)溶液を滴下して0℃で加えた。混合液を0℃で1時間攪拌し、15℃に加温して、15℃で12時間攪拌した。反応混合液を、MTBE(1.00Lおよび500mL)で抽出した。有機層を一つにまとめ、ブラインで洗浄し、無水NaSOで乾燥させ、濾過し、真空中で濃縮した。残留物をMTBE(50.0mL)に溶解させ、真空中で濃縮して、黄色油状物として、2-ブロモ-4-フルオロ-4-メチルペンタン酸(127g)を得て、さらに精製することなく使用した。1H NMR:400MHz CDCl δ:4.61-4.65(m,1H),4.41-4.44(m,1H),2.70-2.76(m,2H),2.44-2.48(m,2H),1.21-1.48(m,6H).
工程5:2-ブロモ-4-フルオロ-4-メチルペンタン酸エチル
Figure 0007702004000508
2-ブロモ-4-フルオロ-4-メチルペンタン酸(127g、596mmol、1.00当量)のEtOH溶液(520mL)に、SOCl(70.9g、596mmol、43.2mL、1.00当量)を0℃で加えた。反応溶液を60℃で2時間攪拌した。溶液をHO(400mL)に注ぎ、MTBE(500mL x 2)で抽出した。一つにまとめた有機層をブライン(500mL)で洗浄し、無水NaSO4で乾燥させ、ろ過し、減圧下で濃縮して、粗生成物を得た。粗生成物をカラムクロマトグラフィー(SiO、石油エーテル:酢酸エチル=100:1~10:1)により精製して、黄色油状物として、2-ブロモ-4-フルオロ-4-メチルペンタン酸エチル(90.0g)を得た。H NMR:400MHz CDCl δ:4.38-4.42(m,1H),4.21-4.26(m,2H),2.69-2.76(m,1H),2.25-2.26(m,1H),0.85-1.39(m,9H).
工程6:2-(5-ブロモ-2-オキソ-4-(トリフルオロメチル)ピリジン-1(2H)-イル)-4-フルオロ-4-メチルペンタン酸エチル
Figure 0007702004000509
5-ブロモ-4-(トリフルオロメチル)ピリジン-2-オール(60.0g、249mmol、1.00当量)およびKCO(103g、747mmol、2.00当量)のTHF溶液(900mL)に、2-ブロモ-4-フルオロ-4-メチルペンタン酸エチル(151g、622mmol、2.50当量)を0℃で加えた。混合液を70℃に加温し、70℃で12時間攪拌した。反応液を、0℃でNHCl水溶液(1.00L)に注いで、MBTE(1.00Lおよび500mL)で抽出した。一つにまとめた有機層をブラインで洗浄し、NaSOで乾燥させ、真空中で濃縮して粗生成物を得た。粗生成物をカラムクロマトグラフィー(SiO、石油エーテル:酢酸エチル=100:1~0:1)により精製して、白色固形物として、2-(5-ブロモ-2-オキソ-4-(トリフルオロメチル)ピリジン-1(2H)-イル)-4-フルオロ-4-メチルペンタン酸エチル(40.0g、99.5mmol)を得た。H NMR:400MHz CDCl δ:7.66(s,1H),6.94(s,1H),5.48-5.51(m,1H),4.22-4.27(m,2H),2.56-2.65(m,1H),2.30-2.32(m,1H),1.26-1.59(m,9H).
工程6:2-(5-アリル-2-オキソ-4-(トリフルオロメチル)ピリジン-1(2H)-イル)-4-フルオロ-4-メチルペンタン酸エチル
Figure 0007702004000510
2-(5-ブロモ-2-オキソ-4-(トリフルオロメチル)ピリジン-1(2H)-イル)-4-フルオロ-4-メチルペンタン酸エチル(25.0g、62.2mmol、1.00当量)およびアリルトリブチルスタンナン(24.5g、74.0mmol、22.7mL、1.10当量)のDMF溶液(150mL)に、Pd(PPh(7.18g、6.22mmol、0.10当量)をN下、25℃で一度に加えた。混合液を100℃に加熱し、100℃で12時間撹拌した。反応混合液を、KF(10.0当量)のHO(200mL)および酢酸エチル(200mL)の溶液に注いだ。得られた懸濁液を15℃で0.5時間攪拌し、ろ過し、ろ過液を酢酸エチル(300mLおよび200mL)で抽出した。一つにまとめた有機層をブラインで洗浄し、無水NaSOで乾燥させ、ろ過し、真空中で濃縮して粗生成物を得た。粗生成物をカラムクロマトグラフィー(SiO、石油エーテル:酢酸エチル=100:1~0:1)により精製して、明黄色油状物として、2-(5-アリル-2-オキソ-4-(トリフルオロメチル)ピリジン-1(2H)-イル)-4-フルオロ-4-メチルペンタン酸エチル(19.8g、54.5mmol、収率87.7 %)を得た。H NMR:400MHz CDCl δ:7.23(s,1H),6.89(s,1H),5.88-5.93(m,1H),5.45-5.47(m,1H),5.10-5.21(m,2H),4.19-4.26(m,2H),3.29-3.30(m,2H),2.57-2.68(m,1H),2.30-2.37(m,1H),0.93-1.40(m,9H).
工程7:2-(5-(2,3-ジヒドロキシプロピル)-2-オキソ-4-(トリフルオロメチル)ピリジン-1(2H)-イル)-4-フルオロ-4-メチルペンタン酸エチル
Figure 0007702004000511
2-(5-アリル-2-オキソ-4-(トリフルオロメチル)ピリジン-1(2H)-イル)-4-フルオロ-4-メチルペンタン酸エチル(19.8g、54.5mmol、1.00当量)のTHF(198mL)とHO(20.0mL)の溶液に、KOsO/2HO(602mg、1.64mmol、0.03当量)を0℃で加えた。次いでNaIO(11.7g、54.5mmol、3.02mL、1.00当量)のHO(100mL)の溶液を0℃で滴下して加え、溶液を0℃で2時間攪拌した。溶液を25℃に加温し、25℃で1時間攪拌した。混合液を飽和Na溶液(200mL)でクエンチし、ろ過した。ろ過液を酢酸エチル(500mL×2)で抽出し、無水NaSOで乾燥させ、ろ過および真空中で濃縮し、褐色油状物として、2-(5-(2,3-ジヒドロキシプロピル)-2-オキソ-4-(トリフルオロメチル)ピリジン-1(2H)-イル)-4-フルオロ-4-メチルペンタン酸エチル(21.0g、粗)を得て、さらに精製することなく使用した。
工程8:4-フルオロ-4-メチル-2-(2-オキソ-5-(2-オキソエチル)-4-(トリフルオロメチル)ピリジン-1(2H)-イル)ペンタン酸エチル
Figure 0007702004000512
2-(5-(2,3-ジヒドロキシプロピル)-2-オキソ-4-(トリフルオロメチル)ピリジン-1(2H)-イル)-4-フルオロ-4-メチルペンタン酸エチル(21.0g、52.9mmol、1.00当量)のTHF溶液(252mL)に、NaIO(17.0g、79.3mmol、4.39mL、1.50当量)のHO(100mL)の溶液を0℃で加えた。溶液を0℃で2時間攪拌し、25℃に加温して、25℃で2時間攪拌した。混合液を、飽和 Na 溶液(150mL)でクエンチし、ろ過した。ろ過液を酢酸エチル(250mL×2)で抽出し、一つにまとめた有機層を1N HCl(100mL)およびブライン(100mL)で洗浄し、無水NaSOで乾燥させてろ過した。AcOH(21.0mL)をろ過液に加え、溶液を真空中で濃縮し、褐色油状物として、4-フルオロ-4-メチル-2-(2-オキソ-5-(2-オキソエチル)-4-(トリフルオロメチル)ピリジン-1(2H)-イル)ペンタン酸エチル(21.0g)を得てさらに精製することなく使用した。
工程9:2-(5-(2-(ジメチルアミノ)エチル)-2-オキソ-4-(トリフルオロメチル)ピリジン-1(2H)-イル)-4-フルオロ-4-メチルペンタン酸エチル
Figure 0007702004000513
4-フルオロ-4-メチル-2-(2-オキソ-5-(2-オキソエチル)-4-(トリフルオロメチル)ピリジン-1(2H)-イル)ペンタン酸エチル(13.3g、36.4mmol、1.00当量)のDCE溶液(80.0mL)に、NaBH(OAc)(15.4g、72.8mmol、2.00当量)およびDIEA(9.41g、72.8mmol、12.7mL、2.00当量)を25℃で加えた。溶液を25℃で20分間攪拌し、5℃に冷却してMeNH/HCl(4.45g、54.6mmol、1.50当量)を加えた。反応溶液を25℃に加温し、12時間攪拌した。反応混合液をHO(50.0mL)で希釈し、DCM(100mL)で抽出した。一つにまとめた有機層をブラインで洗浄し、無水NaSOで乾燥させ、ろ過し、真空中で濃縮して、褐色油状物として、6-6(14.9g、粗)を得た。化合物2-(5-(2-(ジメチルアミノ)エチル)-2-オキソ-4-(トリフルオロメチル)ピリジン-1(2H)-イル)-4-フルオロ-4-メチルペンタン酸エチルをさらに精製することなく使用した。
工程10:2-(5-(2-(ジメチルアミノ)エチル)-2-オキソ-4-(トリフルオロメチル)ピリジン-1(2H)-イル)-4-フルオロ-4-メチルペンタン酸
Figure 0007702004000514
2-(5-(2-(ジメチルアミノ)エチル)-2-オキソ-4-(トリフルオロメチル)ピリジン-1(2H)-イル)-4-フルオロ-4-メチルペンタン酸エチル(14.9g、37.8mmol、1.00当量)のTHF(75.0mL)とHO(15.0mL)の溶液に、LiOH.HO(4.76g、113mmol、3.00当量)を0℃で加えた。反応溶液を20℃に加温し、12時間攪拌した。反応混合液を、1N HCl(50.0mL)を用いてpH=7に調整し、真空下で濃縮して、粗生成物を得た。粗生成物を分取HPLC(カラム:Agela DuraShell C18 250 * 80 mm * 10um;移動相:〔水(10mM NHHCO)-ACN〕;B%:5%~30%、20分)により精製した。次いで溶液を真空中で濃縮して、白色固形物として、2-(5-(2-(ジメチルアミノ)エチル)-2-オキソ-4-(トリフルオロメチル)ピリジン-1(2H)-イル)-4-フルオロ-4-メチルペンタン酸(2.00g、5.35mmol、収率14.2%、純度98%)を得た。H NMR:400MHz DO δ:7.79(s,1H),6.97(s,1H),5.51-5.53(m,1H),3.27-3.31(m,2H),3.00-3.04(m,2H),2.91(s,6H),2.49-2.58(m,2H),1.34(t,J=24.4Hz,6H)。
2-(5-(2-(アゼチジン-1-イル)エチル)-2-オキソ-4-(トリフルオロメチル)ピリジン-1(2H)-イル)-4-フルオロ-4-メチルペンタン酸の調製工程1:2-(5-(2-(アゼチジン-1-イル)エチル)-2-オキソ-4-(トリフルオロメチル)ピリジン-1(2H)-イル)-4-フルオロ-4-メチルペンタン酸エチル
Figure 0007702004000515
4-フルオロ-4-メチル-2-(2-オキソ-5-(2-オキソエチル)-4-(トリフルオロメチル)ピリジン-1(2H)-イル)ペンタン酸エチル(21.0g、57.5mmol、1.00当量)のDCE溶液(126mL)に、NaBH(OAc)(24.4g、115mmol、2.00当量)を25℃で加えた。溶液を25℃で20分間攪拌し、5℃に冷却して、アゼチジン-HCl(5.38g、57.5mmol、1.00当量)を加えた。反応溶液を25℃に加温し、12時間攪拌した。反応混合液をHO(50.0mL)で希釈し、DCM(100mL)で抽出した。一つにまとめた有機層をブラインで洗浄し、無水NaSOで乾燥させ、ろ過および真空中で濃縮して、褐色油状物として、2-(5-(2-(アゼチジン-1-イル)エチル)-2-オキソ-4-(トリフルオロメチル)ピリジン-1(2H)-イル)-4-フルオロ-4-メチルペンタン酸エチル(11.5g、25.2mmol、収率43.8%)を得た。HNMR:400MHz CDCl δ:7.51(s,1H),6.86(s,1H),5.47-5.50(m,1H),4.14-4.25(m,1H),3.40-3.43(m,3H),2.17-2.76(m,6H),1.25-1.47(m,9H).
工程2:2-(5-(2-(アゼチジン-1-イル)エチル)-2-オキソ-4-(トリフルオロメチル)ピリジン-1(2H)-イル)-4-フルオロ-4-メチルペンタン酸
Figure 0007702004000516
2-(5-(2-(アゼチジン-1-イル)エチル)-2-オキソ-4-(トリフルオロメチル)ピリジン-1(2H)-イル)-4-フルオロ-4-メチルペンタン酸エチル(11.5g、28.30mmol、1.00当量)のTHF(69.0mL)とHO(36.0mL)の溶液に、LiOH.HO(4.75g、113.19mmol、3.00当量)を0℃で加えた。反応溶液を20℃に加温し、12時間攪拌した。反応混合液を、1N HCl(50.0mL)を用いてpH=7に調整し、真空下で濃縮して、粗生成物を得た。粗生成物を逆相HPLC(0.10% NH3・HO)により精製して、オフホワイト色の固形物として、2-(5-(2-(アゼチジン-1-イル)エチル)-2-オキソ-4-(トリフルオロメチル)ピリジン-1(2H)-イル)-4-フルオロ-4-メチルペンタン酸(5.00g、12.8mmol、収率45.1%)を得た。H NMR:400MHz DO δ:7.70(s,1H),6.95(s,1H),5.52(s,1H),3.49-3.53(m,4H),2.83-2.87(m,2H),2.52-2.68(m,4H),2.15-2.18(m,2H),1.29-1.42(m,6H).
2-(5-(2-(アゼチジン-1-イル)エチル)-2-オキソ-4-(トリフルオロメチル)ピリジン-1(2H)-イル)-4-フルオロ-4-メチルペンタン酸エチルの調製
工程1:2-ブロモ-4,4-ジメチルペンタン酸
Figure 0007702004000517
2-アミノ-4,4-ジメチルペンタン酸(35.0g、241mmol、1.00当量)のHBr溶液(4M、284mL、純度40%、4.72当量)を、NaNO(16.6g、241mmol、1.00当量)のHO(70.0mL)溶液上で0℃で滴下して加えた。混合液を0℃で1時間攪拌し、15℃に加温して15℃で12時間攪拌した。反応混合液を、MTBE(20.0mL)で抽出した。有機層をブライン(20.0mL)で洗浄し、硫酸ナトリウム上で乾燥させ、減圧下で濃縮した。残留物をMTBE(20.0mL)に溶解させ、減圧下で濃縮して、黄色油状物として、2-ブロモ-4,4-ジメチルペンタン酸(31.0g)を得て、さらに精製することなく使用した。1H NMR:400MHz CDCl δ:4.28-4.32(m,1H),2.32-2.38(m,1H),1.92-1.97(m,1H),0.95(s,9H).
工程2:2-ブロモ-4,4-ジメチルペンタン酸エチル
Figure 0007702004000518
2-ブロモ-4,4-ジメチルペンタン酸(31.0g、148mmol、1.00当量)のEtOH溶液(62mL)に、SOCl(28.2g、237mmol、17.2mL、1.60当量)を0℃で加えた。溶液を80℃に加温し、12時間攪拌した。混合液を減圧下で濃縮し、残留物をMTBE(60mL)に溶解させ、NaHCO水溶液(60mL)で洗浄した。有機層をブライン(100mL)で洗浄し、NaSOで乾燥させ、真空中で濃縮して、黄色油状物として、2-ブロモ-4,4-ジメチルペンタン酸エチル(29.0g、粗)を得た。1H NMR:400MHz CDCl δ:4.20-4.30(m,3H),2.33-2.40(m,1H),1.89-1.94(m,1H),1.29-1.32(m,3H),0.93(s,9H)。
工程3:2-(5-ブロモ-2-オキソ-4-(トリフルオロメチル)ピリジン-1(2H)-イル)-4,4-ジメチルペンタン酸エチル
Figure 0007702004000519
5-ブロモ-4-(トリフルオロメチル)ピリジン-2-オール(22.0g、90.9mmol、1.00当量)およびKCO(37.7g、273mmol、3.00当量)のTHF溶液(330mL)に、2-ブロモ-4,4-ジメチルペンタン酸エチル(28.0g、118mmol、1.30当量)を0℃で加えた。混合液を70℃に加熱し、14時間攪拌した。反応液を水(400mL)に注いで、MTBE(400mL×2)で抽出した。一つにまとめた有機層をブライン(200mLx2)で洗浄し、無水NaSOで乾燥させ、ろ過し、真空中で濃縮した。残留物をシリカゲルクロマトグラフィー(石油エーテル:酢酸エチル=3:1)により精製し、黄色油状物として、2-(5-ブロモ-2-オキソ-4-(トリフルオロメチル)ピリジン-1(2H)-イル)-4,4-ジメチルペンタン酸エチル(23.0g、57.8mmol、収率63.5%)を得た。
工程4:2-(5-アリル-2-オキソ-4-(トリフルオロメチル)ピリジン-1(2H)-イル)-4,4-ジメチルペンタン酸エチル
Figure 0007702004000520
2-(5-ブロモ-2-オキソ-4-(トリフルオロメチル)ピリジン-1(2H)-イル)-4,4-ジメチルペンタン酸エチル(23.0g、57.8mmol、1.00当量)およびアリルトリブチルスタンナン(21.0g、63.5mmol、19.5mL、1.10当量)のDMF(132mL)の混合液に、Pd(PPh(3.34g、2.89mmol、0.05当量)を、20℃で一度に加えた。反応液をNでパージし(3回)、100℃で4時間、N下で攪拌した。反応液を水(100mL)およびKF(23.0g)に溶解させ、MTBE(100mL)で抽出し、無水NaSOで乾燥させ、ろ過および真空中で濃縮した。残留物をシリカゲルクロマトグラフィー(石油エーテル:酢酸エチル=3:1)により精製し、黄色油状物として、2-(5-アリル-2-オキソ-4-(トリフルオロメチル)ピリジン-1(2H)-イル)-4,4-ジメチルペンタン酸エチル(15.0g、41.74mmol、収率72.3%)を得た。
工程5:2-(5-(2,3-ジヒドロキシプロピル)-2-オキソ-4-(トリフルオロメチル)ピリジン-1(2H)-イル)-4,4-ジメチルペンタン酸エチル
Figure 0007702004000521
2-(5-アリル-2-オキソ-4-(トリフルオロメチル)ピリジン-1(2H)-イル)-4,4-ジメチルペンタン酸エチル(15.0g、49.1mmol、1.00当量)のHO(15.0mL)とTHF(150mL)の溶液に、KOsO4.2HO(362mg、982.umol、0.02当量)を0℃で加えた。溶液を0℃で15分間攪拌した。次いで、NaIO(11.6g、54.0mmol、2.99mL、1.10当量)のHO(15.0mL)溶液を0℃で滴下して加え、0℃で2時間攪拌した。反応液を25℃に加温し、12時間攪拌した。混合液を飽和NaSO溶液でクエンチし、EtOAc(200mL)で抽出し、無水NaSOで乾燥させ、ろ過および真空中で濃縮して、黄色油状物として、2-(5-(2,3-ジヒドロキシプロピル)-2-オキソ-4-(トリフルオロメチル)ピリジン-1(2H)-イル)-4,4-ジメチルペンタン酸エチル(16.9g、粗)を得てさらに精製することなく使用した。
工程6:4,4-ジメチル-2-(2-オキソ-5-(2-オキソエチル)-4-(トリフルオロメチル)ピリジン-1(2H)-イル)ペンタン酸エチル
Figure 0007702004000522
2-(5-(2,3-ジヒドロキシプロピル)-2-オキソ-4-(トリフルオロメチル)ピリジン-1(2H)-イル)-4,4-ジメチルペンタン酸エチル(16.9g、43.0mmol、1.00当量)のTHF溶液(200mL)に、NaIO(14.7g、68.7mmol、3.81mL、1.60当量)のHO(100mL)溶液を0℃で加えた。溶液を0℃で2時間攪拌し、次いで25℃に加温して2時間攪拌した。混合液を飽和NaSO溶液でクエンチし、EtOAc(300mL)で抽出した。有機層を1N HCl溶液およびブラインで洗浄し、次いで無水NaSOで乾燥させ、ろ過した。AcOHをろ過液に加え、減圧下で濃縮して、黄色油状物として、4,4-ジメチル-2-(2-オキソ-5-(2-オキソエチル)-4-(トリフルオロメチル)ピリジン-1(2H)-イル)ペンタン酸エチル(16.8g、粗)を得て、さらに精製することなく使用した。
工程7:2-(5-(2-(ジメチルアミノ)エチル)-2-オキソ-4-(トリフルオロメチル)ピリジン-1(2H)-イル)-4,4-ジメチルペンタン酸エチル
Figure 0007702004000523
4,4-ジメチル-2-(2-オキソ-5-(2-オキソエチル)-4-(トリフルオロメチル)ピリジン-1(2H)-イル)ペンタン酸エチル(8.40g、23.3mmol、1.00当量)のDCE溶液(268mL)に、MeNH(2.84g、34.9mmol、1.50当量)を25℃で加えた。溶液を25℃で15分間攪拌し、次いでNaBH(OAc)(9.85g、46.5mmol、2.00当量)を5℃で数回に分けて加え、溶液を25℃で12時間攪拌した。反応混合液をHO(200mL)で希釈し、DCM(100mL)で抽出した。有機層をブラインで洗浄し、無水NaSOで乾燥させ、ろ過および真空中で濃縮して、褐色油状物として、2-(5-(2-(ジメチルアミノ)エチル)-2-オキソ-4-(トリフルオロメチル)ピリジン-1(2H)-イル)-4,4-ジメチルペンタン酸エチル(7.30g、粗)を得て、さらに精製することなく使用した。
工程8:2-(5-(2-(ジメチルアミノ)エチル)-2-オキソ-4-(トリフルオロメチル)ピリジン-1(2H)-イル)-4,4-ジメチルペンタン酸
Figure 0007702004000524
2-(5-(2-(ジメチルアミノ)エチル)-2-オキソ-4-(トリフルオロメチル)ピリジン-1(2H)-イル)-4,4-ジメチルペンタン酸エチル(7.30g、18.7mmol、1.00当量)のTHF(36.5mL)とHO(7.30mL)の溶液に、LiOH.HO(1.57g、37.4mmol、2.00当量)を0℃で加えた。反応混合液を20℃に加温し、12時間攪拌した。反応混合液を、1N HCl水溶液を用いてpH=7に調整し、真空下で濃縮して、粗生成物を得た。粗生成物を分取HPLC(カラム:Phenomenex luna C18 250*50mm*15um;移動相:〔水(0.1%TFA)-ACN〕;B%:10%~35%、20分)により精製した。凍結乾燥により、黄色固形物として、2-(5-(2-(ジメチルアミノ)エチル)-2-オキソ-4-(トリフルオロメチル)ピリジン-1(2H)-イル)-4,4-ジメチルペンタン酸(0.51g、511umol、収率2.74%、HCl)を得た。H NMR:400MHz DO δ:7.89(s,1H),6.99(s,1H),5.45-5.47(d,J=12.0Hz,1H),3.25-3.29(m,2H),2.98-3.03(m,1H),2.92(s,6H),2.18-2.22(m,1H),1.98-2.04(m,2H),0.78(s,9H)
2-(5-(2-(アゼチジン-1-イル)エチル)-2-オキソ-4-(トリフルオロメチル)ピリジン-1(2H)-イル)-4-フルオロ-4-メチルペンタン酸エチルの調製
工程1:2-(5-(2-(アゼチジン-1-イル)エチル)-2-オキソ-4-(トリフルオロメチル)ピリジン-1(2H)-イル)-4,4-ジメチルペンタン酸エチル
Figure 0007702004000525
4,4-ジメチル-2-(2-オキソ-5-(2-オキソエチル)-4-(トリフルオロメチル)ピリジン-1(2H)-イル)ペンタン酸エチル(8.40g、23.3mmol、1.00当量)のDCE溶液(268mL)に、アゼチジン塩酸塩(3.26g、34.9mmol、1.50当量)およびDIPEA(6.01g、46.5mmol、8.10mL、2.00当量)を25℃で加えた。溶液を15分間攪拌し、次いでNaBH(OAc)(9.85g、46.5mmol、2.00当量)を5℃で数回に分けて加え、溶液を25℃で12時間攪拌した。反応混合液をHO(200mL)で希釈し、DCM(100mL)で抽出した。有機層をブラインで洗浄し、無水NaSOで乾燥させ、ろ過および真空中で濃縮して、黄色油状物として、2-(5-(2-(アゼチジン-1-イル)エチル)-2-オキソ-4-(トリフルオロメチル)ピリジン-1(2H)-イル)-4,4-ジメチルペンタン酸エチル(10.9g、粗)を得て、さらに精製することなく使用した。
工程2:2-(5-(2-(アゼチジン-1-イル)エチル)-2-オキソ-4-(トリフルオロメチル)ピリジン-1(2H)-イル)-4,4-ジメチルペンタン酸
Figure 0007702004000526
2-(5-(2-(アゼチジン-1-イル)エチル)-2-オキソ-4-(トリフルオロメチル)ピリジン-1(2H)-イル)-4,4-ジメチルペンタン酸エチル(10.9g、27.0mmol、1.00当量)のTHF(54.5mL)とHO(10.9mL)の溶液に、LiOH.HO(2.27g、54.2mmol、2.00当量)を0℃で加えた。反応混合液を20℃に加温し、12時間攪拌した。反応混合液を、1N HCl水溶液を用いてpH=7に調整し、真空下で濃縮して、粗生成物を得た。粗生成物を分取HPLC(カラム:Phenomenex luna C18 250*50mm*15um;移動相:〔水(0.1%TFA)-ACN〕;B%:10%~35%、23分)により精製した。凍結乾燥により、白色固形物として、2-(5-(2-(アゼチジン-1-イル)エチル)-2-オキソ-4-(トリフルオロメチル)ピリジン-1(2H)-イル)-4,4-ジメチルペンタン酸(0.32g、857umol、収率3.16%)を得た。H NMR:400MHz DO δ:7.85(s,1H),6.98(s,1H),5.45(s,1H),4.22(m,2H),4.01-4.05(m,2H),3.34-3.35(m,2H),2.83(m,2H),1.97-2.54(m,4H),0.77(s,9H).
2-(5-(3-(ジメチルアミノ)プロピル)-2-オキソ-4-(トリフルオロメチル)ピリジン-1(2H)-イル)-4,4-ジメチルペンタン酸の調製
工程1:2-(5-(3-(ジメチルアミノ)プロパ-1-イン-1-イル)-2-オキソ-4-(トリフルオロメチル)ピリジン-1(2H)-イル)-4,4-ジメチルペンタン酸エチル
Figure 0007702004000527
2-(5-ブロモ-2-オキソ-4-(トリフルオロメチル)ピリジン-1(2H)-イル)-4,4-ジメチルペンタン酸エチル(1.00g、2.51mmol、1.00当量)、N,N-ジメチルプロパ-2-イン-1-アミン(251mg、3.01mmol、320uL、1.20当量)、TEA(5.08g、50.2mmol、6.99mL、20.0当量)、Pd(PPhCl(88.1mg、126 umol,0.05当量)、およびCuI(47.8mg、251umol、0.10当量)を、DMF(6mL)中、マイクロ波管に加えた。密封された管を、マイクロ波条件下、110℃で1時間加熱した。反応液を水に注いで、MTBE(100mL×2)で抽出した。一つにまとめた有機層をブライン(50mLx2)で洗浄し、無水NaSOで乾燥させ、ろ過し、真空中で濃縮した。残留物をシリカゲルクロマトグラフィー(石油エーテル:酢酸エチル=5:1)により精製して、黄色油状物として、2-(5-(3-(ジメチルアミノ)プロパ-1-イン-1-イル)-2-オキソ-4-(トリフルオロメチル)ピリジン-1(2H)-イル)-4,4-ジメチルペンタン酸エチル(0.52g、1.3mmol、収率52.5%)を得た。
工程2:2-(5-(3-(ジメチルアミノ)プロピル)-2-オキソ-4-(トリフルオロメチル)ピリジン-1(2H)-イル)-4,4-ジメチルペンタン酸エチル
Figure 0007702004000528
2-(5-(3-(ジメチルアミノ)プロパ-1-イン-1-イル)-2-オキソ-4-(トリフルオロメチル)ピリジン-1(2H)-イル)-4,4-ジメチルペンタン酸エチル(3.70g、9.24mmol、1.00当量)のEtOH溶液(170mL)に、Pd/C(1.10g)およびPd(OH)(1.10g)を加えた。混合物を、H(50psi)下、80℃で0.5時間攪拌した。反応混合液をろ過し、濃縮して、2-(5-(3-(ジメチルアミノ)プロピル)-2-オキソ-4-(トリフルオロメチル)ピリジン-1(2H)-イル)-4,4-ジメチルペンタン酸エチルを得て、さらに精製することなく使用した。
工程3:2-(5-(3-(ジメチルアミノ)プロピル)-2-オキソ-4-(トリフルオロメチル)ピリジン-1(2H)-イル)-4,4-ジメチルペンタン酸
Figure 0007702004000529
2-(5-(3-(ジメチルアミノ)プロピル)-2-オキソ-4-(トリフルオロメチル)ピリジン-1(2H)-イル)-4,4-ジメチルペンタン酸エチル(3.70g、9.15mmol、1.00当量)のTHF(18.5mL)とHO(3.70mL)の溶液に、LiOH.HO(768mg、18.3mmol、2.00当量)を0℃で加えた。反応混合液を20℃に加温し、12時間攪拌した。反応混合液を、1N HCl水溶液を用いてpH=7に調整し、真空下で濃縮して、粗生成物を得た。粗生成物を分取HPLC(カラム:Phenomenex luna C18(250*70mm、15um);移動相:〔水(0.05%HCl)-ACN〕;B%:5%~35%、20分)により精製し、白色固形物として、2-(5-(3-(ジメチルアミノ)プロピル)-2-オキソ-4-(トリフルオロメチル)ピリジン-1(2H)-イル)-4,4-ジメチルペンタン酸(2.2g、5.33mmol、収率58.25%)を得た。H NMR:400MHz D δ:7.83(s,1H),7.00(s,1H),5.50-5.52(m,1H),3.15-3.19(m,2H),2.85(s,6H),2.67-2.70(m,2H),2.22-2.26(m,1H),1.98-2.09(m,3H),0.82(s,9H).
実施例3:本発明の例示的化合物の合成
分取HPLC法
粗試料をMeOHに溶解し、Gilson 215装置、検出波長214nm:
分取HPLC A:カラム:Xtimate C18、21.2 * 250 mm、10um、移動相:A 水(10mM 炭酸水素アンモニウム)、B CHCN;本文に記載される勾配溶出;流量:30mL/分。
分取HPLC B:カラム:Xtimate C18、21.2 * 250 mm、10um、移動相:A 水(0.1% ギ酸)、B CHCN;本文に記載される勾配溶出;流量:30mL/分、を使用した分取HPLCにより精製した。
3-1.(3S)-3-(4,5-ジフルオロ-2’,6’-ジメチルビフェニル-3-イル)-3-(2-(5-(2-(3-フルオロアゼチジン-1-イル)エチル)-4-メチル-2-オキソピリジン-1(2H)-イル)-4-メチルペンタンアミド)プロパン酸(化合物D-P1およびD-P2)の調製
工程1:(3S)-エチル 3-(4,5-ジフルオロ-2’,6’-ジメチルビフェニル-3-イル)-3-(2-(5-(2-(3-フルオロアゼチジン-1-イル)エチル)-4-メチル-2-オキソピリジン-1(2H)-イル)-4-メチルペンタンアミド)プロパン酸塩
Figure 0007702004000530
2-(5-(2-(3-フルオロアゼチジン-1-イル)エチル)-4-メチル-2-オキソピリジン-1(2H)-イル)-4-メチルペンタン酸(84mg、0.26mmol)、(S)-エチル 3-アミノ-3-(4,5-ジフルオロ-2’,6’-ジメチルビフェニル-3-イル)プロパン酸塩(173mg、0.52mmol)、TCFH(94mg、0.34mmol)、およびNMI(0.30mL、3.76mmol)のアセトニトリル(5mL)の混合液を室温で2時間攪拌した。反応混合液を100mLのEtOAcに注いで、水(30mL)、ブライン(30mL)で洗浄し、NaSOで乾燥させ、ろ過および真空中で濃縮した。反応混合液を真空中で濃縮し、C18/40gカラムでの逆相HPLC(A:水/0.01%TFA、B:MeOH、0~64%)により精製して、白色固形物として、(3S)-エチル 3-(4,5-ジフルオロ-2’,6’-ジメチルビフェニル-3-イル)-3-(2-(5-(2-(3-フルオロアゼチジン-1-イル)エチル)-4-メチル-2-オキソピリジン-1(2H)-イル)-4-メチルペンタンアミド)プロパン酸塩(131mg)を得た。収率 79%(ESI 640.2(M+H))。
工程2:(3S)-3-(4,5-ジフルオロ-2’,6’-ジメチルビフェニル-3-イル)-3-(2-(5-(2-(3-フルオロアゼチジン-1-イル)エチル)-4-メチル-2-オキソピリジン-1(2H)-イル)-4-メチルペンタンアミド)プロパン酸
Figure 0007702004000531
(3S)-エチル 3-(4,5-ジフルオロ-2’,6’-ジメチルビフェニル-3-イル)-3-(2-(5-(2-(3-フルオロアゼチジン-1-イル)エチル)-4-メチル-2-オキソピリジン-1(2H)-イル)-4-メチルペンタンアミド)プロパン酸塩(131mg、0.20mmol)を、LiOH一水和物(72mg、1.71mmol)のEtOH(12.5mL)とHO(0.25mL)の溶液を用いて室温で16時間処理した。反応混合液を、濃HClを用いてpH4~5に酸性化した。反応混合液を真空中で濃縮し、分取HPLC A(30~60% MeCN)により精製して、白色固形物として、ジアステレオマー生成物のD-P1(23mg)およびD-P2(23mg)を得た。
D-P1 ESI 612.2(M+H)H NMR(500MHz,MeOD)δ 7.46(s,1H),7.14(t,J=8.0Hz,1H),7.07(t,J=6.0Hz,2H),6.93-6.89(m,1H),6.81(d,J=5.5Hz,1H),6.27(s,1H),5.59-5.54(m,2H),5.28-5.12(m,1H),4.07-3.94(m,2H),3.74-3.60(m,2H),3.05-2.99(m,2H),2.79-2.69(m,2H),2.65-2.59(m,2H),2.20(s,3H),1.99(s,3H),1.92(t,J=7.0Hz,2H),1.85(s,3H),1.44-1.36(m,1H),0.93(d,J=6.5Hz,3H),0.90(d,J=6.5Hz,3H).
D-P2 ESI 612.2(M+H)H NMR(500MHz,MeOD)δ 7.46(s,1H),7.14(t,J=8.0Hz,1H),7.07(t,J=6.0Hz,2H),6.93-6.89(m,1H),6.81(d,J=5.5Hz,1H),6.27(s,1H),5.59-5.54(m,2H),5.28-5.12(m,1H),4.07-3.94(m,2H),3.75-3.60(m,2H),3.06-2.98(m,2H),2.79-2.69(m,2H),2.65-2.59(m,2H),2.20(s,3H),1.99(s,3H),1.92(t,J=7.0Hz,2H),1.85(s,3H),1.44-1.36(m,1H),0.93(d,J=6.5Hz,3H),0.90(d,J=6.5Hz,3H).
3-2.(3S)-3-(3-シクロプロピル-2-(5-(2-(3-フルオロアゼチジン-1-イル)エチル)-2-オキソピリジン-1(2H)-イル)プロパンアミド)-3-(4,5-ジフルオロ-2’,6’-ジメチル-[1,1’-ビフェニル]-3-イル)プロパン酸(化合物E-P1およびE-P2)の調製
工程1:(3S)-3-(3-シクロプロピル-2-(5-(2-(3-フルオロアゼチジン-1-イル)エチル)-2-オキソピリジン-1(2H)-イル)プロパンアミド)-3-(4,5-ジフルオロ-2’,6’-ジメチル-[1,1’-ビフェニル]-3-イル)プロパン酸エチル
Figure 0007702004000532
(S)-3-アミノ-3-(4,5-ジフルオロ-2’,6’-ジメチル-[1,1’-ビフェニル]-3-イル)プロパン酸エチル(90mg、0.27mmol)、3-シクロプロピル-2-(5-(2-(3-フルオロアゼチジン-1-イル)エチル)-2-オキソピリジン-1(2H)-イル)プロパン酸(125mg、0.40mmol)、HOBT(73mg、0.54mmol)、EDCI(104mg、0.54mmol)、およびTEA(120mg、0.81mmol)のDMF(2mL)の混合液を50℃で4時間攪拌した。反応混合液を真空中で濃縮し、C18/40gカラム上の逆相HPLC(A:水 10mM NHHCO3、B:MeOH、0~100%)により精製して、黄色油状物として、(3S)-3-(3-シクロプロピル-2-(5-(2-(3-フルオロアゼチジン-1-イル)エチル)-2-オキソピリジン-1(2H)-イル)プロパンアミド)-3-(4,5-ジフルオロ-2’,6’-ジメチル-[1,1’-ビフェニル]-3-イル)プロパン酸エチル(60mg)を得た。収率 35%(ESI 624.2(M+H))。
工程2:(3S)-3-(3-シクロプロピル-2-(5-(2-(3-フルオロアゼチジン-1-イル)エチル)-2-オキソピリジン-1(2H)-イル)プロパンアミド)-3-(4,5-ジフルオロ-2’,6’-ジメチル-[1,1’-ビフェニル]-3-イル)プロパン酸
Figure 0007702004000533
(3S)-3-(3-シクロプロピル-2-(5-(2-(3-フルオロアゼチジン-1-イル)エチル)-2-オキソピリジン-1(2H)-イル)プロパンアミド)-3-(4,5-ジフルオロ-2’,6’-ジメチル-[1,1’-ビフェニル]-3-イル)プロパン酸エチル(50mg、0.08mmol)を、LiOH-HO(13mg、0.32mmol)のMeOH(2mL)とHO(0.5mL)の溶液を用いて室温で1時間処理した。反応混合液を、1N HClを用いてpH4~5に酸性化した。溶媒を真空中で除去し、残留物を分取HPLC A(30~60% MeCN)により精製して、白色固形物として、ジアステレオマー生成物のE-P1(1mg)およびE-P2(1mg)を得た。
E-P1 ESI 596.2(M+H)H NMR(500MHz,MeOD)δ 7.47(s,1H),7.33(d,J=7.2Hz,1H),7.07-6.99(m,3H),6.88-6.80(m,1H),6.71-6.70(m,1H),6.34(d,J=9.2Hz,1H),5.45(s,2H),5.19-5.03(m,1H),3.96-3.84(m,2H),3.57(s,2H),2.97-2.96(m,2H),2.67(s,2H),2.50(s,2H),1.91(s,5H),1.79(s,3H),0.55(s,1H),0.35-0.34(m,2H),0.07-0.00(m,2H).
E-P2 ESI 596.2(M+H)H NMR(500MHz,MeOD)δ 7.49(s,1H),7.41(d,J=9.0Hz,1H),7.15-6.84(m,5H),6.50(d,J=9.3Hz,1H),5.57- 5.44(m,2H),5.19- 5.07(m,1H),3.95-3.59(m,3H),2.99(s,2H),2.59-2.54(m,4H),2.15-2.12(m,1H),1.99-1.95(m,8H),0.52-0.47(m,1H),0.25-0.23(m,2H),0.01-0.05(m,2H).
3-3.(3S)-3-(2-(5-(2-(ジメチルアミノ)エチル)-2-オキソ-4-(トリフルオロメチル)ピリジン-1(2H)-イル)-3-メチルブタンアミド)-3-(4-フルオロ-2’,4’,5,6’-テトラメチルビフェニル-3-イル)プロパン酸(化合物F-P1およびF-P2)の調製
工程1:(3S)-エチル 3-(2-(5-(2-(ジメチルアミノ)エチル)-2-オキソ-4-(トリフルオロメチル)ピリジン-1(2H)-イル)-3-メチルブタンアミド)-3-(4-フルオロ-2’,4’,5,6’-テトラメチルビフェニル-3-イル)プロパン酸塩
Figure 0007702004000534
2-(5-(2-(ジメチルアミノ)エチル)-2-オキソ-4-(トリフルオロメチル)ピリジン-1(2H)-イル)-3-メチルブタン酸(150mg、0.45mmol)、(S)-エチル 3-アミノ-3-(4-フルオロ-2’,4’,5,6’-テトラメチルビフェニル-3-イル)プロパン酸塩(154mg、0.45mmol)、HATU(205mg、0.54mmol)、およびDIEA(175mg、1.35mmol)のDCM(5mL)の混合液を室温で1時間攪拌した。溶媒を真空中で除去し、残留物をシリカゲルカラム(DCM:MeOH 4:1)により精製して、褐色油状物として、(3S)-エチル 3-(2-(5-(2-(ジメチルアミノ)エチル)-2-オキソ-4-(トリフルオロメチル)ピリジン-1(2H)-イル)-3-メチルブタンアミド)-3-(4-フルオロ-2’,4’,5,6’-テトラメチルビフェニル-3-イル)プロパン酸塩(100mg)を得た。収率 33%(ESI 660.3(M+H))。
工程2:(3S)-3-(2-(5-(2-(ジメチルアミノ)エチル)-2-オキソ-4-(トリフルオロメチル)ピリジン-1(2H)-イル)-3-メチルブタンアミド)-3-(4-フルオロ-2’,4’,5,6’-テトラメチルビフェニル-3-イル)プロパン酸
Figure 0007702004000535
(3S)-エチル 3-(2-(5-(2-(ジメチルアミノ)エチル)-2-オキソ-4-(トリフルオロメチル)ピリジン-1(2H)-イル)-3-メチルブタンアミド)-3-(4-フルオロ-2’,4’,5,6’-テトラメチルビフェニル-3-イル)プロパン酸塩(100mg、0.15mmol)を、LiOH-HO(32mg、0.75mmol)のMeOH(3mL)とHO(1mL)の溶液を用いて室温で3時間処理した。反応混合液を、1N HClを用いてpH4~5に酸性化した。溶媒を真空中で除去し、残留物を分取HPLC A(30~60% MeCN)により精製して、白色固形物として、ジアステレオマー生成物のF-P1(30.0mg)およびF-P2(32.0mg)を得た。
F-P1 ESI 632.2(M+H)H NMR(400MHz,MeOD)δ 7.95(s,1H),6.89(s,1H),6.84-6.76(m,3H),6.67(s,1H),5.65-5.54(m,1H),5.26(d,J=11.3Hz,1H),3.06-2.85(m,4H),2.80-2.63(m,8H),2.53-2.38(m,1H),2.34-2.23(m,6H),1.95(s,3H),1.63(s,3H),1.17(d,J=6.5Hz,3H),0.80(d,J=6.5Hz,3H).
F-P2 ESI 632.2(M+H)H NMR(400MHz,MeOD)δ 8.11-7.95(m,1H),7.02-6.83(m,5H),5.76(s,1H),5.24(d,J=10.9Hz,1H),3.27-2.90(m,4H),2.81(d,J=3.7Hz,6H),2.66-2.36(m,3H),2.31(d,J=5.7Hz,6H),1.95(t,J=5.8Hz,6H),0.95(s,3H),0.82-0.66(m,3H).
3-4. (3S)-3-(2-(5-(2-(アゼチジン-1-イル)エチル)-2-オキソ-4-(トリフルオロメチル)ピリジン-1(2H)-イル)-4-メチルペンタンアミド)-3-(4-フルオロ-2’,6’-ジメチル-5-(トリフルオロメチル)ビフェニル-3-イル)プロパン酸(化合物G-P1およびG-P2)の調製
工程1:(3S)-エチル 3-(2-(5-(2-(アゼチジン-1-イル)エチル)-2-オキソ-4-(トリフルオロメチル)ピリジン-1(2H)-イル)-4-メチルペンタンアミド)-3-(4-フルオロ-2’,6’-ジメチル-5-(トリフルオロメチル)ビフェニル-3-イル)プロパン酸塩
Figure 0007702004000536
2-(5-(2-(アゼチジン-1-イル)エチル)-2-オキソ-4-(トリフルオロメチル)ピリジン-1(2H)-イル)-4-メチルペンタン酸(150mg、0.42mmol)、(S)-エチル 3-アミノ-3-(4-フルオロ-2’,6’-ジメチル-5-(トリフルオロメチル)ビフェニル-3-イル)プロパン酸塩(161mg、0.42mmol)、TCFH(235mg、0.84mmol)、およびNMI(138mg、1.68mmol)のアセトニトリル(4mL)の混合液を室温で2時間攪拌した。反応混合液を真空中で濃縮し、C18/40gカラム上の逆相HPLC(A:水 10mM NHHCO3、B:MeOH、0~100%)により精製して、無色油状物として、(3S)-エチル 3-(2-(5-(2-(アゼチジン-1-イル)エチル)-2-オキソ-4-(トリフルオロメチル)ピリジン-1(2H)-イル)-4-メチルペンタンアミド)-3-(4-フルオロ-2’,6’-ジメチル-5-(トリフルオロメチル)ビフェニル-3-イル)プロパン酸塩(155mg)を得た。収率 51%(ESI 726.1(M+H))。
工程2:(3S)-3-(2-(5-(2-(アゼチジン-1-イル)エチル)-2-オキソ-4-(トリフルオロメチル)ピリジン-1(2H)-イル)-4-メチルペンタンアミド)-3-(4-フルオロ-2’,6’-ジメチル-5-(トリフルオロメチル)ビフェニル-3-イル)プロパン酸
Figure 0007702004000537
(3S)-エチル 3-(2-(5-(2-(アゼチジン-1-イル)エチル)-2-オキソ-4-(トリフルオロメチル)ピリジン-1(2H)-イル)-4-メチルペンタンアミド)-3-(4-フルオロ-2’,6’-ジメチル-5-(トリフルオロメチル)ビフェニル-3-イル)プロパン酸塩(155mg、0.21mmol)を、LiOH一水和物(35mg、0.84mmol)のMeOH(4mL)とHO(1mL)の溶液を用いて室温で2時間処理した。反応混合液を、1N HClを用いてpH4~5に酸性化した。混合液を真空中で濃縮し、残留物を分取HPLC A(30~65% MeCN)により精製して、白色固形物として、ジアステレオマー生成物G-P1(37.8mg)およびG-P2(49.6mg)を得た。
G-P1 ESI 698.2(M+H)H NMR(400MHz,MeOD)δ 7.85(s,1H),7.41(d,J=5.0Hz,1H),7.36-7.27(m,1H),7.21-7.09(m,3H),6.74(s,1H),5.71-5.54(m,2H),4.04(t,J=8.1Hz,4H),3.29(t,J=6.7Hz,2H),2.86-2.82(m,2H),2.78-2.68(m,2H),2.50-2.36(m,2H),2.08-1.93(m,5H),1.86(s,3H),1.44-1.41(m,1H),1.13-0.79(m,6H).
G-P2 ESI 698.2(M+H)+. H NMR(400MHz,MeOD)δ 7.76(s,1H),7.50-7.44(m,1H),7.41-7.33(m,1H),7.22-7.18(m,1H),7.14(d,J=7.4Hz,2H),6.90(s,1H),5.813-5.80(m,1H),5.64(t,J=7.7Hz,1H),4.13(t,J=8.0Hz,4H),3.55-3.34(m,2H),2.99-2.88(m,1H),2.85-2.81(m,1H),2.71-2.66(m,1H),2.60-2.54(m,1H),2.53-2.43(m,2H),2.07-1.93(m,7H),1.76-1.61(m,1H),1.42-1.37(m,1H),0.95-0.83(m,6H).
3-5.((3S)-3-(2-(3-(ジフルオロメチル)-5-(2-(ジメチルアミノ)エチル)-2-オキソピリジン-1(2H)-イル)-4-メチルペンタンアミド)-3-(4-フルオロ-2’,4’,5,6’-テトラメチル-[1,1’-ビフェニル]-3-イル)プロパン酸(化合物H-P1およびH-P2)の調製
工程1:エチル(3S)-3-(2-(3-(ジフルオロメチル)-5-(2-(ジメチルアミノ)エチル)-2-オキソピリジン-1(2H)-イル)-4-メチルペンタンアミド)-3-(4-フルオロ-2’,4’,5,6’-テトラメチル-[1,1’-ビフェニル]-3-イル)プロパン酸エチル
Figure 0007702004000538
(S)-3-アミノ-3-(4-フルオロ-2’,4’,5,6’-テトラメチル-[1,1’-ビフェニル]-3-イル)プロパン酸エチル塩酸塩(120mg、0.35mmol)、2-(3-(ジフルオロメチル)-5-(2-(ジメチルアミノ)エチル)-2-オキソピリジン-1(2H)-イル)-4-メチルペンタン酸(138mg、0.42mmol)、TCFH(147mg、0.52mmol)、およびNMI(86mg、1.05mmol)のアセトニトリル(5mL)の混合液を室温で1時間攪拌した。溶媒を真空中で除去し、残留物をシリカゲルカラム(DCM:MeOH 4:1)により精製して、褐色固形物として、(3S)-3-(2-(3-(ジフルオロメチル)-5-(2-(ジメチルアミノ)エチル)-2-オキソピリジン-1(2H)-イル)-4-メチルペンタンアミド)-3-(4-フルオロ-2’,4’,5,6’-テトラメチル-[1,1’-ビフェニル]-3-イル)プロパン酸エチル(150mg)を得た。収率 65.2%(ESI 656.2(M+H))。
工程2:(3S)-3-(2-(3-(ジフルオロメチル)-5-(2-(ジメチルアミノ)エチル)-2-オキソピリジン-1(2H)-イル)-4-メチルペンタンアミド)-3-(4-フルオロ-2’,4’,5,6’-テトラメチル-[1,1’-ビフェニル]-3-イル)プロパン酸
Figure 0007702004000539
(3S)-3-(2-(3-(ジフルオロメチル)-5-(2-(ジメチルアミノ)エチル)-2-オキソピリジン-1(2H)-イル)-4-メチルペンタンアミド)-3-(4-フルオロ-2’,4’,5,6’-テトラメチル-[1,1’-ビフェニル]-3-イル)プロパン酸エチル(150mg、0.23mmol)を、LiOH-HO(95.5mg,2.3mmol)のTHF(3mL)およびHO(1mL)の溶液を用いて室温で3時間処理した。反応混合液を、1N HClを用いてpH4~5に酸性化した。溶媒を真空中で除去し、残留物を分取HPLC A(30~70% MeCN)により精製して、白色固形物として、ジアステレオマー生成物のH-P1(24.0mg)およびH-P2(33.0mg)を得た。
H-P1 ESI 628.3(M+H)H NMR(400MHz,MeOD)δ 7.71(s,2H),6.78(s,2H),6.76-6.62(m,2H),6.42(t,J=55.1Hz,1H),5.49-5.45(m,1H),5.30(t,J=5.7Hz,1H),3.20-3.10(m,1H),3.09-3.02(m,1H),2.83-2.70(m,2H),2.61(s,6H),2.58-2.50(m,1H),2.48-2.39(m,1H),2.22-2.10(m,6H),1.94-1.84(m,2H),1.83(s,3H),1.73(s,3H),1.36-1.29(m,1H),0.89-0.78(m,6H).
H-P2 ESI 628.3(M+H)H NMR(400MHz,MeOD)δ 7.70(s,2H),6.79-6.71(m,4H),6.49(t,J=55.1Hz,1H),5.50-5.45(m,2H),3.30-3.23(m,1H),3.18-3.13(m,1H),2.85-2.74(m,2H),2.70(s,6H),2.54-2.43(m,1H),2.39-2.29(m,1H),2.18(s,6H),1.93-1.85(m,1H),1.83(d,J=5.9Hz,6H),1.76-1.62(m,1H),1.33-1.30(m,1H),0.80-0.77(m,6H).
3-6. (3S)-3-(4,4’-ジフルオロ-2’,5,6’-トリメチル-[1,1’-ビフェニル]-3-イル)-3-(2-(3-(ジフルオロメチル)-5-(2-(ジメチルアミノ)エチル)-2-オキソピリジン-1(2H)-イル)-4-メチルペンタンアミド)プロパン酸(化合物I-P1およびI-P2)の調製
工程1:(3S)-3-(4,4’-ジフルオロ-2’,5,6’-トリメチル-[1,1’-ビフェニル]-3-イル)-3-(2-(3-(ジフルオロメチル)-5-(2-(ジメチルアミノ)エチル)-2-オキソピリジン-1(2H)-イル)-4-メチルペンタンアミド)プロパン酸エチル
Figure 0007702004000540
2-(3-(ジフルオロメチル)-5-(2-(ジメチルアミノ)エチル)-2-オキソピリジン-1(2H)-イル)-4-メチルペンタン酸(120mg、0.39mmol)、(S)-3-アミノ-3-(4,4’-ジフルオロ-2’,5,6’-トリメチル-[1,1’-ビフェニル]-3-イル)プロパン酸エチル塩酸塩(120mg、0.36mmol)、TCFH(120mg、0.54mmol)、およびNMI(75mg、1.08mmol)のアセトニトリル(5mL)の混合液を室温で20時間攪拌した。反応混合液を真空中で濃縮し、C18/40gカラム上の逆相HPLC(A:水 10mM NHHCO3、B:MeOH、0~100%)により精製して、褐色固形物として、(3S)-3-(4,4’-ジフルオロ-2’,5,6’-トリメチル-[1,1’-ビフェニル]-3-イル)-3-(2-(3-(ジフルオロメチル)-5-(2-(ジメチルアミノ)エチル)-2-オキソピリジン-1(2H)-イル)-4-メチルペンタンアミド)プロパン酸エチル(150mg)を得た。収率 63.2%(ESI 660.3(M+H))。
工程2:(3S)-3-(4,4’-ジフルオロ-2’,5,6’-トリメチル-[1,1’-ビフェニル]-3-イル)-3-(2-(3-(ジフルオロメチル)-5-(2-(ジメチルアミノ)エチル)-2-オキソピリジン-1(2H)-イル)-4-メチルペンタンアミド)プロパン酸
Figure 0007702004000541
(3S)-3-(4,4’-ジフルオロ-2’,5,6’-トリメチル-[1,1’-ビフェニル]-3-イル)-3-(2-(3-(ジフルオロメチル)-5-(2-(ジメチルアミノ)エチル)-2-オキソピリジン-1(2H)-イル)-4-メチルペンタンアミド)プロパン酸エチル(150mg、0.23mmol)を、LiOH一水和物(100mg、2.3mmol)のEtOH(6mL)とHO(0.8mL)の溶液を用いて36℃で1時間処理した。反応混合液を、1N HClを用いてpH4~5に酸性化した。溶媒を真空中で除去し、残留物を分取HPLC A(30~60% MeCN)により精製して、白色固形物として、ジアステレオマー生成物のI-P1(20mg)およびI-P2(22mg)を得た。
I-P1 ESI 632.2(M+H)H NMR(400MHz,MeOD)δ 7.72(s,2H),6.74-6.67(m,4H),6.46(t,J=55.2Hz,1H),5.48-5.44(m,1H),5.33-5.30(m,1H),3.20-3.16(m,1H),3.12-3.04(m,1H),2.84-2.73(m,2H),2.65(s,6H),2.59-2.42(m,2H),2.17(s,3H),1.95-1.83(m,5H),1.78(s,3H),1.39-1.29(m,1H),0.85-0.75(m,6H).
I-P2 ESI 632.2(M+H)H NMR(400MHz,MeOD)δ 7.84(s,1H),7.81(s,1H),6.90-6.78(m,4H),6.65(t,J=55.2Hz,1H),5.63-5.57(m,2H),3.48-3.38(m,1H),3.32-3.23(m,1H),3.02-2.87(m,2H),2.83(s,6H),2.67-2.54(m,1H),2.50-2.41(m,1H),2.32(d,J=1.6Hz,3H),2.07-2.01(m,1H),2.00(d,J=6.2Hz,6H),1.88-1.76(m,1H),1.50-1.39(m,1H),0.96-0.86(m,6H).
3-7. (3S)-3-(2-(5-(2-(ジメチルアミノ)エチル)-4-メチル-2-オキソピリジン-1(2H)-イル)-5-メチルヘキサンアミド)-3-(4-フルオロ-2’,5,6’-トリメチルビフェニル-3-イル)プロパン酸(化合物J-P1およびJ-P2)の調製
工程1:(3S)-エチル 3-(2-(5-(2-(ジメチルアミノ)エチル)-4-メチル-2-オキソピリジン-1(2H)-イル)-5-メチルヘキサンアミド)-3-(4-フルオロ-2’,5,6’-トリメチルビフェニル-3-イル)プロパン酸塩
Figure 0007702004000542
2-(5-(2-(ジメチルアミノ)エチル)-4-メチル-2-オキソピリジン-1(2H)-イル)-5-メチルヘキサン酸(150mg、0.49mmol)、(S)-エチル 3-アミノ-3-(4-フルオロ-2’,5,6’-トリメチルビフェニル-3-イル)プロパン酸塩(161mg、0.49mmol)、TCFH(274mg、0.98mmol)、およびNMI(201mg、2.45mmol)のアセトニトリル(5mL)の混合液を室温で2時間攪拌した。反応混合液を真空中で濃縮し、C18/40gカラム上の逆相HPLC(A:水 10mM NHHCO3、B:MeOH、0~100%)により精製して、無色油状物として、(3S)-エチル 3-(2-(5-(2-(ジメチルアミノ)エチル)-4-メチル-2-オキソピリジン-1(2H)-イル)-5-メチルヘキサンアミド)-3-(4-フルオロ-2’,5,6’-トリメチルビフェニル-3-イル)プロパン酸塩(170mg)を得た。収率 56%(ESI 620.2(M+H))。
工程2:(3S)-3-(2-(5-(2-(ジメチルアミノ)エチル)-4-メチル-2-オキソピリジン-1(2H)-イル)-5-メチルヘキサンアミド)-3-(4-フルオロ-2’,5,6’-トリメチルビフェニル-3-イル)プロパン酸
Figure 0007702004000543
(3S)-エチル 3-(2-(5-(2-(ジメチルアミノ)エチル)-4-メチル-2-オキソピリジン-1(2H)-イル)-5-メチルヘキサンアミド)-3-(4-フルオロ-2’,5,6’-トリメチルビフェニル-3-イル)プロパン酸塩(170mg、0.27mmol)を、LiOH一水和物(57mg、1.35mmol)のMeOH(4mL)とHO(1mL)の溶液を用いて室温で2時間処理した。反応混合液を、1N HClを用いてpH4~5に酸性化した。反応混合液を真空中で濃縮し、分取HPLC A(30~60% MeCN)により精製して、白色固形物として、ジアステレオマー生成物のJ-P1(50mg)およびJ-P2(60.4mg)を得た。
J-P1 ESI 592.3(M+H). 1H NMR(400MHz,MeOD)δ 7.57(s,1H),7.17-7.10(m,1H),7.07(d,J=8.1Hz,2H),6.87-6.82(m,2H),6.33(s,1H),5.49(t,J=5.7Hz,1H),5.39(s,1H),3.26-3.05(m,2H),2.88(d,J=7.9Hz,2H),2.82-2.69(m,6H),2.69-2.58(m,2H),2.26(t,J=15.5Hz,6H),2.22-2.10(m,1H),1.97(d,J=16.6Hz,4H),1.91(s,3H),1.60-1.53(m,1H),1.29-1.14(m,1H),1.09-1.04(m,1H),0.89-0.87(m,6H).
J-P2 ESI 592.3(M+H)+. H NMR(400MHz,MeOD)δ 7.55(s,1H),7.15-7.07(m,3H),6.91(d,J=6.9Hz,2H),6.43(s,1H),5.67-5.64(m,1H),5.42(t,J=7.7Hz,1H),3.31-3.25(m,1H),3.25-3.14(m,1H),2.99-2.88(m,2H),2.86(d,J=17.8Hz,6H),2.65-2.60(m,1H),2.51-2.45(m,1H),2.38-2.19(m,6H),2.19-2.06(m,1H),2.00(s,6H),1.86-1.77(m,1H),1.57-1.50(m,1H),1.17-1.09(m,1H),1.07-1.01(m,1H),0.84(t,J=6.4Hz,6H).
3-8. (3S)-3-(2-(5-(2-(ジメチルアミノ)エチル)-3-フルオロ-2-オキソピリジン-1(2H)-イル)-4-メチルペンタンアミド)-3-(4-フルオロ-2’,6’-ジメチル-5-(トリフルオロメチル)ビフェニル-3-イル)プロパン酸(化合物K-P1およびK-P2)の調製
工程1:(3S)-エチル 3-(2-(5-(2-(ジメチルアミノ)エチル)-3-フルオロ-2-オキソピリジン-1(2H)-イル)-4-メチルペンタンアミド)-3-(4-フルオロ-2’,6’-ジメチル-5-(トリフルオロメチル)ビフェニル-3-イル)プロパン酸塩
Figure 0007702004000544
2-(5-(2-(ジメチルアミノ)エチル)-3-フルオロ-2-オキソピリジン-1(2H)-イル)-4-メチルペンタン酸(130mg、0.44mmol)、(S)-エチル 3-アミノ-3-(4-フルオロ-2’,6’-ジメチル-5-(トリフルオロメチル)ビフェニル-3-イル)プロパン酸塩(169mg、0.44mmol)、TCFH(246mg、0.88mmol)、およびNMI(144mg、1.76mmol)のアセトニトリル(4mL)の混合液を室温で2時間攪拌した。反応混合液を真空中で濃縮し、C18/40gカラム上の逆相HPLC(A:水 10mM NHHCO3、B:MeOH、0~100%)により精製して、黄色油状物として、(3S)-エチル 3-(2-(5-(2-(ジメチルアミノ)エチル)-3-フルオロ-2-オキソピリジン-1(2H)-イル)-4-メチルペンタンアミド)-3-(4-フルオロ-2’,6’-ジメチル-5-(トリフルオロメチル)ビフェニル-3-イル)プロパン酸塩(150mg)を得た。収率 51%(ESI 664.2(M+H))。
工程2:(3S)-3-(2-(5-(2-(ジメチルアミノ)エチル)-3-フルオロ-2-オキソピリジン-1(2H)-イル)-4-メチルペンタンアミド)-3-(4-フルオロ-2’,6’-ジメチル-5-(トリフルオロメチル)ビフェニル-3-イル)プロパン酸
Figure 0007702004000545
(3S)-エチル 3-(2-(5-(2-(ジメチルアミノ)エチル)-3-フルオロ-2-オキソピリジン-1(2H)-イル)-4-メチルペンタンアミド)-3-(4-フルオロ-2’,6’-ジメチル-5-(トリフルオロメチル)ビフェニル-3-イル)プロパン酸塩(150mg、0.23mmol)を、LiOH一水和物(39mg、0.92mmol)のMeOH(4mL)とHO(1mL)の溶液を用いて36℃で2時間処理した。反応混合液を、1N HClを用いてpH4~5に酸性化した。反応混合液を真空中で濃縮し、分取HPLC A(30~60% MeCN)により精製して、白色固形物として、ジアステレオマー生成物のK-P1(41mg)およびK-P2(46.8mg)を得た。
K-P1 ESI 636.2(M+H)H NMR(400MHz,MeOD)δ 7.53(s,1H),7.47-7.44(m,1H),7.33-7.28(m,2H),7.23-7.17(m,1H),7.16-7.08(m,2H),5.65-5.61(m,1H),5.46(t,J=5.7Hz,1H),3.38(d,J=7.8Hz,1H),3.24-3.17(m,1H),2.95-2.84(m,2H),2.82-2.64(m,7H),2.60-2.54(m,1H),2.08-1.97(m,5H),1.94(s,3H),1.43(s,1H),0.96-0.91(m,6H).
K-P2 ESI 636.2(M+H)+. H NMR(400MHz,MeOD)δ 7.38(s,1H),7.33-7.28(m,2H),7.24(d,J=6.3Hz,1H),7.12-6.99(m,3H),5.55-5.49(m,2H),3.36-3.25(m,1H),3.18-3.12(m,1H),2.91-2.79(m,1H),2.73(d,J=11.7Hz,7H),2.52-2.48(m,1H),2.39-2.32(m,1H),2.00-1.79(m,7H),1.75-1.68(m,1H),1.29-1.24(m,1H),0.81-0.78(m,6H).
3-9. (3S)-3-(4,5-ジフルオロ-2’,6’-ジメチル-[1,1’-ビフェニル]-3-イル)-3-(2-(5-(2-(ジメチルアミノ)エチル)-2-オキソ-4-(トリフルオロメチル)ピリジン-1(2H)-イル)-4-メチルペンタンアミド)プロパン酸(化合物L-P1およびL-P2)の調製
工程1:(3S)-3-(4,5-ジフルオロ-2’,6’-ジメチル-[1,1’-ビフェニル]-3-イル)-3-(2-(5-(2-(ジメチルアミノ)エチル)-2-オキソ-4-(トリフルオロメチル)ピリジン-1(2H)-イル)-4-メチルペンタンアミド)プロパン酸エチル
Figure 0007702004000546
2-(5-(2-(ジメチルアミノ)エチル)-2-オキソ-4-(トリフルオロメチル)ピリジン-1(2H)-イル)-4-メチルペンタン酸(100mg、0.29mmol)、(S)-3-アミノ-3-(4,5-ジフルオロ-2’,6’-ジメチル-[1,1’-ビフェニル]-3-イル)プロパン酸エチル(96mg、0.29mmol)、TCFH(100mg、0.34mmol)およびNMI(96.0mg、1.14mmol)のCHCN(3mL)の混合液を室温で1.5時間攪拌した。反応混合液を真空中で濃縮し、C18/40gカラム上の逆相HPLC(A:水 10mM NHHCO、B:MeOH、0~100%)により精製して、黄色固形物として、(3S)-3-(4,5-ジフルオロ-2’,6’-ジメチル-[1,1’-ビフェニル]-3-イル)-3-(2-(5-(2-(ジメチルアミノ)エチル)-2-オキソ-4-(トリフルオロメチル)ピリジン-1(2H)-イル)-4-メチルペンタンアミド)プロパン酸エチル(131mg)を得た。収率 68.1%(ESI 664.2 [M+H])。
工程2:(3S)-3-(4,5-ジフルオロ-2’,6’-ジメチル-[1,1’-ビフェニル]-3-イル)-3-(2-(5-(2-(ジメチルアミノ)エチル)-2-オキソ-4-(トリフルオロメチル)ピリジン-1(2H)-イル)-4-メチルペンタンアミド)プロパン酸
Figure 0007702004000547
(3S)-3-(4,5-ジフルオロ-2’,6’-ジメチル-[1,1’-ビフェニル]-3-イル)-3-(2-(5-(2-(ジメチルアミノ)エチル)-2-オキソ-4-(トリフルオロメチル)ピリジン-1(2H)-イル)-4-メチルペンタンアミド)プロパン酸エチル(131.0mg、0.19mmol)を、LiOH-HO(100.0mg、2.38mmol)のTHF(2mL)と水(0.5mL)の溶液を用いて30℃で1時間処理した。反応混合液を、2N HClを用いてpH4~5に酸性化した。溶媒を真空中で除去し、残留物を分取HPLC A(30~60% MeCN)により精製して、白色固形物として、ジアステレオマー生成物のL-P1(11.1mg)およびL-P2(19.0mg)を得た。
L-P1 ESI 636.1(M+H) H NMR(400MHz,MeOD)δ 7.77(s,1H),7.05-6.92(m,3H),6.83-6.76(m,2H),6.63(s,1H),5.58-5.45(m,2H),3.03-2.96(m,2H),2.84- 2.81(m,2H),2.65(s,6H),2.62-2.60(m,2H),1.92-1.79(m,5H),1.72(s,3H),1.33-1.30(m,1H),0.86-0.81(m,6H).
L-P2 ESI 636.1(M+H)H NMR(400MHz,MeOD)δ 7.72(s,1H),7.07-6.97(m,3H),6.90-6.80(m,3H),6.77(s,1H),5.63-5.59(m,1H),5.49(t,J=7.6Hz,1H),3.22-3.08(m,2H),2.88(t,J=6.9Hz,2H),2.72(s,6H),2.58-2.38(m,2H),1.92-1.83(m,7H),1.64-1.56(m,1H),1.33-1.24(m,1H),0.77(d,J=6.5Hz,6H).
3-10. (3S)-3-(4,4’-ジフルオロ-2’,6’-ジメチル-5-(トリフルオロメチル)-[1,1’-ビフェニル]-3-イル)-3-(2-(5-(2-(ジメチルアミノ)エチル)-3-メチル-2-オキソピリジン-1(2H)-イル)-4-メチルペンタンアミド)プロパン酸(化合物M-P1およびM-P2)の調製
工程1:(3S)-3-(4,4’-ジフルオロ-2’,6’-ジメチル-5-(トリフルオロメチル)-[1,1’-ビフェニル]-3-イル)-3-(2-(5-(2-(ジメチルアミノ)エチル)-3-メチル-2-オキソピリジン-1(2H)-イル)-4-メチルペンタンアミド)プロパン酸エチル
Figure 0007702004000548
2-(5-(2-(ジメチルアミノ)エチル)-3-メチル-2-オキソピリジン-1(2H)-イル)-4-メチルペンタン酸(160mg、0.54mmol)、(S)-3-アミノ-3-(4,4’-ジフルオロ-2’,6’-ジメチル-5-(トリフルオロメチル)-[1,1’-ビフェニル]-3-イル)プロパン酸エチル(260mg、0.64mmol)、TCFH(226mg、0.81mmol)、NMI(221.4mg、2.7mmol)およびCHCN(5mL)の混合液を室温で1時間攪拌した。反応混合液を真空中で濃縮し、C18/40gカラム上の逆相HPLC(A:水 10mM NHHCO、B:MeOH、0~100%)により精製して、無色油状物として、(3S)-3-(4,4’-ジフルオロ-2’,6’-ジメチル-5-(トリフルオロメチル)-[1,1’-ビフェニル]-3-イル)-3-(2-(5-(2-(ジメチルアミノ)エチル)-3-メチル-2-オキソピリジン-1(2H)-イル)-4-メチルペンタンアミド)プロパン酸エチル(180mg)を得た。収率 50%(ESI 678.3(M+H))。
工程2:(3S)-3-(4,4’-ジフルオロ-2’,6’-ジメチル-5-(トリフルオロメチル)-[1,1’-ビフェニル]-3-イル)-3-(2-(5-(2-(ジメチルアミノ)エチル)-3-メチル-2-オキソピリジン-1(2H)-イル)-4-メチルペンタンアミド)プロパン酸
Figure 0007702004000549
(3S)-3-(4,4’-ジフルオロ-2’,6’-ジメチル-5-(トリフルオロメチル)-[1,1’-ビフェニル]-3-イル)-3-(2-(5-(2-(ジメチルアミノ)エチル)-3-メチル-2-オキソピリジン-1(2H)-イル)-4-メチルペンタンアミド)プロパン酸エチル(180mg、0.26mmol)を、LiOH-HO(39mg、0.92mmol)のEtOH(3mL)とHO(1mL)を用いて室温で1時間処理した。反応混合液を、1N HClを用いてpH4~5に酸性化した。溶媒を真空中で除去し、残留物を分取HPLC A(30~60% MeCN)により精製して、白色固形物として、ジアステレオマー生成物のM-P1(50mg)およびM-P2(53.0mg)を得た。
M-P1 ESI 650.3(M+H)H NMR(400MHz,MeOD)δ 7.52(s,1H),7.39(s,1H),7.33-7.18(m,2H),6.88(d,J=9.6Hz,2H),5.56-5.47(m,2H),3.28-3.17(m,2H),2.84-2.69(m,9H),2.63-2.57(m,1H),2.06-1.92(m,8H),1.86(s,3H),1.48-1.38(m,1H),0.95-0.90(m,6H).
M-P2 ESI 650.3(M+H)H NMR(400MHz,MeOD)δ 7.56(s,1H),7.43(s,1H),7.38-7.22(m,2H),6.92-6.87(m,2H),5.65-5.54(m,2H),3.46-3.39(m,1H),3.29-3.24(m,1H),2.97-2.75(m,8H),2.67-2.61(m,1H),2.51-2.45(m,1H),2.05-1.90(m,11H),1.45-1.38(m,1H),0.94-0.88(m,6H).
3-11. (3S)-3-(2-(5-(2-(ジメチルアミノ)エチル)-3-フルオロ-2-オキソ-4-(トリフルオロメチル)ピリジン-1(2H)-イル)-4-メチルペンタンアミド)-3-(4-フルオロ-4’-メトキシ-2’,5,6’-トリメチル-[1,1’-ビフェニル]-3-イル)プロパン酸(化合物P-P1およびP-P2)の調製
工程1:(3S)-3-(2-(5-(2-(ジメチルアミノ)エチル)-3-フルオロ-2-オキソ-4-(トリフルオロメチル)ピリジン-1(2H)-イル)-4-メチルペンタンアミド)-3-(4-フルオロ-4’-メトキシ-2’,5,6’-トリメチル-[1,1’-ビフェニル]-3-イル)プロパン酸エチル
Figure 0007702004000550
(S)-3-アミノ-3-(4-フルオロ-4’-メトキシ-2’,5,6’-トリメチル-[1,1’-ビフェニル]-3-イル)プロパン酸エチル(220mg、0.60mmol)、2-(5-(2-(ジメチルアミノ)エチル)-3-フルオロ-2-オキソ-4-(トリフルオロメチル)ピリジン-1(2H)-イル)-4-メチルペンタン酸(100mg、0.55mmol)、TCFH(230mg、0.82mmol)、およびNMI(177mg、2.18mmol)のアセトニトリル(10mL)の混合液を室温で20時間攪拌した。反応混合液を真空中で濃縮し、C18/40gカラム上の逆相HPLC(A:水 10mM NHHCO、B:MeOH、0~100%)により精製して、白色固形物として、(3S)-3-(2-(5-(2-(ジメチルアミノ)エチル)-3-フルオロ-2-オキソ-4-(トリフルオロメチル)ピリジン-1(2H)-イル)-4-メチルペンタンアミド)-3-(4-フルオロ-4’-メトキシ-2’,5,6’-トリメチル-[1,1’-ビフェニル]-3-イル)プロパン酸エチル(214mg)を得た。収率 56%(ESI 708.3(M+H))。
工程2:(3S)-3-(2-(5-(2-(ジメチルアミノ)エチル)-3-フルオロ-2-オキソ-4-(トリフルオロメチル)ピリジン-1(2H)-イル)-4-メチルペンタンアミド)-3-(4-フルオロ-4’-メトキシ-2’,5,6’-トリメチル-[1,1’-ビフェニル]-3-イル)プロパン酸
Figure 0007702004000551
(3S)-3-(2-(5-(2-(ジメチルアミノ)エチル)-3-フルオロ-2-オキソ-4-(トリフルオロメチル)ピリジン-1(2H)-イル)-4-メチルペンタンアミド)-3-(4-フルオロ-4’-メトキシ-2’,5,6’-トリメチル-[1,1’-ビフェニル]-3-イル)プロパン酸エチル(214mg、0.30mmol)を、LiOH-HO(52mg、1.24mmol)のMeOH(3mL)とHO(1mL)の溶液を用いて室温で2時間処理した。反応混合液を、1N HClを用いてpH4~5に酸性化した。溶媒を真空中で除去し、残留物を分取HPLC A(30~60% CHCN)により精製して、白色固形物として、ジアステレオマー生成物のP-P1(39.8mg)およびP-P2(48.6mg)を得た。
P-P1 ESI 680.4(M+H)H NMR(500MHz,MeOD)δ 7.69(s,1H),6.88-6.85(m,2H),6.64(d,J=10.6Hz,2H),5.73-5.65(m,1H),5.55(t,J=6.8Hz,1H),4.92(s,3H),3.79(s,3H),3.17-2.92(m,4H),2.82-2.69(m,7H),2.29(s,3H),2.10-1.94(m,5H),1.83(s,1H),1.51-1.41(m,1H),0.97-0.93(m,6H).
P-P2 ESI 680.3(M+H)H NMR(500MHz,MeOD)δ 7.60(s,1H),6.91(t,J=7.1Hz,2H),6.67(s,2H),5.73-5.70(m,1H),5.61(t,J=7.5Hz,1H),3.80(s,3H),3.23-3.18(m,2H),3.18-2.95(m,2H),2.83(s,6H),2.65-2.61(m,1H),2.52-2.47(m,1H),2.32(s,3H),2.11-1.95(m,7H),1.72-1.66(m,1H),1.45-1.41(m,1H),0.94-0.85(m,6H).
3-12. (3S)-3-(2-(5-(2-(アゼチジン-1-イル)エチル)-2-オキソ-4-(トリフルオロメチル)ピリジン-1(2H)-イル)-4-メチルペンタンアミド)-3-(4,4’-ジフルオロ-2’,6’-ジメチル-5-(トリフルオロメチル)-[1,1’-ビフェニル]-3-イル)プロパン酸(化合物R-P1およびR-P2)の調製
工程1:(3S)-3-(2-(5-(2-(アゼチジン-1-イル)エチル)-2-オキソ-4-(トリフルオロメチル)ピリジン-1(2H)-イル)-4-メチルペンタンアミド)-3-(4,4’-ジフルオロ-2’,6’-ジメチル-5-(トリフルオロメチル)-[1,1’-ビフェニル]-3-イル)プロパン酸エチル
Figure 0007702004000552
2-(5-(2-(アゼチジン-1-イル)エチル)-2-オキソ-4-(トリフルオロメチル)ピリジン-1(2H)-イル)-4-メチルペンタン酸(100mg、0.28mmol)、(S)-3-アミノ-3-(4,4’-ジフルオロ-2’,6’-ジメチル-5-(トリフルオロメチル)-[1,1’-ビフェニル]-3-イル)プロパン酸エチル(112mg、0.28mmol)、NMI(69mg、0.84mmol)、およびTCFH(95mg、0.34mmol)のCHCN(5mL)の混合液を室温で2時間攪拌した。溶媒を真空中で除去し、残留物をシリカゲルカラム(MeOH/DCM 7%)により精製して、黄色油状物として、(3S)-3-(2-(5-(2-(アゼチジン-1-イル)エチル)-2-オキソ-4-(トリフルオロメチル)ピリジン-1(2H)-イル)-4-メチルペンタンアミド)-3-(4,4’-ジフルオロ-2’,6’-ジメチル-5-(トリフルオロメチル)-[1,1’-ビフェニル]-3-イル)プロパン酸エチル(180mg)を得た。収率 87%(ESI 744.1 [M+H])。
工程2:(3S)-3-(2-(5-(2-(アゼチジン-1-イル)エチル)-2-オキソ-4-(トリフルオロメチル)ピリジン-1(2H)-イル)-4-メチルペンタンアミド)-3-(4,4’-ジフルオロ-2’,6’-ジメチル-5-(トリフルオロメチル)-[1,1’-ビフェニル]-3-イル)プロパン酸
Figure 0007702004000553
(3S)-3-(2-(5-(2-(アゼチジン-1-イル)エチル)-2-オキソ-4-(トリフルオロメチル)ピリジン-1(2H)-イル)-4-メチルペンタンアミド)-3-(4,4’-ジフルオロ-2’,6’-ジメチル-5-(トリフルオロメチル)-[1,1’-ビフェニル]-3-イル)プロパン酸エチル(180mg、0.24mmol)を、LiOH-HO(50mg、1.20mmol)のTHF(3mL)、MeOH(2mL)およびHO(1mL)の溶液を用いて室温で16時間処理した。反応混合液を、1N HClを用いてpH4~5に酸性化した。溶媒を真空中で除去し、残留物を分取HPLC A(30~60% MeCN)により精製して、白色固形物として、ジアステレオマー生成物のR-P1(65.0mg)およびR-P2(35.0mg)を得た。
R-P1 ESI 716.2(M+H)+ 1H NMR(400MHz,MeOD)δ 7.85(s,1H),7.40-7.32(m,2H),6.90-6.86(m,2H),6.75(s,1H),5.64-5.60(m,2H),4.07(t,J=8.1Hz,4H),3.36-3.33(m,1H),3.31-3.27(m,1H),2.91-2.69(m,4H),2.49-2.44(m,2H),2.06-1.97(m,5H),1.89(s,3H),1.48-1.36(m,1H),0.99-0.91(m,6H).
R-P2 ESI 716.2(M+H)+ 1H NMR(400MHz,MeOD)δ 7.75(s,1H),7.45-7.38(m,2H),6.92(s,1H),6.90(s,2H),5.82-5.78(m,1H),5.63(t,J=7.7Hz,1H),4.15(t,J=7.9Hz,4H),3.45-3.35(m,2H),2.99-2.80(m,2H),2.69-2.42(m,4H),2.03-1.92(m,7H),1.76-1.63(m,1H),1.44-1.37(m,1H),0.92-0.89(m,6H).
3-13. (S)-3-(4,5-ジフルオロ-2’,6’-ジメチル-[1,1’-ビフェニル]-3-イル)-3-((S)-2-(5-(2-(ジメチルアミノ)エチル)-4-メチル-2-オキソピリジン-1(2H)-イル)-4-メチルペンタンアミド)プロパン酸(化合物S-P1およびS-P2)の調製
工程1:(S)-3-(4,5-ジフルオロ-2’,6’-ジメチル-[1,1’-ビフェニル]-3-イル)-3-((S)-2-(5-(2-(ジメチルアミノ)エチル)-4-メチル-2-オキソピリジン-1(2H)-イル)-4-メチルペンタンアミド)プロパン酸エチル
Figure 0007702004000554
2-(5-(2-(ジメチルアミノ)エチル)-4-メチル-2-オキソピリジン-1(2H)-イル)-4-メチルペンタン酸(80mg、0.27mmol)、(S)-3-アミノ-3-(4,5-ジフルオロ-2’,6’-ジメチル-[1,1’-ビフェニル]-3-イル)プロパン酸エチル(100mg、0.30mmol)、EDCI(77mg、0.41mmol)、TEA(0.2mL)およびHOBt(36mg、0.27mmol)のアセトニトリル(10mL)の混合液を室温で20時間攪拌した。反応混合液を真空中で濃縮し、C18/40gカラム上の逆相HPLC(A:水 10mM NHHCO、B:MeOH、0~100%)により精製して、黄色油状物として、(S)-3-(4,5-ジフルオロ-2’,6’-ジメチル-[1,1’-ビフェニル]-3-イル)-3-((S)-2-(5-(2-(ジメチルアミノ)エチル)-4-メチル-2-オキソピリジン-1(2H)-イル)-4-メチルペンタンアミド)プロパン酸エチル(75mg)を得た。収率 45%(ESI 610.3(M+H))。
工程2:(S)-3-(4,5-ジフルオロ-2’,6’-ジメチル-[1,1’-ビフェニル]-3-イル)-3-((S)-2-(5-(2-(ジメチルアミノ)エチル)-4-メチル-2-オキソピリジン-1(2H)-イル)-4-メチルペンタンアミド)プロパン酸
Figure 0007702004000555
(S)-3-(4,5-ジフルオロ-2’,6’-ジメチル-[1,1’-ビフェニル]-3-イル)-3-((S)-2-(5-(2-(ジメチルアミノ)エチル)-4-メチル-2-オキソピリジン-1(2H)-イル)-4-メチルペンタンアミド)プロパン酸エチル(75mg、0.12mmol)を、LiOH一水和物(26mg、0.62mmol)のMeOH(2mL)とHO(1mL)の溶液を用いて室温で2時間処理した。反応混合液を、1N HClを用いてpH4~5に酸性化した。混合液を真空中で濃縮し、残留物を分取HPLC A(30~60% MeCN)により精製して、白色固形物として、ジアステレオマー生成物S-P1(28mg)およびS-P2(38mg)を得た。
S-P1 ESI 582.2(M+H)H NMR(500MHz,MeOD)δ 7.58(s,1H),7.19-7.14(m,1H),7.10(d,J=8.6Hz,2H),6.96-6.90(m,1H),6.83(d,J=5.8Hz,1H),6.33(s,1H),5.57(s,1H),5.52-5.47(m,1H),3.33-3.13(m,2H),2.88(t,J=7.3Hz,2H),2.79(s,6H),2.72-2.60(m,2H),2.26(s,3H),2.03-1.90(m,8H),1.40(d,J=7.3Hz,1H),0.95-0.91(m,6H).
S-P2 ESI 582.2(M+H)H NMR(500MHz,MeOD)δ 7.54(s,1H),7.19-7.15(m,1H),7.11(d,J=7.8Hz,2H),7.01-6.95(m,1H),6.90(d,J=5.9Hz,1H),6.42(s,1H),5.67-5.64(m,1H),5.61-5.55(m,1H),3.24-3.18(m,1H),2.97-2.84(m,8H),2.63(dd,J=15.2,4.2Hz,1H),2.49(dd,J=15.2,9.9Hz,1H),2.27(s,3H),2.02(s,6H),1.99-1.93(m,1H),1.81-1.73(m,1H),1.41-1.37(m,1H),0.90-0.88(m,6H).
3-14.(3S)-3-(2-(5-(2-(ジメチルアミノ)エチル)-4-メチル-2-オキソピリジン-1(2H)-イル)-4-メチルペンタンアミド)-3-(4-フルオロ-2’,4’,5,6’-テトラメチル-[1,1’-ビフェニル]-3-イル)プロパン酸(化合物T-P1およびT-P2)の調製
工程1:(3S)-3-(2-(5-(2-(ジメチルアミノ)エチル)-4-メチル-2-オキソピリジン-1(2H)-イル)-4-メチルペンタンアミド)-3-(4-フルオロ-2’,4’,5,6’-テトラメチル-[1,1’-ビフェニル]-3-イル)プロパン酸エチル
Figure 0007702004000556
2-(5-(2-(ジメチルアミノ)エチル)-4-メチル-2-オキソピリジン-1(2H)-イル)-4-メチルペンタン酸(100.0mg、0.34mmol)、(S)-3-アミノ-3-(4-フルオロ-2’,4’,5,6’-テトラメチル-[1,1’-ビフェニル]-3-イル)プロパン酸エチル(117.0mg、0.34mmol)、TCFH(190.4mg、0.68mmol)、NMI(115.5mg、1.36mmol)のCHCN(5mL)の混合液を室温で2時間攪拌した。反応混合液を真空中で濃縮し、C18/40gカラム上の逆相HPLC(A:水 10mM NHHCO、B:MeOH、0~100%)により精製して、白色油状物として、(3S)-3-(2-(5-(2-(ジメチルアミノ)エチル)-4-メチル-2-オキソピリジン-1(2H)-イル)-4-メチルペンタンアミド)-3-(4-フルオロ-2’,4’,5,6’-テトラメチル-[1,1’-ビフェニル]-3-イル)プロパン酸エチル(95.0mg)を得た。収率 45%(ESI 620.3(M+H))。
工程2:(3S)-3-(2-(5-(2-(ジメチルアミノ)エチル)-4-メチル-2-オキソピリジン-1(2H)-イル)-4-メチルペンタンアミド)-3-(4-フルオロ-2’,4’,5,6’-テトラメチル-[1,1’-ビフェニル]-3-イル)プロパン酸
Figure 0007702004000557
(3S)-3-(2-(5-(2-(ジメチルアミノ)エチル)-4-メチル-2-オキソピリジン-1(2H)-イル)-4-メチルペンタンアミド)-3-(4-フルオロ-2’,4’,5,6’-テトラメチル-[1,1’-ビフェニル]-3-イル)プロパン酸エチル(95.0mg、0.15mmol)を、LiOH-HO(25.2mg、0.60mmol)のMeOH(4mL)とHO(1mL)の溶液を用いて室温で2時間処理した。反応混合液を、1N HClを用いてpH4~5に酸性化した。溶媒を真空中で除去し、残留物を分取HPLC A(30~60% MeCN)により精製して、白色固形物として、ジアステレオマー生成物のT-P1(26.2mg)およびT-P2(58.3mg)を得た。
T-P1 ESI 592.3(M+H)H NMR(400MHz,MeOD)δ 7.54(s,1H),6.89(d,J=3.6Hz,2H),6.85-6.72(m,2H),6.32(s,1H),5.69-5.56(m,1H),5.53-5.41(m,1H),3.04-2.84(m,2H),2.79(t,J=7.3Hz,2H),2.71-2.51(m,8H),2.36-2.17(m,9H),2.06-1.88(m,5H),1.83(s,3H),1.51-1.30(m,1H),1.02-0.82(m,6H).
T-P2 ESI 592.3(M+H)H NMR(400MHz,MeOD)δ 7.56(s,1H),6.98-6.82(m,4H),6.44(s,1H),5.69-5.50(m,2H),3.20(d,J=38.2Hz,2H),2.85(d,J=33.5Hz,8H),2.70-2.40(m,2H),2.38-2.19(m,9H),2.04-1.87(m,7H),1.85-1.70(m,1H),1.47-1.26(m,1H),0.99-0.78(m,6H).
3-15. (3S)-3-(4-フルオロ-3’-メトキシ-2’,5,6’-トリメチル-[1,1’-ビフェニル]-3-イル)-3-(2-(5-(2-(3-メトキシアゼチジン-1-イル)エチル)-2-オキソ-4-(トリフルオロメチル)ピリジン-1(2H)-イル)-4-メチルペンタンアミド)プロパン酸(化合物N-P1およびN-P2)の調製
工程1:(3S)-3-(4-フルオロ-3’-メトキシ-2’,5,6’-トリメチル-[1,1’-ビフェニル]-3-イル)-3-(2-(5-(2-(3-メトキシアゼチジン-1-イル)エチル)-2-オキソ-4-(トリフルオロメチル)ピリジン-1(2H)-イル)-4-メチルペンタンアミド)プロパン酸エチル
Figure 0007702004000558
2-(5-(2-(3-メトキシアゼチジン-1-イル)エチル)-2-オキソ-4-(トリフルオロメチル)ピリジン-1(2H)-イル)-4-メチルペンタン酸(272mg、0.70mmol、1.25当量)、(S)-3-アミノ-3-(4-フルオロ-3’-メトキシ-2’,5,6’-トリメチル-[1,1’-ビフェニル]-3-イル)プロパン酸エチル(200mg、0.56mmol、1.00当量)、NMI(0.5mL)およびTCFH(232mg、0.83mmol、1.50当量)のCHCN(5mL)の混合液を室温で1時間攪拌した。溶媒を真空中で濃縮し、残留物を分取HPLC A(30~60% CHCN)により精製して、(3S)-3-(4-フルオロ-3’-メトキシ-2’,5,6’-トリメチル-[1,1’-ビフェニル]-3-イル)-3-(2-(5-(2-(3-メトキシアゼチジン-1-イル)エチル)-2-オキソ-4-(トリフルオロメチル)ピリジン-1(2H)-イル)-4-メチルペンタンアミド)プロパン酸エチル(201mg)を得た。収率 49%(ESI 732.2 [M+H])。
工程2:(3S)-3-(4-フルオロ-3’-メトキシ-2’,5,6’-トリメチル-[1,1’-ビフェニル]-3-イル)-3-(2-(5-(2-(3-メトキシアゼチジン-1-イル)エチル)-2-オキソ-4-(トリフルオロメチル)ピリジン-1(2H)-イル)-4-メチルペンタンアミド)プロパン酸
Figure 0007702004000559
(3S)-3-(4-フルオロ-3’-メトキシ-2’,5,6’-トリメチル-[1,1’-ビフェニル]-3-イル)-3-(2-(5-(2-(3-メトキシアゼチジン-1-イル)エチル)-2-オキソ-4-(トリフルオロメチル)ピリジン-1(2H)-イル)-4-メチルペンタンアミド)プロパン酸エチル(201mg、0.27mmol、1.00当量)を、LiOH-HO(44mg、1.08mmol、4.00当量)のMeOH(10mL)とHO(5mL)の溶液を用いて室温で2時間処理した。反応混合液を、1N HClを用いてpH4~5に酸性化した。溶媒を真空中で除去し、残留物を分取HPLC A(30~60% CHCN)により精製して、白色固形物として、ジアステレオマー生成物のN-P1(31mg)およびN-P2(41mg)を得た。
N-P1 ESI 704.4(M+H)H NMR(400MHz,MeOD)δ 7.84(s,1H),7.03-6.79(m,5H),5.69-5.58(m,2H),4.21-4.18(m,3H),3.83(s,3H),3.76-3.70(m,2H),3.31(s,3H),3.24-3.20(m,2H),2.84-2.72(m,4H),2.29(s,3H),1.98(t,J=7.6Hz,2H),1.92-1.68(m,6H),1.48-1.41(m,1H),0.98-0.93(m,6H).
N-P2 ESI 704.4(M+H)+. H NMR(400MHz,MeOD)δ 7.76(s,1H),7.05(d,J=8.4Hz,1H),7.01-6.80(m,4H),5.74-5.62(m,2H),4.24(s,3H),3.84(s,3H),3.75-3.66(m,2H),3.31(s,3H),3.30-3.15(m,2H),2.85-2.63(m,4H),2.33(s,3H),2.09-1.89(m,4H),1.86(d,J=3.1Hz,3H),1.74-1.67(m,1H),1.42-1.39(m,1H),0.90(d,J=6.3Hz,6H).
3-16. (3S)-3-(2-(5-(2-(ジメチルアミノ)エチル)-2-オキソ-4-(トリフルオロメチル)ピリジン-1(2H)-イル)-4-メチルペンタンアミド)-3-(4-フルオロ-3’-メトキシ-2’,5,6’-トリメチル-[1,1’-ビフェニル]-3-イル)プロパン酸(化合物U-P1およびU-P2)の調製
工程1:(3S)-3-(2-(5-(2-(ジメチルアミノ)エチル)-2-オキソ-4-(トリフルオロメチル)ピリジン-1(2H)-イル)-4-メチルペンタンアミド)-3-(4-フルオロ-3’-メトキシ-2’,5,6’-トリメチル-[1,1’-ビフェニル]-3-イル)プロパン酸エチル
Figure 0007702004000560
2-(5-(2-(ジメチルアミノ)エチル)-2-オキソ-4-(トリフルオロメチル)ピリジン-1(2H)-イル)-4-メチルペンタン酸(232mg、0.67mmol、1.20当量)、(S)-3-アミノ-3-(4-フルオロ-3’-メトキシ-2’,5,6’-トリメチル-[1,1’-ビフェニル]-3-イル)プロパン酸エチル(200mg、0.56mmol、1.00当量)、NMI(0.5mL)およびTCFH(233mg、0.83mmol、1.50当量)のCHCN(5mL)の混合液を室温で1時間攪拌した。溶媒を真空中で濃縮し、残留物を分取HPLC A(30~60% CH3CN)により精製して、白色固形物として、(3S)-3-(2-(5-(2-(ジメチルアミノ)エチル)-2-オキソ-4-(トリフルオロメチル)ピリジン-1(2H)-イル)-4-メチルペンタンアミド)-3-(4-フルオロ-3’-メトキシ-2’,5,6’-トリメチル-[1,1’-ビフェニル]-3-イル)プロパン酸エチル(250mg)を得た。収率 65%(ESI 690.2 [M+H])。
工程2:(3S)-3-(2-(5-(2-(ジメチルアミノ)エチル)-2-オキソ-4-(トリフルオロメチル)ピリジン-1(2H)-イル)-4-メチルペンタンアミド)-3-(4-フルオロ-3’-メトキシ-2’,5,6’-トリメチル-[1,1’-ビフェニル]-3-イル)プロパン酸
Figure 0007702004000561
(3S)-3-(2-(5-(2-(ジメチルアミノ)エチル)-2-オキソ-4-(トリフルオロメチル)ピリジン-1(2H)-イル)-4-メチルペンタンアミド)-3-(4-フルオロ-3’-メトキシ-2’,5,6’-トリメチル-[1,1’-ビフェニル]-3-イル)プロパン酸エチル(250mg、0.32mmol、1.00当量)を、LiOH-HO(19mg、0.81mmol、2.50当量)のMeOH(5mL)とHO(0.5mL)の溶液を用いて室温で2時間処理した。反応混合液を、1N HClを用いてpH4~5に酸性化した。溶媒を真空中で除去し、残留物を分取HPLC A(30~60% CHCN)により精製して、白色固形物として、ジアステレオマー生成物のU-P1(40.0mg)およびU-P2(55.0mg)を得た。
U-P1 ESI 662.3(M+H)H NMR(400MHz,MeOD)δ 7.90(s,1H),7.04-6.99(m,1H),6.86-6.76(m,4H),5.70-5.66(m,1H),5.58-5.55(m,1H),3.83(s,3H),3.15-3.03(m,2H),2.97-2.93(m,2H),2.74- 2.69(m,8H),2.29(s,3H),2.00-1.96(m,2H),1.92-1.67(m,6H),1.48-1.41(m,1H),0.97-0.93(m,6H).
U-P2 ESI 662.3(M+H)H NMR(400MHz,MeOD)δ 7.84(s,1H),7.05(d,J=8.5Hz,1H),7.03-6.79(m,4H),5.73-5.69(m,1H),5.61(t,J=7.7Hz,1H),3.84(s,3H),3.33-3.22(m,2H),3.01- 2.98(m,2H),2.82(s,6H),2.67- 2.62(m,1H),2.55- 2.49(m,1H),2.32(s,3H),2.24-1.88(m,4H),1.86(d,J=3.1Hz,3H),1.81-1.60(m,1H),1.45-1.37(m,1H),0.90-0.88(m,6H).
3-17. (3S)-3-(2-(5-(2-(ジメチルアミノ)エチル)-2-オキソ-4-(トリフルオロメチル)ピリジン-1(2H)-イル)-4-メチルペンタンアミド)-3-(4-フルオロ-4’-メトキシ-2’,5,6’-トリメチル-[1,1’-ビフェニル]-3-イル)プロパン酸(化合物V-P1およびV-P2)の調製
工程1:(3S)-3-(2-(5-(2-(ジメチルアミノ)エチル)-2-オキソ-4-(トリフルオロメチル)ピリジン-1(2H)-イル)-4-メチルペンタンアミド)-3-(4-フルオロ-4’-メトキシ-2’,5,6’-トリメチル-[1,1’-ビフェニル]-3-イル)プロパン酸エチル
Figure 0007702004000562
2-(5-(2-(ジメチルアミノ)エチル)-2-オキソ-4-(トリフルオロメチル)ピリジン-1(2H)-イル)-4-メチルペンタン酸d(170mg、0.49mmol)、(S)-3-アミノ-3-(4-フルオロ-4’-メトキシ-2’,5,6’-トリメチル-[1,1’-ビフェニル]-3-イル)プロパン酸エチル(176mg、0.49mmol)、NMI(160mg、1.96mmol)およびTCFH(205.8mg、0.74mmol)のCHCN(10mL)の混合液を室温で1.5時間攪拌した。溶媒を真空中で濃縮し、残留物をシリカゲルカラム(DCM:MeOH 9:1)により精製して、黄色固形物として、(3S)-3-(2-(5-(2-(ジメチルアミノ)エチル)-2-オキソ-4-(トリフルオロメチル)ピリジン-1(2H)-イル)-4-メチルペンタンアミド)-3-(4-フルオロ-4’-メトキシ-2’,5,6’-トリメチル-[1,1’-ビフェニル]-3-イル)プロパン酸エチル(131mg)を得た。収率 39%(ESI 690.3 [M+H])。
工程2:(3S)-3-(2-(5-(2-(ジメチルアミノ)エチル)-2-オキソ-4-(トリフルオロメチル)ピリジン-1(2H)-イル)-4-メチルペンタンアミド)-3-(4-フルオロ-4’-メトキシ-2’,5,6’-トリメチル-[1,1’-ビフェニル]-3-イル)プロパン酸
Figure 0007702004000563
(3S)-3-(2-(5-(2-(ジメチルアミノ)エチル)-2-オキソ-4-(トリフルオロメチル)ピリジン-1(2H)-イル)-4-メチルペンタンアミド)-3-(4-フルオロ-4’-メトキシ-2’,5,6’-トリメチル-[1,1’-ビフェニル]-3-イル)プロパン酸エチル(131mg、0.19mmol)を、LiOH-HO(32mg、0.76mmol)のMeOH(10mL)およびHO(5mL)の溶液を用いて室温で2時間処理した。反応混合液を、1N HClを用いてpH4~5に酸性化した。溶媒を真空中で除去し、残留物を分取HPLC A(30~60% CHCN)により精製して、白色固形物として、ジアステレオマー生成物のV-P1(24mg)およびV-P2(15mg)を得た。
V-P1 ESI 662.3(M+H)H NMR(500MHz,MeOD)δ 7.90(s,1H),6.85(t,J=7.6Hz,2H),6.76(s,1H),6.63(d,J=18.7Hz,2H),5.68(t,J=7.9Hz,1H),5.57-5.54(m,1H),3.80(s,3H),3.12-3.02(m,2H),2.98-2.90(m,2H),2.90-2.46(m,8H),2.28(s,3H),2.06-1.94(m,5H),1.80(s,3H),1.48-1.41(m,1H),0.97-0.93(m,6H).
V-P2 ESI 662.3(M+H)H NMR(500MHz,MeOD)δ 7.87(s,1H),6.92-6.90(m,3H),6.67(s,2H),5.73-5.70(m,1H),5.62(t,J=7.6Hz,1H),3.80(s,3H),3.30-3.20(m,2H),3.01-2.97(m,2H),2.83(s,6H),2.70-2.59(m,1H),2.55-2.50(m,1H),2.32(s,3H),1.98(d,J=4.0Hz,7H),1.73-1.68(m,1H),1.43-1.36(m,1H),0.90-0.88(m,6H).
3-18. (3S)-3-(5-クロロ-4-フルオロ-2’,6’-ジメチル-[1,1’-ビフェニル]-3-イル)-3-(2-(5-(2-(3-メトキシアゼチジン-1-イル)エチル)-2-オキソ-4-(トリフルオロメチル)ピリジン-1(2H)-イル)-4-メチルペンタンアミド)プロパン酸(化合物W-P1およびW-P2)の調製
工程1:(3S)-3-(5-クロロ-4-フルオロ-2’,6’-ジメチル-[1,1’-ビフェニル]-3-イル)-3-(2-(5-(2-(3-メトキシアゼチジン-1-イル)エチル)-2-オキソ-4-(トリフルオロメチル)ピリジン-1(2H)-イル)-4-メチルペンタンアミド)プロパン酸エチル
Figure 0007702004000564
2-(5-(2-(3-メトキシアゼチジン-1-イル)エチル)-2-オキソ-4-(トリフルオロメチル)ピリジン-1(2H)-イル)-4-メチルペンタン酸(167mg、0.43mmol)、(S)-3-アミノ-3-(5-クロロ-4-フルオロ-2’,6’-ジメチル-[1,1’-ビフェニル]-3-イル)プロパン酸エチル(150mg、0.43mmol)、TCFH(182mg、0.65mmol)、およびNMI(176mg、2.15mmol)のCHCN(4mL)の混合液を40℃で2時間攪拌した。反応混合液を真空中で濃縮し、C18/40gカラム上の逆相HPLC(A:水 10mM NHHCO、B:MeOH、0~100%)により精製して、黄色油状物として、(3S)-3-(5-クロロ-4-フルオロ-2’,6’-ジメチル-[1,1’-ビフェニル]-3-イル)-3-(2-(5-(2-(3-メトキシアゼチジン-1-イル)エチル)-2-オキソ-4-(トリフルオロメチル)ピリジン-1(2H)-イル)-4-メチルペンタンアミド)プロパン酸エチル(150mg)を得た。収率 48%(ESI 722.2(M+H))。
工程2:(3S)-3-(5-クロロ-4-フルオロ-2’,6’-ジメチル-[1,1’-ビフェニル]-3-イル)-3-(2-(5-(2-(3-メトキシアゼチジン-1-イル)エチル)-2-オキソ-4-(トリフルオロメチル)ピリジン-1(2H)-イル)-4-メチルペンタンアミド)プロパン酸
Figure 0007702004000565
(3S)-3-(5-クロロ-4-フルオロ-2’,6’-ジメチル-[1,1’-ビフェニル]-3-イル)-3-(2-(5-(2-(3-メトキシアゼチジン-1-イル)エチル)-2-オキソ-4-(トリフルオロメチル)ピリジン-1(2H)-イル)-4-メチルペンタンアミド)プロパン酸エチル(150mg、0.21mmol)を、LiOH-HO(42mg、1mmol)のMeOH(3mL)とHO(1mL)の溶液を用いて室温で2時間処理した。反応混合液を、1N HClを用いてpH4~5に酸性化した。溶媒を真空中で除去し、残留物を分取HPLC A(30~60% CHCN)により精製して、白色固形物として、ジアステレオマー生成物のW-P1(46mg)およびW-P2(57mg)を得た。
W-P1 ESI 694.2(M+H)H NMR(400MHz,MeOD)δ 7.85(s,1H),7.21-7.00(m,5H),6.74(s,1H),5.72-5.50(m,2H),4.27-4.08(m,3H),3.80-3.61(m,2H),3.31(s,3H),3.26-3.09(m,2H),2.86-2.70(m,4H),2.09-1.93(m,5H),1.84(s,3H),1.50-1.37(m,1H),1.04-0.83(m,6H).
W-P2 ESI 694.2(M+H)H NMR(400MHz,MeOD)δ 7.75(s,1H),7.26-7.06(m,5H),6.90(s,1H),5.79-5.70(m,1H),5.63(t,J=7.7Hz,1H),4.44-4.22(m,3H),3.98-3.76(m,2H),3.41-3.34(m,5H),2.99-2.74(m,2H),2.70-2.49(m,2H),2.08-1.89(m,7H),1.77-1.62(m,1H),1.48-1.32(m,1H),0.90(d,J=6.4Hz,6H).
3-19. (3S)-3-(5-クロロ-4,4’-ジフルオロ-2’,6’-ジメチル-[1,1’-ビフェニル]-3-イル)-3-(2-(5-(2-(3-メトキシアゼチジン-1-イル)エチル)-2-オキソ-4-(トリフルオロメチル)ピリジン-1(2H)-イル)-4-メチルペンタンアミド)プロパン酸(化合物X-P1およびX-P2)の調製
工程1:(3S)-3-(5-クロロ-4,4’-ジフルオロ-2’,6’-ジメチル-[1,1’-ビフェニル]-3-イル)-3-(2-(5-(2-(3-メトキシアゼチジン-1-イル)エチル)-2-オキソ-4-(トリフルオロメチル)ピリジン-1(2H)-イル)-4-メチルペンタンアミド)プロパン酸塩エチル
Figure 0007702004000566
2-(5-(2-(3-メトキシアゼチジン-1-イル)エチル)-2-オキソ-4-(トリフルオロメチル)ピリジン-1(2H)-イル)-4-メチルペンタン酸(160mg、0.41mmol)、(S)-3-アミノ-3-(5-クロロ-4,4’-ジフルオロ-2’,6’-ジメチル-[1,1’-ビフェニル]-3-イル)プロパン酸エチル(150mg、0.41mmol)、TCFH(174mg、0.62mmol)およびNMI(168mg、2.05mmol)のCHCN(4mL)の混合液を40℃で2時間攪拌した。反応混合液を真空中で濃縮し、C18/40gカラム上の逆相HPLC(A:水 10mM NHHCO、B:MeOH、0~100%)により精製して、黄色油状物として、(3S)-3-(5-クロロ-4,4’-ジフルオロ-2’,6’-ジメチル-[1,1’-ビフェニル]-3-イル)-3-(2-(5-(2-(3-メトキシアゼチジン-1-イル)エチル)-2-オキソ-4-(トリフルオロメチル)ピリジン-1(2H)-イル)-4-メチルペンタンアミド)プロパン酸エチル(150mg)を得た。収率 49%(ESI 740.2(M+H))。
工程2:(3S)-3-(5-クロロ-4,4’-ジフルオロ-2’,6’-ジメチル-[1,1’-ビフェニル]-3-イル)-3-(2-(5-(2-(3-メトキシアゼチジン-1-イル)エチル)-2-オキソ-4-(トリフルオロメチル)ピリジン-1(2H)-イル)-4-メチルペンタンアミド)プロパン酸
Figure 0007702004000567
(3S)-3-(5-クロロ-4,4’-ジフルオロ-2’,6’-ジメチル-[1,1’-ビフェニル]-3-イル)-3-(2-(5-(2-(3-メトキシアゼチジン-1-イル)エチル)-2-オキソ-4-(トリフルオロメチル)ピリジン-1(2H)-イル)-4-メチルペンタンアミド)プロパン酸エチル(150mg、0.20mmol)を、LiOH-HO(42mg、1mmol)のMeOH(3mL)とHO(1mL)の溶液を用いて室温で2時間処理した。反応混合液を、1N HClを用いてpH4~5に酸性化した。溶媒を真空中で除去し、残留物を分取HPLC A(30~60% CHCN)により精製して、白色固形物として、ジアステレオマー生成物のX-P1(35mg)およびX-P2(49mg)を得た。
X-P1 ESI 712.2(M+H)H NMR(400MHz,MeOD)δ 7.85(s,1H),7.13(d,J=6.6Hz,1H),7.07-7.00(m,1H),6.90-6.79(m,2H),6.74(s,1H),5.72-5.48(m,2H),4.26-4.07(m,3H),3.80-3.64(m,2H),3.32(s,3H),3.19(t,J=6.2Hz,2H),2.86-2.71(m,4H),2.08-1.95(m,5H),1.86(d,J=4.4Hz,3H),1.51-1.36(m,1H),1.01-0.88(m,6H).
X-P2 ESI 712.2(M+H)H NMR(400MHz,MeOD)δ 7.74(s,1H),7.25-7.16(m,1H),7.15-7.05(m,1H),6.93-6.83(m,3H),5.81-5.68(m,1H),5.63(t,J=7.7Hz,1H),4.44-4.23(m,3H),3.95-3.78(m,2H),3.40-3.34(m,5H),3.00-2.75(m,2H),2.70-2.47(m,2H),2.08-1.93(m,7H),1.76-1.64(m,1H),1.47-1.33(m,1H),0.96-0.84(m,6H).
3-20. (3S)-3-(4,4’-ジフルオロ-2’,5,6’-トリメチルビフェニル-3-イル)-3-(2-(5-(2-(ジメチルアミノ)エチル)-2-オキソ-4-(トリフルオロメチル)ピリジン-1(2H)-イル)-5-メチルヘキサンアミド)プロパン酸(化合物Y-P1およびY-P2)の調製
工程1:(3S)-エチル 3-(4,4’-ジフルオロ-2’,5,6’-トリメチルビフェニル-3-イル)-3-(2-(5-(2-(ジメチルアミノ)エチル)-2-オキソ-4-(トリフルオロメチル)ピリジン-1(2H)-イル)-5-メチルヘキサンアミド)プロパン酸塩
Figure 0007702004000568
2-(5-(2-(ジメチルアミノ)エチル)-2-オキソ-4-(トリフルオロメチル)ピリジン-1(2H)-イル)-5-メチルヘキサン酸(273mg、0.75mmol)、(S)-エチル 3-アミノ-3-(4,4’-ジフルオロ-2’,5,6’-トリメチルビフェニル-3-イル)プロパン酸塩塩酸塩(164mg、0.39mmol)、TCFH(211mg、0.75mmol)、およびNMI(0.45mL、5.70mmol)のアセトニトリル(9mL)の混合液を室温で16時間攪拌した。反応混合液を真空中で濃縮し、C18/40gカラム上の逆相HPLC(A:水 10mM NHHCO、B:MeOH、0~80%)により精製して、褐色固形物として、(3S)-エチル 3-(4,4’-ジフルオロ-2’,5,6’-トリメチルビフェニル-3-イル)-3-(2-(5-(2-(ジメチルアミノ)エチル)-2-オキソ-4-(トリフルオロメチル)ピリジン-1(2H)-イル)-5-メチルヘキサンアミド)プロパン酸塩(262mg)を得た。収率 97%(ESI 692.3(M+H))。
工程2:(3S)-3-(4,4’-ジフルオロ-2’,5,6’-トリメチルビフェニル-3-イル)-3-(2-(5-(2(ジメチルアミノ)エチル)-2-オキソ-4-(トリフルオロメチル)ピリジン-1(2H)-イル)-5-メチルヘキサンアミド)プロパン酸
Figure 0007702004000569
(3S)-エチル 3-(4,4’-ジフルオロ-2’,5,6’-トリメチルビフェニル-3-イル)-3-(2-(5-(2-(ジメチルアミノ)エチル)-2-オキソ-4-(トリフルオロメチル)ピリジン-1(2H)-イル)-5-メチルヘキサンアミド)プロパン酸塩(262mg、0.38mmol)を、LiOH一水和物(80mg、1.90mmol)のEtOH(6mL)とHO(0.10mL)の溶液を用いて36℃で1時間処理した。反応混合液を、1N HClを用いてpH4~5に酸性化した。反応混合液を真空中で濃縮し、分取HPLC A(30~60% MeCN)により精製して、白色固形物として、ジアステレオマー生成物のY-P1(68mg)およびY-P2(66mg)を得た。
Y-P1 ESI 664.2(M+H). 1H NMR(400MHz,MeOD)δ 7.89(s,1H),6.87-6.85(m,1H),6.83-6.78(m,2H),6.76-6.73(m,1H),6.70(s,1H),5.56-5.52(m,1H),5.50-5.46(m,1H),3.10-3.03(m,2H),2.95-2.91(m,2H),2.75-2.66(m,8H),2.26(d,J=1.2Hz,3H),2.22-2.14(m,1H),2.00-1.92(m,4H),1.78(s,3H),1.60-1.53(m,1H),1.29-1.18(m,1H),1.13-1.04(m,1H),0.88(d,J=2.8Hz,3H),0.86(d,J=2.8Hz,3H).
Y-P2 ESI 664.2(M+H)+. H NMR(400MHz,MeOD)δ 7.92(s,1H),6.95-6.93(m,1H),6.91-6.88(m,1H),6.87(s,1H),6.82(s,1H),6.80(s,1H),5.72-5.68(m,1H),5.47(t,J=7.6Hz,1H),3.24-3.12(m,2H),3.02-2.93(m,2H),2.78(t,J=5.8Hz,6H),2.67-2.62(m,1H),2.58-2.52(m,1H),2.30(d,J=1.6Hz,3H),2.13-2.04(m,1H),2.00(s,3H),1.99(s,3H),1.84-1.75(m,1H),1.52-1.44(m,1H),1.15-0.99(m,2H),0.80(d,J=4.0Hz,3H),0.77(d,J=4.5Hz,3H).
3-21. (3S)-3-(2-(5-(2-(ジメチルアミノ)エチル)-2-オキソ-4-(トリフルオロメチル)ピリジン-1(2H)-イル)-5-メチルヘキサンアミド)-3-(4-フルオロ-2’,5,6’-トリメチル-[1,1’-ビフェニル]-3-イル)プロパン酸(化合物Z-P1およびZ-P2)の調製
工程1:(3S)-エチル 3-(2-(5-(2-(ジメチルアミノ)エチル)-2-オキソ-4-(トリフルオロメチル)ピリジン-1(2H)-イル)-5-メチルヘキサンアミド)-3-(4-フルオロ-2’,5,6’-トリメチルビフェニル-3-イル)プロパン酸塩
Figure 0007702004000570
2-(5-(2-(ジメチルアミノ)エチル)-2-オキソ-4-(トリフルオロメチル)ピリジン-1(2H)-イル)-5-メチルヘキサン酸(283mg、0.78mmol)、(S)-エチル 3-アミノ-3-(4-フルオロ-2’,5,6’-トリメチルビフェニル-3-イル)プロパン酸塩塩酸塩(170mg、0.46mmol)、TCFH(248mg、0.88mmol)、およびNMI(0.21mL、2.63mmol)のアセトニトリル(10mL)の混合液を室温で20時間攪拌した。反応混合液を真空中で濃縮し、C18/40gカラム上の逆相HPLC(A:水 10mM NHHCO、B:MeOH、0~100%)により精製して、褐色固形物として、(3S)-エチル 3-(2-(5-(2-(ジメチルアミノ)エチル)-2-オキソ-4-(トリフルオロメチル)ピリジン-1(2H)-イル)-5-メチルヘキサンアミド)-3-(4-フルオロ-2’,5,6’-トリメチルビフェニル-3-イル)プロパン酸塩(223mg)を得た。収率 71%(ESI 674.3(M+H))。
工程2:(3S)-3-(2-(5-(2-(ジメチルアミノ)エチル)-2-オキソ-4-(トリフルオロメチル)ピリジン-1(2H)-イル)-5-メチルヘキサンアミド)-3-(4-フルオロ-2’,5,6’-トリメチル-[1,1’-ビフェニル]-3-イル)プロパン酸
Figure 0007702004000571
(3S)-エチル 3-(2-(5-(2-(ジメチルアミノ)エチル)-2-オキソ-4-(トリフルオロメチル)ピリジン-1(2H)-イル)-5-メチルヘキサンアミド)-3-(4-フルオロ-2’,5,6’-トリメチルビフェニル-3-イル)プロパン酸塩(223mg、0.33mmol)を、LiOH一水和物(35mg、0.82mmol)のEtOH(6mL)とHO(0.08mL)の溶液を用いて36℃で1時間処理した。反応混合液を、1N HClを用いてpH4~5に酸性化した。反応混合液を真空中で濃縮し、分取HPLC A(30~60% MeCN)により精製して、白色固形物として、ジアステレオマー生成物のZ-P1(60mg)およびZ-P2(59mg)を得た。
Z-P1 ESI 646.3(M+H)H NMR(400MHz,MeOD)δ 7.89(s,1H),7.09(t,J=7.4Hz,1H),7.04(d,J=6.8Hz,1H),7.00(d,J=7.2Hz,1H),6.89-6.87(m,1H),6.84(d,J=7.0Hz,1H),6.71(s,1H),5.57-5.54(m,1H),5.51-5.47(m,1H),3.12-3.02(m,2H),2.93(t,J=7.9Hz,2H),2.74(s,6H),2.73-2.69(m,2H),2.27(d,J=1.4Hz,3H),2.24-2.14(m,1H),2.02-1.90(m,4H),1.79(s,3H),1.61-1.51(m,1H),1.27-1.18(m,1H),1.13-1.03(m,1H),0.88(d,J=2.4Hz,3H),0.86(d,J=2.4Hz,3H).
Z-P2 ESI 646.3(M+H)+. H NMR(400MHz,MeOD)δ 7.87(s,1H),7.13-7.05(m,3H),6.94-6.88(m,3H),5.73-5.69(m,1H),5.45(t,J=7.6Hz,1H),3.27-3.15(m,2H),2.98(t,J=6.8Hz,2H),2.80(s,6H),2.66-2.61(m,1H),2.55-2.49(m,1H),2.31(d,J=1.2Hz,3H),2.14-2.05(m,1H),1.99(d,J=2.6Hz,6H),1.82-1.73(m,1H),1.56-1.46(m,1H),1.16-0.99(m,2H),0.81(t,J=6.5Hz,6H).
3-22. (3S)-3-(4-フルオロ-2’,4’,5,6’-テトラメチル-[1,1’-ビフェニル]-3-イル)-3-(2-(5-(2-(3-メトキシアゼチジン-1-イル)エチル)-2-オキソ-4-(トリフルオロメチル)ピリジン-1(2H)-イル)-4-メチルペンタンアミド)プロパン酸(化合物AA-P1およびAA-P2)の調製
工程1:(3S)-3-(4-フルオロ-2’,4’,5,6’-テトラメチル-[1,1’-ビフェニル]-3-イル)-3-(2-(5-(2-(3-メトキシアゼチジン-1-イル)エチル)-2-オキソ-4-(トリフルオロメチル)ピリジン-1(2H)-イル)-4-メチルペンタンアミド)プロパン酸エチル
Figure 0007702004000572
2-(5-(2-(3-メトキシアゼチジン-1-イル)エチル)-2-オキソ-4-(トリフルオロメチル)ピリジン-1(2H)-イル)-4-メチルペンタン酸(168mg、0.43mmol)、(S)-3-アミノ-3-(4-フルオロ-2’,4’,5,6’-テトラメチル-[1,1’-ビフェニル]-3-イル)プロパン酸エチル(150mg、0.43mmol)、TCFH(182mg、0.65mmol)、およびNMI(177mg、2.2mmol)のCHCN(4mL)の混合液を40℃で2時間攪拌した。反応混合液を真空中で濃縮し、C18/40gカラム上の逆相HPLC(A:水 10mM NHHCO、B:MeOH、0~100%)により精製して、黄色油状物として、(3S)-3-(4-フルオロ-2’,4’,5,6’-テトラメチル-[1,1’-ビフェニル]-3-イル)-3-(2-(5-(2-(3-メトキシアゼチジン-1-イル)エチル)-2-オキソ-4-(トリフルオロメチル)ピリジン-1(2H)-イル)-4-メチルペンタンアミド)プロパン酸エチル(160mg)を得た。収率 51%(ESI 716.2(M+H))。
工程2:(3S)-3-(4-フルオロ-2’,4’,5,6’-テトラメチル-[1,1’-ビフェニル]-3-イル)-3-(2-(5-(2-(3-メトキシアゼチジン-1-イル)エチル)-2-オキソ-4-(トリフルオロメチル)ピリジン-1(2H)-イル)-4-メチルペンタンアミド)プロパン酸
Figure 0007702004000573
(3S)-3-(4-フルオロ-2’,4’,5,6’-テトラメチル-[1,1’-ビフェニル]-3-イル)-3-(2-(5-(2-(3-メトキシアゼチジン-1-イル)エチル)-2-オキソ-4-(トリフルオロメチル)ピリジン-1(2H)-イル)-4-メチルペンタンアミド)プロパン酸エチル(160mg、0.22mmol)を、LiOH-HO(42mg、1mmol)のMeOH(3mL)とHO(1mL)の溶液を用いて室温で2時間処理した。反応混合液を、1N HClを用いてpH4~5に酸性化した。溶媒を真空中で除去し、残留物を分取HPLC A(30~60% CHCN)により精製して、白色固形物として、ジアステレオマー生成物のAA-P1(46mg)およびAA-P2(61mg)を得た。
AA-P1 ESI 688.3(M+H)H NMR(400MHz,MeOD)δ 7.83(s,1H),6.97-6.81(m,4H),6.75(s,1H),5.75-5.52(m,2H),4.20-4.00(m,3H),3.61(d,J=11.2Hz,2H),3.30(s,3H),3.14(t,J=6.9Hz,2H),2.87-2.66(m,4H),2.29(s,6H),2.04-1.90(m,5H),1.80(s,3H),1.50-1.38(m,1H),1.05-0.88(m,6H).
AA-P2 ESI 688.3(M+H)H NMR(400MHz,MeOD)δ 7.74(s,1H),6.97-6.84(m,5H),5.80-5.69(m,1H),5.62(t,J=7.7Hz,1H),4.46-4.21(m,3H),3.93-3.76(m,2H),3.40-3.34(m,5H),3.04-2.76(m,2H),2.70-2.45(m,2H),2.38-2.21(m,6H),2.07-1.88(m,7H),1.75-1.61(m,1H),1.49-1.33(m,1H),1.03-0.83(m,6H).
3-23. (3S)-3-(4-フルオロ-2’,5,6’-トリメチル-[1,1’-ビフェニル]-3-イル)-3-(2-(5-(2-(3-メトキシアゼチジン-1-イル)エチル)-2-オキソ-4-(トリフルオロメチル)ピリジン-1(2H)-イル)-4-メチルペンタンアミド)プロパン酸(化合物AB-P1およびAB-P2)の調製
工程1:(3S)-3-(4-フルオロ-2’,5,6’-トリメチル-[1,1’-ビフェニル]-3-イル)-3-(2-(5-(2-(3-メトキシアゼチジン-1-イル)エチル)-2-オキソ-4-(トリフルオロメチル)ピリジン-1(2H)-イル)-4-メチルペンタンアミド)プロパン酸エチル
Figure 0007702004000574
2-(5-(2-(3-メトキシアゼチジン-1-イル)エチル)-2-オキソ-4-(トリフルオロメチル)ピリジン-1(2H)-イル)-4-メチルペンタン酸(180mg、0.46mmol)、(S)-3-アミノ-3-(4-フルオロ-2’,5,6’-トリメチル-[1,1’-ビフェニル]-3-イル)プロパン酸エチル(150mg、0.46mmol)、TCFH(193mg、0.69mmol)およびNMI(188mg、2.3mmol)のCHCN(4mL)の混合液を40℃で2時間攪拌した。反応混合液を真空中で濃縮し、C18/40gカラム上の逆相HPLC(A:水 10mM NHHCO、B:MeOH、0~100%)により精製して、黄色油状物として、(3S)-3-(4-フルオロ-2’,5,6’-トリメチル-[1,1’-ビフェニル]-3-イル)-3-(2-(5-(2-(3-メトキシアゼチジン-1-イル)エチル)-2-オキソ-4-(トリフルオロメチル)ピリジン-1(2H)-イル)-4-メチルペンタンアミド)プロパン酸エチル(140mg)を得た。収率 43%(ESI 702.1(M+H))。
工程2:(3S)-3-(4-フルオロ-2’,5,6’-トリメチル-[1,1’-ビフェニル]-3-イル)-3-(2-(5-(2-(3-メトキシアゼチジン-1-イル)エチル)-2-オキソ-4-(トリフルオロメチル)ピリジン-1(2H)-イル)-4-メチルペンタンアミド)プロパン酸
Figure 0007702004000575
(3S)-3-(4-フルオロ-2’,5,6’-トリメチル-[1,1’-ビフェニル]-3-イル)-3-(2-(5-(2-(3-メトキシアゼチジン-1-イル)エチル)-2-オキソ-4-(トリフルオロメチル)ピリジン-1(2H)-イル)-4-メチルペンタンアミド)プロパン酸エチル(140mg、0.20mmol)を、LiOH-HO(42mg、1mmol)のMeOH(3mL)とHO(1mL)の溶液を用いて室温で2時間処理した。反応混合液を、1N HClを用いてpH4~5に酸性化した。溶媒を真空中で除去し、残留物を分取HPLC A(30~60% CHCN)により精製して、白色固形物として、ジアステレオマー生成物のAB-P1(34mg)およびAB-P2(46mg)を得た。
AB-P1 ESI 674.3(M+H)H NMR(400MHz,MeOD)δ 7.84(s,1H),7.16-6.98(m,3H),6.88(t,J=7.5Hz,2H),6.76(s,1H),5.74-5.53(m,2H),4.24-4.04(m,3H),3.70-3.53(m,2H),3.30(s,3H),3.14(t,J=7.1Hz,2H),2.84-2.66(m,4H),2.30(s,3H),2.03-1.91(m,5H),1.84(s,3H),1.52-1.34(m,1H),1.14-0.86(m,6H).
AB-P2 ESI 674.3(M+H)H NMR(400MHz,MeOD)δ 7.75(s,1H),7.20-7.06(m,3H),7.00-6.86(m,3H),5.84-5.71(m,1H),5.62(t,J=7.7Hz,1H),4.46-4.22(m,3H),3.97-3.75(m,2H),3.42-3.34(m,5H),3.00-2.76(m,2H),2.69-2.45(m,2H),2.34(d,J=1.7Hz,3H),2.09-1.92(m,7H),1.71-1.59(m,1H),1.49-1.35(m,1H),1.04-0.83(m,6H).
3-24. (3S)-3-(2-(5-(2-(ジメチルアミノ)エチル)-2-オキソ-4-(トリフルオロメチル)ピリジン-1(2H)-イル)-4-メチルペンタンアミド)-3-(4-フルオロ-2’,4’,5,6’-テトラメチルビフェニル-3-イル)プロパン酸(化合物AC-P1およびAC-P2)の調製
工程1:(3S)-エチル 3-(2-(5-(2-(ジメチルアミノ)エチル)-2-オキソ-4-(トリフルオロメチル)ピリジン-1(2H)-イル)-4-メチルペンタンアミド)-3-(4-フルオロ-2’,4’,5,6’-テトラメチルビフェニル-3-イル)プロパン酸塩
Figure 0007702004000576
2-(5-(2-(ジメチルアミノ)エチル)-2-オキソ-4-(トリフルオロメチル)ピリジン-1(2H)-イル)-4-メチルペンタン酸(150mg、0.43mmol、1.0当量)、(S)-エチル 3-アミノ-3-(4-フルオロ-2’,4’,5,6’-テトラメチルビフェニル-3-イル)プロパン酸塩(148mg、0.361mg、1.29mmol、3当量)、TCHF(361mg、1.29mmol、3当量)およびNMI(176mg、2.15mmol、5.0当量)のCHCN(5mL)の混合液を室温で16時間攪拌した。LCMSは、反応が完了したことを示した。溶媒を真空中で濃縮し、残留物をC18/40gカラムでの逆相HPLC(A:水 10mM NHHCO、B:MeOH、0~100%)により精製して、黄色固形物として、(3S)-エチル 3-(2-(5-(2-(ジメチルアミノ)エチル)-2-オキソ-4-(トリフルオロメチル)ピリジン-1(2H)-イル)-4-メチルペンタンアミド)-3-(4-フルオロ-2’,4’,5,6’-テトラメチルビフェニル-3-イル)プロパン酸塩(130mg)を得た。収率 45%(ESI 674.2 [M+H])。
工程2:(3S)-3-(2-(5-(2-(ジメチルアミノ)エチル)-2-オキソ-4-(トリフルオロメチル)ピリジン-1(2H)-イル)-4-メチルペンタンアミド)-3-(4-フルオロ-2’,4’,5,6’-テトラメチルビフェニル-3-イル)プロパン酸
Figure 0007702004000577
(3S)-エチル 3-(2-(5-(2-(ジメチルアミノ)エチル)-2-オキソ-4-(トリフルオロメチル)ピリジン-1(2H)-イル)-4-メチルペンタンアミド)-3-(4-フルオロ-2’,4’,5,6’-テトラメチルビフェニル-3-イル)プロパン酸塩(130mg、0.19mmol、1.0当量)を、LiOH-HO(40mg、0.95mmol、5.0当量)のMeOH(4mL)と水(1mL)の溶液を用いて28℃で1時間処理した。LCMSは、反応が完了したことを示した。反応混合液を、1N HClを用いてpH5~6に酸性化した。溶媒を真空中で除去し、残留物を分取HPLC A(30~60% MeCN)により精製して、白色固形物として、ジアステレオマー生成物のAC-P1(42mg)およびAC-P2(34mg)を得た。
AC-P1 ESI 646.3(M+H)+. H NMR(400MHz,MeOD)δ 7.90(s,1H),6.89(s,1H),6.84(d,J=8.0Hz,3H),6.74(s,1H),5.68(t,J=8.0Hz,1H),5.57-5.54(m,1H),3.12-3.06(m,2H),2.95(d,J=7.4Hz,2H),2.78-2.67(m,8H),2.29(d,J=4.2Hz,6H),2.02-1.93(m,5H),1.77(s,3H),1.47-1.41(m,1H),0.97-0.93(m,6H).
AC-P2 ESI 646.3(M+H)+. H NMR(400MHz,MeOD)δ 7.87(s,1H),6.90(d,J=5.8Hz,5H),5.73-5.70(m,1H),5.62(t,J=7.6Hz,1H),3.30-3.17(m,2H),3.00(t,J=6.5Hz,2H),2.82(s,6H),2.66-2.60(m,1H),2.55-2.49(m,1H),2.31(d,J=7.7Hz,6H),2.01-1.96(m,7H),1.76-1.66(m,1H),1.43-1.36(m,1H),0.93-0.84(m,6H).
3-25. (3S)-3-(4,4’-ジフルオロ-2’,5,6’-トリメチル-[1,1’-ビフェニル]-3-イル)-3-(2-(5-(2-(ジメチルアミノ)エチル)-2-オキソ-4-(トリフルオロメチル)ピリジン-1(2H)-イル)ペンタンアミド)プロパン酸(化合物AD-P1およびAD-P2)の調製
工程1:(3S)-3-(4,4’-ジフルオロ-2’,5,6’-トリメチル-[1,1’-ビフェニル]-3-イル)-3-(2-(5-(2-(ジメチルアミノ)エチル)-2-オキソ-4-(トリフルオロメチル)ピリジン-1(2H)-イル)ペンタンアミド)プロパン酸エチル
Figure 0007702004000578
(S)-3-アミノ-3-(4,4’-ジフルオロ-2’,5,6’-トリメチル-[1,1’-ビフェニル]-3-イル)プロパン酸エチル(150mg、0.43mmol)、2-(5-(2-(ジメチルアミノ)エチル)-2-オキソ-4-(トリフルオロメチル)ピリジン-1(2H)-イル)-4-メチルペンタン酸(174mg、0.52mmol)、TCFH(180mg、0.64mmol)およびNMI(70mg、0.86mmol)のCHCN(5mL)の混合液を20℃で2時間攪拌した。反応混合液を真空中で濃縮し、C18/40gカラム上の逆相HPLC(A:水 10mM NHHCO、B:MeOH、0~100%)により精製して、黄色油状物として、(3S)-3-(4,4’-ジフルオロ-2’,5,6’-トリメチル-[1,1’-ビフェニル]-3-イル)-3-(2-(5-(2-(ジメチルアミノ)エチル)-2-オキソ-4-(トリフルオロメチル)ピリジン-1(2H)-イル)ペンタンアミド)プロパン酸エチル(200mg)を得た。収率 70%(ESI 664.3(M+H))。
工程2:(3S)-3-(4,4’-ジフルオロ-2’,5,6’-トリメチル-[1,1’-ビフェニル]-3-イル)-3-(2-(5-(2-(ジメチルアミノ)エチル)-2-オキソ-4-(トリフルオロメチル)ピリジン-1(2H)-イル)ペンタンアミド)プロパン酸
Figure 0007702004000579
(3S)-3-(4,4’-ジフルオロ-2’,5,6’-トリメチル-[1,1’-ビフェニル]-3-イル)-3-(2-(5-(2-(ジメチルアミノ)エチル)-2-オキソ-4-(トリフルオロメチル)ピリジン-1(2H)-イル)ペンタンアミド)プロパン酸エチル(200mg、0.3mmol)を、LiOH-HO(37mg、0.9mmol)のMeOH(2mL)とHO(1mL)の溶液を用いて室温で2時間処理した。反応混合液を、1N HClを用いてpH4~5に酸性化した。溶媒を真空中で除去し、残留物を分取HPLC A(30~60% MeCN)により精製して、白色固形物として、ジアステレオマー生成物のAD-P1(57mg)およびAD-P2(51mg)を得た。
AD-P1 ESI 636.2(M+H)H NMR(500MHz,MeOD)δ 7.90(s,1H),6.89-6.77(m,4H),6.74(s,1H),5.58-5.55(m,2H),3.16-3.13(m,2H),2.98-2.95(m,2H),2.81(s,6H),2.75-2.72(m,2H),2.29(s,3H),2.18-2.12(m,1H),2.01-2.00(m,4H),1.82(m,3H),1.36-1.31(m,2H),0.97(t,J=7.4Hz,3H).
AD-P2 ESI 636.2(M+H)H NMR(500MHz,MeOD)δ 7.84(s,1H),6.93-6.89(m,3H),6.84(d,J=9.6Hz,2H),5.72-5.69(m,1H),5.52(t,J=7.6Hz,1H),3.28-3.22(m,2H),3.02-2.99(m,2H),2.83(s,6H),2.65-2.61(m,1H),2.55-2.50(m,1H),2.32(t,J=6.4Hz,3H),2.10-2.05(m,1H),2.01(s,6H),1.84-1.79(m,1H),1.25-1.23(m,2H),0.90(t,J=7.4Hz,3H).
3-26. (3S)-3-(2’,6’-ジクロロ-4,4’-ジフルオロ-5-メチル-[1,1’-ビフェニル]-3-イル)-3-(2-(5-(2-(ジメチルアミノ)エチル)-2-オキソ-4-(トリフルオロメチル)ピリジン-1(2H)-イル)-4-メチルペンタンアミド)プロパン酸(化合物AE-P1およびAE-P2)の調製
工程1:(3S)-3-(2’,6’-ジクロロ-4,4’-ジフルオロ-5-メチル-[1,1’-ビフェニル]-3-イル)-3-(2-(5-(2-(ジメチルアミノ)エチル)-2-オキソ-4-(トリフルオロメチル)ピリジン-1(2H)-イル)-4-メチルペンタンアミド)プロパン酸エチル
Figure 0007702004000580
(S)-3-アミノ-3-(2’,6’-ジクロロ-4,4’-ジフルオロ-5-メチル-[1,1’-ビフェニル]-3-イル)プロパン酸エチル塩酸塩(450mg、1.06mmol)、2-(5-(2-(ジメチルアミノ)エチル)-2-オキソ-4-(トリフルオロメチル)ピリジン-1(2H)-イル)-4-メチルペンタン酸(370mg、1.06mmol)、TCFH(356mg、1.27mmol)およびNMI(261mg、3.18mmol)のCHCN(10mL)の混合液を室温で1時間攪拌した。溶媒を真空中で除去し、残留物をシリカゲルカラム(DCM:MeOH 4:1)により精製して、褐色固形物として、(3S)-3-(2’,6’-ジクロロ-4,4’-ジフルオロ-5-メチル-[1,1’-ビフェニル]-3-イル)-3-(2-(5-(2-(ジメチルアミノ)エチル)-2-オキソ-4-(トリフルオロメチル)ピリジン-1(2H)-イル)-4-メチルペンタンアミド)プロパン酸エチル(610mg)を得た。収率 80%(ESI 718.0(M+H))。
工程2:(3S)-3-(2’,6’-ジクロロ-4,4’-ジフルオロ-5-メチル-[1,1’-ビフェニル]-3-イル)-3-(2-(5-(2-(ジメチルアミノ)エチル)-2-オキソ-4-(トリフルオロメチル)ピリジン-1(2H)-イル)-4-メチルペンタンアミド)プロパン酸
Figure 0007702004000581
(3S)-3-(2’,6’-ジクロロ-4,4’-ジフルオロ-5-メチル-[1,1’-ビフェニル]-3-イル)-3-(2-(5-(2-(ジメチルアミノ)エチル)-2-オキソ-4-(トリフルオロメチル)ピリジン-1(2H)-イル)-4-メチルペンタンアミド)プロパン酸エチル(110mg、0.15mmol)を、LiOH-HO(32mg、0.75mmol)のTHF(3mL)とHO(1mL)の溶液を用いて室温で3時間処理した。反応混合液を、1N HClを用いてpH4~5に酸性化した。溶媒を真空中で除去し、残留物を分取HPLC A(30~60% MeCN)により精製して、白色固形物として、ジアステレオマー生成物のAE-P1(29.0mg)およびAE-P2(31.0mg)を得た。
AE-P1 ESI 690.0(M+H)H NMR(400MHz,MeOD)δ 7.89(s,1H),7.38-7.5(m,1H),7.29-7.25(m,1H),6.99(t,J=7.5Hz,2H),6.77(s,1H),5.71(t,J=8.0Hz,1H),5.60-5.56(m,1H),3.05-2.91(m,4H),2.80-2.60(m,8H),2.29(t,J=0.8Hz,3H),1.99(t,J=7.5Hz,2H),1.49-1.42(m,1H),0.98-0.93(m,6H).
AE-P2 ESI 690.0(M+H)H NMR(400MHz,MeOD)δ 7.88(s,1H),7.37(t,J=9.0Hz,2H),7.09-7.03(m,2H),6.92(s,1H),5.76-5.72(m,1H),5.65(t,J=7.7Hz,1H),3.29-3.10(m,2H),3.00(t,J=6.6Hz,2H),2.80(s,6H),2.66-2.61(m,1H),2.56-2.50(m,1H),2.34(d,J=1.4Hz,3H),2.01-1.94(m,1H),1.77-1.61(m,1H),1.43-1.37(m,1H),0.90-0.87(m,6H).
3-27. (3S)-3-(2-(5-(2-(アゼチジン-1-イル)エチル)-2-オキソ-4-(トリフルオロメチル)ピリジン-1(2H)-イル)-4-メチルペンタンアミド)-3-(3’,4-ジフルオロ-2’,5,6’-トリメチル-[1,1’-ビフェニル]-3-イル)プロパン酸(化合物AF-P1およびAF-P2)の調製
工程1:(3S)-3-(2-(5-(2-(アゼチジン-1-イル)エチル)-2-オキソ-4-(トリフルオロメチル)ピリジン-1(2H)-イル)-4-メチルペンタンアミド)-3-(3’,4-ジフルオロ-2’,5,6’-トリメチル-[1,1’-ビフェニル]-3-イル)プロパン酸エチル
Figure 0007702004000582
(S)-3-アミノ-3-(3’,4-ジフルオロ-2’,5,6’-トリメチル-[1,1’-ビフェニル]-3-イル)プロパン酸エチル(120.0mg、0.34mmol)、2-(5-(2-(アゼチジン-1-イル)エチル)-2-オキソ-4-(トリフルオロメチル)ピリジン-1(2H)-イル)-4-メチルペンタン酸(122.4mg、0.34mmol)、TCFH(190.4mg、0.68mmol)、NMI(115.5mg、1.36mmol)のCHCN(5mL)の混合液を室温で2時間攪拌した。溶媒を真空中で濃縮し、残留物をC18/40gカラムでの逆相HPLC(A:水 10mM NHHCO、B:MeOH、0~100%)により精製して、白色油状物として、(3S)-3-(2-(5-(2-(アゼチジン-1-イル)エチル)-2-オキソ-4-(トリフルオロメチル)ピリジン-1(2H)-イル)-4-メチルペンタンアミド)-3-(3’,4-ジフルオロ-2’,5,6’-トリメチル-[1,1’-ビフェニル]-3-イル)プロパン酸エチル(90.0mg)を得た。収率 38%(ESI 690.3(M+H))。
工程2:(3S)-3-(2-(5-(2-(アゼチジン-1-イル)エチル)-2-オキソ-4-(トリフルオロメチル)ピリジン-1(2H)-イル)-4-メチルペンタンアミド)-3-(3’,4-ジフルオロ-2’,5,6’-トリメチル-[1,1’-ビフェニル]-3-イル)プロパン酸
Figure 0007702004000583
(3S)-3-(2-(5-(2-(アゼチジン-1-イル)エチル)-2-オキソ-4-(トリフルオロメチル)ピリジン-1(2H)-イル)-4-メチルペンタンアミド)-3-(3’,4-ジフルオロ-2’,5,6’-トリメチル-[1,1’-ビフェニル]-3-イル)プロパン酸エチル(90mg、0.13mmol)を、LiOH-HO(22mg、0.52mmol)のMeOH(4mL)とHO(1mL)の溶液を用いて室温で2時間処理した。反応混合液を、1N HClを用いてpH4~5に酸性化した。溶媒を真空中で除去し、残留物を分取HPLC A(30~60% MeCN)により精製して、白色固形物として、ジアステレオマー生成物のAF-P1(15mg)およびAF-P2(15mg)を得た。
AF-P1 ESI 662.2(M+H)H NMR(400MHz,MeOD)δ 7.84(s,1H),7.14-7.01(m,1H),7.00-6.84(m,3H),6.79(d,J=7.3Hz,1H),5.70-5.51(m,2H),4.13-3.94(m,4H),3.28-3.18(m,2H),2.86(t,J=6.9Hz,2H),2.72(d,J=6.5Hz,2H),2.54-2.37(m,2H),2.31(s,3H),2.06-1.95(m,3H),1.96-1.70(m,5H),1.50-1.32(m,1H),1.01-0.83(m,6H).
AF-P2 ESI 662.2(M+H)H NMR(400MHz,MeOD)δ 7.74(s,1H),7.19-7.04(m,1H),7.03-6.82(m,4H),5.85-5.70(m,1H),5.61(t,J=7.6Hz,1H),4.13(t,J=7.5Hz,4H),3.41(s,2H),2.94(d,J=15.8Hz,1H),2.87-2.73(m,1H),2.70-2.58(m,1H),2.56-2.40(m,3H),2.35(d,J=1.5Hz,3H),2.00(t,J=7.6Hz,4H),1.94-1.85(m,3H),1.73-1.57(m,1H),1.48-1.36(m,1H),0.91(d,J=6.6Hz,6H).
3-28. (3S)-3-(2-(5-(2-(アゼチジン-1-イル)エチル)-2-オキソ-4-(トリフルオロメチル)ピリジン-1(2H)-イル)-4-メチルペンタンアミド)-3-(4-フルオロ-3’-メトキシ-2’,5,6’-トリメチル-[1,1’-ビフェニル]-3-イル)プロパン酸(化合物AG-P1およびAG-P2)の調製
工程1:(3S)-3-(2-(5-(2-(アゼチジン-1-イル)エチル)-2-オキソ-4-(トリフルオロメチル)ピリジン-1(2H)-イル)-4-メチルペンタンアミド)-3-(4-フルオロ-3’-メトキシ-2’,5,6’-トリメチル-[1,1’-ビフェニル]-3-イル)プロパン酸エチル
Figure 0007702004000584
2-(5-(2-(アゼチジン-1-イル)エチル)-2-オキソ-4-(トリフルオロメチル)ピリジン-1(2H)-イル)-4-メチルペンタン酸(160mg、0.44mmol、1.0当量)、(S)-3-アミノ-3-(4-フルオロ-3’-メトキシ-2’,5,6’-トリメチル-[1,1’-ビフェニル]-3-イル)プロパン酸エチル(158mg、0.44mmol、1.0当量)、N,N,N,N-テトラメチルクロロホルムアミジニウムヘキサフルオロリン酸塩(246mg、0.88mmol、2当量)およびNMI(144mg、1.76mmol、4.0当量)のCHCN(5mL)の混合液を室温で2時間攪拌した。LCMSは、反応が完了したことを示した。溶媒を真空中で濃縮し、残留物をC18/40gカラムでの逆相HPLC(A:水 10mM NHHCO、B:MeOH、0~100%)により精製して、黄色固形物として、(3S)-3-(2-(5-(2-(アゼチジン-1-イル)エチル)-2-オキソ-4-(トリフルオロメチル)ピリジン-1(2H)-イル)-4-メチルペンタンアミド)-3-(4-フルオロ-3’-メトキシ-2’,5,6’-トリメチル-[1,1’-ビフェニル]-3-イル)プロパン酸エチル(170mg)を得た。収率 55%(ESI 702.1 [M+H])。
工程2:(3S)-3-(2-(5-(2-(アゼチジン-1-イル)エチル)-2-オキソ-4-(トリフルオロメチル)ピリジン-1(2H)-イル)-4-メチルペンタンアミド)-3-(4-フルオロ-3’-メトキシ-2’,5,6’-トリメチル-[1,1’-ビフェニル]-3-イル)プロパン酸
Figure 0007702004000585
(3S)-3-(2-(5-(2-(アゼチジン-1-イル)エチル)-2-オキソ-4-(トリフルオロメチル)ピリジン-1(2H)-イル)-4-メチルペンタンアミド)-3-(4-フルオロ-3’-メトキシ-2’,5,6’-トリメチル-[1,1’-ビフェニル]-3-イル)プロパン酸エチル(170mg、0.24mmol、1.0当量)を、LiOH-HO(40mg、0.96mmol、4.0当量)のMeOH(4mL)と水(1mL)の溶液を用いて30℃で1時間処理した。LCMSは、反応が完了したことを示した。反応混合液を、1N HClを用いてpH5~6に酸性化した。溶媒を真空中で除去し、残留物を分取HPLC A(30~60% MeCN)により精製して、白色固形物として、ジアステレオマー生成物のAG-P1(50.8mg)およびAG-P2(60mg)を得た。
AG-P1 ESI 674.3(M+H)+. H NMR(500MHz,MeOD)δ 7.83(s,1H),7.03(t,J=7.8Hz,1H),6.92-6.76(m,4H),5.63-5.59(m,2H),4.03-3.97(m,4H),3.83(s,3H),3.32-3.24(m,2H),2.86(t,J=6.7Hz,2H),2.72-2.70(m,2H),2.49-2.37(m,2H),2.30(s,3H),1.99(t,J=7.6Hz,2H),1.89(d,J=37.2Hz,3H),1.78(d,J=34.9Hz,3H),1.49-1.34(m,1H),0.96-0.92(m,6H).
AG-P2 ESI 674.2(M+H)+. H NMR(500MHz,MeOD)δ 7.74(s,1H),7.06(d,J=8.3Hz,1H),6.94-6.89(m,3H),6.84(d,J=8.4Hz,1H),5.79-5.76(m,1H),5.60(t,J=7.6Hz,1H),4.14(t,J=8.0Hz,4H),3.84(d,J=1.1Hz,3H),3.50-3.40(m,1H),3.36(d,J=9.5Hz,1H),2.94(d,J=16.2Hz,1H),2.86-2.76(m,1H),2.69-2.61(m,1H),2.57-2.44(m,3H),2.34(d,J=1.3Hz,3H),2.05-1.96(m,1H),1.93(d,J=6.2Hz,3H),1.86(d,J=4.9Hz,3H),1.68-1.63(m,1H),1.45-1.40(m,1H),0.90(d,J=6.3Hz,6H).
3-29. (3S)-3-(2-(5-(2-(ジメチルアミノ)エチル)-2-オキソ-4-(トリフルオロメチル)ピリジン-1(2H)-イル)-4-メチルペンタンアミド)-3-(2’-エチル-4-フルオロ-5,6’-ジメチル-[1,1’-ビフェニル]-3-イル)プロパン酸(化合物AH-P1およびAH-P2)の調製
工程1:(3S)-3-(2-(5-(2-(ジメチルアミノ)エチル)-2-オキソ-4-(トリフルオロメチル)ピリジン-1(2H)-イル)-4-メチルペンタンアミド)-3-(2’-エチル-4-フルオロ-5,6’-ジメチル-[1,1’-ビフェニル]-3-イル)プロパン酸エチル
Figure 0007702004000586
(S)-3-アミノ-3-(2’-エチル-4-フルオロ-5,6’-ジメチル-[1,1’-ビフェニル]-3-イル)プロパン酸エチル(150mg、0.43mmol)、2-(5-(2-(ジメチルアミノ)エチル)-2-オキソ-4-(トリフルオロメチル)ピリジン-1(2H)-イル)-4-メチルペンタン酸(101mg、0.52mmol)、TCFH(180mg、0.64mmol)およびNMI(70mg、0.86mmol)のCHCN(5mL)の混合液を20℃で2時間攪拌した。溶媒を真空中で濃縮し、残留物をC18/40gカラムでの逆相HPLC(A:水 10mM NHHCO、B:MeOH、0~100%)により精製して、黄色油状物として、(3S)-3-(2-(5-(2-(ジメチルアミノ)エチル)-2-オキソ-4-(トリフルオロメチル)ピリジン-1(2H)-イル)-4-メチルペンタンアミド)-3-(2’-エチル-4-フルオロ-5,6’-ジメチル-[1,1’-ビフェニル]-3-イル)プロパン酸エチル(180mg)を得た。収率 62%(ESI 674.2(M+H))。
工程2:(3S)-3-(2-(5-(2-(ジメチルアミノ)エチル)-2-オキソ-4-(トリフルオロメチル)ピリジン-1(2H)-イル)-4-メチルペンタンアミド)-3-(2’-エチル-4-フルオロ-5,6’-ジメチル-[1,1’-ビフェニル]-3-イル)プロパン酸
Figure 0007702004000587
(3S)-3-(2-(5-(2-(ジメチルアミノ)エチル)-2-オキソ-4-(トリフルオロメチル)ピリジン-1(2H)-イル)-4-メチルペンタンアミド)-3-(2’-エチル-4-フルオロ-5,6’-ジメチル-[1,1’-ビフェニル]-3-イル)プロパン酸エチル(150mg、0.22mmol)を、LiOH-HO(28mg、0.66mmol)のMeOH(2mL)とHO(1mL)の溶液を用いて室温で2時間処理した。反応混合液を、1N HClを用いてpH4~5に酸性化した。溶媒を真空中で除去し、残留物を分取HPLC A(30~60% MeCN)により精製して、白色固形物として、ジアステレオマー生成物のAH-P1(66mg)およびAH-P2(46mg)を得た。
AH-P1 ESI 646.3(M+H)H NMR(400MHz,MeOD)δ 7.90(s,1H),7.16-7.05(m,3H),6.90-6.86(m,2H),6.76(d,J=7.9Hz,1H),5.70-5.57(m,2H),3.09(d,J=7.1Hz,2H),2.95(d,J=7.2Hz,2H),2.75-2.70(m,8H),2.34-2.29(m,4H),2.20-2.18(m,1H),2.00-1.96(m,3H),1.79(s,1H),1.47-1.39(m,1H),1.02-0.92(m,8H),0.83(t,J=7.5Hz,2H).
AH-P2 ESI 646.3(M+H)H NMR(400MHz,MeOD)δ 7.84(d,J=6.6Hz,1H),7.18(t,J=7.5Hz,1H),7.12-7.07(m,2H),6.96-6.89(m,3H),5.74-5.70(m,1H),5.61(t,J=7.6Hz,1H),3.31-3.14(m,2H),3.00(t,J=6.7Hz,2H),2.81(d,J=1.2Hz,6H),2.62-2.61(m,1H),2.57-2.44(m,1H),2.36-2.31(m,5H),2.00-1.97(m,4H),1.71-1.65(m,1H),1.42-1.37(m,1H),1.02-0.98(m,3H),0.88(d,J=6.5Hz,6H).
3-30. (3S)-3-(5-クロロ-4-フルオロ-2’,4’,6’-トリメチル-[1,1’-ビフェニル]-3-イル)-3-(2-(5-(2-(ジメチルアミノ)エチル)-2-オキソ-4-(トリフルオロメチル)ピリジン-1(2H)-イル)-4-メチルペンタンアミド)プロパン酸(化合物AI-P1およびAI-P2)の調製
工程1:(3S)-3-(5-クロロ-4-フルオロ-2’,4’,6’-トリメチル-[1,1’-ビフェニル]-3-イル)-3-(2-(5-(2-(ジメチルアミノ)エチル)-2-オキソ-4-(トリフルオロメチル)ピリジン-1(2H)-イル)-4-メチルペンタンアミド)プロパン酸エチル
Figure 0007702004000588
2-(5-(2-(ジメチルアミノ)エチル)-2-オキソ-4-(トリフルオロメチル)ピリジン-1(2H)-イル)-4-メチルペンタン酸(120mg、0.34mmol)、(S)-3-アミノ-3-(5-クロロ-4-フルオロ-2’,4’,6’-トリメチル-[1,1’-ビフェニル]-3-イル)プロパン酸エチル(145mg、0.40mmol)、TCFH(142mg、0.51mmol)、NMI(139.4mg、1.7mmol)のCHCN(4mL)の混合液を室温で1時間攪拌した。溶媒を真空中で濃縮し、残留物をC18/40gカラムでの逆相HPLC(A:水 10mM NHHCO、B:MeOH、0~100%)を行い、赤色油状物として、(3S)-3-(5-クロロ-4-フルオロ-2’,4’,6’-トリメチル-[1,1’-ビフェニル]-3-イル)-3-(2-(5-(2-(ジメチルアミノ)エチル)-2-オキソ-4-(トリフルオロメチル)ピリジン-1(2H)-イル)-4-メチルペンタンアミド)プロパン酸エチル(175mg)を得た。収率 74%(ESI 694.2(M+H))。
工程2:(3S)-3-(5-クロロ-4-フルオロ-2’,4’,6’-トリメチル-[1,1’-ビフェニル]-3-イル)-3-(2-(5-(2-(ジメチルアミノ)エチル)-2-オキソ-4-(トリフルオロメチル)ピリジン-1(2H)-イル)-4-メチルペンタンアミド)プロパン酸
Figure 0007702004000589
(3S)-3-(5-クロロ-4-フルオロ-2’,4’,6’-トリメチル-[1,1’-ビフェニル]-3-イル)-3-(2-(5-(2-(ジメチルアミノ)エチル)-2-オキソ-4-(トリフルオロメチル)ピリジン-1(2H)-イル)-4-メチルペンタンアミド)プロパン酸エチル(175mg、0.25mmol)を、LiOH-HO(52.5mg、1.25mmol)のEtOH(3mL)とHO(1mL)の溶液を用いて室温で2時間処理した。反応混合液を、1N HClを用いてpH4~5に酸性化した。溶媒を真空中で除去し、残留物を分取HPLC A(30~60% MeCN)により精製して、白色固形物として、ジアステレオマー生成物のAI-P1(29mg)およびAI-P2(23mg)を得た。
AI-P1 ESI 666.2(M+H)H NMR(400MHz,MeOD)δ 7.90(s,1H),7.08-7.06(m,1H),7.01-6.98(m,1H),6.92(s,1H),6.87(s,1H),6.71(s,1H),5.70-5.65(m,1H),5.56-5.62(m,1H),3.17-2.89(m,4H),2.82-2.63(m,8H),2.30(s,3H),2.08-1.91(m,5H),1.76(s,3H),1.52-1.38(m,1H),1.03-0.83(m,6H).
AI-P2 ESI 666.2(M+H)H NMR(400MHz,MeOD)δ 7.89(s,1H),7.16-7.13(m,1H),7.08-67.05(m,1H),6.93(s,2H),6.89(s,1H),5.77-5.54(m,2H),3.28-3.17(m,2H),3.02-2.98(m,2H),2.83(s,6H),2.71-2.47(m,2H),2.31(s,3H),2.11-1.87(m,7H),1.83-1.64(m,1H),1.46-1.23(m,1H),1.06-0.62(m,6H).
3-31. (3S)-3-(2-(5-(2-(アゼチジン-1-イル)エチル)-2-オキソ-4-(トリフルオロメチル)ピリジン-1(2H)-イル)-4-メチルペンタンアミド)-3-(2’,4-ジフルオロ-4’,5,6’-トリメチルビフェニル-3-イル)プロパン酸(化合物AJ-P1およびAJ-P2)の調製
工程1:(3S)-3-(2-(5-(2-(アゼチジン-1-イル)エチル)-2-オキソ-4-(トリフルオロメチル)ピリジン-1(2H)-イル)-4-メチルペンタンアミド)-3-(2’,4-ジフルオロ-4’,5,6’-トリメチル-[1,1’-ビフェニル]-3-イル)プロパン酸エチル
Figure 0007702004000590
2-(5-(2-(アゼチジン-1-イル)エチル)-2-オキソ-4-(トリフルオロメチル)ピリジン-1(2H)-イル)-4-メチルペンタン酸(150mg、0.42mmol)、(S)-3-アミノ-3-(2’,4-ジフルオロ-4’,5,6’-トリメチル-[1,1’-ビフェニル]-3-イル)プロパン酸エチル(145mg、0.42mmol)、TCFH(141mg、0.50mmol)、およびNMI(104mg、1.26mmol)のCHCN(5mL)の混合液を室温で1時間攪拌した。溶媒を真空中で除去し、残留物をシリカゲルカラム(DCM:MeOH 4:1)により精製して、白色固形物として、(3S)-3-(2-(5-(2-(アゼチジン-1-イル)エチル)-2-オキソ-4-(トリフルオロメチル)ピリジン-1(2H)-イル)-4-メチルペンタンアミド)-3-(2’,4-ジフルオロ-4’,5,6’-トリメチル-[1,1’-ビフェニル]-3-イル)プロパン酸エチル(130mg)を得た。収率 45%(ESI 690.3(M+H))。
工程2:(3S)-3-(2-(5-(2-(アゼチジン-1-イル)エチル)-2-オキソ-4-(トリフルオロメチル)ピリジン-1(2H)-イル)-4-メチルペンタンアミド)-3-(2’,4-ジフルオロ-4’,5,6’-トリメチルビフェニル-3-イル)プロパン酸
Figure 0007702004000591
(3S)-3-(2-(5-(2-(アゼチジン-1-イル)エチル)-2-オキソ-4-(トリフルオロメチル)ピリジン-1(2H)-イル)-4-メチルペンタンアミド)-3-(2’,4-ジフルオロ-4’,5,6’-トリメチル-[1,1’-ビフェニル]-3-イル)プロパン酸エチル(130mg、0.19mmol)を、LiOH-HO(40mg、0.95mmol)のTHF(3mL)とHO(1mL)の溶液を用いて室温で3時間処理した。反応混合液を、1N HClを用いてpH4~5に酸性化した。溶媒を真空中で除去し、残留物を分取HPLC A(30~60% MeCN)により精製して、白色固形物として、ジアステレオマー生成物のAJ-P1(30.0mg)およびAJ-P2(29.7mg)を得た。
AJ-P1 ESI 662.2(M+H)+. H NMR(400MHz,MeOD)δ 7.83(s,1H),6.99(t,J=6.3Hz,2H),6.92(s,1H),6.79(t,J=4.9Hz,2H),5.68(t,J=8.0Hz,1H),5.59(t,J=6.6Hz,1H),4.00-3.96(m,4H),3.30-3.25(m,2H),2.85(t,J=6.9Hz,2H),2.72-2.70(m,2H),2.44-2.37(m,2H),2.35(s,3H),2.29(d,J=1.2Hz,3H),2.05(s,3H),2.00(t,J=7.6Hz,2H),1.45-1.40(m,1H),0.95(t,J=7.1Hz,6H).
AJ-P2 ESI 662.2(M+H)H NMR(400MHz,MeOD)δ 7.76(s,1H),7.08(d,J=6.5Hz,1H),7.04(d,J=6.9Hz,1H),6.93(d,J=8.1Hz,2H),6.82(d,J=10.4Hz,1H),5.78-5.74(m,1H),5.64(t,J=7.7Hz,1H),4.11(t,J=8.0Hz,4H),3.44-3.38(m,1H),2.96-2.89(m,1H),2.84-2.76(m,1H),2.67-2.62(m,1H),2.57-2.43(m,3H),2.35-2.33(m,6H),2.11(s,3H),2.02-1.94(m,1H),1.71-1.64(m,1H),1.44-1.30(m,2H),0.91-0.88(m,6H).
3-32. (3S)-3-(4,4’-ジフルオロ-2’,5,6’-トリメチル-[1,1’-ビフェニル]-3-イル)-3-(2-(5-(2-(ジメチルアミノ)エチル)-2-オキソ-4-(トリフルオロメチル)ピリジン-1(2H)-イル)-4-メチルペンタンアミド)プロパン酸(化合物AK-P1およびAK-P2)の調製
工程1:(3S)-3-(4,4’-ジフルオロ-2’,5,6’-トリメチル-[1,1’-ビフェニル]-3-イル)-3-(2-(5-(2-(ジメチルアミノ)エチル)-2-オキソ-4-(トリフルオロメチル)ピリジン-1(2H)-イル)-4-メチルペンタンアミド)プロパン酸エチル
Figure 0007702004000592
(S)-3-アミノ-3-(4,4’-ジフルオロ-2’,5,6’-トリメチル-[1,1’-ビフェニル]-3-イル)プロパン酸エチル(150mg、0.43mmol)、2-(5-(2-(ジメチルアミノ)エチル)-2-オキソ-4-(トリフルオロメチル)ピリジン-1(2H)-イル)-4-メチルペンタン酸(180mg、0.51mmol)、TCFH(240mg、0.86mmol)and NMI(106mg、1.29mmol)のCHCN(5mL)の混合液を20℃で2時間攪拌した。溶媒を真空中で濃縮し、残留物をC18/40gカラムでの逆相HPLC(A:水 10mM NHHCO、B:MeOH、0~100%)により精製して、黄色油状物として、(3S)-3-(4,4’-ジフルオロ-2’,5,6’-トリメチル-[1,1’-ビフェニル]-3-イル)-3-(2-(5-(2-(ジメチルアミノ)エチル)-2-オキソ-4-(トリフルオロメチル)ピリジン-1(2H)-イル)-4-メチルペンタンアミド)プロパン酸エチル(120mg)を得た。収率 41%(ESI 678.1(M+H))。
工程2:(3S)-3-(4,4’-ジフルオロ-2’,5,6’-トリメチル-[1,1’-ビフェニル]-3-イル)-3-(2-(5-(2-(ジメチルアミノ)エチル)-2-オキソ-4-(トリフルオロメチル)ピリジン-1(2H)-イル)-4-メチルペンタンアミド)プロパン酸
Figure 0007702004000593
(3S)-3-(4,4’-ジフルオロ-2’,5,6’-トリメチル-[1,1’-ビフェニル]-3-イル)-3-(2-(5-(2-(ジメチルアミノ)エチル)-2-オキソ-4-(トリフルオロメチル)ピリジン-1(2H)-イル)-4-メチルペンタンアミド)プロパン酸エチル(100mg、0.14mmol)を、LiOH-HO(18mg、0.44mmol)のMeOH(2mL)とHO(1mL)の溶液を用いて室温で2時間処理した。反応混合液を、1N HClを用いてpH4~5に酸性化した。溶媒を真空中で除去し、残留物を分取HPLC A(30~60% MeCN)により精製して、白色固形物として、ジアステレオマー生成物のAK-P1(36mg)およびAK-P2(32mg)を得た。
AK-P1 ESI 650.3(M+H)H NMR(400MHz,MeOD)δ 7.91(s,1H),6.88-6.74(m,5H),5.69(t,J=8.1Hz,1H),5.58-5.54(m,1H),3.19-3.07(m,2H),3.02-2.95(m,2H),2.84-2.67(m,8H),2.30(t,J=8.2Hz,3H),2.03-1.94(m,5H),1.80(d,J=9.4Hz,3H),1.48-1.39(m,1H),0.97-0.88(m,6H).
AK-P2 ESI 650.2(M+H)H NMR(400MHz,MeOD)δ 7.88(s,1H),6.93-6.83(m,5H),5.71-5.62(m,2H),3.19(s,2H),3.00-2.97(m,2H),2.80(s,6H),2.67-2.57(m,2H),2.32(d,J=1.5Hz,3H),2.01-1.93(m,7H),1.79-1.74(m,1H),1.42-1.35(m,1H),0.90-0.87(m,6H).
3-33. (3S)-3-(4,4’-ジフルオロ-2’,5,6’-トリメチル-[1,1’-ビフェニル]-3-イル)-3-(2-(5-(2-(ジメチルアミノ)エチル)-3-フルオロ-4-メチル-2-オキソピリジン-1(2H)-イル)-4-メチルペンタンアミド)プロパン酸(化合物AL-P1およびAL-P2)の調製
工程1:(S)-3-(4,4’-ジフルオロ-2’,5,6’-トリメチル-[1,1’-ビフェニル]-3-イル)-3-((S)-2-(5-(2-(ジメチルアミノ)エチル)-3-フルオロ-4-メチル-2-オキソピリジン-1(2H)-イル)-4-メチルペンタンアミド)プロパン酸エチル
Figure 0007702004000594
2-(5-(2-(ジメチルアミノ)エチル)-3-フルオロ-4-メチル-2-オキソピリジン-1(2H)-イル)-4-メチルペンタン酸(1g,3.20mmol)およびHATU(2.434g、6.40mmol)のDMF溶液(16.01mL)に、TEA(0.892mL、6.40mmol)を室温で加えた。5分間攪拌した後、(S)-3-アミノ-3-(4,4’-ジフルオロ-2’,5,6’-トリメチル-[1,1’-ビフェニル]-3-イル)プロパン酸エチル(1.668g、4.80mmol)の5.0mL DMF溶液を、当該溶液に加えた。反応混合液を、200mLの水および10mLのブラインで希釈した。混合液を洗浄した(EtOAc;200mL×3)。一つにまとめた有機層を、NaSO4で乾燥させ、濃縮し、シリカゲルカラム(DCM:MeOH 10:1)により精製して、ピンク色の油状物として、(S)-3-(4,4’-ジフルオロ-2’,5,6’-トリメチル-[1,1’-ビフェニル]-3-イル)-3-((S)-2-(5-(2-(ジメチルアミノ)エチル)-3-フルオロ-4-メチル-2-オキソピリジン-1(2H)-イル)-4-メチルペンタンアミド)プロパン酸エチル(1.76g、収率86%)を得た。(ESI 642(M+H)
工程2:(3S)-3-(4,4’-ジフルオロ-2’,5,6’-トリメチル-[1,1’-ビフェニル]-3-イル)-3-(2-(5-(2-(ジメチルアミノ)エチル)-3-フルオロ-4-メチル-2-オキソピリジン-1(2H)-イル)-4-メチルペンタンアミド)プロパン酸
Figure 0007702004000595
(3S)-3-(4,4’-ジフルオロ-2’,5,6’-トリメチル-[1,1’-ビフェニル]-3-イル)-3-(2-(5-(2-(ジメチルアミノ)エチル)-3-フルオロ-4-メチル-2-オキソピリジン-1(2H)-イル)-4-メチルペンタンアミド)プロパン酸エチル(1.65g、2.6mmol、1.0当量)を、LiOH一水和物(391mg、9.3mmol、4.0当量)のメタノール(5mL)、THF(5mL)、およびHO(5mL)の溶液を用いて室温で2時間処理した。反応混合液を、1N HCl水溶液を用いてpH4~5に酸性化し、真空中で濃縮し、残留物を、分取HPLC Aにより精製して、白色固形物として、ジアステレオマー生成物のAL-P1(383mg)よびAL-P2(239mg)を得た。
AL-P1 ESI 614.2(M+H)H NMR(400MHz,MeOD)δ 7.48(s,1H),6.86-6.81(m,4H),5.66-5.60(m,1H),5.50-5.47(m,1H),3.22-3.12(m,2H),2.93-2.89(m,2H),2.77(s,6H),2.72-2.61(m,2H),2.29(d,J=1.6Hz,3H),2.25(d,J=2.8Hz,3H),2.00-1.93(m,5H),1.88(s,3H),1.46-1.36(m,1H),0.95-0.90(m,6H).
AL-P2 ESI 614.2(M+H)H NMR(400MHz,MeOD)δ 7.43(s,1H),6.88(dd,J=24.6,8.2Hz,4H),5.66-5.57(m,2H),3.27-3.13(m,2H),2.97-2.93(m,2H),2.86(s,6H),2.62-2.57(m,1H),2.51-2.39(m,1H),2.33(d,J=1.7Hz,3H),2.25(d,J=2.7Hz,3H),2.05-1.93(m,7H),1.80-1.73(m,1H),1.41-1.34(m,1H),0.91-0.89(m,6H).
3-34. (3S)-3-(2-(5-(2-(ジメチルアミノ)エチル)-3-フルオロ-4-メチル-2-オキソピリジン-1(2H)-イル)-4-メチルペンタンアミド)-3-(4-フルオロ-2’,5,6’-トリメチル-[1,1’-ビフェニル]-3-イル)プロパン酸(化合物AM-P1およびAM-P2)の調製
Figure 0007702004000596
2-(5-(2-(ジメチルアミノ)エチル)-3-フルオロ-4-メチル-2-オキソピリジン-1(2H)-イル)-4-メチルペンタン酸(1g,3.20mmol)およびHATU(2.434g、6.40mmol)のDMF溶液(16.01mL)に、TEA(0.892mL、6.40mmol)を室温で加えた。5分間攪拌した後、(S)-3-アミノ-3-(4,4’-ジフルオロ-2’,5,6’-トリメチル-[1,1’-ビフェニル]-3-イル)プロパン酸エチル(1.668g、4.80mmol)の5.0mL DMF溶液を、当該溶液に加えた。反応混合液を、200mLの水および10mLのブラインで希釈した。混合液を洗浄した(EtOAc;200mL×3)。一つにまとめた有機層を、NaSO4で乾燥させ、濃縮し、シリカゲルカラム(DCM:MeOH 10:1)により精製して、ピンク色の油状物として、(S)-3-(4,4’-ジフルオロ-2’,5,6’-トリメチル-[1,1’-ビフェニル]-3-イル)-3-((S)-2-(5-(2-(ジメチルアミノ)エチル)-3-フルオロ-4-メチル-2-オキソピリジン-1(2H)-イル)-4-メチルペンタンアミド)プロパン酸エチル(1.76g、収率86%)を得た。(ESI 642(M+H)
工程2:(3S)-3-(4,4’-ジフルオロ-2’,5,6’-トリメチル-[1,1’-ビフェニル]-3-イル)-3-(2-(5-(2-(ジメチルアミノ)エチル)-3-フルオロ-4-メチル-2-オキソピリジン-1(2H)-イル)-4-メチルペンタンアミド)プロパン酸
Figure 0007702004000597
(3S)-3-(2-(5-(2-(ジメチルアミノ)エチル)-3-フルオロ-4-メチル-2-オキソピリジン-1(2H)-イル)-4-メチルペンタンアミド)-3-(4-フルオロ-2’,5,6’-トリメチル-[1,1’-ビフェニル]-3-イル)プロパン酸エチル(1.2g、1.93mmol)を、LiOH-HO(162mg、3.85mmol)のTHF(12mL)とHO(2mL)の溶液を用いて室温で30分間処理した。反応混合液を、2N HClを用いてpH4~5に酸性化した。溶媒を真空中で除去し、残留物を分取HPLC A(30~60% MeCN)により精製して、白色固形物として、ジアステレオマー生成物のAM-P1(482mg)およびAM-P2(237mg)を得た。
AM-P1 ESI 596.3(M+H)H NMR(400MHz,MeOD)δ 7.47(s,1H),7.16-7.01(m,3H),6.90-6.79(m,2H),5.68-5.64(m,1H),5.51-5.48(m,1H),3.17-3.08(m,2H),2.92-2.88(m,2H),2.76(s,6H),2.72-2.44(m,2H),2.29(s,3H),2.23(d,J=2.6Hz,3H),1.99-1.94(m,5H),1.87(s,3H),1.42-1.38(m,1H),0.94-0.90(m,6H).
AM-P2 ESI 596.2(M+H)H NMR(400MHz,MeOD)δ 7.39(s,1H),7.15-7.08(m,3H),6.93-6.90(m,2H),5.67-5.60(m,2H),3.32-3.28(m,1H),3.22-3.16(m,1H),2.96-2.92(m,2H),2.84(s,6H),2.63-2.58(m,1H),2.50-2.43(m,1H),2.32(d,J=1.6Hz,3H),2.24(d,J=2.8Hz,3H),2.01-1.93(m,7H),1.78-1.71(m,1H),1.41-1.34(m,1H),0.90(d,J=6.8Hz,6H).
3-35. (3S)-3-(2-(5-(2-(アゼチジン-1-イル)エチル)-2-オキソ-4-(トリフルオロメチル)ピリジン-1(2H)-イル)-4-メチルペンタンアミド)-3-(4-フルオロ-2’,4’,5,6’-テトラメチル-[1,1’-ビフェニル]-3-イル)プロパン酸(化合物AN-P1およびAN-P2)の調製
工程1:(3S)-3-(2-(5-(2-(アゼチジン-1-イル)エチル)-2-オキソ-4-(トリフルオロメチル)ピリジン-1(2H)-イル)-4-メチルペンタンアミド)-3-(4-フルオロ-2’,4’,5,6’-テトラメチル-[1,1’-ビフェニル]-3-イル)プロパン酸エチル
Figure 0007702004000598
2-(5-(2-(アゼチジン-1-イル)エチル)-2-オキソ-4-(トリフルオロメチル)ピリジン-1(2H)-イル)-4-メチルペンタン酸(150mg、0.41mmol)、(S)-3-アミノ-3-(4-フルオロ-2’,4’,5,6’-テトラメチル-[1,1’-ビフェニル]-3-イル)プロパン酸エチル(141mg、0.41mmol)、TCFH(230mg、0.82mmol)、NMI(135mg、1.64mmol)のCHCN(5mL)の混合液を室温で2時間攪拌した。溶媒を真空中で濃縮し、残留物をC18/40gカラムでの逆相HPLC(A:水 10mM NHHCO、B:MeOH、0~100%)により精製して、白色油状物として、(3S)-3-(2-(5-(2-(アゼチジン-1-イル)エチル)-2-オキソ-4-(トリフルオロメチル)ピリジン-1(2H)-イル)-4-メチルペンタンアミド)-3-(4-フルオロ-2’,4’,5,6’-テトラメチル-[1,1’-ビフェニル]-3-イル)プロパン酸エチル(90mg)を得た。収率 32%(ESI 686.3(M+H))。
工程2:(3S)-3-(2-(5-(2-(アゼチジン-1-イル)エチル)-2-オキソ-4-(トリフルオロメチル)ピリジン-1(2H)-イル)-4-メチルペンタンアミド)-3-(4-フルオロ-2’,4’,5,6’-テトラメチル-[1,1’-ビフェニル]-3-イル)プロパン酸
Figure 0007702004000599
(3S)-3-(2-(5-(2-(アゼチジン-1-イル)エチル)-2-オキソ-4-(トリフルオロメチル)ピリジン-1(2H)-イル)-4-メチルペンタンアミド)-3-(4-フルオロ-2’,4’,5,6’-テトラメチル-[1,1’-ビフェニル]-3-イル)プロパン酸エチル(90mg、0.14mmol)を、LiOH-HO(24mg、0.56mmol)のMeOH(4mL)とHO(1mL)の溶液を用いて室温で2時間処理した。反応混合液を、1N HClを用いてpH4~5に酸性化した。溶媒を真空中で除去し、残留物を分取HPLC A(30~60% MeCN)により精製して、白色固形物として、ジアステレオマー生成物のAN-P1(22mg)およびAN-P2(22mg)を得た。
AN-P1 ESI 658.3(M+H)H NMR(400MHz,MeOD)δ 7.84(s,1H),6.96-6.83(m,4H),6.80(s,1H),5.73-5.50(m,2H),4.03(s,4H),3.15(s,2H),2.86(t,J=6.7Hz,2H),2.77-2.62(m,2H),2.51-2.38(m,2H),2.30(s,6H),2.09-1.91(m,5H),1.85(s,3H),1.49-1.30(m,1H),1.04-0.83(m,6H).
AN-P2 ESI 658.3(M+H)H NMR(400MHz,MeOD)δ 7.75(s,1H),6.92(t,J=7.5Hz,5H),5.84-5.72(m,1H),5.61(t,J=7.6Hz,1H),4.14(s,4H),3.42(s,2H),2.94(d,J=16.0Hz,2H),2.87-2.59(m,2H),2.56-2.41(m,2H),2.37-2.25(m,6H),2.05-1.88(m,7H),1.72-1.59(m,1H),1.47-1.34(m,1H),0.96-0.82(m,6H).
3-36. (3S)-3-(2-(5-(2-(アゼチジン-1-イル)エチル)-2-オキソ-4-(トリフルオロメチル)ピリジン-1(2H)-イル)-4-メチルペンタンアミド)-3-(5-クロロ-4-フルオロ-2’,6’-ジメチル-[1,1’-ビフェニル]-3-イル)プロパン酸(化合物AO-P1およびAO-P2)の調製
工程1:(3S)-3-(2-(5-(2-(アゼチジン-1-イル)エチル)-2-オキソ-4-(トリフルオロメチル)ピリジン-1(2H)-イル)-4-メチルペンタンアミド)-3-(5-クロロ-4-フルオロ-2’,6’-ジメチル-[1,1’-ビフェニル]-3-イル)プロパン酸エチル
Figure 0007702004000600
2-(5-(2-(アゼチジン-1-イル)エチル)-2-オキソ-4-(トリフルオロメチル)ピリジン-1(2H)-イル)-4-メチルペンタン酸(150mg、0.42mmol)、(S)-3-アミノ-3-(5-クロロ-4-フルオロ-2’,6’-ジメチル-[1,1’-ビフェニル]-3-イル)プロパン酸エチル(154mg、0.42mmol)、TCFH(180mg、0.63mmol)、およびNMI(100mg、1.26mmol)のCHCN(5mL)の混合液を40℃で2時間攪拌した。溶媒を真空中で濃縮し、残留物をC18/40gカラムでの逆相HPLC(A:水 10mM NHHCO、B:MeOH、0~100%)により精製して、黄色油状物として、(3S)-3-(2-(5-(2-(アゼチジン-1-イル)エチル)-2-オキソ-4-(トリフルオロメチル)ピリジン-1(2H)-イル)-4-メチルペンタンアミド)-3-(5-クロロ-4-フルオロ-2’,6’-ジメチル-[1,1’-ビフェニル]-3-イル)プロパン酸エチル(150mg)を得た。収率 52.8%(ESI 692.0(M+H))。
工程2:(3S)-3-(2-(5-(2-(アゼチジン-1-イル)エチル)-2-オキソ-4-(トリフルオロメチル)ピリジン-1(2H)-イル)-4-メチルペンタンアミド)-3-(5-クロロ-4-フルオロ-2’,6’-ジメチル-[1,1’-ビフェニル]-3-イル)プロパン酸エチル
Figure 0007702004000601
(3S)-3-(2-(5-(2-(アゼチジン-1-イル)エチル)-2-オキソ-4-(トリフルオロメチル)ピリジン-1(2H)-イル)-4-メチルペンタンアミド)-3-(5-クロロ-4-フルオロ-2’,6’-ジメチル-[1,1’-ビフェニル]-3-イル)プロパン酸エチル(150mg、0.22mmol)を、LiOH-HO(95.5mg、2.3mmol)のMeOH(4mL)とHO(4mL)の溶液を用いて室温で2時間処理した。反応混合液を、1N HClを用いてpH4~5に酸性化した。溶媒を真空中で除去し、残留物を分取HPLC A(30~60% CHCN)により精製して、白色固形物として、ジアステレオマー生成物のAO-P1(29mg)およびAO-P2(34mg)を得た。
AO-P1 ESI 664.2(M+H)H NMR(400MHz,MeOD)δ 7.72(s,1H),7.11-6.90(m,5H),6.65(s,1H),5.60-5.40(m,2H),3.91(t,J=8.2Hz,4H),3.21-3.11(m,2H),2.73(t,J=7.0Hz,2H),2.67-2.55(m,2H),2.41-2.25(m,2H),1.96-1.83(m,5H),1.77(s,3H),1.36-1.24(m,1H),0.88-0.77(m,6H).
AO-P2 ESI 664.2(M+H)H NMR(400MHz,MeOD)δ 7.75(s,1H),7.26-7.07(m,5H),6.90(s,1H),5.86-5.74(m,1H),5.62(t,J=7.6Hz,1H),4.14(t,J=7.9Hz,4H),3.49-3.36(m,2H),3.01-2.74(m,2H),2.71-2.62(m,1H),2.59-2.43(m,3H),2.12-1.91(m,7H),1.77-1.58(m,1H),1.49-1.32(m,1H),0.90(d,J=6.6Hz,6H).
3-37. (3S)-3-(2-(5-(2-(アゼチジン-1-イル)エチル)-2-オキソ-4-(トリフルオロメチル)ピリジン-1(2H)-イル)-4-メチルペンタンアミド)-3-(4-フルオロ-2’,5,6’-トリメチル-[1,1’-ビフェニル]-3-イル)プロパン酸(化合物AP-P1およびAP-P2)の調製
工程1:(3S)-3-(2-(5-(2-(アゼチジン-1-イル)エチル)-2-オキソ-4-(トリフルオロメチル)ピリジン-1(2H)-イル)-4-メチルペンタンアミド)-3-(4-フルオロ-2’,5,6’-トリメチル-[1,1’-ビフェニル]-3-イル)プロパン酸エチル
Figure 0007702004000602
2-(5-(2-(アゼチジン-1-イル)エチル)-2-オキソ-4-(トリフルオロメチル)ピリジン-1(2H)-イル)-4-メチルペンタン酸(262mg、0.73mmol、1.20当量)、(S)-3-アミノ-3-(4-フルオロ-2’,5,6’-トリメチル-[1,1’-ビフェニル]-3-イル)プロパン酸エチル(200mg、0.61mmol、1.00当量)、NMI(0.5mL)、およびTCFH(255mg,0.91mmol、1.50当量)のCHCN(5mL)の混合液を室温で1時間攪拌した。溶媒を真空中で濃縮し、残留物をC18/40gカラムでの逆相HPLC(A:水 10mM NHHCO、B:MeOH、0~100%)により精製して、白色固形物として、(3S)-3-(2-(5-(2-(アゼチジン-1-イル)エチル)-2-オキソ-4-(トリフルオロメチル)ピリジン-1(2H)-イル)-4-メチルペンタンアミド)-3-(4-フルオロ-2’,5,6’-トリメチル-[1,1’-ビフェニル]-3-イル)プロパン酸エチル(300mg)を得た。収率 73.5%(ESI 672.3 [M+H])。
工程2:(3S)-3-(2-(5-(2-(アゼチジン-1-イル)エチル)-2-オキソ-4-(トリフルオロメチル)ピリジン-1(2H)-イル)-4-メチルペンタンアミド)-3-(4-フルオロ-2’,5,6’-トリメチル-[1,1’-ビフェニル]-3-イル)プロパン酸
Figure 0007702004000603
(3S)-3-(2-(5-(2-(アゼチジン-1-イル)エチル)-2-オキソ-4-(トリフルオロメチル)ピリジン-1(2H)-イル)-4-メチルペンタンアミド)-3-(4-フルオロ-2’,5,6’-トリメチル-[1,1’-ビフェニル]-3-イル)プロパン酸エチル(300mg、0.45mmol、1.00当量)を、LiOH-HO(100mg、2.38mmol、5.00当量)のMeOH(5mL)とHO(1mL)の溶液を用いて室温で1時間処理した。反応混合液を、1N HClを用いてpH4~5に酸性化した。溶媒を真空中で除去し、残留物を分取HPLC A(30~60% MeCN)により精製して、白色固形物として、AP-P1(30mg)およびAP-P2(50mg)を得た。
AP-P1 ESI 644.2(M+H)H NMR(400MHz,MeOD)δ 7.84(s,1H),7.17-7.02(m,3H),6.96-6.85(m,2H),6.80(s,1H),5.71- 5.56(m,2H),4.13-3.94(m,4H),3.33-3.29(m,2H),2.86(t,J=6.7Hz,2H),2.71(d,J=6.1Hz,2H),2.48-2.40(m,2H),2.31(d,J=1.7Hz,3H),2.07-1.92(m,5H),1.89(s,3H),1.45-1.39(m,1H),0.99-0.84(m,6H).AP-P2 ESI 644.2(M+H)H NMR(400MHz,MeOD)δ 7.75(s,1H),7.12-7.08(m,3H),6.97-6.91(m,3H),5.79-5.76(m,1H),5.61(t,J=7.6Hz,1H),4.14(t,J=7.5Hz,4H),3.53-3.34(m,2H),2.94(d,J=15.6Hz,1H),2.88-2.71(m,1H),2.68-2.63(m,1H),2.54-2.44(m,3H),2.34(s,3H),2.02-1.96(m,7H),1.75-1.54(m,1H),1.45-1.39(m,1H),0.90(d,J=6.4Hz,6H).
3-38. (3S)-3-(2-(5-(2-(アゼチジン-1-イル)エチル)-2-オキソ-4-(トリフルオロメチル)ピリジン-1(2H)-イル)-4-メチルペンタンアミド)-3-(4,4’-ジフルオロ-2’,5,6’-トリメチル-[1,1’-ビフェニル]-3-イル)プロパン酸(化合物AQ-P1およびAQ-P2)の調製
工程1:(3S)-3-(2-(5-(2-(アゼチジン-1-イル)エチル)-2-オキソ-4-(トリフルオロメチル)ピリジン-1(2H)-イル)-4-メチルペンタンアミド)-3-(4,4’-ジフルオロ-2’,5,6’-トリメチル-[1,1’-ビフェニル]-3-イル)プロパン酸エチル
Figure 0007702004000604
2-(5-(2-(アゼチジン-1-イル)エチル)-2-オキソ-4-(トリフルオロメチル)ピリジン-1(2H)-イル)-4-メチルペンタン酸(165mg、0.46mmol)、(S)-3-アミノ-3-(4,4’-ジフルオロ-2’,5,6’-トリメチル-[1,1’-ビフェニル]-3-イル)プロパン酸エチル(160mg、0.46mmol)、TCFH(193mg、0.69mmol)、およびNMI(188mg、2.3mmol)のCHCN(4mL)の混合液を40℃で2時間攪拌した。溶媒を真空中で濃縮し、残留物をC18/40gカラムでの逆相HPLC(A:水 10mM NHHCO、B:MeOH、0~100%)により精製して、黄色油状物として、(3S)-3-(2-(5-(2-(アゼチジン-1-イル)エチル)-2-オキソ-4-(トリフルオロメチル)ピリジン-1(2H)-イル)-4-メチルペンタンアミド)-3-(4,4’-ジフルオロ-2’,5,6’-トリメチル-[1,1’-ビフェニル]-3-イル)プロパン酸エチル(200mg)を得た。収率 62%(ESI 690.2(M+H))。
工程2:(3S)-3-(2-(5-(2-(アゼチジン-1-イル)エチル)-2-オキソ-4-(トリフルオロメチル)ピリジン-1(2H)-イル)-4-メチルペンタンアミド)-3-(4,4’-ジフルオロ-2’,5,6’-トリメチル-[1,1’-ビフェニル]-3-イル)プロパン酸
Figure 0007702004000605
(3S)-3-(2-(5-(2-(アゼチジン-1-イル)エチル)-2-オキソ-4-(トリフルオロメチル)ピリジン-1(2H)-イル)-4-メチルペンタンアミド)-3-(4,4’-ジフルオロ-2’,5,6’-トリメチル-[1,1’-ビフェニル]-3-イル)プロパン酸エチル(200mg、0.29mmol)を、LiOH-HO(42mg、1mmol)のMeOH(3mL)とHO(1mL)の溶液を用いて室温で2時間処理した。反応混合液を、1N HClを用いてpH4~5に酸性化した。溶媒を真空中で除去し、残留物を分取HPLC A(30~60% CHCN)により精製して、白色固形物として、ジアステレオマー生成物のAQ-P1(54mg)およびAQ-1-P2(53mg)を得た。
AQ-P1 ESI 662.2(M+H)H NMR(400MHz,MeOD)δ 7.86(s,1H),6.94-6.74(m,5H),5.72-5.55(m,2H),4.05(t,J=8.0Hz,4H),3.33-3.25(m,2H),2.86(t,J=7.1Hz,2H),2.77-2.64(m,2H),2.55-2.38(m,2H),2.30(s,3H),2.06-1.94(m,5H),1.87(s,3H),1.53-1.34(m,1H),1.01-0.86(m,6H).
AQ-P2 ESI 662.2(M+H)H NMR(400MHz,MeOD)δ 7.78(s,1H),6.98-6.89(m,3H),6.85(d,J=9.6Hz,2H),5.80-5.70(m,1H),5.63(t,J=7.6Hz,1H),4.14(s,4H),3.52-3.36(m,2H),2.97-2.43(m,6H),2.33(s,3H),2.06-1.93(m,7H),1.77-1.63(m,1H),1.49-1.29(m,1H),0.96-0.84(m,6H).
3-39. (3S)-3-(4,4’-ジフルオロ-2’,5,6’-トリメチル-[1,1’-ビフェニル]-3-イル)-3-(2-(5-(2-(3-フルオロアゼチジン-1-イル)エチル)-4-メチル-2-オキソピリジン-1(2H)-イル)-4-メチルペンタンアミド)プロパン酸(化合物AR-P1およびAR-P2)の調製
工程1:(3S)-3-(4,4’-ジフルオロ-2’,5,6’-トリメチル-[1,1’-ビフェニル]-3-イル)-3-(2-(5-(2-(3-フルオロアゼチジン-1-イル)エチル)-4-メチル-2-オキソピリジン-1(2H)-イル)-4-メチルペンタンアミド)プロパン酸エチル
Figure 0007702004000606
2-(5-(2-(3-フルオロアゼチジン-1-イル)エチル)-4-メチル-2-オキソピリジン-1(2H)-イル)-4-メチルペンタン酸(112mg、0.34mmol)、(S)-3-アミノ-3-(4,4’-ジフルオロ-2’,5,6’-トリメチル-[1,1’-ビフェニル]-3-イル)プロパン酸エチル(100mg、0.29mmol)、TCFH(120mg、0.43mmol)、およびNMI(71mg、0.87mmol)のCHCN(5mL)の混合液を室温で2時間攪拌した。溶媒を真空中で濃縮し、残留物をC18/40gカラムでの逆相HPLC(A:水 10mM NHHCO、B:MeOH、0~100%)により精製して、黄色油状物として、(3S)-3-(4,4’-ジフルオロ-2’,5,6’-トリメチル-[1,1’-ビフェニル]-3-イル)-3-(2-(5-(2-(3-フルオロアゼチジン-1-イル)エチル)-4-メチル-2-オキソピリジン-1(2H)-イル)-4-メチルペンタンアミド)プロパン酸エチル(150mg)を得た。収率 79.7%(ESI 654.3(M+H))。
工程2:(3S)-3-(4,4’-ジフルオロ-2’,5,6’-トリメチル-[1,1’-ビフェニル]-3-イル)-3-(2-(5-(2-(3-フルオロアゼチジン-1-イル)エチル)-4-メチル-2-オキソピリジン-1(2H)-イル)-4-メチルペンタンアミド)プロパン酸
Figure 0007702004000607
エチル エチル(3S)-3-(4,4’-ジフルオロ-2’,5,6’-トリメチル-[1,1’-ビフェニル]-3-イル)-3-(2-(5-(2-(3-フルオロアゼチジン-1-イル)エチル)-4-メチル-2-オキソピリジン-1(2H)-イル)-4-メチルペンタンアミド)プロパン酸塩(150mg、0.23mmol)を、LiOH-HO(100mg、2.3mmol)のTHF(3mL)とHO(3mL)の溶液を用いて室温で2時間処理した。反応混合液を、1N HClを用いてpH4~5に酸性化した。溶媒を真空中で除去し、残留物を分取HPLC A(30~60% CHCN)により精製して、白色固形物として、ジアステレオマー生成物のAR-P1(43mg)およびAR-P2(36mg)を得た。
AR-P1 ESI 626.3(M+H)H NMR(400MHz,MeOD)δ 7.49(s,1H),6.92-6.68(m,4H),6.30(s,1H),5.74-5.52(m,2H),5.30-5.12(m,1H),4.15-3.90(m,2H),3.75-3.57(m,2H),3.05-3.00(m,2H),2.85-2.62(m,3H),2.32-2.27(m,4H),2.22(d,J=1.2Hz,3H),1.99(s,3H),1.96-1.92(m,2H),1.85(s,3H),1.45-1.35(m,1H),0.96-0.91(m,6H).
AR-P2 ESI 626.2(M+H)H NMR(400MHz,MeOD)δ 7.33(s,1H),6.87-6.81(m,4H),6.30(s,1H),5.62-5.43(m,2H),5.34-5.08(m,1H),4.37-4.12(m,2H),4.00-3.76(m,2H),3.19-3.11(m,2H),2.79-2.67(m,1H),2.62-2.36(m,3H),2.20(d,J=1.6Hz,3H),2.12(s,3H),1.89(s,6H),1.85-1.75(m,1H),1.69-1.58(m,1H),1.32-1.21(m,1H),0.82-0.72(m,6H).
3-40. (3S)-3-(4,4’-ジフルオロ-2’,5,6’-トリメチルビフェニル-3-イル)-3-(2-(5-(2-((R)-3-フルオロピロリジン-1-イル)エチル)-4-メチル-2-オキソピリジン-1(2H)-イル)-4-メチルペンタンアミド)プロパン酸(化合物AS-P1およびAS-P2)の調製
工程1:(3S)-エチル 3-(4,4’-ジフルオロ-2’,5,6’-トリメチルビフェニル-3-イル)-3-(2-(5-(2-((R)-3-フルオロピロリジン-1-イル)エチル)-4-メチル-2-オキソピリジン-1(2H)-イル)-4-メチルペンタンアミド)プロパン酸塩
Figure 0007702004000608
2-(5-(2-((R)-3-フルオロピロリジン-1-イル)エチル)-4-メチル-2-オキソピリジン-1(2H)-イル)-4-メチルペンタン酸(120mg、0.36mmol)、(S)-エチル 3-アミノ-3-(4,4’-ジフルオロ-2’,5,6’-トリメチルビフェニル-3-イル)プロパン酸塩(123mg、0.36mmol)、TCFH(114mg、0.41mmol)、およびNMI(84mg、1.02mmol)のCHCN(5mL)の混合液を室温で1時間攪拌した。溶媒を真空中で除去し、残留物をシリカゲルカラム(DCM:MeOH 4:1)により精製して、白色固形物として、(3S)-エチル 3-(4,4’-ジフルオロ-2’,5,6’-トリメチルビフェニル-3-イル)-3-(2-(5-(2-((R)-3-フルオロピロリジン-1-イル)エチル)-4-メチル-2-オキソピリジン-1(2H)-イル)-4-メチルペンタンアミド)プロパン酸塩(120mg)を得た。収率 51%(ESI 668.2(M+H))。
工程2:(3S)-3-(4,4’-ジフルオロ-2’,5,6’-トリメチルビフェニル-3-イル)-3-(2-(5-(2-((R)-3-フルオロピロリジン-1-イル)エチル)-4-メチル-2-オキソピリジン-1(2H)-イル)-4-メチルペンタンアミド)プロパン酸
Figure 0007702004000609
(3S)-エチル 3-(4,4’-ジフルオロ-2’,5,6’-トリメチルビフェニル-3-イル)-3-(2-(5-(2-((R)-3-フルオロピロリジン-1-イル)エチル)-4-メチル-2-オキソピリジン-1(2H)-イル)-4-メチルペンタンアミド)プロパン酸塩(120mg、0.18mmol))を、LiOH-HO(32mg、0.75mmol)のTHF(3mL)とHO(1mL)の溶液を用いて室温で3時間処理した。反応混合液を、1N HClを用いてpH4~5に酸性化した。溶媒を真空中で除去し、残留物を分取HPLC A(30~60% CHCN)により精製して、白色固形物として、ジアステレオマー生成物のAS-P1(28.0mg)およびAS-P2(43.0mg)を得た。
AS-P1 ESI 640.3(M+H)H NMR(400MHz,MeOD)δ 7.56(s,1H),6.84-6.79(m,4H),6.26(s,1H),5.65-5.60(m,1H),5.55-5.50(m,1H),5.35-5.52(m,1H),3.38-3.33(m,1H),3.32-2.66(m,9H),2.39-2.11(m,8H),1.98-1.92(m,5H),1.81(s,3H),1.46-1.39(m,1H),0.96-0.91(m,6H).
AS-P2 ESI 640.3(M+H)+. H NMR(400MHz,MeOD)δ 7.57(s,1H),6.90-6.82(m,4H),6.42(s,1H),5.64-5.58(m,2H),5.40-5.24(m,1H),3.51-3.37(m,3H),3.32-3.10(m,3H),2.92-2.76(m,2H),2.68-2.55(m,2H),2.40-2.21(m,8H),2.05-1.88(m,7H),1.80-1.73(m,1H),1.41-1.34(m,1H),0.96-0.87(m,6H).
3-41. (3S)-3-(4,4’-ジフルオロ-2’,5,6’-トリメチル-[1,1’-ビフェニル]-3-イル)-3-(2-(3-フルオロ-5-(2-((R)-3-フルオロピロリジン-1-イル)エチル)-2-オキソピリジン-1(2H)-イル)-4-メチルペンタンアミド)プロパン酸(化合物AT-P1およびAT-P2)の調製
工程1:(3S)-3-(4,4’-ジフルオロ-2’,5,6’-トリメチル-[1,1’-ビフェニル]-3-イル)-3-(2-(3-フルオロ-5-(2-((R)-3-フルオロピロリジン-1-イル)エチル)-2-オキソピリジン-1(2H)-イル)-4-メチルペンタンアミド)プロパン酸エチル
Figure 0007702004000610
2-(3-フルオロ-5-(2-((R)-3-フルオロピロリジン-1-イル)エチル)-2-オキソピリジン-1(2H)-イル)-4-メチルペンタン酸(120mg、0.35mmol)、(S)-3-アミノ-3-(4,4’-ジフルオロ-2’,5,6’-トリメチル-[1,1’-ビフェニル]-3-イル)プロパン酸エチル(140mg、0.42mmol)、TCFH(117mg、0.42mmol)およびNMI(86mg、1.05mmol)のCHCN(5mL)の混合液を40℃で2時間攪拌した。溶媒を真空中で濃縮し、残留物をC18/40gカラムでの逆相HPLC(A:水 10mM NHHCO、B:MeOH、0~100%)により精製して、黄色油状物として、(3S)-3-(4,4’-ジフルオロ-2’,5,6’-トリメチル-[1,1’-ビフェニル]-3-イル)-3-(2-(3-フルオロ-5-(2-((R)-3-フルオロピロリジン-1-イル)エチル)-2-オキソピリジン-1(2H)-イル)-4-メチルペンタンアミド)プロパン酸エチル(150mg)を得た。収率 63.8%(ESI 672.3(M+H))。
工程2:(3S)-3-(4,4’-ジフルオロ-2’,5,6’-トリメチル-[1,1’-ビフェニル]-3-イル)-3-(2-(3-フルオロ-5-(2-((R)-3-フルオロピロリジン-1-イル)エチル)-2-オキソピリジン-1(2H)-イル)-4-メチルペンタンアミド)プロパン酸エチル
Figure 0007702004000611
(3S)-3-(4,4’-ジフルオロ-2’,5,6’-トリメチル-[1,1’-ビフェニル]-3-イル)-3-(2-(3-フルオロ-5-(2-((R)-3-フルオロピロリジン-1-イル)エチル)-2-オキソピリジン-1(2H)-イル)-4-メチルペンタンアミド)プロパン酸エチル(150mg、0.22mmol)を、LiOH-HO(94mg、2.2mmol)のMeOH(5mL)とHO(5mL)の溶液を用いて室温で2時間処理した。反応混合液を、1N HClを用いてpH4~5に酸性化した。溶媒を真空中で除去し、残留物を分取HPLC A(30~60% CHCN)により精製して、白色固形物として、ジアステレオマー生成物のAT-P1(28mg)およびAT-P2(37mg)を得た。
AT-P1 ESI 644.2(M+H)H NMR(400MHz,MeOD)δ 7.50(s,1H),7.37(d,J=10.1Hz,1H),6.92-6.77(m,4H),5.74-5.62(m,1H),5.57-5.46(m,1H),5.27(d,J=53.4Hz,1H),3.29-2.96(m,6H),2.84-2.56(m,4H),2.40-2.10(m,5H),2.07-1.90(m,5H),1.87(s,3H),1.49-1.38(m,1H),1.03-0.89(m,6H).
AT-P2 ESI 644.2(M+H)H NMR(400MHz,MeOD)δ 7.49(s,1H),7.41(d,J=10.3Hz,1H),6.97-6.76(m,4H),5.67(t,J=7.7Hz,1H),5.62-5.52(m,1H),5.33(d,J=55.0Hz,1H),3.69-3.34(m,6H),2.92-2.77(m,2H),2.65-2.43(m,2H),2.30(d,J=17.3Hz,5H),2.10-1.89(m,7H),1.86-1.74(m,1H),1.48-1.34(m,1H),0.95-0.86(m,6H).
3-42. (3S)-3-(4-フルオロ-2’,5,6’-トリメチル-[1,1’-ビフェニル]-3-イル)-3-(2-(3-フルオロ-5-(2-((R)-3-フルオロピロリジン-1-イル)エチル)-2-オキソピリジン-1(2H)-イル)-4-メチルペンタンアミド)プロパン酸(化合物AU-P1およびAU-P2)の調製
工程1:(3S)-3-(4-フルオロ-2’,5,6’-トリメチル-[1,1’-ビフェニル]-3-イル)-3-(2-(3-フルオロ-5-(2-((R)-3-フルオロピロリジン-1-イル)エチル)-2-オキソピリジン-1(2H)-イル)-4-メチルペンタンアミド)プロパン酸エチル
Figure 0007702004000612
2-(3-フルオロ-5-(2-((R)-3-フルオロピロリジン-1-イル)エチル)-2-オキソピリジン-1(2H)-イル)-4-メチルペンタン酸(150mg、0.44mmol)、(S)-3-アミノ-3-(4-フルオロ-2’,5,6’-トリメチル-[1,1’-ビフェニル]-3-イル)プロパン酸エチル(144mg、0.44mmol)、TCFH(148mg、0.53mmol)、NMI(108mg、1.32mmol)のCHCN(4mL)の混合液を室温で1時間攪拌した。LCMSは、反応が完了したことを示した。溶媒を真空中で濃縮し、残留物をC18/120gカラムでの逆相HPLC(A:水 10mM NHHCO、B:CH3CN、0~100%)により精製して、無色油状物として、(3S)-3-(4-フルオロ-2’,5,6’-トリメチル-[1,1’-ビフェニル]-3-イル)-3-(2-(3-フルオロ-5-(2-((R)-3-フルオロピロリジン-1-イル)エチル)-2-オキソピリジン-1(2H)-イル)-4-メチルペンタンアミド)プロパン酸エチル(130mg)を得た。収率 45%(ESI 654.2(M+H))。
工程2:(3S)-3-(4-フルオロ-2’,5,6’-トリメチル-[1,1’-ビフェニル]-3-イル)-3-(2-(3-フルオロ-5-(2-((R)-3-フルオロピロリジン-1-イル)エチル)-2-オキソピリジン-1(2H)-イル)-4-メチルペンタンアミド)プロパン酸
Figure 0007702004000613
(3S)-3-(4-フルオロ-2’,5,6’-トリメチル-[1,1’-ビフェニル]-3-イル)-3-(2-(3-フルオロ-5-(2-((R)-3-フルオロピロリジン-1-イル)エチル)-2-オキソピリジン-1(2H)-イル)-4-メチルペンタンアミド)プロパン酸エチル(130mg、0.20mmol)を、LiOH-HO(83mg、2.0mmol)のTHF(2mL)とHO(1mL)の溶液を用いて35℃で1時間処理した。反応混合液を、1N HClを用いてpH4~5に酸性化した。溶媒を真空中で除去し、残留物を分取HPLC A(30~60% MeCN)により精製して、白色固形物として、ジアステレオマー生成物のAU-P1(33mg)およびAU-P2(53mg)を得た。
AU-P1 ESI 626.2(M+H)+. H NMR(400MHz,MeOD)δ 7.51(s,1H),7.38-7.35(m,1H),7.15-7.06(m,3H),6.88-6.81(m,2H),5.73-5.68(m,1H),5.53-5.50(m,1H),5.35-5.19(m,1H),3.44-3.35(m,1H),3.30-3.08(m,5H),2.80-2.65(m,4H),2.37-2.18(m,5H),1.98-1.95(m,5H),1.88(s,3H),1.47-1.40(m,1H),097-0.93(m,6H).
AU-P2 ESI 626.2(M+H)+. H NMR(400MHz,MeOD)δ 7.50(s,1H),7.41-7.38(m,1H),7.14-7.07(m,3H),6.93-6.90(m,2H),5.70-5.66(m,1H),5.61-5.58(m,1H),5.40-5.25(m,1H),3.65-3.37(m,5H),3.30-3.25(m,1H),2.91-2.79(m,2H),2.64-2.48(m,2H),2.39-2.25(m,5H),2.00-1.94(m,7H),1.84-1.75(m,1H),1.43-1.35(m,1H),0.92-0.89(m,6H).
3-43. (3S)-3-(4-フルオロ-2’,5,6’-トリメチル-[1,1’-ビフェニル]-3-イル)-3-(2-(3-フルオロ-5-(2-(3-フルオロアゼチジン-1-イル)エチル)-2-オキソピリジン-1(2H)-イル)-4-メチルペンタンアミド)プロパン酸(化合物AV-P1およびAV-P2)の調製
工程1:(3S)-3-(4-フルオロ-2’,5,6’-トリメチル-[1,1’-ビフェニル]-3-イル)-3-(2-(3-フルオロ-5-(2-(3-フルオロアゼチジン-1-イル)エチル)-2-オキソピリジン-1(2H)-イル)-4-メチルペンタンアミド)プロパン酸エチル
Figure 0007702004000614
(S)-3-アミノ-3-(4-フルオロ-2’,5,6’-トリメチル-[1,1’-ビフェニル]-3-イル)プロパン酸エチル(142mg、0.43mmol)、2-(3-フルオロ-5-(2-(3-フルオロアゼチジン-1-イル)エチル)-2-オキソピリジン-1(2H)-イル)-4-メチルペンタン酸(120mg、0.36mmol)、TCHF(151mg、0.54mmol)、およびNMI(147.6mg、1.8mmol)のCHCN(4mL)の混合液を室温で1時間攪拌した。溶媒を真空中で除去し、残留物をC18/40gカラムでの逆相HPLC(A:水 10mM NHHCO、B:MeOH、0~100%)により精製して、黄色固形物として、(3S)-3-(4-フルオロ-2’,5,6’-トリメチル-[1,1’-ビフェニル]-3-イル)-3-(2-(3-フルオロ-5-(2-(3-フルオロアゼチジン-1-イル)エチル)-2-オキソピリジン-1(2H)-イル)-4-メチルペンタンアミド)プロパン酸エチル(110mg)を得た。収率 48%(ESI 640.2 [M+H])。
工程2:(3S)-3-(4-フルオロ-2’,5,6’-トリメチル-[1,1’-ビフェニル]-3-イル)-3-(2-(3-フルオロ-5-(2-(3-フルオロアゼチジン-1-イル)エチル)-2-オキソピリジン-1(2H)-イル)-4-メチルペンタンアミド)プロパン酸
Figure 0007702004000615
(3S)-3-(4-フルオロ-2’,5,6’-トリメチル-[1,1’-ビフェニル]-3-イル)-3-(2-(3-フルオロ-5-(2-(3-フルオロアゼチジン-1-イル)エチル)-2-オキソピリジン-1(2H)-イル)-4-メチルペンタンアミド)プロパン酸エチル(110mg、0.17mmol)を、LiOH-HO(36mg、0.86mmol)のTHF(20mL)と水(8mL)の溶液を用いて30℃で1時間処理した。反応混合液を、2N HClを用いてpH4~5に酸性化した。溶媒を真空中で除去し、残留物を分取HPLC Bにより精製して、白色固形物として、ジアステレオマー生成物のAV-P1(40mg)およびAV-P2(39mg)を得た。
AV-P1 ESI 612.3(M+H)H NMR(400MHz,MeOD)δ 7.76(s,0.18H,FA),7.50-7.27(m,2H),7.23-7.02(m,3H),6.96-6.75(m,2H),5.69(t,J=8.0Hz,1H),5.50(t,J=6.1Hz,1H),5.20(d,J=57.4Hz,1H),4.11(s,1H),3.95(s,1H),3.75-3.53(m,2H),3.21-3.05(m,2H),2.85-2.52(m,4H),2.30(s,3H),2.05-1.82(m,8H),1.56-1.32(m,1H),1.06-0.83(m,6H).
AV-P2 ESI 612.3(M+H)H NMR(400MHz,MeOD)δ 8.36(s,0.27H,FA),7.51-7.29(m,2H),7.09(t,J=7.6Hz,3H),6.94(t,J=7.0Hz,2H),5.80-5.58(m,2H),5.57-5.18(m,1H),4.54-4.21(m,2H),4.16-3.93(m,2H),3.39(d,J=5.5Hz,2H),2.83-2.48(m,4H),2.33(d,J=1.6Hz,3H),2.00(s,7H),1.88-1.66(m,1H),1.54-1.26(m,1H),1.23-0.69(m,6H).
3-44. (3S)-3-(2-(5-(2-(ジメチルアミノ)エチル)-3-メチル-2-オキソピリジン-1(2H)-イル)-4-メチルペンタンアミド)-3-(4-フルオロ-2’,5,6’-トリメチル-[1,1’-ビフェニル]-3-イル)プロパン酸(化合物AW-P1およびAW-P2)の調製
工程1:(3S)-3-(2-(5-(2-(ジメチルアミノ)エチル)-3-メチル-2-オキソピリジン-1(2H)-イル)-4-メチルペンタンアミド)-3-(4-フルオロ-2’,5,6’-トリメチル-[1,1’-ビフェニル]-3-イル)プロパン酸エチル
Figure 0007702004000616
(S)-3-アミノ-3-(4-フルオロ-2’,5,6’-トリメチル-[1,1’-ビフェニル]-3-イル)プロパン酸エチル(130.0mg、0.44mmol)、2-(5-(2-(ジメチルアミノ)エチル)-3-メチル-2-オキソピリジン-1(2H)-イル)-4-メチルペンタン酸(145.0mg、0.44mmol)、TCHF(131mg、0.47mmol)、およびNMI(96.0mg、1.17mmol)のCHCN(4mL)の混合液を室温で1時間攪拌した。溶媒を真空中で除去し、残留物をC18/40gカラムでの逆相HPLC(A:水 10mM NHHCO、B:MeOH、0~100%)により精製して、黄色固形物として、(3S)-3-(2-(5-(2-(ジメチルアミノ)エチル)-3-メチル-2-オキソピリジン-1(2H)-イル)-4-メチルペンタンアミド)-3-(4-フルオロ-2’,5,6’-トリメチル-[1,1’-ビフェニル]-3-イル)プロパン酸エチル(130mg)を得た。収率 48.6%(ESI 606.2 [M+H])。
工程2:(3S)-3-(2-(5-(2-(ジメチルアミノ)エチル)-3-メチル-2-オキソピリジン-1(2H)-イル)-4-メチルペンタンアミド)-3-(4-フルオロ-2’,5,6’-トリメチル-[1,1’-ビフェニル]-3-イル)プロパン酸
Figure 0007702004000617
(3S)-3-(2-(5-(2-(ジメチルアミノ)エチル)-3-メチル-2-オキソピリジン-1(2H)-イル)-4-メチルペンタンアミド)-3-(4-フルオロ-2’,5,6’-トリメチル-[1,1’-ビフェニル]-3-イル)プロパン酸エチル(130.0mg、0.21mmol)を、LiOH-HO(46.0mg、1.0mmol)のTHF(6mL)と水(3mL)の溶液を用いて30℃で1時間処理した。反応混合液を、1N HClを用いてpH4~5に酸性化した。溶媒を真空中で除去し、残留物を分取HPLC A(30~60% MeCN)により精製して、白色固形物として、ジアステレオマー生成物のAW-P1(30.3mg)およびAW-P2(46.0mg)を得た。
AW-P1 ESI 578.3(M+H)H NMR(400MHz,MeOD)δ 7.46(s,1H),7.43(s,1H),7.17-7.07(m,3H),6.88-6.86(m,1H),6.74-6.71(m,1H),5.57-5.54(m,1H),5.36(t,J=5.0Hz,1H),3.38-3.5(m,1H),3.19-3.06(m,1H),2.83-2.77(m,2H),2.67(s,6H),2.64-2.59(m,1H),2.53-2.47(m,1H),2.30(d,J=1.7Hz,3H),2.05(s,3H),1.98-1.93(m,8H),1.48-1.39(m,1H),0.95-0.89(m,6H).
AW-P2 ESI 578.3(M+H)H NMR(400MHz,MeOD)δ 7.51(s,1H),7.41(s,1H),7.17-7.02(m,3H),6.89-6.87(m,1H),6.81-6.79(m,1H),5.64-5.60(m,1H),5.55-5.51(m,1H),3.45-3.38(m,1H),3.30-3.23(m,1H),2.97-2.72(m,8H),2.61-2.56(m,1H),2.45-2.39(m,1H),2.31(d,J=1.8Hz,3H),2.06-1.80(m,11H),1.46-1.39(m,1H),0.94-0.88(m,6H).
3-45. (3S)-3-(2-(5-(2-(ジメチルアミノ)エチル)-3-フルオロ-2-オキソピリジン-1(2H)-イル)-4-メチルペンタンアミド)-3-(4-フルオロ-2’,5,6’-トリメチルビフェニル-3-イル)プロパン酸(化合物AX-P1およびAX-P2)の調製
工程1:(3S)-エチル 3-(2-(5-(2-(ジメチルアミノ)エチル)-3-フルオロ-2-オキソピリジン-1(2H)-イル)-4-メチルペンタンアミド)-3-(4-フルオロ-2’,5,6’-トリメチルビフェニル-3-イル)プロパン酸塩
Figure 0007702004000618
2-(5-(2-(ジメチルアミノ)エチル)-3-フルオロ-2-オキソピリジン-1(2H)-イル)-4-メチルペンタン酸(109mg、0.36mmol)、(S)-エチル 3-アミノ-3-(4-フルオロ-2’,5,6’-トリメチルビフェニル-3-イル)プロパン酸塩(120mg、0.36mmol)、TCFH(114mg、0.41mmol)、およびNMI(84mg、1.02mmol)のCHCN(5mL)の混合液を室温で1時間攪拌した。溶媒を真空中で除去し、残留物をシリカゲルカラム(DCM:MeOH 4:1)により精製して、白色固形物として、(3S)-エチル 3-(2-(5-(2-(ジメチルアミノ)エチル)-3-フルオロ-2-オキソピリジン-1(2H)-イル)-4-メチルペンタンアミド)-3-(4-フルオロ-2’,5,6’-トリメチルビフェニル-3-イル)プロパン酸塩(130mg)を得た。収率 59%(ESI 610.2(M+H))。
工程2:(3S)-3-(2-(5-(2-(ジメチルアミノ)エチル)-3-フルオロ-2-オキソピリジン-1(2H)-イル)-4-メチルペンタンアミド)-3-(4-フルオロ-2’,5,6’-トリメチルビフェニル-3-イル)プロパン酸
Figure 0007702004000619
(3S)-エチル 3-(2-(5-(2-(ジメチルアミノ)エチル)-3-フルオロ-2-オキソピリジン-1(2H)-イル)-4-メチルペンタンアミド)-3-(4-フルオロ-2’,5,6’-トリメチルビフェニル-3-イル)プロパン酸塩(130mg、0.21mmol))を、LiOH-HO(32mg、0.75mmol)のTHF(3mL)とHO(1mL)の溶液を用いて室温で3時間処理した。反応混合液を、1N HClを用いてpH4~5に酸性化した。溶媒を真空中で除去し、残留物を分取HPLC A(30~60% MeCN)により精製して、白色固形物として、ジアステレオマー生成物のAX-P1(32.0mg)およびAX-P2(35.0mg)を得た。
AX-P1 ESI 582.1(M+H)H NMR(400MHz,MeOD)δ 7.48(s,1H),7.40(d,J=10.2Hz,1H),7.15-7.08(m,3H),6.86(d,J=6.8Hz,1H),6.78(d,J=6.4Hz,1H),5.67(t,J=8.1Hz,1H),5.43(t,J=5.5Hz,1H),3.18-3.13(m,1H),3.03-2.99(m,1H),2.81-2.77(m,2H),2.68-2.53(m,8H),2.29(s,3H),2.00-1.94(m,5H),1.92(s,3H),1.45-1.39(m,1H),0.96-0.90(m,6H).
AX-P2 ESI 582.1(M+H)H NMR(400MHz,MeOD)δ 7.50(s,1H),7.43-7.40(m,1H),7.15-7.07(m,3H),6.91(d,J=6.9Hz,2H),5.66-5.58(m,2H),3.41-3.34(m,1H),3.28-3.22(m,1H),2.99-2.91(m,1H),2.85-2.81(m,7H),2.61-2.55(m,1H),2.47-2.41(m,1H),2.32(d,J=1.8Hz,3H),2.04-1.97(m,7H),1.85-1.77(m,1H),1.44-1.36(m,1H),0.92-0.89(m,6H).
3-46. (3S)-3-(2-(5-(2-(ジメチルアミノ)エチル)-4-メチル-2-オキソピリジン-1(2H)-イル)-4-メチルペンタンアミド)-3-(4-フルオロ-2’,5,6’-トリメチルビフェニル-3-イル)プロパン酸(化合物AZ-P1およびAZ-P2)の調製
工程1:(3S)-3-(2-(5-(2-(ジメチルアミノ)エチル)-4-メチル-2-オキソピリジン-1(2H)-イル)-4-メチルペンタンアミド)-3-(4-フルオロ-2’,5,6’-トリメチル-[1,1’-ビフェニル]-3-イル)プロパン酸エチル
Figure 0007702004000620
2-(5-(2-(ジメチルアミノ)エチル)-4-メチル-2-オキソピリジン-1(2H)-イル)-4-メチルペンタン酸(100mg、0.34mmol)、(S)-3-アミノ-3-(4-フルオロ-2’,5,6’-トリメチル-[1,1’-ビフェニル]-3-イル)プロパン酸エチル(112mg、0.34mmol)、TCFH(115mg、0.41mmol)、NMI(84mg、1.02mmol)のCHCN(5mL)の混合液を室温で1時間攪拌した。溶媒を真空中で除去し、残留物をシリカゲルカラム(DCM:MeOH 4:1)により精製して、白色固形物として、(3S)-3-(2-(5-(2-(ジメチルアミノ)エチル)-4-メチル-2-オキソピリジン-1(2H)-イル)-4-メチルペンタンアミド)-3-(4-フルオロ-2’,5,6’-トリメチル-[1,1’-ビフェニル]-3-イル)プロパン酸エチル(90mg)を得た。収率 44%(ESI 606.2(M+H))。
工程2:(3S)-3-(2-(5-(2-(ジメチルアミノ)エチル)-4-メチル-2-オキソピリジン-1(2H)-イル)-4-メチルペンタンアミド)-3-(4-フルオロ-2’,5,6’-トリメチルビフェニル-3-イル)プロパン酸
Figure 0007702004000621
(3S)-3-(2-(5-(2-(ジメチルアミノ)エチル)-4-メチル-2-オキソピリジン-1(2H)-イル)-4-メチルペンタンアミド)-3-(4-フルオロ-2’,5,6’-トリメチル-[1,1’-ビフェニル]-3-イル)プロパン酸エチル(90mg、0.15mmol))を、LiOH-HO(32mg、0.75mmol)のTHF(3mL)とHO(1mL)の溶液を用いて室温で3時間処理した。反応混合液を、1N HClを用いてpH4~5に酸性化した。溶媒を真空中で除去し、残留物を分取HPLC A(30~60% MeCN)により精製して、白色固形物として、ジアステレオマー生成物のAZ-P1(30.0mg)およびAZ-P2(26.0mg)を得た。
AZ-P1 ESI 578.2(M+H)H NMR(500MHz,MeOD)δ 7.57(s,1H),7.18-7.03(m,3H),6.86-6.81(m,2H),6.35(s,1H),5.59-5.55(m,1H),5.49-5.46(m,1H),3.25-3.16(m,1H),3.13-3.108(m,1H),2.87(t,J=7.2Hz,2H),2.75(s,6H),2.70-2.59(m,2H),2.29(d,J=1.5Hz,3H),2.26(s,3H),1.99-1.94(m,5H),1.90(s,3H),1.46-1.37(m,1H),0.94-0.89(m,6H).
AZ-P2 ESI 578.2(M+H)H NMR(500MHz,MeOD)δ 7.55(s,1H),7.15-7.07(m,3H),6.90(d,J=6.9Hz,2H),6.43(s,1H),5.65-5.56(m,2H),3.31-3.28(m,1H),3.22-3.15(m,1H),2.98-2.88(m,2H),2.84(s,6H),2.63-2.59(m,1H),2.50-2.44(m,1H),2.32(d,J=1.5Hz,3H),2.26(s,3H),2.03-1.91(m,7H),1.80-1.72(m,1H),1.42-1.32(m,1H),0.90-0.88(m,6H).
3-47. (3S)-3-(2-(5-(2-(ジメチルアミノ)エチル)-2-オキソ-4-(トリフルオロメチル)ピリジン-1(2H)-イル)-4-メチルペンタンアミド)-3-(4-フルオロ-2’,5,6’-トリメチル-[1,1’-ビフェニル]-3-イル)プロパン酸(化合物BA-P1およびBA-P2)の調製
工程1:(3S)-3-(2-(5-(2-(ジメチルアミノ)エチル)-2-オキソ-4-(トリフルオロメチル)ピリジン-1(2H)-イル)-4-メチルペンタンアミド)-3-(4-フルオロ-2’,5,6’-トリメチル-[1,1’-ビフェニル]-3-イル)プロパン酸エチル
Figure 0007702004000622
(S)-3-アミノ-3-(4-フルオロ-2’,5,6’-トリメチル-[1,1’-ビフェニル]-3-イル)プロパン酸エチル(95.0mg、0.29mmol)、2-(5-(2-(ジメチルアミノ)エチル)-2-オキソ-4-(トリフルオロメチル)ピリジン-1(2H)-イル)-4-メチルペンタン酸(100.0mg、0.29mmol)、TCHF(97.0mg、0.35mmol)、およびNMI(71.0mg、0.87mmol)のCHCN(4mL)の混合液を室温で1時間攪拌した。溶媒を真空中で除去し、残留物をC18/40gカラムでの逆相HPLC(A:水 10mM NHHCO、B:MeOH、0~100%)により精製して、黄色固形物として、(3S)-3-(2-(5-(2-(ジメチルアミノ)エチル)-2-オキソ-4-(トリフルオロメチル)ピリジン-1(2H)-イル)-4-メチルペンタンアミド)-3-(4-フルオロ-2’,5,6’-トリメチル-[1,1’-ビフェニル]-3-イル)プロパン酸エチル(100.0mg)を得た。収率 52.3%(ESI 660.2 [M+H])。
工程2:(3S)-3-(2-(5-(2-(ジメチルアミノ)エチル)-2-オキソ-4-(トリフルオロメチル)ピリジン-1(2H)-イル)-4-メチルペンタンアミド)-3-(4-フルオロ-2’,5,6’-トリメチル-[1,1’-ビフェニル]-3-イル)プロパン酸
Figure 0007702004000623
(3S)-3-(2-(5-(2-(ジメチルアミノ)エチル)-2-オキソ-4-(トリフルオロメチル)ピリジン-1(2H)-イル)-4-メチルペンタンアミド)-3-(4-フルオロ-2’,5,6’-トリメチル-[1,1’-ビフェニル]-3-イル)プロパン酸エチル(100.0mg、0.15mmol)を、LiOH-HO(32.0mg、0.75mmol)のTHF(3mL)と水(1mL)の溶液を用いて30℃で1時間処理した。反応混合液を、2N HClを用いてpH4~5に酸性化した。溶媒を真空中で除去し、残留物を分取HPLC A(30~60% MeCN)により精製して、白色固形物として、ジアステレオマー生成物のBA-P1(16.4mg)およびBA-P2(12.5mg)を得た。
BA-P1 ESI 632.2(M+H)H NMR(500MHz,MeOD)δ 7.77(s,1H),7.03-6.86(m,3H),6.79-6.70(m,2H),6.64(s,1H),5.56(t,J=8.0Hz,1H),5.48-5.38(m,1H),2.98-2.92(m,2H),2.83-2.78(m,2H),2.62-2.59(m,8H),2.17(s,3H),1.87(d,J=11.3Hz,5H),1.71(s,3H),1.34-1.30(m,1H),0.85-0.81(m,6H).
BA-P2 ESI 632.2(M+H)H NMR(500MHz,MeOD)δ 7.71(s,1H),7.03-6.95(m,3H),6.82-6.77(m,3H),5.60-5.57(m,1H),5.49(t,J=7.7Hz,1H),3.15-3.06(m,2H),2.88(t,J=6.6Hz,2H),2.70(s,6H),2.54-2.50(m,1H),2.42-2.37(m,1H),2.21(s,3H),1.90-1.85(m,7H),1.62-1.52(m,1H),1.33-1.22(m,1H),0.79-0.77(m,6H).
3-48. (3S)-3-(2-(5-(3-(アゼチジン-1-イル)プロピル)-2-オキソ-4-(トリフルオロメチル)ピリジン-1(2H)-イル)-4-メチルペンタンアミド)-3-(2,2’,4-トリフルオロ-4’,6’-ジメチル-5-(トリフルオロメチル)ビフェニル-3-イル)プロパン酸(化合物HD-P1およびHD-P2)の調製
工程1:(3S)-エチル 3-(2-(5-(3-(アゼチジン-1-イル)プロピル)-2-オキソ-4-(トリフルオロメチル)ピリジン-1(2H)-イル)-4-メチルペンタンアミド)-3-(2,2’,4-トリフルオロ-4’,6’-ジメチル-5-(トリフルオロメチル)ビフェニル-3-イル)プロパン酸塩
Figure 0007702004000624
2-(5-(3-(アゼチジン-1-イル)プロピル)-2-オキソ-4-(トリフルオロメチル)ピリジン-1(2H)-イル)-4-メチルペンタン酸(100mg、0.28mmol)、(3S)-エチル 3-アミノ-3-(2,2’,4-トリフルオロ-4’,6’-ジメチル-5-(トリフルオロメチル)ビフェニル-3-イル)プロパン酸塩(120mg、0.29mmol)、NMI(71mg、0.87mmol)およびTCFH(98mg、0.35mmol)のCHCN(4mL)の混合液を室温で2時間攪拌した。溶媒を真空中で濃縮し、残留物をC18/40gカラムでの逆相HPLC(A:水 10mM NH4HCO3、B:CH3CN、0~100%)により精製して、黄色油状物として、(3S)-エチル 3-(2-(5-(3-(アゼチジン-1-イル)プロピル)-2-オキソ-4-(トリフルオロメチル)ピリジン-1(2H)-イル)-4-メチルペンタンアミド)-3-(2,2’,4-トリフルオロ-4’,6’-ジメチル-5-(トリフルオロメチル)ビフェニル-3-イル)プロパン酸塩(110mg)を得た。収率 52 %(ESI 776.3 [M+H])。
工程2:(3S)-3-(2-(5-(3-(アゼチジン-1-イル)プロピル)-2-オキソ-4-(トリフルオロメチル)ピリジン-1(2H)-イル)-4-メチルペンタンアミド)-3-(2,2’,4-トリフルオロ-4’,6’-ジメチル-5-(トリフルオロメチル)ビフェニル-3-イル)プロパン酸
Figure 0007702004000625
(3S)-エチル 3-(2-(5-(3-(アゼチジン-1-イル)プロピル)-2-オキソ-4-(トリフルオロメチル)ピリジン-1(2H)-イル)-4-メチルペンタンアミド)-3-(2,2’,4-トリフルオロ-4’,6’-ジメチル-5-(トリフルオロメチル)ビフェニル-3-イル)プロパン酸塩(110mg、0.14mmol)を、LiOH-HO(24mg、0.56mmol)のEtOH(3mL)とHO(1mL)の溶液を用いて室温で1時間処理した。反応混合液を、1N HClを用いてpH5~6に酸性化した。反応液を真空中で濃縮し、残留物を分取HPLC A(30~60% CHCN)により精製して、白色固形物として、ジアステレオマー生成物のHD-P1(27mg)およびHD-P2(28mg)を得た。
HD-P1 ESI 748.2(M+H)H NMR(400MHz,MeOD)δ 7.77(s,1H),7.53-7.43(m,1H),6.98(s,1H),6.90-6.73(m,2H),5.81-5.71(m,2H),4.05(t,J=8.1Hz,4H),3.14(t,J=7.7Hz,2H),3.01-2.89(m,1H),2.84-2.53(m,3H),2.51-2.30(m,5H),2.18-1.90(m,5H),1.90-1.66(m,2H),1.46-1.23(m,1H),1.06-0.86(m,6H).
HD-P2 ESI 748.2(M+H)H NMR(400MHz,MeOD)δ 7.79(s,1H),7.52(t,J=7.4Hz,1H),7.00(s,1H),6.93-6.75(m,2H),5.89-5.73(m,1H),5.69-5.62(m,1H),4.17-3.93(m,4H),3.21-3.00(m,2H),2.94-2.84(m,1H),2.75-2.56(m,3H),2.51-2.30(m,5H),2.10(d,J=11.8Hz,3H),1.98-1.55(m,4H),1.42-1.22(m,1H),0.92-0.80(m,6H).
3-49. (3S)-3-(2-(5-(3-(アゼチジン-1-イル)プロピル)-2-オキソ-4-(トリフルオロメチル)ピリジン-1(2H)-イル)-4-メチルペンタンアミド)-3-(2,4-ジフルオロ-2’,6’-ジメチル-5-(トリフルオロメチル)-[1,1’-ビフェニル]-3-イル)プロパン酸(化合物HE-P1およびHE-P2)の調製
工程1:(3S)-3-(2-(5-(3-(アゼチジン-1-イル)プロピル)-2-オキソ-4-(トリフルオロメチル)ピリジン-1(2H)-イル)-4-メチルペンタンアミド)-3-(2,4-ジフルオロ-2’,6’-ジメチル-5-(トリフルオロメチル)-[1,1’-ビフェニル]-3-イル)プロパン酸エチル
Figure 0007702004000626
(S)-3-アミノ-3-(2,4-ジフルオロ-2’,6’-ジメチル-5-(トリフルオロメチル)-[1,1’-ビフェニル]-3-イル)プロパン酸エチル(116mg、0.29mmol)、2-(5-(3-(アゼチジン-1-イル)プロピル)-2-オキソ-4-(トリフルオロメチル)ピリジン-1(2H)-イル)-4-メチルペンタン酸(100mg、0.27mmol)、TCFH(151mg、0.54mmol)およびNMI(110mg、1.35mmol)のCHCN(2mL)の混合液を25℃で2時間攪拌した。溶媒を真空中で濃縮し、残留物を精製した。反応液を濃縮し、C18/40gカラムでの逆相HPLC(A:水 10mM NHHCO、B:MeOH、0~90%)により精製して、黄色固形物として、(3S)-3-(2-(5-(3-(アゼチジン-1-イル)プロピル)-2-オキソ-4-(トリフルオロメチル)ピリジン-1(2H)-イル)-4-メチルペンタンアミド)-3-(2,4-ジフルオロ-2’,6’-ジメチル-5-(トリフルオロメチル)-[1,1’-ビフェニル]-3-イル)プロパン酸エチル(120mg)を得た。収率 58.6 %(ESI 758.3 [M+H])。
工程2:(3S)-3-(2-(5-(3-(アゼチジン-1-イル)プロピル)-2-オキソ-4-(トリフルオロメチル)ピリジン-1(2H)-イル)-4-メチルペンタンアミド)-3-(2,4-ジフルオロ-2’,6’-ジメチル-5-(トリフルオロメチル)-[1,1’-ビフェニル]-3-イル)プロパン酸
Figure 0007702004000627
(3S)-3-(2-(5-(3-(アゼチジン-1-イル)プロピル)-2-オキソ-4-(トリフルオロメチル)ピリジン-1(2H)-イル)-4-メチルペンタンアミド)-3-(2,4-ジフルオロ-2’,6’-ジメチル-5-(トリフルオロメチル)-[1,1’-ビフェニル]-3-イル)プロパン酸エチル(120mg、0.16mmol)を、LiOH-HO(13mg、0.32mmol)のEtOH(2mL)とHO(0.5mL)の溶液を用いて室温で30分間処理した。反応混合液を、1N HClを用いてpH5~6に酸性化した。反応液を真空中で濃縮し、残留物を分取HPLC A(40~65% CHCN)により精製して、白色固形物として、ジアステレオマー生成物のHE-P1(40mg)およびHE-P2(42mg)を得た。
HE-P1 ESI 730.3(M+H)H NMR(400MHz,MeOD)δ 7.75(s,1H),7.37(t,J=7.6Hz,1H),7.23-7.16(m,1H),7.14-7.08(m,2H),6.78(s,1H),5.78-5.70(m,2H),3.88(s,4H),3.05-2.91(m,3H),2.76-2.70(m,1H),2.66-2.57(m,2H),2.41-2.32(m,2H),2.09-1.91(m,6H),1.90(s,3H),1.77-1.69(m,1H),1.36-1.30(m,1H),0.99-0.85(m,6H).
HE-P2 ESI 730.3(M+H)H NMR(400MHz,MeOD)δ 7.79(s,1H),7.44(t,J=7.5Hz,1H),7.25-7.19(m,1H),7.15(d,J=7.4Hz,2H),6.84(s,1H),5.85-5.79(m,1H),5.63(t,J=7.6Hz,1H),4.08(s,4H),3.18-3.05(m,2H),2.95-2.87(m,1H),2.71-2.59(m,3H),2.48-2.39(m,2H),2.02(d,J=5.7Hz,6H),1.95-1.78(m,3H),1.70-1.60(m,1H),1.34-1.27(m,1H),0.90-0.82(m,6H).
3-50. (3S)-3-(2-(5-(2-(ジエチルアミノ)エチル)-2-オキソ-4-(トリフルオロメチル)ピリジン-1(2H)-イル)-4-メチルペンタンアミド)-3-(2,4-ジフルオロ-2’,4’,6’-トリメチル-5-(トリフルオロメチル)-[1,1’-ビフェニル]-3-イル)プロパン酸(化合物HF-P1およびHF-P2)の調製
工程1:(3S)-3-(2-(5-(2-(ジエチルアミノ)エチル)-2-オキソ-4-(トリフルオロメチル)ピリジン-1(2H)-イル)-4-メチルペンタンアミド)-3-(2,4-ジフルオロ-2’,4’,6’-トリメチル-5-(トリフルオロメチル)-[1,1’-ビフェニル]-3-イル)プロパン酸エチル
Figure 0007702004000628
(S)-3-アミノ-3-(2,4-ジフルオロ-2’,4’,6’-トリメチル-5-(トリフルオロメチル)-[1,1’-ビフェニル]-3-イル)プロパン酸エチル(125mg、0.3mmol)、2-(5-(2-(ジエチルアミノ)エチル)-2-オキソ-4-(トリフルオロメチル)ピリジン-1(2H)-イル)-4-メチルペンタン酸(120mg、0.32mmol)、TCFH(150mg、0.54mmol)、およびNMI(110mg、1.35mmol)のCHCN(2.5mL)の混合液を50℃で30分間攪拌した。反応液を真空中で濃縮し、残留物を精製した。反応物を濃縮し、C18/40gカラムでの逆相HPLC(A:水 10mM NHHCO、B:MeOH、0~90%)により精製して、黄色固形物として、(3S)-3-(2-(5-(2-(ジエチルアミノ)エチル)-2-オキソ-4-(トリフルオロメチル)ピリジン-1(2H)-イル)-4-メチルペンタンアミド)-3-(2,4-ジフルオロ-2’,4’,6’-トリメチル-5-(トリフルオロメチル)-[1,1’-ビフェニル]-3-イル)プロパン酸エチル(140mg)を得た。収率 60.3 %(ESI 774.3 [M+H])。
工程2:(3S)-3-(2-(5-(2-(ジエチルアミノ)エチル)-2-オキソ-4-(トリフルオロメチル)ピリジン-1(2H)-イル)-4-メチルペンタンアミド)-3-(2,4-ジフルオロ-2’,4’,6’-トリメチル-5-(トリフルオロメチル)-[1,1’-ビフェニル]-3-イル)プロパン酸
Figure 0007702004000629
(3S)-3-(2-(5-(2-(ジエチルアミノ)エチル)-2-オキソ-4-(トリフルオロメチル)ピリジン-1(2H)-イル)-4-メチルペンタンアミド)-3-(2,4-ジフルオロ-2’,4’,6’-トリメチル-5-(トリフルオロメチル)-[1,1’-ビフェニル]-3-イル)プロパン酸エチル(140mg、0.18mmol)を、LiOH-HO(23mg、0.54mmol)のEtOH(3mL)とHO(1mL)の溶液を用いて室温で30分間処理した。反応混合液を、1N HClを用いてpH5~6に酸性化した。反応液を真空中で濃縮し、残留物を分取HPLC A(35~60% CHCN)により精製して、白色固形物として、ジアステレオマー生成物のHF-P1(46mg)およびHF-P2(50mg)を得た。
HF-P1 ESI 746.3(M+H)H NMR(400MHz,MeOD)δ 7.89(s,1H),7.33(t,J=7.6Hz,1H),6.94(d,J=4.0Hz,2H),6.82(s,1H),5.79-5.67(m,2H),3.25-3.11(m,6H),3.04-2.88(m,3H),2.78-2.69(m,1H),2.29(s,3H),2.06-1.91(m,5H),1.86(s,3H),1.42-1.35(m,1H),1.28(t,J=7.3Hz,6H),0.94(t,J=6.5Hz,6H).
HF-P2 ESI 746.3(M+H). 1H NMR(400MHz,MeOD)δ 7.88(s,1H),7.39(t,J=7.6Hz,1H),6.96(s,2H),6.88(s,1H),5.82-5.64(m,2H),3.29-3.15(m,6H),2.96(t,J=7.7Hz,2H),2.91-2.82(m,1H),2.70(d,J=15.0Hz,1H),2.31(s,3H),1.98(d,J=4.2Hz,6H),1.92-1.79(m,1H),1.77-1.67(m,1H),1.36-1.23(m,7H),0.93-0.82(m,6H).
3-51. (3S)-3-(2-(5-(2-(アゼチジン-1-イル)エチル)-2-オキソ-4-(トリフルオロメチル)ピリジン-1(2H)-イル)-4-メチルペンタンアミド)-3-(3’-シクロプロポキシ-2,4-ジフルオロ-2’,6’-ジメチル-5-(トリフルオロメチル)ビフェニル-3-イル)プロパン酸(化合物HG-P1およびHG-P2)の調製
工程1:(3S)-エチル 3-(2-(5-(2-(アゼチジン-1-イル)エチル)-2-オキソ-4-(トリフルオロメチル)ピリジン-1(2H)-イル)-4-メチルペンタンアミド)-3-(3’-シクロプロポキシ-2,4-ジフルオロ-2’,6’-ジメチル-5-(トリフルオロメチル)ビフェニル-3-イル)プロパン酸塩
Figure 0007702004000630
(3S)-エチル 3-アミノ-3-(3’-シクロプロポキシ-2,4-ジフルオロ-2’,6’-ジメチル-5-(トリフルオロメチル)ビフェニル-3-イル)プロパン酸塩(150mg、0.33mmol)、2-(5-(2-(アゼチジン-1-イル)エチル)-2-オキソ-4-(トリフルオロメチル)ピリジン-1(2H)-イル)-4-メチルペンタン酸(119mg、0.33mmol)、TCFH(174mg、0.62mmol)、およびNMI(82mg、1.0mmol)のMeCN(5mL)の混合液を室温で1時間攪拌した。溶媒を真空中で除去し、残留物をシリカゲルカラム(DCM:MeOH 97:3)により精製して、無色油状物として、(3S)-エチル 3-(2-(5-(2-(アゼチジン-1-イル)エチル)-2-オキソ-4-(トリフルオロメチル)ピリジン-1(2H)-イル)-4-メチルペンタンアミド)-3-(3’-シクロプロポキシ-2,4-ジフルオロ-2’,6’-ジメチル-5-(トリフルオロメチル)ビフェニル-3-イル)プロパン酸塩(130mg)を得た。収率 53%(ESI 800.3(M+H))。
工程2:(3S)-3-(2-(5-(2-(アゼチジン-1-イル)エチル)-2-オキソ-4-(トリフルオロメチル)ピリジン-1(2H)-イル)-4-メチルペンタンアミド)-3-(3’-シクロプロポキシ-2,4-ジフルオロ-2’,6’-ジメチル-5-(トリフルオロメチル)ビフェニル-3-イル)プロパン酸
Figure 0007702004000631
(3S)-エチル 3-(2-(5-(2-(アゼチジン-1-イル)エチル)-2-オキソ-4-(トリフルオロメチル)ピリジン-1(2H)-イル)-4-メチルペンタンアミド)-3-(3’-シクロプロポキシ-2,4-ジフルオロ-2’,6’-ジメチル-5-(トリフルオロメチル)ビフェニル-3-イル)プロパン酸塩(120mg、0.16mmol)を、LiOH-HO(35mg、0.9mmol)のEtOH(3mL)とHO(1mL)の溶液を用いて室温で2時間処理した。反応混合液を、1N HClを用いてpH4~5に酸性化した。反応液を真空中で濃縮し、残留物を精製した。反応液を真空中で濃縮し、残留物を分取HPLC A(30~60% CHCN)により精製して、白色固形物として、ジアステレオマー生成物のHG-P1(30.1mg)およびHG-P2(42.0mg)を得た。
HG-P1 ESI 772.3(M+H). 1H NMR(400MHz,MeOD)δ 7.79(s,1H),7.35(t,J=7.5Hz,1H),7.22(d,J=8.4Hz,1H),7.09(d,J=8.0Hz,1H),6.85(s,1H),5.71-5.68(m,2H),4.04(t,J=8.0Hz,4H),3.82-3.73(m,1H),3.29-3.18(m,2H),2.92(dd,J=15.0,8.7Hz,1H),2.84(t,J=6.8Hz,2H),2.77-2.69(m,1H),2.48-2.37(m,2H),2.04-1.85(m,5H),1.81-1.69(m,3H),1.38(dd,J=13.7,7.2Hz,1H),0.93(t,J=6.2Hz,6H),0.78(dd,J=11.2,5.2Hz,2H),0.70(t,J=6.8Hz,2H).
HG-P2 ESI 772.3(M+H). 1H NMR(400MHz,MeOD)δ 7.73(s,1H),7.41(t,J=7.6Hz,1H),7.25(d,J=8.4Hz,1H),7.12(d,J=8.4Hz,1H),6.90(d,J=13.3Hz,1H),5.90(dd,J=10.8,4.2Hz,1H),5.63(t,J=7.7Hz,1H),4.12(t,J=8.0Hz,4H),3.79-3.75(m,1H),3.48-3.33(m,2H),3.01-2.76(m,3H),2.60(dd,J=15.5,4.1Hz,1H),2.53-2.35(m,2H),2.02-1.85(m,4H),1.81(d,J=3.2Hz,3H),1.76-1.67(m,1H),1.34-1.30(m,1H),1.02-0.81(m,6H),0.81-0.75(m,2H),0.70(d,J=3.1Hz,2H).
3-52. (3S)-3-(2-(5-(2-(アゼチジン-1-イル)エチル)-2-オキソ-4-(トリフルオロメチル)ピリジン-1(2H)-イル)-4-メチルペンタンアミド)-3-(5-シクロプロピル-2,3’,4-トリフルオロ-2’,6’-ジメチル-[1,1’-ビフェニル]-3-イル)プロパン酸(化合物HH-P1およびHH-P2)の調製
工程1:(3S)-3-(2-(5-(2-(アゼチジン-1-イル)エチル)-2-オキソ-4-(トリフルオロメチル)ピリジン-1(2H)-イル)-4-メチルペンタンアミド)-3-(5-シクロプロピル-2,3’,4-トリフルオロ-2’,6’-ジメチル-[1,1’-ビフェニル]-3-イル)プロパン酸エチル
Figure 0007702004000632
(3S)-3-アミノ-3-(5-シクロプロピル-2,3’,4-トリフルオロ-2’,6’-ジメチル-[1,1’-ビフェニル]-3-イル)プロパン酸エチル(120mg、0.3mmol)、2-(5-(2-(アゼチジン-1-イル)エチル)-2-オキソ-4-(トリフルオロメチル)ピリジン-1(2H)-イル)-4-メチルペンタン酸(108mg、0.3mmol)、TCFH(126mg、0.45mmol)およびNMI(123mg、1.5mmol)のCHCN(3mL)の混合液を室温で一晩攪拌した。反応液を真空中で濃縮し、残留物をC18/40gカラムでの逆相HPLC(A:水 10mM NHHCO、B:MeOH、20~95%)により精製して、明黄色固形物として、(3S)-3-(2-(5-(2-(アゼチジン-1-イル)エチル)-2-オキソ-4-(トリフルオロメチル)ピリジン-1(2H)-イル)-4-メチルペンタンアミド)-3-(5-シクロプロピル-2,3’,4-トリフルオロ-2’,6’-ジメチル-[1,1’-ビフェニル]-3-イル)プロパン酸エチル(140mg)を得た。収率 62%(ESI 734.2 [M+H])。
工程2:(3S)-3-(2-(5-(2-(アゼチジン-1-イル)エチル)-2-オキソ-4-(トリフルオロメチル)ピリジン-1(2H)-イル)-4-メチルペンタンアミド)-3-(5-シクロプロピル-2,3’,4-トリフルオロ-2’,6’-ジメチル-[1,1’-ビフェニル]-3-イル)プロパン酸
Figure 0007702004000633
(3S)-3-(2-(5-(2-(アゼチジン-1-イル)エチル)-2-オキソ-4-(トリフルオロメチル)ピリジン-1(2H)-イル)-4-メチルペンタンアミド)-3-(5-シクロプロピル-2,3’,4-トリフルオロ-2’,6’-ジメチル-[1,1’-ビフェニル]-3-イル)プロパン酸エチル(140mg、0.19 mmol)を、LiOH-HO(24mg、0.57mmol)のEtOH(2mL)と水(0.5mL)の溶液を用いて室温で1時間処理した。反応混合液を、2N HClを用いてpH4~5に酸性化した。反応液を真空中で濃縮し、残留物を分取HPLC A(20~85% MeCN)により精製して、白色固形物として、ジアステレオマー生成物のHH-P1(35mg)およびHH-P2(58mg)を得た。
HH-P1 ESI 706.2(M+H)+ 1H NMR(400MHz,MeOD)δ 7.80(s,1H),7.12-7.03(m,1H),7.00-6.91(m,1H),6.87(s,1H),6.62(t,J=8.0Hz,1H),5.80-5.58(m,2H),4.00(t,J=7.7Hz,4H),3.30-3.19(m,2H),2.97-2.78(m,3H),2.71-2.62(m,1H),2.49-2.34(m,2H),2.13-1.76(m,9H),1.46-1.33(m,1H),1.00-0.86(m,8H),0.66(d,J=4.8Hz,2H).
HH-P2 ESI 706.2(M+H)+ 1H NMR(400MHz,MeOD)δ 7.70(s,1H),7.14-7.04(m,1H),7.02-6.87(m,2H),6.67(t,J=8.1Hz,1H),5.98-5.86(m,1H),5.62(t,J=7.7Hz,1H),4.11(t,J=8.1Hz,4H),3.45-3.33(m,2H),2.99-2.71(m,3H),2.60-2.36(m,3H),2.17-2.03(m,1H),2.00-1.86(m,7H),1.80-1.67(m,1H),1.41-1.29(m,1H),1.06-0.94(m,2H),0.93-0.82(m,6H),0.72-0.62(m,2H).
3-53. (3S)-3-(2-(5-(2-(アゼチジン-1-イル)エチル)-2-オキソ-4-(トリフルオロメチル)ピリジン-1(2H)-イル)-4-メチルペンタンアミド)-3-(5-シクロプロピル-2,4,4’-トリフルオロ-2’,6’-ジメチル-[1,1’-ビフェニル]-3-イル)プロパン酸(化合物HI-P1およびHI-P2)の調製
工程1:(3S)-3-(2-(5-(2-(アゼチジン-1-イル)エチル)-2-オキソ-4-(トリフルオロメチル)ピリジン-1(2H)-イル)-4-メチルペンタンアミド)-3-(5-シクロプロピル-2,4,4’-トリフルオロ-2’,6’-ジメチル-[1,1’-ビフェニル]-3-イル)プロパン酸エチル
Figure 0007702004000634
2-(5-(2-(アゼチジン-1-イル)エチル)-2-オキソ-4-(トリフルオロメチル)ピリジン-1(2H)-イル)-4-メチルペンタン酸(150mg、0.42mmol)、(S)-3-アミノ-3-(5-シクロプロピル-2,4,4’-トリフルオロ-2’,6’-ジメチル-[1,1’-ビフェニル]-3-イル)プロパン酸エチル(162mg、0.42mmol)、NMI(0.14mL)およびTCFH(141mg、0.504mmol)のCHCN(5mL)の混合液を室温で1時間攪拌した。溶媒を真空中で濃縮し、残留物を分取HPLC A(30~90% CHCN)により精製して、白色固形物として、(3S)-3-(2-(5-(2-(アゼチジン-1-イル)エチル)-2-オキソ-4-(トリフルオロメチル)ピリジン-1(2H)-イル)-4-メチルペンタンアミド)-3-(5-シクロプロピル-2,4,4’-トリフルオロ-2’,6’-ジメチル-[1,1’-ビフェニル]-3-イル)プロパン酸エチル(160mg)を得た。収率 52%(ESI 734.3 [M+H])。
工程2:(3S)-3-(2-(5-(2-(アゼチジン-1-イル)エチル)-2-オキソ-4-(トリフルオロメチル)ピリジン-1(2H)-イル)-4-メチルペンタンアミド)-3-(5-シクロプロピル-2,4,4’-トリフルオロ-2’,6’-ジメチル-[1,1’-ビフェニル]-3-イル)プロパン酸
Figure 0007702004000635
(3S)-3-(2-(5-(2-(アゼチジン-1-イル)エチル)-2-オキソ-4-(トリフルオロメチル)ピリジン-1(2H)-イル)-4-メチルペンタンアミド)-3-(5-シクロプロピル-2,4,4’-トリフルオロ-2’,6’-ジメチル-[1,1’-ビフェニル]-3-イル)プロパン酸エチル(160mg、0.22mmol)を、LiOH-HO(46mg、1.1mmol)のMeOH(4mL)とHO(0.4mL)の溶液を用いて室温で2時間処理した。反応混合液を、1N HClを用いてpH4~5に酸性化した。反応液を真空中で濃縮し、残留物を分取HPLC A(30~70% CHCN)により精製して、白色固形物として、ジアステレオマー生成物のHI-P1(44.0mg)およびHI-P2(36.0mg)を得た。
HI-P1 ESI 706.3(M+H)H NMR(400MHz,MeOD)δ 7.79(s,1H),6.91-6.79(m,3H),6.61(t,J=8.2Hz,1H),5.82-5.71(m,1H),5.67(t,J=8.1Hz,1H),4.01(t,J=8.1Hz,4H),3.28-3.22(m,2H),2.94-2.79(m,3H),2.72-2.60(m,1H),2.49-2.34(m,2H),2.11-1.87(m,9H),1.45-1.33(m,1H),1.04-0.85(m,8H),0.70-0.60(m,2H).
HI-P2 ESI 706.3 (M+H)H NMR(400MHz,MeOD)δ 7.69(s,1H),6.93(s,1H),6.86(d,J=9.6Hz,2H),6.66(t,J=8.1Hz,1H),5.98-5.85(m,1H),5.62(t,J=7.7Hz,1H),4.12(t,J=8.1Hz,4H),3.44-3.34(m,2H),2.97-2.72(m,3H),2.58-2.36(m,3H),2.14-2.04(m,1H),2.02-1.88(m,7H),1.80-1.66(m,1H),1.46-1.26(m,1H),1.07-0.96(m,2H),0.94-0.81(m,6H),0.72-0.63(m,2H).
3-54. (3S)-3-(2,4-ジフルオロ-3’-メトキシ-2’,6’-ジメチル-5-(トリフルオロメチル)-[1,1’-ビフェニル]-3-イル)-3-(2-(5-(3-(ジメチルアミノ)プロピル)-2-オキソ-4-(トリフルオロメチル)ピリジン-1(2H)-イル)-4-メチルペンタンアミド)プロパン酸(化合物HJ-P1およびHJ-P2)の調製
工程1:(3S)-3-(2,4-ジフルオロ-3’-メトキシ-2’,6’-ジメチル-5-(トリフルオロメチル)-[1,1’-ビフェニル]-3-イル)-3-(2-(5-(3-(ジメチルアミノ)プロピル)-2-オキソ-4-(トリフルオロメチル)ピリジン-1(2H)-イル)-4-メチルペンタンアミド)プロパン酸エチル
Figure 0007702004000636
2-(5-(3-(ジメチルアミノ)プロピル)-2-オキソ-4-(トリフルオロメチル)ピリジン-1(2H)-イル)-4-メチルペンタン酸(150mg、0.41mmol)、(3S)-3-アミノ-3-(2,4-ジフルオロ-3’-メトキシ-2’,6’-ジメチル-5-(トリフルオロメチル)-[1,1’-ビフェニル]-3-イル)プロパン酸エチル(176mg、0.41mmol)、NMI(0.15mL)、およびTCFH(141mg、0.507mmol)のCHCN(5mL)の混合液を室温で1時間攪拌した。溶媒を真空中で濃縮し、残留物を分取HPLC A(30~90% CHCN)により精製して、(3S)-3-(2,4-ジフルオロ-3’-メトキシ-2’,6’-ジメチル-5-(トリフルオロメチル)-[1,1’-ビフェニル]-3-イル)-3-(2-(5-(3-(ジメチルアミノ)プロピル)-2-オキソ-4-(トリフルオロメチル)ピリジン-1(2H)-イル)-4-メチルペンタンアミド)プロパン酸エチル(160mg)を得た。収率 52%(ESI 776.3 [M+H])。
工程2:(3S)-3-(2,4-ジフルオロ-3’-メトキシ-2’,6’-ジメチル-5-(トリフルオロメチル)-[1,1’-ビフェニル]-3-イル)-3-(2-(5-(3-(ジメチルアミノ)プロピル)-2-オキソ-4-(トリフルオロメチル)ピリジン-1(2H)-イル)-4-メチルペンタンアミド)プロパン酸
Figure 0007702004000637
(3S)-3-(2,4-ジフルオロ-3’-メトキシ-2’,6’-ジメチル-5-(トリフルオロメチル)-[1,1’-ビフェニル]-3-イル)-3-(2-(5-(3-(ジメチルアミノ)プロピル)-2-オキソ-4-(トリフルオロメチル)ピリジン-1(2H)-イル)-4-メチルペンタンアミド)プロパン酸エチル(160mg、0.21mmol)を、LiOH-HO(46mg、1.1mmol)のMeOH(4mL)とHO(0.4mL)の溶液を用いて室温で2時間処理した。反応混合液を、1N HClを用いてpH4~5に酸性化した。反応液を真空中で濃縮し、残留物を分取HPLC A(30~70% CHCN)により精製して、白色固形物として、ジアステレオマー生成物のHJ-P1(36.0mg)およびHJ-P2(41.0mg)を得た。
HJ-P1 ESI 748.3(M+H)H NMR(400MHz,MeOD)δ 7.76(s,1H),7.34(t,J=7.5Hz,1H),7.12-7.03(m,1H),6.89(d,J=8.3Hz,1H),6.80(s,1H),5.82-5.67(m,2H),3.82(s,3H),3.08(t,J=8.1Hz,2H),2.98-2.91(m,1H),2.80(s,6H),2.75-2.58(m,3H),2.10-1.69(m,10H),1.35(s,1H),0.93(d,J=6.6Hz,6H).
HJ-P2 ESI 748.3 (M+H)H NMR(400MHz,MeOD)δ 7.79(s,1H),7.39(t,J=7.6Hz,1H),7.11(d,J=8.5Hz,1H),6.91(d,J=8.4Hz,1H),6.85(s,1H),5.88-5.77(m,1H),5.62(t,J=7.6Hz,1H),3.84(s,3H),3.15-2.95(m,2H),2.96-2.84(m,1H),2.79(s,6H),2.70-2.58(m,3H),2.11-1.83(m,9H),1.72-1.57(m,1H),1.42-1.17(m,1H),0.97-0.70(m,6H).
3-55. (3S)-3-(2-(5-(2-(アゼチジン-1-イル)エチル)-2-オキソ-4-(トリフルオロメチル)ピリジン-1(2H)-イル)-4-メチルペンタンアミド)-3-(3’-シクロプロピル-2,4-ジフルオロ-2’,6’-ジメチル-5-(トリフルオロメチル)-[1,1’-ビフェニル]-3-イル)プロパン酸(化合物HK-P1およびHK-P2)の調製
工程1:(3S)-3-(2-(5-(2-(アゼチジン-1-イル)エチル)-2-オキソ-4-(トリフルオロメチル)ピリジン-1(2H)-イル)-4-メチルペンタンアミド)-3-(3’-シクロプロピル-2,4-ジフルオロ-2’,6’-ジメチル-5-(トリフルオロメチル)-[1,1’-ビフェニル]-3-イル)プロパン酸エチル
Figure 0007702004000638
(3S)-3-アミノ-3-(3’-シクロプロピル-2,4-ジフルオロ-2’,6’-ジメチル-5-(トリフルオロメチル)-[1,1’-ビフェニル]-3-イル)プロパン酸エチル(210.0mg、0.48mmol)、2-(5-(2-(アゼチジン-1-イル)エチル)-2-オキソ-4-(トリフルオロメチル)ピリジン-1(2H)-イル)-4-メチルペンタン酸(136.9mg、0.38mmol)、TCFH(134.7mg、0.48mmol)、およびNMI(118.2mg、1.44mmol)のCHCN(5mL)の混合液を室温で16時間攪拌した。反応液を真空中で濃縮し、残留物をC18/40gカラムでの逆相HPLC(A:水 10mM NHHCO、B:MeOH、0~100%)により精製して、明黄色固形物として、(3S)-3-(2-(5-(2-(アゼチジン-1-イル)エチル)-2-オキソ-4-(トリフルオロメチル)ピリジン-1(2H)-イル)-4-メチルペンタンアミド)-3-(3’-シクロプロピル-2,4-ジフルオロ-2’,6’-ジメチル-5-(トリフルオロメチル)-[1,1’-ビフェニル]-3-イル)プロパン酸エチル(100.0mg)を得た。収率 34%(ESI 784.3 [M+H])。
工程2:(3S)-3-(2-(5-(2-(アゼチジン-1-イル)エチル)-2-オキソ-4-(トリフルオロメチル)ピリジン-1(2H)-イル)-4-メチルペンタンアミド)-3-(3’-シクロプロピル-2,4-ジフルオロ-2’,6’-ジメチル-5-(トリフルオロメチル)-[1,1’-ビフェニル]-3-イル)プロパン酸
Figure 0007702004000639
(3S)-3-(2-(5-(2-(アゼチジン-1-イル)エチル)-2-オキソ-4-(トリフルオロメチル)ピリジン-1(2H)-イル)-4-メチルペンタンアミド)-3-(3’-シクロプロピル-2,4-ジフルオロ-2’,6’-ジメチル-5-(トリフルオロメチル)-[1,1’-ビフェニル]-3-イル)プロパン酸エチル(100.0mg、0.13 mmol)を、LiOH-HO(16.4mg、0.39mmol)のEtOH(2mL)と水(0.5mL)の溶液を用いて室温で1時間処理した。反応混合液を、2N HClを用いてpH4~5に酸性化した。反応液を真空中で濃縮し、残留物を分取HPLC A(30~80% MeCN)により精製して、白色固形物として、ジアステレオマー生成物のHK-P1(5.6mg)およびHK-P2(48.8mg)を得た。
HK-P1 ESI 756.2(M+H)+ 1H NMR(400MHz,MeOD)δ 7.79(d,J=3.7Hz,1H),7.36(t,J=7.6Hz,1H),7.07-6.97(m,2H),6.86(d,J=3.2Hz,1H),5.78-5.65(m,2H),4.04(t,J=8.1Hz,4H),3.29-3.21(m,2H),2.96-2.88(m,1H),2.84(t,J=6.8Hz,2H),2.77-2.70(m,1H),2.51-2.35(m,2H),2.11-1.96(m,4H),1.97-1.82(m,5H),1.44-1.31(m,1H),0.96-0.89(m,8H),0.65-0.54(m,2H).
HK-P2 ESI 756.2(M+H)+ 1H NMR(400MHz,MeOD)δ 7.73(s,1H),7.43(t,J=7.6Hz,1H),7.08-7.00(m,2H),6.91(s,1H),5.91(d,J=8.6Hz,1H),5.67-5.61(m,1H),4.12(t,J=8.1Hz,4H),3.344-3.32(m,2H),2.97-2.74(m,3H),2.64-2.57(m,1H),2.51-2.39(m,2H),2.10(d,J=2.5Hz,3H),1.99-1.86(m,5H),1.76-1.67(m,1H),1.40-1.28(m,1H),0.96-0.83(m,8H),0.65-0.57(m,2H).
3-56. (3S)-3-(5-シクロプロピル-2,4-ジフルオロ-2’,4’,6’-トリメチルビフェニル-3-イル)-3-(2-(5-(2-(ジメチルアミノ)エチル)-2-オキソ-4-(トリフルオロメチル)ピリジン-1(2H)-イル)-4-メチルペンタンアミド)プロパン酸(化合物HL-P1およびHL-P2)の調製
工程1:(3S)-エチル 3-(5-シクロプロピル-2,4-ジフルオロ-2’,4’,6’-トリメチルビフェニル-3-イル)-3-(2-(5-(2-(ジメチルアミノ)エチル)-2-オキソ-4-(トリフルオロメチル)ピリジン-1(2H)-イル)-4-メチルペンタンアミド)プロパン酸塩
Figure 0007702004000640
(S)-エチル 3-アミノ-3-(5-シクロプロピル-2,4-ジフルオロ-2’,4’,6’-トリメチルビフェニル-3-イル)プロパン酸塩(120mg、0.31mmol)、2-(5-(2-(ジメチルアミノ)エチル)-2-オキソ-4-(トリフルオロメチル)ピリジン-1(2H)-イル)-4-メチルペンタン酸(108mg、0.31mmol)、TCFH(174mg、0.62mmol)およびNMI(82mg、1.0mmol)のMeCN(5mL)の混合液を室温で1時間攪拌した。溶媒を真空中で除去し、残留物をシリカゲルカラム(DCM:MeOH 97:3)により精製して、無色油状物として、(3S)-エチル 3-(5-シクロプロピル-2,4-ジフルオロ-2’,4’,6’-トリメチルビフェニル-3-イル)-3-(2-(5-(2-(ジメチルアミノ)エチル)-2-オキソ-4-(トリフルオロメチル)ピリジン-1(2H)-イル)-4-メチルペンタンアミド)プロパン酸塩(130mg)を得た。収率 59%(ESI 718.3(M+H))。
工程2:(3S)-3-(5-シクロプロピル-2,4-ジフルオロ-2’,4’,6’-トリメチルビフェニル-3-イル)-3-(2-(5-(2-(ジメチルアミノ)エチル)-2-オキソ-4-(トリフルオロメチル)ピリジン-1(2H)-イル)-4-メチルペンタンアミド)プロパン酸
Figure 0007702004000641
(3S)-エチル 3-(5-シクロプロピル-2,4-ジフルオロ-2’,4’,6’-トリメチルビフェニル-3-イル)-3-(2-(5-(2-(ジメチルアミノ)エチル)-2-オキソ-4-(トリフルオロメチル)ピリジン-1(2H)-イル)-4-メチルペンタンアミド)プロパン酸塩(130mg、0.18mmol)を、LiOH-HO(38mg、0.9mmol)のEtOH(3mL)とHO(1mL)の溶液を用いて室温で2時間処理した。反応混合液を、1N HClを用いてpH4~5に酸性化した。反応液を真空中で濃縮し、残留物を分取HPLC A(30~60% CHCN)により精製して、白色固形物として、ジアステレオマー生成物のHL-P1(50.2mg)およびHL-P2(41.8mg)を得た。
HL-P1 ESI 690.3(M+H). 1H NMR(400MHz,MeOD)δ 7.87(s,1H),6.88(t,J=18.3Hz,3H),6.56(t,J=7.8Hz,1H),5.71(dd,J=15.9,7.0Hz,2H),3.08(d,J=7.9Hz,2H),3.00-2.81(m,3H),2.84-2.55-2.50(m,7H),2.27(s,3H),2.09-2.00(m,1H),1.96(dd,J=14.8,7.0Hz,2H),1.92(s,3H),1.84(s,3H),1.40-1.38(m,1H),0.93(t,J=6.5Hz,8H),0.63(d,J=5.1Hz,2H).
HL-P2 ESI 690.3(M+H). 1H NMR(400MHz,MeOD)δ 7.87(s,1H),6.88(t,J=18.3Hz,3H),6.56(t,J=7.8Hz,1H),5.71(dd,J=15.9,7.0Hz,2H),3.08(d,J=7.9Hz,2H),3.00-2.81(m,3H),2.84-2.55-2.50(m,7H),2.27(s,3H),2.09-2.00(m,1H),1.96(dd,J=14.8,7.0Hz,2H),1.92(s,3H),1.84(s,3H),1.40-1.37(m,1H),0.93(t,J=6.5Hz,8H),0.63(d,J=5.1Hz,2H).
3-57. (3S)-3-(2-(5-(2-(アゼチジン-1-イル)エチル)-2-オキソ-4-(トリフルオロメチル)ピリジン-1(2H)-イル)-4-メチルペンタンアミド)-3-(5-シクロプロピル-2,4-ジフルオロ-2’,4’,6’-トリメチルビフェニル-3-イル)プロパン酸(化合物HM-P1およびHM-P2)の調製
工程1:(3S)-エチル 3-(2-(5-(2-(アゼチジン-1-イル)エチル)-2-オキソ-4-(トリフルオロメチル)ピリジン-1(2H)-イル)-4-メチルペンタンアミド)-3-(5-シクロプロピル-2,4-ジフルオロ-2’,4’,6’-トリメチルビフェニル-3-イル)プロパン酸塩
Figure 0007702004000642
(S)-エチル 3-アミノ-3-(5-シクロプロピル-2,4-ジフルオロ-2’,4’,6’-トリメチルビフェニル-3-イル)プロパン酸塩(120mg、0.31mmol)、2-(5-(2-(アゼチジン-1-イル)エチル)-2-オキソ-4-(トリフルオロメチル)ピリジン-1(2H)-イル)-4-メチルペンタン酸(112mg、0.31mmol)、TCFH(174mg、0.62mmol)およびNMI(82mg、1.0mmol)のMeCN(5mL)の混合液を室温で1時間攪拌した。溶媒を真空中で除去し、残留物をシリカゲルカラム(DCM:MeOH 97:3)により精製して、無色油状物として、(3S)-エチル 3-(2-(5-(2-(アゼチジン-1-イル)エチル)-2-オキソ-4-(トリフルオロメチル)ピリジン-1(2H)-イル)-4-メチルペンタンアミド)-3-(5-シクロプロピル-2,4-ジフルオロ-2’,4’,6’-トリメチルビフェニル-3-イル)プロパン酸塩(120mg)を得た。収率 53%(ESI 730.3(M+H))。
工程2:(3S)-3-(2-(5-(2-(アゼチジン-1-イル)エチル)-2-オキソ-4-(トリフルオロメチル)ピリジン-1(2H)-イル)-4-メチルペンタンアミド)-3-(5-シクロプロピル-2,4-ジフルオロ-2’,4’,6’-トリメチルビフェニル-3-イル)プロパン酸
Figure 0007702004000643
(3S)-エチル 3-(2-(5-(2-(アゼチジン-1-イル)エチル)-2-オキソ-4-(トリフルオロメチル)ピリジン-1(2H)-イル)-4-メチルペンタンアミド)-3-(5-シクロプロピル-2,4-ジフルオロ-2’,4’,6’-トリメチルビフェニル-3-イル)プロパン酸塩(120mg、0.16mmol)を、LiOH-HO(35mg、0.9mmol)のEtOH(3mL)とHO(1mL)の溶液を用いて室温で2時間処理した。反応混合液を、1N HClを用いてpH4~5に酸性化した。反応液を真空中で濃縮し、残留物を分取HPLC A(30~60% CHCN)により精製して、白色固形物として、ジアステレオマー生成物のHM-P1(30.2 mg)およびHM-P2(31.8 mg)を得た。
HM-P1 ESI 702.3(M+H). 1H NMR(400MHz,MeOD)δ 7.80(s,1H),6.97-6.79(m,3H),6.58(t,J=8.1Hz,1H),5.84-5.61(m,2H),4.00(t,J=8.1Hz,4H),3.30-3.21(m,2H),2.88-2.85(m,3H),2.67(dd,J=14.8,4.8Hz,1H),2.48-2.37(m,2H),2.28(d,J=6.4Hz,3H),2.13-1.96(m,3H),1.90(d,J=21.3Hz,6H),1.46-1.31(m,1H),0.94-0.90(m,8H),0.64-0.62(m,2H).
HM-P2 ESI 702.3(M+H). 1H NMR(400MHz,MeOD)δ 7.70(s,1H),7.00-6.86(m,3H),6.63(t,J=8.2Hz,1H),5.93(dd,J=11.4,3.5Hz,1H),5.62(t,J=7.7Hz,1H),4.11(t,J=8.0Hz,4H),3.50-3.33-3.30(m,2H),2.97-2.76(m,3H),2.47-2.45(m,3H),2.29(s,3H),2.08-2.05(m,1H),2.00-1.89(m,7H),1.74-1.70(m,1H),1.37-1.35(m,1H),1.04-0.95(m,2H),0.88(dd,J=11.4,6.6Hz,6H),0.67-0.65(m,2H).
3-58. (3S)-3-(2-(5-(2-(アゼチジン-1-イル)エチル)-2-オキソ-4-(トリフルオロメチル)ピリジン-1(2H)-イル)-4-メチルペンタンアミド)-3-(2,4-ジフルオロ-2’,3’,6’-トリメチル-5-(トリフルオロメチル)-[1,1’-ビフェニル]-3-イル)プロパン酸(化合物HN-P1およびHN-P2)の調製
工程1:(3S)-3-(2-(5-(2-(アゼチジン-1-イル)エチル)-2-オキソ-4-(トリフルオロメチル)ピリジン-1(2H)-イル)-4-メチルペンタンアミド)-3-(2,4-ジフルオロ-2’,3’,6’-トリメチル-5-(トリフルオロメチル)-[1,1’-ビフェニル]-3-イル)プロパン酸エチル
Figure 0007702004000644
2-(5-(2-(アゼチジン-1-イル)エチル)-2-オキソ-4-(トリフルオロメチル)ピリジン-1(2H)-イル)-4-メチルペンタン酸(120.0mg、0.33mmol)、(3S)-3-アミノ-3-(2,4-ジフルオロ-2’,3’,6’-トリメチル-5-(トリフルオロメチル)-[1,1’-ビフェニル]-3-イル)プロパン酸エチル(138.3mg、0.33mmol)、TCFH(184.8mg、0.66mmol)およびNMI(108.2mg、1.32mmol)のCHCN(10mL)の混合液を室温で1時間攪拌した。反応液を真空中で濃縮し、残留物をシリカゲルカラム(DCM:MeOH 4:1)により精製して、褐色固形物として、(3S)-3-(2-(5-(2-(アゼチジン-1-イル)エチル)-2-オキソ-4-(トリフルオロメチル)ピリジン-1(2H)-イル)-4-メチルペンタンアミド)-3-(2,4-ジフルオロ-2’,3’,6’-トリメチル-5-(トリフルオロメチル)-[1,1’-ビフェニル]-3-イル)プロパン酸エチル(125.0mg)を得た。収率 50%(ESI 758.7(M+H))。
工程2:(3S)-3-(2-(5-(2-(アゼチジン-1-イル)エチル)-2-オキソ-4-(トリフルオロメチル)ピリジン-1(2H)-イル)-4-メチルペンタンアミド)-3-(2,4-ジフルオロ-2’,3’,6’-トリメチル-5-(トリフルオロメチル)-[1,1’-ビフェニル]-3-イル)プロパン酸
Figure 0007702004000645
(3S)-3-(2-(5-(2-(アゼチジン-1-イル)エチル)-2-オキソ-4-(トリフルオロメチル)ピリジン-1(2H)-イル)-4-メチルペンタンアミド)-3-(2,4-ジフルオロ-2’,3’,6’-トリメチル-5-(トリフルオロメチル)-[1,1’-ビフェニル]-3-イル)プロパン酸エチル(122mg、0.16mmol))を、LiOH-HO(26.9mg、0.64mmol)のMeOH(4mL)とHO(1mL)の溶液を用いて室温で2時間処理した。反応混合液を、1N HClを用いてpH4~5に酸性化した。反応液を真空中で濃縮し、残留物を分取HPLC A(30~60% MeCN)により精製して、白色固形物として、ジアステレオマー生成物のHN-P1(36.1mg)およびHN-P2(37.6mg)を得た。
HN-P1 ESI 730.7(M+H). 1H NMR(400MHz,DMSO)δ 9.29(d,J=6.4Hz,1H),7.72(s,1H),7.50(t,J=7.3Hz,1H),7.14(d,J=7.8Hz,1H),7.04(t,J=7.6Hz,1H),6.71(d,J=5.1Hz,1H),5.58-5.50(m,1H),5.44(s,1H),3.18-3.03(m,5H),2.98-2.79(m,3H),2.39-2.30(m,2H),2.23(d,J=6.6Hz,3H),1.99-1.63(m,10H),1.28(d,J=35.1Hz,1H),0.90-0.70(m,6H).
HN-P2 ESI 730.7(M+H). 1H NMR(400MHz,MeOD)δ 7.73(s,1H),7.42(t,J=7.6Hz,1H),7.13(d,J=7.7Hz,1H),7.04(d,J=7.7Hz,1H),6.91(s,1H),5.98-5.84(m,1H),5.63(d,J=7.7Hz,1H),4.12(t,J=8.1Hz,4H),3.43-3.34(m,2H),2.92-2.77(m,3H),2.63-2.53(m,1H),2.53-2.42(m,2H),2.29(s,3H),1.98-1.85(m,7H),1.77-1.66(m,1H),1.39-1.27(m,1H),0.92-0.76(m,6H).
3-59. (3S)-3-(2-(5-(2-(アゼチジン-1-イル)エチル)-2-オキソ-4-(トリフルオロメチル)ピリジン-1(2H)-イル)-4-メチルペンタンアミド)-3-(2,3’,4-トリフルオロ-2’,6’-ジメチル-5-(トリフルオロメチル)ビフェニル-3-イル)プロパン酸(化合物HO-P1およびHO-P2 )の調製
工程1:(3S)-エチル 3-(2-(5-(2-(アゼチジン-1-イル)エチル)-2-オキソ-4-(トリフルオロメチル)ピリジン-1(2H)-イル)-4-メチルペンタンアミド)-3-(2,3’,4-トリフルオロ-2’,6’-ジメチル-5-(トリフルオロメチル)ビフェニル-3-イル)プロパン酸塩
Figure 0007702004000646
(3S)-エチル 3-アミノ-3-(2,3’,4-トリフルオロ-2’,6’-ジメチル-5-(トリフルオロメチル)ビフェニル-3-イル)プロパン酸塩(100mg、0.24mmol)、2-(5-(2-(アゼチジン-1-イル)エチル)-2-オキソ-4-(トリフルオロメチル)ピリジン-1(2H)-イル)-4-メチルペンタン酸(86mg、0.24mmol)、NMI(59mg、0.72mmol)およびTCFH(101mg、0.36mmol)のCHCN(5mL)の混合液を50℃で1時間攪拌した。溶媒を真空中で濃縮し、残留物をシリカゲルカラム(DCM:MeOH 12:1)により精製して、黄色油状物として、(3S)-エチル 3-(2-(5-(2-(アゼチジン-1-イル)エチル)-2-オキソ-4-(トリフルオロメチル)ピリジン-1(2H)-イル)-4-メチルペンタンアミド)-3-(2,3’,4-トリフルオロ-2’,6’-ジメチル-5-(トリフルオロメチル)ビフェニル-3-イル)プロパン酸塩(116mg)を得た。収率 63.8 %(ESI 762.3 [M+H])。
工程2:(3S)-3-(2-(5-(2-(アゼチジン-1-イル)エチル)-2-オキソ-4-(トリフルオロメチル)ピリジン-1(2H)-イル)-4-メチルペンタンアミド)-3-(2,3’,4-トリフルオロ-2’,6’-ジメチル-5-(トリフルオロメチル)ビフェニル-3-イル)プロパン酸
Figure 0007702004000647
(3S)-エチル 3-(2-(5-(2-(アゼチジン-1-イル)エチル)-2-オキソ-4-(トリフルオロメチル)ピリジン-1(2H)-イル)-4-メチルペンタンアミド)-3-(2,3’,4-トリフルオロ-2’,6’-ジメチル-5-(トリフルオロメチル)ビフェニル-3-イル)プロパン酸塩(116mg、0.15mmol)を、LiOH-HO(18.9mg、0.45mmol)のEtOH(2mL)と水(0.5mL)の溶液を用いて室温で1時間処理した。反応混合液を、1N HClを用いてpH4~5に酸性化した。反応液を真空中で濃縮し、残留物を分取HPLC A(30~80% MeCN)により精製して、白色固形物として、ジアステレオマー生成物のHO-P1(34mg)およびHO-P2(26mg)を得た。
HO-P1 ESI 734.1(M+H)H NMR(400MHz,MeOD)δ 7.80(s,1H),7.43(t,J=7.5Hz,1H),7.13(d,J=6.3Hz,1H),7.02(t,J=8.9Hz,1H),6.84(s,1H),5.76-5.65(m,2H),4.05(t,J=8.1Hz,4H),3.29-3.18(m,2H),2.96-2.87(m,1H),2.84(t,J=6.9Hz,2H),2.79- 2.72(m,1H),2.49- 2.41(m,2H),1.99- 1.89(m,8H),1.39- 1.33(m,1H),0.96-0.91(m,6H).
HO-P2 ESI 734.1 (M+H)H NMR(400MHz,MeOD)δ 7.74(s,1H),7.49(t,J=7.6Hz,1H),7.21-7.12(m,1H),7.05(t,J=9.0Hz,1H),6.91(s,1H),5.92-5.86(m,1H),5.64(t,J=7.7Hz,1H),4.11(t,J=8.1Hz,4H),3.39-3.31(m,2H),2.93-2.75(m,3H),2.66-2.59(m,1H),2.49-2.41(m,2H),2.00(s,3H),1.96-1.86(m,4H),1.76-1.71(m,1H),1.36-1.29(m,1H),0.91-0.86(m,6H).
3-60. (3S)-3-(2-(5-(2-(アゼチジン-1-イル)エチル)-2-オキソ-4-(トリフルオロメチル)ピリジン-1(2H)-イル)-4-メチルペンタンアミド)-3-(4’-クロロ-2,4-ジフルオロ-2’,6’-ジメチル-5-(トリフルオロメチル)-[1,1’-ビフェニル]-3-イル)プロパン酸(化合物HP-P1およびHP-P2)の調製
工程1:(3S)-3-(2-(5-(2-(アゼチジン-1-イル)エチル)-2-オキソ-4-(トリフルオロメチル)ピリジン-1(2H)-イル)-4-メチルペンタンアミド)-3-(4’-クロロ-2,4-ジフルオロ-2’,6’-ジメチル-5-(トリフルオロメチル)-[1,1’-ビフェニル]-3-イル)プロパン酸エチル
Figure 0007702004000648
(S)-3-アミノ-3-(4’-クロロ-2,4-ジフルオロ-2’,6’-ジメチル-5-(トリフルオロメチル)-[1,1’-ビフェニル]-3-イル)プロパン酸エチル(120.0mg、0.28mmol)、2-(5-(2-(アゼチジン-1-イル)エチル)-2-オキソ-4-(トリフルオロメチル)ピリジン-1(2H)-イル)-4-メチルペンタン酸(100.9mg、0.28mmol)、TCFH(95.4mg、0.34mmol)、およびNMI(115.0mg、1.40mmol)のCHCN(5mL)の混合液を室温で一晩攪拌した。反応液を真空中で濃縮し、残留物をC18/40gカラムでの逆相HPLC(A:水 10mM NHHCO、B:MeOH、0~100%)により精製して、明黄色固形物として、(3S)-3-(2-(5-(2-(アゼチジン-1-イル)エチル)-2-オキソ-4-(トリフルオロメチル)ピリジン-1(2H)-イル)-4-メチルペンタンアミド)-3-(4’-クロロ-2,4-ジフルオロ-2’,6’-ジメチル-5-(トリフルオロメチル)-[1,1’-ビフェニル]-3-イル)プロパン酸エチル(80.0mg)を得た。収率 37%(ESI 778.2 [M+H])。
工程2:(3S)-3-(2-(5-(2-(アゼチジン-1-イル)エチル)-2-オキソ-4-(トリフルオロメチル)ピリジン-1(2H)-イル)-4-メチルペンタンアミド)-3-(4’-クロロ-2,4-ジフルオロ-2’,6’-ジメチル-5-(トリフルオロメチル)-[1,1’-ビフェニル]-3-イル)プロパン酸
Figure 0007702004000649
(3S)-3-(2-(5-(2-(アゼチジン-1-イル)エチル)-2-オキソ-4-(トリフルオロメチル)ピリジン-1(2H)-イル)-4-メチルペンタンアミド)-3-(4’-クロロ-2,4-ジフルオロ-2’,6’-ジメチル-5-(トリフルオロメチル)-[1,1’-ビフェニル]-3-イル)プロパン酸エチル(80.0mg、0.10mmol)を、LiOH-HO(12.6mg、0.30mmol)のEtOH(2mL)と水(0.5mL)の溶液を用いて室温で30分間処理した。反応混合液を、2N HClを用いてpH4~5に酸性化した。反応液を真空中で濃縮し、残留物を分取HPLC A(30~80% MeCN)により精製して、白色固形物として、ジアステレオマー生成物のHP-P1(12.5mg)およびHP-P2(24.5mg)を得た。
HP-P1 ESI 750.2(M+H)+ 1H NMR(400MHz,MeOD)δ 7.79(s,1H),7.43(t,J=7.5Hz,1H),7.17(s,2H),6.85(s,1H),5.80-5.62(m,2H),4.06(t,J=8.1Hz,4H),3.39-3.32(m,1H),3.28-3.21(m,1H),2.98-2.65(m,4H),2.55-2.36(m,2H),2.07-1.95(m,5H),1.93(s,3H),1.48-1.30(m,1H),0.93(t,J=6.5Hz,6H).
HP-P2 ESI 750.2(M+H)+ 1H NMR(400MHz,MeOD)δ 7.72(s,1H),7.49(t,J=7.6Hz,1H),7.20(s,2H),6.92(s,1H),5.92-5.86(m,1H),5.63(t,J=7.7Hz,1H),4.12(t,J=8.1Hz,4H),3.47-3.32(m,2H),2.99-2.72(m,3H),2.64-2.57(m,1H),2.50-2.40(m,2H),2.02(d,J=1.8Hz,6H),1.97-1.85(m,1H),1.79-1.65(m,1H),1.40-1.28(m,1H),0.91-0.85(m,6H).
3-61. (3S)-3-(2,4-ジフルオロ-2’,6’-ジメチル-5-(トリフルオロメチル)-[1,1’-ビフェニル]-3-イル)-3-(2-(5-(2-(ジメチルアミノ)エチル)-2-オキソ-4-(トリフルオロメチル)ピリジン-1(2H)-イル)-4-メチルペンタンアミド)プロパン酸(化合物HQ-P1およびHQ-P2)の調製
工程1:(3S)-3-(2,4-ジフルオロ-2’,6’-ジメチル-5-(トリフルオロメチル)-[1,1’-ビフェニル]-3-イル)-3-(2-(5-(2-(ジメチルアミノ)エチル)-2-オキソ-4-(トリフルオロメチル)ピリジン-1(2H)-イル)-4-メチルペンタンアミド)プロパン酸エチル
Figure 0007702004000650
2-(5-(2-(ジメチルアミノ)エチル)-2-オキソ-4-(トリフルオロメチル)ピリジン-1(2H)-イル)-4-メチルペンタン酸(86mg、0.23mmol)、(S)-3-アミノ-3-(2,4-ジフルオロ-2’,6’-ジメチル-5-(トリフルオロメチル)-[1,1’-ビフェニル]-3-イル)プロパン酸エチル塩酸塩(92.0mg、0.23mmol)、TCFH(78.0mg、0.28mmol)およびNMI(38.0mg、0.46mmol)のCHCN(4mL)の混合液を室温で2時間攪拌した。反応混合液を真空中で濃縮し、残留物をC18/40gカラムでの逆相HPLC(A:水 10mM NHHCO、B:MeOH、0~100%)により精製して、黄色固形物として、(3S)-3-(2,4-ジフルオロ-2’,6’-ジメチル-5-(トリフルオロメチル)-[1,1’-ビフェニル]-3-イル)-3-(2-(5-(2-(ジメチルアミノ)エチル)-2-オキソ-4-(トリフルオロメチル)ピリジン-1(2H)-イル)-4-メチルペンタンアミド)プロパン酸エチル(90.0mg)を得た。収率 53.4%(ESI 732.2 [M+H])。
工程2:(3S)-3-(2,4-ジフルオロ-2’,6’-ジメチル-5-(トリフルオロメチル)-[1,1’-ビフェニル]-3-イル)-3-(2-(5-(2-(ジメチルアミノ)エチル)-2-オキソ-4-(トリフルオロメチル)ピリジン-1(2H)-イル)-4-メチルペンタンアミド)プロパン酸
Figure 0007702004000651
(3S)-3-(2,4-ジフルオロ-2’,6’-ジメチル-5-(トリフルオロメチル)-[1,1’-ビフェニル]-3-イル)-3-(2-(5-(2-(ジメチルアミノ)エチル)-2-オキソ-4-(トリフルオロメチル)ピリジン-1(2H)-イル)-4-メチルペンタンアミド)プロパン酸エチル(90.0mg、0.12 mmol)を、LiOH-HO(29.0 mg、0.68mmol)のEtOH(3mL)と水(1mL)の溶液を用いて30℃で1時間処理した。反応混合液を、2N HClを用いてpH4~5に酸性化した。反応液を真空中で濃縮し、残留物を分取HPLC A(30~80% MeCN)により精製して、白色固形物として、ジアステレオマー生成物のHQ-P1(15.1mg)およびHQ-P2(35.4mg)を得た。
HQ-P1 ESI 704.2(M+H) H NMR(400MHz,MeOD)δ 7.86(s,1H),7.37(t,J=7.5Hz,1H),7.20(t,J=7.5Hz,1H),7.15-7.03(m,2H),6.82(s,1H),5.76-5.60(m,2H),3.12-3.09(m,2H),2.98-2.92(m,3H),2.78-2.72(m,7H),2.09-1.92(m,5H),1.90(s,3H),1.49-1.31(m,1H),0.99-0.89(m,6H).
HQ-P2 ESI 704.2(M+H) H NMR(400MHz,MeOD)δ 7.83(s,1H),7.44(t,J=7.7Hz,1H),7.26-7.17(t,J=16.0Hz,1H),7.14(d,J=7.6Hz,2H),6.90(s,1H),5.84-5.80(m,1H),5.66(t,J=7.6Hz,1H),3.26-3.18(m,2H),2.97(t,J=7.3Hz,2H),2.90-2.75(m,7H),2.68-2.65(m,1H),2.02(d,J=3.1Hz,6H),1.96-1.82(m,1H),1.77-1.72(m,1H),1.34-1.29(m,1H),0.90-0.85(m,6H).
3-62. (3S)-3-(2-(5-(2-(アゼチジン-1-イル)エチル)-2-オキソ-4-(トリフルオロメチル)ピリジン-1(2H)-イル)-4-メチルペンタンアミド)-3-(2,3’,4-トリフルオロ-2’,4’,6’-トリメチル-5-(トリフルオロメチル)-[1,1’-ビフェニル]-3-イル)プロパン酸(化合物HR-P1およびHR-P2)の調製
工程1:(3S)-3-(2-(5-(2-(アゼチジン-1-イル)エチル)-2-オキソ-4-(トリフルオロメチル)ピリジン-1(2H)-イル)-4-メチルペンタンアミド)-3-(2,3’,4-トリフルオロ-2’,4’,6’-トリメチル-5-(トリフルオロメチル)-[1,1’-ビフェニル]-3-イル)プロパン酸エチル
Figure 0007702004000652
(3S)-3-アミノ-3-(2,3’,4-トリフルオロ-2’,4’,6’-トリメチル-5-(トリフルオロメチル)-[1,1’-ビフェニル]-3-イル)プロパン酸エチル(90mg、0.21mmol)、2-(5-(2-(アゼチジン-1-イル)エチル)-2-オキソ-4-(トリフルオロメチル)ピリジン-1(2H)-イル)-4-メチルペンタン酸(81mg、0.21mmol)、NMI(0.2mL)およびTCFH(88mg、0.32mmol)のCHCN(3mL)の混合液を室温で2時間攪拌した。溶媒を真空中で濃縮し、残留物をC18/40gカラムでの逆相HPLC(A:水 10mM NH4HCO3、B:CH3CN、0~100%)により精製して、白色固形物として、(3S)-3-(2-(5-(2-(アゼチジン-1-イル)エチル)-2-オキソ-4-(トリフルオロメチル)ピリジン-1(2H)-イル)-4-メチルペンタンアミド)-3-(2,3’,4-トリフルオロ-2’,4’,6’-トリメチル-5-(トリフルオロメチル)-[1,1’-ビフェニル]-3-イル)プロパン酸塩エチル(80mg)を得た。収率 50%(ESI 776.2 [M+H])。
工程2:(3S)-3-(2-(5-(2-(アゼチジン-1-イル)エチル)-2-オキソ-4-(トリフルオロメチル)ピリジン-1(2H)-イル)-4-メチルペンタンアミド)-3-(2,3’,4-トリフルオロ-2’,4’,6’-トリメチル-5-(トリフルオロメチル)-[1,1’-ビフェニル]-3-イル)プロパン酸
Figure 0007702004000653
(3S)-3-(2-(5-(2-(アゼチジン-1-イル)エチル)-2-オキソ-4-(トリフルオロメチル)ピリジン-1(2H)-イル)-4-メチルペンタンアミド)-3-(2,3’,4-トリフルオロ-2’,4’,6’-トリメチル-5-(トリフルオロメチル)-[1,1’-ビフェニル]-3-イル)プロパン酸エチル(80mg、0.1mmol)を、LiOH-HO(13mg、0.3mmol)のMeOH(2.0mL)とHO(0.5mL)の溶液を用いて室温で2時間処理した。反応混合液を、1N HClを用いてpH5~6に酸性化した。反応液を真空中で濃縮し、残留物を分取HPLC A(50~80% CHCN)により精製して、白色固形物として、ジアステレオマー生成物のHR-P1(22.0mg)およびHR-P2(25.0mg)を得た。
HR-P1 ESI 748.2(M+H)H NMR(400MHz,MeOD)δ 7.79(s,1H),7.40(t,J=7.5Hz,1H),6.99(d,J=7.9Hz,1H),6.85(d,J=3.0Hz,1H),5.78-5.60(m,2H),4.04(t,J=8.0Hz,4H),3.29-3.20(m,2H),2.95-2.80(m,3H),2.77-2.68(m,1H),2.51-2.37(m,2H),2.25(d,J=1.6Hz,3H),2.09-1.75(m,8H),1.37(s,1H),0.93(t,J=6.4Hz,6H).
HR-P2 ESI 748.2(M+H)H NMR(400MHz,MeOD)δ 7.72(s,1H),7.46(t,J=7.5Hz,1H),7.03(d,J=7.6Hz,1H),6.91(s,1H),5.87-5.82(m,1H),5.63(t,J=7.7Hz,1H),4.12(t,J=7.8Hz,4H),3.45-3.34(m,2H),2.95-2.74(m,3H),),2.64-2.56(m,1H),2.50-2.36(m,2H),2.27(d,J=1.5Hz,3H),2.02-1.83(m,7H),),1.78-1.65(m,1H),),1.40-1.26(m,1H),),0.93-0.84(m,6H).
3-63. (3S)-3-(2-(5-(3-(ジメチルアミノ)プロピル)-2-オキソ-4-(トリフルオロメチル)ピリジン-1(2H)-イル)-4-メチルペンタンアミド)-3-(2,3’,4-トリフルオロ-2’,6’-ジメチル-5-(トリフルオロメチル)ビフェニル-3-イル)プロパン酸(化合物HS-P1およびHS-P2)の調製
工程1:(3S)-エチル 3-(2-(5-(3-(ジメチルアミノ)プロピル)-2-オキソ-4-(トリフルオロメチル)ピリジン-1(2H)-イル)-4-メチルペンタンアミド)-3-(2,3’,4-トリフルオロ-2’,6’-ジメチル-5-(トリフルオロメチル)ビフェニル-3-イル)プロパン酸塩
Figure 0007702004000654
(3S)-エチル 3-アミノ-3-(2,3’,4-トリフルオロ-2’,6’-ジメチル-5-(トリフルオロメチル)ビフェニル-3-イル)プロパン酸塩(100mg、0.24mmol)、2-(5-(3-(ジメチルアミノ)プロピル)-2-オキソ-4-(トリフルオロメチル)ピリジン-1(2H)-イル)-4-メチルペンタン酸(86mg、0.24mmol)、NMI(59mg、0.72mmol)およびTCFH(101mg、0.36mmol)のCHCN(5mL)の混合液を50℃で1時間攪拌した。溶媒を真空中で濃縮し、残留物をシリカゲルカラム(DCM:MeOH 15:1)により精製して、黄色油状物として、(3S)-エチル 3-(2-(5-(3-(ジメチルアミノ)プロピル)-2-オキソ-4-(トリフルオロメチル)ピリジン-1(2H)-イル)-4-メチルペンタンアミド)-3-(2,3’,4-トリフルオロ-2’,6’-ジメチル-5-(トリフルオロメチル)ビフェニル-3-イル)プロパン酸塩(110mg)を得た。収率 60.4 %(ESI 764.3 [M+H])。
工程2:(3S)-3-(2-(5-(3-(ジメチルアミノ)プロピル)-2-オキソ-4-(トリフルオロメチル)ピリジン-1(2H)-イル)-4-メチルペンタンアミド)-3-(2,3’,4-トリフルオロ-2’,6’-ジメチル-5-(トリフルオロメチル)ビフェニル-3-イル)プロパン酸
Figure 0007702004000655
(3S)-エチル 3-(2-(5-(3-(ジメチルアミノ)プロピル)-2-オキソ-4-(トリフルオロメチル)ピリジン-1(2H)-イル)-4-メチルペンタンアミド)-3-(2,3’,4-トリフルオロ-2’,6’-ジメチル-5-(トリフルオロメチル)ビフェニル-3-イル)プロパン酸塩(110mg、0.14mmol)を、LiOH-HO(18.1mg,0.43mmol)のEtOH(2mL)と水(0.5mL)の溶液を用いて室温で1時間処理した。反応混合液を、1N HClを用いてpH4~5に酸性化した。反応液を真空中で濃縮し、残留物を分取HPLC A(30~80% MeCN)により精製して、白色固形物として、ジアステレオマー生成物のHS-P1(29mg)およびHS-P2(30mg)を得た。
HS-P1 ESI 736.2(M+H)H NMR(400MHz,DMSO)δ 9.23(d,J=6.5Hz,1H),7.73(s,1H),7.61(t,J=6.9Hz,1H),7.21-7.11(m,2H),6.71(s,1H),5.64-5.53(m,1H),5.45-5.41(m,1H),2.98-2.81(m,3H),2.47-2.35(m,2H),2.31-2.26(m,2H),2.16(s,6H),1.93-1.73(m,8H),1.61-1.55(m,2H),1.32-1.29(m,1H),0.92-0.83(m,6H).
HS-P2 ESI 736.2(M+H)H NMR(400MHz,MeOD)δ 7.80(s,1H),7.46(t,J=7.5Hz,1H),7.20-7.12(m,1H),7.04(t,J=9.0Hz,1H),6.85(s,1H),5.85-5.69(m,1H),5.64(t,J=7.7Hz,1H),3.11-2.96(m,2H),2.96-2.89(m,1H),2.79(s,6H),2.70-2.60(m,3H),2.05-1.84(m,9H),1.70-1.60(m,1H),1.36-1.26(m,1H),0.89-0.82(m,6H).
3-64. (3S)-3-(2,4-ジフルオロ-2’,3’,6’-トリメチル-5-(トリフルオロメチル)-[1,1’-ビフェニル]-3-イル)-3-(2-(5-(3-(ジメチルアミノ)プロピル)-2-オキソ-4-(トリフルオロメチル)ピリジン-1(2H)-イル)-4-メチルペンタンアミド)プロパン酸(HT-P1およびHT-P2)の調製
工程1:(3S)-3-(2,4-ジフルオロ-2’,3’,6’-トリメチル-5-(トリフルオロメチル)-[1,1’-ビフェニル]-3-イル)-3-(2-(5-(3-(ジメチルアミノ)プロピル)-2-オキソ-4-(トリフルオロメチル)ピリジン-1(2H)-イル)-4-メチルペンタンアミド)プロパン酸エチル
Figure 0007702004000656
(3S)-3-アミノ-3-(2,4-ジフルオロ-2’,3’,6’-トリメチル-5-(トリフルオロメチル)-[1,1’-ビフェニル]-3-イル)プロパン酸エチル(160mg、0.39mmol)、2-(5-(3-(ジメチルアミノ)プロピル)-2-オキソ-4-(トリフルオロメチル)ピリジン-1(2H)-イル)-4-メチルペンタン酸(153mg、0.42mmol)、TCFH(218mg、0.78mmol)、およびNMI(160mg、1.95mmol)のCHCN(5mL)の混合液を、室温で2時間攪拌した。反応液を濃縮し、C18/40gカラムでの逆相HPLC(A:水 10mM NHHCO3、B:CHCN、0~85%)により精製して、黄色固形物として、(3S)-3-(2,4-ジフルオロ-2’,3’,6’-トリメチル-5-(トリフルオロメチル)-[1,1’-ビフェニル]-3-イル)-3-(2-(5-(3-(ジメチルアミノ)プロピル)-2-オキソ-4-(トリフルオロメチル)ピリジン-1(2H)-イル)-4-メチルペンタンアミド)プロパン酸エチル(120mg)を得た。収率 43.9 %(ESI 760.3 [M+H])。
工程2:(3S)-3-(2,4-ジフルオロ-2’,3’,6’-トリメチル-5-(トリフルオロメチル)-[1,1’-ビフェニル]-3-イル)-3-(2-(5-(3-(ジメチルアミノ)プロピル)-2-オキソ-4-(トリフルオロメチル)ピリジン-1(2H)-イル)-4-メチルペンタンアミド)プロパン酸
Figure 0007702004000657
(3S)-3-(2,4-ジフルオロ-2’,3’,6’-トリメチル-5-(トリフルオロメチル)-[1,1’-ビフェニル]-3-イル)-3-(2-(5-(3-(ジメチルアミノ)プロピル)-2-オキソ-4-(トリフルオロメチル)ピリジン-1(2H)-イル)-4-メチルペンタンアミド)プロパン酸(120mg、0.17mmol)を、LiOH-HO(22mg、0.52mmol)のEtOH(4mL)とHO(1mL)の溶液を用いて室温で2時間処理した。反応混合液を、1N HClを用いてpH5~6に酸性化した。反応液を真空中で濃縮し、残留物を分取HPLC A(30~65% CHCN)により精製して、白色固形物として、ジアステレオマー生成物のHT-P1(20mg)およびHT-P2(23mg)を得た。
HT-P1 ESI 732.2(M+H)H NMR(400MHz,DMSO)δ 9.22(d,J=6.3Hz,1H),7.73(s,1H),7.49(t,J=7.4Hz,1H),7.14(m,J=7.7Hz,1H),7.04(t,J=8.0Hz,1H),6.72(d,J=5.5Hz,1H),5.68-5.54(m,1H),5.46(d,J=6.1Hz,1H),3.44(m,1H),2.97(m,J=16.3,8.5Hz,1H),2.90-2.75(m,1H),2.46-2.34(m,2H),2.31-2.22(m,5H),2.16(s,6H),1.84(m,J=18.7,9.9Hz,5H),1.73(d,J=29.3Hz,3H),1.63-1.49(m,2H),1.27(m,J=13.6,6.8Hz,1H),0.85(m,J=10.1,6.6Hz,6H).
HT-P2 ESI 732.2(M+H)H NMR(400MHz,MeOD)δ 7.81(s,1H),7.40(t,J=7.6Hz,1H),7.14(d,J=7.7Hz,1H),7.05(d,J=7.7Hz,1H),6.87(s,1H),5.84(m,J=9.8,4.5Hz,1H),5.64(t,J=7.6Hz,1H),3.15-2.97(m,2H),2.94-2.83(m,1H),2.80(s,6H),2.72-2.57(m,3H),2.30(d,J=2.3Hz,3H),2.09-1.85(m,9H),1.66(m,J=14.1,7.2Hz,1H),1.33(m,J=13.1,6.6Hz,1H),0.95-0.71(m,6H).
3-65.(3S)-3-(4’-シクロプロピル-2,4-ジフルオロ-2’,6’-ジメチル-5-(トリフルオロメチル)-[1,1’-ビフェニル]-3-イル)-3-(2-(5-(3-(ジメチルアミノ)プロピル)-2-オキソ-4-(トリフルオロメチル)ピリジン-1(2H)-イル)-4-メチルペンタンアミド)プロパン酸(化合物HU-P1およびHU-P2)の調製
工程1:(3S)-3-(4’-シクロプロピル-2,4-ジフルオロ-2’,6’-ジメチル-5-(トリフルオロメチル)-[1,1’-ビフェニル]-3-イル)-3-(2-(5-(3-(ジメチルアミノ)プロピル)-2-オキソ-4-(トリフルオロメチル)ピリジン-1(2H)-イル)-4-メチルペンタンアミド)プロパン酸エチル
Figure 0007702004000658
(S)-3-アミノ-3-(4’-シクロプロピル-2,4-ジフルオロ-2’,6’-ジメチル-5-(トリフルオロメチル)-[1,1’-ビフェニル]-3-イル)プロパン酸エチル(140.0mg、0.32mmol)、2-(5-(3-(ジメチルアミノ)プロピル)-2-オキソ-4-(トリフルオロメチル)ピリジン-1(2H)-イル)-4-メチルペンタン酸(116.0mg、0.32mmol)、TCFH(106.6mg、0.38mmol)、およびNMI(131.4mg、1.60mmol)のCHCN(5mL)の混合液を室温で一晩攪拌した。反応液を真空中で濃縮し、残留物をC18/40gカラムでの逆相HPLC(A:水 10mM NHHCO、B:MeOH、0~100%)により精製して、明黄色固形物として、(3S)-3-(4’-シクロプロピル-2,4-ジフルオロ-2’,6’-ジメチル-5-(トリフルオロメチル)-[1,1’-ビフェニル]-3-イル)-3-(2-(5-(3-(ジメチルアミノ)プロピル)-2-オキソ-4-(トリフルオロメチル)ピリジン-1(2H)-イル)-4-メチルペンタンアミド)プロパン酸エチル(150.0mg)を得た。収率 60%(ESI 786.3 [M+H])。
工程2:(3S)-3-(4’-シクロプロピル-2,4-ジフルオロ-2’,6’-ジメチル-5-(トリフルオロメチル)-[1,1’-ビフェニル]-3-イル)-3-(2-(5-(3-(ジメチルアミノ)プロピル)-2-オキソ-4-(トリフルオロメチル)ピリジン-1(2H)-イル)-4-メチルペンタンアミド)プロパン酸
Figure 0007702004000659
(3S)-3-(4’-シクロプロピル-2,4-ジフルオロ-2’,6’-ジメチル-5-(トリフルオロメチル)-[1,1’-ビフェニル]-3-イル)-3-(2-(5-(3-(ジメチルアミノ)プロピル)-2-オキソ-4-(トリフルオロメチル)ピリジン-1(2H)-イル)-4-メチルペンタンアミド)プロパン酸エチル(150.0mg、0.19mmol)を、LiOH-HO(23.9mg、0.57mmol)のEtOH(2mL)と水(0.5mL)の溶液を用いて室温で1時間処理した。反応混合液を、2N HClを用いてpH4~5に酸性化した。反応液を真空中で濃縮し、残留物を分取HPLC A(30~80% MeCN)により精製して、白色固形物として、ジアステレオマー生成物のHU-P1(54.5mg)およびHU-P2(50.5mg)を得た。
HU-P1 ESI 758.3(M+H) H NMR(400MHz,MeOD)δ 7.76(s,1H),7.34(t,J=7.6Hz,1H),6.87-6.76(m,3H),5.81-5.67(m,2H),3.12-3.04(m,2H),2.98-2.90(m,1H),2.79(s,6H),2.76-2.57(m,3H),2.11-1.79(m,11H),1.41-1.27(m,1H),0.99-0.89(m,8H),0.71-0.65(m,2H).
HU-P2 ESI 758.3(M+H)+ 1H NMR(400MHz,MeOD)δ 7.79(s,1H),7.39(t,J=7.6Hz,1H),6.85(s,3H),5.85-5.79(m,1H),5.62(t,J=7.6Hz,1H),3.13-2.94(m,2H),2.93-2.84(m,1H),2.79(s,6H),2.70-2.57(m,3H),2.09-1.81(m,10H),1.70-1.58(m,1H),1.36-1.26(m,1H),0.99-0.92(m,2H),0.89-0.83(m,6H),0.72-0.65(m,2H).
3-66. (3S)-3-(2-(5-(2-(ジメチルアミノ)エチル)-2-オキソ-4-(トリフルオロメチル)ピリジン-1(2H)-イル)-4-メチルペンタンアミド)-3-(2,2’,4-トリフルオロ-4’,5,6’-トリメチル-[1,1’-ビフェニル]-3-イル)プロパン酸(化合物HV-P1およびHV-P2)の調製
工程1:(3S)-3-(2-(5-(2-(ジメチルアミノ)エチル)-2-オキソ-4-(トリフルオロメチル)ピリジン-1(2H)-イル)-4-メチルペンタンアミド)-3-(2,2’,4-トリフルオロ-4’,5,6’-トリメチル-[1,1’-ビフェニル]-3-イル)プロパン酸エチル
Figure 0007702004000660
2-(5-(2-(ジメチルアミノ)エチル)-2-オキソ-4-(トリフルオロメチル)ピリジン-1(2H)-イル)-4-メチルペンタン酸(142mg、0.41mmol)、(3S)-3-アミノ-3-(2,2’,4-トリフルオロ-4’,5,6’-トリメチル-[1,1’-ビフェニル]-3-イル)プロパン酸エチル塩酸塩(150.0mg、0.41mmol)、TCFH(137.0mg、0.48mmol)、およびNMI(67.0mg、0.81mmol)のCHCN(4mL)の混合液を室温で2時間攪拌した。反応混合液を真空中で濃縮し、残留物をC18/40gカラムでの逆相HPLC(A:水 10mM NHHCO、B:MeOH、0~100%)により精製して、黄色固形物として、(3S)-3-(2-(5-(2-(ジメチルアミノ)エチル)-2-オキソ-4-(トリフルオロメチル)ピリジン-1(2H)-イル)-4-メチルペンタンアミド)-3-(2,2’,4-トリフルオロ-4’,5,6’-トリメチル-[1,1’-ビフェニル]-3-イル)プロパン酸エチル(160.0mg)を得た。収率 56.1%(ESI 696.2 [M+H])。
工程2:(3S)-3-(2-(5-(2-(ジメチルアミノ)エチル)-2-オキソ-4-(トリフルオロメチル)ピリジン-1(2H)-イル)-4-メチルペンタンアミド)-3-(2,2’,4-トリフルオロ-4’,5,6’-トリメチル-[1,1’-ビフェニル]-3-イル)プロパン酸
Figure 0007702004000661
(3S)-3-(2-(5-(2-(ジメチルアミノ)エチル)-2-オキソ-4-(トリフルオロメチル)ピリジン-1(2H)-イル)-4-メチルペンタンアミド)-3-(2,2’,4-トリフルオロ-4’,5,6’-トリメチル-[1,1’-ビフェニル]-3-イル)プロパン酸エチル(160.0mg、0.23 mmol)を、LiOH-HO(50.0 mg、1.15mmol)のEtOH(3mL)と水(1mL)の溶液を用いて30℃で1時間処理した。反応混合液を、2N HClを用いてpH4~5に酸性化した。反応液を真空中で濃縮し、残留物を分取HPLC A(30~80% MeCN)により精製して、白色固形物として、ジアステレオマー生成物のHV-P1(41.3mg)およびHV-P2(45.5mg)を得た。
HV-P1 ESI 668.2(M+H)+ 1H NMR(400MHz,MeOD)δ 7.86(s,1H),7.02-6.89(m,2H),6.83-6.77(m,2H),5.77-5.64(m,2H),3.11-3.07(m,2H),2.97-2.91(m,3H),2.74-2.66(m,7H),2.33(s,3H),2.23(s,3H),2.06-1.96(m,5H),1.42-1.39(m,1H),0.95-0.92(m,6H).
HV-P2 ESI 668.2(M+H) H NMR(400MHz,MeOD)δ 7.82(s,1H),7.03(t,J=8.2Hz,1H),6.93(d,J=16.0Hz,2H),6.82(d,J=10.3Hz,1H),5.87-5.82(m,1H),5.67-5.63(m,1H),3.23-3.13(m,2H),2.98-2.95(m,2H),2.82-2.79(m,7H),2.57-2.51(m,1H),2.34(s,3H),2.27(s,3H),2.08(d,J=6.1Hz,3H),1.95-1.88(m,1H),1.79-1.70(m,1H),1.40-1.25(m,1H),0.93-0.80(m,6H).
3-67. (3S)-3-(2-(5-(3-(ジメチルアミノ)プロピル)-2-オキソ-4-(トリフルオロメチル)ピリジン-1(2H)-イル)-4-メチルペンタンアミド)-3-(2,4,4’-トリフルオロ-2’,6’-ジメチル-5-(トリフルオロメチル)-[1,1’-ビフェニル]-3-イル)プロパン酸(化合物HW-P1およびHW-P2)の調製
工程1:(3S)-3-(2-(5-(3-(ジメチルアミノ)プロピル)-2-オキソ-4-(トリフルオロメチル)ピリジン-1(2H)-イル)-4-メチルペンタンアミド)-3-(2,4,4’-トリフルオロ-2’,6’-ジメチル-5-(トリフルオロメチル)-[1,1’-ビフェニル]-3-イル)プロパン酸エチル
Figure 0007702004000662
2-(5-(3-(ジメチルアミノ)プロピル)-2-オキソ-4-(トリフルオロメチル)ピリジン-1(2H)-イル)-4-メチルペンタン酸(100.0mg、0.28mmol)、(S)-3-アミノ-3-(2,4,4’-トリフルオロ-2’,6’-ジメチル-5-(トリフルオロメチル)-[1,1’-ビフェニル]-3-イル)プロパン酸エチル(117.3mg、0.28mmol)、TCFH(156.8mg、0.56mmol)、およびNMI(91.8mg、1.12mmol)のCHCN(10mL)の混合液を室温で1時間攪拌した。反応液を真空中で濃縮し、残留物をシリカゲルカラム(DCM:MeOH 4:1)により精製して、褐色固形物として、(3S)-3-(2-(5-(3-(ジメチルアミノ)プロピル)-2-オキソ-4-(トリフルオロメチル)ピリジン-1(2H)-イル)-4-メチルペンタンアミド)-3-(2,4,4’-トリフルオロ-2’,6’-ジメチル-5-(トリフルオロメチル)-[1,1’-ビフェニル]-3-イル)プロパン酸エチル(150.0mg)を得た。収率 71%(ESI 764.7(M+H))。
工程2:(3S)-3-(2-(5-(3-(ジメチルアミノ)プロピル)-2-オキソ-4-(トリフルオロメチル)ピリジン-1(2H)-イル)-4-メチルペンタンアミド)-3-(2,4,4’-トリフルオロ-2’,6’-ジメチル-5-(トリフルオロメチル)-[1,1’-ビフェニル]-3-イル)プロパン酸
Figure 0007702004000663
(3S)-3-(2-(5-(3-(ジメチルアミノ)プロピル)-2-オキソ-4-(トリフルオロメチル)ピリジン-1(2H)-イル)-4-メチルペンタンアミド)-3-(2,4,4’-トリフルオロ-2’,6’-ジメチル-5-(トリフルオロメチル)-[1,1’-ビフェニル]-3-イル)プロパン酸エチル(150mg、0.20mmol))を、LiOH-HO(33.6mg、0.80mmol)のMeOH(4mL)とHO(1mL)の溶液を用いて室温で2時間処理した。反応混合液を、1N HClを用いてpH4~5に酸性化した。反応液を真空中で濃縮し、残留物を分取HPLC A(30~60% MeCN)により精製して、白色固形物として、ジアステレオマー生成物のHW-P1(60.1mg)およびHW-P2(50.0mg)を得た。
HW-P1 ESI 736.6(M+H). 1H NMR(400MHz,MeOD)δ 7.76(s,1H),7.39(t,J=7.5Hz,1H),6.88(d,J=9.3Hz,2H),6.80(s,1H),5.78-5.67(m,2H),3.14-3.02(m,2H),3.01-2.88(m,1H),2.80(s,6H),2.75-2.55(m,3H),2.12-1.84(m,10H),1.34(s,1H),0.94(d,J=6.6Hz,6H).
HW-P2 ESI 736.6(M+H). 1H NMR(400MHz,MeOD)δ 7.79(s,1H),7.45(t,J=7.6Hz,1H),6.96-6.80(m,3H),5.86-5.75(m,1H),5.62(t,J=7.6Hz,1H),3.14-2.97(m,2H),2.97-2.85(m,1H),2.79(s,6H),2.71-2.50(m,3H),2.07-1.87(m,8H),1.67-1.52(m,1H),1.35-1.25(m,1H),0.93-0.77(m,6H).
3-68. (3S)-3-(2-(5-(3-(アゼチジン-1-イル)プロピル)-2-オキソ-4-(トリフルオロメチル)ピリジン-1(2H)-イル)-4-メチルペンタンアミド)-3-(2,4-ジフルオロ-2’,4’,5,6’-テトラメチルビフェニル-3-イル)プロパン酸(化合物HX-P1およびHX-P2)の調製
工程1:(3S)-エチル 3-(2-(5-(3-(アゼチジン-1-イル)プロピル)-2-オキソ-4-(トリフルオロメチル)ピリジン-1(2H)-イル)-4-メチルペンタンアミド)-3-(2,4-ジフルオロ-2’,4’,5,6’-テトラメチルビフェニル-3-イル)プロパン酸塩
Figure 0007702004000664
2-(5-(3-(アゼチジン-1-イル)プロピル)-2-オキソ-4-(トリフルオロメチル)ピリジン-1(2H)-イル)-4-メチルペンタン酸(100mg、0.27mmol)、(S)-エチル 3-アミノ-3-(2,4-ジフルオロ-2’,4’,5,6’-テトラメチルビフェニル-3-イル)プロパン酸塩(97mg、0.27mmol)、NMI(0.5mL)およびTCFH(378mg、1.35mmol)のCHCN(5mL)の混合液を室温で1時間攪拌した。反応液を真空中で濃縮し、残留物を分取HPLC A(30~90% CHCN)により精製して、白色固形物として、(3S)-エチル 3-(2-(5-(3-(アゼチジン-1-イル)プロピル)-2-オキソ-4-(トリフルオロメチル)ピリジン-1(2H)-イル)-4-メチルペンタンアミド)-3-(2,4-ジフルオロ-2’,4’,5,6’-テトラメチルビフェニル-3-イル)プロパン酸塩(140mg)を得た。収率 73%(ESI 718.3 [M+H])。
工程2:(3S)-3-(2-(5-(3-(アゼチジン-1-イル)プロピル)-2-オキソ-4-(トリフルオロメチル)ピリジン-1(2H)-イル)-4-メチルペンタンアミド)-3-(2,4-ジフルオロ-2’,4’,5,6’-テトラメチルビフェニル-3-イル)プロパン酸
Figure 0007702004000665
(3S)-エチル 3-(2-(5-(3-(アゼチジン-1-イル)プロピル)-2-オキソ-4-(トリフルオロメチル)ピリジン-1(2H)-イル)-4-メチルペンタンアミド)-3-(2,4-ジフルオロ-2’,4’,5,6’-テトラメチルビフェニル-3-イル)プロパン酸塩(140mg、0.20mmol)を、LiOH-HO(76mg、1.80mmol)のMeOH(5mL)とHO(0.5mL)の溶液を用いて室温で2時間処理した。反応混合液を、1N HClを用いてpH4~5に酸性化した。反応液を真空中で濃縮し、残留物を分取HPLC A(30~70% CHCN)により精製して、白色固形物として、ジアステレオマー生成物のHX-P1(41.0mg)およびHX-P2(40.0mg)を得た。
HX-P1 ESI 690.3(M+H)H NMR(400MHz,MeOD)δ 7.77(s,1H),6.91-6.83(m,3H),6.79(s,1H),5.84-5.66(m,2H),4.05(t,J=8.2Hz,4H),3.14(t,J=7.5Hz,2H),3.04-2.89(m,1H),2.73-2.56(m,3H),2.49-2.35(m,2H),2.28(s,3H),2.23(s,3H),2.00(t,J=7.6Hz,2H),1.91(d,J=21.2Hz,6H),1.86-1.69(m,2H),1.40-1.27(m,1H),0.98-0.87(m,6H).
HX-P2 ESI 690.3(M+H)H NMR(400MHz,MeOD)δ 7.78(s,1H),6.97-6.79(m,4H),5.91-5.81(m,1H),5.56(t,J=7.5Hz,1H),4.16-3.95(m,4H),3.17-2.97(m,2H),2.93-2.81(m,1H),2.70-2.51(m,3H),2.48-2.37(m,2H),2.29(s,3H),2.27(s,3H),2.04-1.69(m,9H),1.65-1.52(m,1H),1.41-1.22(m,1H),0.94-0.78(m,6H).
3-69. (3S)-3-(4’-シクロプロピル-2,4-ジフルオロ-2’,6’-ジメチル-5-(トリフルオロメチル)-[1,1’-ビフェニル]-3-イル)-3-(2-(5-(2-(ジメチルアミノ)エチル)-2-オキソ-4-(トリフルオロメチル)ピリジン-1(2H)-イル)-4-メチルペンタンアミド)プロパン酸(化合物HY-P1およびHY-P2)の調製
工程1:(3S)-3-(4’-シクロプロピル-2,4-ジフルオロ-2’,6’-ジメチル-5-(トリフルオロメチル)-[1,1’-ビフェニル]-3-イル)-3-(2-(5-(2-(ジメチルアミノ)エチル)-2-オキソ-4-(トリフルオロメチル)ピリジン-1(2H)-イル)-4-メチルペンタンアミド)プロパン酸エチル
Figure 0007702004000666
(S)-3-アミノ-3-(4’-シクロプロピル-2,4-ジフルオロ-2’,6’-ジメチル-5-(トリフルオロメチル)-[1,1’-ビフェニル]-3-イル)プロパン酸エチル(140.0mg、0.29mmol)、2-(5-(2-(ジメチルアミノ)エチル)-2-オキソ-4-(トリフルオロメチル)ピリジン-1(2H)-イル)-4-メチルペンタン酸(101.0mg、0.29mmol)、TCFH(97.6mg、0.35mmol)、およびNMI(71.4mg、0.87mmol)のCHCN(5mL)の混合液を室温で一晩攪拌した。反応液を真空中で濃縮し、残留物をC18/40gカラムでの逆相HPLC(A:水 10mM NHHCO、B:MeOH、0~100%)により精製して、明黄色固形物として、(3S)-3-(4’-シクロプロピル-2,4-ジフルオロ-2’,6’-ジメチル-5-(トリフルオロメチル)-[1,1’-ビフェニル]-3-イル)-3-(2-(5-(2-(ジメチルアミノ)エチル)-2-オキソ-4-(トリフルオロメチル)ピリジン-1(2H)-イル)-4-メチルペンタンアミド)プロパン酸エチル(130.0mg)を得た。収率 57%(ESI 772.3 [M+H])。
工程2:(3S)-3-(4’-シクロプロピル-2,4-ジフルオロ-2’,6’-ジメチル-5-(トリフルオロメチル)-[1,1’-ビフェニル]-3-イル)-3-(2-(5-(2-(ジメチルアミノ)エチル)-2-オキソ-4-(トリフルオロメチル)ピリジン-1(2H)-イル)-4-メチルペンタンアミド)プロパン酸
Figure 0007702004000667
(3S)-3-(4’-シクロプロピル-2,4-ジフルオロ-2’,6’-ジメチル-5-(トリフルオロメチル)-[1,1’-ビフェニル]-3-イル)-3-(2-(5-(2-(ジメチルアミノ)エチル)-2-オキソ-4-(トリフルオロメチル)ピリジン-1(2H)-イル)-4-メチルペンタンアミド)プロパン酸エチル(130.0mg、0.17 mmol)を、LiOH-HO(21.4mg、0.51mmol)のEtOH(2mL)と水(0.5mL)の溶液を用いて室温で30分間処理した。反応混合液を、2N HClを用いてpH5~6に酸性化した。反応液を真空中で濃縮し、残留物を分取HPLC A(30~80% MeCN)により精製して、白色固形物として、ジアステレオマー生成物のHY-P1(40mg)およびHY-P2(50.3mg)を得た。
HY-P1 ESI 744.2(M+H)+ 1H NMR(400MHz,MeOD)δ 7.85(s,1H),7.34(t,J=7.6Hz,1H),6.82(d,J=4.5Hz,3H),5.73-5.67(m,2H),3.17-3.01(m,2H),2.99-2.89(m,3H),2.79-2.68(m,7H),2.05-1.91(m,5H),1.91-1.79(m,4H),1.44-1.33(m,1H),0.98-0.91(m,8H),0.72-0.64(m,2H).
HY-P2 ESI 744.3(M+H)+ 1H NMR(400MHz,MeOD)δ 7.83(s,1H),7.41(t,J=7.6Hz,1H),6.90(s,1H),6.85(s,2H),5.85-5.78(m,1H),5.65(t,J=7.8Hz,1H),3.27-3.12(m,2H),2.96(t,J=7.1Hz,2H),2.89-2.75(m,7H),2.70-2.62(m,1H),1.97(d,J=3.3Hz,6H),1.94-1.83(m,2H),1.79-1.65(m,1H),1.38-1.24(m,1H),1.01-0.92(m,2H),0.91-0.84(m,6H),0.75-0.63(m,2H).
3-70. (3S)-3-(2,4-ジフルオロ-2’,4’,6’-トリメチル-5-(トリフルオロメチル)ビフェニル-3-イル)-3-(2-(5-(3-(ジメチルアミノ)プロピル)-2-オキソ-4-(トリフルオロメチル)ピリジン-1(2H)-イル)-4-メチルペンタンアミド)プロパン酸(化合物HZ-P1およびHZ-P2)の調製
工程1:(3S)-エチル 3-(2,4-ジフルオロ-2’,4’,6’-トリメチル-5-(トリフルオロメチル)ビフェニル-3-イル)-3-(2-(5-(3-(ジメチルアミノ)プロピル)-2-オキソ-4-(トリフルオロメチル)ピリジン-1(2H)-イル)-4-メチルペンタンアミド)プロパン酸塩
Figure 0007702004000668
(S)-エチル 3-アミノ-3-(2,4-ジフルオロ-2’,4’,6’-トリメチル-5-(トリフルオロメチル)ビフェニル-3-イル)プロパン酸塩(208mg、0.50mmol)、2-(5-(3-(ジメチルアミノ)プロピル)-2-オキソ-4-(トリフルオロメチル)ピリジン-1(2H)-イル)-4-メチルペンタン酸(180mg、0.50mmol)、TCFH(280mg、1.0mmol)、およびNMI(123mg、1.5mmol)のMeCN(5mL)の混合液を室温で3時間攪拌した。溶媒を真空中で除去し、残留物をシリカゲルカラム(DCM:MeOH 97:3)により精製して、無色油状物として、(3S)-エチル 3-(2,4-ジフルオロ-2’,4’,6’-トリメチル-5-(トリフルオロメチル)ビフェニル-3-イル)-3-(2-(5-(3-(ジメチルアミノ)プロピル)-2-オキソ-4-(トリフルオロメチル)ピリジン-1(2H)-イル)-4-メチルペンタンアミド)プロパン酸塩(200mg)を得た。収率 53%(ESI 760.3(M+H))。
工程2:(3S)-3-(2,4-ジフルオロ-2’,4’,6’-トリメチル-5-(トリフルオロメチル)ビフェニル-3-イル)-3-(2-(5-(3-(ジメチルアミノ)プロピル)-2-オキソ-4-(トリフルオロメチル)ピリジン-1(2H)-イル)-4-メチルペンタンアミド)プロパン酸
Figure 0007702004000669
(3S)-エチル 3-(2,4-ジフルオロ-2’,4’,6’-トリメチル-5-(トリフルオロメチル)ビフェニル-3-イル)-3-(2-(5-(3-(ジメチルアミノ)プロピル)-2-オキソ-4-(トリフルオロメチル)ピリジン-1(2H)-イル)-4-メチルペンタンアミド)プロパン酸塩(200mg、0.26mmol)を、LiOH-HO(55mg、1.3mmol)のEtOH(3mL)とHO(1mL)の溶液を用いて室温で2時間処理した。反応混合液を、1N HClを用いてpH4~5に酸性化した。反応液を真空中で濃縮し、残留物を分取HPLC A(30~60% CHCN)により精製して、白色固形物として、ジアステレオマー生成物のHZ-P1(7.0mg)およびHZ-P2(62.0mg)を得た。
HZ-P1 ESI 732.3(M+H). 1H NMR(400MHz,MeOD)δ 7.76(s,1H),7.35(t,J=7.6Hz,1H),6.94(s,2H),6.80(s,1H),5.79-5.70(m,2H),3.14-3.07(m,2H),2.95-2.90(m,1H),2.81(s,6H),2.72-2.58(m,3H),2.30(s,3H),2.11-1.92(m,7H),1.87(s,3H),1.34(s,1H),0.94(d,J=6.5Hz,6H).HZ-P2 ESI 732.3(M+H). 1H NMR(400MHz,MeOD)δ 7.79(s,1H),7.40(t,J=7.6Hz,1H),6.97(s,2H),6.85(s,1H),5.82-5.80(m,1H),5.62(t,J=7.6Hz,1H),3.15-2.95(m,2H),2.89-2.85(m,1H),2.79(s,6H),2.63-2.60(m,3H),2.31(s,3H),2.08-1.83(m,9H),1.72-1.58(m,1H),1.31-1.25(m,1H),0.86-0.82(m,6H).
3-71. (3S)-3-(4’-シクロプロピル-2,4-ジフルオロ-2’,5,6’-トリメチルビフェニル-3-イル)-3-(2-(5-(3-(ジメチルアミノ)プロピル)-2-オキソ-4-(トリフルオロメチル)ピリジン-1(2H)-イル)-4-メチルペンタンアミド)プロパン酸(化合物IA-P1およびIA-P2)の調製
工程1:(3S)-エチル 3-(4’-シクロプロピル-2,4-ジフルオロ-2’,5,6’-トリメチルビフェニル-3-イル)-3-(2-(5-(3-(ジメチルアミノ)プロピル)-2-オキソ-4-(トリフルオロメチル)ピリジン-1(2H)-イル)-4-メチルペンタンアミド)プロパン酸塩
Figure 0007702004000670
(S)-エチル 3-アミノ-3-(4’-シクロプロピル-2,4-ジフルオロ-2’,5,6’-トリメチルビフェニル-3-イル)プロパン酸塩(107mg、0.28mmol)、2-(5-(3-(ジメチルアミノ)プロピル)-2-オキソ-4-(トリフルオロメチル)ピリジン-1(2H)-イル)-4-メチルペンタン酸(100mg、0.28mmol)、TCFH(157mg、0.56mmol)およびNMI(69mg、0.84mmol)のMeCN(5mL)の混合液を室温で3時間攪拌した。溶媒を真空中で除去し、残留物をシリカゲルカラム(DCM:MeOH 97:3)により精製して、無色油状物として、(3S)-エチル 3-(4’-シクロプロピル-2,4-ジフルオロ-2’,5,6’-トリメチルビフェニル-3-イル)-3-(2-(5-(3-(ジメチルアミノ)プロピル)-2-オキソ-4-(トリフルオロメチル)ピリジン-1(2H)-イル)-4-メチルペンタンアミド)プロパン酸(100mg)を得た。収率 49%(ESI 732.3(M+H))。
工程2:(3S)-3-(4’-シクロプロピル-2,4-ジフルオロ-2’,5,6’-トリメチルビフェニル-3-イル)-3-(2-(5-(3-(ジメチルアミノ)プロピル)-2-オキソ-4-(トリフルオロメチル)ピリジン-1(2H)-イル)-4-メチルペンタンアミド)プロパン酸
Figure 0007702004000671
(3S)-エチル 3-(4’-シクロプロピル-2,4-ジフルオロ-2’,5,6’-トリメチルビフェニル-3-イル)-3-(2-(5-(3-(ジメチルアミノ)プロピル)-2-オキソ-4-(トリフルオロメチル)ピリジン-1(2H)-イル)-4-メチルペンタンアミド)プロパン酸塩(100mg、0.14mmol)を、LiOH-HO(27mg、0.65mmol)のEtOH(3mL)とHO(1mL)の溶液を用いて室温で2時間処理した。反応混合液を、1N HClを用いてpH4~5に酸性化した。反応液を真空中で濃縮し、残留物を分取HPLC A(30~60% CHCN)により精製して、白色固形物として、ジアステレオマー生成物のIA-P1(37.3mg)およびIA-P2(38.5mg)を得た。
IA-P1 ESI 704.3(M+H). 1H NMR(400MHz,MeOD)δ 7.78(d,J=13.1Hz,1H),6.84(t,J=8.0Hz,1H),6.79-6.75(m,3H),5.78-5.67(m,2H),3.10-3.00(m,2H),2.93-2.90(m,1H),2.77(s,6H),2.69-2.59(m,3H),2.24(d,J=18.1Hz,3H),2.08-1.97(m,3H),1.97-1.74(m,8H),1.34-1.30(m,1H),1.02-0.82(m,8H),0.72-0.56(m,2H).
IA-P2 ESI 704.3(M+H). 1H NMR(400MHz,MeOD)δ 7.79(s,1H),6.89(t,J=8.2Hz,1H),6.82(d,J=16.3Hz,3H),5.84-5.80(m,1H),5.57(t,J=7.5Hz,1H),3.01-3.00(m,2H),2.85-2.83(m,1H),2.77(s,6H),2.68-2.59(m,2H),2.53-2.51(m,1H),2.26(s,3H),2.05-1.83(m,10H),1.62-1.60(m,1H),1.34-1.30(m,1H),1.03-0.91(m,2H),0.86-0.83(m,6H),0.71-0.64(m,2H).
3-72. (3S)-3-(2-(5-(2-(2-アザスピロ[3.4]オクタン-2-イル)エチル)-2-オキソ-4-(トリフルオロメチル)ピリジン-1(2H)-イル)-4-メチルペンタンアミド)-3-(2,4-ジフルオロ-2’,5,6’-トリメチル-[1,1’-ビフェニル]-3-イル)プロパン酸(IB-P1およびIB-P2)の調製
工程1:(3S)-3-(2-(5-(2-(2-アザスピロ[3.4]オクタン-2-イル)エチル)-2-オキソ-4-(トリフルオロメチル)ピリジン-1(2H)-イル)-4-メチルペンタンアミド)-3-(2,4-ジフルオロ-2’,5,6’-トリメチル-[1,1’-ビフェニル]-3-イル)プロパン酸エチル
Figure 0007702004000672
(S)-3-アミノ-3-(2,4-ジフルオロ-2’,5,6’-トリメチル-[1,1’-ビフェニル]-3-イル)プロパン酸エチル(140mg、0.40mmol)、2-(5-(2-(2-アザスピロ[3.4]オクタン-2-イル)エチル)-2-オキソ-4-(トリフルオロメチル)ピリジン-1(2H)-イル)-4-メチルペンタン酸(182mg、0.54mmol)、TCFH(224mg、0.80mmol)およびNMI(164mg、2.0mmol)のCHCN(5mL)の混合液を室温で2時間攪拌した。反応液を濃縮し、C18/40gカラムでの逆相HPLC(A:水 10mM NHHCO3、B:CHCN、0~85%)により精製して、黄色固形物として、(3S)-3-(2-(5-(2-(2-アザスピロ[3.4]オクタン-2-イル)エチル)-2-オキソ-4-(トリフルオロメチル)ピリジン-1(2H)-イル)-4-メチルペンタンアミド)-3-(2,4-ジフルオロ-2’,5,6’-トリメチル-[1,1’-ビフェニル]-3-イル)プロパン酸エチル(130mg)を得た。収率 43.3 %(ESI 744.3 [M+H])。
工程2:(3S)-3-(2-(5-(2-(2-アザスピロ[3.4]オクタン-2-イル)エチル)-2-オキソ-4-(トリフルオロメチル)ピリジン-1(2H)-イル)-4-メチルペンタンアミド)-3-(2,4-ジフルオロ-2’,5,6’-トリメチル-[1,1’-ビフェニル]-3-yl)プロパン酸
Figure 0007702004000673
(3S)-3-(2-(5-(2-(2-アザスピロ[3.4]オクタン-2-イル)エチル)-2-オキソ-4-(トリフルオロメチル)ピリジン-1(2H)-イル)-4-メチルペンタンアミド)-3-(2,4-ジフルオロ-2’,5,6’-トリメチル-[1,1’-ビフェニル]-3-イル)プロパン酸エチル(130mg、0.17mmol)を、LiOH-HO(22mg、0.52mmol)のEtOH(4mL)およびHO(1mL)の溶液を用いて室温で2時間処理した。反応混合液を、1N HClを用いてpH5~6に酸性化した。反応液を真空中で濃縮し、残留物を分取HPLC A(30~65% CHCN)により精製して、白色固形物として、ジアステレオマー生成物のIB-P1(48mg)およびIB-P2(65mg)を得た。
IB-P1 ESI 716.2(M+H)H NMR(400MHz,MeOD)δ 7.90(s,1H),7.18(m,J=24.2,7.1Hz,3H),6.94(m,J=14.9,6.5Hz,2H),5.87(m,J=9.8,4.8Hz,1H),5.75(m,J=9.4,6.8Hz,1H),3.95(d,J=9.1Hz,4H),3.38(m,1H),3.32(m,J=7.3Hz,1H),3.03(m,J=15.2,9.9Hz,1H),2.93(t,J=6.7Hz,2H),2.70(m,J=15.3,4.9Hz,1H),2.31(s,3H),2.11-1.98(m,8H),1.92(d,J=6.3Hz,4H),1.75-1.56(m,4H),1.51-1.38(m,1H),0.99(m,J=6.6,1.2Hz,6H).
IB-P2 ESI 716.2(M+H)H NMR(400MHz,MeOD)δ 7.71(s,1H),7.22-7.05(m,3H),6.99-6.73(m,2H),5.92(m,J=11.5,3.4Hz,1H),5.62(t,J=7.7Hz,1H),3.99(s,4H),3.43-3.31(m,2H),2.95-2.75(m,3H),2.47(m,J=16.1,3.6Hz,1H),2.28(s,3H),2.01(d,J=5.5Hz,6H),1.91(m,J=26.9,12.0,7.3Hz,5H),1.74-1.56(m,5H),1.44-1.26(m,1H),0.89(m,J=9.1,6.6Hz,6H).
3-73. (3S)-3-(2,4-ジフルオロ-2’,5,6’-トリメチル-3’-(トリフルオロメチル)-[1,1’-ビフェニル]-3-イル)-3-(2-(5-(2-(ジメチルアミノ)エチル)-2-オキソ-4-(トリフルオロメチル)ピリジン-1(2H)-イル)-4-メチルペンタンアミド)プロパン酸(化合物IC-P1およびIC-P2)の調製
工程1:(3S)-3-(2,4-ジフルオロ-2’,5,6’-トリメチル-3’-(トリフルオロメチル)-[1,1’-ビフェニル]-3-イル)-3-(2-(5-(2-(ジメチルアミノ)エチル)-2-オキソ-4-(トリフルオロメチル)ピリジン-1(2H)-イル)-4-メチルペンタンアミド)プロパン酸エチル
Figure 0007702004000674
(3S)-3-アミノ-3-(2,4-ジフルオロ-2’,5,6’-トリメチル-3’-(トリフルオロメチル)-[1,1’-ビフェニル]-3-イル)プロパン酸エチル(170.0mg、0.41mmol)、2-(5-(2-(ジメチルアミノ)エチル)-2-オキソ-4-(トリフルオロメチル)ピリジン-1(2H)-イル)-4-メチルペンタン酸(142.8mg、0.49mmol)、TCFH(137.5mg、0.76mmol)、およびNMI(68.8mg、1.64mmol)のCHCN(5mL)の混合液を室温で一晩攪拌した。反応液を真空中で濃縮し、残留物をC18/40gカラムでの逆相HPLC(A:水 10mM NHHCO、B:MeOH、0~100%)により精製して、明黄色固形物として、(3S)-3-(2,4-ジフルオロ-2’,5,6’-トリメチル-3’-(トリフルオロメチル)-[1,1’-ビフェニル]-3-イル)-3-(2-(5-(2-(ジメチルアミノ)エチル)-2-オキソ-4-(トリフルオロメチル)ピリジン-1(2H)-イル)-4-メチルペンタンアミド)プロパン酸エチル(210.0mg)を得た。収率 69%(ESI 746.3 [M+H])。
工程2:(3S)-3-(2,4-ジフルオロ-2’,5,6’-トリメチル-3’-(トリフルオロメチル)-[1,1’-ビフェニル]-3-イル)-3-(2-(5-(2-(ジメチルアミノ)エチル)-2-オキソ-4-(トリフルオロメチル)ピリジン-1(2H)-イル)-4-メチルペンタンアミド)プロパン酸
Figure 0007702004000675
(3S)-3-(2,4-ジフルオロ-2’,5,6’-トリメチル-3’-(トリフルオロメチル)-[1,1’-ビフェニル]-3-イル)-3-(2-(5-(2-(ジメチルアミノ)エチル)-2-オキソ-4-(トリフルオロメチル)ピリジン-1(2H)-イル)-4-メチルペンタンアミド)プロパン酸エチル(210.0mg、0.28 mmol)を、LiOH-HO(35.2mg、0.84mmol)のEtOH(2mL)と水(0.5mL)の溶液を用いて室温で1時間処理した。反応混合液を、2N HClを用いてpH4~5に酸性化した。反応液を真空中で濃縮し、残留物を分取HPLC A(30~80% MeCN)により精製して、白色固形物として、ジアステレオマー生成物のIC-P1(53.3mg)およびIC-P2(78.3mg)を得た。
IC-P1 ESI 718.3(M+H)+ 1H NMR(400MHz,MeOD)δ 7.87(d,J=3.6Hz,1H),7.56(d,J=8.1Hz,1H),7.26(d,J=8.2Hz,1H),6.90(t,J=8.1Hz,1H),6.83(s,1H),5.75-5.64(m,2H),3.18-3.01(m,2H),3.00-2.85(m,3H),2.79-2.64(m,7H),2.25(s,3H),2.10-1.94(m,8H),1.46-1.33(m,1H),0.96-0.90(m,6H).
IC-P2 ESI 718.3(M+H)+ 1H NMR(400MHz,MeOD)δ 7.81(s,1H),7.58(d,J=8.1Hz,1H),7.29(d,J=8.1Hz,1H),6.96(t,J=8.2Hz,1H),6.90(s,1H),5.86-5.80(m,1H),5.66-5.60(m,1H),3.28-3.10(m,2H),3.01-2.94(m,2H),2.86-2.74(m,7H),2.62-2.55(m,1H),2.29(s,3H),2.12(s,3H),2.07(d,J=3.9Hz,3H),1.97-1.82(m,1H),1.80-1.66(m,1H),1.39-1.28(m,1H),0.90-0.82(m,6H).
3-74. (3S)-3-(2-(5-(2-(2-アザスピロ[3.3]ヘプタン-2-イル)エチル)-2-オキソ-4-(トリフルオロメチル)ピリジン-1(2H)-イル)-4-メチルペンタンアミド)-3-(2,4-ジフルオロ-2’,5,6’-トリメチル-[1,1’-ビフェニル]-3-イル)プロパン酸(化合物ID-P1およびID-P2)の調製
工程1:(3S)-3-(2-(5-(2-(2-アザスピロ[3.3]ヘプタン-2-イル)エチル)-2-オキソ-4-(トリフルオロメチル)ピリジン-1(2H)-イル)-4-メチルペンタンアミド)-3-(2,4-ジフルオロ-2’,5,6’-トリメチル-[1,1’-ビフェニル]-3-イル)プロパン酸エチル
Figure 0007702004000676
(S)-3-アミノ-3-(2,4-ジフルオロ-2’,5,6’-トリメチル-[1,1’-ビフェニル]-3-イル)プロパン酸エチル(220mg、0.63mmol)、2-(5-(2-(2-アザスピロ[3.3]ヘプタン-2-イル)エチル)-2-オキソ-4-(トリフルオロメチル)ピリジン-1(2H)-イル)-4-メチルペンタン酸(240mg、0.6mmol)、TCFH(336mg、1.2mmol)、およびNMI(246mg、3.0mmol)のCHCN(4mL)の混合液を25℃で16時間攪拌した。反応液を濃縮し、C18/40gカラムでの逆相HPLC(A:水 10mM NHHCO、B:MeOH、0~90%)により精製して、黄色固形物として、(3S)-3-(2-(5-(2-(2-アザスピロ[3.3]ヘプタン-2-イル)エチル)-2-オキソ-4-(トリフルオロメチル)ピリジン-1(2H)-イル)-4-メチルペンタンアミド)-3-(2,4-ジフルオロ-2’,5,6’-トリメチル-[1,1’-ビフェニル]-3-イル)プロパン酸エチル(310mg)を得た。収率 70.8 %(ESI 730.4 [M+H])。
工程2:(3S)-3-(2-(5-(2-(2-アザスピロ[3.3]ヘプタン-2-イル)エチル)-2-オキソ-4-(トリフルオロメチル)ピリジン-1(2H)-イル)-4-メチルペンタンアミド)-3-(2,4-ジフルオロ-2’,5,6’-トリメチル-[1,1’-ビフェニル]-3-イル)プロパン酸
Figure 0007702004000677
(3S)-3-(2-(5-(2-(2-アザスピロ[3.3]ヘプタン-2-イル)エチル)-2-オキソ-4-(トリフルオロメチル)ピリジン-1(2H)-イル)-4-メチルペンタンアミド)-3-(2,4-ジフルオロ-2’,5,6’-トリメチル-[1,1’-ビフェニル]-3-イル)プロパン酸エチル(310mg、0.42mmol)を、LiOH-HO(54mg、1.28mmol)のEtOH(4mL)およびHO(1mL)の溶液を用いて室温で30分間処理した。反応混合液を、1N HClを用いてpH5~6に酸性化した。反応液を真空中で濃縮し、残留物を分取HPLC A(40~60% CHCN)により精製して、diastereomeric products ID-P1(72 mg)and ID-P2(96 mg)as white solids. を得た。
ID-P1 ESI 702.3(M+H)H NMR(400MHz,MeOD)δ 7.81(s,1H),7.18-7.03(m,3H),6.94-6.83(m,2H),5.83-5.75(m,1H),5.69(t,J=7.9Hz,1H),3.96(s,4H),3.28-3.13(m,2H),3.02-2.91(m,1H),2.85(s,2H),2.64(d,J=15.1Hz,1H),2.24(t,J=7.4Hz,7H),2.04-1.89(m,8H),1.88-1.76(m,2H),1.43-1.33(m,1H),0.98-0.88(m,6H).ID-P2 ESI 702.3(M+H)H NMR(400MHz,MeOD)δ 7.71(s,1H),7.19-7.07(m,3H),6.97-6.88(m,2H),5.95-5.86(m,1H),5.61(t,J=7.7Hz,1H),4.10(s,4H),3.41-3.31(m,2H),2.95-2.74(m,3H),2.52-2.39(m,1H),2.36-2.17(m,7H),2.01(d,J=6.7Hz,6H),1.98-1.89(m,1H),1.90-1.79(m,2H),1.75-1.64(m,1H),1.42-1.33(m,1H),0.93-0.83(m,6H).
3-75. (3S)-3-(2-(5-(2-(アゼチジン-1-イル)エチル)-2-オキソ-4-(トリフルオロメチル)ピリジン-1(2H)-イル)-4-メチルペンタンアミド)-3-(2,4-ジフルオロ-3’-メトキシ-2’,6’-ジメチル-5-(トリフルオロメチル)-[1,1’-ビフェニル]-3-イル)プロパン酸(化合物IE-P1およびIE-P2)の調製
工程1:(3S)-3-(2-(5-(2-(アゼチジン-1-イル)エチル)-2-オキソ-4-(トリフルオロメチル)ピリジン-1(2H)-イル)-4-メチルペンタンアミド)-3-(2,4-ジフルオロ-3’-メトキシ-2’,6’-ジメチル-5-(トリフルオロメチル)-[1,1’-ビフェニル]-3-イル)プロパン酸エチル
Figure 0007702004000678
(3S)-3-アミノ-3-(2,4-ジフルオロ-3’-メトキシ-2’,6’-ジメチル-5-(トリフルオロメチル)-[1,1’-ビフェニル]-3-イル)プロパン酸エチル(150mg、0.35mmol)、2-(5-(2-(アゼチジン-1-イル)エチル)-2-オキソ-4-(トリフルオロメチル)ピリジン-1(2H)-イル)-4-メチルペンタン酸(150mg、0.41mmol)、TCFH(213mg、0.76mmol)、およびNMI(156mg、1.9mmol)のCHCN(3mL)の混合液を50℃で30分間攪拌した。反応液を濃縮し、C18/40gカラムでの逆相HPLC(A:水 10mM NHHCO、B:MeOH、0~90%)により精製して、黄色固形物として、(3S)-3-(2-(5-(2-(アゼチジン-1-イル)エチル)-2-オキソ-4-(トリフルオロメチル)ピリジン-1(2H)-イル)-4-メチルペンタンアミド)-3-(2,4-ジフルオロ-3’-メトキシ-2’,6’-ジメチル-5-(トリフルオロメチル)-[1,1’-ビフェニル]-3-イル)プロパン酸エチル(180mg)を得た。収率 66.4 %(ESI 774.3 [M+H])。
工程2:(3S)-3-(2-(5-(2-(アゼチジン-1-イル)エチル)-2-オキソ-4-(トリフルオロメチル)ピリジン-1(2H)-イル)-4-メチルペンタンアミド)-3-(2,4-ジフルオロ-3’-メトキシ-2’,6’-ジメチル-5-(トリフルオロメチル)-[1,1’-ビフェニル]-3-イル)プロパン酸
Figure 0007702004000679
(3S)-3-(2-(5-(2-(アゼチジン-1-イル)エチル)-2-オキソ-4-(トリフルオロメチル)ピリジン-1(2H)-イル)-4-メチルペンタンアミド)-3-(2,4-ジフルオロ-3’-メトキシ-2’,6’-ジメチル-5-(トリフルオロメチル)-[1,1’-ビフェニル]-3-イル)プロパン酸エチル(180mg、0.23mmol)を、LiOH-HO(30mg、0.7mmol)のEtOH(2mL)およびHO(0.5mL)の溶液を用いて室温で30分間処理した。反応混合液を、1N HClを用いてpH5~6に酸性化した。反応液を真空中で濃縮し、残留物を分取HPLC A(35~60% CHCN)により精製して、白色固形物として、ジアステレオマー生成物のIE-P1(46mg)およびIE-P2(53mg)を得た。
IE-P1 ESI 746.3(M+H)H NMR(400MHz,MeOD)δ 7.79(s,1H),7.36(t,J=7.3Hz,1H),7.09(d,J=8.2Hz,1H),6.93-6.83(m,2H),5.76-5.65(m,2H),4.04(t,J=7.9Hz,4H),3.83(s,3H),3.29-3.19(m,2H),2.95-2.88(m,1H),2.84(t,J=6.7Hz,2H),2.76-2.69(m,1H),2.48-2.39(m,2H),2.04-1.95(m,2H),1.85(t,J=30.1Hz,6H),1.41-1.32(m,1H),0.93(t,J=6.5Hz,6H).
IE-P2 ESI 746.3(M+H)H NMR(400MHz,MeOD)δ 7.74(s,1H),7.42(t,J=7.6Hz,1H),7.12(d,J=8.4Hz,1H),6.92(d,J=6.3Hz,2H),5.96-5.84(m,1H),5.64(t,J=7.7Hz,1H),4.12(t,J=8.1Hz,4H),3.84(s,3H),3.43-3.31(m,2H),2.96-2.74(m,3H),2.69-2.57(m,1H),2.53-2.39(m,2H),1.98-1.82(m,7H),1.76-1.65(m,1H),1.39-1.27(m,1H),0.92-0.83(m,6H).
3-76. (3S)-3-(2,4-ジフルオロ-2’,4’,6’-トリメチル-5-(トリフルオロメチル)-[1,1’-ビフェニル]-3-イル)-3-(2-(5-(2-(ジメチルアミノ)エチル)-2-オキソ-4-(トリフルオロメチル)ピリジン-1(2H)-イル)-4-メチルペンタンアミド)プロパン酸(化合物IF-P1およびIF-P2)の調製
工程1:(3S)-3-(2,4-ジフルオロ-2’,4’,6’-トリメチル-5-(トリフルオロメチル)-[1,1’-ビフェニル]-3-イル)-3-(2-(5-(2-(ジメチルアミノ)エチル)-2-オキソ-4-(トリフルオロメチル)ピリジン-1(2H)-イル)-4-メチルペンタンアミド)プロパン酸エチル
Figure 0007702004000680
(S)-3-アミノ-3-(2,4-ジフルオロ-2’,4’,6’-トリメチル-5-(トリフルオロメチル)-[1,1’-ビフェニル]-3-イル)プロパン酸エチル(210mg、0.5mmol)、2-(5-(2-(ジメチルアミノ)エチル)-2-オキソ-4-(トリフルオロメチル)ピリジン-1(2H)-イル)-4-メチルペンタン酸(200mg、0.57mmol)、TCFH(364mg、1.3mmol)、およびNMI(246mg、3.0mmol)のCHCN(4mL)の混合液を50℃で1時間攪拌した。反応液を濃縮し、C18/40gカラムでの逆相HPLC(A:水 10mM NHHCO、B:MeOH、0~90%)により精製して、黄色固形物として、(3S)-3-(2,4-ジフルオロ-2’,4’,6’-トリメチル-5-(トリフルオロメチル)-[1,1’-ビフェニル]-3-イル)-3-(2-(5-(2-(ジメチルアミノ)エチル)-2-オキソ-4-(トリフルオロメチル)ピリジン-1(2H)-イル)-4-メチルペンタンアミド)プロパン酸エチル(330mg)を得た。収率88.5 %(ESI 746.3 [M+H])。
工程2:(3S)-3-(2,4-ジフルオロ-2’,4’,5,6’-テトラメチル-[1,1’-ビフェニル]-3-イル)-3-(2-(5-(2-(ジメチルアミノ)エチル)-2-オキソ-4-(トリフルオロメチル)ピリジン-1(2H)-イル)-4-メチルペンタンアミド)プロパン酸
Figure 0007702004000681
(3S)-3-(2,4-ジフルオロ-2’,4’,6’-トリメチル-5-(トリフルオロメチル)-[1,1’-ビフェニル]-3-イル)-3-(2-(5-(2-(ジメチルアミノ)エチル)-2-オキソ-4-(トリフルオロメチル)ピリジン-1(2H)-イル)-4-メチルペンタンアミド)プロパン酸エチル(330mg、0.44mmol)を、LiOH-HO(56mg、1.34mmol)のMeOH(4mL)とHO(1mL)の溶液を用いて室温で30分間処理した。反応混合液を、1N HClを用いてpH5~6に酸性化した。反応液を真空中で濃縮し、残留物を分取HPLC A(30~58% CHCN)により精製して、白色固形物として、ジアステレオマー生成物のIF-P1(96mg)およびIF-P2(94mg)を得た。
IF-P1 ESI 718.3(M+H)H NMR(400MHz,MeOD)δ 7.86(s,1H),7.34(t,J=7.6Hz,1H),6.94(d,J=3.7Hz,2H),6.82(s,1H),5.76-5.65(m,2H),3.12-3.04(m,2H),2.99-2.88(m,3H),2.80-2.70(m,7H),2.29(s,3H),2.06-1.92(m,5H),1.86(s,3H),1.44-1.33(m,1H),0.93(t,J=7.0Hz,6H).
IF-P2 ESI 718.3(M+H). 1H NMR(400MHz,MeOD)δ 7.84(s,1H),7.41(t,J=7.6Hz,1H),6.97(s,2H),6.89(s,1H),5.85-5.76(m,1H),5.66(t,J=7.8Hz,1H),3.25-3.09(m,2H),2.96(t,J=7.2Hz,2H),2.90-2.81(m,1H),2.79(s,6H),2.71-2.62(m,1H),2.31(s,3H),1.98(d,J=3.1Hz,6H),1.93-1.81(m,1H),1.76-1.67(m,1H),1.36-1.27(m,1H),0.92-0.82(m,6H).
3-77. (3S)-3-(2-(5-(2-(アゼチジン-1-イル)エチル)-2-オキソ-4-(トリフルオロメチル)ピリジン-1(2H)-イル)-4-メチルペンタンアミド)-3-(2,4-ジフルオロ-2’,4’,6’-トリメチル-5-(トリフルオロメチル)ビフェニル-3-イル)プロパン酸(化合物IG-P1およびIG-P2)の調製
工程1:(3S)-エチル 3-(2-(5-(2-(アゼチジン-1-イル)エチル)-2-オキソ-4-(トリフルオロメチル)ピリジン-1(2H)-イル)-4-メチルペンタンアミド)-3-(2,4-ジフルオロ-2’,4’,6’-トリメチル-5-(トリフルオロメチル)ビフェニル-3-イル)プロパン酸塩
Figure 0007702004000682
2-(5-(2-(アゼチジン-1-イル)エチル)-2-オキソ-4-(トリフルオロメチル)ピリジン-1(2H)-イル)-4-メチルペンタン酸(150mg、0.41mmol)、(S)-エチル 3-アミノ-3-(2,4-ジフルオロ-2’,4’,6’-トリメチル-5-(トリフルオロメチル)ビフェニル-3-イル)プロパン酸塩(173mg、0.41mmol)、NMI(0.5mL)、およびTCFH(364mg、1.30mmol)のCHCN(5mL)の混合液を室温で1時間攪拌した。溶媒を真空中で濃縮し、残留物を分取HPLC A(30~90% CHCN)により精製して、白色固形物として、(3S)-エチル 3-(2-(5-(2-(アゼチジン-1-イル)エチル)-2-オキソ-4-(トリフルオロメチル)ピリジン-1(2H)-イル)-4-メチルペンタンアミド)-3-(2,4-ジフルオロ-2’,4’,6’-トリメチル-5-(トリフルオロメチル)ビフェニル-3-イル)プロパン酸塩(150mg)を得た。収率 54%(ESI 758.2 [M+H])。
工程2:(3S)-3-(2-(5-(2-(アゼチジン-1-イル)エチル)-2-オキソ-4-(トリフルオロメチル)ピリジン-1(2H)-イル)-4-メチルペンタンアミド)-3-(2,4-ジフルオロ-2’,4’,6’-トリメチル-5-(トリフルオロメチル)ビフェニル-3-イル)プロパン酸
Figure 0007702004000683
(3S)-エチル 3-(2-(5-(2-(アゼチジン-1-イル)エチル)-2-オキソ-4-(トリフルオロメチル)ピリジン-1(2H)-イル)-4-メチルペンタンアミド)-3-(2,4-ジフルオロ-2’,4’,6’-トリメチル-5-(トリフルオロメチル)ビフェニル-3-イル)プロパン酸塩(150mg、0.19mmol)を、LiOH-HO(42mg、1.00mmol)のMeOH(4mL)とHO(0.4mL)の溶液を用いて室温で2時間処理した。反応混合液を、1N HClを用いてpH4~5に酸性化した。反応液を真空中で濃縮し、残留物を分取HPLC A(30~70% CHCN)により精製して、白色固形物として、ジアステレオマー生成物のIG-P1(33.0mg)およびIG-P2(51.0mg)を得た。
IG-P1 ESI 730.2(M+H)H NMR(400MHz,MeOD)δ 7.79(s,1H),7.37(t,J=7.5Hz,1H),6.95(s,2H),6.85(s,1H),5.79-5.65(m,2H),4.03(t,J=8.1Hz,4H),3.27-3.20(m,2H),3.00-2.69(m,4H),2.50-2.38(m,2H),2.30(s,3H),2.05-1.83(m,8H),1.52-1.28(m,1H),0.93(t,J=6.4Hz,6H).
IG-P2 ESI 730.2(M+H)H NMR(400MHz,MeOD)δ 7.73(s,1H),7.43(t,J=7.6Hz,1H),6.97(s,2H),6.91(s,1H),6.00-5.83(m,1H),5.63(t,J=7.7Hz,1H),4.11(t,J=8.0Hz,4H),3.50-3.33(m,2H),2.99-2.75(m,3H),2.69-2.57(m,1H),2.49-2.37(m,2H),2.31(s,3H),2.02-1.84(m,7H),1.77-1.64(m,1H),1.46-1.19(m,1H),1.03-0.80(m,6H).
3-78. (3S)-3-(2-(5-(2-(アゼチジン-1-イル)エチル)-2-オキソ-4-(トリフルオロメチル)ピリジン-1(2H)-イル)-4-メチルペンタンアミド)-3-(4’-シクロプロピル-2,3’,4-トリフルオロ-2’,6’-ジメチル-5-(トリフルオロメチル)-[1,1’-ビフェニル]-3-イル)プロパン酸(化合物IH-P1およびIH-P2)の調製
工程1:(3S)-3-(2-(5-(2-(アゼチジン-1-イル)エチル)-2-オキソ-4-(トリフルオロメチル)ピリジン-1(2H)-イル)-4-メチルペンタンアミド)-3-(4’-シクロプロピル-2,3’,4-トリフルオロ-2’,6’-ジメチル-5-(トリフルオロメチル)-[1,1’-ビフェニル]-3-イル)プロパン酸エチル
Figure 0007702004000684
(3S)-3-アミノ-3-(4’-シクロプロピル-2,3’,4-トリフルオロ-2’,6’-ジメチル-5-(トリフルオロメチル)-[1,1’-ビフェニル]-3-イル)プロパン酸エチル(80mg、0.17mmol)、2-(5-(2-(アゼチジン-1-イル)エチル)-2-オキソ-4-(トリフルオロメチル)ピリジン-1(2H)-イル)-4-メチルペンタン酸(120mg、0.33mmol)、TCFH(74mg、0.26mmol)、および1-メチルイミダゾール(57mg、0.70mmol)のアセトニトリル(5mL)の混合液を室温で2時間攪拌した。混合液をC18/40gカラムでの逆相HPLC(A:水 10mM NHHCO、B:MeOH、0~100%)により精製して、褐色固形物として、(3S)-3-(2-(5-(2-(アゼチジン-1-イル)エチル)-2-オキソ-4-(トリフルオロメチル)ピリジン-1(2H)-イル)-4-メチルペンタンアミド)-3-(4’-シクロプロピル-2,3’,4-トリフルオロ-2’,6’-ジメチル-5-(トリフルオロメチル)-[1,1’-ビフェニル]-3-イル)プロパン酸エチル(100mg)を得た。収率 71.4 %(ESI 802.3(M+H))。
工程2:(3S)-3-(2-(5-(2-(アゼチジン-1-イル)エチル)-2-オキソ-4-(トリフルオロメチル)ピリジン-1(2H)-イル)-4-メチルペンタンアミド)-3-(4’-シクロプロピル-2,3’,4-トリフルオロ-2’,6’-ジメチル-5-(トリフルオロメチル)-[1,1’-ビフェニル]-3-イル)プロパン酸
Figure 0007702004000685
(3S)-3-(2-(5-(2-(アゼチジン-1-イル)エチル)-2-オキソ-4-(トリフルオロメチル)ピリジン-1(2H)-イル)-4-メチルペンタンアミド)-3-(4’-シクロプロピル-2,3’,4-トリフルオロ-2’,6’-ジメチル-5-(トリフルオロメチル)-[1,1’-ビフェニル]-3-イル)プロパン酸エチル(100mg、0.13mmol)を、LiOH-HO(27mg、0.65mmol)のMeOH(5mL)とHO(1mL)の溶液を用いて室温で2時間処理した。反応混合液を、1N HClを用いてpH6~7に酸性化した。反応液を真空中で濃縮し、残留物を分取HPLC A(30~60% CHCN)により精製して、白色固形物として、ジアステレオマー生成物のIH-P1(13.8mg)およびIH-P2(16.7mg)を得た。
IH-P1 ESI 774.2(M+H)H NMR(400MHz,MeOD)δ 7.79(s,1H),7.39(t,J=7.5Hz,1H),6.85(d,J=4.6Hz,1H),6.71-6.68(m,1H),5.74-5.67(m,2H), 4.02(t,J=7.8Hz,4H),3.30-3.26(m,2H), 2.93-2.70(m,4H), 2.48-2.38(m,2H),2.12-1.96(m,3H), 1.93-1.91(m,3H),1.86-1.82(m,3H),1.41-1.36(m,1H),1.01- 0.92 (m,8H),0.75-0.69(m,2H).
IH-P2 ESI 774.2(M+H)H NMR(400MHz,MeOD)δ 7.72(s,1H),7.46(t,J=7.6Hz,1H),6.92(s,1H),6.72(d,J=7.2Hz,1H),5.87- 5.91(m,1H),5.63(t,J=7.6Hz,1H),4.12(t,J=8.0Hz,4H),3.44-3.33(m,2H),2.93-2.77(m,3H),2.63- 2.58(m,1H),2.49-2.41(m,2H),2.13- 2.06(m,1H),1.95-1.88(m,7H),1.75-1.68(m,1H),1.37-1.29(m,1H),1.02-0.97(m,2H),0.91-0.86(m,6H),0.77-0.74(m,2H).
3-79. (3S)-3-(2,4-ジフルオロ-2’,4’,6’-トリメチル-5-(トリフルオロメチル)-[1,1’-ビフェニル]-3-イル)-3-(4-メチル-2-(5-(2-(3-メチルアゼチジン-1-イル)エチル)-2-オキソ-4-(トリフルオロメチル)ピリジン-1(2H)-イル)ペンタンアミド)プロパン酸(化合物II-P1およびII-P2)の調製
工程1:(3S)-3-(2,4-ジフルオロ-2’,4’,6’-トリメチル-5-(トリフルオロメチル)-[1,1’-ビフェニル]-3-イル)-3-(4-メチル-2-(5-(2-(3-メチルアゼチジン-1-イル)エチル)-2-オキソ-4-(トリフルオロメチル)ピリジン-1(2H)-イル)ペンタンアミド)プロパン酸エチル
Figure 0007702004000686
(S)-3-アミノ-3-(2,4-ジフルオロ-2’,4’,6’-トリメチル-5-(トリフルオロメチル)-[1,1’-ビフェニル]-3-イル)プロパン酸エチル(120mg、0.29mmol)、4-メチル-2-(5-(2-(3-メチルアゼチジン-1-イル)エチル)-2-オキソ-4-(トリフルオロメチル)ピリジン-1(2H)-イル)ペンタン酸(108mg、0.29mmol)、TCFH(120mg、0.43mmol)、およびNMI(119mg、1.45mmol)のCHCN(3mL)の混合液を室温で一晩攪拌した。反応液を真空中で濃縮し、残留物をC18/40gカラムでの逆相HPLC(A:水 10mM NHHCO、B:MeOH、20~95%)により精製して、明黄色固形物として、(3S)-3-(2,4-ジフルオロ-2’,4’,6’-トリメチル-5-(トリフルオロメチル)-[1,1’-ビフェニル]-3-イル)-3-(4-メチル-2-(5-(2-(3-メチルアゼチジン-1-イル)エチル)-2-オキソ-4-(トリフルオロメチル)ピリジン-1(2H)-イル)ペンタンアミド)プロパン酸エチル(150mg)を得た。収率 67%(ESI 772.2 [M+H])。
工程2:(3S)-3-(2,4-ジフルオロ-2’,4’,6’-トリメチル-5-(トリフルオロメチル)-[1,1’-ビフェニル]-3-イル)-3-(4-メチル-2-(5-(2-(3-メチルアゼチジン-1-イル)エチル)-2-オキソ-4-(トリフルオロメチル)ピリジン-1(2H)-イル)ペンタンアミド)プロパン酸
Figure 0007702004000687
(3S)-3-(2,4-ジフルオロ-2’,4’,6’-トリメチル-5-(トリフルオロメチル)-[1,1’-ビフェニル]-3-イル)-3-(4-メチル-2-(5-(2-(3-メチルアゼチジン-1-イル)エチル)-2-オキソ-4-(トリフルオロメチル)ピリジン-1(2H)-イル)ペンタンアミド)プロパン酸エチル(150mg、0.19 mmol)を、LiOH-HO(24mg、0.57mmol)のEtOH(2mL)と水(0.5mL)の溶液を用いて室温で1時間処理した。反応混合液を、2N HClを用いてpH4~5に酸性化した。反応液を真空中で濃縮し、残留物を分取HPLC A(20~85% MeCN)により精製して、白色固形物として、ジアステレオマー生成物のII-P1(33mg)およびII-P2(49mg)を得た。
II-P1 ESI 744.3(M+H)+ 1H NMR(400MHz,MeOD)δ 7.79(s,1H),7.37(t,J=7.5Hz,1H),6.95(s,2H),6.84(s,1H),5.77-5.61(m,2H),4.12(t,J=9.2Hz,2H),3.67(t,J=8.8Hz,2H),3.28-3.20(m,2H),3.00-2.78(m,4H),2.76-2.67(m,1H),2.30(s,3H),2.05-1.95(m,5H),1.89(s,3H),1.45-1.30(m,1H),1.24(d,J=6.9Hz,3H),0.96-0.84(m,6H).
II-P2 ESI 744.3(M+H)+ 1H NMR(400MHz,MeOD)δ 7.73(s,1H),7.42(t,J=7.6Hz,1H),6.98(s,2H),6.91(s,1H),5.89-5.82(m,1H),5.63(t,J=7.7Hz,1H),4.20(d,J=9.9Hz,2H),3.75(s,2H),3.45-3.34(m,2H),3.02-2.85(m,4H),2.65-2.53(m,1H),2.31(s,3H),2.03-1.84(m,7H),1.75-1.65(m,1H),1.42-1.18(m,4H),0.95-0.85(m,6H).
3-80. (3S)-3-(2,4-ジフルオロ-2’,4’,5,6’-テトラメチル-[1,1’-ビフェニル]-3-イル)-3-(2-(5-(3-(ジメチルアミノ)プロピル)-2-オキソ-4-(トリフルオロメチル)ピリジン-1(2H)-イル)-4-メチルペンタンアミド)プロパン酸(化合物IJ-P1およびIJ-P2)の調製工程1:(3S)-3-(2,4-ジフルオロ-2’,4’,5,6’-テトラメチル-[1,1’-ビフェニル]-3-イル)-3-(2-(5-(3-(ジメチルアミノ)プロピル)-2-オキソ-4-(トリフルオロメチル)ピリジン-1(2H)-イル)-4-メチルペンタンアミド)プロパン酸エチル
Figure 0007702004000688
(S)-3-アミノ-3-(2,4-ジフルオロ-2’,4’,5,6’-テトラメチル-[1,1’-ビフェニル]-3-イル)プロパン酸エチル(120.0mg、0.33mmol)、2-(5-(3-(ジメチルアミノ)プロピル)-2-オキソ-4-(トリフルオロメチル)ピリジン-1(2H)-イル)-4-メチルペンタン酸(119.6mg、0.33mmol)、TCFH(138.9mg、0.50mmol)、およびNMI(81.3mg、0.99mmol)のCHCN(3mL)の混合液を50℃で0.5時間攪拌した。反応液を真空中で濃縮し、残留物をC18/40gカラムでの逆相HPLC(A:水 10mM NHHCO、B:MeOH、0~100%)により精製して、明黄色固形物として、(3S)-3-(2,4-ジフルオロ-2’,4’,5,6’-テトラメチル-[1,1’-ビフェニル]-3-イル)-3-(2-(5-(3-(ジメチルアミノ)プロピル)-2-オキソ-4-(トリフルオロメチル)ピリジン-1(2H)-イル)-4-メチルペンタンアミド)プロパン酸エチル(160.0mg)を得た。収率 68%(ESI 706.2 [M+H])。
工程2:(3S)-3-(2,4-ジフルオロ-2’,4’,5,6’-テトラメチル-[1,1’-ビフェニル]-3-イル)-3-(2-(5-(3-(ジメチルアミノ)プロピル)-2-オキソ-4-(トリフルオロメチル)ピリジン-1(2H)-イル)-4-メチルペンタンアミド)プロパン酸
Figure 0007702004000689
(3S)-3-(2,4-ジフルオロ-2’,4’,5,6’-テトラメチル-[1,1’-ビフェニル]-3-イル)-3-(2-(5-(3-(ジメチルアミノ)プロピル)-2-オキソ-4-(トリフルオロメチル)ピリジン-1(2H)-イル)-4-メチルペンタンアミド)プロパン酸エチル(160.0mg、0.23mmol)を、LiOH-HO(29.0mg、0.69mmol)のEtOH(2mL)と水(0.5mL)の溶液を用いて室温で30分間処理した。反応混合液を、2N HClを用いてpH4~5に酸性化した。反応液を真空中で濃縮し、残留物を分取HPLC A(30~80% MeCN)により精製して、白色固形物として、ジアステレオマー生成物のIJ-P1(52.0mg)およびIJ-P2(44.0mg)を得た。
IJ-P1 ESI 678.3(M+H)+ 1H NMR(400MHz,MeOD)δ 7.77(s,1H),6.94-6.75(m,4H),5.78-5.72(m,2H),3.09-3.02(m,2H),2.98-2.90(m,1H),2.78(s,6H),2.73-2.59(m,3H),2.28(s,3H),2.23(s,3H),2.11-1.96(m,3H),1.97-1.81(m,7H),1.41-1.26(m,1H),0.95-0.91(m,6H).
IJ-P2 ESI 678.3(M+H)+ 1H NMR(400MHz,MeOD)δ 7.79(s,1H),6.98-6.80(m,4H),5.88-5.82(m,1H),5.57(t,J=7.5Hz,1H),3.08-2.92(m,2H),2.91-2.73(m,7H),2.72-2.45(m,3H),2.28(d,J=10.7Hz,6H),2.03-1.88(m,9H),1.66-1.58(m,1H),1.39-1.27(m,1H),0.90-0.83(m,6H).
3-81. (3S)-3-(2,4-ジフルオロ-2’,3’,6’-トリメチル-5-(トリフルオロメチル)-[1,1’-ビフェニル]-3-イル)-3-(2-(5-(2-(エチル(メチル)アミノ)エチル)-2-オキソ-4-(トリフルオロメチル)ピリジン-1(2H)-イル)-4-メチルペンタンアミド)プロパン酸(化合物IK-P1およびIK-P2)の調製
工程1:(3S)-3-(2,4-ジフルオロ-2’,3’,6’-トリメチル-5-(トリフルオロメチル)-[1,1’-ビフェニル]-3-イル)-3-(2-(5-(2-(エチル(メチル)アミノ)エチル)-2-オキソ-4-(トリフルオロメチル)ピリジン-1(2H)-イル)-4-メチルペンタンアミド)プロパン酸エチル
Figure 0007702004000690
2-(5-(2-(エチル(メチル)アミノ)エチル)-2-オキソ-4-(トリフルオロメチル)ピリジン-1(2H)-イル)-4-メチルペンタン酸(100.0mg、0.28mmol)、(3S)-3-アミノ-3-(2,4-ジフルオロ-2’,3’,6’-トリメチル-5-(トリフルオロメチル)-[1,1’-ビフェニル]-3-イル)プロパン酸エチル(116.2mg、0.28mmol)、TCFH(156.8mg、0.56mmol)、およびNMI(91.8mg、1.12mmol)のCHCN(10mL)の混合液を室温で1時間攪拌した。反応液を真空中で濃縮し、残留物をシリカゲルカラム(DCM:MeOH 4:1)により精製して、褐色固形物として(3S)-3-(2,4-ジフルオロ-2’,3’,6’-トリメチル-5-(トリフルオロメチル)-[1,1’-ビフェニル]-3-イル)-3-(2-(5-(2-(エチル(メチル)アミノ)エチル)-2-オキソ-4-(トリフルオロメチル)ピリジン-1(2H)-イル)-4-メチルペンタンアミド)プロパン酸エチル(110.0mg)を得た。収率 52%(ESI 760.7(M+H))。
工程2:(3S)-3-(2,4-ジフルオロ-2’,3’,6’-トリメチル-5-(トリフルオロメチル)-[1,1’-ビフェニル]-3-イル)-3-(2-(5-(2-(エチル(メチル)アミノ)エチル)-2-オキソ-4-(トリフルオロメチル)ピリジン-1(2H)-イル)-4-メチルペンタンアミド)プロパン酸
Figure 0007702004000691
(3S)-3-(2,4-ジフルオロ-2’,3’,6’-トリメチル-5-(トリフルオロメチル)-[1,1’-ビフェニル]-3-イル)-3-(2-(5-(2-(エチル(メチル)アミノ)エチル)-2-オキソ-4-(トリフルオロメチル)ピリジン-1(2H)-イル)-4-メチルペンタンアミド)プロパン酸エチル(110mg、0.14mmol)を、LiOH-HO(23.5mg、0.56mmol)のMeOH(4mL)とHO(1mL)の溶液を用いて室温で2時間処理した。反応混合液を、1N HClを用いてpH4~5に酸性化した。反応液を真空中で濃縮し、残留物を分取HPLC A(30~60% MeCN)により精製して、白色固形物として、ジアステレオマー生成物のIK-P1(34.1mg)およびIK-P2(29.4mg)を得た。
IK-P1 ESI 732.7(M+H). 1H NMR(400MHz,MeOD)δ 7.88(s,1H),7.32(t,J=7.6Hz,1H),7.10(d,J=7.7Hz,1H),7.04-6.96(m,1H),6.82(d,J=4.5Hz,1H),5.78-5.66(m,2H),3.19-3.05(m,4H),3.00-2.85(m,3H),2.80-2.70(m,4H),2.26(d,J=2.0Hz,3H),2.03-1.87(m,5H),1.81(d,J=15.0Hz,3H),1.43-1.32(m,1H),1.26(d,J=7.3Hz,3H),0.93(d,J=6.9Hz,6H).
IK-P2 ESI 732.7(M+H). 1H NMR(400MHz,MeOD)δ 7.87(s,1H),7.39(t,J=7.6Hz,1H),7.12(d,J=7.8Hz,1H),7.03(d,J=7.9Hz,1H),6.88(s,1H),5.85-5.75(m,1H),5.71-5.61(m,1H),3.27-3.09(m,4H),3.00-2.84(m,3H),2.79(s,3H),2.72-2.62(m,1H),2.28(d,J=2.1Hz,3H),1.98-1.79(m,7H),1.82-1.68(m,1H),1.41-1.22(m,4H),0.92-0.78(m,6H).
3-82. (3S)-3-(2,4-ジフルオロ-3’-メトキシ-2’,6’-ジメチル-5-(トリフルオロメチル)ビフェニル-3-イル)-3-(2-(5-(2-(ジメチルアミノ)エチル)-2-オキソ-4-(トリフルオロメチル)ピリジン-1(2H)-イル)-4-メチルペンタンアミド)プロパン酸(化合物IL-P1およびIL-P2)の調製
工程1:(3S)-エチル 3-(2,4-ジフルオロ-3’-メトキシ-2’,6’-ジメチル-5-(トリフルオロメチル)ビフェニル-3-イル)-3-(2-(5-(2-(ジメチルアミノ)エチル)-2-オキソ-4-(トリフルオロメチル)ピリジン-1(2H)-イル)-4-メチルペンタンアミド)プロパン酸塩
Figure 0007702004000692
2-(5-(2-(ジメチルアミノ)エチル)-2-オキソ-4-(トリフルオロメチル)ピリジン-1(2H)-イル)-4-メチルペンタン酸(122mg、0.35mmol)、(3S)-エチル 3-アミノ-3-(2,4-ジフルオロ-3’-メトキシ-2’,6’-ジメチル-5-(トリフルオロメチル)ビフェニル-3-イル)プロパン酸塩(150mg、0.35mmol)、NMI(86mg、1.05mmol)、およびTCFH(147mg、0.53mmol)のCHCN(4mL)の混合液を、室温で2時間攪拌した。溶媒を真空中で濃縮し、残留物をC18/40gカラムでの逆相HPLC(A:水 10mM NHHCO、B:CHCN、0~100%)により精製して、黄色油状物として、(3S)-エチル 3-(2,4-ジフルオロ-3’-メトキシ-2’,6’-ジメチル-5-(トリフルオロメチル)ビフェニル-3-イル)-3-(2-(5-(2-(ジメチルアミノ)エチル)-2-オキソ-4-(トリフルオロメチル)ピリジン-1(2H)-イル)-4-メチルペンタンアミド)プロパン酸塩(180mg)を得た。収率 68 %(ESI 762.3 [M+H])。
工程2:(3S)-3-(2,4-ジフルオロ-3’-メトキシ-2’,6’-ジメチル-5-(トリフルオロメチル)ビフェニル-3-イル)-3-(2-(5-(2-(ジメチルアミノ)エチル)-2-オキソ-4-(トリフルオロメチル)ピリジン-1(2H)-イル)-4-メチルペンタンアミド)プロパン酸
Figure 0007702004000693
(3S)-エチル 3-(2,4-ジフルオロ-3’-メトキシ-2’,6’-ジメチル-5-(トリフルオロメチル)ビフェニル-3-イル)-3-(2-(5-(2-(ジメチルアミノ)エチル)-2-オキソ-4-(トリフルオロメチル)ピリジン-1(2H)-イル)-4-メチルペンタンアミド)プロパン酸塩(180mg、0.24mmol)を、LiOH-HO(40mg、0.96mmol)のEtOH(3mL)とHO(1mL)の溶液を用いて室温で1時間処理した。反応混合液を、1N HClを用いてpH5~6に酸性化した。反応液を真空中で濃縮し、残留物を分取HPLC A(30~60% CHCN)により精製して、白色固形物として、ジアステレオマー生成物のIL-P1(47mg)およびIL-P2(57mg)を得た。
IL-P1 ESI 734.2(M+H)H NMR(400MHz,MeOD)δ 7.86(s,1H),7.34(t,J=7.6Hz,1H),7.12-7.05(m,1H),6.92-6.81(m,2H),5.78-5.63(m,2H),3.82(s,3H),3.19-3.04(m,2H),3.02-2.87(m,3H),2.83-2.69(m,7H),2.09-1.93(m,2H),1.93-1.73(m,6H),1.45-1.33(m,1H),0.93(t,J=7.1Hz,6H).
IL-P2 ESI 734.2(M+H)H NMR(400MHz,MeOD)δ 7.83(s,1H),7.40(t,J=7.7Hz,1H),7.11(d,J=8.2Hz,1H),7.00-6.84(m,2H),5.86-5.77(m,1H),5.66(t,J=7.7Hz,1H),3.84(s,3H),3.26-3.06(m,2H),3.01-2.71(m,9H),2.78-2.50(m,1H),2.02-1.80(m,7H),1.80-1.55(m,1H),1.53-1.22(m,1H),0.97-0.77(m,6H).
3-83. (3S)-3-(2,4-ジフルオロ-2’,3’,6’-トリメチル-5-(トリフルオロメチル)ビフェニル-3-イル)-3-(2-(5-(2-(ジメチルアミノ)エチル)-2-オキソ-4-(トリフルオロメチル)ピリジン-1(2H)-イル)-4-メチルペンタンアミド)プロパン酸(化合物IM-P1およびIM-P2)の調製
工程1:(3S)-エチル 3-(2,4-ジフルオロ-2’,3’,6’-トリメチル-5-(トリフルオロメチル)ビフェニル-3-イル)-3-(2-(5-(2-(ジメチルアミノ)エチル)-2-オキソ-4-(トリフルオロメチル)ピリジン-1(2H)-イル)-4-メチルペンタンアミド)プロパン酸塩
Figure 0007702004000694
2-(5-(2-(ジメチルアミノ)エチル)-2-オキソ-4-(トリフルオロメチル)ピリジン-1(2H)-イル)-4-メチルペンタン酸(100mg、0.29mmol)、(3S)-エチル 3-アミノ-3-(2,4-ジフルオロ-2’,3’,6’-トリメチル-5-(トリフルオロメチル)ビフェニル-3-イル)プロパン酸塩(120mg、0.29mmol)、NMI(0.5mL)、およびTCFH(378mg、1.35mmol)のCHCN(5mL)の混合液を室温で1時間攪拌した。反応液を真空中で濃縮し、残留物を分取HPLC A(30~90% CHCN)により精製して、白色固形物として、(3S)-エチル 3-(2,4-ジフルオロ-2’,3’,6’-トリメチル-5-(トリフルオロメチル)ビフェニル-3-イル)-3-(2-(5-(2-(ジメチルアミノ)エチル)-2-オキソ-4-(トリフルオロメチル)ピリジン-1(2H)-イル)-4-メチルペンタンアミド)プロパン酸塩(130mg)を得た。収率 60%(ESI 746.3 [M+H])。
工程2:(3S)-3-(2,4-ジフルオロ-2’,3’,6’-トリメチル-5-(トリフルオロメチル)ビフェニル-3-イル)-3-(2-(5-(2-(ジメチルアミノ)エチル)-2-オキソ-4-(トリフルオロメチル)ピリジン-1(2H)-イル)-4-メチルペンタンアミド)プロパン酸
Figure 0007702004000695
(3S)-エチル 3-(2,4-ジフルオロ-2’,3’,6’-トリメチル-5-(トリフルオロメチル)ビフェニル-3-イル)-3-(2-(5-(2-(ジメチルアミノ)エチル)-2-オキソ-4-(トリフルオロメチル)ピリジン-1(2H)-イル)-4-メチルペンタンアミド)プロパン酸塩(130mg、0.17mmol)を、LiOH-HO(42mg、1.00mmol)のMeOH(4mL)とHO(0.5mL)の溶液を用いて室温で2時間処理した。反応混合液を、1N HClを用いてpH4~5に酸性化した。反応液を真空中で濃縮し、残留物を分取HPLC A(30~70% CHCN)により精製して、白色固形物として、ジアステレオマー生成物のIM-P1(35.0mg)およびIM-P2(30.0mg)を得た。
IM-P1 ESI 718.2(M+H)H NMR(400MHz,MeOD)δ 7.86(s,1H),7.33(s,1H),7.10(d,J=7.6Hz,1H),7.05-6.95(m,1H),6.83(d,J=4.1Hz,1H),5.76-5.62(m,2H),3.17-3.02(m,2H),2.98-2.86(m,3H),2.75(d,J=14.0Hz,7H),2.27(d,J=2.8Hz,3H),2.04-1.88(m,5H),1.82(d,J=15.0Hz,3H),1.43-1.23(m,1H),1.00-0.86(m,6H).
IM-P2 ESI 718.2 (M+H)H NMR(400MHz,MeOD)δ 7.83(s,1H),7.40(t,J=7.7Hz,1H),7.12(d,J=7.8Hz,1H),7.04(d,J=7.8Hz,1H),6.90(s,1H),5.89-5.76(m,1H),5.65(t,J=7.8Hz,1H),3.26-3.11(m,2H),2.97(t,J=7.0Hz,2H),2.90-2.75(m,7H),2.73-2.60(m,1H),2.29(s,3H),2.00-1.84(m,7H),1.80-1.66(m,1H),1.39-1.23(m,1H),0.95-0.82(m,6H).
3-84. (3S)-3-(2,4-ジフルオロ-2’,6’-ジメチル-5-(トリフルオロメチル)-[1,1’-ビフェニル]-3-イル)-3-(2-(5-(3-(ジメチルアミノ)プロピル)-2-オキソ-4-(トリフルオロメチル)ピリジン-1(2H)-イル)-4-メチルペンタンアミド)プロパン酸(IN-P1およびIN-P2)の調製
工程1:(3S)-3-(2,4-ジフルオロ-2’,6’-ジメチル-5-(トリフルオロメチル)-[1,1’-ビフェニル]-3-イル)-3-(2-(5-(3-(ジメチルアミノ)プロピル)-2-オキソ-4-(トリフルオロメチル)ピリジン-1(2H)-イル)-4-メチルペンタンアミド)プロパン酸エチル
Figure 0007702004000696
(S)-3-アミノ-3-(2,4-ジフルオロ-2’,6’-ジメチル-5-(トリフルオロメチル)-[1,1’-ビフェニル]-3-イル)プロパン酸エチル(136mg、0.34mmol)、2-(5-(3-(ジメチルアミノ)プロピル)-2-オキソ-4-(トリフルオロメチル)ピリジン-1(2H)-イル)-4-メチルペンタン酸(120mg、0.30mmol)、TCFH(168mg、0.60mmol)、およびNMI(123mg、1.5mmol)のCHCN(2mL)の混合液を室温で2時間攪拌した。反応液を濃縮し、C18/40gカラムでの逆相HPLC(A:水 10mM NHHCO、B:CHOH、0~85%)により精製して、黄色油状物として、(3S)-3-(2,4-ジフルオロ-2’,6’-ジメチル-5-(トリフルオロメチル)-[1,1’-ビフェニル]-3-イル)-3-(2-(5-(3-(ジメチルアミノ)プロピル)-2-オキソ-4-(トリフルオロメチル)ピリジン-1(2H)-イル)-4-メチルペンタンアミド)プロパン酸エチル(120mg)を得た。収率 43.3 %(ESI 746.3 [M+H])。
工程2:(3S)-3-(2,4-ジフルオロ-2’,6’-ジメチル-5-(トリフルオロメチル)-[1,1’-ビフェニル]-3-イル)-3-(2-(5-(3-(ジメチルアミノ)プロピル)-2-オキソ-4-(トリフルオロメチル)ピリジン-1(2H)-イル)-4-メチルペンタンアミド)プロパン酸
Figure 0007702004000697
(3S)-3-(2,4-ジフルオロ-2’,6’-ジメチル-5-(トリフルオロメチル)-[1,1’-ビフェニル]-3-イル)-3-(2-(5-(3-(ジメチルアミノ)プロピル)-2-オキソ-4-(トリフルオロメチル)ピリジン-1(2H)-イル)-4-メチルペンタンアミド)プロパン酸エチル(120mg、0.16mmol)を、LiOH-HO(17mg、0.40mmol)のEtOH(4mL)とHO(1mL)の溶液を用いて室温で2時間処理した。反応混合液を、1N HClを用いてpH5~6に酸性化した。反応液を真空中で濃縮し、残留物を分取HPLC A(30~65% CHCN)により精製して、白色固形物として、ジアステレオマー生成物のIN-P1(33mg)およびIN-P2(36mg)を得た。
IN-P1 ESI 718.2(M+H)H NMR(400MHz,MeOD)δ 7.77(s,1H),7.38(m,J=7.6Hz,1H),7.16(m,J=7.7,6.3Hz,3H),6.80(s,1H),5.75(m,J=16.2,8.0Hz,2H),3.10(s,2H),2.95(m,J=15.7,9.3Hz,1H),2.81(s,6H),2.77-2.59(m,3H),2.08-1.89(m,10H),1.34(s,1H),0.94(d,J=6.6Hz,6H).
IN-P2 ESI 718.2(M+H)H NMR(400MHz,MeOD)δ 7.79(s,1H),7.43(m,J=7.6Hz,1H),7.27-7.09(m,3H),6.85(s,1H),5.82(m,J=10.0,4.8Hz,1H),5.62(m,J=7.6Hz,1H),3.17-2.97(m,2H),2.91-2.80(m,3H),2.80(s,4H),2.69-2.54(m,3H),2.20-1.81(m,9H),1.73-1.53(m,1H),1.31(m,J=13.3,6.6Hz,1H),0.86(m,J=9.8,6.7Hz,6H).
3-85. (3S)-3-(4’-シクロプロピル-2,3’,4-トリフルオロ-2’,5,6’-トリメチル-[1,1’-ビフェニル]-3-イル)-3-(2-(5-(3-(ジメチルアミノ)プロピル)-2-オキソ-4-(トリフルオロメチル)ピリジン-1(2H)-イル)-4-メチルペンタンアミド)プロパン酸の調製
工程1:(3S)-3-(4’-シクロプロピル-2,3’,4-トリフルオロ-2’,5,6’-トリメチル-[1,1’-ビフェニル]-3-イル)-3-(2-(5-(3-(ジメチルアミノ)プロピル)-2-オキソ-4-(トリフルオロメチル)ピリジン-1(2H)-イル)-4-メチルペンタンアミド)プロパン酸エチル
Figure 0007702004000698
(3S)-3-アミノ-3-(4’-シクロプロピル-2,3’,4-トリフルオロ-2’,5,6’-トリメチル-[1,1’-ビフェニル]-3-イル)プロパン酸エチル(197mg、0.48mmol)、2-(5-(3-(ジメチルアミノ)プロピル)-2-オキソ-4-(トリフルオロメチル)ピリジン-1(2H)-イル)-4-メチルペンタン酸(160mg、0.44mmol)、TCFH(185mg、0.66mmol)、および1-メチルイミダゾール(144mg、1.76mmol)のアセトニトリル(8mL)の混合液を室温で2時間攪拌した。混合液をC18/40gカラムでの逆相HPLC(A:水 10mM NHHCO、B:MeOH、0~100%)により精製して、黄色固形物として、(3S)-3-(4’-シクロプロピル-2,3’,4-トリフルオロ-2’,5,6’-トリメチル-[1,1’-ビフェニル]-3-イル)-3-(2-(5-(3-(ジメチルアミノ)プロピル)-2-オキソ-4-(トリフルオロメチル)ピリジン-1(2H)-イル)-4-メチルペンタンアミド)プロパン酸エチル(230mg)を得た。収率 70.0%(ESI 750.3(M+H))。
工程2:(3S)-3-(4’-シクロプロピル-2,3’,4-トリフルオロ-2’,5,6’-トリメチル-[1,1’-ビフェニル]-3-イル)-3-(2-(5-(3-(ジメチルアミノ)プロピル)-2-オキソ-4-(トリフルオロメチル)ピリジン-1(2H)-イル)-4-メチルペンタンアミド)プロパン酸
Figure 0007702004000699
(3S)-3-(4’-シクロプロピル-2,3’,4-トリフルオロ-2’,5,6’-トリメチル-[1,1’-ビフェニル]-3-イル)-3-(2-(5-(3-(ジメチルアミノ)プロピル)-2-オキソ-4-(トリフルオロメチル)ピリジン-1(2H)-イル)-4-メチルペンタンアミド)プロパン酸エチル(230mg、0.31mmol)を、LiOH-HO(51.6mg、1.23mmol)のMeOH(5mL)とHO(1mL)の溶液を用いて室温で2時間処理した。反応混合液を、2N HClを用いてpH6~7に酸性化した。反応液を真空中で濃縮し、残留物を分取HPLC A(30~60% CHCN)により精製して、白色固形物として、ジアステレオマー生成物のIO-P1(79.7mg)およびIO-P2(60.6mg)を得た。
IO-P1 ESI 722.2(M+H)H NMR(400MHz,MeOD)δ 7.77(s,1H),6.86(t,J=8.2Hz,1H),6.80(d,J=3.5Hz,1H),6.65-6.63 (m,1H),5.77-5.71(m,2H),3.07(t,J=7.8Hz,2H),2.96-2.90(m,1H),2.79(s,6H),2.73-2.59(m,3H),2.23(s,3H),2.12-1.82(m,11H),1.38-1.32 (m,1H),1.01-0.92(m,8H),0.77-0.70(m,2H).
IO-P2 ESI 722.2(M+H)H NMR(400MHz,MeOD)δ 7.79(s,1H),6.90(t,J=8.2Hz,1H),6.85(s,1H),6.67(d,J=7.3Hz,1H),5.85-5.85(m,1H),5.57(t,J=6.9Hz,1H),3.14-3.11(m,2H),2.89-2.78(m,7H),2.68-2.52(m,3H),2.27(s,3H),2.14-1.89(m,10H),1.66-1.57(m,1H),1.36-1.29(m,1H),1.03-0.92(m,2H),0.86(t,J=7.8Hz,6H),0.76-0.70(m,2H).
3-86. (3S)-3-(2-(5-(3-(アゼチジン-1-イル)プロピル)-2-オキソ-4-(トリフルオロメチル)ピリジン-1(2H)-イル)-4-メチルペンタンアミド)-3-(2,4-ジフルオロ-2’,4’,6’-トリメチル-5-(トリフルオロメチル)-[1,1’-ビフェニル]-3-イル)プロパン酸(化合物IP-P1およびIP-P2)の調製
工程1:(3S)-3-(2-(5-(3-(アゼチジン-1-イル)プロピル)-2-オキソ-4-(トリフルオロメチル)ピリジン-1(2H)-イル)-4-メチルペンタンアミド)-3-(2,4-ジフルオロ-2’,4’,6’-トリメチル-5-(トリフルオロメチル)-[1,1’-ビフェニル]-3-イル)プロパン酸エチル
Figure 0007702004000700
(S)-3-アミノ-3-(2,4-ジフルオロ-2’,4’,6’-トリメチル-5-(トリフルオロメチル)-[1,1’-ビフェニル]-3-イル)プロパン酸エチル(112.0mg、0.27mmol)、2-(5-(3-(アゼチジン-1-イル)プロピル)-2-オキソ-4-(トリフルオロメチル)ピリジン-1(2H)-イル)-4-メチルペンタン酸(100.0mg、0.27mmol)、TCFH(151.2mg、0.54mmol)、およびNMI(88.6mg、1.08mmol)のCHCN(8mL)の混合液を室温で1時間攪拌した。反応液を真空中で濃縮し、残留物をシリカゲルカラム(DCM:MeOH 4:1)により精製して、褐色固形物として、(3S)-3-(2-(5-(3-(アゼチジン-1-イル)プロピル)-2-オキソ-4-(トリフルオロメチル)ピリジン-1(2H)-イル)-4-メチルペンタンアミド)-3-(2,4-ジフルオロ-2’,4’,6’-トリメチル-5-(トリフルオロメチル)-[1,1’-ビフェニル]-3-イル)プロパン酸エチル(130.0mg)を得た。収率 63%(ESI 772.6(M+H))。
工程2:(3S)-3-(2-(5-(3-(アゼチジン-1-イル)プロピル)-2-オキソ-4-(トリフルオロメチル)ピリジン-1(2H)-イル)-4-メチルペンタンアミド)-3-(2,4-ジフルオロ-2’,4’,6’-トリメチル-5-(トリフルオロメチル)-[1,1’-ビフェニル]-3-イル)プロパン酸
Figure 0007702004000701
(3S)-3-(2-(5-(3-(アゼチジン-1-イル)プロピル)-2-オキソ-4-(トリフルオロメチル)ピリジン-1(2H)-イル)-4-メチルペンタンアミド)-3-(2,4-ジフルオロ-2’,4’,6’-トリメチル-5-(トリフルオロメチル)-[1,1’-ビフェニル]-3-イル)プロパン酸エチル(130mg、0.17mmol))を、LiOH-HO(28.6mg、0.68mmol)のMeOH(4mL)とHO(1mL)の溶液を用いて室温で2時間処理した。反応混合液を、1N HClを用いてpH4~5に酸性化した。反応液を真空中で濃縮し、残留物を分取HPLC A(30~60% MeCN)により精製して、白色固形物として、ジアステレオマー生成物のIP-P1(38.0mg)およびIP-P2(42.0mg)を得た。
IP-P1 ESI 744.7(M+H). 1H NMR(400MHz,MeOD)δ 7.76(s,1H),7.34(d,J=7.4Hz,1H),6.94(s,1H),6.79(s,2H),5.74(d,J=4.1Hz,2H),4.08(t,J=7.7Hz,4H),3.21-3.11(m,2H),2.97-2.89(m,1H),2.71-2.58(m,3H),2.45(s,2H),2.30(s,3H),2.06-1.91(m,5H),1.83(d,J=43.4Hz,5H),1.34(s,1H),0.93(d,J=6.5Hz,6H).
IP-P2 ESI 744.7(M+H). 1H NMR(400MHz,MeOD)δ 7.78(s,1H),7.40(t,J=7.7Hz,1H),6.90(d,J=55.2Hz,3H),5.87-5.78(m,1H),5.61(t,J=7.6Hz,1H),4.15-3.99(m,4H),3.19-2.97(m,2H),2.94-2.82(m,1H),2.69-2.54(m,3H),2.50-2.37(m,2H),2.31(s,3H),2.03-1.71(m,9H),1.73-1.53(m,1H),1.39-1.20(m,1H),0.89-0.72(m,6H).
3-87. (3S)-3-(2-(5-(2-(エチル(メチル)アミノ)エチル)-2-オキソ-4-(トリフルオロメチル)ピリジン-1(2H)-イル)-4-メチルペンタンアミド)-3-(2,3’,4-トリフルオロ-2’,6’-ジメチル-5-(トリフルオロメチル)ビフェニル-3-イル)プロパン酸(化合物IQ-P1およびIQ-P2)の調製
工程1:(3S)-エチル 3-(2-(5-(2-(エチル(メチル)アミノ)エチル)-2-オキソ-4-(トリフルオロメチル)ピリジン-1(2H)-イル)-4-メチルペンタンアミド)-3-(2,3’,4-トリフルオロ-2’,6’-ジメチル-5-(トリフルオロメチル)ビフェニル-3-イル)プロパン酸塩
Figure 0007702004000702
(3S)-エチル 3-アミノ-3-(2,3’,4-トリフルオロ-2’,6’-ジメチル-5-(トリフルオロメチル)ビフェニル-3-イル)プロパン酸塩(118mg、0.28mmol)、2-(5-(2-(エチル(メチル)アミノ)エチル)-2-オキソ-4-(トリフルオロメチル)ピリジン-1(2H)-イル)-4-メチルペンタン酸(100mg、0.28mmol)、TCFH(157mg、0.56mmol)およびNMI(69mg、0.84mmol)のMeCN(5mL)の混合液を室温で1時間攪拌した。溶媒を真空中で除去し、残留物をシリカゲルカラム(DCM:MeOH 97:3)により精製して、無色油状物として、(3S)-エチル 3-(2-(5-(2-(エチル(メチル)アミノ)エチル)-2-オキソ-4-(トリフルオロメチル)ピリジン-1(2H)-イル)-4-メチルペンタンアミド)-3-(2,3’,4-トリフルオロ-2’,6’-ジメチル-5-(トリフルオロメチル)ビフェニル-3-イル)プロパン酸塩(120mg)を得た。収率 55%(ESI 764.3(M+H))。
工程2:(3S)-3-(2-(5-(2-(エチル(メチル)アミノ)エチル)-2-オキソ-4-(トリフルオロメチル)ピリジン-1(2H)-イル)-4-メチルペンタンアミド)-3-(2,3’,4-トリフルオロ-2’,6’-ジメチル-5-(トリフルオロメチル)ビフェニル-3-イル)プロパン酸
Figure 0007702004000703
(3S)-エチル 3-(2-(5-(2-(エチル(メチル)アミノ)エチル)-2-オキソ-4-(トリフルオロメチル)ピリジン-1(2H)-イル)-4-メチルペンタンアミド)-3-(2,3’,4-トリフルオロ-2’,6’-ジメチル-5-(トリフルオロメチル)ビフェニル-3-イル)プロパン酸塩(100mg、0.13mmol)を、LiOH-HO(27mg、0.65mmol)のEtOH(3mL)とHO(1mL)の溶液を用いて室温で3時間処理した。反応混合液を、1N HClを用いてpH4~5に酸性化した。反応液を真空中で濃縮し、残留物を分取HPLC A(30~60% CHCN)により精製して、白色固形物として、ジアステレオマー生成物のIQ-P1(30.3mg)およびIQ-P2(23.1mg)を得た。
IQ-P1 ESI 736.3(M+H). 1H NMR(400MHz,MeOD)δ 7.88(s,1H),7.39(t,J=7.2Hz 1H),7.13-7.10(m,1H),7.01(t,J=8.8Hz 1H),6.81(d,J=2.0Hz,1H),5.72-5.68(m,2H),3.15-3.08(m,4H),2.97-2.92(m,3H),2.79-2.74(m,4H),2.02-1.87(m,8H),1.38-1.35(m,1H),1.28(t,J=7.2Hz, 3H),0.93-0.90(m,6H).
IQ-P2 ESI 736.3(M+H). 1H NMR(400MHz,MeOD)δ 7.87(s,1H),7.46(t,J=7.5Hz,1H),7.23-7.11(m,1H),7.04(t,J=8.9Hz,1H),6.88(s,1H),5.78-5.75(m,1H),5.68(t,J=7.8Hz,1H),3.28-3.08(m,4H),2.97(t,J=7.5Hz,2H),2.90-2.84(m,1H),2.80(s,3H),2.72-2.70(m,1H),2.00(d,J=3.2Hz,3H),1.93-1.90(m,3H),1.86-1.83(m,1H),1.80-1.68(m,1H),1.37-1.22(m,4H),0.87-0.85(m,6H).
3-88. (3S)-3-(2-(5-(2-(ジメチルアミノ)エチル)-2-オキソ-4-(トリフルオロメチル)ピリジン-1(2H)-イル)-4-メチルペンタンアミド)-3-(2,4,4’-トリフルオロ-2’,6’-ジメチル-5-(トリフルオロメチル)-[1,1’-ビフェニル]-3-イル)プロパン酸(化合物IR-P1およびIR-P2)の調製
工程1:(3S)-3-(2-(5-(2-(ジメチルアミノ)エチル)-2-オキソ-4-(トリフルオロメチル)ピリジン-1(2H)-イル)-4-メチルペンタンアミド)-3-(2,4,4’-トリフルオロ-2’,6’-ジメチル-5-(トリフルオロメチル)-[1,1’-ビフェニル]-3-イル)プロパン酸エチル
Figure 0007702004000704
(S)-3-アミノ-3-(2,4,4’-トリフルオロ-2’,6’-ジメチル-5-(トリフルオロメチル)-[1,1’-ビフェニル]-3-イル)プロパン酸エチル(100mg、0.24mmol)、2-(5-(2-(ジメチルアミノ)エチル)-2-オキソ-4-(トリフルオロメチル)ピリジン-1(2H)-イル)-4-メチルペンタン酸(100mg、0.29mmol)、TCFH(150mg、0.52mmol)、およびNMI(106mg、1.3mmol)のCHCN(3mL)の混合液を50℃で1時間攪拌した。反応液を濃縮し、C18/40gカラムでの逆相HPLC(A:水 10mM NHHCO、B:MeOH、0~90%)により精製して、黄色固形物として、(3S)-3-(2-(5-(2-(ジメチルアミノ)エチル)-2-オキソ-4-(トリフルオロメチル)ピリジン-1(2H)-イル)-4-メチルペンタンアミド)-3-(2,4,4’-トリフルオロ-2’,6’-ジメチル-5-(トリフルオロメチル)-[1,1’-ビフェニル]-3-イル)プロパン酸エチル(110mg)を得た。収率 61.1 %(ESI 750.3 [M+H])。
工程2:(3S)-3-(2-(5-(2-(ジメチルアミノ)エチル)-2-オキソ-4-(トリフルオロメチル)ピリジン-1(2H)-イル)-4-メチルペンタンアミド)-3-(2,4,4’-トリフルオロ-2’,6’-ジメチル-5-(トリフルオロメチル)-[1,1’-ビフェニル]-3-イル)プロパン酸
Figure 0007702004000705
(3S)-3-(2,4-ジフルオロ-2’,4’,6’-トリメチル-5-(トリフルオロメチル)-[1,1’-ビフェニル]-3-イル)-3-(2-(5-(2-(ジメチルアミノ)エチル)-2-オキソ-4-(トリフルオロメチル)ピリジン-1(2H)-イル)-4-メチルペンタンアミド)プロパン酸エチル(110mg、0.15mmol)を、LiOH-HO(13mg、0.3mmol)のEtOH(2mL)とHO(0.5mL)の溶液を用いて室温で30分間処理した。反応混合液を、1N HClを用いてpH5~6に酸性化した。反応液を真空中で濃縮し、残留物を分取HPLC A(35~60% CHCN)により精製して、白色固形物として、ジアステレオマー生成物のIR-P1(32mg)およびIR-P2(39mg)を得た。
IR-P1 ESI 722.3(M+H)H NMR(400MHz,MeOD)δ 7.87(s,1H),7.41(t,J=7.5Hz,1H),6.95-6.86(m,2H),6.84(s,1H),5.79-5.62(m,2H),3.12(s,2H),3.02-2.88(m,3H),2.85-2.68(m,7H),2.11-1.84(m,8H),1.45-1.36(m,1H),1.02-0.88(m,6H).
IR-P2 ESI 722.3(M+H). 1H NMR(400MHz,MeOD)δ 7.83(s,1H),7.46(t,J=7.6Hz,1H),6.92(d,J=9.9Hz,3H),5.80(dd,J=9.9,5.6Hz,1H),5.65(t,J=7.7Hz,1H),3.25-3.14(m,2H),2.96(t,J=7.0Hz,2H),2.91-2.73(m,7H),2.67(d,J=13.7Hz,1H),2.03(d,J=2.6Hz,6H),1.93-1.84(m,1H),1.78-1.69(m,1H),1.36-1.27(m,1H),0.95-0.79(m,6H).
3-89. (3S)-3-(2-(5-(2-(アゼチジン-1-イル)エチル)-2-オキソ-4-(トリフルオロメチル)ピリジン-1(2H)-イル)-4-メチルペンタンアミド)-3-(2,4-ジフルオロ-2’,4’,5,6’-テトラメチルビフェニル-3-イル)プロパン酸(化合物IS-P1およびIS-P2)の調製
工程1:(3S)-エチル 3-(2-(5-(2-(アゼチジン-1-イル)エチル)-2-オキソ-4-(トリフルオロメチル)ピリジン-1(2H)-イル)-4-メチルペンタンアミド)-3-(2,4-ジフルオロ-2’,4’,5,6’-テトラメチルビフェニル-3-イル)プロパン酸塩
Figure 0007702004000706
2-(5-(2-(アゼチジン-1-イル)エチル)-2-オキソ-4-(トリフルオロメチル)ピリジン-1(2H)-イル)-4-メチルペンタン酸(240mg、0.66mmol)、(S)-エチル 3-アミノ-3-(2,4-ジフルオロ-2’,4’,5,6’-テトラメチルビフェニル-3-イル)プロパン酸塩(240mg、0.66mmol)、NMI(0.5mL)、およびTCFH(378mg、1.35mmol)のCHCN(5mL)の混合液を室温で1時間攪拌した。溶媒を真空中で濃縮し、残留物を分取HPLC A(30~90% CHCN)により精製して、白色固形物として、(3S)-エチル 3-(2-(5-(2-(アゼチジン-1-イル)エチル)-2-オキソ-4-(トリフルオロメチル)ピリジン-1(2H)-イル)-4-メチルペンタンアミド)-3-(2,4-ジフルオロ-2’,4’,5,6’-テトラメチルビフェニル-3-イル)プロパン酸塩(290mg)を得た。収率 62%(ESI 704.3 [M+H])。
工程2:(3S)-3-(2-(5-(2-(アゼチジン-1-イル)エチル)-2-オキソ-4-(トリフルオロメチル)ピリジン-1(2H)-イル)-4-メチルペンタンアミド)-3-(2,4-ジフルオロ-2’,4’,5,6’-テトラメチルビフェニル-3-イル)プロパン酸
Figure 0007702004000707
(3S)-エチル 3-(2-(5-(2-(アゼチジン-1-イル)エチル)-2-オキソ-4-(トリフルオロメチル)ピリジン-1(2H)-イル)-4-メチルペンタンアミド)-3-(2,4-ジフルオロ-2’,4’,5,6’-テトラメチルビフェニル-3-イル)プロパン酸塩(290mg、0.41mmol)を、LiOH-HO(86mg、2.05mmol)のMeOH(5mL)とHO(0.5mL)の溶液を用いて室温で2時間処理した。反応混合液を、1N HClを用いてpH4~5に酸性化した。反応液を真空中で濃縮し、残留物を分取HPLC A(30~70% CHCN)により精製して、白色固形物として、ジアステレオマー生成物のIS-P1(66.0mg)およびIS-P2(93.0mg)を得た。
IS-P1 ESI 675.9(M+H)H NMR(400MHz,MeOD)δ 7.79(s,1H),6.90(s,2H),6.86(s,2H),5.83-5.71(m,1H),5.67(t,J=6.1Hz,1H),3.99(t,J=8.1Hz,4H),3.27-3.18(m,2H),2.94-2.78(m,3H),2.72-2.60(m,1H),2.47-2.34(m,2H),2.26(d,J=15.9Hz,6H),2.06-1.93(m,5H),1.90(s,3H),1.50-1.29(m,1H),0.92(t,J=6.1Hz,6H).
IS-P2 ESI 676.0(M+H)H NMR(400MHz,MeOD)δ 7.68(s,1H),7.02-6.85(m,4H),5.97-5.87(m,1H),5.61(t,J=7.7Hz,1H),4.11(t,J=8.1Hz,4H),3.47-3.32(m,2H),2.97-2.72(m,3H),2.54-2.39(m,3H),2.28(d,J=6.5Hz,6H),2.00-1.87(m,7H),1.79-1.66(m,1H),1.46-1.26(m,1H),0.94-0.80(m,6H).
3-90. (3S)-3-(2-(5-(3-(ジメチルアミノ)プロピル)-2-オキソ-4-(トリフルオロメチル)ピリジン-1(2H)-イル)-4-メチルペンタンアミド)-3-(2,2’,4-トリフルオロ-4’,6’-ジメチル-5-(トリフルオロメチル)-[1,1’-ビフェニル]-3-イル)プロパン酸(化合物IT-P1およびIT-P2)の調製
工程1:エチル エチル(3S)-3-(2-(5-(3-(ジメチルアミノ)プロピル)-2-オキソ-4-(トリフルオロメチル)ピリジン-1(2H)-イル)-4-メチルペンタンアミド)-3-(2,2’,4-トリフルオロ-4’,6’-ジメチル-5-(トリフルオロメチル)-[1,1’-ビフェニル]-3-イル)プロパン酸塩
Figure 0007702004000708
(3S)-3-アミノ-3-(2,2’,4-トリフルオロ-4’,6’-ジメチル-5-(トリフルオロメチル)-[1,1’-ビフェニル]-3-イル)プロパン酸エチル(120.0mg、0.29mmol)、2-(5-(3-(ジメチルアミノ)プロピル)-2-オキソ-4-(トリフルオロメチル)ピリジン-1(2H)-イル)-4-メチルペンタン酸(105.0mg、0.29mmol)、TCFH(123.2mg、0.44mmol)およびNMI(118.9mg、1.45mmol)のCHCN(3mL)の混合液を室温で一晩攪拌した。反応液を真空中で濃縮し、残留物をC18/40gカラムでの逆相HPLC(A:水 10mM NHHCO、B:MeOH、0~100%)により精製して、明黄色固形物として、(3S)-3-(2-(5-(3-(ジメチルアミノ)プロピル)-2-オキソ-4-(トリフルオロメチル)ピリジン-1(2H)-イル)-4-メチルペンタンアミド)-3-(2,2’,4-トリフルオロ-4’,6’-ジメチル-5-(トリフルオロメチル)-[1,1’-ビフェニル]-3-イル)プロパン酸エチル(160.0mg)を得た。収率 73%(ESI 764.3 [M+H])。
工程2:(3S)-3-(2-(5-(3-(ジメチルアミノ)プロピル)-2-オキソ-4-(トリフルオロメチル)ピリジン-1(2H)-イル)-4-メチルペンタンアミド)-3-(2,2’,4-トリフルオロ-4’,6’-ジメチル-5-(トリフルオロメチル)-[1,1’-ビフェニル]-3-イル)プロパン酸
Figure 0007702004000709
(3S)-3-(2-(5-(3-(ジメチルアミノ)プロピル)-2-オキソ-4-(トリフルオロメチル)ピリジン-1(2H)-イル)-4-メチルペンタンアミド)-3-(2,2’,4-トリフルオロ-4’,6’-ジメチル-5-(トリフルオロメチル)-[1,1’-ビフェニル]-3-イル)プロパン酸エチル(160.0mg、0.21 mmol)を、LiOH-HO(26.5mg、0.63mmol)のEtOH(2mL)と水(0.5mL)の溶液を用いて室温で1時間処理した。反応混合液を、2N HClを用いてpH4~5に酸性化した。反応液を真空中で濃縮し、残留物を分取HPLC A(30~80% MeCN)により精製して、白色固形物として、ジアステレオマー生成物のIT-P1(30.0mg)およびIT-P2(49.0mg)を得た。
IT-P1 ESI 736.2(M+H)+ 1H NMR(400MHz,MeOD)δ 7.77(s,1H),7.52-7.43(m,1H),6.98(s,1H),6.90-6.75(m,2H),5.84-5.67(m,2H),3.08(t,J=8.1Hz,2H),2.97-2.87(m,1H),2.83-2.55(m,9H),2.35(s,3H),2.13-1.82(m,7H),1.40-1.27(m,1H),0.97-0.90(m,6H).
IT-P2 ESI 736.2(M+H)+ 1H NMR(400MHz,MeOD)δ 7.80(s,1H),7.52(t,J=7.5Hz,1H),7.00(s,1H),6.93-6.80(m,2H),5.84-5.75(m,1H),5.70-5.60(m,1H),3.15-2.96(m,2H),2.93-2.72(m,7H),2.70-2.59(m,3H),2.37(s,3H),2.15-1.84(m,6H),1.75-1.55(m,1H),1.37 -1.15(m,1H),0.92-0.80(m,6H).
3-91. (3S)-3-(2-(5-(2-(エチル(メチル)アミノ)エチル)-2-オキソ-4-(トリフルオロメチル)ピリジン-1(2H)-イル)-4-メチルペンタンアミド)-3-(2,4,4’-トリフルオロ-2’,6’-ジメチル-5-(トリフルオロメチル)-[1,1’-ビフェニル]-3-イル)プロパン酸(化合物IU-P1およびIU-P2)の調製
工程1:(3S)-3-(2-(5-(2-(エチル(メチル)アミノ)エチル)-2-オキソ-4-(トリフルオロメチル)ピリジン-1(2H)-イル)-4-メチルペンタンアミド)-3-(2,4,4’-トリフルオロ-2’,6’-ジメチル-5-(トリフルオロメチル)-[1,1’-ビフェニル]-3-イル)プロパン酸エチル
Figure 0007702004000710
(S)-3-アミノ-3-(2,4,4’-トリフルオロ-2’,6’-ジメチル-5-(トリフルオロメチル)-[1,1’-ビフェニル]-3-イル)プロパン酸エチル(120mg,0.29mmol)、2-(5-(2-(エチル(メチル)アミノ)エチル)-2-オキソ-4-(トリフルオロメチル)ピリジン-1(2H)-イル)-4-メチルペンタン酸(100mg、0.29mmol)、TCFH(162.4mg、0.58mmol)、およびNMI(119.0mg、1.45mmol)のCHCN(3mL)の混合液を室温で一晩攪拌した。反応液を真空中で濃縮し、残留物をC18/40gカラムでの逆相HPLC(A:水 10mM NHHCO、B:MeOH、20~90%)により精製して、明黄色固形物として、(3S)-3-(2-(5-(2-(エチル(メチル)アミノ)エチル)-2-オキソ-4-(トリフルオロメチル)ピリジン-1(2H)-イル)-4-メチルペンタンアミド)-3-(2,4,4’-トリフルオロ-2’,6’-ジメチル-5-(トリフルオロメチル)-[1,1’-ビフェニル]-3-イル)プロパン酸エチル(160.0mg)を得た。収率 73%(ESI 764.3 [M+H])。
工程2:(3S)-3-(2-(5-(2-(エチル(メチル)アミノ)エチル)-2-オキソ-4-(トリフルオロメチル)ピリジン-1(2H)-イル)-4-メチルペンタンアミド)-3-(2,4,4’-トリフルオロ-2’,6’-ジメチル-5-(トリフルオロメチル)-[1,1’-ビフェニル]-3-イル)プロパン酸
Figure 0007702004000711
(3S)-3-(2-(5-(2-(エチル(メチル)アミノ)エチル)-2-オキソ-4-(トリフルオロメチル)ピリジン-1(2H)-イル)-4-メチルペンタンアミド)-3-(2,4,4’-トリフルオロ-2’,6’-ジメチル-5-(トリフルオロメチル)-[1,1’-ビフェニル]-3-イル)プロパン酸エチル(160.0mg、0.21 mmol)を、LiOH-HO(26.5mg、0.63mmol)のEtOH(3mL)と水(1mL)の溶液を用いて室温で1時間処理した。反応混合液を、2N HClを用いてpH4~5に酸性化した。反応液を真空中で濃縮し、残留物を分取HPLC A(30~90% MeCN)により精製して、白色固形物として、ジアステレオマー生成物のIU-P1(34.0mg)およびIU-P2(32.0mg)を得た。
IU-P1 ESI 736.2(M+H)+1H NMR(400MHz,MeOD)δ 7.87(s,1H),7.39(t,J=7.5Hz,1H),6.93-6.75(m,3H),5.78-5.65(m,2H),3.22-3.04(m,4H),3.02-2.88(m,3H),2.83-2.70(m,4H),2.07-1.86(m,8H),1.43-1.23(m,4H),0.94(t,J=6.8Hz,6H).
IU-P2 ESI 736.2(M+H)+ 1H NMR(400MHz,MeOD)δ 7.85(s,1H),7.45(t,J=7.5Hz,1H),6.96-6.81(m,3H),5.83-5.74(m,1H),5.66(t,J=7.8Hz,1H),3.27-3.09(m,4H),2.97(t,J=7.4Hz,2H),2.92-2.63(m,5H),2.03(d,J=3.5Hz,6H),1.92-1.82(m,1H),1.79-1.65(m,1H),1.37-1.25(m,4H),0.94-0.81(m,6H)
3-92. (3S)-3-(2-(5-(2-(アゼチジン-1-イル)エチル)-2-オキソ-4-(トリフルオロメチル)ピリジン-1(2H)-イル)-4-メチルペンタンアミド)-3-(2,4,4’-トリフルオロ-2’,6’-ジメチル-5-(トリフルオロメチル)-[1,1’-ビフェニル]-3-イル)プロパン酸(化合物IV-P1およびIV-P2)の調製
工程1:(3S)-3-(2-(5-(2-(アゼチジン-1-イル)エチル)-2-オキソ-4-(トリフルオロメチル)ピリジン-1(2H)-イル)-4-メチルペンタンアミド)-3-(2,4,4’-トリフルオロ-2’,6’-ジメチル-5-(トリフルオロメチル)-[1,1’-ビフェニル]-3-イル)プロパン酸エチル
Figure 0007702004000712
(S)-3-アミノ-3-(2,4,4’-トリフルオロ-2’,6’-ジメチル-5-(トリフルオロメチル)-[1,1’-ビフェニル]-3-イル)プロパン酸エチル(120.0mg、0.29mmol)、2-(5-(2-(アゼチジン-1-イル)エチル)-2-オキソ-4-(トリフルオロメチル)ピリジン-1(2H)-イル)-4-メチルペンタン酸(103.0mg、0.29mmol)、TCFH(162.4mg、0.58mmol)、およびNMI(118.9mg、1.45mmol)のCHCN(3mL)の混合液を室温で一晩攪拌した。反応液を真空中で濃縮し、残留物をC18/40gカラムでの逆相HPLC(A:水 10mM NHHCO、B:MeOH、20~80%)により精製して、明黄色固形物として、(3S)-3-(2-(5-(2-(アゼチジン-1-イル)エチル)-2-オキソ-4-(トリフルオロメチル)ピリジン-1(2H)-イル)-4-メチルペンタンアミド)-3-(2,4,4’-トリフルオロ-2’,6’-ジメチル-5-(トリフルオロメチル)-[1,1’-ビフェニル]-3-イル)プロパン酸エチル(180.0mg)を得た。収率 82.6%(ESI 762.3 [M+H])。
工程2:(3S)-3-(2-(5-(2-(アゼチジン-1-イル)エチル)-2-オキソ-4-(トリフルオロメチル)ピリジン-1(2H)-イル)-4-メチルペンタンアミド)-3-(2,4,4’-トリフルオロ-2’,6’-ジメチル-5-(トリフルオロメチル)-[1,1’-ビフェニル]-3-イル)プロパン酸
Figure 0007702004000713
(3S)-3-(2-(5-(2-(アゼチジン-1-イル)エチル)-2-オキソ-4-(トリフルオロメチル)ピリジン-1(2H)-イル)-4-メチルペンタンアミド)-3-(2,4,4’-トリフルオロ-2’,6’-ジメチル-5-(トリフルオロメチル)-[1,1’-ビフェニル]-3-イル)プロパン酸エチル(180.0mg、0.24 mmol)を、LiOH-HO(30.2mg、0.72mmol)のEtOH(3mL)と水(1mL)の溶液を用いて室温で1時間処理した。反応混合液を、2N HClを用いてpH4~5に酸性化した。反応液を真空中で濃縮し、残留物を分取HPLC A(30~90% MeCN)により精製して、白色固形物として、ジアステレオマー生成物のIV-P1(34.0mg)およびIV-P2(27.0mg)を得た。
IV-P1 ESI 734.2(M+H)+ 1H NMR(400MHz,MeOD)δ 7.79(s,1H),7.41(t,J=7.5Hz,1H),6.97-6.78(m,3H),5.78-5.60(m,2H),4.05(t,J=7.8Hz,4H),3.29-3.20(m,2H),2.97-2.80(m,3H),2.78-2.69(m,1H),2.53-2.38(m,2H),2.08-1.90(m,8H),1.45-1.31(m,1H),0.93(t,J=6.4Hz,6H).IV-P2 ESI 734.2(M+H)+ 1H NMR(400MHz,MeOD)δ 7.73(s,1H),7.48(t,J=7.6Hz,1H),7.00-6.86(m,3H),5.95-5.85(m,1H),5.63(t,J=7.7Hz,1H),4.12(t,J=7.9Hz,4H),3.50-3.34(m,2H),2.96-2.73(m,3H),2.65-2.55(m,1H),2.52-2.40(m,2H),2.03(d,J=1.7Hz,6H),1.96-1.85(m,1H),1.78-1.65(m,1H),1.40-1.25(m,1H),0.95-0.82(m,6H).
3-93. (3S)-3-(2-(5-(3-(ジメチルアミノ)プロピル)-2-オキソ-4-(トリフルオロメチル)ピリジン-1(2H)-イル)-4-メチルペンタンアミド)-3-(2,3’,4-トリフルオロ-2’,4’,5,6’-テトラメチル-[1,1’-ビフェニル]-3-イル)プロパン酸(化合物IW-P1およびIW-P2)の調製
工程1:(3S)-3-(2-(5-(3-(ジメチルアミノ)プロピル)-2-オキソ-4-(トリフルオロメチル)ピリジン-1(2H)-イル)-4-メチルペンタンアミド)-3-(2,3’,4-トリフルオロ-2’,4’,5,6’-テトラメチル-[1,1’-ビフェニル]-3-イル)プロパン酸エチル
Figure 0007702004000714
(3S)-3-アミノ-3-(2,3’,4-トリフルオロ-2’,4’,5,6’-テトラメチル-[1,1’-ビフェニル]-3-イル)プロパン酸エチル(170mg、0.45mmol)、2-(5-(3-(ジメチルアミノ)プロピル)-2-オキソ-4-(トリフルオロメチル)ピリジン-1(2H)-イル)-4-メチルペンタン酸(151mg、0.54mmol)、TCFH(213.2mg、0.76mmol)、およびNMI(177mg、2.16mmol)のCHCN(3mL)の混合液を室温で一晩攪拌した。反応液を真空中で濃縮し、残留物をC18/40gカラムでの逆相HPLC(A:水 10mM NHHCO、B:MeOH、20~95%)により精製して、明黄色固形物として、(3S)-3-(2-(5-(3-(ジメチルアミノ)プロピル)-2-オキソ-4-(トリフルオロメチル)ピリジン-1(2H)-イル)-4-メチルペンタンアミド)-3-(2,3’,4-トリフルオロ-2’,4’,5,6’-テトラメチル-[1,1’-ビフェニル]-3-イル)プロパン酸エチル(210.0mg)を得た。収率 65%(ESI 724.2 [M+H])。
工程2:(3S)-3-(2-(5-(3-(ジメチルアミノ)プロピル)-2-オキソ-4-(トリフルオロメチル)ピリジン-1(2H)-イル)-4-メチルペンタンアミド)-3-(2,3’,4-トリフルオロ-2’,4’,5,6’-テトラメチル-[1,1’-ビフェニル]-3-イル)プロパン酸
Figure 0007702004000715
(3S)-3-(2-(5-(3-(ジメチルアミノ)プロピル)-2-オキソ-4-(トリフルオロメチル)ピリジン-1(2H)-イル)-4-メチルペンタンアミド)-3-(2,3’,4-トリフルオロ-2’,4’,5,6’-テトラメチル-[1,1’-ビフェニル]-3-イル)プロパン酸エチル(210.0mg、0.29 mmol)を、LiOH-HO(36.5mg、0.87mmol)のEtOH(2mL)と水(0.5mL)の溶液を用いて室温で1時間処理した。反応混合液を、2N HClを用いてpH4~5に酸性化した。反応液を真空中で濃縮し、残留物を分取HPLC A(20~85% MeCN)により精製して、白色固形物として、ジアステレオマー生成物のIW-P1(68mg)およびIW-P2(52mg)を得た。
IW-P1 ESI 696.2(M+H)+ 1H NMR(400MHz,MeOD)δ 7.79(s,1H),6.98-6.80(m,3H),5.83-5.69(m,2H),3.09(t,J=7.9Hz,2H),3.00-2.90(m,1H),2.81(d,J=0.8Hz,6H),2.73-2.58(m,3H),2.26(d,J=1.3Hz,6H),2.15-1.78(m,10H),1.43-1.30(m,1H),1.00-0.90(m,6H).
IW-P2 ESI 696.2(M+H)+ 1H NMR(400MHz,MeOD)δ 7.79(s,1H),7.02-6.79(m,3H),5.89-5.79(m,1H),5.57(t,J=7.6Hz,1H),3.09-2.95(m,2H),2.91-2.71(m,7H),2.70-2.47(m,3H),2.32-2.19(m,6H),2.07-1.83(m,9H),1.67-1.55(m,1H),1.37-1.27(m,1H),0.90-0.80(m,6H).
3-94. (3S)-3-(2-(5-(2-(アゼチジン-1-イル)エチル)-2-オキソ-4-(トリフルオロメチル)ピリジン-1(2H)-イル)-4-メチルペンタンアミド)-3-(2,3’,4-トリフルオロ-2’,4’,5,6’-テトラメチル-[1,1’-ビフェニル]-3-イル)プロパン酸(化合物IX-P1およびIX-P2)の調製
工程1:(3S)-3-(2-(5-(2-(アゼチジン-1-イル)エチル)-2-オキソ-4-(トリフルオロメチル)ピリジン-1(2H)-イル)-4-メチルペンタンアミド)-3-(2,3’,4-トリフルオロ-2’,4’,5,6’-テトラメチル-[1,1’-ビフェニル]-3-イル)プロパン酸エチル
Figure 0007702004000716
(3S)-3-アミノ-3-(2,3’,4-トリフルオロ-2’,4’,5,6’-テトラメチル-[1,1’-ビフェニル]-3-イル)プロパン酸エチル(170mg、0.45mmol)、2-(5-(2-(アゼチジン-1-イル)エチル)-2-オキソ-4-(トリフルオロメチル)ピリジン-1(2H)-イル)-4-メチルペンタン酸(162mg、0.45mmol)、NMI(0.5mL)、およびTCFH(241mg、0.86mmol)のCHCN(3mL)の混合液を室温で2時間攪拌した。溶媒を真空中で濃縮し、残留物を分取HPLC A(50~80% CH3CN)により精製して、白色固形物として、(3S)-3-(2-(5-(2-(アゼチジン-1-イル)エチル)-2-オキソ-4-(トリフルオロメチル)ピリジン-1(2H)-イル)-4-メチルペンタンアミド)-3-(2,3’,4-トリフルオロ-2’,4’,5,6’-テトラメチル-[1,1’-ビフェニル]-3-イル)プロパン酸エチル(200mg)を得た。収率 62%(ESI 722.1 [M+H])。
工程2:(3S)-3-(2-(5-(2-(アゼチジン-1-イル)エチル)-2-オキソ-4-(トリフルオロメチル)ピリジン-1(2H)-イル)-4-メチルペンタンアミド)-3-(2,3’,4-トリフルオロ-2’,4’,5,6’-テトラメチル-[1,1’-ビフェニル]-3-イル)プロパン酸
Figure 0007702004000717
(3S)-3-(2-(5-(2-(アゼチジン-1-イル)エチル)-2-オキソ-4-(トリフルオロメチル)ピリジン-1(2H)-イル)-4-メチルペンタンアミド)-3-(2,3’,4-トリフルオロ-2’,4’,5,6’-テトラメチル-[1,1’-ビフェニル]-3-イル)プロパン酸エチル(200mg、0.28mmol)を、LiOH-HO(35mg、0.84mmol)のMeOH(3.0mL)とHO(1.0mL)の溶液を用いて室温で2時間処理した。反応混合液を、1N HClを用いてpH5~6に酸性化した。反応液を真空中で濃縮し、残留物を分取HPLC A(50~80% CHCN)により精製して、白色固形物として、ジアステレオマー生成物のIX-P1(42.0mg)およびIX-P2(53.0mg)を得た。
IX-P1 ESI 694.2(M+H)H NMR(400MHz,MeOD)δ 7.79(s,1H),7.01-6.77(m,3H),5.84-5.58(m,2H),4.00(t,J=8.0Hz,4H),3.29-3.20(m,2H),2.95-2.80(m,3H),2.70-2.60(m,1H),2.50-2.35(m,2H),2.24(d,J=3.4Hz,6H),2.04-1.80(m,8H),1.45-1.33(m,1H),0.93(t,J=6.1Hz,6H).
IX-P2 ESI 694.2(M+H)H NMR(400MHz,MeOD)δ 7.69(s,1H),7.00-6.90(m,3H),5.97-5.85(m,1H),5.61(t,J=7.7Hz,1H),4.10(t,J=8.0Hz,4H),3.47-3.34(m,2H),2.96-2.73(m,3H),2.57-2.37(m,3H),2.31-2.17(m,6H),1.99-1.84(m,7H),1.78-1.65(m,1H),1.42-1.30(m,1H),0.93-0.82(m,6H).
3-95. ((3S)-3-(2-(5-(2-(アゼチジン-1-イル)エチル)-2-オキソ-4-(トリフルオロメチル)ピリジン-1(2H)-イル)-4-メチルペンタンアミド)-3-(2,2’,4-トリフルオロ-4’,6’-ジメチル-5-(トリフルオロメチル)ビフェニル-3-イル)プロパン酸(化合物IY-P1およびIY-P2 )の調製
工程1:(3S)-エチル 3-(2-(5-(2-(アゼチジン-1-イル)エチル)-2-オキソ-4-(トリフルオロメチル)ピリジン-1(2H)-イル)-4-メチルペンタンアミド)-3-(2,2’,4-トリフルオロ-4’,6’-ジメチル-5-(トリフルオロメチル)ビフェニル-3-イル)プロパン酸塩
Figure 0007702004000718
2-(5-(2-(アゼチジン-1-イル)エチル)-2-オキソ-4-(トリフルオロメチル)ピリジン-1(2H)-イル)-4-メチルペンタン酸(115mg、0.32mmol)、(3S)-エチル 3-アミノ-3-(2,2’,4-トリフルオロ-4’,6’-ジメチル-5-(トリフルオロメチル)ビフェニル-3-イル)プロパン酸塩(120mg、0.29mmol)、NMI(71mg、0.87mmol)、およびTCFH(98mg、0.35mmol)のCHCN(4mL)の混合液を室温で2時間攪拌した。溶媒を真空中で濃縮し、残留物をC18/40gカラムでの逆相HPLC(A:水 10mM NHHCO、B:CHCN、0~100%)により精製して、黄色油状物として、(3S)-エチル 3-(2-(5-(2-(アゼチジン-1-イル)エチル)-2-オキソ-4-(トリフルオロメチル)ピリジン-1(2H)-イル)-4-メチルペンタンアミド)-3-(2,2’,4-トリフルオロ-4’,6’-ジメチル-5-(トリフルオロメチル)ビフェニル-3-イル)プロパン酸塩(140mg)を得た。収率 64 %(ESI 762.3 [M+H])。
工程2:((3S)-3-(2-(5-(2-(アゼチジン-1-イル)エチル)-2-オキソ-4-(トリフルオロメチル)ピリジン-1(2H)-イル)-4-メチルペンタンアミド)-3-(2,2’,4-トリフルオロ-4’,6’-ジメチル-5-(トリフルオロメチル)ビフェニル-3-イル)プロパン酸
Figure 0007702004000719
(3S)-エチル 3-(2-(5-(2-(アゼチジン-1-イル)エチル)-2-オキソ-4-(トリフルオロメチル)ピリジン-1(2H)-イル)-4-メチルペンタンアミド)-3-(2,2’,4-トリフルオロ-4’,6’-ジメチル-5-(トリフルオロメチル)ビフェニル-3-イル)プロパン酸塩(140mg、0.19mmol)を、LiOH-HO(32mg、0.76mmol)のEtOH(3mL)とHO(1mL)の溶液を用いて室温で1時間処理した。反応混合液を、1N HClを用いてpH5~6に酸性化した。反応液を真空中で濃縮し、残留物を分取HPLC A(30~60% CHCN)により精製して、白色固形物として、ジアステレオマー生成物のIY-P1(36mg)およびIY-P2(51mg)を得た。
IY-P1 ESI 734.2(M+H)HNMR(400MHz,MeOD)δ 7.81(s,1H),7.55-7.45(m,1H),6.98(s,1H),6.89-6.80(m,2H),5.79-5.67(m,2H),4.12-3.97(m,4H),3.35-3.12(m,2H),3.00-2.66(m,4H),2.52-2.27(m,5H),2.16-1.88(m,5H),1.44-1.30(m,1H),0.98-0.90(m,6H).
IY-P2 ESI 734.2(M+H)H NMR(400MHz,MeOD)δ 7.73(s,1H),7.55(t,J=7.5Hz,1H),7.01(s,1H),6.99-6.85(m,2H),5.97-5.82(m,1H),5.66(t,J=7.7Hz,1H),4.12(t,J=8.0Hz,4H),3.45-3.31(m,2H),2.97-2.76(m,3H),2.66-2.57(m,1H),2.53-2.39(m,2H),2.37(s,3H),2.11(d,J=5.0Hz,3H),1.97-1.86(m,1H),1.78-1.67(m,1H),1.40-1.27(m,1H),0.95-0.81(m,6H).
3-96. (3S)-3-(2-(5-(2-(ジメチルアミノ)エチル)-2-オキソ-4-(トリフルオロメチル)ピリジン-1(2H)-イル)-4-メチルペンタンアミド)-3-(2,2’,4-トリフルオロ-4’,6’-ジメチル-5-(トリフルオロメチル)ビフェニル-3-イル)プロパン酸(化合物IZ-P1およびIZ-P2 )の調製
工程1:(3S)-エチル 3-(2-(5-(2-(ジメチルアミノ)エチル)-2-オキソ-4-(トリフルオロメチル)ピリジン-1(2H)-イル)-4-メチルペンタンアミド)-3-(2,2’,4-トリフルオロ-4’,6’-ジメチル-5-(トリフルオロメチル)ビフェニル-3-イル)プロパン酸塩
Figure 0007702004000720
2-(5-(2-(ジメチルアミノ)エチル)-2-オキソ-4-(トリフルオロメチル)ピリジン-1(2H)-イル)-4-メチルペンタン酸(110mg、0.32mmol)、(3S)-エチル 3-アミノ-3-(2,2’,4-トリフルオロ-4’,6’-ジメチル-5-(トリフルオロメチル)ビフェニル-3-イル)プロパン酸塩(120mg、0.29mmol)、NMI(71mg、0.87mmol)、およびTCFH(98mg、0.35mmol)のCHCN(4mL)の混合液を室温で2時間攪拌した。溶媒を真空中で濃縮し、残留物をC18/40gカラムでの逆相HPLC(A:水 10mM NH4HCO3、B:CH3CN、0~100%)により精製して、黄色油状物として、(3S)-エチル 3-(2-(5-(2-(ジメチルアミノ)エチル)-2-オキソ-4-(トリフルオロメチル)ピリジン-1(2H)-イル)-4-メチルペンタンアミド)-3-(2,2’,4-トリフルオロ-4’,6’-ジメチル-5-(トリフルオロメチル)ビフェニル-3-イル)プロパン酸塩(140mg)を得た。収率 65 %(ESI 750.3 [M+H])。
工程2:(3S)-3-(2-(5-(2-(ジメチルアミノ)エチル)-2-オキソ-4-(トリフルオロメチル)ピリジン-1(2H)-イル)-4-メチルペンタンアミド)-3-(2,2’,4-トリフルオロ-4’,6’-ジメチル-5-(トリフルオロメチル)ビフェニル-3-イル)プロパン酸
Figure 0007702004000721
(3S)-エチル 3-(2-(5-(2-(ジメチルアミノ)エチル)-2-オキソ-4-(トリフルオロメチル)ピリジン-1(2H)-イル)-4-メチルペンタンアミド)-3-(2,2’,4-トリフルオロ-4’,6’-ジメチル-5-(トリフルオロメチル)ビフェニル-3-イル)プロパン酸塩(140mg、0.19mmol)を、LiOH-HO(32mg、0.76mmol)のEtOH(3mL)とHO(1mL)の溶液を用いて室温で1時間処理した。反応混合液を、1N HClを用いてpH5~6に酸性化した。反応液を真空中で濃縮し、残留物を分取HPLC A(30~60% CHCN)により精製して、白色固形物として、ジアステレオマー生成物のIZ-P1(38mg)およびIZ-P2(52mg)を得た。
IZ-P1 ESI 722.2(M+H)H NMR(400MHz,MeOD)δ 7.86(s,1H),7.56-7.36(m,1H),6.97(s,1H),6.89-6.80(m,2H),5.79-5.64(m,2H),3.18-3.03(m,2H),3.02-2.87(m,3H),2.81-2.69(m,7H),2.35(s,3H),2.12-1.90(m,5H),1.48-1.31(m,1H),0.99-0.87(m,6H).
IZ-P2 ESI 722.2(M+H)H NMR(400MHz,MeOD)δ 7.84(s,1H),7.53(t,J=7.5Hz,1H),7.00(s,1H),6.94-6.83(m,2H),5.87-5.77(m,1H),5.73-5.63(m,1H),3.27-3.06(m,2H),3.01-2.92(m,2H),2.91-2.73(m,7H),2.73-2.60(m,1H),2.36(s,3H),2.11(d,J=6.6Hz,3H),1.97-1.63(m,2H),1.43-1.20(m,1H),0.98-0.82(m,6H).
3-97. (3S)-3-(2,4-ジフルオロ-2’,5,6’-トリメチル-4’-(トリフルオロメチル)ビフェニル-3-イル)-3-(2-(5-(2-(ジメチルアミノ)エチル)-2-オキソ-4-(トリフルオロメチル)ピリジン-1(2H)-イル)-4-メチルペンタンアミド)プロパン酸(化合物JA-P1およびJA-P2)の調製
工程1:(3S)-エチル 3-(2,4-ジフルオロ-2’,5,6’-トリメチル-4’-(トリフルオロメチル)ビフェニル-3-イル)-3-(2-(5-(2-(ジメチルアミノ)エチル)-2-オキソ-4-(トリフルオロメチル)ピリジン-1(2H)-イル)-4-メチルペンタンアミド)プロパン酸塩
Figure 0007702004000722
(S)-エチル 3-アミノ-3-(2,4-ジフルオロ-2’,5,6’-トリメチル-4’-(トリフルオロメチル)ビフェニル-3-イル)プロパン酸塩(170mg、0.41mmol)、2-(5-(2-(ジメチルアミノ)エチル)-2-オキソ-4-(トリフルオロメチル)ピリジン-1(2H)-イル)-4-メチルペンタン酸(140mg、0.41mmol)、NMI(100mg、1.23mmol)、およびTCFH(140mg、0.49mmol)のCHCN(6mL)の混合液を室温で2時間処理した。溶媒を真空中で濃縮し、残留物をC18/40gカラムでの逆相HPLC(A:水 10mM NH4HCO3、B:CH3CN、0~100%)により精製して、黄色油状物として、(3S)-エチル 3-(2,4-ジフルオロ-2’,5,6’-トリメチル-4’-(トリフルオロメチル)ビフェニル-3-イル)-3-(2-(5-(2-(ジメチルアミノ)エチル)-2-オキソ-4-(トリフルオロメチル)ピリジン-1(2H)-イル)-4-メチルペンタンアミド)プロパン酸塩(200mg)を得た。収率 66 %(ESI 746.1 [M+H])。
工程2:(3S)-3-(2,4-ジフルオロ-2’,5,6’-トリメチル-4’-(トリフルオロメチル)ビフェニル-3-イル)-3-(2-(5-(2-(ジメチルアミノ)エチル)-2-オキソ-4-(トリフルオロメチル)ピリジン-1(2H)-イル)-4-メチルペンタンアミド)プロパン酸
Figure 0007702004000723
(3S)-エチル 3-(2,4-ジフルオロ-2’,5,6’-トリメチル-4’-(トリフルオロメチル)ビフェニル-3-イル)-3-(2-(5-(2-(ジメチルアミノ)エチル)-2-オキソ-4-(トリフルオロメチル)ピリジン-1(2H)-イル)-4-メチルペンタンアミド)プロパン酸塩(200mg、0.27mmol)を、LiOH-HO(45mg、1.08mmol)のEtOH(3mL)とHO(1mL)の溶液を用いて室温で1時間処理した。反応混合液を、1N HClを用いてpH5~6に酸性化した。反応液を真空中で濃縮し、残留物を分取HPLC A(30~60% CHCN)により精製して、白色固形物として、ジアステレオマー生成物のJA-P1(56mg)およびJA-P2(65mg)を得た。
JA-P1 ESI 718.3(M+H). 1H NMR(400MHz,MeOD)δ 7.87(s,1H),7.39(d,J=2.4Hz,2H),6.92(t,J=8.1Hz,1H),6.82(s,1H),5.75-5.65(m,2H),3.17-2.83(m,5H),2.82-2.65(m,7H),2.25(s,3H),2.07(s,3H),2.02-1.91(m,5H),1.54-1.27(m,1H),0.93(t,J=6.8Hz,6H).
JA-P2 ESI 718.3(M+H). 1H NMR(400MHz,MeOD)δ 7.83(s,1H),7.42(s,2H),6.98(t,J=8.1Hz,1H),6.90(s,1H),5.88-5.84 (m,1H),5.63(t,J=7.7Hz,1H),3.29-3.09(m,2H),3.04-2.92(m,2H),2.88-2.76(m,7H),2.62-2.52(m,1H),2.29(s,3H),2.09(d,J=3.4Hz,6H),1.95-1.68(m,2H),1.40-1.25(m,1H),0.92-0.82(m,6H).
3-98. (3S)-3-(2-(5-(2-(5-アザスピロ[2.3]ヘキサン-5-イル)エチル)-2-オキソ-4-(トリフルオロメチル)ピリジン-1(2H)-イル)-4-メチルペンタンアミド)-3-(2,4-ジフルオロ-2’,4’,5,6’-テトラメチルビフェニル-3-イル)プロパン酸(化合物JB-P1およびJB-P2)の調製
工程1:(3S)-エチル 3-(2-(5-(2-(5-アザスピロ[2.3]ヘキサン-5-イル)エチル)-2-オキソ-4-(トリフルオロメチル)ピリジン-1(2H)-イル)-4-メチルペンタンアミド)-3-(2,4-ジフルオロ-2’,4’,5,6’-テトラメチルビフェニル-3-イル)プロパン酸塩
Figure 0007702004000724
(S)-エチル 3-アミノ-3-(2,4-ジフルオロ-2’,4’,5,6’-テトラメチルビフェニル-3-イル)プロパン酸塩(160mg、0.43mmol)、2-(5-(2-(5-アザスピロ[2.3]ヘキサン-5-イル)エチル)-2-オキソ-4-(トリフルオロメチル)ピリジン-1(2H)-イル)-4-メチルペンタン酸(150mg、0.39mmol)、NMI(100mg、1.17mmol)、およびTCFH(130mg、0.47mmol)のCHCN(6mL)の混合液を室温で2時間攪拌した。溶媒を真空中で濃縮し、残留物をC18/40gカラムでの逆相HPLC(A:水 10mM NH4HCO3、B:CH3CN、0~100%)により精製して、黄色油状物として、(3S)-エチル 3-(2-(5-(2-(5-アザスピロ[2.3]ヘキサン-5-イル)エチル)-2-オキソ-4-(トリフルオロメチル)ピリジン-1(2H)-イル)-4-メチルペンタンアミド)-3-(2,4-ジフルオロ-2’,4’,5,6’-テトラメチルビフェニル-3-イル)プロパン酸塩(210mg)を得た。収率 75 %(ESI 730.3 [M+H])。
工程2:(3S)-3-(2-(5-(2-(5-アザスピロ[2.3]ヘキサン-5-イル)エチル)-2-オキソ-4-(トリフルオロメチル)ピリジン-1(2H)-イル)-4-メチルペンタンアミド)-3-(2,4-ジフルオロ-2’,4’,5,6’-テトラメチルビフェニル-3-イル)プロパン酸
Figure 0007702004000725
(3S)-エチル 3-(2-(5-(2-(5-アザスピロ[2.3]ヘキサン-5-イル)エチル)-2-オキソ-4-(トリフルオロメチル)ピリジン-1(2H)-イル)-4-メチルペンタンアミド)-3-(2,4-ジフルオロ-2’,4’,5,6’-テトラメチルビフェニル-3-イル)プロパン酸塩(210mg、0.29mmol)を、LiOH-HO(37mg、0.87mmol)のEtOH(3mL)とHO(1mL)の溶液を用いて室温で1時間処理した。反応混合液を、1N HClを用いてpH5~6に酸性化した。反応液を真空中で濃縮し、残留物を分取HPLC A(30~60% CHCN)により精製して、白色固形物として、ジアステレオマー生成物のJB-P1(50mg)およびJB-P2(55mg)を得た。
JB-P1 ESI 702.3(M+H)H NMR(400MHz,MeOD)δ 7.83(s,1H),6.97-6.76(m,4H),5.80-5.61(m,2H),4.04(s,4H),3.45-3.32(m,2H),3.12-2.81(m,3H),2.70-2.61(m,1H),2.28(s,3H),2.24(s,3H),2.01-1.93(m,5H),1.89(s,3H),1.58-1.26(m,1H),0.98-0.89(m,6H),0.72(s,4H).
JB-P2 ESI 702.3(M+H)H NMR(400MHz,MeOD)δ 7.75(s,1H),7.07-6.86(m,4H),5.96-5.89(m,1H),5.64(t,J=7.7Hz,1H),4.34-4.02(m,4H),3.66-3.37(m,2H),3.11-2.71(m,3H),2.56-2.48(m,1H),2.37-2.19(m,6H),2.10-1.87(m,7H),1.77-1.60(m,1H),1.46-1.30(m,1H),1.00-0.64(m,10H).
3-99. (3S)-3-(2,4-ジフルオロ-2’,3’,5,5’,6’-ペンタメチルビフェニル-3-イル)-3-(2-(5-(2-(ジメチルアミノ)エチル)-2-オキソ-4-(トリフルオロメチル)ピリジン-1(2H)-イル)-4-メチルペンタンアミド)プロパン酸(化合物JC-P1およびJC-P2)の調製
工程1:(3S)-エチル 3-(2,4-ジフルオロ-2’,3’,5,5’,6’-ペンタメチルビフェニル-3-イル)-3-(2-(5-(2-(ジメチルアミノ)エチル)-2-オキソ-4-(トリフルオロメチル)ピリジン-1(2H)-イル)-4-メチルペンタンアミド)プロパン酸塩
Figure 0007702004000726
(S)-エチル 3-アミノ-3-(2,4-ジフルオロ-2’,3’,5,5’,6’-ペンタメチルビフェニル-3-イル)プロパン酸塩(160mg、0.43mmol)、2-(5-(2-(ジメチルアミノ)エチル)-2-オキソ-4-(トリフルオロメチル)ピリジン-1(2H)-イル)-4-メチルペンタン酸(150mg、0.43mmol)、NMI(110mg、1.29mmol)、およびTCFH(150mg、0.52mmol)のCHCN(6mL)の混合液を室温で2時間攪拌した。溶媒を真空中で濃縮し、残留物をC18/40gカラムでの逆相HPLC(A:水 10mM NH4HCO3、B:CH3CN、0~100%)により精製して、黄色油状物として、(3S)-エチル 3-(2,4-ジフルオロ-2’,3’,5,5’,6’-ペンタメチルビフェニル-3-イル)-3-(2-(5-(2-(ジメチルアミノ)エチル)-2-オキソ-4-(トリフルオロメチル)ピリジン-1(2H)-イル)-4-メチルペンタンアミド)プロパン酸塩(200mg)を得た。収率 69 %(ESI 706.2 [M+H])。
工程2:(3S)-3-(2,4-ジフルオロ-2’,3’,5,5’,6’-ペンタメチルビフェニル-3-イル)-3-(2-(5-(2-(ジメチルアミノ)エチル)-2-オキソ-4-(トリフルオロメチル)ピリジン-1(2H)-イル)-4-メチルペンタンアミド)プロパン酸
Figure 0007702004000727
(3S)-エチル 3-(2,4-ジフルオロ-2’,3’,5,5’,6’-ペンタメチルビフェニル-3-イル)-3-(2-(5-(2-(ジメチルアミノ)エチル)-2-オキソ-4-(トリフルオロメチル)ピリジン-1(2H)-イル)-4-メチルペンタンアミド)プロパン酸塩(200mg、0.28mmol)を、LiOH-HO(47mg、1.12mmol)のEtOH(3mL)とHO(1mL)の溶液を用いて室温で1時間処理した。反応混合液を、1N HClを用いてpH5~6に酸性化した。反応液を真空中で濃縮し、残留物を分取HPLC A(30~60% CHCN)により精製して、白色固形物として、ジアステレオマー生成物のJC-P1(56mg)およびJC-P2(64mg)を得た。
JC-P1 ESI 678.3(M+H)H NMR(400MHz,MeOD)δ 7.89(s,1H),6.97(s,1H),6.88-6.79(m,2H),5.84-5.63(m,2H),3.18-2.89(m,5H),2.79-2.65(m,7H),2.32-2.17(m,9H),1.98(t,J=7.6Hz,2H),1.86(s,3H),1.76(s,3H),1.47-1.34 (m,1H),0.95(t,J=6.9Hz,6H).
JC-P2 ESI 678.3(M+H)H NMR(400MHz,MeOD)δ 7.86(s,1H),6.99(s,1H),6.94-6.84(m,2H),5.91-5.84(m,1H),5.66(t,J=7.7Hz,1H),3.28-3.10(m,2H),3.09-2.92(m,2H),2.89-2.73(m,7H),2.70-2.52(m,1H),2.28(s,3H),2.25(s,6H),1.99-1.82(m,7H),1.83-1.61(m,1H),1.49-1.25(m,1H),0.94- 0.84(m,6H).
3-100. (3S)-3-(2-(5-(2-(アゼチジン-1-イル)エチル)-2-オキソ-4-(トリフルオロメチル)ピリジン-1(2H)-イル)-4-フルオロ-4-メチルペンタンアミド)-3-(2,4-ジフルオロ-2’,5,6’-トリメチル-4’-(トリフルオロメチル)ビフェニル-3-イル)プロパン酸(化合物JD-P1およびJD-P2)の調製
工程1:(3S)-エチル 3-(2-(5-(2-(アゼチジン-1-イル)エチル)-2-オキソ-4-(トリフルオロメチル)ピリジン-1(2H)-イル)-4-フルオロ-4-メチルペンタンアミド)-3-(2,4-ジフルオロ-2’,5,6’-トリメチル-4’-(トリフルオロメチル)ビフェニル-3-イル)プロパン酸塩
Figure 0007702004000728
2-(5-(2-(アゼチジン-1-イル)エチル)-2-オキソ-4-(トリフルオロメチル)ピリジン-1(2H)-イル)-4-フルオロ-4-メチルペンタン酸(100mg、0.26mmol)、(S)-エチル 3-アミノ-3-(2,4-ジフルオロ-2’,5,6’-トリメチル-4’-(トリフルオロメチル)ビフェニル-3-イル)プロパン酸塩(120mg、0.29mmol)、NMI(64mg、0.78mmol)、およびTCFH(90mg、0.32mmol)のCHCN(4mL)の混合液を室温で2時間攪拌した。溶媒を真空中で濃縮し、残留物をC18/40gカラムでの逆相HPLC(A:水 10mM NH4HCO3、B:CH3CN、0~100%)により精製して、黄色油状物として、(3S)-エチル 3-(2-(5-(2-(アゼチジン-1-イル)エチル)-2-オキソ-4-(トリフルオロメチル)ピリジン-1(2H)-イル)-4-フルオロ-4-メチルペンタンアミド)-3-(2,4-ジフルオロ-2’,5,6’-トリメチル-4’-(トリフルオロメチル)ビフェニル-3-イル)プロパン酸塩(80mg)を得た。収率 39 %(ESI 776.1 [M+H])。
工程2:(3S)-3-(2-(5-(2-(アゼチジン-1-イル)エチル)-2-オキソ-4-(トリフルオロメチル)ピリジン-1(2H)-イル)-4-フルオロ-4-メチルペンタンアミド)-3-(2,4-ジフルオロ-2’,5,6’-トリメチル-4’-(トリフルオロメチル)ビフェニル-3-イル)プロパン酸
Figure 0007702004000729
(3S)-エチル 3-(2-(5-(2-(アゼチジン-1-イル)エチル)-2-オキソ-4-(トリフルオロメチル)ピリジン-1(2H)-イル)-4-フルオロ-4-メチルペンタンアミド)-3-(2,4-ジフルオロ-2’,5,6’-トリメチル-4’-(トリフルオロメチル)ビフェニル-3-イル)プロパン酸塩(80mg、0.10mmol)を、LiOH-HO(17mg、0.40mmol)のEtOH(3mL)とHO(1mL)の溶液を用いて室温で1時間処理した。反応混合液を、1N HClを用いてpH5~6に酸性化した。反応液を真空中で濃縮し、残留物を分取HPLC A(30~60% CHCN)により精製して、白色固形物として、ジアステレオマー生成物のJD-P1(17mg)およびJD-P2(15mg)を得た。
JD-P1 ESI 748.2(M+H)H NMR(400MHz,MeOD)δ 7.86(s,1H),7.39(s,2H),6.93(t,J=8.1Hz,1H),6.81(s,1H),6.08-5.62(m,2H),4.03(t,J=8.0Hz,4H),3.30-3.18(m,3H),2.98-2.75(m,3H),2.72-2.62(m,1H),2.58-2.36(m,4H),2.25(s,3H),2.07(s,3H),2.02(s,3H),1.45-1.28(m,6H).
JD-P2 ESI 748.3(M+H)H NMR(400MHz,MeOD)δ 7.69(s,1H),7.42(s,2H),6.99(t,J=8.2Hz,1H),6.92(s,1H),5.95-5.88(m,1H),5.78(t,J=6.7Hz,1H),4.11(t,J=7.9Hz,4H),3.46-3.31(m,2H),3.00-2.69(m,3H),2.64-2.38(m,4H),2.30(s,3H),2.26-2.15(m,1H),2.09(s,6H),1.36-1.24(m,6H).
3-101. (3S)-3-(2-(5-(2-(アゼチジン-1-イル)エチル)-2-オキソ-4-(トリフルオロメチル)ピリジン-1(2H)-イル)-4-メチルペンタンアミド)-3-(2,4-ジフルオロ-2’,5,6’-トリメチル-4’-(トリフルオロメチル)ビフェニル-3-イル)プロパン酸(化合物JE-P1およびJE-P2)の調製
工程1:(3S)-エチル 3-(2-(5-(2-(アゼチジン-1-イル)エチル)-2-オキソ-4-(トリフルオロメチル)ピリジン-1(2H)-イル)-4-メチルペンタンアミド)-3-(2,4-ジフルオロ-2’,5,6’-トリメチル-4’-(トリフルオロメチル)ビフェニル-3-イル)プロパン酸塩
Figure 0007702004000730
2-(5-(2-(アゼチジン-1-イル)エチル)-2-オキソ-4-(トリフルオロメチル)ピリジン-1(2H)-イル)-4-メチルペンタン酸(160mg、0.44mmol)、(S)-エチル 3-アミノ-3-(2,4-ジフルオロ-2’,5,6’-トリメチル-4’-(トリフルオロメチル)ビフェニル-3-イル)プロパン酸塩(180mg、0.44mmol)、NMI(110mg、1.32mmol)、およびTCFH(150mg、0.53mmol)のCHCN(6mL)の混合液を室温で2時間攪拌した。溶媒を真空中で濃縮し、残留物をC18/40gカラムでの逆相HPLC(A:水 10mM NH4HCO3、B:CH3CN、0~100%)により精製して、黄色油状物として、(3S)-エチル 3-(2-(5-(2-(アゼチジン-1-イル)エチル)-2-オキソ-4-(トリフルオロメチル)ピリジン-1(2H)-イル)-4-メチルペンタンアミド)-3-(2,4-ジフルオロ-2’,5,6’-トリメチル-4’-(トリフルオロメチル)ビフェニル-3-イル)プロパン酸塩(180mg)を得た。収率 54 %(ESI758.2 [M+H])。
工程2:(3S)-3-(2-(5-(2-(アゼチジン-1-イル)エチル)-2-オキソ-4-(トリフルオロメチル)ピリジン-1(2H)-イル)-4-メチルペンタンアミド)-3-(2,4-ジフルオロ-2’,5,6’-トリメチル-4’-(トリフルオロメチル)ビフェニル-3-イル)プロパン酸
Figure 0007702004000731
(3S)-エチル 3-(2-(5-(2-(アゼチジン-1-イル)エチル)-2-オキソ-4-(トリフルオロメチル)ピリジン-1(2H)-イル)-4-メチルペンタンアミド)-3-(2,4-ジフルオロ-2’,5,6’-トリメチル-4’-(トリフルオロメチル)ビフェニル-3-イル)プロパン酸塩(180mg、0.24mmol)を、LiOH-HO(30mg、0.72mmol)のEtOH(3mL)とHO(1mL)の溶液を用いて室温で1時間処理した。反応混合液を、1N HClを用いてpH5~6に酸性化した。反応液を真空中で濃縮し、残留物を分取HPLC A(30~60% CHCN)により精製して、白色固形物として、ジアステレオマー生成物のJE-P1(48mg)およびJE-P2(55mg)を得た。
JE-P1 ESI 730.3(M+H)H NMR(400MHz,MeOD)δ 7.80(s,1H),7.39(s,2H),6.94(t,J=8.1Hz,1H),6.86(s,1H),5.79-5.63(m,2H),4.02(t,J=8.1Hz,4H),3.35-3.20(m,2H),2.98-2.80(m,3H),2.72-2.63(m,1H),2.49-2.37(m,2H),2.26(s,3H),2.08(s,3H),2.05-1.93(m,5H),1.50-1.28(m,1H),0.93(t,J=6.1Hz,6H).
JE-P2 ESI 730.3(M+H)H NMR(400MHz,MeOD)δ 7.69(s,1H),7.42(s,2H),6.99(t,J=8.2Hz,1H),6.92(s,1H),5.96-5.88(m,1H),5.61(t,J=7.7Hz,1H),4.11(t,J=8.1Hz,4H),3.46-3.31(m,2H),2.97-2.73(m,3H),2.60-2.38(m,3H),2.30(s,3H),2.10(d,J=2.6Hz,6H),1.99-1.89(m, 1H),1.80-1.66(m,1H),1.51-1.22(m,1H),0.92-0.83(m,6H).
3-102. (3S)-3-(2-(5-(2-(アゼチジン-1-イル)エチル)-2-オキソ-4-(トリフルオロメチル)ピリジン-1(2H)-イル)-4-メチルペンタンアミド)-3-(2,4-ジフルオロ-2’,5,6’-トリメチル-[1,1’-ビフェニル]-3-イル)プロパン酸(化合物JF-P1およびJF-P2)の調製
工程1:(3S)-3-(2-(5-(2-(アゼチジン-1-イル)エチル)-2-オキソ-4-(トリフルオロメチル)ピリジン-1(2H)-イル)-4-メチルペンタンアミド)-3-(2,4-ジフルオロ-2’,5,6’-トリメチル-[1,1’-ビフェニル]-3-イル)プロパン酸エチル
Figure 0007702004000732
(S)-3-アミノ-3-(2,4-ジフルオロ-2’,5,6’-トリメチル-[1,1’-ビフェニル]-3-イル)プロパン酸エチル(240mg、0.6mmol)、2-(5-(2-(アゼチジン-1-イル)エチル)-2-オキソ-4-(トリフルオロメチル)ピリジン-1(2H)-イル)-4-メチルペンタン酸(253mg、0.66mmol)、TCFH(336mg、1.2mmol)およびNMI(246mg、3.0mmol)のCHCN(4mL)の混合液を60℃で30分間攪拌した。反応液を濃縮し、C18/40gカラムでの逆相HPLC(A:水 10mM NHHCO、B:MeOH、0~90%)により精製して、黄色固形物として、(3S)-3-(2-(5-(2-(アゼチジン-1-イル)エチル)-2-オキソ-4-(トリフルオロメチル)ピリジン-1(2H)-イル)-4-メチルペンタンアミド)-3-(2,4-ジフルオロ-2’,5,6’-トリメチル-[1,1’-ビフェニル]-3-イル)プロパン酸エチル(280mg)を得た。収率 67.7 %(ESI 690.3 [M+H])。
工程2:(3S)-3-(2-(5-(2-(アゼチジン-1-イル)エチル)-2-オキソ-4-(トリフルオロメチル)ピリジン-1(2H)-イル)-4-メチルペンタンアミド)-3-(2,4-ジフルオロ-2’,5,6’-トリメチル-[1,1’-ビフェニル]-3-イル)プロパン酸
Figure 0007702004000733
(3S)-3-(2-(5-(2-(アゼチジン-1-イル)エチル)-2-オキソ-4-(トリフルオロメチル)ピリジン-1(2H)-イル)-4-メチルペンタンアミド)-3-(2,4-ジフルオロ-2’,5,6’-トリメチル-[1,1’-ビフェニル]-3-イル)プロパン酸エチル(280mg、0.41mmol)を、LiOH-HO(50mg、1.2mmol)のMeOH(4mL)とHO(1mL)の溶液を用いて室温で30分間処理した。反応混合液を、1N HClを用いてpH5~6に酸性化した。反応液を真空中で濃縮し、残留物を分取HPLC A(35~58% CHCN)により精製して、白色固形物として、ジアステレオマー生成物のJF-P1(74mg)およびJF-P2(81mg)を得た。
JF-P1 ESI 662.3(M+H)H NMR(400MHz,MeOD)δ 7.79(s,1H),7.17-7.03(m,3H),6.94-6.85(m,2H),5.78-5.71(m,1H),5.67(t,J=8.1Hz,1H),4.01(t,J=8.1Hz,4H),2.94-2.79(m,3H),2.71-2.59(m,1H),2.48-2.36(m,2H),2.25(s,3H),2.06-1.88(m,8H),1.42-1.33(m,1H),0.93(t,J=6.5Hz,6H).
JF-P2 ESI 662.3(M+H)H NMR(400MHz,MeOD)δ 7.69(s,1H),7.20-7.04(m,3H),6.98-6.90(m,2H),5.97-5.88(m,1H),5.61(t,J=7.7Hz,1H),4.12(s,4H),3.47-3.33(m,2H),2.93-2.74(m,3H),2.59-2.40(m,3H),2.29(s,3H),2.01(d,J=2.4Hz,6H),1.96-1.87(m,1H),1.80-1.68(m,1H),1.42-1.30(m,1H),0.92-0.83(m,6H).
3-103. (3S)-3-(2-(5-(2-(アゼチジン-1-イル)エチル)-2-オキソ-4-(トリフルオロメチル)ピリジン-1(2H)-イル)-4-メチルペンタンアミド)-3-(2,4-ジフルオロ-2’,6’-ジメチル-5-(トリフルオロメチル)-[1,1’-ビフェニル]-3-イル)プロパン酸(化合物JG-P1およびJG-P2)の調製
工程1:(3S)-3-(2-(5-(2-(アゼチジン-1-イル)エチル)-2-オキソ-4-(トリフルオロメチル)ピリジン-1(2H)-イル)-4-メチルペンタンアミド)-3-(2,4-ジフルオロ-2’,6’-ジメチル-5-(トリフルオロメチル)-[1,1’-ビフェニル]-3-イル)プロパン酸エチル
Figure 0007702004000734
(S)-3-アミノ-3-(2,4-ジフルオロ-2’,6’-ジメチル-5-(トリフルオロメチル)-[1,1’-ビフェニル]-3-イル)プロパン酸エチル(240mg、0.6mmol)、2-(5-(2-(アゼチジン-1-イル)エチル)-2-オキソ-4-(トリフルオロメチル)ピリジン-1(2H)-イル)-4-メチルペンタン酸(230mg、0.58mmol)、TCFH(325mg、1.16mmol)およびNMI(238mg、2.9mmol)のCHCN(4mL)の混合液を50℃で30分間攪拌した。反応液を、C18/40gカラムでの逆相HPLC(A:水 10mM NHHCO、B:MeOH、0~90%)により精製して、黄色固形物として、(3S)-3-(2-(5-(2-(アゼチジン-1-イル)エチル)-2-オキソ-4-(トリフルオロメチル)ピリジン-1(2H)-イル)-4-メチルペンタンアミド)-3-(2,4-ジフルオロ-2’,6’-ジメチル-5-(トリフルオロメチル)-[1,1’-ビフェニル]-3-イル)プロパン酸エチル(250mg)を得た。収率 58.0 %(ESI 744.3 [M+H])。
工程2:(3S)-3-(2-(5-(2-(アゼチジン-1-イル)エチル)-2-オキソ-4-(トリフルオロメチル)ピリジン-1(2H)-イル)-4-メチルペンタンアミド)-3-(2,4-ジフルオロ-2’,6’-ジメチル-5-(トリフルオロメチル)-[1,1’-ビフェニル]-3-イル)プロパン酸
Figure 0007702004000735
(3S)-3-(2-(5-(2-(アゼチジン-1-イル)エチル)-2-オキソ-4-(トリフルオロメチル)ピリジン-1(2H)-イル)-4-メチルペンタンアミド)-3-(2,4-ジフルオロ-2’,6’-ジメチル-5-(トリフルオロメチル)-[1,1’-ビフェニル]-3-イル)プロパン酸エチル(250mg、0.34mmol)を、LiOH-HO(58mg、1.37mmol)のMeOH(4mL)とHO(1mL)の溶液を用いて室温で30分間処理した。反応混合液を、1N HClを用いてpH5~6に酸性化した。反応液を真空中で濃縮し、残留物を分取HPLC A(40~61% CHCN)により精製して、白色固形物として、ジアステレオマー生成物のJG-P1(72mg)およびJG-P2(78mg)を得た。
JG-P1 ESI 716.3(M+H)H NMR(400MHz,MeOD)δ 7.80(s,1H),7.40(t,J=7.5Hz,1H),7.25-7.15(m,1H),7.12(d,J=7.7Hz,2H),6.85(s,1H),5.77-5.66(m,2H),4.04(t,J=8.0Hz,4H),3.28(s,2H),2.92(M,1H),2.84(t,J=6.8Hz,2H),2.76(s,1H),2.46-2.38(m,2H),2.05-1.95(m,5H),1.95(d,J=13.7Hz,3H),1.38(s,1H),0.93(t,J=6.4Hz,6H).
JG-P2 ESI 716.3(M+H)H NMR(400MHz,MeOD)δ 7.73(s,1H),7.46(t,J=7.7Hz,1H),7.25-7.19(m,1H),7.15(d,J=7.6Hz,2H),6.91(s,1H),5.91(M,1H),5.64(t,J=7.6Hz,1H),4.12(t,J=7.8Hz,4H),3.47-3.32(m,2H),2.95-2.77(m,3H),2.65-2.55(m,1H),2.50-2.40(m,2H),2.02(d,J=2.2Hz,6H),1.96-1.88(m,1H),1.75-1.67(m,1H),1.39-1.28(m,1H),0.92-0.84(m,6H).
3-104. (3S)-3-(2,4-ジフルオロ-2’,4’,5,6’-テトラメチル-[1,1’-ビフェニル]-3-イル)-3-(2-(5-(2-(ジメチルアミノ)エチル)-2-オキソ-4-(トリフルオロメチル)ピリジン-1(2H)-イル)-4-メチルペンタンアミド)プロパン酸(化合物JH-P1およびJH-P2)の調製工程1:(3S)-3-(2,4-ジフルオロ-2’,4’,5,6’-テトラメチル-[1,1’-ビフェニル]-3-イル)-3-(2-(5-(2-(ジメチルアミノ)エチル)-2-オキソ-4-(トリフルオロメチル)ピリジン-1(2H)-イル)-4-メチルペンタンアミド)プロパン酸エチル
Figure 0007702004000736
(S)-3-アミノ-3-(2,4-ジフルオロ-2’,4’,5,6’-テトラメチル-[1,1’-ビフェニル]-3-イル)プロパン酸エチル(220mg、0.61mmol)、2-(5-(2-(ジメチルアミノ)エチル)-2-オキソ-4-(トリフルオロメチル)ピリジン-1(2H)-イル)-4-メチルペンタン酸(250mg、0.65mmol)、TCFH(364mg、1.3mmol)およびNMI(266mg、3.25mmol)のCHCN(4.5mL)の混合液を60℃で30分間攪拌した。反応液を濃縮し、C18/40gカラムでの逆相HPLC(A:水 10mM NHHCO、B:MeOH、0~80%)により精製して、黄色固形物として、(3S)-3-(2,4-ジフルオロ-2’,4’,5,6’-テトラメチル-[1,1’-ビフェニル]-3-イル)-3-(2-(5-(2-(ジメチルアミノ)エチル)-2-オキソ-4-(トリフルオロメチル)ピリジン-1(2H)-イル)-4-メチルペンタンアミド)プロパン酸エチル(300mg)を得た。収率 71.1 %(ESI 692.3 [M+H])。
工程2:(3S)-3-(2,4-ジフルオロ-2’,4’,5,6’-テトラメチル-[1,1’-ビフェニル]-3-イル)-3-(2-(5-(2-(ジメチルアミノ)エチル)-2-オキソ-4-(トリフルオロメチル)ピリジン-1(2H)-イル)-4-メチルペンタンアミド)プロパン酸
Figure 0007702004000737
(3S)-3-(2,4-ジフルオロ-2’,4’,5,6’-テトラメチル-[1,1’-ビフェニル]-3-イル)-3-(2-(5-(2-(ジメチルアミノ)エチル)-2-オキソ-4-(トリフルオロメチル)ピリジン-1(2H)-イル)-4-メチルペンタンアミド)プロパン酸エチル(300mg、0.43mmol)を、LiOH-HO(56mg、1.34mmol)のMeOH(4mL)とHO(1mL)の溶液を用いて室温で1時間処理した。反応混合液を、1N HClを用いてpH5~6に酸性化した。反応液を真空中で濃縮し、残留物を分取HPLC A(35~62% CHCN)により精製して、白色固形物として、ジアステレオマー生成物のJH-P1(113mg)およびJH-P2(87mg)を得た。
JH-P1 ESI 664.3(M+H)H NMR(400MHz,MeOD)δ 7.86(s,1H),6.96-6.77(m,4H),5.81-5.63(m,2H),3.10(d,J=21.9Hz,2H),2.98-2.86(m,3H),2.76-2.63(m,7H),2.25(d,J=19.9Hz,6H),2.01-1.92(m,5H),1.87(s,3H),1.44-1.35(m,1H),0.93(t,J=6.8Hz,6H).
JH-P2 ESI 664.3(M+H)H NMR(400MHz,MeOD)δ 7.83(d,J=11.6Hz,1H),7.01-6.84(m,4H),5.85(d,J=8.7Hz,1H),5.63(s,1H),3.25-3.09(m,2H),3.05-2.91(m,2H),2.77(s,7H),2.55(d,J=14.8Hz,1H),2.28(d,J=10.3Hz,6H),1.96(d,J=3.6Hz,6H),1.93-1.85(m,1H),1.80-1.67(m,1H),1.39-1.27(m,1H),0.93-0.81(m,6H).
3-105. (3S)-3-(2-(5-(2-(アゼチジン-1-イル)エチル)-2-オキソ-4-(トリフルオロメチル)ピリジン-1(2H)-イル)-4-メチルペンタンアミド)-3-(2,4-ジフルオロ-2’,5,6’-トリメチル-3’-(トリフルオロメチル)-[1,1’-ビフェニル]-3-イル)プロパン酸(化合物JI-P1およびJI-P2)の調製
工程1:(3S)-3-(2-(5-(2-(アゼチジン-1-イル)エチル)-2-オキソ-4-(トリフルオロメチル)ピリジン-1(2H)-イル)-4-メチルペンタンアミド)-3-(2,4-ジフルオロ-2’,5,6’-トリメチル-3’-(トリフルオロメチル)-[1,1’-ビフェニル]-3-イル)プロパン酸エチル
Figure 0007702004000738
(3S)-3-アミノ-3-(2,4-ジフルオロ-2’,5,6’-トリメチル-3’-(トリフルオロメチル)-[1,1’-ビフェニル]-3-イル)プロパン酸エチル(174.5mg、0.42mmol)、2-(5-(2-(アゼチジン-1-イル)エチル)-2-オキソ-4-(トリフルオロメチル)ピリジン-1(2H)-イル)-4-メチルペンタン酸(150.0mg、0.42mmol)、TCFH(140.3mg、0.50mmol)、およびNMI(137.9mg、1.68mmol)のCHCN(5mL)の混合液を室温で一晩攪拌した。反応液を真空中で濃縮し、残留物をC18/40gカラムでの逆相HPLC(A:水 10mM NHHCO、B:MeOH、0~100%)により精製して、明黄色固形物として、(3S)-3-(2-(5-(2-(アゼチジン-1-イル)エチル)-2-オキソ-4-(トリフルオロメチル)ピリジン-1(2H)-イル)-4-メチルペンタンアミド)-3-(2,4-ジフルオロ-2’,5,6’-トリメチル-3’-(トリフルオロメチル)-[1,1’-ビフェニル]-3-イル)プロパン酸エチル(160.0mg)を得た。収率 51%(ESI 758.3 [M+H])。
工程2:(3S)-3-(2-(5-(2-(アゼチジン-1-イル)エチル)-2-オキソ-4-(トリフルオロメチル)ピリジン-1(2H)-イル)-4-メチルペンタンアミド)-3-(2,4-ジフルオロ-2’,5,6’-トリメチル-3’-(トリフルオロメチル)-[1,1’-ビフェニル]-3-イル)プロパン酸
Figure 0007702004000739
(3S)-3-(2-(5-(2-(アゼチジン-1-イル)エチル)-2-オキソ-4-(トリフルオロメチル)ピリジン-1(2H)-イル)-4-メチルペンタンアミド)-3-(2,4-ジフルオロ-2’,5,6’-トリメチル-3’-(トリフルオロメチル)-[1,1’-ビフェニル]-3-イル)プロパン酸エチル(160.0mg、0.21mmol)を、LiOH-HO(26.4mg、0.63mmol)のEtOH(2mL)と水(0.5mL)の溶液を用いて室温で1時間処理した。反応混合液を、2N HClを用いてPH4~5に酸性化した。反応液を真空中で濃縮し、残留物を分取HPLC A(30~80% MeCN)により精製して、白色固形物として、ジアステレオマー生成物のJI-P1(39.5mg)およびJI-P2(53.3mg)を得た。
JI-P1 ESI 730.2(M+H)+ 1H NMR(400MHz,MeOD)δ 7.80(d,J=4.4Hz,1H),7.57(d,J=8.1Hz,1H),7.27(d,J=8.0Hz,1H),6.92(t,J=8.2Hz,1H),6.86(s,1H),5.79-5.61(m,2H),4.01(t,J=8.1Hz,4H),3.37-3.31(m,1H),3.29-3.20(m,1H),2.95-2.80(m,3H),2.71-2.64(m,1H),2.49-2.35(m,2H),2.26(s,3H),2.14-1.92(m,8H),1.46-1.30(m,1H),0.93(t,J=6.7Hz,6H).
JI-P2 ESI 730.1(M+H)+ 1H NMR(400MHz,MeOD)δ 7.70(s,1H),7.59(d,J=8.1Hz,1H),7.30(d,J=8.1Hz,1H),6.98(t,J=8.2Hz,1H),6.92(s,1H),5.94-5.88(m,1H),5.64-5.58(m,1H),4.10(t,J=8.0Hz,4H),3.44-3.32(m,2H),2.96-2.74(m,3H),2.58-2.37(m,3H),2.30(s,3H),2.12(s,3H),2.07(d,J=2.6Hz,3H),2.00-1.86(m,1H),1.80-1.66(m,1H),1.41-1.31(m,1H),0.92-0.85(m,6H).
3-106. (3S)-3-(2,4-ジフルオロ-2’,5,6’-トリメチル-3’-(トリフルオロメチル)-[1,1’-ビフェニル]-3-イル)-3-(2-(5-(3-(ジメチルアミノ)プロピル)-2-オキソ-4-(トリフルオロメチル)ピリジン-1(2H)-イル)-4-メチルペンタンアミド)プロパン酸(化合物JJ-P1およびJJ-P2)の調製
工程1:(3S)-3-(2,4-ジフルオロ-2’,5,6’-トリメチル-3’-(トリフルオロメチル)-[1,1’-ビフェニル]-3-イル)-3-(2-(5-(3-(ジメチルアミノ)プロピル)-2-オキソ-4-(トリフルオロメチル)ピリジン-1(2H)-イル)-4-メチルペンタンアミド)プロパン酸エチル
Figure 0007702004000740
(3S)-3-アミノ-3-(2,4-ジフルオロ-2’,5,6’-トリメチル-3’-(トリフルオロメチル)-[1,1’-ビフェニル]-3-イル)プロパン酸エチル(114.6mg、0.28mmol)、2-(5-(3-(ジメチルアミノ)プロピル)-2-オキソ-4-(トリフルオロメチル)ピリジン-1(2H)-イル)-4-メチルペンタン酸(100.0mg、0.28mmol)、TCFH(95.4mg、0.34mmol)、およびNMI(92.0mg、1.12mmol)のCHCN(5mL)の混合液を室温で一晩攪拌した。反応液を真空中で濃縮し、残留物をC18/40gカラムでの逆相HPLC(A:水 10mM NHHCO、B:MeOH、0~100%)により精製して、明黄色固形物として、(3S)-3-(2,4-ジフルオロ-2’,5,6’-トリメチル-3’-(トリフルオロメチル)-[1,1’-ビフェニル]-3-イル)-3-(2-(5-(3-(ジメチルアミノ)プロピル)-2-オキソ-4-(トリフルオロメチル)ピリジン-1(2H)-イル)-4-メチルペンタンアミド)プロパン酸エチル(100.0mg)を得た。収率 48%(ESI 760.3 [M+H])。
工程2:(3S)-3-(2,4-ジフルオロ-2’,5,6’-トリメチル-3’-(トリフルオロメチル)-[1,1’-ビフェニル]-3-イル)-3-(2-(5-(3-(ジメチルアミノ)プロピル)-2-オキソ-4-(トリフルオロメチル)ピリジン-1(2H)-イル)-4-メチルペンタンアミド)プロパン酸
Figure 0007702004000741
(3S)-3-(2,4-ジフルオロ-2’,5,6’-トリメチル-3’-(トリフルオロメチル)-[1,1’-ビフェニル]-3-イル)-3-(2-(5-(3-(ジメチルアミノ)プロピル)-2-オキソ-4-(トリフルオロメチル)ピリジン-1(2H)-イル)-4-メチルペンタンアミド)プロパン酸エチル(100.0mg、0.13 mmol)を、LiOH-HO(16.4mg、0.39mmol)のEtOH(2mL)と水(0.5mL)の溶液を用いて室温で1時間処理した。反応混合液を、2N HClを用いてpH4~5に酸性化した。反応液を真空中で濃縮し、残留物を分取HPLC A(30~80% MeCN)により精製して、白色固形物として、ジアステレオマー生成物のJJ-P1(6.0mg)およびJJ-P2(36.5mg)を得た。
JJ-P1 ESI 732.2(M+H)+ 1H NMR(400MHz,MeOD)δ 7.77(d,J=3.4Hz,1H),7.56(d,J=8.1Hz,1H),7.26(d,J=8.0Hz,1H),6.90(t,J=8.1Hz,1H),6.79(s,1H),5.81-5.67(m,2H),3.14-3.00(m,2H),2.97-2.89(m,1H),2.78(s,6H),2.72-2.58(m,3H),2.25(s,3H),2.11-1.81(m,10H),1.41-1.29(m,1H),0.93(d,J=6.6Hz,6H).
JJ-P2 ESI 732.2(M+H)+ 1H NMR(400MHz,MeOD)δ 7.79(s,1H),7.58(d,J=8.1Hz,1H),7.29(d,J=8.0Hz,1H),6.95(t,J=8.1Hz,1H),6.84(s,1H),5.86-5.80(m,1H),5.61-5.55(m,1H),3.11-2.91(m,2H),2.91-2.82(m,1H),2.77(s,6H),2.70-2.51(m,3H),2.29(s,3H),2.14-2.04(m,6H),2.03-1.88(m,3H),1.67-1.58(m,1H),1.38-1.28(m,1H),0.92-0.81(m,6H).
3-107. (3S)-3-(2-(5-(2-(ジメチルアミノ)エチル)-2-オキソ-4-(トリフルオロメチル)ピリジン-1(2H)-イル)-4-メチルペンタンアミド)-3-(2,3’,4-トリフルオロ-2’,6’-ジメチル-5-(トリフルオロメチル)ビフェニル-3-イル)プロパン酸(化合物JK-P1およびJK-P2)の調製
工程1:(3S)-エチル 3-(2-(5-(2-(ジメチルアミノ)エチル)-2-オキソ-4-(トリフルオロメチル)ピリジン-1(2H)-イル)-4-メチルペンタンアミド)-3-(2,3’,4-トリフルオロ-2’,6’-ジメチル-5-(トリフルオロメチル)ビフェニル-3-イル)プロパン酸塩
Figure 0007702004000742
(3S)-エチル 3-アミノ-3-(2,3’,4-トリフルオロ-2’,6’-ジメチル-5-(トリフルオロメチル)ビフェニル-3-イル)プロパン酸塩(120mg、0.29mmol)、2-(5-(2-(ジメチルアミノ)エチル)-2-オキソ-4-(トリフルオロメチル)ピリジン-1(2H)-イル)-4-メチルペンタン酸(100mg、0.29mmol)、TCFH(157mg、0.56mmol)およびNMI(69mg、0.84mmol)のMeCN(5mL)の混合液を室温で1時間攪拌した。溶媒を真空中で除去し、残留物をシリカゲルカラム(DCM:MeOH 97:3)により精製して、無色油状物として、(3S)-エチル 3-(2-(5-(2-(ジメチルアミノ)エチル)-2-オキソ-4-(トリフルオロメチル)ピリジン-1(2H)-イル)-4-メチルペンタンアミド)-3-(2,3’,4-トリフルオロ-2’,6’-ジメチル-5-(トリフルオロメチル)ビフェニル-3-イル)プロパン酸塩(120mg)を得た。収率 55%(ESI 750.3(M+H))。
工程2:(3S)-3-(2-(5-(2-(ジメチルアミノ)エチル)-2-オキソ-4-(トリフルオロメチル)ピリジン-1(2H)-イル)-4-メチルペンタンアミド)-3-(2,3’,4-トリフルオロ-2’,6’-ジメチル-5-(トリフルオロメチル)ビフェニル-3-イル)プロパン酸
Figure 0007702004000743
(3S)-エチル 3-(2-(5-(2-(ジメチルアミノ)エチル)-2-オキソ-4-(トリフルオロメチル)ピリジン-1(2H)-イル)-4-メチルペンタンアミド)-3-(2,3’,4-トリフルオロ-2’,6’-ジメチル-5-(トリフルオロメチル)ビフェニル-3-イル)プロパン酸塩(100mg、0.13mmol)を、LiOH-HO(27mg、0.65mmol)のEtOH(3mL)とHO(1mL)の溶液を用いて室温で3時間処理した。反応混合液を、1N HClを用いてpH4~5に酸性化した。反応液を真空中で濃縮し、残留物を分取HPLC A(30~60% CHCN)により精製して、白色固形物として、ジアステレオマー生成物のJK-P1(30.3mg)およびJK-P2(23.1mg)を得た。
JK-P1 ESI 722.3(M+H). 1H NMR(400MHz,DMSO)δ 9.26(d,J=6.4Hz,1H),7.78(s,1H),7.62(t,J=7.5Hz,1H),7.25-7.12(m,2H),6.70(s,1H),5.58-5.55(m,1H),5.46(d,J=6.2Hz,1H),3.04-2.87(m,2H),2.67-2.52(m,2H),2.36(t,J=7.3Hz,2H),2.18(s,6H),1.96-1.73(m,8H),1.35-1.27(m,1H),0.85-0.83(m,6H).
JK-P2 ESI 722.3(M+H). 1H NMR(400MHz,MeOD)δ 7.84(s,1H),7.48(t,J=7.6Hz,1H),7.24-7.10(m,1H),7.04(t,J=9.0Hz,1H),6.90(s,1H),5.80-5.78(m,1H),5.66(t,J=7.8Hz,1H),3.19-3.15(m,2H),2.96(t,J=7.2Hz,2H),2.92-2.76(m,7H),2.69-2.66(m,1H),2.00(d,J=2.4Hz,3H),1.97-1.92(m,3H),1.93-1.86(m,1H),1.79-1.70(m,1H),1.33-1.30(m,1H),0.88-0.85(m,6H).
3-108. (3S)-3-(4-メチル-2-(5-(2-(3-メチルアゼチジン-1-イル)エチル)-2-オキソ-4-(トリフルオロメチル)ピリジン-1(2H)-イル)ペンタンアミド)-3-(2,3’,4-トリフルオロ-2’,6’-ジメチル-5-(トリフルオロメチル)ビフェニル-3-イル)プロパン酸(化合物JL-P1およびJL-P2)の調製
工程1:(3S)-エチル 3-(4-メチル-2-(5-(2-(3-メチルアゼチジン-1-イル)エチル)-2-オキソ-4-(トリフルオロメチル)ピリジン-1(2H)-イル)ペンタンアミド)-3-(2,3’,4-トリフルオロ-2’,6’-ジメチル-5-(トリフルオロメチル)ビフェニル-3-イル)プロパン酸塩
Figure 0007702004000744
(3S)-エチル 3-アミノ-3-(2,3’,4-トリフルオロ-2’,6’-ジメチル-5-(トリフルオロメチル)ビフェニル-3-イル)プロパン酸塩(120mg、0.28mmol)、4-メチル-2-(5-(2-(3-メチルアゼチジン-1-イル)エチル)-2-オキソ-4-(トリフルオロメチル)ピリジン-1(2H)-イル)ペンタン酸(105mg、0.28mmol)、NMI(69mg、0.84mmol)、およびTCFH(117mg、0.42mmol)のCHCN(10mL)の混合液を50℃で1時間攪拌した。溶媒を真空中で濃縮し、残留物をシリカゲルカラム(DCM:MeOH 10:1)により精製して、黄色油状物として、(3S)-エチル 3-(4-メチル-2-(5-(2-(3-メチルアゼチジン-1-イル)エチル)-2-オキソ-4-(トリフルオロメチル)ピリジン-1(2H)-イル)ペンタンアミド)-3-(2,3’,4-トリフルオロ-2’,6’-ジメチル-5-(トリフルオロメチル)ビフェニル-3-イル)プロパン酸塩(151mg)を得た。収率 68.0 %(ESI 776.3 [M+H])。
工程2:(3S)-3-(4-メチル-2-(5-(2-(3-メチルアゼチジン-1-イル)エチル)-2-オキソ-4-(トリフルオロメチル)ピリジン-1(2H)-イル)ペンタンアミド)-3-(2,3’,4-トリフルオロ-2’,6’-ジメチル-5-(トリフルオロメチル)ビフェニル-3-イル)プロパン酸
Figure 0007702004000745
(3S)-エチル 3-(4-メチル-2-(5-(2-(3-メチルアゼチジン-1-イル)エチル)-2-オキソ-4-(トリフルオロメチル)ピリジン-1(2H)-イル)ペンタンアミド)-3-(2,3’,4-トリフルオロ-2’,6’-ジメチル-5-(トリフルオロメチル)ビフェニル-3-イル)プロパン酸塩(151mg、0.19mmol)を、LiOH-HO(24.5mg、0.58mmol)のEtOH(3mL)と水(1mL)の溶液を用いて室温で1時間処理した。反応混合液を、1N HClを用いてpH4~5に酸性化した。反応液を真空中で濃縮し、残留物を分取HPLC A(20~70% MeCN)により精製して、白色固形物として、ジアステレオマー生成物のJL-P1(49mg)およびJL-P2(51mg)を得た。
JL-P1 ESI 748.2(M+H)H NMR(400MHz,MeOD)δ 7.81(s,1H),7.42(t,J=7.5Hz,1H),7.13(t,J=5.9Hz,1H),7.02(t,J=8.9Hz,1H),6.84(s,1H),5.77-5.65(m,2H),4.13(t,J=9.2Hz,2H),3.67(t,J=8.8Hz,2H),3.30-3.20(m,2H),2.89-2.81(m,5H),2.04-1.83(m,8H),1.41-1.35(m,1H),1.24(d,J=6.9Hz,3H),0.93(t,J=6.0Hz,6H).JL-P2 ESI 748.2(M+H). 1H NMR(400MHz,MeOD)δ 7.77(s,1H),7.49(t,J=7.5Hz,1H),7.20-7.13(m,1H),7.04(t,J=8.9Hz,1H),6.90(s,1H),5.89-5.81(m,1H),5.66(t,J=7.8Hz,1H),4.13(t,J=9.2Hz,2H),3.66(s,2H),3.30(s,2H),2.96-2.74(m,4H),2.68-2.62(m,1H),2.00(d,J=2.2Hz,3H),1.97-1.83(m,4H),1.77-1.71(m,1H),1.36-1.29(m,1H),1.25(d,J=6.9Hz,3H),0.90-0.85(m,6H).
3-109. (3S)-3-(2-(5-(2-(アゼチジン-1-イル)エチル)-2-オキソ-4-(トリフルオロメチル)ピリジン-1(2H)-イル)-4-メチルペンタンアミド)-3-(2,4-ジフルオロ-3’-メトキシ-2’,5,6’-トリメチル-[1,1’-ビフェニル]-3-イル)プロパン酸(化合物JM-P1およびJM-P2)の調製
工程1:(3S)-3-(2-(5-(2-(アゼチジン-1-イル)エチル)-2-オキソ-4-(トリフルオロメチル)ピリジン-1(2H)-イル)-4-メチルペンタンアミド)-3-(2,4-ジフルオロ-3’-メトキシ-2’,5,6’-トリメチル-[1,1’-ビフェニル]-3-イル)プロパン酸エチル
Figure 0007702004000746
(3S)-3-アミノ-3-(2,4-ジフルオロ-3’-メトキシ-2’,5,6’-トリメチル-[1,1’-ビフェニル]-3-イル)プロパン酸エチル(190mg、0.5mmol)、2-(5-(2-(アゼチジン-1-イル)エチル)-2-オキソ-4-(トリフルオロメチル)ピリジン-1(2H)-イル)-4-メチルペンタン酸(198mg、0.55mmol)、TCFH(302mg、1.08mmol)and NMI(220mg、2.7mmol)のCHCN(4mL)の混合液を25℃で1時間攪拌した。反応液を濃縮し、C18/40gカラムでの逆相HPLC(A:水 10mM NHHCO、B:MeOH、0~90%)により精製して、黄色固形物として、(3S)-3-(2-(5-(2-(アゼチジン-1-イル)エチル)-2-オキソ-4-(トリフルオロメチル)ピリジン-1(2H)-イル)-4-メチルペンタンアミド)-3-(2,4-ジフルオロ-3’-メトキシ-2’,5,6’-トリメチル-[1,1’-ビフェニル]-3-イル)プロパン酸エチル(250mg)を得た。収率 69.4 %(ESI 720.3 [M+H])。
工程2:(3S)-3-(2-(5-(2-(アゼチジン-1-イル)エチル)-2-オキソ-4-(トリフルオロメチル)ピリジン-1(2H)-イル)-4-メチルペンタンアミド)-3-(2,4-ジフルオロ-3’-メトキシ-2’,5,6’-トリメチル-[1,1’-ビフェニル]-3-イル)プロパン酸
Figure 0007702004000747
(3S)-3-(2-(5-(2-(アゼチジン-1-イル)エチル)-2-オキソ-4-(トリフルオロメチル)ピリジン-1(2H)-イル)-4-メチルペンタンアミド)-3-(2,4-ジフルオロ-3’-メトキシ-2’,5,6’-トリメチル-[1,1’-ビフェニル]-3-イル)プロパン酸エチル(250mg、0.35mmol)を、LiOH-HO(42mg、1mmol)のEtOH(4mL)とHO(1mL)の溶液を用いて室温で30分間処理した。反応混合液を、1N HClを用いてpH5~6に酸性化した。反応液を真空中で濃縮し、残留物を分取HPLC A(35~65% CHCN)により精製して、白色固形物として、ジアステレオマー生成物のJM-P1(68mg)およびJM-P2(86mg)を得た。
JM-P1 ESI 692.3(M+H)H NMR(400MHz,MeOD)δ 7.79(s,1H),7.04(d,J=8.4Hz,1H),6.90-6.79(m,3H),5.77-5.63(m,2H),3.99(t,J=8.0Hz,4H),3.81(s,3H),3.30-3.23(m,2H),2.94-2.81(m,3H),2.70-2.61(m,1H),2.46-2.35(m,2H),2.24(s,3H),1.97(t,J=7.6Hz,2H),1.93-1.77(m,6H),1.44-1.34(m,1H),0.92(t,J=6.2Hz,6H).
JM-P2 ESI 692.3(M+H)H NMR(400MHz,MeOD)δ 7.69(s,1H),7.06(d,J=8.4Hz,1H),6.96-6.82(m,3H),5.95-5.87(m,1H),5.61(t,J=7.7Hz,1H),4.12(t,J=8.1Hz,4H),3.82(s,3H),3.47-3.33(m,2H),2.98-2.73(m,3H),2.56-2.40(m,3H),2.28(s,3H),1.97-1.88(m,4H),1.86(d,J=3.0Hz,3H),1.78-1.68(m,1H),1.41-1.30(m,1H),0.88(dd,J=10.5,6.6Hz,6H).
3-110. (3S)-3-(4,4’-ジフルオロ-2’,5,6’-トリメチル-[1,1’-ビフェニル]-3-イル)-3-(2-(3-フルオロ-5-(2-(3-フルオロアゼチジン-1-イル)エチル)-2-オキソピリジン-1(2H)-イル)-4-メチルペンタンアミド)プロパン酸(JN-P1およびJN-P2)の調製
工程1:(3S)-3-(4,4’-ジフルオロ-2’,5,6’-トリメチル-[1,1’-ビフェニル]-3-イル)-3-(2-(3-フルオロ-5-(2-(3-フルオロアゼチジン-1-イル)エチル)-2-オキソピリジン-1(2H)-イル)-4-メチルペンタンアミド)プロパン酸エチル
Figure 0007702004000748
2-(3-フルオロ-5-(2-(3-フルオロアゼチジン-1-イル)エチル)-2-オキソピリジン-1(2H)-イル)-4-メチルペンタン酸(200.0mg、0.61mmol)、(S)-3-アミノ-3-(4,4’-ジフルオロ-2’,5,6’-トリメチル-[1,1’-ビフェニル]-3-イル)プロパン酸エチル(260.0mg、0.61mmol)、TCHF(205.0mg、0.73mmol)およびNMI(150.0mg、1.83mmol)のCHCN(4mL)の混合液を室温で1.5時間攪拌した。溶媒を真空中で除去し、残留物をC18/40gカラムでの逆相HPLC(A:水 10mM NHHCO、B:MeOH、0~100%)により精製して、黄色固形物として、(3S)-3-(4,4’-ジフルオロ-2’,5,6’-トリメチル-[1,1’-ビフェニル]-3-イル)-3-(2-(3-フルオロ-5-(2-(3-フルオロアゼチジン-1-イル)エチル)-2-オキソピリジン-1(2H)-イル)-4-メチルペンタンアミド)プロパン酸エチル(210.0mg)を得た。収率 52.5%(ESI 658.3 [M+H])。
工程2:(3S)-3-(4,4’-ジフルオロ-2’,5,6’-トリメチル-[1,1’-ビフェニル]-3-イル)-3-(2-(3-フルオロ-5-(2-(3-フルオロアゼチジン-1-イル)エチル)-2-オキソピリジン-1(2H)-イル)-4-メチルペンタンアミド)プロパン酸
Figure 0007702004000749
(3S)-3-(4,4’-ジフルオロ-2’,5,6’-トリメチル-[1,1’-ビフェニル]-3-イル)-3-(2-(3-フルオロ-5-(2-(3-フルオロアゼチジン-1-イル)エチル)-2-オキソピリジン-1(2H)-イル)-4-メチルペンタンアミド)プロパン酸エチル(210.0mg、0.32 mmol)を、LiOH-HO(150.0 mg、3.2mmol)のTHF(4mL)と水(2mL)の溶液を用いて30℃で1時間処理した。反応混合液を、2N HClを用いてpH4~5に酸性化した。溶媒を真空中で除去し、残留物を分取HPLC A(30~60% MeCN)により精製して、白色固形物として、ジアステレオマー生成物のJN-P1(81mg)およびJN-P2(83mg)を得た。
JN-P1 ESI 630.2(M+H)H NMR(400MHz,MeOD)δ 7.30(s,1H),7.25-7.22(m,1H),6.77-6.75(m,1H),6.72-6.69(m,3H),5.55(t,J=8.0Hz,1H),5.40-5.37(m,1H),5.18-5.01(m,1H),3.99-3.82(m,2H),3.66-3.48(m,2H),3.06-2.99(m,2H),2.66-2.50(m,4H),2.18(d,J=1.5Hz,3H),1.89-1.81(m,5H),1.78(s,3H),1.34-1.27(m,1H),0.85-0.78(m,6H).
JN-P2 ESI 630.2(M+H)H NMR(400MHz,MeOD)δ 7.27-7.23(m,2H),6.80(d,J=6.9Hz,2H),6.73(d,J=9.6Hz,2H),5.56-5.49(m,2H),5.28-5.11(m,1H),4.33-4.18(m,2H),3.97-3.83(m,2H),3.27-3.22(m,2H),2.64-2.35(m,4H),2.21(d,J=1.9Hz,3H),1.89-1.82(m,7H),1.69-1.62(m,1H),1.31-1.21(m,1H),0.83-0.78(m,6H).
3-111. (3S)-3-(2-(5-(2-(アゼチジン-1-イル)エチル)-2-オキソ-4-(トリフルオロメチル)ピリジン-1(2H)-イル)-4-メチルペンタンアミド)-3-(3’,4-ジフルオロ-2’,6’-ジメチル-5-(トリフルオロメチル)-[1,1’-ビフェニル]-3-イル)プロパン酸の調製
工程1:(3S)-3-(2-(5-(2-(アゼチジン-1-イル)エチル)-2-オキソ-4-(トリフルオロメチル)ピリジン-1(2H)-イル)-4-メチルペンタンアミド)-3-(3’,4-ジフルオロ-2’,6’-ジメチル-5-(トリフルオロメチル)-[1,1’-ビフェニル]-3-イル)プロパン酸エチル
Figure 0007702004000750
(S)-3-アミノ-3-(3’,4-ジフルオロ-2’,6’-ジメチル-5-(トリフルオロメチル)-[1,1’-ビフェニル]-3-イル)プロパン酸エチル(230mg,0.57mmol)、2-(5-(2-(アゼチジン-1-イル)エチル)-2-オキソ-4-(トリフルオロメチル)ピリジン-1(2H)-イル)-4-メチルペンタン酸(205mg、0.57mmol)、NMI(0.6mL)およびTCFH(241mg、0.86mmol)のCHCN(3mL)の混合液を室温で2.0時間攪拌した。溶媒を真空中で濃縮し、残留物を分取HPLC A(50~80% CH3CN)により精製して、白色固形物として、(3S)-3-(2-(5-(2-(アゼチジン-1-イル)エチル)-2-オキソ-4-(トリフルオロメチル)ピリジン-1(2H)-イル)-4-メチルペンタンアミド)-3-(3’,4-ジフルオロ-2’,6’-ジメチル-5-(トリフルオロメチル)-[1,1’-ビフェニル]-3-イル)プロパン酸エチル(320mg)を得た。収率 76%(ESI 744.2 [M+H])。
工程2:(3S)-3-(2-(5-(2-(アゼチジン-1-イル)エチル)-2-オキソ-4-(トリフルオロメチル)ピリジン-1(2H)-イル)-4-メチルペンタンアミド)-3-(3’,4-ジフルオロ-2’,6’-ジメチル-5-(トリフルオロメチル)-[1,1’-ビフェニル]-3-イル)プロパン酸
Figure 0007702004000751
(3S)-3-(2-(5-(2-(アゼチジン-1-イル)エチル)-2-オキソ-4-(トリフルオロメチル)ピリジン-1(2H)-イル)-4-メチルペンタンアミド)-3-(3’,4-ジフルオロ-2’,6’-ジメチル-5-(トリフルオロメチル)-[1,1’-ビフェニル]-3-イル)プロパン酸エチル(320mg、0.43mmol)を、LiOH-HO(35mg、0.84mmol)のMeOH(3.0mL)とHO(1.0mL)の溶液を用いて室温で2時間処理した。反応混合液を、1N HClを用いてpH5~6に酸性化した。溶媒を真空中で除去し、残留物を分取HPLC A(50~80% CHCN)により精製して、白色固形物として、ジアステレオマー生成物のJO-P1(100mg)およびJO-P2(102mg)を得た。
JO-P1 ESI 716.2(M+H)H NMR(400MHz,MeOD)δ 7.84(s,1H),7.42-7.29(m,2H),7.18-7.03(m,1H),6.98(t,J=9.0Hz,1H),6.71(d,J=10.0Hz,1H),5.70-5.50(m,2H),4.05(t,J=8.1Hz,4H),3.30-3.25(m,1H),2.87-2.65(m,4H),2.50-2.38(m,2H),2.08-1.86(m,5H),1.83-1.68(m,3H),1.47-1.33(m,1H),0.93-0.85(m,6H).
JO-P2 ESI 716.2(M+H)H NMR(400MHz,MeOD)δ 7.73(s,1H),7.48-7.38(m,2H),7.19-7.09(m,1H),7.00(t,J=9.0Hz,1H),6.88(s,1H),5.88-5.78(m,1H),5.61(t,J=7.5Hz,1H),4.13(t,J=8.1Hz,4H),3.49-3.32(m,2H),2.97-2.73(m,2H),2.70-2.40(m,4H),2.05-1.85(m,7H),1.73-1.60(m,1H),1.44-1.26(m,1H),0.87(d,J=6.6Hz,6H).
3-112. (3S)-3-(2-(5-(2-(アゼチジン-1-イル)エチル)-2-オキソ-4-(トリフルオロメチル)ピリジン-1(2H)-イル)-4-メチルペンタンアミド)-3-(4-フルオロ-3’-メトキシ-2’,6’-ジメチル-5-(トリフルオロメチル)ビフェニル-3-イル)プロパン酸(化合物JP-P1およびJP-P2)の調製
工程1:(3S)-エチル 3-(2-(5-(2-(アゼチジン-1-イル)エチル)-2-オキソ-4-(トリフルオロメチル)ピリジン-1(2H)-イル)-4-メチルペンタンアミド)-3-(4-フルオロ-3’-メトキシ-2’,6’-ジメチル-5-(トリフルオロメチル)ビフェニル-3-イル)プロパン酸塩
Figure 0007702004000752
(S)-エチル 3-アミノ-3-(4-フルオロ-3’-メトキシ-2’,6’-ジメチル-5-(トリフルオロメチル)ビフェニル-3-イル)プロパン酸塩(200mg、0.48mmol)、2-(5-(2-(アゼチジン-1-イル)エチル)-2-オキソ-4-(トリフルオロメチル)ピリジン-1(2H)-イル)-4-メチルペンタン酸(173mg、0.48mmol)、NMI(120mg、1.44mmol)、およびTCFH(160mg、0.58mmol)のCHCN(8mL)の混合液を室温で2時間攪拌した。溶媒を真空中で濃縮し、残留物をC18/40gカラムでの逆相HPLC(A:水 10mM NH4HCO3、B:CH3CN、0~100%)により精製して、黄色油状物として、(3S)-エチル 3-(2-(5-(2-(アゼチジン-1-イル)エチル)-2-オキソ-4-(トリフルオロメチル)ピリジン-1(2H)-イル)-4-メチルペンタンアミド)-3-(4-フルオロ-3’-メトキシ-2’,6’-ジメチル-5-(トリフルオロメチル)ビフェニル-3-イル)プロパン酸塩(270mg)を得た。収率 72 %(ESI 756.2 [M+H])。
工程2:(3S)-3-(2-(5-(2-(アゼチジン-1-イル)エチル)-2-オキソ-4-(トリフルオロメチル)ピリジン-1(2H)-イル)-4-メチルペンタンアミド)-3-(4-フルオロ-3’-メトキシ-2’,6’-ジメチル-5-(トリフルオロメチル)ビフェニル-3-イル)プロパン酸
Figure 0007702004000753
(3S)-エチル 3-(2-(5-(2-(アゼチジン-1-イル)エチル)-2-オキソ-4-(トリフルオロメチル)ピリジン-1(2H)-イル)-4-メチルペンタンアミド)-3-(4-フルオロ-3’-メトキシ-2’,6’-ジメチル-5-(トリフルオロメチル)ビフェニル-3-イル)プロパン酸塩(270mg、0.36mmol)を、LiOH-HO(60mg、1.44mmol)のEtOH(3mL)とHO(1mL)の溶液を用いて室温で2時間処理した。反応混合液を、1N HClを用いてpH5~6に酸性化した。溶媒を真空中で除去し、残留物を分取HPLC A(30~60% CHCN)により精製して、白色固形物として、ジアステレオマー生成物のJP-P1(75mg)およびJP-P2(85mg)を得た。
JP-P1 ESI 727.8(M+H). 1H NMR(400MHz,MeOD)δ 7.83(s,1H),7.36-7.25(m,2H),7.05(t,J=8.7Hz,1H),6.87-6.73(m,2H),5.64-5.59(m,2H),4.04(t,J=8.1Hz,4H),3.82(s,3H),3.29-3.25(m,2H),2.85-2.69(m,4H),2.47-2.39(m,2H),2.05-1.94(m,2H),1.91-1.68(m,6H),1.43-1.37(m,1H),0.94-0.90(m,6H).
JP-P2 ESI 727.8(M+H). 1H NMR(400MHz,MeOD)δ 7.73(s,1H),7.42-7.31(m,2H),7.09(d,J=8.3Hz,1H),6.89-6.87(m,2H),5.81-5.78(m,1H),5.61(t,J=7.6Hz,1H),4.13(t,J=8.0Hz,4H),3.83(s,3H),3.44-3.32(m,2H),2.94-2.42(m,6H),2.00-1.84(m,7H),1.68-1.61(m,1H),1.41-1.34(m,1H),0.87-0.85(m,6H).
3-113. (S)-3-((S)-2-(5-(2-(アゼチジン-1-イル)エチル)-2-オキソ-4-(トリフルオロメチル)ピリジン-1(2H)-イル)-4-メチルペンタンアミド)-3-(4-フルオロ-2’,3’,6’-トリメチル-5-(トリフルオロメチル)ビフェニル-3-イル)プロパン酸(化合物JQ-P1およびJQ-P2)の調製
工程1:(S)-エチル 3-((S)-2-(5-(2-(アゼチジン-1-イル)エチル)-2-オキソ-4-(トリフルオロメチル)ピリジン-1(2H)-イル)-4-メチルペンタンアミド)-3-(4-フルオロ-2’,3’,6’-トリメチル-5-(トリフルオロメチル)ビフェニル-3-イル)プロパン酸塩
Figure 0007702004000754
(S)-エチル 3-アミノ-3-(4-フルオロ-2’,3’,6’-トリメチル-5-(トリフルオロメチル)ビフェニル-3-イル)プロパン酸塩(170mg、0.43mmol)、2-(5-(2-(アゼチジン-1-イル)エチル)-2-オキソ-4-(トリフルオロメチル)ピリジン-1(2H)-イル)-4-メチルペンタン酸(155mg、0.43mmol)、TCFH(241mg、0.86mmol)およびNMI(106mg、1.3mmol)のMeCN(5mL)の混合液を室温で1時間攪拌した。溶媒を真空中で除去し、残留物をシリカゲルカラム(DCM:MeOH 10:1)により精製して、無色油状物として、(S)-エチル 3-((S)-2-(5-(2-(アゼチジン-1-イル)エチル)-2-オキソ-4-(トリフルオロメチル)ピリジン-1(2H)-イル)-4-メチルペンタンアミド)-3-(4-フルオロ-2’,3’,6’-トリメチル-5-(トリフルオロメチル)ビフェニル-3-イル)プロパン酸塩(200mg)を得た。収率 63%(ESI 740.3(M+H))。
工程2:(S)-3-((S)-2-(5-(2-(アゼチジン-1-イル)エチル)-2-オキソ-4-(トリフルオロメチル)ピリジン-1(2H)-イル)-4-メチルペンタンアミド)-3-(4-フルオロ-2’,3’,6’-トリメチル-5-(トリフルオロメチル)ビフェニル-3-イル)プロパン酸
Figure 0007702004000755
(S)-エチル 3-((S)-2-(5-(2-(アゼチジン-1-イル)エチル)-2-オキソ-4-(トリフルオロメチル)ピリジン-1(2H)-イル)-4-メチルペンタンアミド)-3-(4-フルオロ-2’,3’,6’-トリメチル-5-(トリフルオロメチル)ビフェニル-3-イル)プロパン酸塩(200mg、0.27mmol)を、LiOH-HO(53mg、1.27mmol)のEtOH(3mL)とHO(1mL)の溶液を用いて室温で2時間処理した。反応混合液を、1N HClを用いてpH4~5に酸性化した。溶媒を真空中で除去し、残留物を分取HPLC A(30~60% CHCN)により精製して、白色固形物として、ジアステレオマー生成物のJQ-P1(62mg)およびJQ-P2(87mg)を得た。
JQ-P1 ESI 712.3(M+H). 1H NMR(400MHz,MeOD)δ 7.82(d,J=5.2Hz,1H),7.36(s,1H),7.29-7.22(m,1H),7.07(d,J=7.7Hz,1H),7.03-6.92(m,1H),6.75(d,J=16.4Hz,1H),5.62-5.60(m,2H),4.05(t,J=7.9Hz,4H),3.30(s,2H),2.83(d,J=3.3Hz,2H),2.76-2.64(m,2H),2.54-2.37(m,2H),2.26(s,3H),2.06-1.95(m,2H),1.99-1.92(m,3H),1.78(s,3H),1.39(d,J=6.4Hz,1H),0.94-0.90(m,6H).
JQ-P2 ESI 712.3(M+H). 1H NMR(400MHz,MeOD)δ 7.73(s,1H),7.41(d,J=6.4Hz,1H),7.32(d,J=6.3Hz,1H),7.08(d,J=7.7Hz,1H),7.01(d,J=7.7Hz,1H),6.88(s,1H),5.80(d,J=10.3Hz,1H),5.61(t,J=7.7Hz,1H),4.13(t,J=7.9Hz,4H),3.34-3.29(m,2H),2.91(d,J=16.4Hz,1H),2.85-2.74(m,1H),2.68-2.64(m,1H),2.58-2.38(m,3H),2.28(s,3H),1.98-1.93(m,7H),1.67-1.64(m,1H),1.39-1.37(m,1H),0.87(s,6H).
3-114. (3S)-3-(2-(5-(2-(アゼチジン-1-イル)エチル)-2-オキソ-4-(トリフルオロメチル)ピリジン-1(2H)-イル)-4-フルオロ-4-メチルペンタンアミド)-3-(4-フルオロ-2’,4’,6’-トリメチル-5-(トリフルオロメチル)ビフェニル-3-イル)プロパン酸(化合物JR-P1およびJR-P2)の調製
工程1:(3S)-エチル 3-(2-(5-(2-(アゼチジン-1-イル)エチル)-2-オキソ-4-(トリフルオロメチル)ピリジン-1(2H)-イル)-4-フルオロ-4-メチルペンタンアミド)-3-(4-フルオロ-2’,4’,6’-トリメチル-5-(トリフルオロメチル)ビフェニル-3-イル)プロパン酸塩
Figure 0007702004000756
(S)-エチル 3-アミノ-3-(4-フルオロ-2’,4’,6’-トリメチル-5-(トリフルオロメチル)ビフェニル-3-イル)プロパン酸塩(170mg、0.43mmol)、2-(5-(2-(アゼチジン-1-イル)エチル)-2-オキソ-4-(トリフルオロメチル)ピリジン-1(2H)-イル)-4-フルオロ-4-メチルペンタン酸(163mg、0.43mmol)、TCFH(241mg、0.86mmol)およびNMI(106mg、1.3mmol)のMeCN(5mL)の混合液を室温で1時間攪拌した。溶媒を真空中で除去し、残留物をシリカゲルカラム(DCM:MeOH 97:3)により精製して、無色油状物として、(3S)-エチル 3-(2-(5-(2-(アゼチジン-1-イル)エチル)-2-オキソ-4-(トリフルオロメチル)ピリジン-1(2H)-イル)-4-フルオロ-4-メチルペンタンアミド)-3-(4-フルオロ-2’,4’,6’-トリメチル-5-(トリフルオロメチル)ビフェニル-3-イル)プロパン酸塩(100mg)を得た。収率 31%(ESI 758.3(M+H))。
工程2:(3S)-3-(2-(5-(2-(アゼチジン-1-イル)エチル)-2-オキソ-4-(トリフルオロメチル)ピリジン-1(2H)-イル)-4-フルオロ-4-メチルペンタンアミド)-3-(4-フルオロ-2’,4’,6’-トリメチル-5-(トリフルオロメチル)ビフェニル-3-イル)プロパン酸
Figure 0007702004000757
(3S)-エチル 3-(2-(5-(2-(アゼチジン-1-イル)エチル)-2-オキソ-4-(トリフルオロメチル)ピリジン-1(2H)-イル)-4-フルオロ-4-メチルペンタンアミド)-3-(4-フルオロ-2’,4’,6’-トリメチル-5-(トリフルオロメチル)ビフェニル-3-イル)プロパン酸塩(100mg、0.13mmol)を、LiOH-HO(27mg、0.65mmol)のEtOH(3mL)とHO(1mL)の溶液を用いて室温で2時間処理した。反応混合液を、1N HClを用いてpH4~5に酸性化した。溶媒を真空中で除去し、残留物を分取HPLC A(30~60% CHCN)により精製して、白色固形物として、ジアステレオマー生成物のJR-P1(36mg)およびJR-P2(22mg)を得た。
JR-P1 ESI 730.3(M+H). 1H NMR(400MHz,MeOD)δ 7.90(s,1H),7.26(d,J=6.4Hz,2H),6.92(s,2H),6.58(s,1H),5.65(s,1H),5.59-5.50(m,1H),4.09(t,J=8.1Hz,4H),3.33(d,J=11.0Hz,2H),2.90-2.40(m,8H),2.30(s,3H),1.99-1.90(m,3H),1.84(d,J=15.3Hz,3H),1.46-1.25(m,6H).
JR-P2 ESI 730.3(M+H). 1H NMR(400MHz,MeOD)δ 7.73(s,1H),7.43(d,J=4.9Hz,1H),7.32(d,J=6.5Hz,1H),6.94(s,2H),6.88(s,1H),5.78(t,J=6.6Hz,2H),4.14(s,4H),3.51-3.36(m,2H),2.92(d,J=15.8Hz,1H),2.82-2.79(m,1H),2.68-2.42(m,5H),2.30(s,3H),2.16-2.13(m,1H),1.95(d,J=3.6Hz,6H),1.34-1.31(m,6H).
3-115. (3S)-3-(2-(5-(3-(ジメチルアミノ)プロピル)-2-オキソ-4-(トリフルオロメチル)ピリジン-1(2H)-イル)-4-メチルペンタンアミド)-3-(4-フルオロ-2’,4’,6’-トリメチル-5-(トリフルオロメチル)-[1,1’-ビフェニル]-3-イル)プロパン酸(化合物JS-P1およびJS-P2)の調製
工程1:(3S)-3-(2-(5-(3-(ジメチルアミノ)プロピル)-2-オキソ-4-(トリフルオロメチル)ピリジン-1(2H)-イル)-4-メチルペンタンアミド)-3-(4-フルオロ-2’,4’,6’-トリメチル-5-(トリフルオロメチル)-[1,1’-ビフェニル]-3-イル)プロパン酸エチル
Figure 0007702004000758
(S)-3-アミノ-3-(4-フルオロ-2’,4’,6’-トリメチル-5-(トリフルオロメチル)-[1,1’-ビフェニル]-3-イル)プロパン酸エチル(290mg、0.73mmol)、2-(5-(3-(ジメチルアミノ)プロピル)-2-オキソ-4-(トリフルオロメチル)ピリジン-1(2H)-イル)-4-メチルペンタン酸(240mg、0.662mmol)、N,N,N’,N’-テトラメチルクロロホルムアミジニウムヘキサフルオロリン酸塩(278mg、0.993mmol)、および1-メチルイミダゾール(217mg、2.65mmol)のアセトニトリル(10mL)の混合液を室温で2時間攪拌した。混合液をC18/40gカラムでの逆相HPLC(A:水 10mM NHHCO、B:MeOH、0~100%)により精製して、白色固形物として、(3S)-3-(2-(5-(3-(ジメチルアミノ)プロピル)-2-オキソ-4-(トリフルオロメチル)ピリジン-1(2H)-イル)-4-メチルペンタンアミド)-3-(4-フルオロ-2’,4’,6’-トリメチル-5-(トリフルオロメチル)-[1,1’-ビフェニル]-3-イル)プロパン酸エチル(370mg)を得た。収率 75%(ESI 742.2(M+H))。
工程2:(3S)-3-(2-(5-(3-(ジメチルアミノ)プロピル)-2-オキソ-4-(トリフルオロメチル)ピリジン-1(2H)-イル)-4-メチルペンタンアミド)-3-(4-フルオロ-2’,4’,6’-トリメチル-5-(トリフルオロメチル)-[1,1’-ビフェニル]-3-イル)プロパン酸
Figure 0007702004000759
(3S)-3-(2-(5-(3-(ジメチルアミノ)プロピル)-2-オキソ-4-(トリフルオロメチル)ピリジン-1(2H)-イル)-4-メチルペンタンアミド)-3-(4-フルオロ-2’,4’,6’-トリメチル-5-(トリフルオロメチル)-[1,1’-ビフェニル]-3-イル)プロパン酸エチル(370mg、0.50mmol)を、LiOH-HO(84mg、2.0mmol)のMeOH(5mL)とHO(1mL)の溶液を用いて室温で2時間処理した。反応混合液を、1N HClを用いてpH4~5に酸性化した。溶媒を真空中で除去し、残留物を分取HPLC A(30~60% CHCN)により精製して、白色固形物として、ジアステレオマー生成物のJS-P1(123mg)およびJS-P2(91mg)を得た。
JS-P1 ESI 713.9(M+H). 1H NMR(400MHz,MeOD)δ 7.78(s,1H),7.35(d,J=5.0Hz,1H),7.30-7.21(m,1H),6.91(d,J=13.8Hz,2H),6.68(s,1H),5.70-5.66(m,1H),5.59(t,J=6.8Hz,1H),3.09-3.04(m,2H),2.79(s,6H),2.74-2.63(m,4H),2.29(s,3H),2.03-1.95(m,7H),1.78(s,3H),1.42-1.33(m,1H),0.94-0.91(m,6H).
JS-P2 ESI 713.9(M+H). 1H NMR(400MHz,MeOD)δ 7.80(s,1H),7.37-7.30(m,2H),6.94(s,2H),6.83(s,1H),5.76-5.72(m,1H),5.58(t,J=7.6Hz,1H),3.05-3.00(m,2H),2.79(s,6H),2.74-2.49(m,4H),2.30(s,3H),2.03-1.91(m,9H),1.67-1.60(m,1H),1.37-1.29(m,1H),0.86-0.83(m,6H).
3-116. (3S)-3-(2-(5-(2-(5-アザスピロ[2.3]ヘキサン-5-イル)エチル)-2-オキソ-4-(トリフルオロメチル)ピリジン-1(2H)-イル)-4-メチルペンタンアミド)-3-(4-フルオロ-2’,6’-ジメチル-5-(トリフルオロメチル)-[1,1’-ビフェニル]-3-イル)プロパン酸(化合物JT-P1およびJT-P2)の調製
工程1:(3S)-3-(2-(5-(2-(5-アザスピロ[2.3]ヘキサン-5-イル)エチル)-2-オキソ-4-(トリフルオロメチル)ピリジン-1(2H)-イル)-4-メチルペンタンアミド)-3-(4-フルオロ-2’,6’-ジメチル-5-(トリフルオロメチル)-[1,1’-ビフェニル]-3-イル)プロパン酸エチル
Figure 0007702004000760
(S)-3-アミノ-3-(4-フルオロ-2’,6’-ジメチル-5-(トリフルオロメチル)-[1,1’-ビフェニル]-3-イル)プロパン酸エチル塩酸塩(150mg、0.36mmol)、2-(5-(2-(5-アザスピロ[2.3]ヘキサン-5-イル)エチル)-2-オキソ-4-(トリフルオロメチル)ピリジン-1(2H)-イル)-4-メチルペンタン酸(139.0mg、0.36mmol)、TCHF(120.6mg、0.43mmol)、およびNMI(88.7mg、1.08mmol)のCHCN(5mL)の混合液を室温で一晩攪拌した。溶媒を真空中で除去し、残留物をC18/40gカラムでの逆相HPLC(A:水 10mM NHHCO、B:MeOH、0~100%)により精製して、明黄色固形物として、(3S)-3-(2-(5-(2-(5-アザスピロ[2.3]ヘキサン-5-イル)エチル)-2-オキソ-4-(トリフルオロメチル)ピリジン-1(2H)-イル)-4-メチルペンタンアミド)-3-(4-フルオロ-2’,6’-ジメチル-5-(トリフルオロメチル)-[1,1’-ビフェニル]-3-イル)プロパン酸エチル(100mg)を得た。収率 37%(ESI 752.3 [M+H])。
工程2:(3S)-3-(2-(5-(2-(5-アザスピロ[2.3]ヘキサン-5-イル)エチル)-2-オキソ-4-(トリフルオロメチル)ピリジン-1(2H)-イル)-4-メチルペンタンアミド)-3-(4-フルオロ-2’,6’-ジメチル-5-(トリフルオロメチル)-[1,1’-ビフェニル]-3-イル)プロパン酸
Figure 0007702004000761
(3S)-3-(2-(5-(2-(5-アザスピロ[2.3]ヘキサン-5-イル)エチル)-2-オキソ-4-(トリフルオロメチル)ピリジン-1(2H)-イル)-4-メチルペンタンアミド)-3-(4-フルオロ-2’,6’-ジメチル-5-(トリフルオロメチル)-[1,1’-ビフェニル]-3-イル)プロパン酸エチル(100.0mg、0.13mmol)を、LiOH-HO(16.4mg、0.39mmol)のEtOH(2mL)と水(0.5mL)の溶液を用いて室温で1時間処理した。反応混合液を、2N HClを用いてpH5~6に酸性化した。溶媒を真空中で除去し、残留物を分取HPLC A(30~80% MeCN)により精製して、白色固形物として、ジアステレオマー生成物のJT-P1(29mg)およびJT-P2(38mg)を得た。
JT-P1 ESI 724.2(M+H)+ 1H NMR(400MHz,MeOD)δ 7.84(s,1H),7.40(d,J=5.2Hz,1H),7.29(d,J=6.3Hz,1H),7.19-7.06(m,3H),6.73(s,1H),5.67-5.60(m,2H),4.10(s,4H),3.42-3.33(m,2H),2.87(t,J=7.1Hz,2H),2.72(d,J=6.9Hz,2H),2.07-1.90(m,5H),1.84(s,3H),1.46-1.34(m,1H),1.00-0.88(m,6H),0.75(s,4H).
JT-P2 ESI 724.2(M+H)+ 1H NMR(400MHz,MeOD)δ 7.75(s,1H),7.46-7.43(m,1H),7.37-7.34(m,1H),7.21-7.10(m,3H),6.88(s,1H),5.81-5.76(m,1H),5.63(t,J=7.7Hz,1H),4.26-4.09(m,4H),3.53-3.39(m,2H),3.03-2.75(m,2H),2.70-2.50(m,2H),2.04-1.91(m,7H),1.69-1.60(m,1H),1.45-1.35(m,1H),0.90-0.86(m,6H),0.83-0.72(m,4H).
3-117. (3S)-3-(2-(5-(2-(5-アザスピロ[2.3]ヘキサン-5-イル)エチル)-2-オキソ-4-(トリフルオロメチル)ピリジン-1(2H)-イル)-4-メチルペンタンアミド)-3-(4-フルオロ-2’,4’,5,6’-テトラメチルビフェニル-3-イル)プロパン酸(化合物JU-P1およびJU-P2)の調製
工程1:(3S)-エチル 3-(2-(5-(2-(5-アザスピロ[2.3]ヘキサン-5-イル)エチル)-2-オキソ-4-(トリフルオロメチル)ピリジン-1(2H)-イル)-4-メチルペンタンアミド)-3-(4-フルオロ-2’,4’,5,6’-テトラメチルビフェニル-3-イル)プロパン酸塩
Figure 0007702004000762
2-(5-(2-(5-アザスピロ[2.3]ヘキサン-5-イル)エチル)-2-オキソ-4-(トリフルオロメチル)ピリジン-1(2H)-イル)-4-メチルペンタン酸(150mg、0.39mmol)、(S)-エチル 3-アミノ-3-(4-フルオロ-2’,4’,5,6’-テトラメチルビフェニル-3-イル)プロパン酸塩(133mg、0.39mmol)、NMI(160mg、1.96mmol)、およびTCHF(218mg、0.78mmol)のCHCN(5mL)の混合液を室温で1.5時間攪拌した。溶媒を真空中で濃縮し、残留物をシリカゲルカラム(DCM:MeOH 9:1)により精製して、無色油状物として、(3S)-エチル 3-(2-(5-(2-(5-アザスピロ[2.3]ヘキサン-5-イル)エチル)-2-オキソ-4-(トリフルオロメチル)ピリジン-1(2H)-イル)-4-メチルペンタンアミド)-3-(4-フルオロ-2’,4’,5,6’-テトラメチルビフェニル-3-イル)プロパン酸塩(180mg)を得た。収率 65 %(ESI 712.3 [M+H])。
工程2:(3S)-3-(2-(5-(2-(5-アザスピロ[2.3]ヘキサン-5-イル)エチル)-2-オキソ-4-(トリフルオロメチル)ピリジン-1(2H)-イル)-4-メチルペンタンアミド)-3-(4-フルオロ-2’,4’,5,6’-テトラメチルビフェニル-3-イル)プロパン酸
Figure 0007702004000763
(3S)-エチル 3-(2-(5-(2-(5-アザスピロ[2.3]ヘキサン-5-イル)エチル)-2-オキソ-4-(トリフルオロメチル)ピリジン-1(2H)-イル)-4-メチルペンタンアミド)-3-(4-フルオロ-2’,4’,5,6’-テトラメチルビフェニル-3-イル)プロパン酸塩(180mg、0.25mmol)を、LiOH-HO(53mg、1.27mmol)のEtOH(3mL)とHO(1mL)の溶液を用いて室温で2時間処理した。反応混合液を、1N HClを用いてpH4~5に酸性化した。溶媒を真空中で除去し、残留物を分取HPLC A(30~60% CHCN)により精製して、白色固形物として、ジアステレオマー生成物のJU-P1(51mg)およびJU-P2(60mg)を得た。
JU-P1 ESI 684.3(M+H). 1H NMR(400MHz,MeOD)δ 7.75(s,1H),6.92-6.89(m,5H),5.60(t,J=7.2Hz,1H),5.75-5.72(m,1H),4.27(d,J=8.1Hz,4H),3.55-3.40(m,2H),2.98-2.53(m,4H),2.28(s,3H),2.30(s,3H),2.08-1.93(m,7H),1.99-1.95(m,1H),1.42-1.40(m,1H),1.09-0.69(m,10H).
JU-P2 ESI 684.3(M+H). 1H NMR(400MHz,MeOD)δ 7.75(s,1H),7.00-6.80(m,5H),5.74-5.70(m,1H),5.60(t,J=7.6Hz,1H),4.18(s,4H),3.58-3.42(m,2H),2.97(d,J=16.0Hz,1H),2.89-2.74(m,1H),2.67-2.63(m,1H),2.53-2.50(m,1H),2.29(d,J=11.2Hz,6H),2.03-1.97(m,7H),1.65-1.61(m,1H),1.43-1.41(m,1H),0.88(d,J=5.6Hz,6H),0.77(t,J=10.3Hz,4H).
3-118. (3S)-3-(4-フルオロ-2’,3’,6’-トリメチル-5-(トリフルオロメチル)ビフェニル-3-イル)-3-(2-(5-(2-(3-(メトキシメチル)アゼチジン-1-イル)エチル)-2-オキソ-4-(トリフルオロメチル)ピリジン-1(2H)-イル)-4-メチルペンタンアミド)プロパン酸(化合物JV-P1およびJV-P2)の調製
工程1:(3S)-エチル 3-(4-フルオロ-2’,3’,6’-トリメチル-5-(トリフルオロメチル)ビフェニル-3-イル)-3-(2-(5-(2-(3-(メトキシメチル)アゼチジン-1-イル)エチル)-2-オキソ-4-(トリフルオロメチル)ピリジン-1(2H)-イル)-4-メチルペンタンアミド)プロパン酸塩
Figure 0007702004000764
(S)-エチル 3-アミノ-3-(4-フルオロ-2’,3’,6’-トリメチル-5-(トリフルオロメチル)ビフェニル-3-イル)プロパン酸塩(240mg、0.60mmol)、2-(5-(2-(3-(メトキシメチル)アゼチジン-1-イル)エチル)-2-オキソ-4-(トリフルオロメチル)ピリジン-1(2H)-イル)-4-メチルペンタン酸(242mg、0.60mmol)、NMI(197mg、1.8mmol)、およびTCFH(252mg、0.9mmol)のCHCN(8mL)の混合液を室温で2時間攪拌した。溶媒を真空中で濃縮し、残留物をC18/40gカラムでの逆相HPLC(A:水 10mM NHHCO、B:CHCN、0~100%)により精製して、黄色油状物として、(3S)-エチル 3-(4-フルオロ-2’,3’,6’-トリメチル-5-(トリフルオロメチル)ビフェニル-3-イル)-3-(2-(5-(2-(3-(メトキシメチル)アゼチジン-1-イル)エチル)-2-オキソ-4-(トリフルオロメチル)ピリジン-1(2H)-イル)-4-メチルペンタンアミド)プロパン酸塩(270mg)を得た。収率 57 %(ESI 784.0 [M+H])。
工程2:(3S)-3-(4-フルオロ-2’,3’,6’-トリメチル-5-(トリフルオロメチル)ビフェニル-3-イル)-3-(2-(5-(2-(3-(メトキシメチル)アゼチジン-1-イル)エチル)-2-オキソ-4-(トリフルオロメチル)ピリジン-1(2H)-イル)-4-メチルペンタンアミド)プロパン酸
Figure 0007702004000765
(3S)-エチル 3-(4-フルオロ-2’,3’,6’-トリメチル-5-(トリフルオロメチル)ビフェニル-3-イル)-3-(2-(5-(2-(3-(メトキシメチル)アゼチジン-1-イル)エチル)-2-オキソ-4-(トリフルオロメチル)ピリジン-1(2H)-イル)-4-メチルペンタンアミド)プロパン酸塩(270mg、0.34mmol)を、LiOH-HO(57mg、1.36mmol)のEtOH(3mL)とHO(1mL)の溶液を用いて室温で2時間処理した。反応混合液を、1N HClを用いてpH5~6に酸性化した。溶媒を真空中で除去し、残留物を分取HPLC A(30~60% CHCN)により精製して、白色固形物として、ジアステレオマー生成物のJV-P1(67mg)およびJV-P2(90mg)を得た。
JV-P1 ESI 755.9(M+H). 1H NMR(400MHz,MeOD)δ 7.83(d,J=5.9Hz,1H),7.38-7.24(m,2H),7.08-6.95(m,2H),6.74(d,J=19.4Hz,1H),5.64-5.60(m,2H),4.13-4.09(m,2H),3.89-3.81(m,2H),3.47-3.38(m,5H),3.28-3.24(m,2H),3.05-2.95(s,1H),2.89-2.66(m,4H),2.26(d,J=2.9Hz,3H),2.06-1.89(m,5H),1.76-1.75(m,3H),1.44-1.36(m,1H),0.94-0.91(m,6H).
JV-P2 ESI 755.9(M+H). 1H NMR(400MHz,MeOD)δ 7.73(s,1H),7.42-7.31(m,2H),7.09-7.00(m,2H),6.88(s,1H),5.81-5.78(m,1H),5.61(t,J=7.6Hz,1H),4.25-4.17(m,2H),3.98-3.88(m,2H),3.50(d,J=4.4Hz,2H),3.45-3.32(m,5H),3.11-3.02(m,1H),2.94-2.74(m,2H),2.68-2.51(m,2H),2.28(s,3H),2.00-1.89(m,7H),1.69-1.61(m,1H),1.42-1.33(m,1H),0.88-0.86(m,6H).
3-119. (S)-3-((R)-2-(5-(2-(2-アザスピロ[3.3]ヘプタン-2-イル)エチル)-2-オキソ-4-(トリフルオロメチル)ピリジン-1(2H)-イル)-4-メチルペンタンアミド)-3-(3’,4-ジフルオロ-2’,5,6’-トリメチル-[1,1’-ビフェニル]-3-イル)プロパン酸(化合物JW-P1およびJW-P2)の調製
工程1:(3S)-3-(2-(5-(2-(2-アザスピロ[3.3]ヘプタン-2-イル)エチル)-2-オキソ-4-(トリフルオロメチル)ピリジン-1(2H)-イル)-4-メチルペンタンアミド)-3-(3’,4-ジフルオロ-2’,5,6’-トリメチル-[1,1’-ビフェニル]-3-イル)プロパン酸エチル
Figure 0007702004000766
2-(5-(2-(2-アザスピロ[3.3]ヘプタン-2-イル)エチル)-2-オキソ-4-(トリフルオロメチル)ピリジン-1(2H)-イル)-4-メチルペンタン酸(250.0mg、0.63mmol)、(S)-3-アミノ-3-(3’,4-ジフルオロ-2’,5,6’-トリメチル-[1,1’-ビフェニル]-3-イル)プロパン酸エチル塩酸塩(218.0mg、0.63mmol)、TCHF(210.0mg、0.75mmol)、およびNMI(155.0mg、1.89mmol)のCHCN(5mL)の混合液を室温で2時間攪拌した。混合液を真空中で濃縮し、残留物をC18/40gカラムでの逆相HPLC(A:水 10mM NHHCO、B:CH3CN、0~100%)により精製して、黄色固形物として、(3S)-3-(2-(5-(2-(2-アザスピロ[3.3]ヘプタン-2-イル)エチル)-2-オキソ-4-(トリフルオロメチル)ピリジン-1(2H)-イル)-4-メチルペンタンアミド)-3-(3’,4-ジフルオロ-2’,5,6’-トリメチル-[1,1’-ビフェニル]-3-イル)プロパン酸エチル(300.0mg)を得た。収率 66.1%(ESI 730.0 [M+H])。
工程2:(S)-3-((R)-2-(5-(2-(2-アザスピロ[3.3]ヘプタン-2-イル)エチル)-2-オキソ-4-(トリフルオロメチル)ピリジン-1(2H)-イル)-4-メチルペンタンアミド)-3-(3’,4-ジフルオロ-2’,5,6’-トリメチル-[1,1’-ビフェニル]-3-イル)プロパン酸
Figure 0007702004000767
(3S)-3-(2-(5-(2-(2-アザスピロ[3.3]ヘプタン-2-イル)エチル)-2-オキソ-4-(トリフルオロメチル)ピリジン-1(2H)-イル)-4-メチルペンタンアミド)-3-(3’,4-ジフルオロ-2’,5,6’-トリメチル-[1,1’-ビフェニル]-3-イル)プロパン酸エチル(300.0mg、0.41mmol)を、LiOH-HO(86.0mg、2.05mmol)のEtOH(4mL)と水(2mL)の溶液を用いて30℃で1時間処理した。反応混合液を、2N HClを用いてpH4~5に酸性化した。溶媒を真空中で除去し、残留物を分取HPLC A(30~60% MeCN)により精製して、白色固形物として、ジアステレオマー生成物のJW-P1(64mg)およびJW-P2(85mg)を得た。
JW-P1 ESI 702.2(M+H)+ 1H NMR(400MHz,MeOD)δ 7.82(s,1H),7.10-6.99(m,1H),6.96-6.81(m,3H),6.76(d,J=6.0Hz,1H),5.65-5.59(m,2H),4.05-3.88(m,4H),3.26-3.12(m,2H),2.83(t,J=7.0Hz,2H),2.68(d,J=6.6Hz,2H),2.33-2.15(m,7H),2.00-1.73(m,10H),1.46-1.32(m,1H),0.94-0.91(m,6H).
JW-P2 ESI 702.2(M+H) H NMR(400MHz,MeOD)δ 7.72(s,1H),7.11-7.02(m,1H),6.98-6.81(m,4H),5.73(dd,J=11.0,3.4Hz,1H),5.60(t,J=7.2Hz,1H),4.12-4.09(m,4H),3.32-3.3(m,2H),2.88-2.85(m,2H),2.60-2.45(m,2H),2.39-2.19(m,7H),2.03-1.78(m,9H),1.66-1.54(m,1H),1.43-1.38(m,1H),0.90-0.88(m,6H).
3-120. (3S)-3-(2-(5-(2-(2-アザスピロ[3.3]ヘプタン-2-イル)エチル)-2-オキソ-4-(トリフルオロメチル)ピリジン-1(2H)-イル)-4-メチルペンタンアミド)-3-(4-フルオロ-2’,4’,5,6’-テトラメチル-[1,1’-ビフェニル]-3-イル)プロパン酸(化合物JX-P1およびJX-P2)の調製
工程1:(3S)-3-(2-(5-(2-(2-アザスピロ[3.3]ヘプタン-2-イル)エチル)-2-オキソ-4-(トリフルオロメチル)ピリジン-1(2H)-イル)-4-メチルペンタンアミド)-3-(4-フルオロ-2’,4’,5,6’-テトラメチル-[1,1’-ビフェニル]-3-イル)プロパン酸エチル
Figure 0007702004000768
2-(5-(2-(2-アザスピロ[3.3]ヘプタン-2-イル)エチル)-2-オキソ-4-(トリフルオロメチル)ピリジン-1(2H)-イル)-4-メチルペンタン酸(250mg,0.63mmol)、(S)-3-アミノ-3-(4-フルオロ-2’,4’,5,6’-テトラメチル-[1,1’-ビフェニル]-3-イル)プロパン酸エチル(216mg、0.63mmol)、NMI(0.6mL)、およびTCFH(213mg、0.76mmol)のCHCN(3mL)の混合液を室温で2時間攪拌した。溶媒を真空中で濃縮し、残留物を分取HPLC A(50~70% CH3CN)により精製して、白色固形物として、(3S)-3-(2-(5-(2-(2-アザスピロ[3.3]ヘプタン-2-イル)エチル)-2-オキソ-4-(トリフルオロメチル)ピリジン-1(2H)-イル)-4-メチルペンタンアミド)-3-(4-フルオロ-2’,4’,5,6’-テトラメチル-[1,1’-ビフェニル]-3-イル)プロパン酸エチル(280mg)を得た。収率 62%(ESI 726.2 [M+H])。
工程2:(3S)-3-(2-(5-(2-(2-アザスピロ[3.3]ヘプタン-2-イル)エチル)-2-オキソ-4-(トリフルオロメチル)ピリジン-1(2H)-イル)-4-メチルペンタンアミド)-3-(4-フルオロ-2’,4’,5,6’-テトラメチル-[1,1’-ビフェニル]-3-イル)プロパン酸
Figure 0007702004000769
(3S)-3-(2-(5-(2-(2-アザスピロ[3.3]ヘプタン-2-イル)エチル)-2-オキソ-4-(トリフルオロメチル)ピリジン-1(2H)-イル)-4-メチルペンタンアミド)-3-(4-フルオロ-2’,4’,5,6’-テトラメチル-[1,1’-ビフェニル]-3-イル)プロパン酸エチル(280mg、0.39mmol)を、LiOH-HO(33mg、0.78mmol)のMeOH(3.0mL)とHO(1.0mL)の溶液を用いて室温で2時間処理した。反応混合液を、1N HClを用いてpH5~6に酸性化した。溶媒を真空中で除去し、残留物を分取HPLC A(50~80% CHCN)により精製して、白色固形物として、ジアステレオマー生成物のJX-P1(57mg)およびJX-P2(127mg)を得た。
JX-P1 ESI 698.3(M+H)H NMR(400MHz,MeOD)δ 7.83(s,1H),6.92-6.78(m,4H),6.74(s,1H),5.67(t,J=8.0Hz,1H),5.59(t,J=6.8Hz,1H),4.02-3.87(m,4H),3.27- 3.15(m,2H),2.82(t,J=7.0Hz,2H),2.68(d,J=6.8Hz,2H),2.33-2.15(m,10H),2.03-1.90(m,5H),1.87-1.73(m,5H),1.45-1.34(m,1H),0.92(t,J=6.2Hz,6H).
JX-P2 ESI 698.3(M+H)H NMR(400MHz,MeOD)δ 7.72(s,1H),6.93-6.85(m,5H),5.75-5.70(m,1H),5.62-5.58(m,1H),4.11(s,4H),3.40-3.32(m,2H),2.91(d,J=16.0Hz,1H),2.83-2.75(m,1H),2.62-2.53(m,1H),2.51-2.43(m,1H),2.38-2.20(m,10H),2.03-1.79(m,9H),1.63-1.57(m,1H),1.45-1.38(m,1H),0.88(d,J=6.6Hz,6H).
3-121. (3S)-3-(2-(5-(2-(ジメチルアミノ)エチル)-2-オキソ-4-(トリフルオロメチル)ピリジン-1(2H)-イル)-4-フルオロ-4-メチルペンタンアミド)-3-(4-フルオロ-2’,4’,6’-トリメチル-5-(トリフルオロメチル)-[1,1’-ビフェニル]-3-イル)プロパン酸(化合物JY-P1およびJY-P2)の調製
工程1:(3S)-3-(2-(5-(2-(ジメチルアミノ)エチル)-2-オキソ-4-(トリフルオロメチル)ピリジン-1(2H)-イル)-4-フルオロ-4-メチルペンタンアミド)-3-(4-フルオロ-2’,4’,6’-トリメチル-5-(トリフルオロメチル)-[1,1’-ビフェニル]-3-イル)プロパン酸エチル
Figure 0007702004000770
2-(5-(2-(ジメチルアミノ)エチル)-2-オキソ-4-(トリフルオロメチル)ピリジン-1(2H)-イル)-4-フルオロ-4-メチルペンタン酸(270mg、0.74mmol)、(S)-3-アミノ-3-(4-フルオロ-2’,4’,6’-トリメチル-5-(トリフルオロメチル)-[1,1’-ビフェニル]-3-イル)プロパン酸エチル(200mg、0.74mmol)、NMI(0.5mL)、およびTCFH(294mg、1.11mmol)のCHCN(3mL)の混合液を室温で2時間攪拌した。溶媒を真空中で濃縮し、残留物を分取HPLC A(50~80% CHCN)により精製して、白色固形物として、(3S)-3-(2-(5-(2-(ジメチルアミノ)エチル)-2-オキソ-4-(トリフルオロメチル)ピリジン-1(2H)-イル)-4-フルオロ-4-メチルペンタンアミド)-3-(4-フルオロ-2’,4’,6’-トリメチル-5-(トリフルオロメチル)-[1,1’-ビフェニル]-3-イル)プロパン酸エチル(300mg)を得た。収率 55%(ESI 746.2 [M+H])。
工程2:(3S)-3-(2-(5-(2-(ジメチルアミノ)エチル)-2-オキソ-4-(トリフルオロメチル)ピリジン-1(2H)-イル)-4-フルオロ-4-メチルペンタンアミド)-3-(4-フルオロ-2’,4’,6’-トリメチル-5-(トリフルオロメチル)-[1,1’-ビフェニル]-3-イル)プロパン酸
Figure 0007702004000771
(3S)-3-(2-(5-(2-(ジメチルアミノ)エチル)-2-オキソ-4-(トリフルオロメチル)ピリジン-1(2H)-イル)-4-フルオロ-4-メチルペンタンアミド)-3-(4-フルオロ-2’,4’,6’-トリメチル-5-(トリフルオロメチル)-[1,1’-ビフェニル]-3-イル)プロパン酸エチル(300mg、0.40mmol)を、LiOH-HO(34mg、0.80mmol)のMeOH(3mL)とHO(1.0mL)の溶液を用いて室温で2時間処理した。反応混合液を、1N HClを用いてpH4~5に酸性化した。溶媒を真空中で除去し、残留物を分取HPLC A(50~80% CHCN)により精製して、白色固形物として、ジアステレオマー生成物のJY-P1(111mg)およびJY-P2(102mg)を得た。
JY-P1 ESI 717.9(M+H)H NMR(400MHz,MeOD)δ 7.95(s,1H),7.35-7.20(m,2H),6.90(d,J=13.6Hz,2H),6.59(s,1H),5.79(s,1H),5.59-5.50(m,1H),3.19-3.06(m,2H),3.00-2.88(m,2H),2.82-2.57(m,8H),2.55-2.42(m,2H),2.29(s,3H),1.93(s,3H),1.75(s,3H),1.43-1.25(m,6H).
JY-P2 ESI 717.9(M+H)H NMR(400MHz,MeOD)δ 7.83(s,1H),7.40(d,J=6.3Hz,1H),7.31(d,J=6.4Hz,1H),6.94(s,2H),6.87(s,1H),5.80-5.68(m,2H),3.27-3.14(m,2H),2.98(t,J=6.4Hz,2H),2.84(s,6H),2.65-2.48(m,3H),2.30(s,3H),2.25-2.12(m,1H),1.95(s,6H),1.37-1.25(m,6H).
3-122. (3S)-3-(2-(5-(2-(ジメチルアミノ)エチル)-2-オキソ-4-(トリフルオロメチル)ピリジン-1(2H)-イル)-4-メチルペンタンアミド)-3-(4-フルオロ-2’,4’,6’-トリメチル-5-(トリフルオロメチル)-[1,1’-ビフェニル]-3-イル)プロパン酸(化合物JZ-P1およびJZ-P2)の調製
工程1:(3S)-3-(2-(5-(2-(ジメチルアミノ)エチル)-2-オキソ-4-(トリフルオロメチル)ピリジン-1(2H)-イル)-4-メチルペンタンアミド)-3-(4-フルオロ-2’,4’,6’-トリメチル-5-(トリフルオロメチル)-[1,1’-ビフェニル]-3-イル)プロパン酸エチル
Figure 0007702004000772
(S)-3-アミノ-3-(4-フルオロ-2’,4’,6’-トリメチル-5-(トリフルオロメチル)-[1,1’-ビフェニル]-3-イル)プロパン酸エチル(301mg、0.76mmol)、2-(5-(2-(ジメチルアミノ)エチル)-2-オキソ-4-(トリフルオロメチル)ピリジン-1(2H)-イル)-4-メチルペンタン酸(240mg、0.69mmol)、TCHF(290mg、1.04mmol)およびNMI(226mg、2.76mmol)のアセトニトリル(10mL)の混合液を室温で2時間攪拌した。混合液をC18/40gカラムでの逆相HPLC(A:水 10mM NHHCO、B:MeOH、0~100%)により精製して、白色固形物として、(3S)-3-(2-(5-(2-(ジメチルアミノ)エチル)-2-オキソ-4-(トリフルオロメチル)ピリジン-1(2H)-イル)-4-メチルペンタンアミド)-3-(4-フルオロ-2’,4’,6’-トリメチル-5-(トリフルオロメチル)-[1,1’-ビフェニル]-3-イル)プロパン酸エチル(380mg)を得た。収率 75.6 %(ESI 728.1(M+H))。
工程2:(3S)-3-(2-(5-(2-(ジメチルアミノ)エチル)-2-オキソ-4-(トリフルオロメチル)ピリジン-1(2H)-イル)-4-メチルペンタンアミド)-3-(4-フルオロ-2’,4’,6’-トリメチル-5-(トリフルオロメチル)-[1,1’-ビフェニル]-3-イル)プロパン酸
Figure 0007702004000773
(3S)-3-(2-(5-(2-(ジメチルアミノ)エチル)-2-オキソ-4-(トリフルオロメチル)ピリジン-1(2H)-イル)-4-メチルペンタンアミド)-3-(4-フルオロ-2’,4’,6’-トリメチル-5-(トリフルオロメチル)-[1,1’-ビフェニル]-3-イル)プロパン酸エチル(380mg、0.52mmol)を、LiOH-HO(88mg、2.1mmol)のMeOH(5mL)とHO(1mL)の溶液を用いて室温で2時間処理した。反応混合液を、1N HClを用いてpH4~5に酸性化した。溶媒を真空中で除去し、残留物を分取HPLC A(30~60% CHCN)により精製して、白色固形物として、ジアステレオマー生成物のJZ-P1(116mg)およびJZ-P2(88mg)を得た。
JZ-P1 ESI 699.9(M+H). 1H NMR(400MHz,MeOD)δ 7.87(s,1H),7.33(d,J=5.0Hz,1H),7.25(d,J=8.0Hz,1H),6.92(s,1H),6.88(s,1H),6.68(s,1H),5.66-5.54(m,2H),3.13-3.05(m,2H),2.95-2.91(m,2H),2.77(s,6H),2.73-2.70(m,2H),2.29(s,3H),1.99-1.94(m,5H),1.74(s,3H),1.46-1.38(m,1H),0.95-0.91(m,6H).
JZ-P2 ESI 699.9(M+H). 1H NMR(400MHz,MeOD)δ 7.83(s,1H),7.38(d,J=4.9Hz,1H),7.32(d,J=6.4Hz,1H),6.94(s,2H),6.87(s,1H),5.73-5.69(m,1H),5.60(t,J=7.7Hz,1H),3.18-3.28(m,2H),2.98(t,J=7.0Hz,2H),2.83(s,6H),2.68-2.52(m,2H),2.30(s,3H),2.00-1.93(m,7H),1.74-1.67(m,1H),1.40-1.33(m,1H),0.88-0.86(m,6H).
3-123. (3S)-3-(4-フルオロ-2’,4’,6’-トリメチル-5-(トリフルオロメチル)-[1,1’-ビフェニル]-3-イル)-3-(4-メチル-2-(5-(2-(3-メチルアゼチジン-1-イル)エチル)-2-オキソ-4-(トリフルオロメチル)ピリジン-1(2H)-イル)ペンタンアミド)プロパン酸(化合物KA-P1およびKA-P2)の調製
工程1:(3S)-3-(4-フルオロ-2’,4’,6’-トリメチル-5-(トリフルオロメチル)-[1,1’-ビフェニル]-3-イル)-3-(4-メチル-2-(5-(2-(3-メチルアゼチジン-1-イル)エチル)-2-オキソ-4-(トリフルオロメチル)ピリジン-1(2H)-イル)ペンタンアミド)プロパン酸エチル
Figure 0007702004000774
エチル エチル 4-メチル-2-(5-(2-(3-メチルアゼチジン-1-イル)エチル)-2-オキソ-4-(トリフルオロメチル)ピリジン-1(2H)-イル)ペンタン酸(190.7mg、0.51mmol)、(S)-3-アミノ-3-(4-フルオロ-2’,4’,6’-トリメチル-5-(トリフルオロメチル)-[1,1’-ビフェニル]-3-イル)プロパン酸エチル(202.5mg、0.51mmol)、TCFH(285.6mg、1.02mmol)、およびNMI(167.3mg、2.04mmol)のCHCN(10mL)の混合液を室温で1時間攪拌した。溶媒を真空中で除去し、残留物をシリカゲルカラム(DCM:MeOH 4:1)により精製して、褐色固形物として、(3S)-3-(4-フルオロ-2’,4’,6’-トリメチル-5-(トリフルオロメチル)-[1,1’-ビフェニル]-3-イル)-3-(4-メチル-2-(5-(2-(3-メチルアゼチジン-1-イル)エチル)-2-オキソ-4-(トリフルオロメチル)ピリジン-1(2H)-イル)ペンタンアミド)プロパン酸エチル(250mg)を得た。収率 65%(ESI 754.3(M+H))。
工程2:(3S)-3-(4-フルオロ-2’,4’,6’-トリメチル-5-(トリフルオロメチル)-[1,1’-ビフェニル]-3-イル)-3-(4-メチル-2-(5-(2-(3-メチルアゼチジン-1-イル)エチル)-2-オキソ-4-(トリフルオロメチル)ピリジン-1(2H)-イル)ペンタンアミド)プロパン酸
Figure 0007702004000775
(3S)-3-(4-フルオロ-2’,4’,6’-トリメチル-5-(トリフルオロメチル)-[1,1’-ビフェニル]-3-イル)-3-(4-メチル-2-(5-(2-(3-メチルアゼチジン-1-イル)エチル)-2-オキソ-4-(トリフルオロメチル)ピリジン-1(2H)-イル)ペンタンアミド)プロパン酸エチル(250.0mg、0.33mmol))を、LiOH-HO(54.6mg、1.3mmol)のMeOH(4mL)とHO(1mL)の溶液を用いて室温で2時間処理した。反応混合液を、1N HClを用いてpH4~5に酸性化した。溶媒を真空中で除去し、残留物を分取HPLC A(30~60% MeCN)により精製して、ジアステレオマー生成物のKA-P1(96mg)およびKA-P2(87mg)を白色固形物として得た。
KA-P1 ESI 726.3(M+H). 1H NMR(400MHz,MeOD)δ 7.83(s,1H),7.41-7.31(m,1H),7.32-7.17(m,1H),6.91(d,J=11.7Hz,2H),6.70(s,1H),5.69-5.53(m,2H),4.21-4.04(m,2H),3.66(t,J=8.7Hz,2H),2.98-2.79(m,3H),2.77-2.63(m,2H),2.29(s,3H),2.06-1.89(m,5H),1.78(d,J=11.5Hz,3H),1.49-1.31(m,1H),1.23(d,J=6.9Hz,3H),0.98-0.81(m,6H).
KA-P2 ESI 726.3(M+H). 1H NMR(400MHz,MeOD)δ 7.73(s,1H),7.46-7.36(m,1H),7.36-7.23(m,1H),6.91(d,J=27.6Hz,3H),5.83-5.73(m,1H),5.61(t,J=7.6Hz,1H),4.28-4.10(m,2H),3.83-3.64(m,2H),3.45-3.33(m,2H),3.02-2.86(m,2H),2.86-2.73(m,1H),2.69-2.45(m,2H),2.30(s,3H),2.04-1.87(m,7H),1.68-1.56(m,1H),1.44-1.19(m,4H),0.86(d,J=6.6Hz,6H).
3-124. (S)-3-(4-フルオロ-2’,5,6’-トリメチルビフェニル-3-イル)-3-((S)-2-(5-(2-(3-(フルオロメチル)アゼチジン-1-イル)エチル)-2-オキソ-4-(トリフルオロメチル)ピリジン-1(2H)-イル)-4-メチルペンタンアミド)プロパン酸(化合物KB-P1およびKB-P2)の調製
工程1:(3S)-エチル 3-(4-フルオロ-2’,5,6’-トリメチルビフェニル-3-イル)-3-(2-(5-(2-(3-(フルオロメチル)アゼチジン-1-イル)エチル)-2-オキソ-4-(トリフルオロメチル)ピリジン-1(2H)-イル)-4-メチルペンタンアミド)プロパン酸塩
Figure 0007702004000776
2-(5-(2-(3-(フルオロメチル)アゼチジン-1-イル)エチル)-2-オキソ-4-(トリフルオロメチル)ピリジン-1(2H)-イル)-4-メチルペンタン酸(180mg、0.46mmol)、(S)-エチル 3-アミノ-3-(4-フルオロ-2’,5,6’-トリメチルビフェニル-3-イル)プロパン酸塩(151mg、0.46mmol)、NMI(160mg、1.96mmol)、およびTCFH(252mg、0.9mmol)のCHCN(5mL)の混合液を室温で1.5時間攪拌した。溶媒を真空中で除去し、残留物をシリカゲルカラム(DCM:MeOH 9:1)により精製して、無色油状物として、(3S)-エチル 3-(4-フルオロ-2’,5,6’-トリメチルビフェニル-3-イル)-3-(2-(5-(2-(3-(フルオロメチル)アゼチジン-1-イル)エチル)-2-オキソ-4-(トリフルオロメチル)ピリジン-1(2H)-イル)-4-メチルペンタンアミド)プロパン酸塩(230mg)を得た。収率 71 %(ESI 704.3 [M+H])。
工程2:3-(4-フルオロ-2’,5,6’-トリメチルビフェニル-3-イル)-3-((S)-2-(5-(2-(3-(フルオロメチル)アゼチジン-1-イル)エチル)-2-オキソ-4-(トリフルオロメチル)ピリジン-1(2H)-イル)-4-メチルペンタンアミド)プロパン酸
Figure 0007702004000777
3-(4-フルオロ-2’,5,6’-トリメチルビフェニル-3-イル)-3-(2-(5-(2-(3-(フルオロメチル)アゼチジン-1-イル)エチル)-2-オキソ-4-(トリフルオロメチル)ピリジン-1(2H)-イル)-4-メチルペンタンアミド)プロパン酸エチル(230mg、0.33mmol)を、LiOH-HO(69mg、1.64mmol)のEtOH(3mL)とHO(1mL)の溶液を用いて室温で2時間処理した。反応混合液を、1N HClを用いてpH4~5に酸性化した。溶媒を真空中で除去し、残留物を分取HPLC A(30~60% CHCN)により精製して、白色固形物として、ジアステレオマー生成物のKB-P1(50mg)およびKB-P2(101mg)を得た。
KB-P1 ESI 676.3(M+H). 1H NMR(400MHz,MeOD)δ 7.82(s,1H),7.07-7.03(m,3H),6.93-6.82(m,2H),6.75(s,1H),5.70-5.55(m,2H),4.57(d,J=4.4Hz,1H),4.45(d,J=4.1Hz,1H),4.03(t,J=9.4Hz,2H),3.82-3.67(m,2H),3.13-3.10(m,3H),2.80(t,J=7.0Hz,2H),2.71(d,J=6.3Hz,2H),2.28(d,J=1.6Hz,3H),2.02-1.90(m,5H),1.84(s,3H),1.41-1.39(m,1H),0.93-0.90(m,6H).KB-P2 ESI 676.3(M+H). 1H NMR(400MHz,MeOD)δ 7.73(s,1H),7.15-7.00(m,3H),7.00-6.82(m,3H),5.75(m,1H),5.60(t,J=7.6Hz,1H),4.60(t,J=7.3Hz,1H),4.49(t,J=7.5Hz,1H),4.25-4.22(m,2H),4.04-3.84(m,2H),3.45-3.32(m,2H),3.25-3.11(m,1H),2.92-2.90(m,1H),2.84-2.74(m,1H),2.63-2.60(m,1H),2.50-2.48(m,1H),2.31(d,J=1.8Hz,3H),2.04-1.84(m,7H),1.64-1.60(m,1H),1.41-1.39(m,1H),0.87(d,J=6.6Hz,6H).
3-125. (3S)-3-(4’-シクロプロピル-4-フルオロ-2’,5,6’-トリメチルビフェニル-3-イル)-3-(2-(5-(2-(ジメチルアミノ)エチル)-2-オキソ-4-(トリフルオロメチル)ピリジン-1(2H)-イル)-4-メチルペンタンアミド)プロパン酸(化合物KC-P1およびKC-P2)の調製
工程1:(S)-エチル 3-(5-ブロモ-2-フルオロ-3-メチルフェニル)-3-((S)-2-(5-(2-(ジメチルアミノ)エチル)-2-オキソ-4-(トリフルオロメチル)ピリジン-1(2H)-イル)-4-メチルペンタンアミド)プロパン酸塩
Figure 0007702004000778
(S)-エチル 3-アミノ-3-(5-ブロモ-2-フルオロ-3-メチルフェニル)プロパン酸塩(8.6g、28.0mmol)、2-(5-(2-(ジメチルアミノ)エチル)-2-オキソ-4-(トリフルオロメチル)ピリジン-1(2H)-イル)-4-メチルペンタン酸(9.8g、28.0mmol)、TCFH(9.4g、34.0mmol)、およびNMI(6.9g、84.0mmol)のMeCN(5mL)の混合液を室温で3時間攪拌した。溶媒を真空中で除去し、残留物をシリカゲルカラム(DCM:MeOH 97:3)により精製して、白色固形物として、(S)-エチル 3-(5-ブロモ-2-フルオロ-3-メチルフェニル)-3-(5-(2-(ジメチルアミノ)エチル)-2-オキソ-4-(トリフルオロメチル)ピリジン-1(2H)-イル)-4-メチルペンタンアミド)プロパン酸塩(12.2g)を得た。収率 68%(ESI 634.3(M+H))。
工程2:(S)-エチル 3-(2-(5-(2-(ジメチルアミノ)エチル)-2-オキソ-4-(トリフルオロメチル)ピリジン-1(2H)-イル)-4-メチルペンタンアミド)-3-(2-フルオロ-3-メチル-5-(4,4,5,5-テトラメチル-1,3,2-ジオキサボロラン-2-イル)フェニル)プロパン酸塩
Figure 0007702004000779
(S)-エチル 3-(5-ブロモ-2-フルオロ-3-メチルフェニル)-3-(2-(5-(2-(ジメチルアミノ)エチル)-2-オキソ-4-(トリフルオロメチル)ピリジン-1(2H)-イル)-4-メチルペンタンアミド)プロパン酸塩(633mg、1.0mmol)のジオキサン(5mL)の混合液に、BPin(508mg、2.0mmol)、Pd(dppf)Cl(73mg、0.1mmol)およびKOAc(294mg、3.0mmol)を加えた。混合液を、窒素雰囲気下、110℃で2時間加熱した。水(20mL)を加え、溶液をEtOAc(20mL×3)で抽出した。一つにまとめた有機層を真空中で濃縮し、残留物をシリカゲルカラム(石油エーテル:EtOAc 2:1)により精製して、暗色固形物として、(S)-エチル 3-(2-(5-(2-(ジメチルアミノ)エチル)-2-オキソ-4-(トリフルオロメチル)ピリジン-1(2H)-イル)-4-メチルペンタンアミド)-3-(2-フルオロ-3-メチル-5-(4,4,5,5-テトラメチル-1,3,2-ジオキサボロラン-2-イル)フェニル)プロパン酸塩(600mg)を得た。収率 88 %(ESI 682.1 [M+H]+)。
工程3:(3S)-エチル 3-(4’-シクロプロピル-4-フルオロ-2’,5,6’-トリメチルビフェニル-3-イル)-3-(2-(5-(2-(ジメチルアミノ)エチル)-2-オキソ-4-(トリフルオロメチル)ピリジン-1(2H)-イル)-4-メチルペンタンアミド)プロパン酸塩
Figure 0007702004000780
2-ブロモ-5-シクロプロピル-1,3-ジメチルベンゼン(100mg、0.45mmol)、(3S)-エチル 3-(2-(5-(2-(ジメチルアミノ)エチル)-2-オキソ-4-(トリフルオロメチル)ピリジン-1(2H)-イル)-4-メチルペンタンアミド)-3-(2-フルオロ-3-メチル-5-(4,4,5,5-テトラメチル-1,3,2-ジオキサボロラン-2-イル)フェニル)プロパン酸塩(300mg、0.45mmol)のジオキサン(10mL)とHO(1mL)の混合液に、Pd(dppf)Cl(37mg、0.05mmol)、およびKCO(207mg、1.5mmol)を加えた。混合液を、窒素雰囲気下、110℃で2時間加熱した。水(20mL)を加え、溶液をEtOAc(20mL×3)で抽出した。一つにまとめた有機層を真空中で濃縮し、残留物をシリカゲルカラム(石油エーテル:EtOAc 2:1)により精製して、(3S)-エチル 3-(4’-シクロプロピル-4-フルオロ-2’,5,6’-トリメチルビフェニル-3-イル)-3-(2-(5-(2-(ジメチルアミノ)エチル)-2-オキソ-4-(トリフルオロメチル)ピリジン-1(2H)-イル)-4-メチルペンタンアミド)プロパン酸塩(150mg)を得た。収率 48 %(ESI 700.1 [M+H]+)。
工程4:(3S)-3-(4’-シクロプロピル-4-フルオロ-2’,5,6’-トリメチルビフェニル-3-イル)-3-(2-(5-(2-(ジメチルアミノ)エチル)-2-オキソ-4-(トリフルオロメチル)ピリジン-1(2H)-イル)-4-メチルペンタンアミド)プロパン酸
Figure 0007702004000781
(3S)-エチル 3-(4’-シクロプロピル-4-フルオロ-2’,5,6’-トリメチルビフェニル-3-イル)-3-(2-(5-(2-(ジメチルアミノ)エチル)-2-オキソ-4-(トリフルオロメチル)ピリジン-1(2H)-イル)-4-メチルペンタンアミド)プロパン酸塩のEtOH(3mL)とHO(1mL)の混合液を、LiOH-HO(42mg、1.0mmol)を用いて室温で30分間処理した。反応混合液を、1N HClを用いてpH4~5に酸性化した。溶媒を真空中で除去し、残留物を分取HPLC A(30~60% MeCN)により精製して、ジアステレオマー生成物のKC-P1(39mg)およびKC-P2(35mg)を白色固形物として得た。
KC-P1 ESI 672.1(M+H). 1H NMR(400MHz,MeOD)δ 7.90(s,1H),6.84(t,J=5.9Hz,2H),6.78(s,1H),6.74(d,J=4.4Hz,2H),5.68(t,J=8.1Hz,1H),5.61-5.48(m,1H),3.07(d,J=7.3Hz,2H),2.94(d,J=7.0Hz,2H),2.72(d,J=9.8Hz,8H),2.27(d,J=1.3Hz,3H),2.02-1.92(m,5H),1.85-1.83(m,1H),1.76(s,3H),1.43-1.40(m,1H),1.00-0.87(m,8H),0.70-0.63(m,2H).
KC-P2 ESI 672.1(M+H). 1H NMR(400MHz,MeOD)δ 7.75(d,J=12.3Hz,1H),6.79(t,J=6.1Hz,3H),6.69(s,2H),5.60(d,J=6.9Hz,1H),5.51(t,J=7.6Hz,1H),3.18-3.04(m,2H),2.89(t,J=6.6Hz,2H),2.71(s,6H),2.48-2.45(m,2H),2.21(s,3H),1.87-1.85(m,7H),1.76-1.73(m,1H),1.58-1.55(m,1H),1.32-1.25(m,1H),0.88-0.81(m,2H),0.81-0.69(m,6H),0.63-0.52(m,2H).
3-126. (3S)-3-(2-(5-(2-(2-アザスピロ[3.3]ヘプタン-2-イル)エチル)-2-オキソ-4-(トリフルオロメチル)ピリジン-1(2H)-イル)-4-メチルペンタンアミド)-3-(4-フルオロ-2’,6’-ジメチル-5-(トリフルオロメチル)-[1,1’-ビフェニル]-3-イル)プロパン酸(KD-P1およびKD-P2)の調製
工程1:(3S)-3-(2-(5-(2-(2-アザスピロ[3.3]ヘプタン-2-イル)エチル)-2-オキソ-4-(トリフルオロメチル)ピリジン-1(2H)-イル)-4-メチルペンタンアミド)-3-(4-フルオロ-2’,6’-ジメチル-5-(トリフルオロメチル)-[1,1’-ビフェニル]-3-イル)プロパン酸エチル
Figure 0007702004000782
(S)-3-アミノ-3-(4-フルオロ-2’,6’-ジメチル-5-(トリフルオロメチル)-[1,1’-ビフェニル]-3-イル)プロパン酸エチル(220mg、0.57mmol)、2-(5-(2-(2-アザスピロ[3.3]ヘプタン-2-イル)エチル)-2-オキソ-4-(トリフルオロメチル)ピリジン-1(2H)-イル)-4-メチルペンタン酸(228mg、0.57mmol)、TCFH(319mg、1.14mmol)、およびNMI(234mg、2.85mmol)のCHCN(5mL)の混合液を、室温で2時間攪拌した。反応液を濃縮し、C18/40gカラムでの逆相HPLC(A:水 10mM NHHCO3、B:CHCN、0~80%)により精製して、(3S)-3-(2-(5-(2-(2-アザスピロ[3.3]ヘプタン-2-イル)エチル)-2-オキソ-4-(トリフルオロメチル)ピリジン-1(2H)-イル)-4-メチルペンタンアミド)-3-(4-フルオロ-2’,6’-ジメチル-5-(トリフルオロメチル)-[1,1’-ビフェニル]-3-イル)プロパン酸エチル(290mg)を得た。収率 66.4 %(ESI 766.3 [M+H])。
工程2:(3S)-3-(2-(5-(2-(2-アザスピロ[3.3]ヘプタン-2-イル)エチル)-2-オキソ-4-(トリフルオロメチル)ピリジン-1(2H)-イル)-4-メチルペンタンアミド)-3-(4-フルオロ-2’,6’-ジメチル-5-(トリフルオロメチル)-[1,1’-ビフェニル]-3-イル)プロパン酸
Figure 0007702004000783
(3S)-3-(2-(5-(2-(2-アザスピロ[3.3]ヘプタン-2-イル)エチル)-2-オキソ-4-(トリフルオロメチル)ピリジン-1(2H)-イル)-4-メチルペンタンアミド)-3-(4-フルオロ-2’,6’-ジメチル-5-(トリフルオロメチル)-[1,1’-ビフェニル]-3-イル)プロパン酸エチル(290mg、0.38mmol)を、LiOH-HO(48mg、1.14mmol)のEtOH(4mL)とHO(1mL)の溶液を用いて室温で30分間処理した。LCMSは、反応が完了したことを示した。反応混合液を、1N HClを用いてpH5~6に酸性化した。溶媒を真空中で除去し、残留物を分取HPLC A(35~63% CHCN)により精製して、白色固形物として、ジアステレオマー生成物のKD-P1(97mg)およびKD-P2(114mg)を得た。
KD-P1 ESI 738.3(M+H)H NMR(400MHz,MeOD)δ 7.82(s,1H),7.39(d,J=5.1Hz,1H),7.29(d,J=4.8Hz,1H),7.20-7.04(m,3H),6.73(s,1H),5.68-5.59(m,2H),4.01(s,4H),3.29-3.16(m,2H),2.83(t,J=7.0Hz,2H),2.71(d,J=6.9Hz,2H),2.25(t,J=7.7Hz,4H),2.03-1.93(m,5H),1.88-1.78(m,5H),1.43-1.34(m,1H),0.93(t,J=6.4Hz,6H).
KD-P2 ESI 738.3(M+H)H NMR(400MHz,MeOD)δ 7.73(s,1H),7.44(d,J=5.5Hz,1H),7.35(d,J=6.2Hz,1H),7.23-7.08(m,3H),6.87(s,1H),5.82-5.73(m,1H),5.62(t,J=7.6Hz,1H),4.11(s,4H),3.41-3.315(m,2H),2.90(d,J=16.4Hz,1H),2.84-2.72(m,1H),2.66-2.48(m,2H),2.38-2.23(m,4H),2.06-1.92(m,7H),1.92-1.81(m,2H),1.68-1.57(m,1H),1.46-1.34(m,1H),0.93-0.84(m,6H)
3-127. (3S)-3-(4-フルオロ-2’,6’-ジメチル-5-(トリフルオロメチル)-[1,1’-ビフェニル]-3-イル)-3-(2-(5-(2-(3-(メトキシメチル)アゼチジン-1-イル)エチル)-2-オキソ-4-(トリフルオロメチル)ピリジン-1(2H)-イル)-4-メチルペンタンアミド)プロパン酸(KE-P1およびKE-P2)の調製
工程1:(3S)-3-(4-フルオロ-2’,6’-ジメチル-5-(トリフルオロメチル)-[1,1’-ビフェニル]-3-イル)-3-(2-(5-(2-(3-(メトキシメチル)アゼチジン-1-イル)エチル)-2-オキソ-4-(トリフルオロメチル)ピリジン-1(2H)-イル)-4-メチルペンタンアミド)プロパン酸エチル
Figure 0007702004000784
(S)-3-アミノ-3-(4-フルオロ-2’,6’-ジメチル-5-(トリフルオロメチル)-[1,1’-ビフェニル]-3-イル)プロパン酸エチル(200mg、0.52mmol)、2-(5-(2-(3-(メトキシメチル)アゼチジン-1-イル)エチル)-2-オキソ-4-(トリフルオロメチル)ピリジン-1(2H)-イル)-4-メチルペンタン酸(210mg、0.52mmol)、TCFH(291mg、1.04mmol)、およびNMI(213mg、2.6mmol)のCHCN(5mL)の混合液を、室温で2時間攪拌した。反応液を濃縮し、C18/40gカラムでの逆相HPLC(A:水 10mM NHHCO3、B:CHCN、0~85%)により精製して、黄色固形物として、(3S)-3-(4-フルオロ-2’,6’-ジメチル-5-(トリフルオロメチル)-[1,1’-ビフェニル]-3-イル)-3-(2-(5-(2-(3-(メトキシメチル)アゼチジン-1-イル)エチル)-2-オキソ-4-(トリフルオロメチル)ピリジン-1(2H)-イル)-4-メチルペンタンアミド)プロパン酸エチル(250mg)を得た。収率 62.4 %(ESI 770.3 [M+H])。
工程2:(3S)-3-(4-フルオロ-2’,6’-ジメチル-5-(トリフルオロメチル)-[1,1’-ビフェニル]-3-イル)-3-(2-(5-(2-(3-(メトキシメチル)アゼチジン-1-イル)エチル)-2-オキソ-4-(トリフルオロメチル)ピリジン-1(2H)-イル)-4-メチルペンタンアミド)プロパン酸
Figure 0007702004000785
(3S)-3-(4-フルオロ-2’,6’-ジメチル-5-(トリフルオロメチル)-[1,1’-ビフェニル]-3-イル)-3-(2-(5-(2-(3-(メトキシメチル)アゼチジン-1-イル)エチル)-2-オキソ-4-(トリフルオロメチル)ピリジン-1(2H)-イル)-4-メチルペンタンアミド)プロパン酸エチル(250mg、0.32mmol)を、LiOH-HO(40mg、0.96mmol)のEtOH(4mL)とHO(1mL)の溶液を用いて室温で2時間処理した。反応混合液を、1N HClを用いてpH5~6に酸性化した。溶媒を真空中で除去し、残留物を分取HPLC A(30~65% CHCN)により精製して、白色固形物として、ジアステレオマー生成物のKE-P1(91mg)およびKE-P2(104mg)を得た。
KE-P1 ESI 742.3(M+H)H NMR(400MHz,MeOD)δ 7.82(s,1H),7.39(d,J=5.0Hz,1H),7.33-7.26(m,1H),7.17(t,J=7.5Hz,1H),7.14-7.05(m,2H),6.73(s,1H),5.62(t,J=6.8Hz,2H),4.19-4.04(m,2H),3.95-3.81(m,2H),3.46(d,J=4.1Hz,2H),3.41(s,3H),3.29-3.24(m,2H),3.01(s,1H),2.83(t,J=7.0Hz,2H),2.75-2.66(m,2H),2.03-1.94(m,5H),1.84(s,3H),1.43-1.35(m,1H),0.98-0.85(m,6H).
KE-P2 ESI 742.3(M+H)H NMR(400MHz,MeOD)δ 7.73(s,1H),7.51-7.28(m,2H),7.3-7.01(m,3H),6.88(s,1H),5.90-5.71(m,1H),5.61(t,J=7.6Hz,1H),4.31-4.11(m,2H),4.07-3.80(m,2H),3.53-3.47(m,2H),3.43(s,3H),3.40-3.31(m,2H),3.12-3.00(m,1H),2.96-2.86(m,1H),2.84-2.73(m,1H),2.70-2.61(m,1H),2.59-2.48(m,1H),2.04-1.91(m,7H),1.71-1.60(m,1H),1.43-1.32(m,1H),0.87(d,J=6.5Hz,6H).
3-128. (3S)-3-(4-フルオロ-2’,5,6’-トリメチル-[1,1’-ビフェニル]-3-イル)-3-(2-(5-(2-(3-(メトキシメチル)アゼチジン-1-イル)エチル)-2-オキソ-4-(トリフルオロメチル)ピリジン-1(2H)-イル)-4-メチルペンタンアミド)プロパン酸(化合物KF-P1およびKF-P2)の調製
工程1:(S)-3-(4-フルオロ-2’,5,6’-トリメチル-[1,1’-ビフェニル]-3-イル)-3-((S)-2-(5-(2-(3-(メトキシメチル)アゼチジン-1-イル)エチル)-2-オキソ-4-(トリフルオロメチル)ピリジン-1(2H)-イル)-4-メチルペンタンアミド)プロパン酸エチル
Figure 0007702004000786
(S)-2-(5-(2-(3-(メトキシメチル)アゼチジン-1-イル)エチル)-2-オキソ-4-(トリフルオロメチル)ピリジン-1(2H)-イル)-4-メチルペンタン酸(277.0mg、0.68mmol)、(S)-3-アミノ-3-(4-フルオロ-2’,5,6’-トリメチル-[1,1’-ビフェニル]-3-イル)プロパン酸エチル(230.0mg、0.70mmol)、TCHF(211.0mg、0.84mmol)、およびNMI(115.0mg、1.4mmol)のCHCN(5mL)の混合液を室温で1.5時間攪拌した。混合液を真空中で濃縮し、残留物をC18/40gカラムでの逆相HPLC(A:水 10mM NHHCO、B:MeOH、0~100%)により精製して、(S)-3-(4-フルオロ-2’,5,6’-トリメチル-[1,1’-ビフェニル]-3-イル)-3-((S)-2-(5-(2-(3-(メトキシメチル)アゼチジン-1-イル)エチル)-2-オキソ-4-(トリフルオロメチル)ピリジン-1(2H)-イル)-4-メチルペンタンアミド)プロパン酸エチル(300mg)を得た。収率 61.2%(ESI 715.9 [M+H])。
工程2:(3S)-3-(4-フルオロ-2’,5,6’-トリメチル-[1,1’-ビフェニル]-3-イル)-3-(2-(5-(2-(3-(メトキシメチル)アゼチジン-1-イル)エチル)-2-オキソ-4-(トリフルオロメチル)ピリジン-1(2H)-イル)-4-メチルペンタンアミド)プロパン酸
Figure 0007702004000787
(S)-3-(4-フルオロ-2’,5,6’-トリメチル-[1,1’-ビフェニル]-3-イル)-3-((S)-2-(5-(2-(3-(メトキシメチル)アゼチジン-1-イル)エチル)-2-オキソ-4-(トリフルオロメチル)ピリジン-1(2H)-イル)-4-メチルペンタンアミド)プロパン酸エチル(300.0mg、0.42mmol)を、LiOH-HO(88.0mg、2.1mmol)のEtOH(4mL)と水(2mL)の溶液を用いて30℃で1時間処理した。反応混合液を、2N HClを用いてpH4~5に酸性化した。溶媒を真空中で除去し、残留物を分取HPLC A(30~80% MeCN)により精製して、白色固形物として、ジアステレオマー生成物のKF-P1(66mg)およびKF-P2(113mg)を得た。
KF-P1 ESI 688.3(M+H) H NMR(400MHz,MeOD)δ 7.81(s,1H),7.13-6.98(m,3H),6.87(dd,J=13.1,6.8Hz,2H),6.77(s,1H),5.68-5.52(m,2H),4.08(t,J=9.6Hz,2H),3.84-3.77(m,2H),3.49-3.37(m,5H),3.26(t,J=7.2Hz,2H),2.98(m,1H),2.83(t,J=6.8Hz,2H),2.69(d,J=6.8Hz,2H),2.28(s,3H),2.03-1.90(m,5H),1.85(s,3H),1.45-1.33(m,1H),0.94-0.89(m,6H).
KF-P2 ESI 688.3(M+H) H NMR(400MHz,MeOD)δ 7.72(s,1H),7.13-7.05(m,3H),6.98-6.83(m,3H),5.75(dd,J=10.9,3.4Hz,1H),5.59(t,J=7.6Hz,1H),4.21(dd,J=17.0,7.5Hz,2H),3.94(dd,J=23.0,13.3Hz,2H),3.50(d,J=4.7Hz,2H),3.47-3.35(m,5H),3.07-3.05(m,1H),2.91-2.89(m,1H),2.82-2.80(m,1H),2.65-2.60(dd,J=15.5,3.5Hz,1H),2.49(dd,J=15.5,11.0Hz,1H),2.31(s,3H),2.00-1.93(m,7H),1.67-1.60(m,1H),1.43-1.33(m,1H),0.88-0.86(m,6H).
3-129. (3S)-3-(4-フルオロ-2’,6’-ジメチル-5-(トリフルオロメチル)-[1,1’-ビフェニル]-3-イル)-3-(4-メチル-2-(5-(2-(3-メチルアゼチジン-1-イル)エチル)-2-オキソ-4-(トリフルオロメチル)ピリジン-1(2H)-イル)ペンタンアミド)プロパン酸(化合物KG-P1およびKG-P2)の調製
工程1:(3S)-3-(4-フルオロ-2’,6’-ジメチル-5-(トリフルオロメチル)-[1,1’-ビフェニル]-3-イル)-3-(4-メチル-2-(5-(2-(3-メチルアゼチジン-1-イル)エチル)-2-オキソ-4-(トリフルオロメチル)ピリジン-1(2H)-イル)ペンタンアミド)プロパン酸エチル
Figure 0007702004000788
(S)-3-アミノ-3-(4-フルオロ-2’,6’-ジメチル-5-(トリフルオロメチル)-[1,1’-ビフェニル]-3-イル)プロパン酸エチル(250mg、0.65mmol)、4-メチル-2-(5-(2-(3-メチルアゼチジン-1-イル)エチル)-2-オキソ-4-(トリフルオロメチル)ピリジン-1(2H)-イル)ペンタン酸(243mg、0.65mmol)、TCFH(364mg、1.3mmol)、およびNMI(267mg、3.25mmol)のCHCN(5mL)の混合液を60℃で1.5時間攪拌した。反応混合液を、C18/40gカラムでの逆相HPLC(A:水 10mM NH4HCO3、B:CH3CN、0~100%)により精製して、黄色固形物として、(3S)-3-(4-フルオロ-2’,6’-ジメチル-5-(トリフルオロメチル)-[1,1’-ビフェニル]-3-イル)-3-(4-メチル-2-(5-(2-(3-メチルアゼチジン-1-イル)エチル)-2-オキソ-4-(トリフルオロメチル)ピリジン-1(2H)-イル)ペンタンアミド)プロパン酸エチル(300mg)を得た。収率62.4 %(ESI 739.3 [M+H])。
工程2:(3S)-3-(4-フルオロ-2’,6’-ジメチル-5-(トリフルオロメチル)-[1,1’-ビフェニル]-3-イル)-3-(4-メチル-2-(5-(2-(3-メチルアゼチジン-1-イル)エチル)-2-オキソ-4-(トリフルオロメチル)ピリジン-1(2H)-イル)ペンタンアミド)プロパン酸
Figure 0007702004000789
(3S)-3-(4-フルオロ-2’,6’-ジメチル-5-(トリフルオロメチル)-[1,1’-ビフェニル]-3-イル)-3-(4-メチル-2-(5-(2-(3-メチルアゼチジン-1-イル)エチル)-2-オキソ-4-(トリフルオロメチル)ピリジン-1(2H)-イル)ペンタンアミド)プロパン酸エチル(300mg、0.41mmol)を、LiOH-HO(52mg、1.23mmol)のEtOH(4mL)とHO(1mL)の溶液を用いて室温で30分間処理した。LCMSは、反応が完了したことを示した。反応混合液を、1N HClを用いてpH5~6に酸性化した。溶媒を真空中で除去し、残留物を分取HPLC A(30~60% CHCN)により精製して、白色固形物として、ジアステレオマー生成物のKG-P1(88mg)およびKG-P2(106mg)を得た。
KG-P1 ESI 711.3(M+H)H NMR(400MHz,MeOD)δ 7.82(s,1H),7.39(d,J=4.8Hz,1H),7.29(d,J=4.9Hz,1H),7.20-7.04(m,3H),6.73(s,1H),5.62(t,J=6.7Hz,2H),4.14(t,J=9.1Hz,2H),3.68(t,J=8.4Hz,2H),3.295-3.25(m,2H),2.96-2.87(m,1H),2.83(t,J=6.9Hz,2H),2.75-2.66(m,2H),2.03-1.92(m,5H),1.85(s,3H),1.43-1.35(m,1H),1.24(d,J=6.8Hz,3H),0.9-0.88(m,6H).
KG-P2 ESI 711.3(M+H)H NMR(400MHz,MeOD)δ 7.73(s,1H),7.44(d,J=6.4Hz,1H),7.38-7.33(m,1H),7.33-7.21(m,3H),6.88(s,1H),5.82-5.76(m,1H),5.61(t,J=7.6Hz,1H),4.21(t,J=9.4Hz,2H),3.76(t,J=8.5Hz,2H),3.45-3.33(m,2H),3.00-2.86(m,2H),2.83-2.74(m,1H),2.69-2.47(m,2H),2.04-1.90(m,7H),1.69-1.59(m,1H),1.43-1.33(m,1H),1.28(d,J=6.9Hz,3H),0.87(d,J=6.6Hz,6H).
3-130. (3S)-3-(2-(5-(2-(アゼチジン-1-イル)エチル)-2-オキソ-4-(トリフルオロメチル)ピリジン-1(2H)-イル)-4,4-ジメチルペンタンアミド)-3-(4-フルオロ-2’,5,6’-トリメチルビフェニル-3-イル)プロパン酸(化合物KH-P1およびKH-P2)の調製
工程1:(3S)-エチル 3-(2-(5-(2-(アゼチジン-1-イル)エチル)-2-オキソ-4-(トリフルオロメチル)ピリジン-1(2H)-イル)-4,4-ジメチルペンタンアミド)-3-(4-フルオロ-2’,5,6’-トリメチルビフェニル-3-イル)プロパン酸塩
Figure 0007702004000790
2-(5-(2-(アゼチジン-1-イル)エチル)-2-オキソ-4-(トリフルオロメチル)ピリジン-1(2H)-イル)-4,4-ジメチルペンタン酸(300mg、0.80mmol)、(S)-エチル 3-アミノ-3-(4-フルオロ-2’,5,6’-トリメチルビフェニル-3-イル)プロパン酸塩(264mg、0.80mmol)、NMI(0.5mL)およびTCFH(336mg、1.20mmol)のCHCN(5mL)の混合液を室温で1時間攪拌した。溶媒を真空中で濃縮し、残留物を分取HPLC A(30~90% CHCN)により精製して、白色固形物として、(3S)-エチル 3-(2-(5-(2-(アゼチジン-1-イル)エチル)-2-オキソ-4-(トリフルオロメチル)ピリジン-1(2H)-イル)-4,4-ジメチルペンタンアミド)-3-(4-フルオロ-2’,5,6’-トリメチルビフェニル-3-イル)プロパン酸塩(250mg)を得た。収率 45%(ESI 686.3 [M+H])。
工程2:(3S)-3-(2-(5-(2-(アゼチジン-1-イル)エチル)-2-オキソ-4-(トリフルオロメチル)ピリジン-1(2H)-イル)-4,4-ジメチルペンタンアミド)-3-(4-フルオロ-2’,5,6’-トリメチルビフェニル-3-イル)プロパン酸
Figure 0007702004000791
(3S)-エチル 3-(2-(5-(2-(アゼチジン-1-イル)エチル)-2-オキソ-4-(トリフルオロメチル)ピリジン-1(2H)-イル)-4,4-ジメチルペンタンアミド)-3-(4-フルオロ-2’,5,6’-トリメチルビフェニル-3-イル)プロパン酸塩(250mg、0.36mmol)を、LiOH-HO(76mg、1.80mmol)のMeOH(5mL)とHO(0.5mL)の溶液を用いて室温で2時間処理した。反応混合液を、1N HClを用いてpH4~5に酸性化した。溶媒を真空中で除去し、残留物を分取HPLC A(30~60% CHCN)により精製して、白色固形物として、ジアステレオマー生成物のKH-P1(72mg)およびKH-P2(75mg)を得た。
KH-P1 ESI 658.3(M+H)H NMR(400MHz,MeOD)δ 7.92(s,1H),7.17-7.00(m,3H),6.86(d,J=6.9Hz,2H),6.73(s,1H),5.68(s,1H),5.54(t,J=6.5Hz,1H),4.02(t,J=8.1Hz,4H),3.27(t,J=7.1Hz,2H),2.83(t,J=7.0Hz,2H),2.70(d,J=6.5Hz,2H),2.49-2.36(m,2H),2.29(d,J=1.7Hz,3H),2.23-2.10(m,1H),2.03-1.95(m,4H),1.86(s,3H),0.90(s,9H).
KH-P2 ESI 658.3(M+H)H NMR(400MHz,MeOD)δ 7.75(s,1H),7.19-7.07(m,3H),7.02-6.85(m,3H),5.87-5.72(m,1H),5.69-5.55(m,1H),4.15(s,4H),3.47-3.35(m,2H),3.01-2.75(m,2H),2.71-2.41(m,4H),2.41-2.27(m,4H),2.00(d,J=6.9Hz,6H),1.49(d,J=13.2Hz,1H),0.88(s,9H).
3-131. (3S)-3-(2-(5-(2-(ジメチルアミノ)エチル)-2-オキソ-4-(トリフルオロメチル)ピリジン-1(2H)-イル)-4,4-ジメチルペンタンアミド)-3-(4-フルオロ-2’,5,6’-トリメチルビフェニル-3-イル)プロパン酸(化合物KI-P1およびKI-P2)の調製
工程1:(3S)-エチル 3-(2-(5-(2-(ジメチルアミノ)エチル)-2-オキソ-4-(トリフルオロメチル)ピリジン-1(2H)-イル)-4,4-ジメチルペンタンアミド)-3-(4-フルオロ-2’,5,6’-トリメチルビフェニル-3-イル)プロパン酸塩
Figure 0007702004000792
2-(5-(2-(ジメチルアミノ)エチル)-2-オキソ-4-(トリフルオロメチル)ピリジン-1(2H)-イル)-4,4-ジメチルペンタン酸(250mg、0.69mmol)、(S)-エチル 3-アミノ-3-(4-フルオロ-2’,5,6’-トリメチルビフェニル-3-イル)プロパン酸塩(227mg、0.69mmol)、NMI(0.5mL)、およびTCFH(291mg、1.04mmol)のCHCN(5mL)の混合液を、室温で1時間攪拌した。溶媒を真空中で濃縮し、残留物を分取HPLC A(30~90% CHCN)により精製して、白色固形物として、(3S)-エチル 3-(2-(5-(2-(ジメチルアミノ)エチル)-2-オキソ-4-(トリフルオロメチル)ピリジン-1(2H)-イル)-4,4-ジメチルペンタンアミド)-3-(4-フルオロ-2’,5,6’-トリメチルビフェニル-3-イル)プロパン酸塩(200mg)を得た。収率 43%(ESI 674.2 [M+H])。
工程2:(3S)-3-(2-(5-(2-(ジメチルアミノ)エチル)-2-オキソ-4-(トリフルオロメチル)ピリジン-1(2H)-イル)-4,4-ジメチルペンタンアミド)-3-(4-フルオロ-2’,5,6’-トリメチルビフェニル-3-イル)プロパン酸
Figure 0007702004000793
(3S)-エチル 3-(2-(5-(2-(ジメチルアミノ)エチル)-2-オキソ-4-(トリフルオロメチル)ピリジン-1(2H)-イル)-4,4-ジメチルペンタンアミド)-3-(4-フルオロ-2’,5,6’-トリメチルビフェニル-3-イル)プロパン酸塩(200mg、0.30mmol)を、LiOH-HO(63mg、1.50mmol)のMeOH(5mL)とHO(0.5mL)の溶液を用いて室温で2時間処理した。反応混合液を、1N HClを用いてpH4~5に酸性化した。溶媒を真空中で除去し、残留物を分取HPLC A(30~60% CHCN)により精製して、白色固形物として、ジアステレオマー生成物のKI-P1(67mg)およびKI-P2(62mg)を得た。
KI-P1 ESI 646.3(M+H)H NMR(400MHz,MeOD)δ 7.97(s,1H),7.15-6.98(m,3H),6.84(d,J=7.1Hz,2H),6.70(s,1H),5.74(s,1H),5.58-5.44(m,1H),3.12-2.84(m,4H),2.77-2.64(m,8H),2.28(d,J=1.6Hz,3H),2.20-2.11(m,1H),2.02-1.90(m,4H),1.79(s,3H),0.91(s,9H).
KI-P2 ESI 646.3(M+H)H NMR(400MHz,MeOD)δ 7.87(s,1H),7.19-7.04(m,3H),7.00-6.85(m,3H),5.73(d,J=10.3Hz,1H),5.66-5.56(m,1H),3.32-3.15(m,2H),3.07-2.95(m,2H),2.83(s,6H),2.66-2.44(m,2H),2.32(d,J=1.6Hz,3H),2.30-2.23(m,1H),1.99(d,J=4.0Hz,6H),1.65-1.51(m,1H),0.86(d,J=1.7Hz,9H).
3-132. (3S)-3-(2-(5-(3-(ジメチルアミノ)プロピル)-2-オキソ-4-(トリフルオロメチル)ピリジン-1(2H)-イル)-4-メチルペンタンアミド)-3-(4-フルオロ-2’,4’,5,6’-テトラメチル-[1,1’-ビフェニル]-3-イル)プロパン酸(化合物KJ-P1およびKJ-P2)の調製
工程1:(3S)-3-(2-(5-(3-(ジメチルアミノ)プロピル)-2-オキソ-4-(トリフルオロメチル)ピリジン-1(2H)-イル)-4-メチルペンタンアミド)-3-(4-フルオロ-2’,4’,5,6’-テトラメチル-[1,1’-ビフェニル]-3-イル)プロパン酸エチル
Figure 0007702004000794
(S)-3-アミノ-3-(4-フルオロ-2’,4’,5,6’-テトラメチル-[1,1’-ビフェニル]-3-イル)プロパン酸エチル塩酸塩(239.3mg、0.63mmol)、2-(5-(3-(ジメチルアミノ)プロピル)-2-オキソ-4-(トリフルオロメチル)ピリジン-1(2H)-イル)-4-メチルペンタン酸(230.0mg、0.63mmol)、TCHF(213.2mg、0.76mmol)およびNMI(206.9mg、2.52mmol)のCHCN(5mL)の混合液を室温で一晩攪拌した。溶媒を真空中で除去し、残留物をC18/40gカラムでの逆相HPLC(A:水 10mM NHHCO、B:MeOH、0~100 %)により精製して、明黄色固形物として、(3S)-3-(2-(5-(3-(ジメチルアミノ)プロピル)-2-オキソ-4-(トリフルオロメチル)ピリジン-1(2H)-イル)-4-メチルペンタンアミド)-3-(4-フルオロ-2’,4’,5,6’-テトラメチル-[1,1’-ビフェニル]-3-イル)プロパン酸エチル(270.0mg)を得た。収率 62%(ESI 688.3 [M+H])。
工程2:(3S)-3-(2-(5-(3-(ジメチルアミノ)プロピル)-2-オキソ-4-(トリフルオロメチル)ピリジン-1(2H)-イル)-4-メチルペンタンアミド)-3-(4-フルオロ-2’,4’,5,6’-テトラメチル-[1,1’-ビフェニル]-3-イル)プロパン酸
Figure 0007702004000795
(3S)-3-(2-(5-(3-(ジメチルアミノ)プロピル)-2-オキソ-4-(トリフルオロメチル)ピリジン-1(2H)-イル)-4-メチルペンタンアミド)-3-(4-フルオロ-2’,4’,5,6’-テトラメチル-[1,1’-ビフェニル]-3-イル)プロパン酸エチル(270.0mg、0.39mmol)を、LiOH-HO(49.1mg、1.17mmol)のEtOH(2mL)と水(0.5mL)の溶液を用いて室温で1時間処理した。反応混合液を、2N HClを用いてPH4~5に酸性化した。溶媒を真空中で除去し、残留物を分取HPLC A(30~80% MeCN)により精製して、白色固形物として、ジアステレオマー生成物のKJ-P1(84mg)およびKJ-P2(74mg)を得た。
KJ-P1 ESI 660.0(M+H)+ 1H NMR(400MHz,MeOD)δ 7.80(s,1H),6.95-6.78(m,4H),6.72(s,1H),5.75-5.69(m,1H),5.58(t,J=6.8Hz,1H),3.12-2.97(m,2H),2.78(s,6H),2.72-2.62(m,4H),2.33-2.23(m,6H),2.05-1.88(m,7H),1.80(s,3H),1.43-1.34(m,1H),0.96-0.92(m,6H).
KJ-P2 ESI 660.0(M+H)+ 1H NMR(400MHz,MeOD)δ 7.83(s,1H),6.93-6.86(m,4H),6.84(s,1H),5.77-5.72(m,1H),5.60-5.53(m,1H),3.09-2.94(m,2H),2.79(s,6H),2.73-2.45(m,4H),2.36-2.26(m,6H),2.10-1.85(m,9H),1.65-1.54(m,1H),1.42-1.30(m,1H),0.87-0.81(m,6H).
3-133. (3S)-3-(2-(5-(2-(アゼチジン-1-イル)エチル)-2-オキソ-4-(トリフルオロメチル)ピリジン-1(2H)-イル)-4-メチルペンタンアミド)-3-(3’,4-ジフルオロ-2’,4’,5,6’-テトラメチル-[1,1’-ビフェニル]-3-イル)プロパン酸(化合物KK-P1およびKK-P2)の調製
工程1:(3S)-3-(2-(5-(2-(アゼチジン-1-イル)エチル)-2-オキソ-4-(トリフルオロメチル)ピリジン-1(2H)-イル)-4-メチルペンタンアミド)-3-(3’,4-ジフルオロ-2’,4’,5,6’-テトラメチル-[1,1’-ビフェニル]-3-イル)プロパン酸エチル
Figure 0007702004000796
2-(5-(2-(アゼチジン-1-イル)エチル)-2-オキソ-4-(トリフルオロメチル)ピリジン-1(2H)-イル)-4-メチルペンタン酸(230.0mg、0.64mmol)、(S)-3-アミノ-3-(3’,4-ジフルオロ-2’,4’,5,6’-テトラメチル-[1,1’-ビフェニル]-3-イル)プロパン酸エチル塩酸塩(230.0mg、0.64mmol)、TCHF(214.0mg、0.76mmol)、およびNMI(105.0mg、1.28mmol)のCHCN(5mL)の混合液を室温で2時間攪拌した。溶媒を真空中で濃縮し、C18/40gカラムでの逆相HPLC(A:水 10mM NHHCO3、B:MeOH、0~100%)により精製して、黄色固形物として、(3S)-3-(2-(5-(2-(アゼチジン-1-イル)エチル)-2-オキソ-4-(トリフルオロメチル)ピリジン-1(2H)-イル)-4-メチルペンタンアミド)-3-(3’,4-ジフルオロ-2’,4’,5,6’-テトラメチル-[1,1’-ビフェニル]-3-イル)プロパン酸エチル(220mg)を得た。収率 50.1%(ESI 704.3 [M+H])。
工程2:(3S)-3-(2-(5-(2-(アゼチジン-1-イル)エチル)-2-オキソ-4-(トリフルオロメチル)ピリジン-1(2H)-イル)-4-メチルペンタンアミド)-3-(3’,4-ジフルオロ-2’,4’,5,6’-テトラメチル-[1,1’-ビフェニル]-3-イル)プロパン酸
Figure 0007702004000797
(3S)-3-(2-(5-(2-(アゼチジン-1-イル)エチル)-2-オキソ-4-(トリフルオロメチル)ピリジン-1(2H)-イル)-4-メチルペンタンアミド)-3-(3’,4-ジフルオロ-2’,4’,5,6’-テトラメチル-[1,1’-ビフェニル]-3-イル)プロパン酸エチル(220.0mg、0.31mmol)を、LiOH-HO(66.0mg、1.55mmol)のEtOH(4mL)と水(2mL)の溶液を用いて30℃で1時間処理した。反応混合液を、2N HClを用いてpH4~5に酸性化した。溶媒を真空中で除去し、残留物を分取HPLC A(30~80% MeCN)により精製して、白色固形物として、ジアステレオマー生成物のKK-P1(85mg)およびKK-P2(84mg)を得た。
KK-P1 ESI 676.1(M+H)+ 1H NMR(400MHz,MeOD)δ 7.84(s,1H),6.94-6.76(m,3H),6.77(d,J=9.2Hz,1H),5.68-5.54(m,2H),4.07-4.02(s,4H),3.28(d,J=6.7Hz,2H),2.85(t,J=6.9Hz,2H),2.71-2.68(m,,2H),2.43(m,2H),2.30(s,3H),2.25(s,3H),2.00(t,J=7.5Hz,2H),1.95-1.88(m,3H),1.80(d,J=16.8Hz,3H),1.42-4.41(m,1H),0.96-0.92(m,6H).
KK-P2 ESI 676.1(M+H) H NMR(400MHz,MeOD)δ 7.62(s,1H),6.84-6.78(m,4H),5.64(dd,J=10.8,3.3Hz,1H),5.49(t,J=7.6Hz,1H),4.04-3.99(m,4H),3.31-3.21(m,2H),2.84-2.69(m,2H),2.55-2.50(m,1H),2.44-2.29(m,3H),2.22(d,J=1.7Hz,3H),2.14(d,J=1.6Hz,3H),1.91-1.78(m,7H),1.60-1.49(m,1H),1.37-1.22(m,1H),0.80-0.73(m,6H).
3-134. (3S)-3-(4-フルオロ-3’-メトキシ-2’,5,6’-トリメチルビフェニル-3-イル)-3-(4-メチル-2-(5-(2-(3-メチルアゼチジン-1-イル)エチル)-2-オキソ-4-(トリフルオロメチル)ピリジン-1(2H)-イル)ペンタンアミド)プロパン酸(化合物KL-P1およびKL-P2)の調製
工程1:(3S)-エチル 3-(4-フルオロ-3’-メトキシ-2’,5,6’-トリメチルビフェニル-3-イル)-3-(4-メチル-2-(5-(2-(3-メチルアゼチジン-1-イル)エチル)-2-オキソ-4-(トリフルオロメチル)ピリジン-1(2H)-イル)ペンタンアミド)プロパン酸塩
Figure 0007702004000798
4-メチル-2-(5-(2-(3-メチルアゼチジン-1-イル)エチル)-2-オキソ-4-(トリフルオロメチル)ピリジン-1(2H)-イル)ペンタン酸(170mg、0.45mmol)、(S)-エチル 3-アミノ-3-(4-フルオロ-3’-メトキシ-2’,5,6’-トリメチルビフェニル-3-イル)プロパン酸塩(163mg、0.45mmol)、NMI(160mg、1.96mmol)、およびTCFH(252mg、0.9mmol)のCHCN(5mL)の混合液を室温で1.5時間攪拌した。溶媒を真空中で濃縮し、残留物をシリカゲルカラム(DCM:MeOH 9:1)により精製して、黄色固形物として、(3S)-エチル 3-(4-フルオロ-3’-メトキシ-2’,5,6’-トリメチルビフェニル-3-イル)-3-(4-メチル-2-(5-(2-(3-メチルアゼチジン-1-イル)エチル)-2-オキソ-4-(トリフルオロメチル)ピリジン-1(2H)-イル)ペンタンアミド)プロパン酸塩(220mg)を得た。収率 68 %(ESI 716.3 [M+H])。
工程2:(3S)-3-(4-フルオロ-3’-メトキシ-2’,5,6’-トリメチルビフェニル-3-イル)-3-(4-メチル-2-(5-(2-(3-メチルアゼチジン-1-イル)エチル)-2-オキソ-4-(トリフルオロメチル)ピリジン-1(2H)-イル)ペンタンアミド)プロパン酸
Figure 0007702004000799
(3S)-エチル 3-(4-フルオロ-3’-メトキシ-2’,5,6’-トリメチルビフェニル-3-イル)-3-(4-メチル-2-(5-(2-(3-メチルアゼチジン-1-イル)エチル)-2-オキソ-4-(トリフルオロメチル)ピリジン-1(2H)-イル)ペンタンアミド)プロパン酸塩(220mg、0.31mmol)を、LiOH-HO(64mg、1.53mmol)のEtOH(3mL)とHO(1mL)の溶液を用いて室温で2時間処理した。反応混合液を、1N HClを用いてpH4~5に酸性化した。溶媒を真空中で除去し、残留物を分取HPLC A(30~80% CHCN)により精製して、白色固形物として、ジアステレオマー生成物のKL-P1(73mg)およびKL-P2(100mg)を得た。
KL-P1 ESI 688.3(M+H). 1H NMR(400MHz,MeOD)δ 7.84(s,1H),7.02(t,J=7.7Hz,1H),6.92-6.67(m,4H),5.73-5.51(m,2H),4.18-4.00(m,2H),3.82(s,3H),3.70-3.55(m,2H),3.31-3.22(m,2H),3.01-2.79(m,3H),2.70(d,J=6.0Hz,2H),2.32(d,J=25.7Hz,3H),1.98(t,J=7.5Hz,2H),1.82-1.80(m,6H),1.49-1.37(m,1H),1.24(d,J=6.9Hz,3H),0.94-0.90(m,6H).
KL-P2 ESI 688.3(M+H). 1H NMR(400MHz,MeOD)δ 7.74(s,1H),7.05(d,J=8.3Hz,1H),7.00-6.84(m,3H),6.83(d,J=8.4Hz,1H),5.76-5.75(m,1H),5.60(t,J=7.5Hz,1H),4.21(t,J=9.3Hz,2H),3.83(d,J=1.0Hz,3H),3.80-3.67(m,2H),3.46-3.35(m,2H),3.04-2.86(m,2H),2.85-2.74(m,1H),2.71-2.59(m,1H),2.50-2.48(m,1H),2.33(d,J=1.7Hz,3H),2.06-1.95(m,1H),1.93(d,J=6.5Hz,3H),1.85(d,J=5.3Hz,3H),1.68-1.56(m,1H),1.42-1.40(m,1H),1.29(d,J=6.9Hz,3H),0.89(d,J=6.6Hz,6H).
3-135. (3S)-3-(2-(5-(2-(3,3-ジメチルアゼチジン-1-イル)エチル)-2-オキソ-4-(トリフルオロメチル)ピリジン-1(2H)-イル)-4-メチルペンタンアミド)-3-(4-フルオロ-2’,5,6’-トリメチル-[1,1’-ビフェニル]-3-イル)プロパン酸(化合物KM-P1およびKM-P2)の調製
工程1:(3S)-3-(2-(5-(2-(3,3-ジメチルアゼチジン-1-イル)エチル)-2-オキソ-4-(トリフルオロメチル)ピリジン-1(2H)-イル)-4-メチルペンタンアミド)-3-(4-フルオロ-2’,5,6’-トリメチル-[1,1’-ビフェニル]-3-イル)プロパン酸エチル
Figure 0007702004000800
(S)-3-アミノ-3-(4-フルオロ-2’,5,6’-トリメチル-[1,1’-ビフェニル]-3-イル)プロパン酸エチル(216.6mg、0.59mmol)、2-(5-(2-(3,3-ジメチルアゼチジン-1-イル)エチル)-2-オキソ-4-(トリフルオロメチル)ピリジン-1(2H)-イル)-4-メチルペンタン酸(230.0mg、0.59mmol)、TCHF(199.2mg、0.71mmol)、およびNMI(145.3mg、1.77mmol)のCHCN(5mL)の混合液を40℃で1時間攪拌した。溶媒を真空中で除去し、残留物をC18/40gカラムでの逆相HPLC(A:水 10mM NHHCO、B:MeOH、0~100 %)により精製して、明黄色固形物として、(3S)-3-(2-(5-(2-(3,3-ジメチルアゼチジン-1-イル)エチル)-2-オキソ-4-(トリフルオロメチル)ピリジン-1(2H)-イル)-4-メチルペンタンアミド)-3-(4-フルオロ-2’,5,6’-トリメチル-[1,1’-ビフェニル]-3-イル)プロパン酸エチル(270.0mg)を得た。収率 65%(ESI 700.3 [M+H])。
工程2:(3S)-3-(2-(5-(2-(3,3-ジメチルアゼチジン-1-イル)エチル)-2-オキソ-4-(トリフルオロメチル)ピリジン-1(2H)-イル)-4-メチルペンタンアミド)-3-(4-フルオロ-2’,5,6’-トリメチル-[1,1’-ビフェニル]-3-イル)プロパン酸
Figure 0007702004000801
(3S)-3-(2-(5-(2-(3,3-ジメチルアゼチジン-1-イル)エチル)-2-オキソ-4-(トリフルオロメチル)ピリジン-1(2H)-イル)-4-メチルペンタンアミド)-3-(4-フルオロ-2’,5,6’-トリメチル-[1,1’-ビフェニル]-3-イル)プロパン酸エチル(270.0mg、0.39mmol)を、LiOH-HO(49.1mg、1.17mmol)のEtOH(2mL)とHO(0.5mL)の溶液を用いて室温で1時間処理した。反応混合液を、2N HClを用いてpH4~5に酸性化した。溶媒を真空中で除去し、残留物を分取HPLC A(30~80% MeCN)により精製して、白色固形物として、ジアステレオマー生成物のKM-P1(83mg)およびKM-P2(96mg)を得た。
KM-P1 ESI 672.3(M+H)+ 1H NMR(400MHz,MeOD)δ 7.87(s,1H),7.15-7.02(m,3H),6.94-6.84(m,2H),6.78(s,1H),5.72-5.61(m,2H),3.84-3.71(m,4H),3.32-3.20(m,2H),2.85(t,J=7.1Hz,2H),2.78-2.66(m,2H),2.29(d,J=1.4Hz,3H),2.04-1.94(m,5H),1.85(s,3H),1.45-1.38(m,1H),1.34(s,6H),0.94(t,J=6.6Hz,6H).
KM-P2 ESI 672.3(M+H)+ 1H NMR(400MHz,MeOD)δ 7.73(s,1H),7.17-7.05(m,3H),6.98-6.87(m,3H),5.80-5.75(m,1H),5.62(t,J=7.6Hz,1H),3.91(s,4H),3.42(t,J=5.9Hz,2H),3.00-2.74(m,2H),2.66-2.46(m,2H),2.33(d,J=1.7Hz,3H),2.05-1.94(m,7H),1.66-1.58(m,1H),1.47-1.35(m,7H),0.89(d,J=6.6Hz,6H).
3-136. (3S)-3-(2-(5-(2-(ジメチルアミノ)エチル)-2-オキソ-4-(トリフルオロメチル)ピリジン-1(2H)-イル)-4-メチルペンタンアミド)-3-(4-フルオロ-2’,3’,5,6’-テトラメチル-[1,1’-ビフェニル]-3-イル)プロパン酸(化合物KN-P1およびKN-P2)
工程1:2,3,6-トリメチルフェニル トリフルオロメタンスルホン酸塩
Figure 0007702004000802
2,3,6-トリメチルフェノール(5.0g、36.7mmol)およびトリエチルアミン(11.1g、110.1mmol)のDCM(100mL)の混合液を、0℃に冷却した。トリフルオロメタンスルホン酸無水物(15.5g、55.1mmol)を反応混合液に滴下して加えて、混合液を0℃で3時間攪拌した。混合液をNHCl水溶液(50mL)でクエンチした。 有機層をブライン(50mL)で洗浄し、無水NaSOで乾燥させ、ろ過して、ろ過液を真空中で濃縮した。残留物をシリカゲルカラム(石油エーテル)により精製して、無色油状物として、2,3,6-トリメチルフェニル トリフルオロメタンスルホン酸塩(8.0g)を得た。収率81%。(Massなし)H NMR(400MHz,CDCl)δ 7.03(dd,J=19.3,7.8Hz,2H),2.35(s,3H),2.27(d,J=5.2Hz,6H)。
工程2:(3S)-3-(2-(5-(2-(ジメチルアミノ)エチル)-2-オキソ-4-(トリフルオロメチル)ピリジン-1(2H)-イル)-4-メチルペンタンアミド)-3-(4-フルオロ-2’,3’,5,6’-テトラメチル-[1,1’-ビフェニル]-3-イル)プロパン酸エチル
Figure 0007702004000803
(3S)-3-(2-(5-(2-(ジメチルアミノ)エチル)-2-オキソ-4-(トリフルオロメチル)ピリジン-1(2H)-イル)-4-メチルペンタンアミド)-3-(2-フルオロ-3-メチル-5-(4,4,5,5-テトラメチル-1,3,2-ジオキサボロラン-2-イル)フェニル)プロパン酸エチル(250.0mg、0.37mmol)、2,3,6-トリメチルフェニル トリフルオロメタンスルホン酸塩(119.1mg、0.44mmol)、CsCO(361.6mg、1.11mmol)、およびPd(PPh(42.7mg、0.037mmol)のトルエン(6mL)とHO(0.6mL)の混合液お、窒素雰囲気下、110℃で20時間攪拌した。LCMSは、反応が完了したことを示した。反応混合液を濾過し、ろ過液を真空中で濃縮した。残留物をシリカゲルカラム(EtOAc)により精製して、明黄色油状物として、(3S)-3-(2-(5-(2-(ジメチルアミノ)エチル)-2-オキソ-4-(トリフルオロメチル)ピリジン-1(2H)-イル)-4-メチルペンタンアミド)-3-(4-フルオロ-2’,3’,5,6’-テトラメチル-[1,1’-ビフェニル]-3-イル)プロパン酸エチル(110mg)を得た。収率 45 %(ESI 674.3(M+H)
工程3:(3S)-3-(2-(5-(2-(ジメチルアミノ)エチル)-2-オキソ-4-(トリフルオロメチル)ピリジン-1(2H)-イル)-4-メチルペンタンアミド)-3-(4-フルオロ-2’,3’,5,6’-テトラメチル-[1,1’-ビフェニル]-3-イル)プロパン酸
Figure 0007702004000804
(3S)-3-(2-(5-(2-(ジメチルアミノ)エチル)-2-オキソ-4-(トリフルオロメチル)ピリジン-1(2H)-イル)-4-メチルペンタンアミド)-3-(4-フルオロ-2’,3’,5,6’-テトラメチル-[1,1’-ビフェニル]-3-イル)プロパン酸エチル(110.0mg、0.16mmol)を、LiOH-HO(35.6mg、0.80mmol)のEtOH(2mL)と水(0.5mL)の溶液を用いて室温で1時間処理した。反応混合液を、2N HClを用いてpH4~5に酸性化した。溶媒を真空中で除去し、残留物を分取HPLC A(30~80% MeCN)により精製して、白色固形物として、ジアステレオマー生成物のKN-P1(47mg)およびKN-P2(39mg)を得た。
KN-P1 ESI 646.3(M+H)+ 1H NMR(400MHz,MeOD)δ 7.91(d,J=8.6Hz,1H),7.02(d,J=7.7Hz,1H),6.97-6.72(m,4H),5.71-5.66(m,1H),5.58-5.54(m,1H),3.16-3.00(m,2H),2.96-2.91(m,2H),2.79-2.64(m,8H),2.32-2.21(m,6H),1.99-1.88(m,2H),1.92(d,J=12.7Hz,3H),1.74(d,J=9.6Hz,3H),1.47-1.39(m,1H),0.96-0.91(m,6H).
KN-P2 ESI 646.2(M+H)+ 1H NMR(400MHz,MeOD)δ 7.88(s,1H),7.03(d,J=7.7Hz,1H),6.97(d,J=7.7Hz,1H),6.94-6.85(m,3H),5.74-5.70(m,1H),5.62(t,J=7.7Hz,1H),3.28-3.16(m,2H),3.03-2.95(m,2H),2.82(d,J=4.2Hz,6H),2.67-2.61(m,1H),2.56-2.49(m,1H),2.32(d,J=1.5Hz,3H),2.27(s,3H),2.03-1.84(m,7H),1.74-1.65(m 1H),1.42-1.35(m,1H),0.92-0.82(m,6H).
3-137. (3S)-3-(4,4’-ジフルオロ-2’,5,6’-トリメチルビフェニル-3-イル)-3-(2-(5-(2-(ジメチルアミノ)エチル)-3-フルオロ-2-オキソ-4-(トリフルオロメチル)ピリジン-1(2H)-イル)-4-メチルペンタンアミド)プロパン酸(化合物KO-P1およびKO-P2)の調製
工程1:(3S)-エチル 3-(4,4’-ジフルオロ-2’,5,6’-トリメチルビフェニル-3-イル)-3-(2-(5-(2-(ジメチルアミノ)エチル)-3-フルオロ-2-オキソ-4-(トリフルオロメチル)ピリジン-1(2H)-イル)-4-メチルペンタンアミド)プロパン酸塩
Figure 0007702004000805
2-(5-(2-(ジメチルアミノ)エチル)-3-フルオロ-2-オキソ-4-(トリフルオロメチル)ピリジン-1(2H)-イル)-4-メチルペンタン酸(150mg、0.41mmol)、(S)-エチル 3-アミノ-3-(4,4’-ジフルオロ-2’,5,6’-トリメチルビフェニル-3-イル)プロパン酸塩(142mg、0.41mmol)、TCFH(230mg、0.82mmol)、およびNMI(67mg、0.82mmol)のCHCN(6mL)の混合液を室温で1時間攪拌した。溶媒を真空中で除去し、残留物をシリカゲルカラム(DCM:MeOH 10:1)により精製して、黄色油状物として、(3S)-エチル 3-(4,4’-ジフルオロ-2’,5,6’-トリメチルビフェニル-3-イル)-3-(2-(5-(2-(ジメチルアミノ)エチル)-3-フルオロ-2-オキソ-4-(トリフルオロメチル)ピリジン-1(2H)-イル)-4-メチルペンタンアミド)プロパン酸塩(120mg)を得た。収率 42%(ESI 696.1(M+H))。
工程2:(3S)-3-(4,4’-ジフルオロ-2’,5,6’-トリメチルビフェニル-3-イル)-3-(2-(5-(2-(ジメチルアミノ)エチル)-3-フルオロ-2-オキソ-4-(トリフルオロメチル)ピリジン-1(2H)-イル)-4-メチルペンタンアミド)プロパン酸
Figure 0007702004000806
(3S)-エチル 3-(4,4’-ジフルオロ-2’,5,6’-トリメチルビフェニル-3-イル)-3-(2-(5-(2-(ジメチルアミノ)エチル)-3-フルオロ-2-オキソ-4-(トリフルオロメチル)ピリジン-1(2H)-イル)-4-メチルペンタンアミド)プロパン酸塩(120mg、0.17mmol))を、LiOH-HO(36mg、0.85mmol)のMeOH(4mL)とHO(1mL)の溶液を用いて室温で2時間処理した。反応混合液を、1N HClを用いてpH4~5に酸性化した。溶媒を真空中で除去し、残留物を分取HPLC A(30~60% MeCN)により精製して、白色固形物として、ジアステレオマー生成物のKO-P1(42mg)およびKO-P2(47mg)を得た。
KO-P1 ESI 668.2(M+H) H NMR(400MHz,MeOD)δ 7.71(s,1H),6.88-6.79(m,4H),5.68(t,J=8.0Hz,1H),5.55(t,J=6.8Hz,1H),3.09(d,J=7.2Hz,2H),3.00(d,J=7.9Hz,2H),2.81-2.68(m,8H),2.29(s,3H),1.98(d,J=10.1Hz,5H),1.83(s,3H),1.48-1.41(m,1H),0.96-0.92(m,,6H).
KO-P2 ESI 668.2(M+H) H NMR(400MHz,MeOD)δ 7.66(s,1H),6.93(t,J=7.5Hz,2H),6.84(d,J=9.6Hz,2H),5.74-5.70(m,1H),5.63(t,J=7.6Hz,1H),3.29-3.15(m,2H),3.06-3.00(m,2H),2.83(d,J=7.9Hz,6H),2.67-2.59(m,1H),2.55-2.49(m,1H),2.32(d,J=1.2Hz,3H),2.08-1.96(m,7H),1.76-1.66(m,1H),1.42-1.37(m,1H),0.90-0.85(m,6H).
3-138. (3S)-3-(2-(5-(2-(アゼチジン-1-イル)エチル)-2-オキソ-4-(トリフルオロメチル)ピリジン-1(2H)-イル)-4-メチルペンタンアミド)-3-(4-フルオロ-4’-メトキシ-2’,5,6’-トリメチルビフェニル-3-イル)プロパン酸(化合物KP-P1およびKP-P2)の調製
工程1:(3S)-エチル 3-(2-(5-(2-(アゼチジン-1-イル)エチル)-2-オキソ-4-(トリフルオロメチル)ピリジン-1(2H)-イル)-4-メチルペンタンアミド)-3-(4-フルオロ-4’-メトキシ-2’,5,6’-トリメチルビフェニル-3-イル)プロパン酸塩
Figure 0007702004000807
(S)-エチル 3-アミノ-3-(4-フルオロ-4’-メトキシ-2’,5,6’-トリメチルビフェニル-3-イル)プロパン酸塩(170mg、0.47mmol)、2-(5-(2-(アゼチジン-1-イル)エチル)-2-オキソ-4-(トリフルオロメチル)ピリジン-1(2H)-イル)-4-メチルペンタン酸(169mg、0.47mmol)、TCFH(263mg、0.94mmol)、およびNMI(241mg、2.94mmol)のCHCN(6mL)の混合液を室温で1時間攪拌した。溶媒を真空中で除去し、残留物をシリカゲルカラム(DCM:MeOH 10:1)により精製して、黄色油状物として、(3S)-エチル 3-(2-(5-(2-(アゼチジン-1-イル)エチル)-2-オキソ-4-(トリフルオロメチル)ピリジン-1(2H)-イル)-4-メチルペンタンアミド)-3-(4-フルオロ-4’-メトキシ-2’,5,6’-トリメチルビフェニル-3-イル)プロパン酸塩(140mg)を得た。収率 42%(ESI 702.2(M+H))。
工程2:(3S)-3-(2-(5-(2-(アゼチジン-1-イル)エチル)-2-オキソ-4-(トリフルオロメチル)ピリジン-1(2H)-イル)-4-メチルペンタンアミド)-3-(4-フルオロ-4’-メトキシ-2’,5,6’-トリメチルビフェニル-3-イル)プロパン酸
Figure 0007702004000808
(3S)-エチル 3-(2-(5-(2-(アゼチジン-1-イル)エチル)-2-オキソ-4-(トリフルオロメチル)ピリジン-1(2H)-イル)-4-メチルペンタンアミド)-3-(4-フルオロ-4’-メトキシ-2’,5,6’-トリメチルビフェニル-3-イル)プロパン酸塩(140mg、0.2mmol))を、LiOH-HO(42mg、1mmol)のMeOH(4mL)とHO(1mL)の溶液を用いて室温で2時間処理した。反応混合液を、1N HClを用いてpH4~5に酸性化した。溶媒を真空中で除去し、残留物を分取HPLC A(30~60% MeCN)により精製して、白色固形物として、ジアステレオマー生成物のKP-P1(48mg)およびKP-P2(47 mg)を得た。
KP-P1 ESI 674.2(M+H)H NMR(400MHz,MeOD)δ 7.85(s,1H),6.89-6.85(m,2H),6.80(s,1H),6.64(d,J=6.8Hz,2H),5.67-5.57(m,2H),4.05-4.00(m,4H),3.79(s,3H),3.29(d,J=6.6Hz,2H),2.86(t,J=6.9Hz,2H),2.77-2.65(m,2H),2.53-2.38(m,2H),2.29(d,J=1.3Hz,3H),2.06-1.92(m,5H),1.86(s,3H),1.51-1.29(m,1H),0.96-0.92(m,6H).
KP-P2 ESI 674.2(M+H)H NMR(400MHz,MeOD)δ 7.75(s,1H),6.95-6.90(m,3H),6.67(s,2H),5.79-5.75(m,1H),5.61(t,J=7.6Hz,1H),4.14(t,J=8.0Hz,4H),3.80(s,3H),3.46-3.41(m,1H),3.39-3.34(m,1H),2.96-2.92(m,1H),2.84-2.81(m,1H),2.67-2.63(m,1H),2.55-2.44(m,3H),2.32(d,J=1.4Hz,3H),2.05-1.93(m,7H),1.71-1.61(m,1H),1.45-1.38(m,1H),0.90-0.88(m,6H).
3-139. (3S)-3-(3-シクロプロピル-2-(5-(2-(ジメチルアミノ)エチル)-2-オキソ-4-(トリフルオロメチル)ピリジン-1(2H)-イル)プロパンアミド)-3-(4-フルオロ-2’,4’,5,6’-テトラメチル-[1,1’-ビフェニル]-3-イル)プロパン酸(化合物KQ-P1およびKQ-P2)の調製
工程1:(3S)-3-(3-シクロプロピル-2-(5-(2-(ジメチルアミノ)エチル)-2-オキソ-4-(トリフルオロメチル)ピリジン-1(2H)-イル)プロパンアミド)-3-(4-フルオロ-2’,4’,5,6’-テトラメチル-[1,1’-ビフェニル]-3-イル)プロパン酸エチル
(S)-3-アミノ-3-(4-フルオロ-2’,4’,5,6’-テトラメチル-[1,1’-ビフェニル]-3-イル)プロパン酸エチル(162.4mg、0.47mmol)、3-シクロプロピル-2-(5-(2-(ジメチルアミノ)エチル)-2-オキソ-4-(トリフルオロメチル)ピリジン-1(2H)-イル)プロパン酸(150.0mg、0.43mmol)、TCHF(144.8mg、0.52mmol)、およびNMI(105.9mg、1.29mmol)のCHCN(5mL)の混合液を室温で1時間攪拌した。溶媒を真空中で除去し、残留物をC18/40gカラムでの逆相HPLC(A:水 10mM NHHCO、B:MeOH、0~100 %)により精製して、黄色固形物として、(3S)-3-(3-シクロプロピル-2-(5-(2-(ジメチルアミノ)エチル)-2-オキソ-4-(トリフルオロメチル)ピリジン-1(2H)-イル)プロパンアミド)-3-(4-フルオロ-2’,4’,5,6’-テトラメチル-[1,1’-ビフェニル]-3-イル)プロパン酸エチル(120.0mg)を得た。収率 41.2%(ESI 672.3 [M+H])。
工程2:(3S)-3-(3-シクロプロピル-2-(5-(2-(ジメチルアミノ)エチル)-2-オキソ-4-(トリフルオロメチル)ピリジン-1(2H)-イル)プロパンアミド)-3-(4-フルオロ-2’,4’,5,6’-テトラメチル-[1,1’-ビフェニル]-3-イル)プロパン酸
Figure 0007702004000809
(3S)-3-(3-シクロプロピル-2-(5-(2-(ジメチルアミノ)エチル)-2-オキソ-4-(トリフルオロメチル)ピリジン-1(2H)-イル)プロパンアミド)-3-(4-フルオロ-2’,4’,5,6’-テトラメチル-[1,1’-ビフェニル]-3-イル)プロパン酸エチル(100.0mg、0.15mmol)を、LiOH-HO(18.9mg、0.45mmol)のEtOH(2mL)と水(0.5mL)の溶液を用いて室温で0.5時間処理した。反応混合液を、2N HClを用いてpH6~7に酸性化した。溶媒を真空中で除去し、残留物を分取HPLC A(30~80% MeCN)により精製して、白色固形物として、ジアステレオマー生成物のKQ-P1(22mg)およびKQ-P2(20mg)を得た。
KQ-P1 ESI 644.2(M+H)+ 1H NMR(400MHz,MeOD)δ 7.74(s,1H),6.78-6.61(m,4H),6.55(s,1H),5.49-5.37(m,2H),2.94-2.88(m,2H),2.82-2.69(m,2H),2.66-2.44(m,8H),2.19-2.03(m,6H),1.92-1.85(m,1H),1.82-1.71(m,4H),1.60(s,3H),0.56-0.38(m,1H),0.34-0.19(m,2H),0.07--0.17(m,2H).
KQ-P2 ESI 644.2(M+H)+ 1H NMR(400MHz,MeOD)δ 7.82(s,1H),6.98-6.79(m,5H),5.70(dd,J=10.3,4.1Hz,1H),5.57(t,J=7.4Hz,1H),3.27-3.15(m,2H),2.96(t,J=6.9Hz,2H),2.79(s,6H),2.69-2.42(m,2H),2.34-2.20(m,6H),2.14-1.99(m,1H),1.92(d,J=10.7Hz,6H),1.67-1.49(m,1H),0.55(dd,J=13.0,6.4Hz,1H),0.57-0.53(m,2H),0.08--0.16(m,2H).
3-140. (3S)-3-(4-フルオロ-2’,4’,5,6’-テトラメチルビフェニル-3-イル)-3-(4-メチル-2-(5-(2-(3-メチルアゼチジン-1-イル)エチル)-2-オキソ-4-(トリフルオロメチル)ピリジン-1(2H)-イル)ペンタンアミド)プロパン酸(化合物KR-P1およびKR-P2)の調製
工程1:(3S)-エチル 3-(4-フルオロ-2’,4’,5,6’-テトラメチルビフェニル-3-イル)-3-(4-メチル-2-(5-(2-(3-メチルアゼチジン-1-イル)エチル)-2-オキソ-4-(トリフルオロメチル)ピリジン-1(2H)-イル)ペンタンアミド)プロパン酸塩
Figure 0007702004000810
4-メチル-2-(5-(2-(3-メチルアゼチジン-1-イル)エチル)-2-オキソ-4-(トリフルオロメチル)ピリジン-1(2H)-イル)ペンタン酸(240mg、0.58mmol)、(S)-エチル 3-アミノ-3-(4-フルオロ-2’,4’,5,6’-テトラメチルビフェニル-3-イル)プロパン酸塩(200mg、0.58mmol)、NMI(142mg、1.74mmol)、およびTCFH(243mg、0.87mmol)のCHCN(10mL)の混合液を50℃で1時間攪拌した。溶媒を真空中で濃縮し、残留物をシリカゲルカラム(DCM:MeOH 15:1)により精製して、黄色油状物として、(3S)-エチル 3-(4-フルオロ-2’,4’,5,6’-テトラメチルビフェニル-3-イル)-3-(4-メチル-2-(5-(2-(3-メチルアゼチジン-1-イル)エチル)-2-オキソ-4-(トリフルオロメチル)ピリジン-1(2H)-イル)ペンタンアミド)プロパン酸塩(310mg)を得た。収率 75.7 %(ESI 700.3 [M+H])。
工程2:(3S)-3-(4-フルオロ-2’,4’,5,6’-テトラメチルビフェニル-3-イル)-3-(4-メチル-2-(5-(2-(3-メチルアゼチジン-1-イル)エチル)-2-オキソ-4-(トリフルオロメチル)ピリジン-1(2H)-イル)ペンタンアミド)プロパン酸
Figure 0007702004000811
(3S)-エチル 3-(4-フルオロ-2’,4’,5,6’-テトラメチルビフェニル-3-イル)-3-(4-メチル-2-(5-(2-(3-メチルアゼチジン-1-イル)エチル)-2-オキソ-4-(トリフルオロメチル)ピリジン-1(2H)-イル)ペンタンアミド)プロパン酸塩(310mg、0.44mmol)を、LiOH-HO(56mg、1.33mmol)のEtOH(2mL)とHO(1mL)の溶液を用いて室温で30分間処理した。反応混合液を、1N HClを用いてpH4~5に酸性化した。溶媒を真空中で除去し、残留物を分取HPLC A(30~70% CHCN)により精製して、白色固形物として、ジアステレオマー生成物のKR-P1(60mg)およびKR-P2(118mg)を得た。
KR-P1 ESI 672.3(M+H)H NMR(400MHz,MeOD)δ 7.85(s,1H),6.86-6.82(m,4H),6.75(s,1H),5.66-5.64(m,1H),5.61-5.53(m,1H),4.14-4.01(m,2H),3.63-3.59(m,2H),3.30-3.20(m,2H),2.89-2.82(m,3H),2.73-2.64(m,2H),2.29(s,6H),2.01-1.90(m,5H),1.81(s,3H),1.49-1.36(m,1H),1.24(d,J=6.9Hz,3H),0.94(t,J=7.2Hz,6H).
KR-P2 ESI 672.3(M+H)H NMR(400MHz,MeOD)δ 7.76(s,1H),6.98-6.83(m,5H),5.78-5.76(m,1H),5.61-5.59(m,1H),4.24-4.21(m,2H),3.75-3.70(m,2H),3.47-3.33(m,2H),3.01-2.85(m,2H),2.88-2.73(m,1H),2.65-2 .61(m,1H),2.58-2.44(m,1H),2.33-2.22(m,6H),2.01-1.86(m,7H),1.60-1.55(m,1H),1.45-1.34(m,1H),1.29(d,J=6.9Hz,3H),0.85-0.80(m,6H).
3-141. (3S)-3-(4-フルオロ-2’,5,6’-トリメチルビフェニル-3-イル)-3-(4-メチル-2-(5-(2-(3-メチルアゼチジン-1-イル)エチル)-2-オキソ-4-(トリフルオロメチル)ピリジン-1(2H)-イル)ペンタンアミド)プロパン酸(化合物KS-P1およびKS-P2)の調製
工程1:(3S)-エチル 3-(4-フルオロ-2’,5,6’-トリメチルビフェニル-3-イル)-3-(4-メチル-2-(5-(2-(3-メチルアゼチジン-1-イル)エチル)-2-オキソ-4-(トリフルオロメチル)ピリジン-1(2H)-イル)ペンタンアミド)プロパン酸塩
Figure 0007702004000812
4-メチル-2-(5-(2-(3-メチルアゼチジン-1-イル)エチル)-2-オキソ-4-(トリフルオロメチル)ピリジン-1(2H)-イル)ペンタン酸(250mg、0.61mmol)、(S)-3-アミノ-3-(4-フルオロ-4’-メトキシ-2’,5,6’-トリメチル-[1,1’-ビフェニル]-3-イル)プロパン酸エチル(201mg、0.61mmol)、NMI(150mg、1.83mmol)、およびTCFH(256mg、0.91mmol)のCHCN(10mL)の混合液を50℃で1時間攪拌した。溶媒を真空中で濃縮し、残留物をシリカゲルカラム(DCM:MeOH 10:1)により精製して、黄色油状物として、(3S)-エチル 3-(4-フルオロ-2’,5,6’-トリメチルビフェニル-3-イル)-3-(4-メチル-2-(5-(2-(3-メチルアゼチジン-1-イル)エチル)-2-オキソ-4-(トリフルオロメチル)ピリジン-1(2H)-イル)ペンタンアミド)プロパン酸塩(320mg)を得た。収率 76.6 %(ESI 686.2 [M+H])。
工程2:(3S)-3-(4-フルオロ-2’,5,6’-トリメチルビフェニル-3-イル)-3-(4-メチル-2-(5-(2-(3-メチルアゼチジン-1-イル)エチル)-2-オキソ-4-(トリフルオロメチル)ピリジン-1(2H)-イル)ペンタンアミド)プロパン酸
Figure 0007702004000813
(3S)-エチル 3-(4-フルオロ-2’,5,6’-トリメチルビフェニル-3-イル)-3-(4-メチル-2-(5-(2-(3-メチルアゼチジン-1-イル)エチル)-2-オキソ-4-(トリフルオロメチル)ピリジン-1(2H)-イル)ペンタンアミド)プロパン酸塩(320mg、0.47mmol)を、LiOH-HO(59mg、1.41mmol)のEtOH(2mL)とHO(1mL)の溶液を用いて室温で30分間処理した。反応混合液を、1N HClを用いてpH4~5に酸性化した。溶媒を真空中で除去し、残留物を分取HPLC A(30~60% CHCN)により精製して、白色固形物として、ジアステレオマー生成物のKS-P1(75mg)およびKS-P2(132mg)を得た。
KS-P1 ESI 658.2(M+H)H NMR(400MHz,MeOD)δ 7.86(s,1H),7.15-6.99(m,3H),6.94-6.81(m,3H),6.76(s,1H),5.61-5.63(m,2H),4.07 -4.09(m,2H),3.60-3.62(m,2H),3.22-3.24(m,2H),2.94-2.76(m,3H),2.72-2.62(m,2H),2.28-2.29(m,2H ),2.03-1.93(m,5H),1.85(s,3H),1.41-1.42( m,1H),1.24(d,J=6.9Hz,3H),0.97-0.88(m,6H).
KS-P2 ESI 658.2(M+H)H NMR(400MHz,MeOD)δ 7.76(s,1H),7.11-7.09(m,3H),6.98-6.81(m,3H),5.77- 5.75(m,1H),5.61(t,J=7.6Hz,1H),4.21-4.18(m,2H),3.75-3.72(m,2H),3.44-3.34(m,2H),3.05-2.85(m,2H),2.85-2.71(m,1H),2.65-2.63(m,1H),2.52-2.50(m,1H),2.33(d,J=1.4Hz,3H),2.03-1.90(m,7H),1.65-1.59(m,1H),1.43-1.38(m,1H),1.29(d,J=6.9Hz,3H),0.89-0.82(m,6H).
3-142. (3S)-3-(2-(5-(2-(アゼチジン-1-イル)エチル)-2-オキソ-4-(トリフルオロメチル)ピリジン-1(2H)-イル)-4-メチルペンタンアミド)-3-(2,4,4’-トリフルオロ-2’,3’,6’-トリメチル-5-(トリフルオロメチル)-[1,1’-ビフェニル]-3-イル)プロパン酸(化合物KT-P1およびKT-P2)の調製
工程1:(3S)-3-(2-(5-(2-(アゼチジン-1-イル)エチル)-2-オキソ-4-(トリフルオロメチル)ピリジン-1(2H)-イル)-4-メチルペンタンアミド)-3-(2,4,4’-トリフルオロ-2’,3’,6’-トリメチル-5-(トリフルオロメチル)-[1,1’-ビフェニル]-3-イル)プロパン酸エチル
Figure 0007702004000814
(3S)-3-アミノ-3-(2,4,4’-トリフルオロ-2’,3’,6’-トリメチル-5-(トリフルオロメチル)-[1,1’-ビフェニル]-3-イル)プロパン酸エチル(140mg、0.32mmol)、2-(5-(2-(アゼチジン-1-イル)エチル)-2-オキソ-4-(トリフルオロメチル)ピリジン-1(2H)-イル)-4-メチルペンタン酸(116mg、0.32mmol)、TCFH(179mg、0.64mmol)、およびNMI(131mg、1.6mmol)のCHCN(5mL)の混合液を室温で2時間攪拌した。溶媒を真空中で濃縮し、残留物をC18/40gカラムでの逆相HPLC(A:水 10mM NHHCO3、B:CHOH、0~85%)により精製して、黄色固形物として、(3S)-3-(2-(5-(2-(アゼチジン-1-イル)エチル)-2-オキソ-4-(トリフルオロメチル)ピリジン-1(2H)-イル)-4-メチルペンタンアミド)-3-(2,4,4’-トリフルオロ-2’,3’,6’-トリメチル-5-(トリフルオロメチル)-[1,1’-ビフェニル]-3-イル)プロパン酸エチル(140mg)を得た。収率 56.4 %(ESI 776.3 [M+H])。
工程2:(3S)-3-(2-(5-(2-(アゼチジン-1-イル)エチル)-2-オキソ-4-(トリフルオロメチル)ピリジン-1(2H)-イル)-4-メチルペンタンアミド)-3-(2,4,4’-トリフルオロ-2’,3’,6’-トリメチル-5-(トリフルオロメチル)-[1,1’-ビフェニル]-3-イル)プロパン酸
Figure 0007702004000815
(3S)-3-(2-(5-(2-(アゼチジン-1-イル)エチル)-2-オキソ-4-(トリフルオロメチル)ピリジン-1(2H)-イル)-4-メチルペンタンアミド)-3-(2,4,4’-トリフルオロ-2’,3’,6’-トリメチル-5-(トリフルオロメチル)-[1,1’-ビフェニル]-3-イル)プロパン酸エチル(140mg、0.18mmol)を、LiOH-HO(22mg、0.54mmol)のEtOH(4mL)とHO(1mL)の溶液を用いて室温で2時間処理した。反応混合液を、1N HClを用いてpH5~6に酸性化した。溶媒を真空中で除去し、残留物を分取HPLC A(30~65% CHCN)により精製して、白色固形物として、ジアステレオマー生成物のKT-P1(24mg)およびKT-P2(30mg)を得た。
KT-P1 ESI 748.2(M+H)H NMR(400MHz,MeOD)δ 7.81(s,1H),7.39(m,J=7.5Hz,1H),6.99-6.80(m,2H),5.71(m,J=9.2,5.9Hz,2H),4.12(m,J=8.1Hz,4H),3.42-3.30(m,2H),2.99-2.71(m,4H),2.52-2.35(m,2H),2.18(s,3H),2.09-1.93(m,5H),1.86(s,3H),1.45-1.32(m,1H),0.94(m,J=6.9Hz,6H).
KT-P2 ESI 748.2(M+H)H NMR(400MHz,MeOD)δ 7.72(s,1H),7.44(m,J=7.6Hz,1H),7.00-6.77(m,2H),5.90(d,J=8.1Hz,1H),5.63(m,J=7.7Hz,1H),4.12(m,J=8.1Hz,4H),3.39(m,J=19.1,13.7Hz,2H),2.86(m,J=14.4,13.3Hz,3H),2.60(m,J=15.6,4.2Hz,1H),2.45(m,J=8.1Hz,2H),2.20(s,3H),1.94(m,J=21.4,9.3,4.8Hz,7H),1.72(m,J=14.4,7.3Hz,1H),1.33(m,J=13.4,6.7Hz,1H),0.88(m,J=10.6,6.6Hz,6H).
実施例4:本発明の例示的化合物の特徴解析
以下の化合物を、実施例3で使用された方法と似た方法を使用して合成した。
4-1. (3S)-3-(4,5-ジフルオロ-2’,6’-ジメチルビフェニル-3-イル)-3-(2-(5-(((R)-3-フルオロピロリジン-1-イル)メチル)-2-オキソピリジン-1(2H)-イル)-4-メチルペンタンアミド)プロパン酸(ジアステレオマー化合物BB-P1およびBB-P2)
Figure 0007702004000816
BB-P1 ESI 598.2(M+H)H NMR(500MHz,MeOD)δ 7.74(d,J=2.1Hz,1H),7.53-7.42(m,1H),7.16-7.00(m,3H),6.93-6.80(m,2H),6.42(d,J=9.3Hz,1H),5.71(t,J=8.1Hz,1H),5.55(t,J=7.1Hz,1H),5.34-5.13(m,1H),3.80-3.61(m,2H),3.17-2.93(m,3H),2.83-2.63(m,3H),2.33-2.16(m,1H),2.16-2.02(m,1H),1.98(s,3H),1.92(t,J=7.6Hz,2H),1.83(s,3H),1.47-1.33(m,1H),0.99-0.87(m,6H).
BB-P2 ESI 598.2(M+H)H NMR(500MHz,MeOD)δ 7.69(d,J=2.2Hz,1H),7.62-7.51(m,1H),7.16-7.01(m,3H),6.99-6.84(m,2H),6.54(d,J=9.3Hz,1H),5.80-5.69(m,1H),5.51-5.45(m,1H),5.33(d,J=54.4Hz,1H),4.18(d,J=13.2Hz,1H),3.83(d,J=13.2Hz,1H),3.55-3.31(m,4H),2.73-2.64(m,1H),2.58-2.46(m,1H),2.42-2.18(m,2H),2.03-1.86(m,7H),1.58-1.36(m,2H),0.84(s,6H).
4-2. (3S)-3-(4,5-ジフルオロ-2’,6’-ジメチルビフェニル-3-イル)-3-(2-(5-(2-((R)-3-フルオロピロリジン-1-イル)エチル)-2-オキソピリジン-1(2H)-イル)-4-メチルペンタンアミド)プロパン酸(ジアステレオマー化合物BC-P1およびBC-P2)
Figure 0007702004000817
BC-P1 ESI 612.2(M+H)H NMR(500MHz,MeOD)δ 7.63(s,1H),7.45(d,J=9.3Hz,1H),7.22-7.04(m,3H),6.98-6.87(m,1H),6.80(d,J=5.1Hz,1H),6.43(d,J=9.3Hz,1H),5.68-5.57(m,1H),5.50(d,J=5.7Hz,1H),5.29(d,J=53.5Hz,1H),3.48-3.33(m,1H),3.31-3.02(m,5H),2.83-2.57(m,4H),2.42-2.10(m,2H),2.05-1.81(m,8H),1.51-1.35(m,1H),0.98-0.79(m,6H).
BC-P2 ESI 612.2(M+H)H NMR(500MHz,MeOD)δ 7.61(s,1H),7.47(d,J=9.3Hz,1H),7.19-7.00(m,3H),6.97-6.90(m,1H),6.86(d,J=4.7Hz,1H),6.51(d,J=9.2Hz,1H),5.66-5.52(m,2H),5.36(s,1H),3.66-3.32(m,5H),3.16(s,1H),2.83(s,2H),2.63 -- 2.42(m,2H),2.30(d,J=29.3Hz,2H),2.05-1.85(m,8H),1.45-1.30(m,1H),0.88(t,J=6.1Hz,6H).
4-3. (3S)-3-(4,5-ジフルオロ-2’-メチル-6’-(トリフルオロメチル)-[1,1’-ビフェニル]-3-イル)-3-(2-(5-(2-(ジメチルアミノ)エチル)-4-メチル-2-オキソピリジン-1(2H)-イル)-4-メチルペンタンアミド)プロパン酸(ジアステレオマー化合物BD-P1およびBD-P2)
Figure 0007702004000818
BD-P1 ESI 636.2(M+H)H NMR(500MHz,MeOD)δ 7.65-7.46(m,4H),7.03-6.87(m,2H),6.30(d,J=21.6Hz,1H),5.55-5.52(m,2H),3.18-3.02(m,2H),2.88-2.84(m,2H),2.78(s,3H)),2.75(S,3H),2.67-2.64(m,2H),2.25(s,3H),2.06(s,2H),1.97-1.85(m,3H),1.45-1.35(m,1H),0.94-0.90(m,6H).
BD-P2 ESI 636.2(M+H)H NMR(500MHz,MeOD)δ 7.67-7.44(m,4H),7.08-6.91(m,2H),6.42(d,J=20.9Hz,1H),5.70-5.51(m,2H),3.32-3.23(m,1H),3.20-3.18(m,1H),2.99-2.74(m,8H),2.64-2.59(m,1H),2.52-2.47(m,1H),2.28-2.26(d,J=10.0Hz,3H),2.07-2.06(d,J=6.6Hz,3H),2.00-1.88(m,1H),1.81-1.65(m,1H),1.43-1.32(m,1H),0.90-0.87(m,6H).
4-4. (3S)-3-(4-フルオロ-2’,5,6’-トリメチルビフェニル-3-イル)-3-(2-(5-(2-(3-フルオロアゼチジン-1-イル)エチル)-2-オキソピリジン-1(2H)-イル)-4-メチルペンタンアミド)プロパン酸(ジアステレオマー化合物BE-P1およびBE-P2)
Figure 0007702004000819
BE-P1 ESI 594.2(M+H)H NMR(500MHz,MeOD)δ 7.52(d,J=2.1Hz,1H),7.47-7.39(m,1H),7.19-7.02(m,3H),6.89(d,J=5.6Hz,1H),6.83-6.73(m,1H),6.48(d,J=9.3Hz,1H),5.69-5.57(m,1H),5.54-5.43(m,1H),5.33-5.09(m,1H),4.20-4.06(m,1H),4.03-3.87(m,1H),3.78-3.63(m,2H),3.27-3.06(m,2H),2.77-2.53(m,4H),2.31(d,J=1.3Hz,3H),2.03-1.85(m,8H),1.58-1.34(m,1H),1.03-0.84(m,6H).
BE-P2 ESI 594.2(M+H)H NMR(500MHz,MeOD)δ 7.57-7.41(m,2H),7.23-7.05(m,3H),6.92(d,J=6.9Hz,2H),6.56(d,J=9.3Hz,1H),5.67-5.57(m,2H),5.46-5.17(m,1H),4.50-4.24(m,2H),4.08-3.89(m,2H),3.42-3.35(m,2H),2.86-2.60(m,3H),2.57-2.45(m,1H),2.33(s,3H),2.05-1.91(m,7H),1.86-1.71(m,1H),1.48-1.32(m,1H),0.91(t,J=6.3Hz,6H).
4-5. (3S)-3-(5-クロロ-4-フルオロ-2’,6’-ジメチル-[1,1’-ビフェニル]-3-イル)-3-(2-(3-フルオロ-5-(2-(3-フルオロアゼチジン-1-イル)エチル)-2-オキソピリジン-1(2H)-イル)-4-メチルペンタンアミド)プロパン酸(ジアステレオマー化合物BD2-P1およびBD2-P2)
Figure 0007702004000820
BD2-P1 ESI 632.1(M+H)H NMR(400MHz,MeOD)δ 7.69-7.28(m,2H),7.23-7.05(m,4H),6.97(dd,J=6.3,1.9Hz,1H),5.69(dd,J=9.4,6.8Hz,1H),5.52(t,J=6.4Hz,1H),5.25(dt,J=57.2,4.2Hz,1H),4.15(dt,J=44.5,9.1Hz,2H),3.96-3.70(m,2H),3.23(dt,J=11.3,5.6Hz,2H),2.94-2.45(m,4H),2.13-1.80(m,8H),1.59-1.25(m,1H),1.15-0.78(m,6H).
BD2-P2 ESI 632.1(M+H)H NMR(400MHz,MeOD)δ 7.54-7.27(m,2H),7.14(dt,J=12.8,6.1Hz,5H),5.87-5.52(m,2H),5.30(dt,J=57.3,4.4Hz,1H),4.43-4.14(m,2H),4.06-3.75(m,2H),3.33-3.25(m,2H),2.87-2.40(m,4H),2.17-1.85(m,7H),1.88-1.67(m,1H),1.50-1.22(m,1H),0.91(d,J=6.6Hz,6H).
4-6. (3S)-3-(5-クロロ-4-フルオロ-2’,6’-ジメチル-[1,1’-ビフェニル]-3-イル)-3-(2-(3-フルオロ-5-(2-((R)-3-フルオロピロリジン-1-イル)エチル)-2-オキソピリジン-1(2H)-イル)-4-メチルペンタンアミド)プロパン酸(ジアステレオマー化合物BE2-P1およびBE2-P2)
Figure 0007702004000821
BE2-P1 ESI 646.2(M+H)H NMR(400MHz,MeOD)δ 7.51(s,1H),7.37(d,J=10.2Hz,1H),7.16-7.08(m,4H),6.98-6.97(m,1H),5.71-5.67(m,1H),5.52-5.49(m,1H),5.35-5.21(m,1H),3.41-3.12(m,6H),2.81-2.69(m,4H),2.37-2.20(m,2H),2.05-1.88(m,8H),1.44-1.40(m,1H),0.96-0.92(m,6H).
BE2-P2 ESI 646.2(M+H)H NMR(400MHz,MeOD)δ 7.51(s,1H),7.40(d,J=10.2Hz,1H),7.18-7.06(m,5H),5.70-5.58(m,2H),5.41-5.27(m,1H),3.67-3.21(m,6H),2.88-2.83(m,2H),2.60-2.53(m,2H),2.39-2.27(m,2H),1.97-1.83(m,7H),1.83-1.76(m,1H),1.40-1.35(m,1H),0.91-0.89(m,6H).
4-7. (3S)-3-(5-クロロ-4-フルオロ-2’,6’-ジメチル-[1,1’-ビフェニル]-3-イル)-3-(2-(5-(2-(ジメチルアミノ)エチル)-2-オキソ-4-(トリフルオロメチル)ピリジン-1(2H)-イル)-4-メチルペンタンアミド)プロパン酸(ジアステレオマー化合物BF-P1およびBF-P2)
Figure 0007702004000822
BF-P1 ESI 652.2(M+H)H NMR(400MHz,MeOD)δ 7.91(s,1H),7.11- 7.03(m,5H),6.75(s,1H),5.82-5.62(m,1H),5.62-5.46(m,1H),3.21-2.89(m,4H),2.83(s,6H),2.77-2.72(m,2H),2.05-1.89(m,5H),1.83(s,3H),1.46-1.40(m,1H),0.98-0.93(m,6H).
BF-P2 ESI 652.2(M+H)H NMR(400MHz,MeOD)δ 7.91(s,1H),7.24-7.04(m,5H),6.89(s,1H),5.75-5.70(m,1H),5.66-5.62(m,1H),3.29-3.21(m,2H),3.09-2.98(m,2H),2.84(d,J=5.9Hz,6H),2.68-2.53(m,2H),2.03-1.86(m,7H),1.76-1.69(m,1H),1.42-1.33(m,1H),0.88-0.86(m,6H).
4-8. (3S)-3-(2-(5-(2-(ジメチルアミノ)エチル)-2-オキソ-4-(トリフルオロメチル)ピリジン-1(2H)-イル)-4-メチルペンタンアミド)-3-(4-フルオロ-2’,6’-ジメチル-5-(トリフルオロメチル)ビフェニル-3-イル)プロパン酸(ジアステレオマー化合物BG-P1およびBG-P2)
Figure 0007702004000823
BG-P1 ESI 686.2(M+H)H NMR(400MHz,MeOD)δ 7.90(s,1H),7.39(d,J=4.8Hz,1H),7.31(d,J=6.3Hz,1H),7.19(t,J=7.5Hz,1H),7.13(d,J=7.1Hz,1H),7.09(d,J=7.4Hz,1H),6.73(s,1H),5.73-5.64(m,1H),5.62-5.59(m,1H),3.17-3.12(m,2H),2.97(d,J=8.4Hz,2H),2.80(d,J=11.1Hz,6H),2.76-2.73(m,2H),2.11-1.89(m,5H),1.82(s,3H),1.47-1.41(m,1H),0.98-0.93(m,6H).
BG-P2 ESI 686.2(M+H)H NMR(400MHz,MeOD)δ 7.85(s,1H),7.44(d,J=5.4Hz,1H),7.38(d,J=6.6Hz,1H),7.22-7.18(m,1H),7.14(d,J=7.3Hz,2H),6.90(s,1H),5.76-5.72(m,1H),5.64(t,J=7.7Hz,1H),3.25(d,J=8.1Hz,2H),3.00(t,J=7.0Hz,2H),2.85(s,6H),2.71-2.66(m,1H),2.61-2.54(m,1H),2.02(d,J=2.4Hz,6H),1.99-1.94(m,1H),1.78-1.68(m,1H),1.46-1.30(m,1H),0.91-0.89(m,6H).
4-9. (3S)-3-(2-(5-(2-(ジメチルアミノ)エチル)-3-メチル-2-オキソピリジン-1(2H)-イル)-4-メチルペンタンアミド)-3-(4-フルオロ-2’,6’-ジメチル-5-(トリフルオロメチル)ビフェニル-3-イル)プロパン酸(ジアステレオマー化合物BH-P1およびBH-P2)
Figure 0007702004000824
BH-P1 ESI 632.2(M+H)H NMR(400MHz,MeOD)δ 7.52(s,1H),7.42(s,1H),7.32(d,J=4.9Hz,1H),7.24-7.18(m,2H),7.17-7.10(m,2H),5.52(s,1H),5.45(t,J=5.3Hz,1H),3.37(d,J=7.6Hz,1H),3.32-3.29(m,1H),3.27-3.17(m,1H),2.82(t,J=6.5Hz,2H),2.74(s,6H),2.71-2.66(m,1H),2.56-2.51(m,1H),2.03(d,J=14.9Hz,1H),1.97(d,J=7.2Hz,6H),1.94(s,3H),1.44-1.39(m,1H),0.95-0.90(m,6H).
BH-P2 ESI 632.2(M+H)H NMR(400MHz,MeOD)δ 7.86(s,1H),7.44(d,J=4.8Hz,1H),7.38(d,J=6.5Hz,1H),7.22-7.18(m,1H),7.14(d,J=7.2Hz,2H),6.90(s,1H),5.76-5.72(m,1H),5.64(t,J=7.6Hz,1H),3.35(s,3H),3.25(s,2H),3.00(t,J=7.1Hz,2H),2.86(s,6H),2.70-2.54(m,2H),2.02(d,J=2.4Hz,6H),1.99-1.92(m,1H),1.77-1.72(m,1H),1.46-1.30(m,1H),0.91-0.89(m,6H).
4-10. (3S)-3-(2’,6’-ジクロロ-4,4’-ジフルオロ-5-メチルビフェニル-3-イル)-3-(2-(3-フルオロ-5-(2-(3-フルオロアゼチジン-1-イル)エチル)-2-オキソピリジン-1(2H)-イル)-4-メチルペンタンアミド)プロパン酸(ジアステレオマー化合物BI-P1およびBI-P2)
Figure 0007702004000825
GI-P1 ESI 670.1(M+H)H NMR(400MHz,MeOD)δ 7.42(s,1H),7.40-7.32(m,3H),7.01(d,J=6.7Hz,1H),6.96(d,J=6.6Hz,1H),5.70(t,J=8.1Hz,1H),5.59-5.46(m,1H),5.32-5.08(m,1H),4.18-3.92(m,2H),3.82-3.57(m,2H),3.22-3.03(m,2H),2.79-2.53(m,4H),2.31(d,J=1.3Hz,3H),1.97(t,J=7.6Hz,2H),1.51-1.33(m,1H),1.01-0.86(m,6H).
GI-P2 ESI 670.1(M+H)H NMR(400MHz,MeOD)δ 7.45-7.31(m,4H),7.14-6.99(m,2H),5.75-5.61(m,2H),5.42-5.18(m,1H),4.44-4.21(m,2H),4.11-3.85(m,2H),3.36-3.34(m,2H),2.80-2.44(m,4H),2.34(d,J=1.3Hz,3H),2.03-1.90(m,1H),1.83-1.70(m,1H),1.47-1.30(m,1H),0.99-0.86(m,6H).
4-11. (3S)-3-(3-シクロプロピル-2-(3-フルオロ-5-(2-(3-フルオロアゼチジン-1-イル)エチル)-2-オキソピリジン-1(2H)-イル)プロパンアミド)-3-(4,4’-ジフルオロ-2’,5,6’-トリメチル-[1,1’-ビフェニル]-3-イル)プロパン酸(ジアステレオマー化合物BJ-P1およびBJ-P2)
Figure 0007702004000826
BJ-P1 ESI 628.2(M+H)H NMR(400MHz,MeOD)δ 7.37(s,1H),7.26(d,J=10.2Hz,1H),6.91-6.64(m,4H),5.55(t,J=7.6Hz,1H),5.48-5.40(m,1H),5.13(d,J=57.3Hz,1H),3.98(d,J=16.3Hz,2H),3.63(s,2H),3.03(d,J=6.5Hz,2H),2.74-2.59(m,2H),2.59-2.50(m,3H),1.99-1.85(m,5H),1.81(d,J=9.0Hz,3H),0.56(d,J=7.3Hz,1H),0.36(d,J=8.0Hz,2H),0.13--0.07(m,2H).
BJ-P2 ESI 628.2(M+H)H NMR(400MHz,MeOD)δ 7.50-7.28(m,2H),7.03-6.71(m,4H),5.75-5.55(m,2H),5.30(d,J=57.3Hz,1H),4.47-4.17(m,2H),4.12-3.75(m,2H),3.44-3.32(m,2H),2.82-2.46(m,4H),2.32(s,3H),2.18-1.91(m,7H),1.77-1.60(m,1H),0.58(s,1H),0.42-0.23(m,2H),0.15--0.07(m,2H).
4-12. (3S)-3-(4,4’-ジフルオロ-2’,5,6’-トリメチル-[1,1’-ビフェニル]-3-イル)-3-((3R)-2-(3-フルオロ-5-(2-(3-フルオロアゼチジン-1-イル)エチル)-2-オキソピリジン-1(2H)-イル)-3-メチルペンタンアミド)プロパン酸(ジアステレオマー化合物BK-P1およびBK-P2)
Figure 0007702004000827
BK-P1 ESI 630.2(M+H)H NMR(400MHz,MeOD)δ 7.52(s,1H),7.31-7.28(m,1H),6.86-6.76(m,4H),5.66-5.55(m,1H),5.35-5.33(d,J=11.2Hz,1H),5.23.5.09(m,1H),3.85-3.80(m,2H),3.52-3.49(m,2H),2.91-2.88(t,J=6.7Hz,2H),2.80-2.78(m,2H),2.55-2.52(t,J=7.1Hz,2H),2.28(d,J=1.5Hz,4H),1.98(s,3H),1.75(s,3H),1.69-1.68(m,1H),1.30-1.26(m,1H),1.03-0.99(t,J=7.4Hz,3H),0.75-0.74(d,J=6.6Hz,3H).
BK-P2 ESI 630.2(M+H)H NMR(400MHz,MeOD)δ 7.46(s,1H),7.36-7.34(d,J=10.3Hz,1H),7.00-6.93(dd,J=20.7,6.6Hz,2H),6.86-6.84(d,J=9.6Hz,2H),5.75-5.72(dd,J=10.3,4.1Hz,1H),5.39-5.23(m,2H),4.47-4.22(m,2H),4.09-3.85(m,2H),3.30-3.28(m,2H),2.75-2.72(m,2H),2.67-2.47(m,2H),2.41-2.20(m,4H),2.02(s,6H),1.17-1.10(m,1H),1.08-0.88(m,4H),0.85-0.81(t,J=7.2Hz,3H).
4-13. (3S)-3-(4,4’-ジフルオロ-2’,5,6’-トリメチル-[1,1’-ビフェニル]-3-イル)-3-(2-(3-フルオロ-5-(2-(3-フルオロアゼチジン-1-イル)エチル)-2-オキソピリジン-1(2H)-イル)-3-メチルブタンアミド)プロパン酸(ジアステレオマー化合物BL-P1およびBL-P2)
Figure 0007702004000828
BL-P1 ESI 616.2(M+H). 1H NMR(400MHz,MeOD)δ 7.52(s,1H),7.29(d,J=10.9Hz,1H),6.94-6.65(m,4H),5.62(s,1H),5.26(d,J=11.1Hz,1H),5.07(s,1H),3.75(s,2H),3.15(s,1H),2.78(s,5H),2.48(d,J=31.1Hz,3H),2.28(s,3H),1.98(s,3H),1.74(s,3H),1.14(d,J=6.4Hz,3H),0.78(d,J=6.6Hz,3H).
BL-P2 ESI 616.2(M+H)H NMR(400MHz,MeOD)δ 7.44(s,1H),7.40-7.28(m,1H),7.02-6.72(m,4H),5.88-5.62(m,1H),5.38(s,2H),5.24(d,J=11.0Hz,2H),4.32(s,2H),3.97(s,2H),2.74(d,J=5.1Hz,2H),2.66-2.39(m,3H),2.33(d,J=1.6Hz,3H),2.01(d,J=3.3Hz,6H),1.00(d,J=6.4Hz,3H),0.75(d,J=6.7Hz,3H).
4-14. (3S)-3-(2’-シクロプロピル-4-フルオロ-5,6’-ジメチル-[1,1’-ビフェニル]-3-イル)-3-(2-(5-(2-(ジメチルアミノ)エチル)-2-オキソ-4-(トリフルオロメチル)ピリジン-1(2H)-イル)-4-メチルペンタンアミド)プロパン酸(ジアステレオマー化合物BM-P1およびBM-P2)
Figure 0007702004000829
BM-P1 ESI 658.3(M+H)H NMR(400MHz,MeOD)δ 7.91(d,J=5.9Hz,1H),7.13(t,J=7.7Hz,1H),7.07-6.87(m,3H),6.76(d,J=11.4Hz,2H),5.83-5.64(m,1H),5.57(t,J=5.9Hz,1H),3.18-2.98(m,2H),2.94(d,J=7.1Hz,2H),2.82(d,J=4.7Hz,1H),2.80-2.48(m,8H),2.32(d,J=17.2Hz,3H),2.12-1.89(m,3H),1.81(s,1H),1.57-1.26(m,2H),1.02-0.83(m,6H),0.75-0.61(m,1H),0.60-0.22(m,3H).
BM-P2 ESI 658.3(M+H)H NMR(400MHz,MeOD)δ 7.83(d,J=11.7Hz,1H),7.28-6.65(m,6H),5.82-5.43(m,2H),3.30-3.09(m,2H),2.99(t,J=6.9Hz,2H),2.80(d,J=2.6Hz,6H),2.70-2.42(m,2H),2.33(d,J=1.6Hz,3H),2.10-1.90(m,4H),1.80-1.60(m,1H),1.55-1.28(m,2H),1.00-0.80(m,6H),0.79-0.45(m,4H).
4-15. (3S)-3-(5-クロロ-4,4’-ジフルオロ-2’,6’-ジメチル-[1,1’-ビフェニル]-3-イル)-3-(2-(3-フルオロ-5-(2-(3-フルオロアゼチジン-1-イル)エチル)-2-オキソピリジン-1(2H)-イル)-4-メチルペンタンアミド)プロパン酸(ジアステレオマー化合物BN-P1およびBN-P2)
Figure 0007702004000830
BN-P1 ESI 650.2(M+H)H NMR(400MHz,MeOD)δ 7.38(s,1H),7.34-7.27(m,1H),7.12-7.06(m,1H),6.96-6.88(m,1H),6.81(d,J=9.6Hz,2H),5.65-5.52(m,1H),5.45(t,J=6.3Hz,1H),5.18(d,J=57.7Hz,1H),4.14-3.88(m,2H),3.72(s,2H),3.10(s,2H),2.78-2.52(m,4H),2.02-1.75(m,8H),1.46-1.28(m,1H),0.98-0.76(m,6H).
BN-P2 ESI 650.2(M+H)H NMR(400MHz,MeOD)δ 7.33(d,J=8.4Hz,2H),7.19-7.09(m,1H),7.06-6.94(m,1H),6.83(d,J=9.6Hz,2H),5.70-5.51(m,2H),5.27(d,J=57.4Hz,1H),4.32(s,2H),4.00(s,2H),2.76-2.35(m,4H),1.96(d,J=13.7Hz,6H),1.94-1.85(m,1H),1.80-1.67(m,1H),1.39-1.24(m,1H),0.96-0.63(m,6H).
4-16. (3S)-3-(2-(5-(2-(アゼチジン-1-イル)エチル)-2-オキソ-4-(トリフルオロメチル)ピリジン-1(2H)-イル)-4-メチルペンタンアミド)-3-(4-フルオロ-2’-メトキシ-5-メチル-6’-(トリフルオロメチル)ビフェニル-3-イル)プロパン酸(ジアステレオマー化合物BO-P1およびBO-P2)
Figure 0007702004000831
BO-P1 ESI 714.2(M+H). 1H NMR(500MHz,MeOD)δ 7.83(d,J=6.8Hz,1H),7.57-7.48(m,1H),7.41-7.25(m,2H),7.04-6.96(m,1H),6.93(t,J=7.0Hz,1H),6.82(d,J=10.1Hz,1H),5.74-5.60(m,2H),4.09-3.89(m,4H),3.72(d,J=21.5Hz,3H),3.32-3.19(m,2H),2.94-2.81(m,2H),2.77-2.62(m,2H),2.50-2.34(m,2H),2.29(s,3H),2.06-1.89(m,2H),1.53-1.32(m,1H),0.96-0.92(m,6H).
BO-P2 ESI 714.1(M+H)H NMR(500MHz,MeOD)δ 7.71(d,J=4.3Hz,1H),7.54(t,J=8.2Hz,1H),7.37(d,J=8.0Hz,1H),7.33(d,J=8.3Hz,1H),7.07-7.00(m,1H),6.97(d,J=6.6Hz,1H),6.91(d,J=4.9Hz,1H),5.85-5.72(m,1H),5.63-5.59(m,1H),4.14(s,4H),3.75(d,J=2.7Hz,3H),3.40(d,J=25.2Hz,2H),2.94(d,J=16.0Hz,1H),2.82(d,J=9.4Hz,1H),2.70-2.57(m,1H),2.54-2.42(m,3H),2.32(s,3H),2.08-1.91(m,1H),1.70-1.57(m,1H),1.46-1.41(m,1H),0.91(t,J=4.9Hz,6H).
4-17. (3S)-3-(3’,4-ジフルオロ-2’,5,6’-トリメチル-[1,1’-ビフェニル]-3-イル)-3-(2-(3-フルオロ-5-(2-(3-フルオロアゼチジン-1-イル)エチル)-2-オキソピリジン-1(2H)-イル)-4-メチルペンタンアミド)プロパン酸(ジアステレオマー化合物BP-P1およびBP-P2)
Figure 0007702004000832
BP-P1 ESI 630.3(M+H). 1H NMR(400MHz,MeOD)δ 7.42(s,1H),7.34(d,J=10.6Hz,1H),7.15-7.02(m,1H),7.01-6.76(m,3H),5.67(t,J=7.6Hz,1H),5.51(s,1H),5.20(d,J=57.8Hz,1H),4.00(d,J=43.3Hz,2H),3.76-3.45(m,2H),3.09(d,J=5.7Hz,2H),2.84-2.50(m,4H),2.31(s,3H),2.02-1.64(m,8H),1.48-1.18(m,1H),1.06-0.77(m,6H).
BP-P2 ESI 630.3(M+H)H NMR(400MHz,MeOD)δ 7.37(d,J=10.7Hz,2H),7.16-7.03(m,1H),6.95(t,J=8.9Hz,3H),5.75-5.52(m,2H),5.30(d,J=57.4Hz,1H),4.30(d,J=18.4Hz,2H),3.97(s,2H),3.31-3.14(m,2H),2.84-2.42(m,4H),2.34(d,J=1.3Hz,3H),2.03-1.84(m,7H),1.83-1.66(m,1H),1.50-1.21(m,1H),0.99-0.75(m,6H).
4-18. (3S)-3-(4-フルオロ-2’,5,6’-トリメチル-[1,1’-ビフェニル]-3-イル)-3-(2-(3-フルオロ-5-(2-(3-メトキシアゼチジン-1-イル)エチル)-4-メチル-2-オキソピリジン-1(2H)-イル)-4-メチルペンタンアミド)プロパン酸(化合物BQ-P1およびBQ-P2)
Figure 0007702004000833
BQ-P1 ESI 638.3(M+H)H NMR (400MHz,MeOD)δ 7.39(s,1H),7.16-7.04(m,3H),6.88(t,J=7.3Hz,2H),5.64-5.53(m,2H),4.24-4.08(m,3H),3.73-3.61(m,2H),3.30-3.26(m,5H),2.83-2.67(m,4H),2.31(s,3H),2.24(t,J=6.7Hz,3H),2.02-1.92(m,8H),1.40-1.35(m,1H),0.96-0.90(m,6H).
BQ-P2 ESI 638.3(M+H)H NMR(400MHz,MeOD)δ 7.20(s,1H),7.04-6.94(m,3H),6.84-6.80(t,J=7.6Hz,2H),5.61-5.42(m,2H),4.37-4.09(m,3H),3.83-3.70(m,2H),3.38-3.22(m,5H),2.83-2.32(m,4H),2.22(d,J=1.6Hz,3H),2.10(d,J=2.8Hz,3H),1.96-1.80(m,7H),1.63-1.52(m,1H),1.32-1.19(m,1H),0.79-0.78(m,6H).
4-19. (3S)-3-(4-フルオロ-2’,5,6’-トリメチル-[1,1’-ビフェニル]-3-イル)-3-(2-(3-フルオロ-5-(2-(3-フルオロアゼチジン-1-イル)エチル)-2-オキソピリジン-1(2H)-イル)ペンタンアミド)プロパン酸(ジアステレオマー化合物BR-P1およびBR-P2)
Figure 0007702004000834
BR-P1 ESI 598.3(M+H). 1H NMR(400MHz,MeOD)δ 7.49-7.23(m,2H),7.19-7.00(m,3H),6.96-6.66(m,2H),5.74-5.44(m,2H),5.19(d,J=57.3Hz,1H),3.94(s,2H),3.77-3.41(m,2H),3.18-3.00(m,2H),2.87-2.47(m,4H),2.38-2.22(m,3H),2.22-2.06(m,1H),2.06-1.73(m7H),1.44-1.20(m,2H),1.06-0.78(m,3H).
BR-P2 ESI 598.3(M+H)H NMR(400MHz,MeOD)δ 7.44-7.29(m,2H),7.18-7.01(m,3H),6.99-6.79(m,2H),5.73-5.49(m,2H),5.24(d,J=57.6Hz,1H),4.11(s,2H),3.73(d,J=9.2Hz,2H),3.14(d,J=6.1Hz,2H),2.75-2.48(m,4H),2.33(d,J=1.7Hz,3H),2.16-2.04(m,1H),2.02(t,J=8.9Hz,6H),1.91-1.76(m,1H),1.35-1.12(m,2H),0.91(t,J=7.4Hz,3H).
4-20. (3S)-3-(2-(5-(2-(アゼチジン-1-イル)エチル)-2-オキソ-4-(トリフルオロメチル)ピリジン-1(2H)-イル)-4-メチルペンタンアミド)-3-(5’-シアノ-4-フルオロ-2’,5-ジメチル-[1,1’-ビフェニル]-3-イル)プロパン酸(ジアステレオマー化合物BS-P1およびBS-P2)
Figure 0007702004000835
BS-P1 ESI 655.3(M+H). 1H NMR(400MHz,MeOD)δ 7.84(s,1H),7.69-7.57(m,1H),7.54(s,1H),7.47(d,J=8.0Hz,1H),7.17-7.01(m,2H),6.82(s,1H),5.75-5.43(m,2H),4.04(t,J=8.1Hz,4H),3.15(s,2H),2.85(t,J=6.9Hz,2H),2.78-2.61(m,2H),2.52-2.37(m,2H),2.31(d,J=7.7Hz,6H),2.11-1.90(m,2H),1.42(d,J=7.2Hz,1H),0.96(t,J=6.4Hz,6H).
BS-P2 ESI 655.3(M+H)H NMR(400MHz,MeOD)δ 7.74(s,1H),7.68-7.60(m,1H),7.56(d,J=1.6Hz,1H),7.49(d,J=7.9Hz,1H),7.16(d,J=6.7Hz,2H),6.93(s,1H),5.83-5.71(m,1H),5.64(t,J=7.7Hz,1H),4.15(t,J=8.0Hz,4H),3.42(d,J=15.1Hz,2H),3.01-2.75(m,2H),2.70-2.42(m,4H),2.41-2.26(m,6H),2.10-1.93(m,1H),1.79-1.63(m,1H),1.55-1.29(m,1H),0.93(t,J=6.4Hz,6H).
4-21. (3S)-3-(2-(5-(2-(アゼチジン-1-イル)エチル)-2-オキソ-4-(トリフルオロメチル)ピリジン-1(2H)-イル)-4-メチルペンタンアミド)-3-(2’-シアノ-4-フルオロ-4’,5-ジメチル-[1,1’-ビフェニル]-3-イル)プロパン酸(ジアステレオマー化合物BT-P1およびBT-P2)
Figure 0007702004000836
BT-P1 ESI 655.3(M+H)H NMR(400MHz,MeOD)δ 7.85(s,1H),7.60(s,1H),7.47(s,1H),7.36-7.30(s,3H),6.74(s,1H),5.78-5.59(m,2H),3.84-3.80(m,4H),3.15-3.10(m,2H),2.75-2.72(m,4H),2.43(s,3H),2.34-2.30(m,5H),2.06-2.01(m,2H),1.40-1.37(m,1H),0.99-0.96(m,6H).
BT-P2 ESI 655.3(M+H)H NMR(400MHz,MeOD)δ 7.72(s,1H),7.66(s,1H),7.57(d,J=8.1Hz,1H),7.51-7.34(m,3H),6.92(s,1H),5.75-5.69(m,2H),4.05-4.01(m,4H),2.95-2.55(m,5H),2.46-2.37(m,9H),2.06-1.96(m,1H),1.85-1.75(m,1H),1.49-1.37(m,1H),),0.94-0.92(m,6H).
4-22. (3S)-3-(2-(5-(2-(アゼチジン-1-イル)エチル)-2-オキソ-4-(トリフルオロメチル)ピリジン-1(2H)-イル)-4-メチルペンタンアミド)-3-(6’-シアノ-3’,4-ジフルオロ-2’,5-ジメチル-[1,1’-ビフェニル]-3-イル)プロパン酸(ジアステレオマー化合物BU-P1およびBU-P2)
Figure 0007702004000837
BU-P1 ESI 673.3(M+H)H NMR(400MHz,MeOD)δ 7.83(s,1H),7.71-7.62(m,1H),7.31-7.27(t,J=8.8Hz,1H),7.14-7.10(m,2H),6.80-6.75(d,J=22.1Hz,1H),5.76-5.62(m,2H),4.02-3.97(m,4H),3.32-3.15(m,2H),2.95-2.60(m,4H),2.51-2.25(m,5H),2.11-1.93(m,5H),1.45-1.44(m,1H),0.97-0.96(m,6H).
BU-P2 ESI 673.3(M+H)H NMR(400MHz,MeOD)δ 7.81-7.66(m,2H),7.37-7.08(m,3H),6.92(s,1H),5.85-5.56(m,2H),4.16-4.10(m,4H),3.43-3.42(m,2H),3.02-2.75(m,2H),2.66(d,J=12.1Hz,1H),2.62-2.30(m,6H),2.18-1.95(m,4H),1.80-1.64(m,1H),1.45-1.38(m,1H),0.92-0.91(m,6H).
4-23. (3S)-3-(2-(5-(2-(アゼチジン-1-イル)エチル)-2-オキソ-4-(トリフルオロメチル)ピリジン-1(2H)-イル)-4-メチルペンタンアミド)-3-(2’-シアノ-4,5’-ジフルオロ-4’,5-ジメチルビフェニル-3-イル)プロパン酸(ジアステレオマー化合物BV-P1およびBV-P2)
Figure 0007702004000838
BV-P1 ESI 673.2(M+H)H NMR(400MHz,MeOD)δ 7.96(s,1H),7.73-7.46(m,2H),7.31(d,J=4.5Hz,1H),7.07-6.69(m,1H),5.75(s,1H),5.62(t,J=6.8Hz,1H),3.96(s,4H),3.27-3.11(m,2H),2.92-2.58(m,4H),2.45-2.21(m,8H),2.12-1.91(m,2H),1.41(s,1H),1.04-0.88(m,6H).
BV-P2 ESI 673.2(M+H)H NMR(400MHz,MeOD)δ 7.78(d,J=7.6Hz,1H),7.72(s,1H),7.47-7.38(m,2H),7.32(d,J=10.2Hz,1H),6.93(s,1H),5.78-5.65(m,2H),4.13(t,J=8.0Hz,4H),3.48-3.35(m,2H),2.99-2.75(m,2H),2.70-2.42(m,4H),2.37(s,6H),2.11-1.93(m,1H),1.85-1.71(m,1H),1.51-1.30(m,1H),1.05-0.85(m,6H).
4-24. (3S)-3-(2-(5-(2-(アゼチジン-1-イル)エチル)-2-オキソ-4-(トリフルオロメチル)ピリジン-1(2H)-イル)-4-メチルペンタンアミド)-3-(2’-シアノ-4-フルオロ-4’-メトキシ-5-メチル-[1,1’-ビフェニル]-3-イル)プロパン酸(ジアステレオマー化合物BW-P1およびBW-P2)
Figure 0007702004000839
BW-P1 ESI 671.2(M+H)H NMR(500MHz,MeOD)δ 7.93(s,1H),7.44(s,1H),7.26(s,2H),7.15(d,J=52.3Hz,2H),6.75(s,1H),5.80-5.70(m,1H),5.68-5.60(m,1H),3.95(d,J=7.9Hz,4H),3.90(d,J=10.4Hz,3H),3.24(m,2H),2.81(m,1H),2.75(m,3H),2.46-2.35(m,2H),2.31(s,3H),2.04(m,2H),1.48-1.38(m,2H),0.98(m,6H).
BW-P2 ESI 671.2(M+H)H NMR(500MHz,MeOD)δ 7.72(s,1H),7.50(d,J=8.7Hz,1H),7.38(ddm,2H),7.35-7.29(m,2H),6.93(s,1H),5.75(m,1H),5.70(t,J=7.7Hz,1H),4.11(m,4H),3.91(s,3H),3.39(m,2H),2.94(d,J=16.7Hz,1H),2.86-2.77(m,1H),2.66(m,1H),2.55(m,1H),2.50-2.41(m,2H),2.37(s,3H),2.02(m,1H),1.83-1.74(m,1H),1.41(m,2H),0.93(m,6H).
4-25. (3S)-3-(2-(5-(2-(アゼチジン-1-イル)エチル)-2-オキソ-4-(トリフルオロメチル)ピリジン-1(2H)-イル)-4-メチルペンタンアミド)-3-(2’-シアノ-5’-エチル-4-フルオロ-5-メチル-[1,1’-ビフェニル]-3-イル)プロパン酸(ジアステレオマー化合物BX-P1およびBX-P2)
Figure 0007702004000840
BX-P1 ESI 669.2(M+H)H NMR(400MHz,MeOD)δ 7.96-7.83(m,1H),7.70(d,J=7.9Hz,1H),7.46-7.16(m,4H),6.76(s,1H),5.82-5.48(m,2H),4.07-3.90(m,4H),3.31-3.14(m,2H),2.88-2.66(m,6H),2.49-2.30(m,5H),2.13-1.99(m,2H),1.52-1.21(m,4H),0.97(d,J=6.6Hz,6H).
BX-P2 ESI 669.3(M+H)H NMR(400MHz,MeOD)δ 7.84-7.66(m,2H),7.47-7.28(m,4H),6.93(s,1H),5.73(t,J=7.7Hz,2H),4.16(t,J=8.0Hz,4H),3.53-3.34(m,2H),3.04-2.30(m,11H),2.10-1.93(m,1H),1.89-1.77(m,1H),1.46-1.23(m,4H),1.01-0.83(m,6H).
4-26. (3S)-3-(4,4’-ジフルオロ-2’,5,6’-トリメチル-[1,1’-ビフェニル]-3-イル)-3-(2-(3-フルオロ-5-(2-(3-フルオロアゼチジン-1-イル)エチル)-2-オキソピリジン-1(2H)-イル)ペンタンアミド)プロパン酸(ジアステレオマー化合物BY-P1およびBY-P2)
Figure 0007702004000841
BY-P1 ESI 616.3(M+H). 1H NMR(400MHz,MeOD)δ 7.43(s,1H),7.38-7.27(m,1H),6.91-6.68(m,4H),5.67-5.44(m,2H),5.21(d,J=57.3Hz,1H),4.02(d,J=35.4Hz,2H),3.83-3.54(m,2H),3.20-2.99(m,2H),2.82-2.53(m,4H),2.29(d,J=1.6Hz,3H),2.24-2.08(m,1H),2.05-1.92(m,4H),1.88(s,3H),1.42-1.21(m,2H),0.96(t,J=7.4Hz,3H).
BY-P2 ESI 616.3(M+H)H NMR(400MHz,MeOD)δ 7.44-7.28(m,2H),7.01-6.76(m,4H),5.69-5.49(m,2H),5.29(d,J=57.4Hz,1H),4.38-4.13(m,2H),4.02-3.74(m,2H),3.37-3.20(m,2H),2.81-2.43(m,4H),2.33(d,J=1.7Hz,3H),2.16-2.04(m,1H),2.01(s,6H),1.90-1.77(m,1H),1.35-1.09(m,2H),0.92(t,J=7.4Hz,3H).
4-27. (3S)-3-(2-(5-(2-(ジメチルアミノ)エチル)-2-オキソ-4-(トリフルオロメチル)ピリジン-1(2H)-イル)ペンタンアミド)-3-(4-フルオロ-2’,5,6’-トリメチル-[1,1’-ビフェニル]-3-イル)プロパン酸(ジアステレオマー化合物BZ-P1およびBZ-P2)
Figure 0007702004000842
BZ-P1 ESI 618.3(M+H)H NMR(500MHz,MeOD)δ 7.90(s,1H),7.11-7.02(m,3H),6.90-6.86(m,2H),6.74(s,1H),5.59-5.56(m,2H),3.18-3.14(m,2H),2.99(d,J=22.6Hz,2H),2.81(s,6H),2.76-2.73(m,2H),2.29(s,3H),2.19-2.12(m,1H),2.02-1.95(m,4H),1.80(s,3H),1.37-1.30(m,2H),0.96(t,J=7.3Hz,3H).
BZ-P2 ESI 618.3(M+H)H NMR(500MHz,MeOD)δ 7.86(s,1H),7.14-7.65(m,3H),6.95-6.89(m,3H),5.73(d,J=7.3Hz,1H),5.53(t,J=7.6Hz,1H),3.33-3.20(m,2H),3.01(t,J=6.8Hz,2H),2.82(s,6H),2.68-2.62(m,1H),2.56-2.51(m,1H),2.32(s,3H),2.07-2.00(m,7H),1.82-1.72(m,1H),1.23(s,2H),0.89(d,J=3.5Hz,3H).
4-28. (3S)-3-(5-クロロ-4-フルオロ-2’,6’-ジメチル-[1,1’-ビフェニル]-3-イル)-3-(2-(5-(2-(ジメチルアミノ)エチル)-2-オキソ-4-(トリフルオロメチル)ピリジン-1(2H)-イル)-5-メチルヘキサンアミド)プロパン酸(ジアステレオマー化合物CA-P1およびCA-P2)
Figure 0007702004000843
CA-P1 ESI 666.3(M+H)H NMR(400MHz,MeOD)δ 7.88(s,1H),7.13(t,J=7.6Hz,1H),7.09-7.06(m,2H),7.04(s,1H),7.02(s,1H),6.69(s,1H),5.53(t,J=7.2Hz,1H),5.49-5.45(m,1H),3.16-3.04(m,2H),2.94(t,J=8.0Hz,2H),2.76(s,6H),2.73-2.71(m,2H),2.23-2.14(m,1H),1.99(s,3H),1.97-1.91(m,1H),1.79(s,3H),1.63-1.51(m,1H),1.27-1.18(m,1H),1.13-1.04(m,1H),0.88(d,J=3.2Hz,3H),0.86(d,J=3.6Hz,3H).CA-P2 ESI 666.2(M+H)H NMR(400MHz,MeOD)δ 7.86(s,1H),7.17-7.13(m,2H),7.10-7.08(m,3H),6.88(s,1H),5.71-5.68(m,1H),5.46(t,J=7.4Hz,1H),3.28-3.15(m,2H),2.98(t,J=7.0Hz,2H),2.81(s,6H),2.68-2.63(m,1H),2.58-2.52(m,1H),2.16-2.05(m,1H),2.01(s,3H),2.00(s,3H),1.83-1.74(m,1H),1.56-1.46(m,1H),1.16-0.99(m,2H),0.82(d,J=5.2Hz,3H),0.80(d,J=4.8Hz,3H).
4-29. (3S)-3-(2-(5-(2-(ジメチルアミノ)エチル)-2-オキソ-4-(トリフルオロメチル)ピリジン-1(2H)-イル)-4-メチルペンタンアミド)-3-(2-フルオロ-3-メチル-5-((S)-2-メチルピペリジン-1-イル)フェニル)プロパン酸(ジアステレオマー化合物CB-P1およびCB-P2)
Figure 0007702004000844
CB-P1 ESI 625.4(M+H)H NMR(400MHz,MeOD)δ 7.92(s,1H),6.91-6.74(m,3H),5.74(t,J=8.0Hz,1H),5.49(t,J=7.0Hz,1H),3.49-3.38(m,1H),3.13-2.82(m,6H),2.77-2.62(m,8H),2.21(s,3H),2.01(t,J=7.6Hz,2H),1.91-1.36(m,7H),0.98(d,J=6.5Hz,6H),0.79(d,J=6.4Hz,3H).
CB-P2 ESI 625.4(M+H)H NMR(400MHz,MeOD)δ 7.89(s,1H),7.01-6.78(m,3H),5.74-5.55(m,2H),3.59-3.44(m,1H),3.30-3.14(m,2H),3.08-2.90(m,4H),2.82(s,6H),2.62-2.42(m,2H),2.25(d,J=1.7Hz,3H),2.04-1.35(m,9H),0.99-0.86(m,9H).
4-30. (3S)-3-(2-(5-(2-(アゼチジン-1-イル)エチル)-2-オキソ-4-(トリフルオロメチル)ピリジン-1(2H)-イル)-4-メチルペンタンアミド)-3-(2’-シクロプロピル-4,5’-ジフルオロ-5-メチル-[1,1’-ビフェニル]-3-イル)プロパン酸(ジアステレオマー化合物CC-P1およびCC-P2)
Figure 0007702004000845
CC-P1 ESI 674.4(M+H)H NMR(400MHz,MeOD)δ 7.87(s,1H),7.23-7.17(m,2H),7.03-6.98(m,2H),6.89-6.82(m,2H),5.73-5.56(m,2H),4.09(t,J=8.1Hz,4H),3.35-3.32(m,2H),2.87-2.84(m,2H),2.76-2.75(m,2H),2.48-2.43(m,2H),2.31(d,J=1.6Hz,3H),2.05-1.97(m,2H),1.81-1.74(m,1H),1.16-1.39(m,1H),0.97-0.91(m,6H),0.79-0.74(m,2H),0.57-0.53(m,2H).
CC-P2 ESI 674.3(M+H)H NMR(400MHz,MeOD)δ 7.74(s,1H),7.27-7.21(m,2H),7.05-6.91(m,4H),5.77-5.74(m,1H),5.64(t,J=7.6Hz,1H),4.14(t,J=8.1Hz,4H),3.42-3.32(m,2H),2.96-2.81(m,2H),2.67-2.45(m,4H),2.35(t,J=8.8Hz,3H),2.03-1.96(m,1H),1.83-1.66(m,2H),1.42-1.38(m,1H),0.92-0.89(m,6H),0.84-0.79(m,2H),0.63-0.59(m,2H).
4-31. (3S)-3-(2-(5-(2-(アゼチジン-1-イル)エチル)-2-オキソ-4-(トリフルオロメチル)ピリジン-1(2H)-イル)-4-メチルペンタンアミド)-3-(6’-シアノ-4-フルオロ-2’,3’,5-トリメチル-[1,1’-ビフェニル]-3-イル)プロパン酸(ジアステレオマー化合物CD-P1およびCD-P2)
Figure 0007702004000846
CD-P1 ESI 669.4(M+H)H NMR(400MHz,MeOD)δ 7.85(d,J=8.9Hz,1H),7.61-7.27(m,2H),7.16-6.95(m,2H),6.77(d,J=35.8Hz,1H),5.80-5.43(m,2H),4.11-3.86(m,4H),3.31-3.15(m,2H),2.94-2.60(m,4H),2.51-2.24(m,8H),2.15-1.89(m,5H),1.56-1.38(m,1H),1.09-0.83(m,6H).
CD-P2 ESI 669.4(M+H)H NMR(400MHz,MeOD)δ 7.72(d,J=6.8Hz,1H),7.54(d,J=7.9Hz,1H),7.36(d,J=7.9Hz,1H),7.22-7.05(m,2H),6.91(s,1H),5.90-5.53(m,2H),4.32-3.89(m,4H),3.54-3.33(m,2H),3.11-2.29(m,12H),2.07-1.92(m,4H),1.83-1.64(m,1H),1.52-1.30(m,1H),0.97-0.81(m,6H).
4-32. (3S)-3-(2-(5-(2-(アゼチジン-1-イル)エチル)-2-オキソ-4-(トリフルオロメチル)ピリジン-1(2H)-イル)-4-メチルペンタンアミド)-3-(5’-シアノ-4-フルオロ-2’,4’,5-トリメチル-[1,1’-ビフェニル]-3-イル)プロパン酸(ジアステレオマー化合物CE-P1およびCE-P2)
Figure 0007702004000847
CE-P1 ESI 669.2(M+H)H NMR(400MHz,MeOD)δ 7.74(s,1H),7.26(d,J=40.1Hz,2H),6.96(t,J=7.5Hz,2H),6.65(s,1H),5.74-5.22(m,2H),3.92(t,J=8.1Hz,4H),3.21-3.09(m,2H),2.66(dt,J=11.9,7.1Hz,4H),2.49-2.19(m,5H),2.15(d,J=20.6Hz,6H),1.90(m,J=13.4,6.1Hz,2H),1.47-1.10(m,1H),0.83(t,J=6.2Hz,6H).
CE-P2 ESI 669.2(M+H)H NMR(400MHz,MeOD)δ 7.75(s,1H),7.42(d,J=42.0Hz,2H),7.13(d,J=6.4Hz,2H),6.92(s,1H),5.92-5.45(m,2H),4.14(t,J=8.0Hz,4H),3.40(d,J=16.8Hz,2H),2.92(s,2H),2.75-2.55(m,1H),2.52-2.41(m,6H),2.40-2.18(m,6H),2.12-1.88(m,1H),1.82-1.53(m,1H),1.53-1.20(m,1H),0.92(t,J=6.6Hz,6H).
4-33. (3S)-3-(4,5-ジフルオロ-2’,6’-ジメチル-[1,1’-ビフェニル]-3-イル)-3-(2-(5-(2-(ジメチルアミノ)エチル)-2-オキソピリジン-1(2H)-イル)-4-メチルペンタンアミド)プロパン酸(ジアステレオマー化合物CF-P1およびCF-P2)
Figure 0007702004000848
CF-P1 ESI 568.2(M+H)H NMR(500MHz,MeOD)δ 7.64(d,J=2.0Hz,1H),7.54-7.51(m,1H),7.18(t,J=7.5Hz,1H),7.11(t,J=6.8Hz,2H),6.99-6.90(m,1H),6.78(d,J=5.9Hz,1H),6.52(d,J=9.3Hz,1H),5.61-5.56(m,1H),5.42(t,J=5.6Hz,1H),3.32-3.19(s,1H),3.24-3.10(m,1H),2.88-2.80(m,2H),2.73(s,6H),2.70-2.64(m,1H),2.59-2.53(m,1H),2.06-1.89(m,8H),1.50-1.36(m,1H),0.97-0.90(m,6H).
CF-P2 ESI 568.2(M+H). 1H NMR(500MHz,MeOD)δ H NMR(500MHz,MeOD)δ 7.65(d,J=2.1Hz,1H),7.54-7.50(m,1H),7.22-7.13(m,1H),7.14-7.07(m,2H),7.01-6.90(m,1H),6.88(d,J=5.8Hz,1H),6.54(d,J=9.3Hz,1H),5.66-5.52(m,2H),3.38-3.34(m,1H),3.28-3.21(m,1H),2.98-2.86(m,1H),2.86-2.73(m,7H),2.64-2.59(m,1H),2.51-2.44(m,1H),2.08-1.91(m,7H),1.92-1.81(m,1H),1.49-1.35(m,1H),0.93-0.88(m,6H).
4-34. (3S)-3-(2-(5-(2-(ジメチルアミノ)エチル)-2-オキソピリジン-1(2H)-イル)-4-メチルペンタンアミド)-3-(4,4’,5-トリフルオロ-2’,6’-ジメチル-[1,1’-ビフェニル]-3-イル)プロパン酸(ジアステレオマー化合物CG-P1およびCG-P2)
Figure 0007702004000849
CG-P1 ESI 586.2(M+H)H NMR(500MHz,MeOD)δ 7.65(s,1H),7.57-7.48(m,1H),6.99-6.90(m,1H),6.87(d,J=8.8Hz,2H),6.79(d,J=5.8Hz,1H),6.52(d,J=9.4Hz,1H),5.56(s,1H),5.42(t,J=5.6Hz,1H),3.32-3.27(m,1H),3.23-3.16(m,1H),2.93-2.80(m,2H),2.75(s,6H),2.70-2.62(m,1H),2.59-2.52(m,1H),2.10-1.91(m,8H),1.44(s,1H),0.98-0.87(m,6H).
CG-P2 ESI 586.2(M+H)H NMR(500MHz,MeOD)δ 7.65(d,J=2.1Hz,1H),7.56-7.50(m,1H),7.01-6.94(m,1H),6.90-6.81(m,3H),6.55(d,J=9.3Hz,1H),5.64-5.54(m,2H),3.45-3.36(m,1H),3.31-3.24(m,1H),2.99-2.90(m,1H),2.90-2.78(m,7H),2.64-2.55(m,1H),2.51-2.41(m,1H),2.07-1.95(m,7H),1.92-1.83(m,1H),1.46-1.36(m,1H),0.96-0.86(m,6H).
4-35. (3S)-3-(4,5-ジフルオロ-2’,6’-ジメチル-[1,1’-ビフェニル]-3-イル)-3-(2-(5-(2-(3-フルオロアゼチジン-1-イル)エチル)-2-オキソピリジン-1(2H)-イル)-4-メチルペンタンアミド)プロパン酸(ジアステレオマー化合物CH-P1およびCH-P2)
Figure 0007702004000850
CH-P1 ESI 598.2(M+H)H NMR(500MHz,MeOD)δ 7.54(d,J=1.9Hz,1H),7.46-7.40(m,1H),7.21-7.14(m,1H),7.11(d,J=7.3Hz,2H),6.99-6.90(m,1H),6.81(d,J=5.9Hz,1H),6.47(d,J=9.3Hz,1H),5.62(t,J=8.1Hz,1H),5.51(t,J=6.1Hz,1H),5.31-5.14(m,1H),4.17-3.96(m,2H),3.82-3.67(m,2H),3.21-3.11(m,2H),2.78-2.58(m,4H),2.03-1.89(m,8H),1.47-1.40(m,1H),0.97-0.88(m,6H).
CH-P2 ESI 598.2(M+H)H NMR(500MHz,MeOD)δ 7.53(d,J=2.0Hz,1H),7.49-7.42(m,1H),7.16(d,J=7.4Hz,1H),7.11(d,J=7.7Hz,2H),7.03-6.94(m,1H),6.92(d,J=5.9Hz,1H),6.55(d,J=9.3Hz,1H),5.68-5.60(m,2H),5.41-5.22(m,1H),4.47-4.27(m,2H),4.09-3.94(m,2H),3.37(s,2H),2.79-2.62(m,3H),2.60-2.50(m,1H),2.03(d,J=2.2Hz,6H),1.98-1.91(m,1H),1.84-1.76(m,1H),1.47-1.37(m,1H),0.91(t,J=6.1Hz,6H).
4-36. (3S)-3-(4-フルオロ-2’,5,6’-トリメチル-[1,1’-ビフェニル]-3-イル)-3-(2-(5-(2-(3-フルオロアゼチジン-1-イル)エチル)-4-メチル-2-オキソピリジン-1(2H)-イル)-4-メチルペンタンアミド)プロパン酸(ジアステレオマー化合物CI-P1およびCI-P2)
Figure 0007702004000851
CI-P1 ESI 608.2(M+H)H NMR(500MHz,MeOD)δ 8.45(s,0.47HCOOH),7.54(s,1H),7.15-7.05(m,3H),6.89-6.81(m,2H),6.30(s,1H),5.68-5.48(m,2H),5.40-5.14(m,1H),4.35-4.13(m,2H),4.06-3.86(m,2H),3.26-3.20(m,2H),2.88-2.65(m,4H),2.29(s,3H),2.23(s,3H),2.01-1.89(m,5H),1.85(s,3H),1.48-1.38(m,1H),0.98-0.91(m,6H).
CI-P2 ESI 608.2(M+H)H NMR(500MHz,MeOD)δ 8.45(s,0.23HCOOH),7.46(s,1H),7.20-7.02(m,3H),6.93(d,J=5.0Hz,2H),6.44(s,1H),5.75-5.54(m,2H),5.34(d,J=57.3Hz,1H),4.48-4.35(m,2H),4.16-3.96(m,2H),3.42-3.34(m,2H),2.90-2.82(m,1H),2.74-2.63(m,2H),2.60-2.52(m,1H),2.33(s,3H),2.25(s,3H),2.07-1.85(m,7H),1.82-1.70(m,1H),1.44-1.34(m,1H),0.91-0.87(m,6H).
4-37. (3S)-3-(2-(5-((ジメチルアミノ)メチル)-2-オキソ-4-(トリフルオロメチル)ピリジン-1(2H)-イル)-4-メチルペンタンアミド)-3-(4-フルオロ-2’,5,6’-トリメチル-[1,1’-ビフェニル]-3-イル)プロパン酸(ジアステレオマー化合物CJ-P1およびCJ-P2)
Figure 0007702004000852
CJ-P1 ESI 618.2(M+H)H NMR(400MHz,MeOD)δ 8.07(s,1H),7.15-7.00(m,3H),6.94-6.83(m,2H),6.77(s,1H),5.75(t,J=8.1Hz,1H),5.63-5.52(m,1H),3.83-3.59(m,2H),2.82-2.72(m,2H),2.52(s,6H),2.29(d,J=1.3Hz,3H),2.05-1.95(m,5H),1.80(s,3H),1.49-1.37(m,1H),1.01-0.91(m,6H).
CJ-P2 ESI 618.2(M+H)H NMR(400MHz,MeOD)δ 8.09(s,1H),7.18-7.00(m,3H),7.00-6.84(m,3H),5.81-5.70(m,1H),5.63-5.46(m,1H),4.10(d,J=14.4Hz,1H),3.87(d,J=14.4Hz,1H),2.79-2.55(m,8H),2.34(d,J=1.5Hz,3H),2.05-1.93(m,7H),1.71-1.61(m,1H),1.48-1.39(m,1H),0.93-0.82(m,6H).
4-38. (3S)-3-(4,4’-ジフルオロ-2’,5,6’-トリメチル-[1,1’-ビフェニル]-3-イル)-3-(2-(5-((ジメチルアミノ)メチル)-2-オキソ-4-(トリフルオロメチル)ピリジン-1(2H)-イル)-4-メチルペンタンアミド)プロパン酸(ジアステレオマー化合物CK-P1およびCK-P2)
Figure 0007702004000853
CK-P1 ESI 636.1(M+H)H NMR(400MHz,MeOD)δ 8.06(s,1H),6.95-6.72(m,5H),5.75(t,J=8.1Hz,1H),5.62-5.56(m,1H),3.79-3.65(m,2H),2.86-2.65(m,2H),2.52(s,6H),2.29(s,3H),2.04-1.93(m,5H),1.81(s,3H),1.50-1.38(m,1H),0.96(t,J=7.4Hz,6H).
CK-P2 ESI 636.1(M+H)H NMR(400MHz,MeOD)δ 8.08(s,1H),6.95-6.88(m,3H),6.85(d,J=9.6Hz,2H),5.76-5.70(m,1H),5.55(t,J=7.5Hz,1H),4.08(d,J=14.4Hz,1H),3.85(d,J=14.4Hz,1H),2.79-2.52(m,8H),2.34(s,3H),2.03-1.93(m,7H),1.70-1.61(m,1H),1.50-1.38(m,1H),0.95-0.80(m,6H).
4-39. (3S)-3-(2-(5-((ジメチルアミノ)メチル)-2-オキソ-4-(トリフルオロメチル)ピリジン-1(2H)-イル)-4-メチルペンタンアミド)-3-(4-フルオロ-2’,4’,5,6’-テトラメチル-[1,1’-ビフェニル]-3-イル)プロパン酸(ジアステレオマー化合物CL-P1およびCL-P2)
Figure 0007702004000854
CL-P1 ESI 632.2(M+H)H NMR(400MHz,MeOD)δ 8.05(s,1H),6.92-6.82(m,4H),6.76(s,1H),5.75(t,J=8.1Hz,1H),5.63-5.50(m,1H),3.78-3.62(m,2H),2.88-2.65(m,2H),2.50(s,6H),2.29(d,J=3.7Hz,6H),2.03-1.89(m,5H),1.76(s,3H),1.52-1.36(m,1H),0.96(t,J=7.2Hz,6H).
CL-P2 ESI 632.2(M+H)H NMR(400MHz,MeOD)δ 8.09(s,1H),6.95-6.83(m,5H),5.81-5.68(m,1H),5.54(t,J=7.4Hz,1H),4.09(d,J=14.4Hz,1H),3.85(d,J=14.3Hz,1H),2.81-2.52(m,8H),2.32(d,J=9.8Hz,6H),1.97(t,J=9.1Hz,7H),1.71-1.58(m,1H),1.50-1.34(m,1H),0.88(d,J=6.4Hz,6H).
4-40. (3S)-3-(4,5-ジフルオロ-2’,4’,6’-トリメチル-[1,1’-ビフェニル]-3-イル)-3-(2-(5-((ジメチルアミノ)メチル)-2-オキソ-4-(トリフルオロメチル)ピリジン-1(2H)-イル)-4-メチルペンタンアミド)プロパン酸(ジアステレオマー化合物CM-P1およびCM-P2)
Figure 0007702004000855
CM-P1 ESI 636.2(M+H)H NMR(400MHz,MeOD)δ 7.99(s,1H),6.92-6.84(m,4H),6.72(s,1H),5.82-5.68(m,1H),5.61-5.55(m,1H),3.61-3.48(m,2H),2.83-2.65(m,2H),2.38(s,6H),2.30(s,3H),2.03-1.92(m,5H),1.73(s,3H),1.49-1.37(m,1H),0.99-0.93(m,6H).
CM-P2 ESI 636.2(M+H)H NMR(400MHz,MeOD)δ 8.08(s,1H),7.02-6.84(m,5H),5.77-5.72(m,1H),5.59-5.52(m,1H),4.08(d,J=14.4Hz,1H),3.85(d,J=14.4Hz,1H),2.79-2.75(m,1H),2.70-2.54(m,7H),2.31(s,3H),2.02-1.87(m,7H),1.74-1.57(m,1H),1.49-1.37(m,1H),0.91-0.86(m,6H).
4-41. (3S)-3-(2-(5-(2-(ジメチルアミノ)エチル)-3-フルオロ-2-オキソピリジン-1(2H)-イル)-4-メチルペンタンアミド)-3-(4,4’,5-トリフルオロ-2’,6’-ジメチル-[1,1’-ビフェニル]-3-イル)プロパン酸(ジアステレオマー化合物CN-P1およびCN-P2)
Figure 0007702004000856
CN-P1 ESI 604.2(M+H)H NMR(400MHz,MeOD)δ 7.44(s,1H),7.34-7.30(m,1H),6.96-6.75(m,4H),5.76-5.71(m,1H),5.60-5.48(m,1H),2.76-2.55(m,6H),2.39(s,6H),2.07-1.90(m,5H),1.84(s,3H),1.49-1.33(m,1H),0.98-0.92(m,6H).
CN-P2 ESI 604.2(M+H)H NMR(400MHz,MeOD)δ 7.50(s,1H),7.46-7.10(m,1H),7.04-6.93(m,1H),6.91-6.84(m,3H),5.67-5.57(m,2H),3.47-3.37(m,1H),3.31-3.21(m,1H),3.02-2.91(m,1H),2.90-2.79(m,7H),2.64-2.57(m,1H),2.50-2.42(m,1H),2.07-1.92(m,7H),1.90-1.78(m,1H),1.47-1.31(m,1H),0.94-0.89(m,6H).
4-42. (3S)-3-(4,5-ジフルオロ-2’,4’,6’-トリメチル-[1,1’-ビフェニル]-3-イル)-3-(2-(5-(2-(ジメチルアミノ)エチル)-3-フルオロ-2-オキソピリジン-1(2H)-イル)-4-メチルペンタンアミド)プロパン酸(ジアステレオマー化合物CO-P1およびCO-P2)
Figure 0007702004000857
CO-P1 ESI 600.2(M+H)H NMR(400MHz,MeOD)δ 7.49-7.44(m,2H),6.92(t,J=8.2Hz,3H),6.76(d,J=6.0Hz,1H),5.65-5.61(m,1H),5.40(t,J=5.6Hz,1H),3.19-3.15(m,2H),2.90-2.84(m,3H),2.75-2.63(m,7H),2.57-2.52(m,1H),2.31(s,3H),2.03-1.87(m,9H),1.46-1.40(m,1H),0.98-0.91(m,6H).
CO-P2 ESI 600.2(M+H)H NMR(400MHz,MeOD)δ 7.37-7.29(m,2H),6.87-6.71(m,4H),5.57-5.42(m,2H),3.34-3.24(m,1H),3.18-3.07(m,1H),2.87-2.81(m,1H),2.73-2.70(m,7H),2.50-2.45(m,1H),2.36-2.30(m,1H),2.19(s,3H),1.96-1.80(m,7H),1.74-1.63(m,1H),1.30-1.25(m,1H),0.81-0.79(m,6H).
4-43. (3S)-3-(2-(5-(2-(3-フルオロアゼチジン-1-イル)エチル)-4-メチル-2-オキソピリジン-1(2H)-イル)-4-メチルペンタンアミド)-3-(4,4’,5-トリフルオロ-2’,6’-ジメチルビフェニル-3-イル)プロパン酸(ジアステレオマー化合物CP-P1およびCP-P2)
Figure 0007702004000858
CP-P1 ESI 630.2(M+H). 1H NMR(400MHz,MeOD)δ 7.49(s,1H),6.99-6.89(m,1H),6.89-6.76(m,3H),6.29(s,1H),5.66-5.50(m,2H),5.40-5.10(m,1H),4.14-3.90(m,2H),3.86-3.55(m,2H),3.03(s,2H),2.86-2.53(m,4H),2.23(s,3H),2.06-1.90(m,5H),1.86(s,3H),1.49-1.32(m,1H),1.02-0.84(m,6H).
CP-P2 ESI 630.2(M+H). 1H NMR(400MHz,MeOD)δ 7.49(s,1H),7.09-6.86(m,4H),6.44(s,1H),5.72-5.55(m,2H),5.30(d,J=57.8Hz,1H),4.28(s,2H),3.93(s,2H),3.19(s,2H),2.87-2.50(m,4H),2.25(s,3H),2.04(s,6H),1.93-1.73(m,2H),1.47-1.28(m,1H),0.91-0.85(m,6H).
4-44. (3S)-3-(5-クロロ-4,4’-ジフルオロ-2’,6’-ジメチルビフェニル-3-イル)-3-(2-(5-(2-(ジメチルアミノ)エチル)-2-オキソ-4-(トリフルオロメチル)ピリジン-1(2H)-イル)-4-メチルペンタンアミド)プロパン酸(ジアステレオマー化合物CQ-P1およびCQ-P2)
Figure 0007702004000859
CQ-P1 ESI 670.2(M+H). 1H NMR(400MHz,MeOD)δ 7.90(s,1H),7.13-7.11(m,1H),7.04-7.02(m,1H),6.88-6.81(m,2H),6.74(s,1H),5.69-5.65(m,1H),5.57-5.53(m,1H),3.16-3.10(m,2H),2.97-2.94(m,2H),2.80(s,6H),2.74-2.71(m,2H),2.02-1.98(m,5H),1.84(s,3H),1.47-1.40(m,1H),0.98-0.93(m,6H).
CQ-P2 ESI 670.2(M+H). 1H NMR(400MHz,MeOD)δ 7.86(s,1H),7.20-7.18(m,1H),7.07(d,J=6.1Hz,1H),6.88(d,J=11.2Hz,3H),5.73-5.67(m,1H),5.63(t,J=7.6Hz,1H),3.30-3.18(m,2H),3.01(t,J=6.9Hz,2H),2.85(s,6H),2.69-2.60(m,1H),2.58-2.52(m,1H),2.03-1.95(m,7H),1.77-1.70(m,1H),1.41-1.36(m,1H),0.91-0.89(m,6H).
4-45. (3S)-3-(5-クロロ-4,4’-ジフルオロ-2’,6’-ジメチルビフェニル-3-イル)-3-(2-(5-(2-(3-フルオロアゼチジン-1-イル)エチル)-4-メチル-2-オキソピリジン-1(2H)-イル)-4-メチルペンタンアミド)プロパン酸(ジアステレオマー化合物CR-P1およびCR-P2)
Figure 0007702004000860
CR-P1 ESI 646.2(M+H). 1H NMR(400MHz,MeOD)δ 7.50(s,1H),7.15-7.13(m,1H),6.99-6.97(m,1H),6.88-6.85(m,2H),6.29(s,1H),5.64-5.49(m,2H),5.32-5.18(m,1H),4.11-4.07(m,2H),3.85-3.72(m,2H),3.10(t,J=6.9Hz,2H),2.82-2.62(m,4H),2.24(s,3H),2.09-1.90(m,5H),1.89(d,J=8.2Hz,3H),1.43-1.38(m,1H),0.96-0.92(m,6H).
CR-P2 ESI 646.2(M+H). 1H NMR(400MHz,MeOD)δ 7.45(s,1H),7.21-7.18(m,1H),7.08-7.06(m,1H),6.89(d,J=9.6Hz,2H),6.43(s,1H),5.73-5.53(m,2H),5.43-5.25(m,1H),4.44-4.41(m,2H),4.16-4.01(m,2H),3.39- 3.36(m,2H),2.91-2.87(m,1H),2.73-2.62(m,2H),2.52-2.49(m,1H),2.25(s,3H),2.03(s,6H),1.98-1.88(m,1H),1.81-1.72(m,1H),1.44-1.33(m,1H),0.91-0.89(m,6H).
4-46. (3S)-3-(2-(5-(2-(ジメチルアミノ)エチル)-2-オキソ-4-(トリフルオロメチル)ピリジン-1(2H)-イル)-4-メチルペンタンアミド)-3-(4,4’,5-トリフルオロ-2’,6’-ジメチルビフェニル-3-イル)プロパン酸(ジアステレオマー化合物CS-P1およびCS-P2)
Figure 0007702004000861
CS-P1 ESI 654.2(M+H). 1H NMR(400MHz,MeOD)δ 7.89(s,1H),6.98-6.78(m,4H),6.75(s,1H),5.69-5.65(m,1H),5.59-5.56(m,1H),3.15- 3.06(m,2H),2.95(d,J=6.2Hz,2H),2.77(s,6H),2.74-2.71(m,2H),2.13-1.91(m,5H),1.85(s,3H),1.50-1.40(m,1H),0.98-0.94(m,6H).
CS-P2 ESI 654.2(M+H). 1H NMR(400MHz,MeOD)δ 7.86(s,1H),7.05-6.96(m,1H),6.95-6.83(m,4H),5.73-5.69(m,1H),5.63(t,J=7.7Hz,1H),3.28-3.14(m,2H),2.99(t,J=7.0Hz,2H),2.82(s,6H),2.69-2.64(m,1H),2.62-2.52(m,1H),2.03(d,J=2.1Hz,6H),1.99-1.94(m,1H),1.77-1.72(m,,1H),1.45-1.31(m,1H),0.91-0.89(m,6H).
4-47. (3S)-3-(5-クロロ-4,4’-ジフルオロ-2’,6’-ジメチルビフェニル-3-イル)-3-(2-(5-(2-(3-フルオロアゼチジン-1-イル)エチル)-2-オキソピリジン-1(2H)-イル)-4-メチルペンタンアミド)プロパン酸(ジアステレオマー化合物CT-P1およびCT-P2)
Figure 0007702004000862
CT-P1 ESI 632.2(M+H). 1H NMR(400MHz,MeOD)δ 7.59(s,1H),7.46-7.43(m,1H),7.15-7.13(m,1H),7.00-6.92(m,1H),6.87(d,J=9.6Hz,2H),6.45(d,J=9.3Hz,1H),5.68-5.57(m,1H),5.51(t,J=6.2Hz,1H),5.38-5.16(m,1H),4.25-4.04(m,2H),3.96-3.76(m,2H),3.25-3.13(m,2H),2.83-2.58(m,4H),2.08-1.92(m,5H),1.88(s,3H),1.47-1.40(m,1H),0.97-0.92(m,6H).
CT-P2 ESI 632.2(M+H). 1H NMR(400MHz,MeOD)δ 7.54(s,1H),7.49(d,J=8.8Hz,1H),7.20-7.18(m,1H),7.04(d,J=4.5Hz,1H),6.88(d,J=9.6Hz,2H),6.56(d,J=9.1Hz,1H),5.71-5.57(m,2H),5.34(d,J=59.0Hz,1H),4.40(s,2H),4.08(s,2H),3.42(s,1H),2.70(d,J=52.7Hz,3H),2.52(s,1H),2.03(d,J=3.5Hz,6H),1.99-1.93(m,2H),1.88-1.76(m,1H),1.49-1.31(m,1H),0.91(t,J=6.7Hz,6H).
4-48. (3S)-3-(4,4’-ジフルオロ-2’,5,6’-トリメチルビフェニル-3-イル)-3-(2-(5-(2-(ジメチルアミノ)エチル)-3-フルオロ-2-オキソピリジン-1(2H)-イル)-4-メチルペンタンアミド)プロパン酸(ジアステレオマー化合物CU-P1およびCU-P2)
Figure 0007702004000863
CU-P1 ESI 600.3(M+H). 1H NMR(400MHz,MeOD)δ 7.52(s,1H),7.47-7.44(m,1H),6.91-6.81(m,3H),6.78(d,J=6.8Hz,1H),5.64-5.60(m,1H),5.40(t,J=5.6Hz,1H),3.36(d,J=6.1Hz,1H),3.24-3.12(m,1H),2.97-2.77(m,2H),2.73(s,6H),2.70-2.61(m,1H),2.57-2.52(m,1H),2.30(d,J=1.6Hz,3H),2.12-1.96(m,5H),1.95(s,3H),1.52-1.37(m,1H),0.97-0.91(m,6H).
CU-P2 ESI 600.2(M+H). 1H NMR(400MHz,MeOD)δ 7.50(s,1H),7.45-7.42(m,1H),6.89(t,J=6.1Hz,2H),6.84(d,J=9.6Hz,2H),5.66-5.62(m,1H),5.59-5.56(m,1H),3.47-3.36(m,1H),3.30-3.25(m,1H),3.00-2.94(m,1H),2.90-2.77(m,7H),2.61-2.56(m,1H),2.46-2.40(m,1H),2.32(d,J=1.8Hz,3H),2.09-1.94(m,7H),1.87-1.79(m,1H),1.48-1.37(m,1H),0.93-0.90(m,6H).
4-49. (3S)-3-(5-クロロ-4,4’-ジフルオロ-2’,6’-ジメチルビフェニル-3-イル)-3-(2-(5-(2-(ジメチルアミノ)エチル)-3-フルオロ-2-オキソピリジン-1(2H)-イル)-4-メチルペンタンアミド)プロパン酸(ジアステレオマー化合物CV-P1およびCV-P2)
Figure 0007702004000864
CV-P1 ESI 620.2(M+H). 1H NMR(400MHz,MeOD)δ 7.53(s,1H),7.46-7.43(m ,1H),7.15-7.12(m,1H),6.95-6.93 (m,1H),6.87(d,J=9.6Hz,2H),5.65-5.61(m,1H),5.42(t,J=5.8Hz,1H),3.31-3.26(m,1H),3.20-3.15(m,1H),2.96-2.81(m,2H),2.75(s,6H),2.70-2.65(m,1H),2.59-2.54(m,1H),2.19-1.78(m,8H),1.46-1.40(m,1H),0.97-0.91(m,6H).
CV-P2 ESI 620.2(M+H). 1H NMR(400MHz,MeOD)δ 7.50(s,1H),7.45-7.42(m,1H),7.18-7.16(m,1H),7.04- 7.02(m,1H),6.88(d,J=9.6Hz,2H),5.67-5.63(m,1H),5.59-5.56(m,1H),3.46-3.36(m,1H),3.29-3.22(m,1H),2.98-2.92(m,1H),2.86-2.84(m,1H),2.82(s,6H),2.62-2.58(m,1H),2.51-2.41(m,1H),2.03(d,J=1.5Hz,6H),1.97(t,J=7.1Hz,1H),1.90-1.78(m,1H),1.41-1.36(m,1H),0.97-0.74(m,6H).
4-50. (3S)-3-(4,4’-ジフルオロ-2’,5,6’-トリメチルビフェニル-3-イル)-3-(2-(5-(2-(ジメチルアミノ)エチル)-4-メチル-2-オキソピリジン-1(2H)-イル)-4-メチルペンタンアミド)プロパン酸(ジアステレオマー化合物CW-P1およびCW-P2)
Figure 0007702004000865
CW-P1 ESI 596.3(M+H). 1H NMR(400MHz,MeOD)δ 7.59(s,1H),6.83(t,J=7.2Hz,4H),6.32(s,1H),5.70-5.56(m,1H),5.54-5.47(m,1H),3.21-3.06(m,2H),2.95-2.83(m,2H),2.79(s,6H),2.73-2.55(m,2H),2.35-2.20(m,6H),2.07-1.91(m,5H),1.85(s,3H),1.50-1.29(m,1H),1.02-0.83(m,6H).
CW-P2 ESI 596.3(M+H). 1H NMR(400MHz,MeOD)δ 7.57(s,1H),6.99-6.78(m,4H),6.43(s,1H),5.71-5.53(m,2H),3.28-3.06(m,2H),2.97-2.85(m,2H),2.81(s,6H),2.66-2.56(m,1H),2.56-2.40(m,1H),2.36-2.24(m,6H),2.05-1.89(m,7H),1.86-1.72(m,1H),1.43-1.28(m,1H),0.89(t,J=5.2Hz,6H).
4-51. (3S)-3-(4’-クロロ-4-フルオロ-2’,5,6’-トリメチルビフェニル-3-イル)-3-(2-(5-(2-(ジメチルアミノ)エチル)-4-メチル-2-オキソピリジン-1(2H)-イル)-4-メチルペンタンアミド)プロパン酸(ジアステレオマー化合物CX-P1およびCX-P2)
Figure 0007702004000866
CX-P1 ESI 612.2(M+H). 1H NMR(400MHz,MeOD)δ 7.58(s,1H),7.11(d,J=2.5Hz,2H),6.92-6.76(m,2H),6.32(s,1H),5.61-5.41(m,2H),3.25-3.05(m,2H),2.88(t,J=7.3Hz,2H),2.78(s,6H),2.71-2.54(m,2H),2.28(d,J=13.0Hz,6H),2.05-1.92(m,5H),1.88(s,3H),1.48-1.32(m,1H),1.04-0.85(m,6H).
CX-P2 ESI 612.2(M+H). 1H NMR(400MHz,MeOD)δ 7.55(s,1H),7.13(s,2H),6.93-6.84(m,2H),6.42(s,1H),5.70-5.54(m,2H),3.24-3.11(m,2H),2.99-2.76(m,8H),2.64-2.42(m,2H),2.36-2.20(m,6H),2.03-1.90(m,7H),1.83-1.72(m,1H),1.47-1.28(m,1H),0.90(t,J=6.2Hz,6H).
4-52. (3S)-3-(2-(5-(2-(ジメチルアミノ)エチル)-3-フルオロ-2-オキソピリジン-1(2H)-イル)-4-メチルペンタンアミド)-3-(4-フルオロ-2’,4’,5,6’-テトラメチル-[1,1’-ビフェニル]-3-イル)プロパン酸(ジアステレオマー化合物CY-P1およびCY-P2)
Figure 0007702004000867
CY-P1 ESI 596.3(M+H)H NMR(400MHz,MeOD)δ 7.59-7.37(m,2H),6.96-6.64(m,4H),5.76-5.58(m,1H),5.39(t,J=5.5Hz,1H),3.42-3.25(m,1H),3.23-3.06(m,1H),2.96-2.76(m,2H),2.73-2.46(m,8H),2.41-2.22(m,6H),2.05-1.88(m,8H),1.44(m,J=13.7,6.7Hz,1H),0.93(m,J=17.3,6.6Hz,6H).
CY-P2 ESI 596.3(M+H)H NMR(400MHz,MeOD)δ 7.51(s,1H),7.42(m,J=10.3,2.1Hz,1H),6.89(m,J=7.0,4.6Hz,4H),5.62(m,J=14.0,9.4,5.4Hz,2H),3.43-3.30(m,1H),3.23(s,1H),2.93(m,J=9.6,4.9Hz,1H),2.87-2.75(m,7H),2.59(m,J=14.9,4.0Hz,1H),2.44(m,J=14.8,10.1Hz,1H),2.34-2.22(m,6H),2.05-1.91(m,7H),1.84-1.72(m,1H),1.46-1.22(m,1H),0.91(m,J=6.6,3.1Hz,6H).
4-53. (3S)-3-(4-フルオロ-2’,4’,5,6’-テトラメチル-[1,1’-ビフェニル]-3-イル)-3-(2-(3-フルオロ-5-(2-((R)-3-フルオロピロリジン-1-イル)エチル)-2-オキソピリジン-1(2H)-イル)-4-メチルペンタンアミド)プロパン酸(ジアステレオマー化合物CZ-P1およびCZ-P2)
Figure 0007702004000868
CZ-P1 ESI 640.2(M+H). 1H NMR(400MHz,MeOD)δ 7.50(s,1H),7.41-7.31(m,1H),6.91(s,2H),6.85(d,J=7.0Hz,1H),6.79(d,J=6.7Hz,1H),5.70(s,1H),5.49(s,1H),5.24(d,J=53.7Hz,1H),3.26-3.00(m,5H),2.88-2.56(m,4H),2.41-2.13(m,9H),2.07-1.90(m,5H),1.85(s,3H),1.53-1.26(m,1H),1.05-0.80(m,6H).
CZ-P2 ESI 640.2(M+H). 1H NMR(500MHz,MeOD)δ 7.49(s,1H),7.47-7.36(m,1H),6.90(d,J=8.8Hz,4H),5.67(t,J=7.7Hz,1H),5.61-5.52(m,1H),5.33(d,J=54.6Hz,1H),3.73-3.38(m,5H),3.28(s,1H),2.97-2.76(m,2H),2.65-2.43(m,2H),2.41-2.19(m,6H),2.07-1.88(m,7H),1.84-1.73(m,1H),1.51-1.20(m,1H),0.91(d,J=6.5Hz,6H).
4-54. (3S)-3-(2-(5-(2-(ジメチルアミノ)エチル)-3-メチル-2-オキソピリジン-1(2H)-イル)-4-メチルペンタンアミド)-3-(4-フルオロ-2’,4’,5,6’-テトラメチル-[1,1’-ビフェニル]-3-イル)プロパン酸(ジアステレオマー化合物DA-P1およびDA-P2)
Figure 0007702004000869
DA-P1 ESI 592.3(M+H)H NMR(400MHz,MeOD)δ 7.35(S,1H),7.32(S,1H),6.80(d,J=8.4Hz,2H),6.73(d,J=5.5Hz,1H),6.59(d,J=6.7Hz,1H),5.48-5.46(m,1H),5.23(t,J=5.1Hz,1H),3.08-2.98(m,1H),2.68-2.67(m,2H),2.56(s,6H),2.51-2.35(m,3H),2.25-2.11(m,6H),1.97-1.74(m,11H),1.36-1.24(m,1H),0.88-0.76(m,6H).
DA-P2 ESI 592.3(M+H)H NMR(400MHz,MeOD)δ 7.40(s,1H),7.29(s,1H),6.78-6.74(m,3H),6.67(d,J=7.0Hz,1H),5.52-5.48(m,1H),5.42-5.39(m,1H),3.33-3.27(m,1H),3.20-3.14(m,1H),2.85-2.61(m,8H),2.49-2.44(m,1H),2.33-2.27(m,1H),2.18(s,6H),1.97-1.67(m,11H),1.38-1.24(m,1H),0.82-0.77(m,6H).
4-55. (3S)-3-(4,4’-ジフルオロ-2’,6’-ジメチル-5-(トリフルオロメチル)-[1,1’-ビフェニル]-3-イル)-3-(2-(5-(2-(ジメチルアミノ)エチル)-3-フルオロ-2-オキソピリジン-1(2H)-イル)-4-メチルペンタンアミド)プロパン酸(ジアステレオマー化合物DB-P1およびDB-P2)
Figure 0007702004000870
DB-P1 ESI 654.3(M+H). 1H NMR(400MHz,MeOD)δ 7.55(s,1H),7.50-7.37(m,1H),7.40-7.25(m,2H),6.89(d,J=9.6Hz,2H),5.73-5.55(m,1H),5.47(t,J=5.9Hz,1H),3.27-3.13(m,1H),2.98-2.82(m,3H),2.78(s,6H),2.73-2.64(m,1H),2.63-2.50(m,1H),2.13-1.97(m,5H),1.93(s,3H),1.42(s,1H),1.11-0.79(m,6H).
DB-P2 ESI 654.3(M+H). 1H NMR(400MHz,MeOD)δ 7.51(s,1H),7.48-7.41(m,1H),7.38(t,J=6.0Hz,2H),6.90(d,J=9.6Hz,2H),5.76-5.43(m,2H),3.42(d,J=10.1Hz,1H),3.28(d,J=12.8Hz,1H),2.96(d,J=9.5Hz,1H),2.85(d,J=7.2Hz,6H),2.74-2.54(m,1H),2.55-2.34(m,1H),2.15-1.93(m,6H),1.93-1.72(m,1H),1.52-1.27(m,1H),0.92(t,J=6.5Hz,6H).
4-56. (3S)-3-(4-フルオロ-2’,4’,5,6’-テトラメチルビフェニル-3-イル)-3-(2-(3-フルオロ-5-(2-(3-フルオロアゼチジン-1-イル)エチル)-2-オキソピリジン-1(2H)-イル)-4-メチルペンタンアミド)プロパン酸(ジアステレオマー化合物DC-P1およびDC-P2)
Figure 0007702004000871
DC-P1 ESI 626.3(M+H)H NMR(400MHz,MeOD)δ 7.45-7.33(m,2H),6.96-6.85(m,3H),6.83-6.75(m,1H),5.69(t,J=8.1Hz,1H),5.52-5.45(m,1H),5.30-5.10(m,1H),4.23-4.09(m,1H),4.02-3.89(m,1H),3.78-3.62 (m,2H),3.26-3.16(m,2H),2.78-2.56(m,4H),2.36-2.25(m,6H),2.00-1.92(m,5H),1.88(s,3H),1.48-1.39(m,1H),0.98-0.86(m,6H).
DC-P2 ESI 626.3(M+H). 1H NMR(400MHz,MeOD)δ 7.45-7.35(m,2H),6.97-6.86(m,4H),5.76-5.62(m,2H),5.42-5.20(m,1H),4.49-4.28(m,2H),4.12-3.95(m,2H),3.44-3.36(m,2H),2.78-2.63(m,2H),2.67-2.52(m,1H),2.61-2.52(m,1H),2.37-2.25(m,6H),2.01-1.91(m,7H),1.85-1.69(m,1H),1.43 -1.36(m,1H),0.96-0.85(m,6H).
4-57. (3S)-3-(2’-クロロ-4,4’-ジフルオロ-5,6’-ジメチル-[1,1’-ビフェニル]-3-イル)-3-(2-(3-フルオロ-5-(2-(3-フルオロアゼチジン-1-イル)エチル)-2-オキソピリジン-1(2H)-イル)-4-メチルペンタンアミド)プロパン酸(ジアステレオマー化合物DD-P1およびDD-P2)
Figure 0007702004000872
DD-P1 ESI 650.2(M+H)H NMR(400MHz,MeOD)δ 7.43-7.34(m,2H),7.17-7.13(m,1H),7.06-7.01(m,1H),6.89-6.85(m,1H),5.72-5.67(m,1H),5.54-5.49( m,1H), 5.32-5.09(m,1H),4.15-3.65(m,4H),3.19-3.10(m,2H),2.78-2.60(m,4H),2.31(s,3H),2.08-1.92(m,5H),1.49-1.39(m,1H),0.97- 0.93(m,6H).
DD-P2 ESI 650.2(M+H)H NMR(400MHz,MeOD)δ 7.39-7.36(m,2H),7.15(d,J=8.5Hz,1H),7.08-6.96(m,3H),5.73-5.61(m,2H),5.41-5.22(m,1H),4.48-4.28(m,2H),4.11-3.94(m,2H),3.42-3.33(m,2H),2.80-2.47(m,4H),2.34(d,J=1.8Hz,3H),2.09(d,J=2.7Hz,3H),2.03-1.90(m,1H),1.83-1.72(m,1H),1.44-1.30(m,1H),0.94-0.89(m,6H).
4-58. (3S)-3-(2-(3-フルオロ-5-(2-(3-フルオロアゼチジン-1-イル)エチル)-2-オキソピリジン-1(2H)-イル)-4-メチルペンタンアミド)-3-(2’,4,4’-トリフルオロ-5,6’-ジメチルビフェニル-3-イル)プロパン酸(ジアステレオマー化合物DE-P1およびDE-P2)
Figure 0007702004000873
DE-P1 ESI 634.2(M+H). 1H NMR(400MHz,MeOD)δ 7.43(s,1H),7.36(d,J=10.3Hz,1H),7.02(d,J=6.8Hz,1H),6.98-6.89(m,2H),6.85(t,J=9.2Hz,1H),5.69(t,J=8.1Hz,1H),5.53-5.50(m,1H),5.30-5.08(m,1H),4.09-3.99(m,2H),3.77-3.63(m,2H),3.15-3.12(m,2H),2.79-2.69(m,2H),2.66-2.62(m,2H),2.31(s,3H),2.09(s,3H),1.97(t,J=7.6Hz,2H),1.51-1.37(m,1H),0.98-0.93(m,6H).
DE-P2 ESI 634.2(M+H). 1H NMR(400MHz,MeOD)δ 7.43-7.32(m,2H),7.06(d,J=6.7Hz,2H),6.93(d,J=9.3Hz,1H),6.88-6.83(m,1H),5.74-5.59(m,2H),5.39-5.24(m,1H),4.42-4.32(m,2H),4.10-3.88(m,2H),3.40-3.37(m,2H),2.81-2.71(m,2H),2.65-2.60(m,1H),2.55-2.48(m,1H),2.34(d,J=1.6Hz,3H),2.16(s,3H),2.03-1.93(m,1H),1.86-1.75(m,1H),1.45-1.33(m,1H),0.93- 0.91(m,6H).
4-59. (3S)-3-(2-(5-(2-(アゼチジン-1-イル)エチル)-2-オキソ-4-(トリフルオロメチル)ピリジン-1(2H)-イル)-4-メチルペンタンアミド)-3-(2’-シクロプロピル-4,4’-ジフルオロ-5,6’-ジメチル-[1,1’-ビフェニル]-3-イル)プロパン酸(ジアステレオマー化合物DF-P1およびDF-P2)
Figure 0007702004000874
DF-P1 ESI 688.2(M+H)H NMR(400MHz,MeOD)δ 7.84(s,1H),6.95(dd,J=19.9,7.2Hz,2H),6.86-6.64(m,2H),6.55-6.23(m,1H),5.75-5.49(m,2H),3.85(t,J=7.7Hz,4H),3.33(m,J=3.2,1.6Hz,2H),3.13(m,J=6.8Hz,2H),2.90-2.58(m,2H),2.51-2.21(m,5H),2.01(d,J=5.3Hz,4H),1.87(s,1H),1.40(s,2H),1.07-0.85(m,6H),0.75(m,J=8.6,3.5Hz,1H),0.66-0.43(m,3H).
DF-P2 ESI 688.2(M+H)H NMR(400MHz,MeOD)δ 7.74(d,J=11.5Hz,1H),6.94(m,J=46.9,28.6,8.1Hz,4H),6.50(d,J=10.4Hz,1H),5.78(m,J=11.0,3.1Hz,1H),5.62(m,J=7.3Hz,1H),4.13(m,J=8.0Hz,4H),3.50-3.32(m,2H),2.94(d,J=16.3Hz,1H),2.81(d,J=7.7Hz,2H),2.68-2.61(m,1H),2.57-2.42(m,3H),2.34(d,J=1.1Hz,3H),2.05-1.79(m,4H),1.65(m,J=13.9,7.1Hz,1H),1.50-1.30(m,2H),0.88(d,J=6.6Hz,6H),0.74(m,J=14.0,7.3Hz,2H),0.60(m,J=6.4,5.0Hz,2H).
4-60. (3S)-3-((3R)-2-(5-(2-(ジメチルアミノ)エチル)-2-オキソ-4-(トリフルオロメチル)ピリジン-1(2H)-イル)-3-メチルペンタンアミド)-3-(4-フルオロ-2’,4’,5,6’-テトラメチルビフェニル-3-イル)プロパン酸(ジアステレオマー化合物DG-P1およびDG-P2)
Figure 0007702004000875
DG-P1 ESI 646.2(M+H). 1H NMR(400MHz,MeOD)δ 7.94(s,1H),6.89(s,1H),6.82-6.75(m,3H),6.66(s,1H),5.65-5.53(m,1H),5.33(d,J=11.3Hz,1H),3.05-2.83(m,5H),2.82-2.62(m,6H),2.40-2.18(m,8H),2.03-1.88(m,3H),1.78-1.67(m,1H),1.63(s,3H),1.38-1.21(m,1H),1.07-0.96(m,3H),0.75(d,J=6.5Hz,3H).
DG-P2 ESI 646.2(M+H). 1H NMR(400MHz,MeOD)δ 7.92(s,1H),6.91-6.72(m,5H),5.69-5.52(m,1H),5.21(d,J=10.9Hz,1H),3.14-2.79(m,3H),2.68(s,6H),2.55-2.36(m,2H),2.22-2.06(m,H),1.84(d,J=3.6Hz,4H),1.32-0.99(m,3H),0.93-0.61(m,7H).
4-61. (3S)-3-(2’,6’-ジクロロ-4-フルオロ-4’,5-ジメチルビフェニル-3-イル)-3-(2-(5-(2-(ジメチルアミノ)エチル)-2-オキソ-4-(トリフルオロメチル)ピリジン-1(2H)-イル)-3-メチルブタンアミド)プロパン酸(ジアステレオマー化合物DH-P1およびDH-P2)
Figure 0007702004000876
DH-P1 ESI 672.1(M+H). 1H NMR(400MHz,MeOD)δ:7.91(s,1H),7.27(d,J=6.0Hz,1H),7.14(d,J=5.2Hz,1H),6.90(t,J=6.0Hz,2H),6.67(d,J=5.6Hz,1H),5.64-5.60(m,1H),5.29(d,J=11.2Hz,1H),2.97-2.85(m,4H),2.78-2.61(m,8H),2.46-2.40(m,1H),2.36(s,3H),2.27(s,3H),1.16(d,J=6.4Hz,3H),0.78(d,J=6.4Hz,3H).
DH-P2 ESI 672.2(M+H). 1H NMR(400MHz,MeOD)δ:8.01(s,1H),7.30(s,2H),7.09-7.07(m,1H),7.00(d,J=7.2Hz,1H),6.90(s,1H),5.78-5.74(m,1H),5.23(d,J=11.2Hz,1H),3.27-3.20(m,1H),3.17-3.11(m,1H),3.09-3.01(m,1H),2.99-2.93(m,1H),2.78(s,6H),2.61-2.50(m,2H),2.47-2.37(m,4H),2.31(d,J=1.2Hz,3H),0.94(d,J=6.4Hz,3H),0.71(d,J=6.8Hz,3H).
4-62. (3S)-3-(2-(5-(2-(アゼチジン-1-イル)エチル)-2-オキソ-4-(トリフルオロメチル)ピリジン-1(2H)-イル)-4-メチルペンタンアミド)-3-(2’-シクロプロピル-4-フルオロ-4’,5,6’-トリメチル-[1,1’-ビフェニル]-3-イル)プロパン酸(ジアステレオマー化合物DI-P1およびDI-P2)
Figure 0007702004000877
DI-P1 ESI 684.3(M+H)H NMR(400MHz,MeOD)δ 7.84(s,1H),6.97-6.78(m,4H),6.58(s,1H),5.69-5.59(m,2H),3.97-3.94(m,4H),3.26-3.21(m,2H),2.86-2.81(m,2H),2.72-2.68(m,2H),2.46-2.38(m,2H),2.29(d,J=4.9Hz,6H),2.03-1.97(m,3H),1.85(s,2H),1.48-1.31(m,2H),0.98-0.91(m,6H),0.67(d,J=8.4Hz,1H),0.59-0.44(m,3H).
DI-P2 ESI 684.3(M+H)H NMR(400MHz,MeOD)δ 7.73(d,J=10.5Hz, 1H),7.02-6.96(m,2H),6.91(s,1H),6.90(s,1H),6.59(s,1H),5.78-5.75(m,1H),5.64-5.59(m,1H),4.14-4.10(m,4H),3.47-3.38(m,2H),2.97-2.92(m,1H),2.85-2.75(m,1H),2.69-2.60(m,1H),2.55-2.45(m,3H),2.34(s,3H),2.29(s,3H),2.05-1.96(m,4H),1.71-1.61(m,1H),1.49-1.39(m,2H),0.90(d,J=6.6Hz,6H),0.70-0.66(m,2H),0.58-0.55(m,2H).
4-63. (3S)-3-(2’,6’-ジクロロ-4-フルオロ-5-メチルビフェニル-3-イル)-3-(2-(5-(2-(ジメチルアミノ)エチル)-2-オキソ-4-(トリフルオロメチル)ピリジン-1(2H)-イル)-4-メチルペンタンアミド)プロパン酸(ジアステレオマー化合物DJ-P1およびDJ-P2)
Figure 0007702004000878
DJ-P1 ESI 672.2(M+H). 1H NMR(400MHz,MeOD)δ:7.89(s,1H),7.46(d,J=8.0Hz,1H),7.39(d,J=7.2Hz,1H),7.32(t,J=8.0Hz,1H),7.00-6.96(m,2H),6.75(s,1H),5.72-5.68(m,1H),5.60-5.56(m,1H),3.10-3.01(m,2H),2.94-2.92(m,2H),2.74-2.65(m,8H),2.27(d,J=1.2Hz,3H),2.01-1.93(m,2H),1.47-1.41(m,1H),0.95(d,J=6.4Hz,3H),0.93(d,J=6.4Hz,3H).
DJ-P2 ESI 672.2(M+H). 1H NMR(400MHz,MeOD)δ:7.91-5.88(m,1H),7.47(d,J=8.0Hz,2H),7.35-7.31(m,1H),7.08-7.02(m,2H),6.89(s,1H),5.78-5.74(m,1H),5.64(t,J=7.6Hz,1H),3.27-3.15(m,2H),3.06-2.95(m,2H),2.80(s,6H),2.65-2.60(m,1H),2.55-2.49(m,1H),2.32(s,3H),1.99-1.92(m,1H),1.71-1.64(m,1H),1.41-1.34(m,1H),0.86-0.84(m,6H).
4-64. (3S)-3-(2-(5-(2-(アゼチジン-1-イル)エチル)-2-オキソ-4-(トリフルオロメチル)ピリジン-1(2H)-イル)-4-メチルペンタンアミド)-3-(4-フルオロ-2’,5,6’-トリメチル-4’-(トリフルオロメチル)ビフェニル-3-イル)プロパン酸(ジアステレオマー化合物DK-P1およびDK-P2)
Figure 0007702004000879
DK-P1 ESI 712.2(M+H). 1H NMR(400MHz,MeOD)δ:7.88(s,1H),7.39(s,1H),7.35(s,1H),6.91(t,J=6.2Hz,2H),6.70(s,1H),5.66-5.57(m,2H),4.04(t,J=8.2Hz,4H),3.29(t,J=7.4Hz,2H),2.84(t,J=7.2Hz,2H),2.78-2.67(m,2H),2.48-2.40(m,2H),2.30(d,J=1.2Hz,3H),2.08(s,3H),2.03-1.99(m,2H),1.91(s,3H),1.47-1.40(m,1H),),0.95(d,J=6.8Hz,3H),0.93(d,J=6.4Hz,3H).
DK-P2 ESI 712.2(M+H). 1H NMR(400MHz,MeOD)δ:7.74(s,1H),7.41(s,2H),6.98(s,1H),6.96(s,1H),6.90(s,1H),5.79-5.76(m,1H),5.60(t,J=8.0Hz,1H),4.15(t,J=8.0Hz,4H),3.48-3.42(m,1H),3.38-3.33(m,1H),2.98-2.91(m,1H),2.84-2.77(m,1H),2.69-2.64(m,1H),2.55-2.45(m,3H),2.35(d,J=1.6Hz,3H),2.09(s,3H),2.08(s,3H),2.03-1.96(m,1H),1.69-1.62(m,1H),1.46-1.36(m,1H),0.89(d,J=1.6Hz,3H),0.87(d,J=2.0Hz,3H).
4-65. (3S)-3-(2’-クロロ-4-フルオロ-5,6’-ジメチル-[1,1’-ビフェニル]-3-イル)-3-(2-(5-(2-(ジメチルアミノ)エチル)-2-オキソ-4-(トリフルオロメチル)ピリジン-1(2H)-イル)-4-メチルペンタンアミド)プロパン酸(ジアステレオマー化合物DL-P1およびDL-P2)
Figure 0007702004000880
DL-P1 ESI 652.2(M+H)H NMR(400MHz,MeOD)δ 7.90(d,J=4.5Hz,1H),7.37-7.09(m,3H),6.93(m,J=10.9,4.9Hz,2H),6.75(d,J=6.5Hz,1H),5.68(m,J=30.2,23.4Hz,2H),3.00(d,J=50.0Hz,4H),2.73(d,J=14.3Hz,8H),2.30(s,3H),2.13-1.83(m,5H),1.45(d,J=6.4Hz,1H),0.96(m,J=12.9,6.6,2.5Hz,6H).
DL-P2 ESI 652.2(M+H)H NMR(400MHz,MeOD)δ 7.88(s,1H),7.34-7.09(m,3H),7.11-6.51(m,3H),5.69(m,J=21.6,10.6,4.3Hz,2H),3.15(s,2H),2.98(s,2H),2.88-2.53(m,8H),2.34(s,3H),2.08(d,J=5.6Hz,3H),1.98-1.81(m,1H),1.78(s,1H),1.40(s,1H),0.89(m,J=6.4,4.6Hz,6H).
4-66. (3S)-3-(2-(5-(2-(アゼチジン-1-イル)エチル)-2-オキソ-4-(トリフルオロメチル)ピリジン-1(2H)-イル)-4-メチルペンタンアミド)-3-(2’,4-ジフルオロ-5,6’-ジメチルビフェニル-3-イル)プロパン酸(ジアステレオマー化合物DM-P1およびDM-P2)
Figure 0007702004000881
DM-P1 ESI 648.2(M+H)H NMR(400MHz,MeOD)δ 7.84(s,1H),7.30-7.23(m,1H),7.16 -7.09(m,1H),7.06 -6.92(m,3H),6.81(s,1H),5.71-5.60 (m,2H),4.01(t,J=8.1Hz,4H),3.29(s,2H),2.86(t,J=6.8Hz,2H),2.72(d,J=6.6Hz,2H),2.46-2.36(m,2H),2.36-2.31(m,3H),2.10(s,3H),2.00(t,J=7.6Hz,2H),1.51-1.42(m,1H),0.98-0.93(m,6H).
DM-P2 ESI 648.2(M+H)H NMR(400MHz,MeOD)δ 7.75(s,1H),7.31 -7.19 (m,1H),7.15-7.04(m,3H),6.99(t,J=8.8Hz,1H),6.92(s,1H),5.81 -5.75(m,1H),5.64(t,J=7.6Hz,1H),4.14(t,J=8.0Hz,4H),3.49-3.35(m,2H),2.94(d,J=15.7Hz,1H),2.87-2.75(m,1H),2.69 -2.56(m,1H),2.57-2.43(m,3H),2.35(d,J=1.5Hz,3H),2.17(d,J=8.1Hz,3H),2.04-1.95(m,1H),1.72-1.62(m,1H),1.46 -1.32(m,1H),0.97 -0.91(m,6H).
4-67. (3S)-3-(3’,4-ジフルオロ-2’,4’,5,6’-テトラメチルビフェニル-3-イル)-3-(2-(5-(2-(ジメチルアミノ)エチル)-2-オキソ-4-(トリフルオロメチル)ピリジン-1(2H)-イル)-4-メチルペンタンアミド)プロパン酸(ジアステレオマー化合物DN-P1およびDN-P2)
Figure 0007702004000882
DN-P1 ESI 664.2(M+H)H NMR(400MHz,MeOD)δ 7.85(s,1H),7.01-6.79(m,4H),5.78-5.58(m,2H),3.29-3.07(m,2H),3.04-2.89(m,2H),2.81(s,6H),2.70-2.42(m,2H),2.33(s,3H),2.26(s,3H),2.13-1.83(m,7H),1.81-1.60(m,1H),1.52-1.30(m,1H),1.02-0.81(m,6H).
DN-P2 ESI 664.2(M+H)H NMR(400MHz,MeOD)δ 7.91(s,1H),6.99-6.68(m,4H),5.82-5.50(m,2H),3.19-2.89(m,4H),2.83-2.54(m,8H),2.38-2.22(m,6H),2.13-1.80(m,5H),1.72(d,J=14.7Hz,3H),1.51-1.36(m,1H),1.06-0.84(m,6H).
4-68. (3S)-3-(2-(5-(2-(アゼチジン-1-イル)エチル)-2-オキソ-4-(トリフルオロメチル)ピリジン-1(2H)-イル)-4-メチルペンタンアミド)-3-(4’-シアノ-4-フルオロ-2’,5,6’-トリメチルビフェニル-3-イル)プロパン酸(ジアステレオマー化合物DO-P1およびDO-P2)
Figure 0007702004000883
DO-P1 ESI 669.2(M+H). 1H NMR(400MHz,MeOD)δ 7.84(s,1H),7.47(d,J=10.3Hz,2H),6.91(d,J=6.7Hz,2H),6.75(s,1H),5.59(d,J=7.7Hz,2H),4.06(t,J=8.1Hz,4H),3.31-3.27(m,2H),2.98-2.85(m,2H),2.79-2.64(m,2H),2.58-2.39(m,2H),2.31(s,3H),2.14-1.88(m,8H),1.54-1.27(m,1H),1.10-0.80(m,6H).
DO-P2 ESI 669.2(M+H). 1H NMR(400MHz,MeOD)δ 7.74(s,1H),7.50(s,2H),7.06-6.84(m,3H),5.90-5.71(m,1H),5.61(t,J=7.6Hz,1H),4.10(s,4H),3.36(s,2H),3.09-2.74(m,2H),2.74-2.60(m,1H),2.55-2.39(m,3H),2.35(s,3H),2.13-1.89(m,7H),1.75-1.62(m,1H),1.50-1.35(m,1H),0.98-0.81(m,6H).
4-69. (3S)-3-(2’-シアノ-4-フルオロ-5,6’-ジメチルビフェニル-3-イル)-3-(2-(5-(2-(ジメチルアミノ)エチル)-2-オキソ-4-(トリフルオロメチル)ピリジン-1(2H)-イル)-4-メチルペンタンアミド)プロパン酸(ジアステレオマー化合物DP-P1およびDP-P2)
Figure 0007702004000884
DP-P1 ESI 643.2(M+H)H NMR(400MHz,MeOD)δ 7.89(s,1H),7.59(s,2H),7.43(t,J=7.7Hz,1H),7.06(s,2H),6.71(d,J=26.7Hz,1H),5.73(s,1H),5.60(d,J=7.3Hz,1H),3.10(s,2H),2.93(d,J=8.3Hz,2H),2.80-2.69(m,8H),2.32(s,3H),2.19(s,2H),2.00(s,3H),1.49-1.42(m,1H),1.00-0.92(m,6H).
DP-P1 ESI 643.2(M+H)H NMR(400MHz,MeOD)δ 7.81(s,1H),7.66-7.52(m,2H),7.45(t,J=7.7Hz,1H),7.13(d,J=6.4Hz,2H),6.90(s,1H),5.77-5.59(m,2H),3.23(s,2H),3.01(s,2H),2.83(s,6H),2.69-2.53(m,1H),2.58-2.49(m,1H),2.37(d,J=1.6Hz,3H),2.19(s,3H),2.05-1.96(m,1H),1.81(s,1H),1.42-1.36(m,1H),0.99-0.91(m,6H).
4-70. (3S)-3-(2-(5-(2-(アゼチジン-1-イル)エチル)-2-オキソ-4-(トリフルオロメチル)ピリジン-1(2H)-イル)-4-メチルペンタンアミド)-3-(4-フルオロ-2’-メトキシ-5,6’-ジメチルビフェニル-3-イル)プロパン酸(ジアステレオマー化合物DQ-P1およびDQ-P2)
Figure 0007702004000885
DQ-P1 ESI 660.2(M+H). 1H NMR(400MHz,MeOD)δ 7.82(s,1H),7.21(t,J=8.0Hz,1H),6.99-6.82(m,5H),5.70-5.62(m,2H),4.01-3.96(m,4H),3.66(s,3H),3.30-3.27(m,2H),2.88-2.85(m,2H),2.71(d,J=7.4Hz,2H),2.45-2.39(m,2H),2.29(s,3H),2.02-1.93(m,5H),1.45-1.38(m,1H),0.97-0.93(m,6H).
DQ-P2 ESI 660.2(M+H). 1H NMR(400MHz,MeOD)δ 7.73(s,1H),7.22(t,J=8.0Hz,1H),7.00-6.87(m,5H),5.79-5.75(m,1H),5.62(t,J=7.6Hz,1H),4.13(t,J=7.9Hz,4H),3.68(s,3H),3.49-3.35(m,2H),2.97- 2.91(d,J=16.1Hz,1H),2.85-2.77(m,1H),2.66-2.62(m,1H),2.56-2.42(m,3H),2.32(d,J=1.7Hz,3H),2.04(s, 3H),2.02-1.97(m,1H),1.72-1.60(m,1H),1.49-1.36(m,1H),0.91(d,J=6.5Hz,6H).
4-71. (3S)-3-(2’-シクロプロピル-4-フルオロ-4’,5,6’-トリメチル-[1,1’-ビフェニル]-3-イル)-3-(2-(5-(2-(ジメチルアミノ)エチル)-4-メチル-2-オキソピリジン-1(2H)-イル)-4-メチルペンタンアミド)プロパン酸(ジアステレオマー化合物DR-P1およびDR-P2)
Figure 0007702004000886
DR-P1 ESI 618.3(M+H)H NMR(400MHz,MeOD)δ 7.57(d,J=1.8Hz,1),6.91-6.84(m,3H),6.57(d,J=11.0Hz,1H),6.38(d,J=8.9Hz,1H),5.59(d,J=5.8Hz,1H),5.46(t,J=5.9Hz,1H),3.22-3.06(m,2H),2.87(t,J=7.1Hz,2H),2.74(s,6H),2.71-2.56(m,2H),2.27(d,J=13.3Hz,9H),2.04-1.87(m,5H),1.48-1.38(m,2H),0.95-0.89(m,6H),0.72-0.67(m,1H),0.63-0.55(m,1H),0.53-0.48(m,2H).
DR-P2 ESI 618.3(M+H)H NMR(400MHz,MeOD)δ 7.54(d,J=10.5Hz,1H),6.98-6.89(m,2H),6.89(s,1H),6.59(s,1H),6.44(d,J=5.1Hz,1H),5.65 -5.56(m,2H),3.34-3.26(m,2H),3.20-3.13(m,2H),2.94-2.88(m,2H),2.81(d,J=2.0Hz,6H),2.64-2.57(m,1H),2.48-2.41(m,1H),2.32-2.246(m,9H),1.99-1.92(m,4H),1.81-1.74 (m,1H),1.49-1.33(m,1H), 0.92-0.85(m,6H),0.68-0.63(m,2H),0.58-0.51(m,2H).
4-72. (3S)-3-(4’-シクロプロピル-4-フルオロ-2’,5,6’-トリメチル-[1,1’-ビフェニル]-3-イル)-3-(2-(5-(2-(ジメチルアミノ)エチル)-4-メチル-2-オキソピリジン-1(2H)-イル)-4-メチルペンタンアミド)プロパン酸(ジアステレオマー化合物DS-P1およびDS-P2)
Figure 0007702004000887
DS-P1 ESI 618.3(M+H)H NMR(400MHz,MeOD)δ 7.46(s,1H),6.84-6.65(m,3H),6.45(d,J=11.2Hz,1H),6.27(d,J=8.7Hz,1H),5.48-5.46(m,1H),5.33(d,J=5.6Hz,1H),3.15-2.95(m,2H),2.78-2.74(m,3H),2.60(d,J=25.4Hz,6H),2.58-2.40(m,2H),2.17(s,6H),2.13(s,3H),1.95-1.73(m,5H),1.34-1.28(m,2H),0.86-0.73(m,6H),0.62-0.32(m,4H).
DS-P2 ESI 618.3(M+H)H NMR(400MHz,MeOD)δ 7.43(s,1H),7.40(s,1H),6.84(t,J=6.2Hz,2H),6.77(s,1H),6.47(s,1H),6.32(d,J=5.5Hz,1H),5.52-5.44(m,2H),3.09-3.06(m,1H),2.88-2.67(m,8H),2.51-2.45(m,1H),2.37-2.29(m,1H),2.24-2.09(m,9H),1.85-1.81(m,4H),1.70-1.59(m,1H),1.39-1.16(m,2H),0.78-0.76(m,6H),0.54(t,J=7.6Hz,2H),0.45(d,J=4.5Hz,2H).
4-73. (3S)-3-(2’-クロロ-4,4’-ジフルオロ-5,6’-ジメチル-[1,1’-ビフェニル]-3-イル)-3-(2-(5-(2-(ジメチルアミノ)エチル)-2-オキソ-4-(トリフルオロメチル)ピリジン-1(2H)-イル)-4-メチルペンタンアミド)プロパン酸(ジアステレオマー化合物DT-P1およびDT-P2)
Figure 0007702004000888
DT-P1 ESI 670.2(M+H). 1H NMR(400MHz,MeOD)δ 7.90(d,J=3.1Hz,1H),7.14-6.92(m,4H),6.76(d,J=5.6Hz,1H),5.72-5.65(m,1H),5.60-5.56(m,1H),3.10-2.87(m,4H),2.76-2.66(m,8H),2.30(s,3H),2.09-1.91(m,5H),1.47-1.41(m,1H),1.00-0.92(m,6H).
DT-P2 ESI 670.2(M+H)H NMR(400MHz,MeOD)δ 7.84(s,1H),7.16-7.12(m,1H),7.07-6.95(m,3H),6.91(d,J=2.7Hz,1H),5.74-5.59(m,2H),3.32-3.21(m,2H),3.03-2.99(m,2H),2.84(d,J=2.9Hz,6H),2.67-2.49(m,2H),2.34(d,J=1.6Hz,3H),2.03-1.90(m,1H),1.76-1.67(m,1H),1.46-1.37(m,1H),0.92-0.89(m,6H).
4-74. (3S)-3-(2’,6’-ジクロロ-4-フルオロ-4’,5-ジメチル-[1,1’-ビフェニル]-3-イル)-3-(2-(5-(2-(ジメチルアミノ)エチル)-2-オキソ-4-(トリフルオロメチル)ピリジン-1(2H)-イル)-4-メチルペンタンアミド)プロパン酸(ジアステレオマー化合物DU-P1およびDU-P2)
Figure 0007702004000889
DU-P1 ESI 686.1(M+H)H NMR(400MHz,MeOD)δ 7.90(s,1H),7.31(s,1H),7.23(s,1H),7.02-6.91(m,2H),6.76(s,1H),5.76-5.66(m,1H),5.63-5.53(m,1H),3.15-3.04(m,2H),2.94(t,J=11.0Hz,2H),2.80-2.66(m,8H),2.38(s,3H),2.29(d,J=1.3Hz,3H),2.04-1.92(m,2H),1.51-1.42(m,1H),1.01-0.90(m,6H).
DU-P2 ESI 686.1(M+H)H NMR(400MHz,MeOD)δ 7.88(s,1H),7.32(s,2H),7.09-6.99(m,2H),6.91(s,1H),5.79-5.71(m,1H),5.65(t,J=7.7Hz,1H),3.30-3.15(m,2H),3.00(t,J=6.8Hz,2H),2.81(s,6H),2.67-2.50(m,2H),2.39(s,3H),2.33(d,J=1.5Hz,3H),2.02-1.92(m,1H),1.73-1.65(m,1H),1.44-1.36(m,1H),0.91-0.85(m,6H).
4-75. (3S)-3-(2-(5-(2-(ジメチルアミノ)エチル)-4-メチル-2-オキソピリジン-1(2H)-イル)-4-メチルペンタンアミド)-3-(4-フルオロ-2’,5,6’-トリメチル-4’-(トリフルオロメチル)ビフェニル-3-イル)プロパン酸(ジアステレオマー化合物DV-P1およびDV-P2)
Figure 0007702004000890
DV-P1 ESI 646.3(M+H). 1H NMR(400MHz,MeOD)δ:7.59(s,1H),7.40(s,1H),7.38(s,1H),6.89(d,J=6.8Hz,1H),6.84(d,J=6.4Hz,1H),6.28(s,1H),5.55(t,J=5.6Hz,1H),5.49(t,J=6.0Hz,1H),3.16-3.08(m,2H),2.87(t,J=7.2Hz,2H),2.78(s,6H),2.73-2.68(m,1H),2.65-2.60(m,1H),2.31(s,3H),2.25(s,3H),2.08(s,3H),2.01-1.90(m,5H),1.45-1.38(m,1H),0.94(d,J=6.4Hz,3H),0.91(d,J=6.8Hz,3H).
DV-P2 ESI 646.3(M+H). 1H NMR(400MHz,MeOD)δ:7.55(s,1H),7.41(s,2H),6.95-6.93(m,1H),6.90(d,J=6.4Hz,1H),6.41(s,1H),5.63-5.60(m,1H),5.58-5.56(m,1H),3.38-3.36(m,1H),3.25-3.19(m,1H),2.95-2.90(m,2H),2.85(s,6H),2.64-2.59(m,1H),2.50-2.44(m,1H),2.34(d,J=1.6Hz,3H),2.26(s,3H),2.08(s,6H),2.00-1.93(m,1H),1.83-1.76(m,1H),1.42-1.35(m,1H),0.89(t,J=6.4Hz,6H).
4.76. (3S)-3-(4’-シクロプロピル-4-フルオロ-2’,5,6’-トリメチル-[1,1’-ビフェニル]-3-イル)-3-(2-(5-(2-(ジメチルアミノ)エチル)-3-フルオロ-4-メチル-2-オキソピリジン-1(2H)-イル)-4-メチルペンタンアミド)プロパン酸(ジアステレオマー化合物DW-P1およびDW-P2)
Figure 0007702004000891
DW-P1 ESI 636.3(M+H)H NMR(400MHz,MeOD)δ 7.47(s,1H),6.94-6.78(m,3H),6.57(d,J=12.7Hz,1H),5.74-5.57(m,1H),5.46(t,J=5.9Hz,1H),3.25-3.10(m,2H),2.92(t,J=6.9Hz,2H),2.75(s,6H),2.70-2.52(m,2H),2.30-2.25(m,9H),1.99-1.88(m,5H),1.46-1.39(m,2H),0.97-0.86(m,6H),0.72-0.43(m,4H).
DW-P2 ESI 636.3(M+H)H NMR(400MHz,MeOD)δ 7.42(d,J=11.3Hz,1H),6.97(t,J=8.2Hz,2H),6.89(s,1H),6.59(s,1H),5.72-5.52(m,2H),3.32-3.22(m,2H),2.98-2.90(m,2H),2.85(s,6H),2.67-2.38(m,2H),2.32-2.25(m,9H),2.00-1.98(m,4H),1.83-1.67(m,1H),1.51-1.26(m,2H),0.90(d,J=6.6Hz,6H),0.70-0.48(m,4H).
4-77. (3S)-3-(4-フルオロ-2’,4’,5,6’-テトラメチル-[1,1’-ビフェニル]-3-イル)-3-(2-(3-フルオロ-5-(2-(3-メトキシアゼチジン-1-イル)エチル)-4-メチル-2-オキソピリジン-1(2H)-イル)-4-メチルペンタンアミド)プロパン酸(ジアステレオマー化合物DX-P1およびDX-P2)
Figure 0007702004000892
DX-P1 ESI 652.3(M+H)H NMR(400MHz,MeOD)δ 7.26(s,1H),6.84-6.68(m,4H),5.54-5.45(m,1H),5.41(t,J=6.3Hz,1H),4.14-3.93(m,3H),3.64-3.54(m,1H),3.52-3.50(m,1H),3.25-3.16(m,5H),2.74-2.55(m,4H),2.18(s,6H),2.12(d,J=4.0Hz ,3H),1.88-1.74(m,8H),1.29-1.25(m,1H),0.83-0.78(m,6H).
DX-P2 ESI 652.3(M+H)H NMR(400MHz,MeOD)δ 7.20(s,1H),6.85-6.72(m,4H),5.61-5.43(m,2H),4.36-4.08(m,3H),3.84-3.61(m,2H),3.32-3.22(m,5H),2.82-2.78(m,1H),2.64-2.56(m,1H),2.51-2.47(m,1H),2.39-2.32(m,1H),2.23-2.13(m,6H),2.10(d,J=2.7Hz,3H),1.90-1.73(m,8H),1.68-1.51(m,1H),1.32-1.20(m,1H),0.79-0.74(m,6H).
4-78. (3S)-3-(2-(5-(2-(アゼチジン-1-イル)エチル)-2-オキソ-4-(トリフルオロメチル)ピリジン-1(2H)-イル)-4-メチルペンタンアミド)-3-(4,4’-ジフルオロ-2’,5,5’-トリメチルビフェニル-3-イル)プロパン酸(ジアステレオマー化合物DY-P1およびDY-P2)
Figure 0007702004000893
DY-P1 ESI 662.2(M+H). 1H NMR(400MHz,MeOD)δ 7.84(s,1H),7.03-7.00(m,3H),6.93(d,J=10.6Hz,1H),6.81(s,1H),5.70-5.63(m,1H),5.59(t,J=6.7Hz,1H),4.02(t,J=8.2Hz,4H),3.30(s,2H),2.86(t,J=6.9Hz,2H),2.71(d,J=6.8Hz,2H),2.42-2.39( m,2H),2.30(d,J=1.4Hz,3H),2.25(s,3H),2.15(s,3H),2.02-2.19(m,2H),1.48-1.39(m,1H),0.96-0.90(m,6H).
DY-P2 ESI 662.2(M+H). 1H NMR(400MHz,MeOD)δ 7.73(s,1H),7.09-7.06(m,2H),7.04(d,J=8.1Hz,1H),6.99-6.88(m,2H),5.75-5.70(m,1H),5.64(t,J=7.7Hz,1H),4.15(t,J=8.0Hz,4H),3.42-3.40(m,2H),2.95(d,J=16.2Hz,1H),2.82-2.80(m,1H),2.64-2.60(m,1H),2.55-2.43(m,3H),2.34(s,3H),2.26(s,3H),2.20(s,3H),2.04-1.97(m,1H),1.71-1.68(m,1H),1.43-1.38(m,1H),0.92(t,J=6.3Hz,6H).
4-79. (3S)-3-(2-(5-(2-(アゼチジン-1-イル)エチル)-2-オキソ-4-(トリフルオロメチル)ピリジン-1(2H)-イル)-4-メチルペンタンアミド)-3-(4-フルオロ-4’-メトキシ-2’,5,5’-トリメチル-[1,1’-ビフェニル]-3-イル)プロパン酸(ジアステレオマー化合物DZ-P1およびDZ-P2)
Figure 0007702004000894
DZ-P1 ESI 674.3(M+H)H NMR(400MHz,MeOD)δ 7.83(s,1H),7.03(t,J=7.3Hz,2H),6.90(s,1H),6.83(s,1H),6.78(s,1H),5.67(t,J=8.0Hz,1H),5.59(t,J=6.7Hz,1H),3.99(t,J=8.2Hz,4H),3.86(s,3H),3.29(d,J=3.5Hz,2H),2.85(t,J=6.7Hz,2H),2.71(d,J=6.7Hz,2H),2.44-2.34(m,2H),2.29(d,J=1.6Hz,3H),2.18(s,6H),2.02(t,J=7.5Hz,2H),1.46-1.39(m,1H),0.96(t,J=6.2Hz,6H).
DZ-P2 ESI 674.3(M+H)H NMR(400MHz,MeOD)δ 7.74(s,1H),7.14-7.03(m,2H),6.93(s,2H),6.80(s,1H),5.80-5.71(m,1H),5.64(t,J=7.6Hz,1H),4.14(t,J=8.0Hz,4H),3.86(s,3H),3.50-3.36(m,2H),2.95(d,J=15.7Hz,1H),2.87-2.78(m,1H),2.67-2.60(m,1H),2.57-2.42(m,3H),2.33(d,J=1.6Hz,3H),2.20(d,J=19.2Hz,6H),2.05-1.96(m,1H),1.73-1.65(m,1H),1.47-1.37(m,1H),0.92(t,J=6.7Hz,6H).
4-80. (3S)-3-(2-(5-(2-(アゼチジン-1-イル)エチル)-2-オキソ-4-(トリフルオロメチル)ピリジン-1(2H)-イル)-4-メチルペンタンアミド)-3-(4’-シアノ-4,5’-ジフルオロ-2’,5-ジメチルビフェニル-3-イル)プロパン酸(ジアステレオマー化合物EA-P1およびEA-P2)
Figure 0007702004000895
EA-P1 ESI 673.3(M+H)H NMR(500MHz,MeOD)δ 7.86(s,1H),7.67(d,J=6.6Hz,1H),7.24-7.07(m,3H),6.79(d,J=7.4Hz,1H),5.78-5.50(m,2H),4.10(t,J=8.1Hz,4H),3.41-3.34(m,2H),2.92-2.65(m,4H),2.61-2.40(m,2H),2.32(s,3H),2.23(s,3H),2.15-1.86(m,2H),1.54-1.38(m,1H),0.97(t,J=6.6Hz,6H).
EA-P2 ESI 673.3(M+H)H NMR(500MHz,MeOD)δ 7.75-7.59(m,2H),7.25-7.16(m,3H),6.93(s,1H),5.80-5.55(m,2H),4.16(t,J=7.9Hz,4H),3.50-3.37(m,2H),3.04-2.77(m,2H),2.72-2.43(m,4H),2.36(s,3H),2.28(s,3H),2.06-1.96(m,1H),1.83-1.64(m,1H),1.53-1.29(m,1H),0.97-0.89(m,6H).
4-81. (3S)-3-(2-(5-(2-(アゼチジン-1-イル)エチル)-2-オキソ-4-(トリフルオロメチル)ピリジン-1(2H)-イル)-4-メチルペンタンアミド)-3-(5’-シアノ-4,4’-ジフルオロ-2’,5-ジメチル-[1,1’-ビフェニル]-3-イル)プロパン酸(ジアステレオマー化合物EB-P1およびEB-P2)
Figure 0007702004000896
EB-P1 ESI 673.3(M+H)H NMR(400MHz,MeOD)δ 7.85(s,1H),7.55(d,J=6.7Hz,1H),7.32(d,J=10.3Hz,1H),7.10(d,J=6.4Hz,2H),6.81(s,1H),5.65-5.55(m,2H),4.03(t,J=8.0Hz,4H),3.32-3.26(m,2H),2.84(t,J=7.0Hz,2H),2.78-2.67(m,2H),2.51-2.36(m,2H),2.36-2.25(m,6H),2.14-1.92(m,2H),1.52-1.36(m,1H),0.97(t,J=6.1Hz,6H).
EB-P2 ESI 673.3(M+H)H NMR(400MHz,MeOD)δ 7.74(s,1H),7.57(d,J=6.7Hz,1H),7.34(d,J=10.2Hz,1H),7.14(d,J=6.7Hz,2H),6.93(s,1H),5.76-5.71(m,1H),5.63(t,J=7.7Hz,1H),4.13(t,J=7.9Hz,4H),3.49-3.35(m,2H),3.00-2.87(m,1H),2.88-2.75(m,1H),2.68-2.60(m,1H),2.57-2.42(m,3H),2.39-2.28(m,6H),2.05-1.95(m,1H),1.79-1.63(m,1H),1.48-1.37(m,1H),0.92(t,J=6.6Hz,6H).
4-82. (3S)-3-(2-(5-(2-(ジメチルアミノ)エチル)-3-フルオロ-2-オキソ-4-(トリフルオロメチル)ピリジン-1(2H)-イル)-4-メチルペンタンアミド)-3-(4-フルオロ-2’,5,6’-トリメチルビフェニル-3-イル)プロパン酸(ジアステレオマー化合物EC-P1およびEC-P2)
Figure 0007702004000897
EC-P1 ESI 650.2(M+H)+. 1H NMR(500MHz,MeOD)δ 7.70(s,1H),7.12(t,J=7.5Hz,1H),7.08-7.02(m,2H),6.89-6.85(m,2H),5.69(t,J=8.0Hz,1H),5.61-5.54(m,1H),3.09-3.02(m,2H),2.99(d,J=7.3Hz,2H),2.74-2.70(m,8H),2.30(s,3H),2.05-1.94(m,5H),1.86(s,3H),1.44(m,1H),0.94-0.90(m,6H).
EC-P2 ESI 650.2(M+H)+. 1H NMR(500MHz,MeOD)δ 7.62(s,1H),7.18-7.07(m,3H),6.94(t, J=6.8Hz,2H),5.73-5.70(m,1H),5.61(t,J=7.6Hz,1H),3.31-3.18(m,2H),3.11-2.95(m,2H),2.84(s,6H),2.65-2.60(m,1H),2.52-2.48(m,1H),2.35-2.32(m,3H),2.08-1.94(m,7H),1.74-1.64(m,1H),1.42-1.39(m,1H),0.90(d,J=6.6Hz,6H).
4-83. (3S)-3-(2-(5-(2-(ジメチルアミノ)エチル)-3-フルオロ-2-オキソ-4-(トリフルオロメチル)ピリジン-1(2H)-イル)-4-メチルペンタンアミド)-3-(4-フルオロ-2’,4’,5,6’-テトラメチルビフェニル-3-イル)プロパン酸(ジアステレオマー化合物ED-P1およびED-P2)
Figure 0007702004000898
ED-P1 ESI 664.2(M+H). 1H NMR(400MHz,MeOD)δ 7.69(s,1H),6.96-6.77(m,4H),5.72-5.66(m,1H),5.56(s,1H),3.09-2.90(m,4H),2.71(d,J=4.8Hz,8H),2.29(s,6H),2.08-1.91(m,5H),1.82(s,3H),1.44(s,1H),0.95-0.90(m,6H).
ED-P2 ESI 664.2(M+H). 1H NMR(400MHz,MeOD)δ 7.62(d,J=12.1Hz,1H),6.97-6.85(m,4H),5.72-5.69(m,1H),5.62(t,J=7.6Hz,1H),3.22(qd,J=13.0,6.1Hz,2H),3.13-2.89(m,2H),2.82(s,6H),2.64-2.60(m,1H),2.49-2.45(m,1H),2.36-2.23(m,6H),2.04-1.90(m,7H),1.74-1.64(m,1H),1.41-1.38(m,1H),0.90-0.86(m,6H).
4-84. (3S)-3-(4,4’-ジフルオロ-2’,5,6’-トリメチルビフェニル-3-イル)-3-(2-(5-(2-(3-メトキシアゼチジン-1-イル)エチル)-2-オキソ-4-(トリフルオロメチル)ピリジン-1(2H)-イル)-4-メチルペンタンアミド)プロパン酸(ジアステレオマー化合物EE-P1およびEE-P2)
Figure 0007702004000899
EE-P1 ESI 692.2(M+H). 1H NMR(400MHz,MeOD)δ 7.84(s,1H),6.96-6.68(m,5H),5.75-5.48(m,2H),4.26-4.01(m,3H),3.74-3.52(m,2H),3.31(s,3H),3.14(t,J=6.8Hz,2H),2.87-2.63(m,4H),2.30(s,3H),2.05-1.92(m,5H),1.85(s,3H),1.54-1.36(m,1H),1.07-0.87(m,6H).
EE-P2 ESI 692.2(M+H). 1H NMR(400MHz,MeOD)δ 7.74(s,1H),7.04-6.78(m,5H),5.80-5.70(m,1H),5.62(t,J=7.7Hz,1H),4.49-4.21(m,3H),4.01-3.74(m,2H),3.46-3.35(m,5H),3.03-2.77(m,2H),2.68-2.44(m,2H),2.34(d,J=1.7Hz,3H),2.12-1.90(m,7H),1.74-1.57(m,1H),1.53-1.32(m,1H),0.99-0.83(m,6H).
4-85. (3S)-3-(2-(5-(2-(ジメチルアミノ)エチル)-2-オキソ-4-(トリフルオロメチル)ピリジン-1(2H)-イル)ペンタンアミド)-3-(4-フルオロ-2’,4’,5,6’-テトラメチル-[1,1’-ビフェニル]-3-イル)プロパン酸(ジアステレオマー化合物EF-P1およびEF-P2)
Figure 0007702004000900
EF-P1 ESI 632.2(M+H). 1H NMR (500MHz,MeOD)δ 7.88(s,1H),6.92-6.79(m,4H),6.74(s,1H),5.66-5.45(m,2H),3.11-2.85(m,5H),2.78-2.68(m,7H),2.32-2.22(m,6H),2.18-2.08(m,1H),2.06-1.92(m,4H),1.78(s,3H),1.41-1.24(m,2H),0.97(t,J=7.4Hz,3H).
EF-P2 ESI 632.2(M+H). 1H NMR(500MHz,MeOD)δ 7.82(s,1H),6.90(d,J=7.1Hz,5H),5.79-5.64(m,1H),5.52(t,J=7.6Hz,1H),3.30-3.15(m,2H),3.00(t,J=6.6Hz,2H),2.83(s,6H),2.69-2.59(m,1H),2.58-2.44(m,1H),2.31(d,J=9.7Hz,6H),2.13-2.01(m,1H),1.97(s,6H),1.91-1.73(m,1H),1.39-1.02(m,2H),0.91(t,J=7.4Hz,3H).
4-86. (3S)-3-(2-(5-(2-(ジメチルアミノ)エチル)-4-メチル-2-オキソピリジン-1(2H)-イル)-5-メチルヘキサンアミド)-3-(4-フルオロ-2’,4’,5,6’-テトラメチルビフェニル-3-イル)プロパン酸(ジアステレオマー化合物EF2-P1およびEF2-P2)
Figure 0007702004000901
EF2-P1 ESI 606.3(M+H). 1H NMR(400MHz,MeOD)δ 7.57(s,1H),6.90(s,2H),6.85-6.80(m,2H),6.34(s,1H),5.48(t,J=6.0Hz,1H),5.42-5.37(s,1H),3.24-3.02(m,2H),2.89-2.85(m,2H),2.76(s,6H),2.71-2.60(m,2H),2.30(d,J=4.9Hz,6H),2.25(s,3H),2.22-2.14(m,1H),1.95(s,4H),1.87(s,3H),1.60-1.53(m,1H),1.25-1.14(m,1H),1.12-1.00(m,1H),0.89-0.87(m,6H).EF2-P2 ESI 606.3(M+H). 1H NMR(400MHz,MeOD)δ 7.54(s,1H),6.98-6.78(m,4H),6.44(s,1H),5.66-5.63(m,1H),5.42(t,J=7.7Hz,1H),3.31-3.28(m,1H),3.26-3.14(m,1H),2.99-2.88(m,2H),2.84(s,6H),2.64-2.59(m,1H),2.50-2.43(m,1H),2.39-2.28(m,6H),2.27(s,3H),2.16-2.07(m,1H),1.96(s,6H),1.89-1.74(m,1H),1.57-1.50(m,1H),1.15-1.11(m,1H),1.08-0.97(m,1H),0.85(t,J=6.5Hz,6H).
4-87. (3S)-3-(4,4’-ジフルオロ-2’,5,6’-トリメチルビフェニル-3-イル)-3-(2-(5-(2-(ジメチルアミノ)エチル)-4-メチル-2-オキソピリジン-1(2H)-イル)-5-メチルヘキサンアミド)プロパン酸(ジアステレオマー化合物EG-P1およびEG-P2)
Figure 0007702004000902
EG-P1 ESI 610.3(M+H). 1H NMR(400MHz,MeOD)δ 7.58(s,1H),6.84(t,J=9.1Hz,4H),6.32(s,1H),5.50(t,J=6.2Hz,1H),5.44-5.33(m,1H),3.24-3.06(m,2H),2.90-2.84(m,2H),2.78(s,6H),2.73-2.62(m,2H),2.28(d,J=14.1Hz,6H),2.22-2.11(m,1H),2.00-1.96(m,4H),1.89(s,3H),1.60-1.54(m,1H),1.29-1.15(m,1H),1.10-1.03(m,1H),0.89-0.87(m,6H).
EG-P2 ESI 610.3(M+H). 1H NMR(400MHz,MeOD)δ 7.54(s,1H),6.90(d,J=6.9Hz,2H),6.84(d,J=9.6Hz,2H),6.44(s,1H),5.66-5.62(m,1H),5.43(t,J=7.6Hz,1H),3.38-3.35(m,1H),3.24-3.20(m,1H),3.00-2.89(m,2H),2.85(s,6H),2.64-2.59(m,1H),2.50-2.44(m,1H),2.33(d,J=4Hz,3H),2.28(s,3H),2.17-2.07(m,1H),2.01(s,6H),1.87-1.77(m,1H),1.57-1.51(m,1H),1.20-1.09(m,1H),1.08-0.97(m,1H),0.85(t,J=6.4Hz,6H).
4-88. (3S)-3-(4,4’-ジフルオロ-2’,5,6’-トリメチル-[1,1’-ビフェニル]-3-イル)-3-(2-(3-フルオロ-5-(2-(3-メトキシアゼチジン-1-イル)エチル)-4-メチル-2-オキソピリジン-1(2H)-イル)-4-メチルペンタンアミド)プロパン酸(ジアステレオマー化合物EH-P1およびEH-P2)
Figure 0007702004000903
EH-P1 ESI 656.3(M+H)H NMR(400MHz,MeOD)δ 7.40(s,1H),6.95-6.72(m,4H),5.71-5.47(m,2H),4.27-4.16(m,2H),4.16-4.07(m,1H),3.81-3.69(m,1H),3.70-3.58(m,1H),3.30(s,3H),3.25(t,J=6.8Hz,2H),2.88-2.63(m,4H),2.37-2.16(m,6H),2.06-1.82(m,8H),1.49-1.28(m,1H),0.97-0.90(m,6H).
EH-P2 ESI 656.3(M+H)H NMR(400MHz,MeOD)δ 7.33(s,1H),6.96-6.89(m,2H),6.84(d,J=9.7Hz,2H),5.72-5.58(m,2H),4.39-4.14(m,3H),3.85-3.65(m,2H),3.31-3.20(m,5H),2.93-2.78(m,1H),2.77-2.55(m,2H),2.54-2.45(m,1H),2.33(d,J=1.7Hz,3H),2.22(d,J=2.7Hz,3H),2.06-1.86(m,7H),1.81-1.66(m,1H),1.344-1.32(m,1H),0.90(d,J=6.6Hz,6H).
4-89. (3S)-3-(5-クロロ-4-フルオロ-2’,4’,6’-トリメチルビフェニル-3-イル)-3-(2-(5-(2-(ジメチルアミノ)エチル)-3-フルオロ-2-オキソ-4-(トリフルオロメチル)ピリジン-1(2H)-イル)-4-メチルペンタンアミド)プロパン酸(ジアステレオマー化合物EI-P1およびEI-P2)
Figure 0007702004000904
EI-P1 ESI 684.2(M+H). 1H NMR(500MHz,MeOD)δ 7.65(s,1H),7.13(d,J=6.3Hz,1H),7.08(d,J=6.1Hz,1H),6.93(s,2H),5.66(d,J=5.4Hz,2H),3.13-2.89(m,4H),2.70(s,6H),2.67-2.62(m,1H),2.62-2.53(m,1H),2.30(s,3H),1.98(d,J=6.9Hz,7H),1.74-1.70(m,1H),1.40-1.33(m,1H),0.89(d,J=5.6Hz,6H).
EI-P2 ESI 684.2(M+H)
1H NMR(500MHz,MeOD)δ 7.67(s,1H),7.10(d,J=6.9Hz,1H),7.02(d,J=6.1Hz,1H),6.91(d,J=13.0Hz,2H),5.68(t,J=8.1Hz,1H),5.55(t,J=7.0Hz,1H),3.08(s,2H),2.98(d,J=7.7Hz,2H),2.73(d,J=9.7Hz,8H),2.30(s,3H),2.04-1.93(m,5H),1.83(s,3H),1.44-1.40(m,1H),0.96-0.92(m,6H).
4-90. (3S)-3-(2-(5-(2-(アゼチジン-1-イル)エチル)-2-オキソ-4-(トリフルオロメチル)ピリジン-1(2H)-イル)-4-メチルペンタンアミド)-3-(4’-シアノ-4-フルオロ-2’,5,5’-トリメチル-[1,1’-ビフェニル]-3-イル)プロパン酸(ジアステレオマー化合物EJ-P1およびEJ-P2)
Figure 0007702004000905
EJ-P1 ESI 669.3(M+H)H NMR(400MHz,MeOD)δ 7.72(s,1H),7.45(s,1H),7.10(s,1H),7.06-6.92(m,2H),6.65(s,1H),5.57-5.40(m,2H),3.92(t,J=8.1Hz,4H),2.73-2.70(m,2H),2.60(d,J=7.6Hz,2H),2.40(s,3H),23.0-2.33(m,2H),2.36-2.30(m,2H),2.19(s,3H),2.09(s,3H),1.94-1.88(m,2H),1.35-1.21(m,1H),0.86-0.83(m,6H).
EJ-P2 ESI 669.3(M+H)H NMR(400MHz,MeOD)δ 7.61(s,1H),7.47(s,1H),7.13(s,1H),7.10-6.98(m,2H),6.80(s,1H),5.65-5.62(m,1H),5.52(t,J=7.7Hz,1H),4.04(t,J=8.1Hz,4H),3.40-3.25(m,2H),2.86-2.64(m,2H),2.54-2.49(m,1H),2.45-2.30(m,6H),2.23(d,J=1.5Hz,3H),2.14(s,3H),1.95-1.81(m,1H),1.63-1.52(m,1H),1.31-1.26(m,1H),0.84-0.78(m,6H).
4-91. (3S)-3-(4-フルオロ-4’-メトキシ-2’,5,6’-トリメチル-[1,1’-ビフェニル]-3-イル)-3-(2-(5-(2-(3-メトキシアゼチジン-1-イル)エチル)-2-オキソ-4-(トリフルオロメチル)ピリジン-1(2H)-イル)-4-メチルペンタンアミド)プロパン酸(ジアステレオマー化合物EK-P1およびEK-P2)
Figure 0007702004000906
EK-P1 ESI 704.4(M+H)H NMR(400MHz,MeOD)δ 7.85(s,1H),6.86(t,J=6.2Hz,2H),6.77(s,1H),6.65(s,1H),6.62(s,1H),5.67(t,J=8.0Hz,1H),5.61-5.56(m,1H),4.25-4.09(m,3H),3.79(s,3H),3.71-3.61(m,2H),3.31(s,3H),3.17(t,J=6.8Hz,2H),2.81(t,J=6.9Hz,2H),2.76-2.69(m,2H),2.28(s,3H),2.04-1.97(m,5H),1.82(s,3H),1.48-1.41(m,1H),0.98-0.93(m,6H).EK-P2 ESI 704.4(M+H)H NMR(400MHz,MeOD)δ 7.75(s,1H),6.96-6.90(m,3H),6.67(s,2H),5.76-5.72(m,1H),5.63(t,J=7.7Hz,1H),4.44-4.26(m,3H),3.98-3.92(m,1H),3.88-3.83(m,1H),3.80(s,3H),3.42-3.35(m,5H),2.97-2.80(m,2H),2.67-2.62(m,1H),2.56-2.50(m,1H),2.33(d,J=1.6Hz,3H),2.04-1.94(m,7H),1.73-1.64(m,1H),1.47-1.39(m,1H),0.92-0.89(m,6H).
4-92. (3S)-3-(4’-シアノ-4-フルオロ-2’,5,6’-トリメチル-[1,1’-ビフェニル]-3-イル)-3-(2-(5-(2-(ジメチルアミノ)エチル)-2-オキソ-4-(トリフルオロメチル)ピリジン-1(2H)-イル)-4-メチルペンタンアミド)プロパン酸(ジアステレオマー化合物EL-P1およびEL-P2)
Figure 0007702004000907
EL-P1 ESI 657.4(M+H)H NMR(400MHz,MeOD)δ 7.88(s,1H),7.45(d,J=21.6Hz,2H),6.88(d,J=5.6Hz,2H),6.71(s,1H),5.72-5.47(m,2H),3.08-2.85(m,4H),2.79-2.57(m,8H),2.30(d,J=1.4Hz,3H),2.11-1.93(m,5H),1.88(s,3H),1.50-1.37(m,1H),1.06-0.86(m,6H).
EL-P2 ESI 657.4(M+H)H NMR(400MHz,MeOD)δ 7.84(s,1H),7.49(s,2H),7.02-6.74(m,3H),5.75-5.53(m,2H),3.25-3.06(m,2H),2.98(t,J=6.9Hz,2H),2.78(s,6H),2.70-2.48(m,2H),2.34(d,J=1.4Hz,3H),2.14-1.86(m,7H),1.79-1.62(m,1H),1.46-1.31(m,1H),0.95-0.82(m,6H).
4-93. (3S)-3-(4’-クロロ-4-フルオロ-2’,5,6’-トリメチルビフェニル-3-イル)-3-(2-(5-(2-(ジメチルアミノ)エチル)-2-オキソ-4-(トリフルオロメチル)ピリジン-1(2H)-イル)-4-メチルペンタンアミド)プロパン酸(ジアステレオマー化合物EM-P1およびEM-P2)
Figure 0007702004000908
EM-P1 ESI 666.3(M+H). 1H NMR(400MHz,MeOD)δ 7.91(s,1H),7.08(d,J=24.1Hz,2H),6.91-6.80(m,2H),6.72(s,1H),5.68(t,J=8.0Hz,1H),5.59-5.48(m,1H),3.18-3.02(m,2H),2.95(t,J=7.0Hz,2H),2.82-2.63(m,8H),2.29(s,3H),2.04-1.91(m,5H),1.79(s,3H),1.58-1.30(m,1H),1.04-0.86(m,6H).
EM-P2 ESI 666.3(M+H). 1H NMR(400MHz,MeOD)δ 7.88(s,1H),7.13(s,2H),6.94-6.83(m,3H),5.81-5.68(m,1H),5.62(t,J=7.7Hz,1H),3.30-3.16(m,2H),3.01(t,J=6.8Hz,2H),2.83(s,6H),2.72-2.45(m,2H),2.33(d,J=1.1Hz,3H),1.98(d,7H),1.75-1.63(m,1H),1.51-1.33(m,1H),0.87(d,J=6.6Hz,6H).
4-94. ((3S)-3-(4-フルオロ-2’,5,6’-トリメチルビフェニル-3-イル)-3-(2-(5-(2-((R)-3-フルオロピロリジン-1-イル)エチル)-4-メチル-2-オキソピリジン-1(2H)-イル)-4-メチルペンタンアミド)プロパン酸(ジアステレオマー化合物EN-P1およびEN-P2)
Figure 0007702004000909
EN-P1 ESI 622.2(M+H)H NMR(500MHz,MeOD)δ 7.54(s,1H),7.16-7.02(m,3H),6.87-6.78(m,2H),6.27(s,1H),5.73-5.50(m,2H),5.34-5.15(m,1H),3.31-3.23(m,1H),3.22-3.00(m,2H),2.94-2.80(m,3H),2.78-2.59(m,4H),2.36-2.09(m,8H),2.01-1.91(m,5H),1.83(s,3H),1.50-1.37(m,1H),0.97-0.89(m,6H).
EN-P2 ESI 622.2(M+H)H NMR(500MHz,MeOD)δ 7.56(s,1H),7.22-7.02(m,3H),6.91(d,J=6.8Hz,2H),6.42(s,1H),5.65-5.57(m,2H),5.41-5.24(m,1H),3.62-3.35(m,3H),3.31-3.09(m,3H),2.94-2.74(m,2H),2.68-2.49(m,2H),2.39-2.22(m,8H),2.10-1.89(m,7H),1.82-1.70(m,1H),1.49-1.31(m,1H),0.95-0.85(m,6H).
4-95. (3S)-3-(4-フルオロ-2’,4’,5,6’-テトラメチル-[1,1’-ビフェニル]-3-イル)-3-(2-(5-(2-(3-フルオロアゼチジン-1-イル)エチル)-2-オキソピリジン-1(2H)-イル)-4-メチルペンタンアミド)プロパン酸(ジアステレオマー化合物EO-P1およびEO-P2)
Figure 0007702004000910
EO-P1 ESI 608.3(M+H)H NMR(400MHz,MeOD)δ 7.52(s,1H),7.39(d,J=9.0Hz,1H),6.96-6.79(m,3H),6.73(s,1H),6.43(d,J=9.5Hz,1H),5.74-5.46(m,2H),5.14(d,J=57.6Hz,1H),3.77(s,2H),3.50(s,2H),2.88(s,2H),2.79-2.60(m,2H),2.51(s,2H),2.29(d,J=14.1Hz,6H),1.96(d,J=12.7Hz,5H),1.80(s,3H),1.42(s,1H),1.03-0.79(m,6H).
EO-P2 ESI 608.3(M+H)H NMR(400MHz,MeOD)δ 7.60-7.40(m,2H),6.90(d,J=7.8Hz,4H),6.57(d,J=9.2Hz,1H),5.70-5.57(m,2H),5.32(d,J=57.4Hz,1H),4.51-4.26(m,2H),4.14-3.87(m,2H),3.39(d,J=5.3Hz,2H),2.85-2.44(m,4H),2.35-2.17(m,6H),2.04-1.86(m,7H),1.86-1.73(m,1H),1.48-1.33(m,1H),0.90(t,J=6.3Hz,6H).
4-96. (3S)-3-(4,4’-ジフルオロ-2’,5,6’-トリメチル-[1,1’-ビフェニル]-3-イル)-3-(2-(5-(2-(3-フルオロアゼチジン-1-イル)エチル)-2-オキソピリジン-1(2H)-イル)-4-メチルペンタンアミド)プロパン酸(ジアステレオマー化合物EP-P1およびEP-P2)
Figure 0007702004000911
EP-P1 ESI 612.2(M+H)H NMR(400MHz,MeOD)δ 7.54(s,1H),7.43(dd,J=9.2,2.3Hz,1H),6.87-6.82(m,3H),6.76(d,J=6.7Hz,1H),6.46(d,J=9.3Hz,1H),5.63(d,J=7.9Hz,1H),5.54-5.43(m,1H),5.20(d,J=57.2Hz,1H),4.09-3.88(m,2H),3.71-3.55(m,2H),3.10-3.02(m,2H),2.80-2.53(m,4H),2.29(s,3H),2.03-1.92(m,5H),1.87(s,3H),1.50-1.36(m,1H),0.97-0.92(m,6H)。
EP-P2 ESI 612.2(M+H)H NMR(400MHz,MeOD)δ 7.41(s,1H),7.38-7.35(m,1H),6.79(t,J=6.1Hz,2H),6.73(d,J=9.7Hz,2H),6.45(d,J=9.3Hz,1H),5.53-5.48(m,2H),5.20(d,J=57.2Hz,1H),4.39-4.14(m,2H),3.99-3.87(m,2H),3.32-3.25(m,2H),2.67-2.48(m,3H),2.40-2.34(m,1H),2.21(d,J=1.7Hz,3H),1.90-1.81(m,7H),1.72-1.64(m,1H),1.33-1.22(m,1H),0.79(t,J=6.6Hz,6H)。
4-97. (3S)-3-(4,4’-ジフルオロ-2’,5,6’-トリメチル-[1,1’-ビフェニル]-3-イル)-3-(2-(3-フルオロ-5-(2-(3-フルオロアゼチジン-1-イル)エチル)-2-オキソピリジン-1(2H)-イル)-4-メチルペンタンアミド)プロパン酸(ジアステレオマー化合物EQ-P1およびEQ-P2)
Figure 0007702004000912
EQ-P1 ESI 630.2(M+H)H NMR(400MHz,MeOD)δ 7.30(s,1H),7.25-7.22(m,1H),6.77-6.75(m,1H),6.72-6.69(m,3H),5.55(t,J=8.0Hz,1H),5.40-5.37(m,1H),5.18-5.01(m,1H),3.99-3.82(m,2H),3.66-3.48(m,2H),3.06-2.99(m,2H),2.66-2.50(m,4H),2.18(d,J=1.5Hz,3H),1.89-1.81(m,5H),1.78(s,3H),1.34-1.27(m,1H),0.85-0.78(m,6H).
EQ-P2 ESI 630.2(M+H)H NMR(400MHz,MeOD)δ 7.27-7.23(m,2H),6.80(d,J=6.9Hz,2H),6.73(d,J=9.6Hz,2H),5.56-5.49(m,2H),5.28-5.11(m,1H),4.33-4.18(m,2H),3.97-3.83(m,2H),3.27-3.22(m,2H),2.64-2.35(m,4H),2.21(d,J=1.9Hz,3H),1.89-1.82(m,7H),1.69-1.62(m,1H),1.31-1.21(m,1H),0.83-0.78(m,6H).
4-98. (3S)-3-(4,5-ジフルオロ-2’,6’-ジメチル-[1,1’-ビフェニル]-3-イル)-3-(2-(5-(2-(ジメチルアミノ)エチル)-2-オキソピリジン-1(2H)-イル)-4-メチルペンタンアミド)プロパン酸(ジアステレオマー化合物ER-P1およびER-P2)
Figure 0007702004000913
ER-P1 ESI 568.2(M+H)H NMR(500MHz,MeOD)δ 7.64(d,J=2.0Hz,1H),7.54-7.51(m,1H),7.18(t,J=7.5Hz,1H),7.11(t,J=6.8Hz,2H),6.99-6.90(m,1H),6.78(d,J=5.9Hz,1H),6.52(d,J=9.3Hz,1H),5.61-5.56(m,1H),5.42(t,J=5.6Hz,1H),3.32-3.19(s,1H),3.24-3.10(m,1H),2.88-2.80(m,2H),2.73(s,6H),2.70-2.64(m,1H),2.59-2.53(m,1H),2.06-1.89(m,8H),1.50-1.36(m,1H),0.97-0.90(m,6H).
ER-P2 ESI 568.2(M+H)H NMR(500MHz,MeOD)δ H NMR(500MHz,MeOD)δ 7.65(d,J=2.1Hz,1H),7.54-7.50(m,1H),7.22-7.13(m,1H),7.14-7.07(m,2H),7.01-6.90(m,1H),6.88(d,J=5.8Hz,1H),6.54(d,J=9.3Hz,1H),5.66-5.52(m,2H),3.38-3.34(m,1H),3.28-3.21(m,1H),2.98-2.86(m,1H),2.86-2.73(m,7H),2.64-2.59(m,1H),2.51-2.44(m,1H),2.08-1.91(m,7H),1.92-1.81(m,1H),1.49-1.35(m,1H),0.93-0.88(m,6H).
4-99. (3S)-3-(2-(5-(2-(ジメチルアミノ)エチル)-2-オキソピリジン-1(2H)-イル)-4-メチルペンタンアミド)-3-(4,4’,5-トリフルオロ-2’,6’-ジメチル-[1,1’-ビフェニル]-3-イル)プロパン酸(ジアステレオマー化合物ES-P1およびES-P2)
Figure 0007702004000914
ES-P1 ESI 586.2(M+H)H NMR(500MHz,MeOD)δ 7.65(s,1H),7.57-7.48(m,1H),6.99-6.90(m,1H),6.87(d,J=8.8Hz,2H),6.79(d,J=5.8Hz,1H),6.52(d,J=9.4Hz,1H),5.56(s,1H),5.42(t,J=5.6Hz,1H),3.32-3.27(m,1H),3.23-3.16(m,1H),2.93-2.80(m,2H),2.75(s,6H),2.70-2.62(m,1H),2.59-2.52(m,1H),2.10-1.91(m,8H),1.44(s,1H),0.98-0.87(m,6H).
ES-P2 ESI 586.2(M+H)H NMR(500MHz,MeOD)δ 7.65(d,J=2.1Hz,1H),7.56-7.50(m,1H),7.01-6.94(m,1H),6.90-6.81(m,3H),6.55(d,J=9.3Hz,1H),5.64-5.54(m,2H),3.45-3.36(m,1H),3.31-3.24(m,1H),2.99-2.90(m,1H),2.90-2.78(m,7H),2.64-2.55(m,1H),2.51-2.41(m,1H),2.07-1.95(m,7H),1.92-1.83(m,1H),1.46-1.36(m,1H),0.96-0.86(m,6H).
4-100. (3S)-3-(4,5-ジフルオロ-2’,6’-ジメチル-[1,1’-ビフェニル]-3-イル)-3-(2-(5-(2-(3-フルオロアゼチジン-1-イル)エチル)-2-オキソピリジン-1(2H)-イル)-4-メチルペンタンアミド)プロパン酸(ジアステレオマー化合物ET-P1およびET-P2)
Figure 0007702004000915
ET-P1 ESI 598.2(M+H)H NMR(500MHz,MeOD)δ 7.54(d,J=1.9Hz,1H),7.46-7.40(m,1H),7.21-7.14(m,1H),7.11(d,J=7.3Hz,2H),6.99-6.90(m,1H),6.81(d,J=5.9Hz,1H),6.47(d,J=9.3Hz,1H),5.62(t,J=8.1Hz,1H),5.51(t,J=6.1Hz,1H),5.31-5.14(m,1H),4.17-3.96(m,2H),3.82-3.67(m,2H),3.21-3.11(m,2H),2.78-2.58(m,4H),2.03-1.89(m,8H),1.47-1.40(m,1H),0.97-0.88(m,6H).
ET-P2 ESI 598.2(M+H)H NMR(500MHz,MeOD)δ 7.53(d,J=2.0Hz,1H),7.49-7.42(m,1H),7.16(d,J=7.4Hz,1H),7.11(d,J=7.7Hz,2H),7.03-6.94(m,1H),6.92(d,J=5.9Hz,1H),6.55(d,J=9.3Hz,1H),5.68-5.60(m,2H),5.41-5.22(m,1H),4.47-4.27(m,2H),4.09-3.94(m,2H),3.37(s,2H),2.79-2.62(m,3H),2.60-2.50(m,1H),2.03(d,J=2.2Hz,6H),1.98-1.91(m,1H),1.84-1.76(m,1H),1.47-1.37(m,1H),0.91(t,J=6.1Hz,6H).
4-101. (3S)-3-(4-フルオロ-2’,5,6’-トリメチル-[1,1’-ビフェニル]-3-イル)-3-(2-(5-(2-(3-フルオロアゼチジン-1-イル)エチル)-4-メチル-2-オキソピリジン-1(2H)-イル)-4-メチルペンタンアミド)プロパン酸(ジアステレオマー化合物EU-P1およびEU-P2)
Figure 0007702004000916
EU-P1 ESI 608.2(M+H)H NMR(500MHz,MeOD)δ 8.45(s,0.47HCOOH),7.54(s,1H),7.15-7.05(m,3H),6.89-6.81(m,2H),6.30(s,1H),5.68-5.48(m,2H),5.40-5.14(m,1H),4.35-4.13(m,2H),4.06-3.86(m,2H),3.26-3.20(m,2H),2.88-2.65(m,4H),2.29(s,3H),2.23(s,3H),2.01-1.89(m,5H),1.85(s,3H),1.48-1.38(m,1H),0.98-0.91(m,6H).
EU-P2 ESI 608.2(M+H)H NMR(500MHz,MeOD)δ 8.45(s,0.23HCOOH),7.46(s,1H),7.20-7.02(m,3H),6.93(d,J=5.0Hz,2H),6.44(s,1H),5.75-5.54(m,2H),5.34(d,J=57.3Hz,1H),4.48-4.35(m,2H),4.16-3.96(m,2H),3.42-3.34(m,2H),2.90-2.82(m,1H),2.74-2.63(m,2H),2.60-2.52(m,1H),2.33(s,3H),2.25(s,3H),2.07-1.85(m,7H),1.82-1.70(m,1H),1.44-1.34(m,1H),0.91-0.87(m,6H).
4-102. (3S)-3-(2-(5-((ジメチルアミノ)メチル)-2-オキソ-4-(トリフルオロメチル)ピリジン-1(2H)-イル)-4-メチルペンタンアミド)-3-(4-フルオロ-2’,5,6’-トリメチル-[1,1’-ビフェニル]-3-イル)プロパン酸(ジアステレオマー化合物EV-P1およびEV-P2)
Figure 0007702004000917
EV-P1 ESI 618.2(M+H)H NMR(400MHz,MeOD)δ 8.07(s,1H),7.15-7.00(m,3H),6.94-6.83(m,2H),6.77(s,1H),5.75(t,J=8.1Hz,1H),5.63-5.52(m,1H),3.83-3.59(m,2H),2.82-2.72(m,2H),2.52(s,6H),2.29(d,J=1.3Hz,3H),2.05-1.95(m,5H),1.80(s,3H),1.49-1.37(m,1H),1.01-0.91(m,6H).
EV-P2 ESI 618.2(M+H)H NMR(400MHz,MeOD)δ 8.09(s,1H),7.18-7.00(m,3H),7.00-6.84(m,3H),5.81-5.70(m,1H),5.63-5.46(m,1H),4.10(d,J=14.4Hz,1H),3.87(d,J=14.4Hz,1H),2.79-2.55(m,8H),2.34(d,J=1.5Hz,3H),2.05-1.93(m,7H),1.71-1.61(m,1H),1.48-1.39(m,1H),0.93-0.82(m,6H).
4-103. (3S)-3-(4,4’-ジフルオロ-2’,5,6’-トリメチル-[1,1’-ビフェニル]-3-イル)-3-(2-(5-((ジメチルアミノ)メチル)-2-オキソ-4-(トリフルオロメチル)ピリジン-1(2H)-イル)-4-メチルペンタンアミド)プロパン酸(ジアステレオマー化合物EW-P1およびEW-P2)
Figure 0007702004000918
EW-P1 ESI 636.1(M+H)H NMR(400MHz,MeOD)δ 8.06(s,1H),6.95-6.72(m,5H),5.75(t,J=8.1Hz,1H),5.62-5.56(m,1H),3.79-3.65(m,2H),2.86-2.65(m,2H),2.52(s,6H),2.29(s,3H),2.04-1.93(m,5H),1.81(s,3H),1.50-1.38(m,1H),0.96(t,J=7.4Hz,6H).
EW-P2 ESI 636.1(M+H)H NMR(400MHz,MeOD)δ 8.08(s,1H),6.95-6.88(m,3H),6.85(d,J=9.6Hz,2H),5.76-5.70(m,1H),5.55(t,J=7.5Hz,1H),4.08(d,J=14.4Hz,1H),3.85(d,J=14.4Hz,1H),2.79-2.52(m,8H),2.34(s,3H),2.03-1.93(m,7H),1.70-1.61(m,1H),1.50-1.38(m,1H),0.95-0.80(m,6H).
4-104. (3S)-3-(2-(5-((ジメチルアミノ)メチル)-2-オキソ-4-(トリフルオロメチル)ピリジン-1(2H)-イル)-4-メチルペンタンアミド)-3-(4-フルオロ-2’,4’,5,6’-テトラメチル-[1,1’-ビフェニル]-3-イル)プロパン酸(ジアステレオマー化合物EX-P1およびEX-P2)
Figure 0007702004000919
EX-P1 ESI 632.2(M+H)H NMR(400MHz,MeOD)δ 8.05(s,1H),6.92-6.82(m,4H),6.76(s,1H),5.75(t,J=8.1Hz,1H),5.63-5.50(m,1H),3.78-3.62(m,2H),2.88-2.65(m,2H),2.50(s,6H),2.29(d,J=3.7Hz,6H),2.03-1.89(m,5H),1.76(s,3H),1.52-1.36(m,1H),0.96(t,J=7.2Hz,6H).
EX-P2 ESI 632.2(M+H)H NMR(400MHz,MeOD)δ 8.09(s,1H),6.95-6.83(m,5H),5.81-5.68(m,1H),5.54(t,J=7.4Hz,1H),4.09(d,J=14.4Hz,1H),3.85(d,J=14.3Hz,1H),2.81-2.52(m,8H),2.32(d,J=9.8Hz,6H),1.97(t,J=9.1Hz,7H),1.71-1.58(m,1H),1.50-1.34(m,1H),0.88(d,J=6.4Hz,6H).
4-105. (3S)-3-(4,5-ジフルオロ-2’,4’,6’-トリメチル-[1,1’-ビフェニル]-3-イル)-3-(2-(5-((ジメチルアミノ)メチル)-2-オキソ-4-(トリフルオロメチル)ピリジン-1(2H)-イル)-4-メチルペンタンアミド)プロパン酸(ジアステレオマー化合物EY-P1およびEY-P2)
Figure 0007702004000920
EY-P1 ESI 636.2(M+H)H NMR(400MHz,MeOD)δ 7.99(s,1H),6.92-6.84(m,4H),6.72(s,1H),5.82-5.68(m,1H),5.61-5.55(m,1H),3.61-3.48(m,2H),2.83-2.65(m,2H),2.38(s,6H),2.30(s,3H),2.03-1.92(m,5H),1.73(s,3H),1.49-1.37(m,1H),0.99-0.93(m,6H).
EY-P2 ESI 636.2(M+H)H NMR(400MHz,MeOD)δ 8.08(s,1H),7.02-6.84(m,5H),5.77-5.72(m,1H),5.59-5.52(m,1H),4.08(d,J=14.4Hz,1H),3.85(d,J=14.4Hz,1H),2.79-2.75(m,1H),2.70-2.54(m,7H),2.31(s,3H),2.02-1.87(m,7H),1.74-1.57(m,1H),1.49-1.37(m,1H),0.91-0.86(m,6H).
4-106. (3S)-3-(2-(5-(2-(ジメチルアミノ)エチル)-3-フルオロ-2-オキソピリジン-1(2H)-イル)-4-メチルペンタンアミド)-3-(4,4’,5-トリフルオロ-2’,6’-ジメチル-[1,1’-ビフェニル]-3-イル)プロパン酸(ジアステレオマー化合物EZ-P1およびEZ-P2)
Figure 0007702004000921
EZ-P1 ESI 604.2(M+H)H NMR(400MHz,MeOD)δ 7.44(s,1H),7.34-7.30(m,1H),6.96-6.75(m,4H),5.76-5.71(m,1H),5.60-5.48(m,1H),2.76-2.55(m,6H),2.39(s,6H),2.07-1.90(m,5H),1.84(s,3H),1.49-1.33(m,1H),0.98-0.92(m,6H).
EZ-P2 ESI 604.2(M+H)H NMR(400MHz,MeOD)δ 7.50(s,1H),7.46-7.10(m,1H),7.04-6.93(m,1H),6.91-6.84(m,3H),5.67-5.57(m,2H),3.47-3.37(m,1H),3.31-3.21(m,1H),3.02-2.91(m,1H),2.90-2.79(m,7H),2.64-2.57(m,1H),2.50-2.42(m,1H),2.07-1.92(m,7H),1.90-1.78(m,1H),1.47-1.31(m,1H),0.94-0.89(m,6H).
4-107. (3S)-3-(4,5-ジフルオロ-2’,4’,6’-トリメチル-[1,1’-ビフェニル]-3-イル)-3-(2-(5-(2-(ジメチルアミノ)エチル)-3-フルオロ-2-オキソピリジン-1(2H)-イル)-4-メチルペンタンアミド)プロパン酸(ジアステレオマー化合物FA-P1およびFA-P2)
Figure 0007702004000922
FA-P1 ESI 600.2(M+H)H NMR(400MHz,MeOD)δ 7.49-7.44(m,2H),6.92(t,J=8.2Hz,3H),6.76(d,J=6.0Hz,1H),5.65-5.61(m,1H),5.40(t,J=5.6Hz,1H),3.19-3.15(m,2H),2.90-2.84(m,3H),2.75-2.63(m,7H),2.57-2.52(m,1H),2.31(s,3H),2.03-1.87(m,9H),1.46-1.40(m,1H),0.98-0.91(m,6H).
FA-P2 ESI 600.2(M+H)H NMR(400MHz,MeOD)δ 7.37-7.29(m,2H),6.87-6.71(m,4H),5.57-5.42(m,2H),3.34-3.24(m,1H),3.18-3.07(m,1H),2.87-2.81(m,1H),2.73-2.70(m,7H),2.50-2.45(m,1H),2.36-2.30(m,1H),2.19(s,3H),1.96-1.80(m,7H),1.74-1.63(m,1H),1.30-1.25(m,1H),0.81-0.79(m,6H).
4-108. (3S)-3-(2-(5-(2-(3-フルオロアゼチジン-1-イル)エチル)-4-メチル-2-オキソピリジン-1(2H)-イル)-4-メチルペンタンアミド)-3-(4,4’,5-トリフルオロ-2’,6’-ジメチルビフェニル-3-イル)プロパン酸(ジアステレオマー化合物FB-P1およびFB-P2)
Figure 0007702004000923
FB-P1 ESI 630.2(M+H)H NMR(400MHz,MeOD)δ 7.49(s,1H),6.99-6.89(m,1H),6.89-6.76(m,3H),6.29(s,1H),5.66-5.50(m,2H),5.40-5.10(m,1H),4.14-3.90(m,2H),3.86-3.55(m,2H),3.03(s,2H),2.86-2.53(m,4H),2.23(s,3H),2.06-1.90(m,5H),1.86(s,3H),1.49-1.32(m,1H),1.02-0.84(m,6H).
FB-P2 ESI 630.2(M+H)H NMR(400MHz,MeOD)δ 7.49(s,1H),7.09-6.86(m,4H),6.44(s,1H),5.72-5.55(m,2H),5.30(d,J=57.8Hz,1H),4.28(s,2H),3.93(s,2H),3.19(s,2H),2.87-2.50(m,4H),2.25(s,3H),2.04(s,6H),1.93-1.73(m,2H),1.47-1.28(m,1H),0.91-0.85(m,6H).
4-109. (3S)-3-(5-クロロ-4,4’-ジフルオロ-2’,6’-ジメチルビフェニル-3-イル)-3-(2-(5-(2-(ジメチルアミノ)エチル)-2-オキソ-4-(トリフルオロメチル)ピリジン-1(2H)-イル)-4-メチルペンタンアミド)プロパン酸(ジアステレオマー化合物FC-P1およびFC-P2)
Figure 0007702004000924
FC-P1 ESI 670.2(M+H)H NMR(400MHz,MeOD)δ 7.90(s,1H),7.13-7.11(m,1H),7.04-7.02(m,1H),6.88-6.81(m,2H),6.74(s,1H),5.69-5.65(m,1H),5.57-5.53(m,1H),3.16-3.10(m,2H),2.97-2.94(m,2H),2.80(s,6H),2.74-2.71(m,2H),2.02-1.98(m,5H),1.84(s,3H),1.47-1.40(m,1H),0.98-0.93(m,6H).
FC-P2 ESI 670.2(M+H)H NMR(400MHz,MeOD)δ 7.86(s,1H),7.20-7.18(m,1H),7.07(d,J=6.1Hz,1H),6.88(d,J=11.2Hz,3H),5.73-5.67(m,1H),5.63(t,J=7.6Hz,1H),3.30-3.18(m,2H),3.01(t,J=6.9Hz,2H),2.85(s,6H),2.69-2.60(m,1H),2.58-2.52(m,1H),2.03-1.95(m,7H),1.77-1.70(m,1H),1.41-1.36(m,1H),0.91-0.89(m,6H).
4-110. (3S)-3-(5-クロロ-4,4’-ジフルオロ-2’,6’-ジメチルビフェニル-3-イル)-3-(2-(5-(2-(3-フルオロアゼチジン-1-イル)エチル)-4-メチル-2-オキソピリジン-1(2H)-イル)-4-メチルペンタンアミド)プロパン酸(ジアステレオマー化合物FD-P1およびFD-P2)
Figure 0007702004000925
FD-P1 ESI 646.2(M+H)H NMR(400MHz,MeOD)δ 7.50(s,1H),7.15-7.13(m,1H),6.99-6.97(m,1H),6.88-6.85(m,2H),6.29(s,1H),5.64-5.49(m,2H),5.32-5.18(m,1H),4.11-4.07(m,2H),3.85-3.72(m,2H),3.10(t,J=6.9Hz,2H),2.82-2.62(m,4H),2.24(s,3H),2.09-1.90(m,5H),1.89(d,J=8.2Hz,3H),1.43-1.38(m,1H),0.96-0.92(m,6H).
FD-P2 ESI 646.2(M+H)H NMR(400MHz,MeOD)δ 7.45(s,1H),7.21-7.18(m,1H),7.08-7.06(m,1H),6.89(d,J=9.6Hz,2H),6.43(s,1H),5.73-5.53(m,2H),5.43-5.25(m,1H),4.44-4.41(m,2H),4.16-4.01(m,2H),3.39- 3.36(m,2H),2.91-2.87(m,1H),2.73-2.62(m,2H),2.52-2.49(m,1H),2.25(s,3H),2.03(s,6H),1.98-1.88(m,1H),1.81-1.72(m,1H),1.44-1.33(m,1H),0.91-0.89(m,6H).
4-111. (3S)-3-(2-(5-(2-(ジメチルアミノ)エチル)-2-オキソ-4-(トリフルオロメチル)ピリジン-1(2H)-イル)-4-メチルペンタンアミド)-3-(4,4’,5-トリフルオロ-2’,6’-ジメチルビフェニル-3-イル)プロパン酸(ジアステレオマー化合物FE-P1およびFE-P2)
Figure 0007702004000926
FE-P1 ESI 654.2(M+H)H NMR(400MHz,MeOD)δ 7.89(s,1H),6.98-6.78(m,4H),6.75(s,1H),5.69-5.65(m,1H),5.59-5.56(m,1H),3.15- 3.06(m,2H),2.95(d,J=6.2Hz,2H),2.77(s,6H),2.74-2.71(m,2H),2.13-1.91(m,5H),1.85(s,3H),1.50-1.40(m,1H),0.98-0.94(m,6H).
FE-P2 ESI 654.2(M+H)H NMR(400MHz,MeOD)δ 7.86(s,1H),7.05-6.96(m,1H),6.95-6.83(m,4H),5.73-5.69(m,1H),5.63(t,J=7.7Hz,1H),3.28-3.14(m,2H),2.99(t,J=7.0Hz,2H),2.82(s,6H),2.69-2.64(m,1H),2.62-2.52(m,1H),2.03(d,J=2.1Hz,6H),1.99-1.94(m,1H),1.77-1.72(m,,1H),1.45-1.31(m,1H),0.91-0.89(m,6H).
4-112. (3S)-3-(5-クロロ-4,4’-ジフルオロ-2’,6’-ジメチルビフェニル-3-イル)-3-(2-(5-(2-(3-フルオロアゼチジン-1-イル)エチル)-2-オキソピリジン-1(2H)-イル)-4-メチルペンタンアミド)プロパン酸(ジアステレオマー化合物FF-P1およびFF-P2)
Figure 0007702004000927
FF-P1 ESI 632.2(M+H)H NMR(400MHz,MeOD)δ 7.59(s,1H),7.46-7.43(m,1H),7.15-7.13(m,1H),7.00-6.92(m,1H),6.87(d,J=9.6Hz,2H),6.45(d,J=9.3Hz,1H),5.68-5.57(m,1H),5.51(t,J=6.2Hz,1H),5.38-5.16(m,1H),4.25-4.04(m,2H),3.96-3.76(m,2H),3.25-3.13(m,2H),2.83-2.58(m,4H),2.08-1.92(m,5H),1.88(s,3H),1.47-1.40(m,1H),0.97-0.92(m,6H).
FF-P2 ESI 632.2(M+H)H NMR(400MHz,MeOD)δ 7.54(s,1H),7.49(d,J=8.8Hz,1H),7.20-7.18(m,1H),7.04(d,J=4.5Hz,1H),6.88(d,J=9.6Hz,2H),6.56(d,J=9.1Hz,1H),5.71-5.57(m,2H),5.34(d,J=59.0Hz,1H),4.40(s,2H),4.08(s,2H),3.42(s,1H),2.70(d,J=52.7Hz,3H),2.52(s,1H),2.03(d,J=3.5Hz,6H),1.99-1.93(m,2H),1.88-1.76(m,1H),1.49-1.31(m,1H),0.91(t,J=6.7Hz,6H).
4-113. (3S)-3-(4,4’-ジフルオロ-2’,5,6’-トリメチルビフェニル-3-イル)-3-(2-(5-(2-(ジメチルアミノ)エチル)-3-フルオロ-2-オキソピリジン-1(2H)-イル)-4-メチルペンタンアミド)プロパン酸(ジアステレオマー化合物FG-P1およびFG-P2)
Figure 0007702004000928
FG-P1 ESI 600.3(M+H)H NMR(400MHz,MeOD)δ 7.52(s,1H),7.47-7.44(m,1H),6.91-6.81(m,3H),6.78(d,J=6.8Hz,1H),5.64-5.60(m,1H),5.40(t,J=5.6Hz,1H),3.36(d,J=6.1Hz,1H),3.24-3.12(m,1H),2.97-2.77(m,2H),2.73(s,6H),2.70-2.61(m,1H),2.57-2.52(m,1H),2.30(d,J=1.6Hz,3H),2.12-1.96(m,5H),1.95(s,3H),1.52-1.37(m,1H),0.97-0.91(m,6H).
FG-P2 ESI 600.2(M+H)H NMR(400MHz,MeOD)δ 7.50(s,1H),7.45-7.42(m,1H),6.89(t,J=6.1Hz,2H),6.84(d,J=9.6Hz,2H),5.66-5.62(m,1H),5.59-5.56(m,1H),3.47-3.36(m,1H),3.30-3.25(m,1H),3.00-2.94(m,1H),2.90-2.77(m,7H),2.61-2.56(m,1H),2.46-2.40(m,1H),2.32(d,J=1.8Hz,3H),2.09-1.94(m,7H),1.87-1.79(m,1H),1.48-1.37(m,1H),0.93-0.90(m,6H).
4-114. (3S)-3-(5-クロロ-4,4’-ジフルオロ-2’,6’-ジメチルビフェニル-3-イル)-3-(2-(5-(2-(ジメチルアミノ)エチル)-3-フルオロ-2-オキソピリジン-1(2H)-イル)-4-メチルペンタンアミド)プロパン酸(ジアステレオマー化合物FH-P1およびFH-P2)
Figure 0007702004000929
FH-P1 ESI 620.2(M+H)H NMR(400MHz,MeOD)δ 7.53(s,1H),7.46-7.43(m ,1H),7.15-7.12(m,1H),6.95-6.93 (m,1H),6.87(d,J=9.6Hz,2H),5.65-5.61(m,1H),5.42(t,J=5.8Hz,1H),3.31-3.26(m,1H),3.20-3.15(m,1H),2.96-2.81(m,2H),2.75(s,6H),2.70-2.65(m,1H),2.59-2.54(m,1H),2.19-1.78(m,8H),1.46-1.40(m,1H),0.97-0.91(m,6H).
FH-P2 ESI 620.2(M+H)H NMR(400MHz,MeOD)δ 7.50(s,1H),7.45-7.42(m,1H),7.18-7.16(m,1H),7.04- 7.02(m,1H),6.88(d,J=9.6Hz,2H),5.67-5.63(m,1H),5.59-5.56(m,1H),3.46-3.36(m,1H),3.29-3.22(m,1H),2.98-2.92(m,1H),2.86-2.84(m,1H),2.82(s,6H),2.62-2.58(m,1H),2.51-2.41(m,1H),2.03(d,J=1.5Hz,6H),1.97(t,J=7.1Hz,1H),1.90-1.78(m,1H),1.41-1.36(m,1H),0.97-0.74(m,6H).
4-115. (3S)-3-(4,4’-ジフルオロ-2’,5,6’-トリメチルビフェニル-3-イル)-3-(2-(5-(2-(ジメチルアミノ)エチル)-4-メチル-2-オキソピリジン-1(2H)-イル)-4-メチルペンタンアミド)プロパン酸(ジアステレオマー化合物FI-P1およびFI-P2)
Figure 0007702004000930
FI-P1 ESI 596.3(M+H)H NMR(400MHz,MeOD)δ 7.59(s,1H),6.83(t,J=7.2Hz,4H),6.32(s,1H),5.70-5.56(m,1H),5.54-5.47(m,1H),3.21-3.06(m,2H),2.95-2.83(m,2H),2.79(s,6H),2.73-2.55(m,2H),2.35-2.20(m,6H),2.07-1.91(m,5H),1.85(s,3H),1.50-1.29(m,1H),1.02-0.83(m,6H).
FI-P2 ESI 596.3(M+H)H NMR(400MHz,MeOD)δ 7.57(s,1H),6.99-6.78(m,4H),6.43(s,1H),5.71-5.53(m,2H),3.28-3.06(m,2H),2.97-2.85(m,2H),2.81(s,6H),2.66-2.56(m,1H),2.56-2.40(m,1H),2.36-2.24(m,6H),2.05-1.89(m,7H),1.86-1.72(m,1H),1.43-1.28(m,1H),0.89(t,J=5.2Hz,6H).
4-116. (3S)-3-(4’-クロロ-4-フルオロ-2’,5,6’-トリメチルビフェニル-3-イル)-3-(2-(5-(2-(ジメチルアミノ)エチル)-4-メチル-2-オキソピリジン-1(2H)-イル)-4-メチルペンタンアミド)プロパン酸(ジアステレオマー化合物FJ-P1およびFJ-P2)
Figure 0007702004000931
FJ-P1 ESI 612.2(M+H)H NMR(400MHz,MeOD)δ 7.58(s,1H),7.11(d,J=2.5Hz,2H),6.92-6.76(m,2H),6.32(s,1H),5.61-5.41(m,2H),3.25-3.05(m,2H),2.88(t,J=7.3Hz,2H),2.78(s,6H),2.71-2.54(m,2H),2.28(d,J=13.0Hz,6H),2.05-1.92(m,5H),1.88(s,3H),1.48-1.32(m,1H),1.04-0.85(m,6H).
FJ-P2 ESI 612.2(M+H)H NMR(400MHz,MeOD)δ 7.55(s,1H),7.13(s,2H),6.93-6.84(m,2H),6.42(s,1H),5.70-5.54(m,2H),3.24-3.11(m,2H),2.99-2.76(m,8H),2.64-2.42(m,2H),2.36-2.20(m,6H),2.03-1.90(m,7H),1.83-1.72(m,1H),1.47-1.28(m,1H),0.90(t,J=6.2Hz,6H).
4-117. (3S)-3-(2-(5-(2-(ジメチルアミノ)エチル)-3-フルオロ-2-オキソピリジン-1(2H)-イル)-4-メチルペンタンアミド)-3-(4-フルオロ-2’,4’,5,6’-テトラメチル-[1,1’-ビフェニル]-3-イル)プロパン酸(ジアステレオマー化合物FK-P1およびFK-P2)
Figure 0007702004000932
FK-P1 ESI 596.3(M+H)H NMR(400MHz,MeOD)δ 7.59-7.37(m,2H),6.96-6.64(m,4H),5.76-5.58(m,1H),5.39(t,J=5.5Hz,1H),3.42-3.25(m,1H),3.23-3.06(m,1H),2.96-2.76(m,2H),2.73-2.46(m,8H),2.41-2.22(m,6H),2.05-1.88(m,8H),1.44(m,J=13.7,6.7Hz,1H),0.93(m,J=17.3,6.6Hz,6H).
FK-P2 ESI 596.3(M+H)H NMR(400MHz,MeOD)δ 7.51(s,1H),7.42(m,J=10.3,2.1Hz,1H),6.89(m,J=7.0,4.6Hz,4H),5.62(m,J=14.0,9.4,5.4Hz,2H),3.43-3.30(m,1H),3.23(s,1H),2.93(m,J=9.6,4.9Hz,1H),2.87-2.75(m,7H),2.59(m,J=14.9,4.0Hz,1H),2.44(m,J=14.8,10.1Hz,1H),2.34-2.22(m,6H),2.05-1.91(m,7H),1.84-1.72(m,1H),1.46-1.22(m,1H),0.91(m,J=6.6,3.1Hz,6H).
4-118. (3S)-3-(4-フルオロ-2’,4’,5,6’-テトラメチル-[1,1’-ビフェニル]-3-イル)-3-(2-(3-フルオロ-5-(2-((R)-3-フルオロピロリジン-1-イル)エチル)-2-オキソピリジン-1(2H)-イル)-4-メチルペンタンアミド)プロパン酸(ジアステレオマー化合物FL-P1およびFL-P2)
Figure 0007702004000933
FL-P1 ESI 640.2(M+H). 1H NMR(400MHz,MeOD)δ 7.50(s,1H),7.41-7.31(m,1H),6.91(s,2H),6.85(d,J=7.0Hz,1H),6.79(d,J=6.7Hz,1H),5.70(s,1H),5.49(s,1H),5.24(d,J=53.7Hz,1H),3.26-3.00(m,5H),2.88-2.56(m,4H),2.41-2.13(m,9H),2.07-1.90(m,5H),1.85(s,3H),1.53-1.26(m,1H),1.05-0.80(m,6H).
FL-P2 ESI 640.2(M+H). 1H NMR(500MHz,MeOD)δ 7.49(s,1H),7.47-7.36(m,1H),6.90(d,J=8.8Hz,4H),5.67(t,J=7.7Hz,1H),5.61-5.52(m,1H),5.33(d,J=54.6Hz,1H),3.73-3.38(m,5H),3.28(s,1H),2.97-2.76(m,2H),2.65-2.43(m,2H),2.41-2.19(m,6H),2.07-1.88(m,7H),1.84-1.73(m,1H),1.51-1.20(m,1H),0.91(d,J=6.5Hz,6H).
4-119. (3S)-3-(2-(5-(2-(ジメチルアミノ)エチル)-3-メチル-2-オキソピリジン-1(2H)-イル)-4-メチルペンタンアミド)-3-(4-フルオロ-2’,4’,5,6’-テトラメチル-[1,1’-ビフェニル]-3-イル)プロパン酸(ジアステレオマー化合物FM-P1およびFM-P2)
Figure 0007702004000934
FM-P1 ESI 592.3(M+H)H NMR(400MHz,MeOD)δ 7.35(S,1H),7.32(S,1H),6.80(d,J=8.4Hz,2H),6.73(d,J=5.5Hz,1H),6.59(d,J=6.7Hz,1H),5.48-5.46(m,1H),5.23(t,J=5.1Hz,1H),3.08-2.98(m,1H),2.68-2.67(m,2H),2.56(s,6H),2.51-2.35(m,3H),2.25-2.11(m,6H),1.97-1.74(m,11H),1.36-1.24(m,1H),0.88-0.76(m,6H).
FM-P2 ESI 592.3(M+H)H NMR(400MHz,MeOD)δ 7.40(s,1H),7.29(s,1H),6.78-6.74(m,3H),6.67(d,J=7.0Hz,1H),5.52-5.48(m,1H),5.42-5.39(m,1H),3.33-3.27(m,1H),3.20-3.14(m,1H),2.85-2.61(m,8H),2.49-2.44(m,1H),2.33-2.27(m,1H),2.18(s,6H),1.97-1.67(m,11H),1.38-1.24(m,1H),0.82-0.77(m,6H).
4-120. (3S)-3-(4,4’-ジフルオロ-2’,6’-ジメチル-5-(トリフルオロメチル)-[1,1’-ビフェニル]-3-イル)-3-(2-(5-(2-(ジメチルアミノ)エチル)-3-フルオロ-2-オキソピリジン-1(2H)-イル)-4-メチルペンタンアミド)プロパン酸(ジアステレオマー化合物FN-P1およびFN-P2)
Figure 0007702004000935
FN-P1 ESI 654.3(M+H)H NMR(400MHz,MeOD)δ 7.55(s,1H),7.50-7.37(m,1H),7.40-7.25(m,2H),6.89(d,J=9.6Hz,2H),5.73-5.55(m,1H),5.47(t,J=5.9Hz,1H),3.27-3.13(m,1H),2.98-2.82(m,3H),2.78(s,6H),2.73-2.64(m,1H),2.63-2.50(m,1H),2.13-1.97(m,5H),1.93(s,3H),1.42(s,1H),1.11-0.79(m,6H).
FN-P2 ESI 654.3(M+H)H NMR(400MHz,MeOD)δ 7.51(s,1H),7.48-7.41(m,1H),7.38(t,J=6.0Hz,2H),6.90(d,J=9.6Hz,2H),5.76-5.43(m,2H),3.42(d,J=10.1Hz,1H),3.28(d,J=12.8Hz,1H),2.96(d,J=9.5Hz,1H),2.85(d,J=7.2Hz,6H),2.74-2.54(m,1H),2.55-2.34(m,1H),2.15-1.93(m,6H),1.93-1.72(m,1H),1.52-1.27(m,1H),0.92(t,J=6.5Hz,6H).
4-121. (3S)-3-(4-フルオロ-2’,4’,5,6’-テトラメチルビフェニル-3-イル)-3-(2-(3-フルオロ-5-(2-(3-フルオロアゼチジン-1-イル)エチル)-2-オキソピリジン-1(2H)-イル)-4-メチルペンタンアミド)プロパン酸(ジアステレオマー化合物FO-P1およびFO-P2)
Figure 0007702004000936
FO-P1 ESI 626.3(M+H)H NMR(400MHz,MeOD)δ 7.45-7.33(m,2H),6.96-6.85(m,3H),6.83-6.75(m,1H),5.69(t,J=8.1Hz,1H),5.52-5.45(m,1H),5.30-5.10(m,1H),4.23-4.09(m,1H),4.02-3.89(m,1H),3.78-3.62 (m,2H),3.26-3.16(m,2H),2.78-2.56(m,4H),2.36-2.25(m,6H),2.00-1.92(m,5H),1.88(s,3H),1.48-1.39(m,1H),0.98-0.86(m,6H).
FO-P2 ESI 626.3(M+H)H NMR(400MHz,MeOD)δ 7.45-7.35(m,2H),6.97-6.86(m,4H),5.76-5.62(m,2H),5.42-5.20(m,1H),4.49-4.28(m,2H),4.12-3.95(m,2H),3.44-3.36(m,2H),2.78-2.63(m,2H),2.67-2.52(m,1H),2.61-2.52(m,1H),2.37-2.25(m,6H),2.01-1.91(m,7H),1.85-1.69(m,1H),1.43 -1.36(m,1H),0.96-0.85(m,6H).
4-122. (3S)-3-(2’-クロロ-4,4’-ジフルオロ-5,6’-ジメチル-[1,1’-ビフェニル]-3-イル)-3-(2-(3-フルオロ-5-(2-(3-フルオロアゼチジン-1-イル)エチル)-2-オキソピリジン-1(2H)-イル)-4-メチルペンタンアミド)プロパン酸(ジアステレオマー化合物FP-P1およびFP-P2)
Figure 0007702004000937
FP-P1 ESI 650.2(M+H)H NMR(400MHz,MeOD)δ 7.43-7.34(m,2H),7.17-7.13(m,1H),7.06-7.01(m,1H),6.89-6.85(m,1H),5.72-5.67(m,1H),5.54-5.49( m,1H), 5.32-5.09(m,1H),4.15-3.65(m,4H),3.19-3.10(m,2H),2.78-2.60(m,4H),2.31(s,3H),2.08-1.92(m,5H),1.49-1.39(m,1H),0.97- 0.93(m,6H).
FP-P2 ESI 650.2(M+H)H NMR(400MHz,MeOD)δ 7.39-7.36(m,2H),7.15(d,J=8.5Hz,1H),7.08-6.96(m,3H),5.73-5.61(m,2H),5.41-5.22(m,1H),4.48-4.28(m,2H),4.11-3.94(m,2H),3.42-3.33(m,2H),2.80-2.47(m,4H),2.34(d,J=1.8Hz,3H),2.09(d,J=2.7Hz,3H),2.03-1.90(m,1H),1.83-1.72(m,1H),1.44-1.30(m,1H),0.94-0.89(m,6H).
4-123. (3S)-3-(2-(3-フルオロ-5-(2-(3-フルオロアゼチジン-1-イル)エチル)-2-オキソピリジン-1(2H)-イル)-4-メチルペンタンアミド)-3-(2’,4,4’-トリフルオロ-5,6’-ジメチルビフェニル-3-イル)プロパン酸(ジアステレオマー化合物FQ-P1およびFQ-P2)
Figure 0007702004000938
FQ-P1 ESI 634.2(M+H)H NMR(400MHz,MeOD)δ 7.43(s,1H),7.36(d,J=10.3Hz,1H),7.02(d,J=6.8Hz,1H),6.98-6.89(m,2H),6.85(t,J=9.2Hz,1H),5.69(t,J=8.1Hz,1H),5.53-5.50(m,1H),5.30-5.08(m,1H),4.09-3.99(m,2H),3.77-3.63(m,2H),3.15-3.12(m,2H),2.79-2.69(m,2H),2.66-2.62(m,2H),2.31(s,3H),2.09(s,3H),1.97(t,J=7.6Hz,2H),1.51-1.37(m,1H),0.98-0.93(m,6H).
FQ-P2 ESI 634.2(M+H)H NMR(400MHz,MeOD)δ 7.43-7.32(m,2H),7.06(d,J=6.7Hz,2H),6.93(d,J=9.3Hz,1H),6.88-6.83(m,1H),5.74-5.59(m,2H),5.39-5.24(m,1H),4.42-4.32(m,2H),4.10-3.88(m,2H),3.40-3.37(m,2H),2.81-2.71(m,2H),2.65-2.60(m,1H),2.55-2.48(m,1H),2.34(d,J=1.6Hz,3H),2.16(s,3H),2.03-1.93(m,1H),1.86-1.75(m,1H),1.45-1.33(m,1H),0.93- 0.91(m,6H).
4-124. (3S)-3-(2-(5-(2-(アゼチジン-1-イル)エチル)-2-オキソ-4-(トリフルオロメチル)ピリジン-1(2H)-イル)-4-メチルペンタンアミド)-3-(2’-シクロプロピル-4,4’-ジフルオロ-5,6’-ジメチル-[1,1’-ビフェニル]-3-イル)プロパン酸(ジアステレオマー化合物FR-P1およびFR-P2)
Figure 0007702004000939
FR-P1 ESI 688.2(M+H)H NMR(400MHz,MeOD)δ 7.84(s,1H),6.95(dd,J=19.9,7.2Hz,2H),6.86-6.64(m,2H),6.55-6.23(m,1H),5.75-5.49(m,2H),3.85(t,J=7.7Hz,4H),3.33(m,J=3.2,1.6Hz,2H),3.13(m,J=6.8Hz,2H),2.90-2.58(m,2H),2.51-2.21(m,5H),2.01(d,J=5.3Hz,4H),1.87(s,1H),1.40(s,2H),1.07-0.85(m,6H),0.75(m,J=8.6,3.5Hz,1H),0.66-0.43(m,3H).
FR-P2 ESI 688.2(M+H)H NMR(400MHz,MeOD)δ 7.74(d,J=11.5Hz,1H),6.94(m,J=46.9,28.6,8.1Hz,4H),6.50(d,J=10.4Hz,1H),5.78(m,J=11.0,3.1Hz,1H),5.62(m,J=7.3Hz,1H),4.13(m,J=8.0Hz,4H),3.50-3.32(m,2H),2.94(d,J=16.3Hz,1H),2.81(d,J=7.7Hz,2H),2.68-2.61(m,1H),2.57-2.42(m,3H),2.34(d,J=1.1Hz,3H),2.05-1.79(m,4H),1.65(m,J=13.9,7.1Hz,1H),1.50-1.30(m,2H),0.88(d,J=6.6Hz,6H),0.74(m,J=14.0,7.3Hz,2H),0.60(m,J=6.4,5.0Hz,2H)。
4-125. (3S)-3-((3R)-2-(5-(2-(ジメチルアミノ)エチル)-2-オキソ-4-(トリフルオロメチル)ピリジン-1(2H)-イル)-3-メチルペンタンアミド)-3-(4-フルオロ-2’,4’,5,6’-テトラメチルビフェニル-3-イル)プロパン酸(ジアステレオマー化合物FS-P1およびFS-P2)
Figure 0007702004000940
FS-P1 ESI 646.2(M+H)H NMR(400MHz,MeOD)δ 7.94(s,1H),6.89(s,1H),6.82-6.75(m,3H),6.66(s,1H),5.65-5.53(m,1H),5.33(d,J=11.3Hz,1H),3.05-2.83(m,5H),2.82-2.62(m,6H),2.40-2.18(m,8H),2.03-1.88(m,3H),1.78-1.67(m,1H),1.63(s,3H),1.38-1.21(m,1H),1.07-0.96(m,3H),0.75(d,J=6.5Hz,3H).
FS-P2 ESI 646.2(M+H)H NMR(400MHz,MeOD)δ 7.92(s,1H),6.91-6.72(m,5H),5.69-5.52(m,1H),5.21(d,J=10.9Hz,1H),3.14-2.79(m,3H),2.68(s,6H),2.55-2.36(m,2H),2.22-2.06(m,H),1.84(d,J=3.6Hz,4H),1.32-0.99(m,3H),0.93-0.61(m,7H).
4-126. (3S)-3-(2’,6’-ジクロロ-4-フルオロ-4’,5-ジメチルビフェニル-3-イル)-3-(2-(5-(2-(ジメチルアミノ)エチル)-2-オキソ-4-(トリフルオロメチル)ピリジン-1(2H)-イル)-3-メチルブタンアミド)プロパン酸(ジアステレオマー化合物FT-P1およびFT-P2)
Figure 0007702004000941
FT-P1 ESI 672.1(M+H)H NMR(400MHz,MeOD)δ:7.91(s,1H),7.27(d,J=6.0Hz,1H),7.14(d,J=5.2Hz,1H),6.90(t,J=6.0Hz,2H),6.67(d,J=5.6Hz,1H),5.64-5.60(m,1H),5.29(d,J=11.2Hz,1H),2.97-2.85(m,4H),2.78-2.61(m,8H),2.46-2.40(m,1H),2.36(s,3H),2.27(s,3H),1.16(d,J=6.4Hz,3H),0.78(d,J=6.4Hz,3H).
FT-P2 ESI 672.2(M+H)H NMR(400MHz,MeOD)δ:8.01(s,1H),7.30(s,2H),7.09-7.07(m,1H),7.00(d,J=7.2Hz,1H),6.90(s,1H),5.78-5.74(m,1H),5.23(d,J=11.2Hz,1H),3.27-3.20(m,1H),3.17-3.11(m,1H),3.09-3.01(m,1H),2.99-2.93(m,1H),2.78(s,6H),2.61-2.50(m,2H),2.47-2.37(m,4H),2.31(d,J=1.2Hz,3H),0.94(d,J=6.4Hz,3H),0.71(d,J=6.8Hz,3H).
4-127. (3S)-3-(2-(5-(2-(アゼチジン-1-イル)エチル)-2-オキソ-4-(トリフルオロメチル)ピリジン-1(2H)-イル)-4-メチルペンタンアミド)-3-(2’-シクロプロピル-4-フルオロ-4’,5,6’-トリメチル-[1,1’-ビフェニル]-3-イル)プロパン酸(ジアステレオマー化合物FU-P1およびFU-P2)
Figure 0007702004000942
FU-P1 ESI 684.3(M+H)H NMR(400MHz,MeOD)δ 7.84(s,1H),6.97-6.78(m,4H),6.58(s,1H),5.69-5.59(m,2H),3.97-3.94(m,4H),3.26-3.21(m,2H),2.86-2.81(m,2H),2.72-2.68(m,2H),2.46-2.38(m,2H),2.29(d,J=4.9Hz,6H),2.03-1.97(m,3H),1.85(s,2H),1.48-1.31(m,2H),0.98-0.91(m,6H),0.67(d,J=8.4Hz,1H),0.59-0.44(m,3H).
FU-P2 ESI 684.3(M+H)H NMR(400MHz,MeOD)δ 7.73(d,J=10.5Hz, 1H),7.02-6.96(m,2H),6.91(s,1H),6.90(s,1H),6.59(s,1H),5.78-5.75(m,1H),5.64-5.59(m,1H),4.14-4.10(m,4H),3.47-3.38(m,2H),2.97-2.92(m,1H),2.85-2.75(m,1H),2.69-2.60(m,1H),2.55-2.45(m,3H),2.34(s,3H),2.29(s,3H),2.05-1.96(m,4H),1.71-1.61(m,1H),1.49-1.39(m,2H),0.90(d,J=6.6Hz,6H),0.70-0.66(m,2H),0.58-0.55(m,2H).
4-128. (3S)-3-(2’,6’-ジクロロ-4-フルオロ-5-メチルビフェニル-3-イル)-3-(2-(5-(2-(ジメチルアミノ)エチル)-2-オキソ-4-(トリフルオロメチル)ピリジン-1(2H)-イル)-4-メチルペンタンアミド)プロパン酸(ジアステレオマー化合物FV-P1およびFV-P2)
Figure 0007702004000943
FV-P1 ESI 672.2(M+H)H NMR(400MHz,MeOD)δ:7.89(s,1H),7.46(d,J=8.0Hz,1H),7.39(d,J=7.2Hz,1H),7.32(t,J=8.0Hz,1H),7.00-6.96(m,2H),6.75(s,1H),5.72-5.68(m,1H),5.60-5.56(m,1H),3.10-3.01(m,2H),2.94-2.92(m,2H),2.74-2.65(m,8H),2.27(d,J=1.2Hz,3H),2.01-1.93(m,2H),1.47-1.41(m,1H),0.95(d,J=6.4Hz,3H),0.93(d,J=6.4Hz,3H).
FV-P2 ESI 672.2(M+H)H NMR(400MHz,MeOD)δ:7.91-5.88(m,1H),7.47(d,J=8.0Hz,2H),7.35-7.31(m,1H),7.08-7.02(m,2H),6.89(s,1H),5.78-5.74(m,1H),5.64(t,J=7.6Hz,1H),3.27-3.15(m,2H),3.06-2.95(m,2H),2.80(s,6H),2.65-2.60(m,1H),2.55-2.49(m,1H),2.32(s,3H),1.99-1.92(m,1H),1.71-1.64(m,1H),1.41-1.34(m,1H),0.86-0.84(m,6H).
4-129. (3S)-3-(2-(5-(2-(アゼチジン-1-イル)エチル)-2-オキソ-4-(トリフルオロメチル)ピリジン-1(2H)-イル)-4-メチルペンタンアミド)-3-(4-フルオロ-2’,5,6’-トリメチル-4’-(トリフルオロメチル)ビフェニル-3-イル)プロパン酸(ジアステレオマー化合物FW-P1およびFW-P2)
Figure 0007702004000944
FW-P1 ESI 712.2(M+H)H NMR(400MHz,MeOD)δ:7.88(s,1H),7.39(s,1H),7.35(s,1H),6.91(t,J=6.2Hz,2H),6.70(s,1H),5.66-5.57(m,2H),4.04(t,J=8.2Hz,4H),3.29(t,J=7.4Hz,2H),2.84(t,J=7.2Hz,2H),2.78-2.67(m,2H),2.48-2.40(m,2H),2.30(d,J=1.2Hz,3H),2.08(s,3H),2.03-1.99(m,2H),1.91(s,3H),1.47-1.40(m,1H),),0.95(d,J=6.8Hz,3H),0.93(d,J=6.4Hz,3H).
FW-P2 ESI 712.2(M+H)H NMR(400MHz,MeOD)δ:7.74(s,1H),7.41(s,2H),6.98(s,1H),6.96(s,1H),6.90(s,1H),5.79-5.76(m,1H),5.60(t,J=8.0Hz,1H),4.15(t,J=8.0Hz,4H),3.48-3.42(m,1H),3.38-3.33(m,1H),2.98-2.91(m,1H),2.84-2.77(m,1H),2.69-2.64(m,1H),2.55-2.45(m,3H),2.35(d,J=1.6Hz,3H),2.09(s,3H),2.08(s,3H),2.03-1.96(m,1H),1.69-1.62(m,1H),1.46-1.36(m,1H),0.89(d,J=1.6Hz,3H),0.87(d,J=2.0Hz,3H).
4-130. (3S)-3-(2’-クロロ-4-フルオロ-5,6’-ジメチル-[1,1’-ビフェニル]-3-イル)-3-(2-(5-(2-(ジメチルアミノ)エチル)-2-オキソ-4-(トリフルオロメチル)ピリジン-1(2H)-イル)-4-メチルペンタンアミド)プロパン酸(ジアステレオマー化合物FX-P1およびFX-P2)
Figure 0007702004000945
FX-P1 ESI 652.2(M+H)H NMR(400MHz,MeOD)δ 7.90(d,J=4.5Hz,1H),7.37-7.09(m,3H),6.93(m,J=10.9,4.9Hz,2H),6.75(d,J=6.5Hz,1H),5.68(m,J=30.2,23.4Hz,2H),3.00(d,J=50.0Hz,4H),2.73(d,J=14.3Hz,8H),2.30(s,3H),2.13-1.83(m,5H),1.45(d,J=6.4Hz,1H),0.96(m,J=12.9,6.6,2.5Hz,6H).
FX-P2 ESI 652.2(M+H)H NMR(400MHz,MeOD)δ 7.88(s,1H),7.34-7.09(m,3H),7.11-6.51(m,3H),5.69(m,J=21.6,10.6,4.3Hz,2H),3.15(s,2H),2.98(s,2H),2.88-2.53(m,8H),2.34(s,3H),2.08(d,J=5.6Hz,3H),1.98-1.81(m,1H),1.78(s,1H),1.40(s,1H),0.89(m,J=6.4,4.6Hz,6H).
4-131. (3S)-3-(2-(5-(2-(アゼチジン-1-イル)エチル)-2-オキソ-4-(トリフルオロメチル)ピリジン-1(2H)-イル)-4-メチルペンタンアミド)-3-(2’,4-ジフルオロ-5,6’-ジメチルビフェニル-3-イル)プロパン酸(ジアステレオマー化合物FY-P1およびFY-P2)
Figure 0007702004000946
FY-P1 ESI 648.2(M+H)H NMR(400MHz,MeOD)δ 7.84(s,1H),7.30-7.23(m,1H),7.16 -7.09(m,1H),7.06 -6.92(m,3H),6.81(s,1H),5.71-5.60 (m,2H),4.01(t,J=8.1Hz,4H),3.29(s,2H),2.86(t,J=6.8Hz,2H),2.72(d,J=6.6Hz,2H),2.46-2.36(m,2H),2.36-2.31(m,3H),2.10(s,3H),2.00(t,J=7.6Hz,2H),1.51-1.42(m,1H),0.98-0.93(m,6H).
FY-P2 ESI 648.2(M+H)H NMR(400MHz,MeOD)δ 7.75(s,1H),7.31 -7.19 (m,1H),7.15-7.04(m,3H),6.99(t,J=8.8Hz,1H),6.92(s,1H),5.81 -5.75(m,1H),5.64(t,J=7.6Hz,1H),4.14(t,J=8.0Hz,4H),3.49-3.35(m,2H),2.94(d,J=15.7Hz,1H),2.87-2.75(m,1H),2.69 -2.56(m,1H),2.57-2.43(m,3H),2.35(d,J=1.5Hz,3H),2.17(d,J=8.1Hz,3H),2.04-1.95(m,1H),1.72-1.62(m,1H),1.46 -1.32(m,1H),0.97 -0.91(m,6H).
4-132. (3S)-3-(3’,4-ジフルオロ-2’,4’,5,6’-テトラメチルビフェニル-3-イル)-3-(2-(5-(2-(ジメチルアミノ)エチル)-2-オキソ-4-(トリフルオロメチル)ピリジン-1(2H)-イル)-4-メチルペンタンアミド)プロパン酸(ジアステレオマー化合物FZ-P1およびFZ-P2)
Figure 0007702004000947
FZ-P1 ESI 664.2(M+H)H NMR(400MHz,MeOD)δ 7.85(s,1H),7.01-6.79(m,4H),5.78-5.58(m,2H),3.29-3.07(m,2H),3.04-2.89(m,2H),2.81(s,6H),2.70-2.42(m,2H),2.33(s,3H),2.26(s,3H),2.13-1.83(m,7H),1.81-1.60(m,1H),1.52-1.30(m,1H),1.02-0.81(m,6H).
FZ-P2 ESI 664.2(M+H)H NMR(400MHz,MeOD)δ 7.91(s,1H),6.99-6.68(m,4H),5.82-5.50(m,2H),3.19-2.89(m,4H),2.83-2.54(m,8H),2.38-2.22(m,6H),2.13-1.80(m,5H),1.72(d,J=14.7Hz,3H),1.51-1.36(m,1H),1.06-0.84(m,6H).
4-133. (3S)-3-(2-(5-(2-(アゼチジン-1-イル)エチル)-2-オキソ-4-(トリフルオロメチル)ピリジン-1(2H)-イル)-4-メチルペンタンアミド)-3-(4’-シアノ-4-フルオロ-2’,5,6’-トリメチルビフェニル-3-イル)プロパン酸(ジアステレオマー化合物GA-P1およびGA-P2)
Figure 0007702004000948
GA-P1 ESI 669.2(M+H)H NMR(400MHz,MeOD)δ 7.84(s,1H),7.47(d,J=10.3Hz,2H),6.91(d,J=6.7Hz,2H),6.75(s,1H),5.59(d,J=7.7Hz,2H),4.06(t,J=8.1Hz,4H),3.31-3.27(m,2H),2.98-2.85(m,2H),2.79-2.64(m,2H),2.58-2.39(m,2H),2.31(s,3H),2.14-1.88(m,8H),1.54-1.27(m,1H),1.10-0.80(m,6H).
GA-P2 ESI 669.2(M+H)H NMR(400MHz,MeOD)δ 7.74(s,1H),7.50(s,2H),7.06-6.84(m,3H),5.90-5.71(m,1H),5.61(t,J=7.6Hz,1H),4.10(s,4H),3.36(s,2H),3.09-2.74(m,2H),2.74-2.60(m,1H),2.55-2.39(m,3H),2.35(s,3H),2.13-1.89(m,7H),1.75-1.62(m,1H),1.50-1.35(m,1H),0.98-0.81(m,6H).
4-134. (3S)-3-(2’-シアノ-4-フルオロ-5,6’-ジメチルビフェニル-3-イル)-3-(2-(5-(2-(ジメチルアミノ)エチル)-2-オキソ-4-(トリフルオロメチル)ピリジン-1(2H)-イル)-4-メチルペンタンアミド)プロパン酸(ジアステレオマー化合物GB-P1およびGB-P2)
Figure 0007702004000949
GB-P1 ESI 643.2(M+H)H NMR(400MHz,MeOD)δ 7.89(s,1H),7.59(s,2H),7.43(t,J=7.7Hz,1H),7.06(s,2H),6.71(d,J=26.7Hz,1H),5.73(s,1H),5.60(d,J=7.3Hz,1H),3.10(s,2H),2.93(d,J=8.3Hz,2H),2.80-2.69(m,8H),2.32(s,3H),2.19(s,2H),2.00(s,3H),1.49-1.42(m,1H),1.00-0.92(m,6H).
GB-P1 ESI 643.2(M+H)H NMR(400MHz,MeOD)δ 7.81(s,1H),7.66-7.52(m,2H),7.45(t,J=7.7Hz,1H),7.13(d,J=6.4Hz,2H),6.90(s,1H),5.77-5.59(m,2H),3.23(s,2H),3.01(s,2H),2.83(s,6H),2.69-2.53(m,1H),2.58-2.49(m,1H),2.37(d,J=1.6Hz,3H),2.19(s,3H),2.05-1.96(m,1H),1.81(s,1H),1.42-1.36(m,1H),0.99-0.91(m,6H).
4-135. (3S)-3-(2-(5-(2-(アゼチジン-1-イル)エチル)-2-オキソ-4-(トリフルオロメチル)ピリジン-1(2H)-イル)-4-メチルペンタンアミド)-3-(4-フルオロ-2’-メトキシ-5,6’-ジメチルビフェニル-3-イル)プロパン酸(ジアステレオマー化合物GC-P1およびGC-P2)
Figure 0007702004000950
GC-P1 ESI 660.2(M+H)H NMR(400MHz,MeOD)δ 7.82(s,1H),7.21(t,J=8.0Hz,1H),6.99-6.82(m,5H),5.70-5.62(m,2H),4.01-3.96(m,4H),3.66(s,3H),3.30-3.27(m,2H),2.88-2.85(m,2H),2.71(d,J=7.4Hz,2H),2.45-2.39(m,2H),2.29(s,3H),2.02-1.93(m,5H),1.45-1.38(m,1H),0.97-0.93(m,6H).
GC-P2 ESI 660.2(M+H)H NMR(400MHz,MeOD)δ 7.73(s,1H),7.22(t,J=8.0Hz,1H),7.00-6.87(m,5H),5.79-5.75(m,1H),5.62(t,J=7.6Hz,1H),4.13(t,J=7.9Hz,4H),3.68(s,3H),3.49-3.35(m,2H),2.97- 2.91(d,J=16.1Hz,1H),2.85-2.77(m,1H),2.66-2.62(m,1H),2.56-2.42(m,3H),2.32(d,J=1.7Hz,3H),2.04(s, 3H),2.02-1.97(m,1H),1.72-1.60(m,1H),1.49-1.36(m,1H),0.91(d,J=6.5Hz,6H).
4-136. (3S)-3-(2’-シクロプロピル-4-フルオロ-4’,5,6’-トリメチル-[1,1’-ビフェニル]-3-イル)-3-(2-(5-(2-(ジメチルアミノ)エチル)-4-メチル-2-オキソピリジン-1(2H)-イル)-4-メチルペンタンアミド)プロパン酸(ジアステレオマー化合物GD-P1およびGD-P2)
Figure 0007702004000951
GD-P1 ESI 618.3(M+H)H NMR(400MHz,MeOD)δ 7.57(d,J=1.8Hz,1),6.91-6.84(m,3H),6.57(d,J=11.0Hz,1H),6.38(d,J=8.9Hz,1H),5.59(d,J=5.8Hz,1H),5.46(t,J=5.9Hz,1H),3.22-3.06(m,2H),2.87(t,J=7.1Hz,2H),2.74(s,6H),2.71-2.56(m,2H),2.27(d,J=13.3Hz,9H),2.04-1.87(m,5H),1.48-1.38(m,2H),0.95-0.89(m,6H),0.72-0.67(m,1H),0.63-0.55(m,1H),0.53-0.48(m,2H).
GD-P2 ESI 618.3(M+H)H NMR(400MHz,MeOD)δ 7.54(d,J=10.5Hz,1H),6.98-6.89(m,2H),6.89(s,1H),6.59(s,1H),6.44(d,J=5.1Hz,1H),5.65 -5.56(m,2H),3.34-3.26(m,2H),3.20-3.13(m,2H),2.94-2.88(m,2H),2.81(d,J=2.0Hz,6H),2.64-2.57(m,1H),2.48-2.41(m,1H),2.32-2.246(m,9H),1.99-1.92(m,4H),1.81-1.74 (m,1H),1.49-1.33(m,1H), 0.92-0.85(m,6H),0.68-0.63(m,2H),0.58-0.51(m,2H).
4-137. (3S)-3-(4’-シクロプロピル-4-フルオロ-2’,5,6’-トリメチル-[1,1’-ビフェニル]-3-イル)-3-(2-(5-(2-(ジメチルアミノ)エチル)-4-メチル-2-オキソピリジン-1(2H)-イル)-4-メチルペンタンアミド)プロパン酸(ジアステレオマー化合物GE-P1およびGE-P2)
Figure 0007702004000952
GE-P1 ESI 618.3(M+H)H NMR(400MHz,MeOD)δ 7.46(s,1H),6.84-6.65(m,3H),6.45(d,J=11.2Hz,1H),6.27(d,J=8.7Hz,1H),5.48-5.46(m,1H),5.33(d,J=5.6Hz,1H),3.15-2.95(m,2H),2.78-2.74(m,3H),2.60(d,J=25.4Hz,6H),2.58-2.40(m,2H),2.17(s,6H),2.13(s,3H),1.95-1.73(m,5H),1.34-1.28(m,2H),0.86-0.73(m,6H),0.62-0.32(m,4H).
GE-P2 ESI 618.3(M+H)H NMR(400MHz,MeOD)δ 7.43(s,1H),7.40(s,1H),6.84(t,J=6.2Hz,2H),6.77(s,1H),6.47(s,1H),6.32(d,J=5.5Hz,1H),5.52-5.44(m,2H),3.09-3.06(m,1H),2.88-2.67(m,8H),2.51-2.45(m,1H),2.37-2.29(m,1H),2.24-2.09(m,9H),1.85-1.81(m,4H),1.70-1.59(m,1H),1.39-1.16(m,2H),0.78-0.76(m,6H),0.54(t,J=7.6Hz,2H),0.45(d,J=4.5Hz,2H).
4-138. (3S)-3-(2’-クロロ-4,4’-ジフルオロ-5,6’-ジメチル-[1,1’-ビフェニル]-3-イル)-3-(2-(5-(2-(ジメチルアミノ)エチル)-2-オキソ-4-(トリフルオロメチル)ピリジン-1(2H)-イル)-4-メチルペンタンアミド)プロパン酸(ジアステレオマー化合物GF-P1およびGF-P2)
Figure 0007702004000953
GF-P1 ESI 670.2(M+H)H NMR(400MHz,MeOD)δ 7.90(d,J=3.1Hz,1H),7.14-6.92(m,4H),6.76(d,J=5.6Hz,1H),5.72-5.65(m,1H),5.60-5.56(m,1H),3.10-2.87(m,4H),2.76-2.66(m,8H),2.30(s,3H),2.09-1.91(m,5H),1.47-1.41(m,1H),1.00-0.92(m,6H).
GF-P2 ESI 670.2(M+H)H NMR(400MHz,MeOD)δ 7.84(s,1H),7.16-7.12(m,1H),7.07-6.95(m,3H),6.91(d,J=2.7Hz,1H),5.74-5.59(m,2H),3.32-3.21(m,2H),3.03-2.99(m,2H),2.84(d,J=2.9Hz,6H),2.67-2.49(m,2H),2.34(d,J=1.6Hz,3H),2.03-1.90(m,1H),1.76-1.67(m,1H),1.46-1.37(m,1H),0.92-0.89(m,6H).
4-139. (3S)-3-(2’,6’-ジクロロ-4-フルオロ-4’,5-ジメチル-[1,1’-ビフェニル]-3-イル)-3-(2-(5-(2-(ジメチルアミノ)エチル)-2-オキソ-4-(トリフルオロメチル)ピリジン-1(2H)-イル)-4-メチルペンタンアミド)プロパン酸(ジアステレオマー化合物GG-P1およびGG-P2)
Figure 0007702004000954
GG-P1 ESI 686.1(M+H)H NMR(400MHz,MeOD)δ 7.90(s,1H),7.31(s,1H),7.23(s,1H),7.02-6.91(m,2H),6.76(s,1H),5.76-5.66(m,1H),5.63-5.53(m,1H),3.15-3.04(m,2H),2.94(t,J=11.0Hz,2H),2.80-2.66(m,8H),2.38(s,3H),2.29(d,J=1.3Hz,3H),2.04-1.92(m,2H),1.51-1.42(m,1H),1.01-0.90(m,6H).
GG-P2 ESI 686.1(M+H)H NMR(400MHz,MeOD)δ 7.88(s,1H),7.32(s,2H),7.09-6.99(m,2H),6.91(s,1H),5.79-5.71(m,1H),5.65(t,J=7.7Hz,1H),3.30-3.15(m,2H),3.00(t,J=6.8Hz,2H),2.81(s,6H),2.67-2.50(m,2H),2.39(s,3H),2.33(d,J=1.5Hz,3H),2.02-1.92(m,1H),1.73-1.65(m,1H),1.44-1.36(m,1H),0.91-0.85(m,6H).
4-140. (3S)-3-(2-(5-(2-(ジメチルアミノ)エチル)-4-メチル-2-オキソピリジン-1(2H)-イル)-4-メチルペンタンアミド)-3-(4-フルオロ-2’,5,6’-トリメチル-4’-(トリフルオロメチル)ビフェニル-3-イル)プロパン酸(ジアステレオマー化合物GH-P1およびGH-P2)
Figure 0007702004000955
GH-P1 ESI 646.3(M+H)H NMR(400MHz,MeOD)δ:7.59(s,1H),7.40(s,1H),7.38(s,1H),6.89(d,J=6.8Hz,1H),6.84(d,J=6.4Hz,1H),6.28(s,1H),5.55(t,J=5.6Hz,1H),5.49(t,J=6.0Hz,1H),3.16-3.08(m,2H),2.87(t,J=7.2Hz,2H),2.78(s,6H),2.73-2.68(m,1H),2.65-2.60(m,1H),2.31(s,3H),2.25(s,3H),2.08(s,3H),2.01-1.90(m,5H),1.45-1.38(m,1H),0.94(d,J=6.4Hz,3H),0.91(d,J=6.8Hz,3H).
GH-P2 ESI 646.3(M+H)H NMR(400MHz,MeOD)δ:7.55(s,1H),7.41(s,2H),6.95-6.93(m,1H),6.90(d,J=6.4Hz,1H),6.41(s,1H),5.63-5.60(m,1H),5.58-5.56(m,1H),3.38-3.36(m,1H),3.25-3.19(m,1H),2.95-2.90(m,2H),2.85(s,6H),2.64-2.59(m,1H),2.50-2.44(m,1H),2.34(d,J=1.6Hz,3H),2.26(s,3H),2.08(s,6H),2.00-1.93(m,1H),1.83-1.76(m,1H),1.42-1.35(m,1H),0.89(t,J=6.4Hz,6H).
4-141. (3S)-3-(4’-シクロプロピル-4-フルオロ-2’,5,6’-トリメチル-[1,1’-ビフェニル]-3-イル)-3-(2-(5-(2-(ジメチルアミノ)エチル)-3-フルオロ-4-メチル-2-オキソピリジン-1(2H)-イル)-4-メチルペンタンアミド)プロパン酸(ジアステレオマー化合物GI-P1およびGI-P2)
Figure 0007702004000956
GI-P1 ESI 636.3(M+H)H NMR(400MHz,MeOD)δ 7.47(s,1H),6.94-6.78(m,3H),6.57(d,J=12.7Hz,1H),5.74-5.57(m,1H),5.46(t,J=5.9Hz,1H),3.25-3.10(m,2H),2.92(t,J=6.9Hz,2H),2.75(s,6H),2.70-2.52(m,2H),2.30-2.25(m,9H),1.99-1.88(m,5H),1.46-1.39(m,2H),0.97-0.86(m,6H),0.72-0.43(m,4H).
GI-P2 ESI 636.3(M+H)H NMR(400MHz,MeOD)δ 7.42(d,J=11.3Hz,1H),6.97(t,J=8.2Hz,2H),6.89(s,1H),6.59(s,1H),5.72-5.52(m,2H),3.32-3.22(m,2H),2.98-2.90(m,2H),2.85(s,6H),2.67-2.38(m,2H),2.32-2.25(m,9H),2.00-1.98(m,4H),1.83-1.67(m,1H),1.51-1.26(m,2H),0.90(d,J=6.6Hz,6H),0.70-0.48(m,4H).
4-142. (3S)-3-(4-フルオロ-2’,4’,5,6’-テトラメチル-[1,1’-ビフェニル]-3-イル)-3-(2-(3-フルオロ-5-(2-(3-メトキシアゼチジン-1-イル)エチル)-4-メチル-2-オキソピリジン-1(2H)-イル)-4-メチルペンタンアミド)プロパン酸(ジアステレオマー化合物GJ-P1およびGJ-P2)
Figure 0007702004000957
GJ-P1 ESI 652.3(M+H)H NMR(400MHz,MeOD)δ 7.26(s,1H),6.84-6.68(m,4H),5.54-5.45(m,1H),5.41(t,J=6.3Hz,1H),4.14-3.93(m,3H),3.64-3.54(m,1H),3.52-3.50(m,1H),3.25-3.16(m,5H),2.74-2.55(m,4H),2.18(s,6H),2.12(d,J=4.0Hz,3H),1.88-1.74(m,8H),1.29-1.25(m,1H),0.83-0.78(m,6H).
GJ-P2 ESI 652.3(M+H)H NMR(400MHz,MeOD)δ 7.20(s,1H),6.85-6.72(m,4H),5.61-5.43(m,2H),4.36-4.08(m,3H),3.84-3.61(m,2H),3.32-3.22(m,5H),2.82-2.78(m,1H),2.64-2.56(m,1H),2.51-2.47(m,1H),2.39-2.32(m,1H),2.23-2.13(m,6H),2.10(d,J=2.7Hz,3H),1.90-1.73(m,8H),1.68-1.51(m,1H),1.32-1.20(m,1H),0.79-0.74(m,6H).
4-143. (3S)-3-(2-(5-(2-(アゼチジン-1-イル)エチル)-2-オキソ-4-(トリフルオロメチル)ピリジン-1(2H)-イル)-4-メチルペンタンアミド)-3-(4,4’-ジフルオロ-2’,5,5’-トリメチルビフェニル-3-イル)プロパン酸(ジアステレオマー化合物GK-P1およびGK-P2)
Figure 0007702004000958
GK-P1 ESI 662.2(M+H)H NMR(400MHz,MeOD)δ 7.84(s,1H),7.03-7.00(m,3H),6.93(d,J=10.6Hz,1H),6.81(s,1H),5.70-5.63(m,1H),5.59(t,J=6.7Hz,1H),4.02(t,J=8.2Hz,4H),3.30(s,2H),2.86(t,J=6.9Hz,2H),2.71(d,J=6.8Hz,2H),2.42-2.39( m,2H),2.30(d,J=1.4Hz,3H),2.25(s,3H),2.15(s,3H),2.02-2.19(m,2H),1.48-1.39(m,1H),0.96-0.90(m,6H).
GK-P2 ESI 662.2(M+H)H NMR(400MHz,MeOD)δ 7.73(s,1H),7.09-7.06(m,2H),7.04(d,J=8.1Hz,1H),6.99-6.88(m,2H),5.75-5.70(m,1H),5.64(t,J=7.7Hz,1H),4.15(t,J=8.0Hz,4H),3.42-3.40(m,2H),2.95(d,J=16.2Hz,1H),2.82-2.80(m,1H),2.64-2.60(m,1H),2.55-2.43(m,3H),2.34(s,3H),2.26(s,3H),2.20(s,3H),2.04-1.97(m,1H),1.71-1.68(m,1H),1.43-1.38(m,1H),0.92(t,J=6.3Hz,6H).
4-144. (3S)-3-(2-(5-(2-(アゼチジン-1-イル)エチル)-2-オキソ-4-(トリフルオロメチル)ピリジン-1(2H)-イル)-4-メチルペンタンアミド)-3-(4-フルオロ-4’-メトキシ-2’,5,5’-トリメチル-[1,1’-ビフェニル]-3-イル)プロパン酸(ジアステレオマー化合物GL-P1およびGL-P2)
Figure 0007702004000959
GL-P1 ESI 674.3(M+H)H NMR(400MHz,MeOD)δ 7.83(s,1H),7.03(t,J=7.3Hz,2H),6.90(s,1H),6.83(s,1H),6.78(s,1H),5.67(t,J=8.0Hz,1H),5.59(t,J=6.7Hz,1H),3.99(t,J=8.2Hz,4H),3.86(s,3H),3.29(d,J=3.5Hz,2H),2.85(t,J=6.7Hz,2H),2.71(d,J=6.7Hz,2H),2.44-2.34(m,2H),2.29(d,J=1.6Hz,3H),2.18(s,6H),2.02(t,J=7.5Hz,2H),1.46-1.39(m,1H),0.96(t,J=6.2Hz,6H).
GL-P2 ESI 674.3(M+H)H NMR(400MHz,MeOD)δ 7.74(s,1H),7.14-7.03(m,2H),6.93(s,2H),6.80(s,1H),5.80-5.71(m,1H),5.64(t,J=7.6Hz,1H),4.14(t,J=8.0Hz,4H),3.86(s,3H),3.50-3.36(m,2H),2.95(d,J=15.7Hz,1H),2.87-2.78(m,1H),2.67-2.60(m,1H),2.57-2.42(m,3H),2.33(d,J=1.6Hz,3H),2.20(d,J=19.2Hz,6H),2.05-1.96(m,1H),1.73-1.65(m,1H),1.47-1.37(m,1H),0.92(t,J=6.7Hz,6H).
4-145. (3S)-3-(2-(5-(2-(アゼチジン-1-イル)エチル)-2-オキソ-4-(トリフルオロメチル)ピリジン-1(2H)-イル)-4-メチルペンタンアミド)-3-(4’-シアノ-4,5’-ジフルオロ-2’,5-ジメチルビフェニル-3-イル)プロパン酸(ジアステレオマー化合物GM-P1およびGM-P2)
Figure 0007702004000960
GM-P1 ESI 673.3(M+H)H NMR(500MHz,MeOD)δ 7.86(s,1H),7.67(d,J=6.6Hz,1H),7.24-7.07(m,3H),6.79(d,J=7.4Hz,1H),5.78-5.50(m,2H),4.10(t,J=8.1Hz,4H),3.41-3.34(m,2H),2.92-2.65(m,4H),2.61-2.40(m,2H),2.32(s,3H),2.23(s,3H),2.15-1.86(m,2H),1.54-1.38(m,1H),0.97(t,J=6.6Hz,6H).
GM-P2 ESI 673.3(M+H)H NMR(500MHz,MeOD)δ 7.75-7.59(m,2H),7.25-7.16(m,3H),6.93(s,1H),5.80-5.55(m,2H),4.16(t,J=7.9Hz,4H),3.50-3.37(m,2H),3.04-2.77(m,2H),2.72-2.43(m,4H),2.36(s,3H),2.28(s,3H),2.06-1.96(m,1H),1.83-1.64(m,1H),1.53-1.29(m,1H),0.97-0.89(m,6H).
4-146. (3S)-3-(2-(5-(2-(アゼチジン-1-イル)エチル)-2-オキソ-4-(トリフルオロメチル)ピリジン-1(2H)-イル)-4-メチルペンタンアミド)-3-(5’-シアノ-4,4’-ジフルオロ-2’,5-ジメチル-[1,1’-ビフェニル]-3-イル)プロパン酸(ジアステレオマー化合物GN-P1およびGN-P2)
Figure 0007702004000961
GN-P1 ESI 673.3(M+H)H NMR(400MHz,MeOD)δ 7.85(s,1H),7.55(d,J=6.7Hz,1H),7.32(d,J=10.3Hz,1H),7.10(d,J=6.4Hz,2H),6.81(s,1H),5.65-5.55(m,2H),4.03(t,J=8.0Hz,4H),3.32-3.26(m,2H),2.84(t,J=7.0Hz,2H),2.78-2.67(m,2H),2.51-2.36(m,2H),2.36-2.25(m,6H),2.14-1.92(m,2H),1.52-1.36(m,1H),0.97(t,J=6.1Hz,6H).
GN-P2 ESI 673.3(M+H)H NMR(400MHz,MeOD)δ 7.74(s,1H),7.57(d,J=6.7Hz,1H),7.34(d,J=10.2Hz,1H),7.14(d,J=6.7Hz,2H),6.93(s,1H),5.76-5.71(m,1H),5.63(t,J=7.7Hz,1H),4.13(t,J=7.9Hz,4H),3.49-3.35(m,2H),3.00-2.87(m,1H),2.88-2.75(m,1H),2.68-2.60(m,1H),2.57-2.42(m,3H),2.39-2.28(m,6H),2.05-1.95(m,1H),1.79-1.63(m,1H),1.48-1.37(m,1H),0.92(t,J=6.6Hz,6H).
4-147. (3S)-3-(2-(5-(2-(ジメチルアミノ)エチル)-3-フルオロ-2-オキソ-4-(トリフルオロメチル)ピリジン-1(2H)-イル)-4-メチルペンタンアミド)-3-(4-フルオロ-2’,5,6’-トリメチルビフェニル-3-イル)プロパン酸(ジアステレオマー化合物GO-P1およびGO-P2)
Figure 0007702004000962
GO-P1 ESI 650.2(M+H)+. H NMR(500MHz,MeOD)δ 7.70(s,1H),7.12(t,J=7.5Hz,1H),7.08-7.02(m,2H),6.89-6.85(m,2H),5.69(t,J=8.0Hz,1H),5.61-5.54(m,1H),3.09-3.02(m,2H),2.99(d,J=7.3Hz,2H),2.74-2.70(m,8H),2.30(s,3H),2.05-1.94(m,5H),1.86(s,3H),1.44(m,1H),0.94-0.90(m,6H).
GO-P2 ESI 650.2(M+H)+. H NMR(500MHz,MeOD)δ 7.62(s,1H),7.18-7.07(m,3H),6.94(t, J=6.8Hz,2H),5.73-5.70(m,1H),5.61(t,J=7.6Hz,1H),3.31-3.18(m,2H),3.11-2.95(m,2H),2.84(s,6H),2.65-2.60(m,1H),2.52-2.48(m,1H),2.35-2.32(m,3H),2.08-1.94(m,7H),1.74-1.64(m,1H),1.42-1.39(m,1H),0.90(d,J=6.6Hz,6H).
4-148. (3S)-3-(2-(5-(2-(ジメチルアミノ)エチル)-3-フルオロ-2-オキソ-4-(トリフルオロメチル)ピリジン-1(2H)-イル)-4-メチルペンタンアミド)-3-(4-フルオロ-2’,4’,5,6’-テトラメチルビフェニル-3-イル)プロパン酸(ジアステレオマー化合物GP-P1およびGP-P2)
Figure 0007702004000963
GP-P1 ESI 664.2(M+H)H NMR(400MHz,MeOD)δ 7.69(s,1H),6.96-6.77(m,4H),5.72-5.66(m,1H),5.56(s,1H),3.09-2.90(m,4H),2.71(d,J=4.8Hz,8H),2.29(s,6H),2.08-1.91(m,5H),1.82(s,3H),1.44(s,1H),0.95-0.90(m,6H).
GP-P2 ESI 664.2(M+H)H NMR(400MHz,MeOD)δ 7.62(d,J=12.1Hz,1H),6.97-6.85(m,4H),5.72-5.69(m,1H),5.62(t,J=7.6Hz,1H),3.22(qd,J=13.0,6.1Hz,2H),3.13-2.89(m,2H),2.82(s,6H),2.64-2.60(m,1H),2.49-2.45(m,1H),2.36-2.23(m,6H),2.04-1.90(m,7H),1.74-1.64(m,1H),1.41-1.38(m,1H),0.90-0.86(m,6H).
4-149. (3S)-3-(4,4’-ジフルオロ-2’,5,6’-トリメチルビフェニル-3-イル)-3-(2-(5-(2-(3-メトキシアゼチジン-1-イル)エチル)-2-オキソ-4-(トリフルオロメチル)ピリジン-1(2H)-イル)-4-メチルペンタンアミド)プロパン酸(ジアステレオマー化合物GQ-P1およびGQ-P2)
Figure 0007702004000964
GQ-P1 ESI 692.2(M+H)H NMR(400MHz,MeOD)δ 7.84(s,1H),6.96-6.68(m,5H),5.75-5.48(m,2H),4.26-4.01(m,3H),3.74-3.52(m,2H),3.31(s,3H),3.14(t,J=6.8Hz,2H),2.87-2.63(m,4H),2.30(s,3H),2.05-1.92(m,5H),1.85(s,3H),1.54-1.36(m,1H),1.07-0.87(m,6H).
GQ-P2 ESI 692.2(M+H)H NMR(400MHz,MeOD)δ 7.74(s,1H),7.04-6.78(m,5H),5.80-5.70(m,1H),5.62(t,J=7.7Hz,1H),4.49-4.21(m,3H),4.01-3.74(m,2H),3.46-3.35(m,5H),3.03-2.77(m,2H),2.68-2.44(m,2H),2.34(d,J=1.7Hz,3H),2.12-1.90(m,7H),1.74-1.57(m,1H),1.53-1.32(m,1H),0.99-0.83(m,6H).
4-150. (3S)-3-(2-(5-(2-(ジメチルアミノ)エチル)-2-オキソ-4-(トリフルオロメチル)ピリジン-1(2H)-イル)ペンタンアミド)-3-(4-フルオロ-2’,4’,5,6’-テトラメチル-[1,1’-ビフェニル]-3-イル)プロパン酸(ジアステレオマー化合物GR-P1およびGR-P2)
Figure 0007702004000965
GR-P1 ESI 632.2(M+H)H NMR (500MHz,MeOD)δ 7.88(s,1H),6.92-6.79(m,4H),6.74(s,1H),5.66-5.45(m,2H),3.11-2.85(m,5H),2.78-2.68(m,7H),2.32-2.22(m,6H),2.18-2.08(m,1H),2.06-1.92(m,4H),1.78(s,3H),1.41-1.24(m,2H),0.97(t,J=7.4Hz,3H).
GR-P2 ESI 632.2(M+H)H NMR(500MHz,MeOD)δ 7.82(s,1H),6.90(d,J=7.1Hz,5H),5.79-5.64(m,1H),5.52(t,J=7.6Hz,1H),3.30-3.15(m,2H),3.00(t,J=6.6Hz,2H),2.83(s,6H),2.69-2.59(m,1H),2.58-2.44(m,1H),2.31(d,J=9.7Hz,6H),2.13-2.01(m,1H),1.97(s,6H),1.91-1.73(m,1H),1.39-1.02(m,2H),0.91(t,J=7.4Hz,3H).
4-151. (3S)-3-(2-(5-(2-(ジメチルアミノ)エチル)-4-メチル-2-オキソピリジン-1(2H)-イル)-5-メチルヘキサンアミド)-3-(4-フルオロ-2’,4’,5,6’-テトラメチルビフェニル-3-イル)プロパン酸(ジアステレオマー化合物GS-P1およびGS-P2)
Figure 0007702004000966
GS-P1 ESI 606.3(M+H)H NMR(400MHz,MeOD)δ 7.57(s,1H),6.90(s,2H),6.85-6.80(m,2H),6.34(s,1H),5.48(t,J=6.0Hz,1H),5.42-5.37(s,1H),3.24-3.02(m,2H),2.89-2.85(m,2H),2.76(s,6H),2.71-2.60(m,2H),2.30(d,J=4.9Hz,6H),2.25(s,3H),2.22-2.14(m,1H),1.95(s,4H),1.87(s,3H),1.60-1.53(m,1H),1.25-1.14(m,1H),1.12-1.00(m,1H),0.89-0.87(m,6H).
GS-P2 ESI 606.3(M+H)H NMR(400MHz,MeOD)δ 7.54(s,1H),6.98-6.78(m,4H),6.44(s,1H),5.66-5.63(m,1H),5.42(t,J=7.7Hz,1H),3.31-3.28(m,1H),3.26-3.14(m,1H),2.99-2.88(m,2H),2.84(s,6H),2.64-2.59(m,1H),2.50-2.43(m,1H),2.39-2.28(m,6H),2.27(s,3H),2.16-2.07(m,1H),1.96(s,6H),1.89-1.74(m,1H),1.57-1.50(m,1H),1.15-1.11(m,1H),1.08-0.97(m,1H),0.85(t,J=6.5Hz,6H).
4-152. (3S)-3-(4,4’-ジフルオロ-2’,5,6’-トリメチルビフェニル-3-イル)-3-(2-(5-(2-(ジメチルアミノ)エチル)-4-メチル-2-オキソピリジン-1(2H)-イル)-5-メチルヘキサンアミド)プロパン酸(ジアステレオマー化合物GT-P1およびGT-P2)
Figure 0007702004000967
GT-P1 ESI 610.3(M+H)H NMR(400MHz,MeOD)δ 7.58(s,1H),6.84(t,J=9.1Hz,4H),6.32(s,1H),5.50(t,J=6.2Hz,1H),5.44-5.33(m,1H),3.24-3.06(m,2H),2.90-2.84(m,2H),2.78(s,6H),2.73-2.62(m,2H),2.28(d,J=14.1Hz,6H),2.22-2.11(m,1H),2.00-1.96(m,4H),1.89(s,3H),1.60-1.54(m,1H),1.29-1.15(m,1H),1.10-1.03(m,1H),0.89-0.87(m,6H).
GT-P2 ESI 610.3(M+H)H NMR(400MHz,MeOD)δ 7.54(s,1H),6.90(d,J=6.9Hz,2H),6.84(d,J=9.6Hz,2H),6.44(s,1H),5.66-5.62(m,1H),5.43(t,J=7.6Hz,1H),3.38-3.35(m,1H),3.24-3.20(m,1H),3.00-2.89(m,2H),2.85(s,6H),2.64-2.59(m,1H),2.50-2.44(m,1H),2.33(d,J=4Hz,3H),2.28(s,3H),2.17-2.07(m,1H),2.01(s,6H),1.87-1.77(m,1H),1.57-1.51(m,1H),1.20-1.09(m,1H),1.08-0.97(m,1H),0.85(t,J=6.4Hz,6H).
4-153. (3S)-3-(4,4’-ジフルオロ-2’,5,6’-トリメチル-[1,1’-ビフェニル]-3-イル)-3-(2-(3-フルオロ-5-(2-(3-メトキシアゼチジン-1-イル)エチル)-4-メチル-2-オキソピリジン-1(2H)-イル)-4-メチルペンタンアミド)プロパン酸(ジアステレオマー化合物GU-P1およびGU-P2)
Figure 0007702004000968
GU-P1 ESI 656.3(M+H)H NMR(400MHz,MeOD)δ 7.40(s,1H),6.95-6.72(m,4H),5.71-5.47(m,2H),4.27-4.16(m,2H),4.16-4.07(m,1H),3.81-3.69(m,1H),3.70-3.58(m,1H),3.30(s,3H),3.25(t,J=6.8Hz,2H),2.88-2.63(m,4H),2.37-2.16(m,6H),2.06-1.82(m,8H),1.49-1.28(m,1H),0.97-0.90(m,6H).
GU-P2 ESI 656.3(M+H)H NMR(400MHz,MeOD)δ 7.33(s,1H),6.96-6.89(m,2H),6.84(d,J=9.7Hz,2H),5.72-5.58(m,2H),4.39-4.14(m,3H),3.85-3.65(m,2H),3.31-3.20(m,5H),2.93-2.78(m,1H),2.77-2.55(m,2H),2.54-2.45(m,1H),2.33(d,J=1.7Hz,3H),2.22(d,J=2.7Hz,3H),2.06-1.86(m,7H),1.81-1.66(m,1H),1.344-1.32(m,1H),0.90(d,J=6.6Hz,6H).
4-154. (3S)-3-(5-クロロ-4-フルオロ-2’,4’,6’-トリメチルビフェニル-3-イル)-3-(2-(5-(2-(ジメチルアミノ)エチル)-3-フルオロ-2-オキソ-4-(トリフルオロメチル)ピリジン-1(2H)-イル)-4-メチルペンタンアミド)プロパン酸(ジアステレオマー化合物GV-P1およびGV-P2)
Figure 0007702004000969
GV-P1 ESI 684.2(M+H)H NMR(500MHz,MeOD)δ 7.65(s,1H),7.13(d,J=6.3Hz,1H),7.08(d,J=6.1Hz,1H),6.93(s,2H),5.66(d,J=5.4Hz,2H),3.13-2.89(m,4H),2.70(s,6H),2.67-2.62(m,1H),2.62-2.53(m,1H),2.30(s,3H),1.98(d,J=6.9Hz,7H),1.74-1.70(m,1H),1.40-1.33(m,1H),0.89(d,J=5.6Hz,6H).
GV-P2 ESI 684.2(M+H)H NMR(500MHz,MeOD)δ 7.67(s,1H),7.10(d,J=6.9Hz,1H),7.02(d,J=6.1Hz,1H),6.91(d,J=13.0Hz,2H),5.68(t,J=8.1Hz,1H),5.55(t,J=7.0Hz,1H),3.08(s,2H),2.98(d,J=7.7Hz,2H),2.73(d,J=9.7Hz,8H),2.30(s,3H),2.04-1.93(m,5H),1.83(s,3H),1.44-1.40(m,1H),0.96-0.92(m,6H).
4-155. (3S)-3-(2-(5-(2-(アゼチジン-1-イル)エチル)-2-オキソ-4-(トリフルオロメチル)ピリジン-1(2H)-イル)-4-メチルペンタンアミド)-3-(4’-シアノ-4-フルオロ-2’,5,5’-トリメチル-[1,1’-ビフェニル]-3-イル)プロパン酸(ジアステレオマー化合物GW-P1およびGW-P2)
Figure 0007702004000970
GW-P1 ESI 669.3(M+H)H NMR(400MHz,MeOD)δ 7.72(s,1H),7.45(s,1H),7.10(s,1H),7.06-6.92(m,2H),6.65(s,1H),5.57-5.40(m,2H),3.92(t,J=8.1Hz,4H),2.73-2.70(m,2H),2.60(d,J=7.6Hz,2H),2.40(s,3H),23.0-2.33(m,2H),2.36-2.30(m,2H),2.19(s,3H),2.09(s,3H),1.94-1.88(m,2H),1.35-1.21(m,1H),0.86-0.83(m,6H).
GW-P2 ESI 669.3(M+H)H NMR(400MHz,MeOD)δ 7.61(s,1H),7.47(s,1H),7.13(s,1H),7.10-6.98(m,2H),6.80(s,1H),5.65-5.62(m,1H),5.52(t,J=7.7Hz,1H),4.04(t,J=8.1Hz,4H),3.40-3.25(m,2H),2.86-2.64(m,2H),2.54-2.49(m,1H),2.45-2.30(m,6H),2.23(d,J=1.5Hz,3H),2.14(s,3H),1.95-1.81(m,1H),1.63-1.52(m,1H),1.31-1.26(m,1H),0.84-0.78(m,6H).
4-156. (3S)-3-(4-フルオロ-4’-メトキシ-2’,5,6’-トリメチル-[1,1’-ビフェニル]-3-イル)-3-(2-(5-(2-(3-メトキシアゼチジン-1-イル)エチル)-2-オキソ-4-(トリフルオロメチル)ピリジン-1(2H)-イル)-4-メチルペンタンアミド)プロパン酸(ジアステレオマー化合物GX-P1およびGX-P2)
Figure 0007702004000971
GX-P1 ESI 704.4(M+H)H NMR(400MHz,MeOD)δ 7.85(s,1H),6.86(t,J=6.2Hz,2H),6.77(s,1H),6.65(s,1H),6.62(s,1H),5.67(t,J=8.0Hz,1H),5.61-5.56(m,1H),4.25-4.09(m,3H),3.79(s,3H),3.71-3.61(m,2H),3.31(s,3H),3.17(t,J=6.8Hz,2H),2.81(t,J=6.9Hz,2H),2.76-2.69(m,2H),2.28(s,3H),2.04-1.97(m,5H),1.82(s,3H),1.48-1.41(m,1H),0.98-0.93(m,6H).GX-P2 ESI 704.4(M+H)H NMR(400MHz,MeOD)δ 7.75(s,1H),6.96-6.90(m,3H),6.67(s,2H),5.76-5.72(m,1H),5.63(t,J=7.7Hz,1H),4.44-4.26(m,3H),3.98-3.92(m,1H),3.88-3.83(m,1H),3.80(s,3H),3.42-3.35(m,5H),2.97-2.80(m,2H),2.67-2.62(m,1H),2.56-2.50(m,1H),2.33(d,J=1.6Hz,3H),2.04-1.94(m,7H),1.73-1.64(m,1H),1.47-1.39(m,1H),0.92-0.89(m,6H).
4.157. (3S)-3-(4’-シアノ-4-フルオロ-2’,5,6’-トリメチル-[1,1’-ビフェニル]-3-イル)-3-(2-(5-(2-(ジメチルアミノ)エチル)-2-オキソ-4-(トリフルオロメチル)ピリジン-1(2H)-イル)-4-メチルペンタンアミド)プロパン酸(ジアステレオマー化合物GY-P1およびGY-P2)
Figure 0007702004000972
GY-P1 ESI 657.4(M+H)H NMR(400MHz,MeOD)δ 7.88(s,1H),7.45(d,J=21.6Hz,2H),6.88(d,J=5.6Hz,2H),6.71(s,1H),5.72-5.47(m,2H),3.08-2.85(m,4H),2.79-2.57(m,8H),2.30(d,J=1.4Hz,3H),2.11-1.93(m,5H),1.88(s,3H),1.50-1.37(m,1H),1.06-0.86(m,6H).
GY-P2 ESI 657.4(M+H)H NMR(400MHz,MeOD)δ 7.84(s,1H),7.49(s,2H),7.02-6.74(m,3H),5.75-5.53(m,2H),3.25-3.06(m,2H),2.98(t,J=6.9Hz,2H),2.78(s,6H),2.70-2.48(m,2H),2.34(d,J=1.4Hz,3H),2.14-1.86(m,7H),1.79-1.62(m,1H),1.46-1.31(m,1H),0.95-0.82(m,6H).
4-158. (3S)-3-(4’-クロロ-4-フルオロ-2’,5,6’-トリメチルビフェニル-3-イル)-3-(2-(5-(2-(ジメチルアミノ)エチル)-2-オキソ-4-(トリフルオロメチル)ピリジン-1(2H)-イル)-4-メチルペンタンアミド)プロパン酸(ジアステレオマー化合物GZ-P1およびGZ-P2)
Figure 0007702004000973
GZ-P1 ESI 666.3(M+H)H NMR(400MHz,MeOD)δ 7.91(s,1H),7.08(d,J=24.1Hz,2H),6.91-6.80(m,2H),6.72(s,1H),5.68(t,J=8.0Hz,1H),5.59-5.48(m,1H),3.18-3.02(m,2H),2.95(t,J=7.0Hz,2H),2.82-2.63(m,8H),2.29(s,3H),2.04-1.91(m,5H),1.79(s,3H),1.58-1.30(m,1H),1.04-0.86(m,6H).
GZ-P2 ESI 666.3(M+H)H NMR(400MHz,MeOD)δ 7.88(s,1H),7.13(s,2H),6.94-6.83(m,3H),5.81-5.68(m,1H),5.62(t,J=7.7Hz,1H),3.30-3.16(m,2H),3.01(t,J=6.8Hz,2H),2.83(s,6H),2.72-2.45(m,2H),2.33(d,J=1.1Hz,3H),1.98(d,7H),1.75-1.63(m,1H),1.51-1.33(m,1H),0.87(d,J=6.6Hz,6H).
4-159. ((3S)-3-(4-フルオロ-2’,5,6’-トリメチルビフェニル-3-イル)-3-(2-(5-(2-((R)-3-フルオロピロリジン-1-イル)エチル)-4-メチル-2-オキソピリジン-1(2H)-イル)-4-メチルペンタンアミド)プロパン酸(ジアステレオマー化合物HA-P1およびHA-P2)
Figure 0007702004000974
HA-P1 ESI 622.2(M+H)H NMR(500MHz,MeOD)δ 7.54(s,1H),7.16-7.02(m,3H),6.87-6.78(m,2H),6.27(s,1H),5.73-5.50(m,2H),5.34-5.15(m,1H),3.31-3.23(m,1H),3.22-3.00(m,2H),2.94-2.80(m,3H),2.78-2.59(m,4H),2.36-2.09(m,8H),2.01-1.91(m,5H),1.83(s,3H),1.50-1.37(m,1H),0.97-0.89(m,6H).
HA-P2 ESI 622.2(M+H)H NMR(500MHz,MeOD)δ 7.56(s,1H),7.22-7.02(m,3H),6.91(d,J=6.8Hz,2H),6.42(s,1H),5.65-5.57(m,2H),5.41-5.24(m,1H),3.62-3.35(m,3H),3.31-3.09(m,3H),2.94-2.74(m,2H),2.68-2.49(m,2H),2.39-2.22(m,8H),2.10-1.89(m,7H),1.82-1.70(m,1H),1.49-1.31(m,1H),0.95-0.85(m,6H).
4-160. (3S)-3-(4-フルオロ-2’,4’,5,6’-テトラメチル-[1,1’-ビフェニル]-3-イル)-3-(2-(5-(2-(3-フルオロアゼチジン-1-イル)エチル)-2-オキソピリジン-1(2H)-イル)-4-メチルペンタンアミド)プロパン酸(ジアステレオマー化合物HB-P1およびHB-P2)
Figure 0007702004000975
HB-P1 ESI 608.3(M+H)H NMR(400MHz,MeOD)δ 7.52(s,1H),7.39(d,J=9.0Hz,1H),6.96-6.79(m,3H),6.73(s,1H),6.43(d,J=9.5Hz,1H),5.74-5.46(m,2H),5.14(d,J=57.6Hz,1H),3.77(s,2H),3.50(s,2H),2.88(s,2H),2.79-2.60(m,2H),2.51(s,2H),2.29(d,J=14.1Hz,6H),1.96(d,J=12.7Hz,5H),1.80(s,3H),1.42(s,1H),1.03-0.79(m,6H).
HB-P2 ESI 608.3(M+H)H NMR(400MHz,MeOD)δ 7.60-7.40(m,2H),6.90(d,J=7.8Hz,4H),6.57(d,J=9.2Hz,1H),5.70-5.57(m,2H),5.32(d,J=57.4Hz,1H),4.51-4.26(m,2H),4.14-3.87(m,2H),3.39(d,J=5.3Hz,2H),2.85-2.44(m,4H),2.35-2.17(m,6H),2.04-1.86(m,7H),1.86-1.73(m,1H),1.48-1.33(m,1H),0.90(t,J=6.3Hz,6H).
4-161. (3S)-3-(4,4’-ジフルオロ-2’,5,6’-トリメチル-[1,1’-ビフェニル]-3-イル)-3-(2-(5-(2-(3-フルオロアゼチジン-1-イル)エチル)-2-オキソピリジン-1(2H)-イル)-4-メチルペンタンアミド)プロパン酸(ジアステレオマー化合物HC-P1およびHC-P2)
Figure 0007702004000976
HC-P1 ESI 612.2(M+H)H NMR(400MHz,MeOD)δ 7.54(s,1H),7.43(dd,J=9.2,2.3Hz,1H),6.87-6.82(m,3H),6.76(d,J=6.7Hz,1H),6.46(d,J=9.3Hz,1H),5.63(d,J=7.9Hz,1H),5.54-5.43(m,1H),5.20(d,J=57.2Hz,1H),4.09-3.88(m,2H),3.71-3.55(m,2H),3.10-3.02(m,2H),2.80-2.53(m,4H),2.29(s,3H),2.03-1.92(m,5H),1.87(s,3H),1.50-1.36(m,1H),0.97-0.92(m,6H).
HC-P2 ESI 612.2(M+H)H NMR(400MHz,MeOD)δ 7.41(s,1H),7.38-7.35(m,1H),6.79(t,J=6.1Hz,2H),6.73(d,J=9.7Hz,2H),6.45(d,J=9.3Hz,1H),5.53-5.48(m,2H),5.20(d,J=57.2Hz,1H),4.39-4.14(m,2H),3.99-3.87(m,2H),3.32-3.25(m,2H),2.67-2.48(m,3H),2.40-2.34(m,1H),2.21(d,J=1.7Hz,3H),1.90-1.81(m,7H),1.72-1.64(m,1H),1.33-1.22(m,1H),0.79(t,J=6.6Hz,6H).
実施例5~7に記載されるインビトロアッセイの概要
以下の三種のインビトロアッセイを使用して、細胞により使用されるαβの機構的プロセスを検証した:1)リガンド:受容体のアフィニティ、2)細胞表面に対するこれら相互作用のアビディティ、および3)これら相互作用が、負荷力の下でどのように発生するか。実施例5において、蛍光偏光(FP)アッセイを使用して、フルオレセイン標識ペプチドとの結合競合を通じた化合物の活性を測定する。実施例6において、化合物サンプルとインキュベートされたRPMI 8866細胞を使用した細胞系リガンド結合アッセイ(LBA)において、可溶性MAdCAM-1リガンドとの競合下で、αβに対する化合物の効力が測定される。実施例7において、化合物の活性は、細胞接着アッセイにおいて評価される。当該アッセイは、輸送細胞がαβを利用して、溢出プロセス中に腸のMAdCAM-1発現HEVに接着するとき、インビボで何が発生するかを機構的に検証するものである。実施例7の細胞接着アッセイにおいて、MAdCAM1-(Fc)がプラスチック上にコーティングされ、α4β7発現細胞(RPMI-8866)は、被験化合物の存在下で当該コーティング表面に接着される。次に、緩衝液を用いた洗浄力が細胞に適用され、それによって当該接着の強度が試験される。非接着細胞は取り除かれ、残った接着細胞が定量化される。
実施例5:αβ結合に関する化合物の蛍光偏光アッセイ
蛍光偏光(FP)アッセイを使用して、フルオレセイン標識ペプチドのCRSDTLCGE{Lys(FITC)}との結合競合を通じた化合物の活性を測定する。当該アッセイにおいて、6.5nMのインテグリンαβが、2mM 塩化マンガン、0.1mM 塩化カルシウム、pH7.3の20mM HEPES緩衝液、150mM 塩化ナトリウム、0.01% Triton X-100、2% DMSO、および3nMのフルオレセイン標識ペプチドの存在下で、被験化合物とインキュベートされた。384ウェルプレートでアッセイを実行し、インテグリンタンパク質は22℃で15分間、被験化合物とプレインキュベートされ、その後にフルオレセイン標識ペプチドが加えられた。フルオレセイン標識ペプチドを加えた後、アッセイは、22℃で1時間インキュベートされ、蛍光偏光が測定された。IC50値は、非線形回帰、4パラメータ曲線適合により決定された。
図1、図3、および図4の特定の化合物を含む化合物に関する、αβ阻害効力の測定は、実施例5のFPアッセイを使用して行われた。図1において、実施例5のFPアッセイを使用して取得されたIC50値は、数値範囲(図1において、A:<5.55nM、B:5.55~500nM、C:>500nM)として提示される。図3および図4において、実施例5のFPアッセイを使用して取得されたIC50値は、数値範囲(図3および図4において、A:<5nM、B:5~500nM、C:>500nM)として提示される。
以下の表3A、表3B、および(比較用の)表4の化合物についても、実施例5のFPアッセイを使用してαβ阻害効力の測定が実施された。結果は、得られたIC50値の数値範囲として提示される(表3A、表3Bおよび表4において、A:≦10nM、B:>10~500nM、C:>500nM)。
実施例6:リガンド結合アッセイ
細胞系リガンド結合アッセイ(LBA)において、αβに対する化合物の効力を測定するために、RPMI8866細胞を、50mM HEPES pH 7.3、150mM 塩化ナトリウム、1%ウシ血清アルブミン、3mM 塩化マンガン、0.15mM 塩化カルシウム、15mM グルコース、1.5% ジメチルスルホキシド、および0.025% e780固定バイアビリティ色素を含有する緩衝液中、10μlの体積の化合物サンプルとともに、室温で15分間インキュベートした。50mM HEPES pH 7.3、150mM 塩化ナトリウム、および1%ウシ血清アルブミン中、Dylight650で蛍光標識された5μlの33nM MAdCAM-1-Fcを細胞に添加した。サンプルを室温で45分間インキュベートし、0.8%ホルムアルデヒドで30分間、室温で固定し、50mM Tris pH 7.5、150mM NaCl、1mM EDTA、および1%ウシ血清アルブミンで洗浄した。各細胞の蛍光強度を、フローサイトメトリーを介して測定した。780固定バイアビリティ色素での染色に基づき、死細胞はその後の解析から除外された。Dylight650の蛍光強度中央値を各サンプルについて決定し、濃度応答曲線を4パラメータ非線形回帰分析を使用してIC50値について分析した。
図1、図3、および図4に列挙された化合物について、実施例6のリガンド結合アッセイを用いて、αβリガンド結合アッセイの測定が実施された。図1、図3および図4において、実施例6のLBアッセイを使用して取得されたIC50値は、数値範囲(図1、図3および図4において、A:<5nM、B:5~500nM、C:>500nM)により提示される。
以下の表3A、表3B、および(比較用の)表4の化合物についても、実施例6のリガンド結合アッセイを使用して、αβリガンド結合アッセイの測定が実施された。得られたIC50値は、数値範囲として提示される(表3A、表3Bおよび表4において、A:≦10nM、B:>10~500nM、C:>500nM)。
実施例7:細胞接着アッセイ
実施例7は、細胞接着アッセイについて記載する。実施例7のアッセイからのαβ細胞接着測定値は、以下の表3Aおよび表3Bの化合物、ならびに表4の比較化合物から取得された。結果は、得られたIC50値の数値範囲として提示される(A:<5nM、B:5~<10nM、C 10-50nM、D:>50nM、E:>100nM、およびF>500nM、表3A、3Bおよび表4)。
96ウェルプレートの各ウェルに、100ul PBS中、100ugの組換えヒトMAdCAMを加えて、4℃で一晩インキュベートする。インキュベーション後、MAdCAMを吸引により除去して、200ulのPBS+1%BSAが添加され、37℃および5%CO2で2時間プレートをブロッキングする。このインキュベーションの間に、96ウェルV底プレートにおいて、100%DMSO中で化合物の希釈曲線が作成される。次いで、1.75ulの希釈化合物を、20ulのアッセイ培地(リン酸塩を含まないDMEM+25mM HEPES+1%BSA)を含有する新しい96ウェルU底プレートに移す。これに、追加の155ulのアッセイ培地を添加し、上下にピペッティングすることにより混合する。この混合物を、37℃および5% CO2で15分間インキュベートする。インキュベーション後、2e6/mLのRPMI8866細胞を含有する175ulのアッセイ培地を、化合物含有ウェルに混合せずに添加し、プレートをさらに15分間、37℃よおび5% CO2でインキュベートする。このインキュベーション中、MAdCAMコーティングプレートをインキュベーターから取り出し、200ulのPBS+0.1%BSAで2回洗浄する。細胞を化合物とともに15分間インキュベートした後、上下にピペッティングすることにより混合し、100ulの混合物を洗浄済みのMAdCAMコーティングプレートに三重で移す。次にこのプレートを37℃および5% CO2で1時間インキュベートする。インキュベーション後、プレートを200ulで2回、および50ulで1回、フェノールを含まないRPMI+1%BSAで洗浄する。最終のフェノールを含まないRPMI+1%BSAの50ulを、最後の洗浄後にウェルに加える。次に50ulのPromega cell titer glowをウェルに加える。プレートを、200RPMで2分間、振とう器上でインキュベートし、次いでさらに8分間、振とう器から降ろして、その後にBiotek Citation 5プレートリーダー上で発光を読み取る。生データは、曲線の底部と比較した阻害割合%に変換され、Prismにおいて4パラメータ非線形曲線を使用して分析され、IC50およびIC90が決定される。
Figure 0007702004000977
Figure 0007702004000978
Figure 0007702004000979
Figure 0007702004000980
Figure 0007702004000981
Figure 0007702004000982
Figure 0007702004000983
Figure 0007702004000984
Figure 0007702004000985
Figure 0007702004000986
Figure 0007702004000987
Figure 0007702004000988
Figure 0007702004000989
参照による組み込み
本明細書に引用される米国特許および米国特許出願公開ならびにPCT特許出願公開のすべてが、参照により本明細書に組み込まれる。
均等
当業者は、日常的な実験作業を越えない手法を使用して、本明細書に記載される本発明の特定の実施形態の多くの均等物を認識するか、または確認できるものとなる。かかる均等は、以下の請求の範囲に包含されることが意図される。
本発明は、以下の実施形態を包含する。
(実施形態1)
式(I)の化合物であって:
Figure 0007702004000990
式中、
、R 、およびR は独立して、H、Me、ハロゲン化物、CF 、C(H)F 、C(F)H 、および-(C 1- )アルキレン-N-(R )(R )からなる群から選択されるが;ただし、R 、R 、およびR のうちの少なくとも一つは、-(C 1- )アルキレン-N-(R )(R )であり;
およびR は独立して、Hおよび置換または非置換の(C -C )-アルキルからなる群から選択されるか、またはR およびR は、それらが結合するNと共に4~6員の環を形成し;
は、メチル、エチル、n-プロピル、イソ-プロピル、n-ブチル、イソ-ブチル、sec-ブチル、またはt-ブチルであり;
は、
Figure 0007702004000991
であり;
3a およびR 3b は独立して、H、(C -C )-アルキル、(C -C )-シクロアルキル、置換または非置換の3~6員のヘテロシクロアルキル、-OH、-CN、ハロゲン化物、CF 、C(H)F 、C(F)H 2、 -(C -C )-アルコキシ、-OCF および置換または非置換の(C -C )-アルキレン-(C -C )-アルコキシからなる群から選択されるが;ただし、R 3a およびR 3b の両方ともがHであることはないものとし;
3c およびR 3d は、Hであり;
は、Hであり;
5a およびR 5e は、独立してメチルであり;
5b およびR 5c は独立して、H、CN、ハロゲン化物、CF 、C(H)F 、C(F)H 、置換または非置換の(C -C )-アルキル、置換または非置換の(C -C )-シクロアルキル、置換または非置換の3~6員のヘテロシクロアルキル、ヒドロキシル、および(C -C )-アルコキシからなる群から選択され;
5d は、Hであり;および
式(I)の前記化合物が、以下からなる群:
a.(S)-3-(4,5-ジフルオロ-2’,6’-ジメチル-[1,1’-ビフェニル]-3-イル)-3-((S)-2-(5-(2-(3-フルオロアゼチジン-1-イル)エチル)-4-メチル-2-オキソピリジン-1(2H)-イル)-4-メチルペンタンアミド)プロパン酸;
b.(S)-3-((S)-2-(5-(2-(アゼチジン-1-イル)エチル)-2-オキソ-4-(トリフルオロメチル)ピリジン-1(2H)-イル)-4-メチルペンタンアミド)-3-(4-フルオロ-2’,6’-ジメチル-5-(トリフルオロメチル)-[1,1’-ビフェニル]-3-イル)プロパン酸;
c.(S)-3-((S)-2-(5-(2-(アゼチジン-1-イル)エチル)-2-オキソ-4-(トリフルオロメチル)ピリジン-1(2H)-イル)-4-メチルペンタンアミド)-3-(3’,4-ジフルオロ-2’,5,6’-トリメチル-[1,1’-ビフェニル]-3-イル)プロパン酸;
d.(S)-3-((S)-2-(5-(2-(アゼチジン-1-イル)エチル)-2-オキソ-4-(トリフルオロメチル)ピリジン-1(2H)-イル)-4-メチルペンタンアミド)-3-(4-フルオロ-3’-メトキシ-2’,5,6’-トリメチル-[1,1’-ビフェニル]-3-イル)プロパン酸;
e.(S)-3-(4,4’-ジフルオロ-2’,5,6’-トリメチル-[1,1’-ビフェニル]-3-イル)-3-((S)-2-(5-(2-(ジメチルアミノ)エチル)-2-オキソ-4-(トリフルオロメチル)ピリジン-1(2H)-イル)-4-メチルペンタンアミド)プロパン酸;
f.(S)-3-(5-クロロ-4-フルオロ-2’,6’-ジメチル-[1,1’-ビフェニル]-3-イル)-3-((S)-2-(5-(2-(3-メトキシアゼチジン-1-イル)エチル)-2-オキソ-4-(トリフルオロメチル)ピリジン-1(2H)-イル)-4-メチルペンタンアミド)プロパン酸;
g.(S)-3-((S)-2-(5-(2-(ジメチルアミノ)エチル)-2-オキソ-4-(トリフルオロメチル)ピリジン-1(2H)-イル)-4-メチルペンタンアミド)-3-(4-フルオロ-2’,4’,5,6’-テトラメチル-[1,1’-ビフェニル]-3-イル)プロパン酸;
h.(S)-3-(4,4’-ジフルオロ-2’,5,6’-トリメチル-[1,1’-ビフェニル]-3-イル)-3-((S)-2-(3-(ジフルオロメチル)-5-(2-(ジメチルアミノ)エチル)-2-オキソピリジン-1(2H)-イル)-4-メチルペンタンアミド)プロパン酸;
i.(S)-3-((S)-2-(5-(2-(ジメチルアミノ)エチル)-4-メチル-2-オキソピリジン-1(2H)-イル)-5-メチルヘキサンアミド)-3-(4-フルオロ-2’,5,6’-トリメチル-[1,1’-ビフェニル]-3-イル)プロパン酸;
j.(S)-3-(4-フルオロ-2’,5,6’-トリメチル-[1,1’-ビフェニル]-3-イル)-3-((S)-2-(3-フルオロ-5-(2-(3-フルオロアゼチジン-1-イル)エチル)-2-オキソピリジン-1(2H)-イル)-4-メチルペンタンアミド)プロパン酸;および
k.(S)-3-(4-フルオロ-2’,5,6’-トリメチル-[1,1’-ビフェニル]-3-イル)-3-((S)-2-(3-フルオロ-5-(2-((R)-3-フルオロピロリジン-1-イル)エチル)-2-オキソピリジン-1(2H)-イル)-4-メチルペンタンアミド)プロパン酸、
またはその薬学的に許容可能な塩から選択される、化合物。
(実施形態2)
前記化合物は、(S)-3-(4,5-ジフルオロ-2’,6’-ジメチル-[1,1’-ビフェニル]-3-イル)-3-((S)-2-(5-(2-(3-フルオロアゼチジン-1-イル)エチル)-4-メチル-2-オキソピリジン-1(2H)-イル)-4-メチルペンタンアミド)プロパン酸、またはその薬学的に許容可能な塩である、実施形態1に記載の化合物。
(実施形態3)
前記化合物は、(S)-3-((S)-2-(5-(2-(アゼチジン-1-イル)エチル)-2-オキソ-4-(トリフルオロメチル)ピリジン-1(2H)-イル)-4-メチルペンタンアミド)-3-(4-フルオロ-2’,6’-ジメチル-5-(トリフルオロメチル)-[1,1’-ビフェニル]-3-イル)プロパン酸、またはその薬学的に許容可能な塩である、実施形態1に記載の化合物。
(実施形態4)
前記化合物は、(S)-3-((S)-2-(5-(2-(アゼチジン-1-イル)エチル)-2-オキソ-4-(トリフルオロメチル)ピリジン-1(2H)-イル)-4-メチルペンタンアミド)-3-(3’,4-ジフルオロ-2’,5,6’-トリメチル-[1,1’-ビフェニル]-3-イル)プロパン酸、またはその薬学的に許容可能な塩である、実施形態1に記載の化合物。
(実施形態5)
前記化合物は、(S)-3-((S)-2-(5-(2-(アゼチジン-1-イル)エチル)-2-オキソ-4-(トリフルオロメチル)ピリジン-1(2H)-イル)-4-メチルペンタンアミド)-3-(4-フルオロ-3’-メトキシ-2’,5,6’-トリメチル-[1,1’-ビフェニル]-3-イル)プロパン酸、またはその薬学的に許容可能な塩である、実施形態1に記載の化合物。
(実施形態6)
前記化合物は、(S)-3-(4,4’-ジフルオロ-2’,5,6’-トリメチル-[1,1’-ビフェニル]-3-イル)-3-((S)-2-(5-(2-(ジメチルアミノ)エチル)-2-オキソ-4-(トリフルオロメチル)ピリジン-1(2H)-イル)-4-メチルペンタンアミド)プロパン酸、またはその薬学的に許容可能な塩である、実施形態1に記載の化合物。
(実施形態7)
前記化合物は、(S)-3-(5-クロロ-4-フルオロ-2’,6’-ジメチル-[1,1’-ビフェニル]-3-イル)-3-((S)-2-(5-(2-(3-メトキシアゼチジン-1-イル)エチル)-2-オキソ-4-(トリフルオロメチル)ピリジン-1(2H)-イル)-4-メチルペンタンアミド)プロパン酸、またはその薬学的に許容可能な塩である、実施形態1に記載の化合物。
(実施形態8)
前記化合物は、(S)-3-((S)-2-(5-(2-(ジメチルアミノ)エチル)-2-オキソ-4-(トリフルオロメチル)ピリジン-1(2H)-イル)-4-メチルペンタンアミド)-3-(4-フルオロ-2’,4’,5,6’-テトラメチル-[1,1’-ビフェニル]-3-イル)プロパン酸、またはその薬学的に許容可能な塩である、実施形態1に記載の化合物。
(実施形態9)
前記化合物は、(S)-3-(4,4’-ジフルオロ-2’,5,6’-トリメチル-[1,1’-ビフェニル]-3-イル)-3-((S)-2-(3-(ジフルオロメチル)-5-(2-(ジメチルアミノ)エチル)-2-オキソピリジン-1(2H)-イル)-4-メチルペンタンアミド)プロパン酸、またはその薬学的に許容可能な塩である、実施形態1に記載の化合物。
(実施形態10)
前記化合物は、(S)-3-((S)-2-(5-(2-(ジメチルアミノ)エチル)-4-メチル-2-オキソピリジン-1(2H)-イル)-5-メチルヘキサンアミド)-3-(4-フルオロ-2’,5,6’-トリメチル-[1,1’-ビフェニル]-3-イル)プロパン酸、またはその薬学的に許容可能な塩である、実施形態1に記載の化合物。
(実施形態11)
前記化合物は、(S)-3-(4-フルオロ-2’,5,6’-トリメチル-[1,1’-ビフェニル]-3-イル)-3-((S)-2-(3-フルオロ-5-(2-(3-フルオロアゼチジン-1-イル)エチル)-2-オキソピリジン-1(2H)-イル)-4-メチルペンタンアミド)プロパン酸、またはその薬学的に許容可能な塩である、実施形態1に記載の化合物。
(実施形態12)
前記化合物は、(S)-3-(4-フルオロ-2’,5,6’-トリメチル-[1,1’-ビフェニル]-3-イル)-3-((S)-2-(3-フルオロ-5-(2-((R)-3-フルオロピロリジン-1-イル)エチル)-2-オキソピリジン-1(2H)-イル)-4-メチルペンタンアミド)プロパン酸、またはその薬学的に許容可能な塩である、実施形態1に記載の化合物。
(実施形態13)
式(I)の化合物を医薬品有効成分として含有する医薬組成物であって、
Figure 0007702004000992
式中、
、R 、およびR は独立して、H、Me、ハロゲン化物、CF 、C(H)F 、C(F)H 、および-(C 1- )アルキレン-N-(R )(R )からなる群から選択されるが;ただし、R 、R 、およびR のうちの少なくとも一つは、-(C 1- )アルキレン-N-(R )(R )であり;
およびR は独立して、Hおよび置換または非置換の(C -C )-アルキルからなる群から選択されるか、またはR およびR は、それらが結合するNと共に4~6員の環を形成し;
は、メチル、エチル、n-プロピル、イソ-プロピル、n-ブチル、イソ-ブチル、sec-ブチル、またはt-ブチルであり;
は、
Figure 0007702004000993
であり;
3a およびR 3b は独立して、H、置換または非置換の(C -C )-アルキル、置換または非置換の(C -C )-シクロアルキル、置換または非置換の3~6員のヘテロシクロアルキル、-OH、-CN、ハロゲン化物、CF 、C(H)F 、C(F)H 2、 -(C -C )-アルコキシ、-OCF および置換または非置換の(C -C )-アルキレン-(C -C )-アルコキシからなる群から選択されるが、ただし、R 3a およびR 3b の両方ともがHであることはないものとし;
3c およびR 3d は、Hであり;
は、Hであり;
5a およびR 5e は、独立してメチルであり;
5b およびR 5c は独立して、H、CN、ハロゲン化物、CF 、C(H)F 、C(F)H 、置換または非置換の(C -C )-アルキル、置換または非置換の(C -C )-シクロアルキル、置換または非置換の3~6員のヘテロシクロアルキル、ヒドロキシル、および(C -C )-アルコキシからなる群から選択され;
5d は、Hであり;および
式(I)の前記化合物が、以下からなる群:
Figure 0007702004000994
Figure 0007702004000995
またはその薬学的に許容可能な塩から選択される、医薬組成物。
(実施形態14)
前記化合物が、
Figure 0007702004000996
またはその薬学的に許容可能な塩である、実施形態13に記載の組成物。
(実施形態15)
前記化合物が、
Figure 0007702004000997
またはその薬学的に許容可能な塩である、実施形態13に記載の組成物。
(実施形態16)
前記化合物が、
Figure 0007702004000998
またはその薬学的に許容可能な塩である、実施形態13に記載の組成物。
(実施形態17)
前記化合物が、
Figure 0007702004000999
またはその薬学的に許容可能な塩である、実施形態13に記載の組成物。
(実施形態18)
前記化合物が、
Figure 0007702004001000
またはその薬学的に許容可能な塩である、実施形態13に記載の組成物。
(実施形態19)
前記化合物が、
Figure 0007702004001001
またはその薬学的に許容可能な塩である、実施形態13に記載の組成物。
(実施形態20)
前記化合物が、
Figure 0007702004001002
またはその薬学的に許容可能な塩である、実施形態13に記載の組成物。
(実施形態21)
前記化合物が、
Figure 0007702004001003
またはその薬学的に許容可能な塩である、実施形態13に記載の組成物。
(実施形態22)
前記化合物が、
Figure 0007702004001004
またはその薬学的に許容可能な塩である、実施形態13に記載の組成物。
(実施形態23)
前記化合物が、
Figure 0007702004001005
またはその薬学的に許容可能な塩である、実施形態13に記載の組成物。
(実施形態24)
前記化合物が、
Figure 0007702004001006
またはその薬学的に許容可能な塩である、実施形態13に記載の組成物。
(実施形態25)
式(Ia)の化合物であって:
Figure 0007702004001007
式中、
は、CF であり;
は、置換または非置換の-(C 1- )アルキレン-N-(R )(R )であり;
およびR は独立して、置換または非置換の(C -C )-アルキルであるか;またはR およびR は、それらが結合するNと共に4~6員の環を形成し;
は、Hであり;
は、置換または非置換の(C -C )アルキルであり;
は、
Figure 0007702004001008
であり;
3a およびR 3b は独立して、H、置換または非置換の(C -C )-アルキル、置換または非置換の(C -C )-シクロアルキル、置換または非置換の3~6員のヘテロシクロアルキル、-OH、-CN、ハロゲン化物、CF 、C(H)F 、C(F)H 2、 -(C -C )-アルコキシ、-OCF および置換または非置換の(C -C )-アルキレン-(C -C )-アルコキシからなる群から選択されるが、ただし、R 3a およびR 3b の両方ともがHであることはないものとし;
3c は、Hであり;
3d は、ハロゲン化物であり;
は、Hであり;
5a およびR 5e はそれぞれ独立して、(C -C )-アルキルから選択され;および
5b 、R 5c 、およびR 5d は独立して、H、CN、ハロゲン化物、CF 、C(H)F 、C(F)H 、-CH CF 、置換または非置換の(C -C )-アルキル、置換または非置換の(C -C )-シクロアルキル、置換または非置換の3~6員のヘテロシクロアルキル、ヒドロキシル、および(C -C )-アルコキシからなる群から選択され;
式(I)の前記化合物が、以下からなる群から選択される、化合物:
Figure 0007702004001009
Figure 0007702004001010
Figure 0007702004001011
Figure 0007702004001012
(実施形態26)
前記化合物が、
Figure 0007702004001013
またはその薬学的に許容可能な塩である、実施形態25に記載の化合物。
(実施形態27)
前記化合物が、
Figure 0007702004001014
またはその薬学的に許容可能な塩である、実施形態25に記載の化合物。
(実施形態28)
前記化合物が、
Figure 0007702004001015
またはその薬学的に許容可能な塩である、実施形態25に記載の化合物。
(実施形態29)
前記化合物が、
Figure 0007702004001016
またはその薬学的に許容可能な塩である、実施形態25に記載の化合物。
(実施形態30)
前記化合物が、
Figure 0007702004001017
またはその薬学的に許容可能な塩である、実施形態25に記載の化合物。
(実施形態31)
前記化合物が、
Figure 0007702004001018
またはその薬学的に許容可能な塩である、実施形態25に記載の化合物。
(実施形態32)
前記化合物が、
Figure 0007702004001019
またはその薬学的に許容可能な塩である、実施形態25に記載の化合物。
(実施形態33)
前記化合物が、
Figure 0007702004001020
またはその薬学的に許容可能な塩である、実施形態25に記載の化合物。
(実施形態34)
前記化合物が、
Figure 0007702004001021
またはその薬学的に許容可能な塩である、実施形態25に記載の化合物。
(実施形態35)
前記化合物が、
Figure 0007702004001022
またはその薬学的に許容可能な塩である、実施形態25に記載の化合物。
(実施形態36)
前記化合物が、
Figure 0007702004001023
またはその薬学的に許容可能な塩である、実施形態25に記載の化合物。
(実施形態37)
医薬品有効成分として、実施形態25~36のいずれか一項に記載の化合物、またはその薬学的に許容可能な塩を含む、医薬組成物。

Claims (12)

  1. 式(I)の化合物またはその薬学的に許容可能な塩であって:
    式中、
    、RおよびRは独立して、H、Me、ハロゲン化物、CF、C(H)F、C(F)H、-CN、-OCF、置換または非置換の(C-C)-アルキル、置換または非置換の(C-C)-アルコキシ、-CHCF3、および置換または非置換の-(C1-)アルキレン-N-(R)(R)からなる群から選択されるが、ただし、R、R、およびRのうちの少なくとも一つは、-(C1-)アルキレン-N-(R)(R)であり;
    およびRは独立して、Hおよび置換または非置換の(C-C)-アルキルからなる群から選択されるか、またはRおよびRは、それらが結合するNと共に4~6員の環を形成し;
    は、置換もしくは非置換の(C-C)-アルキル、置換もしくは非置換の(C-C)-アルキレン-(C-C)-シクロアルキル、または置換もしくは非置換の(C-C)-アルキレン-(C-C)-アルコキシであり;
    は、
    であり;
    3aおよびR3bは独立して、H、置換または非置換の(C-C)-アルキル、置換または非置換の(C-C)-シクロアルキル、置換または非置換の3~6員のヘテロシクロアルキル、-OH、-CN、ハロゲン化物、CF、C(H)F、C(F)H2、-(C-C)-アルコキシ、-OCFおよび置換または非置換の(C-C)-アルキレン-(C-C)-アルコキシからなる群から選択されるが、ただし、R3aおよびR3bの両方ともがHであることはないものとし;
    3cは、H、置換または非置換の(C-C)-アルキル、置換または非置換の(C-C)-シクロアルキル、置換または非置換の3~6員のヘテロシクロアルキル、ヒドロキシル、ハロゲン化物、CF、C(H)F、C(F)H、-(C-C)-アルコキシ、-OCF-CN、および置換または非置換の(C-C)-アルキレン-(C-C)-アルコキシからなる群から選択され;
    3dは、H、置換または非置換の(C-C)-アルキル、ヒドロキシル、ハロゲン化物、および-(C-C)-アルコキシからなる群から選択され;
    は、H、または置換もしくは非置換の(C-C)アルキルであり;
    5aおよびR5eは独立して、H、CN、ハロゲン化物、CF、C(H)F、C(F)H、-CHCF3、置換または非置換の(C-C)-シクロアルキル、置換または非置換の(C-C)-アルキル、置換または非置換の3~6員のヘテロシクロアルキルヒドロキシル、および(C-C)-アルコキシからなる群から選択され;ならびに
    5b、R5c、およびR5dは独立して、H、CN、ハロゲン化物、CF、C(H)F、C(F)H、-CHCF、置換または非置換の(C-C)-アルキル、置換または非置換の(C-C)-シクロアルキル、置換または非置換の3~6員のヘテロシクロアルキル、ヒドロキシル、および(C-C)-アルコキシからなる群から選択され、
    但し、式(I)の化合物は、以下の化合物を除く:
    前記化合物またはその薬学的に許容可能な塩を含む、α4β7インテグリン媒介状態を治療するための医薬。
  2. 式(I)の化合物またはその薬学的に許容可能な塩であって:
    式中、
    は、H、Me、ハロゲン化物、C(H)F、C(F)H、-CN、-OCF、置換または非置換の(C-C)-アルキル、置換または非置換の(C-C)-アルコキシ、-CHCF3、および置換または非置換の-(C1-)アルキレン-N-(R)(R)からなる群から選択され;
    およびRは独立して、H、Me、ハロゲン化物、CF、C(H)F、C(F)H、-CN、-OCF、置換または非置換の(C-C)-アルキル、置換または非置換の(C-C)-アルコキシ、-CHCF3、および置換または非置換の-(C1-)アルキレン-N-(R)(R)からなる群から選択されるが、ただし、R、R、およびRのうちの少なくとも一つは、-(C1-)アルキレン-N-(R)(R)であり;
    およびRは独立して、Hおよび置換または非置換の(C-C)-アルキルからなる群から選択されるか、またはRおよびRは、それらが結合するNと共に4~6員の環を形成し;
    は、置換もしくは非置換の(C-C)-アルキル、置換もしくは非置換の(C-C)-アルキレン-(C-C)-シクロアルキル、または置換もしくは非置換の(C-C)-アルキレン-(C-C)-アルコキシであり;
    は、
    であり;
    3aおよびR3bは独立して、H、置換または非置換の(C-C)-アルキル、置換または非置換の(C-C)-シクロアルキル、置換または非置換の3~6員のヘテロシクロアルキル、-OH、-CN、ハロゲン化物、CF、C(H)F、C(F)H2、-(C-C)-アルコキシ、-OCFおよび置換または非置換の(C-C)-アルキレン-(C-C)-アルコキシからなる群から選択されるが、ただし、R3aおよびR3bの両方ともがHであることはないものとし;
    3cは、H、置換または非置換の(C-C)-アルキル、置換または非置換の(C-C)-シクロアルキル、置換または非置換の3~6員のヘテロシクロアルキル、ヒドロキシル、ハロゲン化物、CF、C(H)F、C(F)H、-(C-C)-アルコキシ、-OCF-CN、および置換または非置換の(C-C)-アルキレン-(C-C)-アルコキシからなる群から選択され;
    3dは、H、置換または非置換の(C-C)-アルキル、ヒドロキシル、ハロゲン化物、および-(C-C)-アルコキシからなる群から選択され;
    は、H、または置換もしくは非置換の(C-C)アルキルであり;
    5aおよびR5eは独立して、H、CN、ハロゲン化物、CF、C(H)F、C(F)H、-CHCF3、置換または非置換の(C-C)-シクロアルキル、置換または非置換の(C-C)-アルキル、置換または非置換の3~6員のヘテロシクロアルキルヒドロキシル、および(C-C)-アルコキシからなる群から選択され;ならびに
    5b、R5c、およびR5dは独立して、H、CN、ハロゲン化物、CF、C(H)F、C(F)H、-CHCF、置換または非置換の(C-C)-アルキル、置換または非置換の(C-C)-シクロアルキル、置換または非置換の3~6員のヘテロシクロアルキル、ヒドロキシル、および(C-C)-アルコキシからなる群から選択され、
    但し、式(I)の化合物は、以下の化合物を除く:
    前記化合物またはその薬学的に許容可能な塩を含む、α4β7インテグリン媒介状態を治療するための医薬。
  3. 式(I)の化合物またはその薬学的に許容可能な塩であって:
    式中、
    、RおよびRは独立して、H、Me、ハロゲン化物、CF、C(H)F、C(F)H、-CN、-OCF、置換または非置換の(C-C)-アルキル、置換または非置換の(C-C)-アルコキシ、-CHCF3、および置換または非置換の-(C1-)アルキレン-N-(R)(R)からなる群から選択されるが、ただし、R、R、およびRのうちの少なくとも一つは、-(C1-)アルキレン-N-(R)(R)であり;
    およびRは独立して、Hおよび置換または非置換の(C-C)-アルキルからなる群から選択されるか、またはRおよびRは、それらが結合するNと共に4~6員の環を形成し;
    は、置換もしくは非置換の(C-C)-アルキル、置換もしくは非置換の(C-C)-アルキレン-(C-C)-シクロアルキル、または置換もしくは非置換の(C-C)-アルキレン-(C-C)-アルコキシであり;
    は、
    であり;
    3aは、H、置換または非置換の(C-C)-アルキル、置換または非置換の(C-C)-シクロアルキル、置換または非置換の3~6員のヘテロシクロアルキル、-OH、-CN、CF、C(H)F、C(F)H2、-(C-C)-アルコキシ、-OCFおよび置換または非置換の(C-C)-アルキレン-(C-C)-アルコキシからなる群から選択され;
    3bは、H、置換または非置換の(C-C)-アルキル、置換または非置換の(C-C)-シクロアルキル、置換または非置換の3~6員のヘテロシクロアルキル、-OH、-CN、ハロゲン化物、CF、C(H)F、C(F)H2、-(C-C)-アルコキシ、-OCFおよび置換または非置換の(C-C)-アルキレン-(C-C)-アルコキシからなる群から選択されるが、ただし、R3aおよびR3bの両方ともがHであることはないものとし;
    3cは、H、置換または非置換の(C-C)-アルキル、置換または非置換の(C-C)-シクロアルキル、置換または非置換の3~6員のヘテロシクロアルキル、ヒドロキシル、ハロゲン化物、CF、C(H)F、C(F)H、-(C-C)-アルコキシ、-OCF-CN、および置換または非置換の(C-C)-アルキレン-(C-C)-アルコキシからなる群から選択され;
    3dは、H、置換または非置換の(C-C)-アルキル、ヒドロキシル、ハロゲン化物、および-(C-C)-アルコキシからなる群から選択され;
    は、H、または置換もしくは非置換の(C-C)アルキルであり;
    5aおよびR5eは独立して、H、CN、ハロゲン化物、CF、C(H)F、C(F)H、-CHCF3、置換または非置換の(C-C)-シクロアルキル、置換または非置換の(C-C)-アルキル、置換または非置換の3~6員のヘテロシクロアルキルヒドロキシル、および(C-C)-アルコキシからなる群から選択され;ならびに
    5b、R5c、およびR5dは独立して、H、CN、ハロゲン化物、CF、C(H)F、C(F)H、-CHCF、置換または非置換の(C-C)-アルキル、置換または非置換の(C-C)-シクロアルキル、置換または非置換の3~6員のヘテロシクロアルキル、ヒドロキシル、および(C-C)-アルコキシからなる群から選択される、
    前記化合物またはその薬学的に許容可能な塩を含む、α4β7インテグリン媒介状態を治療するための医薬。
  4. 、R、およびRは独立して、H、Me、ハロゲン化物、CF、C(H)F、C(F)H、および-(C1-)アルキレン-N-(R)(R)からなる群から選択されるが;ただし、R、R、およびRのうちの少なくとも一つは、-(C1-)アルキレン-N-(R)(R)であり;
    3cおよびR3dは、Hであり;
    5aおよびR5eは独立して、H、CN、ハロゲン化物、CF、C(H)F、C(F)H、置換または非置換の(C-C)-シクロアルキル、置換または非置換の(C-C)-アルキル、ヒドロキシル、および(C-C)-アルコキシからなる群から選択され;ならびに
    5b、R5cおよびR5dは独立して、H、CN、ハロゲン化物、CF、C(H)F、C(F)H、置換または非置換の(C-C)-アルキル、置換または非置換の(C-C)-シクロアルキル、置換または非置換の3~6員のヘテロシクロアルキル、ヒドロキシル、および(C-C)-アルコキシからなる群から選択される、請求項1に記載の医薬。
  5. 化合物が、以下の式(Ia)の化合物であって:
    式中、
    、RおよびRのうちの少なくとも一つは、-(C-C)アルキレン-N(R)(R)であり;
    およびRは独立して、Hおよびメチルからなる群から選択されるか;または
    およびRは、それらが結合するNとともに置換または非置換の4~6員の環を形成し;および
    3aおよびR3bはそれぞれ独立して、メチルおよびFからなる群から選択される、
    請求項4に記載の医薬。
  6. 、R、およびRは独立して、H、Me、ハロゲン化物、CF、C(H)F、C(F)H、および-(C1-)アルキレン-N-(R)(R)からなる群から選択されるが;ただし、R、R、およびRのうちの少なくとも一つは、-(C1-)アルキレン-N-(R)(R)であり;
    およびRは独立して、Hおよび置換または非置換の(C-C)-アルキルからなる群から選択されるか、またはRおよびRは、それらが結合するNと共に4~6員の環を形成し;
    は、メチル、エチル、n-プロピル、イソ-プロピル、n-ブチル、イソ-ブチル、sec-ブチル、またはt-ブチルであり;
    は、
    であり;
    3aおよびR3bは独立して、H、(C-C)-アルキル、(C-C)-シクロアルキル、置換または非置換の3~6員のヘテロシクロアルキル、-OH、-CN、ハロゲン化物、CF、C(H)F、C(F)H2、-(C-C)-アルコキシ、-OCFおよび置換または非置換の(C-C)-アルキレン-(C-C)-アルコキシからなる群から選択されるが;ただし、R3aおよびR3bの両方ともがHであることはないものとし;
    3cおよびR3dは、Hであり;
    は、Hであり;
    5aおよびR5eは、独立してメチルであり;
    5bおよびR5cは独立して、H、CN、ハロゲン化物、CF、C(H)F、C(F)H、置換または非置換の(C-C)-アルキル、置換または非置換の(C-C)-シクロアルキル、置換または非置換の3~6員のヘテロシクロアルキル、ヒドロキシル、および(C-C)-アルコキシからなる群から選択され;
    5dは、Hである、
    請求項1に記載の医薬。
  7. 請求項1~6のいずれか一項に記載の化合物またはその薬学的に許容可能な塩、及び1種以上の他の成分を含有する、α4β7インテグリン媒介状態を治療するための組成物。
  8. 前記化合物が、式(Ia)の化合物であって:
    式中、
    は、CFであり;
    は、置換または非置換の-(C1-)アルキレン-N-(R)(R)であり;
    およびRは独立して、置換または非置換の(C-C)-アルキルであるか;またはRおよびRは、それらが結合するNと共に4~6員の環を形成し;
    は、Hであり;
    は、置換または非置換の(C-C)アルキルであり;
    は、
    であり;
    3aおよびR3bは独立して、H、置換または非置換の(C-C)-アルキル、置換または非置換の(C-C)-シクロアルキル、置換または非置換の3~6員のヘテロシクロアルキル、-OH、-CN、ハロゲン化物、CF、C(H)F、C(F)H2、-(C-C)-アルコキシ、-OCFおよび置換または非置換の(C-C)-アルキレン-(C-C)-アルコキシからなる群から選択されるが、ただし、R3aおよびR3bの両方ともがHであることはないものとし;
    3cは、Hであり;
    3dは、ハロゲン化物であり;
    は、Hであり;
    5aおよびR5eはそれぞれ独立して、(C-C)-アルキルから選択され;および
    5b、R5c、およびR5dは独立して、H、CN、ハロゲン化物、CF、C(H)F、C(F)H、-CHCF、置換または非置換の(C-C)-アルキル、置換または非置換の(C-C)-シクロアルキル、置換または非置換の3~6員のヘテロシクロアルキル、ヒドロキシル、および(C-C)-アルコキシからなる群から選択される、
    前記構造を有する化合物またはその薬学的に許容可能な塩である、請求項1に記載の医薬。
  9. 請求項8に記載の化合物、またはその薬学的に許容可能な塩、及び1種以上の他の成分を含む、α4β7インテグリン媒介状態を治療するための組成物。
  10. 前記α4β7インテグリン媒介状態が、胃腸の自己炎症性又は自己免疫性疾患である、請求項1から6および8のいずれか一項に記載の医薬。
  11. 前記1種以上の他の成分が、薬学的に許容される賦形剤である、請求項7または9のいずれか一項に記載の組成物。
  12. 前記α4β7インテグリン媒介状態が、胃腸の自己炎症性又は自己免疫性疾患である、請求項7,9および11のいずれか一項に記載の組成物。
JP2024018866A 2019-10-16 2024-02-09 ヒトインテグリンα4β7の阻害 Active JP7702004B2 (ja)

Applications Claiming Priority (4)

Application Number Priority Date Filing Date Title
US201962916062P 2019-10-16 2019-10-16
US62/916,062 2019-10-16
PCT/US2020/055986 WO2021076890A1 (en) 2019-10-16 2020-10-16 INHIBITING HUMAN INTEGRIN α4β7
JP2022523102A JP7437495B2 (ja) 2019-10-16 2020-10-16 ヒトインテグリンα4β7の阻害

Related Parent Applications (1)

Application Number Title Priority Date Filing Date
JP2022523102A Division JP7437495B2 (ja) 2019-10-16 2020-10-16 ヒトインテグリンα4β7の阻害

Publications (2)

Publication Number Publication Date
JP2024054296A JP2024054296A (ja) 2024-04-16
JP7702004B2 true JP7702004B2 (ja) 2025-07-02

Family

ID=73198501

Family Applications (7)

Application Number Title Priority Date Filing Date
JP2022509595A Active JP7437490B2 (ja) 2019-10-16 2020-10-16 ヒトインテグリン(アルファ-4)(ベータ-7)の阻害
JP2022523102A Active JP7437495B2 (ja) 2019-10-16 2020-10-16 ヒトインテグリンα4β7の阻害
JP2021576053A Active JP7209116B2 (ja) 2019-10-16 2021-10-15 ヒトインテグリンα4β7の阻害
JP2023000761A Active JP7500785B2 (ja) 2019-10-16 2023-01-06 ヒトインテグリンα4β7の阻害
JP2024018866A Active JP7702004B2 (ja) 2019-10-16 2024-02-09 ヒトインテグリンα4β7の阻害
JP2024018765A Active JP7717202B2 (ja) 2019-10-16 2024-02-09 ヒトインテグリン(アルファ-4)(ベータ-7)の阻害
JP2024091304A Pending JP2024116230A (ja) 2019-10-16 2024-06-05 ヒトインテグリンα4β7の阻害

Family Applications Before (4)

Application Number Title Priority Date Filing Date
JP2022509595A Active JP7437490B2 (ja) 2019-10-16 2020-10-16 ヒトインテグリン(アルファ-4)(ベータ-7)の阻害
JP2022523102A Active JP7437495B2 (ja) 2019-10-16 2020-10-16 ヒトインテグリンα4β7の阻害
JP2021576053A Active JP7209116B2 (ja) 2019-10-16 2021-10-15 ヒトインテグリンα4β7の阻害
JP2023000761A Active JP7500785B2 (ja) 2019-10-16 2023-01-06 ヒトインテグリンα4β7の阻害

Family Applications After (2)

Application Number Title Priority Date Filing Date
JP2024018765A Active JP7717202B2 (ja) 2019-10-16 2024-02-09 ヒトインテグリン(アルファ-4)(ベータ-7)の阻害
JP2024091304A Pending JP2024116230A (ja) 2019-10-16 2024-06-05 ヒトインテグリンα4β7の阻害

Country Status (36)

Country Link
US (3) US20240174632A1 (ja)
EP (3) EP4045039B1 (ja)
JP (7) JP7437490B2 (ja)
KR (2) KR20220102669A (ja)
CN (3) CN115087444B (ja)
AR (1) AR120244A1 (ja)
AU (2) AU2020366435A1 (ja)
BR (1) BR112022007284A2 (ja)
CA (1) CA3154269A1 (ja)
CL (1) CL2022000959A1 (ja)
CO (1) CO2022005759A2 (ja)
CR (1) CR20220205A (ja)
CU (1) CU20220027A7 (ja)
DK (1) DK4045039T3 (ja)
DO (2) DOP2022000081A (ja)
EC (1) ECSP22038978A (ja)
ES (1) ES3035561T3 (ja)
FI (1) FI4045039T3 (ja)
HR (1) HRP20250749T1 (ja)
HU (1) HUE071814T2 (ja)
IL (2) IL319053A (ja)
LT (1) LT4045039T (ja)
MA (1) MA57399B1 (ja)
MD (1) MD4045039T2 (ja)
MX (1) MX2022004406A (ja)
PE (1) PE20221829A1 (ja)
PH (1) PH12022550886A1 (ja)
PL (1) PL4045039T3 (ja)
PT (1) PT4045039T (ja)
RS (1) RS66976B1 (ja)
SI (1) SI4045039T1 (ja)
TW (6) TWI775182B (ja)
UA (1) UA130059C2 (ja)
UY (1) UY38926A (ja)
WO (3) WO2021076902A1 (ja)
ZA (2) ZA202203872B (ja)

Families Citing this family (14)

* Cited by examiner, † Cited by third party
Publication number Priority date Publication date Assignee Title
EP3773573A4 (en) 2018-04-12 2022-04-06 Morphic Therapeutic, Inc. ANTAGONISTS OF HUMAN INTEGRIN (ALPHA4) (BETA7)
CN112969687B (zh) 2018-10-30 2024-08-23 吉利德科学公司 作为α4β7整合素抑制剂的喹啉衍生物
CN114222730B (zh) 2019-08-14 2024-09-10 吉利德科学公司 用于抑制α4β7整合素的化合物
US11866429B2 (en) 2019-10-16 2024-01-09 Chemocentryx, Inc. Heteroaryl-biphenyl amines for the treatment of PD-L1 diseases
EP4045039B1 (en) * 2019-10-16 2025-04-23 Morphic Therapeutic, Inc. Inhibiting human integrin alpha4beta7
CN118591535A (zh) * 2021-12-27 2024-09-03 西藏海思科制药有限公司 一种丙酸衍生物及其在医药上的应用
EP4585587A1 (en) 2022-09-09 2025-07-16 Xizang Haisco Pharmaceutical Co., Ltd. Propionic acid derivative and use thereof in medicine
KR20250120367A (ko) 2022-12-22 2025-08-08 신테라, 인크. 알파4 베타7 인테그린 안타고니스트 및 이의 용도
IL322849A (en) * 2023-02-21 2025-10-01 C4X Discovery Ltd Macrocyclic alpha 4 integrin inhibitors in cell 7
WO2024249328A2 (en) 2023-05-26 2024-12-05 Adarx Pharmaceuticals, Inc. Sod1-modulating compositions and methods of use thereof
WO2025026955A1 (en) * 2023-07-28 2025-02-06 Galapagos Nv Novel compounds and pharmaceutical compositions thereof for the treatment of inflammatory disorders
WO2025176107A1 (zh) * 2024-02-20 2025-08-28 西藏海思科制药有限公司 一种吡啶酮衍生物及其在医药上的应用
CN118702712B (zh) * 2024-07-04 2025-11-11 安徽普利药业有限公司 一种n-(3-苯10硼酸)-l-天冬氨酸中间体制备方法
CN119504796A (zh) * 2024-11-20 2025-02-25 南通大学附属医院 一种具有抗肿瘤活性的化合物及其应用

Citations (2)

* Cited by examiner, † Cited by third party
Publication number Priority date Publication date Assignee Title
JP2002544187A (ja) 1999-05-07 2002-12-24 テキサス・バイオテクノロジー・コーポレイシヨン インテグリンのその受容体への結合を阻害するプロパン酸誘導体
JP7437495B2 (ja) 2019-10-16 2024-02-22 モーフィック セラピューティック,インコーポレイテッド ヒトインテグリンα4β7の阻害

Family Cites Families (42)

* Cited by examiner, † Cited by third party
Publication number Priority date Publication date Assignee Title
PT691953E (pt) 1993-03-31 2001-01-31 Searle & Co 1-amidinofenil pirrolidinonas piperidinonas azetidinonas inibidoras de agregacao de plaquetas
DE4427979A1 (de) 1993-11-15 1996-02-15 Cassella Ag Substituierte 5-Ring-Heterocyclen, ihre Herstellung und ihre Verwendung
US5849736A (en) 1993-11-24 1998-12-15 The Dupont Merck Pharmaceutical Company Isoxazoline and isoxazole fibrinogen receptor antagonists
DE19622489A1 (de) 1996-06-05 1997-12-11 Hoechst Ag Salze des 3-(2-(4-(4-(Amino-imino-methyl)-phenyl)-4- methyl-2,5-dioxo-imidazolidin-1-yl)-acetylamino)-3- phenyl-propionsäure-ethylesters
WO1998016547A1 (en) 1996-10-11 1998-04-23 Cor Therapeutics, Inc. SELECTIVE FACTOR Xa INHIBITORS
CA2268270A1 (en) 1996-10-11 1998-04-23 Cor Therapeutics, Inc. Heterocyclic derivatives as factor xa inhibitors
DE19751251A1 (de) 1997-11-19 1999-05-20 Hoechst Marion Roussel De Gmbh Substituierte Imidazolidinderivate, ihre Herstellung, ihre Verwendung und sie enthaltende pharmezeutische Präparate
ES2221227T3 (es) 1997-11-24 2004-12-16 MERCK & CO., INC. Derivados sustituidos de beta-alanina como inhibidores de la adhesion celular.
US6645939B1 (en) 1997-11-24 2003-11-11 Merck & Co., Inc. Substituted β-alanine derivatives as cell adhesion inhibitors
MY153569A (en) 1998-01-20 2015-02-27 Mitsubishi Tanabe Pharma Corp Inhibitors of ?4 mediated cell adhesion
DE19821483A1 (de) 1998-05-14 1999-11-18 Hoechst Marion Roussel De Gmbh Imidazolidinderivate, ihre Herstellung, ihre Verwendung und sie enthaltende pharmazeutische Präparate
WO2000000481A1 (en) 1998-06-29 2000-01-06 Du Pont Pharmaceuticals Company Cyclic carbamates and isoxazolidines as iib/iiia antagonists
WO2000006169A1 (en) * 1998-07-29 2000-02-10 Merck & Co., Inc. Integrin receptor antagonists
GB9826174D0 (en) * 1998-11-30 1999-01-20 Celltech Therapeutics Ltd Chemical compounds
US6972296B2 (en) 1999-05-07 2005-12-06 Encysive Pharmaceuticals Inc. Carboxylic acid derivatives that inhibit the binding of integrins to their receptors
US6723711B2 (en) * 1999-05-07 2004-04-20 Texas Biotechnology Corporation Propanoic acid derivatives that inhibit the binding of integrins to their receptors
US6469047B1 (en) 1999-09-24 2002-10-22 Genentech, Inc. Tyrosine derivatives
DE10041423A1 (de) 2000-08-23 2002-03-07 Merck Patent Gmbh Biphenylderivate
CZ2003459A3 (cs) * 2000-08-30 2003-09-17 Pharmacia Corporation GEM-substituované antagonisty integrinu alfa v beta 3
DE10111876A1 (de) 2001-03-10 2002-09-19 Aventis Pharma Gmbh Bis(trifluormethyl)hydantoine als Zwischenprodukte für pharmazeutische Wirkstoffe
DE10154280A1 (de) 2001-11-05 2003-05-15 Wilex Ag Antagonisten für alpha¶4¶-Integrine
ATE512163T1 (de) 2002-02-25 2011-06-15 Elan Pharm Inc Verabreichung von mitteln zur behandlung von entzündungen
DK1784426T3 (da) 2004-09-03 2012-03-12 Genentech Inc Humaniserede anti-beta7-antagonister og anvendelser deraf
EP1863940B1 (en) 2005-03-03 2012-06-06 Seedlings Life Science Ventures, LLC. Method of risk management for patients undergoing natalizumab treatment
WO2006126529A1 (ja) 2005-05-25 2006-11-30 Shionogi & Co., Ltd. 6,7-不飽和-7-カルバモイル置換モルヒナン誘導体
ATE496041T1 (de) 2005-06-09 2011-02-15 Ucb Pharma Sa 2,6-chinolinderivate sowie verfahren zu ihrer herstellung und verwendung als arzneimittel
HUE047230T2 (hu) 2006-02-28 2020-04-28 Biogen Ma Inc Gyulladásos és autoimmun betegségek natalizumabbal való kezelésének módszerei
US20100272680A1 (en) 2009-02-09 2010-10-28 Subramanian Baskaran Piperidinyl Cyclic Amido Antiviral Agents
AR085826A1 (es) 2011-03-31 2013-10-30 Genentech Inc METODOS DE ADMINISTRACION DE ANTAGONISTAS DE INTEGRINA b7
JP6449161B2 (ja) 2012-10-05 2019-01-09 ジェネンテック, インコーポレイテッド 炎症性腸疾患の診断治療方法
AU2015235986B2 (en) 2014-03-27 2020-12-03 Genentech, Inc. Methods for diagnosing and treating inflammatory bowel disease
CN105658641B (zh) 2014-07-25 2018-04-17 江苏恒瑞医药股份有限公司 氮茚‑酰胺类衍生物、其制备方法及其在医药上的应用
EP3224280A1 (en) * 2014-11-26 2017-10-04 Millennium Pharmaceuticals, Inc. Vedolizumab for the treatment of fistulizing crohn's disease
WO2016138207A1 (en) 2015-02-26 2016-09-01 Genentech, Inc. Integrin beta7 antagonists and methods of treating crohn's disease
TW201835078A (zh) * 2017-02-28 2018-10-01 美商萊築理公司 αvβ6整合蛋白之抑制劑
US10875875B2 (en) * 2017-04-26 2020-12-29 Aviara Pharmaceuticals, Inc. Propionic acid derivatives and methods of use thereof
US10246451B2 (en) 2017-04-26 2019-04-02 Aviara Pharmaceuticals, Inc. Propionic acid derivatives and methods of use thereof
EP3773573A4 (en) 2018-04-12 2022-04-06 Morphic Therapeutic, Inc. ANTAGONISTS OF HUMAN INTEGRIN (ALPHA4) (BETA7)
ES2987796T3 (es) 2018-10-30 2024-11-18 Gilead Sciences Inc Derivados de N-benzoil-fenilalanina como inhibidores de la integrina alfa4beta7 para el tratamiento de enfermedades inflamatorias
ES3003232T3 (en) * 2018-10-30 2025-03-10 Gilead Sciences Inc Compounds for inhibition of alpha4beta7 integrin
CN112969687B (zh) 2018-10-30 2024-08-23 吉利德科学公司 作为α4β7整合素抑制剂的喹啉衍生物
CA3114240C (en) 2018-10-30 2023-09-05 Gilead Sciences, Inc. Imidazopyridine derivatives as alpha4beta7 integrin inhibitors

Patent Citations (2)

* Cited by examiner, † Cited by third party
Publication number Priority date Publication date Assignee Title
JP2002544187A (ja) 1999-05-07 2002-12-24 テキサス・バイオテクノロジー・コーポレイシヨン インテグリンのその受容体への結合を阻害するプロパン酸誘導体
JP7437495B2 (ja) 2019-10-16 2024-02-22 モーフィック セラピューティック,インコーポレイテッド ヒトインテグリンα4β7の阻害

Also Published As

Publication number Publication date
MA57399B1 (fr) 2025-06-30
TWI791304B (zh) 2023-02-01
KR20220102669A (ko) 2022-07-20
WO2022081983A1 (en) 2022-04-21
TW202244040A (zh) 2022-11-16
EP4045039A4 (en) 2023-12-13
TWI857592B (zh) 2024-10-01
ECSP22038978A (es) 2022-06-30
LT4045039T (lt) 2025-08-11
IL292296A (en) 2022-06-01
CN116783161A (zh) 2023-09-19
BR112022007284A2 (pt) 2022-07-05
TWI888065B (zh) 2025-06-21
JP2024116230A (ja) 2024-08-27
JP2024054293A (ja) 2024-04-16
AU2020366435A1 (en) 2022-04-21
JP2023036958A (ja) 2023-03-14
US11370773B1 (en) 2022-06-28
CN115087444B (zh) 2024-09-17
TWI840047B (zh) 2024-04-21
MX2022004406A (es) 2022-08-25
AR120244A1 (es) 2022-02-09
KR20230088376A (ko) 2023-06-19
JP7500785B2 (ja) 2024-06-17
HRP20250749T1 (hr) 2025-08-15
TWI802477B (zh) 2023-05-11
PL4045039T3 (pl) 2025-09-15
CN119192137A (zh) 2024-12-27
ES3035561T3 (en) 2025-09-04
EP4228634A1 (en) 2023-08-23
CO2022005759A2 (es) 2022-05-20
WO2021076890A1 (en) 2021-04-22
JP7437495B2 (ja) 2024-02-22
EP4045039B1 (en) 2025-04-23
TW202500558A (zh) 2025-01-01
IL292296B2 (en) 2025-07-01
TWI775182B (zh) 2022-08-21
PH12022550886A1 (en) 2023-05-03
EP4045039A1 (en) 2022-08-24
CU20220027A7 (es) 2022-12-12
TW202332675A (zh) 2023-08-16
TW202315868A (zh) 2023-04-16
EP4559525A2 (en) 2025-05-28
CL2022000959A1 (es) 2023-04-28
PE20221829A1 (es) 2022-11-29
SI4045039T1 (sl) 2025-07-31
HUE071814T2 (hu) 2025-09-28
CA3154269A1 (en) 2021-04-22
EP4559525A3 (en) 2025-08-20
WO2021076890A4 (en) 2021-06-10
JP2022548809A (ja) 2022-11-22
DOP2022000081A (es) 2022-07-31
ZA202303992B (en) 2024-06-26
MD4045039T2 (ro) 2025-11-30
JP7717202B2 (ja) 2025-08-01
US20240174632A1 (en) 2024-05-30
US11104661B1 (en) 2021-08-31
JP2023500437A (ja) 2023-01-06
UA130059C2 (uk) 2025-10-29
WO2021076902A1 (en) 2021-04-22
EP4228634A4 (en) 2024-12-18
JP2022542184A (ja) 2022-09-29
RS66976B1 (sr) 2025-07-31
IL319053A (en) 2025-04-01
CR20220205A (es) 2022-07-22
IL292296B1 (en) 2025-03-01
CN115087444A (zh) 2022-09-20
ZA202203872B (en) 2024-01-31
DOP2025000034A (es) 2025-04-08
JP7437490B2 (ja) 2024-02-22
UY38926A (es) 2021-05-31
JP2024054296A (ja) 2024-04-16
FI4045039T3 (fi) 2025-06-20
AU2021361031A1 (en) 2023-06-08
JP7209116B2 (ja) 2023-01-19
TW202500559A (zh) 2025-01-01
TW202222793A (zh) 2022-06-16
DK4045039T3 (da) 2025-06-30
TW202126624A (zh) 2021-07-16
PT4045039T (pt) 2025-07-02

Similar Documents

Publication Publication Date Title
JP7702004B2 (ja) ヒトインテグリンα4β7の阻害
AU2002218502B2 (en) Lactam compounds and medicinal use thereof
TWI900200B (zh) 抑制人類整合素αβ
OA21139A (en) Inhibiting human integrin ALPHA4BETA7.
CN101068812B (zh) 4,5-二氢-吡唑并[3,4-c]吡啶-2-酮的有效合成

Legal Events

Date Code Title Description
A521 Request for written amendment filed

Free format text: JAPANESE INTERMEDIATE CODE: A523

Effective date: 20240307

A621 Written request for application examination

Free format text: JAPANESE INTERMEDIATE CODE: A621

Effective date: 20240307

RD01 Notification of change of attorney

Free format text: JAPANESE INTERMEDIATE CODE: A7426

Effective date: 20240522

A521 Request for written amendment filed

Free format text: JAPANESE INTERMEDIATE CODE: A821

Effective date: 20240522

RD03 Notification of appointment of power of attorney

Free format text: JAPANESE INTERMEDIATE CODE: A7423

Effective date: 20241113

RD04 Notification of resignation of power of attorney

Free format text: JAPANESE INTERMEDIATE CODE: A7424

Effective date: 20241120

A131 Notification of reasons for refusal

Free format text: JAPANESE INTERMEDIATE CODE: A131

Effective date: 20250128

A521 Request for written amendment filed

Free format text: JAPANESE INTERMEDIATE CODE: A523

Effective date: 20250415

TRDD Decision of grant or rejection written
A01 Written decision to grant a patent or to grant a registration (utility model)

Free format text: JAPANESE INTERMEDIATE CODE: A01

Effective date: 20250603

A61 First payment of annual fees (during grant procedure)

Free format text: JAPANESE INTERMEDIATE CODE: A61

Effective date: 20250620

R150 Certificate of patent or registration of utility model

Ref document number: 7702004

Country of ref document: JP

Free format text: JAPANESE INTERMEDIATE CODE: R150